DBMS Lab Manual 2017 (30 07 17)
DBMS%20MANUAL-2017%20(30-07-17)
User Manual:
Open the PDF directly: View PDF .
Page Count: 94

DBMS Lab Manual-2017
RNSIT, Bangalore Page 1
INTRODUCTION TO SQL
Pronounced as SEQUEL: Structured English QUERY Language
Pure non-procedural query language
Designed and developed by IBM, Implemented by Oracle
1978 System/R IBM- 1st Relational DBMS
1979 Oracle and Ingres
1982 SQL/DS and DB2 IBM
Accepted by both ANSI + ISO as Standard Query Language for any RDBMS
SQL86 (SQL1) : first by ANSI and ratified by ISO (SQL-87), minor revision on 89
(SQL-89)
SQL92 (SQL2) : major revision
SQL99 (SQL3) : add recursive query, trigger, some OO features, and non-scholar type
SQL2003 : XML, Window functions, and sequences (Not free)
Supports all the three sublanguages of DBMS: DDL, DML, DCL
Supports Aggregate functions, String Manipulation functions, Set theory operations,
Date Manipulation functions, rich set of operators ( IN, BETWEEN, LIKE, IS NULL,
EXISTS)
Supports REPORT writing features and Forms for designing GUI based applications
DATA DEFINITION, CONSTRAINTS, AND SCHEMA CHANGES
Used to CREATE, ALTER, and DROP the descriptions of the database tables (relations)
Data Definition in SQL
CREATE, ALTER and DROP
table…………………………………….……relation
row……………………………………..…….tuple
column………………………………….……attribute
DATA TYPES
Numeric: NUMBER, NUMBER(s,p), INTEGER, INT, FLOAT, DECIMAL
Character: CHAR(n), VARCHAR(n), VARCHAR2(n), CHAR VARYING(n)
Bit String: BLOB, CLOB
Boolean: true, false, and null

DBMS Lab Manual-2017
RNSIT, Bangalore Page 2
Date and Time: DATE (YYYY-MM-DD) TIME( HH:MM:SS)
Timestamp: DATE + TIME
USER Defined types
CREATE SCHEMA
Specifies a new database schema by giving it a name
Ex: CREATE SCHEMA COMPANY AUTHORIZATION Jsmith;
CREATE TABLE
Specifies a new base relation by giving it a name, and specifying each of its attributes and
their data types
Syntax of CREATE Command:
CREATE TABLE <table name> ( <Attribute A1> <Data Type D1> [< Constarints>],
<Attribute A2> <Data Type D2> [< Constarints>],
…….
<Attribute An> <Data Type Dn> [< Constarints>],
[<integrity-constraint1>, <integrity-constraint k> ] );
- A constraint NOT NULL may be specified on an attribute
A constraint NOT NULL may be specified on an attribute
Ex: CREATE TABLE DEPARTMENT (
DNAME VARCHAR(10) NOT NULL,
DNUMBER INTEGER NOT NULL,
MGRSSN CHAR(9), MGRSTARTDATE CHAR(9) );
Specifying the unique, primary key attributes, secondary keys, and referential integrity
constraints (foreign keys).
Ex: CREATE TABLE DEPT (
DNAME VARCHAR(10) NOT NULL,
DNUMBER INTEGER NOT NULL,
MGRSSN CHAR(9),
MGRSTARTDATE CHAR(9),
PRIMARY KEY (DNUMBER),
UNIQUE (DNAME),

DBMS Lab Manual-2017
RNSIT, Bangalore Page 3
FOREIGN KEY (MGRSSN) REFERENCES EMP(SSN));
We can specify RESTRICT, CASCADE, SET NULL or SET DEFAULT on referential
integrity constraints (foreign keys)
Ex: CREATE TABLE DEPT (
DNAME VARCHAR(10) NOT NULL,
DNUMBER INTEGER NOT NULL,
MGRSSN CHAR(9), MGRSTARTDATE CHAR(9),
PRIMARY KEY (DNUMBER),
UNIQUE (DNAME),
FOREIGN KEY (MGRSSN) REFERENCES EMP
ON DELETE SET DEFAULT ON UPDATE CASCADE);
DROP TABLE
Used to remove a relation (base table) and its definition.
The relation can no longer be used in queries, updates, or any other commands since its
description no longer exists
Example: DROP TABLE DEPENDENT;
ALTER TABLE:
Used to add an attribute to/from one of the base relations drop constraint -- The new
attribute will have NULLs in all the tuples of the relation right after the command is
executed; hence, the NOT NULL constraint is not allowed for such an attribute.
Example: ALTER TABLE EMPLOYEE ADD JOB VARCHAR2 (12);
The database users must still enter a value for the new attribute JOB for each
EMPLOYEE tuple. This can be done using the UPDATE command.
DROP A COLUMN (AN ATTRIBUTE)
ALTER TABLE COMPANY.EMPLOYEE DROP ADDRESS CASCADE; All
constraints and views that reference the column are dropped automatically, along with the
column. ALTER TABLE COMPANY.EMPLOYEE DROP ADDRESS RESTRICT;
Successful if no views or constraints reference the column. ALTER TABLE
COMPANY.DEPARTMENT ALTER MGRSSN DROP DEFAULT;

DBMS Lab Manual-2017
RNSIT, Bangalore Page 4
ALTER TABLE COMPANY.DEPARTMENT ALTER MGRSSN SET DEFAULT
“333445555”;
BASIC QUERIES IN SQL
SQL has one basic statement for retrieving information from a database; the SLELECT
statement
This is not the same as the SELECT operation of the relational algebra
Important distinction between SQL and the formal relational model;
SQL allows a table (relation) to have two or more tuples that are identical in all their
attribute values
Hence, an SQL relation (table) is a multi-set (sometimes called a bag) of tuples; it is not a
set of tuples
SQL relations can be constrained to be sets by using the CREATE UNIQUE INDEX
command, or by using the DISTINCT option
Basic form of the SQL SELECT statement is called a mapping of a SELECT-FROM-
WHERE block
SELECT <attribute list> FROM <table list> WHERE <condition>
<attribute list> is a list of attribute names whose values are to be retrieved by the query
<table list > is a list of the relation names required to process the query
<condition> is a conditional (Boolean) expression that identifies the tuples to be retrieved
by the query
SIMPLE SQL QUERIES
Basic SQL queries correspond to using the following operations of the relational algebra:
SELECT
PROJECT
JOIN
All subsequent examples uses COMPANY database as shown below:
Example of a simple query on one relation
Query 0: Retrieve the birth date and address of the employee whose name is 'John B.
Smith'.
Q0: SELECT BDATE, ADDRESS FROM EMPLOYEE

DBMS Lab Manual-2017
RNSIT, Bangalore Page 5
WHERE FNAME='John' AND MINIT='B’ AND LNAME='Smith’
Similar to a SELECT-PROJECT pair of relational algebra operations: The SELECT-
clause specifies the projection attributes and the WHERE-clause specifies the selection condition
However, the result of the query may contain duplicate tuples

DBMS Lab Manual-2017
RNSIT, Bangalore Page 6
Example of a simple query on two relations
Query 1: Retrieve the name and address of all employees who work for the 'Research'
department.
Q1: SELECT FNAME, LNAME, ADDRESS FROM EMPLOYEE, DEPARTMENT
WHERE DNAME='Research' AND DNUMBER=DNO
Similar to a SELECT-PROJECT-JOIN sequence of relational algebra operations
(DNAME='Research') is a selection condition (corresponds to a SELECT operation in relational
algebra) (DNUMBER=DNO) is a join condition (corresponds to a JOIN operation in relational
algebra)
Example of a simple query on three relations
Query 2: For every project located in 'Stafford', list the project number, the controlling
department number, and the department manager's last name, address, and birth date.
Q2: SELECT PNUMBER, DNUM, LNAME, BDATE, ADDRESS FROM PROJECT,
DEPARTMENT, EMPLOYEE WHERE DNUM=DNUMBER AND MGRSSN=SSN
AND PLOCATION='Stafford'
In Q2, there are two join conditions The join condition DNUM=DNUMBER relates a project to
its controlling department The join condition MGRSSN=SSN relates the controlling department
to the employee who manages that department
ALIASES, * AND DISTINCT, EMPTY WHERE-CLAUSE
In SQL, we can use the same name for two (or more) attributes as long as the attributes
are in different relations
A query that refers to two or more attributes with the same name must qualify the
attribute name with the relation name by prefixing the relation name to the attribute name
Example: EMPLOYEE.LNAME, DEPARTMENT.DNAME
Some queries need to refer to the same relation twice. In this case, aliases are given to the
relation name
Example
Query 3: For each employee, retrieve the employee's name, and the name of his or her
immediate supervisor.

DBMS Lab Manual-2017
RNSIT, Bangalore Page 7
Q3: SELECT E.FNAME, E.LNAME, S.FNAME, S.LNAME FROM EMPLOYEE E S
WHERE E.SUPERSSN=S.SSN
In Q3, the alternate relation names E and S are called aliases or tuple variables for the
EMPLOYEE relation We can think of E and S as two different copies of EMPLOYEE; E
represents employees in role of supervisees and S represents employees in role of supervisors
Aliasing can also be used in any SQL query for convenience. Can also use the AS
keyword to specify aliases
Q3: SELECT E.FNAME, E.LNAME, S.FNAME, S.LNAME FROM EMPLOYEE AS
E, EMPLOYEE AS S WHERE E.SUPERSSN=S.SSN
UNSPECIFIED WHERE-clause
A missing WHERE-clause indicates no condition; hence, all tuples of the relations in the
FROM-clause are selected. This is equivalent to the condition WHERE TRUE
Example:
Query 4: Retrieve the SSN values for all employees.
Q4: SELECT SSN FROM EMPLOYEE
If more than one relation is specified in the FROM-clause and there is no join condition, then the
CARTESIAN PRODUCT of tuples is selected
Example:
Q5: SELECT SSN, DNAME FROM EMPLOYEE, DEPARTMENT
Note: It is extremely important not to overlook specifying any selection and join conditions in
the WHERE-clause; otherwise, incorrect and very large relations may result
USE OF *
To retrieve all the attribute values of the selected tuples, a * is used, which stands for all the
attributes
Examples:
Retrieve all the attribute values of EMPLOYEES who work in department 5.
Q1a: SELECT * FROM EMPLOYEE WHERE DNO=5
Retrieve all the attributes of an employee and attributes of DEPARTMENT he works in for
every employee of ‘Research’ department.

DBMS Lab Manual-2017
RNSIT, Bangalore Page 8
Q1b: SELECT * FROM EMPLOYEE, DEPARTMENT WHERE DNAME='Research'
AND DNO=DNUMBER
USE OF DISTINCT
SQL does not treat a relation as a set; duplicate tuples can appear. To eliminate duplicate
tuples in a query result, the keyword DISTINCT is used
Example: the result of Q1c may have duplicate SALARY values whereas Q1d does not have
any duplicate values
Q1c: SELECT SALARY FROM EMPLOYEE Q1d: SELECT DISTINCT
SALARY FROM EMPLOYEE
SET OPERATIONS
SQL has directly incorporated some set operations such as union operation (UNION), set
difference (MINUS) and intersection (INTERSECT) operations. The resulting relations of these
set operations are sets of tuples; duplicate tuples are eliminated from the result. The set
operations apply only to union compatible relations; the two relations must have the same
attributes and the attributes must appear in the same order
Query 5: Make a list of all project numbers for projects that involve an employee whose
last name is 'Smith' as a worker or as a manager of the department that controls the
project.
Q5: (SELECT PNAME FROM PROJECT, DEPARTMENT, EMPLOYEE WHERE
DNUM=DNUMBER AND MGRSSN=SSN AND LNAME='Smith')
UNION
(SELECT PNAME FROM PROJECT, WORKS_ON, EMPLOYEE WHERE
PNUMBER=PNO AND ESSN=SSN AND NAME='Smith')
NESTING OF QUERIES
A complete SELECT query, called a nested query, can be specified within the WHERE-
clause of another query, called the outer query. Many of the previous queries can be specified in
an alternative form using nesting
Query 6: Retrieve the name and address of all employees who work for the 'Research'
department.

DBMS Lab Manual-2017
RNSIT, Bangalore Page 9
Q6: SELECT FNAME, LNAME, ADDRESS FROM EMPLOYEE WHERE DNO IN
(SELECT DNUMBER FROM DEPARTMENT WHERE DNAME='Research' )
Note: The nested query selects the number of the 'Research' department. The outer query selects
an EMPLOYEE tuple if its DNO value is in the result of either nested query. The comparison
operator IN compares a value v with a set (or multi-set) of values V, and evaluates to TRUE if v
is one of the elements in V
In general, we can have several levels of nested queries. A reference to an unqualified
attribute refers to the relation declared in the innermost nested query. In this example, the nested
query is not correlated with the outer query
CORRELATED NESTED QUERIES
If a condition in the WHERE-clause of a nested query references an attribute of a relation
declared in the outer query, the two queries are said to be correlated. The result of a correlated
nested query is different for each tuple (or combination of tuples) of the relation(s) the outer
query
Query 7: Retrieve the name of each employee who has a dependent with the same first
name as the employee.
Q7: SELECT E.FNAME, E.LNAME FROM EMPLOYEE AS E WHERE E.SSN IN
(SELECT ESSN FROM DEPENDENT WHERE ESSN=E.SSN AND
E.FNAME=DEPENDENT_NAME)
In Q7, the nested query has a different result in the outer query. A query written with nested
SELECT... FROM… WHERE... blocks and using the = or IN comparison operators can always
be expressed as a single block query. For example, Q7 may be written as in Q7a
Q7a: SELECT E.FNAME, E.LNAME FROM EMPLOYEE E, DEPENDENT D
WHERE E.SSN=D.ESSN AND E.FNAME=D.DEPENDENT_NAME
THE EXISTS FUNCTION
EXISTS is used to check whether the result of a correlated nested query is empty
(contains no tuples) or not. We can formulate Query 7 in an alternative form that uses EXIST.
Q7b: SELECT FNAME, LNAME FROM EMPLOYEE
WHERE EXISTS (SELECT * FROM DEPENDENT WHERE SSN=ESSN
AND FNAME=DEPENDENT_NAME)

DBMS Lab Manual-2017
RNSIT, Bangalore Page 10
Query 8: Retrieve the names of employees who have no dependents.
Q8: SELECT FNAME, LNAME FROM EMPLOYEE
WHERE NOT EXISTS
(SELECT * FROM DEPENDENT WHERE SSN=ESSN)
Note: In Q8, the correlated nested query retrieves all DEPENDENT tuples related to an
EMPLOYEE tuple. If none exist, the EMPLOYEE tuple is selected
EXPLICIT SETS
It is also possible to use an explicit (enumerated) set of values in the WHERE-clause
rather than a nested query
Query 9: Retrieve the social security numbers of all employees who work on project
number 1, 2, or 3.
Q9: SELECT DISTINCT ESSN FROM WORKS_ON WHERE PNO IN (1, 2, 3)
NULLS IN SQL QUERIES
SQL allows queries that check if a value is NULL (missing or undefined or not
applicable). SQL uses IS or IS NOT to compare NULLs because it considers each NULL value
distinct from other NULL values, so equality comparison is not appropriate.
Query 10: Retrieve the names of all employees who do not have supervisors.
Q10: SELECT FNAME, LNAME FROM EMPLOYEE
WHERE SUPERSSN IS NULL
Note: If a join condition is specified, tuples with NULL values for the join attributes are not
included in the result
AGGREGATE FUNCTIONS
Include COUNT, SUM, MAX, MIN, and AVG
Query 11: Find the maximum salary, the minimum salary, and the average salary among
all employees.
Q11: SELECT MAX (SALARY), MIN(SALARY), AVG(SALARY)
FROM EMPLOYEE
Note: Some SQL implementations may not allow more than one function in the SELECT-clause

DBMS Lab Manual-2017
RNSIT, Bangalore Page 11
Query 12: Find the maximum salary, the minimum salary, and the average salary among
employees who work for the 'Research' department.
Q12: SELECT MAX (SALARY), MIN(SALARY), AVG(SALARY) FROM
EMPLOYEE, DEPARTMENT WHERE DNO=DNUMBER AND DNAME='Research'
Queries 13 and 14: Retrieve the total number of employees in the company (Q13), and the
number of employees in the 'Research' department (Q14).
Q13: SELECT COUNT (*) FROM EMPLOYEE
Q14: SELECT COUNT (*) FROM EMPLOYEE, DEPARTMENT
WHERE DNO=DNUMBER AND DNAME='Research’
GROUPING
In many cases, we want to apply the aggregate functions to subgroups of tuples in a
relation
Each subgroup of tuples consists of the set of tuples that have the same value for the
grouping attribute(s)
The function is applied to each subgroup independently
SQL has a GROUP BY-clause for specifying the grouping attributes, which must also
appear in the SELECT-clause
Query 15: For each department, retrieve the department number, the number of
employees in the department, and their average salary.
Q15: SELECT DNO, COUNT (*), AVG (SALARY)
FROM EMPLOYEE GROUP BY DNO
In Q15, the EMPLOYEE tuples are divided into groups. Each group having the same
value for the grouping attribute DNO
The COUNT and AVG functions are applied to each such group of tuples separately
The SELECT-clause includes only the grouping attribute and the functions to be applied
on each group of tuples
A join condition can be used in conjunction with grouping
Query 16: For each project, retrieve the project number, project name, and the number of
employees who work on that project.
Q16: SELECT PNUMBER, PNAME, COUNT (*)

DBMS Lab Manual-2017
RNSIT, Bangalore Page 12
FROM PROJECT, WORKS_ON
WHERE PNUMBER=PNO
GROUP BY PNUMBER, PNAME
THE HAVING-CLAUSE
Sometimes we want to retrieve the values of these functions for only those groups that
satisfy certain conditions. The HAVING-clause is used for specifying a selection condition on
groups (rather than on individual tuples)
Query 17: For each project on which more than two employees work, retrieve the project
number, project name, and the number of employees who work on that project.
Q17: SELECT PNUMBER, PNAME, COUNT (*)
FROM PROJECT, WORKS_ON
WHERE PNUMBER=PNO
GROUP BY PNUMBER, PNAME
HAVING COUNT (*) > 2
SUBSTRING COMPARISON
The LIKE comparison operator is used to compare partial strings. Two reserved
characters are used: '%' (or '*' in some implementations) replaces an arbitrary number of
characters, and '_' replaces a single arbitrary character.
Query 18: Retrieve all employees whose address is in Houston, Texas. Here, the value of the
ADDRESS attribute must contain the substring 'Houston,TX‘ in it.
Q18: SELECT FNAME, LNAME
FROM EMPLOYEE WHERE ADDRESS LIKE '%Houston,TX%'
Query 19: Retrieve all employees who were born during the 1950s.
Here, '5' must be the 8th character of the string (according to our format for date), so the
BDATE value is '_______5_', with each underscore as a place holder for a single arbitrary
character.
Q19: SELECT FNAME, LNAME
FROM EMPLOYEE WHERE BDATE LIKE '_______5_’
Note: The LIKE operator allows us to get around the fact that each value is considered atomic
and indivisible. Hence, in SQL, character string attribute values are not atomic

DBMS Lab Manual-2017
RNSIT, Bangalore Page 13
ARITHMETIC OPERATIONS
The standard arithmetic operators '+', '-'. '*', and '/' (for addition, subtraction,
multiplication, and division, respectively) can be applied to numeric values in an SQL query
result
Query 20: Show the effect of giving all employees who work on the 'ProductX' project a
10% raise.
Q20: SELECT FNAME, LNAME, 1.1*SALARY
FROM EMPLOYEE, WORKS_ON, PROJECT
WHERE SSN=ESSN
AND PNO=PNUMBER AND PNAME='ProductX’
ORDER BY
The ORDER BY clause is used to sort the tuples in a query result based on the values of
some attribute(s)
Query 21: Retrieve a list of employees and the projects each works in, ordered by the
employee's department, and within each department ordered alphabetically by employee
last name.
Q21: SELECT DNAME, LNAME, FNAME, PNAME
FROM DEPARTMENT, EMPLOYEE, WORKS_ON, PROJECT
WHERE DNUMBER=DNO
AND SSN=ESSN
AND PNO=PNUMBER
ORDER BY DNAME, LNAME
The default order is in ascending order of values. We can specify the keyword DESC if
we want a descending order; the keyword ASC can be used to explicitly specify ascending order,
even though it is the default
Ex: ORDER BY DNAME DESC, LNAME ASC, FNAME ASC
MORE EXAMPLE QUERIES:
Query 22: Retrieve the names of all employees who have two or more dependents.
Q22: SELECT LNAME, FNAME FROM
EMPLOYEE

DBMS Lab Manual-2017
RNSIT, Bangalore Page 14
WHERE (SELECT COUNT (*) FROM DEPENDENT
WHERE SSN=ESSN) ≥ 2);
Query 23: List the names of managers who have least one dependent.
Q23: SELECT FNAME, LNAME
FROM EMPLOYEE
WHERE EXISTS (SELECT * FROM DEPENDENT WHERE SSN=ESSN)
AND EXISTS ( SELECT * FROM DEPARTMENT WHERE SSN=MGRSSN );
SPECIFYING UPDATES IN SQL
There are three SQL commands to modify the database: INSERT, DELETE, and UPDATE.
INSERT
In its simplest form, it is used to add one or more tuples to a relation
Attribute values should be listed in the same order as the attributes were specified in the
CREATE TABLE command
Example:
INSERT INTO EMPLOYEE VALUES ('Richard','K','Marini', '653298653', '30-DEC-52',
'98 Oak Forest,Katy,TX', 'M', 37000,'987654321', 4 )
An alternate form of INSERT specifies explicitly the attribute names that correspond to
the values in the new tuple. Attributes with NULL values can be left out
Example: Insert a tuple for a new EMPLOYEE for whom we only know the FNAME, LNAME,
and SSN attributes.
INSERT INTO EMPLOYEE (FNAME, LNAME, SSN)VALUES ('Richard', 'Marini',
'653298653')
Important Note: Only the constraints specified in the DDL commands are automatically
enforced by the DBMS when updates are applied to the database. Another variation of INSERT
allows insertion of multiple tuples resulting from a query into a relation
Example: Suppose we want to create a temporary table that has the name, number of employees,
and total salaries for each department. A table DEPTS_INFO is created first, and is loaded with
the summary information retrieved from the database by the query.
CREATE TABLE DEPTS_INFO
(DEPT_NAME VARCHAR (10),

DBMS Lab Manual-2017
RNSIT, Bangalore Page 15
NO_OF_EMPS INTEGER, TOTAL_SAL INTEGER);
INSERT INTO DEPTS_INFO (DEPT_NAME, NO_OF_EMPS, TOTAL_SAL)
SELECT DNAME, COUNT (*), SUM (SALARY) FROM DEPARTMENT,
EMPLOYEE WHERE DNUMBER=DNO GROUP BY DNAME ;
Note: The DEPTS_INFO table may not be up-to-date if we change the tuples in either the
DEPARTMENT or the EMPLOYEE relations after issuing the above. We have to create a view
(see later) to keep such a table up to date.
DELETE
Removes tuples from a relation. Includes a WHERE-clause to select the tuples to be
deleted
Referential integrity should be enforced
Tuples are deleted from only one table at a time (unless CASCADE is specified on a
referential integrity constraint)
A missing WHERE-clause specifies that all tuples in the relation are to be deleted; the
table then becomes an empty table
The number of tuples deleted depends on the number of tuples in the relation that satisfy
the WHERE-clause
Examples:
1: DELETE FROM EMPLOYEE WHERE LNAME='Brown’;
2: DELETE FROM EMPLOYEE WHERE SSN='123456789’;
3: DELETE FROM EMPLOYEE WHERE DNO IN (SELECT DNUMBER
FROM DEPARTMENT WHERE DNAME='Research');
4: DELETE FROM EMPLOYEE;
UPDATE
Used to modify attribute values of one or more selected tuples
A WHERE-clause selects the tuples to be modified
An additional SET-clause specifies the attributes to be modified and their new values
Each command modifies tuples in the same relation
Referential integrity should be enforced

DBMS Lab Manual-2017
RNSIT, Bangalore Page 16
Example1: Change the location and controlling department number of project number 10 to
'Bellaire' and 5, respectively.
UPDATE PROJECT
SET PLOCATION = 'Bellaire', DNUM = 5 WHERE PNUMBER=10;
Example2: Give all employees in the 'Research' department a 10% raise in salary.
UPDATE EMPLOYEE
SET SALARY = SALARY *1.1
WHERE DNO IN (SELECT DNUMBER FROM DEPARTMENT
WHERE DNAME='Research');
SQL TRIGGERS
Objective: to monitor a database and take initiate action when a condition occurs
Triggers are nothing but the procedures/functions that involve actions and fired/executed
automatically whenever an event occurs such as an insert, delete, or update operation or
pressing a button or when mouse button is clicked
VIEWS IN SQL
A view is a single virtual table that is derived from other tables. The other tables could be
base tables or previously defined view.
Allows for limited update operations Since the table may not physically be stored
Allows full query operations
A convenience for expressing certain operations
A view does not necessarily exist in physical form, which limits the possible update
operations that can be applied to views.

DBMS Lab Manual-2017
RNSIT, Bangalore Page 17
LAB EXPERIMENTS
PART A: SQL PROGRAMMING
A. Consider the following schema for a Library Database:
BOOK (Book_id, Title, Publisher_Name, Pub_Year)
BOOK_AUTHORS (Book_id, Author_Name)
PUBLISHER (Name, Address, Phone)
BOOK_COPIES (Book_id, Branch_id, No-of_Copies)
BOOK_LENDING (Book_id, Branch_id, Card_No, Date_Out, Due_Date)
LIBRARY_BRANCH (Branch_id, Branch_Name, Address)
Write SQL queries to
1. Retrieve details of all books in the library – id, title, name of publisher, authors,
number of copies in each branch, etc.
2. Get the particulars of borrowers who have borrowed more than 3 books, but from Jan
2017 to Jun 2017
3. Delete a book in BOOK table. Update the contents of other tables to reflect this data
manipulation operation.
4. Partition the BOOK table based on year of publication. Demonstrate its working with a
simple query.
5. Create a view of all books and its number of copies that are currently available in the
Library.
Solution:
Entity-Relationship Diagram
Book
Book_id Title
Pub_Year
Book_Authors
Author_Name
written-by
Publisher
Publisher_Name
Address
Phone
Published-by
Library_Branch
Branch_id
Branch_Name
Address
Book_Copies
No_of_copies
Has
In
Book_Lending
Date_out
Due_date
Card
Card_No
M N
N
1
N
MN
M
N
N

DBMS Lab Manual-2017
RNSIT, Bangalore Page 18
Schema Diagram
Book
Book_id
Title
Pub_Year
Publisher_Name
Book_Authors
Book_id
Author_name
Publisher
Name
Phone_no
Address
Book_Copies
Book_id
Branch_id
No_of_Copies
Book_Lending
Book_id
Branch_id
Card_no
Date_out
Due_date
Library_Branch
Table Creation
CREATE TABLE PUBLISHER
(NAME VARCHAR2 (20) PRIMARY KEY,
PHONE INTEGER,
ADDRESS VARCHAR2 (20));
CREATE TABLE BOOK
(BOOK_ID INTEGER PRIMARY KEY,
TITLE VARCHAR2 (20),
PUB_YEAR VARCHAR2 (20),
PUBLISHER_NAME REFERENCES PUBLISHER (NAME) ON DELETE CASCADE);
Branch_id
Address
Branch_name

DBMS Lab Manual-2017
RNSIT, Bangalore Page 19
CREATE TABLE BOOK_AUTHORS
(AUTHOR_NAME VARCHAR2 (20),
BOOK_ID REFERENCES BOOK (BOOK_ID) ON DELETE CASCADE,
PRIMARY KEY (BOOK_ID, AUTHOR_NAME));
CREATE TABLE LIBRARY_BRANCH
(BRANCH_ID INTEGER PRIMARY KEY,
BRANCH_NAME VARCHAR2 (50),
ADDRESS VARCHAR2 (50));
CREATE TABLE BOOK_COPIES
(NO_OF_COPIES INTEGER,
BOOK_ID REFERENCES BOOK (BOOK_ID) ON DELETE CASCADE,
BRANCH_ID REFERENCES LIBRARY_BRANCH (BRANCH_ID) ON DELETE
CASCADE,
PRIMARY KEY (BOOK_ID, BRANCH_ID));
CREATE TABLE CARD
(CARD_NO INTEGER PRIMARY KEY);
CREATE TABLE BOOK_LENDING
(DATE_OUT DATE,
DUE_DATE DATE,
BOOK_ID REFERENCES BOOK (BOOK_ID) ON DELETE CASCADE,
BRANCH_ID REFERENCES LIBRARY_BRANCH (BRANCH_ID) ON DELETE
CASCADE,
CARD_NO REFERENCES CARD (CARD_NO) ON DELETE CASCADE,
PRIMARY KEY (BOOK_ID, BRANCH_ID, CARD_NO));
Table Descriptions
DESC PUBLISHER;
DESC BOOK;

DBMS Lab Manual-2017
RNSIT, Bangalore Page 20
DESC BOOK_AUTHORS;
DESC LIBRARY_BRANCH;
DESC BOOK_COPIES;
DESC CARD;
DESC BOOK_LENDING;

DBMS Lab Manual-2017
RNSIT, Bangalore Page 21
Insertion of Values to Tables
INSERT INTO PUBLISHER VALUES (‘MCGRAW-HILL’, 9989076587, ‘BANGALORE’);
INSERT INTO PUBLISHER VALUES (‘PEARSON’, 9889076565, ‘NEWDELHI’);
INSERT INTO PUBLISHER VALUES (‘RANDOM HOUSE’, 7455679345, ‘HYDRABAD’);
INSERT INTO PUBLISHER VALUES (‘HACHETTE LIVRE’, 8970862340, ‘CHENAI’);
INSERT INTO PUBLISHER VALUES (‘GRUPO PLANETA’, 7756120238, ‘BANGALORE’);
INSERT INTO BOOK VALUES (1,’DBMS’,’JAN-2017’, ‘MCGRAW-HILL’);
INSERT INTO BOOK VALUES (2,’ADBMS’,’JUN-2016’, ‘MCGRAW-HILL’);
INSERT INTO BOOK VALUES (3,’CN’,’SEP-2016’, ‘PEARSON’);
INSERT INTO BOOK VALUES (4,’CG’,’SEP-2015’, ‘GRUPO PLANETA’);
INSERT INTO BOOK VALUES (5,’OS’,’MAY-2016’, ‘PEARSON’);
INSERT INTO BOOK_AUTHORS VALUES (’NAVATHE’, 1);
INSERT INTO BOOK_AUTHORS VALUES (’NAVATHE’, 2);
INSERT INTO BOOK_AUTHORS VALUES (’TANENBAUM’, 3);
INSERT INTO BOOK_AUTHORS VALUES (’EDWARD ANGEL’, 4);
INSERT INTO BOOK_AUTHORS VALUES (’GALVIN’, 5);
INSERT INTO LIBRARY_BRANCH VALUES (10,’RR NAGAR’,’BANGALORE’);
INSERT INTO LIBRARY_BRANCH VALUES (11,’RNSIT’,’BANGALORE’);
INSERT INTO LIBRARY_BRANCH VALUES (12,’RAJAJI NAGAR’, ’BANGALORE’);
INSERT INTO LIBRARY_BRANCH VALUES (13,’NITTE’,’MANGALORE’);
INSERT INTO LIBRARY_BRANCH VALUES (14,’MANIPAL’,’UDUPI’);
INSERT INTO BOOK_COPIES VALUES (10, 1, 10);
INSERT INTO BOOK_COPIES VALUES (5, 1, 11);
INSERT INTO BOOK_COPIES VALUES (2, 2, 12);
INSERT INTO BOOK_COPIES VALUES (5, 2, 13);
INSERT INTO BOOK_COPIES VALUES (7, 3, 14);
INSERT INTO BOOK_COPIES VALUES (1, 5, 10);
INSERT INTO BOOK_COPIES VALUES (3, 4, 11);
INSERT INTO CARD VALUES (100);
INSERT INTO CARD VALUES (101);
INSERT INTO CARD VALUES (102);
INSERT INTO CARD VALUES (103);
INSERT INTO CARD VALUES (104);

DBMS Lab Manual-2017
RNSIT, Bangalore Page 22
INSERT INTO BOOK_LENDING VALUES (’01-JAN-17’,’01-JUN-17’, 1, 10, 101);
INSERT INTO BOOK_LENDING VALUES (’11-JAN-17’,’11-MAR-17’, 3, 14, 101);
INSERT INTO BOOK_LENDING VALUES (’21-FEB-17’,’21-APR-17’, 2, 13, 101);
INSERT INTO BOOK_LENDING VALUES (’15-MAR-17’,’15-JUL-17’, 4, 11, 101);
INSERT INTO BOOK_LENDING VALUES (‘12-APR-17’,’12-MAY-17’, 1, 11, 104);
SELECT * FROM PUBLISHER;
SELECT * FROM BOOK;
SELECT * FROM BOOK_AUTHORS;
SELECT * FROM LIBRARY_BRANCH;
SELECT * FROM BOOK_COPIES;

DBMS Lab Manual-2017
RNSIT, Bangalore Page 23
SELECT * FROM CARD;
SELECT * FROM BOOK_LENDING;
Queries:
1. Retrieve details of all books in the library – id, title, name of publisher, authors,
number of copies in each branch, etc.
SELECT B.BOOK_ID, B.TITLE, B.PUBLISHER_NAME, A.AUTHOR_NAME,
C.NO_OF_COPIES, L.BRANCH_ID
FROM BOOK B, BOOK_AUTHORS A, BOOK_COPIES C, LIBRARY_BRANCH L
WHERE B.BOOK_ID=A.BOOK_ID
AND B.BOOK_ID=C.BOOK_ID
AND L.BRANCH_ID=C.BRANCH_ID;

DBMS Lab Manual-2017
RNSIT, Bangalore Page 24
1. Get the particulars of borrowers who have borrowed more than 3 books, but from
Jan 2017 to Jun 2017.
SELECT CARD_NO
FROM BOOK_LENDING
WHERE DATE_OUT BETWEEN ’01-JAN-2017’ AND ’01-JUL-2017’
GROUP BY CARD_NO
HAVING COUNT (*)>3;
2. Delete a book in BOOK table. Update the contents of other tables to reflect this data
manipulation operation.
DELETE FROM BOOK
WHERE BOOK_ID=3;
3. Partition the BOOK table based on year of publication. Demonstrate its working with a
simple query.
CREATE VIEW V_PUBLICATION AS
SELECT PUB_YEAR
FROM BOOK;

DBMS Lab Manual-2017
RNSIT, Bangalore Page 25
4. Create a view of all books and its number of copies that are currently available in the
Library.
CREATE VIEW V_BOOKS AS
SELECT B.BOOK_ID, B.TITLE, C.NO_OF_COPIES
FROM BOOK B, BOOK_COPIES C, LIBRARY_BRANCH L
WHERE B.BOOK_ID=C.BOOK_ID
AND C.BRANCH_ID=L.BRANCH_ID;

DBMS Lab Manual-2017
RNSIT, Bangalore Page 26
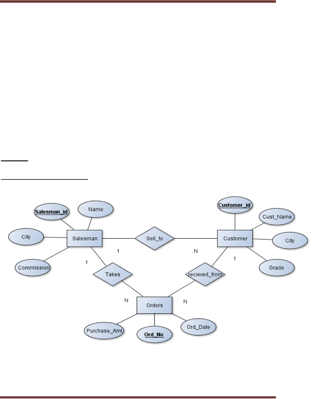
B. Consider the following schema for Order Database:
SALESMAN (Salesman_id, Name, City, Commission)
CUSTOMER (Customer_id, Cust_Name, City, Grade, Salesman_id)
ORDERS (Ord_No, Purchase_Amt, Ord_Date, Customer_id, Salesman_id)
Write SQL queries to
1. Count the customers with grades above Bangalore’s average.
2. Find the name and numbers of all salesmen who had more than one customer.
3. List all salesmen and indicate those who have and don’t have customers in their cities
(Use UNION operation.)
4. Create a view that finds the salesman who has the customer with the highest order of a
day.
5. Demonstrate the DELETE operation by removing salesman with id 1000. All his orders
must also be deleted.
Solution:
Entity-Relationship Diagram

DBMS Lab Manual-2017
RNSIT, Bangalore Page 27
Schema Diagram
Salesman
Salesman_id
Name
City
Commission
Customer
Customer_id
Cust_Name
City
Grade
Salesman_id
Orders
Ord_No
Purchase_Amt
Ord_Date
Customer_id
Salesman_id
Table Creation
CREATE TABLE SALESMAN
(SALESMAN_ID NUMBER (4),
NAME VARCHAR2 (20),
CITY VARCHAR2 (20),
COMMISSION VARCHAR2 (20),
PRIMARY KEY (SALESMAN_ID));
CREATE TABLE CUSTOMER1
(CUSTOMER_ID NUMBER (4),
CUST_NAME VARCHAR2 (20),
CITY VARCHAR2 (20),
GRADE NUMBER (3),
PRIMARY KEY (CUSTOMER_ID),
SALESMAN_ID REFERENCES SALESMAN (SALESMAN_ID) ON DELETE SET NULL);
CREATE TABLE ORDERS
(ORD_NO NUMBER (5),
PURCHASE_AMT NUMBER (10, 2),
ORD_DATE DATE,
PRIMARY KEY (ORD_NO),
CUSTOMER_ID REFERENCES CUSTOMER1 (CUSTOMER_ID) ON DELETE CASCADE,
SALESMAN_ID REFERENCES SALESMAN (SALESMAN_ID) ON DELETE CASCADE);

DBMS Lab Manual-2017
RNSIT, Bangalore Page 28
Table Descriptions
DESC SALESMAN;
DESC CUSTOMER;
DESC ORDERS;
Insertion of Values to Tables
INSERT INTO SALESMAN VALUES (1000, ‘JOHN’,’BANGALORE’,’25 %’);
INSERT INTO SALESMAN VALUES (2000, ‘RAVI’,’BANGALORE’,’20 %’);
INSERT INTO SALESMAN VALUES (3000, ‘KUMAR’,’MYSORE’,’15 %’);
INSERT INTO SALESMAN VALUES (4000, ‘SMITH’,’DELHI’,’30 %’);
INSERT INTO SALESMAN VALUES (5000, ‘HARSHA’,’HYDRABAD’,’15 %’);
INSERT INTO CUSTOMER1 VALUES (10, ‘PREETHI’,’BANGALORE’, 100, 1000);
INSERT INTO CUSTOMER1 VALUES (11, ‘VIVEK’,’MANGALORE’, 300, 1000);
INSERT INTO CUSTOMER1 VALUES (12, ‘BHASKAR’,’CHENNAI’, 400, 2000);
INSERT INTO CUSTOMER1 VALUES (13, ‘CHETHAN’,’BANGALORE’, 200, 2000);
INSERT INTO CUSTOMER1 VALUES (14, ‘MAMATHA’,’BANGALORE’, 400, 3000);
INSERT INTO ORDERS VALUES (50, 5000, ‘04-MAY-17’, 10, 1000);
INSERT INTO ORDERS VALUES (51, 450, ‘20-JAN-17’, 10, 2000);

DBMS Lab Manual-2017
RNSIT, Bangalore Page 29
INSERT INTO ORDERS VALUES (52, 1000, ‘24-FEB-17’, 13, 2000);
INSERT INTO ORDERS VALUES (53, 3500, ‘13-APR-17’, 14, 3000);
INSERT INTO ORDERS VALUES (54, 550, ‘09-MAR-17’, 12, 2000);
SELECT * FROM SALESMAN;
SELECT * FROM CUSTOMER1;
SELECT * FROM ORDERS;
Queries:
1. Count the customers with grades above Bangalore’s average.
SELECT GRADE, COUNT (DISTINCT CUSTOMER_ID)
FROM CUSTOMER1
GROUP BY GRADE
HAVING GRADE > (SELECT AVG(GRADE)
FROM CUSTOMER1
WHERE CITY='BANGALORE');

DBMS Lab Manual-2017
RNSIT, Bangalore Page 30
2. Find the name and numbers of all salesmen who had more than one customer.
SELECT SALESMAN_ID, NAME
FROM SALESMAN A
WHERE 1 < (SELECT COUNT (*)
FROM CUSTOMER1
WHERE SALESMAN_ID=A.SALESMAN_ID);
3. List all salesmen and indicate those who have and don’t have customers in their
cities (Use UNION operation.)
SELECT SALESMAN.SALESMAN_ID, NAME, CUST_NAME, COMMISSION
FROM SALESMAN, CUSTOMER1
WHERE SALESMAN.CITY = CUSTOMER1.CITY
UNION
SELECT SALESMAN_ID, NAME, 'NO MATCH', COMMISSION
FROM SALESMAN
WHERE NOT CITY = ANY
(SELECT CITY
FROM CUSTOMER1)
ORDER BY 2 DESC;
4. Create a view that finds the salesman who has the customer with the highest order
of a day.
CREATE VIEW ELITSALESMANAS
SELECT B.ORD_DATE, A.SALESMAN_ID, A.NAME
FROM SALESMAN A, ORDERS B

DBMS Lab Manual-2017
RNSIT, Bangalore Page 31
WHERE A.SALESMAN_ID = B.SALESMAN_ID
AND B.PURCHASE_AMT=(SELECT MAX (PURCHASE_AMT)
FROM ORDERS C
WHERE C.ORD_DATE = B.ORD_DATE);
5. Demonstrate the DELETE operation by removing salesman with id 1000. All his orders
must also be deleted.
Use ON DELETE CASCADE at the end of foreign key definitions while creating child table
orders and then execute the following:
Use ON DELETE SET NULL at the end of foreign key definitions while creating child table
customers and then executes the following:
DELETE FROM SALESMAN
WHERE SALESMAN_ID=1000;
OR
We can also write the trigger, if not ON DELETE CASCADE;
CREATE TRIGGER ‘DEL_SALESMAN’ AFTER DELETE ON ‘SALESMAN’
FOR EACH ROW
BEGIN
DELETE FROM ORDERS WHERE SALESMAN_ID = OLD.SALESMAN_ID;
UPDATE CUSTOMER1 SET SALESMAN_ID=NULL WHERE SALESMAN_ID =
OLD.SALESMAN_ID;
END

DBMS Lab Manual-2017
RNSIT, Bangalore Page 32
C. Consider the schema for Movie Database:
ACTOR (Act_id, Act_Name, Act_Gender)
DIRECTOR (Dir_id, Dir_Name, Dir_Phone)
MOVIES (Mov_id, Mov_Title, Mov_Year, Mov_Lang, Dir_id)
MOVIE_CAST (Act_id, Mov_id, Role)
RATING (Mov_id, Rev_Stars)
Write SQL queries to
1. List the titles of all movies directed by ‘Hitchcock’.
2. Find the movie names where one or more actors acted in two or more movies.
3. List all actors who acted in a movie before 2000 and also in a movie after
2015 (use JOIN operation).
4. Find the title of movies and number of stars for each movie that has at least one
rating and find the highest number of stars that movie received. Sort the result by
movie title.
5. Update rating of all movies directed by ‘Steven Spielberg’ to 5.
Solution:
Entity-Relationship Diagram
Actor Director
Movies
Movie_Cast
Act_NameAct_id
Act_Gender
Dir_NameDir_id
Dir_Phone
Mov_id
Mov_Title Mov_Year
Mov_Lang
Has
Rev_Stars
Role
M
N
N
1

DBMS Lab Manual-2017
RNSIT, Bangalore Page 33
Schema Diagram
Actor
Act_id
Act_Name
Act_Gender
Director
Dir_id
Dir_Name
Dir_Phone
Movies
Mov_id
Mov_Title
Mov_Year
Mov_Lang
Dir_id
Movie_Cast
Act_id
Mov_id
Role
Rating
Mov_id
Rev_Stars
Table Creation
CREATE TABLE ACTOR (
ACT_ID NUMBER (3),
ACT_NAME VARCHAR (20),
ACT_GENDER CHAR (1),
PRIMARY KEY (ACT_ID));
CREATE TABLE DIRECTOR (
DIR_ID NUMBER (3),
DIR_NAME VARCHAR (20),
DIR_PHONE NUMBER (10),
PRIMARY KEY (DIR_ID));
CREATE TABLE MOVIES (
MOV_ID NUMBER (4),
MOV_TITLE VARCHAR (25),
MOV_YEAR NUMBER (4),
MOV_LANG VARCHAR (12),
DIR_ID NUMBER (3),
PRIMARY KEY (MOV_ID),
FOREIGN KEY (DIR_ID) REFERENCES DIRECTOR (DIR_ID));
CREATE TABLE MOVIE_CAST (

DBMS Lab Manual-2017
RNSIT, Bangalore Page 34
ACT_ID NUMBER (3),
MOV_ID NUMBER (4),
ROLE VARCHAR (10),
PRIMARY KEY (ACT_ID, MOV_ID),
FOREIGN KEY (ACT_ID) REFERENCES ACTOR (ACT_ID),
FOREIGN KEY (MOV_ID) REFERENCES MOVIES (MOV_ID));
CREATE TABLE RATING (
MOV_ID NUMBER (4),
REV_STARS VARCHAR (25),
PRIMARY KEY (MOV_ID),
FOREIGN KEY (MOV_ID) REFERENCES MOVIES (MOV_ID));
Table Descriptions
DESC ACTOR;
DESC DIRECTOR;
DESC MOVIES;

DBMS Lab Manual-2017
RNSIT, Bangalore Page 35
DESC MOVIE_CAST;
DESC RATING;
Insertion of Values to Tables
INSERT INTO ACTOR VALUES (301,’ANUSHKA’,’F’);
INSERT INTO ACTOR VALUES (302,’PRABHAS’,’M’);
INSERT INTO ACTOR VALUES (303,’PUNITH’,’M’);
INSERT INTO ACTOR VALUES (304,’JERMY’,’M’);
INSERT INTO DIRECTOR VALUES (60,’RAJAMOULI’, 8751611001);
INSERT INTO DIRECTOR VALUES (61,’HITCHCOCK’, 7766138911);
INSERT INTO DIRECTOR VALUES (62,’FARAN’, 9986776531);
INSERT INTO DIRECTOR VALUES (63,’STEVEN SPIELBERG’, 8989776530);
INSERT INTO MOVIES VALUES (1001,’BAHUBALI-2’, 2017, ‘TELAGU’, 60);
INSERT INTO MOVIES VALUES (1002,’BAHUBALI-1’, 2015, ‘TELAGU’, 60);
INSERT INTO MOVIES VALUES (1003,’AKASH’, 2008, ‘KANNADA’, 61);
INSERT INTO MOVIES VALUES (1004,’WAR HORSE’, 2011, ‘ENGLISH’, 63);
INSERT INTO MOVIE_CAST VALUES (301, 1002, ‘HEROINE’);
INSERT INTO MOVIE_CAST VALUES (301, 1001, ‘HEROINE’);
INSERT INTO MOVIE_CAST VALUES (303, 1003, ‘HERO’);
INSERT INTO MOVIE_CAST VALUES (303, 1002, ‘GUEST’);
INSERT INTO MOVIE_CAST VALUES (304, 1004, ‘HERO’);
INSERT INTO RATING VALUES (1001, 4);
INSERT INTO RATING VALUES (1002, 2);
INSERT INTO RATING VALUES (1003, 5);

DBMS Lab Manual-2017
RNSIT, Bangalore Page 36
INSERT INTO RATING VALUES (1004, 4);
SELECT * FROM ACTOR;
SELECT * FROM DIRECTOR;
SELECT * FROM MOVIES;
SELECT * FROM MOVIE_CAST;

DBMS Lab Manual-2017
RNSIT, Bangalore Page 37
SELECT * FROM RATING;
Queries:
1. List the titles of all movies directed by ‘Hitchcock’.
SELECT MOV_TITLE
FROM MOVIES
WHERE DIR_ID IN (SELECT DIR_ID
FROM DIRECTOR
WHERE DIR_NAME = ‘HITCHCOCK’);
2. Find the movie names where one or more actors acted in two or more movies.
SELECT MOV_TITLE
FROM MOVIES M, MOVIE_CAST MV
WHERE M.MOV_ID=MV.MOV_ID AND ACT_ID IN (SELECT ACT_ID
FROM MOVIE_CAST GROUP BY ACT_ID
HAVING COUNT (ACT_ID)>1)
GROUP BY MOV_TITLE
HAVING COUNT (*)>1;
3. List all actors who acted in a movie before 2000 and also in a movie after 2015 (use
JOIN operation).
SELECT ACT_NAME, MOV_TITLE, MOV_YEAR
FROM ACTOR A

DBMS Lab Manual-2017
RNSIT, Bangalore Page 38
JOIN MOVIE_CAST C
ON A.ACT_ID=C.ACT_ID
JOIN MOVIES M
ON C.MOV_ID=M.MOV_ID
WHERE M.MOV_YEAR NOT BETWEEN 2000 AND 2015;
OR
SELECT A.ACT_NAME, A.ACT_NAME, C.MOV_TITLE, C.MOV_YEAR
FROM ACTOR A, MOVIE_CAST B, MOVIES C
WHERE A.ACT_ID=B.ACT_ID
AND B.MOV_ID=C.MOV_ID
AND C.MOV_YEAR NOT BETWEEN 2000 AND 2015;
4. Find the title of movies and number of stars for each movie that has at least one
rating and find the highest number of stars that movie received. Sort the result by
movie title.
SELECT MOV_TITLE, MAX (REV_STARS)
FROM MOVIES
INNER JOIN RATING USING (MOV_ID)
GROUP BY MOV_TITLE
HAVING MAX (REV_STARS)>0
ORDER BY MOV_TITLE;
5. Update rating of all movies directed by ‘Steven Spielberg’ to 5
KL
UPDATE RATING
SET REV_STARS=5

DBMS Lab Manual-2017
RNSIT, Bangalore Page 39
WHERE MOV_ID IN (SELECT MOV_ID FROM MOVIES
WHERE DIR_ID IN (SELECT DIR_ID
FROM DIRECTOR
WHERE DIR_NAME = ‘STEVEN
SPIELBERG’));

DBMS Lab Manual-2017
RNSIT, Bangalore Page 40
D. Consider the schema for College Database:
STUDENT (USN, SName, Address, Phone, Gender)
SEMSEC (SSID, Sem, Sec)
CLASS (USN, SSID)
SUBJECT (Subcode, Title, Sem, Credits)
IAMARKS (USN, Subcode, SSID, Test1, Test2, Test3, FinalIA)
Write SQL queries to
1. List all the student details studying in fourth semester ‘C’ section.
2. Compute the total number of male and female students in each semester and in each
section.
3. Create a view of Test1 marks of student USN ‘1BI15CS101’ in all subjects.
4. Calculate the FinalIA (average of best two test marks) and update the
corresponding table for all students.
5. Categorize students based on the following criterion:
If FinalIA = 17 to 20 then CAT = ‘Outstanding’
If FinalIA = 12 to 16 then CAT = ‘Average’
If FinalIA< 12 then CAT = ‘Weak’
Give these details only for 8th semester A, B, and C section students.
Solution:
Entity - Relationship Diagram

DBMS Lab Manual-2017
RNSIT, Bangalore Page 41
Schema Diagram
Table Creation
CREATE TABLE STUDENT (
USN VARCHAR (10) PRIMARY KEY,
SNAME VARCHAR (25),
ADDRESS VARCHAR (25),
PHONE NUMBER (10),
GENDER CHAR (1));
CREATE TABLE SEMSEC (
SSID VARCHAR (5) PRIMARY KEY,
SEM NUMBER (2),
SEC CHAR (1));
CREATE TABLE CLASS (
USN VARCHAR (10),
SSID VARCHAR (5),
PRIMARY KEY (USN, SSID),
FOREIGN KEY (USN) REFERENCES STUDENT (USN),
FOREIGN KEY (SSID) REFERENCES SEMSEC (SSID));

DBMS Lab Manual-2017
RNSIT, Bangalore Page 42
CREATE TABLE SUBJECT (
SUBCODE VARCHAR (8),
TITLE VARCHAR (20),
SEM NUMBER (2),
CREDITS NUMBER (2),
PRIMARY KEY (SUBCODE));
CREATE TABLE IAMARKS (
USN VARCHAR (10),
SUBCODE VARCHAR (8),
SSID VARCHAR (5),
TEST1 NUMBER (2),
TEST2 NUMBER (2),
TEST3 NUMBER (2),
FINALIA NUMBER (2),
PRIMARY KEY (USN, SUBCODE, SSID),
FOREIGN KEY (USN) REFERENCES STUDENT (USN),
FOREIGN KEY (SUBCODE) REFERENCES SUBJECT (SUBCODE),
FOREIGN KEY (SSID) REFERENCES SEMSEC (SSID));
Table Descriptions
DESC STUDENT;
DESC SEMSEC;

DBMS Lab Manual-2017
RNSIT, Bangalore Page 43
DESC CLASS;
DESC SUBJECT;
DESC IAMARKS;
Insertion of values to tables
INSERT INTO STUDENT VALUES ('1RN13CS020','AKSHAY','BELAGAVI',
8877881122,'M');
INSERT INTO STUDENT VALUES ('1RN13CS062','SANDHYA','BENGALURU',
7722829912,'F');
INSERT INTO STUDENT VALUES ('1RN13CS091','TEESHA','BENGALURU',
7712312312,'F');
INSERT INTO STUDENT VALUES ('1RN13CS066','SUPRIYA','MANGALURU',
8877881122,'F');
INSERT INTO STUDENTVALUES ('1RN14CS010','ABHAY','BENGALURU',
9900211201,'M');
INSERT INTO STUDENT VALUES ('1RN14CS032','BHASKAR','BENGALURU',
9923211099,'M');
INSERT INTO STUDENTVALUES ('1RN14CS025','ASMI','BENGALURU', 7894737377,'F');
INSERT INTO STUDENT VALUES ('1RN15CS011','AJAY','TUMKUR', 9845091341,'M');

DBMS Lab Manual-2017
RNSIT, Bangalore Page 44
INSERT INTO STUDENT VALUES ('1RN15CS029','CHITRA','DAVANGERE',
7696772121,'F');
INSERT INTO STUDENT VALUES ('1RN15CS045','JEEVA','BELLARY', 9944850121,'M');
INSERT INTO STUDENT VALUES ('1RN15CS091','SANTOSH','MANGALURU',
8812332201,'M');
INSERT INTO STUDENT VALUES ('1RN16CS045','ISMAIL','KALBURGI',
9900232201,'M');
INSERT INTO STUDENT VALUES ('1RN16CS088','SAMEERA','SHIMOGA',
9905542212,'F');
INSERT INTO STUDENT VALUES ('1RN16CS122','VINAYAKA','CHIKAMAGALUR',
8800880011,'M');
INSERT INTO SEMSEC VALUES ('CSE8A', 8,'A');
INSERT INTO SEMSEC VALUES (‘CSE8B', 8,'B');
INSERT INTO SEMSEC VALUES (‘CSE8C’, 8,’C’);
INSERT INTO SEMSEC VALUES ('CSE7A', 7,’A’);
INSERT INTO SEMSEC VALUES (‘CSE7B’, 7,'B’);
INSERT INTO SEMSEC VALUES ('CSE7C', 7,'C');
INSERT INTO SEMSEC VALUES (‘CSE6A', 6,'A');
INSERT INTO SEMSEC VALUES (‘CSE6B’, 6,’B’);
INSERT INTO SEMSEC VALUES ('CSE6C’, 6,’C’);
INSERT INTO SEMSEC VALUES (‘CSE5A’, 5,'A’);
INSERT INTO SEMSEC VALUES ('CSE5B', 5,'B');
INSERT INTO SEMSEC VALUES (‘CSE5C', 5,'C');
INSERT INTO SEMSEC VALUES (‘CSE4A’, 4,’A’);
INSERT INTO SEMSEC VALUES ('CSE4B', 4,’B’);
INSERT INTO SEMSEC VALUES (‘CSE4C’, 4,'C’);
INSERT INTO SEMSEC VALUES ('CSE3A', 3,'A');
INSERT INTO SEMSEC VALUES (‘CSE3B', 3,'B');
INSERT INTO SEMSEC VALUES (‘CSE3C’, 3,’C’);
INSERT INTO SEMSEC VALUES ('CSE2A', 2,’A’);
INSERT INTO SEMSEC VALUES (‘CSE2B’, 2,'B’);
INSERT INTO SEMSEC VALUES ('CSE2C', 2,'C');
INSERT INTO SEMSEC VALUES (‘CSE1A', 1,'A');

DBMS Lab Manual-2017
RNSIT, Bangalore Page 45
INSERT INTO SEMSEC VALUES (‘CSE1B’, 1,’B’);
INSERT INTO SEMSEC VALUES ('CSE1C', 1,’C’);
INSERT INTO CLASS VALUES (‘1RN13CS020’,’CSE8A’);
INSERT INTO CLASS VALUES (‘1RN13CS062’,’CSE8A’);
INSERT INTO CLASS VALUES (‘1RN13CS066’,’CSE8B’);
INSERT INTO CLASS VALUES (‘1RN13CS091’,’CSE8C’);
INSERT INTO CLASS VALUES (‘1RN14CS010’,’CSE7A’);
INSERT INTO CLASS VALUES (‘1RN14CS025’,’CSE7A’);
INSERT INTO CLASS VALUES (‘1RN14CS032’,’CSE7A’);
INSERT INTO CLASS VALUES (‘1RN15CS011’,’CSE4A’);
INSERT INTO CLASS VALUES (‘1RN15CS029’,’CSE4A’);
INSERT INTO CLASS VALUES (‘1RN15CS045’,’CSE4B’);
INSERT INTO CLASS VALUES (‘1RN15CS091’,’CSE4C’);
INSERT INTO CLASS VALUES (‘1RN16CS045’,’CSE3A’);
INSERT INTO CLASS VALUES (‘1RN16CS088’,’CSE3B’);
INSERT INTO CLASS VALUES (‘1RN16CS122’,’CSE3C’);
INSERT INTO SUBJECT VALUES ('10CS81','ACA', 8, 4);
INSERT INTO SUBJECT VALUES ('10CS82','SSM', 8, 4);
INSERT INTO SUBJECT VALUES ('10CS83','NM', 8, 4);
INSERT INTO SUBJECT VALUES ('10CS84','CC', 8, 4);
INSERT INTO SUBJECT VALUES ('10CS85','PW', 8, 4);
INSERT INTO SUBJECT VALUES ('10CS71','OOAD', 7, 4);
INSERT INTO SUBJECT VALUES ('10CS72','ECS', 7, 4);
INSERT INTO SUBJECT VALUES ('10CS73','PTW', 7, 4);
INSERT INTO SUBJECT VALUES ('10CS74','DWDM', 7, 4);
INSERT INTO SUBJECT VALUES (‘10CS75','JAVA', 7, 4);
INSERT INTO SUBJECT VALUES ('10CS76','SAN', 7, 4);
INSERT INTO SUBJECT VALUES ('15CS51', 'ME', 5, 4);
INSERT INTO SUBJECT VALUES ('15CS52','CN', 5, 4);
INSERT INTO SUBJECT VALUES ('15CS53','DBMS', 5, 4);
INSERT INTO SUBJECT VALUES ('15CS54','ATC', 5, 4);
INSERT INTO SUBJECT VALUES ('15CS55','JAVA', 5, 3);
INSERT INTO SUBJECT VALUES ('15CS56','AI', 5, 3);

DBMS Lab Manual-2017
RNSIT, Bangalore Page 46
INSERT INTO SUBJECT VALUES ('15CS41','M4', 4, 4);
INSERT INTO SUBJECT VALUES ('15CS42','SE', 4, 4);
INSERT INTO SUBJECT VALUES ('15CS43','DAA', 4, 4);
INSERT INTO SUBJECT VALUES ('15CS44','MPMC', 4, 4);
INSERT INTO SUBJECT VALUES ('15CS45','OOC', 4, 3);
INSERT INTO SUBJECT VALUES ('15CS46','DC', 4, 3);
INSERT INTO SUBJECT VALUES ('15CS31','M3', 3, 4);
INSERT INTO SUBJECT VALUES ('15CS32','ADE', 3, 4);
INSERT INTO SUBJECT VALUES ('15CS33','DSA', 3, 4);
INSERT INTO SUBJECT VALUES ('15CS34','CO', 3, 4);
INSERT INTO SUBJECT VALUES ('15CS35','USP', 3, 3);
INSERT INTO SUBJECT VALUES ('15CS36','DMS', 3, 3);
INSERT INTO IAMARKS (USN, SUBCODE, SSID, TEST1, TEST2, TEST3) VALUES
('1RN13CS091','10CS81','CSE8C', 15, 16, 18);
INSERT INTO IAMARKS (USN, SUBCODE, SSID, TEST1, TEST2, TEST3) VALUES
('1RN13CS091','10CS82','CSE8C', 12, 19, 14);
INSERT INTO IAMARKS (USN, SUBCODE, SSID, TEST1, TEST2, TEST3) VALUES
('1RN13CS091','10CS83','CSE8C', 19, 15, 20);
INSERT INTO IAMARKS (USN, SUBCODE, SSID, TEST1, TEST2, TEST3) VALUES
('1RN13CS091','10CS84','CSE8C', 20, 16, 19);
INSERT INTO IAMARKS (USN, SUBCODE, SSID, TEST1, TEST2, TEST3) VALUES
('1RN13CS091','10CS85','CSE8C', 15, 15, 12);
SELECT * FROM STUDENT;

DBMS Lab Manual-2017
RNSIT, Bangalore Page 47
SELECT * FROM SEMSEC;
SELECT * FROM CLASS;

DBMS Lab Manual-2017
RNSIT, Bangalore Page 48
SELECT * FROM SUBJECT;
SELECT * FROM IAMARKS;
Queries:
1. List all the student details studying in fourth semester ‘C’ section.
SELECT S.*, SS.SEM, SS.SEC
FROM STUDENT S, SEMSEC SS, CLASS C
WHERE S.USN = C.USN AND
SS.SSID = C.SSID AND
SS.SEM = 4 AND

DBMS Lab Manual-2017
RNSIT, Bangalore Page 49
SS.SEc=’C’;
2. Compute the total number of male and female students in each semester and in each
section.
SELECT SS.SEM, SS.SEC, S.GENDER, COUNT (S.GENDER) AS COUNT
FROM STUDENT1 S, SEMSEC SS, CLASS C
WHERES.USN = C.USN AND
SS.SSID = C.SSID
GROUP BY SS.SEM, SS.SEC, S.GENDER
ORDER BY SEM;
3. Create a view of Test1 marks of student USN ‘1BI15CS101’ in all subjects.
CREATE VIEW STU_TEST1_MARKS_VIEW
AS
SELECT TEST1, SUBCODE
FROM IAMARKS
WHERE USN = '1RN13CS091';

DBMS Lab Manual-2017
RNSIT, Bangalore Page 50
4. Calculate the FinalIA (average of best two test marks) and update the corresponding
table for all students.
CREATE OR REPLACE PROCEDURE AVGMARKS
IS
CURSOR C_IAMARKS IS
SELECT GREATEST(TEST1,TEST2) AS A, GREATEST(TEST1,TEST3) AS B,
GREATEST(TEST3,TEST2) AS C
FROM IAMARKS
WHERE FINALIA IS NULL
FOR UPDATE;
C_A NUMBER;
C_B NUMBER;
C_C NUMBER;
C_SM NUMBER;
C_AV NUMBER;
BEGIN
OPEN C_IAMARKS;
LOOP
FETCH C_IAMARKS INTO C_A, C_B, C_C;
EXIT WHEN C_IAMARKS%NOTFOUND;
--DBMS_OUTPUT.PUT_LINE(C_A || ' ' || C_B || ' ' || C_C);
IF (C_A != C_B) THEN
C_SM:=C_A+C_B;
ELSE
C_SM:=C_A+C_C;
END IF;
C_AV:=C_SM/2;
--DBMS_OUTPUT.PUT_LINE('SUM = '||C_SM);
--DBMS_OUTPUT.PUT_LINE('AVERAGE = '||C_AV);
UPDATE IAMARKS SET FINALIA=C_AV WHERE CURRENT OF C_IAMARKS;
END LOOP;
CLOSE C_IAMARKS;
END;
/
Note: Before execution of PL/SQL procedure, IAMARKS table contents are:

DBMS Lab Manual-2017
RNSIT, Bangalore Page 51
SELECT * FROM IAMARKS;
Below SQL code is to invoke the PL/SQL stored procedure from the command line:
BEGIN
AVGMARKS; --IT INVOKES THE STORED PROCEDURE
END;
/
5. Categorize students based on the following criterion:
If FinalIA = 17 to 20 then CAT = ‘Outstanding’
If FinalIA = 12 to 16 then CAT = ‘Average’
If FinalIA< 12 then CAT = ‘Weak’
Give these details only for 8th semester A, B, and C section students.
SELECT S.USN,S.SNAME,S.ADDRESS,S.PHONE,S.GENDER,
(CASE
WHEN IA.FINALIA BETWEEN 17 AND 20 THEN 'OUTSTANDING'
WHEN IA.FINALIA BETWEEN 12 AND 16 THEN 'AVERAGE'
ELSE 'WEAK'
END) AS CAT
FROM STUDENT S, SEMSEC SS, IAMARKS IA, SUBJECT SUB
WHERE S.USN = IA.USN AND
SS.SSID = IA.SSID AND
SUB.SUBCODE = IA.SUBCODE AND
SUB.SEM = 8;

DBMS Lab Manual-2017
RNSIT, Bangalore Page 52

DBMS Lab Manual-2017
RNSIT, Bangalore Page 53
E. Consider the schema for Company Database:
EMPLOYEE (SSN, Name, Address, Sex, Salary, SuperSSN, DNo)
DEPARTMENT (DNo, DName, MgrSSN, MgrStartDate)
DLOCATION (DNo,DLoc)
PROJECT (PNo, PName, PLocation, DNo)
WORKS_ON (SSN, PNo, Hours)
Write SQL queries to
1. Make a list of all project numbers for projects that involve an employee whose last
name is ‘Scott’, either as a worker or as a manager of the department that controls
the project.
2. Show the resulting salaries if every employee working on the ‘IoT’ project is given a
10 percent raise.
3. Find the sum of the salaries of all employees of the ‘Accounts’ department, as well
as the maximum salary, the minimum salary, and the average salary in this
department
4. Retrieve the name of each employee who works on all the projects controlled by
department number 5 (use NOT EXISTS operator). For each department that has
more than five employees, retrieve the department number and the number of its
employees who are making more than Rs. 6,00,000.
Entity-Relationship Diagram
Employee Department
Project
SSN
Name
Address
Sex
Manages
DNO
DName
Dlocation
Supervision
N
1
Controls
PName
PLocationPNO
Works_on
Hours
Salary
MgrStartDate
Controlled_by
N1
Supervisor Supervisee
1
N
M
N
N 1

DBMS Lab Manual-2017
RNSIT, Bangalore Page 54
Schema Diagram
Employee
SSN
Fname
Lname
Address
Sex
Salary
SuperSSN
DNO
Department
DNO
Dname
MgrSSN
MgrStartDate
DLocation
DNO
DLOC
Project
PNO
PName
PLocation
DNO
Works_on
SSN
PNO
Hours
Table Creation
CREATE TABLE DEPARTMENT
(DNO VARCHAR2 (20) PRIMARY KEY,
DNAME VARCHAR2 (20),
MGRSTARTDATE DATE);
CREATE TABLE EMPLOYEE
(SSN VARCHAR2 (20) PRIMARY KEY,
FNAME VARCHAR2 (20),
LNAME VARCHAR2 (20),
ADDRESS VARCHAR2 (20),
SEX CHAR (1),
SALARY INTEGER,
SUPERSSN REFERENCES EMPLOYEE (SSN),
DNO REFERENCES DEPARTMENT (DNO));

DBMS Lab Manual-2017
RNSIT, Bangalore Page 55
NOTE: Once DEPARTMENT and EMPLOYEE tables are created we must alter department
table to add foreign constraint MGRSSN using sql command
ALTER TABLE DEPARTMENT
ADD MGRSSN REFERENCES EMPLOYEE (SSN);
CREATE TABLE DLOCATION
(DLOC VARCHAR2 (20),
DNO REFERENCES DEPARTMENT (DNO),
PRIMARY KEY (DNO, DLOC));
CREATE TABLE PROJECT
(PNO INTEGER PRIMARY KEY,
PNAME VARCHAR2 (20),
PLOCATION VARCHAR2 (20),
DNO REFERENCES DEPARTMENT (DNO));
CREATE TABLE WORKS_ON
(HOURS NUMBER (2),
SSN REFERENCES EMPLOYEE (SSN),
PNO REFERENCES PROJECT(PNO),
PRIMARY KEY (SSN, PNO));
Table Descriptions
DESC EMPLOYEE;

DBMS Lab Manual-2017
RNSIT, Bangalore Page 56
DESC DEPARTMENT;
DESC DLOCATION;
DESC PROJECT;
DESC WORKS_ON;
Insertion of values to tables
INSERT INTO EMPLOYEE (SSN, FNAME, LNAME, ADDRESS, SEX, SALARY) VALUES
(‘RNSECE01’,’JOHN’,’SCOTT’,’BANGALORE’,’M’, 450000);
INSERT INTO EMPLOYEE (SSN, FNAME, LNAME, ADDRESS, SEX, SALARY) VALUES
(‘RNSCSE01’,’JAMES’,’SMITH’,’BANGALORE’,’M’, 500000);
INSERT INTO EMPLOYEE (SSN, FNAME, LNAME, ADDRESS, SEX, SALARY) VALUES
(‘RNSCSE02’,’HEARN’,’BAKER’,’BANGALORE’,’M’, 700000);
INSERT INTO EMPLOYEE (SSN, FNAME, LNAME, ADDRESS, SEX, SALARY) VALUES
(‘RNSCSE03’,’EDWARD’,’SCOTT’,’MYSORE’,’M’, 500000);
INSERT INTO EMPLOYEE (SSN, FNAME, LNAME, ADDRESS, SEX, SALARY) VALUES
(‘RNSCSE04’,’PAVAN’,’HEGDE’,’MANGALORE’,’M’, 650000);
INSERT INTO EMPLOYEE (SSN, FNAME, LNAME, ADDRESS, SEX, SALARY) VALUES
(‘RNSCSE05’,’GIRISH’,’MALYA’,’MYSORE’,’M’, 450000);

DBMS Lab Manual-2017
RNSIT, Bangalore Page 57
INSERT INTO EMPLOYEE (SSN, FNAME, LNAME, ADDRESS, SEX, SALARY) VALUES
(‘RNSCSE06’,’NEHA’,’SN’,’BANGALORE’,’F’, 800000);
INSERT INTO EMPLOYEE (SSN, FNAME, LNAME, ADDRESS, SEX, SALARY) VALUES
(‘RNSACC01’,’AHANA’,’K’,’MANGALORE’,’F’, 350000);
INSERT INTO EMPLOYEE (SSN, FNAME, LNAME, ADDRESS, SEX, SALARY) VALUES
(‘RNSACC02’,’SANTHOSH’,’KUMAR’,’MANGALORE’,’M’, 300000);
INSERT INTO EMPLOYEE (SSN, FNAME, LNAME, ADDRESS, SEX, SALARY) VALUES
(‘RNSISE01’,’VEENA’,’M’,’MYSORE’,’M’, 600000);
INSERT INTO EMPLOYEE (SSN, FNAME, LNAME, ADDRESS, SEX, SALARY) VALUES
(‘RNSIT01’,’NAGESH’,’HR’,’BANGALORE’,’M’, 500000);
INSERT INTO DEPARTMENT VALUES (‘1’,’ACCOUNTS’,’01-JAN-01’,’RNSACC02’);
INSERT INTO DEPARTMENT VALUES (‘2’,’IT’,’01-AUG-16’,’RNSIT01’);
INSERT INTO DEPARTMENT VALUES (‘3’,’ECE’,’01-JUN-08’,’RNSECE01’);
INSERT INTO DEPARTMENT VALUES (‘4’,’ISE’,’01-AUG-15’,’RNSISE01’);
INSERT INTO DEPARTMENT VALUES (‘5’,’CSE’,’01-JUN-02’,’RNSCSE05’);
Note: update entries of employee table to fill missing fields SUPERSSN and DNO
UPDATE EMPLOYEE SET
SUPERSSN=NULL, DNO=’3’
WHERE SSN=’RNSECE01’;
UPDATE EMPLOYEE SET
SUPERSSN=’RNSCSE02’, DNO=’5’
WHERE SSN=’RNSCSE01’;
UPDATE EMPLOYEE SET
SUPERSSN=’RNSCSE03’, DNO=’5’
WHERE SSN=’RNSCSE02’;
UPDATE EMPLOYEE SET
SUPERSSN=’RNSCSE04’, DNO=’5’
WHERE SSN=’RNSCSE03’;
UPDATE EMPLOYEE SET
DNO=’5’, SUPERSSN=’RNSCSE05’
WHERE SSN=’RNSCSE04’;

DBMS Lab Manual-2017
RNSIT, Bangalore Page 58
UPDATE EMPLOYEE SET
DNO=’5’, SUPERSSN=’RNSCSE06’
WHERE SSN=’RNSCSE05’;
UPDATE EMPLOYEE SET
DNO=’5’, SUPERSSN=NULL
WHERE SSN=’RNSCSE06’;
UPDATE EMPLOYEE SET
DNO=’1’, SUPERSSN=’RNSACC02’
WHERE SSN=’RNSACC01’;
UPDATE EMPLOYEE SET
DNO=’1’, SUPERSSN=NULL
WHERE SSN=’RNSACC02’;
UPDATE EMPLOYEE SET
DNO=’4’, SUPERSSN=NULL
WHERE SSN=’RNSISE01’;
UPDATE EMPLOYEE SET
DNO=’2’, SUPERSSN=NULL
WHERE SSN=’RNSIT01’;
INSERT INTO DLOCATION VALUES (’BANGALORE’, ‘1’);
INSERT INTO DLOCATION VALUES (’BANGALORE’, ‘2’);
INSERT INTO DLOCATION VALUES (’BANGALORE’, ‘3’);
INSERT INTO DLOCATION VALUES (’MANGALORE’, ‘4’);
INSERT INTO DLOCATION VALUES (’MANGALORE’, ‘5’);
INSERT INTO PROJECT VALUES (100,’IOT’,’BANGALORE’,’5’);
INSERT INTO PROJECT VALUES (101,’CLOUD’,’BANGALORE’,’5’);
INSERT INTO PROJECT VALUES (102,’BIGDATA’,’BANGALORE’,’5’);
INSERT INTO PROJECT VALUES (103,’SENSORS’,’BANGALORE’,’3’);
INSERT INTO PROJECT VALUES (104,’BANK MANAGEMENT’,’BANGALORE’,’1’);
INSERT INTO PROJECT VALUES (105,’SALARY MANAGEMENT’,’BANGALORE’,’1’);
INSERT INTO PROJECT VALUES (106,’OPENSTACK’,’BANGALORE’,’4’);
INSERT INTO PROJECT VALUES (107,’SMART CITY’,’BANGALORE’,’2’);

DBMS Lab Manual-2017
RNSIT, Bangalore Page 59
INSERT INTO WORKS_ON VALUES (4, ‘RNSCSE01’, 100);
INSERT INTO WORKS_ON VALUES (6, ‘RNSCSE01’, 101);
INSERT INTO WORKS_ON VALUES (8, ‘RNSCSE01’, 102);
INSERT INTO WORKS_ON VALUES (10, ‘RNSCSE02’, 100);
INSERT INTO WORKS_ON VALUES (3, ‘RNSCSE04’, 100);
INSERT INTO WORKS_ON VALUES (4, ‘RNSCSE05’, 101);
INSERT INTO WORKS_ON VALUES (5, ‘RNSCSE06’, 102);
INSERT INTO WORKS_ON VALUES (6, ‘RNSCSE03’, 102);
INSERT INTO WORKS_ON VALUES (7, ‘RNSECE01’, 103);
INSERT INTO WORKS_ON VALUES (5, ‘RNSACC01’, 104);
INSERT INTO WORKS_ON VALUES (6, ‘RNSACC02’, 105);
INSERT INTO WORKS_ON VALUES (4, ‘RNSISE01’, 106);
INSERT INTO WORKS_ON VALUES (10, ‘RNSIT01’, 107);
SELECT * FROM EMPLOYEE;
SELECT * FROM DEPARTMENT;
SELECT * FROM DLOCATION;

DBMS Lab Manual-2017
RNSIT, Bangalore Page 60
SELECT * FROM PROJECT;
SELECT * FROM WORKS_ON;
Queries:
1. Make a list of all project numbers for projects that involve an employee whose last
name is ‘Scott’, either as a worker or as a manager of the department that controls the
project.
(SELECT DISTINCT P.PNO
FROM PROJECT P, DEPARTMENT D, EMPLOYEE E
WHERE E.DNO=D.DNO
AND D.MGRSSN=E.SSN
AND E.LNAME=’SCOTT’)
UNION
(SELECT DISTINCT P1.PNO
FROM PROJECT P1, WORKS_ON W, EMPLOYEE E1
WHERE P1.PNO=W.PNO
AND E1.SSN=W.SSN
AND E1.LNAME=’SCOTT’);

DBMS Lab Manual-2017
RNSIT, Bangalore Page 61
2. Show the resulting salaries if every employee working on the ‘IoT’ project is given a 10
percent raise.
SELECT E.FNAME, E.LNAME, 1.1*E.SALARY AS INCR_SAL
FROM EMPLOYEE E, WORKS_ON W, PROJECT P
WHERE E.SSN=W.SSN
AND W.PNO=P.PNO
AND P.PNAME=’IOT’;
3. Find the sum of the salaries of all employees of the ‘Accounts’ department, as well as
the maximum salary, the minimum salary, and the average salary in this department
SELECT SUM (E.SALARY), MAX (E.SALARY), MIN (E.SALARY), AVG
(E.SALARY)
FROM EMPLOYEE E, DEPARTMENT D
WHERE E.DNO=D.DNO
AND D.DNAME=’ACCOUNTS’;
4. Retrieve the name of each employee who works on all the projects Controlled by
department number 5 (use NOT EXISTS operator).
SELECT E.FNAME, E.LNAME
FROM EMPLOYEE E
WHERE NOT EXISTS((SELECT PNO
FROM PROJECT

DBMS Lab Manual-2017
RNSIT, Bangalore Page 62
WHERE DNO=’5’)
EXCEPT(SELECT PNO
FROM WORKS_ON
WHERE E.SSN=SSN));
Or
SELECT LNAME, FNAME, DNO
FROM EMPLOYEE
WHERE NOT EXISTS (SELECT *
FROM WORKS_ON B
WHERE (B.PNO IN(SELECT P.PNO
FROM PROJECT P
WHERE P.DNO=’5’)
AND
NOT EXISTS (SELECT *
FROM WORKS_ON C
WHERE C.SSN=SSN
AND C.PNO=B.PNO)));
5. For each department that has more than five employees, retrieve the department
number and the number of its employees who are making more than Rs. 6, 00,000.
SELECT D.DNO, COUNT (*)
FROM DEPARTMENT D, EMPLOYEE E
WHERE D.DNO=E.DNO
AND E.SALARY>600000
AND D.DNO IN (SELECT E1.DNO
FROM EMPLOYEE E1
GROUP BY E1.DNO
HAVING COUNT (*)>5)

DBMS Lab Manual-2017
RNSIT, Bangalore Page 63
GROUP BY D.DNO;

DBMS Lab Manual-2017
RNSIT, Bangalore Page 64
Viva Questions
1. What is SQL?
Structured Query Language
2. What is database?
A database is a logically coherent collection of data with some inherent meaning,
representing some aspect of real world and which is designed, built and populated with data
for a specific purpose.
3. What is DBMS?
It is a collection of programs that enables user to create and maintain a database. In other
words it is general-purpose software that provides the users with the processes of defining,
constructing and manipulating the database for various applications.
4. What is a Database system?
The database and DBMS software together is called as Database system.
5. Advantages of DBMS?
Redundancy is controlled.
Unauthorized access is restricted.
Providing multiple user interfaces.
Enforcing integrity constraints.
Providing backup and recovery.
6. Disadvantage in File Processing System?
Data redundancy & inconsistency.
Difficult in accessing data.
Data isolation.
Data integrity.
Concurrent access is not possible.
Security Problems.
7. Describe the three levels of data abstraction?
There are three levels of abstraction:
Physical level: The lowest level of abstraction describes how data are stored.
Logical level: The next higher level of abstraction, describes what data are stored in
database and what relationship among those data.

DBMS Lab Manual-2017
RNSIT, Bangalore Page 65
View level:The highest level of abstraction describes only part of entire database.
8. Define the "integrity rules"
There are two Integrity rules.
Entity Integrity:States that “Primary key cannot have NULL value”
Referential Integrity:States that “Foreign Key can be either a NULL value or
should be Primary Key value of other relation.
9. What is extension and intension?
Extension - It is the number of tuples present in a table at any instance. This is time
dependent.
Intension -It is a constant value that gives the name, structure of table and the constraints laid
on it.
10. What is Data Independence?
Data independence means that “the application is independent of the storage structure and
access strategy of data”. In other words, The ability to modify the schema definition in one level
should not affect the schema definition in the next higher level.
Two types of Data Independence:
Physical Data Independence: Modification in physical level should not affect the
logical level.
Logical Data Independence: Modification in logical level should affect the view
level.
NOTE: Logical Data Independence is more difficult to achieve
11. What is a view? How it is related to data independence?
A view may be thought of as a virtual table, that is, a table that does not really exist in its
own right but is instead derived from one or more underlying base table. In other words, there is
no stored file that direct represents the view instead a definition of view is stored in data
dictionary.
Growth and restructuring of base tables is not reflected in views. Thus the view can
insulate users from the effects of restructuring and growth in the database. Hence accounts for
logical data independence.
12. What is Data Model?

DBMS Lab Manual-2017
RNSIT, Bangalore Page 66
A collection of conceptual tools for describing data, data relationships data semantics and
constraints.
13. What is E-R model?
This data model is based on real world that consists of basic objects called entities and of
relationship among these objects. Entities are described in a database by a set of attributes.
14. What is Object Oriented model?
This model is based on collection of objects. An object contains values stored in instance
variables within the object. An object also contains bodies of code that operate on the object.
These bodies of code are called methods. Objects that contain same types of values and the same
methods are grouped together into classes.
15. What is an Entity?
It is an 'object' in the real world with an independent existence.
16. What is an Entity type?
It is a collection (set) of entities that have same attributes.
17. What is an Entity set?
It is a collection of all entities of particular entity type in the database.
18. What is an Extension of entity type?
The collections of entities of a particular entity type are grouped together into an entity
set.
19. What is an attribute?
It is a particular property, which describes the entity.
20. What is a Relation Schema and a Relation?
A relation Schema denoted by R(A1, A2, …, An) is made up of the relation name
R and the list of attributes Ai that it contains. A relation is defined as a set of tuples. Let r
be the relation which contains set tuples (t1, t2, t3, ...,tn). Each tuple is an ordered list of n-
values t=(v1,v2, ..., vn).
21. What is degree of a Relation?
It is the number of attribute of its relation schema.
22. What is Relationship?
It is an association among two or more entities.
23. What is Relationship set?

DBMS Lab Manual-2017
RNSIT, Bangalore Page 67
The collection (or set) of similar relationships.
24. What is Relationship type?
Relationship type defines a set of associations or a relationship set among a given set of
entity types.
25. What is degree of Relationship type?
It is the number of entity type participating.
26. What is DDL (Data Definition Language)?
A data base schema is specified by a set of definitions expressed by a special language
called DDL.
27. What is VDL (View Definition Language)?
It specifies user views and their mappings to the conceptual schema.
28. What is SDL (Storage Definition Language)?
This language is to specify the internal schema. This language may specify the mapping
between two schemas.
29. What is Data Storage - Definition Language?
The storage structures and access methods used by database system are specified by a
set of definition in a special type of DDL called data storage- definition language.
30. What is DML (Data Manipulation Language)?
This language that enable user to access or manipulate data as organized by appropriate
data model.
Procedural DML or Low level: DML requires a user to specify what data are needed
and how to get those data.
Non-Procedural DML or High level: DML requires a user to specify what data are
needed without specifying how to get those data.
31. What is DML Compiler?
It translates DML statements in a query language into low-level instruction that the
query evaluation engine can understand.
32. What is Relational Algebra?
It is a procedural query language. It consists of a set of operations that take one or
two relations as input and produce a new relation.
33. What is Relational Calculus?

DBMS Lab Manual-2017
RNSIT, Bangalore Page 68
It is an applied predicate calculus specifically tailored for relational databases proposed
by E.F. Codd. E.g. of languages based on it are DSL, ALPHA, QUEL.
34. What is normalization?
It is a process of analyzing the given relation schemas based on their Functional
Dependencies (FDs) and primary key to achieve the properties
Minimizing redundancy
Minimizing insertion, deletion and update anomalies.
35. What is Functional Dependency?
A Functional dependency is denoted by X Y between two sets of attributes X and Y
that are subsets of R specifies a constraint on the possible tuple that can form a relation state r of
R. The constraint is for any two tuples t1 and t2 in r if t1[X] = t2[X] then they have t1[Y] =
t2[Y]. This means the value of X component of a tuple uniquely determines the value of
component Y.
36. When is a functional dependency F said to be minimal?
Every dependency in F has a single attribute for its right hand side.
We cannot replace any dependency X A in F with a dependency Y A where Y is a
proper subset of X and still have a set of dependency that is equivalent to F.
We cannot remove any dependency from F and still have set of dependency that is
equivalent to F.
37. What is Multivalued dependency?
Multivalued dependency denoted by X Y specified on relation schema R, where X
and Y are both subsets of R, specifies the following constraint on any relation r of R: if two
tuples t1 and t2 exist in r such that t1[X] = t2[X] then t3 and t4 should also exist in r with the
following properties
t3[x] = t4[X] = t1[X] = t2[X]
t3[Y] = t1[Y] and t4[Y] = t2[Y]
t3[Z] = t2[Z] and t4[Z] = t1[Z]
where [Z = (R-(X U Y)) ]
38. What is Lossless join property?
It guarantees that the spurious tuple generation does not occur with respect to relation
schemas after decomposition.

DBMS Lab Manual-2017
RNSIT, Bangalore Page 69
39. What is 1 NF (Normal Form)?
The domain of attribute must include only atomic (simple, indivisible) values.
40. What is Fully Functional dependency?
It is based on concept of full functional dependency. A functional dependency X Y is
fully functional dependency if removal of any attribute A from X means that the dependency
does not hold any more.
41. What is 2NF?
A relation schema R is in 2NF if it is in 1NF and every non-prime attribute A in R is fully
functionally dependent on primary key.
42. What is 3NF?
A relation schema R is in 3NF if it is in 2NF and for every FD X A either of the
following is true
X is a Super-key of R.
A is a prime attribute of R.
In other words, if every non prime attribute is non-transitively dependent on primary key.
43. What is BCNF (Boyce-Codd Normal Form)?
A relation schema R is in BCNF if it is in 3NF and satisfies additional constraints that for
every FD X A, X must be a candidate key.
44. What is 4NF?
A relation schema R is said to be in 4NF if for every Multivalued dependency X Y
that holds over R, one of following is true
X is subset or equal to (or) XY = R.
X is a super key.
45. What is 5NF?
A Relation schema R is said to be 5NF if for every join dependency {R1, R2, ...,Rn} that
holds R, one the following is true
Ri = R for some i.
The join dependency is implied by the set of FD, over R in which the left side is key of R.

DBMS Lab Manual-2017
RNSIT, Bangalore Page 70
46. What is Domain-Key Normal Form?
A relation is said to be in DKNF if all constraints and dependencies that should hold on the
constraint can be enforced by simply enforcing the domain constraint and key constraint on the
relation.
47. What are partial, alternate,, artificial, compound and natural key?
Partial Key:
It is a set of attributes that can uniquely identify weak entities and that are related to
same owner entity. It is sometime called as Discriminator.
Alternate Key:
All Candidate Keys excluding the Primary Key are known as Alternate Keys.
ArtificialKey:
If no obvious key, either stand alone or compound is available, then the last
resort is to simply create a key, by assigning a unique number to each record or occurrence. Then
this is known as developing an artificial key.
CompoundKey:
If no single data element uniquely identifies occurrences within a construct, then
combining multiple elements to create a unique identifier for the construct is known as creating a
compound key.
NaturalKey:
When one of the data elements stored within a construct is utilized as the primary
key, then it is called the natural key.
48. What is indexing and what are the different kinds of indexing?
Indexing is a technique for determining how quickly specific data can be found.
Binary search style indexing
B-Tree indexing
Inverted list indexing
Memory resident table
Table indexing

DBMS Lab Manual-2017
RNSIT, Bangalore Page 71
49. What is system catalog or catalog relation? How is better known as?
A RDBMS maintains a description of all the data that it contains, information about
every relation and index that it contains. This information is stored in a collection of relations
maintained by the system called metadata. It is also called data dictionary.
50. What is meant by query optimization?
The phase that identifies an efficient execution plan for evaluating a query that has the
least estimated cost is referred to as query optimization.
51. What is join dependency and inclusion dependency?
JoinDependency:
A Join dependency is generalization of Multivalued dependency.A JD
{R1, R2, ...,Rn} is said to hold over a relation R if R1, R2, R3, ..., Rn is a lossless-join
decomposition of R . There is no set of sound and complete inference rules for JD.
InclusionDependency:
An Inclusion Dependency is a statement of the form that some columns of a
relation are contained in other columns. A foreign key constraint is an example of inclusion
dependency.
52. What is durability in DBMS?
Once the DBMS informs the user that a transaction has successfully completed, its effects
should persist even if the system crashes before all its changes are reflected on disk. This
property is called durability.
53. What do you mean by atomicity and aggregation?
Atomicity:
Either all actions are carried out or none are. Users should not have to worry about the
effect of incomplete transactions. DBMS ensures this by undoing the actions of incomplete
transactions.
Aggregation:
A concept which is used to model a relationship between a collection of entities and
relationships. It is used when we need to express a relationship among relationships.

DBMS Lab Manual-2017
RNSIT, Bangalore Page 72
54. What is a Phantom Deadlock?
In distributed deadlock detection, the delay in propagating local information might cause
the deadlock detection algorithms to identify deadlocks that do not really exist. Such situations
are called phantom deadlocks and they lead to unnecessary aborts.
55. What is a checkpoint and when does it occur?
A Checkpoint is like a snapshot of the DBMS state. By taking checkpoints, the DBMS
can reduce the amount of work to be done during restart in the event of subsequent crashes.
56. What are the different phases of transaction?
Different phases are
Analysis phase
Redo Phase
Undo phase
57. What do you mean by flat file database?
It is a database in which there are no programs or user access languages. It has no cross-
file capabilities but is user-friendly and provides user-interface management.
58. What is "transparent DBMS"?
It is one, which keeps its Physical Structure hidden from user.
59. Brief theory of Network, Hierarchical schemas and their properties
Network schema uses a graph data structure to organize records example for such a
database management system is CTCG while a hierarchical schema uses a tree data structure
example for such a system is IMS.
60. What is a query?
A query with respect to DBMS relates to user commands that are used to interact with a
data base. The query language can be classified into data definition language and data
manipulation language.
61. What do you mean by Correlated subquery?
Subqueries, or nested queries, are used to bring back a set of rows to be used by the
parent query. Depending on how the subquery is written, it can be executed once for the parent

DBMS Lab Manual-2017
RNSIT, Bangalore Page 73
query or it can be executed once for each row returned by the parent query. If the subquery is
executed for each row of the parent, this is called a correlated subquery.
A correlated subquery can be easily identified if it contains any references to the parent
subquery columns in its WHERE clause. Columns from the subquery cannot be referenced
anywhere else in the parent query. The following example demonstrates a non-correlated
subquery.
E.g. Select * From CUST Where '10/03/1990' IN (Select ODATE From ORDER Where
CUST.CNUM = ORDER.CNUM)
62. What are the primitive operations common to all record management systems?
Addition, deletion and modification.
63. Name the buffer in which all the commands that are typed in are stored
‘Edit’ Buffer
64. What are the unary operations in Relational Algebra?
PROJECTION and SELECTION.
65. Are the resulting relations of PRODUCT and JOIN operation the same?
No.
PRODUCT: Concatenation of every row in one relation with every row in another.
JOIN: Concatenation of rows from one relation and related rows from another.
66. What is RDBMS KERNEL?
Two important pieces of RDBMS architecture are the kernel, which is the software, and
the data dictionary, which consists of the system-level data structures used by the kernel to
manage the database
You might think of an RDBMS as an operating system (or set of subsystems), designed
specifically for controlling data access; its primary functions are storing, retrieving, and securing
data. An RDBMS maintains its own list of authorized users and their associated privileges;
manages memory caches and paging; controls locking for concurrent resource usage; dispatches
and schedules user requests; and manages space usage within its table-space structures.
67. Name the sub-systems of a RDBMS
I/O, Security, Language Processing, Process Control, Storage Management, Logging and
Recovery, Distribution Control, Transaction Control, Memory Management, Lock Management

DBMS Lab Manual-2017
RNSIT, Bangalore Page 74
68. Which part of the RDBMS takes care of the data dictionary? How
Data dictionary is a set of tables and database objects that is stored in a special area of the
database and maintained exclusively by the kernel.
69. What is the job of the information stored in data-dictionary?
The information in the data dictionary validates the existence of the objects, provides
access to them, and maps the actual physical storage location.
70. Not only RDBMS takes care of locating data it also
Determines an optimal access path to store or retrieve the data
71. How do you communicate with an RDBMS?
You communicate with an RDBMS using Structured Query Language (SQL)
72. Define SQL and state the differences between SQL and other conventional
programming Languages
SQL is a nonprocedural language that is designed specifically for data access operations
on normalized relational database structures. The primary difference between SQL and other
conventional programming languages is that SQL statements specify what data operations should
be performed rather than how to perform them.
73. Name the three major set of files on disk that compose a database in Oracle
There are three major sets of files on disk that compose a database. All the files are
binary. These are
Database files
Control files
Redo logs
The most important of these are the database files where the actual data resides. The
control files and the redo logs support the functioning of the architecture itself.
All three sets of files must be present, open, and available to Oracle for any data on the
database to be useable. Without these files, you cannot access the database, and the database
administrator might have to recover some or all of the database using a backup, if there is one.
74. What is an Oracle Instance?
The Oracle system processes, also known as Oracle background processes, provide
functions for the user processes—functions that would otherwise be done by the user processes
themselves

DBMS Lab Manual-2017
RNSIT, Bangalore Page 75
Oracle database-wide system memory is known as the SGA, the system global area or
shared global area. The data and control structures in the SGA are shareable, and all the Oracle
background processes and user processes can use them.
The combination of the SGA and the Oracle background processes is known as an Oracle
instance
75. What are the four Oracle system processes that must always be up and running for the
database to be useable
The four Oracle system processes that must always be up and running for the database to
be useable include DBWR (Database Writer), LGWR (Log Writer), SMON (System Monitor),
and PMON (Process Monitor).
76. What are database files, control files and log files. How many of these files should a
database have at least? Why?
Database Files
The database files hold the actual data and are typically the largest in size.
Depending on their sizes, the tables (and other objects) for all the user accounts can go in one
database file—but that's not an ideal situation because it does not make the database structure
very flexible for controlling access to storage for different users, putting the database on different
disk drives, or backing up and restoring just part of the database.
You must have at least one database file but usually, more than one files are used. In
terms of accessing and using the data in the tables and other objects, the number (or location) of
the files is immaterial.
The database files are fixed in size and never grow bigger than the size at which they
were created
ControlFiles
The control files and redo logs support the rest of the architecture. Any database must
have at least one control file, although you typically have more than one to guard against loss.
The control file records the name of the database, the date and time it was created, the location of
the database and redoes logs, and the synchronization information to ensure that all three sets of
files are always in step. Every time you add a new database or redo log file to the database, the
information is recorded in the control files.

DBMS Lab Manual-2017
RNSIT, Bangalore Page 76
Redo Logs
Any database must have at least two redo logs. These are the journals for the database;
the redo logs record all changes to the user objects or system objects. If any type of failure
occurs, the changes recorded in the redo logs can be used to bring the database to a consistent
state without losing any committed transactions. In the case of non-data loss failure, Oracle can
apply the information in the redo logs automatically without intervention from the DBA.
The redo log files are fixed in size and never grow dynamically from the size at which they
were created.
77. What is ROWID?
The ROWID is a unique database-wide physical address for every row on every table.
Once assigned (when the row is first inserted into the database), it never changes until the row is
deleted or the table is dropped.
The ROWID consists of the following three components, the combination of which
uniquely identifies the physical storage location of the row.
Oracle database file number, which contains the block with the rows
Oracle block address, which contains the row
The row within the block (because each block can hold many rows)
The ROWID is used internally in indexes as a quick means of retrieving rows with a
particular key value. Application developers also use it in SQL statements as a quick way to
access a row once they know the ROWID
78. What is Oracle Block? Can two Oracle Blocks have the same address?
Oracle "formats" the database files into a number of Oracle blocks when they are first
created—making it easier for the RDBMS software to manage the files and easier to read data
into the memory areas.
The block size should be a multiple of the operating system block size. Regardless of the
block size, the entire block is not available for holding data; Oracle takes up some space to
manage the contents of the block. This block header has a minimum size, but it can grow.
These Oracle blocks are the smallest unit of storage. Increasing the Oracle block size can
improve performance, but it should be done only when the database is first created.
Each Oracle block is numbered sequentially for each database file starting at 1. Two
blocks can have the same block address if they are in different database files.

DBMS Lab Manual-2017
RNSIT, Bangalore Page 77
79. What is database Trigger?
A database trigger is a PL/SQL block that can defined to automatically execute for insert,
update, and delete statements against a table. The trigger can e defined to execute once for the
entire statement or once for every row that is inserted, updated, or deleted. For any one table,
there are twelve events for which you can define database triggers. A database trigger can call
database procedures that are also written in PL/SQL.
80. Name two utilities that Oracle provides, which are use for backup and recovery.
Along with the RDBMS software, Oracle provides two utilities that you can use to back
up and restore the database. These utilities are Exportand Import.
The Export utility dumps the definitions and data for the specified part of the database to
an operating system binary file. The Import utility reads the file produced by an export, recreates
the definitions of objects, and inserts the data
If Export and Import are used as a means of backing up and recovering the database, all
the changes made to the database cannot be recovered since the export was performed. The best
you can do is recovering the database to the time when the export was last performed.
81. Name two utilities that Oracle provides, which are use for backup and recovery.
Along with the RDBMS software, Oracle provides two utilities that you can use to back
up and restore the database. These utilities are Exportand Import.
The Export utility dumps the definitions and data for the specified part of the database to
an operating system binary file. The Import utility reads the file produced by an export, recreates
the definitions of objects, and inserts the data
If Export and Import are used as a means of backing up and recovering the database, all
the changes made to the database cannot be recovered since the export was performed. The best
you can do is recovering the database to the time when the export was last performed.
82. What are stored-procedures? And what are the advantages of using them.
Stored procedures are database objects that perform a user defined operation. A stored
procedure can have a set of compound SQL statements. A stored procedure executes the SQL
commands and returns the result to the client. Stored procedures are used to reduce network
traffic.

DBMS Lab Manual-2017
RNSIT, Bangalore Page 78
83. Tables derived from the ERD
a) Are totally unnormalised
b) Are always in 1NF
c) Can be further denormalised
d) May have multi-valued attributes
e) Are always in 1NF
84. Spurious tuples may occur due to
i. Bad normalization
ii. Theta joins
iii. Updating tables from join
a) i& ii b) ii & iii
c) i& iii d) ii & iii
(a) i& iii because theta joins are joins made on keys that are not primary keys.
85. In mapping of ERD to DFD
a) entities in ERD should correspond to an existing entity/store in DFD
b) entity in DFD is converted to attributes of an entity in ERD
c) relations in ERD has 1 to 1 correspondence to processes in DFD
d) relationships in ERD has 1 to 1 correspondence to flows in DFD
(a) entities in ERD should correspond to an existing entity/store in DFD
86. A dominant entity is the entity
a) on the N side in a 1 : N relationship
b) on the 1 side in a 1 : N relationship
c) on either side in a 1 : 1 relationship
d) nothing to do with 1 : 1 or 1 : N relationship
(b) on the 1 side in a 1 : N relationship
87. Select 'NORTH', CUSTOMER From CUST_DTLS Where REGION = 'N' Order By
CUSTOMER Union Select 'EAST', CUSTOMER From CUST_DTLS Where REGION
= 'E' Order By CUSTOMER
The above is
a) Not an error
b) Error - the string in single quotes 'NORTH' and 'SOUTH'

DBMS Lab Manual-2017
RNSIT, Bangalore Page 79
c) Error - the string should be in double quotes
d) Error - ORDER BY clause
(d) Error - the ORDER BY clause. Since ORDER BY clause cannot be used in UNIONS
88. What is Storage Manager?
It is a program module that provides the interface between the low-level data stored in
database, application programs and queries submitted to the system.
89. What is Buffer Manager?
It is a program module, which is responsible for fetching data from disk storage into main
memory and deciding what data to be cache in memory.
90. What is Transaction Manager?
It is a program module, which ensures that database, remains in a consistent state despite
system failures and concurrent transaction execution proceeds without conflicting.
91. What is File Manager?
It is a program module, which manages the allocation of space on disk storage and data
structure used to represent information stored on a disk.
92. What is Authorization and Integrity manager?
It is the program module, which tests for the satisfaction of integrity constraint and
checks the authority of user to access data.
93. What are stand-alone procedures?
Procedures that are not part of a package are known as stand-alone because they
independently defined. A good example of a stand-alone procedure is one written in a
SQL*Forms application. These types of procedures are not available for reference from other
Oracle tools. Another limitation of stand-alone procedures is that they are compiled at run time,
which slows execution.
94. What are cursors give different types of cursors.
PL/SQL uses cursors for all database information accesses statements. The language
supports the use two types of cursors
Implicit
Explicit
95. What is cold backup and hot backup (in case of Oracle)?
Cold Backup:

DBMS Lab Manual-2017
RNSIT, Bangalore Page 80
Itis copying the three sets of files (database files, redo logs, and control file) when the
instance is shut down. This is a straight file copy, usually from the disk directly to tape. You
must shut down the instance to guarantee a consistent copy.
If a cold backup is performed, the only option available in the event of data file loss is
restoring all the files from the latest backup. All work performed on the database since the last
backup is lost.
Hot Backup:
Some sites (such as worldwide airline reservations systems) cannot shut down the
database while making a backup copy of the files. The cold backup is not an available option.
So different means of backing up database must be used — the hot backup. Issue a SQL
command to indicate to Oracle, on a tablespace-by-tablespace basis, that the files of the
tablespace are to backed up. The users can continue to make full use of the files, including
making changes to the data. Once the user has indicated that he/she wants to back up the
tablespace files, he/she can use the operating system to copy those files to the desired backup
destination.
The database must be running in ARCHIVELOG mode for the hot backup option. If a
data loss failure does occur, the lost database files can be restored using the hot backup and the
online and offline redo logs created since the backup was done. The database is restored to the
most consistent state without any loss of committed transactions.
96. How can you find the minimal key of relational schema?
Minimal key is one which can identify each tuple of the given relation schema uniquely.
For finding the minimal key it is required to find the closure that is the set of all attributes that
are dependent on any given set of attributes under the given set of functional dependency.
Algo. I Determining X+, closure for X, given set of FDs F
1. Set X+ = X
2. Set Old X+ = X+
3. For each FD Y Z in F and if Y belongs to X+ then add Z to X+
4. Repeat steps 2 and 3 until Old X+ = X+
Algo.IIDetermining minimal K for relation schema R, given set of FDs F
1. Set K to R that is make K a set of all attributes in R

DBMS Lab Manual-2017
RNSIT, Bangalore Page 81
2. For each attribute A in K
a. Compute (K – A)+ with respect to F
b. If (K – A)+ = R then set K = (K – A)+
97. What do you understand by dependency preservation?
Given a relation R and a set of FDs F, dependency preservation states that the
closure of the union of the projection of F on each decomposed relation Ri is equal to the
closure of F. i.e.,
((R1(F)) U … U (Rn(F)))+= F+
if decomposition is not dependency preserving, then some dependency is lost in the
decomposition.
98. What is meant by Proactive, Retroactive and Simultaneous Update.
Proactive Update:
The updates that are applied to database before it becomes effective in real world.
Retroactive Update:
The updates that are applied to database after it becomes effective in real world.
Simultaneous Update:
The updates that are applied to database at the same time when it becomes effective in real world
.What are the different types of JOIN operations?
Equi Join: This is the most common type of join which involves only equality
comparisons. The disadvantage in this type of join is that there

DBMS Lab Manual-2017
RNSIT, Bangalore Page 82
SQL Questions:
1. Which is the subset of SQL commands used to manipulate Oracle Database structures,
including tables?
Data Definition Language (DDL)
2. What operator performs pattern matching?
LIKE operator
3. What operator tests column for the absence of data?
IS NULL operator
4. Which command executes the contents of a specified file?
START <filename> or @<filename>
5. What is the parameter substitution symbol used with INSERT INTO command?
&
6. Which command displays the SQL command in the SQL buffer, and then executes it?
RUN
7. What are the wildcards used for pattern matching?
For single character substitution and % for multi-character substitution
8. State true or false. EXISTS, SOME, ANY are operators in SQL.
True
9. State true or false. !=, <>, ^= all denote the same operation.
True
10. What are the privileges that can be granted on a table by a user to others?
Insert, update, delete, select, references, index, execute, alter, all
11. What command is used to get back the privileges offered by the GRANT command?
REVOKE
12. Which system tables contain information on privileges granted and privileges obtained?
USER_TAB_PRIVS_MADE, USER_TAB_PRIVS_RECD
13. Which system table contains information on constraints on all the tables created?
USER_CONSTRAINTS
14. TRUNCATE TABLE EMP;
DELETE FROM EMP;
Will the outputs of the above two commands differ?

DBMS Lab Manual-2017
RNSIT, Bangalore Page 83
Both will result in deleting all the rows in the table EMP.
15. What the difference is between TRUNCATE and DELETE commands?
TRUNCATE is a DDL command whereas DELETE is a DML command. Hence
DELETE operation can be rolled back, but TRUNCATE operation cannot be rolled back.
WHERE clause can be used with DELETE and not with TRUNCATE.
16. What command is used to create a table by copying the structure of another table?
Answer:
CREATE TABLE AS SELECT command
Explanation:
To copy only the structure, the WHERE clause of the SELECT command should contain
a FALSE statement as in the following.
CREATE TABLE NEWTABLE AS SELECT * FROM EXISTINGTABLE WHERE
1=2;
If the WHERE condition is true, then all the rows or rows satisfying the condition will be
copied to the new table.
17. What will be the output of the following query?
SELECT REPLACE (TRANSLATE(LTRIM(RTRIM('!! ATHEN !!','!'), '!'), 'AN',
'**'),'*','TROUBLE') FROM DUAL;
TROUBLETHETROUBLE
18. What will be the output of the following query?
SELECT DECODE(TRANSLATE('A','1234567890','1111111111'), '1','YES', 'NO' );
Answer :
NO
Explanation :
The query checks whether a given string is a numerical digit.
19. What does the following query do?
SELECT SAL + NVL(COMM,0) FROM EMP;
This displays the total salary of all employees. The null values in the commission
column will be replaced by 0 and added to salary.
20. Which date function is used to find the difference between two dates?
MONTHS_BETWEEN

DBMS Lab Manual-2017
RNSIT, Bangalore Page 84
21. Why does the following command give a compilation error?
DROP TABLE &TABLE_NAME;
Variable names should start with an alphabet. Here the table name starts with an '&'
symbol.
22. What is the advantage of specifying WITH GRANT OPTION in the GRANT
command?
The privilege receiver can further grant the privileges he/she has obtained from the
owner to any other user.
23. What is the use of the DROP option in the ALTER TABLE command?
It is used to drop constraints specified on the table.
24. What is the value of ‘comm’ and ‘sal’ after executing the following query if the initial
value of ‘sal’ is 10000?
UPDATE EMP SET SAL = SAL + 1000, COMM = SAL*0.1;
sal = 11000, comm = 1000
25. What is the use of DESC in SQL?
DESC has two purposes. It is used to describe a schema as well as to retrieve rows from
table in descending order.
The query SELECT * FROM EMP ORDER BY ENAME DESC will display the output sorted
on ENAME in descending order.
26. What is the use of CASCADE CONSTRAINTS?
When this clause is used with the DROP command, a parent table can be dropped even
when a child table exists.
27. Which function is used to find the largest integer less than or equal to a specificvalue?
FLOOR
28. What is the output of the following query?
SELECT TRUNC(1234.5678,-2) FROM DUAL;
1200

DBMS Lab Manual-2017
RNSIT, Bangalore Page 85
SQL HANDSON
Questions Based On Data Definition Language Commands:
1. Create A Table EMP And DEPT Using The Following Information.
a. DEPT:
COLUMN NAME DATATYPE (SIZE)
-----------------------------------------------------------------------------------------------
DEPTNO NUMBER (2)
DNAME VARCHAR2 (14)
LOC VARCHAR2 (14)
b. EMP:
COLUMN NAME DATATYPE(SIZE)
-----------------------------------------------------------------------------------------------
EMPNO NUMBER (4)
ENAME VARCHAR2 (10)
JOB VARCHAR2 (9)
MGR NUMBER (4)
HIREDATE DATE
SAL NUMBER (7, 2)
COMM NUMBER (7, 2)
DEPTNO NUMBER (2)
2. Check the Default Size of a Number, Char and Date Data types.
3. Describe the Structure of the Table and EMP Table.
4. Add two columns to the table EMP with the following information in one single
ALTER COMMAND.
COLUMN NAME DATATYPE (SIZE)
-----------------------------------------------------------------------------------------------
SEX CHAR (1)
PLACE CHAR (15)

DBMS Lab Manual-2017
RNSIT, Bangalore Page 86
5. Modify the column job present in the EMP table with the following information
given below:
COLUMN NAME DATATYPE (SIZE)
-----------------------------------------------------------------------------------------------
JOB VARCHAR2 (15)
6. modify the column ENAME present in the EMP table with the following
information given below:
COLUMN NAME DATATYPE (SIZE)
-----------------------------------------------------------------------------------------------
ENAME CHAR (15)
7. Decrease the size for the column EMPNO with the following information:-
COLUMN NAME DATATYPE (SIZE)
-----------------------------------------------------------------------------------------------
EMPNO NUMBER (2)
8. Modify the column name of EMPNO to EMPLOYEE_NUMBER present in the
EMP table verify the result.
9. Add a new column nationality placed between JOB and MGR columns and verify
the result
10. Drop the table DEPT and EMP.
11. What is the data type of the column HIREDATE and how many bytes it occupies.
12. Create a table EMP and DEPT using the following information.
a. DEPT:
COLUMN NAME DATATYPE(SIZE)
-----------------------------------------------------------------------------------------------
DEPTNO NUMBER(2) CONSTRAINT PK_DEPTNO
PRIMARY KEY
DNAME VARCHAR2(14)
LOC VARCHAR2(14)
b.EMP:
COLUMN NAME DATATYPE(SIZE)

DBMS Lab Manual-2017
RNSIT, Bangalore Page 87
-----------------------------------------------------------------------------------------------
EMPNO NUMBER(4) CONSTRAINT PK_EMPNO
PRIMARY KEY
ENAME VARCHAR2(10) CONSTRAINT UQ_DEPTNO
UNIQUE
JOB VARCHAR2(9)
MGR NUMBER(4)
HIREDATE DATE DEFAULT SYSDATE
SAL NUMBER(7,2) CONSTRAINT CK_SAL
CHECK(SAL)
COMM NUMBER(7,2)
DEPTNO NUMBER(2) CONSTRAINT FK_DEPTNO
REFERENCE
13. Select all the constraints in the EMP table
SOL: SELECT * FROM USER_CONSTRAINTS WHERE TABLE_NAME=’EMP’;
14. select the owner, constraints name, constraints type, table name, status for DEPT
table
SOL: SELECT OWNER, CONSTRAINTS_ NAME, CONSTRAINTS_TYPE, TABLE_
NAME, STATUS FROM USER_CONSTRAINTS WHERE
TABLE_NAME=’DEPT’;
15. Drop the constraints UQ_FMANE from EMP table
SOL: ALTER TABLE EMP DROP CONSTRAINT UQ_FNAME;
16. Add a new column PINCODE with not null constraints to the existing table DEPT
SOL: ALTER TABLE DEPT ADD(PINCODE NUMBER(6) NOT NULL);
17. Disable the constraints PK_DEPTNO present in the DEPT table
SOL: ALTER TABLE DEPT DISABLE CONSTRAINTS PK_DEPTNO;
18. Enable the constraints PK_DEPTNO which is defined in the DEPTNO column of
DEPT table;
SOL: ALTER TABLE DEPT ENABLE CONSTRAINTS PK_DEPTNO;
19. Insert the given values into the tables:
EMP:

DBMS Lab Manual-2017
RNSIT, Bangalore Page 88
(i) 7369, SMITH, CLERK, 7902, 17 – DEC – 80, 800, NULL, 20
(ii) 7499, ALLEN SALEMAN, 7698, 20 – FEB – 81, 1600, 300, 30
(iii) 7521, WARD, SALESMAN, 7698, 22 – FEB – 81, 1250, 500, 30
(iv) 7566, JONES, MANAGER, 7839, 02 – APR – 81, 2975, NULL, 20
(v) 7654, MARTIN, SALESMAN, 7698, 28 – SEP – 81, 1250, 1400, 30
(vi) 7698, BLAKE, MANAGER, 7839, 01 – MAY – 81, 2850, NULL, 30
(vii) 7782, CLERK, MANAGER, 7839, 09 – JUN – 81, 2450, NULL, 10
(viii) 7788, SCOTT, ANALYST, 7566, 19 – NOV – 96, 3000, NULL, 20
(ix) 7839, KING, PRESIDENT, NULL, 17 – NOV – 81, 5000, NULL, 10
(x) 7844, TURNER, SALESMAN, 7698, 08 –SEP – 81, 1500, 0, 30
(xi) 7876, ADAMS, CLERK , 7788, 23 – DEC – 96, 1100, NULL, 20
(xii) 7900, JAMES, CLERK, 7698, 03 – DEC – 81, 950, NULL, 30
(xiii) 7902, FORD, ANALYST, 7566, 03 – DEC – 81, 3000, NULL, 20
(xiv) 7934, MILLER, CLERK, 7782, 23 – JAN – 82, 1300, NULL, 10
(xv) 7943, JOHN, CLERK, 7943, 10 – DEC – 83, 2000, NULL, 50
DEPT:
(i) 10, ACCOUNTING, NEW YORK
(ii) 20, RESEARCH, DALLAS
(iii)30, SALES, CHICAGO
(iv) 40, OPERATIONS, BOSTON
(v) 50, COMPUTER, AMERICA
20. Insert only the records of employee number, name, salary into EMP table
SOL: INSERT INTO EMP (EMPNO, ENAME, SAL) VALUES (‘7955’, ‘PAUL’,
1200);
21. insert two rows into EMP table using parameter substitution
SOL: INSERT INTO EMP VALUES (&EMPNO, ‘&ENAME’, ‘&JOB’, &MGR,
‘&IIIREDATE’, &SAL, &COMM, &DEPTNO);
22. insert the current transaction date temporary table
SOL: INSERT INTO TEMP VALUES (SYSDATE);

DBMS Lab Manual-2017
RNSIT, Bangalore Page 89
Problems on Select Command:
23. List the Information of all Employees
SOL: SELECT * FROM EMP;
24. List the information of all the departments
SOL: SELECT * FROM DEPT;
25. LIST THE DEPARTMENT NUMBERS, EMPLOYEE NUMBERS AND THEIR
MANAGERS NUMBERS
SOL: SELECT DEPT. DEPTNO, EMP. EMPNO, EMP. MGR FROM EMP, DEPT;
26. List department name and locations from DEPT table
SOL: SELECT DNAME, LOC, FROM DEPT;
27. List the information of employees and their departments in a single DMI command
SOL: SELECT *. FROM EMP;
28. Copy all the records of their columns EMPNO, ENAME, JOB from EMP table and
insert the records into a temp table with column names same as EMPNO, ENAME,
JOB
SOL: INSERT INTO TEMP (EMPNO, ENAME, JOB) SELECT EMPNO, NAME, JOB
29. List the details of both the tables
SOL: SELECT * FROM EMP, DEPT;
30. List the information of all the employees present in the user named SCOTT
SOL: SELECT * FROM SCOTT. EMP;
31. List the information of the departments from your BATCHMATES DEPT table
SOL: SELECT * FROM ORA252P. DEPT;
32. List out the table names in your schema
SOL: SELECT * FROM TAB;
33. List all the system tables
SOL: SELECT *FROM SYS. DICTIONARY;
34. Get the information of the maximum available blocks allotted to a particular user for
creating tables from the system tables
SOL: SELECT * FROM USER_TS_QUOTAS;
35. List out all the privileges given to a particular user
36. List out all the tables which start with ‘S’

DBMS Lab Manual-2017
RNSIT, Bangalore Page 90
SOL: SELECT TABLE_NAME FROM USER_TABLES WHERE TABLE_NAME
LIKE ‘S%’;
37. Copy the structure of dept table alone to a temporary table called TEMP1
SOL: CREAT TABLE TEMP1, AS SELECT * FROM DEPT WHERE 1=2;
Problems on update command:
38. Update the salary by 10% hike to analysts working in department number 20 and 30
SOL: UPDATE EMP SET SAL = SAL + 0. 1 WHERE DEPTNO IN (10,20) AND JOB
=‘ANALYST’;
39. Give 5% raise in salary to all the salesman
SOL: UPDATE EMP SET SAL=SAL+.5 WHERE JOB = ‘SALESMAN’;
40. PROMOTE ALL THE EMPLOYEES DISCRIBED AS SALESMAN TO SALES
OFFICER IF THEIR GROSS SALARY PER MOUNTH IS GREATER THEN 3000
SOL: UPDATE EMP SET JOB = ‘SALESOFFICER’ WHERE JOB = ‘SALESMAN’
AND SAL>3000;
41. Give all the employees of commission of rs500
SOL: UPDATE EMP SET COMM = 500;
42. Change the department of JAMES to 20
SOL: UPDATE EMP SET DEPTNO = 20 WHERE ENAME = ‘JAMES’;
43. Calculate all the employees total salary with commission
SOL: SELECT SALES SAL +NVL (COMM) “TOTAL” FROM EMP;
Problems on delete command:
44. Delete all the records of employees
SOL: DELETE FROM EMP;
45. Get back the original records of employees back
SOL: ROLLBACK;
46. Allen’s record only
SOL: DELETE FROM EMP WHERE ENAME = ‘ALLEN’;
47. Delete records of ename column only and verify it

DBMS Lab Manual-2017
RNSIT, Bangalore Page 91
SOL: NOT POOSIBLE
48. Delete the records of employee number 7782
SOL: DELETE FROM EMP WHERE EMPNO=7782;
49. Delete the employee’s records who doesn’t have commission
SOL: DELETE FROM EMP WHERE COMM IS NULL;
50. Get back the original records back
SOL: ROLLBACK;
51. Delete the duplicate records of the employee table
SOL: DELETE FROM EMP A WHERE ROWID<> (SELECT MIN (ROWID) FROM
EMP B WHERE A. EMPNO=B. EMPNO);
52. Delete the first five records of employee table
SOL: DELETE FROM EMP X WHERE 5 > (SELECT COUNT (ROWID) FROM EMP
Y WHERE Y. ROWID < X.ROWID);
53. Delete the rows of the temp table permanently
SOL: TURNCATE TABLE TEMP;
Problems on transactional commands:
54. Update a record of EMP table and save the changes permanently in the database
SOL: UPDATE EMP SET SAL=SAL+100 WHERE EMPNO=100; COMMIT;
55. Sql * plus has the facility to automatically save all the records without issuing the TCL
command which is that?
SOL: SET AUTOCOMMIT ON
56. Give all the privileges you have of a database object to another
SOL: GRANT ALL ON EMP TO ORA253A;
57. Give only select, insert privileges to another user
SOL: GRANT SELECT, INSERT ON EMP TO ORA267A;
58. List the user’s id and which database object you have granted
SOL: SELECT * FROM USE_TAB_PRIVS;

DBMS Lab Manual-2017
RNSIT, Bangalore Page 92
ADDITIONAL EXERCISES ON DATABASE APPLICATION LABORATORY
Exercise 1: To understand some simple Database Applications and build Conceptual Data
Model.
a) Select an enterprise that you are familiar with (for example, a school, a college, a
company, a small business, a club or association). List all the information that this
enterprise uses.
b) Describe the steps involved in the database design process using E-R Modeling:
Requirements Analysis, Identify Entity Sets, Identify Relationship Sets, Value Sets and
Attributes, Specifying Primary keys, Building E-R diagram, Implementation
c) For the following mini-world example database applications, Design and Develop
Conceptual Data Model (E-R Diagram) with all the necessary entities, attributes,
constraints and relationships.
i. Medical Clinic Database – The clinic has a number of regular patients and new
patients come to the clinic regularly. Patients make appointments to see one of the
doctors; several doctors attend the clinic and they each have their own hours. Some
doctors are General Practitioners (GPs) while others are specialists(cardiologists,
dermatologists etc.,). Patients have families and the family relationships are
important. A medical record of each patient needs to be maintained. Information on
prescriptions, insurance, allergies, etc needs to be maintained. Different doctors may
charge different fees. Billing has to be done for Patients.
ii. University Database - The Visvesvaraya Technological University (VTU) is a large
Institution with several campuses scattered across Karnataka. Academically, the
university is divided into a number of faculties, such as Faculty of Engineering,
Faculty of Architecture, Faculty of Management and Faculty of Science. Some of the
Faculties operate on a number of campuses. Faculties, in turn, are divided into
schools; for example, the School of Architecture, the School of Information
Technology. Each school is headed by a Director and has a number of teaching and
non-teaching staff. Each school offers many courses. Each course consists of a fixed
core of subjects and a number of electives from other courses. Each student in the
University is enrolled in a single course of study. A subject is taught to the students

DBMS Lab Manual-2017
RNSIT, Bangalore Page 93
who have registered for that subject by a teacher. A student is awarded a grade in
each subject taken.
iii. Construction Company Database - A construction company has many branches
spread all over the country. The company has two types of constructions to offer:
Housing and Commercial. The housing company provides low-income housing,
medium-style housing, and high-end housing schemes, while commercial side, it
offers multiplexes and shopping zones. The customers of the company may be
individuals or corporate clients. Company stores the information about employees’
works for it.
iv. Time Table Preparation - An Engineering College has a number of Branches. Each
Branch has number sections, a number of courses and a number of faculty members
teaching the courses. Each branch has a number of class rooms and laboratories. Each
course may be scheduled in a class room at a particular time.
Note: Similar applications may be explored and given as assignments to students in a
group.
Exercise 2: Design and build Relational Data Model for each of the application scenarios of
exercise 1 specifying all possible constraints. Extend the same for a database application of
students' choice.
Exercise 3 To understand and demonstrate DDL, DML and DCL Commands of SQL
a. Create a table called EMP with the following structure and describe it.
Name Type
-----------------------------------------------------
EMPNO NUMBER (6)
ENAME VARCHAR2 (20)
DOB DATE
JOB VARCHAR2 (10)
DEPTNO NUMBER (2)
SAL NUMBER (7,2)

DBMS Lab Manual-2017
RNSIT, Bangalore Page 94
Allow NULL for all columns except ENAME and JOB. EMPNO is the Primary
Key
b. Add a column EXPERIENCE of type NUMERIC to the EMP table. Allow NULL to it.
c. Modify the column width of the JOB field of EMP table.
d. Create DEPT table with the following structure and describe it
Name Type
-----------------------------------------------------
DEPTNO NUMBER (2)
DNAME VARCHAR2 (15)
LOCN VARCHAR2 (10)
DEPTNO is the Primary Key and DNAME cannot be NULL
e. Add constraint to check the SAL value of EMP Table. SAL must be > 6000.
f. Drop a column EXPERIENCE from the EMP table.
g. Insert a single record into DEPT table. Repeat this for inserting at least 3 records
h. Insert more than a record into EMP table using a single insert command. Insert at least 10
records
i. Update the EMP table to set the salary of all employees to Rs. 30000/- for a given JOB
type
j. Create a pseudo table EMPLOYEE with the same structure as the table EMP using
SELECT clause.
k. Delete employees from EMP table for a given JOB type. Delete the first five records of
EMP table
l. Grant all/some privileges of EMP table to DEPT table
m. Revoke some/all privileges of EMP table from DEPT table
n. Truncate the EMP table and drop the DEPT table
o. Demonstrate the use of COMMIT, SAVEPOINT and ROLLBACK commands