Guide To Parameter Tuning In XGBoost (with Codes Python)
User Manual:
Open the PDF directly: View PDF
.
Page Count: 24

analyticsvidhya.com
Complete Guide to Parameter Tuning in
XGBoost (with codes in Python)
26-33 minutes
Learn everything about Analytics
Introduction
If things don’t go your way in predictive modeling, use XGboost.
XGBoost algorithm has become the ultimate weapon of many data
scientist. It’s a highly sophisticated algorithm, powerful enough to
deal with all sorts of irregularities of data.
Building a model using XGBoost is easy. But, improving the model
using XGBoost is difficult (at least I struggled a lot). This algorithm
uses multiple parameters. To improve the model, parameter tuning
is must. It is very difficult to get answers to practical questions like –
Which set of parameters you should tune ? What is the ideal value
of these parameters to obtain optimal output ?
This article is best suited to people who are new to XGBoost. In this
article, we’ll learn the art of parameter tuning along with some useful
information about XGBoost. Also, we’ll practice this algorithm using
a data set in Python.

What should you know ?
XGBoost (eXtreme Gradient Boosting) is an advanced
implementation of gradient boosting algorithm. Since I covered
Gradient Boosting Machine in detail in my previous article
– Complete Guide to Parameter Tuning in Gradient Boosting (GBM)
in Python, I highly recommend going through that before reading
further. It will help you bolster your understanding of boosting in
general and parameter tuning for GBM.
Special Thanks: Personally, I would like to acknowledge the
timeless support provided by Mr. Sudalai Rajkumar (aka SRK),
currently AV Rank 2. This article wouldn’t be possible without his
help. He is helping us guide thousands of data scientists. A big
thanks to SRK!
Table of Contents
The XGBoost Advantage1.
Understanding XGBoost Parameters2.
Tuning Parameters (with Example)3.
1. The XGBoost Advantage
I’ve always admired the boosting capabilities that this algorithm
infuses in a predictive model. When I explored more about its
performance and science behind its high accuracy, I discovered
many advantages:
Regularization:
Standard GBM implementation has no regularization
like XGBoost, therefore it also helps to reduce overfitting.
In fact, XGBoost is also known as ‘regularized boosting‘ technique.
1.
Parallel Processing:
XGBoost implements parallel processing and is blazingly faster as
2.

compared to GBM.
But hang on, we know that boosting is sequential process so how
can it be parallelized? We know that each tree can be built only after
the previous one, so what stops us from making a tree using all
cores? I hope you get where I’m coming from. Check this link out to
explore further.
XGBoost also supports implementation on Hadoop.
High Flexibility
XGBoost allow users to define custom optimization objectives
and evaluation criteria.
This adds a whole new dimension to the model and there is no limit
to what we can do.
3.
Handling Missing Values
XGBoost has an in-built routine to handle missing values.
User is required to supply a different value than other observations
and pass that as a parameter. XGBoost tries different things as it
encounters a missing value on each node and learns which path to
take for missing values in future.
4.
Tree Pruning:
A GBM would stop splitting a node when it encounters a negative
loss in the split. Thus it is more of a greedy algorithm.
XGBoost on the other hand make splits upto the max_depth
specified and then start pruning the tree backwards and remove
splits beyond which there is no positive gain.
Another advantage is that sometimes a split of negative loss say -2
may be followed by a split of positive loss +10. GBM would stop as it
encounters -2. But XGBoost will go deeper and it will see a
combined effect of +8 of the split and keep both.
5.
Built-in Cross-Validation
XGBoost allows user to run a cross-validation at each iteration of
the boosting process and thus it is easy to get the exact optimum
number of boosting iterations in a single run.
This is unlike GBM where we have to run a grid-search and only a
6.

limited values can be tested.
Continue on Existing Model
User can start training an XGBoost model from its last iteration of
previous run. This can be of significant advantage in certain specific
applications.
GBM implementation of sklearn also has this feature so they are
even on this point.
7.
I hope now you understand the sheer power XGBoost algorithm.
Note that these are the points which I could muster. You know a few
more? Feel free to drop a comment below and I will update the list.
Did I whet your appetite ? Good. You can refer to following web-
pages for a deeper understanding:
XGBoost Guide – Introduction to Boosted Trees
Words from the Author of XGBoost [Video]
2. XGBoost Parameters
The overall parameters have been divided into 3 categories by
XGBoost authors:
General Parameters: Guide the overall functioning1.
Booster Parameters: Guide the individual booster (tree/regression)
at each step
2.
Learning Task Parameters: Guide the optimization performed3.
I will give analogies to GBM here and highly recommend to read this
article to learn from the very basics.
General Parameters
These define the overall functionality of XGBoost.
booster [default=gbtree]
Select the type of model to run at each iteration. It has 2 options:
gbtree: tree-based models
gblinear: linear models
1.
silent [default=0]:2.

Silent mode is activated is set to 1, i.e. no running messages will be
printed.
It’s generally good to keep it 0 as the messages might help in
understanding the model.
nthread [default to maximum number of threads available if not
set]
This is used for parallel processing and number of cores in the
system should be entered
If you wish to run on all cores, value should not be entered and
algorithm will detect automatically
3.
There are 2 more parameters which are set automatically by
XGBoost and you need not worry about them. Lets move on to
Booster parameters.
Booster Parameters
Though there are 2 types of boosters, I’ll consider only tree
booster here because it always outperforms the linear booster and
thus the later is rarely used.
eta [default=0.3]
Analogous to learning rate in GBM
Makes the model more robust by shrinking the weights on each step
Typical final values to be used: 0.01-0.2
1.
min_child_weight [default=1]
Defines the minimum sum of weights of all observations required in
a child.
This is similar to min_child_leaf in GBM but not exactly. This refers
to min “sum of weights” of observations while GBM has min “number
of observations”.
Used to control over-fitting. Higher values prevent a model from
learning relations which might be highly specific to the particular
sample selected for a tree.
Too high values can lead to under-fitting hence, it should be tuned
using CV.
2.

max_depth [default=6]
The maximum depth of a tree, same as GBM.
Used to control over-fitting as higher depth will allow model to learn
relations very specific to a particular sample.
Should be tuned using CV.
Typical values: 3-10
3.
max_leaf_nodes
The maximum number of terminal nodes or leaves in a tree.
Can be defined in place of max_depth. Since binary trees are
created, a depth of ‘n’ would produce a maximum of 2^n leaves.
If this is defined, GBM will ignore max_depth.
4.
gamma [default=0]
A node is split only when the resulting split gives a positive
reduction in the loss function. Gamma specifies the minimum loss
reduction required to make a split.
Makes the algorithm conservative. The values can vary depending
on the loss function and should be tuned.
5.
max_delta_step [default=0]
In maximum delta step we allow each tree’s weight estimation to be.
If the value is set to 0, it means there is no constraint. If it is set to a
positive value, it can help making the update step more
conservative.
Usually this parameter is not needed, but it might help in logistic
regression when class is extremely imbalanced.
This is generally not used but you can explore further if you wish.
6.
subsample [default=1]
Same as the subsample of GBM. Denotes the fraction of
observations to be randomly samples for each tree.
Lower values make the algorithm more conservative and prevents
overfitting but too small values might lead to under-fitting.
Typical values: 0.5-1
7.
colsample_bytree [default=1]8.

Similar to max_features in GBM. Denotes the fraction of columns to
be randomly samples for each tree.
Typical values: 0.5-1
colsample_bylevel [default=1]
Denotes the subsample ratio of columns for each split, in each level.
I don’t use this often because subsample and colsample_bytree will
do the job for you. but you can explore further if you feel so.
9.
lambda [default=1]
L2 regularization term on weights (analogous to Ridge regression)
This used to handle the regularization part of XGBoost. Though
many data scientists don’t use it often, it should be explored to
reduce overfitting.
10.
alpha [default=0]
L1 regularization term on weight (analogous to Lasso regression)
Can be used in case of very high dimensionality so that the
algorithm runs faster when implemented
11.
scale_pos_weight [default=1]
A value greater than 0 should be used in case of high class
imbalance as it helps in faster convergence.
12.
Learning Task Parameters
These parameters are used to define the optimization objective the
metric to be calculated at each step.
objective [default=reg:linear]
This defines the loss function to be minimized. Mostly used values
are:
binary:logistic –logistic regression for binary classification,
returns predicted probability (not class)
multi:softmax –multiclass classification using the softmax
objective, returns predicted class (not probabilities)
you also need to set an additional num_class (number of classes)
parameter defining the number of unique classes
multi:softprob –same as softmax, but returns predicted probability
1.

of each data point belonging to each class.
eval_metric [ default according to objective ]
The metric to be used for validation data.
The default values are rmse for regression and error for
classification.
Typical values are:
rmse – root mean square error
mae – mean absolute error
logloss – negative log-likelihood
error – Binary classification error rate (0.5 threshold)
merror – Multiclass classification error rate
mlogloss – Multiclass logloss
auc: Area under the curve
2.
seed [default=0]
The random number seed.
Can be used for generating reproducible results and also for
parameter tuning.
3.
If you’ve been using Scikit-Learn till now, these parameter names
might not look familiar. A good news is that xgboost module in
python has an sklearn wrapper called XGBClassifier. It uses sklearn
style naming convention. The parameters names which will change
are:
eta –> learning_rate1.
lambda –> reg_lambda2.
alpha –> reg_alpha3.
You must be wondering that we have defined everything except
something similar to the “n_estimators” parameter in GBM. Well this
exists as a parameter in XGBClassifier. However, it has to be passed
as “num_boosting_rounds” while calling the fit function in the
standard xgboost implementation.
I recommend you to go through the following parts of xgboost guide

to better understand the parameters and codes:
XGBoost Parameters (official guide)1.
XGBoost Demo Codes (xgboost GitHub repository)2.
Python API Reference (official guide)3.
3. Parameter Tuning with Example
We will take the data set from Data Hackathon 3.x AV hackathon,
same as that taken in the GBM article. The details of the problem
can be found on the competition page. You can download the data
set from here. I have performed the following steps:
City variable dropped because of too many categories1.
DOB converted to Age | DOB dropped2.
EMI_Loan_Submitted_Missing created which is 1 if
EMI_Loan_Submitted was missing else 0 | Original variable
EMI_Loan_Submitted dropped
3.
EmployerName dropped because of too many categories4.
Existing_EMI imputed with 0 (median) since only 111 values were
missing
5.
Interest_Rate_Missing created which is 1 if Interest_Rate was
missing else 0 | Original variable Interest_Rate dropped
6.
Lead_Creation_Date dropped because made little intuitive impact
on outcome
7.
Loan_Amount_Applied, Loan_Tenure_Applied imputed with median
values
8.
Loan_Amount_Submitted_Missing created which is 1 if
Loan_Amount_Submitted was missing else 0 | Original variable
Loan_Amount_Submitted dropped
9.
Loan_Tenure_Submitted_Missing created which is 1 if
Loan_Tenure_Submitted was missing else 0 | Original variable
Loan_Tenure_Submitted dropped
10.
LoggedIn, Salary_Account dropped11.

Processing_Fee_Missing created which is 1 if Processing_Fee was
missing else 0 | Original variable Processing_Fee dropped
12.
Source – top 2 kept as is and all others combined into different
category
13.
Numerical and One-Hot-Coding performed14.
For those who have the original data from competition, you can
check out these steps from the data_preparation iPython notebook
in the repository.
Lets start by importing the required libraries and loading the data:
#Import libraries:
import pandas as pd
import numpy as np
import xgboost as xgb
from xgboost.sklearn import XGBClassifier
from sklearn import cross_validation, metrics
#Additional scklearn functions
from sklearn.grid_search import GridSearchCV
#Perforing grid search
import matplotlib.pylab as plt
%matplotlib inline
from matplotlib.pylab import rcParams
rcParams['figure.figsize'] = 12, 4
train = pd.read_csv('train_modified.csv')
target = 'Disbursed'
IDcol = 'ID'
Note that I have imported 2 forms of XGBoost:
xgb – this is the direct xgboost library. I will use a specific function
“cv” from this library
1.
XGBClassifier – this is an sklearn wrapper for XGBoost. This
allows us to use sklearn’s Grid Search with parallel processing
in the same way we did for GBM
2.
Before proceeding further, lets define a function which will help us

create XGBoost models and perform cross-validation. The best part
is that you can take this function as it is and use it later for your own
models.
def modelfit(alg, dtrain,
predictors,useTrainCV=True, cv_folds=5,
early_stopping_rounds=50):
if useTrainCV:
xgb_param = alg.get_xgb_params()
xgtrain =
xgb.DMatrix(dtrain[predictors].values,
label=dtrain[target].values)
cvresult = xgb.cv(xgb_param, xgtrain,
num_boost_round=alg.get_params()['n_estimators'],
nfold=cv_folds,
metrics='auc',
early_stopping_rounds=early_stopping_rounds,
show_progress=False)
alg.set_params(n_estimators=cvresult.shape[0])
#Fit the algorithm on the data
alg.fit(dtrain[predictors],
dtrain['Disbursed'],eval_metric='auc')
#Predict training set:
dtrain_predictions =
alg.predict(dtrain[predictors])
dtrain_predprob =
alg.predict_proba(dtrain[predictors])[:,1]
#Print model report:
print "\nModel Report"
print "Accuracy : %.4g" %
metrics.accuracy_score(dtrain['Disbursed'].values,
dtrain_predictions)

print "AUC Score (Train): %f" %
metrics.roc_auc_score(dtrain['Disbursed'],
dtrain_predprob)
feat_imp =
pd.Series(alg.booster().get_fscore()).sort_values(ascending=False)
feat_imp.plot(kind='bar', title='Feature
Importances')
plt.ylabel('Feature Importance Score')
This code is slightly different from what I used for GBM. The focus of
this article is to cover the concepts and not coding. Please feel free
to drop a note in the comments if you find any challenges in
understanding any part of it. Note that xgboost’s sklearn wrapper
doesn’t have a “feature_importances” metric but a get_fscore()
function which does the same job.
General Approach for Parameter Tuning
We will use an approach similar to that of GBM here. The various
steps to be performed are:
Choose a relatively high learning rate. Generally a learning rate of
0.1 works but somewhere between 0.05 to 0.3 should work for
different problems. Determine the optimum number of trees for
this learning rate. XGBoost has a very useful function called as
“cv” which performs cross-validation at each boosting iteration and
thus returns the optimum number of trees required.
1.
Tune tree-specific parameters ( max_depth, min_child_weight,
gamma, subsample, colsample_bytree) for decided learning rate
and number of trees. Note that we can choose different parameters
to define a tree and I’ll take up an example here.
2.
Tune regularization parameters (lambda, alpha) for xgboost which
can help reduce model complexity and enhance performance.
3.
Lower the learning rate and decide the optimal parameters .4.
Let us look at a more detailed step by step approach.
Step 1: Fix learning rate and number of estimators for tuning

tree-based parameters
In order to decide on boosting parameters, we need to set some
initial values of other parameters. Lets take the following values:
max_depth = 5 : This should be between 3-10. I’ve started with 5
but you can choose a different number as well. 4-6 can be good
starting points.
1.
min_child_weight = 1 : A smaller value is chosen because it is a
highly imbalanced class problem and leaf nodes can have smaller
size groups.
2.
gamma = 0 : A smaller value like 0.1-0.2 can also be chosen for
starting. This will anyways be tuned later.
3.
subsample, colsample_bytree = 0.8 : This is a commonly used
used start value. Typical values range between 0.5-0.9.
4.
scale_pos_weight = 1: Because of high class imbalance.5.
Please note that all the above are just initial estimates and will be
tuned later. Lets take the default learning rate of 0.1 here and check
the optimum number of trees using cv function of xgboost. The
function defined above will do it for us.
#Choose all predictors except target & IDcols
predictors = [x for x in train.columns if x not in
[target, IDcol]]
xgb1 = XGBClassifier(
learning_rate =0.1,
n_estimators=1000,
max_depth=5,
min_child_weight=1,
gamma=0,
subsample=0.8,
colsample_bytree=0.8,
objective= 'binary:logistic',
nthread=4,
scale_pos_weight=1,
seed=27)
modelfit(xgb1, train, predictors)

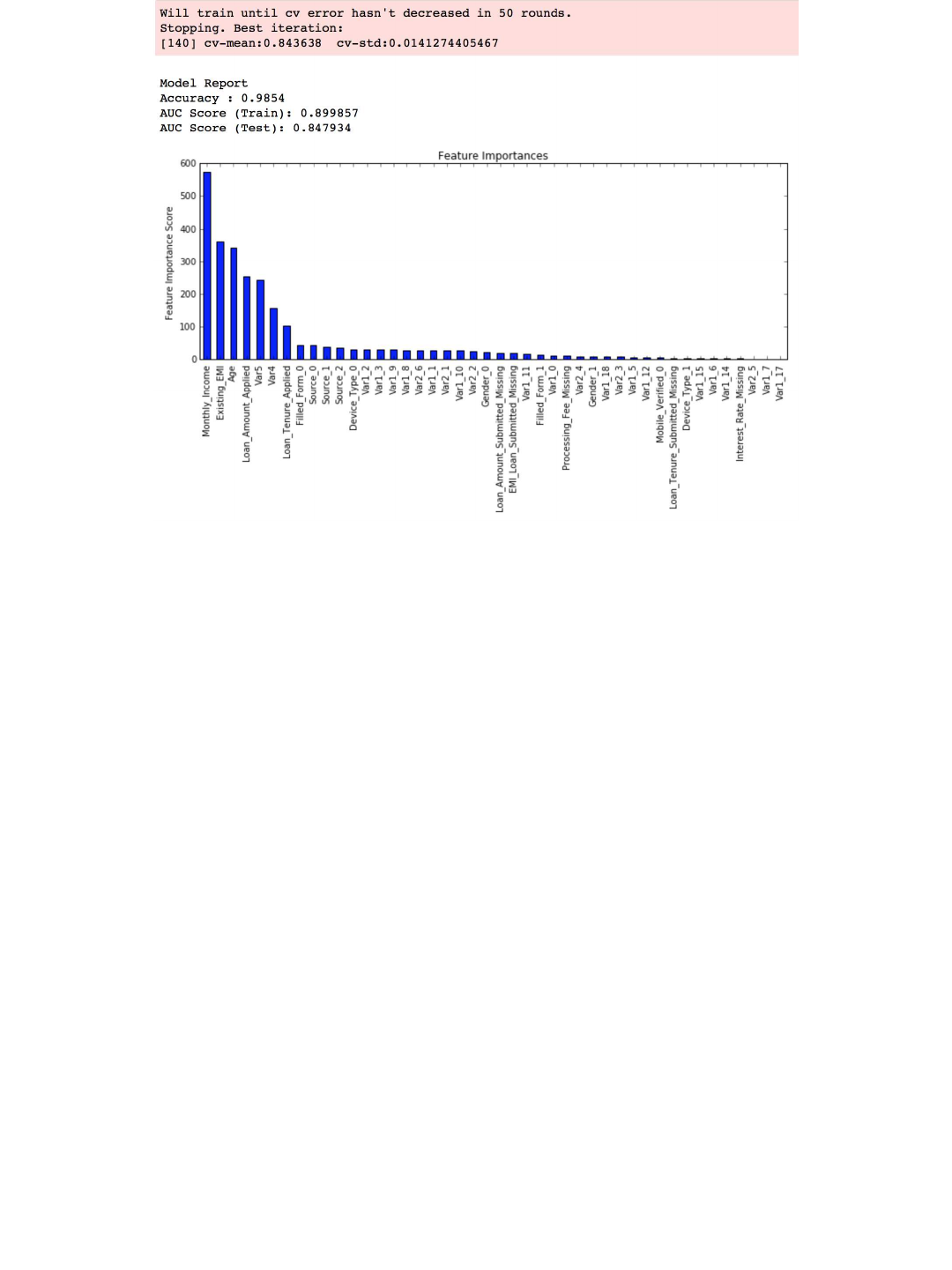
As you can see that here we got 140 as the optimal estimators for
0.1 learning rate. Note that this value might be too high for you
depending on the power of your system. In that case you can
increase the learning rate and re-run the command to get the
reduced number of estimators.
Note: You will see the test AUC as “AUC Score (Test)” in
the outputs here. But this would not appear if you try to run the
command on your system as the data is not made public. It’s
provided here just for reference. The part of the code which
generates this output has been removed here.
Step 2: Tune max_depth and min_child_weight
We tune these first as they will have the highest impact on model
outcome. To start with, let’s set wider ranges and then we will
perform another iteration for smaller ranges.
Important Note: I’ll be doing some heavy-duty grid searched in this
section which can take 15-30 mins or even more time to run
depending on your system. You can vary the number of values you
are testing based on what your system can handle.
param_test1 = {

'max_depth':range(3,10,2),
'min_child_weight':range(1,6,2)
}
gsearch1 = GridSearchCV(estimator = XGBClassifier(
learning_rate =0.1, n_estimators=140, max_depth=5,
min_child_weight=1, gamma=0, subsample=0.8,
colsample_bytree=0.8,
objective= 'binary:logistic', nthread=4,
scale_pos_weight=1, seed=27),
param_grid = param_test1,
scoring='roc_auc',n_jobs=4,iid=False, cv=5)
gsearch1.fit(train[predictors],train[target])
gsearch1.grid_scores_, gsearch1.best_params_,
gsearch1.best_score_
Here, we have run 12 combinations with wider intervals between
values. The ideal values are 5 for max_depth and 5 for
min_child_weight. Lets go one step deeper and look for optimum
values. We’ll search for values 1 above and below the optimum
values because we took an interval of two.
param_test2 = {
'max_depth':[4,5,6],
'min_child_weight':[4,5,6]
}
gsearch2 = GridSearchCV(estimator = XGBClassifier(
learning_rate=0.1, n_estimators=140, max_depth=5,
min_child_weight=2, gamma=0, subsample=0.8,
colsample_bytree=0.8,
objective= 'binary:logistic', nthread=4,
scale_pos_weight=1,seed=27),

param_grid = param_test2,
scoring='roc_auc',n_jobs=4,iid=False, cv=5)
gsearch2.fit(train[predictors],train[target])
gsearch2.grid_scores_, gsearch2.best_params_,
gsearch2.best_score_
Here, we get the optimum values as 4 for max_depth and 6 for
min_child_weight. Also, we can see the CV score increasing
slightly. Note that as the model performance increases, it becomes
exponentially difficult to achieve even marginal gains in
performance. You would have noticed that here we got 6 as
optimum value for min_child_weight but we haven’t tried values
more than 6. We can do that as follow:.
param_test2b = {
'min_child_weight':[6,8,10,12]
}
gsearch2b = GridSearchCV(estimator =
XGBClassifier( learning_rate=0.1,
n_estimators=140, max_depth=4,
min_child_weight=2, gamma=0, subsample=0.8,
colsample_bytree=0.8,
objective= 'binary:logistic', nthread=4,
scale_pos_weight=1,seed=27),
param_grid = param_test2b,
scoring='roc_auc',n_jobs=4,iid=False, cv=5)
gsearch2b.fit(train[predictors],train[target])
modelfit(gsearch3.best_estimator_, train,
predictors)
gsearch2b.grid_scores_, gsearch2b.best_params_,
gsearch2b.best_score_

We see 6 as the optimal value.
Step 3: Tune gamma
Now lets tune gamma value using the parameters already tuned
above. Gamma can take various values but I’ll check for 5 values
here. You can go into more precise values as.
param_test3 = {
'gamma':[i/10.0 for i in range(0,5)]
}
gsearch3 = GridSearchCV(estimator = XGBClassifier(
learning_rate =0.1, n_estimators=140, max_depth=4,
min_child_weight=6, gamma=0, subsample=0.8,
colsample_bytree=0.8,
objective= 'binary:logistic', nthread=4,
scale_pos_weight=1,seed=27),
param_grid = param_test3,
scoring='roc_auc',n_jobs=4,iid=False, cv=5)
gsearch3.fit(train[predictors],train[target])
gsearch3.grid_scores_, gsearch3.best_params_,
gsearch3.best_score_
This shows that our original value of gamma, i.e. 0 is the optimum
one. Before proceeding, a good idea would be to re-calibrate the
number of boosting rounds for the updated parameters.
xgb2 = XGBClassifier(
learning_rate =0.1,
n_estimators=1000,
max_depth=4,

min_child_weight=6,
gamma=0,
subsample=0.8,
colsample_bytree=0.8,
objective= 'binary:logistic',
nthread=4,
scale_pos_weight=1,
seed=27)
modelfit(xgb2, train, predictors)
Here, we can see the improvement in score. So the final parameters
are:
max_depth: 4
min_child_weight: 6
gamma: 0
Step 4: Tune subsample and colsample_bytree
The next step would be try different subsample and
colsample_bytree values. Lets do this in 2 stages as well and take
values 0.6,0.7,0.8,0.9 for both to start with.
param_test4 = {

'subsample':[i/10.0 for i in range(6,10)],
'colsample_bytree':[i/10.0 for i in range(6,10)]
}
gsearch4 = GridSearchCV(estimator = XGBClassifier(
learning_rate =0.1, n_estimators=177, max_depth=4,
min_child_weight=6, gamma=0, subsample=0.8,
colsample_bytree=0.8,
objective= 'binary:logistic', nthread=4,
scale_pos_weight=1,seed=27),
param_grid = param_test4,
scoring='roc_auc',n_jobs=4,iid=False, cv=5)
gsearch4.fit(train[predictors],train[target])
gsearch4.grid_scores_, gsearch4.best_params_,
gsearch4.best_score_
Here, we found 0.8 as the optimum value for both subsample and
colsample_bytree. Now we should try values in 0.05 interval around
these.
param_test5 = {
'subsample':[i/100.0 for i in range(75,90,5)],
'colsample_bytree':[i/100.0 for i in
range(75,90,5)]
}
gsearch5 = GridSearchCV(estimator = XGBClassifier(
learning_rate =0.1, n_estimators=177, max_depth=4,
min_child_weight=6, gamma=0, subsample=0.8,
colsample_bytree=0.8,
objective= 'binary:logistic', nthread=4,

scale_pos_weight=1,seed=27),
param_grid = param_test5,
scoring='roc_auc',n_jobs=4,iid=False, cv=5)
gsearch5.fit(train[predictors],train[target])
Again we got the same values as before. Thus the optimum values
are:
subsample: 0.8
colsample_bytree: 0.8
Step 5: Tuning Regularization Parameters
Next step is to apply regularization to reduce overfitting. Though
many people don’t use this parameters much as gamma provides a
substantial way of controlling complexity. But we should always try it.
I’ll tune ‘reg_alpha’ value here and leave it upto you to try different
values of ‘reg_lambda’.
param_test6 = {
'reg_alpha':[1e-5, 1e-2, 0.1, 1, 100]
}
gsearch6 = GridSearchCV(estimator = XGBClassifier(
learning_rate =0.1, n_estimators=177, max_depth=4,
min_child_weight=6, gamma=0.1, subsample=0.8,
colsample_bytree=0.8,
objective= 'binary:logistic', nthread=4,
scale_pos_weight=1,seed=27),
param_grid = param_test6,
scoring='roc_auc',n_jobs=4,iid=False, cv=5)
gsearch6.fit(train[predictors],train[target])
gsearch6.grid_scores_, gsearch6.best_params_,
gsearch6.best_score_

We can see that the CV score is less than the previous case. But
the values tried are very widespread, we should try values closer to
the optimum here (0.01) to see if we get something better.
param_test7 = {
'reg_alpha':[0, 0.001, 0.005, 0.01, 0.05]
}
gsearch7 = GridSearchCV(estimator = XGBClassifier(
learning_rate =0.1, n_estimators=177, max_depth=4,
min_child_weight=6, gamma=0.1, subsample=0.8,
colsample_bytree=0.8,
objective= 'binary:logistic', nthread=4,
scale_pos_weight=1,seed=27),
param_grid = param_test7,
scoring='roc_auc',n_jobs=4,iid=False, cv=5)
gsearch7.fit(train[predictors],train[target])
gsearch7.grid_scores_, gsearch7.best_params_,
gsearch7.best_score_
You can see that we got a better CV. Now we can apply this
regularization in the model and look at the impact:
xgb3 = XGBClassifier(
learning_rate =0.1,
n_estimators=1000,
max_depth=4,
min_child_weight=6,
gamma=0,
subsample=0.8,
colsample_bytree=0.8,

reg_alpha=0.005,
objective= 'binary:logistic',
nthread=4,
scale_pos_weight=1,
seed=27)
modelfit(xgb3, train, predictors)
Again we can see slight improvement in the score.
Step 6: Reducing Learning Rate
Lastly, we should lower the learning rate and add more trees. Lets
use the cv function of XGBoost to do the job again.
xgb4 = XGBClassifier(
learning_rate =0.01,
n_estimators=5000,
max_depth=4,
min_child_weight=6,
gamma=0,
subsample=0.8,
colsample_bytree=0.8,
reg_alpha=0.005,

objective= 'binary:logistic',
nthread=4,
scale_pos_weight=1,
seed=27)
modelfit(xgb4, train, predictors)
Now we can see a significant boost in performance and the effect of
parameter tuning is clearer.
As we come to the end, I would like to share 2 key thoughts:
It is difficult to get a very big leap in performance by just using
parameter tuning or slightly better models. The max score for
GBM was 0.8487 while XGBoost gave 0.8494. This is a decent
improvement but not something very substantial.
1.
A significant jump can be obtained by other methods like feature
engineering, creating ensemble of models, stacking, etc
2.
You can also download the iPython notebook with all these model
codes from my GitHub account. For codes in R, you can refer to this
article.
End Notes

This article was based on developing a XGBoost model end-to-end.
We started with discussing why XGBoost has superior
performance over GBM which was followed by detailed discussion
on the various parameters involved. We also defined a generic
function which you can re-use for making models.
Finally, we discussed the general approach towards tackling a
problem with XGBoost and also worked out the AV Data Hackathon
3.x problem through that approach.
I hope you found this useful and now you feel more confident
to apply XGBoost in solving a data science problem. You can try this
out in out upcoming hackathons.
Did you like this article? Would you like to share some other hacks
which you implement while making XGBoost models? Please feel
free to drop a note in the comments below and I’ll be glad to discuss.
You want to apply your analytical skills and test your potential?
Then participate in our Hackathons and compete with Top Data
Scientists from all over the world.
You can also read this article on Analytics Vidhya's Android APP
This article is quite old and you might not get a prompt response
from the author. We request you to post this comment on Analytics
Vidhya's Discussion portal to get your queries resolved