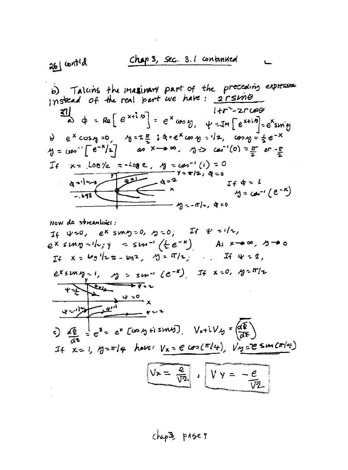
WunschSM David A. Wunsch Solutions Manual To Complex Variables With Applications 2004
User Manual:
Open the PDF directly: View PDF
.
Page Count: 715 [warning: Documents this large are best viewed by clicking the View PDF Link!]











































































































































































































































































































































































































































































































































































































































































































































User Manual:
Open the PDF directly: View PDF
.
Page Count: 715 [warning: Documents this large are best viewed by clicking the View PDF Link!]