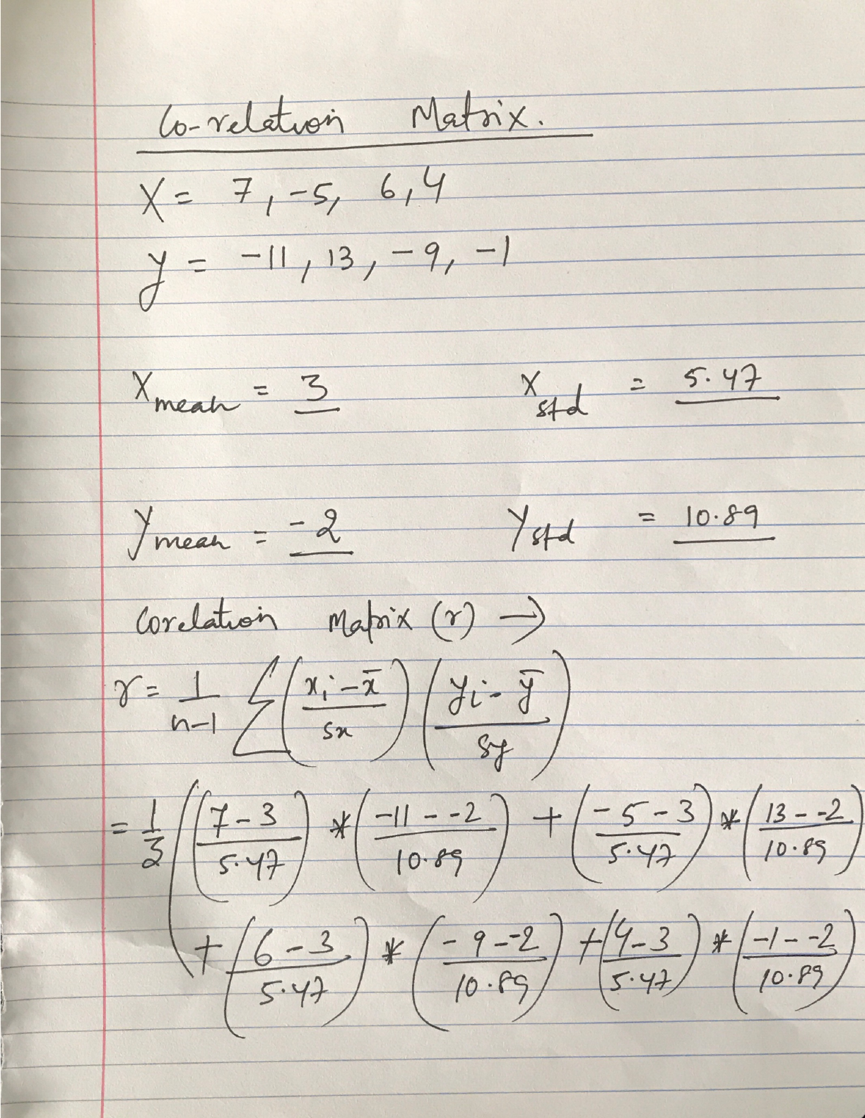
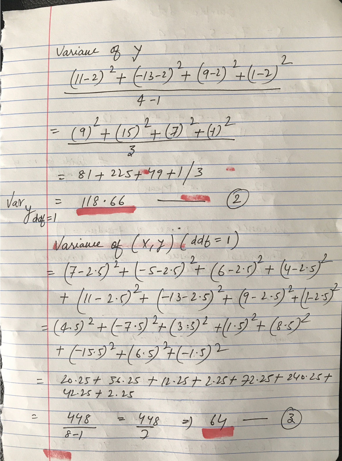
Computation Manual

User Manual:

Open the PDF directly: View PDF PDF.
Page Count: 9

Navigation menu