Developer Guide Bitcoin
User Manual:
Open the PDF directly: View PDF
.
Page Count: 58

Bitcoin > Dev Docs > Guide
Bitcoin Developer Guide
Find detailed information about the Bitcoin protocol and related specifications.
Search the glossary, RPCs, and more
The Developer Guide aims to provide the information you need to understand Bitcoin and start building Bitcoin-based
applications, but it is not a specification. To make the best use of this documentation, you may want to install the current version
of Bitcoin Core, either from source or from a pre-compiled executable.
Questions about Bitcoin development are best asked in one of the Bitcoin development communities. Errors or suggestions
related to documentation on Bitcoin.org can be submitted as an issue or posted to the bitcoin-documentation mailing list.
In the following documentation, some strings have been shortened or wrapped: “[…]” indicates extra data was removed, and lines
ending in a single backslash “\” are continued below. If you hover your mouse over a paragraph, cross-reference links will be
shown in blue. If you hover over a cross-reference link, a brief definition of the term will be displayed in a tooltip.
The block chain provides Bitcoin’s public ledger, an ordered and timestamped record of transactions. This system is used to
protect against double spending and modification of previous transaction records.
Each full node in the Bitcoin network independently stores a block chain containing only blocks validated by that node. When
several nodes all have the same blocks in their block chain, they are considered to be in consensus. The validation rules these
nodes follow to maintain consensus are called consensus rules. This section describes many of the consensus rules used by
Bitcoin Core.
Simplified Bitcoin Block Chain
Block 1
Header
Block 2
Header
Block 3
Header
Block 1
Transactions
Merkle Root
Block 2
Transactions
Hash Of Previous
Block Header
Hash Of Previous
Block Header
Merkle Root
Block 3
Transactions
Hash Of Previous
Block Header
Merkle Root
The illustration above shows a simplified version of a block chain. A block of one or more new transactions is collected into the
transaction data part of a block. Copies of each transaction are hashed, and the hashes are then paired, hashed, paired again,
and hashed again until a single hash remains, the merkle root of a merkle tree.
Block Chain
Block Chain Overview

The merkle root is stored in the block header. Each block also stores the hash of the previous block’s header, chaining the blocks
together. This ensures a transaction cannot be modified without modifying the block that records it and all following blocks.
Transactions are also chained together. Bitcoin wallet software gives the impression that satoshis are sent from and to wallets, but
bitcoins really move from transaction to transaction. Each transaction spends the satoshis previously received in one or more
earlier transactions, so the input of one transaction is the output of a previous transaction.
Triple-Entry Bookkeeping (Transaction-To-Transaction Payments) As Used By Bitcoin
Transaction 0
(TX 0)
TX 1
TX 2
TX 3
TX 4
TX 5
TX 6
input0
output0
input0
40k
output1 input0
50k
output0 input0
30k
output0 input0
20k
output1
input0
20k
output0
20k Unspent TX
Output (UTXO)
output0
input0
10k
output0
input1
10k
output0
10k
UTXO
100,000
(100k)
satoshis
A single transaction can create multiple outputs, as would be the case when sending to multiple addresses, but each output of a
particular transaction can only be used as an input once in the block chain. Any subsequent reference is a forbidden double
spend—an attempt to spend the same satoshis twice.
Outputs are tied to transaction identifiers (TXIDs), which are the hashes of signed transactions.
Because each output of a particular transaction can only be spent once, the outputs of all transactions included in the block chain
can be categorized as either Unspent Transaction Outputs (UTXOs) or spent transaction outputs. For a payment to be valid, it
must only use UTXOs as inputs.
Ignoring coinbase transactions (described later), if the value of a transaction’s outputs exceed its inputs, the transaction will be
rejected—but if the inputs exceed the value of the outputs, any difference in value may be claimed as a transaction fee by the
Bitcoin miner who creates the block containing that transaction. For example, in the illustration above, each transaction spends
10,000 satoshis fewer than it receives from its combined inputs, effectively paying a 10,000 satoshi transaction fee.
The block chain is collaboratively maintained by anonymous peers on the network, so Bitcoin requires that each block prove a
significant amount of work was invested in its creation to ensure that untrustworthy peers who want to modify past blocks have to
work harder than honest peers who only want to add new blocks to the block chain.
Chaining blocks together makes it impossible to modify transactions included in any block without modifying all following blocks.
As a result, the cost to modify a particular block increases with every new block added to the block chain, magnifying the effect of
Proof Of Work

the proof of work.
The proof of work used in Bitcoin takes advantage of the apparently random nature of cryptographic hashes. A good
cryptographic hash algorithm converts arbitrary data into a seemingly-random number. If the data is modified in any way and the
hash re-run, a new seemingly-random number is produced, so there is no way to modify the data to make the hash number
predictable.
To prove you did some extra work to create a block, you must create a hash of the block header which does not exceed a certain
value. For example, if the maximum possible hash value is 2 − 1, you can prove that you tried up to two combinations by
producing a hash value less than 2 .
In the example given above, you will produce a successful hash on average every other try. You can even estimate the probability
that a given hash attempt will generate a number below the target threshold. Bitcoin assumes a linear probability that the lower it
makes the target threshold, the more hash attempts (on average) will need to be tried.
New blocks will only be added to the block chain if their hash is at least as challenging as a difficulty value expected by the
consensus protocol. Every 2,016 blocks, the network uses timestamps stored in each block header to calculate the number of
seconds elapsed between generation of the first and last of those last 2,016 blocks. The ideal value is 1,209,600 seconds (two
weeks).
If it took fewer than two weeks to generate the 2,016 blocks, the expected difficulty value is increased proportionally (by as
much as 300%) so that the next 2,016 blocks should take exactly two weeks to generate if hashes are checked at the same
rate.
If it took more than two weeks to generate the blocks, the expected difficulty value is decreased proportionally (by as much as
75%) for the same reason.
(Note: an off-by-one error in the Bitcoin Core implementation causes the difficulty to be updated every 2,016 blocks using
timestamps from only 2,015 blocks, creating a slight skew.)
Because each block header must hash to a value below the target threshold, and because each block is linked to the block that
preceded it, it requires (on average) as much hashing power to propagate a modified block as the entire Bitcoin network
expended between the time the original block was created and the present time. Only if you acquired a majority of the network’s
hashing power could you reliably execute such a 51 percent attack against transaction history (although, it should be noted, that
even less than 50% of the hashing power still has a good chance of performing such attacks).
The block header provides several easy-to-modify fields, such as a dedicated nonce field, so obtaining new hashes doesn’t
require waiting for new transactions. Also, only the 80-byte block header is hashed for proof-of-work, so including a large volume
of transaction data in a block does not slow down hashing with extra I/O, and adding additional transaction data only requires the
recalculation of the ancestor hashes in the merkle tree.
Any Bitcoin miner who successfully hashes a block header to a value below the target threshold can add the entire block to the
block chain (assuming the block is otherwise valid). These blocks are commonly addressed by their block height—the number of
blocks between them and the first Bitcoin block (block 0, most commonly known as the genesis block). For example, block 2016
is where difficulty could have first been adjusted.
256
255
Block Height And Forking

Rare Extended Forking
Normal Occasional Forking
block0 block1
Header Hash
block2
block2
block3 block4 block5 block6
block3 block4 block5
block2 block5
block1 block2 block4 block5block0 Header Hash block3 block6
Multiple blocks can all have the same block height, as is common when two or more miners each produce a block at roughly the
same time. This creates an apparent fork in the block chain, as shown in the illustration above.
When miners produce simultaneous blocks at the end of the block chain, each node individually chooses which block to accept.
In the absence of other considerations, discussed below, nodes usually use the first block they see.
Eventually a miner produces another block which attaches to only one of the competing simultaneously-mined blocks. This makes
that side of the fork stronger than the other side. Assuming a fork only contains valid blocks, normal peers always follow the the
most difficult chain to recreate and throw away stale blocks belonging to shorter forks. (Stale blocks are also sometimes called
orphans or orphan blocks, but those terms are also used for true orphan blocks without a known parent block.)
Long-term forks are possible if different miners work at cross-purposes, such as some miners diligently working to extend the
block chain at the same time other miners are attempting a 51 percent attack to revise transaction history.
Since multiple blocks can have the same height during a block chain fork, block height should not be used as a globally unique
identifier. Instead, blocks are usually referenced by the hash of their header (often with the byte order reversed, and in
hexadecimal).
Every block must include one or more transactions. The first one of these transactions must be a coinbase transaction, also called
a generation transaction, which should collect and spend the block reward (comprised of a block subsidy and any transaction
fees paid by transactions included in this block).
The UTXO of a coinbase transaction has the special condition that it cannot be spent (used as an input) for at least 100 blocks.
This temporarily prevents a miner from spending the transaction fees and block reward from a block that may later be determined
to be stale (and therefore the coinbase transaction destroyed) after a block chain fork.
Blocks are not required to include any non-coinbase transactions, but miners almost always do include additional transactions in
order to collect their transaction fees.
All transactions, including the coinbase transaction, are encoded into blocks in binary rawtransaction format.
The rawtransaction format is hashed to create the transaction identifier (txid). From these txids, the merkle tree is constructed by
pairing each txid with one other txid and then hashing them together. If there are an odd number of txids, the txid without a
partner is hashed with a copy of itself.
The resulting hashes themselves are each paired with one other hash and hashed together. Any hash without a partner is hashed
with itself. The process repeats until only one hash remains, the merkle root.
For example, if transactions were merely joined (not hashed), a five-transaction merkle tree would look like the following text
Transaction Data

diagram:
ABCDEEEE .......Merkle root
/ \
ABCD EEEE
/ \ /
AB CD EE .......E is paired with itself
/ \ / \ /
A B C D E .........Transactions
As discussed in the Simplified Payment Verification (SPV) subsection, the merkle tree allows clients to verify for themselves that a
transaction was included in a block by obtaining the merkle root from a block header and a list of the intermediate hashes from a
full peer. The full peer does not need to be trusted: it is expensive to fake block headers and the intermediate hashes cannot be
faked or the verification will fail.
For example, to verify transaction D was added to the block, an SPV client only needs a copy of the C, AB, and EEEE hashes in
addition to the merkle root; the client doesn’t need to know anything about any of the other transactions. If the five transactions in
this block were all at the maximum size, downloading the entire block would require over 500,000 bytes—but downloading three
hashes plus the block header requires only 140 bytes.
Note: If identical txids are found within the same block, there is a possibility that the merkle tree may collide with a block with
some or all duplicates removed due to how unbalanced merkle trees are implemented (duplicating the lone hash). Since it is
impractical to have separate transactions with identical txids, this does not impose a burden on honest software, but must be
checked if the invalid status of a block is to be cached; otherwise, a valid block with the duplicates eliminated could have the
same merkle root and block hash, but be rejected by the cached invalid outcome, resulting in security bugs such as CVE-2012-
2459.
To maintain consensus, all full nodes validate blocks using the same consensus rules. However, sometimes the consensus rules
are changed to introduce new features or prevent network abuse. When the new rules are implemented, there will likely be a
period of time when non-upgraded nodes follow the old rules and upgraded nodes follow the new rules, creating two possible
ways consensus can break:
1. A block following the new consensus rules is accepted by upgraded nodes but rejected by non-upgraded nodes. For example,
a new transaction feature is used within a block: upgraded nodes understand the feature and accept it, but non-upgraded
nodes reject it because it violates the old rules.
2. A block violating the new consensus rules is rejected by upgraded nodes but accepted by non-upgraded nodes. For example,
an abusive transaction feature is used within a block: upgraded nodes reject it because it violates the new rules, but non-
upgraded nodes accept it because it follows the old rules.
In the first case, rejection by non-upgraded nodes, mining software which gets block chain data from those non-upgraded nodes
refuses to build on the same chain as mining software getting data from upgraded nodes. This creates permanently divergent
chains—one for non-upgraded nodes and one for upgraded nodes—called a hard fork.
Consensus Rule Changes

A Hard Fork: Non-Upgraded Nodes Reject The New Rules, Diverging The Chain
Blocks
From
Upgraded
Nodes
Blocks
From Non-
Upgraded
Nodes
Follows
Old
Rules
Follows
Old
Rules
Follows
Old
Rules
Follows
New
Rules
Follows
Old
Rules
Follows
New
Rules
Follows
New
Rules
Follows
New
Rules
In the second case, rejection by upgraded nodes, it’s possible to keep the block chain from permanently diverging if upgraded
nodes control a majority of the hash rate. That’s because, in this case, non-upgraded nodes will accept as valid all the same
blocks as upgraded nodes, so the upgraded nodes can build a stronger chain that the non-upgraded nodes will accept as the
best valid block chain. This is called a soft fork.
A Soft Fork: Blocks Violating New Rules Are Made Stale By The Upgraded Mining Majority
Blocks
From
Upgraded
Nodes
Blocks
From Non-
Upgraded
Nodes
Follows
Old
Rules
Follows
Old
Rules
Follows Old Rules
But Violates
New Rules
Follows
Old & New
Rules
Follows
Old
Rules
Follows
Old & New
Rules
Although a fork is an actual divergence in block chains, changes to the consensus rules are often described by their potential to
create either a hard or soft fork. For example, “increasing the block size above 1 MB requires a hard fork.” In this example, an
actual block chain fork is not required—but it is a possible outcome.
Resources: BIP16, BIP30, and BIP34 were implemented as changes which might have lead to soft forks. BIP50 describes both
an accidental hard fork, resolved by temporary downgrading the capabilities of upgraded nodes, and an intentional hard fork
when the temporary downgrade was removed. A document from Gavin Andresen outlines how future rule changes may be
implemented.
Non-upgraded nodes may use and distribute incorrect information during both types of forks, creating several situations which
could lead to financial loss. In particular, non-upgraded nodes may relay and accept transactions that are considered invalid by
upgraded nodes and so will never become part of the universally-recognized best block chain. Non-upgraded nodes may also
refuse to relay blocks or transactions which have already been added to the best block chain, or soon will be, and so provide
incomplete information.
Bitcoin Core includes code that detects a hard fork by looking at block chain proof of work. If a non-upgraded node receives
block chain headers demonstrating at least six blocks more proof of work than the best chain it considers valid, the node reports
an error in the getinfo RPC results and runs the -alertnotify command if set. This warns the operator that the non-
upgraded node can’t switch to what is likely the best block chain.
Full nodes can also check block and transaction version numbers. If the block or transaction version numbers seen in several
recent blocks are higher than the version numbers the node uses, it can assume it doesn’t use the current consensus rules.
Bitcoin Core 0.10.0 reports this situation through the getinfo RPC and -alertnotify command if set.
In either case, block and transaction data should not be relied upon if it comes from a node that apparently isn’t using the current
Detecting Forks

consensus rules.
SPV clients which connect to full nodes can detect a likely hard fork by connecting to several full nodes and ensuring that they’re
all on the same chain with the same block height, plus or minus several blocks to account for transmission delays and stale
blocks. If there’s a divergence, the client can disconnect from nodes with weaker chains.
SPV clients should also monitor for block and transaction version number increases to ensure they process received transactions
and create new transactions using the current consensus rules.
Transactions let users spend satoshis. Each transaction is constructed out of several parts which enable both simple direct
payments and complex transactions. This section will describe each part and demonstrate how to use them together to build
complete transactions.
To keep things simple, this section pretends coinbase transactions do not exist. Coinbase transactions can only be created by
Bitcoin miners and they’re an exception to many of the rules listed below. Instead of pointing out the coinbase exception to each
rule, we invite you to read about coinbase transactions in the block chain section of this guide.
Locktime
Locktime
Outputs
Inputs Outputs
InputsVersion
Version
The Main Parts Of
Transaction 0
Each input spends a previous output
Each output waits as an Unspent TX Output (UTXO) until a later input spends it
The Main Parts Of
Transaction 1
The figure above shows the main parts of a Bitcoin transaction. Each transaction has at least one input and one output. Each
input spends the satoshis paid to a previous output. Each output then waits as an Unspent Transaction Output (UTXO) until a later
input spends it. When your Bitcoin wallet tells you that you have a 10,000 satoshi balance, it really means that you have 10,000
satoshis waiting in one or more UTXOs.
Each transaction is prefixed by a four-byte transaction version number which tells Bitcoin peers and miners which set of rules to
use to validate it. This lets developers create new rules for future transactions without invalidating previous transactions.
Overview Of Transaction Spending
Example Output Paying A Pubkey Script
Example Input Spending The Example Output
Transaction
1
Transaction
0
Transaction
Identifier
Not Shown:
Version, Outputs,
Locktime
Not Shown:
Version, Inputs,
Locktime
Pubkey
Script
Signature
Script
Amount
(satoshis)
Output 0
(Implied)
Output
Index
Sequence
Number
An output has an implied index number based on its location in the transaction—the first output is output zero. The output also
Transactions

has an amount in satoshis which it pays to a conditional pubkey script. Anyone who can satisfy the conditions of that pubkey
script can spend up to the amount of satoshis paid to it.
An input uses a transaction identifier (txid) and an output index number (often called “vout” for output vector) to identify a
particular output to be spent. It also has a signature script which allows it to provide data parameters that satisfy the conditionals
in the pubkey script. (The sequence number and locktime are related and will be covered together in a later subsection.)
The figures below help illustrate how these features are used by showing the workflow Alice uses to send Bob a transaction and
which Bob later uses to spend that transaction. Both Alice and Bob will use the most common form of the standard Pay-To-
Public-Key-Hash (P2PKH) transaction type. P2PKH lets Alice spend satoshis to a typical Bitcoin address, and then lets Bob
further spend those satoshis using a simple cryptographic key pair.
Creating A P2PKH Public Key Hash To Receive Payment
Bob's Computer Alice's Computer TX 1
Private
Key
Full
Public Key
Public Key
Hash
Copy Of
Public Key
Hash
Copy Of
Public Key
Hash
Bob must first generate a private/public key pair before Alice can create the first transaction. Bitcoin uses the Elliptic Curve Digital
Signature Algorithm (ECDSA) with the secp256k1 curve; secp256k1 private keys are 256 bits of random data. A copy of that data
is deterministically transformed into an secp256k1 public key. Because the transformation can be reliably repeated later, the
public key does not need to be stored.
The public key (pubkey) is then cryptographically hashed. This pubkey hash can also be reliably repeated later, so it also does not
need to be stored. The hash shortens and obfuscates the public key, making manual transcription easier and providing security
against unanticipated problems which might allow reconstruction of private keys from public key data at some later point.
Bob provides the pubkey hash to Alice. Pubkey hashes are almost always sent encoded as Bitcoin addresses, which are base58-
encoded strings containing an address version number, the hash, and an error-detection checksum to catch typos. The address
can be transmitted through any medium, including one-way mediums which prevent the spender from communicating with the
receiver, and it can be further encoded into another format, such as a QR code containing a bitcoin: URI.
Once Alice has the address and decodes it back into a standard hash, she can create the first transaction. She creates a standard
P2PKH transaction output containing instructions which allow anyone to spend that output if they can prove they control the
private key corresponding to Bob’s hashed public key. These instructions are called the pubkey script or scriptPubKey.
Alice broadcasts the transaction and it is added to the block chain. The network categorizes it as an Unspent Transaction Output
(UTXO), and Bob’s wallet software displays it as a spendable balance.
When, some time later, Bob decides to spend the UTXO, he must create an input which references the transaction Alice created
by its hash, called a Transaction Identifier (txid), and the specific output she used by its index number (output index). He must then
create a signature script—a collection of data parameters which satisfy the conditions Alice placed in the previous output’s
pubkey script. Signature scripts are also called scriptSigs.
Pubkey scripts and signature scripts combine secp256k1 pubkeys and signatures with conditional logic, creating a programable
authorization mechanism.

Spending A P2PKH Output
TX 1 Output
Bob's Computer
Signature Script
Signature Private Key
Full Public Key Full Public Key
Pubkey Script
Public Key HashPublic Key Hash
For a P2PKH-style output, Bob’s signature script will contain the following two pieces of data:
1. His full (unhashed) public key, so the pubkey script can check that it hashes to the same value as the pubkey hash provided by
Alice.
2. An secp256k1 signature made by using the ECDSA cryptographic formula to combine certain transaction data (described
below) with Bob’s private key. This lets the pubkey script verify that Bob owns the private key which created the public key.
Bob’s secp256k1 signature doesn’t just prove Bob controls his private key; it also makes the non-signature-script parts of his
transaction tamper-proof so Bob can safely broadcast them over the peer-to-peer network.
Some Of The Data Signed By Default
Transaction 1 (TX 1)
Signed Data
Transaction 2
Bob's Computer
TX2 Template
TXID
TXID
Output Index Number
Output Index Number
Pubkey Script
Pubkey Script AmountSignatureFull Public Key
Private Key Pubkey Script Amount
As illustrated in the figure above, the data Bob signs includes the txid and output index of the previous transaction, the previous
output’s pubkey script, the pubkey script Bob creates which will let the next recipient spend this transaction’s output, and the
amount of satoshis to spend to the next recipient. In essence, the entire transaction is signed except for any signature scripts,
which hold the full public keys and secp256k1 signatures.
After putting his signature and public key in the signature script, Bob broadcasts the transaction to Bitcoin miners through the
peer-to-peer network. Each peer and miner independently validates the transaction before broadcasting it further or attempting to
include it in a new block of transactions.
The validation procedure requires evaluation of the signature script and pubkey script. In a P2PKH output, the pubkey script is:
P2PKH Script Validation

OP_DUP OP_HASH160 <PubkeyHash> OP_EQUALVERIFY OP_CHECKSIG
The spender’s signature script is evaluated and prefixed to the beginning of the script. In a P2PKH transaction, the signature
script contains an secp256k1 signature (sig) and full public key (pubkey), creating the following concatenation:
<Sig> <PubKey> OP_DUP OP_HASH160 <PubkeyHash> OP_EQUALVERIFY OP_CHECKSIG
The script language is a Forth-like stack-based language deliberately designed to be stateless and not Turing complete.
Statelessness ensures that once a transaction is added to the block chain, there is no condition which renders it permanently
unspendable. Turing-incompleteness (specifically, a lack of loops or gotos) makes the script language less flexible and more
predictable, greatly simplifying the security model.
To test whether the transaction is valid, signature script and pubkey script operations are executed one item at a time, starting
with Bob’s signature script and continuing to the end of Alice’s pubkey script. The figure below shows the evaluation of a standard
P2PKH pubkey script; below the figure is a description of the process.
Evaluation Stack Over Time During Succesful P2PKH Script Validation
Instructions And Data Provided By Alice In Transaction #1's Pubkey Script
Data Provided By Bob In Transaction #2's Input Signature Script
CHECKSIGOP_EQUALVERIFYPk HashOP_HASH160OP_DUP
PubKeySig
OP_CHECKSIG
OP_EQUALVERIFY
Pk HashOP_HASH160
PubKey
Sig
OP_DUP
TRUE
PubKey
Sig
Pk Hash
Pk Hash
PubKey
Sig
Pk Hash
PubKey
Sig
PubKey
PubKey
Sig
PubKey
SigSig
The signature (from Bob’s signature script) is added (pushed) to an empty stack. Because it’s just data, nothing is done except
adding it to the stack. The public key (also from the signature script) is pushed on top of the signature.
From Alice’s pubkey script, the OP_DUP operation is executed. OP_DUP pushes onto the stack a copy of the data currently at
the top of it—in this case creating a copy of the public key Bob provided.
The operation executed next, OP_HASH160 , pushes onto the stack a hash of the data currently on top of it—in this case, Bob’s
public key. This creates a hash of Bob’s public key.
Alice’s pubkey script then pushes the pubkey hash that Bob gave her for the first transaction. At this point, there should be two
copies of Bob’s pubkey hash at the top of the stack.
Now it gets interesting: Alice’s pubkey script executes OP_EQUALVERIFY . OP_EQUALVERIFY is equivalent to executing
OP_EQUAL followed by OP_VERIFY (not shown).

OP_EQUAL (not shown) checks the two values at the top of the stack; in this case, it checks whether the pubkey hash
generated from the full public key Bob provided equals the pubkey hash Alice provided when she created transaction #1.
OP_EQUAL pops (removes from the top of the stack) the two values it compared, and replaces them with the result of that
comparison: zero (false) or one (true).
OP_VERIFY (not shown) checks the value at the top of the stack. If the value is false it immediately terminates evaluation and
the transaction validation fails. Otherwise it pops the true value off the stack.
Finally, Alice’s pubkey script executes OP_CHECKSIG , which checks the signature Bob provided against the now-authenticated
public key he also provided. If the signature matches the public key and was generated using all of the data required to be
signed, OP_CHECKSIG pushes the value true onto the top of the stack.
If false is not at the top of the stack after the pubkey script has been evaluated, the transaction is valid (provided there are no
other problems with it).
Pubkey scripts are created by spenders who have little interest what that script does. Receivers do care about the script
conditions and, if they want, they can ask spenders to use a particular pubkey script. Unfortunately, custom pubkey scripts are
less convenient than short Bitcoin addresses and there was no standard way to communicate them between programs prior to
widespread implementation of the BIP70 Payment Protocol discussed later.
To solve these problems, pay-to-script-hash (P2SH) transactions were created in 2012 to let a spender create a pubkey script
containing a hash of a second script, the redeem script.
The basic P2SH workflow, illustrated below, looks almost identical to the P2PKH workflow. Bob creates a redeem script with
whatever script he wants, hashes the redeem script, and provides the redeem script hash to Alice. Alice creates a P2SH-style
output containing Bob’s redeem script hash.
Creating A P2SH Redeem Script Hash To Receive Payment
Bob's Computer Alice's Computer TX 1
Private
Key
Full
Public Key Redeem Script Script
Hash
Copy Of
Script
Hash
Copy Of
Script
Hash
When Bob wants to spend the output, he provides his signature along with the full (serialized) redeem script in the signature
script. The peer-to-peer network ensures the full redeem script hashes to the same value as the script hash Alice put in her
output; it then processes the redeem script exactly as it would if it were the primary pubkey script, letting Bob spend the output if
the redeem script does not return false.
P2SH Scripts

Spending A P2SH Output
TX 1 Output
Bob's Computer
Signature Script
Signature Private Key
Full Redeem Script Full Redeem Script
Pubkey Script
Redeem Script HashRedeem Script Hash
The hash of the redeem script has the same properties as a pubkey hash—so it can be transformed into the standard Bitcoin
address format with only one small change to differentiate it from a standard address. This makes collecting a P2SH-style address
as simple as collecting a P2PKH-style address. The hash also obfuscates any public keys in the redeem script, so P2SH scripts
are as secure as P2PKH pubkey hashes.
After the discovery of several dangerous bugs in early versions of Bitcoin, a test was added which only accepted transactions
from the network if their pubkey scripts and signature scripts matched a small set of believed-to-be-safe templates, and if the rest
of the transaction didn’t violate another small set of rules enforcing good network behavior. This is the IsStandard() test, and
transactions which pass it are called standard transactions.
Non-standard transactions—those that fail the test—may be accepted by nodes not using the default Bitcoin Core settings. If
they are included in blocks, they will also avoid the IsStandard test and be processed.
Besides making it more difficult for someone to attack Bitcoin for free by broadcasting harmful transactions, the standard
transaction test also helps prevent users from creating transactions today that would make adding new transaction features in the
future more difficult. For example, as described above, each transaction includes a version number—if users started arbitrarily
changing the version number, it would become useless as a tool for introducing backwards-incompatible features.
As of Bitcoin Core 0.9, the standard pubkey script types are:
P2PKH is the most common form of pubkey script used to send a transaction to one or multiple Bitcoin addresses.
Pubkey script: OP_DUP OP_HASH160 <PubKeyHash> OP_EQUALVERIFY OP_CHECKSIG
Signature script: <sig> <pubkey>
P2SH is used to send a transaction to a script hash. Each of the standard pubkey scripts can be used as a P2SH redeem script,
but in practice only the multisig pubkey script makes sense until more transaction types are made standard.
Standard Transactions
Pay To Public Key Hash (P2PKH)
Pay To Script Hash (P2SH)

Pubkey script: OP_HASH160 <Hash160(redeemScript)> OP_EQUAL
Signature script: <sig> [sig] [sig...] <redeemScript>
Although P2SH multisig is now generally used for multisig transactions, this base script can be used to require multiple signatures
before a UTXO can be spent.
In multisig pubkey scripts, called m-of-n, m is the minimum number of signatures which must match a public key; n is the number
of public keys being provided. Both m and n should be opcodes OP_1 through OP_16 , corresponding to the number desired.
Because of an off-by-one error in the original Bitcoin implementation which must be preserved for compatibility,
OP_CHECKMULTISIG consumes one more value from the stack than indicated by m, so the list of secp256k1 signatures in the
signature script must be prefaced with an extra value ( OP_0 ) which will be consumed but not used.
The signature script must provide signatures in the same order as the corresponding public keys appear in the pubkey script or
redeem script. See the desciption in OP_CHECKMULTISIG for details.
Pubkey script: <m> <A pubkey> [B pubkey] [C pubkey...] <n> OP_CHECKMULTISIG
Signature script: OP_0 <A sig> [B sig] [C sig...]
Although it’s not a separate transaction type, this is a P2SH multisig with 2-of-3:
Pubkey script: OP_HASH160 <Hash160(redeemScript)> OP_EQUAL
Redeem script: <OP_2> <A pubkey> <B pubkey> <C pubkey> <OP_3> OP_CHECKMULTISIG
Signature script: OP_0 <A sig> <C sig> <redeemScript>
Pubkey outputs are a simplified form of the P2PKH pubkey script, but they aren’t as secure as P2PKH, so they generally aren’t
used in new transactions anymore.
Pubkey script: <pubkey> OP_CHECKSIG
Signature script: <sig>
Null data pubkey scripts let you add a small amount of arbitrary data to the block chain in exchange for paying a transaction fee,
but doing so is discouraged. (Null data is a standard pubkey script type only because some people were adding data to the block
chain in more harmful ways.)
Pubkey Script: OP_RETURN <0 to 40 bytes of data>
(Null data scripts cannot be spent, so there's no signature script.)
Multisig
Pubkey
Null Data

If you use anything besides a standard pubkey script in an output, peers and miners using the default Bitcoin Core settings will
neither accept, broadcast, nor mine your transaction. When you try to broadcast your transaction to a peer running the default
settings, you will receive an error.
If you create a redeem script, hash it, and use the hash in a P2SH output, the network sees only the hash, so it will accept the
output as valid no matter what the redeem script says. This allows payment to non-standard scripts, and as of Bitcoin Core 0.11,
almost all valid redeem scripts can be spent. The exception is scripts that use unassigned NOP opcodes; these opcodes are
reserved for future soft forks and can only be relayed or mined by nodes that don’t follow the standard mempool policy.
Note: standard transactions are designed to protect and help the network, not prevent you from making mistakes. It’s easy to
create standard transactions which make the satoshis sent to them unspendable.
As of Bitcoin Core 0.9.3, standard transactions must also meet the following conditions:
The transaction must be finalized: either its locktime must be in the past (or less than or equal to the current block height), or all
of its sequence numbers must be 0xffffffff.
The transaction must be smaller than 100,000 bytes. That’s around 200 times larger than a typical single-input, single-output
P2PKH transaction.
Each of the transaction’s signature scripts must be smaller than 1,650 bytes. That’s large enough to allow 15-of-15 multisig
transactions in P2SH using compressed public keys.
Bare (non-P2SH) multisig transactions which require more than 3 public keys are currently non-standard.
The transaction’s signature script must only push data to the script evaluation stack. It cannot push new opcodes, with the
exception of opcodes which solely push data to the stack.
The transaction must not include any outputs which receive fewer than 1/3 as many satoshis as it would take to spend it in a
typical input. That’s currently 546 satoshis for a P2PKH or P2SH output on a Bitcoin Core node with the default relay fee.
Exception: standard null data outputs must receive zero satoshis.
OP_CHECKSIG extracts a non-stack argument from each signature it evaluates, allowing the signer to decide which parts of the
transaction to sign. Since the signature protects those parts of the transaction from modification, this lets signers selectively
choose to let other people modify their transactions.
The various options for what to sign are called signature hash types. There are three base SIGHASH types currently available:
SIGHASH_ALL , the default, signs all the inputs and outputs, protecting everything except the signature scripts against
modification.
SIGHASH_NONE signs all of the inputs but none of the outputs, allowing anyone to change where the satoshis are going unless
other signatures using other signature hash flags protect the outputs.
SIGHASH_SINGLE the only output signed is the one corresponding to this input (the output with the same output index number
as this input), ensuring nobody can change your part of the transaction but allowing other signers to change their part of the
transaction. The corresponding output must exist or the value “1” will be signed, breaking the security scheme. This input, as
well as other inputs, are included in the signature. The sequence numbers of other inputs are not included in the signature, and
Non-Standard Transactions
Signature Hash Types

can be updated.
The base types can be modified with the SIGHASH_ANYONECANPAY (anyone can pay) flag, creating three new combined types:
SIGHASH_ALL|SIGHASH_ANYONECANPAY signs all of the outputs but only this one input, and it also allows anyone to add or
remove other inputs, so anyone can contribute additional satoshis but they cannot change how many satoshis are sent nor
where they go.
SIGHASH_NONE|SIGHASH_ANYONECANPAY signs only this one input and allows anyone to add or remove other inputs or outputs,
so anyone who gets a copy of this input can spend it however they’d like.
SIGHASH_SINGLE|SIGHASH_ANYONECANPAY signs this one input and its corresponding output. Allows anyone to add or remove
other inputs.
Because each input is signed, a transaction with multiple inputs can have multiple signature hash types signing different parts of
the transaction. For example, a single-input transaction signed with NONE could have its output changed by the miner who adds
it to the block chain. On the other hand, if a two-input transaction has one input signed with NONE and one input signed with
ALL , the ALL signer can choose where to spend the satoshis without consulting the NONE signer—but nobody else can modify
the transaction.
One thing all signature hash types sign is the transaction’s locktime. (Called nLockTime in the Bitcoin Core source code.) The
locktime indicates the earliest time a transaction can be added to the block chain.
Locktime allows signers to create time-locked transactions which will only become valid in the future, giving the signers a chance
to change their minds.
If any of the signers change their mind, they can create a new non-locktime transaction. The new transaction will use, as one of its
inputs, one of the same outputs which was used as an input to the locktime transaction. This makes the locktime transaction
invalid if the new transaction is added to the block chain before the time lock expires.
Care must be taken near the expiry time of a time lock. The peer-to-peer network allows block time to be up to two hours ahead
of real time, so a locktime transaction can be added to the block chain up to two hours before its time lock officially expires. Also,
blocks are not created at guaranteed intervals, so any attempt to cancel a valuable transaction should be made a few hours
before the time lock expires.
Previous versions of Bitcoin Core provided a feature which prevented transaction signers from using the method described above
to cancel a time-locked transaction, but a necessary part of this feature was disabled to prevent denial of service attacks. A
legacy of this system are four-byte sequence numbers in every input. Sequence numbers were meant to allow multiple signers to
agree to update a transaction; when they finished updating the transaction, they could agree to set every input’s sequence
number to the four-byte unsigned maximum (0xffffffff), allowing the transaction to be added to a block even if its time lock had not
expired.
Even today, setting all sequence numbers to 0xffffffff (the default in Bitcoin Core) can still disable the time lock, so if you want to
use locktime, at least one input must have a sequence number below the maximum. Since sequence numbers are not used by the
network for any other purpose, setting any sequence number to zero is sufficient to enable locktime.
Locktime itself is an unsigned 4-byte integer which can be parsed two ways:
If less than 500 million, locktime is parsed as a block height. The transaction can be added to any block which has this height
or higher.
Locktime And Sequence Number

If greater than or equal to 500 million, locktime is parsed using the Unix epoch time format (the number of seconds elapsed
since 1970-01-01T00:00 UTC—currently over 1.395 billion). The transaction can be added to any block whose block time is
greater than the locktime.
Transactions typically pay transaction fees based on the total byte size of the signed transaction. The transaction fee is given to
the Bitcoin miner, as explained in the block chain section, and so it is ultimately up to each miner to choose the minimum
transaction fee they will accept.
By default, miners reserve 50 KB of each block for high-priority transactions which spend satoshis that haven’t been spent for a
long time. The remaining space in each block is typically allocated to transactions based on their fee per byte, with higher-paying
transactions being added in sequence until all of the available space is filled.
As of Bitcoin Core 0.9, transactions which do not count as high-priority transactions need to pay a minimum fee (currently 1,000
satoshis) to be broadcast across the network. Any transaction paying only the minimum fee should be prepared to wait a long
time before there’s enough spare space in a block to include it. Please see the verifying payment section for why this could be
important.
Since each transaction spends Unspent Transaction Outputs (UTXOs) and because a UTXO can only be spent once, the full value
of the included UTXOs must be spent or given to a miner as a transaction fee. Few people will have UTXOs that exactly match the
amount they want to pay, so most transactions include a change output.
Change outputs are regular outputs which spend the surplus satoshis from the UTXOs back to the spender. They can reuse the
same P2PKH pubkey hash or P2SH script hash as was used in the UTXO, but for the reasons described in the next subsection, it
is highly recommended that change outputs be sent to a new P2PKH or P2SH address.
In a transaction, the spender and receiver each reveal to each other all public keys or addresses used in the transaction. This
allows either person to use the public block chain to track past and future transactions involving the other person’s same public
keys or addresses.
If the same public key is reused often, as happens when people use Bitcoin addresses (hashed public keys) as static payment
addresses, other people can easily track the receiving and spending habits of that person, including how many satoshis they
control in known addresses.
It doesn’t have to be that way. If each public key is used exactly twice—once to receive a payment and once to spend that
payment—the user can gain a significant amount of financial privacy.
Even better, using new public keys or unique addresses when accepting payments or creating change outputs can be combined
with other techniques discussed later, such as CoinJoin or merge avoidance, to make it extremely difficult to use the block chain
by itself to reliably track how users receive and spend their satoshis.
Avoiding key reuse can also provide security against attacks which might allow reconstruction of private keys from public keys
(hypothesized) or from signature comparisons (possible today under certain circumstances described below, with more general
attacks hypothesized).
1. Unique (non-reused) P2PKH and P2SH addresses protect against the first type of attack by keeping ECDSA public keys hidden
(hashed) until the first time satoshis sent to those addresses are spent, so attacks are effectively useless unless they can
Transaction Fees And Change
Avoiding Key Reuse

reconstruct private keys in less than the hour or two it takes for a transaction to be well protected by the block chain.
2. Unique (non-reused) private keys protect against the second type of attack by only generating one signature per private key, so
attackers never get a subsequent signature to use in comparison-based attacks. Existing comparison-based attacks are only
practical today when insufficient entropy is used in signing or when the entropy used is exposed by some means, such as a
side-channel attack.
So, for both privacy and security, we encourage you to build your applications to avoid public key reuse and, when possible, to
discourage users from reusing addresses. If your application needs to provide a fixed URI to which payments should be sent,
please see the bitcoin: URI section below.
None of Bitcoin’s signature hash types protect the signature script, leaving the door open for a limited denial of service attack
called transaction malleability. The signature script contains the secp256k1 signature, which can’t sign itself, allowing attackers to
make non-functional modifications to a transaction without rendering it invalid. For example, an attacker can add some data to
the signature script which will be dropped before the previous pubkey script is processed.
Although the modifications are non-functional—so they do not change what inputs the transaction uses nor what outputs it pays
—they do change the computed hash of the transaction. Since each transaction links to previous transactions using hashes as a
transaction identifier (txid), a modified transaction will not have the txid its creator expected.
This isn’t a problem for most Bitcoin transactions which are designed to be added to the block chain immediately. But it does
become a problem when the output from a transaction is spent before that transaction is added to the block chain.
Bitcoin developers have been working to reduce transaction malleability among standard transaction types, but a complete fix is
still only in the planning stages. At present, new transactions should not depend on previous transactions which have not been
added to the block chain yet, especially if large amounts of satoshis are at stake.
Transaction malleability also affects payment tracking. Bitcoin Core’s RPC interface lets you track transactions by their txid—but if
that txid changes because the transaction was modified, it may appear that the transaction has disappeared from the network.
Current best practices for transaction tracking dictate that a transaction should be tracked by the transaction outputs (UTXOs) it
spends as inputs, as they cannot be changed without invalidating the transaction.
Best practices further dictate that if a transaction does seem to disappear from the network and needs to be reissued, that it be
reissued in a way that invalidates the lost transaction. One method which will always work is to ensure the reissued payment
spends all of the same outputs that the lost transaction used as inputs.
Contracts are transactions which use the decentralized Bitcoin system to enforce financial agreements. Bitcoin contracts can
often be crafted to minimize dependency on outside agents, such as the court system, which significantly decreases the risk of
dealing with unknown entities in financial transactions.
The following subsections will describe a variety of Bitcoin contracts already in use. Because contracts deal with real people, not
just transactions, they are framed below in story format.
Besides the contract types described below, many other contract types have been proposed. Several of them are collected on the
Contracts page of the Bitcoin Wiki.
Transaction Malleability
Contracts

Charlie-the-customer wants to buy a product from Bob-the-businessman, but neither of them trusts the other person, so they use
a contract to help ensure Charlie gets his merchandise and Bob gets his payment.
A simple contract could say that Charlie will spend satoshis to an output which can only be spent if Charlie and Bob both sign the
input spending it. That means Bob won’t get paid unless Charlie gets his merchandise, but Charlie can’t get the merchandise and
keep his payment.
This simple contract isn’t much help if there’s a dispute, so Bob and Charlie enlist the help of Alice-the-arbitrator to create an
escrow contract. Charlie spends his satoshis to an output which can only be spent if two of the three people sign the input. Now
Charlie can pay Bob if everything is ok, Bob can refund Charlie’s money if there’s a problem, or Alice can arbitrate and decide who
should get the satoshis if there’s a dispute.
To create a multiple-signature (multisig) output, they each give the others a public key. Then Bob creates the following P2SH
multisig redeem script:
OP_2 [A's pubkey] [B's pubkey] [C's pubkey] OP_3 OP_CHECKMULTISIG
(Opcodes to push the public keys onto the stack are not shown.)
OP_2 and OP_3 push the actual numbers 2 and 3 onto the stack. OP_2 specifies that 2 signatures are required to sign; OP_3
specifies that 3 public keys (unhashed) are being provided. This is a 2-of-3 multisig pubkey script, more generically called a m-of-
n pubkey script (where m is the minimum matching signatures required and n in the number of public keys provided).
Bob gives the redeem script to Charlie, who checks to make sure his public key and Alice’s public key are included. Then he
hashes the redeem script to create a P2SH redeem script and pays the satoshis to it. Bob sees the payment get added to the
block chain and ships the merchandise.
Unfortunately, the merchandise gets slightly damaged in transit. Charlie wants a full refund, but Bob thinks a 10% refund is
sufficient. They turn to Alice to resolve the issue. Alice asks for photo evidence from Charlie along with a copy of the redeem
script Bob created and Charlie checked.
After looking at the evidence, Alice thinks a 40% refund is sufficient, so she creates and signs a transaction with two outputs, one
that spends 60% of the satoshis to Bob’s public key and one that spends the remaining 40% to Charlie’s public key.
In the signature script Alice puts her signature and a copy of the unhashed serialized redeem script that Bob created. She gives a
copy of the incomplete transaction to both Bob and Charlie. Either one of them can complete it by adding his signature to create
the following signature script:
OP_0 [A's signature] [B's or C's signature] [serialized redeem script]
(Opcodes to push the signatures and redeem script onto the stack are not shown. OP_0 is a workaround for an off-by-one error
in the original implementation which must be preserved for compatibility. Note that the signature script must provide signatures in
the same order as the corresponding public keys appear in the redeem script. See the description in OP_CHECKMULTISIG for
details.)
When the transaction is broadcast to the network, each peer checks the signature script against the P2SH output Charlie
previously paid, ensuring that the redeem script matches the redeem script hash previously provided. Then the redeem script is
evaluated, with the two signatures being used as input data. Assuming the redeem script validates, the two transaction outputs
Escrow And Arbitration

show up in Bob’s and Charlie’s wallets as spendable balances.
However, if Alice created and signed a transaction neither of them would agree to, such as spending all the satoshis to herself,
Bob and Charlie can find a new arbitrator and sign a transaction spending the satoshis to another 2-of-3 multisig redeem script
hash, this one including a public key from that second arbitrator. This means that Bob and Charlie never need to worry about their
arbitrator stealing their money.
Resource: BitRated provides a multisig arbitration service interface using HTML/JavaScript on a GNU AGPL-licensed website.
Alice also works part-time moderating forum posts for Bob. Every time someone posts to Bob’s busy forum, Alice skims the post
to make sure it isn’t offensive or spam. Alas, Bob often forgets to pay her, so Alice demands to be paid immediately after each
post she approves or rejects. Bob says he can’t do that because hundreds of small payments will cost him thousands of satoshis
in transaction fees, so Alice suggests they use a micropayment channel.
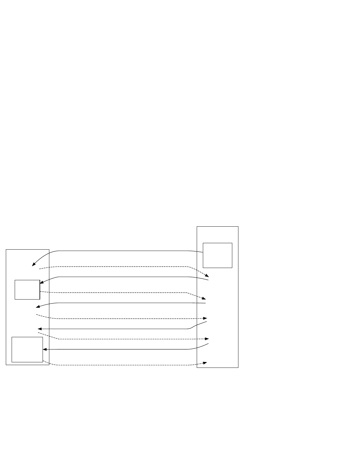
Bob asks Alice for her public key and then creates two transactions. The first transaction pays 100 millibitcoins to a P2SH output
whose 2-of-2 multisig redeem script requires signatures from both Alice and Bob. This is the bond transaction. Broadcasting this
transaction would let Alice hold the millibitcoins hostage, so Bob keeps this transaction private for now and creates a second
transaction.
The second transaction spends all of the first transaction’s millibitcoins (minus a transaction fee) back to Bob after a 24 hour delay
enforced by locktime. This is the refund transaction. Bob can’t sign the refund transaction by himself, so he gives it to Alice to
sign, as shown in the illustration below.
Alice broadcasts the bond to the Bitcoin network immediately.
She broadcasts the final version of the refund when she finishes work
or before the locktime. If she fails to broadcast before refund v1's time lock
expires, Bob can broadcast refund v1 to get a full refund.
Bitcoin Micropayment Channels (As Implemented In Bitcoinj)
Alice's Computer
(Server)
Bob's Computer
(Client)
A: Signed; please send me the bond to
prove you funded the account
Bond
(2-of-2
multisig)
A: Some work done; please sign refund v2
reducing your refund by 1 mBTC
A: More work done; please sign v3
reducing your refund by another 1 mBTC
A: [...]
Refund v45
Bob: 66
Alice: 44
(No Lock) A: I'm done for the day. I'm
going to broadcast refund v45
Refund v1
Bob: 100
Alice: 0
(Locktime)
B: Please sign refund version 1,
which is a full refund of the bond
that can't be spent for 24 hours
B: Here's the bond; please start working
B: Signed; refund now pays Bob: 99; Alice: 1
B: Signed; refund now pays Bob: 98; Alice: 2
B: [...]
Alice checks that the refund transaction’s locktime is 24 hours in the future, signs it, and gives a copy of it back to Bob. She then
asks Bob for the bond transaction and checks that the refund transaction spends the output of the bond transaction. She can
Micropayment Channel

now broadcast the bond transaction to the network to ensure Bob has to wait for the time lock to expire before further spending
his millibitcoins. Bob hasn’t actually spent anything so far, except possibly a small transaction fee, and he’ll be able to broadcast
the refund transaction in 24 hours for a full refund.
Now, when Alice does some work worth 1 millibitcoin, she asks Bob to create and sign a new version of the refund transaction.
Version two of the transaction spends 1 millibitcoin to Alice and the other 99 back to Bob; it does not have a locktime, so Alice
can sign it and spend it whenever she wants. (But she doesn’t do that immediately.)
Alice and Bob repeat these work-and-pay steps until Alice finishes for the day, or until the time lock is about to expire. Alice signs
the final version of the refund transaction and broadcasts it, paying herself and refunding any remaining balance to Bob. The next
day, when Alice starts work, they create a new micropayment channel.
If Alice fails to broadcast a version of the refund transaction before its time lock expires, Bob can broadcast the first version and
receive a full refund. This is one reason micropayment channels are best suited to small payments—if Alice’s Internet service goes
out for a few hours near the time lock expiry, she could be cheated out of her payment.
Transaction malleability, discussed above in the Transactions section, is another reason to limit the value of micropayment
channels. If someone uses transaction malleability to break the link between the two transactions, Alice could hold Bob’s 100
millibitcoins hostage even if she hadn’t done any work.
For larger payments, Bitcoin transaction fees are very low as a percentage of the total transaction value, so it makes more sense
to protect payments with immediately-broadcast separate transactions.
Resource: The bitcoinj Java library provides a complete set of micropayment functions, an example implementation, and a
tutorial all under an Apache license.
Alice is concerned about her privacy. She knows every transaction gets added to the public block chain, so when Bob and Charlie
pay her, they can each easily track those satoshis to learn what Bitcoin addresses she pays, how much she pays them, and
possibly how many satoshis she has left.
Alice isn’t a criminal, she just wants plausible deniability about where she has spent her satoshis and how many she has left, so
she starts up the Tor anonymity service on her computer and logs into an IRC chatroom as “AnonGirl.”
Also in the chatroom are “Nemo” and “Neminem.” They collectively agree to transfer satoshis between each other so no one
besides them can reliably determine who controls which satoshis. But they’re faced with a dilemma: who transfers their satoshis
to one of the other two pseudonymous persons first? The CoinJoin-style contract, shown in the illustration below, makes this
decision easy: they create a single transaction which does all of the spending simultaneously, ensuring none of them can steal the
others’ satoshis.
CoinJoin

Example CoinJoin Transaction
Only the participants know who gets which output.
Nemo's UTXOs
Neminem's UTXOs
AnonGirl's UTXOs
CoinJoin Transaction
Inputs
Outputs
10 mBTC
90 mBTC
100 mBTC
55 mBTC
25 mBTC
20 mBTC
From Bob
From Charlie
100 mBTC Person 1
100 mBTC Person 2
100 mBTC Person 3
Each contributor looks through their collection of Unspent Transaction Outputs (UTXOs) for 100 millibitcoins they can spend. They
then each generate a brand new public key and give UTXO details and pubkey hashes to the facilitator. In this case, the facilitator
is AnonGirl; she creates a transaction spending each of the UTXOs to three equally-sized outputs. One output goes to each of the
contributors’ pubkey hashes.
AnonGirl then signs her inputs using SIGHASH_ALL to ensure nobody can change the input or output details. She gives the
partially-signed transaction to Nemo who signs his inputs the same way and passes it to Neminem, who also signs it the same
way. Neminem then broadcasts the transaction to the peer-to-peer network, mixing all of the millibitcoins in a single transaction.
As you can see in the illustration, there’s no way for anyone besides AnonGirl, Nemo, and Neminem to confidently determine who
received which output, so they can each spend their output with plausible deniability.
Now when Bob or Charlie try to track Alice’s transactions through the block chain, they’ll also see transactions made by Nemo
and Neminem. If Alice does a few more CoinJoins, Bob and Charlie might have to guess which transactions made by dozens or
hundreds of people were actually made by Alice.
The complete history of Alice’s satoshis is still in the block chain, so a determined investigator could talk to the people AnonGirl
CoinJoined with to find out the ultimate origin of her satoshis and possibly reveal AnonGirl as Alice. But against anyone casually
browsing block chain history, Alice gains plausible deniability.
The CoinJoin technique described above costs the participants a small amount of satoshis to pay the transaction fee. An
alternative technique, purchaser CoinJoin, can actually save them satoshis and improve their privacy at the same time.
AnonGirl waits in the IRC chatroom until she wants to make a purchase. She announces her intention to spend satoshis and waits

until someone else wants to make a purchase, likely from a different merchant. Then they combine their inputs the same way as
before but set the outputs to the separate merchant addresses so nobody will be able to figure out solely from block chain history
which one of them bought what from the merchants.
Since they would’ve had to pay a transaction fee to make their purchases anyway, AnonGirl and her co-spenders don’t pay
anything extra—but because they reduced overhead by combining multiple transactions, saving bytes, they may be able to pay a
smaller aggregate transaction fee, saving each one of them a tiny amount of satoshis.
Resource: An alpha-quality (as of this writing) implementation of decentralized CoinJoin is CoinMux, available under the Apache
license.
A Bitcoin wallet can refer to either a wallet program or a wallet file. Wallet programs create public keys to receive satoshis and use
the corresponding private keys to spend those satoshis. Wallet files store private keys and (optionally) other information related to
transactions for the wallet program.
Wallet programs and wallet files are addressed below in separate subsections, and this document attempts to always make it
clear whether we’re talking about wallet programs or wallet files.
Permitting receiving and spending of satoshis is the only essential feature of wallet software—but a particular wallet program
doesn’t need to do both things. Two wallet programs can work together, one program distributing public keys in order to receive
satoshis and another program signing transactions spending those satoshis.
Wallet programs also need to interact with the peer-to-peer network to get information from the block chain and to broadcast new
transactions. However, the programs which distribute public keys or sign transactions don’t need to interact with the peer-to-peer
network themselves.
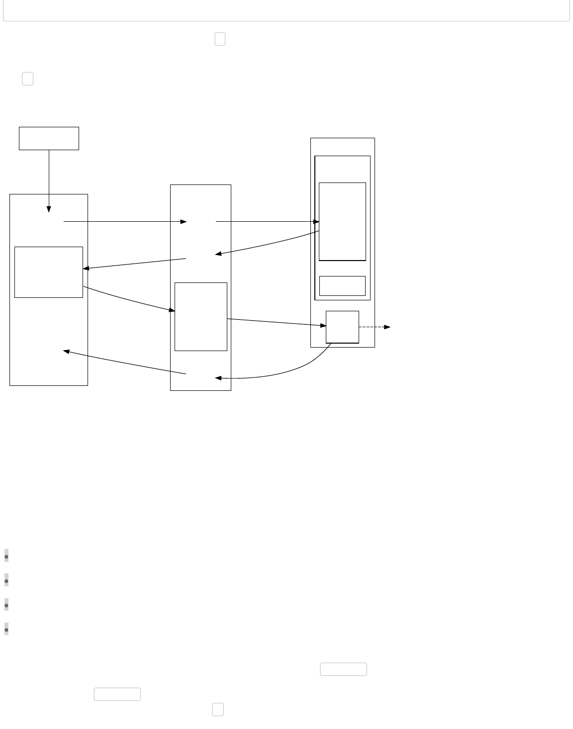
This leaves us with three necessary, but separable, parts of a wallet system: a public key distribution program, a signing program,
and a networked program. In the subsections below, we will describe common combinations of these parts.
Note: we speak about distributing public keys generically. In many cases, P2PKH or P2SH hashes will be distributed instead of
public keys, with the actual public keys only being distributed when the outputs they control are spent.
The simplest wallet is a program which performs all three functions: it generates private keys, derives the corresponding public
keys, helps distribute those public keys as necessary, monitors for outputs spent to those public keys, creates and signs
transactions spending those outputs, and broadcasts the signed transactions.
Full-Service Wallet
Create
Private
Keys
Derive
Public
Keys
Distribute
Public
Keys
Monitor
For
Outputs
Create
Unsigned
Txes
Sign
Txes
Broadcast
Txes
Wallets
Wallet Programs
Full-Service Wallets

As of this writing, almost all popular wallets can be used as full-service wallets.
The main advantage of full-service wallets is that they are easy to use. A single program does everything the user needs to receive
and spend satoshis.
The main disadvantage of full-service wallets is that they store the private keys on a device connected to the Internet. The
compromise of such devices is a common occurrence, and an Internet connection makes it easy to transmit private keys from a
compromised device to an attacker.
To help protect against theft, many wallet programs offer users the option of encrypting the wallet files which contain the private
keys. This protects the private keys when they aren’t being used, but it cannot protect against an attack designed to capture the
encryption key or to read the decrypted keys from memory.
To increase security, private keys can be generated and stored by a separate wallet program operating in a more secure
environment. These signing-only wallets work in conjunction with a networked wallet which interacts with the peer-to-peer
network.
Signing-only wallets programs typically use deterministic key creation (described in a later subsection) to create parent private
and public keys which can create child private and public keys.
Signing-Only Wallet
Networked Wallet
Create
Parent
Private
Key
Derive
Parent
Public
Key
Derive
Child
Public
Keys
Sign
Txes
Broadcast
Txes
Distribute
Public
Keys
Monitor
For
Outputs
Create
Unsigned
Txes
When first run, the signing-only wallet creates a parent private key and transfers the corresponding parent public key to the
networked wallet.
The networked wallet uses the parent public key to derive child public keys, optionally helps distribute them, monitors for outputs
spent to those public keys, creates unsigned transactions spending those outputs, and transfers the unsigned transactions to the
signing-only wallet.
Often, users are given a chance to review the unsigned transactions’ details (particularly the output details) using the signing-only
wallet.
After the optional review step, the signing-only wallet uses the parent private key to derive the appropriate child private keys and
signs the transactions, giving the signed transactions back to the networked wallet.
The networked wallet then broadcasts the signed transactions to the peer-to-peer network.
The following subsections describe the two most common variants of signing-only wallets: offline wallets and hardware wallets.
Signing-Only Wallets
Offline Wallets

Several full-service wallets programs will also operate as two separate wallets: one program instance acting as a signing-only
wallet (often called an “offline wallet”) and the other program instance acting as the networked wallet (often called an “online
wallet” or “watching-only wallet”).
The offline wallet is so named because it is intended to be run on a device which does not connect to any network, greatly
reducing the number of attack vectors. If this is the case, it is usually up to the user to handle all data transfer using removable
media such as USB drives. The user’s workflow is something like:
1. (Offline) Disable all network connections on a device and install the wallet software. Start the wallet software in offline mode to
create the parent private and public keys. Copy the parent public key to removable media.
2. (Online) Install the wallet software on another device, this one connected to the Internet, and import the parent public key from
the removable media. As you would with a full-service wallet, distribute public keys to receive payment. When ready to spend
satoshis, fill in the output details and save the unsigned transaction generated by the wallet to removable media.
3. (Offline) Open the unsigned transaction in the offline instance, review the output details to make sure they spend the correct
amount to the correct address. This prevents malware on the online wallet from tricking the user into signing a transaction
which pays an attacker. After review, sign the transaction and save it to removable media.
4. (Online) Open the signed transaction in the online instance so it can broadcast it to the peer-to-peer network.
The primary advantage of offline wallets is their possibility for greatly improved security over full-service wallets. As long as the
offline wallet is not compromised (or flawed) and the user reviews all outgoing transactions before signing, the user’s satoshis are
safe even if the online wallet is compromised.
The primary disadvantage of offline wallets is hassle. For maximum security, they require the user dedicate a device to only offline
tasks. The offline device must be booted up whenever funds are to be spent, and the user must physically copy data from the
online device to the offline device and back.
Hardware wallets are devices dedicated to running a signing-only wallet. Their dedication lets them eliminate many of the
vulnerabilities present in operating systems designed for general use, allowing them to safely communicate directly with other
devices so users don’t need to transfer data manually. The user’s workflow is something like:
1. (Hardware) Create parent private and public keys. Connect hardware wallet to a networked device so it can get the parent
public key.
2. (Networked) As you would with a full-service wallet, distribute public keys to receive payment. When ready to spend satoshis,
fill in the transaction details, connect the hardware wallet, and click Spend. The networked wallet will automatically send the
transaction details to the hardware wallet.
3. (Hardware) Review the transaction details on the hardware wallet’s screen. Some hardware wallets may prompt for a
passphrase or PIN number. The hardware wallet signs the transaction and uploads it to the networked wallet.
4. (Networked) The networked wallet receives the signed transaction from the hardware wallet and broadcasts it to the network.
The primary advantage of hardware wallets is their possibility for greatly improved security over full-service wallets with much less
hassle than offline wallets.
The primary disadvantage of hardware wallets is their hassle. Even though the hassle is less than that of offline wallets, the user
Hardware Wallets

must still purchase a hardware wallet device and carry it with them whenever they need to make a transaction using the signing-
only wallet.
An additional (hopefully temporary) disadvantage is that, as of this writing, very few popular wallet programs support hardware
wallets—although almost all popular wallet programs have announced their intention to support at least one model of hardware
wallet.
Wallet programs which run in difficult-to-secure environments, such as webservers, can be designed to distribute public keys
(including P2PKH or P2SH addresses) and nothing more. There are two common ways to design these minimalist wallets:
Distributing-Only Wallet
Other Wallet(s)
Derive
Child
Public
Keys
Distribute
Public
Keys
Monitor
For
Outputs
Create
Parent
Private
Key
Derive
Parent
Public
Key
Create
Unsigned
Txes
Sign
Txes
Broadcast
Txes
Pre-populate a database with a number of public keys or addresses, and then distribute on request a pubkey script or address
using one of the database entries. To avoid key reuse, webservers should keep track of used keys and never run out of public
keys. This can be made easier by using parent public keys as suggested in the next method.
Use a parent public key to create child public keys. To avoid key reuse, a method must be used to ensure the same public key
isn’t distributed twice. This can be a database entry for each key distributed or an incrementing pointer to the key index
number.
Neither method adds a significant amount of overhead, especially if a database is used anyway to associate each incoming
payment with a separate public key for payment tracking. See the Payment Processing section for details.
Bitcoin wallets at their core are a collection of private keys. These collections are stored digitally in a file, or can even be physically
stored on pieces of paper.
Private keys are what are used to unlock satoshis from a particular address. In Bitcoin, a private key in standard format is simply a
256-bit number, between the values:
0x01 and 0xFFFF FFFF FFFF FFFF FFFF FFFF FFFF FFFE BAAE DCE6 AF48 A03B BFD2 5E8C D036 4140, representing nearly
the entire range of 2 -1 values. The range is governed by the secp256k1 ECDSA encryption standard used by Bitcoin.
Distributing-Only Wallets
Wallet Files
Private Key Formats
256

In order to make copying of private keys less prone to error, Wallet Import Format may be utilized. WIF uses base58Check
encoding on an private key, greatly decreasing the chance of copying error, much like standard Bitcoin addresses.
1. Take a private key.
2. Add a 0x80 byte in front of it for mainnet addresses or 0xef for testnet addresses.
3. Append a 0x01 byte after it if it should be used with compressed public keys (described in a later subsection). Nothing is
appended if it is used with uncompressed public keys.
4. Perform a SHA-256 hash on the extended key.
5. Perform a SHA-256 hash on result of SHA-256 hash.
6. Take the first four bytes of the second SHA-256 hash; this is the checksum.
7. Add the four checksum bytes from point 5 at the end of the extended key from point 2.
8. Convert the result from a byte string into a Base58 string using Base58Check encoding.
The process is easily reversible, using the Base58 decoding function, and removing the padding.
Mini private key format is a method for encoding a private key in under 30 characters, enabling keys to be embedded in a small
physical space, such as physical bitcoin tokens, and more damage-resistant QR codes.
1. The first character of mini keys is ‘S’.
2. In order to determine if a mini private key is well-formatted, a question mark is added to the private key.
3. The SHA256 hash is calculated. If the first byte produced is a `00’, it is well-formatted. This key restriction acts as a typo-
checking mechanism. A user brute forces the process using random numbers until a well-formatted mini private key is
produced.
4. In order to derive the full private key, the user simply takes a single SHA256 hash of the original mini private key. This process
is one-way: it is intractable to compute the mini private key format from the derived key.
Many implementations disallow the character ‘1’ in the mini private key due to its visual similarity to ‘l’.
Resource: A common tool to create and redeem these keys is the Casascius Bitcoin Address Utility.
Bitcoin ECDSA public keys represent a point on a particular Elliptic Curve (EC) defined in secp256k1. In their traditional
uncompressed form, public keys contain an identification byte, a 32-byte X coordinate, and a 32-byte Y coordinate. The extremely
simplified illustration below shows such a point on the elliptic curve used by Bitcoin, y = x + 7, over a field of contiguous
numbers.
Wallet Import Format (WIF)
Mini Private Key Format
Public Key Formats
2 3

-4
-3
-2
-1
0
1
2
3
4
-2 0 2 4 6 8
sqrt(x**3+7)
-sqrt(x**3+7)
x,y=1.00,2.83
(Secp256k1 actually modulos coordinates by a large prime, which produces a field of non-contiguous integers and a significantly
less clear plot, although the principles are the same.)
An almost 50% reduction in public key size can be realized without changing any fundamentals by dropping the Y coordinate.
This is possible because only two points along the curve share any particular X coordinate, so the 32-byte Y coordinate can be
replaced with a single bit indicating whether the point is on what appears in the illustration as the “top” side or the “bottom” side.
No data is lost by creating these compressed public keys—only a small amount of CPU is necessary to reconstruct the Y
coordinate and access the uncompressed public key. Both uncompressed and compressed public keys are described in official
secp256k1 documentation and supported by default in the widely-used OpenSSL library.
Because they’re easy to use, and because they reduce almost by half the block chain space used to store public keys for every
spent output, compressed public keys are the default in Bitcoin Core and are the recommended default for all Bitcoin software.
However, Bitcoin Core prior to 0.6 used uncompressed keys. This creates a few complications, as the hashed form of an
uncompressed key is different than the hashed form of a compressed key, so the same key works with two different P2PKH
addresses. This also means that the key must be submitted in the correct format in the signature script so it matches the hash in
the previous output’s pubkey script.
For this reason, Bitcoin Core uses several different identifier bytes to help programs identify how keys should be used:
Private keys meant to be used with compressed public keys have 0x01 appended to them before being Base-58 encoded.
(See the private key encoding section above.)
Uncompressed public keys start with 0x04; compressed public keys begin with 0x03 or 0x02 depending on whether they’re
greater or less than the midpoint of the curve. These prefix bytes are all used in official secp256k1 documentation.
The hierarchical deterministic key creation and transfer protocol (HD protocol) greatly simplifies wallet backups, eliminates the
need for repeated communication between multiple programs using the same wallet, permits creation of child accounts which can
operate independently, gives each parent account the ability to monitor or control its children even if the child account is
compromised, and divides each account into full-access and restricted-access parts so untrusted users or programs can be
allowed to receive or monitor payments without being able to spend them.
The HD protocol takes advantage of the ECDSA public key creation function, point() , which takes a large integer (the private
key) and turns it into a graph point (the public key):
point(private_key) == public_key
Because of the way point() functions, it’s possible to create a child public key by combining an existing (parent) public key with
Hierarchical Deterministic Key Creation

another public key created from any integer (i) value. This child public key is the same public key which would be created by the
point() function if you added the i value to the original (parent) private key and then found the remainder of that sum divided by
a global constant used by all Bitcoin software (G):
point( (parent_private_key + i) % G ) == parent_public_key + point(i)
This means that two or more independent programs which agree on a sequence of integers can create a series of unique child key
pairs from a single parent key pair without any further communication. Moreover, the program which distributes new public keys
for receiving payment can do so without any access to the private keys, allowing the public key distribution program to run on a
possibly-insecure platform such as a public web server.
Child public keys can also create their own child public keys (grandchild public keys) by repeating the child key derivation
operations:
point( (child_private_key + i) % G ) == child_public_key + point(i)
Whether creating child public keys or further-descended public keys, a predictable sequence of integer values would be no better
than using a single public key for all transactions, as anyone who knew one child public key could find all of the other child public
keys created from the same parent public key. Instead, a random seed can be used to deterministically generate the sequence of
integer values so that the relationship between the child public keys is invisible to anyone without that seed.
The HD protocol uses a single root seed to create a hierarchy of child, grandchild, and other descended keys with unlinkable
deterministically-generated integer values. Each child key also gets a deterministically-generated seed from its parent, called a
chain code, so the compromising of one chain code doesn’t necessary compromise the integer sequence for the whole hierarchy,
allowing the master chain code to continue being useful even if, for example, a web-based public key distribution program gets
hacked.
Normal Hierarchical Deterministic (HD) Key Derivation (BIP32)
Parent Private Key Child Private Key
One-Way HashParent Chain Code
Parent Public Key Child Public Key
Derived
Mathematical
Relationship
Child Chain Code
Index Number
Mathematical
Relationship
As illustrated above, HD key derivation takes four inputs:
The parent private key and parent public key are regular uncompressed 256-bit ECDSA keys.
The parent chain code is 256 bits of seemingly-random data.
The index number is a 32-bit integer specified by the program.
In the normal form shown in the above illustration, the parent chain code, the parent public key, and the index number are fed into
a one-way cryptographic hash (HMAC-SHA512) to produce 512 bits of deterministically-generated-but-seemingly-random data.
The seemingly-random 256 bits on the righthand side of the hash output are used as a new child chain code. The seemingly-
random 256 bits on the lefthand side of the hash output are used as the integer value to be combined with either the parent
private key or parent public key to, respectively, create either a child private key or child public key:

point( (parent_private_key + lefthand_hash_output) % G ) == child_public_key
point(child_private_key) == parent_public_key + point(lefthand_hash_output)
Specifying different index numbers will create different unlinkable child keys from the same parent keys. Repeating the procedure
for the child keys using the child chain code will create unlinkable grandchild keys.
Because creating child keys requires both a key and a chain code, the key and chain code together are called the extended key.
An extended private key and its corresponding extended public key have the same chain code. The (top-level parent) master
private key and master chain code are derived from random data, as illustrated below.
Creation Of The Master Keys
128, 256,
Or 512 Bits
Of Entropy
(The Seed)
512-Bit
One-Way
Hash
Master
Private Key
256 Bits
Master
Chain Code
256 Bits
Master
Public Key
Master
Extended
Private Key
Master
Extended
Public Key
A root seed is created from either 128 bits, 256 bits, or 512 bits of random data. This root seed of as little as 128 bits is the the
only data the user needs to backup in order to derive every key created by a particular wallet program using particular settings.
Warning: As of this writing, HD wallet programs are not expected to be fully compatible, so users must only use the same HD
wallet program with the same HD-related settings for a particular root seed.
The root seed is hashed to create 512 bits of seemingly-random data, from which the master private key and master chain code
are created (together, the master extended private key). The master public key is derived from the master private key using
point() , which, together with the master chain code, is the master extended public key. The master extended keys are
functionally equivalent to other extended keys; it is only their location at the top of the hierarchy which makes them special.
Hardened extended keys fix a potential problem with normal extended keys. If an attacker gets a normal parent chain code and
parent public key, he can brute-force all chain codes deriving from it. If the attacker also obtains a child, grandchild, or further-
descended private key, he can use the chain code to generate all of the extended private keys descending from that private key,
as shown in the grandchild and great-grandchild generations of the illustration below.
Cross-Generational Key Compromise
Parent Child Grandchild Great-
Grandchild
Private Private
Parent Key
Derivation
Chain Chain
Normal Child
Key Derivation
PublicPublic
Private
Chain
Public
Private
Chain
Public
Perhaps worse, the attacker can reverse the normal child private key derivation formula and subtract a parent chain code from a
Hardened Keys

child private key to recover the parent private key, as shown in the child and parent generations of the illustration above. This
means an attacker who acquires an extended public key and any private key descended from it can recover that public key’s
private key and all keys descended from it.
For this reason, the chain code part of an extended public key should be better secured than standard public keys and users
should be advised against exporting even non-extended private keys to possibly-untrustworthy environments.
This can be fixed, with some tradeoffs, by replacing the the normal key derivation formula with a hardened key derivation formula.
The normal key derivation formula, described in the section above, combines together the index number, the parent chain code,
and the parent public key to create the child chain code and the integer value which is combined with the parent private key to
create the child private key.
Normal (Top) And Hardened (Bottom) Child Private Key Derivation
Parent Private Key Child Private Key
One-Way
Hash
Parent Chain Code Child Chain Code
Index ≥0x80000000
Parent Private Key Child Private Key
Parent Chain Code One-Way
Hash
Parent Public Key
Child Chain Code
Index <0x80000000
The hardened formula, illustrated above, combines together the index number, the parent chain code, and the parent private key
to create the data used to generate the child chain code and child private key. This formula makes it impossible to create child
public keys without knowing the parent private key. In other words, parent extended public keys can’t create hardened child
public keys.
Because of that, a hardened extended private key is much less useful than a normal extended private key—however, hardened
extended private keys create a firewall through which multi-level key derivation compromises cannot happen. Because hardened
child extended public keys cannot generate grandchild chain codes on their own, the compromise of a parent extended public
key cannot be combined with the compromise of a grandchild private key to create great-grandchild extended private keys.
The HD protocol uses different index numbers to indicate whether a normal or hardened key should be generated. Index numbers
from 0x00 to 0x7fffffff (0 to 2 -1) will generate a normal key; index numbers from 0x80000000 to 0xffffffff will generate a hardened
key. To make descriptions easy, many developers use the prime symbol to indicate hardened keys, so the first normal key (0x00)
is 0 and the first hardened key (0x80000000) is 0´.
(Bitcoin developers typically use the ASCII apostrophe rather than the unicode prime symbol, a convention we will henceforth
follow.)
This compact description is further combined with slashes prefixed by m or M to indicate hierarchy and key type, with m being a
private key and M being a public key. For example, m/0’/0/122’ refers to the 123rd hardened private child (by index number) of the
31

first normal child (by index) of the first hardened child (by index) of the master private key. The following hierarchy illustrates prime
notation and hardened key firewalls.
Hierarchical Deterministic Key Derivation
Hardened
Normal
Hardened
Normal
Normal
m/0'
M/0'
m/0'/0
m/0'/1'
M/0'/0
m/0'/0/0
M/0'/0/0
Normal extended
public keys
can derive child
public keys
M/0'/1'
m/0'/1'/0
Only derivation from
extended private keys
is possible for
hardened keys
M/0'/1'/0
Wallets following the BIP32 HD protocol only create hardened children of the master private key (m) to prevent a compromised
child key from compromising the master key. As there are no normal children for the master keys, the master public key is not
used in HD wallets. All other keys can have normal children, so the corresponding extended public keys may be used instead.
The HD protocol also describes a serialization format for extended public keys and extended private keys. For details, please see
the wallet section in the developer reference or BIP32 for the full HD protocol specification.
Root seeds in the HD protocol are 128, 256, or 512 bits of random data which must be backed up precisely. To make it more
convenient to use non-digital backup methods, such as memorization or hand-copying, BIP39 defines a method for creating a
512-bit root seed from a pseudo-sentence (mnemonic) of common natural-language words which was itself created from 128 to
256 bits of entropy and optionally protected by a password.
The number of words generated correlates to the amount of entropy used:
Entropy Bits Words
128 12
160 15
192 18
224 21
256 24
The passphrase can be of any length. It is simply appended to the mnemonic pseudo-sentence, and then both the mnemonic and
Storing Root Seeds

password are hashed 2,048 times using HMAC-SHA512, resulting in a seemingly-random 512-bit seed. Because any input to the
hash function creates a seemingly-random 512-bit seed, there is no fundamental way to prove the user entered the correct
password, possibly allowing the user to protect a seed even when under duress.
For implementation details, please see BIP39.
Loose-Key wallets, also called “Just a Bunch Of Keys (JBOK)”, are a deprecated form of wallet that originated from the Bitcoin
Core client wallet. The Bitcoin Core client wallet would create 100 private key/public key pairs automatically via a Pseudo-
Random-Number Generator (PRNG) for later use.
These unused private keys are stored in a virtual “key pool”, with new keys being generated whenever a previously-generated key
was used, ensuring the pool maintained 100 unused keys. (If the wallet is encrypted, new keys are only generated while the wallet
is unlocked.)
This created considerable difficulty in backing up one’s keys, considering backups have to be run manually to save the newly-
generated private keys. If a new key pair set is generated, used, and then lost prior to a backup, the stored satoshis are likely lost
forever. Many older-style mobile wallets followed a similar format, but only generated a new private key upon user demand.
This wallet type is being actively phased out and discouraged from being used due to the backup hassle.
Payment processing encompasses the steps spenders and receivers perform to make and accept payments in exchange for
products or services. The basic steps have not changed since the dawn of commerce, but the technology has. This section will
explain how receivers and spenders can, respectively, request and make payments using Bitcoin—and how they can deal with
complications such as refunds and recurrent rebilling.
Payment Processing With Bitcoin (From A Receiver's Perspective)
Price
Order
In
BTC
New
Order Request
Payment
Verify
Payment
& Fulfill
Order
Issue
Refund
(Sometimes)
Disburse
Income
(Optional)
Rebill
Recurring
(Optional)
The figure above illustrates payment processing using Bitcoin from a receiver’s perspective, starting with a new order. The
following subsections will each address the three common steps and the three occasional or optional steps.
It is worth mentioning that each of these steps can be outsourced by using third party APIs and services.
Because of exchange rate variability between satoshis and national currencies (fiat), many Bitcoin orders are priced in fiat but paid
in satoshis, necessitating a price conversion.
Exchange rate data is widely available through HTTP-based APIs provided by currency exchanges. Several organizations also
aggregate data from multiple exchanges to create index prices, which are also available using HTTP-based APIs.
Loose-Key Wallets
Payment Processing
Pricing Orders

Any applications which automatically calculate order totals using exchange rate data must take steps to ensure the price quoted
reflects the current general market value of satoshis, or the applications could accept too few satoshis for the product or service
being sold. Alternatively, they could ask for too many satoshis, driving away potential spenders.
To minimize problems, your applications may want to collect data from at least two separate sources and compare them to see
how much they differ. If the difference is substantial, your applications can enter a safe mode until a human is able to evaluate the
situation.
You may also want to program your applications to enter a safe mode if exchange rates are rapidly increasing or decreasing,
indicating a possible problem in the Bitcoin market which could make it difficult to spend any satoshis received today.
Exchange rates lie outside the control of Bitcoin and related technologies, so there are no new or planned technologies which will
make it significantly easier for your program to correctly convert order totals from fiat into satoshis.
Because the exchange rate fluctuates over time, order totals pegged to fiat must expire to prevent spenders from delaying
payment in the hope that satoshis will drop in price. Most widely-used payment processing systems currently expire their invoices
after 10 to 20 minutes.
Shorter expiration periods increase the chance the invoice will expire before payment is received, possibly necessitating manual
intervention to request an additional payment or to issue a refund. Longer expiration periods increase the chance that the
exchange rate will fluctuate a significant amount before payment is received.
Before requesting payment, your application must create a Bitcoin address, or acquire an address from another program such as
Bitcoin Core. Bitcoin addresses are described in detail in the Transactions section. Also described in that section are two
important reasons to avoid using an address more than once—but a third reason applies especially to payment requests:
Using a separate address for each incoming payment makes it trivial to determine which customers have paid their payment
requests. Your applications need only track the association between a particular payment request and the address used in it, and
then scan the block chain for transactions matching that address.
The next subsections will describe in detail the following four compatible ways to give the spender the address and amount to be
paid. For increased convenience and compatibility, providing all of these options in your payment requests is recommended.
1. All wallet software lets its users paste in or manually enter an address and amount into a payment screen. This is, of course,
inconvenient—but it makes an effective fallback option.
2. Almost all desktop wallets can associate with bitcoin: URIs, so spenders can click a link to pre-fill the payment screen. This
also works with many mobile wallets, but it generally does not work with web-based wallets unless the spender installs a
browser extension or manually configures a URI handler.
3. Most mobile wallets support scanning bitcoin: URIs encoded in a QR code, and almost all wallets can display them for
accepting payment. While also handy for online orders, QR Codes are especially useful for in-person purchases.
4. Recent wallet updates add support for the new payment protocol providing increased security, authentication of a receiver’s
identity using X.509 certificates, and other important features such as refunds.
Warning: Special care must be taken to avoid the theft of incoming payments. In particular, private keys should not be stored
on web servers, and payment requests should be sent over HTTPS or other secure methods to prevent man-in-the-middle attacks
from replacing your Bitcoin address with the attacker’s address.
Requesting Payments

To specify an amount directly for copying and pasting, you must provide the address, the amount, and the denomination. An
expiration time for the offer may also be specified. For example:
(Note: all examples in this section use testnet addresses.)
Pay: mjSk1Ny9spzU2fouzYgLqGUD8U41iR35QN
Amount: 100 BTC
You must pay by: 2014-04-01 at 23:00 UTC
Indicating the denomination is critical. As of this writing, popular Bitcoin wallet software defaults to denominating amounts in
either bitcoins (BTC) , millibitcoins (mBTC) or microbitcoins (uBTC, “bits”). Choosing between each unit is widely supported, but
other software also lets its users select denomination amounts from some or all of the following options:
Bitcoins Unit (Abbreviation)
1.0 bitcoin (BTC)
0.01 bitcent (cBTC)
0.001 millibitcoin (mBTC)
0.000001 microbitcoin (uBTC, “bits”)
0.00000001 satoshi
The bitcoin: URI scheme defined in BIP21 eliminates denomination confusion and saves the spender from copying and pasting
two separate values. It also lets the payment request provide some additional information to the spender. An example:
bitcoin:mjSk1Ny9spzU2fouzYgLqGUD8U41iR35QN?amount=100
Only the address is required, and if it is the only thing specified, wallets will pre-fill a payment request with it and let the spender
enter an amount. The amount specified is always in decimal bitcoins (BTC).
Two other parameters are widely supported. The label parameter is generally used to provide wallet software with the
recipient’s name. The message parameter is generally used to describe the payment request to the spender. Both the label and
the message are commonly stored by the spender’s wallet software—but they are never added to the actual transaction, so other
Bitcoin users cannot see them. Both the label and the message must be URI encoded.
All four parameters used together, with appropriate URI encoding, can be seen in the line-wrapped example below.
bitcoin:mjSk1Ny9spzU2fouzYgLqGUD8U41iR35QN\
?amount=0.10\
&label=Example+Merchant\
&message=Order+of+flowers+%26+chocolates
Plain Text
bitcoin: URI

The URI scheme can be extended, as will be seen in the payment protocol section below, with both new optional and required
parameters. As of this writing, the only widely-used parameter besides the four described above is the payment protocol’s r
parameter.
Programs accepting URIs in any form must ask the user for permission before paying unless the user has explicitly disabled
prompting (as might be the case for micropayments).
QR codes are a popular way to exchange bitcoin: URIs in person, in images, or in videos. Most mobile Bitcoin wallet apps,
and some desktop wallets, support scanning QR codes to pre-fill their payment screens.
The figure below shows the same bitcoin: URI code encoded as four different Bitcoin QR codes at four different error
correction levels. The QR code can include the label and message parameters—and any other optional parameters—but they
were omitted here to keep the QR code small and easy to scan with unsteady or low-resolution mobile cameras.
bitcoin:mjSk1Ny9spzU2fouzYgLqGUD8U41iR35QN?amount=.1
Low
Medium
Quartile
High
The error correction is combined with a checksum to ensure the Bitcoin QR code cannot be successfully decoded with data
missing or accidentally altered, so your applications should choose the appropriate level of error correction based on the space
you have available to display the code. Low-level damage correction works well when space is limited, and quartile-level damage
correction helps ensure fast scanning when displayed on high-resolution screens.
Bitcoin Core 0.9 supports the new payment protocol. The payment protocol adds many important features to payment requests:
Supports X.509 certificates and SSL encryption to verify receivers’ identity and help prevent man-in-the-middle attacks.
Provides more detail about the requested payment to spenders.
Allows spenders to submit transactions directly to receivers without going through the peer-to-peer network. This can speed
up payment processing and work with planned features such as child-pays-for-parent transaction fees and offline NFC or
Bluetooth-based payments.
Instead of being asked to pay a meaningless address, such as “mjSk1Ny9spzU2fouzYgLqGUD8U41iR35QN”, spenders are asked
to pay the Common Name (CN) description from the receiver’s X.509 certificate, such as “www.bitcoin.org”.
To request payment using the payment protocol, you use an extended (but backwards-compatible) bitcoin: URI. For example:
bitcoin:mjSk1Ny9spzU2fouzYgLqGUD8U41iR35QN\
?amount=0.10\
&label=Example+Merchant\
&message=Order+of+flowers+%26+chocolates\
QR Codes
Payment Protocol

&r=https://example.com/pay/mjSk1Ny9spzU2fouzYgLqGUD8U41iR35QN
None of the parameters provided above, except r, are required for the payment protocol—but your applications may include
them for backwards compatibility with wallet programs which don’t yet handle the payment protocol.
The r parameter tells payment-protocol-aware wallet programs to ignore the other parameters and fetch a PaymentRequest
from the URL provided. The browser, QR code reader, or other program processing the URI opens the spender’s Bitcoin wallet
program on the URI.
The Bitcoin Payment Protocol As Described In BIP70
Spender
Spender's
Wallet
Receiver
Payment
Request
I clicked a
bitcoin: URI
Pay 10 mBTC
To example.com
(VERIFIED)
Exp. In 10 Min.
Memo: [...] Payment
TX1
[TX...]
Memo
Refund
address(es)
Yes.
Pay the invoice
Payment
Details
Outputs
Exp. Time
Memo
Pay URL
Ref #
Send the
invoice from
[...]/pay/123
Do you agree to
the invoice terms?
TX1
[TX...]
Memo
TX(es) attached
with refund
addresses and
a memo
Payment accepted;
you can go do
something else
Here's the invoice
X.509 Sig
PaymentACK
Thanks!
payment accepted
for processing
Pay Now
Link/QR Code
bitcoin:
?r=http://example.com/pay/123
The Payment Protocol is described in depth in BIP70, BIP71, and BIP72. An example CGI program and description of all the
parameters which can be used in the Payment Protocol is provided in the Developer Examples Payment Protocol subsection. In
this subsection, we will briefly describe in story format how the Payment Protocol is typically used.
Charlie, the client, is shopping on a website run by Bob, the businessman. Charlie adds a few items to his shopping cart and
clicks the “Checkout With Bitcoin” button.
Bob’s server automatically adds the following information to its invoice database:
The details of Charlie’s order, including items ordered and shipping address.
An order total in satoshis, perhaps created by converting prices in fiat to prices in satoshis.
An expiration time when that total will no longer be acceptable.
A pubkey script to which Charlie should send payment. Typically this will be a P2PKH or P2SH pubkey script containing a
unique (never before used) secp256k1 public key.
After adding all that information to the database, Bob’s server displays a bitcoin: URI for Charlie to click to pay.
Charlie clicks on the bitcoin: URI in his browser. His browser’s URI handler sends the URI to his wallet program. The wallet is
aware of the Payment Protocol, so it parses the r parameter and sends an HTTP GET to that URL looking for a PaymentRequest

message.
The PaymentRequest message returned may include private information, such as Charlie’s mailing address, but the wallet must
be able to access it without using prior authentication, such as HTTP cookies, so a publicly-accessible HTTPS URL with a guess-
resistant part is typically used. The unique public key created for the payment request can be used to create a unique identifier.
This is why, in the example URI above, the PaymentRequest URL contains the P2PKH address:
https://example.com/pay/mjSk1Ny9spzU2fouzYgLqGUD8U41iR35QN
After receiving the HTTP GET to the URL above, the PaymentRequest-generating CGI program on Bob’s webserver takes the
unique identifier from the URL and looks up the corresponding details in the database. It then creates a PaymentDetails message
with the following information:
The amount of the order in satoshis and the pubkey script to be paid.
A memo containing the list of items ordered, so Charlie knows what he’s paying for. It may also include Charlie’s mailing
address so he can double-check it.
The time the PaymentDetails message was created plus the time it expires.
A URL to which Charlie’s wallet should send its completed transaction.
That PaymentDetails message is put inside a PaymentRequest message. The payment request lets Bob’s server sign the entire
Request with the server’s X.509 SSL certificate. (The Payment Protocol has been designed to allow other signing methods in the
future.) Bob’s server sends the payment request to Charlie’s wallet in the reply to the HTTP GET.
Charlie’s wallet receives the PaymentRequest message, checks its signature, and then displays the details from the
PaymentDetails message to Charlie. Charlie agrees to pay, so the wallet constructs a payment to the pubkey script Bob’s server
provided. Unlike a traditional Bitcoin payment, Charlie’s wallet doesn’t necessarily automatically broadcast this payment to the
network. Instead, the wallet constructs a Payment message and sends it to the URL provided in the PaymentDetails message as
an HTTP POST. Among other things, the Payment message contains:
The signed transaction in which Charlie pays Bob.

An optional memo Charlie can send to Bob. (There’s no guarantee that Bob will read it.)
A refund address (pubkey script) which Bob can pay if he needs to return some or all of Charlie’s satoshis.
Bob’s server receives the Payment message, verifies the transaction pays the requested amount to the address provided, and
then broadcasts the transaction to the network. It also replies to the HTTP POSTed Payment message with a PaymentACK
message, which includes an optional memo from Bob’s server thanking Charlie for his patronage and providing other information
about the order, such as the expected arrival date.
Charlie’s wallet sees the PaymentACK and tells Charlie that the payment has been sent. The PaymentACK doesn’t mean that Bob
has verified Charlie’s payment—see the Verifying Payment subsection below—but it does mean that Charlie can go do something
else while the transaction gets confirmed. After Bob’s server verifies from the block chain that Charlie’s transaction has been
suitably confirmed, it authorizes shipping Charlie’s order.
In the case of a dispute, Charlie can generate a cryptographically-proven receipt out of the various signed or otherwise-proven
information.
The PaymentDetails message signed by Bob’s webserver proves Charlie received an invoice to pay a specified pubkey script
for a specified number of satoshis for goods specified in the memo field.
The Bitcoin block chain can prove that the pubkey script specified by Bob was paid the specified number of satoshis.
If a refund needs to be issued, Bob’s server can safely pay the refund-to pubkey script provided by Charlie. See the Refunds
section below for more details.
As explained in the Transactions and Block Chain sections, broadcasting a transaction to the network doesn’t ensure that the
receiver gets paid. A malicious spender can create one transaction that pays the receiver and a second one that pays the same
input back to himself. Only one of these transactions will be added to the block chain, and nobody can say for sure which one it
will be.
Two or more transactions spending the same input are commonly referred to as a double spend.
Once the transaction is included in a block, double spends are impossible without modifying block chain history to replace the
transaction, which is quite difficult. Using this system, the Bitcoin protocol can give each of your transactions an updating
confidence score based on the number of blocks which would need to be modified to replace a transaction. For each block, the
transaction gains one confirmation. Since modifying blocks is quite difficult, higher confirmation scores indicate greater
protection.
0 confirmations: The transaction has been broadcast but is still not included in any block. Zero confirmation transactions
(unconfirmed transactions) should generally not be trusted without risk analysis. Although miners usually confirm the first
transaction they receive, fraudsters may be able to manipulate the network into including their version of a transaction.
1 confirmation: The transaction is included in the latest block and double-spend risk decreases dramatically. Transactions which
pay sufficient transaction fees need 10 minutes on average to receive one confirmation. However, the most recent block gets
replaced fairly often by accident, so a double spend is still a real possibility.
2 confirmations: The most recent block was chained to the block which includes the transaction. As of March 2014, two block
replacements were exceedingly rare, and a two block replacement attack was impractical without expensive mining equipment.
6 confirmations: The network has spent about an hour working to protect the transaction against double spends and the
Verifying Payment

transaction is buried under six blocks. Even a reasonably lucky attacker would require a large percentage of the total network
hashing power to replace six blocks. Although this number is somewhat arbitrary, software handling high-value transactions, or
otherwise at risk for fraud, should wait for at least six confirmations before treating a payment as accepted.
Bitcoin Core provides several RPCs which can provide your program with the confirmation score for transactions in your wallet or
arbitrary transactions. For example, the listunspent RPC provides an array of every satoshi you can spend along with its
confirmation score.
Although confirmations provide excellent double-spend protection most of the time, there are at least three cases where double-
spend risk analysis can be required:
1. In the case when the program or its user cannot wait for a confirmation and wants to accept unconfirmed payments.
2. In the case when the program or its user is accepting high value transactions and cannot wait for at least six confirmations or
more.
3. In the case of an implementation bug or prolonged attack against Bitcoin which makes the system less reliable than expected.
An interesting source of double-spend risk analysis can be acquired by connecting to large numbers of Bitcoin peers to track how
transactions and blocks differ from each other. Some third-party APIs can provide you with this type of service.
For example, unconfirmed transactions can be compared among all connected peers to see if any UTXO is used in multiple
unconfirmed transactions, indicating a double-spend attempt, in which case the payment can be refused until it is confirmed.
Transactions can also be ranked by their transaction fee to estimate the amount of time until they’re added to a block.
Another example could be to detect a fork when multiple peers report differing block header hashes at the same block height.
Your program can go into a safe mode if the fork extends for more than two blocks, indicating a possible problem with the block
chain. For more details, see the Detecting Forks subsection.
Another good source of double-spend protection can be human intelligence. For example, fraudsters may act differently from
legitimate customers, letting savvy merchants manually flag them as high risk. Your program can provide a safe mode which stops
automatic payment acceptance on a global or per-customer basis.
Occasionally receivers using your applications will need to issue refunds. The obvious way to do that, which is very unsafe, is
simply to return the satoshis to the pubkey script from which they came. For example:
Alice wants to buy a widget from Bob, so Bob gives Alice a price and Bitcoin address.
Alice opens her wallet program and sends some satoshis to that address. Her wallet program automatically chooses to spend
those satoshis from one of its unspent outputs, an output corresponding to the Bitcoin address
mjSk1Ny9spzU2fouzYgLqGUD8U41iR35QN.
Bob discovers Alice paid too many satoshis. Being an honest fellow, Bob refunds the extra satoshis to the mjSk… address.
This seems like it should work, but Alice is using a centralized multi-user web wallet which doesn’t give unique addresses to each
user, so it has no way to know that Bob’s refund is meant for Alice. Now the refund is a unintentional donation to the company
behind the centralized wallet, unless Alice opens a support ticket and proves those satoshis were meant for her.
This leaves receivers only two correct ways to issue refunds:
If an address was copy-and-pasted or a basic bitcoin: URI was used, contact the spender directly and ask them to provide
Issuing Refunds

a refund address.
If the payment protocol was used, send the refund to the output listed in the refund_to field of the Payment message.
Note: it would be wise to contact the spender directly if the refund is being issued a long time after the original payment was
made. This allows you to ensure the user still has access to the key or keys for the refund_to address.
Many receivers worry that their satoshis will be less valuable in the future than they are now, called foreign exchange (forex) risk.
To limit forex risk, many receivers choose to disburse newly-acquired payments soon after they’re received.
If your application provides this business logic, it will need to choose which outputs to spend first. There are a few different
algorithms which can lead to different results.
A merge avoidance algorithm makes it harder for outsiders looking at block chain data to figure out how many satoshis the
receiver has earned, spent, and saved.
A last-in-first-out (LIFO) algorithm spends newly acquired satoshis while there’s still double spend risk, possibly pushing that
risk on to others. This can be good for the receiver’s balance sheet but possibly bad for their reputation.
A first-in-first-out (FIFO) algorithm spends the oldest satoshis first, which can help ensure that the receiver’s payments always
confirm, although this has utility only in a few edge cases.
When a receiver receives satoshis in an output, the spender can track (in a crude way) how the receiver spends those satoshis.
But the spender can’t automatically see other satoshis paid to the receiver by other spenders as long as the receiver uses unique
addresses for each transaction.
However, if the receiver spends satoshis from two different spenders in the same transaction, each of those spenders can see the
other spender’s payment. This is called a merge, and the more a receiver merges outputs, the easier it is for an outsider to track
how many satoshis the receiver has earned, spent, and saved.
Merge avoidance means trying to avoid spending unrelated outputs in the same transaction. For persons and businesses which
want to keep their transaction data secret from other people, it can be an important strategy.
A crude merge avoidance strategy is to try to always pay with the smallest output you have which is larger than the amount being
requested. For example, if you have four outputs holding, respectively, 100, 200, 500, and 900 satoshis, you would pay a bill for
300 satoshis with the 500-satoshi output. This way, as long as you have outputs larger than your bills, you avoid merging.
More advanced merge avoidance strategies largely depend on enhancements to the payment protocol which will allow payers to
avoid merging by intelligently distributing their payments among multiple outputs provided by the receiver.
Outputs can be spent as soon as they’re received—even before they’re confirmed. Since recent outputs are at the greatest risk of
being double-spent, spending them before older outputs allows the spender to hold on to older confirmed outputs which are
much less likely to be double-spent.
Disbursing Income (Limiting Forex Risk)
Merge Avoidance
Last In, First Out (LIFO)

There are two closely-related downsides to LIFO:
If you spend an output from one unconfirmed transaction in a second transaction, the second transaction becomes invalid if
transaction malleability changes the first transaction.
If you spend an output from one unconfirmed transaction in a second transaction and the first transaction’s output is
successfully double spent to another output, the second transaction becomes invalid.
In either of the above cases, the receiver of the second transaction will see the incoming transaction notification disappear or turn
into an error message.
Because LIFO puts the recipient of secondary transactions in as much double-spend risk as the recipient of the primary
transaction, they’re best used when the secondary recipient doesn’t care about the risk—such as an exchange or other service
which is going to wait for six confirmations whether you spend old outputs or new outputs.
LIFO should not be used when the primary transaction recipient’s reputation might be at stake, such as when paying employees.
In these cases, it’s better to wait for transactions to be fully verified (see the Verification subsection above) before using them to
make payments.
The oldest outputs are the most reliable, as the longer it’s been since they were received, the more blocks would need to be
modified to double spend them. However, after just a few blocks, a point of rapidly diminishing returns is reached. The original
Bitcoin paper predicts the chance of an attacker being able to modify old blocks, assuming the attacker has 30% of the total
network hashing power:
Blocks Chance of successful modification
5 17.73523%
10 4.16605%
15 1.01008%
20 0.24804%
25 0.06132%
30 0.01522%
35 0.00379%
40 0.00095%
45 0.00024%
50 0.00006%
FIFO does have a small advantage when it comes to transaction fees, as older outputs may be eligible for inclusion in the 50,000
bytes set aside for no-fee-required high-priority transactions by miners running the default Bitcoin Core codebase. However, with
transaction fees being so low, this is not a significant advantage.
First In, First Out (FIFO)

The only practical use of FIFO is by receivers who spend all or most of their income within a few blocks, and who want to reduce
the chance of their payments becoming accidentally invalid. For example, a receiver who holds each payment for six
confirmations, and then spends 100% of verified payments to vendors and a savings account on a bi-hourly schedule.
Automated recurring payments are not possible with decentralized Bitcoin wallets. Even if a wallet supported automatically
sending non-reversible payments on a regular schedule, the user would still need to start the program at the appointed time, or
leave it running all the time unprotected by encryption.
This means automated recurring Bitcoin payments can only be made from a centralized server which handles satoshis on behalf
of its spenders. In practice, receivers who want to set prices in fiat terms must also let the same centralized server choose the
appropriate exchange rate.
Non-automated rebilling can be managed by the same mechanism used before credit-card recurring payments became common:
contact the spender and ask them to pay again—for example, by sending them a PaymentRequest bitcoin: URI in an HTML
email.
In the future, extensions to the payment protocol and new wallet features may allow some wallet programs to manage a list of
recurring transactions. The spender will still need to start the program on a regular basis and authorize payment—but it should be
easier and more secure for the spender than clicking an emailed invoice, increasing the chance receivers get paid on time.
Currently there are two primary methods of validating the block chain as a client: Full nodes and SPV clients. Other methods, such
as server-trusting methods, are not discussed as they are not recommended.
The first and most secure model is the one followed by Bitcoin Core, also known as a “thick” or “full chain” client. This security
model assures the validity of the block chain by downloading and validating blocks from the genesis block all the way to the most
recently discovered block. This is known as using the height of a particular block to verify the client’s view of the network.
For a client to be fooled, an adversary would need to give a complete alternative block chain history that is of greater difficulty
than the current “true” chain, which is impossible due to the fact that the longest chain is by definition the true chain. After the
suggested six confirmations, the ability to fool the client become intractable, as only a single honest network node is needed to
have the complete state of the block chain.
Rebilling Recurring Payments
Operating Modes
Full Node

Block Height Compared
To Block Depth
Block Height Block Depth
Block 0
Block 1
Block 100
Block 101
Block 102
Depth 101
Depth 100
Depth 3
Depth 2
Depth 1
An alternative approach detailed in the original Bitcoin paper is a client that only downloads the headers of blocks during the initial
syncing process and then requests transactions from full nodes as needed. This scales linearly with the height of the block chain
at only 80 bytes per block header, or up to 4.2MB per year, regardless of total block size.
As described in the white paper, the merkle root in the block header along with a merkle branch can prove to the SPV client that
the transaction in question is embedded in a block in the block chain. This does not guarantee validity of the transactions that are
embedded. Instead it demonstrates the amount of work required to perform a double-spend attack.
The block’s depth in the block chain corresponds to the cumulative difficulty that has been performed to build on top of that
particular block. The SPV client knows the merkle root and associated transaction information, and requests the respective merkle
branch from a full node. Once the merkle branch has been retrieved, proving the existence of the transaction in the block, the SPV
client can then look to block depth as a proxy for transaction validity and security. The cost of an attack on a user by a malicious
node who inserts an invalid transaction grows with the cumulative difficulty built on top of that block, since the malicious node
alone will be mining this forged chain.
If implemented naively, an SPV client has a few important weaknesses.
First, while the SPV client can not be easily fooled into thinking a transaction is in a block when it is not, the reverse is not true. A
full node can simply lie by omission, leading an SPV client to believe a transaction has not occurred. This can be considered a
Simplified Payment Verification (SPV)
Potential SPV Weaknesses

form of Denial of Service. One mitigation strategy is to connect to a number of full nodes, and send the requests to each node.
However this can be defeated by network partitioning or Sybil attacks, since identities are essentially free, and can be bandwidth
intensive. Care must be taken to ensure the client is not cut off from honest nodes.
Second, the SPV client only requests transactions from full nodes corresponding to keys it owns. If the SPV client downloads all
blocks and then discards unneeded ones, this can be extremely bandwidth intensive. If they simply ask full nodes for blocks with
specific transactions, this allows full nodes a complete view of the public addresses that correspond to the user. This is a large
privacy leak, and allows for tactics such as denial of service for clients, users, or addresses that are disfavored by those running
full nodes, as well as trivial linking of funds. A client could simply spam many fake transaction requests, but this creates a large
strain on the SPV client, and can end up defeating the purpose of thin clients altogether.
To mitigate the latter issue, Bloom filters have been implemented as a method of obfuscation and compression of block data
requests.
A Bloom filter is a space-efficient probabilistic data structure that is used to test membership of an element. The data structure
achieves great data compression at the expense of a prescribed false positive rate.
A Bloom filter starts out as an array of n bits all set to 0. A set of k random hash functions are chosen, each of which output a
single integer between the range of 1 and n.
When adding an element to the Bloom filter, the element is hashed k times separately, and for each of the k outputs, the
corresponding Bloom filter bit at that index is set to 1.
Querying of the Bloom filter is done by using the same hash functions as before. If all k bits accessed in the bloom filter are set to
1, this demonstrates with high probability that the element lies in the set. Clearly, the k indices could have been set to 1 by the
addition of a combination of other elements in the domain, but the parameters allow the user to choose the acceptable false
positive rate.
Removal of elements can only be done by scrapping the bloom filter and re-creating it from scratch.
Rather than viewing the false positive rates as a liability, it is used to create a tunable parameter that represents the desired
privacy level and bandwidth trade-off. A SPV client creates their Bloom filter and sends it to a full node using the message
filterload , which sets the filter for which transactions are desired. The command filteradd allows addition of desired data
to the filter without needing to send a totally new Bloom filter, and filterclear allows the connection to revert to standard
block discovery mechanisms. If the filter has been loaded, then full nodes will send a modified form of blocks, called a merkle
block. The merkle block is simply the block header with the merkle branch associated with the set Bloom filter.
An SPV client can not only add transactions as elements to the filter, but also public keys, data from signature scripts and pubkey
scripts, and more. This enables P2SH transaction finding.
If a user is more privacy-conscious, he can set the Bloom filter to include more false positives, at the expense of extra bandwidth
used for transaction discovery. If a user is on a tight bandwidth budget, he can set the false-positive rate to low, knowing that this
will allow full nodes a clear view of what transactions are associated with his client.
Resources: BitcoinJ, a Java implementation of Bitcoin that is based on the SPV security model and Bloom filters. Used in most
Android wallets.
Bloom Filters
Application Of Bloom Filters

Bloom filters were standardized for use via BIP37. Review the BIP for implementation details.
There are future proposals such as Unspent Transaction Output (UTXO) commitments in the block chain to find a more
satisfactory middle-ground for clients between needing a complete copy of the block chain, or trusting that a majority of your
connected peers are not lying. UTXO commitments would enable a very secure client using a finite amount of storage using a
data structure that is authenticated in the block chain. These type of proposals are, however, in very early stages, and will require
soft forks in the network.
Until these types of operating modes are implemented, modes should be chosen based on the likely threat model, computing and
bandwidth constraints, and liability in bitcoin value.
Resources: Original Thread on UTXO Commitments, Authenticated Prefix Trees BIP Proposal
The Bitcoin network protocol allows full nodes (peers) to collaboratively maintain a peer-to-peer network for block and transaction
exchange. Many SPV clients also use this protocol to connect to full nodes.
Consensus rules do not cover networking, so Bitcoin programs may use alternative networks and protocols, such as the high-
speed block relay network used by some miners and the dedicated transaction information servers used by some wallets that
provide SPV-level security.
To provide practical examples of the Bitcoin peer-to-peer network, this section uses Bitcoin Core as a representative full node and
BitcoinJ as a representative SPV client. Both programs are flexible, so only default behavior is described. Also, for privacy, actual
IP addresses in the example output below have been replaced with RFC5737 reserved IP addresses.
When started for the first time, programs don’t know the IP addresses of any active full nodes. In order to discover some IP
addresses, they query one or more DNS names (called DNS seeds) hardcoded into Bitcoin Core and BitcoinJ. The response to the
lookup should include one or more DNS A records with the IP addresses of full nodes that may accept new incoming connections.
For example, using the Unix dig command:
;; QUESTION SECTION:
;seed.bitcoin.sipa.be. IN A
;; ANSWER SECTION:
seed.bitcoin.sipa.be. 60 IN A 192.0.2.113
seed.bitcoin.sipa.be. 60 IN A 198.51.100.231
seed.bitcoin.sipa.be. 60 IN A 203.0.113.183
[...]
The DNS seeds are maintained by Bitcoin community members: some of them provide dynamic DNS seed servers which
automatically get IP addresses of active nodes by scanning the network; others provide static DNS seeds that are updated
manually and are more likely to provide IP addresses for inactive nodes. In either case, nodes are added to the DNS seed if they
Future Proposals
P2P Network
Peer Discovery

run on the default Bitcoin ports of 8333 for mainnet or 18333 for testnet.
DNS seed results are not authenticated and a malicious seed operator or network man-in-the-middle attacker can return only IP
addresses of nodes controlled by the attacker, isolating a program on the attacker’s own network and allowing the attacker to
feed it bogus transactions and blocks. For this reason, programs should not rely on DNS seeds exclusively.
Once a program has connected to the network, its peers can begin to send it addr (address) messages with the IP addresses
and port numbers of other peers on the network, providing a fully decentralized method of peer discovery. Bitcoin Core keeps a
record of known peers in a persistent on-disk database which usually allows it to connect directly to those peers on subsequent
startups without having to use DNS seeds.
However, peers often leave the network or change IP addresses, so programs may need to make several different connection
attempts at startup before a successful connection is made. This can add a significant delay to the amount of time it takes to
connect to the network, forcing a user to wait before sending a transaction or checking the status of payment.
To avoid this possible delay, BitcoinJ always uses dynamic DNS seeds to get IP addresses for nodes believed to be currently
active. Bitcoin Core also tries to strike a balance between minimizing delays and avoiding unnecessary DNS seed use: if Bitcoin
Core has entries in its peer database, it spends up to 11 seconds attempting to connect to at least one of them before falling back
to seeds; if a connection is made within that time, it does not query any seeds.
Both Bitcoin Core and BitcoinJ also include a hardcoded list of IP addresses and port numbers to several dozen nodes which
were active around the time that particular version of the software was first released. Bitcoin Core will start attempting to connect
to these nodes if none of the DNS seed servers have responded to a query within 60 seconds, providing an automatic fallback
option.
As a manual fallback option, Bitcoin Core also provides several command-line connection options, including the ability to get a list
of peers from a specific node by IP address, or to make a persistent connection to a specific node by IP address. See the -help
text for details. BitcoinJ can be programmed to do the same thing.
Resources: Bitcoin Seeder, the program run by several of the seeds used by Bitcoin Core and BitcoinJ. The Bitcoin Core DNS
Seed Policy. The hardcoded list of IP addresses used by Bitcoin Core and BitcoinJ is generated using the makeseeds script.
Connecting to a peer is done by sending a version message, which contains your version number, block, and current time to
the remote node. The remote node responds with its own version message. Then both nodes send a verack message to the
other node to indicate the connection has been established.
Once connected, the client can send to the remote node getaddr and addr messages to gather additional peers.
In order to maintain a connection with a peer, nodes by default will send a message to peers before 30 minutes of inactivity. If 90
minutes pass without a message being received by a peer, the client will assume that connection has closed.
Before a full node can validate unconfirmed transactions and recently-mined blocks, it must download and validate all blocks from
block 1 (the block after the hardcoded genesis block) to the current tip of the best block chain. This is the Initial Block Download
(IBD) or initial sync.
Although the word “initial” implies this method is only used once, it can also be used any time a large number of blocks need to
Connecting To Peers
Initial Block Download

be downloaded, such as when a previously-caught-up node has been offline for a long time. In this case, a node can use the IBD
method to download all the blocks which were produced since the last time it was online.
Bitcoin Core uses the IBD method any time the last block on its local best block chain has a block header time more than 24
hours in the past. Bitcoin Core 0.10.0 will also perform IBD if its local best block chain is more than 144 blocks lower than its local
best header chain (that is, the local block chain is more than about 24 hours in the past).
Bitcoin Core (up until version 0.9.3) uses a simple initial block download (IBD) method we’ll call blocks-first. The goal is to
download the blocks from the best block chain in sequence.
Overview Of Blocks-First Initial Blocks Download (IBD)
Fully-Synced Block Chain? Listen For New Blocks (Inv)
Yes
Have Inventories?
No
Request Blocks (GetData)
Request Inventories (GetBlocks)
Yes
No
The first time a node is started, it only has a single block in its local best block chain—the hardcoded genesis block (block 0). This
node chooses a remote peer, called the sync node, and sends it the getblocks message illustrated below.
First getblocks message sent from Initial Blocks Download (IBD) node
IBD
Node GetBlocks Message
Message Header
Start String
f9beb4d9
Command
getblocks
Size
69
Checksum
f5fcbcad
Payload
Protocol Version
70002
Header Hash Count
1
Header Hashes (Highest-Height First)
6fe28c0ab6f1b3...d6190000000000
Stopping Hash (Zero Is "No Stop")
00000000000000...00000000000000
Sync
Node
In the header hashes field of the getblocks message, this new node sends the header hash of the only block it has, the genesis
block (6fe2…0000 in internal byte order). It also sets the stop hash field to all zeroes to request a maximum-size response.
Upon receipt of the getblocks message, the sync node takes the first (and only) header hash and searches its local best block
chain for a block with that header hash. It finds that block 0 matches, so it replies with 500 block inventories (the maximum
response to a getblocks message) starting from block 1. It sends these inventories in the inv message illustrated below.
Blocks-First

First inv message reply sent to Initial Blocks Download (IBD) node
IBD
Node Inv Message
Message Header
Start String
f9beb4d9 Command
inv Size
18003 Checksum
25173c57
Payload
Number Of Inventories (Max 500 In Reply To GetBlocks)
500
Inventory Entries
Type Unique Identifier (For Blocks, A Header Hash)
block 4860eb18bf1b1620...688e9a8300000000
block bddd99ccfda39da1...065f626a00000000
...............498 more inventory entries...............
Sync
Node
Inventories are unique identifiers for information on the network. Each inventory contains a type field and the unique identifier for
an instance of the object. For blocks, the unique identifier is a hash of the block’s header.
The block inventories appear in the inv message in the same order they appear in the block chain, so this first inv message
contains inventories for blocks 1 through 501. (For example, the hash of block 1 is 4860…0000 as seen in the illustration above.)
The IBD node uses the received inventories to request 128 blocks from the sync node in the getdata message illustrated below.
First getdata message sent from Initial Blocks Download (IBD) node
IBD
Node GetData Message
Message Header
Start String
f9beb4d9
Command
getdata
Size
4609
Checksum
33e41222
Payload
Number Of Objects Requested By Inventory
128
Objects Requested (Inventory Entries)
Type Unique Identifier (For Blocks, A Header Hash)
Block 4860eb18bf1b1620...688e9a8300000000
Block bddd99ccfda39da1...065f626a00000000
...............126 more inventory entries...............
Sync
Node
It’s important to blocks-first nodes that the blocks be requested and sent in order because each block header references the
header hash of the preceding block. That means the IBD node can’t fully validate a block until its parent block has been received.
Blocks that can’t be validated because their parents haven’t been received are called orphan blocks; a subsection below
describes them in more detail.
Upon receipt of the getdata message, the sync node replies with each of the blocks requested. Each block is put into serialized
block format and sent in a separate block message. The first block message sent (for block 1) is illustrated below.

First block message sent to Initial Blocks Download (IBD) node
IBD
Node Block Message
Message Header
Start String
f9beb4d9
Command
block
Size
215
Checksum
934d270a
Payload
Serialized Block
010000006fe2...58eeac00000000
Sync
Node
The IBD node downloads each block, validates it, and then requests the next block it hasn’t requested yet, maintaining a queue of
up to 128 blocks to download. When it has requested every block for which it has an inventory, it sends another getblocks
message to the sync node requesting the inventories of up to 500 more blocks. This second getblocks message contains
multiple header hashes as illustrated below:
Second getblocks message sent from Initial Blocks Download (IBD) node
IBD
Node GetBlocks Message
Message Header
Start String
f9beb4d9
Command
getblocks
Size
677
Checksum
52be83ef
Payload
Protocol Version
70002
Header Hash Count
20
Header Hashes (Highest-Height First)
db773c8f3b90ef...64f64f00000000
459f16a1c695d0...f66d8000000000
......18 more header hashes......
Stopping Hash (Zero Is "No Stop")
00000000000000...00000000000000
Sync
Node
Upon receipt of the second getblocks message, the sync node searches its local best block chain for a block that matches one
of the header hashes in the message, trying each hash in the order they were received. If it finds a matching hash, it replies with
500 block inventories starting with the next block from that point. But if there is no matching hash (besides the stopping hash), it
assumes the only block the two nodes have in common is block 0 and so it sends an inv starting with block 1 (the same inv
message seen several illustrations above).
This repeated search allows the sync node to send useful inventories even if the IBD node’s local block chain forked from the sync
node’s local block chain. This fork detection becomes increasingly useful the closer the IBD node gets to the tip of the block
chain.
When the IBD node receives the second inv message, it will request those blocks using getdata messages. The sync node will
respond with block messages. Then the IBD node will request more inventories with another getblocks message—and the
cycle will repeat until the IBD node is synced to the tip of the block chain. At that point, the node will accept blocks sent through
the regular block broadcasting described in a later subsection.
The primary advantage of blocks-first IBD is its simplicity. The primary disadvantage is that the IBD node relies on a single sync
node for all of its downloading. This has several implications:
Blocks-First Advantages & Disadvantages

Speed Limits: All requests are made to the sync node, so if the sync node has limited upload bandwidth, the IBD node will
have slow download speeds. Note: if the sync node goes offline, Bitcoin Core will continue downloading from another node—
but it will still only download from a single sync node at a time.
Download Restarts: The sync node can send a non-best (but otherwise valid) block chain to the IBD node. The IBD node
won’t be able to identify it as non-best until the initial block download nears completion, forcing the IBD node to restart its
block chain download over again from a different node. Bitcoin Core ships with several block chain checkpoints at various
block heights selected by developers to help an IBD node detect that it is being fed an alternative block chain history—allowing
the IBD node to restart its download earlier in the process.
Disk Fill Attacks: Closely related to the download restarts, if the sync node sends a non-best (but otherwise valid) block chain,
the chain will be stored on disk, wasting space and possibly filling up the disk drive with useless data.
High Memory Use: Whether maliciously or by accident, the sync node can send blocks out of order, creating orphan blocks
which can’t be validated until their parents have been received and validated. Orphan blocks are stored in memory while they
await validation, which may lead to high memory use.
All of these problems are addressed in part or in full by the headers-first IBD method used in Bitcoin Core 0.10.0.
Resources: The table below summarizes the messages mentioned throughout this subsection. The links in the message field will
take you to the reference page for that message.
Message getblocks inv getdata block
From→To IBD→Sync Sync→IBD IBD→Sync Sync→IBD
Payload One or more header
hashes
Up to 500 block inventories (unique
identifiers)
One or more block
inventories
One serialized
block
Bitcoin Core 0.10.0 uses an initial block download (IBD) method called headers-first. The goal is to download the headers for the
best header chain, partially validate them as best as possible, and then download the corresponding blocks in parallel. This solves
several problems with the older blocks-first IBD method.
Overview Of Headers-First Initial Blocks Download (IBD)
Fully-Synced Block Chain?
Fully-Synced Header Chain?
No
Listen For New Blocks (Inv)
Yes
More Headers Than Blocks?
No
Request Blocks (GetData)
Yes
Request Headers (GetHeaders)
No Yes
The first time a node is started, it only has a single block in its local best block chain—the hardcoded genesis block (block 0). The
node chooses a remote peer, which we’ll call the sync node, and sends it the getheaders message illustrated below.
Headers-First

First getheaders message sent from Initial Blocks Download (IBD) node
IBD
Node GetHeaders Message
Message Header
Start String
f9beb4d9
Command
getheaders
Size
69
Checksum
f5fcbcad
Payload
Protocol Version
70002
Header Hash Count
1
Header Hashes (Highest-Height First)
6fe28c0ab6f1b3...d6190000000000
Stopping Hash (Zero Is "No Stop")
00000000000000...00000000000000
Sync
Node
In the header hashes field of the getheaders message, the new node sends the header hash of the only block it has, the genesis
block (6fe2…0000 in internal byte order). It also sets the stop hash field to all zeroes to request a maximum-size response.
Upon receipt of the getheaders message, the sync node takes the first (and only) header hash and searches its local best block
chain for a block with that header hash. It finds that block 0 matches, so it replies with 2,000 header (the maximum response)
starting from block 1. It sends these header hashes in the headers message illustrated below.
First headers message reply sent to Initial Blocks Download (IBD) node
IBD
Node Headers Message
Message Header
Start String
f9beb4d9 Command
headers Size
162003 Checksum
a65b2b77
Payload
Number Of Headers (Max 2,000 In Reply To GetHeaders)
2000
80-byte Block Headers + 0x00 (The Empty Tx Count)
010000006fe28cab...ff001d01e3629900
010000004860eb18...ff001d08d2bd6100
...............1,998 more block headers...............
Sync
Node
The IBD node can partially validate these block headers by ensuring that all fields follow consensus rules and that the hash of the
header is below the target threshold according to the nBits field. (Full validation still requires all transactions from the
corresponding block.)
After the IBD node has partially validated the block headers, it can do two things in parallel:
1. Download More Headers: the IBD node can send another getheaders message to the sync node to request the next 2,000
headers on the best header chain. Those headers can be immediately validated and another batch requested repeatedly until a
headers message is received from the sync node with fewer than 2,000 headers, indicating that it has no more headers to
offer. As of this writing, headers sync can be completed in fewer than 200 round trips, or about 32 MB of downloaded data.
Once the IBD node receives a headers message with fewer than 2,000 headers from the sync node, it sends a getheaders
message to each of its outbound peers to get their view of best header chain. By comparing the responses, it can easily
determine if the headers it has downloaded belong to the best header chain reported by any of its outbound peers. This means
a dishonest sync node will quickly be discovered even if checkpoints aren’t used (as long as the IBD node connects to at least
one honest peer; Bitcoin Core will continue to provide checkpoints in case honest peers can’t be found).
2. Download Blocks: While the IBD node continues downloading headers, and after the headers finish downloading, the IBD

node will request and download each block. The IBD node can use the block header hashes it computed from the header chain
to create getdata messages that request the blocks it needs by their inventory. It doesn’t need to request these from the sync
node—it can request them from any of its full node peers. (Although not all full nodes may store all blocks.) This allows it to
fetch blocks in parallel and avoid having its download speed constrained to the upload speed of a single sync node.
To spread the load between multiple peers, Bitcoin Core will only request up to 16 blocks at a time from a single peer.
Combined with its maximum of 8 outbound connections, this means headers-first Bitcoin Core will request a maximum of 128
blocks simultaneously during IBD (the same maximum number that blocks-first Bitcoin Core requested from its sync node).
Simulated Headers-First Download Window (Real Window Is Much Larger)
Downloaded And Validated Download Window
Blocks Not Validated Yet
1
Downloaded
From Node A
2
Downloaded
From Node B
3
Requested
From Node A
4
Downloaded
From Node B
5
Requested
From Node B
Bitcoin Core’s headers-first mode uses a 1,024-block moving download window to maximize download speed. The lowest-height
block in the window is the next block to be validated; if the block hasn’t arrived by the time Bitcoin Core is ready to validate it,
Bitcoin Core will wait a minimum of two more seconds for the stalling node to send the block. If the block still hasn’t arrived,
Bitcoin Core will disconnect from the stalling node and attempt to connect to another node. For example, in the illustration above,
Node A will be disconnected if it doesn’t send block 3 within at least two seconds.
Once the IBD node is synced to the tip of the block chain, it will accept blocks sent through the regular block broadcasting
described in a later subsection.
Resources: The table below summarizes the messages mentioned throughout this subsection. The links in the message field will
take you to the reference page for that message.
Message getheaders headers getdata block
From→To IBD→Sync Sync→IBD IBD→Many Many→IBD
Payload One or more header
hashes
Up to 2,000 block
headers
One or more block inventories derived from
header hashes
One serialized
block
When a miner discovers a new block, it broadcasts the new block to its peers using one of the following methods:
Unsolicited Block Push: the miner sends a block message to each of its full node peers with the new block. The miner can
reasonably bypass the standard relay method in this way because it knows none of its peers already have the just-discovered
block.
Standard Block Relay: the miner, acting as a standard relay node, sends an inv message to each of its peers (both full node
and SPV) with an inventory referring to the new block. The most common responses are:
Each blocks-first (BF) peer that wants the block replies with a getdata message requesting the full block.
Each headers-first (HF) peer that wants the block replies with a getheaders message containing the header hash of the
highest-height header on its best header chain, and likely also some headers further back on the best header chain to allow
Block Broadcasting

fork detection. That message is immediately followed by a getdata message requesting the full block. By requesting
headers first, a headers-first peer can refuse orphan blocks as described in the subsection below.
Each Simplified Payment Verification (SPV) client that wants the block replies with a getdata message typically requesting
a merkle block.
The miner replies to each request accordingly by sending the block in a block message, one or more headers in a headers
message, or the merkle block and transactions relative to the SPV client’s bloom filter in a merkleblock message followed by
zero or more tx messages.
By default, Bitcoin Core broadcasts blocks using standard block relay, but it will accept blocks sent using either of the methods
described above.
Full nodes validate the received block and then advertise it to their peers using the standard block relay method described above.
The condensed table below highlights the operation of the messages described above (Relay, BF, HF, and SPV refer to the relay
node, a blocks-first node, a headers-first node, and an SPV client; any refers to a node using any block retrieval method.)
Message inv getdata getheaders headers
From→To Relay→Any BF→Relay HF→Relay Relay→HF
Payload The inventory of
the new block
The inventory of the
new block
One or more header hashes on the
HF node’s best header chain
(BHC)
Up to 2,000 headers connecting
HF node’s BHC to relay node’s
BHC
Message block merkleblock tx
From→To Relay→BF/HF Relay→SPV Relay→SPV
Payload
The new block
in serialized
format
The new block
filtered into a
merkle block
Serialized transactions from the
new block that match the bloom
filter
Blocks-first nodes may download orphan blocks—blocks whose previous block header hash field refers to a block header this
node hasn’t seen yet. In other words, orphan blocks have no known parent (unlike stale blocks, which have known parents but
which aren’t part of the best block chain).
Orphan Blocks

Stale blocks are valid but not part of the best block chain
Orphan blocks have no known parent, so they can't be validated
1
←Parent: 0
2
←Parent: 1
2 (Stale)
←Parent: 1
3
←Parent: 2
5 (Orphan)
←Parent: 4
When a blocks-first node downloads an orphan block, it will not validate it. Instead, it will send a getblocks message to the
node which sent the orphan block; the broadcasting node will respond with an inv message containing inventories of any blocks
the downloading node is missing (up to 500); the downloading node will request those blocks with a getdata message; and the
broadcasting node will send those blocks with a block message. The downloading node will validate those blocks, and once the
parent of the former orphan block has been validated, it will validate the former orphan block.
Headers-first nodes avoid some of this complexity by always requesting block headers with the getheaders message before
requesting a block with the getdata message. The broadcasting node will send a headers message containing all the block
headers (up to 2,000) it thinks the downloading node needs to reach the tip of the best header chain; each of those headers will
point to its parent, so when the downloading node receives the block message, the block shouldn’t be an orphan block—all of
its parents should be known (even if they haven’t been validated yet). If, despite this, the block received in the block message is
an orphan block, a headers-first node will discard it immediately.
However, orphan discarding does mean that headers-first nodes will ignore orphan blocks sent by miners in an unsolicited block
push.
In order to send a transaction to a peer, an inv message is sent. If a getdata response message is received, the transaction is
sent using tx . The peer receiving this transaction also forwards the transaction in the same manner, given that it is a valid
transaction.
Full peers may keep track of unconfirmed transactions which are eligible to be included in the next block. This is essential for
miners who will actually mine some or all of those transactions, but it’s also useful for any peer who wants to keep track of
unconfirmed transactions, such as peers serving unconfirmed transaction information to SPV clients.
Because unconfirmed transactions have no permanent status in Bitcoin, Bitcoin Core stores them in non-persistent memory,
calling them a memory pool or mempool. When a peer shuts down, its memory pool is lost except for any transactions stored by
its wallet. This means that never-mined unconfirmed transactions tend to slowly disappear from the network as peers restart or as
they purge some transactions to make room in memory for others.
Transactions which are mined into blocks that later become stale blocks may be added back into the memory pool. These re-
added transactions may be re-removed from the pool almost immediately if the replacement blocks include them. This is the case
in Bitcoin Core, which removes stale blocks from the chain one by one, starting with the tip (highest block). As each block is
Transaction Broadcasting
Memory Pool

removed, its transactions are added back to the memory pool. After all of the stale blocks are removed, the replacement blocks
are added to the chain one by one, ending with the new tip. As each block is added, any transactions it confirms are removed
from the memory pool.
SPV clients don’t have a memory pool for the same reason they don’t relay transactions. They can’t independently verify that a
transaction hasn’t yet been included in a block and that it only spends UTXOs, so they can’t know which transactions are eligible
to be included in the next block.
Take note that for both types of broadcasting, mechanisms are in place to punish misbehaving peers who take up bandwidth and
computing resources by sending false information. If a peer gets a banscore above the -banscore=<n> threshold, he will be
banned for the number of seconds defined by -bantime=<n> , which is 86,400 by default (24 hours).
In case of a bug or attack, the Bitcoin Core developers provide a Bitcoin alert service with an RSS feed and users of Bitcoin Core
can check the error field of the getinfo RPC results to get currently active alerts for their specific version of Bitcoin Core.
These messages are aggressively broadcast using the alert message, being sent to each peer upon connect for the duration of
the alert.
These messages are signed by a specific ECDSA private key that only a small number of developers control.
Resource: More details about the structure of messages and a complete list of message types can be found in the P2P reference
section.
Mining adds new blocks to the block chain, making transaction history hard to modify. Mining today takes on two forms:
Solo mining, where the miner attempts to generate new blocks on his own, with the proceeds from the block reward and
transaction fees going entirely to himself, allowing him to receive large payments with a higher variance (longer time between
payments)
Pooled mining, where the miner pools resources with other miners to find blocks more often, with the proceeds being shared
among the pool miners in rough correlation to the amount of hashing power they each contributed, allowing the miner to
receive small payments with a lower variance (shorter time between payments).
As illustrated below, solo miners typically use bitcoind to get new transactions from the network. Their mining software
periodically polls bitcoind for new transactions using the getblocktemplate RPC, which provides the list of new transactions
plus the public key to which the coinbase transaction should be sent.
Misbehaving Nodes
Alerts
Mining
Solo Mining

Solo Bitcoin Mining Workflow
P2P
Network bitcoind
TXes→ASIC
Mining
Software ←Headers
Below
Target
Block
Headers &
Targets→
←Blocks←Blocks
Block
Template→
The mining software constructs a block using the template (described below) and creates a block header. It then sends the 80-
byte block header to its mining hardware (an ASIC) along with a target threshold (difficulty setting). The mining hardware iterates
through every possible value for the block header nonce and generates the corresponding hash.
If none of the hashes are below the threshold, the mining hardware gets an updated block header with a new merkle root from the
mining software; this new block header is created by adding extra nonce data to the coinbase field of the coinbase transaction.
On the other hand, if a hash is found below the target threshold, the mining hardware returns the block header with the successful
nonce to the mining software. The mining software combines the header with the block and sends the completed block to
bitcoind to be broadcast to the network for addition to the block chain.
Pool miners follow a similar workflow, illustrated below, which allows mining pool operators to pay miners based on their share of
the work done. The mining pool gets new transactions from the network using bitcoind . Using one of the methods discussed
later, each miner’s mining software connects to the pool and requests the information it needs to construct block headers.
Pool-Based Bitcoin Mining Workflow
P2P
Network
Mining
Pool
TXes→ASIC
Mining
Software ←Headers
Below
Target
Block
Headers &
Targets→
←Shares←Blocks
Prototype
Block→
In pooled mining, the mining pool sets the target threshold a few orders of magnitude higher (less difficult) than the network
difficulty. This causes the mining hardware to return many block headers which don’t hash to a value eligible for inclusion on the
block chain but which do hash below the pool’s target, proving (on average) that the miner checked a percentage of the possible
hash values.
The miner then sends to the pool a copy of the information the pool needs to validate that the header will hash below the target
and that the the block of transactions referred to by the header merkle root field is valid for the pool’s purposes. (This usually
means that the coinbase transaction must pay the pool.)
The information the miner sends to the pool is called a share because it proves the miner did a share of the work. By chance,
some shares the pool receives will also be below the network target—the mining pool sends these to the network to be added to
the block chain.
The block reward and transaction fees that come from mining that block are paid to the mining pool. The mining pool pays out a
portion of these proceeds to individual miners based on how many shares they generated. For example, if the mining pool’s target
threshold is 100 times lower than the network target threshold, 100 shares will need to be generated on average to create a
successful block, so the mining pool can pay 1/100th of its payout for each share received. Different mining pools use different
reward distribution systems based on this basic share system.
Pool Mining

In both solo and pool mining, the mining software needs to get the information necessary to construct block headers. This
subsection describes, in a linear way, how that information is transmitted and used. However, in actual implementations, parallel
threads and queuing are used to keep ASIC hashers working at maximum capacity,
The simplest and earliest method was the now-deprecated Bitcoin Core getwork RPC, which constructs a header for the miner
directly. Since a header only contains a single 4-byte nonce good for about 4 gigahashes, many modern miners need to make
dozens or hundreds of getwork requests a second. Solo miners may still use getwork , but most pools today discourage or
disallow its use.
An improved method is the Bitcoin Core getblocktemplate RPC. This provides the mining software with much more
information:
1. The information necessary to construct a coinbase transaction paying the pool or the solo miner’s bitcoind wallet.
2. A complete dump of the transactions bitcoind or the mining pool suggests including in the block, allowing the mining
software to inspect the transactions, optionally add additional transactions, and optionally remove non-required transactions.
3. Other information necessary to construct a block header for the next block: the block version, previous block hash, and bits
(target).
4. The mining pool’s current target threshold for accepting shares. (For solo miners, this is the network target.)
Using the transactions received, the mining software adds a nonce to the coinbase extra nonce field and then converts all the
transactions into a merkle tree to derive a merkle root it can use in a block header. Whenever the extra nonce field needs to be
changed, the mining software rebuilds the necessary parts of the merkle tree and updates the time and merkle root fields in the
block header.
Like all bitcoind RPCs, getblocktemplate is sent over HTTP. To ensure they get the most recent work, most miners use HTTP
longpoll to leave a getblocktemplate request open at all times. This allows the mining pool to push a new getblocktemplate
to the miner as soon as any miner on the peer-to-peer network publishes a new block or the pool wants to send more
transactions to the mining software.
A widely used alternative to getblocktemplate is the Stratum mining protocol. Stratum focuses on giving miners the minimal
information they need to construct block headers on their own:
1. The information necessary to construct a coinbase transaction paying the pool.
2. The parts of the merkle tree which need to be re-hashed to create a new merkle root when the coinbase transaction is updated
with a new extra nonce. The other parts of the merkle tree, if any, are not sent, effectively limiting the amount of data which
Block Prototypes
getwork RPC
getblocktemplate RPC
Stratum

needs to be sent to (at most) about a kilobyte at current transaction volume.
3. All of the other non-merkle root information necessary to construct a block header for the next block.
4. The mining pool’s current target threshold for accepting shares.
Using the coinbase transaction received, the mining software adds a nonce to the coinbase extra nonce field, hashes the
coinbase transaction, and adds the hash to the received parts of the merkle tree. The tree is hashed as necessary to create a
merkle root, which is added to the block header information received. Whenever the extra nonce field needs to be changed, the
mining software updates and re-hashes the coinbase transaction, rebuilds the merkle root, and updates the header merkle root
field.
Unlike getblocktemplate , miners using Stratum cannot inspect or add transactions to the block they’re currently mining. Also
unlike getblocktemplate , the Stratum protocol uses a two-way TCP socket directly, so miners don’t need to use HTTP longpoll
to ensure they receive immediate updates from mining pools when a new block is broadcast to the peer-to-peer network.
Resources: The GPLv3 BFGMiner mining software and AGPLv3 Eloipool mining pool software are widely-used among miners
and pools. The libblkmaker C library and python-blkmaker library, both MIT licensed, can interpret GetBlockTemplate for your
programs.