Cessna 150 Parts Catalog 1970 1977 Cessna_150_1970 77_Parts Manuals 77
Cessna_150_1970-77_PartsManual-V2 Cessna_150_1970-77_PartsManual-V2
User Manual: Cessna_150_1970-77_PartsManuals
Open the PDF directly: View PDF
.
Page Count: 500 [warning: Documents this large are best viewed by clicking the View PDF Link!]
- Cover
- Introduction
- Upholstery & Interior Trim
- Alphabetical Index
- Parts Listing / Figures
- Fig 1. Miscellaneous Bulk Items
- Fig 2. (Sheet 1 of 5) Placards, Nameplates & Exterior Markings
- Fig 2. (Sheet 2 of 5) Placards, Nameplates & Exterior Markings
- Fig 2. (Sheet 3 of 5) Placards, Nameplates & Exterior Markings
- Fig 2. (Sheet 4 of 5) Placards, Nameplates & Exterior Markings
- Fig 2. (Sheet 5 of 5) Placards, Nameplates & Exterior Markings
- Fig 2A. (Sheet 1 of 3) Placards, Nameplates & Exterior Markings
- Fig 2A. (Sheet 2 of 3) Placards, Nameplates & Exterior Markings
- Fig 2A. (Sheet 3 of 3) Placards, Nameplates & Exterior Markings
- Fig 2B. (Sheet 1 of 2) Placards, Nameplates & Exterior Markings
- Fig 2B. (Sheet 1 of 2) Placards, Nameplates & Exterior Markings
- Fig 2C. (Sheet 1 of 2) Placards, Nameplates & Exterior Markings
- Fig 2C. (Sheet 2 of 2) Placards, Nameplates & Exterior Markings
- Fig 2D. (Sheet 1 of 2) Placards, Nameplates & Exterior Markings
- Fig 2D. (Sheet 1 of 2) Placards, Nameplates & Exterior Markings
- Fig 3. Wing Assembly Complete - Standard and Extended Range
- Fig 4. Wing Structure Assembly - Standard Range
- Fig 5. Wing Structure Assembly - Aerobat Standard Range
- Fig 6. Wing Structure Assembly - Extended Range
- Fig 7. Wing Structure Assembly - Aerobat Extended Range
- Fig 8. Wing Leading Edge Assembly
- Fig 9. Wing Leading Edge Assembly
- Fig 10. Wing Spar Assemblies
- Fig 11. Wing Spar Assemblies
- Fig 12. Fuel Tank Installation
- Fig 13. Extended Range Fuel Tank Installation
- Fig 14. Fuel Tank Drain Valve Installation
- Fig 15. Aileron Installation
- Fig 16. Flap Installation
- Fig 17. Wing Strut Installation
- Fig 18. Stabilizer Installation
- Fig 19. Stabilizer Installation - Aerobat
- Fig 19A. Elevator Trim Tab Actuator Assembly
- Fig 20. Elevator Installation
- Fig 21. Fin Installation
- Fig 21A. Fin Installation
- Fig 22. Rudder Assembly
- Fig 22A. Rudder Assembly
- Fig 23. Fuselage Assembly
- Fig 24. Fuselage Front & Center Section Assembly
- Fig 24A. Fuselage Front & Center Section Assembly
- Fig 25. Main Landing Gear Bulkhead Assembly
- Fig 25A. Main Landing Gear Bulkhead Assembly
- Fig 26. Fuselage Front Section Assembly
- Fig 26A. Fuselage Front Section Assembly
- Fig 27. Front Doorpost Bulkhead Assembly
- Fig 28. Front Doorpost Bulkhead Assembly - Aerobat
- Fig 29. Fuselage Tailcone Assembly
- Fig 30. Aft Tailcone Assembly
- Fig 31. Windshield Installation
- Fig 32. Nose Gear Installation
- Fig 33. Nose Gear Strut Assembly
- Fig 34. Nose Gear Wheel Assembly
- Fig 34A. Nose Gear Wheel Assembly
- Fig 34B. Nose Gear Wheel & Tire Assembly
- Fig 34C. Nose Gear Wheel & Tire Assembly
- Fig 35. Shimmy Dampener Assembly
- Fig 36. Main Landing Gear Installation
- Fig 36A. Main Landing Gear Installation
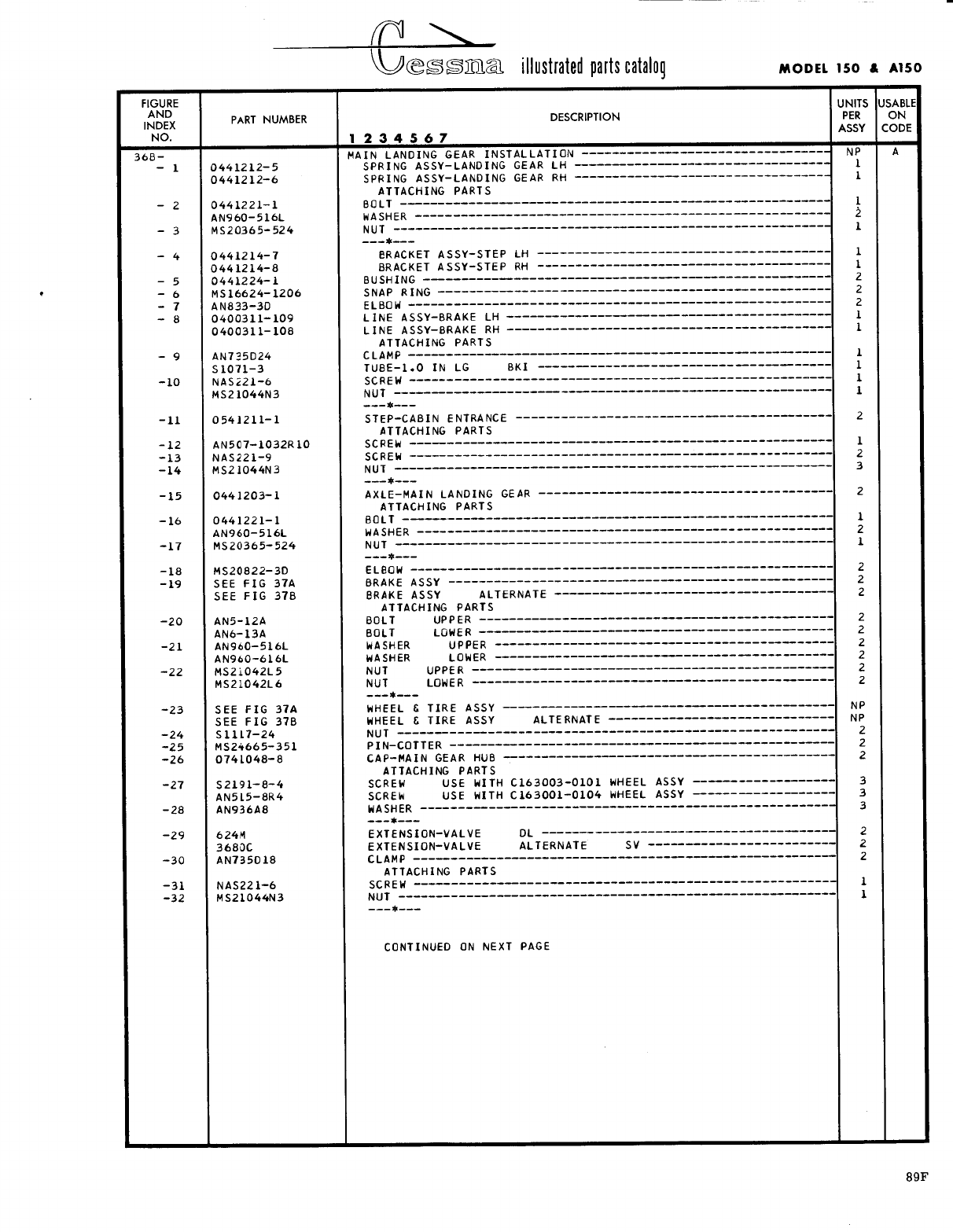
- Fig 36B. Main Landing Gear Installation
- Fig 37. Main Gear Wheel & Brake Assembly
- Fig 37A. Main Gear Wheel & Brake Assembly
- Fig 37B. Main Landing Gear Wheel & Brake Assembly
- Fig 38. Cabin Door Installation
- Fig 38A. Cabin Door Installation
- Fig 39. Cabin Door Latch Assembly
- Fig 40. Emergency Door Release Installation
- Fig 41. Cabin Top and Firewall Upholstery Installation
- Fig 42. Cabin Side Panels & Floorboard Upholstery Installation
- Fig 42A. Cabin Side Panels & Floorboard Upholstery Installation
- Fig 42B. Soundproofing Installation
- Fig 43. Seat Installation
- Fig 44. Reclining Seat Installation
- Fig 44A. Reclining Seat Installation
- Fig 44B. Reclining Seat Installation
- Fig 44C. Reclining Seat Installation
- Fig 44D. Vertical Adjustable Seat Installation
- Fig 45. Reclining Seat Installation - Aerobat
- Fig 45A. Reclining Seat Installation - Aerobat
- Fig 45B. Reclining Seat Installation - Aerobat
- Fig 45C. Reclining Seat Installation - Aerobat
- Fig 45D. Vertical Adjustable Seat Installation - Aerobat
- Fig 46. Auxiliary Seat Installation
- Fig 47. Instrument Panel Equipment Installation
- Fig 47A. Instrument Panel Equipment Installation
- Fig 47B. Instrument Panel Equipment Installation
- Fig 47C. Instrument Panel Equipment Installation
- Fig 48. Switch Panel Assembly
- Fig 48A. Switch Panel Assembly
- Fig 48B. Switch & Circuit Breaker Installation
- Fig 48C. Switch & Circuit Breaker Installation
- Fig 49. Glove Box Installation
- Fig 49A. Map Case Installation
- Fig 50. Fuselage Equipment Installation
- Fig 50A. Seat Belt & Shoulder Harness Installation
- Fig 50B. Seat Belt & Shoulder Harness Installation
- Fig 51. Compass & Sun Visor Installation
- Fig 51A. Compass & Sun Visor Installation
- Fig 52. Refueling Step and Handle Installation
- Fig 52A. Static Discharger Installation
- Fig 53. Propeller and Spinner Installation
- Fig 53A. Propeller and Spinner Installation
- Fig 54. Winterization Equipment Installation
- Fig 54A. Winterization Equipment Installation
- Fig 55. Engine Cowl Assembly
- Fig 55A. Engine Cowl Assembly
- Fig 56. (Sheet 1 of 2) Engine Installation
- Fig 56. (Sheet 2 of 2) Engine Installation
- Fig 57A. Oil Cooler Installation
- Fig 58. Exhaust Stack Assemblies
- Fig 59. Engine Baffles Installation
- Fig 59A. Engine Baffles Installation
- Fig 60. Cabin Heating & Ventilating System Installation
- Fig 60A. Cabin Heating & Ventilating System Installation
- Fig 61. Rudder & Brake Pedal Installation
- Fig 62. Master Brake Cylinder Assembly
- Fig 63. Master Brake Cylinder Assembly
- Fig 64. Control Y Installation
- Fig 65. Rudder Control System Installation
- Fig 66. Aileron Control System Installation
- Fig 67. Wing Leveler Installation
- Fig 68. Wing Leveler Components
- Fig 69. Electric Flap System Installation
- Fig 70. Flap Position Indicator Installation
- Fig 70A. Flap Position Indicator Installation
- Fig 71. Elevator Control System Installation
- Fig 72. Elevator Trim Control System Installation
- Fig 73. Pitot System Installation
- Fig 73A. Encoding & Dual Altimeter Installation
- Fig 74. Stall Warning Horn Installation
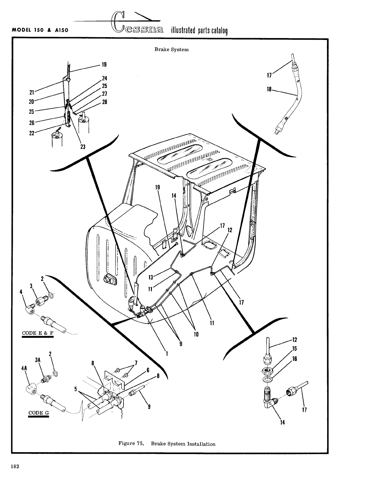
- Fig 75. Brake System Installation
- Fig 76. Fuel System Installation
- Fig 76A. Fuel Shut Off Valve Assembly
- Fig 77. Fuel Strainer Assembly
- Fig 78. Oil System Installation
- Fig 79. Vacuum System Installation
- Fig 79A. Vacuum System Installation
- Fig 80. Electrical Equipment Installation
- Fig 81. Instrument Panel Lights Installation
- Fig 81A. Instrument Panel Lights Installation
- Fig 81B. Instrument Panel Light Installation
- Fig 82. 60 Amp Alternator Installation
- Fig 83. Landing Light Installation
- Fig 84. Landing Light Installation - Cowl
- Fig 83B. Landing Light Installation - Cowl
- Fig 84. Flashing Beacon Light Installation
- Fig 85. Control Wheel Map Light Installation
- Fig 85A. Control Wheel Map Light & Mike Switch Installation
- Fig 86. Floatplane Fittings Installation
- Fig 87. Oil Cooler Installation - Floatplane
- Numerical Index
- AN115-21 to AN340B8
- AN340B8 to AN515-8R6
- AN515-8R6 to AN6227-5
- AN6227B18 to AN960-10
- AN960-10 to AN960D10L
- AN960D10L to C294501-0101
- C294501-0103 to C664501-0103
- C664502-0101 to MS21042L4
- MS21042L4 to MS21044N3
- MS21044N3 to NAS1068A4
- NAS1068A4 to NAS43DD3-71
- NAS43DD3-9 to NAS682A06
- NAS682A06K to S1021Z8-8
- S1021Z8-8 to S1115-19
- S1115-19 to S1485D3U
- S1485D3U to S1807-1
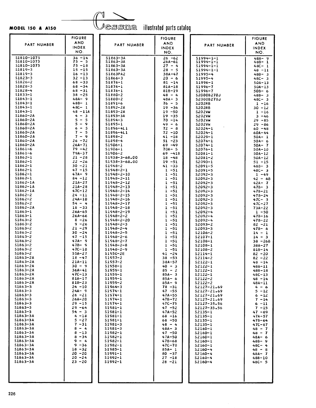
- S1810-1075 to S2160-4
- S2160-5 to 0400028-4
- 0400028-7 to 0405034-16
- 0405034-17 to 0411144-1
- 0411174 to 0412020-24
- 0412020-25 to 0413202-30
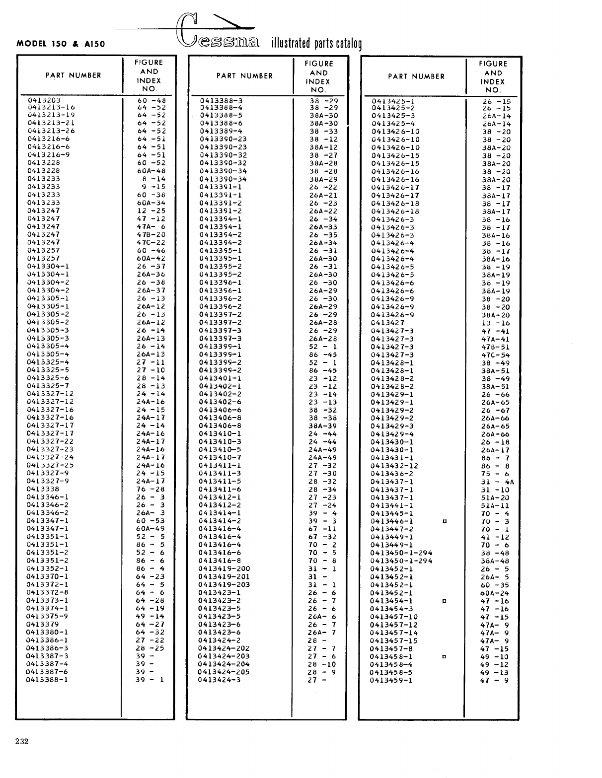
- 0413203 to 0413459-1
- 0413459-2 to 0414009-15
- 0414009-16 to 0414054-8
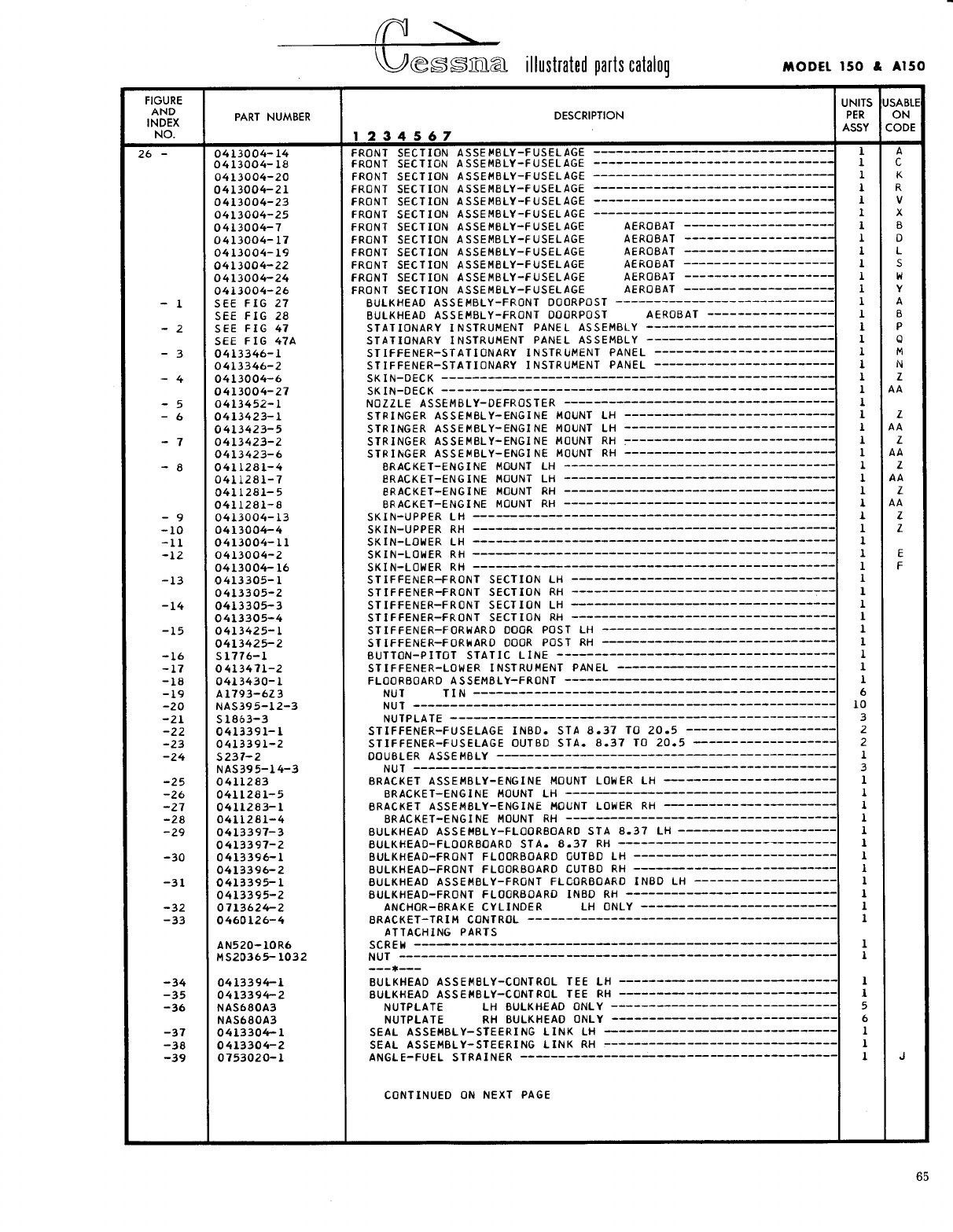
- 0414054-8 to 0422293-1
- 0422293-1 to 0426015-1
- 0426015-10 to 0431023-1
- 0431023-1 to 0442017-1
- 0442142-1 to 0452112-6
- 0452013-2 to 0505061-3
- 0505061-4 to 0523233-12
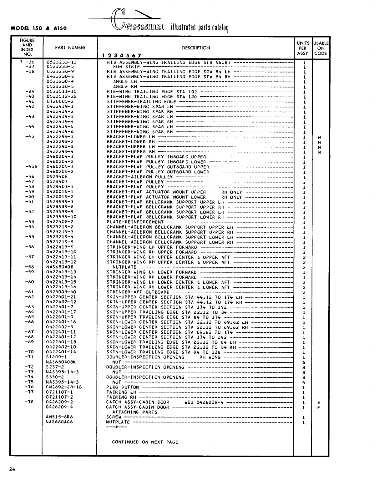
- 0523233-13 to 0523613-1
- 0523613-2 to 0713173-6
- 0713221-1 to 1205001-92
- 1205001-92 to 442907-1
- 444652 to 9864050-8



This page intentionally left blank.













This page intentionally left blank.




































This page intentionally left blank.





































This page intentionally left blank.

















This page intentionally left blank.



















This page intentionally left blank.







This page intentionally left blank.























This page intentionally left blank.







This page intentionally left blank.
























This page intentionally left blank.
















This page intentionally left blank.









This page intentionally left blank.








This page intentionally left blank.












This page intentionally left blank.











This page intentionally left blank.









This page intentionally left blank.























































This page intentionally left blank.





















This page intentionally left blank.






This page intentionally left blank.






























This page intentionally left blank.









This page intentionally left blank.





This page intentionally left blank.









This page intentionally left blank.













This page intentionally left blank.











This page intentionally left blank.









This page intentionally left blank.










This page intentionally left blank.





This page intentionally left blank.





































