Catphan 504 Manual Varian
User Manual:
Open the PDF directly: View PDF
.
Page Count: 32

1
T h e P h a n t o m L a b o r a t o r y
C a t p h a n ® 504 M a n u a l
Copyright © 2013
WARRANTY
THE PHANTOM LABORATORY INCORPORATED (“Seller”) warrants that this product
shall remain in good working order and free of all material defects for a period of one
(1) year following the date of purchase. If, prior to the expiration of the one (1) year
warranty period, the product becomes defective, Buyer shall return the product to the
Seller at:
By Truck By Mail
The Phantom Laboratory, Incorporated The Phantom Laboratory, Incorporated
2727 State Route 29 PO Box 511
Greenwich, NY12834 Salem, NY 12865-0511
Seller shall, at Seller’s sole option, repair or replace the defective product. The Warranty
does not cover damage to the product resulting from accident or misuse.
IF THE PRODUCT IS NOT IN GOOD WORKING ORDER AS WARRANTED, THE
SOLE AND EXCLUSIVE REMEDY SHALL BE REPAIR OR REPLACEMENT,
AT SELLER’S OPTION. IN NO EVENT SHALL SELLER BE LIABLE FOR ANY
DAMAGES IN EXCESS OF THE PURCHASE PRICE OF THE PRODUCT. THIS
LIMITATION APPLIES TO DAMAGES OF ANY KIND, INCLUDING, BUT NOT
LIMITED TO, DIRECT OR INDIRECT DAMAGES, LOST PROFITS, OR OTHER
SPECIAL, INCIDENTAL, OR CONSEQUENTIAL DAMAGES, WHETHER FOR
BREACH OF CONTRACT, TORT OR OTHERWISE, OR WHETHER ARISING OUT
OF THE USE OF OR INABILITY TO USE THE PRODUCT. ALL OTHER EXPRESS
OR IMPLIED WARRANTIES, INCLUDING, BUT NOT LIMITED TO, THE IMPLIED
WARRANTY OF MERCHANT ABILITY AND FITNESS FOR PARTICULAR PURPOSE,
ARE HEREBY DISCLAIMED.
WARNING
This product has an FH3-4 mm/min ame rating and is considered to be ammable. It is
advised not to expose this product to open ame or high temperature (over 125° Celsius
or 250° Fahrenheit) heating elements.
CTP504
11/8/13

2

3
T h e P h a n t o m L a b o r a t o r y
Catphan® Manual
Contents
Warranty 1
Introduction 5
Initial phantom positioning 6
Illustration of Catphan®504 model 7
Phantom position verication 8
CTP404 module 9
Patient alignment system check 10
Scan slice geometry (slice width) 11
Scan incrementation 12
Circular symmetry 13
Spatial linearity of pixel size verication 13
Spherical acrylic contrast targets 13
CT or Hounseld Numbers by David Goodenough, Ph.D. 14
Sensitometry (CT number linearity) 15
CTP528 High resolution module with 21 line pair per cm gauge and point source 17
Bead point source for point spread function and MTF 17
Use of automated scanner MTF programs 18
Bead point source (slice sensitivity prole) 19
21 Line pair per centimeter high resolution gauge 20
CTP515 Low contrast module with supra-slice and subslice contrast targets 21
CTP486 Image uniformity module 23
Installation and removal of test modules 25
Optional phantom annuli 26
Dose Phantoms 27
Sample quality assurance program 28
Automated computer analysis program 28
Bibliography 29

4

5
Introduction
The Catphan® 504 phantom conguration has been selected by Varian Medical Systems.
This manual is intended to supplement the Varian CBCT Procedures and Manuals by
offering additional details regarding the use of the Catphan® phantom. The Phantom
Laboratory and physicist, David J. Goodenough, Ph.D., are continually developing and
researching new tests and modications for the Catphan® phantoms. The test objects
that make up the current Catphan® models embody more than a quarter century of
scientic evaluation and eld experience. This manual outlines the applications of each
module contained in the Catphan® 504 phantom.
We do not make specic recommendations on the content of your quality assurance
program, because each medical imaging facility has its own unique set of requirements.
A sample program is provided to give you ideas for possible program content. We suggest
a review of local governing regulations, manufacturers’ specications and the needs of
your radiologists and physicists before developing your CT quality assurance program.
If you would like a pdf version of this manual they can be downloaded from the
Catphan® page of our website. www.phantomlab.com
If you have any additional questions please contact The Phantom Laboratory at:
Phone: 800-525-1190 or 518-692-1190
Fax: 518-692-3329
email: sales@phantomlab.com
Additional product information is available at: www.phantomlab.com

6
Initial phantom positioning
The Catphan® phantom is positioned in the CT scanner by mounting it on the case.
Place the phantom case on the gantry end of the table with the box hinges away from the
gantry. It is best to place the box directly on the table and not on the table pads.
Open the box, rotating the lid back 180°. If you are using an annulus, additional weight
will need to be placed in the box to counterweigh the phantom. The patient straps can be
used for additional stability.
Remove the phantom from the box and hang the Catphan® from the gantry end of the
box. Make sure the box is stable with the weight of the phantom and is adequately
counterweighed to prevent tipping.
Use the level and adjusting thumb screws to level the Catphan®. Once the phantom is
level, slide the phantom along the end of the box to align the section center dots on the
top of the phantom with the x axis alignment light.
Use the table height and indexing drives to center the phantom on the rst center dot
and lateral height dots. From here you can drive the table into the gantry to position
the phantom for the different test modules. See the next page for module location
information
The z axis scan alignment position can be selected from the localizer scan, by centering
the slice at the intersection of the crossed wire image created by the slice width ramps.
Scan section CTP404 to check the image for proper alignment as illustrated in the
Phantom position verication section.

7
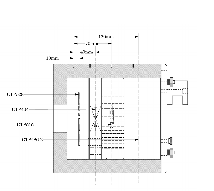
Illustration of Catphan® 504 model
Incremental phantom module positioning
The Catphan®504 phantom is designed so all test sections can be located by precisely
indexing the table from the center of section CTP404 to the center of the other test
modules. The indexing distances from the center of the CTP404 module are listed below.
Phantom position and alignment verication is described on the next page.
Catphan® 504 test module locations:
Module Distance from the center of CTP404
CTP528, 21 line pair high resolution -30mm
CTP515, Subslice and supra-slice low contrast 30mm
CTP486, Solid image uniformity module 80mm

8
Phantom position verication
By evaluating a scan image of the CTP404 module the phantom’s position and alignment
can be veried. The section contains 4 wire ramps which rise at 23° angles from the base
to the top of the module. The schematic sketches below indicate how the ramp images
change if the scan center is above or below the z axis center of the test module. The use of
the scanner’s grid image function may assist in evaluation of phantom position.
If misalignment is indicated by the scan image, the phantom should be repositioned to
obtain proper alignment and then rescanned. If the images of the repositioned phantom
duplicate the original misalignment indications, the scanner’s alignment lights may
require adjustment (contact your local service engineer).
Once correct alignment has been established, you can proceed with the tests.

9
CTP404 Module with slice width, sensitometry and pixel size

10
Patient alignment system check
The laser, optical, and mechanical patient alignment system can be checked for accuracy.
Align the white dots on the phantom housing with the alignment lights as discussed
in Initial phantom positioning. The scanned image should show good alignment as
discussed in Phantom position verication.
For measuring the z axis alignment accuracy, measure from the center of the ramp image
to the part of the ramp which aligns with the center of the phantom and sensitometry
samples. Multiply the distance A by 0.42 to determine the z axis alignment light
accuracy. To evaluate x and y accuracy, measure from the center of the phantom to the
center of the scan eld by use of the grid function or knowledge of the central pixel
location.
The accuracy of the localizer, pilot or scout view can be checked. To check this function
perform a localization scan of the phantom. Align an axial scan at the crossing point of
the wire ramps. Scan this axial cut and check the misalignment as discussed above.

11
Scan slice geometry (slice width)
Section 1 has two pair of 23° wire ramps: one pair is oriented parallel to the x axis;
the other pair to the y axis. These wire ramps are used to estimate slice width
measurements and misalignment errors as previously discussed.
The 23° wire ramp angle is chosen to improve measurement precision through the
trigonometric enlargement of 2.38 in the x-y image plane.
To evaluate the slice width (Zmm), measure the Full Width at Half Maximum (FWHM)
length of any of the four wire ramps and multiply the length by 0.42:
(Zmm) = FWHM * 0.42
To nd the FWHM of the wire from the scan image, you need to determine the CT
number values for the peak of the wire and for the background.
To calculate the CT number value for the maximum of the wire, close down the CT
“window” opening to 1 or the minimum setting. Move the CT scanner “level” to the
point where the ramp image just totally disappears. The CT number of the level at this
position is your peak or maximum value.
To calculate the value for the background, use the region of interest function to identify
the “mean” CT number value of the area adjacent to the ramp.
Using the above CT values, determine the half maximum:
First calculate the net peak... (CT # peak - background = net peak CT #)
Calculate the 50% net peak... (net peak CT # ÷ 2 = 50% net peak CT #)
Calculate the half maximum CT number...
(50% net peak CT # + background CT # = half maximum CT #)

12
Now that you have determined the half maximum CT number, you can measure the
full width at half maximum of the ramp. Set the CT scanner level at the half maximum
CT value and set your window width at 1. Measure the length of the wire image to
determine the FWHM. Multiply the FWHM by 0.42 to determine the slice width.
Schematic illustration of two sequential 5mm scans superimposed. L1 is
the center point on the 23° ramp in the rst scan image and L2 is the
center point on the 23° ramp on the second image.
Scan incrementation
Use the wire ramps to test for proper scanner incrementation between slices, and for
table movement.
Scan section 1 using a given slice width, (e.g. 5mm). Increment the table one slice width
(e.g. 5mm) and make a second scan. Establish the x and y coordinates for the center of
each ramp image. Calculate the distance between these points and multiply by the 23°
ramp angle correction factor of 0.42.
0.42(L1 - L2) = scan incrementation
This test can also be used to test table increment accuracy. Scan the section and
increment the table 30mm in and out of the gantry and scan again. The ramp centers
should be the same on both images.
0.42(L1 - L2) = 0

13
Circular symmetry of display system
The circular phantom sections are used to test for circular symmetry of the CT image,
including calibration of the CT display system. If an elliptical image is produced, the x-y
balance of the image display system should be adjusted.
Measuring spatial linearity in x and y axes.
Spatial linearity of pixel size verication
This section has four holes (one with a Teon pin). These 3mm diameter holes are
positioned 50mm on center apart. By measuring from center to center the spatial
linearity of the CT scanner can be veried. Another use is to count the number of pixels
between the hole centers, and by knowing the distance (50mm) and number of pixels, the
pixel size can be veried.
The Teon pin is used for identication and orientation only. The ability to change the
Teon pin position enables organizations with more than one Catphan® phantom to
identify their phantoms by images of the rst section.
Spherical acrylic contrast targets
The section has ve acrylic spheres located in a 30mm diameter circular pattern. These
spheres are used to evaluate the scanner’s ability to image volume averaged spheres.
The sphere diameters are 2, 4, 6, 8, and 10mm.

14
CT or Hounseld Numbers
by David Goodenough, Ph.D.
Users of CT systems are often surprised when the CT number of a given tissue or
substance is different from what they expect from previous experience. These differences
do not usually indicate problems of a given CT scanner, but more likely arise from the
fact that CT numbers are not universal. They vary depending on the particular energy,
ltration, object size and calibration schemes used in a given scanner. One of the
problems is that we are all taught that the CT number is given by the equation:
CT# = k(µ - µw)/µw,
where k is the weighting constant (1000 is for Hounseld Scale), µ is the linear
attenuation coefcient of the substance of interest, and µw is the linear attenuation
coefcient of water. Close review of the physics reveals that although the above
equation is true to rst order, it is not totally correct for a practical CT scanner. In
practice, µ and µw are functions of energy, typical x-ray spectra are not monoenergetic
but polychromatic, and a given spectrum emitted by the tube is “hardened” as it is
transmitted (passes) through lter(s) and the object, nally reaching the detector. More
accurately, µ=µ(E), a function of energy. Therefore:
CT#(E) = k(µ(E) - µw(E))/µw(E)
Because the spectrum is polychromatic we can at best assign some “effective energy” Ê
to the beam (typically some 50% to 60% of the peak kV or kVp). Additionally, the CT
detector will have some energy dependence, and the scatter contribution (dependent on
beam width and scanned object size, shape, and composition) may further complicate
matters. Although the CT scanner has a built in calibration scheme that tries to correct
for beam hardening and other factors, this is based on models and calibration phantoms
that are usually round and uniformly lled with water, and will not generally match the
body “habitus” (size, shape, etc.).
The situation is really so complicated that it is remarkable that tissue CT numbers are in
some rst order ways “portable”!
In light of the above we can examine a parameter of CT performance, the “linearity
scale”, as required by the FDA for CT manufacturer’s performance specications.
The linearity scale is the best t relationship between the CT numbers and the
corresponding µ values at the effective energy Ê of the x-ray beam.
The effective energy Ê is determined by minimizing the residuals in a best-t straight
line relationship between CT numbers and the corresponding µ values.
In review, we will encounter considerable inter and intra scanner CT number variability.
CT numbers can easily vary by 10 or more based on kVp, slice thickness, and object size,
shape, and composition. There is some possibility of the use of iterative techniques and/
or dual energy approaches that might lessen these effects, but certainly CT numbers are
not strictly portable and vary according to the factors listed above.
More complete scientic references are contained in the bibliography. In particular,
references 2, 13, 14, and 20 are recommended for those with greater interest in the
topic.

15
Sensitometry (CT number linearity)
The CTP404 module has sensitometry targets made from Teon®, Delrin®, acrylic,
Polystyrene and low density polyethylene (LDPE), polymethylpentene (PMP) and air.
The Catphan® 600 is also equipped with a small vial which can be lled with water
and inserted into the top hole of the CTP404 module. The CTP401 module has Teon,
acrylic and low density polyethylene (LDPE) and air targets. These targets range from
approximately +1000 H to -1000 H.
The monitoring of sensitometry target values over time can provide valuable information,
indicating changes in scanner performance.
Nominal material formulation and specic gravity
Material Formula Zeff1 Specic Gravity2 HU range3
Air .78N, .21O, .01Ar 8.00 0.00 -1046 : -986
PMP [C6H12(CH2)] 5.44 0.83 -220 : -172
LDPE [C2H4] 5.44 0.92 -121 : -87
Water [H2O] 7.42 1.00 -7 : 7
Polystyrene [C8H8] 5.70 1.03 -65 : -29
Acrylic [C5H8O2] 6.47 1.18 92 : 137
Delrin® Proprietary 6.95 1.42 344 : 387
Teon® [CF2] 8.43 2.16 941 : 1060
Electron density and relative electron density
Material Electron Density Electron Density Relative Electron
(1023e/g) (1023e/cm3) Density4
Air 3.002 0.004 0.001
PMP 5 3.435 2.851 0.853
LDPE 6
3.435 3.160 0.945
Water 3.343 3.343 1.000
Polystyrene 3.238 3.335 0.998
Acrylic 3.248 3.833 1.147
Delrin® 3.209 4.557 1.363
Teon® 2.890 6.243 1.868
1 Zeff, the efective atomic number, is calculated using a power law approximation.
2 For standard material sensitometry inserts The Phantom Laboratory purchases a multiple year supply of
material from a single batch. Samples of the purchased material are then measured to determine the
actual specic gravity. The specic gravity of air is taken to be .0013 at standard temperature and
pressure. For custom cast materials the specic gravity of each cast batch is noted and supplied
with the phantom.
3 These are maximum and minimum measured values from a sample of 94 scans using different
scanners and protocols. HU can vary dramatically between scanners and imaging protocols and
numbers outside of this range are not unusual.
4 Relative Electron Density is the electron density of the material in e/cm3
divided by the electron density of water (H2O) in e/cm3.
5 Polymethylpentene
6 Low Density Polyethylene

16
An excel le with the linear attenuation coefcient µ [units cm-1] for the sensitometry
materials can be downloaded from our web site.
Contrast Scale (CS) is formally dened as
CS = µm (E) - µw (E)
CTm (E) – CTw (E)
where m is reference medium, and w is water, and E is the effective energy of the CT
beam.
Alternatively, CS = µ1 (E) - µ2 (E)
CT1 (E) – CT2 (E)
where 1,2 are two materials with low z effective, similar to water (eg. acrylic & air).
Linear attenuation coefcient µ [units cm-1]

17
CTP528 High resolution module with 21 line pair per cm gauge and point
source
This section has a 1 through 21 line pair per centimeter high resolution test gauge
and two impulse sources (beads) which are cast into a uniform material. The beads are
positioned along the y axis 20mm above or below the phantom’s center and 2.5 and 10mm
past the center of the gauge in the z direction. On older CTP528 modules the bead is
aligned in the z axis with the gauge.
Bead Point Source for point spread function and MTF
Use the impulse source to estimate the point source response function of the CT
system. Print out a digitized image of the area surrounding the impulse source. Use the
numerical data to determine the two-dimensional array of the CT values arising from the
impulse source.
The FWHM of the point spread function is determined from the best-t curve of the point
spread function numerical data.
The average of several different arrays of impulse response functions is calculated to
obtain the average point spread function of the system. These numerical values are
used in conjunction with the Fourier Transform Program to provide an estimate of the
two-dimensional spatial frequency response characteristics of the CT system (MTF).
Illustration is on the next page.
The tungsten carbide bead has a diameter of 0.011” or 0.28mm. Because the bead is
subpixel sized it is not usually necessary to compensate for it. However, some MTF
programs are designed to compensate for its size.

18
0.5 -2 -3 -2 0.5
0.5 -2 -3 -2 0.5
-4 3 17 -43
-4 3 17 -43
-2 44 100 -244
-2 44 100 -244
LSF
-11 90 228 -1190
PSF
228
90
0
CT numbers
Line spread function
Relative position, x axis
The above illustration shows how by summing the columns (y axis) of numbers in the
point spread function (PSF) the line spread function (LSF) for the x axis is obtained.
0.0
0.5
1.0
0.8
0.6
0.4
0.3
0.2
0.1
0.9
0.7
3.0 6.0 9.0 12.00.0
Average MTF Cycles/cm
50% 3.84
10% 6.65
2% 9.29
MTF
Spatial Frequency (1/cm)
The MTF curve results from the Fourier transform of the LSF data. Generally it
is easiest to use automated software for this operation. Some CT scanners are
supplied with software which can calculate the MTF from the Catphan® bead images.
Independent software is listed in the Current automated programs available section
of the manual.
Use of automated scanner MTF programs
Many manufacturers include automated MTF software in the standard scanner software
packages. Because the bead is cast into an epoxy background which has a different
density than water, the software must accept an input for the background. The point size
of .28mm must also be selected. While a sphere does produce a different density prole
than a cross section of a wire or cylinder, the actual difference is not usually signicant in
current CT scanners.

19
Bead point source for slice sensitivity prole
The bead in this module can be used to calculate the slice sensitivity prole (SSP).
X
Y
Z
X
Y
Z
Z
SSP(z)
Z
SSP(z)
3mm Spiral
10mm Spiral
The above image illustrates how the bead will produce an ovoid object in a 3 dimensional
reconstruction. The length of the object at the Full Width at Half Maximum signal
indicates the SSP. This measurement can be easily obtained on some systems, by
making a sagittal or coronal reconstruction through the bead. The bead image in these
reconstructions will appear as a small line. By setting the FWHM (use the same
technique described in the Scan slice geometry section) measuring the z axis length of
the bead image to obtain the SSP.
If the scanner does not have the ability to measure z axis lengths in the sagittal or
coronal planes, a SSP can be made by incrementing or spiraling the slice through the
bead and reconstructing images in positive and negative table directions from the bead
(using the smallest available increments) and plotting the peak CT number of the bead
image in each slice. The FWHM measurement can then be made from the plotted CT
values of the bead as a function of z axis table position.
FWHM
0
-2-4-6-8-10 2 4 6 8 10
250
200
150
100
50
0
300
z axis position in millimeters
CT#

20
21 Line pair per centimeter high resolution gauge
The 21 line pair/cm gauge has resolution tests for visual evaluation of high resolution
ranging from 1 through 21 line pair/cm. The gauge accuracy is ± 0.5 line pair at the 21
line pair test and even better at lower line pair tests.
The gauge is cut from 2mm thick aluminum sheets and cast into epoxy. Depending on the
choice of slice thickness, the contrast levels will vary due to volume averaging.
Line Pair/cm Gap Size Line Pair/cm Gap Size
1 0.500 cm 11 0.045 cm
2 0.250 cm 12 0.042 cm
3 0.167 cm 13 0.038 cm
4 0.125 cm 14 0.036 cm
5 0.100 cm 15 0.033 cm
6 0.083 cm 16 0.031 cm
7 0.071 cm 17 0.029 cm
8 0.063 cm 18 0.028 cm
9 0.056 cm 19 0.026 cm
10 0.050 cm 20 0.025 cm
21 0.024 cm
Gap

21
CTP515 low contrast module with supra-slice and subslice contrast targets
The low contrast targets have the following diameters and contrasts:
Supra-slice target diameters Subslice target diameters
2.0mm 3.0mm
3.0mm 5.0mm
4.0mm 7.0mm
5.0mm 9.0mm
6.0mm
7.0mm
8.0mm
9.0mm
15.0mm
Nominal target contrast levels
.3%
.5%
1.0%
Since the target contrasts are nominal, the actual target contrasts need to be determined
before testing specic contrast performance specications. The actual contrast levels are
measured by making region of interest measurements over the larger target, and in the
local background area. To determine actual contrast levels, average the measurements
made from several scans. It is important to measure the background area adjacent to the
measured target because “cupping” and “capping” effects cause variation of CT numbers
from one scan region to another. Position the region of interest to avoid the target
edges. The region of interest should be at least 4 x 4 pixels in diameter. Because low
contrast measurements are “noisy” it is advisable to calculate the average of the multiple
measurements made from several scans. Carefully monitor the mAs setting because
the photon ux will improve with increased x-ray exposure. Use the size of the targets
visualized under various noise levels to estimate information on contrast detail curves.

22
All of the targets in each contrast group are cast from a single mix to assure that the
contrast levels will be the same for all targets.
The equation below can be used to convert the measured contrasts and diameters to
other specied contrasts and diameters.
(Measured Contrast) * (smallest diameter discernible) ≅ Constant
example: 5mm diameter @ 0.3% ≅ 3mm diameter @ 0.5%
Along with the supra-slice (targets with z axis dimension longer than most maximum
slice width) the CTP515 low contrast module includes subslice targets (targets with
z axis length smaller than some of the usual slice width). The subslice targets are
arranged in the inner circle of tests in the module.
3mm 5mm 7mm
40mm
Subslice Supra-slice
The subslice targets are cast from the same mix as the 1.0% supra-slice targets. Because
they are from the same mix in the evaluation of the actual subslice target contrast the
supra-slice targets can be used to establish contrast values. The subslice targets have z
axis lengths of 3, 5, and 7mm and diameters of 3, 5, 7, and 9mm.
The evaluation of subslice target readability is helpful in understanding the scanner’s
different spiral imaging settings and how the settings will affect the ability to visualize
small objects with low contrasts from their background.

23
CTP486 Image uniformity module
The image uniformity module is cast from a uniform material. The material’s CT number
is designed to be within 2% (20H) of water’s density at standard scanning protocols.
The typically recorded CT numbers range from 5H to 18H. This module is used for
measurements of spatial uniformity, mean CT number and noise value.
The precision of a CT system is evaluated by the measurement of the mean value and
the corresponding standard deviations in CT numbers within a region of interest (ROI).
These measurements are taken from different locations within the scan eld.
ROI
The mean CT number and standard deviation of a large number of points, (say 1000 for
example) in a given ROI of the scan, is determined for central and peripheral locations
within the scan image for each type of scanning protocol. Inspect the data for changes
from previous scans and for correlation between neighboring slices.

24
0-7 7
0-7 7
Horizontal
Vertical
CT#
CT#
Measure spatial uniformity by scanning the uniformity section. Observe the trends
above and below the central mean value of a CT number prole for one or several rows or
columns of pixels as shown above.
Select a prole which runs from one side of the uniformity module to the opposite side.
Due to scanner boundary effects, typical proles start 2cm from the edge of the test
module.
Integral uniformity may be measured by determining the minimum and maximum CT
values along the prole and by using the following equation :
Integral Non-Uniformity = CTmax - CTmin
CTmax + CTmin
The phenomenon of “cupping” or “capping” of the CT number may indicate the need for
recalibration.

25
Installation and removal of test modules
For most applications there is no need to remove modules from the Catphan®. However,
modules can be removed by carefully following these steps.
Note the position of the mounting plate in relationship to the housing before removing it.
Remove the four brass nuts that secure the mounting plate to the phantom housing.
Set the phantom with the studs facing down on 2 to 4 blocks to keep the studs off the
surface.
Use a blunt object, such as a wooden rod, to press the modules out of the housing.
Block Block
Rod
Module
To insert modules hold the phantom housing on its side with the interior alignment key
at the top. Align the module notches with the housing key as the modules are inserted
one at a time into the housing. The illustrations on page 5 will indicate the correct
locations of the modules.

26
Optional phantom annuli
Warning
Before mounting a Catphan® phantom with an annulus onto the Catphan® case, the
case must be secured to the table by use of the patient restraint straps or additional
weight. If the case is not secured to the table when the phantom is mounted, the case,
phantom and annulus could fall off the edge of the table.
The following optional annuli are designed to be used with the standard 20cm Catphan®
housing.
CTP299 21.5cm diameter, Teon annulus simulates the high absorption of bone.
CTP539 30cm diameter annulus, cast from the image uniformity material.
CTP540 35cm diameter annulus, cast from the image uniformity material.
CTP579 25-35cm OD oval annulus, cast from the image uniformity material.
CTP599 45-55cm ODoval annulus, cast from the image uniformity material.
CTP326 32cm diameter annulus, machined from acrylic.
The annuli are designed to slide over the 20cm Catphan® housing as illustrated below.
Because the housing material and the uniformity annuli lack lubricity, the annuli may
not slide easily. However, by adding some lubricant the resistance can be reduced.

27
Dose Phantoms
The CTP553 and CTP554 dose phantoms are designed to the Food and Drug
Administration’s Center for Devices and Radiological Health specication, listed in
1020.33.
The dose phantoms may be mounted on the Catphan® case following the same
procedures and precautions used in Initial phantom positioning. The holes will accept a
1/2” or 13mm diameter dose probe.
16cm 14cm
32cm 14cm
1cm
Ø 1.31cm
Ø 1.31cm
1cm
CTP554
CTP553
Warning
Make sure the Catphan® case is secure. Additional counterweight may be required
before mounting 32cm dose module onto case.

28
Sample quality assurance program
The following shows a sample QA program. Review the local governing requirements,
and the needs of your physicians and physicists when developing a QA program for your
institution. This program should only be utilized as a sample.
All tests should be conducted at initial acceptance and after major repair such as tube
replacement. Perform the weekly tests after each preventative maintenance.
Suggested frequency of tests:
Daily Weekly Monthly*
Positional verication • • •
Circular symmetry •
Scan slice geometry • •
Impulse response function •
Resolution • •
Low contrast • •
Contrast Sensitivity • •
Uniformity and noise characteristics • • •
*or following preventative maintenance

29
Automated computer analysis program
To assist our customers The Phantom Laboratory has worked with Image Owl, Inc. to
develop a web-based automated service. The Image Owl Catphan® QA service offers
detailed CT performance testing and reports with the versatility of Internet access. This
service can be used with Catphan® 500, 503, 504, 600, and 700 models.
The Phantom Laboratory provides for free a single slice upload version of the service.
Image Owl offers additional avanced tools and services, including longitudinal history,
with a subscription to the service.
Test reports include:
Spatial resolution (modulation transfer function)
Noise and image uniformity
Slice width and pixel size
Sensitometry (CT# linearity, input - output relationship)
Contrast detectability (C-D model)
Please contact Image Owl for information on the services avialable.
www.imageowl.com
info@imageowl.com
Commercial automated software
There are now several commercial companies which offer stand alone software, or
incorporate the ability to analyze Catphan® images as a part of their software package.

30
Bibliography
1. AAPM Report No. 39
Specication and Acceptance Testing of Computed Tomography Scanners
Report of Task Group 2 Diagnostic X-Ray Imaging Committee. Published for the
American Association of Physicists in Medicine by the American Institute of Physics.
May 1993
2. M. J. Berger, J. H. Hubbell, S. M. Seltzer, J. Chang, J. S. Coursey, R. Sukumar, and D.
S. Zucker, Feb. 2009, XCOM: Photon Cross Sections Database, NIST Standard Reference
Database 8 (XGAM), http://www.nist.gov/physlab/data/xcom/index.cfm (July 7, 2010).
3. Brooks and DiChiro
Principles of Computer Assisted Tomography (CAT) in Radiographic and
Radioisotopic Imaging
Phys Med Biol 1976:21:689-732
4. Cohen and DiBanca
The Use of Contrast-Detail-Dose Evaluation of Image Quality in a Computed
Tomographic Scanner
Comput. Assist. Tomogr. 3, 189-195 1979
5. Goodenough
Assessment of Image Quality of Diagnostic Imaging Systems
In: Gray GA (ed). Medical images: formation, perception and measurements. Proceedings
of the 7th L.H.Gray Conference, New York: John Wiley & Sons, 1976:263-77
6. Goodenough
Automated Quality Assurance for CT Scanners
(Chapter): Radiology ICR 749, Editors Silver, Abecasis and Veiga-Pires. Excerpta Medica
Press, Amsterdam 1987
7. Goodenough
Psychophysical Perception of Computed Tomography Images
In: Newton and Potts (eds). Radiology of the skull and brain: technical aspects of
computed tomography. Vol 5, St. Louis: CV Mosby, 1981:3993-4021
8. Goodenough and Atkins
Theoretical and Practical Aspects of Automated Quality Assurance Approaches,
Particularly for CT
Proceedings of the ICR 89, Excerpta Medica Press, Amsterdam 1990
9. Goodenough and Weaver
Factors Related to Low Contrast Resolution in CT Scanners
Computerized Radiology Vol. 8 No, 5. 279-308 1984
10. Goodenough, Weaver, and Davis
Development of a Phantom for Evaluation and Assurance of Image Quality in
CT Scanning
The Proceedings of the Application of Optical Instrumentation in Medicine V meeting
sponsored by The Society of Photo-Optical Instrumentation Engineers and The Society
of Photographic Scientists and Engineers, September 16-19, 1976, Washington DC; and,
Optical Engineering, January 1977
11. Goodenough, Weaver, and Davis
Potential Artifacts Associated with the Scanning Pattern of the EMI Scanner
Radiology 117:615-620, December 1975

31
12. Goodenough, Weaver, and Davis
Physical Measurement of the EMI Imaging System
In: Ter-Pogossian, Phelps, Brownell, Cos Jr., Davis and Evens (eds). Reconstruction
tomography in diagnostic radiology and nuclear medicine. Baltimore: University Park
Press, 1977: 225-243
13. John M. Boone and J. Anthony Seibert, 1997, An accurate method for computer-
generating tungsten anode x-ray spectra from 30 to 140 kV, Medical Physics, v. 24, No.
11, p. 1661-1670.
14. R. J. Kriz and Keith J.Strauss, 1985, An investigation of computed tomography (CT)
linearity, Medical Imaging and Instrumentation, v. 555, p. 195-204.
15. McCullough
Photon Attenuation in Computed Tomography
Medical Physics, 2:307-320, Nov/Dec 1975
16. McCullough, Baker, Hattery, Sheedy, Stephens and Payne
Performance Evaluation and Quality Assurance of Computed Tomography (CT)
Equipment with Illustrative Data for ACTA, Delta , and EMI Scanners
Radiology 120: 173-188, July 1976
17. McCullough, Baker, Houser, and Reese
An Evaluation of the Quantitative and Radiation Features of Scanning X-ray Transverse
Axial Tomography: the EMI Scanner
Radiology 111: 709-715, June 1974
18. Phelps, Hoffmar-Pogossian
Attenuation Coefcients of Various Body Tissues, Fluids and Lesions at Photon Energies
of 18 to 136 keV
Radiology 117:573-583, December 1975
19. Rossmann
Point Spread Function, Line Spread Function and Modulation Transfer Function: Tools
for the Study of Imaging Systems
Radiology 1969:93:257-72
20. T. R. Fewell, R. E. Shuping, and K. E. Healy, 1981, Handbook of Computed
Tomography X-ray Spectra, HHS Publication (FDA) 81-8162 (U.S. Government Printing
Ofce, Washington D.C.).
21. Weaver, Goodenough, and Briefel
Sensitometry in Computerized Tomography
Proceedings of SPIE, Medicine VI. 1977:127:87-94
22. Yester and Barnes
Geometrical Limitations of Computed Tomography (CT) Scanner Resolution
Optical instrumentation in Medicine VI. SPIE, 1977:127:296-303

32