BUSseq: Batch Effects Correction With Unknown Subtypes For ScRNA Seq Data User's Guide BUSseq User
User Manual:
Open the PDF directly: View PDF
.
Page Count: 18
BUSseq: Batch Effects Correction with Un-
known Subtypes for scRNA-seq data
User’s Guide
Fangda Song ∗
, Ga Ming Chan and Yingying Wei
The Chinese University of Hong Kong
∗sfd1994895@gmail.com
January 31, 2019
Contents
1 Introduction..................................... 2
2 Data Preparation ................................. 2
3 Model Fitting .................................... 4
4 Estimated Cell Types, Batch and Cell-Specific Effects ....... 7
5 Intrinsic Gene Identification .......................... 9
6 Corrected Read Count Data and Visualization............. 10
7 Model Selection using BIC .......................... 14

BUSseq: Batch Effects Correction with Unknown Subtypes for scRNA-seq data
User’s Guide
1 Introduction
Single-cell RNA-sequencing (scRNA-seq) technologies enable the measurement of the tran-
scriptome of individual cells, which provides unprecedented opportunities to discover cell types
and understand cellular heterogeneity [1]. Despite their widespread applications, single-cell
RNA-sequencing (scRNA-seq) experiments are still plagued by batch effects and dropout
events.
One of the major tasks of scRNA-seq experiments is to identify cell types for a population of
cells [1]. Therefore, the cell type of each individual cell is always unknown and is the target of
inference. However, most existing methods for batch effects correction, such as Combat space
[2] and the surrogate variable analysis (SVA)([3], [4]), are designed for bulk experiments and
require knowledge of the subtype information, which corresponds to cell type information for
scRNA-seq data, of each sample a priori.
Here, the R package BUSseq fits an interpretable Bayesian hierarchical model—the Batch
Effects Correction with Unknown Subtypes for scRNA seq Data(BUSseq)—to correct batch
effects in the presence of unknown cell types [5]. BUSseq is able to simultaneously correct
batch effects, clusters cell types, and takes care of the count data nature, the overdispersion,
the dropout events, and the cell-specific sequencing depth of scRNA-seq data. After correcting
the batch effects with BUSseq, the corrected value can be used for downstream analysis as
if all cells were sequenced in a single batch. BUSseq can integrate the read count matrices
measured from different platforms and allow cell types to be measured in some but not all of
the batches as long as the experimental design fulfills the conditions listed in [5].
This guide provides step-by-step instructions for applying the BUSseq model to correct batch
effects and identify the unknown cell type indicators for each cell for scRNA-seq data.
2 Data Preparation
The input data should be an R list with the length equal to the batch number. Each element of
the list is a read count matrix, where each row represents a gene and each column corresponds
to a cell. Specifically, assuming there are three batches, the R list consists of three read count
matrices with genes in rows and cells in columns. In the following, we provide examples to
2

BUSseq: Batch Effects Correction with Unknown Subtypes for scRNA-seq data
User’s Guide
illustrate the input formats, where BUSseqfits_example is a sample BUSseqfits object. We
use the data list stored in this object as an example.
library(BUSseq)
#Input data is a list
CountData <- BUSseqfits_example$CountData_raw
class(CountData)
## [1] "list"
#The length of the list is three, so we have three batches
length(CountData)
## [1] 3
#Each element of the list is a matrix
class(CountData[[1]])
## [1] "matrix"
#In the matrix, each row is a gene, and each column corresponds to a cell
dim(CountData[[1]])
## [1] 1000 150
dim(CountData[[2]])
## [1] 1000 150
dim(CountData[[3]])
## [1] 1000 150
#Peek at the read counts
head(CountData[[1]][,1:4])
## [,1] [,2] [,3] [,4]
## [1,] 68 0 54 5
## [2,] 17 27 83 56
## [3,] 53 74 72 94
## [4,] 40 110 22 10
## [5,] 54 16 74 69
## [6,] 0 97 50 31
3

BUSseq: Batch Effects Correction with Unknown Subtypes for scRNA-seq data
User’s Guide
The example data CountData consist of three batches. In total, 1,000 genes are measured.
The number of cells in each batch is 150, respectively. Because it is a simulated dataset, we
actually know that all of the cells come from 4 cell types.
In a nutshell, the user can use the R list with length equal to the batch number as input. Note
that the gene numbers of all batches need to be the same.
3 Model Fitting
Once we have prepared the input data and specified the cell type number, we are able to fit
the BUSseq model, which requires the function BUSseq_MCMC.
The first argument, ObservedData, of BUSseq_MCMC should be an R list where each element is
a data matrix for a specific batch. In the matrix, each row corresponds to a gene or a genomic
feature and each column corresponds to a cell.
The second argument, n.celltypes, is the number of cell types among all cells, which needs
to be specified by the user in advance. As discussed later, if n.celltypes is unknown, we
can vary the cell type number and use the Bayesian Information Criterion (BIC) to select the
optimal number.
The third argument, n.iterations, is the total number of iterations of the MCMC algorithm
for the posterior inference of the BUSseq model. The user can also set the number of burnin
iterations by the argument, n.burnin. Given n.iterations, the default number of burnins is
n.iterations/2 iterations. The parameters are inferred by samples after the burnin iterations.
The forth argument, working_dir, is the user’s directory to store the posterior samples. The
default directory is the current directory.
The fifth argument, showIteration, lets the user decide whether BUSseq_MCMC displays the
number of iterations that have been run. To obtain reproducible results, we highly recommend
to set the argument seed.
4

BUSseq: Batch Effects Correction with Unknown Subtypes for scRNA-seq data
User’s Guide
#Conduct MCMC sampling and posterior inference for BUSseq model
BUSseqfits_res <- BUSseq_MCMC(ObservedData = CountData, n.celltypes = 4,
n.iterations = 500, working_dir = ".",
showIteration = TRUE, seed = 123)
## Finish the 100-th iterations
## Finish the 200-th iterations
## Finish the 300-th iterations
## Finish the 400-th iterations
## Finish the 500-th iterations
## The MCMC sampling takes: 3.001 mins
## loading the posterior samples...
## calculating posterior means and posterior modes...
## calculating posterior means and posterior takes: 0.031 mins
## calculating BIC...
## calculating BIC takes: 0.041 mins
class(BUSseqfits_res)
## [1] "BUSseqfits"
The summary command provides an overview of the output object BUSseqfits_res from
BUSseq_MCMC.BUSseqfits_res collects two lists of the read count matrices and all poste-
rior estimates of parameters as well as the BIC value. These two lists consist of the raw
observed read counts, the inferred underlying true read counts after imputing the dropout
events. The posterior estimates contain the cell-type indicators for each cell, the cell-type
proportions for each batch, the cell-type-specific mean expression levels, the location batch
effects, the overdispersion parameters and the odds ratios of the logistic regression for dropout
events.
summary(BUSseqfits_res)
## B = 3 batches
## G = 1000 genes
5

BUSseq: Batch Effects Correction with Unknown Subtypes for scRNA-seq data
User’s Guide
## K = 4 cell types
## N = 450 cells in total
## n.record = 250 iterations are recorded.
## BUSseqfits is an R list that contains the following main elements:
## BUSseqfits$w.est : the estimated cell type indicators, a list with length
equal to B.
## BUSseqfits$pi.est : the estimated cell type proportions across batches,
a K by B matrix.
## BUSseqfits$gamma.est : the estimated the coefficients of the logistic regression
for the dropout events, a B by 2 matrix
## BUSseqfits$alpha.est : the estimated log-scale baseline expression levels,
a vector with length G.
## BUSseqfits$beta.est : the estimated cell type effects, a G by K matrix.
## BUSseqfits$delta.est : the estimated cell-specific effects, a list with
length equal to B.
## BUSseqfits$nu.est : the estimated location batch effects, a B by G matrix.
## BUSseqfits$phi.est : the estimated overdispersion parameters, a B by G matrix.
## BUSseqfits$BIC : the BIC, a scalar.
## BUSseqfits$PPI.est : the posterior marginal probablity of being an intrinsic
gene, a G by K matrix.
## For more output values, please use "?BUSseq_MCMC"
##
6

BUSseq: Batch Effects Correction with Unknown Subtypes for scRNA-seq data
User’s Guide
4 Estimated Cell Types, Batch and Cell-Specific Ef-
fects
Our main interests are the estimation of the cell type for each cell and the estimation of the
batch effects. We can call the celltypes function to extract the cell type information from
BUSseqfits_res.
celltyes_est <- celltypes(BUSseqfits_res)
## Batch 1 cells’ cell type indicators: 4,4,4... ...
## Batch 2 cells’ cell type indicators: 4,4,4... ...
## Batch 3 cells’ cell type indicators: 4,4,4... ...
## The output format is a list with length equal to the batch number.
## Each element of the list is a cell type indicator vector in that batch.
There is a message from the function celltypes to remind the user of the format of cell
tyes_est. In this example, celltypes_est is a list of length three, corresponding to the three
batches in the study. celltypes_est[[1]] shows the cell type for each of the 150 cells in
batch one.
Similarly, you can call location_batch_effects and overdispersions functions to get the
estimated location batch effects and batch-specific gene-specific overdispersion parameters.
Notice that the first batch is taken as the reference batch, so its location batch effects are
zeros for all genes.
location_batch_effects_est <- location_batch_effects(
BUSseqfits_res)
## The output format is a matrix.
## Each row represents a batch, and each column corresponds to a gene.
head(t(location_batch_effects_est))
## [,1] [,2] [,3]
## [1,] 0 1.883665 3.064765
7

BUSseq: Batch Effects Correction with Unknown Subtypes for scRNA-seq data
User’s Guide
## [2,] 0 1.960276 2.931372
## [3,] 0 2.108560 3.018982
## [4,] 0 2.096778 3.228843
## [5,] 0 1.620678 3.080005
## [6,] 0 1.714777 2.881382
overdispersion_est <- overdispersions(BUSseqfits_res)
## The output format is a matrix.
##
## Each row represents a batch, and each column corresponds to a gene.
head(t(overdispersion_est))
## [,1] [,2] [,3]
## [1,] 0.2594994 0.58109288 0.69905184
## [2,] 1.5180288 9.87009034 4.09068726
## [3,] 0.6085407 0.07304145 0.11348195
## [4,] 0.4305076 6.88936898 4.24084139
## [5,] 1.3748051 0.05600024 0.05938803
## [6,] 0.4493926 2.74961051 3.63539254
The cell-specific size effects is available using the cell_effect_values. Notice that the first
element of each batch is 0 as the first cell in each batch is taken as the reference one.
cell_effects_est <- cell_effect_values(BUSseqfits_res)
## The output format is a list with length equal to the batch number.
## Each element of the list is a cell-specific size factor vector of that batch.
head(cell_effects_est[[1]])
## [1] 0.0000000 0.1966175 0.2026120 0.2079615 0.1891741 0.1811446
celltype_mean_expression function provides the estimated cell-type-specific mean expres-
sion levels. The estimates remove the technical artifacts, including the location batch effects
and the cell-spcific global effects, but retain the biological features for each cell type. More-
over, the cell type effects can be obtained by the celltype_effects function. Notice that
the first cell type is taken as the baseline cell type implying all zeros in the first column of
celltype_effects_est.
8

BUSseq: Batch Effects Correction with Unknown Subtypes for scRNA-seq data
User’s Guide
celltype_mean_expression_est <- celltype_mean_expression(BUSseqfits_example)
## The output format is a matrix.
## Each row represents a gene, and each column corresponds to a cell type.
head(celltype_mean_expression_est)
## [,1] [,2] [,3] [,4]
## [1,] 6.159967 6.144799 6.179064 45.66401
## [2,] 5.861053 5.931605 5.762307 47.78957
## [3,] 5.235860 5.219132 5.209213 43.81115
## [4,] 5.155947 5.169952 5.089094 40.40547
## [5,] 8.585969 5.607348 6.548128 38.49434
## [6,] 7.512649 7.303040 7.649924 51.10746
celltype_effects_est <- celltype_effects(BUSseqfits_res)
## The output format is a matrix.
##
## Each row represents a gene, and each column corresponds to a cell type.
head(celltype_effects_est)
## [,1] [,2] [,3] [,4]
## [1,] 0 -0.002465419 0.003095364 2.003239
## [2,] 0 0.011965474 -0.016991307 2.098478
## [3,] 0 -0.003200017 -0.005102163 2.124357
## [4,] 0 0.002712594 -0.013050974 2.058814
## [5,] 0 -0.426051516 -0.270950171 1.500382
## [6,] 0 -0.028297359 0.018107678 1.917343
5 Intrinsic Gene Identification
The intrinsic genes are the genes that differentiate cell types [6]. More specifically, a gene is an
intrinsic gene if the gene is differentially expressed in at least one cell type compared with the
first cell type. We use intrisic_genes_BUSseq to identify the intrinsic genes by controlling
the false discovery rate (FDR). In the simulated dataset, we set the first 250 genes as intrinsic
genes, whereas the other genes have the same mean expression levels in all cells.
9

BUSseq: Batch Effects Correction with Unknown Subtypes for scRNA-seq data
User’s Guide
#obtain the intrinsic gene indicators
intrinsic_gene_indices <- intrinsic_genes_BUSseq(
BUSseqfits_res,
fdr_threshold = 0.05)
## The output format is a matrix.
## Each row represents a gene, and each column corresponds to a cell type from
2 to K
## 250 intrinsic genes are found.
## The output format is a vector implying the intrinsic gene indices.
#The estimated FDR, the first 250 genes are known intrinsic
#genes in the simulation setting.
false_discovery_ind <- !(intrinsic_gene_indices %in% 1:250)
fdr_est <- sum(false_discovery_ind)/length(intrinsic_gene_indices)
fdr_est
## [1] 0
Therefore, the true FDR is 0 less than the estimated FDR, 0.05.
6 Corrected Read Count Data and Visualization
The function BUSseq_MCMC not only conducts MCMC sampling and posterior inference, but
also imputes the missing data caused by dropout events and corrects batch effects. The func-
tion corrected_read_counts calculates the corrected read count data of a BUSseqfits object.
The message is a reminder of the output format, and the output is a CountData object. The
summary command shows the number of batches, genes and cells in each batch.
corrected_countdata <- corrected_read_counts(BUSseqfits_res)
## correcting read counts...
## Correcting read counts takes: 0.074 mins
## The output format is a "CountData" object with length equal to the batch number.
10

BUSseq: Batch Effects Correction with Unknown Subtypes for scRNA-seq data
User’s Guide
## Each element of the object is the corrected read count matrix.
## In each matrix, each row represents a gene and each column correspods to a cell.
class(corrected_countdata)
## [1] "CountData"
summary(corrected_countdata)
## There are 3 batches and 1000 genes.
## Batch 1 contains 150 cells.
## Batch 2 contains 150 cells.
## Batch 3 contains 150 cells.
##
Subsequently, we can compare the raw count data that suffer from batch effects and dropout
events, the inferred true expression levels after imputing dropout events, and the corrected
count data which remove the batch effects and impute the dropout events. The function
raw_read_counts and imputed_read_counts gives the raw and imputed read count data of a
BUSseqfits object, respectively. The outputs of them are also a CountData object.
raw_countdata <- raw_read_counts(BUSseqfits_res)
## The output format is a "CountData" object with length equal to the batch number.
## Each element of the object is the raw read count matrix.
## In each matrix, each row represents a gene and each column correspods to a cell.
imputed_countdata <- imputed_read_counts(BUSseqfits_res)
## The output format is a "CountData" object with length equal to the batch number.
## Each element of the object is the imputed read count matrix.
## In each matrix, each row represents a gene and each column correspods to a cell.
The function heatmap_data_BUSseq plots the heatmap for the count data across batches for
aCountData object. The images are saved in the local folder according to the argument
image_dir. The image name can be modified by the argument project_name. The user can
11

BUSseq: Batch Effects Correction with Unknown Subtypes for scRNA-seq data
User’s Guide
specify the argument gene_ind_set, which is a vector of gene indices, selecting the genes to
be displayed in the heatmap.
#generate the heatmap of raw read count data
heatmap_data_BUSseq(raw_countdata,
project_name = "BUSseq_raw_allgenes",
image_dir = "./heatmap")
## pdf
## 2
#display only the first 100 genes in the heatmap
heatmap_data_BUSseq(raw_countdata,
gene_set = 1:100,
project_name = "BUSseq_raw_100genes",
image_dir = "./heatmap")
## pdf
## 2
Figure 1: The heatmap of the raw count data of all genes and the first 100 genes
#generate the heatmap of imputed read count data
heatmap_data_BUSseq(imputed_countdata,
project_name = "BUSseq_imputed_allgenes",
image_dir = "./heatmap")
## pdf
## 2
12

BUSseq: Batch Effects Correction with Unknown Subtypes for scRNA-seq data
User’s Guide
#generate the heatmap of corrected read count data
heatmap_data_BUSseq(corrected_countdata,
project_name = "BUSseq_corrected_allgenes",
image_dir = "./heatmap")
## pdf
## 2
Figure 2: The heatmap for the imputed and corrected count data of all genes
In all these heatmaps, the top bar indicates the batch origin for each cell. Cells under the
same color are from the same batch. The batch effects present in the raw data are correctly
removed in the corrected count data, and only the biological variabilities are kept. We can also
only display the identified intrinsic genes in the corrected count data by setting the argument
gene_set as intrinsic_gene_indices.
#Only show the identified intrinsic genes
heatmap_data_BUSseq(corrected_countdata,
gene_set = intrinsic_gene_indices,
project_name = "BUSseq_corrected_intrinsic_genes",
image_dir = "./heatmap")
## pdf
## 2
13

BUSseq: Batch Effects Correction with Unknown Subtypes for scRNA-seq data
User’s Guide
Figure 3: The heatmap for the corrected count data of identified intrinsic genes
7 Model Selection using BIC
If we have no prior knowledge about the cell type number, we can vary the argument n.celltypes
in the function BUSseq_MCMC, e.g., from 2 to 10 and identify the underlying true cell type num-
ber K as the one that achieves the minimal BIC.
The user can obtain the BIC value from the BUSseqfits_res by the BIC_BUSseq.
BIC_val <- BIC_BUSseq(BUSseqfits_res)
## BIC is 4118092.49755456
## The output is a scalar.
In this example, the underlying true number of cell types is four. For an illustration, we vary
the n.celltypes from 2 to 6.
14

BUSseq: Batch Effects Correction with Unknown Subtypes for scRNA-seq data
User’s Guide
BIC_values <- NULL
for(k in 2:6){
BUSseqfits_temp <- BUSseq_MCMC(ObservedData = CountData, n.celltypes = k,
n.iterations = 500, working_dir = ".",
showIteration = FALSE, seed = 123)
BIC_values <- c(BIC_values, BIC_BUSseq(BUSseqfits_temp))
}
## The MCMC sampling takes: 2.941 mins
## loading the posterior samples...
## calculating posterior means and posterior modes...
## calculating posterior means and posterior takes: 0.025 mins
## calculating BIC...
## calculating BIC takes: 0.022 mins
## BIC is 4192216.51458923
## The output is a scalar.
## The MCMC sampling takes: 2.97 mins
## loading the posterior samples...
## calculating posterior means and posterior modes...
## calculating posterior means and posterior takes: 0.028 mins
## calculating BIC...
## calculating BIC takes: 0.031 mins
## BIC is 4156202.81753306
## The output is a scalar.
## The MCMC sampling takes: 2.989 mins
## loading the posterior samples...
## calculating posterior means and posterior modes...
## calculating posterior means and posterior takes: 0.031 mins
15

BUSseq: Batch Effects Correction with Unknown Subtypes for scRNA-seq data
User’s Guide
## calculating BIC...
## calculating BIC takes: 0.041 mins
## BIC is 4118092.49755456
## The output is a scalar.
## The MCMC sampling takes: 2.984 mins
## loading the posterior samples...
## calculating posterior means and posterior modes...
## calculating posterior means and posterior takes: 0.035 mins
## calculating BIC...
## calculating BIC takes: 0.049 mins
## BIC is 4135445.65539535
## The output is a scalar.
## The MCMC sampling takes: 2.989 mins
## loading the posterior samples...
## calculating posterior means and posterior modes...
## calculating posterior means and posterior takes: 0.037 mins
## calculating BIC...
## calculating BIC takes: 0.059 mins
## BIC is 4146529.21180375
## The output is a scalar.
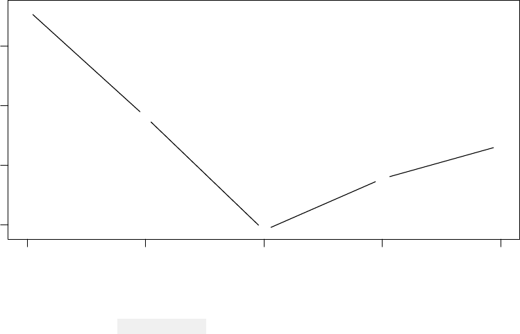
plot(2:6, BIC_values, xlab="cell type number", ylab="BIC", main="BIC plot", type="b")
16

BUSseq: Batch Effects Correction with Unknown Subtypes for scRNA-seq data
User’s Guide
●
●
●
●
●
23456
4120000 4140000 4160000 4180000
BIC plot
cell type number
BIC
The BIC attains the minimum at n.celltypes=4, thus correctly recovering the true cell type
number.
References
[1] Rhonda Bacher and Christina Kendziorski. Design and computational analysis of
single-cell rna-sequencing experiments. Genome Biology, 17(1):63, 2016.
[2] W Evan Johnson, Cheng Li, and Ariel Rabinovic. Adjusting batch effects in microarray
expression data using empirical bayes methods. Biostatistics, 8(1):118–127, 2007.
[3] Jeffrey T Leek and John D Storey. Capturing heterogeneity in gene expression studies by
surrogate variable analysis. PLoS Genetics, 3(9):e161, 2007.
[4] Jeffrey T Leek. svaseq: removing batch effects and other unwanted noise from
sequencing data. Nucleic Acids Research, page gku864, 2014.
[5] Fangda Song, Ga Ming Chan, and Yingying Wei. Flexible experimental designs for valid
single-cell rna-sequencing experiments allowing batch effects correction. Manuscript.
17
BUSseq: Batch Effects Correction with Unknown Subtypes for scRNA-seq data
User’s Guide
[6] Zhiguang Huo, Ying Ding, Silvia Liu, Steffi Oesterreich, and George Tseng. Meta-analytic
framework for sparse k-means to identify disease subtypes in multiple transcriptomic
studies. Journal of the American Statistical Association, 111(513):27–42, 2016.
18