Autotools_02 Autotools A Practitioner's Guide To Autoconf, Automake And Libtool
User Manual:
Open the PDF directly: View PDF
.
Page Count: 364 [warning: Documents this large are best viewed by clicking the View PDF Link!]
- Brief Contents
- Contents in Detail
- Foreword
- Preface
- Introduction
- 1: A Brief Introduction to the GNU Autotools
- 2: Understanding the GNU Coding Standards
- Creating a New Project Directory Structure
- Project Structure
- Makefile Basics
- Creating a Source Distribution Archive
- Automatically Testing a Distribution
- Unit Testing, Anyone?
- Installing Products
- The Filesystem Hierarchy Standard
- Supporting Standard Targets and Variables
- Getting Your Project into a Linux Distro
- Build vs. Installation Prefix Overrides
- User Variables
- Configuring Your Package
- Summary
- 3: Configuring Your Project with Autoconf
- Autoconf Configuration Scripts
- The Shortest configure.ac File
- Comparing M4 to the C Preprocessor
- The Nature of M4 Macros
- Executing autoconf
- Executing configure
- Executing config.status
- Adding Some Real Functionality
- Generating Files from Templates
- Adding VPATH Build Functionality
- Let's Take a Breather
- An Even Quicker Start with autoscan
- Initialization and Package Information
- The Instantiating Macros
- Back to Remote Builds for a Moment
- Summary
- 4: More Fun with Autoconf: Configuring User Options
- 5: Automatic Makefiles with Automake
- 6: Building Libraries with Libtool
- 7: Library Interface Versioning and Runtime Dynamic Linking
- 8: FLAIM: An Autotools Example
- 9: FLAIM Part II: Pushing the Envelope
- 10: Using the M4 Macro Processor with Autoconf
- 11: A Catalog of Tips and Reusable Solutions for Creating Great Projects
- Item 1: Keeping Private Details out of Public Interfaces
- Item 2: Implementing Recursive Extension Targets
- Item 3: Using a Repository Revision Number in a Package Version
- Item 4: Ensuring Your Distribution Packages Are Clean
- Item 5: Hacking Autoconf Macros
- Item 6: Cross-Compiling
- Item 7: Emulating Autoconf Text Replacement Techniques
- Item 8: Using the ac-archive Project
- Item 9: Using pkg-config with Autotools
- Item 10: Using Incremental Installation Techniques
- Item 11: Using Generated Source Code
- Item 12: Disabling Undesirable Targets
- Item 13: Watch Those Tab Characters!
- Item 14: Packaging Choices
- Wrapping Up
- Index

www.nostarch.com
THE FINEST IN GEEK ENTERTAINMENT™
SHELVE IN:
COMPUTERS/PROGRAMMING
$44.95 ($56.95 CDN)
CREATING
PORTABLE
SOFTWARE JUST
GOT EASIER
CREATING
PORTABLE
SOFTWARE JUST
GOT EASIER
“I LIE FLAT.”
This book uses RepKover—a durable binding that won’t snap shut.
The GNU Autotools make it easy for developers to
create software that is portable across many Unix-like
operating systems. Although the Autotools are used
by thousands of open source software packages, they
have a notoriously steep learning curve. And good luck
to the beginner who wants to find anything beyond a
basic reference work online.
Autotools is the first book to offer programmers a tutorial-
based guide to the GNU build system. Author John
Calcote begins with an overview of high-level concepts
and a quick hands-on tour of the philosophy and design
of the Autotools. He then tackles more advanced details,
like using the M4 macro processor with Autoconf,
extending the framework provided by Automake, and
building Java and C# sources. He concludes the book
with detailed solutions to the most frequent problems
encountered by first-time Autotools users.
You’ll learn how to:
• Master the Autotools build system to maximize your
software’s portability
• Generate Autoconf configuration scripts to simplify
the compilation process
• Produce portable makefiles with Automake
• Build cross-platform software libraries with Libtool
• Write your own Autoconf macros
Autotools focuses on two projects: Jupiter, a simple
“Hello, world!” program, and FLAIM, an existing,
complex open source effort containing four separate but
interdependent subprojects. Follow along as the author
takes Jupiter’s build system from a basic makefile to a
full-fledged Autotools project, and then as he converts
the FLAIM projects from complex hand-coded makefiles
to the powerful and flexible GNU build system.
ABOUT THE AUTHOR
John Calcote is a senior software engineer and architect
at Novell, Inc. He’s been writing and developing portable
networking and system-level software for nearly 20 years
and is active in developing, debugging, and analyzing
diverse open source software packages. He is currently
a project administrator of the OpenSLP, OpenXDAS, and
DNX projects, as well as the Novell-sponsored FLAIM
database project.
AUTOTOOLS
AUTOTOOLS
A PRACTITIONER’S GUIDE TO
GNU AUTOCONF, AUTOMAKE, AND LIBTOOL
JOHN CALCOTE
CALCOTE
AUTOTOOLS
AUTOTOOLS
www.it-ebooks.info

AUTOTOOLS. Copyright © 2010 by John Calcote.
All rights reserved. No part of this work may be reproduced or transmitted in any form or by any means, electronic or
mechanical, including photocopying, recording, or by any information storage or retrieval system, without the prior
written permission of the copyright owner and the publisher.
14 13 12 11 10 1 2 3 4 5 6 7 8 9
ISBN-10: 1-59327-206-5
ISBN-13: 978-1-59327-206-7
Publisher: William Pollock
Production Editor: Ansel Staton
Cover and Interior Design: Octopod Studios
Developmental Editor: William Pollock
Technical Reviewer: Ralf Wildenhues
Copyeditor: Megan Dunchak
Compositor: Susan Glinert Stevens
Proofreader: Linda Seifert
Indexer: Nancy Guenther
For information on book distributors or translations, please contact No Starch Press, Inc. directly:
No Starch Press, Inc.
38 Ringold Street, San Francisco, CA 94103
phone: 415.863.9900; fax: 415.863.9950; info@nostarch.com; www.nostarch.com
Library of Congress Cataloging-in-Publication Data
Calcote, John, 1964-
Autotools : a practitioner's guide to GNU Autoconf, Automake, and Libtool / by John Calcote.
p. cm.
ISBN-13: 978-1-59327-206-7 (pbk.)
ISBN-10: 1-59327-206-5 (pbk.)
1. Autotools (Electronic resource) 2. Cross-platform software development. 3. Open source software.
4. UNIX (Computer file) I. Title.
QA76.76.D47C335 2010
005.3--dc22
2009040784
No Starch Press and the No Starch Press logo are registered trademarks of No Starch Press, Inc. Other product and
company names mentioned herein may be the trademarks of their respective owners. Rather than use a trademark
symbol with every occurrence of a trademarked name, we are using the names only in an editorial fashion and to the
benefit of the trademark owner, with no intention of infringement of the trademark.
The information in this book is distributed on an “As Is” basis, without warranty. While every precaution has been
taken in the preparation of this work, neither the author nor No Starch Press, Inc. shall have any liability to any
person or entity with respect to any loss or damage caused or alleged to be caused directly or indirectly by the
information contained in it.
Autotools_02.book Page iv Tuesday, June 15, 2010 2:38 PM
www.it-ebooks.info

BRIEF CONTENTS
Foreword by Ralf Wildenhues..........................................................................................xv
Preface .......................................................................................................................xvii
Introduction ..................................................................................................................xxi
Chapter 1: A Brief Introduction to the GNU Autotools..........................................................1
Chapter 2: Understanding the GNU Coding Standards .....................................................19
Chapter 3: Configuring Your Project with Autoconf ...........................................................57
Chapter 4: More Fun with Autoconf: Configuring User Options ..........................................89
Chapter 5: Automatic Makefiles with Automake..............................................................119
Chapter 6: Building Libraries with Libtool .......................................................................145
Chapter 7: Library Interface Versioning and Runtime Dynamic Linking ...............................171
Chapter 8: FLAIM: An Autotools Example.......................................................................195
Chapter 9: FLAIM Part II: Pushing the Envelope...............................................................229
Chapter 10: Using the M4 Macro Processor with Autoconf ..............................................251
Chapter 11: A Catalog of Tips and Reusable Solutions for Creating Great Projects .............271
Index.........................................................................................................................313
Autotools_02.book Page vii Tuesday, June 15, 2010 2:38 PM
www.it-ebooks.info
CONTENTS IN DETAIL
FOREWORD by Ralf Wildenhues xv
PREFACE xvii
Why Use the Autotools? .........................................................................................xviii
Acknowledgments ................................................................................................... xx
I Wish You the Very Best .......................................................................................... xx
INTRODUCTION xxi
Who Should Read This Book .................................................................................. xxii
How This Book Is Organized .................................................................................. xxii
Conventions Used in This Book ...............................................................................xxiii
Autotools Versions Used in This Book .......................................................................xxiii
1
A BRIEF INTRODUCTION TO THE GNU AUTOTOOLS 1
Who Should Use the Autotools? ................................................................................. 2
When Should You Not Use the Autotools? ................................................................... 2
Apple Platforms and Mac OS X ................................................................................. 3
The Choice of Language ........................................................................................... 4
Generating Your Package Build System ....................................................................... 5
Autoconf ................................................................................................................. 6
autoconf ........................................................................................................... 7
autoreconf ........................................................................................................ 7
autoheader ....................................................................................................... 7
autoscan ........................................................................................................... 7
autoupdate ....................................................................................................... 7
ifnames ............................................................................................................ 8
autom4te .......................................................................................................... 8
Working Together .............................................................................................. 8
Automake ................................................................................................................ 9
automake ....................................................................................................... 10
aclocal ........................................................................................................... 10
Libtool ................................................................................................................... 11
libtool ............................................................................................................. 12
libtoolize ........................................................................................................ 12
ltdl, the Libtool C API ........................................................................................ 12
Building Your Package ............................................................................................ 13
Running configure ............................................................................................ 13
Running make ................................................................................................. 15
Installing the Most Up-to-Date Autotools ..................................................................... 16
Summary ............................................................................................................... 18
Autotools_02.book Page ix Tuesday, June 15, 2010 2:38 PM
www.it-ebooks.info
xContents in Detail
2
UNDERSTANDING THE GNU CODING STANDARDS 19
Creating a New Project Directory Structure ................................................................ 20
Project Structure ..................................................................................................... 21
Makefile Basics ...................................................................................................... 22
Commands and Rules ....................................................................................... 23
Variables ........................................................................................................ 24
A Separate Shell for Each Command ................................................................. 25
Variable Binding ............................................................................................. 26
Rules in Detail ................................................................................................. 27
Resources for Makefile Authors .......................................................................... 32
Creating a Source Distribution Archive ...................................................................... 32
Forcing a Rule to Run ....................................................................................... 34
Leading Control Characters .............................................................................. 35
Automatically Testing a Distribution .......................................................................... 36
Unit Testing, Anyone? ............................................................................................. 37
Installing Products ................................................................................................... 38
Installation Choices .......................................................................................... 40
Uninstalling a Package ..................................................................................... 41
Testing Install and Uninstall ............................................................................... 42
The Filesystem Hierarchy Standard ........................................................................... 44
Supporting Standard Targets and Variables .............................................................. 45
Standard Targets ............................................................................................. 46
Standard Variables .......................................................................................... 46
Adding Location Variables to Jupiter .................................................................. 47
Getting Your Project into a Linux Distro ..................................................................... 48
Build vs. Installation Prefix Overrides ........................................................................ 50
User Variables ....................................................................................................... 52
Configuring Your Package ...................................................................................... 54
Summary ............................................................................................................... 55
3
CONFIGURING YOUR PROJECT WITH AUTOCONF 57
Autoconf Configuration Scripts ................................................................................. 58
The Shortest configure.ac File .................................................................................. 59
Comparing M4 to the C Preprocessor ....................................................................... 60
The Nature of M4 Macros ....................................................................................... 60
Executing autoconf ................................................................................................. 61
Executing configure ................................................................................................ 62
Executing config.status ............................................................................................ 63
Adding Some Real Functionality ............................................................................... 64
Generating Files from Templates .............................................................................. 67
Adding VPATH Build Functionality ............................................................................ 68
Let’s Take a Breather .............................................................................................. 70
An Even Quicker Start with autoscan ........................................................................ 71
The Proverbial autogen.sh Script ........................................................................ 73
Updating Makefile.in ....................................................................................... 75
Initialization and Package Information ...................................................................... 76
AC_PREREQ ................................................................................................... 76
AC_INIT ......................................................................................................... 76
AC_CONFIG_SRCDIR ...................................................................................... 77
Autotools_02.book Page x Tuesday, June 15, 2010 2:38 PM
www.it-ebooks.info
Contents in Detail xi
The Instantiating Macros ......................................................................................... 78
AC_CONFIG_HEADERS ................................................................................... 83
Using autoheader to Generate an Include File Template ....................................... 84
Back to Remote Builds for a Moment ......................................................................... 87
Summary ............................................................................................................... 88
4
MORE FUN WITH AUTOCONF:
CONFIGURING USER OPTIONS 89
Substitutions and Definitions .................................................................................... 90
AC_SUBST ...................................................................................................... 90
AC_DEFINE .................................................................................................... 91
Checking for Compilers .......................................................................................... 91
Checking for Other Programs .................................................................................. 93
A Common Problem with Autoconf ........................................................................... 95
Checks for Libraries and Header Files ....................................................................... 98
Is It Right or Just Good Enough? ....................................................................... 101
Printing Messages .......................................................................................... 106
Supporting Optional Features and Packages ........................................................... 107
Coding Up the Feature Option ........................................................................ 109
Formatting Help Strings .................................................................................. 112
Checks for Type and Structure Definitions ................................................................ 112
The AC_OUTPUT Macro ....................................................................................... 116
Summary ............................................................................................................. 117
5
AUTOMATIC MAKEFILES
WITH AUTOMAKE 119
Getting Down to Business ...................................................................................... 120
Enabling Automake in configure.ac .................................................................. 121
A Hidden Benefit: Automatic Dependency Tracking ........................................... 124
What’s in a Makefile.am File? ............................................................................... 125
Analyzing Our New Build System .......................................................................... 126
Product List Variables ..................................................................................... 127
Product Source Variables ................................................................................ 132
PLV and PSV Modifiers ................................................................................... 132
Unit Tests: Supporting make check .......................................................................... 133
Reducing Complexity with Convenience Libraries ..................................................... 134
Product Option Variables ................................................................................ 136
Per-Makefile Option Variables ......................................................................... 138
Building the New Library ....................................................................................... 138
What Goes into a Distribution? .............................................................................. 140
Maintainer Mode ................................................................................................. 141
Cutting Through the Noise ..................................................................................... 142
Summary ............................................................................................................. 144
Autotools_02.book Page xi Tuesday, June 15, 2010 2:38 PM
www.it-ebooks.info
xii Contents in Detail
6
BUILDING LIBRARIES WITH LIBTOOL 145
The Benefits of Shared Libraries ............................................................................. 146
How Shared Libraries Work .................................................................................. 146
Dynamic Linking at Load Time ......................................................................... 147
Automatic Dynamic Linking at Runtime ............................................................. 148
Manual Dynamic Linking at Runtime ................................................................. 149
Using Libtool ........................................................................................................ 150
Abstracting the Build Process ........................................................................... 150
Abstraction at Runtime .................................................................................... 151
Installing Libtool ................................................................................................... 152
Adding Shared Libraries to Jupiter .......................................................................... 152
Using the LTLIBRARIES Primary ......................................................................... 153
Public Include Directories ................................................................................ 153
Customizing Libtool with LT_INIT Options .......................................................... 157
Reconfigure and Build .................................................................................... 161
So What Is PIC, Anyway? ............................................................................... 164
Fixing the Jupiter PIC Problem ......................................................................... 167
Summary ............................................................................................................. 170
7
LIBRARY INTERFACE VERSIONING AND
RUNTIME DYNAMIC LINKING 171
System-Specific Versioning .................................................................................... 172
Linux and Solaris Library Versioning ................................................................. 172
IBM AIX Library Versioning ............................................................................. 173
HP-UX/AT&T SVR4 Library Versioning .............................................................. 176
The Libtool Library Versioning Scheme .................................................................... 176
Library Versioning Is Interface Versioning .......................................................... 177
When Library Versioning Just Isn’t Enough ........................................................ 180
Using libltdl ......................................................................................................... 181
Necessary Infrastructure ................................................................................. 181
Adding a Plug-In Interface ............................................................................... 183
Doing It the Old-Fashioned Way ..................................................................... 184
Converting to Libtool’s ltdl Library .................................................................... 188
Preloading Multiple Modules ........................................................................... 192
Checking It All Out ........................................................................................ 193
Summary ............................................................................................................. 194
8
FLAIM: AN AUTOTOOLS EXAMPLE 195
What Is FLAIM? ................................................................................................... 196
Why FLAIM? ....................................................................................................... 196
An Initial Look ...................................................................................................... 197
Getting Started .................................................................................................... 199
Adding the configure.ac Files .......................................................................... 199
The Top-Level Makefile.am File ........................................................................ 202
The FLAIM Subprojects .......................................................................................... 204
The FLAIM Toolkit configure.ac File .................................................................. 205
The FLAIM Toolkit Makefile.am File .................................................................. 212
Autotools_02.book Page xii Tuesday, June 15, 2010 2:38 PM
www.it-ebooks.info
Contents in Detail xiii
Designing the ftk/src/Makefile.am File ............................................................. 215
Moving On to the ftk/util Directory .................................................................. 217
Designing the XFLAIM Build System ........................................................................ 218
The XFLAIM configure.ac File .......................................................................... 219
Creating the xflaim/src/Makefile.am File ......................................................... 222
Turning to the xflaim/util Directory ................................................................... 223
Summary ............................................................................................................. 227
9
FLAIM PART II: PUSHING THE ENVELOPE 229
Building Java Sources Using the Autotools ............................................................... 230
Autotools Java Support ................................................................................... 230
Using ac-archive Macros ................................................................................ 233
Canonical System Information ......................................................................... 234
The xflaim/java Directory Structure .................................................................. 234
The xflaim/src/Makefile.am File ...................................................................... 235
Building the JNI C++ Sources .......................................................................... 236
The Java Wrapper Classes and JNI Headers ..................................................... 237
A Caveat About Using the JAVA Primary .......................................................... 239
Building the C# Sources ........................................................................................ 239
Manual Installation ........................................................................................ 242
Cleaning Up Again ........................................................................................ 243
Configuring Compiler Options ............................................................................... 243
Hooking Doxygen into the Build Process ................................................................. 245
Adding Nonstandard Targets ................................................................................ 247
Summary ............................................................................................................. 250
10
USING THE M4 MACRO PROCESSOR WITH AUTOCONF 251
M4 Text Processing .............................................................................................. 252
Defining Macros ............................................................................................ 253
Macros with Arguments .................................................................................. 255
The Recursive Nature of M4 .................................................................................. 256
Quoting Rules ............................................................................................... 258
Autoconf and M4 ................................................................................................. 259
The Autoconf M4 Environment ......................................................................... 260
Writing Autoconf Macros ...................................................................................... 260
Simple Text Replacement ................................................................................ 260
Documenting Your Macros .............................................................................. 263
M4 Conditionals ............................................................................................ 264
Diagnosing Problems ............................................................................................ 268
Summary ............................................................................................................. 269
11
A CATALOG OF TIPS AND REUSABLE SOLUTIONS
FOR CREATING GREAT PROJECTS 271
Item 1: Keeping Private Details out of Public Interfaces .............................................. 272
Solutions in C ................................................................................................ 273
Solutions in C++ ............................................................................................ 273
Autotools_02.book Page xiii Tuesday, June 15, 2010 2:38 PM
www.it-ebooks.info
xiv Contents in Detail
Item 2: Implementing Recursive Extension Targets ..................................................... 276
Item 3: Using a Repository Revision Number in a Package Version ............................. 279
Item 4: Ensuring Your Distribution Packages Are Clean ............................................. 281
Item 5: Hacking Autoconf Macros .......................................................................... 282
Providing Library-Specific Autoconf Macros ....................................................... 287
Item 6: Cross-Compiling ........................................................................................ 287
Item 7: Emulating Autoconf Text Replacement Techniques .......................................... 293
Item 8: Using the ac-archive Project ........................................................................ 298
Item 9: Using pkg-config with Autotools .................................................................. 299
Providing pkg-config Files for Your Library Projects ............................................. 300
Using pkg-config Files in configure.ac .............................................................. 301
Item 10: Using Incremental Installation Techniques ................................................... 302
Item 11: Using Generated Source Code .................................................................. 302
Using the BUILT_SOURCES Variable ................................................................ 302
Dependency Management .............................................................................. 303
Built Sources Done Right ................................................................................. 306
Item 12: Disabling Undesirable Targets ................................................................... 309
Item 13: Watch Those Tab Characters! ................................................................... 310
Item 14: Packaging Choices .................................................................................. 311
Wrapping Up ...................................................................................................... 312
INDEX 313
Autotools_02.book Page xiv Tuesday, June 15, 2010 2:38 PM
www.it-ebooks.info

FOREWORD
When I was asked to do a technical review on a book
about the Autotools, I was rather skeptical. Several
online tutorials and a few books already introduce
readers to the use of GNU Autoconf, Automake, and
Libtool. However, many of these texts are less than ideal in at least some
ways: They were either written several years ago and are starting to show their
age, contain at least some inaccuracies, or tend to be incomplete for typical
beginner’s tasks. On the other hand, the GNU manuals for these programs
are fairly large and rather technical, and as such, they may present a signifi-
cant entry barrier to learning your ways around the Autotools.
John Calcote began this book with an online tutorial that shared at least
some of the problems facing other tutorials. Around that time, he became a
regular contributor to discussions on the Autotools mailing lists, too. John
kept asking more and more questions, and discussions with him uncovered
some bugs in the Autotools sources and documentation, as well as some
issues in his tutorial.
Autotools_02.book Page xv Tuesday, June 15, 2010 2:38 PM
www.it-ebooks.info
xvi Foreword
Since that time, John has reworked the text a lot. The review uncovered
several more issues in both software and book text, a nice mutual benefit. As
a result, this book has become a great introductory text that still aims to be
accurate, up to date with current Autotools, and quite comprehensive in a
way that is easily understood.
Always going by example, John explores the various software layers, port-
ability issues and standards involved, and features needed for package build
development. If you’re new to the topic, the entry path may just have become
a bit less steep for you.
Ralf Wildenhues
Bonn, Germany
June 2010
Autotools_02.book Page xvi Tuesday, June 15, 2010 2:38 PM
www.it-ebooks.info

PREFACE
I’ve often wondered during the last ten years how it
could be that the only third-party book on the GNU
Autotools that I’ve been able to discover is GNU
AUTOCONF, AUTOMAKE, and LIBTOOL by Gary
Vaughan, Ben Elliston, Tom Tromey, and Ian Lance
Taylor, affectionately known by the community as
The Goat Book (so dubbed for the front cover—an old-
fashioned photo of goats doing acrobatic stunts).1
I’ve been told by publishers that there is simply no market for such a
book. In fact, one editor told me that he himself had tried unsuccessfully to
entice authors to write this book a few years ago. His authors wouldn’t finish
the project, and the publisher’s market analysis indicated that there was very
little interest in the book. Publishers believe that open source software devel-
opers tend to disdain written documentation. Perhaps they’re right. Interest-
ingly, books on IT utilities like Perl sell like Perl’s going out of style—which is
actually somewhat true these days—and yet people are still buying enough
1. Vaughan, Elliston, Tromey, and Taylor, GNU Autoconf, Automake, and Libtool
(Indianapolis: Sams Publishing, 2000).
Autotools_02.book Page xvii Tuesday, June 15, 2010 2:38 PM
www.it-ebooks.info
xviii Preface
Perl books to keep their publishers happy. All of this explains why there are
ten books on the shelf with animal pictures on the cover for Perl, but literally
nothing for open source software developers.
I’ve worked in software development for 25 years, and I’ve used open
source software for quite some time now. I’ve learned a lot about open source
software maintenance and development, and most of what I’ve learned,
unfortunately, has been by trial and error. Existing GNU documentation is
more often reference material than solution-oriented instruction. Had there
been other books on the topic, I would have snatched them all up immediately.
What we need is a cookbook-style approach with the recipes covering
real problems found in real projects. First the basics are covered, sauces and
reductions, followed by various cooking techniques. Finally, master recipes
are presented for culinary wonders. As each recipe is mastered, the reader
makes small intuitive leaps—I call them minor epiphanies. Put enough of these
under your belt and overall mastery of the Autotools is ultimately inevitable.
Let me give you an analogy. I’d been away from math classes for about
three years when I took my first college calculus course. I struggled the entire
semester with little progress. I understood the theory, but I had trouble
with the homework. I just didn’t have the background I needed. So the
next semester, I took college algebra and trigonometry back to back as half-
semester classes. At the end of that semester, I tried calculus again. This time
I did very well—finishing the class with a solid A grade. What was missing the
first time? Just basic math skills. You’d think it wouldn’t have made that much
difference, but it really does.
The same concept applies to learning to properly use the Autotools. You
need a solid understanding of the tools upon which the Autotools are built
in order to become proficient with the Autotools themselves.
Why Use the Autotools?
In the early 1990s, I was working on the final stages of my bachelor’s degree
in computer science at Brigham Young University. I took an advanced com-
puter graphics class where I was introduced to C++ and the object-oriented
programming paradigm. For the next couple of years, I had a love-hate rela-
tionship with C++. I was a pretty good C coder by that time, and I thought I
could easily pick up C++, as close in syntax as it was to C. How wrong I was!
I fought with the C++ compiler more often than I’d care to recall.
The problem was that the most fundamental differences between C
and C++ are not obvious to the casual observer, because they’re buried
deep within the C++ language specification rather than on the surface in
the language syntax. The C++ compiler generates an amazing amount of
code beneath the covers, providing functionality in a few lines of C++ code
that require dozens of lines of C code.
Just as programmers then complained of their troubles with C++, so like-
wise programmers today complain about similar difficulties with the GNU
Autotools. The differences between make and Automake are very similar to
the differences between C and C++. The most basic single-line Makefile.am
Autotools_02.book Page xviii Tuesday, June 15, 2010 2:38 PM
www.it-ebooks.info
Preface xix
generates a Makefile.in (an Autoconf template) containing 300–400 lines of
parameterized make script, and it tends to increase with each revision of the
tool as more features are added.
Thus, when you use the Autotools, you have to understand the under-
lying infrastructure managed by these tools. You need to take the time to
understand the open source software distribution, build, test, and installa-
tion philosophies embodied by—in many cases even enforced by—these
tools, or you’ll find yourself fighting against the system. Finally, you need to
learn to agree with these basic philosophies because you’ll only become frus-
trated if you try to make the Autotools operate outside of the boundaries set
by their designers.
Source-level distribution relegates to the end user a particular portion
of the responsibility of software development that has traditionally been
assumed by the software developer—namely, building products from source
code. But end users are often not developers, so most of them won’t know
how to properly build the package. The solution to this problem, from the
earliest days of the open source movement, has been to make the package
build and installation processes as simple as possible for the end user so that
he could perform a few well-understood steps to have the package built and
installed cleanly on his system.
Most packages are built using the make utility. It’s very easy to type make,
but that’s not the problem. The problem crops up when the package doesn’t
build successfully because of some unanticipated difference between the user’s
system and the developer’s system. Thus was born the ubiquitous configure
script—initially a simple shell script that configured the end user’s environ-
ment so that make could successfully find the required external resources
on the user’s system. Hand-coded configuration scripts helped, but they
weren’t the final answer. They fixed about 65 percent of the problems result-
ing from system configuration differences—and they were a pain in the neck
to write properly and to maintain. Dozens of changes were made incremen-
tally over a period of years, until the script worked properly on most of the
systems anyone cared about. But the entire process was clearly in need of an
upgrade.
Do you have any idea of the number of build-breaking differences there
are between existing systems today? Neither do I, but there are a handful of
developers in the world who know a large percentage of these differences.
Between them and the open source software community, the GNU Autotools
were born. The Autotools were designed to create configuration scripts and
makefiles that work correctly and provide significant chunks of valuable
end-user functionality under most circumstances, and on most systems—
even on systems not initially considered (or even conceived of) by the pack-
age maintainer.
With this in mind, the primary purpose of the Autotools is not to make
life simpler for the package maintainer (although it really does in the long
run). The primary purpose of the Autotools is to make life simpler for the end user.
Autotools_02.book Page xix Tuesday, June 15, 2010 2:38 PM
www.it-ebooks.info
xx Preface
Acknowledgments
I could not have written a technical book like this without the help of a lot of
people. I would like to thank Bill Pollock and the editors and staff at No Starch
Press for their patience with a first-time author. They made the process inter-
esting and fun (and a little painful at times).
Additionally, I’d like to thank the authors and maintainers of the GNU
Autotools for giving the world a standard to live up to and a set of tools that
make it simpler to do so. Specifically, I’d like to thank Ralf Wildenhues, who
believed in this project enough to spend hundreds of hours of his personal
time in technical review. His comments and insight were invaluable in taking
this book from mere wishful thinking to an accurate and useful text.
I would also like to thank my friend Cary Petterborg for encouraging me
to “just go ahead and do it,” when I told him it would probably never happen.
Finally, I’d like to thank my wife Michelle and my children: Ethan,
Mason, Robby, Haley, Joey, Nick, and Alex for allowing me to spend all of
that time away from them while I worked on the book. A novel would have
been easier (and more lucrative), but the world has plenty of novels and not
enough books about the Autotools.
I Wish You the Very Best
I spent a long time and a lot of effort learning what I now know about the
Autotools. Most of this learning process was more painful than it really had
to be. I’ve written this book so that you won’t have to struggle to learn what
should be a core set of tools for the open source programmer. Please feel
free to contact me, and let me know your experiences with learning the
Autotools. I can be reached at my personal email address at john.calcote
@gmail.com. Good luck in your quest for a better software development
experience!
John Calcote
Elk Ridge, Utah
June 2010
Autotools_02.book Page xx Tuesday, June 15, 2010 2:38 PM
www.it-ebooks.info

INTRODUCTION
Few software developers would deny that
GNU Autoconf, Automake, and Libtool
(the Autotools) have revolutionized the open
source software world. But while there are many
thousands of Autotools advocates, there are also many
developers who hate the Autotools—with a passion.
The reason for this dread of the Autotools, I think, is that when you use the
Autotools, you have to understand the underlying infrastructure that they
manage. Otherwise, you’ll find yourself fighting against the system.
This book solves this problem by first providing a framework for under-
standing the underlying infrastructure of the Autotools and then building
on that framework with a tutorial-based approach to teaching Autotools
concepts in a logically ordered fashion.
Autotools_02.book Page xxi Tuesday, June 15, 2010 2:38 PM
www.it-ebooks.info
xxii Introduction
Who Should Read This Book
This book is for the open source software package maintainer who wants to
become an Autotools expert. Existing material on the subject is limited to
the GNU Autotools manuals and a few Internet-based tutorials. For years
most real-world questions have been answered on the Autotools mailing lists,
but mailing lists are an inefficient form of teaching because the same answers
to the same questions are given time and again. This book provides a cook-
book style approach, covering real problems found in real projects.
How This Book Is Organized
This book moves from high-level concepts to mid-level use cases and examples
and then finishes with more advanced details and examples. As though we
were learning arithmetic, we’ll begin with some basic math—algebra and
trigonometry—and then move on to analytical geometry and calculus.
Chapter 1 presents a general overview of the packages that are consid-
ered part of the GNU Autotools. This chapter describes the interaction
between these packages and the files consumed by and generated by each
one. In each case, figures depict the flow of data from hand-coded input to
final output files.
Chapter 2 covers open source software project structure and organiza-
tion. This chapter also goes into some detail about the GNU Coding Standards
(GCS) and the Filesystem Hierarchy Standard (FHS), both of which have played
vital roles in the design of the GNU Autotools. It presents some fundamental
tenets upon which the design of each of the Autotools is based. With these
concepts, you’ll better understand the theory behind the architectural deci-
sions made by the Autotools designers.
In this chapter, we’ll also design a simple project, Jupiter, from start to
finish using hand-coded makefiles. We’ll add to Jupiter in a stepwise fashion
as we discover functionality that we can use to simplify tasks.
Chapters 3 and 4 present the framework designed by the GNU Autoconf
engineers to ease the burden of creating and maintaining portable, func-
tional project configuration scripts. The GNU Autoconf package provides
the basis for creating complex configuration scripts with just a few lines of
information provided by the project maintainer.
In these chapters, we’ll quickly convert our hand-coded makefiles into
Autoconf Makefile.in templates and then begin adding to them in order to
gain some of the most significant Autoconf benefits. Chapter 3 discusses the
basics of generating configuration scripts, while Chapter 4 moves on to more
advanced Autoconf topics, features, and uses.
Chapter 5 discusses converting the Jupiter project Makefile.in templates
into Automake Makefile.am files. Here you’ll discover that Automake is to
makefiles what Autoconf is to configuration scripts. This chapter presents
the major features of Automake in a manner that will not become outdated
as new versions of Automake are released.
Autotools_02.book Page xxii Tuesday, June 15, 2010 2:38 PM
www.it-ebooks.info
Introduction xxiii
Chapters 6 and 7 explain basic shared-library concepts and show how
to build shared libraries with Libtool—a stand-alone abstraction for shared
library functionality that can be used with the other Autotools. Chapter 6
begins with a shared-library primer and then covers some basic Libtool
extensions that allow Libtool to be a drop-in replacement for the more
basic library generation functionality provided by Automake. Chapter 7
covers library versioning and runtime dynamic module management fea-
tures provided by Libtool.
Chapters 8 and 9 show the transformation of an existing, fairly complex,
open source project (FLAIM) from using a hand-built build system to using
an Autotools build system. This example will help you to understand how you
might autoconfiscate one of your own existing projects.
Chapter 10 provides an overview of the features of the M4 macro proces-
sor that are relevant to obtaining a solid understanding of Autoconf. This
chapter also considers the process of writing your own Autoconf macros.
Chapter 11 is a compilation of tips, tricks, and reusable solutions to
Autoconf problems. The solutions in this chapter are presented as a set of
individual topics or items. Each item can be understood without context
from the surrounding items.
Most of the examples shown in listings in this book are available for
download from http://www.nostarch.com/autotools.htm.
Conventions Used in This Book
This book contains hundreds of program listings in roughly two categories:
console examples and file listings. Console examples have no captions, and
their commands are bolded. File listings contain full or partial listings of the
files discussed in the text. All named listings are provided in the download-
able archive. Listings without filenames are entirely contained in the printed
listing itself. In general, bolded text in listings indicates changes made to a
previous version of that listing.
For listings related to the Jupiter and FLAIM projects, the caption speci-
fies the path of the file relative to the project root directory.
Throughout this book, I refer to the GNU/Linux operating system sim-
ply as Linux. It should be understood that by the use of the term Linux, I’m
referring to GNU/Linux, its actual official name. I use Linux simply as short-
hand for the official name.
Autotools Versions Used in This Book
The Autotools are always being updated—on average, a significant update of
each of the three tools, Autoconf, Automake, and Libtool, is released every
year and a half, and minor updates are released every three to six months.
The Autotools designers attempt to maintain a reasonable level of backward
compatibility with each new release, but occasionally something significant is
broken, and older documentation simply becomes out of date.
Autotools_02.book Page xxiii Tuesday, June 15, 2010 2:38 PM
www.it-ebooks.info
xxiv Introduction
While I describe new significant features of recent releases of the Auto-
tools, in my efforts to make this a more timeless work, I’ve tried to stick to
descriptions of Autoconf features (macros for instance) that have been in
widespread use for several years. Minor details change occasionally, but the
general use has stayed the same through many releases.
At appropriate places in the text, I mention the versions of the Autotools
that I’ve used for this book, but I’ll summarize here. I’ve used version 2.64 of
Autoconf, version 1.11 of Automake, and version 2.2.6 of Libtool. These were
the latest versions as of this writing, and even through the publication pro-
cess, I was able to make minor corrections and update to new releases as they
became available.
Autotools_02.book Page xxiv Tuesday, June 15, 2010 2:38 PM
www.it-ebooks.info

A BRIEF INTRODUCTION
TO THE GNU AUTOTOOLS
We shall not cease from exploration
And the end of all our exploring
Will be to arrive where we started
And know the place for the first time.
—T.S. Eliot, “Quartet No. 4: Little Gidding”
As stated in the preface to this book, the
purpose of the GNU Autotools is to make
life simpler for the end user, not the main-
tainer. Nevertheless, using the Autotools will
make your job as a project maintainer easier in the
long run, although maybe not for the reasons you suspect. The Autotools
framework is as simple as it can be, given the functionality it provides. The
real purpose of the Autotools is twofold: it serves the needs of your users, and
it makes your project incredibly portable—even to systems on which you’ve
never tested, installed, or built your code.
Throughout this book, I will often use the term Autotools, although you
won’t find a package in the GNU archives with this label. I use this term to
signify the following three GNU packages, which are considered by the com-
munity to be part of the GNU build system:
zAutoconf, which is used to generate a configuration script for a project
zAutomake, which is used to simplify the process of creating consistent
and functional makefiles
zLibtool, which provides an abstraction for the portable creation of
shared libraries
Autotools_02.book Page 1 Tuesday, June 15, 2010 2:38 PM
www.it-ebooks.info

2Chapter 1
Other build tools, such as the open source packages CMake and SCons,
attempt to provide the same functionality as the Autotools but in a more
user-friendly manner. However, the functionality these tools attempt to hide
behind GUI interfaces and script builders actually ends up making them less
functional.
Who Should Use the Autotools?
If you’re writing open source software that targets Unix or Linux systems, you
should absolutely be using the GNU Autotools, and even if you’re writing
proprietary software for Unix or Linux systems, you’ll still benefit significantly
from using them. The Autotools provide you with a build environment that
will allow your project to build successfully on future versions or distributions
with virtually no changes to the build scripts. This is useful even if you only
intend to target a single Linux distribution, because—let’s be honest—you
really can’t know in advance whether or not your company will want your soft-
ware to run on other platforms in the future.
When Should You Not Use the Autotools?
About the only time it makes sense not to use the Autotools is when you’re
writing software that will only run on non-Unix platforms, such as Microsoft
Windows. Although the Autotools have limited support for building Windows
software, it’s my opinion that the POSIX/FHS runtime environment embraced
by these tools is just too different from the Windows runtime environment to
warrant trying to shoehorn a Windows project into the Autotools paradigm.
Autotools support for Windows requires a Cygwin1 or MSYS2 environment
in order to work correctly, because Autoconf-generated configuration scripts
are Bourne-shell scripts, and Windows doesn’t provide a native Bourne shell.
Unix and Microsoft tools are just different enough in command-line options
and runtime characteristics that it’s often simpler to use Windows ports of GNU
tools, such as GCC or MinGW, to build Windows programs with an Autotools
build system.
I’ve seen truly portable build systems that use these environments and
tool sets to build Windows software using Autotools scripts that are common
between Windows and Unix. The shim libraries provided by portability envi-
ronments like Cygwin make the Windows operating system look POSIX enough
to pass for Unix in a pinch, but they sacrifice performance and functionality for
the sake of portability. The MinGW approach is a little better in that it targets the
native Windows API. In any case, these sorts of least-common-denominator
approaches merely serve to limit the possibilities of your code on Windows.
I’ve also seen developers customize the Autotools to generate build scripts
that use native (Microsoft) Windows tools. These people spend much of their
time tweaking their build systems to do things they were never intended to
do, in a hostile and foreign environment. Their makefiles contain entirely
1. Cygwin Information and Installation, http://www.cygwin.com/.
2. MinGW and MSYS, Minimalist GNU for Windows, http://www.mingw.org/.
Autotools_02.book Page 2 Tuesday, June 15, 2010 2:38 PM
www.it-ebooks.info

A Brief Introduction to the GNU Autotools 3
different sets of functionality based on the target and host operating systems:
one set of code to build a project on Windows and another to build on
POSIX systems. This does not constitute a portable build system; it only por-
trays the vague illusion of one.
For these reasons, I focus exclusively in this book on using the Autotools
on POSIX-compliant platforms.
NOTE I’m not a typical Unix bigot. While I love Unix (and especially Linux), I also appreciate
Windows for the areas in which it excels.3 For Windows development, I highly recommend
using Microsoft tools. The original reasons for using GNU tools to develop Windows
programs are more or less academic nowadays, because Microsoft has made the better
part of its tools available for download at no cost. (For download information, see
Microsoft Express at http://www.microsoft.com/Express.)
Apple Platforms and Mac OS X
The Macintosh operating system has been POSIX compliant since 2002 when
Mac OS version 10 (OS X) was released. OS X is derived from NeXTSTEP/
OpenStep, which is based on the Mach kernel, with parts taken from FreeBSD
and NetBSD. As a POSIX-compliant operating system, OS X provides all the
infrastructure required by the Autotools. The problems you’ll encounter with
OS X will mostly likely involve Apple’s user interface and package-management
systems, both of which are specific to the Mac.
The user interface presents the same issues you encounter when dealing
with X Windows on other Unix platforms, and then some. The primary dif-
ference is that X Windows is used exclusively on most Unix systems, but Mac
OS has its own graphical user interface called Cocoa. While X Windows can be
used on the Mac (Apple provides a window manager that makes X applications
look a lot like native Cocoa apps), Mac programmers will sometimes wish to
take full advantage of the native user interface features provided by the oper-
ating system.
The Autotools skirt the issue of package management differences between
Unix platforms by simply ignoring it. They create packages that are little more
than compressed archives using the tar and gzip utilities, and they install and
uninstall products from the make command line. The Mac OS package manage-
ment system is an integral part of installing an application on an Apple system
and projects like Fink (http://www.finkproject.org/) and MacPorts (http://
www.macports.org/) help make existing open source packages available on the
Mac by providing simplified mechanisms for converting Autotools packages
into installable Mac packages.
The bottom line is that the Autotools can be used quite effectively on
Apple Macintosh systems running OS X or later, as long as you keep these
caveats in mind.
3. Hard core gamers will agree with me, I’m sure. I’m writing this book on a laptop running
Windows 7, but I’m using OpenOffice.org as my text editor, and I’m writing the book’s sample
code on my 3GHz 64-bit dual processor Opensuse 11.2 Linux workstation.
Autotools_02.book Page 3 Tuesday, June 15, 2010 2:38 PM
www.it-ebooks.info

4Chapter 1
The Choice of Language
Your choice of programming language is another important factor to consider
when deciding whether to use the Autotools. Remember that the Autotools
were designed by GNU people to manage GNU projects. In the GNU com-
munity, there are two factors that determine the importance of a computer
programming language:
zAre there any GNU packages written in the language?
zDoes the GNU compiler toolset support the language?
Autoconf provides native support for the following languages based on
these two criteria (by native support, I mean that Autoconf will compile, link,
and run source-level feature checks in these languages):
zC
zC++
zObjective C
zFortran
zFortran 77
zErlang
Therefore, if you want to build a Java package, you can configure Auto-
make to do so (as we’ll see in Chapters 8 and 9), but you can’t ask Autoconf
to compile, link, or run Java-based checks,4 because Autoconf simply doesn’t
natively support Java. However, you can find Autoconf macros (which I will
cover in more detail in later chapters) that enhance Autoconf’s ability to
manage the configuration process for projects written in Java.
Open source software developers are actively at work on the gcj compiler
and toolset, so some native Java support may ultimately be added to Autoconf.
But as of this writing, gcj is still a bit immature, and very few GNU packages are
currently written in Java, so the issue is not yet critical to the GNU community.
Rudimentary support does exist in Automake for both GNU (gcj) and
non-GNU Java compilers and JVMs. I’ve used these features myself on projects
and they work well, as long as you don’t try to push them too far.
If you’re into Smalltalk, ADA, Modula, Lisp, Forth, or some other non-
mainstream language, you’re probably not too interested in porting your code
to dozens of platforms and CPUs. However, if you are using a non-mainstream
language, and you’re concerned about the portability of your build systems,
consider adding support for your language to the Autotools yourself. This
is not as daunting a task as you may think, and I guarantee that you’ll be an
Autotools expert when you’re finished.5
4. This statement is not strictly true: I’ve seen third-party macros that use the JVM to execute
Java code within checks, but these are usually very special cases. None of the built-in Autoconf
checks rely on a JVM in any way. Chapters 8 and 9 outline how you might use a JVM in an Autoconf
check. Additionally, the portable nature of Java and the Java virtual machine specification make
it fairly unlikely that you’ll need to perform a Java-based Autoconf check in the first place.
5. For example, native Erlang support made it into the Autotools because members of the
Erlang community thought it was important enough to add it themselves.
Autotools_02.book Page 4 Tuesday, June 15, 2010 2:38 PM
www.it-ebooks.info

A Brief Introduction to the GNU Autotools 5
Generating Your Package Build System
The GNU Autotools framework includes three main packages: Autoconf,
Automake, and Libtool. The tools in these packages can generate code that
depends on utilities and functionality from the gettext, m4, sed, make, and perl
packages, among others.
With respect to the Autotools, it’s important to distinguish between a
maintainer’s system and an end user’s system. The design goals of the Autotools
specify that an Autotools-generated build system should rely only on tools
that are readily available and preinstalled on the end user’s machine. For
example, the machine a maintainer uses to create distributions requires a
Perl interpreter, but a machine on which an end-user builds products from
release distribution packages should not require Perl.
A corollary is that an end user’s machine doesn’t need to have the Autotools
installed—an end user’s system only requires a reasonably POSIX-compliant
version of make and some variant of the Bourne shell that can execute the
generated configuration script. And, of course, any package will also require
compilers, linkers, and other tools deemed necessary by the project maintainer
to convert source files into executable binary programs, help files, and other
runtime resources.
If you’ve ever downloaded, built, and installed software from a tarball—a
compressed archive with a .tar.gz, .tgz, .tar.bz2, or other such extension—you’re
undoubtedly aware of the general process. It usually looks something like this:
$ gzip -cd hackers-delight-1.0.tar.gz | tar xvf -
...
$ cd hackers-delight-1.0
$ ./configure && make
...
$ sudo make install
...
NOTE If you’ve performed this sequence of commands, you probably know what they mean,
and you have a basic understanding of the software development process. If this is the
case, you’ll have no trouble following the content of this book.
Most developers understand the purpose of the make utility, but what’s the
point of configure? While Unix systems have followed the de facto standard
Unix kernel interface for decades, most software has to stretch beyond these
boundaries.
Originally, configuration scripts were hand-coded shell scripts designed
to set variables based on platform-specific characteristics. They also allowed
users to configure package options before running make. This approach worked
well for decades, but as the number of Linux distributions and custom Unix sys-
tems grew, the variety of features and installation and configuration options
exploded, so it became very difficult to write a decent portable configuration
script. In fact, it was much more difficult to write a portable configuration script
than it was to write makefiles for a new project. Therefore, most people just
Autotools_02.book Page 5 Tuesday, June 15, 2010 2:38 PM
www.it-ebooks.info

6Chapter 1
created configuration scripts for their projects by copying and modifying the
script for a similar project.
In the early 1990s, it was apparent to many open source software devel-
opers that project configuration would become painful if something wasn’t
done to ease the burden of writing massive shell scripts to manage configura-
tion options. The number of GNU project packages had grown to hundreds,
and maintaining consistency between their separate build systems had become
more time consuming than simply maintaining the code for these projects.
These problems had to be solved.
Autoconf
Autoconf6 changed this paradigm almost overnight. David MacKenzie started
the Autoconf project in 1991, but a look at the AUTHORS file in the Savannah
Autoconf project7 repository will give you an idea of the number of people
that had a hand in making the tool. Although configuration scripts were long
and complex, users only needed to specify a few variables when executing
them. Most of these variables were simply choices about components, features,
and options, such as: Where can the build system find libraries and header files?
Where do I want to install my finished products? Which optional components do I
want to build into my products?
Instead of modifying and debugging hundreds of lines of supposedly
portable shell script, developers can now write a short meta-script file using a
concise, macro-based language, and Autoconf will generate a perfect config-
uration script that is more portable, more accurate, and more maintainable
than a hand-coded one. In addition, Autoconf often catches semantic or logic
errors that could otherwise take days to debug. Another benefit of Autoconf
is that the shell code it generates is portable between most variations of the
Bourne shell. Mistakes made in portability between shells are very common,
and, unfortunately, are the most difficult kinds of mistakes to find, because
no one developer has access to all Bourne-like shells.
NOTE While scripting languages like Perl and Python are now more pervasive than the Bourne
shell, this was not the case when the idea for Autoconf was first conceived.
Autoconf-generated configuration scripts provide a common set of options
that are important to all portable software projects running on POSIX systems.
These include options to modify standard locations (a concept I’ll cover in
more detail in Chapter 2), as well as project-specific options defined in the
configure.ac file (which I’ll discuss in Chapter 3).
The autoconf package provides several programs, including the following:
zautoconf
zautoheader
zautom4te
6. For more on Autoconf origins, see the GNU webpage on the topic at http://www.gnu.org/
software/autoconf.
7. See http://savannah.gnu.org/projects/autoconf.
Autotools_02.book Page 6 Tuesday, June 15, 2010 2:38 PM
www.it-ebooks.info
A Brief Introduction to the GNU Autotools 7
zautoreconf
zautoscan
zautoupdate
zifnames
autoconf
autoconf is a simple Bourne shell script. Its main task is to ensure that the cur-
rent shell contains the functionality necessary to execute the M4 macro proces-
sor. (I’ll discuss Autoconf’s use of M4 in detail in Chapter 3.) The remainder
of the script parses command-line parameters and executes autom4te.
autoreconf
The autoreconf utility executes the configuration tools in the autoconf,
automake, and libtool packages as required by each project. autoreconf
minimizes the amount of regeneration required to address changes in
timestamps, features, and project state. It was written as an attempt to
consolidate existing maintainer-written, script-based utilities that ran all
the required Autotools in the right order. You can think of autoreconf as a
sort of smart Autotools bootstrap utility. If all you have is a configure.ac file,
you can run autoreconf to execute all the tools you need, in the correct
order, so that configure will be properly generated.
autoheader
The autoheader utility generates a C/C++–compatible header file template
from various constructs in configure.ac. This file is usually called config.h.in.
When the end user executes configure, the configuration script generates
config.h from config.h.in. As maintainer, you’ll use autoheader to generate the
template file that you will include in your distribution package. (We’ll examine
autoheader in greater detail in Chapter 3.)
autoscan
The autoscan program generates a default configure.ac file for a new project; it
can also examine an existing Autotools project for flaws and opportunities
for enhancement. (We’ll discuss autoscan in more detail in Chapters 3 and 8.)
autoscan is very useful as a starting point for a project that uses a non-Autotools-
based build system, but it may also be useful for suggesting features that might
enhance an existing Autotools-based project.
autoupdate
The autoupdate utility is used to update configure.ac or the template (.in) files
to match the syntax supported by the current version of the Autotools.
Autotools_02.book Page 7 Tuesday, June 15, 2010 2:38 PM
www.it-ebooks.info

8Chapter 1
ifnames
The ifnames program is a small and generally underused utility that accepts a list
of source file names on the command line and displays a list of C-preprocessor
definitions on the stdout device. This utility was designed to help maintainers
determine what to put into the configure.ac and Makefile.am files to make them
portable. If your project was written with some level of portability in mind,
ifnames can help you determine where those attempts at portability are located
in your source tree and give you the names of potential portability definitions.
autom4te
The autom4te utility is an intelligent caching wrapper for M4 that is used by
most of the other Autotools. The autom4te cache decreases the time successive
tools spend accessing configure.ac constructs by as much as 30 percent.
I won’t spend a lot of time on autom4te (pronounced automate) because
it’s primarily used internally by the Autotools. The only sign that it’s working
is the autom4te.cache directory that will appear in your top-level project direc-
tory after you run autoconf or autoreconf.
Working Together
Of the tools listed above, autoconf and autoheader are the only ones project
maintainers will use directly when generating a configure script, and autoreconf
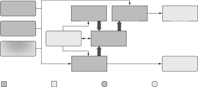
is the only one that the developer needs to directly execute. Figure 1-1
shows the interaction between input files and autoconf and autoheader that
generates the corresponding product files.
Figure 1-1: A data flow diagram for autoconf and autoheader
NOTE I will use the data flow diagram format shown in Figure 1-1 throughout this book.
Dark boxes represent objects provided either by the user or by an Autotools package.
Light boxes represent generated objects. Boxes with square corners are scripts, and boxes
with rounded corners are data files. The meaning of most of the labels here should be
obvious, but at least one deserves an explanation: The term ac-vars refers to Autoconf-
specific replacement text. I’ll explain the gradient shading of the aclocal.m4 box shortly.
configure.ac
(m4 / shell)
configure
(shell script)
config.h.in
(cpp / ac-vars)
autom4te
(perl script)
autom4te.cache
(cache directory)
acsite.m4
(m4 / shell)
autoheader
(perl script)
autoconf
(shell script)
User-provided data filesGenerated scriptsAutotools-provided scripts Generated data files
m4
(binary)
aclocal.m4
(m4 / shell)
Autotools_02.book Page 8 Tuesday, June 15, 2010 2:38 PM
www.it-ebooks.info

A Brief Introduction to the GNU Autotools 9
The primary task of this suite of tools is to generate a configuration script
that can be used to configure a project build directory. This script will not
rely on the Autotools themselves; in fact, autoconf is designed to generate
configuration scripts that will run on all Unix-like platforms and in most vari-
ations of the Bourne shell. This means that you can generate a configuration
script using autoconf and then successfully execute that script on a machine
that does not have the Autotools installed.
The autoconf and autoheader programs are executed either directly by the
user or indirectly by autoreconf. They take their input from your project’s
configure.ac file and various Autoconf-flavored M4 macro definition files,
using autom4te to maintain cache information. autoconf generates a configuration
script called configure, a very portable Bourne shell script that enables your
project to offer many useful configuration capabilities. autoheader generates
the config.h.in template based on certain macro definitions in configure.ac.
Automake
Once you’ve done it a few times, writing a basic makefile for a new project is
fairly simple. But problems may occur when you try to do more than just the
basics. And let’s face it—what project maintainer has ever been satisfied with
just a basic makefile?
Attention to detail is what makes an open source project successful. Users
lose interest in a project fairly easily—especially when functionality they expect
is missing or improperly written. For example, users have come to expect
makefiles to support certain standard targets or goals, specified on the make
command line, like this:
$ make install
Common make targets include all, clean, and install. In this example,
install is the target. But you should realize that none of these are real targets:
A real target is a filesystem object that is produced by the build system—usually a
file. When building an executable called doofabble, for instance, you’d expect
to be able to enter:
$ make doofabble
For this project, doofabble is a real target, and this command works for the
doofabble project. However, requiring the user to enter real targets on the
make command line is asking a lot of them, because each project must be built
differently—make doofabble, make foodabble, make abfooble, and so on. Standard-
ized targets for make allow all projects to be built in the same way using com-
monly known commands like make all or make clean. But commonly known
doesn’t mean automatic, and writing and maintaining makefiles that support
these targets is tedious and error prone.
Autotools_02.book Page 9 Tuesday, June 15, 2010 2:38 PM
www.it-ebooks.info

10 Chapter 1
Automake’s job is to convert a simplified specification of your project’s
build process into boilerplate makefile syntax that always works correctly the
first time and provides all the standard functionality expected. Automake creates
projects that support the guidelines defined in the GNU Coding Standards
(discussed in Chapter 2).
The automake package provides the following tools in the form of Perl
scripts:
zautomake
zaclocal
automake
The automake program generates standard makefile templates (named
Makefile.in) from high-level build specification files (named Makefile.am).
These Makefile.am input files are essentially just regular makefiles. If you were
to put only the few required Automake definitions in a Makefile.am file, you’d
get a Makefile.in file containing several hundred lines of parameterized make
script.
If you add additional make syntax to a Makefile.am file, Automake will
move this code to the most functionally correct location in the resulting
Makefile.in file. In fact, you can write your Makefile.am files so all they contain
is ordinary make script, and the resulting makefiles will work just fine. This
pass-through feature gives you the ability to extend Automake’s functionality
to suit your project’s specific requirements.
aclocal
In the GNU Automake Manual, the aclocal utility is documented as a temporary
work-around for a certain lack of flexibility in Autoconf. Automake extends
Autoconf by adding an extensive set of macros, but Autoconf was not really
designed with this level of extensibility in mind.
The original documented method for adding user-defined macros to an
Autoconf project was to create a file called aclocal.m4, place the user-defined
macros in this file, and place the file in the same directory as configure.ac. Auto-
conf then automatically included this file of macros while processing configure.ac.
The designers of Automake found this extension mechanism too useful to
pass up; however, users would have been required to add an m4_include state-
ment to a possibly unnecessary aclocal.m4 file in order to include the Automake
macros. Since both user-defined macros and M4 itself are considered advanced
concepts, this was deemed too harsh a requirement.
aclocal was designed to solve this problem—this utility generates an
aclocal.m4 file for a project that contains both user-defined macros and all
required Automake macros.8 Instead of adding user-defined macros directly
to aclocal.m4, project maintainers should now add them to a new file called
acinclude.m4.
8. Automake macros are copied into this file, but the user-written acinclude.m4 file is merely
referenced with an m4_include statement at the end of the file.
Autotools_02.book Page 10 Tuesday, June 15, 2010 2:38 PM
www.it-ebooks.info

A Brief Introduction to the GNU Autotools 11
To make it clear to readers that Autoconf doesn’t depend on Automake
(and perhaps due to a bit of stubbornness), the GNU Autoconf Manual doesn’t
make much mention of the aclocal utility. The GNU Automake Manual originally
suggested that you rename aclocal.m4 to acinclude.m4 when adding Automake
to an existing Autoconf project, and this approach is still commonly used.
The flow of data for aclocal is depicted in Figure 1-2.
Figure 1-2: A data flow diagram for aclocal
However, the latest documentation for both Autoconf and Automake
suggests that the entire paradigm is now obsolete. Developers should now
specify a directory that contains a set of M4 macro files. The current recom-
mendation is to create a directory in the project root directory called m4 and
add macros as individual .m4 files to it. All files in this directory will be gath-
ered into aclocal.m4 before Autoconf processes configure.ac.9
It should now be more apparent why the aclocal.m4 box in Figure 1-1
couldn’t decide which color it should be. When you’re using it without Auto-
make and Libtool, you write the aclocal.m4 file by hand. However, when you’re
using it with Automake, the file is generated by the aclocal utility, and you
provide project-specific macros either in acinclude.m4 or in an m4 directory.
Libtool
How do you build shared libraries on different Unix platforms without add-
ing a lot of very platform-specific conditional code to your build system and
source code? This is the question that the libtool package tries to address.
There’s a significant amount of common functionality among Unix-like
platforms. However, one very significant difference has to do with how shared
libraries are built, named, and managed. Some platforms name their librar-
ies libname.so, others use libname.a or even libname.sl, and still others don’t
even provide native shared libraries. Some platforms provide libdl.so to allow
software to dynamically load and access library functionality at runtime, while
others provide different mechanisms, and some platforms don’t provide this
functionality at all.
9. As with acinclude.m4, this gathering is virtual; aclocal.m4 merely contains m4_include statements
that reference these other files in place.
aclocal
(perl script)
aclocal.m4
(m4 / shell)
configure.ac
(m4 / shell)
m4/*.m4 files
(m4 / shell)
acinclude.m4
(m4 / shell)
User-provided data files Generated data filesAutotools-provided scripts
Autotools_02.book Page 11 Tuesday, June 15, 2010 2:38 PM
www.it-ebooks.info
12 Chapter 1
The developers of Libtool have carefully considered all of these differences.
Libtool supports dozens of platforms, providing not only a set of Autoconf
macros that hide library naming differences in makefiles, but also offering
an optional library of dynamic loader functionality that can be added to
programs. This functionality allows maintainers to make their runtime, dynamic
shared-object management code more portable.
The libtool package provides the following programs, libraries, and
header file:
zlibtool (program)
zlibtoolize (program)
zltdl (static and shared libraries)
zltdl.h (header file)
libtool
The libtool shell script that ships with the libtool package is a generic version
of the custom script that libtoolize generates for a project.
libtoolize
The libtoolize shell script prepares your project to use Libtool. It generates a
custom version of the generic libtool script and adds it to your project directory.
This custom script is shipped with the project along with the Automake-
generated makefiles, which execute the script on the user’s system at the
appropriate time.
ltdl, the Libtool C API
The libtool package also provides the ltdl library and associated header files,
which provide a consistent runtime shared-object manager across platforms.
The ltdl library may be linked statically or dynamically into your programs,
giving them a consistent runtime shared-library access interface between
platforms.
Figure 1-3 illustrates the interaction between the automake and libtool
scripts, and the input files used to create products that configure and build
your projects.
Automake and Libtool are both standard pluggable options that can be
added to configure.ac with just a few simple macro calls.
Autotools_02.book Page 12 Tuesday, June 15, 2010 2:38 PM
www.it-ebooks.info

A Brief Introduction to the GNU Autotools 13
Figure 1-3: A data flow diagram for automake and libtool
Building Your Package
As maintainer, you probably build your software packages fairly often, and
you’re also probably intimately familiar with your project’s components, archi-
tecture, and build system. However, you should make sure that your users’
build experiences are much simpler than your own. One way to do this is to
give users a simple, easy-to-understand pattern to follow when building your
software packages. In the following sections, I’ll show you the build pattern
provided by the Autotools.
Running configure
After running the Autotools, you’re left with a shell script called configure
and one or more Makefile.in files. These files are intended to be shipped with
your project release distribution packages. Your users will download these
packages, unpack them, and enter ./configure && make from the top-level
project directory. Then the configure script will generate makefiles (called
Makefile) from the Makefile.in templates created by automake and a config.h
header file from the config.h.in template generated by autoheader.
Automake generates Makefile.in templates rather than makefiles because
without makefiles, your users can’t run make; you don’t want them to run make
until after they’ve run configure, and this functionality guards against them
doing so. Makefile.in templates are nearly identical to makefiles you might write
by hand, except that you didn’t have to. They also do a lot more than most
people are willing to hand code. Another reason for not shipping ready-to-run
makefiles is that it gives configure the chance to insert platform characteristics
and user-specified optional features directly into the makefiles. This makes them
a better fit for their target platforms and the end user’s build preferences.
libtoolize
(shell script)
configure.ac
(m4 / shell)
Makefile.am
(am / make)
install-sh
missing
depcomp
mkinstalldirs
(shell scripts)
COPYING
INSTALL
(text files)
config.guess
Makefile.in
(make / ac-vars)
ltmain.sh
(shell script)
autom4te
(perl script)
autom4te.cache
(cache directory)
automake
(perl script)
User-provided data files
Generated scripts
Autotools-provided scripts
Generated data files
config.sub
(shell scripts)
Autotools_02.book Page 13 Tuesday, June 15, 2010 2:38 PM
www.it-ebooks.info

14 Chapter 1
Figure 1-4 illustrates the interaction between configure and the scripts it
executes during the configuration process in order to create the makefiles
and the config.h header file.
Figure 1-4: A data flow diagram for configure
The configure script has a bidirectional relationship with another script
called config.status. You may have thought that your configure script generated
your makefiles. But actually, the only file (besides a log file) that configure
generates is config.status.
configure is designed to determine platform characteristics and features
available on the user’s system, as specified in configure.ac. Once it has this
information, it generates config.status, which contains all of the check results,
and then it executes this script. The config.status script, in turn, uses the
check information embedded within it to generate platform-specific config.h
and makefiles, as well as any other files specified for instantiation in configure.ac.
NOTE As the double-ended fat arrow in Figure 1-4 shows, config.status can also call configure.
When used with the --recheck option, config.status will call configure using the
same command-line options used to originally generate config.status.
The configure script also generates a log file called config.log, which will
contain very useful information in the event that an execution of configure
fails on the user’s system. As the maintainer, you can use this information for
debugging. The config.log file also logs how configure was executed. (You can
run config.status --version to discover the command-line options used to
generate config.status.) This feature can be particularly handy when, for
example, a user returns from a long vacation and can’t remember which
options he used to originally generate the project build directory.
NOTE To regenerate makefiles and the config.h header files, just enter ./config.status from
within the project build directory. The output files will be generated using the same
options originally used to generate the config.status file.
config.cache
configure
(shell script)
config.h
(cpp)
config.site
(m4 / shell)
config.h.in
(cpp / ac-vars)
ltmain.sh
(shell script)
config.status
(shell script)
config.guess
Makefile.in
(make / ac-vars)
Makefile
(make)
libtool
(shell script)
config.log
(text)
User-provided data filesGenerated scriptsAutotools-provided scripts Generated data files
config.sub
(shell scripts)
Autotools_02.book Page 14 Tuesday, June 15, 2010 2:38 PM
www.it-ebooks.info

A Brief Introduction to the GNU Autotools 15
Building Outside the Source Directory
A little-known feature of Autotools build environments is that they don’t need
to be generated within a project source tree. That is, if a user executes configure
from a directory other than the project source directory, he can generate a
full build environment within an isolated build directory.
In the following example, Joe User downloads doofabble-3.0.tar.gz,
unpacks it, and creates two sibling directories called doofabble-3.0.debug and
doofabble-3.0.release. He changes into the doofabble-3.0.debug directory, executes
doofabble-3.0’s configure script, using a relative path, with a doofabble-specific
debug option, and then runs make from within this same directory. Finally, he
switches over to the doofabble-3.0.release directory and does the same thing,
this time running configure without the debug option enabled:
$ gzip -dc doofabble-3.0.tar.gz | tar zxf -
$ mkdir doofabble-3.0.debug
$ mkdir doofable-3.0.release
$ cd doofabble-3.0.debug
$ ../doofabble-3.0/configure --enable-debug
...
$ make
...
$ cd ../dofable-3.0.release
$ ../doofabble-3.0/configure
...
$ make
...
Users generally don’t care about remote build functionality, because all
they usually want to do is configure, build, and install your code on their plat-
forms. Maintainers, on the other hand, find remote build functionality very
useful, as it allows them to not only maintain a reasonably pristine source tree,
but it also allows them to maintain multiple build environments for their project,
each with complex configuration options. Rather than reconfigure a single
build environment, a maintainer can simply switch to another build directory
that has been configured with different options.
Running make
Finally, you run plain old make. The designers of the Autotools went to a lot of
trouble to ensure that you didn’t need any special version or brand of make.
Figure 1-5 depicts the interaction between make and the makefiles that are
generated during the build process.
As you can see, make runs several generated scripts, but these are all really
ancillary to the make process. The generated makefiles contain commands
that execute these scripts under the appropriate conditions. These scripts
are part of the Autotools, and they are either shipped with your package or
generated by your configuration script.
Autotools_02.book Page 15 Tuesday, June 15, 2010 2:38 PM
www.it-ebooks.info

16 Chapter 1
Figure 1-5: A data flow diagram for make
Installing the Most Up-to-Date Autotools
If you’re running a variant of Linux and you’ve chosen to install the compil-
ers and tools used for developing C-language software, you probably already
have some version of the Autotools installed on your system. To determine
which versions of autoconf, automake, and libtool you’re using, simply open a
terminal window and type the following commands:
$ which autoconf
/usr/local/bin/autoconf
$ autoconf --version
autoconf (GNU Autoconf) 2.65
Copyright (C) 2009 Free Software Foundation, Inc.
License GPLv3+/Autoconf: GNU GPL version 3 or later
<http://gnu.org/licenses/gpl.html>, <http://gnu.org/licenses/exceptions.html>
This is free software: you are free to change and redistribute it.
There is NO WARRANTY, to the extent permitted by law.
Written by David J. MacKenzie and Akim Demaille.
$
$ which automake
/usr/local/bin/automake
$ automake --version
automake (GNU automake) 1.11
Copyright (C) 2009 Free Software Foundation, Inc.
License GPLv2+: GNU GPL version 2 or later <http://gnu.org/licenses/gpl-
2.0.html>
This is free software: you are free to change and redistribute it.
There is NO WARRANTY, to the extent permitted by law.
Written by Tom Tromey <tromey@redhat.com>
and Alexandre Duret-Lutz <adl@gnu.org>.
$
$ which libtool
/usr/local/bin/libtool
libtool
config.h
(cpp)
make
(binary program)
Makefile
(make)
Project Sources
(language of choice)
missing
install-sh
mkinstalldirs
(shell scripts)
Project
Targets
Generated scripts
Generated data files
System tools
User-provided data files
Autotools_02.book Page 16 Tuesday, June 15, 2010 2:38 PM
www.it-ebooks.info

A Brief Introduction to the GNU Autotools 17
$ libtool --version
ltmain.sh (GNU libtool) 2.2.6b
Written by Gordon Matzigkeit <gord@gnu.ai.mit.edu>, 1996
Copyright (C) 2008 Free Software Foundation, Inc.
This is free software; see the source for copying conditions. There is NO
warranty; not even for MERCHANTABILITY or FITNESS FOR A PARTICULAR PURPOSE.
$
NOTE If you have the Linux-distribution varieties of these Autotools packages installed on
your system, the executables will probably be found in /usr/bin, rather than /usr/
local/bin, as you can see from the output of the which command here.
If you choose to download, build, and install the latest version of any one
of these packages from the GNU website, you must do the same for all of them,
because the automake and libtool packages install macros into the Autoconf
macro directory. If you don’t already have the Autotools installed, you can
install them from their GNU distribution source archives with the following
commands (be sure to change the version numbers as necessary):
$ mkdir autotools && cd autotools
$ wget -q ftp://ftp.gnu.org/gnu/autoconf/autoconf-2.65.tar.gz
$ gzip -cd autoconf* | tar xf -
$ cd autoconf*
$ ./configure && make all check
...
$ su
Password: ******
# make install
...
# exit
$ cd ..
$
$ wget -q ftp://ftp.gnu.org/gnu/automake/automake-1.11.tar.gz
$ gzip -cd automake* | tar xf -
$ cd automake*
$ ./configure && make all check
...
$ su
Password: ******
# make install
# exit
$ cd ..
$
$ wget -q ftp://ftp.gnu.org/gnu/libtool/libtool-2.2.6b.tar.gz
$ gzip -cd libtool* | tar xf -
$ cd libtool*
$ ./configure && make all check
...
Autotools_02.book Page 17 Tuesday, June 15, 2010 2:38 PM
www.it-ebooks.info

18 Chapter 1
$ su
Password: ******
# make install
...
# exit
$ cd ..
$
You should now be able to successfully execute the version check commands
from the previous example.
Summary
In this chapter, I’ve presented a high-level overview of the Autotools to give
you a feel for how everything ties together. I’ve also shown you the pattern to
follow when building software from distribution tarballs created by Autotools
build systems. Finally, I’ve shown you how to install the Autotools and how to
tell which versions you have installed.
In Chapter 2, we’ll step away from the Autotools briefly and begin creat-
ing a hand-coded build system for a toy project called Jupiter. You’ll learn the
requirements of a reasonable build system, and you’ll become familiar with
the rationale behind the original design of the Autotools. With this background
knowledge, you’ll begin to understand why the Autotools do things the way they
do. I can’t really emphasize this enough: Chapter 2 is one of the most important
chapters in this book.
Autotools_02.book Page 18 Tuesday, June 15, 2010 2:38 PM
www.it-ebooks.info

UNDERSTANDING THE GNU
CODING STANDARDS
I don’t know what’s the matter with people: they don’t
learn by understanding, they learn by some other way—
by rote or something. Their knowledge is so fragile!
—Richard Feynman,
Surely You’re Joking, Mr. Feynman!
In Chapter 1, I gave an overview of the GNU
Autotools and some resources that can help
reduce the learning curve required to master
them. In this chapter, we’re going to step back a
little and examine project organization techniques
that you can apply to any project, not just one that uses
the Autotools.
When you’re done reading this chapter, you should be familiar with the
common make targets and why they exist. You should also have a solid under-
standing of why projects are organized the way they are. By the time you fin-
ish this chapter, you’ll be well on your way to becoming an Autotools expert.
The information provided in this chapter comes primarily from two sources:
zThe GNU Coding Standards (GCS)1
zThe Filesystem Hierarchy Standard (FHS)2
1. See the Free Software Foundation’s GNU Coding Standards at http://www.gnu.org/prep/standards/.
2. See Daniel Quinlan’s overview at http://www.pathname.com/fhs/.
Autotools_02.book Page 19 Tuesday, June 15, 2010 2:38 PM
www.it-ebooks.info

20 Chapter 2
If you’d like to brush up on your make syntax, you may also find the GNU
Make Manual3 very useful. If you’re particularly interested in portable make
syntax (and you probably should be), then check out the POSIX man page
for make.4
Creating a New Project Directory Structure
There are two questions you need to ask yourself when you’re setting up the
build system for an open source software project:
zWhich platforms will I target?
zWhat do my users expect?
The first is an easy question—you get to decide which platforms to target,
but you shouldn’t be too restrictive. Open source software projects attain
greatness by virtue of the number of people who’ve adopted them, and arbi-
trarily limiting the number of platforms reduces the potential size of your
community.
The second question is more difficult to answer. First, let’s narrow the
scope to something manageable. What you really need to ask is: What do my
users expect of my build system? Experienced open source software developers
become familiar with these expectations by downloading, unpacking, building,
and installing thousands of packages. Eventually, they come to know intuitively
what users expect of a build system. But, even so, the processes of package
configuration, build, and installation vary widely, so it’s difficult to define any
solid norm.
Rather than taking a survey of every build system out there yourself,
you can consult the Free Software Foundation (FSF), sponsor of the GNU
project, which has done a lot of the leg work for you. The FSF is one of the
best definitive sources for information on free, open source software, includ-
ing the GCS, which covers a wide variety of topics related to writing, publishing,
and distributing free, open source software. Even many non-GNU open source
software projects align themselves with the GCS. Why? Well, they invented
the concept of free software, and their ideas make sense, for the most part.5
There are dozens of issues to consider when designing a system that manages
packaging, building, and installing software, and the GCS takes most of them
into account.
3. See the Free Software Foundation’s GNU Make Manual at http://www.gnu.org/software/make/
manual/.
4. See the Open Group Base Specifications, Issue 6, at http://www.opengroup.org/onlinepubs/
009695399/utilities/make.html.
5. In truth, it’s likely that the standards that came about from the BSD project were written much
earlier than the standards of the FSF, but the FSF had a big hand in spreading the information
to many different platforms and non–system specific software projects. Thus, it had a large part
in making these standards publicly visible and widely used.
Autotools_02.book Page 20 Tuesday, June 15, 2010 2:38 PM
www.it-ebooks.info

Understanding the GNU Coding Standards 21
Project Structure
We’ll start with a basic sample project and build on it as we continue our
exploration of source-level software distribution. I’ll call our project Jupiter
and I’ll create a project directory structure using the following commands:
$ cd projects
$ mkdir -p jupiter/src
$ touch jupiter/Makefile
$ touch jupiter/src/Makefile
$ touch jupiter/src/main.c
$ cd jupiter
$
We now have one source code directory called src, one C source file called
main.c, and a makefile for each of the two directories in our project. Minimal,
yes; but this is a new endeavor, and everyone knows that the key to a success-
ful open source software project is evolution. Start small and grow as needed—
and as you have the time and inclination.
Let’s start by adding support for building and cleaning our project. (We’ll
need to add other important capabilities to our build system later on, but
these two will get us going.) The top-level makefile does very little at this
point; it merely passes requests down to src/Makefile, recursively. This consti-
tutes a fairly common type of build system, known as a recursive build system, so
named because makefiles recursively invoke make on subdirectory makefiles.6
WHAT’S IN A NAME?
You probably know that open source software projects generally have quirky names—
they might be named after some small furry animal that has (vaguely) similar character-
istics to the software, some device, an invention, a Latin term, a past hero, or an
ancient god. Some names are just made-up words or acronyms that are catchy and
easy to pronounce. Another significant characteristic of a good project name is
uniqueness—it’s important that your project be easy to distinguish from others. Addi-
tionally, you should make sure your project’s name does not have negative connotations
in any language or culture.
6. Peter Miller’s seminal paper, “Recursive Make Considered Harmful” (http://miller.emu.id.au/
pmiller/books/rmch/), published over 10 years ago, discusses some of the problems recursive build
systems can cause. I encourage you to read this paper and understand the issues Miller presents.
While the issues are valid, the sheer simplicity of implementing and maintaining a recursive build
system makes it, by far, the most widely used form of build system.
Autotools_02.book Page 21 Tuesday, June 15, 2010 2:38 PM
www.it-ebooks.info

22 Chapter 2
Listings 2-1 through 2-3 show the contents of each of these three files,
thus far.
all clean jupiter:
cd src && $(MAKE) $@
.PHONY: all clean
Listing 2-1: Makefile: An initial draft of a top-level makefile for Jupiter
all: jupiter
jupiter: main.c
gcc -g -O0 -o $@ main.c
clean:
-rm jupiter
.PHONY: all clean
Listing 2-2: src/Makefile: The first draft of Jupiter’s src directory makefile
#include <stdio.h>
#include <stdlib.h>
int main(int argc, char * argv[])
{
printf("Hello from %s!\n", argv[0]);
return 0;
}
Listing 2-3: src/main.c: The first version of the one source file in the Jupiter project
NOTE As you read this code, you will probably notice places where a makefile or a source code
file contains a construct that is not written in the simplest manner or is perhaps not
written the way you would have chosen to write it. There is a method to my madness:
I’ve tried to use constructs that are portable to many flavors of the make utility.
Now let’s discuss the basics of make. If you’re already pretty well versed
in it, then you can skip the next section. Otherwise, give it a quick read, and
we’ll return our attention to the Jupiter project later in the chapter.
Makefile Basics
If you don’t use make on a regular basis, it’s often difficult to remember exactly
what goes where in a makefile, so here are a few things to keep in mind. Besides
comments, which begin with a hash mark (#), there are only three basic types
of entities in a makefile:
zVariable assignments
zRules
zCommands
Autotools_02.book Page 22 Tuesday, June 15, 2010 2:38 PM
www.it-ebooks.info

Understanding the GNU Coding Standards 23
While there are several other types of constructs in a makefile (including
conditional statements, directives, extension rules, pattern rules, function
variables, and include statements, among others), for our purposes, we’ll just
touch lightly on them as needed instead of covering them all in detail. This
doesn’t mean they’re unimportant, however—on the contrary, they’re very
useful if you’re going to write your own complex build system by hand. How-
ever, our purpose is to gain the background necessary for understanding the
GNU Autotools, so I’ll only cover the aspects of make you need to know to
accomplish that goal.
If you want a broader education on make syntax, refer to the GNU Make
Manual. For strictly portable syntax, the POSIX man page for make is an excel-
lent reference. If you want to become a make expert, be prepared to spend a
good deal of time studying these resources—there’s much more to the make
utility than is initially apparent.
Commands and Rules
When a line in a makefile begins with a TAB character, make will always consider
it to be a command. Indeed, one of the most frustrating aspects of makefile
syntax to neophytes and experts alike is that commands must be prefixed with
an essentially invisible character. The error messages generated by the legacy
UNIX make utility when a required TAB is missing (or has been converted to
spaces by your editor) or an unintentional TAB is inserted are obscure at best.
GNU make does a better job with such error messages. Nonetheless, be careful
to use leading TAB characters properly in your makefiles—always and only
before commands.
A list of one or more commands is always associated with a preceding
rule. A rule takes the form of a target followed by a list of dependencies. In
general, targets are objects that need to be built, and dependencies are objects
that provide source material for targets. Thus, targets are said to depend upon
the dependencies. Dependencies are essentially prerequisites of the targets,
and thus they should be updated first.7
Listing 2-4 shows the general layout of a makefile.
var1=val1
var2=val2
...
target1 : t1_dep1 t1_dep2 ... t1_depN
<TAB> shell-command1a
<TAB> shell-command1b
...
target2 : t2_dep1 t2_dep2 ... t2_depN
<TAB> shell-command2a
<TAB> shell-command2b
...
Listing 2-4: The general layout of a makefile
7. You’ll often hear dependencies referred to as prerequisites for this reason.
Autotools_02.book Page 23 Tuesday, June 15, 2010 2:38 PM
www.it-ebooks.info

24 Chapter 2
The make utility is a rule-based command engine, and the rules at work
indicate which commands should be executed and when. When you prefix
a line with a TAB character, you’re telling make that you want it to execute the
following statements from a shell according to the preceding rule. The exist-
ence and timestamps of the files mentioned in the rules indicate whether the
commands should be executed, and in what order.
As make processes the text in a makefile, it builds a web of dependency
chains (technically called a directed graph). When building a particular target,
make must walk backward through the entire graph to the beginning of each
“chain.” make then executes the commands for each rule in these chains,
beginning with the rule farthest from the target and working forward to the
rule for the desired target. As make discovers targets that are older than their
dependencies, it must execute the associated set of commands to update
those targets before it can process the next rule in the chain. As long as the
rules are written correctly, this algorithm ensures that make will build a com-
pletely up-to-date product using the least number of operations possible.
Variables
Lines in a makefile containing an equal sign (=) are variable definitions.
Variables in makefiles are somewhat similar to shell or environment variables,
but there are some key differences.
In Bourne-shell syntax, you’d reference a variable in this manner: ${my_var}.
The syntax for referencing variables in a makefile is identical, except that you
have the choice of using parentheses or curly brackets: $(my_var). To minimize
confusion, it has become somewhat of a convention to use parentheses rather
than curly brackets when dereferencing make variables. For single-character
make variables, using these delimiters is optional, but you should use them in
order to avoid ambiguities. For example, $X is functionally equivalent to $(X)
or ${X}, but $(my_var) would require parentheses so make does not interpret
the reference as $(m)y_var.
NOTE To dereference a shell variable inside a make command, escape the dollar sign by doubling
it—for example, $${shell_var}. Escaping the dollar sign tells make not to interpret the
variable reference, but rather to treat it as literal text in the command.
By default, make reads the process environment into its variable table
before processing the makefile; this allows you to access most environment
variables without explicitly defining them in the makefile. Note, however,
that variables set inside the makefile will override those obtained from the
environment.8 It’s generally not a good idea to depend on the existence of
environment variables in your build process, although it’s okay to use them
conditionally. In addition, make defines several useful variables of its own,
such as the MAKE variable, the value of which is the complete command line
(with options) used to invoke the current make process.
8. You can use the -e option on the make command line to reverse this default behavior so that
variables defined within the environment override those defined within the makefile. However,
relying on this option can lead to problems caused by subtle environmental differences between
systems.
Autotools_02.book Page 24 Tuesday, June 15, 2010 2:38 PM
www.it-ebooks.info

Understanding the GNU Coding Standards 25
You can assign variables at any point in the makefile. However, you should
be aware that make processes a makefile in two passes. In the first pass, it gathers
variables and rules into tables and internal structures. In the second pass, it
resolves dependencies defined by the rules, invoking those rules as necessary
to rebuild the dependencies based on filesystem timestamps. If a dependency
in a rule is newer than the target or if the target is missing, then make executes
the commands of the rule to update the target. Some variable references are
resolved immediately during the first pass while processing rules, and others
are resolved later during the second pass while executing commands.
A Separate Shell for Each Command
As it processes rules, make executes each command independently of those
around it. That is, each individual command under a rule is executed in its
own shell. This means that you cannot export a shell variable in one command
and then try to access its value in the next.
To do something like this, you would have to string commands together
on the same command line with command separator characters (e.g., semi-
colons, in Bourne shell syntax). When you write commands like this, make passes
the set of concatenated commands as one command line to the same shell.
To avoid long command lines and increase readability, you can wrap them
using a backslash at the end of each line—usually after the semicolon. The
wrapped portion of such commands may also be preceded by a TAB character.
POSIX specifies that make should remove all leading TAB characters (even
those following escaped newlines) before processing commands, but be aware
that some make implementations do output—usually harmlessly—the TAB
characters embedded within wrapped commands.9
Listing 2-5 shows a few simple examples of multiple commands that will
be executed by the same shell.
foo: bar.c
sources=bar.c; \
gcc -o foo $${sources}
fud: baz.c
sources=baz.c; gcc -o fud $${sources}
doo: doo.c
TMPDIR=/var/tmp gcc -o doo doo.c
Listing 2-5: Some examples of multiple commands executed by the same shell
In the first example at , both lines are executed by the same shell because
the backslash escapes the newline character between the lines. The make utility
will remove any escaped newline characters before passing a single, multi-
command statement to the shell. The second example at is identical to the
first, from make’s perspective.
9. Experiments have shown that many make implementations generate cleaner output if you
don’t use TAB characters after escaped newlines. Nevertheless, the community seems to have
settled on the consistent use of TAB characters in all command lines, whether wrapped or not.
Autotools_02.book Page 25 Tuesday, June 15, 2010 2:38 PM
www.it-ebooks.info

26 Chapter 2
The third example at is a bit different. In this case, I’ve defined the
TMPDIR variable only for the child process that will run gcc.10 Note the missing
semicolon; as far as the shell is concerned, this is a single command.11
NOTE If you choose to wrap commands with a trailing backslash, be sure that there are no
spaces or other invisible characters after it. The backslash escapes the newline character,
so it must immediately precede that character.
Variable Binding
Variables referenced in commands may be defined after the command in the
makefile because such references are not bound to their values until just
before make passes the command to the shell for execution—long after the
entire makefile has been read. In general, make binds variables to values as
late as it possibly can.
Since commands are processed at a later stage than rules, variable refer-
ences in commands are bound later than those in rules. Variable references
found in rules are expanded when make builds the directed graph from the
rules in the makefile. Thus, a variable referenced in a rule must be fully defined
in a makefile before the referencing rule. Listing 2-6 shows a portion of a
makefile that illustrates both of these concepts.
...
mytarget=foo
$(mytarget): $(mytarget).c
gcc -o $(mytarget) $(mytarget).c
mytarget=bar
...
Listing 2-6: Variable expansion in a makefile
In the rule at , both references to $(mytarget) are expanded to foo because
they’re processed during the first pass, when make is building the variable list
and directed graph. However, the outcome is probably not what you’d expect,
because both references to $(mytarget) in the command at are not expanded
until much later, long after make has already assigned bar to mytarget, overwriting
the original assignment of foo.
Listing 2-7 shows the same rule and command the way make sees them
after the variables are fully expanded.
...
foo: foo.c
gcc -o bar bar.c
...
Listing 2-7: The results after variable expansion of the code in Listing 2-6
10. gcc uses the value of the TMPDIR variable to determine where to write temporary intermediate
files between tools such as the C-preprocessor and the compiler.
11. You cannot dereference TMPDIR on the command line when it’s defined in this manner. Only
the child process has access to this variable; the current shell does not.
Autotools_02.book Page 26 Tuesday, June 15, 2010 2:38 PM
www.it-ebooks.info

Understanding the GNU Coding Standards 27
The moral of this story is that you should understand where variables will
be expanded in makefile constructs so you’re not surprised when make refuses
to act in a sane manner when it processes your makefile. It is good practice
(and a good way to avoid headaches) to always assign variables before you
intend to use them. For more information on immediate and deferred
expansion of variables in makefiles, refer to “How make Reads a Makefile” in
the GNU Make Manual.
Rules in Detail
Lines in my sample makefiles that are not variable assignments (i.e., don’t con-
tain an equal sign), and are not commands (i.e., are not prefixed with a TAB
character) are all rules of one type or another. The rules used in my examples
are known as common make rules, containing a single colon character (:). The
colon separates targets on the left from dependencies on the right.
Remember that targets are products—that is, filesystem entities that can
be produced by running one or more commands, such as a C or C++ compiler,
a linker, or a documentation generator like Doxygen or LaTeX. Dependencies,
on the other hand, are source objects, or objects from which targets are cre-
ated. These may be computer language source files, intermediate products built
by a previous rule, or anything else that can be used by a command as a resource.
You can specify any target defined within a makefile rule directly on the
make command line, and make will execute all the commands necessary to gen-
erate that target.
NOTE If you don’t specify any targets on the make command line, make will use the default
target—the first one it finds in the makefile.
For example, a C compiler takes dependency main.c as input and generates
target main.o. A linker then takes dependency main.o as input and generates
a named executable target—program, in this case.
Figure 2-1 shows the flow of data as it might be specified by the rules
defined in a makefile.
Figure 2-1: A data flow diagram for the compile and link processes
The make utility implements some fairly complex logic to determine when
a rule should be run, based on whether a target exists and whether it is older
than its dependencies. Listing 2-8 shows a makefile containing rules that exe-
cute the actions in Figure 2-1.
program
main.c main.o
Generated executables
User-provided data files Generated data files
gcc ld
System executables
Autotools_02.book Page 27 Tuesday, June 15, 2010 2:38 PM
www.it-ebooks.info

28 Chapter 2
program: main.o print.o display.o
ld main.o print.o display.o ... -o program
main.o: main.c
gcc -c -g -O2 -o main.o main.c
print.o: print.c
gcc -c -g -O2 -o print.o print.c
main.o: main.c
gcc -c -g -O2 -o display.o display.c
Listing 2-8: Using multiple make rules to compile and link a program
The first rule in this makefile says that program depends on main.o, print.o,
and display.o. The remaining rules say that each .o file depends on the corre-
sponding .c file. Ultimately, program depends on the three source files, but the
object files are necessary as intermediate dependencies because there are
two steps to the process—compile and link—with a result in between. For
each rule, make uses an associated list of commands to build the rule’s target
from its list of dependencies.
Unix compilers are designed as higher-level tools than linkers. They
have built-in, low-level knowledge about system-specific linker requirements.
In the makefile in Listing 2-8, the ellipsis in the line at is a placeholder for
a list of system-specific, low-level objects and libraries required to build all
programs on this system. The compiler can be used to call the linker,
silently passing these system-specific objects and libraries. (It’s so effective
and widely used that it’s often difficult to discover how to manually execute
the linker on a given system.) Listing 2-9 shows how you might rewrite the
makefile from Listing 2-8 to use the compiler to compile the sources and call
the linker in a single rule.12
sources = main.c print.c display.c
program: $(sources)
gcc -g -O0 -o program $(sources)
Listing 2-9: Using a single make rule to compile sources into an executable
In this example, I’ve added a make variable (sources) that allows us to con-
solidate all product dependencies into one location. We now have a list of
source files captured in a variable definition that is referenced in two places:
in the dependency list and on the command line.
12. Using a single rule and command to process both steps is possible in this case because the
example is very basic. For larger projects, skipping from source to executable in a single step is
usually not the wisest way to manage the build process. However, in either case, using the compiler
to call the linker can ease the burden of determining the many system objects that need to be
linked into an application, and, in fact, this very technique is used quite often. More complex
examples, wherein each file is compiled separately, use the compiler to compile each source file
into an object file and then use the compiler to call the linker to link them all together into an
executable.
Autotools_02.book Page 28 Tuesday, June 15, 2010 2:38 PM
www.it-ebooks.info

Understanding the GNU Coding Standards 29
Automatic Variables
There may be other kinds of objects in a dependency list that are not in the
sources variable, including precompiled objects and libraries. These other
objects would have to be listed separately, both in the rule and on the com-
mand line. Wouldn’t it be nice if we had shorthand notation for referencing
the rule’s entire dependency list in the commands?
As it happens, there are various automatic variables that can be used to
reference portions of the controlling rule during the execution of a command.
Unfortunately, most of these are all but useless if you care about portability
between implementations of make. The $@ variable (which references the current
target) happens to be portable and useful, but most of the other automatic
variables are too limited to be very useful.13 The following is a complete list
of portable automatic variables defined by POSIX for make:
z$@ refers to the full target name of the current target or the archive file-
name part of a library archive target. This variable is valid in both explicit
and implicit rules.
z$% refers to a member of an archive and is valid only when the current
target is an archive member—that is, an object file that is a member of a
static library. This variable is valid in both explicit and implicit rules.
z$? refers to the list of dependencies that are newer than the current target.
This variable is valid in both explicit and implicit rules.
z$< refers to the member of the dependency list whose existence allowed the
rule to be chosen for the target. This variable is only valid in implicit rules.
z$* refers to the current target name with its suffix deleted. This variable
is guaranteed by POSIX to be valid only in implicit rules.
GNU make dramatically extends the POSIX-defined list, but since GNU
extensions are not portable, it’s unwise to use any of these except $@.
Dependency Rules
In Listing 2-10, I’ve replaced the sources variable with an objects variable and
replaced the list of source files with a list of object files. This listing also elim-
inates redundancy by making use of both standard and automatic variables.
objects = main.o print.o display.o
main.o: main.c print.h display.h
print.o: print.c print.h
display.o: display.c display.h
program: $(objects)
gcc -g -O0 -o $@ $(objects)
Listing 2-10: Using automatic variables in a command
13. This is because POSIX is not so much a specification for the way things should be done as it is a
specification for the way things are done. Essentially, the purpose of the POSIX standard is to keep
Unix implementations from deviating any further from the norm than necessary. Unfortunately,
most make implementations had wide acceptance within their own communities long before
the idea for a POSIX standard was conceived.
Autotools_02.book Page 29 Tuesday, June 15, 2010 2:38 PM
www.it-ebooks.info

30 Chapter 2
I’ve also added three dependency rules, which are rules without commands
that clarify the relationships between compiler output files and dependent
source and header files. Because print.h and display.h are (presumably) included
by main.c, main.c must be recompiled if either of those files changes; how-
ever, make has no way of knowing that these two header files are included by
main.c. Dependency rules allow the developer to tell make about such back-end
relationships.
Implicit Rules
If you attempt to mentally follow the dependency graph that make would build
from the rules within the makefile in Listing 2-10, you’ll find what appears to
be a hole in the web. According to the last rule in the file, the program executable
depends on main.o, print.o, and display.o. This rule also provides the command
to link these objects into an executable (using the compiler only to call the
linker this time). The object files are tied to their corresponding C source and
header files by the three dependency rules. But where are the commands that
compile the .c files into .o files?
We could add these commands to the dependency rules, but there’s really
no need, because make has a built-in rule that knows how to build .o files from
.c files. There’s nothing magic about make—it only knows about the relationships
you describe to it through the rules you write. But make does have certain
built-in rules that describe the relationships between, for example, .c files
and .o files. This particular built-in rule provides commands for building any-
thing with a .o extension from a file of the same base name with a .c extension.
These built-in rules are called suffix rules, or more generally, implicit rules,
because the name of the dependency (source file) is implied by the name of
the target (object file).
You can write implicit rules yourself, if you wish. You can even override
the default implicit rules with your own versions. Implicit rules are a power-
ful tool, and they shouldn’t be overlooked, but for the purposes of this book,
we won’t go into any more detail. You can learn more about writing and using
implicit rules within makefiles in “Using Implicit Rules” in the GNU Make
Manual.
To illustrate this implicit functionality, I created simple C source and
header files to accompany the sample makefile from Listing 2-10. Here’s
what happened when I executed make on this makefile:
$ make
cc -c -o main.o main.c
$
$ make program
cc -c -o print.o print.c
cc -c -o display.o display.c
gcc -g -O0 -o program main.o print.o display.o
$
As you can see, cc was magically executed with -c and -o options to generate
main.o from main.c. This is common command-line syntax used to make a C-
language compiler build objects from sources—it’s so common, in fact, that the
Autotools_02.book Page 30 Tuesday, June 15, 2010 2:38 PM
www.it-ebooks.info

Understanding the GNU Coding Standards 31
functionality is built into make. If you look for cc on a modern GNU/Linux
system, you’ll find that it’s a soft link in /usr/bin that refers to the system’s GNU
C compiler. On other systems, it refers to the system’s native C compiler.
Calling the system C compiler cc has been a de facto standard for decades.14
But why did the make utility build only main.o when we typed make at ?
Simply because the dependency rule for main.o provided the first (and thus,
the default) target for the makefile. In this case, to build program, we needed
to execute make program, like we did in . Remember that when you enter make
on the command line, the make utility attempts to build the first explicitly
defined target within the file called Makefile in the current directory. If we
wanted to make program the default target, we could rearrange the rules so
the program rule would be the first one listed in the makefile.
To see the dependency rules in action, touch one of the header files and
then rebuild the program target:
$ touch display.h
$ make program
cc -c -o main.o main.c
cc -c -o display.o display.c
gcc -g -O0 -o program main.o print.o display.o
$
After updating display.h, only display.o, main.o, and program were rebuilt.
The print.o object didn’t need to be rebuilt because print.c doesn’t depend on
display.h, according to the rules specified in the makefile.
Phony Targets
Targets are not always files. They can also be so-called phony targets, as in the
case of all and clean. These targets don’t refer to true products in the filesystem,
but rather to particular outcomes or actions—when you make these targets,
the project is cleaned, all products are built, and so on.
Multiple Targets
In the same way that you can list multiple dependencies on the right side of a
colon, you can combine rules for multiple targets with the same dependencies
and commands by listing the targets on the left side of a colon, as shown in
Listing 2-11.
all clean:
cd src && $(MAKE) $@
Listing 2-11: Using multiple targets in a rule
14. POSIX has standardized the program (or link) names c89 and c99 to refer to 1989 and 1999
C-language standard compatible compilers. Since these commands can refer to the same compiler
with different command-line options, they’re often implemented as binary programs or shell
scripts, rather than merely as soft links.
Autotools_02.book Page 31 Tuesday, June 15, 2010 2:38 PM
www.it-ebooks.info

32 Chapter 2
While it may not be immediately apparent, this example contains two
separate rules: one for each of the two targets, all and clean. Because these
two rules have the same set of dependencies (none, in this case), and the
same set of commands, we’re able to take advantage of a shorthand notation
supported by make that allows us to combine their rules into one specification.
To help you understand this concept, consider the $@ variable in Listing 2-
11. Which target does it refer to? That depends on which rule is currently
executing—the one for all or the one for clean. Since a rule can only be exe-
cuted on a single target at any given time, $@ can only ever refer to one target,
even when the controlling rule specification contains several.
Resources for Makefile Authors
GNU make is significantly more powerful than the original AT&T UNIX make
utility, although GNU make is completely backward compatible, as long as you
avoid GNU extensions. The GNU Make Manual15 is available online, and O’Reilly
has published an excellent book on the original AT&T UNIX make utility16 and
all of its many nuances. While you can still find this title, the publisher has
recently merged its content into a new edition that also covers GNU make
extensions.17
This concludes the general discussion of makefile syntax and the make
utility, although we will look at additional makefile constructs as we encoun-
ter them throughout the rest of this chapter. With this general information
behind us, let’s return to the Jupiter project and begin adding some more
interesting functionality.
Creating a Source Distribution Archive
In order to actually get source code for Jupiter to our users, we’re going to
have to create and distribute a source archive—a tarball. We could write a separate
script to create the tarball, but since we can use phony targets to create arbi-
trary sets of functionality in makefiles, let’s design a make target to perform this
task instead. Building a source archive for distribution is usually relegated to
the dist target.
When designing a new make target, we need to consider whether its func-
tionality should be distributed among the makefiles of the project or handled
in a single location. Normally, the rule of thumb is to take advantage of a
recursive build system’s nature by allowing each directory to manage its own
portions of a process. We did just this when we passed control of building the
jupiter program down to the src directory, where the source code is located.
15. See the Free Software Foundation’s GNU Make Manual at http://www.gnu.org/software/make/
manual/.
16. Andy Oram and Steve Talbott, Managing Projects with make, Second Edition: The Power of GNU
make for Building Anything (Sebastopol, CA: O’Reilly Media, 1991), http://oreilly.com/catalog/
9780937175903/.
17. Robert Mecklenburg, Managing Projects with GNU Make, Third Edition: The Power of GNU make
for Building Anything (Sebastopol, CA: O’Reilly Media, 2004), http://www.oreilly.com/catalog/
9780596006105/.
Autotools_02.book Page 32 Tuesday, June 15, 2010 2:38 PM
www.it-ebooks.info

Understanding the GNU Coding Standards 33
However, building a compressed archive from a directory structure isn’t really
a recursive process.18 This being the case, we’ll have to perform the entire
task in one of the two makefiles.
Global processes are often handled by the makefile at the highest rele-
vant level in the project directory structure. We’ll add the dist target to our
top-level makefile, as shown in Listing 2-12.
package = jupiter
version = 1.0
tarname = $(package)
distdir = $(tarname)-$(version)
all clean jupiter:
cd src && $(MAKE) $@
dist: $(distdir).tar.gz
$(distdir).tar.gz: $(distdir)
tar chof - $(distdir) | gzip -9 -c > $@
rm -rf $(distdir)
$(distdir):
mkdir -p $(distdir)/src
cp Makefile $(distdir)
cp src/Makefile $(distdir)/src
cp src/main.c $(distdir)/src
.PHONY: all clean dist
Listing 2-12: Makefile: Adding the dist target to the top-level makefile
Besides the addition of the dist target at , I’ve also made several other
modifications. Let’s look at them one at a time. I’ve added the dist target to
the .PHONY rule at . .PHONY is a special kind of built-in rule called a dot-rule or
a directive. The make utility understands several different dot-rules. The purpose
of .PHONY is simply to tell make that certain targets don’t generate filesystem
objects. Normally, make determines which commands to run by comparing
the timestamps of the targets to those of their dependencies in the filesystem—
but phony targets don’t have associated filesystem objects. Using .PHONY ensures
that make won’t go looking for nonexistent product files named after these
targets.
Adding a target to the .PHONY rule has another effect. Since make won’t be
able to use timestamps to determine whether the target is up to date (that is,
newer than its dependencies), make has no recourse but to always execute the
commands associated with phony targets whenever these targets either are
requested on the command line or appear in a dependency chain.
18. Well, okay, it is a recursive process, but the recursive portions of the process are tucked away
inside the tar utility.
Autotools_02.book Page 33 Tuesday, June 15, 2010 2:38 PM
www.it-ebooks.info

34 Chapter 2
I’ve separated the functionality of the dist target into three separate rules
(, , and ) for the sake of readability, modularity, and maintenance.
This is a great rule of thumb to follow in any software engineering process:
Build large processes from smaller ones, and reuse the smaller processes where it makes
sense.
The dist target at depends on the existence of the ultimate goal—in
this case a source-level compressed archive package, jupiter-1.0.tar.gz. I’ve used
one variable to hold the version number (which makes it easier to update the
project version later) and another variable for the package name at , which
will make it easier to change the name if I ever decide to reuse this makefile
for another project. I’ve also logically split the functions of package name
and tarball name; the default tarball name is the package name, but we do
have the option of making them different.
The rule that builds the tarball at indicates how this should be done
with a command that uses the gzip and tar utilities to create the file. But,
notice that the rule has a dependency—the directory to be archived. The
directory name is derived from the tarball name and the package version
number; it’s stored in yet another variable called distdir.
We don’t want object files and executables from our last build attempt
to end up in the archive, so we need to build an image directory containing
exactly what we want to ship—including any files required in the build and
install processes and any additional documentation or license files. Unfortu-
nately, this pretty much mandates the use of individual copy (cp) commands.
Since there’s a rule in the makefile (at ) that tells how this directory
should be created, and since that rule’s target is a dependency of the tarball,
make runs the commands for that rule before running the commands for the
tarball rule. Recall that make processes rules to build dependencies recursively,
from the bottom up, until it can run the commands for the requested target.19
Forcing a Rule to Run
There’s a subtle flaw in the $(distdir) target that may not be obvious right
now, but it will rear its ugly head at the worst of times. If the archive image
directory (jupiter-1.0) already exists when you execute make dist, then make
won’t try to create it. Try this:
$ mkdir jupiter-1.0
$ make dist
tar chof - jupiter-1.0 | gzip -9 -c > jupiter-1.0.tar.gz
rm -rf jupiter-1.0
$
Notice that the dist target didn’t copy any files—it just built an archive
out of the existing jupiter-1.0 directory, which was empty. Our users would get
a real surprise when they unpack this tarball! Worse still, if the image directory
from the previous attempt to archive happened to still be there, the new tar-
ball would contain the now outdated sources from our last attempt to create
a distribution tarball.
19. This process is formally called post-order recursion.
Autotools_02.book Page 34 Tuesday, June 15, 2010 2:38 PM
www.it-ebooks.info

Understanding the GNU Coding Standards 35
The problem is that the $(distdir) target is a real target with no depen-
dencies, which means that make will consider it up to date as long as it exists in
the filesystem. We could add the $(distdir) target to the .PHONY rule to force make
to rebuild it every time we make the dist target, but it’s not a phony target—it’s
a real filesystem object. The proper way to ensure that $(distdir) is always
rebuilt is to ensure that it doesn’t exist before make attempts to build it. One
way to accomplish this is to create a true phony target that will always execute,
and then add that target to the dependency chain for the $(distdir) target. A
common name for this kind of target is FORCE, and I’ve implemented this con-
cept in Listing 2-13.
...
$(distdir).tar.gz: $(distdir)
tar chof - $(distdir) | gzip -9 -c > $@
rm -rf $(distdir)
$(distdir): FORCE
mkdir -p $(distdir)/src
cp Makefile $(distdir)
cp src/Makefile $(distdir)/src
cp src/main.c $(distdir)/src
FORCE:
-rm $(distdir).tar.gz >/dev/null 2>&1
-rm -rf $(distdir) >/dev/null 2>&1
.PHONY: FORCE all clean dist
Listing 2-13: Makefile: Using the FORCE target
The FORCE rule’s commands (at ) are executed every time because FORCE
is a phony target. Since we made FORCE a dependency of the $(distdir) target
(at ), we have the opportunity to delete any previously created files and
directories before make begins to evaluate whether it should execute the com-
mands for $(distdir).
Leading Control Characters
A leading dash character (-) on a command tells make not to care about the
status code of the command it precedes. Normally, when make encounters a
command that returns a nonzero status code to the shell, it will stop execu-
tion and display an error message—but if you use a leading dash, it will just
ignore the error and continue. I use a leading dash on the rm commands in
the FORCE rule because I want to delete previously created product files that
may or may not exist, and rm will return an error if I attempt to delete a non-
existent file.20
20. Another option would have been to use a -f command-line option with the rm command,
which would narrow the failure conditions to those not related to removing nonexistent files.
Autotools_02.book Page 35 Tuesday, June 15, 2010 2:38 PM
www.it-ebooks.info

36 Chapter 2
Note that I did not use a leading dash on the rm command in the tarball
rule at . This is because I want to know if something goes wrong with this
command—if it doesn’t succeed, something is very wrong, since the preced-
ing command should have created a tarball from this directory.
Another leading character that you may encounter is the at sign (@). A
command prefixed with an at sign tells make not to perform its normal behavior
of printing the command to the stdout device as it executes it. It is common
to use a leading at sign on echo statements. You don’t want make to print echo
statements, because then your message will be printed twice: once by make,
and then again by the echo statement itself.
It’s best to use the at sign judiciously. I usually reserve it for commands I
never want to see, such as echo statements. If you like quiet build systems, con-
sider using the global .SILENT directive in your makefiles. Or better still, simply
allow the user the option of adding the -s option to her make command lines.
This enables her to choose how much noise she wants to see.
Automatically Testing a Distribution
The rule for building the archive directory is probably the most frustrating
rule in this makefile, because it contains commands to copy individual files
into the distribution directory. Every time we change the file structure in our
project, we have to update this rule in our top-level makefile, or we’ll break
the dist target. But there’s nothing more we can do—we’ve made the rule
as simple as possible. Now we just have to remember to manage this process
properly.
Unfortunately though, breaking the dist target is not the worst thing
that could happen if you forget to update the distdir rule’s commands. It
may appear that the dist target is working, but it may not actually be copying
all of the required files into the tarball. In fact, it is far more likely that this,
rather than an error, will occur, because adding files to a project is a more
common activity than moving them around or deleting them. New files will
not be copied, but the dist rule won’t notice the difference.
There is a way to perform a sort of self-check on the dist target. We can
create another phony target called distcheck that does exactly what our users
will do: unpack the tarball and build the project. We can have this rule’s
commands perform this task in a temporary directory. If the build process
fails, then the distcheck target will break, telling us that we forgot something
crucial in our distribution.
Listing 2-14 shows the modifications to our top-level makefile that are
required to implement the distcheck target.
...
distcheck: $(distdir).tar.gz
gzip -cd $(distdir).tar.gz | tar xvf -
cd $(distdir) && $(MAKE) all
cd $(distdir) && $(MAKE) clean
rm -rf $(distdir)
Autotools_02.book Page 36 Tuesday, June 15, 2010 2:38 PM
www.it-ebooks.info

Understanding the GNU Coding Standards 37
@echo "*** Package $(distdir).tar.gz is ready for distribution."
...
.PHONY: FORCE all clean dist distcheck
Listing 2-14: Makefile: Adding a distcheck target to the top-level makefile
The distcheck target depends on the tarball itself, so the rule that builds
the tarball is executed first. make then executes the distcheck commands, which
unpack the tarball just built and then recursively run make on the all and clean
targets within the resulting directory. If that process succeeds, it prints out a
message indicating that your users will likely not have a problem with this tarball.
Now all you have to do is remember to execute make distcheck before you
post your tarballs for public distribution!
Unit Testing, Anyone?
Some people insist that unit testing is evil, but the only honest rationale they
can come up with for not doing it is laziness. Proper unit testing is hard work,
but it pays off in the end. Those who do it have learned a lesson (usually in
childhood) about the value of delayed gratification.
A good build system should incorporate proper unit testing. The most
commonly used target for testing a build is the check target, so we’ll go ahead
and add it in the usual manner. The actual unit test should probably go in
src/Makefile because that’s where the jupiter executable is built, so we’ll pass
the check target down from the top-level makefile.
But what commands do we put in the check rule? Well, jupiter is a pretty
simple program—it prints a message, Hello from some/path/jupiter! where
some/path depends on the location from which jupiter was executed. I’ll use
the grep utility to test that jupiter actually outputs such a string.
Listings 2-15 and 2-16 illustrate the modifications to our top-level and src
directory makefiles, respectively.
...
all clean check jupiter:
cd src && $(MAKE) $@
...
.PHONY: FORCE all clean check dist distcheck
Listing 2-15: Makefile: Passing the check target to src/Makefile
...
check: all
./jupiter | grep "Hello from .*jupiter!"
@echo "*** ALL TESTS PASSED ***"
...
.PHONY: all clean check
Listing 2-16: src/Makefile: Implementing the unit test in the check target
Autotools_02.book Page 37 Tuesday, June 15, 2010 2:38 PM
www.it-ebooks.info

38 Chapter 2
Note that check depends on all. We can’t really test our products unless
they are up to date, reflecting any recent source code or build system changes
that may have been made. It makes sense that if the user wants to test the
products, he also wants the products to exist and be up to date. We can ensure
they exist and are up to date by adding all to check’s dependency list.
There’s one more enhancement we could make to our build system:
We can add check to the list of targets executed by make in our distcheck rule,
between the commands to make all and clean. Listing 2-17 shows where this
is done in the top-level makefile.
...
distcheck: $(distdir).tar.gz
gzip -cd $(distdir).tar.gz | tar xvf -
cd $(distdir) && $(MAKE) all
cd $(distdir) && $(MAKE) check
cd $(distdir) && $(MAKE) clean
rm -rf $(distdir)
@echo "*** Package $(distdir).tar.gz is ready for distribution."
...
Listing 2-17: Makefile: Adding the check target to the $(MAKE) command
Now when we run make distcheck, it will test the entire build system shipped
with the package.
Installing Products
We’ve reached the point where our users’ experiences with Jupiter should
be fairly painless—even pleasant—as far as building the project is concerned.
Users will simply unpack the distribution tarball, change into the distribution
directory, and type make. It really can’t get any simpler than that.
But we still lack one important feature—installation. In the case of the
Jupiter project, this is fairly trivial. There’s only one program, and most users
would guess correctly that to install it, they should copy jupiter into either
their /usr/bin or /usr/local/bin directory. More complex projects, however,
could cause users some real consternation when it comes to where to put
user and system binaries, libraries, header files, and documentation including
man pages, info pages, PDF files, and the more-or-less obligatory README,
AUTHORS, NEWS, INSTALL, and COPYING files generally associated with
GNU projects.
We don’t really want our users to have to figure all that out, so we’ll create
an install target to manage putting things where they go once they’re built
properly. In fact, why not just make installation part of the all target? Well,
let’s not get carried away. There are actually a few good reasons for not doing
this.
First, build and installation are separate logical concepts. The second
reason is a matter of filesystem rights. Users have rights to build projects in
their own home directories, but installation often requires root-level rights to
Autotools_02.book Page 38 Tuesday, June 15, 2010 2:38 PM
www.it-ebooks.info

Understanding the GNU Coding Standards 39
copy files into system directories. Finally, there are several reasons why a user
may wish to build but not install a project, so it would be unwise to tie these
actions together.
While creating a distribution package may not be an inherently recursive
process, installation certainly is, so we’ll allow each subdirectory in our project
to manage installation of its own components. To do this, we need to modify
both the top-level and the src-level makefiles. Changing the top-level makefile
is easy: Since there are no products to be installed in the top-level directory,
we’ll just pass the responsibility on to src/Makefile in the usual way.
The modifications for adding an install target are shown in Listings 2-18
and 2-19.
...
all clean check install jupiter:
cd src && $(MAKE) $@
...
.PHONY: FORCE all clean check dist distcheck install
Listing 2-18: Makefile: Passing the install target to src/Makefile
...
install:
cp jupiter /usr/bin
chown root:root /usr/bin/jupiter
chmod +x /usr/bin/jupiter
.PHONY: all clean check install
Listing 2-19: src/Makefile: Implementing the install target
In the top-level makefile shown in Listing 2-18, I’ve added install to the
list of targets passed down to src/Makefile. The installation of files is actually
handled by the src-level makefile shown in Listing 2-19.
Installation is a bit more complex than simply copying files. If a file is placed
in the /usr/bin directory, then root should own it, so that only root can delete or
modify it. Additionally, the jupiter binary should be flagged executable, so I’ve
used the chmod command to set the mode of the file as such. This is probably
redundant, as the linker ensures that jupiter is created as an executable file, but
some types of executable products are not generated by a linker—shell scripts,
for example.
Now our users can just type the following sequence of commands and
the Jupiter project will be built, tested, and installed with the correct system
attributes and ownership on their platforms:
$ gzip -cd jupiter-1.0.tar.gz | tar xf -
$ cd jupiter-1.0
$ make all check
...
Autotools_02.book Page 39 Tuesday, June 15, 2010 2:38 PM
www.it-ebooks.info

40 Chapter 2
$ sudo make install
Password: ******
...
Installation Choices
All of this is well and good, but it could be a bit more flexible with regard to
where things are installed. Some users may be okay with having jupiter installed
into the /usr/bin directory. Others are going to ask why it isn’t installed into
the /usr/local/bin directory—after all, this is a common convention. We could
change the target directory to /usr/local/bin, but then users may ask why they
don’t have the option of installing into their home directories. This is the
perfect situation for a little command-line supported flexibility.
Another problem with our current build system is that we have to do a
lot of stuff just to install files. Most Unix systems provide a system-level pro-
gram—usually a shell script—called install that allows a user to specify various
attributes of the files being installed. The proper use of this utility could simplify
things a bit for Jupiter’s installation, so while we’re adding location flexibil-
ity, we might as well use the install utility, too. These modifications are
shown in Listings 2-20 and 2-21.
...
prefix=/usr/local
export prefix
all clean check install jupiter:
cd src && $(MAKE) $@
...
Listing 2-20: Makefile: Adding a prefix variable
...
install:
install -d $(prefix)/bin
install -m 0755 jupiter $(prefix)/bin
...
Listing 2-21: src/Makefile: Using the prefix variable in the install target
Notice that I only declared and assigned the prefix variable in the top-
level makefile, but I referenced it in src/Makefile. I can do this because I used
the export modifier at in the top-level makefile—this modifier exports the
make variable to the shell that make spawns when it executes itself in the src
directory. This feature of make allows us to define all of our user variables in
one obvious location—at the beginning of the top-level makefile.
NOTE GNU make allows you to use the export keyword on the assignment line, but this syntax
is not portable between GNU make and other versions of make.
Autotools_02.book Page 40 Tuesday, June 15, 2010 2:38 PM
www.it-ebooks.info

Understanding the GNU Coding Standards 41
I’ve now declared the prefix variable to be /usr/local, which is very nice
for those who want to install jupiter in /usr/local/bin, but not so nice for those
who want it in /usr/bin. Fortunately, make allows you to define make variables
on the command line, in this manner:
$ sudo make prefix=/usr install
...
Remember that variables defined on the command line override those
defined within the makefile.21 Thus, users who want to install jupiter into
the /usr/bin directory now have the option of specifying this on the make
command line.
With this system in place, our users may install jupiter into a bin directory
beneath any directory they choose, including a location in their home directory
(for which they do not need additional rights). This is, in fact, the reason we
added the install -d $(prefix)/bin command at in Listing 2-21—this com-
mand creates the installation directory if it doesn’t already exist. Since we
allow the user to define prefix on the make command line, we don’t actually
know where the user is going to install jupiter; therefore, we have to be pre-
pared for the possibility that the location may not yet exist. Give this a try:
$ make all
$ make prefix=$PWD/_inst install
$
$ ls -1p
_inst/
Makefile
src/
$
$ ls -1p _inst
bin/
$
$ ls -1p _inst/bin
jupiter
$
Uninstalling a Package
What if a user doesn’t like our package after he’s installed it, and he just wants
to get it off his system? This is a fairly likely scenario for the Jupiter project, as
it’s rather useless and takes up valuable space in his bin directory. In the case
of your projects, however, it’s more likely that a user would want to do a clean
install of a newer version of the project or replace the test build he down-
loaded from the project website with a professionally packaged version that
21. Unfortunately, some make implementations do not propagate such command-line variables
to recursive $(MAKE) processes. To alleviate this potential problem, variables that might be set
on the command line can be passed as var="$(var)" on sub-make command lines. My simple
examples ignore this issue because it’s a corner case, but you should at least be aware of this
problem.
Autotools_02.book Page 41 Tuesday, June 15, 2010 2:38 PM
www.it-ebooks.info

42 Chapter 2
comes with his Linux distribution. Support for an uninstall target would be
very helpful in situations like these.
Listings 2-22 and 2-23 show the addition of an uninstall target to our two
makefiles.
...
all clean install uninstall jupiter:
cd src && $(MAKE) $@
...
.PHONY: FORCE all clean dist distcheck install uninstall
Listing 2-22: Makefile: Adding the uninstall target to the top-level makefile
...
uninstall:
-rm $(prefix)/bin/jupiter
.PHONY: all clean check install uninstall
Listing 2-23: src/Makefile: Adding the uninstall target to the src-level makefile
As with the install target, this target requires root-level rights if the user
is using a system prefix, such as /usr or /usr/local. You should be very careful
about how you write your uninstall targets; unless a directory belongs specifi-
cally to your package, you shouldn’t assume you created it. If you do, you
may end up deleting a system directory like /usr/bin!
The list of things to maintain in our build system is getting out of hand.
There are now two places we need to update when we change our installation
processes: the install and uninstall targets. Unfortunately, this is really about
the best we can hope for when writing our own makefiles, unless we resort to
fairly complex shell script commands. But hang in there—in Chapter 5 I’ll
show you how to rewrite this makefile in a much simpler way using GNU
Automake.
Testing Install and Uninstall
Now let’s add some code to our distcheck target to test the functionality of
the install and uninstall targets. After all, it’s fairly important that both of
these targets work correctly from our distribution tarballs, so we should test
them in distcheck before declaring the tarball release-worthy. Listing 2-24
illustrates the necessary changes to the top-level makefile.
...
distcheck: $(distdir).tar.gz
gzip -cd $(distdir).tar.gz | tar xvf -
cd $(distdir) && $(MAKE) all
cd $(distdir) && $(MAKE) check
cd $(distdir) && $(MAKE) prefix=$${PWD}/_inst install
cd $(distdir) && $(MAKE) prefix=$${PWD}/_inst uninstall
cd $(distdir) && $(MAKE) clean
Autotools_02.book Page 42 Tuesday, June 15, 2010 2:38 PM
www.it-ebooks.info

Understanding the GNU Coding Standards 43
rm -rf $(distdir)
@echo "*** Package $(distdir).tar.gz is ready for distribution."
...
Listing 2-24: Makefile: Adding distcheck tests for the install and uninstall targets
Note that I used a double dollar sign on the $${PWD} variable references,
ensuring that make passes the variable reference to the shell with the rest of
the command line, rather than expanding it inline before executing the
command. I wanted this variable to be dereferenced by the shell, rather than
the make utility.22
What we’re doing here is testing to ensure the install and uninstall targets
don’t generate errors—but this isn’t very likely because all they do is install
files into a temporary directory within the build directory. We could add some
code immediately after the make install command that looks for the products
that are supposed to be installed, but that’s more than I’m willing to do. One
reaches a point of diminishing returns, where the code that does the checking
is just as complex as the installation code—in which case the check becomes
pointless.
But there is something else we can do: We can write a more or less generic
test that checks to see if everything we installed was properly removed. Since
the stage directory was empty before our installation, it had better be in a
similar state after we uninstall. Listing 2-25 shows the addition of this test.
...
distcheck: $(distdir).tar.gz
gzip -cd $(distdir).tar.gz | tar xvf -
cd $(distdir) && $(MAKE) all
cd $(distdir) && $(MAKE) check
cd $(distdir) && $(MAKE) prefix=$${PWD}/_inst install
cd $(distdir) && $(MAKE) prefix=$${PWD}/_inst uninstall
@remaining="`find $${PWD}/$(distdir)/_inst -type f | wc -l`"; \
if test "$${remaining}" -ne 0; then \
echo "*** $${remaining} file(s) remaining in stage directory!"; \
exit 1; \
fi
cd $(distdir) && $(MAKE) clean
rm -rf $(distdir)
@echo "*** Package $(distdir).tar.gz is ready for distribution."
...
Listing 2-25: Makefile: Adding a test for leftover files after uninstall finishes
The test first generates a numeric value at in a shell variable called
remaining, which represents the number of regular files found in the stage
directory we used. If this number is not zero, it prints a message to the console
22. Technically, I didn’t have to do this because the PWD make variable was initialized from the
environment, but it serves as a good example of this process. Additionally, there are corner cases
where the PWD make variable is not quite as accurate as the PWD shell variable. It may be left pointing
to the parent directory on a subdirectory make invocation.
Autotools_02.book Page 43 Tuesday, June 15, 2010 2:38 PM
www.it-ebooks.info
44 Chapter 2
at indicating how many files were left behind by the uninstall commands
and then it exits with an error. Exiting early leaves the stage directory intact
so we can examine it to find out which files we forgot to uninstall.
NOTE This test code represents a good use of multiple shell commands passed to a single shell.
I had to do this here so that the value of remaining would be available for use by the if
statement. Conditionals don’t work very well when the closing fi is not executed by the
same shell as the opening if!
I don’t want to alarm people by printing the embedded echo statement
unless it really should be executed, so I prefixed the entire test with an at
sign (@) so that make wouldn’t print the code to stdout. Since make considers
these five lines of code to be a single command, the only way to suppress
printing the echo statement is to suppress printing the entire command.
Now, this test isn’t perfect—not by a long shot. This code only checks for
regular files. If your installation procedure creates any soft links, this test
won’t notice if they’re left behind. The directory structure that’s built during
installation is purposely left in place because the check code doesn’t know
whether a subdirectory within the stage directory belongs to the system or to
the project. The uninstall rule’s commands can be aware of which directories
are project specific and properly remove them, but I don’t want to add project-
specific knowledge into the distcheck tests—it’s that problem of diminishing
returns again.
The Filesystem Hierarchy Standard
You may be wondering by now where I’m getting these directory names. What
if some Unix system out there doesn’t use /usr or /usr/local? For one thing,
this is another reason for providing the prefix variable—to allow the user
some choice in these matters. However, most Unix-like systems nowadays follow
the Filesystem Hierarchy Standard as closely as possible. The FHS defines a number
of standard places including the following root-level directories:
This list is by no means exhaustive. I’ve only mentioned the directories
that are most relevant to our study of open source project build systems. In
addition, the FHS defines several standard locations beneath these root-level
directories. For instance, the /usr directory should contain the following
subdirectories:
/bin /etc /home
/opt /sbin /srv
/tmp /usr /var
/usr/bin /usr/include /usr/lib
/usr/local /usr/sbin /usr/share
/usr/src
Autotools_02.book Page 44 Tuesday, June 15, 2010 2:38 PM
www.it-ebooks.info

Understanding the GNU Coding Standards 45
The /usr/local directory should contain a structure very similar to that
of the /usr directory. The /usr/local directory provides a location for software
installation that overrides versions of the same packages installed in the /usr
directory structure, because system software updates often overwrite software
in /usr without prejudice. The /usr/local directory structure allows a system
administrator to decide which version of a package to use on her system, because
/usr/local/bin may be (and usually is) added to the PATH before /usr/bin. A fair
amount of thought has gone into designing the FHS, and the GNU Autotools
take full advantage of this consensus of understanding.
Not only does the FHS define these standard locations, but it also explains
in detail what they’re for and what types of files should be kept there. All in
all, the FHS leaves you, as project maintainer, just enough flexibility and choice
to keep your life interesting but not enough to make you wonder if you’re
installing your files in the right places.23
Supporting Standard Targets and Variables
In addition to those I’ve already mentioned, the GNU Coding Standards
lists some important targets and variables that you should support in your
projects—mainly because your users will expect support for them.
Some of the chapters in the GCS document should be taken with a grain
of salt (unless you’re actually working on a GNU-sponsored project). For
example, you probably won’t care much about the C source code formatting
suggestions in Chapter 5. Your users certainly won’t care, so you can use what-
ever source code formatting style you wish.
That’s not to say that all of Chapter 5 is worthless to non-GNU open
source projects. The “Portability between System Types” and “Portability
between CPUs” subsections, for instance, provide excellent information on
C source code portability. The “Internationalization” subsection gives some
useful tips on using GNU software to internationalize your projects.
While Chapter 6 discusses documentation the GNU way, some sections
of Chapter 6 describe various top-level text files commonly found in projects,
such as the AUTHORS, NEWS, INSTALL, README, and ChangeLog files. These
are all bits of information that the well-indoctrinated open source software
user expects to see in any reputable project.
The really useful information in the GCS document begins in Chapter 7:
“The Release Process.” This chapter is critical to you as a project maintainer
because it defines what your users will expect of your projects’ build systems.
Chapter 7 contains the de facto standards for the user options that packages
provide in source-level distributions.
23. Before I discovered the FHS, I relied on my personal experience to decide where files should
be installed in my projects. Mostly I was right, because I’m a careful guy, but after I read the FHS
documentation, I went back to some of my past projects with a bit of chagrin and changed things
around. I heartily recommend you become thoroughly familiar with the FHS if you seriously
intend to develop Unix software.
Autotools_02.book Page 45 Tuesday, June 15, 2010 2:38 PM
www.it-ebooks.info

46 Chapter 2
Standard Targets
The “How Configuration Should Work” subsection of Chapter 7 of the GCS
defines the configuration process, which I cover briefly in “Configuring Your
Package” on page 54. The “Makefile Conventions” subsection covers all of
the standard targets and many of the standard variables that users have come
to expect in open source software packages. Standard targets defined by the
GCS include the following:
You don’t need to support all of these targets, but you should consider
supporting the ones that make sense for your project. For example, if you
build and install HTML pages, you should probably consider supporting the
html and install-html targets. Autotools projects support these and more.
Some targets are useful to end users, while others are only useful to project
maintainers.
Standard Variables
Variables you should support as you see fit include those listed in the follow-
ing table. In order to provide flexibility for the end user, most of these vari-
ables are defined in terms of a few of them, and ultimately only one of them:
prefix. For lack of a more standard name, I call these prefix variables. Most of
these could be classified as installation directory variables that refer to standard
locations, but there are a few exceptions, such as srcdir. Table 2-1 lists these
prefix variables and their default values.
all install install-html
install-dvi install-pdf install-ps
install-strip uninstall clean
distclean mostlyclean maintainer-clean
TAGS info dvi
html pdf ps
dist check installcheck
installdirs
Table 2-1:
Prefix Variables and Their Default Values
Variable Default Value
prefix /usr/local
exec_prefix $(prefix)
bindir $(exec_prefix)/bin
sbindir $(exec_prefix)/sbin
libexecdir $(exec_prefix)/libexec
datarootdir $(prefix)/share
datadir $(datarootdir)
sysconfdir $(prefix)/etc
sharedstatedir $(prefix)/com
Autotools_02.book Page 46 Tuesday, June 15, 2010 2:38 PM
www.it-ebooks.info

Understanding the GNU Coding Standards 47
Autotools-based projects support these and other useful variables auto-
matically, as needed; Automake provides full support for them, while Autoconf’s
support is more limited. If you write your own makefiles and build systems,
you should support as many of these as you use in your build and installation
processes.
Adding Location Variables to Jupiter
To support the variables that we’ve used so far in the Jupiter project, we need
to add the bindir variable, as well as any variables that it relies on—in this case,
the exec_prefix variable. Listings 2-26 and 2-27 show how to do this in the top-
level and src directory makefiles.
...
prefix = /usr/local
exec_prefix = $(prefix)
bindir = $(exec_prefix)/bin
export prefix
export exec_prefix
export bindir
...
Listing 2-26: Makefile: Adding the bindir variable
localstatedir $(prefix)/var
includedir $(prefix)/include
oldincludedir /usr/include
docdir $(datarootdir)/doc/$(package)
infodir $(datarootdir)/info
htmldir $(docdir)
dvidir $(docdir)
pdfdir $(docdir)
psdir $(docdir)
libdir $(exec_prefix)/lib
lispdir $(datarootdir)/emacs/site-lisp
localedir $(datarootdir)/locale
mandir $(datarootdir)/man
manNdir $(mandir)/manN (N = 1..9)
manext .1
manNext .N (N = 1..9)
srcdir The source-tree directory corresponding to the
current directory in the build tree
Table 2-1:
Prefix Variables and Their Default Values (continued)
Variable Default Value
Autotools_02.book Page 47 Tuesday, June 15, 2010 2:38 PM
www.it-ebooks.info

48 Chapter 2
...
install:
install -d $(bindir)
install -m 0755 jupiter $(bindir)
uninstall:
-rm $(bindir)/jupiter
...
Listing 2-27: src/Makefile: Adding the bindir variable
Even though we only use bindir in src/Makefile, we have to export prefix,
exec_prefix, and bindir because bindir is defined in terms of exec_prefix, which
is itself defined in terms of prefix. When make runs the install commands, it
will first resolve bindir to $(exec_prefix)/bin, then to $(prefix)/bin, and finally
to /usr/local/bin. Thus, src/Makefile needs to have access to all three variables
during this process.
How do such recursive variable definitions make life better for the end
user? After all, the user can change the root install location from /usr/local to
/usr by simply typing the following:
$ make prefix=/usr install
...
The ability to change prefix variables at multiple levels is particularly useful
to a Linux distribution packager (an employee or volunteer at a Linux com-
pany whose job it is to professionally package your project as an RPM or APT
package), who needs to install packages into very specific system locations.
For example, a distro packager could use the following command to change
the installation prefix to /usr and the system configuration directory to /etc:
$ make prefix=/usr sysconfdir=/etc install
...
Without the ability to change prefix variables at multiple levels, configu-
ration files would end up in /usr/etc because the default value of $(sysconfdir)
is $(prefix)/etc.
Getting Your Project into a Linux Distro
Open source software maintainers often hope that their projects will be picked
up by a Linux distribution. When a Linux distro picks up your package for
distribution on its CDs and DVDs, your project magically moves from the
realm of tens of users to that of tens of thousands of users—almost overnight.
Some people will be using your software without even knowing it.
By following the GCS within your build system, you remove many of the
barriers to including your project in a Linux distro. If your tarball follows all
the usual conventions, distro packagers will immediately know what to do with it.
These packagers generally get to decide, based on needed functionality and
Autotools_02.book Page 48 Tuesday, June 15, 2010 2:38 PM
www.it-ebooks.info

Understanding the GNU Coding Standards 49
their feelings about your package, whether it should be included in their flavor
of Linux. Since they have a fair amount of power in this process, it behooves
you to please them.
Section 7 of the GCS contains a small subsection that talks about supporting
staged installations. It is easy to support this concept in your build system, but
if you neglect to support it, it will almost always cause problems for packagers.
Packaging systems such as the Red Hat Package Manager (RPM) accept
one or more tarballs, a set of patch files, and a specification file. The so-called
spec file describes the process of building and packaging your project for a
particular system. In addition, it defines all of the products installed into the
target installation directory structure. The package manager software uses
this information to install your package into a temporary directory, from
which it then pulls the specified binaries, storing them in a special binary
archive that the package installation software (e.g., RPM) understands.
To support staged installation, all you need is a variable named DESTDIR
that acts as a sort of super-prefix to all of your installed products. To show
you how this is done, I’ll add staged installation support to the Jupiter
project. This is so trivial that it only requires three changes to src/Makefile.
The required changes are bolded in Listing 2-28.
...
install:
install -d $(DESTDIR)$(bindir)
install -m 0755 jupiter $(DESTDIR)$(bindir)
uninstall:
-rm $(DESTDIR)$(bindir)/jupiter
...
Listing 2-28: src/Makefile: Adding staged build functionality
As you can see, I’ve added the $(DESTDIR) prefix to the $(bindir) references
in the install and uninstall targets that refer to installation paths. You don’t
need to define a default value for DESTDIR, because when it is left undefined,
it expands to an empty string, which has no effect on the paths to which it’s
prepended.
I didn’t need to add $(DESTDIR) to the uninstall rule’s rm command for the
sake of the package manager, because package managers don’t care how
your package is uninstalled. They only install your package so they can copy
the products from a stage directory. To uninstall the stage directory, package
managers simply delete it. Package managers such as RPM use their own
rules for removing products from a system, and these rules are based on a
package manager database, rather than your uninstall target.
However, for the sake of symmetry, and to be complete, it doesn’t hurt to
add $(DESTDIR) to uninstall. Besides, we need it to be complete for the sake of
the distcheck target, which we’ll now modify to take advantage of our staged
installation functionality. This modification is shown in Listing 2-29.
Autotools_02.book Page 49 Tuesday, June 15, 2010 2:38 PM
www.it-ebooks.info

50 Chapter 2
...
distcheck: $(distdir).tar.gz
gzip -cd $(distdir).tar.gz | tar xvf -
cd $(distdir) && $(MAKE) all
cd $(distdir) && $(MAKE) check
cd $(distdir) && $(MAKE) DESTDIR=$${PWD}/_inst install
cd $(distdir) && $(MAKE) DESTDIR=$${PWD}/_inst uninstall
@remaining="`find $${PWD}/$(distdir)/_inst -type f | wc -l`"; \
if test "$${remaining}" -ne 0; then \
echo "*** $${remaining} file(s) remaining in stage directory!"; \
exit 1; \
fi
cd $(distdir) && $(MAKE) clean
rm -rf $(distdir)
@echo "*** Package $(distdir).tar.gz is ready for distribution."
...
Listing 2-29: Makefile: Using DESTDIR in the distcheck target
Changing prefix to DESTDIR in the install and uninstall commands allows
us to properly test a complete installation directory hierarchy, as we’ll see shortly.
At this point, an RPM spec file could provide the following text as the
installation commands for the Jupiter package:
%install
make prefix=/usr DESTDIR=%BUILDROOT install
Don’t worry about package manager file formats. Instead, just focus on
providing staged installation functionality through the DESTDIR variable.
You may be wondering why the prefix variable couldn’t provide this
functionality. For one thing, not every path in a system-level installation is
defined relative to the prefix variable. The system configuration directory
(sysconfdir), for instance, is often defined as /etc by packagers. You can see
in Table 2-1 that the default definition of sysconfdir is $(prefix)/etc, so the
only way sysconfdir would resolve to /etc would be if you explicitly set it to do
so on the configure or make command line. If you configured it that way, only
a variable like DESTDIR would affect the base location of sysconfdir during
staged installation. Other reasons for this will become clearer as we talk
about project configuration later on in this chapter, and then again in the
next two chapters.
Build vs. Installation Prefix Overrides
At this point, I’d like to digress slightly to explain an elusive (or at least non-
obvious) concept regarding prefix and other path variables defined in the
GCS. In the preceding examples, I used prefix overrides on the make install
command line, like this:
$ make prefix=/usr install
...
Autotools_02.book Page 50 Tuesday, June 15, 2010 2:38 PM
www.it-ebooks.info

Understanding the GNU Coding Standards 51
The question I wish to address is: What is the difference between using a
prefix override for make all and for make install? In our small sample makefiles,
we’ve managed to avoid using prefixes in any targets not related to installation,
so it may not be clear to you at this point that a prefix is ever useful during the
build stage. However, prefix variables can be very useful during the build stage
to substitute paths into source code at compile time, as shown in Listing 2-30.
program: main.c
gcc -DCFGDIR="\"$(sysconfdir)\"" -o $@ main.c
Listing 2-30: Substituting paths into source code at compile time
In this example, I’m defining a C-preprocessor variable called CFGDIR on
the compiler command line for use by main.c. Presumably, there’s some code
in main.c like that shown in Listing 2-31.
#ifndef CFGDIR
# define CFGDIR "/etc"
#endif
const char cfgdir[FILENAME_MAX] = CFGDIR;
Listing 2-31: Substituting CFGDIR at compile time
Later in the code, you might use the C global variable cfgdir to access the
application’s configuration file.
Linux distro packagers often use different prefix overrides for build and
install command lines in RPM spec files. During the build stage, the actual
runtime directories are hardcoded into the executable using commands like
the one shown in Listing 2-32.
%build
%setup
./configure prefix=/usr sysconfdir=/etc
make
Listing 2-32: The portion of an RPM spec file that builds the source tree
Note that we have to explicitly specify sysconfdir along with prefix, because,
as I mentioned above, the system configuration directory is usually outside of
the system prefix directory structure. The package manager installs these
executables into a stage directory so it can then copy them out of their installed
locations when it builds the binary installation package. The corresponding
installation commands might look like those shown in Listing 2-33.
%install
make DESTDIR=%BUILDROOT% install
Listing 2-33: The installation portion of an RPM spec file
Autotools_02.book Page 51 Tuesday, June 15, 2010 2:38 PM
www.it-ebooks.info

52 Chapter 2
Using DESTDIR during installation will temporarily override all installation
prefix variables, so you don’t have to remember which variables you’ve over-
ridden during configuration. Given the configuration command shown in
Listing 2-32, using DESTDIR in the manner shown in Listing 2-33 has the same
effect as the code shown in Listing 2-34.
%install
make prefix=%BUILDROOT%/usr sysconfdir=%BUILDROOT%/etc install
Listing 2-34: Overriding the default sysconfdir during installation
The key point here is one that I touched on earlier. Never write your install
target to build all or even part of your products in your makefiles. Installation func-
tionality should be limited to copying files, if possible. Otherwise, your users
won’t be able to access your staged installation features if they are using prefix
overrides.
Another reason for limiting installation functionality in this way is that it
allows the user to install sets of packages as a group into an isolated location
and then create links to the actual files in the proper locations. Some people
like to do this when they are testing out a package and want to keep track of
all its components.24
One final point: If you’re installing into a system directory hierarchy,
you’ll need root permissions. People often run make install like this:
$ sudo make install
...
If your install target depends on your build targets, and you’ve neglected
to build them beforehand, make will happily build your program before install-
ing it—but the local copies will all be owned by root. This inconvenience is
easily avoided by having make install fail for lack of things to install, rather
than jumping right into a build while running as root.
User Variables
The GCS defines a set of variables that are sacred to the user. These variables
should be referenced by a GNU build system, but never modified by a GNU build
system. These so-called user variables include those listed in Table 2-2 for C
and C++ programs.
24. Some Linux distributions provide a way of installing multiple versions of common packages.
Java is a great example; to support packages using multiple versions or brands of Java (perhaps
Sun Java versus IBM Java), some Linux distributions provide a script set called the alternatives
scripts. These allow a user (running as root) to swap all of the links in the various system directories
from one grouped installation to another. Thus, both sets of files can be installed in different
auxiliary locations, but links in the expected installation locations can be changed to refer to
each group at different times with a single root-level command.
Autotools_02.book Page 52 Tuesday, June 15, 2010 2:38 PM
www.it-ebooks.info

Understanding the GNU Coding Standards 53
This list is by no means comprehensive, and interestingly, there isn’t a
comprehensive list to be found in the GCS. In fact, most of these variables
come from the documentation for the make utility itself. These variables are
used in the built-in rules of the make utility—they’re somewhat hardcoded
into make, and so they are effectively defined by make. You can find a fairly
complete list of program name and flag variables in the “Variables Used by
Implicit Rules” section of the GNU Make Manual.
Note that make assigns default values for many of these variables based on
common Unix utility names. For example, the default value of CC is cc, which
(at least on Linux systems) is a soft link to the GCC C compiler (gcc). On
other systems, cc is a soft link to the system’s own compiler. Thus we don’t
need to set CC to gcc, which is good, because GCC may not be installed on
non-Linux platforms.
For our purposes, the variables shown in Table 2-2 are sufficient, but for
a more complex makefile, you should become familiar with the larger list
outlined in the GNU Make Manual.
To use these variables in our makefiles, we’ll just replace gcc with $(CC).
We’ll do the same for CFLAGS and CPPFLAGS, although CPPFLAGS will be empty by
default. The CFLAGS variable has no default value either, but this is a good
time to add one. I like to use -g to build objects with symbols, and -O0 to dis-
able optimizations for debug builds. The updates to src/Makefile are shown in
Listing 2-35.
...
CFLAGS = -g -O0
...
jupiter: main.c
$(CC) $(CPPFLAGS) $(CFLAGS) -o $@ main.c
...
Listing 2-35: src/Makefile: Adding appropriate user variables
This works because the make utility allows such variables to be overridden
by options on the command line. For example, to switch compilers and set
some compiler command-line options, a user need only type the following:
$ make CC=gcc3 CFLAGS='-g -O2' CPPFLAGS=-dtest
Table 2-2:
Some User Variables and Their Purposes
Variable Purpose
CC A reference to the system C compiler
CFLAGS Desired C compiler flags
CXX A reference to the system C++ compiler
CXXFLAGS Desired C++ compiler flags
LDFLAGS Desired linker flags
CPPFLAGS Desired C/C++ preprocessor flags
. . .
Autotools_02.book Page 53 Tuesday, June 15, 2010 2:38 PM
www.it-ebooks.info

54 Chapter 2
In this case, our user has decided to use GCC version 3 instead of 4, gen-
erate debug symbols, and optimize her code using level-two optimizations.
She’s also decided to enable the test option through the use of a C-preprocessor
definition. Note that if these variables are set on the make command line, this
apparently equivalent Bourne-shell syntax will not work as expected:
$ CC=gcc3 CFLAGS='-g -O2' CPPFLAGS=-dtest make
The reason is that we’re merely setting environment variables in the local
environment passed to the make utility by the shell. Remember that environ-
ment variables do not automatically override those set in the makefile. To get
the functionality we want, we could use a little GNU make–specific syntax in
our makefile, as shown in Listing 2-36.
...
CFLAGS ?= -g -O0
...
Listing 2-36: Using the GNU make–specific query-assign operator (?=) in a makefile
The ?= operator is a GNU make–specific operator, which will only set the
variable in the makefile if it hasn’t already been set elsewhere. This means
we can now override these particular variable settings by setting them in the
environment. But don’t forget that this will only work in GNU make. In general,
it’s better to set make variables on the make command line.
Configuring Your Package
The GCS describes the configuration process in the “How Configuration
Should Work” subsection of Section 7. Up to this point, we’ve been able to
do about everything we’ve wanted to with Jupiter using only makefiles, so you
might be wondering what configuration is actually for. The opening paragraphs
of this subsection in the GCS answer our question:
Each GNU distribution should come with a shell script named
configure. This script is given arguments which describe the kind
of machine and system you want to compile the program for. The
configure script must record the configuration options so that they
affect compilation.
The description here is the specification of the interface for the
configure script in GNU packages. Many packages implement it
using GNU Autoconf (see Section “Introduction” in Autoconf )
and/or GNU Automake (see Section “Introduction” in Automake),
but you do not have to use these tools. You can implement it any
way you like; for instance, by making configure be a wrapper
around a completely different configuration system.
Autotools_02.book Page 54 Tuesday, June 15, 2010 2:38 PM
www.it-ebooks.info

Understanding the GNU Coding Standards 55
Another way for the configure script to operate is to make a link
from a standard name such as config.h to the proper configuration
file for the chosen system. If you use this technique, the distribution
should not contain a file named config.h. This is so that people won’t
be able to build the program without configuring it first.
Another thing that configure can do is to edit the Makefile. If you
do this, the distribution should not contain a file named Makefile.
Instead, it should include a file Makefile.in which contains the
input used for editing. Once again, this is so that people won’t
be able to build the program without configuring it first.25
So then, the primary tasks of a typical configuration script are as follows:
zGenerate files from templates containing replacement variables.
zGenerate a C-language header file (config.h) for inclusion by project
source code.
zSet user options for a particular make environment (debug flags, etc.).
zSet various package options as environment variables.
zTest for the existence of tools, libraries, and header files.
For complex projects, configuration scripts often generate the project
makefiles from one or more templates maintained by project developers.
These templates contain configuration variables in a format that is easy to
recognize (and substitute). The configuration script replaces these variables with
values determined during the configuration process—either from command-
line options specified by the user or from a thorough analysis of the platform
environment. This analysis entails such things as checking for the existence
of certain system or package header files and libraries, searching various file-
system paths for required utilities and tools, and even running small programs
designed to indicate the feature set of the shell, C compiler, or desired libraries.
The tool of choice for variable replacement has, in the past, been the sed
stream editor. A simple sed command can replace all the configuration vari-
ables in a makefile template in a single pass through the file. However, Auto-
conf versions 2.62 and newer prefer awk to sed for this process. The awk utility
is almost as pervasive as sed these days, and it provides more functionality to
allow for efficient replacement of many variables. For our purposes on the
Jupiter project, either of these tools would suffice.
Summary
We have now created a complete project build system by hand, with one
important exception: We haven’t designed a configure script according to the
design criteria specified in the GNU Coding Standards. We could do this, but it
would take a dozen more pages of text to build one that even comes close
to conforming to these specifications. Still, there are a few key build features
25. See Section 7.1, “How Configuration Should Work,” in the GNU Coding Standards document
at http://www.gnu.org/prep/standards/html_node/Configuration.html#Configuration. GNU documentation
changes quite often. This text came from the March 26, 2010 version of the GCS document.
Autotools_02.book Page 55 Tuesday, June 15, 2010 2:38 PM
www.it-ebooks.info
56 Chapter 2
related specifically to the makefiles that the GCS indicate as being desirable.
Among these is the concept of VPATH building. This is an important feature
that can only be properly illustrated by actually writing a configuration
script that works as specified by the GCS.
Rather than spend the time and effort to do this now, I’d like to simply
move on to a discussion of Autoconf in Chapter 3, which will allow us to build
one of these configuration scripts in as little as two or three lines of code. With
that behind us, it will be trivial to add VPATH building and other common
Autotools features to the Jupiter project.
Autotools_02.book Page 56 Tuesday, June 15, 2010 2:38 PM
www.it-ebooks.info

CONFIGURING YOUR PROJECT
WITH AUTOCONF
Come my friends,
’Tis not too late to seek a newer world.
—Alfred, Lord Tennyson, “Ulysses”
Because Automake and Libtool are essen-
tially add-on components to the original
Autoconf framework, it’s useful to spend
some time focusing on using Autoconf without
Automake and Libtool. This will provide a fair amount
of insight into how Autoconf operates by exposing
aspects of the tool that are often hidden by Automake.
Before Automake came along, Autoconf was used alone. In fact, many
legacy open source projects never made the transition from Autoconf to
the full GNU Autotools suite. As a result, it’s not unusual to find a file called
configure.in (the original Autoconf naming convention) as well as handwritten
Makefile.in templates in older open source projects.
In this chapter, I’ll show you how to add an Autoconf build system to an
existing project. I’ll spend most of this chapter talking about the fundamental
features of Autoconf, and in Chapter 4, I’ll go into much more detail about how
some of the more complex Autoconf macros work and how to properly use
them. Throughout this process, we’ll continue using the Jupiter project as
our example.
Autotools_02.book Page 57 Tuesday, June 15, 2010 2:38 PM
www.it-ebooks.info

58 Chapter 3
Autoconf Configuration Scripts
The input to the autoconf program is shell script sprinkled with macro
calls. The input stream must also include the definitions of all referenced
macros—both those that Autoconf provides and those that you write yourself.
The macro language used in Autoconf is called M4. (The name means
M, plus 4 more letters, or the word Macro.1) The m4 utility is a general-purpose
macro language processor originally written by Brian Kernighan and Dennis
Ritchie in 1977.
While you may not be familiar with it, you can find some form of M4 on
every Unix and Linux variant (as well as other systems) in use today. The pro-
lific nature of this tool is the main reason it’s used by Autoconf, as the original
design goals of Autoconf stated that it should be able to run on all systems
without the addition of complex tool chains and utility sets.2
Autoconf depends on the existence of relatively few tools: a Bourne shell,
M4, and a Perl interpreter. The configuration scripts and makefiles it gener-
ates rely on the existence of a different set of tools, including a Bourne shell,
grep, ls, and sed or awk.3
NOTE Do not confuse the requirements of the Autotools with the requirements of the scripts
and makefiles they generate. The Autotools are maintainer tools, while the resulting
scripts and makefiles are end-user tools. We can reasonably expect a higher level of
installed functionality on development systems than we can on end-user systems.
The configuration script ensures that the end user’s build environment
is configured to properly build your project. This script checks for installed
tools, utilities, libraries, and header files, as well as for specific functionality
within these resources. What distinguishes Autoconf from other project con-
figuration frameworks is that Autoconf tests also ensure that these resources
can be properly consumed by your project. You see, it’s not only important
that your users have libxyz.so and its public header files properly installed
on their systems, but also that they have the correct versions of these files.
Autoconf is pathological about such tests. It ensures that the end user’s envi-
ronment is in compliance with the project requirements by compiling and
linking a small test program for each feature—a quintessential example, if
you will, that does what your project source code does on a larger scale.
Can’t I just ensure that libxyz.2.1.0.so is installed by searching library paths for
the filename? The answer to this question is debatable. There are legitimate
situations where libraries and tools get updated quietly. Sometimes, the spe-
cific functionality upon which your project relies is added in the form of a
security bug fix or enhancement to a library, in which case vendors aren’t
even required to bump up the version number. But it’s often difficult to tell
whether you’ve got version 2.1.0.r1 or version 2.1.0.r2 unless you look at the
file size or call a library function to make sure it works as expected.
1. As a point of interest, this naming convention is a fairly common practice in some software
engineering domains. For example, the term internationalization is often abbreviated i18n, for
the sake of brevity (or perhaps just because programmers love acronyms).
2. In fact, whatever notoriety M4 may have today is likely due to the widespread use of Autoconf.
3. Autoconf versions 2.62 and later generate configuration scripts that require awk in addition to
sed on the end user’s system.
Autotools_02.book Page 58 Tuesday, June 15, 2010 2:38 PM
www.it-ebooks.info

Configuring Your Project with Autoconf 59
However, the most significant reason for not relying on library version
numbers is that they do not represent specific marketing releases of a library.
As we will discuss in Chapter 7, library version numbers indicate binary interface
characteristics on a particular platform. This means that library version numbers
for the same feature set can be different from platform to platform, which
means that you may not be able to tell—short of compiling and linking against
the library—whether or not a particular library has the functionality your
project needs.
Finally, there are several important cases where the same functionality
is provided by entirely different libraries on different systems. For example,
you may find cursor manipulation functionality in libtermcap on one system,
libncurses on another, and libcurses on yet another system. But it’s not critical
that you know about all of these side cases, because your users will tell you
when your project won’t build on their system because of such a discrepancy.
What can you do when such a bug is reported? You can use the Autoconf
AC_SEARCH_LIBS macro to test multiple libraries for the same functionality. Simply
add a library to the search list, and you’re done. Since this fix is so easy, it’s
likely the user who noticed the problem will simply send a patch to your
configure.ac file.
Because Autoconf tests are written in shell script, you have a lot of flexi-
bility as to how the tests operate. You can write a test that merely checks for
the existence of a library or utility in the usual locations on your user’s system,
but this bypasses some of the most significant features of Autoconf. Fortunately,
Autoconf provides dozens of macros that conform to Autoconf’s feature-testing
philosophy. You should carefully study and use the list of available macros,
rather than write your own, because they’re specifically designed to ensure
that the desired functionality is available on the widest variety of systems and
platforms.
The Shortest configure.ac File
The simplest possible configure.ac file has just two lines, as shown in Listing 3-1.
AC_INIT([Jupiter], [1.0])
AC_OUTPUT
Listing 3-1: The simplest configure.ac file
To those new to Autoconf, these two lines appear to be a couple of func-
tion calls, perhaps in the syntax of some obscure programming language.
Don’t let their appearance throw you—these are M4 macro calls. The macros
are defined in files distributed with the autoconf package. You can find the
definition of AC_INIT, for example, in the autoconf/general.m4 file in Autoconf’s
installation directory (usually /usr/(local/)share/autoconf). AC_OUTPUT is defined
in autoconf/status.m4.
Autotools_02.book Page 59 Tuesday, June 15, 2010 2:38 PM
www.it-ebooks.info

60 Chapter 3
Comparing M4 to the C Preprocessor
M4 macros are similar in many ways to the C-preprocessor (CPP) macros
defined in C-language source files. The C preprocessor is also a text replacement
tool, which isn’t surprising: Both M4 and the C preprocessor were designed and
written by Kernighan and Ritchie around the same time.
Autoconf uses square brackets around macro parameters as a quoting
mechanism. Quotes are necessary only for cases in which the context of the
macro call could cause an ambiguity that the macro processor may resolve
incorrectly (usually without telling you). We’ll discuss M4 quoting in much
more detail in Chapter 10. For now, just use square brackets around every
argument to ensure that the expected macro expansions are generated.
Like CPP macros, you can define M4 macros to accept a comma-delimited
list of arguments enclosed in parentheses. In both utilities, the opening
parenthesis must immediately follow the macro name in its definition, with
no intervening whitespace. A significant difference, however, is that in M4,
the arguments to parameterized macros are optional, and the caller may simply
omit them. If no arguments are passed, you can also omit the parentheses.
Extra arguments passed to M4 macros are simply ignored. Finally, M4 does
not allow intervening whitespace between a macro name and the opening
parenthesis in a macro call.
The Nature of M4 Macros
If you’ve been programming in C for many years, you’ve no doubt run across
a few C-preprocessor macros from the dark regions of the lower realm. I’m
talking about those truly evil macros that expand into one or two pages of C
code. They should have been written as C functions, but their authors were
either overly worried about performance or just got carried away, and now
it’s your turn to debug and maintain them. But, as any veteran C programmer
will tell you, the slight performance gains you get by using a macro where
you should have used a function do not justify the trouble you cause main-
tainers trying to debug your fancy macros. Debugging such macros can be a
nightmare because the source code generated by macros is usually inaccessible
from within a symbolic debugger.4
Writing such complex macros is viewed by M4 programmers as a sort of
macro nirvana—the more complex and functional they are, the “cooler” they
are. The two Autoconf macros in Listing 3-1 expand into a file containing
over 2,200 lines of Bourne-shell script that total more than 60KB in size! But
you wouldn’t guess this by looking at their definitions. They’re both fairly
short—only a few dozen lines each. The reason for this apparent disparity is
simple: They’re written in a modular fashion, each macro expanding several
others, which, in turn, expand several others, and so on.
4. A technique I’ve used in the past for debugging large macros involves manually generating
source code using the C preprocessor, and then compiling this generated source. Symbolic
debuggers can only work with the source code you provide. By providing source with the macros
fully expanded, you enable the debugger to allow you to step through the generated source.
Autotools_02.book Page 60 Tuesday, June 15, 2010 2:38 PM
www.it-ebooks.info

Configuring Your Project with Autoconf 61
For the same reasons that programmers are taught not to abuse the C
preprocessor, the extensive use of M4 causes a fair amount of frustration for
those trying to understand Autoconf. That’s not to say Autoconf shouldn’t
use M4 this way; quite the contrary—this is the domain of M4. But there is a
school of thought that says M4 was a poor choice for Autoconf because of the
problems with macros mentioned above. Fortunately, being able to use Auto-
conf effectively usually doesn’t require a deep understanding of the inner
workings of the macros that ship with it.5
Executing autoconf
Running autoconf is simple: Just execute it in the same directory as your
configure.ac file. While I could do this for each example in this chapter, I’m
going to use the autoreconf program instead of the autoconf program, because
running autoreconf has exactly the same effect as running autoconf, except
that autoreconf will also do the right thing when you start adding Automake
and Libtool functionality to your build system. That is, it will execute all of
the Autotools in the right order based on the contents of your configure.ac file.
autoreconf is smart enough to only execute the tools you need, in the order
you need them, with the options you want (with one caveat that I’ll mention
shortly). Therefore, running autoreconf is the recommended method for exe-
cuting the Autotools tool chain.
Let’s start by adding the simple configure.ac file from Listing 3-1 to our
project directory. The top-level directory currently contains only a Makefile
and a src directory which contains its own Makefile and a main.c file. Once
you’ve added configure.ac to the top-level directory, run autoreconf:
$ autoreconf
$
$ ls -1p
autom4te.cache/
configure
configure.ac
Makefile
src/
$
First, notice that autoreconf operates silently by default. If you want to see
something happening, use the -v or --verbose option. If you want autoreconf
to execute the Autotools in verbose mode as well, then add -vv to the com-
mand line.6
Next, notice that autoconf creates a directory called autom4te.cache. This is
the autom4te cache directory. This cache speeds up access to configure.ac during
successive executions of utilities in the Autotools tool chain.
5. There are a few exceptions to this rule. Poor documentation can sometimes lead to a
misunderstanding about the intended use of some of the published Autoconf macros. This
book highlights a few of these situations, but a degree of expertise with M4 is the only way to
work your way through most of these problems.
6. You may also pass --verbose --verbose, but this syntax seems a bit . . . verbose to me.
Autotools_02.book Page 61 Tuesday, June 15, 2010 2:38 PM
www.it-ebooks.info

62 Chapter 3
The result of passing configure.ac through autoconf is essentially the same
file (now called configure), but with all of the macros fully expanded. You’re
welcome to take a look at configure, but don’t be too surprised if you don’t
immediately understand what you see. The configure.ac file has been trans-
formed, through M4 macro expansions, into a text file containing thousands
of lines of complex Bourne shell script.
Executing configure
As discussed in “Configuring Your Package” on page 54, the GNU Coding
Standards indicate that a handwritten configure script should generate
another script called config.status, whose job it is to generate files from
templates. Unsurprisingly, this is exactly the sort of functionality you’ll find
in an Autoconf-generated configuration script. This script has two primary
tasks:
zPerform requested checks
zGenerate and then call config.status
The results of the checks performed by configure are written into
config.status in a manner that allows them to be used as replacement text for
Autoconf substitution variables in template files (Makefile.in, config.h.in, and
so on). When you execute configure, it tells you that it’s creating config.status.
It also creates a log file called config.log that has several important attributes.
Let’s run configure and then see what’s new in our project directory.
$ ./configure
configure: creating ./config.status
$
$ ls -1p
autom4te.cache/
config.log
config.status
configure
configure.ac
Makefile
src/
$
We see that configure has indeed generated both config.status and
config.log. The config.log file contains the following information:
zThe command line that was used to invoke configure (very handy!)
zInformation about the platform on which configure was executed
zInformation about the core tests configure executed
zThe line number in configure at which config.status is generated and
then called
Autotools_02.book Page 62 Tuesday, June 15, 2010 2:38 PM
www.it-ebooks.info

Configuring Your Project with Autoconf 63
At this point in the log file, config.status takes over generating log infor-
mation and adds the following information:
zThe command line used to invoke config.status
After config.status generates all the files from their templates, it exits,
returning control to configure, which then appends the following informa-
tion to the log:
zThe cache variables config.status used to perform its tasks
zThe list of output variables that may be replaced in templates
zThe exit code configure returned to the shell
This information is invaluable when debugging a configure script and its
associated configure.ac file.
Why doesn’t configure just execute the code it writes into config.status
instead of going to all the trouble of generating a second script, only to
immediately call it? There are a few good reasons. First, the operations of
performing checks and generating files are conceptually different, and make
works best when conceptually different operations are associated with separate
make targets. A second reason is that you can execute config.status separately
to regenerate output files from their corresponding template files, saving the
time required to perform those lengthy checks. Finally, config.status is written
to remember the parameters originally used on the configure command line.
Thus, when make detects that it needs to update the build system, it can call
config.status to re-execute configure, using the command-line options that
were originally specified.
Executing config.status
Now that you know how configure works, you might be tempted to execute
config.status yourself. This was exactly the intent of the Autoconf designers
and the authors of the GCS, who originally conceived these design goals.
However, a more important reason for separating checks from template
processing is that make rules can use config.status to regenerate makefiles
from their templates when make determines that a template is newer than its
corresponding makefile.
Rather than call configure to perform needless checks (your environment
hasn’t changed—just your template files), makefile rules should be written to
indicate that output files are dependent on their templates. The commands
for these rules run config.status, passing the rule’s target as a parameter. If, for
example, you modify one of your Makefile.in templates, make calls config.status to
regenerate the corresponding Makefile, after which, make re-executes its own
original command line—basically restarting itself.7
7. This is a built-in feature of GNU make. However, for the sake of portability, Automake generates
makefiles that carefully reimplement this functionality as much as possible in make script, rather
than relying on the built-in mechanism found in GNU make. The Automake solution isn’t quite
as comprehensive as GNU make’s built-in functionality, but it’s the best we can do, under the
circumstances.
Autotools_02.book Page 63 Tuesday, June 15, 2010 2:38 PM
www.it-ebooks.info

64 Chapter 3
Listing 3-2 shows the relevant portion of such a Makefile.in template, con-
taining the rules needed to regenerate the corresponding Makefile.
...
Makefile: Makefile.in config.status
./config.status $@
...
Listing 3-2: A rule that causes make to regenerate Makefile if its template has changed
A rule with a target named Makefile is the trigger here. This rule allows
make to regenerate the source makefile from its template if the template changes.
It does this before executing either the user’s specified targets or the default
target, if no specific target was given.
The rule in Listing 3-2 indicates that Makefile is dependent on config.status
as well as Makefile.in, because if configure updates config.status, it may generate
the makefile differently. Perhaps different command-line options were pro-
vided so that configure can now find libraries and header files it couldn’t find
previously. In this case, Autoconf substitution variables may have different val-
ues. Thus, Makefile should be regenerated if either Makefile.in or config.status
is updated.
Since config.status is itself a generated file, it stands to reason that you
could write such a rule to regenerate this file when needed. Expanding on the
previous example, Listing 3-3 adds the required code to rebuild config.status if
configure changes.
...
Makefile: Makefile.in config.status
./config.status $@
config.status: configure
./config.status --recheck
...
Listing 3-3: A rule to rebuild config.status when configure changes
Since config.status is a dependency of Makefile, make will look for a rule
whose target is config.status and run its commands if configure is newer than
config.status.
Adding Some Real Functionality
I’ve suggested before that you should call config.status in your makefiles to
generate those makefiles from templates. Listing 3-4 shows the code in
configure.ac that actually makes this happen. It’s just a single additional
macro call between the two original lines of Listing 3-1.
Autotools_02.book Page 64 Tuesday, June 15, 2010 2:38 PM
www.it-ebooks.info

Configuring Your Project with Autoconf 65
AC_INIT([Jupiter],[1.0])
AC_CONFIG_FILES([Makefile src/Makefile])
AC_OUTPUT
Listing 3-4: configure.ac: Using the AC_CONFIG_FILES macro
This code assumes that templates exist for Makefile and src/Makefile, called
Makefile.in and src/Makefile.in, respectively. These template files look exactly
like their Makefile counterparts, with one exception: Any text that I want
Autoconf to replace is marked as an Autoconf substitution variable, using the
@VARIABLE@ syntax.
To create these files, simply rename the existing Makefiles to Makefile.in
in both the top-level and src directories. This is a common practice when
autoconfiscating a project:
$ mv Makefile Makefile.in
$ mv src/Makefile src/Makefile.in
$
Next, let’s add a few Autoconf substitution variables to replace the original
default values. At the top of these files, I’ve also added the Autoconf substitu-
tion variable, @configure_input@, after a comment hash mark. Listing 3-5 shows
the comment text that is generated in Makefile.
# Makefile. Generated from Makefile.in by configure.
...
Listing 3-5: Makefile: The text generated from the Autoconf @configure_input@ variable
I’ve also added the makefile regeneration rules from the previous examples
to each of these templates, with slight path differences in each file to account
for their different positions relative to config.status and configure in the
build directory.
Listings 3-6 and 3-7 highlight in bold the required changes to the final ver-
sions of Makefile and src/Makefile from the end of Chapter 2.
# @configure_input@
# Package-specific substitution variables
package = @PACKAGE_NAME@
version = @PACKAGE_VERSION@
tarname = @PACKAGE_TARNAME@
distdir = $(tarname)-$(version)
# Prefix-specific substitution variables
prefix = @prefix@
exec_prefix = @exec_prefix@
bindir = @bindir@
...
Autotools_02.book Page 65 Tuesday, June 15, 2010 2:38 PM
www.it-ebooks.info

66 Chapter 3
$(distdir): FORCE
mkdir -p $(distdir)/src
cp configure.ac $(distdir)
cp configure $(distdir)
cp Makefile.in $(distdir)
cp src/Makefile.in $(distdir)/src
cp src/main.c $(distdir)/src
distcheck: $(distdir).tar.gz
gzip -cd $(distdir).tar.gz | tar xvf -
cd $(distdir) && ./configure
cd $(distdir) && $(MAKE) all
cd $(distdir) && $(MAKE) check
cd $(distdir) && $(MAKE) DESTDIR=$${PWD}/_inst install
cd $(distdir) && $(MAKE) DESTDIR=$${PWD}/_inst uninstall
@remaining="`find $${PWD}/$(distdir)/_inst -type f | wc -l`"; \
if test "$${remaining}" -ne 0; then \
echo "*** $${remaining} file(s) remaining in stage directory!"; \
exit 1; \
fi
cd $(distdir) && $(MAKE) clean
rm -rf $(distdir)
@echo "*** Package $(distdir).tar.gz is ready for distribution."
Makefile: Makefile.in config.status
./config.status $@
config.status: configure
./config.status --recheck
...
Listing 3-6: Makefile.in: Required modifications to Makefile from the end of Chapter 2
# @configure_input@
# Package-specific substitution variables
package = @PACKAGE_NAME@
version = @PACKAGE_VERSION@
tarname = @PACKAGE_TARNAME@
distdir = $(tarname)-$(version)
# Prefix-specific substitution variables
prefix = @prefix@
exec_prefix = @exec_prefix@
bindir = @bindir@
...
Makefile: Makefile.in ../config.status
cd .. && ./config.status src/$@
Autotools_02.book Page 66 Tuesday, June 15, 2010 2:38 PM
www.it-ebooks.info

Configuring Your Project with Autoconf 67
../config.status: ../configure
cd .. && ./config.status --recheck
...
Listing 3-7: src/Makefile.in: Required modifications to src/Makefile from the end of
Chapter 2
I’ve removed the export statements from the top-level Makefile.in and added
a copy of all of the make variables (originally only in the top-level Makefile)
into src/Makefile.in. Since config.status generates both of these files, I can
reap excellent benefits by substituting values for these variables directly into
both files. The primary advantage of doing this is that I can now run make in
any subdirectory without worrying about uninitialized variables that would
originally have been passed down by a higher-level makefile.
Since Autoconf generates entire values for these make variables, you may
be tempted to clean things up a bit by removing the variables and just substi-
tuting @prefix@ where we currently use $(prefix) throughout the files. There
are a few good reasons for keeping the make variables. First and foremost, we’ll
retain the original benefits of the make variables; our end users can continue
to substitute their own values on the make command line. (Even though
Autoconf places default values in these variables, users may wish to override
them.) Second, for variables such as $(distdir), whose values are comprised
of multiple variable references, it’s simply cleaner to build the name in one
place and use it everywhere else through a single variable.
I’ve also changed the commands in the distribution targets a bit. Rather
than distribute the makefiles, I now need to distribute the Makefile.in templates,
as well as the new configure script and the configure.ac file.8
Finally, I modified the distcheck target’s commands to run the configure
script before running make.
Generating Files from Templates
Note that you can use AC_CONFIG_FILES to generate any text file from a file of
the same name with an .in extension, found in the same directory. The .in
extension is the default template naming pattern for AC_CONFIG_FILES, but you
can override this default behavior. I’ll get into the details shortly.
Autoconf generates sed or awk expressions into the resulting configure script,
which then copies them into config.status. The config.status script uses these
expressions to perform string replacement in the input template files.
Both sed and awk are text-processing tools that operate on file streams.
The advantage of a stream editor (the name sed is a contraction of the phrase
stream editor) is that it replaces text patterns in a byte stream. Thus, both sed
and awk can operate on huge files because they don’t need to load the entire
input file into memory in order to process it. Autoconf builds the expression
list that config.status passes to sed or awk from a list of variables defined by
8. Distributing configure.ac is not merely an act of kindness—it could also be considered a
requirement of GNU source licenses, since configure.ac is very literally the source code for
configure.
Autotools_02.book Page 67 Tuesday, June 15, 2010 2:38 PM
www.it-ebooks.info

68 Chapter 3
various macros, many of which I’ll cover in greater detail later in this chap-
ter. It’s important to understand that Autoconf substitution variables are the
only items replaced in a template file while generating output files.
At this point, with very little effort, I’ve created a basic configure.ac file. I
can now execute autoreconf, followed by configure and then make, in order to
build the Jupiter project. This simple, three-line configure.ac file generates a
configure script that is fully functional, according to the definition of a proper
configuration script defined by the GCS.
The resulting configuration script runs various system checks and gener-
ates a config.status script that can replace a fair number of substitution
variables in a set of specified template files in this build system. That’s a lot
of functionality in just three lines of code.
Adding VPATH Build Functionality
At the end of Chapter 2, I mentioned that I hadn’t yet covered an important
concept—that of VPATH builds. A VPATH build is a way of using a makefile
construct (VPATH) to configure and build a project in a directory other than
the source directory. This is important if you need to perform any of the fol-
lowing tasks:
zMaintain a separate debug configuration
zTest different configurations side by side
zKeep a clean source directory for patch diffs after local modifications
zBuild from a read-only source directory
The VPATH keyword is short for virtual search path. A VPATH statement con-
tains a colon-separated list of places to look for relative-path dependencies
when they can’t be found relative to the current directory. In other words,
when make can’t find a prerequisite file relative to the current directory, it
searches for that file successively in each of the paths in the VPATH statement.
Adding remote build functionality to an existing makefile using VPATH is very
simple. Listing 3-8 shows an example of using a VPATH statement in a makefile.
VPATH = some/path:some/other/path:yet/another/path
program: src/main.c
$(CC) ...
Listing 3-8: An example of using VPATH in a makefile
In this (contrived) example, if make can’t find src/main.c in the current direc-
tory while processing the rule, it will look for some/path/src/main.c, and then for
some/other/path/src/main.c, and finally for yet/another/path/src/main.c before giving
up with an error message about not knowing how to make src/main.c.
With just a few simple modifications, we can completely support remote
builds in Jupiter. Listings 3-9 and 3-10 illustrate the necessary changes to the
project’s two makefiles.
Autotools_02.book Page 68 Tuesday, June 15, 2010 2:38 PM
www.it-ebooks.info

Configuring Your Project with Autoconf 69
...
# VPATH-specific substitution variables
srcdir = @srcdir@
VPATH = @srcdir@
...
$(distdir): FORCE
mkdir -p $(distdir)/src
cp $(srcdir)/configure.ac $(distdir)
cp $(srcdir)/configure $(distdir)
cp $(srcdir)/Makefile.in $(distdir)
cp $(srcdir)/src/Makefile.in $(distdir)/src
cp $(srcdir)/src/main.c $(distdir)/src
...
Listing 3-9: Makefile.in: Adding VPATH build capabilities to the top-level makefile
...
# VPATH-related substitution variables
srcdir = @srcdir@
VPATH = @srcdir@
...
Listing 3-10: src/Makefile.in: Adding VPATH build capabilities to the lower-level makefile
That’s it. Really. When config.status generates a file, it replaces an Autoconf
substitution variable called @srcdir@ with the relative path to the template’s
source directory. The value substituted for @srcdir@ in a given Makefile within
the build directory structure is the relative path to the directory containing the
corresponding Makefile.in template in the source directory structure. The
concept here is that for each Makefile in the remote build directory, VPATH
provides a relative path to the directory containing the source code for that
build directory.
The changes required for supporting remote builds in your build system
are summarized as follows:
zSet a make variable, srcdir, to the @srcdir@ substitution variable.
zSet the VPATH variable to @srcdir@.
zPrefix all file dependencies used in commands with $(srcdir)/.
NOTE Don’t use $(srcdir) in the VPATH statement itself, because some older versions of make
won’t substitute variable references within the VPATH statement.
If the source directory is the same as the build directory, the @srcdir@ sub-
stitution variable degenerates to a dot (.). That means all of these $(srcdir)/
prefixes simply degenerate to ./, which is harmless.9
9. This is not strictly true for non-GNU implementations of make. GNU make is smart enough to
know that file and ./file refer to the same filesystem object. However, non-GNU implementations
of make aren’t always quite so intelligent, so you should be careful to refer to a filesystem object
using the same notation for each reference in your Makefile.in templates.
Autotools_02.book Page 69 Tuesday, June 15, 2010 2:38 PM
www.it-ebooks.info

70 Chapter 3
A quick example is the easiest way to show you how this works. Now that
Jupiter is fully functional with respect to remote builds, let’s give it a try. Start
in the Jupiter project directory, create a subdirectory called build, and then
change into that directory. Execute the configure script using a relative path,
and then list the current directory contents:
$ mkdir build
$ cd build
$ ../configure
configure: creating ./config.status
config.status: creating Makefile
config.status: creating src/Makefile
$
$ ls -1p
config.log
config.status
Makefile
src/
$
$ ls -1p src
Makefile
$
The entire build system has been constructed by configure and config.status
within the build subdirectory. Enter make to build the project from within the
build directory:
$ make
cd src && make all
make[1]: Entering directory '../prj/jupiter/build'
gcc -g -O2 -o jupiter ../../src/main.c
make[1]: Leaving directory '../prj/jupiter/build'
$
$ ls -1p src
jupiter
Makefile
$
No matter where you are, if you can access the project directory using
either a relative or an absolute path, you can do a remote build from that
location. This is just one more thing that Autoconf does for you in Autoconf-
generated configuration scripts. Imagine managing proper relative paths to
source directories in your own hand-coded configuration scripts!
Let’s Take a Breather
So far, I’ve shown you a nearly complete build system that includes almost all
of the features outlined in the GCS. The features of Jupiter’s build system are
all fairly self-contained and reasonably simple to understand. The most diffi-
cult feature to implement by hand is the configuration script. In fact, writing
Autotools_02.book Page 70 Tuesday, June 15, 2010 2:38 PM
www.it-ebooks.info

Configuring Your Project with Autoconf 71
a configuration script by hand is so labor intensive, compared to the simplicity
of using Autoconf, that I just skipped the hand-coded version entirely in
Chapter 2.
Although using Autoconf like I’ve used it here is quite easy, most people
don’t create their build systems in the manner I’ve shown you. Instead, they
try to copy the build system of another project, and tweak it to make it work
in their own project. Later, when they start a new project, they do the same
thing again. This can cause trouble because the code they’re copying was
never meant to be used the way they’re now trying to use it.
I’ve seen projects in which the configure.ac file contained junk that had
nothing to do with the project to which it belonged. These leftover bits came
from some legacy project, but the maintainer didn’t know enough about
Autoconf to properly remove all the extraneous text. With the Autotools,
it’s generally better to start small and add what you need than to start with a
copy of configure.ac from another full-featured build system, and try to pare it
down to size or otherwise modify it to work with a new project.
I’m sure you’re feeling like there’s a lot more to learn about Autoconf,
and you’re right. We’ll spend the majority of this chapter examining the
most important Autoconf macros and how they’re used in the context of the
Jupiter project. But first, let’s go back and see if we might be able to simplify
the Autoconf startup process even more by using another utility that comes
with the autoconf package.
An Even Quicker Start with autoscan
The easiest way to create a (mostly) complete configure.ac file is to run the
autoscan utility, which is part of the autoconf package. This utility examines
the contents of a project directory and generates the basis for a configure.ac
file (which autoscan names configure.scan) using existing makefiles and source
files.
Let’s see how well autoscan does on the Jupiter project. First, I’ll clean up
the droppings from my earlier experiments, and then run autoscan in the
jupiter directory. Note that I’m not deleting my original configure.ac file—I’ll
just let autoscan tell me how to improve it. In less than a second, I have a few
new files in the top-level directory:
$ rm -rf autom4te.cache build
$ rm configure config.* Makefile src/Makefile src/jupiter
$ ls -1p
configure.ac
Makefile.in
src/
$
$ autoscan
configure.ac: warning: missing AC_CHECK_HEADERS([stdlib.h]) wanted by: src/main.c:2
configure.ac: warning: missing AC_PREREQ wanted by: autoscan
configure.ac: warning: missing AC_PROG_CC wanted by: src/main.c
configure.ac: warning: missing AC_PROG_INSTALL wanted by: Makefile.in:18
$
Autotools_02.book Page 71 Tuesday, June 15, 2010 2:38 PM
www.it-ebooks.info

72 Chapter 3
$ ls -1p
autom4te.cache/
autoscan.log
configure.ac
configure.scan
Makefile.in
src/
$
The autoscan utility examines the project directory hierarchy and creates
two files called configure.scan and autoscan.log. The project may or may not
already be instrumented for Autotools—it doesn’t really matter, because
autoscan is decidedly non-destructive. It will never alter any existing files in a
project.
The autoscan utility generates a warning message for each problem it dis-
covers in an existing configure.ac file. In this example, autoscan noticed that
configure.ac should be using the Autoconf-provided AC_CHECK_HEADERS, AC_PREREQ,
AC_PROG_CC, and AC_PROG_INSTALL macros. It made these assumptions based on
information gleaned from the existing Makefile.in templates and from the C-
language source files, as you can see by the comments after the warning state-
ments beginning at . You can always see these messages (in even greater
detail) by examining the autoscan.log file.
NOTE The notices you receive from autoscan and the contents of your configure.ac file may
differ slightly from mine, depending on the version of Autoconf you have installed. I
have version 2.64 of GNU Autoconf installed on my system (the latest, as of this writing).
If your version of autoscan is older (or newer), you may see some minor differences.
Looking at the generated configure.scan file, I note that autoscan has added
more text to this file than was in my original configure.ac file. After looking it
over to ensure that I understand everything, I see that it’s probably easiest for
me to overwrite configure.ac with configure.scan and then change the few bits
of information that are specific to Jupiter:
$ mv configure.scan configure.ac
$ cat configure.ac
# -*- Autoconf -*-
# Process this file with autoconf to produce a configure script.
AC_PREREQ([2.64])
AC_INIT([FULL-PACKAGE-NAME], [VERSION], [BUG-REPORT-ADDRESS])
AC_CONFIG_SRCDIR([src/main.c])
AC_CONFIG_HEADERS([config.h])
# Checks for programs.
AC_PROG_CC
AC_PROG_INSTALL
# Checks for libraries.
Autotools_02.book Page 72 Tuesday, June 15, 2010 2:38 PM
www.it-ebooks.info

Configuring Your Project with Autoconf 73
# Checks for header files.
AC_CHECK_HEADERS([stdlib.h])
# Checks for typedefs, structures, and compiler characteristics.
# Checks for library functions.
AC_CONFIG_FILES([Makefile
src/Makefile])
AC_OUTPUT
$
My first modification involves changing the AC_INIT macro parameters for
Jupiter, as illustrated in Listing 3-11.
# -*- Autoconf -*-
# Process this file with autoconf to produce a configure script.
AC_PREREQ([2.64])
AC_INIT([Jupiter], [1.0], [jupiter-bugs@example.org])
AC_CONFIG_SRCDIR([src/main.c])
AC_CONFIG_HEADERS([config.h])
...
Listing 3-11: configure.ac: Tweaking the AC_INIT macro generated by autoscan
The autoscan utility does a lot of the work for you. The GNU Autoconf
Manual10 states that you should modify this file to meet the needs of your
project before you use it, but there are only a few key issues to worry about
(besides those related to AC_INIT). I’ll cover each of these issues in turn, but
first, let’s take care of a few administrative details.
The Proverbial autogen.sh Script
Before autoreconf came along, maintainers passed around a short shell script,
often named autogen.sh or bootstrap.sh, which would run all of the Autotools
required for their projects in the proper order. The autogen.sh script can be
fairly sophisticated, but to solve the problem of the missing install-sh script
(see “Missing Required Files in Autoconf” on page 74), I’ll just add a simple
temporary autogen.sh script to the project root directory, as shown in Listing 3-12.
#!/bin/sh
autoreconf --install
automake --add-missing --copy >/dev/null 2>&1
Listing 3-12: autogen.sh: A temporary bootstrap script that executes the required Autotools
The automake --add-missing option copies the required missing utility scripts
into the project, and the --copy option indicates that true copies should be
10. See the Free Software Foundation’s GNU Autoconf Manual at http://www.gnu.org/software/
autoconf/manual/index.html.
Autotools_02.book Page 73 Tuesday, June 15, 2010 2:38 PM
www.it-ebooks.info

74 Chapter 3
made (otherwise, symbolic links are created that refer to the files where they’re
installed with the Automake package).11
11. The automake --add-missing option copies in the missing required utility scripts, and the
--copy option indicates that true copies should be made—otherwise, symbolic links are created
to the files where the automake package has installed them. This isn’t as bad as it sounds, because
when make dist generates a distribution archive, it creates true copies in the image directory.
Therefore, links work just fine, as long as you (the maintainer) don’t move your work area
to another host. Note that automake provides a --copy option, but autoreconf provides just the
opposite: a --symlink option. Thus, if you execute automake --add-missing and you wish to actually
copy the files, you should pass --copy as well. If you execute autoreconf --install,--copy will be
assumed and passed to automake by autoreconf.
MIS SING REQUIR ED F ILES IN AUTOCONF
When I first tried to execute autoreconf on the configure.ac file in Listing 3-11, I dis-
covered a minor problem related to using Autoconf without Automake. When I ran
the configure script, it failed with an error: configure: error: cannot find install-sh
or install.sh ...
Autoconf is all about portability and, unfortunately, the Unix install utility is not
as portable as it could be. From one platform to another, critical bits of installation
functionality are just different enough to cause problems, so the Autotools provide a
shell script called install-sh (deprecated name: install.sh). This script acts as a
wrapper around the system’s own install utility, masking important differences
between various versions of install.
autoscan noticed that I’d used the install program in my src/Makefile.in tem-
plate, so it generated an expansion of the AC_PROG_INSTALL macro. The problem is
that configure couldn’t find the install-sh wrapper script anywhere in my project.
I reasoned that the missing file was part of the Autoconf package, and it just
needed to be installed. I also knew that autoreconf accepts a command-line option
to install such missing files into a project directory. The --install option supported
by autoreconf is designed to pass tool-specific options down to each of the tools that
it calls in order to install missing files. However, when I tried that, I found that the file
was still missing, because autoconf doesn’t support an option to install missing files.1
I could have manually copied install-sh from the Automake installation direc-
tory (usually /usr/(local/)share/automake-*), but looking for a more automated solu-
tion, I tried manually executing automake --add-missing --copy. This command
generated a slew of warnings indicating that the project was not configured for
Automake. However, I could now see that install-sh had been copied into my
project root directory, and that’s all I was after. Executing autoreconf --install
didn’t run automake because configure.ac was not configured for Automake.
Autoconf should ship with install-sh, since it provides a macro that requires it,
but then autoconf would have to provide an --add-missing command-line option.
Nevertheless, there is actually a quite obvious solution to this problem. The install-sh
script is not really required by any code Autoconf generates. How could it be?
Autoconf doesn’t generate any makefile constructs—it only substitutes variables into
your Makefile.in templates. Thus, there’s really no reason for Autoconf to complain
about a missing install-sh script.2
1. Worse still, the GNU Autoconf Manual that I was using at the time told me that “Autoconf
comes with a copy of install-sh that you can use”—but it’s really Automake and Libtool that
come with copies of install-sh.
2. When I presented this problem on the Autoconf mailing list, I was told several times that
autoconf has no business copying install-sh into a project directory, thus there is no install-
missing-file functionality accessible from the autoconf command line. If this is indeed the case,
then autoconf has no business complaining about the missing file, either!
Autotools_02.book Page 74 Tuesday, June 15, 2010 2:38 PM
www.it-ebooks.info

Configuring Your Project with Autoconf 75
NOTE When make dist generates a distribution archive, it creates true copies in the image
directory, so the use of symlinks causes no real problems, as long as you (the main-
tainer) don’t move your work area to another host.
We don’t need to see the warnings from automake, so I’ve redirected the
stderr and stdout streams to /dev/null on the automake command line at in
this script. In Chapter 5, we’ll remove autogen.sh and simply run autoreconf
--install, but for now, this will solve our missing file problems.
Updating Makefile.in
Let’s execute autogen.sh and see what we end up with:
$ sh autogen.sh
$ ls -1p
autogen.sh
autom4te.cache/
config.h.in
configure
configure.ac
install-sh
Makefile.in
src/
$
We know from the file list at that config.h.in has been created, so we
know that autoreconf has executed autoheader. We also see the new install-sh
script at that was created when we executed automake in autogen.sh. Anything
provided or generated by the Autotools should be copied into the archive
directory so that it can be shipped with release tarballs. Therefore, we’ll
add cp commands for these two files to the $(distdir) target in the top-level
Makefile.in template. Note that we don’t need to copy the autogen.sh script
because it’s purely a maintainer tool—users should never need to execute it
from a tarball distribution.
Listing 3-13 illustrates the required changes to the $(distdir) target in
the top-level Makefile.in template.
...
$(distdir): FORCE
mkdir -p $(distdir)/src
cp $(srcdir)/configure.ac $(distdir)
cp $(srcdir)/configure $(distdir)
cp $(srcdir)/config.h.in $(distdir)
cp $(srcdir)/install-sh $(distdir)
cp $(srcdir)/Makefile.in $(distdir)
cp $(srcdir)/src/Makefile.in $(distdir)/src
cp $(srcdir)/src/main.c $(distdir)/src
...
Listing 3-13: Makefile.in: Additional files needed in the distribution archive image directory
Autotools_02.book Page 75 Tuesday, June 15, 2010 2:38 PM
www.it-ebooks.info

76 Chapter 3
If you’re beginning to think that this could become a maintenance prob-
lem, then you’re right. I mentioned earlier that the $(distdir) target was painful
to maintain. Luckily, the distcheck target still exists and still works as designed.
It would have caught this problem, because attempts to build from the tarball
will fail without these additional files—and the check target certainly won’t
succeed if the build fails. When we discuss Automake in Chapter 5, we will
clear up much of this maintenance mess.
Initialization and Package Information
Now let’s turn our attention back to the contents of the configure.ac file in
Listing 3-11. The first section contains Autoconf initialization macros. These
are required for all projects. Let’s consider each of these macros individually,
because they’re all important.
AC_PREREQ
The AC_PREREQ macro simply defines the earliest version of Autoconf that may
be used to successfully process this configure.ac file:
AC_PREREQ(version)
The GNU Autoconf Manual indicates that AC_PREREQ is the only macro that
may be used before AC_INIT. This is because it’s good to ensure you’re using a
new enough version of Autoconf before you begin processing any other macros,
which may be version dependent.
AC_INIT
The AC_INIT macro, as its name implies, initializes the Autoconf system. Here’s
its prototype, as defined in the GNU Autoconf Manual:12
AC_INIT(package, version, [bug-report], [tarname], [url])
It accepts up to five arguments (autoscan only generates a call with the
first three): package, version, and optionally, bug-report, tarname, and url. The
package argument is intended to be the name of the package. It will end up
(in a canonical form) as the first part of the name of an Automake-generated
release distribution tarball when you execute make dist.
NOTE Autoconf uses a normalized form of the package name in the tarball name, so you can
use uppercase letters in the package name, if you wish. Automake-generated tarballs are
named tarname-version.tar.gz by default, but tarname is set to a normalized form of
the package name (lowercase, with all punctuation converted to underscores). Bear this
in mind when you choose your package name and version string.
12. The square brackets used in the macro definition prototypes within this book (as well as the
GNU Autoconf Manual) indicate optional parameters, not Autoconf quotes.
Autotools_02.book Page 76 Tuesday, June 15, 2010 2:38 PM
www.it-ebooks.info

Configuring Your Project with Autoconf 77
The optional bug-report argument is usually set to an email address, but any
text string is valid. An Autoconf substitution variable called @PACKAGE_BUGREPORT@ is
created for it, and that variable is also added to the config.h.in template as a C-
preprocessor definition. The intent here is that you use the variable in your
code to present an email address for bug reports at appropriate places—possibly
when the user requests help or version information from your application.
While the version argument can be anything you like, there are a few
commonly used OSS conventions that will make things a little easier for you.
The most widely used convention is to pass in major.minor (e.g., 1.2). However,
there’s nothing that says you can’t use major.minor.revision, and there’s nothing
wrong with this approach. None of the resulting VERSION variables (Autoconf,
shell, or make) are parsed or analyzed anywhere—they’re only used as place-
holders for substituted text in various locations.13 So if you wish, you may
even add nonnumeric text into this macro, such as 0.15.alpha1, which is
occasionally useful.14
NOTE The RPM package manager, on the other hand, does care what you put in the version
string. For the sake of RPM, you may wish to limit the version string text to only alpha-
numeric characters and periods—no dashes or underscores.
The optional url argument should be the URL for your project website.
It’s shown in the help text displayed by configure --help.
Autoconf generates the substitution variables @PACKAGE_NAME@,
@PACKAGE_VERSION@, @PACKAGE_TARNAME@, @PACKAGE_STRING@ (a stylized concatena-
tion of the package name and version information), @PACKAGE_BUGREPORT@,
and @PACKAGE_URL@ from the arguments to AC_INIT.
AC_CONFIG_SRCDIR
The AC_CONFIG_SRCDIR macro is a sanity check. Its purpose is to ensure that the
generated configure script knows that the directory on which it is being exe-
cuted is actually the project directory.
More specifically, configure needs to be able to locate itself, because it
generates code that executes itself, possibly from a remote directory. There
are myriad ways to inadvertently fool configure into finding some other
configure script. For example, the user could accidentally provide an incorrect
--srcdir argument to configure. The $0 shell script parameter is unreliable, at
best—it may contain the name of the shell, rather than that of the script, or it
may be that configure was found in the system search path, so no path infor-
mation was specified on the command line.
13. As far as M4 is concerned, all data is text; thus M4 macro arguments, including package and
version, are treated simply as strings. M4 doesn’t attempt to interpret any of this text as numbers
or other data types.
14. A future version of Autoconf will support a public macro that allows lexicographical comparison
of version strings, and certain internal constructs in current versions already use such functionality.
Thus, it’s good practice to form version strings that increase properly in a lexical fashion from
version to version.
Autotools_02.book Page 77 Tuesday, June 15, 2010 2:38 PM
www.it-ebooks.info

78 Chapter 3
The configure script could try looking in the current or parent directories,
but it still needs a way to verify that the configure script it locates is actually
itself. Thus, AC_CONFIG_SRCDIR gives configure a significant hint that it’s looking
in the right place. Here’s the prototype for AC_CONFIG_SRCDIR:
AC_CONFIG_SRCDIR(unique-file-in-source-dir)
The argument can be a path (relative to the project’s configure script) to
any source file you like. You should choose one that is unique to your project
so as to minimize the possibility that configure is fooled into thinking some
other project’s configuration file is itself. I try to choose a file that sort of rep-
resents the project, such as a source file named for a feature that defines the
project. That way, in case I ever decide to reorganize the source code, I’m
not likely to lose it in a file rename. But it doesn’t really matter, because both
autoconf and configure will tell you and your users if it can’t find this file.
The Instantiating Macros
Before we dive into the details of AC_CONFIG_HEADERS, I’d like to spend a little
time on the file generation framework Autoconf provides. From a high-level
perspective, there are four major things happening in configure.ac:
zInitialization
zCheck request processing
zFile instantiation request processing
zGeneration of the configure script
We’ve covered initialization—there’s not much to it, although there are
a few more macros you should be aware of. Check out the GNU Autoconf
Manual for more information—look up AC_COPYRIGHT, for an example. Now
let’s move on to file instantiation.
There are actually four so-called instantiating macros: AC_CONFIG_FILES,
AC_CONFIG_HEADERS, AC_CONFIG_COMMANDS, and AC_CONFIG_LINKS. An instantiating
macro accepts a list of tags or files; configure will generate these files from
templates containing Autoconf substitution variables.
NOTE You might need to change the name of AC_CONFIG_HEADER (singular) to AC_CONFIG_HEADERS
(plural) in your version of configure.scan. The singular version is the older name for
this macro, and the older macro is less functional than the newer one.15
The four instantiating macros have an interesting common signature.
The following prototype can be used to represent each of them, with appro-
priate text replacing the XXX portion of the macro name:
AC_CONFIG_XXXS(tag..., [commands], [init-cmds])
15. This was a defect in autoscan that had not been fixed as of Autoconf version 2.61. However,
version 2.62 of autoscan correctly generates a call to the newer, more functional AC_CONFIG_HEADERS.
Autotools_02.book Page 78 Tuesday, June 15, 2010 2:38 PM
www.it-ebooks.info

Configuring Your Project with Autoconf 79
For each of these four macros, the tag argument has the form OUT[:INLIST],
where INLIST has the form IN0[:IN1:...:INn]. Often, you’ll see a call to one
of these macros with only a single argument, as in the three examples below
(note that these examples represent macro calls, not prototypes, so the square
brackets are actually Autoconf quotes, not indications of optional parameters):
AC_CONFIG_HEADERS([config.h])
In this example, config.h is the OUT portion of the above specification. The
default value for INLIST is the OUT portion with .in appended to it. So, in other
words, the above call is exactly equivalent to:
AC_CONFIG_HEADERS([config.h:config.h.in])
What this means is that config.status contains shell code that will gener-
ate config.h from config.h.in, substituting all Autoconf variables in the process.
You may also provide a list of input files in the INLIST portion. In this case, the
files in INLIST will be concatenated to form the resulting OUT file:
AC_CONFIG_HEADERS([config.h:cfg0:cfg1:cfg2])
Here, config.status will generate config.h by concatenating cfg0, cfg1, and
cfg2 (in that order), after substituting all Autoconf variables. The GNU Autoconf
Manual refers to this entire OUT[:INLIST] construct as a tag.
Why not just call it a file? Well, this parameter’s primary purpose is to
provide a sort of command-line target name—much like makefile targets. It
can also be used as a filesystem name if the associated macro generates files,
as is the case with AC_CONFIG_HEADERS, AC_CONFIG_FILES, and AC_CONFIG_LINKS.
But AC_CONFIG_COMMANDS is unique in that it doesn’t generate any files. Instead,
it runs arbitrary shell code, as specified by the user in the macro’s arguments.
Thus, rather than name this first parameter after a secondary function (the
generation of files), the GNU Autoconf Manual refers to it more generally,
according to its primary purpose—as a command-line tag that may be specified
on the config.status command line, in this manner:
$ ./config.status config.h
This config.status command line will regenerate the config.h file based
on the macro call to AC_CONFIG_HEADERS in configure.ac. It will only regenerate
config.h.
Enter ./config.status --help to see the other command-line options you
can use when executing config.status:
$ ./config.status --help
'config.status' instantiates files from templates according to the
current configuration.
Usage: ./config.status [OPTION]... [TAG]...
Autotools_02.book Page 79 Tuesday, June 15, 2010 2:38 PM
www.it-ebooks.info

80 Chapter 3
-h, --help print this help, then exit
-V, --version print version number and configuration settings, then exit
-q, --quiet, --silent
do not print progress messages
-d, --debug don't remove temporary files
--recheck update config.status by reconfiguring in the same
conditions
--file=FILE[:TEMPLATE]
instantiate the configuration file FILE
--header=FILE[:TEMPLATE]
instantiate the configuration header FILE
Configuration files:
Makefile src/Makefile
Configuration headers:
config.h
Report bugs to <bug-autoconf@gnu.org>.
$
Notice that config.status provides custom help about a project’s
config.status file. It lists configuration files and configuration headers
that we can use as tags on the command line where the usage specifies
[TAG]... at . In this case, config.status will only instantiate the specified
objects. In the case of commands, it will execute the command set specified by
the tag passed in the associated expansion of the AC_CONFIG_COMMANDS macro.
Each of these macros may be used multiple times in a configure.ac file.
The results are cumulative, and we can use AC_CONFIG_FILES as many times as
we need to in configure.ac. It is also important to note that config.status sup-
ports the --file= option (at ). When you call config.status with tags on the
command line, the only tags you can use are those the help text lists as avail-
able configuration files, headers, links, and commands. When you execute
config.status with the --file= option, you’re telling config.status to generate
a new file that’s not already associated with any of the calls to the instantiating
macros found in configure.ac. This new file is generated from an associated
template using configuration options and check results determined by the
last execution of configure. For example, I could execute config.status in this
manner:
$ ./config.status --file=extra:extra.in
NOTE The default template name is the filename with a .in suffix, so this call could have
been made without using the :extra.in portion of the option. I added it here for clarity.
Let’s return to the instantiating macro signature at the bottom of
page 78. I’ve shown you that the tag... argument has a complex format,
but the ellipsis indicates that it also represents multiple tags, separated by
whitespace. The format you’ll see in nearly all configure.ac files is shown in
Listing 3-14.
Autotools_02.book Page 80 Tuesday, June 15, 2010 2:38 PM
www.it-ebooks.info

Configuring Your Project with Autoconf 81
...
AC_CONFIG_FILES([Makefile
src/Makefile
lib/Makefile
etc/proj.cfg])
...
Listing 3-14: Specifying multiple tags (files) in AC_CONFIG_FILES
Each entry here is one tag specification, which, if fully specified, would
look like the call in Listing 3-15.
...
AC_CONFIG_FILES([Makefile:Makefile.in
src/Makefile:src/Makefile.in
lib/Makefile:lib/Makefile.in
etc/proj.cfg:etc/proj.cfg.in])
...
Listing 3-15: Fully specifying multiple tags in AC_CONFIG_FILES
Returning to the instantiating macro prototype, there are two optional
arguments that you’ll rarely see used in these macros: commands and init-cmds.
The commands argument may be used to specify some arbitrary shell code that
should be executed by config.status just before the files associated with the tags
are generated. It is unusual for this feature to be used within the file-generating
instantiating macros. You will almost always see the commands argument used
with AC_CONFIG_COMMANDS, which generates no files by default, because a call to
this macro is basically useless without commands to execute!16 In this case,
the tag argument becomes a way of telling config.status to execute a specific
set of shell commands.
The init-cmds argument initializes shell variables at the top of config.status
with values available in configure.ac and configure. It’s important to remember
that all calls to instantiating macros share a common namespace along with
config.status. Therefore, you should try to choose your shell variable names
carefully so they are less likely to conflict with each other and with Autoconf-
generated variables.
The old adage about the value of a picture versus an explanation holds
true here, so let’s try a little experiment. Create a test version of your configure.ac
file that contains only the contents of Listing 3-16.
AC_INIT([test], [1.0])
AC_CONFIG_COMMANDS([abc],
[echo "Testing $mypkgname"],
[mypkgname=$PACKAGE_NAME])
AC_OUTPUT
Listing 3-16: Experiment #1—a simple configure.ac file
16. The truth is that we don’t often use AC_CONFIG_COMMANDS.
Autotools_02.book Page 81 Tuesday, June 15, 2010 2:38 PM
www.it-ebooks.info

82 Chapter 3
Now execute autoreconf, configure, and config.status in various ways to
see what happens:
$ autoreconf
$ ./configure
configure: creating ./config.status
config.status: executing abc commands
Testing test
$
$ ./config.status
config.status: executing abc commands
Testing test
$
$ ./config.status --help
'config.status' instantiates files from templates according to the current
configuration.
Usage: ./config.status [OPTIONS]... [FILE]...
...
Configuration commands:
abc
Report bugs to <bug-autoconf@gnu.org>.
$
$ ./config.status abc
config.status: executing abc commands
Testing test
$
As you can see at , executing configure caused config.status to be executed
with no command-line options. There are no checks specified in configure.ac,
so manually executing config.status, as we did at , has nearly the same effect.
Querying config.status for help (as we did at ) indicates that abc is a valid
tag; executing config.status with that tag (as we did at ) on the command
line simply runs the associated commands.
In summary, the important points regarding the instantiating macros are
as follows:
zThe config.status script generates all files from templates.
zThe configure script performs all checks and then executes config.status.
zWhen you execute config.status with no command-line options, it gener-
ates files based on the last set of check results.
zYou can call config.status to execute file generation or command sets
specified by any of the tags given in any of the instantiating macro calls.
zconfig.status may generate files not associated with any tags specified in
configure.ac, in which case it will substitute variables based on the last set
of checks performed.
Autotools_02.book Page 82 Tuesday, June 15, 2010 2:38 PM
www.it-ebooks.info

Configuring Your Project with Autoconf 83
AC_CONFIG_HEADERS
As you’ve no doubt concluded by now, the AC_CONFIG_HEADERS macro allows
you to specify one or more header files that config.status should generate
from template files. The format of a configuration header template is very
specific. A short example is given in Listing 3-17.
/* Define as 1 if you have unistd.h. */
#undef HAVE_UNISTD_H
Listing 3-17: A short example of a header file template
You can place multiple statements like this in your header template, one
per line. The comments are optional, of course. Let’s try another experiment.
Create a new configure.ac file like that shown in Listing 3-18.
AC_INIT([test], [1.0])
AC_CONFIG_HEADERS([config.h])
AC_CHECK_HEADERS([unistd.h foobar.h])
AC_OUTPUT
Listing 3-18: Experiment #2—a simple configure.ac file
Create a template header file called config.h.in that contains the two lines
in Listing 3-19.
#undef HAVE_UNISTD_H
#undef HAVE_FOOBAR_H
Listing 3-19: Experiment #2 continued—a simple config.h.in file
Now execute the following commands:
$ autoconf
$ ./configure
checking for gcc... gcc
...
checking for unistd.h... yes
checking for unistd.h... (cached) yes
checking foobar.h usability... no
checking foobar.h presence... no
checking for foobar.h... no
configure: creating ./config.status
config.status: creating config.h
$
$ cat config.h
/* config.h. Generated from ... */
#define HAVE_UNISTD_H 1
/* #undef HAVE_FOOBAR_H */
$
Autotools_02.book Page 83 Tuesday, June 15, 2010 2:38 PM
www.it-ebooks.info

84 Chapter 3
You can see at that config.status generated a config.h file from the
simple config.h.in template we wrote. The contents of this header file are
based on the checks executed by configure. Since the shell code generated by
AC_CHECK_HEADERS([unistd.h foobar.h]) was able to locate a unistd.h header file
() in the system include directory, the corresponding #undef statement was
converted into a #define statement. Of course, no foobar.h header was found
in the system include directory, as you can also see by the output of configure
at ; therefore, its definition was left commented out in the template, as
shown at .
Thus, you may add the sort of code shown in Listing 3-20 to appropriate
C-language source files in your project.
#if HAVE_CONFIG_H
# include <config.h>
#endif
#if HAVE_UNISTD_H
# include <unistd.h>
#endif
#if HAVE_FOOBAR_H
# include <foobar.h>
#endif
Listing 3-20: Using generated CPP definitions in a C-language source file
Using autoheader to Generate an Include File Template
Manually maintaining a config.h.in template is more trouble than necessary.
The format of config.h.in is very strict—for example, you can’t have any leading
or trailing whitespace on the #undef lines. Besides that, most of the informa-
tion you need from config.h.in is available in configure.ac.
Fortunately, the autoheader utility will generate a properly formatted
header file template for you based on the contents of configure.ac, so you
don’t often need to write config.h.in templates. Let’s return to the command
prompt for a final experiment. This one is easy—just delete your config.h.in
template and then run autoheader and autoconf:
$ rm config.h.in
$ autoheader
$ autoconf
$ ./configure
checking for gcc... gcc
...
checking for unistd.h... yes
checking for unistd.h... (cached) yes
checking foobar.h usability... no
checking foobar.h presence... no
checking for foobar.h... no
Autotools_02.book Page 84 Tuesday, June 15, 2010 2:38 PM
www.it-ebooks.info

Configuring Your Project with Autoconf 85
configure: creating ./config.status
config.status: creating config.h
$
$ cat config.h
/* config.h. Generated from config.h.in... */
/* config.h.in. Generated from configure.ac... */
...
/* Define to 1 if you have... */
/* #undef HAVE_FOOBAR_H */
/* Define to 1 if you have... */
#define HAVE_UNISTD_H 1
/* Define to the address where bug... */
#define PACKAGE_BUGREPORT ""
/* Define to the full name of this package. */
#define PACKAGE_NAME "test"
/* Define to the full name and version... */
#define PACKAGE_STRING "test 1.0"
/* Define to the one symbol short name... */
#define PACKAGE_TARNAME "test"
/* Define to the version... */
#define PACKAGE_VERSION "1.0"
/* Define to 1 if you have the ANSI C... */
#define STDC_HEADERS 1
$
NOTE Again, I encourage you to use autoreconf, which will automatically run autoheader if
it notices an expansion of AC_CONFIG_HEADERS in configure.ac.
As you can see by the output of the cat command at , an entire set of
preprocessor definitions was derived from configure.ac by autoheader.
Listing 3-21 shows a much more realistic example of using a generated
config.h file to increase the portability of your project source code. In this
example, the AC_CONFIG_HEADERS macro call indicates that config.h should be
generated, and the call to AC_CHECK_HEADERS will cause autoheader to insert a
definition into config.h.
AC_INIT([test], [1.0])
AC_CONFIG_HEADERS([config.h])
AC_CHECK_HEADERS([dlfcn.h])
AC_OUTPUT
Listing 3-21: A more realistic example of using AC_CONFIG_HEADERS
The config.h file is intended to be included in your source code in loca-
tions where you might wish to test a configured option in the code itself using
the C preprocessor. This file should be included first in source files so it can
influence the inclusion of system header files later in the source.
NOTE The config.h.in template that autoheader generates doesn’t contain an include-guard
construct, so you need to be careful that it’s not included more than once in a source file.
Autotools_02.book Page 85 Tuesday, June 15, 2010 2:38 PM
www.it-ebooks.info

86 Chapter 3
It’s often the case that every .c file in a project needs to include config.h.
In this case, it might behoove you to include config.h at the top of an internal
project header file that’s included by all the source files in your project. You
can (and probably should) also add an include-guard construct to this inter-
nal header file to protect against including it more than once.
Don’t make the mistake of including config.h in a public header file if
your project installs libraries and header files as part of your product set. For
more detailed information on this topic, refer to “Item 1: Keeping Private
Details out of Public Interfaces” on page 272.
Using the configure.ac file from Listing 3-21, the generated configure script
will create a config.h header file with appropriate definitions for determining,
at compile time, whether or not the current system provides the dlfcn inter-
face. To complete the portability check, you can add the code from Listing 3-22
to a source file in your project that uses dynamic loader functionality.
#if HAVE_CONFIG_H
# include <config.h>
#endif
#if HAVE_DLFCN_H
# include <dlfcn.h>
#else
# error Sorry, this code requires dlfcn.h.
#endif
...
#if HAVE_DLFCN_H
handle = dlopen("/usr/lib/libwhatever.so", RTLD_NOW);
#endif
...
Listing 3-22: A sample source file that checks for dynamic loader functionality
If you already had code that included dlfcn.h, autoscan would have gener-
ated a line in configure.ac to call AC_CHECK_HEADERS with an argument list containing
dlfcn.h as one of the header files to be checked. Your job as maintainer is to
add the conditional statements at and to your source code around the
existing inclusions of the dlfcn.h header file and around calls to the dlfcn
interface functions. This is the crux of Autoconf-provided portability.
Your project might prefer dynamic loader functionality, but could get along
without it if necessary. It’s also possible that your project requires a dynamic
loader, in which case your build should terminate with an error (as this code
does) if the key functionality is missing. Often, this is an acceptable stopgap
until someone comes along and adds support to the source code for a more
system-specific dynamic loader service.
NOTE If you have to bail out with an error, it’s best to do so at configuration time rather than
at compile time. The general rule of thumb is to bail out as early as possible.
Autotools_02.book Page 86 Tuesday, June 15, 2010 2:38 PM
www.it-ebooks.info

Configuring Your Project with Autoconf 87
One obvious flaw in this source code is that config.h is only included
if HAVE_CONFIG_H is defined in your compilation environment. You must define
HAVE_CONFIG_H manually on your compiler command lines if you’re writing
your own makefiles. Automake does this for you in generated Makefile.in
templates.
HAVE_CONFIG_H is part of a string of definitions passed on the compiler
command line in the Autoconf substitution variable @DEFS@. Before autoheader
and AC_CONFIG_HEADERS functionality existed, Automake added all of the compiler
configuration macros to the @DEFS@ variable. You can still use this method if
you don’t use AC_CONFIG_HEADERS in configure.ac, but it’s not recommended—
mainly because a large number of definitions make for very long compiler
command lines.
Back to Remote Builds for a Moment
As we wrap up this chapter, you’ll notice that we’ve come full circle. We started
out covering some preliminary information before we discussed how to add
remote builds to Jupiter. Now we’ll return to this topic for a moment, because I
haven’t yet covered how to get the C preprocessor to properly locate a gener-
ated config.h file.
Since this file is generated from a template, it will be at the same relative
position in the build directory structure as its counterpart template file,
config.h.in, is in the source directory structure. The template is located in the
top-level source directory (unless you chose to put it elsewhere), so the gener-
ated file will be in the top-level build directory. Well, that’s easy enough—it’s
always one level up from the generated src/Makefile.
Before we draw any conclusions then about header file locations, let’s
consider where header files might appear in a project. We might generate
them in the current build directory, as part of the build process. We might
also add internal header files to the current source directory. We know we
have a config.h file in the top-level build directory. Finally, we might also create
a top-level include directory for library interface header files our package pro-
vides. What is the order of priority for these various include directories?
The order in which we place include directives (-Ipath options) on the
compiler command line is the order in which they will be searched, so the
order should be based on which files are most relevant to the source file
currently being compiled. Thus, the compiler command line should include
-Ipath directives for the current build directory (.) first, followed by the source
directory [$(srcdir)], then the top-level build directory (..), and finally, our
project’s include directory, if it has one. We impose this ordering by adding
-Ipath options to the compiler command line, as shown in Listing 3-23.
...
jupiter: main.c
$(CC) -I. -I$(srcdir) -I.. $(CPPFLAGS) $(CFLAGS) -o $@ main.c
...
Listing 3-23: src/Makefile.in: Adding proper compiler include directives
Autotools_02.book Page 87 Tuesday, June 15, 2010 2:38 PM
www.it-ebooks.info
88 Chapter 3
Now that we know this, we need to add another rule of thumb for remote
builds to the list we created on page 69:
zAdd preprocessor commands for the current build directory, the associ-
ated source directory, and the top-level build directories, in that order.
Summary
In this chapter, we covered just about all the major features of a fully func-
tional GNU project build system, including writing a configure.ac file, from
which Autoconf generates a fully functional configure script. We’ve also covered
adding remote build functionality to makefiles with VPATH statements.
So what else is there? Plenty! In the next chapter, I’ll continue to show
you how you can use Autoconf to test system features and functionality before
your users run make. We’ll also continue enhancing the configuration script
so that when we’re done, users will have more options and understand exactly
how our package will be built on their systems.
Autotools_02.book Page 88 Tuesday, June 15, 2010 2:38 PM
www.it-ebooks.info

MORE FUN WITH AUTOCONF:
CONFIGURING USER OPTIONS
Hope is not the conviction that something will turn out well,
but the certainty that something makes sense,
regardless of how it turns out.
—Václav Havel, Disturbing the Peace
In Chapter 3, we discussed the essentials of
Autoconf—how to bootstrap a new or exist-
ing project and how to understand some of
the basic aspects of configure.ac files. In this chap-
ter, we’ll cover some of the more complex Autoconf
macros. We’ll begin by learning how to substitute our
own variables into template files (e.g., Makefile.in) and how to define our own
preprocessor definitions from within the configuration script. Throughout
this chapter, we’ll continue to develop functionality in the Jupiter project by
adding important checks and tests. We’ll cover the all-important AC_OUTPUT
macro, and we’ll conclude by discussing the application of user-defined
project configuration options as specified in the configure.ac file.
In addition to all this, I’ll present an analysis technique that you can
use to decipher the inner workings of macros. Using the somewhat complex
AC_CHECK_PROG macro as an example, I’ll show you some ways to find out what’s
going on under the hood. After all, when software is distributed in source
format, its secrets can’t stay hidden forever.
Autotools_02.book Page 89 Tuesday, June 15, 2010 2:38 PM
www.it-ebooks.info

90 Chapter 4
Substitutions and Definitions
I’ll begin this chapter by discussing three of the most important macros in
the Autoconf suite: AC_SUBST and AC_DEFINE, along with the latter’s twin brother,
AC_DEFINE_UNQUOTED.
These macros provide the primary mechanisms for communication
between the configuration process and the build and execution processes.
Values that are substituted into generated files provide configuration informa-
tion to the build process, while values defined in preprocessor variables provide
configuration information at build time to the compiler and at runtime to
the built programs and libraries. As a result, it’s well worth becoming thor-
oughly familiar with AC_SUBST and AC_DEFINE.
AC_SUBST
You can use AC_SUBST to extend the variable substitution functionality that’s
such an integral part of Autoconf. Every Autoconf macro that has anything to
do with substitution variables ultimately calls this macro to create the substi-
tution variable from an existing shell variable. Sometimes the shell variables
are inherited from the environment; other times, higher-level macros set the
shell variables as part of their functionality before calling AC_SUBST. The signa-
ture of this macro is rather trivial (note that the square brackets in this prototype
represent optional arguments, not Autoconf quotes):
AC_SUBST(shell_var[, value])
NOTE If you choose to omit any trailing optional parameters when using M4 macro calls, you
may also omit the trailing commas. However, if you omit any arguments from the middle
of the list, you must show the commas as placeholders for the missing arguments.
The first argument, shell_var, represents a shell variable whose value you
wish to substitute into all files generated by config.status from templates. The
optional second parameter is the value assigned to the variable. If it isn’t speci-
fied, the shell variable’s current value will be used, whether it’s inherited or
set by some previous shell code.
The substitution variable will have the same name as the shell variable,
except that it will be bracketed with at signs (@) in the template files. Thus,
a shell variable named my_var would become a substitution variable named
@my_var@, and you could use it in any template file.
Calls to AC_SUBST in configure.ac should not be made conditionally; that is,
they should not be called within conditional shell statements like if-then-else
constructs. The reason becomes clear when you carefully consider the pur-
pose of AC_SUBST: You’ve already hardcoded substitution variables into your
template files, so you’d better use AC_SUBST for each variable unconditionally,
or else your output files will retain the substitution variables, rather than the
values that should have been substituted.
Autotools_02.book Page 90 Tuesday, June 15, 2010 2:38 PM
www.it-ebooks.info

More Fun with Autoconf: Configuring User Options 91
AC_DEFINE
The AC_DEFINE and AC_DEFINE_UNQUOTED macros define C-preprocessor macros,
which can be simple or function-like macros. These are either defined in the
config.h.in template (if you use AC_CONFIG_HEADERS) or passed on the compiler
command line (via the @DEFS@ substitution variable) in Makefile.in templates.
Recall that if you don’t write config.h.in yourself, autoheader will write it based
on calls to these macros in your configure.ac file.
These two macro names actually represent four different Autoconf macros.
Here are their prototypes:
AC_DEFINE(variable, value[, description])
AC_DEFINE(variable)
AC_DEFINE_UNQUOTED(variable, value[, description])
AC_DEFINE_UNQUOTED(variable)
The difference between the normal and the UNQUOTED versions of these
macros is that the normal versions use, verbatim, the specified value as the
value of the preprocessor macro. The UNQUOTED versions perform shell expansion
on the value argument, and they use the result as the value of the preprocessor
macro. Thus, you should use AC_DEFINE_UNQUOTED if the value contains shell
variables that you want configure to expand. (Setting a C-preprocessor macro
in a header file to an unexpanded shell variable makes no sense, because
neither the C compiler nor the preprocessor will know what to do with it
when the source code is compiled.)
The difference between the single- and multi-argument versions lies in
the way the preprocessor macros are defined. The single-argument versions
simply guarantee that the macro is defined in the preprocessor namespace,
while the multi-argument versions ensure that the macro is defined with a
specific value.
The optional third parameter, description, tells autoheader to add a com-
ment for this macro to the config.h.in template. (If you don’t use autoheader, it
makes no sense to pass a description here—hence its optional status.) If you
wish to define a preprocessor macro without a value and provide a descrip-
tion, you should use the multi-argument versions of these macros, but leave
the value argument empty.
Checking for Compilers
The AC_PROG_CC macro ensures that the user’s system has a working C-language
compiler. Here’s the prototype for this macro:
AC_PROG_CC([compiler-search-list])
If your code requires a particular flavor or brand of C compiler, you can
pass a whitespace-separated list of program names in this argument. For
example, if you use AC_PROG_CC([cc cl gcc]), the macro expands into shell
Autotools_02.book Page 91 Tuesday, June 15, 2010 2:38 PM
www.it-ebooks.info

92 Chapter 4
code that searches for cc, cl, and gcc, in that order. Usually, the argument is
omitted, allowing the macro to find the best compiler option available on the
user’s system.
You’ll recall from “An Even Quicker Start with autoscan” on page 71 that
when autoscan noticed C source files in the directory tree, it inserted a no-
argument call to this macro into Jupiter’s configure.scan file. Listing 4-1 repro-
duces the relevant portion of the generated configure.scan file:
...
# Checks for programs.
AC_PROG_CC
AC_PROG_INSTALL
...
Listing 4-1: configure.scan: Checking for compilers and other programs
NOTE If the source files in Jupiter’s directory tree had been suffixed with .cxx or .C (an upper-
case .C extension indicates a C++ source file), autoscan would have instead inserted a
call to AC_PROG_CXX, as well as a call to AC_LANG([C++]).
The AC_PROG_CC macro looks for gcc and then cc in the system search path.
If it doesn’t find either, it looks for other C compilers. When it finds a com-
patible compiler, the macro sets a well-known variable, CC, to the full path of
the program, with options for portability as needed.
The AC_PROG_CC macro also defines the following Autoconf substitution
variables, some of which you may recognize as user variables (listed in Table 2-2
on page 53):
z@CC@ (full path of compiler)
z@CFLAGS@ (e.g., -g -O2 for gcc)
z@CPPFLAGS@ (empty by default)
z@EXEEXT@ (e.g., .exe)
z@OBJEXT@ (e.g., .o)
AC_PROG_CC configures these substitution variables, but unless you use them
in your Makefile.in templates, you’re just wasting time running configure. Con-
veniently, we’re already using them in our Makefile.in templates, because
earlier in the Jupiter project, we added them to our compiler command line
and then added a default value for CFLAGS that the user could override on the
make command line.
The only thing left to do is ensure that config.status substitutes values for
these substitution variables. Listing 4-2 shows the relevant portions of the src
directory Makefile.in template and the changes necessary to make this happen.
...
# Tool-specific substitution variables
CC = @CC@
Autotools_02.book Page 92 Tuesday, June 15, 2010 2:38 PM
www.it-ebooks.info

More Fun with Autoconf: Configuring User Options 93
CFLAGS = @CFLAGS@
CPPFLAGS = @CPPFLAGS@
...
jupiter: main.c
$(CC) $(CFLAGS) $(CPPFLAGS) -I. -I$(srcdir) -I.. -o $@ main.c
...
Listing 4-2: src/Makefile.in: Using Autoconf compiler and flag substitution variables
Checking for Other Programs
Immediately following the call to AC_PROG_CC (see Listing 4-1) is a call to
AC_PROG_INSTALL. All of the AC_PROG_* macros set (and then substitute, using
AC_SUBST) various environment variables that point to the located utilities.
AC_PROG_INSTALL does the same thing for the install utility. To use this check,
you need to use the associated Autoconf substitution variables in your Makefile.in
templates, just as we did above with @CC@, @CFLAGS@, and @CPPFLAGS@. Listing 4-3
illustrates these changes.
...
# Tool-specific substitution variables
CC = @CC@
CFLAGS = @CFLAGS@
CPPFLAGS = @CPPFLAGS@
INSTALL = @INSTALL@
INSTALL_DATA = @INSTALL_DATA@
INSTALL_PROGRAM = @INSTALL_PROGRAM@
INSTALL_SCRIPT = @INSTALL_SCRIPT@
...
install:
$(INSTALL) -d $(DESTDIR)$(bindir)/jupiter
$(INSTALL_PROGRAM) -m 0755 jupiter $(DESTDIR)$(bindir)/jupiter
...
Listing 4-3: src/Makefile.in: Substituting the install utility in your Makefile.in templates
The value of @INSTALL@ is obviously the path of the located installation
script. The value of @INSTALL_DATA@ is ${INSTALL} -m 0644. Based on this, you
might think that the values of @INSTALL_PROGRAM@ and @INSTALL_SCRIPT@ would be
something like ${INSTALL} -m 0755, but they’re not. These values are set simply
to ${INSTALL}.1
You might also need to test for other important utility programs, includ-
ing lex, yacc, sed, awk, and so on. If your program requires one or more of these
tools, you can add calls to AC_PROG_LEX, AC_PROG_YACC, AC_PROG_SED, or AC_PROG_AWK.
autoscan will add calls to AC_PROG_YACC and AC_PROG_LEX to configure.scan if it detects
files in your project’s directory tree with .yy or .ll extensions.
1. Was this an oversight? I doubt it. I’d guess this was the original intention, but it was found to
cause more problems than it solved, so -m 0755 was removed.
Autotools_02.book Page 93 Tuesday, June 15, 2010 2:38 PM
www.it-ebooks.info

94 Chapter 4
You can check for about a dozen different programs using these more
specialized macros. If a program check fails, the resulting configure script will
fail with a message indicating that the required utility could not be found
and that the build cannot continue until it’s been properly installed.
The program and compiler checks cause autoconf to substitute specially
named variables into template files. You can find the names of the variables
for each macro in the GNU Autoconf Manual. You should use these make vari-
ables in commands within your Makefile.in templates to invoke the tools they
represent. The Autoconf macros will set the values of these variables according
to the tools it finds installed on the user’s system, if the user has not already set
them in the environment.
This is a key aspect of Autoconf-generated configure scripts—the user can
always override anything configure will do to the environment by exporting or
setting an appropriate variable before executing configure.2
For example, if the user chooses to build with a specific version of bison
installed in his home directory, he could enter the following command in
order to ensure that $(YACC) refers to the correct version of bison and that the
shell code AC_PROG_YACC generates does little more than substitute the existing
value of YACC for @YACC@ in your Makefile.in templates:
$ cd jupiter
$ ./configure YACC="$HOME/bin/bison -y"
...
NOTE Passing the variable setting to configure as a parameter is functionally similar to set-
ting the variable for the configure process on the command line in the shell environment
(e.g., YACC="$HOME/bin/bison -y" configure). The advantage of using the syntax given
in the example above is that config.status --recheck can then track the value and
properly re-execute configure from the makefile with the options that were originally
given to it. Thus, you should always use the parameter syntax, rather than the shell
environment syntax, to set variables for configure.
To check for the existence of a program not covered by these more special-
ized macros, you can call the generic AC_CHECK_PROG macro or write your own
special-purpose macro (see Chapter 10).
The key points to take away here are as follows:
zAC_PROG_* macros check for the existence of programs.
zIf they find a program, a substitution variable is created.
zYou should use these substitution variables in your Makefile.in templates
to execute associated utilities.
2. Since users are not Autoconf experts, it’s good practice to add information about variables
that affect your project’s configuration to your project’s README or INSTALL files.
Autotools_02.book Page 94 Tuesday, June 15, 2010 2:38 PM
www.it-ebooks.info

More Fun with Autoconf: Configuring User Options 95
A Common Problem with Autoconf
We should take this opportunity to address a particular problem that devel-
opers new to the Autotools consistently encounter. Here’s the formal definition
of AC_CHECK_PROG, as you will find it in the GNU Autoconf Manual:
AC_CHECK_PROG(variable, prog-to-check-for, value-if-found,
[value-if-not-found], [path], [reject])
Check whether program prog-to-check-for exists in path. If it is found,
set variable to value-if-found, otherwise to value-if-not-found, if given.
Always pass over reject (an absolute filename) even if it is the first
found in the search path; in that case, set variable using the absolute
filename of the prog-to-check-for found that is not reject. If variable was
already set, do nothing. Calls AC_SUBST for variable.3
This is pretty dense language, but after a careful reading, you can extract
the following from this description:
zIf prog-to-check-for is found in the system search path, then variable is set
to value-if-found; otherwise, it’s set to value-if-not-found.
zIf reject is specified (as a full path), and it’s the same as the program
found in the system search path in the previous step, then skip it, and
continue to the next matching program in the system search path.
zIf reject is found first in path, and then another match (other than reject)
is found, set variable to the absolute path name of the second (non-reject)
match.
zIf the user has already set variable in the environment, then variable is
left untouched (thereby allowing the user to override the check by set-
ting variable before running configure).
zAC_SUBST is called on variable to make it an Autoconf substitution variable.
Upon first reading this description, there appears to be a conflict: We
see in the first item that variable will be set to one of two specified values,
based on whether or not prog-to-check-for is found in the system search path.
But then we see in the third item that variable will be set to the full path of
some program if reject is found first and skipped.
Discovering the real functionality of AC_CHECK_PROG is as easy as reading a
little shell script. While you could refer to the definition of AC_CHECK_PROG in
Autoconf’s programs.m4 macro file, you’ll be one level removed from the
actual shell code that performs the check. Wouldn’t it be better to just look
at the shell script that AC_CHECK_PROG generates? We’ll use Jupiter’s configure.ac
file to play with this concept. Modify your configure.ac file according to the
changes highlighted in Listing 4-4.
3. See section 5.2.2, Generic Program and File Checks, in version 2.64 (July 26, 2009) of the
GNU Autoconf Manual (http://www.gnu.org/software/autoconf/manual/index.html).
Autotools_02.book Page 95 Tuesday, June 15, 2010 2:38 PM
www.it-ebooks.info

96 Chapter 4
...
AC_PREREQ(2.59)
AC_INIT([Jupiter], [1.0], [jupiter-bugs@example.org])
AC_CONFIG_SRCDIR([src/main.c])
AC_CONFIG_HEADER([config.h])
# Checks for programs.
AC_PROG_CC
_DEBUG_START_
AC_CHECK_PROG([bash_var], [bash], [yes], [no],, [/usr/sbin/bash])
_DEBUG_END_
AC_PROG_INSTALL
...
Listing 4-4: A first attempt at using AC_CHECK_PROG
Now execute autoconf, open the resulting configure script, and search for
_DEBUG_START_.
NOTE The _DEBUG_START_ and _DEBUG_END_ strings are known as picket fences. I added these
to configure.ac for the sole purpose of helping me find the beginning and end of the
shell code generated by the AC_CHECK_PROG macro. I chose these macros in particular
because you’re not likely to find them anywhere else in the generated configure script.4
Listing 4-5 shows the portion of configure this macro generates.
...
_DEBUG_START_
# Extract the first word of "bash", so it can be a program name with args.
set dummy bash; ac_word=$2
echo "$as_me:$LINENO: checking for $ac_word" >&5
echo $ECHO_N "checking for $ac_word... $ECHO_C" >&6
if test "${ac_cv_prog_bash_var+set}" = set; then
echo $ECHO_N "(cached) $ECHO_C" >&6
else if test -n "$bash_var"; then
# Let the user override the test.
ac_cv_prog_bash_var="$bash_var"
else
ac_prog_rejected=no
as_save_IFS=$IFS; IFS=$PATH_SEPARATOR
for as_dir in $PATH
do
IFS=$as_save_IFS
test -z "$as_dir" && as_dir=.
for ac_exec_ext in ''$ac_executable_extensions;
do
if $as_executable_p "$as_dir/$ac_word$ac_exec_ext"; then
if test "$as_dir/$ac_word$ac_exec_ext" = "/usr/sbin/bash"; then
ac_prog_rejected=yes
continue
4. Don’t be tempted to set these picket-fence tokens to a value in order to keep configure from
complaining about them. If you do, configure won’t complain about them, and you might just
forget to remove them.
Autotools_02.book Page 96 Tuesday, June 15, 2010 2:38 PM
www.it-ebooks.info

More Fun with Autoconf: Configuring User Options 97
fi
ac_cv_prog_bash_var="yes"
echo "$as_me:$LINENO: found $as_dir/$ac_word$ac_exec_ext" >&5
break 2
fi
done
done
if test $ac_prog_rejected = yes; then
# We found a bogon in the path, so make sure we never use it.
set dummy $ac_cv_prog_bash_var
shift
if test $# != 0; then
# We chose a different compiler from the bogus one. However,
# it has the same basename, so the bogon will be chosen first
# if we set bash_var to just the basename; use the full file name.
shift
ac_cv_prog_bash_var="$as_dir/$ac_word${1+' '}$@"
fi
fi
test -z "$ac_cv_prog_bash_var" && ac_cv_prog_bash_var = "no"
fi
fi
bash_var=$ac_cv_prog_bash_var
if test -n "$bash_var"; then
echo "$as_me:$LINENO: result: $bash_var" >&5
echo "${ECHO_T}$bash_var" >&6
else
echo "$as_me:$LINENO: result: no" >&5
echo "${ECHO_T}no" >&6
fi
_DEBUG_END_
...
Listing 4-5: A portion of configure generated by AC_CHECK_PROG
The opening comment at in this shell script is a clue that AC_CHECK_PROG
has some undocumented functionality. Apparently, you may pass in arguments
along with the program name in the prog-to-check-for parameter. Shortly,
we’ll look at a situation in which you might want to do that.
Farther down in the script at , you can see that the reject parameter
was added into the mix in order to allow configure to search for a particular
version of a tool. From the code at , we can see that bash_var can have three
different values: Empty if the requested program is not found in the path,
the program specified if it’s found, or the full path of the program specified
if reject is found first.
Where do you use reject? Well, for instance, on Solaris systems with
proprietary Sun tools installed, the default C compiler is often the Solaris C
compiler. But some users may want to use the GNU C compiler rather than
the Solaris C compiler. As maintainers, we don’t know which compiler will be
found first in a user’s search path. AC_CHECK_PROG allows us to ensure that gcc is
used with a full path if another C compiler is found first in the search path.
Autotools_02.book Page 97 Tuesday, June 15, 2010 2:38 PM
www.it-ebooks.info

98 Chapter 4
M4 macros are aware of the fact that arguments are given, empty, or miss-
ing, and they do different things based on these conditions. Many of the
standard Autoconf macros are written to take full advantage of empty or
unspecified optional arguments and generate entirely different shell code
in each of these conditions. Autoconf macros may also optimize the gener-
ated shell code for these different conditions.
Given what we now know, we probably should have called AC_CHECK_PROG
in this manner, instead:
AC_CHECK_PROG([bash_shell],[bash -x],[bash -x],,,[/usr/sbin/bash])
You can see in this example that the manual is technically accurate. If
reject is not specified and bash is found in the system path, then bash_shell
will be set to bash -x. If bash is not found in the system path, then bash_shell will
be set to the empty string. If, on the other hand, reject is specified, and the
undesired version of bash is found first in the path, then bash_shell will be set
to the full path of the next version found in the path, along with the originally
specified argument (-x). The reason the macro uses the full path in this case is
to make sure that configure will avoid executing the version that was found first in
the path—reject. The rest of the configuration script can now use the bash_shell
variable to run the desired bash shell, as long as it doesn’t test out empty.
Checks for Libraries and Header Files
The decision of whether or not to use an external library in a project is a tough
one. On one hand, you want to reuse existing code to provide required func-
tionality instead of writing it yourself. Reuse is one of the hallmarks of the
open source software world. On the other hand, you don’t want to depend
on functionality that may not exist on all target platforms or that may require
significant porting in order to make the libraries you need available where
you need them.
Occasionally, library-based functionality can differ in minor ways between
platforms. Although the functionality may be essentially equivalent, the librar-
ies may have different package names or different API signatures. The POSIX
threads (pthreads) library, for example, is similar in functionality to many native
threading libraries, but the libraries’ APIs are usually different in minor ways,
and their package names are almost always different. Consider what would
happen if we tried to build a multithreaded project on a system that didn’t
support pthreads; in a case like this, you might want to use the libthreads library
on Solaris instead.
Autoconf library selection macros allow generated configuration scripts
to intelligently select the libraries that provide the necessary functionality,
even if those libraries are named differently between platforms. To illustrate
the use of the Autoconf library selection macros, we’ll add some trivial (and
fairly contrived) multithreading capabilities to the Jupiter project that will
allow jupiter to print its message using a background thread. We’ll use the
pthreads API as our base threading model. In order to accomplish this with
Autotools_02.book Page 98 Tuesday, June 15, 2010 2:38 PM
www.it-ebooks.info

More Fun with Autoconf: Configuring User Options 99
our Autoconf-based configuration script, we need to add the pthreads library
to our project build system.
NOTE The proper use of multithreading requires the definition of additional substitution variables
containing appropriate flags, libraries, and definitions. The ACX_PTHREAD macro does
all of this for you. You can find the documentation for ACX_PTHREAD at the Autoconf
Macro Archive website.5 See “Doing Threads the Right Way” on page 210 for examples
of using ACX_PTHREAD.
First, let’s tackle the changes to the source code. We’ll modify main.c so
that the message is printed by a secondary thread, as shown in Listing 4-6.
#include <stdio.h>
#include <stdlib.h>
#include <pthread.h>
static void * print_it(void * data)
{
printf("Hello from %s!\n", (const char *)data);
return 0;
}
int main(int argc, char * argv[])
{
pthread_t tid;
pthread_create(&tid, 0, print_it, argv[0]);
pthread_join(tid, 0);
return 0;
}
Listing 4-6: src/main.c: Adding multithreading to the Jupiter project source code
This is clearly a ridiculous use of a thread; nevertheless, it is the prototypical
form of thread usage. Consider a hypothetical situation in which the back-
ground thread performs some long calculation, and main is doing other things
while print_it is working. On a multiprocessor machine, using a thread in
this manner could literally double a program’s throughput.
Now all we need is a way to determine which libraries should be added to
the compiler command line. If we weren’t using Autoconf, we’d just add the
library to our linker command line in the makefile, as shown in Listing 4-7.
program: main.c
$(CC) ... -lpthread ...
Listing 4-7: Manually adding the pthreads library to the compiler command line
Instead, we’ll use the Autoconf-provided AC_SEARCH_LIBS macro, an enhanced
version of the basic AC_CHECK_LIB macro. The AC_SEARCH_LIBS macro allows us to
test for required functionality within a list of libraries. If the functionality
exists in one of the specified libraries, then an appropriate command-line
5. See http://www.nongnu.org/autoconf-archive/acx_pthread.html.
Autotools_02.book Page 99 Tuesday, June 15, 2010 2:38 PM
www.it-ebooks.info

100 Chapter 4
option is added to the @LIBS@ substitution variable, which we would then use
in a Makefile.in template on the compiler (linker) command line. Here is the
formal definition of AC_SEARCH_LIBS from the GNU Autoconf Manual:
AC_SEARCH_LIBS(function, search-libs,
[action-if-found], [action-if-not-found], [other-libraries])
Search for a library defining function if it’s not already available.
This equates to calling ‘AC_LINK_IFELSE([AC_LANG_CALL([],
[function])])’ first with no libraries, then for each library listed
in search-libs.
Add ‘-llibrary’ to LIBS for the first library found to contain function,
and run action-if-found. If function is not found, run action-if-not-found.
If linking with library results in unresolved symbols that would be
resolved by linking with additional libraries, give those libraries as
the other-libraries argument, separated by spaces: e.g., ‘-lXt -lX11’.
Otherwise, this macro fails to detect that function is present, because
linking the test program always fails with unresolved symbols.6
Can you see why the generated configuration script is so large? When
you pass a particular function in a call to AC_SEARCH_LIBS, linker command-line
arguments are added to a substitution variable called @LIBS@. These arguments
ensure that you will link with a library that contains the function passed in. If
multiple libraries are listed in the second parameter, separated by whitespace,
configure will determine which of these libraries are available on your user’s
system and use the most appropriate one.
Listing 4-8 shows how to use AC_SEARCH_LIBS in Jupiter’s configure.ac file to
find the library that contains the pthread_create function. AC_SEARCH_LIBS won’t
add anything to the @LIBS@ variable if it doesn’t find pthread_create in the
pthreads library.
...
# Checks for libraries.
AC_SEARCH_LIBS([pthread_create], [pthread])
...
Listing 4-8: configure.ac: Using AC_SEARCH_LIBS to check for the pthreads library on the system
As we’ll discuss in detail in Chapter 7, naming patterns for libraries differ
between systems. For example, some systems name libraries libbasename.so,
while others use libbasename.sa or libbasename.a. AC_SEARCH_LIBS addresses
this situation (quite elegantly) by using the compiler to calculate the actual
name of the library from its basename; it does this by attempting to link a small
test program with the requested function from the test library. Only -lbasename
is passed on the compiler command line—a near-universal convention among
Unix compilers.
6. See section 5.4, Library Files in version 2.64 (July 26, 2009) of the GNU Autoconf Manual (http://
www.gnu.org/software/autoconf/manual/index.html).
Autotools_02.book Page 100 Tuesday, June 15, 2010 2:38 PM
www.it-ebooks.info

More Fun with Autoconf: Configuring User Options 101
We’ll have to modify src/Makefile.in again in order to properly use the
now-populated @LIBS@ variable, as shown in Listing 4-9.
...
# Tool-related substitution variables
CC = @CC@
LIBS = @LIBS@
CFLAGS = @CFLAGS@
CPPFLAGS = @CPPFLAGS@
...
jupiter: main.c
$(CC) $(CFLAGS) $(CPPFLAGS) -I. -I$(srcdir) -I.. -o $@ main.c $(LIBS)
...
Listing 4-9: src/Makefile.in: Using the @LIBS@ substitution variable
NOTE I added $(LIBS) after the source files on the compiler command line because the linker
cares about object file order—it searches files for required functions in the order they are
specified on the command line.
I want main.c to be the primary source of object code for jupiter, so I’ll
continue to add additional objects, including libraries, to the command line
after this file.
Is It Right or Just Good Enough?
At this point, we’ve ensured that our build system will properly use pthreads
on most systems.7 If our system needs a particular library, that library’s name
will be added to the @LIBS@ variable and then subsequently used on the com-
piler command line. But we’re not done yet.
This system usually works fine, but it still fails in corner cases. Because we
want to provide an excellent user experience, we’ll take Jupiter’s build sys-
tem to the next level. In doing this, we need to make a design decision: In
case configure fails to locate a pthreads library on a user’s system, should we
fail the build process or build a jupiter program without multithreading?
If we choose to fail the build, the user will notice, because the build will
stop with an error message. (Though it may not be a very user-friendly one—
either the compile or link process will fail with a cryptic error message about
a missing header file or an undefined symbol.) On the other hand, if we
choose to build a single-threaded version of jupiter, we’ll need to display
some clear message that the program is being built without multithreading
functionality, and explain why.
7. My choice of pthreads as an example is perhaps unfortunate, because adding multithreading
to an application often requires more than simply adding a single library to the command line.
Many platforms require additional compiler options (e.g., -mthreads, -pthreads, -qthreads, and so
on), libraries, and C-preprocessor definitions in order to enable multithreading in an application.
Some platforms even require a completely different compiler (for instance, AIX requires the use
of the cc_r alias). The examples in this book happen to work fine, even on platforms that require
these switches, only because they don’t make extensive use of the standard C library.
Autotools_02.book Page 101 Tuesday, June 15, 2010 2:38 PM
www.it-ebooks.info

102 Chapter 4
One potential problem is that some users’ systems may have a pthreads
shared library installed, but they don’t have the pthread.h header file installed—
most likely because the pthreads executable (shared-library) package was
installed, but the developer package wasn’t. Shared libraries are often pack-
aged independently of static libraries and header files, and while executables
are installed as part of a dependency chain for higher-level applications,
developer packages are typically installed directly by a user.8 For this reason,
Autoconf provides macros to test for the existence of both libraries and
header files. We can use the AC_CHECK_HEADERS macro to ensure the existence
of a particular header file.
Autoconf checks are very thorough. They usually not only ensure that a file
exists but also that the file is the correct one, because they allow you to specify
assertions about the file that the macro then verifies. The AC_CHECK_HEADERS macro
doesn’t just scan the filesystem for the requested header. Like AC_SEARCH_LIBS,
AC_CHECK_HEADERS builds a short test program in the appropriate language and
then compiles it to ensure that the compiler can both find and use the file.
In essence, Autoconf macros try to test not just for the existence of specific
features but for the functionality required from those features.
The AC_CHECK_HEADERS macro is defined in the GNU Autoconf Manual as
follows:
AC_CHECK_HEADERS(header-file..., [action-if-found],
[action-if-not-found], [includes = 'default-includes'])
For each given system header file header-file in the blank-separated
argument list that exists, define HAVE_header-file (in all capitals).
If action-if-found is given, it is additional shell code to execute when
one of the header files is found. You can give it a value of ‘break’
to break out of the loop on the first match. If action-if-not-found is
given, it is executed when one of the header files is not found.9
Normally, AC_CHECK_HEADERS is called only with a list of desired header files
in the first argument. The remaining arguments are optional and are not
often used, because the macro works pretty well without them.
We’ll add a check for the pthread.h header file to configure.ac
using AC_CHECK_HEADERS. As you may have noticed, configure.ac already calls
AC_CHECK_HEADERS looking for stdlib.h. AC_CHECK_HEADERS accepts a list of file
names, so we’ll just add pthread.h to the list, using a space to separate the
filenames, as shown in Listing 4-10.
...
# Checks for header files.
AC_CHECK_HEADERS([stdlib.h pthread.h])
...
Listing 4-10: configure.ac: Adding pthread.h to the AC_CHECK_HEADERS macro
8. The pthreads library is so important on most systems that the developer package is often installed
by default, even on basic installations of Linux or other modern Unix operating systems.
9. See section 5.6.3, Generic Header Checks in version 2.64 (July 26, 2009) of the GNU Autoconf
Manual (http://www.gnu.org/software/autoconf/manual/index.html).
Autotools_02.book Page 102 Tuesday, June 15, 2010 2:38 PM
www.it-ebooks.info

More Fun with Autoconf: Configuring User Options 103
In order to make this package available to as many people as possible,
we’ll use the dual-mode build approach, which will allow us to provide at
least some form of the jupiter program to users without a pthreads library. In
order to accomplish this, we need to add some conditional preprocessor
statements to src/main.c, as shown in Listing 4-11.
#if HAVE_CONFIG_H
# include <config.h>
#endif
#include <stdio.h>
#include <stdlib.h>
#if HAVE_PTHREAD_H
# include <pthread.h>
#endif
static void * print_it(void * data)
{
printf("Hello from %s!\n", (const char *)data);
return 0;
}
int main(int argc, char * argv[])
{
#if HAVE_PTHREAD_H
pthread_t tid;
pthread_create(&tid, 0, print_it, argv[0]);
pthread_join(tid, 0);
#else
print_it(argv[0]);
#endif
return 0;
}
Listing 4-11: src/main.c: Adding conditional code, based on the existence of pthread.h
In this version of main.c, we’ve added a couple of conditional checks for
the header file. If the shell script generated by AC_CHECK_HEADERS locates the
pthread.h header file, the HAVE_PTHREAD_H macro will be defined to the value 1
in the user’s config.h file. If the shell script doesn’t find the header file, the
definition will be added as a comment in config.h. Because we rely on these
definitions, we also need to include config.h at the top of main.c.
Recall that HAVE_CONFIG_H must be defined on the compiler command line
and that Autoconf populates the @DEFS@ substitution variable with this defini-
tion if config.h is available. If you choose not to use the AC_CONFIG_HEADERS macro
in configure.ac, then @DEFS@ will contain all the definitions generated by all the
macros that call AC_DEFINE. In this example, we’ve used AC_CONFIG_HEADERS, so
config.h.in will contain most of these definitions, and @DEFS@ will only contain
HAVE_CONFIG_H. The config.h.in template method significantly shortens the
Autotools_02.book Page 103 Tuesday, June 15, 2010 2:38 PM
www.it-ebooks.info

104 Chapter 4
compiler command line (and also makes it simple to take a snapshot of the
template and modify it by hand for non-Autotools platforms). Listing 4-12
shows the required changes to the src/Makefile.in template.
...
# Tool-related substitution variables
CC = @CC@
DEFS = @DEFS@
LIBS = @LIBS@
CFLAGS = @CFLAGS@
CPPFLAGS = @CPPFLAGS@
...
jupiter: main.c
$(CC) $(CFLAGS) $(DEFS) $(CPPFLAGS) -I. -I$(srcdir) -I.. \
-o $@ main.c $(LIBS)
...
Listing 4-12: src/Makefile.in: Adding the use of @DEFS@ to the src-level makefile
NOTE I’ve added $(DEFS) before $(CPPFLAGS), giving the end user the option to override any of
my policy decisions on the command line.
We now have everything we need to conditionally build the jupiter pro-
gram. If the user’s system has pthreads functionality installed, he’ll automatically
build a version of jupiter that uses multiple threads of execution; otherwise,
he’ll have to settle for serialized execution. The only thing left to do is to add
some code to configure.ac that will display a message during configuration
indicating that, if it can’t find the pthreads library, it will build a program that
uses serialized execution.
Now, consider the unlikely scenario of a user who has the header file
installed but doesn’t have the library. For example, if the user executes
configure with CPPFLAGS=-I/usr/local/include but neglects to add LDFLAGS=-L/
usr/local/lib, it will seem to configure that the header is available, but the
library is missing. This condition is easily remedied by simply skipping the
header file check entirely if configure can’t find the library. Listing 4-13 shows
the required changes to configure.ac.
...
# Checks for libraries.
have_pthreads=no
AC_SEARCH_LIBS([pthread_create], [pthread], [have_pthreads=yes])
# Checks for header files.
AC_CHECK_HEADERS([stdlib.h])
if test "x${have_pthreads}" = xyes; then
AC_CHECK_HEADERS([pthread.h], [], [have_pthreads=no])
fi
if test "x${have_pthreads}" = xno; then
AC_MSG_WARN([
Autotools_02.book Page 104 Tuesday, June 15, 2010 2:38 PM
www.it-ebooks.info

More Fun with Autoconf: Configuring User Options 105
------------------------------------------
Unable to find pthreads on this system.
Building a single-threaded version.
------------------------------------------])
fi
...
Listing 4-13: configure.ac: Adding code to indicate that multithreading is not available dur-
ing configuration
Now, when we run autoreconf and configure, we’ll see some additional
output (highlighted here):
$ autoreconf
$ ./configure
checking for gcc... gcc
...
checking for library containing pthread_create... -lpthread
...
checking pthread.h usability... yes
checking pthread.h presence... yes
checking for pthread.h... yes
configure: creating ./config.status
config.status: creating Makefile
config.status: creating src/Makefile
config.status: creating config.h
$
If a user’s system is missing the pthreads library, he’d see different output.
To emulate this for testing purposes, we can rename the pthreads libraries
(both shared and static), and then execute configure again. (Don’t forget to
restore their proper names after you’ve finished running this test.)
$ su
Password: ******
# mv /usr/lib/libpthread.so ...
# mv /usr/lib/libpthread.a ...
# exit
$ ./configure
checking for gcc... gcc
...
checking for library containing pthread_create... no
...
checking for stdint.h... yes
checking for unistd.h... yes
checking for stdlib.h... (cached) yes
configure: WARNING:
-----------------------------------------
Unable to find pthreads on this system.
Building a single-threaded version.
-----------------------------------------
configure: creating ./config.status
config.status: creating Makefile
Autotools_02.book Page 105 Tuesday, June 15, 2010 2:38 PM
www.it-ebooks.info

106 Chapter 4
config.status: creating src/Makefile
config.status: creating config.h
Had we chosen to fail the build if the pthread.h header file or the pthreads
libraries were not found, then the source code would have been simpler; there
would have been no need for conditional compilation. In that case, we could
change configure.ac to look like Listing 4-14.
...
# Checks for libraries.
have_pthreads=no
AC_SEARCH_LIBS([pthread_create], [pthread], [have_pthreads=yes])
# Checks for header files.
AC_CHECK_HEADERS([stdlib.h])
if test "x${have_pthreads}" = xyes; then
AC_CHECK_HEADERS([pthread.h], [], [have_pthreads=no])
fi
if test "x${have_pthreads}" = xno; then
AC_MSG_ERROR([
------------------------------------------
The pthread library and header file
required to build jupiter. Stopping...
Check 'config.log' for more information.
------------------------------------------])
fi
...
Listing 4-14: Failing the build if no pthreads library is found
NOTE Autoconf macros generate shell code that checks for the existence of system features and
sets variables based on these tests. However, it’s up to you as maintainer to add shell
code to configure.ac that makes functional decisions based on the contents of the
resulting variables.
Printing Messages
In the preceding examples, we used a few Autoconf macros to display mes-
sages to the user during configuration: AC_MSG_WARN and AC_MSG_ERROR. Here are
the prototypes for the various AC_MSG_* macros provided by Autoconf:
AC_MSG_CHECKING(feature-description)
AC_MSG_RESULT(result-description)
AC_MSG_NOTICE(message)
AC_MSG_ERROR(error-description[, exit-status])
AC_MSG_FAILURE(error-description[, exit-status])
AC_MSG_WARN(problem-description)
Autotools_02.book Page 106 Tuesday, June 15, 2010 2:38 PM
www.it-ebooks.info

More Fun with Autoconf: Configuring User Options 107
The AC_MSG_CHECKING and AC_MSG_RESULT macros are designed to be used
together. The AC_MSG_CHECKING macro prints a line indicating that it’s checking
for a particular feature, but it doesn’t print a carriage return at the end of
this line. Once the feature has been found (or not found) on the user’s
machine, the AC_MSG_RESULT macro prints the result at the end of the line, fol-
lowed by a carriage return that completes the line started by AC_MSG_CHECKING.
The result text should make sense in the context of the checking message. For
instance, the message Looking for a C compiler. . . might be terminated
either with the name of the compiler found or with the text not found.
The AC_MSG_NOTICE and AC_MSG_WARN macros simply print a string to the
screen. The leading text for AC_MSG_WARN is configure: WARNING:, while that of
AC_MSG_NOTICE is simply configure:.
The AC_MSG_ERROR and AC_MSG_FAILURE macros generate an error message,
stop the configuration process, and return an error code to the shell. The
leading text for AC_MSG_ERROR is configure: error:. AC_MSG_FAILURE prints a line
indicating the directory in which the error occurred, the user-specified message,
and then the line, See 'config.log' for more details.. The optional second
parameter (exit-status) in these macros allows the maintainer to specify a
particular status code to be returned to the shell. The default value is 1.
The text messages output by these macros are displayed to stdout and
sent to the config.log file, so it’s important to use these macros instead of simply
using shell echo or print statements.
Supplying multiple lines of text in the first argument of these macros is
especially important in the case of warning messages that merely indicate
that the build is continuing with limitations. On a fast build machine in a
large configuration process, a single-line warning message could zip right
past without even being noticed by the user. This is less of a problem in cases
where configure terminates with an error, because the user will easily discover
the issue at the end of the output.10
Supporting Optional Features and Packages
I’ve discussed the different ways to handle situations when a pthreads library
exists and when it doesn’t. But what if a user wants to build a single-threaded
version of jupiter when the pthreads library is installed? We certainly don’t
want to add a note to Jupiter’s README file telling the user to rename his pthreads
libraries!
10. There is a very strong sentiment on the Autoconf mailing list that you should not generate
multiline messages. The reasons given are many and varied, but they ultimately all boil down to
one: Many larger projects already generate thousands of lines of configuration output. Much
work has gone into making Autoconf-generated configuration scripts as quiet as possible, but
they’re still not very quiet. My best advice is to use multiline messages in situations where there
is simply no other way to effectively notify a user of an important issue, such as building on a
platform with unexpected limitations. Many is the time I’ve finished a 15-minute build only to
find that configure notified me in the first minute that the resulting binaries would be missing
functionality that I needed.
Autotools_02.book Page 107 Tuesday, June 15, 2010 2:38 PM
www.it-ebooks.info

108 Chapter 4
Autoconf provides two macros for working with optional features and
external software packages: AC_ARG_ENABLE and AC_ARG_WITH. Their prototypes
are as follows:
AC_ARG_WITH(package, help-string, [action-if-given], [action-if-not-given])
AC_ARG_ENABLE(feature, help-string, [action-if-given], [action-if-not-given])
As with many Autoconf macros, these two may be used simply to set some
environment variables:
zAC_ARG_WITH: ${withval} and ${with_package}
zAC_ARG_ENABLE: ${enableval} and ${enable_feature}
The macros can also be used in a more complex form, where the envi-
ronment variables are used by shell script in the macros’ optional arguments.
In either case, the resulting variable must be used in configure.ac, or it will be
pointless to perform the check.
The macros are designed to add the options --enable-feature[=yes|no]
and --with-package[=arg] to the generated configuration script’s command-
line interface, along with appropriate help text to the output generated
when the user enters configure --help. If the user gives these options, the
macros set the above environment variables within the script. (The values of
these variables may be used later in the script to set or clear various prepro-
cessor definitions or substitution variables.)
AC_ARG_WITH controls your project’s use of optional external software pack-
ages, while AC_ARG_ENABLE controls the inclusion or exclusion of optional software
features. The choice to use one or the other is often a matter of perspective
on the software you’re considering, and sometimes it’s simply a matter of
preference, as these macros provide somewhat overlapping sets of functionality.
For instance, in the Jupiter project, it could be justifiably argued that
Jupiter’s use of pthreads constitutes the use of an external software package,
so you’d use AC_ARG_WITH. However, it could also be said that asynchronous
processing is a software feature that might be enabled via AC_ARG_ENABLE. In fact,
both of these statements are true, and which option you use should be dic-
tated by a high-level architectural perspective of the feature or package to
which you’re providing optional access. The pthreads library supplies more
than just thread-creation functions—it also provides mutexes and condition
variables, both of which may be used by a library package that doesn’t create
threads. If a project provides a library that needs to act in a thread-safe man-
ner within a multithreaded process, then it will probably use mutex objects
from the pthreads library, but it may never create a thread. Thus, a user may
choose to disable asynchronous execution as a feature at configuration time,
but the project will still need to link the pthreads library in order to access the
mutex functionality. In such cases, it makes more sense to specify --enable-
async-exec than --with-pthreads.
In general, you should use AC_ARG_WITH when the user needs to choose
between implementations of a feature provided by different packages or
internally within the project. For instance, if jupiter had some reason to
Autotools_02.book Page 108 Tuesday, June 15, 2010 2:38 PM
www.it-ebooks.info

More Fun with Autoconf: Configuring User Options 109
encrypt a file, it might be written to use either an internal encryption algo-
rithm or an external encryption library. The default configuration might use
an internal algorithm, but the package might allow the user to override the
default with a command-line option, --with-libcrypto. When it comes to security,
the use of a widely understood library can really help your package gain
community trust. Offering your users a choice like this can encourage them
to try your package.
Coding Up the Feature Option
Having decided to use AC_ARG_ENABLE, how do we enable or disable the async-
exec feature by default? The difference in how these two cases are encoded in
configure.ac is limited to the help text and the shell script passed in the action-
if-not-given argument. The help text describes the available options and the
default value, and the shell script indicates what we want to happen if the option
is not specified. (Of course, if it is specified, we don’t need to assume anything.)
Say we decide that asynchronous execution is a risky or experimental fea-
ture that we want to disable by default. In this situation, we could add the
code shown in Listing 4-15 to configure.ac.
...
AC_ARG_ENABLE([async-exec],
[ --enable-async-exec enable async exec],
[async_exec=${enableval}], [async_exec=no])
...
Listing 4-15: Feature disabled by default
On the other hand, if we decide that asynchronous execution is funda-
mental to Jupiter, we should probably enable it by default, as in Listing 4-16.
...
AC_ARG_ENABLE([async-exec],
[ --disable-async-exec disable async exec],
[async_exec=${enableval}], [async_exec=yes])
...
Listing 4-16: Feature enabled by default
Now, the question is, do we check for the library and header file regard-
less of the user’s desire for this feature, or do we only check for them if the
async-exec feature is enabled? In this case, it’s a matter of preference, because
we’re using the pthreads library only for this feature. (If we were also using it
for non-feature-specific reasons, we’d have to check for it in either case.)
In cases where we need the library even if the feature is disabled, we
would add the AC_ARG_ENABLE macro call, as in the example above, and an
additional call to AC_DEFINE to create a config.h definition specifically for this
feature. Since we don’t really want to enable the feature if the library or
header file is missing—even if the user specifically requested it—we’ll also
Autotools_02.book Page 109 Tuesday, June 15, 2010 2:38 PM
www.it-ebooks.info

110 Chapter 4
add some shell code to turn the feature off if either is missing, as shown in
Listing 4-17.
...
# Checks for command-line options
AC_ARG_ENABLE([async-exec],
[ --disable-async-exec disable async execution feature],
[async_exec=${enableval}], [async_exec=yes])
have_pthreads=no
AC_SEARCH_LIBS([pthread_create], [pthread], [have_pthreads=yes])
if test "x${have_pthreads}" = xyes; then
AC_CHECK_HEADERS([pthread.h], [], [have_pthreads=no])
fi
if test "x${have_pthreads}" = xno; then
if test "x${async_exec}" = xyes; then
AC_MSG_WARN([
------------------------------------------
Unable to find pthreads on this system.
Building a single-threaded version.
------------------------------------------])
fi
async_exec=no
fi
if test "x${async_exec}" = xyes; then
AC_DEFINE([ASYNC_EXEC], 1, [async execution enabled])
fi
...
Listing 4-17: configure.ac: Properly managing an optional feature during configuration
Notice that at I’ve also added an additional test for a yes value in the
async_exec variable, because this text really belongs to the feature test, not to
the pthreads library test. Remember, we’re trying to create a logical separation
between testing for pthreads functionality and testing for the requirements of
the async-exec feature itself.
Of course, now we also have to modify src/main.c to use the new defini-
tion, as shown in Listing 4-18.
...
#if HAVE_PTHREAD_H
# include <pthread.h>
#endif
static void * print_it(void * data)
{
printf("Hello from %s!\n", (const char *)data);
return 0;
}
Autotools_02.book Page 110 Tuesday, June 15, 2010 2:38 PM
www.it-ebooks.info

More Fun with Autoconf: Configuring User Options 111
int main(int argc, char * argv[])
{
#if ASYNC_EXEC
pthread_t tid;
pthread_create(&tid, 0, print_it, argv[0]);
pthread_join(tid, 0);
#else
print_it(argv[0]);
#endif
return 0;
}
Listing 4-18: src/main.c: Changing the conditional around async-exec–specific code
Notice that we’ve left the HAVE_PTHREAD_H check around the inclusion of
the header file in order to facilitate the use of pthread.h in ways besides those
required by this feature.
In order to check for the library and header file only if the feature is
enabled, we wrap the original check code in a test of async_exec, as shown in
Listing 4-19.
...
if test "x${async_exec}" = xyes; then
have_pthreads=no
AC_SEARCH_LIBS([pthread_create], [pthread], [have_pthreads=yes])
if test "x${have_pthreads}" = xyes; then
AC_CHECK_HEADERS([pthread.h], [], [have_pthreads=no])
fi
if test "x${have_pthreads}" = xno; then
AC_MSG_WARN([
-----------------------------------------
Unable to find pthreads on this system.
Building a single-threaded version.
-----------------------------------------])
async_exec=no
fi
fi
if test "x${async_exec}" = xyes; then
AC_DEFINE([ASYNC_EXEC], 1, [async execution enabled])
fi
...
Listing 4-19: configure.ac: Checking for the library and header file only if a feature is
enabled
This time, we’ve removed the test for async_exec from the echo statements
by moving the original check from around the echo statements to around the
entire set of checks.
Autotools_02.book Page 111 Tuesday, June 15, 2010 2:38 PM
www.it-ebooks.info

112 Chapter 4
Formatting Help Strings
We’ll make one final change to our use of AC_ARG_ENABLE in Listing 4-17. Notice
that in the second argument, there are exactly two spaces between the open
square bracket and the start of the argument text. You’ll also notice that the
number of spaces between the argument and the description depends on the
length of the argument text, because the description text is supposed to be
presented to the user aligned with a particular column. There are four spaces
between --disable-async-exec and the description, but there are five spaces
after --enable-async-exec, because the word enable is one character shorter
than the word disable.
But what if the Autoconf project maintainers decide to change the format
of the help text for configuration scripts? Or what if you modify your option
name but forget to adjust the indentation on your help text?
To solve this potential problem, we’ll turn to an Autoconf helper macro
called AS_HELP_STRING, whose prototype is as follows:
AS_HELP_STRING(left-hand-side, right-hand-side,
[indent-column = '26'], [wrap-column = '79'])
This macro’s sole purpose is to abstract away knowledge about the number
of spaces that should be embedded in the help text at various places. To use
it, replace the second argument in AC_ARG_ENABLE with a call to AS_HELP_STRING, as
shown in Listing 4-20.
...
AC_ARG_ENABLE([async-exec],
[AS_HELP_STRING([--disable-async-exec],
[disable asynchronous execution @<:@default: no@:>@])],
[async_exec=${enableval}], [async_exec=yes])
...
Listing 4-20: configure.ac: Using AS_HELP_STRING
Checks for Type and Structure Definitions
Now let’s consider how we might test for system- or compiler-provided type
and structure definitions. When writing cross-platform networking software,
one quickly learns that the data sent between machines needs to be formatted
in a way that doesn’t depend on a particular CPU or operating system archi-
tecture. Some systems’ native integer sizes are 32 bits, while others’ are 64 bits.
Some systems store integer values in memory and on disk from least-significant
byte to most-significant byte, while others do the reverse.
Let’s consider an example. When using C-language structures to for-
mat network messages, one of the first roadblocks you’ll encounter is the
lack of basic C-language types that have the same size from one platform to
another. A CPU with a 32-bit machine word size would likely have a C com-
piler with 32-bit int and unsigned types. The sizes of the basic integer types
Autotools_02.book Page 112 Tuesday, June 15, 2010 2:38 PM
www.it-ebooks.info

More Fun with Autoconf: Configuring User Options 113
in the C language are implementation defined. This is by design, in order
to allow implementations to use sizes for char, short, int, and long that are
optimal for each platform.
While this language feature is great for optimizing software designed to
run on one platform, it’s not very helpful when choosing types to move data
between platforms. In order to address this problem, engineers have tried
everything from sending network data as strings (think XML), to inventing
their own sized types.
In an attempt to remedy this shortcoming in the language, the C99 stan-
dard provides the sized types intN_t and uintN_t, where N may be 8, 16, 32, or 64.
Unfortunately, not all of today’s compilers provide these types. (Not surprisingly,
GNU C has been at the forefront for some time now, providing C99-sized types
with the inclusion of the new stdint.h header file.)
To alleviate the pain to some extent, Autoconf provides macros for
determining whether C99-specific standardized types exist on a user’s plat-
form, and defining them if they don’t exist. For example, you can add a call
to AC_TYPE_UINT16_T to configure.ac in order to ensure that uint16_t exists on
your users’ platforms, either as a system definition in stdint.h or (the non-
standard but more prolific) inttypes.h, or as an Autoconf definition in config.h.
The compiler tests for such integer-based types are typically written by a
generated configuration script as a bit of C code that looks like the code
shown in Listing 4-21.
int main()
{
static int test_array[1 - 2 * !((uint16_t) -1 >> (16 - 1) == 1)];
test_array[0] = 1;
return 0;
}
Listing 4-21: A compiler check for a proper implementation of uint16_t
You’ll notice that the important line in Listing 4-21 is the one at in
which test_array is declared. Autoconf is relying on the fact that all C compil-
ers will generate an error if you attempt to define an array with a negative size.
If uint16_t isn’t exactly 16 bits of unsigned data on this platform, the array
size will be negative.
Notice, too, that the bracketed expression in the listing is a compile-time
expression.11 Whether this could have been done with simpler syntax is anyone’s
guess, but this code does the trick on all the compilers Autoconf supports. The
array is defined with a nonnegative size only if the following three conditions
are met:
zuint16_t is defined in one of the included header files.
zThe size of uint16_t is exactly 16 bits.
zuint16_t is unsigned on this platform.
11. It would have to be a compile-time expression, anyway, as C-language array sizes must be
statically defined.
Autotools_02.book Page 113 Tuesday, June 15, 2010 2:38 PM
www.it-ebooks.info

114 Chapter 4
Follow the pattern shown in Listing 4-22 to use the definitions provided
by this macro. Even on systems where stdint.h or inttypes.h are not available,
Autoconf will add code to config.h that will define uint16_t if the system header
files don’t provide it, so you can use the type in your source code without
additional tests.
#if HAVE_CONFIG_H
# include <config.h>
#endif
#if HAVE_STDINT_H
# include <stdint.h>
#elif HAVE_INTTYPES_H
# include <inttypes.h>
#endif
...
uint16_t x;
...
Listing 4-22: Source code that properly uses Autoconf’s uint16_t definitions
Autoconf offers a few dozen type checks like AC_TYPE_UINT16_T, as detailed
in Section 5.9 of the GNU Autoconf Manual. In addition, a generic type check
macro, AC_CHECK_TYPES, allows you to specify a comma-separated list of ques-
tionable types that your project needs.
NOTE This list is comma-separated because some definitions (like struct fooble) may have
embedded spaces. Since they are comma-delimited, you must use Autoconf’s square-
bracket quotes around this parameter if you list more than one type.
Here is the formal declaration of AC_CHECK_TYPES:
AC_CHECK_TYPES(types, [action-if-found], [action-if-not-found],
[includes = 'default-includes'])
If you don’t specify a list of header files in the last parameter, the default
headers will be used in the compiler test by way of the macro AC_INCLUDES_DEFAULT,
which expands to the text shown in Listing 4-23.
#include <stdio.h>
#ifdef HAVE_SYS_TYPES_H
# include <sys/types.h>
#endif
#ifdef HAVE_SYS_STAT_H
# include <sys/stat.h>
#endif
#ifdef STDC_HEADERS
# include <stdlib.h>
# include <stddef.h>
Autotools_02.book Page 114 Tuesday, June 15, 2010 2:38 PM
www.it-ebooks.info

More Fun with Autoconf: Configuring User Options 115
#else
# ifdef HAVE_STDLIB_H
# include <stdlib.h>
# endif
#endif
#ifdef HAVE_STRING_H
# if !defined STDC_HEADERS && defined HAVE_MEMORY_H
# include <memory.h>
# endif
# include <string.h>
#endif
#ifdef HAVE_STRINGS_H
# include <strings.h>
#endif
#ifdef HAVE_INTTYPES_H
# include <inttypes.h>
#endif
#ifdef HAVE_STDINT_H
# include <stdint.h>
#endif
#ifdef HAVE_UNISTD_H
# include <unistd.h>
#endif
Listing 4-23: The definition of AC_INCLUDES_DEFAULT, as of Autoconf version 2.64
If you know that your type is not defined in one of these header files, you
should specify one or more header files to be included in the test, as shown
in Listing 4-24. This listing includes the default header files first, followed by the
additional header files (which will often need some of the defaults anyway).
AC_CHECK_TYPES([struct doodah], [], [], [
AC_INCLUDES_DEFAULT
#include<doodah.h>
#include<doodahday.h>])
Listing 4-24: Using a non-default set of includes in the check for struct doodah
Notice at in Listing 4-24 that I’ve wrapped the last parameter of the
macro over three lines in configure.ac, without indentation. This text is included
verbatim in the test source file, and because some older compilers have a
problem with placing the hash mark in a preprocessor statement anywhere
other than the first column, it’s a good idea to tell Autoconf to start each
#include line in column one in this manner.
NOTE These are the sorts of things that developers complain about with regard to Autoconf.
When you have problems with such syntax, check the config.log file for the complete
source code for all failed tests, including the compiler output generated during compila-
tion of the test. This information often provides the solution to your problem.
Autotools_02.book Page 115 Tuesday, June 15, 2010 2:38 PM
www.it-ebooks.info

116 Chapter 4
The AC_OUTPUT Macro
Finally, we come to the AC_OUTPUT macro, which expands, within configure,
into shell code that generates the config.status script based on the data specified
in the previous macro expansions. All other macros must be used before
AC_OUTPUT is expanded, or they will be of little value to your generated configure
script. (Additional shell script may be placed in configure.ac after AC_OUTPUT, but it
will not affect the configuration or file generation performed by config.status.)
Consider adding shell echo or print statements after AC_OUTPUT to tell the
user how the build system is configured based on the specified command-line
options. You can also use these statements to tell the user about additional
useful targets for make. For example, one of my projects contains the code
shown in Listing 4-25 after AC_OUTPUT in configure.ac.
...
AC_OUTPUT
echo \
"-------------------------------------------------
${PACKAGE_NAME} Version ${PACKAGE_VERSION}
Prefix: '${prefix}'.
Compiler: '${CC} ${CFLAGS} ${CPPFLAGS}'
Package features:
Async Execution: ${async_exec}
Now type 'make @<:@<target>@:>@'
where the optional <target> is:
all - build all binaries
install - install everything
--------------------------------------------------"
Listing 4-25: configure.ac: Adding configuration summary text to the output of configure
Adding such output to the end of configure.ac is a handy project feature,
because it tells the user, at a glance, exactly what happened during configu-
ration. Since variables such as debug are set to on or off based on configuration,
the user can see whether the configuration he asked for actually took place.
Autotools_02.book Page 116 Tuesday, June 15, 2010 2:38 PM
www.it-ebooks.info

More Fu n with Au toconf: Configuring User Options 117
Summary
In this chapter, we’ve covered some of the more advanced constructs found
in the configure.ac files for many projects. We started with the macros required
to generate substitution variables. I refer to these as “advanced” macros because
many of the higher-level Autoconf macros use AC_SUBST and AC_DEFINE inter-
nally, making them somewhat transparent to you. However, knowing about
them helps you to understand how Autoconf works and also provides some
of the background information necessary for helping you learn to write your
own macros.
We covered checks for compilers and other tools, as well as checks for
non-ubiquitous data types and structures on your users’ systems. The examples
in this chapter were designed to help you to understand the proper use of
the Autoconf type- and structure-definition check macros, as well as others.
QUADRI GRAPHS
Those funny character sequences around the word <target> in Listing 4-25 are
called quadrigraph sequences or simply quadrigraphs. They serve the same purpose
as escape sequences, but quadrigraphs are a little more reliable than escaped char-
acters or escape sequences because they’re never subject to ambiguity.
The sequence @<:@ is the quadrigraph sequence for the open square bracket
character, while @:>@ is the quadrigraph for the closed square bracket character.
These quadrigraphs will always be output by autom4te as literal square bracket char-
acters. This happens after M4 is finished with the file, so it has no opportunity to mis-
interpret them as Autoconf quote characters.1
If you’re interested in studying quadrigraphs in more detail, check out Section 8
of the GNU Autoconf Manual.
1. Version 2.62 (and later) of Autoconf does a much better job of deciphering the user’s intent
with respect to the use of square brackets than earlier versions do. In the past, you might have
needed to use a quadrigraph to force Autoconf to display a square bracket, but now, you can
use the character itself. Most of the problems that occur are a result of not properly quoting argu-
ments. This enhanced functionality comes primarily from enhancements to Autoconf library macros
that might accept square bracket characters in arguments. To ensure that square brackets are not
misinterpreted in your own configure.ac code, you should read up on M4 double quotation in
“Quoting Rules” on page 258.
Autotools_02.book Page 117 Tuesday, June 15, 2010 2:38 PM
www.it-ebooks.info
118 Chapter 4
We also examined a technique for debugging the use of complex Auto-
conf macros: using picket fences around a macro call in configure.ac in order
to quickly locate the associated generated text in configure. We looked at
checks for libraries and header files, and we examined some of the details
involved in the proper use of these Autoconf macros. We went into great
detail about building a robust and user-friendly configuration process, includ-
ing the addition of project-specific command-line options to generated
configure scripts.
Finally, we discussed the proper placement of the AC_OUTPUT macro in
configure.ac, as well as the addition of some summary-generation shell code
designed to help your users understand what happened during the configu-
ration of your project on their system.
The next chapter takes us away from Autoconf for a while, as we turn our
attention to GNU Automake, an Autotools toolchain add-on that abstracts many
of the details of creating very functional makefiles for open source projects.
Autotools_02.book Page 118 Tuesday, June 15, 2010 2:38 PM
www.it-ebooks.info

AUTOMATIC MAKEFILES
WITH AUTOMAKE
If you understand, things are just as they are;
if you do not understand, things are just as they are.
—Anonymous
Shortly after Autoconf began its journey to
success, David MacKenzie started working
on a new tool for automatically generating
makefiles for a GNU project: Automake. During
early development of the GNU Coding Standards, it
became apparent to MacKenzie that because the GCS
is fairly specific about how and where a project’s products should be built,
tested, and installed, much of a GNU project makefile was boilerplate mate-
rial. Automake takes advantage of this fact to make maintainers’ lives easier.
MacKenzie’s work on Automake lasted almost a year, ending around
November 1994. A year later, in November 1995, Tom Tromey (of Red Hat
and Cygnus fame) took over the Automake project and played a significant
role in its development. Although MacKenzie wrote the initial version of
Automake in Bourne shell script, Tromey completely rewrote the tool in Perl
and continued to maintain and enhance Automake over the next five years.
Autotools_02.book Page 119 Tuesday, June 15, 2010 2:38 PM
www.it-ebooks.info

120 Chapter 5
By the end of 2000, Alexandre Duret-Lutz had essentially taken over
maintenance of the Automake project. His role as project lead lasted until
about mid-2007, and since then, the project has been maintained by Ralf
Wildenhues,1 with occasional input from Akim Demaille and Jim Meyering.
Most of the complaints I’ve seen about the Autotools are ultimately asso-
ciated with Automake. The reasons are simple: Automake provides the highest
level of abstraction over the build system, and imposes a fairly rigid structure
on projects that use it. Automake’s syntax is concise—in fact, it’s terse, almost
to a fault. One Automake statement represents a lot of functionality. But
once you understand it, you can get a fairly complete, complex, and func-
tionally correct build system up and running in short order—that is, in
minutes, not hours or days.
In this chapter, I’ll provide you with some insight into the inner work-
ings of Automake. With such insight, you’ll begin to feel comfortable not only
with what Automake can do for you but also with extending it in areas where
its automation falls short.
Getting Down to Business
Let’s face it—getting a makefile right is often difficult. The devil, as they say,
is in the details. Consider the following changes to the files in our project
directory structure, as we continue to improve the project build system for
Jupiter:
$ rm autogen.sh Makefile.in src/Makefile.in
$ echo "SUBDIRS = src" > Makefile.am
$ echo "bin_PROGRAMS = jupiter
> jupiter_SOURCES = main.c" > src/Makefile.am
$ touch NEWS README AUTHORS ChangeLog
$ ls -1
AUTHORS
ChangeLog
configure.ac
Makefile.am
NEWS
README
src
$
The rm command at deletes our hand-coded Makefile.in templates and
the autogen.sh script we wrote to ensure that all the support scripts and files
are copied into the root of our project directory. We won’t need this script
anymore, because we’re upgrading Jupiter to Automake proper. (For the sake
of brevity, I’ve used echo statements at and to write the new Makefile.am
files; you can use a text editor if you wish.)
NOTE There is a hard carriage return at the end of the line at . The shell will continue to
accept input after the carriage return until the quotation is closed.
1. I owe many heartfelt thanks to Ralf for kindly answering so many seemingly trivial questions
while I worked on this book.
Autotools_02.book Page 120 Tuesday, June 15, 2010 2:38 PM
www.it-ebooks.info

Automatic Makefiles with Automake 121
I’ve used the touch command at to create new, empty versions of the
NEWS, README, AUTHORS, and ChangeLog files in the project root direc-
tory. (The INSTALL and COPYING files are added by autoreconf –i.) These
files are required by the GCS for all GNU projects. And although they’re not
required for non-GNU programs, they’ve become something of an institution
in the OSS world; users have come to expect them.
NOTE The GNU Coding Standards covers the format and contents of these files. Sections 6.7
and 6.8 cover the NEWS and ChangeLog files, respectively, and Section 7.3 covers
the README, INSTALL, and COPYING files. The AUTHORS file is a list of people
(names and optional email addresses) to whom attribution should be given.2
Enabling Automake in configure.ac
To enable Automake within the build system, I’ve added a single line to
configure.ac: a call to AM_INIT_AUTOMAKE between the calls to AC_INIT and
AC_CONFIG_SRCDIR, as shown in Listing 5-1.
...
AC_INIT([Jupiter], [1.0], [jupiter-bugs@example.org])
AM_INIT_AUTOMAKE
AC_CONFIG_SRCDIR([src/main.c])
...
Listing 5-1: Adding Automake functionality to configure.ac
If your project has already been configured with Autoconf, this is the only
line that’s required to enable Automake, besides the normal requirements of
an Autoconf input file. The AM_INIT_AUTOMAKE macro accepts an optional argu-
ment: a whitespace-separated list of option tags, which can be passed into this
macro to modify the general behavior of Automake. For a detailed description
of each option, see Chapter 17 of the GNU Automake Manual.3 I will, however,
point out a few of the most useful options here.
check-news
The check-news option causes make dist to fail if the project’s current version
(from configure.ac) doesn’t show up in the first few lines of the NEWS file.
dist-bzip2, dist-lzma, dist-shar, dist-zip, dist-tarZ
You can use the dist-* options to change the default distribution package
type. By default, make dist builds a .tar.gz file, but developers often want
to distribute, for example, .tar.bz2 packages instead. These options make
the change quite easy. (Even without the dist-bzip2 option, you can over-
ride the current default by using make dist-bzip2, but using the option is
simpler if you always want to build .bz2 packages.)
2. This information is taken from the March 27, 2010 version of the GNU Coding Standards at
http://www.gnu.org/prep/standards/.
3. See the Free Software Foundation’s GNU Automake Manual at http://www.gnu.org/software/
automake/manual.
Autotools_02.book Page 121 Tuesday, June 15, 2010 2:38 PM
www.it-ebooks.info

122 Chapter 5
readme-alpha
The readme-alpha option temporarily alters the behavior of the build and
distribution processes during alpha releases of a project. Using this option
causes a file named README-alpha, found in the project root directory,
to be distributed automatically. The use of this option also alters the
expected versioning scheme of the project.
-Wcategory, --warnings=category
The -Wcategory and --warnings=category options indicate that the project
would like to use Automake with various warning categories enabled.
Multiple such options can be used with different category tags. Refer to
the GNU Automake Manual to find a list of valid categories.
silent-rules
The silent-rules feature causes Automake to generate makefiles that
allow the user to specify that only the toolname and output filename are
sent to stdout during the build. The resulting output looks something
like this:
$ make
CC foo.o
CXX bar.o
...
CXXLD prog
$
parallel-tests
The parallel-tests feature allows checks to be executed in parallel in
order to take advantage of multiprocessor machines during execution
of the check target.
version
The version option is actually a placeholder for a version number that
represents the lowest version of Automake that is acceptable for this
project. For instance, if 1.11 is passed as an option tag, Automake will fail
while processing configure.ac if its version is earlier than 1.11. This can be
useful if you’re trying to use features that only exist in the latest version
of Automake.
With the new Makefile.am files in place and Automake enabled in
configure.ac, let’s run autoreconf with the -i option in order to add any new
utility files that Automake may require for our project:
$ autoreconf -i
configure.ac:6: installing `./install-sh'
configure.ac:6: installing `./missing'
src/Makefile.am: installing `./depcomp'
Makefile.am: installing `./INSTALL'
Makefile.am: installing `./COPYING'
Makefile.am: Consider adding the COPYING file to the version control
system
Autotools_02.book Page 122 Tuesday, June 15, 2010 2:38 PM
www.it-ebooks.info

Automatic Makefiles with Automake 123
Makefile.am: for your code, to avoid questions about which license your
project uses.
$
$ ls -1p
aclocal.m4
AUTHORS
autom4te.cache/
ChangeLog
config.h.in
configure
configure.ac
COPYING
depcomp
INSTALL
install-sh
Makefile.am
Makefile.in
missing
NEWS
README
src/
$
Adding the AM_INIT_AUTOMAKE macro to configure.ac causes autoreconf -i to
now execute automake -i, which includes a few more new utility files: aclocal.m4,
install-sh, missing, and depcomp. Additionally, Automake now generates Makefile.in
from Makefile.am.
Automake also adds default INSTALL and COPYING text files containing
boilerplate text that pertains specifically to the GNU project. You can modify
these files for your projects as you see fit. I find the default INSTALL file text
to be useful for general-purpose instructions related to Autotools-built projects,
but I like to prepend some project-specific information to the top of this file
before committing it to my repository. Automake’s -i option won’t overwrite
these text files in a project that already contains them, so feel free to modify
the default files as you see fit, once they’ve been added by autoreconf -i.
The COPYING file contains the text of the GPL, which may or may not
apply to your package. If your project is released under GPL, just leave the
text as is. If you’re releasing under another license, such as the BSD, MIT, or
Apache Commons licenses, replace the default text with text appropriate for
that license.4
NOTE You only need to use the -i option once in a newly checked-out work area or a newly created
project. Once the missing utility files have been added, you can drop the -i option in
future calls to autoreconf.
The commands listed above create an Automake-based build system that
contains everything we wrote into our original Makefile.in templates, except
that this system is more correct and functionally complete according to the
GCS. A glance at the resulting generated Makefile.in template shows that
4. See the Open Source Initiative website at http://opensource.org/ for current license text for
nearly all known open source licenses.
Autotools_02.book Page 123 Tuesday, June 15, 2010 2:38 PM
www.it-ebooks.info
124 Chapter 5
Automake has done a significant amount of work for us. The resulting top-
level Makefile.in template is nearly 18KB, while the original, hand-coded
makefiles were only a few hundred bytes long.
An Automake build system supports the following important make targets
(derived from an Automake-generated Makefile):
As you can see, this goes far beyond what we could provide in our hand-
coded Makefile.in templates. Automake writes this base functionality into
every project that uses it.
A Hidden Benefit: Automatic Dependency Tracking
In “Dependency Rules” on page 29 we discussed make dependency rules.
These are rules we define in makefiles so that make is aware of the hidden rela-
tionships between C-language source files and included header files. Auto-
make goes to a lot of trouble to ensure that you don’t have to write such
dependency rules for languages it understands, like C, C++, and Fortran. This
is an important feature for projects containing more than a few source files.
Writing dependency rules by hand for dozens or hundreds of source files
is both tedious and error prone. In fact, it’s such a problem that compiler
writers often provide a mechanism that enables the compiler to write these
rules automatically based on its internal knowledge of the source files and
the language. The GNU compilers, among others, support a family of –M
options (i.e., -M, -MM, -MF, -MG, and so on) on the command line. These options
tell the compiler to generate a make dependency rule for the specified source
file. (Some of these options can be used on the normal compiler command
line, so the dependency rule can be generated when the source file is being
compiled.)
The simplest of these options is the basic –M option, which causes the
compiler to generate a dependency rule for the specified source file on
stdout and then terminate. This rule can be captured in a file, which is then
included by the makefile so that the dependency information within this rule
is incorporated into the directed graph that make builds.
all distdir install
install-strip install-data install-exec
uninstall install-dvi install-html
install-info install-ps install-pdf
installdirs check installcheck
mostlyclean clean distclean
maintainer-clean dvi pdf
ps info html
tags ctags dist
dist-bzip2 dist-gzip dist-lzma
dist-shar dist-zip dist-tarZ
Autotools_02.book Page 124 Tuesday, June 15, 2010 2:38 PM
www.it-ebooks.info

Automatic Makefiles with Automake 125
But what happens on systems where the native compilers don’t provide
dependency generation options, or where they don’t work together with the
compilation process? In such cases, Automake provides a wrapper script called
depcomp that executes the compiler twice: once for dependency information,
and again to compile the source file. When the compiler lacks the options to
generate any dependency information, another tool may be used to recursively
determine which header files affect a given source file. On systems where
none of these options are available, automatic dependency generation fails.
NOTE For a more detailed description of the dependency-generating compiler options, see
“Item 11: Using Generated Source Code” on page 302. For more on Automake depen-
dency management, see the relevant sections of the GNU Automake Manual.
What’s in a Makefile.am File?
In Chapter 3 we discussed how Autoconf accepts as input a shell script
sprinkled with M4 macros, and then generates the same shell script with
those macros fully expanded. Likewise, Automake accepts as input a makefile
sprinkled with Automake commands. Just as Autoconf’s input files are simply
enhanced shell scripts, Automake Makefile.am files are nothing more than
standard makefiles with additional Automake-specific syntax.
One significant difference between Autoconf and Automake is that the
only text Autoconf outputs is the existing shell script in the input file and any
additional shell script resulting from the expansion of embedded M4 macros.
Automake, on the other hand, assumes that all makefiles should contain a
minimal infrastructure designed to support the GCS, in addition to any targets
and variables that you specify.
To illustrate this point, create a temp directory in the root of the Jupiter
project and add an empty Makefile.am file to it. Next, add this new Makefile.am
to the project’s configure.ac file with a text editor and reference it from the
top-level Makefile.am file, like this:
$ mkdir temp
$ touch temp/Makefile.am
$ echo "SUBDIRS = src temp" > Makefile.am
$ vi configure.ac
...
AC_CONFIG_FILES([Makefile
src/Makefile
temp/Makefile])
...
$ autoreconf
$ ./configure
...
$ ls -1sh temp
total 20K
12K Makefile
0 Makefile.am
8.0K Makefile.in
$
Autotools_02.book Page 125 Tuesday, June 15, 2010 2:38 PM
www.it-ebooks.info

126 Chapter 5
I used an echo statement at to rewrite a new top-level Makefile.am file
that has SUBDIRS reference both src and temp. I used vi to add temp/Makefile to
the list of makefiles Autoconf will generate from templates (). As you can
see, there is a certain amount of support code generated into every makefile
that Automake considers indispensable. Even an empty Makefile.am file gen-
erates an 8KB Makefile.in template (), from which configure generates a
12KB Makefile ().5
Since the make utility uses a fairly rigid set of rules for processing makefiles,
Automake takes some license with your additional make code. Specifically:
zmake variables defined in Makefile.am files are placed at the top of the
resulting Makefile.in template, immediately following any Automake-
generated variable definitions.
zmake rules specified in Makefile.am files are placed at the end of the result-
ing Makefile.in template, immediately after any Automake-generated rules.
zMost Autoconf variables substituted by config.status are converted to
make variables and initialized to those substitution variables.
The make utility doesn’t care where rules are in relation to each other,
because it reads every rule into an internal database before processing any of
them. Variables are treated similarly, as long as they are defined before the
rules that use them. In order to avoid any variable binding issues, Automake
places all variables at the top of the output file in the order in which they’re
defined in the input file.
Analyzing Our New Build System
Now let’s look at what we put into those two simple Makefile.am files, begin-
ning with the top-level Makefile.am file (shown in Listing 5-2).
SUBDIRS = src
Listing 5-2: Makefile.am: The top-level Makefile.am file contains only a subdirectory reference.
This single line of text tells Automake several things about our project:
zOne or more subdirectories contain makefiles to be processed in addi-
tion to this file.6
zDirectories in this space-delimited list should be processed in the order
specified.
zDirectories in this list should be recursively processed for all primary targets.
zDirectories in this list should be treated as part of the project distribu-
tion, unless otherwise specified.
5. It’s fairly instructive to examine the contents of this Makefile.in template to see the Autoconf
substitution variables that are passed in, as well as the framework code that Automake generates.
6. I refer here to actual makefiles, not Makefile.am files. Automake determines the list of Makefile.am
files to process from configure.ac’s AC_CONFIG_FILES list. The SUBDIRS list merely exists to tell make
which directories to process from the current makefile, and in which order.
Autotools_02.book Page 126 Tuesday, June 15, 2010 2:38 PM
www.it-ebooks.info

Automatic Makefiles with Automake 127
As with most Automake constructs, SUBDIRS is simply a make variable that
has special meaning for Automake. The SUBDIRS variable may be used to
process Makefile.am files within arbitrarily complex directory structures, and
the directory list may contain any relative directory references (not just imme-
diate subdirectories). You might say that SUBDIRS is kind of like the glue that
holds makefiles together in a project’s directory hierarchy.
Automake generates recursive make rules that implicitly process the current
directory after those specified in the SUBDIRS list, but it’s often necessary to
build the current directory before some or all of the other directories in the
list. You may change the default ordering by referencing the current directory
with a dot anywhere in the SUBDIRS list. For example, to build the top-level
directory before the src directory, you could change the SUBDIRS variable in
Listing 5-2 as follows:
SUBDIRS = . src
Now let’s turn to the Makefile.am file in the src directory, shown in Listing 5-3.
bin_PROGRAMS = jupiter
jupiter_SOURCES = main.c
Listing 5-3: src/Makefile.am: The initial version of this Makefile.am file contains only two lines.
The first line is a product list variable specification, and the second line
is a product source variable specification.
Product List Variables
Products are specified in a Makefile.am file using a product list variable (PLV),
which (like SUBDIRS) is a class of make variables that have special meaning to
Automake. The following template shows the general format of a PLV:
[modifier-list]prefix_PRIMARY = product1 product2 ... productN
The PLV name in the first line of Listing 5-3 consists of two components:
the prefix (bin) and the primary (PROGRAMS), separated by an underscore (_).
The value of the variable is a whitespace-separated list of products generated
by this Makefile.am file.
Installation Location Prefixes
The bin portion of the product list variable shown in Listing 5-3 is an example
of an installation location prefix. The GCS defines many common installation
locations, and most are listed in Table 2-1 on page 46. However, any make
variable ending in dir, whose value is a filesystem location, is a viable installa-
tion location variable and may be used as a prefix in an Automake PLV.
You reference an installation location variable in a PLV prefix by omitting
the dir portion of the variable name. For example, in Listing 5-3, the $(bindir)
make variable is referred to only as bin when it is used as an installation loca-
tion prefix.
Autotools_02.book Page 127 Tuesday, June 15, 2010 2:38 PM
www.it-ebooks.info

128 Chapter 5
Automake also recognizes four installation location variables starting with
the special prefix pkg: pkglibdir, pkgincludedir, pkgdatadir, and pkglibexecdir.
These pkg versions of the standard libdir, includedir, datadir, and libexecdir
variables indicate that the listed products should be installed in a subdirec-
tory of these locations named after the package. For example, in the Jupiter
project, products listed in a PLV prefixed with lib would be installed into
$(libdir), while those listed in a PLV prefixed with pkglib would be installed
into $(libdir)/jupiter.
Since Automake derives the list of valid installation locations and pre-
fixes from all make variables ending in dir, you may provide your own PLV
prefixes that refer to custom installation locations. To install a set of XML
files into an xml directory within the system data directory, you could use the
code in Listing 5-4 in your Makefile.am file.
xmldir = $(datadir)/xml
xml_DATA = file1.xml file2.xml file3.xml ...
Listing 5-4: Specifying a custom installation directory
Installation location variables will contain default values defined either
by Automake-generated makefiles or by you in your Makefile.am files, but
your users can always override these default values on their configure or make
command lines. If you don’t want certain products to be installed during a
particular build, specify an empty value in an installation location variable on
the command line; the Automake-generated rules will ensure that products
intended for those directories aren’t installed. For example, to install only
documentation and shared data files for a package, you could enter make
bindir='' libdir='' install.
Prefixes Not Associated with Installation
Certain prefixes are not related to installation locations. For example, noinst,
check, and EXTRA are used (respectively) to indicate products that are not
installed, used only for testing, or are optionally built. Here’s a little more
information about these three prefixes:
zThe noinst prefix indicates that the listed products should be built but
not installed. For example, a static so-called convenience library might be
built as an intermediate product and then used in other stages of the
build process to build final products. The noinst prefix tells Automake
that the product should not be installed and that only a static library
should be built. (After all, it makes no sense to build a shared library that
won’t be installed.)
zThe check prefix indicates products that are to be built only for testing
purposes and will thus not need to be installed. Products listed in PLVs
prefixed with check are only built if the user enters make check.
zThe EXTRA prefix is used to list programs that are conditionally built. Auto-
make requires that all source files be specified statically within a Makefile.am
file, as opposed to being calculated or derived during the build process,
Autotools_02.book Page 128 Tuesday, June 15, 2010 2:38 PM
www.it-ebooks.info

Automatic Makefiles with Automake 129
so that it can generate a Makefile.in template that will work for any possible
command line. However, a project maintainer may elect to allow some
products to be built conditionally based on configuration options given
to the configure script. If products are listed in variables generated by the
configure script, they should also be listed in a PLV, prefixed with EXTRA,
within a Makefile.am file. This concept is illustrated in Listings 5-5 and 5-6.
AC_INIT(...)
...
optional_programs=
AC_SUBST([optional_programs])
...
if test "x$(build_opt_prog)" = xyes; then
optional_programs=$(optional_programs) optprog
fi
...
Listing 5-5: A conditionally built program defined in a shell variable in configure.ac
EXTRA_PROGRAMS = optprog
bin_PROGRAMS = myprog $(optional_programs)
Listing 5-6: Using the EXTRA prefix to conditionally define products in Makefile.am
At in Listing 5-5, optprog is appended to an Autoconf substitution vari-
able called optional_programs. The EXTRA_PROGRAMS variable at in Listing 5-6
lists optprog as a product that may or may not be build, based on end-user
configuration choices, which determine whether $(optional_programs) at is
empty or contains optprog.
While it may appear redundant to specify optprog in both configure.ac and
Makefile.am, Automake needs the information in EXTRA_PROGRAMS because it cannot
attempt to interpret the possible values of $(optional_programs), as defined in
configure.ac. Hence, adding optprog to EXTRA_PROGRAMS in this example tells Auto-
make to generate rules to build it, even if the value of the $(optional_programs)
variable doesn’t contain optprog during a particular build.
Primaries
Primaries are like product classes, and they represent types of products that
might be generated by a build system. A primary defines the set of steps
required to build, test, install, and execute a particular class of products. For
example, programs and libraries are built using different compiler and linker
commands, Java classes require a virtual machine to execute them, and Python
programs require an interpreter. Some product classes, such as scripts, data,
and headers, have no build, test, or execution semantics—only installation
semantics.
The list of supported primaries defines the set of product classes that can
be built automatically by an Automake build system. Automake build systems
can still build other product classes, but the maintainer must define the make
rules explicitly within the project’s Makefile.am files.
Autotools_02.book Page 129 Tuesday, June 15, 2010 2:38 PM
www.it-ebooks.info
130 Chapter 5
A thorough understanding the Automake primaries is the key to prop-
erly using Automake. Some of the most important primaries are as follows.
PROGRAMS
When the PROGRAMS primary is used in a PLV, Automake generates make
rules that use compilers and linkers to build binary executable programs
for the listed products.
LIBRARIES / LTLIBRARIES
The use of the LIBRARIES primary causes Automake to generate rules that
build static archives (libraries) using the system compiler and librarian.
The LTLIBRARIES primary does the same thing, but the generated rules
also build Libtool shared libraries and execute these tools (as well as the
linker) through the libtool script. (I’ll discuss the Libtool package in
detail in Chapters 6 and 7.) Automake restricts the installation locations
for the LIBRARIES and LTLIBRARIES primaries: They can only be installed in
$(libdir) and $(pkglibdir).
PYTHON
Python is an interpreted language; the python interpreter converts a Python
script, line by line, into Python byte code, executing it as it’s converted,
so (like shell scripts) Python source files are executable as written. The
use of the PYTHON primary tells Automake to generate rules that precompile
Python source files (.py) into standard (.pyc) and optimized (.pyo) byte-
compiled versions using the py-compile utility. Because of the normally
interpreted nature of Python sources, this compilation occurs at install
time rather than at build time.
JAVA
Java is a virtual machine platform; the use of the JAVA primary tells Auto-
make to generate rules that convert Java source files (.java) into Java
class files (.class) using the javac compiler. While this process is correct,
it’s not complete. Java programs (of any consequence) generally contain
more than one class file, which are usually packaged as .jar or .war files,
both of which may also contain several ancillary text files. The JAVA pri-
mary is useful, but only just. (I’ll discuss using—and extending—the JAVA
primary in “Building Java Sources Using the Autotools” on page 230.)
SCRIPTS
Script, in this context, refers to any interpreted text file—whether it’s
shell, Perl, Python, Tcl/Tk, JavaScript, Ruby, PHP, Icon, Rexx, or some
other. Automake allows a restricted set of installation locations for the
SCRIPTS primary, including $(bindir), $(sbindir), $(libexecdir), and
$(pkgdatadir). While Automake doesn’t generate rules to build scripts, it
also doesn’t assume that a script is a static file in the project. Scripts are
often generated by hand-written rules in Makefile.am files, sometimes
by processing an input file with the sed or awk utilities. For this reason,
scripts are not distributed automatically. If you have a static script in your
project that you’d like Automake to add to your distribution tarball, you
should prefix the SCRIPTS primary with the dist modifier as discussed in
“PLV and PSV Modifiers” on page 132.
Autotools_02.book Page 130 Tuesday, June 15, 2010 2:38 PM
www.it-ebooks.info

Automatic Makefiles with Automake 131
DATA
Arbitrary data files can be installed using the DATA primary in a PLV.
Automake allows a restricted set of installation locations for the
DATA primary, including $(datadir), $(sysconfdir), $(sharedstatedir),
$(localstatedir), and $(pkgdatadir). Data files are not automatically
distributed, so if your project contains static data files, use the dist
modifier on the DATA primary as discussed in “PLV and PSV Modifiers” on
page 132.
HEADERS
Header files are a form of source file. Were it not for the fact that some
header files are installed, they could simply be listed with the product
sources. Header files containing the public interface for installed library
products are installed into either the $(includedir) or a package-specific
subdirectory defined by $(pkgincludedir), so the most common PLVs for
such installed headers are the include_HEADERS and pkginclude_HEADERS vari-
ables. Like other source files, header files are distributed automatically.
If you have a generated header file, use the nodist modifier with the
HEADERS primary as discussed in “PLV and PSV Modifiers” on page 132.
MANS
Man pages are UTF-8 text files containing troff markup, which is rendered
by man when viewed by a user. Man pages can be installed using the man_MANS
or manN_MANS product list variables, where N represents a single-digit section
number between 0 and 9. Files in the man_MANS PLV should have a numeric
extension indicating the man section to which they belong and their target
directory. Files in the manN_MANS PLV may be named with either numeric
extensions or a .man extension, which will be renamed to the associated
numeric extensions when they’re installed by make install. Project man
pages are not distributed by default because man pages are often gener-
ated, so you should use the dist modifier as discussed in “PLV and PSV
Modifiers” on page 132.
TEXINFOS
When it comes to Linux or Unix documentation, Texinfo7 is the GNU
project format of choice. The makeinfo utility accepts Texinfo source files
(.texinfo, .txi, or .texi) and renders info files (.info) containing UTF-8 text
annotated with Texinfo markup, which the info utility renders into for-
matted text for the user. The most common product list variable for use
with Texinfo sources is info_TEXINFOS. The use of this PLV causes Automake
to generate rules to build .info, .dvi, .ps, and .html documentation files.
However, only the .info files are built with make all and installed with make
install. In order to build the other types of files, you must specify the dvi,
ps, pdf, html, install-dvi, install-ps, install-pdf, and install-html targets
explicitly on the make command line. Since the makeinfo utility is not installed
by default in many Linux distributions, the generated .info files are auto-
matically added to distribution tarballs so your end users won’t have to
go looking for makeinfo.
7. See the Texinfo project website at http://www.gnu.org/software/texinfo/.
Autotools_02.book Page 131 Tuesday, June 15, 2010 2:38 PM
www.it-ebooks.info

132 Chapter 5
Product Source Variables
The second line in Listing 5-3 is an example of an Automake product source
variable (PSV). PSVs conform to the following template:
[modifier-list]product_SOURCES = file1 file2 ... fileN
Like PLVs, PSVs are comprised of multiple parts: the product name
(jupiter in this case) and the SOURCES tag. The value of a PSV is a whitespace-
separated list of source files from which product is built. The value of the PSV
in the second line of Listing 5-3 is the list of source files used to build the
jupiter program. Ultimately, Automake adds these files to various make rule
dependency lists and commands in the generated Makefile.in templates.
Only characters that are allowed in make variables (letters, numbers, and
the at sign) are allowed in the product tag of a PSV. As a result, Automake per-
forms a transformation on product names listed in PLVs to render the product
tags used in the associated PSVs. Automake converts illegal characters into
underscores, as shown in Listing 5-7.
lib_LIBRARIES = libc++.a
libc___a_SOURCES = ...
Listing 5-7: Illegal make variable characters are converted to underscores in product tags.
Here, Automake converts libc++.a in the PLV at into the PSV product
tag libc___a (that’s three underscores) to find the associated PSV at in the
Makefile.am file. You must know the transformation rules so you can write
PSVs that match your products.
PLV and PSV Modifiers
The modifier-list portions of the PLV and PSV templates defined above con-
tain a set of optional modifiers. The following BNF-like rule defines the format
of the modifier-list element of these templates:
modifier-list = modifier_[modifier-list]
Modifiers change the normal behavior of the variable to which they are
prepended. Some of the more important ones are dist, nodist, nobase, and
notrans.
The dist modifier indicates a set of files that should be distributed (that
is, that should be included in the distribution package that’s built when make
dist is executed). For example, assuming that some source files for a product
should be distributed and some should not, the variables shown in Listing 5-8
might be defined in the product’s Makefile.am file.
dist_myprog_SOURCES = file1.c file2.c
nodist_myprog_SOURCES = file3.c file4.c
Listing 5-8: Using the dist and nodist modifiers in a Makefile.am file
Autotools_02.book Page 132 Tuesday, June 15, 2010 2:38 PM
www.it-ebooks.info

Automatic Makefiles with Automake 133
Automake normally strips relative path information from the list of header
files in a HEADERS PLV. The nobase modifier is used to suppress the removal of
path information from installed header files that are obtained from subdirec-
tories by a Makefile.am file. For example, take a look at the PLV definition in
Listing 5-9.
nobase_pkginclude_HEADERS = mylib.h sys/constants.h
Listing 5-9: Using the nobase PLV modifier in a Makefile.am file
In this line we can see that mylib.h is in the same directory as Makefile.am,
but constants.h is located in a subdirectory called sys. Normally, both files would
be installed into $(pkgincludedir) by virtue of the pkginclude installation loca-
tion prefix. However, since we’re using the nobase modifier, Automake will
retain the sys/ portion of the second file’s path for installation, and constants.h
will be installed into $(pkgincludedir)/sys. This is useful when you want the
installation (destination) directory structure to be the same as the project
(source) directory structure as files are copied during installation.
The notrans modifier may be used on man page PLVs for man pages whose
names should not be transformed during installation. (Normally, Automake
will generate rules to rename the extension on man pages from .man to .N
(where N is 0, 1, . . . , 9) as they’re installed.)
You can also use the EXTRA prefix as a modifier. When used with a prod-
uct source variable (such as jupiter_SOURCES), EXTRA specifies extra source files
that are directly associated with the jupiter product, as shown in Listing 5-10.
EXTRA_jupiter_SOURCES = possibly.c
Listing 5-10: Using the EXTRA prefix with a product SOURCES variable
Here, possibly.c may or may not be compiled, based on some condition
defined in configure.ac.
Unit Tests: Supporting make check
In Chapter 2 we added code to src/Makefile that executes the jupiter program
and checks for the proper output string when the user makes the check target.
I’ve duplicated the check target code in Listing 5-11.
...
check: all
./jupiter | grep "Hello from .*jupiter!"
@echo "*** ALL TESTS PASSED ***"
...
Listing 5-11: The check target
Fortunately, Automake has solid support for unit tests. To add our simple
grep test back into the new Automake-generated build system, we can add a
few lines to the bottom of src/Makefile.am, as shown in Listing 5-12.
Autotools_02.book Page 133 Tuesday, June 15, 2010 2:38 PM
www.it-ebooks.info

134 Chapter 5
bin_PROGRAMS = jupiter
jupiter_SOURCES = main.c
check_SCRIPTS = greptest.sh
TESTS = $(check_SCRIPTS)
greptest.sh:
echo './jupiter | grep "Hello from .*jupiter!"' > greptest.sh
chmod +x greptest.sh
CLEANFILES = greptest.sh
Listing 5-12: src/Makefile.am: Additional code required to support the check target
The check_SCRIPTS line at is a PLV which refers to a script that is gener-
ated at build time. Since the prefix is check, we know that scripts listed in this
line will only be built when the user enters make check. However, we must supply
a make rule for building the script as well as a rule for cleaning up the file later,
during execution of the clean target. We use the CLEANFILES variable at to
extend the list of files that Automake deletes during make clean.
The TESTS line at is the important one in Listing 5-12 because it indi-
cates which targets are executed when the user makes the check target. (Since
the check_SCRIPTS variable contains a complete list of these targets, I’ve simply
referenced it here.) In this particular case, check_SCRIPTS is redundant, because
Automake generates rules to ensure that all the scripts listed in TESTS are built
before the tests are executed. check_* PLVs become important when additional
helper scripts or programs must be built before those listed in TESTS are
executed.
Reducing Complexity with Convenience Libraries
Jupiter is fairly trivial as open source software projects go, so in order to high-
light some more of Automake’s key features, let’s expand it a little. We’ll first
add a convenience library, and then modify jupiter to consume this library. A
convenience library is a static library that’s only used within the containing project.
Such temporary libraries are generally used when multiple binaries in a project
need to incorporate the same source code. I’ll move the code in main.c to a
library source file and call the function in the library from jupiter’s main rou-
tine. Begin by executing the following commands from the top-level project
directory:
$ mkdir common
$ touch common/jupcommon.h
$ copy src/main.c common/print.c
$ touch common/Makefile.am
$
Now add the highlighted text from Listings 5-13 and 5-14 to the .h and .c
files, respectively, in the new common directory.
Autotools_02.book Page 134 Tuesday, June 15, 2010 2:38 PM
www.it-ebooks.info

Automatic Makefiles with Automake 135
int print_routine(const char * name);
Listing 5-13: common/jupcommon.h: The initial version of this file
#if HAVE_CONFIG_H
# include <config.h>
#endif
#include "jupcommon.h"
#include <stdio.h>
#include <stdlib.h>
#if HAVE_PTHREAD_H
# include <pthread.h>
#endif
static void * print_it(void * data)
{
printf("Hello from %s!\n", (const char *)data);
return 0;
}
int print_routine(const char * name)
{
#if ASYNC_EXEC
pthread_t tid;
pthread_create(&tid, 0, print_it, (void*)name);
pthread_join(tid, 0);
#else
print_it(name);
#endif
return 0;
}
Listing 5-14: common/print.c: The initial version of this file
As you can see, print.c is merely a copy of main.c, with a few small modifi-
cations (bolded in Listing 5-14). First, I renamed main to print_routine, and
then I added the inclusion of the jupcommon.h header file after the inclusion
of config.h. This header file provides print_routine’s prototype to src/main.c
where it’s called from main. Next we modify src/main.c, as shown in Listing 5-15,
then add the text in Listing 5-16 to common/Makefile.am.
#include "jupcommon.h"
int main(int argc, char * argv[])
{
return print_routine(argv[0]);
}
Listing 5-15: src/main.c: Required modifications to have main call into the new library
Autotools_02.book Page 135 Tuesday, June 15, 2010 2:38 PM
www.it-ebooks.info

136 Chapter 5
noinst_LIBRARIES = libjupcommon.a
libjupcommon_a_SOURCES = jupcommon.h print.c
Listing 5-16: common/Makefile.am: Initial version of this file
Let’s examine this new Makefile.am file. The first line indicates which
products this file should build and install. The noinst prefix indicates that
this library is designed solely to make using the source code in the common
directory more convenient.
We’re creating a static library called libjupcommon.a, also known as an
archive. Archives are like .tar files that only contain object files (.o). They
can’t be executed or loaded into a process address space like shared librar-
ies, but they can be added to a linker command line like object files. Linkers
are smart enough to realize that such archives are merely groups of object files.
NOTE Linkers add to the binary product every object file specified explicitly on the command
line, but they only extract from archives those object files that are actually referenced in
the code being linked.
The second line in Listing 5-16 is a product source variable that contains
the list of source files associated with this library.8
Product Option Variables
Now we need to add some additional information to src/Makefile.am so that
the generated Makefile can find the new library and header file we added
to the common directory. Let’s add two more lines to the existing Makefile.am
file, as shown in Listing 5-17.
bin_PROGRAMS = jupiter
jupiter_SOURCES = main.c
jupiter_CPPFLAGS = -I$(top_srcdir)/common
jupiter_LDADD = ../common/libjupcommon.a
...
Listing 5-17: src/Makefile.am: Adding compiler and linker directives to Makefile.am files
Like the jupiter_SOURCES variable, these two new variables are derived
from the program name. These product option variables (POVs) are used to
specify product-specific options to tools that are used to build products
from source code.
8. I chose to place both the header file and the source file in this list. I could have used a
noinst_HEADERS PLV for the header file, but it isn’t necessary, because the libjupcommon_a_SOURCES
list works just as well. The appropriate time to use noinst_HEADERS is when you have a directory
that contains no source files—such as an internal include directory. Since header files are associated
with compilation only through include references within your source code, the only effect of
using noinst_HEADERS is that the listed header files are simply added to the project’s distribution
file list. (You’d get exactly the same effect by listing such header files in the EXTRA_DIST variable.)
Autotools_02.book Page 136 Tuesday, June 15, 2010 2:38 PM
www.it-ebooks.info

Automatic Makefiles with Automake 137
The jupiter_CPPFLAGS variable at adds product-specific C-preprocessor
flags to the compiler command line for all source files that are compiled for
the jupiter program. The -I$(top_srcdir)/common directive tells the C prepro-
cessor to add $(top_srcdir)/common to its list of locations in which to look for
header file references.9
The jupiter_LDADD variable at adds libraries to the jupiter program’s
linker command line. The file path ../common/libjupcommon.a merely adds an
object to the linker command line so that code in this library can become
part of the final program. Adding a library to a program_LDADD or library_LIBADD
variable is only necessary for libraries that are built as part of your own package.
If you’re linking your program with a library that’s already installed on the
user’s system, a call to AC_CHECK_LIB or AC_SEARCH_LIBS in configure.ac will cause
the generated configure script to add an appropriate reference to the linker
command line via the LIBS variable.
The set of POVs supported by Automake are derived mostly from a sub-
set of the standard user variables listed in Table 2-2 on page 53. You’ll find a
complete list of program and library option variables in the GNU Autoconf
Manual, but here are some of the important ones.
product_CPPFLAGS
Use product_CPPFLAGS to pass flags to the C preprocessor on the compiler
command line.
product_CFLAGS
Use product_CFLAGS to pass C-compiler flags on the compiler command line.
product_LDFLAGS
Use product_LDFLAGS to pass global and order-independent shared library
and program linker configuration flags and options to the linker, includ-
ing -static, -version-info, -release, and so on.
program_LDADD
Use program_LDADD to add Libtool objects (.lo) or libraries (.la) or non-
Libtool objects (.o) or archives (.a) to the linker command line when
linking a program.10
library_LIBADD
Use library_LIBADD to add non-Libtool linker objects and archives to non-
Libtool archives on the ar utility command line. The ar utility will incorpo-
rate archives mentioned on the command line into the product archive,
so you can use this variable to gather multiple archives together into one.
ltlibrary_LIBADD
Use ltlibrary_LIBADD to add Libtool linker objects (.lo) and Libtool static
or shared libraries (.la) to a Libtool static or shared library.
9. The C preprocessor will search for header files referenced with angle brackets in the resulting
include search path. It will also search for header files referenced with double quotes within the
system include search path, but it will check the current directory first. Thus, you should use double
quotes, rather than angle brackets, to reference header files that can be referenced relative to
your project directory structure.
10. The file extensions on non-Libtool objects and archives are not standardized, so my use of .o
and .a here are for example only.
Autotools_02.book Page 137 Tuesday, June 15, 2010 2:38 PM
www.it-ebooks.info

138 Chapter 5
You can use the last three option variables in this list to pass lists of order-
dependent static and shared library references to the linker. You can also use
these option variables to pass –L and -l options. The following are acceptable
formats: -Llibpath, -llibname, [relpath/]archive.a, [relpath/]objfile.$(OBJEXT),
[relpath/]ltobject.lo, and [relpath/]ltarchive.la. (Note that the term relpath
indicates a relative path within the project.)
Per-Makefile Option Variables
You’ll often see the Automake variables AM_CPPFLAGS and AM_LDFLAGS used in a
Makefile.am file. These per-makefile forms of these flags are used when the
maintainer wants to apply the same set of flags to all products specified in the
Makefile.am file.11 For example, if you need to set a group of preprocessor
flags for all products in a Makefile.am file and then add additional flags for a
particular product (prog1), you could use the statements shown in Listing 5-18.
AM_CFLAGS = ... some flags ...
...
prog1_CFLAGS = ... more flags ... $(AM_CFLAGS)
...
Listing 5-18: Using both per-product and per-file flags
The existence of a per-product variable overrides Automake’s use of the
per-makefile variable, so you need to add the per-makefile variable to the
per-product variable in order to have the per-makefile variable affect that
product, as shown in Listing 5-18 at .
NOTE User variables, such as CFLAGS, are reserved for the end user and should never be modi-
fied by configuration scripts or makefiles. Automake will always append them to the
appropriate utility command lines, thus allowing the user to override the options speci-
fied in the makefile.
Building the New Library
Next, we need to edit the SUBDIRS variable in the top-level Makefile.am file in
order to include the new common directory we just added. We also need to
add the new makefile that was generated in the common directory to the list of
files generated from templates in the AC_CONFIG_FILES macro call in configure.ac.
These changes are shown in Listings 5-19 and 5-20.
SUBDIRS = common src
Listing 5-19: Makefile.am: Adding the common directory to the SUBDIRS variable
11. Using per-makefile flags can generate more compact makefiles, because per-product flags
cause Automake to emit per-product rules, instead of more general suffix rules. When large file
sets are involved, the difference is significant.
Autotools_02.book Page 138 Tuesday, June 15, 2010 2:38 PM
www.it-ebooks.info

Automatic Makefiles with Automake 139
...
AC_CONFIG_FILES([Makefile
common/Makefile
src/Makefile])
...
Listing 5-20: configure.ac: Adding common/Makefile to the AC_CONFIG_FILES macro
Now let’s give our updated build system a try. Add the -i option to the
autoreconf command line so that it will install any additional missing files that
might be required after these enhancements:
$ autoreconf -i
configure.ac:6: installing './install-sh'
configure.ac:6: installing './missing'
common/Makefile.am:1: library used but 'RANLIB' is undefined
common/Makefile.am:1: The usual way to define 'RANLIB' is to add
'AC_PROG_RANLIB'
common/Makefile.am:1: to 'configure.ac' and run 'autoconf' again.
common/Makefile.am: installing './depcomp'
src/Makefile.am:2: compiling 'main.c' with per-target flags requires
'AM_PROG_CC_C_O' in 'configure.ac'
autoreconf: automake failed with exit status: 1
$
Well, it looks like we’re not quite done yet. Since we’ve added a new type
of entity—static libraries—to our build system, automake (via autoreconf) tells
us at that we need to add a new macro, AC_PROG_RANLIB, to the configure.ac file.12
We’re also told at that we need to add the Automake macro AM_PROG_CC_C_O,
because this macro defines constructs in the resulting configure script that
support the use of per-product flags like jupiter_CPPFLAGS. Specifically, the use
of per-product flags requires the use of a wrapper script around compilers
that can’t handle –c (to name the input source file) and –o (to name the out-
put object file) on the same command line.
Now add these two macros to configure.ac, as shown in Listing 5-21.
...
# Checks for programs.
AC_PROG_CC
AC_PROG_INSTALL
AC_PROG_RANLIB
AM_PROG_CC_C_O
...
Listing 5-21: configure.ac: Adding AC_PROG_RANLIB and AM_PROG_CC_C_O
12. There’s a lot of history behind the use of the ranlib utility on archive libraries. I won’t get
into whether it’s still useful with respect to modern development tools, but I will say that whenever
you see it used in modern makefiles, there always seems to be a preceding comment about
running ranlib “in order to add karma” to the archive, implying that the use of ranlib is somehow
unnecessary. You be the judge.
Autotools_02.book Page 139 Tuesday, June 15, 2010 2:38 PM
www.it-ebooks.info

140 Chapter 5
Finally, enter autoreconf -i once more.
$ autoreconf -i
configure.ac:14: installing `./compile'
$
It seems that Automake has added yet another missing file; the compile
script is a wrapper around some older compilers that do not understand the
concurrent use of the -c and -o command-line options. When you use product-
specific flags, Automake has to generate code that may compile source files
multiple times with different flags for each file. Thus, it has to name the
object files differently for each set of flags it uses. The requirement for the
compile script actually comes from the inclusion of the AM_PROG_CC_C_O macro.
What Goes into a Distribution?
Automake usually determines automatically what should go into a distribu-
tion created with make dist, because it’s very aware of every file’s role in the
build process. To this end, Automake wants to be told about every source file
used to build a product and about every file and product installed. This means,
of course, that all files must be specified at some point in one or more PLV
and PSV variables.13
The Automake EXTRA_DIST variable contains a space-delimited list of files
and directories that should be added to the distribution package when the
dist target is made. For example:
EXTRA_DIST = windows
You could use the EXTRA_DIST variable to add a source directory to the dis-
tribution package that Automake would not automatically add—for example,
a Windows-specific directory.
NOTE In this case, windows is a directory, not a file. Automake will automatically recursively
add every file in this directory to the distribution package; this may include some files
that you really didn’t want there, such as hidden .svn or .CVS status directories. See
“Automake -hook and -local Rules” on page 214 for a way around this problem.
13. This bothers some developers—and with good reason. There are cases where dozens of
installable files are generated by tools using long, apparently random, and generally unimportant
naming conventions. Listing such generated files statically in a variable is painful, to say the
least. Regardless, the current requirement is that all files must be specified. Don’t bother trying
to find a way around it. You’ll end up hacking half the Automake source code to get it to work.
Autotools_02.book Page 140 Tuesday, June 15, 2010 2:38 PM
www.it-ebooks.info

Automatic Makefiles wit h Automake 141
Maintainer Mode
Occasionally, timestamps on distribution source files will be newer than the
current time setting of a user’s system clock. Regardless of the cause, this
inconsistency confuses make, causing it to think that every source file is out of
date and needs to be rebuilt. As a result, it will re-execute the Autotools in an
attempt to bring configure and the Makefile.in templates up to date. But as
maintainers, we don’t really expect our users to have the Autotools installed—
or at least not the latest versions that we’ve installed on our systems.
This is where Automake’s maintainer mode comes in. By default, Automake
adds rules to makefiles that regenerate template files, configuration scripts,
and generated sources from maintainer source files such as Makefile.am and
configure.ac, as well as Lex and Yacc input files. However, we can use the Auto-
make AM_MAINTAINER_MODE macro in configure.ac to disable the generation of
these maintainer-level make rules.
For maintainers who want these rules in place to keep their build system
properly updated after build system changes, the AM_MAINTAINER_MODE macro
provides a configure script command-line option (--enable-maintainer-mode)
that tells configure to generate Makefile.in templates that contain rules and
commands to execute the Autotools as necessary.
A WORD ABO UT T HE U TILI TY SCRIPTS
The Autotools have added several files to the root of our project directory structure:
compile,depcomp,install-sh, and missing. Because configure or the generated
Makefiles all execute these scripts at various points during the build process, the end
user will need them; however, we can only get them from the Autotools, and we
don’t want to require to the user to have the Autotools installed. For this reason,
these scripts are automatically added to the distribution tarball.
So, do you check them in to your source code repository, or not? The answer is
debatable, but generally I recommend that you don’t. Any maintainer who will be
creating a distribution tarball should have the Autotools installed and should be
working from a repository work area. As a result, these maintainers will also be run-
ning autoreconf -i (possibly in conjunction with the --force option1) to ensure that
they have the most up-to-date Autotools-provided utility scripts. If you check them in,
it will only make it more probable that they become out of date as time goes by.
I extend this sentiment to the configure script as well. Some people argue that
checking the utility and configure scripts into the project repository is beneficial,
because it ensures that if someone checked out a work area, he could build the
project from the work area without having the Autotools installed. However, my
personal philosophy is that developers and maintainers should be expected to have
these tools installed. Occasionally, an end user will need to build a project from a
work area, but this should be the exception rather than the typical case.
1. Use the --force option with caution; it will also overwrite text files such as INSTALL, which
may have been modified for the project from the default text file that ships with the Autotools.
Autotools_02.book Page 141 Tuesday, June 15, 2010 2:38 PM
www.it-ebooks.info

142 Chapter 5
Maintainers must be aware of the use of AM_MAINTAINER_MODE in their projects.
They will need to use this command-line option when running configure in
order to generate full build systems that will properly rebuild Autotools-
generated files when their sources are modified.
NOTE I also recommend mentioning the use of maintainer mode in the project INSTALL or
README files so that end users are not surprised when they modify Autotools sources
without effect.
Although Automake’s maintainer mode has its advantages, you should
know that there are various arguments against using it. Most focus on the
idea that make rules should never be purposely restricted, because doing so
generates a build system that will always fail under certain circumstances.
These are purist arguments, in my opinion. Using AM_MAINTAINER_MODE—
especially when properly documented as mentioned above—provides an
aspect of user-friendliness to the build process.
Cutting Through the Noise
The amount of noise generated by Autotools-based build systems has been
one of the most controversial topics on the Automake mailing list. One camp
appreciates quiet builds that just display important information, such as warn-
ings and errors. The other side argues that valuable information is often
embedded in this so-called “noise,” so all of it is important and should be
displayed. Occasionally, a new Autotools developer will post a question about
how to reduce the amount of information displayed by make. This almost always
spawns a heated debate that lasts for several days over a few dozen email mes-
sages. The old timers just laugh about it and often joke about how “someone
has turned on the switch again.”
The truth of the matter is that both sides have valid points. The GNU
project is all about options, so the Automake maintainers have added the
ability to allow you to optionally make silent rules available to your users.
Silent rules in Automake makefiles are not really silent, they’re just somewhat
less noisy than traditional Automake-generated rules.
Instead of displaying the entire compiler or linker command line, silent
rules display a short line indicating the tool and the name of the file being
processed by that tool. Output generated by make is still displayed so the user
knows which directory and target are currently being processed. Here is Jupiter’s
build output, with silent rules enabled:
$ configure --enable-silent-rules
...
$ make
make all-recursive
make[1]: Entering directory '/home/jcalcote/dev/autotools/autotools/book/
jupiter-automake-ch5'
Making all in common
Autotools_02.book Page 142 Tuesday, June 15, 2010 2:38 PM
www.it-ebooks.info

Automatic Makefiles with Automake 143
make[2]: Entering directory '/home/jcalcote/dev/autotools/autotools/book/
jupiter-automake-ch5/common'
CC print.o
AR libjupcommon.a
make[2]: Leaving directory '/home/jcalcote/dev/autotools/autotools/book/
jupiter-automake-ch5/common'
Making all in src
make[2]: Entering directory '/home/jcalcote/dev/autotools/autotools/book/
jupiter-automake-ch5/src'
CC jupiter-main.o
CCLD jupiter
make[2]: Leaving directory '/home/jcalcote/dev/autotools/autotools/book/
jupiter-automake-ch5/src'
make[2]: Entering directory '/home/jcalcote/dev/autotools/autotools/book/
jupiter-automake-ch5'
make[2]: Nothing to be done for 'all-am'.
make[2]: Leaving directory '/home/jcalcote/dev/autotools/autotools/book/
jupiter-automake-ch5'
make[1]: Leaving directory '/home/jcalcote/dev/autotools/autotools/book/
jupiter-automake-ch5'
$
As you can see, the use of silent rules doesn’t make a lot of difference for
Jupiter—Jupiter’s build system spends a lot of time moving between directories
and very little time actually building things. But in projects with hundreds of
source files, you’d see long lists of CC filename.o lines, with an occasional indi-
cation that make is changing directories or the linker is building a product.
To enable silent rules in Automake-generated Makefile.am templates, you
must do one of the following:
zAdd the silent-rules option to the argument of AM_INIT_AUTOMAKE in
configure.ac
zCall the AM_SILENT_RULES macro in configure.ac
The user sets the default verbosity for his build with --enable-silent-rules
or --disable-silent-rules on the configure command line. The build will then
either be “silent” or normal based on the configured default and on whether
the user specifies V=0 or V=1 on the make command line.
NOTE Neither configure option is required—silent rules are ultimately controlled by the V
variable in the generated makefile. The configure option merely sets the default value of V.
For smaller projects, I find Automake’s silent rules to be less useful than
simply redirecting stdout to /dev/null on the make command line, in this manner:
$ make >/dev/null
print.c: In function 'print_routine':
print.c:24: warning: passing argument 4 of 'pthread_create' discards
qualifiers from pointer target type
$
Autotools_02.book Page 143 Tuesday, June 15, 2010 2:38 PM
www.it-ebooks.info

144 Chapter 5
As this example shows, warnings and errors are still displayed on stderr,
along with enough information for you to determine where the problem is
located.14 Warning-free builds are truly silent in this case. You should use this
technique to clean up compiler warnings in your source code every so often.
Silent rules can help because warnings stand out in the build output.
Summary
In this chapter, we’ve discussed how to instrument a project for Automake
using a project that had already been instrumented for Autoconf. (Newer
projects are typically instrumented for both Autoconf and Automake at the
same time.)
We covered the use of the SUBDIRS variable to tie Makefile.am files together,
as well as the concepts surrounding product list, product source, and prod-
uct option variables. Along with product list variables, I discussed Automake
primaries—a concept at the very heart of Automake. Finally, I discussed
the use of EXTRA_DIST to add additional files to distribution packages, the
AM_MAINTAINER_MODE macro to ensure that users don’t need to have the Auto-
tools installed, and the use of Automake silent rules.
In Chapters 6 and 7 we’ll examine adding Libtool to the Jupiter project,
and in Chapters 8 and 9 we’ll Autotool-ize a real-world project as we explore
several other important aspects of Automake.
14. I caused this warning to be generated by removing the (void*) cast from the last argument to
pthread_create in print.c.
Autotools_02.book Page 144 Tuesday, June 15, 2010 2:38 PM
www.it-ebooks.info

BUILDING LIBRARIES
WITH LIBTOOL
The years teach much which the days never know.
—Emerson, “Experience”
After too many bad experiences building
shared libraries for multiple platforms with-
out the help of GNU Libtool, I have come to
two conclusions. First, the person who invented
the concept of shared libraries should be given a raise . . .
and a bonus. Second, the person who decided that shared library management
interfaces and naming conventions should be left to the implementation should
be flogged.
The very existence of Libtool stands as a witness to the truth of this senti-
ment. Libtool exists for only one reason—to provide a standardized, abstract
interface for developers who want to create and access shared libraries in a
portable manner. It abstracts both the shared-library build process and the
programming interfaces used to dynamically load and access shared libraries
at runtime.
Before I get into a discussion of the proper use of Libtool, I’ll spend a
few paragraphs on the features and functionality that shared libraries provide
so you will understand the scope of the material I’m covering here.
Autotools_02.book Page 145 Tuesday, June 15, 2010 2:38 PM
www.it-ebooks.info
146 Chapter 6
The Benefits of Shared Libraries
Shared libraries provide a way to deploy reusable chunks of functionality in
a convenient package. You can load shared libraries into a process address
space either automatically at program load time, using the operating system
loader, or manually via code in the application itself. The point at which an
application binds functionality from a shared library is very flexible, and the
developer determines it based on the program’s design and the end user’s
needs.
The interfaces between the program executable and the modules defined
as shared libraries must be reasonably well designed, because shared-library
interfaces must be well specified. This rigorous specification promotes good
design practices. When you use shared libraries, the system essentially forces
you to be a better programmer.
Shared libraries may be (as their name implies) shared among processes.
This sharing is very literal. The code segments for a shared library can be
loaded once into physical memory pages. Those same memory pages can
then be mapped into the process address spaces of multiple programs. The
data pages must, of course, be unique for each process, but global data seg-
ments are often small compared to the code segments of a shared library.
This is true efficiency.
It is easy to update shared libraries during program upgrades. Even if the
base program doesn’t change between two revisions of a software package,
you can replace an old version of a shared library with a new one, as long as
the new version’s interfaces have not been changed. If interfaces have changed,
two versions of the same shared library may reside together within the same
directory, because the versioning schemes used by shared libraries (and sup-
ported by Libtool) on various platforms allow multiple versions of a library to
be named differently in the filesystem but treated as the same library by the
operating system loader. Older programs will continue to use older versions
of the library, while newer programs are free to use the newer versions.
If a software package specifies a well-defined plug-in interface, then
shared libraries can be used to implement user-configurable loadable function-
ality. This means that additional functionality can become available to a program
after it’s been released, and third-party developers can even add functionality to
your program, if you publish a document describing your plug-in interface spec-
ification (or if they’re smart enough to figure it out on their own).
There are a few widely known examples of these types of systems. Eclipse,
for instance, is almost a pure plug-in framework. The base executable supports
little more than a well-defined plug-in interface. Most of the functionality in
an Eclipse application comes from library functions. Eclipse is written in Java
and uses Java class libraries and .jar files, but the principle is the same, regard-
less of the language or platform.
How Shared Libraries Work
The specifics of how POSIX-compliant operating systems implement shared
libraries vary from platform to platform, but the general idea is the same.
Autotools_02.book Page 146 Tuesday, June 15, 2010 2:38 PM
www.it-ebooks.info

Building Libraries with Libtool 147
Shared libraries provide chunks of executable code that the operating system
can load into a program’s address space and execute. The following discussion
applies to shared-library references that the linker resolves when a program
is built and the operating system loader resolves when the program is loaded.
Dynamic Linking at Load Time
As a program executable image is being built, the linker (formally called a
link editor) maintains a table of symbols—function entry points and global
data addresses. Each symbol referenced within the accumulating body of
object code is added to this table as the linker finds it. As symbol definitions
are located, the linker resolves symbol references in the table to their addresses.
At the end of the linking process, all object files (or simply objects) containing
referenced symbol definitions are linked together and become part of the
program executable image. Objects found in static libraries that contain no
referenced symbol definitions are discarded, but objects linked explicitly are
added to the binary image even if they contain no referenced symbol defini-
tions. If there are outstanding references in the symbol table after all the
objects have been analyzed, the linker exits with an error message. On success,
the final executable image may be loaded and executed by a user. The image
is now entirely self-contained, depending on no external binary code.
Assuming that all undefined references are resolved during the linking
process, if the list of objects to be linked contains one or more shared libraries,
the linker will build the executable image from all non-shared objects speci-
fied on the linker command line. This includes all individual object files (.o)
and all objects contained in static library archives (.a). However, it will add
two tables to the binary image header. The first is the outstanding external
reference table—a table of references to symbol definitions found only in shared
libraries during the linking process. The second is the shared-library table, con-
taining the list of shared-library names and versions in which the outstanding
undefined references were found.
When the operating system loader attempts to load the program, it must
resolve the remaining outstanding references in the external reference table
to symbols imported from the shared libraries named in the shared-library
table. If the loader can’t resolve all of the references, then a load error occurs
and the process is terminated with an operating system error message. Note
that these external symbols are not tied to a specific shared library. As long as
they’re found in any one of the searched libraries, they’re accepted.
NOTE This process differs slightly from the way a Windows operating system loader resolves
symbols in Dynamic Link Libraries (DLLs). On Windows, the linker ties a particular
symbol to a specifically named DLL at program build time.1
1. Windows is not the only system to use hard references in this manner. Modern Windows
operating systems are based on the Common Object File Format (COFF) system. COFF is also used by
other operating systems, such as IBM’s AIX. Many Unix (and all Linux) systems today are based
on the Executable and Linking Format (ELF) system, which promotes the use of soft references,
which don’t need to be fully resolved until the program is executed.
Autotools_02.book Page 147 Tuesday, June 15, 2010 2:38 PM
www.it-ebooks.info

148 Chapter 6
Using free-floating external references has both pros and cons. On some
operating systems, unbound symbols can be satisfied by a library specified by
the user. That is, a user can entirely replace a library (or a portion of a library)
at runtime by simply preloading one that contains the same symbols. On BSD
and Linux-based systems, for example, a user can use the LD_PRELOAD environ-
ment variable to inject a shared library into a process address space. Since the
loader loads these libraries before any other libraries, the loader will locate
symbols in the preloaded libraries when it tries to resolve external references.
The program author’s intended libraries will not even be checked, because
the symbols provided by these libraries have already been resolved by the
preloaded libraries.
In the following example, the Linux df utility is executed with an envi-
ronment containing the LD_PRELOAD variable. This variable has been set to a
path referring to a library that presumably contains a heap manager that’s
compatible with the C malloc interface. This technique can be used to debug
problems in your programs. By preloading your own heap manager, you can
capture memory allocations in a logfile—in order to debug memory block
overruns, for instance. This sort of technique is used by such widely known
debugging aids as the valgrind package.2
In the following example, the LD_PRELOAD environment variable is set on
the same command line used to execute the df program. This shell code causes
only the df child process environment to contain the LD_PRELOAD variable, set
to the specified value:
$ LD_PRELOAD=$HOME/lib/libmymalloc.so /bin/df
...
Unfortunately, free-floating symbols can also lead to problems. For instance,
two libraries can provide the same symbol name, and the dynamic loader can
inadvertently bind an executable to a symbol from the wrong library. At best,
this will cause a program crash when the wrong arguments are passed to the
mismatched function. At worst, it can present security risks because the mis-
matched function might be used to capture passwords and security credentials
passed by the unsuspecting program.
C-language symbols do not include parameter information, so it’s rather
likely that symbols will clash in this manner. C++ symbols are a bit safer, in
that the entire function signature (minus the return type) is encoded into the
symbol name. However, even C++ is not immune to hackers that purposely
replace security functions with their own versions of those functions (assuming,
of course, that they have access to your runtime shared-library search path).
Automatic Dynamic Linking at Runtime
The operating system loader can also use a very late form of binding, often
referred to as lazy binding. In this situation, the external reference table entries
2. For more information on the Valgrind tool suite, see the Valgrind Developers’ website at
http://valgrind.org/.
Autotools_02.book Page 148 Tuesday, June 15, 2010 2:38 PM
www.it-ebooks.info

Building Libraries with Libtool 149
in the program header are initialized so that they refer to code within the
dynamic loader itself.
When a program first calls a lazy entry, the call is routed to the loader,
which will then (potentially) load the proper shared library, determine the
actual address of the function, reset the entry point in the jump table, and
finally, redirect the processor to the shared-library function (which is now
available). The next time this happens, the jump table entry will have already
been correctly initialized, and the program will jump directly to the called
function. This is very efficient because the overhead for the jump after fix-up
is no more than a normal indirect function call, and the cost of the initial
load and link is amortized over many calls to the function during the lifetime
of the process.
This lazy binding mechanism makes program startup very fast because
shared libraries whose symbols are not bound until they’re needed aren’t
even loaded until the application program first references them. But, con-
sider this—the program may never reference them. And that means they may
never be loaded, saving both time and space. A good example of this sort of
situation might be a word processor with a thesaurus feature implemented in
a shared library. How often do you use your thesaurus? If the program is using
automatic dynamic linking, chances are that the shared library containing
the thesaurus code will never be loaded in most word processing sessions.
As good as this system appears to be, there can be problems. While using
automatic runtime dynamic linking can give you faster load times, better per-
formance, and more efficient use of space, it can also cause your application
to terminate abruptly and without warning. In the event that the loader can’t
find the requested symbol—perhaps the required library is missing—it has
no recourse except to abort the process.
Why not ensure that all symbols exist when the program is loaded? Because
if the loader resolved all symbols at load time, it might as well populate the
jump table entries at that point, too. After all, it had to load all the libraries
to ensure that the symbols actually exist, so this entirely defeats the purpose
of using lazy binding. Furthermore, even if the loader did check all external
references when the program was first started, there’s nothing to stop some-
one from deleting one or more of these libraries before the program uses
them, while the program is still running.3 Thus, even the pre-check is defeated.
The moral of this story is that there’s no free lunch. If you don’t want to
pay the insurance premium for longer up-front load times and more space
consumed (even if you may never really need it), then you may have to take
the hit of a missing symbol at runtime, causing a program crash.
Manual Dynamic Linking at Runtime
One possible solution to the aforementioned problem is to take personal
responsibility for some of the system loader’s work. Then, when things don’t
go right, you have a little more control over the outcome. In the case of the
3. Unix-like (POSIX) systems will retain deleted files for which outstanding file handles exist
within running processes. From the filesystem user’s perspective, the file appears to be gone, but
the file remains intact until the last file handle is closed. Thus, this argument is not conclusive.
As an aside, Windows operating systems simply disallow the delete operation on open files.
Autotools_02.book Page 149 Tuesday, June 15, 2010 2:38 PM
www.it-ebooks.info
150 Chapter 6
thesaurus module, was it really necessary to terminate the program if the the-
saurus library could not be loaded or didn’t provide the correct symbols? Of
course not—but the operating system loader can’t know that. Only the soft-
ware programmer can make such judgment calls.
When a program manages dynamic linking manually at runtime, the
linker is left out of the equation entirely, and the program doesn’t call any
exported shared-library functions directly. Rather, shared-library functions
are referenced through function pointers that the program itself populates
at runtime.
Here’s how it works: A program calls an operating system function (dlopen)
to manually load a shared library into its own process address space. This
function returns a handle, or an opaque value representing the loaded library.
The program then calls another loader function (dlsym) to import a symbol
from the library to which the handle refers. If all goes well, the operating system
returns the address of the requested function or data item from the desired
library. The program may then call the function, or access the global data
item, through this pointer.
If something goes wrong in this process—the symbol isn’t found within
the library or the library isn’t found—then it becomes the responsibility of the
program to define the results, perhaps by displaying an error message indi-
cating that the program was not configured correctly. In the example of the
word processor above, a simple dialog indicating that the thesaurus is unavail-
able would be entirely sufficient.
This is a little nicer than the way automatic dynamic runtime linking
works; while the loader has no option but to abort, the application has a
higher-level perspective and can handle the problem much more gracefully.
The drawback, of course, is that you as the programmer have to manage the
process of loading libraries and importing symbols within your application
code. However, this process is not very difficult, as I’ll demonstrate later in
this chapter.
Using Libtool
An entire book could be written about the details of shared libraries and how
they’re implemented on various systems. The short primer you just read should
suffice for our immediate needs, so I’ll now move on to how you can use
Libtool to make a package maintainer’s life a little easier.
The Libtool project was started in 1996 by Gordon Matzigkeit. It was
designed to extend Automake, but you can use it independently within hand-
coded makefiles, as well. The Libtool project is currently maintained by
Bob Friesenhahn, Peter O’Gorman, Gary Vaughan, and Ralf Wildenhues.
As of this writing, the latest version of Libtool is version 2.2.6.
Abstracting the Build Process
First, let’s look at how Libtool helps during the build process. Libtool provides a
script (ltmain.sh) that config.status consumes in a Libtool-enabled project.
The config.status script converts configure test results and the ltmain.sh script
Autotools_02.book Page 150 Tuesday, June 15, 2010 2:38 PM
www.it-ebooks.info

Building Libraries with Libtool 151
into a custom version of the libtool script, specifically tailored to your project.4
Your project’s makefiles then use this libtool script to build the shared librar-
ies listed in any Automake product list variables defined with the Libtool-
specific LTLIBRARIES primary. The libtool script is really just a fancy wrapper
around the compiler, linker, and other tools. You should ship the ltmain.sh
script in a distribution tarball, as part of your end-user build system. Automake-
generated rules ensure that this happens properly.
The libtool script insulates the author of the build system from the nuances
of building shared libraries on different platforms. This script accepts a well-
defined set of options, converting them to appropriate platform- and linker-
specific options on the target platform and toolset. Thus, the maintainer
doesn’t need to worry about the specifics of building shared libraries on each
platform—he only needs to understand the available libtool script options.
These options are well specified in the GNU Libtool Manual,5 and I’ll cover
many of them in this chapter.
On systems that don’t support shared libraries at all, the libtool script
uses appropriate commands and options to build and link only static archive
libraries. Furthermore, the maintainer doesn’t have to worry about the dif-
ferences between building shared libraries and building static libraries when
using Libtool. You can emulate building your package on a static-only system
by using the --disable-shared option on the configure command line for your
Libtool-enabled project. This option causes Libtool to assume that shared
libraries cannot be built on the target system.
Abstraction at Runtime
You can also use Libtool to abstract the programming interfaces the operating
system supplies for loading libraries and importing symbols. If you’ve ever
dynamically loaded a library on a Linux system, you’re familiar with the standard
POSIX shared-library API, including the dlopen, dlsym, and dlclose functions.
A system-level shared library, usually called simply dl, provides these functions.
This translates to a binary image file named libdl.so (or something similar on
systems that use different library-naming conventions).
Unfortunately, not all Unix systems that support shared libraries provide
the libdl.so library or functions using these names. To address these differences,
Libtool provides a shared library called ltdl, which exports a clean, portable,
library-management interface, very similar to the POSIX dl interface. The use
of this library is optional, of course, but it is highly recommended because it
provides more than just a common API across shared-library platforms—it
also provides an abstraction for manual dynamic linking between shared-
library and non–shared-library platforms.
4. Libtool also offers the option of generating the project-specific libtool script when configure
is executed. This is done with the LT_OUTPUT macro within configure.ac. You may wish to do this if
you find you have a need to execute libtool from within configure—for example, to test certain
link-related features of your user’s environment. In this case, you will need libtool to exist before
you execute it for these checks.
5. See the Free Software Foundation’s GNU Libtool Manual, version 2.2.6 (August 2008) at http://
www.gnu.org/software/libtool/manual/.
Autotools_02.book Page 151 Tuesday, June 15, 2010 2:38 PM
www.it-ebooks.info

152 Chapter 6
What?! How can that work?! On systems that don’t support shared librar-
ies, Libtool actually creates internal symbol tables within the executable that
contain all the symbols you would otherwise find within shared libraries (on
systems that support shared libraries). By using such symbol tables on these
platforms, the lt_dlopen and lt_dlsym functions can make your code appear
to be loading libraries and importing symbols, when in fact, the library load
function does nothing more than return a handle to the appropriate internal
symbol table, and the import function merely returns the address of code
that’s been statically linked into the program itself. On these systems, a project’s
shared-library code is linked directly into the programs that would normally
load them at runtime.
Installing Libtool
If you want to make use of the latest version of Libtool while developing your
packages, you may find that you either have to download, build, and install it
manually or look for an updated libtool package from your distribution provider.
Downloading, building, and installing Libtool is really trivial, as you’ll see
here. However, you should check the GNU Libtool website6 before executing
these steps in order to ensure you’re getting the most recent package:
$ wget ftp.gnu.org/gnu/libtool/libtool-2.2.6a.tar.gz
...
$ tar xzf libtool-2.2.6a.tar.gz
$ cd libtool-2.2.6a
$ ./configure && make
...
$ sudo make install
...
Be aware that the default installation location (as with most of the GNU
packages) is /usr/local. If you wish to install Libtool into the /usr hierarchy,
you’ll need to use the --prefix=/usr option on the configure command line.
The recommended practice is to install distribution-provided packages into
the /usr hierarchy and user-built packages into the /usr/local tree, but if you’re
trying to get a hand-built version of Libtool to interoperate with distribution-
provided versions of Autoconf and Automake, you may have to install Libtool
into the /usr hierarchy. The simplest way to avoid problems with package
inter-dependencies is to install hand-built versions of all three packages into
/usr/local.
Adding Shared Libraries to Jupiter
Now that I’ve presented the background information, let’s take a look at how
we might add a Libtool shared library to the Jupiter project. First, let’s consider
what functionality we could add to Jupiter using a shared library. Perhaps
we wish to provide our users with some library functionality that their own
6. See http://www.gnu.org/software/libtool/.
Autotools_02.book Page 152 Tuesday, June 15, 2010 2:38 PM
www.it-ebooks.info

Building Libraries with Libtool 153
applications could use. Or we might have several applications in a package
that need to share the same functionality. A shared library is a great tool for
both of these scenarios because you get to reuse code and save memory—the
cost of the memory used by shared code is amortized across multiple applica-
tions, both internal and external to the project.
Let’s add a shared library to Jupiter that provides Jupiter’s printing
functionality. We can do this by having the new shared library call into the
libjupcommon.a static library. Remember that calling a routine in a static
library has the same effect as linking the object code for the called routine
right into the calling program. The called routine ultimately becomes an
integral part of the calling binary image (program or shared library).7
Additionally, we’ll provide a public header file from the Jupiter project
that will allow external applications to call this same functionality. This will
allow other applications to display stuff in the same quaint manner that the
jupiter program does. (This would be significantly cooler if we were doing
something useful in jupiter, but you get the idea.)
Using the LTLIBRARIES Primary
Automake has built-in support for Libtool; it’s the Automake package, rather
than the Libtool package that provides the LTLIBRARIES primary. Libtool doesn’t
really qualify as a pure Automake extension, but rather more of an add-on
package for Automake, where Automake provides the necessary infrastruc-
ture for this specific add-on package. You can’t access Automake’s LTLIBRARIES
primary functionality without Libtool, because the use of this primary gener-
ates make rules that call the libtool build script.
Libtool ships separately, rather than as part of Automake, because you
can use Libtool quite effectively independently of Automake. If you want to
try Libtool by itself, I’ll refer you to the GNU Libtool Manual; the opening
chapters describe the use of the libtool script as a stand-alone product. It’s
as simple as modifying your makefile commands so that the compiler, linker,
and librarian are called through the libtool script and then modifying some
of your command-line parameters as required by Libtool.
Public Include Directories
A project subdirectory named include should only contain public header
files—those that expose a public interface in your project. We’re now going
to add just such a header file to the Jupiter project, so we’ll create a directory
called include in the project root directory.
7. Many of you more experienced Autotools (or simply Unix) programmers may be cringing at
my engineering choices here. For instance, linking a Libtool library against a traditional static
archive is inappropriate for several reasons, which will become clear as we continue. During the
process, we’ll see that there is a significant difference between a traditional static archive and
a Libtool convenience library (on some platforms). Please remember that Jupiter is a learning
experience and a work in progress. I promise we’ll work out the kinks by the end of the chapter.
Autotools_02.book Page 153 Tuesday, June 15, 2010 2:38 PM
www.it-ebooks.info

154 Chapter 6
If we had multiple shared libraries, we’d have a choice to make: Do we
create separate include directories, one in each library source directory, or do
we add a single, top-level include directory? I usually use the following rule of
thumb to make my decision: If the libraries are designed to work together as
a group, and if consuming applications generally use the libraries together,
then I use a single, top-level include directory. If, on the other hand, the librar-
ies can be effectively used independently, and if they offer fairly autonomous
sets of functionality, then I provide individual include directories in the libraries’
own directories.
In the end, it doesn’t really matter much, because the header files for
these libraries will be installed in directory structures that are entirely differ-
ent from the ones where they exist within your project. In fact, you should
make sure you don’t inadvertently use the same filename for public headers
in two different libraries in your project—if you do, you’ll have problems
installing these files. They generally end up all together in the $(prefix)/include
directory, although you can override this default by using either the includedir
variable or the pkginclude prefix in your Makefile.am files.
The includedir variable allows you to specify where you want your header
files to be installed by defining the exact value of Automake’s $(includedir)
variable, the usual value of which is $(prefix)/include. The use of the pkginclude
prefix indicates to Automake that you want your header files to be in a private,
package-specific directory, beneath the directory indicated by $(includedir),
called $(includedir)/$(PACKAGE).
We’ll also add another root-level directory (libjup) for Jupiter’s new shared
library, libjupiter. These changes require you to add references to the new
directories to the top-level Makefile.am file’s SUBDIRS variable, and then add
corresponding makefile references to the AC_CONFIG_FILES macro in configure.ac.
We’ll start by creating the directories and adding a new Makefile.am file to the
include directory:
$ mkdir libjup
$ mkdir include
$ echo "include_HEADERS = libjupiter.h" > include/Makefile.am
$
The include directory’s Makefile.am file is trivial—it contains only a single
line, in which an Automake HEADERS primary refers to the public header file
libjupiter.h. Note at that we’re using the include prefix on this primary. You’ll
recall that this prefix indicates that files specified in this primary are destined
to be installed in the $(includedir) directory (e.g., /usr/(local/)include). The
HEADERS primary is similar to the DATA primary in that it specifies a set of files that
are to be treated simply as data to be installed without modification or prepro-
cessing. The only really tangible difference is that the HEADERS primary restricts
the possible installation locations to those that make sense for header files.
Autotools_02.book Page 154 Tuesday, June 15, 2010 2:38 PM
www.it-ebooks.info

Building Libraries with Libtool 155
The libjup/Makefile.am file is a bit more complex, containing four lines as
opposed to just one or two. This file is shown in Listing 6-1.
lib_LTLIBRARIES = libjupiter.la
libjupiter_la_SOURCES = jup_print.c
libjupiter_la_CPPFLAGS = -I$(top_srcdir)/include -I$(top_srcdir)/common
libjupiter_la_LIBADD = ../common/libjupcommon.a
Listing 6-1: libjup/Makefile.am: The initial version of this file
Let’s analyze this file, line by line. The line at is the primary specifica-
tion, and it contains the usual prefix for libraries: lib. The products this prefix
references will be installed in the $(libdir) directory. (We could have also
used the pkglib prefix to indicate that we wanted our libraries installed into
$(libdir)/jupiter.) Here, we’re using the LTLIBRARIES primary, rather than the
original LIBRARIES primary. The use of LTLIBRARIES tells Automake to generate
rules that use the libtool script, rather than calling the compiler (and possibly
the librarian) directly to generate the products.
The line at lists the sources that are to be used for the first (and only)
product.
The line at indicates a set of C-preprocessor flags that are to be used
on the compiler command line for locating the associated shared-library
header files. These options indicate that the preprocessor should search the
top-level include and common directories for header files referenced in the
source code.
The last line (at ) indicates a set of linker options for this product. In
this case, we’re specifying that the libjupcommon.a static library should be linked
into (i.e., become part of) the libjupiter.so shared library.
NOTE The more experienced Autotools library developer will notice a subtle flaw in this
Makefile.am file. Here’s a hint: It’s related to linking Libtool libraries against non-
Libtool libraries. This concept presents a major stumbling block for many newcomers, so
I’ve written the initial version of this file to illustrate the error. Not to worry, however—
we’ll correct the flaw later in this chapter as we work through this issue in a logical fashion.
There is an important concept regarding the *_LIBADD variables that you
should strive to understand completely: Libraries that are consumed within,
and yet built as part of, the same project should be referenced internally using
relative paths within the build directory hierarchy. Libraries that are external
to a project generally don’t need to be referenced explicitly at all, because
the project’s configure script should already have added appropriate -L and -l
options for those libraries into the $(LIBS) environment variable when it pro-
cessed the code generated by the AC_CHECK_LIB or AC_SEARCH_LIBS macros.
Next, we’ll hook these new directories into the project’s build system. To
do so, we need to modify the top-level Makefile.am and configure.ac files. These
changes are shown in Listings 6-2 and 6-3.
Autotools_02.book Page 155 Tuesday, June 15, 2010 2:38 PM
www.it-ebooks.info

156 Chapter 6
SUBDIRS = common include libjup src
Listing 6-2: Makefile.am: Adding include and libjup to the SUBDIRS variable
...
AC_PREREQ([2.61])
AC_INIT([Jupiter], [1.0], [bugs@jupiter.org])
AM_INIT_AUTOMAKE
LT_PREREQ([2.2])
LT_INIT([dlopen])
...
AC_PROG_CC
AC_PROG_INSTALL
# AC_PROG_RANLIB
AM_PROG_CC_C_O
...
AC_CONFIG_FILES([Makefile
common/Makefile
include/Makefile
libjup/Makefile
src/Makefile])
...
Listing 6-3: configure.ac: Adding the include and libjup directory makefiles
Three unrelated changes were required in configure.ac. The first is the
addition at of the Libtool setup macros LT_PREREQ and LT_INIT. The LT_PREREQ
macro works just like Autoconf’s AC_PREREQ macro (used a few lines higher). It
indicates the earliest version of Libtool that can correctly process this project.
You should choose the lowest reasonable values for the arguments in both
of these macros, because higher values needlessly restrict you and your co-
maintainers to more recent versions of the Autotools.8 The LT_INIT macro ini-
tializes the Libtool system for this project.
The second change is just as interesting. I commented out the use of the
AC_PROG_RANLIB macro at . (And after all we went through to put it there in
the first place!) Because Libtool is now building all of the project libraries,
and Libtool understands all aspects of the library build process, we no longer
need to instruct Autoconf to make sure ranlib is available. In fact, if you leave
this macro in, you’ll get a warning when you execute autoreconf -i. I’ve simply
commented it out in Listing 6-3, but you can go ahead and delete it, if you wish.
The last change is found at in the argument to the AC_CONFIG_FILES
macro call, where we’ve added references to the two new Makefile.am files
that we added to the include and libjup directories.
8. I don’t mean to state that you should only use older functionality provided by the Autotools
in order to cater to your users that don’t want to upgrade. Remember that those who care what
versions of the Autotools you’re using are the developers working on your project. This is a
significantly smaller audience than the users who will be building your distribution tarballs. Choose
version numbers that reflect the oldest versions of the Autotools that support the functionality
you use in your configure.ac file. If you use the latest features, then set the version numbers
accordingly and don’t lose any sleep over it.
Autotools_02.book Page 156 Tuesday, June 15, 2010 2:38 PM
www.it-ebooks.info
Building Libraries with Libtool 157
Customizing Libtool with LT_INIT Options
You can specify default values for enabling or disabling static and shared
libraries in the argument list passed into the LT_INIT macro. LT_INIT accepts a
single, optional argument: a whitespace-separated list of keywords. The fol-
lowing are the most important keywords allowed in this list, along with an
explanation of their proper use.
dlopen
This option enables checking for dlopen support. The GNU Libtool Manual
states that this option should be used if the package makes use of the
-dlopen and -dlpreopen libtool flags; otherwise, libtool will assume that
the system does not support dl-opening. There’s only one reason for using
the -dlopen or -dlpreopen flags: You intend to dynamically load and import
shared-library functionality at runtime by calling into the ltdl library within
your project’s source code. Additionally, these two options do very little
unless you intend to use the ltdl library (rather than directly using the dl
library) to manage your runtime dynamic linking. Thus, you should use
this option only if you intend to use the ltdl library.
disable-fast-install
This option changes the default behavior for LT_INIT to disable optimiza-
tion for fast installation on systems where it matters. The concept of fast
installation exists because uninstalled programs and libraries may need
to be executed from within the build tree (during make check, for example).
On some systems, installation location affects the final linked binary image,
so Libtool must either relink programs and libraries on these systems
when make install is executed or else relink programs and libraries for
make check. Libtool chooses to relink for make check by default, allowing
the original binaries to be installed quickly without relinking during make
install. The user can override this default, depending on platform support,
by specifying --enable-fast-install to configure.
shared and disable-shared
These two options change the default behavior for creating shared
libraries. The effects of the shared option are default behavior on all sys-
tems where Libtool knows how to create shared libraries. The user may
override the default shared library–generation behavior by specifying
either --disable-shared or --enable-shared on the configure command
line.
static and disable-static
These two options change the default behavior for creating static librar-
ies. The effects of the static option are default behavior on all systems
where shared libraries have been disabled and on most systems where
shared libraries have been enabled. If shared libraries are enabled, the
user may override this default by specifying --disable-static on the con-
figure command line. Libtool will always generate static libraries on systems
without shared libraries. Hence, you can’t (effectively) use the disable-
shared and disable-static arguments to LT_INIT or the --disable-shared
Autotools_02.book Page 157 Tuesday, June 15, 2010 2:38 PM
www.it-ebooks.info

158 Chapter 6
and --disable-static command-line options for configure at the same time.
(Note, however, that you may use the shared and static LT_INIT options or
the --enable-shared and --enable-static command-line options together.)
pic-only and no-pic
These two options change the default behavior for creating and using
PIC object code. The user may override the defaults set by these options
by specifying --without-pic or --with-pic on the configure command line.
I’ll discuss the meaning of PIC object code in “So What Is PIC, Anyway?”
on page 164.
NOTE I’ve omitted the description for the win32-dll option. I mention it here for completeness.
Now that we’ve finished setting up the build system for the new library,
we can move on to discussing the source code. Listing 6-4 shows the contents
of the new jup_print.c source file that’s referenced in the second line of libjup/
Makefile.am. Listing 6-5 shows the contents of the new include/libjupiter.h
library header file.
#include <libjupiter.h>
#include <jupcommon.h>
int jupiter_print(const char * name)
{
print_routine(name);
}
Listing 6-4: libjup/jup_print.c: The initial contents of the shared-library source file
#ifndef LIBJUPITER_H_INCLUDED
#define LIBJUPITER_H_INCLUDED
int jupiter_print(const char * name);
#endif /* LIBJUPITER_H_INCLUDED */
Listing 6-5: include/libjupiter.h: The initial contents of the shared-library public header file
This leads us to another general software engineering principle. I’ve heard
it called by many names, but the one I tend to use the most is the DRY principle—
the acronym stands for don’t repeat yourself. C function prototypes are very use-
ful because, when used correctly, they enforce the fact that the public’s view
of a function is identical to the package maintainer’s view. All too often, I’ve
seen source files that don’t include their corresponding header files. It’s easy
to make a small change in a function or prototype and then not duplicate it in
the other location—unless you’ve included the public header file within the
source file. When you do this consistently, the compiler catches any inconsis-
tencies for you.
We also need to include the static library header file (jupcommon.h), because
we call its function (print_routine) from within the public library function. You
may have also noticed that I placed the public header file first—there’s a good
Autotools_02.book Page 158 Tuesday, June 15, 2010 2:38 PM
www.it-ebooks.info

Building Libraries with Libtool 159
reason for this. By placing the public header file first in the source file, we
ensure that the use of this header file doesn’t depend on any other files in
the project.
For example, let’s say the public header file has a hidden dependency on
some construct (such as a type definition, structure, or preprocessor definition)
defined in an internal header like jupcommon.h. If we include the public header
file after jupcommon.h, the dependency would be hidden when the compiler
begins to process the public header file, because the required construct is
already available in the translation unit (the source file combined with all of
the included header files).
I’d like to make one final point about the contents of Listing 6-5. The
preprocessor conditional construct is commonly called an include guard. It is
a mechanism for preventing your header files from inadvertently being included
multiple times within the same translation unit. I use include guards routinely in
all my header files, and it’s good practice to do so. A good optimizing com-
piler (e.g., gcc) will recognize include guards in header files and skip the file
entirely on subsequent inclusions within the same translation unit.
Since a public header file will be consumed by foreign source code, it’s
even more critical that you use include guards religiously in these header
files. While you can control your own code base, you have no say in the code
that one of your library consumers writes. What I’m advocating here is that
you assume you’re the best programmer you know, and everyone else is a little
below your skill level. You can do this nicely by not mentioning it to anyone,
but you should act like it’s a fact when you write your public header files.
Next, we’ll modify the jupiter application’s main function so that it calls
into the shared library instead of the common static library. These changes
are shown in Listing 6-6.
#include <libjupiter.h>
int main(int argc, char * argv[])
{
jupiter_print(argv[0]);
return 0;
}
Listing 6-6: src/main.c: Changing main to call the shared-library function
Here, we’ve changed the print function from print_routine, found in the
static library, to jupiter_print, as provided by the new shared library. We’ve
also changed the header file included at the top from libjupcommon.h to
libjupiter.h.
My choices of names for the public function and header file were arbi-
trary but based on a desire to provide a clean, rational, and informational
public interface. The name libjupiter.h very clearly indicates that this header
file specifies the public interface for libjupiter.so. I try to name library interface
functions to make it clear that that they are part of an interface. How you
choose to name your public interface members—files, functions, structures,
Autotools_02.book Page 159 Tuesday, June 15, 2010 2:38 PM
www.it-ebooks.info

160 Chapter 6
type definitions, preprocessor definitions, global data, and so on—is up to
you, but you should consider using a similar philosophy. Remember, the goal
is to provide a great end-user experience. Intuitive naming should be a signif-
icant part of your strategy. For example, it is a good general practice to choose
a common prefix for your program and library symbols.9
Finally, we must also modify the src/Makefile.am file to use our new shared
library, rather than the libjupcommon.a static library. These changes are
shown in Listing 6-7.
bin_PROGRAMS = jupiter
jupiter_SOURCES = main.c
jupiter_CPPFLAGS = -I$(top_srcdir)/include
jupiter_LDADD = ../libjup/libjupiter.la
...
Listing 6-7: src/Makefile.am: Adding shared-library references to the src directory makefile
Here, we’ve changed the jupiter_CPPFLAGS statement at so that it refers to
the new top-level include directory, rather than the common directory. We’ve
also changed the jupiter_LDADD statement at so that it refers to the new Lib-
tool shared-library object, rather than the libjupcommon.a static library. All else
remains the same. The syntax for referring to a Libtool library is identical to
that for referring to an older, static library—only the library extension is differ-
ent. The Libtool library extension .la stands for libtool archive.
Let’s take a step back for a moment. Do we actually need to make this
change? No, of course not. The jupiter application will continue to work just
fine the way we originally wrote it. Linking the code for the static library’s
print_routine directly into the application works just as well as calling the new
shared-library routine (which ultimately contains the same code, anyway). In
fact, there is slightly more overhead in calling a shared-library routine because
of the extra level of indirection when calling through a shared-library jump
table.
In a real project, you might actually leave it the way it was. Because both
public entry points, main and jupiter_print, call exactly the same function
(print_routine) in libjupcommon.a, their functionality is identical. Why add even
the slight overhead of a call through the public interface? Well, one reason is
that you can take advantage of shared code. By using the shared-library func-
tion, you’re not duplicating code—neither on disk nor in memory. This is
the DRY principle at work.
Another reason is to exercise the interface you’re providing for users of
your shared library. You’ll catch bugs in your public interfaces more quickly
if your project code uses your shared libraries exactly the way you expect
other programs to use them.
In this situation, you might now consider simply moving the code from
the static library into the shared library, thereby removing the need for the
static library entirely. However, I’m going to beg your indulgence with my
contrived example. In a more complex project, I might very well have a need
9. This is especially relevant on ELF systems, where it can be difficult to determine which of your
library symbols might conflict with symbols from other libraries.
Autotools_02.book Page 160 Tuesday, June 15, 2010 2:38 PM
www.it-ebooks.info

Building Libraries with Libtool 161
for this sort of configuration. Common code is often gathered together into
static convenience libraries, and more often than not, only a portion of this
common code is reused in shared libraries. I’m going to leave it the way it is
here for the sake of its educational value.
Reconfigure and Build
Since we’ve added a major new component to our project build system (Lib-
tool), we’ll clean up the work area and add the -i option to the autoreconf
command line to ensure that all of the proper files are installed into the
project root directory:
$ autoreconf -i
libtoolize: putting auxiliary files in '.'.
libtoolize: copying file './ltmain.sh'
libtoolize: Consider adding 'AC_CONFIG_MACRO_DIR([m4])' to configure.ac and
libtoolize: rerunning libtoolize, to keep the correct libtool macros in-tree.
libtoolize: Consider adding '-I m4' to ACLOCAL_AMFLAGS in Makefile.am.
configure.ac:16: installing './compile'
configure.ac:8: installing './config.guess'
configure.ac:8: installing './config.sub'
configure.ac:6: installing './install-sh'
configure.ac:6: installing './missing'
common/Makefile.am: installing './depcomp'
Makefile.am: installing './INSTALL'
Makefile.am: installing './COPYING'
$
Because we completely removed all generated and copied files from our
project directory, most of these notifications have to do with replacing files
we’ve already discussed. However, there are a few noteworthy exceptions.
First, notice the comments from libtoolize at . Most of them are simply
suggesting that we move to the new Autotools convention of adding M4 macro
files to a directory called m4 in the project root directory. We’re going to ignore
these comments for now, but in Chapters 8 and 9, we’ll actually do this for a
real project.
As you can see at , it appears that the addition of Libtool has caused a
few new files to be added to our project—namely, the ltmain.sh, config.guess,
and config.sub files. configure uses ltmain.sh to build a project-specific version
of libtool for the Jupiter project. I’ll describe the config.guess and config.sub
scripts later.
Let’s go ahead and execute configure and see what happens:
$ ./configure
...
checking for ld used by gcc... /usr/x86_64-suse-linux/bin/ld
checking if the linker (/usr/x86_64-suse-linux/bin/ld) is GNU ld... yes
checking for BSD- or MS-compatible name lister (nm)... /usr/bin/nm -B
checking the name lister (/usr/bin/nm -B) interface... BSD nm
checking whether ln -s works... yes
checking the maximum length of command line arguments... 1572864
Autotools_02.book Page 161 Tuesday, June 15, 2010 2:38 PM
www.it-ebooks.info

162 Chapter 6
checking whether the shell understands some XSI constructs... yes
checking whether the shell understands "+="... yes
checking for /usr/x86_64-suse-linux/bin/ld option to reload object files... -r
checking for objdump... objdump
checking how to recognize dependent libraries... pass_all
checking for ar... ar
checking for strip... strip
checking for ranlib... ranlib
checking command to parse /usr/bin/nm -B output from gcc object... ok
...
checking for shl_load... no
checking for shl_load in -ldld... no
checking for dlopen... no
checking for dlopen in -ldl... yes
checking whether a program can dlopen itself... yes
checking whether a statically linked program can dlopen itself... no
checking whether stripping libraries is possible... yes
checking if libtool supports shared libraries... yes
checking whether to build shared libraries... yes
checking whether to build static libraries... yes
...
configure: creating ./config.status
config.status: creating Makefile
config.status: creating common/Makefile
config.status: creating include/Makefile
config.status: creating libjup/Makefile
config.status: creating src/Makefile
config.status: creating config.h
config.status: executing depfiles commands
config.status: executing libtool commands
$
The first thing to note is that Libtool adds significant overhead to the
configuration process. I’ve only shown the output lines here that are new
since we added Libtool. All we’ve added to the configure.ac file is the reference
to the LT_INIT macro, and we’ve nearly doubled our configure script output.
This should give you some idea of the number of system characteristics that
must be examined to create portable shared libraries. Fortunately, Libtool
does a lot of the work for you.
Now, let’s run the make command and see what sort of output we get.
NOTE In the following examples, I’ve presented only the output lines that are relevant to our
discussion, and I’ve added blank lines between lines for readability. I’ve used ellipses to
indicate omitted output lines.
$ make
...
/bin/sh ../libtool --tag=CC --mode=compile gcc -DHAVE_CONFIG_H -I. -I..
-I../include -I../common -g -O2 -MT libjupiter_la-jup_print.lo -MD -MP -MF
.deps/libjupiter_la-jup_print.Tpo -c -o libjupiter_la-jup_print.lo `test -f
'jup_print.c' || echo './'`jup_print.c
Autotools_02.book Page 162 Tuesday, June 15, 2010 2:38 PM
www.it-ebooks.info

Building Libraries with Libtool 163
libtool: compile: gcc -DHAVE_CONFIG_H -I. -I.. -I../include -I../common -g
-O2 -MT libjupiter_la-jup_print.lo -MD -MP -MF .deps/libjupiter_la-
jup_print.Tpo -c jup_print.c -fPIC -DPIC -o .libs/libjupiter_la-jup_print.o
libtool: compile: gcc -DHAVE_CONFIG_H -I. -I.. -I../include -I../common -g
-O2 -MT libjupiter_la-jup_print.lo -MD -MP -MF .deps/libjupiter_la-
jup_print.Tpo -c jup_print.c -o libjupiter_la-jup_print.o >/dev/null 2>&1
mv -f .deps/libjupiter_la-jup_print.Tpo .deps/libjupiter_la-jup_print.Plo
/bin/sh ../libtool --tag=CC --mode=link gcc -g -O2 -o libjupiter.la
-rpath /usr/local/lib libjupiter_la-jup_print.lo ../common/libjupcommon.a -
lpthread
*** Warning: Linking the shared library libjupiter.la against the
*** static library ../common/libjupcommon.a is not portable!
libtool: link: gcc -shared .libs/libjupiter_la-jup_print.o ../common/
libjupcommon.a -lpthread -Wl,-soname -Wl,libjupiter.so.0 -o .libs/
libjupiter.so.0.0.0
/usr/lib64/gcc/x86_64-suse-linux/4.3/../../../../x86_64-suse-linux/bin/ld: ../
common/libjupcommon.a(print.o): relocation R_X86_64_32 against 'a local
symbol' can not be used when making a shared object; recompile with -fPIC
../common/libjupcommon.a: could not read symbols: Bad value
collect2: ld returned 1 exit status
make[2]: *** [libjupiter.la] Error 1
...
We seem to have some errors to fix. The first point of interest is that the
libtool script is being called at with a --mode=compile option, which causes
libtool to act as a wrapper script around a somewhat modified version of a
standard gcc command line. You can see the effects of this statement in the
next two compiler command lines at and . Two compiler commands?
That’s right. It appears that libtool is running the compiler twice against
our source file.
A careful comparison of these two command lines shows that the first
compiler command is using two additional flags, -fPIC and -DPIC. The first line
also appears to be directing the output file to a .libs subdirectory, whereas the
second line is saving it in the current directory. Finally, both the stdout and
stderr output are redirected to /dev/null in the second line.
NOTE Occasionally, you may run into a situation where a source file compiles fine in the first
compilation, but it fails in the second due to a PIC-related source code defect. These
sorts of problems are rare, but they can be a real pain when they occur because make
halts the build with an error but doesn’t give you any error messages to explain the
problem! When you see this situation, simply pass the -no-suppress flag in the CFLAGS
variable on the make command line in order to tell Libtool not to redirect output from
the second compilation to /dev/null.
Autotools_02.book Page 163 Tuesday, June 15, 2010 2:38 PM
www.it-ebooks.info
164 Chapter 6
This double-compile feature has caused a fair amount of anxiety on the
Libtool mailing list over the years. Mostly, this is due to a lack of understanding
of what Libtool is trying to do and why it’s necessary. Using Libtool’s various
configure script command-line options, you can force a single compilation,
but doing so brings a certain loss of functionality, which I’ll explain here shortly.
The line at renames the dependency file from *.Tpo to *.Plo. You might
recall from Chapters 2 and 5 that dependency files contain make rules that
declare dependencies between source files and referenced header files. The
C preprocessor generates these rules when you use the -MT compiler option.
However, the overarching concept to understand here is that one Libtool
command may (and often does) execute a group of shell commands.
The line at is another call to the libtool script, this time using the
--mode=link option. This option generates a call to execute the compiler in
link mode, passing all of the libraries and linker options specified in the
Makefile.am file.
And finally, at we come to the first problem—a portability warning
about linking a shared library against a static library. Specifically, this warn-
ing is about linking a Libtool shared library against a non-Libtool static library.
Notice that this is not an error. Were it not for additional errors we’ll
encounter later, the library would be built in spite of this warning.
After the portability warning, libtool attempts to link the requested
objects together into a shared library named libjupiter.so.0.0.0. But here the
script runs into the real problem: at a linker error indicates that somewhere
from within libjupcommon.a—and more specifically, within print.o—an x86_64
object relocation cannot be performed because the original source file (print.c)
was apparently not compiled correctly. The linker is kind enough to tell me
exactly what I need to do to fix the problem (bolded in the example): I need
to compile the source code using a -fPIC compiler option.
Now, if you were to encounter this error and didn’t know anything about
the -fPIC option, you’d be wise to open the man page for gcc and study it before
inserting compiler and linker options willy-nilly until the warning or error dis-
appears (unfortunately, a common practice of inexperienced programmers).
Software engineers should understand the meaning and nuances of every
command-line option used by the tools in their build systems. Otherwise,
they don’t really know what they have when their build completes. It may
work the way it should, but if it does, it’s by luck rather than by design. Good
engineers know their tools, and the best way to learn is to study error messages
and their fixes until the problem is well understood before moving on.
So What Is PIC, Anyway?
When operating systems create new process address spaces, they typically
load program executable images at the same memory address. This magic
address is system specific. Compilers and linkers understand this, and they
know what the magic address is on any given system. Therefore, when they
generate internal references to function calls or global data, they can gener-
ate those references as absolute addresses. If you were somehow able to load
Autotools_02.book Page 164 Tuesday, June 15, 2010 2:38 PM
www.it-ebooks.info

Building Libraries with Libtool 165
the executable at a different location in memory, it would simply not work
properly because the absolute addresses within the code would not be cor-
rect. At the very least, the program would crash when the processor jumped
to the wrong location during a function call.
Consider Figure 6-1 for a moment. Assume we have a system whose magic
executable load address is 0x10000000; this diagram depicts two process address
spaces within that system. In the process on the left, an executable image is
loaded correctly at address 0x10000000. At some point in the code, a jmp instruc-
tion tells the processor to transfer control to the absolute address 0x10001000,
where it continues executing instructions in another area of the program.
Figure 6-1: Absolute addressing in executable images
In the process on the right, the program is loaded incorrectly at address
0x20000000. When that same branch instruction is encountered, the processor
jumps to address 0x10001000, because that address is hardcoded into the
program image. This, of course, fails—often spectacularly by crashing, but
sometimes with more subtle and dastardly ramifications.
That’s how things work for program images. However, when a shared
library is built for certain types of hardware (x86 and amd64 included), neither
the compiler nor linker know beforehand where the library will be loaded.
This is because many libraries may be loaded into a process, and the order in
which they are loaded depends on how the executable is built, not the library.
Furthermore, who’s to say which library owns location A and which one owns
location B? The fact is, a library may be loaded anywhere into a process where
there is space for it at the time it’s loaded. Only the operating system loader
knows where it will finally reside—and even then, it only knows just before
the library is actually loaded.
0x00000000
0x10000000
...
JMP
0x10001000
...
0x10001000
0x00000000
0x20000000
0x20001000
0x10000000
0x10001000
** CRASH **
Correctly Loaded
at 0x10000000
Incorrectly Loaded
at 0x20000000
(procedure A)
(procedure A)
Executables containing
absolute references must be
loaded at the correct address.
...
JMP
0x10001000
...
Autotools_02.book Page 165 Tuesday, June 15, 2010 2:38 PM
www.it-ebooks.info

166 Chapter 6
As a result, shared libraries can only be built from a special class of object
files called PIC objects. PIC is an acronym that stands for position-independent
code, and it implies that references within the object code are not absolute,
but relative. When you use the -fPIC option on the compiler command line,
the compiler will use somewhat less efficient relative addressing in branching
instructions. Such position-independent code may be loaded anywhere.
Figure 6-2 depicts the concept of relative addressing as used when gener-
ating PIC objects. When using relative addressing, addresses work correctly
regardless of where the image is loaded, because they’re always encoded rela-
tive to the current instruction pointer. In Figure 6-2, the diagrams indicate a
shared library loaded at the same addresses as those in Figure 6-1 above—
that is, 0x10000000 and 0x20000000. In both cases, the dollar sign used in the jmp
instruction represents the current instruction pointer (IP), so $ + 0xC74 tells
the processor that it should jump to the instruction starting 0xC74 bytes ahead
of the current position of the instruction pointer.
Figure 6-2: Relative addressing in shared-library images
There are various nuances to generating and using position-independent
code, and you should become familiar with all of them before using them so
you can choose the option that is most appropriate for your situation. For
example, the GNU C compiler also supports a -fpic option (lowercase), which
uses a slightly quicker but more limited mechanism to generate relocatable
object code.10
10. Wikipedia has a very informative page on position-independent code although I find
its treatment of Windows DLLs to be somewhat outdated. See http://en.wikipedia.org/wiki/
Position-independent_code/.
0x00000000
0x10000000
...
JMP $ + 0xC74
...
0x10001000
0x00000000
0x20000000
...
JMP $ + 0xC74
...
0x20001000
Loaded at
0x10000000
Loaded at
0x20000000
(procedure A)
(procedure A)
Shared libraries built with
position-independent code (PIC)
can load anywhere.
Autotools_02.book Page 166 Tuesday, June 15, 2010 2:38 PM
www.it-ebooks.info

Building Libraries with Libtool 167
Fixing the Jupiter PIC Problem
From what we now understand, one way to fix our linker error is to add the
-fPIC option to the compiler command line for the source files that comprise
the libjupcommon.a static library. Listing 6-8 illustrates the changes required
to the common/Makefile.am file.
noinst_LIBRARIES = libjupcommon.a
libjupcommon_a_SOURCES = jupcommon.h print.c
libjupcommon_a_CFLAGS = -fPIC
Listing 6-8: common/Makefile.am: Changes required for generation of PIC objects in a
static library
And now let’s retry the build:
$ autoreconf
$ ./configure
...
$ make
...
/bin/sh ../libtool --tag=CC --mode=link gcc -g -O2 -o libjupiter.la
-rpath /usr/local/lib libjupiter_la-jup_print.lo ../common/libjupcommon.a
-lpthread
*** Warning: Linking the shared library libjupiter.la against the
*** static library ../common/libjupcommon.a is not portable!
libtool: link: gcc -shared .libs/libjupiter_la-jup_print.o ../common/
libjupcommon.a -lpthread -Wl,-soname -Wl,libjupiter.so.0 -o .libs/
libjupiter.so.0.0.0
libtool: link: (cd ".libs" && rm -f "libjupiter.so.0" && ln -s
"libjupiter.so.0.0.0" "libjupiter.so.0")
libtool: link: (cd ".libs" && rm -f "libjupiter.so" && ln -s
"libjupiter.so.0.0.0" "libjupiter.so")
libtool: link: ar cru .libs/libjupiter.a ../common/libjupcommon.a
libjupiter_la-jup_print.o
libtool: link: ranlib .libs/libjupiter.a
libtool: link: ( cd ".libs" && rm -f "libjupiter.la" && ln -s "../
libjupiter.la" "libjupiter.la" )
...
We now have a shared library built properly with position-independent
code, as per system requirements. However, we still have that strange warning
at about the portability of linking a Libtool library against a static library.
The problem here is not in what we’re doing, but rather how we’re doing it.
You see, the concept of PIC does not apply to all hardware architectures. Some
Autotools_02.book Page 167 Tuesday, June 15, 2010 2:38 PM
www.it-ebooks.info

168 Chapter 6
CPUs don’t support any form of absolute addressing in their instruction sets.
As a result, native compilers for these platforms don’t support a -fPIC option—
it has no meaning for them.
If we tried, for example, to compile this code on an IBM RS/6000 system
using the native IBM compiler, it would hiccup when it came to the -fPIC
option on the linker command line. This is because it doesn’t make sense to
support such an option on a system where all code is generated as position-
independent code.
One way we could get around this problem would be to make the -fPIC
option conditional in Makefile.am, based on the target system and the tools
we’re using. But that’s exactly the sort of problem that Libtool was designed
to address! We’d have to account for all the different Libtool target system
types and toolsets in order to handle the entire set of conditions that Libtool
already handles. Additionally, some systems and compilers may require dif-
ferent command-line options to accomplish the same goal.
The way around this portability problem, then, is to let Libtool generate
the static library, as well. Libtool makes a distinction between static libraries
that are installed as part of a developer’s kit and static libraries that are only
used internally within a project. It calls such internal static libraries convenience
libraries, and whether or not a convenience library is generated depends on
the prefix used with the LTLIBRARIES primary. If the noinst prefix is used, then
Libtool assumes we want a convenience library, because there’s no point in
generating a shared library that will never be installed. Thus, convenience
libraries are always generated as static archives, which have no value unless
they’re linked to other code within the project.
The reason for distinguishing between convenience libraries and other
forms of static libraries is that convenience libraries are always built, whereas
installed static libraries are only built if the --enable-static option is specified
on the configure command line, or conversely, if the --disable-static option
is not specified, and the default library type has been set to static. The conver-
sion from an older static library to a newer Libtool convenience library is
simple enough—all we have to do is add LT to the primary name and remove
the -fPIC option and the CFLAGS variable (since there were no other options
being used in that variable). Note also that I’ve changed the library exten-
sion from .a to .la. Don’t forget to change the prefix on the SOURCES variable
to reflect the new name of the library—libjupcommon.la. These changes are
highlighted in Listings 6-9 and 6-10.
noinst_LTLIBRARIES = libjupcommon.la
libjupcommon_la_SOURCES = jupcommon.h print.c
Listing 6-9: common/Makefile.am: Changing from a static library to a Libtool static library
...
libjupiter_la_LIBADD = ../common/libjupcommon.la
Listing 6-10: libjup/Makefile.am: Changing from a static library to a Libtool static library
Autotools_02.book Page 168 Tuesday, June 15, 2010 2:38 PM
www.it-ebooks.info

Building Libraries with Libtool 169
Now when we try to build, here’s what we get:
$ autoreconf
$ ./configure
...
$ make
...
/bin/sh ../libtool --tag=CC --mode=compile gcc -DHAVE_CONFIG_H -I. -I..
-I../include -I../common -g -O2 -MT libjupiter_la-jup_print.lo -MD -MP -MF
.deps/libjupiter_la-jup_print.Tpo -c -o libjupiter_la-jup_print.lo 'test -f
'jup_print.c' || echo './''jup_print.c
...
/bin/sh ../libtool --tag=CC --mode=link gcc -g -O2 -o libjupiter.la -
rpath /usr/local/lib libjupiter_la-jup_print.lo ../common/libjupcommon.la
-lpthread
libtool: link: gcc -shared .libs/libjupiter_la-jup_print.o -Wl,--whole-
archive ../common/.libs/libjupcommon.a -Wl,--no-whole-archive -lpthread
-Wl,-soname -Wl,libjupiter.so.0 -o .libs/libjupiter.so.0.0.0
...
libtool: link: ar cru .libs/libjupiter.a libjupiter_la-jup_print.o .libs/
libjupiter.lax/libjupcommon.a/print.o
...
You can see at that the common library is now built as a static conve-
nience library, because the ar utility builds libjupcommon.a. Libtool also seems
to be building files with new and different extensions—a closer look will
reveal extensions such as .la and .lo (at and , respectively). If you examine
these files, you’ll find that they’re actually descriptive text files containing
object and library metadata. Listing 6-11 shows the partial contents of common/
libjupcommon.la.
# libjupcommon.la - a libtool library file
# Generated by ltmain.sh (GNU libtool) 2.2.6a
#
# Please DO NOT delete this file!
# It is necessary for linking the library.
# The name that we can dlopen(3).
dlname=''
# Names of this library.
library_names=''
# The name of the static archive.
old_library='libjupcommon.a'
# Linker flags that can not go in dependency_libs.
inherited_linker_flags=''
# Libraries that this one depends upon.
dependency_libs=' -lpthread'
...
Listing 6-11: common/libjupcommon.la: Textual metadata found in a library archive (.la) file
Autotools_02.book Page 169 Tuesday, June 15, 2010 2:38 PM
www.it-ebooks.info
170 Chapter 6
The various fields in these files help the linker—or rather the libtool
wrapper script—to determine certain options that the maintainer would other-
wise have to remember and manually pass to the linker on the command line.
For instance, the library’s shared and static names are documented at and
here, as well as any library dependencies required by these libraries (at ).
In this library, we can see that libjupcommon.a depends on the pthreads
library. But, by using Libtool, we don’t have to pass a -lpthread option on the
libtool command line, because libtool can detect from the contents of this
metadata file (the line at ) that the linker will need this option, and it passes
the option for us.
Making these files human readable was a minor stroke of genius, as they
can tell us a lot about Libtool libraries at a glance. These files are designed to
be installed on an end user’s machine with their associated binaries, and in
fact, the make install rules that Automake generates for Libtool libraries do
just this.
Summary
In this chapter, I outlined the basic rationale for shared libraries. As an exercise,
we added a shared library to Jupiter that incorporates functionality from the
convenience library we created earlier. We began with a more or less intui-
tive approach to incorporating a static library into a Libtool shared library,
and in the process, discovered a more portable and correct way to do this
using Libtool convenience libraries.
As with the other packages in the Autotools toolchain, Libtool gives you
a lot of functionality and flexibility. But as you’ve probably noticed, with this
degree of functionality and flexibility comes a price—complexity. The size
of Jupiter’s configuration script increased dramatically with the addition of
Libtool, and the time required to compile and link our project increased
accordingly.
In the next chapter, we’re going to continue our discussion of Libtool
by looking at library versioning issues and Libtool’s solution to the portability
problems presented by manual dynamic runtime library management.
Autotools_02.book Page 170 Tuesday, June 15, 2010 2:38 PM
www.it-ebooks.info

LIBRARY INTERFACE
VERSIONING AND RUNTIME
DYNAMIC LINKING
Occasionally he stumbled over the truth, but hastily
picked himself up and hurried on as if nothing had happened.
—Sir Winston Churchill,
quoted in The Irrepressible Churchill
In the last chapter, I explained the concepts
of dynamically loadable shared libraries. I
also showed you how easy it is to add Libtool-
shared-library functionality and flexibility to your
projects, whether your projects provide shared libraries,
static libraries, convenience archives, or some mixture
of these. There are still two major Libtool topics we need to cover. The first
is library versioning, and the second involves using the Libtool ltdl library to
portably build dynamically loadable modules within your projects.
When I talk about the version of a library, I’m referring specifically to
the version of the library’s public interface, but I need to clearly define the
term interface in this context. A shared-library interface refers to all aspects of a
shared library’s connections with the outside world. Besides the function and
data signatures that a library exports, these connections include files and file for-
mats, network connections and wire data formats, IPC channels and protocols,
and so on. When considering whether to assign a new version to a shared
library, you should carefully examine all aspects of the library’s interactions
with the world to determine if a change will cause the library to act differ-
ently from a user’s perspective.
Autotools_02.book Page 171 Tuesday, June 15, 2010 2:38 PM
www.it-ebooks.info

172 Chapter 7
Libtool’s attempts to hide the differences among shared-library platforms
are so well conceived that if you’ve always used Libtool to build shared libraries,
you may not even realize that the way shared libraries are versioned is signifi-
cantly different between platforms.
System-Specific Versioning
Let’s examine how shared-library versioning works on a few different systems
to put the Libtool abstraction into context.
Shared-library versioning can be done either internally or externally.
Internal versioning means that the library name does not reflect its version in
any way. Thus, internal versioning implies that some form of executable header
information provides the linker with the appropriate function calls for the
requested application binary interface (ABI). This also implies that all function
calls for all versions of the library are maintained within the same shared-library
file. Libtool supports internal versioning where it’s mandated by platform
requirements, but it prefers to use external versioning. With external versioning,
version information is specified in the filename itself.
In addition to library-level versioning, wherein a particular version number
or string refers to the entire library interface, many Unix systems also support a
form of export- or symbol-level versioning, wherein a shared library exports
multiple named or numbered versions of the same function or global data
item. While Libtool does not hinder the use of such export-level versioning
schemes on a per-system basis, it does not provide any specific portability sup-
port for them, either. Therefore, I won’t go into great detail on this subject.
Linux and Solaris Library Versioning
Modern Linux borrows much of its library versioning system from more recent
versions of Sun Microsystem’s Solaris operating system.1 These systems use a
form of external library versioning in which version information is encoded
in the shared-library filename, following a specific pattern or template. Let’s
look at a partial directory listing for the /usr/lib directory on a typical (32-bit)
Linux system:
$ ls -lr /usr/lib
...
-rwxr-xr-x ... libname.so.X.Y
lrwxrwxrwx ... libname.so.X -> libname.so.X.Y
lrwxrwxrwx ... libname.so -> libname.so.X
-rw-r--r-- ... libname.a
...
$
1. Note that older Solaris systems and the original Linux shared-library system used the older, so-
called a.out scheme, in which libraries were managed quite differently. In the a.out scheme, all
binary code had to be manually mapped into memory using a mapping file that had the same
base name as the library and ended in the .sa extension. The mapping file had to be manually
edited to ensure that the program and all shared libraries were mapped into non-overlapping
regions of the process address space. This system was eventually replaced with PIC code, wherein
the loader can determine the position of code in memory at runtime.
Autotools_02.book Page 172 Tuesday, June 15, 2010 2:38 PM
www.it-ebooks.info

Library Interface Versioning and Runtime Dynamic Linking 173
The libname.so.X.Y entry at is the actual shared-library binary file. The X.Y
portion of the filename represents the version information, where X is the major
version number and Y is the minor version number. The general rule is that
changes in X represent non–backward compatible changes to the library’s ABI,
while changes in Y represent backward-compatible modifications, including iso-
lated additions to the library’s interface and non-intrusive bug fixes.
The libname.so.X entry at is referred to as a library’s shared object name
(soname)2 and is actually a soft link that points to the binary file. The soname
is the format that consuming programs and libraries reference internally. The
link is created by the ldconfig utility, which (among other things) ensures that
an appropriate soname can locate the latest minor version of an installed
library. Notice how this versioning scheme allows multiple sonames for dif-
ferent major versions and multiple binaries with different major and minor
versions to all co-exist within a single directory.
Most libraries are installed with a so-called linker name entry (at ) as well.
This is a soft link ending only in .so that usually refers to the soname with
the highest major version number. The linker name is the name by which a
library is referred to on the linker command line. The installation process,
not ldconfig, creates the linker name; this allows you to run programs on your
system that are linked against the latest version of a library but develop against
an older version of that library, or vice versa.
The entry at refers to the static archive form of the library, which has a
.a extension on Linux and Solaris systems.
Occasionally, you’ll see what appears to be a third numbered component:
-rwxr-xr-x ... libname.so.X.Y.Z
In this example, Y.Z is really just a two-part minor version number. Such
additional numeric information in the minor version number is sometimes
referred to as the library’s patch level.3
From here on out, the waters become muddied by a strange array of
external and internal shared-library versioning techniques. Each of these
less-than-intuitive systems is designed to overcome some of the fundamental
problems that have been discovered in the Solaris system over the years.4
Let’s look at a few of them.
IBM AIX Library Versioning
Traditionally, IBM’s AIX used a form of internal versioning, storing all
library code within a single archive file that follows the pattern libname.a.
2. Soname is pronounced “ess-oh-name.”
3. According to legend, the entire minor version number can really be any alpha-numeric text,
though it’s usually limited to dot-separated numbers—if only to maintain the sanity of the user.
The GNU Libtool Manual claims that the ldconfig utility will honor the patch level when it creates
the soname link, automatically selecting the highest value found. If this value can be any alpha-
numeric text, then it’s difficult to see how this statement can be true; perhaps the utility uses
some heuristic (such as lexicographical value) to attempt to isolate the more “recent” version of
the library.
4. In my humble opinion, the additional problems caused by these “enhancements” aren’t really
justified by the solutions they provide.
Autotools_02.book Page 173 Tuesday, June 15, 2010 2:38 PM
www.it-ebooks.info

174 Chapter 7
This file may actually contain both static and shared forms of code, as well as
32-bit and 64-bit code. Internally, all shared-library code is stored in a single,
logical, shared-object file within the archive file, while static library objects
are stored as individual logical object files within the archive.
I said “traditionally” because more recent versions of AIX (including all
64-bit versions) now support the concept of loading shared-library code directly
from physical .so files.
Libtool generates shared-library code on AIX using both of these schemes.
If the AIX -brtl native linker flag is specified on the command line, Libtool
generates shared libraries with .so extensions. Otherwise, it generates com-
bined libraries following the older, single-file scheme.5
When using the .so file scheme on AIX, Libtool generates libraries named
in the Linux/Solaris pattern in order to maintain a degree of alliance with
these more popular platforms. Regardless of the shared-library extension
used, however, version information is still not stored in the filename; it is
stored internally, within the library and consuming executables. As far as I
can tell, Libtool ensures that the correct internal structures are created to
reflect the proper versioning information within the shared-library header. It
does this by passing appropriate flags to the native linker with embedded ver-
sion information derived from the Libtool version string.
Executables on most Unix systems also support the concept of an
embedded runtime library search path (called a LIBPATH on AIX), which
usually specifies a set of colon-separated filesystem paths to be searched for
shared-library dependencies. You can use Libtool’s -R command-line option
to specify a library search path for both programs and libraries. Libtool will
translate this option to the appropriate GNU or native linker option on any
given system.
I say executables usually support this option because on AIX, there are a
few nuances. If all of the directories specified in the LIBPATH are real direc-
tories, everything works as expected—that is, the LIBPATH acts purely as a
library search path. However, if the first segment of the LIBPATH is not a
real filesystem entry, it acts as a so-called loader domain, which is basically a
namespace for a particular shared library. Thus, multiple shared libraries of
the same name can be stored within the same AIX archive (.a) file, each
assigned (by linker options) to a different loader domain. The library that
matches the loader domain specified in the LIBPATH is loaded from the
archive. This can have nasty side effects if you assign a loader domain via the
LIBPATH that later becomes (by chance) a real filesystem entry. On the
other hand, you could also specify a search directory in the LIBPATH that
happens to match a loader domain in a shared library. If that directory is
removed later, then you’ll unintentionally begin to use the loader domain.
As you can imagine, strange behavior ensues. Most of these issues have been
solved by AIX developers by ensuring that loader domain strings look noth-
ing like filesystem paths.
5. The -brtl flag tells the native AIX linker to generate load-time resolved shared objects, wherein
external symbol references are resolved at the time the library is loaded, as opposed to the default
link-time resolved objects, wherein external symbol references are resolved at link time. Resolving
objects at load time is more similar to how objects are treated on Linux and Solaris or, more
generally, on ELF systems.
Autotools_02.book Page 174 Tuesday, June 15, 2010 2:38 PM
www.it-ebooks.info

Library Inter face Versi oni ng and Runtime Dyna mic Linking 175
MICROSOFT DLL VERSIONING
Consider Microsoft Windows dynamic link libraries (DLLs). These are shared librar-
ies in every sense of the word, and they provide a proper application programming
interface. But unfortunately, Microsoft has, in the past, provided no integrated DLL
interface versioning scheme. As a result, Windows developers have often referred to
DLL versioning issues (tongue-in-cheek, I’m sure) as DLL Hell.
As a sort of band-aid fix to this problem, DLLs on Windows systems can be installed
into the same directory as the program that uses them. The Windows operating system
loader will always attempt to use the local copy before searching for a copy in the
system path. This alleviates a part of the problem because it allows you to install a
specific version of the library with the package that requires it. While this is a fair
solution, it’s not really a good solution, because one of the major benefits of shared
libraries is that they can be shared—both on disk and in memory. If every applica-
tion has its own copy of a different version of the library, then this benefit of shared
libraries is lost—both on disk and in memory.
Since the introduction of this partial solution years ago, Microsoft hasn’t paid much
attention to DLL-sharing efficiency issues. The reasons for this include both a cavalier atti-
tude regarding the cost of disk space and RAM and a technical issue regarding the
implementation of Windows DLLs. Instead of generating position-independent code,
Microsoft system architects chose to link DLLs with a specific base address and then
list all of the absolute address references in a base table in the library image header.
When a DLL can’t be loaded at the desired base address (because of a conflict with
another DLL), the loader rebases the DLL by picking a new base address and changing
all of the absolute addresses in the code segment that are referred to in the base
table. When a DLL is rebased in this manner, it can only be shared with processes
that happen to rebase the DLL to the same address. The odds of accidentally encounter-
ing such a scenario—especially among applications with many DLL components—
are pretty slim.
Recently, Microsoft invented the concept of the side-by-side cache (sometimes
referred to as SxS), which allows developers to associate a unique identification
value (a GUID, in fact) with a particular version of a DLL installed in a system loca-
tion. The location directory name is derived from the DLL name and the version iden-
tifier. Applications built against SxS-versioned libraries have metadata stored in their
executable headers indicating the specifically versioned DLLs that they require. If the
right version is found (by newer OS loaders) in the SxS cache, then it is loaded. Based
on policy in the EXE header’s metadata, the loader can revert to the older scheme of
looking for a local, and then a global, copy of the DLL. This is a vast improvement
over earlier solutions, and it provides a very flexible versioning system.
The side-by-side cache effectively moves the Windows DLL architecture a step closer
to the Unix way of managing shared libraries. Think of the SxS as a system installation
location for libraries—much like the /usr/lib directory on Unix systems. Also similar to
Unix, multiple versions of the same DLL may be co-installed in the side-by-side cache.
Regardless of the similarities, since DLLs use the rebasing technique as opposed
to PIC code, the side-by-side cache is still a fairly benign efficiency improvement with
respect to applications that manage dozens of shared libraries. SxS is really intended for
system libraries that many applications are likely to consume. These are generally
based at different addresses, so that the odds of clashing (and thus rebasing) are
decreased but not entirely eliminated.
The entire based approach to shared libraries has the major drawback that the pro-
gram address space may become fairly fragmented as the system loader honors
randomly chosen base addresses throughout a 32-bit address space. 64-bit addressing
helps tremendously in this area, so you may find the side-by-side cache to be much more
effective with respect to improving memory-use efficiency on 64-bit Windows systems.
Autotools_02.book Page 175 Tuesday, June 15, 2010 2:38 PM
www.it-ebooks.info

176 Chapter 7
On AIX systems, all code, whether static or shared, is compiled as position-
independent code because AIX has only ever been ported to PowerPC and
RS/6000 processors. The architectures of these processors only allow for PIC
code, so AIX compilers can’t generate non-PIC code.
HP-UX/AT&T SVR4 Library Versioning
Hewlett Packard’s version of Unix (since HP-UX version 10.0) adds a form
of library-level versioning that’s very similar to the versioning used in AT&T
UNIX System V Release 4. For our purposes, you can consider these two types
of systems to work nearly the same way.
The native linker looks for libraries specified by their base name with a
.sl extension. However, consuming programs and libraries contain a reference
to that library’s internal name. The internal name is assigned to the library
by a linker command-line option and should contain the library’s interface
version number.
The actual library is named with only the major interface version as an
extension, and a soft link is created with a .sl extension pointing to the library.
Thus, a shared library on these systems will follow this pattern:
libname.X
libname.sl -> libname.X
The only version information we have to work with is a major version
number, which should be used to indicate non-backward-compatible changes
from one version to the next. Since there’s no minor version number, as on
Linux or Solaris, we can’t keep multiple revisions of a particular interface
version around. The only option is to replace version zero of a library with
an updated version zero if bug fixes or backward-compatible enhancements
(e.g., non-intrusive additions to the interface) are made.
However, we can still have multiple major versions of the library coinstalled,
and Libtool takes full advantage of what’s available on these systems.
The Libtool Library Versioning Scheme
The authors of Libtool tried hard to provide a versioning scheme that could
be mapped to any of the schemes used by any Libtool platform. The Libtool
versioning scheme is designed to be flexible enough to be forward compatible
with reasonable future changes to existing Libtool platforms and even to new
Libtool platforms.
Nevertheless, it’s not a panacea. When extending Libtool for a new type
of shared-library platform, situations have occurred (and continue to occur)
that require some serious and careful evaluation. No one can be an expert
on all systems, so the Libtool developers rely heavily on outside contributions
to create proper mappings from the Libtool versioning scheme to the schemes
of new or would-be Libtool platforms.
Autotools_02.book Page 176 Tuesday, June 15, 2010 2:38 PM
www.it-ebooks.info

Library Interface Versioning and Runtime Dynamic Linking 177
Library Versioning Is Interface Versioning
You should consciously avoid thinking of library version numbers (either
Libtool’s or those of a particular platform) as product major, minor, and revision
values. In fact, these values have very specific meaning to the operating system
loader, and they must be updated properly for each new library version in
order to keep from confusing the loader. A confused loader could load the
wrong version of a library based on incorrect version information assigned to
the library.
Several years ago, I was working with my company’s corporate versioning
committee to come up with a software-versioning policy for the company as
a whole. The committee wanted the engineers to ensure that the version
numbers incorporated into our shared-library names were in alignment with
the corporate software versioning strategy. It took me the better part of a day
to convince them that a shared-library version was not related to a product
version in any way, nor should such a relationship be established or enforced
by them or by anyone else.
Here’s why: The version number on a shared library is not really a library
version but an interface version. The interface I’m referring to here is the
application binary interface presented by a library to the user, another pro-
grammer desiring to call functions presented by the interface. An executable
program has a single, well-defined, standard entry point (usually called main
in the C language). But a shared library has multiple entry points that are
generally not standardized in a manner that is widely understood. This makes
it much more difficult to determine whether or not a particular version of a
library is interface compatible with another version of the same library.
In Libtool’s versioning scheme, shared libraries are said to support a range
of interface versions, each identified by a unique integer value. If any publicly
visible aspect of an interface changes between public releases, it can no longer
be considered the same interface; it therefore becomes a new interface, iden-
tified by a new integer identifier. Each public release of a library in which the
interface has changed simply acquires the next consecutive interface version
number. Libraries that change in a backward-compatible manner between
releases are said to support both the old and the new interface; thus a partic-
ular release of a library may support interface versions 2–5, for example.
Libtool library version information is specified on the libtool command
line with the -version-info option, as shown in Listing 7-1.
libname_la_LDFLAGS = -version-info 0:0:0
Listing 7-1: Setting shared-library version information in a Makefile.am file
The Libtool developers wisely chose the colon separator over the period
in an effort to keep developers from trying to directly associate Libtool version
string values with the version numbers appended to the end of shared-library
files on various platforms. The three values in the version string are respec-
tively called the interface current, revision, and age values.
Autotools_02.book Page 177 Tuesday, June 15, 2010 2:38 PM
www.it-ebooks.info

178 Chapter 7
The current value represents the current interface version number. This
is the value that changes when a new interface version must be declared
because the interface has changed in some publicly visible way since the last
public release of the library. The first interface in a library is given a version
number of zero by convention. Consider a shared library in which the devel-
oper has added a new function to the set of functions exposed by this library
since the last public release. The interface can’t be considered the same in
this new version because there’s one additional function. Thus, its current
number must be increased from zero to one.
The age value represents the number of back versions supported by the
shared library. In mathematical terms, the library is said to support the inter-
face range, current
−
age through current. In the example I just gave, a new
function was added to the library, so the interface presented in this version
of the library is not the same as it was in the previous version. However, the
previous version is still fully supported, because the previous interface is a
proper subset of the current interface. Therefore, the age value should also
be incremented from zero to one.
The revision value merely represents a serial revision of the current inter-
face. That is, if no publicly visible changes are made to a library’s interface
between releases—perhaps only an internal function was optimized—then the
library name should change in some manner, if only to distinguish between the
two releases. But both the current and age values would be the same, because
the interface has not changed from the user’s perspective. Therefore, the
revision value is incremented to reflect the fact that this is a new release of the
same interface. In the previous example, the revision value would be left at
zero, because one or both of the other values was incremented.
To simplify the release process for shared libraries, the Libtool version-
ing algorithm should be followed step-wise for each new version of a library
that is about to be publicly released:6
1. Start with version information 0:0:0 for each new Libtool library. (This is
done automatically if you simply omit the -version-info option from the
list of linker flags passed to the libtool script.) For existing libraries, start
with the previous public release’s version information.
2. If the library source code has changed at all since the last update, then
increment revision (c:r:a becomes c:r+1:a).
3. If any exported functions or data have been added, removed, or changed
since the last update, increment current and set revision to 0.
4. If any exported functions or data have been added since the last public
release, increment age.
5. If any exported functions or data have been removed since the last public
release, set age to 0.
6. See the Free Software Foundation’s GNU Libtool Manual at http://www.gnu.org/software/libtool/
manual/.
Autotools_02.book Page 178 Tuesday, June 15, 2010 2:38 PM
www.it-ebooks.info
Library Interface Versioning and Runtime Dynamic Linking 179
Keep in mind that this is an algorithm, and as such, it’s designed to be
followed step by step as opposed to jumping directly to the steps that appear
to apply to your case. For example, if you removed an API function from
your library since the last release, you would not simply jump to the last step
and set age to zero. Rather, you would follow all of the steps until you reached
the last step, and then set age to zero.
NOTE Remember to update the version information only immediately before a public release of
your software. More frequent updates are unnecessary and only guarantee that the current
interface number becomes larger faster.
Let’s look at an example. Assume that this is the second release of a
library, and the first release used a -version-info string of 0:0:0. One new
function was added to the library interface during this development cycle,
and one existing function was deleted. The effect on the version information
string for this new release of the library would be as follows:
1. Begin with the previous version information: 0:0:0
2. 0:0:0 becomes 0:1:0 (the library’s source was changed)
3. 0:1:0 becomes 1:0:0 (the library’s interface was modified)
4. 1:0:0 becomes 1:0:1 (one new function was added)
5. 1:0:1 becomes 1:0:0 (one old function was removed)
It should be clear by now that there is no direct correlation between Libtool’s
current, revision, and age values and Linux’s major, minor, and optional patch-
level values. Instead, mapping rules are used to transform the values in one
scheme to values in the other.
Returning to the above example, wherein a second release of a library
added one function and removed one function, we ended up with a new
Libtool version string of 1:0:0. The version string 1:0:0 indicates that the library
is not backward compatible with the previous version (age is zero), so the
Linux shared-library file would be named libname.so.1.0.0. This looks suspi-
ciously like the Libtool version string—but don’t be fooled. This fairly common
coincidence is perhaps one of the most confusing aspects of the Libtool ver-
sioning abstraction.
Let’s modify our example just a little to say that we’ve added a new library
interface function but haven’t removed anything. Start again with the original
version information of 0:0:0 and follow the algorithm:
1. Begin with the previous version information: 0:0:0
2. 0:0:0 becomes 0:1:0 (the library’s source was changed)
3. 0:1:0 becomes 1:0:0 (the library’s interface was modified)
4. 1:0:0 becomes 1:0:1 (one new function was added)
5. Not applicable (nothing was removed)
Autotools_02.book Page 179 Tuesday, June 15, 2010 2:38 PM
www.it-ebooks.info
180 Chapter 7
This time, we end up with a Libtool version string of 1:0:1, but the result-
ing Linux or Solaris shared-library filename is libname.so.0.1.0. Consider for
a moment what it means, in the face of major, minor, and patch-level values,
to have a nonzero age value in the Libtool version string. An age value of one
(as in this case) means that we are effectively still supporting a Linux major
value of zero, because this new version of the library is 100-percent backward
compatible with the previous version. The minor value in the shared-library
filename has been incremented from zero to one to indicate that this is, in
fact, an updated version of the soname, libname.so.0. The patch-level value
remains at zero because this value indicates a bug fix to a particular minor
revision of an soname.
Once you fully understand Libtool versioning, you’ll find that even this
algorithm does not cover all possible interface modification scenarios. Con-
sider, for example, version information of 0:0:0 for a shared library that you
maintain. Now assume you add a new function to the interface for the next
public release. This second release properly defines version information of
1:0:1 because the library supports both interface versions 0 and 1. However,
just before the third release of the library, you realize that you didn’t really
need that new function after all, so you remove it. This is the only publicly
visible change made to the library interface in this release. The algorithm
would have set the version information string to 2:0:0. But in fact, you’ve
merely removed the second interface and are now presenting the original
interface once again. Technically, this library would be properly configured
with a version information string of 0:1:0 because it presents a second release
of version 0 of the shared-library interface. The moral of this story is that you
need to fully understand the way Libtool versioning works, and then decide,
based on that understanding, what the proper next-version values should be.
I’d also like to point out that the GNU Libtool Manual makes little effort
to describe the myriad ways an interface can be different from one version of
a library to another. An interface version indicates functional semantics as
well as API syntax. If you change the way a function works semantically but
leave the function signature untouched, you’ve still changed the function. If
you change the network wire format of data sent by a shared library, then it’s
not really the same shared library from the perspective of consuming code.
All the operating system loader really cares about when attempting to deter-
mine which library to load is: Will this library work just as well as that one? In
these cases, the answer would have to be no, because even though the API
interface is identical, the publicly visible way the two libraries do things is not
the same.
When Library Versioning Just Isn’t Enough
These types of changes to a library’s interface are so complex that project
maintainers will often simply rename the library, thereby skirting library
versioning issues entirely. One excellent way to rename your library is to use
Libtool’s -release flag. This flag adds a separate class of library versioning
information into the base name of the library, effectively making it an entirely
Autotools_02.book Page 180 Tuesday, June 15, 2010 2:38 PM
www.it-ebooks.info

Library Interface Versioning and Runtime Dynamic Linking 181
new library from the perspective of the operating system loader. The -release
flag is used in the manner shown in Listing 7-2.
libname_la_LDFLAGS = -release 2.9.0 -version-info 0:0:0
Listing 7-2: Setting shared-library release information in a Makefile.am file
In this example, I used -release and -version-info in the same set of Libtool
flags, just to show you that they can be used together. You’ll note here that the
release string is specified as a series of dot-separated values. In this case, the
final name of your Linux or Solaris shared library will be libname-2.9.0.so.0.0.0.
Another reason developers choose to use release strings is to provide some
sort of correlation between library versions across platforms. As demonstrated
above, a particular Libtool version information string will probably result in
different library names across platforms because Libtool maps version infor-
mation into library names differently from platform to platform. Release
information remains stable across platforms, but you should carefully consider
how you wish to use release strings and version information in your shared
libraries, because the way you choose to use them will affect binary compati-
bility between releases of your libraries. The OS loader will not consider two
versions of a library to be compatible if they have different release strings,
regardless of the values of those strings.
Using libltdl
Now let’s move on to a discussion of Libtool’s ltdl library. Once again, I’m
going to have to add some functionality to the Jupiter project in order to
illustrate these concepts. The goal here is to create a plug-in interface that
the jupiter program can use to modify output based on end-user policy choices.
Necessary Infrastructure
Currently, jupiter prints Hello, from jupiter! (Actually, the name printed is
more likely, at this point, to be a long, ugly path containing some Libtool
directory garbage and some derivation of the name jupiter, but just pretend
it prints jupiter for now.) We’re going to add an additional parameter named
salutation to the common static library method, print_routine. This parameter
will also be of type pointer-to-char and will contain the leading word or phrase—
the salutation—in jupiter’s greeting.
Listings 7-3 and 7-4 indicate the changes that we need to make to files in
the common subdirectory.
...
static void * print_it(void * data)
{
const char ** strings = (const char **)data;
printf("%s from %s!\n", strings[0], strings[1]);
return 0;
}
Autotools_02.book Page 181 Tuesday, June 15, 2010 2:38 PM
www.it-ebooks.info

182 Chapter 7
int print_routine(const char * salutation, const char * name)
{
const char * strings[] = {salutation, name};
#if ASYNC_EXEC
pthread_t tid;
pthread_create(&tid, 0, print_it, strings);
pthread_join(tid, 0);
#else
print_it(strings);
#endif
return 0;
}
Listing 7-3: common/print.c: Adding a salutation to the print_routine function
int print_routine(const char * salutation, const char * name);
Listing 7-4: common/jupcommon.h: Adding a salutation to the print_routine prototype
Listings 7-5 and 7-6 show the changes we need to make to files in the
libjup and include subdirectories.
...
int jupiter_print(const char * salutation, const char * name)
{
print_routine(salutation, name);
}
Listing 7-5: libjup/jup_print.c: Adding a salutation to the jupiter_print function
...
int jupiter_print(const char * salutation, const char * name);
...
Listing 7-6: include/libjupiter.h: Adding a salutation to the jupiter_print prototype
And finally, Listing 7-7 shows what we need to do to main.c in the src
directory.
...
#define DEFAULT_SALUTATION "Hello"
int main(int argc, char * argv[])
{
const char * salutation = DEFAULT_SALUTATION;
jupiter_print(salutation, argv[0]);
return 0;
}
Listing 7-7: src/main.c: Passing a salutation to jupiter_print
Autotools_02.book Page 182 Tuesday, June 15, 2010 2:38 PM
www.it-ebooks.info

Library Interface Versioning and Runtime Dynamic Linking 183
To be clear, all we’ve really done here is parameterize the salutation
throughout the print routines. That way, we can indicate from main which salu-
tation we’d like to use. I’ve set the default salutation to Hello, so that nothing
will have changed from the user’s perspective. Thus, the overall effect of these
changes is benign. Note also that these are all source code changes—we’ve
made no changes to the build system. I wanted to compartmentalize these
changes so as to not confuse this necessary refactoring with what we’re doing
to the build system to add the new module-loading functionality.
After making these changes, should you update the version number of this
shared library? That depends on whether you’ve already shipped this library
(i.e., posted a tarball) before you made the changes. The point of versioning
is to maintain some semblance of control over your public interface—but if
you’re the only one who’s ever seen it, then there’s no point in changing the
version number.
Adding a Plug-In Interface
I’d like to make it possible to change the salutation displayed by simply changing
which plug-in module is loaded at runtime. All the changes we’ll need to make
to the code and build system to add this functionality will be limited to the src
directory and its subdirectories.
First, we need to define the actual plug-in interface. We’ll do this by cre-
ating a new private header file in the src directory called module.h. This file is
shown in Listing 7-8.
#ifndef MODULE_H_INCLUDED
#define MODULE_H_INCLUDED
#define GET_SALUTATION_SYM "get_salutation"
typedef const char * get_salutation_t(void);
const char * get_salutation(void);
#endif /* MODULE_H_INCLUDED */
Listing 7-8: src/module.h: The initial contents of this file
This header file has a number of interesting aspects. First, let’s look at
the preprocessor definition, GET_SALUTATION_SYM at . This string represents
the name of the function you need to import from the plug-in module. I like
to define these in the header file so all the information that needs to be rec-
onciled exists in one place. In this case, the symbol name, the function type
definition, and the function prototype must all be in alignment, and you can
use this single definition for all three.
Another interesting item is the type definition at . If we don’t provide
one, the user is going to have to invent one, or else use a complex typecast
on the return value of the dlsym function. Therefore, we’ll provide it here for
consistency and convenience.
Autotools_02.book Page 183 Tuesday, June 15, 2010 2:38 PM
www.it-ebooks.info

184 Chapter 7
Finally, look at the function prototype at . This isn’t so much for the
caller as it is for the module itself. Modules providing this function should
include this header file so the compiler can catch potential misspellings of
the function name.
Doing It the Old-Fashioned Way
For this first attempt, let’s use the dl interface provided by the Solaris/Linux
libdl.so library. In the next section, we’ll convert this code over to the Libtool
ltdl interface for greater portability. To do this right, we need to add checks
to configure.ac to look for both the libdl library and the dlfcn.h header file. These
changes to configure.ac are highlighted in Listing 7-9.
...
# Checks for header files (2).
AC_CHECK_HEADERS([stdlib.h dlfcn.h])
# Checks for libraries.
# Checks for typedefs, structures, and compiler...
# Checks for library functions.
AC_SEARCH_LIBS([dlopen], [dl])
...
echo \
"-------------------------------------------------
${PACKAGE_NAME} Version ${PACKAGE_VERSION}
Prefix: '${prefix}'.
Compiler: '${CC} ${CFLAGS} ${CPPFLAGS}'
Libraries: '${LIBS}'
...
Listing 7-9: configure.ac: Adding checks for the dl library and public header file
At , I added the dlfcn.h header file to the list of files passed to the
AC_CHECK_HEADERS macro, and then at I added a check for the dlopen function
in the dl library. Note here that the AC_SEARCH_LIBS macro searches a list of
libraries for a function, so this call goes in the “Checks for library functions”
section rather than the “Checks for libraries” section. To help us see which
libraries we’re actually linking against, I’ve also added a line to the echo state-
ment at the end of the file. The Libraries: line at displays the contents of
the LIBS variable, which is modified by the AC_SEARCH_LIBS macro.
NOTE The LT_INIT macro also checks for the existence of the dlfcn.h header file, but I do it
here explicitly so it’s obvious to observers that I wish to use this header file. This is a
good rule of thumb to follow, as long as it doesn’t negatively affect performance too much.
Autotools_02.book Page 184 Tuesday, June 15, 2010 2:38 PM
www.it-ebooks.info

Library Interface Versioning and Runtime Dynamic Linking 185
Adding a module requires several changes, so we’ll make them all here,
beginning with the following command sequence:
$ cd src
$ mkdir -p modules/hithere
$
I’ve created two new subdirectories. The first is modules, beneath src, and
the second is hithere, beneath modules. Each new module added to this project
will have its own directory beneath modules. The hithere module will provide
the salutation Hi there.
Listing 7-10 illustrates how to add a SUBDIRS variable to the src/Makefile.am
file to ensure that the build system processes the modules/hithere directory.
SUBDIRS = modules/hithere
bin_PROGRAMS = jupiter
jupiter_SOURCES = main.c module.h
...
greptest.sh:
echo './jupiter | grep ".* from .*jupiter!"' > greptest.sh
...
Listing 7-10: src/Makefile.am: Adding a SUBDIRS variable to this Makefile.am file
The way I’ve used SUBDIRS at presents a new concept. Until now, Auto-
make has only processed direct descendants of the current directory, but this
is not strictly necessary, as you can see. In fact, for Jupiter, the modules directory
will only contain additional subdirectories, so it makes little sense to provide a
modules/Makefile.am file just so you can reference its subdirectories.
While you’re editing the file, you should add the new module.h header
file to the SOURCES variable at . If you don’t do this, jupiter will still compile
and build correctly for you as the maintainer, but the distcheck target will fail
because none of the Makefile.am files will have mentioned module.h.
We also need to change the way the greptest.sh shell script is built so it
can test for any type of salutation. A simple modification of the regular expres-
sion at will suffice.
I created a Makefile.am file in the new hithere subdirectory that contains
instructions on how to build the hithere.c source file, and then I added the
hithere.c source file to this directory. These files are shown in Listings 7-11 and
7-12, respectively.
pkglib_LTLIBRARIES = hithere.la
hithere_la_SOURCES = hithere.c
hithere_la_LDFLAGS = -module -avoid-version
Listing 7-11: src/modules/hithere/Makefile.am: The initial version of this file
Autotools_02.book Page 185 Tuesday, June 15, 2010 2:38 PM
www.it-ebooks.info

186 Chapter 7
#include "../../module.h"
const char * get_salutation(void)
{
return "Hi there";
}
Listing 7-12: src/modules/hithere/hithere.c: The initial version of this file
The hithere.c source file includes the semi-private module.h header file using a
double-quoted relative path. Since Automake automatically adds -I$(srcdir)
to the list of include paths used, the C preprocessor will properly sort out the
relative path. The file then defines the get_salutation function, whose proto-
type is in the module.h header file. This implementation simply returns a
pointer to a static string, and as long as the library is loaded, the caller can
access the string. However, callers must be aware of the scope of data references
returned by plug-in modules; otherwise, the program may unload a module
before a caller is done using it.
The last line of hithere/Makefile.am (at in Listing 7-11) requires some
explanation. Here, we’re using a -module option on the hithere_la_LDFLAGS vari-
able. This is a Libtool option that tells Libtool you want to call your library
hithere, and not libhithere. The GNU Libtool Manual makes the statement that
modules do not need to be prefixed with lib. And since your code will be loading
these modules manually, it should not have to be concerned with determining
and properly using a platform-specific library prefix.
If you don’t care to use module versioning on your dynamically loadable
(dlopen-ed) modules, try using the Libtool -avoid-version option. This option
causes Libtool to generate a shared library whose name is libname.so, rather
than libname.so.0.0.0. It also suppresses generation of the libname.so.0 and
libname.so soft links that refer to the binary image. Because I’m using both
options, my module will simply be named hithere.so.
In order to get this module to build, we’ll need to add the new hithere
module’s makefile to the AC_CONFIG_FILES macro in configure.ac, as shown in
Listing 7-13.
...
AC_CONFIG_FILES([Makefile
common/Makefile
include/Makefile
libjup/Makefile
src/Makefile
src/modules/hithere/Makefile])
...
Listing 7-13: configure.ac: Adding the hithere directory makefile to AC_CONFIG_FILES
Finally, in order to use the module, we’ll need to modify src/main.c so
that it loads the module, imports the symbol, and calls it. These changes to
src/main.c are highlighted in bold in Listing 7-14.
Autotools_02.book Page 186 Tuesday, June 15, 2010 2:38 PM
www.it-ebooks.info

Library Interface Versioning and Runtime Dynamic Linking 187
#include <libjupiter.h>
#include "module.h"
#if HAVE_CONFIG_H
# include <config.h>
#endif
#if HAVE_DLFCN_H
# include <dlfcn.h>
#endif
#define DEFAULT_SALUTATION "Hello"
int main(int argc, char * argv[])
{
const char * salutation = DEFAULT_SALUTATION;
#if HAVE_DLFCN_H
void * module;
get_salutation_t * get_salutation_fp = 0;
module = dlopen("./module.so", RTLD_NOW);
if (module != 0)
{
get_salutation_fp = (get_salutation_t *)
dlsym(module, GET_SALUTATION_SYM);
if (get_salutation_fp != 0)
salutation = get_salutation_fp();
}
#endif
jupiter_print(salutation, argv[0]);
#if HAVE_DLFCN_H
if (module != 0)
dlclose(module);
#endif
return 0;
}
Listing 7-14: src/main.c: Using the new plug-in module from the main function
I’m including the new private module.h header file at , and I added pre-
processor directives to conditionally include config.h at and dlfcn.h at .
Finally, I added two sections of code, one before and one after the original
call to jupiter_print (at and , respectively). Both are conditionally com-
piled based on the existence of a dynamic loader, allowing the code to build
and run correctly on systems that do not provide the libdl library.
The general philosophy I use when deciding whether or not code should
be conditionally compiled is this: If configure fails because a library or header
file is missing, then I don’t need to conditionally compile the code that uses
Autotools_02.book Page 187 Tuesday, June 15, 2010 2:38 PM
www.it-ebooks.info

188 Chapter 7
the item configure checks for. If I check for a library or header file in config-
ure but allow it to continue if it’s missing, then I’d better use conditional
compilation.
There are just a few more minor points to bring up regarding the use of
dl interface functions. First, at dlopen accepts two parameters: a filename or
path (absolute or relative) and a flags word, which is the bitwise composite of
your choice of several flag values defined in dlfcn.h. Check the man page for
dlopen to learn more about these flag bits. If you use a path, then dlopen honors
that path verbatim, but if you use a filename, the library search path is searched
in an attempt to locate your module. By prefixing the name with ./, we’re
telling dlopen not to search the library path.
We want to be able to configure which module jupiter uses, so we’re
loading a generic name, module.so. In fact, the built module is located several
directories below the src directory in the build tree, so we’ll need to create a
soft link in the current directory called module.so that points to the module
we wish to load. This is a rather shabby form of configuration for Jupiter, but
it works. In a real application, you would define the desired module to load
using policy defined in some sort of configuration file, but in this example,
I’m simply ignoring these details for the sake of simplicity.
The following command sequence shows our loadable module in action:
$ autoreconf
$ ./configure && make
...
$ cd src
$ ./jupiter
Hello from ...jupiter!
$
$ ln -s modules/hithere/.libs/hithere.so module.so
$ ./jupiter
Hi there from ...jupiter!
$
Converting to Libtool’s ltdl Library
Libtool provides a wrapper library called ltdl that abstracts and hides some of
the portability issues surrounding the use of shared libraries across many dif-
ferent platforms. Most applications ignore the ltdl library because of the added
complexity involved in using it, but there are really only a few issues to deal
with. I’ll enumerate them here and then cover them in detail later.
zThe ltdl functions follow a naming convention based on the dl library.
The rule of thumb is that dl functions in the ltdl library have the prefix
lt_. For example, dlopen is named lt_dlopen.
zUnlike the dl library, the ltdl library must be initialized and terminated at
appropriate locations within a consuming application.
Autotools_02.book Page 188 Tuesday, June 15, 2010 2:38 PM
www.it-ebooks.info

Library Interface Versioning and Runtime Dynamic Linking 189
zApplications should be built using the -dlopen modulename option on the
linker command line (in the *_LDFLAGS variable). This tells Libtool to link
the code for the module into the application when building on platforms
without shared libraries or when linking statically.
zThe LTDL_SET_PRELOADED_SYMBOLS() macro should be used at an appropriate
location within your program source code to ensure that module code
can be accessed on non–shared library platforms or when building static-
only configurations.
zShared-library modules designed to be dlopen-ed using ldtl should use the
-module option (and optionally, the -avoid-version option) on the linker
command line (in the *_LDFLAGS variable).
zThe ltdl library provides extensive functionality beyond the dl library; this
can be intimidating, but know that all of this other functionality is optional.
Let’s look at what we need to do to the Jupiter project build system in order
to use the ltdl library. First, we need to modify configure.ac to look for the ltdl.h
header and search for the lt_dlopen function. This means modifying references
to dlfcn.h and the dl library in the AC_CHECK_HEADERS and AC_SEARCH_LIBS macros,
as shown in bold in Listing 7-15.
...
# Checks for header files (2).
AC_CHECK_HEADERS([stdlib.h ltdl.h])
# Checks for libraries.
# Checks for typedefs, structures, and compiler...
# Checks for library functions.
AC_SEARCH_LIBS([lt_dlopen], [ltdl])
...
Listing 7-15: configure.ac: Switching from dl to ltdl in configure.ac
Even though we’re using Libtool, we need to check for ltdl.h and libltdl,
because ltdl is a separate library that must be installed on the end user’s system.
It should be treated the same as any other required third-party library. By
searching for these installed resources on the user’s system and failing con-
figuration if they’re not found, or by properly using preprocessor definitions
in your source code, you can provide the same sort of configuration experience
with ltdl that I’ve presented throughout this book when using other third-
party resources.
I’d like you to recognize that this is the first time we’ve seen the requirement
for the user to install an Autotools package on his system—and this is the very
reason most people avoid using ltdl. The GNU Libtool Manual provides a detailed
description of how to package the ltdl library with your project so it is built and
installed on the user’s system when your package is built and installed.7
7. In fact, the tutorial in the GNU Libtool Manual is a great example of adding subprojects to an
Autotools build system.
Autotools_02.book Page 189 Tuesday, June 15, 2010 2:38 PM
www.it-ebooks.info

190 Chapter 7
Interestingly, shipping the source code for the ltdl library with your package
is the only way to get your program to statically link with the ltdl library. Linking
statically with ltdl has the side effect of not requiring the user to install the ltdl
library on his system, since the library becomes part of the project’s executable
images. There are a few caveats, however. If your project also uses a third-party
library that dynamically links to ltdl, you’ll have a symbol conflict between the
shared and static versions of the ltdl libraries.8
The next major change we need to make is in the source code—it is
limited, in this case, to src/main.c and highlighted in bold in Listing 7-16.
#include <libjupiter.h>
#include "module.h"
#if HAVE_CONFIG_H
# include <config.h>
#endif
#if HAVE_LTDL_H
# include <ltdl.h>
#endif
#define DEFAULT_SALUTATION "Hello"
int main(int argc, char * argv[])
{
const char * salutation = DEFAULT_SALUTATION;
#if HAVE_LTDL_H
int ltdl;
lt_dlhandle module;
get_salutation_t * get_salutation_fp = 0;
LTDL_SET_PRELOADED_SYMBOLS();
ltdl = lt_dlinit();
if (ltdl == 0)
{
module = lt_dlopen("modules/hithere/hithere.la");
if (module != 0)
{
get_salutation_fp = (get_salutation_t *)
lt_dlsym(module, GET_SALUTATION_SYM);
if (get_salutation_fp != 0)
salutation = get_salutation_fp();
}
}
#endif
jupiter_print(salutation, argv[0]);
8. Given how rarely ltdl is currently used, this is an unlikely scenario these days, but this could
change in the future if more packages begin to use ltdl.
Autotools_02.book Page 190 Tuesday, June 15, 2010 2:38 PM
www.it-ebooks.info

Library Interface Versioning and Runtime Dynamic Linking 191
#if HAVE_LTDL_H
if (ltdl == 0)
{
if (module != 0)
lt_dlclose(module);
lt_dlexit();
}
#endif
return 0;
}
Listing 7-16: src/main.c: Switching from dl to ltdl in source code
These changes are very symmetrical with respect to the original code.
Mostly, items that previously referred to DL or dl now refer to LTDL or lt_dl.
For example, #if HAVE_DL_H becomes #if HAVE_LTDL_H, and so forth.
One important change is that the ltdl library must be initialized at with
a call to lt_dlinit, whereas the dl library did not require initialization. In a
larger program, the overhead of calling lt_dlinit and lt_dlexit would be
amortized over a much larger code base.
Another important detail is the addition of the LTDL_SET_PRELOADED_SYMBOLS
macro at . This macro configures global variables required by the lt_dlopen
and lt_dlsym functions on systems that don’t support shared libraries or in
cases in which the end user has specifically requested static libraries. It’s benign
on systems that use shared libraries.
One last detail is that the return type of dlopen is void *, or a generic
pointer, whereas the return type of lt_dlopen is lt_dlhandle. (See and .)
This abstraction exists so ltdl can be ported to systems that use return types
that are incompatible with a generic pointer.
When a system doesn’t support shared libraries, Libtool actually links all
of the modules that might be loaded right into the program. Thus, the jupiter
program’s linker (libtool) command line must contain some form of refer-
ence to these modules. This is done using the -dlopen modulename construct, as
shown in Listing 7-17.
...
jupiter_LDADD = ../libjup/libjupiter.la -dlopen modules/hithere/hithere.la
...
Listing 7-17: src/Makefile.am: Adding a -dlopen option to the LDADD line
If you forget this addition to src/Makefile.am, you’ll get a linker error about
an undefined symbol. If it doesn’t detect any modules being linked into the
application, Libtool won’t clutter your program’s global symbol space with
symbols that will never be referenced; the symbols required by the ltdl library
will be missing if the symbol table is empty.
Autotools_02.book Page 191 Tuesday, June 15, 2010 2:38 PM
www.it-ebooks.info

192 Chapter 7
It appears that ltdl is not quite as flexible as dl regarding the sort of path
information you can specify in lt_dlopen to reference a module. In order to
fix this problem, I hard wired the proper relative path (modules/hithere/hithere.la)
into main.c. A real program would undoubtedly use a more robust method
of configuration, such as a configuration file containing the desired mod-
ule name.9
Preloading Multiple Modules
If Libtool links multiple modules into a program on a system without shared-
library support, and if those modules each provide their own version of
get_salutation, then there will be a conflict of public symbols within the pro-
gram’s global symbol space. This is because all of these modules’ symbols
become part of the program’s global symbol space, and the linker generally
won’t allow two symbols of the same name to be added to the executable symbol
table. Which module’s get_salutation function should be honored? Unfor-
tunately, there’s no good heuristic to resolve this conflict. The GNU Libtool
Manual provides for this condition by defining a convention for maintaining
symbol-naming uniqueness:
zAll exported interface symbols should be prefixed with modulename_LTX_
(e.g., hithere_LTX_get_salutation).
zAll remaining non-static symbols should be reasonably unique. The
method Libtool suggests is to prefix them with _modulename_ (e.g.,
_jupiter_somefunction).
zModules should be named differently even if they’re built in different
directories.
Although it’s not explicitly stated in the manual, the lt_dlsym function
first searches for the specified symbol as modulename_LTX_symbolname, and then,
if it can’t find a prefixed version of the symbol, for exactly symbolname. You can
see that this convention is necessary, but only for cases in which Libtool may
statically link such loadable modules directly into the application on systems
that don’t support shared libraries. The price you have to pay for Libtool’s
illusion of shared libraries on systems that don’t support them is pretty high,
but it’s the going rate for getting the same loadable module functionality on
all platforms.
To fix the hithere module’s source code so that it conforms to this con-
vention, we need to make one change to hithere.c, shown in Listing 7-18.
9. When I tried the same soft-link trick we used earlier to configure the desired module, lt_dlopen
failed to find the module. You see, while the filesystem will happily hand lt_dlopen the properly
dereferenced filesystem entry (modules/hithere/hithere.la), when lt_dlopen parses this text file, it
tries to append the relative path it finds there onto the containing directory of the link rather
than onto the hithere.la file to which the filesystem resolved that link.
Autotools_02.book Page 192 Tuesday, June 15, 2010 2:38 PM
www.it-ebooks.info

Library Interface Versioning and Runtime Dynamic Linking 193
#define get_salutation hithere_LTX_get_salutation
#include "../../module.h"
const char * get_salutation(void)
{
return "Hi there";
}
Listing 7-18: src/modules/hithere/hithere.c: Ensuring public symbols are unique when
using ltdl
By defining the replacement for get_salutation at before the inclusion
of the module.h header file at , we’re also able to change the prototype in
the header file so that it matches the modified version of the function name.
Because of the way the C preprocessor works, this substitution only affects
the function prototype in module.h, not the quoted symbol string or the type
definition. At this point, you may wish to go back and examine the way module.h
is written to prove to yourself that this actually works.
Checking It All Out
You can test your program and modules for both static and dynamic shared-
library systems by using the --disable-shared option on the configure command
line, like this:
$ autoreconf
$ ./configure --disable-shared && make
...
$ cd src
$ ls -1p modules/hithere/.libs
hithere.a
hithere.la
hithere.lai
$
$ ./jupiter
Hi there, from ./jupiter!
$
$ cd ..
$ make clean
...
$ ./configure && make
$ cd src
$ ls -1p modules/hithere/.libs
hithere.a
hithere.la
hithere.lai
hithere.o
hithere.so
$
$ ./jupiter
Hi there, from .../jupiter!
$
Autotools_02.book Page 193 Tuesday, June 15, 2010 2:38 PM
www.it-ebooks.info
194 Chapter 7
As you can see, the output at and contains the hithere module’s salu-
tation in both configurations, and yet the file listing at shows us that, in
the --disable-shared version, the shared library doesn’t even exist. It appears
that ltdl is doing its job.
The Jupiter code base has become rather fragile, because I’ve ignored the
issue of where to find shared libraries at runtime. As I’ve already mentioned,
you would ultimately have to fix this problem in a real program. But given
that I’ve finished my task of showing you how to properly use the Libtool ltdl
library, and I’ve taken the Hello, world! concept much farther than anyone has
a right to, I think I’ll just leave that to you.
Summary
The decision to use shared libraries brings with it a whole truckload of issues,
and if you’re interested in maximum portability, you must deal with each of
them. The ltdl library is not a solution to every problem. It solves some problems
but brings others to the surface. Suffice it to say that using ltdl has trade-offs, but
if you don’t mind the extra maintenance effort, it’s a good way to add maxi-
mum portability to your loadable-module project.
I hope that by spending some time going through the exercises in this
book, you’ve been able to get your head around the Autotools enough to know
how they work and what they’re doing for you. At this point, you should be
very comfortable autotool-izing your own projects—at least at the basic level.
In the next two chapters, we’ll dig even deeper into the Autotools by convert-
ing a much larger project to Autoconf, Automake, and Libtool.
Autotools_02.book Page 194 Tuesday, June 15, 2010 2:38 PM
www.it-ebooks.info

FLAIM: AN AUTOTOOLS
EXAMPLE
Uncle Abner said . . . a person that started in to carry
a cat home by the tail was gitting knowledge
that was always going to be useful to him. . . .
—Mark Twain, Tom Sawyer Abroad
So far in this book, I’ve taken you on a whirl-
wind tour of the main features of Autoconf,
Automake, and Libtool. I’ve done my best to
explain them in a manner that is not only simple
to digest, but also easy to retain—especially if you’ve
had the time and inclination to follow along with my
examples on your own. I’ve always believed that no
form of learning comes anywhere close to the learning
that happens while doing.
In this chapter and the next, we’ll continue learning about the Autotools
by studying the process I used to convert an existing, real-world, open source
project from a hand-coded makefile to a complete GNU Autotools build sys-
tem. The examples I provide in these chapters illustrate the decisions I had to
make during the conversion process, as well as concrete examples of Autotools
features, including a few that I haven’t yet presented in previous chapters.
These two chapters will round out our study of the Autotools by presenting
real solutions to real problems that I faced.
Autotools_02.book Page 195 Tuesday, June 15, 2010 2:38 PM
www.it-ebooks.info

196 Chapter 8
The project I chose to convert is called FLAIM, which stands for FLexible
Adaptable Information Management.
What Is FLAIM?
FLAIM is a highly scalable database-management library written in C++ and
built on its own thin portability layer called the FLAIM toolkit. Some readers
may recognize FLAIM as the database used by both Novell eDirectory and
the Novell GroupWise server. FLAIM originated at WordPerfect in the late
1980s, and it became part of Novell’s software portfolio during the Novell/
WordPerfect merger in 1994. Novell eDirectory uses a recent spin-off of the
current version of FLAIM to manage directory information bases that contain
over a billion objects, and GroupWise uses a much earlier spin-off to manage
various server-side databases.
Novell made the FLAIM source code available as an open source project
licensed under the GNU Lesser General Public License (LGPL) version 21 in
2006. The FLAIM project2 is currently hosted by SourceForge.net, and it is
the result of 25 years of development and hardening in various WordPerfect
and Novell products and projects.3
Why FLAIM?
While FLAIM is far from a mainstream OSS project, it has several qualities
that make it a perfect example for showing how to convert a project to use
the Autotools. For one, FLAIM is currently built using a hand-coded GNU
makefile that contains over 2,000 lines of complex make script. The FLAIM
makefile contains a number of GNU make–specific constructs, and thus, you
can only process this makefile using GNU make. Individual (but nearly identical)
makefiles are used to build the flaim, xflaim, and flaimsql database libraries,
and the FLAIM toolkit (ftk), as well as several utility and sample programs on
Linux, various flavors of Unix, Windows, and NetWare.
The existing FLAIM build system targets several different flavors of Unix,
including AIX, Solaris, and HP-UX, as well as Apple’s OS X. It also targets
multiple compilers on these systems. These features make FLAIM ideal for
this sample conversion project because I can show you how to handle differ-
ences in operating systems and toolsets in the new configure.ac files.
The existing build system also contains rules for many of the standard
Autotools targets, such as distribution tarballs. Additionally, it provides rules
for building binary installation packages, as well as RPMs for systems that can
build and install RPM packages. It even provides targets for building Doxygen4
description files, which it then uses to build source documentation. I’ll spend
a few paragraphs showing you how you can add these types of targets to the
infrastructure provided by Automake.
1. See the website for the GNU Lesser General Public License, version 2.1 at http://www.gnu.org/
licenses/lgpl-2.1.html/.
2. See “FLAIM Introduction” on the FLAIM project wiki at http://flaim.sourceforge.net/.
3. You can read more about the history and development of FLAIM at http://sourceforge.net/
projects/flaim/.
4. See http://www.doxygen.org/.
Autotools_02.book Page 196 Tuesday, June 15, 2010 2:38 PM
www.it-ebooks.info

FLAIM: An Autotools Example 197
The FLAIM toolkit is a portability library that third-party projects can
incorporate and consume independently. We can use the toolkit to demonstrate
Autoconf’s ability to manage separate subprojects as optional subdirectories
within a project. If the user already has the FLAIM toolkit installed on his
build machine, he can use the installed version or, optionally, override it
with a local copy. On the other hand, if the toolkit is not installed, then the
local, subdirectory-based copy will be used by default.
The FLAIM project also provides code to build both Java and C# language
bindings, so I’ll delve into those esoteric realms a bit. I won’t go into great
detail on building either Java or C# applications, but I will cover how to write
Makefile.am files that generate both Java and C# programs and language-
binding libraries.
The FLAIM project makes good use of unit tests. These are built as indi-
vidual programs that run without command-line options, so I can easily show
you how to add unit tests to the new FLAIM Autotools build system using
Automake’s trivial test framework.5
The FLAIM project and its original build system employ a reasonably
modular directory layout, making it rather simple to convert to the Autotools.
Because one of my goals is ultimately to submit this build system back to the
project maintainers, it’s nice not to have to rearrange too much of the source
code. A simple pass of the diff utility over the directory tree should suffice.
An Initial Look
Let me start by saying that converting FLAIM from GNU makefiles to an
Autotools build system is not a trivial project. It took me a couple of weeks,
and much of that time was spent determining exactly what to build and how
to do it—in other words, analyzing the legacy build system. Another significant
portion of my time was spent converting aspects that lay on the outer fringes
of Autotools functionality. For example, I spent much more time converting
build system rules for building C# language bindings than I did converting
rules for building the core C++ libraries.
The first step in this conversion project is to analyze FLAIM’s existing
directory structure and build system. What components are actually built,
and which components depend on which others? Can individual components
be built, distributed, and consumed independently? These types of component-
level relationships are important because they’ll often determine how you’ll
lay out your project directory structure.
The FLAIM project is actually several small projects under one umbrella
project within its Subversion repository. There are three separate and dis-
tinct database products: flaim, xflaim, and flaimsql. The flaim subproject is the
original FLAIM database library used by eDirectory and GroupWise. The
xflaim project is a hierarchical XML database developed for internal projects at
Novell; it is optimized for path-oriented, node-based access. The flaimsql
project is an SQL layer on top of the FLAIM database. It was written as a sepa-
5. Autoconf supplies a more extensive test framework called Autotest. However, Autotest is still
somewhat experimental, so I’ve decided not to cover it here.
Autotools_02.book Page 197 Tuesday, June 15, 2010 2:38 PM
www.it-ebooks.info

198 Chapter 8
rate library in order to optimize the lower-level FLAIM API for SQL access.
This project was an experiment which, frankly, isn’t quite finished (but it
does compile).
The point is that all three of these database libraries are separate and
unrelated to each other, with no inter-library dependencies. Since they may
easily be used independently of one another, they can actually be shipped as
individual distributions. You could consider each an open source project in
its own right. This, then, will become one of my primary goals: to allow the
FLAIM open source project to be easily broken up into smaller open source
projects, which may be managed independently of one another.
The FLAIM toolkit is also an independent project. While it’s tailored
specifically for the FLAIM database libraries, providing just the system service
abstractions required for a DBMS, it depends on nothing but itself, and thus,
it may easily be used as the basis for portability within other projects without
dragging along any unnecessary database baggage.6
The existing FLAIM project is laid out in its Subversion repository as
shown in Listing 8-1.
trunk
flaim
java
csharp
flaim
sample
src
util
ftk
src
util
sql
src
xflaim
csharp
java
sample
src
util
Listing 8-1: The FLAIM project directory tree
The complete tree is fairly broad and somewhat deep in places, including
significant utilities, tests, and other such binaries that are built by the legacy
build system. At some point during the trek down into this hierarchy, I sim-
ply had to stop and consider whether it was worth converting that additional
utility or layer. (If I hadn’t done that, this chapter would be twice as long and
half as useful.) To this end, I’ve decided to convert the following elements:
zThe database libraries
zThe unit and library interface tests
6. As you might guess, the FLAIM toolkit’s file I/O abstraction is highly optimized.
Autotools_02.book Page 198 Tuesday, June 15, 2010 2:38 PM
www.it-ebooks.info

FLAIM: An Autotools Example 199
zThe utilities and other such high-level programs found in various util
directories
zThe Java and C# language bindings found in the xflaim library
I’ll also convert the C# unit tests, but I won’t go into the Java unit tests,
because I’m already converting the Java language bindings using Automake’s
JAVA primary. Since Automake provides no help for C#, I have to provide
everything myself anyway, so I’ll convert the entire C# code base. This will
provide an example of writing the code for an entirely unsupported Automake
product class.
Getting Started
As stated above, my first true design decision was how to organize the original
FLAIM project into subprojects. As it turns out, the existing directory layout
is almost perfect. I’ve created a master configure.ac file in the top-level flaim
directory, which is just under the Subversion repository trunk directory. This
top-most configure.ac file acts as a sort of Autoconf control file for each of the
four lower-level projects: ftk, flaim, flaimsql, and xflaim.
I’ve managed the database library dependencies on the FLAIM toolkit by
treating the toolkit as a pure external dependency defined by the make variables
FTKINC and FTKLIB. I’ve conditionally defined these variables to point to one of
a few different sources, including installed libraries and even locations given
in user-specified configuration script options.
Adding the configure.ac Files
In the directory layout shown in Listing 8-2, I’ve used an annotation column
to indicate the placement of individual configure.ac files. Each of these files
represents a project that may be packaged and distributed independently.
trunk
flaim configure.ac (flaim-projects)
flaim configure.ac (flaim)
sample
src
util
ftk configure.ac (ftk)
src
util
sql configure.ac (flaimsql)
src
xflaim configure.ac (xflaim)
csharp
java
sample
src
util
java
Listing 8-2: An annotated update of the FLAIM project directory tree
Autotools_02.book Page 199 Tuesday, June 15, 2010 2:38 PM
www.it-ebooks.info

200 Chapter 8
My next task was to create these configure.ac files. The top-level file was
trivial, so I created it by hand. The project-specific files were more complex,
so I allowed the autoscan utility to do the bulk of the work for me. Listing 8-3
shows the top-level configure.ac file.
# -*- Autoconf -*-
# Process this file with autoconf to produce a configure script.
AC_PREREQ([2.61])
AC_INIT([flaim-projects], [1.0])
AM_INIT_AUTOMAKE([-Wall -Werror foreign])
LT_PREREQ([2.2])
LT_INIT([dlopen])
AC_CONFIG_MACRO_DIR([m4])
AC_CONFIG_SUBDIRS([ftk flaim sql xflaim])
AC_CONFIG_FILES([Makefile])
AC_OUTPUT
Listing 8-3: configure.ac: The umbrella project Autoconf input file
This file is short and simple because it doesn’t do much; nevertheless, there
are some new and important concepts here. I invented the name flaim-projects
and the version number 1.0. These are not likely to change unless really dra-
matic changes take place in the project directory structure or the maintainers
decide to ship a complete bundle of the subprojects.
The most important aspect is the AC_CONFIG_SUBDIRS macro at , which I
have yet to cover in this book. The argument is a whitespace-separated list of
the subprojects to be built, where each is a complete GCS-compliant project
in its own right. Here’s the prototype for this macro:
AC_CONFIG_SUBDIRS(dir1[ dir2 ... dirN])
This macro allows the maintainer to set up a hierarchy of projects in
much the same way that Automake SUBDIRS configures the directory hierarchy
for Automake within a single project.
Because the four subprojects contain all of the actual build functionality,
this configure.ac file acts merely as a control file, passing all specified configu-
ration options to each of the subprojects in the order they’re given in the
macro’s argument. The FLAIM toolkit project must be built first since the
other projects depend on it.
Automake in the Umbrella Project
Automake usually requires the existence of several text files in the top-level
project directory, including the AUTHORS, COPYING, INSTALL, NEWS,
README, and ChangeLog files. It would be nice not to have to deal with these
files in the umbrella project. One way to accomplish this is to simply not use
Automake. I’d either have to write my own Makefile.in template for this direc-
tory or use Automake just once to generate a Makefile.in template that I could
then check in to the repository as part of the project, along with the install-sh
Autotools_02.book Page 200 Tuesday, June 15, 2010 2:38 PM
www.it-ebooks.info

FLAIM: An Autotools Example 201
and missing scripts added by automake --add-missing (or autoreconf -i). Once
these files were in place, I could remove AM_INIT_AUTOMAKE from the master
configure.ac file.
Another option would be to keep Automake and simply use the foreign
option at in the macro’s optional parameter. This parameter contains a
string of whitespace-separated options that tell Automake how to act in lieu
of specific Automake command-line options. When Automake parses the
configure.ac file, it notes these options and enables them as if they’d been
passed on the command line to automake. The foreign option tells Automake
that the project will not follow GNU standards, and thus, Automake will not
require the usual GNU project text files.
I chose the latter of the two methods because I might wish to alter the list
of subordinate projects at some point in the future, and I don’t want to have
to tweak a generated Makefile.in template by hand. I’ve also passed at the
-Wall and -Werror options, which indicate that Automake should enable all
Automake-specific warnings and report them as errors. These options have
nothing to do with the user’s compilation environment—only Automake
processing.
Why Add the Libtool Macros?
Why include those expensive Libtool macros at ? Well, even though I don’t
do anything with Libtool in the umbrella project, the lower-level projects expect
a containing project to provide all the necessary scripts, and the LT_INIT macro
provides the ltmain.sh script. If you don’t initialize Libtool in the umbrella
project, tools like autoreconf, which actually look in the parent directory to
determine if the current project is itself a subproject, will fail when they can’t
find scripts that the current project’s configure.ac file requires.
For instance, autoreconf expects to find a file called ../ltmain.sh within the
ftk project’s top-level directory. Note the reference to the parent directory
here: autoreconf noticed, by examining the parent directory, that ftk was actually
a subproject of a larger project. Rather than install all of the auxiliary scripts
multiple times, the Autotools generate code that looks for scripts in the parent
project’s directory. This is done in an effort to reduce the number of copies
of these scripts that are installed into multiproject packages.7 If I don’t use
LT_INIT in the umbrella project, I can’t successfully run autoreconf in the sub-
projects, because the ltmain.sh script won’t be in the parent project’s top-level
directory.
Adding a Macro Subdirectory
The AC_CONFIG_MACRO_DIR macro at indicates the name of a subdirectory in
which the aclocal utility can find all project-specific M4 macro files. Here’s
the prototype:
AC_CONFIG_MACRO_DIR(macro-dir)
7. I don’t think it’s worth breaking hierarchical modularity in this manner, and to this degree,
just to manage this strange child-to-parent relationship. libtoolize could have easily created and
consumed these files within each project, and the space the files consume is hardly worth the effort
that the Autotools go through to ensure there is only one copy of them in a distribution archive.
Autotools_02.book Page 201 Tuesday, June 15, 2010 2:38 PM
www.it-ebooks.info

202 Chapter 8
The .m4 macro files in this directory are ultimately referenced with an
M4 include statement in the aclocal-generated aclocal.m4 file, which autoconf
reads. This macro replaces the original acinclude.m4 file with a directory con-
taining individual macros or smaller sets of macros, each defined in their own
.m4 files.8
I’ve indicated by the parameter to AC_CONFIG_MACRO_DIR that all of the local
macro files to be added to aclocal.m4 are in a subdirectory called m4. As a
bonus, when autoreconf -i is executed, and then when it executes the required
Autotools with their respective add-missing options, these tools will note the
use of this macro in configure.ac and add any required system macro files that
are missing to the m4 directory.
The reason I chose to use AC_CONFIG_MACRO_DIR here is that Libtool will not
add its additional macro files to the project if you haven’t enabled the macro
directory option in this manner. Instead, it will complain that you should add
these files to acinclude.m4 yourself.9
Since this is a fairly complex project, and I wanted the Autotools to do
this job for me, I decided to use this macro-directory feature. Future releases
of the Autotools will likely require this form because it’s considered the more
modern way of adding macro files to aclocal.m4, as opposed to using a single
user-generated acinclude.m4 file.
The Top-Level Makefile.am File
The only other point to be covered regarding the umbrella project is the top-
level Makefile.am file, shown in Listing 8-4.
ACLOCAL_AMFLAGS = -I m4
EXTRA_DIST = README.W32 tools win32
SUBDIRS = ftk flaim sql xflaim
rpms srcrpm:
for dir in $(SUBDIRS); do \
(cd $$dir && $(MAKE) $(AM_MAKEFLAGS) $@) || exit 1; \
done
dist-hook:
rm -rf `find $(distdir) -name .svn`
.PHONY: rpms srcrpm
Listing 8-4: Makefile.am: The umbrella project Automake input file
8. This entire system of combining M4 macro files into a single aclocal.m4 file is a band-aid for a
system that was not originally designed for more than one macro file. In my opinion, it could use
a major overhaul by doing away with aclocal entirely and having Autoconf simply read the
macro files in the specified (or defaulted) macro directory, along with other macro files found in
system locations.
9. I found that my project didn’t require any of the macros in the Libtool system macro files, but
Libtool complained anyway.
Autotools_02.book Page 202 Tuesday, June 15, 2010 2:38 PM
www.it-ebooks.info

FLAIM: An Autotools Example 203
The ACLOCAL_AMFLAGS variable at is required when you’re using a macro
subdirectory. According to the Automake documentation, this variable
should be defined in the top-level Makefile.am file of any project that uses
AC_CONFIG_MACRO_DIR in its configure.ac file. The flags specified on this line tell
aclocal where it should look for macro files when it’s executed by rules defined
in Makefile.am. The format of this option is similar to that of a C-compiler
command-line include (-I) directive; you can specify other aclocal command-
line options as well.
The Autotools use this variable in two unrelated places. The first is in a make
rule generated to update the aclocal.m4 file from all of its various input sources.
This rule and its supporting variable definitions are shown in Listing 8-5, which
is a code snippet copied from an Autotools-generated makefile.
ACLOCAL_M4 = $(top_srcdir)/aclocal.m4
ACLOCAL=${SHELL} .../flaim-ch8-10/missing --run aclocal-1.10
ACLOCAL_AMFLAGS = -I m4
$(ACLOCAL_M4): $(am__aclocal_m4_deps)
cd $(srcdir) && $(ACLOCAL) $(ACLOCAL_AMFLAGS)
Listing 8-5: The make rule and the variables used to update aclocal.m4 from its various
dependencies
The ACLOCAL_AMFLAGS definition is also used during execution of autoreconf,
which scans the top-level Makefile.am file for this definition and passes the
value text directly to aclocal on the command line. Be aware that autoreconf
does no variable expansion on this string, so if you add shell or make variable ref-
erences to the text, they won’t be expanded when autoreconf executes aclocal.
In Listing 8-4, I’ve used the EXTRA_DIST variable at to ensure that a few
additional top-level files get distributed—these are files and directories that
are specific to the Windows build system. This isn’t critical to the umbrella
project, since I don’t intend to create distributions at this level, but I like to
be complete.
The SUBDIRS variable at duplicates the information in the configure.ac
file’s AC_CONFIG_SUBDIRS macro.
The rpms and srcrpm targets at allow the end user to build RPM pack-
ages for RPM-based Linux systems. The code in this rule simply passes the
commands down to each of the lower-level projects in succession.
When passing control to lower-level makefiles in the manner shown in
the commands for these RPM targets, you should strive to follow this pattern.
Passing the expansion of AM_MAKEFLAGS allows lower-level makefiles access to
the same make flags defined in the current or parent makefile. However, you
can add additional functionality to such recursive make code. To see how
Automake passes control down to lower-level makefiles for its own targets,
open an Automake-generated Makefile.in template and search for the text
“$(RECURSIVE_TARGETS):”. The code beneath this target shows exactly how
Automake does it. While it looks complex at first glance, the code performs
Autotools_02.book Page 203 Tuesday, June 15, 2010 2:38 PM
www.it-ebooks.info

204 Chapter 8
only two additional tasks. First, it ensures that continuation-after-error func-
tionality (make -k) works properly, and second, it ensures that the current
directory (.) is handled properly if found in the SUBDIRS variable.
This brings me to my final point about this code: If you choose to write
your own recursive targets in this manner (and we’ll see other examples of
this later when we discuss conversion of the flaim build system), you should
either avoid using a dot in the SUBDIRS variable or enhance the shell code to
handle this special case. If you don’t, your users will likely find themselves in
an endless recursion loop when they attempt to make one of these targets.
For a more extensive treatise on this topic, see “Item 2: Implementing Recur-
sive Extension Targets” on page 276.
I’ll discuss the dist-hook target at in “Automake -hook and -local Rules”
on page 214.
The FLAIM Subprojects
I used autoscan to generate a starting point for the ftk project. The autoscan
utility is a bit finicky when it comes to where it will look for information. If
your project doesn’t contain a makefile named exactly Makefile, or if your
project already contains an Autoconf Makefile.in template, autoscan will not
add any information about required libraries to the configure.scan output file.
It has no way of determining this information except to look into your old
build system, and it won’t do this unless conditions are just right.
Given the complexity of the ftk project’s legacy makefile, I was quite
impressed with autoscan’s ability to parse it for library information. Listing 8-6
shows a portion of the resulting configure.scan file.
...
AC_PREREQ([2.61])
AC_INIT(FULL-PACKAGE-NAME, VERSION, BUG-REPORT-ADDRESS)
AC_CONFIG_SRCDIR([util/ftktest.cpp])
AC_CONFIG_HEADERS([config.h])
# Checks for programs.
AC_PROG_CXX
AC_PROG_CC
AC_PROG_INSTALL
# Checks for libraries.
# FIXME: Replace `main' with a function in `-lc':
AC_CHECK_LIB([c], [main])
# FIXME: Replace `main' with a function in...
AC_CHECK_LIB([crypto], [main])
...
AC_CONFIG_FILES([Makefile])
AC_OUTPUT
Listing 8-6: A portion of the output from autoscan when run over the ftk project directory
structure
Autotools_02.book Page 204 Tuesday, June 15, 2010 2:38 PM
www.it-ebooks.info

FLAIM: An Autotools Example 205
The FLAIM Toolkit configure.ac File
After modifying and renaming this configure.scan file, the resulting configure.ac
file contains many new constructs, which I’ll discuss in the next few sections.
In order to facilitate the discussion, I split this file into two parts, the first half
of which is shown in Listing 8-7.
# -*- Autoconf -*-
# Process this file with autoconf to produce a configure script.
AC_PREREQ([2.61])
AC_INIT([FLAIMTK], [1.2], [flaim-users@lists.sourceforge.net])
AM_INIT_AUTOMAKE([-Wall -Werror])
LT_PREREQ([2.2])
LT_INIT([dlopen])
AC_LANG([C++])
AC_CONFIG_MACRO_DIR([m4])
AC_CONFIG_SRCDIR([src/flaimtk.h])
AC_CONFIG_HEADERS([config.h])
# Checks for programs.
AC_PROG_CXX
AC_PROG_INSTALL
# Checks for optional programs.
FLM_PROG_TRY_DOXYGEN
# Configure options: --enable-debug[=no].
AC_ARG_ENABLE([debug],
[AS_HELP_STRING([--enable-debug],
[enable debug code (default is no)])],
[debug="$withval"], [debug=no])
# Configure option: --enable-openssl[=no].
AC_ARG_ENABLE([openssl],
[AS_HELP_STRING([--enable-openssl],
[enable the use of openssl (default is no)])],
[openssl="$withval"], [openssl=no])
# Create Automake conditional based on the DOXYGEN variable
AM_CONDITIONAL([HAVE_DOXYGEN], [test -n "$DOXYGEN"])
AM_COND_IF([HAVE_DOXYGEN], [AC_CONFIG_FILES([docs/doxyfile])])
#AS_IF([test -n "$DOXYGEN"], [AC_CONFIG_FILES([docs/doxyfile])])
...
Listing 8-7: ftk/configure.ac: The first half of the ftk project’s configure.ac file
At , you will see that I substituted real values for the placeholders autoscan
left in the AC_INIT macro. I added calls to AM_INIT_AUTOMAKE, LT_PREREQ, and
LT_INIT at , and I also added a call to AC_CONFIG_MACRO_DIR at .
Autotools_02.book Page 205 Tuesday, June 15, 2010 2:38 PM
www.it-ebooks.info

206 Chapter 8
NOTE I didn’t use the foreign keyword in AM_INIT_AUTOMAKE this time. Since it’s a real open
source project, the FLAIM developers will (or at least, should) want these files. I used
the touch command to create empty versions of the GNU project text files,10 except for
COPYING and INSTALL, which autoreconf adds.
A new construct at is the AC_LANG macro, which indicates the program-
ming language (and thus, the compiler) that Autoconf should use when
generating compilation tests in configure. I’ve passed C++ as the parameter so
Autoconf will compile these tests using the C++ compiler via the CXX variable,
rather than the default C compiler via the CC variable. I then deleted the
AC_PROG_CC macro call, since the source code for this project is written entirely
in C++.
I changed the AC_CONFIG_SRCDIR file argument at to one that made more
sense to me than the one randomly chosen by autoscan.
The FLM_PROG_TRY_DOXYGEN macro at is a custom macro that I wrote. Here’s
the prototype:
FLM_PROG_TRY_DOXYGEN(["quiet"])
I’ll cover the details of how this macro works in Chapter 10. For now, just
know that it manages a precious variable called DOXYGEN. If the variable is already
set, this macro does nothing; if the variable is not set, it scans the system search
path for a doxygen program, setting the variable to the program name if it finds
one. I’ll explain Autoconf precious variables when we get to the xflaim project.
At , I added a couple of configuration options to configure’s command-
line parser with AC_ARG_ENABLE. I’ll discuss the details of these calls more com-
pletely as we come to other new constructs that use the variables these
macros define.
Automake Configuration Features
Automake provides the AM_CONDITIONAL macro I used at ; it has the following
prototype:
AM_CONDITIONAL(variable, condition)
The variable argument is an Automake conditional name that you can
use in your Makefile.am files to test the associated condition. The condition
argument is a shell condition—a bit of shell script that could be used as the
condition in a shell if-then statement. In fact, this is exactly how the macro
uses the condition argument internally, so it must be formatted as a proper
if-then statement condition expression:
if condition; then...
10. Of course, it’s silly to distribute empty GNU text files. The thought here is that the project
maintainer will fill these files with appropriate information about building, installing, and using
the project. If you never intend to populate these files with quality instructions, then you’re better
off simply using the foreign option to disable them entirely.
Autotools_02.book Page 206 Tuesday, June 15, 2010 2:38 PM
www.it-ebooks.info

FLAIM: An Autotools Example 207
The AM_CONDITIONAL macro always defines two Autoconf substitution variables
named variable_TRUE and variable_FALSE. If the condition is true, variable_TRUE is
empty and variable_FALSE is defined as a hash mark (#), which indicates the
beginning of a comment in a makefile. If the condition is false, the definitions
of these two substitution variables are reversed; that is, variable_FALSE is empty,
and variable_TRUE becomes the hash mark. Automake uses these variables to
conditionally comment out portions of your makefile script that are defined
within Automake conditional statements.
This instance of AM_CONDITIONAL defines the conditional name HAVE_DOXYGEN,
which you can use in the project’s Makefile.am files to do something condition-
ally, based on whether or not doxygen can be executed successfully (via the
DOXYGEN variable). Any lines of make script found within a test for truth in
Makefile.am are prefixed with @variable_TRUE@ in the Automake-generated
Makefile.in template. Conversely, any lines found within an Automake condi-
tional test for falseness are prefixed with @variable_FALSE@. When config.status
generates Makefile from Makefile.in, these lines are either commented out
(prefixed with hash marks) or not, depending on the truth or falseness of
the condition.
There’s just one caveat with using AM_CONDITIONAL: You cannot call it con-
ditionally (e.g., within a shell if-then-else statement) in the configure.ac file.
You can’t define substitution variables conditionally—you can define their
contents differently based on the specified condition, but the variables them-
selves are either defined or not at the time Autoconf creates the configure
script. Since Automake-generated template files are created long before the
user executes configure, Automake must be able to rely on the existence of
these variables, regardless of how they’re defined.
Within the configure script, you may wish to perform other Autoconf
operations based on the value of Automake conditionals. This is where the
Automake-provided AM_COND_IF macro at comes into play.11 Its prototype is
as follows:
AM_COND_IF(conditional-variable, [if-true], [if-false])
If conditional-variable is defined as true by a previous call to AM_CONDITIONAL,
the if-true shell script (including any Autoconf macro calls) is executed.
Otherwise, the if-false shell script is executed.
Now let’s say, for example, that you wish to conditionally build a portion
of your project directory structure—say the xflaim/docs/doxygen directory—
based on the Automake conditional HAVE_DOXYGEN. Perhaps you are appending
the subdirectory in question onto the SUBDIRS variable within an Automake
conditional statement in your Makefile.am file (I’m actually doing this, as you’ll
see in “The FLAIM Toolkit Makefile.am File” on page 212). Since make won’t be
building this portion of the project directory structure if the condition is false,
11. The AM_COND_IF macro was introduced in Automake 1.11, but there was a merge error in
the 1.10.2 branch of Automake that caused information about AM_COND_IF to be inadvertently
added to the documentation for version 1.10.2. If you have a version of Automake older than 1.11,
you will not be able to use this macro, even though the 1.10.2 documentation shows that it is
available. The code shown in the ftk project’s configure.ac file is a reasonable work-around.
Autotools_02.book Page 207 Tuesday, June 15, 2010 2:38 PM
www.it-ebooks.info

208 Chapter 8
there’s certainly little reason to have config.status process the doxyfile.in tem-
plate within that directory during configuration. Therefore, you might use
the code shown in Listing 8-8 in your configure.ac file.
...
AM_CONDITIONAL([HAVE_DOXYGEN], [test -n "$DOXYGEN"])
AM_COND_IF([HAVE_DOXYGEN], [AC_CONFIG_FILES([docs/doxyfile])])
...
Listing 8-8: ftk/configure.ac: Using AM_COND_IF to conditionally configure a template
With this code in place, configure simply will not process the doxyfile.in
template at all within the docs directory if doxygen isn’t installed on the user’s
system.
NOTE The doc/Makefile.in template should not be included here because the dist target
must be able to process all directories in the project—whether or not they’re conditionally
built—during execution of build targets such as all or clean. Thus, you should never
conditionally process Makefile.in templates within configure.ac. However, you can
certainly process other types of templates conditionally.
Listing 8-9 shows the second half of ftk’s configure.ac file.
...
# Configure for large files, even in 32-bit environments
AC_SYS_LARGEFILE
# Check for pthreads
ACX_PTHREAD(
[AC_DEFINE([HAVE_PTHREAD], [1],
[Define if you have POSIX threads libraries and header files.])
LIBS="$PTHREAD_LIBS $LIBS"
CFLAGS="$CFLAGS $PTHREAD_CFLAGS"
CXXFLAGS="$CXXFLAGS $PTHREAD_CXXFLAGS"
CC="$PTHREAD_CC"
CXX="$PTHREAD_CXX"])
# Checks for libraries.
AC_SEARCH_LIBS([initscr], [ncurses])
AC_CHECK_LIB([rt], [aio_suspend])
AS_IF([test "x$openssl" = xyes],
[AC_DEFINE([FLM_OPENSSL], [1], [Define to use openssl])
AC_CHECK_LIB([ssl], [SSL_new])
AC_CHECK_LIB([crypto], [CRYPTO_add])
AC_CHECK_LIB([dl], [dlopen])
AC_CHECK_LIB([z], [gzopen])])
# Checks for header files.
AC_HEADER_RESOLV
AC_CHECK_HEADERS([arpa/inet.h fcntl.h limits.h malloc.h netdb.h netinet/in.h
stddef.h stdlib.h string.h strings.h sys/mount.h sys/param.h sys/socket.h sys/
statfs.h sys/statvfs.h sys/time.h sys/vfs.h unistd.h utime.h])
Autotools_02.book Page 208 Tuesday, June 15, 2010 2:38 PM
www.it-ebooks.info

FLAIM: An Autotools Example 209
# Checks for typedefs, structures, and compiler characteristics.
AC_HEADER_STDBOOL
AC_C_INLINE
AC_TYPE_INT32_T
AC_TYPE_MODE_T
AC_TYPE_PID_T
AC_TYPE_SIZE_T
AC_CHECK_MEMBERS([struct stat.st_blksize])
AC_TYPE_UINT16_T
AC_TYPE_UINT32_T
AC_TYPE_UINT8_T
# Checks for library functions.
AC_FUNC_LSTAT_FOLLOWS_SLASHED_SYMLINK
AC_FUNC_MALLOC
AC_FUNC_MKTIME
AC_CHECK_FUNCS([atexit fdatasync ftruncate getcwd gethostbyaddr gethostbyname
gethostname gethrtime gettimeofday inet_ntoa localtime_r memmove memset mkdir
pstat_getdynamic realpath rmdir select socket strchr strrchr strstr])
# Configure DEBUG source code, if requested.
AS_IF([test "x$debug" = xyes],
[AC_DEFINE([FLM_DEBUG], [1], [Define to enable FLAIM debug features])])
...
AC_CONFIG_FILES([Makefile
docs/Makefile
obs/Makefile
obs/flaimtk.spec
src/Makefile
util/Makefile])
AC_OUTPUT
echo "
FLAIM toolkit ($PACKAGE_NAME) version $PACKAGE_VERSION
Prefix.........: $prefix
Debug Build....: $debug
Using OpenSSL..: $openssl
C++ Compiler...: $CXX $CXXFLAGS $CPPFLAGS
Linker.........: $LD $LDFLAGS $LIBS
Doxygen........: ${DOXYGEN:-NONE}
"
Listing 8-9: ftk/configure.ac: The second half of the ftk project’s configure.ac file
At , I’ve called the AC_SYS_LARGEFILE macro. If the user has a 32-bit system,
this macro ensures that appropriate C-preprocessor definitions (and possibly
compiler options) that force the use of 64-bit file addressing (also called large
files) are added to the config.h.in template. With these variables in place, C-
library large-address-aware file I/O functions become available to the project
source code. FLAIM, as a database system, cares very much about this feature.
Autotools_02.book Page 209 Tuesday, June 15, 2010 2:38 PM
www.it-ebooks.info

210 Chapter 8
Doing Threads the Right Way
There is another new construct, ACX_PTHREAD, at . In the Jupiter project, I
simply linked the jupiter program with the pthreads library via the -lpthread
linker flag. But frankly, this is the wrong way to use pthreads.
In the presence of multiple threads of execution, you must configure
many of the standard C-library functions to act in a thread-safe manner. You
can do this by ensuring that one or more preprocessor definitions are visible
to all of the standard library header files as they’re being compiled into the
program. These C-preprocessor definitions must be defined on the compiler
command line, and they’re not standardized between compiler vendors.
Some vendors provide entirely different standard libraries for building
single-threaded versus multithreaded programs, because adding thread safety
to a library reduces performance to a degree. Compiler vendors believe
(correctly) that they’re doing you a favor by giving you different versions of
the standard library for these purposes. In this scenario, it’s necessary to tell
the linker to use the correct runtime libraries.
Unfortunately, every vendor does multithreading in its own way, from
compiler options to library names to preprocessor definitions. But there is a
reasonable solution to the problem: The Autoconf Macro Archive12 provides
a macro called ACX_PTHREAD that checks out a user’s compiler and provides the
correct flags and options for a wide variety of platforms.
Since the ACX_PTHREAD macro was originally written for C, I had to modify
it slightly to make it work with C++, but this was not too difficult. I just had to
ensure that the flags and options were placed in the CXXFLAGS variable along
with the CFLAGS variable and that a PTHREAD_CXX variable was defined, in addi-
tion to the original PTHREAD_CC variable. This macro is very simple to use:
ACX_PTHREAD(action-if-found[, action-if-not-found])
It sets several environment variables, including PTHREAD_CC, PTHREAD_CXX,
PTHREAD_CFLAGS, PTHREAD_CXXFLAGS, and PTHREAD_LIBS. It’s up to the caller to use
these variables properly by adding shell code to the action-if-found argument.
If all of your project’s code is multithreaded, things are simpler: You need
only append these variables to, or consume them from within, the standard
CFLAGS, CXXFLAGS, CC, CXX, and LIBS variables. The FLAIM project code base is
completely multithreaded, so I chose to do this.
If you examine the contents of the acx_pthread.m4 file in the ftk/m4 direc-
tory, you might expect to find a large case statement that sets options for
every compiler and platform combination known to man—but that’s not the
Autoconf way.
Instead, the macro incorporates a long list of known pthreads compiler
options, and the generated configure script uses the host compiler to compile
a small pthreads program with each one of these options in turn. The flags
that are recognized by the compiler, and that therefore properly build the
test program, are added to the PTHREAD_CFLAGS and PTHREAD_CXXFLAGS variables.
12. See http://www.nongnu.org/autoconf-archive/.
Autotools_02.book Page 210 Tuesday, June 15, 2010 2:38 PM
www.it-ebooks.info

FLAIM: An Autotools Example 211
This way, ACX_PTHREAD stands a good chance of continuing to work properly,
even in the face of significant changes to compiler options in the future—
and this is the Autoconf way.
Getting Just the Right Libraries
I deleted the FIXME comments (see configure.scan in Listing 8-6 on page 204)
above each of the AC_CHECK_LIB macro calls at in Listing 8-9. I started to
replace the main placeholders in these macros with actual library function
names, but then I began to wonder if all of those libraries were really neces-
sary. I wasn’t as concerned about autoscan’s abilities as I was about the veracity
of the original makefile. In hand-coded build systems, I’ve occasionally noticed
that the author will cut and paste sets of library names from one makefile to
another until the program builds without missing symbols.13
Instead of blindly continuing this trend, I chose to simply comment out
all of the calls to AC_CHECK_LIB to see how far I could get in the build, adding
them back in one at a time as required to resolve missing symbols. Unless
your project consumes literally hundreds of libraries, this will only take a few
extra minutes. I like to link only the libraries that are necessary for my project;
it speeds up the link process, and when done religiously, provides a good
form of project-level documentation.
The configure.scan file contained 14 such calls to AC_CHECK_LIB. As it turned
out, the FLAIM toolkit on my 64-bit Linux system only required three of them:
pthread, ncurses, and rt, so I deleted the remaining entries and swapped out the
placeholder parameters for real functions in the ncurses and rt libraries.
I also converted the ncurses AC_CHECK_LIB call to AC_SEARCH_LIBS because I
suspect that future FLAIM platforms may use different library names for
curses functionality. I’d like to prepare the build system to have additional
libraries searched on these platforms.
In retrospect, it appears that my gambit paid off rather handsomely,
because I dropped from 14 libraries to 2. The third library was the POSIX
Thread (pthreads) library, which is added via the ACX_PTHREAD macro I discussed
in the previous section.
Maintainer-Defined Command-Line Options
The next four libraries are checked within an Autoconf conditional statement
at . This statement is based on the end user’s use of the --enable-openssl
command-line argument, which AC_ARG_ENABLE provides (see in Listing 8-7
on page 205).
The AS_IF macro works like a shell if-then statement. The first parameter
is the condition, and the second parameter is the code to be executed if the
condition is true. I use AS_IF instead of a shell if-then statement because, if
any of the macros called within the conditional statement require additional
macros to be expanded in order to operate correctly, AS_IF will ensure that
these dependencies are expanded first, outside of the conditional statement.
The AS_IF macro is part of the Autoconf auto-dependency framework (dis-
cussed in detail in Chapter 10).
13. For some reason, this activity is especially prevalent when libraries are being built, although
programs are not immune to it.
Autotools_02.book Page 211 Tuesday, June 15, 2010 2:38 PM
www.it-ebooks.info

212 Chapter 8
In this case, the openssl variable is defined to either yes or no based on the
default value given to AC_ARG_ENABLE and the end user’s command-line choices.
The AC_DEFINE macro, called in the first argument of AS_IF, ensures that
the C-preprocessor variable FLM_OPENSSL is defined in the config.h header file.
The AC_CHECK_LIB macros then ensure that -lssl, -lcrypto, -ldl, and -lz strings
are added to the LIBS variable, but only if the openssl variable is set to yes. We
don’t want to insist that the user have those libraries installed unless he asked
for features that need them.
You can get as sophisticated as you want when dealing with maintainer-
defined command-line options such as --enable-openssl. But be careful: Some
levels of automation can surprise your users. For instance, automatically
enabling the option because your checks found that the OpenSSL libraries
were installed and accessible can be a bit disconcerting.
I left all the header file and library function checks at as specified by
autoscan, because a simple text scan through the source code for header files
and function names is probably pretty accurate.
At , we see the conditional (AS_IF) use of AC_DEFINE based on the contents
of the debug variable. This is another environment variable that’s conditionally
defined based on the results of a command-line parameter given to configure.
The --enable-debug option sets the the debug variable to yes, which ultimately
enables the FLM_DEBUG C-preprocessor definition within config.h. Both FLM_OPENSSL
and FLM_DEBUG were already used within the FLAIM project source code. Using
AC_DEFINE in this manner allows the end user to determine which features are
compiled into the libraries.
I left out a fairly large chunk of code at dealing with compiler and tool
optimizations, which I’ll present in the next chapter. This code is identical in
all of the projects’ configure.ac files.
Finally, I added references to src/Makefile and util/Makefile at to the
AC_CONFIG_FILES macro call, and then I added my usual echo statement at
near the bottom for some visual verification of my configuration status.
The FLAIM Toolkit Makefile.am File
Ignoring the commands for Doxygen- and RPM-specific targets (for now),
the ftk/Makefile.am file is fairly trivial. Listing 8-10 shows the entire file.
ACLOCAL_AMFLAGS = -I m4
EXTRA_DIST = GNUMakefile README.W32 debian netware win32
if HAVE_DOXYGEN
DOXYDIR = docs
Endif
SUBDIRS = src util obs $(DOXYDIR)
doc_DATA = AUTHORS ChangeLog COPYING INSTALL NEWS README
Autotools_02.book Page 212 Tuesday, June 15, 2010 2:38 PM
www.it-ebooks.info

FLAIM: An Autotools Example 213
RPM = rpm
rpms srcrpm: dist
(cd obs && $(MAKE) $(AM_MAKEFLAGS) $@) || exit 1
rpmarch=`$(RPM) --showrc | \
grep "^build arch" | sed 's/\(.*: \)\(.*\)/\2/'`; \
test -z "obs/$$rpmarch" || \
( mv obs/$$rpmarch/* . && rm -rf obs/$$rpmarch )
rm -rf obs/$(distdir)
dist-hook:
rm -rf `find $(distdir) -name .svn`
.PHONY: srcrpm rpms
Listing 8-10: ftk/Makefile.am: The entire contents of the FLAIM toolkit’s top-level makefile
In this file you’ll find the usual ACLOCAL_AMFLAGS, EXTRA_DIST, and SUBDIRS vari-
able definitions, but you can also see the use of an Automake conditional at .
The if statement allows me to append another directory (docs) to the SUBDIRS
list, but only if the doxygen program is available (according to configure). I
used a separate variable here (DOXYDIR), but the Automake conditional could
just as well have surrounded a statement that directly appends the directory
name (doc) to the SUBDIRS variable using the Automake += operator.
NOTE Don’t confuse Automake conditionals with make conditionals, which use the keywords ifeq,
ifneq, ifdef, and ifndef. If you try to use an Automake conditional in Makefile.am
without a corresponding AM_CONDITIONAL statement in configure.ac, Automake will
complain about it. When used properly, Automake converts this construct to something
that make understands before make sees it.
Another new construct (at least in a top-level Makefile.am file) is the use
of the doc_DATA variable at . The FLAIM toolkit provides some extra docu-
mentation files in its top-level directory that I’d like to have installed. By using
the doc prefix on the DATA primary, I’m telling Automake that I’d like these
files to be installed as data files in the $(docdir) directory, which ultimately
resolves to the $(prefix)/share/doc directory, by default.
Files mentioned in DATA variables that don’t already have special meaning
to Automake are not automatically distributed (that is, they’re not added to
distribution tarballs), so you have to manually distribute them by adding them to
the files listed in the EXTRA_DIST variable.
NOTE I did not have to list the standard GNU project text files in EXTRA_DIST because they’re
always distributed automatically. However, I did have to mention theses files in the
doc_DATA variable, because Automake makes no assumptions about which files you
want to install.
I’ll defer a discussion of the RPM targets at to the next chapter.
Autotools_02.book Page 213 Tuesday, June 15, 2010 2:38 PM
www.it-ebooks.info

214 Chapter 8
Automake -hook and -local Rules
Automake recognizes two types of integrated extensions, which I call -local
targets and -hook targets. Automake recognizes and honors -local extensions
for the following standard targets:
Adding a -local to any of these in your Makefile.am files will cause the
associated commands to be executed before the standard target. Automake
does this by generating the rule for the standard target so that the -local ver-
sion is one of its dependencies (if it exists).14 In “Cleaning Your Room” on
page 226, I’ll show an example of this concept using a clean-local target.
The -hook targets are a bit different in that they are executed after the
corresponding standard target is executed.15 Automake does this by adding
another command to the end of the standard target command list. This com-
mand merely executes $(MAKE) on the containing makefile, with the -hook target
as the command-line target. Thus, the -hook target is executed at the end of
the standard target commands in a recursive fashion.
The following standard Automake targets support -hook versions:
Automake automatically adds all existing -local and -hook targets to the
.PHONY rule within the generated makefile.
I use the dist-hook target at in Makefile.am to adjust the distribution
directory after it’s built but before make builds a tarball from its contents.
The rm command removes extraneous files and directories that become
part of the distribution directory as a result of my adding entire directories
to the EXTRA_DIST variable. When you add directory names to EXTRA_DIST (debian,
netware, and win32, in this case), everything in those directories is added to
the distribution—even hidden Subversion control files and directories.
Listing 8-11 is a portion of the generated Makefile that shows how Automake
incorporates dist-hook into the final makefile. The relevant portions are bolded.
all info dvi
ps pdf html
check install-data install-dvi
install-exec install-html install-info
install-pdf install-ps uninstall
installdirs installcheck mostlyclean
clean distclean maintainer-clean
14. Automake -local targets can be somewhat problematic when using parallel make (make –j),
because parallel make cannot guarantee that dependencies are processed in the order in which
they’re listed: They may be executed in parallel. This is arguably a design flaw in Automake, but
it’s far too late to fix it at this point.
15. There are exceptions to this rule. In fact, the dist-hook target is actually executed after the
distdir target, rather than after the dist target. Basically, the hook rules are executed where they
make the most sense.
install-data install-exec uninstall
dist distcheck
Autotools_02.book Page 214 Tuesday, June 15, 2010 2:38 PM
www.it-ebooks.info

FLAIM: An Autotools Example 215
...
distdir: $(DISTFILES)
... # copy files into distdir
$(MAKE) $(AM_MAKEFLAGS) top_distdir="$(top_distdir)" \
distdir="$(distdir)" dist-hook
... # change attributes of files in distdir
...
dist dist-all: distdir
tardir=$(distdir) && $(am__tar) | GZIP=$(GZIP_ENV) gzip -c \
>$(distdir).tar.gz
$(am__remove_distdir)
...
.PHONY: ... dist-hook ...
...
dist-hook:
rm -rf `find $(distdir) -name .svn`
...
Listing 8-11: ftk/Makefile: The results of defining the dist-hook target in ftk/Makefile.am
This brings me to a bit of advice: Don’t be afraid to dig into the generated
makefiles to see exactly what Automake is doing with your code. Many people
take one look at an Automake-generated makefile and immediately give up.
While there is a fair amount of ugly shell code in the make commands, most
of it is safe to ignore. You’re usually more interested in the make rules that
Automake is generating, and it’s easy to separate these out. Once you under-
stand the purpose of the rules (and you should by now), you are well on your
way to becoming an Automake expert.
Designing the ftk/src/Makefile.am File
I now need to create Makefile.am files in the src and utils directories for the
FLAIM toolkit project. I want to ensure that all of the original functionality is
preserved from the old build system as I’m creating these files. Basically, this
includes:
zProperly building the ftk shared and static libraries
zProperly specifying installation locations for all installed files
zSetting the ftk shared-library version information correctly
zEnsuring that all remaining unused files are distributed
zEnsuring that platform-specific compiler options are used
The template shown in Listing 8-12 should cover most of these points, so
I’ll be using it for all of the FLAIM library projects, with appropriate additions
and subtractions, based on the needs of each individual library.
Autotools_02.book Page 215 Tuesday, June 15, 2010 2:38 PM
www.it-ebooks.info

216 Chapter 8
EXTRA_DIST = ...
lib_LTLIBRARIES = ...
include_HEADERS = ...
xxxxx_la_SOURCES = ...
xxxxx_la_LDFLAGS = -version-info x:y:z
Listing 8-12: A framework for the src and utils directory Makefile.am files
The original GNU makefile told me that the library was named libftk.so.
This is a bad name for a library on Linux, because most of the three-letter
library names are already taken. Thus, I made an executive decision and
renamed the ftk library to flaimtk.
Listing 8-13 shows most of the final ftk/src/Makefile.am file.
EXTRA_DIST = ftknlm.h
pkgconfigdir = $(libdir)/pkgconfig
pkgconfig_DATA = libflaimtk.pc
lib_LTLIBRARIES = libflaimtk.la
include_HEADERS = flaimtk.h
libflaimtk_la_SOURCES = \
ftkarg.cpp \
ftkbtree.cpp \
ftkcmem.cpp \
ftkcoll.cpp \
...
ftksys.h \
ftkunix.cpp \
ftkwin.cpp \
ftkxml.cpp
libflaimtk_la_LDFLAGS = -version-info 0:0:0
Listing 8-13: ftk/src/Makefile.am: The entire file contents, minus a few dozen source files
I added the Libtool library name, libflaimtk.la, to the lib_LTLIBRARIES list at
and changed the xxxxx portions of the remaining macros in Listing 8-13 to
libflaimtk. I could have entered all the source files by hand, but I noticed
while reading the original makefile that it used the GNU make function macro
$(wildcard src/*.cpp) to build the file list from the contents of the src directory.
This tells me that all of the .cpp files within the src directory are required (or
at least consumed) by the library. To get the file list into Makefile.am, I used
a simple shell command to concatenate it to the end of the Makefile.am file
(assuming I’m in the ftk/src directory):
$ ls *.cpp >> Makefile.am
Autotools_02.book Page 216 Tuesday, June 15, 2010 2:38 PM
www.it-ebooks.info

FLAIM: An Autotools Example 217
This leaves me with a single-column, alphabetized list of all of the .cpp
files in the ftk/src directory at the bottom of ftk/src/Makefile.am. I moved the
list up to just below the libflaimtk_la_SOURCES line at and added backslash
characters after the equal sign and each of the files except the last one. Another
formatting technique is to simply wrap the line with a backslash and a carriage
return approximately every 70 characters, but I prefer to put each file on a
separate line, especially early in the conversion process, so I can easily extract
or add files to the lists as needed.
I had to manually examine each header file in the src directory in order
to determine its use in the project. There were only four header files, and as
it turns out, the only one the FLAIM toolkit does not use on Unix and Linux
platforms is ftknlm.h, which is specific to the NetWare build. I added this file
to the EXTRA_DIST list at so it would be distributed; just because the build
doesn’t use it doesn’t mean that users won’t want or need it.16
The (newly renamed) flaimtk.h file is the only public header file, so I moved
it into the include_HEADERS list at . The other two files are used internally in
the library build, so I left them in the libflaimtk_la_SOURCES list. Had this been
my own project, I would have moved flaimtk.h into an include directory off the
project root directory, but remember that one of my goals here was to limit
changes to the directory structure and the source code. Moving this header
file is a philosophical decision that I decided to leave to the maintainers.
Finally, I noticed in the original makefile that the last release of the ftk
library published an interface version of 4.0. However, since I changed the
name of the library from libftk to libflaimtk, I reset this value to 0.0 because it’s
a different library. I replaced x:y:z with 0:0:0 in the -version-info option at
within the libflaimtk_la_LDFLAGS variable.
NOTE A version string of 0:0:0 is the default, so I could have removed the argument entirely
and achieved the same result. However, including it gives new developers some insight
into how to change the interface version in the future.
I added the pkgconfigdir and pkgconfig_DATA variables at in order to pro-
vide support for installing pkg-config metadata files for this project. (For more
on the pkg-config system, see “Item 9: Using pkg-config with Autotools” on
page 299.)
Moving On to the ftk/util Directory
Properly designing Makefile.am for the util directory requires examining the
original makefile again for more products. A quick glance at the ftk/util
directory showed that there was only one source file: ftktest.cpp. This appeared
to be some sort of testing program for the ftk library, but I know that the
FLAIM developers use it all the time in various ways besides simply for testing
a build. So I had a design decision to make here: Should I build this as a
normal program or as a check program?
16. I could have simply added this header file to the libflaimtk_la_SOURCES variable, because
header files added to SOURCES variables are merely added to the distribution. But doing so would
have hidden from observers the fact that this header file is not used in the Unix build in any way.
Autotools_02.book Page 217 Tuesday, June 15, 2010 2:38 PM
www.it-ebooks.info

218 Chapter 8
Check programs are only built when make check is executed, and they’re
never installed. If I want ftktest built as a regular program, but not installed,
I have to use the noinst prefix rather than the usual bin prefix in the program
list variable.
In either case, I probably want to add ftktest to the list of tests that are
executed during make check, so the two questions here are (1) whether I want
to automatically run ftktest during make check, and (2) whether I want to
install the ftktest program. Given that the FLAIM toolkit is a mature product,
I opted to build ftktest during make check and leave it uninstalled.
Listing 8-14 shows my final ftk/util/Makefile.am file.
FTK_INCLUDE = -I$(top_srcdir)/src
FTK_LTLIB = ../src/libflaimtk.la
check_PROGRAMS = ftktest
ftktest_SOURCES = ftktest.cpp
ftktest_CPPFLAGS = $(FTK_INCLUDE)
ftktest_LDADD = $(FTK_LTLIB)
TESTS = ftktest
Listing 8-14: ftk/util/Makefile.am: The final contents of this file
I hope that by now you can see the relationship between TESTS and
check_PROGRAMS. To be blunt, there really is no relationship between the files
listed in check_PROGRAMS and those listed in TESTS. The check target simply ensures
that check_PROGRAMS are built before the TESTS programs and scripts are executed.
TESTS can refer to anything that can be executed without command-line param-
eters. This separation of duties makes for a very clean and flexible system.
And that’s it for the FLAIM toolkit library and utilities. I don’t know about
you, but I’d much rather maintain this small set of short files than a single
2,200-line makefile!
Designing the XFLAIM Build System
Now that I’ve finished with the FLAIM toolkit, I’ll move on to the xflaim
project. I’m choosing to start with xflaim, rather than flaim, because it supplies
the most build features that can be converted to the Autotools, including the
Java and C# language bindings (which I won’t actually discuss in detail until
Chapter 9). After xflaim, covering the remaining database projects would be
redundant, because the processes are identical, if not a little simpler. How-
ever, you can find the other build system files in this book’s downloadable
companion source archive.
I generated the configure.ac file using autoscan once again. It’s important
to use autoscan in each of the individual projects, because the source code for
each project is different and will thus cause different macros to be written
into each configure.scan file. I then used the same techniques I used on the
FLAIM toolkit to create xflaim’s configure.ac file.
Autotools_02.book Page 218 Tuesday, June 15, 2010 2:38 PM
www.it-ebooks.info

FLAIM: An Autotools Example 219
The XFLAIM configure.ac File
After hand-modifying the generated configure.scan file and renaming it
configure.ac, I found it to be similar in many ways to the toolkit’s configure.ac
file. It’s fairly long, so I’ll show you only the most significant differences in
Listing 8-15.
...
# Checks for optional programs.
FLM_PROG_TRY_CSC
FLM_PROG_TRY_CSVM
FLM_PROG_TRY_JNI
FLM_PROG_TRY_JAVADOC
FLM_PROG_TRY_DOXYGEN
# Configure variables: FTKLIB and FTKINC.
AC_ARG_VAR([FTKLIB], [The PATH wherein libflaimtk.la can be found.])
AC_ARG_VAR([FTKINC], [The PATH wherein flaimtk.h can be found.])
...
# Ensure that both or neither are specified.
if (test -n "$FTKLIB" && test -z "$FTKINC") || \
(test -n "$FTKINC" && test -z "$FTKLIB"); then
AC_MSG_ERROR([Specify both FTK library and include paths, or neither.])
fi
# Not specified? Check for FTK in standard places.
if test -z "$FTKLIB"; then
# Check for FLAIM toolkit as a subproject.
if test -d "$srcdir/ftk"; then
AC_CONFIG_SUBDIRS([ftk])
FTKINC='$(top_srcdir)/ftk/src'
FTKLIB='$(top_builddir)/ftk/src'
else
# Check for FLAIM toolkit as a superproject.
if test -d "$srcdir/../ftk"; then
FTKINC='$(top_srcdir)/../ftk/src'
FTKLIB='$(top_builddir)/../ftk/src'
fi
fi
fi
# Still empty? Check for *installed* FLAIM toolkit.
if test -z "$FTKLIB"; then
AC_CHECK_LIB([flaimtk], [ftkFastChecksum],
[AC_CHECK_HEADERS([flaimtk.h])
LIBS="-lflaimtk $LIBS"],
[AC_MSG_ERROR([No FLAIM toolkit found. Terminating.])])
fi
# AC_SUBST command line variables from FTKLIB and FTKINC.
if test -n "$FTKLIB"; then
AC_SUBST([FTK_LTLIB], ["$FTKLIB/libflaimtk.la"])
AC_SUBST([FTK_INCLUDE], ["-I$FTKINC"])
fi
Autotools_02.book Page 219 Tuesday, June 15, 2010 2:38 PM
www.it-ebooks.info

220 Chapter 8
# Automake conditionals
AM_CONDITIONAL([HAVE_JAVA], [test "x$flm_prog_have_jni" = xyes])
AM_CONDITIONAL([HAVE_CSHARP], [test -n "$CSC"])
AM_CONDITIONAL([HAVE_DOXYGEN], [test -n "$DOXYGEN"])
AC_COND_IF([HAVE_DOXYGEN], [AC_CONFIG_FILES([docs/doxygen/doxyfile])])
#AS_IF([test -n "$DOXYGEN"], [AC_CONFIG_FILES([docs/doxygen/doxyfile])])
...
echo "
($PACKAGE_NAME) version $PACKAGE_VERSION
Prefix.........: $prefix
Debug Build....: $debug
C++ Compiler...: $CXX $CXXFLAGS $CPPFLAGS
Linker.........: $LD $LDFLAGS $LIBS
FTK Library....: ${FTKLIB:-INSTALLED}
FTK Include....: ${FTKINC:-INSTALLED}
CSharp Compiler: ${CSC:-NONE} $CSCFLAGS
CSharp VM......: ${CSVM:-NONE}
Java Compiler..: ${JAVAC:-NONE} $JAVACFLAGS
JavaH Utility..: ${JAVAH:-NONE} $JAVAHFLAGS
Jar Utility....: ${JAR:-NONE} $JARFLAGS
Javadoc Utility: ${JAVADOC:-NONE}
Doxygen........: ${DOXYGEN:-NONE}
"
Listing 8-15: xflaim/configure.ac: The most significant portions of this Autoconf input file
First, notice that I’ve invented a few more FLM_PROG_TRY_* macros at .
Here I’m checking for the existence of the following programs: a C# compiler,
a C# virtual machine, a Java compiler, a JNI header and stub generator, a Java-
doc generation tool, a Java archive tool, and doxygen. I’ve written separate
macro files for each of these checks and added them to my xflaim/m4
directory.
As with the FLM_PROG_TRY_DOXYGEN macro used in the toolkit, each of these
macros attempts to locate the associated program, but these macros don’t
fail the configuration process if they can’t find the program. I want to be able
to use these programs if they’re available, but I don’t want to require the user
to have them in order to build the base libraries.
You’ll find a new macro, AC_ARG_VAR, at . Like the AC_ARG_ENABLE and
AC_ARG_WITH macros, AC_ARG_VAR allows the project maintainer to extend the
command-line interface of the configure script. This macro is different, how-
ever, in that it adds a public variable, rather than a command-line option, to
the list of public variables that configure cares about. In this case, I’m adding
two public variables, FTKINC and FTKLIB. These will show up in the configure
script’s help text under the section “Some influential environment variables.”
The GNU Autoconf Manual calls these variables precious. All of my FLM_PROG_TRY_*
macros use the AC_ARG_VAR macro internally to make the associated variables
both public and precious.17
17. These variables are also automatically substituted into the Makefile.in templates that Automake
generates. However, I don’t really need this substitution functionality, because I’m going to build
other variables out of these ones, and I’ll want the derived variables, instead of the public variables,
to be substituted.
Autotools_02.book Page 220 Tuesday, June 15, 2010 2:38 PM
www.it-ebooks.info

FLAIM: An Autotools Example 221
The large chunk of code beginning at actually uses these variables to
set other variables used in the build system. The user can set the public vari-
ables in the environment or he can specify them on the configure script’s
command line in this manner:
$ ./configure FTKINC="$HOME/dev/ftk/include" ...
First, I’ll check to see that either both or neither of the FTKINC and FTKLIB
variables are specified. If only one of them is given, I have to fail with an error.
The user isn’t allowed to tell me where to find only half the toolkit; I need
both the header file and the library. If neither of these variables is specified, I
search for them at by looking for a subdirectory of the xflaim project direc-
tory called ftk. If I find one, I’ll configure that directory as a subproject to be
processed by Autoconf, using the AC_CONFIG_SUBDIRS macro.18 I’ll also set both
of these variables to point to the appropriate relative locations within the ftk
project.
If I don’t find ftk as a subdirectory, I’ll look for it in the parent directory
at . If I find it there, I’ll set the variables appropriately. This time, I don’t
need to configure the located ftk directory as a subproject, because I’m
assuming that the xflaim project is itself a subproject of the umbrella project.
If I don’t find ftk as either a subproject or a sibling project, I’ll use the standard
AC_CHECK_LIB and AC_CHECK_HEADERS macros at to see if the user’s host has the
toolkit library installed. In that case, I need only add -lflaimtk to the LIBS
variable. Also in that case, the header file will be in the standard location:
usually /usr(/local)/include. The default functionality of the optional third
argument to AC_CHECK_LIB would automatically add the library reference to
the LIBS variable, but since I’ve overridden this default functionality, I have to
add the toolkit library reference to LIBS.
If I don’t find the library, I give up with an error message indicating
that xflaim can’t be built without the FLAIM toolkit. However, after making
it through all these checks, if the FTKLIB variable is no longer empty, I use
AC_SUBST at to publish the FTK_INCLUDE and FTK_LTLIB variables, which contain
derivations of FTKINC and FTKLIB appropriate for use as command-line options
to the preprocessor and the linker.
NOTE Chapter 10 converts the large chunk of code between and into a custom M4 macro
called FLM_FTK_SEARCH. You’ll find calls to this macro in the source archive versions of the
project’s various configure.ac files, instead of the code in Listing 8-15. Copies of the
macro file, named flm_ftk_search.m4, can be found in each of the flaim, flaimsql,
and xflaim projects’ m4 directories.
The remaining code at calls AM_CONDITIONAL for Java, C#, and Doxygen
in a manner similar to the way I handled Doxygen in the ftk project. These
macros are configured to generate warning messages indicating that the Java
or C# portions of the xflaim project will not be built if those tools can’t be
found, but I allow the build to continue in any case.
18. You can use this macro conditionally and multiple times within the same configure.ac file.
Autotools_02.book Page 221 Tuesday, June 15, 2010 2:38 PM
www.it-ebooks.info

222 Chapter 8
Creating the xflaim/src/Makefile.am File
I’m skipping the xflaim/Makefile.am file, because it’s nearly identical to ftk/
Makefile.am. Instead, we’ll move on to xflaim/src/Makefile.am, which I wrote by
following the same design principles used with the ftk/src version. It looks very
similar to its ftk counterpart, with one exception: According to the original
build system makefile, the Java native interface (JNI) and C# native language
binding sources are compiled and linked right into the xflaim shared library.
This is not an uncommon practice, and it’s quite useful because it allevi-
ates the need for extra library objects built specifically for these languages.
Essentially, the xflaim shared library exports native interfaces for these lan-
guages that are then consumed by their corresponding native wrappers.19
I’m going to ignore these language bindings for now, but later, when I’m
finished with the entire xflaim project, I’ll turn my attention back to properly
hooking them into the library. With this exception then, the Makefile.am file
shown in Listing 8-16 looks almost identical to its ftk counterpart.
if HAVE_JAVA
JAVADIR = java
JNI_LIBADD = java/libxfjni.la
endif
if HAVE_CSHARP
CSDIR = cs
CSI_LIBADD = cs/libxfcsi.la
endif
SUBDIRS = $(JAVADIR) $(CSDIR)
lib_LTLIBRARIES = libxflaim.la
include_HEADERS = xflaim.h
libxflaim_la_SOURCES = \
btreeinfo.cpp \
f_btpool.cpp \
f_btpool.h \
...
rfl.h \
scache.cpp \
translog.cpp
libxflaim_la_CPPFLAGS = $(FTK_INCLUDE)
libxflaim_la_LIBADD = $(JNI_LIBADD) $(CSI_LIBADD) $(FTK_LTLIB)
libxflaim_la_LDFLAGS = -version-info 3:2:0
Listing 8-16: xflaim/src/Makefile.am: The xflaim project src directory Automake input file
19. There are a few platform-specific problems to be aware of when you’re building JNI libraries
into native libraries in this manner. Apple’s OS X version 10.4 and older seem to require that
JNI libraries be named with a .jnilib extension; if they aren’t, the JVM won’t load these files, so
the xflaim Java bindings won’t work correctly on these systems. However, since the release of 10.6,
10.4 has been moved to end-of-life status.
Autotools_02.book Page 222 Tuesday, June 15, 2010 2:38 PM
www.it-ebooks.info

FLAIM: An Autotools Example 223
I’ve conditionally defined the contents of the SUBDIRS variable here based
on variables defined by corresponding Automake conditional statements in
configure.ac. When make all is executed, the SUBDIRS variable conditionally
recurses into the java and cs subdirectories. But when make dist is executed,
a hidden DIST_SUBDIRS variable (which is created by Automake from all of the
possible contents of the SUBDIRS variable) references all directories appended,
either conditionally or unconditionally, to SUBDIRS.20
NOTE The library interface version information was extracted from the original makefile.
Turning to the xflaim/util Directory
The util directory for xflaim is a bit more complex. According to the original
makefile, it generates several utility programs as well as a convenience library
that is consumed by these utilities.
It was somewhat more difficult to find out which source files belong to
which utilities and which were not used at all. Several of the files in the xflaim/
util directory are not used by any of the utilities. Do we distribute these extra
source files? I chose to do so, because they were already being distributed by
the original build system, and adding them to the EXTRA_DIST list makes it obvious
to later observers that they aren’t used.
Listing 8-17 shows a portion of the xflaim/util/Makefile.am file; the parts
that are missing are redundant.
EXTRA_DIST = dbdiff.cpp dbdiff.h domedit.cpp diffbackups.cpp xmlfiles
XFLAIM_INCLUDE = -I$(top_srcdir)/src
XFLAIM_LDADD = ../src/libxflaim.la
AM_CPPFLAGS = $(XFLAIM_INCLUDE) $(FTK_INCLUDE)
LDADD = libutil.la $(XFLAIM_LDADD)
## Utility Convenience Library
noinst_LTLIBRARIES = libutil.la
libutil_la_SOURCES = \
flm_dlst.cpp \
flm_dlst.h \
flm_lutl.cpp \
flm_lutl.h \
sharutil.cpp \
sharutil.h
## Utility Programs
bin_PROGRAMS = xflmcheckdb xflmrebuild xflmview xflmdbshell
20. When you think about it, I believe you’ll agree that this is some pretty tricky code. Automake
has to unravel the values of the make variables used in SUBDIRS, which are defined within Automake
conditional statements.
Autotools_02.book Page 223 Tuesday, June 15, 2010 2:38 PM
www.it-ebooks.info

224 Chapter 8
xflmcheckdb_SOURCES = checkdb.cpp
xflmrebuild_SOURCES = rebuild.cpp
xflmview_SOURCES = \
viewblk.cpp \
view.cpp \
...
viewmenu.cpp \
viewsrch.cpp
xflmdbshell_SOURCES = \
domedit.h \
fdomedt.cpp \
fshell.cpp \
fshell.h \
xshell.cpp
## Check Programs
check_PROGRAMS = \
ut_basictest \
ut_binarytest \
...
ut_xpathtest \
ut_xpathtest2
check_DATA = copy-xml-files.stamp
check_HEADERS = flmunittest.h
ut_basictest_SOURCES = flmunittest.cpp basictestsrv.cpp
...
ut_xpathtest2_SOURCES = flmunittest.cpp xpathtest2srv.cpp
## Unit Tests
TESTS = \
ut_basictest \
...
ut_xpathtest2
## Miscellaneous rules required by Check Programs
copy-xml-files.stamp:
cp $(srcdir)/xmlfiles/*.xml .
echo Timestamp > $@
clean-local:
rm -rf ix2.*
rm -rf bld.*
rm -rf tst.bak
rm -f *.xml
rm -f copy-xml-files.stamp
Listing 8-17: xflaim/util/Makefile.am: The xflaim project’s util directory Automake input file
Autotools_02.book Page 224 Tuesday, June 15, 2010 2:38 PM
www.it-ebooks.info

FLAIM: An Autotools Example 225
In this example, you can see by the ellipses that I left out several long lists
of files and products. This makefile builds 22 unit tests, but because they’re
all identical, except for naming differences and the source files from which
they’re built, I only left the descriptions for two of them (at ).
I’ve defined the file-global AM_CPPFLAGS and LDADD variables at in order
to associate the XFLAIM and FTK include and library files with each of the projects
listed in this Makefile.am file. This way, I don’t have to explicitly append this
information to each product.
Notice that the AM_CPPFLAGS variable uses both the XFLAIM_INCLUDE and
FTK_INCLUDE variables. The xflaim utilities clearly require information from
both sets of header files, but the LDADD variable doesn’t reference the ftk
library, because Libtool manages intermediate library dependencies for you.
Because I reference libxflaim.la through XFLAIM_LDADD, and because libxflaim.la
lists libflaimtk.la as a dependency, Libtool is able to provide the transitive ref-
erence for me on the utility programs’ linker command lines.
For a clearer picture of this, examine the contents of libxflaim.la (in your
build directory under xflaim/src). You’ll find a few lines near the middle of
the file that look very much like the contents of Listing 8-18.
...
# Libraries that this one depends upon.
dependency_libs=' .../flaim/build/ftk/src/libflaimtk.la -lrt -lncurses'
...
Listing 8-18: The portion of xflaim/src/libxflaim.la that shows dependency libraries
The path information for libflaimtk.la is listed here; thus we don’t have to
specify it in the LDADD statement for the xflaim utilities.21
Stamp Targets
In creating this makefile, I ran across another minor problem that I hadn’t
anticipated. At least one of the unit tests seemed to require that some XML
data files be present in the directory from which the test is executed. The test
failed, and when I dug into it, I noticed that it failed while trying to open
these files. Looking around a bit lead me to the xflaim/util/xmldata directory,
which contained several dozen XML files.
I needed to copy those files into the build hierarchy’s xflaim/util directory
before I could run the unit tests. I know that products prefixed with check are
built before TESTS are executed, so it occurred to me that I might list these
files at in a check_DATA PLV. The check_DATA variable refers to a file called
copy-xml-files.stamp, which is a special type of file target called a stamp target.
Its purpose is to replace a group of unspecified files, or a non–file-based
operation, with one single, representative file. This stamp file is used to indi-
cate to the build system that all the XML data files have been copied into the
util directory. Automake often uses stamp files in its own generated rules.
21. When libxflaim.la is installed, Libtool modifies the installed version of this file so it references
the installed versions of the libraries rather than the libraries in the build directory structure.
Autotools_02.book Page 225 Tuesday, June 15, 2010 2:38 PM
www.it-ebooks.info

226 Chapter 8
The rule for generating the stamp file at also copies the XML data
files into the test execution directory. The echo statement simply creates a file
named copy-xml-files.stamp that contains a single word: Timestamp. The file may
contain anything (or nothing at all). The important point here is that the file
exists and has a time and date associated with it. The make utility uses this
information to determine whether the copy operation needs to be executed.
In this case, since copy-xml-files.stamp has no dependencies, its mere existence
indicates to make that the operation has already been done. Delete the stamp
file to get make to perform the copy operation on the next build.
This is a sort of hybrid between a true file-based rule and a phony target.
Phony targets are always executed—they aren’t real files, so make has no way
of determining whether the associated operation should be performed based
on file attributes. The timestamps of file-based rules can be checked against
their dependency lists to determine whether they should be re-executed.
Stamp rules like this are executed only if the stamp file is missing, because
there are no dependencies against which the target’s time and date should
be compared.22
Cleaning Your Room
All files placed in the build directory should be cleaned up when the user
enters make clean at the command prompt. Since I placed XML data files into
the build directory, I also need to clean them up. Files listed in DATA variables
are not cleaned up automatically, because DATA files are not necessarily gener-
ated. Sometimes the DATA primary is used to list static project files that need to
be installed. I “created” a bunch of XML files and a stamp file, so I needed to
remove these during make clean. To this end, I added the clean-local target
at , along with its associated rm commands.
NOTE Be careful when deleting files copied from the source tree into the corresponding location
in the build tree—you may inadvertently delete source files when building from within
the source tree. You can compare $(srcdir) to “.” within make commands to see if the
user is building in the source tree.
There is another way to ensure that files created using your own make
rules get cleaned up during execution of the clean target. You can define the
CLEANFILES variable to contain a whitespace-separated list of files (or wild-card
specifications) to be removed. I used a clean-local target in this case, because
the CLEANFILES variable has one caveat: It won’t remove directories, only files.
Each of the rm commands that removes a wild-card file specification refers to
at least one directory. I’ll show you a proper use of CLEANFILES shortly.
22. Stamp files have the inherent problem of not properly specifying the true relationship
between targets and their dependencies—a critical requirement of a proper update. Regardless,
a stamp file is sometimes the only reasonable way to accomplish a task within a makefile. One
special case is to properly handle rules that generate multiple output or product files. GNU make
has special pattern rule syntax for dealing with situations where multiple output files are generated
by a single rule, but Automake tries hard not to depend on GNU make extensions. The use of
stamp files in this case represents a work-around for a missing feature of make. Automake also
uses stamp files when not doing so would cause a very large file set to become part of a target’s
dependency list. Since there are inherent negative side effects associated with stamp files, Automake
reserves their use for these sorts of special cases.
Autotools_02.book Page 226 Tuesday, June 15, 2010 2:38 PM
www.it-ebooks.info

FLAIM: An Autotools Example 227
Regardless of how well your unit tests clean up after themselves, you
still might wish to write clean rules that attempt to clean up intermediary
test files. That way, your makefiles will clean up droppings from interrupted
tests and debug runs.23 Remember that the user may be building in the
source directory. Try to make your wild cards as specific as possible so you
don’t inadvertently remove source files.
I use the Automake-supported clean-local target here as a way to extend
the clean target. The clean-local target is executed as a dependency of (and
thus executed before) the clean target, if it exists. Listing 8-19 shows the cor-
responding code from the Automake-generated Makefile, so you can see how
this infrastructure is wired up. The interesting bits are bolded.
...
clean: clean-am
clean-am: clean-binPROGRAMS clean-checkPROGRAMS \
clean-generic clean-libtool clean-local \
clean-noinstLTLIBRARIES mostlyclean-am
...
.PHONY: ... clean-local ...
...
clean-local:
rm -rf ix2.*
rm -rf bld.*
rm -rf tst.bak
rm -f *.xml
rm -f copy-xml-files.stamp
...
Listing 8-19: Makefile: The clean rules generated by Automake from xflaim/util/Makefile.am
Automake noted that I had a target named clean-local in Makefile.am, so
it added clean-local to the dependency list for clean-am at and then added
it to the .PHONY variable at . Had I not written a clean-local target, these ref-
erences would have been missing from the generated Makefile.
Summary
Well, those are the basics. If you’ve followed along and understood what we
did in this chapter, then you should be able to convert nearly any project to
use an Autotools-based build system. For more details on the topics covered
here, I refer you to the Autotools manuals. Often just knowing the name of a
concept so you can easily find it in the manual is worth a great deal.
In the next chapter, I’ll cover the stranger aspects of converting this project,
including the details of building Java and C# code, adding compiler-specific
optimization flags and command-line options, and even building RPM packages
using user-defined make targets in your Makefile.am files.
23. You might also provide a debug option or environment variable that causes your tests to
leave these droppings behind so they can be examined during debugging.
Autotools_02.book Page 227 Tuesday, June 15, 2010 2:38 PM
www.it-ebooks.info

FLAIM PART II: PUSHING
THE ENVELOPE
What we do in college is to get over our little-mindedness.
Education—to get it you have to hang around till you catch on.
—Robert Lee Frost1
It’s a well-understood principle that no
matter how many books you read, or how
many lectures you attend, or how many
queries you present on mailing lists, you’ll still
be left with unanswered questions. It’s estimated that
a quarter of the world’s population has access to the
Internet today.2 There are hundreds of terabytes of
information available from your desktop. Nevertheless, it seems every
project has one or two issues that are just different enough from all
others that even Internet searches are fraught with futility.
To reduce the potential frustration of learning the Autotools, this chapter
continues with the FLAIM build system conversion project by tackling some
of the less common features of FLAIM’s build-system requirements. My hope
is that by presenting solutions to some of these less common problems, you’ll
become familiar with the underlying framework provided by the Autotools.
1. Jay Parini, Robert Frost: A Life, p 185, (noted in his journals), citation from endnote 12.
2. See World Internet Usage Statistics News and World Population Stats at http://
www.internetworldstats.com/stats.htm/.
Autotools_02.book Page 229 Tuesday, June 15, 2010 2:38 PM
www.it-ebooks.info

230 Chapter 9
Such familiarity provides the insight needed to bend the Autotools to your
own unique requirements.
The xflaim library provides Java and C# language bindings. Automake
provides rudimentary support for building Java sources, but currently pro-
vides no built-in support for building C# sources. In this chapter, I’ll show
you how to use Automake’s built-in Java support to build the Java language
bindings in xflaim, and then I’ll show you how to write your own make rules
for the C# language bindings.
We’ll round out this chapter, and finish up the FLAIM conversion project,
with discussions of using native compiler options, building generated docu-
mentation, and adding your own top-level recursive make targets.
Building Java Sources Using the Autotools
The GNU Automake Manual presents information on building Java sources in
two different ways. The first is the traditional and widely understood method
of compiling Java source code into Java byte code, which can then be executed
within the Java Virtual Machine (JVM). The second way is the lesser-known
method of compiling Java source code directly into native machine code
using the GNU Compiler for Java (gcj) front end to the GNU compiler tool
suite. The object files containing this machine code can then be linked
together into native executable programs using the standard GNU linker.3
In this chapter, I’ll focus on building Java class files from Java source files
using the Automake built-in JAVA primary. We’ll also explore the necessary
extensions required to build and install .jar files.
Autotools Java Support
Autoconf has little, if any, built-in support for Java. For example, it provides
no macros that locate Java tools in the end user’s environment.4 Automake’s
support for building Java classes is minimal, and getting it to work is not really
that difficult if you’re willing to dig in a bit. The biggest stumbling block is
conceptual, more than functional. You have to work a little to align your
understanding of the Java build process with that of the Automake designers.
Automake provides a built-in primary (JAVA) for building Java sources but
it does not provide any preconfigured installation location prefixes for install-
ing Java classes. However, the usual place to install Java classes and .jar files is
in the $(datadir)/java directory, so creating a proper prefix is as simple as using
the Automake prefix extension mechanism of defining a variable suffixed
with dir, as shown in Listing 9-1.
3. The way the Automake manual organizes information on building Java sources may seem a bit
strange when first encountered. Section 8.15, entitled “Java Support” discusses the use of gcj
to build native executables from Java source files, while instructions for the more traditional
operation of building Java byte code files are presented in section 10, “Other GNU Tools.” The
reason for this is that section 8 is about building programs and libraries, which is what the Autotools
are all about.
4. The Autoconf Macro Archive (http://www.nongnu.org/autoconf-archive/) has plenty of user-
contributed macros that can help your configuration process set you up to build Java applications
from Automake scripts.
Autotools_02.book Page 230 Tuesday, June 15, 2010 2:38 PM
www.it-ebooks.info

FLAIM Part II: Pushing the Envelope 231
...
javadir = $(datadir)/java
java_JAVA = file_a.java file_b.java ...
...
Listing 9-1: Defining a Java installation directory in a Makefile.am file
Now, you don’t often want to install Java sources, which is what you will
accomplish when you define your JAVA primary with this sort of prefix. Rather,
you want the .class files to be installed, or more likely a .jar file containing all
of your .class files. It’s generally more useful to define the JAVA primary with
the noinst prefix. Additionally, files in the JAVA primary list are not distributed
by default, so you may even want to use the dist super-prefix, as shown in
Listing 9-2.
dist_noinst_JAVA = file_a.java file_b.java...
Listing 9-2: Defining a list of non-installed Java files that are distributed
When you define a list of Java source files in a variable containing the
JAVA primary, Automake generates a make rule that builds that list of files all in
one command, using the syntax shown in Listing 9-3.5
...
JAVAROOT = $(top_builddir)
JAVAC = javac
CLASSPATH_ENV = CLASSPATH=$(JAVAROOT):$(srcdir)/$(JAVAROOT):$$CLASSPATH
...
classdist_noinst.stamp: $(dist_noinst_JAVA)
@list1='$?'; list2=; \
if test -n "$$list1"; then \
for p in $$list1; do \
if test -f $$p;
then d=; \
else d="$(srcdir)/"; \
fi; \
list2="$$list2 $$d$$p"; \
done; \
echo '$(CLASSPATH_ENV) $(JAVAC) -d $(JAVAROOT) $(AM_JAVACFLAGS) \
$(JAVACFLAGS) '"$$list2"; \
$(CLASSPATH_ENV) $(JAVAC) -d $(JAVAROOT) $(AM_JAVACFLAGS) \
$(JAVACFLAGS) $$list2; \
else :; fi
echo timestamp > classdist_noinst.stamp
...
Listing 9-3: This long shell command was taken from a Makefile generated by Automake.
5. It’s difficult to design a set of make rules to build individual .class files from corresponding
.java files. The reasons for this include the fact that the name of a particular class file can’t be
determined without parsing the corresponding source file. Additionally, due to inner and
anonymous class definitions, multiple class files, whose names are based on class names, can be
generated from a single Java source file. Fortunately, it’s orders of magnitude faster to compile
an entire set of Java source files on one command line than to compile Java sources individually,
based on individual source file time stamps.
Autotools_02.book Page 231 Tuesday, June 15, 2010 2:38 PM
www.it-ebooks.info

232 Chapter 9
Most of the stuff you see in these commands exists solely to prepend the
$(srcdir) prefix onto each file in the user-specified list of Java sources in order to
properly support VPATH builds. This code uses a shell for statement to split the
list into individual files, prepend the $(srcdir), and then reassemble the list.6
The part that actually does the work of building the Java sources is found
in two lines (one wrapped line, actually) near the bottom at .
Automake uses a stamp file at because the single $(JAVAC) command
generates several .class files from the .java files. Rather than choosing one of
these files at random, Automake generates and uses a stamp file as the target
of the rule which causes make to ignore the relationships between individual
.class files and their corresponding .java files. That is, if you delete a .class file,
the rules in the makefile will not cause it to be rebuilt. The only way to cause the
re-execution of the $(JAVAC) command is to either modify one or more of the
.java files, thereby causing their timestamps to become newer than that of
the stamp file, or to delete the stamp file entirely.
The variables used in the build environment and on the command line
include JAVAROOT, JAVAC, JAVACFLAGS, AM_JAVACFLAGS, and CLASSPATH_ENV. Each vari-
able may be specified in the Makefile.am file. If a variable is not specified, the
defaults shown in Listing 9-3 are used instead.
All .java files specified in a JAVA primary variable are compiled using a
single command line, which may pose a problem on systems with limited
command-line lengths. If you encounter such a problem, you can either
break up your Java project into multiple Java source directories, or develop
your own make rules for building Java classes. (When I discuss building C#
code in “Building the C# Sources” on page 239, I demonstrate how to write
such customs rules.)
The CLASSPATH_ENV variable sets the Java CLASSPATH environment variable so
that it contains $(JAVAROOT), $(srcdir)/$(JAVAROOT), and then any class path that
may have been configured in the environment by the end user.
The JAVAROOT variable is used to specify the location of the project’s Java
root directory within the project’s build tree, where the Java compiler will
expect to find the start of generated package directory hierarchies belonging
to your project.
The JAVAC variable contains javac by default, with the assumption that
javac can be found in the system path. The AM_JAVACFLAGS variable may be set
in Makefile.am, though the non-Automake version of this variable (JAVACFLAGS)
is considered a user variable, and thus shouldn’t be set in makefiles.
This is all fine as far as it goes, but it doesn’t go nearly far enough. In this
relatively simple Java project, we still need to generate Java Native Interface
(JNI) header files using the javah utility, and a .jar file from the .class files
built from the Java sources. Unfortunately, Automake-provided Java support
doesn’t even begin to handle these tasks so we’ll do the rest with hand-coded
make rules. We’ll begin with Autoconf macros to ensure that we have a good
Java build environment.
6. It’s interesting to note that this file list munging process could have been done in a half-line
of GNU-make-specific code, but Automake is designed to generate makefiles that can be executed
by many older make programs.
Autotools_02.book Page 232 Tuesday, June 15, 2010 2:38 PM
www.it-ebooks.info

FLAIM Part II: Pushing the Envelope 233
Using ac-archive Macros
The Autoconf Macro Archive supplies Autoconf macros that come close to
what we need in order to ensure that we have a good Java development envi-
ronment. In this particular case I downloaded the latest source package, and
just hand-installed the .m4 files that I needed into the xflaim/m4 directory.
Then I modified the files (including their names) to work the way my
FLM_PROG_TRY_DOXYGEN macro works. I wanted to locate any existing Java tools,
but also be able to continue without them if necessary. Given the politics
surrounding the existence of Java tools in Linux distributions, this is probably
a wise approach.
I created the following macros within corresponding .m4 files:
zFLM_PROG_TRY_JAVAC is defined in flm_prog_try_javac.m4
zFLM_PROG_TRY_JAVAH is defined in flm_prog_try_javah.m4
zFLM_PROG_TRY_JAVADOC is defined in flm_prog_try_javadoc.m4
zFLM_PROG_TRY_JAR is defined in flm_prog_try_jar.m4
zFLM_PROG_TRY_JNI is defined in flm_prog_try_jni.m4
zFLM_PROG_TRY_CSC is defined in flm_prog_try_csc.m4
zFLM_PROG_TRY_CSVM is defined in flm_prog_try_csvm.m4
With a bit more effort, I was also able to create the C# macros I needed
to accomplish the same tasks for the C# language bindings. Listing 9-4 shows
the portion of the xflaim configure.ac file that consumes these Java and C#
macros.
...
# Checks for optional programs.
FLM_PROG_TRY_CSC
FLM_PROG_TRY_CSVM
FLM_PROG_TRY_JNI
FLM_PROG_TRY_JAVADOC
...
# Automake conditionals.
AM_CONDITIONAL([HAVE_JAVA], [test "x$ac_prog_have_jni" = xyes])
AM_CONDITIONAL([HAVE_CSHARP], [test -n "$CSC"])
...
Listing 9-4: xflaim/configure.ac: The portion of this file that searches for Java and C# tools
These macros set the CSC, CSVM, JAVAC, JAVAH, JAVADOC and JAR variables to
the location of their respective C# and Java tools, and then substitute them
into the xflaim project’s Makefile.in templates using AC_SUBST. If any of these
variables are already set in the user’s environment when the configure script
is executed, their values are left untouched, thus allowing the user to over-
ride the values that would have been set by the macros.
(I discuss the internal operation of these macros in Chapter 10.)
Autotools_02.book Page 233 Tuesday, June 15, 2010 2:38 PM
www.it-ebooks.info
234 Chapter 9
Canonical System Information
The only nonobvious bit of information you need to know about using macros
from the Autoconf Macro Archive is that many of them rely on the built-in
Autoconf macro, AC_CANONICAL_HOST. Autoconf provides a way to automatically
expand any macros used internally by a macro definition right before the
definition, so that required macros are made available immediately. However,
if AC_CANONICAL_HOST is not used before certain macros (including LT_INIT),
autoreconf will generate about a dozen warning messages.
To eliminate these warnings, I added AC_CANONICAL_SYSTEM to my xflaim-level
configure.ac file, immediately after the call to AC_INIT. This macro, and those
that it calls (AC_CANONICAL_BUILD, AC_CANONICAL_HOST, and AC_CANONICAL_TARGET),
are designed to ensure that the $build, $host, and $target environment vari-
ables are defined by configure to contain appropriate values describing the
user’s build, host, and target systems.
These variables contain canonical values for the build, host, and target
CPU, vendor, and operating system. Values like these are very useful to
extension macros. If a macro can assume these variables are set properly,
then it saves quite a bit of code duplication in the macro definition.
The values of these variables are calculated using the helper scripts
config.guess and config.sub, which are distributed with Autoconf. The config
.guess script uses a combination of uname commands to ferret out information
about the build system, and then uses that information to derive a set of
canonical values for CPU, vendor, and operating system. The config.sub
script is used to reformat build, host, and target information specified by the
user on the configure command line into a canonical value. The host and
target values default to that of the build, unless you override them with
command-line options to configure. Such an override might be used when
cross-compiling. (See “Item 6: Cross-Compiling” on page 287, for a more
detailed explanation of cross-compiling within the Autotools framework.)
The xflaim/java Directory Structure
The original xflaim source layout had the Java JNI and C# native sources
located in directory structures outside of xflaim/src: The JNI sources were in
xflaim/java/jni, and the C# native sources were in xflaim/csharp/xflaim. While
Automake can generate rules for accessing files outside the current directory
hierarchy, it seems silly to put these files so far away from the only library they
can really belong to. Thus, in this case I broke my own rule about not rearrang-
ing files and moved the contents of these two directories beneath xflaim/src. I
named the JNI directory xflaim/src/java and the C# native sources directory
xflaim/src/cs. The following diagram illustrates this new directory hierarchy.
Autotools_02.book Page 234 Tuesday, June 15, 2010 2:38 PM
www.it-ebooks.info

FLAIM Part II: Pushing the Envelope 235
flaim
xflaim
src
cs
java
wrapper
xflaim
As you can see, I also added a wrapper directory beneath the java direc-
tory, in which I rooted the xflaim wrapper package hierarchy. Since the Java
xflaim wrapper classes are part of the Java xflaim package, they must be located
in a directory called xflaim. Nevertheless, the build happens in the wrapper
directory. There are no build files found in the wrapper/xflaim directory, or
any directories below that point.
NOTE No matter how deep your package hierarchy is you will still build the Java classes in the
wrapper directory, which is the JAVAROOT directory for this project. Autotools Java projects
consider the JAVAROOT directory to be the build directory for the java package.
The xflaim/src/Makefile.am File
At this point the configure.ac file is doing about all it can to ensure that I have
a good Java build environment, in which case my build system will be able to
generate my JNI wrapper classes and header files, and build my C++ JNI sources.
If my end user’s system doesn’t provide these tools, he simply won’t be able
to build or link the JNI language bindings to the xflaim library on that host.
Have a look at the xflaim/src/Makefile.am file shown in Listing 9-5, and
examine the portions that are relevant to building the Java and C# language
bindings.
if HAVE_JAVA
JAVADIR = java
JNI_LIBADD = java/libxfjni.la
endif
if HAVE_CSHARP
CSDIR = cs
CSI_LIBADD = cs/libxfcsi.la
endif
SUBDIRS = $(JAVADIR) $(CSDIR)
...
libxflaim_la_LIBADD = $(JNI_LIBADD) $(CSI_LIBADD) $(FTK_LTLIB)
...
Listing 9-5: xflaim/src/Makefile.am: The portion of this makefile that builds Java and
C# sources
Autotools_02.book Page 235 Tuesday, June 15, 2010 2:38 PM
www.it-ebooks.info

236 Chapter 9
I’ve already explained the use of the conditionals to ensure that the java
and cs directories are only built if the proper conditions are met. You can now
see how this fits into the build system I’ve created so far.
Notice that I’m conditionally defining two new library variables. If I can
build the Java language bindings, the java subdirectory will be built, and the
JNI_LIBADD variable will refer to the library that is built in the java directory. If
I can build the C# language bindings, the cs subdirectory will be built, and the
CSI_LIBADD variable will refer to the library that is built in the cs directory. In
either case, if the required tools are not found by configure, the corresponding
variable will remain undefined. When an undefined make variable is referenced,
it expands to nothing, so there’s no harm in using it in libxflaim_la_LIBADD.
Building the JNI C++ Sources
Now turn your attention to the xflaim/src/java/Makefile.am file shown in
Listing 9-6.
SUBDIRS = wrapper
XFLAIM_INCLUDE = -I$(srcdir)/..
noinst_LTLIBRARIES = libxfjni.la
libxfjni_la_SOURCES = \
jbackup.cpp \
jdatavector.cpp \
jdb.cpp \
jdbsystem.cpp \
jdomnode.cpp \
jistream.cpp \
jniftk.cpp \
jniftk.h \
jnirestore.cpp \
jnirestore.h \
jnistatus.cpp \
jnistatus.h \
jostream.cpp \
jquery.cpp
libxfjni_la_CPPFLAGS = $(XFLAIM_INCLUDE) $(FTK_INCLUDE)
Listing 9-6: xflaim/src/java/Makefile.am: This makefile builds the JNI sources.
Again, I want the wrapper directory to be built first, before the xflaim
library, because the wrapper directory will build the class files and JNI header
files required by the JNI convenience library sources. Building this directory
is not conditional. If I’ve made it this far into the build hierarchy, I know I
have all the Java tools I need. This Makefile.am file simply builds a convenience
library containing my JNI C++ interface functions.
Autotools_02.book Page 236 Tuesday, June 15, 2010 2:38 PM
www.it-ebooks.info

FLAIM Part II: Pushing the Envelope 237
Because of the way Libtool builds both shared and static libraries from
the same sources, this convenience library will become part of both the xflaim
shared and static libraries. The original build system makefile accounted for
this by linking the JNI and C# native interface objects only into the shared
library (where they make sense).
NOTE The fact that these libraries are added to both the shared and static xflaim libraries is
not really a problem. Objects in a static library remain unused in applications or libraries
linking to the static library, as long as functions and data in those objects remain
unreferenced, though this is a bit of a wart on my new build system.
The Java Wrapper Classes and JNI Headers
Finally, xflaim/src/java/wrapper/Makefile.am takes us to the heart of the mat-
ter. I’ve tried many different configurations for building Java JNI wrappers,
and this one always comes out on top. Listing 9-7 shows the wrapper direc-
tory’s Automake input file.
JAVAROOT = .
jarfile = $(PACKAGE_TARNAME)jni-$(PACKAGE_VERSION).jar
jardir = $(datadir)/java
pkgpath = xflaim
jhdrout = ..
$(jarfile): classdist_noinst.stamp
$(JAR) cf $(JARFLAGS) $@ $(pkgpath)/*.class
jar_DATA = $(jarfile)
java-headers.stamp: $(dist_noinst_JAVA)
@list=`echo $(dist_noinst_JAVA) | \
sed -e 's|\.java||g' -e 's|/|.|g'`; \
echo "$(JAVAH) -cp . -jni -d $(jhdrout) $(JAVAHFLAGS) $$list"; \
$(JAVAH) -cp . -jni -d $(jhdrout) $(JAVAHFLAGS) $$list; \
@echo "JNI headers generated" > java-headers.stamp
all-local: java-headers.stamp
CLEANFILES = $(jarfile) $(pkgpath)/*.class java-headers.stamp \
$(jhdrout)/xflaim_*.h
dist_noinst_JAVA = \
$(pkgpath)/BackupClient.java \
$(pkgpath)/Backup.java \
...
$(pkgpath)/XFlaimException.java \
$(pkgpath)/XPathAxis.java
Listing 9-7: xflaim/src/java/wrapper/Makefile.am: The wrapper directory’s Makefile.am file
Autotools_02.book Page 237 Tuesday, June 15, 2010 2:38 PM
www.it-ebooks.info
238 Chapter 9
At the top of the file, I’ve set the JAVAROOT variable to dot (.), because I want
Automake to be able to tell the Java compiler that this is where the package
hierarchy begins. The default value for JAVAROOT is $(top_builddir), which would
incorrectly have the wrapper class belong to the xflaim.src.java.wrapper.xflaim
package.
I create a variable at called jarfile, which derives its value from
$(PACKAGE_TARNAME) and $(PACKAGE_VERSION). (Recall from Chapter 2 that this is
also how the destdir variable is derived, from which the name of the tarball
comes.) A make rule indicates how the .jar file should be built. Here, I’m
using the JAR variable, whose value was calculated by the FLM_PROG_TRY_JNI
macro in the configure script.
I define a new installation variable at called jardir where .jar files are
to be installed and I use that variable as the prefix for a DATA primary at .
Automake considers files that fit the Automake where_HOW scheme (with a
defined wheredir) as either architecture-independent data files or platform-
specific executables. Installation location variables (those ending in dir) that
begin with bin, sbin, libexec, sysconf, localstate, lib, or pkglib, or that contain
the string “exec” are considered platform-specific executables, and are installed
during execution of the install-exec target. Automake considers files installed
in any other locations data files. These are installed during execution of the
install-data target. The well-known installation locations such as bindir, sbindir,
and so on are already taken, but if you wish to install custom architecture-
dependent executable files, just ensure that your custom installation location
variable contains the string “exec,” as in myspecialexecdir.
I use another stamp file at in the rule that builds the JNI header files
from the .class files for the same reasons that Automake used a stamp file in
the rule that it uses to build .class files from .java source files.
This is the most complex part of this makefile, so I’ll break it into smaller
pieces.
The rule states that the stamp file depends on the source files listed in
the dist_noinst_JAVA variable. The command is a bit of complex shell script
that strips the .java extensions from the file list, and converts all the slash
characters into periods. The reason for this is that the javah utility wants a list
of class names, not a list of file names. The $(JAVAH) command then accepts
this entire list as input in order to generate a corresponding list of JNI header
files. The last line, of course, generates the stamp file.
Finally at , I hook my java-headers.stamp target into the all target by
adding it as a dependency to the all-local target. When the all target (the
default for all Automake-generated makefiles) is executed in this makefile,
java-headers.stamp will be built, along with the JNI headers.
NOTE It’s a good idea to add custom rule targets as dependencies to the Automake-provided
hook and local targets, rather than directly associating commands with these hook and
local targets. By doing this, the commands for individual tasks on those targets remain
isolated, and thus, easier to maintain.
Autotools_02.book Page 238 Tuesday, June 15, 2010 2:38 PM
www.it-ebooks.info

FLAIM Part II: Pushing the Envelope 239
I add the .jar file, all of the .class files, the java-headers.stamp file, and all of the
generated JNI header files to the CLEANFILES variable at , so that Automake will
clean them up when make clean is executed. Again, I can use the CLEANFILES
variable here because I’m not trying to delete any directories.
The final step in writing any such custom code is to ensure that the distcheck
target still works, because when we generate our own products, we have to
ensure that the clean target properly removes them all.
A Caveat About Using the JAVA Primary
The one important caveat to using the JAVA primary is that you may define
only one JAVA primary variable per Makefile.am file. The reason for this is that
multiple classes may be generated from a single .java file, and the only way to
know which classes came from which .java file would be for Automake to parse
the .java files (which is ridiculous, and arguably the primary reason why build
tools like Apache Ant were developed). Rather than do this, Automake allows
only one JAVA primary per file, so all .class files generated within a given build
directory are installed in the location specified by the single JAVA primary
variable prefix.7
NOTE The system I’ve designed above will work fine for this case, but it’s a good thing I don’t
need to install my JNI header files because I have no way of knowing what they’re called
from within my Makefile.am file!
You should by now be able to see the problems that the Autotools have
with Java. In fact, these problems are not so much related to the design issues
in the Autotools, as they are to design issues within the Java language itself, as
you’ll see in the next section.
Building the C# Sources
Returning to the xflaim/src/cs directory brings us to a discussion of building
sources for a language for which Automake has no support: C#. Listing 9-8
shows the Makefile.am file that I wrote for the cs directory.
SUBDIRS = wrapper
XFLAIM_INCLUDE = -I$(srcdir)/..
noinst_LTLIBRARIES = libxfcsi.la
libxfcsi_la_SOURCES = \
Backup.cpp \
DataVector.cpp \
Db.cpp \
7. It seems that I’ve broken this rule by assuming in my java-headers.stamp rule that the source
for class information is the list of files specified in the dist_noinst_JAVA variable. In reality, I
should probably be looking in the current build directory for all .class files found after the rules
for the JAVA primary are executed. However, this goes against the general Autotools philosophy
of only building or using pre-specified sources for a build step, thus, we’ll live with what we have
for the present.
Autotools_02.book Page 239 Tuesday, June 15, 2010 2:38 PM
www.it-ebooks.info

240 Chapter 9
DbInfo.cpp \
DbSystem.cpp \
DbSystemStats.cpp \
DOMNode.cpp \
IStream.cpp \
OStream.cpp \
Query.cpp
libxfcsi_la_CPPFLAGS = $(XFLAIM_INCLUDE) $(FTK_INCLUDE)
Listing 9-8: xflaim/src/cs/Makefile.am: The contents of the cs directory’s Automake input file
Not surprisingly, this looks almost identical to the Makefile.am file found
in the xflaim/src/java directory because I’m building a simple convenience
library from C++ source files found in this directory, just as I did in the java
directory. As in the Java version, this makefile first builds a subdirectory
called wrapper.
Listing 9-9 shows the full contents of the wrapper/Makefile.am file.
EXTRA_DIST = xflaim cstest sample xflaim.ndoc
xfcs_sources = \
xflaim/BackupClient.cs \
xflaim/Backup.cs \
...
xflaim/RestoreClient.cs \
xflaim/RestoreStatus.cs
cstest_sources = \
cstest/BackupDbTest.cs \
cstest/CacheTests.cs \
...
cstest/StreamTests.cs \
cstest/VectorTests.cs
TESTS = cstest_script
AM_CSCFLAGS = -d:mono -nologo -warn:4 -warnaserror+ -optimize+
#AM_CSCFLAGS += -debug+ -debug:full -define:FLM_DEBUG
all-local: xflaim_csharp.dll
clean-local:
rm -f xflaim_csharp.dll xflaim_csharp.xml
rm -f cstest_script cstest.exe libxflaim.so
rm -f Output_Stream
rm -rf abc backup test.*
install-exec-local:
test -z "$(libdir)" || \
$(MKDIR_P) "$(DESTDIR)$(libdir)"
$(INSTALL_PROGRAM) xflaim_csharp.dll\
"$(DESTDIR)$(libdir)"
Autotools_02.book Page 240 Tuesday, June 15, 2010 2:38 PM
www.it-ebooks.info

FLAIM Part II: Pushing the Envelope 241
install-data-local:
test -z "$(docdir)" || \
$(MKDIR_P) "$(DESTDIR)$(docdir)"
$(INSTALL_DATA) xflaim_csharp.xml\
"$(DESTDIR)$(docdir)"
uninstall-local:
rm "$(DESTDIR)$(libdir)/xflaim_csharp.dll"
rm "$(DESTDIR)$(docdir)/xflaim_csharp.xml"
xflaim_csharp.dll: $(xfcs_sources)
@list1='$(xfcs_sources)'; list2=; \
if test -n "$$list1"; then \
for p in $$list1; do \
if test -f $$p; then d=; \
else d="$(srcdir)/"; fi; \
list2="$$list2 $$d$$p"; \
done; \
echo '$(CSC) -target:library\
$(AM_CSCFLAGS) $(CSCFLAGS) -out:$@\
-doc:$(@:.dll=.xml) '"$$list2"; \
$(CSC) -target:library $(AM_CSCFLAGS)\
$(CSCFLAGS) -out:$@ -doc:$(@:.dll=.xml)\
$$list2; \
else :; fi
check_SCRIPTS = cstest.exe cstest_script
cstest.exe: xflaim_csharp.dll $(cstest_sources)
@list1='$(cstest_sources)'; \
list2=; if test -n "$$list1"; then \
for p in $$list1; do \
if test -f $$p; then d=; \
else d="$(srcdir)/"; fi; \
list2="$$list2 $$d$$p"; \
done; \
echo '$(CSC) $(AM_CSCFLAGS) $(CSCFLAGS)\
-out:$@ '"$$list2"'\
-reference:xflaim_csharp.dll'; \
$(CSC) $(AM_CSCFLAGS) $(CSCFLAGS) -out:$@ $$list2 \
-reference:xflaim_csharp.dll; \
else :; fi
cstest_script: cstest.exe
echo "#!/bin/sh" > cstest_script
echo "$(top_builddir)/libtool --mode=execute \
-dlopen=../../libxflaim.la $(CSVM) cstest.exe" >> cstest_script
chmod 0755 cstest_script
Listing 9-9: xflaim/src/cs/wrapper/Makefile.am: The full contents of the C# makefile
Autotools_02.book Page 241 Tuesday, June 15, 2010 2:38 PM
www.it-ebooks.info

242 Chapter 9
The default target for Makefile.am is all, the same as that of a normal non-
Automake makefile. Again, I’ve hooked my code into the all target by imple-
menting the all-local target, which depends on a file named xflaim_csharp.dll.8
The C# sources are built by the commands under the xflaim_csharp.dll
target at and the xflaim_csharp.dll binary depends on the list of C# source
files specified in the xfcs_sources variable. The commands in this rule are
copied from the Automake-generated java/wrapper/Makefile, and slightly
modified to build C# binaries from C# source files (as highlighted in the list-
ing). This isn’t intended to be a lesson in building C# sources; the point here is
that the default target is automatically built by creating a dependency between
the all-local target and your own targets at .
This Makefile.am file also builds a set of unit tests in C# that test the C# lan-
guage bindings. The target of this rule is cstest.exe (), which ultimately becomes
a C# executable. The rule states that cstest.exe depends on xflaim_csharp.dll, and
the source files. I’ve again copied the commands from the rule for building
xflaim_csharp.dll (as highlighted), and modified them for building the C#
programs.
Ultimately, upon building the check target, the Automake-generated
makefile will attempt to execute the scripts or executables listed in the TESTS
variable. The idea here is to ensure that all necessary components are built
before these files are executed. I’ve tied into the check target by defining
check-local, and making it depend upon my test code targets.
The cstest_script at is a shell script built solely to execute the cstest.exe
binary within the C# virtual machine. The C# virtual machine is found in
the CSVM variable which was defined in configure by the code generated by the
FLM_PROG_TRY_CSVM macro.
The cstest_script depends only on the cstest.exe program. However, the
xflaim library must either be present in the current directory, or it must be in
the system library search path. We gain maximum portability here by using
Libtool’s execute mode to add the xflaim library to the system library search
path before executing the C# virtual machine at .
Manual Installation
Since in this example I’m doing everything myself, I have to write my own
installation rules. Listing 9-10 reproduces only the installation rules in the
Makefile.am file from Listing 9-9.
...
install-exec-local:
test -z "$(libdir)" || $(MKDIR_P) "$(DESTDIR)$(libdir)"
$(INSTALL_PROGRAM) xflaim_csharp.dll "$(DESTDIR)$(libdir)"
8. This executable file name may be a bit confusing to those who are new to C#. In essence,
Microsoft, the creators of C#, designed the C# virtual machine to execute Microsoft native (or
almost native) binaries. In porting the C# virtual machine to Unix, the Mono team (the Linux C#
compiler project) decided against breaking Microsoft’s naming conventions, so that Microsoft-
generated portable C# programs could be executed by the Mono C# virtual machine implemen-
tation. Nevertheless, C# still suffers from problems that need to be managed occasionally by
name-mapping configuration files.
Autotools_02.book Page 242 Tuesday, June 15, 2010 2:38 PM
www.it-ebooks.info

FLAIM Part II: Pushing the Envelope 243
install-data-local:
test -z "$(docdir)" || $(MKDIR_P) "$(DESTDIR)$(docdir)"
$(INSTALL_DATA) xflaim_csharp.xml "$(DESTDIR)$(docdir)"
uninstall-local:
rm -f "$(DESTDIR)$(libdir)/xflaim_csharp.dll"
rm -f "$(DESTDIR)$(docdir)/xflaim_csharp.xml"
...
Listing 9-10: xflaim/src/cs/wrapper/Makefile.am: The installation rules of this makefile
According to the rules defined in the GNU Coding Standards, the instal-
lation targets do not depend on the binaries they install, so if the binaries
haven’t been built yet, I may have to exit from root to my user account to
build the binaries with make all first.
Automake distinguishes between installing programs and installing data.
However, there’s only one uninstall target. The rationale seems to be that you
might wish to do an install-exec operation per system in your network, but only
one shared install-data operation. Uninstalling a product requires no such
separation, because uninstalling data multiple times is typically harmless.
Cleaning Up Again
As usual, things must be cleaned up properly. The clean-local target handles
this nicely as shown in Listing 9-11.
...
clean-local:
rm -f xflaim_csharp.dll xflaim_csharp.xml
rm -f cstest_script cstest.exe libxflaim.so
rm -f Output_Stream
rm -rf abc backup test.*
...
Listing 9-11: xflaim/src/cs/wrapper/Makefile.am: The clean rules defined in this makefile
Configuring Compiler Options
The original GNU make build system provided a number of command-line
build options. By specifying a list of auxiliary targets on the make command
line, the user could indicate that he wanted a debug or release build, force a
32-bit build on a 64-bit system, generate generic SPARC code on a Solaris
system, and so on—a turnkey approach to build systems that is quite common
in commercial code.
Autotools_02.book Page 243 Tuesday, June 15, 2010 2:38 PM
www.it-ebooks.info

244 Chapter 9
In open source projects, and particularly in Autotools-based build sys-
tems, the more common practice is to omit much of this rigid framework,
allowing the user to set his own options in the standard user variables, CC, CPP,
CXX, CFLAGS, CXXFLAGS, CPPFLAGS, and so on.9
Probably the most compelling argument for the Autotools approach to
option management is that it’s policy-driven, and the rigid frameworks used
by commercial software vendors can easily be implemented in terms of the
much more flexible policy-driven Autotools framework. For example, a
config.site file might be used to provide site-wide options for all Autotools-based
builds done at a particular site. A simple script can be used to configure various
environment-based options before calling configure, or these options may
even be passed to configure or make directly within such a script. The Auto-
tools policy-driven approach offers the flexibility to be as configurable as a
developer might wish, or as tight as required by management.
Ultimately, we’d like to have FLAIM project options conform to the Auto-
tools policy-driven approach, however, I didn’t want to lose the research effort
involved in determining the hardcoded native compiler options specified in
the original makefile. To this end, I’ve added back in some of the options to the
configure.ac file that were supported by the original build system, but I’ve left
others out as shown in Listing 9-12. This code enables various native compiler
options, optimizations, and debugging features on demand, based on the
contents of some of the user variables.
...
# Configure supported platforms' compiler and li...
case $host in
sparc-*-solaris*)
LDFLAGS="$LDFLAGS -R /usr/lib/lwp"
case $CXX in
*g++*) ;;
*)
if "x$debug" = xno; then
CXXFLAGS="$CXXFLAGS -xO3"
fi
SUN_STUDIO=`$CXX -V | grep "Sun C++"`
if "x$SUN_STUDIO" = "xSun C++"; then
CXXFLAGS="$CXXFLAGS -errwarn=%all -errtags\
-erroff=hidef,inllargeuse,doubunder"
fi ;;
esac ;;
*-apple-darwin*)
AC_DEFINE([OSX], [],
[Define if building on Apple OSX.]) ;;
9. The strange thing is that commercial software is developed by industry experts, while open
source software is often built and consumed by hobbyists. And yet the experts are the ones using
the menu-driven rigid-options framework, while the hobbyists have the flexibility to manually
configure their compiler options the way they want. I suppose the most reasonable explanation
for this is that commercial software relies on carefully crafted builds that must be able to be
duplicated—usually by people who didn’t write the original build system. Open source hobbyists
would rather not give up the flexibility afforded by a more policy-driven approach.
Autotools_02.book Page 244 Tuesday, June 15, 2010 2:38 PM
www.it-ebooks.info

FLAIM Part II: Pushing the Envelope 245
*-*-aix*)
case $CXX in
*g++*) ;;
*) CXXFLAGS="$CXXFLAGS -qthreaded -qstrict" ;;
esac ;;
*-*-hpux*)
case $CXX in
*g++*) ;;
*)
# Disable "Placement operator delete
# invocation is not yet implemented" warning
CXXFLAGS="$CXXFLAGS +W930" ;;
esac ;;
esac
...
Listing 9-12: xflaim/configure.ac: The portion of this file that enables compiler-specific options
Remember that this code depends on the earlier use of the
AC_CANONICAL_SYSTEM macro which sets build, host, and target environment
variables to canonical string values that indicate CPU, vendor, and operat-
ing system.
In Listing 9-12 I used the host variable in the case statement at to deter-
mine the type of system for which I’m building. This case statement determines
if the user is building on Solaris, Apple Darwin, AIX, or HP/UX by looking
for substrings in host that are common to all variations of these platforms.
The config.guess and config.sub files are your friends here. If you need to
write code like this for your project, examine these files to find common
traits for the processes and systems for which you’d like to set various compiler
and linker options.
NOTE In each of these cases (except for the definition of the OSX preprocessor variable on Apple
Darwin systems), I’m really only setting flags for native compilers. The GNU compiler
tools seem to be able to handle any code without the need for additional compiler options.
Hooking Doxygen into the Build Process
I want to generate documentation as part of my build process, if possible.
That is, if the user has doxygen installed, the build system will use it to build
Doxygen documentation as part of the make all process.
The original build system has both static and generated documentation.
The static documentation should always be installed, but the Doxygen docu-
mentation can only be built if the doxygen program is available on the host.
Thus, I always build the docs directory, but I use the AM_CONDITIONAL macro to
conditionally build the docs/doxygen directory.
Doxygen uses a configuration file (often called doxyfile) to configure liter-
ally hundreds of Doxygen options. This configuration file contains some
information that is known to the configuration script. This sounds like the
perfect opportunity to use an Autoconf-generated file. To this end, I’ve written
an Autoconf template file called doxyfile.in that contains most of what a normal
Autotools_02.book Page 245 Tuesday, June 15, 2010 2:38 PM
www.it-ebooks.info

246 Chapter 9
Doxygen input file would contain, as well as a few Autoconf substitution vari-
able references. The relevant lines in this file are shown in Listing 9-13.
...
PROJECT_NAME = @PACKAGE_NAME@
...
PROJECT_NUMBER = @PACKAGE_VERSION@
...
STRIP_FROM_PATH = @top_srcdir@
...
INPUT = @top_srcdir@/src/xflaim.h
...
Listing 9-13: xflaim/docs/doxygen/doxyfile.in: The lines in this file that contain Autoconf
variables
There are many other lines in this file, but they are all identical to the
output file, so I’ve omitted them for the sake of space and clarity. The key
here is that config.status will replace these substitution variables with their
values as defined in configure.ac, and by Autoconf itself. If these values change in
configure.ac, the generated file will be rewritten with the new values. I’ve added
a conditional reference for xflaim/docs/doxygen/doxyfile to the AC_CONFIG_FILES
list in xflaim’s configure.ac file. That’s all it takes.
Listing 9-14 shows the xflaim/docs/doxygen/Makefile.am file.
docpkg = $(PACKAGE_TARNAME)-doxy-$(PACKAGE_VERSION).tar.gz
doc_DATA = $(docpkg)
$(docpkg): doxygen.stamp
tar chof - html | gzip -9 -c >$@
doxygen.stamp: doxyfile
$(DOXYGEN) $(DOXYFLAGS) $<
echo Timestamp > $@
install-data-hook:
cd $(DESTDIR)$(docdir) && tar xf $(docpkg)
uninstall-data-hook:
cd $(DESTDIR)$(docdir) && rm -rf html
CLEANFILES = doxywarn.txt doxygen.stamp $(docpkg)
clean-local:
rm -rf html
Listing 9-14: xflaim/docs/doxygen/Makefile.am: The full contents of this makefile
Here, I create a package name at for the tarball that will contain the
Doxygen documentation files. This is basically the same as the distribution
tarball for the xflaim project, except that it contains the text -doxy after the
package name.
Autotools_02.book Page 246 Tuesday, June 15, 2010 2:38 PM
www.it-ebooks.info

FLAIM Part II: Pushing the Envelope 247
I define a doc_DATA variable at that contains the name of the Doxygen
tarball. This file will be installed in the $(docdir) directory, which by default
is $(datarootdir)/doc/$(PACKAGE_TARNAME), and $(datarootdir) is configured by
Automake as $(prefix)/share, by default.
NOTE The DATA primary brings with it significant Automake functionality—installation is
managed automatically. While I must build the Doxygen documentation package, the
DATA primary automatically hooks the all target for me, so that my package is built
when the user executes make or make all.
I use another stamp file at because Doxygen generates literally hun-
dreds of .html files from the source files in my project. Rather than attempt to
figure out a rational way to assign dependencies, I’ve chosen to generate one
stamp file, and then use that to determine whether the documentation is out
of date.10
I also decided that it would be nice to unpack the documentation archive
into the package doc directory. Left up to Automake, the tarball would make
it into the proper directory at installation time, but that’s as far as it would
go. I needed to be able to hook the installation process to do this, and this is
the perfect use for an Automake -hook target. I use the install-data-hook target
at because the -hook targets allow you to perform extra user-defined shell
commands after the operation that’s being hooked has completed. Likewise,
I use uninstall-hook to remove the html directory created when the .tar file was
extracted during installation. (There is no distinction between uninstalling
platform-specific and platform-independent files, so there is only one hook
for uninstalling files.)
To clean my generated files, I use a combination of the CLEANFILES variable
at and a clean-local rule just to demonstrate that it can be done.
Adding Nonstandard Targets
Adding a new nonstandard target is a little different than hooking an exist-
ing target. In the first place, you don’t need to use AM_CONDITIONAL and other
Autoconf tests to see if you have the tools you need. Instead, you can do all
conditional testing from the Makefile.am file because you control the entire
command set associated with the target, although this isn’t recommended
practice. (It’s always preferable to ensure that the build environment is con-
figured correctly from the configure script.) In cases were make targets can
only be expected to work under certain conditions, or on certain platforms,
it’s a good idea to provide checks within the target to ensure that the opera-
tion requested can actually be performed.
10. In fact, the only source file in this project that currently contains Doxygen markup is the
xflaim.h header file but that could easily change, and it certainly won’t hold true for all projects.
Additionally, Doxygen generates hundreds of .html files, and this entire set of files represents the
target of a rule to build the documentation. The stamp file stands in for these files as the target
of the rule.
Autotools_02.book Page 247 Tuesday, June 15, 2010 2:38 PM
www.it-ebooks.info

248 Chapter 9
To start with, I create a directory within each project root directory called
obs to contain the Makefile.am file for building RPM package files. (OBS is an
acronym for openSUSE Build Service, an online package building service.)11
Building RPM package files is done using a configuration file, called a
spec file, which is very much like the doxyfile used to configure Doxygen for a
specific project. As with the doxyfile, the RPM spec file references information
that configure knows about the package. So, I wrote an xflaim.spec.in file, add-
ing substitution variables where appropriate, and then I added another file
reference to the AC_CONFIG_FILES macro. This allows configure to substitute
information about the project into the spec file. Listing 9-15 shows the rele-
vant portion of the xflaim.spec.in file in bold.
Name: @PACKAGE_TARNAME@
BuildRequires: gcc-c++ libstdc++-devel flaimtk-devel gcc-java gjdoc fastjar
mono-core doxygen
Requires: libstdc++ flaimtk mono-core java >= 1.4.2
Summary: XFLAIM is an XML database library.
URL: http://sourceforge.net/projects/flaim/
Version: @PACKAGE_VERSION@
Release: 1
License: GPL
Vendor: Novell, Inc.
Group: Development/Libraries/C and C++
Source: %{name}-%{version}.tar.gz
BuildRoot: %{_tmppath}/%{name}-%{version}-build
...
Listing 9-15: xflaim/obs/xflaim.spec.in: The portion of this file that illustrates using Autoconf
variables
Notice the use of the variables @PACKAGE_TARNAME@ and @PACKAGE_VERSION@ in
this listing. Although the tar name is not likely to change much over the life
of this project, the version will change often. Without the Autoconf substitution
mechanism, I’d have to remember to update this version number whenever I
updated the version in the configure.ac file. Listing 9-16 shows the xflaim/obs/
Makefile.am file, which actually does the work of building the RPMs.
rpmspec = $(PACKAGE_TARNAME).spec
rpmmacros =\
--define="_rpmdir $${PWD}"\
--define="_srcrpmdir $${PWD}"\
--define="_sourcedir $${PWD}/.."\
--define="_specdir $${PWD}"\
--define="_builddir $${PWD}"
11. See http://build.opensuse.org/. This is a service that I fell in love with almost as soon as it came
out. I’ve had some experience building distro packages, and I can tell you, it’s far less painful
with the OBS than it is using more traditional techniques. Furthermore, packages built with the
OBS can be published automatically on the OBS website (http://software.opensuse.org/search/) for
public consumption immediately after they’re built.
Autotools_02.book Page 248 Tuesday, June 15, 2010 2:38 PM
www.it-ebooks.info

FLAIM Part II: Pushing the Envelope 249
RPMBUILD = rpmbuild
RPMFLAGS = --nodeps --buildroot="$${PWD}/_rpm"
rpmcheck:
if [ which $(RPMBUILD) &> /dev/null ]; then \
echo "*** This make target requires an rpm-based Linux
distribution."; \
(exit 1); exit 1; \
fi
srcrpm: rpmcheck $(rpmspec)
$(RPMBUILD) $(RPMFLAGS) -bs $(rpmmacros) $(rpmspec)
rpms: rpmcheck $(rpmspec)
$(RPMBUILD) $(RPMFLAGS) -ba $(rpmmacros) $(rpmspec)
.PHONY: rpmcheck srcrpm rpms
Listing 9-16: xflaim/obs/Makefile.am: The complete contents of this makefile
Building RPM packages is rather simple, as you can see. The targets pro-
vided by this makefile include srcrpm and rpms. The rpmcheck target at is used
internally to verify that RPMs can be built in the end user’s environment.
In order to find out which targets in a lower-level Makefile.am file are sup-
ported by a top-level build, look at the top-level Makefile.am file. As Listing 9-17
shows, if the target is not passed down, that target must be intended for inter-
nal use only, within the lower-level directory.
...
RPM = rpm
rpms srcrpm: dist
(cd obs && $(MAKE) $(AM_MAKEFLAGS) $@) || exit 1
rpmarch=`$(RPM) --showrc | grep "^build arch" | \
sed 's/\(.*: \)\(.*\)/\2/'`; \
test -z "obs/$$rpmarch" || \
( mv obs/$$rpmarch/* . && rm -rf /obs/$$rpmarch )
rm -rf obs/$(distdir)
...
.PHONY: srcrpm rpms
Listing 9-17: xflaim/Makefile.am: If the target is not passed down, then it’s an internal target.
As you can see from the command at in Listing 9-17, when a user targets
rpms or srcrpm from the top-level build directory, the commands are recursively
passed down to obs/Makefile. The remaining commands simply remove drop-
pings left behind by the RPM build process that are simpler to remove at this
level. (Try building an RPM package some time, and you’ll see what I mean!)
Notice too that both of these top-level makefile targets depend on the
dist target because the RPM build process requires the distribution tarball.
Adding the tarball as a dependency of the rpms target simply ensures that the
distribution tarball is there when the rpmbuild utility needs it.
Autotools_02.book Page 249 Tuesday, June 15, 2010 2:38 PM
www.it-ebooks.info
250 Chapter 9
Summary
While using the Autotools, there are many details to manage, most of which,
as they say in the open source software world, can wait for the next release! Even
as I committed this code to the FLAIM project repository, I noticed details
that could be improved. The take-away lesson here is that a build system is
never really finished. It should be incrementally improved over time, as you
find time in your schedule to work on it. And it can be rewarding to do so.
I’ve shown you a number of new features that have not been covered in
earlier chapters, and there are many more features that I cannot begin to
cover in this book. Study the Autotools manuals to become truly proficient.
At this point, it should be pretty simple for you to pick up that additional
information yourself.
Autotools_02.book Page 250 Tuesday, June 15, 2010 2:38 PM
www.it-ebooks.info

USING THE M4 MACRO
PROCESSOR WITH AUTOCONF
By the time you’ve sorted out a complicated idea into little
steps that even a stupid machine can deal with,
you’ve learned something about it yourself.
—Douglas Adams,
Dirk Gently’s Holistic Detective Agency
The M4 macro processor is simple to use,
and yet hard to comprehend. The simplicity
comes from the fact that it does just one thing
very well. I’ll wager that you or I could write the
base functionality of M4 in a C program in just a few
hours. At the same time, two aspects of M4 make it
rather difficult to understand immediately.
First, the exceptions introduced by special cases that M4 deals with when it
processes input text make it hard to grasp all of its rules immediately, though
this complexity is easily mastered with time, patience, and practice. Second,
the stack-based, pre-order recursive nature of M4’s text processing model is
difficult for the human mind to comprehend. Humans tend to process infor-
mation breadth first, comprehending complete levels of a problem or data
set, one level at a time, whereas M4 processes text in a depth-first fashion.
This chapter covers what I consider to be the bare minimum that you
need to know to write Autoconf input files. I can’t do justice to M4 in a single
chapter of this book, so I’ll cover the highlights. For more detail read the
Autotools_02.book Page 251 Tuesday, June 15, 2010 2:38 PM
www.it-ebooks.info

252 Chapter 10
GNU M4 Manual.1 If you’ve already had some experience with M4, try the
examples in that manual, and then try solving a few text problems of your
own using M4. A small amount of such experimentation will vastly improve
your understanding of M4.
M4 Text Processing
Like many other classic Unix tools, M4 is written as a standard input/output
(stdio) filter. That is, it accepts input from standard input (stdin), processes
it, and then sends it to standard output (stdout). Input text is read in as a
stream of bytes and converted to tokens before processing. Tokens consist of
comments, names, quoted strings, and single characters that are not part of
a comment, name, or quoted string.
The default quote characters are the backtick (`) and the single quote (').
Use the backtick to start a quoted string, and the single quote character to
terminate one:
`A quoted string'
M4 comments are similar to quoted strings in that each one is processed
as a single token. Each comment is delimited by a hash mark (#) and a new-
line (\n) character. Thus, all text following an unquoted hash mark, up to and
including the next newline character, is considered part of a comment.
Comments are not stripped from the output as they are in other computer
language preprocessors, such as the C-language preprocessor. Rather, they
are simply passed through without further processing.
The following example contains five tokens: a name token, a space charac-
ter token, another name token, a second space character token, and finally, a
single comment token:
Two names # followed by a comment
Names are any sequence of letters, digits, and underscore characters that
do not begin with a digit. Thus, the first line of the following example contains
two digit character tokens, followed by a name token, whereas the second line
contains only a single name token:
88North20th_street
_88North20th_street
Note that whitespace characters (horizontal and vertical tabs, form feeds,
carriage returns, spaces, and newlines) are specifically not part of a name, so
whitespace characters may (and often do) act as name- or other-token delim-
iters. However, such whitespace delimiters are not discarded by M4, as they
1. See the Free Software Foundation’s GNU M4 – GNU Macro Processor at http://www.gnu.org/
software/m4/manual/.
Autotools_02.book Page 252 Tuesday, June 15, 2010 2:38 PM
www.it-ebooks.info

Using the M4 Macro Processor with Autoconf 253
often are within a computer language compiler’s parser. They’re simply
passed through from the input stream directly to the output stream without
further modification.
Defining Macros
M4 provides a variety of built-in macros, many of which are critical to the
proper use of this tool. For instance, it would be very difficult to get any useful
functionality out of M4 if it didn’t provide a way of defining macros. M4’s
macro definition macro is called define.
The define macro is simple to describe:
define(macro[, expansion])
The define macro expects at least one parameter, even if it’s empty. If
you supply only one parameter, then instances of the macro name that are
found in the input text are simply deleted from the output text:
$ m4
define(`macro')
Hello macro world!
Hello world!
<ctrl-d>$
Note in the output text at that there are two spaces between Hello and
world! All tokens except names that map to defined macros are passed from
the input stream to the output stream without modification with one excep-
tion: Whenever any quoted text outside of comments is read from the input
stream, one level of quotes is removed.
Another subtle aspect of the define macro is that its expansion is the empty
string. Thus, the output of the definition above is simply the trailing carriage
return after the definition in the input string.
Names, of course, are candidates for macro expansion. If a name token
is found in the symbol table, it is replaced with the macro definition, as shown
in the following example:
$ m4
define(`macro', `expansion')
macro ``quoted' string'
expansion `quoted' string
<ctrl-d>$
The second output line at shows us that the first token (the name macro)
is expanded, and the outer level of quotes around ``quoted' string' are removed
by M4. The blank line at following the macro definition comes from the
newline character I entered into the input stream when I pressed the ENTER
key after the macro definition at . Since this newline character is not part
Autotools_02.book Page 253 Tuesday, June 15, 2010 2:38 PM
www.it-ebooks.info

254 Chapter 10
of the macro definition, M4 simply passes it through to the output stream.
This can be a problem when defining macros in input text because you could
end up with a slew of blank lines in the output text, one for each macro defined
in the input text. Fortunately, there are ways around this problem. For example,
I could simply not enter that newline character, as shown here:
$ m4
define(`macro', `expansion')macro
expansion
<ctrl-d>$
That solves the problem but it doesn’t take a genius to see that this can
lead to some readability issues. If you have to define your macros in this manner
so that they don’t affect your output text, you’ll have a few run-on sentences
in your input text!
M4 provides another built-in macro called dnl,2 which causes all input
text up to and including the next newline character to be discarded. It’s
common to find dnl used in configure.ac, but it’s even more common to find
it used in .m4 macro definition files consumed by Autoconf while processing
configure.ac files.
Here’s an example of the proper use of dnl:
$ m4
define(`macro', `expansion')dnl
macro
expansion
<ctrl-d>$
There are a few dozen built-in M4 macros, all of which provide functionality
that can’t be obtained in any other way within M4. Some redefine fundamental
behavior in M4.
For example, the changequote macro is used to change the default quote
characters from backtick and single quote to whatever you wish. Autoconf
uses a line like this near the top of the input stream to change the M4 quotes
to the left and right square bracket characters like so:
changequote(`[',`]')dnl
Why would the Autoconf designers do this? Well, it’s quite common in
shell code to find unbalanced pairs of single quote characters. You’ll recall
from Chapter 3 that the input text to Autoconf is shell script, which means
that there’s a good chance that Autoconf will run into an unbalanced pair of M4
quotes in every input file it reads. This can lead to errors that are very difficult to
track down, because they have more to do with M4 than they do with Autoconf.
2. The dnl macro name is actually an acronym that stands for discard to next line.
Autotools_02.book Page 254 Tuesday, June 15, 2010 2:38 PM
www.it-ebooks.info

Using the M4 Macro Processor with Autoconf 255
It’s far less likely that the input shell script will contain an unbalanced pair of
square bracket characters.
Macros with Arguments
Macros may also be defined to accept arguments, which may be referenced
in the expansion text with $1, $2, $3, and so on. The number of arguments
passed can be found in the variable $#. When using arguments in a macro
call, there can be no intervening whitespace between the macro name and
the opening parenthesis. Here’s an example of a macro that’s defined and
then called in various ways:
$ m4
define(`with2args', `The arguments are $1 and $2.')dnl
with2args
The arguments are and .
with2args()
The arguments are and .
with2args(`arg1')
The arguments are arg1 and .
with2args(`arg1', `arg2')
The arguments are arg1 and arg2.
with2args(`arg1', `arg2', `arg3')
The arguments are arg1 and arg2.
with2args (`arg1', `arg2')
The arguments are and . (arg1, arg2)
<ctrl-d>$
In this example, the first and second calls starting at are macro calls
without arguments. Such calls treat the parameters as if empty arguments were
actually passed.3 In both cases the macro expands to “The arguments are and ”
(note the double space between the last two words, as well as the trailing
space). The next three calls beginning at pass one, two, and three argu-
ments, respectively. As you can see by the resulting outputs of these three
calls, parameters in the expansion text that reference missing arguments are
treated as empty, while arguments passed without corresponding references
are simply ignored.
The last call at is a bit different. Notice that it contains a space between
the macro name and the opening parenthesis. The initial output of this call
was similar to that of the first two calls, but following that initial output we
find what appears to be a minor variation on the originally intended argument
list (the quotes are missing). This is a macro call without arguments. Since it’s
not actually part of the macro call, M4 treats the argument list simply as text
on the input stream. Thus, it’s copied directly to the output stream, minus
one level of quotes.
3. Actually, in the call without parentheses, $# will be zero, if used in the macro definition to
determine the number of arguments passed, while in the call with empty parentheses, $# will be one.
However, in both cases, both referenced parameters ($1 and $2) will still contain the empty string.
Autotools_02.book Page 255 Tuesday, June 15, 2010 2:38 PM
www.it-ebooks.info

256 Chapter 10
Whitespace Around Arguments
When passing arguments in macro calls, be aware of whitespace around argu-
ments. The rules are simple: Unquoted leading whitespace is removed from
arguments, and trailing whitespace is always preserved, whether quoted or
not. Of course, whitespace here refers to carriage returns and newline characters
as well as spaces and tabs. Here’s an example of calling a macro with variations
in leading and trailing whitespace:
$ m4
define(`with3args', `The three arguments are $1, $2, and $3.')dnl
with3args(arg1,
arg2,
arg3)
The three arguments are arg1, arg2, and arg3.
with3args(arg1
,arg2
,arg3
)
The three arguments are arg1
, arg2
, and arg3
.
<ctrl-d>$
In this example, I purposely omitted the quotes around the macro argu-
ments in the calls at and in order to reduce confusion. The call at has
only leading whitespace in the form of newlines and tab characters, while the
call at has only trailing whitespace. I’ll cover quoting rules shortly, at
which point you’ll see clearly how quoting affects whitespace in macro
arguments.
The Recursive Nature of M4
Now we consider the recursive nature of the M4 input stream. Whenever a
name token is expanded by a macro definition, the expansion text is pushed
back onto the input stream for complete reprocessing. This recursive repro-
cessing continues to occur as long as there are macro calls found in the input
stream that generate text.
For example:
$ m4
define(`macro', `expansion')dnl
macro ``quoted' text'
expansion `quoted' text
<ctrl-d>$
Here, I define a macro called macro, and then present this macro name
on the input stream, followed by additional text, some of which is quoted,
and some of which is double quoted.
The process used by M4 to parse this example is shown in Figure 10-1.
Autotools_02.book Page 256 Tuesday, June 15, 2010 2:38 PM
www.it-ebooks.info

Using the M4 Macro Processor with Autoconf 257
Figure 10-1: The procedure used by M4 to process an input text stream
In the bottom line of the figure, M4 is generating a stream of output text
(expansion `quoted' text) from a stream of input text (macro ``quoted' text').
The diagram above this line shows how M4 actually generates the output
text from the input text. When the first token (macro) is read in the top line,
M4 finds a matching symbol in the symbol table, pushes it onto the input stream
on the second line, and then restarts the input stream. Thus, the very next
token read is another name token (expansion). Since this name is not found
in the symbol table, the text is sent directly to the output stream. The third
line sends the next token from the input stream (a space character) directly
to the output stream. Finally, in the fourth line, one level of quotes is removed
from the quoted text (``quoted' text'), and the result (`quoted' text) is sent
to the output stream.
As you might guess, there are some potentially nasty side effects of this
process. For example, you can accidentally define a macro that is infinitely
recursive. The expansion of such a macro would lead to a massive amount of
unwanted output, followed by a stack overflow. This is easy to do:
$ m4
define(`macro', `This is a macro')dnl
macro
This is a This is a This is a This is a This is a This is a...<ctrl-c>
$
This happens because the macro name expands into text containing
the macro’s own name, which is then pushed back onto the input stream for
reprocessing. Consider the following scenario: What would have been the result
if I’d left the quotes off of the expansion text in the macro definition? To help you dis-
cover the answer, let’s turn next to M4 quoting rules.
Symbol TableTokenizer
macro<sp>``quoted' text'
m, a, c, r, o = name(macro) macro = expansion
e,x,p,a,n,s,i,o,n = name(expansion) expansion (no mapping)
Tokenizer Symbol Table
expansion<sp>``quoted' text' expansion
Tokenizer
<sp>``quoted' text' <sp>
<sp> = character(<sp>)
``quoted' text' = string(`quoted' text)
Tokenizer `quoted' text
macro ``quoted' text' m4 expansion `quoted' text
``quoted' text'
Autotools_02.book Page 257 Tuesday, June 15, 2010 2:38 PM
www.it-ebooks.info

258 Chapter 10
Quoting Rules
Proper quoting is critical. You have probably encountered situations where
your invocations of Autoconf macros didn’t work as you expected. The prob-
lem is often a case of under-quoting, which means you omitted a required
level of quotes around some text.
You see, each time text passes through M4, a layer of quotes is stripped
off. Quoted strings are not names and are thus not subject to macro expansion,
but if a quoted string passes through M4 twice, the second time through, it’s
no longer quoted. As a result, individual words within that string are no longer
part of a string, but instead are parsed as name tokens, which are subject to
macro expansion. To illustrate, enter the following text at a shell prompt:
$ m4
define(`abc', `def')dnl
abc
def
define(`abc', ``def'')dnl
abc
def
define(`abc', ```def''')dnl
abc
`def'
<ctrl-d>$
In this example, the first time abc is defined (at ), it’s quoted once. As
M4 processes the macro definition, it removes a layer of quotes. Thus, the
expansion text is stored in the symbol table without quotes, and we would
expect the output of abc to be simply def, which it is.
As you can see, the second definition of abc (at ) is double quoted, so
when the definition is processed, and the outer layer of quotes is stripped off,
we would expect the expansion text in the symbol table to contain at least
one set of quotes, and it does. Then why don’t we see quotes around the out-
put text? Remember that when macros are expanded, the expansion text is
pushed onto the front of the input stream and reparsed using the usual rules.
Thus, while the text of the second definition is stored quoted in the symbol
table, as it’s reprocessed upon use, the second layer of quotes is removed
between the input and output streams.
The difference between and in this example is that the expansion
text of is treated as quoted text by M4, rather than as a potential macro
name. The quotes are removed during definition, but the enclosed text is
not considered for further expansion because it’s still quoted.
In the third definition of abc (at ), we finally see the result we were trying
to obtain: a quoted version of the output text. The expansion text is entered
into the symbol table double quoted, because the outermost set of quotes is
stripped off during processing of the definition. Then, when the macro is
used, the expansion text is reprocessed and the second set of quotes is stripped
off, leaving one set in the final output text.
Autotools_02.book Page 258 Tuesday, June 15, 2010 2:38 PM
www.it-ebooks.info

Using the M4 Macro Processor with Autoconf 259
If you keep these rules in mind as you work with macros within Autoconf
(including both definitions and calls), you’ll find it easier to understand why
things may not work the way you think they should. The GNU M4 Manual
provides a simple rule of thumb for using quotes in macro calls: For each
layer of nested parentheses in a macro call, use one layer of quotes.
Autoconf and M4
The autoconf program is a rather simple shell script. About 80 percent of
the shell code in the script exists simply to ensure that the shell is functional
enough to perform the required tasks. The remaining 20 percent parses
command-line options. The last line of the script executes the autom4te pro-
gram, a Perl script that acts as a wrapper around the m4 utility. Ultimately,
autom4te calls m4 like this:
$ /usr/bin/m4 --nesting-limit=1024 --include=/usr/share/autoconf \
--debug=aflq --fatal-warning --error-output=autom4te.cache/traces.0t \
--trace=AC_CANONICAL_BUILD ... --trace=sinclude \
--reload-state=/usr/.../autoconf/autoconf.m4f aclocal.m4 configure.ac
As you can see, the three files that M4 is processing are /usr/.../autoconf/
autoconf.m4f, aclocal.m4, and configure.ac, in that order.
NOTE The .m4f extension on the master Autoconf macro file signifies a frozen M4 input
file—a sort of precompiled version of the original .m4 file. When a frozen macro file is
processed, it must be specified after a --reload-state option, in order to make M4 aware
that it’s not a normal input file. State is built cumulatively within M4 over all input
files, so any macros defined by aclocal.m4, for instance, are available during the pro-
cessing of configure.ac.
The ellipsis between the two --trace options in the command line above
is a placeholder for more than 100 such --trace options. It’s a good thing the
shell can handle long command lines!
The master Autoconf macro file, autoconf.m4, merely includes (using the
m4_include macro) the other dozen or so Autoconf macro files, in the correct
order, and then does a small amount of housekeeping before terminating.
The aclocal.m4 file is our project’s macro file, built originally by the aclocal
utility or handwritten for projects that don’t use Automake. By the time
configure.ac is processed, the M4 environment has been configured with
hundreds of Autoconf macro definitions, which may be called as needed by
configure.ac. This environment includes not only the recognized AC_* macros
but also a few lower layers of Autoconf-provided macros that you may use to
write your own macros.
One such lower layer is m4sugar,4 which provides a nice clean namespace
in which to define all of the Autoconf macros, as well as several improvements
and additions to the existing M4 macros.
4. This is a hybrid palindromic acronym: Readability And Greater Understanding Stands 4 M4Sugar.
Autotools_02.book Page 259 Tuesday, June 15, 2010 2:38 PM
www.it-ebooks.info

260 Chapter 10
The Autoconf M4 Environment
Autoconf modifies the M4 environment in a few ways. First, as mentioned
earlier, it changes the default quote characters from the backtick and single
quote characters to the open and close square bracket characters. In addi-
tion, it configures M4 built-in macros such that most are prefixed with m4_,
thereby creating a unique namespace for M4 macros. Thus, the M4 define
macro becomes m4_define, and so on.5
Autoconf provides its own version of m4_define called AC_DEFUN. You
should use AC_DEFUN instead of m4_define because it ensures that certain envi-
ronmental constraints important to Autoconf are in place when your macro
is called. The AC_DEFUN macro supports a prerequisite framework, so you can
specify which macros are required to have been called before your macro
may be called. This framework is accessed by using the AC_REQUIRE macro to
indicate your macro’s requirements at the beginning of your macro defini-
tion, like so:
# Test for option A
# -----------------
AC_DEFUN([TEST_A],
[AC_REQUIRE([TEST_B])dnl
test "$A" = "yes" && options="$options A"])
The rules for writing Autoconf macros using AC_DEFUN and the prerequi-
site framework are outlined in Chapter 9 of the GNU Autoconf Manual. Before
you write your own macros, read Chapters 8 and 9 of that manual.
Writing Autoconf Macros
Why would we want to write Autoconf macros in the first place? One reason
is that a project’s configure.ac file might contain several instances of similar
sets of code and we need the configure script to perform the same set of high-
level operations on multiple directories or file sets. By converting the process
into a macro, we reduce the number of lines of code in the configure.ac file,
thereby reducing the number of possible points of failure. Another reason
might be that an easily encapsulated bit of configure.ac code could be useful
in other projects, or even to other people.
NOTE The Autoconf Macro Archive provides many sets of related macros to solve common
Autoconf problems. Anyone may contribute to the archive by emailing their macros to
the project maintainer. There are frequent tarball releases available for free from the
project website.6
Simple Text Replacement
The simplest type of macro is one that replaces text verbatim, with no substi-
tutions. An excellent example of this is found in the flaim project, where
the flaim, xflaim, and sql projects’ configure scripts attempt to locate the ftk
5. A notable exception is dnl. This macro is thankfully not renamed to m4_dnl.
6. See the Autoconf Macro Archive at http://www.nongnu.org/autoconf-archive/.
Autotools_02.book Page 260 Tuesday, June 15, 2010 2:38 PM
www.it-ebooks.info

Using the M4 Macro Processor with Autoconf 261
(FLAIM toolkit) project library and header file. Since I already discussed the
operation of this code in Chapter 8, I’ll only cover it briefly here as it relates
to writing Autoconf macros, but I provide the relevant bit of configure.ac code
in Listing 10-1 for convenience.
...
# Configure variables: FTKLIB and FTKINC.
AC_ARG_VAR([FTKLIB], [The PATH wherein libflaimtk.la can be found.])
AC_ARG_VAR([FTKINC], [The PATH wherein flaimtk.h can be found.])
# Ensure that both or neither FTK paths were specified.
if { test -n "$FTKLIB" && test -z "$FTKINC"; } ||
{ test -z "$FTKLIB" && test -n "$FTKINC"; }; then
AC_MSG_ERROR([Specify both FTKINC and FTKLIB, or neither.])
fi
# Not specified? Check for FTK in standard places.
if test -z "$FTKLIB"; then
# Check for FLAIM toolkit as a subproject.
if test -d "$srcdir/ftk"; then
AC_CONFIG_SUBDIRS([ftk])
FTKINC='$(top_srcdir)/ftk/src'
FTKLIB='$(top_builddir)/ftk/src'
else
# Check for FLAIM toolkit as a superproject.
if test -d "$srcdir/../ftk"; then
FTKINC='$(top_srcdir)/../ftk/src'
FTKLIB='$(top_builddir)/../ftk/src'
fi
fi
fi
# Still empty? Check for *installed* FLAIM toolkit.
if test -z "$FTKLIB"; then
AC_CHECK_LIB([flaimtk], [ftkFastChecksum],
[AC_CHECK_HEADERS([flaimtk.h])
LIBS="-lflaimtk $LIBS"],
[AC_MSG_ERROR([No FLAIM toolkit found. Terminating.])])
fi
# AC_SUBST command line variables from FTKLIB and FTKINC.
if test -n "$FTKLIB"; then
AC_SUBST([FTK_LTLIB], ["$FTKLIB/libflaimtk.la"])
AC_SUBST([FTK_INCLUDE], ["-I$FTKINC"])
fi
...
Listing 10-1: xflaim/configure.ac: The ftk search code from the xflaim project
This code is identical in flaim, xflaim, and sql, though it may be modified
in the future for one reason or another, so keeping it embedded in all three
configure.ac files is redundant and error prone.
Autotools_02.book Page 261 Tuesday, June 15, 2010 2:38 PM
www.it-ebooks.info

262 Chapter 10
Even if we were to convert this code to a macro, we’d still have to put a
copy of the macro file into each of the projects’ m4 directories. However, we
could later edit only one of these macro files and copy it from the authoritative
location into the other projects’ m4 directories. This would still be a better
solution than having all of the code embedded in all three configure.ac files.
By converting this code to a macro, we can keep it in one place where
portions of it cannot be confused for code that is not related to the process
of locating the FLAIM toolkit library and header file. This happens quite often
during later maintenance of a project’s configure.ac file, as additional code
designed for other purposes is dropped between chunks of code belonging
to sequences like this.
Let’s try converting this code into a macro. Our first attempt might look
like Listing 10-2. (I’ve omitted a large chunk in the middle that is identical to
the original code, for the sake of brevity.)
AC_DEFUN([FLM_FTK_SEARCH],
[# Configure variables: FTKLIB and FTKINC.
AC_ARG_VAR([FTKLIB], [The PATH wherein libflaimtk.la can be found.])
AC_ARG_VAR([FTKINC], [The PATH wherein flaimtk.h can be found.])
...
# AC_SUBST command line variables from FTKLIB and FTKINC.
if test -n "$FTKLIB"; then
AC_SUBST([FTK_LTLIB], ["$FTKLIB/libflaimtk.la"])
AC_SUBST([FTK_INCLUDE], ["-I$FTKINC"])
fi])
Listing 10-2: xflaim/m4/flm_ftk_search.m4: A first attempt at encapsulating ftk search code
In this pass, I’ve simply cut and pasted the entire configure.ac code sequence
verbatim into the macro-body argument of a call to AC_DEFUN. The AC_DEFUN macro
is defined by Autoconf and provides some additional functionality over the
m4_define macro provided by M4. This additional functionality is strictly related
to the prerequisite framework provided by Autoconf.
NOTE Be aware that AC_DEFUN must be used (rather than m4_define) in order for the macro
definition to be found by aclocal in your external macro definition files. You must use
AC_DEFUN if your macro definitions are in external files, but for simple macros defined
within configure.ac itself you can use m4_define.
Notice the use of M4 quoting around both the macro name (FLM_FTK_SEARCH)
and the entire macro body. To illustrate the problems with not using these
quotes in this example, consider how M4 would process the macro definition
without the quotes. If the macro name were left unquoted, not much dam-
age would be done, unless the macro happened to already be defined. If the
macro were already defined, M4 would treat the macro name as a call with
no parameters, and the existing definition would replace the macro name
as M4 was reading the macro definition. (In this case, because of the unique
name of the macro, there’s not much chance that it’s already defined, so I
could have left the macro name unquoted with little effect, but it’s good to
be consistent.)
Autotools_02.book Page 262 Tuesday, June 15, 2010 2:38 PM
www.it-ebooks.info

Using the M4 Macro Processor with Autoconf 263
On the other hand, the macro body contains a fair amount of text and
even Autoconf macro calls. Had we left the body unquoted, these macro calls
would be expanded during the reading of the definition rather than during
the later use of the macro, as we had intended.
Because the quotes are present, M4 stores the macro body as provided,
with no additional processing during the reading of the definition other than
to remove the outermost layer of quotes. Later, when the macro is called, the
body text is inserted into the input stream in place of the macro call, and
only then are the embedded macros expanded.
This macro requires no arguments because the same text is used identi-
cally in all three configure.ac files. The effect on configure.ac is to replace the
entire chunk of code with the name of the macro, as shown in Listing 10-3.
...
FLM_PROG_TRY_DOXYGEN
# Configure FTKLIB, FTKINC, FTK_LTLIB, and FTK_INCLUDE
FLM_FTK_SEARCH
# Check for Java compiler.
...
Listing 10-3: xflaim/configure.ac: Replacing the ftk search code with the new macro call
When writing a macro from existing code, consider the inputs to the
existing chunk of code and the outputs provided by the code. Inputs will
become possible macro arguments and outputs will become documented
effects. In Listing 10-3, we have no inputs so we have no arguments, but what
are the documentable effects of this code?
The comment at over the macro call in Listing 10-3 alludes to these
effects. The FTKLIB and FTKINC variables are defined, and the FTK_LTLIB and
FTK_INCLUDE variables are defined and substituted using AC_SUBST.
Documenting Your Macros
A proper macro definition provides a header comment that documents pos-
sible arguments, results, and potential side effects of the macro, as shown in
Listing 10-4.
# FLM_FTK_SEARCH
# -----------------
# Define AC_ARG_VAR (user variables), FTKLIB, and FTKINC,
# allowing the user to specify the location of the FLAIM toolkit
# library and header file. If not specified, check for these files:
# 1. As a subproject.
# 2. As a super-project (sibling to the current project).
# 3. As installed components on the system.
# If found, AC_SUBST FTK_LTLIB and FTK_INCLUDE variables with
# values derived from FTKLIB and FTKINC user variables.
Autotools_02.book Page 263 Tuesday, June 15, 2010 2:38 PM
www.it-ebooks.info

264 Chapter 10
# FTKLIB and FTKINC are file locations, whereas FTK_LTLIB and
# FTK_INCLUDE are linker and preprocessor command-line options.
AC_DEFUN([FLM_FTK_SEARCH],
...
Listing 10-4: xflaim/m4/flm_ftk_search.m4: Adding a documentation header to the
macro definition
This header comment documents both the effects of this macro and the
way it operates, giving the user a clear picture of the sort of functionality he’ll
get when he calls it. The GNU Autoconf Manual indicates that such macro def-
inition header comments are stripped from the final output; if you search the
configure script for some text in the comment header, you’ll see that it’s missing.
Regarding coding style, the GNU Autoconf Manual suggests that it is good
macro definition style to place the macro body’s closing square-bracket quote
and the closing parenthesis alone on the last line of the macro definition,
along with a comment containing only the name of the macro being defined,
as shown in Listing 10-5.
...
AC_SUBST([FTK_INCLUDE], ["-I$FTKINC"])
fi[]dnl
])# FLM_FTK_SEARCH
Listing 10-5: xflaim/m4/flm_ftk_search.m4: Suggested macro body closing style
The GNU Autoconf Manual also suggests that if you don’t like the extra
carriage return that the use of this format adds to the generated configure
script, you can append the text []dnl to the last line of the macro body as at
in Listing 10-5. The use of dnl causes the trailing carriage return to be ignored,
and the open and close square brackets are simply empty Autoconf quotes that
are stripped out during processing of later macro calls. The brackets are used to
separate fi and dnl so they’re recognized by M4 as two separate words.
NOTE The GNU Autoconf Manual defines a very complete naming convention for macros
and their containing files. I’ve chosen simply to prefix all macro names and their con-
taining files that are strictly related to the project with a project-specific prefix—in this
case, FLM_ (flm_).
M4 Conditionals
Now that you know how to write basic M4 macros we’ll consider what it means
to allow M4 to decide which text should be used to replace your macro call,
based on arguments passed in the call.
Take a look at Listing 10-6; my first attempt at writing the FLM_PROG_
TRY_DOXYGEN macro that was first used in Chapter 8. This macro was designed
with an optional argument, which isn’t apparent from its use in Chapter 8
because the FLAIM code called the macro without arguments. Let’s examine
the definition of this macro. In the process we’ll discover what it means to
call it with and without arguments.
Autotools_02.book Page 264 Tuesday, June 15, 2010 2:38 PM
www.it-ebooks.info

Using the M4 Macro Processor with Autoconf 265
# FLM_PROG_TRY_DOXYGEN(["quiet"])
# ------------------------------
# FLM_PROG_TRY_DOXYGEN tests for an existing doxygen source
# documentation program. It sets or uses the environment
# variable DOXYGEN.
#
# If no arguments are given to this macro, and no doxygen
# program can be found, it prints a warning message to standard output
# and to the config.log file. If the "quiet" argument is passed,
# then only the normal "check" line is displayed.
#
# Makes the DOXYGEN variable precious to Autoconf. You can
# use the DOXYGEN variable in your Makefile.in files with
# @DOXYGEN@.
#
# NOTE: Currently, passing any value in the first argument has
# the same effect as passing "quiet", however, you should
# not rely on this, as all other words are reserved.
#
# Author: John Calcote <john.calcote@gmail.com>
# Modified: 2009-04-23
# License: AllPermissive
#
AC_DEFUN([FLM_PROG_TRY_DOXYGEN],
[AC_ARG_VAR([DOXYGEN], [Doxygen source doc generation program])dnl
AC_CHECK_PROGS([DOXYGEN], [doxygen])
m4_ifval([$1],,
[if test -z "$DOXYGEN"; then
AC_MSG_WARN([doxygen not found - continuing without Doxygen support])
fi])
])# FLM_PROG_TRY_DOXYGEN
Listing 10-6: ftk/m4/flm_prog_try_doxygen.m4: A first attempt at FLM_PROG_TRY_DOXYGEN
First, we see a call to the AC_ARG_VAR macro at , which is used to make
the DOXYGEN variable precious to Autoconf. Making a variable precious causes
Autoconf to display it within the configure script’s help text as an influential
environment variable. The AC_ARG_VAR macro also makes the specified variable
an Autoconf substitution variable. At we come to the heart of this macro—
the call to AC_CHECK_PROGS. This macro checks for a doxygen program in the system
search path, but it only looks for the program (passed in the second argu-
ment) if the variable (passed in the first argument) is empty. If this variable is
not empty, AC_CHECK_PROGS assumes that the end user has already specified the
proper program in the variable in his environment and it does nothing. In
this case, the DOXYGEN variable is populated with doxygen if the doxygen program
is found in the system search path. In either case, a reference to the DOXYGEN
variable is substituted into template files by Autoconf. (Since we just called
AC_ARG_VAR on DOXYGEN, this step is redundant but harmless.)
The call to m4_ifval at brings us to the point of this section. This a con-
ditional macro defined in Autoconf’s m4sugar layer; a layer of simple macros
designed to make writing higher-level Autoconf macros easier. M4 conditional
Autotools_02.book Page 265 Tuesday, June 15, 2010 2:38 PM
www.it-ebooks.info

266 Chapter 10
macros are designed to generate one block of text if a condition is true and
another if the condition is false. The purpose of m4_ifval is to generate text
based on whether its first argument is empty. If its first argument is not empty,
the macro generates the text in its second argument. If its first argument is
empty, the macro generates the text in its third argument.
The FLM_PROG_TRY_DOXYGEN macro works with or without an argument. If no
arguments are passed, FLM_PROG_TRY_DOXYGEN will print a warning message that
the build is continuing without Doxygen support if the doxygen program is
not in the system search path. On the other hand, if the quiet option is passed
to FLM_PROG_TRY_DOXYGEN, no message will be printed if the doxygen program is
not found.
In Listing 10-6, m4_ifval generates no text (the second argument is empty)
if the first argument contains text. The first argument is $1, which refers to
the contents of the first argument passed to FLM_PROG_TRY_DOXGEN. If no argu-
ments are given to our macro, $1 will be empty, and m4_ifval will generate the
text in its third argument shown at . On the other hand, if we pass quiet (or
any text, for that matter) to FLM_PROG_TRY_DOXYGEN, $1 will contain quiet, and
m4_ifval will generate nothing.
The shell code in the third argument (at ) checks to see if the DOXYGEN
variable is still empty after the call to AC_CHECK_PROGS. If it is, it calls AC_MSG_WARN
to display a configuration warning.
Adding Precision
Autoconf provides a macro called m4_if, a renamed version of the M4 built-in
ifelse macro. The m4_if macro is similar in nature to m4sugar’s m4_ifval. List-
ing 10-7 shows how we might use ifelse in place of m4_ifval, if we didn’t have
m4sugar macros to work with.
...
ifelse([$1],,
[if test -z "$DOXYGEN"; then
AC_MSG_WARN([Doxygen program not found - continuing without Doxygen])
fi])
...
Listing 10-7: Using ifelse instead of m4_ifval
The macros appear to be identical in function but this appearance is only
circumstantial; the parameters are used differently. In this case, if the first
argument ($1) is the same as the second argument (the empty string), the
contents of the third argument ([if test -z ...]) are generated. Otherwise,
the contents of the fourth (nonexistent) argument are generated because
omitted arguments are treated as if the empty string had been passed.
FLM_PROG_TRY_DOXYGEN treats any text in its argument as if quiet was passed.
In order to facilitate future enhancements to this macro, we should limit the
allowed text in this argument to something that makes sense, otherwise users
could abuse this parameter and we’d be stuck supporting whatever they pass
Autotools_02.book Page 266 Tuesday, June 15, 2010 2:38 PM
www.it-ebooks.info

Using the M4 Macro Processor with Autoconf 267
for the sake of backward compatibility. The m4_if macro can help us out
here. This macro is quite powerful because it accepts an unlimited number
of arguments. Here are its basic prototypes:
m4_if(comment)
m4_if(string-1, string-2, equal[, not-equal])
m4_if(string-1, string-2, equal-1, string-3, string-4, equal-2,
...[, not-equal])
If only one parameter is passed to m4_if, that parameter is treated as a
comment because there’s not much that m4_if can do with one argument. If
three or four arguments are passed, the description I gave for ifelse in List-
ing 10-7 is also accurate for m4_if. However, if five or more arguments are
passed, the fourth and fifth become the comparison strings for a second else-
if clause. The last argument in an arbitrarily long set of triples is generated if
the last two comparison strings are different.
We can use m4_if to ensure that quiet is the only acceptable option in the
list of options accepted by FLM_PROG_TRY_DOXYGEN. Listing 10-8 shows one possi-
ble implementation.
...
m4_if([$1],,
[if test -z "$DOXYGEN"; then
AC_MSG_WARN([doxygen not found - continuing without Doxygen support])
fi], [$1], [quiet],, [m4_fatal([Invalid option in FLM_PROG_TRY_DOXYGEN])])
...
Listing 10-8: Restricting the argument options allowed by FLM_PROG_TRY_DOXYGEN
In this case we want a message to be printed if doxygen is missing in all
cases except when the quiet option is specified as the first argument passed
into our macro. In Listing 10-8 I’ve given FLM_PROG_TRY_DOXYGEN the ability to
detect cases when something other than quiet or the empty string is passed in
this parameter, and to do something specific in response. Listing 10-9 shows
the resulting pseudocode generated by the expansion of FLM_PROG_TRY_DOXYGEN.
if $1 == '' then
Generate WARNING if no doxygen program is found
else if $1 == 'quiet' then
Don't generate any messages
else
Generate a fatal "bad parameter" error at autoconf (autoreconf) time
end
Listing 10-9: Pseudocode for Listing 10-8’s use of the m4_if macro
Let’s examine exactly what’s going on in Listing 10-8. If arguments
one ([$1]) and two ([]) are the same, a warning message is generated when
doxygen is not found. If arguments four ([$1]) and five ([quiet]) are the same,
nothing is generated or a fatal error (via m4_fatal) is generated by Autoconf
Autotools_02.book Page 267 Tuesday, June 15, 2010 2:38 PM
www.it-ebooks.info

268 Chapter 10
when it’s executed against the calling configure.ac file. It’s very simple, once
you see how it works, and once you get the bugs worked out—which brings us
nicely to our next topic.
Diagnosing Problems
One of the most significant stumbling blocks that people run into at this point
is not so much a lack of understanding of how these macros work but a lack
of attention to detail. There are several places where things can go wrong
when writing even a simple macro like this. For example, you might have any
of the following problems:
zSpace between a macro name and the opening parenthesis
zUnbalanced brackets or parentheses
zThe wrong number of parameters
zA misspelled macro name
zIncorrectly quoted arguments to a macro
zA missing comma in a macro’s parameter list
M4 is rather unforgiving of such mistakes. Worse, its error messages can
be even more cryptic than those of make.7 If you get strange errors and you
think your macro should be working, your best diagnostic method is to scan
the definition very carefully looking for the above conditions. These mistakes
are easy to make, and in the end most problems come down to some combi-
nation of them.
Another very useful debugging tool is the m4_traceon and m4_traceoff
macro pair. The macro signatures are:
m4_traceon([name, ...])
m4_traceoff([name, ...])
All arguments are optional. When given, the arguments should be a comma-
separated list of macro names you’d like M4 to print to the output stream as
these names are encountered in the input stream. If you omit the arguments,
M4 will print the name of every macro it expands.
7. The reason for such cryptic messages in both make and M4 is that it’s very difficult for these
programs to determine the proper context for an error, if the parsing context is drastically
different with and without the error. In make, for example, a missing tab character on a
command is problematic simply because commands are only commands by virtue of the tab
character. Without it, the line looks to make like some other type of construct—perhaps a rule or
a macro definition. The same is true of M4. When a comma is missing, for instance, M4 has so
little context to go on that it appears as if two intended parameters are simply one parameter. M4
doesn’t even complain—it simply processes the errant call as if there was one less parameter
than intended (but it has no way of knowing the caller’s intention).
Autotools_02.book Page 268 Tuesday, June 15, 2010 2:38 PM
www.it-ebooks.info

Using the M4 Macro Processor with Autoconf 269
A typical trace session in M4 looks something like this:
$ m4
define(`abc', `def')dnl
define(`def', `ghi')dnl
traceon()dnl
abc
m4trace: -1- abc
m4trace: -1- def
ghi
traceoff()dnl
m4trace: -1- traceoff
<ctrl-d>$
The number between dashes in the output lines at and indicates
the nesting level which is usually 1. The value of the trace facility is that you
can easily see when the traced macros are expanded within the context of
the output text generated. The M4 tracing facility can also be enabled from
the command line with the -t or --trace options:
$ m4 --trace=abc
Or more appropriately for this discussion:
$ autoconf --trace=FLM_PROG_TRY_DOXYGEN
For more information on the use of the M4 trace options, refer to Chap-
ter 7 (specifically, Section 7.2) of the GNU M4 Manual.
NOTE The Autotools rely heavily on tracing for more than just debugging. Various of the
Autotools and their supporting utilities use traces on configure.ac to gather informa-
tion used in other stages of the configuration process. For more information on tracing
within Autoconf, refer to Section 3.4 of the GNU Autoconf Manual, entitled “Using
autoconf to Create configure.”
Summary
Using M4 is deceptively complex. On the surface it appears simple, but as
you get deeper into it, you find ways of using it that almost defy comprehen-
sion. While the complexities do exist, they’re not insurmountable. As you
become truly proficient with M4, you’ll find that your way of thinking about
certain problems changes. It’s worth gaining some M4 proficiency for that
reason alone. It’s like adding a new tool to your software engineering toolbox.
Because the very foundation of Autoconf is M4, becoming proficient with
M4 will give you more insight into Autoconf than you might think. The more
about M4 you know, the more about Autoconf you’ll understand at a glance.
Autotools_02.book Page 269 Tuesday, June 15, 2010 2:38 PM
www.it-ebooks.info

A CATALOG OF TIPS AND
REUSABLE SOLUTIONS FOR
CREATING GREAT PROJECTS
Experience is a hard teacher because
she gives the test first, the lesson afterwards.
—Vernon Sanders Law1
This chapter began as a catalog of reusable
solutions—canned macros, if you will. But
as I finished the chapters preceding this one,
it became clear to me that I needed to broaden my
definition of a canned solution. Instead of just cataloging
interesting macros, this chapter lists several unrelated-
but important tips for creating great projects. Some of
these are related to the GNU Autotools, but others are
merely good programming practice with respect to open
source and free software projects.
1. Nathan, David H. (2000). The McFarland Baseball Quotations Dictionary. McFarland & Company.
Autotools_02.book Page 271 Tuesday, June 15, 2010 2:38 PM
www.it-ebooks.info

272 Chapter 11
Item 1: Keeping Private Details out of Public Interfaces
At times, I’ve come across poorly designed library interfaces where a project’s
config.h file is required by the project’s public header files. This presents a
problem when more than one such library is required by a consumer. Which
config.h file should be included? Both have the same name, and chances are
that both provide similar or identically named definitions.
When you carefully consider the purpose of config.h, you see that it makes
little sense to expose it in a library’s public interface (by including it in any of
the library’s public header files), because its purpose is to provide platform-
specific definitions to a particular build of the library. On the other hand, the
public interface of a portable library is, by definition, platform-independent.
Interface design is a fairly general topic in computer science. This item
focuses a bit more specifically on how to avoid including config.h in your pub-
lic interfaces.
When designing a library for consumption by other projects, you’re
responsible for not polluting your consumers’ symbol spaces with useless
garbage from your header files. I once worked on a project that consumed
a library interface from another team. This team provided both a Windows
and a Unix version of their library, with the header file being portable between
the two platforms. Unfortunately, they didn’t understand the definition of a
clean interface. At some point in their public header files, they had a bit of
code that looked like Listing 11-1.
#ifdef _WIN32
# include <windows.h>
#else
typedef void * HANDLE;
#endif
Listing 11-1: A poorly designed public header file that exposes platform-specific header files
Ouch! Did they really need to include windows.h just for the definition
of HANDLE? No, and they probably should have used a different name for the
handle object in their public interface because HANDLE is too generic and could
easily conflict with a dozen other library interfaces. Something like XYZ_HANDLE
or something more specific to the XYZ library would have been a better choice.
To properly design a library, first design the public interface to expose as
little of the library’s internals as is reasonable. Now, you’ll have to determine
the definition of reasonable, but it will probably involve a compromise between
abstraction and performance.
When designing an API, start with the functionality you wish to expose
from your library; design functions that will maximize ease of use. If you find
yourself trying to decide between a simpler implementation and a simpler
user experience, always err on the side of ease of use for your consumers.
They’ll thank you by actually using your library. Of course, if the interface is
already defined by a software standard, then much of your work is done for
you. Often this is not the case, and you will have to make these decisions.
Autotools_02.book Page 272 Tuesday, June 15, 2010 2:38 PM
www.it-ebooks.info

A Catalog of Tips and Reusable Solutions for Creating Great Projects 273
Next, try to abstract away internal details. Unfortunately, the C language
doesn’t make it easy to do this because you often need to pass structure refer-
ences in public APIs containing internal details of your implementation
that consumers don’t need to see. (C++ is just as bad in this area: C++ classes
define public interfaces and private implementation details in the same
class definition.)
Solutions in C
In C, a common solution for this problem is to define a public alias for a private
structure in terms of a generic (void) pointer. Many developers don’t care for
this approach because it reduces type safety in the interface, but the loss of
type safety is significantly offset by the increase in interface abstraction, as
shown in Listings 11-2 and 11-3.
#include <abc_pub.h>
#if HAVE_CONFIG_H
# include <config.h>
#endif
typedef struct
{
/* private details */
} abc_impl;
int abc_func(abc * p)
{
abc_impl * ip = (abc_impl *)p;
/* use 'p' through 'ip' */
}
Listing 11-2: An example of a private C-language source file
typedef void abc;
int abc_func(abc * p);
Listing 11-3: abc_pub.h: A public header file describing a public interface (API)
Notice how the abstraction conveniently alleviates the need to include a
bunch of really private definitions in the library’s public interface.
Solutions in C++
In C++, hiding implementation details with interface abstraction can be done
in a few different ways, which include using virtual interfaces and the PIMPL
(Private IMPLementation) pattern.
Autotools_02.book Page 273 Tuesday, June 15, 2010 2:38 PM
www.it-ebooks.info

274 Chapter 11
The PIMPL Pattern
In the PIMPL pattern, implementation details are hidden behind a pointer
to a private implementation class stored as private data within the public
interface class, as shown in Listings 11-4 and 11-5.
#include <abc_pub.h>
#if HAVE_CONFIG_H
# include <config.h>
#endif
class abc_impl
{
/* private details */
};
int abc::func(void)
{
/* use 'pimpl' pointer */
}
Listing 11-4: A private C++-language source file showing the proper use of the PIMPL pattern
class abc_impl;
class abc {
abc_impl * pimpl;
public:
int func(void);
};
Listing 11-5: abc_pub.h: The public header file exposes few private details via the PIMPL
pattern.
The C++ language allows the use of a forward declaration (like the one at )
for any types used only through references or pointers (as at ) but never
actually dereferenced in the public interface. Thus, the definition of the
implementation class need not be exposed in the public interface, because
the compiler will happily compile the public interface header file without the
definition of the private implementation class.
The performance trade-off here generally involves the dynamic alloca-
tion of an instance of the private implementation class, and then accessing
class data indirectly through this pointer, rather than directly in the public
structure. Notice how all internal details are now conveniently hidden, and
thus not required by the public interface.
C++ Virtual Interfaces
Another approach when using C++ is to define a public interface class, whose
methods are declared pure virtual, with the interface implemented internally
by the library. To access an object of this class, consumers call a public factory
function, which returns a pointer to the implementation class in terms of the
Autotools_02.book Page 274 Tuesday, June 15, 2010 2:38 PM
www.it-ebooks.info

A Catalog of Tips and Reusable Solutions for Creating Great Projects 275
interface definition. Listings 11-6 and 11-7 illustrate the concept of C++ vir-
tual interfaces.
#include <abc_pub.h>
#if HAVE_CONFIG_H
# include <config.h>
#endif
class abc_impl : public abc {
/* implementation of virtual methods */
};
Listing 11-6: A private C++-language source file implementing a pure virtual interface
#define xyz_interface class
xyz_interface abc {
public:
virtual int func(void) = 0;
};
abc * abc_instantiate( /* abc_impl ctor params */ );
Listing 11-7: abc_pub.h: A public C++-language header file, providing only the interface
definition
Here I use the C++ preprocessor to define a new keyword, xyz_interface.
By definition, xyz_interface is synonymous with class, so the terms may be used
interchangeably. The idea here is that an interface doesn’t expose any imple-
mentation details to the consumer. The public factory function abc_instantiate
at returns a pointer to a new object of type abc_impl, except in terms of abc.
Thus, nothing internal need be shown to the caller in the public header file.
It may seem like the virtual interface class method is more efficient than
the PIMPL method, but the fact is that most compilers implement virtual
function calls as tables of function pointers referred to by a hidden vptr address
within the implementation class. As a result, you still end up calling all of
your public methods indirectly through a pointer. The technique you choose
to use to help you hide your implementation details is more a matter of per-
sonal preference than performance.
When I design a library, I first design a minimal, but complete, functional
interface with as much of my internal implementation abstracted away as is
reasonable. I try to use only standard library basic types, if possible, in my
function prototypes, and then include only the C or C++ standard header
files required by the use of those types and definitions. This technique is the
fastest way I’ve found to create a highly portable and maintainable interface.
If you still can’t see the value in the advice offered by this item, then let
me give you one more scenario to ponder. Consider what happens when a
Linux distro packager decides to create a devel package for your library—that
is, a package containing static libraries and header files, designed to be installed
Autotools_02.book Page 275 Tuesday, June 15, 2010 2:38 PM
www.it-ebooks.info
276 Chapter 11
into the /usr/lib and /usr/include directories on a target system. Every header
file required by your library must be installed into the /usr/include directory.
If your library’s public interface requires the inclusion of your config.h file,
then by extension, your config.h file must be installed into the /usr/include
directory. Now consider what happens when multiple such libraries need to
be installed. Which copy of config.h will win? Only one config.h file can exist in
/usr/include.
I’ve seen message threads on the Autotools mailing lists defending the
need to publish config.h in a public interface and providing techniques for
naming config.h in a package-specific manner. These techniques often
involve some form of post-processing of this file to rename its macros so they
don’t conflict with config.h definitions installed by other packages. While this
can be done, and while there are a few good reasons for doing so (usually
involving a widely used legacy code base that can’t be modified without
breaking a lot of existing code), these situations should be considered the
exception, not the rule, because a well-designed project should not need to
expose platform- and project-specific definitions in its public interface.
If your project simply can’t live without config.h in its public interface,
explore the nuances of the AC_CONFIG_HEADERS macro. Like all of the instantiat-
ing macros, this macro accepts a list of input files. The autoheader utility only
writes the first input file in the list, so you can hand-create a second input file
that contains definitions that you feel must be included in your public inter-
face. Remember to name your public input file so as to reduce conflict with
other packages’ public interfaces.
NOTE Also, explore the AX_PREFIX_CONFIG_H macro, found in the Autoconf Macro Archive (see
“Item 8: Using the ac-archive Project” on page 298), which will add a custom prefix to
all items found in config.h.
Item 2: Implementing Recursive Extension Targets
An extension target is a make target that you write to accomplish some build
goal that Automake doesn’t automatically support. A recursive extension target
is one that traverses your project directory structure, visiting every Makefile.am
file in your Autotools build system and giving each one the opportunity to do
some work when the extension target is made.
When you add a new top-level target to your build system, you have to
either tie it into an existing Automake target, or add your own make code to
the desired target that traverses the subdirectory structure provided by Auto-
make in your build system.
The SUBDIRS variable is used to recursively traverse all subdirectories of
the current directory, passing requested build commands into the makefiles
in these directories. This works great for targets that must be built based on
configuration options, because after configuration, the SUBDIRS variable con-
tains only those directories destined to be built.
However, if you need to execute your new recursive target in all subdi-
rectories, regardless of any conditional configuration that might exclude a
subdirectory specified in SUBDIRS, use the DIST_SUBDIRS variable instead.
Autotools_02.book Page 276 Tuesday, June 15, 2010 2:38 PM
www.it-ebooks.info

A Catalog of Tips and Reusable Solutions for Creating Great Projects 277
There are various ways to traverse the build hierarchy, including some
really simple one-liners provided by GNU make–specific syntax. But the most
portable way is to use the technique that Automake itself uses, as shown in
Listing 11-8.
my-recursive-target:
$(preorder_commands)
for dir in $(SUBDIRS); do \
(cd $$dir && $(MAKE) $(AM_MAKEFLAGS) $@) || exit 1; \
done
$(postorder_commands)
.PHONY: my-recursive-target
Listing 11-8: A makefile with a recursive target—WARNING: no support for “.” in SUBDIRS
At some point in the hierarchy, you’ll need to do something useful besides
calling down to lower levels. The preorder_commands macro at can be used to
do things that must be done before recursing into lower-level directories. The
postorder_commands macro at can likewise be used to do additional things
once you return from the lower-level directories. Simply define either or both
of these macros in any makefiles that need to do some pre-order or post-order
processing for my-recursive-target.
For example, if you want to build some generated documentation, you
might have a special target called doxygen. Even if you happen to be okay with
building your documentation in the top-level directory, there may be times
when you need to distribute the generation of your documentation to various
directories within your project hierarchy. You might use code similar to that
shown in Listing 11-9 in each Makefile.am file in your project.
# uncomment if doxyfile exists in this directory
# postorder_commands = $(DOXYGEN) $(DOXYFLAGS) doxyfile
doxygen:
$(preorder_commands)
for dir in $(SUBDIRS); do \
(cd $$dir && $(MAKE) $(AM_MAKEFLAGS) $@) || exit 1; \
done
$(postorder_commands)
.PHONY: doxygen
Listing 11-9: Implementing post order commands for a doxygen directory
For directories where doxyfile doesn’t exist, you can comment out (or better
yet, simply omit) the postorder_commands macro definition at . In this case, the
doxygen target will be harmlessly propagated to the next lower level in the build
tree by the three lines of shell code at .
Autotools_02.book Page 277 Tuesday, June 15, 2010 2:38 PM
www.it-ebooks.info

278 Chapter 11
The exit statement at the end of ensures that the build terminates
when a lower-level makefile fails on the recursive target, propagating the
shell error code (1) back up to each parent makefile until the top-level shell
is reached. This is important; without it, the build may continue after a failure
until a different error is encountered.
NOTE I chose not to use the somewhat less portable -C make command-line option to change
directories before running the sub-make operation.
If you choose to implement a completely recursive global target in this
manner, then you must include Listing 11-9 in every Makefile.am file in your
project, even if that makefile has nothing to do with the generation of docu-
mentation. If you don’t, then make will fail on that makefile because no doxygen
target exists within that makefile. The commands may do nothing, but the
target must exist.
If you want to do something simpler, such as pass a target down to a single
subdirectory beneath the top-level directory (such as a doc directory just below
the top), life becomes easier. Just implement the code shown in Listings 11-10
and 11-11.
doxygen:
cd doc && $(MAKE) $(AM_MAKEFLAGS) $@
.PHONY: doxygen
Listing 11-10: A top-level makefile that propagates a target to a single subdirectory
doxygen:
$(DOXYGEN) $(DOXYFLAGS) doxyfile
.PHONY: doxygen
Listing 11-11: doc/Makefile.am: The code to handle the new target
The shell statement at in the top-level makefile in Listing 11-10 simply
passes the target (doxygen) down to the desired directory (doc).
NOTE The variables DOXYGEN and DOXYFLAGS are assumed to exist by virtue of some macro or
shell code executed within the configure script.
Automake recursive targets are more sophisticated in that they also support
make’s -k command-line option to continue building after errors. Additionally,
Automake’s recursive target implementation supports the use of the dot (.)
in the SUBDIRS variable, which represents the current directory. You may also
support these features, but if you do, your boilerplate recursive make shell code
will be messier. For the sake of completeness, Listing 11-12 shows an imple-
mentation that supports these features. Compare this listing to Listing 11-8.
The bolded shell code shows the differences between these listings.
Autotools_02.book Page 278 Tuesday, June 15, 2010 2:38 PM
www.it-ebooks.info

A Catalog of Tips and Reusable Solutions for Creating Great Projects 279
my-recursive-target:
$(preorder_commands)
@failcom='exit 1'; \
for f in x $$MAKEFLAGS; do \
case $$f in \
*=* | --[!k]*);; \
*k*) failcom='fail=yes';; \
esac; \
done; \
for dir in $(SUBDIRS); do \
if test "$$dir" != .; then \
(cd $$dir && $(MAKE) $(AM_MAKEFLAGS) $@) || eval $$failcom; \
fi; \
done
$(postorder_commands)
.PHONY: my-recursive-target
Listing 11-12: Adding make -k and a check for the current directory
At the case statement checks for a -k option in the MAKEFLAGS environment
variable and, on finding it, sets the failcom shell variable to some innocuous shell
code. If it’s not found, then failcom is left at its default value, exit 1, which is
then inserted where an exit should occur on error. The if statement within
the for loop at simply skips the recursive call for the dot entry in SUBDIRS.
As with the previous examples, for the current directory, the functionality
of the recursive target is found entirely within the $(preorder_commands) and
$(postorder_commands) macro expansions.
I’ve tried to show you in this item that you can do as much or as little as
you like with your own recursive targets. Most of the implementation is sim-
ply shell code in the command.
Item 3: Using a Repository Revision Number in a
Package Version
Version control is an important part of every project. Not only does it protect
intellectual property, but it also allows the developer to back up and start again
after a long series of mistakes. One advantage of version control systems like
Subversion is that the system assigns a unique revision number to every change
to a project’s repository. This means that any distribution of the project’s source
code can be logically tied to a particular repository revision number. This
item presents a technique you can use to automatically insert a repository
revision number into your package’s Autoconf version string.
Arguments to the Autoconf AC_INIT macro must be static text. That is, they
can’t be shell variables, and Autoconf will flag attempts to use shell variables
in these arguments as errors. This is all well and good until you want to calcu-
late any portion of your package’s version number during the configuration
process.
Autotools_02.book Page 279 Tuesday, June 15, 2010 2:38 PM
www.it-ebooks.info

280 Chapter 11
I once tried to use a shell variable in AC_INIT’s VERSION argument so that I
could substitute my Subversion revision number into the VERSION argument
when configure was executed. I spent a couple of days trying to figure out
how to trick Autoconf into letting me use a shell variable as a revision field
in my package’s version number. Eventually, I discovered the trick shown in
Listing 11-13, which I implemented in my configure.ac file and in my top-level
Makefile.am file.
SVNREV=`( svnversion $srcdir | sed 's/:.*//' ) 2>/dev/null`
if { ! ( svnversion ) >/dev/null 2>&1 || test "$SVNREV" = "exported"; } ;
then SVNREV=`cat $srcdir/SVNREV`
else echo $SVNREV>$srcdir/SVNREV
fi
AC_SUBST(SVNREV)
Listing 11-13: configure.ac: Implementing a dynamic revision number as part of the
package version
Here, the shell variable SVNREV is set at to the output of the svnversion
command, as executed on the project top-level directory. The output is piped
through sed to remove all text following an embedded colon character. This
gives us a raw Subversion revision number—that is, if the code is executed in
a true Subversion work area, which isn’t always the case.
When a user executes this configure script from a distribution tarball,
Subversion may not even be installed on his workstation. Even if it is, the top-
level project directory comes from the tarball, not a Subversion repository. To
handle these situations, the line at checks to see if Subversion is not installed
or if the output from the first line was the word exported, the result of executing
the svnversion utility on a non-work-area directory.
If either of these cases is true, the SVNREV variable is populated at from
the contents of a file called SVNREV. The project should be configured to ship the
SVNREV file with a distribution tarball containing the configuration code in
Listing 11-13. This must be done because if the svnversion generates a true
Subversion repository revision number, that value is immediately written to
the SVNREV file by the else clause of this if statement at .
Finally, the call to AC_SUBST at substitutes the SVNREV variable into template
files, including the project makefiles.
In the top-level Makefile.am file, I ensure that the SVNREV file becomes
part of the distribution tarball by adding it to the EXTRA_DIST list. Thus, when a
distribution tarball is created and published by the maintainer, it contains an
SVNREV file with the source tree revision number used to generate the tarball
from this source code. The value in the SVNREV file is also used when a tar-
ball is generated from the source code in this tarball (via make dist). This is
accurate because the original tarball was actually generated from this particular
revision of the Subversion repository.
Autotools_02.book Page 280 Tuesday, June 15, 2010 2:38 PM
www.it-ebooks.info

A Catalog of Tips and Reusable Solutions for Creating Great Projects 281
Generally, it’s not particularly important that a project’s distribution tarball
be able to generate a proper distribution tarball, but an Automake-generated
tarball can do so without this modification, so it should also be able to do so
with it. Listing 11-14 shows the relevant changes to the top-level Makefile.am
file in bold.
EXTRA_DIST = SVNREV
distdir = $(PACKAGE)-$(VERSION).$(SVNREV)
Listing 11-14: Makefile.am: A top-level makefile configured for SVN revision numbers
In Listing 11-14, the distdir variable controls the name of the distribution
directory and the tarball filename generated by Automake. Setting this vari-
able in the top-level Makefile.am file affects the generation of the distribution
tarball, because that Makefile.am file is where this functionality is located in
the final generated Makefile.
NOTE Note the similarity of the SVNREV filename and the SVNREV make variable [$(SVNREV)]
in Listing 11-14. Although they appear to be the same, the text added to the EXTRA_DIST
line refers to the SVNREV file in the top-level project directory, while the text added to the
distdir variable refers to a make variable.
For most purposes, setting distdir in the top-level Makefile.am file should
be sufficient. However, if you need distdir to be formatted correctly in another
Makefile.am file in your project, just set it in that file as well.
The technique presented in this item does not automatically reconfigure
the project to generate a new SVNREV file when you commit new changes
(and so change the Subversion revision used in your build). I could have
added this functionality with a few well-placed make rules, but that would have
forced the build to check for commits with each new build.2
Item 4: Ensuring Your Distribution Packages Are Clean
Have you ever downloaded and unpacked an open source package, and tried
to run configure && make only to have it fail half way through one of these steps?
As you dug into the problem, perhaps you discovered missing files in the tarball.
How sad to have this happen in an Autotools project, when the Autotools
make it so easy to ensure that this simply doesn’t happen.
To ensure that your distribution tarballs are always clean and complete,
run the distcheck target on a newly created tarball. Don’t be satisfied with
what you believe about your package. Allow Automake to run the distribution
unit tests. I call these tests unit tests because they provide the same testing
functionality for a distribution package that regular unit tests provide for
your source code.
2. My work habits are such that I tend to regenerate a build tree from scratch before releasing a
new distribution package, so this issue doesn’t really affect me that much.
Autotools_02.book Page 281 Tuesday, June 15, 2010 2:38 PM
www.it-ebooks.info

282 Chapter 11
You’d never make a code change and ship a package without running
your unit tests, would you? (If so, then you can safely skip this section.) Likewise,
don’t ship your tarballs without running the build system unit tests—run make
distcheck on your project before posting your new tarballs. If the distcheck target
fails, find out why and fix it. The payoff is worth the effort.
Item 5: Hacking Autoconf Macros
Occasionally you need a macro that Autoconf doesn’t quite provide. That’s
when it pays to know how to copy and modify existing Autoconf macros.3
For example, here’s a solution to a common Autoconf mailing list issue.
A user wants to use AC_CHECK_LIB to capture a desired library in the LIBS variable.
The catch is that this library exports functions with C++, rather than C link-
age. AC_CHECK_LIB is not very accommodating when it comes to C++, primarily
because AC_CHECK_LIB makes certain assumptions about symbols exported with
C linkage that just don’t apply to C++ symbols.
For example, the widely known (and standardized) rules of C linkage state
that an exported C-linkage symbol (also known as the cdecl calling convention
on Intel systems) is case sensitive and decorated with a leading underscore,4
whereas a symbol exported with C++ linkage is mangled using nonstandard,
vendor-defined rules. The decorations are based on the signature of the
function—specifically, the number and types of parameters, and the classes
and/or namespaces to which the function belongs. But the exact scheme is
not defined by the C++ standard.
Now, stop and consider under what circumstances you’re likely to have
symbols exported from a library using C++ linkage. There are two ways to
export C++ symbols from a library. The first is to (either purposely or acciden-
tally) export global functions without using the extern "C" linkage specification
on your function prototypes. The second is to export entire classes— including
public and protected methods and class data.
If you’ve accidentally forgotten to use extern "C" on your global functions,
well then, stop it. If you’re doing it on purpose, then I wonder why? The only
reason I can think of is that you want to export more than one function of
the same name. This seems a rather trivial reason to keep your C developers
from being able to use your library.
If you’re exporting classes, now that’s another story. In this case, you’re
catering specifically to C++ users, which presents a real issue with AC_CHECK_LIB.
Autoconf provides a framework around the definition of AC_CHECK_LIB
that allows for differences between C and C++. If you use the AC_LANG([C++])
macro before you call AC_CHECK_LIB, you’ll generate a version of the test program
that’s specific to C++. But don’t get your hopes up; the current implementation
of the C++ version is simply a copy of the C version. I expect that a generic
C++ implementation would be difficult at best to design.
3. This technique is also an excellent way to learn your way around Autoconf-provided macros.
4. The cdecl keyword or attribute does not decorate the symbol with a leading underscore on
some systems.
Autotools_02.book Page 282 Tuesday, June 15, 2010 2:38 PM
www.it-ebooks.info

A Catalog of Tips and Reusable Solutions for Creating Great Projects 283
But all is not lost. While a generic implementation would be difficult, as
the project maintainer you can easily write a project-specific version of the
test code using AC_CHECK_LIB’s test code.
First we need to find the definition of the AC_CHECK_LIB macro. A grep of
the Autoconf macro directory (usually /usr/(local/)share/autoconf/autoconf )
should quickly locate the definition of AC_CHECK_LIB in the file called libs.m4.
Because most macro definitions start with a comment header containing a
hash mark and then the name of the macro and a single space, the following
should work.
$ cd /usr/share/autoconf/autoconf
$ grep "^# AC_CHECK_LIB" *.m4
libs.m4:# AC_CHECK_LIB(LIBRARY, FUNCTION,
$
The definition of AC_CHECK_LIB is shown in Listing 11-15.5
# AC_CHECK_LIB(LIBRARY, FUNCTION,
# [ACTION-IF-FOUND], [ACTION-IF-NOT-FOUND],
# [OTHER-LIBRARIES])
...
# freedom.
AC_DEFUN([AC_CHECK_LIB],
[m4_ifval([$3], , [AH_CHECK_LIB([$1])])dnl
AS_LITERAL_IF([$1], [AS_VAR_PUSHDEF([ac_Lib], [ac_cv_lib_$1_$2])],
[AS_VAR_PUSHDEF([ac_Lib], [ac_cv_lib_$1''_$2])])dnl
AC_CACHE_CHECK([for $2 in -l$1], [ac_Lib],
[ac_check_lib_save_LIBS=$LIBS
LIBS="-l$1 $5 $LIBS"
AC_LINK_IFELSE([AC_LANG_CALL([], [$2])],
[AS_VAR_SET([ac_Lib], [yes])],
[AS_VAR_SET([ac_Lib], [no])])
LIBS=$ac_check_lib_save_LIBS])
AS_VAR_IF([ac_Lib], [yes],
[m4_default([$3], [AC_DEFINE_UNQUOTED(AS_TR_CPP(HAVE_LIB$1))
LIBS="-l$1 $LIBS"
])],
[$4])dnl
AS_VAR_POPDEF([ac_Lib])dnl
])# AC_CHECK_LIB
Listing 11-15: The definition of AC_CHECK_LIB, as found in libs.m4
This apparent quagmire is easily sorted out with a little analysis. The macro
appears to accept up to five arguments (as shown in the comment header), the
first two of which are required. The bolded portion is the macro definition—
the part we’ll copy into our configure.ac file and modify to work with our C++
exports.
5. This version of AC_CHECK_LIB is from Autoconf version 2.63. Portions of the macro were rewritten in
version 2.64, but this version is a bit easier to understand and analyze.
Autotools_02.book Page 283 Tuesday, June 15, 2010 2:38 PM
www.it-ebooks.info

284 Chapter 11
Recall from Chapter 10 that the placeholders for M4 macro definition
parameters are similar to those of shell scripts: a dollar sign followed by a
number. The first parameter is represented by $1, the second by $2, and so
on. We need to determine which parameters are important to us and which
ones to discard. We know that most calls to AC_CHECK_LIB pass only the first two
arguments. The third and fourth parameters are optional and exist only so
that you can change the macro’s default behavior depending on whether it
locates the desired function in the specified library. The fifth parameter allows
you to provide a list of additional linker command-line arguments (usually
additional library and library directory references) that are required to prop-
erly link the desired library.
Say we have a C++ library that exports a class’s public data and methods.
Our library is named fancy, our class is Fancy, and the method we’re inter-
ested in is called execute—specifically the execute method that accepts two
integer arguments. Thus, its signature would be
Fancy::execute(int, int)
When exported with C linkage, such a function would be presented to
the linker merely as _execute (or simply as execute, without the leading under-
score, on some platforms), but when exported with C++ linkage, all bets are
off because of vendor-specific name-mangling.
The only way to get the linker to find this symbol is to declare it in com-
piled source code with exactly this signature, but we don’t supply enough
information to AC_CHECK_LIB to properly declare the function signature in the
test code. Here’s the declaration required to tell the compiler how to properly
mangle this method’s name:
class Fancy { public: void execute(int,int); };
Assuming that we’re looking for a function with C linkage called execute,
the AC_CHECK_LIB macro generates a small test program like the one shown in
Listing 11-16. I’ve bolded our function name, so you can easily see where the
macro inserts it into the generated test code.
/* confdefs.h. */
#define PACKAGE_NAME ""
#define PACKAGE_TARNAME ""
#define PACKAGE_VERSION ""
#define PACKAGE_STRING ""
#define PACKAGE_BUGREPORT ""
/* end confdefs.h. */
/* Override any GCC internal prototype to avoid an error.
Use char because int might match the return type of a GCC
builtin and then its argument prototype would still apply. */
#ifdef __cplusplus
extern "C"
#endif
Autotools_02.book Page 284 Tuesday, June 15, 2010 2:38 PM
www.it-ebooks.info

A Catalog of Tips and Reusable Solutions for Creating Great Projects 285
char execute();
int
main ()
{
return execute();
;
return 0;
}
Listing 11-16: An Autoconf-generated check for the global C-language execute function
Except for these two uses of the specified function name, the entire test
program is identical for every call to AC_CHECK_LIB. This macro creates a com-
mon prototype for all functions, so that all functions are treated the same
way. Clearly, however, not all functions accept no parameters and return a
character, as defined in this code. AC_CHECK_LIB effectively lies to the compiler
about the true nature of the function. The test only cares whether the test
program can successfully be linked; it will never attempt to execute it (an
operation that would fail spectacularly in most cases).
For C++ symbols, we need to generate a different test program; one that
makes no assumptions about the signature of our exported symbol.
Looking back at in Listing 11-15, it appears as if the AC_LANG_CALL macro
has something to do with the generation of the test code in Listing 11-16
because the output of AC_LANG_CALL is generated directly into the first argument
of a call to AC_LINK_IFELSE; it’s first argument is source code to be tested with
the linker. As it turns out, this macro too is a higher-level wrapper around
another macro, the AC_LANG_PROGRAM macro. Listing 11-17 shows the definitions
of both macros. I’ve bolded the macro names for the sake of clarity.
# AC_LANG_CALL(C)(PROLOGUE, FUNCTION)
# -----------------------------------
# Avoid conflicting decl of main.
m4_define([AC_LANG_CALL(C)],
[AC_LANG_PROGRAM([$1
m4_if([$2], [main], ,
[/* Override any GCC internal prototype to avoid an error.
Use char because int might match the return type of a GCC
builtin and then its argument prototype would still apply. */
#ifdef __cplusplus
extern "C"
#endif
char $2 ();])], [return $2 ();])])
# AC_LANG_PROGRAM(C)([PROLOGUE], [BODY])
# --------------------------------------
m4_define([AC_LANG_PROGRAM(C)],
[$1
m4_ifdef([_AC_LANG_PROGRAM_C_F77_HOOKS], [_AC_LANG_PROGRAM_C_F77_HOOKS])[]dnl
m4_ifdef([_AC_LANG_PROGRAM_C_FC_HOOKS], [_AC_LANG_PROGRAM_C_FC_HOOKS])[]dnl
int
Autotools_02.book Page 285 Tuesday, June 15, 2010 2:38 PM
www.it-ebooks.info

286 Chapter 11
main ()
{
dnl Do *not* indent the following line: there may be CPP directives.
dnl Don't move the `;' right after for the same reason.
$2
;
return 0;
}])
Listing 11-17: The definitions of AC_LANG_CALL and AC_LANG_PROGRAM
At , AC_LANG_CALL generates a call to AC_LANG_PROGRAM, passing the the
PROLOGUE argument in the first parameter. At , this prologue (in the form of
$1) is immediately sent to the output stream. If the second argument passed
to AC_LANG_CALL (FUNCTION) is not main, an extern “C” function prototype is gen-
erated for the function. At , the text return $2 (); is passed as the BODY
argument to AC_LANG_PROGRAM, which uses this text at to generate a call to
the function. (Remember that this code will only be linked, never executed.)
For C++, we need to be able to define more of the test program so
that it makes no assumptions about the prototype of our exported symbol,
and AC_LANG_CALL is too specific to C, so we’ll use the lower-level macro, AC_LANG_
PROGRAM, instead. Listing 11-18 shows how we might rework AC_CHECK_LIB to handle
the function Fancy::execute(int, int) from a library called fancy. I’ve bolded the
places where I’ve modified the original macro definition of Listing 11-15 on
page 283.
AC_PREREQ(2.59)
AC_INIT(test, 1.0)
AC_LANG(C++)
# --- A modified version of AC_CHECK_LIB
m4_ifval([], , [AH_CHECK_LIB([fancy])])dnl
AS_VAR_PUSHDEF([ac_Lib], [ac_cv_lib_fancy_execute])dnl
AC_CACHE_CHECK([whether -lfancy exports Fancy::execute(int,int)], [ac_Lib],
[ac_check_lib_save_LIBS=$LIBS
LIBS="-lfancy $LIBS"
AC_LINK_IFELSE([AC_LANG_PROGRAM(
[[class Fancy {
public: void execute(int i, int j);
};]],
[[ MyClass test;
test.execute(1, 1);]])],
[AS_VAR_SET([ac_Lib], [yes])],
[AS_VAR_SET([ac_Lib], [no])])
LIBS=$ac_check_lib_save_LIBS])
AS_VAR_IF([ac_Lib], [yes],
[AC_DEFINE_UNQUOTED(AS_TR_CPP(HAVE_LIBFANCY))
LIBS="-lfancy $LIBS"
],
[])dnl
AS_VAR_POPDEF([ac_Lib])dnl
Autotools_02.book Page 286 Tuesday, June 15, 2010 2:38 PM
www.it-ebooks.info

A Catalog of Tips and Reusable Solutions for Creating Great Projects 287
# --- End of modified version of AC_CHECK_LIB
AC_OUTPUT
Listing 11-18: Hacking a modified version of AC_CHECK_LIB into configure.ac
In Listing 11-18 I’ve replaced the parameter placeholders with library
and function names at and and added the prologue and body of the
program to be generated by AC_LANG_PROGRAM at . I’ve also removed some
extraneous text that had specifically to do with the optional parameters of
AC_CHECK_LIB that I don’t care about in my version.
This code is much longer and more difficult to understand than a simple
call to AC_CHECK_LIB, so it just begs to be turned into a macro. I’ll leave that to
you as an exercise. Having read Chapter 10, you should be able to do this with-
out too much difficulty.
Providing Library-Specific Autoconf Macros
This item is about hacking Autoconf macros when you need special features
not provided by the standard macros, but the example I used was specifically
about looking for a particular function in a library. This is a special case of a
more general issue: finding libraries that provide desired functionality.
If you’re a library developer, consider providing downloadable Autoconf
macros that test for the existence of your libraries, and perhaps version-specific
functionality within them. By doing so, you make it easier for your users to
ensure that their users have proper access to your libraries.
Such macros don’t have to be general purpose in nature, because they’re
tailored to a specific library. Library-specific macros are much easier to write
and can be more thorough in testing for the functionality of the library.
Item 6: Cross-Compiling
Cross-compilation occurs when the build system (the system on which the binaries
are built) and the host system (the system on which those binaries are meant
to be executed) are not of the same types. For example, we’re cross-compiling
when we build Motorola 68000 binaries for an embedded system on a typical
Intel x86 platform such as GNU/Linux, or when we build Sparc binaries on a
DEC Alpha system. A far more common scenario is using your Linux system
to build software designed to run on an embedded microprocessor.
The situation becomes even more complex if the software you’re building,
such as a compiler or linker, can generate software. In this case, the target
system represents the system for which your compiler or linker will ultimately
generate code. When such a build system involves three different architectures,
it’s often referred to as a Canadian cross.6 In this case, a compiler or linker is
built on architecture A to run on architecture B and generate code for archi-
tecture C. Another type of three-system build, called a cross-to-native build,
6. The name comes from the fact that during early discussions of cross-compilation issues on the
Internet, Canada had three political parties.
Autotools_02.book Page 287 Tuesday, June 15, 2010 2:38 PM
www.it-ebooks.info
288 Chapter 11
involves building an architecture-A compiler on architecture A to run on
architecture B. In this case, three architectures are involved, but the host and
target architectures are the same. Once you master the concepts of dual-system
cross-compilation, moving on to using a three-system cross-compile mode is
fairly simple.
Autoconf generates configuration scripts that attempt to guess the build
system type, and then assume that the host system type is the same. Unless
told otherwise with command-line options, configure assumes that non-cross
compilation mode is in effect. When executed without command-line options
that specify the build or host system types, an Autoconf-generated configura-
tion script can usually accurately determine system type and characteristics.
NOTE Section 14, “Manual Configuration,” of the GNU Autoconf Manual discusses how
to put Autoconf into cross-compilation mode. Unfortunately, the information that you’ll
need in order to write proper configure.ac files for cross-compilation is spread through-
out that manual in bits and pieces. Each macro with nuances specific to cross-compilation
has a paragraph describing the effects of cross-compilation mode on that macro. Search
the manual for “cross-comp” to find all the references.
System types are defined in the GNU Autoconf Manual in terms of a three-
part canonical naming scheme involving CPU, vendor, and operating system,
in the form cpu-vendor-os. But the os portion can itself be a pair containing a
kernel and system type (kernel-system). If you know a canonical name for a
system, you can specify it in each of three parameters to configure, as follows:
--build=build-type
--host=host-type
--target=target-type
These configure command-line options, with correct canonical system type
names, allow you to define the build, host, and target system types. (Defining
the host system type to be the same as your build system type is redundant,
because this is the default case for configure.)
One of the most challenging (and least documented) aspects of using
these options is determining a proper canonical system name to use in these
command-line options. Nowhere in the GNU Autoconf Manual will you find a
statement that tells you how to contrive a proper canonical name because
canonical names are not unique for each system type. For instance, in most
valid cross-compilation configurations, the vendor portion of the canonical
name is simply ignored, and can thus be set to anything.
When you use the AC_CANONICAL_SYSTEM macro early in your configure.ac file,
you’ll find two new Autoconf helper scripts added to your project directory
(by automake --add-missing, which is also executed by autoreconf --install);
specifically, config.guess and config.sub. The job of config.guess is to deter-
mine, through heuristics, the canonical system name for your user’s system—
the build system. You can execute this program yourself to determine an
appropriate canonical name for your own build system. For instance, from a
Autotools_02.book Page 288 Tuesday, June 15, 2010 2:38 PM
www.it-ebooks.info

A Catalog of Tips and Reusable Solutions for Creating Great Projects 289
copy of the jupiter-libtool-ch6 directory (found in this book’s downloadable
archive7) on my 64-bit Intel GNU/Linux system, I get the following output
from config.guess:
$ autoreconf –i
...
$ ./config.guess
x86_64-unknown-linux-gnu
$
As you can see here, config.guess requires no command-line options,
although there are a few available. (Use the --help option to see them.) Its
job is to guess your system type, mostly based on the output of the uname utility.
This guess is used as a default system type that can be overridden by a user on
the configure command line. When cross-compiling, you can use this value in
your --build command-line option.8
The task of the config.sub program is to accept an input string as a sort
of alias for a system type that you’re looking for, and convert it to a proper
Autoconf canonical name. But what is a valid alias? For a few clues, search for
“Decode aliases” within config.sub. You’ll likely find a comment above a bit of
code whose job it is to decode aliases for certain CPU-COMPANY combinations.
Here are a few examples executed from my 64-bit Linux machine:
$ ./config.sub i386
i386-pc-none
$ ./config.sub i386-linux
i386-pc-linux-gnu
$ ./config.sub m68k
m68k-unknown-none
$ ./config.sub m68k-sun
m68k-sun-sunos4.1.1
$ ./config.sub alpha
alpha-unknown-none
$ ./config.sub alpha-dec
alpha-dec-ultrix4.2
$ ./config.sub sparc
sparc-sun-sunos4.1.1
$ ./config.sub sparc-sun
sparc-sun-sunos4.1.1
$ ./config.sub mips
mips-unknown-elf
$
As you can see, a lone CPU name is usually not quite enough information
for config.sub to properly determine a useful canonical name for a desired
host system.
7. The archive is available from the No Starch Press website at http://nostarch.com/autotools.htm/.
8. For normal two-system cross-compilation mode you shouldn’t have to specify the build system
type, only the host system type. However, for historical and backward-compatibility reasons, always
use the --build option when you use --host. Specify the build system type as your actual build
system type (such as i686-pc-linux-gnu, on an Intel x86 GNU/Linux system). This requirement
will be relaxed in a future version of Autoconf.
Autotools_02.book Page 289 Tuesday, June 15, 2010 2:38 PM
www.it-ebooks.info

290 Chapter 11
Notice too that there are a few generic keywords that can sometimes
provide enough information for cross-compilation, without actually providing
true vendor or operating system names. For instance, unknown can be substi-
tuted for the vendor name in general, and none is occasionally appropriate
for the operating system name. Clearly elf is a valid system name as well, and
can be enough in some circumstances for configure to determine which tool
chain to use. However, by simply appending a proper vendor name to the
CPU, config.sub can take a pretty good stab at coming up with the most likely
operating system for that pair, and generate a useful canonical system type
name.
Ultimately, the best way to determine a proper canonical system type
name is to examine config.sub for something close to what you think you
should be using for a CPU and a vendor name, and then simply ask it. While
this may seem like a shot in the dark, chances are good that if you’ve gotten
to the point of writing a build system for a program that should be cross-
compiled, you’re probably already very familiar with the names of your host
CPU, vendor, and operating system.
When cross-compiling, you’ll most likely use tools other than the ones
you normally use on your system, or at the very least, additional command-
line options on your normal tools. Such tools are usually installed in sets as
packages. Another clue to a proper host system canonical name is the prefix
of these tools’ names. There’s nothing magic in the way Autoconf handles
cross-compilation. The host system canonical name is used directly to locate
the proper tools by name in the system path. Thus, the host system canonical
name you use will have to match the prefix on your tools.
Now let’s examine a common scenario: building 32-bit code on a 64-bit
machine of the same CPU architecture. Technically, this is a form of cross-
compilation and it’s often a much simpler scenario than cross-compiling
code for an entirely different machine architecture. Many GNU/Linux systems
support both 32- and 64-bit execution. On these systems, you can often use
your build system’s toolchain to perform this task with special command-line
options. For example, to build C source code for a 32-bit Intel system on a
64-bit Intel system, you would simply use the following configure command
line.9 I’ve bolded the lines related to cross-compilation:
$ ./configure CPPFLAGS=-m32 LDFLAGS=-m32
checking for a BSD-compatible install... /usr/bin/install -c
checking whether build environment is sane... yes
checking for a thread-safe mkdir -p... /bin/mkdir -p
checking for gawk... gawk
checking whether make sets $(MAKE)... yes
checking build system type... x86_64-unknown-linux-gnu
checking host system type... x86_64-unknown-linux-gnu
9. Why not use CFLAGS? Using CPPFLAGS (C-PreProcessor FLAGS) has two positive effects: It properly
renders C-preprocessor tests that rely on bit size, and it allows C++ compilers (which would
normally honor CXXFLAGS over CFLAGS) to correctly define the proper bit size as well. Another
popular option is to specify CC="gcc –m32", thereby changing the compiler type to that of a 32-bit
compiler. I’ve added –m32 to both CPPFLAGS and LDFLAGS so the linker will also be notified of the
architecture change. If you add –m32 to the CC variable, you don’t need to do this because the
linker is called via the compiler.
Autotools_02.book Page 290 Tuesday, June 15, 2010 2:38 PM
www.it-ebooks.info

A Catalog of Tips and Reusable Solutions for Creating Great Projects 291
checking for style of include used by make... GNU
checking for gcc... gcc
checking for C compiler default output file name... a.out
checking whether the C compiler works... yes
checking whether we are cross compiling... no
checking for suffix of executables...
checking for suffix of object files... o
...
Notice at that, as far as configure is concerned, we are not cross-compiling
because we haven’t given configure any command-line options instructing it
to use a different toolchain than it would normally use. As you can see at
and , both the host and build system types are what you’d expect for a 64-bit
GNU/Linux system. Additionally, because my system is a dual-mode system,
it can execute test programs compiled with these flags. They’ll run on the 64-bit
CPU in 32-bit mode just fine.
To be even more certain of a proper build on Linux systems, you can
also use the linux32 utility to change the personality of your 64-bit system to
that of a 32-bit system, like this:
$ linux32 ./configure CPPFLAGS=-m32 LDFLAGS=-m32
...
We use linux32 here because some subscripts executed by configure may
inspect uname –m to determine the build machine’s architecture. The linux32
utility ensures that these scripts properly see a 32-bit Linux system.
To get this sort of cross-compile to work on a Linux dual-mode system,
you usually need to install one or more 32-bit development packages such as
gcc-32bit, glibc-32bit, and glibc-devel-32bit. If your project uses other system-level
services, such as a graphical desktop, you will need the 32-bit versions of these
libraries, as well.
Now let’s do it the more conventional (dare I say, canonical?) way. Rather
than add -m32 to the CPPFLAGS and LDFLAGS variables, we’ll set the build and host
system types manually on the configure command line and see what happens.
Again I’ve bolded the output lines related to cross-compilation:
$ ./configure --build=x86_64-pc-linux-gnu --host=i686-pc-linux-gnu
checking for a BSD-compatible install... /usr/bin/install -c
checking whether build environment is sane... yes
checking for a thread-safe mkdir -p... /bin/mkdir -p
checking for gawk... gawk
checking whether make sets $(MAKE)... yes
checking for i686-pc-linux-gnu-strip... no
checking for strip... strip
configure: WARNING: using cross tools not prefixed with host triplet
checking build system type... x86_64-pc-linux-gnu
checking host system type... i686-pc-linux-gnu
checking for style of include used by make... GNU
checking for i686-pc-linux-gnu-gcc... no
checking for gcc... gcc
checking for C compiler default output file name... a.out
Autotools_02.book Page 291 Tuesday, June 15, 2010 2:38 PM
www.it-ebooks.info

292 Chapter 11
checking whether the C compiler works... yes
checking whether we are cross compiling... yes
checking for suffix of executables...
checking for suffix of object files... o
...
Several key lines in this example indicate that, as far as configure is con-
cerned, we’re cross-compiling. The cross-compilation build environment is
x86_64-pc-linux-gnu, while the host is i686-pc-linux-gnu.
But notice the highlighted WARNING text at : My system doesn’t have a
toolchain that’s dedicated to building 32-bit Intel binaries. Such a toolchain
includes all of the same tools required to build the 64-bit versions of my
products, but these are prefixed with the canonical system name of the host
system. If you don’t have a properly prefixed toolchain installed and available
in the system path, configure will default to using the build system tools—those
without a prefix. This can work fine if your build system’s tools can cross-
compile to the host system with proper command-line options, and if you’ve
also specified those options in CPPFLAGS and LDFLAGS.
Normally, you’d have to install a toolchain designed to build the correct
type of binaries. In this example, a version of such tools could easily be provided
by creating soft links and simple shell scripts that pass additional required
flags. According to the configure script output at and , I need to pro-
vide i686-pc-linux-gnu- prefixed versions of strip and gcc.
Generally, such foreign toolchains are installed into an auxiliary directory,
which means you’d have to add that directory to your system PATH variable in
order to allow configure to find them. For this example, I’ll just create them
in ~/bin. Once again I’ve bolded the output text related to cross-compilation:
$ ln –s strip ~/bin/i686-pc-linux-gnu-strip
$ echo '#!/bin/sh
> gcc –m32 "$@"' > ~/bin/i686-pc-linux-gnu-gcc
$ chmod 755 ~/bin/i686-pc-linux-gnu-gcc
$ ./configure --build=x86_64-pc-linux-gnu --host=i686-pc-linux-gnu
checking for a BSD-compatible install... /usr/bin/install -c
checking whether build environment is sane... yes
checking for a thread-safe mkdir -p... /bin/mkdir -p
checking for gawk... gawk
checking whether make sets $(MAKE)... yes
checking for i686-pc-linux-gnu-strip... i686-pc-linux-gnu-strip
checking build system type... x86_64-pc-linux-gnu
checking host system type... i686-pc-linux-gnu
checking for style of include used by make... GNU
checking for i686-pc-linux-gnu-gcc... i686-pc-linux-gnu-gcc
checking for C compiler default output file name... a.out
checking whether the C compiler works... yes
checking whether we are cross compiling... yes
checking for suffix of executables...
checking for suffix of object files... o
checking whether we are using the GNU C compiler... yes
checking whether i686-pc-linux-gnu-gcc accepts -g... yes
...
Autotools_02.book Page 292 Tuesday, June 15, 2010 2:38 PM
www.it-ebooks.info

A Catalog of Tips and Reusable Solutions for Creating Great Projects 293
$ make
...
libtool: compile: i686-pc-linux-gnu-gcc -DHAVE_CONFIG_H -I. -I.. -g -O2 –MT
print.lo -MD -MP -MF .deps/print.Tpo -c print.c -fPIC -DPIC –o
...
$
This time, configure was able to find the proper tools. Notice that the
compiler command at no longer contains the -m32 flag. It’s there, but it’s
hidden inside the i686-pc-linux-gnu-gcc script.
Cross-compilation is not for the average end user. As open source soft-
ware developers, we use packages like the Autotools to ensure that our end
users don’t have to be experts in software development in order to build and
install our packages. But cross-compilation requires a certain level of system
configuration that is beyond the scope of what the Autotools generally expect
of end users. Additionally, cross-compilation is used most often within special-
ized fields, such as toolchain or embedded systems development. End users
in these areas usually are experts in software development.
There are a few places where cross-compilation can, and possibly should,
be made available to the average end user. However, I strongly encourage
you to be explicit and detailed in the instructions you provide your users in
your README and INSTALL documents.
Item 7: Emulating Autoconf Text Replacement Techniques
Say your project builds a daemon that is configured at startup with values in a
configuration text file. How does the daemon know where to find this file on
start up? One way is to simply assume it’s located in /etc, but a well-written
program will allow the user to configure this location when building the soft-
ware. The system configuration directory has a variable location whose value
can be specified on the configure, make all, or make install command lines, as
shown in the following examples:
$ ./configure sysconfdir=/etc
...
$ make all sysconfdir=/usr/mypkg/etc
...
$ sudo make install sysconfdir=/usr/local/mypkg/etc
...
All of these examples take advantage of command-line functionality pro-
vided by Autotools build systems, so they must all be carefully taken into account
when creating project and project build source files. Let’s look at some examples
that will explain how to do this.
Now, some conditions simply can’t work. For instance, you can’t pass a
system configuration directory path into C source code from within the
makefile when you build your program, and then expect it to run correctly
if you change where the configuration files are installed on the make install
Autotools_02.book Page 293 Tuesday, June 15, 2010 2:38 PM
www.it-ebooks.info

294 Chapter 11
command line. Most end users won’t pass anything on the command line, but
you should still ensure that they can set prefix directories from the configure
and make command lines.
This item is focused on placing command-line prefix variable override
information into the proper locations in your code and installed data files as
late as possible in the build process.
Autoconf replaces text in AC_SUBST variables with the values of those vari-
ables as defined in configure at configuration time, but it doesn’t replace the
text with raw values. In an Autotools project, if you execute configure with a
specific datadir, you get the following:
$ ./configure datadir=/usr/share
...
$ cat Makefile
...
datadir = /usr/share
...
$
You can see at that the value of the shell variable datadir in configure is
substituted exactly according to the command-line instructions in the make
variable datadir in Makefile. What’s not obvious here is that the default value
of datadir, both in the configure script and in the makefile after substitution,
is relative to other variables within the build system. By not overriding datadir
on the configure command line, we see that the default value in the makefile
contains unexpanded shell variable references:
$ ./configure
...
$ cat Makefile
...
datadir = ${datarootdir}
datarootdir = ${prefix}/share
...
prefix = /usr/local
...
$
In Chapter 2, we saw that we could pass command-line options to the
preprocessor that would allow us to consume these sorts of path values within
our source code. Listing 11-19 demonstrates this by passing a C-preprocessor
definition in the CPPFLAGS variable for a hypothetical program called myprog.10
10. The escaped double quotes in this example are passed as part of the definition to the
preprocessor, and ultimately into the source code. The unescaped double quotes are stripped
off by the shell as it passes the option on the compiler command line. The unescaped double
quotes allow the value of the definition to contain spaces, which are not protected by the escaped
double quotes because the shell doesn’t recognize them as quotes.
Autotools_02.book Page 294 Tuesday, June 15, 2010 2:38 PM
www.it-ebooks.info

A Catalog of Tips and Reusable Solutions for Creating Great Projects 295
myprog_CPPFLAGS = -DSYSCONFDIR="\"@sysconfdir@\""
Listing 11-19: Pushing prefix variables into C source code in Makefile.am or Makefile.in
A C source file might then contain the code shown in Listing 11-20.
...
#ifndef SYSCONFDIR
# define SYSCONFDIR "/etc"
#endif
...
const char * sysconfdir = SYSCONFDIR;
...
Listing 11-20: Using the preprocessor-defined variables in C source code
Automake does nothing special with the line in Listing 11-19 between
Makefile.am and Makefile.in, but the configure script converts the Makefile.in
line into the Makefile line shown in Listing 11-21.
myprog_CPPFLAGS = -DSYSCONFDIR="\"${prefix}/etc\""
Listing 11-21: The resulting Makefile line after configure substitutes @sysconfdir@
When make passes this option on the compiler command line, the shell
dereferences the variables to produce the following output command line
(shown only in part here):
libtool: compile: gcc ... -DSYSCONFDIR=\"/usr/local/etc\" ...
There are a couple of problems with this approach. First, between configure
and make, you lose the resolution of the sysconfdir variable because configure
substitutes @sysconfdir@ for ${prefix}/etc, rather than ${sysconfdir}. The prob-
lem is that you can no longer set the value of sysconfdir on the make command
line. To solve this problem, use the ${sysconfdir} make variable directly in
your CPPFLAGS variable, as shown in Listing 11-22, rather than the Autoconf
@sysconfdir@ substitution variable.
myprog_CPPFLAGS = -DSYSCONFDIR="\"${sysconfdir}\""
Listing 11-22: Using the make variable in CPPFLAGS instead of the Autoconf substitution
variable
You can use this approach to specify a value for sysconfdir on both the
configure and make command lines. Setting the variable on the configure
command line defines a default value in Makefile.in (and subsequently in the
generated Makefile), which can then be overridden on the make command line.
Autotools_02.book Page 295 Tuesday, June 15, 2010 2:38 PM
www.it-ebooks.info

296 Chapter 11
The problem with using different values on the make all and make install
command lines is a bit more subtle. Consider what happens if you do the
following:
$ make sysconfdir=/usr/local/myprog/etc
...
$ sudo make install sysconfdir=/etc
...
$
Here, you’re basically lying to the compiler when you tell it that your
configuration file will be installed in /usr/local/myprog/etc during the build.
The compiler will happily generate the code in Listing 11-20 so that it refers
to this path and the second command line will then install your configura-
tion file into /etc, and your program will contain a hardcoded path to the
wrong location. Unfortunately, there’s little that you can do to correct this
because you’ve allowed your users to define these variables anywhere.
NOTE There are cases where different installation paths are given to the build and install processes
on purpose. Recall the discussion of DESTDIR in “Getting Your Project into a Linux
Distro” on page 48, wherein RPM packages are built and installed in a staging direc-
tory so that built products can be packaged in an RPM to be installed into the correct
location later.
Regardless of the potential pitfalls, being able to specify installation loca-
tions on the make command line is a powerful technique, but one that only
works in makefiles because it relies heavily on shell variable substitution within
compiler command lines.
What if you want to replace a value in an installed data file that isn’t pro-
cessed by the shell on a make command line? You could convert your data file
into an Autoconf template, and then simply reference the Autoconf substitution
variable within that file.
In fact, we did just that in the doxyfile.in templates that we created for the
FLAIM project. However, this only worked in Doxygen input files because
the class of variables used in those templates is always defined with complete
absolute or relative paths by configure. That is, the values of @srcdir@ and
@top_srcdir@ contain no additional shell variables. These variables are not
installation directory (prefix) variables, which, with the exception of prefix
itself, are always defined relative to other prefix variables.
You can, however, emulate the Autoconf substitution variable process
within a makefile, allowing substitution variables to be used in installed data
files. Listing 11-23 shows a template in which you might wish to replace vari-
ables with path information normally found in the standard prefix variables
during a build.
Autotools_02.book Page 296 Tuesday, June 15, 2010 2:38 PM
www.it-ebooks.info

A Catalog of Tips and Reusable Solutions for Creating Great Projects 297
# Configuration file for myprog
logdir = @localstatedir@/log
...
Listing 11-23: A sample configuration file template for myprog; to be installed in
$(sysconfdir)
This template is for a program configuration file which might normally
be installed in the system configuration directory. We want the location of
the program’s log file, specified in this configuration file, to be determined
at install time by the value of @localstatedir@. Unfortunately, configure would
replace this variable with a string containing at least ${prefix}, which is not
useful in a program configuration file. Listing 11-24 shows a Makefile.am file
with additional make script to generate myprog.cfg by performing substitution
on variables in myprog.cfg.in.
EXTRA_DIST = myprog.cfg.in
sysconf_DATA = myprog.cfg
edit = sed -e 's|@localstatedir[@]|$(localstatedir)|g'
myprog.cfg: myprog.cfg.in Makefile
$(edit) $(srcdir)/$@.in > $@
CLEANFILES = myprog.cfg
Listing 11-24: Substituting make variables into data files using sed in a makefile
In this Makefile.am file, I’ve defined a custom make target at to build the
myprog.cfg data file. I’ve also defined a make variable called edit at , which
resolves to a partial sed command that replaces all instances of @localstatedir@
in the template file [$(srcdir)/myprog.cfg.in] with the value of the $(localstatedir)
variable. In the command where this variable is used, sed’s output is redirected
to the output file (myprog.cfg).
The only nonobvious code in this example is the use of the square brackets
around the trailing at sign (@) in the sed expression which represent regular
expression syntax indicating that any of the enclosed characters should be
matched. Because there is only one enclosed character, this would seem to be a
pointless complication, but the purpose of these brackets is to keep configure
from replacing @localstatedir@ in the edit variable when it performs Autoconf
variable substitution on this makefile. We want make to use this variable, not
configure.
I assign myprog.cfg to the sysconf_DATA variable at to tie execution of this
new rule into the framework provided by Automake. Automake will install
this file into the system configuration directory after building it if necessary.
Autotools_02.book Page 297 Tuesday, June 15, 2010 2:38 PM
www.it-ebooks.info

298 Chapter 11
The files in DATA primaries are added as dependencies to the all target
via the internal all-am target. If myprog.cfg doesn’t exist, make will look for a
rule to build it. Since I have such a rule, make will simply execute that rule
when I build the all target.
I’ve added the template file name myprog.cfg.in to the EXTRA_DIST variable
at the top of Listing 11-24 because neither Autoconf nor Automake are aware
of this file. In addition, I’ve added the generated file myprog.cfg to the CLEAN-
FILES variable at the bottom of the listing because, as far as Automake is
concerned, myprog.cfg is a distributed data file which should not be automati-
cally deleted by make clean.
NOTE This example demonstrates a good reason for Automake to not automatically distribute
files listed in DATA primaries. Sometimes such files are built in this manner. If built
data files were automatically distributed, the distcheck target would fail because
myprog.cfg was not available for distribution before building.
In this example, I’ve tied the building of myprog.cfg into the install pro-
cess by adding it to the sysconf_DATA variable, and then placed a dependency
between mydata.cfg.in and mydata.cfg11 to ensure that the installed file is built
when make all is executed. You could also tie into a standard or custom build
or installation target using appropriate -hook or custom targets.
Item 8: Using the ac-archive Project
In “Item 5: Hacking Autoconf Macros” on page 282, I demonstrated a tech-
nique for hacking Autoconf macros to provide functionality that’s close to, but
not exactly the same as, that of the original macro. When you need a macro
that Autoconf doesn’t provide, you can either write it yourself or look for one
that someone else has written. This item is about the second option, and a
perfect place to begin your search is the Autoconf Macro Archive project.
As of this writing, the Autoconf Macro Archive is hosted by the GNU
Savannah project at http://savannah.nongnu.org/projects/autoconf-archive/. The
current ac-archive project is the result of a merger between two older projects,
one by Guido Draheim (at http://ac-archive.sourceforge.net/) and the other by
Peter Simon (at http://auto-archive.cryp.to). There is some long history and
not a few flame wars on email lists between these two projects. Ultimately,
each project incorporated most of the contents of the other, but Peter Simon’s
is the one that was migrated into the Savannah repository, and the new home
page is found at http://www.nongnu.org/autoconf-archive/.12
The value in the archive is that private macros become public and public
macros are incrementally improved by many users.
11. Note the dependency on Makefile as well. If Makefile changes, the sed expression or command
line may have changed, in which case, myprog.cfg should be regenerated. As of this writing, make
has no inherent functionality to tie particular commands within the makefile to a given target,
so if the makefile changes in anyway, we must assume that it affects myprog.cfg.
12. It appears as if Guido has given up because the last updates to his SourceForge project were
made in August of 2007.
Autotools_02.book Page 298 Tuesday, June 15, 2010 2:38 PM
www.it-ebooks.info

A Catalog of Tips and Reusable Solutions for Creating Great Projects 299
As of this writing, the macro archive contains over 500 macros not dis-
tributed by Autoconf, including the ACX_PTHREAD macro discussed in “Doing
Threads the Right Way” on page 210. The latest release of the archive can be
downloaded as a tarball from the project home page or checked out from
the project website. The site indexes macros by category, author, and open
source license, allowing you to choose macros based on specific criteria. You
can also search for a macro by name or by entering any text that might be
found in the macro’s header comments.
If you find yourself in need of a macro that Autoconf doesn’t appear to
provide, check out the Autoconf Macro Archive.
Item 9: Using pkg-config with Autotools
For many years, developers have struggled with library dependency issues on
Unix systems. Many software packages have been inadvertently released without
required libraries because Unix systems don’t generally require all dependent
libraries to be available when linking a library. Additionally, automated build
systems have difficulty recognizing and ensuring the existence of secondary
library dependencies. Several solutions to this problem have arisen over the
years, and the pkg-config project is one of the more successful ones.
The pkg-config program looks in well-known and configurable locations
in your file system for metadata files describing associated libraries. When
you execute pkg-config with the name of a pkg-config–enabled library, the
program outputs a list of C-preprocessor and linker flags necessary to use
that library. Here are some examples of existing pkg-config–enabled packages
installed on my system:
$ pkg-config --list-all
blkid blkid - Block device id library
gstreamer-tag-0.10 GStreamer Tag Library - Tag base classes
gsf-sharp Gsf - Gsf
xf86rushproto XF86RushProto - XF86Rush extension headers
mozilla-gtkmozembed mozilla-gtkembedmoz - Mozilla Embedding Widget
fontsproto FontsProto - Fonts extension headers
libebackend-1.2 libebackend - Utility library for Evolution
com_err com_err - Common error description library
...
$ pkg-config --cflags --libs libebackend-1.2
-I/usr/include/evolution-data-server-2.24 -I/usr/include/glib-2.0 \
-I/usr/lib64/glib-2.0/include -lebackend-1.2 -lglib-2.0
$
In many ways, pkg-config provides a subset of functionality already pro-
vided by Libtool but pkg-config provides some additional value. In this item,
I’ll show you how to use pkg-config with the Autotools.
There are two aspects of using pkg-config with the Autotools. The first
involves the generation and installation of pkg-config metadata files for your
own projects. The second, the use of pkg-config extension macros in your
projects’ configure.ac files as a way to locate other libraries and configure
your projects to use them.
Autotools_02.book Page 299 Tuesday, June 15, 2010 2:38 PM
www.it-ebooks.info

300 Chapter 11
Providing pkg-config Files for Your Library Projects
A pkg-config metadata file consists of a short text file containing what are
effectively variable definitions and metadata fields. The variable definitions
look and act like simple make variables. The metadata fields are name/value
pairs with a colon separating the name and value.
Generating a pkg-config metadata file is as simple as using Autoconf sub-
stitution variables in a template version of the file, and then adding the file to
the AC_CONFIG_FILES macro in configure.ac. Listing 11-25 shows the pkg-config
metadata file template for the xflaim project discussed in Chapters 8 and 9.
prefix=@prefix@
exec_prefix=@exec_prefix@
libdir=@libdir@
includedir=@includedir@
Name: XFLAIM
URL: http://forge.novell.com/modules/xfmod/project/?flaim
Description: An embeddable cross-platform XML database engine
Version: @PACKAGE_VERSION@
Requires: libflaimtk >= 1.0
Libs: -L${libdir} -lxflaim -lpthread -lrt -lstdc++ -ldl -lncurses
Cflags: -I${includedir}
Listing 11-25: xflaim/libxflaim.pc.in: A pkg-config metadata template for xflaim
I’m using standard Autoconf prefix substitution variables to set the lib
and include directory paths in pkg-config variables which are then used in the
metadata fields at the bottom of the file. The use of variables is optional, but
good practice. There is, however, a subtle caveat to the use of such variables.
Recall that the Autoconf substitution variable @includedir@ expands not to /usr/
local/include, but rather to ${prefix}/include, so we need to be sure to define
all of the required variables. In this case, both prefix and exec_prefix must
also be defined, even though I’m not using either of these explicitly in the
text. If they’re not defined, the ultimate value will contain the variable reference
${prefix}/include, rather than the properly expanded text /usr/local/include.
I’m also using the @PACKAGE_VERSION@ substitution variable to carry the
package version string over from configure.ac. Don’t forget to add the output
file name to the AC_CONFIG_FILES macro so that the .pc file will be generated by
configure.
You can place this template anywhere in your project, but a location
central to the library to which it belongs seems reasonable. I created separate
pkg-config metadata files for each library in the FLAIM project. Each of the
four projects creates a single library, so I put my pkg-config templates at the
root of each library project directory structure.
Now let’s look at installation. Metadata files should be installed in the
${libdir}/pkgconfig directory. A simple way to get them installed is to add the
code shown in Listing 11-26 into your Makefile.am file.
Autotools_02.book Page 300 Tuesday, June 15, 2010 2:38 PM
www.it-ebooks.info

A Catalog of Tips and Reusable Solutions for Creating Great Projects 301
...
pkgconfigdir = $(libdir)/pkgconfig
pkgconfig_DATA = libxflaim.pc
...
Listing 11-26: xflaim/Makefile.am: Adding installation script for pkg-config metadata files
This is standard Automake fare for defining a new installation location
with a dir variable, and then using the associated prefix on the DATA primary.
The template file will be distributed automatically in this case, because it’s
referenced in the AC_CONFIG_FILES macro.
Using pkg-config Files in configure.ac
Using pkg-config packages is even simpler than generating and installing meta-
data files. The pkg-config package provides a macro file called pkg.m4 which is
installed in /usr/(local/)share/aclocal. This macro file contains three Autoconf
extension macros, PKG_PROG_PKG_CONFIG, PKG_CHECK_EXISTS, and PKG_CHECK_MODULES.
Their prototypes are:
PKG_PROG_PKG_CONFIG([MIN-VERSION])
PKG_CHECK_EXISTS(MODULES, [ACTION-IF-FOUND], [ACTION-IF-NOT-FOUND])
PKG_CHECK_MODULES(VARIABLE-PREFIX, MODULES, [ACTION-IF-FOUND],
[ACTION-IF-NOT-FOUND])
The last two of these macros ensure that the first one is called via the
Autoconf prerequisite framework. Use PKG_CHECK_EXISTS to set package-specific
variations of the CFLAGS and LDFLAGS variables for the specific versions of the
packages you’re interested in. Use PKG_CHECK_MODULE to ensure that desired
modules are available, but without specific versions. If either of these macros
is called conditionally in your configure.ac file, you should also explicitly call
PKG_PROG_PKG_CONFIG to ensure that the pkg-config program is available to your
toolchain, in case the other pkg-config macros are not called.
NOTE You could use the Autoconf AS_IF macro in place of a shell if statement to formulate
conditional calls to these macros. Using AS_IF will ensure that prerequisite calls (such
as PKG_PROG_PKG_CONFIG) are properly expanded outside the condition.
Package-specific CFLAGS and LDFLAGS variables for a library called abc, for
example, are defined as ABC_CFLAGS and ABC_LDFLAGS, if the variable-prefix
argument passed to PKG_CHECK_MODULES is ABC. The pkg-config macros call
AC_SUBST on these package-specific variables, which makes them available as
make variables within your Makefile.am files. You can add them to library-
or program-specific CPPFLAGS and LDFLAGS Automake variables, as shown in
Listing 11-27.
Autotools_02.book Page 301 Tuesday, June 15, 2010 2:38 PM
www.it-ebooks.info

302 Chapter 11
PROGRAMS = myprog
myprog_CPPFLAGS = $(ABC_CFLAGS)
myprog_LDFLAGS = $(ABC_LDFLAGS)
...
Listing 11-27: Using the results of the pkg-config macros in a Makefile.am file
NOTE You can read more about the proper use of pkg-config at http://pkg-config
.freedesktop.org/. In addition, Dan Nicholson has written a concise and easy to
follow tutorial on using pkg-config at http://people.freedesktop.org/~dbn/
pkg-config-guide.html/.
Item 10: Using Incremental Installation Techniques
Some people have requested that make install be made smart enough to install
only files that are not already installed, or that are newer than installed ver-
sions of the same files.
This feature is available by default to users by passing the -C command-
line option to install-sh. It can be enabled directly by end users by using the
following syntax on the make command line during execution of make install:
$ make install "INSTALL=/path/to/install-sh -C"
If you think your users will benefit from this option, consider adding
some information about its proper use to the INSTALL file that ships with
your distribution. Don’t you just love features you don’t have to implement?
Item 11: Using Generated Source Code
Automake requires that all source files used within a project be statically
defined within the project’s Makefile.am files, but sometimes the contents of
source files need to be generated at build time.
There are two ways to deal with generated sources (more specifically,
generated header files) in your projects. The first involves the use of an
Automake-provided crutch for developers not interested in the finer points
of make. The second involves writing proper dependency rules to allow make to
understand the relationships between your source files and your products.
I’ll cover the crutch first, and then we’ll get into the details of proper depen-
dency management in Makefile.am files.
Using the BUILT_SOURCES Variable
When you have a header file that’s generated as part of your build process,
you can tell Automake to generate rules that will always create this file first,
before attempting to build your products. To do this, add the header file to
the Automake BUILT_SOURCES variable, as shown in Listing 11-28.
Autotools_02.book Page 302 Tuesday, June 15, 2010 2:38 PM
www.it-ebooks.info

A Catalog of Tips and Reusable Solutions for Creating Great Projects 303
bin_PROGRAMS = program
program_SOURCES = program.c program.h
nodist_program_SOURCES = generated.h
BUILT_SOURCES = generated.h
CLEANFILES = generated.h
generated.h: Makefile
echo "#define generated 1" > $@
Listing 11-28: Using BUILT_SOURCES to deal with generated source files
The nodist_program_SOURCES variable ensures that Automake will not gen-
erate rules that try to distribute this file; we want it to be built when the end
user runs make, not shipped in the distribution package.
Without a user-provided clue, Automake-generated makefiles have no
way of knowing that the rule for generated.h should be executed before program.c
is compiled. I call BUILT_SOURCES a “crutch” because it simply forces the rules
used to generate the listed files to execute first, and only when the user makes
the all or check targets. The rules created using BUILT_SOURCES aren’t even exe-
cuted if you attempt to make the program target directly. With that said, let’s
look at what’s going on under the covers.
Dependency Management
There are two distinct classes of source files in a C or C++ project: those explicitly
defined as dependencies within your makefile, and those referenced only
indirectly through, for instance, preprocessor inclusion.
You can hardcode all of these dependencies directly into your makefiles.
For instance, if program.c includes program.h, and if program.h includes console.h
and print.h, then program.o actually depends on all of these files, not just
program.c. And yet, a normal hand-coded makefile explicitly defines only the
relationships between the .c files and the program. For a truly accurate build,
make needs to be told about all of these relationships using a rule like the one
shown in Listing 11-29.
program: program.o
$(CC) $(CFLAGS) $(LDFLAGS) -o $@ program.o
program.o: program.c program.h console.h print.h
$(CC) -c $(CPPFLAGS) $(CFLAGS) -o $@ program.c
Listing 11-29: A rule describing the complete relationship between an object file and its
source files
The relationship between program.o and program.c is often defined by an
implicit rule, so the rule at in Listing 11-29 is often broken into two sepa-
rate rules, as shown in Listing 11-30.
Autotools_02.book Page 303 Tuesday, June 15, 2010 2:38 PM
www.it-ebooks.info

304 Chapter 11
program: program.o
$(CC) $(CFLAGS) $(LDFLAGS) -o $@ program.o
%.o: %.c
$(CC) -c $(CPPFLAGS) $(CFLAGS) -o $@ $<
program.o: program.h console.h print.h
Listing 11-30: An implicit rule for C source files, defined as a GNU make pattern rule
In Listing 11-30, the GNU make-specific pattern rule at tells make that the
associated command can generate a file ending in .o from a file of the same
base name ending in .c. Thus, whenever make needs to find a rule to generate
a file ending in .o that’s listed as a dependency in one of your rules, it searches
for a .c file with the same base name. If it finds one, it applies this rule to rebuild
the .o file from the corresponding .c file if the timestamp on the .c file is newer
than that of the existing .o file, or if the .o file is missing.
There is a documented set of implicit pattern rules built into make so you
don’t generally have to write such rules. Still, you must somehow tell make
about the indirect13 dependencies between the .o file and any included .h files.
These dependencies cannot simply be implied with a built-in rule because
there are no implicit relationships between these files that are based on file
naming conventions, such as the relationship between .c and .o files. The
relationships are manually coded into the source and header files as inclusions.
As I mentioned in Chapter 2, writing such rules is tedious and error prone,
because during development (and even maintenance, to a lesser degree) the
myriad relationships between source and header files can change all the time,
and the rules must be updated carefully with each change to keep the build
accurate. The C preprocessor is much better suited to automatically writing
and maintaining these rules for you.
A Two-Pass System
There are two ways to use the preprocessor to manage dependencies. The first is
to create a two-pass system, wherein the first pass just builds the dependencies,
and the second compiles the source code, based on those dependencies. This
is done by defining rules that use certain preprocessor commands to generate
make dependency rules, as shown in Listing 11-31.14
13. I use the term indirect here to mean that the .o file depends upon the .h file through the .c file.
That is, the .o file is built from the .h file by virtue of the fact that it’s included by the .c file.
Technically, the .o file’s dependency on the .h file is just as direct as that of the .c file, because
when the compiler picks up where the preprocessor leaves off, there are no .h files—only a single
file comprised of the .c file and all included header files—a translation unit, in the vernacular.
14. Microsoft has apparently never felt the need to support the make utility to the same degree
that Unix compiler vendors have, relying heavily upon their IDEs to create properly defined
dependency graphs for project builds. Thus, while the preprocessor option used here is generally
portable among Unix compilers, Microsoft compilers simply have no support for this sort of feature.
Autotools_02.book Page 304 Tuesday, June 15, 2010 2:38 PM
www.it-ebooks.info

A Catalog of Tips and Reusable Solutions for Creating Great Projects 305
program: program.o
$(CC) $(CFLAGS) $(LDFLAGS) -o $@ program.o
%.o: %.c
$(CC) $(CPPFLAGS) -c $(CFLAGS) -o $@ $<
%.d: %.c
$(CC) -M $(CPPFLAGS) $< >$@
sinclude program.d
Listing 11-31: Building automatic dependencies directly
In Listing 11-31, the pattern rule at specifies the same sort of relation-
ship between .d and .c files as the one shown at in Listing 11-30 does for .o
and .c files. The sinclude statement here at tells make to include another
makefile, and GNU make is smart enough, not only to ensure that all makefiles
are included before the primary dependency graph is analyzed, but also to
look for rules to build them.15 Running make on this makefile produces the
following output:
$ make
cc -M program.c >program.d
cc -c -o program.o program.c
cc -o program program.o
$
$ cat program.d
program.o: program.c /usr/include/stdio.h /usr/include/features.h \
/usr/include/sys/cdefs.h /usr/include/bits/wordsize.h \
... a lot of additional system headers omitted here ...
/usr/include/bits/pthreadtypes.h /usr/include/alloca.h program.h \
console.h print.h
$
$ touch console.h && make
cc -c -o program.o program.c
cc -o program program.o
$
As you can see here, the rule to generate program.d is executed first, as
make attempts to include that file. The file contains a dependency rule similar16
to the one we wrote at in Listing 11-30. (The reference to program.c is miss-
ing in our hand-coded rule’s dependency list because it’s redundant, though
harmless.) You can also see that touching one of these included files now
properly causes the program.c source file to be rebuilt.
15. Only GNU make is smart enough to silently include dependency files with sinclude. Other
brands of make provide only include, which will fail if any of the included makefiles are missing.
GNU make is also the only version smart enough to re-execute itself when it notices the build
system has been updated.
16. The GNU toolset supports several non-portable extensions to the classic –M option. For
example, the –MM option has the wonderful effect of not bothering to add system header files
to generated dependency lists. So, the long list of system headers omitted in the example above
need not be present at all if portability is not a concern. The –MD and –MMD options used in the
examples are not portable either.
Autotools_02.book Page 305 Tuesday, June 15, 2010 2:38 PM
www.it-ebooks.info

306 Chapter 11
The problems with the mechanism outlined in Listing 11-31 include the
fact that the entire source tree must be traversed twice: once to check for and
possibly generate the dependency files, and then again to compile any modi-
fied source files.
Another problem is that if one header includes another, and the second
header is modified, the object file will be updated but not the dependency
file included by make. The next time the second level header is modified, nei-
ther the object nor the dependency file will be updated. Deleted header files
also cause problems: the build system doesn’t recognize that the deleted file
was purposely removed so it complains that files referenced in the existing
dependencies are missing.
Doing It in One Pass
A more efficient way to handle automatic dependencies is to generate the
dependency files as a side effect of compilation. Listing 11-32 shows how this
can be done by using the non-portable GNU extension compiler option shown
in bold.
program: program.o
$(CC) $(CFLAGS) $(LDFLAGS) -o $@ program.o
%.o: %.c
$(CC) -MMD $(CPPFLAGS) -c $(CFLAGS) -o $@ $<
sinclude program.d
Listing 11-32: Generating dependencies as a side effect of compilation
Here, I’ve removed the second pattern rule (originally shown at in
Listing 11-31) and added a -MMD option to the compiler command line at
in Listing 11-32. This option tells the compiler (preprocessor) to generate a
.d file of the same base name as the .c file that it’s currently compiling. When
make is executed on a clean work area, the sinclude statement at silently fails
to include the missing program.d file, but it doesn’t matter because all of the
object files will be built the first time anyway. During subsequent incremental
builds, the previously built program.d is included, and its dependency rules
take effect during those builds.
Built Sources Done Right
The one-pass method described above is roughly the one that Automake uses
to manage automatic dependencies, when possible. The problems with this
approach are most often manifested when working with generated sources,
including both .c files and .h files. For instance, let’s expand the example shown
in Listing 11-32 a bit to contain a generated header file called generated.h,
included by program.h. Listing 11-33 shows a first attempt at this modification.
Additions to Listing 11-32 are bolded in this listing.
Autotools_02.book Page 306 Tuesday, June 15, 2010 2:38 PM
www.it-ebooks.info

A Catalog of Tips and Reusable Solutions for Creating Great Projects 307
program: program.o
$(CC) $(CFLAGS) $(LDFLAGS) -o $@ program.o
%.o: %.c
$(CC) -MMD $(CPPFLAGS) -c $(CFLAGS) -o $@ $<
generated.h: Makefile
echo "#define generated" >$@
sinclude program.d
Listing 11-33: A makefile that works with a generated header file dependency
In this case, when we execute make, we find that the lack of an initial
dependency file works against us:
$ make
cc -MMD -c -o program.o program.c
In file included from program.c:4:
program.h:3:23: error: generated.h: No such file or directory
make: *** [program.o] Error 1
$
Because there is no initial secondary dependency information, make doesn’t
know it needs to run the commands for the generated.h rule yet, because
generated.h only depends on Makefile, which hasn’t changed. To fix this prob-
lem in a Makefile.am file, we could list generated.h in the BUILT_SOURCES variable,
as we did in Listing 11-28 on page 303. This would add generated.h as the first
dependency of the all and check targets, thereby forcing them to be built first
in the likely event the user happens to enter make, make all, or make check.17
The proper way to handle this problem is very simple, and it works every
time in both makefiles and Makefile.am files: write a dependency rule between
program.o and generated.h, as shown in the updated makefile in Listing 11-34.
The bolded line contains the additional rule.
program: program.o
$(CC) $(CFLAGS) $(LDFLAGS) -o $@ program.o
%.o: %.c
$(CC) -MMD $(CPPFLAGS) -c $(CFLAGS) -o $@ $<
program.o: generated.h
generated.h: Makefile
echo "#define generated" >$@
sinclude program.d
Listing 11-34: Adding a hardcoded dependency rule for a generated header file
17. Note that you can’t rely on dependency order for build order with parallel make (make –j).
Autotools_02.book Page 307 Tuesday, June 15, 2010 2:38 PM
www.it-ebooks.info

308 Chapter 11
The new rule tells make about the relationship between program.o and
generated.h:
$ make
echo "#define generated" >generated.h
cc -MMD -c -o program.o program.c
cc -o program program.o
$
$ make
make: 'program' is up to date.
$
$ touch generated.h && make
cc -MMD -c -o program.o program.c
cc -o program program.o
$
$ touch Makefile && make
echo "#define generated" >generated.h
cc -MMD -c -o program.o program.c
cc -o program program.o
$
Here, touching generated.h (at ) causes program to be updated. Touch-
ing Makefile (at ) causes generated.h to be re-created first.
To implement the dependency rule shown in Listing 11-34 in an Automake
Makefile.am file, you’d use the bolded rule shown in Listing 11-35.
bin_PROGRAMS = program
program_SOURCES = program.c program.h
nodist_program_SOURCES = generated.h
program.$(OBJEXT): generated.h
CLEANFILES = generated.h
generated.h: Makefile
echo "#define generated 1" > $@
Listing 11-35: Replacing BUILT_SOURCES with a proper dependency rule
This is exactly the same code shown previously in Listing 11-28 on page 303,
except that we’ve replaced the BUILT_SOURCES variable with a proper depen-
dency rule. The advantage of this method is that it always works as it should;
generated.h will always be built exactly when it needs to be, regardless of the
target specified by the user.18
If you had tried to generate a C source file rather than a header file,
you’d find that you didn’t even need the additional dependency rule because
.o files implicitly depend on their .c files. However, you must still list your
generated .c file in the nodist_program_SOURCES variable to keep Automake
from trying to distribute it.
18. This technique fails when you try to use program-specific Automake flags. For example, if
you use program_CFLAGS, Automake generates a different set of rules for building the objects
associated with program and munges the object name to contain the program name. By doing so,
these special objects won’t be confused with ones generated for other products from the same
sources, but your hand-coded dependency rules won’t line up with the object file names generated
by the compiler. For more information, see the documentation for the AC_PROG_CC_C_O macro in
the GNU Autoconf Manual.
Autotools_02.book Page 308 Tuesday, June 15, 2010 2:38 PM
www.it-ebooks.info

A Catalog of Tips and Reusable Solutions for Creating Great Projects 309
NOTE When you define your own rule, you suppress any rules that Automake may generate
for that product. In the case of a specific object file, this is not likely to be a problem, but
keep this Automake idiosyncracy in mind when defining rules.
As you can see, all you really need to properly manage generated sources
is a correctly written set of dependency rules, and appropriate nodist_*_SOURCES
variables.
Item 12: Disabling Undesirable Targets
Sometimes the Autotools do too much for you. Here’s an example from the
Automake mailing list:
I use automake in one of my projects along with texinfo. That
project has documentation full of images. As you probably know,
‘make pdf’ makes a PDF document from JPGs and PNGs, whereas
‘make dvi’ requires EPSs. However, EPS images are insanely large
(in this case like 15 times larger than JPGs).
The problem is that running ‘make distcheck’ results in error since
the EPS images that should be there aren’t there and ‘make distcheck’
tries to run ‘make dvi’ everywhere. I would like to run ‘make pdf’
instead, or at least to disable building DVI. Is there any way to
accomplish that?
First a little background information: The Automake TEXINFOS primary
makes several documentation targets available to the end user, including
info, dvi, ps, pdf, and html. It also provides several installation targets, includ-
ing install-info, install-dvi, install-ps, install-pdf, and install-html. Of
these targets, only info is automatically built with make or make all, and only
install-info is executed with make install.19
However, it appears that the distcheck target also builds at least the dvi
target, as well. The problem outlined above is that the poster doesn’t provide
the encapsulated postscript (EPS) graphics files required to build the DVI
documentation, so the distcheck target fails because it can’t build documen-
tation that he doesn’t want to support anyway.
To fix this issue, simply provide your own version of the target that does
nothing, as shown in Listing 11-36.
...
info_TEXINFOS = zardoz.texi
dvi: # do nothing for make dvi
Listing 11-36: Disabling the dvi target in a Makefile.am that specifies TEXINFOS primaries
With the one line addition at , make distcheck is back in business. Now,
when it builds the dvi target, it succeeds because it does nothing.
19. The .info files generated by the info target are automatically distributed, so your users don’t
have to have texinfo installed.
Autotools_02.book Page 309 Tuesday, June 15, 2010 2:38 PM
www.it-ebooks.info

310 Chapter 11
Other Automake primaries provide multiple additional targets as well. If
you only wish to support a subset of these targets, you can effectively disable
the undesired targets by providing one of your own. If you’d like to be a bit
more vocal about the disabling override, simply include an echo statement as
a command that tells the user that your package doesn’t provide DVI docu-
mentation, but be careful not to execute anything that might fail in this
override, or your user will be right back in the same boat.
Item 13: Watch Those Tab Characters!
Having made the transition to Automake, you’re not using raw makefiles
anymore, so why should you still care about TAB characters? Remember
that Makefile.am files are simply stylized makefiles. Ultimately, every line in a
Makefile.am file will be either consumed directly by Automake and then trans-
formed into true make syntax, or copied directly into the final makefile. This
means that TAB characters matter within Makefile.am files.
Consider this example from the Automake mailing list:
lib_LTLIBRARIES = libfoo.la
libfoo_la_SOURCES = foo.cpp
if WANT_BAR
libfoo_la_SOURCES += a.cpp
else
libfoo_la_SOURCES += b.cpp
endif
AM_CPPFLAGS = -I${top_srcdir}/include
libfoo_la_LDFLAGS = -version-info 0:0:0
I have been reading both autoconf and automake manuals and as
far as I can see the above should work. However the files (a.cpp or
b.cpp) [are] always added at the bottom of the generated Makefile
and are therefore not used in the compilation. No matter what I try
I cannot get even the above code to generate a correct makefile
but obviously I am doing something wrong.
The answer, provided by another poster, was simple and accurate:
Remove the indentation.
The trouble here is that the two lines within the Automake conditional at
and are indented with TAB characters.
You may recall from “Automake Configuration Features” on page 206,
where I discussed the implementation of Automake conditionals, that text
within conditionals is prefixed with an Autoconf substitution variable that is
ultimately transformed into either an empty string or a hash mark. The impli-
cation here is that these lines are essentially either left as is or commented out
within the final makefile. The commented lines really don’t concern us, but
you can clearly see that if the uncommented lines in the makefile begin with
the TAB character, Automake will treat them as commands, rather than as
definitions, and sort them accordingly in the final makefile. When make pro-
cesses the generated makefile, it will attempt to interpret these lines as
orphan commands.
Autotools_02.book Page 310 Tuesday, June 15, 2010 2:38 PM
www.it-ebooks.info

A Catalog of Tips and Reusable Solutions for Creating Great Projects 311
NOTE Had the original poster used spaces to indent the conditional statements, he’d have had
no problem.
The moral of the story: Watch those TAB characters!
Item 14: Packaging Choices
The ultimate goal of a package maintainer is to make it easy for the end user.
System-level packages never have this problem because they don’t rely on
anything that’s not part of the core operating system. But higher-level pack-
ages often rely on multiple subpackages, some of which are more pervasive
than others.
For example, consider the Subversion project. If you download the latest
source archive from the Subversion project website, you’ll find that it comes
in two flavors. The first contains only the Subversion source code, but if you
unpack and build this project you’ll find that you’ll need to download and
install the Apache runtime and runtime utility (apr and apr-utils) packages,
the zlib-devel package, and the sqlite-devel package. At this point, you can build
subversion, but to enable secure access to repositories via https, you’ll also
need neon or serf and openssl.
The Subversion project maintainers felt that community adoption of Sub-
version was important enough to go the extra mile, so to speak. To help you out
in your quest to build a functional Subversion package, they’ve provided a
second package called subversion-deps, which contains a source-level distribu-
tion of some of Subversion’s more important requirements.20 Simply unpack
the subversion-deps source package in the same directory where you unpacked
your subversion source package. The root directory in the subversion-deps
package contains only subdirectories; one for each of these source-level
dependencies.
You can choose to add source packages to your projects’ build systems in
the same manner. Of course, the process is much simpler if you’re using
Automake. You need only call AC_CONFIG_SUBDIRS for subdirectories containing
add-on projects in your build tree. AC_CONFIG_SUBDIRS quietly ignores missing
subproject directories. I showed you an example of this process in Chapter 8
where I built the FLAIM toolkit as a subproject if it existed as a subdirectory
within any of the higher-level FLAIM project directories.
Which packages should you ship with your package? The key lies in deter-
mining which packages your consumers are least likely to be able to find on
their own.
20. You’ll still have to download and install the openssl-devel package for your GNU/Linux
distribution, or else download, build and install a source-level distribution of openSSL in order
to build https support into your Subversion client. The reason for this is that the tricky nature of
various countries’ import and export laws surrounding openSSL make it rather difficult for
anyone but the project maintainers to distribute openSSL.
Autotools_02.book Page 311 Tuesday, June 15, 2010 2:38 PM
www.it-ebooks.info

312 Chapter 11
Wrapping Up
I hope you find these solutions—indeed, this book—useful to you on your
quest to create a really great user experience with your open source projects.
I began this book with the statement that people often start out hating the
Autotools because they don’t understand the purpose of the Autotools. By
now, you should have a fairly well developed sense of this purpose. If you
were disinclined to use the Autotools before, then I hope I’ve given you rea-
son to reconsider.
Recall the famously misquoted line from Albert Einstein, “Everything
should be made as simple as possible, but no simpler.”21 Not all things can be
made so simple that anyone can master them with little training. This is espe-
cially true when it comes to processes that are designed to make life simpler
for others. The Autotools offer the ability for experts—programmers and
software engineers—to make open source software more accessible to end
users. Let’s face it—this process is less than trivial, but the Autotools attempts
to make it as simple as possible.
21. See http://en.wikiquote.org/wiki/Talk:Albert_Einstein. What Einstein actually said was, “The supreme
goal of all theory is to make the irreducible basic elements as simple and as few as possible
without having to surrender the adequate representation of a single datum of experience.”
Autotools_02.book Page 312 Tuesday, June 15, 2010 2:38 PM
www.it-ebooks.info

INDEX
Symbols & Numerals
*_LIBADD variables, 155
@ (at sign)
as leading control character, 36
preventing make from printing
code to stdout, 44
for substitution variable, 90
@<:@ and @:>@ (quadrigraphs), 117
` (backtick), as default M4 quote
character, 252
: (colon), for rules, 27
$ (dollar sign), escaping, 24
$$ (dollar sign doubled), for
variable references, 43
$@ variable, 29
$# variable, 255
$%, to refer to archive member, 29
$0 shell script parameter, 77
" (double quotes), escaped, 294n
= (equal sign), in makefile, 24
# (hash mark)
for M4 comments, 252
for makefile comments, 22
?= (query-assign operator), 54
' (single quote), as default M4
quote character, 252
[] (square brackets)
for AC_CHECK_TYPES macro
parameter, 114
for macro parameters, 60
for optional parameters, 76n
64-bit file addressing, 209
64-bit machine, building 32-bit code
on, 290–292
A
ABI (application binary
interface), 172
aborted process, from missing
shared libraries, 149
absolute addresses
CPUs and, 168
to function calls, 164–165
ac-archive project, 298–299
AC_ARG_ENABLE macro, 108,
109–111, 211
formatting help strings with, 112
AC_ARG_VAR macro, 220, 265
AC_ARG_WITH macro, 108–109
AC_CANONICAL_HOST macro,
reliance on, 234
AC_CANONICAL_SYSTEM macro, 234,
245, 288
AC_CHECK_HEADERS macro, 85, 103,
184, 189
GNU Autoconf Manual
definition, 102
AC_CHECK_LIB macro, 211, 282,
283, 284
parameters, 284
AC_CHECK_PROG macro, 94
first attempt, 96
GNU Autoconf Manual, 95
AC_CHECK_PROGS macro, 265
Autotools_02.book Page 313 Tuesday, June 15, 2010 2:38 PM
www.it-ebooks.info
314 INDEX
AC_CHECK_TYPES macro, 114
AC_CONFIG_COMMANDS macro, 79, 80, 81
AC_CONFIG_FILES macro, 65, 67, 80,
139, 156
adding pkg-config file, 300
conditional reference for xflaim/
docs/doxygen/doxyfile, 246
references in configure.ac, 154
specifying mutiple tags, 81
AC_CONFIG_HEADER macro, 78–79
AC_CONFIG_HEADERS macro, 78–79,
83–84, 85
AC_CONFIG_MACRO_DIR macro, 201–202
AC_CONFIG_SRCDIR macro, 77–78
AC_CONFIG_SUBDIRS macro, 200, 221
AC_DEFINE macro, 91, 212
conditional use, 212
AC_DEFINE_UNQUOTED macro, 91
AC_DEFUN macro, 260, 262
acinclude.m4 file, 10
AC_INCLUDES_DEFAULT macro, 114–115
AC_INIT macro, 76–77
AC_LANG macro, 206
AC_LANG_CALL macro, 285–286
AC_LANG_PROGRAM macro, 285
aclocal utility, 10–11, 201
data flow diagram, 11
macro fle locations for, 203
ACLOCAL_AMFLAGS variable, 203
aclocal.m4 file, 259
AC_MSG_CHECKING macro, 106–107
AC_MSG_ERROR macro, 106, 107
AC_MSG_FAILURE macro, 106, 107
AC_MSG_NOTICE macro, 106, 107
AC_MSG_RESULT macro, 106–107
AC_MSG_WARN macro, 106, 107
AC_OUTPUT macro, 116
AC_PREREQ macro, 76
AC_PROG_CC macro, 91, 92
AC_PROG_INSTALL macro, 74, 93–94
AC_PROG_RANLIB macro, 139, 156
AC_REQUIRE macro, 260
AC_SEARCH_LIBS macro, 59, 99–100,
184, 189
GNU Autoconf Manual
definition, 100
AC_SUBST macro, 90
AC_SYS_LARGEFILE macro, 209
action-if-not-given argument, for
configure.ac script, 109
ACX_PTHREAD macro, 99, 210–211
age value, in library interface
version number, 178
AIX archive (.a) file, 174
all, 31
all-local target, 242
alternatives scripts, 52n
AM_COND_IF macro, 207
AM_CONDITIONAL macro, 206, 221, 245
substitution variables for, 207
AM_CPPFLAGS option variable, 138, 225
AM_INIT_AUTOMAKE macro, 121
foreign keyword, 206
silent-rules option, 143
AM_JAVACFLAGS variable, 232
AM_LDFLAGS option variable, 138
AM_MAINTAINER_MODE macro, 141–142
AM_MAKEFLAGS, passing
expansion of, 203
AM_PROG_CC_C_O macro, 139, 140
a.out scheme, for library
management, 172n
API design, 272
Apple platforms, 3
application binary interface
(ABI), 172
ar utility, 169
archives, 136
$% to refer to member, 29
arguments
commas as placeholders, 90
macros with, 60, 255–256
whitespace around, 255–256
AS_HELP_STRING macro, 112
AS_IF macro, vs. shell if-then
statement, 211–212
asynchronous processing, 108
enabling or disabling by default,
109–111
at sign (@)
as leading control character, 36
preventing make from printing
code to stdout, 44
for substitution variable, 90
Autotools_02.book Page 314 Tuesday, June 15, 2010 2:38 PM
www.it-ebooks.info
INDEX 315
AUTHORS file
creating, 121
for FLAIM project, 200
Autoconf, 1, 6–9, 57–88
vs. Automake, 125
common problem, 95–98
configuration scripts, 58–59
data flow diagram, 8
determining version installed, 16
emulating text replacement
techniques, 293–298
executing, 61–62
file generation framework, 78
files containing variables, 246
grep of macro directory, 283
hacking macros, 282–287
library-specific macros, 287
and M4 macro language,
259–269
message display to user, 106–107
native support for programming
languages, 5
substitutions and definitions,
90–91
supporting options features and
packages, 107–112
testing for, 59
Autoconf Macro Archive, 210, 233,
234, 260, 298
to help build Java applications,
230n
autoconf shell script, 7, 9
autoconfiscating project, 65
autoconf.m4 file, 259
autogen.sh script, 73–75
executing, 75
autoheader utility, 7, 9
data flow diagram, 8
include file template generation
by, 84–87
autom4te utility, 8, 259
autom4te.cache directory, 61
Automake, 1, 9–11
--add-missing option, 73, 74, 201
vs. Autoconf, 125
build system support for make
targets, 124
configuration features, 206–209
--copy, 74
data flow diagram, 13
determining version installed, 16
development history, 119–120
enabling in configure.ac, 121–124
foreign option, 201
-hook target, 214–215
-local target, 214–215
recursive targets, 276–279
support for unit testing, 133–134
text files required, 200–201
-Wall option, 201
-Werror option, 201
automatic dependencies, 306–309
tracking, 124–125
automatic variables, 29
autoreconf program, 7, 61, 74, 85
ACLOCAL_AMFLAGS for execution, 203
with -i option, 122–123
warning messages, 234
autoscan program, 7
configure.ac file created with,
71–76
generating starting point for ftk
project, 204
autoscan.log file, 72
Autotools. See also Autoconf;
Automake; Libtool
building Java sources with,
230–239
design goals, 5
installing most up-to-date, 16–18
Java support, 230–232
noise from build systems based
on, 142–144
purpose, 1
versions, ix–x
autoupdate utility, 7
awk utility, 55, 67
B
backslash, for command wrap, 25
backtick (`), as default M4 quote
character, 252
binding variables, 26–27
bindir variable, 47–48
bootstrap.sh script, 73
Autotools_02.book Page 315 Tuesday, June 15, 2010 2:38 PM
www.it-ebooks.info
316 INDEX
Bourne shell, for Autoconf, 58
Bourne-shell scripts, 2
referencing variable, 24
-brtl flag, for AIX linker, 174n
bug-report argument, for AC_INIT
macro, 77
build directory, cleaning files in,
226–227
build environment, of end user, 58
$build environment variable, 234
build process, 28n
hooking Doxygen into, 245–247
installation path for, 296
Libtool in, 150–151
build system
analysis, 126–133
hooking directories into,
155–156
vs. host system, 287
problems from copying, 71
reconfiguring and building,
161–164
user expectations for, 20
BUILT_SOURCES variable, 302–303
replacing with dependency
rule, 308
byte stream, 67
C
C#
building sources, 239–243
macros, 233
manual installation of sources,
242–243
unit testing in, 242
C++ programming language, 4
building JNI sources, 236–237
classes, 273
exporting symbols from
library, 282
public interface solution,
273–276
virtual interfaces, 274–276
.c files, compiling into .o files, 30
C preprocessor
comparing M4 to, 60
macro definition, 91
C programming language, 4
checking for compiler, 91–93
function prototypes, 158
passing structure references, 273
public interface solution, 273
c89 program, 31n
c99 program, 31n
C99 standard, 113
macros for determining
standardized type
instances, 113
Canadian cross, 287
canonical names, for system types,
288–290
cc, 30–31
CC variable, 53
@CC@ variable, 92
CFGDIR C-preprocessor variable, 51
CFLAGS variable, 53
@CFLAGS@ variable, 92
ChangeLog file
creating, 121
for FLAIM project, 200
changequote macro, 254
check-news option, for
AM_INIT_AUTOMAKE, 121
check prefix, 128
check programs, 218
check target, 37, 133
check_DATA variable, 225
check_SCRIPTS PLV, 134
chmod command, 39
.class files, 231
location for, 239
CLASSPATH_ENV variable, 232
clean, 31
clean-local target, 243
CLEANFILES variable, 134, 226,
239, 298
cleaning files
in build directory, 226–227
in distribution package, 281–282
CMake package, 2
Cocoa user interface, 3
COFF (Common Object File
Format) system, 147n
colon (:), for rules, 27
Autotools_02.book Page 316 Tuesday, June 15, 2010 2:38 PM
www.it-ebooks.info
INDEX 317
commands
backslash for wrapping, 25
in makefile, 23–24
commands argument, in instantiating
macros, 81
comments, in makefile, 22
commercial software, development,
244n
common make rules, 27
Common Object File Format
(COFF) system, 147n
compile process, data flow
diagram, 27
compile script, 140
compile-time expression, 113
compilers, 28
checking for, 91–93
configuring options, 243–245
-Ipath options, 87
switching, and setting command-
line options, 53
compiling, and dependency files
generation, 306
conditional compilation, 104–106,
187–188
conditional option, -fPIC as, 168
conditionals
for Automake, vs. make, 213
in M4, 264–268
config.guess script, 234, 289
config.h header file, 13, 79, 86, 272
C preprocessor locating, 87
config.status to generate, 84
in /usr/include directory, 276
config.h.in file, 7, 9
config.log file, 14, 62
config.status script, 14, 62–63, 67, 82
AC_OUTPUT macro to generate, 116
executing, 63–64
help for command-line options,
79–80
Makefile dependence on, 64
config.sub script, 234, 289
configuration. See also Autoconf
Libtool and, 162
configuration scripts, 5
Autoconf generation of, 6
configure: error: cannot find
install-sh ... error, 74
configure script, 9, 13, 54–55, 82
data flow diagram, 14
--disable-shared option, 193–194
--enable-static option, 168
user ability to override, 94
configure.ac file, 7, 64–67, 68
action-if-not-given argument
for, 109
activities in, 78
adding checks for dl library and
header file, 184
AM_SILENT_RULES macro in, 143
Autoconf intialization macros,
76–78
and autoreconf, 61
autoscan to create, 71–76
documenting substitution
variable values, 246
enabling Automake in, 121–124
for FLAIM toolkit, 205–212
for ftk, 208–209
pkg-config files in, 301–302
placement for subprojects,
199–200
shortest, 59
for top-level flaim directory,
199, 200
for xflaim project, 218–221
configure.in file, 57–88
@configure_input@ substitution
variable, 65
configure.scan file, 71, 72
control characters, leading for make
command, 35–36
convenience libraries, 128, 168
reducing complexity with,
134–138
copy-xml-files.stamp file, 225–226
COPYING files
default, 123
for FLAIM project, 200
CPPFLAGS variable, 53
vs. CFLAGS, 290n
@CPPFLAGS@ variable, 92
CPUs, absolute addressing and, 168
crashing, from program loading at
wrong address, 165
Autotools_02.book Page 317 Tuesday, June 15, 2010 2:38 PM
www.it-ebooks.info
318 INDEX
cross-compiling, 287–293
cross-platform networking software,
data formatting, 112
cross-to-native build, 287–288
CSI_LIBADD variable, 236
cstest.exe, 242
cstest_script script, 242
current target, reference to, 29
current value, in library interface
version number, 178
CXX variable, 53
CXXFLAGS variable, 53, 210
Cygwin environment, 2
D
data flow diagram
for aclocal utility, 11
for Autoconf, 8
for autoheader utility, 8
for Automake, 13
for compile and link
processes, 27
for configure shell script, 14
for Libtool, 13
for make program, 16
DATA primary, 131, 247
files as dependencies, 298
database-management library. See
FLAIM (FLexible
Adaptable Information
Management)
datadir variable, pkg version, 128
debug variable, and conditional
(AS_IF) use of
AC_DEFINE,212
_DEBUG_END_ string, 96
debugging
config.log file for, 14
macros, 60
_DEBUG_START_ string, 96
default distribution package type,
changing, 121
default name, for tarballs, 34
default quote characters, for M4, 252
define macro, 253
@DEFS@ substitution variable, 87, 103
Demaille, Akim, 120
depcomp wrapper script, 125
dependencies
automatic, 306–309
managing, 303–306
preprocessor to manage,
304–306
dependency chains, 24
dependency files
generating as compile side
effect, 306
renaming, 164
dependency libraries, in libxflaim.la
file, 225
dependency list, 29
dependency rules, 29–30
adding hardcoded to header
file, 307–308
automatic tracking, 124–125
dereferencing shell variable, 24
DESTDIR variable, 49–50, 52
destination directory structure, 133
/dev/null
redirecting output to, 163
redirecting stdout to, 143
df utility (Linux), 148
directed graph, 24
directive (dot-rule), 33
directories
adding source to distribution
package, 140
adding to SUBDIRS variable, 138
destination structure, 133
include, 153–156
root-level, 44
structure for projects, creating,
20–22
disable-fast-install option, for
LT_INIT macro, 157
disable-shared option, for LT_INIT
macro, 157
disable-static option, for LT_INIT
macro, 157–158
dist-hook target, 214–215
dist modifier, for PSVs and
PLVs, 132
Autotools_02.book Page 318 Tuesday, June 15, 2010 2:38 PM
www.it-ebooks.info
INDEX 319
dist-* options, for AM_INIT_AUTOMAKE,
121
dist target, 33, 34, 208
distcheck target, 36, 75, 281
make to test install and uninstall
targets, 42–44
modifying commands, 67
distdir rule, forgetting to update, 36
$(distdir) target, 75
distdir variable, 34
distribution package
automatically testing, 36–37
changing default type, 121
cleaning, 281–282
contents, 140
timestamps on source files, 141
DIST_SUBDIRS variable, 276
dkopen function, return type, 191
dl interface functions, 188
switching to ltdl in source code,
190–191
dl POSIX interface, 151
dlclose function, 151
DLL Hell, 175
DLLs. See Dynamic Link Libraries
(DLLs)
dlopen function, 150, 151, 188
checking for, 184
-dlopen option, for ltdl library, 189
dlopen option, for LT_INIT macro, 157
dlsym function, 150, 151
dnl macro, 254
doc_DATA variable, 213, 247
docs directory, 245
documentation. See also Doxygen
distributing generation of, 277
for macros, 263–264
targets, 309
Texinfo for, 131
dollar sign doubled ($$), for
variable references, 43
dollar sign ($), escaping, 24
dot-rule (directive), 33
double compile feature, 163–164
double quotes ("), escaped, 294n
doxyfile.in file, 246
Doxygen
hooking into build process,
245–247
tarball, 247
variables in templates, 296
doxygen program, 213
Draheim, Guido, 298
DRY principle, 158
dual-mode build approach, 103
Duret-Lutz, Alexandre, 120
.dvi documentation files, generating
rules to build, 131
Dynamic Link Libraries (DLLs), 147
versioning, 175
dynamic linking
automatic at runtime, 148–149
at load time, 147–148
manual at runtime, 149–150
dynamic loader, source file that
checks functionality, 86
E
echo statement
after AC_OUTPUT for user
information about
build, 116
vs. Autoconf macros for message
display, 107
leading @ sign on, 36
Eclipse, 146
ELF (Executable and Linking
Format) system, 147n
--enable-static option, for configure
command, 168
end-user’s system, vs. maintainer’s
system, 5
environment variables, 24
Autoconf macros to create, 108
for multithreading, 210
setting in local environment, 54
equal sign (=), in makefile, 24
Erlang, 4
error messages
from M4, 268
for missing TAB characters, 23
escaped double quotes, 294n
escaping dollar sign ($), 24
Autotools_02.book Page 319 Tuesday, June 15, 2010 2:38 PM
www.it-ebooks.info
320 INDEX
exec_prefix variable, 47
executable
absolute addressing in, 165
building, 9
custom installation location, 238
entry point for, 177
hardcoding runtime directories
into, 51
interface between shared
libraries and, 146
on Unix systems, support for
embedded runtime
library search path, 174
Executable and Linking Format
(ELF) system, 147n
@EXEEXT@ variable, 92
export keyword, 40
export-level versioning, 172
export statements, 67
exporting C++ symbols from
library, 282
extension target, recursive, 276–279
external reference table, 147
external versioning, 172
EXTRA prefix, 128
EXTRA_DIST variable, 140, 203, 213
F
factory functions, 274, 275
files, setting mode, 39
filesystem hierarchy standard
(FHS), 44–45
filesystem rights, 38
Fink, 3
FLAIM (FLexible Adaptable
Information
Management)
adding macro subdirectory,
201–202
analysis of legacy system,
197–199
basics, 196
directory tree, 198
getting started, 199–204
reasons for project conversion,
196–197
subprojects, 197–198, 204–218
top level Makefile.am file,
202–204
FLAIM toolkit, 196
configure.ac file, 205–212
Makefile.am file, 212–215
Makefile.am file for src and utils
directories, 215–217
flaimsql project, 197–198
FLM_FTK_SEARCH macro, 221
FLM_PROG_TRY_* macro, 220
FLM_PROG_TRY_CSVM macro, 242
FLM_PROG_TRY_DOXYGEN macro, 206,
233, 265, 266
FLM_PROG_TRY_JNI macro, 238
FORCE rule, 35
foreign keyword, in AM_INIT_AUTOMAKE,
206
formatting help strings, 112
Fortran, 4
Fortran 77, 4
forward declaration, in C++, 274
-fPIC option, for compiling
code, 163
free-floating external
references, 148
Free Software Foundation (FSF), 20
frozen macro file, 259
ftk project, autoscan to generate
starting point, 204
FTKINC variable, 221
FTK_INCLUDE variable, 221
FTKLIB variable, 221
FTK_LTLIB variable, 221
functions
absolute addresses to calls,
164–165
vs. macros, 60
G
gcc, 26n
gcj compiler, 4, 230
global processes, makefile and, 33
GNU Autoconf Manual, 78, 264
naming convention for
macros, 264
on quadigraphs, 117
system types defined, 288
Autotools_02.book Page 320 Tuesday, June 15, 2010 2:38 PM
www.it-ebooks.info
INDEX 321
GNU Automake Manual, 11
on AC_PREREQ, 76
GNU build system, variables
referenced by, 52
GNU Coding Standards, 119, 121
on installation targets, 243
on targets and variables, 45
GNU compiler
for Java (gcj), 4, 230
options to generate make
dependency rule, 124
GNU distribution source archives,
installing Autotools
from, 17
GNU Libtool Manual, 151
and interface versions, 180
on packaging ltdl library with
project, 189
symbol-naming convention
for maintaining
uniqueness, 192
GNU M4 Manual, 252
GNU Make Manual, 30, 32
GNU projects, files required by
GCS for, 121
GNU Savannah project, 298
GPL, text in COPYING file, 123
grep utility, 37
for Autoconf macro
directory, 283
testing output string, 37
greptest.sh shell script, 185
gzip utility, 3
H
handle, for loaded library, 150
hash mark (#)
for M4 comments, 252
for makefile comments, 22
HAVE_CONFIG_H macro, 87, 103
HAVE_DOXYGEN conditional name, 207
HAVE_PTHREAD_H macro, 103, 111
header file template, from
autoheader, 7
header files
adding hardcoded dependency
rule to, 307–308
checks for, 98–107
config.status to generate, 83
generating rules to create first,
302–303
location, 87
location in source file, 159
for plug-in interface, 183
header for macros, documentation
in, 263–264
HEADERS primary, 131, 154
heap manager, preloading, 148
help
for config.status script
command-line options,
79–80
formatting strings, 112
Hewlett Packard, Unix library-level
versioning, 175
-hook target, for Automake, 214–215
$host environment variable, 234
host system
vs. build system, 287
canonical names, 290
.html documentation files
generating, 247
generating rules to build, 131
I
IBM AIX library versioning,
173–174
if statement, 44
if-then statement, vs. AS_IF macro,
211–212
ifdef keyword, 213
ifeq keyword, 213
ifnames program, 8
ifndef keyword, 213
ifneq keyword, 213
image directory, building, 34
implicit rules, 30–31, 303–304
include directives, 87
include directories, 153–156
include file, autoheader to generate
template, 84–87
include guard, 86, 159
include statement, for .m4 macro
files, 202
includedir variable, 154
pkg version, 128
Autotools_02.book Page 321 Tuesday, June 15, 2010 2:38 PM
www.it-ebooks.info
322 INDEX
indirect dependencies, 304
infinite recursion by macro, 257
.info files, 131
generating rules to build, 131
info_TEXINFOS product list
variable, 131
init-cmds argument, in instantiating
macros, 81
initialization macros, in configure.ac
file, 76–78
input text
M4 procedure for processing
stream, 257
macro to discard, 254
install-data-hook target, 247
INSTALL files
default, 123
for FLAIM project, 200
install target, 39, 52
install utility (Unix), 74
@INSTALL@ variable, 93
installation location prefixes,
127–128
installing
Autotools, 16–18
choices, 40–41
Libtool, 152
path for, 296
prefixes not associated with,
128–129
products, 38–44
from tarball, 5
testing, 42–44
@INSTALL_PROGRAM@ variable, 93
@INSTALL_SCRIPT@ variable, 93
instantiating macros, 78–87
integer types in C, 112
interface abstraction, hiding
implementation details
with, 273–276
interface versioning, library
versioning as, 177–180
interfaces
design, 272
between executable and shared
libraries, 146
public, 160, 272–276
internal name of library, 176
internal versioning, 172
internationalization, 58n
intN_t type, 113
J
.jar files, 230
make rule for building, 238
Java, 4, 52n
building sources with Autotools,
230–239
defining list of source files in
variable, 231
wrapper classes, 237–239
Java Native Interface (JNI)
C++ sources, 236–237
header files, 232
JAVA primary, 130, 230
caveat about using, 239
Java Virtual Machine (JVM), 230
JAVAC variable, 232
JAVACFLAGS variable, 232
javah utility, 232, 238
JAVAROOT directory, 235
JAVAROOT variable, 232, 238
JNI. See Java Native Interface (JNI)
JNI_LIBADD variable, 236
Jupiter project, 32, 37
adding libraries, 137
adding location variables to,
47–48
adding multithreading, 99
adding shared libraries, 152–170
changes to use ltdl library, 189
CPPFLAGS statement, 160
fixing PIC problem, 167–170
modules directory, 185
multiple threads or serialized
execution, 104
plug-in interface to modify
output, 181
remote build, 70
single-threaded version, 107
temp directory, 125
for users without pthreads
library, 103
jupiter_LDADD statement, 160
JVM (Java Virtual Machine), 230
Autotools_02.book Page 322 Tuesday, June 15, 2010 2:38 PM
www.it-ebooks.info
INDEX 323
K
Kernighan, Brian, 58
L
.la file extension, 160
large files, 209
lazy binding, 148
lazy entry, 149
LDADD variable, 225
ldconfig utility, 173
LDFLAGS variable, 53
LD_PRELOAD environment variable, 148
leading whitespace, aroung
arguments, 256
*_LIBADD variables, 155
libdir variable, pkg version, 128
libdl.so file, 151
libexecdir variable, pkg version, 128
libjupcommon.a static library, 153
libltdl, 181–194
necessary infrastructure,
181–183
LIBPATH (AIX), 174
libraries. See also shared libraries
adding to program linker
command line, 137
Autoconf macros specific to, 287
building, 138–140
checks for, 98–107
design, 272
exporting C++ symbols from, 282
internal name of, 176
patch level of, 173
providing pkg-config files for,
300–301
referencing those external to
project, 155
renaming with Libtool -release
flag, 180–181
static, 139. See also static libraries
testing for required, 211
LIBRARIES primary, 130
library interface functions, names
for, 159–160
library management interface, 151
library versioning, 59, 171
IBM AIX, 173–174
as interface versioning, 177–180
Libtool scheme for, 176–181
library_LIBADD POV, 137
@LIBS@ substitution variable, 100, 101
libs.m4 file, 283
Libtool, 1, 11–12, 145–170
abstracting build process,
150–151
abstraction at runtime, 151–152
-avoid-version option, 186
customizing with LT_INIT macro
options, 157–161
data flow diagram, 13
determining version installed, 16
indicating earliest version for
project processing, 156
installing, 152
library versioning scheme,
176–181
new files for project, 161
preloading multiple modules,
192–193
reasons to use, 201
-version-info option, 177, 181
libtool script, 12
--mode-link option, 164
--mode=compile option, 163
libtoolize shell script, 12
libxflaim.la file, dependency
libraries, 225
link process, data flow diagram, 27
linker
compiler to call, 28
name entry, for library
install, 173
and object files, 136
symbols table maintenance, 147
Linux
getting project into distribution,
48–50
library versioning, 172–173
proper build on, 291
load time, dynamic linking at,
147–148
loader domain, 174
loader, version information for, 177
Autotools_02.book Page 323 Tuesday, June 15, 2010 2:38 PM
www.it-ebooks.info
324 INDEX
loading program, crash from
loading at wrong
address, 165
-local target, for Automake,
214–215
location variables, 47–48
ltdl library, 12, 151, 181
converting to, 188–192
-dlopen option, 189
initializing, 191
Jupiter project changes to
use, 189
shipping source code with
package, 190
lt_dlopen function, 152
return type, 191
LTDL_SET_PRELOADED_SYMBOLS macro,
189, 191
lt_dlsym function, 152, 192
LT_INIT macro, 156, 184, 201
options, 157–161
LTLIBRARIES primary, 130, 151, 153,
155, 168
ltlibrary_LIBADD POV, 137
ltmain.sh script, 150, 151, 161
location, 201
LT_OUTPUT macro, 151n
LT_PREREQ macro, 156
M
M4 macro language, 58
and Autoconf, 259–260
comparing to C preprocessor, 60
conditionals, 264–268
data as text, 77n
documenting macros, 263–264
macro calls, 59
macro definition, 253–254
macros with arguments, 255–256
placeholders for parameters, 284
problem diagnosis, 268–269
procedure to process input text
stream, 257
quoting rules, 258–259
recursive nature of, 256–259
suggested body closing style, 264
text processing, 252–256
text replacement, 260–263
whitespace around
arguments, 256
writing Autoconf macros,
260–268
M4 macro processor, 251
.m4f extension, 259
m4_if macro, 266–268
m4_ifval macro, 265–266
m4_include statement, 10
m4sugar, 259
m4_traceoff macro, 268–269
m4_traceon macro, 268–269
Mac OS X, 3
MacKenzie, David, 6, 119
MacPorts, 3
macros, 60–61
and Autoconf, 58
hacking, 282–287
instantiating, 78–87
library-specific Autoconf, 287
main function, new plug-in module
from, 187
maintainer-defined command-line
options, 212
maintainer mode, 141–142
maintainer’s system, vs. end-user’s
system, 5
major version number, 173
make all, 296
prefix override for, 51
make check, 218
make clean, 226
make dist, 140
make install, 296
incremental techniques, 302
prefix override for, 51
make program, 126
vs. Automake conditionals, 213
data flow diagram, 16
designing new target, 32
executing commands in
separate shells, 25
information display by, 142
leading control characters,
35–36
output, 162–163
running, 15
Autotools_02.book Page 324 Tuesday, June 15, 2010 2:38 PM
www.it-ebooks.info
INDEX 325
make rule, for building .jar file, 238
make targets, Automake support
for, 124
make variables, defining on
command line, 41
makefile
basics, 22–32
commands and rules, 23–24
general layout, 23
generating. See Automake
resources for authors, 32
variable definitions, 24–25
writing, 9
makefile templates, generating, 10
Makefile.am file, 10, 125–126
adding -dlopen option to
LDADD, 191
adding SUBDIRS variable,
155–156, 185
AM_CPPFLAGS option
variable, 138
AM_LDFLAGS option
variable, 138
conditional actions, 207
for cs directory, 239
dist and nodist modifiers, 132
enabling silent rules, 143
EXTRA_DIST list, 280–281
for FLAIM project src directory,
235–236
for FLAIM project top level,
202–204
for FLAIM toolkit, 212–215
for ftk/src, 215–217
for ftk/util, 217–218
for include directory, 154
includedir variable or pkginclude
prefix in, 154
Java installation directory
defined in, 231
for libjup, 155
modifying to use shared
library, 160
nobase modifier, 133
study of, 215
substituting make variables into
data files using sed, 297
TAB characters in, 310–311
top level, 126
for xflaim/src, 222–223
for xflaim/src/java, 236–237
for xflaim/src/java/wrapper,
237–239
makefile.in file
Automake generation of, 123
updating, 75–76
Makefile.in template, 13
from empty Makefile.am file, 126
MAKEFLAGS environment variable, 279
makeinfo utility, 131
man pages, 131
man_MANS product list variable, 131
manN_MANS product list variable, 131
MANS primary, 131
messages
multiline, 107n
printing, 106–107
Meyering, Jim, 120
MinGW approach, 2
minor version number, 173
MSYS environment, 2
multiline messages, 107n
multiple commands, executing by
same shell, 25
multiple targets, 31–32
multithreading, 210
adding to project, 99
vs. single thread, 101
mutexes, 108
N
name token
replacing with macro
definition, 253
word parsed as, 258
names
of Automake-generated
tarballs, 76
for library interface functions,
159–160
in M4, 252
of projects, 21
NEWS file
creating, 121
for FLAIM project, 200
Autotools_02.book Page 325 Tuesday, June 15, 2010 2:38 PM
www.it-ebooks.info
326 INDEX
NeXTSTEP/OpenStep, 3
Nicholson, Dan, 302
nobase modifier, for PSVs and
PLVs, 133
nodist_program_SOURCES variable, 303
noinst prefix, 128, 136, 168
noinst_HEADERS PLV, 136n
noise, from Autotools-based build
systems, 142–144
non-pic option, for LT_INIT
macro, 158
nonstandard targets, 247–249
notrans modifier, for PSVs and
PLVs, 133
Novell eDirectory, 196
Novell GroupWise server, 196
O
.o (object) files
compiling .c files into, 30
linkers and, 136
Objective C, 4
objects, precompiled, 29
@OBJEXT@ variable, 92
obs directory, 248
open source software projects,
platforms for, 20
openSUSE Build Service, 248
optimization for fast install,
disabling, 157
OUT[:INLIST] construct, 79
output files, templates for, 63
P
package build system, generating,
5–6
@PACKAGE_BUGREPORT@ substitution
variable, 77
@PACKAGE_NAME@ substitution
variable, 77
packages
building, 13–15
choices, 311
configuring, 54–55
installing multiple versions, 52n
repository revision number use
in version, 279–281
uninstalling, 41–42
@PACKAGE_STRING@ substitution
variable, 77
@PACKAGE_TARNAME@ variable, 77, 248
@PACKAGE_URL@ substitution
variable, 77
@PACKAGE_VERSION@ variable, 77,
248, 300
packaging systems, 49
parallel-tests option, for
AM_INIT_AUTOMAKE, 122
patch level, of library, 173
pattern rules, 304
per-product flags, wrapper scripts
around compiler for, 139
Perl interpreter, for Autoconf, 58
.PHONY rule, adding -local and -hook
targets to, 214
phony targets, 31, 226
make execution of commands
associated with, 33
pic-only option, for LT_INIT
macro, 158
PIC. See position-independent
code (PIC)
picket fences, 96
PIMPL (Private IMPLementaton)
pattern, 273–274
pkg-config program, 299–302
providing files for library
projects, 300–301
pkg installation location
variables, 128
PKG_CHECK_EXISTS macro, 301
PKG_CHECK_MODULES macro, 301
pkginclude prefix, 154
pkg.m4 file, 301
PKG_PROG_PKG_CONFIG macro, 301
plug-in interface, 146
adding, 183–184
to modify Jupiter project
output, 181
plug-in modules, scope of data
references for, 186
PLV. See product list variables (PLV)
Autotools_02.book Page 326 Tuesday, June 15, 2010 2:38 PM
www.it-ebooks.info
INDEX 327
pointer, to call public methods, 275
portability
of build systems with non-
mainstream languages, 4
of shell code, 6
position-independent code (PIC),
164–166
default behavior for creating, 158
fixing problem in Jupiter,
167–170
and shared libraries, 166
POSIX/FHS runtime
environment, 2
POSIX shared-library API, 151
POSIX standard, 29n
threads (pthreads) library, 98–99
postorder_commands macro, 277
POVs (product option variables),
136–138
precious variables, 206, 220, 265
precompiled objects, 29
prefix variable, 41
build vs. installation overrides,
50–52
prefix variables, 44
ability to change, 48
default values, 46–47
$(prefix), vs. @prefix@, 67
prefixes
installation location, 127–128
not associated with installation,
128–129
preorder_commands macro, 277
preprocessor
comparing M4 to C, 60
conditional construct, 159
definitions from autoheader, 85
preprocessor variables, 90
primaries, 129–131
print statement
after AC_OUTPUT for user
information about
build, 116
vs. Autoconf macros for message
display, 107
printing
code to stdout, preventing, 44
messages, 106–107
print_routine function, adding
salutation, 181–182
Private IMPLementaton (PIMPL)
pattern, 273–274
product list variables (PLV),
127–131
modifier-list portions of
templates, 132–133
product option variables (POVs),
136–138
product source variables (PSVs), 132
modifier-list portions of
templates, 132–133
product versions, vs. shared-library
versioning, 177
product_CFLAGS POV, 137
product_CPPFLAGS POV, 137
product_LDFLAGS POV, 137
products
installing, 38–44
preventing install during specific
build, 128
prog-to-check-for parameter, in
AC_CHECK_PROG macro, 97
program, checking for existence, 94
program_LDADD POV, 137
programming language. See also
specific language names
choosing, 4
programs, checking for
existence, 220
PROGRAMS primary, 130
programs.m4 macro file, 95
projects. See also build system
autoconfiscating, 65
directory structure creation,
20–22
getting into Linux distribution,
48–50
organization techniques, 19
structure, 21–22
.ps documentation files, generating
rules to build, 131
PSVs. See product source
variables (PSVs)
PTHREAD_CC variable, 210
PTHREAD_CFLAGS environment
variable, 210
Autotools_02.book Page 327 Tuesday, June 15, 2010 2:38 PM
www.it-ebooks.info
328 INDEX
pthread_create function, finding
library containing, 100
PTHREAD_CXX variable, 210
PTHREAD_CXXFLAGS environment
variable, 210
PTHREAD_LIBS environment
variable, 210
pthreads (threads) library, 98–99, 170
output if missing, 105
proper use, 210–211
public interface
call through, 160
contents, 272–276
pure virtual methods, 274–275
PYTHON primary, 130
Q
quadrigraphs, 117
query-assign operator (?=), 54
quiet builds, 142
quote characters in M4
default, 252
using, 262–263
R
ranlib utility, 139n
readme-alpha option, for
AM_INIT_AUTOMAKE, 122
README file
creating, 121
for FLAIM project, 200
real target, for make, 9
recursive build system, 21
recursive extension target, 276–279
recursive targets, 204
Red Hat Package Manager
(RPM), 49
package files, building, 248–249
redirecting stdout, to /dev/null, 143
redundancy, eliminating, 29
references, to external libraries, 155
regeneration rules, 65
reject parameter, in AC_CHECK_PROG
macro, 97–98
relative addresses, 166
-release flag, of Libtool, 180–181
remote build, adding functionality
to makefile, 68
replacing text, emulating Autoconf
techniques, 293–298
repository revision number, using
in package version,
279–281
revision value, in library interface
version number, 178
Ritchie, Dennis, 58
rm command, 120
leading control character for, 35
root-level directories, 44
root-level rights
for installing products, 38–39
for uninstall, 42
root permissions, for installing into
system directory
hierarchy, 52
RPM. See Red Hat Package
Manager (RPM)
rpmbuild utility, 249
rpmcheck target, 249
rpms target, 203
rules, 27–32
dependency, 29–30
forcing to run, 34–35
implicit, 30–31
in makefile, 23–24
runtime
automatic dynamic linking at,
148–149
manual dynamic linking at,
149–150
runtime directories, hardcoding
into executable, 51
S
SCons package, 2
scope of data references, for plug-in
modules, 186
SCRIPTS primary, 130
security risks, from free-floating
symbols, 148
sed command, 55, 67
substituting make variables into
data files, 297
Autotools_02.book Page 328 Tuesday, June 15, 2010 2:38 PM
www.it-ebooks.info
INDEX 329
separator characters, for
commands, 25
serialized execution, vs.
multithreading, 104
shared libraries, 11, 102, 145. See
also Libtool
aborted process from
missing, 149
adding to Jupiter, 152–170
benefits, 146, 153
default behavior for creating, 157
header file, 158
how they work, 146–150
and include directories, 154
initial contents of source file, 158
modifying Makefile.am to use, 160
and PIC objects, 166
versioning, vs. product
version, 177
warning about linking against
static library, 164
shared-library interface, 171
shared-library table, 147
shared object name (soname), of
library, 173
shared option, for LT_INIT macro, 157
shell code
make passing variable
reference to, 43
portability, 6
shell variable
creating substitution variable
from, 90
dereferencing, 24
shim libraries, 2
side-by-side cache (SxS), 175
.SILENT directive, 36
silent rules, 142–144
for AM_INIT_AUTOMAKE, 122
Simon, Peter, 298
sinclude statement, 305
single quote ('), as default M4
quote character, 252
.sl file extension, 175
Solaris, library versioning, 172–173
soname (shared object name), of
library, 173
source code
classes in C or C++ project, 303
compiling, 164
shipping ltdl library with
package, 190
using generated, 302–309
source directory
adding to distribution
package, 140
building outside, 15
source distribution archive. See also
tarballs
creating, 32–36
source files
timestamps on, 141
in variable definition, 28
SourceForge.net, 196
SOURCES variable, library name in, 168
spec file, 49, 248
square brackets ([])
for AC_CHECK_TYPES macro
parameter, 114
for macro parameters, 60
for optional parameters, 76n
$(srcdir) prefix, prepending on
files, 232
@srcdir@ substitution variable,
68, 296
srcrpm target, 203
stack overflow, from infinite
recursion by macro, 257
staged installations, GNU Coding
Standards on, 49
stamp files, 226n, 232, 238, 247
stamp targets, 225–226
standard targets, 46
standard variables, 46–47
static libraries, 139, 161
default behavior for creating,
157–158
generating PIC objects in, 167
header file, 158
Libtool generation of, 168
warning about linking shared
library against, 164
static option, for LT_INIT macro,
157–158
Autotools_02.book Page 329 Tuesday, June 15, 2010 2:38 PM
www.it-ebooks.info
330 INDEX
stderr, 144
redirecting, 75, 163
stdout
preventing make from printing
code to, 44
redirecting, 75, 163
redirecting to /dev/null, 143
stream editor, 67
strings for help, formatting, 112
structure definitions, checking for,
112–115
SUBDIRS variable, 203
adding directory to, 138
adding to Makefile.am file, 185
conditional definition of
contents, 223
for make, 126–127
recursively traversing
subdirectories with, 276
substitution variables
AC_PROG_CC macro definition of, 92
for AM_CONDITIONAL macro, 207
creating from shell variable, 90
defining, 207
documenting values in
configure.ac file, 246
macro to specify, 265
Subversion, 279–280, 311
subversion-deps source package, 311
suffix rules, 30
Sun Microsystem, external library
versioning by, 172
SVNREV file, 280
SxS (side-by-side cache), 175
symbol-level versioning, 172
symbols table, linker maintenance
of, 147
sysconfdir variable, 51, 295
system directory hierarchy, root
permissions for installing
into, 52
system-specific versioning, 172–176
T
TAB character, 25n, 310–311
in makefile, 23
missing, in make, 268n
tags, OUT[:INLIST] construct as, 79
tar utility, 3
tarballs
checking for completeness, 281
creating, 32–36
as dependency of rpms target, 249
names for, 34, 76
process for building and
installing software from, 5
$target environment variable, 234
target system, for cross-compiling,
287, 288
targets
disabling undesirable, 309–310
multiple, 31–32
nonstandard, 247–249
phony, 31, 33, 226
reference to current, 29
in rules, 27
templates
conditionally processing, 208
config.status to generate
makefiles from, 64–67
generating files from, 62, 67–68
for output files, 63
test files, cleaning, 227
testing
for Autoconf, 59
distribution, automatically,
36–37
install and uninstall, 42–44
for required libraries, 211
unit, 37–38
TEXINFOS primary, 131, 309–310
text files, generating from .in file, 67
text processing
emulating Autoconf text
replacement techniques,
293–298
with M4, 252–256
threads (pthreads) library, 98–99
output if missing, 105
proper use, 210–211
threads, single vs. multithreading,
101
Autotools_02.book Page 330 Tuesday, June 15, 2010 2:38 PM
www.it-ebooks.info
INDEX 331
timestamps, on distribution source
files, 141
tokens in M4, 252
@top_srcdir@ variable, 296
touch command, 121, 206
trailing whitespace, aroung
arguments, 256
troff markup, 131
Tromey, Tom, 119
type checks, in Autoconf, 114
type definitions, checking for,
112–115
U
uintN_t type, 113
uname command, 234
uninstall rule, package manager
and, 49
uninstalling
package, 41–42
testing, 42–44
unit testing, 37–38, 281
Automake support for, 133–134
in C#, 242
XML files for, 225
Unix systems
compilers, 28
executable support for
embedded runtime
library search path, 174
Hewlett Packard, library-level
versioning, 175
user-defined macros, adding to
Autoconf project, 10
user variables, 52–54, 92, 138
defining, 40
/usr/bin directory, file ownership, 39
/usr directory, 44
/usr/include directory, config.h
file in, 276
/usr/local directory, 45
for Libtool default install, 152
utility scripts, 141
V
valgrind package, 148
variables. See also substitution
variables
$$ (dollar sign doubled) for
referencing, 43
automatic, 29
binding, 26–27
location, 47–48
in makefile, 24–25
standard, 46–47
user, 40, 52–54
verbose mode, for autoreconf, 61
version argument, for AC_INIT
macro, 77
-version-info flag, of Libtool, 181
version of library, 171
version option, for AM_INIT_AUTOMAKE,
122
VERSION variables, 77
versioning, 217
Dynamic Link Libraries
(DLLs), 175
library, 171
repository revision number
use in, 279–281
system-specific, 172–176
virtual search path (VPATH), 68–70
W
warnings
for autoscan utility, 72
response to, 164
-warnings=category option, for
AM_INIT_AUTOMAKE, 122
-Wcategory option, for
AM_INIT_AUTOMAKE, 122
which command, 16–17
whitespace characters, in M4,
252–253
Wikipedia, on position-
independent code, 166n
Wildenhues, Ralf, 120
Windows operating system loader,
symbole resolution, 147
Autotools_02.book Page 331 Tuesday, June 15, 2010 2:38 PM
www.it-ebooks.info
332 INDEX
Windows runtime environment, 2
wrapper scripts, for per-product
flags, 139
X
X Windows, 3
xfcs_sources variable, 242
xflaim library, 230
xflaim subproject, 197–198
build system design, 218–227
configure.ac file, 218–221
ftk search code from, 261
java directory structure, 234–235
Java wrapper classes, 235
Makefile.am file for src directory,
222–223, 235–236
pkg-config metadata template
for, 300
util directory, 223–227
XML files, for unit tests, 225
Autotools_02.book Page 332 Tuesday, June 15, 2010 2:38 PM
www.it-ebooks.info

The Electronic Frontier Foundation (EFF) is the leading
organization defending civil liberties in the digital world. We defend
free speech on the Internet, fight illegal surveillance, promote the
rights of innovators to develop new digital technologies, and work to
ensure that the rights and freedoms we enjoy are enhanced —
rather than eroded — as our use of technology grows.
EFF has sued telecom giant AT&T for giving the NSA unfettered access to the
private communications of millions of their customers. eff.org/nsa
EFF’s Coders’ Rights Project is defending the rights of programmers and security
researchers to publish their findings without fear of legal challenges.
eff.org/freespeech
EFF's Patent Busting Project challenges overbroad patents that threaten
technological innovation. eff.org/patent
EFF is fighting prohibitive standards that would take away your right to receive and
use over-the-air television broadcasts any way you choose. eff.org/IP/fairuse
EFF has developed the Switzerland Network Testing Tool to give individuals the tools
to test for covert traffic filtering. eff.org/transparency
EFF is working to ensure that international treaties do not restrict our free speech,
privacy or digital consumer rights. eff.org/global
PRIVACY
FREE SPEECH
INNOVATION
FAIR USE
TRANSPARENCY
INTERNATIONAL
EFF is a member-supported organization. Join Now! www.eff.org/support
Autotools_02.book Page 333 Tuesday, June 15, 2010 2:38 PM
www.it-ebooks.info

More no-nonsense books from
THE ART OF ASSEMBLY LANGUAGE, 2ND EDITION
by RANDALL HYDE
Widely respected by hackers of all kinds, The Art of Assembly Language teaches
programmers how to understand assembly language and how to use it to
write powerful, efficient code. Using the proven High Level Assembler (HLA)
as its primary teaching tool, The Art of Assembly Language leverages your
knowledge of high-level programming languages to make it easier for you to
quickly grasp basic assembly concepts. Among the most comprehensive refer-
ences to assembly language ever published, The Art of Assembly Language,
2nd Edition has been thoroughly updated to reflect recent changes to the
HLA language. All code from the book is portable to the Windows, Linux,
Mac OS X, and FreeBSD operating systems.
MARCH 2010, 760 PP., $59.95
ISBN 978-1-59327-207-4
THE IDA PRO BOOK
The Unofficial Guide to the World’s Most Popular Disassembler
by CHRIS EAGLE
Hailed by the creator of IDA Pro as the “long-awaited” and “information-
packed” guide to IDA, The IDA Pro Book covers everything from the very first
steps with IDA to advanced automation techniques. You’ll learn how to identify
known library routines and how to extend IDA to support new processors
and filetypes, making disassembly possible for new or obscure architectures.
The book also covers the popular plug-ins that make writing IDA scripts easier.
AUGUST 2008, 640 PP., $59.95
ISBN 978-1-59327-178-7
THE ART OF DEBUGGING WITH GDB, DDD, AND
ECLIPSE
by NORMAN MATLOFF and PETER JAY SALZMAN
The Art of Debugging with GDB, DDD, and Eclipse illustrates the use of three of
the most popular debugging tools on Linux/Unix platforms: GDB, DDD,
and Eclipse. In addition to offering specific advice for debugging with each
tool, authors Norm Matloff and Pete Salzman cover general strategies for
improving the process of finding and fixing code errors, including how to
inspect variables and data structures, understand segmentation faults and
core dumps, and figure out why your program crashes or throws exceptions.
You’ll also learn how to use features like catchpoints, convenience variables,
and artificial arrays and become familiar with ways to avoid common debug-
ging pitfalls.
SEPTEMBER 2008, 280 PP., $39.95
ISBN 978-1-59327-174-9
Autotools_02.book Page 334 Tuesday, June 15, 2010 2:38 PM
www.it-ebooks.info

HACKING, 2ND EDITION
The Art of Exploitation
by JON ERICKSON
While many security books merely show how to run existing exploits, Hacking:
The Art of Exploitation was the first book to explain how exploits actually
work—and how readers can develop and implement their own. In this all
new second edition, author Jon Erickson uses practical examples to illustrate
the fundamentals of serious hacking. You’ll learn about key concepts under-
lying common exploits, such as programming errors, assembly language, net-
working, shellcode, cryptography, and more. And the bundled Linux LiveCD
provides an easy-to-use, hands-on learning environment. This edition has
been extensively updated and expanded, including a new introduction to
the complex, low-level workings of computers.
FEBRUARY 2008, 488 PP. W/CD, $49.95
ISBN 978-1-59327-144-2
GRAY HAT PYTHON
Python Programming for Hackers and Reverse Engineers
by JUSTIN SEITZ
Gray Hat Python explains how to complete various hacking tasks with Python,
which is fast becoming the programming language of choice for hackers,
reverse engineers, and software testers. Author Justin Seitz explains the con-
cepts behind hacking tools like debuggers, Trojans, fuzzers, and emulators.
He then goes on to explain how to harness existing Python-based security
tools and build new ones when the pre-built ones just won’t cut it. The book
teaches readers how to automate tedious reversing and security tasks, sniff
secure traffic out of an encrypted web browser session, use PyDBG, Immunity
Debugger, Sulley, IDAPython, PyEMU, and more.
APRIL 2009, 216 PP., $39.95
ISBN 978-1-59327-192-3
PHONE:
800.420.7240 OR
415.863.9900
MONDAY THROUGH FRIDAY,
9 A.M. TO 5 P.M. (PST)
FAX:
415.863.9950
24 HOURS A DAY,
7 DAYS A WEEK
EMAIL:
SALES@NOSTARCH.COM
WEB:
WWW.NOSTARCH.COM
MAIL:
NO STARCH PRESS
38 RINGOLD STREET
SAN FRANCISCO, CA 94103
USA
Autotools_02.book Page 335 Tuesday, June 15, 2010 2:38 PM
www.it-ebooks.info

UPDATES
Visit http://www.nostarch.com/autotools.htm for updates, errata, and other
information.
Autotools is set in New Baskerville, TheSansMono Condensed, Futura, and
Dogma.
The book was printed and bound at Malloy Incorporated in Ann Arbor,
Michigan. The paper is 60# Spring Forge, which is certified by the Sustainable
Forestry Initiative. The book uses a RepKover binding, which allows it to lie flat
when open.
Autotools_02.book Page 336 Tuesday, June 15, 2010 2:38 PM
www.it-ebooks.info

www.nostarch.com
THE FINEST IN GEEK ENTERTAINMENT™
SHELVE IN:
COMPUTERS/PROGRAMMING
$44.95 ($56.95 CDN)
CREATING
PORTABLE
SOFTWARE JUST
GOT EASIER
CREATING
PORTABLE
SOFTWARE JUST
GOT EASIER
“I LIE FLAT.”
This book uses RepKover—a durable binding that won’t snap shut.
The GNU Autotools make it easy for developers to
create software that is portable across many Unix-like
operating systems. Although the Autotools are used
by thousands of open source software packages, they
have a notoriously steep learning curve. And good luck
to the beginner who wants to find anything beyond a
basic reference work online.
Autotools is the first book to offer programmers a tutorial-
based guide to the GNU build system. Author John
Calcote begins with an overview of high-level concepts
and a quick hands-on tour of the philosophy and design
of the Autotools. He then tackles more advanced details,
like using the M4 macro processor with Autoconf,
extending the framework provided by Automake, and
building Java and C# sources. He concludes the book
with detailed solutions to the most frequent problems
encountered by first-time Autotools users.
You’ll learn how to:
• Master the Autotools build system to maximize your
software’s portability
• Generate Autoconf configuration scripts to simplify
the compilation process
• Produce portable makefiles with Automake
• Build cross-platform software libraries with Libtool
• Write your own Autoconf macros
Autotools focuses on two projects: Jupiter, a simple
“Hello, world!” program, and FLAIM, an existing,
complex open source effort containing four separate but
interdependent subprojects. Follow along as the author
takes Jupiter’s build system from a basic makefile to a
full-fledged Autotools project, and then as he converts
the FLAIM projects from complex hand-coded makefiles
to the powerful and flexible GNU build system.
ABOUT THE AUTHOR
John Calcote is a senior software engineer and architect
at Novell, Inc. He’s been writing and developing portable
networking and system-level software for nearly 20 years
and is active in developing, debugging, and analyzing
diverse open source software packages. He is currently
a project administrator of the OpenSLP, OpenXDAS, and
DNX projects, as well as the Novell-sponsored FLAIM
database project.
AUTOTOOLS
AUTOTOOLS
A PRACTITIONER’S GUIDE TO
GNU AUTOCONF, AUTOMAKE, AND LIBTOOL
JOHN CALCOTE
CALCOTE
AUTOTOOLS
AUTOTOOLS
www.it-ebooks.info


