Essential Scrum: A Practical Guide To The Most Popular Agile Process Scrum By Kenneth S. Rubin
User Manual:
Open the PDF directly: View PDF
.
Page Count: 498 [warning: Documents this large are best viewed by clicking the View PDF Link!]
- Contents
- List of Figures
- Foreword
- Foreword
- Preface
- Acknowledgments
- About the Author
- Chapter 1 Introduction
- PART I: Core Concepts
- PART II: Roles
- PART III: Planning
- Chapter 14 Scrum Planning Principles
- Overview
- Don’t Assume We Can Get the Plans Right Up Front
- Up-Front Planning Should Be Helpful without Being Excessive
- Keep Planning Options Open Until the Last Responsible Moment
- Focus More on Adapting and Replanning Than on Conforming to a Plan
- Correctly Manage the Planning Inventory
- Favor Smaller and More Frequent Releases
- Plan to Learn Fast and Pivot When Necessary
- Closing
- Chapter 15 Multilevel Planning
- Chapter 16 Portfolio Planning
- Chapter 17 Envisioning (Product Planning)
- Chapter 18 Release Planning (Longer-Term Planning)
- Chapter 14 Scrum Planning Principles
- PART IV: Sprinting
- Glossary
- References
- Index

ptg8286261

ptg8286261
Praise for Essential Scrum
“Ag ile coaches , you’re gon na b e h appy w it h t hi s bo ok . Ken ny Rubi n h as c re at ed
an indispensable resource for us. Do you have a manager who just doesn’t ‘get it’?
Hand them this book and ask them to flip to Chapter 3 for a complete explanation
of how Scrum is less risky than plan-driven management. It’s written just for them—
in management-speak. Want to help the team come to a common understanding of
Scrum? The visual icon language used throughout this book will help you help them.
These are just two ways this book can aid you to coach Scrum teams. Use it well.”
— Lyssa Adkins, Coach of Agile Coaches, Agile Coaching Institute; author,
Coaching Agile Teams
“One of the best, most comprehensive descriptions of the core Scrum framework
out there! Essential Scrum is for anyone—new to or experienced with Scrum—who’s
interested in the most important aspects of the process. Kenny does an excellent job
of distilling the key tenets of the Scrum framework into a simple format with com-
pelling visuals. As a Scrum coach for many teams, I continually reference the mate-
rial for new ways to help teams that are learning and practicing the framework. I’ve
seen Scrum continually misinterpreted and poorly implemented by big companies
and tool vendors for more than ten years. Reading this book will help you get back to
the basics and focus on what’s important.”
— Joe Balistrieri, Process Development Manager, Rockwell Automation
“Corporate IT leadership, which has been slow to embrace agile methods, would ben-
efit immensely from giving a copy of this book to all of their project and delivery
managers. Kenny Rubin has laid out in this book all the pragmatic business case and
process materials needed for any corporate IT shop to successfully implement Scrum.”
— John F. Bauer III, veteran of technical solution delivery in large corporate IT shops
“Kenny’s extensive experience as a consultant, trainer, and past managing director
of the Scrum Alliance is evident in this book. Along with providing the basics and
introduction to Scrum, this book addresses the questions of masses—what happens
to project managers? Essential Scrum helps us understand the big picture and guides
how organization leaders can support and be involved with their Scrum teams for
successful agile transformations.”
— Sameer S. Bendre, CSM, PMP, Senior Consultant, 3i Infotech Inc.

ptg8286261
“If you’re new to agile development or to Scrum, this book will give you a flying start.
The examples and descriptions are clear and vivid, and you’ll often find yourself ask-
ing a question just before the book addresses that very topic.”
— Johannes Brodwall, Principal Solution Architect, Steria Norway
“Kenny’s well-structured explanations have a clarity to them that echoes the sensi-
bilities of Smalltalk—the development environment with which he worked for years
and from which both Scrum and Extreme Programming were born. This book pulls
together a thorough set of agile management principles that really hit the mark and
will no doubt guide you toward a more effective agile approach.”
— Rowan Bunning, Founder, Scrum WithStyle
“There are lots of books on Scrum these days, but this book takes a new angle: a
reality check for software practitioners. Kenny uses real-world examples and clear
illustrations to show what makes a solid foundation for successful agile development.
Readers will understand the value of building quality in, and the reality that we can’t
get everything right up front; we must work incrementally and learn as we go. It
might have ‘Scrum’ in the title, but the book leverages effective practices from the
larger agile universe to help managers and their teams succeed.”
— Lisa Crispin, coauthor, Agile Testing
“Kenny Rubin managed to write the book that I want everyone associated with
Scrum development to read! He covers everything you’ll need to know about Scrum
and more!”
— Martine Devos, European Scrum Pioneer and Certified Scrum Trainer
“I’ve reviewed a number of agile books in the past few years, so the question of ‘Do
we really need another one?’ always comes to my mind. In the case of Kenny’s book,
I very much believe the answer is ‘yes.’ Getting the benefit of different, experienced
perspectives on commonly encountered and needed material is valuable. Kenny has
one of those valuable perspectives. One unique aspect of the book is an interesting
‘iconography’—a new icon language for Scrum and agile that Kenny has created. I
believe you’ll find value-added material in this book to expand your ideas for how
Scrum can be applied.”
— Scott Duncan, Agile/Scrum coach and trainer
“A nyon e w ho ha s had Sc ru m t ra in in g or ha s b een pa r t of a S cr u m t ea m w i l l f i nd
Essential Scrum to be a great follow-up read. It dives into the details of how to become
more agile through implementing Scrum processes, and it explains exactly how to
break down complex projects into manageable initiatives (or ‘sprints’). Kenny Rubin
provides a wealth of relevant case studies on what worked—or what didn’t—in a

ptg8286261
variety of organizations. The simple layout and businesslike graphics make it easy to
scan quickly and find specific topics. Any organization that is seeking to evolve from
a traditional waterfall approach toward a more agile methodology will find Essential
Scrum a definitive guidebook for the journey.”
— Julia Frazier, product manager
“Developing software is hard. Adopting a new way of working while in a project is
even harder. This book offers a bypass of many of the pitfalls and will accelerate a
team’s ability to produce business value and become successful with Scrum. I wish I
had this kind of book when I started using Scrum.”
— Geir Hedemark, Development Manager, Basefarm AS
“I am convinced that Essential Scrum will become the foundation reference for the
next generation of Scrum practitioners. Not only is it the most comprehensive intro-
duction to Scrum available today, but it is also extremely well written and easy on the
eye with its fantastic new visual Scrum language. If that isn’t enough, Kenny shares a
range of his valuable personal insights and experiences that we can all certainly learn
from.”
— Ilan Goldstein, Agile Solutions Manager, Reed Elsevier
“Scrum is elegantly simple, yet deceptively complex. In Essential Scrum, Kenny Rubin
provides us with a step-by-step guide to those complexities while retaining the essen-
tial simplicity. Real-world experiences coupled with enlightening illustrations make
Scrum come to life. For senior managers and team members alike, this is a must-read
book if you are starting or considering whether to implement Scrum in your organi-
zation. This will certainly be a book recommended to my students.”
— John Hebley, Hebley & Associates
“Kenny unpacks a wealth of wisdom and knowledge in Essential Scrum, providing
valuable and comprehensive insights to the practical application of agile/Scrum.
Whether you’re new to agile or are looking to reach a greater maturity of continuous
improvement in your organization, this is a definitive handbook for your toolbox.”
— David Luzquiños, Head of Agile Enablement, Agile Coach, Betfair
“Kenny Rubin continues to provide clarity and insight into adopting agile in a prag-
matic way. In one hand he holds the formal or ideal Scrum definition, and in the
other, the pragmatic application of it. He brings the wisdom of his workshops and
years of experience to the table for you to read in his latest book. If you are about to
start out on your agile adoption journey or are seeking guidance midcourse, grab a
copy.”
— Cuan Mulligan, freelance coactive Agile coach

ptg8286261
“A de ca de af te r publ ic at ion of the f irs t Sc ru m book s , it i s ti me to combi ne t he es sen-
tial aspects of the Scrum framework with the practical experiences and approaches
of the last ten years. Kenny Rubin does so in a satisfying and nondogmatic way. The
reader gets a pragmatic look at Scrum and learns when and how to best apply Scrum
to achieve business benefits.”
— Yves Stalgies, Ph.D., Director IT, www.etracker.com
“Adopt ion of S cr u m i s mo st suc ce ss f ul w hen ever yone i nvol ve d— eve n p er iphe ra l ly —
with product development has a good understanding of the fundamentals. Essential
Scrum provides an ideal overview of both the big picture and the details in an acces-
sible style. It is sure to become a standard reference.”
— Kevin Tureski, Principal, Kevin Tureski Consulting

ptg8286261
ESSENTIAL SCRUM

ptg8286261
The Addison-Wesley Signature Series provides readers with practical and authoritative
information on the latest trends in modern technology for computer professionals.
The series is based on one simple premise: Great books come from great authors.
Titles in the series are personally chosen by expert advisors, world-class authors in
their own right. These experts are proud to put their signatures on the covers, and
their signatures ensure that these thought leaders have worked closely with authors to
dem n e t o p i c c o v e r a g e , b o o k s c o p e , c r i t i c a l c o n t e n t , a n d o v e r a l l u n i q u e n e s s . T h e e x p e r t
signatures also symbolize a promise to our readers: You are reading a future classic.
Visit informit.com/awss for a complete list of available products.
The Addison-Wesley Signature Series
Kent Beck, Mike Cohn, and Martin Fowler, Consulting Editors
Make sure to connect with us!
informit.com/socialconnect

ptg8286261
ESSENTIAL SCRUM
A PRACTICAL GUIDE TO THE MOST POPULAR
AGILE PROCESS
KENNETH S. RUBIN
Upper Saddle River, NJ • Boston • Indianapolis • San Francisco
New York • Toronto • Montreal • London • Munich • Paris • Madrid
Capetown • Sydney • Tokyo • Singapore • Mexico City

ptg8286261
Many of the designations used by manufacturers and sellers to distinguish their products are
claimed as trademarks. Where those designations appear in this book, and the publisher was
aware of a trademark claim, the designations have been printed with initial capital letters or
in all capitals.
The author and publisher have taken care in the preparation of this book, but make no
expressed or implied warranty of any kind and assume no responsibility for errors or omis-
sions. No liability is assumed for incidental or consequential damages in connection with or
arising out of the use of the information or programs contained herein.
The publisher offers excellent discounts on this book when ordered in quantity for bulk
purchases or special sales, which may include electronic versions and/or custom covers and
content particular to your business, training goals, marketing focus, and branding interests.
For more information, please contact:
U.S. Corporate and Government Sales
(800) 382-3419
corpsales@pearsontechgroup.com
For sales outside the United States, please contact:
International Sales
international@pearson.com
Visit us on the Web: informit.com/aw
Library of Congress Cataloging-in-Publication Data
Rubin, Kenneth S.
Essential Scrum : a practical guide to the most popular agile process / Kenneth S. Rubin.
p. cm.
Includes bibliographical references and index.
ISBN 978-0-13-704329-3 (pbk. : alk. paper)—ISBN 0-13-704329-5 (pbk. : alk. paper)
1. Scrum (Computer software development) 2. Agile software development. 3. Project
management. I. Title.
QA76.76.D47R824 2012
005.1—dc23
2012010892
Copyright © 2013 Pearson Education, Inc.
Agile visual icon language copyright © Kenneth S. Rubin and used with permission.
All rights reserved. Printed in the United States of America. This publication is protected
by copyright, and permission must be obtained from the publisher prior to any prohibited
reproduction, storage in a retrieval system, or transmission in any form or by any means,
electronic, mechanical, photocopying, recording, or likewise. To obtain permission to use
material from this work, please submit a written request to Pearson Education, Inc., Permis-
sions Department, One Lake Street, Upper Saddle River, New Jersey 07458, or you may fax
your request to (201) 236-3290.
ISBN-13: 978-0-13-704329-3
ISBN-10: 0-13-704329-5
Text pr inted in the United States on rec ycled paper at Edwards Brothers Mal loy in A nn
Arbor, Michigan.
First printing, July 2012

ptg8286261
To my w ife, Jenine , for all your loving support
To my son s, Jonah and A sher, for ins piring me
To my father, Manny, for teaching me the value of hard work
To my mother, Joyce , for show ing me what real courage looks like
(may her memory be a blessing)

ptg8286261
This page intentionally left blank

ptg8286261
xi
CONTENTS
List of Figures xxv
Foreword by Mike Cohn xxxi
Foreword by Ron Jeffries xxxiii
Preface xxxv
Acknowledgments xxxix
About the Author xliii
Chapter 1 Introduction 1
What Is Scrum? 1
Scrum Origins 3
Why Scrum? 4
Genomica Results 4
Can Scrum Help You? 5
Complex Domain 8
Complicated Domain 8
Simple Domain 8
Chaotic Domain 9
Disorder 9
Interrupt-Driven Work 9
Closing 10
PART I Core Concepts 11
Chapter 2 Scrum Framework 13
Overview 13
Scrum Roles 14
Product Owner 15
ScrumMaster 16
Development Team 16
Scrum Activities and Artifacts 16
Product Backlog 18

ptg8286261
xii Contents
Sprints 20
Sprint Planning 21
Sprint Execution 23
Daily Scrum 23
Done 25
Sprint Review 26
Sprint Retrospective 27
Closing 28
Chapter 3 Agile Principles 29
Overview 29
Variability and Uncertainty 32
Embrace Helpful Variability 32
Employ Iterative and Incremental Development 33
Leverage Variability through Inspection, Adaptation,
and Transparency 35
Reduce All Forms of Uncertainty Simultaneously 36
Prediction and Adaptation 37
Keep Options Open 37
Accept That You Can’t Get It Right Up Front 38
Favor an Adaptive, Exploratory Approach 39
Embrace Change in an Economically Sensible Way 40
Balance Predictive Up-Front Work with Adaptive Just-in-Time Work 43
Validated Learning 44
Validate Important Assumptions Fast 45
Leverage Multiple Concurrent Learning Loops 45
Organize Workflow for Fast Feedback 46
Work in Process (WIP) 48
Use Economically Sensible Batch Sizes 48
Recognize Inventory and Manage It for Good Flow 49
Focus on Idle Work, Not Idle Workers 51
Consider Cost of Delay 52
Progress 54
Adapt to Real-Time Information and Replan 54
Measure Progress by Validating Working Assets 54
Focus on Value-Centric Delivery 55
Performance 56
Go Fast but Never Hurry 56
Build In Quality 56
Employ Minimally Sufficient Ceremony 57
Closing 58

ptg8286261
Contents xiii
Chapter 4 Sprints 61
Overview 61
Timeboxed 62
Establishes a WIP Limit 62
Forces Prioritization 62
Demonstrates Progress 62
Avoids Unnecessary Perfectionism 63
Motivates Closure 63
Improves Predictability 64
Short Duration 64
Ease of Planning 64
Fast Feedback 64
Improved Return on Investment 65
Bounded Error 65
Rejuvenated Excitement 65
Frequent Checkpoints 66
Consistent Duration 67
Cadence Benefits 67
Simplifies Planning 68
No Goal-Altering Changes 69
What Is a Sprint Goal? 69
Mutual Commitment 69
Change versus Clarification 69
Consequences of Change 70
Being Pragmatic 72
Abnormal Termination 72
Definition of Done 74
What Is the Definition of Done? 74
Definition of Done Can Evolve Over Time 76
Definition of Done versus Acceptance Criteria 77
Done versus Done-Done 77
Closing 78
Chapter 5 Requirements and User Stories 79
Overview 79
Using Conversations 81
Progressive Refinement 82
What Are User Stories? 83
Card 83
Conversation 84
Confirmation 85

ptg8286261
xiv Contents
Level of Detail 86
INVEST in Good Stories 88
Independent 88
Negotiable 89
Valuable 90
Estimatable 91
Sized Appropriately (Small) 92
Testable 92
Nonfunctional Requirements 93
Knowledge-Acquisition Stories 93
Gathering Stories 95
User-Story-Writing Workshop 95
Story Mapping 96
Closing 98
Chapter 6 Product Backlog 99
Overview 99
Product Backlog Items 100
Good Product Backlog Characteristics 101
Detailed Appropriately 101
Emergent 102
Estimated 102
Prioritized 103
Grooming 104
What Is Grooming? 104
Who Does the Grooming? 105
When Does Grooming Take Place? 106
Definition of Ready 108
Flow Management 110
Release Flow Management 110
Sprint Flow Management 111
Which and How Many Product Backlogs? 112
What Is a Product? 113
Large Products—Hierarchical Backlogs 114
Multiple Teams—One Product Backlog 115
One Team—Multiple Products 117
Closing 118
Chapter 7 Estimation and Velocity 119
Overview 119
What and When We Estimate 120
Portfolio Backlog Item Estimates 121

ptg8286261
Contents xv
Product Backlog Estimates 121
Task Estimates 122
PBI Estimation Concepts 123
Estimate as a Team 123
Estimates Are Not Commitments 124
Accuracy versus Precision 125
Relative Size Estimation 125
PBI Estimation Units 128
Story Points 128
Ideal Days 128
Planning Poker 129
Estimation Scale 130
How to Play 131
Benefits 133
What Is Velocity? 133
Calculate a Velocity Range 134
Forecasting Velocity 135
Affecting Velocity 135
Misusing Velocity 137
Closing 138
Chapter 8 Technical Debt 139
Overview 139
Consequences of Technical Debt 141
Unpredictable Tipping Point 142
Increased Time to Delivery 142
Significant Number of Defects 142
Rising Development and Support Costs 142
Product Atrophy 143
Decreased Predictability 143
Underperformance 143
Universal Frustration 144
Decreased Customer Satisfaction 144
Causes of Technical Debt 144
Pressure to Meet a Deadline 144
Attempting to Falsely Accelerate Velocity 145
Myth: Less Testing Can Accelerate Velocity 145
Debt Builds on Debt 147
Technical Debt Must Be Managed 148
Managing the Accrual of Technical Debt 149
Use Good Technical Practices 149
Use a Strong Definition of Done 149
Properly Understand Technical Debt Economics 150

ptg8286261
xvi Contents
Making Technical Debt Visible 153
Make Technical Debt Visible at the Business Level 153
Make Technical Debt Visible at the Technical Level 154
Servicing the Technical Debt 155
Not All Technical Debt Should Be Repaid 157
Apply the Boy Scout Rule (Service Debt When You Happen Upon It) 158
Repay Technical Debt Incrementally 159
Repay the High-Interest Technical Debt First 160
Repay Technical Debt While Performing Customer-Valuable Work 160
Closing 162
PART II Roles 163
Chapter 9 Product Owner 165
Overview 165
Principal Responsibilities 166
Manage Economics 167
Participate in Planning 168
Groom the Product Backlog 169
Define Acceptance Criteria and Verify That They Are Met 169
Collaborate with the Development Team 170
Collaborate with the Stakeholders 171
Characteristics/Skills 171
Domain Skills 171
People Skills 172
Decision Making 173
Accountability 173
A Day in the Life 174
Who Should Be a Product Owner? 176
Internal Development 176
Commercial Development 177
Outsourced Development Project 180
Component Development 180
Product Owner Combined with Other Roles 181
Product Owner Team 182
Product Owner Proxy 183
Chief Product Owner 183
Closing 184

ptg8286261
Contents xvii
Chapter 10 ScrumMaster 185
Overview 185
Principal Responsibilities 185
Coach 185
Servant Leader 186
Process Authority 186
Interference Shield 187
Impediment Remover 187
Change Agent 187
Characteristics/Skills 188
Knowledgeable 188
Questioning 188
Patient 189
Collaborative 189
Protective 189
Transparent 189
A Day in the Life 190
Fulfilling the Role 191
Who Should Be a ScrumMaster? 191
Is ScrumMaster a Full-Time Job? 192
ScrumMaster Combined with Other Roles 192
Closing 193
Chapter 11 Development Team 195
Overview 195
Role-Specific Teams 195
Principal Responsibilities 196
Perform Sprint Execution 196
Inspect and Adapt Each Day 197
Groom the Product Backlog 197
Plan the Sprint 197
Inspect and Adapt the Product and Process 197
Characteristics/Skills 198
Self-Organizing 198
Cross-Functionally Diverse and Sufficient 200
T-Shaped Sk i lls 201
Musketeer Attitude 203
High-Bandwidth Communications 204
Transparent Communication 205
Right-Sized 206
Focused and Committed 207

ptg8286261
xviii Contents
Working at a Sustainable Pace 208
Long-Lived 209
Closing 211
Chapter 12 Scrum Team Structures 213
Overview 213
Feature Teams versus Component Teams 213
Multiple-Team Coordination 218
Scrum of Scrums 218
Release Train 220
Closing 223
Chapter 13 Managers 225
Overview 225
Fashioning Teams 227
Define Boundaries 227
Provide a Clear Elevating Goal 228
Form Teams 228
Change Team Composition 229
Empower Teams 230
Nurturing Teams 231
Energize People 231
Develop Competence 231
Provide Functional-Area Leadership 232
Maintain Team Integrity 233
Aligning and Adapting the Environment 233
Promote Agile Values 233
Remove Organizational Impediments 234
Align Internal Groups 234
Align Partners 234
Managing Value-Creation Flow 235
Take a Systems Perspective 235
Manage Economics 236
Monitor Measures and Reports 236
Project Managers 237
Project Management Responsibilities on a Scrum Team 237
Retaining a Separate Project Manager Role 239
Closing 243

ptg8286261
Contents xix
PART III Planning 245
Chapter 14 Scrum Planning Principles 247
Overview 247
Don’t Assume We Can Get the Plans Right Up Front 248
Up-Front Planning Should Be Helpful without Being Excessive 248
Keep Planning Options Open Until the Last Responsible Moment 249
Focus More on Adapting and Replanning Than on Conforming
to a Plan 249
Correctly Manage the Planning Inventory 251
Favor Smaller and More Frequent Releases 252
Plan to Learn Fast and Pivot When Necessary 254
Closing 255
Chapter 15 Multilevel Planning 257
Overview 257
Portfolio Planning 259
Product Planning (Envisioning) 259
Vision 259
High-Level Product Backlog 259
Product Roadmap 260
Release Planning 261
Sprint Planning 264
Daily Planning 264
Closing 265
Chapter 16 Portfolio Planning 267
Overview 267
Timing 267
Participants 268
Process 268
Scheduling Strategies 270
Optimize for Lifecycle Profits 270
Calculate Cost of Delay 271
Estimate for Accuracy, Not Precision 274
Inflow Strategies 275
Apply the Economic Filter 275
Balance the Arrival Rate with the Departure Rate 276
Quickly Embrace Emergent Opportunities 278
Plan for Smaller, More Frequent Releases 279

ptg8286261
xx Contents
Outflow Strategies 280
Focus on Idle Work, Not Idle Workers 281
Establish a WIP Limit 281
Wait for a Complete Team 282
In-Process Strategies 283
Use Marginal Economics 283
Closing 285
Chapter 17 Envisioning (Product Planning) 287
Overview 287
Timing 287
Participants 288
Process 290
SR4U Example 290
Visioning 291
High-Level Product Backlog Creation 294
Product Roadmap Definition 295
Other Activities 298
Economically Sensible Envisioning 299
Target a Realistic Confidence Threshold 300
Focus on a Short Horizon 302
Act Quickly 302
Pay for Validated Learning 303
Use Incremental/Provisional Funding 304
Learn Fast and Pivot (aka Fail Fast) 305
Closing 306
Chapter 18 Release Planning (Longer-Term Planning) 307
Overview 307
Timing 308
Participants 308
Process 309
Release Constraints 311
Fixed Everything 311
Fixed Scope and Date 312
Fixed Scope 313
Fixed Date 313
Variable Qua lit y 314
Updating Constraints 314
Grooming the Product Backlog 315
Refine Minimum Releasable Features (MRFs) 316

ptg8286261
Contents xxi
Sprint Mapping (PBI Slotting) 316
Fixed-Date Release Planning 318
Fixed-Scope Release Planning 323
Calculating Cost 325
Communicating 326
Communicating Progress on a Fixed-Scope Release 327
Communicating Progress on a Fixed-Date Release 329
Closing 330
PART IV Sprinting 333
Chapter 19 Sprint Planning 335
Overview 335
Timing 335
Participants 335
Process 336
Approaches to Sprint Planning 338
Two-Par t Sprint Pla nning 338
One-Part Sprint Planning 339
Determining Capacity 340
What Is Capacity? 340
Capacity in Story Points 342
Capacity in Effort-Hours 342
Selecting Product Backlog Items 343
Acquiring Confidence 344
Refine the Sprint Goal 346
Finalize the Commitment 346
Closing 346
Chapter 20 Sprint Execution 347
Overview 347
Timing 347
Participants 348
Process 348
Sprint Execution Planning 349
Flow Management 349
Parallel Work and Swarming 350
Which Work to Start 352
How to Organize Task Work 352

ptg8286261
xxii Contents
What Work Needs to Be Done? 353
Who Does the Work? 354
Daily Scrum 354
Task Performance—Technical Practices 355
Communicating 356
Task Board 356
Sprint Burndown Chart 357
Sprint Burnup Chart 359
Closing 360
Chapter 21 Sprint Review 363
Overview 363
Participants 364
Prework 365
Determine Whom to Invite 366
Schedule the Activity 366
Confirm That the Sprint Work Is Done 367
Prepare for the Demonstration 368
Determine Who Does What 368
Approach 368
Summarize 369
Demonstrate 370
Discuss 371
Adapt 371
Sprint Review Issues 372
Sign-offs 372
Sporadic Attendance 372
Large Development Efforts 373
Closing 373
Chapter 22 Sprint Retrospective 375
Overview 375
Participants 377
Prework 378
Define the Retrospective Focus 378
Select the Exercises 379
Gather Objective Data 379
Structure the Retrospective 380
Approach 380
Set the Atmosphere 382
Share Context 382

ptg8286261
Contents xxiii
Identify Insights 385
Determine Actions 387
Close the Retrospective 390
Follow Through 391
Sprint Retrospective Issues 392
Closing 393
Chapter 23 The Path Forward 395
There Is No End State 395
Discover Your Own Path 396
Sharing Best Practices 396
Using Scrum to Discover the Path Forward 397
Get Going! 398
Glossary 401
References 423
Index 427

ptg8286261
This page intentionally left blank

ptg8286261
xxv
LIST OF FIGURES
Figure 1.1 Agile development overview 2
Figure 1.2 Scrum benefits 6
Figure 1.3 Cynefin framework 7
Figure 2.1 Scrum practices 14
Figure 2.2 Scrum roles 15
Figure 2.3 Scrum framework 17
Figure 2.4 Product backlog 19
Figure 2.5 Product backlog grooming 19
Figure 2.6 Product backlog item sizes 20
Figure 2.7 Sprint characteristics 21
Figure 2.8 Sprint planning 21
Figure 2.9 Sprint backlog 22
Figure 2.10 Sprint execution 23
Figure 2.11 Daily scrum 24
Figure 2.12 Sprint results (potentially shippable product increment) 25
Figure 2.13 Sprint review 27
Figure 2.14 Sprint retrospective 27
Figure 3.1 Waterfall process 30
Figure 3.2 Categorization of principles 31
Figure 3.3 Defined process 32
Figure 3.4 Scrum uses iterative and incremental development. 34
Figure 3.5 Scrum process model 36
Figure 3.6 Make decisions at the last responsible moment. 38
Figure 3.7 Plan-driven requirements acquisition relative to product
knowledge 39
Figure 3.8 Historical cost of exploration 40
Figure 3.9 Significant late cost of change with sequential development 41
Figure 3.10 Self-fulfilling prophecy 42
Figure 3.11 Flattening the cost-of-change curve 43
Figure 3.12 Balancing predictive and adaptive work 44
Figure 3.13 Learning loop pattern 46
Figure 3.14 Component integration 47
Figure 3.15 How utilization affects queue size (delay) 52

ptg8286261
xxvi List of Figures
Figure 3.16 Deliver high-value features sooner. 55
Figure 3.17 Ceremony scale 58
Figure 4.1 Sprints are the skeleton of the Scrum framework. 61
Figure 4.2 The benefits of timeboxing 63
Figure 4.3 The benefits of short-duration sprints 64
Figure 4.4 Excitement over time 65
Figure 4.5 Checkpoint comparison 66
Figure 4.6 Cumulative investment at different states 71
Figure 4.7 Deciding on the next sprint length after sprint termination 73
Figure 5.1 Scrum uses placeholders for requirements. 81
Figure 5.2 A user story template and card 83
Figure 5.3 User story with additional data attached 84
Figure 5.4 User story conditions of satisfaction 85
Figure 5.5 User story abstraction hierarchy 87
Figure 5.6 Example epic 87
Figure 5.7 Example theme 88
Figure 5.8 Highly dependent stories 89
Figure 5.9 Example technical story 90
Figure 5.10 Undesirable technical story 91
Figure 5.11 Nonfunctional requirements 93
Figure 5.12 Knowledge-acquisition story 94
Figure 5.13 Story map 97
Figure 6.1 The product backlog is at the heart of the Scrum framework. 99
Figure 6.2 Product backlog items 100
Figure 6.3 Product backlog items are different sizes. 102
Figure 6.4 Product backlog items are estimated. 103
Figure 6.5 Product backlog items are prioritized. 104
Figure 6.6 Grooming reshapes the product backlog. 105
Figure 6.7 Grooming is a collaborative effort. 106
Figure 6.8 Outside-of-primary-flow grooming with sequential projects 107
Figure 6.9 When grooming happens 108
Figure 6.10 Definition of ready 109
Figure 6.11 Release-level view of the product backlog 111
Figure 6.12 The product backlog as a pipeline of requirements 112
Figure 6.13 The product backlog is associated with the product. 113
Figure 6.14 Hierarchical product backlogs 115
Figure 6.15 Tea m-specif ic v iew of the product back log 116
Figure 6.16 Scenarios for multiple product backlogs 117

ptg8286261
List of Figures xxvii
Figure 7.1 The relationship among size, velocity, and duration 120
Figure 7.2 What and when we estimate 121
Figure 7.3 Product backlog item estimating concepts 123
Figure 7.4 The full Scrum team participates in estimation. 124
Figure 7.5 Effect of committing on estimates 124
Figure 7.6 Effort versus accuracy when estimating 126
Figure 7.7 Relative size estimation 126
Figure 7.8 Absolute versus relative size estimation 127
Figure 7.9 Planning Poker concepts 129
Figure 7.10 Planning Poker uses binning. 130
Figure 7.11 Innolution Planning Poker cards 131
Figure 7.12 Calculating and using a velocity range 134
Figure 7.13 A team’s velocity over time 136
Figure 7.14 The effect of overtime on velocity (based on a figure from
Cook 2008) 137
Figure 8.1 Consequences of technical debt 141
Figure 8.2 Cost-of-change curve affected by technical debt 143
Figure 8.3 Pressure to meet a deadline can lead to technical debt. 145
Figure 8.4 Accruing technical debt to meet unreasonable fixed scope
and date 146
Figure 8.5 The myth, reality, and good practice of how testing affects
velocity 146
Figure 8.6 As technical debt increases, velocity decreases. 147
Figure 8.7 Activities for managing technical debt 148
Figure 8.8 Example technical debt economic analysis 150
Figure 8.9 Ways to make technical debt visible at the technical level 154
Figure 8.10 Approaches for servicing technical debt 156
Figure 8.11 A technique for managing technical debt when using Scrum 161
Figure 9.1 The product owner faces two directions simultaneously. 165
Figure 9.2 Principal product owner responsibilities 166
Figure 9.3 The product owner manages economics. 167
Figure 9.4 Comparison of customer or business engagement over time 170
Figure 9.5 Product owner characteristics 172
Figure 9.6 A day in the life of a product owner 174
Figure 9.7 Example of a product owner on internal development 177
Figure 9.8 Example of a product owner on commercial development 178
Figure 9.9 Pragmatic Marketing framework 179
Figure 9.10 Example of a product owner on outsourced development 180
Figure 9.11 Example of a product owner on component development 181
Figure 9.12 Same person as product owner of more than one Scrum team 182
Figure 9.13 Hierarchical product owner role 184

ptg8286261
xxviii List of Figures
Figure 10.1 Principal ScrumMaster responsibilities 186
Figure 10.2 ScrumMaster characteristics 188
Figure 10.3 A day in the life of a ScrumMaster 190
Figure 10.4 Same person as ScrumMaster of more than one team 193
Figure 11.1 Development team responsibilities with respect to Scrum
activities 196
Figure 11.2 Development team characteristics 198
Figure 11.3 Flocking isn’t the result of top-down planning. 199
Figure 11.4 Flocking: simple rules and frequent feedback 200
Figure 11.5 Tea m d iversit y 201
Figure 11.6 T-shaped sk ills 202
Figure 11.7 Team members must act as if they are all in the same boat. 204
Figure 11.8 The cost of multitasking 208
Figure 11.9 Sustainable pace over time 209
Figure 12.1 One product and multiple component teams 214
Figure 12.2 Two produc ts a nd multiple component teams 215
Figure 12.3 Combined feature team and component teams 217
Figure 12.4 Scrum of scrums 219
Figure 12.5 Release train structure 221
Figure 13.1 Greatest concerns about adopting agile 225
Figure 13.2 Functional manager responsibilities in a Scrum organization 226
Figure 13.3 Managers define the boundaries. 227
Figure 13.4 Functional managers collectively create Scrum teams. 228
Figure 13.5 Tea ms ra rely have f u l ly connected communication channels. 240
Figure 13.6 Tea ms f requent ly for m collaboration clusters. 241
Figure 13.7 Funneling coordination through a project or program
manager 242
Figure 13.8 Project manager on complex, multiparty development 243
Figure 14.1 Scrum planning principles 247
Figure 14.2 Big up-front Gantt chart 250
Figure 14.3 When the map and the terrain don’t agree, believe the
terrain. 251
Figure 14.4 Single-release economics 253
Figure 14.5 Multi-release economics 253
Figure 15.1 Different levels of planning 257
Figure 15.2 Scrum Alliance website product roadmap 261
Figure 15.3 A release line in the product backlog 262

ptg8286261
List of Figures xxix
Figure 15.4 Product roadmap releases mapped to the product backlog 263
Figure 15.5 A release can encompass one or more sprints. 263
Figure 15.6 Each sprint has a sprint backlog. 264
Figure 15.7 Hierarchical Scrum planning 266
Figure 16.1 Portfolio-planning activity 268
Figure 16.2 Portfolio-planning strategies 269
Figure 16.3 Cost-of-delay profiles 273
Figure 16.4 Applying the economic filter 276
Figure 16.5 Balancing inflow and outflow in the portfolio backlog 277
Figure 16.6 The value of many emergent opportunities decays rapidly. 279
Figure 16.7 Large products in the portfolio backlog create a convoy. 280
Figure 16.8 Tea ms are t he u nit of capacity for establish ing t he product
WIP limit. 282
Figure 16.9 In-process product decision flow based on marginal
economics 284
Figure 17.1 Envisioning is an ongoing activity. 288
Figure 17.2 Envisioning (product-planning) activity 289
Figure 17.3 Areas of stakeholder value 292
Figure 17.4 Fixed, periodic releases 296
Figure 17.5 SmartReview4You product roadmap 297
Figure 17.6 SR4U knowledge-acquisition sprint storyboard 298
Figure 17.7 Guidelines for economically sensible envisioning 300
Figure 17.8 Consequences of setting the confidence threshold bar
too high 301
Figure 17.9 Decision making under the illusion of certainty 303
Figure 17.10 Incremental/provisional funding 304
Figure 18.1 Different release cadences 307
Figure 18.2 When release planning happens 309
Figure 18.3 Release-planning activity 310
Figure 18.4 Fixed date and fixed scope playing a game of chicken 312
Figure 18.5 Mapping product backlog items to sprints 317
Figure 18.6 Sprint calendar for SR4U Release 1.0 319
Figure 18.7 Product backlog ready for release planning 321
Figure 18.8 Determining the range of features on a fixed-date release 322
Figure 18.9 Location of must-have features relative to the range of
deliverable features 322
Figure 18.10 Results of fixed-scope planning 325
Figure 18.11 Fixed-scope-release burndown chart 327
Figure 18.12 Fixed-scope-release burnup chart 328

ptg8286261
xxx List of Figures
Figure 18.13 Variable-scope-release burnup chart 329
Figure 18.14 Fixed-date-release burnup chart (with inverted product
backlog) 330
Figure 19.1 When sprint planning happens 336
Figure 19.2 Sprint-planning activity 337
Figure 19.3 Two-part spri nt-planning approach 339
Figure 19.4 One-part sprint-planning approach 340
Figure 19.5 Development team capacity in a sprint 341
Figure 19.6 Sprint backlog showing PBIs and task plan 345
Figure 20.1 When sprint execution happens 347
Figure 20.2 Sprint execution activity 348
Figure 20.3 Cost of multitasking 350
Figure 20.4 Mini waterfall during sprint execution—a bad idea 352
Figure 20.5 Subset of Extreme Programming technical practices 355
Figure 20.6 Example task board 356
Figure 20.7 Sprint burndown chart 358
Figure 20.8 Sprint burndown chart with trend lines 359
Figure 20.9 Sprint burnup chart 360
Figure 21.1 When the sprint review happens 363
Figure 21.2 Sprint review prework 366
Figure 21.3 Sprint review activity 369
Figure 22.1 Edward Bear illustrating the need for a retrospective 376
Figure 22.2 When the sprint retrospective happens 376
Figure 22.3 Sprint retrospective prework 378
Figure 22.4 Sprint retrospective activity 381
Figure 22.5 Aligning perspectives to create a shared context 383
Figure 22.6 Sprint event timeline 384
Figure 22.7 Emotions seismograph 385
Figure 22.8 Retrospective insight card wall 386
Figure 22.9 Insight cards clustered into similarity groups 386
Figure 22.10 Insight cards placed into predetermined groups 387
Figure 22.11 Example of dot voting 388
Figure 22.12 Sprint retrospective issues 391

ptg8286261
xxxi
FOREWORD
BY MIKE COHN
I had lunch today at a Burger King. A sign on the wall proclaimed the restaurant the
“Home of the Whopper” and then proceeded to tell me there were over a million dif-
ferent ways to order a Whopper. If various combinations of extra or no pickles, toma-
toes, lettuce, cheese, and so on can lead to over a million ways to make a hamburger,
there must be billions of possible ways to implement Scrum. And while there is no
single right way, there are better and worse ways to implement Scrum.
In Essential Scrum, Kenny Rubin helps readers find the better ways. His isn’t a
prescriptive book—he doesn’t say, “You must do this.” Instead, he teaches the essen-
tial principles underlying success with Scrum and then gives us choices in how we
live up to those principles. For example, there is no one right way for all teams to plan
a sprint. What works in one company or project will fail in another. And so Kenny
gives us choices. He describes an overall structure for why Scrum teams plan sprints
and what must result from sprint planning, and he gives us a couple of alternative
approaches that will work. But ultimately the decision belongs to each team. Fortu-
nately for those teams, they now have this book to help them.
An unexpected benefit of Essential Scrum is the visual language Kenny intro-
duces for communicating about Scrum. I found these images very helpful in fol-
lowing along with the text, and I suspect they will become commonplace in future
discussions of Scrum.
The world has needed this book for a long time. Scrum started as a small con-
cept. The first book to talk about it—Wicked Problems, Righteous Solutions in 1990
by DeGrace and Stahl—did so in six pages. But in the more than 20 years since that
book appeared, Scrum has expanded. New roles, meetings, and artifacts have been
introduced and refined. With each new piece that was added, we were at risk of losing
the heart of Scrum, that part of it that is about a team planning how to do something,
doing some small part of it, and then reflecting on what the team members did and
how well they did it together.
With Essential Scrum, Kenny brings us back to the heart of Scrum. And from
there teams can begin to make the decisions necessary to implement Scrum, mak-
ing it their own. This book serves as an indispensable guide, helping teams choose
among the billions of possible ways of implementing Scrum and finding one that
leads to success.
— Mike Cohn
Author of Succeeding with Agile, Agile Estimating and Planning, and User Stories Applied
www.mountaingoatsoftware.com

ptg8286261
This page intentionally left blank

ptg8286261
xxxiii
FOREWORD
BY RON JEFFRIES
When Kenny asked me to write a foreword for Essential Scrum, I was thinking, “This
will be quick and easy; it must be a short book going straight to a simple description
of what Scrum is.” I knew Kenny’s work, so I knew it would be a good read, and short,
too. What could be better!
Imagine my surprise and delight when I found that this book covers just about
everything you’ll need to know about Scrum, on the first day or years into your use
of Scrum. And Kenny doesn’t stop there. He starts with the central ideas, including
the agile principles that underlie all the agile methods, and a quick view of the Scrum
framework. Then he drills in, deeper and deeper. It’s still a good read, and it’s quite
comprehensive as well.
Kenny covers planning in good detail, looking at requirements, stories, the back-
log, estimation, velocity. Then he takes us deeper into the principles and helps us deal
with all the levels of planning and all the time horizons. He describes how sprints are
planned, executed, reviewed, and improved. And throughout, he gives us more than
the basics, highlighting key issues that you may encounter as you go along.
My own focus in Scrum and agile is on the necessary developer skills to ensure
that teams can deliver real, running, business-focused software, sprint after sprint.
Kenny helps us understand how to use ideas like velocity and technical debt safely
and well. Both of these are critical topics, and I commend them to your attention.
Velocity tells us how much the team is deliveri ng over time. We can use it to get a
sense of how much we’re getting done and whether we’re improving. Kenny warns us,
however, that using velocity as a performance measure is damaging to our business
results, and he helps us understand why.
Technical debt has become a very broad ter m, referr i ng to almost ever y thi ng t hat
could go wrong in the code. Kenny helps us tease apart all the various meanings and
helps us understand why we care about these seemingly technical details. In particu-
lar, I like his description of how putting a team under pressure will inevitably damage
our prospects of getting a good product on time.
Scrum, like all agile methods, relies on an exploratory approach with rapid feed-
back. Kenny tells a story of his brief use of punch cards, and it reminded me of my
earliest experience with computing, many years before Kenny saw his first punch
card.
As a college student, I was lucky enough to get a job as a sort of intern at Strategic
Air Command headquarters in Omaha. In those days all computing was on cards. My

ptg8286261
xxxiv Foreword by Ron Jeffries
cards got sent down several floors underground at SAC HQ and run on the computer
that would run the war, if we ever had one. I was lucky to get one or two runs a day.
As soon as my security clearance came through, I would go down to the com-
puter room in the middle of the night. I would sweet-talk Sergeant Whittaker into
letting me run my own programs, sitting at the console of the machine—yes, the
machine whose main job was to launch a nuclear attack. Rest easy, though: The red
button was not in that room.
Working hands-on with the machine, I got ten times as much work done as when
I had to wait for my cards to be taken down and my listings to be brought back up.
Feedback came faster, I learned faster, and my programs worked sooner.
That’s what Scrum is about. Instead of waiting months or even years to find out
what the programmers are doing, in Scrum we find out every couple of weeks. A
Scrum product owner with a really good team will be seeing actual features taking
shape every few days!
And that is what Kenny’s book is about. If you’re new to Scrum, read it through
from beginning to end. Then keep it nearby. If you’ve been doing Scrum for a while,
scan it, then keep it nearby.
When you find yourself thinking about something that’s happening to your
team, or wondering about different things to try, pick up this book and look around.
Chances are you’ll find something of value.
—Ron Jeffries

ptg8286261
xxxv
PREFACE
This book discusses Essential Scrum—the things you have to know if you’re going to
be successful when using Scrum to develop innovative products and services.
What Is Essential Scrum?
Scrum is based on a small set of core values, principles, and practices (collectively the
Scrum framework). Organizations using Scrum should embrace the Scrum frame-
work in its entirety, perhaps not through the entire organization all at once, but cer-
tainly within the initial teams that will use Scrum. Embracing all of Scrum does not
mean, however, that organizations must implement Scrum according to some cookie-
cutter, one-size-fits-all formula. Rather, it means that organizations should always
stay true to the Scrum framework while choosing an appropriate blend of approaches
for their Scrum implementations.
Essential Scrum combines the values, principles, and practices of Scrum with a
set of tried-and-true approaches that are consistent with, but not mandated by, the
Scrum framework. Some of these approaches will be appropriate to your situation;
others will not. Any approach will need to be inspected and adapted to your unique
circumstances.
Origins of This Book
As an agile/Scrum coach and trainer, I am frequently asked for a reference book
for Scrum—one that provides a comprehensive overview of the Scrum framework
and also presents the most popular approaches for applying Scrum. Because I have
been unable to find a single book that covers these topics at a level deep enough to be
useful to today’s practitioners, I found myself recommending a collection of books:
a few that discuss the Scrum framework but are out of date or incomplete; several
highly regarded agile books that do not focus solely on Scrum; and a handful that are
focused on a specific aspect of Scrum or a specific approach but do not cover the full
Scrum framework in depth. That’s a lot of books for someone who just wants a single,
stand-alone resource that covers the essentials of Scrum!
The originators of Scrum (Jeff Sutherland and Ken Schwaber) do have a Scrum-
specific publication called “The Scrum Guide.” This short document (about 15
pages) is described by its authors as the “definitive rule book of Scrum and the

ptg8286261
xxxvi Preface
documentation of Scrum itself” (Schwaber and Sutherland 2011). They equate their
document to the rules of the game of chess, “describing how the pieces move, how
turns are taken, what is a win, and so on.” Although useful as a Scrum overview
or rule book, “The Scrum Guide” is by design not intended to be a comprehensive
source of essential Scrum knowledge. Extending the authors’ analogy, giving a new
Scrum team just “The Scrum Guide” and expecting good results would be like giv-
ing a new chess player a 15-page description of the rules of chess and expecting her
to be able to play a reasonable game of chess after reading it. It just isn’t a stand-alone
resource.
This book, Essential Scrum, is an attempt to be the missing single source for
essential Scrum knowledge. It includes an in-depth discussion of Scrum’s principles,
values, and practices—one that in most cases agrees with other agile thought lead-
ers and “The Scrum Guide.” (Where this book offers a different perspective from
what is widely promoted elsewhere, I point it out and explain why.) This book also
describes approaches that are consistent with the Scrum framework and that have
been used successfully by me and teams I have coached. I did not intend for this book
to replace other books that provide a deep vertical treatment of a given Scrum prac-
tice or approach. Such books are complementary to and extend this book. Rather,
think of Essential Scrum as the starting point on the journey of using Scrum to delight
customers.
Intended Audience
For the many thousands of people who have taken my Working on a Scrum Team,
Certified ScrumMaster, and Certified Scrum Product Owner classes, and the many
teams I have coached, this book will refresh and perhaps even clarify topics we have
already discussed. And for the even larger number of people with whom I have not
yet had the pleasure of working, this book will either be your first introduction to
Scrum and agile or it will be a chance to look at Scrum in a different light and per-
haps even improve how you perform Scrum.
I did not write this book for any one specific role—this is not a book specifically
for product owners, or ScrumMasters, or members of the development team. Instead,
it is a book intended to give everyone involved with Scrum, from all the members of
the Scrum team to those with whom they interact in the organization, a common
understanding of Scrum based on a core set of concepts with a clear vocabulary for
discussing them. With this shared foundation my hope is that your organization will
be in a better position to successfully use Scrum to deliver business value.
I imagine that every Scrum team member would have a copy of this book on
her desk open to a chapter relevant to the work at hand. I also envision managers at
all levels of the organization reading it to understand why Scrum can be an effective
approach for managing work and to understand the type of organizational change
that may be necessary to successfully implement Scrum. Organizations using or

ptg8286261
Preface xxxvii
planning to use an agile approach other than Scrum will also find the information
relevant and helpful to their specific agile adoption.
Organization of This Book
This book begins with a brief introduction to Scrum (Chapter 1) and concludes with
a discussion of where you might go next (Chapter 23). The remaining chapters are
organized into four parts:
Part I—Core Concepts (Chapters 2–8): Scrum framework, agile principles,
sprints, requirements and user stories, product backlog, estimating and veloc-
ity, and technical debt
Part II—Roles (Chapters 9–13): product owner, ScrumMaster, development
team, Scrum team structures, and managers
Part III—Planning (Chapters 14–18): Scrum planning principles, multilevel
planning, portfolio planning, envisioning/product planning, and release
planning
Part IV—Sprinting (Chapters 19–22): sprint planning, sprint execution,
sprint review, and sprint retrospective
How to Use This Book
As you would expect, I wrote the book assuming that most people would read it lin-
early from front to back. If you are new or newer to Scrum, you should take this
approach because the chapters do tend to build on one another. That being said, if
you are looking for one place to get an end-to-end overview of the Scrum framework
(a highly visual Scrum primer), read and reference Chapter 2.
For those who are more familiar with Scrum, you can use this book as a Scrum
reference guide. If you’re interested in sprint retrospectives, jump directly to Chap-
ter 22. If you are interested in exploring the nuances of the product backlog, jump
directly to Chapter 6. I highly recommend, however, that everyone, even those famil-
iar with Scrum, read Chapter 3 in its entirety. The principles laid out there form
the foundation of the Scrum framework and the rest of the book. It is not simply a
restatement of the values and principles of the Agile Manifesto (Beck et al. 2001) that
is common in many other written descriptions of Scrum.
Visual Icon Language
I am proud to include in this book a new visual language for describing Scrum. This
language is composed from a vocabulary of icons that have been designed to cap-
ture essential Scrum roles, artifacts, and activities. This visual Scrum language is an

ptg8286261
xxxviii Preface
effective way to communicate concepts and improves the overall shared understand-
ability of Scrum. If you are interested in obtaining and using the new full-color visual
Scrum language art (this book is printed in two colors), visit www.innolution.com
for details. This website will also host a variety of resources and discussions related to
the book.
Let’s Get Started
So, whatever your role, whatever your situation, you have picked up this book for a
reason. Spend a little time getting to know Scrum. In the pages that follow you just
might find a powerful framework that you can make your own, allowing you to sub-
stantially improve the way you develop and deliver products and services to delight
your customers.

ptg8286261
xxxix
ACKNOWLEDGMENTS
This book would not have been possible without the input of many people, including
the thousands of people who have attended my agile-related classes and coaching ses-
sions. By mentioning some people by name, I run the risk of failing to mention oth-
ers. To those whose names I fail to mention, please know that all of our discussions
and email exchanges have been invaluable to me and have definitely influenced this
book!
There are three people in particular I would like to thank: Mike Cohn, Rebecca
Traeger, and Jeff Schaich. Without the unique involvement of each, this book would
be a mere shadow of itself.
Mike Cohn has been a friend and colleague since we first worked together at
Genomica in 2000. He was gracious enough to include my book in the Mike Cohn
Signature Series; by being affiliated with Mike and the other prestigious authors in
that book series, “I look good by the company that I keep,” as my parents would say.
Mike was my go-to person whenever I wanted to bounce around ideas or discuss
book strategies. He always made time in his insane schedule to review each chapter
and give me his thoughtful feedback. Working with Mike all these years has been a
very rewarding experience—one that I hope will continue long into the future.
Rebecca Traeger has been my personal editor on this book. We have worked
together since my days as managing director of the Scrum Alliance in 2007. At that
time Rebecca was the editor of the Scrum Alliance website and through that work
(and much more since) became the industry’s foremost editor on agile-related mate-
rials. Early on in writing this book I reached out to Rebecca and asked if she would
work with me again, and to my good fortune, she agreed. Nobody saw any chapter
unless Rebecca had seen it first. At times her feedback would make me blush, because
she frequently improved how I said something, making it sound both more under-
standable and approachable. If you just love a section of this book, you can be sure
Rebecca had her hands in it. If you don’t, I probably foolishly chose to ignore her
recommendations.
Jeff Schaich is an artist/designer extraordinaire. We have worked on so many dif-
ferent art projects that I can’t recall them all. Early on in the formulation of this book
I wanted to create an agile/Scrum icon vocabulary to use as the basis for my training
presentations and many of the over 200 figures in the book. I knew that I needed a
great designer to pull off this feat. Jeff agreed to take on the challenge. There are times
when this book seemed like two different projects—writing the content and creating

ptg8286261
xl Acknowledgments
the artistic concepts. I’m honestly not sure which took more time. I am sure, however,
that without Jeff’s artistic input, this book would have suffered immeasurably.
I am deeply honored to have both Mike Cohn and Ron Jeffries, two luminaries
in the agile community, write forewords for the book! In their own unique ways each
has done a great job of properly placing the book in context and opening the door
for a discussion of Essential Scrum. Also, Mike, stop eating at Burger King, and Ron,
thanks for not pushing the red button!
I’d also like to thank the many people who took time out of their busy schedules
to review chapters and send me their feedback. Let me start by mentioning reviewers
who provided extensive feedback: Joe Balistrieri, Johannes Brodwall, Leyna Cotran,
Martine Devos, Scott Duncan, Ilan Goldstein, John Hebley, Geir Hedemark, James
Kovacs, Lauri Mackinnon, Robert Maksimchuk, and Kevin Tureski.
In addition, I would like to thank other reviewers who provided excellent feed-
back on select chapters: Lyssa Adkins, John Bauer, Sameer Bendre, Susan Briscoe,
Pawel Brodzinski, Rowan Bunning, Josh Chappell, Lisa Crispin, Ward Cunning-
ham, Cornelius Engelbrecht, Julia Frazier, Brindusa Gabur, Caroline Gordon, Drew
Jemilo, Mike Klimkosky, Tom Langerhorst, Bjarne Larsen, Dean Leffingwell, Mau-
rice le Rutte, David Luzquiños, Lv Yi, Shay McAulay, Armond Mehrabian, Sheriff
Mohamed, Cuan Mulligan, Greg Pease, Roman Pichler, Jacopo Romei, Jens Schauder,
Bill Schroeder, Yves Stalgies, Branko Stojakovic´, Howard Sublett, Julie Sylvain, Kevin
Tambascio, Stephen Wolfram, and Michael Wollin.
I would also like to thank the staff at Pearson who were great partners in this
project. They tolerated my delays with patience and always offered encouragement.
Special thanks to Chris Guzikowski, who oversaw the whole thing from soup to nuts.
He was there from my first Pearson meeting at a pub in Lexington, MA, through the
final production. I would also like to thank Olivia Basegio for adeptly handling logis-
tics and Julie Nahil who did a fantastic job overseeing the project. In addition, thanks
to Barbara Wood for the great job of helping polish the manuscript and Gail Cocker
for pulling all of the art together into a coherent and beautiful whole.
I am also grateful to my assistant, Lindsey Kalicki, to whom I was able to offload
many important tasks so that I could stay focused on book development. I am lucky
to be able to work with such a skilled professional.
Most of all, I would like to acknowledge my family—Jenine, Jonah, and Asher—
and the critical role that they played. I have asked so very much from them during the
long effort of creating this book. No amount of gratitude can make up for the family
pressure it caused and our lost time together.
Jenine is my loving soulmate and has stuck by me through all of the ups and
downs of writing this book. The sacrifices she made so that I could write would dou-
ble the size of this book if I tried to list them all. I couldn’t have done it without her!
Funny thing is, a year after we were married in 1993, I published my first book,
Succeeding with Objects. At that time Jenine made me promise that I would never
write another book again. Luckily for me, after 15 years memories fade and the

ptg8286261
Acknowledgments xli
crushing workload doesn’t seem as bad in hindsight, so when she urged me to write
this one I was surprised to say the least! She hasn’t yet told me I can’t do book number
three, but I suspect it might be 15 more years before the memory of this one fades
enough for either of us to want me to write another one!
I also deeply appreciate the loving support from my sons, Jonah and Asher. They
gave up time with their dad so that I could write. They were always there to bounce
around ideas and to give input on the book. A number of their content and art sug-
gestions have made their way into the book—and it’s better because of them! I hope
they learned the value of perseverance and that even the most daunting work can be
completed if you take it a step at a time and don’t give up.
Finally, I would like to acknowledge my mom, Joyce Rubin (Genesha Esther bat
Avrahm), for all of the love and support she gave me. Without her inf luence this book
would never have been possible. Sadly, she did not survive to see its publication. Her
passing in January 2012 left a void in my life and the lives of her family that can never
be filled. She was a very special person to the many whose lives she touched. Mom, I
miss you more than I can possibly express.

ptg8286261
This page intentionally left blank

ptg8286261
xliii
ABOUT THE AUTHOR
Kenny Rubin provides Scrum and agile training and coaching to help companies
develop products in an effective and economically sensible way. A Certified Scrum
Trainer, Kenny has trained over 18,000 people on agile and Scrum, Smalltalk devel-
opment, managing object-oriented projects, and transition management. He has
coached over 200 companies, ranging from start-ups to Fortune 10.
Kenny was the first Managing Director of the worldwide Scrum Alliance, a non-
profit organization focused on the successful adoption of Scrum. In addition to this
book, Kenny is also the coauthor of the 1995 book Succeeding with Objects: Decision
Frameworks for Project Management. He received his B.S. in Information and Com-
puter Science from the Georgia Institute of Technology and his M.S. in Computer
Science from Stanford University.
Kenny’s background is rooted in the object-oriented technology community. He
started as a Smalltalk developer on a NASA-funded project back in 1985 and devel-
oped the first blackboard expert system outside of LISP. In 1988 he was fortunate to
join ParcPlace Systems, a start-up company formed as a Xerox PARC spin-off, whose
charter was to bring object-oriented technology out of the research labs and release it
to the world. As a Smalltalk development consultant with many different organiza-
tions in the late 1980s and throughout the 1990s, Kenny was an early adopter of agile
practices. His first use of Scrum was in 2000 for developing bioinformatics software.
In the course of his career, Kenny has held many roles, including successful
stints as a Scrum product owner, ScrumMaster, and member of development teams.
In addition, he has held numerous executive management roles: CEO, COO, VP of
Engineering, VP of Product Management, and VP of Professional Services. He has
also overseen the development of five commercial software product suites, generating
over $200M in aggregate revenue. In addition, he has been directly involved in raising
over $150M in venture capital funding and assisted in taking two companies public
on the NASDAQ.
His multifaceted background gives Kenny the ability to understand (and explain)
Scrum and its implications equally well from multiple perspectives: from the devel-
opment team to the executive board.

ptg8286261
This page intentionally left blank

ptg8286261
1
Chapter 1
INTRODUCTION
On June 21, 2000, I was employed as Executive Vice President at Genomica, a bio-
informatics company in Boulder, Colorado. I remember the date because my son
Asher was born at one o’clock that morning.
His birth was a good start to the day. Asher was actually born on his predicted
due date (in the United States this happens about 5% of the time). So we (really my
wife, Jenine) had finished our nine-month “project” on schedule. And to top things
off, Asher had a very high Apgar score, indicating that we had produced a healthy,
good-quality result! Our biggest stakeholder, our older son, Jonah, was thrilled to
have a younger brother. On time, high quality, and delighted stakeholders—it truly
was a good day!
After a brief nap, I checked email and saw that the CEO of Genomica had sent
an urgent message asking me to be at a board of directors’ meeting at 8:00 a.m. that
same day. Begrudgingly, I left the hospital and went to the meeting.
When I arrived, I was told that the VP of Engineering had been fired the night
before and I had now inherited the 90-person engineering team. I wasn’t surprised.
For several months the executive team and board had been discussing Genomica’s
inability to deliver valuable products on time and with acceptable quality, and the VP
of Engineering was at the center of that discussion.
It was now my responsibility to oversee the effort of substantially improving the
results of our product development organization. I remember being struck by the
irony of that day’s successful delivery and my new responsibilities.
Because I was already quite busy overseeing sales and marketing, I was told that
at my discretion I could hire a new VP of Engineering to report to me. The person I
chose to hire was Mike Cohn (Cohn 2004; Cohn 2006; Cohn 2010), and Scrum was
the approach that we decided to use.
What Is Scrum?
Scrum is an agile approach for developing innovative products and services. Figure
1.1 shows a simple, generic, agile development approach.
With an agile approach, you begin by creating a product backlog—a prioritized
list of the features and other capabilities needed to develop a successful product.
Guided by the product backlog, you always work on the most important or highest-
priority items first. When you run out of resources (such as time), any work that
didn’t get completed will be of lower priority than the completed work.

ptg8286261
2 Chapter 1 Introduction
The work itself is performed in short, timeboxed iterations, which usually range
from a week to a calendar month in length. During each iteration, a self-organiz-
ing, cross-functional team does all of the work—such as designing, building, and
testing—required to produce completed, working features that could be put into
production.
Ty pica l ly the a mount of work i n t he product back log is much greater t ha n c a n
be completed by a team in one short-duration iteration. So, at the start of each itera-
tion, the team plans which high-priority subset of the product backlog to create in the
upcoming iteration. In Figure 1.1, for example, the team has agreed that it can create
features A, B, and C.
At the end of the iteration, the team reviews the completed features with the
stakeholders to get their feedback. Based on the feedback, the product owner and
team can alter both what they plan to work on next and how the team plans to do
the work. For example, if the stakeholders see a completed feature and then realize
that another feature that they never considered must also be included in the product,
the product owner can simply create a new item representing that feature and insert
it into the product backlog in the correct order to be worked on in a future iteration.
At the end of each iteration, the team should have a potentially shippable product
(or increment of the product), one that can be released if appropriate. If releasing
after each iteration isn’t appropriate, a set of features from multiple iterations can be
released together.
Fe a t u r e A
Product backlog
Iteration (1 week to 1 calendar month)
Fe a t u r e B
Fe a t u r e C
Fe a t u r e A
Iteration planning
Iteration review
Fe a t u r e B
Fe a t u r e C
FIGURE 1.1 Agile development overview

ptg8286261
Scrum Origins 3
As each iteration ends, the whole process is begun anew with the planning of the
next iteration.
Scrum Origins
Scrum’s rich history can be traced back to a 1986 Harvard Business Review article,
“The New New Product Development Game” (Takeuchi and Nonaka 1986). This
article describes how companies such as Honda, Canon, and Fuji-Xerox produced
world-class results using a scalable, team-based approach to all-at-once product
development. It also emphasizes the importance of empowered, self-organizing
teams and outlines management’s role in the development process.
The 1986 article was influential in weaving together many of the concepts that
gave rise to what today we call Scrum. Scrum is not an acronym, but rather a term
borrowed from the sport of rugby, where it refers to a way of restarting a game after
an accidental infringement or when the ball has gone out of play. Even if you are not
a rugby aficionado, you have probably seen a scrum where the two sets of forwards
mass together around the ball with locked arms and, with their heads down, struggle
to gain possession of the ball.
Takeuchi and Nonaka used the metaphors of rugby and the scrum to describe
product development:
The . . . “relay race” approach to product development . . . may conflict with
the goals of maximum speed and flexibility. Instead a holistic or “rugby”
approach—where a team tries to go the distance as a unit, passing the ball back
and forth—may better serve today’s competitive requirements.
In 1993, Jeff Sutherland and his team at Easel Corporation created the Scrum
process for use on a software development effort by combining concepts from the
1986 article with concepts from object-oriented development, empirical process
control, iterative and incremental development, software process and productivity
research, and complex adaptive systems. In 1995, Ken Schwaber published the first
paper on Scrum at OOPSLA 1995 (Schwaber 1995). Since then, Schwaber and Suther-
land, together and separately, have produced several Scrum-specific publications,
including Agile Software Development with Scrum (Schwaber and Beedle 2001), Agile
Project Management with Scrum (Schwaber 2004), and “The Scrum Guide” (Schwa-
ber and Sutherland 2011).
Though Scrum is most commonly used to develop software products, the core
values and principles of Scrum can and are being used to develop different types of
products or to organize the flow of various types of work. For example, I have worked
with organizations that have successfully used Scrum for organizing and manag-
ing the work associated with hardware development, marketing programs, and sales
initiatives.

ptg8286261
4 Chapter 1 Introduction
Why Scrum?
So what made an agile approach like Scrum a good choice for Genomica? First, it was
clear that Genomica’s previous approach to development simply wasn’t working. That
was the bad news; the good news was that most everyone agreed.
Genomica operated in a complex domain where more was unknown than known.
We built products that had never been built before. Our focus was on bleeding-edge,
continuously evolving, state-of-the-art, discovery informatics platforms that research
scientists would use to help discover the next blockbuster molecule. We needed a way
of developing that would allow us to quickly explore new ideas and approaches and
learn fast which solutions were viable and which were not. We had a strategic corpo-
rate partner to whom we needed to show working results every few weeks or so to get
feedback, because our product had to integrate with its core line of DNA sequencers.
This need for rapid exploration and feedback did not mesh well with the detailed, up-
front planning we had been doing.
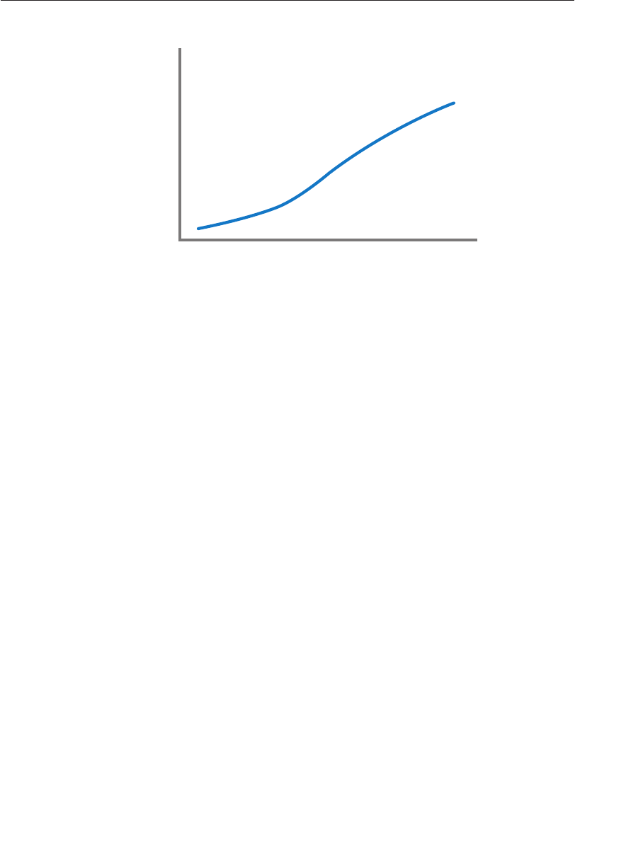
We also wanted to avoid big up-front architecture design. A previous attempt to
create a next generation of Genomica’s core product had seen the organization spend
almost one year doing architecture-only work to create a grand, unified bioinformat-
ics platform. When the first real scientist-facing application was put on top of that
architecture, and we finally validated design decisions made many months earlier, it
took 42 seconds to tab from one field on the screen to the next field. If you think a
typical user is impatient, imagine a molecular biologist with a Ph.D. having to wait 42
seconds! It was a disaster. We needed a different, more balanced approach to design,
which included some design up front combined with a healthy dose of emergent, just-
in-time design.
We also wanted our teams to be more cross-functional. Historically Genomica
operated like most organizations. Development would hand off work to the test
teams only after it was fully completed. We now had a desire for all team members
to synchronize frequently—daily was the goal. In the past, errors were compounded
because important issues were being discussed too late in the development effort.
People in different areas weren’t communicating frequently enough.
For these reasons, and others, we determined that Scrum would be a good fit for
Genomica.
Genomica Results
When we chose to embrace Scrum, it was not well known; the first Scrum book didn’t
appear until the following year (Schwaber and Beedle 2001). However, we pulled
together the available information and did the best we could, which was substantially
better than we had done before (see Table 1.1).
From an effort perspective, with Scrum development we required one-tenth the
amount of effort (calculated in person-months) compared to our previous use of a

ptg8286261
Can Scrum Help You? 5
plan-driven, waterfall-style approach to develop a comparable amount of product
functionality. Equally important, the Scrum development progressed at seven times
the velocity of the waterfall development, meaning that per unit of time, the Scrum
development produced about seven times more valuable features than the waterfall
development. Even more compelling was that we delivered the software to our part-
ner in a time frame that met the expectations for the launch of its new hardware
platform. This enabled us to reinforce a long-term partnership that substantially
increased the shareholder value of Genomica.
Can Scrum Help You?
The Genomica pre-Scrum experience of building features that nobody wanted and
delivering those features late and with poor quality is not uncommon. Genomica,
like many other organizations, had survived by being no worse than its competitors.
I saw the same problems when I first started working in commercial software devel-
opment in the mid-1980s. And for many, after nearly 30 years, the situation hasn’t
improved.
Today, if you gathered together your busi ness people a nd developers and a sked
them, “Are you happy with the results of our software development efforts?” or “Do
you think we deliver good customer value in a timely, economical, and quality man-
ner?” what would they say?
More often than not, the people I meet during my worldwide training and coach-
ing answer both questions with a resounding “No.” This is followed by a chorus of
“Project failure rate is unacceptably high”; “Deliverables are late”; “Return on invest-
ment frequently falls short of expectations”; “Software quality is poor”; “Productivity
is embarrassing”; “No one is accountable for outcomes”; “Employee morale is low”;
“Employee turnover is too high.” Then there’s the under-the-breath snicker that
accompanies the tongue-in-cheek “There must be a better way.”
Yet even w ith all t his discontent, most people seem resigned to the fact that dis-
satisfaction is just part of the reality of software development. It doesn’t have to be.
Organizations that have diligently applied Scrum are experiencing a different
reality (see Figure 1.2).
T A B L E 1 . 1 Genomica Scrum Results
Measure Waterfall Scrum
Effort 10x 1x
Velocity 1x 7x
Customer satisfaction Poor Excellent

ptg8286261
6 Chapter 1 Introduction
These organizations are repeatedly delighting their customers by giving them
what they really want, not just the features they might have specified on the first day
when they knew the least about their true needs. They are also seeing an improved
return on investment by delivering smaller, more frequent releases. And, by relent-
lessly exposing organizational dysfunction and waste, these organizations are able to
reduce costs.
Scrum’s focus on delivering working, integrated, tested, business-valuable fea-
tures each iteration leads to results being delivered fast. Scrum is also well suited to
help organizations succeed in a complex world where they must quickly adapt based
on the interconnected actions of competitors, customers, users, regulatory bodies,
and other stakeholders. And Scrum provides more joy for all participants. Not only
are customers delighted, but also the people doing the work actually enjoy it! They
enjoy frequent and meaningful collaboration, leading to improved interpersonal rela-
tionships and greater mutual trust among team members.
Don’t get me wrong. Though Scrum is an excellent solution for many situations,
it is not the proper solution in all circumstances. The Cynefin framework (Snowden
and Boone 2007) is a sense-making framework that helps us understand the situa-
tion in which we have to operate and decide on a situation-appropriate approach. It
defines and compares the characteristics of five different domains: simple, compli-
cated, chaotic, complex, and a fifth domain, disorder, which occurs when you don’t
Delighted customers
Improved return on investment
Reduced costs
Fast results
Confidence to succeed in a complex world
More joy
Scrum benefits
F I G U R E 1 . 2 Scrum benefits

ptg8286261
Can Scrum Help You? 7
know which other domain you are in (see Figure 1.3). I will use the Cynefin frame-
work to discuss situations in which Scrum is and is not a good fit.
First, it is important to realize that the many facets of software development and
support will not fit nicely into just one Cynefin domain. Software development is a
rich endeavor, with aspects that overlap and activities that fall into all of the differ-
ent domains (Pelrine 2011). So, while most software development work falls in the
domains of complicated or complex, to boldly claim that software development is
a complex domain would be naive, especially if we define software development to
include the spectrum of work ranging from innovative new-product development,
ongoing software product maintenance, and operations and support.
Disorder
Complex
Probe, Sense, Respond
:meadgZidaZVgcVWdjiegdWaZb!i]Zc
^cheZXi!VcYi]ZcVYVei
GZfj^gZhXgZVi^kZ$^ccdkVi^kZVeegdVX]Zh
8gZViZhV[Z"[V^aZck^gdcbZci[dg
ZmeZg^bZciVi^dcidY^hXdkZgeViiZgch
>cXgZVhZaZkZahd[^ciZgVXi^dc$Xdbbjc^XVi^dc
9dbV^cd[ZbZg\ZcXZ
LZÉaa`cdl^c]^cYh^\]i
BdgZjcegZY^XiVWaZi]VcegZY^XiVWaZ
Complicated
Sense, Analyze, Respond
6hhZhhi]Zh^ijVi^dc!^ckZhi^\ViZhZkZgVa
dei^dch!WVhZgZhedchZdc\ddYegVXi^XZ
JhZZmeZgihid\V^c^ch^\]i
JhZbZig^Xhid\V^cXdcigda
9dbV^cd[\ddYegVXi^XZh
Bjai^eaZg^\]iVchlZgh
8VjhZVcYZ[[ZXiVgZY^hXdkZgVWaZWjicdi
^bbZY^ViZanVeeVgZci
BdgZegZY^XiVWaZi]VcjcegZY^XiVWaZ
Chaotic
Act, Sense, Respond
6Xi^bbZY^ViZan!i]Zc^cheZXiidhZZ^[
h^ijVi^dc]VhhiVW^a^oZY!i]ZcVYVeiidign
idb^\gViZXdciZmiidXdbeaZmYdbV^c
BVcnYZX^h^dchidbV`Z0cdi^bZidi]^c`
>bbZY^ViZVXi^dcidgZZhiVWa^h]dgYZg
Add`[dgl]Vildg`h^chiZVYd[g^\]i
VchlZgh
9dbV^cd[i]ZcdkZa
CddcZ`cdlh
CdXaZVgXVjhZVcYZ[[ZXi
Simple
Sense, Categorize, Respond
6hhZhhh^ijVi^dc[VXih!XViZ\dg^oZi]Zb!
WVhZgZhedchZdcZhiVWa^h]ZYegVXi^XZ
9dbV^cd[WZhiegVXi^XZh
HiVWaZYdbV^ccdia^`ZanidX]Vc\Z
8aZVgXVjhZ"VcY"Z[[ZXigZaVi^dch]^eh
VgZZk^YZciidZkZgndcZ
6XdggZXiVchlZgZm^hih
;VXi"WVhZYbVcV\ZbZci
F I G U R E 1 . 3 Cynefin framework

ptg8286261
8 Chapter 1 Introduction
Complex Domain
When dealing with complex problems, things are more unpredictable than they are
predictable. If there is a right answer, we will know it only with hindsight. This is the
domain of emergence. We need to explore to learn about the problem, then inspect
and adapt based on our learning. Working in complex domains requires creative and
innovative approaches. Routine, cookie-cutter solutions simply don’t apply. We need
to create a safe-fail environment for experimentation so that we can discover impor-
tant information. In this environment high levels of interaction and communication
are essential. Innovative new-product development falls into this category as does
enhancing existing products with innovative new features.
Scrum is particularly well suited for operating in a complex domain. In such sit-
uations our ability to probe (explore), sense (inspect), and respond (adapt) is critical.
Complicated Domain
Complicated problems are the domain of good practices dominated by experts. There
might be multiple right answers, but expert diagnosis is required to figure them out.
Although Scrum can certainly work with these problems, it might not be the best
solution. For example, a performance optimization effort that calls for adjusting
parameters to find the best overall system performance would be better served by
assembling experts and letting them assess the situation, investigate several options,
and base their response on good practice. Much of day-to-day software maintenance
(dealing with a flow of product support or defect issues) falls into this category. This
is also where many of the tactical, quantitative approaches like Six Sigma are par-
ticularly well suited, although these tactical approaches can also apply with simple
domains.
Simple Domain
When dealing with simple problems, everyone can see cause and effect. Often the
right answer is obvious and undisputed. This is the domain of legitimate best prac-
tices. There are known solutions. Once we assess the facts of our situation, we can
determine the proper predefined solution to use. Scrum can be used for simple prob-
lems, but it may not be the most efficient tool for this type of problem. Using a pro-
cess with a well-defined, repeatable set of steps that are known to solve the problem
would be a better fit. For example, if we want to reproduce the same product over and
over again, a well-defined assembly-line process would be a better fit than Scrum.
Or deploying the same commercial-off-the-shelf (COTS) product into the 100th cus-
tomer environment might best be completed by repeating a well-defined and proven
set of steps for installing and configuring the product.

ptg8286261
Can Scrum Help You? 9
Chaotic Domain
Chaotic problems require a rapid response. We are in a crisis and need to act imme-
diately to prevent further harm and reestablish at least some order. For example, sup-
pose a university published an article stating that our product has a flawed algorithm
that is producing erroneous results. Our customers have made substantial business
investments based on the results from our product, and they are filing lawsuits
against us for large damages. Our lead algorithm designer is on holiday in the jungles
of Borneo and can’t be reached for two more weeks. Scrum is not the best solution
here. We are not interested in prioritizing a backlog of work and determining what
work to perform in the next iteration. We need the ability to act immediately and
decisively to stem the bleeding. With chaotic problems, someone needs to take charge
of the situation and act.
Disorder
You are in t he disorder domain when you don’t know which of the other domains
you are in. This is a dangerous place to be because you don’t know how to make sense
of your situation. In such cases, people tend to interpret and act according to their
personal preference for action. In software development, many people are familiar
with and therefore have a personal preference for phase-based, sequential approaches
that work well in simple domains. Unfortunately, as I will discuss in Chapter 3, these
tend to be a rather poor fit for much of software development. When you are in the
disorder domain, the way out is to break down the situation into constituent parts
and assign each to one of the other four domains. You are not trying to apply Scrum
in the disorder domain; you are trying to get out of this domain.
Interrupt-Driven Work
Scrum is not well suited to highly interrupt-driven work. Say you run a customer sup-
port organization and you want to use Scrum to organize and manage your support
activities. Your product backlog is populated on a continuous basis as you receive
support requests via phone or email. At no point in time do you have a product back-
log that extends very far into the future, and the content and order of your backlog
could change frequently (perhaps hourly or every few minutes).
In this situation, you will not be able to reliably plan iterations of a week or more
because you won’t know what the work will be that far into the future. And, even if
you think you know the work, there is a very good likelihood that a high-priority
support request will arrive and preempt any such forward-looking plans.
In interrupt-driven environments you would be better off considering an alter-
native agile approach called Kanban. Kanban is not a stand-alone process solution,
but instead an approach that is overlaid on an existing process. In particular, Kanban
advocates that you

ptg8286261
10 Chapter 1 Introduction
Visualize how the work flows through the system (for example, the steps that
the support organization takes to resolve a support request)
Limit the work in process (WIP) at each step to ensure that you are not doing
more work than you have the capacity to do
Measure and optimize the flow of the work through the system to make con-
tinuous improvements
The sweet spots for Kanban are the software maintenance and support areas.
Some Kanban practitioners point out that Kanban’s focus on eliminating overburden
(by aligning WIP with capacity) and reducing variability in flow while encouraging
an evolutionary approach to change makes it appropriate to use in complex domains
as well.
Scrum and Kanban are both agile approaches to development, and each has
strengths and weaknesses that should be considered once you make sense of the
domain in which you are operating. In some organizations both Scrum and Kanban
can be used to address the different system needs that coexist. For example, Scrum
can be used for new-product development and Kanban for interrupt-driven support
and maintenance.
Closing
Scrum is not a silver bullet or a magic cure. Scrum can, however, enable you to embrace
the changes that accompany all complex product development efforts. And it can,
and has, worked for Genomica and many other companies that decided to employ an
approach to software development that better matched their circumstances.
Although the Scrum framework is simple, it would be a mistake to assume that
Scrum is easy and painless to apply. Scrum doesn’t prescriptively answer your process
questions; instead, it empowers teams to ask and answer their own great questions.
Scrum doesn’t give individuals a cookbook solution to all of their organizational
maladies; instead, Scrum makes visible the dysfunctions and waste that prevent orga-
nizations from reaching their true potential.
These realizations can be painful for many organizations. However, if they move
past the initial discomfort and work to solve the problems Scrum unearths, organiza-
tions can take great strides in terms of both their software development process and
products and their levels of employee and customer satisfaction.
The rest of the book is devoted to discussing the essential aspects of Scrum. I will
begin with a description of the entire Scrum framework, including its roles, activities,
artifacts, and rules. Who knows; if you use Scrum in the right way and in the proper
conditions, perhaps you too will deliver value as successfully as my wife did on that
fateful day back in 2000.

ptg8286261
This page intentionally left blank

ptg8286261
13
Chapter 2
SCRUM FRAMEWORK
This chapter provides an overview of the Scrum framework with a primary focus on
its practices, including roles, activities, and artifacts. Subsequent chapters will pro-
vide a deeper treatment of each of these practices, including an in-depth look at the
principles that underlie the practices.
Overview
Scrum is not a standardized process where you methodically follow a series of sequen-
tial steps that are guaranteed to produce, on time and on budget, a high-quality
product that delights customers. Instead, Scrum is a framework for organizing and
managing work. The Scrum framework is based on a set of values, principles, and
practices that provide the foundation to which your organization will add its unique
implementation of relevant engineering practices and your specific approaches for
realizing the Scrum practices. The result will be a version of Scrum that is uniquely
yours.
To better grasp t he fra mework concept, imag i ne that t he Scr um f ramework is l i ke
the foundation and walls of a building. The Scrum values, principles, and practices
would be the key structural components. You can’t ignore or fundamentally change
a value, principle, or practice without risking collapse. What you can do, however, is
customize inside the structure of Scrum, adding fixtures and features until you have
a process that works for you.
Scrum is a refreshingly simple, people-centric framework based on the values of
honesty, openness, courage, respect, focus, trust, empowerment, and collaboration.
Chapter 3 will describe the Scrum principles in depth; subsequent chapters will high-
light how specific practices and approaches are rooted in these principles and values.
The Scrum practices themselves are embodied in specific roles, activities, arti-
facts, and their associated rules (see Figure 2.1).
The remainder of this chapter will focus on Scrum practices.

ptg8286261
14 Chapter 2 Scrum Framework
Scrum Roles
Scrum development efforts consist of one or more Scrum teams, each made up of
three Scrum roles: product owner, ScrumMaster, and the development team (see
Figure 2.2). There can be other roles when using Scrum, but the Scrum framework
requires only the three listed here.
Activities
Artifacts
Rules
Roles
Scrum practices
Product owner
ScrumMaster
Development team
Product backlog
Sprint backlog
Potentially shippable product increment
Described throughout the book
Sprint
Sprint planning
Product backlog grooming
Daily scrum
Sprint execution
Sprint review
Sprint retrospective
F I G U R E 2 . 1 Scrum practices

ptg8286261
Scrum Roles 15
The product owner is responsible for what will be developed and in what order.
The ScrumMaster is responsible for guiding the team in creating and following
its own process based on the broader Scrum framework. The development team is
responsible for determining how to deliver what the product owner has asked for.
If you are a manager, don’t be concerned that “manager” doesn’t appear as a role
in Figure 2.2; managers still have an important role in organizations that use Scrum
(see Chapter 13). The Scrum framework defines just the roles that are specific to
Scrum, not all of the roles that can and should exist within an organization that uses
Scrum.
Product Owner
The product owner is the empowered central point of product leadership. He1 is the
single authority responsible for deciding which features and functionality to build
and the order in which to build them. The product owner maintains and commu-
nicates to all other participants a clear vision of what the Scrum team is trying to
achieve. As such, the product owner is responsible for the overall success of the solu-
tion being developed or maintained.
It doesn’t matter if the focus is on an external product or an internal applica-
tion; the product owner still has the obligation to make sure that the most valuable
work possible, which can include technically focused work, is always performed. To
1. In this book the product owner will always be referred to as “he” or “him” and the ScrumMaster
as “she” or “her.” This is consistent with the visual representation of each role within the figures.
Product owner ScrumMaster
Scrum team
Development team
F I G U R E 2 . 2 Scrum roles

ptg8286261
16 Chapter 2 Scrum Framework
ensure that the team rapidly builds what the product owner wants, the product owner
actively collaborates with the ScrumMaster and development team and must be
available to answer questions soon after they are posed. See Chapter 9 for a detailed
description of the product owner role.
ScrumMaster
The ScrumMaster helps everyone involved understand and embrace the Scrum val-
ues, principles, and practices. She acts as a coach, providing process leadership and
helping the Scrum team and the rest of the organization develop their own high-
performance, organization-specific Scrum approach. At the same time, the Scrum-
Master helps the organization through the challenging change management process
that can occur during a Scrum adoption.
As a facilitator, the ScrumMaster helps the team resolve issues and make improve-
ments to its use of Scrum. She is also responsible for protecting the team from outside
interference and takes a leadership role in removing impediments that inhibit team
productivity (when the individuals themselves cannot reasonably resolve them). The
ScrumMaster has no authority to exert control over the team, so this role is not the
same as the traditional role of project manager or development manager. The Scrum-
Master functions as a leader, not a manager. I will discuss the roles of functional
manager and project manager in Chapter 13. See Chapter 10 for more details on the
ScrumMaster role.
Development Team
Traditional software development approaches discuss various job types, such as
architect, programmer, tester, database administrator, UI designer, and so on. Scrum
defines the role of a development team, which is simply a diverse, cross-functional
collection of these types of people who are responsible for designing, building, and
testing the desired product.
The development team self-organizes to determine the best way to accomplish the
goal set out by the product owner. The development team is typically five to nine peo-
ple in size; its members must collectively have all of the skills needed to produce good-
quality, working software. Of course, Scrum can be used on development efforts that
require much larger teams. However, rather than having one Scrum team with, say, 35
people, there would more likely be four or more Scrum teams, each with a develop-
ment team of nine or fewer people. See Chapter 11 for more details on the develop-
ment team role and Chapter 12 for more details on coordinating multiple teams.
Scrum Activities and Artifacts
Figure 2.3 illustrates most of the Scrum activities and artifacts and how they fit
together.

ptg8286261
Scrum Activities and Artifacts 17
Let’s summarize the diagram, starting on the left side of the figure and working
clockwise around the main looping arrow (the sprint).
The product owner has a vision of what he wants to create (the big cube). Because
the cube can be large, through an activity called grooming it is broken down into a
set of features that are collected into a prioritized list called the product backlog.
A sprint starts with sprint planning, encompasses the development work during
the sprint (called sprint execution), and ends with the review and retrospective. The
sprint is represented by the large, looping arrow that dominates the center of the fig-
ure. The number of items in the product backlog is likely to be more than a develop-
ment team can complete in a short-duration sprint. For that reason, at the beginning
of each sprint, the development team must determine a subset of the product backlog
items it believes it can complete—an activity called sprint planning, shown just to
the right of the large product backlog cube.
As a brief aside, in 2011 a change in “The Scrum Guide” (Schwaber and Suther-
land 2011) generated debate about whether the appropriate term for describing the
result of sprint planning is a forecast or a commitment. Advocates of the word forecast
like it because they feel that although the development team is making the best esti-
mate that it can at the time, the estimate might change as more information becomes
known during the course of the sprint. Some also believe that a commitment on the
part of the team will cause the team to sacrifice quality to meet the commitment or
will cause the team to “under-commit” to guarantee that the commitment is met.
I agree that all development teams should generate a forecast (estimate) of what
they can deliver each sprint. However, many development teams would benefit from
Sprint execution
Sprint review
Sprint retrospective
Sprint planning Sprint backlog
Potentially
shippable product
increment
Daily scrum
Product backlog
Grooming
F I G U R E 2 . 3 Scrum framework

ptg8286261
18 Chapter 2 Scrum Framework
using the forecast to derive a commitment. Commitments support mutual trust
between the product owner and the development team as well as within the develop-
ment team. Also, commitments support reasonable short-term planning and decision
making within an organization. And, when performing multiteam product develop-
ment, commitments support synchronized planning—one team can make decisions
based on what another team has committed to do. In this book, I favor the term com-
mitment; however, I occasionally use forecast if it seems correct in context.
To acqu ire conf idence that t he development tea m has made a reasonable com-
mitment, the team members create a second backlog during sprint planning, called
the sprint backlog. The sprint backlog describes, through a set of detailed tasks, how
the team plans to design, build, integrate, and test the selected subset of features from
the product backlog during that particular sprint.
Next is sprint execution, where the development team performs the tasks nec-
essary to realize the selected features. Each day during sprint execution, the team
members help manage the flow of work by conducting a synchronization, inspection,
and adaptive planning activity known as the daily scrum. At the end of sprint execu-
tion the team has produced a potentially shippable product increment that represents
some, but not all, of the product owner’s vision.
The Scrum team completes the sprint by performing two inspect-and-adapt
activities. In the first, called the sprint review, the stakeholders and Scrum team
inspect the product being built. In the second, called the sprint retrospective, the
Scrum team inspects the Scrum process being used to create the product. The out-
come of these activities might be adaptations that will make their way into the prod-
uct backlog or be included as part of the team’s development process.
At this point the Scrum sprint cycle repeats, beginning anew with the develop-
ment team determining the next most important set of product backlog items it can
complete. After an appropriate number of sprints have been completed, the product
owner’s vision will be realized and the solution can be released.
In the remainder of this chapter I will discuss each of these activities and arti-
facts in greater detail.
Product Backlog
Using Scrum, we always do the most valuable work first. The product owner, with
input from the rest of the Scrum team and stakeholders, is ultimately responsible
for determining and managing the sequence of this work and communicating it in
the form of a prioritized (or ordered) list known as the product backlog (see Figure
2.4). On new-product development the product backlog items initially are features
required to meet the product owner’s vision. For ongoing product development, the
product backlog might also contain new features, changes to existing features, defects
needing repair, technical improvements, and so on.
The product owner collaborates with internal and external stakeholders to gather
and define the product backlog items. He then ensures that product backlog items

ptg8286261
Scrum Activities and Artifacts 19
are placed in the correct sequence (using factors such as value, cost, knowledge, and
risk) so that the high-value items appear at the top of the product backlog and the
lower-value items appear toward the bottom. The product backlog is a constantly
evolving artifact. Items can be added, deleted, and revised by the product owner as
business conditions change, or as the Scrum team’s understanding of the product
grows (through feedback on the software produced during each sprint).
Overall the activity of creating and refining product backlog items, estimating
them, and prioritizing them is known as grooming (see Figure 2.5).
Feature A
Feature B
Feature C
Defect 23
Refactor X
Feature D
Feature E
Feature F
High-priority items
Low-priority items
F I G U R E 2 . 4 Product backlog
Creating
and refining
Estimating
Prioritizing
Feature A
Feature B
Feature C
Product backlog
F I G U R E 2 . 5 Product backlog grooming

ptg8286261
20 Chapter 2 Scrum Framework
As a second brief aside, in 2011 there was another debate as to whether the
appropriate term for describing the sequence of items in the product backlog should
be prioritized (the original term) or ordered, the term used in “The Scrum Guide”
(Schwaber and Sutherland 2011). The argument was that prioritizing is simply one
form of ordering (and, according to some, not even the most appropriate form of
ordering). The issue of how to best sequence items in the product backlog, however, is
influenced by many factors, and a single word may never capture the full breadth and
depth of the concept. Although there may be theoretical merit to the ordered-versus-
prioritized debate, most people (including me) use the terms interchangeably when
discussing the items in the product backlog.
Before we finalize prioritizing, ordering, or otherwise arranging the product
backlog, we need to know the size of each item in the product backlog (see Figure 2.6).
Size equates to cost, and product owners need to know an item’s cost to properly
determine its priority. Scrum does not dictate which, if any, size measure to use with
product backlog items. In practice, many teams use a relative size measure such as
story points or ideal days. A relative size measure expresses the overall size of an item
in such a way that the absolute value is not considered, but the relative size of an item
compared to other items is considered. For example, in Figure 2.6, feature C is size
2 and feature E is size 8. What we can conclude is that feature E is about four times
larger than feature C. I will discuss these measures further in Chapter 7.
Sprints
In Scrum, work is performed in iterations or cycles of up to a calendar month called
sprints (see Figure 2.7). The work completed in each sprint should create something
of tangible value to the customer or user.
Sprints are timeboxed so they always have a fixed start and end date, and gen-
erally they should all be of the same duration. A new sprint immediately follows
the completion of the previous sprint. As a rule we do not permit any goal-altering
changes in scope or personnel during a sprint; however, business needs sometimes
make adherence to this rule impossible. I will describe sprints in more detail in
Chapter 4.
Relative size estimates
(typically story points or ideal days)
Feature A | 5
Feature B | 3
Feature C | 2
Feature D | 5
Feature E | 8
F I G U R E 2 . 6 Product backlog item sizes

ptg8286261
Scrum Activities and Artifacts 21
Sprint Planning
A product backlog may represent many weeks or months of work, which is much
more than can be completed in a single, short sprint. To determine the most impor-
tant subset of product backlog items to build in the next sprint, the product owner,
development team, and ScrumMaster perform sprint planning (see Figure 2.8).
During sprint planning, the product owner and development team agree on a
sprint goal that defines what the upcoming sprint is supposed to achieve. Using this
Start date End date
Fixed length
Timebox of up to
a calendar month
Sprint 1 Sprint 2 Sprint 3 Sprint 4
F I G U R E 2 . 7 Sprint characteristics
Ta s ks = ho w to d o i t
Sprint planning is
the first part of
every sprint
Sprint backlog
Grooming
Product backlog
What to do
Feature A
Feature B
Feature C
Sprint planning
F I G U R E 2 . 8 Sprint planning

ptg8286261
22 Chapter 2 Scrum Framework
goal, the development team reviews the product backlog and determines the high-
priority items that the team can realistically accomplish in the upcoming sprint while
working at a sustainable pace—a pace at which the development team can comfort-
ably work for an extended period of time.
To acquire conf idence i n what it can get done, many development teams brea k
down each targeted feature into a set of tasks. The collection of these tasks, along
with their associated product backlog items, forms a second backlog called the sprint
backlog (see Figure 2.9).
The development team then provides an estimate (typically in hours) of the
effort required to complete each task. Breaking product backlog items into tasks is a
form of design and just-in-time planning for how to get the features done.
Most Scrum teams performing sprints of two weeks to a month in duration try to
complete sprint planning in about four to eight hours. A one-week sprint should take
no more than a couple of hours to plan (and probably less). During this time there
are several approaches that can be used. The approach I use most often follows a sim-
ple cycle: Select a product backlog item (whenever possible, the next-most-important
item as defined by the product owner), break the item down into tasks, and deter-
mine if the selected item will reasonably fit within the sprint (in combination with
other items targeted for the same sprint). If it does fit and there is more capacity to
complete work, repeat the cycle until the team is out of capacity to do any more work.
Code the UI
Hours = 5
Add error logging
Hours = 12
Install graphics lib
Hours = 8 Automate tests
Hours = 6
Automate tests
Hours = 8
Create DB schema
Hours = 6
Create icons
Hours = 8 Buffer test
Hours = 2
Each feature … … is broken into a set of tasks
Each task has an
effort-hour estimate
F I G U R E 2 . 9 Sprint backlog

ptg8286261
Scrum Activities and Artifacts 23
An alternative approach would be for the product owner and team to select all of
the target product backlog items at one time. The development team alone does the
task breakdowns to confirm that it really can deliver all of the selected product back-
log items. I will describe each approach in more detail in Chapter 19.
Sprint Execution
Once the Scrum team finishes sprint planning and agrees on the content of the next
sprint, the development team, guided by the ScrumMaster’s coaching, performs all of
the task-level work necessary to get the features done (see Figure 2.10), where “done”
means there is a high degree of confidence that all of the work necessary for produc-
ing good-quality features has been completed.
Exactly what tasks the team performs depends of course on the nature of the
work (for example, are we building software and what type of software, or are we
building hardware, or is this marketing work?).
Nobody tells the development team in what order or how to do the task-level
work in the sprint backlog. Instead, team members define their own task-level work
and then self-organize in any manner they feel is best for achieving the sprint goal.
See Chapter 20 for more details on sprint execution.
Daily Scrum
Each day of the sprint, ideally at the same time, the development team members hold
a timeboxed (15 minutes or less) daily scrum (see Figure 2.11). This inspect-and-
adapt activity is sometimes referred to as the daily stand-up because of the common
practice of everyone standing up during the meeting to help promote brevity.
Sprint execution takes up the majority of time spent in each sprint
Each feature has a set
of tasks that the team
performs in order to
complete that feature
Sprint backlog Sprint execution
F I G U R E 2 . 1 0 Sprint execution

ptg8286261
24 Chapter 2 Scrum Framework
A common approach to performing the daily scrum has the ScrumMaster facili-
tating and each team member taking turns answering three questions for the benefit
of the other team members:
What did I accomplish since the last daily scrum?
What do I plan to work on by the next daily scrum?
What are the obstacles or impediments that are preventing me from making
progress?
By answering these questions, everyone understands the big picture of what is
occurring, how they are progressing toward the sprint goal, any modifications they
want to make to their plans for the upcoming day’s work, and what issues need to be
addressed. The daily scrum is essential for helping the development team manage the
fast, flexible flow of work within a sprint.
The daily scrum is not a problem-solving activity. Rather, many teams decide to
talk about problems after the daily scrum and do so with a small group of interested
people. The daily scrum also is not a traditional status meeting, especially the kind
historically called by project managers so that they can get an update on the project’s
status. A daily scrum, however, can be useful to communicate the status of sprint
backlog items among the development team members. Mainly, the daily scrum is an
inspection, synchronization, and adaptive daily planning activity that helps a self-
organizing team do its job better.
Every 24 hours
Daily scrum
Sprint execution
F I G U R E 2 . 1 1 Daily scrum

ptg8286261
Scrum Activities and Artifacts 25
Although their use has fallen out of favor, Scrum has used the terms “pigs” and
“chickens” to distinguish who should participate during the daily scrum versus who
simply observes. The farm animals were borrowed from an old joke (which has sev-
eral variants): “In a ham-and-eggs breakfast, the chicken is involved, but the pig is
committed.” Obviously the intent of using these terms in Scrum is to distinguish
between those who are involved (the chickens) and those who are committed to
meeting the sprint goal (the pigs). At the daily scrum, only the pigs should talk; the
chickens, if any, should attend as observers.
I have found it most useful to consider everyone on the Scrum team a pig and
anyone who isn’t, a chicken. Not everyone agrees. For example, the product owner is
not required to be at the daily scrum, so some consider him to be a chicken (the logic
being, how can you be “committed” if you aren’t required to attend?). This seems
wrong to me, because I can’t imagine how the product owner, as a member of the
Scrum team, is any less committed to the outcome of a sprint than the development
team. The metaphor of pigs and chickens breaks down if you try to apply it within a
Scrum team.
Done
In Scrum, we refer to the sprint results as a potentially shippable product increment
(see Figure 2.12), meaning that whatever the Scrum team agreed to do is really done
according to its agreed-upon definition of done. This definition specifies the degree
Sprint review
Po te n t ia l l y
shippable product
increment
Sprint execution
Sprint execution
F I G U R E 2 . 1 2 Sprint results (potentially shippable product increment)

ptg8286261
26 Chapter 2 Scrum Framework
of confidence that the work completed is of good quality and is potentially shippable.
For example, when developing software, a bare-minimum definition of done should
yield a complete slice of product functionality that is designed, built, integrated,
tested, and documented.
An aggressive definition of done enables the business to decide each sprint if it
wants to ship (or deploy or release) what got built to internal or external customers.
To be clear, “potential ly sh ippable” does not mean t hat what got built must actu-
ally be shipped. Shipping is a business decision, which is frequently influenced by
things such as “Do we have enough features or enough of a customer workflow to
justify a customer deployment?” or “Can our customers absorb another change given
that we just gave them a release two weeks ago?”
Potentially shippable is better thought of as a state of confidence that what got
built in the sprint is actually done, meaning that there isn’t materially important
undone work (such as important testing or integration and so on) that needs to be
completed before we can ship the results from the sprint, if shipping is our business
desire.
As a practical matter, over time some teams may vary the definition of done. For
example, in the early stages of game development, having features that are poten-
tially shippable might not be economically feasible or desirable (given the exploratory
nature of early game development). In these situations, an appropriate definition
of done might be a slice of product functionality that is sufficiently functional and
usable to generate feedback that enables the team to decide what work should be done
next or how to do it. See Chapter 4 for more details on the definition of done.
Sprint Review
At the end of the sprint there are two additional inspect-and-adapt activities. One is
called the sprint review (see Figure 2.13).
The goal of this activity is to inspect and adapt the product that is being built.
Critical to this activity is the conversation that takes place among its participants,
which include the Scrum team, stakeholders, sponsors, customers, and interested
members of other teams. The conversation is focused on reviewing the just-com-
pleted features in the context of the overall development effort. Everyone in atten-
dance gets clear visibility into what is occurring and has an opportunity to help guide
the forthcoming development to ensure that the most business-appropriate solution
is created.
A successful review results in bidirectional information flow. The people who
aren’t on the Scrum team get to sync up on the development effort and help guide its
direction. At the same time, the Scrum team members gain a deeper appreciation for
the business and marketing side of their product by getting frequent feedback on the
convergence of the product toward delighted customers or users. The sprint review
therefore represents a scheduled opportunity to inspect and adapt the product. As a

ptg8286261
Scrum Activities and Artifacts 27
Sprint review
Sprint retrospective
Po te n t ia l l y
shippable product
increment
Sprint review is the next-to-last
activity in a sprint
F I G U R E 2 . 1 3 Sprint review
matter of practice, people outside the Scrum team can perform intra-sprint feature
reviews and provide feedback to help the Scrum team better achieve its sprint goal.
See Chapter 21 for more details on the sprint review.
Sprint Retrospective
The second inspect-and-adapt activity at the end of the sprint is the sprint retro-
spective (see Figure 2.14). This activity frequently occurs after the sprint review and
before the next sprint planning.
Whereas the sprint review is a time to inspect and adapt the product, the sprint
retrospective is an opportunity to inspect and adapt the process. During the sprint
retrospective the development team, ScrumMaster, and product owner come together
Sprint retrospective
Sprint retrospective is the last
activity in a sprint
Sprint review
F I G U R E 2 . 1 4 Sprint retrospective

ptg8286261
28 Chapter 2 Scrum Framework
to discuss what is and is not working with Scrum and associated technical practices.
The focus is on the continuous process improvement necessary to help a good Scrum
team become great. At the end of a sprint retrospective the Scrum team should have
identified and committed to a practical number of process improvement actions that
will be undertaken by the Scrum team in the next sprint. See Chapter 22 for details
on the sprint retrospective.
After the sprint retrospective is completed, the whole cycle is repeated again—
starting with the next sprint-planning session, held to determine the current highest-
value set of work for the team to focus on.
Closing
This chapter described core Scrum practices, focusing on an end-to-end description
of the Scrum framework’s roles, activities, and artifacts. There are other practices,
such as higher-level planning and progress-tracking practices, that many Scrum
teams use. These will be described in subsequent chapters. In the next chapter, I will
provide a description of the core principles on which Scrum is based. This will facili-
tate the deeper exploration of the Scrum framework in subsequent chapters.

ptg8286261
29
Chapter 3
AGILE PRINCIPLES
Before we delve deeper into the mechanics of Scrum, it will be helpful to understand
the underlying principles that drive and inform those mechanics.
This chapter describes the agile principles that underlie Scrum and compares
them with those of traditional, plan-driven, sequential product development. In
doing so, the chapter sets the stage for understanding how Scrum differs from more
traditional forms of product development and for a more detailed analysis of Scrum
practices in subsequent chapters.
Overview
I find it instructive to introduce Scrum’s underlying principles by comparing them
with the beliefs that drive more traditional, plan-driven, sequential development.
Doing so makes it easier for people to understand how Scrum is similar to or differ-
ent from something they know and understand.
The goal of comparing agile principles with traditional development principles is
not to make the case that plan-driven, sequential development is bad and that Scrum
is good. Both are tools in the professional developer’s toolkit; there is no such thing as
a bad tool, rather just inappropriate times to use that tool. As I described briefly in the
context of the Cynefin framework in Chapter 1, Scrum and traditional, plan-driven,
sequential development are appropriate to use on different classes of problems.
In making the comparison between the two approaches, I am using the pure or
“textbook” description of plan-driven, sequential development. By taking this perspec-
tive when describing traditional development, I am better able to draw out the distinc-
tions and more clearly illustrate the principles that underlie Scrum-based development.
One pure form of traditional, plan-driven development frequently goes by the
term waterfall (see Figure 3.1). However, that is just one example of a broader class of
plan-driven processes (also known as traditional, sequential, anticipatory, predic-
tive, or prescriptive development processes).
Plan-driven processes are so named because they attempt to plan for and antici-
pate up front all of the features a user might want in the end product, and to deter-
mine how best to build those features. The idea here is that the better the planning,
the better the understanding, and therefore the better the execution. Plan-driven
processes are often called sequential processes because practitioners perform, in
sequence, a complete requirements analysis followed by a complete design followed in
turn by coding/building and then testing.

ptg8286261
30 Chapter 3 Agile Principles
Plan-driven development works well if you are applying it to problems that are
well defined, predictable, and unlikely to undergo any significant change. The prob-
lem is that most product development efforts are anything but predictable, especially
at the beginning. So, while a plan-driven process gives the impression of an orderly,
accountable, and measurable approach, that impression can lead to a false sense of
security. After all, developing a product rarely goes as planned.
For many, a plan-driven, sequential process just makes sense, understand it,
design it, code it, test it, and deploy it, all according to a well-defined, prescribed
plan. There is a belief that it should work. If applying a plan-driven approach doesn’t
work, the prevailing attitude is that we must have done something wrong. Even if a
plan-driven process repeatedly produces disappointing results, many organizations
continue to apply the same approach, sure that if they just do it better, their results
will improve. The problem, however, is not with the execution. It’s that plan-driven
approaches are based on a set of beliefs that do not match the uncertainty inherent in
most product development efforts.
Scrum, on the other hand, is based on a different set of beliefs—ones that do
map well to problems with enough uncertainty to make high levels of predictability
difficult. The principles that I describe in this chapter are drawn from a number of
sources, including the Agile Manifesto (Beck et al. 2001), lean product development
(Reinertsten 2009b; Poppendieck and Poppendieck 2003), and “The Scrum Guide”
(Schwaber and Sutherland 2011).
These principles are organized into several categories as shown in Figure 3.2.
9Za^kZgVWaZ$B^aZhidcZ
GZk^Zl$6eegdkVa
6cVanh^h
9Zh^\c
8dY^c\
DeZgVi^dch
IZhi^c\
F I G U R E 3 . 1 Waterfall process

ptg8286261
Overview 31
Prediction and
adaptation
Performance
Work in process
(WIP)
Variability
and uncertainty
Validated learning
Progress
Principles
Embrace helpful variability
Employ iterative and incremental development
Leverage variability through inspection, adaptation, and transparency
Reduce all forms of uncertainty simultaneously
Use economically sensible batch sizes
Recognize inventory and manage it for good flow
Focus on idle work, not idle workers
Consider cost of delay
Validate important assumptions fast
Leverage multiple concurrent learning loops
Organize workflow for fast feedback
Adapt to real-time information and replan
Measure progress by validating working assets
Focus on value-centric delivery
Go fast but never hurry
Build in quality
Employ minimally sufficient ceremony
Keep options open
Accept that you can’t get it right up front
Favor an adaptive, exploratory approach
Embrace change in an economically sensible way
Balance predictive up-front work with adaptive just-in-time work
F I G U R E 3 . 2 Categorization of principles

ptg8286261
32 Chapter 3 Agile Principles
I start by discussing principles that leverage the variability and uncertainty
inherent in product development. This is followed by a discussion of principles that
deal with balancing up-front prediction with just-in-time adaptation. Then, I discuss
principles focused on learning, followed by principles for managing the work in pro-
cess. I conclude by focusing on progress and performance principles.
Variability and Uncertainty
Scrum leverages the variability and uncertainty in product development to create
innovative solutions. I describe four principles related to this topic:
Embrace helpful variability.
Employ iterative and incremental development.
Leverage variability through inspection, adaptation, and transparency.
Reduce all forms of uncertainty simultaneously.
Embrace Helpful Variability
Plan-driven processes treat product development like manufacturing—they shun vari-
ability and encourage conformance to a defined process. The problem is that product
development is not at all like product manufacturing. In manufacturing our goal is to
take a fixed set of requirements and follow a sequential set of well-understood steps
to manufacture a finished product that is the same (within a defined variance range)
every time (see Figure 3.3).
In product development, however, the goal is to create the unique single instance
of the product, not to manufacture the product. This single instance is analogous to a
unique recipe. We don’t want to create the same recipe twice; if we do, we have wasted
our money. Instead, we want to create a unique recipe for a new product. Some amount
of variability is necessary to produce a different product each time. In fact, every feature
we build within a product is different from every other feature within that product, so
we need variability even at this level. Only once we have the recipe do we manufacture
the product—in the case of software products, as easily as copying bits.
That being said, some manufacturing concepts do apply to product development
and can and should be leveraged. For example, as I will discuss shortly, recognizing
and managing inventory (or work in process), which is essential to manufacturing, is
Same
input Same
output
A defined process
F I G U R E 3 . 3 Defined process

ptg8286261
Variability and Uncertainty 33
also essential in product development. By the very nature of the work involved, how-
ever, product development and product manufacturing are not at all the same thing
and as such require very different processes.
Employ Iterative and Incremental Development
Plan-driven, sequential development assumes that we will get things right up front
and that most or all of the product pieces will come together late in the effort.
Scrum, on the other hand, is based on iterative and incremental development.
Although these two terms are frequently used as if they were a single concept, itera-
tive development is actually distinct from incremental development.
Iterative development acknowledges that we will probably get things wrong
before we get them right and that we will do things poorly before we do them well
(Goldberg and Rubin 1995). As such, iterative development is a planned rework strat-
egy. We use multiple passes to improve what we are building so that we can converge
on a good solution. For example, we might start by creating a prototype to acquire
important knowledge about a poorly known piece of the product. Then we might
create a revised version that is somewhat better, which might in turn be followed by
a pretty good version. In the course of writing this book, for example, I wrote and
rewrote each of the chapters several times as I received feedback and as my under-
standing of how I wanted to communicate a topic improved.
Iterative development is an excellent way to improve the product as it is being
developed. The biggest downside to iterative development is that in the presence of
uncertainty it can be difficult up front to determine (plan) how many improvement
passes will be necessary.
Incremental development is based on the age-old principle of “Build some of it
before you build all of it.” We avoid having one large, big-bang-style event at the end
of development where all the pieces come together and the entire product is deliv-
ered. Instead, we break the product into smaller pieces so that we can build some of
it, learn how each piece is to survive in the environment in which it must exist, adapt
based on what we learn, and then build more of it. While writing this book, I wrote a
chapter at a time and sent each chapter out for review as it was completed, rather than
trying to receive feedback on the entire book at once. This gave me the opportunity
to incorporate that feedback into future chapters, adjusting my tone, style, or delivery
as needed. It also gave me the opportunity to learn incrementally and apply what I
learned from earlier chapters to later chapters.
Incremental development gives us important information that allows us to adapt
our development effort and to change how we proceed. The biggest drawback to
incremental development is that by building in pieces, we risk missing the big picture
(we see the trees but not the forest).
Scrum leverages the benefits of both iterative and incremental development, while
negating the disadvantages of using them individually. Scrum does this by using both
ideas in an adaptive series of timeboxed iterations called sprints (see Figure 3.4).

ptg8286261
34 Chapter 3 Agile Principles
During each sprint we perform all of the activities necessary to create a working
product increment (some of the product, not all of it). This is illustrated in Figure 3.4
by showing that some analysis, design, build, integration, and test work is completed
in each sprint. This all-at-once approach has the benefit of quickly validating the
assumptions that are made when developing product features. For example, we make
some design decisions, create some code based on those decisions, and then test the
design and code—all in the same sprint. By doing all of the related work within one
sprint, we are able to quickly rework features, thus achieving the benefits of iterative
development, without having to specifically plan for additional iterations.
A misuse of the sprint concept is to focus each sprint on just one type of work—
for example, sprint 1 (analysis), sprint 2 (design), sprint 3 (coding), and sprint 4
(testing). Such an approach attempts to overlay Scrum with a waterfall-style work
breakdown structure. I often refer to this misguided approach as WaterScrum, and I
have heard others refer to it as Scrummerfall.
In Scrum, we don’t work on a phase at a time; we work on a feature at a time. So,
by the end of a sprint we have created a valuable product increment (some but not
all of the product features). That increment includes or is integrated and tested with
any previously developed features; otherwise, it is not considered done. For exam-
ple, increment 2 in Figure 3.4 includes the features of increment 1. At the end of the
sprint, we can get feedback on the newly completed features within the context of
already completed features. This helps us view the product from more of a big-picture
perspective than we might otherwise have.
We receive feedback on the sprint results, which allows us to adapt. We can
choose different features to work on in the next sprint or alter the process we will use
to build the next set of features. In some cases, we might learn that the increment,
though it technically fits the bill, isn’t as good as it could be. When that happens, we
can schedule rework for a future sprint as part of our commitment to iterative devel-
opment and continuous improvement. This helps overcome the issue of not knowing
Sprint 1
Increment 1
Adapt
Sprint 2 Sprint 3
Increment 2 Increment 3
Analyze Design
Build
Integrate
Test
Analyze Design
Build
Integrate
Test
Analyze Design
Build
Integrate
Test
Adapt
Feedback Feedback
F I G U R E 3 . 4 Scrum uses iterative and incremental development.

ptg8286261
Variability and Uncertainty 35
up front exactly how many improvement passes we will need. Scrum does not require
that we predetermine a set number of iterations. The continuous stream of feedback
will guide us to do the appropriate and economically sensible number of iterations
while developing the product incrementally.
Leverage Variability through Inspection, Adaptation,
and Transparency
Plan-driven processes and Scrum are fundamentally different along several dimen-
sions (see Table 3.1, based on dimensions suggested by Reinertsen 2009a).
A plan-driven, sequential development process assumes little or no output vari-
ability. It follows a well-defined set of steps and uses only small amounts of feedback
late in the process. In contrast, Scrum embraces the fact that in product develop-
ment, some level of variability is required in order to build something new. Scrum
also assumes that the process necessary to create the product is complex and there-
fore would defy a complete up-front definition. Furthermore, it generates early and
frequent feedback to ensure that the right product is built and that the product is
built right.
At the heart of Scrum are the principles of inspection, adaptation, and transpar-
ency (referred to collectively by Schwaber and Beedle 2001 as empirical process con-
trol). In Scrum, we inspect and adapt not only what we are building but also how we
are building it (see Figure 3.5).
To do t his wel l, we rely on tra nspa renc y: a ll of the information t hat is impor-
tant to producing a product must be available to the people involved in creating the
product. Transparency makes inspection possible, which is needed for adaptation.
Transparency also allows everyone concerned to observe and understand what is
happening. It leads to more communication and it establishes trust (both in the pro-
cess and among team members).
T A B L E 3 . 1 Comparison of Plan-Driven and Scrum Processes
Dimension Plan-Driven Scrum
Degree of
process
definition
Well-defined set of
sequential steps
Complex process that would defy a
complete up-front definition
Randomness of
output
Little or no output
variability
Expect variability because we are
not trying to build the same thing
over and over
Amount of
feedback used
Little and late Frequent and early

ptg8286261
36 Chapter 3 Agile Principles
Reduce All Forms of Uncertainty Simultaneously
Developing new products is a complex endeavor with a high degree of uncertainty.
That uncertainty can be divided into two broad categories (Laufer 1996):
End uncertainty (what uncertainty)—uncertainty surrounding the features
of the final product
Means uncertainty (how uncertainty)—uncertainty surrounding the process
and technologies used to develop a product
In particular environments or with particular products there might also be cus-
tomer uncertainty (who uncertainty). For example, start-up organizations (includ-
ing large organizations that focus on novel products) may only have assumptions
as to who the actual customers of their products will be. This uncertainty must be
addressed or they might build brilliant products for the wrong markets.
Traditional, sequential development processes focus first on eliminating all end
uncertainty by fully defining up front what is to be built, and only then addressing
means uncertainty.
This simplistic, linear approach to uncertainty reduction is ill suited to the com-
plex domain of product development, where our actions and the environment in
which we operate mutually constrain one another. For example:
We decide to build a feature (our action).
We then show that feature to a customer, who, once he sees it, changes his
mind about what he really wants, or realizes that he did not adequately
convey the details of the feature (our action elicits a response from the
environment).
Process
inspection
Adaptation Feedback
Feedback
Adaptation
Adaptation
Adaptation
Product
inspection
ScrumInput Output
Initial
input Final
output
F I G U R E 3 . 5 Scrum process model

ptg8286261
Prediction and Adaptation 37
We make design changes based on the feedback (the environment’s reaction
influences us to take another unforeseen action).
In Scrum, we do not constrain ourselves by fully addressing one type of uncer-
tainty before we address the next type. Instead, we take a more holistic approach and
focus on simultaneously reducing all uncertainties (end, means, customer, and so
on). Of course, at any point in time we might focus more on one type of uncertainty
than another. Simultaneously addressing multiple types of uncertainty is facilitated
by iterative and incremental development and guided by constant inspection, adapta-
tion, and transparency. Such an approach allows us to opportunistically probe and
explore our environment to identify and learn about the unknown unknowns (the
things that we don’t yet know that we don’t know) as they emerge.
Prediction and Adaptation
When using Scrum, we are constantly balancing the desire for prediction with the
need for adaptation. I describe five agile principles related to this topic:
Keep options open.
Accept that you can’t get it right up front.
Favor an adaptive, exploratory approach.
Embrace change in an economically sensible way.
Balance predictive up-front work with adaptive just-in-time work.
Keep Options Open
Plan-driven, sequential development requires that important decisions in areas like
requirements or design be made, reviewed, and approved within their respective
phases. Furthermore, these decisions must be made before we can transition to the
next phase, even if those decisions are based on limited knowledge.
Scrum contends that we should never make a premature decision just because a
generic process would dictate that now is the appointed time to make one. Instead,
when using Scrum, we favor a strategy of keeping our options open. Often this prin-
ciple is referred to as the last responsible moment (LRM) (Poppendieck and Pop-
pendieck 2003), meaning that we delay commitment and do not make important and
irreversible decisions until the last responsible moment. And when is that? When the
cost of not making a decision becomes greater than the cost of making a decision (see
Figure 3.6). At that moment, we make the decision.
To appreciate t his principle, consider t his. On t he f irst day of a product develop-
ment effort we have the least information about what we are doing. On each subse-
quent day of the development effort, we learn a little more. Why, then, would we ever
choose to make all of the most critical, and perhaps irreversible, decisions on the first

ptg8286261
38 Chapter 3 Agile Principles
day or very early on? Most of us would prefer to wait until we have more information
so that we can make a more informed decision. When dealing with important or irre-
versible decisions, if we decide too early and are wrong, we will be on the exponential
part of the cost-of-deciding curve in Figure 3.6. As we acquire a better understanding
regarding the decision, the cost of deciding declines (the likelihood of making a bad
decision declines because of increasing market or technical certainty). That’s why we
should wait until we have better information before committing to a decision.
Accept That You Can’t Get It Right Up Front
Plan-driven processes not only mandate full requirements and a complete plan; they
also assume that we can “get it right” up front. The reality is that it is very unlikely
that we can get all of the requirements, or the detailed plans based on those require-
ments, correct up front. What’s worse is that when the requirements do change, we
have to modify the baseline requirements and plans to match the current reality
(more about this in Chapter 5).
In Scrum, we acknowledge that we can’t get all of the requirements or the plans
right up front. In fact, we believe that trying to do so could be dangerous because we
are likely missing important knowledge, leading to the creation of a large quantity of
low-quality requirements (see Figure 3.7).
This figure illustrates that when using a plan-driven, sequential process, a large
number of requirements are produced early on when we have the least cumulative
knowledge about the product. This approach is risky, because there is an illusion that
we have eliminated end uncertainty. It is also potentially very wasteful when our
understanding improves or things change (as I will describe shortly).
Cost
C
o
s
t
o
f
d
e
f
e
r
r
i
n
g
Last (economically)
responsible moment
Time
C
o
s
t
o
f
d
e
c
i
d
i
n
g
F I G U R E 3 . 6 Make decisions at the last responsible moment.

ptg8286261
Prediction and Adaptation 39
With Scrum, we still produce some requirements and plans up front, but just
sufficiently, and with the assumption that we will fill in the details of those require-
ments and plans as we learn more about the product we are building. After all, even
if we think we’re 100% certain about what to build and how to organize up front the
work to build it, we will learn where we are wrong as soon as we subject our early
incremental deliverables to the environment in which they must exist. At that point
all of the inconvenient realities of what is really needed will drive us to make changes.
Favor an Adaptive, Exploratory Approach
Plan-driven, sequential processes focus on using (or exploiting) what is currently
known and predicting what isn’t known. Scrum favors a more adaptive, trial-and-
error approach based on appropriate use of exploration.
Exploration refers to times when we choose to gain knowledge by doing some
activity, such as building a prototype, creating a proof of concept, performing a study,
or conducting an experiment. In other words, when faced with uncertainty, we buy
information by exploring.
Our tools and technologies significantly influence the cost of exploration. His-
torically software product development exploration has been expensive, a fact that
favored a more predictive, try-to-get-it-right-up-front approach (see Figure 3.8).
As an example, in my freshman year at Georgia Tech (early 1980s), I (briefly)
used punch cards—a tool that, like a typewriter, made you loathe to make any
Quantity of
requirements
produced at each
point in time
Cumulative
knowledge
Analysis Design Coding Testing
Phase
Ops
Danger zone! That’s
a lot of low-quality
requirements specified
when we don’t have
enough knowledge
Our cumulative
product knowledge
grows over time
F I G U R E 3 . 7 Plan-driven requirements acquisition relative to product knowledge

ptg8286261
40 Chapter 3 Agile Principles
mistakes or modifications. It was hard to embrace the concept of “Let’s quickly try
that out and see what happens” when, with each potential solution, you had to pains-
takingly create punch cards, get in the queue for the mainframe, and wait up to 24
hours to get validation of your solution. Even the cost of a simple typo was at least a
day in the schedule. A waterfall-style process that allowed for careful consideration
of current knowledge and prediction in the presence of uncertainty in an attempt to
arrive at a good solution just made economic sense.
Fortunately, tools and technologies have gotten better and the cost of exploring
has come way down. There is no longer an economic disincentive to explore. In fact,
nowadays, it’s often cheaper to adapt to user feedback based on building something
fast than it is to invest in trying to get everything right up front. Good thing, too,
because the context (the surrounding technologies) in which our solutions must exist
is getting increasingly more complex.
In Scrum, if we have enough knowledge to make an informed, reasonable step
forward with our solution, we advance. However, when faced with uncertainty, rather
than trying to predict it away, we use low-cost exploration to buy relevant informa-
tion that we can then use to make an informed, reasonable step forward with our
solution. The feedback from our action will help us determine if and when we need
further exploration.
Embrace Change in an Economically Sensible Way
When using sequential development, change, as we have all learned, is substantially
more expensive late than it is early on (see Figure 3.9, based on Boehm 1981).
Cost
Favors an adaptive,
exploratory approach
Favors a predictive,
try-to-get-it-right-
up-front approach
1950 1970 2010
F I G U R E 3 . 8 Historical cost of exploration

ptg8286261
Prediction and Adaptation 41
As an example, a change made during analysis might cost $1; that same change
made late during testing might cost $1,000. Why is this so? If we make a mistake dur-
ing analysis and find it during analysis, it is an inexpensive fix. If that same error is
not found until design, we have to fix not only the incorrect requirement, but poten-
tially parts of our design based on the wrong requirement. This compounding of
the error continues through each subsequent phase, making what might have been a
small error to correct during analysis into a much larger error to correct in testing or
operations.
To avoid late changes, sequentia l processes seek to c a refu l ly control and mini-
mize any changing requirements or designs by improving the accuracy of the predic-
tions about what the system needs to do or how it is supposed to do it.
Unfortunately, being excessively predictive in early-activity phases often has
the opposite effect. It not only fails to eliminate change; it actually contributes to
deliveries that are late and over budget as well. Why this paradoxical truth? First, the
desire to eliminate expensive change forces us to overinvest in each phase—doing
more work than is necessary and practical. Second, we’re forced to make decisions
based on important assumptions early in the process, before we have validated these
assumptions with feedback from our stakeholders based on our working assets. As a
result, we produce a large inventory of work products based on these assumptions.
Later, this inventory will likely have to be corrected or discarded as we validate (or
invalidate) our assumptions, or change happens (for example, requirements emerge
or evolve), as it always will. This fits the classic pattern of a self-fulfilling prophecy
(see Figure 3.10).
Analysis Design Coding Testing Ops
Cost of change
F I G U R E 3 . 9 Significant late cost of change with sequential development

ptg8286261
42 Chapter 3 Agile Principles
In Scrum, we assume that change is the norm. We believe that we can’t predict
away the inherent uncertainty that exists during product development by working
longer and harder up front. Thus, we must be prepared to embrace change. And when
that change occurs, we want the economics to be more appealing than with tradi-
tional development, even when the change happens later in the product development
effort.
Our goal, therefore, is to keep the cost-of-change curve flat for as long as pos-
sible—making it economically sensible to embrace even late change. Figure 3.11 illus-
trates this idea.
We can achieve that goal by managing the amount of work in process and the
flow of that work so that the cost of change when using Scrum is less affected by time
than it is with sequential projects.
Regardless of which product development approach we use, we want the following
relationship to be true: a small change in requirements should yield a proportionally
When change happens,
many work products
need to be changed
or thrown out, ensuring
high change cost
4
We fear cost of late
change, so we work longer
and harder up front
to avoid change
2
Which causes us to
prematurely create many
work products such as
specifications and designs
3
Analysis Design Coding Testing Ops
Cost of change
Cost of change using
sequential development
We believe late change
is very expensive
1
F I G U R E 3 . 1 0 Self-fulfilling prophecy

ptg8286261
Prediction and Adaptation 43
small change in implementation and therefore in cost (obviously we would expect a
larger change to cost more). Another desirable property of this relationship is that we
want it to be true regardless of when the change request is made.
With Scrum, we produce many work products (such as detailed requirements,
designs, and test cases) in a just-in-time fashion, avoiding the creation of potentially
unnecessary artifacts. As a result, when a change is made, there are typically far fewer
artifacts or constraining decisions based on assumptions that might be discarded
or reworked, thus keeping the cost more proportional to the size of the requested
change.
Using sequential development, the early creation of artifacts and push for pre-
mature decision making ultimately mean that the cost of a change rises rapidly over
time as inventory grows. This causes the inflection point (where the line begins to
aggressively climb up) on the traditional curve in Figure 3.11 to occur early. When
developing with Scrum, there does come a time when the cost of change will no lon-
ger be proportional to the size of the request, but this point in time (as illustrated by
the inflection point on the Scrum curve in Figure 3.11) occurs later.
Balance Predictive Up-Front Work with Adaptive Just-in-Time
Work
A fundamental belief of plan-driven development is that detailed up-front require-
ments and planning are critical and should be completed before moving on to later
stages. In Scrum, we believe that up-front work should be helpful without being
excessive.
Time
Cost of change
Traditional
Scrum
F I G U R E 3 . 1 1 Flattening the cost-of-change curve

ptg8286261
44 Chapter 3 Agile Principles
With Scrum, we acknowledge that it is not possible to get requirements and plans
precisely right up front. Does that mean we should do no requirements or planning
work up front? Of course not! Scrum is about finding balance—balance between pre-
dictive up-front work and adaptive just-in-time work (see Figure 3.12, adapted from a
picture by Cohn 2009).
When developing a product, the balance point should be set in an economically
sensible way to maximize the amount of ongoing adaptation based on fast feedback
and minimize the amount of up-front prediction, while still meeting compliance,
regulatory, and/or corporate objectives.
Exactly how that balance is achieved is driven in part by the type of product being
built, the degree of uncertainty that exists in both what we want to build (end uncer-
tainty) and how we want to build it (means uncertainty), and the constraints placed
on the development. Being overly predictive would require us to make many assump-
tions in the presence of great uncertainty. Being overly adaptive could cause us to live
in a state of constant change, making our work feel inefficient and chaotic. To rapidly
develop innovative products we need to operate in a space where adaptability is coun-
terbalanced by just enough prediction to keep us from sliding into chaos. The Scrum
framework operates well at this balance point of order and chaos.
Validated Learning
When using Scrum, we organize the work to quickly create validated learning (a term
proposed by Ries 2011). We acquire validated learning when we obtain knowledge
Guessing Chaos
IneZd[egdYjXi
9Z\gZZd[ZcYjcXZgiV^cin
9Z\gZZd[bZVchjcXZgiV^cin
8dchigV^cihdcYZkZadebZci
8dbea^VcXZ/gZ\jaVidgngZfj^gZbZcih
EgZY^Xi^kZ
je[gdci 6YVei^kZ
_jhi^ci^bZ
F I G U R E 3 . 1 2 Balancing predictive and adaptive work

ptg8286261
Validated Learning 45
that confirms or refutes an assumption that we have made. I describe three agile
principles related to this topic:
Validate important assumptions fast.
Leverage multiple concurrent learning loops.
Organize workflow for fast feedback.
Validate Important Assumptions Fast
An assumption is a guess, or belief, that is assumed to be true, real, or certain even
though we have no validated learning to know that it is true. Plan-driven develop-
ment is much more tolerant of long-lived assumptions than Scrum. Using plan-
driven development, we produce extensive up-front requirements and plans that
likely embed many important assumptions, ones that won’t be validated until a much
later phase of development.
Assumptions represent a significant development risk. In Scrum, we try to mini-
mize the number of important assumptions that exist at any time. We also don’t want
to let important assumptions exist without validation for very long. The combination
of iterative and incremental development along with a focus on low-cost exploration
can be used to validate assumptions fast. As a result, if we make a fundamentally bad
assumption when using Scrum, we will likely discover our mistake quickly and have
a chance to recover from it. In plan-driven, sequential development, the same bad
assumption if validated late might cause a substantial or total failure of the develop-
ment effort.
Leverage Multiple Concurrent Learning Loops
There is learning that occurs when using sequential development. However, an
important form of learning happens only after features have been built, integrated,
and tested, which means considerable learning occurs toward the end of the effort.
Late learning provides reduced benefits because there may be insufficient time to
leverage the learning or the cost to leverage it might be too high.
In Scrum, we understand that constant learning is a key to our success. When
using Scrum, we identify and exploit feedback loops to increase learning. A recurring
pattern in this style of product development is to make an assumption (or set a goal),
build something (perform some activities), get feedback on what we built, and then
use that feedback to inspect what we did relative to what we assumed. We then make
adaptations to the product, process, and/or our beliefs based on what we learned (see
Figure 3.13).
Scrum leverages several predefined learning loops. For example, the daily scrum
is a daily loop and the sprint review is an iteration-level loop. I will describe these and
others in subsequent chapters.

ptg8286261
46 Chapter 3 Agile Principles
The Scrum framework is also flexible enough to embrace many other learning
loops. For example, although not specified by Scrum, technical practice feedback
loops, such as pair programming (feedback in seconds) and test-driven development
(feedback in minutes), are frequently used with Scrum development.
Organize Workflow for Fast Feedback
Being tolerant of long-lived assumptions also makes plan-driven processes tolerant of
late learning, so fast feedback is not a focus. With Scrum, we strive for fast feedback,
because it is critical for helping truncate wrong paths sooner and is vital for quickly
uncovering and exploiting time-sensitive, emergent opportunities.
In a plan-driven development effort, every activity is planned to occur at an
appointed time based on the well-defined phase sequence. This approach assumes
that earlier activities can be completed without the feedback generated by later activi-
ties. As a result, there might be a long period of time between doing something and
getting feedback on what we did (hence closing the learning loop).
Let’s use component integration and testing as an example. Say we are developing
three components in parallel. At some time these components have to be integrated
and tested before we have a shippable product. Until we try to do the integration, we
really don’t know whether we have developed the components correctly. Attempting
the integration will provide critical feedback on the component development work.
Using sequential development, integration and testing wouldn’t happen until
the predetermined downstream phase, where many or all components would be
integrated. Unfortunately, the idea that we can develop a bunch of components in
parallel and then later, in an integration phase, smoothly bring them together into
a cohesive whole is unlikely to work out. In fact, even with well-conceived interfaces
defined before we develop the components, it’s likely that something will go wrong
when we integrate them (see Figure 3.14).
Assume
Adapt
Inspect
Build
Feedback
F I G U R E 3 . 1 3 Learning loop pattern

ptg8286261
Validated Learning 47
Feedback-generating activities that occur a long time after development have
unfortunate side effects, such as turning integration into a large test-and-fix phase,
because components developed disjointedly from each other frequently don’t inte-
grate smoothly. How long it will take and how much it will cost to fix the problem
can only be guessed at this point.
In Scrum, we organize the flow of work to move through the learning loop in
Figure 3.13 and get to feedback as quickly as possible. In doing so, we ensure that
feedback-generating activities occur in close time proximity to the original work.
Fast feedback provides superior economic benefits because errors compound when
we delay feedback, resulting in exponentially larger failures.
Let’s look again at our component integration example. When we designed the
components, we made important assumptions about how they would integrate. Based
on those assumptions, we proceeded down a design path. We do not, at this point,
know whether the selected design path is right or wrong. It’s just our best guess.
Once we choose a path, however, we then make many other decisions that are
based on that choice. The longer we wait to validate the original design assumption,
the greater the number of dependent decisions. If we later determine (via feedback
during the integration phase) that the original assumption was wrong, we’ll have a
large, compounded mess on our hands. Not only will we have many bad decisions
that have to be reworked; we’ll also have to do it after a great deal of time has passed.
Because people’s memories will have faded, they will spend time getting back up to
speed on the work they did earlier.
When we factor in the total cost of reworking potentially bad dependent deci-
sions, and the cost of the delay to the product, the economic benefits of fast feedback
are very compelling. Fast feedback closes the learning loop quickly, allowing us to
truncate bad development paths before they can cause serious economic damage.
Component 3
Component 1
Component 2
Component 3
Component 2
Component 1
Integrate We almost always
underestimate the true
effort here; we have
no idea how long it will take
Really lateEarly Late Later
Testing
Test-
and-
fix phase Fixing
F I G U R E 3 . 1 4 Component integration

ptg8286261
48 Chapter 3 Agile Principles
Work in Process (WIP)
Work in process (or WIP) refers to the work that has been started but not yet fin-
ished. During product development WIP must be recognized and properly managed.
I describe four agile principles related to this topic:
Use economically sensible batch sizes.
Recognize inventory and manage it for good flow.
Focus on idle work, not idle workers.
Consider cost of delay.
Use Economically Sensible Batch Sizes
Another core belief underlying plan-driven, sequential development processes is that
it is preferable to batch up all of one type of work and perform it in a single phase. I
refer to this as the all-before-any approach, where we complete all (or substantially
all) of one activity before starting the next. Let’s say we create all of the requirements
during the analysis phase. Next, we move the batch of requirements into the design
phase. Because we generated the complete set of requirements, our batch size in this
example is 100%.
The all-before-any approach is, in part, a consequence of believing that the old
manufacturing principle of economies of scale applies to product development. This
principle states that the cost of producing a unit will go down as we increase the num-
ber of units (the batch size) that are produced. So, the sequential development belief
is that larger batches in product development will also realize economies of scale.
In Scrum, we accept that although economies-of-scale thinking has been a bed-
rock principle in manufacturing, applying it dogmatically to product development
will cause significant economic harm.
As counterintuitive as it might sound, working in smaller batches during prod-
uct development has many benefits. Reinertsen discusses batch-size issues in depth,
and Table 3.2 includes a subset of the small-batch-size benefits that he describes
( Reinertsen 2009b).
If small batches are better than large batches, shouldn’t we just use a batch size of
one, meaning that we work on only one requirement at a time and flow it through all
of the activities until it is done and ready for a customer? Some people refer to this as
single-piece flow. As I will show in later chapters, a batch size of one might be appro-
priate in some cases, but assuming that “one” is the goal might suboptimize the flow
and our overall economics.

ptg8286261
Work in Process (WIP) 49
Recognize Inventory and Manage It for Good Flow
Throughout this chapter, I have been reminding you that manufacturing and prod-
uct development are not the same thing and thus should be approached differently.
There is, however, one lesson that manufacturing has learned that we should apply to
product development and yet often do not. That lesson has to do with the high cost
of inventory, also known as work in process or WIP. The lean product development
community has known for many years of the importance of WIP (Poppendieck and
Poppendieck 2003; Reinertsen 2009b), and Scrum teams embrace this concept.
Manufacturers are acutely aware of their inventories and the financial implica-
tions of those inventories. How can they not be? Inventory quickly starts to pile up
on the floor, waiting to be processed. Not only is factory inventory physically visible;
it is also financially visible. Ask the CFO of a manufacturing company how much
T A B L E 3 . 2 Reinertsen Benefits of Small Batch Sizes
Benefit Description
Reduced cycle
time
Smaller batches yield smaller amounts of work waiting to
be processed, which in turn means less time waiting for
the work to get done. So, we get things done faster.
Reduced flow
variability
Think of a restaurant where small parties come and go
(they flow nicely through the restaurant). Now imagine a
large tour bus (large batch) unloading and the effect that it
has on the flow in the restaurant.
Accelerated
feedback
Small batches accelerate fast feedback, making the
consequences of a mistake smaller.
Reduced risk Small batches represent less inventory that is subject to
change. Smaller batches are also less likely to fail (there
is a greater risk that a failure will occur with ten pieces of
work than with five).
Reduced
overhead
There is overhead in managing large batches—for
example, maintaining a list of 3,000 work items requires
more effort than a list of 30.
Increased
motivation and
urgency
Small batches provide focus and a sense of responsibility.
It is much easier to understand the effect of delays and
failure when dealing with small versus large batches.
Reduced cost and
schedule growth
When we’re wrong on big batches, we are wrong in a big
way with respect to cost and schedule. When we do things
on a small scale, we won’t be wrong by much.

ptg8286261
50 Chapter 3 Agile Principles
inventory (or WIP) he has in the factory or how much it has changed in the past
month and he can give a definitive answer.
No competent manufacturer sits on a large quantity of inventory. Parts that are
sitting on the factory floor waiting to be put into finished goods are depreciating on
the financial books. Worse yet, what happens if we purchase a truckload of parts,
and then change the design of the product? What do we do with all of those parts?
Maybe we rework the parts so that they fit into the new design. Or worse, maybe we
discard the parts because they can no longer be used. Or, to avoid incurring waste on
the parts we already purchased, are we going to not change our design (even though
doing so would be the correct design choice) so we can use those parts—at the risk of
producing a less satisfying product?
It’s obvious that if we sit on a lot of inventory and then something changes, we
experience one or more forms of significant waste. To minimize risks, competent
manufacturers manage inventory in an economically sensible way—they keep some
inventory on hand but use a healthy dose of just-in-time inventory management.
Product development organizations, generally speaking, are not nearly as cogni-
zant of their work in process. Part of the problem stems from the fact that in product
development we deal with knowledge assets that aren’t physically visible in the same
way as parts on the factory floor. Knowledge assets are far less intrusive, such as code
on a disk, a document in a file cabinet, or a visual board on the wall.
Inventory in product development is also typically not financially visible. Ask
a CFO of a product development organization how much inventory exists in the
product development organization and he will likely give you a puzzled look and say,
“None.” While the financial team is tracking other measures of a product develop-
ment effort, it won’t likely be tracking product development inventory of this type.
Unfortunately, inventory (WIP) is a critical variable to be managed during prod-
uct development, and the traditional approaches to product development don’t focus
on managing it. As I mentioned in the discussion of batch sizes, by setting the batch
size to be quite large (frequently 100%), traditional development actually favors the
creation of large amounts of inventory. An important consequence of having a lot of
WIP in product development is that it significantly affects the cost-of-change curve I
described earlier (see Figure 3.9).
Although we need some requirements if we are going to start development, we
don’t need to have all of the requirements. If we have too many requirements, we
will likely experience inventory waste when requirements change. On the other hand,
if we don’t have enough requirements inventory, we will disrupt the fast flow of
work, which is also a form of waste. In Scrum, our goal is to find the proper balance
between just enough inventory and too much inventory.
It is important to realize that requirements are just one form of inventory that
exists in product development. There are many different places and times during
product development where we have WIP. We need to proactively identify and man-
age those as well.

ptg8286261
Work in Process (WIP) 51
Focus on Idle Work, Not Idle Workers
In Scrum, we believe that idle work is far more wasteful and economically damaging
than idle workers. Idle work is work that we want to do (such as building or testing
something) but can’t do because something is preventing us. Perhaps we are blocked
waiting on another team to do something, and until that team completes its work, we
can’t do ours. Or maybe we just have so much work to do that it can’t all be done at
once. In this case, some of the work sits idle until we become available to work on it.
Idle workers, on the other hand, are people who have available capacity to do more
work because they are not currently 100% utilized.
Many product development organizations focus more on eliminating the waste
of idle workers than on the waste of idle work. For example, in traditional thinking, if
I hire you to be a tester, I expect you to spend 100% of your time testing. If you spend
less than 100% of your time testing, I incur waste (you’re idle when you could be
testing). To avoid this problem, I will find you more testing work to do—perhaps by
assigning you to multiple projects—to get your utilization up to 100%.
Unfortunately, this approach reduces one form of waste (idle-worker waste)
while simultaneously increasing another form of waste (idle-work waste). And, most
of the time, the cost of the idle work is far greater than the cost of an idle worker. Let’s
explore why this is true.
To i llustrate t he issue, let’s apply the keep-workers-100 % -busy strateg y to t he
4 × 100-meter relay race at the Olympics. Based on the keep-them-busy strategy, this
race seems highly inefficient. I pay people to run and they seem to be running only
one-quarter of the time. The rest of the time they are just standing around. Well,
that’s not right! I pay them 100% salary so I want them to run 100% of the time. How
about if when they’re not carrying the baton, they just run up and down the stands or
perhaps run another race on an adjacent track? That way they will be utilized 100%
at running.
Of course, we all know that you don’t win the relay gold medal by keeping the
runners 100% busy. You win the gold medal by getting the baton across the finish
line first. So, the important takeaway is “Watch the baton, not the runners” (Lar-
man and Vodde 2009). In the context of product development, the baton sitting on
the ground equates to work that is ready to be performed but is blocked waiting for
necessary resources. You don’t win the race (deliver products) when the baton is on
the ground. (I really like the baton and runner analogy because it nicely illustrates
that we should watch the work and not the workers. However, like any analogy, it has
its limits. In this case, the relay-race approach to handing off work is precisely one
aspect of traditional, sequential product development that we would like to avoid!)
Also, everyone knows the consequences of keeping a resource 100% busy. If we
borrow a graph from queuing theory, we can see the obvious damage caused when
striving for 100% utilization (see Figure 3.15).

ptg8286261
52 Chapter 3 Agile Principles
Anyone who owns a computer understands this graph. What happens if you run
your computer at 100% (full processor and memory utilization)? It starts to thrash
and every job on the computer slows down. In other words, the computer is working
on more things and actually gets less productive work completed. Once you get into
that state, it is very difficult to get out of it (you probably have to start killing jobs or
reboot the machine). Your computer would be much more efficient if you ran it at
closer to 80% utilization. In Figure 3.15, queue size equates to delay and delay to the
baton sitting on the ground.
The idle work (delayed work) grows exponentially once we get into the high levels
of utilization. And that idle work can be very expensive, frequently many times more
expensive than the cost of idle workers (see the next section on cost of delay for an
example). So, in Scrum, we are acutely aware that finding the bottlenecks in the flow
of work and focusing our efforts on eliminating them is a far more economically sen-
sible activity than trying to keep everyone 100% busy.
Consider Cost of Delay
Cost of delay is the financial cost associated with delaying work or delaying achieve-
ment of a milestone. Figure 3.15 illustrates that as capacity utilization increases,
queue size and delay also increase. Therefore, by reducing the waste of idle work-
ers (by increasing their utilization), we simultaneously increase the waste associated
0
2
4
6
8
10
12
14
16
18
20
Utilization
Queue size
10% 20% 30% 40% 50% 60% 70% 80% 90% 100%
FIG URE 3.15 How utilization affects queue size (delay)

ptg8286261
Work in Process (WIP) 53
with idle work (work sitting in queues waiting to be serviced). Using cost of delay, we
can calculate which waste is more economically damaging.
Unfortunately, 85% of organizations don’t quantify cost of delay (Reinertsen
2009b). Combine that with the fact that most development organizations don’t real-
ize they have accumulated work (inventory) sitting in queues, and it is easy to see why
their default behavior is to focus on eliminating the visible waste of idle workers.
Here is a simple example to illustrate why the cost of idle work is typically much
greater than the cost of idle workers. Consider this question: Should we assign a doc-
umenter to the team on the first day of development or at the end of development?
Table 3.3 illustrates a comparison of these two options (there are other options we
could use).
Assume that we assign the documenter full-time for 12 months to work on this
product, even if he is not needed 100% of the time. Doing so costs an incremen-
tal $75K (think of this as idle worker waste) above what it would cost if we brought
him on for two months at the end once the product reaches the state of “all but
documented.”
If we assign the documenter to do all of the documentation at the end, we will
need him full-time for only two months, but we will also delay the delivery of the
TAB LE 3.3 Example Cost-of-Delay Calculation
Parameter Value
Duration with full-time documenter 12 months
Duration with documenter assigned at the end (when we reach
the state of “all but documented”)
14 months
Cycle-time cost for doing documentation at the end 2 months
Cost of delay, per month $250K
Total cost of delay $500K
Annual fully burdened cost of documenter $90K
Monthly fully burdened cost of documenter $7.5K
Cost for full-time documenter $90K
Cost for documenter if assigned at end $15K
Incremental cost for full-time documenter $75K

ptg8286261
54 Chapter 3 Agile Principles
product by the same two months. If we delay shipping the product by two months,
the calculated cost of delay in terms of lifecycle profits is $500K (lifecycle profits are
the total profit potential of a product over its lifetime; in this example, that potential
decreases by $500K).
In this example, the cost of the idle worker is $75K and the cost of the idle work
is $500K. If we focus on optimizing the utilization of the documenter, we will sub-
stantially suboptimize the economics of the overall product. During product devel-
opment we are presented with these types of trade-offs on a continuous basis; cost of
delay will be one of the most important variables to consider when making economi-
cally sensible decisions.
Progress
When using Scrum, we measure progress by what we have delivered and validated,
not by how we are proceeding according to the predefined plan or how far we are into
a particular phase or stage of development. I describe three agile principles related to
this topic:
Adapt to real-time information and replan.
Measure progress by validating working assets.
Focus on value-centric delivery.
Adapt to Real-Time Information and Replan
In a plan-driven, sequential process, the plan is the authoritative source on how and
when work should occur. As such, conformance to the plan is expected. In contrast,
in Scrum we believe that unbridled faith in the plan will frequently blind us to the
fact that the plan might be wrong.
On a Scrum development effort our goal is not to conform to some plan, some
up-front prediction of how we thought things might go. Instead, our goal is to rapidly
replan and adapt to the stream of economically important information that is con-
tinuously arriving during the development effort.
Measure Progress by Validating Working Assets
Progress during a sequential, plan-driven development effort is demonstrated by
completing a phase and being permitted to enter the next phase. As a result, if each
phase starts and completes as expected, the product development effort might seem
to be progressing quite well. Yet in the end, the product we created in full accor-
dance with the plan might deliver far less customer value than anticipated. Can we
really claim success if we finish on time and on budget and yet fail to meet customer
expectations?

ptg8286261
Progress 55
With Scrum, we measure progress by building working, validated assets that
deliver value and that can be used to validate important assumptions. This gives us
the feedback to know what the right next step is. In Scrum, it’s not about how much
work we start; it’s all about what customer-valuable work we finish.
Focus on Value-Centric Delivery
Plan-driven, sequential development focuses on diligently following the process. By
its very structure, the integration and delivery of features during sequential develop-
ment happen at the end of the effort (see Figure 3.16). With this approach there is
a risk that we will run out of resources (time or money) before we deliver all of the
important value to our customers.
A related belief of traditional development is that the planning and document
artifacts that get produced en route to delivering features are themselves valuable.
If these artifacts are indeed valuable, most of the time they are valuable only to the
downstream process and not the customers. And, if they are valuable to the customer,
that value accrues only if a desirable product is ultimately delivered to the customer.
Until that happens, these artifacts provide no direct customer value.
Scrum, on the other hand, is a customer-value-centric form of development. It is
based on a prioritized, incremental model of delivery in which the highest-value fea-
tures are continuously built and delivered in the next iteration. As a result, customers
get a continuous flow of high-value features sooner.
In Scrum, value is generated by delivering working assets to customers, by vali-
dating important assumptions, or by acquiring valuable knowledge. In Scrum, we
believe that the intermediate artifacts provide no perceived customer value and are
merely a means to an end if they themselves cannot be used to generate important
feedback or acquire important knowledge.
Time
Delivered value
Traditional
Scrum
F I G U R E 3 . 1 6 Deliver high-value features sooner.

ptg8286261
56 Chapter 3 Agile Principles
Performance
There are specific performance-related characteristics we expect when using Scrum. I
describe three agile principles related to this topic:
Go fast but never hurry.
Build in quality.
Employ minimally sufficient ceremony.
Go Fast but Never Hurry
Plan-driven development believes that if we follow the plan and do things right the
first time, we’ll avoid costly and time-consuming rework. Moving from step to step
quickly is of course desirable, but it isn’t a principal goal.
In Scrum, one core goal is to be nimble, adaptable, and speedy. By going fast, we
deliver fast, we get feedback fast, and we get value into the hands of our customers
sooner. Learning and reacting quickly allow us to generate revenue and/or reduce
costs sooner.
Do not, however, mistake going fast for being hurried. In Scrum, time is of the
essence, but we don’t rush to get things done. Doing so would likely violate the Scrum
principle of sustainable pace—people should be able to work at a pace that they can
continue for an extended period of time. In addition, hurrying will likely come at the
expense of quality.
An example might help clarify the difference between fast and hurried. I study
Muay Thai (Thai kickboxing). As is true of most martial arts, Muay Thai perfor-
mance is enhanced with speed. Being able to swiftly and accurately perform katas
or sparring enhances the pleasure of the sport and the outcome. However, hurrying
through the movements with the intent of getting done substantially reduces their
effectiveness and could cause serious bodily harm during sparring. When perform-
ing Muay Thai, you move swiftly, nimbly, and deliberately while quickly adapting to
the situation. In other words, you need to be fast, but never hurried.
Build In Quality
During plan-driven development, the belief is that through careful, sequential per-
formance of work we get a high-quality product. However, we can’t actually verify
this quality until we do the testing of the integrated product, which occurs during a
late phase of the process. If testing should indicate that the quality is lacking, we then
must enter the costly test-and-fix phase in an attempt to test quality in. Also, because
a different team frequently works on each phase, the testing team is often viewed as
owning the quality of the result.
In Scrum, quality isn’t something a testing team “tests in” at the end; it is some-
thing that a cross-functional Scrum team owns and continuously builds in and

ptg8286261
Performance 57
verifies every sprint. Each increment of value that is created is completed to a high
level of confidence and has the potential to be put into production or shipped to cus-
tomers (see Chapter 4 for a deeper discussion of the definition of done). As a result,
the need for any significant late testing to tack on quality is substantially reduced.
Employ Minimally Sufficient Ceremony
Plan-driven processes tend to be high-ceremony, document-centric, process-heavy
approaches. A side effect of Scrum’s being value-centric is that very little emphasis
is put on process-centric ceremonies. I don’t mean to imply that all ceremony is bad.
For example, a “ceremony” of going to the pub to socialize and bond every Friday
after work would be a good ceremony. I am referring to ceremony that is unnecessary
formality. Some might call it “process for the sake of process.” Such ceremony has a
cost but adds little or no value (in other words, it’s a type of waste).
Example ceremonies that might be unnecessary formality include the following:
A three-day, heavyweight process is required for approving and migrating
code from the development environment to the QA environment before we
are allowed to start testing.
All anomalies have to be logged into a software tool so that they can be
tracked and reported, even if I could just tap on the shoulder of the person
sitting next to me and say, “Hey, this isn’t working; could you fix it?” and
have him make a fix so I can continue my work.
I write a document because now is the prescribed time to write that document,
even though nobody can say why that document is necessary or valuable.
In Scrum, our goal is to eliminate unnecessary formality. Therefore, we set the
ceremonial bar at a low level, one that is minimally sufficient (some call it barely suf-
ficient) or good enough. Of course, what constitutes minimally sufficient or good
enough can differ from organization to organization. If we’re building a new social
media website, our need for ceremony might be exceptionally low. On the other
hand, if we’re building a pacemaker and are subject to numerous governmental regu-
lations that require specific types of ceremonies, the minimally sufficient bar will be
set higher (see Figure 3.17).
Frequently the Scrum focus on minimally sufficient ceremony is misinterpreted
to mean things like “Scrum is anti-documentation.” Scrum isn’t anti-documentation.
Rather, when using Scrum, we adopt an economic perspective and carefully review
which documents we create. If we write a document that is shelfware and adds no
value, we have wasted our time and money creating a dead document. However, not
all documents are dead. For example, we will likely write a document if
It is a deliverable as part of the product (for example, installation instruc-
tions, user’s guide, and so on)

ptg8286261
58 Chapter 3 Agile Principles
Light documentation
Low formality
Lightweight process
Document-driven
Full traceability
High formality
Heavyweight process
Scrum
Low
ceremony High
ceremony
Scrum in
regulated
environment
Traditional
document-driven
development
F I G U R E 3 . 1 7 Ceremony scale
Our goal is to capture an important discussion, decision, or agreement so
that in the future we will have a clear recollection of what was discussed,
decided, or agreed to
It is the high-value way of helping new team members come up to speed
quickly
There is a regulatory requirement that a certain document be written (a cost
of doing business in a regulated industry)
What we are trying to avoid is work that adds no short-term or long-term eco-
nomic value. In Scrum, we believe that time and money are better spent delivering
customer value.
Closing
In this chapter I focused on describing core agile principles—the fundamental beliefs
that drive how we develop with Scrum. In doing so, I compared how these beliefs are
different from the beliefs that underlie textbook, traditional, plan-driven, sequential
development (which are summarized in Table 3.4).
My goal of making this comparison is not to convince you that waterfall is bad
and that Scrum is good. Instead, my goal is to illustrate that the underlying beliefs
of waterfall make it more appropriate to a different class of problem than Scrum.
You can evaluate for yourself what t y pe of problems your organization addresses
and therefore which is the more appropriate tool to use. The subsequent chapters of
this book will provide a detailed description of how these principles reinforce one
another, providing a powerful approach to product development.

ptg8286261
Closing 59
T A B L E 3 . 4 Comparison Summary of Plan-Driven and Agile Principles
Topic Plan-Driven Principle Agile Principle
Similarity between
development and
manufacturing
Both follow a defined process. Development isn’t
manufacturing; development
creates the recipe for the
product.
Process structure Development is phase-based
and sequential.
Development should be
iterative and incremental.
Degree of process
and product
variability
Try to eliminate process and
product variability.
Leverage variability through
inspection, adaptation, and
transparency.
Uncertainty
management
Eliminate end uncertainty
first, and then means
uncertainty.
Reduce uncertainties
simultaneously.
Decision making Make each decision in its
proper phase.
Keep options open.
Getting it right the
first time
Assumes we have all of the
correct information up front to
create the requirements and
plans.
We can’t get it right up front.
Exploration versus
exploitation
Exploit what is currently
known and predict what isn’t
known.
Favor an adaptive, exploratory
approach.
Change/emergence Change is disruptive to plans
and expensive, so it should be
avoided.
Embrace change in an
economically sensible way.
Predictive versus
adaptive
The process is highly
predictive.
Balance predictive up-front
work with adaptive just-in-time
work.
Assumptions
(unvalidated
knowledge)
The process is tolerant of
long-lived assumptions.
Validate important assumptions
fast.
Feedback Critical learning occurs on one
major analyze-design-code-
test loop.
Leverage multiple concurrent
learning loops.
Fast feedback The process is tolerant of late
learning.
Organize workflow for fast
feedback.
continues

ptg8286261
60 Chapter 3 Agile Principles
Topic Plan-Driven Principle Agile Principle
Batch size (how much
work is completed
before the next
activity can start)
Batches are large, frequently
100%—all before any.
Economies of scale should
apply.
Use smaller, economically
sensible batch sizes.
Inventory/work in
process (WIP)
Inventory isn’t part of the
belief system so is not a
focus.
Recognize inventory and
manage it to achieve good flow.
People versus work
waste
Allocate people to achieve
high levels of utilization.
Focus on idle work, not idle
workers.
Cost of delay Cost of delay is rarely
considered.
Always consider cost of delay.
Conformance to plan Conformance is considered a
primary means of achieving a
good result.
Adapt and replan rather than
conform to a plan.
Progress Demonstrate progress by
progressing through stages or
phases.
Measure progress by validating
working assets.
Centricity Process-centric—follow the
process.
Value-centric—deliver the
value.
Speed Follow the process; do things
right the first time and go fast.
Go fast but never hurry.
When we get high
quality
Quality comes at the end,
after an extensive test-and-fix
phase.
Build quality in from the
beginning.
Formality (ceremony) Formality (well-defined
procedures and checkpoints)
is important to effective
execution.
Employ minimally sufficient
ceremony.
T A B L E 3 . 4 Comparison Summary of Plan-Driven and Agile Principles (Continued)

ptg8286261
61
Chapter 4
SPRINTS
Scrum organizes work in iterations or cycles of up to a calendar month called sprints.
This chapter provides a more detailed description of what sprints are. It then dis-
cusses several key characteristics of sprints: They are timeboxed, have a short and
consistent duration, have a goal that shouldn’t be altered once started, and must reach
the end state specified by the team’s definition of done.
Overview
Sprints are the skeleton of the Scrum framework (see Figure 4.1).
Consistent length
Timeboxed
Short duration
1 week to
1 calendar month
Sprint 1 Sprint 2 Sprint 3 Sprint 4
No goal-altering changes Agreed-upon
definition of done
F I G U R E 4 . 1 Sprints are the skeleton of the Scrum framework.

ptg8286261
62 Chapter 4 Sprints
The gray main looping arrow in the figure, which stretches from the product
backlog through the sprint execution loop and encompasses the Scrum team mem-
bers, represents the sprint, on which the other Scrum artifacts and activities are
shown oriented by their relative time of occurrence within the sprint. Although
sprint execution is frequently confused with being “the sprint,” it’s really just one
activity that occurs during the sprint, along with sprint planning, sprint review, and
the sprint retrospective.
All sprints are timeboxed, meaning they have fixed start and end dates. Sprints
must also be short, somewhere between one week and a calendar month in length.
Sprints should be consistent in length, though exceptions are permitted under certain
circumstances. As a rule, no goal-altering changes in scope or personnel are permitted
during a sprint. Finally, during each sprint, a potentially shippable product increment
is completed in conformance with the Scrum team’s agreed-upon definition of done.
Although each organization will have its own unique implementation of Scrum,
these sprint characteristics, with a few exceptions that we’ll explore, are meant to
apply to every sprint and every team. Let’s look at each in detail so that we can under-
stand why this is so.
Timeboxed
Sprints are rooted in the concept of timeboxing, a time-management technique that
helps organize the performance of work and manage scope. Each sprint takes place in
a time frame with specific start and end dates, called a timebox. Inside this timebox,
the team is expected to work at a sustainable pace to complete a chosen set of work
that aligns with a sprint goal.
Timeboxing is important for several reasons (see Figure 4.2).
Establishes a WIP Limit
Timeboxing is a technique for limiting the amount of WIP (work in process). WIP
represents an inventory of work that is started but not yet finished. Failing to prop-
erly manage it can have serious economic consequences. Because the team will plan
to work on only those items that it believes it can start and finish within the sprint,
timeboxing establishes a WIP limit each sprint.
Forces Prioritization
Timeboxing forces us to prioritize and perform the small amount of work that mat-
ters most. This sharpens our focus on getting something valuable done quickly.
Demonstrates Progress
Timeboxing also helps us demonstrate relevant progress by completing and validat-
ing important pieces of work by a known date (the end of the sprint). This type of

ptg8286261
Timeboxed 63
progress reduces organizational risk by shifting the focus away from unreliable forms
of progress reporting, such as conformance to plan. Timeboxing also helps us dem-
onstrate progress against big features that require more than one timebox to com-
plete. Completing some work toward those features ensures that valuable, measurable
progress is being made each sprint. It also helps the stakeholders and team learn
exactly what remains to be done to deliver the entire feature.
Avoids Unnecessary Perfectionism
Timeboxing helps avoid unnecessary perfectionism. At one time or another we
have all spent too much time trying to get something “perfect” or to do “gold plat-
ing” when “good enough” would suffice. Timeboxing forces an end to potentially
unbounded work by establishing a fixed end date for the sprint by which a good solu-
tion must be done.
Motivates Closure
Timeboxing also motivates closure. My experience is that things are more likely to get
done when teams have a known end date. The fact that the end of the sprint brings
with it a hard deadline encourages team members to diligently apply themselves to
complete the work on time. Without a known end date, there is less of a sense of
urgency to complete the job.
Establishes a WIP limit
Forces prioritization
Demonstrates progress
Avoids unnecessary perfectionism
Motivates closure
Improves predictability
Timeboxing benefits
F I G U R E 4 . 2 The benefits of timeboxing

ptg8286261
64 Chapter 4 Sprints
Improves Predictability
Timeboxing improves predictability. Although we can’t predict with great certainty
exactly the work we will complete a year from now, it is completely reasonable to
expect that we can predict the work we can complete in the next short sprint.
Short Duration
Short-duration sprints provide many benefits (see Figure 4.3).
Ease of Planning
Short-duration sprints make it easier to plan. It is easier to plan a few weeks’ worth
of work than six months’ worth of work. Also, planning on such short time horizons
requires far less effort and is far more accurate than longer-horizon planning.
Fast Feedback
Short-duration sprints generate fast feedback. During each sprint we create working
software and then have the opportunity to inspect and adapt what we built and how
we built it. This fast feedback enables us to quickly prune unfavorable product paths
or development approaches before we compound a bad decision with many follow-on
Ease of planning
Fast feedback
Bounded error
Improved return on investment
Rejuvenated excitement
Frequent checkpoints
Short-duration benefits
F I G U R E 4 . 3 The benefits of short-duration sprints

ptg8286261
Short Duration 65
decisions that are coupled to the bad decision. Fast feedback also allows us to more
quickly uncover and exploit time-sensitive emergent opportunities.
Improved Return on Investment
Short-duration sprints not only improve the economics via fast feedback; they also
allow for early and more frequent deliverables. As a result, we have the opportunity to
generate revenue sooner, improving the overall return on investment (see Chapter 14
for an example).
Bounded Error
Short-duration sprints also bound error. How wrong can we be in a two-week sprint?
Even if we fumble the whole thing, we have lost only two weeks. We insist on short-
duration sprints because they provide frequent coordination and feedback. That way,
if we’re wrong, at least we’re wrong in a small way.
Rejuvenated Excitement
Short-duration sprints can help rejuvenate excitement. It is human nature for interest
and excitement to decline the longer we have to wait for gratification (see Figure 4.4).
If we work on a very long-duration project, not only are we more likely to fail;
we are also more likely to eventually lose enthusiasm for the effort. (When I worked
at IBM, we used to call these the “boil-the-ocean” projects, because they would
Boil the ocean
ExcitementExcitement
Time
Short-duration
incremental
releases
Time
F I G U R E 4 . 4 Excitement over time

ptg8286261
66 Chapter 4 Sprints
take a really long time and a lot of effort to complete, if ever, like trying to boil an
ocean.) With no visible progress and no end in sight, people begin to grow disinter-
ested. Toward the end, they may be willing to pay someone to get moved to a different
product!
Short-duration sprints keep participant excitement high by delivering working
assets frequently. The gratification from early and frequent deliverables rejuvenates
our interest and our desire to continue working toward the goal.
Frequent Checkpoints
Short-duration sprints also provide multiple, meaningful checkpoints (see Figure 4.5).
One valued aspect of sequential projects is a well-defined set of milestones. These
milestones provide managers with known project-lifecycle checkpoints that are usu-
ally tied to go/no-go funding decisions for the next phase. Although potentially use-
ful from a governance perspective, as I discussed in Chapter 3 these milestones give
an unreliable indication of the true status of customer value delivery.
Waterfall checkpoints
Analysis
Design
Coding
Operations
Scrum checkpoints
Testing
F I G U R E 4 . 5 Checkpoint comparison

ptg8286261
Consistent Duration 67
Scrum provides managers, stakeholders, product owners, and others with many
more checkpoints than they would have with sequential projects. At the end of each
short sprint there is a meaningful checkpoint (the sprint review) that allows everyone
to base decisions on demonstrable, working features. People are better able to deal
with a complex environment when they have more actionable checkpoint opportuni-
ties to inspect and adapt.
Consistent Duration
As a rule, on a given development effort, a team should pick a consistent duration for
its sprints and not change it unless there is a compelling reason. Compelling reasons
might include the following:
You are considering moving from four-week sprints to two-week sprints in
order to obtain more frequent feedback but want to try a couple of two-week
sprints before making a final decision.
The annual holidays or end of the fiscal year make it more practical to run a
three-week sprint than the usual two-week sprint.
The product release occurs in one week, so a two-week sprint would be
wasteful.
The fact that the team cannot get all the work done within the current sprint
length is not a compelling reason to extend the sprint length. Neither is it permissible
to get to the last day of the sprint, realize you are not going to be done, and lobby
for an extra day or week. These are symptoms of dysfunction and opportunities for
improvement; they are not good reasons to change the sprint length.
As a rule, therefore, if a team agrees to perform two-week sprints, all sprints
should be two weeks in duration. As a practical matter, most (but not all) teams will
define two weeks to mean ten calendar weekdays. If there is a one-day holiday or
training event during the sprint, it reduces the team’s capacity for that sprint but
doesn’t necessitate a sprint length change.
Using the same sprint length also leverages the benefits of cadence and simplifies
planning.
Cadence Benefits
Sprints of the same duration provide us with cadence—a regular, predictable rhythm
or heartbeat to a Scrum development effort. A steady, healthy heartbeat allows the
Scrum team and the organization to acquire an important rhythmic familiarity with
when things need to happen to achieve the fast, flexible flow of business value. In my
experience, having a regular cadence to sprints enables people to “get into the zone,”
“be on a roll,” or “get into a groove.” I believe this happens because regular cadence

ptg8286261
68 Chapter 4 Sprints
makes the mundane but necessary activities habitual, thereby freeing up mental
capacity to stay focused on the fun, value-added work.
Having a short sprint cadence also tends to level out the intensity of work. Unlike
a traditional sequential project where we see a steep increase in intensity in the latter
phases, each sprint has an intensity profile that is similar to that of the other sprints.
As I will discuss in Chapter 11, sprint cadence enables teams to work at a sustainable
pace.
Sprinting on a regular cadence also significantly reduces coordination overhead.
With fixed-length sprints we can predictably schedule the sprint-planning, sprint
review, and sprint retrospective activities for many sprints at the same time. Because
everyone knows when the activities will occur, the overhead required to schedule
them for a large batch of sprints is substantially reduced.
As an example, if we do two-week sprints on a yearlong development effort, we
can send out the recurring event on everyone’s calendar for the next 26 sprint reviews.
If we allowed sprint durations to vary from sprint to sprint, imagine the extra effort
we would need to coordinate the schedules of the stakeholders on what might be just
one or two weeks’ notice for an upcoming sprint review! That assumes that we could
even find a time that worked for the core set of stakeholders, whose schedules are
likely filled up many weeks ahead.
Finally, if we have multiple teams on the same project, having all teams with a
similar sprint cadence allows for synchronization of the work across all of the teams
(see Chapter 12 for a more detailed discussion).
Simplifies Planning
Using a consistent duration also simplifies planning activities. When all sprints are
the same length (even when they might have a day or less capacity per sprint because
of a holiday), the team gets comfortable with the amount of work that it can accom-
plish in a typical sprint (referred to as its velocity). Velocity is typically normalized to
a sprint. If the length of the sprint can vary, we really don’t have a normalized sprint
unit. It wouldn’t be meaningful to say things like “The team has an average velocity
of 20 points per sprint.”
While it is certainly possible to compute a team’s velocity even if it uses variable-
length sprints, it is more complicated. Sticking with a consistent sprint duration sim-
plifies the computations we perform on a team’s historical velocity data.
Consistent sprint durations also simplify the rest of the planning math. For
example, if we are working on a fixed-date release, and we have consistent-duration
sprints, calculating the number of sprints in the release is simply an exercise in cal-
endar math (we know today’s date, we know the release date, and we know that all
sprints are the same length). If the sprint durations were allowed to vary, calculating
the number of sprints in the release could be significantly more challenging (because
we would have to do extensive early planning), involve unnecessary overhead, and
likely be far less reliable than with consistent sprint durations.

ptg8286261
No Goal-Altering Changes 69
No Goal-Altering Changes
An important Scrum rule states that once the sprint goal has been established and
sprint execution has begun, no change is permitted that can materially affect the
sprint goal.
What Is a Sprint Goal?
Each sprint can be summarized by a sprint goal that describes the business purpose
and value of the sprint. Typically the sprint goal has a clear, single focus, such as
Support initial report generation.
Load and curate North America map data.
Demonstrate the ability to send a text message through an integrated soft-
ware, firmware, and hardware stack.
There are times when a sprint goal might be multifaceted, for example, “Get basic
printing working and support search by date.”
During sprint planning, the development team should help refine and agree to
the sprint goal and use it to determine the product backlog items that it can complete
by the end of the sprint (see Chapter 19 for more details). These product backlog
items serve to further elaborate the sprint goal.
Mutual Commitment
The sprint goal is the foundation of a mutual commitment made by the team and the
product owner. The team commits to meeting the goal by the end of the sprint, and
the product owner commits to not altering the goal during the sprint.
This mutual commitment demonstrates the importance of sprints in balancing
the needs of the business to be adaptive to change, while allowing the team to con-
centrate and efficiently apply its talent to create value during a short, fixed duration.
By defining and adhering to a sprint goal, the Scrum team is able to stay focused (in
the zone) on a well-defined, valuable target.
Change versus Clarification
Although the sprint goal should not be materially changed, it is permissible to clarify
the goal. Let me differentiate the two.
What constitutes a change? A change is any alteration in work or resources that
has the potential to generate economically meaningful waste, harmfully disrupt the
flow of work, or substantially increase the scope of work within a sprint. Adding or
removing a product backlog item from a sprint or significantly altering the scope of
a product backlog item that is already in the sprint typically constitutes change. The
following example illustrates a change:

ptg8286261
70 Chapter 4 Sprints
Product owner: “Oh, when I said that we need to be able to search
the police database for a juvenile offender, I didn’t just mean by last
name and first name. I also meant we should be able to search the
database based on a picture of the suspect’s body tattoos!”
Adding the ability to search based on a picture likely represents substantially
more effort and almost certainly would affect the team’s ability to meet a commit-
ment to deliver search based on last name and first name. In this case, the product
owner should consider creating a new product backlog item that captures the search-
by-picture feature and adding it to the product backlog to be worked on in a subse-
quent sprint.
What constitutes a clarification? Clarifications are additional details provided
during the sprint that assist the team in achieving its sprint goal. As I will discuss in
Chapter 5, all of the details associated with product backlog items might not be fully
known or specified at the start of the sprint. Therefore, it is completely reasonable
for the team to ask clarifying questions during a sprint and for the product owner to
answer those questions. The following example illustrates a clarification:
Development team: “When you said the matches for a juvenile
offender search should be displayed in a list, did you have a prefer-
ence for how that list is to be ordered?”
Product owner: “Yes, sort them alphabetically by last name.”
Development team: “OK, we can do that.”
In this manner, the product owner can and should provide clarification during
the sprint.
Consequences of Change
It may appear that the no-goal-altering-change rule is in direct conflict with the core
Scrum principle that we should embrace change. We do embrace change, but we want
to embrace it in a balanced, economically sensible way.
The economic consequences of a change increase as our level of investment in the
changed work increases (see Figure 4.6).
We invest in product backlog items to get them ready to be worked on in a sprint.
However, once a sprint starts, our investment in those product backlog items has
increased (because we spent time during sprint planning to discuss and plan them at
a task level). If we want to make a change after sprint planning has occurred, we not
only jeopardize the planning investment, but we also incur additional costs for hav-
ing to replan any changes during the sprint.

ptg8286261
No Goal-Altering Changes 71
In addition, once we begin sprint execution, our investment in work increases
even more as product backlog items transition through the states of to do (work not
yet started), doing (work in process), and done (work completed).
Let’s say we want to swap out feature X, currently part of the sprint commit-
ment, and substitute feature Y, which isn’t part of the existing commitment. Even if
we haven’t started working on feature X, we still incur planning waste. In addition,
feature X might also have dependencies with other features in the sprint, so a change
that affects feature X could affect one or more other features, thus amplifying the
effect on the sprint goal.
If work on feature X has already begun, in addition to the already-mentioned
waste, we could have other potential wastes. For example, all of the work already per-
formed on feature X might have to be thrown away. And we might have the additional
waste of removing the partially completed work on feature X, which we may never
use in the future (we’re not going to include partially completed work in a potentially
shippable product increment at the end of the sprint).
And, of course, if feature X is already completed, we might have wasted the full
investment we made in feature X. All of this waste adds up!
In addition to the direct economic consequences of waste, the economics can be
indirectly affected by the potential deterioration of team motivation and trust that
can accompany a change. When the product owner makes a commitment to not alter
the goal and then violates the commitment, the team naturally will be demotivated,
which will almost certainly affect its desire to work diligently to complete other prod-
uct backlog items. In addition, violating the commitment can harm the trust within
the Scrum team, because the development team will not trust that the product owner
is willing to stick to his commitments.
Cumulative investment
Ready
(grooming) To do
(sprint planning) Doing Done
F I G U R E 4 . 6 Cumulative investment at different states

ptg8286261
72 Chapter 4 Sprints
Being Pragmatic
The no-goal-altering-change rule is just that—a rule, not a law. The Scrum team has
to be pragmatic.
What if business conditions change in such a way that making a change to the
sprint goal seems warranted? Say a competitor launches its new product during our
sprint. After reviewing the new product, we conclude that we need to alter the goal we
established for our current sprint because what we are doing is now economically far
less valuable given what our competitor has done. Should we blindly follow the rule
of no goal-altering changes and not alter our sprint? Probably not.
What if a critical production system has failed miserably and some or all of the
people on our team are the only ones who can fix it? Should we not interrupt the cur-
rent sprint to fix it? Do we tell the business that we will fix the production failure first
thing next sprint? Probably not.
In the end, being pragmatic trumps the no-goal-altering-change rule. We must
act in an economically sensible way. Everyone on the Scrum team can appreciate that.
If we change the current sprint, we will experience the negative economic conse-
quences I previously discussed. However, if the economic consequences of the change
are far less than the economic consequences of deferring the change, making the
change is the smart business decision. If the economics of changing versus not chang-
ing are immaterial, no change to the sprint goal should be made.
As for team motivation and trust, in my experience, when a product owner has
a frank, economically focused discussion with the team about the necessity of the
change, most teams understand and appreciate the need, so the integrity of motiva-
tion and trust is upheld.
Abnormal Termination
Should the sprint goal become completely invalid, the Scrum team may decide that
continuing with the current sprint makes no sense and advise the product owner to
abnormally terminate the sprint. When a sprint is abnormally terminated, the cur-
rent sprint comes to an abrupt end and the Scrum team gathers to perform a sprint
retrospective. The team then meets with the product owner to plan the next sprint,
with a different goal and a different set of product backlog items.
Sprint termination is used when an economically significant event has occurred,
such as a competitor’s actions that completely invalidate the sprint or product fund-
ing being materially changed.
Although the product owner reserves the option to cancel each and every sprint,
in my experience it is rare that product owners invoke this option. Often there are
less drastic measures that a Scrum team can take to adjust to the situation at hand.
Remember, sprints are short, and, on average, the team will be about halfway through
a sprint when a change-causing situation arises. Because there may be only a week or
so of time left in the sprint when the change occurs, the economics of terminating
may be less favorable than just staying the course. And many times it is possible to

ptg8286261
No Goal-Altering Changes 73
make a less dramatic change, such as dropping a feature to allow time to fix a critical
production failure, instead of terminating the sprint.
It is important to realize that terminating the sprint early, in addition to having
a negative effect on morale, is a serious disruption of the fast, flexible flow of features
and negates many of the benefits of consistent-duration sprints I mentioned earlier.
Terminating a sprint shou ld be the last resort.
If a sprint is terminated, the Scrum team will have to determine the length of the
next sprint (see Figure 4.7).
There are three apparent options:
1. Stay with the original sprint length. This has the advantage of keeping a uni-
form sprint length throughout development (except for the terminated sprint,
of course). If multiple Scrum teams are collaborating on the same develop-
ment effort, using the original sprint length will put the Scrum team that
terminated its sprint out of sync with the other teams.
2. Make the next sprint just long enough to get to the end date of the termi-
nated sprint. For example, if the Scrum team terminated a two-week sprint
at the end of the first week, the next sprint would be one week to get the team
resynchronized to its original sprint cadence.
3. Make the next sprint bigger than a normal sprint to cover the remaining
time in the terminated sprint plus the time for the next full sprint. So, in the
previous example, make the next sprint three weeks in order to get the team
resynchronized to its original sprint cadence.
In a multiteam development effort, either option 2 or option 3 would be pre-
ferred. In all cases, you will need to consider your specific context to know which
option is best.
Option 1
Option 2
Option 3
F I G U R E 4 . 7 Deciding on the next sprint length after sprint termination

ptg8286261
74 Chapter 4 Sprints
Definition of Done
In Chapter 2, I discussed how the result of each sprint should be a potentially ship-
pable product increment. I also mentioned that “potentially shippable” doesn’t mean
that what was built must actually be shipped. Shipping is a business decision that
often occurs at a different cadence; in some organizations it may not make sense to
ship at the end of every sprint.
Potentially shippable is better thought of as a state of confidence that what got
built in the sprint is actually done, meaning that there isn’t materially important
undone work (such as important testing or integration and so on) that needs to be
completed before we could ship the results from the sprint, if shipping was our busi-
ness desire. To determine if what got produced is potentially shippable, the Scrum
team must have a well-defined, agreed-upon definition of done.
What Is the Definition of Done?
Conceptually the definition of done is a checklist of the types of work that the team
is expected to successfully complete before it can declare its work to be potentially
shippable (see Table 4.1).
T A B L E 4 . 1 Example Definition-of-Done Checklist
Definition of Done
❏Design reviewed
❏
❏
❏
❏
❏
❏
Code completed
Code refactored
Code in standard format
Code is commented
Code checked in
Code inspected
❏End-user documentation updated
❏
❏
❏
❏
❏
❏
Tested
Unit tested
Integration tested
Regression tested
Platform tested
Language tested
❏Zero known defects
❏Acceptance tested
❏Live on production servers

ptg8286261
Definition of Done 75
Obviously the specific items on the checklist will depend on a number of
variables:
The nature of the product being built
The technologies being used to build it
The organization that is building it
The current impediments that affect what is possible
Most of the time, a bare-minimum definition of done should yield a complete
slice of product functionality, one that has been designed, built, integrated, tested,
and documented and would deliver validated customer value. To have a useful check-
list, however, these larger-level work items need to be further refined. For example,
what does tested mean? Unit tested? Integration tested? System tested? Platform
tested? Internationalization tested? You can probably think of many other forms of
testing that are specific to your product. Are all of those types of testing included in
the definition of done?
Keep in mind that if you don’t do an important type of testing every sprint (say,
performance testing), you’ll have to do it sometime. Are you going to have some spe-
cialized sprint in the future where the only thing you do is performance testing? If so,
and performance testing is essential to being “done,” you really don’t have a poten-
tially shippable product increment each sprint. And even worse, when you actually
do the performance testing at a later time and it doesn’t go quite as planned, not only
will you discover a critical problem very late in the process, but you will also have to
spend much more time and money to fix it at that time than if you had done the per-
formance testing earlier.
Sometimes the testing might take longer than the duration of a sprint. If this
occurs because the development team has accrued a huge manual testing debt, the
team needs to start automating its tests so that the testing can be completed within
a sprint. If this occurs because of the nature of the test, we will need to accept start-
ing the test in one sprint and finishing it in some future sprint. For example, one
organization I coached was building a device composed of hardware, firmware, and
software. One of its standard tests was the 1,500-hour burn-in test, where the device
was run flat-out for that amount of time to see if it would fail. That test can’t be com-
pleted in a two-week sprint, so the Scrum team adjusted the definition of done so that
a sprint could be deemed done even if the 1,500-hour test was not yet completed.
Often I am asked, “What if there is a significant defect that remains on the last
day of the sprint; is the product backlog item done?” No, it’s not done! And because,
as a rule, we don’t extend sprints beyond the end of the planned timebox, we wouldn’t
extend the sprint by a day or two to fix the defect in the current sprint. Instead, at the
planned end of the sprint, the incomplete product backlog item is taken from the
current sprint and reinserted into the product backlog in the proper order based on
the other items that are currently in the product backlog. The incomplete item might
then be finished in some future sprint.

ptg8286261
76 Chapter 4 Sprints
Scrum teams need to have a robust definition of done, one that provides a high
level of confidence that what they build is of high quality and can be shipped. Any-
thing less robs the organization of the business opportunity of shipping at its discre-
tion and can lead to the accrual of technical debt (as I will discuss in Chapter 8).
Definition of Done Can Evolve Over Time
You can think of the def inition of done as def ining the state of the work at the end
of the sprint. For many high-performance teams, the target end state of the work
enables it to be potentially shippable—and that end state remains relatively constant
over the development lifecycle.
For example, when I was product owner for the Scrum Alliance website redesign
project in 2007, we performed one-week sprints. The end state of our definition of
done could be summarized as “live on the production servers.” The team and I deter-
mined that this was a perfectly reasonable state for us to achieve every sprint. We
defined this end state at the beginning of the development effort; that target end state
didn’t change during the time I was product owner for the site.
Many teams, however, start out with a definition of done that doesn’t end in
a state where all features are completed to the extent that they could go live or be
shipped. For some, real impediments might prevent them from reaching this state at
the start of development, even though it is the ultimate goal. As a result, they might
(necessarily) start with a lesser end state and let their definition of done evolve over
time as organizational impediments are removed.
For example, I visited an organization that builds a clinical informatics system.
Its product is installed in a medical clinic and collects a variety of clinical data (some
even directly from the machines that perform diagnostic tests). The team knew that
clinical testing, which involved installing the product in a clinical lab to make sure it
worked with clinical hardware, would be required before they could ship. However,
because they didn’t have regular access to a lab, the team didn’t at first include clini-
cal testing in its definition of done. Instead, it included clinical-testing sprints at the
end of each release.
In our discussions, I learned that marketing and the team hated these prerelease
clinical tests. No one could predict how many sprints it would take to work out all
of the defects, and the product couldn’t be released until the defects were removed.
As we were brainstorming potential solutions, the VP of Engineering chimed in. He
asked his team, “If you had access to a clinical lab, would you be able to do clinical
testing each sprint?”
The team members discussed his question and responded, “Yes, but it will mean
we complete fewer features each sprint.” The VP agreed to remove the impediment
by getting the team access to a local university clinical lab. The product owner agreed
that having fewer features completed each sprint was a sensible trade-off for knowing
that the features that were delivered had been clinically tested. At that point the team

ptg8286261
Definition of Done 77
was able to evolve its definition of done to actually achieve “potentially shippable,”
giving everyone involved a higher degree of confidence in the work completed each
sprint.
Other times a team might have an impediment that it knows can’t be removed
right away. As a result, it knows that the definition of done during its product devel-
opment effort will necessarily evolve. A common example is a product that includes
hardware and software. I have seen Scrum applied to the development of many such
products, and frequently I’ll hear the software people say, “The hardware always
arrives late!” In cases like this, if the team is building software and it doesn’t have
the actual hardware on which to test the software, it can’t really claim that the results
produced at the end of the sprint are potentially shippable. At best it might claim
“emulator done,” because testing during the early sprints is typically performed
against a software emulator of the actual hardware. Later, when the actual hardware
is available, the definition of done will evolve to mean potentially shippable or at least
something closer to it.
Definition of Done versus Acceptance Criteria
The definition of done applies to the product increment being developed during the
sprint. The product increment is composed of a set of product backlog items, so each
backlog item must be completed in conformance with the work specified by the defi-
nition-of-done checklist.
As I will discuss in Chapter 5, each product backlog item that is brought into
the sprint should have a set of conditions of satisfaction (item-specific acceptance
criteria), specified by the product owner. These acceptance criteria eventually will be
verified in acceptance tests that the product owner will confirm to determine if the
backlog item functions as desired. For example, if the product backlog item is “Allow
a customer to purchase with a credit card,” the conditions of satisfaction might be
“Works with AmEx, Visa, and MasterCard.” So each product backlog item will have
its own appropriate set of acceptance criteria. These item-specific criteria are in addi-
tion to, not in lieu of, the done criteria specified by the definition-of-done checklist,
which apply to all product backlog items.
A product backlog item can be considered done only when both the item-specific
acceptance criteria (for example, “works with all of the credit cards”) and the sprint-
level definition-of-done (for example, “live on the production server”) items have
been met.
If it is confusing to refer to product backlog items that pass their acceptance cri-
teria as done, call them completed or accepted.
Done versus Done-Done
Some teams have adopted the concept of “done” versus “done-done.” Somehow done-
done is supposed to be more done than done! Teams shouldn’t need two different

ptg8286261
78 Chapter 4 Sprints
concepts, but I have to admit to using both terms with my son and his homework.
I used to ask my son if he was “done” with his homework and he would tell me yes.
Then I went to parent-teacher night at his school, and during a discussion with his
teacher I asked, “So, when he turns in his homework, is it done?” She said, “Not
really!”
After a more probing discussion with my son, I came to understand that his defi-
nition of done was “I did as much work as I was prepared to do!” So, from that point
forward I started using the term done-done, which we both agreed would mean “done
to the point where your teacher would think you are done.”
Tea ms that are unaccustomed to really get t ing t hings done early and of ten are
more likely to use done-done as a crutch. For them, using done-done makes the point
that being done (doing as much work as they are prepared to do) is a different state
from done-done (doing the work required for customers to believe it is done). Teams
that have internalized that you can be done only if you did all the work necessary to
satisfy customers don’t need to have two states; to them, done means done-done!
Closing
In this chapter I emphasized the crucial role of sprints in the Scrum framework.
Sprints provide the essential Scrum skeleton on which most other activities and arti-
facts can be placed. Sprints are short, timeboxed, and consistent in duration. They
are typically defined by a sprint goal, a goal that should not be altered without good
economic cause. Sprints should produce a potentially shippable product increment
that is completed in conformance with an agreed-upon definition of done. In the
next chapter I will focus on the inputs to the sprints—requirements and their com-
mon representation, user stories.

ptg8286261
79
Chapter 5
REQUIREMENTS AND USER STORIES
In this chapter I discuss how requirements on a Scrum project are handled differently
than on a traditional project. With this context in place, I describe the role of user
stories as a common format for representing items of business value. I focus on what
user stories are, how they can represent business value at multiple levels of abstrac-
tion, and how to determine when the user stories are good. I then describe how to
handle nonfunctional requirements and knowledge-acquisition work on a Scrum
project. I end by detailing two techniques for gathering user stories.
Overview
Scrum and sequential product development treat requirements very differently. With
sequential product development, requirements are nonnegotiable, detailed up front,
and meant to stand alone. In Scrum, the details of a requirement are negotiated
through conversations that happen continuously during development and are fleshed
out just in time and just enough for the teams to start building functionality to sup-
port that requirement.
With sequential product development, requirements are treated much as they are
in manufacturing: They are required, nonnegotiable specifications to which the prod-
uct must conform. These requirements are created up front and given to the develop-
ment group in the form of a highly detailed document. It is the job of the development
group, then, to produce a product that conforms to the detailed requirements.
When a change from the original plan is deemed necessary, it is managed
through a formal change control process. Because conformance to specifications is
the goal, these deviations are undesirable and expensive. After all, much of the work
in process (WIP), in the form of highly detailed requirements (and all work based on
them), might need to be changed or discarded.
In contrast, Scrum views requirements as an important degree of freedom that
we can manipulate to meet our business goals. For example, if we’re running out of
time or money, we can drop low-value requirements. If, during development, new
information indicates that the cost/benefit ratio of a requirement has become signifi-
cantly less favorable, we can choose to drop the requirement from the product. And
if a new high-value requirement emerges, we have the ability to add it to the product,
perhaps discarding a lower-value requirement to make room.
We have probably all had the experience of writing a “complete” requirements
document at the beginning of development, only to discover later that an important

ptg8286261
80 Chapter 5 Requirements and User Stories
requirement was missing. When we discovered that missing requirement, the conver-
sation probably sounded something like this:
Customer: “Now that I see these built features, I realize I need this
other feature that isn’t in the requirements document.”
Developers: “If you wanted that feature, why didn’t you specify it up
front?”
Customer: “Well, I didn’t realize I needed that feature until I saw the
product coming together.”
Developers: “Well, if you had thought longer and harder about the
requirements up front, you would have found that feature then
instead of now.”
The fact is, when developing innovative products, you can’t create complete
requirements or designs up front by simply working longer and harder. Some require-
ments and design will always emerge once product development is under way; no
amount of comprehensive up-front work will prevent that.
Thus, when using Scrum, we don’t invest a great deal of time and money in
fleshing out the details of a requirement up front. Because we expect the specifics
to change as time passes and as we learn more about what we are building, we avoid
overinvesting in requirements that we might later discard. Instead of compiling
a large inventory of detailed requirements up front, we create placeholders for the
requirements, called product backlog items (PBIs). Each product backlog item repre-
sents desirable business value (see Figure 5.1).
Initially the product backlog items are large (representing large swaths of busi-
ness value), and there is very little detail associated with them. Over time, we flow
these product backlog items through a series of conversations among the stakehold-
ers, product owner, and development team, refining them into a collection of smaller,
more detailed PBIs. Eventually a product backlog item is small and detailed enough
to move into a sprint, where it will be designed, built, and tested. Even during the
sprint, however, more details will be exposed in conversations between the product
owner and the development team.
As I will discuss in Chapter 6, the product backlog is simply a snapshot of the
current collection of product backlog items and their associated details.
While Scrum doesn’t specify any standard format for these product backlog
items, many teams represent PBIs as user stories. You don’t have to. Some teams pre-
fer use cases, and others choose to represent their PBIs in their own custom formats.
In this book, I employ user stories as the principal representation of product
backlog items. I will discuss the details of user stories later in this chapter. Even if you
choose to use something else, you’ll still find the discussion of user stories helpful in
understanding what characteristics you’ll want from any other representation.

ptg8286261
Using Conversations 81
Using Conversations
As a communication vehicle, requirements facilitate a shared understanding of what
needs to be built. They allow the people who understand what should be created to
clearly communicate their desires to the people who have to create it.
Sequential product development relies heavily on written requirements, which
look impressive but can easily be misunderstood. I recall a conversation with a VP of
Product Management at a company I visited. I asked this person, who managed all of
the company’s business analysts, how they handled requirements. He said by way of
illustration, “On January 1 my team provides the engineering organization with the
requirements document, and on December 31 we show up and see what we got.”
I asked him who from his team would be available during the year to answer
questions and clarify requirements for the developers. He said, “No one. All of the
time my group had to invest in this project was spent writing the requirements docu-
ment. My analysts are off working on the requirements documents for other projects.
But don’t worry, we wrote a good document, and any questions the developers or
testers have can be answered by carefully reading the document.”
It seemed unlikely to me that there would be no ambiguities in his 150-page,
detailed use case document for a new electronic medical records system. English just
isn’t that precise; even if it were, people just aren’t that precise with their writing.
Product backlog over time
Time
Legend
Placeholder size
Larger
Smaller
Amount of detail
A little A lot
F I G U R E 5 . 1 Scrum uses placeholders for requirements.

ptg8286261
82 Chapter 5 Requirements and User Stories
A way to better ensure that the desired features are being built is for the peo-
ple who know what they want to have timely conversations with the people who are
designing, building, and testing those features.
In Scrum, we leverage conversation as a key tool for ensuring that requirements
are properly discussed and communicated. Verbal communication has the benefit of
being high-bandwidth and providing fast feedback, making it easier and cheaper to
gain a shared understanding. In addition, conversations enable bidirectional com-
munication that can spark ideas about problems and opportunities—discussions
that would not likely arise from reading a document.
Conversation, however, is just a tool. It doesn’t replace all documents. In Scrum,
the product backlog is a “living document,” available at all times during product
development. Those who still want or must have a requirements specification docu-
ment can create one at any time, simply by collecting the product backlog items and
all of their associated details into a document formatted however they like.
Progressive Refinement
With sequential product development all requirements must be at the same level of
detail at the same time. In particular, the approved requirements document must
specify each and every requirement so that the teams doing the design, build, and test
work can understand how to conform to the specifications. There are no details left
to be added.
Forcing all requirements to the same level of detail at the same time has many
disadvantages:
We must predict all of these details early during product development when
we have the least knowledge that we’ll ever have.
We treat all requirements the same regardless of their priority, forcing us to
dedicate valuable resources today to create details for requirements that we
may never build.
We create a large inventory of requirements that will likely be very expensive
to rework or discard when things change.
We reduce the likelihood of using conversations to elaborate on and clarify
requirements because the requirements are already “complete.”
As Figure 5.1 illustrates, when using Scrum, not all requirements have to be at
the same level of detail at the same time. Requirements that we’ll work on sooner
will be smaller and more detailed than ones that we won’t work on for some time. We
employ a strategy of progressive refinement to disaggregate, in a just-in-time fashion,
large, lightly detailed requirements into a set of smaller, more detailed items.

ptg8286261
What Are User Stories? 83
What Are User Stories?
User stories are a convenient format for expressing the desired business value for
many types of product backlog items, especially features. User stories are crafted in a
way that makes them understandable to both business people and technical people.
They are structurally simple and provide a great placeholder for a conversation. Addi-
tionally, they can be written at various levels of granularity and are easy to progres-
sively refine.
As well adapted to our needs as user stories might be, I don’t consider them to
be the only way to represent product backlog items. They are simply a lightweight
approach that dovetails nicely with core agile principles and our need for an efficient
and effective placeholder. I use them as the central placeholder to which I will attach
any other information that I think is relevant and helpful for detailing a requirement.
If I find that user stories are a forced fit for a particular situation (such as represent-
ing certain defects), I’ll use another approach. For example, I once saw a team write
the following user story: “As a customer I would like the system to not corrupt the
database.” I think we can all agree that a user story is probably not the best way to
represent this issue. Perhaps a simple reference to the defect in the defect-tracking
system would be more appropriate.
So what exactly are user stories? Ron Jeffries offers a simple yet effective way to
think about user stories (Jeffries 2001). He describes them as the three Cs: card, con-
versation, and confirmation.
Card
The card idea is pretty simple. People originally wrote (and many still do) user stories
directly on 3 × 5-inch index cards or sticky notes (see Figure 5.2).
A common template format for writing user stories (as shown on the left in Fig-
ure 5.2) is to specify a class of users (the user role), what that class of users wants to
achieve (the goal), and why the users want to achieve the goal (the benefit) (Cohn
2004). The “so that” part of a user story is optional, but unless the purpose of the
As a typical user I want to see unbiased
reviews of a restaurant near an address
so that I can decide where to go for
dinner.
Find Reviews Near Address
As a <user role> I want to <goal> so
that <benefit>.
User Story Title
Tem p la te
FIG URE 5.2 A user story template and card

ptg8286261
84 Chapter 5 Requirements and User Stories
story is completely obvious to everyone, we should include it with every user story.
The right side of Figure 5.2 shows an example of a user story based on this template.
The card isn’t intended to capture all of the information that makes up the
requirement. In fact, we deliberately use small cards with limited space to promote
brevity. A card should hold a few sentences that capture the essence or intent of a
requirement. It serves as the placeholder for more detailed discussions that will take
place among the stakeholders, product owner, and development team.
Conversation
The details of a requirement are exposed and communicated in a conversation among
the development team, product owner, and stakeholders. The user story is simply a
promise to have that conversation.
I say “that conversation,” but in actuality, the conversation is typically not a
one-time event, but rather an ongoing dialogue. There can be an initial conversation
when the user story is written, another conversation when it’s refined, yet another
when it’s estimated, another during sprint planning (when the team is diving into
the task-level details), and finally, ongoing conversations while the user story is being
designed, built, and tested during the sprint.
One of the benefits of user stories is that they shift some of the focus away
from writing and onto conversations. These conversations enable a richer form of
exchanging information and collaborating to ensure that the correct requirements
are expressed and understood by everyone.
Although conversations are largely verbal, they can be and frequently are supple-
mented with documents. Conversations may lead to a UI sketch, or an elaboration of
business rules that gets written down. For example, I visited an organization that was
developing medical imaging software. One of its stories is shown in Figure 5.3.
Notice that the user story references an entire article for future reading and
conversation.
So we’re not tossing out all of our documents in favor of user stories and their
associated story cards. User stories are simply a good starting point for elicit-
ing the initial essence of what is desired, and for providing a reminder to discuss
For more details see the January 2007
issue of the Journal of Mathematics,
pages 110-118.
As a radiologist I want to visualize MRI
data using Dr. Johnson’s new algorithm.
Johnson Visualization of MRI Data
FIG URE 5.3 User story with additional data attached

ptg8286261
What Are User Stories? 85
requirements in more detail when appropriate. However, user stories can and should
be supplemented with whatever other written information helps provide clarity
regarding what is desired.
Confirmation
A user story also contains confirmation information in the form of conditions of
satisfaction. These are acceptance criteria that clarify the desired behavior. They
are used by the development team to better understand what to build and test and
by the product owner to confirm that the user story has been implemented to his
satisfaction.
If the front of the card has a few-line description of the story, the back of the card
could specify the conditions of satisfaction (see Figure 5.4).
These conditions of satisfaction can be expressed as high-level acceptance tests.
However, these tests would not be the only tests that are run when the story is being
developed. In fact, for the handful of acceptance tests that are associated with a user
story, the team will have many more tests (perhaps 10 to 100 times more) at a detailed
technical level that the product owner doesn’t even know about.
The acceptance tests associated with the story exist for several reasons. First, they
are an important way to capture and communicate, from the product owner’s per-
spective, how to determine if the story has been implemented correctly.
These tests can also be a helpful way to create initial stories and refine them as
more details become known. This approach is sometimes called specification by
example or acceptance-test-driven development (ATTD). The idea is fairly intuitive.
Discussions about the stories can and frequently do focus on defining specific exam-
ples or desired behaviors. For example, in the “Upload File” story in Figure 5.4, the
conversation likely went something like this:
Initially, let’s limit uploaded file sizes to be 1 GB or less. Also, make
sure that we can properly load common text and graphics files. And
for legal reasons we can’t have any files with digital rights manage-
ment (DRM) restrictions loaded to the wiki.
As a wiki user I want to upload a file to
the wiki so that I can share it with
my colleagues.
Upload File Conditions of Satisfaction
Verify with .txt and .doc files
Verify with .jpg, .gif, and .png files
Verify with .mp4 files <= 1 GB
Verify no DRM-restricted files
FIG URE 5.4 User story conditions of satisfaction

ptg8286261
86 Chapter 5 Requirements and User Stories
If we were using a tool like Fit or FitNesse, we could conveniently define these
tests in a table like Table 5.1, which shows examples of different file sizes and whether
or not they are valid.
By elaborating on specific examples like these, we can drive the story creation
and refinement process and have (automated) acceptance tests available for each
story.
Level of Detail
User stories are an excellent vehicle for carrying items of customer or user value
through the Scrum value-creation flow. However, if we have only one story size (the
size that would comfortably fit within a short-duration sprint), it will be difficult to
do higher-level planning and to reap the benefits of progressive refinement.
Small stories used at the sprint level are too small and too numerous to support
higher-level product and release planning. At these levels we need fewer, less detailed,
more abstract items. Otherwise, we’ll be mired in a swamp of mostly irrelevant detail.
Imagine having 500 very small stories and being asked to provide an executive-level
description of the proposed product to secure your funding. Or try to prioritize
among those 500 really small items to define the next release.
Also, if there is only one (small) size of story, we will be obligated to define all
requirements at a very fine-grained level of detail long before we should. Having only
small stories precludes the benefit of progressively refining requirements on a just-
enough, just-in-time basis.
Fortunately, user stories can be written to capture customer and user needs at
various levels of abstraction (see Figure 5.5).
Figure 5.5 depicts stories at multiple levels of abstraction. The largest would be
stories that are a few to many months in size and might span an entire release or mul-
tiple releases. Many people refer to these as epics, alluding to the idea that they are
Lord of the Rings or War and Peace size stories. Epics are helpful because they give a
very big-picture, high-level overview of what is desired (see Figure 5.6).
We would never move an epic into a sprint for development because it is way
too big and not very detailed. Instead, epics are excellent placeholders for a large
TAB LE 5.1 Automated Test Example
Size Valid()
0True
1,073,741,824 True
1,073,741,825 False

ptg8286261
Level of Detail 87
collection of more detailed stories to be created at an appropriate future time. I will
illustrate the use of epics during the discussion of product planning in Chapter 17.
The next-size stories in Figure 5.5 are those that are often on the order of weeks
in size and therefore too big for a single sprint. Some teams might call these features.
The smallest forms of user stories are those I typically refer to as stories. To
avoid any confusion with epics, features, or other larger items, which are also “sto-
ries,” some people call these stories either sprintable stories or implementable stories
to indicate that they are on the order of days in size and therefore small enough to
fit into a sprint and be implemented. Figure 5.2 provides an example of a sprintable
story.
Some teams also use the term theme to refer to a collection of related stories.
Themes provide a convenient way to say that a bunch of stories have something in
common, such as being in the same functional area. In Figure 5.7, the theme repre-
sents the collection of stories that will provide the details of how to perform keyword
training.
Months
Weeks
Days
Hours
Bigger than a release
Bigger than a sprint
Sprint ready
Tasks
F I G U R E 5 . 5 User story abstraction hierarchy
As a typical user I want to train the
system on what types of product and
service reviews I prefer so it will know
what characteristics to use when filtering
reviews on my behalf.
Preference Training Epic
F I G U R E 5 . 6 Example epic

ptg8286261
88 Chapter 5 Requirements and User Stories
I often think of a theme as the summary card for a bunch of note cards stacked
together with a rubber band around them to indicate that they are similar to one
another in an area that we think is important.
Tasks are the layer below stories, typically worked on by only one person, or per-
haps a pair of people. Tasks typically require hours to perform. When we go to the
task layer, we are specifying how to build something instead of what to build (rep-
resented by epics, features, and stories). Tasks are not stories, so we should avoid
including task-level detail when writing stories.
It is important to keep in mind that terms like epic, feature, story, and theme are
just labels of convenience, and they are not universally shared. It really doesn’t mat-
ter what labels you use as long as you use them consistently. What does matter is
recognizing that stories can exist at multiple levels of abstraction, and that doing so
nicely supports our efforts to plan at multiple levels of abstraction and to progres-
sively refine big items into small items over time.
INVEST in Good Stories
How do we know if the stories that we have written are good stories? Bill Wake has
offered six criteria (summarized by the acronym INVEST) that have proved useful
when evaluating whether our stories are fit for their intended use or require some
additional work (Wake 2003).
The INVEST criteria are Independent, Negotiable, Valuable, Estimatable, Small
(sized appropriately), and Testable. When we combine the information derived from
applying each criterion, we get a clear picture of what, if any, additional changes we
might want to make to a story. Let’s examine each criterion.
Independent
As much as is practical, user stories should be independent or at least only loosely
coupled with one another. Stories that exhibit a high degree of interdependence com-
plicate estimating, prioritizing, and planning. For example, on the left side of Figure
5.8, story #10 depends on many other stories.
As a typical user I want to train the
system on what keywords to use when
filtering reviews so I can filter by words
that are important to me.
Keyword Training Theme
F I G U R E 5 . 7 Example theme

ptg8286261
INVEST in Good Stories 89
Before we can work on story #10, we must first develop all of the dependent sto-
ries. In this single case that might not be so bad. However, imagine that you have
many different stories with a high degree of interdependence, as illustrated by the
right side of Figure 5.8. Trying to determine how to prioritize all of these stories and
deciding which stories to work on in a sprint would be difficult to say the least.
When applying the independent criteria, the goal is not to eliminate all depen-
dencies, but instead to write stories in a way that minimizes dependencies.
Negotiable
The details of stories should also be negotiable. Stories are not a written contract in
the form of an up-front requirements document. Instead, stories are placeholders for
the conversations where the details will be negotiated.
Good stories clearly capture the essence of what business functionality is desired
and why it is desired. However, they leave room for the product owner, the stakehold-
ers, and the team to negotiate the details.
This negotiability helps everyone involved avoid the us-versus-them, finger-
pointing mentality that is commonplace with detailed up-front requirements docu-
ments. When stories are negotiable, developers can’t really say, “Hey, if you wanted it,
you should have put it in the document,” because the details are going to be negoti-
ated with the developers. And the business people can’t really say, “Hey, you obviously
Story #10
Dependencies
Dependencies
Item
Story #10
Story #9
Story #11
Item
F I G U R E 5 . 8 Highly dependent stories

ptg8286261
90 Chapter 5 Requirements and User Stories
didn’t understand the requirements document because you built the wrong thing,”
because the business people will be in frequent dialogue with the developers to make
sure there is shared clarity. Writing negotiable stories avoids the problems associated
with up-front detailed requirements by making it clear that a dialogue is necessary.
A common example of where negotiability is violated is when the product owner
tells the team how to implement a story. Stories should be about what and why, not
how. When the how becomes nonnegotiable, opportunities for the team to be inno-
vative are diminished. The resulting innovation waste could have devastating eco-
nomic consequences.
There are times, however, when how something is built is actually important to
the product owner. For example, there might be a regulatory obligation to develop a
feature in a particular way, or there might be a business constraint directing the use
of a specific technology. In such cases the stories will be a bit less negotiable because
some aspect of the “how” is required. That’s OK; not all stories are fully negotiable,
but most stories should be.
Valuable
Stories need to be valuable to a customer, user, or both. Customers (or choosers)
select and pay for the product. Users actually use the product. If a story isn’t valuable
to either, it doesn’t belong in the product backlog. I can’t imagine saying, “Story #10
isn’t valuable to anyone, but let’s build it anyway.” We wouldn’t do that. We would
either rewrite the story to make it valuable to a customer or user, or we would just
discard it.
How about stories that are valuable to the developers but aren’t of obvious value
to the customers or users? Is it OK to have technical stories like the one shown in
Figure 5.9?
The fundamental problem with technical stories is that the product owner might
not perceive any value in them, making it difficult if not impossible to prioritize them
against business-valuable stories. For a technical story to exist, the product owner should
understand why he is paying for it and therefore what value it will ultimately deliver.
As a developer I want to migrate the
system to work with the latest version of
the Oracle DBMS so that we are not
operating on a version that Oracle will
soon retire.
Migrate to New Version of Oracle
F I G U R E 5 . 9 Example technical story

ptg8286261
INVEST in Good Stories 91
In the case of the “Migrate to New Version of Oracle” story, the product owner
might not initially understand why it is valuable to change databases. However, once
the team explains the risks of continuing to develop on an unsupported version of
a database, the product owner might decide that migrating databases is valuable
enough to defer building some new features until the migration is done. By under-
standing the value, the product owner can treat the technical story like any other
business-valuable story and make informed trade-offs. As a result, this technical
story might be included in the product backlog.
In practice, though, most technical stories (like the one in Figure 5.10) should
not be included in the product backlog.
Instead, these types of stories should be tasks associated with getting business-
valuable stories done. If the development team has a strong definition of done, there
should be no need to write stories like these, because the work is implied by the defi-
nition of being done.
The crux of the valuable criteria is that all stories in the backlog must be valuable
(worth investing in) from the product owner’s perspective, which represents the cus-
tomer and user perspectives. Not all stories are independent, and not all stories are
fully negotiable, but they all must be valuable.
Estimatable
Stories should be estimatable by the team that will design, build, and test them. Esti-
mates provide an indication of the size and therefore the effort and cost of the stories
(bigger stories require more effort and therefore cost more money to develop than
smaller stories).
Knowing a story’s size provides actionable information to the Scrum team. The
product owner, for example, needs to know the cost of a story to determine its final
priority in the product backlog. The Scrum team, on the other hand, can deter-
mine from the size of the story whether additional refinement or disaggregation is
required. A large story that we plan to work on soon will need to be broken into a set
of smaller stories.
As a developer I want the builds to
automatically run when I check in code
so that regression errors are detected
when they are introduced.
Automatic Builds
F I G U R E 5 . 1 0 Undesirable technical story

ptg8286261
92 Chapter 5 Requirements and User Stories
If the team isn’t able to size a story, the story is either just too big or ambiguous to
be sized, or the team doesn’t have enough knowledge to estimate a size. If it’s too big,
the team will need to work with the product owner to break it into more manageable
stories. If the team lacks knowledge, some form of exploratory activity will be needed
to acquire the information (I will discuss this topic shortly).
Sized Appropriately (Small)
Stories should be sized appropriately for when we plan to work on them. Stories
worked on in sprints should be small. If we’re doing a several-week sprint, we want to
work on several stories that are each a few days in size. If we have a two-week sprint,
we don’t want a two-week-size story, because the risk of not finishing the story is just
too great.
So ultimately we need small stories, but just because a story is large, that doesn’t
mean it’s bad. Let’s say we have an epic-size story that we aren’t planning to work
on for another year. Arguably that story is sized appropriately for when we plan to
work on it. In fact, if we spent time today breaking that epic down into a collection of
smaller stories, it could easily be a complete waste of our time. Of course, if we have
an epic that we want to work on in the next sprint, it’s not sized appropriately and we
have more work to do to bring it down to size. You must consider when the story will
be worked on when applying this criterion.
Testable
Stories should be testable in a binary way—they either pass or fail their associated
tests. Being testable means having good acceptance criteria (related to the conditions
of satisfaction) associated with the story, which is the “confirmation” aspect of a user
story that I discussed earlier.
Without testable criteria, how would we know if the story is done at the end of
the sprint? Also, because these tests frequently provide important story details, they
may be needed before the team can even estimate the story.
It may not always be necessary or possible to test a story. For example, epic-size
stories probably don’t have tests associated with them, nor do they need them (we
don’t directly build the epics).
Also, on occasion there might be a story that the product owner deems valuable,
yet there might not be a practical way to test it. These are more likely to be nonfunc-
tional requirements, such as “As a user I want the system to have 99.999% uptime.”
Although the acceptance criteria might be clear, there may be no set of tests that can
be run when the system is put into production that can prove that this level of uptime
has been met, but the requirement is still valuable as it will drive the design.

ptg8286261
Knowledge-Acquisition Stories 93
Nonfunctional Requirements
Nonfunctional requirements represent system-level constraints. I frequently write
nonfunctional requirements as user stories (see the left side of Figure 5.11), but I feel
no obligation to do so, especially if it seems awkward or more convenient to write
them in a different format (right side of Figure 5.11).
As system-level constraints, nonfunctional requirements are important because
they affect the design and testing of most or all stories in the product backlog. For
example, having a “Web Browser Support” nonfunctional requirement (right side of
Figure 5.11) would be common on any website project. When the team develops the
website features, it must ensure that the site features work with all of the specified
browsers.
The team must also decide when to test all of the browsers. Each nonfunctional
requirement is a prime target for inclusion in the team’s definition of done. If the
team includes the “Web Browser Support” nonfunctional requirement in the defini-
tion of done, the team will have to test any new features added in the sprint with all of
the listed browsers. If it doesn’t work with all of them, the story isn’t done.
I recommend that teams try to include as many of the nonfunctional require-
ments in their definitions of done as they possibly can. Waiting to test nonfunctional
requirements until late in the development effort defers getting fast feedback on criti-
cal system performance characteristics.
Knowledge-Acquisition Stories
Sometimes we need to create a product backlog item that focuses on knowledge
acquisition. Perhaps we don’t have enough exploitable knowledge about the product
or the process of building the product to move forward. So, as I discussed in Chapter
3, we need to explore. Such exploration is known by many names: prototype, proof of
concept, experiment, study, spike, and so on. They are all basically exploration activi-
ties that involve buying information.
As a user I want an interface in English,
a Romance language, and a complex language
so that there is high statistical likelihood
that it will work in all 70 required
languages.
Internationalization
System must support IE8, IE9, Firefox 6,
Firefox 7, Safari 5, and Chrome 15.
Web Browser Support
F I G U R E 5 . 1 1 Nonfunctional requirements

ptg8286261
94 Chapter 5 Requirements and User Stories
Often I employ a user story as the placeholder for the exploration work (see Fig-
ure 5.12).
In the example, the team wants to evaluate two possible architectures for the new
filtering engine. It is proposing to prototype both architectures and then run speed,
scale, and type tests against both prototypes. The deliverable from the prototyping
activity will be a short memo that describes the experiments that were performed, the
results that were obtained, and the team’s recommendation for how to proceed.
This specific knowledge-acquisition story looks like a technical story, and as I
said earlier, the business value of any technical story has to be justifiable to the prod-
uct owner. Because product owners think in economic terms, there needs to be an
economic justification for doing this prototyping work. There is likely a compelling
technical argument for doing a knowledge-acquisition story because the team is typi-
cally blocked from making forward progress until it has the knowledge produced by
the story. The question for the Scrum team is whether the value of the acquired infor-
mation exceeds the cost of getting it.
Here is how a Scrum team could approach answering that question. First, we
need to know the cost of the prototyping. No good product owner will authorize
unbounded exploration. The team might not be able to answer particular questions
until an architectural decision has been made, but it must be able to answer the ques-
tion of how much effort it wants to spend to buy the information necessary to make
the architectural decision. So, we ask the team to size the prototyping story.
Let’s say that the size estimate indicates that the full team would need to work
on the story for one sprint. We know who is on the team and the length of the sprint,
so we also know the cost of acquiring the information. (Let’s say it is $10K.) Now we
need to know the value of the information.
Here is one way we might estimate the value. Imagine that I flip a coin. If it comes
up heads, we’ll do architecture A; if it comes up tails, we’ll do architecture B. Now, I
ask the team to estimate the cost of being wrong. For example, if I flip the coin and it
comes up heads and we start building business features on top of architecture A, and
architecture A turns out to be the wrong approach, what would be the cost to unwind
As a developer I want to prototype two
alternatives for the new filtering engine
so that I know which is a better
long-term choice.
Filtering Engine Architecture Eval Conditions of Satisfaction
Run speed test on both prototypes.
Run scale test on both prototypes.
Run type test on both prototypes.
Write short memo describing experiments,
results, and recommendations.
F I G U R E 5 . 1 2 Knowledge-acquisition story

ptg8286261
Gathering Stories 95
the bad decision and rebuild everything on top of architecture B? Let’s say the team
estimates the cost to be $500K.
Now we have enough information to make a sensible economic decision. Are we
willing to spend $10K to purchase information that has an expected value of $250K
(half the time we flip the coin we would be correct)? Sure, that seems like a sensible
business decision. Now the product owner can justify why this story is in the backlog.
As a final illustration of using economics to justify knowledge-acquisition sto-
ries, let’s alter the numbers. What if the team’s response to “What would it cost if we
were wrong?” is $15K? In this case it would be a bad decision to do the prototyping
story. Why spend $10K to buy information that has an expected value of $7.5K? We
would be better off just flipping the coin (or making an educated guess) and, if we’re
wrong, simply redoing the work using the other architecture. Actually, given today’s
ever-advancing technologies, this scenario is not as far-fetched as it may sound. It’s
an example of what some people call a fail-fast strategy (try something, get fast feed-
back, and rapidly inspect and adapt).
Gathering Stories
How do user stories come into existence? Traditional approaches to requirements
gathering involve asking the users what they want. I have never been very success-
ful with that approach. In my experience, users are far better critics than they are
authors.
So, if you ask a user, “What do you want?” she may or may not be able to answer.
Even if she does answer the question and we build exactly what she asked for, she may
say, “Yep, you gave me exactly what I asked for, and now that I see it, I want some-
thing different.” I’m sure we have all had such an experience.
A better approach is to involve the users as part of the team that is determining
what to build and is constantly reviewing what is being built. To promote this level
of participation, many organizations prefer to employ user-story-writing workshops
as a principal means of generating at least the initial set of user stories. Some also
employ story mapping to organize and provide a user-centered context to their sto-
ries. I will briefly describe each technique.
User-Story-Writing Workshop
The goal of a user-story-writing workshop is to collectively brainstorm desired busi-
ness value and create user story placeholders for what the product or service is sup-
posed to do.
The workshop frequently includes the product owner, ScrumMaster, and devel-
opment team, in conjunction with internal and external stakeholders. Most work-
shops last anywhere from a few hours to a few days. I have rarely seen them go longer,
nor do I think they should. The goal isn’t to generate a full and complete set of user

ptg8286261
96 Chapter 5 Requirements and User Stories
stories up front (akin to a complete requirements specification on a sequential devel-
opment project). Instead, the workshop typically has a specific focus. For example,
I frequently do a workshop in conjunction with initial release planning to generate
a candidate set of stories for the upcoming release (see Chapter 18 for more details).
If it is the first workshop, I usually start by performing user role analysis. The
goal is to determine the collection of user roles that can be used to populate the user
role part of our stories (“As a <user role>, I want to . . .”). Of course, marketing or
market research people might have created a good definition of our users in a sepa-
rate activity prior to the story-writing workshop.
We might also have personas, which are prototypical individuals that represent
core characteristics of a role. For example, “Lilly,” along with her associated descrip-
tion, might be the persona corresponding to the role of the seven- to nine-year-old
female player of a young girl’s video game. Once Lilly is defined, we would write sto-
ries with Lilly in the user role position, instead of a more abstract role such as “Young
Female Player.” For example, “As Lilly, I want to select from among many different
dresses so that I can customize my avatar to my liking.”
During the workshop there is no standard way of generating user stories. Some
teams prefer to work top-down and others prefer to work bottom-up. The top-down
approach involves the team starting with a large story (like an epic) and then concen-
trating its efforts on generating a reasonable collection of smaller stories associated
with the epic.
An alternative is to work more bottom-up and start immediately brainstorming
stories that are associated with the next release of an existing system. There isn’t a
right or wrong approach; use whatever approach works well, or switch approaches to
get the best of both.
Story Mapping
Story mapping is a technique popularized by Jeff Patton (Patton 2009) that takes
a user-centric perspective for generating a set of user stories. The basic idea is to
decompose high-level user activity into a workflow that can be further decomposed
into a set of detailed tasks (see Figure 5.13).
Patton uses terms like activity, task, and subtask to describe the hierarchy inside
a story map. To be consistent with the terminology I introduced earlier, I use epic,
theme, and sprintable story.
At the highest level are the epics, representing the large activities of measurable
economic value to the user—for example, the “Buy a Product” epic.
Next we think about the sequence or common workflow of user tasks that make up
the epic (represented by themes—collections of related stories). We lay out the themes
along a timeline, where themes in the workflow that would naturally occur sooner are
positioned to the left of the ones that would occur later. For example, the “Search for
Product” theme would be to the left of the “Manage Shopping Cart” theme.

ptg8286261
Gathering Stories 97
Each theme is then decomposed into a set of implementable stories that are
arranged vertically in order of priority (really desirability because it is unlikely that
the stories have been estimated yet and we can’t really know final priority until we
know cost). Not all stories within a theme need to be included in the same release.
For example, the “Search by Color” story might not be slated for the first release,
whereas the “Search by Name” story probably would be.
Story mapping combines the concepts of user-centered design with story decom-
position. Good story maps show a flow of activities from the users’ perspective and
provide a context for understanding individual stories and their relationship to larger
units of customer value.
Even if you don’t do formal story mapping, I still find the idea of using workflows
to be helpful during my story-writing workshops. They focus the discussion on writ-
ing stories within the context of delivering a complete workflow of value to the user.
Buy a Product
Epic Epic
Search for Product
Theme
Search by Name
Story
Search by Color Remove from Cart
Story
Manage Shopping
Cart
Theme
Add to Cart
Story
Story
Price the Cart
Story
Theme
Story
Story
Search by Author
Story
Search by ISBN
Story
Theme
Story
Story
Theme
Story
Workflow or usage sequence (over time)
Priority
F I G U R E 5 . 1 3 Story map

ptg8286261
98 Chapter 5 Requirements and User Stories
By having the workflow context, it is easier for us to determine if we have missed any
important stories associated with the workflow.
One difference between traditional story-writing workshops and story mapping
is that during the workshop we are primarily focused on generating stories and not
so focused on prioritizing them (the vertical position of implementable stories within
a story map). So, we might use story mapping as a complement to the workshop, as a
technique for helping to visualize the prioritization of stories. Story maps provide a
two-dimensional view of a product backlog instead of the traditional linear (one-
dimensional) product backlog representation.
Closing
In this chapter I discussed how requirements are treated differently on a Scrum proj-
ect than on a traditional, sequential development project. On a development effort
that uses Scrum we create placeholders for requirements called product backlog
items. These items are frequently expressed as user stories and are flowed through the
Scrum process with a distinct focus on conversations as a way of elaborating on the
requirements details. We also employ a strategy of progressively refining larger, less
detailed stories into smaller, more detailed stories in a just-in-time fashion.
I then formally introduced user stories by describing them in the context of “card,
conversation, and confirmation.” I went on to discuss how user stories can be used
to represent business value at multiple levels of abstraction. Next I explained how the
INVEST criteria are helpful in determining whether we have good user stories. Then
I introduced ways to deal with nonfunctional requirements and knowledge-acquisi-
tion activities. I concluded with a discussion of how to gather user stories, focused on
user-story-writing workshops and story mapping. In the next chapter I will discuss
the product backlog.

ptg8286261
99
Chapter 6
PRODUCT BACKLOG
In this chapter I describe the important role that the product backlog plays on a
Scrum development project. I begin by describing the different types of items that
typically populate a product backlog. Next I discuss four characteristics of a good
product backlog and how good backlog grooming helps ensure that those character-
istics are achieved. I then describe why the product backlog is a key element in man-
aging fast, flexible flow at both the release and sprint level. I end by discussing how
we determine which and how many product backlogs we should have.
Overview
The product backlog is a prioritized list of desired product functionality. It provides
a centralized and shared understanding of what to build and the order in which to
build it. It is a highly visible artifact at the heart of the Scrum framework that is
accessible to all project participants (see Figure 6.1).
Sprint execution
Sprint review
Sprint retrospective
Sprint planning Sprint backlog
Po te n t ia l l y
shippable product
increment
Daily scrum
Product backlog
F I G U R E 6 . 1 The product backlog is at the heart of the Scrum framework.

ptg8286261
100 Chapter 6 Product Backlog
As long as there is a product or system being built, enhanced, or supported, there
is a product backlog.
Product Backlog Items
The product backlog is composed of backlog items, which I refer to as PBIs, backlog
items, or simply items (see Figure 6.2).
Most PBIs are features, items of functionality that will have tangible value to the
user or customer. These are often written as user stories (although Scrum does not
specify the format of PBIs). Examples of features include something brand-new (a
login screen for a new website), or a change to an existing feature (a more user-friendly
login screen for an existing website). Other PBIs include defects needing repair, tech-
nical improvements, knowledge-acquisition work, and any other work the product
owner deems valuable. See Table 6.1 for examples of the different types of PBIs.
Product backlog items
(PBIs)
Features
Item Size
Defects
Te ch n i c a l w o r k
Knowledge acquisition
F I G U R E 6 . 2 Product backlog items

ptg8286261
Good Product Backlog Characteristics 101
Good Product Backlog Characteristics
Good product backlogs exhibit similar characteristics. Roman Pichler (Pichler 2010)
and Mike Cohn coined the acronym DEEP to summarize several important charac-
teristics of good product backlogs: Detailed appropriately, Emergent, Estimated, and
Prioritized. Much as the INVEST criteria (see Chapter 5) are useful for judging the
quality of a user story, the DEEP criteria are useful for determining if a product back-
log has been structured in a good way.
Detailed Appropriately
Not all items in a product backlog will be at the same level of detail at the same time
(see Figure 6.3).
PBIs that we plan to work on soon should be near the top of the backlog, small in
size, and very detailed so that they can be worked on in a near-term sprint. PBIs that
we won’t work on for some time should be toward the bottom of the backlog, larger in
size, and less detailed. That’s OK; we don’t plan to work on those PBIs anytime soon.
As we get closer to working on a larger PBI, such as an epic, we will break that
story down into a collection of smaller, sprint-ready stories. This should happen in a
just-in-time fashion. If we refine too early, we might spend a good deal of time figur-
ing out the details, only to end up never implementing the story. If we wait too long,
we will impede the flow of PBIs into the sprint and slow the team down. We need to
find the proper balance of just enough and just in time.
T A B L E 6 . 1 Example Product Backlog Items
PBI Type Example
Feature As a customer service representative I want to create a ticket for a
customer support issue so that I can record and manage a customer’s
request for support.
Change As a customer service representative I want the default ordering of
search results to be by last name instead of ticket number so that it’s
easier to find a support ticket.
Defect Fix defect #256 in the defect-tracking system so that special characters in
search terms won’t make customer searches crash.
Technical
improvement
Move to the latest version of the Oracle DBMS.
Knowledge
acquisition
Create a prototype or proof of concept of two architectures and run three
tests to determine which would be a better approach for our product.

ptg8286261
102 Chapter 6 Product Backlog
Emergent
As long as there is a product being developed or maintained, the product backlog is
never complete or frozen. Instead, it is continuously updated based on a stream of
economically valuable information that is constantly arriving. For example, custom-
ers might change their mind about what they want; competitors might make bold,
unpredictable moves; or unforeseen technical problems might arise. The product
backlog is designed to adapt to these occurrences.
The structure of the product backlog is therefore constantly emerging over time.
As new items are added or existing items are refined, the product owner must rebal-
ance and reprioritize the product backlog, taking the new information into account.
Estimated
Each product backlog item has a size estimate corresponding to the effort required to
develop the item (see Figure 6.4).
The product owner uses these estimates as one of several inputs to help determine
a PBI’s priority (and therefore position) in the product backlog. Also, a high-priority,
Worked on soon
Not worked on soon
Small size
Lots of details
Large size
Few details
Product backlog
items
F I G U R E 6 . 3 Product backlog items are different sizes.

ptg8286261
Good Product Backlog Characteristics 103
large PBI (near the top of the backlog) signals to the product owner that additional
refinement of that item is necessary before it can be moved into a near-term sprint.
As I will discuss in more detail in Chapter 7, most PBIs are estimated in either
story points or ideal days. These size estimates need to be reasonably accurate with-
out being overly precise. Because items near the top of the backlog are smaller and
more detailed, they will have smaller, more accurate size estimates. It may not be
possible to provide numerically accurate estimates for larger items (like epics) located
near the bottom of the backlog, so some teams might choose to not estimate them
at all, or to use T-shirt-size estimates (L, XL, XXL, etc.). As these larger items are
refined into a set of smaller items, each of the smaller items would then be estimated
with numbers.
Prioritized
Although the product backlog is a prioritized list of PBIs, it is unlikely that all of the
items in the backlog will be prioritized (see Figure 6.5).
It is useful to prioritize the near-term items that are destined for the next few
sprints. Perhaps it is valuable to prioritize as far down in the backlog as we think we
can get in Release 1. Going beyond that point at anything other than a gross level of
prioritization is likely not worth our time.
For example, we might declare that an item is destined for Release 2 or Release
3 according to our product roadmap. However, if we are early in the development of
Item Size
Each item has a size estimate
Most estimates are story point
or ideal day estimates
Very large items near the bottom
may not have an estimate or may
be estimated in T-shirt sizes
2
3
2
5
13
13
20
20
40
L
XL
F I G U R E 6 . 4 Product backlog items are estimated.

ptg8286261
104 Chapter 6 Product Backlog
Release 1 features, spending any of our valuable time worrying about how to priori-
tize features that we might work on someday in Release 2 or Release 3 is likely not a
good investment. We might never end up actually doing a Release 2 or Release 3, or
our ideas surrounding those releases might change significantly during the develop-
ment of Release 1. So time spent prioritizing that far out has a high probability of
being wasted.
Of course, as new items emerge during the course of development, the product
owner is responsible for inserting them in the correct order based on the items that
currently exist in the backlog.
Grooming
To get a good, DEEP product back log, we must proactively ma nage, orga nize, admin-
ister, or, as it has commonly come to be referred to, groom the product backlog.
What Is Grooming?
Grooming refers to a set of three principal activities: creating and refining (adding
details to) PBIs, estimating PBIs, and prioritizing PBIs.
Figure 6.6 illustrates some specific grooming tasks and how they affect the struc-
ture of the product backlog.
Item
Items in this area are
(mostly) prioritized
Might prioritize features at
this depth based on targeted
product roadmap release
(e.g., Release 2 or Release 3)
Little or no effort prioritizing
items within future releases
(e.g., Release 2 or Release 3)
High-priority items
Release 1
Low-priority items
Release 2
Release 3
F I G U R E 6 . 5 Product backlog items are prioritized.

ptg8286261
Grooming 105
At the appropriate time, all PBIs need to be estimated to help determine their
order in the backlog and to help decide whether additional refinement work is war-
ranted. Also, as important information becomes available, new items are created and
inserted into the backlog in the correct order. Of course, if priorities shift, we’ll want
to reorder items in the backlog. And as we get closer to working on a larger item, we’ll
want to refine it into a collection of smaller items. We also might decide that a par-
ticular backlog item is just not needed, in which case we’ll delete it.
Who Does the Grooming?
Grooming the product backlog is an ongoing collaborative effort led by the product
owner and including significant participation from internal and external stakehold-
ers as well as the ScrumMaster and development team (see Figure 6.7).
Ultimately there is one grooming decision maker: the product owner. However,
good product owners understand that collaborative grooming fosters an important
dialogue among all participants and leverages the collective intelligence and per-
spectives of a diverse group of individuals, thereby revealing important information
that might otherwise be missed. Good product owners also know that by involving
the diverse team members in the grooming, they ensure that everyone will have a
clearer, shared understanding of the product backlog, so less time will be wasted
Item Size
Reprioritize items
Estimate
Delete item
Original large item Refine items
Insert item
3
F I G U R E 6 . 6 Grooming reshapes the product backlog.

ptg8286261
106 Chapter 6 Product Backlog
in miscommunications and handoffs. Such collaborative efforts also go a long way
toward bridging the historical gap between the business people and the technical
people.
Stakeholders should allocate a sufficient amount of time to grooming based on
the nature of the organization and the type of project. As a general rule, the develop-
ment team should allocate up to 10% of its time each sprint to assisting the product
owner with grooming activities. The team will use this time to help create or review
emergent product backlog items as well as progressively refine larger items into
smaller items. The team will also estimate the size of product backlog items and help
the product owner prioritize them based on technical dependencies and resource
constraints.
When Does Grooming Take Place?
The Scrum framework only indicates that grooming needs to happen; it doesn’t spec-
ify when it should happen. So when does grooming actually take place?
Using sequential development, we try to capture a complete and detailed descrip-
tion of the requirements up front, so little or no requirements grooming is scheduled
after the requirements have been approved. In many organizations these baselined
requirements may be changed only via a separate change control process, which is
discontinuous to the primary development flow (see Figure 6.8).
As such, grooming during sequential development is an exceptional, unplanned,
outside-of-primary-flow activity that we invoke only if we need to, making it disrup-
tive to the fast flow of delivered business value.
External stakeholders
(customers, users, partners, regulators)
Scrum team
Internal stakeholders
(business owners, managers,
program management) Pro d u c t o w n e r ScrumMaster
Development team
Creating
and refining
Estimating
Pr i o r i ti z i n g
Pr o d u c t b a c k l o g
F I G U R E 6 . 7 Grooming is a collaborative effort.

ptg8286261
Grooming 107
Using Scrum, we assume an uncertain environment and therefore must be pre-
pared to constantly inspect and adapt. We expect the product backlog to evolve con-
stantly rather than being locked down early and changed only through a secondary
process for handling exceptional, undesirable occurrences. As a result, we must ensure
that our grooming activities are an essential, intrinsic part of how we manage our work.
Figure 6.9 illustrates the various times when grooming might be performed.
Initial grooming occurs as part of the release-planning activity (see Chapter 18
for details). During product development, the product owner meets with the stake-
holders at whatever frequency makes sense to perform ongoing grooming.
When working with the development team, the product owner might sched-
ule either a weekly or a once-a-sprint grooming workshop during sprint execution.
Doing so ensures that grooming occurs on a regular schedule and enables the team
to account for that time during sprint planning. It also reduces the waste of trying to
schedule ad hoc meetings (for example, determining when people are available, find-
ing available space, and so on).
Sometimes teams prefer to spread out the grooming across the sprint, rather than
block out a predetermined period of time. They take a bit of time after their daily
scrums to do some incremental grooming. This grooming doesn’t have to include all
of the team members. For example, after a daily scrum the product owner might ask
for help refining a large story. Team members who are knowledgeable and interested
Capture
complete
requirements
Requirements
approval/sign-off Design
Primary flow
Build Test
Outside-of-primary-flow
change control process
(unplanned work)
Time
Change
review and
approval
Update
requirements
and plans
Change
request
Approved
baselined
requirements
F I G U R E 6 . 8 Outside-of-primary-flow grooming with sequential projects

ptg8286261
108 Chapter 6 Product Backlog
stick around and assist the product owner. The next time, different team members
might assist.
Even if teams have regularly scheduled workshops or take some time each day to
look at the backlog, most teams find that they naturally do some grooming as part
of the sprint review. As everyone involved gains a better understanding of where the
product is and where it is going, new PBIs are often created or existing PBIs are repri-
oritized, or deleted if they are no longer needed.
When the grooming happens is less important than making sure it is well inte-
grated into the Scrum development flow, to ensure flexible and fast delivery of busi-
ness value.
Definition of Ready
Grooming the product backlog should ensure that items at the top of the backlog are
ready to be moved into a sprint so that the development team can confidently com-
mit and complete them by the end of a sprint.
During sprint review
After daily scrum
Workshop during sprint
Some up front then ongoing as necessary
Sprint execution
Sprint review
Sprint retrospective
Sprint planning Sprint backlog
Grooming
Daily scrum
Product backlog
Po te n t i al l y
shippable product
increment
F I G U R E 6 . 9 When grooming happens

ptg8286261
Definition of Ready 109
Some Scrum teams formalize this idea by establishing a definition of ready. You
can think of the definition of ready and the definition of done (see Chapter 4) as two
states of product backlog items during a sprint cycle (see Figure 6.10).
Both the definition of done and the definition of ready are checklists of the work
that must be completed before a product backlog item can be considered to be in the
respective state. An example of a definition-of-ready checklist for product backlog
items is given in Table 6.2.
Ready Done
Sprint execution
Sprint review
Sprint retrospective
Sprint planning Sprint backlog
Daily scrum
Product backlog
Grooming
Po te n t i al l y
shippable product
increment
F I G U R E 6 . 1 0 Definition of ready
TABLE 6.2 Example Definition-of-Ready Checklist
Definition of Ready
❏Business value is clearly articulated.
❏Details are sufficiently understood by the development team so it can
make an informed decision as to whether it can complete the PBI.
❏Dependencies are identified and no external dependencies would block
the PBI from being completed.
continues

ptg8286261
110 Chapter 6 Product Backlog
A strong definition of ready will substantially improve the Scrum team’s chance
of successfully meeting its sprint goal.
Flow Management
The product backlog is a crucial tool that enables the Scrum team to achieve fast,
flexible value-delivery flow in the presence of uncertainty. Uncertainty cannot be
eliminated from product development. We must assume that a stream of economi-
cally important information will be constantly arriving and that we need to organize
and manage the work (manage the product backlog) so that this information can be
processed in a rapid, cost-effective way while maintaining good flow. Let’s examine
the role of the product backlog in supporting good release flow and sprint flow.
Release Flow Management
The product backlog must be groomed in a way that supports ongoing release plan-
ning (the flow of features within a release). As illustrated in Figure 6.5, a release can
be visualized as a line through the product backlog. All of the PBIs above the release
line are targeted to be in that release; the items below the line are not.
I have found it useful to actually partition the product backlog using two lines
for each release, as illustrated in Figure 6.11.
These two lines partition the backlog into three areas: must have, nice to have,
and won’t have. The must-have features represent the items that we simply must have
in the upcoming release or else we don’t have a viable customer release. The nice-to-
have features represent items we are targeting for the next release and would like to
include. If, however, we run short of time or other resources, we could drop nice-to-
have features and still be able to ship a viable product. The won’t-have features are
items that we’re declaring won’t be included in the current release. The second line,
Definition of Ready
❏Team is staffed appropriately to complete the PBI.
❏The PBI is estimated and small enough to comfortably be completed in
one sprint.
❏Acceptance criteria are clear and testable.
❏Performance criteria, if any, are defined and testable.
❏Scrum team understands how to demonstrate the PBI at the sprint
review.
TABLE 6.2 Example Definition-of-Ready Checklist (Continued)

ptg8286261
Flow Management 111
the one that separates the won’t-have items from the others, is the same as the Release 1
line shown in Figure 6.5.
Maintaining the backlog in this fashion helps us better perform ongoing release
planning, as I will discuss in Chapter 18.
Sprint Flow Management
Product backlog grooming is essential for effective sprint planning and the resulting
flow of features into a sprint. If the product backlog has been detailed appropriately,
the items at the top of the backlog should be clearly described and testable.
When grooming for good sprint flow, it is helpful to view the product backlog
as a pipeline of requirements that are flowing into sprints to be designed, built, and
tested by the team (see Figure 6.12).
In this figure we see that larger, less-well-understood requirements are being
inserted into the pipeline. As they progress through the pipeline and move closer
to the time when they will flow out to be worked on, they are progressively refined
through the grooming activity. At the right side of the pipeline is the team. By the
time an item flows out of the pipeline, it must be ready—detailed enough that the
team can understand it and be comfortable delivering it during a sprint.
Item
Must have
Nice to have
Won’t have
F IGURE 6.11 Release-level view of the product backlog

ptg8286261
112 Chapter 6 Product Backlog
If there is ever a mismatch or unevenness between the inflow and outflow of
items, we have a problem. If the flow of groomed, detailed, ready-to-implement items
is too slow, eventually the pipeline will run dry and the team won’t be able to plan
and execute the next sprint (a major flow disruption or waste in Scrum). On the
other hand, putting too many items into the pipeline for refinement creates a large
inventory of detailed requirements that we may have to rework or throw away once
we learn more (a major source of waste). Therefore, the ideal situation is to have just
enough product backlog items in inventory to create an even flow but not so many as
to create waste.
One approach that Scrum teams use is to have an appropriate inventory of
groomed and ready-to-implement items in the backlog. A heuristic that seems to
work for many teams is to have about two to three sprints’ worth of stories ready to
go. So, for example, if the team can normally do about 5 PBIs per sprint, the team
grooms its backlog to always have about 10 to 15 PBIs ready to go at any point in time.
This extra inventory ensures that the pipeline won’t run dry, and it also provides the
team with flexibility if it needs to select PBIs out of order for capacity reasons or
other sprint-specific constraints (see Chapter 19 for a deeper discussion of this topic).
Which and How Many Product Backlogs?
When deciding on which and how many product backlogs to form, I start with a
simple rule: one product, one product backlog, meaning that each product should
have its own single product backlog that allows for a product-wide description and
prioritization of the work to be done.
Flow
Ready
Sprint planning
F IGURE 6.12 The product backlog as a pipeline of requirements

ptg8286261
Which and How Many Product Backlogs? 113
There are, however, some occasions when we need to exercise care when apply-
ing this rule to ensure that we end up with a practical, workable product backlog
structure. For example, in some cases, it’s not always clear what constitutes a product;
some products are very large; sometimes we have multiple teams that aren’t inter-
changeable; other times there are multiple products and a single team. Let’s examine
each of these special instances to see how they affect our single-backlog rule.
What Is a Product?
An issue with the one-product-one-product-backlog rule is that it isn’t always clear
exactly what constitutes a product. Is Microsoft Word the product, or is it simply one
facet of a larger product called Microsoft Office? If we sell only the product suite,
do we have a product backlog for the suite, or do we have a product backlog for each
individual application in the suite (see Figure 6.13)?
When I worked at IBM, the customer-facing answer to the question “What is a
product?” was “Whatever has its own unique product ID (PID) number.” The beauty
Product backlog per application Product backlog for the suite
Word
Excel
Outlook
Office
F IGURE 6.13 The product backlog is associated with the product.

ptg8286261
114 Chapter 6 Product Backlog
of that answer was its simplicity. IBM sold products from a catalog, so if you could
put a PID on it, salespeople could include it on an order form and therefore it was a
“product.” Although the IBM answer may seem overly simplistic, I suggest that we
use it as our starting point. A product is something of value that a customer would be
willing to pay for and something we’re willing to package up and sell.
Using this rule becomes more complicated if we form component teams whose
purpose is to create one component of a larger product that a customer would buy
(see Chapter 12 for a deeper discussion of component teams). For example, when I
purchased my portable GPS, I didn’t buy the routing algorithm; I purchased a port-
able device that would give me accurate graphical and auditory turn-by-turn direc-
tions. The routing “component” was simply one of many that came together to create
a device that a customer like me would be willing to buy.
If the GPS manufacturer created a routing team to develop the routing compo-
nent, is there a product backlog for that component? Or is there just one product
backlog corresponding to the entire GPS, with the routing features woven into that
product backlog?
And to make things even more interesting, what if the same routing component
could be placed into multiple GPS products (each with its own PID)? Would we be
more inclined to create a separate product backlog for a component if it could be
shared among various device products?
As you can see, once we start asking these questions, we can go a long way down
the rabbit hole. To help extricate ourselves, it helps to remember that our goal is to
minimize the number of component teams and therefore the need for component
product backlogs. Think about what you create that is packaged, delivered, and adds
end-customer value. Then align your product backlog with that offering.
Large Products—Hierarchical Backlogs
Whenever possible, I prefer one product backlog even for a large product like Micro-
soft Office. However, we need to be practical when applying this rule. On a large
product development effort to create something like a cell phone, we can have many
tens or hundreds of teams whose work must all come together to create a marketable
device. Trying to put the PBIs from all of these teams into one manageable product
backlog isn’t practical (or necessary).
To beg i n wit h, not a ll of t hese teams work in related a reas. For ex a mple, we mig ht
have seven teams that work on the audiovisual player for the phone, and another
eight teams that work on the web browser for the phone. Each of these areas delivers
identifiable value to the customer, and the work in each area can be organized and
prioritized at a detail level somewhat independent of the other areas.
Based on these characteristics, most organizations address the large-product
problem by creating hierarchical backlogs (see Figure 6.14).

ptg8286261
Which and How Many Product Backlogs? 115
At the top of the hierarchy we still have the one product backlog that describes
and prioritizes the large-scale features (perhaps epics) of the product. There would
also be one chief product owner, as I will discuss in Chapter 9, at this level. Each of
the related feature areas then has its own backlog. So the audiovisual player area has a
backlog that contains the PBIs for the seven teams that work in that area. The PBIs at
the feature-area level will likely be smaller in scale (feature or story size) than the cor-
responding items in the product backlog. In Chapter 12 I will discuss the release train
concept that is based on a three-level enterprise backlog model: the portfolio backlog
(containing epics), the program backlog (containing features), and the team backlogs
(containing sprintable user stories).
Multiple Teams—One Product Backlog
The one-product-one-product-backlog rule is designed to allow all of the teams
working on the product to share a product backlog. Aligning all of the teams to a
single backlog enables us to optimize our economics at the full-product level. We get
this benefit because we put all of the features into one backlog and make them com-
pete for priority against all other features, ensuring that the highest-priority features
from the full-product perspective are identified and prioritized to be worked on first.
If all of our teams are interchangeable, so that any team can work on any PBI in
the one shared backlog, we actually get to realize the prioritization benefit enabled by
Area backlogs
Product backlog
Area teams
F IGURE 6.14 Hierarchical product backlogs

ptg8286261
116 Chapter 6 Product Backlog
the single product backlog. But what if the teams aren’t interchangeable? For exam-
ple, a team that works on the Microsoft Word text-layout engine probably can’t be
assigned to work on the Microsoft Excel calculation engine. While not ideal, in some
cases, not every team can work on every item in the product backlog.
To work w it hin t his realit y, we must know which items in t he product back log
each team can work on. Conceptually, we need team-specific backlogs. In practice,
however, we don’t actually create product backlogs at the team level. Instead, we have
team-specific views of the shared backlog (see Figure 6.15).
As shown in Figure 6.15, there is one backlog, but it is structured in such a way
that teams see and choose from only the features that are relevant to their skill sets.
Notice, too, that in Figure 6.15 the highest-level item in the team C backlog is
derived from an item that is not a very high priority in the product-level backlog. If
the teams were interchangeable, team C’s backlog would correspond to much higher-
priority product-level backlog items. This lack of flexibility is why many organi-
zations strive for a high level of shared code ownership and more interchangeable
teams, so that they too can reap the benefits that come from having teams that can
work on multiple areas of the product.
Te a m A
Te a m B
Te a m C
Te a m - s p e cifi c view
of product backlog Noninterchangeable teams
Product backlog
F IGURE 6.15 Team-specific view of the product backlog

ptg8286261
Which and How Many Product Backlogs? 117
One Team—Multiple Products
If an organization has multiple products, it will have multiple product backlogs. The
best way to handle multiple product backlogs is to assign one or more teams to work
exclusively on each product backlog (see the left side of Figure 6.16).
In some instances, however, one team ends up working from multiple product
backlogs (see the right side of Figure 6.16). As I will discuss in Chapter 11, our goal
should be to minimize the amount of multi-projecting that teams or team members
perform. The first, and often the best, solution is to have the team work on one prod-
uct at a time. In each sprint the team works only on the items from one product
backlog.
However, if organizational impediments force us to have the single team work
on multiple products concurrently, we might consider merging the PBIs for all three
products into one product backlog. This would require that the product owners for
the three products come together and reach a single prioritization across all of the
products.
Even if we choose to maintain three separate product backlogs, every sprint
someone (presumably the product owner for the team) will need to assemble a
Product A
Product B
One team
Product C
Product backlogs Product backlogs
Product teams
Product A
Product B
Product C
F IGURE 6.16 Scenarios for multiple product backlogs

ptg8286261
118 Chapter 6 Product Backlog
prioritized set of PBIs from the three backlogs (perhaps based on a preallocation of
the team’s time to each product during the sprint) and present those to the team for
its consideration and commitment.
Closing
In this chapter I discussed the crucial role of the product backlog in achieving fast,
flexible value-delivery flow in the presence of uncertainty. I emphasized a number of
structural and process issues surrounding the product backlog, such as what types
of items are in the product backlog and how to groom the product backlog to obtain
several desirable product backlog characteristics. I concluded by addressing the issue
of which and how many product backlogs we should have. In the next chapter I will
discuss how product backlog items are estimated and how those estimates are used to
measure velocity.

ptg8286261
119
Chapter 7
ESTIMATION AND VELOCITY
In this chapter I describe the concepts of estimation and velocity. I begin with an
overview of the important roles that estimation and velocity play in agile planning. I
then discuss the various items that we estimate and when and how we estimate them.
The bulk of the chapter focuses on how to estimate product backlog items, including
how to choose a unit of measure and use Planning Poker. Next I move on to the con-
cept of velocity and how using a velocity range is essential for planning. I discuss how
new teams can forecast velocity in the absence of historical data. I conclude with ways
we can influence velocity and how velocity can be misused.
Overview
When planning and managing the development of a product, we need to answer
important questions such as “How many features will be completed?” “When will we
be done?” and “How much will this cost?” To answer these questions using Scrum,
we need to estimate the size of what we are building and measure the velocity or rate
at which we can get work done. With that information, we can derive the likely prod-
uct development duration (and the corresponding cost) by dividing the estimated
size of a set of features by the team’s velocity (see Figure 7.1).
Given the product backlog in Figure 7.1, how much time do we need to create the
features in Release 1? To answer that question, we must first gauge the size of Release
1. We can do this by adding the individual size estimates for each PBI targeted for
Release 1. (In our example, the sum of the PBI estimates is 200 points.)
Once we know the approximate size of the release, we turn our attention to the
team’s velocity, how much work the team typically gets done each sprint. Velocity
is easy to measure. At the end of each sprint, we simply add the size estimates of
every item that was completed during the sprint; if an item isn’t done, it doesn’t count
toward velocity. The sum of the sizes of all the completed product backlog items in a
sprint is the team’s velocity for that sprint. The graph in Figure 7.1 shows the team’s
velocity data for the prior seven sprints. Note that the average velocity is 20.
Now that we have estimated size and measured velocity, we are in a position to
calculate (derive) the duration. To do this, we simply divide the size by the velocity.
If the size of Release 1 is 200 points and the team can, on average, complete 20 points
of work each sprint, it should take the team 10 sprints to complete Release 1 (see

ptg8286261
120 Chapter 7 Estimation and Velocity
Chapter 18 for a more detailed description of release planning). Later in this chapter,
I will explain why using a velocity range to do these calculations is more accurate
than using an average velocity, but for illustrative purposes, I use average velocity
here.
Though the basic relationship among size, velocity, and duration remains the
same, some details can vary based on where you are in the development effort, what
you’re trying to measure, and how you intend to use the data. Let’s look more closely
at estimation and velocity to see how these factors change depending on what you are
trying to do and when.
What and When We Estimate
In Figure 7.1 story points were used to express the PBI estimates for calculating the
release duration. Throughout the development life of a product, however, we need to
estimate at varying levels of granularity and, thus, will use different units to do so
(see Figure 7.2).
Most organizations make estimates for planning purposes at three different lev-
els of detail. These estimates manifest themselves in the portfolio backlog, product
backlog, and sprint backlog. Let’s briefly examine each.
Release 1
Item Size
Feature A |5
Feature B |3
Feature C |2
Feature D |8
Feature E |2
Feature F |5
Feature G |3
Feature … |…
Feature ZX |5
Feature ZY |2
Feature ZZ |1
Feature … |…
= 200 points
Estimated size ÷ measured velocity = (number of sprints)
200 points ÷ 20 points/sprint = 10 sprints
1 2 3 4 5 6 7
30
25
20
15
10
5
0
Average velocity = 20
F I G U R E 7 . 1 The relationship among size, velocity, and duration

ptg8286261
What and When We Estimate 121
Portfolio Backlog Item Estimates
Although the portfolio backlog is not formally a part of Scrum, many organizations
maintain one that contains a prioritized list of all of the products (or projects) that
need to be built. To properly prioritize a portfolio backlog item we need to know the
approximate cost of each item. As I discussed in Chapter 5, we typically won’t have
a complete, detailed set of requirements at the time when this cost number is ini-
tially requested, so we can’t use the standard technique of estimating each individual,
detailed requirement and then summing those estimates to get an aggregate estimate
of the total cost.
Instead, to estimate portfolio backlog items, many organizations choose to use
rough, relative size estimates like T-shirt sizes (such as small, medium, large, extra-
large, and so on). I will discuss the use of T-shirt sizes for portfolio planning in Chap-
ter 16.
Product Backlog Estimates
Once a product or project is approved and we start adding more detail to its product
backlog items, however, we need to estimate differently. When PBIs have risen in pri-
ority and been groomed to include more detail, most teams prefer to put numeric size
estimates on them, using either story points or ideal days. I will discuss both of these
approaches later in the chapter.
Po r t fo lio ba ck lo g Product backlog
Code the UI
Hours = 5
Add error logging
Hours = 12
Automate tests
Hours = 8
Create DB schema
Hours = 6
Create icons
Hours = 8 Buffer test
Hours = 2
Portfolio backlog Product backlog Sprint backlog tasks
Sprint backlog tasks
T-shirt sizes Story points /ideal days Ideal hours /effort-hours
Portfolio planning Product backlog grooming Sprint planning
Item
Unit
When
Product A lM
Product B lS
Product C lXL
Product D lL
Feature A
l
5
FeatureB
l
5
FeatureC
l
2
FeatureD
l
5
Feature
E
l
8
F I G U R E 7 . 2 What and when we estimate

ptg8286261
122 Chapter 7 Estimation and Velocity
Estimating PBIs is part of the overall product backlog grooming activity. Fig-
ure 6.9 illustrates when this grooming usually takes place. Typically, PBI estimation
occurs in “estimation meetings,” the first of which likely coincides with initial release
planning. The product owner might also call additional estimation meetings during
a sprint if any new PBIs need to be estimated.
Not all Scrum practitioners believe that PBI size estimation is a necessary activ-
ity. Their experience has shown that when Scrum teams become good enough, they
are able to create PBIs that are small and of roughly the same size. Such practitioners
have determined that it is wasteful to estimate small, similarly sized items. Instead,
they just count the number of PBIs. They still use the concept of velocity, but it is
measured as the number of PBIs that are completed in a sprint, instead of the sum of
the sizes of the PBIs that are completed in a sprint.
I understand the “no-estimates-required” argument, but I still prefer to estimate
PBIs for a few reasons:
As I discussed in Chapter 5, not all PBIs will be at the same size at the same
time, so there will be some larger PBIs in the backlog even if we do have a col-
lection of smaller, similarly sized items toward the top.
It can take some time for teams to acquire the skills to break down PBIs to be
roughly the same size.
Tea ms might have to split stor ies at unnatu ral points to ach ieve the sa me-size
goal.
Finally, and most importantly, one of the primary values of estimation is the
learning that happens during the estimation conversations. Nothing pro-
motes a healthy debate like asking people to put a number on something,
which will immediately surface any disagreements and force assumptions to
be exposed. If we were to do away with estimation, we would need to substi-
tute an equally effective way of promoting these healthy discussions.
Task Estimates
At the most detailed level we have the tasks that reside in the sprint backlog. Most
teams choose to size their tasks during sprint planning so that they can acquire con-
fidence that the commitments they are considering are reasonable (see Chapter 19 for
more details).
Tasks are sized in ideal hours (also referred to as effort-hours, man-hours, or
person-hours). In Figure 7.2, the team estimates that the UI task will take five effort-
hours to complete. That doesn’t mean it will take five elapsed hours. It might take one
person a couple of days to code the UI, or it could take a couple of people working
together less than a day. The estimate simply states how much of the team’s effort is
expected to complete the task. I will describe the use of task estimates in more detail
in Chapter 19 when I describe the details of sprint planning.

ptg8286261
PBI Estimation Concepts 123
PBI Estimation Concepts
Though all three levels of detail are important, the remainder of this chapter focuses
on product-backlog-level estimation. There are several important concepts that
Scrum teams use when estimating PBIs (see Figure 7.3).
Let’s examine each concept.
Estimate as a Team
In many traditional organizations the project manager, product manager, architect,
or lead developer might do the initial size estimation. Other team members might get
a chance to review and comment on those estimates at a later time. In Scrum, we fol-
low a simple rule: The people who will do the work collectively provide the estimates.
To be clear, when I say people who w il l do t he work, I mea n t he development
team that will do the hands-on work to design, build, and test the PBIs. The prod-
uct owner and ScrumMaster don’t provide estimates. Both of these roles are present
when the PBIs are being estimated, but they don’t do any hands-on estimation (see
Figure 7.4).
The product owner’s role is to describe the PBIs and to answer clarifying ques-
tions that the team might ask. The product owner should not guide or “anchor” the
team toward a desired estimate. The ScrumMaster’s role is to help coach and facilitate
the estimation activity.
The goal is for the development team to determine the size of each PBI from its
collective perspective. Because everyone sees a story from a different point of view,
depending on his area of expertise, it is important that all members of the develop-
ment team participate during estimation.
Estimate as a team
Estimates are not commitments
Focus on accuracy, not precision
Use relative versus absolute sizes
PBI estimating concepts
F I G U R E 7 . 3 Product backlog item estimating concepts

ptg8286261
124 Chapter 7 Estimation and Velocity
Estimates Are Not Commitments
Estimates are not commitments, and it is important that we not treat them as such.
That statement typically concerns managers. “What do you mean we’re not asking
the team to commit to its estimates? How are we going to get precise estimates unless
they do?”
When this topic comes up in my classes, I do a simple visual demonstration to
make the point. I hold up a sticky note and say, “Imagine that I ask you to size this
story and you tell me it’s this big.” I then use my hands to illustrate the size of story, as
shown on the left side of Figure 7.5.
Describes and clarifies Coaches and facilitates
Estimates collaboratively
Feature A
Feature B
Feature C
Product backlog
Estimating
F I G U R E 7 . 4 The full Scrum team participates in estimation.
Original size estimate Revised estimate
based on commitment
F I G U R E 7 . 5 Effect of committing on estimates

ptg8286261
PBI Estimation Concepts 125
Next, I say something like “Oh, I forgot to mention, your entire bonus next
year depends on your estimate being correct. I give you the opportunity to reesti-
mate now.” At that point I start separating my hands to show progressively larger and
larger estimates (see the right side of Figure 7.5). Then I usually say something like
“Hey, tell me when to stop; my arms only go so far. I’m not a basketball player!”
The point is clear. If I ask people to estimate a story’s size, I expect to get a real-
istic estimate. If I then tell them their bonuses will be based on the estimate being
correct, everyone, including me, will give a much larger estimate than the one we
originally thought was correct.
The estimates ought to be a realistic measure of how big something is. We don’t
want them artificially inflated due to external influences. That behavior only results
in bloated schedules and a back-and-forth game of estimate inflation by team mem-
bers and reduction by management. When all is said and done, we have no real
understanding of the numbers because they have been manipulated so many times
by different people.
Accuracy versus Precision
Our estimates should be accurate without being overly precise. We have all been
involved with products where the estimates were at a ridiculous level of precision.
You know, the one where the estimate was 10,275 man-hours or the other one where
the projected cost was $132,865.87.
Generating these wrong, overly precise estimates is wasteful. First, there is the
wasted effort of coming up with the estimate, which can be considerable. Second,
there is the waste that occurs when we deceive ourselves by thinking we understand
something that we don’t, and then make important, wrong, and costly business deci-
sions based on this deception.
We should invest enough effort to get a good-enough, roughly right estimate (see
Figure 7.6).
When estimating, there will always be a point of diminishing returns, beyond
which for every additional unit of effort we invest we don’t get a corresponding
increase in the accuracy of the estimate. Beyond that point we are just wasting our
time and probably starting to negatively affect the estimate’s accuracy by considering
an increasing amount of lower-value data.
Relative Size Estimation
We should estimate PBIs using relative sizes, not absolute sizes. We compare items to
determine how large an item is relative to the others (see Figure 7.7).
As shown in Figure 7.7, while it’s pretty easy to discuss how big one glass is rela-
tive to another, I might not have a good feel for the absolute quantity of liquid each
glass might hold.

ptg8286261
126 Chapter 7 Estimation and Velocity
My personal observations have convinced me that people are much better at rela-
tive size estimation than absolute size estimation. Here is an example I use in my
classes to illustrate the point (see Figure 7.8).
0%
50%
100%
Good enough
Effort
Accuracy
Diminishing returns Harmful and
wasteful
F I G U R E 7 . 6 Effort versus accuracy when estimating
1X 4X 9X
F I G U R E 7 . 7 Relative size estimation

ptg8286261
PBI Estimation Concepts 127
I begin by going to one side of the classroom and facing the wall on the opposite
side of the room. I first ask everyone in the room to write down how far away they
think I am from the opposite wall in absolute size units, for example, feet or meters.
(I tell the people who look up to count ceiling tiles to stop cheating!)
In many classrooms there is typically a ceiling-mounted LCD projector that is
about midway across the room. So, I then ask everyone to write down a second esti-
mate indicating where the projector is relative to the far wall and me.
I almost always get the same results. In a typical class of 30 people, when I ask,
“How far in absolute distance am I from the other wall?” I usually get 27 different
answers. When I then ask, “Relative to me and the other wall, where is the projector?”
29 out of the 30 people say “about halfway”; the 30th person is just messing with me
and will say something like “5/11 of the way!”
Yes, this is not a rigorous scientif ic experiment, but most people seem to quick ly
agree with the idea that they are actually better at judging relative sizes than absolute
sizes. For reference, there are times when the projector is one-third of the way or two-
thirds of the way across the room from me, and in those cases the results are almost
always the same: most people write down the same relative size distance.
Where is the projector
relative to the two walls?
How far in feet
or meters?
F I G U R E 7 . 8 Absolute versus relative size estimation

ptg8286261
128 Chapter 7 Estimation and Velocity
Bottom line, if we’re going to ask people to estimate, we should base the tech-
nique on what people are good at (relative size estimation) and not on what they’re
bad at (absolute size estimation).
PBI Estimation Units
Although there is no standard unit for PBI size estimates, by far the two most com-
mon units are story points and ideal days. There isn’t a right or wrong choice when
deciding between these two. I’d say 70% of the organizations I work with use story
points and the other 30% use ideal days. Let’s examine each.
Story Points
Story points measure the bigness or magnitude of a PBI. We expect story points to
be influenced by several factors, such as complexity and physical size. Something
doesn’t have to be physically large to be big. The story might represent the develop-
ment of a complex business algorithm. The end result won’t be very large, but the
effort required to develop it might be. On the other hand, a story might be physi-
cally quite big but not complex. Let’s say we have to update every cell in a 60,000-cell
spreadsheet. None of the individual updates is difficult, but the updates can’t be auto-
mated. How much of this work can we get done in a sprint? Though not complex, this
would be a large story.
Story points combine factors like complexity and physical size into one relative
size measure. The goal is to be able to compare stories and say things like “Well, if the
create-a-ticket story is a 2, then the search-for-a-ticket story is an 8,” implying that
the searching story is roughly four times the size of the creation story.
In the example at the beginning of this chapter, the approach was to estimate the
PBI sizes and then derive the duration by dividing the sum of the sizes by the aver-
age velocity. Because size measures like story points are ultimately used to calculate
time (duration), story points must reflect the effort associated with the story from
the development team’s perspective.
Ideal Days
An alternative approach for estimating PBIs is to use ideal days. Ideal days are a
familiar unit—they represent the number of effort-days or person-days needed to
complete a story. Ideal time is not the same thing as elapsed time. Ideally the Ameri-
can football game has four quarters that are each 15 minutes long (so the game is
played in one ideal hour). However, it takes more like three to three and a half hours
to actually play the game.
I stated earlier that there isn’t a right or wrong answer when choosing between
story points and ideal days. However, an important factor against ideal time is the
risk of misinterpretation.

ptg8286261
Planning Poker 129
For example, it’s currently early afternoon on Tuesday and I show you a PBI and
ask, “How big is this PBI?” You say, “Two days.” I say, “OK, so you’ll be done Thurs-
day early in the afternoon.” You say, “No, I’m finishing up a two-day activity this
afternoon and tomorrow [Wednesday]. I need the entire day just to get caught up, so
I can probably start the PBI on Thursday. But since I don’t have any full days to dedi-
cate to the PBI, I’m thinking I should be done sometime next Monday.” I then say, “I
don’t understand; you told me it was a two-day PBI, so you should be done on Thurs-
day.” You say, “I said two ideal days, not two calendar days. Please don’t map my ideal
days onto a calendar; it doesn’t work that way.”
For the 30% of the organizations that I work with that use ideal time success-
fully, their comment would be “Yeah, but we don’t have that misinterpretation prob-
lem. We can tell people two days and they know it’s not two calendar days.”
If there is a low risk of misinterpretation in your organization, ideal time will
likely work just fine. If you believe people will misinterpret ideal time, you’re better
off using story points.
There are other differences between story points and ideal time, but misinter-
pretation is one of the bigger issues. A student in one of my classes summed up her
preference between the two when she said to her colleagues, “Look, we’ve been using
ideal time for the past 15 years that I’ve been here and it has never worked. Honestly,
I’d just like to try something different.”
Planning Poker
Planning Poker is a technique for sizing PBIs that was first described by James Gren-
ning (Grenning 2002) and then popularized by Mike Cohn (Cohn 2006). Planning
Poker is based on a few important concepts (see Figure 7.9).
Consensus based
Expert opinion
Intense discussion
Relative sizing
Accurate grouping/binning
Leverage estimating history
Planning Poker concepts
F I G U R E 7 . 9 Planning Poker concepts

ptg8286261
130 Chapter 7 Estimation and Velocity
Planning Poker is a consensus-based technique for estimating effort. Knowl-
edgeable people (the experts) slated to work on a PBI engage in an intense discussion
to expose assumptions, acquire a shared understanding, and size the PBI. Planning
Poker yields relative size estimates by accurately grouping or binning together items
of similar size. The team leverages its established PBI estimation history to more eas-
ily estimate the next set of PBIs.
Estimation Scale
To perform Planning Poker, t he tea m must decide which sca le or sequence of num-
bers it will use for assigning estimates. Because our goal is to be accurate and not
overly precise, we prefer to not use all of the numbers. Instead, we favor a scale of
sizes with more numbers at the small end of the range and fewer, more widely spaced
numbers at the large end of the range.
The most frequently used scale is the one proposed by Mike Cohn, based in part
on a modified Fibonacci sequence: 1, 2, 3, 5, 8, 13, 20, 40, and 100. An alternative
scale that some teams use is based on powers of 2: 1, 2, 4, 8, 16, 32, . . . .
When using this type of scale, we group or bin together like-size PBIs and assign
them the same number on the scale. To illustrate this concept, let’s say we work at the
post office and we need to group packages of similar size together in the same bin
(see Figure 7.10).
When we receive a package, we need to decide which bin to place the package
in. Now, not all packages in the same bin are or will be identically the same physical
shape, size, or weight, so we need to examine the packages that are currently in the
bins so that we can find the best-fit bin for the package we are estimating. Once we
find the closest matching bin, we put the package in the bin and move on to the next
package. Obviously, the more packages we put into the bins, the easier it should be to
size and bin future packages because we’ll have more points of comparison.
To avoid being overly precise, we don’t have a “4 bi n” (i f we’re using a sc a le based
on the Fibonacci sequence). So, when we get a package that we feel is larger than a 2
but smaller than an 8, we need to put it in either the “3 bin” or the “5 bin.”
1235
F I G U R E 7 . 1 0 Planning Poker uses binning.

ptg8286261
Planning Poker 131
How to Play
The full Scrum team participates when performing Planning Poker. During the ses-
sion, the product owner presents, describes, and clarifies PBIs. The ScrumMaster
coaches the team to help it better apply Planning Poker. The ScrumMaster is also
constantly looking for people who, by their body language or by their silence, seem
to disagree and helping them engage. And the development team is collaboratively
generating the estimates.
Each development team member is provided with a set of Planning Poker cards
(see Figure 7.11).
A common interpretation of these cards is described in Table 7.1.
F I G U R E 7 . 1 1 Innolution Planning Poker cards
T A B L E 7 . 1 Common Interpretation of Planning Poker Cards
Card Interpretation
0Not shown in Figure 7.11 but included in some decks to indicate that the
item is already completed or it is so small that it doesn’t make sense to
even give it a size number.
1/2 Used to size tiny items.
1, 2, 3 Used to size small items.
continues

ptg8286261
132 Chapter 7 Estimation and Velocity
The rules of Planning Poker are as follows:
1. The product owner selects a PBI to be estimated and reads the item to the
team.
2. Development team members discuss the item and ask clarifying questions to
the product owner, who answers the questions.
3. Each estimator privately selects a card representing his estimate.
4. Once each estimator has made a private selection, all private estimates are
simultaneously exposed to all estimators.
5. If everyone selects the same card, we have consensus, and that consensus
number becomes the PBI estimate.
Card Interpretation
5, 8, 13 Used to size medium items. For many teams, an item of size 13 would be
the largest they would schedule into a sprint. They would break any item
larger than 13 into a set of smaller items.
20, 40 Used to size large items (for example, feature- or theme-level stories).
100 Either a very large feature or an epic.
∞ (infinity) Used to indicate that the item is so large it doesn’t even make sense to put
a number on it.
? (question
mark)
Indicates that a team member doesn’t understand the item and is asking
the product owner to provide additional clarification. Some team members
also use the question mark as a way of recusing themselves from the
estimation of the current item—typically because the person is so far
removed from the item he has no idea how to estimate it. Although it is
acceptable not to estimate, it is unacceptable not to participate! So, just
because someone doesn’t feel comfortable offering up an estimate, that
doesn’t allow him to disengage from the conversation or responsibility of
helping the team find a consensus estimate.
π (pi) In this context, π doesn’t mean 3.1415926! Instead, the pi card is used when
a team member wants to say, “I’m tired and hungry and I want to get some
pie!” Some Planning Poker decks use a coffee cup image instead of pi. In
either case, this card emphasizes an important point. The team members
can engage in an intense estimation discussion for only a limited period
of time (perhaps an hour or two). At that point, they really do need a break
or the enthusiasm for the discussion will turn into an effort to figure out
how to quickly get the estimates done, regardless of their accuracy or the
learning that takes place. If people are playing the pi card, the team needs
to take a break.
T A B L E 7 . 1 Common Interpretation of Planning Poker Cards (Continued)

ptg8286261
What Is Velocity? 133
6. If the estimates are not the same, the team members engage in a focused dis-
cussion to expose assumptions and misunderstandings. Typically we start by
asking the high and low estimators to explain or justify their estimates.
7. After the discussion, we return to step 3 and repeat until consensus is
reached.
In Planning Poker we don’t take averages or use any number not on the scale/
cards. The goal is not to compromise, but instead for the development team to reach
a consensus about the estimate of the story’s overall size (effort) from the team
perspective. Usually this consensus can be achieved within two or three rounds of
voting, during which the team members’ focused discussion helps obtain a shared
understanding of the story.
Benefits
Planning Poker brings together the diverse team of people who will do the work and
allows them to reach consensus on an accurate estimate that is frequently much bet-
ter than any one individual could produce.
As I mentioned earlier, there are some in the agile community who believe that
estimating PBIs is not worthwhile. The intense discussion of the PBIs fostered by
Planning Poker, however, is incredibly valuable. In my experience, you really moti-
vate people to think about the details of the PBIs and expose any assumptions when
you ask them to put a size number on them.
The majority of the value associated with Planning Poker is the discussion and
better understanding that team members will share about the PBIs. I hope they also
get size estimates on the PBIs; however, I am more concerned that they learn about
the PBIs. If they do, they have gotten a good return on the team’s investment.
What Is Velocity?
Velocity is the amount of work completed each sprint. It is measured by adding the
sizes of the PBIs that are completed by the end of the sprint. A PBI is either done or
it’s not done. The product owner doesn’t get any value from undone items, so velocity
does not include the size numbers of partially completed PBIs.
Velocity measures output (the size of what was delivered), not outcome (the value
of what was delivered). We assume that if the product owner has agreed that the team
should work on a PBI, it must have some value to him. However, completing a PBI of
size 8 doesn’t necessarily deliver more business value than completing a PBI of size 3.
Perhaps the PBI of size 3 is high value and therefore we work on it early (because it is
high value and low cost), and we work on the PBI of size 8 later (because it is lower
value and higher cost).
Velocity is used for two impor tant pur poses. First, it is an essential concept for
Scrum planning. For release-level planning, as shown in Figure 7.1, we divide the size

ptg8286261
134 Chapter 7 Estimation and Velocity
of the release by the team’s average velocity to calculate the number of sprints neces-
sary to complete the release. Additionally, at sprint planning, a team’s velocity is used
as one input to help determine its capacity to commit to work during the upcoming
sprint (see Chapter 19 for more details).
Velocity is a lso a diagnostic metric that the team can use to evaluate and improve
its use of Scrum to deliver customer value. By observing its own velocity over time,
the team can gain insight into how specific process changes affect the delivery of
measurable customer value.
Calculate a Velocity Range
For planning purposes, velocity is most useful when expressed as a range, such as
“The team is typically able to complete between 25 and 30 points each sprint.” Using
a range allows us to be accurate without being overly precise.
With a velocity range we can more accurately provide answers to questions like
“When will we be done?” “How many items can we complete?” or “How much will
all this cost?” Because most of these questions get asked early on in a product devel-
opment effort, when we have the least information about the product, it’s impossible
to give a very precise answer. By using a range, we can communicate our uncertainty
(see Figure 7.12).
Release 1
Item Size
Feature A |5
Feature B |3
Feature C |2
Feature D |8
Feature E |2
Feature F |5
Feature G |3
Feature … |…
Feature ZX |5
Feature ZY |2
Feature ZZ |1
Feature … |…
∑= 200 points
1 2 3 4 5 6 7
30
25
20
15
10
5
0
Release 1 will need 10 to 12 sprints to complete
200 points ÷ 20 points/sprint = 10 sprints
200 points ÷ 17 points/sprint = 12 sprints
Low velocity = 17
High velocity = 20
F I G U R E 7 . 1 2 Calculating and using a velocity range

ptg8286261
Affecting Velocity 135
In this example (a revision of Figure 7.1), rather than declaring the precise sprint
by which all of the items in the release will be completed (which would likely be a
guess on our part), we instead provide a range as an answer to the question. To calcu-
late this range we need two velocities for our team. If we divide the release size by the
team’s faster velocity, we get the fewest number of sprints required. And if we divide
the release size by the team’s slower velocity, we get the greatest number of sprints.
Using some simple math (like high and low averages, 90% confidence intervals,
and so on), we can easily get two velocity numbers from our team’s historical veloc-
ity data (17 and 20 in the example here). In Chapter 18 I will provide more detail on
performing these calculations to answer questions about when, how many, and how
much.
Forecasting Velocity
In the previous examples I assumed that the team had historical velocity data that
we could use to predict future velocity. Certainly one of the benefits of having long-
lived teams is that they will acquire such useful historical data (see Chapter 11 for a
more detailed discussion of the benefits of long-lived teams). But how do we handle
the situation where we have a new team whose members haven’t worked together and
therefore have no historical data? We’ll have to forecast it.
One common way to forecast a team’s velocity is to have the team perform sprint
planning to determine what PBIs it could commit to delivering during a single sprint.
If the commitment seems reasonable, we would simply add the sizes of the commit-
ted PBIs and use that as the team’s forecasted velocity.
Because what we really want is a velocity range, we could have the team plan two
sprints and use one estimated velocity number as the high and the other as the low
(the two estimates would likely be different). Alternatively, we could make some intu-
itive adjustments to one estimated velocity based on historical data for other teams,
thereby converting the one estimate into a two-estimate range.
As soon as the team has performed a sprint and we have an actual velocity mea-
surement, we should discard the forecast and use the actual. And as the team builds
up a history of actual velocities, we should compute averages or apply other statistics
to the data to extract a velocity range. (See Cohn 2009 for more examples.)
Affecting Velocity
Do you believe that a team’s velocity should constantly increase over time? An execu-
tive once said to me, “Last year my team’s velocity averaged 30 points per sprint. This
year I’m expecting the team to achieve 35 points per sprint.” This executive believes
that the team’s velocity should correspond to trend 1 in Figure 7.13.

ptg8286261
136 Chapter 7 Estimation and Velocity
His reasoning was that if the team is constantly inspecting and adapting (con-
tinuously improving), its velocity should keep getting better and better.
I would expect a team that is aggressively trying to improve itself and is focused on
delivering features in accordance with a robust definition of done and low technical debt
(see Chapter 8) to see an increase in velocity. Well, at least an increase up to a certain
point, at which time its velocity will likely plateau (more like trend 2 in Figure 7.13).
Just because a team’s velocity has leveled out doesn’t mean there is no more
upward potential. There are a number of ways that the Scrum team and manag-
ers can help get velocity to the next plateau. For example, introducing new tools or
increasing training can have a positive effect on velocity. Or managers can strategi-
cally change team composition with the hope that the change will eventually lead to
a greater overall velocity. Of course, managers should be careful because haphazardly
moving people on and off teams can and probably will cause velocity to decline.
Although introducing new tools, getting training, or changing team composi-
tion can have a positive effect on velocity, these actions usually cause a dip in velocity
while the team absorbs and processes the change (see Figure 7.13, trend 2). After this
decline, there will probably be an increase to the point where the team establishes a
new plateau until some other change causes yet another plateau to be achievable.
Of course, there is one obvious thing we could do to try to improve velocity:
work longer hours. Working a lot of consecutive overtime might initially cause veloc-
ity to increase (see “Overtime” in Figure 7.14).
Time
Velocity
Trend 1
Trend 2
F I G U R E 7 . 1 3 A team’s velocity over time

ptg8286261
Misusing Velocity 137
That increase will almost certainly be followed by an aggressive decline in veloc-
ity along with a simultaneous decline in quality. Even after the overtime period ends,
the team will need some amount of time to recover before returning to its reasonable
baseline velocity. I have seen examples of where the trough (decreased velocity area)
during the recovery period is larger than the crest (increased velocity area) during the
overtime period.
The end result is that lots of overtime may provide some short-term benefits, but
these are frequently far outweighed by the long-term consequences.
Misusing Velocity
Velocity is used as a planni ng tool a nd as a tea m diagnostic metric. It shou ld not be
used as a performance metric in an attempt to judge team productivity. When mis-
used in this way, velocity can motivate wasteful and dangerous behavior.
For example, say I have decided to give the largest bonus to the team that has
the highest velocity. Superficially this idea might seem sensible; the team with the
highest velocity must be getting the most work done each sprint, right? So, why not
reward that behavior?
Well, if I’m comparing teams that aren’t sizing their PBIs using a common base-
line (which is very likely true), comparing the numbers would make no sense. Let’s
say that team A assigns a value of 5 to a PBI, whereas team B assigns a value of 50 to
Velocity
3. Team recovers
Time
2. Overtime ends
4. Return to baseline
1. Overtime
F I G U R E 7 . 1 4 The effect of overtime on velocity (based on a figure from Cook 2008)

ptg8286261
138 Chapter 7 Estimation and Velocity
the same PBI. Team A doesn’t really want me to compare its velocity against team B’s
velocity. Team B’s velocity will be ten times that of team A, even if both teams actu-
ally get about the same quantity of work completed each sprint.
Once team A sees the problem, its members will start to game the system to
ensure that their velocity numbers are higher. The easy way to do this is to just change
the scale the team uses to estimate PBIs. So, team A now sizes the same item (the one
it originally sized a 5) to be a 500. I call this behavior point inflation, and it serves no
purpose other than to align a team’s behavior with a misguided measurement system.
Don’t do this.
Even if teams are using the same units to consistently size PBIs, if I set up the
reward system to favor bigger numbers, that’s exactly what I’ll get—bigger numbers
(point inflation).
Even worse than point inflation is when teams cut corners to get more “done” in
an effort to achieve higher, more desirable velocities. Doing so leads to increasingly
greater levels of technical debt.
At the end of the day, we should judge velocity on how well it assists us with per-
forming accurate planning and how well it helps a team to internally improve itself.
Any other uses will likely promote the wrong behavior.
Closing
In this chapter I discussed how sizes are estimated, velocity is measured, and duration
is calculated. I illustrated how estimation applies to portfolio-level items, product
backlog items, and tasks. I then focused specifically on PBIs by discussing impor-
tant concepts related to PBI estimation, including story points and ideal days. Next I
described a technique known as Planning Poker that is commonly used to estimate
PBIs.
I moved from estimation to a discussion of velocity and how it should be used. I
reinforced that velocity is most helpful when expressed as a range instead of a single
number. I briefly mentioned ways that we might forecast the velocity for a new team.
I concluded by discussing how velocity can be and frequently is misused. In the next
chapter, I will focus on the concept of technical debt and how we deal with it when
using Scrum.

ptg8286261
139
Chapter 8
TECHNICAL DEBT
In this chapter I discuss the concept of technical debt. I begin by defining technical
debt, which encompasses naive debt, unavoidable debt, and deliberate debt. Next I
examine some common causes of technical debt and the consequences of accruing high
levels of debt. I then describe three activities associated with technical debt: manag-
ing the accrual of technical debt, making technical debt visible, and servicing technical
debt. I specifically emphasize how to apply these activities when using Scrum.
Overview
Ward Cunningham was the first to write about the concept of technical debt (Cun-
ningham 1992). He defined it as follows:
Shipping first time code is like going into debt. A little debt speeds develop-
ment so long as it is paid back promptly with a rewrite. . . . The danger occurs
when the debt is not repaid. Every minute spent on not-quite-right code counts
as interest on that debt. Entire engineering organizations can be brought to a
stand-still under the debt load of an unconsolidated implementation. . . .
Cunningham used the technical debt metaphor to explain to his business team why
creating software fast to get feedback was a good thing. In doing so, however, he empha-
sized two key points: The team and organization need to be vigilant about repayment
of the debt as their understanding of the business domain improves, and the design and
implementation of the system need to evolve to better embrace that understanding.
Since the introduction of the term in the early 1990s, the software industry has
taken some liberties with Cunningham’s definition. Nowadays, technical debt refers
both to the shortcuts we purposely take and also to the many bad things that plague
software systems. These include
Unfit (bad) design—a design that once made sense but no longer does, given
important changes to the business or technologies we now use
Defects—known problems in the software that we haven’t yet invested time
in removing
Insufficient test coverage—areas where we know we should do more testing
but don’t
Excessive manual testing—testing by hand when we really should have auto-
mated tests

ptg8286261
140 Chapter 8 Technical Debt
Poor integration and release management—performing these activities in a
manner that is time-consuming and error-prone
Lack of platform experience—for example, we have mainframe applications
written in COBOL but we don’t have many experienced COBOL program-
mers around anymore
And many more, because the term technical debt today is really used as a
placeholder for a multidimensional problem
Cunningham didn’t intend for technical debt to refer to team member or busi-
ness immaturity or process deficiencies that lead to sloppy design, poor engineering
practices, and a lack of testing. This kind of debt can be eliminated through proper
training, a good understanding of how to apply technical practices, and sound busi-
ness decision making. Because of the irresponsible and frequently accidental nature
of how this type of debt is generated, I refer to it as naive technical debt. It is also
known by other names: reckless debt (Fowler 2009), unintentional debt (McConnell
2007), and mess (Martin 2008).
In addition, there is unavoidable technical debt, which is usually unpredictable
and unpreventable. For example, our understanding of what makes for a good design
emerges from doing the design work and building user-valuable features on it. We
can’t perfectly predict up front how our product and its design will need to evolve
over time. So, design and implementation decisions we made early on might need
to change as we close important learning loops and acquire validated learning. The
changes required in the affected areas are unavoidable technical debt.
As another example, say we licensed a third-party component for use in our
product and the interfaces to that component evolve over time. Our product that
once functioned well with the third-party component accrues technical debt through
no fault of our own. Although this debt might be predictable (it’s not unreasonable
to assume that the vendor will change its component interfaces over time), it’s not
preventable because we can’t foresee how the component developers might evolve the
component in the future.
The final type of technical debt is strategic technical debt. This kind of debt is a tool
that can be used to help organizations better quantify and leverage the economics of
important, often time-sensitive, decisions. For example, an organization might deliber-
ately make a strategic decision to take shortcuts during product development to achieve
an important short-term goal, such as getting a time-sensitive product into the market-
place. Also, for a capital-strapped organization that is at risk of running out of money
before it can complete its product, getting a product with technical debt to market at
a reduced initial development cost and then generating revenue to self-fund ongoing
development may be the only way for the organization to avoid death before deployment.
Regardless of how the debt was accrued, technical debt is a powerful meta-
phor because it raises awareness of and provides visibility into an important issue.
The metaphor resonates well with business people who tend to be well versed in
financial debt. When they hear technical debt, they can quickly appreciate the

ptg8286261
Consequences of Technical Debt 141
insightful parallels, the most important being that just like financial debt, technical
debt requires interest payments, which come in the form of extra future development
effort. We can choose to continue paying the interest (by working around the prob-
lems), or we can pay down the debt principal (for example, by refactoring the code to
make it cleaner and easier to modify).
Consequences of Technical Debt
As the level of technical debt rises, so does the severity of the consequences. Let’s
discuss a few of the more notable consequences of high levels of technical debt (sum-
marized in Figure 8.1).
Unpredictable tipping point
Increased time to delivery
Significant number of defects
Universal frustration
Rising development and support costs
Product atrophy
Decreased predictability
Underperformance
Decreased customer satisfaction
Consequences of technical debt
F I G U R E 8 . 1 Consequences of technical debt

ptg8286261
142 Chapter 8 Technical Debt
Unpredictable Tipping Point
An important attribute of technical debt is that it grows in an unpredictable, nonlin-
ear fashion. Each bit of technical debt, when added to the pool of existing technical
debt, might do significantly more harm than the size of that new debt might imply.
At some point, technical debt achieves a sort of “critical mass,” where the product
reaches a tipping point and becomes unmanageable or chaotic. At the tipping point,
even small changes to the product become major occasions of uncertainty. This non-
linear characteristic is a significant business risk; we don’t know when the next piece
of straw is going to break the camel’s back, but when it does, all consequences are
amplified.
Increased Time to Delivery
Taking on technical debt means taking a loan today against the time required to do
future work. The greater the debt today, the slower the velocity tomorrow. When
velocity slows, it takes longer to deliver new features and product fixes to custom-
ers. So, in the presence of high technical debt, the time between deliverables actually
increases rather than decreases. In ever-competitive marketplaces, technical debt is
actively working against our best interests.
Significant Number of Defects
Products with significant technical debt become more complex, making it harder to
do things correctly. The compounding defects can cause critical product failures to
happen with alarming frequency. These failures become a major disruption to the
normal flow of value-added development work. In addition, the overhead of having
to manage lots of defects eats into the time available to produce value-added features.
At some point, we begin to drown but are so busy treading defect-filled waters we
can’t see how to pull ourselves out of the mess we are in.
Rising Development and Support Costs
As technical debt increases, development and support costs start rising. What used
to be simple and cheap to do is now complicated and expensive. In the presence of
increasing levels of technical debt, even small changes become very expensive (see
Figure 8.2).
When the high technical debt curve in Figure 8.2 starts its aggressive climb, we
reach a critical mass of technical debt and are at the tipping point.
Additionally, rising costs can change the economics of whether to proceed with
a feature or defect repair. A feature that could be built (or a defect that could be
repaired) at a low cost in the presence of low technical debt might become too expen-
sive in the presence of high technical debt. As a result of rising costs, our products
become less adaptive to the evolving environment in which they must exist.

ptg8286261
Consequences of Technical Debt 143
Product Atrophy
As we stop adding new features or fixing defects that could rejuvenate our aging
product, the product becomes less and less appealing to current and potential cus-
tomers. As a result, the product starts to atrophy and simply ceases to be a viable
option for most customers. Those who stay with the product are typically stuck with
it for the time being. But as soon as the first opportunity to switch to another product
appears, they’ll probably take it!
Decreased Predictability
For a product with high levels of technical debt, making any sort of prediction is
nearly impossible. For example, estimates become bad estimates even for the most
experienced team members. There is simply too much uncertainty surrounding how
long something might take when dealing with a debt-ridden product. Consequently,
our ability to make commitments and have a reasonable expectation of meeting them
is seriously impaired. The business stops trusting anything development has to say,
and customers stop trusting anything the business has to say!
Underperformance
Sadly, as technical debt increases, people come to expect increasingly lower devel-
opment performance and therefore reduce their expectations of what is possible. Of
course, the lowered expectations start to propagate through the value chain, resulting
in lower overall performance on an organization-wide basis.
Time
Cost of change
High technical debt
Low technical debt
F I G U R E 8 . 2 Cost-of-change curve affected by technical debt

ptg8286261
144 Chapter 8 Technical Debt
Universal Frustration
The unfortunate human consequence of high technical debt is that everyone in the
value chain becomes frustrated. The accumulation of all of those small but annoy-
ing shortcuts makes work on the product painful. Eventually the joy in development
disappears and is replaced with the day-to-day grind of fighting issues that no one
wants to (or should have to) deal with. People burn out. Knowledgeable members
of the development team begin to leave to pursue more gratifying opportunities;
and, as they are the ones in the best position to actually do something about the debt
problem, their leaving makes things even worse for those who remain. Morale spirals
downward with increasing intensity.
Technical debt doesn’t suck the joy out of just tech nical people ; it has the sa me
effect on business people. How long do we want to keep making business commit-
ments that can’t be met? And what about our poor customers, who are trying to run
their businesses on top of our debt-ridden product? They, too, quickly grow tired of
the repeated product failures and our inability to fulfill any promises that we make.
The trust that once existed through the value chain is replaced with frustration and
resentment.
Decreased Customer Satisfaction
Customer satisfaction will decrease as customer frustration increases. So the extent
of the damage caused by technical debt is not just isolated to the development team
or even to the development organization as a whole. Even worse, the consequences of
technical debt can substantially affect our customers and their perception of us.
Causes of Technical Debt
Recall that technical debt comes in three main forms, each of which has a different
root cause. Unavoidable technical debt accrues regardless of the preventive measures
we adopt. Naive technical debt results from team member, organizational, and/or
process immaturity. Strategic debt is something we might choose to take on when the
benefits of accruing the debt substantially exceed the cost of the debt.
Pressure to Meet a Deadline
Both strategic and naive technical debt, however, are often driven by business pres-
sure to meet an important looming deadline (see Figure 8.3, based on Mar 2006).
The vertical dimension represents the amount of work we want to accomplish
by a desired release date (shown on the horizontal dimension). The line between the
amount of work and the desired release date represents the constant projected veloc-
ity at which work must be completed to meet the desired release date. By working at
the projected velocity, we aim to complete high-quality features in a timely way while
minimizing the accrual of technical debt.

ptg8286261
Causes of Technical Debt 145
However, as we start doing the work, the actual velocity needed to produce high-
quality results is slower than the projected velocity. If we continue producing results
at the actual velocity, we’ll miss the desired release date and finish instead on the
likely release date.
Attempting to Falsely Accelerate Velocity
At this point we need to make a business decision. Do we want to cut scope to meet
the desired release date, or do we wish to add more time to the schedule to accom-
modate a delivery on the likely release date? Unfortunately, in many circumstances
the business rejects both of those options and decrees that the team must meet the
desired release date with all of the features. In this situation, the team doing the work
is being told to accelerate its velocity to meet the desired release date (see Figure 8.4).
By working at this accelerated velocity, the team will have to make deliberate
decisions to take on technical debt (meaning they will have to cut corners to work
fast enough to meet the desired release date). Perhaps the design won’t be as good as
it should be, or specific types of testing (perhaps load testing) will be deferred. As a
result, we will accrue technical debt as shown in the triangular region of Figure 8.4.
This region represents all of the work we should have done but didn’t have time to do.
Myth: Less Testing Can Accelerate Velocity
A prevalent myth is that testing is additional overhead, and by reducing it, we can
accelerate velocity (see Figure 8.5).
Time Desired
release
date
Amount of work
Actual velocity–rate
at which high-quality work
is being completed
Projected
velocity
Likely
release
date
F I G U R E 8 . 3 Pressure to meet a deadline can lead to technical debt.

ptg8286261
146 Chapter 8 Technical Debt
Time Desired
release
date
Amount of work
Accelerated velocity–velocity
needed to finish all of the
features by the desired date
This area represents the
accrued technical debt
Projected
velocity
Likely
release
date
F I G U R E 8 . 4 Accruing technical debt to meet unreasonable fixed scope and date
Increased debt
Go slower
Reality
Need to go faster Reduce testing
Lower debt
Go faster
Good practice
Increased debt
Go faster
Myth
Reduce testing
Use good technical
practices (like TTD)
F I G U R E 8 . 5 The myth, reality, and good practice of how testing affects velocity

ptg8286261
Causes of Technical Debt 147
The reality is that reducing testing will both increase debt and cause us to go
slower, because problems will go undetected until later when it is much more time-
consuming to fix them. Experienced teams deliver good-quality results faster and
with less technical debt when testing is fundamentally integrated into the development
process. These teams use good technical practices such as test-driven development
(TDD)—where the developer writes and automates a small unit test before writing the
small piece of code that will make the test pass (Crispin and Gregory 2009).
Debt Builds on Debt
Future technical debt builds quickly on top of existing technical debt. And, as the
technical debt begins to build, economically harmful consequences start to appear.
Figure 8.6 illustrates the consequences of building Release 2 on top of the technical
debt from Release 1.
In Figure 8.6, the actual velocity during Release 2 is slower than it was in Release
1. It is clear that at this velocity we once again will miss the targeted release date. And,
once again, the business insists that the team meet the desired release date with all of
the features. As a result, we accrue even more technical debt.
If this pattern continues, eventually the velocity line might become horizontal.
This would be a state where the technical debt in the system is so high that our effec-
tive velocity is zero. The result is the kind of product in which we are terrified to
make any changes, because a small change in one area could cause 18 other things to
break in what appear to be totally unrelated areas of the product. Worse yet, there is
no way we can predict that those specific 18 things would break. And, of course, we
Time
Amount of work
Actual velocity of Release 2
is much slower due to
Release 1 technical debt
This area represents
additional accrued
technical debt
Velocity of
Release 1
Release 2Release 1
Accelerated
velocity
F I G U R E 8 . 6 As technical debt increases, velocity decreases.

ptg8286261
148 Chapter 8 Technical Debt
don’t have any appreciable test framework to help us determine when they break—
but, not to worry, our customers are sure to let us know!
Once we find ourselves in a situation with high technical debt, all choices become
bad choices:
Do nothing, and the problem gets worse.
Make ever-larger investments in technical debt reduction that can consume
more and more of our valuable product development resources.
Declare technical bankruptcy, retire the technical debt, and replace the debt-
ridden product with a new product at the full cost and risk of developing a
new product.
With choices like these looming on the horizon, it is critical that we properly
manage our technical debt before it spirals out of control.
Technical Debt Must Be Managed
Technical debt, like financial debt, has to be ma naged. It is important to rea lize t hat
no product will be debt free, so I’m not suggesting that you try to achieve a debt-free
status. Even if it were possible, the economics of being debt free simply might not be
justified. We should, however, keep technical debt low enough that it doesn’t signifi-
cantly affect future product development.
Technical debt management requires a bala nced technica l a nd business discus-
sion that must involve technical and business people. That is one reason why each
Scrum team has a product owner. Having the product owner as part of the Scrum
team allows for a balanced discussion of business and technical perspectives to make
good economic trade-offs. As I will describe in Chapter 9, it is therefore essential that
we choose a product owner with the proper business acumen to participate in these
discussions.
There are three principal technical debt management activities (see Figure 8.7). I
will address each of these activities in the following sections.
Managing the accrual of technical debt
Making technical debt visible
Servicing (repaying) technical debt
Managing technical debt
F I G U R E 8 . 7 Activities for managing technical debt

ptg8286261
Managing the Accrual of Technical Debt 149
Managing the Accrual of Technical Debt
A critical dimension of managing technical debt is to manage the debt accrual pro-
cess. As I discussed earlier, there is only so much technical debt we can take on before
we reach a critical mass. By analogy, continuously accruing technical debt is equiva-
lent to continuously borrowing money against our house. At some point we just need
to stop and say, “No more!” because the consequences become too severe.
First, we need to stop adding naive debt to our products (stop being reckless and
creating messes). We also need to realize that there is only so much strategic debt or
unavoidable debt we can accrue without repayment before we reach the tipping point.
I will discuss approaches to addressing each of these. I won’t discuss how to manage
the accrual of unavoidable debt, because by its nature it is unpreventable (but we can
make it visible and service it once we discover it).
Use Good Technical Practices
The first approach to managing the accrual of technical debt is to stop adding naive
debt to our products. Using good technical practices is an excellent starting point.
Although Scrum does not formally define technical practices, every successful Scrum
team that I have seen employs practices such as simple design, test-driven develop-
ment, continuous integration, automated testing, refactoring, and so on (see Chapter
20 for additional discussion). Understanding and proactively using these practices
will help teams stop adding many forms of naive debt to their products.
In the case of accrued technical debt, code refactoring is an important tool for
paying it down. Refactoring is a disciplined technique for restructuring an existing
body of code, altering its internal structure without changing its external behavior
(Fowler et al. 1999). In other words, we clean up under the hood, but from the custom-
er’s perspective the product still works the same. By refactoring, we strive to reduce
complexity while improving maintainability and extensibility. The result of refactor-
ing is making the work at hand easier (the equivalent of reducing interest payments).
Cunningham (2011) explains the benefits of refactoring by example:
. . . customer is willing to pay for a new feature; feature doesn’t fit in; reorganize
the code so that it does fit in; now the feature is easy to implement. This could be
called just-in-time refactoring. I would explain this to management as follows:
we hope to have a place in our software for every new request. But sometimes we
don’t have a place for a feature so we have to make the place first, then imple-
ment the feature. . . .
Use a Strong Definition of Done
Work that we should have performed when a feature was built, but ended up defer-
ring until a later time, is an important cause of technical debt. Using Scrum, we want

ptg8286261
150 Chapter 8 Technical Debt
a strong definition of done (see Chapter 4) to help guide the team to a low- or no-debt
solution at the end of each sprint.
The more technically encompassing we make our definition-of-done checklist,
the less likely we are to accrue technical debt. And, as I discussed in Chapter 2, many
times the cost of paying back technical debt that slips past a weak definition of done is
substantially greater than addressing it during the sprint. Operating without a strong
definition of done is like granting a license to accrue technical debt.
Properly Understand Technical Debt Economics
To use technica l debt strategical ly and adva ntageously, we must properly understa nd
how it affects the economics of our decisions. Sadly, most organizations don’t under-
stand the implications of technical debt well enough to correctly quantify the eco-
nomics of taking it on. Let me illustrate by example (see Figure 8.8).
In this example, assume the following:
Each month of development costs $100K.
We cannot reasonably meet the target delivery date (at ten months) with all
of the requested, must-have features.
Dropping features is just not an option.
Time in months
10 months to desired release date
(will have to accrue technical debt
to meet this date)
Amount of work
$100K incremental
cost to repay this debt
in the future This delay will
cost $450K
in lost sales
Projected
velocity
13 months to achievable
release date (no appreciable
technical debt)
F I G U R E 8 . 8 Example technical debt economic analysis

ptg8286261
Managing the Accrual of Technical Debt 151
Let’s consider two possible alternatives. First, delay the delivery date of the prod-
uct by three months so that we can reasonably and professionally complete the work
on the must-have feature set with minimum technical debt at 13 months. The total
development cost would then be $1.3M. In discussions with sales and marketing, we
also project that a three-month cost of delay equates to $450K in lost sales.
Second, accelerate development by taking shortcuts in order to meet the original
target delivery date at ten months. To correctly quantify the economics of this option,
we need to know the cost of taking on the technical debt.
This is where things get difficult. Imagine that we ask the development team,
“So, if you have to make some design and implementation compromises today to
get the must-have features done by the original desired date, how much additional
money will it take to repay the debt after we do the first release?”
Let’s say the team discusses the question and believes it will need four months to
get the system cleaned up. This means the team will need one additional month over
and above the three months it “saved” by originally cutting corners. The net result is
that the team will spend an incremental $100K on development ($1.4M on develop-
ment instead of the $1.3M in the first option). That’s $100K the organization would
not have to spend if we took the time to do the work the right way and did not put the
technical debt into the product in the first place.
On the surface, the correct economic decision seems clear. Should we take on
a technical debt of $100K to generate incremental revenue of $450K? Sure, who
wouldn’t do that? And that might be the correct answer if we believe that we have
considered all (or even most) of the important cost factors associated with the techni-
cal debt.
However, here are just two of what could be many factors that we didn’t consider:
What about the delay cost of having to repay the technical debt? The $100K
covers the expense of the team to do technical debt reduction work in the
future. However, what about the cost of the time to do the debt reduction?
Time spent repaying the principal on the debt is a delay cost on some other
product or the next release of the same product. What is the cost of that
delay? So, if it takes the team one extra month to repay the debt, some other
product’s release is likely delayed by one month. That lost opportunity cost
has a real economic impact that must be considered.
Most organizations are not good about repaying their technical debt. When
push comes to shove, business people frequently favor developing new fea-
tures versus reworking features that already exist. So, the reality is that we
may not actually end up repaying any or all of the debt, which means we will
likely have to pay interest on the debt for the useful life of the system. This
also must be considered.
Table 8.1 summarizes the numbers of this example.

ptg8286261
152 Chapter 8 Technical Debt
Clearly, technical debt has tentacles that reach out and affect many different
aspects of the overall economic calculation. Failing to consider at least the most
important of these factors will ensure that we won’t correctly quantify the economics
of assuming technical debt.
Of course, if the economics in favor of taking on the debt are overwhelming and
compelling—for example, we will go out of business if we don’t take on that debt and
get the product into the marketplace with all of the must-have features, or we will
miss being first to market and lose the lion’s share of the marketplace revenue—we
don’t need to spend time considering less important factors because we already know
it’s economically sensible to take on the debt.
More often, however, the decision isn’t so clear-cut. The choice of whether or not
to assume the debt usually requires detailed analysis to discern which is the better
option. When deciding, err on the side of not taking on the debt. In my experience,
most organizations substantially underestimate the true cost of assuming technical
debt and aren’t nearly as diligent as they think they will be at repaying it.
T A B L E 8 . 1 Example Economics of Avoiding versus Taking on Technical Debt
Avoid Debt Take on Debt
Monthly development cost $100K $100K
Total development months 13 10
Total development cost $1.3M $1M
Delay in months (to release product) 3 0
Delay cost per month $150K $150K
Total delay cost $450K 0
Debt-servicing months 0 4
Debt-servicing cost $0 $400K
Total cost in lifecycle profits $1.75M $1.4M
Delay cost of incremental time to repay debt $0 X
Lifetime interest payments on technical debt $0 Y
Other debt-related costs $0 Z
Real cost in lifecycle profits $1.75M $1.4M + X + Y + Z

ptg8286261
Making Technical Debt Visible 153
Making Technical Debt Visible
One of the principal benefits of the technical debt metaphor is that it enables the
development team and the business people to have a necessary conversation using
a shared context. To have that conversation, both need visibility into the product’s
technical debt position in a way that each can understand.
Make Technical Debt Visible at the Business Level
The problem in many organizations is that whereas the development team has at least
some reasonable visibility into the product’s technical debt position, the business
people typically do not. Ask any technical person who has knowledge of a product
where the greatest concentration of technical debt in the product is, and chances are
she can answer that question. Ask the same question of a business person and she will
typically have no appreciable understanding of how much, or what type of, technical
debt exists.
The same would not be true for financial debt. Ask a business person about the
organization’s financial debt position and she will be able to give you a very accurate
answer.
So it is essential to provide business people with visibility into the product’s
technical debt position. If I could quantify technical debt numerically—and there is
significant current research work in the area of how to quantify technical debt (SEI
2011)—I might consider entering short-term and long-term technical debt line items
on the organization’s balance sheet right next to financial debt (see Table 8.2).
I can’t actually point to any organizations that have short-term and long-term
technical debt items on their balance sheets (although I think it is a good idea). I am
T A B L E 8 . 2 Technical Debt Shown on the Organization’s Balance Sheet
Assets Liabilities
Cash $600K Current Liabilities
Accounts Receivable $450K Notes Payable $100K
Accounts Payable $75K
Short-Term Technical Debt $90K
Tools and Equipment $250K Long-Term Liabilities
Notes Payable $300K
Long-Term Technical Debt $650K
. . . . . . . . . . . .

ptg8286261
154 Chapter 8 Technical Debt
simply using this as an example to illustrate that each organization needs to find a
way to communicate the magnitude of a product’s technical debt in a way that the
business people can understand. Otherwise, the business doesn’t have the proper vis-
ibility into the true condition of the product to make informed economic decisions.
A way that some organizations do make visible the business consequences of
technical debt is by tracking velocity over time. Figure 8.6 illustrated how an increase
in technical debt results in a decrease in velocity. This decrease can be described in
financial terms. For example, assume we have a Scrum team with a fixed cost per
sprint of $20K and a historical velocity of 20 points per sprint. Using these numbers,
we can compute that the team has a cost per point of $1K. If the accrual of technical
debt causes the team’s velocity to decrease to 10 points per sprint, the cost per point
will rise to $2K. In aggregate, if the team has roughly 200 points of work to complete
and velocity declines by one-half, what would have cost $200K to complete will now
cost $400K. So, using velocity, we can clearly see the financial cost of the interest pay-
ments on the accrued technical debt.
Make Technical Debt Visible at the Technical Level
Technical people of ten have tacit knowledge of where at least the most egregious
technical debt is located in the product. However, that understanding may not be vis-
ible in a way that it can be analyzed, discussed, and acted upon. Figure 8.9 illustrates
three ways of making technical debt visible at the technical level.
First, technical debt could be logged like defects into an existing defect-tracking
system (left side of Figure 8.9). This has the advantage of putting the debt in a famil-
iar place using known tools and techniques. If the debt information is colocated with
defect information, it is important to tag the debt in a way that it can easily be found,
Feature A
Feature B
Feature C
Defect 23
Refactor X
Feature D
Feature E
Feature F
Te ch n i c a l d eb t
Te ch n i c a l d eb t i n
product backlog
Te ch n i c a l d eb t i n
defect-tracking system Te ch n i c a l d eb t b a ck lo g
F I G U R E 8 . 9 Ways to make technical debt visible at the technical level

ptg8286261
Servicing the Technical Debt 155
because the team may choose to service the debt differently from the way it services
defects (as I will discuss shortly).
Another approach to making technical debt visible is to create product backlog
items that represent technical debt (middle of Figure 8.9). Doing so will give impor-
tant technical debt visibility on a par with that of new features in the product back-
log. Teams typically use this approach when the cost of servicing the technical debt
is quite high and the product owner needs to be involved in deciding how that work
should be ordered relative to value-added new features in the product backlog.
A third approach to making technical debt visible is to create a special technical
debt backlog that makes individual technical debt items visible (right side of Figure
8.9). Whenever new technical debt is discovered or introduced into the product, a
development team member can create a new technical debt item and add it to the
technical debt backlog. By making the technical debt items visible, the development
team can not only see its technical debt position but also can proactively determine
when it wants to service each piece of technical debt.
For colocated teams, a simple approach to visualizing the technical debt backlog
is to create a technical debt board on the wall and use sticky notes or cards to repre-
sent specific technical debt items. Usually the technical debt board would be placed
right next to the sprint backlog so that during sprint planning the team has visibility
into the technical debt that it can consider servicing in the upcoming sprint (I will
discuss this approach in the next section).
Most teams treat the technical debt backlog in a low-ceremony way by just plac-
ing technical debt cards on the wall. However, others might choose to groom the
technical debt backlog a bit more by investing a little time to order the cards or to
give a rough idea of the effort required to address the debt described on the card.
Servicing the Technical Debt
The last activity in managing technical debt is to service or repay the debt. When dis-
cussing debt servicing, I find it helpful to use the following status categories:
Happened-upon technical debt—debt that the development team was
unaware existed until it was exposed during the normal course of perform-
ing work on the product. For example, the team is adding a new feature to the
product and in doing so it realizes that a work-around had been built into the
code years before by someone who has long since departed.
Known technical debt—debt that is known to the development team and has
been made visible using one of the previously discussed approaches.
Targeted technical debt—debt that is known and has been targeted for ser-
vicing by the development team.

ptg8286261
156 Chapter 8 Technical Debt
Based on these categories, I generally apply the following algorithm when servic-
ing technical debt:
1. Determine if the known technical debt should be serviced (as I will discuss,
not all debt should be serviced). If it should be serviced, go to step 2.
2. If you are in the code doing work and you discover happened-upon techni-
cal debt, clean it up. If the amount of happened-upon technical debt exceeds
some reasonable threshold, clean it up until you reach that threshold. Then
classify the nonserviced, happened-upon technical debt as known technical
debt (for example, by creating entries in the technical debt backlog).
3. Every sprint, consider designating some amount of known technical debt
as targeted technical debt to be serviced during the sprint. Favor servicing
known technical debt with a high interest rate that is aligned with customer-
valuable work.
The approaches shown in Figure 8.10 expand on this algorithm for servicing
technical debt.
I will describe each of these approaches and how they specifically apply when
using Scrum.
Not all technical debt should be repaid
Repay the high-interest technical debt first
Repay technical debt incrementally
Repay technical debt while performing
customer-valuable work
Apply the Boy Scout rule
(service debt when you happen upon it)
Approaches for servicing
technical debt
F I G U R E 8 . 1 0 Approaches for servicing technical debt

ptg8286261
Servicing the Technical Debt 157
Not All Technical Debt Should Be Repaid
Sometimes technical debt should not be repaid. This is one area where the analogy
with financial debt gets stretched. Typically the expectation is that all financial debt
eventually will be repaid—although we know that isn’t always true!
There are a number of scenarios under which technical debt should not be repaid.
I will discuss three: product nearing end of life, throwaway prototype, and product
built for a short life.
Product Nearing End of Life
If a product has accrued significant technical debt and it is approaching end of life,
investing in any substantial debt repayment would be fiscally irresponsible. If the
product is low value, we would likely retire the product (and therefore the debt) and
devote our resources to higher-value products. If we have a high-value, high- technical-
debt product that is nearing end of life, it might make more sense to take on the high
risk and high cost of developing a new product than to repay the technical debt in the
old product.
Throwaway Prototype
There are times when deliberately taking on technical debt with absolutely no plan to
ever repay it might be the most economically sensible thing to do. A common exam-
ple would be the development of a throwaway prototype that is created for knowl-
edge-acquisition purposes (Goldberg and Rubin 1995). The value of the prototype is
not the code but rather the validated learning we get (Ries 2011). Because the proto-
type is not engineered for a life in the marketplace, it likely has some or a lot of tech-
nical debt. However, because it is a throwaway prototype, there is no reason to repay
the debt. Of course, if we create a throwaway prototype and then decide not to throw
it away, but instead treat it like an evolutionary prototype and evolve it into the prod-
uct, we will almost certainly be starting with a foundation that is mired in significant
technical debt.
Product Built for a Short Life
If we build a product for a very short production life, the economics might dictate
that technical debt should not be repaid. I illustrate this scenario with an interesting
example that I encountered in the late 1980s. At the time I was working for ParcPlace
Systems, the early market leader in object-oriented development environments. Back
in those days I was helping several high-profile Wall Street banks adopt Smalltalk as
a development platform. In one particular case I was brought in to coach a team to
help its members better understand object-oriented technology and to more effec-
tively use the Smalltalk development environment. This team had just produced one
of the first-of-its-kind derivative trading systems. When I arrived, one of my first

ptg8286261
158 Chapter 8 Technical Debt
requests to the group VP was to review the design and implementation of the product
the team had just built—the product had not yet gone live but was scheduled to do so
soon.
After a day of reviewing the architecture and code I met with the VP and told
him that his system might just be the nastiest-looking Smalltalk implementation I
had ever seen. I pointed out that the implementation had enormous problems that
had to be addressed immediately or their system (and business) was in for a world of
hurt.
At that point the VP told me (word for word), “Son, if you spend one nickel to
clean up that system, I will personally take you out back and shoot you.” I was, to
say the least, dumbfounded by his remark. I responded, “You need to trust me on
this one. That system is poorly designed and horribly implemented and you will have
long-term problems with it.” He retorted, “You don’t understand my business. In my
marketplace, when we come out with a new financial instrument, we make the lion’s
share of our profit in the first three months. That’s about how long it takes for my
competitors to rush in with their ‘me-too’ products. At that point, I am better off
exiting that market and developing a new product. I only need that new system to last
three months. I don’t care if you hold it together with chewing gum and baling wire.
Just don’t delay my revenue generation and give my competitors an opportunity to
beat me to market. We’re turning it on.”
That’s exactly what they did. In the first hour the system was in operation, the
traders using it generated $14M in revenue. I personally thought they took a large
risk by turning the system on in its fragile state, but from a revenue perspective I was
wrong.
Usually organizations don’t build products with an expected life of three
months. Typically we are interested in engineering a product for an extended life in
the marketplace.
Apply the Boy Scout Rule (Service Debt When You Happen Upon It)
There is a Boy Scout rule: “Always leave the campground cleaner than you found it.”
If you find a mess on the ground, you clean it up regardless of who might have made
the mess. You intentionally improve the environment for the next group of campers.
Bob Martin (and others) has nicely explained why this rule applies to product devel-
opment and technical debt (Martin 2008).
Following this rule, we try to always make our product design and implementa-
tion a little better, not a little worse, every time we touch it. When a development
team member is working in an area of the product and sees a problem (happened-
upon technical debt), she cleans up the problem. She doesn’t do this just because it is
good for her, though it almost certainly is, but also because it is good for the whole
development team and the organization.

ptg8286261
Servicing the Technical Debt 159
The algorithm provided earlier stated that we service the happened-upon debt up
to a reasonable threshold. We can’t just blatantly say that the team should service the
entire happened-upon technical debt when it is discovered. The servicing of that debt
might require significant effort, and the team is in the middle of a sprint in which it
has other work to complete. If the team tries to service the entire debt, it may not be
able to meet its original sprint goal.
To address t his issue, the team mig ht budget a percentage of time to a llow for
servicing happened-upon debt when it is discovered. One way to set this budget is to
increase the estimated size of individual PBIs to allow for the additional debt servic-
ing that typically occurs. Alternatively, the team might choose to budget a percent-
age of its capacity during sprint planning to service happened-upon debt. Examples I
have seen in the past range from 5% up to 33% of the sprint capacity. You should let
your particular circumstances guide your capacity allocation if you choose to use this
approach.
As for any happened-upon debt that is not serviced when discovered, it should
be classified as known debt and made visible using whatever technique the team has
decided to use for visualizing technical debt.
Repay Technical Debt Incrementally
In some products the accrued technical debt level might be quite high. Teams work-
ing on such products frequently end up making large balloon payments as a means
of servicing their debt load. They would be far better off if they made many, timely,
incremental payments against known technical debt instead of large late payments.
Smaller, more frequent payments are akin to making monthly payments against a
home mortgage. Doing so allows some of the debt to be serviced each month, avoid-
ing a large balloon payment at the end of the loan.
I get concerned when I hear teams discussing their “technical debt sprints” or
“refactoring sprints.” These are sprints whose only goal is to perform technical debt
reduction work. These sound like balloon payments to me. In fact, these sprints give
the appearance that the debt level was allowed to grow without attention to reduc-
tion. Now it has become such a problem that instead of developing customer-valuable
features in the next sprint, the team is going to deliver no customer value but instead
dedicate itself to dealing with a problem that it should have been dealing with a little
bit each sprint. There are times when the technical debt is so high and attention to
it so low that a sprint dedicated to raising awareness and making a concerted, full-
team-focused effort on repayment is helpful. However, as a rule, such sprints are to
be avoided whenever possible; repayment should occur incrementally.
Using this approach, we take some amount of known technical debt and desig-
nate it as targeted technical debt to be serviced during the next sprint. The decision as
to how much targeted technical debt to take on each sprint can be made by the Scrum
team during sprint planning.

ptg8286261
160 Chapter 8 Technical Debt
Repay the High-Interest Technical Debt First
Although it is convenient to lump all types of shortcuts or deficiencies under one
label of technical debt, it is important to realize that not all types of technical debt
are of equal importance. An example of an important form of debt is a frequently
modified module that a lot of other code depends on and is in real need of refactoring
because it’s becoming increasingly difficult to change. We pay interest on that debt all
of the time, and the magnitude of the interest continues to increase as we make more
and more changes.
On the other hand, we could have technical debt (known design or implementa-
tion issues) in a part of the product that is rarely used and almost never modified.
On a day-to-day basis we are not paying any, or at least not much, interest on this
debt. This is not a form of debt that requires a lot of attention, unless there is a not-
so-insignificant risk that this part of the product could fail and that the failure would
have major repercussions.
When servicing technical debt, therefore, we should target and service the high-
interest technical debt first. Any reasonable business person would do the same with
financial debt. For example, unless there is a compelling reason, as a rule we would
pay off the financial debt with an 18% interest rate before we repay the debt with a
6% interest rate.
Some organizations have accrued such high levels of technical debt that they can
become a bit paralyzed because they don’t know how to get started. For them, the
high-interest debt might be obvious but daunting in size. To prime the pump of debt
reduction, they may choose to repay a small debt to get accustomed to the process of
debt repayment. I am in favor of taking whatever actions might be culturally neces-
sary to give organizations the jolt they need to start managing their debt. As I will
describe next, if we repay technical debt while performing customer-valuable work,
we can incrementally focus on a small amount of debt that is worth repaying.
Repay Technical Debt While Performing Customer-Valuable Work
An excellent way to repay known technical debt incrementally, while focusing on
high-interest technical debt and aligning technical debt servicing with the Scrum
value-centric approach, is to make debt payments while performing customer-valu-
able work. So, whenever possible, avoid scheduling a full sprint of debt reduction
work, or for that matter defining individual product backlog items that are specific to
debt reduction. Instead, we should service known technical debt coincident with the
development of customer-valuable features in the product backlog.
Let’s assume that for every customer-valuable product backlog item we work on,
we also do several things. First, we commit to doing high-quality work so that we
don’t add new naive technical debt when we create the customer feature. Second, we
apply the Boy Scout rule and clean up whatever happened-upon technical debt that
we reasonably can when we are in the area doing work related to our feature. And

ptg8286261
Servicing the Technical Debt 161
third (the core attribute of this approach), we specifically repay targeted technical
debt in the area in which we will be working.
Using this approach has several advantages:
It aligns debt reduction work with customer-valuable work that the product
owner can properly prioritize.
It makes it clear to all development team members that technical debt reduc-
tion is a shared responsibility and not something to defer and delegate to
someone or some other team to clean up.
It reinforces technical debt prevention and removal skills because everyone
gets to practice them all the time.
It helps us identify the high-interest areas where we should focus our techni-
cal debt servicing. At the very least we know that the code (or other develop-
ment artifact) we are touching is still important because we are using it to
create the new feature.
It avoids the waste of repaying technical debt in areas where we really don’t
have to.
Earlier I mentioned an approach that I have seen several Scrum teams use to help
manage the alignment of known technical debt reduction activities with product
backlog items (shown in Figure 8.11).
Using this approach, known technical debt items are entered into a technical
debt backlog that is placed on the wall next to the sprint backlog during sprint plan-
ning (or inside a tool to achieve the equivalent effect).
During sprint planning, as the team members are working with the product
owner to select customer-valuable items from the product backlog to work on in the
next sprint, they consider the cards on the technical debt board to see if the work
they are planning to do on the new product backlog item would naturally intersect
an area of the product associated with a technical debt card. If so, someone takes the
card from the technical debt board and places it in the sprint backlog as work for this
sprint. Then, when performing the work necessary to complete the product backlog
Technical debt
Sprint backlog
F I G U R E 8 . 1 1 A technique for managing technical debt when using Scrum

ptg8286261
162 Chapter 8 Technical Debt
item, the team members would also address the technical debt tasks they pulled into
the sprint.
This approach is a very simple and elegant way of aligning technical debt servic-
ing with the creation of user value.
Closing
In this chapter I discussed the concept of technical debt, which accrues when we take
shortcuts today at tomorrow’s expense. I distinguished among naive, unavoidable,
and strategic technical debt. I went on to explain the consequences of poorly man-
aged levels of technical debt. I then discussed the three activities associated with
controlling technical debt: managing the accrual of technical debt, making technical
debt visible, and servicing technical debt.
This chapter concludes Part I. In the next chapter, I will transition and begin the
discussion of the various roles on a Scrum development effort, beginning with the
product owner role.

ptg8286261
This page intentionally left blank

ptg8286261
165
Chapter 9
PRODUCT OWNER
In this chapter I expand the description of the product owner role. I begin by explain-
ing the purpose of this role relative to other Scrum roles. Then I detail the principal
responsibilities and characteristics of a product owner. Next I present a “day in the
life” of a product owner over the course of multiple weeks. I then discuss who should
be a product owner for different types of product development. I conclude by describ-
ing how the product owner role can be combined with other roles and how it can be
scaled up into a product owner team.
Overview
The product owner is the empowered central point of product leadership. It is one of
the three collaborating roles that constitute every Scrum team (the others being the
ScrumMaster and the development team).
The product owner needs to look in at least two directions simultaneously (see
Figure 9.1).
Customers/users
Scrum teamStakeholders
Internal stakeholders
Product owner
Development team
ScrumMaster
F I G U R E 9 . 1 The product owner faces two directions simultaneously.

ptg8286261
166 Chapter 9 Product Owner
On one hand, the product owner must understand the needs and priorities of the
organizational stakeholders, the customers, and the users well enough to act as their
voice. In this respect the product owner acts as a product manager, ensuring that the
right solution is developed.
On the other hand, the product owner must communicate to the development
team what to build and the order in which to build it. The product owner must also
ensure that the criteria for accepting features are specified and the tests that verify
those criteria are later run to determine whether the features are complete. The prod-
uct owner doesn’t write detail-level tests but ensures that the high-level ones are writ-
ten so that the team can determine when the product owner will consider the feature
complete. In these respects the product owner is part business analyst and part tester.
Principal Responsibilities
Figure 9.2 illustrates the principal product owner responsibilities.
This is clearly a full-time role with significant responsibilities. As a matter of fact,
when you read the description that follows, you might start to think that it is not
practical for one person to handle all of these responsibilities or to have all of the
attributes necessary to be successful in the role. In most cases a single person can and
should fill the product owner role; however, under certain circumstances, product
owner teams or product owner proxies might be practical. Both concepts will be cov-
ered later in the chapter.
Manage economics
Groom the product backlog
Participate in planning
Collaborate with the development team
Collaborate with the stakeholders
Define acceptance criteria and verify that they are met
Product owner
responsibilities
F I G U R E 9 . 2 Principal product owner responsibilities

ptg8286261
Principal Responsibilities 167
Manage Economics
The product owner is responsible for ensuring that good economic decisions are con-
tinuously being made at the release, sprint, and product backlog levels (see Figure 9.3).
Release-Level Economics
At the release level the product owner continuously makes trade-offs in scope, date,
budget, and quality as a stream of economically important information arrives dur-
ing product development. Trade-offs made at the beginning of a release might no lon-
ger be appropriate in the presence of new information that arrives during the release.
For example, what if several weeks into a six-month, fixed-date development
effort we recognize an opportunity to increase revenue by 50% if we take one extra
week (4% schedule slip) to add a newly identified feature to the release? Should we
trade one week’s time and the additional cost for the extra revenue? The product
owner oversees this decision. In many cases he can unilaterally make the decision.
Other times the product owner might recommend a decision but still work with oth-
ers to secure their input (and at times approval) to execute the decision.
Also, at the end of every sprint the product owner oversees a decision as to
whether or not to fund the next sprint. If good progress is being made toward the
release goal or the next sprint is otherwise economically justified, the next sprint will
be funded. If poor progress is being made or the economics don’t support additional
expenditures, the effort might be canceled.
A satisfied product owner might also oversee a decision to stop funding fur-
ther development at the end of a sprint if the product is ready to ship and additional
expenditures simply aren’t justified. For example, let’s say we planned for a ten-sprint
release. After sprint 7, the product owner reviews the remaining product backlog
items and concludes that the cost to create those items is greater than the value they
deliver. The product owner might conclude that shipping the product early instead of
Continuous focus on
product backlog
economics
Reevaluate release-level economics at the end of each sprint
Consider sprint-level economics at the start of each sprint
This is a release composed of four sprints
F I G U R E 9 . 3 The product owner manages economics.

ptg8286261
168 Chapter 9 Product Owner
continuing with the original ten-sprint plan is economically more sensible. This flex-
ibility to deliver early is enabled by ensuring that the higher-value items at the top of
the product backlog are worked on first and the team is completing work each sprint
in accordance with a strong definition of done.
And, of course, the product owner might also conclude that we should stop fund-
ing at the end of a sprint because core economic properties have changed. For exam-
ple, what if we are creating a country-specific product and a regulatory agency in that
country revises its laws, making it unprofitable or perhaps even illegal for us to sell
the product? In cases like these, a product owner might oversee canceling the devel-
opment effort even if things are otherwise going well.
Sprint-Level Economics
In addition to release-level economics, the product owner also manages sprint-level
economics, ensuring that a good return on investment (ROI) is delivered from each
sprint. Good product owners treat their organization’s money as if it were their own
money. In most cases the product owner knows the cost of the next sprint (the dura-
tion and team composition of the sprint are known). With this knowledge the prod-
uct owner should ask himself at sprint planning, “Would I write a check out of my
own bank account equal to the cost of this sprint to get the features that we’re plan-
ning to build in this sprint?” If the answer is no, a good product owner wouldn’t
spend the organization’s money either.
Product Backlog Economics
As I discussed in Chapter 6, the product owner is responsible for prioritizing the
product backlog. When economic conditions change, the priorities in the product
backlog will likely change as well.
For example, let’s say that at the start of a release the product owner believes a
feature is valuable to a large percentage of the target users and the team believes that
only a modest effort is required to create it. After a few sprints, however, the team
discovers that the feature will require a large effort to complete and is valuable to
only a fraction of the target users. Because the cost/benefit ratio of this feature has
dramatically changed, the product owner should reprioritize the product backlog to
reflect this knowledge—perhaps by dropping the product backlog items associated
with the feature.
Participate in Planning
The product owner is a key participant in the portfolio-, product-, release-, and
sprint-planning activities. During portfolio planning (see Chapter 16), the product
owner works with internal stakeholders (perhaps an approval committee or gover-
nance board) to position the product correctly in the portfolio backlog and to deter-
mine when to start and end product development. During product planning (see

ptg8286261
Principal Responsibilities 169
Chapter 17), the product owner works with the stakeholders to envision the product.
During release planning (see Chapter 18), the product owner works with the stake-
holders and the team to define the content of the next release. During sprint planning
(see Chapter 19), the product owner works with the development team to define a
sprint goal. He also provides valuable input that enables the development team to
select a set of product backlog items that the team can realistically deliver by the end
of the sprint.
Groom the Product Backlog
The product owner oversees the grooming of the product backlog, which includes
creating and refining, estimating, and prioritizing product backlog items (see Chap-
ter 6). The product owner doesn’t personally perform all of the grooming work. For
example, he might not write all of the product backlog items; others might contribute
them. The product owner also doesn’t estimate the items (the development team does
that) but is available for questions and clarification during estimation. The product
owner is, however, ultimately responsible for making sure that the grooming activi-
ties take place in a way that promotes the smooth flow of delivered value.
Define Acceptance Criteria and Verify That They Are Met
The product owner is responsible for defining the acceptance criteria for each prod-
uct backlog item. These are the conditions under which the product owner would
be satisfied that the functional and nonfunctional requirements have been met. The
product owner may also write acceptance tests corresponding to the acceptance crite-
ria, or he could enlist the assistance of subject matter experts (SMEs) or development
team members. In either case, the product owner should ensure that these acceptance
criteria (and frequently specific acceptance tests) are created before an item is consid-
ered at a sprint-planning meeting. Without them, the team would have an incomplete
understanding of the item and would not be ready to include it in a sprint. For this
reason, many Scrum teams include the existence of clear acceptance criteria as an
item on their definition-of-ready checklist (see Chapter 6).
The product owner is ultimately responsible for confirming that the acceptance
criteria are met. Once again, the product owner may choose to run acceptance tests
himself or may enlist the assistance of expert users to help confirm that the product
backlog item meets the conditions of satisfaction. The team might help create a test-
ing infrastructure that enables the product owner or the feature SMEs to run these
tests more efficiently, but the product owner should be the final judge of whether an
item meets expectations.
It is important for the product owner to verify acceptance criteria during sprint
execution rather than waiting until the sprint review. By doing some testing as the
features are completed, the product owner can identify mistakes and misunderstand-
ings that the team can fix before the sprint review. Also, because the team is allowed

ptg8286261
170 Chapter 9 Product Owner
to demonstrate only completed features at the review, the product owner must ensure
that acceptance tests are run prior to the review so that the team knows which fea-
tures actually meet the definition of done.
Collaborate with the Development Team
The product owner must closely collaborate with the development team on a frequent
basis. The product owner is an engaged, committed, everyday role. Many organiza-
tions just starting to adopt Scrum fail to foster adequate product owner engagement
with the development team, delaying essential feedback and substantially reducing
the value of that feedback when it does occur.
This failure to engage can also occur when people new to the product owner
role assume that their level of involvement when using Scrum should resemble their
involvement during phase-based development. Figure 9.4 compares the typical level
of customer- or business-side engagement during a traditional sequential develop-
ment effort with that expected of a product owner when using Scrum.
Using traditional, phase-based development, the pattern of engagement resembles
a U-shaped or bathtub-shaped curve. Initially the customers have considerable up-
front involvement to help define the complete set of requirements. Once the effort
transitions into more technical phases (such as design, coding, and certain types of
testing), the customers are “no longer needed.” As such, their level of engagement is
quite low or nonexistent during a majority of the effort. In fact, during traditional
development, the customers don’t reenter the process until near the very end, when
they are required to perform user acceptance testing on what was built. What custom-
ers typically discover at this point is that what has been built isn’t exactly what they
Time
Customer or business engagement
Scrum
Traditional
F I G U R E 9 . 4 Comparison of customer or business engagement over time

ptg8286261
Characteristics/Skills 171
wanted. To make matters worse, it’s usually too late or too costly for them to make
changes—at least in this release. Customers who come in expecting to be delighted
instead leave surprised, frustrated, and disappointed. This is when the finger-pointing
moves into high gear. The customer claims, “If you guys had read my requirements
document more carefully, you would have built what I really wanted,” and the devel-
opment team retorts, “Well, if you had written your document more clearly, we would
have built something different. We built what you asked for!”
Using Scrum, we build a feature at a time, not a phase at a time. This means that
we perform all activities to create a particular feature (design, code, integrate, test)
during one sprint. Therefore, a constant high level of engagement by the product
owner is essential. With such close interaction on short, timeboxed iterations there is
far less chance for the product owner and the development team to become discon-
nected. A secondary benefit is that there is no finger-pointing when doing Scrum well!
Collaborate with the Stakeholders
The product owner is the single voice of the entire stakeholder community, internal
and external. Internal stakeholders can include business systems owners, executive
management, program management, marketing, and sales. External stakeholders
can include customers, users, partners, regulatory bodies, and others. The product
owner must work closely with the entire stakeholder community to gather input and
synthesize a coherent vision to guide product development.
If the product owner becomes overwhelmed and spreads himself too thin, it will
be difficult for him to collaborate with both the development team and the stake-
holders at the required level. In some circumstances the workload may be more than
one person can reasonably perform, in which case the product owner may enlist the
assistance of others to help fulfill the responsibilities of the role. I will address this
later when I discuss the concept of a product owner team.
Characteristics/Skills
Figure 9.5 illustrates important characteristics of the product owner role.
Although there are numerous characteristics that I look for in a good product
owner, they can be grouped into four categories: domain skills, people skills, decision
making, and accountability.
Domain Skills
The product owner is a visionary who can synthesize a product vision and lead the
team to achieve that vision. Having a vision doesn’t mean that every detail of the
vision or the path to achieving the vision is perfectly clear. A good product owner
knows that not everything can be anticipated up front and is willing to adapt when
change is warranted.

ptg8286261
172 Chapter 9 Product Owner
To be ef fec t ive at v ision creation a nd execution, a produc t owner must have
appropriate business and domain knowledge. It’s difficult to be an effective product
owner if you’re new to the product domain. How can you set priorities among com-
peting features if you don’t know the subject matter?
People Skills
A product owner must also be the “voice of the customer,” which requires a good
relationship with stakeholders. Because there are frequently multiple stakeholders
who could have conflicting needs, the product owner must also be a good negotiator
and consensus builder.
The product owner is the linchpin between the stakeholder community
and the rest of the Scrum team. In this position, the product owner needs good
Accepts responsibility for the product
Is committed and available
Acts like a Scrum team member
Domain skills
Accountability
Pe op le s k i ll s
Decision making
Is a visionary
Knows not everything can be anticipated
Has business and domain expertise
Has a good relationship with stakeholders
Is a negotiator/consensus builder
Is a powerful motivator
Is a good communicator
Is empowered to make decisions
Is willing to make hard decisions
Takes an economic view to balance business/technical issues
Is decisive
Product owner
characteristics
F I G U R E 9 . 5 Product owner characteristics

ptg8286261
Characteristics/Skills 173
communication skills to work with both constituencies and to convey information
to each group in the appropriate language. A good communicator also exhibits the
following qualities: is willing to speak up even if doing so goes against the status quo;
confident in his ideas; knowledgeable of the subject matter; able to communicate in a
simple, concise, and easily understood way; and credible.
A product owner is also a powerful motivator. When the going gets tough, the
product owner can remind people of why they are investing the effort and help peo-
ple maintain an enthusiastic outlook by reinforcing the business proposition.
Decision Making
The product owner must be empowered to make decisions. A frequent impediment to
organizations new to Scrum is that the person selected to be the product owner is not
empowered to make any significant decisions. Such a person is not the product owner.
The product owner must also be willing to make the hard decisions—usually by
trading off constraints like scope, date, and budget. These decisions must be made in
a timely manner and should not be reversed without good reason. In other words, the
product owner should be a decisive decision maker.
In making these decisions, a product owner must maintain the proper balance
between business needs and technical realities. Although the Scrum team as a whole
is responsible when systems accrue unacceptable levels of technical debt, naive prod-
uct owner decisions and ones that fail to consider system-level effects can frequently
be a significant contributing factor.
Accountability
The product owner is held accountable for delivering good business results. This
accountability doesn’t absolve other Scrum team members from their own account-
ability to participate in generating a good return on investment. However, the product
owner is on the hook for making sure the resources are being used in an economi-
cally sensible way and must accept responsibility if they are not. After all, the product
owner has many opportunities along the way to change the product backlog, readjust
priorities, or even oversee canceling the development effort entirely.
The product owner must be committed and available to both the stakeholders
and the rest of the Scrum team. Being a product owner is a full-time job; to try to do
it part-time is a recipe for failure.
Finally, the product owner is a member of the Scrum team and therefore real-
izes that good economic results are impossible without the collaborative efforts of
the full Scrum team. So, the product owner treats the development team and Scrum-
Master with respect and trusts that they are partners in delivering the desired results.
Toget her, a ll Scrum team members should share a Musketeer at titude (I w i ll descr ibe
this concept further in Chapter 11). There is no us-versus-them attitude. The product
owner, ScrumMaster, and development team are one unit working together toward
the same goal.

ptg8286261
174 Chapter 9 Product Owner
A Day in the Life
To better apprec iate the scope of product ow ner responsibilities, let’s look at a “day in
the life” of a product owner across part of a product development effort (see Figure 9.6).
During weeks 1 and 2 the product owner is engaged in both portfolio planning
(see Chapter 16) and product planning (see Chapter 17). As part of portfolio plan-
ning, the product owner might work with the portfolio manager or the governance
Sprint execution
Sprint review
Sprint retrospective
Sprint planning Sprint backlog
Potentially
shippable
product
increment
Daily scrum
Product backlog
Grooming
Participate
Oversee grooming
Pa r t i ci p a te
Review features
Week 1 Week 2 Week 3 Week 4 Week 5
Stakeholder meetings
Answer questions Attend when possible
Po r t f o l io
discussions
Po r t fo lio p la n n in g
Product planning
Envisioning Create initial
PBI-writing release plan
workshop
Release planning Sprint 1
Funding
approved Estimating
workshop
F I G U R E 9 . 6 A day in the life of a product owner

ptg8286261
A Day in the Life 175
board to discuss portfolio expectations that could influence the new-product plan-
ning. Those discussions provide input to product planning, where the product owner,
working with appropriate stakeholders and others, will perform the envisioning of
the new product.
At the completion of product planning, the proposed product will be submit-
ted to portfolio planning, where it is subjected to the organization’s economic filter
to determine if development will be funded and when work can begin. Figure 9.6
shows all of this occurring immediately after product planning is complete; in many
organizations there would likely be a delay between the end of envisioning and when
the approval committee or governance board would review and approve funding and
work would begin.
In week 3 the product owner is engaged in initial release planning (see Chapter
18). This typically involves a PBI-writing (story-writing) workshop (see Chapter 5 for
more details) that includes internal stakeholders, the development team members,
and possibly external stakeholders to generate a high-level product backlog that can
be used during release planning. The development team members should be available
to participate because funding has already been approved. If necessary, a surrogate
team can be used if the development team is not yet formed.
Following the PBI-writing workshop, the product owner participates in an esti-
mating workshop (probably a series of meetings over a day or two) during which
development team members (or a surrogate team if the actual team has not yet been
assigned) estimate the size of high-value product backlog items.
Next, the product owner facilitates an initial release-planning session (longer-
term planning). Because some number of product backlog items have already been
estimated, the focus of this release-planning activity is on prioritizing the product
backlog and balancing the constraints of scope, schedule, and budget (see Chapter 18).
The stakeholders are the principal co-participants in this activity; however, some or all
of the development team members will need to be involved at some point to identify
technical dependencies that could affect the order of the product backlog items.
The goal is to do a sufficient amount of release planning to have an acceptable
level of clarity of the overall release, and to provide initial answers to business ques-
tions such as what will be delivered and when. For most products this activity should
take no more than a day or two to complete. As I will discuss in Chapter 18, release
planning is an ongoing activity, so we shouldn’t overinvest at this point by trying to
be very precise; we’ll update the release plan as better information becomes available.
Following release planning, the Scrum team performs the first sprint (Figure 9.6
shows a two-week sprint during weeks 4 and 5). At the start of the sprint the product
owner oversees the sprint-planning activity (see Chapter 19). During sprint execution
(see Chapter 20), the product owner tries to attend the team’s daily scrums; this may
not always be possible, but it is a good practice. During the daily scrum, the product
owner listens to better understand how the current sprint is progressing and to iden-
tify opportunities to assist the development team. Perhaps a team member mentions

ptg8286261
176 Chapter 9 Product Owner
he is a little fuzzy on the specifics of a product backlog item and needs some clarifica-
tion before he can complete his current task. If it is a quick clarification, the product
owner might offer it up during the daily scrum. If the answer requires anything other
than a few-second response, the product owner should say, “I’d be happy to stick
around after the daily scrum and discuss it with you.”
The product owner must also be available (typically every day) to answer ques-
tions and to test features as they become reviewable. If the product owner knows he
can’t be available every day to perform these responsibilities, he must delegate them
to an appropriate person so that the development team will not be blocked. I will dis-
cuss this idea further later in this chapter.
Also during sprint execution the product owner meets with both the internal and
external stakeholders to ensure that priorities for the upcoming sprint are correct and
to secure valuable user input that will affect the features chosen for future sprints.
The product owner also performs frequent product backlog grooming, which
includes writing new product backlog items and refining existing items, then work-
ing with the team to get them estimated, and the stakeholders and team to get them
prioritized.
At the end of the sprint, the product owner participates in the two end-of-sprint
inspect-and-adapt activities: the sprint review (see Chapter 21) and the sprint retro-
spective (see Chapter 22). After these are completed, the sprint cycle repeats and the
product owner participates in the next sprint-planning activity.
Who Should Be a Product Owner?
Most non-Scrum organizations probably won’t have an existing role labeled “product
owner.” So, who within the organization should fill the product owner role?
As I mentioned earlier in this chapter, the product owner needs to face two direc-
tions simultaneously: toward the internal and external stakeholders and toward
the development team. Thus, the product owner role is a melding of authority and
responsibilities that have historically been found in several traditional roles. In its
most encompassing expression, a product owner incorporates elements of the roles of
product manager, product marketer, project manager (discussed further in Chapter
13), business analyst, and acceptance tester.
Exactly who should be the product owner depends on the type of development
effort and the specific organization. Table 9.1 suggests good candidates for the prod-
uct owner role for different types of development.
Internal Development
On an internal development effort, an empowered person from the group that will
benefit from the development should be the product owner. For example, if an inter-
nal IT group develops a system for the marketing group, an empowered person from
the marketing team should be the product owner (see Figure 9.7).

ptg8286261
Who Should Be a Product Owner? 177
Some organizations (typically those that haven’t yet learned the importance of
having a business person as the day-to-day engaged product owner) might ask an
IT person to handle the day-to-day product owner responsibilities. I will review the
issues with this approach when I discuss the concept of a product owner team later in
this chapter.
Commercial Development
On a commercial development effort—for example, a company building a prod-
uct for sale to external customers—the product owner should be an organization
employee who acts as the voice of the actual customers. Frequently this person comes
from the ranks of product management or product marketing (see Figure 9.8).
T A B L E 9 . 1 Product Owners for Different Types of Product Development
Development Type Candidate Product Owner
Internal
development
Representative/customer from the business area
benefiting from the solution
Commercial
development
Internal proxy for the actual customers and users
(typically a product manager, product marketer, or
project manager)
Outsourced
development
Representative/customer from the company paying for
the solution and receiving the benefits
Component team
(architectural
development)
Typically a technical person who can best prioritize the
backlog of technical items
IT departmentMarketing department
Marketing
system
F I G U R E 9 . 7 Example of a product owner on internal development

ptg8286261
178 Chapter 9 Product Owner
Scrum practitioners have hotly debated whether or not the product owner role is
really just the Scrum (and agile) renaming of the product manager role. Some believe
the two roles are synonymous. Others advocate that the product owner role is larger
than the product manager role. And, of course, still others argue that the product
manager role is larger. Here’s how I view it.
The areas of product management and product marketing are quite expansive.
Pragmatic Marketing, Inc., a well-known and respected company in the product
management/marketing field, has created a highly regarded framework that defines
the roles and responsibilities for technology product management and product mar-
keting teams (see Figure 9.9).
To cover al l of these ac t ivities, Pragmatic Ma rketing suggests that mu ltiple roles
are needed, including product strategy champions, technical product managers, and
marketing product managers. Most people would agree that if a commercial organi-
zation needs to perform all of these activities for a larger product, a team of people is
likely necessary.
Is the product owner expected to perform all of these activities? Those who
believe the product owner role is a subset of the traditional product manager role
argue that a product owner is really just the “technical product manager” and there-
fore would focus primarily on the small number of activities shown inside the dashed
line in Figure 9.9. They believe that because the product owner has to be available
to the team on a day-to-day basis, he would not have time to focus on the other
activities.
Certainly the product owner is responsible for performing the activities within
the dashed line, but I believe that the product owner role is also responsible for more
Customer product
External customers Development depar tmentPro d u c t m a n a g e m e n t
Pro d u c t m a r k e t i n g
Pro j e c t m a n a g e m e n t
F I G U R E 9 . 8 Example of a product owner on commercial development

ptg8286261
Who Should Be a Product Owner? 179
activities. In fact, I believe that the product owner role should be responsible for per-
forming as many of the activities shown in Figure 9.9 as are necessary and practical
for the product owner to perform. The extent of that responsibility would depend
on the organization, the specific product, and the skills of the person selected to be
the product owner. For example, an organization that is producing a simple unit-
conversion application for sale in a mobile device app store will not require as many
activities as an organization creating the next major release of its enterprise Business
Intelligence product. Therefore, it isn’t practical to universally define the extent of the
product owner’s responsibility relative to the Pragmatic Marketing framework.
As I will discuss shortly, there are times when the scope of the product owner
activities may be too large for any one person to adequately perform. In such cases,
we might have a product owner team that includes people who focus on strategy and
marketing. However, there will always be a single individual who functions in the
product owner role for a Scrum team.
(480) 515-1411
■
PragmaticMarketing.com
© © 1993 – 2012 Pragmatic Marketing, Inc.
Competitive
Landscape
Product
Roadmap Innovation Requirements Sales
Process
Presentations
&
Demos
Launch
Plan
Status
Dashboard
Sales
Tools
Event
Support
Lead
Generation
Referrals
&
References
Channel
Training
Channel
Support
Business
Plan Positioning Marketing
Plan
Win/Loss
Analysis
Distribution
Strategy
Buy, Build
or Partner
Buyer
Personas
Customer
Retention
Distinctive
Competence
Product
Profitability
User
Personas
Program
Effectiveness
Product
Portfolio
Technology
Assessment
Use
Scenarios
“Special“
Calls
Thought
Leadership Collateral
Market
Definition Pricing Buying
Process
Customer
Acquisition
Market
Problems
STRATEGIC
TACTICAL
MARKET READINESS SUPPORTSTRATEGY BUSINESS PLANNING PROGRAMS
Pragmatic
Marketing
Framework
™
A Market-Driven Model for
Managing and Marketing
Technology Products
F I G U R E 9 . 9 Pragmatic Marketing framework

ptg8286261
180 Chapter 9 Product Owner
Outsourced Development Project
On an outsourced development effort—for example, company A contracting with
company B to build a solution—a representative from company A should be the
product owner. Company B may assign an internal person to closely liaise with the
product owner, but the product owner should be from the company that is paying for
the solution and receiving the benefits (see Figure 9.10).
The product owner role gets complicated if company A and company B enter into
a traditional fixed-price development contract. In that case company B will almost
certainly feel that it should be fulfilling most of the product owner responsibilities
because it has assumed the risk of a fixed-price contract. In reality, though, com-
pany A, as the actual customer, should fill the product owner role. A more appropri-
ate contract would have company A leasing the high-performance development team
and ScrumMaster from company B and company A providing the product owner.
Component Development
Last, some organizations might use component teams (see Chapter 12) that build
parts of customer solutions but not full customer solutions. These teams tend to
create components or other assets that are then reused by other teams to assemble
customer-valuable solutions. Because these teams focus at a technical component
level, their product owners are typically technically oriented people who are capable
of defining and prioritizing the technical features in their backlogs (see Figure 9.11).
In the figure, there are three business-oriented feature teams that create fea-
tures that are valuable to the end users. Each feature team has its own product owner
(Good)
(Bad)
Company B (contractor)Company A (client)
F I G U R E 9 . 1 0 Example of a product owner on outsourced development

ptg8286261
Product Owner Combined with Other Roles 181
focused on that team’s features. Each of these feature teams also leverages the work
of a component team that provides them with an asset necessary to complete their
features. The component team needs a product owner who can prioritize and oversee
the development of the various component-level requests being made by the feature
teams. The component team’s product owner is likely to be more technically oriented
than the product owners of the feature teams.
Product Owner Combined with Other Roles
If capacity permits, the same person may act as the product owner for more than one
Scrum team (see Figure 9.12).
Usually it is easier for this person to be the product owner of multiple teams on
the same development effort, because the work of these teams will most likely be
highly interrelated.
Although there are times when the same individual may be the product owner
and a member of the development team, it is considered a bad idea for the same per-
son to be both the product owner and the ScrumMaster on the same Scrum team.
These two roles counterbalance each other; having one person play both roles creates
a conflict of interest that we should try to avoid.
Component team
Business
oriented
Technically
oriented
Feature teams
F I G U R E 9 . 1 1 Example of a product owner on component development

ptg8286261
182 Chapter 9 Product Owner
Product Owner Team
Every Scrum team must have a single person who is identified as the product owner
and is the only person empowered and accountable for fulfilling the product owner
responsibilities for that Scrum team.
Should we allow a team of people to perform the product owner role? If by team
we mean a group of people with shared decision making and accountability, defi-
nitely not. To properly apply Scrum, we need one individual to be the product owner,
making decisions and acting as the single voice of the stakeholder communities to the
Scrum team.
That being said, some organizations might form what they call a “product owner
team” because they recognize that, in their circumstances, the product owner cannot
do the job without a select group of people to provide input and guidance. In other
companies, the workload of being a product owner might be greater than any one
full-time person can reasonably perform. In those cases, the product owner delegates
some product owner responsibilities to other people. Forming a product owner team
in either of these circumstances is acceptable as long as there is one person on the
team who is the ultimate decision maker and as long as having a product owner team
does not degrade into design by committee, with every decision needing approval
from eight other people.
Be careful when creating product owner teams. Product owners who are not
properly skilled to be the empowered central point of product leadership don’t need
a committee—they need a different role. Similarly, product owners who are too busy
to fulfill their responsibilities might not need a team. Perhaps the real problem is that
the organization has chosen to start too many development efforts at one time, or
there are just too few product owners to cover the necessary products.
product owner ScrumMaster
Development team
Development team
ScrumMaster Same person as
F I G U R E 9 . 1 2 Same person as product owner of more than one Scrum team

ptg8286261
Product Owner Team 183
Alternatively, perhaps the product we are building is just too large and should be
broken into a series of smaller pieces with more frequent releases. With small pieces
a single person might more easily fill the product owner role. Also, if we have struc-
tured our teams poorly (see Chapter 12), or poorly conceived the product backlog
structures (see Chapter 6), a single product owner might find it difficult to do his
job. Be sure that your product owner teams are truly necessary and not just masking
an underlying problem; otherwise, the situation will become more complicated and
jeopardize your overall outcome.
Product Owner Proxy
As I mentioned earlier, some companies doing internal development ask an IT person
(for example, a business analyst or development manager) to be the product owner
because the business unit person is too busy with other work. Because everyone
knows that the IT person is really not empowered to make important final decisions
(one of the key responsibilities of any product owner), organizations that do this have
filled the product owner role ineffectively and confusingly. A better solution is to free
up enough of the business unit person’s time to be the true product owner but have
the IT person act as the product owner proxy in certain interactions with the team.
A product owner proxy is a person enlisted by the product owner to act on his
behalf in particular situations. Everyone on the Scrum team knows that the proxy is
not the actual product owner, but everyone also knows that the product owner has
empowered the proxy to make at least some tactical decisions on his behalf. A com-
mon example is when the product owner spends a great deal of time meeting with
customers and users to make sure he has his fingers on the pulse of the marketplace.
This person is reliably unavailable to the development team on a day-to-day basis. In
this case, the product owner might enlist the support of a proxy to handle the day-to-
day interaction with the development team regarding product backlog items.
For this approach to work, it is essential that the product owner actually empower
the proxy to make decisions and not unreasonably overrule those decisions in a way
that would undermine the proxy’s credibility with the team. Remember, even though
the product owner can empower others to assist him, he cannot delegate the ultimate
responsibility for ensuring that the work gets done—he is still on the hook for that.
Chief Product Owner
Another situation where a product owner team is frequently created is on very large
products. Earlier I noted that a single person might be the product owner for a couple
of Scrum teams, but what about scenarios that involve many teams? For example,
I trained and coached an organization that had a development effort that involved
upward of 2,500 people. With an average team size of fewer than 10 people, the orga-
nization had more than 250 teams on the effort. One person can’t be the product
owner for 250 teams. In fact, one person can’t be the engaged, day-to-day product

ptg8286261
184 Chapter 9 Product Owner
owner for more than a few teams. In cases like these, the product owner role needs to
scale hierarchically as shown in Figure 9.13.
Ultimately in Figure 9.13 the person labeled chief product owner is the product
owner for the whole product. However, the chief product owner has a team of prod-
uct owners to ensure that the product owner role is filled correctly at each lower level
in the hierarchy. If you choose to use this approach, ensure that the individual team
product owners remain empowered to make the vast majority of the decisions at their
levels, rather than having to pass such decisions up the hierarchy to be made at higher
levels.
Closing
In this chapter I expanded the description of the product owner role. I emphasized
this role as the empowered central point of product leadership and described impor-
tant responsibilities and characteristics of the role. I then described what the product
owner does during the various Scrum activities on a project. I went on to discuss
what type of person should fill the role for different project types. Then I described
how a single person might be the product owner for more than one Scrum team, and
how on occasion a single person might be both a product owner and a team member
on the same Scrum team. I ended by discussing the idea of a product owner team
with a focus on product owner proxies and chief product owners. In the next chapter
I will discuss the ScrumMaster role.
Chief
product owner
Product line
owners
Feature
product owners
F I G U R E 9 . 1 3 Hierarchical product owner role

ptg8286261
185
Chapter 10
SCRUMMASTER
In this chapter I describe the ScrumMaster role. I begin by describing the purpose
of the role relative to the other Scrum roles. Then I define the principal responsibili-
ties and characteristics of a ScrumMaster. Next I illustrate a “day in the life” of the
ScrumMaster, which leads to a discussion of whether or not the ScrumMaster role
is full-time. I end by describing the kind of person who typically fulfills the Scrum-
Master role.
Overview
The ScrumMaster is one of the three roles that constitute every Scrum team (the oth-
ers being the product owner and the development team). While the product owner is
focused on building the right product and the development team is focused on build-
ing the product right, the ScrumMaster is focused on helping everyone understand
and embrace the Scrum values, principles, and practices. The ScrumMaster acts as
a coach to both the development team and the product owner. A ScrumMaster also
provides process leadership, helping the Scrum team and the rest of the organization
develop their own high-performance, organization-specific Scrum approach.
Principal Responsibilities
Figure 10.1 illustrates the principal ScrumMaster responsibilities.
Coach
The ScrumMaster is the agile coach for the Scrum team—both the development
team and the product owner (see Adkins 2010 for a comprehensive description of an
agile coach). By coaching both roles, the ScrumMaster can remove barriers between
the roles and enable the product owner to directly drive development.
Analogous to the coach of a sports team, the ScrumMaster observes how the
team is using Scrum and does anything possible to help it get to the next level of
performance. When problems arise that the team can and should be able to solve,
the ScrumMaster’s attitude, like that of any good coach, is “I’m not here to solve your
problems for you; instead, I’m here to help you solve your own problems.” If the prob-
lem is an impediment that the team can’t resolve, the ScrumMaster takes ownership
of getting it resolved.

ptg8286261
186 Chapter 10 ScrumMaster
The ScrumMaster coaches a new product owner by helping him understand and
perform his product owner responsibilities. Once the ScrumMaster helps the product
owner get established in his role, she provides him with ongoing assistance for activi-
ties such as grooming the product backlog. Furthermore, in keeping with the sports
team analogy, the ScrumMaster’s relationship with the product owner is very much
like a sports team coach’s main role with the team’s owner: help the owner maximize
business outcomes using Scrum, manage expectations, make sure the owner is pro-
viding the team with what it needs, and listen to the owner’s complaints and requests
for change and translate those into actionable improvements for the team.
Servant Leader
The ScrumMaster is often described as a servant leader of the Scrum team. Even when
acting as the team’s coach, the ScrumMaster is first and foremost a servant to the
Scrum team, ensuring that its highest-priority needs are being met. A servant leader
would never ask, “So, what are you going to do for me today?” Instead, a servant leader
asks, “So, what can I do today to help you and the team be more effective?”
Process Authority
The ScrumMaster is the Scrum team’s process authority. In this capacity, the Scrum-
Master is empowered to ensure that the Scrum team enacts and adheres to the Scrum
Coach
Process authority
Servant leader
Impediment remover
Change agent
Interference shield
ScrumMaster
responsibilities
F I G U R E 1 0 . 1 Principal ScrumMaster responsibilities

ptg8286261
Principal Responsibilities 187
values, principles, and practices along with the Scrum team’s specific approaches.
The ScrumMaster continuously helps the Scrum team improve the process, whenever
possible, to maximize delivered business value.
Authority in this context is not the same type of authority that a functional man-
ager or project manager would have. For example, the ScrumMaster doesn’t hire and
fire and cannot dictate to the team what tasks it should do or how to do them. The
ScrumMaster also is not responsible for making sure the work gets done. Instead, the
ScrumMaster helps the team define and adhere to its own process for making sure
the work gets done.
Interference Shield
The ScrumMaster protects the development team from outside interference so that it
can remain focused on delivering business value every sprint. Interference can come
from any number of sources, from managers who want to redirect team members in
the middle of a sprint, to issues originating from other teams. No matter what the
source of the interference, the ScrumMaster acts as an interceptor (fielding inquir-
ies, addressing management, and arbitrating disputes) so that the team can focus on
delivering value.
Impediment Remover
The ScrumMaster also takes responsibility for removing impediments that inhibit
the team’s productivity (when the team members themselves cannot reasonably
remove them). For example, I observed a Scrum team that was consistently unable to
meet its sprint goals. The impediment was unstable production servers that the team
used during testing (as part of its definition of done). The team itself had no control
over these servers—that was the responsibility of the VP of Operations. Because the
team itself could not remove the impediment, the ScrumMaster took ownership of
improving the server stability by working with the VP of Operations and others who
could actually do something about the stability issue.
Change Agent
The ScrumMaster must help change more than faulty servers and similar impedi-
ments. A good ScrumMaster must help change minds as well. Scrum can be very
disruptive to the status quo; the change that is required to be successful with Scrum
can be difficult. The ScrumMaster helps others understand the need for change, the
impacts of Scrum outside of the Scrum team, and the broad-reaching benefits Scrum
can help achieve. The ScrumMaster also ensures that effective change is occurring at
all levels of the organization, enabling not only short-term success but, more impor-
tantly, the long-term benefits from using Scrum. In large organizations, the Scrum-
Masters might band together to become a more effective force for change.

ptg8286261
188 Chapter 10 ScrumMaster
Characteristics/Skills
Figure 10.2 illustrates important ScrumMaster characteristics.
Knowledgeable
To be an effective process coach, the ScrumMaster must be very k nowledgeable about
Scrum. The ScrumMaster should also understand the technical issues the team needs
to address and technologies the team will use to create solutions. A ScrumMaster
doesn’t need to have tech-lead- or dev-lead-level knowledge, but reasonable techni-
cal knowledge is an asset. The ScrumMaster also doesn’t need to be an expert in the
business domain (the product owner does), but again, working knowledge of the
business domain is very helpful.
Questioning
ScrumMasters use their coaching skills in conjunction with their process, technical,
and business knowledge to ask great questions. They engage in intentional inquiry,
asking the kinds of questions that make people stop and say, “Hmm. I never thought
about that. Now that you ask that question, it makes me think there might be another
way to go.” Great ScrumMasters almost never directly answer a question but instead
reflexively answer with their own question—not an annoying question, or a question
Knowledgeable
Patient
Questioning
Protective
Transparent
Collaborative
ScrumMaster
characteristics
F I G U R E 1 0 . 2 ScrumMaster characteristics

ptg8286261
Characteristics/Skills 189
for the sake of asking a question, but rather a thoughtful, deep, probing question—
thereby helping people realize that they have the insight to find their own answers (a
form of Socratic questioning).
Patient
Because ScrumMasters prefer not to give out answers, they need to be patient, giving
teams time to arrive at appropriate answers on their own. At times it is hard for me to
be a ScrumMaster because I see the issue the team is dealing with and I “know” the
answer. Well, at least I think I know the answer! It is arrogant for me (or any Scrum-
Master) to believe that I am smarter than the collective intelligence of the team. So, at
times I just have to bite my tongue and be patient, letting the team work out the solu-
tion, periodically asking probing questions to help guide things along.
Collaborative
The ScrumMaster must have excellent collaboration skills to work with the product
owner, development team, and all the other parties, even those who might not be
directly involved with Scrum. Also, as the process coach, the ScrumMaster is always
looking for opportunities to help the Scrum team members achieve an enviable level
of intra-team collaboration. A ScrumMaster can assist in this effort by personally
exhibiting effective collaboration skills.
Protective
The ScrumMaster should be very protective of the team. The common analogy is that
the ScrumMaster acts like a sheepdog, guarding the flock from wolves that might try
to attack. In our context wolves could be organizational impediments or people with
differing agendas. The ScrumMaster is adept at ensuring the protection of the team
within the greater context of making economically sound business decisions. With
acute sensitivity toward both team protection and business needs, the ScrumMaster
helps the Scrum team achieve a healthy balance.
The ScrumMaster also helps team members who begin to wander away from the
flock. When things get difficult, it is easy for people to fall back on familiar, non-
agile approaches. In this case it is the ScrumMaster’s job to help shepherd straying
team members, helping them overcome their difficulties by reinforcing how to use
Scrum more effectively.
Transparent
Finally, the ScrumMaster is transparent in all forms of communication. When work-
ing with team members, there is no room for hidden agendas; what you see and hear
from the ScrumMaster must be what you get. People expect nothing less of a servant
leader. The ScrumMaster also promotes transparent communication outside of the

ptg8286261
190 Chapter 10 ScrumMaster
Scrum team. Without transparent access to information it is difficult for the organi-
zation to inspect and adapt to achieve its desired business results from using Scrum.
A Day in the Life
What exactly is life like for a ScrumMaster during a sprint? Figure 10.3 is indicative
(not a precise statement) of how much time the ScrumMaster of a newly formed team
might spend doing each of the activities throughout a sprint. The percentage alloca-
tions would be different for a ScrumMaster of a high-performing Scrum team that
has been working together for several years.
As illustrated in the figure, the ScrumMaster spends time each day organizing
and facilitating the Scrum activities, including sprint planning, sprint execution,
sprint reviews, sprint retrospectives, and daily scrums. This includes setting up the
activities, overseeing their execution, and enabling the rest of the Scrum team to per-
form at a level where high-value results are achieved.
The ScrumMaster also spends time each day coaching the team members to help
them improve their use of Scrum and technical practices. The ScrumMaster might
also perform refresher training—for example, reminding a new team about the rules
of Planning Poker when estimating product backlog items. Also, some amount of
each day is dedicated to communicating (for example, updating sprint and release
burndown or burnup charts, or discussions with non-Scrum-team members).
Throughout the sprint, the ScrumMaster spends some time working with the
product owner on product backlog grooming activities (for example, writing and pri-
oritizing new product backlog items). The ScrumMaster also works with the product
owner to ensure that economically viable trade-offs are being made regarding impor-
tant variables such as feature, date, budget, and quality.
0%
1 2 3 4 5
Day within sprint
Allocation of time
6 7 8 9 10
20%
40%
60%
80%
100%
Impediment removal
Communicating
Change agent
Assist product owner
Coaching team
Scrum activities
FIGURE 10.3 A day in the life of a ScrumMaster

ptg8286261
Fulfilling the Role 191
The ScrumMaster also spends time acting as a change agent to help the organiza-
tion better embrace Scrum throughout the value chain (from sales, marketing, HR,
subcontracting, and so on).
The ScrumMaster spends a variable amount of time each day removing impedi-
ments. She might budget a fixed amount of time each day specifically for impedi-
ment removal. Of course, impediments can appear at any time, and they might be
large and time-sensitive, so the ScrumMaster might need to dynamically reallocate
time from other activities to address them.
Most teams and organizations that are new to Scrum will have many impedi-
ments when starting out and tend to focus on the ones that are obvious and some-
what easy to remove. That doesn’t mean, however, that all impediments will be easily
dispatched. In fact, the next level of impediments is often much more difficult and
time-consuming to address. Impediment removal is a big variable in the ScrumMas-
ter’s day; it could easily change the allocations of time shown in Figure 10.3.
Fulfilling the Role
When considering the ScrumMaster role, we need to decide who is best suited for it,
whether the role is a full-time job, and whether it can be combined with other Scrum
and non-Scrum roles. Let’s consider each of these.
Who Should Be a ScrumMaster?
Organizations new to Scrum won’t have people in a role called ScrumMaster. So
where do we find the ScrumMasters? I’ve seen great ScrumMasters come from many
different existing roles. Some ScrumMasters were previously project managers or
product managers (although product managers are more likely to transition into the
role of product owner). Other ScrumMasters come from a development, testing, or
other technical background. As long as an individual has the characteristics that I
mentioned earlier and is willing to take on the responsibilities of the role, she can be
an effective ScrumMaster.
Some organizations feel that the tech lead or dev lead should be the ScrumMaster.
These people in fact might make great ScrumMasters, but they also might not be the
best choice for the role. People who are in a technical leadership position are there
for a reason—they are technically very good at what they do. The ScrumMaster role
is not one where that level of technical excellence is exploited to its full potential.
Any time technical leaders are doing ScrumMaster work, they are necessarily provid-
ing less technical leadership. Making them ScrumMasters, therefore, might adversely
affect the technical outcome. I will address later in this chapter whether a develop-
ment team member can simultaneously fill the ScrumMaster role.
Functional area managers or resource managers can also be successful Scrum-
Masters if they have the skills to do the job. It would be best if such managers no

ptg8286261
192 Chapter 10 ScrumMaster
longer retained people management responsibility, at least not for members of their
Scrum teams. Because a ScrumMaster has no managerial authority, team members
might be confused about whether the person is wearing her ScrumMaster or man-
ager hat in a particular instance. I prefer to avoid this situation and not have team
members report to the ScrumMaster. In certain organizations, however, it might be
unavoidable, so we learn to deal with any potential conflict of interest as best we can.
Is ScrumMaster a Full-Time Job?
Every Scrum team has a ScrumMaster, but is the ScrumMaster a full-time role? Pos-
sibly not. A Scrum team that has been working together for an extended period of
time and has become highly proficient with Scrum might require less coaching than a
new team made up of people who have never worked together and are new to Scrum.
Although the ScrumMaster might need to spend less time with the team day
to day as the team matures, the ScrumMaster role remains critical to the success of
Scrum within the organization. Usually as the Scrum team’s need for a ScrumMaster
decreases, the need for the ScrumMaster to focus on broader organizational impedi-
ments and to be a change agent throughout the organization value chain increases.
In most cases, the ScrumMaster role remains a significant commitment of time.
In those cases where it’s not a full-time commitment, some combination of roles may
take place.
ScrumMaster Combined with Other Roles
If capacity permits and a single person is both a talented ScrumMaster and develop-
ment team member, that person may act in both roles. However, this combination
could suffer from a conflict of interest when the person tries to wear both hats. For
example, what if the person in the combined roles has important ScrumMaster activ-
ities (like removing impediments) to perform and also has critical task-level work to
do? Because both are important, compromising either will reduce the Scrum team’s
effectiveness. Complicating the trade-off is the fact that impediments can occur
unpredictably and be very time-consuming to address. This makes it even harder to
predict how much time a ScrumMaster as team member will actually have available
to do task-level work.
There is, however, a different approach that is often better. If a ScrumMaster
truly has available capacity, in many cases my preference is to have that person be the
ScrumMaster for more than one Scrum team (see Figure 10.4).
Becoming a good ScrumMaster requires acquiring a valuable, not-so-common
set of skills. I prefer that a person who has those skills share them with multiple
teams rather than spend time performing non-ScrumMaster activities. However, that
is just a personal preference. I have seen successful Scrum teams use either of these
approaches. There is no generic right or wrong answer, although there might be a
right or wrong answer in a specific organizational context.

ptg8286261
Closing 193
As I mentioned in Chapter 9, one combination of roles that is highly discour-
aged is having the same person serve as both ScrumMaster and product owner. The
ScrumMaster is the coach of the Scrum team, which means the ScrumMaster is the
Scrum coach for the product owner. It is hard to be your own coach. In addition,
the product owner has real product authority and can make demands on the team.
The ScrumMaster frequently acts as the balancing agent between the demands of
the product owner and the needs and abilities of the development team. Having the
product owner and the ScrumMaster be the same person would add confusion where
it could be easily avoided.
Closing
In this chapter I described the ScrumMaster role. I emphasized the ScrumMaster
responsibilities as coach, servant leader, process authority, interference shield, imped-
iment remover, and change agent. I then discussed how the ScrumMaster should be
knowledgeable about Scrum, ask great questions, patiently wait for the team to solve
its problems, collaborate with everyone, protect the team from undue interference,
and communicate in a visible and transparent way. Next I described how the Scrum-
Master’s time is allocated across a sprint to provide a deeper appreciation for this
critical role. I concluded by discussing who within the organization should be the
ScrumMaster, whether or not the role is full-time, and how the ScrumMaster role
might be combined with other Scrum roles.
In the next chapter I will explore the role that the development team plays in
Scrum.
Development team
Product owner
ScrumMaster
Same person as
Product owner
Development team
FIGURE 10.4 Same person as ScrumMaster of more than one team

ptg8286261
This page intentionally left blank

ptg8286261
195
Chapter 11
DEVELOPMENT TEAM
In this chapter I describe the development team role. I begin by discussing five prin-
cipal responsibilities of this role and conclude by describing ten characteristics that a
development team should exhibit.
Overview
Traditional software development approaches define various job types, such as archi-
tect, programmer, tester, database administrator, UI designer, and so on. Scrum
defines the role of development team, which is simply a cross-functional collection
of these types of people. In particular, the development team is one of the three roles
on every Scrum team. The development team’s members, collectively, have the skills
required to deliver the business value requested by the product owner.
The term development team may appear to be the wrong label to apply to a team
that is composed of more than just developers. Other labels have been used, such as
delivery team, design-build-test team, and just team. It’s not apparent that any of these
labels is more appropriate, less ambiguous, or easier to use than development team.
For now, the Scrum community has converged on the use of the term development
team, and I will use that term in this book.
Role-Specific Teams
Many organizations are accustomed to intentionally splitting different job roles into
specialized, role-specific teams. These organizations might have one team of design-
ers, one of developers, and another of testers. These teams hand off work to one
another when it is complete and more or less function independently of each other.
In Scrum, the development team must do all of the work to produce one or more
vertical slices of working product functionality each sprint, including the design,
development, integration, and testing of that functionality. Thus, we need a team that
is skilled at all of those tasks.
Some organizations try to maintain a separate testing or QA team while doing
Scrum. Now, I admit there are times when having a separate team that focuses specif-
ically on testing might be necessary—for example, a regulatory requirement might be
that a separate team perform a particular type of testing. However, most of the time
there is no such need. Testing should be fully interwoven into the work that takes

ptg8286261
196 Chapter 11 Development Team
place during every sprint. Therefore, the development team doing the work during
that sprint should do the testing.
Whenever you can, you should create cross-functional teams. Parceling the work
out to different role-specific teams is suspect and is likely a serious impediment to
the successful use of Scrum. Make sure you have a real need (besides habit) for keep-
ing any role-specific teams.
Principal Responsibilities
Figure 11.1 illustrates the Scrum activities, annotated with the principal development
team responsibilities.
I will describe each of these responsibilities.
Perform Sprint Execution
During sprint execution, development team members perform the hands-on, cre-
ative work of designing, building, integrating, and testing product backlog items
into increments of potentially shippable functionality. To do this, they self-organize
Inspect and adapt
Plan
Groom Inspect and adapt
Sprint execution
Sprint review
Sprint retrospective
Sprint backlog
Po te n t ia l l y
shippable product
increment
Daily scrum
Product backlog
Grooming
Perform
Sprint planning
F I G U R E 1 1 . 1 Development team responsibilities with respect to Scrum activities

ptg8286261
Principal Responsibilities 197
and collectively decide how to plan, manage, carry out, and communicate work (see
Chapter 20 for details). The development team spends a majority of its time perform-
ing sprint execution.
Inspect and Adapt Each Day
Each development team member is expected to participate in each daily scrum, dur-
ing which the team members collectively inspect progress toward the sprint goal and
adapt the plan for the current day’s work. If some team members do not participate,
the team can miss pieces of the big picture and may fail to achieve its sprint goal.
Groom the Product Backlog
Part of each sprint must be spent preparing for the next. A large part of that work
focuses on product backlog grooming, which includes creating and refining, estimat-
ing, and prioritizing product backlog items (see Chapter 6 for details). The develop-
ment team should allocate up to 10% of its available capacity every sprint to assist the
product owner with these activities.
Plan the Sprint
At the beginning of each sprint, the development team participates in sprint plan-
ning. In collaboration with the product owner and with facilitation from the Scrum-
Master, the development team helps to establish the goal for the next sprint. The
team then determines which high-priority subset of product backlog items to build
to achieve that goal (see Chapter 19). For a two-week sprint, sprint planning typi-
cally takes about half a day. A four-week sprint might need up to a full day for sprint
planning.
Notice that planning happens iteratively. Rather than focusing on a very large,
uncertain, and overly detailed plan at the start of a development effort, the team
makes a series of smaller, more certain, and more detailed plans just in time at the
beginning of each sprint.
Inspect and Adapt the Product and Process
At the end of each sprint, the development team participates in the two inspect-and-
adapt activities: sprint review and sprint retrospective. The sprint review is where the
development team, product owner, ScrumMaster, stakeholders, sponsors, customers,
and interested members of other teams review the just-completed features of the cur-
rent sprint and discuss how to best move forward (see Chapter 21). The sprint retro-
spective is where the Scrum team inspects and adapts its Scrum process and technical
practices to improve how it uses Scrum to deliver business value (see Chapter 22).

ptg8286261
198 Chapter 11 Development Team
Characteristics/Skills
Figure 11.2 illustrates important characteristics of the development team.
Self-Organizing
Tea m members self-organize to determ i ne the best way to accomplish the sprint goal.
There is no project manager or other manager who tells the team how to do its work
(and a ScrumMaster should never presume to). Self-organization is a bottom-up,
emergent property of the system—there is no external dominating force applying
traditional top-down, command-and-control management.
Let me illustrate with an example. Where I live in Colorado, there is a pond at
the entrance of my subdivision. Over the winter a flock of Canada geese comes and
roosts there. So each year we have a couple of hundred geese that simultaneously
make a big mess and are pretty to look at. Now, I also have two dogs named Letti and
Toast. Norma lly they stay inside t he fenced back yard. Occasiona lly we let t hem roa m
free outside the fence, and if they see the geese by the pond, they run down to greet
them. I don’t think they would hurt the geese, but when they see Letti and Toast com-
ing, the geese decide to cede the pond to them for a while, so they take off en masse.
Self-organizing
T-shaped skills
Cross-functionally diverse and sufficient
Long-lived
High-bandwidth communications
Musketeer attitude
Right-sized
Transparent communication
Works at sustainable pace
Focused and committed
Development team
characteristics
F I G U R E 1 1 . 2 Development team characteristics

ptg8286261
Characteristics/Skills 199
Did you ever wonder when birds take off how it is that they know to form their
characteristic V pattern (flocking pattern)? Do you think there is a “manager bird,”
with a flipchart, down at my pond that calls a meeting to instruct the birds on how to
flock (see Figure 11.3)?
I’ve lived by the pond for many years, and I don’t ever recall seeing that meeting.
(Although years ago my son Jonah declared, “Dad, you’ve never seen it because they
do that meeting at night!” Hmm. Maybe he’s on to something.)
No, unless my son is right and the birds are much craftier than I think, the geese
flock through self-organization, a bottom-up emergent property of a complex adap-
tive system. In such systems, many entities interact with each other in various ways,
and these interactions are governed by simple, localized rules operating in a context
of constant feedback (see Figure 11.4).
These types of systems exhibit interesting characteristics, such as being remark-
ably robust and producing amazing novelty.
Like the flocking birds, a development team has no top-down command-and-
control authority that tells the team how to do its work. Instead, a cross-functionally
diverse team of people organize themselves in the most appropriate way to get work
done. In effect, what emerges is the team’s own equivalent of the V pattern.
Me
Listen up!
When we get in the air, I’ll take
the lead. George, I want you 1 meter
behind me on my left side, and Cindy,
I want you 1 meter behind on my
right side. The rest of you fan
out behind them.
F I G U R E 1 1 . 3 Flocking isn’t the result of top-down planning.

ptg8286261
200 Chapter 11 Development Team
Managers, however, do have a vital role in Scrum. They create (and re-create) the
environment for the self-organizing team. We’ll talk more about the role of managers
in Chapter 13.
Cross-Functionally Diverse and Sufficient
Development team members should be cross-functionally diverse; collectively they
should possess the necessary and sufficient set of skills to get the job done. A well-
formed team can take an item off of the product backlog and produce a good-quality,
working feature that meets the Scrum team’s definition of done.
Tea ms composed solely of people w ith the same sk i l ls (traditional silo teams) can
at most do part of the job. As a result, silo teams end up handing off work products to
other silo teams. For example, the development team hands the code off to the testing
team, or the UI team hands off screen designs to the business logic team. Handoffs
represent an excellent opportunity for miscommunication and costly mistakes. Hav-
ing diverse teams minimizes the number of handoffs. And creating diverse teams
doesn’t prevent us from having multiple team members who might be highly skilled
in the same discipline such as Java or C++ development or testing.
Cross-functionally diverse teams also bring multiple perspectives, leading to bet-
ter outcomes (see Figure 11.5).
¾6kd^YXgdlY^c\cZ^\]Wdgh
¾;an^chVbZ\ZcZgVaY^gZXi^dc
VhcZ^\]Wdgh
;anidlVgYVkZgV\Zedh^i^dc
d[cZ^\]Wdgh
F I G U R E 1 1 . 4 Flocking: simple rules and frequent feedback

ptg8286261
Characteristics/Skills 201
A cross-functionally diverse team has members from different backgrounds.
Each team member brings a set of cognitive tools for problem solving; these tools can
involve different interpretations (of the same data), different strategies (or heuristics)
for solving problems, different mental models of how things work, and different pref-
erences for both approaches and solutions. This kind of diversity typically leads to
better outcomes in terms of faster solutions, higher-quality deliverables, and greater
innovation, all of which translate into greater economic value (Page 2007).
We should also strive for team diversity by having a good mix of senior- and
junior-level personnel on the same team. Too many senior-level people might cause
unnecessary turbulence, similar to having too many cooks in the kitchen. Too many
junior people, however, and the team might not be sufficiently skilled to get the job
done. A good mix promotes a healthy, collaborative learning environment.
T-Shaped Skills
Flexible development teams are composed of members with T-shaped skills (see Fig-
ure 11.6).
T-shaped skills mean that a team member (say, Sue) has deep skills in her pre-
ferred functional area, discipline, or specialty. For example, Sue is a great user-expe-
rience (UX) designer—that is her specialty and where she prefers to do work. Sue,
Cross-functionally diverse Cross-functional team members
Better outcomes
Diverse perspectives Strategies/heuristics
Different backgrounds
Interpretations
Mental models
Preferences
Better solutions
Faster solutions
Greater innovation
Development team
diversity
F I G U R E 1 1 . 5 Team diversit y

ptg8286261
202 Chapter 11 Development Team
however, can also work outside of her core specialty area, doing some testing and
some documentation. She isn’t as good a tester or documenter as those who specialize
in those areas, but she can help out with testing or documentation if that’s where the
team is experiencing a bottleneck and needs to swarm people to get the job done. In
this respect Sue has broad skills that allow her to work outside her core area.
It’s unrealistic to believe that every person on a team could work on every task.
That’s a lofty goal to have. For example, in domains with intense specialization, like
video game development, where a team could have an artist, animator, audio engi-
neer, artificial intelligence (AI) programmer, and tester, it’s unreasonable to assume
that everyone can do every job. If I were on a team developing a video game, I could
work on the AI and do some testing, but I couldn’t work on the art design (and you
wouldn’t want me to!). However, I might be able to help the artists with nonartistic
design work such as using Photoshop to convert file formats or create scripts to apply
operations on multiple files.
Managers should focus on forming teams that have the best set of T-shaped skills
that are possible with available personnel. However, it might not be possible to get
exactly the desired team skill set from the get-go, so the desired skill set could evolve
over time as the needs of the product development effort evolve. Therefore, it is criti-
cal to have an environment where people are constantly learning and adding to their
skill sets, whether those include domain knowledge, technical knowledge, thinking
skills, or other capabilities. Management needs to support team members with time
to learn and experiment (see Chapter 13).
Is it OK to have pure specialists on the team? Let’s take our earlier example of Sue
and assume she is a great UX designer, but that’s all she can do. And, because we have
Ability to work outside
of core area
Functional area,
discipline, or specialty
F I G U R E 1 1 . 6 T-shaped skills

ptg8286261
Characteristics/Skills 203
so few UX designers, we really don’t want her doing anything but critical UX design
work. We need her skills on the team, but we’ll be able to fill only about 10% of her
time with team-related work. In these cases, an obvious solution is to divide Sue’s
time among multiple teams.
However, we must be practical. Sue would be far too fractured if she divided her
time in 10% increments to many teams at the same time. She would soon become a
bottleneck (see the “Focused and Committed” section later in this chapter). Recall
from Chapter 3 that our goal shouldn’t be to keep people like Sue 100% utilized.
Instead, we should be more concerned about the idle work (the baton sitting on the
ground) that occurs when we rely too much on an overutilized resource. So, we might
allocate Sue as a specialist to a reasonable number of products, but not so many that
she is the cause of baton dropping.
Alternatively, because our goal is to achieve good flow with team members who
have broad T-shaped skills, we should encourage Sue to help other team members
acquire reasonable UX design knowledge so that we no longer need to rely so heavily
on specialists.
To summa rize, t hen, our goal is to form a team w it h members who have t he
proper skills to cover the core specialty areas and in aggregate have some overlap in
skills to provide additional flexibility. To meet this goal, many team members should
have T-shaped skills, but we still might have some specialists in the mix.
Musketeer Attitude
Members of the development team (and the Scrum team as a whole!) need to have the
same attitude as the Three Musketeers—“All for one and one for all.” This Musketeer
attitude reinforces the point that the team members collectively own the responsibil-
ity of getting the job done. They win as a team or they fail as a team.
In a well-functioning Scrum team, I would never expect anyone to say, “I got my
part done. You didn’t get your part done. Therefore we failed.” This attitude misses
the point that team members are all in the same boat together (see Figure 11.7).
Tea m members must appreciate t hat they must work toget her to meet their com-
mitments, because if they fail, it’s going to be everybody’s problem in the end. Having
team members with a Musketeer attitude is critical to achieving shared success.
Having team members with T-shaped skills encourages this attitude and makes
it practical because people are capable of working on more than one type of task.
On these teams I don’t expect to hear a person who is capable of doing the work say,
“That’s not my job.”
However, because it is not always possible for a person to do every job, I might
hear someone say, “I’m not capable of doing that job.” In this case the team might
choose to have the person without the skills apprentice with a person who has the
skills so that in the future the team will have greater aggregate capabilities.
Even if skills limitations prevent people from working cross-functionally, team
members can still organize their work to ensure a good flow through the sprint so

ptg8286261
204 Chapter 11 Development Team
that no one team member is overburdened. For example, holding all of the testing
work until the end of the sprint so that the “tester” can do the work is most certainly
a prescription for failure. See Chapter 20 for a deeper discussion of how the team
should manage flow during sprint execution.
So, with a Musketeer attitude, no one is just “along for the ride.” Each team
member is responsible for making sure she is fully engaged at all times. Frequently
this will mean speaking up and engaging in activities outside one’s specialty to add
to the diversity of the discussion. For example, although a team member’s specialty
might be testing, if she thinks there is a problem in the design the team is coming up
with for a given feature, it’s her duty to speak up, rather than shrug and say, “Not my
job; they know better than I do anyway.”
High-Bandwidth Communications
Development team members need to communicate with one another, as well as with
the product owner and ScrumMaster, in a high-bandwidth manner, where valuable
information is exchanged quickly and efficiently with minimal overhead.
High-bandwidth communications increase both the frequency and quality of
information sharing. As a result, the Scrum team has more frequent opportunities
to inspect and adapt, leading to better and faster decision making. Because the eco-
nomic value of information is time-sensitive, accelerating the rate of information
sharing allows the team to maximize its value. By quickly exploiting emergent oppor-
tunities and recognizing wasteful situations, the team can avoid expending more
resources by going down the wrong path.
I’m glad the leak
isn’t in our end
of the boat!
F I G U R E 1 1 . 7 Team members must ac t as if they are all in the same boat.

ptg8286261
Characteristics/Skills 205
There are a number of ways that a team can achieve high-bandwidth communi-
cations. The Agile Manifesto (Beck et al. 2001) states that face-to-face communica-
tion is a preferred approach. Certainly, team members who are physically separated
or primarily use noninteractive communication (such as documents) are at a disad-
vantage to colocated team members engaged in real-time, face-to-face collaboration.
Whenever possible, I prefer my team members to be colocated. However, many
organizations, for various business reasons, have created distributed teams, so colo-
cation may not always be possible or practical. I have worked with many distributed
teams that have achieved the benefits of high-bandwidth communications, so being
face-to-face isn’t the only way to achieve the goal—but it’s a great place to start if
business conditions permit.
For distributed teams, a certain level of technology support can help improve
communication bandwidth. I have worked with organizations where team members
were widely distributed. Through the use of some rather impressive teleconferencing
equipment, I participated in discussions that felt like everyone was colocated. Was it
as good as being colocated? No. But the technology went a long way to improving the
communication bandwidth among the team members.
Having teams composed of cross-functional team members is a critical step
toward achieving high-bandwidth communications. Such teams have more stream-
lined communication channels simply because they have easy access to the people
needed to get the job done. Also, such cross-functionally diverse teams are far less
likely to have formal handoffs (which usually take the form of written documents)
from one team to another. With everyone on the same team, the frequency and for-
mality of handoffs are reduced, which improves communication speed.
We should also reduce time spent on ceremonies where team members perform a
process that adds little or no value. For example, if team members have to go through
three levels of indirection before they can speak with an actual customer or user, the
ceremony of “talking to a customer” is probably a serious impediment to high-band-
width communications. Having to create low- or no-value documents or requiring
lengthy and potentially unnecessary approval and sign-off procedures reduces band-
width. We need to identify and eliminate these impediments to improve overall team
communication performance.
Finally, having small teams also improves bandwidth. Communication channels
within a team do not scale linearly with the number of team members but instead
increase by the square of the number of people on the team according to the formula
N(N − 1)/2. So, if there are 5 people on the team, there are 10 channels of communi-
cation. If there are 10 people on the team, there are 45 channels of communications.
More people means more communication overhead and therefore lower bandwidth.
Transparent Communication
In addition to being high bandwidth (fast and efficient with minimal overhead),
communication within the team should be transparent. Transparent communication

ptg8286261
206 Chapter 11 Development Team
provides a clear understanding of what is actually happening to avoid surprises
and help build trust among the team members. I have always felt that teams should
communicate in a way that aligns with the spirit of the principle of least astonish-
ment. Simply put, people should communicate in a way that is least likely to surprise
one another. For example, I recall that on one Scrum team I coached, a particular
individual would consistently choose his words during the daily scrums to occlude
what he had accomplished and what he was planning to do. People were frequently
surprised (“astonished”) to later learn that his communications were intentionally
opaque and designed to mislead. This resulted in other team members not trusting
this individual, which in turn impeded the team’s ability to self-organize and meet its
sprint goals.
Right-Sized
Scrum favors small teams. The general rule is that having five to nine people on the
team is best. There is published research that backs up the claim that small teams
tend to be the most efficient (Putnam 1996; Putnam and Myers 1998). My experi-
ence over the past 25 years is that teams of five to seven are the sweet spot for rapidly
delivering business value.
Mike Cohn lists a handful of reasons to keep teams small, which include the fol-
lowing (Cohn 2009):
There is less social loafing—people exerting less effort because they believe
that others will pick up the slack.
Constructive interaction is more likely to occur on a small team.
Less time is spent coordinating efforts.
No one can fade into the background.
Small teams are more satisfying to their members.
Harmful overspecialization is less likely to occur.
It is possible to have too small a team. For example, a team is too small if it
doesn’t have the necessary people to get the job done, or if it has too few people to
operate efficiently.
Just because Scrum favors small teams doesn’t mean we can’t use Scrum on
larger development efforts. Scrum is frequently used to build products that require
more than 9 people. However, rather than having one large Scrum team with, say, 36
development team members, we would instead have four or more Scrum teams, each
with a development team of 9 or fewer people.
A Scrum project scales not by having a larger development team but by having
multiple Scrum teams. Multiple Scrum teams can coordinate with each other in a
variety of ways. One common approach is known as the scrum of scrums, where
members of each Scrum team come together to perform a higher-level equivalent of
the daily scrum (see Chapter 12 for details).

ptg8286261
Characteristics/Skills 207
Focused and Committed
Tea m members need to be focused a nd committed to t he team’s goa l. Focused mea ns
that each team member is engaged, concentrating on and devoting her attention to
the team’s goal. Committed means that during both good times and bad, each team
member is dedicated to meeting the team’s collective goal.
If a person is working on only one product, it is far easier for that person to be
focused and committed. When asked to work on multiple concurrent product devel-
opment efforts, a person must split her time across those products, reducing her focus
and commitment on all products.
Ask any person who works on multiple products about her focus and commit-
ment and you will likely be told something like “I have so much to do that I just try to
do the best job that I can on each product and then hop to the next product. I don’t
ever feel like I have time to focus on any one product and do it well. If there is an emer-
gency situation on several products, I simply won’t be able to help out on all of them.”
It is harder for a team member to do a good-quality job when she is hopping
from product to product. It’s even harder to be truly committed to multiple products
simultaneously. Instead of being in one boat with her team members, the multitask-
ing team member is moving from boat to boat. If many of the boats spring a leak at
the same time, how does this person choose which boat’s crew to help? If a person
isn’t there to bail water, that team member is not committed to that team. At best she
is involved with that team. To be fair to the other team members the involved team
member should make it perfectly clear that she is only involved and therefore might
not be available at critical times.
There is considerable data to support the widely held belief that being on mul-
tiple products (or projects) or multiple teams reduces productivity. Figure 11.8 shows
a graph of such data (Wheelwright and Clark 1992).
This data indicates that nobody is 100% productive—there is overhead just to be
a good corporate citizen. Productivity actually seems better with two projects than
with one. This occurs because it is possible to get blocked on one project, so having a
second one to switch to allows a person to be incrementally more productive.
Based on this data, working on three or more concurrent projects is a bad eco-
nomic choice because more time is spent on coordinating, remembering, and track-
ing down information and less time is spent doing value-adding work. So, how many
projects/products (and probably different teams) should a person be on simultane-
ously? Probably not more than two. I have a strong preference for one, because in
today’s highly connected, information-rich world with email, instant messaging,
Twit ter, Facebook, a nd other technologies, bei ng a good corporate cit izen is probably
the equivalent of being on one project!
Now what about those specialists who might need to be concurrently allocated to
several products? Earlier I used the example of Sue (the UX designer), who was allo-
cated 10% to a team (with the rest of her time going to other teams). As much as we

ptg8286261
208 Chapter 11 Development Team
would like Sue to be on one or two products, what if we need her part-time on five?
As a practical approach, let the specialist decide how many products she can commit
to and focus on simultaneously. If she says she can’t commit to any more, don’t assign
her to that next product or team. If from a business perspective we are uncomfortable
with her decision to not take on another product (let’s say Sue is comfortable with
only three concurrent products), perhaps we should seek an alternative solution to
this problem.
Here are a few. First, do fewer projects concurrently. This is frequently the cor-
rect solution because many organizations have chosen to start too many projects at
once (see Chapter 16 for a more detailed discussion). Another solution is to hire more
specialists to share the burden. The third solution is to help other people broaden
their skill sets to include the specialty skill. And, of course, the fourth solution is
some combination of the first three solutions. In the end, forcing people to work on
too many projects/teams concurrently will reduce their focus and commitment and
jeopardize business outcomes.
Working at a Sustainable Pace
One of Scrum’s guiding principles is that team members must work at a sustainable
pace. (No more death marches!) In doing so, they deliver world-class products and
maintain a healthy and fun environment.
Using sequential development, we defer important activities like integration and
testing until near the end, when there typically is a crushing workload of issues to
deal with as we approach the delivery date. The result is a steep increase in intensity
in the latter phases (see Figure 11.9).
0%
10%
20%
30%
40%
50%
60%
70%
80%
90%
2 31 4 5 6
Percent time doing value-adding work
Number of concurrent projects
F I G U R E 1 1 . 8 The cost of multitasking

ptg8286261
Characteristics/Skills 209
This incredibly intense time is symbolized by the superheroes pulling all-nighters
and working weekends trying to get out the release. Some people thrive on this type
of work, love the attention, and want to be rewarded for their extraordinary effort.
The stress on everyone else is overwhelming. As an organization we should be asking,
“Why did we have to work nights and weekends, and what should we change?”
Compare that with the typical intensity profile when using Scrum, where we’ve
been continuously developing, testing, and integrating working features every sprint.
During each sprint the team members should be using good technical practices such
as refactoring, continuous integration, and automated tests to ensure that they can
deliver value at frequent, regular intervals without killing themselves.
So, within a given sprint we’ll likely see intensity increase a bit near the end of
the sprint as we ensure that all work associated with our strong definition of done has
been met. However, the overall intensity of work during each sprint should closely
resemble the intensity of the previous sprint, reinforcing the team’s working at a sus-
tainable pace.
The aggregate result is a leveling of the work; it doesn’t come in huge chunks
or intense bursts, especially late when it is most harmful. This leveling means that
Scrum teams will likely work fewer overtime hours and therefore be less likely to
burn out.
Long-Lived
Effective use of Scrum requires teams, not groups. A team is made up of a diverse,
cross-functional collection of collaborating people who are aligned to a common
Time
Intensity
Traditional
Scrum
F I G U R E 1 1 . 9 Sustainable pace over time

ptg8286261
210 Chapter 11 Development Team
vision and work together to achieve that vision. A group is a collection of people with
a common label. Other than sharing the group name, group members don’t share
much else and won’t effectively fulfill the responsibilities I described for the develop-
ment team role.
As a rule, teams should be long-lived. I keep my teams together as long as it is
economically sensible to do so. And the economics are very favorable for long-lived
teams. Research by Katz has shown that long-lived teams are more productive than
newly formed groups (Katz 1982). Furthermore, research by Staats demonstrates
that team familiarity (team members’ prior shared work experience) can positively
impact the efficiency and quality of team output (Staats 2011). Improved productiv-
ity, efficiency, and quality lead to improved business results.
If we start out with a group of people who have never worked together, we have to
spend time and money to get these people to gel into a real team. Most groups need to
transition through phases, such as forming, storming, norming, and performing, to
become highly functional teams (Tuckman 1965). Once we have a well-functioning
team, we have a real business asset. Its members know how to work together, and they
have earned each other’s trust. In addition, the team has amassed important histori-
cal information, such as the team’s velocity and shared estimating history (see Chap-
ter 7). If we disband the team or significantly change its composition, this valuable,
team-specific historical information no longer has a context for direct use.
Far too often I see organizations failing to appreciate the asset value of teams.
Most organizations have developed skills and processes for moving people around
to dynamically form “teams” (really groups). In my opinion such practices miss a
critical aspect of Scrum—the value is in the team. The currency of agile is the team. In
fact, one of the core values of the Agile Manifesto is “Individuals and Interactions.”
In other words, the team is the valuable asset.
Moving people around from team to team destroys the integrity of the team.
I doubt that the New York City police SWAT (special weapons and tactics) team is
recomposed with any frequency. Their team members have learned how to work
together, and in a hot situation they have each other’s backs. Moving people on and
off that team would likely harm trust, integrity, and operational efficiency (a drop in
velocity in our case, and in the specific case of the SWAT team, safety).
Most organizations would be far better off if they adopted a policy of keeping
at least the core of their teams together as long as they can and moving teams from
product to product. The economics of moving well-formed teams is almost always
superior to the economics of moving people.
I’m not saying that you should always and can always keep your teams together
for extended periods of time. For example, if we have a team that really hasn’t gelled
the way we had hoped, or is otherwise dysfunctional, it is often less disruptive and
economically more sensible to disband the team.
In another case, I coached an organization where we knowingly broke up a high-
performance Scrum team as part of a split-and-seed strategy for broadening the

ptg8286261
Closing 211
adoption of Scrum within the organization. We didn’t split the team because it com-
pleted its work and it was time to reassign people to new teams for the next devel-
opment effort. Instead, we split it because we believed it was more valuable to form
six new Scrum teams, each with a person experienced with Scrum, than to keep the
original team together.
Finally, because teams are the assets, they are the unit of capacity that we should
use to help establish the proper WIP limit on how many and which types of product
development efforts we should pursue simultaneously. I will discuss this concept fur-
ther in Chapter 16.
Closing
In this chapter I described the team role. I emphasized how the team is responsible
for turning product backlog items into potentially shippable product increments. I
also discussed the responsibilities of the team during each sprint. I then listed ten
characteristics we want from our teams. In particular, we want team members who
self-organize and are functionally diverse and sufficiently skilled to get the job done.
Given the work the team must do, we want a good combination of T-shaped skills to
enable effective swarming behavior. If people don’t yet have the necessary breadth in
their skills, we want people who are interested in acquiring that breadth.
We also want team members with an all-in-it-together Musketeer attitude. Teams
should be created so that high-bandwidth communication is practical and encour-
aged. And we favor smaller rather than larger teams. To remain focused and commit-
ted, we prefer that team members work on only one or two development efforts at a
time. Looking longer-term, we prefer to select team members who can stay together
for an extended period of time on long-lived teams.
In the next chapter I will focus on the various Scrum team structures that you
can use when scaling up your use of Scrum.

ptg8286261
This page intentionally left blank

ptg8286261
213
Chapter 12
SCRUM TEAM STRUCTURES
Scrum teams are essential assets of a Scrum organization. How they are structured
and related to one another can significantly affect an organization’s success with
Scrum. In this chapter I discuss different ways to structure Scrum teams. I begin
by discussing the distinction between a feature team and a component team. I then
focus on the issue of coordinating multiple, collaborating Scrum teams.
Overview
If you have one small product, you don’t need to worry much about the content of
this chapter. Just create one cross-functional development team using the character-
istics I described in Chapter 11, and make sure to properly fill the ScrumMaster and
product owner roles. From a Scrum team perspective, you’re all set to go!
Let’s say, however, that your one, cross-functional Scrum team becomes a high-
performance engine for delivering business value and your organization starts to
grow. Or, you are already a larger organization and after developing your first prod-
uct with Scrum, your use of Scrum begins to spread. In both instances you might
soon find yourself needing to coordinate the work of multiple Scrum teams whose
combined effort is required to deliver increasingly greater business value.
How should you structure these teams so that they are high performing and well
coordinated? I address this question by considering whether you should create fea-
ture or component teams and what approaches can be used for coordinating multi-
team activities.
Feature Teams versus Component Teams
A feature team is a cross-functional and cross-component team that can pull end-
customer features from the product backlog and complete them. A component team,
on the other hand, focuses on the development of a component or subsystem that can
be used to create only part of an end-customer feature.
In Chapter 6 I discussed how a GPS manufacturer might create a routing com-
ponent team to manage the sophisticated code associated with determining a route
from an origin to a destination. Any time there is a request for new GPS features that
involves routing, the routing-specific pieces of those features would be assigned to
the routing component team for development.

ptg8286261
214 Chapter 12 Scrum Team Structures
Component teams are sometimes referred to as asset or subsystem teams. Often
a community of practice made up of people with a similar specialty skill (see Fig-
ure 13.4) also functions like a component team. On these teams, all members likely
report to the same functional manager and might operate as a shared, centralized
resource to other teams. One example might be the centralized UX department that
creates UI designs for other teams.
Scrum favors feature teams. Unfortunately, many organizations prefer com-
ponent teams, often because they believe that a team of experts who are trusted to
make safe and effective changes to a particular area of code should own that area of
the code. Their thinking is that people unfamiliar with the code could inadvertently
break it in unpredictable ways. They prefer having a component team responsible for
developing that code and making changes on behalf of others.
Let’s say we are developing a product whose features frequently cut across three
component areas (see Figure 12.1).
In this example, there is no feature team that works on a complete product back-
log item. Instead, a feature is selected from the top of the product backlog and is split
into its component-level pieces (the three pieces shown inside the dashed rectangle of
Figure 12.1). This splitting is done either collectively by the members of the compo-
nent Scrum teams, or perhaps by an architect.
The individual pieces of the feature are then placed into the respective product
backlogs of component teams (for example, the first piece is put into the component
area 1 product backlog—“CA 1 PB” in the figure). Each component team performs
CA 1 PB
Product backlog
CA 2 PB CA 3 PB
Component team 1 Component team 2 Component team 3
Component 1 Component 2 Component 3
F I G U R E 1 2 . 1 One product and multiple component teams

ptg8286261
Feature Teams versus Component Teams 215
Scrum against its own component-area-specific backlog, completing component-
specific pieces of end-customer features but not the full feature. Using a technique
like scrum of scrums, which I will discuss shortly, the component teams integrate
their individual component-level pieces back together and deliver the full end-
customer feature.
If there is only one product channeling requests to the component teams, this
approach will probably work. However, most organizations frequently form compo-
nent teams around component areas that they intend to reuse on multiple products.
Figure 12.2 shows how the work might flow if there were two products channeling
requests to the same component teams.
Each feature-level product backlog contains end-customer-valuable items that
can span the multiple component areas. So, in Figure 12.2, there are now two prod-
ucts that need component teams to work on their specific component-level pieces.
Imagine you are the product owner of one of the component teams. You now
have to prioritize competing requests from two products, while at the same time
coordinating with the other component-level teams to make sure the various pieces
get integrated together at the appropriate time.
CA 1 PB
Product backlog 1
CA 2 PB CA 3 PB
Component team 2Component team 1 Component team 3
Product backlog 2
Component 1 Component 2 Component 3
F I G U R E 1 2 . 2 Two products and multiple component teams

ptg8286261
216 Chapter 12 Scrum Team Structures
With two products the logistics of this problem are probably still manageable.
However, what if the organization works on 10 or 15 products at the same time, and
each of those products is dropping component-level pieces into the component team
backlogs? At this scale the logistics of figuring out the proper order to work on the
individual pieces within a particular component team backlog, while at the same
time coordinating and integrating with all of the other component teams, become
unmanageable.
In my experience, most organizations using component teams recognize that
there’s a problem when things begin to fall on the floor (the baton drops, causing a
break in value-delivery flow). It usually goes something like this. A senior manager
asks a feature-level product owner, “How come the customer feature isn’t ready?” The
response: “Well, all but one of the component teams finished the pieces we assigned to
them. Because that last team didn’t finish, the feature isn’t done.” The manager might
then say, “Why didn’t that team finish the piece you gave them?” The response might
be “I asked, and I was told that they had 15 other competing requests for changes in
their component area, and for technical reasons they felt it made more sense to work
on the requests from other products before ours. But they still promise to finish our
piece—perhaps in the next sprint.”
This is no way to operate a business. We can never be certain when (or even if)
we can deliver a feature—because the responsibility for delivery has been distributed
among two or more component teams, each of which might have very different prior-
ities. Using component teams this way multiplicatively increases the probability that
a feature won’t get finished, because there are now multiple points of failure (each
component team) instead of one (a single feature team).
Is there a solution to this problem? Well, a very good solution would be to create
cross-functional feature teams that have all of the skills necessary to work on mul-
tiple end-customer features and get them done—without having to farm out pieces
to component teams. But what about the principal reason that most organizations
create component teams—having a single trusted team to work in a component area?
Won’t feature teams lead to chaotic development and maintenance of reusable com-
ponents with large amounts of technical debt? Not if we have well-formed feature
teams that, over time, share code ownership and collectively become trusted custodi-
ans of the code.
A transitory approach en route to this multi-feature-team model with full shared
code ownership is to organize the teams as shown in Figure 12.3.
In this approach, the concept of a feature team has been reintroduced. There is
now a single feature team that can pull an end-customer-valuable feature off of the
product backlog. This feature team has complete responsibility for doing the work
and managing the logistics of getting the feature done.
Trusted component teams also remain in this model to help maintain the integ-
rity of the individual component areas. These component teams still have a prod-
uct backlog that typically contains technically oriented work that needs to take place
within the component area (perhaps technical debt repayment work).

ptg8286261
Feature Teams versus Component Teams 217
Also, as illustrated in Figure 12.3, a member of a component team can be assigned
to be a member of a feature team. This person has the dual responsibility of being
both a pollinator and a harvester (Goldberg and Rubin 1995).
In the role of pollinator, the component team members pollinate feature teams
with knowledge of the component areas to help better promote shared code owner-
ship within the feature teams. In the role of harvester, component team members
collect changes that the feature teams need to make within component areas and
discuss those changes with their colleagues on the component teams, each of whom
might also be collecting changes to the same component areas. In these discussions,
the component team members can better ensure that the component-area changes
needed to satisfy the requests of multiple feature teams can be coordinated. Addition-
ally, the people making the component-area changes can do so in a coherent, non-
conflicting fashion, thus better ensuring the conceptual integrity of the component
areas. The component team members can also keep each other apprised of poten-
tial reuse opportunities because everyone has a shared understanding of the changes
being harvested in the component areas.
Like the pure component team approach, this approach also can break at large
scale—but for different reasons, ones that we can actually address. For example,
when I introduced this approach to people at one large company, they remarked, “But
our features can cut across up to 50 different systems [components]. We can’t move
50 people up to be on one feature team.” Although a feature may indeed cut across
50 components, it is rare that all 50 of the components need to directly interact with
one another. As a result, we don’t need one team of 50 people, but instead we can
CA 1 PB
Product backlog 1 Feature team 1
CA 2 PB CA 3 PB
Component 1 Component 2 Component 3
Component team 1 Component team 2 Component team 3
F I G U R E 1 2 . 3 Combined feature team and component teams

ptg8286261
218 Chapter 12 Scrum Team Structures
create several “feature teams” that form around smaller clusters of components that
do have a high degree of interaction (see Chapter 13, Figure 13.5 and Figure 13.6,
for examples) and then coordinate the efforts of these teams with the multiple-team
techniques that I will describe later in this chapter.
Another way the approach in Figure 12.3 can break is if the organization is work-
ing on 40 different products and has only four team members in a component area.
It doesn’t make sense to assign people out to ten different feature teams at the same
time. However, this problem can be solved by reducing the number of products being
developed concurrently (see Chapter 16), training (or hiring) more people who have
expertise in the component area, and, preferably, better promoting shared code own-
ership (which is the long-term vision).
In my experience there is no one-size-fits-all solution to the issue of feature ver-
sus component teams. Most large and successful Scrum organizations tend to have
a blended model composed mostly of feature teams with the occasional component
team—when the economics of having the component team as a centralized resource
make sense. Sadly, many organizations favor the reverse—mostly component teams
with the occasional feature team. These organizations pay a great price in the form of
delays from frequently disrupted flow.
Multiple-Team Coordination
Scrum scales not by having increasingly larger development teams, but instead by
having multiple right-sized Scrum teams. When there is more than one Scrum team,
however, we have the issue of how to coordinate those teams. Two techniques for
multiteam coordination are the scrum of scrums and the more comprehensive form
of multiteam coordination known as a release train.
Scrum of Scrums
In Chapter 2 I noted that each day during sprint execution the development team
performs a daily scrum. Each team’s daily scrum includes only the members of that
Scrum team.
A common approach to coordinating work among multiple teams is the scrum of
scrums or SoS (see Figure 12.4).
This practice allows multiple teams to coordinate their inter-team work. The
team that performs the SoS is composed of individual members of the various devel-
opment teams. Each development team determines which member to send to the
scrum of scrums based on who can best speak to the inter-team dependency issues.
Although I prefer to have consistency of representation, the person representing a
team at the SoS can change over time based on who is best able to represent the team
and speak to the issues at that point in time.

ptg8286261
Multiple-Team Coordination 219
Some teams send both a development team member and their ScrumMaster (who
might be shared among two or several Scrum teams) to the SoS—collectively being
cautious of not allowing the overall number of participants to become too large. It
might even make sense to have a ScrumMaster at the level of the scrum of scrums. If
such a role exists, it could be filled by one of the individual team ScrumMasters or by
a ScrumMaster not working directly with any of those teams.
There are multiple approaches to conducting a scrum of scrums, and the partici-
pants should decide which approach works best for them. Typical of all approaches,
the SoS is not held every day but instead a few times a week as needed. Participants
at the scrum of scrums answer similar questions to the ones answered at the daily
scrum:
What has my team done since we last met that could affect other teams?
What will my team do before we meet again that could affect other teams?
What problems is my team having that it could use help from other teams to
resolve?
Some teams timebox their scrum of scrums to be no more than 15 minutes,
just like an individual Scrum team’s daily scrum. And they defer problem solving to
occur after the scrum of scrums has completed so that only those participants whose
involvement is necessary for problem resolution need attend.
Scrum of scrums
FIGURE 12.4 Scrum of scrums

ptg8286261
220 Chapter 12 Scrum Team Structures
An alternative approach is to extend the scrum of scrums beyond the 15-minute
timebox. Although the participants might begin each SoS with a 15-minute time-
box for answering the three questions, the SoS continues past that 15-minute activity,
providing the participants the opportunity to problem-solve issues that came up.
In theory, the scrum of scrums can be scaled to multiple levels. Let’s say there
is a product being developed with many teams. Typically these teams would group
together into feature-area clusters. Within a given cluster of teams a traditional SoS
can be used to help coordinate the work of a feature area. It would also make sense
to have a higher-level SoS, called a scrum of scrum of scrums (more easily thought of
and pronounced as a “program-level scrum”!) that would help coordinate the work
among the clusters. Although this approach can work, there are other techniques for
coordinating large numbers of teams. One in particular is the release train, which I
will discuss next.
Release Train
A release train is an approach to aligning the vision, planning, and interdependen-
cies of many teams by providing cross-team synchronization based on a common
cadence. A release train focuses on fast, flexible flow at the level of a larger product.
The train metaphor is used to imply that there is a published schedule of when
features will “leave the station.” All of the teams participating in the development of
the product need to get their cargo onto the train at the appointed time. As in any
country with reliable trains, the release train always departs on time and waits for no
one. Likewise, if a team misses the train, it need not fret because there will be another
train departing at a known time in the future.
Leffingwell defines the rules of a release train as follows (Leffingwell 2011):
Frequent, periodic planning and release (or potentially shippable incre-
ment—PSI) dates for the solution are fixed (dates are fixed, quality is fixed,
scope is variable).
Tea ms apply common iterat ion leng ths.
Intermediate, global, objective milestones are established.
Continuous system integration is implemented at the top, or system, level, as
well as at the feature and component levels.
Release increments (PSIs) are available at regular (typically 60- to 120-day)
intervals for customer preview, internal review, and system-level QA.
System-level hardening iterations are (or may be) used to reduce technical
debt and to provide time for specialty release-level validation and testing.
For teams to build on top of similar constructs, certain infrastructure com-
ponents—interfaces, system development kits, common installs and licensing
utilities, user-experience frameworks, data and web services, and the like—
must typically track ahead.

ptg8286261
Multiple-Team Coordination 221
Figure 12.5 shows a partial release train picture based on Leffingwell’s definition.
The release train is a rich concept with multiple levels of detail, including port-
folio and release levels. As I mentioned in Chapter 6, the release train is based on
an enterprise backlog model that contains three levels of backlogs: portfolio backlog
(with epics owned by portfolio management), program backlog (with features owned
by program management), and the team backlogs (with sprintable user stories owned
by product owners). Figure 12.5 illustrates only the team level. Details of portfolio-
level planning and release-level planning will be discussed in Chapter 16 and Chapter
18 respectively.
The team-level train in Figure 12.5 shows a total of nine teams clustered into
three feature areas. Each team within a feature area performs its own sprint, draw-
ing work from its associated feature-area backlog. Using a technique like scrum of
scrums, all the teams within a feature area coordinate and integrate their work each
sprint.
Release planning
Release planning
Inspect and adapt
Inspect and adapt
Te a m
level
PSI/release
PSI/release
Sprints
Time
F IGURE 12.5 Release train structure

ptg8286261
222 Chapter 12 Scrum Team Structures
Also, as often as is practical, there should be system-wide integration and testing
across the feature areas. Some teams reserve the last sprint before the train departs to
be a time for hardening what has been developed in the previous sprints and integrat-
ing and testing the results across the various feature areas (for example, sprint 4 in
Figure 12.5 might be a hardening sprint). As team skills mature, the need for a hard-
ening sprint should diminish.
The durations of all sprints for teams participating in the release train are identi-
cal, and all sprints are aligned. The result is that sprints of every team start and end
on the same dates. Doing this enables synchronization to take place not only within a
given feature area but across all teams working on the product.
Finally, a PSI (release increment) is available after a fixed number of sprints,
which in the case of Figure 12.5 is four sprints. Knowing that release points will occur
at reliable times allows the organization to synchronize its other activities to known
future dates. At these release points, the organization can choose to deploy a PSI to its
customers (if that is the business-appropriate thing to do) or use it instead to confirm
that the work performed within the individual feature areas has been integrated and
tested across the feature areas, and to solicit internal review.
Each release train begins with a release-planning meeting that spans all of the
teams working on the PSI (see Figure 12.5). That means that potentially hundreds of
people are simultaneously participating in a joint planning event. I have to admit it is
fascinating to see this happen. Here is an overview of planning at this scale.
First, you will need a big room! The chief product owner (see Figure 9.13) leads
this activity and typically kicks things off. Individual Scrum team members colocate
at the same table or area of the room (preferably near open wall space where they can
hang up their artifacts). Scrum teams in the same feature area cluster nearby. Once
the chief product owner provides the big picture for the PSI, teams gather with other
feature-area teams. Feature-area product owners then provide the big-picture over-
view of their feature areas for the upcoming release train.
Individual Scrum teams then begin mapping out their sprints by slotting fea-
tures into specific sprints. This activity is referred to as sprint mapping, which I will
discuss in Chapter 18. Because Scrum teams are actually working on the creation of a
larger, multiteam deliverable, there will be inter-team dependencies. To help manage
these dependencies, at any point a member of one Scrum team can get up and walk
over to another Scrum team (perhaps carrying a note card or Post-It) and ask the
other Scrum team if it can complete the piece of work identified on the card during
the upcoming release train. If it can, the team making the request can then commit
to the dependent feature.
During all of this, people with multiteam responsibilities, such as the chief prod-
uct owner, feature-area product owners, and shared architects, can circulate from
table to table to help ensure that the big picture is understood and that a coherent
overall plan for the upcoming release train makes sense. Of course, a Scrum team can
always request that one of these shared individuals come over to assist.

ptg8286261
Closing 223
Once the release train sprints are completed and we arrive at a PSI release point
(train departure), we then perform release-train-level inspect-and-adapt activities.
The first is a PSI review of the full set of cargo that was placed on the release train.
The second is a retrospective at the release train level that is focused on how to make
future release trains more efficient. Then we are off to the release planning for the
next release train.
Closing
In this chapter I discussed different ways to structure Scrum teams. I began by
describing feature teams that are cross-functionally diverse and sufficient to pull
an end-customer feature from a product backlog and get it done. I then compared
feature teams with component teams that work in specific component, asset, or
architectural areas, which represent only parts of what needs to be integrated into
end-customer features. I went on to show a blended model of feature and component
teams and how it could be used to help an organization transition to a point where it
has mostly feature teams, each with excellent shared code ownership.
I then discussed how to coordinate multiple Scrum teams, starting first with a
traditional Scrum practice called the scrum of scrums and then describing a concept
called a release train, which can be used to coordinate the activities of a large number
of Scrum teams. In the next chapter I will depart from the traditional Scrum team
roles and discuss the role of managers in a Scrum organization.

ptg8286261
This page intentionally left blank

ptg8286261
225
Chapter 13
MANAGERS
In a world where teams self-organize, is there a place for managers? Absolutely. Even
though the Scrum framework doesn’t specifically mention the manager role, man-
agers still play an important part in an agile organization. After all, plenty of non-
Scrum roles exist within organizations that are nonetheless crucial to the company’s
operations. (Accountant isn’t a Scrum role, but I haven’t met a Scrum team member
yet who doesn’t want to get paid!)
In this chapter I discuss the responsibilities of functional-area managers (also
called resource managers), such as development managers, QA managers, and art
directors, within a Scrum organization. I conclude by discussing the project manager
role within a Scrum organization.
This chapter is more immediately relevant to organizations that have functional-
area managers and project managers. If your organization is small and relatively light on
managers, you can skip this chapter. However, you will probably still find it valuable to
read as it will provide insight that will be necessary later on as your organization grows.
Overview
According to a 2011 industry agile survey, the number-one impediment to adopting
Scrum is the feeling of a loss of management control (see Figure 13.1, from Version-
One 2011).
No concerns 14%
14%
14%
15%
16%
23%
25%
28%
30%
32%
33%
33%
Inability to scale 6,042 respondents
(68% using Scrum variant)
Regulatory compliance
Reduced software quality
Quality of engineering talent
Development team opposed to change
Lack of engineering discipline
Lack of predictability
Lack of documentation
Management opposed to change
Lack of up-front planning
Loss of management control
F I G U R E 1 3 . 1 Greatest concerns about adopting agile

ptg8286261
226 Chapter 13 Managers
Fear that the manager role will become less relevant is unwarranted. Within a
Scrum organization, the managers continue to have important responsibilities (see
Figure 13.2).
In particular, functional managers in a Scrum organization are responsible for
fashioning teams, nurturing teams, aligning and adapting the environment, and
managing the value-creation flow.
Take a systems perspective
Manage economics
Measure and report
Fashioning teams
Managing value-creation flow
Nurturing teams
Aligning and adapting the environment
Define boundaries
Change team composition
Empower teams
Provide a clear elevating goal
Form teams
Energize people
Develop competence
Maintain team integrity
Provide functional-area leadership
Promote agile values
Remove organizational impediments
Align partners
Align internal groups
Functional manager
responsibilities
F I G U R E 1 3 . 2 Functional manager responsibilities in a Scrum organization

ptg8286261
Fashioning Teams 227
Fashioning Teams
Managers fashion teams, the process of which includes defining boundaries, provid-
ing a clear elevating goal, forming teams, changing team composition, and empower-
ing teams.
Define Boundaries
In Chapter 11 I described how a self-organizing team manages its response to the
environment in which it is placed. The environment, however, is under the influence
of managers (see Figure 13.3).
It is rare that a self-organizing team gets to decide what products or projects it
will pursue. For example, if the organization builds accounting software, the team
can’t just decide it would like to build traffic-light control software. Managers almost
always make these decisions—managers get to define the sandboxes or boundaries
within which a team is permitted to self-organize.
As an example, if the teams are creating sand castles, management is deciding
how many sand castles to create (how many sandboxes) and the boundaries of each
sandbox, in which a specific team may self-organize and create its sand castle. Or, to
use a more IT-specific example, managers in an organization that builds accounting
software can decide which accounting applications to build and can set boundaries
by deciding if the development teams will hand off to deployment teams for later
deployment or if the development teams must deploy as part of each sprint.
Managers define products/projects (sandboxes) Managers decide on team composition
(who gets to play in each sandbox)
Te a m s s e lf -m a na g e wi t h in th e i r s an d box e s
F I G U R E 1 3 . 3 Managers define the boundaries.

ptg8286261
228 Chapter 13 Managers
Provide a Clear Elevating Goal
Managers also provide a clear elevating goal to each team. This goal gives purpose and
direction to the team. Following the sandbox analogy, managers can decide that they
want a sand castle that will win best of show at this weekend’s sand castle competition,
and the product owner working on the Scrum team might then further define the goal
to be “Create a medieval castle, complete with turrets and a surrounding moat.”
Form Teams
Tea ms do not t ypica l ly form t hemselves (team members do not self-select who wi l l
be on the team). Managers compose teams. Returning to our sandbox analogy, this
means that managers almost always decide who gets to play in each sandbox, not the
individual team members themselves. Certainly team members can and should pro-
vide input into the team formation process—for example, by requesting to be on a
particular team or by interviewing new candidates for an existing team. However, in
most organizations managers make the final decision to ensure that team formation
properly balances business needs and constraints.
In a Scrum environment, functional managers representing different disciplines
or communities of practice work with one another to select members of cross-func-
tional Scrum teams (see Figure 13.4).
Te a m 1 Te am 2 Te a m 3 Tea m 4
Programmer
community
of practice
UI designer
community
of practice
Tester
community
of practice
DBA
community
of practice
Functional managers
community leaders
F I G U R E 1 3 . 4 Functional managers collectively create Scrum teams.

ptg8286261
Fashioning Teams 229
In this figure each horizontal band represents a functional area or community of
practice composed of people with similar specialty skills (for example, a community
of developers, UI designers, testers, or DBAs). Each functional area has a functional
manager.
The functional managers are collectively responsible for selecting the proper
people from each functional area to form Scrum teams, which are shown vertically
in the figure. Managers strive to form teams that are cross-functionally diverse and
sufficient, where the team members have a good complement of T-shaped skills (see
Chapter 11).
Change Team Composition
Managers also have the obligation to change a team’s composition if they believe that
doing so will improve the overall health and performance of the team and the orga-
nization as a whole.
Let’s say, for instance, that Fred is a low-performing person on the development
team. Fred also has a bad attitude and is negatively affecting the team’s ability to per-
form. How should Fred’s situation be handled?
First, I would expect Fred’s teammates to discuss the situation with him with the
goal of trying to help him and the team. If they are unsuccessful, the ScrumMaster, as
Scrum team coach, would work with Fred to help him be a more effective team mem-
ber. If coaching doesn’t work, Fred’s situation would most likely escalate out of the
Scrum team to his resource manager (the person to whom Fred reports within the
organization), because the ScrumMaster does not have hiring and firing authority.
At this point Fred’s resource manager (perhaps in conjunction with someone
from human resources) would handle his performance issues in a humane and
appropriate manner. The resource manager would certainly want to consult the
ScrumMaster and development team members to deepen his understanding of the
situation. At that point the resource manager might decide to immediately remove
Fred from the Scrum team and assign him to another team where he might be a bet-
ter fit. Alternatively, he could put Fred on a performance improvement plan (either
on his current team or on a new team), and if Fred doesn’t improve per the plan, he
might be let go.
While managers have “firing” authority and team members and ScrumMasters
do not, team members certainly are involved in the process of ensuring that the team
is well fashioned.
Managers may also have to alter team composition when doing so better opti-
mizes the organization’s ability to deliver across its portfolio of products. For exam-
ple, even though we prefer our teams to be long-lived, it may be necessary from time
to time to move a person who has a special set of skills off of one team and onto
another team that has an immediate, high-value need for those skills. Managers need
to make such changes with care because both teams will be affected by the change in
team member composition.

ptg8286261
230 Chapter 13 Managers
Empower Teams
For teams to self-organize they must be empowered, which requires authorization
and trust from managers. One principal way of empowering teams is for managers
to delegate responsibilities to them with the primary goal of allowing self-organizing
teams to manage themselves better. That being said, teams don’t get to make all of the
“management” decisions (as we discussed earlier, Fred’s team members cannot fire
him for being a poor performer). However, teams can be empowered to take on typi-
cal management activities.
For each activity type or specific decision the manager might consider delegat-
ing, he picks the proper level of authority for empowering the team. Appelo defines
seven levels of authority as shown in Table 13.1, each with an example (Appelo 2011).
These levels range from one extreme, tell, where the manager makes the decision
and informs the team, to the other extreme, delegate, where the team has full author-
ity to make the decision.
When managers delegate tasks, they must trust that the teams will carry out their
responsibilities as expected. And the teams must trust that their managers will not
take actions that are in contradiction to delegated authority. For example, managers
should not delegate authority for a decision to the team and then go off and make the
decision.
T A B L E 1 3 . 1 Appelo’s Seven Levels of Authority, with Examples
Level Name Description Example
1Tell Manager makes the decision
and tells the team
Relocate to a new
office building
2Sell Manager convinces the team
about the decision
Decision to use Scrum
3Consult Manager gets input from
the team before making the
decision
Select new team
members
4Agree Manager and team make the
decision together
Choose logo for
business unit
5Advise Manager advises to influence
the decision made by the team
Select architecture or
component
6Inquire Manager inquires after the
team has made the decision
Sprint length
7Delegate Manager fully delegates the
decision to the team
Coding guidelines

ptg8286261
Nurturing Teams 231
Managers should also help the team members trust each other. They can do this
by defining the proper boundary for the environment in which the team operates,
which will help intra-team trust to form by setting limits on how far trust must be
extended. Managers should also help team members understand the importance on a
self-organizing team of meeting personal commitments, because there is no manager
within the team to pressure people to get work done. And managers should reinforce
a Musketeer attitude among team members, so that they can trust that everyone truly
is committed to working together to meet team goals.
Nurturing Teams
Once Scrum teams have been fashioned, managers then must nurture them. By nur-
ture I don’t mean that managers should manage the teams. Instead, managers should
energize people, focus on competence development, provide functional-area leader-
ship, and maintain team integrity.
Energize People
Providing a clear elevating goal creates a foundation upon which to energize team
members. By energize I mean that managers should constantly seek ways to moti-
vate people to intrinsically want to do great work. We all want to work in a fun, cre-
ative, value-delivering environment, and managers are responsible for nurturing that
environment. Through proper management, managers can positively influence the
intrinsic motivation and energy of team members.
Conversely, managers can take actions that have the opposite affect—that sap
energy from the environment and lead to demotivated people. For example, histori-
cally, functional managers are accustomed to assigning task-level work to people in
their area. Doing so in a Scrum environment would deenergize people by undermin-
ing the foundation of team self-organization and compromising the ability of the
team to deliver value.
Develop Competence
Within Scrum organizations, each team member still reports to a functional or
resource manager who is typically not the ScrumMaster or the product owner. And,
just as in non-Scrum environments, these managers take an active role in coaching
and assisting their direct reports with their career goals by promoting opportuni-
ties for competency development and providing frequent, actionable feedback on
performance.
Managers need to foster an environment where people are constantly learning
and adding to their skill sets. They need to make it clear that learning is not only
encouraged but is in fact a priority at the individual, team, and organizational levels.

ptg8286261
232 Chapter 13 Managers
Actions such as providing team members with time for training or attending con-
ferences will speak louder than words. Within this supportive learning environ-
ment, managers coach team members to advance their domain knowledge, technical
knowledge, thinking skills, and so on.
Managers must also provide frequent feedback to teams and individuals. In
many non-Scrum organizations, performance feedback comes in the form of the
annual performance review. In organizations using Scrum that choose to perform
these reviews, the functional managers would be expected to continue the process.
However, organizations that have internalized core Scrum values and principles soon
realize that providing performance feedback to individuals once (or twice) a year is
out of sync with the cadence of Scrum teams that are performing and learning in
short-duration sprints. These annual performance reviews can also foster low-trust
competition in the team rather than self-organization with a Musketeer attitude.
Individual performance measures can also interfere with superior team performance
by driving independent behavior—people optimize how they are personally being
measured at the expense of the team. Successful Scrum organizations soon begin to
question the value of even doing these annual performance reviews, realizing they
may indeed cause more harm than good.
That doesn’t mean individual performance isn’t assessed in Scrum organizations.
Managers should just align the frequency of their feedback to individuals to better
match that of the learning loops of the team of which their direct reports are mem-
bers. One such approach would be for managers to provide feedback every sprint.
Individual feedback should also be well positioned in the context of how individual
performance is supportive (or not) of team performance.
Provide Functional-Area Leadership
As in non-Scrum organizations, functional managers in Scrum organizations con-
tinue to provide leadership specific to their functional area.
Functional managers usually have good working knowledge of their functional
area and can provide thought leadership within the area. This type of leadership does
not involve a functional manager assigning tasks to his direct reports or telling them
how to do their jobs. Such actions would be debilitating to a self-organizing team.
This type of leadership does, however, support an important need for consistency,
coherence, and coaching within the functional area.
For example, in game development companies, the artists report to the art direc-
tor, who himself is a highly skilled artist. The art director provides art leadership to
the artists by helping to set art standards for the game and then reviewing the work
of individual artists to ensure holistic consistency. We don’t want to have an artist
on one Scrum team doing gothic art and an artist on another team doing cartoon
art. The art director provides overall leadership within the area to help better ensure
high-value, coherent results.

ptg8286261
Aligning and Adapting the Environment 233
Functional managers also provide leadership by establishing area-relevant stan-
dards and by encouraging initiatives specific to their functional area. For example,
let’s say the QA director wants to select new test automation tools that can be used
across multiple development efforts. To accomplish this, the QA director may ask the
QA-centric people who report to him, but who are all members of different Scrum
teams (as illustrated in Figure 13.4), to collaborate on the selection.
Maintain Team Integrity
In Chapter 11 I stated that the currency of agile is the team. Because the team replaces
the individual as the unit of capacity, managers should work proactively to maintain
team integrity. That means not pulling people off of teams mid-sprint to work on pet
projects or unnecessarily assigning people to work on multiple teams.
Because the economics of long-lived teams are compelling, managers should also
try to keep teams together as long as the economics justify doing so. At the end of a
development effort, managers should first try to assign the team as a whole to the
next development effort. They should do this before they impair a high-value asset by
breaking it into pieces and losing the value-added cohesion of the team.
Aligning and Adapting the Environment
Getting a single team, or even the IT or development departments, to use Scrum is a
good start. However, to realize the extraordinary benefits of Scrum, the entire value
chain from suppliers to customers needs to embrace agile. Managers are responsible
for aligning and adapting the environment (the value chain) by promoting agile val-
ues, removing organizational impediments, aligning internal groups, and aligning
partners.
Promote Agile Values
Managers must embrace agile values and principles. They need to understand and
truly believe them, live them, and encourage others to do the same. Far too often
when I teach classes or coach Scrum teams I hear, “Yes, all of this makes sense to us,
but we need to get our management to buy in or we won’t be able to really do Scrum.
I wish they were in the room to hear this.” These teams are correct. They will eventu-
ally need management support if they are to be successful over the long term.
Once I was engaged in a lunchtime discussion with the management team of an
organization that was just starting to adopt Scrum. During our discussion I remarked
that managers should avoid pulling someone off an in-flight team to temporarily
work on some other project because of the disruption it would create. Timidly, but
with true sincerity, a manager in the room said, “OK, but I do that all the time and
didn’t think it was a bad thing. What are the other things I should know as a manager

ptg8286261
234 Chapter 13 Managers
in an emerging agile organization so that I can better align my behavior and the envi-
ronment to promote agility?”
In response to her question I began a discussion of core agile values and princi-
ples (similar to Chapter 3) to give her and her colleagues awareness of how a manager
can help reinforce agile principles instead of unknowingly working in contradiction
to them. Of course, only through their day-to-day behaviors can managers truly pro-
mote agile values.
Remove Organizational Impediments
Managers also work hand in hand with ScrumMasters to remove impediments.
Though the ScrumMaster is the person pushing to remove organizational impedi-
ments, many impediments, especially those that are environmental in nature, require
intervention from managers to actually be removed.
Align Internal Groups
The engineering or IT group is often the first to adopt Scrum. Let’s say that after a
reasonable period of time the first-adopter group becomes very skilled at creating
customer-valuable features each sprint. However, until those features are actually
made available to customers, no real value has been delivered. What if the deploy-
ment group does not operate in an agile way, and if pushing features into production
every few weeks just isn’t something that group can or is willing to do? Can the orga-
nization really claim to be a high-performance Scrum organization if it can’t get the
value into customers’ hands in a timely way?
What if there is the same sort of misalignment upstream of development? Per-
haps sales and marketing are operating on a different set of principles. What if their
attitude is “You guys in development can use whatever process you want to build
things. You just need to be able to answer all of my up-front, very detailed questions
and meet the date we already provided to the customers.” Or perhaps the folks in HR
are still recruiting people for old job descriptions rather than targeting people who
have T-shaped skills and a desire to work in self-organizing teams.
We can’t realize the full, long-term potential benefits of Scrum in such environ-
ments. Managers (including executives) have the obligation to fashion the environ-
ment in order to achieve good internal alignment among the various groups, such as
governance, finance, sales, marketing, deployment, and support. Managers must see
the whole and align the whole with agile principles.
Align Partners
Why stop at internal alignment? Managers must also help the organization embrace
a more agile approach to supplier management and outsourcing. If the way we engage

ptg8286261
Managing Value-Creation Flow 235
our external partners follows a traditional arms-length, contract-heavy, negotiation-
style approach, the organization will fail to achieve its full potential with Scrum.
Instead, managers should promote the use of agile principles when engaging
partners. For example, the simplest form of outsourcing agreement is to lease the
Scrum team of a third party. Instead of doing all of the difficult work of creating a
high-performance team, managers buy access to a high-performance team that oth-
ers have already created. At that point, the organization uses Scrum as described in
this book, but the development team (and perhaps the ScrumMaster) is “owned” by a
third party and not the organization.
To achieve this level of ag i le-par tner alig n ment, ma nagers should consider alter-
natives to writing fixed-priced contracts with outsourcers. Such contracts put the
organization and its contractors immediately at odds with one another. (The con-
tractor wants to deliver as little as possible to meet the contract so it can maximize
its gross margins, and the organization wants to get as much as possible for the fixed
price.) This is hardly an agile way of operating. Managers should change this style of
engagement.
Managing Value-Creation Flow
Overall, managers in a Scrum environment are responsible for setting strategic
direction and for ensuring that organizational resources are being marshaled in an
economically sensible way to achieve strategic goals. Managers manage the value-
creation flow by taking a systems perspective, managing economics, and measuring
and reporting.
Take a Systems Perspective
To effectively manage the f low of value creation, managers must take a systems per-
spective. One of the larger impediments I have seen to successful Scrum adoption
is when managers refuse to think systemically and instead focus only on their own
areas or fiefdoms. I often hear, “Yes, but doing what you propose would require a
change in the reporting structure or in key job descriptions.” When people say this,
what I hear is “I can’t imagine that we would actually do those things, so I can’t [or
won’t] make the change in my area to better align what we do with Scrum values and
principles and the rest of the agile organization.”
Such localized thinking makes it difficult to achieve any sort of sensible inter-
nal agile alignment and can lead to different parts of the organization quite literally
working against the greater good of the system. Managers in a Scrum organization
must be willing to take a see-the-whole perspective if they are to realize long-term,
high-performance Scrum benefits.

ptg8286261
236 Chapter 13 Managers
Manage Economics
Organizations expect managers to be trusted stewards of the financial resources that
are made available to them. Higher-level managers in a Scrum organization therefore
still manage economics (such as profit and loss) for their areas. Functional manag-
ers or resource managers may not have direct profit responsibility but are still held
accountable for how the financial resources entrusted to them are being spent.
Managers (perhaps at the executive level) are also expected to oversee economics
at the higher level of the organization. This frequently occurs through their involve-
ment in portfolio management and corporate governance. Through portfolio man-
agement, they determine which development efforts to fund, to what degree, and
the order in which they should be done. And, once an effort is under way, managers
review and react to the continuous stream of real-time feedback based on iterative
and incremental development and, when appropriate, terminate an effort whose eco-
nomics no longer justify additional expenditures (see Chapter 16).
Monitor Measures and Reports
Many measures and reports are collected and generated at the request of managers,
so there is a real opportunity for managers to ensure that only those measures that
add to the value-creation flow are captured and reported. This goal can be achieved
by ensuring that measures and reporting align well with core Scrum values and
principles.
In Chapter 3 I described several Scrum principles that can guide how managers
approach measuring and reporting. The following are a few examples:
Focus on idle work, not idle workers. To accomplish this, measure when and
how often the flow of work is being impeded rather than how good you are at
keeping people busy. A measure such as cycle time will expose the length of
time between when work starts and when it finishes. If cycle time is increas-
ing, you need to investigate why.
Measure progress by working, validated assets. Does it really matter if you
deliver on time and on budget if you don’t deliver a product that people want?
Focus on measuring the value delivered (working and validated assets), but
don’t lose sight of the variables (date, scope, budget, and quality) needed to
deliver value.
Organize flow for fast feedback. Align your measures to determine how quickly
the learning cycle is completed (assume, build, feedback, inspect, and adapt).
This last measure is at the heart of innovation accounting, which is effective
in any organization that creates a product or service under conditions of extreme
uncertainty (Ries 2011). Innovation accounting uses actionable metrics to evaluate

ptg8286261
Project Managers 237
how fast we are learning as a critical measure of our progress toward converging on a
business-valuable result. Innovation accounting is based on three steps:
1. Create a minimum viable product (MVP) to establish actual baseline values
of the actionable metrics on where the organization or product is today.
2. Using a series of incremental improvements to the product, try to improve
the actionable measures from the baseline toward the ideal or desired values.
3. If actionable measures show that the product is making demonstrable prog-
ress toward the desired target, persevere on the current path; otherwise pivot
to a new strategy and begin the process again.
I will discuss the concepts of pivot and persevere in more detail in Chapter 14,
Chapter 16, and Chapter 17.
Project Managers
So far we have been discussing the role of functional manager or resource manager.
What about the project manager role? Is there such a role in a Scrum organization?
Project Management Responsibilities on a Scrum Team
A common misperception is that the ScrumMaster is really just the “agile project
manager” or a project manager with a different title. On the surface there are some
similarities between a ScrumMaster and a project manager—for example, both do
impediment removal. However, being a servant leader significantly differentiates this
role from a more command-and-control-focused project manager.
To a nswer the quest ion “W here is the project ma nager? ” let’s look at t he core
project management responsibilities as defined by the Project Management Institute
(PMI 2008) and summarized in Table 13.2.
T A B L E 1 3 . 2 Traditional Project Management Responsibilities
Project Management
Activity Description
Integration Identify, define, combine, unify, and coordinate the various
processes and project management activities.
Scope Define and control what is and is not included in the project,
ensuring that the project includes all of the work required.
continues

ptg8286261
238 Chapter 13 Managers
Project Management
Activity Description
Time Manage timely completion of the project by defining what to
do, when to do it, and what resources are necessary.
Cost Estimate, budget, and control costs to meet an approved
budget.
Quality Define quality requirements and/or standards, perform quality
assurance, and monitor and record results of quality-focused
activities.
Team (human resource) Organize, manage, and lead the project team.
Communications Generate, collect, distribute, store, retrieve, and dispose of
project information.
Risk Plan, identify, analyze, respond, monitor, and control project
risks.
Procurement Acquire products, services, or results needed from outside the
project team.
T A B L E 1 3 . 2 Traditional Project Management Responsibilities (Continued)
T A B L E 1 3 . 3 Mapping of Project Management Responsibilities in a Scrum Organization
Project Management
Activity Product Owner ScrumMaster
Development
Team
Other
Manager
Integration ✔ ✔
Scope Macro level Sprint level
Time Macro level Helps Scrum
team use time
effectively
Sprint level
Cost ✔Story/task
estimating
Certainly these responsibilities remain important and need to be addressed. So,
if there is no project manager, who oversees these activities?
Table 13.3 shows that these traditional project manager responsibilities are dis-
tributed among the various Scrum team roles and possibly other managers.

ptg8286261
Project Managers 239
Based on Table 13.3, a person who was a project manager might assume any of the
three Scrum roles, depending on that person’s skills and desire. Many project manag-
ers make excellent ScrumMasters, if they can forgo any command-and-control man-
agement tendencies.
However, as you can see from Table 13.3, the product owner assumes at least as
many project management responsibilities as the ScrumMaster. So, project manag-
ers can also make a transition into the role of product owner, if they have the proper
domain knowledge and other skills to execute the product owner role. Or, less fre-
quently, a project manager with a technical background might choose to become a
member of the development team.
Retaining a Separate Project Manager Role
It would seem that project managers might become ScrumMasters, product owners,
or team members. That is not, however, always the case. Companies that have large
and complex development efforts sometimes decide to retain a separate project man-
ager when logistics and coordination tasks are so overwhelming that the teams can-
not be expected to keep up with them.
As a rule, I want the Scrum teams on a development effort to handle their own
logistics and coordination. Scrum teams should not expect that someone external
to the teams is responsible for coordinating things on their behalf. That expectation
leads to team members thinking, “If someone else is responsible for coordinating,
then we aren’t.”
The logistics and dependencies of smaller development efforts with only a few
Scrum teams are easily handled via day-to-day inter-team coordination (using
a technique like the scrum of scrums, see Chapter 12). However, what if we have a
development effort with tens or hundreds of Scrum teams and hundreds or maybe a
thousand developers?
Project Management
Activity Product Owner ScrumMaster
Development
Team
Other
Manager
Quality ✔ ✔ ✔ ✔
Team (human resource) ✔Formation
Communications ✔ ✔ ✔ ✔
Risk ✔ ✔ ✔ ✔
Procurement ✔ ✔
T A B L E 1 3 . 3 Mapping of Project Management Responsibilities in a Scrum Organization
(Continued)

ptg8286261
240 Chapter 13 Managers
Much like the one-product-one-backlog rule in Chapter 6, the teams-should-
handle-their-own-coordination rule is the correct starting place. However, just as the
issue of scale might cause us to relax the one-product-one-backlog rule, so might it
cause us to retain one or more project or program managers to help coordinate all of
the moving parts.
Before we rush down the path of retaining a coordination-specific role just
because we have a lot of teams, we should step back and look at the inter-team com-
munication channels. My experience with these situations is that rarely are the com-
munication channels fully connected among all teams (see Figure 13.5).
More likely the teams cluster (or should cluster) together into feature areas or
some equivalent, where the communication channels are more intense within a given
cluster and more lightly coupled across clusters (see Figure 13.6).
In such cases, the Scrum teams can easily manage their own inter-team coordi-
nation. But who owns the cross-cluster coordination? The default answer is the teams
themselves. In many cases this approach works just fine. The collaboration can be
F IGURE 13.5 Teams rarely have fully connected communication channels.

ptg8286261
Project Managers 241
handled like a scrum of scrums where a representative of each cluster meets with rep-
resentatives of the other clusters to discuss dependency coordination.
However, in the presence of many different clusters, even this scrum-of-scrum
type of coordination among the teams might prove difficult. In such cases I have seen
organizations funnel the coordination effort through a project or program manager
(see Figure 13.7).
I would prefer not to have a project manager at the center of the coordination.
Such an approach runs the risk of the individual Scrum teams handing off responsi-
bility for coordination to a third party.
However, at a sufficiently large scale I do recognize that having a person or peo-
ple who focus full-time on overseeing logistics and coordination can provide a level
of perceived comfort that the baton won’t get dropped. To clarify that the individual
teams cannot delegate their inter-cluster coordination responsibilities to someone
else, I prefer to think of the project manager as an assistant (like a servant leader)
to the Scrum teams. In this role, the project manager is expected to have the whole-
system perspective and to work diligently with each of the clusters or individual
teams to ensure that everyone has the appropriate understanding of what cross-team
coordination is required—but the teams still own the coordination.
F IGURE 13.6 Teams frequently form collaboration clusters.

ptg8286261
242 Chapter 13 Managers
Project manager
F IGURE 13.7 Funneling coordination through a project or program manager
This same use of a project manager can also be helpful on development efforts
where using Scrum represents just one small part of a much greater product or ser-
vices development. For example, there might be subcontractors, internal non-Scrum
teams, and other internal organizations associated with delivering the product. In
particular, the logistics of dealing with subcontractors or suppliers can be quite
involved and time-consuming. With so many moving parts, it is helpful to have
someone focused solely on the logistics (see Figure 13.8).

ptg8286261
Closing 243
Once again, the goal isn’t for the project manager to be in charge. Rather, the
project manager is the person who is concerned with making sure that dependencies
across the various areas are understood and communicated in a way so that the teams
can most effectively coordinate their work with the other teams.
Closing
In this chapter I described the role of functional managers within a Scrum organiza-
tion. I grouped managerial responsibilities into the categories of fashioning teams,
nurturing teams, aligning and adapting the environment, and managing the value-
creation flow.
Table 13.4 summarizes the responsibilities of functional managers in a tradi-
tional organization and those of functional managers in a Scrum organization.
Project manager
Subcontractor
Internal
non-Scrum
teams
Internal
non-Scrum
teams
Subcontractor
Internal
non-Scrum
teams
F IGURE 13.8 Project manager on complex, multiparty development

ptg8286261
244 Chapter 13 Managers
Although the majority of this chapter was focused on the role of functional man-
ager, I ended with a discussion of the role of project manager. I focused on both how
the traditional responsibilities of this role are shared among the three Scrum team
roles and how on complex development efforts some organizations find it helpful to
have one or more project managers in addition to the three Scrum roles.
This chapter concludes Part II. In the next chapter I will begin the discussion of
planning by describing important Scrum planning principles.
T ABLE 13.4 Comparison of Functional Manager in Traditional and Scrum Environments
Traditional Scrum
Assigns people to projects Collectively fashions great teams
Hires and fires Same
Focuses on people development Same
Reviews performance Still involved but the frequency of feedback
is significantly higher and feedback must
be tied back to the team
Assigns tasks to team members
(sometimes)
Lets team members self-organize and
define and select their own tasks
Establishes cross-project standards in
functional area
Same
Encourages functional-area-specific
initiatives
Same
Has good working knowledge of the
functional area and can lend a hand when
necessary
Same
Is skilled at moving direct reports from
team to team
Focuses on maintaining team integrity
Removes impediments Same
Focuses on own functional area Takes a see-the -whole perspective for
alignment and value creation
Manages economics (P&L) Same
Monitors measures and reports Aligns measures and reports with agile
principles to focus on value-creation flow

ptg8286261
This page intentionally left blank

ptg8286261
247
Chapter 14
SCRUM PLANNING PRINCIPLES
An old myth states that development with Scrum takes off with no planning. We just
start the first sprint and figure out the details in flight. This isn’t true. We do real
planning in Scrum. In fact, we plan at multiple levels of detail and at many points in
time. To some it may seem like Scrum deemphasizes planning because a majority of
the planning occurs just in time instead of substantially up front. In my experience,
however, teams often spend more time planning with Scrum than with traditional
development; it just might feel a bit different.
In this chapter I expand upon several of the Scrum principles described in Chap-
ter 3, with a focus on how they apply to planning. In doing so, I set the foundation
for the discussion in Chapter 15 of the multiple levels at which Scrum planning takes
place. In subsequent chapters I will explore in greater detail portfolio planning, prod-
uct planning, release planning, and sprint planning.
Overview
Chapter 3 described key Scrum principles, a number of which are fundamental to
how we approach planning when using Scrum. This chapter emphasizes the prin-
ciples shown in Figure 14.1.
Can’t get the plans right up front
Up-front planning should be helpful without being excessive
Keep planning options open until the last responsible moment
Focus more on adapting and replanning than on conforming to a plan
Correctly manage the planning inventory
Favor smaller and more frequent releases
Plan to learn fast and pivot when necessary
Scrum planning principles
F I G U R E 1 4 . 1 Scrum planning principles

ptg8286261
248 Chapter 14 Scrum Planning Principles
Additional Scrum principles (such as work in short timescales, leverage cadence,
and others) will be emphasized in subsequent planning chapters.
Don’t Assume We Can Get the Plans Right Up Front
The traditional, predictive approach to planning is to create a detailed plan up front
before development work begins. The goal is to get it right so that the rest of the
work can proceed in an orderly fashion. Some people argue that without this plan we
won’t know where we are going and cannot coordinate the people and their activities,
especially on larger development efforts with multiple teams. There is truth in that
argument.
The Scrum approach to planning is true to its empirical roots of inspection and
adaptation. When developing using Scrum, we don’t believe we can get it right up
front, so we don’t try to produce all of the planning artifacts up front. We do, how-
ever, produce some of the planning artifacts early on in order to achieve a good bal-
ance between up-front and just-in-time planning.
Up-Front Planning Should Be Helpful without Being
Excessive
Let’s look at an example that illustrates the principle that up-front planning should be
helpful without being excessive.
I live in Colorado where the skiing is world-class. Occasionally I do some recre-
ational skiing, but I’m no expert. A friend of mine, John, is an extreme skier. Hon-
estly, there are times I wish I were one as well, but I’m not that skilled or that crazy;
John is. Once John was sharing pictures of his adventures on a particularly insane
mountain. Out of curiosity I asked him a simple question: “When you are positioned
at the top of the mountain preparing to start your run, do you plan your entire route
down?”
After he finished chuckling, he remarked, “No, if I did that I would just get myself
killed.” He went on to say, “I pick a spot some distance down the mountain. My first
goal is to ski to that spot. Maybe I plan the first two or three turns. Realistically, plan-
ning any further would be impossible and dangerous.”
“Why?” I asked.
“The terrain isn’t what it appears to be from the top because the lighting and
other factors play tricks on you. Also, there are probably some trees down there
somewhere, but from up top I can’t see them—if I decide while standing at the top
to turn right at some point, and actually follow through on it, I might fly right into
those trees. Plus there’s no predicting the 15-year-old on a snowboard who will fly
over my head yelling, ‘Watch out, dude!’ You never know when you’ll have to change
course, or why.”

ptg8286261
Focus More on Adapting and Replanning Than on Conforming to a Plan 249
After he finished his explanation, I remembered thinking, “Wow, that sounds
like every interesting product development effort I’ve worked on.” You never can pre-
dict with great certainty when you’ll have to change course, or why. On the products
where I was asked to create a detailed up-front plan, I did create one. But I can’t recall
a single time this approach worked out. After we finished, I can’t recall ever looking
back at the original plan and saying, “Got it perfect!” In a sense, trying to do too
much up-front planning is like trying to plan every turn while standing on top of the
mountain. Planning at this level of detail is wasteful; believing the plan is correct to
the point of ignoring real-time data is downright dangerous.
Most of us have been involved in developing products where the level of detail
associated with up-front predictive planning was just absurd. Does that mean we
should do no up-front planning? No, that would be negligent and foolhardy. John
certainly does some up-front planning—he studies major features of the terrain to
give himself confidence before he starts his run. Equally foolhardy, however, is to
plan to the point where it is difficult or costly to react to reality. Like John, we must
find the proper balance between up-front prediction and just-in-time adaptation.
Keep Planning Options Open Until the Last
Responsible Moment
To achieve a good bala nce bet ween up-front a nd just-in-time planning, we are g uided
by the principle that we should keep important options open until the last responsi-
ble moment. This means we save the planning that is best performed in a just-in-time
fashion for a time when we have much better information. Why make an early plan-
ning decision based on poor information? In addition to being very costly, premature
decision making can also be dangerous, as John pointed out.
Focus More on Adapting and Replanning Than on
Conforming to a Plan
One of the issues on many product development efforts is that too much emphasis
is placed on the up-front plan and not enough on continuous planning. If we spend
significant time up front developing a highly predictive plan, and we believe we got
it right, there will be significant inertia to conform to the plan instead of updating it
to respond to change. If we believe instead, as we do with Scrum, that you can’t get
the plans right up front and you can’t eliminate change, we will value responding to
change and replanning over following the up-front plan.
In the 1980s I spent time either helping develop large plans or working as a con-
sultant to companies that had developed such plans. You know the type of plans I’m
talking about—the ones yielding a large Gantt chart that we print (across multiple
pages), tape together, and hang on the wall (see Figure 14.2).

ptg8286261
250 Chapter 14 Scrum Planning Principles
On several of these development efforts we spent up to six weeks developing
highly predictive up-front plans. Once we produced these plans, they became the
maps for the projects. Much as a legal system might assume “innocent until proven
guilty,” these plans were “assumed correct until proven wrong.” A bit of wisdom
often attributed to the Swiss Army, but more likely derived from the SAS Survival
Guide (Wiseman 2010), seems appropriate here: “When lost in the woods, if the map
doesn’t agree with the terrain, in all cases believe the terrain.” (See Figure 14.3.)
On any given product, our misguided faith in the map leads us to conclude that
progress can and should be measured as conformance to or variation from the plan.
When plan deviations occur, our desire for plan conformance blinds us to the fact
that the map itself could be wrong. If the map becomes more important than the ter-
rain, we have lost touch with the reality in which we must navigate.
When using Scrum, we view the up-front plan as helpful, but we believe that
reading and adapting to the terrain are necessities. This is a reasonable belief when
you consider that any up-front plan is put together when we have the least possible
knowledge that we will ever have about our product. As such, up-front plans very
accurately encode our early ignorance.
1 Task #1
2 Task #2
3 Task #3
4 Task #4
5 Task #5
6 Task #6
7 Task #7
8 Task #8
9 Task #9
10 Task #10
11 Task #11
12 Task #12
13 Task #13
14 Task #14
15 Task #15
16 Task #16
17 Task #17
18 Task #18
19 Task #19
20 Task #20
21 Task #21
22 Task #22
23 Task #23
24 Task #24
25 Task #25
26 Task #26
27 Task #27
28 Task #28
29 Task #29
30 Task #30
31 Task #31
32 Task #32
ID Task Name 1/12 2/12 3/12 4/12 5/12 6/12 7/12 8/12 9/12 10/12 11/12 12/12 1/13 2/13 3/13 4/13 5/13 6/13
George 18 months from today
F I G U R E 1 4 . 2 Big up-front Gantt chart

ptg8286261
Correctly Manage the Planning Inventory 251
In Scrum, we favor frequent replanning as we validate our assumptions. We use
our validated learning to continuously produce better, more useful plans. We don’t
worry about our plans being wrong, because we know we will soon replace them with
more accurate plans. Because we work in short sprints of a few weeks to no more than
a month, even if we’re wrong, we won’t spend too long going down the wrong path
before adjusting course.
Although most Scrum teams I have seen don’t employ a Gantt chart, they do plan
and do value having some form of longer-term planning. In fact, as I will discuss in
Chapter 15, Scrum teams plan at multiple levels of detail. What we don’t want is to
get so wedded to our plans that we aren’t willing to replan when things change or
when we learn important information to which we must react.
Correctly Manage the Planning Inventory
In Chapter 3 I discussed a key Scrum principle of managing inventory (also referred
to as work in process or WIP). When determining the proper balance between up-
front and just-in-time planning, a key insight is to realize that creating a large inven-
tory of predictive, not-yet-validated planning artifacts is potentially very wasteful.
This doesn’t look
the same at all!
F I G U R E 1 4 . 3 When the map and the terrain don’t agree, believe the terrain.

ptg8286261
252 Chapter 14 Scrum Planning Principles
Correctly managing our inventory of planning artifacts is the economically sensible
thing to do.
Take the previous example of the large Gantt chart produced up front. As the
development effort unfolds and we validate our assumptions by acquiring knowl-
edge about what we’re doing, we’ll learn where our original plan was wrong. Unfor-
tunately, by that time we’re saddled with the waste of having to unwind and redo the
future plans that have been invalidated by what we just learned.
This generates at least three forms of waste. First, there is the wasted effort to
produce the parts of the plan that now have to be discarded. Second, there is the
potentially significant waste of having to update the plan. And third, there is the
wasted opportunity of not having invested our time in more valuable activities (like
delivering high-value, working software) instead of doing up-front work that then
requires future work to fix.
I always try to balance how much planning I do at a given time against the prob-
ability that what I’m doing will amount to waste if there is a change. For example, in
the Gantt chart in Figure 14.2, I could have George’s name next to a task that is going
to start 18 months from today. What do you think the chances are that George will
work on that specific task 18 months from today? Probably close to zero percent!
So, if there is such a high probability of the plan being wrong that far into the
future, why plan that far out? Usually because we are trying to answer questions like
“When will we be done?” or “How many people will we need for this development
effort?” Unless we predict all of the work, how can we answer these questions with
any certainty?
When a product will ship and which features we can get into a product by a pre-
determined date are valid questions that need to be addressed. However, we can’t
deceive ourselves into thinking we have the right answer just because we did long-
term, low-certainty guessing. I will address these planning questions in the next sev-
eral chapters.
Favor Smaller and More Frequent Releases
Scrum favors smaller, more frequent releases because they provide faster feedback
and improve a product’s return on investment (ROI). We can almost always improve
the lifecycle profits of our product by leveraging incremental development and mul-
tiple releases of smaller marketable subsets of features.
Consider the economics of a single-release product, as shown in Figure 14.4
(from Denne and Cleland-Huang 2003). At the beginning of development we are
spending money (starting the investment period) without any return. The release
of the product occurs on the downward slope of the curve during the investment
period. Eventually we achieve self-funding, when the product’s revenue equals the

ptg8286261
Favor Smaller and More Frequent Releases 253
cost of development. Once revenues exceed costs, we enter the payback period, where
we start to recoup our investment. When total revenue equals total costs, we have
achieved the breakeven point. From that point forward we are finally profitable!
To i llustrate t he benef its of smal ler, more f requent releases, a ssume we release
twice instead of once (see Figure 14.5). In this case we reach self-funding, breakeven,
and profitability sooner, thus improving the overall ROI for the product.
As a specific example (adapted from Patton 2008), look at the ROI improvement
of a model with the assumptions shown in Table 14.1.
Time
Cost
Investment
Payback
Self-funding
Breakeven
Profit
Release
F I G U R E 1 4 . 4 Single-release economics
Time
Cost
Self-funding
Breakeven
Incremental
(early) release
Release
Profit
Single (late)
release
F I G U R E 1 4 . 5 Multi-release economics

ptg8286261
254 Chapter 14 Scrum Planning Principles
The results, shown in Table 14.2, illustrate that, with a single release, after 12
months we have an ROI of 9.1%. If instead we do two semiannual releases, the ROI
improves to 15.7%; with quarterly releases we achieve an ROI of 19.5%.
There are some limitations to this approach. First, for any product there is a mini-
mum releasable or marketable set of features. Therefore, we can’t just continue making
the initial release smaller, because eventually it becomes so small as to not be market-
able. Also, in some markets smaller and more frequent releases might not be an option.
However, if your marketplace is open to receiving partial value sooner, delivering
smaller and more frequent marketable releases is a very important principle to follow.
Plan to Learn Fast and Pivot When Necessary
There is no amount of up-front predicting or guessing that will replace doing some-
thing, learning fast, and then pivoting if necessary. By pivoting I mean changing
directions while staying grounded in what we’ve learned. Ries defines pivoting to be
T A B L E 1 4 . 1 ROI Model Assumptions
Variable Value
Revenue (all features) $300K/month
Revenue (1/2 features) $200K/month
Revenue (1/3 features) $150K/month
Delay from delivery to revenue 1 month
Development cost $100K/month
Release cost $100K per release
T A B L E 1 4 . 2 ROI of Different Release Cycles
Single Release
(12 months)
Semiannual
Releases
Quarterly
Releases
Total cost $1.3M $1.4M $1.6M
Total t wo-year return $3.6M $4.8M $5.25M
Net two-year return $2.3M $3.4M $3.65M
Cash investment $1.3M $0.7M $0.45M
Internal rate of return (as a
surrogate for ROI)
9.1% 15.7% 19.5%

ptg8286261
Closing 255
“a structured course correction designed to test a new fundamental hypothesis about
the product, strategy, and engine of growth” (Ries 2011). Just like John the skier, we
need to be prepared to pivot quickly when we learn that our current plan is no longer
valid.
As I discussed in Chapter 3, our goal is to move through the learning loop quickly
and economically. So we should structure our plans with learning as a key goal. By
getting fast feedback, we can determine whether our plans are taking us in a viable
direction. If not, we can pivot or redirect ourselves.
Closing
In this chapter I discussed and provided an overview of several Scrum planning
principles. These principles enable us to plan in an economically sensible fashion by
doing a helpful amount of up-front planning, balanced with more detailed, just-in-
time planning as we learn more about what we are building and how to build it. In
the next five chapters I will illustrate with examples how to leverage these principles
at a deeper level in the context of the multiple levels of Scrum planning.

ptg8286261
This page intentionally left blank

ptg8286261
257
Chapter 15
MULTILEVEL PLANNING
On Scrum projects, we plan at multiple levels of detail and at multiple times through-
out product development. In this chapter I provide a high-level, top-down descrip-
tion of the various Scrum planning activities and how they are interrelated. In the
next several chapters I will explore portfolio planning, product planning (envision-
ing), release planning, and sprint planning in greater detail.
Overview
When developing a product with Scrum, planning takes place at multiple levels (see
Figure 15.1).
At the highest level is strategy planning, which although critical to an orga-
nization’s success is outside the scope of this book. Formally Scrum defines only
Release
Product
Po r t f o l io
Strategy
Sprint
Daily
Budget
Budget
Date
Date
Scope
Scope
F I G U R E 1 5 . 1 Different levels of planning

ptg8286261
258 Chapter 15 Multilevel Planning
sprint planning and daily planning (via the daily scrum). However, most organiza-
tions will benefit from portfolio, product, and release planning, so I will summarize
approaches for each of them in this chapter and then discuss each in detail in subse-
quent chapters.
Table 15.1 summarizes five types of planning, with an emphasis on the span of
time typically covered by each type, who is involved, what the focus is, and what the
deliverables are at each level.
To illustrate planning at each of these levels, I w il l use t he redesign of the Scr u m
Alliance website (www.scrumalliance.org) as an example. The relevant context for
this product is that in 2006 the Scrum Alliance, a nonprofit organization focused
on the worldwide promotion of Scrum, had a dreadful website. It wasn’t pretty, was
hard to navigate, and was content poor. When I became the Managing Director of the
Scrum Alliance at the end of 2006, one of the first things the board of directors asked
for was a new and much better website. I was the product owner for this effort and
will describe the hierarchy of planning we performed to realize a new website.
T A B L E 1 5 . 1 Planning Level Details
Level Horizon Who Focus Deliverables
Portfolio Possibly a
year or more
Stakeholders
and product
owners
Managing a
portfolio of
products
Portfolio backlog
and collection of
in-process products
Product
(envisioning)
Up to many
months or
longer
Product
owner,
stakeholders
Vision and
product evolution
over time
Product vision,
roadmap, and high-
level features
Release Three (or
fewer) to
nine months
Entire
Scrum team,
stakeholders
Continuously
balance customer
value and overall
quality against
the constraints of
scope, schedule,
and budget
Release plan
Sprint Every
iteration
(one week to
one calendar
month)
Entire Scrum
team
What features
to deliver in the
next sprint
Sprint goal and sprint
backlog
Daily Every day ScrumMaster,
development
team
How to complete
committed
features
Inspection of current
progress and
adaptation of how
best to organize the
upcoming day’s work

ptg8286261
Product Planning (Envisioning) 259
Portfolio Planning
Portfolio planning (or portfolio management) is an activity for determining which
products to work on, in what order, and for how long. Although portfolio planning is
conceptually at a higher level than product planning (because it deals with a collec-
tion of products), one of its primary inputs is a newly envisioned product idea from
product planning.
In 2006, the Scrum Alliance was a relatively new organization, and its portfolio
contained only the ongoing development of its existing website. Once the initial envi-
sioning of the new Scrum Alliance website was completed, the board of directors (the
stakeholders of the Scrum Alliance portfolio backlog) approved the development of
the first release of the new website.
Product Planning (Envisioning)
The goals of product-level planning (which I also refer to as envisioning) are to cap-
ture the essence of a potential product and to create a rough plan for the creation of
that product. Envisioning begins with the creation of a vision, followed by the cre-
ation of a high-level product backlog and frequently a product roadmap.
Vision
The product vision provides a clear description of the areas in which the stakehold-
ers, such as users and customers, get value. In our case, the users were the 10,000
worldwide members of the Scrum Alliance at the time (at the end of 2011 there were
150,000 worldwide members). The customer, who paid for the new product, was the
Scrum Alliance board of directors on behalf of the members.
Our vision for the new Scrum Alliance website was as follows:
For people worldwide who are interested in Scrum, the new Scrum
Alliance website will be their trusted source of Scrum knowledge.
It will be feature and content rich and will be their first stop on the
Internet for learning more about Scrum or to collaborate on Scrum
topics of interest.
High-Level Product Backlog
Once a product vision has been established, the next step is to generate an initial
high-level version of the product backlog. In the case of the redesigned Scrum Alli-
ance website, at the end of 2006 we already had a growing product backlog of features
that the stakeholders and users wanted for the new and improved website.

ptg8286261
260 Chapter 15 Multilevel Planning
Product backlog items included the following epic-level user stories:
As a Certified Scrum Trainer I want to be able to post my public
Scrum class on the Scrum Alliance website so that the community
will know the details surrounding where and when I am offering the
class.
As a prospective student I want to be able to see details of all pub-
licly available Scrum classes so that I can find one that meets my
criteria for attendance.
If our product had been completely new, we would have had to do at least some
minimal up-front requirements generation to populate our product backlog and esti-
mate at least the highest-priority items. In our case we had some product backlog
items that we used as a starting point for ideas to be included in our vision of the new
website.
Product Roadmap
Once a product vision and high-level product backlog have been established, it is
helpful to build a product roadmap (sometimes referred to as a release roadmap). A
product roadmap communicates the incremental nature of how the product will be
built and delivered over time, along with the important factors that drive each indi-
vidual release.
Today many organizations a re striv ing for continuous deployment, where they
deploy working features into production as soon as they become available. If your
organization is focused on this practice, you might not need to produce a product
roadmap. However, even if you do intend to deploy continuously, a product roadmap
might be a useful tool for helping your organization think about larger collections
of features, constraints that might dictate which features should be done around the
same time, and when certain features should be available.
Figure 15.2 shows a product roadmap in a format promoted by Luke Hohmann
(Hohmann 2003).
Shown in the roadmap are two releases, one in each of the first two calendar
quarters of 2007. The “0.5” release in Q1 2007 was the first release of the new website;
we chose that number because we planned for this first release to have fewer than half
of the features of the old Scrum Alliance website, but it would include new features
that were better than those of the old website. The desired features centered on listing
all publicly available Scrum classes anywhere in the world and basic support for Cer-
tified Scrum Trainers (CSTs). Release 0.5 was a fixed-scope release because we knew
the specific features we wanted to have on the new website before we could retire the
old site. What we didn’t know was how long it would take to get those features ready
for launch. In Chapter 18 I will discuss how to determine the ship date for a fixed-
scope release.

ptg8286261
Release Planning 261
Release 1.0 was a fixed-date release. We knew we wanted the release to coincide
with a Scrum Alliance conference (called a Scrum Gathering) that began on May 7,
2007, in Portland, Oregon. Our goal was to have an exciting set of features available
by the first day of that conference. What we didn’t know was how many features we
could get into that release. In Chapter 18 I will discuss how to determine the content
of a fixed-date release.
To summarize, on the Scrum A ll iance website initia l product roadmap we iden-
tified both a fixed-scope release (0.5) and a fixed-date release (1.0).
No matter what product you are creating, by the end of product-level planning,
you should have a product vision, a high-level product backlog populated with esti-
mated user stories, and (optionally) a product roadmap. In addition, you might also
produce other artifacts to provide decision makers with sufficient confidence to
move forward to develop the product.
The outputs of product-level planning became inputs to portfolio planning,
where the initial 0.5 release of the redesigned website was approved by the board of
directors.
Release Planning
Release planning is about making scope, date, and budget trade-offs for incremental
deliveries.
On most development efforts it is sensible and necessary to do initial release plan-
ning after envisioning (product planning) and before starting the first sprint associ-
ated with the release. At this point, you can create an initial release plan that balances
how much you can develop in the release against when the release will be available.
Q1–2007
Market map
Feature/benefit map
Architecture map
Market events
Release schedule
Q2–2007 Q3–2007
Launch and retire
Class listing
CST support
Ruby on Rails
Membership
Bulk loading
Scrum Gathering
Searching
Filtering
RegOnline
integration
Agile 2007
0.5 1.0
F I G U R E 1 5 . 2 Scrum Alliance website product roadmap

ptg8286261
262 Chapter 15 Multilevel Planning
To have some idea of what you c a n deliver by a f ixed date or when you c a n deliver
a fixed set of features, you need to create and estimate a sufficient number of product
backlog items.
A simple way to visualize a release is to draw a line through the product backlog
(see Figure 15.3). All of the items above the line are planned for the release, and all
of the items below the line are not planned for the release. This line can move up or
down in the product backlog as you gain better insight into the product. In Chapter
18 I will discuss how to determine the position of this line.
You can now easily tie t he product roadmap to the product back log to provide a
more detailed elaboration of the contents of at least the near-term releases identified
in the product roadmap (see Figure 15.4). A release on the product roadmap corre-
sponds to a set of features in the product backlog.
The release plan must also have a time dimension associated with it, which can
be expressed in terms of the number of sprints required to accomplish the release.
Most releases are large and have more features than can be built in one sprint (see
Figure 15.5).
During release planning you might go so far as to guess the features that will be
delivered in the first couple of sprints. This can be helpful when multiple teams need
to coordinate work or when a team needs to request additional hardware, tools, or
assistance in advance. But guessing ahead more than a couple of sprints is almost
always unnecessary and violates the principle of doing planning just in time and just
enough.
Feature A | 5
Feature B | 3
Feature C | 2
Defect 234 | 5
Refactor X | 2
Feature D | 5
Defect 123| 8
Feature E | 2
...
Feature Z | ?
Product backlog
Release 1
Release 2
F I G U R E 1 5 . 3 A release line in the product backlog

ptg8286261
Release Planning 263
Q1–2007
Market map
Feature/benefit map
Architecture map
Market events
Release schedule
Q2–2007 Q3–2007
Launch and retire
Class listing
CST support
Ruby on Rails
Membership
Bulk loading
Scrum gathering
Searching
Filtering
RegOnline
integration
Agile 2007
0.5 1.0
Product backlog
Release 0.5
Release 1.0
F I G U R E 1 5 . 4 Product roadmap releases mapped to the product backlog
Release 0.5 Release 1.0
Release plan
Release X.Y
Sprint 2 Sprint 3Sprint 1 Sprint 4
F I G U R E 1 5 . 5 A release can encompass one or more sprints.

ptg8286261
264 Chapter 15 Multilevel Planning
Sprint Planning
The specific product backlog items that the Scrum team will work on in the next
sprint are agreed to at sprint planning, which occurs at the beginning of each sprint.
During this activity, the team generates a sprint backlog: a description of the task-level
work that has to be completed to get the product backlog items done (see Figure 15.6).
During sprint planning the team does the next level of just-in-time detailed plan-
ning. I will discuss the details of sprint planning in Chapter 19.
Daily Planning
The most detailed level of planning occurs during the team’s daily scrum meeting.
Recall that this is the activity where the team members get together and each person
takes turns stating what she got done since the last daily scrum, what she is planning
to work on today, and whether she has any impediments.
Sprint 1
Sprint backlog
Code the UI
Hours = 5
Add error logging
Hours = 12
Install graphics lib
Hours = 8 Automate tests
Hours = 6
Automate tests
Hours = 8
Create
D B s c h e m a
Hours = 6
Create icons
Hours = 8 Buffer test
Hours = 2
PBIs Ta s k s
F I G U R E 1 5 . 6 Each sprint has a sprint backlog.

ptg8286261
Closing 265
During the daily scrum, team members collectively describe, in a highly visible
manner, the big-picture plan for that day. This also allows the team to use resource
alerts. For example, someone might say, “Today I am going to work on the stored
procedure task, and I should have that done by lunch. Whoever is going to work on
the business logic task, please keep in mind that the business logic task is on the criti-
cal path for getting our work done this sprint and you should be ready to work on it
right after lunch.” Such communications can quickly identify potential work block-
ages and enable a better flow through sprint execution.
Closing
This chapter illustrated how planning at multiple levels of detail happens on a devel-
opment effort using Scrum. Figure 15.7 (shown on the next page) graphically sum-
marizes the artifacts produced at these levels (except the portfolio and daily planning
levels) and their interrelated nature.
In the next several chapters I will explore in greater depth the topics of portfolio
planning, product planning, release planning, and sprint planning.

ptg8286261
266 Chapter 15 Multilevel Planning
Release 0.5 Release 1.0 Release X.Y
Sprint 2 Sprint 3Sprint 1 Sprint 4
Q1–2007
Market map
Feature/benefit map
Architecture map
Market events
Release schedule
Q2–2007 Q3–2007
Launch and retire
Class listing
CST support
Ruby on Rails
Membership
Bulk loading
Scrum gathering
Searching
Filtering
RegOnline
integration
Agile 2007
0.5 1.0
Product backlog
Product vision
Product roadmap
Sprint 1
Sprint backlog
PBIs Ta s k s
Release plan
F I G U R E 1 5 . 7 Hierarchical Scrum planning

ptg8286261
267
Chapter 16
PORTFOLIO PLANNING
Most organizations want or need to produce more than one product at a time. These
multiproduct organizations need a way to make economically sound choices regard-
ing how to manage their product portfolios. They also need their portfolio manage-
ment or governance processes to align well with core agile practices; otherwise, there
will be a fundamental disconnect with the agile approach being used at the individ-
ual product level. This chapter lays out 11 strategies for portfolio planning, grouped
by scheduling, product inflow, and product outflow. It ends with a discussion of how
to determine whether or not more work should be invested in in-process products.
Overview
Portfolio planning (or portfolio management) is an activity for determining which
portfolio backlog items to work on, in which order, and for how long. A portfolio
backlog item can be a product, a product increment (one release of a product), or a
project (if your organization prefers to plan work around projects). In this chapter I
use the word product generically to mean all types of portfolio backlog items.
In my experience, most organizations (agile or otherwise) do a very poor job of
portfolio-level planning. Many have portfolio-level planning processes that are fun-
damentally at odds with core agile principles. When this happens, decisions are made
at the portfolio level that disrupt the fast, flexible flow of work. In this chapter I dis-
cuss how to avoid this disconnect by performing portfolio planning in a manner that
is well aligned with core agile principles.
Timing
Portfolio planning is a never-ending activity. As long as we have products to develop
or maintain, we have a portfolio to manage.
As shown in Figure 15.1, portfolio planning deals with a collection of products
and is therefore larger in scope and higher level than individual product-level plan-
ning (envisioning). Being higher level, however, doesn’t mean that portfolio planning
precedes product planning. In fact, the output of planning or envisioning a new prod-
uct is an important input to portfolio planning. Using data from envisioning, portfo-
lio planning determines whether to fund the product and how to sequence it into the
portfolio backlog. Portfolio planning isn’t just for newly envisioned products, though.
It also occurs at regularly scheduled intervals to review products that are already in
process (under development, already live in production, or currently being sold).

ptg8286261
268 Chapter 16 Portfolio Planning
Participants
Because portfolio planning focuses on both new products and in-process products, its
participants include an appropriate set of internal stakeholders, the product owners of
individual products, and optionally, but frequently, senior architects and technical leads.
The stakeholders must have a sufficiently broad business perspective to properly
prioritize the portfolio backlog and make decisions regarding in-process products. In
some organizations the stakeholders collectively form an approval committee, gover-
nance board, or some equivalent entity that oversees the portfolio-planning process.
Product owners also participate in portfolio planning as champions of their
respective products and advocates for necessary resources.
Frequently the input of senior architects or technical leads is needed to ensure
that important technical constraints are factored into portfolio-planning decisions.
Process
Figure 16.1 illustrates the portfolio-planning activity.
Portfolio planning
Inputs Outputs
In-process products
Portfolio backlog
Scheduling
Manage in-process Manage inflows
Manage outflows
New-product data
In-process data
Participants
Internal stakeholders Product owners
Others
F I G U R E 1 6 . 1 Portfolio-planning activity

ptg8286261
Overview 269
As I stated earlier, inputs to portfolio planning include newly envisioned prod-
ucts (candidates for inclusion in the portfolio backlog) and in-process products. The
new products come with data that was gathered during envisioning, such as cost,
duration, value, risk, and so on. In-process products come with their own set of data,
such as intermediate customer feedback, updated cost, schedule, and scope estimates,
technical debt levels, and market-related data, which will help determine the path
forward for these products.
Portfolio planning has two outputs. The first is the portfolio backlog, which is a
prioritized list of future products, ones that have been approved but for which devel-
opment has not yet begun. The second is a set of active products—new products that
have been approved and are slated for immediate development, as well as products
that are currently in process and have been approved to continue.
To arr ive at t hese out puts, par ticipa nts engage in fou r categor ies of ac tiv ities :
scheduling, managing inflows, managing outflows, and managing in-process products.
Figure 16.2 summarizes the specific strategies associated with each of these categories.
Portfolio backlog
Complete engaged
teams
WIP limit
Idle work,
not idle workers
Lifecycle profits Cost of delay Accuracy, not
precision
Product A
Outflows
Inflows
In-process
Scheduling
Product B
Product C
Product D
–
Emergent
opportunities
Arrival rate
Economic filter
Smaller, more
frequent releases
Marginal economics
F I G U R E 1 6 . 2 Portfolio-planning strategies

ptg8286261
270 Chapter 16 Portfolio Planning
The scheduling strategies help determine the proper sequence of the products in
the portfolio backlog. Inflow strategies guide participants in knowing when to insert
items into the portfolio backlog. Outflow strategies inform participants about when
to pull a product out of the portfolio backlog. The in-process-product strategy is used
to decide when to preserve, pivot, deliver, or terminate a product that is currently in
process.
The remainder of this chapter will discuss the 11 strategies that make up these
four categories.
Scheduling Strategies
Portfolio planning must allocate an organization’s limited amount of resources to
products in an economically sensible way. Although there are many ways to decide
the sequence of products, I focus on three strategies:
Optimize for lifecycle profits.
Calculate the cost of delay.
Estimate for accuracy, not precision.
Optimize for Lifecycle Profits
To opt i m i ze product order i ng w it hin t he portfolio we need to decide which var iable
to measure so that we can determine whether our optimization efforts are work-
ing. Reinertsen recommends that we use an economic framework where we consider
all decisions and trade-offs in a standardized and useful unit of measure: lifecycle
profits (Reinertsen 2009b). Based on this recommendation, our goal should be to
sequence the items in the portfolio backlog to maximize overall lifecycle profits.
For a specific product, lifecycle profits are the total profit potential for the prod-
uct over its lifetime. In the case of portfolio planning, we are interested in optimiz-
ing the lifecycle profits of the entire portfolio rather than a single product. Thus, we
might have to suboptimize individual products in order to optimize the portfolio
(Poppendieck and Poppendieck 2003). So the goal of the strategy of optimizing for
lifecycle profits is to find the sequence of portfolio backlog items that provides the
greatest lifecycle profits across the entire portfolio (see the next section on calculat-
ing the cost of delay for an example).
Reinertsen further asserts that the two variables most important to assessing the
impact on lifecycle profits are cost of delay and duration (a good common proxy of
which is effort or product size). Based on how similar these variables are (or aren’t)
across products in the portfolio, he suggests selecting one of the three scheduling
approaches shown in Table 16.1.
When all products have the same cost of delay, the preferred scheduling strat-
egy is to do the shortest job first. When products are the same size (have the same

ptg8286261
Scheduling Strategies 271
duration), the preferred scheduling strategy is to first work on the products with a
high cost of delay. When both cost of delay and duration can vary (which is the nor-
mal case in product development), the economically optimal sequencing is achieved
using weighted shortest job first (WSJF), which is calculated as cost of delay divided
by duration (or effort to implement).
Next I will discuss both cost of delay and estimating the effort/cost of products
in the portfolio.
Calculate Cost of Delay
When we sequence items in the portfolio backlog, we must necessarily work on some
products before we work on others. Those that we don’t work on immediately have a
delayed start and therefore a delayed delivery date, for which there exists a quantifi-
able cost.
As I described in Chapter 3, the cost of delay provides essential information for
making informed economic decisions. Yet most organizations aren’t even in a posi-
tion to answer a question as simple as “If we delay the product deployment by one
month, what would be the cost of that delay in lifecycle profits?”
Being blind to the cost of delay, most organizations choose to sequence their
portfolio using the simple (and frequently wrong) approach of “high profit first” (see
Table 16.2).
In this example, project A has a 20% ROI and project B has a 15% ROI. Using the
high-profit-first scheduling strategy, we would do project A before project B because
it has the higher return on investment. Although this approach seems sensible, it fails
to take into account the cost of delay of each product, which could substantially alter
T A B L E 1 6 . 1 Different Portfolio Scheduling Principles
(If) Cost of Delay (And) Duration/Size (Then) Scheduling Approach
Same across all products Varies across products Shortest job first
Varies across products Same across all products High delay cost first
Varies across products Varies across products Weighted shortest job first
T A B L E 1 6 . 2 Example of Using Cost of Delay to Sequence the Portfolio
Project A Project B
Return on investment (ROI) 20% 15%
Cost of delay (1 month) $5K $75K

ptg8286261
272 Chapter 16 Portfolio Planning
the lifecycle profit calculation. For example, what if project A has a $5K/month cost
of delay and project B has a $75K/month cost of delay (as shown in Table 16.2)? In
this case, delaying project B to work first on project A has a much greater impact on
portfolio lifecycle profitability.
Cost of delay embodies the fact that time does or can affect most variables. In the
previous example, the ROIs of project A and project B were computed using specific,
time-dependent assumptions (for example, when development would start and end,
what resources would be available at that time, how much the resources would costs,
what prices people would be willing to pay to purchase the product over time, what
technology and business risks would exist and what probabilities of occurrence and
cost impacts they would have). Delay or accelerate development and the values of
these variables can and frequently do change. So, cost of delay is not the only factor
to consider when prioritizing items in the portfolio; instead, it is the time dimension
that must be considered because it affects all other prioritization variables such as
cost, benefit, knowledge, and risk.
The most frequent complaint I hear about cost of delay is that it is not clear how
it should be calculated. Most of the time this concern is unfounded because running
two different spreadsheet models that calculate profitability (one without a delay and
one with a delay) should effectively calculate the cost of delay.
Leffingwell offers a model for calculating cost of delay that is the aggregation of
three product attributes (Leffingwell 2011):
User value—potential value in the eyes of the user
Time value—how user value decays over time
Risk reduction/opportunity enablement—the value in terms of mitigating a
risk or exploiting an opportunity
To ca lcu late the cost of a delay for a product, each of t hese t hree att ributes is
assigned its own individual cost-of-delay number using a scale of 1 (lowest) to 10
(highest). The total product cost of delay is the sum of the three individual delay
costs.
An alternative, and frequently effective, approach for making informed schedul-
ing decisions is to characterize the general profile of the delay cost (see Figure 16.3).
Table 16.3 describes each of these profiles in more detail.
If calculating a precise cost-of-delay number is very time-consuming or error-
prone, consider selecting an appropriate delay profile (or creating a new one) and use
that profile instead of a specific delay number when making scheduling decisions.
Does cost of delay apply in organizations that develop products in highly reg-
ulated industries like medical devices or health care where compliance and patient
safety are critical? Such critical factors must be considered when determining prod-
uct priorities; however, important properties of these factors can be accounted for
using cost of delay expressed in terms of lifecycle profits.

ptg8286261
Scheduling Strategies 273
Time
Cost
Linear
Time
Cost
Fixed date
Time
Cost
Logarithmic
Time
Cost
Intangible
Time
Cost
Large fixed cost
Time
Cost
Must do now
F I G U R E 1 6 . 3 Cost-of-delay profiles
T A B L E 1 6 . 3 Description of Cost-of-Delay Profiles
Profile Name Description
Linear A product with a cost of delay that increases at a constant rate.
Large fixed cost A product that accrues a one-time cost if not acted on immediately;
for example, we receive a substantial payment only after the product
is delivered.
Must do now A product that we “must do now” because we experience an
immediate and aggressively increasing cost of delay; for example,
a product without which we incur immediate lost revenue or cost
savings that continue to grow over time.
Fixed date A product that must be delivered by a fixed future date and therefore
has a zero cost of delay until the fixed date occurs. After the fixed
date passes, the full cost of at least the initial delay is accrued.
Logarithmic A product that accrues most of the delay cost very early, with
increasingly less incremental delay thereafter.
continues

ptg8286261
274 Chapter 16 Portfolio Planning
For example, in the United States, organizations such as health plans and health-
care providers must use certain codes to identify specific diagnoses and clinical proce-
dures on claims, encounter forms, and other electronic transactions. The standard for
these codes at the time this book was written is International Classification of Diseases,
9th revision (ICD-9-CM). However, a new standard, ICD-10-CM, will replace ICD-
9-CM on October 1, 2013. At that time, organizations that are subject to U.S. HIPPA
(Health Insurance Portability and Accountability Act of 1996) regulations must com-
ply with ICD-10-CM. Many such organizations have a portfolio of products that need
remediation—in a fashion strikingly similar to the Year 2000 (Y2K) problem at the
turn of the millennium. Because all products in the remediation portfolio have a
fixed-date cost-of-delay profile (as shown in Figure 16.3), to rationally sequence the
remediation work, these organizations need to consider what the cost of the delay (in
lifecycle profits) would be for each product if the remediation work on that product is
not completed by October 1, 2013. For example, a critical product that is not in com-
pliance could generate a loss of $100M/year, whereas another noncompliant product
might generate a loss of $5M/year. So calculating cost of delay is a critical variable for
sequencing the remediation portfolio in an economically sensible way.
Estimate for Accuracy, Not Precision
To properly schedule por t folio back log items we also need to understand t heir effort /
cost (because cost affects lifecycle profits). When estimating the size of portfolio
backlog items, we are looking for accuracy, not precision, because of the very limited
data we have at the time when a first estimate is required.
In Chapter 7 I discussed the fact that some organizations prefer to estimate port-
folio backlog items using T-shirt sizes instead of overly precise numbers. Each T-shirt
size corresponds to an associated cost range (see Table 16.4 for an example of one
organization’s mapping).
In this table, the rough cost range includes the labor cost (which typically repre-
sents the majority of a product’s cost in this organization) as well as capital expendi-
tures and any other costs deemed material to the product development effort.
Profile Name Description
Intangible A product (or body of work) that has no “apparent” cost of delay
for an extended period of time and then, suddenly, accrues a very
high delay cost. An example would be how many organizations treat
technical debt. Today there appears to be little or no cost of delay of
not repaying the technical debt. However, as I described in Chapter
8, technical debt can reach a tipping point, at which time the cost of
delaying other work is noticeable and very high.
T A B L E 1 6 . 3 Description of Cost-of-Delay Profiles (Continued)

ptg8286261
Inflow Strategies 275
The benefit of T-shirt size estimation is that it’s fast, usually accurate enough,
and provides actionable information at a portfolio level.
How accurate is accurate enough? Let me give you an example. In the aforemen-
tioned organization, the engineering department had spent considerable time in the
past trying to give very precise estimates. People weren’t sure whether T-shirt sizes
would be accurate enough, but everyone agreed to give them a try. Soon after, mar-
keting came to engineering with an idea for a project; the engineering department
discussed it and assigned it a size, Medium.
Marketing was then able to decide if the benefit of doing the project exceeded
the cost of a medium-size project ($50K to $125K). This was just as helpful as it had
been back when engineering spent a great deal of time to come up with a more pre-
cise-sounding, but inaccurate, guess of $72,381.27. This organization found that the
ranges were accurate enough and eliminated waste, without raising expectations too
high or providing a false sense of security.
Inflow Strategies
As I will discuss in Chapter 17, the envisioning process details the vision for a new
product and collects a set of information that the decision makers need in order to
make a go/no-go funding decision. Inflow strategies deal with how to apply the orga-
nization’s economic filter to make a go/no-go decision. They also deal with how to
balance the rate at which products are inserted into the portfolio backlog against the
rate at which they are being pulled out, how to quickly embrace an emergent oppor-
tunity when it appears, and how to prevent portfolio bottlenecks by using smaller,
more frequent releases.
Apply the Economic Filter
The output from envisioning is a product vision along with the information needed
to clear the confidence threshold associated with the envisioning (product-planning)
T A B L E 1 6 . 4 Example of T-Shirt Size Estimation
Size Rough Cost Range
Extra-small (XS) $10K to $25K
Small (S) $25K to $50K
Medium (M) $50K to $125K
Large (L) $125K to $350K
Extra-large (XL) >$350K

ptg8286261
276 Chapter 16 Portfolio Planning
activity (see Chapter 17). This output is the new-product data that is an input to port-
folio planning (see Figure 16.1). Based on this data, the organization needs to make
a go/no-go decision for moving forward with development of the product. I refer to
this activity as applying the economic filter to the new product to see if it meets the
organization’s funding requirements (see Figure 16.4).
Although each organization needs to define an economic filter that best matches
its particular funding policies, a good economic filter should quickly indicate
approval of any opportunity that delivers overwhelming value relative to its cost;
most everything else (unless there are extenuating circumstances) should be rejected.
If the resulting value of developing the product completely overwhelms the costs of
developing it, it shouldn’t be necessary to spend any significant time discussing it—
just approve it and move on to sequencing it into the portfolio backlog. If we find
ourselves squabbling over a small difference in cost or value before we can make a
decision, we should reject the product because there is clearly not overwhelming eco-
nomic support for developing it. In most organizations there are simply too many
high-value product development opportunities to waste time discussing questionable
opportunities.
Balance the Arrival Rate with the Departure Rate
In practice we want a steady stream of products moving into the portfolio backlog
balanced against a steady stream of products being pulled from the portfolio backlog
(see Figure 16.5).
What we don’t want is to overload the portfolio backlog by inserting too many
products into it at the same time. This has the effect of overwhelming the system.
To i llustrate why, say you wa nt to go to di nner at your favorite restaura nt. You get
in your car and you drive over. When you arrive, you notice that a large tour bus full
of hungry senior citizens has just unloaded and gone into the restaurant.
Portfolio planning
Envisioning
Go
No-go
Economic filter
F I G U R E 1 6 . 4 Applying the economic filter

ptg8286261
Inflow Strategies 277
What would you do? Are you going to enter the restaurant and attempt to dine
there? If so, what do you think the consequences of all those hungry seniors descend-
ing on the restaurant at the same time will be? Chances are they will overwhelm the
restaurant’s capabilities. If you risk dining there, you will likely suffer a long and
rather unsatisfying experience. Perhaps you should get back in your car and go to
another restaurant!
Many organizations conduct an annual strategic-planning event, usually some-
time during the third quarter of their fiscal year. Frequently one of the outcomes of
strategic planning is a complete list of the products that the organization will work on
during the next fiscal year. These products then get simultaneously inserted into the
portfolio backlog, typically overwhelming the portfolio-planning process.
I am not suggesting that organizations shouldn’t do strategic planning. They
should define their strategic direction, but just not all of the specific details (at a
product level) of how they will achieve that strategy. Deciding at a once-a-year meet-
ing everything to work on over the next fiscal year or longer, and then inserting
all of those items into the portfolio backlog at the same time, is a critical decision
(and in some organizations an irreversible decision) made in the presence of great
uncertainty and violates the principle of keeping planning options open until the last
responsible moment (see Chapter 14).
Deciding the entire portfolio of products at one time also violates the principle
of using economically sensible batch sizes (as discussed in Chapter 3). Processing a
large batch of products to determine how to sequence them into the portfolio backlog
F I G U R E 1 6 . 5 Balancing inflow and outflow in the portfolio backlog

ptg8286261
278 Chapter 16 Portfolio Planning
is very expensive and potentially wasteful (because we are planning up to a year or
more in advance). It is expensive not only because there are a lot of products to pro-
cess, but also because a large number of items in the portfolio backlog complicate
the scheduling I discussed earlier in this chapter. Determining a good sequencing is
a much simpler problem when there are fewer items to sequence. In fact, in the pres-
ence of just a small number of portfolio backlog items, any sequencing that avoids an
overtly dumb prioritization is typically good enough.
To combat overwhelming the por t folio back log a ll at once, we ca n i ntroduce
products to the portfolio at more frequent intervals, for example, monthly (or at least
quarterly) instead of annually. Doing so significantly reduces the effort (and cost)
required to review and insert new products into the portfolio and provides more
overall stability and predictability to portfolio planning.
We should also focus on smaller products (see the strategy on smaller, more fre-
quent releases). This should result in a constant stream of products that are com-
pleted, thus freeing up capacity to pull new products from the portfolio backlog at a
regular pace. This frequent pulling of products from the portfolio backlog will assist
in balancing inflow with outflow.
Last, when the size of the portfolio backlog starts to increase, we can start to
throttle the flow of products into the portfolio backlog. We can accomplish this
by tweaking the economic filter to raise the product approval criteria so that only
higher-value products are allowed to pass through the filter. This will reduce the
insertion rate to help establish a better equilibrium with the departure rate.
Quickly Embrace Emergent Opportunities
Portfolio planning needs to embrace emergent opportunities. An emergent oppor-
tunity is one that was previously unknown, or was deemed sufficiently unlikely to
occur and therefore not something worth spending money on today.
For example, one organization I worked with participates in the online betting
marketplace. Its business is highly regulated by the jurisdictions in which it is permit-
ted to offer its betting exchanges. Regulators around the world are somewhat unpre-
dictable—especially when it comes to gambling—which makes it difficult to know if
and when it will ever be possible to offer a product in a particular jurisdiction. Work-
ing in this environment, you need to be prepared for emergent opportunities because
regulations can change along with a change in a country’s governing party.
One such opportunity was the ability to provide an online betting exchange for
horse racing in California. California has a significant number of racetracks, making
it a very lucrative opportunity should its regulations change (which, by the way, they
did—though illegal for years, online exchange betting is legal as of May 2012). If the
organization were in the habit of doing strategic planning only once a year in October
(before the laws changed), it would have missed the opportunity to exploit this emer-
gent opportunity—unless it was willing to take on the risk of building an exchange
for a marketplace that didn’t exist and might never materialize.

ptg8286261
Inflow Strategies 279
Such an emergent opportunity needs to be exploited quickly. Being second to
market with an online betting exchange in California would garner little to no mar-
ket share. Figure 16.6 illustrates this common case where the economic value of an
emergent opportunity decays rapidly over time.
By not acting swiftly, as soon as the opportunity becomes available, we immedi-
ately lose almost all of the economic value, making it a bad economic choice to pur-
sue it sometime later (such as at the next annual strategic-planning session).
If an organization uses a regular and frequent schedule for evaluating opportuni-
ties, such as the once-a-month schedule, and has an efficient economic filter, while at
the same time using smaller releases and a WIP limit, it will never have to wait long
to consider an emergent opportunity.
Plan for Smaller, More Frequent Releases
As I discussed in Chapter 14, the economics of smaller, more frequent releases are
compelling. Figures 14.4 and 14.5, along with Table 14.1, illustrate that we can almost
always increase the lifecycle profits of a product if we split a product into a series of
smaller, incremental releases.
In addition to this significant benefit, there is another reason we want to man-
age our portfolio with smaller, more frequent releases—to avoid a convoy effect (see
Figure 16.7).
What happens if you are driving on a one-lane country road and you get trapped
behind a large farm vehicle (like the one shown in Figure 16.7)? Chances are you
and a convoy of smaller vehicles will be trapped behind the larger, slower vehicle for
a long time. The cause of the convoy is obvious; the big farm vehicle is hogging the
road (the shared resource).
Time
Value
F I G U R E 1 6 . 6 The value of many emergent opportunities decays rapidly.

ptg8286261
280 Chapter 16 Portfolio Planning
This same scenario will occur if we allow large products into the portfolio back-
log. Large products require a lot of resources for a considerable amount of time. Those
resources are now unavailable to many other smaller products that are caught in the
queue behind the large product. And, while caught in the queue, each accrues a cost for
being delayed. When we add up the delay costs of all of those small products and then
factor in the compelling economics of doing smaller, incremental releases, it becomes
clear that large products cause significant economic damage to lifecycle profits.
To combat t his issue, some orga nizations institute a si ze polic y du ri ng portfolio
planning that specifically limits how large a product development effort may be. One
example I encountered was that no product development effort could be larger than
nine months. If a proposal was made for a larger product effort, it was summarily
rejected and the advocates were told to come up with a way of delivering the product
in smaller, more frequent releases.
I have also worked with organizations whose culture is “We can never assume there
will be a second release of any product.” This belief is completely at odds with doing
smaller, more frequent releases. If we believe that we might never have a second release,
the natural reaction is to load up the first release with everything we need, plus every-
thing we think that one day we might need. In this case, not only do we generate larger
product development efforts, but we are almost certainly delaying the high-value fea-
tures of other products while working on the very low-value features of the larger prod-
uct. This approach is economically damaging. Organizations need to make it clear that
follow-on releases can and will be done based on their individual economic merit, and
that planning under the assumption of a single release is highly discouraged.
Outflow Strategies
Strategies for managing outflow help organizations decide when to pull a product out
of the portfolio backlog. I describe three strategies:
Focus on idle work, not idle workers.
Establish a WIP limit.
Wait for a complete team.
I think we got
us a convoy!
F I G U R E 1 6 . 7 Large products in the portfolio backlog create a convoy.

ptg8286261
Outflow Strategies 281
Focus on Idle Work, Not Idle Workers
A key strategy for determining when to pull a product from the portfolio backlog
is to remember the principle I discussed in Chapter 3—focus on idle work, not idle
workers. This principle states that idle work is far more wasteful and economically
damaging than idle workers. This is contrary to how many organizations manage
their portfolio.
A common, but misguided, approach to releasing products for development is
1. Pull the top product from the portfolio backlog and assign people to work
on it.
2. Are all the people 100% utilized (working at 100% capacity)? If not, repeat
step 1.
This approach will keep everyone very busy. What it will also do is keep the work
on every product slow and error-prone. A better strategy is to start working on a prod-
uct only when we can ensure two things: a good flow of work on the new product and
that the new product won’t disrupt the flow on other in-process products. This strat-
egy is used in close coordination with the next strategy: establish a WIP limit.
Establish a WIP Limit
Consider this scenario. Have you ever gone to a restaurant and seen available tables,
yet the staff won’t seat you? If you have, you know it’s frustrating. Perhaps you think,
“Why won’t they seat me? They have available tables. Don’t they want my business?”
Let’s say that several waiters called in sick that day. In that case, a smart restaura-
teur shouldn’t seat you. What happens if he does? Perhaps you have to wait 45 min-
utes before a server comes to your table. I don’t know about you, but I would not be
a happy patron if I had to sit for 45 minutes before someone came over to talk to me!
I’d actually prefer that they tell me up front, “Sorry, sir, but four of our waiters called
in sick today, so it will be 45 minutes before we can seat you.” At least this informa-
tion would give me the option of waiting or going somewhere else.
What would be worse is if they actually seated my party at an available table and
then attempted to give us service. If they did that, the service for everyone else in
the restaurant would suffer. Seating too many parties relative to the available server
capacity would mean that all of the servers will be overworked and everyone will
have a bad experience. That’s why a smart restaurateur won’t seat parties beyond his
capacity.
If only we would follow the lead of the smart restaurateur during portfolio plan-
ning. We should never pull more products out of the portfolio backlog than we have
capacity to complete. Doing so will cause reduced capacity to be available to each
product (resulting in each being delayed), as well as cause the quality of work on all
products to suffer. Getting work done slower and at lower quality is not a winning
strategy.

ptg8286261
282 Chapter 16 Portfolio Planning
So how do we determine the appropriate WIP limit? In Chapter 11, I discussed
the idea that teams are the unit of capacity that we should use for establishing a WIP
limit. Knowing how many Scrum teams and knowing what kinds of products they
are capable of working on will guide us as to how many and which types of product
development efforts we should pursue simultaneously (see Figure 16.8).
The left side of Figure 16.8 shows that we have three teams that are capable of
working on type I products and two teams that can work on type II products. This
information would be an excellent starting point for establishing the maximum
number of each type of product that our organization can work on simultaneously.
Imagine how much more difficult it would be to try to determine the proper number
of concurrent development efforts using just the information regarding number of
people with particular skill sets (right side of Figure 16.8).
Wait for a Complete Team
The final outflow strategy is to wait for a complete Scrum team to be available before
starting to work on a product. Organizations that violate the “Focus on idle work, not
idle workers” principle frequently start working on a product when only a couple of
people are available. Their thinking might go like this: “Well, a couple of developers
aren’t at 100% capacity yet, so let’s have them at least start making progress on that
next product.”
This is a flawed strategy because it will cause even more work to get blocked on
other products, slowing down all product delivery and generating significant delay
costs.
Ty p e l team
Ty p e l team Ty p e ll team
Ty p e ll team
Ty p e l team UX
Dev QA QA QA
QA QA QA
Dev Dev
Dev Dev Dev
Dev Dev Dev Arch Arch
UX UX
F I G U R E 1 6 . 8 Teams are the unit of capacit y for establishing the product WIP limit.

ptg8286261
In-Process Strategies 283
Because the unit of capacity in Scrum is the team, we shouldn’t start working on
a product if we don’t have a complete Scrum team. Doing so makes no sense from a
Scrum perspective. An incomplete Scrum team is insufficient for getting features to
a done state.
One variation I would consider is on products that require multiple Scrum teams.
Let’s say we have a product that requires three Scrum teams. If one complete Scrum
team is available and it makes sense to start development with just that one complete
team, I would consider starting the product. I would then roll the other full Scrum
teams on as they became available.
In-Process Strategies
Strategies for managing in-process products guide us as to whether it is appropriate
to preserve, pivot, deliver, or terminate a product that is currently being worked on.
We need to make these decisions at regular intervals (say, the end of each sprint) and
occasionally at off-cycle times, when abnormal events occur that require us to revisit
our in-process products.
There are many different strategies we could consider here, and the governance
function of each organization is sure to have its own set of guidelines for dealing with
in-process products. However, I will focus on just one strategy—marginal econom-
ics. This should be the overarching strategy that guides decision making, and it aligns
well with the core Scrum and agile principles I describe in this book.
Use Marginal Economics
From an economic perspective, all work that has been performed on the product up
to the decision point is a “sunk cost.” We are interested only in the marginal econom-
ics of taking the next step. We should ask ourselves only if spending the next chunk
of money is justified by the return that investment would generate. The hard part is
making that decision without burdening ourselves with the money we have already
spent.
Using marginal economics, we can decide what to do with products that are cur-
rently being developed. For each product we scrutinize under the lens of marginal
economics, there are four principal options:
Preserve—continue developing the product.
Deliver—stop working on the product and ship it.
Pivot—take what we have learned and change directions.
Terminate— stop working on t he product and k i l l it.
Figure 16.9 illustrates the decision flow associated with these four options.

ptg8286261
284 Chapter 16 Portfolio Planning
If the next investment in the current product is economically justified, preserving
would be a likely choice. This is the scenario where we review an in-process product
and conclude that we should continue spending money on its development.
If further investment in a product is not economically justified, we should decide
whether to deliver, pivot, or terminate the product.
If the product we have created thus far contains the minimum releasable features
(MRFs), we can consider delivering the product. If not, and we are going down the
wrong path, and we think there is another path worth exploring, we could pivot and
change to a new product path. This option would likely involve a return to envision-
ing to consider the new path (see Chapter 17).
And, if further investment is not justified and we are unhappy with where we are
and our prospects for a successful pivot, terminating the product would be a viable
option.
Foolish behavior can result when marginal economics are ignored. Here’s a ques-
tion to consider: “In your organization, if you spend the first dollar on developing a
product, is there any circumstance under which you would terminate development?”
I am surprised by the number of times people tell me that their organizations won’t
ever (or only very rarely) kill a product once the first dollar is spent—in for a penny,
in for a pound seems to be their strategy.
At one organization, I was surprised at the explanation for why the company
doesn’t terminate products. I asked the IT executives, “Suppose you start working
on a product that you believe is valuable to 100% of your customers and will cost
$1M to develop. After you have spent $1M developing it, you learn it would be valu-
able to only 10% of your customers and will cost a total of $10M to develop. Would
you spend the additional $9M to complete the product?” Their response: “Yes, we
would.” My response: “That makes no sense to me! The cost/benefit ratio of this
product has changed by a factor of 100. Why would you do that?” Their response:
“You don’t understand how we do accounting. If we kill the product after we spend
$1M and before the system goes into production, the IT department will suffer a $1M
hit against its expense budget. If we spend the other $9M and put the system into
Preserve
Yes
No
Start
Deliver
Yes
No
Have
minimum releasable
features?
Pivot Terminate
Yes
No
Another
path to
try?
Next
investment
justified?
F I G U R E 1 6 . 9 In-process product decision flow based on marginal economics

ptg8286261
Closing 285
production for one day, the full cost of the system moves to the business unit where it
can capitalize the expenditure.”
Clearly in this example, gaming the accounting system has trumped common
sense.
Marginal economics is a powerful tool for doing the right thing and for exposing
foolish and wasteful behavior. It should be your principal strategy when considering
what to do with in-process development.
Closing
In this chapter I discussed 11 important strategies for portfolio planning (portfolio
management). My intent was not to provide a cafeteria where you selectively pick and
choose which strategies to use. All 11 strategies reinforce one another. You will derive
the maximum benefit by doing all of them. That being said, if for some reason I were
forced to use just one strategy from each category, I would focus on cost of delay,
smaller and more frequent releases, WIP limit, and marginal economics.
In the next chapter I will discuss product planning (envisioning). The output
of that process provides us with candidate products to consider during portfolio
planning.

ptg8286261
This page intentionally left blank

ptg8286261
287
Chapter 17
ENVISIONING (PRODUCT PLANNING)
Before beginning the first customer-value-creation sprint, we need an initial product
backlog. And to generate an initial product backlog we need a product vision. Many
organizations also find it useful to create a preliminary product roadmap, which
defines a potential series of incremental releases. Your organization might have other
front-end artifacts that it prefers to create as well. I refer to the activity of creating
these artifacts as envisioning, or product-level planning.
In this chapter I describe an envisioning approach that is well aligned with
Scrum principles. It is also very useful for organizations that are trying to develop
products using Scrum but must still integrate with a front-end approval process that
is not agile.
Overview
Let’s say you have an intriguing idea for a new product or the next version of an exist-
ing product. The goal of envisioning is to expound upon that idea, describing the
essence of the potential product and creating a rough plan for how to approach its
creation. At the end of envisioning, you should have sufficient confidence to subject
the idea to portfolio planning (see Chapter 16), where you can decide whether you
want to fund the next level of more detailed development.
Envisioning a product in Scrum should not be confused with heavier-weight,
ceremonial, plan-intensive project chartering. With Scrum, we don’t believe that we
can (or should try to) know all the details about a product before we start. We do,
however, understand that product funding usually can’t move forward without first
having a vision; enough details to understand the customers, features, and high-level
solution; and an idea of how much the product might cost.
We don’t spend too much time or effort envisioning because we want to quickly
advance past the guessing stage, where we think we know the needs of the customer
and the potential solution, to the fast-feedback stage—the customer-value-creation
sprints. After all, it’s only when we actually start implementing the solution through
a continuous cycle of interactions with our complex environment that we acquire
validated learning based on the reality in which our product must exist and thrive.
Timing
Envisioning, which is concerned with product-level planning, is an ongoing activity,
not a one-time event (see Figure 17.1).

ptg8286261
288 Chapter 17 Envisioning (Product Planning)
Envisioning begins with an idea for a product that someone or some team has
generated (a process often referred to as ideation). This idea is first passed through
the organization’s strategic filter to determine if it is consistent with the organiza-
tion’s strategic direction and therefore worthy of deeper investigation and investment.
Once the idea has cleared the strategic filter, we do initial envisioning. During
this process, we generate enough understanding of the desired future product to
define what the minimal first release should be. Doing so allows us to deliver high
value quickly and at a low cost. It also puts something tangible in the hands of the
actual users and customers as soon as possible, giving us actionable feedback to con-
firm or refute the assumptions we made about the target customers, the desired set of
features, and our overall solution. This feedback might be in line with our expecta-
tions, reinforcing our desire to persevere with our current vision. On the other hand,
it could just as easily be completely different from what we expected, which would
cause us to pivot from our original solution, reenvision what we are doing, and mod-
ify the plan accordingly.
Participants
The product owner is the only required participant during initial envisioning. Nor-
mally, though, the product owner oversees an initial envisioning that includes one or
more internal stakeholders, who collaborate with the product owner to perform the
envisioning work. In addition, specialists in areas such as market research, business-
case development, user-experience design, and systems architecture frequently par-
ticipate in various envisioning tasks as well. Figure 17.2 illustrates the envisioning
activity (optional participants and artifacts are indicated with dashed outlines).
Ideally, the ScrumMaster and the development team that will be performing the
customer-value-creation sprints will also participate in initial envisioning, lending
Budget
Budget
Date
Date
Scope
Scope
Release planning
Release
Envisioning
Go
No-go
Strategic filter
Idea
F I G U R E 1 7 . 1 Envisioning is an ongoing activity.

ptg8286261
Overview 289
valuable feedback to the product vision and also eliminating the need to hand off the
vision to another team to build the product. Often, however, the organization waits
until initial envisioning is complete to fund the Scrum team, making it impossible
to include it in initial envisioning activities. Once product development is under way
and the full Scrum team has been allocated, however, the full Scrum team (product
owner, ScrumMaster, and development team) should be included in any reenvision-
ing efforts.
Participants
Scrum team
Internal stakeholders Others
Planning horizon
Completion date
Budget/resources
Initial idea
pivoted idea
Confidence threshold
Create roadmap
Create vision
Create product backlog
Acquire other knowledge
or
Inputs Envisioning (product planning) Outputs
Product vision
Product roadmap
Product backlog
0.5
Other artifacts
F I G U R E 1 7 . 2 Envisioning (product-planning) activity

ptg8286261
290 Chapter 17 Envisioning (Product Planning)
Process
The main input for initial envisioning is an idea that has cleared the strategic filter.
The main input for reenvisioning, on the other hand, would be a pivoted idea. Such
an idea is one that has been updated or revised based on user or customer feedback,
funding changes, unpredictable moves by competitors, or other important changes
that occur within the complex environment in which ideas must exist.
We need other inputs as well. First, we need an indication of the planning hori-
zon—how far into the future we should consider when we envision. We also need to
know the expected completion date for the envisioning activities (if there is one), and
the quantity and type of resources available to conduct envisioning. Last, we need
to know the confidence threshold—the “definition of done” for envisioning, if you
will. The confidence threshold is the set of information that the decision makers need
in order to have enough confidence to make a go/no-go funding decision for more
detailed development. I will talk more about what constitutes a reasonable confi-
dence threshold later in the chapter. Finally, all of the envisioning inputs in Figure
17.2 should be considered simultaneously, not linearly.
Envisioning itself is composed of several different activities, each generating an
important output such as the product vision or the initial product backlog. Frequently
a simple product roadmap illustrating the incremental set of near-term releases is
created as well. During envisioning, we can also perform any other activities that
help us achieve the targeted confidence threshold in an economically sensible way.
SR4U Example
To i llustrate the envisioni ng activ it y I use a f ic t itious new product idea cal led Sma r t-
Review4You (or simply SR4U). The company, Review Everything, Inc., is a leader in
online, consumer-supplied product and service reviews. Its core business is to pro-
vide a forum for people to exchange product and service reviews. Review Everything’s
revenues have been growing at a modest pace for the past several years and it is profit-
able. However, the company has many competitors that release innovative features
with alarming frequency. Review Everything really needs a new, innovative service
offering to leapfrog the competition.
Review Everything has a dedicated marketing team that constantly monitors the
social media space to see how customers perceive its current services. In doing so,
the team has learned that many users report spending too much time on the Review
Everything site separating “authentic” reviews from “suspicious” reviews. Addition-
ally, many users say that there are so many reviews available for certain products (for
example, a DVD player) or services (for example, the Chinese restaurant on Main
Street) that they find it difficult to wade through them to get an accurate overall
picture.

ptg8286261
Visioning 291
This market intelligence leads to the idea for SR4U, a revolutionary way to iden-
tify, filter, and display online reviews that includes a trainable search agent. Market-
ing believes this idea could be the innovative service offering that Review Everything
has been seeking. Marketing writes a one-page description of SR4U that includes its
high-level target features, target customers, and key advantages. The team then sends
this description to the New Product Approval Committee, which reviews it at its reg-
ularly scheduled Idea Review Meeting (held the second Wednesday of every month).
Senior management (which makes up the New Product Approval Committee)
agrees that SR4U represents a significant opportunity to differentiate Review Every-
thing, Inc., in the marketplace. The committee then designates Roger, a business rep-
resentative from strategic marketing, as the product owner for SR4U.
Management has authorized two weeks to complete envisioning, at which time
members of the approval committee will review the envisioning results and make a go/
no-go decision to fund the initial development of SR4U. In addition to Roger, manage-
ment has authorized two filtering subject matter experts (SMEs), a market researcher,
and a number of stakeholders to participate in the envisioning. However, they have not
authorized the larger expenditure of the full Scrum team during envisioning.
Roger is being asked to use the resources available to him to produce the
following:
Initial product vision, product backlog, and product roadmap
Validation of the primar y assumption that users significantly prefer SR4U-
filtered results to unfiltered results (Later in the chapter I will describe how
Roger and his colleagues will provide this validated learning.)
A description of the other important assumptions (hypotheses) about the
potential users and feature set that the first product release is supposed to test
The few key, actionable measures used to test the other assumptions and to
learn whether the initial release of SR4U is meeting expectations
List of questions (known unknowns) that need to be addressed
Without this information, senior management would not have sufficient confi-
dence to make an informed decision as to whether or not to move forward with the
initial development.
Visioning
The first thing Roger and the stakeholders do is to create a shared, compelling vision
for SR4U. In Scrum, a vision is not an elaborate, several-hundred-page document.
If we need this much space to describe our vision, we probably don’t understand it.
Visions, even of complex products, should be simple to state and should provide a
coherent direction to the people who are asked to realize them. Take, for example,
President Kennedy’s vision to go to the moon: “I believe that this nation should com-
mit itself to achieving the goal, before this decade is out, of landing a man on the

ptg8286261
292 Chapter 17 Envisioning (Product Planning)
Moon and returning him safely to the Earth” (Kennedy 1961). In 31 words Kennedy
was able to express an aggressive, unambiguous vision that, to be realized, would
eventually require the efforts of thousands of collaborating people building many
complex systems with hundreds of thousands of interrelated components.
When developing products or services, the vision is frequently expressed in terms
of how the stakeholders get value. Examples might include one or more areas of value
from the categories shown in Figure 17.3.
The format of the vision itself can be anything from a Kennedy-esque statement
to a fictitious magazine review. Examples of some popular product or service vision
formats are described in Table 17.1 (based in part on Highsmith 2009). You should
choose whatever format best suits your organization, envisioning group, and idea.
Shorten time to market
Reduce the number of people or their time allocation
Increase expertise
Improve margins
Entry conditions
Cost reducer
Enablement
Differentiator
Achieve parity with competition
Deliver minimum required features
Get compliant (SOX, FDA, HIPAA)
Eliminate competitors’ differentiator
Raise the parity bar
Redefine the game by changing market focus
Spoiler
Target a new market
Enable sales of other products or services
Differentiate from competitors
Delight the customer
Areas of
stakeholder value
F I G U R E 1 7 . 3 Areas of stakeholder value

ptg8286261
Visioning 293
At Review Everything, Roger and the stakeholders choose to use the press release
format to describe SR4U. They begin by identifying several areas of stakeholder value
(from Figure 17.3) that SR4U should deliver. The relevant areas are described in
Table 17.2.
T A B L E 1 7 . 1 Popular Vision Formats
F o r m a t Description
Elevator statement Write a 30-second to one-minute quick pitch of the product
vision. Imagine you have stepped into an elevator with a
venture capitalist and you have to pitch him on your product
vision. Could you do it in a short elevator ride?
Product datasheet Write the product datasheet on the first day. Try to fit it on the
front side of a one-page marketing piece.
Product vision box Draw the box in which you want to put the product when it
ships. Can you come up with three or four salient points to
illustrate on the box? (Drafting 15 points is easier than drafting
three or four.)
User conference slides Create the two or three presentation slides that you would use
to introduce the product at your user conference (or equivalent).
Try to avoid any bullet points on your slides.
Press release Write the press release you want to issue when the product
becomes available. Good press releases clearly communicate
what is newsworthy in one page or less.
Magazine review Draft a fictitious magazine review bylined by the solution
reviewer in your industry’s most popular trade magazine.
T A B L E 1 7 . 2 SmartReview4You Potential Areas of Stakeholder Value
Area Description
Cost reducer/time
savings
SR4U must save its users considerable time when searching for
reviews.
Differentiator/delight
the customer
SR4U must provide a “wow” experience for its users. Users
must feel that the service performed an impressive task for
them, helping them make an informed purchase.
Spoiler/raise the
parity bar
SR4U should create substantial chaos for its competitors.
Their current solutions should immediately look antiquated
by comparison. SR4U will establish a new baseline for online
review services that others will have to scramble to meet.

ptg8286261
294 Chapter 17 Envisioning (Product Planning)
Based on these areas of stakeholder value, Roger and the stakeholders craft the
following press release (vision statement):
Review Everything, Inc., announced today the successful launch of
its new SmartReview4You service. This service provides all online
users with their own trainable agent to scour the Internet and iden-
tify unbiased, relevant product or service review information.
Remarked Doris Johnson, an avid user of online reviews, “I now
have my very own personal assistant that mimics how I find and
filter online reviews. It’s amazing—I teach it what I like and don’t
like about reviews, then SmartReview4U tears across the Internet
finding product or service reviews and automatically weeds out the
biased or bogus ones. It does at lightning speed what used to take
me forever. This service is a huge timesaver!”
C. J. Rollins, CEO of Review Everything, Inc., said, “We are pleased
to offer the world’s first truly smart review service. Since the incep-
tion of the Internet people have leveraged the wisdom of the online
crowd. However, the crowd can get very noisy at times and it is hard
to separate the wheat from the chaff. Our super-smart service does
the laborious work of sifting through the huge volume of online
review information, eliminating suspicious reviews and returning
only relevant ones. You read only the reviews you’d choose to con-
sider if you spent hours searching on your own.”
The new SmartReview4You is available free of charge at the follow-
ing website: www.smartreview4you.com.
High-Level Product Backlog Creation
Once we have a vision, we are ready to create high-level product backlog items.
Although there are many ways to represent product backlog items, I like to use user
stories (discussed in detail in Chapter 5). In the terminology of user stories, during
envisioning I want to create epics—really large user stories that are consistent with
the product level of planning. These epic-level stories align with the vision and pro-
vide the next level of product detail for senior management and the Scrum team.
The people who write these stories are usually the same people who created the
vision—the product owner, stakeholders, and preferably the ScrumMaster and devel-
opment team. As a general rule, I want all of my Scrum team members involved in
writing these stories. However, as I mentioned previously, if the product development
hasn’t yet been approved/funded, the full Scrum team might not be available during
envisioning. In those cases, the product owner might want to call in a favor and ask a
few technical people with an interest in the product area to help out with story writing.

ptg8286261
Product Roadmap Definition 295
At Review Everything, SR4U has not yet been approved, so a development team
has not been assigned. Therefore, Roger and the stakeholders ask Yvette, an experi-
enced architect, to join them in their story brainstorming session. During the session
they create a set of initial epics, including the following:
As a typical user I want to teach SR4U what types of reviews to
discard so that SR4U will know what characteristics to use when
discarding reviews on my behalf.
As a typical user I want a simple, Google-like interface for request-
ing a review search so that I don’t have to spend much time describ-
ing what I want.
As a typical user I want to have SR4U monitor the Internet for new
reviews on products or services of interest and automatically filter
and report them to me so that I don’t have to keep asking SR4U to
do it for me.
As a sophisticated user I want to tell SR4U which sources to use
when searching on my behalf so that I don’t get back reviews from
sites I don’t like or trust.
As a product vendor I want to be able to show an SR4U-branded
review summary for my product on my website so that people can
immediately see what the marketplace thinks of my product as
determined by a trusted source like SR4U.
Product Roadmap Definition
Once we have the initial vision and a high-level product backlog, we can define our
initial product roadmap, a series of releases for achieving some or all of our product
vision. When using Scrum, we always develop incrementally. We also try to deploy
incrementally when that approach is sensible, meaning we focus on smaller, more fre-
quent releases where we deliver some of the solution before we deliver all of the solu-
tion. A product roadmap is an initial overview of these incremental deployments. Of
course, if we are planning only a single small release, we don’t need a product roadmap.
Releasing frequently doesn’t mean we set overly aggressive deadlines; such dead-
lines frequently result in missed dates. Instead, we focus each release on a small set
of minimum releasable features (MRFs) around which the stakeholder community
shares a strong group consensus. MRFs represent the smallest set of “must-have” fea-
tures—the features that simply have to be in the release if we are to meet customer
value and quality expectations. Some people refer to this set of features as the mini-
mum viable product (MVP) or minimum marketable features (MMFs). While we
might choose to deliver more than the MRFs in a given release, customers would not

ptg8286261
296 Chapter 17 Envisioning (Product Planning)
perceive enough value if we delivered any fewer. Therefore, it is always important to
define the minimum set.
To complement t he MR Fs, some organizations use the strateg y of f ixed, periodic
releases—for example, a release every quarter—to simplify the product roadmap (see
Figure 17.4).
This approach has several advantages. First, it is easy to understand and provides
everyone involved (internally and externally) with predictable releases. It also estab-
lishes a rhythm, or cadence, to releasing that helps marshal resources in a predictable
way and allows for disparate groups to synchronize their plans.
If we use this strategy, we still determine the MRFs for each release. If the MRFs
require less time to develop than the fixed time for the release, some additional high-
value features will be created. Fixed, periodic releases might not always be applicable
if external events (like a conference or a fixed launch date of a co-branded product)
are driving the releases, but its benefits make it worth considering.
Each release on the roadmap should have a clearly defined release goal that com-
municates the purpose and desired outcome of the release. A release goal is created
by considering many factors, including the target customers, high-level architectural
issues, significant marketplace events, and so on.
When creating a product roadmap, we should consider the customers and how they
might be segmented into different markets. The roadmap should express how and when
to address these different customer segments. In the case of SR4U, the initial customer
market is the individual consumer interested in reading helpful reviews before buying a
product or service. The SR4U envisioning team further subdivides this market segment
into “typical user” and “sophisticated user,” those who want fine-grained control over
how SR4U works. The team decides that the initial target will be the typical user.
The SR4U envisioning team can also foresee a future customer base of prod-
uct and service vendors who would use SR4U to provide an unbiased Internet-wide
review history of their offerings on their own websites. However, before vendors will
see enough value to pay for the service and the brand, Review Everything, Inc., will
first need to establish SR4U as a trusted brand for review aggregation and filtering.
When making a product roadmap, we also should consider high-level architec-
tural or technology issues. For example, on SR4U the principal technology issue is
to determine which forms of service access to provide. The team decides to initially
provide access via a web browser. However, longer term, it can also envision mobile-
device-specific applications for the iOS devices, Android devices, and potentially
Q1 release Q2 release Q3 release Q4 release
F I G U R E 1 7 . 4 Fixed, periodic releases

ptg8286261
Product Roadmap Definition 297
other devices that are tailored to access the SR4U service. Even further down the
road, the team also intends to provide an open API that SR4U’s partners can access.
When defining a product roadmap, we also might need to allow for any signifi-
cant market events that could influence the timing of our feature deliveries. Review
Everything, for example, always attends the annual Social Media Expo conference.
Roger and the stakeholders agree that having a release available by this year’s confer-
ence (about three months away) would be a great place to get feedback on the service.
Our goal when creating the product roadmap is to consider any factors we
deem relevant to help us define a target set of releases for our solution. Remember,
though, that this roadmap is simply a rough first approximation of one or a few near-
term releases. We must have the right to update the roadmap as better information
becomes available.
We must also consider how far into the future our product roadmap will extend.
Although our vision might be large and bold enough to require many years to fully
realize, it is unlikely that we would attempt to produce a detailed roadmap that would
extend completely across such a vision. When using Scrum, we produce the product
roadmap as far into the future as is reasonable and desirable. How far into the future
your roadmap should extend will depend on your particular circumstances. At a
minimum, your roadmap will probably need to cover at least the span of time you are
asking people to fund.
Roger and the SR4U stakeholders believe their vision will probably take several
years to fully realize, but Roger decides that it would not be practical to try to extend
the roadmap out that far given their low level of validated learning and how quickly
things change in the online reviews marketplace. Roger and the stakeholders settle on
a simple nine-month product roadmap, as shown in Figure 17.5.
Q3—Year 1
Mar ket map
Feature/benefit map
Architecture map
Mar ket events
Release schedule
Q4—Year 1 Q1—Year 2
Initial launch
Basic learning
Basic filtering
100K concurrent
web users
Improved learning
Complex queries
Review Everything
User Conference
Define sources
Learn by example
Web services
interface
Social Media Expo
1.0 2.0 3.0
Better results
More platforms
iOS
and Android
Sophisticated
users
F I G U R E 1 7 . 5 SmartReview4You product roadmap

ptg8286261
298 Chapter 17 Envisioning (Product Planning)
Other Activities
Envisioning can include any other type of work that those involved agree is relevant
to achieving the target confidence threshold. Perhaps we want to do minimal market
research into the target customers or users. Or maybe we want to do a quick com-
petitive analysis of the proposed product against other offerings in the marketplace.
Or perhaps we want to create a rough business model to help us decide whether the
product passes the organization’s “economic filter.”
Some organizations might even decide to organize the envisioning work into one
or more sprints. In these cases the assigned team (the envisioning Scrum team if you
will) maintains a backlog of envisioning-related work that is prioritized and worked
on in short-duration sprint cycles (perhaps one-week sprints). Some of these sprints
might involve knowledge-acquisition work, as described in Chapter 5. Examples of
knowledge-acquisition sprints might include creating a prototype or proof of concept
of the product look and feel, or a critical architectural feature.
For SR4U, Roger and his team (including the SMEs) decide to perform one
knowledge-acquisition sprint during envisioning. Before investing in the develop-
ment of an automated system, Roger first wants to run a simple comparison test to
confirm the core assumption that SR4U-filtered reviews are really much more helpful
to users than unfiltered reviews (see Figure 17.6).
Unfiltered
Results 1
Results 2
Review Everything
Customer submits query SMEs run existing
product query SMEs manually create
filtered results
SMEs email both results
to customer Customer evaluates results
for preference Roger and others analyze
results and decide outcome
Filtered
Search
SR4U
Search
0Preference
10
20
F I G U R E 1 7 . 6 SR4U knowledge-acquisition sprint storyboard

ptg8286261
Economically Sensible Envisioning 299
During the envisioning sprint, the team will mock up one web page (an HTML,
Google-simple search page for SR4U) where a small, sample group of users can sub-
mit a query for a product or service of their choosing and get back two sets of results.
The first set will be the unfiltered reviews that would normally be returned to the
query. The second set will be filtered to remove “suspect reviews.” The users will not
be told which reviews are filtered and which are not.
The sample users are told ahead of time that their query results will be ready the
next day (via email) because, unbeknownst to them, Roger has no intention at this
time of developing the technology necessary to automate the generation of their fil-
tered query results. Instead, he asks a couple of SMEs to manually do the filtering and
provide the users with both the filtered and unfiltered results. Roger and his team
will then interview all members of the sample user group to see which results they
prefer and why.
The goal behind this early test is to get basic validation of the core value prop-
osition underlying SR4U—that users will be delighted by the SR4U-filtered set of
reviews. If the SMEs can’t manually generate compelling filtered results, Review
Everything’s ability to create an expert-system-type product that will deliver value in
the marketplace is put in serious doubt.
Senior management also asks Roger to describe the other core assumptions/
hypotheses that are not yet validated about the potential users and feature set along
with key measures for testing these assumptions. He will collaborate with product
marketing people and others to complete this work. Instead of doing an extensive,
time-consuming market research study, Roger is planning to use the development of
the first release as an experimental tool for discovering what people actually think of
SR4U and what they really want in terms of features.
Economically Sensible Envisioning
Envisioning needs to be carried out in an economically sensible way. It should be
viewed as an investment in acquiring the information necessary for management to
make an informed decision about whether to fund the work required for developing
a product based on the idea. If we do too little envisioning, we might find ourselves
unprepared to do the first customer-value-creation sprint. On the other hand, doing
too much envisioning will create a large inventory of product-planning artifacts that
may have to be reworked or discarded when we start to acquire validated learning.
In many organizations, envisioning-type work goes by the name of project char-
tering, project inception, or project initiation. In some organizations the chartering
process is part of a comprehensive stage-gate governance model. Frequently, in this
context, chartering is a heavyweight, ceremonial, plan-intensive process based on a
set of predicted data. This detailed but not-yet-validated data forms uncertain plans
that provide only the illusion of certainty when making a go/no-go funding decision.

ptg8286261
300 Chapter 17 Envisioning (Product Planning)
In addition, a heavyweight upstream approach is poorly aligned with the agile
downstream Scrum development process. This impedance mismatch is like saying,
“You can develop using Scrum, but before we approve development we will still need
the same artifacts we always require: extensive up-front requirements, a full budget,
and a precise schedule.” With this type of misalignment, it will be difficult for an
organization to achieve the long-term, high-value benefits from using Scrum.
In Scrum, we keep envisioning as simple as possible. We do just enough up-front
predictive planning and knowledge-acquisition work based on the product’s nature,
size, and risk level. We allow the details of some other artifacts to be created in a just-
in-time fashion. Our goal is to make the best decision we can today using reasonable
information obtained in a financially and time-sensitive manner. We acknowledge
that what we think we know about the product can and will change once we actually
build something and start to subject it to customer and user scrutiny.
I have found several guidelines to be helpful for envisioning in an economically
sensible way (see Figure 17.7).
Target a Realistic Confidence Threshold
The confidence threshold defines the minimum level and type of information that
is being requested by decision makers to give them enough confidence to make the
next-level go/no-go funding decision. Think of the confidence threshold as the bar
that must be cleared before we can exit envisioning and subject the product to the
scrutiny of portfolio planning—where we apply the economic filter to the product to
determine if it meets the organization’s funding criteria. And, if it does, we can get on
to the business of validating key assumptions and building the product.
The height of that bar has real economic consequences (see Figure 17.8).
The higher the bar, the more time we need to clear it. Additional time spent
during envisioning will likely delay when the product will ship, and that delay has a
Ta rget a re a lis t i c co nfid en c e t hre sh o ld
Learn fast and pivot
Act quickly
Focus on a short horizon
Use incremental/provisional funding
Pay for validated learning
Guidelines for economically
sensible envisioning
F I G U R E 1 7 . 7 Guidelines for economically sensible envisioning

ptg8286261
Economically Sensible Envisioning 301
cost (see Chapter 3). Envisioning time also has to be paid for, so the higher the bar,
the greater the cost of clearing it. More predictive work also creates additional WIP
(inventory) that might easily be wasted when things change. And most of that WIP
is not yet validated (for example, planning artifacts that predict what might occur in
the future), so additional increases to the bar height don’t add any certainty to our
efforts. Finally, more work can actually increase our risk of making a bad decision
to proceed because of the illusion of certainty established by the ever-increasing set
of planning artifacts that get produced. More planning artifacts do not imply more
certainty or a better funding decision.
As I mentioned in Chapter 14, up-front planning should be helpful without being
excessive, so we need to set the threshold to the helpful level, not to the excessive level.
What exactly constitutes a helpful level versus an excessive level is organization and
product specific. Some organizations are comfortable making decisions under very
uncertain conditions while others require a high degree of certainty before proceed-
ing. As the need for certainty increases, so does the effort required to collect data and
generate validated learning. There is a practical limit to how much validated learning
we can create until we get into development, start building something, and actually
validate it with our users. So be realistic about how high the threshold is set.
Also, the threshold for envisioning the next release of a long-lived, core system
will likely be less than the threshold for envisioning a new, highly innovative, and
potentially expensive product.
Review Everything, Inc., has moved away from heavyweight up-front product-
level planning. The approval committee has agreed that the confidence threshold
should be set “good enough” or “barely sufficient” to proceed to initial development,
where the company can validate assumptions with users. The approval committee is
More time is spent envisioning—
delays product delivery
Creates wasteful inventory of not-yet-
validated artifacts
Provides only the illusion of increased
certainty
Increases risk of making bad decisions
using low-value information
More money is spent during envisioning
As threshold
is raised
Helpful
(less work)
Excessive
(more work)
Confidence threshold
F I G U R E 1 7 . 8 Consequences of setting the confidence threshold bar too high

ptg8286261
302 Chapter 17 Envisioning (Product Planning)
not looking for a full project plan down to the level of the tasks each person will work
on and when. Instead, it wants good clarity on what the goal is for the next set of
development work and how Roger plans to measure the results so that he can decide
on the next, best course of action.
Focus on a Short Horizon
Don’t try to envision too much at one time. Focus primarily on the must-have fea-
tures of the first candidate release. If we plan on a very broad horizon, chances are
we are wasting our time planning for things that might never happen. Plus, if we are
developing a new, innovative product, most of our assumptions are not yet validated,
so it is very likely that when we subject our product to the uncertain customer envi-
ronment, we will learn something important that will motivate us to adapt our vision
and the plans of what we are building.
For SR4U, Roger’s high-level roadmap goes out nine months, but it is really the
first release that is the focus. Everyone involved knows that until they actually have
a review service that customers can use and comment on, they are all just guessing
about the proper feature set. So trying to envision too far into the future will require
them to base assumptions upon yet more assumptions, violating the principle of hav-
ing fewer, short-lived important assumptions.
Act Quickly
Envisioning should not be a long, drawn-out process. It should be fast and efficient.
The more quickly we finish, the sooner we get to building something tangible that we
can use to validate whether our understandings and assumptions are correct or not.
Time spent envisioning should be included in the calculation of the time required
to deliver a solution. The market clock starts ticking the moment the business oppor-
tunity becomes known (when the idea is generated) and doesn’t stop ticking until we
deliver the product. An unnecessarily long envisioning activity will delay product
delivery, and that delay cost might be quite expensive. The economics of acting quickly
during envisioning are compelling—as Smith and Reinertsen remark, it is the “bar-
gain basement” of cycle-time reduction opportunities (Smith and Reinertsen 1998).
Acting quickly also promotes a sense of urgency to make a product decision. This
urgency helps ensure that the proper resources are identified and committed to com-
plete the envisioning work in a timely way.
One way to promote quick movement is to provide an expected completion date
to the envisioning team (one of the inputs to envisioning). Not every idea will require
the same amount of time to envision. As I mentioned earlier, a new, innovative
product idea might require more time to envision than an enhancement or update
to a long-existing product. In either case, however, we still want to place reasonable
boundaries on the envisioning work so that we can quickly get to the point of validat-
ing our assumptions through real feedback.

ptg8286261
Economically Sensible Envisioning 303
In the case of SR4U, Roger and the others have two weeks to complete the vision-
ing work. Roger will need to be dedicated full-time to meet this deadline. The filtering
SMEs will need to be dedicated half-time during the second week, when they perform
the knowledge-acquisition sprint. The market research person will be needed for two
days during the first week.
Pay for Validated Learning
Evaluate envisioning activities from an economic perspective based on how they con-
tribute to the acquisition of validated learning regarding the target customer, the tar-
get set of features, or the solution. Be wary about performing predictive activities that
generate information with a high degree of uncertainty—information that is believed
to be valid but has not yet truly been validated with customers or users. These activi-
ties purchase low-value information and are not only a bad return on investment;
they are also potentially quite wasteful if once we get validated learning we end up
discarding or reworking highly uncertain information that is wrong.
Also, generating a lot of low-value, highly uncertain information can clutter our
judgment and cause us to believe we understand our situation better than we really
do. As a result, we make important decisions under the illusion of certainty (see Fig-
ure 17.9).
In the case of SR4U, the content of the product backlog and the product road-
map represents uncertain information. Roger believes that what he has produced
1 Task #1
2 Task #2
3 Task #3
4 Task #4
5 Task #5
6 Task #6
7 Task #7
8 Task #8
9 Task #9
10 Task #10
11 Task #11
12 Task #12
13 Task #13
14 Task #14
15 Task #15
16 Task #16
17 Task #17
18 Task #18
19 Task #19
20 Task #20
21 Task #21
22 Task #22
23 Task #23
24 Task #24
25 Task #25
26 Task #26
27 Task #27
28 Task #28
29 Task #29
30 Task #30
31 Task #31
32 Task #32
ID Task Name 1/12 2/12 3/12 4/12 5/12 6/12 7/12 8/12 9/12 10/12 11/12 12/12 1/13 2/13 3/13 4/13 5/13 6/13
Ah, the early stuff
we’re comfortable with,
but that stuff further
out is just a wild
guess!
Wow, that is really
detailed; you guys must
really understand this!
Let’s do it; this will be
our baseline plan!
F I G U R E 1 7 . 9 Decision making under the illusion of certainty

ptg8286261
304 Chapter 17 Envisioning (Product Planning)
represents a good guess as to what users will want and roughly when they will get it.
However, the contents of both are subject to change as the team acquires validated
learning during development, so he wants to be careful about how much detail he
generates at this time.
During SR4U envisioning, senior management is willing to pay for validated
learning regarding the core assumption that users prefer filtered versus unfiltered
results. They believe it is economically sensible to buy this information during envi-
sioning before they invest substantially more assets to acquire this same information
later. It would be far less sensible to spend considerable money to build the first ver-
sion of SR4U and then find out that users have no strong preference for filtered versus
unfiltered results.
Use Incremental/Provisional Funding
Always consider an incremental or provisional approach to funding product develop-
ment (see Figure 17.10).
Funding decisions are (or at least should be) constantly being made and remade
as better information becomes available. On our first pass through envisioning we
shouldn’t try to generate enough information to approve and fund all future develop-
ment of the product, but instead enough information to fund sufficient development
to acquire the next important, critical real-world knowledge or feedback regarding
our customers, features, or solution approach.
Overhead funding Envisioning funding Release 1 funding
Sprint-by-sprint funding
Scope
Budget
Budget
Date
Date
Scope
Scope
Release planning
Release
Envisioning
Go
No-go
Strategic filter
Idea
F I G U R E 1 7 . 1 0 Incremental/provisional funding

ptg8286261
Economically Sensible Envisioning 305
Using incremental funding, we would fund just that first small part of the devel-
opment effort and revisit the funding decision after we have the critical validated
learning we paid to get. When we fund incrementally, we can reduce the scope of
envisioning and the time it takes to complete it.
Also, remember that the fact that we allocate the funding doesn’t necessarily
mean we’re going to spend the money. As we start getting feedback on a sprint-by-
sprint basis, we could choose to pivot to a new vision or simply terminate the product
development effort (see Chapter 16 for more details).
In the case of SR4U, Review Everything’s policy is that funding is fluid and never
given in large chunks but rather in sufficient quantity to validate the next important
assumption. Based on feedback and learning, senior management might well con-
tinue to spend money that has already been allocated, allocate additional money, or
stop funding any future development.
Learn Fast and Pivot (aka Fail Fast)
Envisioning is part of a learn-fast-and-pivot cycle. This approach is sometimes
referred to by the catchy alliteration fail fast. Simply put, we responsibly and effi-
ciently manage our resources to quickly and cheaply perform envisioning. Then
we quickly and cheaply validate our customer, feature, and solution knowledge and
assumptions to see whether our vision and product plans meet our business expecta-
tions. If we learn that they don’t, we pivot quickly and reenvision a more appropriate
version of the product, or we simply kill the product and halt any further expenditure.
We can substantially reduce our financial exposure if we are willing to make an
informed decision based on reasonable information and then either change directions
or terminate the product if we determine that our product vision is incorrect. It is
usually far less expensive to start fast and learn fast that we were wrong than to spend
a substantial amount of time and money up front to ensure that we make the “right”
decision, only to find out eventually that we were wrong. This failing-fast approach is
possible only if we are willing to kill a product once we have started spending money
to develop it (see the discussion of marginal economics in Chapter 16).
In the case of SR4U, the goal is to very quickly (and cost-effectively) get feed-
back by getting an initial version of the review learning and filtering capabilities up
and running so that people can start using the service. If the team learns after early
feedback that the filtered results are not considered by the target user base to be sub-
stantially better than the unfiltered results, the company might invest more time in
trying to improve the filtering algorithm. However, if after reasonable assets have
been invested the company still isn’t able to obtain a measurably better set of filtered
results, it might be time to pivot and either terminate this product or consider a dif-
ferent direction in which to proceed that leverages the learning to date.

ptg8286261
306 Chapter 17 Envisioning (Product Planning)
Closing
In this chapter I provided a detailed description of envisioning (product-level plan-
ning). I illustrated an approach to envisioning by showing how a fictitious company
might create a product vision, high-level product backlog, and product roadmap for
its SmartReview4You service. I also illustrated how a knowledge-acquisition sprint
during envisioning can be useful in achieving the confidence threshold for complet-
ing envisioning. Then I provided guidance on how to perform economically sensible
envisioning so that we can better align the up-front product-planning work with the
Scrum customer-value-creation work that will follow.
In Chapter 18 I will discuss how we take the outputs of envisioning and use them
during release planning.

ptg8286261
307
Chapter 18
RELEASE PLANNING (LONGER-TERM
PLANNING)
Release planning is longer-term planning that enables us to answer questions like
“When will we be done?” or “Which features can I get by the end of the year?” or
“How much will this cost?” Release planning must balance customer value and over-
all quality against the constraints of scope, schedule, and budget. In this chapter I
discuss how release planning fits into the Scrum framework and how to perform
release planning on both fixed-date and fixed-scope releases.
Overview
Every organization must determine the proper cadence for releasing features to its
customers (see Figure 18.1).
Though the output of a sprint is potentially shippable, many organizations
choose not to release new features after every sprint. Instead, they combine the results
of multiple sprints into one release.
Other organizations match the release cadence to the sprint cadence. In such
cases the organization releases the potentially shippable product increment created
during that sprint at the end of each sprint.
Release after multiple sprints
Release every sprint
Release every feature
F I G U R E 1 8 . 1 Different release cadences

ptg8286261
308 Chapter 18 Release Planning (Longer-Term Planning)
Some organizations don’t even wait for the sprint to end; they release each fea-
ture as it is completed, a practice often referred to as continuous deployment (or con-
tinuous delivery). Such organizations release a feature or a change to a feature to
some or all of their customers as soon as the feature is available, which might be as
often as several times a day.
Whether the organization intends to deploy every sprint, every few sprints, or
continuously, most organizations find some amount of longer-term, higher-level
planning to be useful. I refer to this type of planning as release planning. If the term
release planning seems inappropriate to your context, replace the term with one that
is better suited. Synonyms I have heard different organizations use include
Longer-term planning—connoting that the goal is to look at a horizon that is
greater than a single sprint
Milestone-driven planning—because releases tend to align with significant
milestones, such as an important user conference or the completion of a
minimum set of features for a viable, marketable release
Whatever you choose to call it, release planning targets a future state when
important variables such as date, scope, and budget need to be balanced.
Timing
Release planning is not a one-time event but rather a frequent, every-sprint activity
(see Figure 18.2). Initial release planning logically follows envisioning/product-level
planning.
The purpose of product planning is to envision what the product should be; the
aim of release planning is to determine the next logical step toward achieving the
product goal.
Before starting a release, many organizations that use Scrum conduct initial
release planning to create a preliminary release plan. Normally this activity lasts a
day or two, but the duration varies based on the size and risk of the release and the
participants’ familiarity with what is being created.
When developing a new product, this initial release plan won’t be complete or
too precise. Instead, as validated learning becomes available during the release, we
update the release plan. Release plans can be revised as part of each sprint review or
in the normal course of preparing for and conducting each subsequent sprint.
Participants
Release planning involves collaboration between the stakeholders and the full Scrum
team. At some point all of these people have to be involved because they’ll need to
make business and technical trade-offs to achieve a good balance of value and qual-
ity. Each person’s exact involvement over time may vary.

ptg8286261
Overview 309
Process
Figure 18.3 illustrates the release-planning activity.
The inputs to release planning include outputs from product planning, such as
the product vision, high-level product backlog, and product roadmap. We also need
the velocity of the team or teams that will work on the release. For an existing team,
we use the team’s known velocity; otherwise, we forecast the team’s velocity during
release planning (as described in Chapter 7).
One activity that recurs in release planning is to confirm the release constraints
of scope, date, and budget and to review them to see if any changes should be made,
given the passage of time and what we now know about the product and this release.
Another activity of release planning is product backlog grooming, which includes
creating, estimating, and prioritizing more detailed product backlog items from high-
level product backlog items. These activities could occur at multiple points in time:
After product planning but before initial release planning
As part of the initial release-planning activity
During each sprint as necessary (see Chapter 6 for more details on product
backlog grooming)
Each release should have a well-defined set of minimum releasable features
(MRFs). The initial MRFs for a release might have been defined during envisioning.
Sprint execution
Sprint review
Sprint retrospective
Sprint planning Sprint backlog
Po te n t ia l l y
shippable product
increment
Daily scrum
Date Budget
Budget
Date
Date
Scope
Scope
F I G U R E 1 8 . 2 When release planning happens

ptg8286261
310 Chapter 18 Release Planning (Longer-Term Planning)
Even so, during release planning we always review the MRFs to ensure that they truly
do represent the minimum viable product from the customers’ perspective.
During release planning many organizations also produce a sprint map, indicat-
ing in which sprint some or many of the product backlog items might be created. A
sprint map isn’t intended to project too far into the future. Instead, a sprint map is
useful for visualizing the near-term future to help us better manage our team’s own
dependencies and resource constraints, as well as coordinate the efforts of multiple
collaborating teams.
The outputs of release planning are collectively referred to as the release plan. The
release plan communicates, to the level of accuracy that is reasonable given where we
are in the development effort, when we will finish, what features we will get, and what
Inputs Release plan
Participants
Scrum team
Velocity
Range of features
Range of sprints
MRFs
Sprint map
Internal stakeholders
Product vision
Product roadmap
Product backlog
0.5
or
Release planning
Sprint mapping
Review constraints
Backlog grooming
Range of costs
Fixed cost
Budget
Budget
Date
Date
Scope
Scope
Review MRFs
F I G U R E 1 8 . 3 Release-planning activity

ptg8286261
Release Constraints 311
the cost will be. This plan also communicates a clear understanding of the desired
MRFs for the release. Finally, it frequently will show how some of the product backlog
items map to sprints within the release.
Release Constraints
The goal of release planning is to determine what constitutes the most valuable next
release and what the desired level of quality is. The constraints of scope, date, and
budget are important variables that affect how we will achieve our goal.
Based on product planning, one or more of these constraints will probably be
established. Chapter 17 introduced the fictional company Review Everything, Inc.
In that chapter, we followed Review Everything through envisioning a new product,
SR4U, a trainable search agent for online reviews. In the product roadmap for SR4U,
Roger and his team determined that it would be advantageous to release the first ver-
sion of SR4U at an upcoming conference, the Social Media Expo. Thus, SR4U Release
1.0 has a fixed-date constraint—the release must be ready by a certain date: the Social
Media Expo. The other constraints (scope and budget) are flexible.
Table 18.1 illustrates different combinations where these constraints are either
fixed or flexible.
Let’s review the different combinations in light of how they can affect release
planning.
Fixed Everything
As I described in Chapter 3, traditional, plan-driven, predictive development approaches
assume that the requirements are known or can be predicted up front and that
the scope won’t change. Based on these beliefs, we can create a complete plan and
then estimate the cost and schedule. In Table 18.1 this approach is called “fixed
everything.”
In Scrum, we don’t believe it’s possible to get it all right up front; consequently,
we also contend that a fixed-everything approach probably won’t work. When doing
T A B L E 1 8 . 1 Development Constraint Combinations
Project Type Scope Date Budget
Fixed everything (not recommended) Fixed Fixed Fixed
Fixed scope and date (not recommended) Fixed Fixed Flexible
Fixed scope Fixed Flexible Fixed
(not really)
Fixed date Flexible Fixed Fixed

ptg8286261
312 Chapter 18 Release Planning (Longer-Term Planning)
release planning for product development with Scrum, we require at least one of these
variables to be flexible.
Fixed Scope and Date
One approach is to fix both the scope and the date and let the budget be flexible. This
approach suffers from a number of issues. First, in many organizations, increasing a
budget once development has begun isn’t very easy or likely. Second, in my experi-
ence, this approach locks down two variables that are very difficult to predefine. And,
in practice, even if we start off believing we have a fixed-scope-and-date release, one
of them will give.
Take the Y2K issue as an example. Many organizations working on mitigating
the Y2K issues had a fixed set of applications that needed to be updated no later than
December 31, 1999. Many fixed time and scope; the budget was their variable. In the
end, however, they knew that no matter how much they increased their budget, they
still weren’t going to complete all the work by the hard deadline of December 31. The
date wasn’t moving, so the scope did. In a sense, the variables of date and scope are
constantly playing a game of chicken with each other! (See Figure 18.4.)
At some point when time starts running out, either the scope or the date needs to
give way. If neither does, the resulting crash will likely generate large technical debt.
Fixing scope and date and allowing the budget to be flexible assumes that apply-
ing more resources to a problem will increase the amount of work we accomplish
and/or reduce the amount of time it takes to perform the work. There are certainly
instances during product development when this is true. For example, we might
choose to spend extra money to expedite when a piece of work is done (perhaps pay a
subcontractor more money to do our work before someone else’s work). In this case
we spend money to buy time.
However, buying time or scope will go only so far. Frequently the work in prod-
uct development is incompressible—meaning adding more resources or spending
more money won’t help and might even hurt. This is exemplified cleverly by Fred
Brooks: “Nine women don’t make a baby in a month” (Brooks 1995).
You
make way!
Fixed date Fixed scope
Make way! No!
F I G U R E 1 8 . 4 Fixed date and fixed scope playing a game of chicken

ptg8286261
Release Constraints 313
During product development, “flexible budget” frequently translates into “add
more people.” However, as Brooks warns and as many of us have experienced, “add-
ing manpower to a late software project makes it later” (Brooks 1995). There are times
when adding people with the proper skills early in the release might help. Throwing
bodies at the problem late, however, will rarely help a fixed-scope-and-date release
succeed.
The reality in many organizations is that a flexible budget rarely means add-
ing more people. Usually it means the same people working more hours, especially
if these people are salaried employees. Extensive overtime to meet fixed-scope and
fixed-date constraints will burn out our staff and violate the Scrum principle of sus-
tainable pace.
If we do find ourselves working on a release that is initially defined as fixed scope
and fixed date, Scrum’s iterative and incremental approach allows us to understand
sooner when we’re in trouble, providing more time to rebalance the constraints of
scope, date, and budget to achieve a successful outcome.
So far, I’ve discussed the idea that fixed-everything and fixed-scope-and-date
releases are overconstraining for product development. That leaves us two other real-
istic options: a fixed-scope or a fixed-date release.
Fixed Scope
A fixed-scope model is appropriate where the scope truly is more important than the
date. In this model, when we run out of time and we haven’t completed all of the fea-
tures, we extend the date to ensure that we get everything required to meet the MRFs
criteria. I don’t refer to this model as fixed scope and fixed budget because the budget
can’t really be fixed; if we give the team more time to finish, people expect to be paid!
In other words, if we provide more time to complete the fixed scope, we also have to
provide more budget to pay people during that extra time.
Frequently, a fixed-scope scenario exists because the overall scope is too large. A
better solution might be to consider smaller, more frequent fixed-date releases. Also,
in organizations where multiple groups (such as development, marketing, and sup-
port) must coordinate activities, moving the date can be very disruptive to the other
groups’ plans. Even so, I discuss later in this chapter how to plan a fixed-scope release
using Scrum in case you find yourself in a situation where the scope is more impor-
tant than the date.
Fixed Date
Fixed date is the final approach shown in Table 18.1. Many people, myself included,
consider this to be the approach most closely aligned with Scrum principles. Simply
put, we can fix both the date and the budget, but the scope must be flexible.
The Scrum principle of creating the highest-priority features first should
lessen any perceived pain of having to drop features. When we run out of time on a

ptg8286261
314 Chapter 18 Release Planning (Longer-Term Planning)
fixed-date release, whatever hasn’t yet been built should be of lower value than what
has already been built. It is much easier to make a decision to ship if the features
that are missing are low value. If we are missing high-value features, we’ll most likely
extend the date if we can.
This works only when the high-priority features are truly done, per our agreed-
upon definition of done. We don’t want a scenario where the high-value, must-have
features are really only 75% to 90% done and then we then have to drop one or two of
them from the release in order to get the others to the 100% done level.
A fixed-date model becomes even easier to use if we can define a set of minimum
releasable features that truly is small. If we can comfortably deliver the MRFs by the
fixed date, we are in good shape, because any other features, by definition, are only
nice-to-have features.
Fixed-date releases also dovetail nicely with the Scrum emphasis on timeboxing.
By establishing a fixed amount of time for the release, we constrain the amount of
work we can do and force people to make the difficult prioritization decisions that
have to be made.
Variable Quality
If we overly constrain scope, date, and budget, quality becomes “flexible.” This can
lead us to deliver a solution that fails to meet customer expectations. Or, as I dis-
cussed in Chapter 8, flexible quality can result in the accrual of technical debt, which
makes it more difficult in the future to add to or adapt our product.
Updating Constraints
An important part of ongoing release planning is to take our current knowledge and
revisit these constraints to see if they should be rebalanced. For example, what should
Roger and his team at Review Everything do if they approach the SR4U Release 1.0
deadline and it’s clear that they won’t complete the minimum releasable features?
Because this is a fixed-date release, a good first strategy is to drop lower-value fea-
tures. Let’s assume, though, that in this case they would have to drop must-have fea-
tures that are part of the MRFs in order to meet the date constraint.
Perhaps the right solution is to define a smaller set of features that are included
in the MRFs. For example, the initial version of SR4U might focus on filtering restau-
rant reviews from only a small number of fixed sources. Roger and his team need to
assess whether narrowing the scope degrades perceived customer value to an unac-
ceptable level. And, if it is decided that Review Everything can’t drop features with-
out substantially damaging value, the company might consider adding more people
(change the budget) or giving up on the hope of launching the service at the Social
Media Expo (change the date).
These are the decisions that we must continuously make, revisit, and then make
again during any development effort.

ptg8286261
Grooming the Product Backlog 315
Grooming the Product Backlog
A fundamental activity of release planning is grooming the product backlog to meet
our value and quality objectives. During envisioning (product planning) we create a
high-level product backlog (perhaps with epic-level stories) and then use it to define a
set of minimum releasable features for each release. Many of these backlog items are
too large to be useful during release planning.
For example, during SR4U envisioning Roger provided a rough idea of which
high-level features would be available by the Social Media Expo. Let’s imagine that
his roadmap indicates that Release 1.0 will focus on “basic learning” and “basic fil-
tering” features corresponding to the following backlog items:
As a typical user I want to teach SR4U what types of reviews to
discard so that SR4U will know what characteristics to use when
discarding reviews on my behalf.
As a typical user I want a simple, Google-like interface for request-
ing a review search so that I don’t have to spend much time describ-
ing what I want.
At release planning, these items will be too large to work with. To refine them
Roger and his team would conduct a user-story-writing workshop (see Chapter 5) as
part of the release-planning meeting or perhaps a separate story-writing workshop
before the release-planning meeting. The results of this workshop would be many
more detailed product backlog items, such as these:
As a typical user I want to tell SR4U to ignore reviews that contain
specific keywords that I feel show bias in a review so that I don’t see
any reviews containing those keywords.
As a typical user I want to select a category of product or service so
that I can help SR4U focus only on relevant reviews.
Once the stories are small enough, the team would estimate them (see Chapter
7) to communicate a rough idea of the cost. (Some amount of estimation is neces-
sary for initial release planning. And as new stories emerge during the release, they
too will need to be estimated for ongoing release-planning activities.) The release-
planning participants would then prioritize the estimated stories based on the release
goal and constraints. As the product backlog is reprioritized, the participants should
be vigilant to ensure that the minimum releasable feature set is always identified and
agreed upon.

ptg8286261
316 Chapter 18 Release Planning (Longer-Term Planning)
Refine Minimum Releasable Features (MRFs)
As I described in Chapter 17, the minimum releasable features represent the smallest
set of “must-have” features, the ones that simply have to be in the release if we are to
meet customer value and quality expectations. An important part of release planning
is to diligently reevaluate and refine what are truly the MRFs for the release. As we
obtain fast feedback from our sprints and acquire validated learning, we are con-
stantly adjusting the MRFs.
A problem I frequently see in organizations is an inability to agree on what con-
stitutes the MRFs. Multiple competing stakeholders simply might not agree. Having
poorly defined MRFs or MRFs that people only passive-aggressively agree with inter-
feres with clear decision making during release planning. For example, we’re running
out of time; which feature should we drop? Lack of clarity regarding the MRFs might
complicate this decision.
In Scrum, the product owner is ultimately responsible for defining the MRFs. Of
course, he can and will do this in close collaboration with the proper stakeholders
and the Scrum team.
For some, the MRFs concept may feel counterintuitive—why not try to deliver
the largest set of features in a release instead of the smallest? The simple answer is that
the largest set of features probably costs the most money, takes the most time, and
has the most risk. Conversely, the smallest possible feature set should cost the least
money, take the least time, and have the least risk. Thinking minimally better aligns
us with the principle of delivering smaller and more frequent releases, as described in
Chapter 14.
The MRFs should be defined with knowledge of the feature sizes, as determined
during product backlog grooming. Not everyone agrees. Some believe that the MRFs
should be defined independently of cost—meaning the MRFs are the minimum
releasable features that will meet the users’ value threshold for this release (and this
determination is made independently of cost data). Initial MRFs can be envisioned
without cost data, but because all of our release-planning decisions need to be made
within a sensible economic framework, knowing feature costs provides a critical
check on the economic viability of the MRFs. If we determine that the MRFs are not
economically viable, perhaps it is time to pivot.
Sprint Mapping (PBI Slotting)
In each sprint the team works on a set of product backlog items. The team and prod-
uct owner don’t decide which specific product backlog items to work on in a given
sprint until sprint planning. Does that mean we should give no consideration to map-
ping product backlog items to sprints before sprint-planning meetings?
Absolutely not! Some teams believe that a quick, early mapping (or slotting) of
near-term product backlog items into sprints is helpful. For example, mapping out a

ptg8286261
Sprint Mapping (PBI Slotting) 317
few sprints in a multiteam environment might help the teams better coordinate their
work.
To do t his mapping we need a n appropriately det ai led, est imated, and pr iori-
tized product backlog. Using our team’s velocity, we can approximate a set of product
backlog items for each sprint by grouping together items whose aggregate size roughly
equals the team’s average velocity. The result might look like the left side of Figure 18.5.
Some people prefer to show the sprint map horizontally (right side of Figure 18.5) to
more closely resemble a timeline. I have seen some teams place the horizontally ori-
ented sprint map of a Scrum team above a standard project plan (a Gantt chart, for
example) that describes the work of non-Scrum teams to better visualize the alignment
and touch points between the Scrum development work and the non-Scrum work.
When developing with one Scrum team we might do this mapping during initial
release planning to get a rough idea of when certain features within the release will be
created. This mapping activity might also cause us to reorganize the product backlog
to group items in ways that are more natural or efficient. We also might choose to
Item Size
Te a m ave r a g e ve lo ci ty = 2 0
Sprint 1 Sprint 2 Sprint 3 Sprints 4-7
Feature B l 3
Feature C l 2
Feature D l 8
Feature E l 2
Feature F l 5
Feature G l 3
Feature H l 5
Feature I l 5
Feature J l2
Feature K l1
Feature L l5
Feature M l8
Feature N l5
Feature O
l5
Feature P
l13
Feature …
l…
Feature ZZ
lX
Feature A l 5
Item Size
Sprint 1
Sprint 2
Sprint 3
Sprints 4-7
Feature B l 3
Feature C l 2
Feature D l 8
Feature E l 2
Feature F l 5
Feature G l 3
Feature H l 5
Feature I l 5
Feature J l 2
Feature K l 1
Feature L l 5
Feature M l 8
Feature N l 5
Feature O
l 5
Feature P
l 13
Feature …
l …
Feature ZZ
l X
Feature A l 5
F I G U R E 1 8 . 5 Mapping product backlog items to sprints

ptg8286261
318 Chapter 18 Release Planning (Longer-Term Planning)
reorganize the work to ensure that the results at the end of a sprint are sufficient for
us to get validated learning and actionable feedback.
When developing with multiple teams, we may want to do some forward-looking
mapping of items to sprints to help manage inter-team dependencies. One approach
is to use a form of rolling look-ahead planning (Cohn 2006), where each team con-
siders the needed backlog items not only for the upcoming sprint but for at least two
(and sometimes more) future sprints. This way, when more than one Scrum team is
involved, the teams can know what team is going to work on which items and roughly
when.
For example, assume that SR4U will have three Scrum teams. Team 1 focuses on
the end-to-end processing of user requests. This team enables users to specify a review
query, run the query, and get review results. Team 2 focuses on the AI engine, which
has the logic for how to analyze and discriminate among reviews. Team 3 focuses on
connecting to different Internet data sources for retrieving candidate reviews.
These three teams must coordinate their efforts to make sure that the minimum
releasable features are produced and available in time for the Social Media Expo. It
makes sense for all three teams to participate in joint release planning.
During an initial release-planning meeting each of the teams provides an idea of
when it will work on its product backlog items. In the ensuing discussion, team 1 might
say, “We think we’ll be ready to create the ignore reviews with specific keywords feature in
sprint 2. However, we will need team 3 to be able to retrieve data from at least one Inter-
net source either before that sprint begins or very early during sprint 2.” Members of
team 3 can then examine their sprint map to see if they are currently planning to have
at least one source available by sprint 2. If not, the two teams can discuss the depen-
dency and see what modifications one or both of the teams need to make.
If we choose to do some early mapping, we must realize that this mapping can
and will evolve during the creation of the release. Ultimately the decision as to which
features each team will work on in a given sprint is made at the last responsible
moment—the sprint planning for that sprint.
Alternatively, a preference of many organizations (especially those doing product
development using only one team) is to perform little or no early mapping of product
backlog items to sprints. Teams in such companies believe that the effort to produce
the mapping is not justified by the value that it delivers. For these teams, the initial
release-planning meeting would not involve the mapping step, at least not in any sig-
nificant way.
Fixed-Date Release Planning
As I mentioned earlier, many organizations that use Scrum prefer to use fixed-date
releases. Table 18.2 summarizes the steps for performing fixed-date release planning.
Let’s use SR4U as an example. Release 1.0 is tied to the start of the Social Media
Expo, which starts on Monday, September 26. The company decides that having an

ptg8286261
Fixed-Date Release Planning 319
initial version to demonstrate at this conference is an excellent first milestone on the
path to realizing the product vision.
Although we just imagined SR4U with three teams, for this example, let’s go back
to the initial assumption that just one team would develop the product. Because Roger
and the team want to begin sprint 1 the first week in July and finish by September 23
(the Friday before the Expo starts), they can easily calculate how many sprints they
will need to perform in this release. Assuming that the length of each sprint is the
same throughout this release, which is the normal case with Scrum, SR4U Release 1.0
has six, two-week (ten-day) sprints. Figure 18.6 maps these sprints onto the calendar.
T A B L E 1 8 . 2 Steps for Performing Fixed-Date Release Planning
Step Description Comments
1Determine how many sprints are in this
release.
If all sprint lengths are equal, this is
simple calendar math because you
know when the first sprint will start and
you know the delivery date.
2Groom the product backlog to a
sufficient depth by creating, estimating
the size of, and prioritizing product
backlog items.
Because we are trying to determine
which PBIs we can get by a fixed date,
we need enough of them to plan out to
that date.
3Measure or estimate the team’s velocity
as a range.
Determine an average faster and an
average slower velocity for the team
(see Chapter 7).
4Multiply the slower velocity by the
number of sprints. Count down that
number of points into the product
backlog and draw a line.
This is the “will-have” line.
5Multiply the faster velocity by the
number of sprints. Count down that
number of points into the product
backlog and draw a second line.
This is the “might-have” line.
SeptemberJuly August
Sprint 4
Sprint 3
Sprint 2
Sprint 1
Sprint 6
Sprint 5
F I G U R E 1 8 . 6 Sprint calendar for SR4U Release 1.0

ptg8286261
320 Chapter 18 Release Planning (Longer-Term Planning)
Next they determine how much work the team can get done in six sprints. Using
the approach I discussed in Chapter 7, let’s say they calculate the velocity of the team
to be between 18 and 22 story points per sprint. Therefore, Roger and the team should
be able to complete between 108 and 132 story points of work during this release.
Now they need to determine what features this range of story points represents.
At the end of product planning, Roger and the team had a high-level product backlog
with some epic- and theme-level user stories. As I discussed earlier, the SR4U team
then conducted a user-story-writing workshop to create more detailed product back-
log items. The team then estimated them, and the product owner, with input from
the development team and stakeholders, prioritized them.
As part of this process, Roger and the team had to determine the set of must-have
features that make up the MRFs. As a rule of thumb, on a fixed-date release I like the
MRFs to require less than 100% of the time allocated to the release. I prefer some-
where closer to 60% to 70% for at least two reasons:
If we run out of time for the release and all of the features targeted for the
release are must-have items, which feature should we drop? By definition, if
the features are all must-haves, we wouldn’t be able to drop any. If we define
the release to have about 60% to 70% must-have features, with the remain-
ing scope being nice-to-have features, we can drop nice-to-have features if we
have to drop scope.
If we allocate 100% must-have features to the release, what happens during
the release when an emergent must-have feature appears? In other words,
a feature we didn’t know about earlier presents itself and it absolutely must
be included to have a viable release. How would we accommodate it? If we
defined the release to include some nice-to-have features, we could drop one
or more of them to include the new, emergent must-have feature.
The end result is a product backlog that structurally looks like Figure 18.7. This
figure shows the total product backlog as Roger and the team understand it today,
including themes and epics that are not planned for this release.
Roger and the team can then apply the results from the earlier velocity calcula-
tion, where the team estimated it would be able to complete between 108 and 132
points’ worth of work over six sprints. The team can visualize where in the backlog
it can get to by counting down a total of 108 points from the top and then counting
down to a total of 132 points (see Figure 18.8).
You’ ll notice that these t wo lines split the product back log into three sections
(will have, might have, won’t have). This approach illustrates how we can give a range
answer to the question “What will I get by the release date?” Early in the release it
is difficult to give a very precise answer to this question. The range answer is accu-
rate and also communicates the uncertainty we have in the answer—the broader the
range, the less certain we are.

ptg8286261
Fixed-Date Release Planning 321
To u ndersta nd whet her they are in good shape wit h th is release plan, Roger a nd
the team need only to overlay the must-have line (from Figure 18.7) onto the product
backlog (from Figure 18.8). Some possible results are shown in Figure 18.9. Notice
that the must-have line separates the minimum releasable features that are above the
line from the rest of the product backlog.
The left-most product backlog of Figure 18.9 communicates a very positive situ-
ation. You can interpret it as “We will have our must-have features.” We should pro-
ceed with the release.
The middle backlog of Figure 18.9 can be interpreted as “We will have most of
our must-have features, but we might or might not have all of them.” There is clearly
more risk associated with this scenario than the previous scenario. One option is to
accept the risk that we won’t get all of the must-have items and move on. Because we
are planning to learn fast, we might decide to start this release and complete a few
sprints. At that point, we could reevaluate where we are and then make a decision to
continue with the release or kill it (as I discussed in previous chapters). Also, feed-
back from the work already completed might indicate that some of the features origi-
nally included in the MRFs aren’t really must-have items after all and we are actually
in good shape.
Item Size
Required stories associated
with must-have themes
Themes and epics for
future releases
Other stories that would be
nice to have in Release 1.0
l
l
l
l
l
l
l
l
l
l
l
l
l
l
l
l
l
l
F I G U R E 1 8 . 7 Product backlog ready for release planning

ptg8286261
322 Chapter 18 Release Planning (Longer-Term Planning)
Item Size
Will have
108 points
132 points
Won’t have
Might have
l
l
l
l
l
l
l
l
l
l
l
l
l
l
l
l
l
l
F I G U R E 1 8 . 8 Determining the range of features on a fixed-date release
Item Size
l
l
l
l
l
l
l
l
l
l
l
l
l
l
l
l
l
l
Item Size
l
l
l
l
l
l
l
l
l
l
l
l
l
l
l
l
l
l
Will have Must have
Good news! Maybe OK Bad news
Won’t have
Might have
Will have
Must have
Won’t have
Might have
Will have
Must have
Item Size
l
l
l
l
l
l
l
l
l
l
l
l
l
l
l
l
l
l
Might have
Won’t have
F I G U R E 1 8 . 9 Location of must-have features relative to the range of deliverable features

ptg8286261
Fixed-Scope Release Planning 323
Alternatively, we can consider setting a new, later release date that we could easily
calculate, or we can suggest adding more people to the development effort to increase
velocity (if we think that might help). At this point, some organizations might choose
to accrue technical debt by having the team cut corners to ensure that all of the must-
have features are delivered by the due date, albeit at a reduced quality level. However,
if technical debt is taken on in the current release, it should be paid off in the next
release, which will reduce the amount of value delivered then.
The right-most backlog in Figure 18.9 can be interpreted as “We won’t have our
must-have features.” Perhaps we shouldn’t proceed with this release, or maybe we
should change the release date or consider adding more resources. If we choose to
accrue technical debt in this scenario, it will probably be a lot of debt.
Of course, assuming that we proceed with the release, we must revisit our release
plan every sprint to update it based on our current knowledge.
For example, at the end of each sprint we have an additional velocity data point,
which for a new team without much historical velocity data, or a team doing radically
different work from what it is used to, will cause us to recalculate the average points
per sprint the team can get done. And, as you might expect, the items in the product
backlog could change. New items could emerge and other items could be moved out
of this release or deleted altogether as we learn that we don’t need them now or ever.
To visual ly commu nicate the rev ised release pla n, we would redraw a picture similar
to Figure 18.8.
Fixed-Scope Release Planning
Although fixed-date releases are very common with Scrum, what if for your product
the scope truly is more important than the date? What if you have a large set of must-
have features in your minimum releasable features set and you’re willing to slip the
delivery date to get them all?
If you’re in this situation, have you truly winnowed down the must-have features
to be the absolute bare minimum? I occasionally hear things like “But we’re imple-
menting a standard and you can’t ship an implementation of half a standard.” While
this is perhaps true, in most standards there are still likely to be optional parts that
we don’t have to implement now (for example, think about web browser support for
changing or emerging HTML or CSS standards). In other instances we might be able
to go to market with less than the full implementation of the standard and let cus-
tomers know which parts we support and which parts we don’t.
My point is that if we think incrementally and aggressively target the true mini-
mum releasable features, we can usually turn a fixed-scope release into a set of
smaller fixed-date releases. When the set of minimum releasable features becomes
small, another constraint (like time) typically becomes the dominant constraint.

ptg8286261
324 Chapter 18 Release Planning (Longer-Term Planning)
Let’s say that we have winnowed down the must-have features to the bare mini-
mum and our principal release constraint is still focused on when we can we get those
features. In this case we perform release planning as outlined in Table 18.3.
If we’re doing a fixed-scope release, we must know what the features are at the
start of the release. We might know these features if we are building a simple or
familiar product. When developing innovative products, however, many features will
emerge and evolve during the development effort. We certainly have some idea of the
desired features up front, so we’ll use them in our initial release planning. However,
we must be prepared to continuously revise our release plan as our understanding of
the required features changes.
If we perform a release-planning meeting at the start of the release, we must first
groom the product backlog as we did during fixed-date planning. A difference is
that during fixed-date planning we try to have fewer than 100% must-have items in
the release to buffer against uncertainty. In fixed-scope planning we want the entire
scope for the release to be must-have features. Our goal on fixed-scope releases is to
get all of the must-have features completed in a timely way. If an emergent must-have
feature appears, we will simply add it to the scope of the release and push out the
release date.
During fixed-date planning, we know precisely how many sprints we will have.
During fixed-scope planning, we need to calculate the number of sprints required to
deliver the fixed set of features.
T A B L E 1 8 . 3 Steps for Performing Fixed-Scope Release Planning
Step Description Comments
1Groom the product backlog to include
at least the PBIs we would like in this
release by creating, estimating the size
of, and prioritizing PBIs.
Because this is a fixed-scope release,
we need to know which PBIs are in the
fixed scope.
2Determine the total size of the PBIs to
be delivered in the release.
If we have a product backlog of
estimated items, we simply sum the
size estimates of all of the items we
want in the release.
3Measure or estimate the team’s
velocity as a range.
Determine an average faster and an
average slower velocity for the team.
4Divide the total size of the PBIs by the
faster velocity and round up the answer
to the next integer.
This will tell us the lowest number of
sprints required to deliver the features.
5Divide the total size of the PBIs by
the slower velocity and round up the
answer to the next integer.
This will tell us the highest number of
sprints required to deliver the features.

ptg8286261
Calculating Cost 325
To per form the mat h we need the velocit y range for our team (as we d id w it h
fixed-date planning). Let’s say our team’s velocity on two-week sprints ranges between
18 and 22 story points. To answer the question of when we will get the fixed set of fea-
tures, we sum the sizes of all of those features and then divide by our team’s higher and
lower velocities. The result is a range of sprints within which delivery will take place.
Let’s say we want 150 story points of features in the next release. If we divide 150
by 18 (our team’s slower velocity) and round up, we get nine sprints. If we divide 150
by 22 (our team’s faster velocity) and round up, we get seven sprints. We can visualize
this as shown in Figure 18.10.
Notice that once again we give a range answer to the question we are being asked.
In this case the question is “How many sprints will you need to complete a release
with 150 points of work?” Our answer will be seven to nine sprints. Because these are
two-week sprints, our answer also could be stated as 14 to 18 weeks.
Calculating Cost
Calculating costs on either a fixed-date or fixed-scope release is easy (see Table 18.4).
T A B L E 1 8 . 4 Calculating the Cost of a Release
Step Description Comments
1Determine who is on the team. Assume that the team composition
doesn’t materially change either during
a sprint or from sprint to sprint.
2Determine the sprint length. Assume that all sprints have the same
length.
3Based on team composition and sprint
length, determine the personnel costs
of running a sprint.
This is simple if previous assumptions
are true, and only slightly more
complicated if team composition or
sprint length fluctuates.
continues
150 story points 22 points per sprint = 7 sprints
Sprint 1 Sprint 2 Sprint 3 Sprint 4 Sprint 5 Sprint 6 Sprint 7 Sprint 8 Sprint 9
150 story points 18 points per sprint = 9 sprints
F I G U R E 1 8 . 1 0 Results of fixed-scope planning

ptg8286261
326 Chapter 18 Release Planning (Longer-Term Planning)
Let’s assume that the composition of the team assigned to the development effort
is reasonably stable. In other words, we aren’t taking people off of the team or adding
new people to the team. And, if we do, the changes are small and the people we move
around get paid something reasonably similar.
Based on these assumptions, we can easily determine the cost per sprint, because
we know who is on the team and the length of the sprints. If we remove other costs
(like capital costs) from this discussion, which often is reasonable because the major-
ity of software development costs are the cost of the people, personnel cost is a pretty
good surrogate for the overall cost per sprint.
To f ina lize the calculation, we need to k now the number of sprints w it hin t he
release. On a fixed-date release we know exactly the number of sprints, so we multi-
ply the number of sprints by the cost per sprint to determine the release cost.
On a fixed-scope release, we have a range of sprints. In our previous example we
calculated a range of seven to nine sprints, so the cost for this release will range from
seven to nine times the cost per sprint. Most organizations will budget at the high end
of this range because the release may in fact take nine sprints to complete. If we bud-
geted for only seven sprints, we might have insufficient funds to complete the release.
Another approach to calculating cost can be used if you know your historic cost
per story point. If you have data that indicates how many points of work were com-
pleted during a previous period of time (say, a year) and you divide that into the
loaded labor cost of the team, you will know your cost per point. If it is reasonable
to assume that the same cost per point would apply to the current release, you can
roughly estimate the cost for a 150-point release (by multiplying 150 by the historic
cost per point) even before doing initial release planning.
Communicating
An important aspect of release planning is communicating progress. Although any
highly visible way of communicating progress can be used, most teams use some
Step Description Comments
4a For a fixed-date release, multiply the
number of sprints in the release by the
cost per sprint.
The result is the fixed personnel cost
for this release.
4b For a fixed-scope release, multiply both
the high and low number of sprints by
the cost per sprint.
The results are the range of personnel
costs associated with the release.
One represents the lower amount the
release should cost and the other the
higher amount it should cost.
T A B L E 1 8 . 4 Calculating the Cost of a Release (Continued)

ptg8286261
Communicating 327
form of burndown and/or burnup chart as their principal information radiator of
release status. Let’s look at how to communicate release status on both fixed-scope
and fixed-date releases.
Communicating Progress on a Fixed-Scope Release
On a fixed-scope release we have an idea of the total scope of work we wish to achieve.
The goal is to communicate how we are progressing toward completing that work.
Fixed-Scope-Release Burndown Chart
A burndown chart for a fixed-scope release shows the total amount of unfinished
work that remains each sprint to achieve the current release goal. In this type of
chart, the vertical axis numbers are in the same units we use to size our product
backlog items (typically story points or ideal days). The horizontal axis represents
sprints (see Figure 18.11).
Using the example from earlier in the chapter, we have 150 story points at the start
of development (at the end of initial release planning), which is the same as the start
of sprint 1. At the end of each sprint we update this chart to show the total amount
of work remaining within the release. The difference between the amount of work
remaining at the beginning of a sprint and the work remaining at the end of the sprint
represents the sprint velocity. This is plotted as the “Actual” line in Figure 18.11.
We can also show projected outcomes on the burndown chart. In Figure 18.11
there are three lines predicting when the release might be done, each correspond-
ing to a predicted team velocity. If the team is able to work at its higher velocity of
22 points per sprint, the team would finish by the end of seven sprints. If the team
0
25
50
75
100
125
150
175
200
Sprints within release
Estimated story points remaining
1 2 3 4 5 6 7 8 9 10
Low
High
Average
Actual
F I G U R E 1 8 . 1 1 Fixed-scope-release burndown chart

ptg8286261
328 Chapter 18 Release Planning (Longer-Term Planning)
operates at its lower velocity of 18, it might need a total of nine sprints. And, if the
team operates at its average velocity of 20, it would need eight sprints.
There are several variations on the basic burndown chart; however, they are all
similar in that they show each sprint the cumulative size of the work remaining to
achieve the release goal.
Fixed-Scope-Release Burnup Chart
A burnup chart for a fixed-scope release shows the total amount of work in a release
as a goal or target line and our progress each sprint toward achieving that goal (see
Figure 18.12). The horizontal and vertical dimensions of the chart are identical to
those of the release burndown chart.
In this chart, at the end of every sprint we increment the cumulative story points
completed by the total story points completed in that sprint. The goal is to burn up
to achieve the target number of story points in the release. And, like the release burn-
down chart, this chart shows the same three predictive lines indicating the likely
number of sprints to achieve the target.
Some people prefer to use the burnup format because it can easily show a change
in scope for the release. For example, if we add more scope in the current release (so
the release really isn’t fixed scope!), in the sprint where the new scope is added we
simply move the target line up to indicate that a new, higher target exists from this
point forward (see Figure 18.13).
It is also possible to show a change in scope on a release burndown chart (see
Cohn 2006).
0
25
50
75
100
125
150
175
200
Sprints within release
Story points
1 2 3 4 5 6 7 8 9 10
Low
High
Average
ActualTarget
F I G U R E 1 8 . 1 2 Fixed-scope-release burnup chart

ptg8286261
Communicating 329
Communicating Progress on a Fixed-Date Release
With a fixed-date release we know the number of sprints in the release, so our goal
is to communicate the range of features we expect to complete and our sprint-by-
sprint progress toward the range. The traditional burndown and burnup charts aren’t
effective tools for fixed-date planning because they assume you know how much total
scope you have to burn down or burn up. Remember this is fixed-date planning, so
we are trying to calculate and communicate over time the narrowing range of scope
that can be delivered by a fixed date.
Figure 18.9 shows how to visualize a range of features we expect to achieve in a
fixed-date release. If we update the charts in Figure 18.9 at the end of each sprint, we
have a very effective way of communicating the projected range of features we will
complete by the fixed release date. We will also have an understanding of how likely
we are to get the must-have features by the release date.
If we want to maintain one chart that shows our historical progress toward
achieving the final scope, we can create a specialized burnup chart in the form of
Figure 18.14.
This chart has all of the same elements as the charts in Figure 18.9. However, in
Figure 18.14, the product backlog is inverted (intentionally positioned upside down)
so that instead of the highest-priority item being physically positioned at the top, it is
now at the bottom of the product backlog. Lower-priority items are now found higher
up in the backlog. Inverting the backlog in this fashion eliminates the problem of
having to know the scope of the product backlog items in the release (which tradi-
tional release burndown and burnup charts require).
0
25
50
75
100
125
150
175
200
Sprints within release
Story points
1 2 3 4 5 6 7 8 9 10
Low
High
Average
ActualTarget
F I G U R E 1 8 . 1 3 Variable-scope-release burnup chart

ptg8286261
330 Chapter 18 Release Planning (Longer-Term Planning)
Will have
Backlog is intentionally inverted
Won’t have
Fixed ship date is
end of sprint 6
Sprints
1 2 3 4 5 6 7
Might have
Must have
l
l
l
l
l
l
l
l
l
l
l
l
l
l
l
l
l
l
F I G U R E 1 8 . 1 4 Fixed-date-release burnup chart (with inverted product backlog)
The chart shows the projected range of features that we expect to have by the end
of sprint 6 (beginning of sprint 7). Each sprint we burn up the chart to show the fea-
tures completed in that sprint. So at the end of sprint 1 (beginning of sprint 2) there
is a vertical line whose length indicates how many features we completed in sprint 1.
Using this approach allows us to see how we are progressing toward hitting our target
range of features, as well as how we are progressing toward completing the must-have
features. For simplicity, there are no trend lines on this graph, but they could easily
be added to extrapolate from earlier sprints what scope we are likely to end up with.
Closing
In this chapter I expanded the description of release planning by discussing when
release planning takes place, who is involved, what activities take place, and the ele-
ments of the resulting release plan. I also discussed the details of how to do both

ptg8286261
Closing 331
fixed-date and fixed-scope release planning and how to communicate progress dur-
ing a release.
This chapter concludes Part III. In the next chapter I will discuss the next level of
planning: sprint planning, which I include with Part IV to group together all of the
chapters related to sprint-specific activities.

ptg8286261
This page intentionally left blank

ptg8286261
This page intentionally left blank

ptg8286261
335
Chapter 19
SPRINT PLANNING
A release is typically composed of multiple sprints, each of which delivers customer
or user value. Every sprint begins with sprint planning, a time when the Scrum team
gathers to agree on a sprint goal and determine what it can deliver during the forth-
coming sprint. In this chapter I discuss where sprint planning fits into the Scrum
framework and how to perform it.
Overview
A product backlog may represent many weeks or months of work, which is much
more than can be completed in a single, short sprint. To determine the most impor-
tant subset of product backlog items to build in the next sprint, the Scrum team per-
forms sprint planning. During sprint planning the Scrum team agrees on a goal for
the sprint, and the development team determines the specific product backlog items
that are aligned with that goal and that it can realistically deliver by the end of the
sprint. To acquire confidence in what it can deliver, the development team creates a
plan for how to complete the product backlog items. Together the product backlog
items and the plan form the sprint backlog.
Timing
Sprint planning is a recurring, just-in-time activity that takes place at the beginning
of each sprint, when we can leverage the best possible information to decide what to
work on in the upcoming sprint (see Figure 19.1).
For a two-week to month-long sprint, sprint planning should take no longer than
four to eight hours to complete.
Participants
The full Scrum team collaborates during sprint planning. The product owner shares
the initial sprint goal, presents the prioritized product backlog, and answers any
questions the team might have regarding the product backlog items. The develop-
ment team works diligently to determine what it can deliver and then makes a realis-
tic commitment at the end of sprint planning. The ScrumMaster, acting as the Scrum
team coach, observes the planning activity, asks probing questions, and facilitates
to help ensure a successful result. Because the ScrumMaster is not in charge of the

ptg8286261
336 Chapter 19 Sprint Planning
development team, she cannot decide on behalf of the development team what com-
mitment to make. The ScrumMaster can, however, challenge the team’s commitment
to ensure that it is realistic and appropriate.
Process
Figure 19.2 illustrates the sprint-planning activity.
Sprint planning relies on a set of inputs that guide the development team in
determining what value it can realistically deliver by the end of the sprint. These
inputs are described in Table 19.1.
The first and most crucial input to sprint planning is a product backlog that has
been groomed prior to sprint planning so that the topmost items meet the Scrum
team’s definition of ready (see Chapter 6). Typically this means that the topmost
items have well-defined acceptance criteria and are appropriately sized, estimated,
and prioritized.
Engaged product owners also enter sprint planning having a good idea of what
they want the team to deliver by the end of the sprint. They might have a specific set
of high-priority product backlog items in mind—“I’d really like to get the top five
product backlog items done this sprint”—or they might have a more general notion—
“At t he e nd of t h is s pr int I wa nt a t y pic a l u se r t o b e a ble to su bm it a s im pl e k ey word
query.” Knowing the sprint goal helps the team balance competing priorities. A prod-
uct owner should communicate his initial sprint goal in a way that doesn’t unduly
influence the development team to commit to more than it realistically can deliver.
Sprint execution
Po te n t ia l l y
shippable product
increment
Daily scrum
Sprint planning Sprint backlog
Sprint retrospective Sprint review
Grooming
Product backlog
F I G U R E 1 9 . 1 When sprint planning happens

ptg8286261
Overview 337
Inputs
Outputs
Participants
Scrum team
Velocity
Sprint goal
Product backlog
Sprint planning
Refine sprint goal
Select PBIs
Determine capacity
Finalize commitment
Acquire confidence
Te a m c a p a b i l it ie s
Constraints
Initial sprint goal
Sprint backlog
F I G U R E 1 9 . 2 Sprint-planning activity
T A B L E 1 9 . 1 Sprint-Planning Inputs
Input Description
Product backlog Prior to sprint planning, the topmost product backlog
items have been groomed into a ready state.
Team velocit y The team’s historical velocity is an indicator of how much
work is practical for the team to complete in a sprint.
continues

ptg8286261
338 Chapter 19 Sprint Planning
The fact that the product owner knows what he wants, however, does not neces-
sarily mean that the development team is capable of delivering it during that sprint.
A realistic commitment is achieved only through collaboration (and at times negotia-
tion) between the product owner and the development team members. The sprint-
planning participants need to have the opportunity to review and discuss potential
value-generating alternatives and decide what is practical given the team’s capabili-
ties, predicted velocity, and any known constraints.
To acquire conf idence in what it ca n accomplish, t he development team w il l cre-
ate a plan for how it will achieve the sprint goal. Collectively the selected product
backlog items and the plan form the sprint backlog (shown in Figure 19.2). Most
teams break down each targeted product backlog item into a set of estimated tasks,
which collectively form the plan. Teams that take this approach typically follow a
helpful rule of breaking down tasks so that no one task is more than eight hours of
effort, although some might be a bit larger. At this level of granularity the team has a
good idea of what really needs to be done and whether it can accomplish those tasks
in the time it has available.
At the end of sprint planning the development team’s commitment is communi-
cated through a finalized sprint goal and the sprint backlog.
Approaches to Sprint Planning
I will describe two approaches to sprint planning: two-part sprint planning and one-
part sprint planning.
Two-Part Sprint Planning
One approach to sprint planning is to separate it into two parts (see Figure 19.3).
During part 1 (the “what” part) the development team determines its capacity to
complete work and then forecasts the product backlog items that it believes it can
T A B L E 1 9 . 1 Sprint-Planning Inputs (Continued)
Input Description
Constraints Business or technical constraints that could materially
affect what the team can deliver are identified.
Team capabilities Capabilities take into account which people are on the
team, what skills each team member has, and how
available each person will be in the upcoming sprint.
Initial sprint goal This is the business goal the product owner would like to
see accomplished during the sprint.

ptg8286261
Approaches to Sprint Planning 339
deliver by the end of the sprint. So if the team believes it can accomplish 40 story
points, it will select about 40 story points’ worth of work.
During part 2 (the “how” part) the team acquires confidence in its ability to
complete the items that it forecasted in part 1 by creating a plan. Most teams create
this plan by breaking the product backlog items into a set of tasks and then estimat-
ing (in hours) the effort required to complete each task. The team then compares the
estimate of task hours against its capacity, in terms of hours, to see if its initial com-
mitment was realistic.
If the team finds it has selected too much or too little, or has selected items that
can’t realistically be developed together in the same sprint given one or more con-
straints, it can adjust its forecast and possibly refine the sprint goal to fit the available
capacity and constraints. When the team’s forecast is comfortably within its capacity
range and constraints, it finalizes its commitment and sprint planning is over.
One-Part Sprint Planning
An alternative approach to sprint planning, and the one I see most frequently, is a
one-part approach that interleaves selecting an item and acquiring confidence that it
can be delivered. This approach is illustrated in Figure 19.4.
Using this approach, the development team begins by determining its capacity to
complete work. Based on available capacity, the sprint goal may need to be refined.
Next the team selects a product backlog item and then acquires confidence that the
Determine
capacity
Forecast
product backlog
items to fill
capacity
Part 1 (“what”) Part 2 (“how”)
Finalize
commitment
Acquire
confidence that
forecast is
reasonable
Refine
sprint goal Adjust
forecast
Yes
Start
Yes
At
capacity?
NoNo
Can
commit?
F I G U R E 1 9 . 3 Two-part sprint-planning approach

ptg8286261
340 Chapter 19 Sprint Planning
selected item will reasonably fit within the sprint, given other items already included
in the team’s evolving commitment. This cycle is then repeated until the team is
out of capacity to do any more work. At that point the commitment is finalized and
sprint planning is over.
Determining Capacity
An important first activity during sprint planning is determining the available capac-
ity of the team to perform work during the sprint. Knowledge of capacity guides the
Scrum team in determining what it can deliver.
What Is Capacity?
Figure 19.5 illustrates the various factors that influence a team’s capacity to work on
product backlog items during an upcoming sprint. These include the time needed for
other Scrum activities, non-sprint-related commitments, personal time off, and the
need for a buffer.
Let’s say a team is doing a two-week (ten-day) sprint. Right away, we must accept
that the team doesn’t actually have ten days to dedicate to sprint execution. We know,
for instance, that on a two-week sprint about a day of that time needs to be reserved
Determine
capacity Refine
sprint goal
Select product
backlog item
Finalize
commitment
Acquire
confidence that
product backlog
item can be
completed
Add story to
commitment
No
Start
Yes
At
capacity?
No
Yes
Can
commit?
F I G U R E 1 9 . 4 One-part sprint-planning approach

ptg8286261
Determining Capacity 341
collectively for sprint-planning, sprint review, and sprint retrospective activities. We
also know that the team should reserve up to 10% of its time to assist the product
owner with product backlog grooming (writing and refining, estimating, and priori-
tizing product backlog items) to help ensure that the items are ready.
The team must also determine how much time it should reserve for work outside
the sprint, things like supporting the current product, maintaining another product,
or other work unrelated to the current sprint. The team should also remember that
in an eight-hour day, team members really don’t have a full eight hours to work on
product backlog items. There is some overhead required to be a good citizen of the
organization—attending meetings, responding to emails, interruptions, and so on.
Next, the team needs to know if people have personal time off scheduled during a
sprint because that also reduces overall team capacity.
After removing time dedicated to other Scrum activities, work outside the sprint,
and personal time off, what remains is the capacity of the team to work on prod-
uct backlog items for this sprint. However, from this total capacity we should reserve
some buffer against things not going quite as planned. For example, any estimating
we do won’t be perfect, so items might turn out to be a bit larger than we thought.
Or something can (and usually does) go wrong. Having a bit of buffer against unex-
pected problems is wise.
Other non-sprint commitments:
support, maintenance, working
on other projects
Sprint buffer
Other sprint activities:
sprint planning, sprint review,
sprint retrospective,
product backlog grooming
Capacity to work on
product backlog items
during this sprint
Pe r s o n a l ti m e off
To t a l sp ri n t c a pa ci t y
F I G U R E 1 9 . 5 Development team capacity in a sprint

ptg8286261
342 Chapter 19 Sprint Planning
A team can use a number of different approaches to determine a practical buffer
size (see Cohn 2006 for some examples). In practice, this buffer can be established
empirically after a team performs several sprints and better understands how much
buffer should be held in reserve to handle development uncertainty.
Once a buffer is defined, the team can finalize its available capacity for complet-
ing work during the sprint.
Capacity in Story Points
What unit of measure should we use for capacity? The two obvious answers are either
the same units as the product backlog items (typically story points or ideal days) or
the same units as the sprint backlog tasks (effort-hours).
A team’s velocity is expressed in terms of product backlog item units (let’s say
story points). So, if we express capacity in story points, determining capacity is the
same as predicting our team’s target velocity for the upcoming sprint.
To ma ke th is determination, star t w it h the team’s long-term average velocity or
the team’s previous sprint velocity (sometimes referred to as the “yesterday’s weather”
approach) as an initial estimate of its capacity/velocity for the upcoming sprint. Then
consider whether the upcoming sprint might differ from typical or previous sprints
(it might not). The result is a reasonable adjusted capacity (predicted velocity) for the
upcoming sprint.
For example, let’s say our team’s average velocity is 40 story points during a two-
week sprint. The sprint we are planning, however, occurs during the last two weeks in
December in the United States, which means many of our team members will be tak-
ing time off for the holidays. We would take on too much work if we used the average
velocity of 40; we’d be better off assuming that a velocity closer to 20 (or thereabouts)
is a more realistic capacity for the team during this sprint.
Capacity in Effort-Hours
An alternative way to express capacity is in effort-hours. Table 19.2 illustrates how to
determine the team’s effort-hour capacity to perform task-level work during a two-
week or ten-day sprint.
The capacity calculation shown in Table 19.2 is derived as follows. First, the team
members express how many days they have available to work on the upcoming sprint
(the amount of unavailable time equates to the “personal time off ” slice in Figure
19.5). Both Betty and Rajesh are planning to attend a two-day training class, so each
of them has only eight days available in the sprint. Simon is planning a three-day
weekend so he has nine available days.
Next, the team members determine how much time to reserve for other Scrum
activities. They reserve a day of time for sprint planning, sprint review, and sprint
retrospective activities. They also deduct the time needed to assist the product owner

ptg8286261
Selecting Product Backlog Items 343
with product backlog grooming activities. Together these represent two fewer days
available per person to perform task-level work.
The team members then determine how many hours per day they could dedicate
to work in this sprint. Each person gives a range that takes into account any overhead
work not associated with items in the sprint backlog (the overhead equates to the
“other non-sprint commitments” slice in Figure 19.5). For example, Simon is only
half-time on this product, so he estimates only two to three hours a day to work on
this product during the sprint.
After accounting for personal time off, other Scrum activities, and non-sprint
commitments, the team in Table 19.2 estimates a capacity of 140 to 197 effort-hours
to work on tasks in the sprint backlog.
I would caution this team against taking on 197 hours of work because it would
leave no sprint buffer. A better strategy for this team would be to use a capacity that
is probably greater than 140 hours but certainly less than 197 hours when committing
to work during this sprint.
Selecting Product Backlog Items
Either approach to sprint planning requires that we select candidate product backlog
items for inclusion in the commitment. Selection can be done in several ways. If we
have a sprint goal, we would select product backlog items that align with that goal. If
there is no formal sprint goal, our default is to select items from the top of the prod-
uct backlog. We would start with the topmost item and then move to the next item
and so forth. If the team were not able to commit to the next-highest-priority item
(perhaps there is a skills capacity issue), it would select the next appropriate higher-
priority backlog item that looks as if it can be completed within the constraints.
T A B L E 1 9 . 2 Determining Effort-Hour Capacity
Person
Days Available
(Less Personal
Time)
Days for
Other Scrum
Activities Hours per Day
Available
Effort-Hours
Jorge 10 24–7 32–56
Betty 8 2 5–6 30–36
Rajesh 8 2 4–6 24–36
Simon 9 2 2–3 14–21
Heidi 10 25–6 40–48
Total 140–197

ptg8286261
344 Chapter 19 Sprint Planning
One of my rules when selecting product backlog items for a sprint is that we don’t
start what we can’t finish. So if the next product backlog item is too big to complete
in the sprint given the other items that we have already agreed to complete, we should
either try to break down the next item into two or more smaller items, each of which
would be valuable to our customers, or consider working on another item that we can
complete. Also, having a good definition of ready will prevent product backlog items
from being selected that are poorly defined or have unfulfilled resource or depen-
dency constraints that would prevent our finishing them in a sprint.
The start-only-what-you-can-finish rule is based on the principles that we should
limit WIP and that starting something and not finishing it generates a variety of
forms of waste. I discussed both of these principles in Chapter 4 when I covered the
rule of no goal-altering changes during a sprint. Also, letting incomplete items carry
over from one sprint to the next doesn’t achieve the goal of having a potentially ship-
pable product increment at the end of each and every sprint.
Acquiring Confidence
One way to acquire confidence is to use predicted velocity to see if the commitment
is realistic. If the predicted sprint velocity is 25 story points and our team has selected
45 story points’ worth of work, the team should be concerned. At the very least we
should start asking questions about why we think the commitment can be achieved.
When used this way, velocity provides an excellent check and balance on the pro-
posed commitment.
The risk of using velocity as the sole means of establishing confidence is that
even though the numbers look right, the commitment might still be unachievable.
For example, if the predicted sprint velocity is 25 story points and the team’s com-
mitment totals 21 story points, the commitment would seem reasonable. However,
until we dig a little deeper to the task level, we don’t really know if the set of product
backlog items that total 21 story points can actually be completed—there could be
dependency issues, skills capacity issues, as well as a host of other issues that make it
impractical for the team to get them all done.
Most Scrum teams gain the necessary level of confidence by breaking the product
backlog items down into the tasks that are required to complete them to the Scrum
team’s agreed-upon definition of done. These tasks can then be estimated (usually in
effort-hours) and subtracted from the team’s capacity. Breaking product backlog items
into tasks is a form of design and just-in-time planning for how to get the items done.
The result is the sprint backlog. Figure 19.6 illustrates an example sprint backlog
showing four product backlog items (totaling 21 points) that the team believes it can
get done at the end of the sprint. The sprint backlog also shows a plan (in the form of
tasks) for delivering the product backlog items to meet the sprint goal.
Is the team making a good commitment or not?

ptg8286261
Acquiring Confidence 345
If the team’s predicted velocity is 25 points, a commitment of 21 points seems
reasonable. But let’s use the task-level details to see if the commitment still looks
good. The sum of the tasks for all four product backlog items is 150 effort-hours.
Assume that the team for this sprint is the team identified in Table 19.2, which has
a task-hour capacity of 140 to 197 effort-hours. A commitment of 150 effort-hours
seems comfortably safe—there is likely still a reasonable sprint buffer for handling
things that might go wrong.
However, just because the 150 hours are comfortably in the range of 140 to 197
hours doesn’t guarantee that the commitment is good. Recall from Table 19.2 that
Simon is available only two to three hours a day for nine of the ten days of the sprint.
That means Simon has only between 14 and 21 effort-hours available for work on this
sprint. What if Simon is the only person who can work on UI tasks? In this case the
team might not be able to commit to the four product backlog items in Figure 19.6
because it might run out of “UI capacity” when it runs out of “Simon capacity.”
Even though in Scrum we typically don’t assign team members to tasks during
sprint planning (notice that in Figure 19.6 there are no team member names on the
tasks), we need to at least quickly consider our skills capacity or we could make a bad
commitment. Just because our commitment is comfortably within the range of esti-
mated aggregate capacity doesn’t mean we won’t run out of capacity in a particular
skills area.
Sprint backlog
…is broken down into a set of tasks
Each feature…
Code the UI
Hours = 7
Add error logging
Hours = 12
HTML mockup
Hours = 10 Icon art
Hours = 8 Audio recording
Hours = 6
DB migration
Hours = 6
Code UI
Hours = 7 Automate tests
Hours = 8
Install graphics lib
Hours = 8 Automate tests
Hours = 6 Refactor
Hours = 5 Insert list widget
Hours = 4 Perfor m a n ce tu n i ng
Hours = 8
Update icons
Hours = 8 Overflow test
Hours = 6
Animate character
Hours = 9
21 story points
Sum of
effort-hour
estimates
45
40
37
28
+
+
+
150
effort-hours
8
5
5
3
Automate tests
Hours = 8
Create DB schema
Hours = 6
Create icons
Hours = 8 Buffer test
Hours = 5
Update CSS
Hours = 5
F I G U R E 1 9 . 6 Sprint backlog showing PBIs and task plan

ptg8286261
346 Chapter 19 Sprint Planning
For this reason some teams choose to note on each task who is the person most
likely to work on that task. Often this is an unnecessary and potentially wasteful step
because unexpected events will occur during the sprint and tasks will need to be reas-
signed. Also, assigning tasks to individuals might be harmful if doing so reduces team
ownership of the tasks. A better strategy (as I will discuss in Chapter 20) is to let team
members select the work in an opportunistic, just-in-time fashion during the sprint.
Refine the Sprint Goal
The sprint goal summarizes the business purpose and value of the sprint. The product
owner should come to sprint planning with an initial sprint goal. That initial goal,
however, can be refined during the course of sprint planning as the sprint-planning
participants work together to determine what can realistically be delivered.
Finalize the Commitment
At the completion of sprint planning the development team finalizes its commitment
to the business value it will deliver by the end of the sprint. The sprint goal and the
selected product backlog items embody that commitment.
As I mentioned in Chapter 2, some people prefer to use the term forecast to
describe the business value that the development team believes it can produce by the
end of the sprint. I prefer and use the term commitment. Regardless of which term
you prefer, the approaches to sprint planning I describe in this chapter are the same.
The nuanced differences between these terms might affect only the scope of what
the development team determines it can deliver and how the Scrum team deals with
new information that arrives during sprint execution (see Chapter 4 for a discussion
of changes during a sprint).
Closing
In this chapter I expanded the description of sprint planning by discussing when
sprint planning takes place and who is involved. I discussed two different approaches
to sprint planning. In the first approach the team selects a set of product backlog
items and then acquires confidence that it can indeed deliver the full set. The sec-
ond approach intermingles selecting a product backlog item with acquiring confi-
dence that the item can be added to the incrementally growing commitment. I also
explained two different ways to determine a development team’s capacity to complete
work. In the next chapter I will discuss details of how sprints are executed once they
have been planned.

ptg8286261
347
Chapter 20
SPRINT EXECUTION
Sprint execution is the work the Scrum team performs to meet the sprint goal. In
this chapter I focus on the principles and techniques that guide how the Scrum team
plans, manages, performs, and communicates during sprint execution.
Overview
Sprint execution is like a mini project unto itself—all of the work necessary to deliver
a potentially shippable product increment is performed.
Timing
Sprint execution accounts for the majority of time during a sprint. It begins after
sprint planning and ends when the sprint review starts (see Figure 20.1).
On a two-week-long sprint, sprint execution might account for about eight out of
the ten days.
Sprint execution
Daily scrum
Sprint review
Sprint retrospective
Sprint planning Sprint backlog
Po te n t ia l l y
shippable product
increment
Grooming
Product backlog
F I G U R E 2 0 . 1 When sprint execution happens

ptg8286261
348 Chapter 20 Sprint Execution
Participants
During sprint execution the development team members self-organize and deter-
mine the best way to meet the goal established during sprint planning.
The ScrumMaster participates as the coach, facilitator, and impediment remover,
doing whatever is possible to help the team be successful. The ScrumMaster doesn’t
assign work to the team or tell the team how to do the work. A self-organizing team
figures these things out for itself.
The product owner must be available during sprint execution to answer clari-
fying questions, to review intermediate work and provide feedback to the team, to
discuss adjustments to the sprint goal if conditions warrant, and to verify that the
acceptance criteria of product backlog items have been met.
Process
Figure 20.2 illustrates the sprint execution activity.
Sprint execution
Daily scrum
OutputsInputs
Pa r t i ci p a n t s
Scrum team
Sprint goal Po te n t i al l y
shippable product
increment
Sprint backlog
Task planning
Flow management
Daily scrums
Task performance
Communicating
F I G U R E 2 0 . 2 Sprint execution activity

ptg8286261
Flow Management 349
The inputs to sprint execution are the sprint goal and the sprint backlog that
were generated during sprint planning. The output from sprint execution is a poten-
tially shippable product increment, which is a set of product backlog items completed
to a high degree of confidence—where each item meets the Scrum team’s agreed-
upon definition of done (see Chapter 4). Sprint execution involves planning, man-
aging, performing, and communicating the work necessary to create these working,
tested features.
Sprint Execution Planning
During sprint planning the team produces a plan for how to achieve the sprint goal.
Most teams create a sprint backlog, which typically lists product backlog items and
their associated tasks and estimated effort-hours (see Figure 19.6). Although the
team probably could create a full task-level sprint execution plan (the equivalent of a
project plan for the sprint, perhaps in the format of a Gantt chart), the economics of
doing so are hard to justify.
First, it’s not clear that a team of five to nine people needs a Gantt chart to dic-
tate who should do the work and when for the next short-duration sprint. Second,
even if the team wanted to create a Gantt chart, it would be inaccurate soon after the
team begins working. Sprint execution is where the rubber meets the road. A massive
influx of learning comes from actually building and testing something. This learning
will disrupt even the best-conceived early plan. As a result, the team wastes valuable
time putting a plan together, only to waste even more time changing it to reflect the
reality of sprint execution.
Of course, some up-front planning is helpful for exposing important task-level
dependencies. For example, if we know that a feature we’re creating during the sprint
must be subjected to a special two-day-long stress test, it would be wise for the team
to sequence the work so that this test starts at least two days before the end of sprint
execution.
A good principle for sprint execution is to approach task-level planning opportu-
nistically rather than trying to lay out up front a complete plan of how to do the work
(Goldberg and Rubin 1995). Allow task planning to occur continuously during sprint
execution as the team adapts to the evolving circumstances of the sprint.
Flow Management
It’s the team’s responsibility to manage the flow of work during sprint execution to
meet the sprint goal. It must make decisions such as how much work the team should
do in parallel, when work should begin on a specific item, how the task-level work
should be organized, what work needs to be done, and who should do the work.

ptg8286261
350 Chapter 20 Sprint Execution
When answering these questions, teams should discard old behaviors, such as
trying to keep everyone 100% busy (the consequences of which are described in
Chapter 2), believing that work must be done sequentially, and having each person
focus on just her part of the solution.
Parallel Work and Swarming
An important part of managing flow is determining how many product backlog
items the team should work on in parallel to maximize the value delivered by the end
of the sprint. Working on too many items at once contributes to team member mul-
titasking, which in turn increases the time required to complete individual items and
likely reduces their quality.
Figure 20.3 shows a simple example that I use in my training classes to illustrate
the cost of multitasking.
The goal is to complete two identical tables by writing the letters a to j, the num-
bers 1 to 10, and Roman numerals i to x. One table is completed a row at a time, and
the other is completed a column at a time. The row-at-time table represents multi-
tasking (do the letter task, then do the number task, then do the Roman numeral
task, and then repeat the sequence for the next letter, number, and Roman numeral).
The column-at-a-time table represents single tasking.
The typical results shown in Figure 20.3 are that most people complete the col-
umn-at-a-time table in about half the time of the row-at-a-time table. Give it a try
Row-at-a-time (multitasking)
Average time = 35 seconds
Letters
a
Numbers Roman
numerals
b
c
d
e
1
2
3
4
5
i
ii
iii
iv
v
f
g
h
i
6
7
8
9
vi
vii
viii
ix
j 10 x
Column-at-a-time (single tasking)
Average time = 16 seconds
Letters
a
Numbers Roman
numerals
b
c
d
e
1
2
3
4
5
i
ii
iii
iv
v
f
g
h
i
6
7
8
9
vi
vii
viii
ix
j 10 x
F I G U R E 2 0 . 3 Cost of multitasking

ptg8286261
Flow Management 351
and time yourself, and you’ll see! Also, if people make any errors, they make them
when completing the row-at-a-time table. So, even for simple multitasking the over-
head can be quite high. Imagine the waste involved when multitasking on complex
project work.
Just as working on too many items at the same time is wasteful, working on too
few items at a time is also wasteful. It leads to underutilization of team member skills
and capacity, resulting in less work being completed and less value being delivered.
To f ind the proper balance, I recommend that teams work on t he nu mber of
items that leverages, but does not overburden, the T-shaped skills (see Chapter 11)
and available capacity (see Chapter 19) of the team members. The goal is to reduce the
time required to complete individual items while maximizing the total value deliv-
ered during the sprint (typically the number of items completed during the sprint).
A term frequently used to describe this approach is swarming, where team mem-
bers with available capacity gather to work on an item to finish what has already been
started before moving ahead to start work on new items. Teams with a Musketeer
attitude and some degree of T-shaped skills swarm. Teams that still think in terms of
individual roles wind up with some members far ahead and others who are mired in
unfinished work. A classic individual-role-focused thought is “The testers might still
have ‘their’ work to finish up, but I’m finished coding this feature, so I’m off to start
coding the next one.” In a team that swarms, people would understand that it is typi-
cally better to stay focused and help get the testing done instead of running ahead to
start working on new features.
Some people mistakenly believe that swarming is a strategy to ensure that team
members are 100% busy. This is not the goal of swarming. If we wanted to ensure
that people were 100% busy, we would just start working on all product backlog items
at the same time! Why don’t we do that? Because the extensive multitasking required
to make that happen would ultimately slow the flow of completed items. Swarming,
on the other hand, helps the team remain goal focused instead of task focused, which
means it gets more things done, faster.
While swarming favors working on fewer items concurrently, it doesn’t neces-
sarily mean working on only one product backlog item at a time. One item at a time
might be correct in a given context, but just saying that all team members should
collectively focus on a single item at a time is potentially dangerous. A different num-
ber of items might be appropriate when we consider the actual work that needs to be
done, the skills of the team members, and other conditions that exist at the time a
decision to start or not start working on another item needs to be made.
Another dangerous approach would be to apply waterfall thinking at the sprint
level and treat sprint execution like a mini waterfall project. Using this approach, we
would start working on all product backlog items at the same time. First we would
analyze all of the items to be worked on this sprint, then design them all, then code
them all, and then, finally, test them all (see Figure 20.4).

ptg8286261
352 Chapter 20 Sprint Execution
Although this approach may seem logical, it is very risky. What if the team runs
out of time and doesn’t finish all of the testing? Do we have a potentially shippable
product increment? No; a reasonable definition of done would never allow untested
features to be called done. By using a mini waterfall strategy, we could end up with
90% of each feature complete, but no feature 100% done. The product owner gets no
economic value from partially done work.
Which Work to Start
Assuming that not all product backlog items are started simultaneously, at some
point the team needs to determine which product backlog item to work on next.
The simplest way to select the next product backlog item is to choose the next-
highest-priority item as specified by the product owner (via the item’s position in
the product backlog). This approach has the obvious advantage of ensuring that any
items not completed during the sprint must be of lower priority than the ones that are
completed.
Unfortunately, the simplest approach won’t always work because technical
dependencies or skills capacity constraints might dictate that items be selected in a
different order. The development team needs the ability to opportunistically make
this selection as it sees fit.
How to Organize Task Work
Once the development team decides to start working on a product backlog item, it
must determine how to perform the task-level work on that item. If we apply water-
fall thinking at the level of a single product backlog item, we would analyze the item,
design it, code it, and then test it.
A
n
a
l
y
s
i
s
D
e
s
i
g
n
C
o
d
i
n
g
T
e
s
t
i
n
g
Time runs out
F I G U R E 2 0 . 4 Mini waterfall during sprint execution—a bad idea

ptg8286261
Flow Management 353
Believing there is a single, predetermined, logical ordering to the work (for
example, you have to build it before you can do any testing) blinds the team to the
opportunity to do things in a different and perhaps more efficient way. For example,
I frequently hear new teams say something like “What will our testers be doing early
in the sprint while they are waiting for features to be ready for testing?” Typically I
respond by saying that for teams doing test-first development, where tests are written
before the development is performed, the “testers” are the first to work on a feature
(Crispin and Gregory 2009)!
Traditional role-based thinking plagues many teams. What we need instead is
value-delivery-focused thinking, where the team members opportunistically orga-
nize the tasks and who will work on them. In doing so, they minimize the amount
of time that work sits idle and reduce the size and frequency at which team mem-
bers must “hand off” work to one another. This might mean, for example, that two
people pair up on the first day of sprint execution and work in a highly interleaved
fashion, with rapid cycles of test creation, code creation, test execution, and test and
code refinement, and then repeat this cycle. This approach keeps work flowing (no
blocked work), supports very fast feedback so that issues are identified and resolved
quickly, and enables team members with T-shaped skills to swarm on an item to get
it done.
What Work Needs to Be Done?
What task-level work does the team perform to complete a product backlog item?
Ultimately the team decides. Product owners and managers must trust that the team
members are responsible professionals who have a vested interest in doing great work.
As such, they need to empower these individuals to do the necessary work to create
innovative solutions in an economically sensible way.
Of course, product owners and managers do have influential input to what task-
level work gets done. First, the product owner ensures that the scope of a feature and
its acceptance criteria are defined (part of the definition of ready described in Chap-
ter 6), both of which provide boundaries for the task-level work.
Product owners and managers also provide business-facing requirements for the
definition of done. For example, if the business requires that the features developed
in each sprint be released to the end customer at the conclusion of the sprint, that
decision influences the task-level work the team will perform (there is more work
involved with getting features live on production servers than there is in getting them
built and tested).
Overall, the product owner must work with the team to ensure that technical
decisions with important business consequences are made in an economically sen-
sible way. Some of these decisions are embedded in the more technically oriented
aspects of the definition of done. For example, the Scrum team may collectively
decide that having automated regression tests (which have an economic cost and

ptg8286261
354 Chapter 20 Sprint Execution
benefit) is important and in this way influence task-level work (to create and run
automated tests).
Other decisions are feature specific. There is often a degree of flexibility regard-
ing how much effort a team should exert on a feature. For example, enhancing or
polishing a feature might be technically appealing but simply not worth the extra
cost to the product owner at this time or ever. Conversely, cutting corners on a design
or shortchanging where, how, or when we do testing also has economic consequences
that must be considered (see the discussion of technical debt in Chapter 8). The team
is expected to work with the product owner to discuss these trade-offs and make eco-
nomically sensible choices.
Who Does the Work?
Who should work on each task? An obvious answer is the person best able to quickly
and correctly get it done. What if that person is unavailable? Perhaps she is already
working on another, more important task, or maybe she is out sick and the task needs
to get done immediately.
There are a number of factors that can and should influence who will work on a
task; it’s the collective responsibility of the team members to consider those factors
and make a good choice.
When team members have T-shaped skills, several people on the team have the
ability to work on each task. When some skills overlap among team members, the
team can swarm people to the tasks that are inhibiting the flow of a product backlog
item through sprint execution, making the team more efficient.
Daily Scrum
The daily scrum is a critical, daily inspect-and-adapt activity to help the team achieve
faster, more flexible flow toward the solution. As I discussed in Chapter 2, the daily
scrum is a 15-minute, timeboxed activity that takes place once every 24 hours. The
daily scrum serves as an inspection, synchronization, and daily adaptive planning
activity that helps a self-organizing team do its job better.
The goal of the daily scrum is for people who are focused on meeting the sprint
goal to get together and share the big picture of what is happening so that they can
collectively understand how much to work on, which items to start working on, and
how to best organize the work among the team members. The daily scrum also helps
avoid waiting. If there is an issue that is blocking flow, the team would never have to
wait more than a day to discuss it. Imagine if the team members got together only
once a week—they would deny themselves the benefits of fast feedback (see Chapter
3). Overall the daily scrum is essential for flow management.

ptg8286261
Task Performance —Technical Practices 355
Task Performance—Technical Practices
Development team members are expected to be technically good at what they do.
I’m not saying that you need a team of superstars to use Scrum. However, working
in short, timeboxed iterations where there is an expectation of delivering potentially
shippable product increments does exert pressure on teams to get the job done with
good control over technical debt. If team members lack appropriate technical skills,
they will likely fail to achieve the level of agility needed to deliver long-term, sustain-
able business value.
If you are using Scrum to develop software, team members need to be skilled in
good technical practices for developing software. I’m not referring to esoteric skills
but instead to skills that have been in use for decades and are essential to being suc-
cessful with Scrum or arguably any software development approach—for example,
continuous integration, automated testing, refactoring, test-driven development,
and so on. Today the agile community refers to many of these technical practices
as Extreme Programming (Beck and Andres 2004), but most are practices that pre-
date that label (see Figure 20.5 for a subset of the Extreme Programming technical
practices).
As an example, consider automated testing, which is necessary to support several
of the practices in Figure 20.5. Development teams that don’t focus on automating
their tests will quickly start to slow down and take ever-increasing risks. At some
point, it could take all of the sprint execution time just to manually rerun the regres-
sion tests for previously developed features. In such cases, the team might choose not
Te s t- dri v e n de v e lo p m e nt
Refactoring
Metaphor
Pair programming
Simple design
Collective code ownership
Continuous integration
Coding standard
Te ch n i c a l p ra cti c e s
F I G U R E 2 0 . 5 Subset of Extreme Programming technical practices

ptg8286261
356 Chapter 20 Sprint Execution
to rerun all of the manual tests each sprint, which could allow defects to propagate
forward, adding to the system’s technical debt (increased risk). You won’t be agile for
very long if you don’t start automating your tests.
Similar arguments can be made for other core technical practices. Most teams
achieve the long-term benefits of Scrum only if they also embrace strong technical
practices when performing task-level work.
Communicating
One of the benefits of working in short timeboxes with small teams is that you don’t
need complex charts and reports to communicate progress! Although any highly vis-
ible way of communicating progress can be used, most teams use a combination of
a task board and a burndown and/or burnup chart as their principal information
radiator.
Task Board
The task board is a simple but powerful way to communicate sprint progress at a
glance. Formally, the task board shows the evolving state of the sprint backlog over
time (see Figure 20.6).
Audio recording
Hours = 6
Code the UI
Hours = 5
Add error logging
Hours = 12
Icon art
Hours = 8
Install graphics lib
Hours = 8 Automate tests
Hours = 6 Refactor DB
Hours = 2
Insert list widget
Hours = 4
Pe rf or m an c e t un i ng
Hours = 8 DB migration
Hours = 6
Update icons
Hours = 8
Animate character
Hours = 7
5
3
8
2
Automate tests
Hours = 8
Create DB schema
Hours = 6
Create icons
Hours = 8 Buffer test
Hours = 2
PBIs Ta s ks to do Ta s k s i n p ro g re s s Ta s k s
completed
Feature A |
Feature B |
Feature C |
Feature D |
HTML mockup
Hours = 10
Code UI
Hours = 5
F I G U R E 2 0 . 6 Example task board

ptg8286261
Communicating 357
On this task board each product backlog item planned to be worked on during
the sprint is shown with the set of tasks necessary to get the item done. All tasks ini-
tially start off in the “to do” column. Once the team determines that it is appropriate
to work on an item, team members start selecting tasks in the “to do” column for the
item and move them into the “in progress” column to indicate that work on those
tasks has begun. When a task is completed, it is moved to the “completed” column.
Of course, Figure 20.6 is just an example of how a task board might be structured.
A team may choose to put other columns on its task board if it thinks that visualizing
the flow of work through other states is helpful. In fact, an alternative agile approach
called Kanban (Anderson 2010) uses just such a detailed board to visualize the flow
of work through its various stages.
Sprint Burndown Chart
Each day during sprint execution team members update the estimate of how much
effort remains for each uncompleted task. We could create a table to visualize this
data. Table 20.1 shows an example of a 15-day sprint that initially has 30 tasks (not all
of the days and tasks are shown in the table).
In Table 20.1 the number of hours remaining for each task follows the general trend
of being smaller each day during the sprint—because tasks are being worked on and
completed. If a task hasn’t yet been started (it is still in the task board “to do” column),
the size of the task might appear the same from day to day until the task is started. Of
course, a task might turn out to be larger than expected, and if so, its size may actu-
ally increase day over day (see Table 20.1, task 4, days 4 and 5) or remain the same size
even after the team has started working it (see Table 20.1 task 1, days 2 and 3)—either
T A B L E 2 0 . 1 Sprint Backlog with Estimated Effort Remaining Each Day
Tasks D1 D2 D3 D4 D5 D6 D7 D8 D9 . . . D15
Task 1 8442
Task 2 12 816 14 9 6 2
Task 3 55331
Task 4 777510 6 3 1
Task 5 3333333
Task 6 14 14 14 14 14 14 14 8 4
Task 7 8 6 4 2
Tasks 8 –30 151 139 143 134 118 99 89 101 84 0
Total 200 180 190 175 155 130 115 113 90 0

ptg8286261
358 Chapter 20 Sprint Execution
because no work took place on the task the previous day, or work did take place the pre-
vious day but the estimated effort remaining is the same.
New tasks related to the committed product backlog items can also be added to
the sprint backlog at any time. For example, on day 6 in Table 20.1 the team discov-
ered that task 7 was missing, so it added it. There is no reason to avoid adding a task
to the sprint backlog. It represents real work that the team must do to complete a
product backlog item that the team agreed to get done. Permitting unforeseen tasks
to be added to the sprint backlog is not a loophole for introducing new work into the
sprint. It simply acknowledges that during sprint planning we may not be able to fully
define the complete set of tasks needed to design, build, integrate, and test the com-
mitted product backlog items. As our understanding of the work improves by doing
it, we can and should adjust the sprint backlog.
If we plot the row labeled “Total” in Table 20.1, which is the sum of the remaining
effort-hours across all uncompleted tasks on a given day, on a graph, we get another
of the Scrum artifacts for communicating progress—the sprint burndown chart (see
Figure 20.7).
In Chapter 18 I discussed release burndown charts, where the vertical axis num-
bers are either in story points or ideal days and the horizontal axis numbers are in
sprints (see Figure 18.11). In sprint burndown charts the vertical axis numbers are the
estimated effort-hours remaining, and the horizontal axis numbers are days within
a sprint. Figure 20.7 shows that we have 200 estimated effort-hours remaining on
the first day of the sprint and zero effort-hours remaining on day 15 (the last day of
a three-week-long sprint). Each day we update this chart to show the total estimated
effort remaining across all of the uncompleted tasks.
Like release burndown charts, sprint burndown charts are useful for tracking
progress and can also be used as a leading indicator to predict when work will be
0
25
50
75
100
125
150
175
200
225
2 31 4 5 7 86 9 10 11 12 13 14 15
Estimated effort-hours remaning
Days within a sprint
16
F I G U R E 2 0 . 7 Sprint burndown chart

ptg8286261
Communicating 359
completed. At any point in time we could compute a trend line based on historical
data and use that trend line to see when we are likely to finish if the current pace and
scope remain constant (see Figure 20.8).
In this figure, three different burndown lines are superimposed to illustrate
distinct situations. When the trend line intersects the horizontal axis close to the
end of the sprint duration, we can infer that we’re in reasonable shape (“On time”).
When it lands significantly to the left, we should probably take a look to see if we can
safely take on additional work (“Early”). But when it lands significantly to the right
(“Late”), that raises a flag that we’re not proceeding at the expected pace or that we’ve
taken on too much work (or both!). When that happens, we should dig deeper to see
what’s behind the data and what, if anything, needs to be done. By projecting the
trend lines, we have another important set of data that adds to our knowledge of how
we are managing flow within our sprint.
The sprint backlog and the sprint burndown charts always use estimated effort
remaining. They do not capture actual effort expended. In Scrum there is no specific
need to capture the actuals; however, your organization might choose to do so for
non-Scrum reasons such as cost accounting or tax purposes.
Sprint Burnup Chart
Analogous to how a release burnup chart is an alternative way of visualizing progress
through a release, a sprint burnup chart is an alternative way to visualize progress
through a sprint. Both represent the amount of work completed toward achieving a
goal, the release goal in one case and the sprint goal in the other.
Figure 20.9 shows an example sprint burnup chart.
0
25
50
75
100
125
150
175
200
2 31 4 5 7 86 9 10 11 12 13 14 15
Estimated effort-hours remaning
Days within a sprint
225
16
LateOn time Early
F I G U R E 2 0 . 8 Sprint burndown chart with trend lines

ptg8286261
360 Chapter 20 Sprint Execution
In sprint burnup charts the work can be represented in either effort-hours (as in the
sprint burndown chart) or in story points (as shown in Figure 20.9). Many people prefer
to use story points in their burnup charts, because at the end of the sprint the only thing
that really matters to the Scrum team is business-valuable work that was completed dur-
ing the sprint, and that is measured in story points (or ideal days), not task hours.
Also, if we measure story points of completed product backlog items, at a glance
we can get a good feel for how the work is flowing and how the team is completing
product backlog items through the sprint. To illustrate this point a third line (labeled
“Bad flow”) is included on the sprint burnup chart in Figure 20.9 (normally this line
would not be on the chart; it is added in this example for comparison purposes). The
“Bad flow” line illustrates what the burnup chart might look like if the team starts
too many product backlog items at the same time, delays completion of items until
later in the sprint, fails to meet the sprint target because of the reduced velocity of
doing too much work in parallel, works on product backlog items that are large and
therefore take a long time to finish, or takes other actions that result in bad flow.
Closing
In this chapter I discussed sprint execution, which accounts for the majority of the
time during a sprint. I emphasized that sprint execution is not guided by a complete
up-front plan that specifies what work will be done, when it will be done, and who will
0
10
20
30
40
50
60
70
Days within sprint
Story points
1 2 3 4 5 6 7 8 9 10
Target Completed Bad flow
11 12 13 14 15 16
F I G U R E 2 0 . 9 Sprint burnup chart

ptg8286261
Closing 361
do it. Rather, sprint execution is performed opportunistically, leveraging the skills of
the team, feedback from work already completed, and the evolving, unpredictable
circumstances of the sprint. This doesn’t mean that sprint execution is chaotic, but
rather that it is guided by the application of good flow management principles, which
determine how much work to do in parallel, which work to start, how to organize
that work, who will do the work, and how much effort to invest in the work. In this
context I discussed the value of the daily scrum meeting as an important activity
in flow management. I also mentioned the importance of good technical practices
in achieving high levels of agility. I concluded by discussing the various ways that
the Scrum team can visually communicate sprint progress through the task board,
sprint burndown chart, and sprint burnup chart. In the next chapter I will discuss
the sprint review activity that naturally follows sprint execution.

ptg8286261
This page intentionally left blank

ptg8286261
363
Chapter 21
SPRINT REVIEW
Near the end of the sprint, the team conducts two important inspect-and-adapt
activities: the sprint review and the sprint retrospective. The sprint review focuses on
the product itself. The sprint retrospective, on the other hand, looks at the process the
team is using to build the product.
In this chapter I describe the sprint review—its purpose, its participants, and
the work required to make it happen. I conclude by addressing a few common sprint
review issues.
Overview
During sprint planning we plan the work. During sprint execution we do the work.
During sprint review we inspect (and adapt) the result of the work (the potentially
shippable product increment). The sprint review occurs near the end of each sprint
cycle, just after sprint execution and just before (or occasionally after) the sprint ret-
rospective (see Figure 21.1).
Sprint planning
Sprint execution
Daily scrum
Sprint review
Sprint backlog
Grooming
Po te n t ia l l y
increment
shippable product
Product backlog
Sprint retrospective
FIGURE 21.1 When the sprint review happens

ptg8286261
364 Chapter 21 Sprint Review
The sprint review gives everyone with input to the product development effort
an opportunity to inspect and adapt what has been built so far. The sprint review
provides a transparent look at the current state of the product, including any incon-
venient truths. It is the time to ask questions, make observations or suggestions, and
have discussions about how to best move forward given current realities.
Because it helps ensure that the organization is creating a successful product, the
sprint review is one of the most important learning loops in the Scrum framework.
And, because sprints are short, this loop is a quick one, which allows for frequent
course corrections to keep the product development moving in the right direction. If,
instead, we were to defer this feedback until much later and assume that everything
is going according to some baseline plan, we likely would get what many are accus-
tomed to—surprise, disappointment, and frustration.
Participants
The sprint review provides an important opportunity for the Scrum team to get feed-
back from people who typically are not available on a daily basis during sprint exe-
cution. For these individuals, the sprint review is their first opportunity to see and
discuss the work that was produced during the sprint. The sprint review, therefore,
should be attended by all interested parties, who can come from a number of differ-
ent sources, as summarized in Table 21.1.
T A B L E 2 1 . 1 Sprint Review Attendee Sources
Source Description
Scrum team The product owner, ScrumMaster, and development team should
all be present so that they can all hear the same feedback and be
able to answer questions regarding the sprint and the product
increment.
Internal stakeholders Business owners, executives, and managers should see the
progress firsthand so that they can suggest course corrections.
For internal product development, internal users, subject matter
experts, and the operations manager of the business function to
which the product relates should attend.
Other internal teams Sales, marketing, support, legal, compliance, and other Scrum
and non-Scrum development teams might want to attend sprint
reviews to provide area-specific feedback or to sync their own
groups’ work with the Scrum team.
External
stakeholders
External customers, users, and partners can provide valuable
feedback to the Scrum team and other attendees.

ptg8286261
Prework 365
All Scrum team members (product owner, ScrumMaster, and development
team) should be present at every sprint review so that they can describe what has
been accomplished, answer questions, and enjoy the benefits of firsthand feedback.
Internal stakeholders, such as business-area owners (who may be paying for
the system being built), executive management, and resource and other managers,
should also attend. Their feedback is essential to ensuring that the team is progress-
ing toward an economically sensible outcome. In addition, sprint reviews provide a
convenient opportunity to learn the status of the product development effort. Also,
for internal development efforts, the users will be internal to the organization; a rep-
resentative sample of these users should attend along with subject matter experts who
are an excellent source of feedback on what has been built.
Others in your organization might want to attend as well. Salespeople and mar-
keting specialists frequently sit in. They can be an excellent source of feedback on
whether the product is converging on a marketplace success. Other groups, such as
support, legal, and compliance, might also come to sprint reviews to stay abreast of
the team’s progress, to provide timely input to the team, and to better gauge when to
start their own related work.
Other internal development teams on related development efforts might send
representatives so that they can ascertain where the product is headed and provide
any relevant input on what they are doing and how it might impact the current devel-
opment effort.
It’s a good idea to at least periodically include external stakeholders, such as
actual customers or users of what the team is building. With them in the room, the
team can get direct feedback instead of indirect (or proxy) feedback via internal
stakeholders. It may not make sense to have external stakeholders at every review,
especially if we know that a particular review might involve some intense internal
discussions that are best conducted with internal stakeholders only. If we do choose
to include external stakeholders, unless there is just a single stakeholder, some con-
sideration should be given to which of the potentially many customers or users we
should invite. Common sense as well as sensitivity to the desires and personalities of
specific people should be good guides on whom to invite.
Prework
Although the sprint review is an informal activity, the Scrum team has some mini-
mal prework to complete (see Figure 21.2).
This prework includes determining whom to invite, scheduling the sprint review,
confirming that the sprint work is done, preparing for the sprint review demonstra-
tion, and deciding who will lead the meeting and who will give the demo.

ptg8286261
366 Chapter 21 Sprint Review
Determine Whom to Invite
The Scrum team first needs to determine who should attend the sprint review on
a regular basis. The goal is to get the right set of people into the room to extract
the highest possible value. Unless there is a good reason to not invite someone or
some group, cast a broad net and let people vote with their feet—if they’re interested,
they’ll walk to the room and attend the meeting.
Occasionally, the team might need to constrain attendance. For instance, the
team might need to focus on a certain person or group whose input is essential to
reviewing this sprint’s work. Or the team might be building a feature for a specific
client during this sprint and so cannot invite that client’s competitors to the review
meeting.
If you suspect these situations might arise, identify a core group that should be
invited to every review and then issue a separate invitation to certain groups or cli-
ents on a sprint-by-sprint basis.
Schedule the Activity
The sprint review needs to be scheduled (when, where, and how long). Of the four
required, recurring Scrum activities (sprint planning, daily scrum, sprint review, and
sprint retrospective), the sprint review is the hardest to schedule because it includes
many people who are outside of the Scrum team. The other three recurring activities
involve only people on the Scrum team and therefore can be scheduled at its conve-
nience alone.
To ma ke scheduling easier, beg in by determining when t he key sta keholders (the
core group I mentioned earlier) would prefer to hold the sprint review—say, Friday
afternoons at 2:00 p.m.—and then schedule the rest of the sprint activities around
this fixed time. If, as I discussed in Chapter 4, we use consistent-duration sprints
(say, every two weeks), we can then schedule all, or at least most, of the sprint review
Determine whom to invite
Determine who does what
Confirm that the sprint work is done
Schedule the activity
Prepare for the demonst ration
Sprint review
prework
F I G U R E 2 1 . 2 Sprint review prework

ptg8286261
Prework 367
meetings using a regular cadence (every second Friday at 2:00 p.m.). This has the dual
benefit of reducing the administrative burden and costs while increasing attendance.
Sprint reviews vary in duration depending on several factors, including sprint
length, team size, and whether multiple teams are participating in the same review.
Ty pica l ly, however, t he sprint review does not exceed a four-hour ti mebox . Many
teams have found the one-hour-per-sprint-week rule helpful. In other words, for a
two-week sprint the review should take no more than two hours; for a four-week
sprint it should take no more than four hours.
Confirm That the Sprint Work Is Done
At the sprint review, the team is allowed to present only completed work—work that
meets the agreed-upon definition of done. (See Chapter 4 for more on this topic.)
This implies, then, that sometime before the sprint review, someone has determined
whether or not each backlog item is done; otherwise, how would the Scrum team
know which items to present?
Ultimately it is the product owner’s responsibility to determine if the work is
done or not. As I mentioned in Chapter 9, the product owner should be performing
just-in-time reviews of product backlog items as they become available during sprint
execution. This way, by the time the sprint review happens, the team knows which
items are complete.
Not everyone agrees that the product owner should review the work before the
sprint review. Some practitioners contend that the product owner should review and
formally accept the work only during the sprint review. They believe that if the prod-
uct owner is allowed to review the work during the sprint, he might request changes
that go beyond clarification—goal-altering changes that will disrupt sprint execution
(see Chapter 4).
This is a potential risk, but the benefits of early product owner reviews (fast feed-
back) far outweigh any downside. Furthermore, if the product owner sees the team’s
work for the first time at the sprint review meeting, he has seen it too late. Here’s
why. The product owner must be available during sprint execution to answer ques-
tions and clarify product backlog items. While fulfilling these obligations, the prod-
uct owner should also review the ongoing progress the team is making and provide
critical, in-flight feedback that can be acted on in a timely, cost-effective manner.
Deferring this feedback until the sprint review would create unnecessary work and
likely frustrate the team (“Why didn’t you mention that during the sprint, when we
could have fixed it easily?”). It also could potentially irritate the stakeholders (“This
feature would have been potentially shippable if you had just handled those things
during the sprint!”).
Beyond this, however, a product owner who rejects or questions work during
the sprint review might not appear to be on the same page as the rest of the Scrum
team. That disconnect could come across to the stakeholders as the old, adversarial,

ptg8286261
368 Chapter 21 Sprint Review
us-versus-them problem. The product owner and development team are on the same
Scrum team and should come across as one unified team during the review meeting.
Prepare for the Demonstration
Beause all of the work the team presents at the sprint review is done (potentially
shippable), it shouldn’t take much preparatory work to demonstrate it. The goal is to
provide transparency for inspecting and adapting the product, not to put on a glitzy
Hollywood production or showcase to create excitement.
The sprint review is supposed to be an informal meeting with low ceremony and
high value. Spending a lot of time to create a polished PowerPoint presentation hardly
seems justified. Also, I would be concerned if I showed up at a sprint review to see
working software and instead was given a PowerPoint presentation. I would be think-
ing, “Are these guys really done? Why won’t they just show me what they created?”
Most teams have a rule of not spending more than 30 minutes to an hour per
week of sprint duration to prepare for the sprint review. In addition, many also agree
to show only those artifacts that were produced as a consequence of achieving the
sprint goal.
Of course, there can be exceptions to the rule. I worked with an organization
that developed systems under a U.S. Army contract. Most of the time, government
employees (from the bureaucratic ranks) would attend the sprint reviews. Occasion-
ally, however, the U.S. general in charge would be scheduled to attend a sprint review.
In those cases, the team understandably invested a bit more time in prep and polish!
Determine Who Does What
Prior to the sprint review, the team needs to decide who on the Scrum team is going
to facilitate the review and who will demonstrate the completed work. Typically the
ScrumMaster facilitates, but the product owner might kick things off by welcom-
ing members of the stakeholder community and providing a synopsis of the sprint
results. As for demoing the completed work, I prefer that every member of the devel-
opment team have an opportunity at some sprint review to go hands-on and demon-
strate, rather than the same person always dominating the demo every sprint review.
However, I try to not get too wrapped up in who is going to do these things. I let the
Scrum team make that determination with a goal of maximizing the benefit of the
review activity.
Approach
Figure 21.3 illustrates the sprint review activity.
The inputs to the sprint review are the sprint backlog and/or sprint goal and the
potentially shippable product increment that the team actually produced.

ptg8286261
Approach 369
The outputs of the sprint review are a groomed product backlog and an updated
release plan.
A common approach to conducting the sprint review includes providing a sum-
mary or synopsis of what has and has not been accomplished with regard to the sprint
goal, demonstrating the potentially shippable product increment, discussing the cur-
rent state of the product, and adapting the future product direction.
Summarize
The sprint review kicks off with a Scrum team member (frequently the product
owner) presenting the sprint goal, the product backlog items associated with the
sprint goal, and an overview of the product increment that was actually achieved
Inputs Outputs
Groomed product backlog
Pa r t i ci p a n t s
Scrum team
Internal stakeholders
External stakeholders Others
Sprint backlog
Sprint review
Demonstrate
Discuss
Adapt
Overview
shippable product
increment
Sprint goal
Updated release plan
Po te n t ia l l y
F I G U R E 2 1 . 3 Sprint review activity

ptg8286261
370 Chapter 21 Sprint Review
during the sprint. This information provides a summary or synopsis of how the
sprint results compare with the sprint goal.
If the results don’t match, the Scrum team provides an explanation. It is impor-
tant that the sprint review be a blame-free environment. If the goal wasn’t met,
everyone participating should refrain from trying to assess blame. The purpose of
the review is to describe what was accomplished and then to use the information to
determine the best course of action for moving forward.
Demonstrate
The sprint review is frequently mislabeled the “sprint demo” or just “the demo.”
Although a demonstration is quite helpful in the sprint review, the demo is not the
aim of the sprint review.
The most important aspect of the sprint review is in-depth conversation and col-
laboration among the participants to enable productive adaptations to surface and be
exploited. The demonstration of what actually got built is simply a very efficient way
to energize that conversation around something concrete. Nothing provides focus to
the conversation like being able to actually see how something works.
As determined in the prework, one or more Scrum team members will demon-
strate all relevant aspects of the product increment that was built during the sprint.
In certain organizations, such as game studios, it can be even more effective to let the
stakeholders actually give themselves the demo, perhaps by playing the increment of
the game that was developed during the sprint.
But what if there is nothing to demo? If the team didn’t get anything done and
there is truly nothing to show, the sprint review will likely focus on why nothing got
done and how the future work will be affected by the lack of progress during this
sprint. If, on the other hand, what was built can’t easily be demoed, we have a dif-
ferent issue. Suppose, for instance, that the team did only architectural development
work this sprint (built “glue code”). In that case, the development team might argue
that demonstrating glue code doesn’t make any sense or isn’t practical. This state-
ment, however, is almost never true. Here’s why.
For the team to work exclusively on “glue code,” it would have needed to convince
the product owner to allow only technical product backlog items into the sprint. As I
discussed in Chapter 5, if the product owner allows such items, he must understand
the value of doing the work and also must know how to determine if the work is done.
Also, most teams will include in their definition of ready that the Scrum team under-
stands how to demonstrate the item at the sprint review.
At a minimum, the team must have some set of tests to demonstrate that the work
is done to the satisfaction of the product owner. Those tests must have passed because
the team can show only completed work at the sprint review. So, at the very least, the
team can use those tests to demonstrate at the sprint review. Usually, though, if the
team members give it some thought, they can do much better. The fact that some-
thing is hard to demo is not a valid excuse to exclude it from the demo.

ptg8286261
Approach 371
Discuss
Demonstrating the product increment becomes the focal point for having an in-
depth conversation. Observation, comments, and reasonable discussion regard-
ing the product and direction are strongly encouraged among the participants. The
sprint review, however, is not the place for deep problem solving; that type of work
should be deferred to another meeting.
Vigorous discussion allows participants who aren’t on the Scrum team to ask
questions, understand the current state of the product, and help guide its direction.
At the same time, the Scrum team members gain a deeper appreciation for the busi-
ness and marketing side of their product by getting feedback on the convergence of
the product toward delighted customers or users.
Adapt
Through demonstration and discussion, the team is able to ask and answer questions,
including the following:
Do the stakeholders like what they see?
Do they want to see changes?
Is what we’re building still a good idea in the marketplace or to our internal
customers?
Are we missing an important feature?
Are we overdeveloping/investing in a feature where we don’t have to?
Asking and answering these questions provides input on how to adapt the prod-
uct backlog and release plans.
I described in Chapter 6 how most teams naturally do some grooming as part of
the sprint review. As everyone involved gains a better understanding of the current
development effort and where it is going, new PBIs are often created or existing PBIs
are reprioritized or deleted if they are no longer needed. This grooming might affect
what the team will work on in the next sprint.
Also, as I described in Chapter 18, the grooming that happens during sprint
review might also affect the larger-scope release plans. For example, based on the dis-
cussion and conclusions of the sprint review, we might decide to alter one of the key
release-planning variables: scope, date, or budget. Perhaps, for instance, by reviewing
the current product increment we decide to stop working on a major feature of the
product (change the scope). This decision will necessarily affect the current release
plan.
The sprint review gives us an opportunity to identify ways to adapt, to respond to
change, when it is still affordable to do so—at the end of every single sprint.

ptg8286261
372 Chapter 21 Sprint Review
Sprint Review Issues
Sprint reviews, however, are not without issues. Having worked with many organiza-
tions using Scrum, I have noticed several common sprint review issues, including
those related to sign-offs, lack of attendance, and large projects.
Sign-offs
Sign-offs can be problematic in sprint reviews. The first question to ask is whether
sprint reviews are the proper venue to sign off on (approve) product backlog items.
As I mentioned previously, before the sprint review even begins, the product owner
must review the work to determine if it is done (meets the agreed-upon definition of
done). The sprint review, therefore, should not be a formal approval or sign-off event;
instead, the product backlog items should have already been “approved” by the prod-
uct owner before the sprint review starts.
Let’s say, however, that during the sprint review a senior-level stakeholder dis-
agrees—he believes the product backlog item is not done. While that feedback is
valuable, I would still say that if the product owner declared the original work done,
it is done. In Chapter 9 I discussed how the product owner has to be the empowered
central point of product leadership. For this to be true, the product owner must be in
a position to definitively approve or reject work and can’t have that authority usurped
by a sprint review participant—no matter how senior.
That doesn’t mean that the product owner should ignore comments about a
feature not meeting stakeholder expectations. When this occurs, the proper course
of action is to schedule a change to the feature by creating a new product backlog
item to reflect the desired behavior requested by the senior stakeholder and to insert
that item into the product backlog to be worked on in a future sprint. The product
owner should also investigate to determine why he disconnected from the stakehold-
ers regarding this story and make adjustments to prevent future misunderstandings.
Sporadic Attendance
The sprint review needs to be viewed as a critical inspect-and-adapt activity, one
that is worth people’s time to attend. Still, some organizations suffer from sporadic
attendance.
One of the more common causes of sporadic attendance is that stakeholders have
so much on their plates that other “higher-priority” commitments prevent them
from attending sprint reviews. This is a strong indicator of organizational dysfunc-
tion—having so much concurrent work that stakeholders can’t meet all of their com-
mitments. In such situations I recommend that organizations stop working on the
lower-priority products until such time as they are important enough for stakeholders
to attend sprint reviews. If that day never arrives, those low-priority products, relative
to the other products in the portfolio, are simply never valuable enough to work on.

ptg8286261
Closing 373
Sometimes sporadic attendance is the result of people not believing that the
Scrum team can produce anything worth reviewing in a few weeks’ time. This is espe-
cially true when the organization first starts using Scrum. Stakeholders are accus-
tomed to much longer periods between reviews, and the reviews they have attended
heretofore might have been disappointing.
The best way to address this issue is to actually build a business-valuable, poten-
tially shippable product increment every sprint. When teams do this, most people
realize that these frequent reviews are worth their time and allow them to give fast
feedback that the Scrum team can actually use.
Large Development Efforts
If you have a larger development effort with multiple Scrum teams, it might make
sense to consider doing a joint sprint review. This is simply a review that includes the
work completed by multiple highly interrelated teams.
There are several benefits to this approach. First, the stakeholders have to attend
only one sprint review instead of several. Second, if the work was supposed to be inte-
grated, it would make sense for the review to focus on the integrated work, not a col-
lection of stand-alone increments. To achieve this goal, all teams need to make sure
their definitions of done include integration testing, as they probably should anyway.
The downside to holding a joint sprint review meeting with more than one team
is that it will probably take a bit longer and might require a larger room than any one
team would have needed.
Closing
In this chapter I emphasized the purpose of the sprint review as a critical feedback
loop during Scrum development. The sprint review involves a diverse set of partici-
pants, whose goal is to inspect and adapt the current product. Although the sprint
review is an informal activity, the Scrum team does do minimal preparation to
ensure a healthy, productive outcome. During the sprint review the Scrum team pro-
vides a synopsis of what took place and what was accomplished during the sprint. It
also provides a demonstration of the product increment produced during the sprint.
A vigorous discussion among the participants takes place; questions, observations,
and suggestions are highly encouraged. Based on this discussion, the product backlog
will be groomed and the release plan updated.
In the next chapter I will focus on the inspect-and-adapt activity for the process,
the sprint retrospective.

ptg8286261
This page intentionally left blank

ptg8286261
375
Chapter 22
SPRINT RETROSPECTIVE
Scrum provides two inspect-and-adapt opportunities at the end of each sprint: the
sprint review and the sprint retrospective. In the previous chapter I discussed the
sprint review, where the team and stakeholders inspect the product itself. Let’s now
turn our attention to the sprint retrospective, where the Scrum team examines the
process used to build that product.
I begin with an overview of the purpose of and participants in the sprint retro-
spective. I then describe the prework and major activities associated with a sprint
retrospective, the most important of which occur after the sprint retrospective when
the participants actually follow through on the improvements they identify.
Overview
In the preface to his book Project Retrospectives, Norm Kerth, the founder of the mod-
ern-day movement on retrospectives, summarizes the purpose of retrospectives by
quoting a passage from Winnie the Pooh (Kerth 2001):
Here is Edward Bear, coming downstairs now, bump, bump, bump, bump, on
the back of his head, behind Christopher Robin. It is, as far as he knows, the only
way of coming downstairs, but sometimes he feels that there is another way, if
only he could stop bumping for a moment and think of it.
Sprint retrospectives give the whole Scrum team an opportunity to stop bumping
along for a moment and think (see Figure 22.1). Inside the timebox of the retrospec-
tive, teams are free to examine what’s happening, analyze the way they work, identify
ways to improve, and make plans to implement these improvements. Anything that
affects how the team creates the product is open to scrutiny and discussion, including
processes, practices, communication, environment, artifacts, tools, and so on.
The sprint retrospective is one of the most important and least appreciated prac-
tices in the Scrum framework. It is important because it gives teams the chance to
customize Scrum to their unique circumstances. It is underappreciated because some
people have a misguided view that it takes time away from doing “real” design, build,
and test work.
The sprint retrospective is a crucial contributor to the continuous improvement
that Scrum offers. And while some organizations might wait to do a retrospective
until the end of a large development effort, Scrum teams hold retrospectives each and

ptg8286261
376 Chapter 22 Sprint Retrospective
every sprint (see Figure 22.2), allowing teams to take advantage of insights and data
before they are lost.
Because a Scrum team meets at the end of each sprint to inspect and adapt its
Scrum process, it can apply early and incremental learning throughout the develop-
ment process and thereby significantly affect the outcome of the project.
In the rest of this chapter I describe a detailed approach for performing sprint
retrospectives. However, don’t let the details mislead you into believing that a sprint
retrospective is a heavyweight, ceremonial process. A sprint retrospective can be as
simple as the Scrum team members coming together to discuss questions such as
Sprint planning Sprint backlog
Potentially
shippable product
increment
Sprint execution
Daily scrum
Sprint retrospective Sprint review
Product backlog
Grooming
F I G U R E 2 2 . 2 When the sprint retrospective happens
FIGURE 22.1 Edward Bear illustrating the need for a retrospective

ptg8286261
Participants 377
What worked well this sprint that we want to continue doing?
What didn’t work well this sprint that we should stop doing?
What should we start doing or improve?
Based on their discussions, team members determine a few actionable changes to
make and then get on with the next sprint with an incrementally improved process.
Participants
Because the sprint retrospective is a time to reflect on the process, we need the full
Scrum team to attend. This includes all members of the development team, the
ScrumMaster, and the product owner. The development team includes everyone who
is designing, building, and testing the product. Collectively, these team members
have a rich and diverse set of perspectives that are essential for identifying process
improvements from multiple points of view.
The ScrumMaster attends, both because she is an integral part of the process and
also because she is the process authority for the Scrum team (see Chapter 10). Being
an authority doesn’t mean that the ScrumMaster should tell the team how to change
its process. Instead, it means that she can point out where the team is not adhering to
its own agreed-upon process and also be a valuable source of knowledge and ideas for
the team.
Some argue that having the product owner at the retrospective might inhibit the
team from being completely honest or revealing difficult issues. While this can be a
risk in some organizations, the product owner is a critical part of the Scrum process
and as such should be part of discussions about that process. If there is a lack of trust
between the product owner and the development team, or there is a low level of safety
so that speaking candidly isn’t comfortable, perhaps the product owner should not
attend until the ScrumMaster can help coach those involved toward creating a safer,
more trusting environment.
Assuming trust and safety are reasonably in place, an effective product owner is
critical to achieving the fast, flexible flow of business value and therefore should par-
ticipate in the sprint retrospective. For example, the product owner is the channel or
conduit through which requirements flow to the team. What if something is wrong
with how requirements are flowing through the Scrum process? Perhaps PBIs are not
well groomed by the start of sprint planning. In such cases it would be difficult for
the Scrum team to brainstorm potential process improvements if the product owner
were absent from the retrospective.
Stakeholders or managers who are not on a Scrum team, on the other hand,
should attend a retrospective only if invited by the Scrum team. Although trans-
parency is a core Scrum value, the reality is that many organizations have not yet
achieved a level of safety to support non-Scrum team members regularly attend-
ing retrospectives. The team members must feel safe if they are to have an open and

ptg8286261
378 Chapter 22 Sprint Retrospective
candid discussion without feeling inhibited by outsiders. If the team doesn’t feel safe
enough to reveal the real issues because outsiders are attending, the retrospective will
lose its effectiveness.
Prework
Prior to the sprint retrospective there is some prework to complete (see Figure 22.3).
For short-duration sprints or for teams that are using a well-practiced, simple
retrospective format, this prework should not require much, if any, time.
Define the Retrospective Focus
Each sprint retrospective should have a well-defined focus. The default focus is to
review all relevant aspects of the process the Scrum team used during the current
sprint. However, there are times when a team might select a different retrospective
focus based on what is currently important to the team and where it is energetic
about seeing improvement. For example:
Focus on how to improve our skills with test-driven development (TDD).
Focus on why we build what we think the customers want, but when they see
it they frequently believe we misunderstood their desires or missed an impor-
tant facet of the requirement.
Establishing and communicating the focus before the start of the retrospec-
tive allow the Scrum team to determine if any non-Scrum team members should be
invited. In addition, knowing the focus before the start of the retrospective allows the
team to select appropriate retrospective exercises and gives people time to gather and
prepare any data needed to ensure a smooth performance of the retrospective.
Having the ability to define a specific focus can help long-lived, high- performance
Scrum teams continue to extract measurable value from sprint retrospectives. For
example, in one organization I coached there was a mature Scrum team whose
Define the retrospective focus
Structure the retrospective
Select the exercises
Gather objective data
Sprint retrospective
prework
F I G U R E 2 2 . 3 Sprint retrospective prework

ptg8286261
Prework 379
members had been working well together for nearly three years. They had gone
through many dozens of sprints together. They were starting to feel that doing a
sprint retrospective focused on the just-completed sprint was often low value. One
team member remarked, “For a long time the sprint retrospectives felt indispensable,
and now they frequently just feel like process for the sake of process.” What we ended
up doing was performing shorter, more focused sprint retrospectives that allowed the
team and invited outsiders to dig into very specific issues, going deep into root cause
analysis. The result was that the team continued to learn and improve despite its
considerable experience with Scrum. There is always room for growth; it just might
require a more focused retrospective to uncover it.
Select the Exercises
Once we have established the focus and final participants for the upcoming retro-
spective, we can determine which exercises might help participants to engage, think,
explore, and decide together. A typical retrospective includes the following exercises:
Create and mine a sprint event timeline.
Brainstorm insights.
Group and vote on insights.
However, we might choose to vary these exercises to support a particular focus or
set of participants. We might also decide to try new exercises to keep things fresh. See
Project Retrospectives (Kerth 2001) and Agile Retrospectives (Derby and Larsen 2006)
for additional exercises.
The participants don’t have to decide exactly which exercises to use during pre-
work. In fact, it might actually be better to select some exercises in a just-in-time
fashion during the retrospective based on what the participants think would work
best. At the same time, some exercises, especially those that require data or supplies,
are best determined during the prework. Be prepared but stay flexible.
Gather Objective Data
Because a sprint retrospective is performed in a focused, short period of time (many
teams establish a timebox), any legwork to collect needed data should be done before
the retrospective begins.
We know both the focus and the exercise options for the upcoming retrospec-
tive, so we should have a good idea of what, if any, objective data should be gathered.
Objective data is hard data (not opinions), such as what events happened and when,
or counts of the number of PBIs that were started but not finished, or the feature
burnup chart for the sprint illustrating the flow of completed work. At this point we
are not organizing or analyzing any data; we are just collecting it so that it is available
during the retrospective.

ptg8286261
380 Chapter 22 Sprint Retrospective
Structure the Retrospective
Like sprint reviews, retrospectives happen at the end of each sprint, often immediately
following the sprint review, and generally should recur at the same place, day, and
time each sprint. However, unlike for sprint reviews, you might occasionally need to
vary the place, date, or time of a particular retrospective to better serve its focus, any
non–Scrum team participants, or specific exercises you are planning to run. That’s
why I like to review the structure of the retrospective as part of the prework.
The exact length of the retrospective is influenced by factors such as how many
people are on the team, how new the team is, whether any team members are located
remotely, and so on. In my experience, teams new to Scrum have a tendency to bud-
get too little time for their retrospectives. It’s difficult to hold a meaningful sprint
retrospective in less than 60 minutes. As a rule, I usually budget about 1.5 hours for
the sprint retrospective when using two-week sprints, and proportionally more when
using longer sprints.
The Scrum team should choose a sprint retrospective location that is most con-
ducive to achieving a successful outcome. Some teams prefer to hold their retro-
spectives in the standard team area where their big visible charts are located. This
gives them easy access to a wealth of relevant information. Others prefer to meet
away from the standard team area, perhaps to introduce an environment with less
emotional saturation where people might feel less inhibited and more likely to speak
freely. Again, location doesn’t matter nearly as much as the fact that you are meeting
in a safe environment where team members feel free to speak their minds.
Although the ScrumMaster will often act as and can be quite effective as the
facilitator for the sprint retrospective, any capable team member can fulfill the role
of retrospective facilitator. There are also times when bringing in a skilled, neutral,
outside facilitator might be the best solution to help team members either get started
doing retrospectives or to assist them through a particularly difficult or sensitive
retrospective where a closely aligned, internal facilitator may be far less successful.
Alternatively, in organizations with multiple Scrum teams with different ScrumMas-
ters, it is often helpful and enlightening to all involved to have the ScrumMaster of
one Scrum team facilitate the retrospective of a different Scrum team. We should
establish who is going to facilitate the retrospective during the prework.
Approach
Figure 22.4 illustrates the sprint retrospective activity.
Inputs to the sprint retrospective include the agreed-upon focus for the retro-
spective and any exercises and materials that the team might decide to use during
the retrospective. In addition, most retrospectives require at least some precollected,
objective data. And one piece of input every attendee will bring without fail is her

ptg8286261
Approach 381
own subjective data regarding the current sprint. Another retrospective input is a
backlog of insights produced in previous retrospectives.
The outputs of the sprint retrospective include a set of concrete improvement
actions that the team has agreed to perform in the next sprint. The outputs might
also include a backlog of insights collected during the current retrospective that the
team will not address in the upcoming sprint but might choose to address in the
future. Team members should also expect improved camaraderie as an output from
a retrospective.
Inputs
Pa r t i ci p a n t s
Scrum team
Others
Sprint review
Share context
Identify insights
Determine actions
Set atmosphere
Close the activity
Focus
Objective data
Exercises
Subjective data
Insight backlog
Outputs
Improvement actions
Insight backlog
Improved camaraderie
F I G U R E 2 2 . 4 Sprint retrospective activity

ptg8286261
382 Chapter 22 Sprint Retrospective
While many retrospective approaches exist, most seek to answer the following
questions:
What worked well this sprint that we want to continue doing?
What didn’t work well this sprint that we should stop doing?
What should we start doing or improve?
An approach (similar to one described by Derby and Larsen 2006) that I find
useful is to set the atmosphere for the retrospective, create a shared context among
the participants, identify insights that can lead to improvements, determine con-
crete improvement actions to take during the next sprint, and close the retrospective.
These steps are shown in Figure 22.4 and explained in the paragraphs that follow.
Set the Atmosphere
During a retrospective, people are being asked to analyze the behavior and perfor-
mance of their team and to make specific recommendations for how the team can
improve itself. Putting the team (and by extension oneself) under a microscope can
be an uncomfortable experience. So, a good way to start the retrospective is to estab-
lish an atmosphere that makes people feel comfortable participating.
People must feel it is safe to express their opinions without fear of retribution.
Tea ms shou ld have established g round ru les, or a work i ng ag reement, which ma ke
it clear that expressing opinions and airing dirty laundry are safe things to do. It is
helpful for the ground rules to make clear that the focus is on the organizational sys-
tem and process, not the individuals, thus making it safe to explore what went wrong.
There will be times when problems are people problems; the retrospective is not
the place to solve them. The retrospective is about improving the Scrum team’s pro-
cess, not about assigning blame or reprimanding individual behavior. When setting
the atmosphere, ensure that the ground rules reinforce the concept of a blame-free
environment.
It is also important to establish a precedent of active participation. We won’t have
a very effective retrospective if people assume a passive role. So, when setting the
atmosphere, it’s a good idea to get people talking just to prime the pump of partici-
pation. Some teams do something as simple as ask each participant to express in a
few words her current feelings or energy level. It’s not critical what question people
are asked to answer, but that they are asked to say something to get in the mood of
talking.
Share Context
A group of people can all experience the same event and yet interpret it quite differ-
ently. To successfully inspect the current sprint, it is important to get everyone on the
same page so that they have a shared context.

ptg8286261
Approach 383
To est ablish a shared contex t the par ticipa nts must a lign thei r diverse indiv idual
perspectives (see the left side of Figure 22.5) into a shared team perspective (see the
right side of Figure 22.5).
The left side of Figure 22.5 shows that each person might view the sprint differ-
ently based on her own experience during the sprint rather than have a more big-
picture view of the sprint events, accomplishments, and shortcomings. If individual
perspectives are allowed to dominate, the retrospective could degrade into a session
of opinion debate rather than a session focused on actionable outcomes based on a
shared context.
When establishing a shared context, therefore, it’s imperative that you first
ground the retrospective in an objective, big-picture view of the sprint. After getting
everyone in a talking mood, share objective data, such as committed PBIs, PBIs com-
pleted, number of defects, and so on. (Exactly what specific objective data is relevant
should be based on the retrospective focus.) While most of the objective data is typi-
cally gathered during the prework, some objective data can also be left for the partici-
pants to collect collaboratively during the retrospective. Doing this can help energize
the team around the importance of that data. Whether done as part of the prework or
as a group, gathering objective data is crucial for establishing a common foundation
built on facts rather than opinions.
Just because we are grounded in objective data doesn’t mean subjective data is
irrelevant, however. Each person brings to the retrospective subjective data reflecting
her interpretation of the sprint. If that subjective data is not exposed and discussed,
participants might just assume that everyone else experienced the sprint in a similar
Objective data —fact Objective data —fact
My
perspective A shared perception
Sprint 1Sprint 1
My
perspective
My
perspective
F I G U R E 2 2 . 5 Aligning perspectives to create a shared context

ptg8286261
384 Chapter 22 Sprint Retrospective
way. This misalignment will make it difficult for people to understand one another’s
comments and suggestions.
There are a number of exercises that the participants can use to develop a shared
context of both objective and subjective data. Two of the most common exercises are
an event timeline and an emotions seismograph.
Event Timeline
Creating an event timeline is a simple yet powerful way to generate a shared arti-
fact that visually represents the flow of events during a sprint. Events could include
“Busted the build,” or “Interrupted to fix production failure,” or “Salina returned
from holiday.”
A common approach is to draw a timeline on a wall or whiteboard and have
the participants put cards (or sticky notes) on the timeline representing meaningful
events that occurred during the sprint (see Figure 22.6). Distributed teams could do
the same exercise using an online-shared whiteboard.
The event cards are placed on the timeline in chronological order. This temporal
view of events provides excellent visibility into the flow of activities during the sprint
and also provides a context for quickly identifying missing or forgotten events.
To help v isua l ly categori ze events, many teams use a variet y of colored cards.
Some do this to represent different event types (for example, green is a technical
event, yellow is an organizational event, red is a personal event). Other teams use col-
ors to represent feelings or energy levels (for example, green is a positive event, yellow
is a neutral event, and pink or red is a negative event).
Emotions Seismograph
Many teams create an emotions seismograph as a complement to their event time-
line. This is a graphical representation of the emotional ups and downs of the
participants over the course of the sprint (see Figure 22.7). Creating an emotions seis-
mograph helps expand the shared context beyond the objective data (what happened)
to include some subjective data (how the team felt about it).
Day 2Day 1 Day 3 Day 4 Day 5 Day 6 Day 7 Day 8 Day 9 Day 10
F I G U R E 2 2 . 6 Sprint event timeline

ptg8286261
Approach 385
To create t he seismog raph each par t icipant is invited to draw a cu r ve show ing
how she felt or what her energy level was like over the course of the sprint. It is fre-
quently convenient to draw the seismograph directly under the event timeline so that
the two sets of data can be visually correlated. Later, the participants can mine this
data for interesting insights for process improvement.
Identify Insights
Once a shared context has been established, the participants can thoughtfully exam-
ine, understand, and interpret the data to identify process improvement insights.
Doing this effectively requires a system-level (bigger-picture) focus. Focusing on just
one aspect (having a more localized view) might cause teams to miss the bigger pic-
ture. A system-level focus also helps teams move past the superficial and identify the
root causes of issues.
The participants should start by mining the shared context data. For example,
they could look at their event timeline and emotions seismograph and ask the follow-
ing questions to help uncover insights:
What worked well?
What didn’t work well?
Where are some opportunities to do things differently?
Day 2Day 1 Day 3 Day 4 Day 5 Day 6 Day 7 Day 8 Day 9 Day 10
F I G U R E 2 2 . 7 Emotions seismograph

ptg8286261
386 Chapter 22 Sprint Retrospective
Frequently participants are asked to brainstorm insights and then capture them
on cards and place them on a shared wall or other surface so that everyone can see
them (see Figure 22.8).
Another source for insights might be the team’s insight backlog, a prioritized list
of previously generated insights that have not yet been acted upon. If such a backlog
exists, mine it to see which insights the participants would like to include and con-
sider during the current retrospective. Any existing insights should be represented by
cards and placed on the wall alongside the new insights.
Once the cards have been placed on the wall, the participants will need to orga-
nize them. To do this, many teams choose an exercise such as silent grouping to clus-
ter the insights into meaningful groupings to indicate similar or duplicate cards (see
Figure 22.9).
Insight 9 Insight 10
Insight 1
Insight 4
Insight 11
Insight 5 Insight 8
Insight 3
Insight 6
Insight 2
Insight 7
F I G U R E 2 2 . 8 Retrospective insight card wall
Insight 9
Insight 10
Insight 1
Insight 4
Insight 11 Insight 5
Insight 8
Insight 3
Insight 6
Insight 2
Insight 7
Group 1 Group 2
Group 3
F I G U R E 2 2 . 9 Insight cards clustered into similarity groups

ptg8286261
Approach 387
During silent grouping, people collaboratively create the groupings without ver-
bal discussion, relying only on the individual placement and movement of cards as a
means of communicating and coordinating among the participants. Silent grouping
is time efficient and effective.
Other teams prefer to divide the wall into category areas (such as things to keep
doing, things to stop doing, things to try) before the retrospective begins. Then, as
the insight cards are being created, the participants can place each card on the wall in
the appropriate category (see Figure 22.10).
Even with preassigned categories, however, it is still effective and efficient to have
the participants perform silent grouping to cluster similar cards within a category.
After creating a shared context and mining the data for insights, the participants
should have identified many areas for improvement in their use of Scrum and, by
extension, the way they work together to deliver value. Some of these insights might
lead to deeper discussions among the participants to better understand underlying
causes, or important patterns or relationships. When all the insights have been dis-
cussed and organized on the wall, it’s time to determine what to do with all of the
information.
Determine Actions
Insights are our ideas or perceptions of things that can be improved. To extract long-
term value from these insights we need to move from discussing them to taking
demonstrable actions to leverage them. For example, if the insight is “We’re wasting
too much time because the code management system keeps failing,” the improve-
ment action moving forward might be “Have Talya apply the vendor patches to the
code management system to make it more stable.” Talya, a member of the develop-
ment team, can take this action in the next sprint.
Things to keep doing Things to stop doing Things to try
Insight 9
Insight 1
Insight 8
Insight 10
Insight 11
Insight 3
Insight 6
Insight 2
Insight 4 Insight 5
Insight 7
F I G U R E 2 2 . 1 0 Insight cards placed into predetermined groups

ptg8286261
388 Chapter 22 Sprint Retrospective
The participants should also take time to review what happened to the improve-
ment actions from the last retrospective. If those actions have not been completed (or
even started), the participants need to know why before they start addressing new
insights. They might choose to carry forward previous actions or prioritize them
against the new insights they have just identified.
Selecting Insights
It is important to realize that retrospectives frequently identify many more improve-
ment insights than the Scrum team and organization can digest and act on in a
short period of time. So, the participants first need to determine which improve-
ment insights to act on immediately and which can be deferred. Many teams have the
participants prioritize the insights based on what they believe is most important or
where they are most energetic about seeing improvement. Sometimes these two are
not the same. We might agree that a particular improvement insight is important,
but if there is no appetite to do the work required to leverage the insight, it might not
be a good choice right now. If the participants are energetic about an insight, they are
much more likely to take concrete actions to leverage it.
One popular way to prioritize insights is to use dot voting, as illustrated in
Figure 22.11.
During dot voting, each participant is given a small number (perhaps three to five)
colored dots. The participants then simultaneously place their dots on the improve-
ment insight cards that they feel are the highest priorities to address. A person can put
all of her dots on one card or spread them out over several cards. Once everyone has
voted, the cards with the greatest number of votes should be considered first.
Exactly how many insights should the participants select to work on? Well, that
depends on how much capacity the participants are able to dedicate to the insights
and over what period of time.
Ty pica l ly t he period of t ime is the nex t sprint. So if the Scrum tea m is doi ng two-
week sprints, it will likely consider insights that it can address over the next two-week
Insight 9
Insight 10
Insight 1
Insight 4
Insight 11 Insight 5
Insight 8
Insight 3
Insight 6
Insight 2
Insight 7
Group 1 Group 2
Group 3
F I G U R E 2 2 . 1 1 Example of dot voting

ptg8286261
Approach 389
period. Even if an insight is too large to be fully addressed in the next sprint, the
participants might choose to start working on it and make demonstrable progress
against it.
The participants must also determine how much capacity they can dedicate to
addressing insights during the next sprint (or whatever time period they are consid-
ering). If the team plans to dedicate time in the next sprint to actions from the previ-
ous retrospective, it will clearly affect the team’s capacity for new actions identified in
this retrospective.
Spending time working on insights, old and new, leaves less time for working on
features. So, how much time should the team allocate today to address insights that
can provide a larger payoff later? Answering that question really requires input from
the product owner, which is one of the reasons it is important to have the product
owner present at the retrospective. If the Scrum team doesn’t specifically allocate time
to work on improvement insights, a likely outcome is that insights won’t get worked on.
Once we know the available capacity to work on insights, the participants can
get a rough idea of which of the high-priority insights can be immediately addressed.
However, the final decision can really be made only once the specific actions are
determined.
Decide on Actions
At this point we have prioritized our insights and have some idea of the capacity we
have to work on them. However, we get no measurable value from the retrospective
until we define concrete, actionable steps to leverage our insights and improve the
Scrum process.
Most actions will take the form of specific tasks that one or more Scrum team
members will perform during the upcoming sprint. For example, if the insight is “It
takes too long to determine when the code build breaks,” the action might be “Have
the build server send an email when the build is broken.” This action requires task-
level work on the part of one or more development team members. The team should
determine who can do this work and how much time the work will take. Only then
can the team be sure that working on a particular insight is doable within the avail-
able capacity.
Not all insights require specific task-level work. For example, an insight like “Be
respectful to one another and show up to the daily scrum on time” should require
little (if any) task-level work by the team. While there is a real action, “People should
actually make the effort to show up on time,” it will not reduce the team’s capacity.
Sometimes the actions represent impediments that the ScrumMaster might own
but someone else in the organization has to resolve. For example, the insight might be
“We can’t get PBIs done because we need the latest version of a third-party vendor’s
software to test against.” The action might be “Nina will work with our procurement
department to obtain the latest vendor update.” So Nina, the ScrumMaster, will work
with the procurement people to address the third-party vendor issue that is impeding

ptg8286261
390 Chapter 22 Sprint Retrospective
the team from getting PBIs done. This action will start in the next sprint, will need
some capacity from the ScrumMaster, and may require several sprints to be resolved.
When determining the proper actions, we need to remember that it might not
be possible to immediately address the insight. Instead, we might need to explore the
insight before we can actually make an improvement. In such cases the proper action
might be to investigate and collect data during the next sprint so that we can better
understand the problem.
For example, the insight might be “We’re puzzled by why two components that
are fully tested and have their own automated test suites fail when they are combined
into a cross-component automated test suite where each component is still individu-
ally executed.” At this point there isn’t a specific action the Scrum team members can
take to address this insight because they really don’t understand what is going wrong.
However, the team can create an action for specific team members to explore this
issue in the next sprint, and the team can determine how much capacity to allocate
for exploration.
Insight Backlog
As I mentioned earlier, many teams create an insight backlog (sometimes called an
improvement backlog) to hold any issues that are identified during a retrospective but
cannot be worked on immediately. The idea is that at the next sprint retrospective the
participants can choose to use the insights in the backlog as candidates to be priori-
tized against new insights when determining where to focus time in the next sprint.
Of course, the insight backlog should be groomed periodically to ensure that its con-
tents remain valuable insights.
Other teams simply discard any insights that they choose not to work on in the
next sprint. The thinking is that if an insight is truly important, it will be identified
again at the next retrospective.
Close the Retrospective
Once the final improvement actions have been determined, the participants close out
the retrospective. Many close by recapping what actions the team has decided to take
based on what the participants learned. This might be as simple as describing each
committed action item and who is going to work on it.
Closing is also a good time to appreciate people and their participation. Each
participant should say a few kind words of appreciation regarding the contributions
made by others. Be sure to also recognize any non–Scrum team members who took
time out of their busy schedules to participate in the retrospective.
Finally, it’s a good idea to spend a few minutes asking the team for suggestions to
improve the team’s approach to performing a retrospective. A retrospective is, after
all, part of the Scrum framework and as such should also be subject to inspection and
adaptation.

ptg8286261
Follow Through 391
Follow Through
To ensure that what happens in the sprint retrospec t ive does not just stay in the sprint
retrospective, the participants should follow up on the actions they chose to com-
plete. Some actions (such as that everyone shows up on time for daily meetings) need
only to be reiterated and reinforced by the team members and the ScrumMaster.
Others will need to be addressed during the forthcoming sprint-planning activity.
Frequently the easiest way to handle the improvement actions is to populate the
sprint backlog with tasks corresponding to each action prior to bringing in new fea-
tures. The team’s available capacity to work on new features would then be adjusted
downward by the estimated time these improvement tasks will take. Honestly, any
approach that allows the team to make a good commitment at sprint planning while
at the same time affording it the opportunity to work on the improvement actions is
a good approach.
One approach that does not work is to have an “improvement plan” for the team
that is separate from the work it will do each sprint. This two-pronged approach will
almost always lead to the improvement plan being subordinate to the typical feature-
driven sprint plan. To ensure that the improvement actions do take place, don’t sepa-
rate; integrate!
Not doing the retrospective or low attendance
No follow-through
All fluff, no stuff
Ignoring the elephant in the room
Po o r f a ci l i ta to r
Depressing and energy draining
Blame game
Complaint session
Replaces ad hoc process improvement
To o a mb i t i ou s
Sprint retrospective
issues
F I G U R E 2 2 . 1 2 Sprint retrospective issues

ptg8286261
392 Chapter 22 Sprint Retrospective
Actions that do not require team member time will likely find a home on the
ScrumMaster’s impediment list. And actions that are destined for other teams or the
organization as a whole can be placed into the appropriate backlog for the people who
are expected to do the work; the ScrumMaster typically follows up with the external
parties to help ensure that these actions actually get done.
Sprint Retrospective Issues
Sprint retrospectives are not without issues. Having worked with many organizations
using Scrum, I have noticed a number of common issues (see Figure 22.12).
An unfortunate issue is when teams simply don’t do the sprint retrospective, or
when they do, attendance is low. The reasons for both tend to be similar. If people
are assigned to multiple teams, scheduling conflicts could prevent them from attend-
ing. This is an organizational dysfunction that managers need to address. Or perhaps
team members are just bored or disengaged, or they have not really bought into using
Scrum. Others might think that doing anything other than their particular work isn’t
worth their time (for example, they believe that anything other than coding or test-
ing is just wasteful). Often these issues stem from naiveté regarding Scrum and its
focus on continuous improvement. Other times it’s just the opposite—team mem-
bers believe they have reached the pinnacle of Scrum usage and therefore have noth-
ing further to learn from the sprint they just performed, from their teammates, or
from their own success or failure. If people don’t see the value of doing a retrospective
or of their attendance, consider dedicating some of or the entire next retrospective
meeting to exploring this value issue.
Sometimes low attendance happens because it is inconvenient for remote partici-
pants to join by phone or video conferencing. If remote participants find attending
the retrospective inconvenient because of when it is scheduled, consider changing or
rotating the time so that no single location is always inconvenienced. If it is incon-
venient because it is just hard to participate remotely, reconsider the current tele-
com infrastructure and how the exercises are being conducted to better incorporate
remote participants.
Some retrospectives are very busy but really don’t achieve anything actionable.
I call these the all fluff, no stuff retrospectives. If all we get is fluff, we’re wasting our
time. Consider bringing in an outside, experienced retrospective facilitator to help
the participants get to the real stuff.
Other retrospectives are fascinating to observe. There is clearly a critical issue
that is having a dramatic effect on the team, but nobody will even bring it up. To
reuse the old adage, the participants are ignoring the elephant in the room. There is
probably a safety issue that is preventing people from discussing the elephant. The
ScrumMaster should take a leadership role in helping the team and organization
address the safety impediment first.

ptg8286261
Closing 393
Other times the retrospective is just poorly facilitated. The facilitator, perhaps a
new ScrumMaster, is trying her best but it’s clearly not working. Perhaps an outside
facilitator should be used for a few retrospectives.
Some retrospectives are downright depressing and energy draining. Perhaps the
sprints are not going well and people view the retrospective as an activity that just
compounds the misery by making them relive it. Consider spending a bit more time to
set the appropriate atmosphere at the start of the retrospective. Also, an outside facili-
tator might be more effective at helping people stay focused on positive improvements.
Frequently retrospectives are depressing because people start playing the blame
game and finger-pointing. The facilitator must extinguish this behavior as soon as it
occurs to prevent a cascade of finger-pointing.
Other times a retrospective can degrade into a complaint session. Perhaps some
people view it as therapeutic to just come and complain about the way things are
(or at least how they perceive things to be). They have no desire to improve, just the
desire to complain. Consider inviting people to the retrospective who can actually
effect real change. Then have a face-to-face dialogue with them instead of complain-
ing in their absence.
Another unfortunate situation is where participants consider the retrospective to
be the time to do process improvement, thereby diminishing ad hoc process improve-
ment during the sprints. A retrospective is a great time for the team to reflect on a
period of work and discuss how to make things better, but it was never intended to
be the replacement for ad hoc process improvement. The ScrumMaster should proac-
tively promote healthy ad hoc process improvements throughout the sprint.
Sometimes our desires are bigger than our abilities. New teams that are ener-
gized and focused on really getting better can frequently become overly ambitious
and set improvement goals that are totally unrealistic. Doing so will only lead to a big
letdown when the team fails to meet its ambitious goals. The ScrumMaster should be
vigilant and remind the participants of their available capacity to do improvements
and help them moderate their ambitions.
Perhaps the biggest issue of them all is when there is no follow-through to actu-
ally work on the improvement actions identified during the retrospective. If we’re
not going to follow through, there’s no need to waste our time on retrospectives. The
ScrumMaster has a leadership role in helping the team constantly improve its pro-
cess. If there is no follow-through, the ScrumMaster needs to be aggressive about
working with the team to identify the root cause and helping team members address
the impediment.
Closing
Sprint retrospectives are a time for the team to reflect on how well it is using Scrum
and to propose improvements. The retrospective is a collaborative activity among the
Scrum team members (and any non–Scrum team members on an as-needed basis).

ptg8286261
394 Chapter 22 Sprint Retrospective
Once the retrospective prework is completed, the basic flow of the retrospective is to
set the atmosphere to have a successful retrospective, get everyone on the same page
by creating a shared context grounded in data, identify improvement insights, deter-
mine improvement actions, and then close the retrospective. After closing the retro-
spective, it is critical that the participants follow up and carry out the improvement
actions so that the team is more effective during the next sprint. It is also important
to keep a watchful eye out for issues that might prevent the retrospective from being
successful and to quickly act on them.

ptg8286261
395
Chapter 23
THE PATH FORWARD
In the first 22 chapters of this book, I have laid out the Scrum framework and
explained what I believe to be essential Scrum. You should now understand the
mechanics of using Scrum to deliver innovative solutions. You should also have a
good sense of why Scrum prescribes particular roles, practices, artifacts, and rules.
Now you are ready to define your path forward. In this chapter I discuss the idea that
there is no universal, final target for your Scrum implementation; instead, you need
to define your own unique route towards agility. I end by describing the role of best
practices and how to use Scrum, with its iterative and incremental approach, as the
basis for discovering your own path forward.
There Is No End State
Every organization has a vision for what it wants to achieve. Using Scrum can help
organizations manage the work to achieve that vision. Being highly proficient with
Scrum and thus being more agile, however, is not the end goal, but rather a means
of more effectively and economically achieving business goals. So, how do you know
when you’re done with Scrum?
The thing is, there is no definition of done for a Scrum adoption or transition
effort. There is no agile maturity model like CMMI (SEI 2010), where the goal is to
try to reach level 5. Trying to define “done” for your Scrum implementation pre-
sumes that when you achieve that state, you can’t get any better. This flies in the face
of Scrum being a form of continuous improvement, where you are always working
to better align your use of Scrum to the complex world in which you must develop
products.
Worse yet, if we tried to define such an end state for the industry, it would further
assume that the final target state would apply to every organization, even those that
develop radically different types of products under very different circumstances.
To say, “I have f ina l ly achieved ag i lit y ! ” is a mea ning less comment. As Mi ke
Cohn nicely summarized, “Agile is not something you become, it’s something you
become more of” (Cohn 2010). There is no end state that you can call agile or Scrum.
Instead, becoming more proficient with Scrum and more agile is a process of con-
tinuous, never-ending improvement aimed at improving your bottom line.

ptg8286261
396 Chapter 23 The Path Forward
Discover Your Own Path
Just as no one can tell you where your Scrum implementation should end, no one can
lead you down a predefined path that will guarantee success. Instead, you must learn,
inspect, and adapt your way forward based on your organization’s own unique goals
and culture and the ever-changing complex environment in which you must operate.
Trying to follow someone else’s path and leveraging their learning might feel like the
fast track to becoming agile. However, no two organizations, or even teams within
an organization, are the same. Following someone else’s path might well lead you to
precisely the wrong location.
You can’t circumvent your own learning process. Instead, you need to quickly
close your own learning loops and inspect and adapt based on what you learn. I’m
not suggesting that you ignore those who have preceded you down the agile path.
Examine what they have done and how it worked for them, but discover your own
path for becoming more agile.
Sharing Best Practices
If we aren’t supposed to follow others’ paths, how do best practices fit into the pic-
ture? Just as there is no one path to follow, there is no one set of best practices across
all organizations.
When I’m asked to describe “best practices” that other organizations are using to
become more agile, I give examples. However, I always provide the relevant context
of the other organizations so that the people who are asking can evaluate whether it
would be sensible to adopt a similar approach in their organization. Even when scal-
ing up within a single organization, we need to be cautious about universally apply-
ing best practices. Many organizations try to describe what a successful Scrum team
is doing, capture it, and then institutionalize it as a best practice. Doing so can be
harmful, because these are individual team approaches that may not work for other
teams.
You might notice I just used the word approach several times when referring to
best practices. Let’s talk for a moment about that distinction. Throughout this book I
have used the term practice to mean a core or essential aspect of Scrum. An approach
is a particular implementation of a Scrum practice. When people ask me about best
practices, I take that to mean best approaches.
While two different teams or organizations have unique Scrum implementa-
tions, each should adhere to the same Scrum practices. Both, for example, should
have Scrum teams made up of a product owner, ScrumMaster, and development
team. Both should perform sprint planning, daily scrums, sprint reviews, and sprint
retrospectives. However, I expect that each team (or organization) will have its own
unique approaches to performing these practices. Let me illustrate by example.

ptg8286261
Using Scrum to Discover the Path Forward 397
The daily scrum is a core Scrum practice. If you don’t do it, you aren’t doing
Scrum. During the daily scrum each team member updates and synchronizes with
all other team members to get a shared picture of the full scope of work. But when
the daily scrum starts, which person should provide his update first? Scrum doesn’t
define this. Each team will have its own approach.
For example, while working with a team in Vancouver, Canada, I learned of an
interesting approach to deciding who speaks first. On this team, at the start of each
daily scrum, the ScrumMaster would toss a toy stuffed moose into the air. Whoever
caught the moose would speak first, and then the rest of the team members would
speak in turn, moving to the left of the person who caught the moose. This simple,
kind-of-silly-but-fun approach worked very well for the team in Vancouver.
As it turns out, the Vancouver team had a sister team in China that was formed
some months after the Vancouver team had been established. A member of the China
team asked the Vancouver team for a “policy or best practice” for determining who
should speak first at the daily scrum. The Vancouver team told the person in China
that in Vancouver they “tossed the moose” each daily scrum to figure that out. Appar-
ently, tossing the moose took on a whole different meaning when translated into Chi-
nese! An approach that worked well for the Vancouver team would not work at all for
the China team. The China team adopted its own approach, as well it should.
Scrum defines core practices that must be followed. It is left to each team, how-
ever, to determine the approaches (or best practices) that work best. Approaches,
therefore, are unique to each team, and they can and should be reused by other teams
only if they make sense in the context of those other teams.
Using Scrum to Discover the Path Forward
Whether you are new to Scrum or are already using Scrum to develop products, you
can use the principles of Scrum to help guide you on the path forward. Mike Cohn,
in Succeeding with Agile (Cohn 2009), goes into great detail describing this approach,
and I refer you to his excellent book for a detailed treatment of the topic.
I describe the essence of this approach with an example. In 2007 I was retained
to train and coach a large, multinational organization on its adoption and use of
Scrum. The organization had 100 IT members in New York City and 400 IT members
in Mumbai, India. At any one time the IT organization had about 45 development
efforts in flight.
The organization decided that any new team that was going to use Scrum should
have a coach available to help it. With limited initial coaching capacity, it was unrea-
sonable to transition the entire IT organization over to Scrum at once. So, as is typi-
cal in such environments, the organization selected a small number of pilot efforts
to focus on first. The goal was to incrementally move other teams over to Scrum as
the organization’s Scrum coaching capacity increased via the on-the-job training of
internal coaches.

ptg8286261
398 Chapter 23 The Path Forward
These pilot efforts crossed the spectrum from simple systems maintenance to
larger, new-product development. Based on this diversity, each Scrum team imple-
mented its own version of the Scrum framework, using approaches aligned with the
people on the team and the work they had to perform. A wiki was used to “syndicate”
the approaches used by each team to assist with overall organizational learning and
share what was working for other teams.
Several months into the adoption, it was time to scale the use of Scrum from
the team level to the organizational level. At that point we created what Cohn calls
an ETC or Enterprise Transition Community (Cohn 2009). In our case the ETC was
called the Working Software Group. That group of managers and executives main-
tained a backlog of improvement-related items and ran three-week sprints against
that backlog. The items in that backlog represented organizational change initiatives
(such as “Update the compensation model to be more team focused”) or significant
impediments that were blocking one or more Scrum teams (“Improve server stability
so that teams can complete their testing”).
By working in sprints against this improvement backlog, the organization was
able to iteratively and incrementally make progress down its own path to successfully
adopting Scrum. There was no predetermined end state for the organization’s use of
Scrum. Trying to create one up front would have been as wasteful as trying to create a
full, complete requirements specification for a totally new, never-been-built product
that no one understood well.
Instead, the Working Software Group took input from the Scrum teams and
stakeholders and made incremental improvements to the organizational structure to
better align itself with agile values. Through continuous learning, inspecting, and
adapting, the organization determined an appropriate path forward that was aligned
with the overall organizational business goals.
This ETC-type pattern is quite common today. Many organizations realize that
using Scrum to adopt Scrum is a sensible approach to iteratively and incrementally
becoming more agile.
Get Going!
I am frequently amused when the same people who believe that it is not possible to get
the requirements for a product correct up front, and therefore want to use Scrum for
development, will in the next breath explain how they aren’t quite ready to start using
Scrum because they haven’t worked out all of the details of their Scrum approach!
This type of thinking is poorly aligned with fundamental Scrum principles.
When employing Scrum, you shouldn’t worry about getting things perfect up
front. You can’t! And trying to be perfect up front will force you to guess at the
expense of important learning that you will get only by applying Scrum and seeing
what happens. In my experience, most teams’ first couple of sprints aren’t all that

ptg8286261
Get Going! 399
pretty. That’s OK. My only expectation of any Scrum team is that it be better in the
next sprint than it was in the previous sprint. So, don’t delay getting started. What-
ever you think you know now about your use of Scrum, imagine how much more you
will really know after you start and finish the next sprint!
Also, don’t expect your Scrum adoption to be problem free. I can guarantee that
at some point your organization will encounter impediments that make performing
Scrum difficult. Scrum makes visible the dysfunctions and waste that prevent orga-
nizations from reaching their true potential. What it does not do is tell organizations
how to solve those issues. That hard work is up to the people in the organization.
The status quo is a powerful force. It is frequently easier for people to ignore
Scrum or change Scrum than it is to change long-held organizational processes,
rules, or behaviors. And a culture that is outright hostile toward being shown its dys-
functions will quickly extinguish the bright light that is exposing what lurks in the
shadows. To counteract this tendency, be a steadfast and patient force for change in
your organization. Understand that resistance to change is natural. Help overcome
the worst of it by educating others about the principles that underlie Scrum and the
goals you are trying to achieve. Work with them, rather than against them, to chip
away at the obstacles that prevent your team, your product development effort, and
your organization from realizing the full benefits of your Scrum implementation.
My hope is that this book has provided you with the essential Scrum knowledge
to shine a bright light that will illuminate your path forward. I wish you the best of
success on your journey with Scrum.

ptg8286261
This page intentionally left blank

ptg8286261
401
GLOSSARY
Overview
Entries in this glossary are arranged alphabetically. An entry may be a single word,
such as Scrum, a phrase, such as acceptance criteria, or an acronym, such as TDD. If a
term has more than one definition, the definitions are numbered.
The following cross-references are used to show a term’s relationship to other
terms in the glossary:
See refers to a preferred term or to a term whose definition serves to define
the term in question.
See also refers to a related term.
Synonymous with refers to a synonym or term with a nearly identical
meaning.
Contrast with refers to a term with a substantially different meaning.
Definitions
A
acceptance criteria. 1. The external quality characteristics specified by the product
owner from a business or stakeholder perspective. Acceptance criteria define desired
behavior and are used to determine whether a product backlog item has been suc-
cessfully developed. 2. The exit criteria that a component or a system must satisfy in
order to be accepted by a user, customer, or other authorized entity (IEEE 610).
acceptance test. 1. The testing carried out to verify that the acceptance criteria have
been met. 2. A test that defines the business value each product backlog item must
deliver. It may verify functional requirements or nonfunctional requirements such
as performance or reliability. It is used to help guide development (Crispin and Greg-
ory 2009). 3. Formal testing with respect to user needs, requirements, and business
processes conducted to determine whether or not a system satisfies the acceptance
criteria and to enable the user, customers, or other authorized entity to determine
whether or not to accept the system (IEEE 610).

ptg8286261
402 Glossary
acceptance-test-driven development (ATTD). A technique in which the participants
collaboratively discuss acceptance criteria, using examples, and then distill them into
a set of concrete acceptance tests before development begins. Synonymous with speci-
fication by example.
accuracy. How close an estimate is to the actual value—the proximity of the measure
to its true value. For example, estimating that the product will ship in October 2015
is accurate if the product ships any day during October 2015. Contrast with precision.
activity. 1. A Scrum practice that involves taking action or performing a process, for
example, sprint-planning activity, daily scrum activity, sprint review activity, and
sprint retrospective activity. 2. In a general sense, the work performed by the Scrum
team members such as writing code, performing tests, creating estimates, and so on.
See also practice.
adaptation. One of the three pillars of empirical process control; feedback is used to
make an adjustment to the work product being developed or the process by which it is
being developed. See also empirical process control, inspection, transparency.
agile. 1. A specific set of values and principles, as expressed in the Agile Manifesto
(Beck et al. 2001). 2. An umbrella term used for a group of related approaches to soft-
ware development based on iterative and incremental development. Scrum is an agile
approach to development. See also Extreme Programming, Kanban, Scrum.
all-at-once product development. Doing all types of work (for example, analysis,
design, coding, integrating, and testing) opportunistically within a single iteration.
all-before-any. A characteristic of a sequential development process, where the work
product from a previous step in a process is transferred to the next step using a batch
size of 100%. See also batch size.
anticipatory process. See plan-driven process.
approach. A specific way to realize a practice or activity. For example, Scrum speci-
fies a sprint retrospective. How a team chooses to perform a sprint retrospective is its
approach, which may be different from the approaches of other teams. See also activ-
ity, practice.
artifact. A tangible by-product produced during product development. The product
backlog, sprint backlog, and potentially shippable product increment are examples of
Scrum artifacts. See also practice.
assumption. A guess, or belief, that is presumed to be true, real, or certain even
though there is no validated learning to know that it is true. Contrast with validated
learning.
ATTD. See acceptance-test-driven development.

ptg8286261
Glossary 403
B
batch size. The cardinality of a set of items to be processed at some future step. See
also work in process.
Boy Scout rule. 1. Always leave the campground cleaner than you found it. If you
find a mess on the ground, clean it up regardless of who might have made the mess.
2. Every time you are in an area of the code doing work, always leave the code a little
cleaner, not a little messier, than you found it. See also technical debt.
burndown chart. A graph that shows on the vertical axis the quantity of work (in
either hours or product backlog item units) remaining over time, which is shown on
the horizontal axis. Because less and less work should remain over time, the general
trend in the graph is to burn down to a point where no work remains. We can show
projected outcomes on burndown charts by calculating a trend line to see when work
might be completed. Contrast with burnup chart.
burnup chart. A graph that shows the progress of work toward a goal line associated
with a value on the vertical axis. As work is completed over time (the horizontal axis),
the progress line moves up (burns up) to be nearer to the goal line. We can show pro-
jected outcomes on burnup charts by calculating a trend line to see when work might
be completed. Contrast with burndown chart.
C
cadence. A regular, predictable rhythm or heartbeat. Sprints of consistent duration
establish a cadence for a development effort. See also synchronization.
capacity. 1. The quantity of resources available to perform useful work. 2. A concept
used to help establish a WIP limit by ensuring that we only start work to match the
available capacity to complete work. See also work in process.
ceremony. A ritualistic or symbolic activity that is performed on well-defined occa-
sions. Some people refer to the core Scrum activities of sprint planning, daily scrum,
sprint review, and sprint retrospective as ceremonies. See also activity, unnecessary
formality.
chaotic domain. 1. A situation that requires a rapid response. We are in a crisis and
need to act immediately to prevent further harm and reestablish at least some order.
2. One of the domains in the Cynefin framework. See also Cynefin. Contrast with
complex domain, complicated domain, disorder domain, simple domain.
chickens. A metaphor used by some Scrum teams to indicate that people are invested
in the goal of the Scrum team, but at a level of involvement (not accountable) rather
than commitment. Best used to refer to people outside of the Scrum team. Derived
from an old joke about a chicken and a pig: “In a ham-and-eggs breakfast, the chicken
is involved, but the pig is committed.” Contrast with pigs.

ptg8286261
404 Glossary
chief product owner. The overall product owner within a product owner team on a
large development effort. See also product owner.
commitment. The act of binding oneself to a course of action. Scrum encourages
commitment. Commitment means that during both good times and bad, each team
member is dedicated to meeting the team’s collective goal. Contrast with forecast.
complex adaptive system. A system with many entities interacting with each other in
various ways, where these interactions are governed by simple, localized rules operat-
ing in a context of constant feedback. Examples include the stock market, the brain,
ant colonies, and Scrum teams.
complex domain. 1. A situation in which things are more unpredictable than they
are predictable. If there is a right answer, we will know it only with hindsight. 2. One
of the domains in the Cynefin framework. See also Cynefin. Contrast with chaotic
domain, complicated domain, disorder domain, simple domain.
complicated domain. 1. A situation in which there might be multiple right answers
but expert diagnosis is required to figure them out. 2. One of the domains in the
Cynefin framework. See also Cynefin. Contrast with chaotic domain, complex domain,
disorder domain, simple domain.
component team. A team that focuses on the creation of one or more components of
a larger product that a customer would purchase. Component teams create assets or
components that are then reused by other teams to assemble customer-valuable solu-
tions. Contrast with feature team.
conditions of satisfaction. The conditions under which a product owner would be
satisfied that a product backlog item is done. Conditions of satisfaction are accep-
tance criteria that clarify the desired behavior. See also acceptance criteria.
confidence threshold. 1. The definition of done for envisioning (product-level plan-
ning). 2. The set of information that decision makers need in order to have sufficient
confidence to make a go/no-go funding decision for more detailed development.
continuous delivery. See continuous deployment.
continuous deployment. Deploying each new feature to users immediately after it is
built, integrated, and tested. Synonymous with continuous delivery, integration.
continuous integration. A technical practice where members of a single team or mul-
tiple teams integrate their work as frequently as is practical. See also integration, tech-
nical practices.
cost of delay. The financial cost associated with delaying work or delaying achieve-
ment of a milestone. Cost of delay emphasizes the concept that time has a real finan-
cial cost, and to make economically sensible trade-offs it is important to know that
cost.

ptg8286261
Glossary 405
cross-functional team. A team composed of members with all the functional skills
(such as UI designers, developers, testers) and specialties necessary to complete work
that requires more than a single discipline.
customer uncertainty. Uncertainty surrounding who the customers of a product are.
See also uncertainty. Contrast with end uncertainty, means uncertainty.
Cynefin. A sense-making framework that helps us understand the situation in which
we have to operate and decide on a situation-appropriate approach (Snowden and
Boone 2007).
D
daily scrum. A synchronization, inspection, and adaptive planning activity that a
development team performs each day. This core practice in the Scrum framework is
timeboxed to no more than 15 minutes. Synonymous with daily stand-up. See also
inspect and adapt.
daily stand-up. A common approach to performing a daily scrum whereby the par-
ticipants stand for the entirety of the activity. Standing up promotes brevity and helps
ensure that the activity does not exceed its timebox. See daily scrum.
DEEP. An acronym coined by Roman Pichler and Mike Cohn for remembering a set
of criteria used to evaluate the quality of a product backlog. The criteria are Detailed
appropriately, Emergent, Estimated, and Prioritized. See also product backlog.
defined process. A process with a well-defined set of steps. Given the same inputs, a
defined process should produce the same output every time (within a defined vari-
ance range). Contrast with empirical process control.
definition of done. 1. A checklist of the types of work that the team is expected to
successfully complete by the end of the sprint, before it can declare its work to be
potentially shippable. A bare-minimum definition of done should yield a complete
slice of product functionality, one that has been designed, built, integrated, tested,
and documented and will deliver validated customer value. 2. Sometimes described
as the acceptance criteria that apply to all product backlog items. Contrast with defi-
nition of ready.
definition of ready. A checklist of conditions that must be true before a product
backlog item is considered ready to pull into a sprint during sprint planning. Con-
trast with definition of done.
development team. A self-organizing, cross-functional team of people who collectively
are responsible for all of the work necessary to produce working, validated assets. One
of the three roles that constitute every Scrum team. See also cross-functional team,
product owner, ScrumMaster, Scrum team.

ptg8286261
406 Glossary
disorder domain. A dangerous state where we really don’t understand or can’t make
sense of the situation we are in. Our goal is to get out of this domain. 2. One of the
domains in the Cynefin framework. See also Cynefin. Contrast with chaotic domain,
complex domain, complicated domain, simple domain.
done. See definition of done.
dot voting. A technique that allows participants to vote their preferences among a set
of items by placing a colored dot on items that they believe are higher priority than
other items. Items with more dots are higher priority than items with fewer dots. This
technique is frequently used during the sprint retrospective activity. See also sprint
retrospective.
E
economic filter. The decision criteria used by an organization to evaluate the eco-
nomics of a proposed product in order to decide whether or not to fund it. Contrast
with strategic filter.
emergence. 1. Individual, localized behavior that aggregates into global behavior
that is disconnected from its origins. 2. An attribute of complex adaptive systems.
3. When applied to software development, recognizing that it is not possible to a
priori determine the correct set of features, designs, or plans. Instead, over time as
more information is learned, important information will emerge from the experience
gained on prior work. See also complex adaptive system.
emergent opportunity. An opportunity that was previously unknown, or was deemed
sufficiently unlikely to occur and therefore not worth spending money on at the time.
emotions seismograph. A graphical representation of the emotional ups and downs
of team members over the course of a sprint. A technique frequently used during the
sprint retrospective activity. See also sprint retrospective.
empirical process control. A style of work that leverages the principles of inspection,
adaptation, and transparency. Contrast with defined process.
end uncertainty. Uncertainty surrounding what will be built (the product). See also
uncertainty. Contrast with customer uncertainty, means uncertainty.
envisioning. An activity that captures the essence of a potential product and creates
a rough plan for the creation of that product. Envisioning begins with the creation
of a vision, followed by the creation of a high-level product backlog and frequently a
product roadmap. Synonymous with product planning. See also product roadmap.
epic. A large user story, perhaps a few to many months in size, that can span an entire
release or multiple releases. Epics are useful as placeholders for large requirements.
Epics are progressively refined into a set of smaller user stories at the appropriate
time. See also feature, progressive refinement, theme, user story.

ptg8286261
Glossary 407
essential Scrum. The values, principles, and practices of the Scrum framework
combined with rules and proven approaches to applying Scrum practices. See also
approach, practice, rule, Scrum framework.
estimation. A rough calculation of the value, number, quantity, or extent of some-
thing. In Scrum, we estimate the size of portfolio backlog items, product backlog
items, and sprint backlog tasks. See also forecast.
event timeline. A visual, chronologically ordered depiction of the meaningful events
that occurred over a period of time. A common technique used during sprint retro-
spectives. See also sprint retrospective.
exploitation. Making a decision based on the certainty of the information we cur-
rently possess. Contrast with exploration.
exploration. The act of acquiring or buying knowledge by performing some activity
such as building a prototype, creating a proof of concept, performing a study, or con-
ducting an experiment. Contrast with exploitation.
external stakeholders. Stakeholders who are typically external to the organization
that is developing a product, for example, customers, partners, and regulators. See
also stakeholders. Contrast with internal stakeholders.
Extreme Programming (XP). An agile development approach that is complementary
to Scrum. Extreme Programming specifies important technical practices that devel-
opment teams use to manage the flow of task-level work during sprint execution. See
also agile.
F
fail fast. A strategy of trying something, getting fast feedback, and then rapidly inspect-
ing and adapting. In the presence of high levels of uncertainty, it is often less expensive
to start working on a product, learn whether we made a good decision, and if not, kill it
fast before more money is spent. See also fast feedback, inspect and adapt, pivot.
fast feedback. A principle that states that feedback today is much more valuable than
the same feedback tomorrow, because today’s feedback can be used to correct a prob-
lem before it compounds into a much larger problem, and provides the ability to
truncate economically undesirable paths sooner (to fail faster). See also fail fast.
feature. 1. A slice of business functionality that is meaningful to a customer or user.
2. Used by some to mean a medium-size user story that can and will be divided into
a collection of smaller user stories that together will be implemented to deliver the
value of a feature. See also theme, user story.
feature team. A cross-functional and cross-component team that can pull end-cus-
tomer features from the product backlog and complete them. See also cross-functional
team. Contrast with component team.

ptg8286261
408 Glossary
fixed-date release. A release that must be delivered on a known future date. The
scope of the release, and possibly the cost, needs to be flexible. Contrast with fixed-
scope release.
fixed-scope release. A release that must have a specific set of features. The date on
which the features are delivered and/or the costs are flexible. Contrast with fixed-
date release.
flow. 1. The smooth, steady movement of work through the development process to
ensure that good economic value is delivered. 2. Avoiding idle work in economically
sensible ways. 3. The opposite of big batch, big release, and big bang.
forecast. 1. Making statements, predictions, or estimations about events whose actual
outcomes have not yet been observed. 2. The 2011 “Scrum Guide” term for what a
development team generates during sprint planning. See also estimation. Contrast
with commitment.
framework. See Scrum framework.
G
grooming. See product backlog grooming.
group. A collection of people who share a common label (the group name) but have
not yet formed a team whose members have learned how to work together and trust
each other. Contrast with team.
H
happened-upon technical debt. A status category for technical debt that represents
debt that the development team was unaware existed until it was exposed during the
normal course of performing work on the product. Contrast with known technical
debt, targeted technical debt. See also technical debt.
I
ideal day. A unit for estimating the size of product backlog items based on how long
an item would take to complete if it were the only work being performed, there were
no interruptions, and all resources necessary to complete the work were immediately
available. See also ideal hour. Contrast with story point.
ideal hour. A unit for estimating the size of the design, build, integrate, and test work,
represented as sprint backlog tasks. Often referred to as an effort-hour, person-hour,
or man-hour. See also ideal day.

ptg8286261
Glossary 409
idle work. Work that is not actively being pursued as it sits in some queue. Contrast
with idle workers.
idle workers. People who have available capacity to do more work because they are
not currently 100% utilized. Contrast with idle work.
impediment. A hindrance or obstruction to doing something. Frequently used to
describe some issue or blocker that is preventing a team or organization from per-
forming Scrum in an effective way.
implementable story. A user story that is sized small enough to fit nicely within a
sprint. Synonymous with sprintable story.
incremental development. 1. Development based on the principle of building some
before building all. 2. A staging strategy in which parts of the product are developed
and delivered to users at different times, with the intention to adapt to external feed-
back. See also iterative and incremental process, iterative development.
incremental funding. Funding some of the product development without commit-
ting to funding all of it. Using incremental funding, we fund just the first small part
of the development effort and revisit the funding decision after we have the critical
validated learning we are paying to get from the first part. See also confidence thresh-
old, validated learning.
information radiator. A visual display that presents up-to-date, sufficiently detailed,
and important information to passersby in an easy, self-interpretable format.
innovation accounting. A measurement/accounting system that uses actionable met-
rics to evaluate how fast we are learning as a critical measure of progress toward con-
verging on a business-valuable result (Ries 2011).
innovation waste. The lost opportunity to create an innovative solution. Frequently
occurs when a prescribed solution is provided with a product backlog item.
in-process product. A product that is currently under development, already live in
production, or currently being sold. See also portfolio planning.
insight backlog. A prioritized list of previously generated insights or process improve-
ment ideas that have not yet been acted upon. The insight backlog is generated and
used during sprint retrospectives. See also sprint retrospective.
inspect and adapt. 1. A common phase in Scrum that refers to the inspection and
adaptation principles of empirical process control. 2. The principle of inspecting a
product or process and making adaptations based on what is learned. 3. A key part of
the learning loop. See also adaptation, empirical process control, inspection, learning
loop.

ptg8286261
410 Glossary
inspection. One of the three pillars of empirical process control, involving thought-
ful examination and processing of feedback to make adaptation decisions regarding
the process or product. See also adaptation, empirical process control, transparency.
integration. The combining of the various components or assets of some or all of a
product to form a coherent, larger-scope work product that can be validated to func-
tion correctly as a whole. See also continuous integration.
internal stakeholders. Stakeholders who are internal to the organization that is devel-
oping the product, for example, senior executives, managers, and internal users. See
also stakeholders. Contrast with external stakeholders.
inventory. See work in process.
INVEST. An acronym coined by Bill Wake for remembering a set of criteria used to
evaluate the quality of user stories. The criteria are Independent, Negotiable, Valuable,
Estimatable, Sized correctly (small), and Testable. See also user story.
iteration. A self-contained development cycle focused on performing all of the work
necessary to produce a valuable outcome. See also all-at-once development, sprint.
iterative and incremental process. A style of development that leverages both itera-
tive development and incremental development. See also incremental development,
iterative development.
iterative development. A planned rework strategy where multiple passes over the
work are used to converge on a good solution. See also incremental development, itera-
tion, iterative and incremental process.
J
just in time (JIT). A characteristic of a process whereby the assets or activities of a
work stream become available or occur just as they are needed.
K
Kanban. An agile approach overlaid on an existing process that advocates visualizing
how work flows through a system, limiting the work in process, and measuring and
optimizing the flow of work. See also agile, work in process.
known technical debt. A status category for technical debt that represents the debt
that is known to the development team and has been made visible for future consid-
eration. Contrast with happened-upon technical debt, targeted technical debt. See also
technical debt.

ptg8286261
Glossary 411
L
last responsible moment (LRM). A strategy of not making a premature decision but
instead delaying commitment and keeping important and irreversible decisions open
until the cost of not making a decision becomes greater than the cost of making a
decision.
learning loop. A feedback loop focused on increasing learning. Generally follows
these steps: make an assumption (or set a goal), build something (perform some
activities), get feedback on what was built, and then use that feedback to inspect what
was done relative to what was assumed.
lifecycle profits. 1. The total profit potential for a product over its lifetime. 2. In the
case of portfolio planning, the total profit potential of the entire portfolio rather than
a single product.
LRM. See last responsible moment.
M
means uncertainty. Uncertainty surrounding how something will be built. See also
uncertainty. Contrast with customer uncertainty, end uncertainty.
minimum marketable features (MMFs). The smallest or minimum set of functional-
ity related to a feature that must be delivered for the customer to perceive value (for it
to be marketable). Contrast with minimum releasable features.
minimum releasable features (MRFs). 1. The minimum set of features that must be
present in a release to make it viable—useful enough to end customers such that they
want it and would be willing to pay for it. 2. Features composed from a collection of
minimum marketable features. Synonymous with must-have features. See also mini-
mum marketable features.
minimum viable product (MVP). A product that has just those features that allow
the product to be deployed, and no more.
MMFs. See minimum marketable features.
MRFs. See minimum releasable features.
MVP. See minimum viable product.
Musketeer attitude. 1. All for one and one for all. 2. The attitude among members of a
team that they are all in the same boat and that they will win or lose together as a team.
must-have features. The set of features that must be present in the upcoming release
for the release to be viable. Synonymous with minimum releasable features. Contrast
with nice-to-have features, won’t-have features.

ptg8286261
412 Glossary
N
naive technical debt. A form of technical debt that accrues due to irresponsible
behavior or immature practices on the part of the people involved. Contrast with
strategic technical debt, unavoidable technical debt. See also technical debt.
nice-to-have features. Features that are targeted for the upcoming release but could
be excluded if there are insufficient resources to finalize their development. Contrast
with must-have features, won’t-have features.
nonfunctional requirement. 1. A requirement that does not relate to functionality
but to attributes such as reliability, efficiency, usability, maintainability, and porta-
bility, which product backlog items must possess in order to be fully accepted by the
stakeholders. 2. Each nonfunctional requirement is a candidate for inclusion in the
definition of done. See also definition of done.
P
PBI. See product backlog item.
persona. 1. A user archetype, synthesized from the ethnographic data of real users,
that helps guide decisions about product features, navigation, interactions, and visual
design. 2. A fictitious person that is the prototypical instance of a particular user role.
See also user story.
pigs. A metaphor used by some Scrum teams to indicate that people are invested in
the goal of the Scrum team at a commitment level (accountable for the outcome).
Most people consider the members of the Scrum team to be pigs. See also Scrum
team. Contrast with chickens.
pivot. 1. To change directions but stay grounded in what we have learned. 2. A struc-
tured course correction designed to test a new fundamental hypothesis about a prod-
uct, strategy, and engine of growth (Ries 2011).
plan-driven process. A style of development that attempts to plan for and anticipate
up front all of the features a user might want in the end product and to determine
how best to build those features. The work plan is based on execution of a sequen-
tial set of work-specific phases. Synonymous with anticipatory process, predictive pro-
cess, prescriptive process, sequential process, traditional development process, waterfall
process.
Planning Poker. A consensus-based technique for the relative sizing of product back-
log items.
point inflation. The unfortunate behavior of inflating the value of product backlog
size estimates in an attempt to conform to or optimize an unwisely conceived mea-
sure (such as achieving a target velocity).

ptg8286261
Glossary 413
portfolio backlog. A backlog composed of products, programs, projects, or high-level
epics. See also portfolio planning.
portfolio planning. An activity for determining which products (or projects) to work
on, in which order, and for how long. Sometimes referred to as portfolio management.
potentially shippable product increment. Results that are completed to a high degree
of confidence and represent work of good quality that is potentially shippable to end
customers at the end of a sprint. Being potentially shippable does not mean the results
will actually be delivered to customers. Shipping is a business decision; potentially
shippable is a state of confidence.
practice. The way in which a principle is supported or realized. For example, the
principle of demonstrating progress is supported by the sprint review Scrum practice.
See activity, artifact, role, rule. See also principle, values.
precision. How exact an estimate is. For example, saying a product will ship on Octo-
ber 7, 2015, is more precise than saying a product will ship in October 2015. Contrast
with accuracy.
predictive process. See plan-driven process.
prescriptive process. See plan-driven process.
principle. A fundamental truth or belief that serves as the foundation for how we
approach product development. An example Scrum principle is to demonstrate prog-
ress frequently. See also practice, values.
principle of least astonishment. Acting or developing work products in a way that is
least likely to startle those around you.
product. 1. The result of a product development effort. 2. A good or service consist-
ing of a bundle of tangible and intangible attributes that satisfies consumers and is
received in exchange for money or some other unit of value. 3. Typically a longer-
lived, more stable artifact against which organizations might conduct one or more
projects. See also product development effort. Contrast with project.
product backlog. A prioritized inventory of yet-to-be-worked-on product backlog
items. See also product backlog item.
product backlog grooming. The activities of writing and refining, estimating, and
prioritizing product backlog items.
product backlog item (PBI). 1. An item such as a feature, defect, or (occasionally)
technical work that is valuable from the product owner’s perspective. 2. An item in
the product backlog. See also product backlog.
product development effort. The full scope of work performed to create or enhance a
product or service. Contrast with project.

ptg8286261
414 Glossary
product owner. The empowered central point of product leadership. One of the three
roles on a Scrum team; the single voice of the stakeholder community to the Scrum
team. The product owner defines what to do and in what order to do it. See also
Scrum team.
product owner proxy. A person enlisted by the product owner to act on his behalf in
particular situations. See also product owner.
product planning. See envisioning.
product roadmap. A description of the incremental nature of how a product will
be built and delivered over time, along with the important factors that drive each
individual release. Useful when developing a product that will have more than one
release. See also envisioning.
product vision. A brief statement of the desired future state that would be achieved by
developing and deploying a product. A good vision should be simple to state and pro-
vide a coherent direction to the people who are asked to realize it. See also envisioning.
progressive refinement. To disaggregate, in a just-in-time fashion, large, lightly
detailed product backlog items into a set of smaller, more detailed items.
project. 1. A temporary endeavor undertaken to create a unique product, service, or
result (PMI 2008). 2. An effort that completes when its objectives have been obtained.
Compared with a life of a product, a project is shorter in duration. Frequently mul-
tiple projects are performed over the full cradle-to-grave lifecycle of a product. Con-
trast with product.
project chartering. The set of up-front work needed to define a project at a sufficient
level of detail that a funding decision can be made. Synonymous with project incep-
tion, project initiation.
project inception. See project chartering.
project initiation. See project chartering.
Q
queue. A holding place for items (an inventory) as they wait for the next action in a
work stream. See also inventory, work in process.
R
refactoring. A technique for restructuring an existing body of code by improving/
simplifying its internal structure (design) without changing its external behavior.
Refactoring is one of the principal techniques for managing technical debt. See also
technical debt, technical practices.

ptg8286261
Glossary 415
relative size measure. A means of expressing the overall size of an item where the
absolute value is not considered, but the relative size of an item compared to other
items is considered. For example, an item of size 2 is half the size of an item of size 4,
but we have no idea how big an item of size 2 or 4 is in some absolute sense. See also
ideal day, story point.
release. 1. A combination of features that when packaged together make for a coher-
ent deliverable to customers or users. 2. A version of a product that is promoted for
use or deployment. Releases represent the rhythm of business-value delivery and
should align with defined business cycles.
release goal. A clear statement of the purpose and desired outcome of a release. A
release goal is created by considering many factors, including the target customers,
high-level architectural issues, and significant marketplace events. See also release.
release plan. 1. The output of release planning. On a fixed-date release, the release
plan will specify the range of features available on the fixed future date. On a fixed-
scope release, the release plan will specify the range of sprints and costs required to
deliver the fixed scope. 2. A plan that communicates, to the level of accuracy that is
reasonably possible, when the release will be available, what features will be in the
release, and how much will it cost. See also fixed-date release, fixed-scope release.
release planning. Longer-term planning that answers questions like “When will we
be done?” or “Which features can I get by the end of the year?” or “How much will
this cost?” Release planning must balance customer value and overall quality against
the constraints of scope, schedule, and budget. See also release plan.
release train. An approach to aligning the vision, planning, and interdependencies of
many teams by providing cross-team synchronization based on a common cadence.
A release train focuses on fast, flexible flow at the level of a larger product. See also
scrum of scrums.
retrospective. See sprint retrospective.
risk. 1. The likelihood that an event will be accompanied by undesirable conse-
quences. Risk is measured by both the probability of the event and the seriousness of
the consequences. 2. Any uncertainty that is expected to have a negative outcome for
the activity. See also uncertainty.
role. A cohesive set of responsibilities that may be fulfilled by one or more people.
The three Scrum roles are product owner, ScrumMaster, and development team. See
also practice, principle.
rule. A common practice or generally reliable method of action in a particular situa-
tion. A rule may be broken when the pragmatics of a situation dictate that a different
course of action should be pursued. The Scrum framework includes rules. See also
essential Scrum, Scrum framework.

ptg8286261
416 Glossary
S
Scrum. A term borrowed from the sport of rugby. 1. A lightweight agile framework
for managing complex product and service development. 2. An iterative and incre-
mental approach to developing products and managing work. See also agile, Scrum
framework.
Scrum framework. A collection of values, principles, practices, and rules that form
the foundation of Scrum-based development. See also Scrum.
ScrumMaster. The coach, facilitator, impediment remover, and servant leader of
the Scrum team. The ScrumMaster is one of the three roles on a Scrum team. The
ScrumMaster provides process leadership and helps the Scrum team and the rest of
the organization develop their own high-performance, organization-specific Scrum
approach. See also Scrum team, servant leader.
Scrummerfall. See WaterScrum.
scrum of scrums (SoS). An approach to coordinating the work of multiple Scrum
teams wherein one or more members of each Scrum team come together to discuss
and resolve inter-team dependency issues. See also release train.
Scrum team. A team composed of a product owner, ScrumMaster, and development
team that works on a Scrum development effort. See also development team, product
owner, ScrumMaster.
self-organization. 1. A bottom-up emergent property of a complex adaptive system
whereby the organization of the system emerges over time as a response to its envi-
ronment. 2. A property of a development team that organizes itself over time, without
an external dominating force applying traditional top-down, command-and-control
management. 3. Reflects the management philosophy whereby operational decisions
are delegated as much as possible to those who have the most detailed knowledge of
the consequences and practicalities associated with those decisions. See also complex
adaptive system, emergence.
sequential process. See plan-driven process.
servant leader. 1. A person who achieves results for her organization by giving prior-
ity attention to the needs of her colleagues and those she serves. 2. A philosophy and
practice of leadership based on listening, empathy, healing, awareness, persuasion,
conceptualization, foresight, stewardship, commitment, and community building.
See also ScrumMaster.
silent grouping. A facilitation technique for getting people to group related items
without talking, relying only on the individual placement and movement of items
(typically cards or sticky notes) as a means of communicating and coordinating
among the participants. A technique frequently used during the sprint retrospective
activity. See also sprint retrospective.

ptg8286261
Glossary 417
simple domain. 1. A situation in which everyone can see cause and effect. Often the
right answer is obvious and undisputed. 2. One of the domains in the Cynefin frame-
work. See also Cynefin. Contrast with chaotic domain, complex domain, complicated
domain, disorder domain.
single-piece flow. A state where items are produced one at a time and flow (are
pulled) through the development process as a single unit.
solution. A product or a service that results from a development effort.
SoS. See scrum of scrums.
specification by example. See acceptance-test-driven development.
sprint. A short-duration, timeboxed iteration. Typically a timebox between one
week and a calendar month during which the Scrum team is focused on producing
a potentially shippable product increment that meets the Scrum team’s agreed-upon
definition of done. See also definition of done, iteration, potentially shippable product
increment.
sprintable story. See implementable story.
sprint backlog. 1. An artifact produced at a sprint-planning meeting and continu-
ously updated during sprint execution that helps a self-organizing team better plan
and manage the work necessary to deliver on the sprint goal. 2. A list of the product
backlog items pulled into a sprint and an associated plan for how to achieve them—
frequently expressed in terms of tasks that are estimated in ideal hours. See also ideal
hour, sprint planning, task.
sprint demo. 1. An activity of a sprint review where the completed (done) product
backlog items are demonstrated with the goal of promoting an information-rich dis-
cussion between the Scrum team and other sprint review participants. 2. A term that is
frequently used synonymously to refer to the entire sprint review. See also sprint review.
sprint goal. A high-level summary of the goal the product owner would like to
accomplish during the sprint. Frequently elaborated through a specific set of product
backlog items.
sprint planning. A time when the Scrum team gathers to agree on a sprint goal and
determine what subset of the product backlog it can deliver during the forthcoming
sprint. During sprint planning, a sprint backlog is produced to help the team acquire
confidence that it can deliver the committed product backlog items. See also sprint
backlog, sprint goal.
sprint retrospective. An inspect-and-adapt activity performed at the end of every
sprint. The sprint retrospective is a continuous improvement opportunity for a
Scrum team to review its process (approaches to performing Scrum) and to identify
opportunities to improve it. See also inspect and adapt, sprint retrospective.

ptg8286261
418 Glossary
sprint review. An inspect-and-adapt activity that occurs after sprint execution where
the Scrum team shows to all interested parties what was accomplished during the
sprint. The sprint review gives everyone with input in the product development effort
an opportunity to inspect what has been built so far and adapt what will be built
next. See also inspect and adapt, sprint demo.
stakeholder. A person, group, or organization that affects or can be affected by an
organization’s actions. See also external stakeholders, internal stakeholders.
stakeholder value. The value that a solution delivers to stakeholders. Sometimes used
interchangeably with customer value. See also stakeholder.
story. See user story.
story mapping. 1. A technique that takes a user-centric perspective for generating a
set of user stories. Each high-level user activity is decomposed into a workflow that
can be further decomposed into a set of detailed tasks. 2. A two-dimensional rep-
resentation of a traditional one-dimensional product backlog list. See also product
backlog, user story.
story point. A measure of the relative size of product backlog items that takes into
account factors such as complexity and physical size. Typically determined by engag-
ing in Planning Poker. See also ideal day, Planning Poker, relative size measure.
strategic filter. The decision criteria used by an organization to evaluate whether a
proposed product meets the strategic criteria to move forward for additional consid-
eration. Contrast with economic filter.
strategic technical debt. A form of technical debt that is used as a tool to help orga-
nizations better quantify and leverage the economics of important, often time-sensi-
tive, decisions. Sometimes taking on technical debt for strategic reasons is a sensible
business choice. Contrast with naive technical debt, unavoidable technical debt. See
also technical debt.
sustainable pace. The appropriately aggressive pace at which a team works so that it
produces a good flow of business value over an extended period of time without get-
ting burned out.
swarming. A behavior whereby team members with available capacity and appropri-
ate skills collectively work (swarm) on an item to finish what has already been started
before moving ahead to begin work on new items. See also T-shaped skills.
synchronization. Causing multiple events to happen at the same time. Frequently
used to ensure that multiple Scrum teams work together in a coordinated way by
starting and ending their sprints on the same days. See also cadence.

ptg8286261
Glossary 419
T
tacit knowledge. Unwritten and unspoken knowledge (including insights, intuitions,
and hunches) that is hard, but not impossible, to articulate with formal language.
The opposite of explicit or formal knowledge. Sometimes referred to as “know-how.”
targeted technical debt. A status category for technical debt that represents debt that
is known and has been targeted for servicing by the development team. Contrast with
happened-upon technical debt, known technical debt. See also technical debt.
task. The technical work that a development team performs in order to complete a
product backlog item. Most tasks are defined to be small, representing no more than
a few hours to a day or so of work.
task board. An information radiator used during sprint execution to communicate
the progress and flow of task-level work within a sprint. See also information radiator,
task.
TDD. See test-driven development.
team. A small, cross-functional collection of diverse, collaborating people who are
aligned to a common purpose and goal. Team members trust each other and work
together to achieve the goal, holding themselves mutually accountable for the out-
come. Contrast with group.
technical debt. 1. A term used to describe the obligation that a software organiza-
tion incurs when it chooses a design or construction approach that is expedient in
the short term but that increases complexity and is more costly in the long term. 2. A
metaphor that facilitates the communication between business and technical people
regarding implementation artifact inadequacies. See also naive technical debt, strate-
gic technical debt, unavoidable technical debt.
technical practices. The specific practices or techniques that are used during sprint
execution to properly perform the work required to deliver features that have man-
ageable levels of technical debt and meet the Scrum team’s definition of done.
technical stories. A “user” story (product backlog item) that delivers no perceived
end-user value but does deliver important architecture or infrastructure needed to
deliver future user value. See also user story.
technique. A defined procedure that is used to perform some or all of an activity or
support an approach. See also activity, approach.
test-driven development (TDD). 1. An evolutionary approach to development based
on writing a failing automated test before the functional code that makes the test
pass. Once the code is written to pass the test, the cycle is then repeated, including
refactoring the existing code to ensure a coherent cross-functional design. The goal
of test-driven development is specification and not validation—to think through a

ptg8286261
420 Glossary
design before code is written, to create clean code that always works. 2. An example of
test-first development. See also refactoring, technical practices, test-first development.
test-first development. A technical practice where the tests are written before the
development is performed. An example is test-driven development. See also technical
practices, test-driven development.
theme. A collection of related user stories. A theme provides a convenient way to
indicate that a set of stories have something in common, such as being in the same
functional area. See also epic, user story.
timebox. A fixed-length period of time during which an activity is performed. In
Scrum, sprints are timeboxed iterations where a team works at a sustainable pace to
complete a chosen, WIP-limited set of work. See also sprint, timeboxing.
timeboxing. A time management technique that helps organize the performance of
work and manage scope. See also timebox.
traditional development process. See plan-driven process.
transparency. One of the three pillars of empirical process control; open access to the
unbiased information required for inspection and adaptation. See also adaptation,
empirical process control, inspection.
T-shaped skills. A metaphor used to describe a person with deep vertical skills in a
specialized area (such as UX design) as well as broad but not necessarily very deep
skills in other relevant areas (such as testing and documentation). Team members
with T-shaped skills better enable swarming behavior. See also swarming.
U
unavoidable technical debt. A form of technical debt that is usually unpredictable
and unpreventable and accrues through no fault of the team building the product.
Contrast with naive technical debt, strategic technical debt. See also technical debt.
uncertainty. Something that is not known or established. Often considered synony-
mous with risk but is actually broader in scope because uncertainty includes both
risks (negative outcomes) and opportunities (positive outcomes). See also risk.
unknown unknowns. The things that we don’t yet know that we don’t know.
unnecessary formality. 1. A ceremony that has a real cost but delivers little or no
value (a form of waste). 2. Process for the sake of process. See also ceremony, waste.
user role. 1. The name for a class of product users. 2. One of the key elements of a
user story that defines the recipient of the value delivered by a user story. See also user
story.

ptg8286261
Glossary 421
user story. A convenient format for expressing the desired business value for many
types of product backlog items. User stories are crafted in a way that makes them
understandable for both business people and technical people. They are structurally
simple and typically expressed in a format such as “As a <user role> I want to achieve
<goal> so that I get <benefit>.” They provide a great placeholder for a conversation.
Additionally, they can be written at various levels of granularity and are easy to pro-
gressively refine. See also epic, progressive refinement, theme, user role.
user-story-writing workshop. A workshop lasting from a few hours to a few days
where a diverse team of participants collectively brainstorms desired business value
and creates user story placeholders for what the product or service is supposed to do.
See also user story.
V
validated learning. A term proposed by Ries (2011) to describe the progress made
when important assumptions have been confirmed or refuted by subjecting each
assumption to one or more customer validation tests. Contrast with assumption.
values. 1. Those things that we hold dear or precious. 2. The foundation of a shared
operating agreement among members of a team. Core Scrum values include honesty,
openness, courage, respect, focus, trust, empowerment, and collaboration.
variability. The spread or dispersion of a set of data representing non-identical out-
comes. In manufacturing, variability is always waste. In product development, some
variability is necessary to develop innovative solutions. See also waste.
velocity. A measure of the rate at which work is completed per unit of time. Using
Scrum, velocity is typically measured as the sum of the size estimates of the product
backlog items that are completed in a sprint. Velocity is reported in the same units as
product backlog items—usually story points or ideal days. Velocity measures output
(the size of what was delivered), not outcome (the value of what was delivered).
W
waste. Any activity that consumes resources and produces no added value to the
product or service that a customer receives.
waterfall. A term referring to the graphical depiction of a development process in
which the sequential phases of work are shown flowing steadily downwards like a
cascading waterfall. See also plan-driven process.
waterfall process. See plan-driven process.

ptg8286261
422 Glossary
WaterScrum. Overlaying waterfall-style development on the Scrum framework. An
example would be performing an analysis sprint, followed by a design sprint, followed
by a coding sprint, followed by a testing sprint. Synonymous with Scrummerfall.
weighted shortest job first (WSJF). An economically optimal algorithm for sched-
uling work in an environment where both the cost of delay and the duration vary
among the work items. See also cost of delay.
WIP. See work in process.
won’t-have features. The set of features that are specifically declared to not be in the
upcoming release. Contrast with must-have features, nice-to-have features.
work in process (WIP). Work that has entered the development process but is not yet
finished and available to a customer or user. Refers to all assets or work products of
a product or service that are currently being worked on or waiting in a queue to be
worked on.
WSJF. See weighted shortest job first.
X
XP. See Extreme Programming.

ptg8286261
423
REFERENCES
Adkins, Lyssa. 2010. Coaching Agile Teams: A Companion for ScrumMasters, Agile
Coaches, and Project Managers in Transition. Addison-Wesley Professional.
Anderson, David J. 2010. Kanban. Blue Hole Press.
Appelo, Jurgen. 2011. Management 3.0: Leading Agile Developers, Developing Agile
Leaders. Addison-Wesley Professional.
Beck, Kent, Mike Beedle, Arie van Bennekum, Alistair Cockburn, Ward Cunning-
ham, Martin Fowler, James Grenning, Jim Highsmith, Andrew Hunt, Ron Jeffries,
Jon Kern, Brian Marick, Robert C. Martin, Steve Mellor, Ken Schwaber, Jeff Suther-
land, and Dave Thomas. 2001. Manifesto for Agile Software Development.
www.agilemanifesto.org/.
Beck, Kent, and Cynthia Andres. 2004. Extreme Programming Explained, 2nd ed.
Addison-Wesley Professional.
Boehm, Barry W. 1981. Software Engineering Economics. Prentice Hall.
Brooks, Frederick P. 1995. The Mythical Man-Month: Essays on Software Engineering,
2nd ed. Addison-Wesley Professional. (Originally published in 1975.)
Cohn, Mike. 2004. User Stories Applied: For Agile Software Development. Addison-
Wesley Professional.
———. 2006. Agile Estimating and Planning. Addison-Wesley Professional.
———. 2009. Succeeding with Agile. Addison-Wesley Professional.
———. 2010. Agile 2010 keynote presentation.
Cook, Daniel. 2008. “The Laws of Productivity: 8 productivity experiments you
don’t need to repeat.” Presentation found at http://www.lostgarden.com/2008/09/
rules-of-productivity-presentation.html.
Crispin, Lisa, and Janet Gregory. 2009. Agile Testing: A Practical Guide for Testers and
Agile Teams. Addison-Wesley Professional.
Cunningham, Ward. 1992. “The WyCash Portfolio Management System,” OOPSLA
1992 experience report. OOPSLA ’92, Object-Oriented Programming Systems, Lan-
guages and Applications, Vancouver, BC, Canada, October 18–22.

ptg8286261
424 References
Denne, Mark, and Jane Cleland-Huang. 2003. Software by Numbers: Low-Risk, High-
Return Development. Prentice Hall.
Derby, Esther, and Diana Larsen. 2006. Agile Retrospectives: Making Good Teams
Great. Pragmatic Bookshelf.
Fowler, Martin. 2009. “Technical Debt Quadrant.” Bliki entry found at http://
martinfowler.com/bliki/TechnicalDebtQuadrant.html.
Fowler, Martin, Kent Beck, John Brant, William Opdyke, and Don Roberts. 1999.
Refactoring: Improving the Design of Existing Code. Addison-Wesley Professional.
Goldberg, Adele, and Kenneth S. Rubin. 1995. Succeeding with Objects: Decision
Frameworks for Project Management. Addison-Wesley Professional.
Grenning, James. 2002. “Planning Poker.” www.objectmentor.com/resources/
articles/PlanningPoker.zip.
Highsmith, Jim. 2009. Agile Project Management: Creating Innovative Products, 2nd
ed. Addison-Wesley Professional.
Hohmann, Luke. 2003. Beyond Software Architecture. Addison-Wesley Professional.
IEEE. 1990. IEEE Std 610.12-1990 (revision and designation of IEEE Std 792-1983).
IEEE Standards Board of the Institute of Electrical and Electronics Engineers, New
York, September 28, 1990.
Jeffries, Ron. 2001. “Essential XP: Card, Conversation, Confirmation.” http://
xprogramming.com/articles/expcardconversationconfirmation/.
Katz, Ralph. 1982. “The Effects of Group Longevity on Project Communication and
Performance.” Administrative Science Quarterly 27: 81–104.
Kennedy, John Fitzgerald. 1961. Special Message to the Congress on Urgent National
Needs, May 22.
Kerth, Norm. 2001. Project Retrospectives: A Handbook for Team Reviews. Dorset
House.
Larman, Craig, and Bas Vodde. 2009. “Lean Primer.” Downloadable from
www.leanprimer.com/downloads/lean_primer.pdf.
Laufer, Alexander. 1996. Simultaneous Management: Managing Projects in a Dynamic
Environment. American Management Association.
Leffingwell, Dean. 2011. Agile Software Requirements: Lean Requirements Practices for
Teams, Programs, and the Enterprise. Addison-Wesley Professional.
McConnell, Steve. 2007. “Technical Debt.” Blog entry found at http://blogs.construx
.com/blogs/stevemcc/archive/2007/11/01/technical-debt-2.aspx.

ptg8286261
References 425
Mar, Kane. 2006. “Technical Debt and the Death of Design: Part 1.” Blog entry found
at http://kanemar.com/2006/07/23/technical-debt-and-the-death-of-design-part-1/.
Martin, Robert C. 2008. Clean Code: A Handbook of Agile Software Craftsmanship.
Prentice Hall.
Page, Scott. 2007. The Difference: How the Power of Diversity Creates Better Groups,
Firms, Schools, and Societies. Princeton University Press.
Patton, Jeff. 2008. Example of incremental releasing. Personal communication.
———. 2009. “Telling Better User Stories: Mapping the Path to Success.” Better
Software, November/December, 24–29.
Pelrine, Joseph. 2011. “Is Software Development Complex.” Guest blog entry found
at http://cognitive-edge.com/blog/entry/4597/is-software-development-complex.
Pichler, Roman. 2010. Agile Product Management with Scrum: Creating Products That
Customers Love. Addison-Wesley Professional.
PMI. 2008. A Guide to the Project Management Body of Knowledge (PMBOK® Guide),
4th ed. Project Management Institute, Inc.
Poppendieck, Mary, and Tom Poppendieck. 2003. Lean Software Development: An
Agile Toolkit. Addison-Wesley Professional.
Putnam, Doug. 1996. “Team Size Can Be the Key to a Successful Project.” An article
in QSM’s Process Improvement Series. www.qsm.com/process_01.html.
Putnam, Lawrence H., and Ware Myers. 1998. “Familiar Metrics Management:
Small Is Beautiful—Once Again.” IT Metrics Strategies IV:8: 12–16. Cutter Informa-
tion Corp.
Reinertsen, Donald G. 2009a. “Types of Processes.” Guest blog entry found at
www.netobjectives.com/blogs/Types-of-Processes.
———. 2009b. The Principles of Product Development Flow: Second Generation Lean
Product Development. Celeritas Publishing.
Ries, Eric. 2011. The Lean Startup: How Today’s Entrepreneurs Use Continuous Inno-
vation to Create Radically Successful Businesses. Crown Business.
Schwaber, Ken. 1995. “Scrum Development Process.” In OOPSLA Business Object
Design and Implementation Workshop, ed. J. Sutherland et al. Springer.
———. 2004. Agile Software Development with Scrum. Microsoft Press.
Schwaber, Ken, and Mike Beedle. 2001. Agile Software Development with Scrum.
Prentice Hall.

ptg8286261
426 References
Schwaber, Ken, and Jeff Sutherland. 2011. “The Scrum Guide.” Downloadable at
www.scrum.org.
SEI. 2010. “CMMI for Development, Version 1.3.” Software Engineering Institute,
Carnegie Mellon University. Downloadable at www.sei.cmu.edu/library/abstracts/
reports/10tr033.cfm.
———. 2011. Second International Workshop on Managing Technical Debt, May 23.
Colocated with ICSE 2011, Waikiki, Honolulu, Hawaii. Downloadable at
www.sei.cmu.edu/community/td2011/.
Smith, Preston G., and Donald G. Reinertsen. 1998. Developing Products in Half the
Time: New Rules, New Tools. Van Nostrand Reinhold.
Snowden, David J., and Mary E. Boone. 2007. “A Leader’s Framework for Decision
Making.” Harvard Business Review, November.
Staats, Bradley R. 2011. Unpacking Team Familiarity: The Effects of Geographic Loca-
tion and Hierarchical Role. University of North Carolina at Chapel Hill.
Takeuchi, Hirotaka, and Ikujiro Nonaka. 1986. “The New New Product Develop-
ment Game.” Harvard Business Review, January, 137–146.
Tuck ma n, Bruce W. 1965. “Developmenta l Sequence i n Smal l Groups.” Psychological
Bulletin 63: 384–399. The article was reprinted in Group Facilitation: A Research and
Applications Journal, no. 3, Spring 2001.
VersionOne. 2011. “The State of Agile Development : Si x t h Annual Sur vey.” Posted as
a downloadable PDF in the Library of White Papers on www.versionone.com.
Wake, William C. 2003. “INVEST in Good Stories, and SMART Tasks.”
www.xp123.com.
Wheelwright, Steven C., and Kim B. Clark. 1992. Revolutionizing Product Develop-
ment: Quantum Leaps in Speed, Efficiency, and Quality. The Free Press.
Wiseman, John “Lofty.” 2010. SAS Survival Guide: For Any Climate, in Any Situation,
rev. ed. Collins Reference.

ptg8286261
427
A
Absolute sizes, vs. relative sizes in estimation,
125–128
Acceptance criteria
conditions of satisfaction related to
product backlog, 77
defined, 401
definition of ready and, 110
product owner defining and verifying,
169–170
user stories containing confirmation
information, 85–86
Acceptance-test-driven development (ATTD),
85–86, 402
Acceptance tests
conditions of satisfaction expressed via, 85
defined, 401
product owner responsibilities and, 169
verifying conditions of satisfaction, 77
Accountability, of product owner, 173
Accrual of technical debt, managing, 149–152
Accuracy
defined, 402
vs. precision in estimation, 125, 274–275
Actions, resulting from retrospective
deciding what action to take, 389–390
determining possible actions, 387–388
follow through on, 391–392
as output of sprint retrospective, 381
selecting insights to act on, 388
Activities
defined, 402
overview of, 16–18
Adaptation. See also Prediction and adaptation
principle, in agile development
balancing predictive work with adaptive
work, 43–44
based on product review, 371
daily scrum as inspect-and-adapt activity,
354
defined, 402
discovering your own path forward, 396
and exploration in approach to
development, 39–40
as focus of planning rather than
conformance, 249–251
leveraging variability, 35–36
plan-driven development compared with
agile development, 59
responsibilities of development team,
197–198
sprint retrospective and, 375
sprint review and, 363
Agile development
concerns about adopting, 225
defined, 402
managers promoting agile values, 233–234
no end state in, 395
overview of, 1–3
plan-driven approach compared with,
59–60
product backlog in, 1
sharing best practices, 396–397
The Agile Manifesto (Beck), xxxi, 30,
204–205, 210
Agile principles
accepting that you can’t get it right up
front, 38–39
adapting to real-time information and
replanning based on, 54
adaptive, exploratory approach, 39–40
balancing predictive work with adaptive
work, 43–44
batch sizes in, 48–49
cost of change and, 40–43
cost of delays and, 52–54
INDEX

ptg8286261
428 Index
Agile principles (continued )
embracing helpful variability, 32–33
focusing on idle work, 51–52
inspection, adaptation, and transparency,
35–36
inventory management, 49–50
iterative and incremental approach to
development, 33–35
keeping options open, 37–38
learning loops in, 45–46
measuring progress by asset validation,
54–55
minimizing unnecessary formality, 57–58
organizing workflow for fast feedback,
46–47
overview of, 29–32
prediction and adaptation, 37
quality built-in to development process,
56–57
reducing uncertainty, 36–37
sustainable pace in performance of work, 56
validated learning in, 44–45
value-centric delivery in, 55
variability and uncertainty and, 32
work in process (WIP) and, 48
Agile Retrospectives (Derby and Larsen), 379
All-at-once product development
defined, 402
in origins of Scrum, 3
All-before-any approach
defined, 402
to work in process, 48
Anticipatory process. See plan-driven
development
Appelo, Jurgen, 230
Approach
defined, 402
essential scrum includes, xxix
realizing Scrum practices, 13
Artifacts
defined, 402
just-in-time approach to creating work
products, 43
managing inventory of planning artifacts,
251–252
potentially shippable product increment
as, 25–26
product backlog as, 18–19
sprint backlog as, 18
Asset teams, 214. See also Component teams
Assets
measuring progress by asset validation,
54–55
monitoring and reports focusing on asset
validation, 236
Assumptions
calculating release costs and, 325–326
defined, 402
replanning based on validation of, 251
validated learning and, 45, 304
Atmosphere, setting for sprint retrospective,
382
ATTD (Acceptance-test-driven development),
85–86, 402
Attendance
sprint retrospective issues, 392
sprint review issues, 372–373
Authority, levels of (Appelo), 230
Automated testing, 149, 355–356
B
Batch size
in agile development, 48–49
comparing plan-driven development with
agile development, 60
defined, 403
Benefits of Scrum, 4–5
Best practices, 396–397
Blame
creating blame-free atmosphere for sprint
retrospective, 382
sprint retrospective issues, 393
“Boil-the-ocean” projects, 65
Boy Scout rule
defined, 403
servicing technical debt when you happen
upon it, 158–159
Budget constraint
fixed date approach, 313–314
fixed everything approach, 311–312
fixed scope and date approach, 312–313
fixed scope approach, 313
in release planning, 311

ptg8286261
Index 429
Burndown chart
defined, 403
for fixed-scope release, 327–328
sprint, 357–359
Burnup charts
defined, 403
for fixed-scope release, 328–329
sprint, 359–360
Business
engagement pattern with, 170
making technical debt visible at business
level, 153–154
ScrumMaster skills related to business
domain, 188
C
Cadence
benefits of consistent duration of sprints,
67–68
defined, 403
Capacity
defined, 403
in Kanban, 10
measuring in effort-hours, 342–343
measuring in story points, 342
sprint planning, 22, 340–342
underutilization of, 351
Card format, for user stories, 83–84
Ceremony
defined, 403
minimizing unnecessary, 57–58, 368
plan-driven development compared with
agile development, 60
Change
consequences of, 70–71
handling cost of, 40–43
maintaining sprint goals despite, 69–73
managing, 79
overcoming the status quo, 398–399
as product backlog item, 101
Change agent, ScrumMaster as, 187, 191
Chaotic domain
in Cynefin framework, 6–7, 9
defined, 403
Checkpoints, short duration sprints providing
frequent, 66–67
Chickens and pigs, 25, 403
Chief product owner, 183–184, 404
Clarification, of sprint goals, 69–70
Closing retrospectives, 390–391
Closure, timeboxing enforcing, 63
CMMI maturity model, 395
Coach
a day in the life of ScrumMaster, 190
ScrumMaster as, 16, 185–186
Code refactoring. See Refactoring code
Cohn, Mike, xxv, xxxiii–xxxiv, 129–130, 206,
395, 397–398
Collaboration
benefits of face-to-face communication, 205
cross-cluster, 240–241
funneling through project manager,
242–243
of product owner with development team,
170 –171
of product owner with stakeholders, 171
ScrumMaster skills, 189
in sprint review, 370
Commercial development projects, 177–179
Commercial-off-the-shelf (COTS), 8
Commitment
as basis of sprint goals, 69
change and, 71
checking if realistic, 344–345
defined, 404
of development team, 207–208
estimates contrasted with, 124–125
sporadic attendance and, 372–373
sprint planning outcomes and, 17–18, 346
Communication
channels between teams, 240–241
development team skills/characteristics,
204–205
facilitating shared understanding, 81–82
product owner skills, 172–173
of progress in fixed-date release, 329–330
of progress in fixed-date release planning,
327–329
ScrumMaster skills, 189–190
of sprint execution progress, 356
transparency of, 205–206
Competence, managers developing team
members, 231–232

ptg8286261
430 Index
Complaints, sprint retrospective issues, 393
Complex adaptive systems
defined, 404
flight pattern of geese illustrating, 199
Scrum origins and, 3
Complex domain
in Cynefin framework, 6–8
defined, 404
Complexity, Scrum providing confidence in
handling, 6
Complicated domain
in Cynefin framework, 6–8
defined, 404
Component teams
combining with feature teams, 217–218
defined, 404
feature teams compared with, 213–216
product owner for, 177, 180–181
when defining a product, 116
when to use, 216
Components
development of, 213–214
development projects, 180–181
integration and testing, 46–47
Conditions of satisfaction, 404. See also
Acceptance criteria
Confidence, acquiring in sprint planning,
344–346
Confidence threshold
defined, 404
for product planning, 290, 298
targeting realistic, 300–302
Confirmation information, in user stories,
85–86
Conformance to plans, in plan-driven
development, 54, 60, 250
Constraints, in release planning
fixed date, 313–314
fixed everything approach, 311–312
fixed scope, 313
fixed scope and date, 312–313
inputs to sprint planning, 338
overview of, 311
updating, 314
variable quality and, 313–314
Continuous deployment (delivery)
defined, 404
planning release of features to customers,
308
product roadmap and, 260
Continuous improvement
no end state in Scrum, 395
sprint retrospective and, 375
while applying iterative and incremental
development, 34
Continuous integration
defined, 404
helping work at a sustainable pace, 209
technical practice, 355
use of good practices prevents accrual of
technical debt, 149
Contracts, limitations of fixed-price contracts,
235
Conversations
in development of user stories, 84–85
facilitating shared understanding, 81–82
Coordination. See also Collaboration
cross-cluster, 240–241
funneling through project manager,
242–243
Cost of delay
Agile principles and, 52–54
comparing plan-driven development with
agile development, 60
defined, 404
portfolio planning and, 271–274
for properly quantifying technical debt
economics, 150–152
Costs
calculating in release planning process,
325–326
handling cost of change, 40–43
of idle work, 52–53
Scrum reducing, 6
technical debt impacting development
costs, 142–143
COTS (Commercial-off-the-shelf), 8
Cross-cluster collaboration, 240–241
Cross-functional diversity and sufficiency, of
development team, 200–201
Cross-functional teams
in agile development, 2
defined, 405
feature teams, 213

ptg8286261
Index 431
high-bandwidth communication and, 205
managers forming, 228–229
quality built-in to development process,
56–57
vs. role-specific teams, 195–196
Cunningham, Ward
on refactoring, 149
on technical debt, 139–140
Customer satisfaction
Scrum benefits, 6
technical debt decreasing, 144
Customer uncertainty
defined, 405
reducing, 36
Customers
engagement pattern with, 170–171
planning release of features to, 307
product owner understanding needs of, 166
repaying technical debt while performing
customer-valuable work, 160–162
value-centric delivery focused on needs
of, 55
value of user stories to, 90
Cynefin framework
defined, 405
for situation-appropriate decision making,
6–7
D
Daily planning, 258, 264–265
Daily scrum
approaches to, 397
daily planning during, 264–265
defined, 405
sprint execution and, 354
sprints and, 23–25
when grooming occurs and, 108
Daily stand-up. See Daily scrum
Date constraint
fixed date approach, 313–314
fixed everything approach, 311–312
fixed scope and date approach, 312–313
fixed scope approach, 313
in release planning, 311
Deadlines, resulting in technical debt,
144 –145
Decision making
economic filter for go/no-go decision
making, 275–276
illusion of certainty and, 303
incremental/provisional approach to
funding, 304–305
keeping options open, 37–38, 249
plan-driven development compared with
agile development, 59
by product owner, 173
which work needs to be done, 353–354
which work to start, 352
DEEP (Detailed appropriately, Emergent,
Estimated, and Prioritized)
appropriate detail, 101–102
characteristics of good product backlog, 101
defined, 405
emergent nature of, 102
prioritization in, 103–104
size estimates in, 102–103
Defects
compounding, 142
defining when sprint is complete or done
and, 75
as product backlog item, 100–101
as technical debt, 139
Defined process, in plan-driven development,
32
Definition of done
checklist, 74–76
confidence threshold as envisioning, 290
defined, 405
development team needs skills to meet,
200–201
evolving over time, 76–77
for managing technical debt, 149–150
no end state in Scrum, 395
nonfunctional requirements for inclusion
in, 93
overview of, 25–26
preventing accrual of technical debt, 150
versus acceptance criteria, 77
what work needs to be done, 353–354
Definition of ready
acceptance criteria, 169
checklist, 109–110
defined, 405

ptg8286261
432 Index
Definition of ready (continued )
overview, 108–110
product backlog items for sprint planning,
336
providing boundaries for work at the task
level, 353
selecting product backlog items and, 344
understanding how to demonstrate items
at sprint review, 370
Delays, cost of. See Cost of delay
Delegation, as means of empowering teams,
230
Deliverables. See also Potentially shippable
product increments (PSIs)
short duration sprints and, 65–66
technical debt increasing time to delivery,
142
Demonstration aspect, of sprint review, 368,
370
Design flaws, as technical debt, 139
Detail
in product backlog, 101–102
in user stories, 86–88
Development team
accountability of product owner to, 173
communication skills of, 204–205
cross-functional diversity and sufficiency
of, 200–201
daily scrum for, 23
defined, 405
focus and commitment of, 207–208
grooming product backlog, 105–106
long-lived nature of, 209–211
multiple teams with one product backlog,
115–116
Musketeer attitude (all for one, one for all),
203–204
one team with multiple product backlogs,
117–118
overview of, 195
participant in product planning, 288–289
participant in release planning, 308
participant in requirements conversation,
84
participant in sprint execution, 348
participant in sprint planning, 335
participant in sprint retrospective, 377
participant in sprint review, 364–365
PBI estimation, 123–124
product owner collaborating with, 166,
170 –171
responsibilities of, 196–197
role of, 16
role-specific teams, 195–196
rules of Planning Poker and, 132
as Scrum role, 16
self-organizing nature of, 198–200
small size of, 206
sprint planning, 21–23
sustainable pace in performance of work,
208–209
T-shaped skills, 201–203
technical practices for task performance,
355–356
transparency of communication, 205–206
when grooming occurs and, 107–108
Discussions
in sprint review, 371
when estimating, 121–122
when writing user stories, 81–82, 85
Disorder domain
in Cynefin framework, 6–7, 9
defined, 406
Diversity, of development team, 200–201
Documentation
conversations compared with, 81–82
cost of delay example involving, 53–54
in definition of done, 74
lack of in VersionOne 2011 survey, 225
plan-driven development as document-
centric process, 57
in Scrum development, 57–58
supplementing user stories, 84
Domain skills, of product owner, 171–172
Done
acceptance criteria compared with, 77
checklist, 74–76
defined, 406
done vs. done done, 77–78
evolution of definition of done over time,
76–77
no end state in Scrum, 395
sprint review confirming, 367–368
value of strong definition of done in
preventing accrual of technical debt,
149–150

ptg8286261
Index 433
Dot voting
defined, 406
selecting which insights to act on, 388
Duration, of sprints
calculating from estimated size and
measured velocity, 119–120
consistency of, 67–68
short duration preference, 64–67
story points in calculation of, 128
E
Economic filter
defined, 406
for go/no-go decision making, 275–276
Economics
of abnormal sprint termination, 72–73
of aligning all teams to a single product
backlog, 115–116
of change, 70–71
of component teams, 218
of developing a project plan per sprint, 349
focusing on short time horizon in product
planning, 302
improved by fast feedback, 65
incremental/provisional funding, 304–305
learning fast and pivoting as necessary, 305
of long-lived teams, 210
managing, 167–168, 236
marginal economics applied to in-process
products, 283–285
of product planning, 299–300
of release approach, 253
of rising development costs, 142
single versus multiple release, 252–253
of smaller, more frequent releases, 279–280
speed and efficiency and, 302–303
targeting realistic confidence threshold,
300–302
of technical debt, 150–152
validated learning, 303–304
Economies of scale, manufacturing vs.
product development, 48
Effort/cost, scheduling portfolio backlog
items and, 274
Effort hours
capacity in, 342–343
checking if commitment is realistic,
344–345
tasks in, 122
Emergent opportunities
defined, 406
embracing quickly, 278–279
Emotions seismograph
defined, 406
mining for insights, 385
sprint retrospective and, 384–385
Empirical process control (Schwaber and
Beedle), 35, 406
End of life, not repaying technical debt for
products approaching, 157
End uncertainty
defined, 406
reducing uncertainty, 36
Enjoyment, Scrum benefits, 6
Enterprise Transition Community (ETC), 398
Environment, managers’ responsibilities
aligning internal groups, 234
aligning partners, 234–235
promoting agile values, 233–234
removing organizational impediments,
234
Envisioning. See Product planning
Epics
defined, 406
estimating, 103
in release train, 221
representing product backlog items,
294–295
size of user stories and, 86–88
story mapping technique and, 96
Errors, setting limit or bound on, 65
Estimable criteria, INVEST, 91–92
Estimation
accuracy vs. precision, 125, 274–275
commitments contrasted with, 124–125
defined, 407
development team in PBI estimation,
123–124
ideal days for measurements in, 128–129
overview of, 119–120
of PBIs, 121
Planning Poker approach, 129–133
of product backlog, 121–122

ptg8286261
434 Index
Estimation (continued )
product owner and, 175
relative sizes vs. absolute sizes, 125–128
scale in, 130
story points for measurements in, 128
of tasks, 122
units for, 128
what and when of, 120–121
ETC (Enterprise Transition Community), 398
Event timeline
defined, 407
mining for insights, 385
sprint retrospective and, 384
Excitement/enthusiasm, short duration
sprints rejuvenating, 65–66
Exercises
inputs for sprint retrospective, 380
selecting for use in sprint retrospective, 379
Experiments, knowledge-acquisition user
stories, 93
Exploitation, 59, 407
Exploration
defined, 407
knowledge-acquisition user stories, 93–95
plan-driven development compared with
agile development, 39–40, 59
External stakeholders
defined, 407
product owner collaborating with, 171
Extreme Programming (Beck and Andres),
355, 407
F
Face-to-face communication, 205
Facilitator
ScrumMaster as, 16
for sprint execution, 348
for sprint planning, 335–336
for sprint retrospective, 393
for sprint review, 368
Fail fast, 305, 407
Fast feedback. See also Feedback
defined, 407
early review and, 367
monitoring and reports aligned to, 236
organizing workflow for, 46–47
plan-driven development compared with
agile development, 59
short duration sprints aiding, 64–65
technical debt and, 139
Fast pace, of development
fast delivery as Scrum benefit, 6
go fast but never hurry, 56
Feature teams
combining with component teams,
217–218
comparing with component teams,
213–216
defined, 407
product owner, 180-181
Features
defined, 407
as product backlog item, 100–101
release flow management and, 110–111
user stories and, 87–88
Feedback. See also Fast feedback
in iterative and incremental development,
34–35
learning fast and pivoting as necessary, 305
learning loops and, 45–46
organizing workflow for, 46–47
performance feedback given by managers,
232
plan-driven development compared with
agile development, 59
in prioritization of iterations, 2
short duration sprints aiding, 64–65
sprint review and, 364–365
Fixed date constraint, in release planning,
313–314
Fixed-date release
calculating costs in, 325–326
communicating progress of, 329–330
defined, 408
overview of, 318–323
planning and, 67–68
Fixed everything constraint, in release
planning, 311–312
Fixed-price contracts, limitations of, 235
Fixed scope and date constraints, in release
planning, 312–313
Fixed scope constraint, in release planning,
313

ptg8286261
Index 435
Fixed-scope release
calculating costs in, 325–326
communicating progress of, 327–329
defined, 408
planning, 323–325
product roadmap and, 260–261
Flow
daily scrum in management of, 354
deciding which work needs to be done,
353–354
deciding which work to start, 352
defined, 408
managing in sprint execution, 349–350
organizing task work, 352–353
organizing workflow for fast feedback,
46–47
parallel work and swarming, 350–352
release flow management, 110–111
Scrum used in organizing work flow, 3
sprint flow management, 111–112,
349–350
who does the work, 354
Focus
of development team, 207–208
of sprint retrospective, 378–379
Forecasts
defined, 408
terminology choices for sprint planning
outcomes, 17–18
velocity, 135
vs. commitments, 346
Formality
minimizing unnecessary, 57–58
plan-driven development compared with
agile development, 60
unnecessary formality defined, 420
Framework, for Scrum
activities and artifacts, 16–18
closing review, 28
core values, principles, and practices in,
xxix
daily scrum, 23–25
defined, 408, 416
overview of, 13
practices, 14
product backlog, 18–20
roles, 14–16
sprint execution, 23
sprint planning, 21–23
sprint results, 25–26
sprint retrospective, 27–28
sprint review, 26–27
sprints, 20–21, 61
Frustration, technical debt resulting in, 144
Functional managers. See Managers
Funding, incremental/provisional approach
to, 304–305
G
Gantt chart
sprint execution and, 349
of up-front plan, 250
Go/no-go decision making
economic filter for, 275–276
funding decisions, 299
Goals. See also Sprint goal
managers providing team goals, 228
no end state for, 395
Grenning, James, 129
Grooming
defined, 408
insight backlog, 390
overview of, 104
product backlog, 19, 315
responsibilities of development team, 197
responsibility of product owner, 169
in Scrum framework, 17
ScrumMaster working with product owner
on, 190
what it is, 104–105
when does it occur, 106–108
who does it, 105–106
Groups
compared with teams, 209–210
defined, 408
managers role in aligning internal, 234
H
Happened-upon technical debt, 155, 158–159,
408
Harvesters (Goldberg and Rubin), 217
Hidden agendas, transparency and, 189
Hierarchical product backlogs, for large
products, 114–115

ptg8286261
436 Index
High-bandwidth communication, devel-
opment team skills/characteristics,
204–205
Hiring/firing authority, of managers, 229
I
Ideal days
defined, 408
measuring magnitude of PBI, 128–129
as relative size measures, 20
Ideal hours
defined, 408
task estimated in, 122
Ideation, 288
Idle work
comparing plan-driven development with
agile development, 60
defined, 409
focusing on idle work not idle workers,
51–52, 281
monitoring and reports focusing on, 236
Idle workers, 51–52, 281, 409
Impediments
defined, 409
managers removing, 234
ScrumMaster removing, 187, 191
Implementable stories
defined, 409
size of user stories and, 87
story mapping technique and, 97
In-process products
defined, 409
marginal economics applied to, 283–285
overview of, 283
portfolio planning and, 268
Incremental approach, to servicing technical
debt, 159
Incremental development
agile principles underlying Scrum, 33–35
defined, 409
short duration sprints rejuvenating
participant excitement, 65
Incremental funding
defined, 409
economics of product planning, 304–305
Independent criteria, INVEST, 88–89
Inflow strategies, portfolio planning
balancing product flow into/out of
portfolio backlog, 276–278
economic filter for go/no-go decision
making, 275–276
embracing emergent opportunities,
278–279
overview of, 275
small, frequent releases, 279–280
Information radiator. See also
Communication
defined, 409
elements of, 356
Innovation accounting
defined, 409
metrics in, 236–237
Innovation waste, 90, 409
Insight backlog
defined, 409
grooming, 390
inputs for sprint retrospective, 381
as source of insights, 386
Insight cards, 386–387
Insights, in sprint retrospective
identifying, 385–387
inputs for sprint retrospective, 381
insight backlog, 390
selecting among, 388–389
Inspection
daily scrum as inspect-and-adapt activity,
354
defined, 409–410
discovering your own path forward, 396
leveraging variability, 35–36
planning based in inspection and
adaptation, 248
responsibilities of development team,
197–198
sprint retrospective and, 375
sprint review and, 363
Integration
of components, 46–47
continuous integration practice, 149, 404
defined, 410
of improvement actions, 391
release train approach (Leffingwell) and,
222

ptg8286261
Index 437
Integration management, technical debt and,
140
Integration tests, 75
Interference shield, ScrumMaster as, 187
Internal development projects, choosing
product owner for, 176–177
Internal stakeholders
defined, 410
product owner collaborating with, 171
Internationalization, testing in definition of
done, 75
Interrupt-driven work, Scrum not suited for,
9–10
Inventory
defined, 410
managing in agile development, 49–50
managing planning artifacts, 251–252
plan-driven development compared with
agile development, 60
INVEST criteria, for user stories
defined, 410
estimable, 91–92
independent, 88–89
negotiable, 89–90
overview of, 88
sized appropriately, 92
testable, 92
valuable, 90–91
Investment, change impacting, 70–71
Iterative development
in agile development, 2–3
agile principles underlying Scrum, 33–35
defined, 410
J
Jeffries, Ron, xxvii–xxviii, xxxiv, 83
JIT (just in time). See Just in time (JIT)
Just enough
appropriate detail in product backlog, 101
of predictive planning, 300
requirements and, 79
Just in time (JIT)
appropriate detail in product backlog, 101
balancing predictive work with adaptive
work, 43–44
balancing up-front planning with just-in-
time planning, 248
creating work products, 43
defined, 410
keeping options open, 249
requirements and, 79
sprint planning, 335
K
Kanban
defined, 410
development process suited for interrupt
driven work, 9–10
Katz, Ralph, 210
Kerth, Norm, 375, 379
Knowledge acquisition
as product backlog item, 100–101
sprint for, 298
user stories, 93–95
Knowledgeable, ScrumMaster skills, 188
Known technical debt
defined, 410
repaying incrementally, 159
repaying while performing customer-
valuable work, 160–161
servicing, 155–156
L
Last responsible moment (LRM) (Poppen-
dieck and Poppendieck)
defined, 411
keeping options open, 37
Leadership
managers providing in functional areas,
232–233
product owner role, 15
Learning
discovering your own path forward, 396
economics of product planning, 305
fast learning combined with pivoting,
254–255
managers role in development of
competence, 231–232
Learning loops
aligning performance feedback to, 232
concurrency of, 45–46
defined, 411
Leffingwell, Dean, 272

ptg8286261
438 Index
Lifecycle profits
defined, 411
impact of cost of delay on, 54
optimizing scheduling for lifecycle
profitability, 270–271
Longer-term planning. See Release planning
LRM (last responsible moment) (Poppendieck
and Poppendieck)
defined, 411
keeping options open, 37
M
Man-hours, task estimated in, 122
Managers
aligning internal groups, 234
aligning partners, 234–235
changing team composition, 229
defining team boundaries, 227
developing team member competence,
231–232
empowering teams, 230–231
energizing team members, 231
fashioning teams, 226
forming teams, 228–229
maintaining team integrity, 233
managing economics, 236
monitoring measures and reports, 236–237
overview of, 225–226
participating in sprint retrospective, 377
project management responsibilities,
237–239
promoting agile values, 233–234
providing leadership in functional areas,
232–233
providing team goals, 228
removing organizational impediments,
234
systems perspective of, 235
when to retain separate project manager
role, 239–243
Manufacturing. See Product manufacturing
Marginal economics, applied to in-process
products, 283–285
Maturity models, not part of Scrum, 395
Means uncertainty
defined, 411
reducing uncertainty, 36
Measures (metrics)
of capacity, 342–343
managers monitoring, 236–237
Mess (Martin), terminology for technical
debt, 140
Milestone-driven planning. See Release
planning
Milestones, in short duration sprints, 66–67
Minimum marketable features (MMFs). See
Minimum releasable features (MRFs)
Minimum releasable features (MRFs)
baseline values for actionable metrics, 2
37
defined, 411
defining product roadmap and, 295–296
determining in release planning, 309–310,
320
marginal economics applied to in-process
products, 284
refining, 316
Minimum viable product (MVP). See
Minimum releasable features (MRFs)
MMFs (minimum marketable features). See
Minimum releasable features (MRFs)
Monitoring measures and reports, managers,
236–237
Motivation
managers role in energizing people, 231
product owner skills, 173
MRFs (Minimum releasable features). See
Minimum releasable features (MRFs)
Multilevel planning
daily planning, 264–265
overview of, 257–258
portfolio planning, 259
product planning, 259–261
release planning, 261–263
sprint planning, 263
Multiple teams
coordinating using release train approach,
220–223
coordinating using scrum of scrums,
218–220
Multitasking, cost of, 350–351
Musketeer attitude (all for one, one for all)
defined, 411
development team skills/characteristics,
203–204

ptg8286261
Index 439
Must-have features
defined, 411
defining product roadmap and, 295
determining in release planning, 320
in focusing on short time horizon, 302
release flow management and, 110–111
MVP (Minimum viable product). See
Minimum releasable features (MRFs)
N
Naive technical debt, 140, 412
Negotiable criteria, INVEST, 89–90
New products
portfolio planning. See Portfolio planning
product planning. See Product planning
Nice-to-have features
defined, 412
release flow management and, 110–111
release planning, 314, 320
Nonaka, Ikujiro, 3
Nonfunctional requirements, 93, 412
O
Objective data
gathering for sprint retrospective, 379
inputs for sprint retrospective, 380
One-part approach, to sprint planning,
339–340
One-product-one-product-backlog rule
large products and, 114–115
multiple teams and, 115–116
what is a product and, 113–114
Opportunities, embracing emergent
opportunities quickly, 278–279
Options, keeping options open, 37–38, 249
Ordered, terminology for product backlog
sequences, 20
Organizational impediments. See
Impediments
Outflow strategies, portfolio planning
establishing WIP limits, 281–282
focusing on idle work not idle workers,
281
overview of, 280
waiting until entire team is in place,
282–283
Outsourcing
choosing product owner for outsourced
projects, 180
limitations of fixed-price contracts, 235
Overtime, impact on quality and velocity,
136–137
P
Parallel work, sprint execution and, 350–352
Participants
in portfolio planning, 268
in product planning, 288–289
in release planning, 308
in sprint execution, 348
in sprint planning, 335–336
in sprint retrospective, 377–378
in sprint review, 364–365
Partners, managers aligning, 234–235
Path forward
discovering, 396
no end state in Scrum, 395
overcoming the status quo, 398–399
sharing best practices, 396–397
using Scrum to discover, 397–398
Patience, ScrumMaster skills, 189
Patton, Jeff, 96
PBI estimation
accuracy vs. precision in, 125
contrasting estimates with commitments,
124–125
development team in, 123–124
overview of, 121–122
Planning Poker approach to, 129–130
relative sizes vs. absolute sizes, 125–128
units for, 128–129
PBIs (product backlog items). See Product
backlog items (PBIs)
People skills, of product owner, 172–173
Perfectionism, avoiding unnecessary, 63
Performance
definition of done and, 75
definition of ready and, 110
feedback given by managers, 232
technical debt resulting in
underperformance, 143
Performance principle, in agile development
minimizing unnecessary formality, 57–58

ptg8286261
440 Index
Performance principle, in agile development
(continued )
overview of, 56
quality built-in to development process,
56–57
sustainable pace in performance of work,
56
Person-hours, task estimated in, 122
Personas (roles)
defined, 412
in user stories, 96
Pichler, Roman, 101
Pigs and chickens, 25, 412
Pipeline of requirements, product backlog as,
112
Pivoting
defined, 412
economics of product planning, 305
envisioning, 288–289
innovation accounting, 237
marginal economics applied to in-process
products, 283–284
planning and, 254–255
Placeholders
product backlog items (PBIs) as
requirements placeholder, 80–81
user stories marking exploration work, 94
Plan-driven development
agile principles compared with, 59–60
all-before-any approach to work in
process, 48
assumptions in, 45
beliefs regarding, 30
costs of change in, 43
defined, 412
defined process in, 32
as high-ceremony approach, 57
integration and testing components in,
46–47
limitations regarding re-planning, 54
linear approach to uncertainty in, 36
phase orientation vs. customer
expectations, 54–55
requirements in, 79
risks related to up front planning, 38–39
sequential approach compared with agile’s
exploratory approach, 39–40
types of, 29
variability not accounted for in, 35
Planning
accepting that you can’t get it right up
front, 38–39
adapting to real-time information, 54
consistent duration of sprints simplifying,
67–68
daily planning, 264–265
a day in the life of product owner, 175
multilevel approach to, 257–258
portfolio planning. See Portfolio planning
product owner participating in, 168–169
product planning. See Product planning
release planning. See Release planning
short duration sprints aiding, 64
sprint execution, 349
sprint planning. See Sprint planning
sprints, 21–23
Planning Poker
defined, 412
how to play, 131–133
overview of, 129–130
scale in assigning estimates, 130
Planning principles
emphasis on small, frequent releases,
252–254
focus on adapting and replanning rather
than conforming, 249–251
keeping options open, 249
learning fast and pivoting as necessary,
254–255
managing inventory of planning artifacts,
251–252
not assuming up-front plans are right, 248
overview of, 247–248
up-front planning should be helpful not
excessive, 248–249
Platforms
lack of experience resulting in technical
debt, 140
testing in definition of done, 75
PMI (Project Management Institute), 237–239
Point inflation, 138, 412
Pollinators (Goldberg and Rubin), 217
Portfolio backlog
defined, 413

ptg8286261
Index 441
estimating, 121
inflow strategies, 275–280
outflow strategies, 280–283
portfolio planning and, 267, 269
in-process strategies, 283–285
release train approach (Leffingwell), 221
Portfolio planning
balancing product flow into/out of
portfolio backlog, 276–278
calculating cost of delays, 271–274
defined, 413
economic filter for go/no-go decision
making, 275–276
embracing emergent opportunities,
278–279
establishing WIP limits, 281–282
estimating for accuracy not precision,
274–275
focusing on idle work not idle workers, 281
managing economics of, 236
marginal economics applied to in-process
products, 283–285
in multilevel planning, 259
optimizing scheduling for lifecycle
profitability, 270–271
overview of, 267
participants in, 268
planning level details for, 258
process of, 268–270
product owner participating in, 168
small, frequent releases in, 279–280
strategies for in-process products, 283
strategies for inflow, 275
strategies for outflow, 280
strategies for sequence of products, 270
timing of, 267
waiting until entire team is in place, 282–283
Potentially shippable product increments (PSIs)
defined, 413
defining when sprint is complete or done,
74–78
as input to sprint review, 368–369
inspecting and adapting during sprint
review, 363
as outcome of iterative process, 2–3
planning release of features to customers,
307
release train approach (Leffingwell) and,
220, 222–223
sprint results, 25–26
Practices
activities. See Activities
artifacts. See Artifacts
defined, 413
roles. See Roles
rules. See Rules
in Scrum framework, 14
Pragmatism
no-goal-altering-change rule and, 72
Pragmatic Marketing Framework, 178–179
Precision
defined, 413
vs. accuracy in estimating, 125, 274–275
Prediction
balancing predictive work with adaptive
work, 43–44
just enough predictive planning, 300
plan-driven development compared with
agile development, 59
technical debt decreasing predictability,
143
timeboxing improving predictability, 64
Prediction and adaptation principle, in agile
development
accepting that you can’t get it right up
front, 38–39
adaptive, exploratory approach in, 39–40
balancing predictive work with adaptive
work, 43–44
handling cost of change, 40–43
keeping options open, 37–38
overview of, 37
pivoting and, 254–255
Predictive process. See Plan-driven
development
Prescriptive process. See Plan-driven
development
Principle of least astonishment
defined, 413
transparency of communication and, 206
Principles. See Agile principles
Prioritization
in product backlog, 103–104
sporadic attendance and, 372–373

ptg8286261
442 Index
Prioritization (continued )
terminology choices for product backlog
sequences, 20
timeboxing enforcing, 62
Process authority, ScrumMaster as, 186–187
Process-centric development, 60
Process structure, 59
Product backlog
in agile development, 1–2
appropriate detail in, 101–102
conditions of satisfaction, 77
creating high-level list in product planning
process, 294–295
deciding which and how many to form,
112–113
defined, 413
definition of ready, 108–110
determining what is a product, 113–114
economics, 168
emergent nature of, 102
estimating, 121–122
grooming, 104–108, 369, 413
as input to sprint planning, 337
large products with hierarchical backlogs,
114–115
mapping to releases, 263
multiple teams with one product backlog,
115–116
one team with multiple product backlogs,
117–118
overview of, 99
PBIs in, 100–101
prioritization in, 103–104
product owner responsible for grooming,
169
product planning and, 259–260
release flow management, 110–111
release planning and, 320–321
representing technical debt, 155
in Scrum framework, 18–20
size estimates in, 102–103
sprint flow management, 111–112
sprint planning and, 17, 21–23
Product backlog items (PBIs)
appropriate detail, 101–102
creating high-level list in product planning
process, 294–295
deciding which work to start, 352
defined, 413
definition of ready, 109–110
emergent nature of, 102
estimating. See PBI estimation
grooming tasks related to, 104–105
mapping to sprints, 316–318
measuring velocity and, 133
organizing task work, 352–353
overview of, 100–101
parallel work and swarming, 350
as placeholders for requirements, 80–81
prioritizing, 103–104
representing technical debt, 155
selecting in sprint planning, 343–344
sign-offs and, 372
size estimates, 102–103
user stories adding detailed items, 315
Product development
benefits of Scrum for, 10
calculating duration from estimated size
and measure velocity, 119–120
defined, 413
economies of scale, 48
focusing on idle work not idle workers,
51–52
inventory management, 50
vs. product manufacturing, 32–33
Product manufacturing
comparing plan-driven development with
agile development, 59
economies of scale, 48
inventory management, 49–50
vs. product development, 32–33
Product owner
accountability of, 173
chief product owner, 183–184
collaborating with development team,
170 –171
collaborating with stakeholders, 171
combining with other roles, 181–182
for commercial development, 177–179
for component development, 180–181
creating/verifying acceptance criteria,
169–170
a day in the life of, 174–176
deciding if work is done, 367
decision making by, 173
defined, 414

ptg8286261
Index 443
domain skills of, 171–172
function relative to estimation process, 123
grooming product backlog, 105–106, 169
for internal development, 176–177
managing economics, 167–168
for outsourced development, 180
overview of, 165–166
in overview of Scrum roles, 15–16
participant in product planning, 288–289
participant in product portfolio, 268
participant in requirements conversation, 84
participant in sprint execution, 348
participant in sprint planning, 335
participant in sprint retrospective, 377
participant in sprint review, 364–365
people skills of, 172–173
planning functions of, 168–169
principal responsibilities of, 166
proxy product owner, 183
rules of Planning Poker, 132
in sprint planning, 21–22
team approach to, 182–183
understanding value of technical stories,
90–91
who should fill this role, 176
Product owner proxy, 183, 414
Product planning
creating product backlog, 294–295
a day in the life of product owner, 175
defined, 414
defining product roadmap, 295–297
economic filter for go/no-go decision
making, 275–276
economic sensibility in, 299–300
incremental/provisional funding in,
304–305
learning fast and pivoting as necessary, 305
in multilevel planning, 259
new product example, 290–291
other types of work in, 298–299
overview of, 287
participants in, 288–289
planning level details for, 258
process of, 290
product backlog and, 259–260
product owner participating in, 168–169
product roadmap and, 260–261
product vision, 259, 291–294
short time horizon as focus of, 302
speed and efficiency of, 302–303
targeting realistic confidence threshold,
300–302
timing of, 287–288
validated learning in, 303–304
Product roadmap
defining, 295–297
definition of, 414
product planning and, 260–261
release planning and, 262–263
Product vision. See Vision
Productivity, multiple projects and, 207
Products
atrophy of appeal due to technical debt,
143
defined, 413
determining what is a product, 113–114
development team responsible to inspect
and adapt, 197
large products with hierarchical backlogs,
114–115
not repaying technical debt for products
nearing end of life, 157
not repaying technical debt for products
with short life, 157–158
planning new. See Product planning
portfolio of new. See Portfolio planning
Program backlog, 221
Progress
communicating in fixed-date release,
329–330
communicating in fixed-scope release, 327
comparing plan-driven development with
agile development, 60
of sprint execution, 356
timeboxing demonstrating, 62–63
Progress principle, in agile development
adapting to real-time information and
replanning based on, 54
measuring progress by validating working
assets, 54–55
overview of, 54
value-centric delivery in, 55
Progressive refinement strategy
applying to requirements, 82
defined, 414
level of detail, 86

ptg8286261
444 Index
Project chartering, 299, 414. See also Product
planning
Project inception, 299. See also Product
planning
Project initiation, 299. See also Product
planning
Project Management Institute (PMI), 237–239
Project managers. See also Managers
responsibilities of, 237–239
when to retain separate project manager
role, 239–243
Project Retrospectives (Kerth), 375, 379
Proof of concept, 93
Prototypes
knowledge-acquisition user stories, 93
not repaying technical debt for throwaway
prototypes, 157
PSIs. See Potentially shippable product
increments (PSIs)
Q
Quality
building in to development process, 56–57
comparing plan-driven development with
agile development, 60
influenced by long-lived teams, 210
overtime and, 137
pressure to meet a deadline affects, 144–148
reduced due to working on too many items
in parallel, 350–351
release constraints, 311
team diversity leads to, 201
traditional project management
responsibility, 238
variability due to constraints, 313–314
Questioning ability, ScrumMaster skills,
188–189
Queue
defined, 414
impact of utilization on queue size (delay),
52–53
portfolio backlog and, 280
R
Range of velocity, calculating, 134–135
Real-time information, adapting to and
replanning based on, 54
Reckless debt (Fowler), 140
Refactoring code
defined, 414
as means of paying down technical debt,
141
use of good practices prevents accrual of
technical debt, 149
Reinertsen, Donald G.
on batch-size issues, 48–49
on cost of delay, 53
on lifecycle profits, 270
Relative size measures
in cost evaluation, 20
defined, 415
vs. absolute sizes in estimation, 125–128
Release goal
communicating progress using burndown
chart, 327–328
communicating progress using burnup
chart, 359
defined, 415
economics of, 167
grooming product backlog and, 315
product roadmap and, 296
Release planning
calculating costs in, 325–326
communicating progress in fixed-date
release, 329–330
communicating progress in fixed-scope
release, 327–329
constraints on release, 311
a day in the life of product owner, 175
defined, 415
defining product roadmap and, 296
emphasis on small, frequent releases,
252–254
fixed date constraint, 313–314
fixed-date release planning, 318–323
fixed everything approach, 311–312
fixed scope and date constraints, 312–313
fixed scope constraint, 313
fixed-scope release planning, 323–325
flow management and, 110–111
grooming product backlog, 315
initial grooming during, 107
managing economics of, 167–168
in multilevel planning, 261–263
overview of, 307–308
participants in, 308

ptg8286261
Index 445
planning level details for, 258
process of, 309–311
refining MRFs, 316
sprint mapping, 316–318
technical debt and, 140
timing of, 308–309
updated plan as output of sprint review,
369
updating constraints, 314
variable quality constraint, 313–314
velocity and, 133
Release train (Leffingwell)
coordinating multiple teams using,
220–223
defined, 415
Releases
defined, 415
small, frequent releases in portfolio
planning, 279–280
Replanning, as focus of planning rather than
conformance, 249–251
Reports, managers monitoring, 236–237
Requirements
card format for user stories, 83–84
confirmation information in user stories,
85–86
conversations facilitating shared
understanding, 81–82
conversations in development of user
stories, 84–85
estimatable criteria for user stories, 91–92
gathering user stories, 95
independent criteria for user stories, 88–89
INVEST criteria applied to user stories, 88
knowledge-acquisition user stories, 93–95
level of detail in user stories, 86–88
negotiable criteria for user stories, 89–90
nonfunctional, 93
overview of, 79–80
placeholders for, 80–81
progressive refinement of, 82
sized appropriately criteria for user stories,
92
story mapping technique and, 96–98
testable criteria for user stories, 92
user stories and, 83
valuable criteria for user stories, 90–91
workshop for writing user stories, 95–96
Resource managers, 229. See also Managers
Responsibilities, of development team,
groom the product backlog, 197
inspect and adapt each day, 197
inspect and adapt the product and process,
197
perform sprint execution, 196
plan the sprint, 197
Responsibilities, of product owner
collaborating with development team,
170 –171
collaborating with stakeholders, 171
creating/verifying acceptance criteria,
169–170
grooming product backlog, 169
managing economics, 167–168
participating in planning, 168–169
Responsibilities, of ScrumMaster,
change agent, 187
coach, 185
impediment remover, 187
interference shield, 187
process authority, 186–187
servant leader, 186
Retrospectives, 375. See also Sprint
retrospective
Return on investment (ROI)
cost of delays and, 271–272
responsibility of product owner for
ensuring, 168
Scrum benefits, 6
short duration sprints improving, 65
small, frequent releases improving, 252,
254
Ries, Eric, 44, 157, 236, 254–255
Risk
associated with setting the confidence
threshold, 301
assumptions and, 45
defined, 415
of fixed-price contracts, 180
of misinterpretation using ideal days,
128–129
small batch sizes reduce, 49
traditional project management
responsibility, 238
Roadmap. See Product roadmap
ROI. See Return on investment (ROI)
Role-specific teams, compared with cross-
functional teams, 195–196

ptg8286261
446 Index
Roles
combining product owner with other,
181–182
combining ScrumMaster with other,
192–193
defined, 415
development team, 16
overview of, 14–15
product owner, 15–16
ScrumMaster, 16
Roles (personas), in user stories, 96
Rolling lookup-ahead planning (Cohn), 318
Rules
allocate-up-to-ten-percent-capacity-for-
grooming rule, 106
avoid-technical-debt-specific-sprints rule,
159
Boy Scout rule, 158–159, 403
consistent-duration sprints rule, 67
defined, 415
development-team-should-be-between-
five-and-nine-people rule, 206
development-team-should-be-long-lived
rule, 210
involve-all-team-members-in-story-
writing rule, 294
no-goal-altering-change rule, 20, 72
one-hour-per-sprint-week rule, 367
one-product-one-product-backlog rule,
114–116
people-who-do-the-work-provide-the-
estimates rule, 123
Scrum practices, 14
start-only-what-you-can-finish rule, 344
tasks-should-be-no-more-than-eight-
hours rule, 338
teams-should-handle-their-own-
coordination rule, 239–240
S
Safety, setting atmosphere for sprint
retrospective, 382
Scale
in assigning estimates, 130
multiple small teams vs. single large team,
218
release train, 220–223
scrum-of-scrums, 218–220
Schedules
attendance issues and, 392
benefit of small batch sizes on, 49
predictable Scrum activities, 68
for sprint review, 366–367
Scheduling strategies, portfolio planning
calculating cost of delays, 271–274
estimating for accuracy not precision,
274–275
optimizing for lifecycle profitability,
270–271
overview of, 270
Schwaber, Ken, xxix–xxx, 3
Scope constraint
fixed date approach, 313–314
fixed everything approach, 311–312
fixed scope and date approach, 312–313
fixed scope approach, 313
in release planning, 311
Scrum framework. See Framework, for Scrum
“The Scrum Guide” (Sutherland and
Schwaber), xxix–xxx
Scrum introduction
benefits to Genomica, 4–5
benefits to organizations, 5–7
Cynefin framework and, 6–10
framework overview, 13–14
origins of, 3
what it is, 1–3
Scrum of scrums (SoS)
for coordinating multiple teams, 206,
218–220
defined, 416
Scrum team
defined, 416
development team. See Development team
product owner role. See Product owner
roles of, 14–15
ScrumMaster. See ScrumMaster
ScrumMaster
combining with other roles, 192–193
a day in the life of, 190–191
defined, 416
facilitating daily scrum, 24
facilitating sprint review, 368
full vs. part time for, 192
function relative to estimation process, 123
grooming product backlog, 105–106
overview of, 185

ptg8286261
Index 447
in overview of Scrum roles, 16
participant in product planning, 288–289
participant in sprint execution, 348
participant in sprint planning, 335–336
participant in sprint retrospective, 377
participant in sprint review, 364–365
responsibilities of, 185–187
scrum of scrums and, 219
skills of, 188–190
in sprint planning, 21–22
sprint retrospective issues, 393
who should fill this role, 191–192
Scrummerfall, 34, 421
Self-fulfilling prophecy, 41–42
Self-organization
defined, 416
by development team, 198–200
sprint execution, 348
undermining, 231
Sequential development. See Plan-driven
development
Servant leader
defined, 416
ScrumMaster as servant leader of Scrum
team, 186
Servicing technical debt
Boy Scout rule for, 158–159
incrementally, 159
overview of, 155–156
paying high-interest debt first, 160
reasons for not repaying, 157–158
while performing customer-valuable work,
160–162
Shared context
creating for sprint retrospective, 382–384
emotions seismograph as aid in creating,
384–385
event timeline as aid in creating, 384
mining for insights, 385
Shippable product. See Potentially shippable
product increments (PSIs)
Sign-offs, sprint review issues, 372
Silent grouping exercise
for clustering insights, 386
defined, 416
Simple domain
in Cynefin framework, 6–8
defined, 417
Single-piece flow, 48, 417
Six Sigma, 8
Size
in cost evaluation related to product
backlog, 20
estimates, 102–103
Skills
inputs to sprint planning, 338
managers role in development of
competence, 231–232
of product owner, 171–173
of ScrumMaster, 188–190
technical practices for task performance,
355–356
Small criteria, INVEST, 92
Small teams
favored for Scrum development, 206
high-bandwidth communication and, 205
SMEs (Subject matter experts), 169
Software development, issues related to, 5
Solutions
benefits of Scrum for, 4
defined, 417
faster and better, 201
innovative, 32
Specialists, on development team, 202
Specification by example, 85, 417
Spikes, knowledge-acquisition user stories, 93
Sprint backlog
defined, 417
estimating, 122
as input to sprint review, 368–369
sprint planning and, 264
Sprint burndown chart, 357–359
Sprint burnup chart, 359–360
Sprint demo, 368, 370, 417
Sprint execution
communicating progress of, 356
daily scrum and, 354
deciding which work to start, 352
determining which work needs to be done,
353–354
flow management and, 111–112, 349–350
organizing task work, 352–353
overview of, 23, 347
parallel work and swarming, 350–352
participants in, 348
performed by development team, 196–197
planning, 349
process of, 348–349

ptg8286261
448 Index
Sprint execution (continued )
sprint burndown chart and, 357–359
sprint burnup chart and, 359–360
task board and, 356–357
technical practices for task performance,
355–356
timing of, 347
who does the work, 354
Sprint goal
defined, 417
inputs to sprint planning, 338
inputs to sprint review, 368–369
maintaining despite changes, 69–73
refining, 346
selecting product backlog items that align
with, 343–344
setting in planning process, 21
Sprint maps, in release planning, 310, 316–318
Sprint planning
acquiring confidence, 344–346
a day in the life of product owner, 175
defined, 417
determining capacity in, 340–343
finalizing commitment, 346
managing economics of, 168
in multilevel planning, 263
one-part approach to, 339–340
overview of, 21–23, 335
participants in, 335–336
planning level details for, 258
process of, 336–338
product owner participating in, 169
refining sprint goal, 346
responsibilities of development team, 197
selecting product backlog items, 343–344
terminology choices for sprint planning
outcomes, 17–18
timing of, 335
two-part approach to, 338–339
Sprint results. See Potentially shippable
product increments (PSIs)
Sprint retrospective
approach to, 380–382
closing the retrospective, 390
creating shared context for, 382–384
deciding among actions, 389–390
defined, 417
defining focus of, 378–379
determining actions, 387–388
emotions seismograph in, 384–385
event timeline in, 384
follow through on, 391–392
gathering objective data, 379
identifying insights, 385–387
insight backlog, 390
issues related to, 392–393
overview of, 27–28, 375–377
participants in, 377–378
prework needed for, 378
responsibilities of development team, 197
selecting among insights, 388–389
selecting exercises for use in, 379
setting atmosphere for, 382
structuring, 380
Sprint review
adapting based on, 371
approach to, 368–369
attendance issues, 372–373
confirming sprint work is done, 367–368
defined, 418
demonstration aspect of, 370
determining facilitator for, 368
determining who to invite, 366
discussions in, 371
for large development projects, 373
overview of, 26–27, 363–364
participants in, 364–365
preparing for demonstration, 368
prework needed for, 365–366
responsibilities of development team, 197
scheduling, 366–367
sign-offs, 372
summarization of sprint goal and sprint
results, 369–370
when grooming occurs and, 108
Sprintable stories
defined, 417
size of user stories and, 87
story mapping technique and, 96
Sprints
abnormal termination of, 72–73
consistent duration of, 67–68
daily scrum and, 23–25
defined, 417

ptg8286261
Index 449
defining when complete or done, 74–78
iterative and incremental approach to
development, 34
maintaining sprint goals despite changes,
69–73
organizing product planning into, 298
overview of, 20–21, 61–62
in Scrum framework, 17
short duration of, 64–67
timeboxing, 62–64
Staats, Bradley R., 210
Stakeholder value
areas of, 292–294
defined, 418
Stakeholders
accountability of product owner to, 173
defined, 418
defining product backlog, 18
getting feedback in agile development, 2
participant in grooming product backlog,
105–106
participant in product planning, 288–289
participant in portfolio planning, 268
participant in release planning, 308
as participant in requirements
conversation, 84
participant in sprint retrospective, 377
participant in sprint review, 364–365
product owner collaborating with, 166, 171
Start/end dates. See Timeboxing
Start-only-what-you-can-finish rule, 344
Stories. See User stories
Story mapping technique (Patton), 96–98, 418
Story points
defined, 418
measuring capacity in, 342
measuring magnitude of PBI, 128
Planning Poker, 129-133
as relative size measures, 20
Strategic filters
defined, 418
economic filters, 275–276, 406
Strategic technical debt, 140, 418
Strategy planning, 257
Subject matter experts (SMEs), 169
Subjective data, communicating in sprint
retrospective, 383
Subsystem teams, 214. See also Component
teams
Succeeding with Agile (Cohn), xxv, 397
Summarization aspect, of sprint review,
369–370
Sustainable pace
defined, 418
of development team in performance of
work, 56, 208–209
Sutherland, Jeff, xxix–xxx, 3
Swarming
defined, 418
sprint execution and, 351–352
T-shaped skills, 201–203
Synchronization
defined, 418
of multiple teams, 220, 222
System
system-level constraints expressed via
nonfunctional requirements, 93
system-level focus in sprint retrospective,
385
testing in definition of done, 75
Systems perspective, of managers, 235
T
T-shaped sk il ls
choosing who does the work and, 354
defined, 420
diversity of development team and,
201–203
finding balance in utilization of, 351
Tacit knowledge
defined, 419
of technical debt, 154
Takeuchi, Hirotaka, 3
Targeted technical debt
defined, 419
servicing, 155
Task board
for communicating sprint execution
progress, 356–357
defined, 419
Tasks
defined, 419
during sprint planning, 22
estimating sprint backlog, 122
organizing task work, 352–353
technical practices for performance of,
355–356

ptg8286261
450 Index
TDD (test-driven development), 378, 419–420
Team structu res
coordinating multiple teams using release
train approach (Leffingwell), 220–223
coordinating multiple teams using scrum
of scrums, 218–220
feature teams vs. component teams,
213–218
multiple team coordination, 218
overview of, 213
Teams
compared with groups, 209–210
coordinating multiple, 218–220
cross-functional. See Cross-functional
teams
defined, 419
development. See Development team
product owner as, 182–183
swarming, 351
unit of capacity, 233, 282
use complete and engaged, 282–283
Teams, fashioning
changing team composition, 229
defining team boundaries, 227
empowering teams, 230–231
forming teams, 228–229
overview of, 226
providing team goals, 228
Teams, nu rtu ring
developing team member competence,
231–232
energizing team members, 231
maintaining team integrity, 233
providing leadership in functional areas,
232–233
Tech nical debt
Boy Scout rule for servicing, 158–159
causes of, 144–148
consequences of, 141–144
defined, 419
definition of done and, 76
economics of, 150–152
making visible at business level, 153–154
making visible at technical level, 154–155
making visible with balance sheet, 153-154
managing, 148
managing accrual of, 149–150
overview of, 139–141
reasons for not repaying, 157–158
repaying high-interest debt first, 160
repaying incrementally, 159
repaying while performing customer-
valuable work, 160–162
servicing, 155–156
variable quality and, 314
Tech nic al k nowledge, ScrumMaster skil ls, 188
Tech nic al prac tices
defined, 419
for task performance, 355–356
use of good practices prevents accrual of
technical debt, 149
Tech nic al stories
defined, 419
value of, 90
Tech nic al work, as product back log item,
100–101
Test-d riven development (TDD), 378, 419– 420
Test-f irst development, 353, 420
Testable criteria, IN VEST, 92
Testing
automated testing, 355–356
components, 46–47
excessive manual testing resulting in
technical debt, 139
myth that reduced testing can accelerate
velocity, 145–147
quality built-in to development process,
56–57
release train approach (Leffingwell) and, 222
types of tests, 75
Themes
defined, 420
story mapping technique and, 96
user stories and, 87–88
Time-management
act quickly, 302–303
focusing on short time horizon in product
planning, 302
timeboxing for, 62
Timeboxing
benefits of, 62–64
defined, 420
sprint retrospective and, 379
start and end dates, 20–21

ptg8286261
Index 451
Timeline, creating event timeline for sprint
retrospective, 384
Timing
of portfolio planning, 267
of product planning, 287–288
of release planning, 308–309
of sprint execution, 347
of sprint planning, 335
Traditional development process. See Plan-
driven development
Training
a day in the life of ScrumMaster, 190
managers role in development of
competence, 231–232
Transparency
defined, 420
of development team, 205–206
leveraging variability, 35–36
of ScrumMaster, 189–190
Trust, managers role in establishing, 231
Two-par t approach, to sprint planni ng,
338–339
U
Unavoidable technical debt, 140, 420
Uncertainty. See also Variability
comparing plan-driven development with
agile development, 59
flow management and, 110
reducing, 36–37
type of, 36
Underutilization, of capacity, 351
Unintentional debt (McConnell), 140
Unit tests, 75
Units, for estimating product backlog items
ideal days, 128–129
story points, 128
Unknown unknowns
defined, 420
uncertainty and, 37
Unnecessary formality. See Formality
Unpredictable tipping point, characteristics of
technical debt, 142
Up-front plans
accepting that you can’t get it right up
front, 38–39
focus on adapting and replanning rather
than conforming, 249–251
focus on making helpful not excessive,
248–249
just enough predictive planning, 300
not assuming they are right, 248
User role
defined, 420
user stories and, 83, 96
User stories. See also Requirements
benefits of, 79
card format for, 83–84
confirmation information in, 85–86
conversations in development of, 84–85
defined, 421
detailed product backlog items resulting
from, 315, 320
estimable criteria for, 91–92
gathering, 95
independent criteria for, 88–89
INVEST criteria applied to, 88
knowledge-acquisition stories, 93–95
level of detail in, 86–88
negotiable criteria for, 89–90
nonfunctional requirements expressed
via, 93
overview of, 83
for representing product backlog items,
294–295
sized appropriately criteria for, 92
story mapping techniques, 96–98
testable criteria for, 92
valuable criteria for, 90–91
workshop for writing, 95–96
Utilization, relationship to queue size (delay),
52
V
Validated learning
concurrent learning loops in, 45–46
defined, 421
organizing workflow for fast feedback,
46–47
overview of, 44–45
product planning and, 303–304
validating important assumptions, 45

ptg8286261
452 Index
Validation, measuring progress by asset
validation, 54–55
Valuable criteria, IN VEST, 90 –91
Value-centric deliver y, 55, 60
Value-creation f low, managers role in
managing economics, 236
monitoring measures and reports, 236–237
systems perspective of, 235
Value-delivery-focused think ing, 353
Values
defined, 421
in Scrum framework, 13
Variability
defined, 421
embracing helpful variability, 32–33
inspection, adaptation, and transparency,
35–36
iterative and incremental approach to
development, 33–35
overview of, 32
reducing uncertainty, 36–37
Velocity, of work
affecting, 135–137
calculating range of, 134–135
decreasing as technical debt increases, 147
defined, 421
fixed-scope-release burndown chart, 327
forecasting, 135
inputs to sprint planning, 337
misuse of, 137–138
myth that reduced testing can accelerate
velocity, 145–147
overview of, 119–120
pressure to accelerate resulting in technical
debt, 145
technical debt increasing time to delivery,
142
using predicted velocity to check if
commitment is realistic, 344–345
what it is, 133–134
Vision
basing on areas of stakeholder value,
293–294
creating shared, 291–292
defined, 414
formats for, 292–293
product planning (envisioning) and, 259
W
Waste
defined, 421
innovation waste, 90
Waterfall development. See also Plan-driven
development
defined, 421
disadvantage of applying to sprint
execution, 351–352
error of overlaying Scrum on, 34
Scrum compared with, 5
types of plan-driven approaches, 29
WaterScrum, 34, 422
Weighted shortest job first (WSJF)
defined, 422
scheduling strategies and, 271
Won’t-have features
defined, 422
release flow management and, 110–111
Work in process (WIP)
batch sizes in, 48–49
comparing plan-driven development with
agile development, 60
considering cost of delays, 52–54
defined, 422
establishing WIP limits, 281–282
inventory management, 49–50
Kanban and, 10
overview of, 48
participants in sprint execution, 51–52
timeboxing setting limit on, 62
Workf low, organizing for fast feedback,
46–47
Workshop, for writing user stories, 95–96
WSJF (Weighted shortest job first)
defined, 422
scheduling strategies and, 271

ptg8286261
This page intentionally left blank



