DSAS V5.0 User Guide
User Manual:
Open the PDF directly: View PDF
.
Page Count: 81

DSAS$4.0$$$$$$$$$$$$$$$$
Installation$Instructions$and$User$Guide$
*$updated$for$version$4.4!$
U.S.$Department$of$the$Interior$
U.S.$Geological$Survey$
In$cooperation$with$
$$
$
www.coronaenv.com$

2
Contents!
1!Introduction ............................................................................................................................... 5!
1.1!Overview ............................................................................................................................. 5!
1.2!System Requirements ........................................................................................................ 5!
2!Installation Steps ...................................................................................................................... 6!
3!Sample data ............................................................................................................................. 8!
4!DSAS Toolbar ........................................................................................................................... 9!
5!Required Inputs ...................................................................................................................... 10!
5.1!Geodatabase .................................................................................................................... 10!
5.1.1!Creating$a$new$geodatabase ..................................................................................... 10!
5.1.2!Upgrading$a$preexisting$geodatabase ...................................................................... 10!
5.2!Shorelines ......................................................................................................................... 11!
5.2.1!Tips$for$collecting$shoreline$data ............................................................................. 12!
5.2.2!Appending$shorelines ............................................................................................... 13!
5.2.3!Shoreline$attribute$field$requirements .................................................................... 15!
5.3!Baseline ............................................................................................................................ 16!
5.3.1!Tips$for$constructing$a$baseline ............................................................................... 16!
5.3.2!Baseline$attribute$field$requirements ...................................................................... 19!
6!DSAS Workflow ...................................................................................................................... 21!
6.1 Set Default Parameters window .......................................................................................... 23!
6.1.1!Cast$Transect$Settings$tab ......................................................................................... 23!
6.1.2!Shoreline$Calculation$Settings$tab ............................................................................ 25!
6.1.3!Metadata$Settings$tab ................................................................................................ 27!
6.1.4!Log$File$Output .......................................................................................................... 28!
6.2!Cast Transects ................................................................................................................. 29!
6.2.1!Using$Select$Features$Tool$(baseline) ...................................................................... 32!

3
6.2.2!Transect$Feature$Class$Attribute$Fields ................................................................... 33!
6.3!Modifying the Transect and Baseline Feature Classes .................................................... 34!
6.4!Using transects from previous versions of DSAS ............................................................. 37!
6.5!Calculating Change Statistics ........................................................................................... 38!
6.5.1!Statistical$Output ....................................................................................................... 41!
6.5.2!How$to$View$Results$Spatially ................................................................................... 42!
6.6!Clipping transects to the Shoreline Change Envelope (SCE) .......................................... 43!
6.7!Using the Select Features Tool (shoreline) ...................................................................... 45!
7!Statistics ................................................................................................................................. 46!
7.1!Shoreline Change Envelope (SCE) .................................................................................. 47!
7.2!Net Shoreline Movement (NSM) ....................................................................................... 48!
7.3!End Point Rate (EPR) ....................................................................................................... 49!
7.4!Linear Regression (LRR) .................................................................................................. 50!
7.5!Weighted Linear Regression (WLR) ................................................................................. 52!
7.6!Supplemental Statistics .................................................................................................... 54!
7.6.1!Confidence$of$End$Point$Rate$(ECI) ........................................................................... 54!
7.6.2!Standard$Error$of$the$Estimate$(LSE$and$WSE) ........................................................ 54!
7.6.3!Standard$Error$of$the$Slope$with$Confidence$Interval$(LCI$and$WCI) ..................... 57!
7.6.4!RXsquared$(LR2$and$WR2) ........................................................................................ 58!
7.7!Least Median of Squares (LMS) ....................................................................................... 59!
8!External Module Interfacing .................................................................................................... 61!
8.1!Module Calc File ............................................................................................................... 62!
8.2!Module Info File ................................................................................................................ 64!
8.3!Module Input File .............................................................................................................. 65!

4
8.4!Module Output File ........................................................................................................... 68!
9!Metadata ................................................................................................................................. 69!
9.1!Configuring ArcGIS to view DSAS-generated metadata .................................................. 69!
9.2!Editing DSAS-generated Metadata in FGDC format ........................................................ 71!
9.3!Upgrading DSAS-generated Metadata to Arc10 format ................................................... 72!
10!References ............................................................................................................................. 73!
11!Appendix 1 – Troubleshooting ................................................................................................ 75!
12!Appendix 2 – A case study of complex shoreline data ........................................................... 76!
12.1!Using shoreline data referenced to different proxies ...................................................... 76!
12.2!Representing lidar shorelines as calibrated routes ......................................................... 77!
12.3!Storing bias and uncertainty data in a table (requirements) ........................................... 79!
12.4!Proxy-datum bias correction (NU_ and NB_) ................................................................. 80!
Contact Information ...................................................................................................................... 81!
5
1 Introduction$
1.1 Overview$
The Digital Shoreline Analysis System (DSAS) is a freely available software application that
works within the Environmental Systems Research Institute (Esri) Geographic Information System
(ArcGIS) software. DSAS computes rate-of-change statistics for a time series of shoreline vector data.
Version 4.4 was released in July 2017 and is designed for use with ArcGIS 10.4 and 10.5. It is
supported on Windows XP, Vista, and Windows 7 operating systems. If you use it, please cite the
following publication and make note of the current version:
Thieler, E.R., Himmelstoss, E.A., Zichichi, J.L., and Ergul, Ayhan, 2017. Digital Shoreline
Analysis System (DSAS) version 4.0 — An ArcGIS extension for calculating shoreline change
(ver.4.4, July 2017): U.S. Geological Survey Open-File Report 2008-1278
https://pubs.er.usgs.gov/publication/ofr20081278/
This user guide describes the system requirements, installation procedures, and necessary inputs
to establish measurement points using transects generated by the DSAS software and compute rate-of-
change calculations using DSAS. The software was developed in the early 1990s. Updates have
focused on improving the rate-of-change statistics as well as the user interface and are designed to be
compatible with the current version of ESRI ArcView software.
Although the nomenclature for this software utility is based on use in a coastal environment, the
DSAS application is also useful for computing rates of change for any boundary-change problem that
incorporates a clearly-identified feature position at discrete times, such as glacier limits, river banks, or
land use/cover boundaries.
1.2 System$Requirements$
Before installing the DSAS 4.4 application, ensure that your system meets the following minimum
software requirements (note that installation of these applications on your system requires
administrative rights):
1. Microsoft .NET Framework 4.5.2
2. ArcGIS Desktop 10.4 (DSAS v4.4 will also work at 10.5)
3. .NET Support Feature for ArcGIS (available on ArcGIS installation media).

6
4. Freely available MATLAB component runtime library utility.
2 Installation$Steps$
Important! Before installing DSAS 4.4, the following steps should be taken:
Make sure that the Microsoft .NET Framework 4.5.2 is installed on your machine. 1.
You should see Microsoft .NET Framework 4.5.2 Configuration listed in at least one of these
locations:
A. Start>Control Panel>Administrative Tools
or
B. Start>Control Panel>Add/Remove Programs
The .NET Framework downloads are available from the Microsoft website.
Install the MATLAB Component Runtime (MCR) library utility by double-clicking the 2.
MCRInstaller.exe, which can be downloaded from the DSAS website.
Installation Steps for Digital Shoreline Analysis System 4.4
The DSAS v4.4 application is now distributed as an add-in, which is installed when double-clicked.
1. Make sure that you have UNINSTALLED any prior versions of the Digital Shoreline Analysis
System software before installing this version (DSAS 4.4).
2. Make sure that you have CLOSED ALL ARCGIS SOFTWARE running on your local
machine.
3. Download the DSAS add-in from the project website http://woodshole.er.usgs.gov/project-
pages/dsas/
4. Double-click the add-in file
Figure$1. View of the DSAS AddIn file as seen in Windows Explorer after downloading. Double-click this file to
begin the installation process.

7
5. The ESRI ArcGIS Add-In Installation Utility window will open. Click Install Add-In.
Figure$2. View of the ESRI ArcGIS Add-In Installation Utility window.
6. You will be notified when installation is complete.
Figure$3. View of the ESRI ArcGIS Add-In Installation Utility window when installation has successfully
completed.
7. Open ArcMap. If the DSAS toolbar application is not automatically added to you can add it by
clicking Customize on the main ArcMap menu and point to Toolbars.
Figure$4. View of the DSAS v4.4 Toolbar when open in ArcMap v10.4 or 10.5.

8
3 Sample$data$
A sample dataset for DSAS 4.4 is available for download on the DSAS web site
(https://woodshole.er.usgs.gov/project-pages/DSAS/version4/index.html). The sample data include four
shoreline positions for a section of the North Carolina coast near Rodanthe along the Outer Banks; these
data are a subset of data from Miller and others, 2005. The shoreline positions from 1842, 1946, and
1980 were digitized from coastal survey maps, called “T-sheets,” and mark the location of the proxy-
based high water line. The shoreline from 09/26/1997 marks the location of the tidal-based operational
mean high water line and was extracted from lidar data following the techniques described in Stockdon
and others, 2002, and Weber and others, 2005. The lidar data illustrate how to incorporate shoreline
data that include more complex attributes into DSAS analysis. Advanced users are encouraged to
review appendix 2, which describes these data and their use in DSAS.
The sample data also include a reference baseline from which the DSAS transects are cast. The
sample data are referenced throughout the user guide and have been designed as an example to help
users set up their own data for use in DSAS. The DSAS_sample_data.mdb file is distributed as an
ArcGIS (v. 10.4) geodatabase (fig. 5) that meets the recommended software requirements for DSAS 4.4.
Figure$5. View of the sample data from ArcCatalog. The DSAS_sample_data.mdb geodatabase contains
baseline and shoreline feature classes along with an example of an advanced-use shorelines_uncertainty table.

9
4 DSAS$Toolbar$
This section provides a quick reference and explanation for each button on the DSAS toolbar
interface.
Set/Edit default parameters specifies file names for the
baseline and shoreline inputs and other settings, such as transect
spacing.
Cast transects generates a new (or overwrites an existing)
transect feature class based on the user-specified default
parameters.
The drop-down menu lists all recognized transect files added to
the active ArcMap project.
Calculate statistics launches a dialog box populated with a
selectable list of change-rate statistics to be calculated.
Clip transects to SCE launches a dialog box providing users
with the option to generate a copy of the specified transect file
that is clipped to the shoreline change envelope (SCE) or the
maximum distance between all shorelines.
Launches the DSAS help feature.
About DSAS provides information about the software,
including the version number.
10
5 $Required$Inputs$
This section describes the data requirements, including file format and field attributes that are
necessary for DSAS to properly recognize and compute rate-of-change statistics. It includes instruction
on how to produce the required files and field elements.
5.1 Geodatabase$
All DSAS input data must be managed within a personal geodatabase, which also serves as the
storage location for the program-generated transect feature class and related statistical output tables.
Preexisting data, such as shapefiles, can be imported as feature classes within a geodatabase in
ArcCatalog. The geodatabase not only serves as a storage container for all of the data used and
produced by DSAS but provides a data structure that enables the enforcement of topology, meaning that
spatial relationships among the feature classes can be enforced (this is explained more fully in section
6.3). DSAS also requires that data be in meter units in a projected coordinate system (such as Universal
Transverse Mercator or State Plane).
5.1.1 Creating$a$new$geodatabase$
Follow the steps below to create a new personal geodatabase. Once a geodatabase has been
created, existing data can be imported as individual feature classes into a geodatabase within
ArcCatalog. More information can be found using the keywords “importing data geodatabase” in
ArcGIS Desktop Help.
Open ArcCatalog and navigate to the location where you want to store your data in the file tree. 1.
Right-click on the folder where you want the geodatabase to be stored. 2.
Navigate to New > Personal Geodatabase in the popup menu. 3.
5.1.2 Upgrading$a$preexisting$geodatabase$
This version of DSAS (4.4) is compatible with ArcGIS 10 only. Each ArcGIS version includes
updates and improved geodatabase capabilities. Geodatabases created in earlier versions of ArcGIS
must be upgraded to the current version. For example, a geodatabase created in ArcGIS 9x must be
upgraded before using the data in ArcGIS 10.5. This can be done in ArcCatalog by right-clicking on the
geodatabase, selecting Properties from the pop-up menu, and clicking on the Upgrade Geodatabase
button as illustrated in figure 6 (this will also inform you of version status of the geodatabase). You

11
may also choose to create a new geodatabase in the current version of ArcGIS and copy existing
features from the preexisting geodatabase.
Figure$6.$The database-properties window provides information on the status of the geodatabase version. If a
geodatabase is viewed from a previous version of ArcGIS, this window will provide the option to upgrade to the
current version. DSAS requires that the geodatabase match the current version of ArcGIS (v.10.5).
5.2 Shorelines$
This section provides guidelines on collecting shoreline data and lists the necessary attribute
fields users must create in the shoreline feature class. All shoreline data must reside in a single feature
class within a personal geodatabase. If the shorelines are collected as shapefiles, they must be appended
to a single file and then imported into a geodatabase within ArcCatalog. DSAS also requires that the
feature class be in meter units in a projected coordinate system and meet the attribute field requirements
described in section 5.2.3 below.

12
5.2.1 Tips$for$collecting$shoreline$data$
Shoreline positions can reference several different features such as the vegetation line, the high
water line, the low water line, or the wet/dry line. They can be digitized from a variety of sources (for
example, satellite imagery, digital orthophotos, historical coastal-survey maps), collected by global-
positioning-system field surveys, or extracted from lidar surveys. It is strongly recommended that
initial data-preparation steps be taken to reference all shoreline vectors to the same feature (for example,
mean high water) before using DSAS to compute change statistics. See appendix 2 for one example of
how to reconcile horizontal offsets between shorelines.
Each shoreline vector represents a specific position in time and must be assigned a date in the
shoreline feature-class attribute table. The measurement transects that are cast by DSAS from the
baseline will intersect the shoreline vectors. The points of intersection provide location and time
information used to calculate rates of change. The distances from the baseline to each intersection point
along a transect (fig. 7) are used to compute the selected statistics.
Figure$7. The distance from the baseline to each measurement point is used in conjunction with the
corresponding shoreline date to compute the change-rate statistics.
The calculated rates of change provided by DSAS are only as reliable as the shoreline data. To
better quantify the statistical reliability of the computed rates, users must account for measurement and
13
sampling errors when compiling each shoreline position (Anders and Byrnes, 1991; Crowell and others,
1991; Thieler and Danforth 1994; and Moore 2000). Users have the option of specifying for each
shoreline an overall uncertainty value, which should account for both positional and measurement
uncertainties. Refer to Morton and others, 2004; Morton and Miller, 2005; Hapke and others, 2006; and
Hapke and Reid, 2007 for examples of how to calculate an overall shoreline uncertainty. The shoreline
uncertainty will be incorporated into the calculations for the standard error, correlation coefficient, and
confidence intervals, which are provided for the simple and weighted linear regression methods. For
any shoreline vectors assigned a value of zero or null, DSAS will use the value specified by the user in
the Set Default parameters window. Please refer to section 6.1.2 for more information.
5.2.2 Appending$shorelines$
All shoreline positions that are to be used in the change-rate analysis must reside in a single
feature class in the geodatabase. Once the shoreline data have been combined, the selection tools in
ArcMap can be used to calculate change statistics on subsets of the entire dataset. See section 6.7 for
more information. The steps below describe how to append multiple feature classes into a single feature
class in a geodatabase.
1. Confirm that all shoreline files have the same spatial reference and that the required shoreline
attribute fields have been created and populated with data. For example, use caution when
combining shorelines if the date field is not complete.
2. In order to append all input shorelines to a single existing file, the target file must already exist.
Make a copy of the file to which you wish to append all other shoreline data (fig. 8) and rename
the copy to indicate that it will contain the combined shorelines (fig. 9).

14
Figure$8. To make a copy of an existing shoreline, right-click on the feature class in the ArcCatalog file tree.
Choose Copy from the popup window. Right-click on the geodatabase and choose Paste to specify where the
copy should be placed. These actions will generate the window depicted in figure 9.
Figure$9. The Data Transfer window will appear once the copied feature class has been pasted into the
geodatabase. Choose a Target Name to indicate that this copy will represent the feature class to which all other
shoreline data will be appended.
3. Open the Append tool from ArcToolbox (Data Management Tools > General > Append).
4. Add all of the shoreline feature classes (except for the copied shoreline file that you are
appending to) to the input features list in the Append window. This tool can be used on feature
Rename the Target

15
classes in a geodatabase as illustrated but can also be used to append data from multiple
shapefiles.
5. Designate the copied dataset (fig. 9) as the target.
DSAS also requires that the feature class be in meter units in a projected coordinate system (for
more information, please refer to the ArcGIS Desktop Help: About Projected Coordinate Systems) and
have the following attribute fields:
5.2.3 Shoreline$attribute$field$requirements$
Field name
Data type
OBJECTID
Object ID
Auto-generated
SHAPE
Geometry
Auto-generated
SHAPE_Length
Double
Auto-generated
DATE_
Text
User-created
Length = 10 or
Length = 22
UNCERTAINTY
Any numeric field
User- created
DATE_
This field is required but not name-specific (meaning you can use something other
than “Date_” as the field name). A length of 10 is used for shoreline change
spanning days, months or years, and dates are set up as mm/dd/yyyy. In the
sample data provided, the default when month and day are unknown is July 1st
(07/01).
A length of 22 is used for shoreline data spanning different hours within the same
day and will have dates set up as mm/dd/yyyy hh:mm:ss (using either 24-hour
time or AM/PM).
UNCERTAINTY
This field is required but not name-specific (meaning you can use something other
than “Uncertainty” as the field name). The calculated rates of change provided by
DSAS are only as reliable as the measurement and sampling errors that the user
must account for when compiling each shoreline position (Anders and Byrnes,
1991; Crowell and others, 1991; Thieler and Danforth, 1994; and Moore, 2000).
Different measurement uncertainties can be provided for each shoreline segment.
The uncertainty value should ideally account both for positional uncertainties
associated with natural influences over the shoreline position (wind, waves, tides)
and measurement uncertainties (for example, digitization or global-positioning-
system errors). For any shoreline vectors assigned a value of zero or null, DSAS
will use the value specified by the user in the Set Default parameters window
(described in section 6.1.2 below).
16
5.3 Baseline$
This section provides guidelines on proper baseline construction and lists the necessary attribute
fields users must create within the baseline feature class. DSAS uses a measurement baseline method
(Leatherman and Clow, 1983) to calculate rate-of-change statistics for a time series of shorelines. The
baseline is constructed by the user and serves as the starting point for all transects cast by the DSAS
application. The transects intersect each shoreline at the measurement points used to calculate
shoreline-change rates.
Checklist of baseline requirements
1. Must be a feature class within a personal geodatabase.
2. Must be in a projected coordinate system in meter units.
3. May consist of a single line or be a collection of segments.
4. Each baseline segment must be placed entirely onshore or offshore with respect to the
shorelines.
5. Must meet the attribute field requirements described in section 5.3.2 below.
5.3.1 Tips$for$constructing$a$baseline$
The baseline should be established adjacent to the series of shoreline positions. Transects will be
cast perpendicular to this baseline (at a user-defined spacing) and intersect the shorelines to establish
measurement points. The orientation of the transect through the shorelines is highly dependent on the
position of the baseline (fig. 10). Users must consider the appropriate scale at which the baseline should
conform to changes in the combined orientation of the shoreline positions. The recommended position
for transects is perpendicular to the general trend of the shorelines so that shoreline change rates
describe the area immediately seaward of the current shoreline.

17
Figure$10. Every transect cast from the baseline by DSAS establishes a measurement point at each shoreline
intersection. The trend of the baseline with respect to the shorelines influences the locations of the measurement
points established by the transects and used to calculate shoreline-change rates. Both the baseline and the
DSAS-generated transects may be edited or deleted by the user to modify the measurement points before
calculating rates.
There are three ways to create a baseline:
1. Start with a new feature class.
2. Buffer an existing shoreline.
3. Use a preexisting baseline.
Approach one: Start with a new feature class
Create a new personal geodatabase in ArcCatalog by right-clicking on the destination folder in the
file tree and choosing New > Personal Geodatabase. Once you have a geodatabase, right-click on it and
choose New > Feature class. Provide a name (for example, baseline) and choose Line Features from the
dropdown menu under Type of features stored in this feature class. Click the Next button and define the
coordinate system. Note: DSAS requires data to be in a projected coordinate system using meter units.
Once your baseline feature class is created, you can add it to an ArcMap project. Begin an edit
session with the target being set to the new baseline feature class. Manually draw and edit the line using
standard ArcMap editor tools. Refer to the ArcGIS Desktop Help menu for further instructions; you can
enter “lines,” “vertices,” or “moving features” as keywords.

18
Approach two: Buffer an existing shoreline
Generate a baseline from an offset of an existing shoreline. Select one of the shoreline segments.
The most landward, if onshore, or most seaward, if offshore, will often work best. Specify a distance
that will place the resulting buffer entirely landward or seaward of all other shoreline positions. Refer to
the ArcGIS Desktop Help menu for more detailed information on how to (1) create a buffer and isolate
it in a separate annotation group from the shoreline feature class, (2) convert the polygon buffer to a
polyline, and (3) split and remove the unwanted segments. Suggested keywords include: “buffering
selected graphics,” “copying features,” “splitting features,” and “polygon to line.”
Approach three: Use a preexisting baseline
DSAS will recognize baselines created for use in previous versions as long as the feature class meets
the field requirements described in section 5.3.2. The baseline may be constructed landward or seaward
of the shorelines, but each baseline segment must be placed with all shorelines to one side (fig. 11). The
baseline location (onshore or offshore) with respect to the shorelines is set by the user in the default
parameters (section 6.1.1). DSAS requires that the proper attributes be set for each baseline segment to
express rates of change as negative (erosion) and positive (accretion) values.
Figure$11.$$The three baseline segments are an example of how to correctly place a combination of onshore
and offshore baselines. Each baseline is placed so that all shoreline data is off to one side.

19
5.3.2 Baseline$attribute$field$requirements$
The attribute field requirements for the baseline provide necessary information to DSAS about
the alongshore order of transects as well as the location of the baseline with respect to the shorelines
(onshore or offshore). This information is incorporated into the calculations so that rate-of-change
statistics properly denote erosion as negative and accretion as positive.
Field name
Data type
OBJECTID
Object ID
Auto-generated
Required
SHAPE (alias: Shape)
Geometry
Auto-generated
Required
SHAPE_Length
(alias: Shape_Leng)
Double
Auto-generated
Required
ID
Long Integer
User-created
Required
Group
Long Integer
User-created
Optional
OFFshore
Short Integer
User-created
Optional
CastDir
Short Integer
User-created
Optional
!
ID
This field is required by DSAS and the name is specific. DSAS uses this value to
determine the ordering sequence of transects when the baseline feature class contains
multiple segments. If you create this attribute field prior to drawing baseline segments,
the ID value defaults to zero. You must edit the attribute table and designate a unique
ID value for each segment of the baseline. DSAS will not cast transects along baseline
segments where the ID value is zero.
Group
This optional field can be used for data-management purposes to aggregate transects on
the basis of physical variations alongshore (for example, tidal inlets, change in coastal
type, or hard stabilization features). Providing a group value will not affect any of the
change statistics provided within DSAS, but if used, a group field will be added to the
transect feature class to facilitate later sorting and analysis of the data.
OFFshore
This field is required if a combination of onshore and offshore baselines is used. The
name of this field is specific, meaning that the field must be called OFFshore and is
case-sensitive. A value of “0” indicates that the baseline segment is onshore or
landward of the input shorelines. A value of “1” indicates that the baseline is offshore
or seaward of the input shorelines.
CastDir
This field is required in conjunction with OFFshore. The name of this field is specific,
meaning the field must be called CastDir, and case sensitive. A value of “0” will result
in transects being cast to the left of the baselineon the basis of the segment flow (flow
from the start vertex of the line segment to the last vertex that the ends line segment).
Similarly, a value of 1 will result in transects being cast towards the right of the baseline
on the basis of the flow direction (fig. 12).

20
Figure$12. The baseline in the example above consists of two segments, one located onshore or landward of
the shorelines (ID=1) the other offshore or seaward of the shorelines (ID=2). The arrows indicate the direction of
“flow” of the baseline, pointing towards the end of the line. When transects are cast, they will begin at the
baseline designated “ID=1” and continue in the sequential order of baseline ID numbers.
21
6 DSAS$Workflow$
Once the required geodatabase and input-feature classes have been created or imported from
shapefiles and all necessary feature classes have been added and properly attributed, the DSAS
Application can be used within ArcMap to establish transect locations and calculate change statistics.
Figure 13 shows a typical DSAS workflow.

22
Figure$13. Diagram illustrating the steps necessary to establish transect locations and compute change-rate
statistics by using the DSAS application.

23
6.1!Set$Default$Parameters$window$
Begin the transect-generation process by selecting your preferred default settings in the Set
Default Parameters window. This window can be accessed from the DSAS toolbar (fig. 14) and
contains three tabs: (1) Cast Transect Settings, (2) Shoreline Calculation Settings, and (3) Metadata
Settings.
Figure$14. Screenshot showing the DSAS Toolbar application. The circled button launches the Set Default
Parameters window.
6.1.1 Cast$Transect$Settings$tab$
The Cast Transect Settings tab (fig. 15) is one of the three components of the default parameters.
These settings manage the placement, length, and spacing of the transects used to establish measurement
points for rate calculations. The available options are described below.
Baseline Parameters
• Baseline layer: Select the baseline layer to be used (for example, the “baseline” feature class
in the sample data). It is one of the required input feature classes within the geodatabase.
• Baseline group field (optional): This field the user may add to the baseline feature class. It
can be used as a data-management field to separate transects based on physical variations
alongshore (for example, at inlet openings). If no value is specified, DSAS will assign all
transects a group value of zero. Group field values will not affect any of the change statistics
provided in DSAS.
• Baseline location: There are three options to choose from: (1) onshore, (2) offshore, or (3)
onshore/offshore combination. Choosing onshore/offshore will require the additional
“OFFShore” and “CastDIR” fields described in section 5.3.2.

24
Figure$15.!!Screenshot showing the DSAS Set Default Parameters window and the Cast Transect Settings tab.!
!
Set Transect Parameters
• Transect Spacing: Enter the desired spacing distance in meters between transects along the
baseline.
• Transect Length: The length of each transect. Users can use the measure tool in ArcMap to
determine the minimum length needed for a transect to extend from the baseline to the
farthest shoreline.
• Cast Direction: By default, DSAS is set to auto-detect the direction by trying to cast
transects along both sides of the first baseline segment until a shoreline intersection is found.

25
If a cast direction is specified, DSAS will orient right and left based on the flow of the first
baseline segment (start vertex to end vertex; see section 5.3.2 and figure 12 for more
information). Note that this is not applicable when the onshore/offshore baseline option is
used.
Figure$16.!!User-specified output parameters include transect spacing and transect length.!
6.1.2 Shoreline$Calculation$Settings$tab$
The Shoreline Calculation Settings tab (fig. 17) is one of the three components of the default
parameters. These settings specify the attribute fields containing the date and shoreline uncertainty
values. The available options are described below.
Shoreline Parameters
• Shoreline Layer: Specify the shoreline layer to be used. All shorelines must reside in a
single feature class. Individual shorelines can be selected from this feature class to compute
shoreline rates-of-change for a subset of the whole dataset. See section 6.7 for more
information.
• Date Field: Specify the field that stores date information. Field requirements are described
in section 5.2.3.
• Uncertainty Field: Select the field storing the positional/measurement uncertainty value.

26
• Default Data Uncertainty: Choose a default uncertainty for any shoreline segments that do
not have a value entered in the designated Uncertainty Field.
Figure$17.!!Screenshot showing the DSAS Set Default Parameters window and the Shoreline Calculation
Settings tab.
Intersection Parameters
• Closest Intersection: Choosing closest intersection instructs DSAS to use the first
transect/shoreline measurement location when calculating change statistics. If the
onshore/onshore baseline option is used, set this based on the first baseline segment
• Farthest Intersection: Choosing farthest intersection instructs DSAS to use the last
transect/shoreline measurement location when calculating change statistics.

27
6.1.3 Metadata$Settings$tab$
DSAS automatically generates FGDC-compliant metadata with minimal user input for the
transect feature class. Metadata generated by DSAS is structured to meet the Federal Geographic Data
Committee (FGDC) Content Standard for Digital Geospatial Metadata (CSDGM) v. 2.0. The metadata
record contains standardized data elements as well as a description of the Process Steps performed by
DSAS to generate the transect feature class and compute change- rate statistics. The Metadata Settings
tab (Figure 18) minimizes the amount of input needed from users by restricting it to standard data
elements (for example, Abstract, Purpose, Contact Information) that are often specific to organizational
users. Metadata is an important component of data integrity and maintenance. Capturing metadata in a
format that meets accepted standards facilitates data distribution, enables replication of work, and
provides automatic recordkeeping of the default settings and calculation parameters used when
generating the transect feature class or computing rate-of-change data.
Figure$18.$$Screenshot showing the DSAS Set Default Parameters dialog box and the Metadata Settings tab.
28
The metadata file is written in XML format to the same geodatabase as the transect feature class.
DSAS captures all of the variables defined by the user in the three tabs of the Set Default Parameters
window on the DSAS Toolbar and automatically adds the bounding coordinates, spatial reference
information, and attribute definitions. Several of the user-specific fields under the Metadata Settings tab
of the Set Default Parameters window require input for DSAS to construct a complete metadata file that
meets the FGDC CSDGM standard. Once a user has entered this information, DSAS will retain it for
all future uses. There are no restrictions on the metadata record after it is generated, so users may
modify the existing file by using a metadata editor of their choice.
The metadata record will be compliant with the FGDC CSDGM v. 2.0 content standard only if the
user provides information for all fields under the Metadata Settings tab. For more information on the
content standard, please visit http://www.fgdc.gov/metadata. See section 9 for more information on
viewing and editing the DSAS-generated metadata file in ArcCatalog.
General Information
• Originator: The individual or organization responsible for creation of the dataset.
• Abstract: Provides background information on the project and study area.
• Purpose: A general description of the shoreline dataset and the intended uses.
Data Update and Access Information
• Update Frequency: Select from dropdown options how often transects will be updated.
• Progress: Choose from dropdown descriptions the appropriate status of the transect dataset.
• Constraints on access: Describe any restrictions or legal prerequisites for using the data.
Contact Information!
• Organization: The name of the organization responsible for the data.
• Person: The individual within the organization who is using DSAS to cast transects.
• Address: Contact information for the organization and/or individual.
6.1.4 Log$File$Output$
At the bottom of the DSAS Set Default Parameters window is an option to generate a log file
(fig. 19). When the DSAS application is used to create a new transect file or to calculate change

29
statistics, a suite of behind-the-scenes data-processing steps take place. These process steps can be
written to a log file for bookkeeping or troubleshooting purposes.
• Regular: Includes basic information about each process step. Useful for bookkeeping
purposes.
• Extended: Includes more detailed information about each process step. Useful for
troubleshooting purposes.
• None: No log file will be generated.
Show Log Location: This button will open a new window to the location where the log file is stored.
DSAS creates a user-specific directory upon install and writes to this location. This was implemented to
avoid potential issues with user permissions in protected folders.
Cancel: Discards any information entered, and closes the Set Default Parameters window.
OK: Sets the entered information as the default parameters.
6.2 Cast$Transects$
In previous versions of DSAS, casting transects and computing rates composed a single process step.
The transect attribute table was used as the output location for computed statistics. In DSAS 4.0 and
above, casting transects and calculating rates are separate process steps. This reduces the processing
time for the construction of the transect feature class and enables users to preview and, if desired, edit
the transect or baseline positions before proceeding to the rate-calculation process.
$
$
$
$
$
$
$
$
$
$
$
$
$
Figure$19.$$Screenshot showing the DSAS Cast Transects
window.
30
Transect Storage Parameters
• Geodatabase: DSAS will automatically select the geodatabase where the input feature
classes (baseline and shoreline) are stored (fig. 19). The user may browse to a different
geodatabase to save the measurement transects if desired. Note that your geodatabase must
match the version of ArcGIS you are using. This can be done in ArcCatalog by right-
clicking on the geodatabase and selecting Properties. Under the General tab, confirm the
Upgrade Status of the geodatabase at the bottom. If the geodatabase needs to be upgraded,
the Upgrade Geodatabase button will be accessible. See section 5.1 for more information on
geodatabases.
• Transect Name: A preexisting set of transects can be selected if it has been added to the
ArcMap project. It will appear as a selectable option in the dropdown menu. A new transect
feature class can be created by entering a name for the file (ESRI conventions do not allow a
feature class filename to begin with a number). Note that if a preexisting transect layer is
selected, DSAS will prompt you before overwriting any existing data.
Set Casting Method
• Simple Baseline Cast: Each simple transect is cast at a 90-degree angle from the baseline
segment at which it originates. Transects are generated at user-specified intervals along the
baselines.
• Smoothed Baseline Cast: This option is used to orient transects along curved sections of
baseline. A supplemental baseline is temporarily created to determine the orientation of the
measurement transect (fig. 20).

31
Figure$20. Illustration of simple and smoothed transect casts.
o Smoothing Distance: The specified length of a supplemental baseline, with the transect
location at the midpoint. The user-specified smoothing value creates a straighter
orthogonal reference for casting transects. Larger values result in a longer reference line
and produce more uniform transect orientations. Instead of transects fanning around a
curve, as in a simple cast, transects will be oriented more parallel to each other. There
will be little to no difference in the orientations of transects along straight sections of
baseline.
• Flip Baseline Orientation: DSAS creates transects sequentially along each segment of
baseline (starting with baseline ID=1). Each baseline segment has a starting-point vertex and
an ending-point vertex that describe the order in which the line segments were drawn. In
some cases, sequential baseline segments may have been digitized in opposite directions
alongshore. Previous versions of DSAS required the user to flip individual baseline segments
so that the flow was in one direction to ensure that transects were numbered in the desired
sequential order. Checking this box allows DSAS to automate that process (fig. 21).
Transect casting order will be determined by the direction described as “start to finish” for
the baseline segment with an ID=1.

32
Figure$21. The illustration above depicts baseline segments constructed in opposite directions. By checking
the box labeled “Flip Baseline Orientation,” the resulting TransOrder numbering sequence would be as shown
above. Baseline ID=2 was automatically flipped to match baseline ID=1; otherwise, transect numbering for the
second baseline would have begun with 7 at the leftmost vertex of baseline ID=2 (that is, at vertex 12 above), and
the values would have increased from left to right.
6.2.1 Using$Select$Features$Tool$(baseline)$
When a specific baseline feature is selected, DSAS will ignore all unselected baseline features when
casting transects (fig. 22).
$
$
$
$
$
$
Figure$22. If a baseline segment is selected when
transects are cast, the resulting transect feature class will
contain transects only for the selected section of baseline,
shown here highlighted in blue.

33
6.2.2 Transect$Feature$Class$Attribute$Fields$
DSAS will generate a new set of measurement transects based on the settings specified by the
user in the Set Default Parameters window. Before casting transects, DSAS will perform a check on
selected defaults to ensure that the user has selected all required elements and that those selected will
not result in a program error. New transects are created by DSAS at user-specified intervals starting
from the baseline. If a preexisting transect feature class is selected, the user will be warned that the
existing file will be overwritten.
The attribute fields generated for the transect feature class by DSAS are described in the table
below:
Field name
Data type
Field purpose
OBJECTID
(aliases: object identifier,
OID, or FID)
Object ID
The object identification field is automatically
created and maintained by ArcGIS. It establishes
a unique ID for each row in the attribute table.
This number is used by DSAS to relate all
shoreline-change result tables with the transects.
Depending on the way in which your file was
created, the field name may be called OID or FID.
SHAPE (alias: Shape)
Geometry
The geometry field is automatically created and
maintained by ArcGIS. It provides a definition of
the feature type (point, line, polygon).
BaselineID
Long Integer
Values in this field are assigned by DSAS to
identify the baseline segment used to generate the
measurement transect. Baseline segments
assigned an ID = 0 are ignored by DSAS and no
transects will be cast along those line segments.
See section 5.3.2 for more information.
Group
Long Integer
Values in this field assigned by DSAS are based
on input by user for grouping transects. Groups
are assigned by DSAS by using the following
logic: if a user selects a baseline-group field as
input, then DSAS will use the group ID provided
by the user for assigning to output transects; if
user does not select a baseline-group field as
input, then DSAS will assign all transects a group
value of zero. This field is used to aggregate
shoreline data and the resulting measurement
locations established by the transects into groups.
Please refer to the baseline field requirements in
section 5.3.2 for more information.

34
TransOrder
Long Integer
Assigned by DSAS on the basis of transect order
along the baseline or baselines. This field
provides the user with a method to sort transect
data from the start of the baseline segment with
an ID=1 and increment sequentially to the end of
the final baseline segment (fig. 21).
Proctime
Text
DSAS automatically records the date and time
each transect was processed.
Autogen
Text
Indicates whether or not a transect was
automatically created by DSAS (1= transect was
auto-generated by DSAS; 0=transect was added
by user).
StartX
Double
Used by DSAS to record the X coordinate of the
beginning of the transect.
StartY
Double
Used by DSAS to record the Y coordinate of the
beginning of the transect.
EndX
Double
Used by DSAS to record the X coordinate of the
end of the transect.
EndY
Double
Used by DSAS to record the Y coordinate of the
end of the transect.
Azimuth
Double
Used to record the azimuth of the transect
measured in degrees clockwise from north.
!
6.3 Modifying$the$Transect$and$Baseline$Feature$Classes$$
Rate-of-change statistics are usually calculated to describe the behavior of the shoreline through
time for the area directly seaward of the current shoreline position. It is therefore important to place
each transect so that it intersects the shorelines at the appropriate location for rate calculations to be
made. It is often difficult to visualize how transects will intersect the shorelines in advance, based on
the position of the user-constructed baseline. Once transects are cast, it is useful to perform a visual
assessment of the transect locations, because they establish the shoreline intersection points used for
statistical computations. After the transect feature class has been created, the user can modify transect
locations by using standard editing options in ArcMap. DSAS 4.0 and above established a topological
relationship between the baseline and transect feature classes to make the editing process more efficient.
Users are still able to edit transects individually but can now adjust the position of the baseline to
generate a localized update of the affected transects (fig. 23). The user is able to preview the updated
transect positions resulting from baseline edits before saving changes in an edit session.

35
Figure$23. Multiple screenshots illustrating the dynamic topological relationship between baseline and transect
feature classes. When the baseline position is modified, the location of the transects is dynamically updated
during the edit session. Users may undo edits or save all changes.
To enforce the dynamic topological relationship between the baseline and transect features
specify the transect feature class as the Transect Layer in the DSAS toolbar (fig. 24) before starting an
edit session.
Figure$24. Screenshot of the DSAS Toolbar where a transect feature class has been specified as the Transect
Layer target. When an edit session is initiated from the ArcMap Editor toolbar, user modifications to the baseline
feature class will result in automated updates to the transect feature class during the edit session.

36
Using this approach, either the baseline or transect feature class can be edited and the topological
relationship between the two will be maintained. For example, if you attempt to move a transect off the
baseline, snapping is enabled and will force the transect to snap to the closest location on the baseline.
If you modify the shape or position of the baseline, the target transect feature class will update. This
update, which obviates the need to regenerate transects after editing a baseline file, is especially useful
in cases where a large number of transects are used. Supported modifications to the baseline include
rotation, vertex edits, splitting, merging, and deletion of line segments (fig. 25). When the dynamic
topological relationship is used, the transect file is updated to reflect new baseline geometry during the
edit session.
Figure$25. The illustration above depicts examples of some of the topological relationships between the
baseline and transect feature classes. Edits to the baseline feature class during an edit session will result in
dynamic updates to the transect file. These changes will also be reflected in the baseline and transect feature
classes attribute tables.

37
6.4 Using$transects$from$previous$versions$of$DSAS$$
Transects from DSAS 3.x can be used in DSAS 4.0 and higher. Prior versions of DSAS
combined the process of generating transects with the process of computing shoreline-change statistics.
As described in section 6.2 above, DSAS 4.0 and higher has separated these into two separate process
steps, allowing the user to generate and preview the transects so that any necessary edits or
modifications can be made prior to running shoreline-change calculations. DSAS 4.4 will recognize
transect feature classes generated by DSAS 3.x when they are added to the ArcMap project if both
accessory tables (transect_Intersect and transect_Distance) have been added to the ArcMap project and
the geodatabase has been upgraded to the current version of ArcMap. For information on how to
upgrade, refer to section 5.1.2. Users should make a backup copy of the original geodatabase prior to
any upgrades. Users may encounter the message shown in figure 26.
Figure$26. Screenshot of warning message that users may encounter when DSAS recognizes transects from
previous versions of DSAS. This message will appear if any of the extraneous fields listed in the message are
detected in the transect feature class attribute table.
Transect feature classes from DSAS 3.x can be edited or otherwise modified by following the
same guidelines and suggested procedures as outlined in the previous section. Preexisting transect
feature classes will not contain the complete FGDC-compliant metadata file that would be generated for
transect feature classes created in DSAS 4.4 (as explained in section 6.1.3). When DSAS 3.x transects
are used to compute change statistics, a process-step description will be added to the metadata file
describing which rate calculations and parameter settings were used. Refer to section 9 for further
information about metadata process steps.
Transects from DSAS 2.x cannot be directly imported to DSAS 4.4; they first must be updated
to DSAS 3.x transects by using the stand-alone conversion utility which can be downloaded at
http://woodshole.er.usgs.gov/project-pages/dsas/Transect_converter/DSAS_convert_transects.zip.

38
6.5 Calculating$Change$Statistics$
Once the transect feature class has been created and all updates or modifications have been made, the
data can be used to compute change statistics. It is recommended that the user review the default
settings established in the Set Default Parameters window prior to computing statistics (see section 6.1).
Select the transect layer from the dropdown menu in the DSAS Toolbar to be used to establish
measurement locations for change-statistics calculations. Then click on the Calculate Change Statistics
process button (fig. 27).
Figure$27. Screenshot of the DSAS toolbar with the Calculate Change Statistics button circled.
Select Statistics to Calculate
Choose from the list the statistical analysis that will be performed (fig. 28). Refer to section 7
for descriptions of each statistic provided with DSAS 4.4.
Figure$28. Screenshot of the Calculate Change Statistics window.

39
Additional Parameters
• Apply shoreline intersection threshold
This option provides users with the ability to establish the minimum number of shorelines a
transect must intersect for it to be included in the selected statistical analysis. For example,
if your data consist of four historic shoreline positions, but there are gaps in coverage
alongshore, you may elect to set the intersection threshold to “4” so any transect that does
not intersect all four shorelines is not included in any of the selected calculations (fig. 28).
The program will skip that transect and move on to the next one. This feature provides a
quality check so that all results are based on a minimum number of shorelines.
Some things to keep in mind when using this feature: Several of the calculations require
only two shoreline positions to run (SCE, NSM, EPR), the remainder of the rate calculations
(LRR, WLR, LMS) require three or more shorelines to successfully compute rates. If an
intersection threshold of 2 is specified and the LRR statistic is computed, there may be
instances where there are not enough data along a transect to compute rates (DSAS will
return a <null> value). If the threshold is set to 4 and the EPR statistic is computed for
example, there may be instances where rate calculations are skipped on transects that contain
enough data (such as the circled transect in fig. 29).
• Confidence Interval
The dropdown menu provides options for commonly used statistical confidence intervals that
apply to certain rate-of-change calculations performed by DSAS (see section 7.6.3 for more
information). Users also have the option of manually entering a desired confidence interval
up to two decimal places. The chosen confidence interval will determine the criteria used for
computing values for some of the supplemental statistics.

40
Figure$29.$$Screenshot of ArcMap project illustrating the transect-shoreline intersection points used in selected
rate-change calculations. The shoreline intersection threshold will compute change statistics only for transects
that intersect the number of shorelines set by the threshold (four in this example). Transects that do not intersect
at least this number of shorelines are ignored.
The Calculation Process
Once the desired calculations have been selected from the Calculate Change Statistics window,
the Calculate button can be clicked to begin the calculation process. Rate calculations are performed by
MATLAB executables bundled within the DSAS installation. Users are not required to have MATLAB
installed on their computer but must install the MATLAB Component Runtime (MCR) library utility
provided on the DSAS website (see section 2 step 4). DSAS generates all required information from
the input baseline, shoreline, and transect files (examples include, distance to each shoreline from the
baseline, the date for each shoreline, the position of the baseline, and group information). The
information is written to an XML formatted file and is sent to each module selected by the user in the
Calculate Change Statistics window.
Threshold
set to 4

41
6.5.1 Statistical$Output$
When the selected calculations have finished processing, the results are returned to DSAS and
are provided in a table. The table will have the same name as the transect file along with a time stamp.
For example, if the transect feature class was named “transects,” the file would be called
“transects_rates_yyyymmdd_hhmmss.dbf.” A process-step description capturing all of the parameters
used during this calculation will also be added to the metadata record for the transect feature class (see
section 9). The time stamp serves as a unique link between the results table and the metadata-process
step that contains details about parameter settings used during computation of the selected statistics. In
addition to the rates table, a new transects_intersects table (with time stamp) is generated when rates are
calculated. The intersect and rates tables can be accessed by switching to the List By Source option at
the top of the ArcMap table of contents window (fig. 30).
Figure$30. Computed rate-of-change statistics (highlighted) and the transect/shoreline intersects are added as
new tables to the ArcMap project; switch to the List By Source option to view the tables. Both tables are named
after the transect feature class with a time stamp appended to the filename. The time stamp is used to link the
intersection points table and the rate calculation results table to the new process-step description added to the
transect metadata file.$

42
6.5.2 How$to$View$Results$Spatially$
$
To display the statistical calculation output spatially in ArcMap, join the statistics table to the
transect feature class by the Transect ID field, which has the same values as the ObjectID field in the
transect feature class. The Join Data window can be accessed from the Options button when either the
transect feature class attribute table or the output table of statistics is viewed (Options > Joins and
Relates > Join). Figure 31 provides an example of how to join data within ArcMap.
Figure$31. Screenshot of Join Data window in ArcMap. The table of statistical results is joined to the transect
feature class by the field they share in common. The values in the TransectID field of the results table are equal
to the object identifier field (ObjectID) in the transect feature class. Completing a join allows the rates to be used
as a value field to change the symbology of the transect feature class.

43
6.6 Clipping$transects$to$the$Shoreline$Change$Envelope$(SCE)$
This is a stand-alone option on the DSAS toolbar, added in version 4.2, which can be performed any
time after change statistics have been run.
Figure$32. Screenshot of the DSAS toolbar with the Clip to Shoreline Change Envelope button circled.
The Clip to Shoreline Change Envelope (SCE) function will create a copy of the original
transects clipped to the SCE extent. The Clip to SCE dialog requires the user to specify which transect
layer is used. A new intersect file is generated (with time stamp) every time rate calculations are run
(prior to DSAS 4.2, the intersect file was overwritten for each run). In addition to the transect-shoreline
intersections used in the rate calculations, the intersect file also contains the information necessary to
clip the data to the SCE extent; a separate SCE calculation is not required for the tool to function (fig
33).
Figure$33. Screenshot of the Clip to Shoreline Change Envelope window with example of required parameters.
The clipping process will create a copy of the specified transect file, cropped to the greatest
extent between shorelines (see Section 7.1 for illustration). Users can then join the rate calculation table
to the clipped transects file (see Section 6.5.2) and modify the symbology to generate a spatial display
of the calculated shoreline change rates (fig 34).

44
Figure$34. The original DSAS transects (left) were clipped to the shoreline change envelope (SCE) and joined
to the rate calculation file (.dbf) to display the calculated end point rates. The combination of the color symbology
and transect length provide two ways to spatially display the shoreline change rates. Longer transects illustrate
areas of greater movement in shoreline position, and the colors indicate ranges of the calculated end point rate.
Together, the two display methods are used to illustrate variations in the rate of shoreline change alongshore.

45
6.7 Using$the$Select$Features$Tool$(shoreline)$
Although DSAS requires that all shoreline data reside within a single feature class, change
statistics can be computed for subsets of the dataset. Users can select specific shorelines interactively
from the map view, directly from the shoreline attribute table, or use the Select By Attributes option
from the main menu in ArcMap. DSAS will ignore all shorelines that are not selected and compute
change statistics for the selected set (fig. 35).
Figure$35. Change statistics and intersect points will be computed only for the selected shorelines highlighted
in blue. All other data will be ignored.

46
7 $Statistics$
Each method used to calculate shoreline rates of change is based on measured differences
between shoreline positions through time. The reported rates are expressed as meters of change along
transects per year. When the user-selected rate-change calculations have finished processing, DSAS
merges the individual module calculations, and the output is made available as a table in ArcMap. The
rate-change statistics provided with DSAS have the standardized field headings listed in the first column
of table 1 below.
NSM
Net Shoreline Movement
SCE
Shoreline Change Envelope
EPR
End Point Rate
ECI
Confidence of End Point Rate
LRR
Linear Regression Rate
LSE
Standard Error of Linear Regression
LCI
Confidence Interval of Linear Regression
LCI95, LCI90
LR2
R-squared of Linear Regression
WLR
Weighted Linear Regression Rate
WSE
Standard Error of Weighted Linear Regression
WCI
Confidence Interval of Weighted Linear Regression
WCI95, WCI90
WR2
R-squared of Linear Regression
LMS
Least Median of Squares
Table 1. Table of standardized field headings provided by DSAS for change calculations. The third column
provides examples illustrating how the user-selected confidence interval is specified.

47
7.1 Shoreline$Change$Envelope$(SCE)$
The shoreline change envelope reports a distance, not a rate. The SCE is the distance between
the shoreline farthest from and closest to the baseline at each transect (fig. 36). This represents the total
change in shoreline movement for all available shoreline positions and is not related to their dates. A
copy of the transect file can be clipped to this span for display purposes (see Section 6.5.3).
Figure$36. In the example above, the shoreline change envelope is the distance between the 2005 and 1963
shorelines of 86.59 meters; this distance is not associated with the age of the shorelines.

48
7.2 Net$Shoreline$Movement$(NSM)$
The net shoreline movement reports a distance, not a rate. The NSM is associated with the dates
of only two shorelines. It reports the distance between the oldest and youngest shorelines for each
transect (fig. 37). This represents the total distance between the oldest and youngest shorelines. (If this
distance is divided by the number of years elapsed between the two shoreline positions, the result is the
End Point Rate described in section 7.3).
Figure$37. In the example above, the net shoreline movement is the distance of 76.03 meters between the
most recent shoreline from 2005 and the oldest shoreline from 1936.

49
7.3 End$Point$Rate$(EPR)$
The end point rate is calculated by dividing the distance of shoreline movement by the time
elapsed between the oldest and the most recent shoreline (fig. 38). The major advantages of the EPR are
the ease of computation and minimal requirement of only two shoreline dates. The major disadvantage
is that in cases where more data are available, the additional information is ignored. Changes in sign
(for example, accretion to erosion), magnitude, or cyclical trends may be missed (Crowell and others,
1997; Dolan and others, 1991).
Figure$38.$ In the example above, the end point rate of 1.09 meters per year is the distance between the 2005
and 1936 shorelines (76.03 meters) divided by the span of time elapsed between the two shoreline positions
(69.82 years). All other shoreline data are ignored in this computation.
50
7.4 Linear$Regression$(LRR)$
A linear regression rate-of-change statistic can be determined by fitting a least-squares
regression line to all shoreline points for a particular transect (fig. 39). The regression line is placed so
that the sum of the squared residuals (determined by squaring the offset distance of each data point from
the regression line and adding the squared residuals together) is minimized. The linear regression rate is
the slope of the line. The method of linear regression includes these features: (1) All the data are used,
regardless of changes in trend or accuracy, (2) The method is purely computational, (3) The calculation
is based on accepted statistical concepts, and (4) The method is easy to employ (Dolan and others,
1991). However, the linear regression method is susceptible to outlier effects and also tends to
underestimate the rate of change relative to other statistics, such as EPR (Dolan, and others, 1991; Genz
and others, 2007). In conjunction with the linear regression rate, the standard error of the estimate
(LSE), the standard error of the slope with user-selected confidence interval (LCI), and the R-squared
value (LR2) are reported (section 7.6).

51
Figure$39. In the example above, the linear regression rate was determined by plotting the shoreline positions
with respect to time and calculating the linear regression equation of y = 1.34x – 2587.4. The slope of the
equation describing the line is the rate (1.34 m/yr).
52
7.5 Weighted$Linear$Regression$(WLR)$
In a weighted linear regression, more reliable data are given greater emphasis or weight towards
determining a best-fit line (fig. 40). In the computation of rate-of-change statistics for shorelines,
greater emphasis is placed on data points for which the position uncertainty is smaller. The weight (w)
is defined as a function of the variance in the uncertainty of the measurement (e) (Genz and others,
2007):
w = 1/ (e2) (1)
where
e = shoreline uncertainty value
The uncertainty field of the shoreline feature class is used to calculate a weight. In conjunction with the
weighted linear regression rate, the standard error of the estimate (WSE), the standard error of the slope
with user-selected confidence interval (WCI), and the R-squared value (WR2) are reported (see section
7.6).

53
Figure$40.$$In the example above, the weighted linear regression rate was determined by plotting the shoreline
positions with respect to time; these data are exactly the same as in the linear regression example (fig. 42). The
shoreline measurement points with smaller positional-uncertainty values had more influence in the regression
calculation because of the weighting component in the algorithm. The slope of the regression line is the rate
(1.14 m/yr).

54
7.6 Supplemental$Statistics$
New to DSAS 4.4, the end point rate (EPR) now includes a computation of the uncertainty
associated with the calculation. The standard error, correlation coefficient, and confidence interval are
computed for the two linear regression methods (LRR and WLR). These additional statistics provide
information that is helpful in assessing the robustness of the computed regression rates.
7.6.1 Confidence$of$End$Point$Rate$(ECI)$
The shoreline uncertainties for the two positions used in the end point calculation are each
squared, then added together (summation of squares). The square root of the summation of squares is
divided by the number of years between the two shorelines.
𝑬𝑪𝑰 =!(𝒖𝒏𝒄𝒚!𝑨)𝟐!(𝒖𝒏𝒄𝒚!𝑩)𝟐
𝒅𝒂𝒕𝒆!𝑨!𝒅𝒂𝒕𝒆!𝑩 (2)
where
uncy A = uncertainty from attribute field of shoreline A,
uncy B = uncertainty from attribute field of shoreline B,
date A = date of shoreline A,
date B = date of shoreline B.
The uncertainty value is determined from the designated attribute field in the shoreline feature
class assigned by the user in the default parameters. If no uncertainty is provided in the attribute field,
the default value (specified by the user in the default parameters) is used. The result of this calculation is
reported as the confidence of the end point rate calculation (ECI).
7.6.2 Standard$Error$of$the$Estimate$(LSE$and$WSE)$
The predicted (or estimated) values of y (the distance from baseline) are computed for each
shoreline point by using the values of x (the shoreline date) and solving the equation for the best-fit
regression line:
𝒚!=!𝒎𝒙!+𝒃 (3)

55
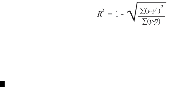
where
y = predicted distance from baseline,
m = slope (the rate of change),
b = y-intercept (where the line crosses the y-axis).
The standard error of the estimate measures the accuracy of the predicted values of y by comparing
them to known values from the shoreline point data. It is defined as (LSE for ordinary linear regression
and WSE for weighted linear regression):
(𝒚!𝒚!)𝟐
𝒏!𝟐 (4)
where
y = known distance from baseline for a shoreline data point,
y = predicted value based on the equation of the best-fit regression line,
n-2 = number of degrees of freedom.
The total number of shoreline points (n) along the DSAS transect is subtracted by 2 because 2 of the
parameters in the regression line are being estimated (the slope and the intercept). The predicted y-
values are subtracted from the known y-values to compute the residuals (y-y). The residual is squared,
and then the squared residuals (for each shoreline point) are added (along the DSAS transect) to get the
sum of the squares of the residuals (which is the numerator in the equation above). This sum is divided
by the number of degrees of freedom, and then the square root of the quotient is taken to compute the
standard error of the estimate. The standard error of the estimate assesses the accuracy of the best-fit
regression line in predicting the position of a shoreline for a given point in time (fig 41).

56
Figure$41. The equation describing the best-fit regression line (dashed line in figure) is used to predict values
(y) at given dates (x). The residuals (actual values of y minus predicted values of y) are illustrated by the arrows
and used to compute the standard error of the estimate (LSE). The standard error evaluates the accuracy of the
best-fit regression line in predicting the position of a shoreline for a specific date.

57
7.6.3 Standard$Error$of$the$Slope$with$Confidence$Interval$(LCI$and$WCI)$
The standard error of the slope with confidence interval (LCI for ordinary linear regression and
WCI for weighted linear regression) describes the uncertainty of the reported rate. Users may choose
one of the following confidence levels from the drop-down menu: 68.3, 90, 95, 95.5 or 99.7 percent or
manually enter a value up to two decimal places (section 6.5 and fig. 28). The LRR and WLR rates are
determined by a best-fit regression line through the sample data. The slope of this line is the reported
rate of change (in meters/year). The confidence interval (LCI or WCI) is calculated by multiplying the
standard error (also called the standard deviation) of the slope by the two-tailed test statistic at the user-
specified confidence percentage (Zar, 1999).
In the example illustrated in figure 42, the reported LRR is 1.34 m/yr and the 95 percent
confidence interval (LCI95) is 0.50. The band of confidence around the reported rate-of-change is 1.34
+/- 0.50. In other words, you can be 95 percent confident that the true rate of change is between 0.84
and 1.84 m/yr. This leaves a 5 percent chance that the true line is outside those boundaries. Note that
this is not the same as saying that the band of confidence contains 95 percent of the data points, and that
some data points will fall outside the interval boundaries.
Figure$42. In the example above, the yellow-shaded region illustrates the 95 percent confidence band for the
position of the best-fit regression line (black dashed line).

58
7.6.4 RXsquared$(LR2$and$WR2)$
The R-squared statistic, or coefficient of determination, is the percentage of variance in the data
that is explained by a regression. It is a dimensionless index that ranges from 1.0 to 0.0 and measures
how successfully the best-fit line accounts for variation in the data. In other words, it reflects the linear
relationship between shoreline points along a given DSAS transect. It is defined as:
(4)
where
R2 = coefficient of determination,
y = known distance from baseline for a shoreline data point,
y = predicted value based on the equation of the best-fit regression line,
= mean of the known shoreline data points.
The R-squared value quantifies the proportion of the variability in the dependent variable y that is
explained by the regression model through the independent variable x. The smaller the variability of the
residual values around the regression line relative to the overall variability, the better the prediction.
• R2 values close to 1.0 imply that the best-fit line explains most of the variation in the
dependent variable. If x and y are perfectly related, there is no residual variance and the
ratio of variance would be 1.0.
• R2 values close to 0.0 imply that the best-fit line explains little of the variation in the
dependent variable, and may not be a useful model. If there is no relationship between
the x and y variables, then the ratio of the residual variability of the y variable to the
original variance is equal to 0.0.
59
7.7 Least$Median$of$Squares$(LMS)$
In ordinary and weighted least-squares regression, the best-fit line is placed through the points in
such a way as to minimize the sum of the squared residuals. In the linear regression method, the sample
data are used to calculate a mean offset, and the equation for the line is determined by minimizing this
value so that the input points are positioned as close to the regression line as possible. In the least
median of squares method the median value of the squared residuals is used instead of the mean to
determine the best-fit equation for the line. This method is a more robust regression estimator that
minimizes the influence of an anomalous outlier on the overall regression equation. In DSAS, the
process of fitting the line to the data points follows the same logic as the LRR method. LMS is
determined by an iterative process that calculates all possible values of slope (the rate of change) within
a restricted range of angles by following an approach described in Rousseeuw and Leroy (1987).
For each of the input angles (iteration 1 uses -89° to 89°), the slope of the angle and the known x
values (the dates from shoreline points) are used to calculate a y-intercept. These values determine the
regression-line equation, which is then used to calculate predicted y-values (the distance from baseline)
for each date. The residual (which is the offset between the known y-values from the sample data and
the predicted values) is squared; this is also known as the squared residual. The median of the squared
residuals is then calculated and saved; it is referred to as the offset for the iteration along with the slope
and y-intercept. The first round of iterations progresses at increments of 1° (89° to 88° to 87°). When
complete, the stored values are compared, and the minimum offset is determined (for example, at an
angle of 56°). The second round of iterations progresses at tenths of a degree (56.1° to 56.2° to 56.3°).
The minimum offset of this iteration is determined and compared with the minimum from the first
round (to continue with the example, assume the minimum was at an angle of 56.1°). This process
continues (the third round of iterations progresses at hundredths of a degree) until the difference
between the minimal offset value between successive rounds is negligible according to the laws of
significant figures. Once a minimum offset has been identified, the slope of the corresponding best-fit
regression line is returned as the LMS value.
To better illustrate the difference between linear regression and the least median of squares, a
side-by-side comparison of the returned slopes (rates) is illustrated in figure 43. In ordinary linear
regression, each input data point has an equal influence on the determination of the best-fit regression
line. The offset of each point (residual) is squared and these squares are added. In the least-median-of-

60
squares method, the offsets are squared and the median value is selected. This reduces the influence of
shoreline data points with larger offsets (residuals) on the best-fit regression line.
Figure$43.$$In the example above, the least median of squares rate is compared with the linear regression rate.
The main difference between the two methods is the way in which the residuals are used to determine a best-fit
regression line. In linear regression, the residuals are squared and then added. The equation for the line that
minimizes the sums of the squared residuals is returned as the best-fit regression. In the least median of squares
method, minimizing the median value of the sum of the squared residuals determines the best fit. The least
median of squares process is less influenced by outliers in the data. (For example, compare the 1936 shoreline
point residuals for each method.) Note that in the above example, the rate reported to DSAS for the least median
squares regression would be rounded to 1.49 m/yr to account for significant figures.
61
8 External$Module$Interfacing
All statistical computations performed by DSAS are implemented by using an external module
included in the DSAS distribution. This design allows programmers to develop their own calculation
modules for use in DSAS. All modules must be in the form of a file recognized as an executable by the
Windows operating system. These can either be binary executables (typically distinguished by their .exe
file extension) or any file with a registered handler that will execute it, such as Python files with .py
extension, Perl files with .pl and so on. Module authors should note that Python is installed as part of
the ESRI ArcGIS platform and may generally be assumed to be available. As described below, the
freely available MATLAB runtime library is required by the default module distributed with DSAS
(DSASCore).
The code for the statistics calculated by DSAS was written in MATLAB and then compiled into
a Windows binary executable file for distribution. As such, it makes calls to MATLAB runtime
libraries that are freely available and must be downloaded and installed separately. A full install of
MATLAB software is not required. (See section 2 for more information.) When a user selects the
Calculate Statistics button from the DSAS toolbar, DSAS searches the calc folder within the user-
specified directory in which DSAS was installed (for example,
C:\Users\username\AppData\Roaming\USGS\DSAS\calc) for the following files:
[module_name].calc. [file_extension]
[module_name].info.xml
As an example, the module distributed by DSAS is called DSASCore.calc.exe, where
[module_name] = DSASCore
[file_extension] = exe
The first file, [module_name].calc.[file_extension], is the executable file that performs the desired
computations.
The second file, [module_name].info.xml provides a list of the fields that will be generated as a result
of the module’s computations as well as the category information DSAS uses to organize and populate
the list of selectable statistics in the DSAS calculate statistic window.
62
When a selection of statistics is made by the user and the calculations are run, DSAS executes any
calc files that contain user-selected calculations, and then passes the transect measurement data and
output file parameters to each module (see the Module Calc File section below for more information).
When a module completes execution, DSAS appends the fields computed by the module to a rate output
table with a name of the form: [transect_layer_name]_rates_[YYYYMMDD_hhmmss]. Where:
[transect_layer_name] is the target transect file in the DSAS toolbar when the calculation process
began.
Programmer Notes:
• Any module with parallel="No" designation will be run serially. Modules that access libraries that
are not thread-safe should be run serially.
• If a module output contains fields that already exist in the transect layer, the user is warned and
given an option to overwrite or discard the results.
• Any field that does not have a category will not be shown on the graphical user interface but can be
calculated by the module and populated into the transect layer.
• Modules should open data files as read-only to prevent contention between multiple modules
accessing the input data.
8.1 Module$Calc$File$
DSAS passes input data to each user-selected calculation with several command-line parameters.
For example
DSASCore.calc.exe –e –d “../data/20080315_130442. [source_transect_layer_name].in.xml” –o
“../data/20080315_130442.EPR_WLR.out.xml” –c “EPR,WLR”
where
DSASCore.calc.exe is the name of the calculation module DSAS executes to calculate the selected
statistics (EPR, and WLR in above example),
“../data/20080315_130442. [source_transect_layer_name].in.xml” is the DSAS-generated input
file containing measurement-position information established by the transects,
63
“../data/20080315_130442.EPR_WLR.out.xml” is the output file generated by the module. DSAS
will pull computational results from this file to populate the report table in ArcMap,
Execute (-e switch) indicates that the module should execute the calculations necessary for the
separately specified statistics. As of DSAS 4.0, the module should do nothing if this switch is not
provided (that is, if no other operational modes are available),
Data file (-d) switch is the name of the data file (either fully qualified or qualified relative to the
location of the module). Module should open the file in read-only mode,
Output file (-o switch) is the name of the data file (either fully qualified or qualified relative to the
location of the module to which the output is written. Module should overwrite the file if exists,
Calculations (-c switch) is the comma-separated list of the names of statistics that the module needs
to calculate. These names correspond to the short names listed in the info file for the module
(excluding the parameter expressions in curly braces). Unrecognized names should be skipped. If a
name is associated with multiple values, all such values should be calculated.
Modules should exhibit the following characteristics for correct execution and integration by DSAS:
• A module should not include user prompts because it will be run by DSAS without the user ever
seeing the prompt.
• A module should always output a well-formed and valid XML file even when inputs are unexpected
or when errors occur.
• A module should be able to accept input file values that are very large.
It is also recommended, but not required, that modules exhibit other best characteristics for efficient
operation:
• A module should use XML libraries available for the local software platform to read and write XML
files; the use of XML libraries will minimize compatibility issues especially for module authors that
are not very familiar with XML.
• A module should read only the values that it will need in computations.
• A module should use a streaming reader and keep in memory only the values required for current
and future computations. For example, most statistics require no more than the intersect information
for one transect at a time. The module can perform calculations as it reads through the input file and
can write results to the output file. Loading all data into memory may slow down module operation
significantly for large data sets and/or workstations that have limited resources.

64
8.2 Module$Info$File$
Each DSAS module should be accompanied by an “info” file in XML format that describes the
capabilities of the module. The naming convention for the info file is [module_name].info.xml. As an
example, a module DSASCore.calc.exe would have a file called DSASCore.info.xml as its info file.
A sample info file might look like this:
<?xml version="1.0" encoding="utf-8" standalone="yes"?>
<DSAS_CALCULATIONS dynamic="No" parallel="Yes">
<FIELD name="SCE" alias="Shoreline Change Envelope" type="Double" length=""category="Distance Measurement"/>
<FIELD name="NSM" alias="Net Shoreline Movement" type="Double" length="" category="Distance Measurement"/>
<FIELD name="EPR" alias="End Point Rate" type="Double" length="" category="Point Change"/>
<FIELD name="LRR" alias="Linear Regression Rate" type="Double" length="" category="Regression Statistics"/>
<FIELD name="LR2" alias="R-squared LRR" type="Double" length=""/>
<FIELD name="LSE" alias="Standard Error LRR" type="Double" length=""/>
<FIELD name="LCI{CI}" alias="Confidence Interval LRR" type="Double" length=""/>
<FIELD name="WLR" alias="Weighted Linear Regression" type="Double" length="" category="Regression Statistics"/>
<FIELD name="WR2" alias="R-squared WLR" type="Double" length=""/>
<FIELD name="WSE" alias="Standard Error WLR" type="Double" length=""/>
<FIELD name="WCI{CI}" alias="Confidence Interval WLR" type="Double" length=""/>
<FIELD name="LMS" alias="Least Median of Squares" type="Double" length="" category="Advanced Statistics"/>
</DSAS_CALCULATIONS>
DSAS_CALCULATIONS: Top-level element with attributes that apply to the entire module.
dynamic: Reserved for future use.
parallel: Yes or No.
o “Yes” indicates that the module may be run by DSAS in parallel with any other without
conflicts.
o “No” indicates that the module would conflict with at least one other module and must be
run serially (that is, as the only running module). All other conflicting modules must then
also be marked as “No.”
FIELD: This element is required for each value that a module calculates for inclusion in the transect
rate output table.
name: Abbreviated name for the field (typically the name to be used when the column is added to
the transect rate output table). Known parameters (such as CI, Confidence Interval) may be used as
part of the name with curly braces. For example, LCI{CI} with CI=99.9 means that the table
column will be named LCI99_9. Nonalphanumeric characters are replaced by an underscore.

65
alias: A descriptive name for the field. This name will be used by DSAS when the program displays
the Calculate Statistics window.
type: Field data type. Currently only the data type designated “double” is supported.
length: Field data-type length. Reserved for future use.
category: The category under which the field should be listed. If no category is specified, the field
will not be listed but may still be calculated by the module and will be considered dependent on the
last field before it that has a category specified. This is typical for statistics that calculate multiple
related values; module authors may opt to display only the primary statistic and let the user turn on
or off all related computations relating to the primary statistic.
8.3 Module$Input$File$
The module input file is generated by DSAS and is passed as a command-line argument to each
module. Input files are in XML format. Modules are required to open this file as read-only to avoid
conflicts with other modules that might be accessing the file simultaneously.
A sample input file might look like this:
<DSAS_OUT>
<Header>
<CI>99.8</CI>
</Header>
<IntersectTable>
<IntersectList>
<Intersect>
<TransectID>2</TransectID>
<BaselineID>1</BaselineID>
<BaselineDistance>50</BaselineDistance>
<TotalCumulativeDistance>50</TotalCumulativeDistance>
<Group>2</Group>
<GroupDistance>50</GroupDistance>
<Date>1936.10677846127</Date>
<DistanceToBaseline>116.17</DistanceToBaseline>
<MeasurementUncertainty>5</MeasurementUncertainty>
<Bias>NaN</Bias>
<BiasUncertainty>NaN</BiasUncertainty>
<X>684211.5</X>
<Y>2028794.27</Y>
</Intersect>
<Intersect>
…
</Intersect>
...
</IntersectList>
</IntersectTable>
</DSAS_OUT>
66
The following is a list of variable definitions for the sample input file.
DSAS_OUT: Top-level element containing all shoreline measurement output from DSAS (that can be
used as input to individual modules).
Header: Element that contains general information and/or parameters.
CI: User-selected confidence interval expressed as a percentage.
IntersectTable: Information related to intersections between transects and shorelines.
IntersectList: Element containing the list of intersections.
Intersect: Element containing information about a single intersect. This element is repeated for each
intersection between transects and shorelines (except those eliminated for not meeting the intersect
threshold set on the DSAS user interface).
TransectID: Permanent and unique identification number for each transect. This element can always
be used as the link to a table of statistics, even if the transects are updated or modified at a later date.
Note that these numbers may not increment sequentially alongshore (see transects 5, 11 and 6 in figure
35); however they will be sorted geographically alongshore in table. Corresponds to ObjectID/FID field
in ArcGIS attribute table.
BaselineID: Each baseline needs a unique number which increments sequentially alongshore. This
number is provided by the user. DSAS ignores baseline segments numbered “ID=0” when casting
transects.
BaselineDistance: Cumulative alongshore distance from start of baseline to transect. Distance
measurement starts over for each baseline segment.
TotalCumulativeDistance: Cumulative distance from start of first baseline, to the current transect. The
distance across any gaps between adjacent baselines is measured from transect to transect. Dangling
segments of baseline are ignored; see transects 7-8 in figure 44.
Group: Group identification. Baselines may be grouped into a combination of onshore and offshore
features (fig. 35).
GroupDistance: Cumulative alongshore distance of transect from start of first baseline for group. (See
transects 4-5 in figure 44). Distance measurement starts over for each group.
Date: Date of transect-shoreline measurement point. Output for each transect is sorted by date.
Assigned date format for shoreline feature classes is mm/dd/yyyy or mm/dd/yyyy hh:mm:ss. If
mm/dd/yyyy is specified, DSAS assumes noon for a time component; otherwise it takes what has been
given. The date is then converted to decimal years by using 365.242199 days per year which
normalizes the date to account for leap years. The decimal date is provided as output to the calculation
modules.

67
DistanceToBaseline: Distance between baseline and measurement location along the transect. The
distance values for each measurement position are used to compute the rates of shoreline change in the
core-statistics module provided by DSAS. Offshore baselines are assigned negative distance values
onshore baselines positive values so that the result indicates (+) accretion or (-) erosion of the shore.
MeasurementUncertainty: The positional uncertainty of DistanceToBaseline based on the user-
assigned value pulled from the shoreline attribute table, or if null, assigned by the user in the Set Default
Parameters window. This value will be interpolated based on input data for the lidar shoreline route.
Bias: The proxy-datum bias or the calculated horizontal offset between the two proxy-datum shorelines
(for example, lidar tidal-based operational mean high water shorelines and air-photo derived high water
line shorelines). This value is interpolated based on input data for lidar shorelines. The bias is used to
apply a unidirectional shift to its associated measurement locations to correct for differences in shoreline
proxies (Ruggiero and List, 2009).
BiasUncertainty: The estimated uncertainty of the proxy-datum bias. This is interpolated based on
input data for the lidar shoreline route.
X: The x-coordinate of the measurement position (the intersection of the shoreline and transect). Units
are based on the coordinate system in use.
Y: The y-coordinate of the measurement position (the intersection of the shoreline and transect). Units
are based on the coordinate system in use.
Figure$44.$ Illustration of group rules and baseline distance measurements.
68
8.4 Module$Output$File$
The module output file is generated after a module is executed by DSAS. Output files are in XML
format. Typically, the output file returns the calculated results for each transect and DSAS puts this
information in the results table in ArcMap. A sample output file might look like this:
<DSAS_IN>
<TransectTable>
<TransectList>
<Transect>
<TransectID>2</TransectID>
<SCE>68.63</SCE>
<LRR>NaN</LRR>
…
</Transect>
…
</TransectList>
</TransectTable>
</DSAS_IN>
The following is a list of variable definitions for the sample output file.
DSAS_IN: Top-level element containing all module results to be returned to DSAS (all output from
module).
TransectTable: Information related to transects.
TransectList: Element containing the list of transects.
Transect: Element containing information about a single transect. This element is repeated for each
transect that was included in the corresponding module input file.
TransectID: The unique identifier for the transect.
Other elements under Transect: Each element contains a value calculated by the module. Null values
should be represented by the sequence “NaN.” The name of the element is used as a column name in the
table generated by DSAS, should only consist of alphanumeric and underscore characters and be no
longer than eight characters.
69
9 Metadata$
Generating complete metadata is an important component of data integrity and maintenance.
Unfortunately, it is often not a priority, and incomplete metadata documentation is fairly common.
DSAS 4.0 and higher have been updated so that metadata are generated automatically when transect
files are created and when calculations are performed. A tab within the Set Default Parameters window
(see section 6.1.3) allows users to input a few essential components of the metadata information. The
metadata interface is simple, requiring only input of basic information often specific to individual
organizations. DSAS takes these user-input variables, captures processing-step descriptions and basic
dataset information (such as bounding coordinates, attributes, and spatial reference information), and
includes it in the transect feature class metadata file when transects are cast. Whenever the transects are
used to calculate statistics, a process step is added to the transect metadata file that can be linked to the
resulting rates table by the process time stamp. This step provides automated recordkeeping of
calculation parameters and defaults used when generating the data. The resulting metadata record is
compliant with the Federal Geospatial Data Committee (FGDC) Content Standard for Digital
Geospatial Metadata CSDGM v. 2.0 (as long as all user-input fields are populated prior to casting
transects) and is stored in the geodatabase with the output transect feature classes.
9.1 Configuring$ArcGIS$to$view$DSASXgenerated$metadata$
Metadata written in ArcGIS 9.0 to 9.3 was based on the FGDC CSDGM format. In ArcGIS 10,
ESRI has moved to a metadata format that more closely follows the International Organization for
Standardization (ISO) 19115 standard (Geographic Information Metadata). Metadata produced by
DSAS continues to be in the FGDC CDGSM standard and will require a few additional steps in order to
be viewed or edited in ArcGIS10. Since there are no restrictions on the metadata record after it is
generated, users may modify the existing file by using a metadata editor of their choice.
Users will initially be unable to view or edit metadata generated by DSAS. The Metadata tab
has been replaced with a Description tab in ArcCatalog. To view the metadata, complete the following:
1. In ArcCatalog, click Customize > ArcCatalog Options.
2. Click the Metadata tab (fig. 45).
3. Click FGDC CSDGM Metadata in the Metadata Style list.
4. Click OK

70
Figure$45.$ Screenshot of the ArcCatalog Options window and Metadata tab properties. The FGDC CSDGM
Metadata standard can be selected from the drop-down menu under the Metadata Style section. This will enable
DSAS-generated metadata to be viewed in ArcCatalog.
Note: If you are using the Description tab when you choose a new metadata style, you will not
immediately see the results of this change. Click another tab in ArcCatalog or the Item Description
window, and then click the Description tab again for the new metadata style to take effect. All metadata
written by DSAS will be displayed under the FGDC Metadata (read-only) heading (fig. 46).

71
Figure$46.$ Screenshot of the DSAS-generated metadata viewed in ArcCatalog under the read-only section.
9.2 Editing$DSASXgenerated$Metadata$in$FGDC$format$
An add-in is available for users who prefer to edit the FGDC-formatted metadata with the
metadata editor that was available at previous ArcGIS releases. The add-in allows users to access the
FGDC metadata editor by inserting a new command to the ArcCatalog toolbar. This will enable users to
edit the metadata content that can be previewed in the read-only section under the Description tab.
More details on the add-in, as well as the download and instructions can be found here:
http://blogs.esri.com/esri/arcgis/2010/06/25/fgdc-metadata-editor-for-arcgis-10/
72
9.3 Upgrading$DSASXgenerated$Metadata$to$Arc10$format$
Once ArcCatalog has been configured to read the FGDC CDGSM style, the read-only metadata
generated by DSAS can be converted to the ESRI format, if desired. Note that it is not necessary to
perform this conversion; the read-only section of the metadata can be edited using the add-in described
in the previous section. To update the metadata, select the Upgrade button that should appear below the
Description tab when viewing the metadata (fig. 46). Alternatively, it can be accessed in ArcToolbox:
Conversion Tools > Metadata > Upgrade. Please note that upgrading is the same as overwriting.
Anything that is contained within the internal ESRI ArcGIS metadata format (the part of the file
preview that is not read-only) will be overwritten by the information extracted from the FGDC format
(read-only) part of the file. It is important to note that subsequent process steps, written by DSAS after
metadata has been upgraded, will be added to the FGDC-compliant format, and will only be visible in
the read-only preview section of the Description tab in ArcCatalog. The metadata can be upgraded
again, if desired. $
73
10 References$
Anders, F.J., and Byrnes, M.R., 1991, Accuracy of shoreline
change rates as determined from maps and aerial photo-
graphs: Shore and Beach, v. 59, pp. 17-26.
Dolan, R., Fenster, M.S., and Holme, S.J., 1991, Temporal
analysis of shoreline recession and accretion: Journal of
Coastal Research, v. 7, pp. 723-744.
Crowell, M., Leatherman, S.P., and Buckley, M.K., 1991,
Historical shoreline change— Error analysis and mapping
accuracy: Journal of Coastal Research, v. 7, pp. 839-852.
Crowell, M., Douglas, B.C., and Leatherman, S.P., 1997,
On forecasting future U.S. shoreline positions— a test of
algorithms: Journal of Coastal Research, v. 13, n. 4, pp.
1245-1255.
Genz, A.S., Fletcher, C.H., Dunn, R.A., Frazer, L.N., and
Rooney, J.J., 2007, The predictive accuracy of shoreline
change rate methods and alongshore beach variation on
Maui, Hawaii: Journal of Coastal Research, v. 23, n. 1,
pp. 87-105.
Hapke, C.J., Himmelstoss, E.A., Kratzmann, M.G., List,
J.H., and Thieler, E.R., 2011, National assessment of
shoreline change; historical shoreline change along the
New England and Mid-Atlantic coasts: U.S. Geological
Survey Open-File Report 2010-1118, 57 p
[https://pubs.usgs.gov/of/2010/1118/]
Hapke, C.J., and Reid, D., 2007, National Assessment of
Shoreline Change, part 4— Historical coastal cliff retreat
along the California coast: U.S. Geological Survey Open-
File Report 2007-1133.
[http://pubs.usgs.gov/of/2007/1133]
Hapke, C.J., Reid, D., Richmond, B.M., Ruggiero, P., and
List, J. 2006, National Assessment of Shoreline Change
part 3— Historical shoreline change and associated
coastal land loss along sandy shorelines of the California
coast: U.S. Geological Survey Open-File Report 2006-
1219. [http://pubs.usgs.gov/of/2006/1219]
Leatherman, S.P. and Clow, J.B., 1983, UMD shoreline
mapping project: IEE Geoscience and Remote Sensing
Society Newsletter, v. 22, pp.5-8.
Miller, T.L., Morton, R.A., and Sallenger, A.H., 2005, The
National Assessment of Shoreline Change— A GIS
compilation of vector shorelines and associated shoreline
change data for the U.S. Southeast Atlantic Coast: U.S.
Geological Survey Open-File Report 2005-1326
[http://pubs.usgs.gov/of/2005/1326]
Moore, L.J., 2000, Shoreline mapping techniques: Journal
of Coastal Research, v. 16, pp. 111-124.
Moore, L.J., Ruggiero, P., and List, J.H., 2006, Comparing
mean high water and high water line shorelines— Should
proxy-datum offsets be incorporated into shoreline
Change analysis?: Journal of Coastal Research v. 22, n. 4,
pp. 894-905.
Morton, R.A., and Miller, T.L., 2005, National Assessment
of Shoreline Change— part 2 Historical shoreline
changes and associated coastal land loss along the U.S.
southeast Atlantic coast: U.S. Geological Survey Open-
file Report 2005-1401.
[http://pubs.usgs.gov/of/2005/1401]
Morton, R.A., Miller, T.L., and Moore, L.J., 2004, National
Assessment of Shoreline Change— part 1 Historical
shoreline changes and associated coastal land loss along
the U.S. Gulf of Mexico: U.S. Geological Survey Open-
File Report 2004-1043.
[http://pubs.usgs.gov/of/2004/1043]
Rousseeuw, P.J. and Leroy, A.M., 1987, Robust regression
and outlier detection: John Wiley and Sons, New York.
Ruggiero, P., Kaminsky, G.M. and Gelfenbaum, G., 2003,
Linking proxy-based and datum-based shorelines on a
high-energy coastline— implications for shoreline change
analysis: Journal of Coastal Research, Special Issue 38,
pp. 57-82.
Ruggiero, P., Komar, P.D., McDougal, W.G. and Beach,
R.A., 1996, Extreme water levels, wave runup, and
coastal erosion: Proceedings of the 25th Coastal
Engineering Conference, American Society of Civil
Engineers, pp. 2793-2805.
Ruggiero, P., Komar, P.S., McDougal, W.G., Marra, J.J.,
and Beach, R.A., 2001, Wave runup, extreme water
levels and the erosion of properties backing beaches:
Journal of Coastal Research, v. 17, n. 2, pp. 407-419.
Ruggiero, P., Kratzmann, M.G., Himmelstoss, E.A., Reid,
D., Allan, J., and Kaminsky, G., 2013, National
assessment of shoreline change—Historical shoreline
change along the Pacific Northwest coast: U.S.
74
Geological Survey Open-File Report 2012–1007, 62 p.,
doi:10.3133/ofr20121007
Ruggiero, P., and List, J.H., 2009, Improving accuracy and
statistical reliability of shoreline position and change rate
estimates: Journal of Coastal Research, v. 25, n. 5,
pp.1069-1081
Stockdon, H.F., Holman, R.A., Howd, P.A., and Sallenger,
A.H., 2006, Empirical parameterization of setup, swash
and runup: Coastal Engineering, v. 53 n. 7, pp. 573-588.
Stockdon, H.F., Sallenger, A.H., List, J.H. and Holman,
R.A., 2002, Estimation of shoreline position and change
from airborne topographic lidar data: Journal of Coastal
Research, v. 18, pp. 502-513.
Thieler, E.R., and Danforth, W.W., 1994, Historical shore-
line mapping (1)— Improving techniques and reducing
positioning errors: Journal of Coastal Research, v. 10, p.
549-563.
Weber, K.M., List, J.H., and Morgan, L.M.M., 2005, An
operational mean high water datum for determination of
shoreline position from topographic lidar data: U.S.
Geological Survey Open-File Report 2005-1027.
[http://pubs.usgs.gov/of/2005/1027]
Zar, J.H., 1999, Biostatistical Analysis, 4th ed: Prentice
Hall, Upper Saddle River, NJ.

75
11 $Appendix$1$–$Troubleshooting$
PROBLEM: Attempting to calculate statistics results in the following error message:
DSASCore.calc.exe – Unable To Locate Component
This application has failed to start because mclmcrrt78.dll was not found. Reinstalling the application
may fix this problem.
SOLUTION: This error message indicates that the MCRInstaller.exe (see step 4 of section 2) was not
installed or did not install correctly. If already installed, it will appear in the list of
Add/Remove programs (which you can access through the Control Panel on your
computer). Uninstall and reinstall, or if it was not installed, run the MCRInstaller.exe
file (which can be downloaded from the DSAS website
https://woodshole.er.usgs.gov/project-pages/DSAS/version4/index.html).
PROBLEM: The transect file does not appear as a selectable option in the dropdown menu on the
DSAS toolbar.
SOLUTION: 1) Save the ArcMap project, then close and reopen the document.
2) Remove the transect file from the ArcMap project and then add it again.
PROBLEM: Unable to calculate statistics.
SOLUTION: If ArcCatalog is open, close it and run the statistics again.
PROBLEM: When the baseline was edited, the transect file did not update.
SOLUTION: Verify that the transect feature class is specified as the target in the DSAS toolbar. If
transects were just created, save the ArcMap project, then close and reopen the
document. Closing ArcCatalog may also help.
PROBLEM: Rate calculations ran, but the table contains <null> values for many (or all) of the
transects.
SOLUTION: 1) Check the corresponding intersects table that is generated when rate calculations are
run (transectfilename_intersects_mmddyyyy.dbf). Right-click on the intersects file in
the table of contents of ArcMap, choose Display XY data > specify IntersectX as the X
Field and IntersectY as the Y Field > press OK. This will illustrate the transect-shoreline
intersections used in that run of rate calculations and may help to visualize the cause of a
problem.

76
2) You may have inadvertently run rate calculations with a specific feature (such as one
segment of the baseline or one shoreline) selected. This will restrict the rate calculation
to the selected features. Rates will only be calculated for the selected baseline segment or
for the selected shorelines. If only one shoreline is selected, no calculations will run
successfully. The metadata process step added to the transect file will indicate if features
have been selected.
3) Check for zero or null values in the uncertainty attribute field in the shoreline feature
class (see section 5.2.3) or set the default data uncertainty to a value greater than zero in
the default parameters window (see section 6.1.2).
PROBLEM: When attempting to calculate rates, the following error message occurs:
Unable to find output file “C:\…………\.DSASCore. out.xml”
SOLUTION: The computer must be configured to English (USA) and the date format must be
mm/dd/yyyy. From the Control Panel menu, choose “Regional Configuration and
Language” > select “English (USA)” and modify the date configuration to
“mm/dd/yyyy.”
12 Appendix$2$–$A$case$study$of$complex$shoreline$data$
12.1 Using$shoreline$data$referenced$to$different$proxies$
The designs of many features in this version of DSAS have been influenced by the needs of the
U.S. Geological Survey’s (USGS) National Assessment of Shoreline Change project (Morton and
others, 2004; Morton and Miller, 2005; Hapke and others, 2006; Hapke and others, 2007; Hapke and
others, 2011; Ruggiero and others, 2013) including support for shorelines derived from data collected
by aerial topographic mapping, such as lidar. Lidar beach-profile data are increasingly being used as a
source for deriving shoreline positions. One method for deriving the shoreline is to calculate a linear
regression fit through the foreshore section of the lidar profile (Stockdon and others, 2002; Weber and
others, 2005). This calculation results in an operational Mean High Water (MHW) elevation value and
represents a different shoreline proxy than the historical High Water Line (HWL) shoreline positions
compiled from other commonly used sources, such as air photos. Several studies have determined that
the proxy-datum bias between HWL and MHW shorelines is an unidirectional offset with the HWL
position landward of the MHW position (Ruggiero and others, 1996; Ruggiero and others, 2001;
Ruggiero and others, 2003; Morton and others, 2004; Moore and others, 2006; Stockdon and others,
77
2006; Ruggiero and List, 2009). DSAS is now capable of incorporating proxy-offset values into proxy-
datum bias shifts to reconcile horizontal offsets between the MHW and HWL shoreline proxies.
12.2 Representing$lidar$shorelines$as$calibrated$routes$
In a methodology used by the USGS, operational MHW positions are extracted from a series of
cross-shore profiles as point data (Stockdon et al., 2002; Weber et al., 2005) that can be converted into
an alongshore shoreline feature by connecting adjacent profile points to form a vector shoreline feature.
This is only one example of how shoreline positions may be extracted from lidar data and serves as a
case study for advanced users. Each operational MHW shoreline point accounts for three values:
1. Measurement and positional errors (UNCY).
2. A calculated proxy-datum bias value that corrects for the unidirectional offset between the
MHW elevation of the lidar and HWL shorelines (BIAS).
3. A measurement uncertainty in the total water level, which can also be thought of as the
uncertainty in the position of the High Water Line (UNCYB).
To use these data in DSAS, the point data are first converted to a route by using standard
ArcGIS tools. The unique cross-shore profile ID is stored as the M-value at each vertex. The route is
calibrated based on the input-point data so that the measure value from the start to the end of the route is
based on the known profile IDs stored at each vertex of the route. This profile ID is used as the
common attribute field between the route feature class and an uncertainty table storing the positional
uncertainty and bias values of the original lidar point data. DSAS uses linear referencing to retrieve a
measure value for the intersection of each DSAS transect and the lidar shoreline. This measure value is
based on the M-values (the cross-shore profile ID) stored at each vertex. The measure value at the
transect intersection is used by DSAS to determine the adjacent vertices along the lidar route (fig. 49).
The uncertainty, bias, and bias uncertainty values at the two adjacent vertices are read from the
uncertainty table, which must be added to the ArcMap project. The uncertainty table can be linked to
the lidar shoreline through cross-shore profile ID values they have in common. A weighted
interpolation is computed based on the proximity of the transect to each of the adjacent lidar-shoreline
vertices. The resulting values for uncertainty, bias, and bias uncertainty are assigned to the lidar-
shoreline measurement point established by the DSAS transect. DSAS includes these values in the
output file to all rate calculations. The values are used during the computation of measurements and
rates in the core statistics module distributed with DSAS.

78
Figure$49. Map and data tables showing application of route data for a lidar-derived shoreline. Shorelines are
extracted from lidar data as a sequence of points alongshore. Each of these data points is associated with a
specific positional uncertainty measurement. The lidar shoreline points were converted to a calibrated route in
which a unique M-value was stored at each vertex. Positional uncertainty information is stored in a table along
with the unique M-value identifier (ID attribute in this example). For the intersection of each DSAS transect, the
calibrated measure value (20415.485 in this example) is used to perform a weighted interpolation for the three
measurement uncertainties based on the proximity of the two adjacent lidar shoreline vertices. The measure
value is used to determine the closest known positional uncertainties from their unique M-values (20415 and
20416 in this example). DSAS uses the route measurement to retrieve the adjacent positional uncertainties and
interpolates values for use at the transect location.
For more information on creating a route and calibrating it based on point data, please refer to
the ArcGIS Desktop help (keywords: Linear Referencing). Once the lidar data have been converted to a
route and calibrated, any additional shoreline data must be appended to the route feature class because
all shoreline data must be contained in a single feature class. Note that the target dataset must be a copy
of the calibrated route (lidar shoreline). Instructions on how to append shoreline data can be found in
section 5.2.2.

79
12.3 $Storing$bias$and$uncertainty$data$in$a$table$(requirements)$
DSAS recognizes route data at the beginning of the rate-calculation process. It will search for an
uncertainty table based on the shoreline filename specified in the DSAS Set Default Parameters window
(section 6.1.2). For example, if the shoreline feature class is called “shorelines,” the uncertainty table
must be called “shorelines_uncertainty.” This table must be created by the user by using a spreadsheet.
It can be imported into the geodatabase in ArcCatalog by right-clicking on the geodatabase and
choosing Import > Table (single) from the popup windows.
Field name
Data type
Established by
ID
Long Integer
user
UNCY
Any numeric field
user
BIAS
Any numeric field
user
UNCYB
Any numeric field
user
The following is a list of the definitions of the field names.
ID
This field is case-sensitive and name specific. The field contains a cross-shore
lidar profile ID stored as the M-value (measure value) at each vertex in the
calibrated shoreline route. This serves as the link between the lidar shoreline and
the uncertainty table and must be a unique number at each point.
UNCY
This field is case-sensitive and name specific. The field contains a positional
uncertainty associated with natural influences over the shoreline position (wind,
waves, tides) as well as measurement uncertainties associated with the collection
of the lidar data (for example, the accuracy associated with the global positioning
system coordinates).
BIAS
This field is case-sensitive and name specific. The field contains a proxy-datum
bias value describing the unidirectional horizontal offset between the MHW
elevation of the lidar data and HWL shoreline positions.
UNCYB
This field is case-sensitive and name specific. The field contains the uncertainty
in the position of the HWL associated with the calculated proxy-datum bias value.

80
12.4 $ProxyXdatum$bias$correction$(NU_$and$NB_)$
The core-statistics calculations provided as part of DSAS utilize uncertainty and bias-correction
data provided as part of the input shoreline feature class. This method is fully described under section
12.1 above.
When bias values are detected (through the presence of an uncertainty table in the ArcMap
project; see section 12.3), the core statistics included with DSAS report rate calculations as follows:
1. The standard field headings (for example, EPR and LRR) will report rates that include both the
proxy-datum bias shift (BIAS) and additional HWL uncertainty (UNCYB). The UNCYB value
is incorporated into each historical HWL shoreline uncertainty specified by the user by adding
the errors in quadrature and taking the square root of the sum of the squares.
2. Any computations that are affected by the additional HWL uncertainty are also reported without
the addition of the UNCYB field to the HWL uncertainty and are preceded by the no-uncertainty
code “NU_” (for example, NU_WLR) in the field heading. These rate calculations still include
the proxy-datum bias shift.
3. All selected rate calculations are also reported without the proxy-datum bias or the additional
HWL uncertainty applied, and are preceded by the no bias code “NB_” (for example, NB_EPR)
in the field heading.
The computed statistics are reported in a time-stamped results table (see section 6.5.1) and contain the
additional fields described below:
General field
heading
Description
Field heading
examples
NU_*
Advanced shorelines— when users apply bias to a shoreline
dataset, standard headings listed above are computed with the
proxy-datum bias shift as well as the additional HWL uncertainty
provided by the user. Fields in the output table that contain the
code “NU_” to the left of the above headings indicate that the
additional HWL uncertainty was not included (no uncertainty).
The rate calculations still include the proxy-datum bias shift and
any uncertainty information provided in the shoreline attribute or
default parameter settings.
NU_WLR,
NU_WSE,
NU_WCI95,
NU_WR2
NB_*
Advanced shorelines— Fields in the output table that contain
“NB_” preceding the standard headings indicate that no bias or
HWL uncertainty data was applied to the computation. These
results reflect what would be reported if all of the advanced
shoreline proxy-datum bias data were omitted from the
computation.
NB_WLR,
NB_WSE,
NB_WCI95,
NB_WR2

81
Contact$Information$
Emily A. Himmelstoss
U.S. Geological Survey
Coastal and Marine Geology Program
384 Woods Hole Road
Woods Hole, MA 02540
ehimmelstoss@usgs.gov
http://woodshole.er.usgs.gov/project-pages/dsas/
Programming by:
Ayhan Ergul
Jessica L. Zichichi
Ouya Zhang
1001 Hingham St., Suite 102
Rockland, MA 02370
http://www.coronaenv.com/
$