Gamma Vision V8 Users Manual
User Manual:
Open the PDF directly: View PDF
.
Page Count: 500 [warning: Documents this large are best viewed by clicking the View PDF Link!]
- 1. INTRODUCTION
- 2. INSTALLING GAMMAVISION
- 2.1. Step 1: Installing Connections
- 2.2. Step 2: Installing GammaVision
- 2.3. Step 3: Establishing Communication With Your ORTEC MCBs
- 2.4. Caution: Running the MCB Configuration Program Can Affect Quality Assurance
- 2.5. Product Registration
- 2.6. Enabling Additional ORTEC Device Drivers and Adding New MCBs
- 3. GETTING STARTED — A GAMMAVISION TUTORIAL
- 3.1. Introduction
- 3.2. Starting GammaVision
- 4. DISPLAY FEATURES
- 5. MENU COMMANDS
- 5.1. File
- 5.2. Acquire
- 5.2.1. Acquisition Settings...
- 5.2.2. Start
- 5.2.3. Start/Save/Report
- 5.2.4. Stop
- 5.2.5. Clear
- 5.2.6. Copy to Buffer
- 5.2.7. List Mode
- 5.2.8. QA
- 5.2.9. Download Spectra...
- 5.2.10. ZDT Display Select
- 5.2.11. MCB Properties...
- 5.3. Calibrate
- 5.3.1. General Information, Cautions, and Tips
- 5.3.2. Energy...
- 5.3.3. Efficiency...
- 5.3.3.1. Introduction
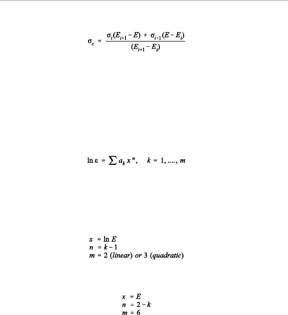
- 5.3.3.2. Interpolative Fit
- 5.3.3.3. Linear Fit
- 5.3.3.4. Quadratic Fit
- 5.3.3.5. Polynomial Fit
- 5.3.3.6. TCC Polynomial Fit
- 5.3.3.7. Performing the Efficiency Calibration
- 5.3.3.8. Using The Library
- 5.3.3.9. Automatic Efficiency Calibration
- 5.3.3.10. Manual Calibration
- 5.3.3.11. Other Efficiency Sidebar Control Commands
- 5.3.3.12. Editing the Standard (.EFT) Table File
- 5.3.3.13. The Efficiency Graph Control Menu
- 5.3.3.14. The Efficiency Table Control Menu
- 5.3.4. Description...
- 5.3.5. Recall Calibration...
- 5.3.6. Save Calibration...
- 5.3.7. Print Calibration...
- 5.3.8. Calibration Wizard...
- 5.3.8.1. Energy Calibration — Setting Up a New Calibration or Recalling from File
- 5.3.8.2. Efficiency and Efficiency-plus-TCC Calibrations — Setting Up a New Calibration or Recalling from File
- 5.3.8.3. Performing the New Energy Calibration
- 5.3.8.4. Performing the New Efficiency or Efficiency-plus-TCC Calibration
- 5.3.8.5. Reviewing the Calibration Wizard Results
- 5.4. Calculate
- 5.5. Analyze
- 5.5.1. Settings
- 5.5.2. Peak Search
- 5.5.3. ROI Report...
- 5.5.4. Entire Spectrum in Memory...
- 5.5.5. Spectrum on Disk...
- 5.5.6. Display Analysis Results...
- 5.5.7. Interactive in Viewed Area...
- 5.6. Library
- 5.7. Services
- 5.8. ROI
- 5.9. Display
- 5.10. Window
- 5.11. Right-Mouse-Button (Context) Menu
- 6. ANALYSIS METHODS
- 6.1. General
- 6.2. The Analysis Engines
- 6.3. Calculation Details for Peaks
- 6.4. Suspected Nuclides
- 6.5. Locating Multiplets
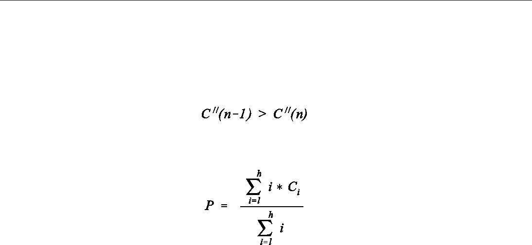
- 6.6. Fraction Limit
- 6.7. Nuclide Activity
- 6.8. Total Activity (ROI32 Analysis Engine Only)
- 6.9. MDA
- 6.9.1. Computing MDA Values
- 6.9.2. GammaVision MDA Methods
- 6.9.2.1. Method 1: Traditional ORTEC
- 6.9.2.2. Method 2: Critical Level ORTEC
- 6.9.2.3. Method 3: Suppress MDA Output
- 6.9.2.4. Method 4: KTA Rule
- 6.9.2.5. Method 5: Japan 2 Sigma Limit
- 6.9.2.6. Method 6: Japan 3 Sigma Limit
- 6.9.2.7. Method 7: Currie Limit
- 6.9.2.8. Method 8: RISO MDA
- 6.9.2.9. Method 9: LLD ORTEC
- 6.9.2.10. Method 10: Peak Area
- 6.9.2.11. Method 11: Air Monitor — GIMRAD (also called DIN 25 482 Method)
- 6.9.2.12. Method 12: Regulatory Guide 4.16
- 6.9.2.13. Method 13: Counting Lab — USA
- 6.9.2.14. Method 14: Erkennungsgrenze (Detection Limit) DIN 25 482.5
- 6.9.2.15. Method 15: Nachweisgrenze DIN 25 482.5
- 6.9.2.16. Method 16: EDF — France
- 6.9.2.17. Method 17: NUREG 0472
- 6.9.2.18. Method 18: ISO Decision Threshold (CL)
- 6.9.2.19. Method 19: ISO Detection Limit (MDA)
- 6.10. Corrections
- 6.11. Random Summing
- 6.12. Reported Uncertainty
- 6.12.1. Total Uncertainty Estimate
- 6.12.2. Counting Uncertainty Estimate
- 6.12.3. Additional Normally Distributed Uncertainty Estimate
- 6.12.4. Random Summing Uncertainty Estimate
- 6.12.5. Absorption Uncertainty Estimate
- 6.12.6. Nuclide Uncertainty Estimate
- 6.12.7. Efficiency Uncertainty Estimate
- 6.12.8. Geometry Uncertainty Estimate
- 6.12.9. Uniformly Distributed Uncertainty Estimate
- 6.12.10. Additional User-Defined Uncertainty Factors
- 6.12.11. Sample Size Uncertainty
- 6.12.12. Peaked Background Correction and Uncertainty Calculations
- 6.13. EBAR — Average Energy
- 6.14. IEQ — Iodine Equivalence
- 6.15. DAC or MPC
- 6.16. True Coincidence Correction
- 6.17. ISO NORM Implementation in GammaVision
- 6.17.1. The ISO NORM Model in GammaVision
- 6.17.2. The Uncertainty of Net Peak Area
- 6.17.3. Other Quantities in ISO NORM
- 6.17.4. Conversion from Counts to Activity
- 6.17.5. Peak Calculation Details
- 6.17.6. Nuclide Calculation Details
- 6.17.6.1. Nuclide Activity
- 6.17.6.2. Nuclide Activity Counting Uncertainty
- 6.17.6.3. Nuclide Best Estimated Activity
- 6.17.6.4. Nuclide Best Estimated Activity Uncertainty
- 6.17.6.5. Nuclide Critical Level
- 6.17.6.6. Nuclide MDA
- 6.17.6.7. Nuclide Lower and Upper Activity Limits
- 6.17.6.8. Total Reported Activity
- 6.17.7. GammaVision / ISO NORM Unique Calculations
- 6.18. EDF Gamma Total Analysis
- 7. ANALYSIS REPORT
- 7.1. Report Header
- 7.2. Sample, Detector, and Acquisition Parameters
- 7.3. Calibration Parameters
- 7.4. Library Parameters
- 7.5. Analysis Parameters
- 7.6. Correction Parameters
- 7.7. Peak and Nuclide Tables
- 7.7.1. ROI Peak Summary (ROI32 Engine Only)
- 7.7.2. Summary of ROI Peak Usage (ROI32 Engine Only)
- 7.7.3. Summary of ROI Nuclides (ROI32 Engine Only)
- 7.7.4. Summary of Peaks in Range (ENV32 and NPP32 Only)
- 7.7.5. Unidentified Peak Summary
- 7.7.6. Identified Peak Summary
- 7.7.7. Summary of Library Peak Usage
- 7.7.8. Discarded Isotope Peaks
- 7.7.9. Summary of Discarded Peaks
- 7.7.10. Summary of Nuclides in Sample
- 7.7.11. Summary of Nuclides (ISO-NORM)
- 7.7.12. Iodine Equivalence and Average Energy Calculations
- 7.7.13. DAC Calculations
- 7.8. The EDF Special Application Report
- 8. QUALITY ASSURANCE
- 9. KEYBOARD FUNCTIONS
- 9.1. Introduction
- 9.2. Marker and Display Function Keys
- 9.2.1. Next Channel <→>/<←>
- 9.2.2. Next/Previous ROI <Shift + →>/<Shift + ←>
- 9.2.3. Next/Previous Peak <Ctrl + →>/<Ctrl + ←>
- 9.2.4. Next/Previous Library Entry <Alt + →>/<Alt + ←>
- 9.2.5. First/Last Channel <Home>/<End>
- 9.2.6. Jump (Sixteenth Screen Width) <PageDown>/<PageUp>
- 9.2.7. Insert ROI <Insert> or Keypad<Ins>
- 9.2.8. Clear ROI <Delete> or Keypad<Del>
- 9.2.9. Taller/Shorter <↑>/<↓>
- 9.2.10. Move Rubber Rectangle One Pixel <Shift + ↑, ↓, →, ←>
- 9.2.11. Compare Vertical Separation <Shift + ↑>/<Shift + ↓>
- 9.2.12. Zoom In/Zoom Out Keypad<+>/<->
- 9.2.13. Fine Gain <Alt + +>/<Alt + ->
- 9.2.14. Fine Gain (Large Move) <Shift + Alt + +>/<Shift + Alt + ->
- 9.2.15. Screen Capture <PrintScreen>
- 9.3. Keyboard Number Combinations
- 9.4. Function Keys
- 9.5. Keypad Keys
- 10. JOB FILES
- 11. UTILITIES
- APPENDIX A. STARTUP AND CONFIGURATION OPTIONS
- APPENDIX B. FILE FORMATS
- APPENDIX C. ERROR MESSAGES
- INDEX
ORTEC
®
GammaVision®
Gamma-Ray Spectrum Analysis and MCA Emulator
for Microsoft® Windows® 7, 8.1, and 10 Professional
A66-BW
Software User’s Manual
Software Version 8
Printed in U.S.A. ORTEC Part No. 783620 0915
Manual Revision K

Advanced Measurement Technology, Inc.
a/k/a/ ORTEC®, a subsidiary of AMETEK®, Inc.
WARRANTY
ORTEC* DISCLAIMS ALL WARRANTIES OF ANY KIND, EITHER EXPRESSED OR
IMPLIED, INCLUDING, BUT NOT LIMITED TO, THE IMPLIED WARRANTIES OF
MERCHANTABILITY AND FITNESS FOR A PARTICULAR PURPOSE, NOT
EXPRESSLY SET FORTH HEREIN. IN NO EVENT WILL ORTEC BE LIABLE FOR
INDIRECT, INCIDENTAL, SPECIAL, OR CONSEQUENTIAL DAMAGES,
INCLUDING LOST PROFITS OR LOST SAVINGS, EVEN IF ORTEC HAS BEEN
ADVISED OF THE POSSIBILITY OF SUCH DAMAGES RESULTING FROM THE USE
OF THESE DATA.
Copyright © 2015, Advanced Measurement Technology, Inc. All rights reserved.
*ORTEC® is a registered trademark of Advanced Measurement Technology, Inc. All other trademarks used herein are the property of
their respective owners.
NOTICE OF PROPRIETARY PROPERTY —This document and the information contained in it are the proprietary property of
AMETEK Inc., ORTEC Business Unit. It may not be copied or used in any manner nor may any of the information in or upon it be used
for any purpose without the express written consent of an authorized agent of AMETEK Inc., ORTEC Business Unit.

TABLE OF CONTENTS
1. INTRODUCTION. .......................................................... 1
1.1. General................................................................ 1
1.1.1. Automation for High-Throughput Environments.. . . . . . . . . . . . . . . . . . . . . . . . . 3
1.1.2. Analysis and Display Tools. . . . . . . . . . . . . . . . . . . . . . . . . . . . . . . . . . . . . . . . . . 3
1.2. MCA Emulation......................................................... 3
1.3. Computer Requirements and Operating System Cautions.. . . . . . . . . . . . . . . . . . . . . . . . 5
1.4. MCB Support in GammaVision v8. . . . . . . . . . . . . . . . . . . . . . . . . . . . . . . . . . . . . . . . . . 5
1.5. Detector Security........................................................ 5
1.6. List Mode Support....................................................... 5
2. INSTALLING GAMMAVISION. .............................................. 7
2.1. Step 1: Installing CONNECTIONS............................................ 7
2.2. Step 2: Installing GammaVision. . . . . . . . . . . . . . . . . . . . . . . . . . . . . . . . . . . . . . . . . . . . 7
2.3. Step 3: Establishing Communication With Your ORTEC MCBs. . . . . . . . . . . . . . . . . . 9
2.3.1. Configuring a New Instrument.. . . . . . . . . . . . . . . . . . . . . . . . . . . . . . . . . . . . . . 10
2.3.2. Customizing ID Numbers and Descriptions.. . . . . . . . . . . . . . . . . . . . . . . . . . . . 11
2.4. Caution: Running the MCB Configuration Program Can Affect Quality Assurance. . . 11
2.4.1. Confirming the MCB Identification to Maintain QA Integrity. . . . . . . . . . . . . . 13
2.4.2. Editing the MCB Configuration Command Line. . . . . . . . . . . . . . . . . . . . . . . . . 14
2.5. Product Registration..................................................... 15
2.6. Enabling Additional ORTEC Device Drivers and Adding New MCBs. . . . . . . . . . . . . 16
3. GETTING STARTED — A GAMMAVISION TUTORIAL. . . . . . . . . . . . . . . . . . . . . . . . . 17
3.1. Introduction. .......................................................... 17
3.2. Starting GammaVision................................................... 18
3.2.1. Recalling a Spectrum.............................................. 19
3.2.2. The Simplest Way To Do An Analysis. . . . . . . . . . . . . . . . . . . . . . . . . . . . . . . . 20
3.2.3. Loading a Library................................................. 22
3.2.4. Setting the Analysis Parameters. . . . . . . . . . . . . . . . . . . . . . . . . . . . . . . . . . . . . . 23
3.2.5. Energy Calibration................................................ 26
3.2.5.1. Auto Calibration........................................... 30
3.2.6. Efficiency Calibration.............................................. 30
3.2.7. Energy and Efficiency Calibration Using the Calibration Wizard.. . . . . . . . . . . 33
3.2.8. Changing a Library................................................ 35
3.2.9. Detector Setup. .................................................. 36
3.2.9.1. Conversion Gain. ......................................... 37
Installation — page 7
Tutorial — page 17
iii

GammaVision® V8 (A66-BW) 783620K / 0915
3.2.9.2. Detectors Set Up Manually. . . . . . . . . . . . . . . . . . . . . . . . . . . . . . . . . . 38
3.2.9.3. Computer-Controlled Hardware Setup. . . . . . . . . . . . . . . . . . . . . . . . . 38
3.2.9.4. Amplifier Settings. . . . . . . . . . . . . . . . . . . . . . . . . . . . . . . . . . . . . . . . . 38
Automatic Optimization. . . . . . . . . . . . . . . . . . . . . . . . . . . . . . . . 39
Adjusting Amplifier Gain. . . . . . . . . . . . . . . . . . . . . . . . . . . . . . . 39
4. DISPLAY FEATURES. ..................................................... 43
4.1. Startup. .............................................................. 43
4.2. Spectrum Displays...................................................... 46
4.3. The Toolbar........................................................... 47
4.4. Using the Mouse........................................................ 49
4.4.1. Moving the Marker with the Mouse.. . . . . . . . . . . . . . . . . . . . . . . . . . . . . . . . . . 49
4.4.2. The Right-Mouse-Button Menu. . . . . . . . . . . . . . . . . . . . . . . . . . . . . . . . . . . . . . 49
4.4.3. Using the “Rubber Rectangle”. . . . . . . . . . . . . . . . . . . . . . . . . . . . . . . . . . . . . . . 50
4.4.4. Resizing and Moving the Full Spectrum View. . . . . . . . . . . . . . . . . . . . . . . . . . 50
4.5. Buttons and Boxes...................................................... 50
4.6. Opening Files with Drag-and-Drop. . . . . . . . . . . . . . . . . . . . . . . . . . . . . . . . . . . . . . . . . 52
4.7. Associated Files........................................................ 52
5. MENU COMMANDS....................................................... 53
5.1. File.................................................................. 56
5.1.1. Settings.... ...................................................... 56
5.1.1.1. General.................................................. 56
Save File Format...................................... 57
Ask On Save Options. ................................. 58
Sample Start/End Time................................. 58
5.1.1.2. Export................................................... 58
Arguments........................................... 59
Initial Directory....................................... 60
Run Options.......................................... 60
Use DataMaster....................................... 60
5.1.1.3. Import................................................... 61
Arguments:.......................................... 61
Initial Directory....................................... 62
Default.............................................. 62
Run Options.......................................... 62
Use DataMaster....................................... 62
5.1.1.4. Directories............................................... 62
5.1.2. Recall............................................................ 63
5.1.3. Save/Save As...................................................... 64
5.1.4. Export.... ....................................................... 65
iv

TABLE OF CONTENTS
5.1.5. Import............................................................ 65
5.1.6. Print............................................................ 66
5.1.7. Compare.......................................................... 66
5.1.7.1. Comparing ZDT Spectra with <Shift + F3>. . . . . . . . . . . . . . . . . . . . . 67
5.1.8. Save Plot.... ..................................................... 68
5.1.9. Exit............................................................ 69
5.1.10. About GammaVision............................................... 69
5.2. Acquire............................................................... 70
5.2.1. Acquisition Settings................................................. 70
5.2.1.1. Start/Save/Report.......................................... 71
5.2.1.2. Ask on Start Options. . . . . . . . . . . . . . . . . . . . . . . . . . . . . . . . . . . . . . . 71
Sample Type Defaults. ................................ 72
Acquisition Presets.................................... 72
Sample Description.................................... 72
Sample Size.......................................... 72
Collection Date and Time. . . . . . . . . . . . . . . . . . . . . . . . . . . . . . . 72
Sample Start/Stop Time. . . . . . . . . . . . . . . . . . . . . . . . . . . . . . . . 73
5.2.2. Start............................................................ 73
5.2.3. Start/Save/Report................................................. 73
5.2.4. Stop............................................................ 73
5.2.5. Clear........................................................... 74
5.2.6. Copy to Buffer. .................................................. 74
5.2.7. List Mode....................................................... 74
5.2.8. QA............................................................. 74
5.2.9. Download Spectra.................................................. 74
5.2.10. ZDT Display Select. ............................................. 75
5.2.11. MCB Properties................................................... 76
5.2.11.1. DSPEC-50.............................................. 77
Amplifier............................................ 77
Amplifier 2. ......................................... 79
Amplifier PRO. ...................................... 80
ADC ............................................... 83
Stabilizer............................................ 84
High Voltage......................................... 85
About............................................... 86
Status............................................... 86
Presets.............................................. 87
MDA Preset.......................................... 89
Nuclide Report Tab.................................... 90
5.2.11.2. Nuclide Report Calculations.. . . . . . . . . . . . . . . . . . . . . . . . . . . . . . . 92
5.2.11.3. Gain and Zero Stabilization. . . . . . . . . . . . . . . . . . . . . . . . . . . . . . . . . 93
v

GammaVision® V8 (A66-BW) 783620K / 0915
5.2.11.4. ZDT (Zero Dead Time) Mode. . . . . . . . . . . . . . . . . . . . . . . . . . . . . . . 94
Choosing a ZDT Mode................................. 97
The NORM_CORR Diagnostic Mode. . . . . . . . . . . . . . . . . . . . . 97
More Information. .................................... 98
5.2.11.5. InSight Mode............................................ 98
InSight Mode Controls................................. 98
Mark Types......................................... 100
5.2.11.6. Setting the Rise Time in Digital MCBs. . . . . . . . . . . . . . . . . . . . . . . 102
5.3. Calibrate............................................................. 103
5.3.1. General Information, Cautions, and Tips. . . . . . . . . . . . . . . . . . . . . . . . . . . . . . 103
5.3.1.1. For Best Calibration Results. . . . . . . . . . . . . . . . . . . . . . . . . . . . . . . . 104
5.3.2. Energy.......................................................... 105
5.3.2.1. Introduction............................................. 105
5.3.2.2. Auto Calibration.......................................... 106
5.3.2.3. Manual Calibration. . . . . . . . . . . . . . . . . . . . . . . . . . . . . . . . . . . . . . . 107
5.3.2.4. Easy Recalibration Using An .ENT Table.. . . . . . . . . . . . . . . . . . . . . 111
5.3.2.5. Speeding Up Calibration with a Library. . . . . . . . . . . . . . . . . . . . . . . 112
5.3.2.6. Other Sidebar Control Commands.. . . . . . . . . . . . . . . . . . . . . . . . . . . 113
5.3.2.7. Using Multiple Spectra for a Single Calibration. . . . . . . . . . . . . . . . . 113
5.3.3. Efficiency........................................................ 114
5.3.3.1. Introduction............................................. 114
5.3.3.2. Interpolative Fit.......................................... 117
5.3.3.3. Linear Fit............................................... 118
5.3.3.4. Quadratic Fit. ........................................... 118
5.3.3.5. Polynomial Fit........................................... 119
5.3.3.6. TCC Polynomial Fit.. . . . . . . . . . . . . . . . . . . . . . . . . . . . . . . . . . . . . . 120
5.3.3.7. Performing the Efficiency Calibration.. . . . . . . . . . . . . . . . . . . . . . . . 120
5.3.3.8. Using The Library. . . . . . . . . . . . . . . . . . . . . . . . . . . . . . . . . . . . . . . . 123
5.3.3.9. Automatic Efficiency Calibration. . . . . . . . . . . . . . . . . . . . . . . . . . . . 125
5.3.3.10. Manual Calibration. . . . . . . . . . . . . . . . . . . . . . . . . . . . . . . . . . . . . . 125
5.3.3.11. Other Efficiency Sidebar Control Commands.. . . . . . . . . . . . . . . . . 125
5.3.3.12. Editing the Standard (.EFT) Table File. . . . . . . . . . . . . . . . . . . . . . . 125
5.3.3.13. The Efficiency Graph Control Menu. . . . . . . . . . . . . . . . . . . . . . . . . 128
5.3.3.14. The Efficiency Table Control Menu. . . . . . . . . . . . . . . . . . . . . . . . . 128
5.3.4. Description....................................................... 129
5.3.5. Recall Calibration.... ............................................. 129
5.3.6. Save Calibration................................................... 130
5.3.7. Print Calibration................................................... 130
vi

TABLE OF CONTENTS
5.3.8. Calibration Wizard................................................. 132
5.3.8.1. Energy Calibration — Setting Up a New Calibration or Recalling from
File................................................ 133
Create New......................................... 133
Read From File...................................... 134
5.3.8.2. Efficiency and Efficiency-plus-TCC Calibrations — Setting Up a New
Calibration or Recalling from File. . . . . . . . . . . . . . . . . . . . . . . 135
Create New......................................... 135
Read From File — Efficiency.. . . . . . . . . . . . . . . . . . . . . . . . . . 139
Read from File — TCC................................ 139
5.3.8.3. Performing the New Energy Calibration. . . . . . . . . . . . . . . . . . . . . . . 140
5.3.8.4. Performing the New Efficiency or Efficiency-plus-TCC Calibration. 141
5.3.8.5. Reviewing the Calibration Wizard Results. . . . . . . . . . . . . . . . . . . . . 141
5.4. Calculate............................................................. 143
5.4.1. Settings.... ..................................................... 143
5.4.2. List Data Range................................................... 143
5.4.3. Peak Info....................................................... 144
5.4.3.1. Calculation.............................................. 145
5.4.4. Input Count Rate................................................. 147
5.4.5. Sum........................................................... 147
5.4.6. Smooth........................................................ 148
5.4.7. Strip............................................................ 148
5.5. Analyze.............................................................. 149
5.5.1. Settings........................................................ 150
5.5.1.1. Sample Type.............................................. 150
Sample Tab......................................... 150
System Tab......................................... 152
Decay Tab.......................................... 155
Report Tab.......................................... 156
Analysis Tab........................................ 159
Corrections Tab...................................... 162
Isotopes Tab. ....................................... 164
Uncertainties Tab. ................................... 165
5.5.1.2. Report Generator......................................... 166
5.5.1.3. Attenuation Coefficients. . . . . . . . . . . . . . . . . . . . . . . . . . . . . . . . . . . 166
Coefficient Table..................................... 166
Calculate from Spectra................................ 171
5.5.1.4. Geometry Correction. . . . . . . . . . . . . . . . . . . . . . . . . . . . . . . . . . . . . . 173
Automatic Calculation................................. 173
Manual Calculation................................... 173
Editing the Geometry Correction Table. . . . . . . . . . . . . . . . . . . 174
vii

GammaVision® V8 (A66-BW) 783620K / 0915
5.5.1.5. Peak Background Correction. . . . . . . . . . . . . . . . . . . . . . . . . . . . . . . . 174
Create PBC........................................... 175
Select PBC........................................... 175
Edit PBC............................................. 175
Print PBC............................................ 180
5.5.1.6. Average Energy.......................................... 180
Average Energy Sidebar Control Menu. . . . . . . . . . . . . . . . . . . 182
Average Energy Table Control Menu.. . . . . . . . . . . . . . . . . . . . 183
5.5.1.7. Iodine Equivalence.. . . . . . . . . . . . . . . . . . . . . . . . . . . . . . . . . . . . . . . 183
Iodine Equivalence Sidebar Control Menu.. . . . . . . . . . . . . . . . 184
Iodine Equivalence Table Control Menu. . . . . . . . . . . . . . . . . . 184
5.5.1.8. DAC (MPC)............................................. 184
DAC (MPC) Sidebar Control Menu. . . . . . . . . . . . . . . . . . . . . . 185
DAC (MPC) Table Control Menu.. . . . . . . . . . . . . . . . . . . . . . . 186
5.5.1.9. Gamma Total.............................................. 186
Output File Naming Convention.. . . . . . . . . . . . . . . . . . . . . . . . 188
Hardware and Analysis Configuration. . . . . . . . . . . . . . . . . . . . 188
Configuring and Generating the Gamma Total Reports. . . . . . . 189
5.5.2. Peak Search..................................................... 191
5.5.3. ROI Report....................................................... 191
5.5.4. Entire Spectrum in Memory.... . . . . . . . . . . . . . . . . . . . . . . . . . . . . . . . . . . . . . 193
5.5.5. Spectrum on Disk.... ............................................. 193
5.5.6. Display Analysis Results..... . . . . . . . . . . . . . . . . . . . . . . . . . . . . . . . . . . . . . . . 194
5.5.6.1. Analysis Sidebar. ........................................ 195
5.5.6.2. Analysis Results Spectrum Window. . . . . . . . . . . . . . . . . . . . . . . . . . 196
Plot Absolute Residuals/Plot Relative Residuals. . . . . . . . . . . . 196
Zoom In............................................ 196
Zoom Out. ......................................... 197
Undo Zoom In....................................... 197
Full View........................................... 197
Mark ROI. ......................................... 197
Clear Active ROI..................................... 197
Show ROI Bars...................................... 197
Peak Info........................................... 198
Show Hover Window................................. 198
Sum Spectrum....................................... 198
Print Graph. ........................................ 199
Properties........................................... 199
5.5.6.3. Analysis Results Table.. . . . . . . . . . . . . . . . . . . . . . . . . . . . . . . . . . . . 200
5.5.7. Interactive in Viewed Area.... . . . . . . . . . . . . . . . . . . . . . . . . . . . . . . . . . . . . . . 203
viii

TABLE OF CONTENTS
5.6. Library.............................................................. 206
5.6.1. Select Peak....................................................... 207
5.6.2. Select File.... ................................................... 207
5.6.3. Edit............................................................. 208
5.6.3.1. Copying Nuclides From Library to Library.. . . . . . . . . . . . . . . . . . . . 209
5.6.3.2. Creating a New Library Manually. . . . . . . . . . . . . . . . . . . . . . . . . . . . 210
5.6.3.3. Editing Library List Nuclides. . . . . . . . . . . . . . . . . . . . . . . . . . . . . . . 211
Manually Adding Nuclides. . . . . . . . . . . . . . . . . . . . . . . . . . . . . 212
Deleting Nuclides from the Library. . . . . . . . . . . . . . . . . . . . . . 212
Rearranging the Library List.. . . . . . . . . . . . . . . . . . . . . . . . . . . 212
Editing Nuclide Peaks................................. 213
Adding Nuclide Peaks................................. 213
Rearranging the Peak List. . . . . . . . . . . . . . . . . . . . . . . . . . . . . . 214
5.6.3.4. Saving or Canceling Changes and Closing. . . . . . . . . . . . . . . . . . . . . 214
5.6.4. List............................................................. 214
5.7. Services. ............................................................ 215
5.7.1. JOB Control...................................................... 215
5.7.1.1. Editing a .JOB File.. . . . . . . . . . . . . . . . . . . . . . . . . . . . . . . . . . . . . . . 215
5.7.2. Sample Description................................................ 216
5.7.3. Menu Passwords.... .............................................. 217
5.7.4. Lock/Unlock Detectors.... . . . . . . . . . . . . . . . . . . . . . . . . . . . . . . . . . . . . . . . . . 218
5.7.5. Edit Detector List.................................................. 219
5.8. ROI................................................................. 221
5.8.1. Off............................................................ 221
5.8.2. Mark.......................................................... 221
5.8.3. UnMark........................................................ 221
5.8.4. Mark Peak...................................................... 222
5.8.5. Clear.......................................................... 222
5.8.6. Clear All....................................................... 222
5.8.7. Auto Clear...................................................... 222
5.8.8. Save File.... .................................................... 222
5.8.9. Recall File....................................................... 223
5.9. Display.............................................................. 223
5.9.1. Detector......................................................... 223
5.9.2. Detector/Buffer.................................................. 224
5.9.3. Select Spectrum. ................................................ 224
5.9.4. Logarithmic..................................................... 224
5.9.5. Automatic...................................................... 224
5.9.6. Baseline Zoom. ................................................. 224
5.9.7. Zoom In........................................................ 225
5.9.8. Zoom Out...................................................... 225
5.9.9. Center......................................................... 225
ix

GammaVision® V8 (A66-BW) 783620K / 0915
5.9.10. Full View. .................................................... 225
5.9.11. Isotope Markers. ............................................... 225
5.9.12. Preferences...................................................... 227
5.9.12.1. Points/Fill ROI/Fill All. . . . . . . . . . . . . . . . . . . . . . . . . . . . . . . . . . . 227
5.9.12.2. Spectrum Colors.... . . . . . . . . . . . . . . . . . . . . . . . . . . . . . . . . . . . . . . 227
5.9.12.3. Peak Info Font/Color. . . . . . . . . . . . . . . . . . . . . . . . . . . . . . . . . . . . . 228
5.10. Window. ........................................................... 228
5.11. Right-Mouse-Button (Context) Menu. . . . . . . . . . . . . . . . . . . . . . . . . . . . . . . . . . . . . 229
5.11.1. Start.......................................................... 229
5.11.2. Stop.......................................................... 229
5.11.3. Clear......................................................... 229
5.11.4. Copy to Buffer. ................................................ 229
5.11.5. Zoom In. ..................................................... 229
5.11.6. Zoom Out..................................................... 229
5.11.7. Undo Zoom In.................................................. 230
5.11.8. Mark ROI..................................................... 230
5.11.9. Clear ROI..................................................... 230
5.11.10. Peak Info..................................................... 230
5.11.11. Input Count Rate............................................... 230
5.11.12. Sum......................................................... 230
5.11.13. MCB Properties................................................. 230
6. ANALYSIS METHODS. ................................................... 231
6.1. General.............................................................. 231
6.2. The Analysis Engines................................................... 231
6.2.1. Analysis Engine Options. . . . . . . . . . . . . . . . . . . . . . . . . . . . . . . . . . . . . . . . . . 231
6.2.1.1. WAN32. ............................................... 231
6.2.1.2. GAM32. ............................................... 232
6.2.1.3. NPP32. ................................................ 232
6.2.1.4. ENV32 and NAI32........................................ 232
6.2.1.5. ROI32.................................................. 233
ROI Analysis........................................ 233
Additional Considerations.. . . . . . . . . . . . . . . . . . . . . . . . . . . . . 234
6.2.2. Selecting an Analysis Engine — Decision Matrix.. . . . . . . . . . . . . . . . . . . . . . 235
6.2.2.1. Guidelines for Selecting an Analysis Engine. . . . . . . . . . . . . . . . . . . 236
6.2.3. Library Reduction Based on Nuclide Rejection (ENV32, GAM32 and NAI32
Analysis Engines Only)........................................... 236
6.2.3.1. Library Reduction based on Peak Order. . . . . . . . . . . . . . . . . . . . . . . 236
6.2.3.2. Library Reduction Based on Key Line and Fraction Limit Tests. . . . 237
x

TABLE OF CONTENTS
6.3. Calculation Details for Peaks.. . . . . . . . . . . . . . . . . . . . . . . . . . . . . . . . . . . . . . . . . . . . 238
6.3.1. Background Calculation Methods. . . . . . . . . . . . . . . . . . . . . . . . . . . . . . . . . . . 238
6.3.1.1. Automatic............................................... 238
6.3.1.2. X-Point Average. ........................................ 240
6.3.1.3. X.X * FWHM. .......................................... 240
6.3.1.4. Example Background.. . . . . . . . . . . . . . . . . . . . . . . . . . . . . . . . . . . . . 241
6.3.2. Peak Area — Singlets............................................. 243
6.3.2.1. Total Summation Method. . . . . . . . . . . . . . . . . . . . . . . . . . . . . . . . . . 243
6.3.2.2. Directed Fit Method.. . . . . . . . . . . . . . . . . . . . . . . . . . . . . . . . . . . . . . 244
6.3.2.3. ISO NORM Singlet Peak Method. . . . . . . . . . . . . . . . . . . . . . . . . . . . 245
6.3.3. Example Peak Area............................................... 249
6.3.3.1. Total Summation Method. . . . . . . . . . . . . . . . . . . . . . . . . . . . . . . . . . 249
6.3.3.2. Directed Fit Method.. . . . . . . . . . . . . . . . . . . . . . . . . . . . . . . . . . . . . . 249
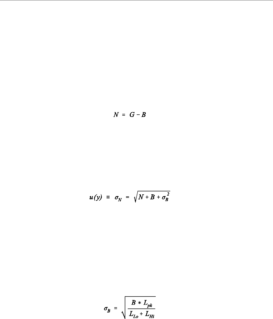
6.3.4. Peak Uncertainty................................................. 250
6.3.4.1. Peak Uncertainty in ZDT Spectra. . . . . . . . . . . . . . . . . . . . . . . . . . . . 250
6.3.5. Peak Centroid................................................... 251
6.3.6. Energy Recalibration. ............................................ 251
6.3.7. Peak Search..................................................... 254
6.3.7.1. Peak Acceptance Tests.. . . . . . . . . . . . . . . . . . . . . . . . . . . . . . . . . . . . 256
6.3.8. Narrow Peaks................................................... 258
6.4. Suspected Nuclides. ................................................... 258
6.5. Locating Multiplets. ................................................... 258
6.5.1. Defining a Multiplet Region for Deconvolution. . . . . . . . . . . . . . . . . . . . . . . . 259
6.5.2. Establishing Multiplet Background. . . . . . . . . . . . . . . . . . . . . . . . . . . . . . . . . . 259
6.5.2.1. Stepped Background. . . . . . . . . . . . . . . . . . . . . . . . . . . . . . . . . . . . . . 261
6.5.3. Parabolic Background............................................. 262
6.5.4. Total Peak Area. ................................................ 262
6.5.5. Library-Based Peak Stripping. . . . . . . . . . . . . . . . . . . . . . . . . . . . . . . . . . . . . . 264
6.5.5.1. Automatic Peak Stripping. . . . . . . . . . . . . . . . . . . . . . . . . . . . . . . . . . 264
6.5.5.2. Manual Peak Stripping.. . . . . . . . . . . . . . . . . . . . . . . . . . . . . . . . . . . . 265
6.6. Fraction Limit......................................................... 266
6.7. Nuclide Activity....................................................... 267
6.7.1. Average Activity................................................. 268
6.7.2. Nuclide Counting Uncertainty Estimate.. . . . . . . . . . . . . . . . . . . . . . . . . . . . . . 269
6.8. Total Activity (ROI32 Analysis Engine Only). . . . . . . . . . . . . . . . . . . . . . . . . . . . . . . 270
6.9. MDA................................................................ 270
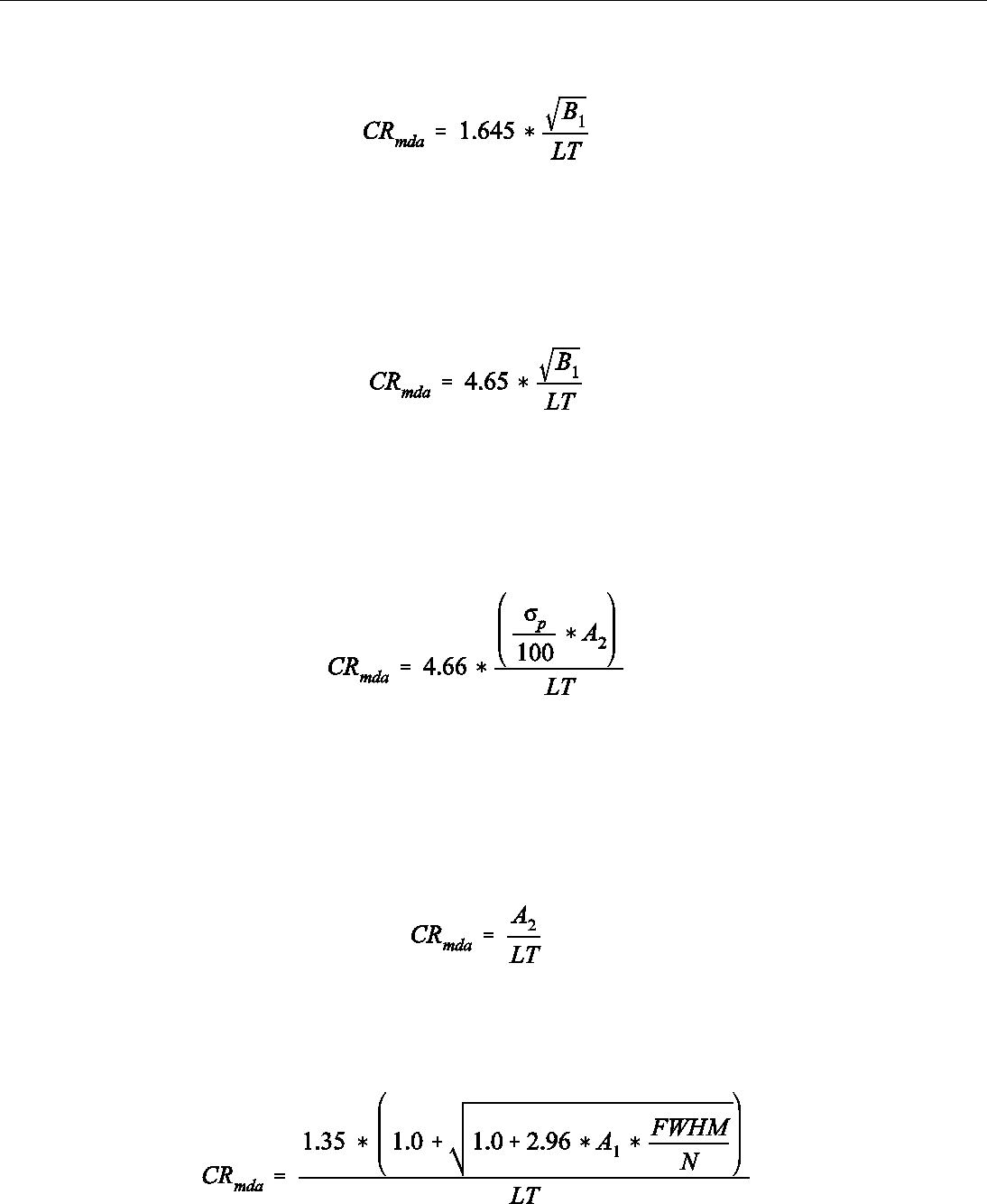
6.9.1. Computing MDA Values.......................................... 271
6.9.1.1. Area Methods............................................ 271
6.9.1.2. Background Methods. . . . . . . . . . . . . . . . . . . . . . . . . . . . . . . . . . . . . . 273
6.9.1.3. Computing MDA......................................... 275
xi

GammaVision® V8 (A66-BW) 783620K / 0915
6.9.2. GammaVision MDA Methods. . . . . . . . . . . . . . . . . . . . . . . . . . . . . . . . . . . . . . 275
6.9.2.1. Method 1: Traditional ORTEC. . . . . . . . . . . . . . . . . . . . . . . . . . . . . . 275
6.9.2.2. Method 2: Critical Level ORTEC.. . . . . . . . . . . . . . . . . . . . . . . . . . . 276
6.9.2.3. Method 3: Suppress MDA Output. . . . . . . . . . . . . . . . . . . . . . . . . . . 276
6.9.2.4. Method 4: KTA Rule. . . . . . . . . . . . . . . . . . . . . . . . . . . . . . . . . . . . . 276
6.9.2.5. Method 5: Japan 2 Sigma Limit. . . . . . . . . . . . . . . . . . . . . . . . . . . . . 276
6.9.2.6. Method 6: Japan 3 Sigma Limit. . . . . . . . . . . . . . . . . . . . . . . . . . . . . 276
6.9.2.7. Method 7: Currie Limit.. . . . . . . . . . . . . . . . . . . . . . . . . . . . . . . . . . . 277
6.9.2.8. Method 8: RISO MDA. . . . . . . . . . . . . . . . . . . . . . . . . . . . . . . . . . . . 277
6.9.2.9. Method 9: LLD ORTEC. . . . . . . . . . . . . . . . . . . . . . . . . . . . . . . . . . . 277
6.9.2.10. Method 10: Peak Area. . . . . . . . . . . . . . . . . . . . . . . . . . . . . . . . . . . 277
6.9.2.11. Method 11: Air Monitor — GIMRAD (also called DIN 25 482
Method)............................................ 277
6.9.2.12. Method 12: Regulatory Guide 4.16. . . . . . . . . . . . . . . . . . . . . . . . . 278
6.9.2.13. Method 13: Counting Lab — USA.. . . . . . . . . . . . . . . . . . . . . . . . . 278
6.9.2.14. Method 14: Erkennungsgrenze (Detection Limit) DIN 25 482.5.. . 278
6.9.2.15. Method 15: Nachweisgrenze DIN 25 482.5. . . . . . . . . . . . . . . . . . . 279
6.9.2.16. Method 16: EDF — France.. . . . . . . . . . . . . . . . . . . . . . . . . . . . . . . 279
6.9.2.17. Method 17: NUREG 0472. . . . . . . . . . . . . . . . . . . . . . . . . . . . . . . . 279
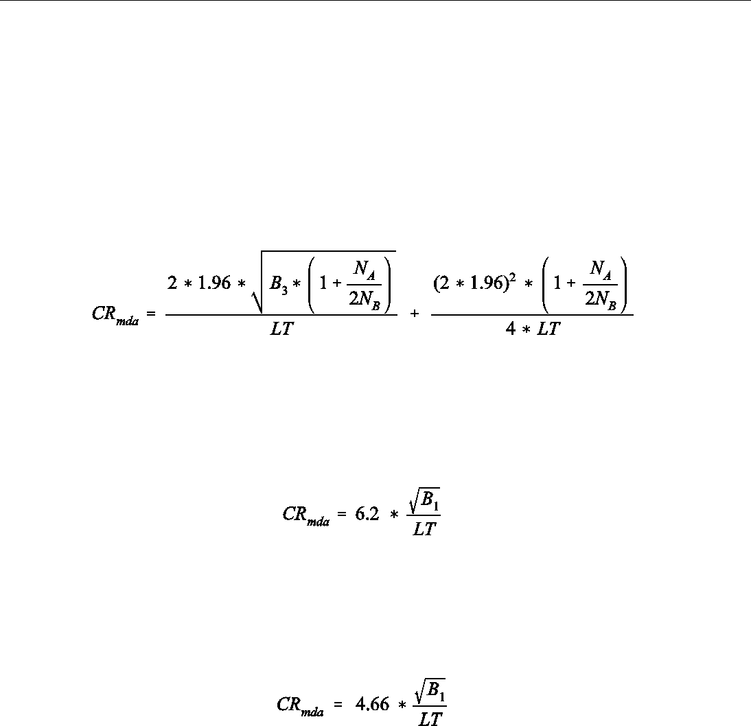
6.9.2.18. Method 18: ISO Decision Threshold (CL). . . . . . . . . . . . . . . . . . . . 279
6.9.2.19. Method 19: ISO Detection Limit (MDA).. . . . . . . . . . . . . . . . . . . . 279
6.10. Corrections.......................................................... 280
6.10.1. Decay During Acquisition. . . . . . . . . . . . . . . . . . . . . . . . . . . . . . . . . . . . . . . . 280
6.10.2. Decay Correction............................................... 280
6.10.3. Decay During Collection. . . . . . . . . . . . . . . . . . . . . . . . . . . . . . . . . . . . . . . . . 281
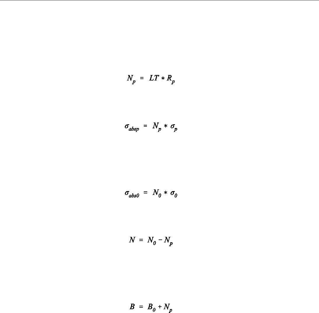
6.10.4. Peaked Background Correction. . . . . . . . . . . . . . . . . . . . . . . . . . . . . . . . . . . . 281
6.10.4.1. PBC Match Width (By Energy option OFF). . . . . . . . . . . . . . . . . . . 282
6.10.4.2. Match by Energy Only (By Energy option ON). . . . . . . . . . . . . . . . 282
6.10.5. Geometry Correction. ........................................... 283
6.10.5.1. Example............................................... 284
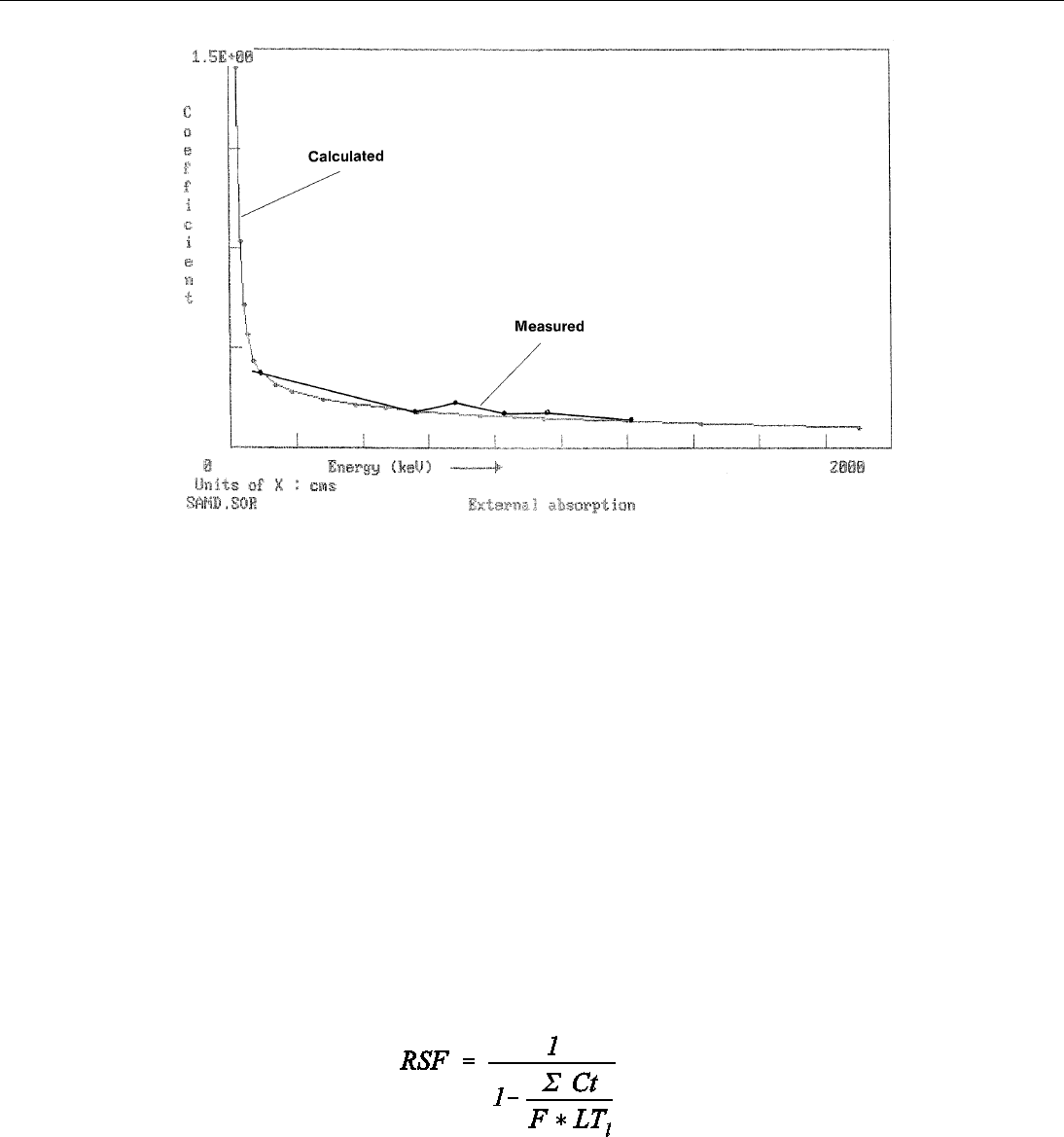
6.10.6. Absorption. ................................................... 285
6.10.6.1. External Absorption.. . . . . . . . . . . . . . . . . . . . . . . . . . . . . . . . . . . . . 286
6.10.6.2. Internal Absorption. . . . . . . . . . . . . . . . . . . . . . . . . . . . . . . . . . . . . . 286
Internal Absorption Correction. . . . . . . . . . . . . . . . . . . . . . . . . . 286
6.10.6.3. Example — Ratio Method. . . . . . . . . . . . . . . . . . . . . . . . . . . . . . . . . 287
6.10.6.4. Example — Table Values. . . . . . . . . . . . . . . . . . . . . . . . . . . . . . . . . 289
6.11. Random Summing.................................................... 291
6.11.1. Random Summing Correction. . . . . . . . . . . . . . . . . . . . . . . . . . . . . . . . . . . . . 292
6.12. Reported Uncertainty.................................................. 293
6.12.1. Total Uncertainty Estimate.. . . . . . . . . . . . . . . . . . . . . . . . . . . . . . . . . . . . . . . 293
6.12.2. Counting Uncertainty Estimate. . . . . . . . . . . . . . . . . . . . . . . . . . . . . . . . . . . . 294
xii

TABLE OF CONTENTS
6.12.3. Additional Normally Distributed Uncertainty Estimate.. . . . . . . . . . . . . . . . . 294
6.12.4. Random Summing Uncertainty Estimate. . . . . . . . . . . . . . . . . . . . . . . . . . . . . 295
6.12.5. Absorption Uncertainty Estimate. . . . . . . . . . . . . . . . . . . . . . . . . . . . . . . . . . . 295
6.12.6. Nuclide Uncertainty Estimate.. . . . . . . . . . . . . . . . . . . . . . . . . . . . . . . . . . . . . 295
6.12.7. Efficiency Uncertainty Estimate.. . . . . . . . . . . . . . . . . . . . . . . . . . . . . . . . . . . 295
6.12.7.1. Calibration Counting Uncertainty. . . . . . . . . . . . . . . . . . . . . . . . . . . 296
6.12.7.2. TCC-Polynomial. ....................................... 297
6.12.7.3. Interpolative............................................ 297
6.12.7.4. Linear, Quadratic or Polynomial. . . . . . . . . . . . . . . . . . . . . . . . . . . . 298
Matrix Solution...................................... 299
Matrix Inversion..................................... 300
Uncertainty of the Fit. ................................ 300
6.12.8. Geometry Uncertainty Estimate. . . . . . . . . . . . . . . . . . . . . . . . . . . . . . . . . . . . 302
6.12.9. Uniformly Distributed Uncertainty Estimate. . . . . . . . . . . . . . . . . . . . . . . . . . 303
6.12.10. Additional User-Defined Uncertainty Factors. . . . . . . . . . . . . . . . . . . . . . . . 303
6.12.11. Sample Size Uncertainty. . . . . . . . . . . . . . . . . . . . . . . . . . . . . . . . . . . . . . . . 303
6.12.12. Peaked Background Correction and Uncertainty Calculations. . . . . . . . . . . 304
6.12.12.1. Single PBC Subtraction. . . . . . . . . . . . . . . . . . . . . . . . . . . . . . . . . . 304
6.12.12.2. Multiple PBC Subtraction. . . . . . . . . . . . . . . . . . . . . . . . . . . . . . . . 305
6.13. EBAR — Average Energy.............................................. 306
6.14. IEQ — Iodine Equivalence. ............................................ 308
6.15. DAC or MPC........................................................ 309
6.16. True Coincidence Correction. . . . . . . . . . . . . . . . . . . . . . . . . . . . . . . . . . . . . . . . . . . . 310
6.17. ISO NORM Implementation in GammaVision. . . . . . . . . . . . . . . . . . . . . . . . . . . . . . 311
6.17.1. The ISO NORM Model in GammaVision. . . . . . . . . . . . . . . . . . . . . . . . . . . . 311
6.17.2. The Uncertainty of Net Peak Area. . . . . . . . . . . . . . . . . . . . . . . . . . . . . . . . . . 312
6.17.3. Other Quantities in ISO NORM. . . . . . . . . . . . . . . . . . . . . . . . . . . . . . . . . . . . 313
6.17.4. Conversion from Counts to Activity. . . . . . . . . . . . . . . . . . . . . . . . . . . . . . . . 313
6.17.5. Peak Calculation Details.. . . . . . . . . . . . . . . . . . . . . . . . . . . . . . . . . . . . . . . . . 315
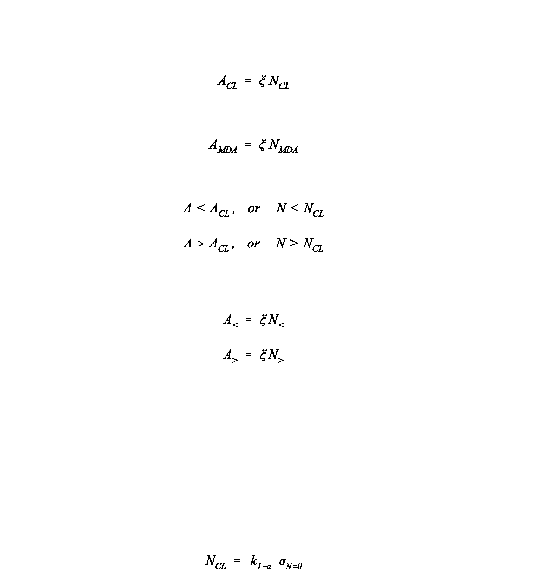
6.17.5.1. Critical Level or Decision Threshold.. . . . . . . . . . . . . . . . . . . . . . . . 315
6.17.5.2. Peak MDA or Peak Detection Limit. . . . . . . . . . . . . . . . . . . . . . . . . 316
General MDA Equation. .............................. 316
Uncertainties in the MDA Equation. . . . . . . . . . . . . . . . . . . . . . 317
Special Cases........................................ 318
MDA to Critical Level Ratio.. . . . . . . . . . . . . . . . . . . . . . . . . . . 319
Maximum MDA Ratio. ............................... 320
Maximum MDA Report............................... 321
6.17.5.3. The Best Estimated Activity. . . . . . . . . . . . . . . . . . . . . . . . . . . . . . . 322
6.17.5.4. The Lower and Upper Limits of the Activity. . . . . . . . . . . . . . . . . . 322
6.17.6. Nuclide Calculation Details. . . . . . . . . . . . . . . . . . . . . . . . . . . . . . . . . . . . . . . 323
6.17.6.1. Nuclide Activity......................................... 323
xiii

GammaVision® V8 (A66-BW) 783620K / 0915
6.17.6.2. Nuclide Activity Counting Uncertainty.. . . . . . . . . . . . . . . . . . . . . . 324
6.17.6.3. Nuclide Best Estimated Activity. . . . . . . . . . . . . . . . . . . . . . . . . . . . 324
6.17.6.4. Nuclide Best Estimated Activity Uncertainty. . . . . . . . . . . . . . . . . . 324
6.17.6.5. Nuclide Critical Level. . . . . . . . . . . . . . . . . . . . . . . . . . . . . . . . . . . . 325
6.17.6.6. Nuclide MDA........................................... 325
6.17.6.7. Nuclide Lower and Upper Activity Limits. . . . . . . . . . . . . . . . . . . . 325
6.17.6.8. Total Reported Activity. . . . . . . . . . . . . . . . . . . . . . . . . . . . . . . . . . . 326
6.17.7. GammaVision / ISO NORM Unique Calculations. . . . . . . . . . . . . . . . . . . . . 326
6.17.7.1. Special Background Variance Calculations.. . . . . . . . . . . . . . . . . . . 326
Zero Background Width............................... 326
Narrow Peak Width................................... 326
Zero Peak Background................................ 327
Peaked Background Correction (PBC). . . . . . . . . . . . . . . . . . . . 327
6.17.7.2. Negative Peak Area and Confidence Interval. . . . . . . . . . . . . . . . . . 327
Lower Confidence Limit.. . . . . . . . . . . . . . . . . . . . . . . . . . . . . . 328
Upper Confidence Limit. . . . . . . . . . . . . . . . . . . . . . . . . . . . . . . 328
The Best Estimated Activity. . . . . . . . . . . . . . . . . . . . . . . . . . . . 329
Uncertainty of the Best Estimated Activity. . . . . . . . . . . . . . . . 329
6.17.7.3. Peak Area Uncertainty. . . . . . . . . . . . . . . . . . . . . . . . . . . . . . . . . . . . 329
6.18. EDF Gamma Total Analysis. . . . . . . . . . . . . . . . . . . . . . . . . . . . . . . . . . . . . . . . . . . . 330
6.18.1. Geometry (K-Factor) Calculation.. . . . . . . . . . . . . . . . . . . . . . . . . . . . . . . . . . 330
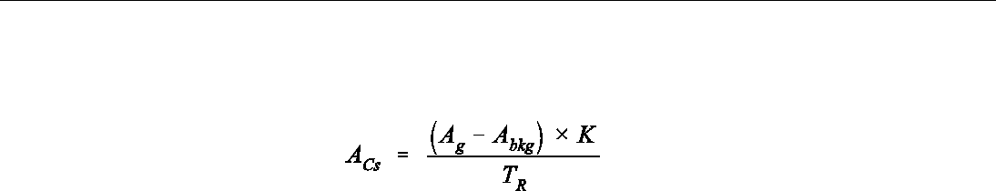
6.18.2. Gamma Total (Cesium Equivalence) Activity. . . . . . . . . . . . . . . . . . . . . . . . . 331
7. ANALYSIS REPORT. ..................................................... 333
7.1. Report Header. ....................................................... 333
7.2. Sample, Detector, and Acquisition Parameters. . . . . . . . . . . . . . . . . . . . . . . . . . . . . . . 334
7.3. Calibration Parameters.................................................. 334
7.4. Library Parameters..................................................... 335
7.5. Analysis Parameters.................................................... 335
7.6. Correction Parameters.................................................. 337
7.7. Peak and Nuclide Tables................................................ 338
7.7.1. ROI Peak Summary (ROI32 Engine Only). . . . . . . . . . . . . . . . . . . . . . . . . . . . 339
7.7.2. Summary of ROI Peak Usage (ROI32 Engine Only).. . . . . . . . . . . . . . . . . . . . 340
7.7.3. Summary of ROI Nuclides (ROI32 Engine Only). . . . . . . . . . . . . . . . . . . . . . . 340
7.7.4. Summary of Peaks in Range (ENV32 and NPP32 Only). . . . . . . . . . . . . . . . . 341
7.7.5. Unidentified Peak Summary.. . . . . . . . . . . . . . . . . . . . . . . . . . . . . . . . . . . . . . . 342
7.7.6. Identified Peak Summary. . . . . . . . . . . . . . . . . . . . . . . . . . . . . . . . . . . . . . . . . . 343
7.7.7. Summary of Library Peak Usage. . . . . . . . . . . . . . . . . . . . . . . . . . . . . . . . . . . . 344
7.7.7.1. Summary of Library Peak Usage Flags. . . . . . . . . . . . . . . . . . . . . . . . 347
7.7.8. Discarded Isotope Peaks.. . . . . . . . . . . . . . . . . . . . . . . . . . . . . . . . . . . . . . . . . . 349
7.7.9. Summary of Discarded Peaks.. . . . . . . . . . . . . . . . . . . . . . . . . . . . . . . . . . . . . . 350
xiv

TABLE OF CONTENTS
7.7.10. Summary of Nuclides in Sample. . . . . . . . . . . . . . . . . . . . . . . . . . . . . . . . . . . 351
7.7.11. Summary of Nuclides (ISO-NORM). . . . . . . . . . . . . . . . . . . . . . . . . . . . . . . . 354
7.7.12. Iodine Equivalence and Average Energy Calculations. . . . . . . . . . . . . . . . . . 355
7.7.13. DAC Calculations............................................... 356
7.8. The EDF Special Application Report. . . . . . . . . . . . . . . . . . . . . . . . . . . . . . . . . . . . . . 356
8. QUALITY ASSURANCE................................................... 359
8.1. Introduction. ......................................................... 359
8.1.1. Using QA Results to Diagnose System Problems. . . . . . . . . . . . . . . . . . . . . . . 361
8.2. QA Submenu......................................................... 361
8.2.1. Settings.... ..................................................... 362
8.2.1.1. Establishing QA Settings. . . . . . . . . . . . . . . . . . . . . . . . . . . . . . . . . . . 362
8.2.2. Measure Background............................................. 365
8.2.3. Measure Sample................................................. 365
8.2.4. Status........................................................... 365
8.2.5. Control Charts.................................................... 366
8.3. Quality Assurance Example.............................................. 371
8.4. Creating a QA Database................................................. 374
9. KEYBOARD FUNCTIONS.................................................. 375
9.1. Introduction. ......................................................... 375
9.2. Marker and Display Function Keys. . . . . . . . . . . . . . . . . . . . . . . . . . . . . . . . . . . . . . . . 375
9.2.1. Next Channel. .................................................. 375
9.2.2. Next/Previous ROI ............................................... 378
9.2.3. Next/Previous Peak............................................... 378
9.2.4. Next/Previous Library Entry. . . . . . . . . . . . . . . . . . . . . . . . . . . . . . . . . . . . . . . 378
9.2.5. First/Last Channel................................................ 378
9.2.6. Jump (Sixteenth Screen Width). . . . . . . . . . . . . . . . . . . . . . . . . . . . . . . . . . . . . 379
9.2.7. Insert ROI...................................................... 379
9.2.8. Clear ROI...................................................... 379
9.2.9. Taller/Shorter................................................... 379
9.2.10. Move Rubber Rectangle One Pixel. . . . . . . . . . . . . . . . . . . . . . . . . . . . . . . . . 380
9.2.11. Compare Vertical Separation. . . . . . . . . . . . . . . . . . . . . . . . . . . . . . . . . . . . . . 380
9.2.12. Zoom In/Zoom OutKeypad. . . . . . . . . . . . . . . . . . . . . . . . . . . . . . . . . . . . . . . 380
9.2.13. Fine Gain. .................................................... 380
9.2.14. Fine Gain (Large Move). . . . . . . . . . . . . . . . . . . . . . . . . . . . . . . . . . . . . . . . . . 380
9.2.15. Screen Capture................................................. 381
9.3. Keyboard Number Combinations. . . . . . . . . . . . . . . . . . . . . . . . . . . . . . . . . . . . . . . . . 381
9.3.1. Start........................................................... 381
9.3.2. Stop........................................................... 381
9.3.3. Clear.......................................................... 381
xv

GammaVision® V8 (A66-BW) 783620K / 0915
9.3.4. Copy to Buffer. ................................................. 381
9.3.5. Detector/Buffer.................................................. 382
9.3.6. Narrower/Wider ................................................. 382
9.4. Function Keys. ....................................................... 382
9.4.1. ROI........................................................... 382
9.4.2. ZDT/Normal.................................................... 382
9.4.3. ZDT Compare................................................... 382
9.4.4. Detector/Buffer.................................................. 383
9.4.5. Taller/Shorter................................................... 383
9.4.6. Narrower/Wider................................................. 383
9.4.7. Full View. ..................................................... 383
9.4.8. Select Detector.................................................. 383
9.5. Keypad Keys. ........................................................ 384
9.5.1. Log/Linear. .................................................... 384
9.5.2. Auto/Manual.................................................... 384
9.5.3. Center......................................................... 384
9.5.4. Zoom In/Zoom Out............................................... 384
9.5.5. Fine Gain. ..................................................... 384
10. JOB FILES.............................................................. 385
10.1. Introduction......................................................... 385
10.1.1. JOB Command Functionality. . . . . . . . . . . . . . . . . . . . . . . . . . . . . . . . . . . . . . 385
10.1.1.1. Loops................................................. 385
10.1.1.2. Errors................................................. 386
10.1.1.3. Ask on Start and Ask on Save. . . . . . . . . . . . . . . . . . . . . . . . . . . . . . 386
10.1.1.4. Password-Locked Detectors.. . . . . . . . . . . . . . . . . . . . . . . . . . . . . . . 386
10.1.1.5. .JOB Files and the Multiple-Detector Interface.. . . . . . . . . . . . . . . . 386
10.1.2. JOB Command Structure. . . . . . . . . . . . . . . . . . . . . . . . . . . . . . . . . . . . . . . . . 387
10.2. .JOB File Variables. .................................................. 387
10.3. JOB Programming Example. ........................................... 389
10.3.1. Improving the JOB.............................................. 391
10.3.2. JOB Commands for List Mode.. . . . . . . . . . . . . . . . . . . . . . . . . . . . . . . . . . . . 392
10.4. JOB Command Catalog................................................ 394
11. UTILITIES.............................................................. 423
11.1. GVPlot............................................................. 423
11.1.1. Screen Features................................................. 423
11.1.2. The Toolbar. .................................................. 425
11.1.3. Menu Commands............................................... 426
11.1.3.1. File................................................... 426
11.1.3.2. View.................................................. 427
xvi

TABLE OF CONTENTS
11.1.3.3. Options................................................ 427
Graph............................................... 428
Title Text........................................... 429
Auto Load UFO...................................... 430
11.1.3.4. ROI................................................... 430
Modify Active ROI/Off................................ 430
Clear. ............................................. 430
Clear All. .......................................... 431
Save File............................................. 431
Recall File.... ....................................... 431
11.1.4. Right-Mouse-Button (Context) Menu Commands.. . . . . . . . . . . . . . . . . . . . . 431
11.1.4.1. Show Residuals......................................... 431
11.1.4.2. Zoom In............................................... 432
11.1.4.3. Zoom Out.............................................. 432
11.1.4.4. Undo Zoom In.......................................... 432
11.1.4.5. Full View.............................................. 432
11.1.4.6. Mark ROI.............................................. 432
11.1.4.7. Clear Active ROI. . . . . . . . . . . . . . . . . . . . . . . . . . . . . . . . . . . . . . . . 432
11.1.4.8. Show ROI Bars. ........................................ 432
11.1.4.9. Peak Info. ............................................. 433
11.1.4.10. Show Hover Window.. . . . . . . . . . . . . . . . . . . . . . . . . . . . . . . . . . . 434
11.1.4.11. Sum Spectrum......................................... 434
11.1.4.12. Print Graph............................................ 434
11.1.4.13. Properties............................................. 434
11.1.5. Command Line Interface. . . . . . . . . . . . . . . . . . . . . . . . . . . . . . . . . . . . . . . . . 435
11.2. TRANSLT.......................................................... 435
APPENDIX A. STARTUP AND CONFIGURATION OPTIONS. . . . . . . . . . . . . . . . . . . . . . 437
A.1. Command Line Options. ............................................... 437
A.2. Analysis Setup........................................................ 439
A.2.1. WAN32, GAM32, NPP32, ENV32, ROI32, and NAI32. . . . . . . . . . . . . . . . . 439
A.2.2. B30winds.ini and N30winds.ini. . . . . . . . . . . . . . . . . . . . . . . . . . . . . . . . . . . . 440
A.2.2.1. Contents................................................ 440
APPENDIX B. FILE FORMATS................................................ 451
B.1. GammaVision File Types............................................... 451
B.1.1. Detector Files................................................... 451
B.1.2. Spectrum Files.................................................. 451
B.1.3. Miscellaneous Files.............................................. 451
B.1.4. QA Database Files............................................... 452
xvii

GammaVision® V8 (A66-BW) 783620K / 0915
B.2. Database Tables for GammaVision QA. . . . . . . . . . . . . . . . . . . . . . . . . . . . . . . . . . . . 452
B.2.1. QA Detectors Detector Table.. . . . . . . . . . . . . . . . . . . . . . . . . . . . . . . . . . . . . . 452
B.2.2. Application Information Table. . . . . . . . . . . . . . . . . . . . . . . . . . . . . . . . . . . . . 454
B.2.3. M...d Measurements Table(s). . . . . . . . . . . . . . . . . . . . . . . . . . . . . . . . . . . . . . 454
B.2.4. P...dmmmm Peaks Table(s). . . . . . . . . . . . . . . . . . . . . . . . . . . . . . . . . . . . . . . 455
APPENDIX C. ERROR MESSAGES............................................ 457
INDEX..................................................................... 471
xviii

The convention used in this manual to represent actual keys
pressed is to enclose the key label within angle brackets; for
example, <F1>. For key combinations, the key labels are
joined by a + within the angle brackets; for example,
<Alt + 2>.
NOTE!
If you are not fully acquainted with the Windows environment,
we strongly urge you to visit the Microsoft website as well as
familiarize yourself with a few simple applications before
proceeding.
xix
INSTALLATION AND STARTUP
Refer first to the instructions in the accompanying CONNEC-
TIONS Driver Update Kit (Part No. 797230).
For information on installation and configuration, hardware
driver activation, network protocol configuration, and building
the master list of instruments accessible within
GammaVision, see Chapter 2 (page 7). If installing Chinese
GammaVision on an English Windows computer, you must
change the Windows Regional Settings to the Chinese language.
You can use GammaVision, with access to all features, for 60
days without entering its registration key (see Section 2.5).
The tutorial begins on page 17.
xx

1. INTRODUCTION
1.1. General
ORTEC® continues to deliver the finest in germanium-detector gamma-ray spectrum acquisition,
analysis, and reporting software with the latest release of GammaVision® — version 8. This
release of GammaVision extends the capabilities of our world-standard gamma-ray spectroscopy
software to provide even more advanced tools for simplifying and reducing effort in your
counting laboratory.
Features and options in GammaVision v8 include:
●Operating System Compatibility — GammaVision operates on computers running
Microsoft® Windows® 7, 8.1, and 10 Professional.
●English, French, Chinese, and German User Interface — During installation, choose the
GammaVision language interface that matches your computer operating system language.
●Spectrum Analysis Capability — GammaVision was originally designed for HPGe
spectrum analysis with adjustable analysis settings and engines that can be tailored for
specific applications. The NAI32 analysis engine introduced in Version 8 supports Low
Resolution spectrum analysis for use with Sodium Iodide detectors and similar types.
●Support for ORTEC instruments that operate in List Mode (such as the DSPEC®-50/502,
digiBASE®, and DSPEC® Pro), which streams spectroscopy data are directly to the
computer, event-by-event, without the data “dead periods” associated with the acquire-
store-clear-restart cycle of standard spectrum acquisition.
●Extensive automation using JOB files.
●An optional multi-detector interface that allows you to simultaneously start, stop, and
monitor up to eight multichannel buffers (MCBs); and view up to eight live spectra and
eight buffer windows at a time.
●Automatic and Manual calibration processes to meet different application needs.
●ISO NORM Compatibility — Optional report data compatible with ISO/DIS 11929.1
1ISO/DIS 11929, “Determination of characteristic limits (decision threshold, detection limit, and limits of the
confidence interval) for measurements of ionizing radiation — Fundamentals and applications,”
http://www.iso.org/iso/iso_catalogue/catalogue_tc/catalogue_detail.htm?csnumber=43810.
1

GammaVision® V8 (A66-BW) 783620K / 0915
●Gamma Total Support — This is available to generate specific results and reports2 as
defined by EDF (Électricité de France). (Gamma Total users, be sure to see the system
configuration note on page 11.)
●An enhanced analysis results display, and a revised and expanded histogram plotting pro-
gram, GVPlot.
●Spectrum File Types — As of Version 8, GammaVision can read the ANSI N42 file
generated by ORTEC’s Detective-EX, Detective-Pro, Detective-Remote, and
Spectroscopy Portal applications. Spectra can also be saved to the N42 format.
GammaVision combines the latest advances in analytical accuracy with user friendliness and the
widest range of tools and corrections available to the spectroscopist. These include true coinci-
dence correction (TCC), absorption correction, a calibration wizard, an enhanced source certifi-
cate file editor, and the ability to use nuclide libraries in either GammaVision or NuclideNavi-
gator® III (Microsoft® Access®) format. In addition, all hardware setup including presets, acquisi-
tion settings, and MCB settings, is performed in one dialog.
For the ORTEC DSPEC® family of instruments, GammaVision takes full advantage of the hard-
ware’s zero-dead-time (ZDT3) method for loss-free counting correction with uncertainty propa-
gation. Our newer MCBs also support a multi-nuclide MDA preset.
Regulatory compliance is easy with GammaVision. The software’s quality assurance (QA) fea-
tures monitor system performance and store the results in an Access database. All hardware and
analysis parameters are saved with the spectral data to ensure traceability.
GammaVision’s extensive menus and toolbar let you operate all aspects of data acquisition and
analysis including calibration, library editing, computer-controlled hardware setup, and analysis
parameter setup; as well as numerous onscreen data manipulation, comparison, and analysis
tools.
Password protection lets you lock Detector controls (Section 5.7.4) and menus (Section 5.7.3)
2“Protocole d’échange d’informations entre les logiciels EFFLUENTS/ENVIRONNEMENT et un analyseur
GAMMA TOTAL” — ref : D 5870/GDMI/BRY/SG/000211, and “Protocole d’échange d’informations entre les
logiciels EFFLUENTS/ENVIRONNEMENT et un analyseur de SPECTROMETRIE GAMMA” — ref :
D 5870/GDMI/BRY/SG/000211.
3U.S. Patent 6,327,549.
2

783620K / 0915 1. INTRODUCTION
1.1.1. Automation for High-Throughput Environments
GammaVision has numerous automation features, including powerful automated command
sequences or “job streams.” You can even create a desktop icon for a particular data collection
and analysis job stream — one double-click that runs the entire procedure. All sample analyses
can be controlled from a single screen, even across a network. Remote workstations can control,
analyze, and view the data being gathered in the counting room.
1.1.2. Analysis and Display Tools
GammaVision is designed to analyze spectra generated by any ORTEC MCB, directly from the
spectrum on display or from spectrum files on disk, in any of several file formats including the
advanced and archivable .SPC format. In addition, GammaVision can directly read and write
spectral data files in the .SPE ASCII file format.
GammaVision offers six analysis engines and three major analysis methodologies. In the primary
analysis method, a library-directed peak search delivers lower detection limits than can be
achieved by “unguided” peak searches. This method is ideally suited for the determination of
low-level and ultra-low-level samples (where statistics might be poor) for a specified list of
nuclides. For analysis of true unknowns (e.g., emergency-response samples), an “Auto Isotope
Identification” mode allows efficient, accurate use of large libraries while maintaining reasonable
analysis times. The interactive re-analysis mode lets you repeatedly re-fit the spectrum while
monitoring the fit residuals. This is invaluable for highly complex spectral analyses such as
certain neutron-activation and reactor-coolant spectra. A “directed fit” option lets you report
negative activity values if calculated, as required for some effluent analysis requirements. An
enhancement to directed fit allows this option to be used in the deconvolution of overlapping
peak areas.
After analysis, evaluate the results using the flexible, easy-to-read GammaVision report or a
variety of onscreen, informative plotting routines. For custom-configured reports, we offer the
optional GammaVision Report Writer (A44-BW), which uses an Access-format database and
SAP® BusinessObjects Crystal Reports™. In addition, we offer Global Value™, which provides
custom reporting capability, data management and integration tools, advanced quality assurance,
and automation for routine measurement processes.
1.2. MCA Emulation
An MCA, in its most basic form, is an instrument that sorts and counts events in real time. This
sorting is based on some characteristic of these events, and the events are grouped together into
bins for counting purposes called channels. The most common type of multichannel analysis, and
the one of greatest interest to nuclear spectroscopists, is pulse-height analysis (PHA).
3

GammaVision® V8 (A66-BW) 783620K / 0915
PHA events are signal pulses originating from a detector,4 and the characteristic of interest is the
pulse height or voltage, which is proportional to the particle or photon energy. An analog-to-
digital converter (ADC) is used to convert each pulse into a channel number, so that each chan-
nel corresponds to a narrow range of pulse heights or voltages. As pulses arrive over time, the
MCA will collect in memory a distribution of the count of pulses with respect to pulse height (a
series of memory locations, corresponding to ADC channels, will contain the count of pulses of
similar, although not necessarily identical, height). This distribution, arranged in order of ascend-
ing energies, is commonly referred to as a spectrum. To be useful, the acquired spectrum must be
available for storage and/or analysis, and is displayed on a graph whose horizontal axis repre-
sents the height of the pulse and whose vertical axis represents the number of pulses at that
height, also referred to as a histogram.
GammaVision, combined with multichannel buffer (MCB) hardware (Detector interface) and a
Windows computer, emulates an MCA with remarkable power and flexibility. The MCB per-
forms the actual pulse-height analysis, while the computer and operating system make available
the display facility and data-archiving hardware and drivers. GammaVision software is the vital
link that marries these components to provide meaningful access to the MCB via the user
interface provided by the computer hardware.
The GammaVision MCA emulation continuously shows the currently acquiring spectra, the cur-
rent operating conditions, and the available menus. All important operations that need to be per-
formed on a spectrum, such as peak location, insertion of regions of interest (ROIs), display
scaling, and sizing are implemented with both the keyboard (accelerators) and the mouse (menus
and toolbars). Spectrum peak searching, report generation, printing, archiving, calibration, and
other analysis tools are available from the drop-down menus. Some menu commands have more
than one accelerator so that both new and experienced users will find the system easy to use.
GammaVision maintains buffers in the computer memory to which spectra can be moved for
display and analysis, either from Detector memory or from disk, freeing the Detector for another
spectrum acquisition. As much as possible, these buffers duplicate in memory the functions of
the Detector hardware on which a particular spectrum was collected. Data can also be analyzed
directly in the Detector hardware memory, as well as stored directly from the Detector to disk.
GammaVision allows you to open up to eight Detector windows and eight buffer windows at a
time.
GammaVision also uses the network features of Windows so you can use and control supported
ORTEC MCB hardware anywhere on a network. See the next section for more information on
support for legacy ORTEC instruments in Microsoft Windows 7, 8.1 and 10.
4In this manual, “Detector” (capitalized) means the transducer (high-purity germanium, sodium iodide, silicon
surface barrier, or others) plus all the electronics including the ADC and histogram memory. The transducers are
referenced by the complete name, e.g., high-purity germanium (HPGe) detector.
4

783620K / 0915 1. INTRODUCTION
1.3. Computer Requirements and Operating System Cautions
GammaVision is designed for use on computers that run Windows 7, 8.1, and 10 Professional.
In 32-bit Windows operating systems, the GammaVision program files are installed in the
\Program Files folder; in 64-bit Windows, GammaVision installed in the \Program Files (x86)
folder.
1.4. MCB Support in GammaVision v8
Your computer’s processor and operating system will determine which MCBs, instrument-to-
computer interfaces, and network protocols can be used. For detailed information, see the accom-
panying CONNECTIONS Driver Update Kit Instruction (P/N 932721) or consult your ORTEC
representative. For setup of pre-2005 MCBs, ORTEC can supply an electronic copy of the
ORTEC MCB CONNECTIONS-32 Hardware Property Dialogs Manual (p/n 931001).
Adding more MCBs to your system is fast and easy; see the accompanying CONNECTIONS Driver
Update Kit Instruction (P/N 932721) for instructions.
1.5. Detector Security
GammaVision allows you to protect your Detectors from destructive access by setting a
password with the Lock/Unlock Detector command (Section 5.7.3). Once a password is set, no
user or application can start, stop, clear, change presets, change ROIs, or perform any command
that affects the data in the detector if the password is not known; however, the current spectrum
and settings for the locked device can be viewed read-only. The password is required for any
destructive access, whether local, on a network, or via .JOB file commands. This includes
changing instrument ID numbers and descriptions with the MCB Configuration program.
1.6. List Mode Support
GammaVision now supports our instruments that operate in List Mode (such as the digiBASE®,
DSPEC®-50/502, and DSPEC® Pro). In List Mode, spectroscopy data are streamed directly to the
computer, event-by-event, without the data “dead periods” associated with the acquire-store-
clear-restart cycle of standard spectrum acquisition. New commands on the menus and toolbar
allow you to switch between PHA and List modes, and view all or part of a list mode acquisition.
In addition, our automated JOB streams support the new List Mode capabilities.
NOTE GammaVision samples the list mode data stream every 250 milliseconds of real time,
and can display the data with a granularity of 1 second. To extract data at a higher
resolution, use our A11-B32 Programmer’s Toolkit in conjunction with your instru-
ment’s firmware commands (documented in the hardware manual) to write your own
5

GammaVision® V8 (A66-BW) 783620K / 0915
applications.
The first time you start a Detector in List Mode, GammaVision creates a Detector-specific .LIS
file in C:\User\Cxt that stores the accumulating list mode data. The file is closed each time you
stop data acquisition. If you leave the Detector in List Mode and the Detector window open, you
can stop and restart acquisition and the new data will be appended to the Detector-specific .LIS
file. These data are retained until the next time this Detector is switched from PHA to List Mode,
either manually or by closing and reopening the Detector window (at which point the old data
will be cleared). Most users will save the data as soon as acquisition is stopped and before
switching back to PHA Mode. However, any time before the next list mode acquisition is started,
you can use the Recall... command to open the Detector-specific .LIS file from the \Cxt folder to
a buffer window and save it in .LIS format under a new filename. In addition to the list-mode
data, GammaVision adds the Detector’s current calibration and sample description to this file.
Note that List Mode allows you to clear the data during acquisition; however, regions of interest
(ROIs) cannot be marked in a List Mode window.
The List Data Range... command on the toolbar and the Calculate menu (Section 5.4.2) allows
you to view a specific time slice of the list mode data. It is active only in a buffer window in
which a .LIS file has been retrieved. You can optionally save list mode time slices in any
supported file format.
The specific List Mode implementation and data structure for supported ORTEC MCBs differs
from model to model; see your instrument’s hardware manual.
6
2. INSTALLING GAMMAVISION
You must have Administrator access in Windows to install GammaVision.
2.1. Step 1: Installing CONNECTIONS
The GammaVision CD is accompanied by a CONNECTIONS Driver Update Kit (Part No. 797230).
You must install CONNECTIONS before GammaVision will install. If you attempt to install Gam-
maVision before CONNECTIONS, an error message will be displayed. If a “program compatibility
assistant” dialog then opens saying “this program may not have installed correctly,” click Cancel
to close it, install CONNECTIONS, then install GammaVision.
Be sure to read the Update Kit instruction guide completely! It describes how to install CON-
NECTIONS, enable/disable the drivers for your ORTEC MCB(s), share ORTEC instruments across
a network, and control the MCB Configuration program. It also points you to information on
selecting the proper network protocol for older, direct-to-Ethernet units. At the end of instal-
lation, you will be directed to restart the computer.
2.2. Step 2: Installing GammaVision
1) Insert the GammaVision CD, navigate to the CD drive, then locate and open \Disk1\
Setup.exe. One or more security dialogs will open. Choose the “continue” or “install
anyway” option, then the installation wizard will start. Click Next to begin moving through
the wizard screens.
2) Select the English, French, Chinese, or German language interface; and continue to the end
of installation.
NOTE If installing Chinese GammaVision on an English Windows computer, you must
change the Windows Regional Settings to the Chinese language.
3) The wizard will offer you the option of installing the new example files in their own folder,
C:\User\GammaVision V8 Examples. These demonstration/tutorial files including spectra,
calibrations, libraries, analysis results files, derived air concentration (DAC) correction files,
etc. If you unmark this checkbox, the files will not be installed. This option allows you to
keep example files from different GammaVision versions from being overwritten.
4) If you are upgrading from an older version of GammaVision, a backup of its analysis settings
file will be created (b30winds.ini.bak and n30winds.ini.bak). GammaVision will install new
b30winds.ini and n30winds.ini files containing the new factory default settings.
NOTES Version 7 and 8 analysis settings (.SDF) and geometry correction (.GEO) files are not
compatible with earlier versions of GammaVision.
7

GammaVision® V8 (A66-BW) 783620K / 0915
Figure 1. GammaVision Program and Analysis Engines in Control Panel.
Also, beginning with v7, the GammaVision analysis engines are installed separately
from the software application. This is transparent during installation. However, the
Windows software install/uninstall utility now lists these two GammaVision entities
separately (Fig. 1). They can be installed and uninstalled separately.
5) File installation locations are as follows:
●The \GammaVision folder contains the GammaVision executable, all analysis engines,
user manual PDFs, help files, language support files, and the b30winds.ini/n30winds.ini
analysis engine parameter files.
●The QA database is installed in C:\User and all context files are in C:\User\Cxt.
●GVPlot, CONNECTIONS, and the library editor are stored in the program files folder under
\Common Files\ORTEC Shared.
●The default storage folder for all spectrum, analysis, report, and graphics files generated
by GammaVision is C:\User. You can change this on the Directories tab under File/
Settings... as discussed in Section 5.1.1.4.
8

783620K / 0915 2. INSTALLING GAMMAVISION
Figure 2. Detector Numbering and Descriptions.
2.3. Step 3: Establishing Communication With
Your ORTEC MCBs
1) If you have purchased new ORTEC spectroscopy hardware, connect it and power it on
according to its accompanying hardware manual.5
2) Connect and power on all local and network ORTEC instruments that you wish to use, as well
as their associated computers. Otherwise, the MCB Configuration program will not detect
them during installation. Any instruments not detected can be configured at a later time.
3) To start the software, enter the letters mcb in the “search programs and files” box at the
bottom of the Windows Start menu, then click the MCB Configuration search result; or
open the Windows Start menu and click GammaVision, then MCB Configuration. The
MCB Configuration program will locate all of the powered-on ORTEC Detectors on the local
computer and the network, and display the list of instruments found (the Master Instrument
List; Fig. 2). If you wish, you may enter customized instrument ID numbers and descriptions
(Section 2.3.2). When you close the dialog, any changes you have made to an ID number or
description will be written back to the corresponding Detector.
5The first time a particular MCB model is connected, a”found new hardware” wizard will start up. Choose not to
“search the internet for a driver” option, then choose to automatically search for the driver.
9

GammaVision® V8 (A66-BW) 783620K / 0915
Figure 3. New Instruments Must Have a Non-
Zero ID Number.
2.3.1. Configuring a New Instrument
The first time a new instrument is detected, the
dialog shown in Fig. 3 will remind you that all
new instruments must be assigned a unique,
non-zero ID number.6 Click OK. You can
either manually change the ID Number and
Description as described in the next subsection,
or you can click the Renumber New button
to renumber only the new instruments.
NOTE We recommend not using the Renumber All button. In addition, we strongly recom-
mend not renumbering Detectors that “belong” to other users, as this could affect the
interaction between their Detectors and their ORTEC software, for instance, if they
control their Detectors with .JOB files (e.g., the .JOB file command SET_DETECTOR 5),
or use the GammaVision or ISOTOPIC spectroscopy applications. See also the follow-
ing NOTE and the NOTES in the next section.
NOTE FOR MULTIPLE USERS ON A NETWORK
There are two ways to reduce the chance that other users will renumber your Detectors:
●Add the -I flag to their MCB Configuration command line, as described in Section 2.4.2. This
will allow you to assign whatever ID Numbers you wish, regardless of the numbers assigned
by other users on your network. (Ideally, everyone using ORTEC instruments on your network
should make this change.)
●To prevent others from renumbering your Detectors (or performing any other actions except
read-only viewing), password-lock your Detectors with the Lock/Unlock Detector command
(Section 5.7.3). If you lock a detector that will be controlled by a JOB stream, remember to
include the proper password-unlock commands in your .JOB file (Section 10.1.1.4).
6If this is a first-time installation of ORTEC products, all your instruments will be “new.”
10

783620K / 0915 2. INSTALLING GAMMAVISION
Figure 4. Change Detector Number or Description.
2.3.2. Customizing ID Numbers and Descriptions
If you wish, you can change
the instrument ID Numbers and
Descriptions by double-clicking
on an instrument entry in the Con-
figure Instruments dialog. This
will open the Change Description
or ID dialog (Fig. 4). It shows the
physical Detector location (read-
only), and allows you to change
the ID Number and Description.
Make the desired changes and click Close. Any changes you have made to an ID number or
description will then be written back to the corresponding Detector.
If a modified description has already been applied to a particular instrument, you can restore the
default description by deleting the entry in the Description field and re-running MCB Config-
uration. After MCB Configuration runs, the default description will be displayed.
2.4. Caution: Running the MCB Configuration Program
Can Affect Quality Assurance
Detector identification in GammaVision is based on the instrument ID number and description
assigned to a Detector by the MCB Configuration program. Instrument ID number and descrip-
tion are assigned when MCB Configuration polls the local computer and network for attached
ORTEC MCBs and then builds a Master Detector List of the instruments found. This instrument
identification is then used for all QA measurements.
NOTE FOR GAMMA TOTAL USERS
The filenaming conventions for EDF’s Gamma Total effluent reports (Section 5.5.1.9) are
based on a single-digit identifier for the MCBs used for data acquisition. When first setting up
GammaVision, be sure to choose instrument ID numbers that each end with a unique digit,
e.g., 0–9 (for instance, 901, 22, 13, 4, 375, and so on). Note that in Fig. 2, two of the instru-
ments in the list share 1 as the final digit of their ID number, and two share 4 as the final digit.
To avoid having two MCBs that generate reports with the same device identification number,
two of these MCBs should ideally be reassigned ID numbers with unique final digits.
11

GammaVision® V8 (A66-BW) 783620K / 0915
Figure 5. Original MCB Configuration Showing Our Two
DSPEC Pro MCBs.
Once you have established QA settings for those detectors and subsequently collected data using
them, if you then re-run the MCB Configuration program for any reason, you must ensure each
instrument is still assigned its previous instrument ID number and description before collecting
any more data. Allowing the MCB Configuration program to assign a new instrument identi-
fication to a detector, and then using that new identification, interrupts the orderly accumulation
of QA records. This is because GammaVision treats the renumbered detector as new, with zero
“previous QA measurements” and with potentially incorrect QA settings.
If you must re-run the MCB Configuration program, you can avoid any renumbering problems
either by not renumbering instruments or by manually editing the instrument numbers for all of
the Detectors on the Master Detector List for your computer. Doing so requires that you keep a
separate record of the ID and Description for each MCB on your system. Note spelling, spacing,
and uppercase/lowercase; these details will be necessary when recreating the Description text
string. Let us use the following example to illustrate the process:
Suppose you are using two MCBs for your GammaVision measurements and in your original
MCB Configuration you configured them as 1 DSPEC PRO 1 and 4 DSPEC PRO 4. This is
depicted in Fig. 5. The numerical prefixes 1 and 4 are the IDs and the corresponding text strings
are the Descriptions.
Suppose we add one new MCB to the system and remove two. We must then manually re-run
MCB Configuration to add the new instrument to the Master Detector List. Suppose we then find
that our two DSPEC Pro units, originally assigned IDs of 1 and 4, have been renumbered with
IDs of 2 and 3, respectively. Before closing the Configure Instruments dialog, double-
click the MCB entries that must be renumbered and/or renamed. This will open the Change
12

783620K / 0915 2. INSTALLING GAMMAVISION
Figure 6. Manually Renumbering and/or Renaming Detectors to Maintain QA
Integrity.
Description or ID dialog. Restore the original instrument number in the ID field and click OK, as
shown in Fig. 6.
Repeat for all Detectors that must be renumbered and/or renamed. When you are finished, click
Close.
2.4.1. Confirming the MCB Identification to Maintain QA Integrity
To confirm that the original QA Settings... are still in effect, run background and sample QA
measurements and check the results dialogs to confirm that the MCBs are being properly tracked.
13

GammaVision® V8 (A66-BW) 783620K / 0915
2.4.2. Editing the MCB Configuration Command Line
The command line for the MCB Configuration program is:7
“C:\Program Files\Common Files\ORTEC Shared\UMCBI\mcbcon32.exe”
You can modify the way the MCB Configuration program runs by adding one or more of the
following flags to the command line. You can use any combination of flags or none, and the flags
are not case-sensitive.
-I Ignore duplicate IDs. MCB Configuration allows you to accept an instrument list with
duplicate detector ID numbers; no renumbering is required. Useful for customers using
our QA tools, JOB commands, and “Gamma Total” function; and when sharing a net-
work with other users of ORTEC MCBs.
-L Configure only local instruments (i.e., no discovery of ORTEC instruments across a
network except “attached” digiBASE-E units). This can significantly reduce the time it
takes to run MCB Configuration, if you have only local MCBs.
-P Append all newly discovered instruments to the existing list (i.e., don’t clear the exist-
ing list before starting discovery). Useful when you don’t have all your instruments con-
nected or powered-on at the same time but wish to configure new detectors.
There are two ways to modify the MCB Configuration command line:
●To retain the flags from use to use, right-click MCB Configuration in the Start menu,
select Properties, then in the Target field, add the flags outside the right-hand quotation
mark and click OK. For instance:
“C:\Program Files\Common Files\ORTEC Shared\UMCBI\mcbcon32.exe” -I -L
●To temporarily change the command line, open the Windows Start menu’s Run... dialog,
browse to locate the MCB Configuration file, mcbcon32.exe, add the flags outside the
right-hand quotation mark, and click OK.
You are now ready to register your copy of GammaVision, as discussed in the next section.
7As noted earlier, 32-bit Windows uses the \Program Files folder and 64-bit Windows uses \Program Files
(x86).
14

783620K / 0915 2. INSTALLING GAMMAVISION
Figure 7. Register GammaVision.
2.5. Product Registration
GammaVision requires product registration within 60 days after installation. Until registered, the
dialog shown in Fig. 7 opens each time you start the program. Click the Register Later button
to bypass registration and access the full-featured GammaVision application. Once you enter the
registration key and click Register Now, this dialog will no longer be displayed. After 60 days
of unregistered use, the Register Later option will be disabled and GammaVision will shut
down when you close this dialog.
To obtain your registration key and activate your copy of GammaVision, you may call the
ORTEC telephone extension listed on the GammaVision Registration dialog. You will need the
serial number for your copy of the software (located on the box). Enter the registration key on the
GammaVision Registration dialog and click Register Now.
Alternatively, you may fill out and submit the registration form as follows:
1) Click Generate ORTEC Registration Form to open the ORTEC Registration Form dialog
shown in Fig. 8.
2) If any paper manuals are available for this release, they will be listed on the dialog. If you do
not wish to order paper manuals, simply enter the Serial Number for your copy of Gamma-
Vision. The number is located on the box. No other information is required for registration.
Skip to step 4.
15

GammaVision® V8 (A66-BW) 783620K / 0915
Figure 8. Create a Registration File.
3) To order paper manuals, enter the Serial Number for the software, then mark the desired
checkbox(es) and complete all of the surface mailing address fields marked with (*).
4) Click the Write ORTEC Registration File button to create a text file containing your regis-
tration information. A standard file-save dialog will open. Enter a filename and location, and
click Save. Email this file to the ORTEC address listed on the GammaVision Registration
dialog. We will respond promptly with your registration key.
5) Enter the registration key on the GammaVision Registration dialog and click Register Now.
2.6. Enabling Additional ORTEC Device Drivers and
Adding New MCBs
You can enable other device drivers later with the Windows Add/Remove Programs utility on
the Control Panel. Follow the instructions in the CONNECTIONS Driver Update Kit.
16

3. GETTING STARTED — A GAMMAVISION
TUTORIAL
3.1. Introduction
This chapter provides a series of straightforward examples to help you become familiar with
GammaVision’s basic operations and move on quickly to full use. We will cover the following
basic functions:
●Recalling a spectrum file from disk
●Performing a simple analysis of the spectrum
●Loading a nuclide library
●Using the library editor
●Energy calibration
●Efficiency calibration
●The calibration wizard
●Getting a Detector ready for data acquisition
To display help for any of the dialogs, put the mouse pointer on the item and click the right
mouse button to display the button. Now click the left mouse button to display the
help message. After reading the help message, click the left mouse button to close the message
box.
To make the discussion easier and more realistic, the optionally installed sample files in C:\User
\GammaVision V8 Examples will be used in the remainder of the chapter.8 You may either leave
them in the examples folder or copy them to C:\User.
GVDEMO.SPC GVDEMO.EFT
GVDEMO.LIB GVDEMO.ENT
Before we actually begin, here is a short note on the Detector and buffer concept used in
GammaVision.
A spectrum can exist in three places in GammaVision:
●In an MCB (which we call a Detector)
●In computer memory (a buffer window in GammaVision)
●In a file on disk
8If you chose not to install the example files, you may wish to reinstall GammaVision and choose to install the
files.
17

GammaVision® V8 (A66-BW) 783620K / 0915
Figure 9. GammaVision
Menu.
The Detector is where the data are gathered from the HPGe detector. Data can be displayed and
manipulated directly in the Detector memory or in a buffer window. They can be copied from the
Detector to either the buffer or disk. Data can also be copied from disk to the buffer. Copying
data will overwrite the existing buffer contents. A warning message is displayed before any data
are overwritten and lost. Actions on the data in the buffer have no effect on data acquisition
taking place in a Detector — GammaVision maintains separate calibrations and viewing settings
for each Detector and buffer window.
GammaVision’s multi-detector interface allows you to open up to eight Detector windows and
eight buffer windows at a time. If you try to open a ninth window, the program will ask if you
wish to close the oldest window. If you answer Yes, the oldest window will close and the new
Detector or buffer window will open. To cancel and keep that oldest window open, click No.
In addition, the Acquisition Settings dialog (Acquire/Acquisition Settings...) now gives you the
choice of starting all displayed Detectors simultaneously (All MCBs) or one Detector at a time
(Current MCB); or Prompts you to either start all MCBs or start only the current MCB.
3.2. Starting GammaVision
To start GammaVision, enter gamm in the “search pro-
grams and files” box on the Windows Start panel, then
click the GammaVision search result; or open the Win-
dows Start menu and click GammaVision, and Gamma-
Vision (Fig. 9). You can also start GammaVision by enter-
ing run in the search box and choosing the Run option;
or (in XP) by selecting Run from the Start menu. The Run
option allows you to start up from the command line, with
or without arguments, as described in Section A.1.
If you have not yet entered the Registration Key for your
copy of GammaVision, the registration dialog will open,
as discussed in Section 2.5. You may either enter the Regis-
tration Key (after which the registration dialog will not be
displayed again); or, for 60 days after installation, you
may bypass registration by clicking on Register Later.
GammaVision will check for Detectors, then display a screen similar to Fig. 10.
18

783620K / 0915 3. GETTING STARTED — A GAMMAVISION TUTORIAL
Figure 10. Example GammaVision Opening Screen.
Figure 11. Recalling a Spectrum File.
3.2.1. Recalling a Spectrum
If a Detector or buffer window is already
open, click its Close box ( ). Next,
recall GVDEMO.SPC from the the menu
bar by clicking on File, then Recall....
This will open a dialog showing the list
of spectrum files in the C:\User folder.
If you did not copy the example files
into this folder, look in the \Gamma-
Vision V8 Examples folder, as shown
in Fig. 11. From the list of files, double-
click GVDEMO.SPC, or click once
on the file name and then Open.
A buffer window will open, displaying
GVDEMO.SPC (Fig. 12). The Status Side-
bar on the right of the screen will now
show details about this spectrum.
19

GammaVision® V8 (A66-BW) 783620K / 0915
Figure 12. Calibrated Spectrum Recalled from Disk File.
Note the vertical marker line, which you can move by left-clicking the mouse on a different part
of the spectrum. The marker information line at the bottom of the display reflects the channel
contents at the marker’s location. You can tell that this spectrum is already calibrated because the
information about the marker reads in units of energy, keV. (An uncalibrated spectrum would
instead display the word uncal.)
3.2.2. The Simplest Way To Do An Analysis
Select a portion of the GVDEMO.SPC spectrum for analysis by positioning the mouse on or near
the 122 keV peak in the Full Spectrum View (Fig. 13), which will be located near the left edge
of the window, and clicking the left mouse button. This will move the marker to the mouse
pointer. The Expanded Spectrum View will now show this part of the spectrum.
20

783620K / 0915 3. GETTING STARTED — A GAMMAVISION TUTORIAL
Figure 13. Full Spectrum Window.
Figure 14.
Analyze/Interactive in Viewed
Area.
Now expand this part of the spectrum by clicking on the Zoom In button ( ) on the toolbar one
or more times. As you zoom in, the Full Spectrum View will show which portion of the spectrum
is expanded, and the Expanded Spectrum View will display this part of the spectrum
(see Fig. 12). If the 122 keV region is not on the screen, point the mouse in the Full Spectrum
View and try again.
On the menu bar, click Analyze, and select Interactive in viewed area... (see Fig. 14). Gamma-
Vision will automatically analyze the selected region and display the results. The Analysis Side-
bar will open, superimposed on the Status Sidebar, the peak fit(s) will be shown graphically, and
the numerical results will be displayed in an Analysis Results Table window, as shown in Fig. 15.
That’s all it takes to do an analysis!
There are several functions that you can access at this point, but first we will load a working
nuclide library and check some parameters. Exit this analysis session by clicking on the Analysis
Sidebar’s Close button ( ). This will close the Analysis Sidebar and the table window.
21

GammaVision® V8 (A66-BW) 783620K / 0915
Figure 15. Completed Analysis, Showing Results Table and Analysis Sidebar.
Figure 16. Load a
Library from
Menu.
3.2.3. Loading a Library
From the menu bar, select Library, then Select File... as shown
in Fig. 16. This will open a list of nuclide libraries in the current
directory.
Select the library file GVDEMO.LIB and click OK to load it. The
following message will appear on the Supplemental Information
Line at the bottom of the GammaVision window:
GVDEMO.LIB: 1024 Bytes; 9 Nuclides /9 alloc.; 16 Peaks /16 alloc.
This message describes the library just loaded. GVDEMO.LIB is 1024 bytes in size, has 9 nuclides
with space for 9, and has 16 peaks with space for 16.
22

783620K / 0915 3. GETTING STARTED — A GAMMAVISION TUTORIAL
Figure 17. Choose Sample
Type... Command.
Figure 18. Sample Type Settings Dialog, Sample Tab.
This library, GVDEMO.LIB, is now loaded into the computer memory as the working library, and
is the library that GammaVision will use for all analyses until you change it (by recalling another
library from the Library menu or from within a sample defaults file as discussed later). It is
automatically reloaded each time GammaVision is started.
3.2.4. Setting the Analysis Parameters
Click Analyze, then Settings to open the submenu shown in Fig. 17. Select Sample Type.... This
will open the Sample Type Settings dialog shown in Fig. 18, which allows you to specify the
parameters that control analysis of the currently displayed spectrum. For routine measurements,
the analysis settings and sample description may be established using prompts configured from
the Acquisition Settings... command under the Acquire menu.
We will use the Nuclide Library just loaded in computer memory by leaving the Internal
checkbox marked. Similarly, to use the Calibration that was saved with the spectrum in
GVDEMO.SPC, leave this Internal checkbox marked also.
Select the Report tab to view the reporting, uncertainty reporting, and output options (Fig. 19).
23

GammaVision® V8 (A66-BW) 783620K / 0915
Figure 19. Report Tab.
Mark all of the Reporting Options except ISO NORM, and make sure the Total option is
selected in the Uncertainty Reporting section.
To send the output to a printer, go to the Output section of the screen and click the Printer radio
button to mark it with a dot.
To send the output to a file instead, click the File radio button, and leave the asterisk ( * ) as the
filename. Leaving the asterisk ensures that the report file will have the same filename as the
spectrum (however, it will have the extension .RPT). You can, however, enter a path and filename
in this field to force the report to be saved to the filename you specify.
To send the output to a text processing program, such as Windows Notepad (which is the
default), click the Program radio button.
Click all four checkboxes in the Reporting Options section of the screen, then click OK.
Select Analyze and Entire spectrum in memory.... Spectra can be analyzed in the buffer (as we
have done here), directly from disk, or in the Detector memory (when the Detector is not count-
ing). For spectra in the Detector memory or a buffer, the displayed spectrum is the one being
analyzed.
24

783620K / 0915 3. GETTING STARTED — A GAMMAVISION TUTORIAL
When the analysis is complete, the results will be printed or saved to disk, according to your
selection on the Report tab on the Sample Type Settings dialog (the report is covered in
Chapter 7). They can also be graphically displayed by selecting Analyze and Display Analysis
Results..., then clicking on Open to load the analysis results file, GVDEMO.UFO. This will
overlay the peak shapes on the spectrum data, open the Analysis Results Table for the spectrum,
and display the Analysis Sidebar superimposed over the Status Sidebar, as shown in Fig. 20.
Zoom in to see more details.
Click on the peak at 136 keV and expand the display horizontally with Zoom In. Put the mouse
on the 241Am (59.6 keV) entry in the peak list table and click. The marker will move to that peak
in the display. You can use the scroll bars on the peak list window to show other energies, and
then when you click the energy, the display will show that peak.
In this mode, you can also use the buttons on the Analysis Sidebar to move the marker in the
spectrum. For example, click 241Am in the peak table, then click (the right-hand
Energy button in the Library Peak section of the Analysis Sidebar) to put the marker on the
next-highest-energy library peak, which is the 70.8 keV line of 203Hg.
Now click to go to the next-highest-energy peak in the library for 203Hg, then click again
to get to the 279 keV peak. The within Nuclide buttons are useful for checking if other peaks for
the nuclide exist so that you can confirm their identity. The button moves the marker in
reverse order through the peaks for the selected nuclide.
The buttons are used to select the spectrum peaks that are not associated with a
library energy. This is useful to see if there are any unidentified spectrum peaks that should be
considered in the complete analysis.
The buttons are used to select the regions with overlapping peaks. With these, you
can easily check how the analysis of complicated regions was handled.
Now, select Library and Select Peak... to show a list of the peaks in the current library.9 You
can use this list of peaks to move around in the spectrum. Click the Library List window’s down
arrow to scroll down to 88 keV 109Cd. Now click this entry and the display will update to this
peak.
9This can be a different library than the one used in the analysis of the spectrum.
25

GammaVision® V8 (A66-BW) 783620K / 0915
Figure 20. Display Analysis Results.
Exit this analysis session by clicking on the Analysis Sidebar’s Close button ( ) to close the
Analysis Sidebar and Analysis Results List window. Also close the Library List window.
3.2.5. Energy Calibration
For this example, we will use the spectrum files supplied with GammaVision to recalibrate the
buffer. The same procedure is used to calibrate the Detector spectrum. The buffer window
containing GVDEMO.SPC should still be displayed.
From the Calibrate menu (Fig. 21), select Energy.... The Energy Calibration Sidebar, shown in
Fig. 22, will open to the right of the spectrum area. You can move the sidebar by clicking on the
titlebar and dragging as you would in any Windows application.
26

783620K / 0915 3. GETTING STARTED — A GAMMAVISION TUTORIAL
Figure 21. Start
Energy Calibration
from Menu. Figure 22. Energy Calibration Sidebar.
Figure 23. Energy
Calibration Sidebar
Control Menu.
This time, so that we start from the very beginning, clear the
current energy calibration by clicking on the icon to the left of
the “Energy Calibration” title. This will open the control menu
shown in Fig. 23. Click on Destroy. The Marker Information
Line now shows the legend uncal.
Move the cursor to channel 8226, the location of the upper 60Co
peak, at 1332.5 keV. Do this directly in the full window or by
using the buttons until you get there. Click once in
the E= field at the top of the Energy Calibration Sidebar, enter
the correct energy for this peak (1332.5 keV), and click Enter.
The system will automatically perform a simple calibration based
on this peak and the assumption that channel zero is energy zero.
The graphs of the calibration and the table of values will be shown on the
display, as in Fig. 24.
If the screen becomes too visually crowded, you can either move one or more windows until they
are nearly “stacked” atop each other (leave at least an edge or corner of each window showing);
or close one or more windows by clicking on their Close box ( ). However, do not close the
Energy Calibration Sidebar or you’ll end the calibration session. Rearrange and/or resize the
windows as needed.
Now we can use the library; click Library/Select Peak to reopen the Library List window.
Double-click the 122.07 keV peak of 57Co in the library list. The marker will move close to, but
not precisely on, that peak in the spectrum based on our current “one-point calibration.”
27

GammaVision® V8 (A66-BW) 783620K / 0915
Figure 24. Energy Calibration Display.
Use the buttons to put the cursor on the peak, then click once on the 122 keV entry
in the library list. Note that the E= 122.07 keV in the Energy Calibration Sidebar already has the
appropriate energy from the library, and you need only accept it by clicking on Enter. The
refitted calibration curve is automatically displayed.
Proceed through the library list in Table 1 adding the peaks (in any order) into the calibration. To
do this, double-click within 2 channels of the peak center, then click Enter.
If you decide that you don’t want one of the peaks, you can delete it at will by clicking on the
Delete Energy button on the Calibration Sidebar.
Now examine the Energy Table and note that the Deltas (the differences between data points
and the fit to the data points) are small. Next, bring the Energy plot window to the front and
28

783620K / 0915 3. GETTING STARTED — A GAMMAVISION TUTORIAL
Nuclide Energy (keV)
88Y 1836.01
57Co 122.07
60Co 1173.2
60Co 1332.51
88Y 898.02
137Cs 661.66
113Sn 391.69
203Hg 279.17
109Cd 88.03
241Am 59.54
Table 1. Source Energies.
Figure 25. FWHM Fit Selection.
visually inspect the calibration curve, resizing the windows as needed to allow a closer examin-
ation of the graphical fit.
Click the FWHM (full width at half maximum) radio button on the lower section of the Calibra-
tion Sidebar to display the table of FWHM results and the FWHM graph (which is shown in
Fig. 25). The FWHM fit uses the peaks specified in the energy fit. If FWHM of any peak has a
deviation of more than 25% between the actual and fitted values, a warning message is displayed.
Save the energy table for later use: click the Calibration Sidebar’s Save button, enter a name such
as GVDEMO for the table filename, and click Save. GammaVision will append the extension .ENT
to the filename.
To examine the Energy Table, open the Calibration Sidebar’s control menu and select Edit File.
This table is a list of peak energies and the associated channel and FWHM values used for the
calibration.
The energy calibration is complete; we shall consider this to be a “good” energy calibration for
the purposes of this demonstration. Close the calibration session by selecting the system menu in
the calibration and selecting the Close option. This new energy calibration is now held in
memory but is not yet stored on disk.
29

GammaVision® V8 (A66-BW) 783620K / 0915
Figure 26. Efficiency Calibration Sidebar.
3.2.5.1. Auto Calibration
The Auto Calibrate button is the fastest and easiest way to do the energy calibration. Just click
Auto Calibrate to use the working library to calibrate the displayed spectrum with no other
inputs. The current calibration is erased before the new calibration is started.
Select Close from the sidebar’s control menu.
3.2.6. Efficiency Calibration
Select Calibrate from the menu bar, then
Efficiency. This opens the Efficiency Cali-
bration Sidebar, shown in Fig. 26 (note its
similarity to the Energy Calibration Sidebar).
We want to start from the beginning of the
process, so open the sidebar’s control menu
(click the icon on the left of the title bar)
and select Destroy.
The Library List window should be visible,
but if not, click Library/Select Peak... to reopen it.
From the library, double-click the 1332.5 keV peak of 60Co. The marker will move to the cor-
responding peak and GammaVision will enter the energy in the top section of the Efficiency
Calibration Sidebar.
In the upper section of the sidebar, click the Calc... button to open the Efficiency Calculation
Worksheet (Fig. 27).
Enter the date and the time from the calibration certificate (see Table 2), as Oct-01-90 12:00.
Enter the gammas per second (5838) from the calibration certificate for 60Co at 1332.5 keV.
Select GPS from the units droplist. Note that the from Library box is checked; this shows that
the half-life came from the library.
At this point, the Calculate Efficiency= button at the top of the worksheet should be active
(black rather than gray). If it is disabled (gray), one or more of the data inputs is either incorrect
or has not been entered. When you have completed all fields and Calculate Efficiency= is
activated, click it to obtain the efficiency value at this energy. Click OK to insert the value in the
efficiency table. You will see that the value appears in the Efficiency Table window.
30

783620K / 0915 3. GETTING STARTED — A GAMMAVISION TUTORIAL
Figure 27. Efficiency Worksheet.
Reference Time: 12:00 GMT 01 Oct 1990
Nuclide Energy
(keV)
Gammas/secon
d
241Am 59.54 2078
109Cd 88.03 2967
57Co 122.1 1813
139Ce 165.9 2550
113Sn 391.7 4263
137Cs 661.63 4198
88Y 898.02 10120
60Co 1173.2 5818
60Co 1332.5 5838
88Y 1836.01 10640
Table 2. List of Peak Energies.
You could repeat this process for all other
peaks in the calibration certificate data, but
there is an easier way. All of the information
from the calibration certificate can be stored
in an efficiency calibration (.EFT) file (see
Section 5.3.3.12 for instructions on creating
and editing this file).
Using this file to direct the calibration is
easy. On the Efficiency Calibration Sidebar,
click the Merge... button, then select the file
GVDEMO.EFT. GammaVision will use the
data in the table to calculate the efficiency
at each energy from the spectrum and fill in
the efficiency table. You can see the marker
jump from peak to peak in the spectrum as
the peak areas are calculated.
When the data points are all calculated, the fit Mode stored in the file is used to make the fit. You
can select another fit Mode from the Calibration Sidebar. In the Above-the-knee list, choose the
Polynomial option. This will automatically produce a single-function polynomial fit of the entire
energy range, as shown in Fig. 28. The other modes use separate fits above and below the “knee”
of the detector efficiency curve.
31

GammaVision® V8 (A66-BW) 783620K / 0915
Figure 28. Polynomial Efficiency Fit.
Figure 29. Control
Menu.
The fit will take place automatically. You can then view it by
bringing the Efficiency calibration fit window forward. Click the
window’s control menu to choose scaling and grid display options
(see Fig. 29). The marker line in the efficiency graph window will
be at the energy of the peak selected in the Library List or the
Efficiency Table window.
We will accept this calibration and close the calibration session
by clicking the Calibration Sidebar’s Close button. Now save this
calibration to disk by selecting Calibrate and Save Calibration....
Give the calibration file the name GVDEMO. GammaVision will
attach the default .CLB extension to the filename.
32

783620K / 0915 3. GETTING STARTED — A GAMMAVISION TUTORIAL
Figure 30. Select One or More Calibrations to Perform.
3.2.7. Energy and Efficiency Calibration Using the Calibration Wizard
GammaVision has a calibration wizard to help you with energy and efficiency calibration, as well
as total coincidence correction (TCC) calibration. To start the wizard, go to the Calibrate menu
and select Calibration Wizard.... This will open the dialog shown in Fig. 30.
For this demonstration we will perform only the energy and efficiency calibrations. Go to
Energy Calibration and click Create New, then do the same under Efficiency Calibration.
Click Next.
In the next dialog (Fig. 31), go to the Library field and enter GVDEMO.LIB, then click Next.
33

GammaVision® V8 (A66-BW) 783620K / 0915
Figure 31. Enter the Library File to be Used in the Energy
Calibration.
Figure 32. Enter the Certificate File to be Used in the
Efficiency Calibration.
On the third wizard screen (Fig. 32), enter GVDEMO.EFT as the Certificate File to be used in the
efficiency calibration.
34

783620K / 0915 3. GETTING STARTED — A GAMMAVISION TUTORIAL
Figure 33. Energy and Efficiency Calibration Results.
Now click Next. GammaVision will now perform the two calibrations. The results are shown in
Fig. 33. The Fit vs. Energy display on the lower right refers to the true-coincidence correction
calibration. Since this example does not use the TCC calibration, its display is marked
Uncalibrated.
Click Save Calibration and assign the filename GVDEMO.CLB. Finally, click Finish — that’s all
there is to it!
3.2.8. Changing a Library
Select Library/Edit/GammaVision Editor... from the menu bar. This will open the Editing
dialog (Fig. 34), which allows you to change, add, or delete nuclide and gamma-ray values in the
currently loaded nuclide library file.
Select the nuclide 60Co from the left-hand section of the dialog. All the gamma-ray energies or
peaks for this nuclide will then appear in the Peaks section; select the 1332.5 keV peak. Click
Edit... in the Peaks section. This will open the Edit Library Peak dialog (Fig. 35), which will
show the current values and allow you to change the energy and gammas-per-disintegration of
the 1332.5 keV line.
Click the Gammas per 100 disintegrations field and change the value, then click OK. You will
see that the Gammas per 100 Disintegrations value for this peak has been changed to the
number you just entered.
35

GammaVision® V8 (A66-BW) 783620K / 0915
Figure 34. Edit Nuclide Library with GammaVision Editor.
Figure 35. Edit Nuclide Peak.
Now click the Editing dialog’s Close button to leave the library editor. When asked if you want
to save the modified library, click No to ignore the change you just made in the Gammas per
100 Disintegrations field.
The GammaVision library editor is explained in
detail in Section 5.6. Note that GammaVision can
also use NuclideNavigator III libraries, and that
you can access NuclideNavigator III directly from
the GammaVision Library/Edit submenu.
3.2.9. Detector Setup
Before starting data collection, make sure the
detector, analog electronics (if any), and MCB
are connected and powered on according to
their respective hardware manuals. Before the
germanium detector’s high voltage is applied,
the detector must be cooled for the time listed in
the detector manual, otherwise the unit could
be damaged.
36

783620K / 0915 3. GETTING STARTED — A GAMMAVISION TUTORIAL
Figure 36. Acquire Menu.
Figure 37. Setting the DSPEC-50 Conversion Gain.
The GammaVision installation program will have already located the Detectors available to this
computer. Click the Detector pick list on the right of the toolbar and select a Detector. The
spectrum displays will update to show the data in this Detector.
In the simplest mode of operation, data acquisition is
started from the toolbar; simply click the Start button.
You can use the Acquire menu (Fig. 36) to check the
analysis settings while data is being gathered. After
acquisition stops, the analysis can proceed.
All of GammaVision’s hardware setup controls are now
in one, MCB-specific dialog. Depending on your Detector,
this might include controls for conversion gain, amplifier,
high voltage, shaping, data acquisition presets, and more.
To access this dialog, click Acquire/MCB Properties...,
or right-click the mouse anywhere in the spectrum window
to open its menu and select MCB Properties.
Some of the Detector’s internal parameters can only be
changed when the Detector is not acquiring data. To see
if the Detector is in acquisition mode, open the Acquire menu look at the menu items. If Stop is
black and Start is gray (see Fig. 36), the Detector is in acquisition mode (even if no counts are
accumulating in the MCB at the moment). If this is the case, select Stop from the menu or
toolbar.
3.2.9.1. Conversion Gain
If you wish to change the conver-
sion gain, click Acquire/MCB
Properties..., select the ADC tab
(Fig. 37), then change the Conver-
sion Gain field. The ADC gain is
stored in the MCB and automatically
recalled from the MCB the next time
you restart GammaVision. Note
that in this example, we are using a
DSPEC-50, and that the Properties
dialog automatically displays only
data fields that are applicable to this MCB.
37

GammaVision® V8 (A66-BW) 783620K / 0915
Figure 38. Monitoring the DSPEC-50 Bias Setting on the
High Voltage Tab.
If you have software-controlled hardware (as distinguished from NIM units with front- and rear-
panel hardware adjustment controls), skip to Section 3.2.9.3.
3.2.9.2. Detectors Set Up Manually
Adjust the spectroscopy amplifier gain, shaping time, and pole zero. This is a manual operation
which should be carried out according to the instructions given in the amplifier manual. A source
with only one or two lines (e.g., 137Cs or 60Co) should be used for the initial test spectrum so
you’ll be able to easily see the correct pattern of the peaks. The amplifier gain should be
adjusted to align known energy peaks to the respective channel based on the energy range of
interest. For example, if the energy range of interest is up to 2 MeV at 4000 channels, then the
Co-60 1332.5 kev peak would be centered on channel 2665. With a 2 MeV range at 8000
channels the 1332.5 kev peak would be centered on channel 5330.
3.2.9.3. Computer-Controlled Hardware Setup
In this section, we will use Gamma-
Vision to enable the DSPEC-50's
high voltage and adjust the spectro-
scopy amplifier gain and shaping
constants.
Click Acquire/MCB Properties...
to open the Properties dialog for
this MCB, and click the High
Voltage tab (see Fig. 38). Set the
Target bias. When the value of
the detector bias matches that shown on
the detector’s Quality Assurance data
sheet (also given on the endcap label),
click the On button and note the
Actual voltage readout. If the On/Off
indicator reads Shutdown, the detector
is most likely warm. (The detector might require 3–6 hours after filling before it is cold enough
to take bias.)
3.2.9.4. Amplifier Settings
The Amplifier tab (Fig. 39) lets you set the amplifier shaping time to either Long or Short. The
Long shaping time is the recommended choice for low to moderate count rates. The value of the
shaping time (in μs) is given in the hardware manual.
38

783620K / 0915 3. GETTING STARTED — A GAMMAVISION TUTORIAL
Figure 39. The DSPEC-50 Amplifier Tab.
Figure 40.
Dead Time.
If you have a transistor-reset
preamplifier (Plus Series), select
it from the Preamplifier Type
droplist.
Click Close to apply the new
MCB hardware settings.
Automatic Optimization
Select Acquire, then Start,
to start the Detector counting.
Next, position a source such
as 60Co such that the detector’s input count
rate (1) satisfies the count rate guidance
instructions on the bottom-left corner
of the Amplifier tab or (2) is ~5000 CPS. During data collection, the Dead time will be displayed
at the top of the Status Sidebar to the right of the spectrum window (Fig. 40).
Return to Acquire/MCB Properties... and click the Amplifier tab.
Go to the Optimize section of the dialog and click Start Auto. This
will tell the Detector to automatically adjust the amplifier’s shaping
constants. While optimization is in progress, you will hear a periodic
beep and see the message “Optimize in progress....” This process
typically takes about 5 minutes. Remember that if you change the
shaping time, you must pole zero the Detector again.
Click Close to apply the new MCB hardware settings.
Adjusting Amplifier Gain
Adjust the amplifier gain to achieve the desired energy range across the Detector display. A
source with only one or two lines (e.g., 137Cs or 60Co) should be used for the initial setup to easily
identify the applicable peaks. Figure 41 shows the 1332.5 kev peak centered on channel 7348 for
an energy range of approximately 2.9 MeV at channel 16000.
39

GammaVision® V8 (A66-BW) 783620K / 0915
Figure 41. Spectrum with 60Co.
To set the gain for the DSPEC-50 (and all other software-controlled ORTEC MCBs):
1) Start data collection by clicking on the Start toolbar button or by selecting Acquire/Start
from the menu bar.
2) Select Acquire/MCB Properties... and click the Amplifier tab (Fig. 39).
3) Select the Coarse Gain setting from the droplist (if present), then move the slider to the fine
gain desired. The spectrum display updates continuously, even while the Properties dialog is
open.
4) Once the gain is approximately correct, click Close to close the control dialog, then use
<Alt + +> and <Alt + -> to make fine gain adjustments until the peak is in the desired chan-
nel. To make coarser gain adjustments, use <Alt + Shift + +> and <Alt + Shift + ->. (These
keyboard commands are discussed in Chapter 9.)
GammaVision will retain all of these settings and adjustments on exit, and will reload them from
40

783620K / 0915 3. GETTING STARTED — A GAMMAVISION TUTORIAL
the MCB on restart.
*** You are now ready to acquire spectral data, calibrate, and
analyze your own sample data. ***
41

GammaVision® V8 (A66-BW) 783620K / 0915
[Intentionally blank]
42

Figure 42. GammaVision
Menu.
4. DISPLAY FEATURES
This chapter describes how to start GammaVision, explains its display features, discusses the role
of the mouse and keyboard, covers the use of the toolbar and sidebars, and shows how to use
additional features such as Help.
4.1. Startup
To start GammaVision, open the Windows Start menu and click
GammaVision folder, then the GammaVision icon (Fig. 42).
You can also start GammaVision using the Run option from the
Start menu or by creating Windows shortcuts to GammaVision in
order to use the command line option, with or without argu-
ments, as described in Section A.1.
Figure 43 shows GammaVision’s principal screen features.
1) Title bar, showing the program name and the source
of the currently active spectrum window. There is also
a title bar on each of the spectrum windows showing the
source of the data: either the Detector name or the word
“Buffer” with the spectrum name. On the far right are the
standard Windows Minimize, Maximize, and Close buttons.
2) Menu Bar, showing the available menu commands (which can be selected with either the
mouse or keyboard); these functions are discussed in detail in Chapter 5.
3) Toolbar, beneath the menu bar, containing icons for recalling spectra, saving them to disk,
starting and stopping data acquisition, adjusting the vertical and horizontal scale of the active
spectrum window, and accessing the analysis parameters.
4) Detector List, on the toolbar, displaying the currently selected Detector (or the buffer).
Clicking on this field opens a list of all Detectors currently on the computer’s GammaVision
Detector pick list, from which you can open Detector and/or buffer windows. When you
select the buffer or a Detector from the list, a new spectrum window opens, to a limit of eight
Detectors and eight buffers. (If a Detector is already displayed, selecting it from the list does
not open a duplicate window for that instrument.) If you select a Detector, the spectrum in its
memory (if any) is displayed. The droplist shows the name of the most recently selected
Detector or buffer.
43

GammaVision® V8 (A66-BW) 783620K / 0915
Figure 43. Main GammaVision Screen Features.
5) ROI Status Area, on the right side of the menu bar, indicates whether the ROI marking
mode is currently Mark or UnMark. This operates in conjunction with the ROI menu
commands and arrow keys (see Section 5.8).
6) Spectrum Area, which displays multiple spectrum windows — up to eight Detector win-
dows and eight buffer windows simultaneously. When you attempt to open a ninth spectrum
or buffer window, GammaVision will ask if you wish to close the oldest window of that
type. Alternatively, you can turn off the Multiple Windows feature and run in the original
one-window-at-a-time mode.
Spectrum windows can be moved, sized, minimized, maximized, and closed with the mouse,
as well as tiled horizontally or vertically from the Window menu. When more than one win-
dow is open, only one is active — available for data manipulation and analysis — at a time.
The title bar on the active window will normally be a brighter color than those on the
inactive windows (the color scheme will depend on the desktop colors you have selected in
Windows Control Panel). Detector windows or buffer windows containing a spectrum from
44

783620K / 0915 4. DISPLAY FEATURES
Figure 44. Full Spectrum View with Expanded
Spectrum View Area Highlighted.
an MCB will display the Detector name on the title bar. If you have opened a spectrum file
into a buffer window, the title bar will display the filename. To switch windows, click the
window you wish to activate, use the Window menu (see Section 5.10), or cycle between
windows by pressing <Ctrl + Tab>.
Each spectrum window contains an Expanded Spectrum View and a Full Spectrum View
(see items 7 and 8 below).
7) The Expanded Spectrum View shows all or part of the full histogram; this allows you to
zoom in on a particular part of the spectrum and see it in more detail. You can change the
expanded view vertical and horizontal scaling, and perform a number of analytical operations
such as peak information, marking ROIs, or calibrating the spectrum. This window contains
a vertical line called a marker that highlights a particular position in the spectrum.
Information about that position is displayed on the Marker Information Line (see item 10
below).
8) The Full Spectrum View shows
the full histogram from the file or
the Detector memory. Note the
indicator in the upper-right corner,
which indicates the unit’s current
data collection mode, e.g., pulse-
height analysis mode (PHA), list
mode (LIST), or one of the three
zero-dead-time modes (ZDT, LTC,
or ERR; see Fig. 76, page 76). The vertical scale is always logarithmic, and the window can
be moved and resized (see Section 4.4.4). The Full Spectrum View contains a rectangular
window that highlights the portion of spectrum now displayed in the Expanded Spectrum
View (see Fig. 44). To quickly move to a different part of the spectrum, just click on that
area in the Full Spectrum View and the expanded display updates immediately at the new
position.
9) Status Sidebar, on the right side of the screen, provides information on the current Detector
presets and counting times, the time and date, and a set of buttons for moving easily between
peaks, ROIs, and library entries (see Section 4.5).
10) Marker Information Line, beneath the spectrum, showing the marker channel, marker
energy, channel contents and in some modes, other details about the marker channel, such as
the efficiency at this energy.
11) Supplementary Information Line, below the Marker Information Line, used to show
library contents, the results of certain calculations, warning messages, or instructions.
45

GammaVision® V8 (A66-BW) 783620K / 0915
4.2. Spectrum Displays
The Full and Expanded Spectrum Views respectively show a complete histogram of the current
spectrum (whether from a Detector or the buffer) and an expanded view of all or part of the spec-
trum. These two windows are the central features of the GammaVision screen. All other windows
and most functions relate to the spectrum windows. The Display/Preferences menu lets you
adjust the color and fill type of the various spectrum features (e.g., background, spectrum, ROIs).
●Full Spectrum View — This view is embedded in the Expanded Spectrum View, and shows
all channels of Detector data memory as configured with the MCB Properties... command
on the Acquire menu. It includes a rectangular area showing the portion of spectrum cur-
rently displayed in the Expanded View, and a data acquisition mode indicator (refer to item 8
on the preceding page). The vertical scale in the Full Spectrum View is always logarithmic.
●Expanded Spectrum View — The Expanded Spectrum View contains a reverse-color
marker line at the horizontal position of the pixel representing the marker channel. This
marker can be moved with the mouse pointer, as described in Section 4.4.1, and with the
<←>/<→> and <PgUp>/<PgDn> keys. Information about the marked channel is displayed on
the Marker Information Line.
— Use the menu commands, accelerator keys, and toolbar buttons to choose between loga-
rithmic and linear scales, zoom in and out, and select which region of the spectrum to
view.
— You can also zoom in to any horizontal and vertical scale with the click-and-drag rubber
rectangle tool (see Section 4.4.3). The baseline or “zero level” at the bottom of the
display can also be offset with this tool, allowing the greatest possible flexibility in
showing the spectrum in any detail.
— Note that the marker can be moved by no less than one pixel or one channel (whichever
is greater) at a time. The <→> and <←> keys make it easy to perform these small changes.
If true single-channel motions are required, you must zoom in on the desired portion of
the spectrum until a single press of the <→> and <←> keys changes the readout on the
Marker Information Line by one channel or one energy unit (e.g., keV).
46

783620K / 0915 4. DISPLAY FEATURES
Figure 45. Vertical
Scaling Section of
Toolbar.
4.3. The Toolbar
The row of buttons below the menu bar provides convenient shortcuts to some of the most
common GammaVision commands.
The Recall button retrieves an existing spectrum file. This is the equivalent of selecting
File/Recall from the menu.
Save copies the currently displayed spectrum to disk. It duplicates the commands File/
Save or File/Save As... (depending on whether the spectrum was recalled from disk, and
whether any changes have been made to the spectrum window since the last save).
Start Acquisition starts data collection in the current Detector. This duplicates
Acquire/Start and <Alt + 1>.
Stop Acquisition stops data collection. This duplicates Acquire/Stop and <Alt + 2>.
Clear Spectrum clears the detector or file spectrum from the window. This duplicates
Acquire/Clear and <Alt + 3>.
List Mode toggles the current Detector between PHA and LIST modes. This duplicates
Acquire/List Mode. An indicator in the upper right of the Full Spectrum View shows the
current data acquisition mode.
List Data Range lets you retrieve a specified time slice of data from a .LIS file in a buffer
window (Section 5.4.2). This duplicates Calculate/List Data Range....
Mark ROI automatically marks an ROI in the spectrum at the marker position, according
to the criteria in Section 5.8.4. This duplicates ROI/Mark Peak and <Insert>.
Clear ROI removes the ROI mark from the channels of the peak currently selected with
the marker. This duplicates ROI/Clear and <Delete>.
The next section of the toolbar (Fig. 45) contains the buttons that control
the spectrum’s vertical scale. These commands are also on the Display menu.
In addition, vertical scale can be adjusted by zooming in with the mouse (see
Section 4.4.3).
47

GammaVision® V8 (A66-BW) 783620K / 0915
Figure 46. Horizontal
Scaling Section of Toolbar.
Vertical Log/Lin Scale switches between logarithmic and linear scaling. When switching
from logarithmic to linear, it uses the previous linear scale setting. Its keyboard duplicate
is Keypad</>.
Vertical Auto Scale turns on the autoscale mode, a linear scale that automatically adjusts
until the largest peak shown is at its maximum height without overflowing the display. Its
keyboard duplicate is Keypad<*>.
The field to the left of these two buttons displays LOG if the scale is logarithmic, or indicates the
current vertical full-scale linear value.
The horizontal scaling section (Fig. 46) follows next. It includes
a field that shows the current window width in channels, and
the Zoom In, Zoom Out, Center, and Baseline Zoom buttons.
These commands are also on the Display menu. In addition,
horizontal scale can be adjusted by zooming in with the mouse
(see Section 4.4.3).
Zoom In decreases the horizontal full scale of the Expanded Spectrum View according to
the discussion in Section 4.2, so the peaks appear “magnified.” This duplicates Display/
Zoom In and Keypad<+>.
Zoom Out increases the horizontal full scale of the Expanded Spectrum View according
to the discussion in Section 4.2, so the peaks appear reduced in size. This duplicates
Display/Zoom Out and Keypad<−>.
Center moves the marker to the center of the screen by shifting the spectrum without
moving the marker from its current channel. This duplicates Display/Center and
Keypad<5>.
Baseline Zoom keeps the baseline of the spectrum set to zero counts.
The remaining buttons allow you to access the principal sample analysis functions.
Sample Type Settings opens the dialog that controls the current analysis settings (see
Section 5.5.1.1). This duplicates the Sample Type... command on the Analyze/Settings
submenu.
48

783620K / 0915 4. DISPLAY FEATURES
Figure 47. Drop-Down Detector
List.
Figure 49.
Figure 48. Roll-Over
Toolbar Tool Tips.
Analyze Spectrum duplicates the Entire Spectrum in Memory... command on the
Analyze menu (see Section 5.5.4).
The right-most part of the toolbar is a drop-down list of the available Detectors (Fig. 47). To
select a Detector or the buffer, click in the field or on the down-arrow beside it to open the list,
then click the desired entry. The sidebar will register your selection. Finally, note that as you
pause the mouse pointer over the center of a toolbar button, a pop-up tool tip box opens,
describing the button’s function (Fig. 48).
4.4. Using the Mouse
The mouse can be used to access the menus, toolbar, and sidebars; adjust spectrum scaling; mark
and unmark peaks and ROIs; select Detectors; work in the dialogs — every function in Gamma-
Vision except text entry. The following sections describe specialized mouse functions.
4.4.1. Moving the Marker with the Mouse
To position the marker with the mouse, move the pointer to the
desired channel in the Expanded Spectrum View and click the
left mouse button once. This will move the marker to the mouse
position. Click in the Full Spectrum View to move the expanded view to that
place. This is generally a much easier way to move the marker around
in the spectrum than using the arrow keys and accelerators, although
you might still prefer some keyboard functions for specific motions.
4.4.2. The Right-Mouse-Button Menu
Figure 49 shows the right-mouse-button (context) menu. To open it, position
the mouse pointer in the spectrum display, click the right mouse button, then
use the left mouse button to select from its list of commands. Not all of the
commands are available at all times, depending on the spectrum displayed
and whether the rubber rectangle is active. Except for Undo Zoom In, all of
49

GammaVision® V8 (A66-BW) 783620K / 0915
these functions are on the toolbar and/or the menus (Peak Info, Input Count Rate, and Sum are
only on the Menu Bar, under Calculate). See Section 5.11 for more information on the
commands.
4.4.3. Using the “Rubber Rectangle”
The rubber rectangle is used for selecting a particular area of interest within a spectrum. It can be
used in conjunction with the toolbar and right-mouse-button menu commands for many
functions. To draw a rubber rectangle:
●Click and hold the left mouse button; this anchors the starting corner of the rectangle.
●Drag the mouse diagonally across the area of interest. As you drag, the mouse will be
drawing a reverse-color rectangle bisected by the marker line to form a “crosshair”
(Fig. 51). This makes it easy to select the center channel in the area of interest — for
instance, the center of an ROI you wish to mark or unmark, a portion of the spectrum to
be summed, or a peak for which you want detailed information.
●Release the mouse button to anchor the ending corner of the rectangle.
●Once the area of interest is marked, select the applicable command from the toolbar,
menus, right-mouse-button menu, Status Sidebar, or keyboard.
4.4.4. Resizing and Moving the Full Spectrum View
●Resizing — Roll the mouse pointer over the side edge, bottom edge, or corner of the
window until the pointer changes to a double-sided arrow (see Fig. 50). Click and drag
the edge of the window until it is the size you want, then release the mouse button.
●Moving — Roll the mouse pointer onto the top edge of the window until the pointer
changes to a four-sided arrow (see Fig. 50). Click and drag the window to its new
location, and release the mouse button.
4.5. Buttons and Boxes
This section describes GammaVision’s radio buttons, indexing buttons, and checkboxes. To
activate a button or box, just click it.
●Radio buttons (Fig. 53) appear on many GammaVision dialogs, and allow only one of
the choices to be selected.
●Checkboxes (Fig. 52) are another common feature, allowing one or more of the options
50

783620K / 0915 4. DISPLAY FEATURES
Figure 51. Rubber
Rectangle Crosshair.
Figure 52.
Checkboxes.
Figure 53. Radio Buttons.
to be selected at the same time.
●The ROI, Peak, and Library indexing buttons on the Status Side-bar are useful for
rapidly locating ROIs or peaks, and for advancing between entries in the library. When
the last item in either direction is reached, the computer beeps and GammaVision posts
a no more entries message on the Supplementary Information Line.
●The indexing buttons are displayed in two different ways, depending on whether Gamma-
Vision is in Detector or buffer mode, as shown in Fig. 54. However, they function the
same way in both modes. In buffer mode, the additional features are the ability to insert
or delete an ROI with the Ins and Del buttons, respectively (located between the ROI
indexing buttons); and to display the peak information for an ROI with the Info button
(located between the Peak indexing arrows).
●The Library buttons are useful after a peak has been located to move forward or
backward through the library to the next closest library entry. Each button press advances
to the next library entry and moves the marker to the corresponding energy. If a library
file has not been loaded or the Detector is not calibrated, these buttons are disabled.
Figure 50. Two-Sided Pointer for Sizing Full Spectrum
View, and Four-Sided Pointer for Moving Window.
51

GammaVision® V8 (A66-BW) 783620K / 0915
Figure 54.
Detector mode,
top; buffer mode,
bottom).
HINT Instead of using the Peak buttons to move from a previously
identified peak, click the marker anywhere in the spectrum
then click the Library buttons to locate the entries closest
in energy to that point. If a warning beep sounds, it means
that all library entries have been exhausted in that direction
or that the spectrum is not calibrated. In any case, if an appro-
priate peak is available at the location of the marker, peak
data are displayed on the Marker Information Line at the
bottom of the screen.
The ROI and Peak indexing buttons are duplicated by <Shift+ ←>/
<Shift+ →> and <Ctrl+ ←>/ <Ctrl+ →>, respectively. The Library
buttons are duplicated by <Alt+ ←>/<Alt+ →>. The Del button func-
tion is duplicated by the <Delete> key and Clear ROI on the menus and
toolbar. The Ins button has the same function as the <Insert> key and
Mark ROI on the menus and toolbar. The Info button duplicates the
Calculate/Peak Info command, Peak Info on the right-mouse-button menu,
and double-clicking in the ROI.
The Spectrum navigation section of the sidebar is displayed when N42 files
are loaded into a Buffer window. Individual spectra from an N42 file
containing multiple spectra can be accessed using the navigation buttons or
by entering the spectrum index in the current spectrum field. The drop down
list allows the list of spectra in a multi-spectrum N42 file to be filtered by
the spectrum type available in N42 files including Any (all spectra),
Background, TimeSlice, and LongCount.
4.6. Opening Files with Drag-and-Drop
GammaVision lets you open ORTEC spectrum (.SPC, .AN1, .CHN), library (.LIB), and region of
interest (.ROI) files by dragging and dropping them from Windows Explorer into the Gamma-
Vision window. A spectrum file opens in a buffer window, a library file is loaded as the working
library, and the ROIs saved in an .ROI file are set in the currently active spectrum window.
4.7. Associated Files
Installing GammaVision registers the spectrum files in Windows so they can be opened from
Windows Explorer by double-clicking the filename. The spectrum files are displayed in GVPlot.
These files are marked with a spectrum icon ( ) in the Explorer display. .JOB files ( ) are also
registered, and open in Windows Notepad.
52

5. MENU COMMANDS
This chapter describes all the GammaVision menu commands and their associated dialogs. The
accelerator(s) (if any) are shown to the right of the command. The underlined letter for each
command indicates the (English version) quick-access key that can be used with the <Alt> key
(e.g., the Recall... command on the File menu can be selected with <Alt + F>, <Alt + R>.) The
ellipsis (...) following a command indicates that a dialog is displayed to complete the function.
Finally, a small arrow (“▸”) following a menu selection means a submenu with more selections
will be shown. The menus and commands, in the order they appear on the menu bar, are:
File (page 56)
Settings...
Recall...
Save
Save As...
Export
Import
Print
Compare...
Save Plot...
Exit
About GammaVision...
Acquire (page 70)
Acquisition Settings...
Start <Alt + 1>
Start/Save/Report
Stop <Alt + 2>
Clear <Alt + 3>
Copy to Buffer <Alt + 5>
List Mode
QA
Settings...
Measure Background
Measure Sample
Status...
Control Chart...
Download Spectra
ZDT Display Select <F3>
MCB Properties...
Calibrate (page 103)
Energy...
53

GammaVision® V8 (A66-BW) 783620K / 0915
Efficiency...
Description...
Recall Calibration...
Save Calibration...
Print Calibration...
Calibration Wizard
Calculate (page 143)
Settings...
List Data Range...
Peak Info
Input Count Rate
Sum
Smooth
Strip...
Analyze (page 149)
Settings ▸
Sample Type...
Report Generator...
Attenuation Coefficients ▸
Coefficient Table
Calculate from Spectra
Geometry Correction
Peak Background Correction ▸
Create PBC
Select PBC...
Edit PBC...
Print PBC...
Average Energy
Iodine Equivalency
DAC (MPC)
Gamma Total...
Peak Search
ROI Report...
Entire Spectrum in Memory...
Spectrum on Disk...
Display Analysis Results...
Interactive in Memory...
Library (page 206)
Select Peak...
54

783620K / 0915 5. MENU COMMANDS
Select File...
Edit ▸
GammaVision Editor...
Nuclide Navigator...
List...
Services (page 215)
Job Control...
Sample Description...
Menu Passwords...
Lock/Unlock Detector...
Edit Detector List...
ROI (page 221)
Off <F2> or <Alt + O>
Mark <F2> or <Alt + M>
UnMark <F2> or <Alt + U>
Mark Peak <Insert>
Clear <Delete>
Clear All
Auto Clear
Save File...
Recall File...
Display (page 223)
Detector... Ctrl + <Fn>
Detector/Buffer F4 or Alt + 6
Select Spectrum...
Logarithmic Keypad(/)
Automatic Keypad(*)
Baseline Zoom
Zoom In Keypad(+)
Zoom Out Keypad(-)
Center Keypad(5)
Full View Alt + F7
Isotope Markers
Preferences ▸
Points
Fill ROI
Fill All
Fill Singlets
Fill Multiplet Peaks
55

GammaVision® V8 (A66-BW) 783620K / 0915
Figure 55. File Menu.
Fill Multiplet Composites
Spectrum Colors...
Peak Info/Font Color...
Window (page 228)
Cascade
Tile Horizontally
Tile Vertically
Arrange Icons
Auto Arrange
Multiple Windows
[List of open Detector and buffer windows]
Right-Mouse-Button Menu (Spectrum/Buffer Windows) (page 229)
Start
Stop
Clear
Copy to Buffer
Zoom In
Zoom Out
Undo Zoom In
Mark ROI
Clear ROI
Peak Info
Input Count Rate
Sum
MCB Properties
5.1. File
5.1.1. Settings...
The File Settings dialog allows you to specify how the spectrum
data are saved, exported, and imported; and set the directories for
all the major file types used by GammaVision.
5.1.1.1. General
The entries on this tab (see Fig. 56) control the default spectrum
file format and the default sample descriptors to be saved with
the spectrum. If you also activate the ask-on-save feature for one
or more of these sample descriptors, they will be presented to the
operator before each spectrum is saved.
56

783620K / 0915 5. MENU COMMANDS
Figure 56. File Settings Dialog, General Tab.
When you finish setting the parameters
in this dialog and click OK, these
settings will be used until changed.
For other adjustable parameters,
see Acquire/Acquisition Settings...
(Section 5.2.1) and
Analyze/Settings/Sample Type...
(Section 5.5.1.1).
Save File Format
The file types are integer .CHN,
integer.SPC, real (floating-point)
.SPC, ASCII .SPE, and .N42. The
.CHN and .SPC files are binary
structures described in the ORTEC
Software File Structure Manual
for DOS and Windows® Systems (P/N 753800, hereinafter called the File Structure Manual),
available on the GammaVision start menu.
The .CHN file format contains basic acquisition information including the live time, real time,
acquisition start time, MCB and sample descriptions, and energy calibration (if any); but does not
contain the analysis parameter data, the complete calibration, or other data needed for nuclide
analysis.
The two .SPC formats contain all of the parameters from the .CHN files as well as the complete
calibration records, analysis parameters, hardware parameters, and other data needed for
spectrum analysis. The two formats are identical except for the format of the spectrum data. The
integer format is the current standard and stores the spectrum as 4-byte integers. The floating-
point format is for backward compatibility with legacy software and uses the 4-byte exponential
format.
The ASCII .SPE format is used by the Comprehensive Test Ban Treaty Organization (CTBTO).
The .N42 format is XML with tags and descriptions taken from the following schema:
http://physics.nist.gov/Divisions/Div846/Gp4/ANSIN4242/2005/ANSIN4242.xsd.
NOTE Before using the Acquire/Download Spectra command, or the Move feature on a
supported instrument’s Field Data tab, be sure to select the Save File Format you
wish to use for the downloaded spectra.
57

GammaVision® V8 (A66-BW) 783620K / 0915
Ask On Save Options
Use these fields to enter the default sample descriptors to be saved with the spectrum. If you also
mark the corresponding Ask on Save checkbox, the default value entered here will be presented
for acceptance or modification when the spectrum is saved.
Sample Description allows you to designate the default sample description to be saved with the
spectrum (128-character maximum for .SPC files; 63 characters for .CHN files). Marking the Ask
on Save checkbox lets you enter the common descriptors for a group of samples ahead of time,
then add the unique descriptors sample-by-sample after each acquisition.
If the output activity is to be normalized to a volume or weight (or any other factor), the default
Sample Size can be entered here along with the reporting units and an optional 1-sigma uncer-
tainty (+/-) between 0% and 1000%. This will normalize the activity, and the report will be in
normalized units. This normalization is in addition to the normalization done by the Multiplier
and Divisor fields on the System tab of the Sample Type Settings dialog
(Analyze/Settings/Sample Type...).
The Collection Date and Time are the time used in the decay correction. If the decay correction
is enabled (see the Sample tab of the Sample Type Settings dialog), this is the date used in the
correction formula.10
Sample Start/End Time
These dates/times are the start time of the sample collection and the stop time of the sample col-
lection. For example, for air filters, the start time is the time when the air flow is started, and the
stop time is when the air flow is stopped. These times are used to calculate the buildup of the
activity in the sample. It is assumed that the spectrum is not collected during the buildup time.
The correction for the buildup is given in Section 5.8.4.
5.1.1.2. Export
The Export tab (Fig. 57) lets you specify the program, arguments, and file directory to be used
when the Export... command is selected. If this computer has the DataMaster Spectrum File
Format Translator (A49-B32) installed, the Use DataMaster and Export As fields will be active
and you can use the DataMaster export (and import) functions.
10If the collection date and time is before that of the spectrum acquisition, the spectrum will be activity corrected
back to the sample collection time. While this is the normal use of this input, if the collection date and time is
after the acquisition time, the decay correction will be made forward in time.
58

783620K / 0915 5. MENU COMMANDS
Figure 57. Export Tab.
Figure 58. Export
Argument Macros.
Choose any Export Program11
that can accept the spectrum file-
name as an argument on the com-
mand line. Click on Browse... to
automatically select the complete proper
path for the program.
Arguments
The Arguments to the program
can be entered as character
strings or you can select from
the list of “macros” shown in
Fig. 58. The list is displayed by
clicking on the arrow button to
the right of the Arguments field.
Entries (macros or direct) must
be separated by spaces to be read as separate arguments.
●File Path Name — This will insert the complete file pathname (e.g., c:\user \spectrum\
test.chn) into the dialog box. This filename is the one chosen in the Export command’s file-
recall dialog.
●File Base Name — This will insert the file path name with-
out the extension (e.g., c:\user\ spectrum\test) into the
dialog. The filename is the name selected in the Export
command’s dialog. The extension can be entered manually
after the macro (e.g., $(FullBase).CHN) into the dialog. Note
that the “dot” ( . ) must also be entered. Related filenames
can also be made by adding characters before the “dot”
(e.g., $(FullBase)A.CHN).
●Short Name — This will insert the filename (e.g., test.CHN) into the dialog box. The file-
name is the name selected in the Export command’s dialog. File names can be constructed as
$(file base).$(file extension).
●Short Base — This will insert the base filename (e.g., test) into the dialog box. The file base
name is the name selected in the Export command’s dialog.
11Any executable program that can be executed from the Windows Run command can be selected, including
DOS batch commands.
59

GammaVision® V8 (A66-BW) 783620K / 0915
Figure 59. The Initial
Character Macros.
Figure 60. Choose the DataMaster
Export File Type.
●File Extension — This will insert the file extension (e.g., CHN) into the dialog box. The file
extension is the file type for the file chosen in the Export command’s dialog. Note that the
“dot” is not included. Any manually inserted input of the macro form ($(xxx)) will be
included in the argument list without changes.
Initial Directory
The initial directory for the program to use can be specified as
directly entered character strings or the user can select from
the list of macros in Fig. 59. The list is displayed by clicking
on the arrow button to the right of the Initial Directory field.
●File Directory — This is the directory in which the file
selected with the File/Export command is located (e.g.,
c:\user\spectrum\).
●Program Directory — This is the directory for the conversion program. It is shown in
the first entry of this dialog.
●GammaVision Directory — This is the directory where the GammaVision program is
stored. By default, this is C:\Program Files\GammaVision.12
●Current Directory — This is the current default directory for Windows.
Run Options
These three radio buttons (Minimized, Maximized, and Normal Window) are used to select the
window for the program. If the program does not have any user dialogs, any option can be
selected. If the program needs user inputs, Normal Window should be selected.
Use DataMaster
To use DataMaster as the export program, mark the
checkbox then select the file type to be exported
from the Export As list. Figure 60 shows the list of
supported file types. To use the Export Program
specified in the upper half of the dialog, just unmark
the Use DataMaster box.
12C:\Program Files (x86) on 64-bit Windows computers.
60

783620K / 0915 5. MENU COMMANDS
Figure 61. Import Tab.
Figure 62. Import
Arguments.
5.1.1.3. Import
The Import tab (Fig. 61) lets you specify the program, arguments, file directory, and default file
extension to be used when the Import... command is executed. If this computer has the Data-
Master Spectrum File Format Translator installed, the Use DataMaster and Default File Type
fields are active and you can use the DataMaster import (and export) functions.
Choose any Import Program that can accept the spectrum filename on the command line. Click
Browse... to select the complete proper path for the program.
Arguments:
The arguments to the program can be specified as directly entered
character strings or you can select from the list of macros shown
in Fig. 62. The list is displayed by clicking on the arrow button
to the right of the Arguments field. The entries (macros or direct)
must be separated by spaces to be read as separate arguments. The
arguments on this menu are described in Section 5.1.1.2 under
“Arguments” (page 59), except that here they refer to the file-
name selected for importation with the File/Import command.
61

GammaVision® V8 (A66-BW) 783620K / 0915
Figure 63. Import
Macros.
Figure 64. Choose the DataMaster
Import File Type.
Initial Directory
Specify the initial directory for the program to use either with
directly entered character strings or by selecting from the list
of macros shown in Fig. 63. The list is displayed by clicking on
the arrow button to the right of the Initial Directory field. The
directories on this menu are described in Section 5.1.1.2 under
“Initial Directory” (page 60), except that the reference to file-
name applies to the file selected for importation
with the File/Import command.
Default
The default extension entered here is used as the extension for the filename in the filename entry
dialog. For example, if TXT is entered, then the name list in the entry dialog will be *.TXT.
Run Options
These three radio buttons (Minimized, Maximized, and Normal Window) are used to select the
window for the program. If the program does not have any user dialogs, any option can be
selected. If the program needs user inputs, Normal Window should be selected.
Use DataMaster
To use DataMaster as the import program, mark the
checkbox then select the file type to be imported from
the Default File Type list. Figure 64 shows the list
of supported file types. To use the Import Program
specified in the upper half of the dialog, just unmark
the Use DataMaster box.
5.1.1.4. Directories
This tab (Fig. 65) gives you the option of desig-
nating where GammaVision’s various file types
should be stored. Otherwise, all spectra, .ROI files,
libraries, .JOB files, reports, correction table files,
sample type files, and calibrations will be stored
in C:\User. When you generate any of Gamma-
Vision’s many File Types, the program reads the file extension and stores it according to the
location(s) specified on this tab. For instance, if you specify a location for the Spectra file type,
all .SPC, .CHN, .SPE and .N42 files will be saved there by default. Similarly, if you specify a
62

783620K / 0915 5. MENU COMMANDS
Figure 65. Directories Tab.
location for the Table Files file type, GammaVision will save your energy (.ENT) and efficiency
(.EFT) calibration tables and table for DAC (.DAC), geometry (.GEO) and other corrections in that
folder.
To change the path (Location) of a particular File Type, click the desired file type, then
Modify.... This will open a standard file-recall dialog. Choose the desired location, creating a
new folder if necessary, and click Open. When all path changes have been completed, click OK
to put them into effect or else Cancel to retain the previous settings.
5.1.2. Recall...
This command reads a spectrum or List Mode file into a new buffer window. It opens a standard
Windows file-open dialog (Fig. 66), allowing you to select the file to be recalled. The spectrum
files are created by GammaVision’s Save and Save As... functions and by any other programs
that can produce the .CHN, .SPC, .SPE, .N42, or .LIS format (e.g., MAESTRO). The buffer is
resized to the memory size of the recalled spectrum.
Note the Show Description checkbox on the lower left of the dialog. Mark this to display the
sample description, format, and spectrum size of each file without having to open it.
If the maximum eight buffer windows are currently open, GammaVision will ask if you wish to
close the oldest buffer. Answering No will cancel the recall operation and the oldest buffer will
remain onscreen. Answering Yes will close the oldest buffer and open a new buffer containing
63

GammaVision® V8 (A66-BW) 783620K / 0915
Figure 66. Recall a Spectrum File.
Figure 67. Save As.
the recalled file. If the oldest buffer
contains data that have not been
saved, a warning dialog will first
ask if the data should be saved.
Click Yes to save and No to close
without saving.
When the spectrum is successfully
recalled, GammaVision loads its
descriptors (start time, live time,
real time, Detector and sample
descriptions) and calibration infor-
mation (if any), and displays the
filename on the title bar. For spec-
trum files containing multiple
spectra (such as ZDT mode in sup-
ported ORTEC instruments), both
spectra are automatically recalled.
5.1.3. Save/Save As...
These functions open a standard
Windows file-save dialog (Fig. 67)
so you can save the current spectrum
to disk. Use Save As... to rename
an existing spectrum. If you attempt
to overwrite an existing filename, a
message box opens asking you to
verify the entry or cancel the save.
Clicking OK overwrites the exist-
ing file. After the disk file has been
saved, its filename is displayed on
the title bar.
PHA Mode Spectra — The default
format is specified on the General
tab under File/Settings... (Section 5.1.1.1); see that section for a brief description of the .CHN,
.SPC, .SPE, and .N42file types. Note that you can select any of these file types at the time you
save the file, and the save dialog will remember the most recent file type used. or hardware with
multiple spectra (such as ZDT mode in the DSPEC Pro), both spectra will be saved in the file.
PHA mode spectra cannot be saved in the .LIS (List Data) format.
64

783620K / 0915 5. MENU COMMANDS
Figure 68. The Export Spectrum File Dialog.
List Mode Spectra — By default, the Save and Save As... commands offer to save List Mode
spectra in .LIS format, however, you can also save this data in any of the other file formats. Note
that the structure and contents of .LIS files is instrument-dependent (see the associated hardware
manual for more information), but includes the Detector’s current calibration and sample
description.
5.1.4. Export...
The Export... function is used to
write spectra in formats other than
the usual formats, or to perform
other functions such as plotting or
printing the spectrum directly. The
export program is specified on the
Export tab under File/Settings...,
as discussed in Section 5.1.1.2. The
program can be one of the programs
supplied or can be user-supplied.
When selected, the Export Spec-
trum File dialog, shown in Fig. 68,
is displayed. Choose the filename
of the spectrum to be exported.
The currently displayed spectrum
must be saved to disk before it can
be exported. If the currently displayed spectrum has already been stored to disk, that filename is
the default. Any file can be selected. The file is then read and the output file is written
by the program.
The Export... function is not available for a second file until the first file has been exported and
the export program has stopped execution.
Export... can also be used to generate hardcopy plots. To do this, select the GVPlot program
(supplied with GammaVision) as the export program. When Export... has been selected, the
GVPlot program will be executed. If the -P switch is specified on the command line (see Sec-
tions 5.1.1.2 and 11.1.5), the program will plot the spectrum and exit automatically.
5.1.5. Import...
The Import function is used to read spectrum files that are not in one of the usual formats (e.g.,
.CHN or .SPC). The import program is specified on the Import tab under File/Settings..., as
discussed in Section 5.1.1.3. The program can be one of the programs supplied or can be user-
supplied. This command opens a standard Windows file-open dialog so you can select the file-
65

GammaVision® V8 (A66-BW) 783620K / 0915
name. The file is then read and a spectrum file is written to the specified directory. GammaVision
attempts to read this file (in .CHN or .SPC format) and displays the spectrum. If the Import
program does not generate a file that GammaVision can read, no spectrum is displayed.
5.1.6. Print
The Print function does one of the following:
●If the marker is in an ROI, the data contents of the ROI channels are printed.
●If the marker is not in an ROI, the contents of channels in the expanded view are printed.
A standard file-print dialog opens, allowing you to print the output or save it in a disk file (mark
the Print to file box). The data are formatted at seven channels per line with the channel number
on the left.
5.1.7. Compare...
This function allows you to compare the currently displayed spectrum with an existing spectrum
file. When the file-recall dialog opens, select the desired spectrum file. Both spectra will be
displayed together as illustrated in Fig. 69, and the title bar will list both spectrum filenames.
The Compare spectrum is offset from the starting spectrum, and can be moved up and down
incrementally with the <Shift + ↑> and <Shift + ↓> accelerators. In addition, the vertical scale of
both spectra can be simultaneously changed with <↑> and <↓>. Note that the Compare
spectrum’s ROIs (if any were saved with the file) are not marked in this mode.
Figure 70 portrays a zoomed-in portion of two comparison files. In this illustration, the starting
spectrum is displayed in color (1), the Compare spectrum is shown in color (2), the starting spec-
trum’s ROIs are marked in color (3), and the portion of the starting spectrum that exceeds the
Compare spectrum is indicated by color (4). These colors — called Foreground, Compare,
ROI, and Composite, respectively — are chosen on the Color Preferences dialog discussed in
Section 5.9.12.2.
Press <Esc> to leave Compare mode.
66

783620K / 0915 5. MENU COMMANDS
Figure 69. Compare Mode Screen.
Figure 70. Spectrum
Colors in Compare
Mode.
5.1.7.1. Comparing ZDT Spectra with <Shift + F3>
The Compare feature also works for MCBs that support the
Zero Dead Time (ZDT) correction,3 which generates two spectra
per acquisition; and for ZDT spectrum files, which store the two
spectra.13 You can also compare a ZDT Mode spectrum to a non-
ZDT spectrum file, however, note that the ZDT MCB or file must
be opened first to enable the View ZDT Corrected command
(which allows you to toggle between the CORR and ERR spectra
in the file; the shortcut key is <F3>). Then use the Compare
command to open the non-ZDT file.
13See Sections 5.2.11.4 and 5.2.10 for explanations of ZDT mode and the View ZDT Corrected command,
respectively.
67

GammaVision® V8 (A66-BW) 783620K / 0915
Figure 71. Spectrum Bitmap Image.
When you issue the Compare command and select another ZDT spectrum file, that file opens
in the current mode of the starting spectrum, so you are viewing ERR/ERR or ZDT/ZDT. Use
View ZDT Corrected to toggle both spectra in unison between ERR/ERR and ZDT/ZDT. To
hold the starting spectrum in the current view mode and switch the Compare spectrum to the
opposite view, use <Shift + F3>. View ZDT Corrected then allows you to switch between the
ERR/ZDT and ZDT/ERR comparisons. (It is also possible to do this with a non-ZDT Compare
spectrum, in which case <Shift + F3> toggles between the single live-time-corrected spectrum
and an empty spectrum baseline.)
5.1.8. Save Plot...
This command is active for buffer and Detector windows when spectrum data is present. Using
the current color, titling, and x-/y-axis scaling options set in GVPlot (Section 11.1), it saves either
a native bitmap (.BMP) or JPEG (.JPG) image of the currently displayed spectrum (Fig. 71).
68

783620K / 0915 5. MENU COMMANDS
Figure 72. About GammaVision.
The entire spectrum is saved (to save or print a zoomed portion, use the GvPlot program). A
standard file-save dialog opens allowing you to choose the image format and file name and
location. The image is scaled to fit on 8.5 in. × 11 in. paper in landscape orientation. GvPlot
creates the images with a resolution of 100 D.P.I. so the full image resolution is 1100 × 850
pixels.
5.1.9. Exit
This terminates the GammaVision program. If the buffer contains a spectrum that has not been
saved, a warning message gives you a file-save option. Any JOBs are terminated. All active
MCBs continue to acquire data until the presets are met.
5.1.10. About GammaVision...
Figure 72 shows the About box for GammaVision. It provides software version information that
will be useful should you need customer support.
Click the Visit ORTEC OnLine button to browse our website includes our product catalog,
application notes, technical papers, information on training courses, and access to our Global
Service Center.
69

GammaVision® V8 (A66-BW) 783620K / 0915
Figure 73. Acquire Menu.
Figure 74. Acquisition Settings.
5.2. Acquire
The Acquire menu is shown in Fig. 73. Access to the various
functions depends on whether the a Detector or buffer window
is currently active (for example, if a buffer window is active the
Detector controls are disabled and MCB Properties... is read-
only). The List Mode, Download Spectra and View ZDT Cor-
rected commands are available only for supported hardware
(which is listed in the discussion for each of these functions).
NOTE In some cases, a Detector option might be disabled
because it is not supported by the current Detector
(while it might still be valid for some other Detector
in the system, or for this Detector under different
conditions).
5.2.1. Acquisition Settings...
This command opens the
Acquisition Settings dialog
(Fig. 74), which allows you
to control a number of ques-
tions that can be “asked on
start” (when a Detector is
started) and their default values.
To take advantage of the
multi-detector capability,
the Group Acquisitions
settings apply to the Start,
Stop, Start/Save/Report,
and Clear commands. You
can control acquisition in all
displayed Detectors simulta-
neously (All MCBs) or one
Detector at a time (Current
MCB); or be asked if you
wish to apply an acquisition
command to one or all dis-
played Detectors (Prompt).
70

783620K / 0915 5. MENU COMMANDS
The Spectrum Location field gives you the option of saving each Detector’s spectra to different
folders (in the example in Fig. 74, this Detector’s spectra will be stored in C:\User\EDF Det 1\).
If you leave this field blank, all spectra for this Detector are stored in the folder designated on the
Directories tab under File/Settings... (Section 5.1.1.4).
NOTE To start all Detectors simultaneously, you must turn off all Ask on Start Options. This
is explained in Section 5.2.1.2.
5.2.1.1. Start/Save/Report
For the Start/Save/Report function, you must select Clear at Start, which automatically clears
the Detector before acquisition starts, specify the base filename of the save file (File Prefix), and
decide whether the filename is to be automatically incremented after each use (Auto-Increment).
The File Prefix can be up to eight alphanumeric characters. However, if Auto-Increment is
specified, the limit is seven characters. The first one to seven characters of the filename are the
file prefix. The remaining characters are the sequence numbers. This starts with the number
entered in the Save File # field. The number increments to the number of allowed characters
(e.g., AAAAAA99) then restarts at zero (e.g., AAAAAA00). The prefix must be short enough to
accommodate the number of expected files. The filename is expanded to eight characters with
zeros. If the Auto-Increment box is checked, the filename will be incremented by 1 each time
the Start/Save/Report is done. For example, if 0 were entered for prefix GVX, the first filename
would be GVX00000, the second would be GVX00001, and so on.
If the Auto-Increment box is not checked, the same file is used for every analysis and the
previous data are overwritten with each Start/Save/Report. The analysis uses the settings from
Analyze/Settings/Sample Type... (Section 5.5.1.1).
5.2.1.2. Ask on Start Options
Each Detector has its own suite of Ask on Start parameters. When you start a Detector, Gamma-
Vision prompts for any Ask on Start options that have been turned on. As soon as the prompts
for a specific Detector are satisfied, that Detector begins acquisition. If you choose Cancel for
any of these parameters, the remaining ask-on-start sequence for that Detector terminates and
acquisition for that Detector is canceled.
This also applies when starting all Detectors simultaneously (All MCBs). If the Ask on Start
Options have been turned on for any Detector in the group, GammaVision steps through the list
of Detectors to be started, and if any ask-on-start parameters are active, the software prompts for
them. As soon as the ask-on-start prompts are satisfied for a particular Detector, acquisition in
that Detector begins immediately. Therefore, to start all Detectors simultaneously, you must turn
off all ask-on-start options.
71

GammaVision® V8 (A66-BW) 783620K / 0915
Sample Type Defaults
The sample type file, which contains many of the parameters needed for analysis and acquisition,
can be specified here. The file is created in the Sample Type Settings dialog, Section 5.5.1.1.
When specified, the file is read and the values in it are the defaults for this dialog. If the Ask on
Start box is checked, GammaVision will ask for the sample type when Detector acquisition
starts, and the values in that file will be used. Click Browse... to show the available files.
Acquisition Presets
If the Ask on Start box is checked, the presets are asked when the Detector is started; the dialog
is the same as the Preset tab for this Detector’s MCB Properties dialog. Only the non-zero presets
can be changed during the start.
Sample Description
The sample description can be entered here, and it can also be asked for when the spectrum is
saved. If the Ask on Start box is checked, the description entered here will be presented as the
default at the start of data acquisition. This feature is handy when processing a number of similar
samples; the common part of the description can be entered here, and the unique descriptors can
be added on start.
Sample Size
If the output activity is to be normalized to a volume or weight (or any other factor), the sample
quantity can be entered here, along with an optional 1-sigma uncertainty (+/-) between 0% and
1000%. The reporting units are entered, according to the sample type, on the System tab under
Analyze/ Settings/Sample Type... (page 152). This will normalize the activity and the report
will be in normalized units. This normalization is in addition to any normalization done by the
multiplier and divisor on the Analysis tab under Analyze/Settings/Sample Type... (page 152).
Collection Date and Time
If the decay correction is enabled (see the Sample tab under Analyze/Settings/Sample Type...,
Section 5.5.1.1), the collection date and time are used in the correction formula.14
14If the collection date and time is before that of the spectrum acquisition, the spectrum will be activity-corrected
back to the sample collection time. While this is the normal use of this input, if the collection date and time is
after the acquisition time, the decay correction will be made forward in time.
72

783620K / 0915 5. MENU COMMANDS
Figure 75. Start One or All Displayed
Detectors.
Sample Start/Stop Time
These dates/times are the start time of the sample collection and the stop time of the sample
collection. For example, for air filters, the start time is the time when the air flow is started and
the stop time is when the air flow is stopped. These times are used to calculate the build-up of the
activity in the sample. It is assumed that the spectrum is not collected during the build-up time.
The correction for the build-up is given in Section 5.8.4.
5.2.2. Start
Based on the Group Acquisitions setting in the
Acquisition Settings dialog, Start simultaneously
begins acquisition in all displayed Detectors (All
MCBs) or one Detector at a time (Current MCB);
or asks if you wish to begin data collection in one
or all displayed Detectors (Prompt), as shown in
Fig. 75.
Any warnings arising from problems detected at the hardware level will appear in a message box
or on the Supplemental Information Line at the bottom of the display. The Detector can also be
started with the <Alt + 1> accelerator, the Start Acquisition button on the toolbar, or the Start
command on the right-mouse-button menu. If the Detector is already started or if GammaVision
is in buffer mode, this command is disabled.
See Section 5.2.1.2 for a discussion of how ask-on-start options can affect the start of data
acquisition.
5.2.3. Start/Save/Report
This command performs all three functions without user intervention. The Start is the same as
the Start above, Save is the same as File/Save (using the filename in the Acquire/Acquisition
Settings... dialog), and Report is the same as Analyze/Entire spectrum in memory. Based on
the Group Acquisitions setting in the Acquisition Settings dialog, Start/Save/Report simul-
taneously begins acquisition in all displayed Detectors (All MCBs) or one Detector at a time
(Current MCB); or asks if you wish to begin data collection in one or all displayed Detectors
(Prompt).
5.2.4. Stop
Stop terminates data collection in the active Detector window. The Detector can also be stopped
with the accelerator <Alt+ 2>, the Stop Acquisition button on the toolbar, and the Stop com-
mand on the right-mouse-button menu. Based on the Group Acquisitions setting in the Acquisi-
tion Settings dialog, Stop simultaneously halts acquisition in all displayed Detectors (All MCBs)
or one Detector at a time (Current MCB); or asks if you wish to stop data collection in one or all
73

GammaVision® V8 (A66-BW) 783620K / 0915
displayed Detectors (Prompt).
5.2.5. Clear
Clear erases the spectral data and the descriptors (e.g., real time, live time, start time) for the
currently active Detector or buffer window. The presets are not altered. Because the Group
Acquisitions setting in the Acquisition Settings dialog applies to Detector windows only, this
command operates differently in Detector windows than in buffer windows. If a buffer window is
active, Clear erases only that buffer window, regardless of how many buffer windows are open.
However, if a Detector window is active, Clear simultaneously clears all displayed Detectors
(All MCBs), erases only the active Detector window (Current MCB); or asks if you wish to
clear one or all displayed Detectors (Prompt).
This command might not operate on some types of Detectors when they are collecting data. The
data can also be cleared with <Alt+ 3>, the Clear Spectrum button on the toolbar, or the Clear
command on the right-mouse-button menu.
5.2.6. Copy to Buffer
The Copy to Buffer function transfers the data and descriptors (e.g., live time, real time), from
the active Detector window to a new buffer window. This function can also be performed with
<Alt + 5> or the Copy to Buffer command on the right-mouse-button menu.
5.2.7. List Mode
This toggles the current Detector’s data acquisition mode between PHA mode and list mode
(Section 1.6). This function can also be performed with the List Mode toolbar button.
5.2.8. QA
This is explained in Chapter 8, “Quality Assurance.”
5.2.9. Download Spectra...
This command supports standalone MCBs such as Detective®-family instruments, trans-SPEC®,
digiDART®, and the legacy DART®, and is used to download the spectra from the MCB to the
computer disk. Note that downloading the spectra does not erase them from the MCB.
The files are stored in the directory and spectrum file format specified in the dialog under File/
Settings (Section 5.1.1), and are named according to this format:
sss iiiiiiii ddddddddd ttttttttt.ext
74

783620K / 0915 5. MENU COMMANDS
where:
sss is the sequence number as shown on the digiDART spectrum list display
or the storage sequence in other supported MCBs.
iiiiiiii is the ID string entered on the digiDART when the spectrum was saved
and shown on the digiDART spectrum list display or the text string from
the barcode reader in the DART.
ddddddddd is the date the spectrum was collected, as recorded in the MCB.
ttttttttt is the time the spectrum was collected, as recorded in the MCB.
ext is the extension for the file type selected.
If any Ask on Save Options are set in the File Settings dialog, they are asked for each spectrum
individually. Note that if you cancel an ask-on-save prompt for a particular spectrum, any
remaining ask-on-save prompts for that spectrum are not displayed, and the spectrum is not saved
to disk.
NOTE Before downloading, make sure the current conversion gain setting for this MCB (see
the ADC tab under Acquire/MCB Properties...) is the same as or greater than the con-
version gain of the stored spectra; otherwise, the downloaded spectra will be truncated
at the current conversion gain setting. For example, if a digiDART was used to acquire
8k spectra in the field and the current conversion gain setting is 4k, only the first
4096 channels of data in each spectrum will be downloaded. See also the spectrum file
format NOTE on page 57.
5.2.10. ZDT Display Select
This command is active (1) for a Detector that supports ZDT Mode and has one of the ZDT
modes enabled on the ADC tab under Acquire/MCB Properties..., and (2) a ZDT spectrum file
recalled into a buffer window.
When the Detector is in the CORR_ERR ZDT mode (the NORM_CORR mode is typically not
used), two spectra are collected: the uncertainty spectrum, labeled ERR; and the zero-dead-time
corrected spectrum, labeled ZDT (see the discussion in Section 5.2.11.4 for more information).
The spectrum label is displayed in the upper-right corner of the Full Spectrum View, as shown in
Fig. 76.
The View ZDT Corrected command (duplicated by the shortcut <F3>) allows you to toggle
between the two spectra. Note that in the CORR_ERR ZDT mode, the status sidebar does not
display a live-time readout for either the ERR or ZDT spectra.
75

GammaVision® V8 (A66-BW) 783620K / 0915
Figure 76. Comparison of Uncertainty and ZDT Spectra Showing Labels in
Full Spectrum View.
5.2.11. MCB Properties...
CONNECTIONS applications use a uniform dialog for data acquisition setup, accessed with the
Acquire/MCB Properties... command. The property pages for the DSPEC-50 are described
here. To see the Properties dialog for other CONNECTIONS MCBs, refer their respective hardware
manuals.
Depending on the currently selected Detector, the Properties dialog displays several tabs of hard-
ware controls that may include ADC setup parameters, acquisition presets, high-voltage controls,
amplifier gain adjustments, gain and zero stabilizers, pole-zero and other shaping controls, the
InSight™ Virtual Oscilloscope, digital noise-suppression filters, and radionuclide detection
reports. In addition, some MCBs monitor conditions such as detector temperature, external input
status, alpha chamber pressure, charge remaining on batteries, and the number of spectra collec-
ted in remote mode, which are reported on a Status tab. Simply move from tab to tab and set your
hardware parameters, then click Close. Note that as you enter characters in the data entry fields,
the characters will be underlined until you move to another field or until 5 seconds have lapsed
since a character was last entered. During the time the entry is underlined, no other program or
computer on the network can modify this value.
76

783620K / 0915 5. MENU COMMANDS
Figure 77. DSPEC-50 Amplifier Tab.
If the Detector is password-locked (see Section 5.7.3), you must know the password before you
can modify its MCB properties. To view a locked Detector’s properties in read-only mode, click
Cancel when the Unlock Password dialog opens.
5.2.11.1. DSPEC-50
Amplifier
Figure 77 shows the Amplifier tab.
This tab contains the controls for
Gain, Baseline Restore, Preamp-
lifier Type, Input Polarity, and
Optimize.
NOTE Be sure that all of the
controls on the tabs have
been set before clicking the Start
Auto (optimize) button. The
changes you make on most
property tabs take place immedi-
ately. There is no cancel
or undo for these dialogs.
Gain — Set the amplifier coarse gain by
selecting from the Coarse droplist, then adjust the Fine gain with the horizontal slider bar or the
edit box, in the range of 0.5 to 1.1. The resulting effective gain is shown at the top of the Gain
section. The two controls used together cover the entire range of amplification from 0.5 to 140.8.
Input Polarity — These buttons select the preamplifier input signal polarity for the signal from
the detector. Normally, GEM (p-type) detectors have a positive signal and GMX (n-type) have a
negative signal.
IMPORTANT
The MCB Properties dialogs are part of the standard CONNECTIONS tools available in all ORTEC
application software. As such, this interface is available only in English, although our higher-level
applications such as GammaVision support other languages. If you use comma delimiters instead
of decimal points in these dialogs, you may encounter unexpected results or other problems.
77

GammaVision® V8 (A66-BW) 783620K / 0915
Baseline Restore — This is used to return the baseline of the pulses to the true zero between
incoming pulses. This improves the resolution by removing low frequency noise from dc shifts or
mains power ac pickup. The baseline settings control the time constant of the circuit that returns
the baseline to zero. There are three fixed choices (Auto,15 Fast, and Slow). The fast setting is
used for high count rates, the slow for low count rates. Auto adjusts the time constant as
appropriate for the input count rate. The settings (Auto, Fast, or Slow) are saved in the
DSPEC-50 even when the power is off. The time constant can be manually set on the InSight
display (see the discussion beginning on page 98).
You can view the time when the baseline restorer is active on the InSight display as a Mark
region (see the Marks discussion, p. 100). In the automatic mode, the current value is shown on
the InSight sidebar. For a low-count-rate system, the value will remain at about 90.
Preamplifier Type — Choose Transistor Reset or Resistive Feedback preamplifier operation.
Your choice will depend on the preamplifier supplied with the germanium detector being used.
Optimize
The DSPEC-50 is equipped with both automatic pole-zero logic16 and automatic flattop logic.17
The Start Auto (optimize) button uses these features to automatically choose the best pole-zero
and flattop tilt settings. Note that if you selected Transistor Reset as the Preamplifier Type for
this DSPEC-50, optimization does not perform the pole zero.
NOTE You cannot optimize with LFR mode enabled; see Section 5.2.11.1.
As with any system, the DSPEC-50 should be optimized any time the detector is replaced or if
the flattop width is changed. For optimization to take place, the DSPEC-50 must be processing
pulses. The detector should be connected in its final configuration before optimizing. A count
rate guidance message on the lower-left of the Amplifier page will help you position a radio-
active source to deliver the correct count rate for optimization. The Start Auto optimization
button will be disabled (gray) until the count rate is suitable.
Select either the Resistive Feedback or Transistor Reset option and click on Start Auto. The
optimize command is sent to the DSPEC-50 at this time and, if the DSPEC-50 is able to start the
operation, a series of short beeps sounds to indicate that optimization is in progress. When
optimizing is complete, the beeping stops.
15U.S. Patent 5,912,825.
16U.S. Patent 5,872,363.
17U.S. Patent 5,821,533.
78

783620K / 0915 5. MENU COMMANDS
Figure 78. DSPEC-50 Amplifier 2 Tab.
During optimization, pole zeroes are performed for several rise-time values and the DSPEC-50 is
cycled through all the rise time values for the determination of the optimum tilt values. All values
for all the combinations are then saved in the DSPEC-50, so you do not need to optimize for each
possible rise time. Optimization can take from 1 to 10 minutes depending on count rate, but
typically takes 5 minutes.
NOTE Be sure to repeat the optimization if you change the flattop width.
The effect of optimization on the pulse can be seen in the InSight mode, on the Amplifier 2 tab.
Note, however, that if the settings were close to proper adjustment before starting optimization,
the pulse shape may not change enough for you to see. (In this situation, you also may not notice
a change in the shape of the spectrum peaks.) The most visible effect of incorrect settings is high-
or low-side peak tailing or poor resolution.
Amplifier 2
Figure 78 shows the Amplifier 2
tab, which accesses the advanced
shaping controls including the
InSight Virtual Oscilloscope mode.
The many choices of Rise Time
allow you to precisely control the
tradeoff between resolution and
throughput. The value of the rise
time parameter in the DSPEC-50
is roughly equivalent to twice the
integration time set on a conven-
tional analog spectroscopy amp-
lifier. Thus, a DSPEC-50 value
of 12 μs corresponds to 6 μs in a
conventional amplifier. Starting
with the nominal value of 12.0, you should increase values of the rise time for better resolution
for expected lower count rates, or when unusually high count rates are anticipated, reduce the rise
time for higher throughput with somewhat worse resolution.
The DSPEC-50 Rise Time ranges from 0.8 μs to 23.0 μs. Once the unit has been optimized
according to Section 5.2.11.1, you can use any Rise Time without having to re-optimize. The
most recent settings are saved in the DSPEC-50 firmware even when the power is turned off.
79

GammaVision® V8 (A66-BW) 783620K / 0915
For the more advanced user, the InSight mode allows you to directly view all the parameters and
adjust them interactively while collecting live data. To access the InSight mode, go to the
InSight section on the Amplifier 2 tab and click on Start. The InSight mode is discussed in more
detail in Section 5.2.11.5.
The Rise Time value is for both the rise and fall times; thus, changing the rise time has the effect
of spreading or narrowing the quasi-trapezoid symmetrically.
The Flattop controls adjust the top of the quasi-trapezoid. The Width adjusts the extent of the
flattop (from 0.3 to 2.4 μs). The Tilt adjustment varies the “flatness” of this section slightly. The
Tilt can be positive or negative. Choosing a positive value results in a flattop that slopes down-
ward; choosing a negative value gives an upward slope. Alternatively, the optimize feature on the
Amplifier tab can set the tilt value automatically. This automatic value is normally the best for
resolution, but it can be changed on this dialog and in the InSight mode to accommodate
particular throughput/resolution tradeoffs. The optimize feature also automatically adjusts the
pole-zero setting.
The dead time per pulse is approximately
In the Pole Zero section, the Start button performs a pole zero at the specified rise time and
other shaping values. Unlike the optimize feature, it performs a pole zero for only the one rise
time. The pole-zero Stop button aborts the pole zero, and is normally not used.
When you are satisfied with the settings, Close the Properties dialog and prepare to acquire data.
Once data acquisition is underway, the advanced user may wish to return to MCB Properties...
and click on the Insight section’s Start button to adjust the shaping parameters interactively with
a “live” waveform showing the actual pulse shape, or just to verify that all is well.
Amplifier PRO
This tab (Fig. 79) contains the controls for the Low Frequency Rejector (LFR) filter, high-fre-
quency Noise Rejection Level, Resolution Enhancer, and Enhanced Through-put Mode. To
enable a particular feature, mark the corresponding checkbox. Any or all of these features can
be used at one time, however, the LFR and Enhanced Throughput modes must be set up before
the Resolution Enhancer is configured, as discussed below. Note that once an MCB is “trained”
for the Resolution Enhancer (see the following section), it must be “retrained” if any settings
are changed that can affect peak shape or position (e.g., bias, gain, rise time, flattop, pole-zero).
Low Frequency Rejector — This filter is designed to minimize low-frequency noise, and is
discussed in detail in the hardware manual. You cannot optimize or pole-zero the DSPEC-50
while in LFR mode. The Optimize feature must be used with the LFR filter off. Subsequent
80

783620K / 0915 5. MENU COMMANDS
Figure 79. DSPEC-50 Amplifier PRO Tab.
measurements can then be taken with the LFR filter on. Also, LFR mode affects the available
range of protection times in Enhanced Throughput Mode, as discussed in the next paragraph.
Noise Rejection Level — This
setting adjusts a filter that rejects
high-frequency noise from the
ambient environment. It ranges
from 0 to 4. The default setting,
2, will be suitable for most
applications.
If the system is exhibiting high
dead time with no source on the
detector, the noise may be in-
duced by nearby RF interference
or a result of a ground loop. If
possible, resolve the source of the noise by
physical means such as common
grounding between detectors and
instruments, shielding cables, removing nearby motors/generators, etc. If you cannot eliminate
the noise, increase the rejection level setting until the dead time returns to the expected low value.
●Note that higher values may reduce the effectiveness of the pile-up rejector when processing
very low-energy pulses.
●On systems for which very high dead times are expected (i.e., >60%), especially with very-
low-energy sources (e.g., 241Am), decreasing this setting can improve the performance of the
spectrometer with respect to live-time correction and the ability to process signals at higher
input rates.
Enhanced Throughput Mode — This feature can help reduce the low-side peak tailing that
results from increased charge trapping; see the discussion in the hardware manual for more
details. This function will not improve poor resolution due to other causes. The valid Protection
Time settings, in 25-ns increments, range as follows:
81

GammaVision® V8 (A66-BW) 783620K / 0915
LFR Mode Highest Throughput
(minimum Protection Time)
Lowest Throughput
(maximum Protection Time)
Off (Rise Time + flattop) (2 × Rise Time + Flattop)
On (3 × Rise Time + 2 × Flattop) (6 × Rise Time + 3 × Flattop)
Turning on this feature automatically sets the minimum protection time (highest throughput rate)
based on your current Rise Time and Flattop settings, however, you can adjust this value at any
time. Each time you change the rise time or flattop, the DSPEC-50 will automatically set itself to
the new minimum protection time.
“ Training” the Resolution Enhancer
The Resolution Enhancer operates by measuring the rise time (collection time) of the pulses and
adjusting the gain based on the rise time. This is done on each pulse. The gain adjustment value
for the rise time is stored in a table. The values in the table must be set by “training” the Resolu-
tion Enhancer. Marking the Resolution Enhancer checkbox enables/disables the “learning”
mode. Note that, once trained, the enhancer operates continuously until disabled as discussed in
Step 13 below. To train the enhancer:
1) Set the bias, gain, rise time, flattop, and PZ as you would for data collection.
2) If you wish to use LFR Mode, turn it on.
3) If you wish to use Enhanced Throughput Mode, turn it on and either accept the automatically
calculated, highest-throughput protection time, based on the current rise time and flattop; or
enter the desired setting. (The latter might require one or more data acquisitions. When
finished, proceed to Step 4).
4) Clear the MCB and acquire a well-isolated peak.
5) Mark the Resolution Enhancer checkbox to turn on the learning mode.
6) You will now use the gain stabilization section of the Stabilizer tab to configure the Reso-
lution Enhancer (the gain stabilizer is disabled in the learning mode). Enter the Center
channel and Width of the peak acquired in Step 4; the maximum Width is 255 channels. If
you wish, use the Suggest button. The selected region should be as narrow as possible but
should completely include the peak.
7) Click on Initialize to clear all the Resolution Enhancer settings. Initialization does not
change the current Center channel and Width.
82

783620K / 0915 5. MENU COMMANDS
8) Clear the MCB, re-start acquisition, and monitor the FWHM of the target peak, using the
Peak Info command (available by right-clicking in the spectrum window) to show the
FWHM and peak counts. Collect about 5000 counts in the peak and record the FWHM.
Clear the data and collect another 5000 counts, recording the FWHM. Repeat until the
FWHM no longer changes. Typically, the more charge trapping exhibited by the detector,
the longer the data collection time.
9) When you are satisfied that the FWHM has reached the best possible value, clear the MCB
and collect another spectrum for confirmation.
10) At this point, the Resolution Enhancer is now “trained” for the current peak shape para-
meters and the learning mode should be turned off by returning to the Amplifier PRO tab
and unmarking the Resolution Enhancer checkbox. The table of adjustments will be stored
in the DSPEC-50's memory.
11) If you change any parameters that affect peak shape, you must repeat this “training”
procedure.
12) Once the Resolution Enhancer has been trained and its checkbox has been unmarked, the
Stabilizer tab once again operates on the gain stabilizer (that is, it no longer adds values to
the table of adjustments).
NOTE The peak selected for the gain stabilizer can be different from the peak used for
training the Resolution Enhancer.
13) To turn off the Resolution Enhancer, mark its checkbox to turn on the learning mode, go to
the Stabilizer tab and click on the Initialize button for the gain stabilizer. This will set the
adjustment to zero. Now return to the Amplifier PRO tab and unmark the Resolution
Enhancer box.
ADC
This tab (Fig. 80) contains the Gate, ZDT Mode, Conversion Gain, Lower Level Discrim-
inator, and Upper Level Discriminator controls. In addition, the current real time, live time, and
count rate are monitored at the bottom of the dialog.
Gate — This allows you to select a logic gating function. With this function Off, no gating is
performed (that is, all detector signals are processed); with the function in Coincidence, a
gating input signal must be present at the proper time for the conversion of the event; in Anti
83

GammaVision® V8 (A66-BW) 783620K / 0915
Figure 80. DSPEC-50 ADC Tab.
coincidence, the gating input signal
must not be present for the con-
version of the detector signal. The
gating signal must occur prior to
and extend 500 ns beyond peak
detect (peak maximum).
ZDT Mode — Use this droplist to
choose the ZDT Mode to be used
for collecting the desired zero dead
time spectrum (see Section 5.2.11.4).
The three modes are Off (LTC only),
NORM_ CORR (LTC and ZDT),
and CORR_ERR (ERR and ZDT).
If one of the ZDT modes is selected,
both spectra are stored in the same
spectrum (.SPC) file. If you do not need the ZDT spectrum, you should select Off. In Gamma-
Vision, the display can show either of the two spectra. Use <F3> or Acquire/ZDT Display
Select to toggle the display between the two spectra. In the Compare mode, <F3> switches both
spectra to the other type and <Shift+F3> switches only the compare spectrum. This allows you to
make all types of comparisons.
Conversion Gain — This sets the maximum channel number in the spectrum. If set to 16384, the
energy scale will be divided into 16384 channels. The conversion gain is entered in powers of 2
(e.g., 8192, 4096, 2048). The up/down arrow buttons step through the valid settings for the
DSPEC-50.
Upper- and Lower-Level Discriminators — The Lower Level Discriminator sets the level of
the lowest amplitude pulse that will be stored. This level establishes a lower-level cutoff by chan-
nel number for ADC conversions. The Upper Level Discriminator sets the level of the highest
amplitude pulse that will be stored. This level establishes an upper-level cutoff by channel
number for storage.
Stabilizer
The DSPEC-50 has both gain and zero stabilizers (see Section ?). This tab (Fig. 81) shows the
current stabilizer settings. Each Adjustment section shows how much adjustment is currently
applied. The Initialize buttons reset the adjustment to 0. If the value approaches 90% or above,
adjust the amplifier gain so the stabilizer can continue to function — when the adjustment
value reaches 100%, the stabilizer cannot make further corrections in that direction. The
Center Channel and Width fields show the peak currently used for stabilization.
84

783620K / 0915 5. MENU COMMANDS
Figure 81. DSPEC-50 Stabilizer Tab.
Figure 82. DSPEC-50 High Voltage Tab.
To enable the stabilizer, enter
the Center Channel and Width
values manually or click on the
Suggest Region button. Suggest
Region reads the position of the
marker and inserts values into the
fields. If the marker is in an ROI,
the limits of the ROI are used. If
the marker is not in an ROI: for
calibrated spectra, the center channel is the
marker channel and the width is 3 times
the FWHM at this energy; and for
uncalibrated spectra, the region is centered
on the peak located within two
channels of the marker and as
wide as the peak. Now click on the
appropriate Enabled checkbox to turn the stabilizer on. Until changed in this dialog, the
stabilizer will stay enabled even if the power is turned off. When the stabilizer
is enabled, the Center Channel and Width cannot be changed.
High Voltage
Figure 82 shows the High Voltage
tab, which allows you to turn the
HV on or off; set and monitor the
voltage; select the HV Source and
Shutdown mode; and indicate the
detector type; and Polarity. Note that if
the detector is attached via the rear-
panel DIM connector, some of these
options may be disabled or auto-
selected. For example, the detector
polarity is determined by the SMART-
1 or DIM module.
The Source is Internal for
conventional, non-DIM detectors;
DIM-296 for the Model 296, and
DIM/SMART for all other DIM-based detectors.
85

GammaVision® V8 (A66-BW) 783620K / 0915
Figure 83. DSPEC-50 About Tab.
NOTE NaI detectors require the DIM-POSNAI interface and the DIM/SMART source
selection.
Enter the Target high voltage, click On, and monitor the voltage in the Actual field. Click Off to
turn off the high voltage.
The HV will not turn on if the detector is sending a remote shutdown or overload signal. The
Overload indicator means there is a bad connection in your system. The Shutdown indicator
means that either the detector is warm or you have chosen the wrong Shutdown or Source mode.
The shutdown types are ORTEC, TTL, and SMART. The ORTEC mode is used for all ORTEC
detectors except SMART-1 (SMART) detectors. Most non-ORTEC detectors use the TTL
mode; check with the manufacturer.
Choose the detector Polarity (SMART-1 detectors auto-select this setting). Normally, GEM
(p-type) detectors have a positive signal and GMX (n-type) detectors have a negative signal.
To use a Sodium Iodide Detector, mark the checkbox. This changes the gain and zero stabili-
zers to operate in a faster mode.
About
This tab (Fig. 83) displays hard-
ware and firmware information
about the currently selected
DSPEC-50 as well as the data
Acquisition Start Time and
Sample description. In addition,
the Access field shows whether
the Detector is currently locked
with a password (Section 5.7.4),
Read/Write indicates that the
Detector is unlocked; Read
Only means it is locked.
Status
Figure 84 shows the Status tab.
You can select any six of these to be displayed simultaneously on the Status tab. The parameters
you choose can be changed at any time, so you can view them as needed. Two types of values are
presented: OK or ERR, and numeric values. The SOH parameters return either OK or ERR.
If the state is OK, the parameter stayed within the set limits during the spectrum acquisition.
86

783620K / 0915 5. MENU COMMANDS
Figure 84. DSPEC-50 Status Tab.
If the parameter varied from the nominal value by more than the allowed limit, the ERR is set
until cleared by the program. The numeric values are displayed in the units reported by the
DSPEC-50. Security, Detector temperature, and Live detector temperature are available only
for SMART-1 detectors. For non-SMART-1 detectors, they display N/A.
Detector State of Health
Returns OK or an error mes-
sage describing a problem
with detector power or bias.
+24 volts
This is the current value of
the +24 volt supply.
+12 volts
This is the current value of
the +12 volt supply.
−12 volts
This is the current value of
the −12 volt supply.
−24 volts
This is the current value of the −24 volt supply.
High Voltage
This is the current value of the high voltage bias supply.
Note that, as of this release, the Detector temperature and Live detector temperature monitors
are listed, but return only N/A.
Presets
Figure 85 shows the Presets tab. MDA presets are shown on a separate tab.
The presets can only be set on an MCB that is not acquiring data (during acquisition the preset
field backgrounds are inactive [gray]). You can use any or all of the presets at one time. To dis-
able a preset, enter a value of zero. If you disable all of the presets, data acquisition will continue
until manually stopped.
87

GammaVision® V8 (A66-BW) 783620K / 0915
Figure 85. DSPEC-50 Presets Tab.
When more than one preset is
enabled (set to a non-zero value),
the first condition met during the
acquisition causes the MCB to stop.
This can be useful when you are
analyzing samples of widely vary-
ing activity and do not know the
general activity before counting.
For example, the Live Time preset
can be set so that sufficient counts
can be obtained for proper calcu-
lation of the activity in the sample
with the least activity. But if the sample
contains a large amount of this or
another nuclide, the dead time could
be high, resulting in a long counting
time for the sample. If you set the ROI Peak preset in addition to the Live Time preset, the low-
level samples will be counted to the desired fixed live time while the very active samples will be
counted for the ROI peak count. In this circumstance, the ROI Peak preset can be viewed as a
“safety valve.”
The values of all presets for the currently selected MCB are shown on the Status Sidebar. These
values do not change as new values are entered on the Presets tab; the changes take place only
when you Close the Properties dialog.
Enter the Real Time and Live Time presets in units of seconds and fractions of a second. These
values are stored internally with a resolution of 20 milliseconds (ms) since the MCB clock incre-
ments by 20 ms. Real time means elapsed time or clock time. Live time refers to the amount of
time that the MCB is available to accept another pulse (i.e., is not busy), and is equal to the real
time minus the dead time (the time the MCB is not available).
Enter the ROI Peak count preset value in counts. With this preset condition, the MCB stops
counting when any ROI channel reaches this value unless there are no ROIs marked in the MCB,
in which case that MCB continues counting until the count is manually stopped.
Enter the ROI Integral preset value in counts. With this preset condition, the MCB stops count-
ing when the sum of all counts in all ROI channels (regardless of the number of ROIs) reaches
this value. This has no function if no ROIs are marked in the MCB.
The Uncertainty preset stops acquisition when the statistical or counting uncertainty of a user-
selected net peak reaches the value you have entered. Enter the Preset in % value as percent
uncertainty at 1 sigma of the net peak area. The range is from 99% to 0.1% in 0.1% steps. You
88

783620K / 0915 5. MENU COMMANDS
have complete control over the selected peak region. The region must be at least 7 channels wide
with 3 channels of background on each side of the peak. Note that GammaVision calculates this
preset once per 40 seconds. Therefore, the software will continue data acquisition up to
40 seconds after the preset has been reached, and the uncertainty achieved for a high count-rate
sample may be lower than the preset value.
Use the Start Channel and Width fields to enter the channel limits directly, or click on Suggest
Region. If the marker is positioned in an ROI around the peak of interest, Suggest Region reads
the limits of the ROI with the marker and display those limits in the Start Chan and Width
fields. The ROI can be cleared after the preset is entered without affecting the uncertainty calcu-
lation. If the marker is not in positioned in an ROI: for calibrated spectra, the start channel is
1.5 times the FWHM below the marker channel, and the width is 3 times the FWHM; for uncali-
brated spectra, the region is centered on the peak located within two channels of the marker and
as wide as the peak. The net peak area and statistical uncertainty are calculated in the same
manner as for the Peak Info command.
MDA Preset
The MDA preset (Fig. 86) can monitor up to 20 nuclides at one time, and stops data collection
when the values of the minimum detectable activity (MDA) for all of the user-specified MDA
nuclides reach the needed value. Presets are expressed in Bq, and are evaluated every 40 seconds.
The detector must be calibrated for energy in all spectroscopy applications, and for efficiency in
all applications but MAESTRO.
The MDA presets are implemented in the MCB (i.e., the entries you make on this screen are
saved in the MCB memory), and have no direct link to MDA methods selected in the analysis
options for applications such as ScintiVision™, ISOTOPIC, etc. The MDA preset calculation
uses the following formula:
where:
a, b, and c are determined by the MDA criteria you choose.
Counts is the gross counts in an ROI that is 2.5×FWHM around the target peak energy.
Live time is evaluated in 40 second intervals for the MDA presets.
CorrectionFactor is the product of the calibration efficiency at the specified peak energy and
the peak’s branching ratio (yield) as listed in the working (active) library.
89

GammaVision® V8 (A66-BW) 783620K / 0915
Figure 86. DSPEC-50 MDA Preset Tab.
To add an MDA preset, enter the
preset value in the MDA or Corre-
ction field; select the Nuclide and
Energy; enter the desired values
for coefficients a, b, and c; then
click Add New.
To edit an existing preset, click to
highlight it in the table. This will
load its Nuclide, Energy, and coef-
ficients in the lower sections of the
dialog. Change as needed, then
click Update.
To remove a preset, click to high-
light it in the table, then click Delete.
IMPORTANT These MDA presets are not dynamically calculated. Each time you add an
MDA preset to this table, its CorrectionFactor value is calculated and stored in
the MCB’s memory. If you then load a different library, change the efficiency
calibration, or change the system geometry, the spectroscopy application will
not update the existing CorrectionFactors, and your MDA presets may no
longer be applicable.
Nuclide Report Tab
Figure 87 shows the Nuclide Report tab. The Nuclide Report displays the activity of up to nine
(9) user-selected peaks. Once the report is set up, the two lowest-energy ROIs and their respec-
tive activity readouts are displayed on the DSPEC-50's Spectrum screen.
The peak area calculations in the hardware use the same methods as the Peak Info calculation
(Section 5.4.3) so the Nuclide Report display is the same as the Peak Info display on the selected
peak in the spectra stored in the computer. The calculated value is computed by multiplying the
net peak count rate by a user-defined constant. If the constant includes the efficiency and
branching ratio, the displayed value is the activity. You enter the nuclide label and the activity
units. The report format and calculations are discussed in the next section.
IMPORTANT The entries you make on this screen are saved in the MCB memory, and are not
dynamically calculated. If you change the energy calibration (i.e., if the peak
locations shift), the Nuclide Report may no longer be valid.
90

783620K / 0915 5. MENU COMMANDS
Figure 87. Nuclide Report Tab.
Add New
You can add Nuclide Peaks to the
report manually or by selecting
the peaks from the current work-
ing library. The spectrum must
be energy calibrated to use the
library method.
●Defining Peaks Manually
— To manually define peaks,
enter the Nuclide name, ROI
Low (start) and High (end)
channels, multiplicative Fac-
tor and Units in the Report
section; then click Add New.
All nuclides in the table use
the same units, so that value need only be entered once.
●Selecting Peaks from the Working Library — To define report peaks using the library,
select the Nuclide and gamma-ray Energy in the Library section. This defines which
gamma ray to use. Now, in the Report section, click the Select from Lib button. Enter the
Factor and Units, then click Add New to add this nuclide to the list. The ROI for this peak
will be marked in the MCB’s spectrum window, centered on the peak energy and 3 times
the width of the calibrated FWHM.
Edit
To change any of the current nuclides, select the nuclide in the list (use the scroll bars if needed).
This will show the current settings for this nuclide. Make any changes needed. Any or all of the
entries can be changed. When finished with the changes, click on Update.
Delete
To remove an entry, select the entry and click Delete.
When you close the Properties dialog, all the values entered are written to the DSPEC-50 and the
two lowest-energy ROIs and corresponding activity readouts are displayed on the DSPEC-50
screen.
91

GammaVision® V8 (A66-BW) 783620K / 0915
5.2.11.2. Nuclide Report Calculations
The Nuclide Report displays the activity of up to 9 user-selected peaks. Once the report is set up
you can view the Nuclide Report at any time. The peak area calculations are the same as the
calculations in GammaVision and other ORTEC software, so the Report contents can be dupli-
cated using the spectra stored in the computer. The calculated value is computed by multiplying
the net peak count rate by a user-defined constant. If the constant includes the efficiency and
branching ratio, the displayed value will be activity. The nuclide label and the activity units are
entered by the user.
The report has this format:
Nuclide keV uCi/m2 ±%
CO-60 1332.5 1.21E+01 10.2
CO-60 1173.2 1.09E+01 12.3
CO-57 122.1 1.48E+00 86.2
Calculations
These are the calculations used to generate the Nuclide Report’s Activity, Uncertainty, and
Peak values.
Activity is calculated as follows:
NucCoef is normally the inverse of efficiency times the branching ratio. Note that the
efficiency is the ABSOLUTE counting efficiency for the source/detector geometry being
used. Thus, in order to get meaningful activity results, as in any counting situation, you need
to have efficiency factors which are appropriate to the actual counting geometry. If NucCoef
is set to 1, you will get peak count rate on the display.
LiveTime is the current live time.
NetCounts is computed with the following equation:
92

783620K / 0915 5. MENU COMMANDS
GrossCounts is the sum of the counts in the ROI, excluding the first and last 3 channels of
the ROI.
Background is:
ROIWidth is:
Uncertainty (in percent) is calculated as follows:
Peak is the position of the maximum count and is computed with the following equation:
MaximumROIChan is the channel in the ROI with the most counts. If there are no data, the
center channel of the ROI is used.
EnergySlope and EnergyIntercept are the energy calibration values as entered by keypad (on
digiDARTs) or by software. If the values are not present, the result is given in channels.
5.2.11.3. Gain and Zero Stabilization
The gain stabilizer requires a peak in the spectrum to monitor the changes in the gain of the
system amplifier. The gain stabilizer controls the amplification factor of a separate amplifier so
that the peak will be maintained in its original position.
The zero stabilizer enables you to control the zero-level (or offset) stabilizer. The zero-level
stabilizer uses a peak in the spectrum to monitor the changes in the zero level of the system
amplifier. The zero stabilizer controls the offset bias level so the peak will be maintained in its
original position.
93

GammaVision® V8 (A66-BW) 783620K / 0915
For both functions, the input pulse-height-to-channel-number relationship is:
where:
Intercept = The channel number of the zero-height input pulse
Gain = The relation between pulse height and channel number (slope of the curve)
Changes in either the intercept or gain can affect the positions of all the peaks in the spectrum.
When used with the zero stabilizer, both the zero intercept and the gain (slope) will be monitored
to keep all the peaks in the spectrum stabilized. The zero stabilization and gain stabilization are
separate functions but both will affect the position of the peaks in the spectrum.
The stabilization operates by keeping a peak centered in an ROI you have defined. The ROI
should be made symmetrically about the center of a peak with reasonably good count rate in the
higher channels of the spectrum. The ROI should be about twice the FWHM of the peak. If the
region is too large, counts not in the peak will have an effect on the stabilization.
Before setting either stabilization peak, the coarse and fine gains should be set to the desired
values, and optimization or pole-zero performed.
5.2.11.4. ZDT (Zero Dead Time) Mode
An extended live-time clock increases the collection time (real time) of the acquisition to correct
for input pulse train losses incurred during acquisition due to system dead time. This corrected
time value, known as the live time, is then used to determine the net peak count rates necessary to
determine nuclide activities.
As an example, consider the case where the spectrometry amplifier and ADC are 60% dead
during the acquisition. The elapsed real time will be:
If the N counts in the gamma-ray peak in the spectrum are divided by the elapsed live time, the
resulting counting rate, is now corrected for dead-time losses. The standard
deviation in that counting rate is .
Unfortunately, extending the counting time to make up for losses due to system-busy results in an
94

783620K / 0915 5. MENU COMMANDS
incorrect result if the gamma-ray flux is changing as a function of time. If an isotope with a very
short half-life is placed in front of the detector, the spectrometer might start out with a very high
dead time, but the isotope will decay during the count and the dead time will be zero by the end
of the count. If the spectrometer extends the counting time to make up for the lost counts, it will
no longer be counting the same source as when the losses occurred. As a result, the number of
counts in the peak will not be correct.
When a supported ORTEC MCB operates in ZDT18 mode, it adjusts for the dead-time losses by
taking very short acquisitions and applying a correction in real time — that is, as the data are
coming in — to the number of counts in the spectrum. This technique allows the gamma-ray flux
to change while the acquisition is in progress, yet the total counts recorded in each of the peaks
are correct. The resulting spectrum has no dead time at all — in ZDT mode, the data are correc-
ted, not the acquisition time. Thus, the net counts in a peak are divided by the real time to
determine the count rate.
ZDT mode has a unique feature in that it can store both the corrected spectrum and the uncor-
rected spectrum, or the corrected spectrum and the uncertainty spectrum. Therefore, supported
MCBs allow you to choose between three ZDT Mode settings on the ADC tab under MCB
Properties...: Off, NORM_CORR, and CORR_ERR.
●Off — Uncorrected Spectrum Only
In this mode, only the uncorrected spectrum (live time and real time with dead-time losses) —
also called the live-time-corrected or LTC spectrum — is collected and stored in the .SPC file.
The LTC spectrum can be used to determine exactly how many pulses at any energy were
processed by the spectrometer. The corrected spectrum gives the best estimate of the total
counts that would have been in the peak if the system were free of dead-time effects. The
uncertainty spectrum can be used to calculate the counting uncertainty, channel by channel, in
the corrected spectrum.
NOTE When the spectrometer is placed in ZDT mode, the throughput of the instrument is
reduced somewhat as extra processing must be done on the spectrum; therefore, if
the gamma-ray flux is not changing as a function of time, but absolute highest
throughput is desirable, you may wish to store only the LTC spectrum in the MCB
memory.
18U.S. Patent 6,327,549.
95

GammaVision® V8 (A66-BW) 783620K / 0915
Mode Uncorrected
Spectrum
ZDT Corrected
Spectrum
ZDT Error
Spectrum
Off (ZDT Disabled) Yes No No
NORM_CORR (ZDT–LTC Mode) Yes Yes No
CORR_ERR (ZDT–ERR Mode) No Yes Yes
Table 1. ZDT Modes.
●NORM_CORR — ZDT and Uncorrected Spectra Stored
When the ZDT mode is set to NORM_CORR, the two spectra stored are the LTC spectrum
and the ZDT spectrum (corrected for the dead-time losses; real time only). Unfortunately, in
the analysis of the ZDT spectrum, the uncertainty of the measurement cannot be determined
using either spectrum.
NOTE This mode is not useful for quantitative analysis if the counting rate varies signifi-
cantly during the measurement time, particularly if the user desires an accurate
counting rate and standard deviation calculation. When you select the NORM_
CORR mode, GammaVision ignores the ZDT spectrum and analyzes the LTC
spectrum as it would for the Off ZDT mode.
●CORR_ERR — ZDT and Error Spectra Stored
In the CORR_ERR mode, the estimation of the statistical uncertainty is stored in place of the
LTC spectrum, and is referred to as the error spectrum (ERR). In this mode, the ZDT spec-
trum is used to measure the counts in a peak, and the error spectrum is used to determine the
uncertainty of the measurement made in the corrected spectrum.
For example, if the area of a peak is measured in the corrected spectrum by summing channels
1000 to 1100, the variance of the measurement can be determined by summing the counts in
channels 1000 to 1100 in the error spectrum. Or, shown another way, the counts in channel i
can be expressed as ± with a 1-sigma confidence limit, where N is the corrected
spectral data and V is the variance (error) spectral data.
The live time is set to the real time within the analysis engine during the analysis of ZDT
spectra.
Table 1 shows which spectra are collected in the three possible ZDT modes.
96

783620K / 0915 5. MENU COMMANDS
Choosing a ZDT Mode
When the counting rate is essentially constant during the time required to acquire the spectrum,
the standard mode — ZDT Off — is the preferred mode; only the uncorrected spectrum is col-
lected and stored in the spectrum file. But, if the counting rate varies significantly during the
measurement time, the standard mode will not yield the proper dead-time-corrected counting rate.
This can be most easily understood by noting that the uncorrected mode compensates for dead-
time losses by extending the real counting time. Hence a sample containing both a short-lived
high-activity isotope and a long-lifetime lower-activity isotope will experience very high dead-
time losses during the first few seconds of the measurement, as the short-lifetime isotope decays
rapidly. This high dead time will cause the counting time to be extended after the short-lived
isotope has decayed to zero activity, and the system will count the low-activity isotope for the
extra time. Consequently, the average activity of the short-lived isotope will be under-estimated.
If you anticipate significantly varying counting rates during the time taken to acquire the spec-
trum, the CORR_ERR ZDT mode should be used. The CORR_ERR mode corrects for dead-
time losses over minuscule time intervals by adding counts to the ZDT spectrum in proportion to
the instantaneous ratio of real time to live time. Thus, the dead-time correction can correctly track
rapidly changing counting rates. The CORR_ERR mode should be used whenever the counting
rate may change significantly during the measurement time. In addition to the rapidly decaying
isotope example above, the CORR_ERR mode should be used when monitoring cooling water
flow from a nuclear reactor. The CORR_ERR mode accommodates brief bursts of high-activity
in the water flowing past the gamma-ray detector. Both the corrected and error spectra are stored
in the resulting spectrum file.
Note that the counts in the ZDT spectrum must be divided by the elapsed REAL time to compute
the dead-time corrected counting rate. It is important to note that the standard deviation in the
NZDT counts in a gamma-ray peak in the ZDT spectrum is not . Instead the standard devia-
tion is obtained from the NERR counts in the same peak ROI in the accompanying error spectrum.
The standard deviation in this case is . And the standard deviation in the computed count-
ing rate, , is .
The NORM_CORR Diagnostic Mode
Why is there a NORM_CORR mode, and why should you avoid using it? This mode simul-
taneously collects the ZDT spectrum and the conventional uncorrected spectrum. It is useful for
demonstrating that the counts in the uncorrected spectrum divided by the live time is the same
counting rate as the counts in the ZDT spectrum divided by the real time, in the special case of
constant counting rate. Because the error spectrum is not collected in NORM_CORR mode, the
standard deviation in the ZDT counts cannot be calculated if the counting rate is varying.
97

GammaVision® V8 (A66-BW) 783620K / 0915
GammaVision provides some protection for users if the ZDT-LTC mode is inadvertently
selected. In this case, GammaVision ignores the ZDT spectrum and presumes you intended to use
the uncorrected spectrum in a constant-counting-rate application.
To summarize:
●Use the ZDT Off mode when the counting rate is expected to be constant during the time
taken to acquire the spectrum.
●Use the ZDT CORR_ERR mode when the counting rate is expected to change or might
change significantly during the time required to acquire the spectrum.
●Avoid using the NORM_CORR mode because GammaVision V8 will default to analyzing
the LTC spectrum and will ignore the ZDT spectrum.
More Information
Visit our website or contact your ORTEC representative for more detailed information:
●Application note AN56, “Loss Free Counting with Uncertainty Analysis Using ORTEC’s
Innovative Zero Dead Time Technique,” (http://www.ortec-online.com/pdf/an56.pdf)
●General gamma spectroscopy technical papers (http://www.ortec-online.com/papers/
reprints.htm#General)
5.2.11.5. InSight Mode
The InSight display (Fig. 88) shows the actual sampled waveform in the digital processing units
on a reference graticule. The Properties dialog remains active and can be used to change settings
while viewing the pulses. As none of the traditional analog signals are available in digital MCBs,
this mode is the only way to display the equivalent amplifier output pulse. Note that at the bottom
of the window the marker channel is displayed in units of time.
To exit the InSight mode and return to the PHA display, press <Esc> or go to the Insight section
on the Amplifier 2 tab and click on Stop. The PHA mode is set to STOP when in the InSight
mode.
InSight Mode Controls
The Status Sidebar changes from the PHA mode controls to the InSight controls for adjusting the
peak display (Fig. 88) On the left is a vertical scrollbar for adjusting the vertical offset of the
waveform. The value of the offset is shown on the display. Double-clicking the mouse in the
98

783620K / 0915 5. MENU COMMANDS
Figure 88. The InSight Mode Display.
scrollbar will set the vertical offset to the vertical value of the channel at the marker position.
This is to conveniently zoom in on a particular part of the waveform (such as the tail for pole-
zeroing).
In the Auto trigger mode, the display is updated every time a new pulse exceeds the trigger level.
To keep a single pulse displayed, select Single. Click on Reset to refresh the display to see the
next pulse. There will usually be one or two pulses in the “pipeline” that will be displayed before
any change entered will be seen. If the trigger is turned off, the display will be redrawn
periodically, even if no pulse is there.
The Delay setting is the time delay between the pulse shown on the display and the trigger level
crossing. The value of the time delay is shown on the display.
99

GammaVision® V8 (A66-BW) 783620K / 0915
Figure 89. Mark
List.
Just as for the PHA mode display, the vertical scale can be adjusted with the vertical adjustments.
The display can be set to Log mode, but the peak shapes do not have a familiar shape in this
display. The Auto mode will adjust the vertical scale for each pulse. The pulse is shown before
the amplifier gain has been applied, so the relation between channel number and pulse height is
not fixed.
The horizontal scale extends from 16 to 256 channels. The display is expanded around the marker
position which means that in some cases the peak will disappear from the display when it is
expanded.
The display can be switched from the current MCB to another Detector or the buffer. The other
Detector will be shown in its most recent mode (PHA or InSight). The buffer will always be
shown in PHA mode. When you return to the current MCB, the display will return to the InSight
mode. This also holds true if you exit GammaVision while in InSight mode; on next startup, this
MCB will still be in InSight mode.
The display can include a Mark to indicate one of the other signals
shown in Fig. 89. The Mark is a solid-color region displayed similarly
to that of an ROI in the spectrum. This Mark can be used to set the timing
for the gate pulse. It can also be used to set the shaping times and flattop
parameters to get the best performance. For example, suppose you need
to obtain the best resolution at the highest throughput possible. By view-
ing the pulses and the pileup reject marker, the rise time can be increased
or decreased to obtain a minimum of pileup reject pulses.
Mark Types
For the Mark, choose either “points” or “filled” (to the zero line) display. This is controlled by
the selection in the Display/Preferences menu item. That choice does not affect the PHA mode
choice. The colors are the same as for the PHA mode. (Not all DSP MCBs support all marks.)
None No channels are marked in the display.
PUR The region marked indicates when the PUR circuit has detected pileup and is
rejecting the marked pulses.
BLN This shows when the negative baseline discriminator has been triggered. Typi-
cally this signal only marks the TRP reset pulse. The signal is used internally in
the live-time correction, baseline restoration, and pile-up rejection circuits.
BLRG This shows when the baseline restorer is actively restoring the baseline.
100

783620K / 0915 5. MENU COMMANDS
BLD This shows when the positive baseline discriminator has been triggered. The
signal is used internally in the live-time correction, baseline restoration, and pile-
up rejection circuits.
BUSY When the busy signal is active, Busy shows in the Mark box. It represents the
dead time.
GATE This shows when the gate signal is present on the gate input connector. If the
Gate mode on the ADC tab (see Fig. 88) is set to Off, then all regions are marked.
If the mode is set to Coincidence, then the marked region must overlap the pulse
peak (that is, must start before the beginning of the flattop and stop after the end
of the flattop) for the pulse to be counted. If the mode is set to Anticoincidence,
then the marked region will show the pulses that are accepted. That is, the rejected
peaks will not be marked. Simply put, in all modes the accepted peaks are marked.
RESV Reserved.
PKDET This is the peak detect pulse. It indicates when the peak detect circuit has detected
a valid pulse. The Mark occurs about 1.5 μs after the pulse maximum on the
display.
On the lower right of the InSight display are the shaping parameter controls. The controls are
split into two groups, and the other controls... button switches between them. (Not all DSP
MCBs support all of the controls.)
One group includes Rise Time, Flattop, Tilt, and the Optimize button. The Rise Time value is
for both the rise and fall times; thus, changing the rise time has the effect of spreading or narrow-
ing the quasi-trapezoid symmetrically.
The Flattop controls adjust the top of the quasi-trapezoid. The Width adjusts the extent of the
flattop (from 0.3 to 2.4 μs). The Tilt adjustment varies the “flatness” of this section slightly. The
Tilt can be positive or negative. Choosing a positive value results in a flattop that slopes down-
ward; choosing a negative value gives an upward slope. Alternatively, Optimize can set the tilt
value automatically. This value is normally the best for resolution, but it can be changed on this
dialog and in the InSight mode to accommodate particular throughput/resolution tradeoffs. The
Optimize button also automatically adjusts the pole-zero setting.
101

GammaVision® V8 (A66-BW) 783620K / 0915
Figure 90. An Example of the Tradeoff Between
Throughput and Count Rate.
5.2.11.6. Setting the Rise Time in Digital MCBs
To achieve the best results for your application, when using a digital spectrometer, such as a
DSPEC-series instrument, we recommend that you set the rise time of the pulses being processed
by the digital filter to the minimum value for the resolution needed.
The pulse rise time (and also fall time) is based on the time required for each pulse to reach its
peak value. This “peaking time” is about twice that indicated by the conventional time constants
displayed on the front panel of commercial analog amplifiers. For example, germanium detectors
are often specified at a 6-μs time constant; this setting is equivalent to 12-μs peaking (rise) time
in our digital spectrometers.
Up to some value of rise time, one
can expect improved resolution with
increasing rise time; there will, how-
ever, be a tradeoff in maximum
throughput to memory. Figure 90 illustrates an
example of this tradeoff. ORTEC digital
spectrometers operate well above the
peak of the throughput curve. Operating
there allows these instruments to handle
an even higher rate of incoming counts,
but with less data into memory and, therefore,
a longer count time to the same detection
limit. It is possible to move the peak of the
curve to the right (more counts to memory with higher input count rate) by reducing the pulse
rise (and fall) time, thereby trading off resolution for maximum count rate.
Table 2 is a guide to choosing a count
rate that will ensure that the most efficient
operation of your digital spectrometer over
the range of anticipated input count rates
for your application — that is, at or below
the throughput peak — while achieving the
best resolution obtainable from the detector
consistent with that requirement. Enter the
rise time that best matches your dynamic
range of count rate (note that the available
rise-time settings will vary by instrument;
this chart is a general guide only).
Input Count Rate
Dynamic Range
Maximum
Throughput
Rise Time
(μs)
0--->20000 9000 12
0--->50000 12500 8
0--->75000 23500 4
0--->100000 37000 2.4
0--->150000 50000 1.6
0--->200k 70000 0.8
0--->220k 85000 0.6
0--->250k 100000 0.4
0--->300k 120000 0.2
Table 2. Rise Time Selection Guide.
102

783620K / 0915 5. MENU COMMANDS
Figure 91. Calibration
Menu.
The longest rise time shown in the table is 12 μs, even though some digital instruments can be set
for rise times as long as 23 μs. If throughput is not an issue because all samples are low rate,
increasing the rise time beyond 12 μs might achieve a small improvement in resolution. For
planar detectors, such as ORTEC’s GLP, Si(Li), IGLET, and IGLET-X Series, operating at
longer rise times frequently gives improved resolution.
5.3. Calibrate
Figure 91 shows the Calibrate menu. GammaVision’s calibra-
tion features include a Calibration Wizard to simplify the
energy and efficiency calibrations as well as a fully implemented true-
coincidence correction (TCC) calibration. This menu also allows you to
access the energy and efficiency calibration features directly from the
menu rather than stepping through the wizard.
The energy and efficiency calibrations of the spectrum in the
Detector, and the calibration wizard are only available if the
Detector is not acquiring data. If there is no energy calibration,
then all choices except Energy..., Recall Calibration..., and
Calibration Wizard... are inactive (gray). If the efficiency calibration
exists, there will be a checkmark by the menu item.
5.3.1. General Information, Cautions, and Tips
The calibration of the system defines four relations:
●Spectrum channel numbers and energy
●FWHM of the peak and energy
●Spectrum count rate and activity in becquerels or other units
●True coincidence summing factor and energy
The data collected are in counts/unit time/channel; however, to be most useful, these data need to
be converted to activities (i.e., decays/unit time at a given energy). The calibration parameters do
this conversion.
These relationships are calculated from spectra, user inputs, and inputs from libraries and tables.
The calibration data are merged with the spectrum when it is saved as an .SPC file. The informa-
tion is used in the analysis section to perform the desired analysis. Spectra saved in the .CHN
format are compatible with older software, however the .CHN format does not contain the
efficiency or TCC calibration data.
103

GammaVision® V8 (A66-BW) 783620K / 0915
The energy calibration and the efficiency calibration are separated to make it easier to do these
calibrations. The efficiency and TCC calibrations are linked because the TCC depends on the
detector/source geometry. If properly chosen sources and libraries are used, the calibration pro-
cess is simple, quick and accurate. The input values can be saved so that repeated calibrations
with the same source are easy and simple.
The energy calibration can be changed without affecting the efficiency calibration. By using the
Recall Calibration... command, the previously calculated efficiency calibration can be inserted
into the new calibration data.
5.3.1.1. For Best Calibration Results
It is important that the energy, efficiency, and TCC calibrations be done correctly because the
calibration results will affect all analyses employing them. The energy calibration data is used to
define the energies of the peaks in the spectrum. If incorrect, the calculated energies will not cor-
respond to the correct library entry and the peak might be incorrectly identified. The shape para-
meters are used to define the expected shape for a singlet peak. If incorrect, peaks will be labeled
as having a bad shape when they do not, and bad peaks will not be marked. Peaks marked with
poor shape might not be included in the activity calculation, resulting in loss of accuracy even for
singlet peaks. For deconvolutions, these parameters define the Gaussian shape used for the
components of the total peak area. Incorrect peak shapes can result in poor deconvolution results
and even incorrect peak height ratios in multiplets.
An incorrect efficiency calibration can cause the nuclide activity to be incorrectly reported. The
knee value, if incorrectly chosen, can cause poor results near the knee, especially below the knee.
Using many data points near the knee aids in selecting the correct knee energy. A poor choice of
type of fit can result in a good fit to poor data, which will yield a poor efficiency calibration.
NOTES During efficiency calibration, the net peak area calculation can be affected by the
library Match Width setting in effect at the time the calibration is performed. Before
starting an efficiency calibration, go to the System tab under Analyze/Settings/
Sample Type... (page 152) and make sure the Match Width is set to the same value
you will be using during analysis. Most users will keep the default setting, 0.5. If
using a different setting, we recommend a value between 0.4 and 0.75.
For TCC calibrations, the library and TCC table should include only the nuclides pre-
sent in the spectrum. In addition, note that when recalling the TCC calibration from a
File in the Calibration Wizard, the TCC efficiency calibration from the same file must
also be recalled; otherwise, the TCC calibration loaded may not be complete and will
not produce accurate results.
104

783620K / 0915 5. MENU COMMANDS
(8)
(9)
(10)
5.3.2. Energy...
5.3.2.1. Introduction
The Energy... calibration function calculates two sets of parameters: the energy vs. channel
number, and the peak shape or FWHM vs. energy. The inputs to this function are a spectrum or
series of spectra with isolated peaks distributed over the energy range of interest, and either a
library or table of peak energies. The library referred to here is an analysis gamma-ray library.
The creation of a table of peak energies is described in this section.
The formula for energy vs. channel number is:
where:
E= energy
ai = coefficients
C = channel number
The formula for FWHM vs. channels is:
where:
F = FWHM in channels
bi = coefficients
C = channel number
To calculate the FWHM in energy use the following:
where:
F(e) = FWHM in energy
F(c) = FWHM in channels at channel C
a2= energy calibration slope defined in Eq. 8
a3= energy calibration quadratic coefficient defined in Eq. 8
C= channel number
105

GammaVision® V8 (A66-BW) 783620K / 0915
Figure 92. Energy Calibration Sidebar.
When the FWHM fit is made, the fit is automatically checked for validity. If the FWHM curve is
negative at any part of the spectrum or the curve bends over (has a maximum and then goes
down), a warning message, Non-physical FWHM fit, is displayed. Click OK, then display the
FWHM curve to see why the fit is incorrect. Also, if the delta between the data points and the
FWHM fit is greater than 25%, a message is displayed. The curve can be accepted if the warning
is due to the fit outside the energy of interest, or some of the data points might need to be deleted.
The calibration spectrum should have good peaks with many counts, so counting longer might
remedy the poor fit.
The same methods used to calculate the peak centroid and width in the Calibrate section are
used in the Analyze section. This ensures consistency of results.
The energy calibration is done using the spec-
trum in the buffer or the Detector. The calibra-
tion is linked to the spectrum used and is trans-
ferred with it when the spectrum is transferred
(e.g., from Detector to buffer or disk file).
The first step in the calibration is to collect a
spectrum of a known source with isolated peaks.
The spectrum peaks must be well-defined with
a small statistical uncertainty. When the Detec-
tor has finished collection (i.e., stopped), select
Calibrate from the menu bar, then Energy....
The Energy Calibration Sidebar (Fig. 92) will
automatically open. The Calibration Sidebar can be moved by its title bar to another position. It is
usually helpful to zoom in on the spectrum so the peaks are clearly displayed.
5.3.2.2. Auto Calibration19
The Auto Calibrate button will perform a complete energy and FWHM calibration on the
displayed spectrum using the working library. This automatic calibration is suitable only for
HPGe spectra and requires at least three peaks (five preferred) in the spectrum that are in the
library. There can be a different number of peaks in the spectrum than in the library, that is, there
can be peaks in the spectrum that are not in the library and peaks in the library that are not in the
spectrum. The spectrum can be uncalibrated, calibrated, or even incorrectly calibrated. Spectra
such as the mixed gamma standard or uranium ore can be used with the appropriate library.
19U.S. Patent 6,006,162.
106

783620K / 0915 5. MENU COMMANDS
Auto Calibrate works as follows: the spectrum is searched for all the major peaks, then this peak
list is compared to the library peak list to find the calibration that gives the best match.
NOTE If the No FWHM Cal checkbox on the Energy Calibration sidebar is marked, the
FWHM calibration is not changed during calibration. This might be desirable when
decay of short-lived isotopes in a calibration source results in peaks that are adequate
for an energy calibration but whose shape might not be optimal for the FWHM
calibration.
5.3.2.3. Manual Calibration
NOTE Low Resolution systems (i.e. NaI, LaBr, CsI, etc.) must be calibrated for Energy and
FWHM using this Manual Calibration method, and each peak used in the calibration
should be marked with a Region of Interest (ROI) that fully covers the entire peak
including the background channels.
If there is no energy calibration, the energy of one or two known peaks must be entered. Using
the Full Spectrum View, select a peak in the high energy (channel) part of the spectrum. When
this part of the spectrum is visible in the expanded display, move the cursor to the known peak.
For Low Resolution systems an ROI must be marked around the peak. At this time the centroid
of the peak will be calculated and displayed in the upper part of the Energy Calibration Sidebar
as, in this example, Channel: 11342.66. This is the channel number of the peak centroid. Now
click in the E= input box and enter the energy of this peak. Click the Enter button or press
<Enter>. A table and graph will appear on the screen (Fig. 93). They can be moved around and
sized if they obscure the spectrum.
The table shows one value (the one just entered), and the graph shows a straight line fit from
(energy = 0, channel = 0) to the energy and channel just entered. This is an approximate calibra-
tion; it should be fairly accurate if the zero offset is small.
The Energy and FWHM radio buttons at the bottom of the Energy Calibration Sidebar display
the table and graph for either energy vs. channel (Fig. 93) or FWHM vs. energy (Fig. 94).
Click FWHM. The table shows the one value entered and the graph shows a horizontal line. For
a single point, the FWHM is assumed to be a constant.
Using the Full Spectrum View (or the Library List window), select a peak in the low-energy part
of the spectrum and move the marker to the centroid of the peak. For Low Resolution systems
an ROI must be marked around the peak. Again click in the E= field at the top of the sidebar and
enter the energy of this peak. Both the energy function and FWHM function, as well as their
corresponding tables, will update with the new entry so progress can be monitored.
107

GammaVision® V8 (A66-BW) 783620K / 0915
Figure 93. Energy Calibration Display.
At this time, the cursor can be positioned using the calibration graphs, calibration table, Full
Spectrum View, or Expanded Spectrum View. The cursor will show the energy based on the
calibration up to this point.
The calibration can be refined by adding as many points as desired. For Low Resolution systems
an ROI must be marked around each peak. Any point can be deleted by selecting that point in the
table of values (Energy or FWHM) and clicking on the Delete Energy button on the calibration
sidebar. The fit updates when a point is removed.
NOTE If the No FWHM Cal checkbox on the Energy Calibration sidebar is marked, the
FWHM calibration is not changed during calibration. This might be desirable when
decay of short-lived isotopes in a calibration source results in peaks that are adequate
for an energy calibration but whose shape might not be optimal for the FWHM
calibration.
108

783620K / 0915 5. MENU COMMANDS
Figure 94. FWHM Calibration Display.
After the desired number of points have been entered, you can save the energy values by clicking
the sidebar’s Save... button. This opens a file-save dialog (Fig. 95).
Assign a filename and GammaVision will append the default energy-calibration extension, .ENT.
The saved table of values now contains the Energy-Channel and Energy-FWHM pairs used in the
current calibration. This table can be used for future calibrations using the same nuclides. It can
also be edited within GammaVision. To do this, click on the sidebar’s title bar icon to open
the control menu (Fig. 96). Select Edit File... and open the .ENT file to be edited. It will be
displayed in the Energy Table Editor dialog shown in Fig. 97.
109

GammaVision® V8 (A66-BW) 783620K / 0915
Figure 95. Save Energy Calibration Table.
Figure 96.
Calibration Sidebar
Control Menu.
Figure 97. Editing an .ENT File in GammaVision.
The Energy Table Editor will list each
Energy and its associated Channel
and FWHM as determined during the
calibration. The values in each column
can be edited. In addition, you can Add
New rows or Delete existing ones. This
allows you to fine-tune existing calibra-
tions or generate calibrations using data
pairs for non-ORTEC spectra. Note
that if all Channel and FWHM values
are deleted from the table, the Energy
list and spectrum data will be used to
generate a calibration when the table is
Merged as described in the next section.
After modifying the table, click OK to save the table in the current .ENT file, Save As... to save it
under a different filename, or Cancel to close the editor and retain the original values.
110

783620K / 0915 5. MENU COMMANDS
Figure 98. Recall Energy Calibration Table.
Figure 99. Perform a Manual Energy Calibration?
5.3.2.4. Easy Recalibration Using An .ENT Table
Using the .ENT table can speed up the
calibration process, as follows. For an
uncalibrated spectrum, enter one or two
energies to establish a basic calibration.
Next, click the Merge... button on
the Energy Calibration Sidebar to open
a standard file-recall dialog (Fig. 98).
Choose the .ENT file to be used. If any
values exist in the Channel and FWHM
columns, you will be prompted to per-
form a manual calibration (Fig. 99). If
you select Yes, a calibration will be
generated using the Energy-Channel
and Energy-FWHM pairs from the table
without regard to spectrum data. If you
select No, peaks in the spectrum that match the energy list in the table will be evaluated for
centroid energy and FWHM to generate a new calibration. When the process is complete, the new
fit and table will be displayed.
NOTE If the No FWHM Cal checkbox on the Energy Calibration sidebar is marked, the
FWHM calibration is not changed during calibration. This might be desirable when
decay of short-lived isotopes in a calibration source results in peaks that are adequate for
an energy calibration but whose shape might not be optimal for the FWHM calibration.
111

GammaVision® V8 (A66-BW) 783620K / 0915
Figure 100. Speeding Up the Energy Calibration with a Library.
5.3.2.5. Speeding Up Calibration with a Library
A library can be used to speed up the calibration process as follows. Before entering the calibra-
tion process, choose Library/Select File... from the menu and open a library file that contains the
nuclides in the calibration source. Next, choose Library/Select Peak... to show the list of peaks
in the library in energy order. Now select Calibrate/Energy.... When the table and graph appear,
move the table down so the Library List is not covered (see Fig. 100). Rather than manually
entering the peak energy in the Energy Calibration Sidebar’s E= field, click once on the peak
energy in the Library List to automatically fill the field.
For a spectrum with an energy calibration, double-clicking on a library peak will cause the spec-
trum cursor to jump to the channel corresponding to that energy. If the calibration as it now
112

783620K / 0915 5. MENU COMMANDS
stands is not sufficiently accurate, the channel corresponding to that energy might be off by a
channel or two. If this is not the correct peak channel, move the cursor to the correct channel,
click once on the library peak, and press <Enter>.
NOTE If the No FWHM Cal checkbox on the Energy Calibration sidebar is marked, the
FWHM calibration is not changed during calibration. This might be desirable when
decay of short-lived isotopes in a calibration source results in peaks that are adequate for
an energy calibration but whose shape might not be optimal for the FWHM calibration.
To exit the calibration function, click the Energy Calibration Sidebar’s Close button. This will
close the calibration function, and the new calibration will be held in memory, available for sub-
sequent spectra gathered on this Detector. To save the calibration to disk, select Save Calibra-
tion... from the Calibrate menu.
5.3.2.6. Other Sidebar Control Commands
The remaining items on the sidebar control menu are Move, Close, Restore, Clear Table, and
Destroy. Destroy clears all energy calibration values. Restore reinstates the internal energy
calibration table to the values stored when the calibration function was entered. Clear table
erases all the values in the table, but retains the function (energy and FWHM) to be used when
the next values are entered. In this way, a recalibration can be done without manual entry of any
points. Close exits the Energy... calibration function and saves the current calibration as the
working calibration.
5.3.2.7. Using Multiple Spectra for a Single Calibration
To use more than one source (when simultaneous collection is not possible) to make a single
calibration:
1) Collect a spectrum with one source or calibrate with this spectrum.
2) Exit the calibration function.
3) Clear the Detector.
4) Collect the spectrum of the second source.
5) Calibrate by adding the new lines to the existing ones (which are retained).
The process can be repeated for additional sources. When completed, the calibration should be
saved on disk. The individual spectra can be saved or used in other application software. In
addition, the calibrations in the spectra can be updated by recalling each spectrum in turn, recal-
ling the complete calibration, and re-saving the spectrum.
113

GammaVision® V8 (A66-BW) 783620K / 0915
To use more than one stored spectrum to make a single calibration:
1) Calibrate using one spectrum.
2) Exit the calibration function.
3) Save the calibration in a file.
4) Recall the second spectrum.
5) Recall the calibration (because recalling the spectrum has replaced the first calibration with
the calibration from the spectrum).
6) Select Calibrate/Energy... and enter the peak energies for the second spectrum.
The process can be repeated for additional spectra.
5.3.3. Efficiency...
5.3.3.1. Introduction
The Efficiency... calibration function calculates the detection efficiency of the HPGe detector
system as a function of energy. The efficiency of the detector system is the relation between the
number of gamma rays emitted from the source to the number of gamma rays collected in the
full-energy peak.
The HPGe detector system efficiency includes effects from the detector itself, the detector/
source geometry, the materials surrounding the detector, and absorption in the source material or
matrix (Fig. 101).
In general, it is not good practice to use efficiency calibrations from one detector/source geo-
metry for other geometries. Therefore, different calibration files should be made for all the dif-
ferent detector/source combinations to compensate for the differences between the geometries. It
might be useful to assign calibration files names that give some indication of the detector/source
geometry to which they apply.
In addition, you should always make sure the library Match Width setting (on the System tab
under Analyze/Settings/Sample Type...; see page 152) in effect during efficiency calibration is
the same setting you will be using during sample analysis. This is because the net peak area cal-
culation can be affected by the Match Width setting. The default setting is 0.5. If using a
different setting, we recommend a value between 0.4 and 0.75.
Since the efficiency is defined as a function of energy, the Energy... calibration must be done
first. The Efficiency... command remains disabled (gray) until the spectrum has been energy
calibrated.
114

783620K / 0915 5. MENU COMMANDS
Figure 101. Detector with Extended Source.
The energy recalibration can be redone (to account for gain changes) without the need to redo the
efficiency calibration.
P-type germanium detectors, such as the ORTEC GEM Series, have a maximum efficiency at
about 150 keV; for n-type detectors, such as the GMX Series, it is about 100 keV. For detectors
above about 50% relative efficiency, these values will be somewhat higher (Fig. 102). For both
types, these maxima, or knee values, depend on the individual detector. For p-type GEM detec-
tors, the efficiency goes down as the energy goes down from the knee. For n-type GMX detec-
tors, the efficiency is nearly constant at energies below the knee. For both types, the efficiency
goes down at energies above the knee.
The efficiency calibration is critically important to the accuracy of the activity results from
GammaVision. It is recommended that only calibrated sources traceable to a known standard be
used. The time between the calibration of the radionuclide source by its manufacturer and the
time the spectrum is collected is important, as this defines the decay correction needed to
calculate source strength for the spectrum.
A source should be selected that contains isolated singlets over the entire energy range of
interest. If the energy region near the knee is important to the analysis, several points around the
knee should be used for both the two-function and polynomial type of fits. If you wish, you can
perform the efficiency calibration using one or more spectra to minimize the difficulty of obtain-
ing the required number of singlets.
115

GammaVision® V8 (A66-BW) 783620K / 0915
Figure 102. Detector Efficiency as a Function of Energy.
GammaVision calculates and stores the counting uncertainty in the calibration record, similar to
the way the fit uncertainty is calculated and stored. There is an above-the-knee counting
uncertainty and a below-the-knee counting uncertainty. Above-the-knee counting uncertainty is
the averaged counting uncertainty of all the calibration peaks with energy above the knee energy.
Below-the-knee counting uncertainty is the averaged counting uncertainty of all the calibration
peaks with energy below the knee energy. Both are stored in the calibration data record. See the
discussion in Section 6.12.7.
To perform the calibration, you need an energy-calibrated spectrum of the radionuclides and their
source strengths and calibration dates. These data are entered into GammaVision in convenient
menu-type forms, and you can review the results of each step. Questionable points can be
deleted, additional points added, and the fitting process repeated until the desired result is
obtained.
If there are many well-separated peaks, GammaVision can use two energy regions for separate
fitting. The energy separating the two regions (called the knee) is specified by you. The best fit to
the two regions is often obtained by entering a knee energy that corresponds to a region where
the efficiency is slowly varying and not at the maximum point. This is usually about 400 keV
to 500 keV. By using the calibration plotting feature, the effect of the knee energy can be seen
and the best value can be easily determined.
There are several options for the type of fit used to describe the efficiency/energy relationship
(see Fig. 103). These are:
116

783620K / 0915 5. MENU COMMANDS
Figure 103.
1) Interpolative fit.
2) Linear fit of the natural logarithm of the efficiency to the
natural logarithm of the energy.
3) Quadratic fit of the natural logarithm of the efficiency to
the natural logarithm of the energy.
4) Polynomial fit of the natural logarithm of the efficiency to the energy.20
5) TCC Polynomial, a different six-order polynomial fit of the natural logarithm of the
efficiency to the natural logarithm of the energy.
Options 1, 2, and 3 can be selected separately for two separate energy regions. Either of the two
regions might be left uncalibrated by not including any points in the region, but the analysis will
report zero activity (in the library peak output) for peaks in the uncalibrated region. If both
regions are calibrated, the above-the-knee energy region is fitted first, and the calculated effi-
ciency at the knee is included as a data point in the below-the-knee fit. This means that only one
point need be below the knee, but two points are the minimum above the knee for a calibration to
be done. Option 4 fits the entire energy range with one function and is best suited to p-type detec-
tors. Option 5 fits the entire energy range with different functions over three energy regions and
can be used for p- or n-type detectors. The combination of fit methods above and below the knee
that best fit the measured efficiency data points should normally be used.
If you select None for the Above and/or Below energy range, no peak activities are calculated for
that range.
5.3.3.2. Interpolative Fit
NOTE The Interpolative Fit method may be the best option for Low Resolution systems as the
other methods may not produce a good fit based on the shape of the calibration.
The interpolative fit uses straight lines between the data points and does a linear interpolation
between two points (one above and one below) to obtain the efficiency at the selected energy. For
energies below the minimum energy data point or above the maximum data point, the efficiency
is the straight-line projection of the last two data points at the appropriate end. The interpolative
fit is used where the efficiency is recognized to be a complex function of energy that cannot be fit
using the other functions.
20“Définition de Criteres de Qualité Pour l’Essai des Logiciels Utilisés en Spectrométrie Gamma,” Rapport
CAE-R-5347, 1986.
117

GammaVision® V8 (A66-BW) 783620K / 0915
(11)
(12)
If interpolative fit is used over the entire energy range, the knee energy should be set below the
minimum energy of interest.
The efficiency/energy formula is:
where:
ε= efficiency at energy E
E= target energy to determine efficiency
ε1= efficiency at energy E1
E1= the energy point below the target energy
ε2= efficiency at energy E2
E2= the energy point below the target energy
5.3.3.3. Linear Fit
The linear fit uses a straight-line fit to the data points. This is used when few data points are used
or if the data points are all very close in efficiency.
The efficiency/energy formula is:
where:
ε= efficiency at energy E
ai= fitting coefficients
E= energy
5.3.3.4. Quadratic Fit
The quadratic fit fits a quadratic function to the log (energy) vs. log (efficiency) curve. At least
three data points above the knee and two below the knee are required for this fit. With only three
points, the fit will be reported as exact for all data points, but the calibration might be inaccurate
elsewhere.
118

783620K / 0915 5. MENU COMMANDS
(13)
(14)
If the input points are not well separated, the best fit to the data points might not be an accurate
representation of the efficiency outside the fitted region.
The efficiency/energy formula is:
where:
ε= efficiency at energy E
ai= fitting coefficients
E= energy
5.3.3.5. Polynomial Fit
The polynomial fit uses a 6-term polynomial to fit the natural logarithm of efficiency to the
energy. At least five well-separated peaks are required. The function is optimized for p-type
detectors. For n-type detectors, the low-energy region (below 60 keV) is not well modeled by this
function, and GammaVision performs an interpolative fit instead.
This option is only on the Above knee list, and selecting it disables the knee value and the Below
knee fit.
The polynomial efficiency/energy formula is:
where:
ε= efficiency at energy E
ai= fitting coefficients
E= energy in MeV
The result of the efficiency calibration calculation is one or two sets of coefficients (one for the
fit above the knee and one for below the knee, or just one for the polynomial fit), and a set of
energy-efficiency pairs. The energy-efficiency pairs are used for the interpolative fit. The pairs
might also be used to recalculate the efficiency and to display the efficiency plot.
119

GammaVision® V8 (A66-BW) 783620K / 0915
Figure 104. Efficiency Calibration Sidebar.
5.3.3.6. TCC Polynomial Fit
The TCC polynomial fit is several polynomial fits to different energy parts of the spectrum (up to
a six-order polynomial). The different energy regions are below 200 keV and above 200 keV.
The details of the polynomial fit are given in the papers referenced below.21,22,23 This fit can be
used for p- or n-type detectors, and is used in the GammaVision TCC correction method.
5.3.3.7. Performing the Efficiency Calibration
To efficiency calibrate the system, collect an energy-calibrated spectrum of the known standard
for a time sufficient to get well-formed peaks with small uncertainty. The certificate supplied
with the source will have the energies, gammas/sec, nuclide names, and measurement date
needed in the calibration.
The working library is used in the calculations. Load the library for the calibration source as
shown in Section 3.2.3 or 5.6.2.
Expand the spectrum horizontally to show the peaks completely. Select Calibrate from the
menu, then Efficiency. This will open the Efficiency Calibration Sidebar (Fig. 104). If the
Efficiency item is disabled (gray), the system is not energy calibrated. Because there is yet no
efficiency calibration, no graphs or tables are shown. Choose a spectrum peak listed in the source
data sheet.
Use the Full Spectrum View (Fig. 105) to
approximately locate the peak, or use the
Library List and the Expanded Spectrum
View to put the marker on the center of the
peak. This selects the peak. The peak area
and count rate are calculated in the same
manner as in the analysis program.
Click the Calc... button to open the Effi-
ciency Calculation Worksheet for enter-
ing the data about the peak (Fig. 106).
21M. Blaauw, “The use of sources emitting γ-rays for determination of absolute efficiency curves of highly
efficient Ge detectors,” NIM A322, 1993, pp. 483–500.
22R. Gunnink, “New method for calibrating a Ge detector by using only zero to four efficiency points,” NIM
A299, 1990, pp. 372–376.
23Gunnink, R., and A.L. Prindle, “Nonconventional methods for accurately calibrating germanium detectors,” J.
Radioanalytical and Nuclear Chemistry, 160(2), 1992, pp. 304–314.
120

783620K / 0915 5. MENU COMMANDS
Figure 105. Select Peak in Full Spectrum Window.
Figure 106. Efficiency Calculation Worksheet.
In the Assay (from Certificate) section of the dialog, enter the calibration Date and Time from
the source data sheet. Enter the Activity from the source and select the units from the droplist.
The source Uncertainty is entered here but can be left at 0.0. This uncertainty is used in the total
uncertainty calculation.
When the values are correct, click the Calculate Efficiency = button at the top of the dialog and
the calculated efficiency will be entered in the field beside the button. If this value is acceptable,
click OK to save the input and efficiency values and leave the worksheet. The graphs and tables
will now be displayed.
Select the next peak and repeat the process. The Date and Time will default to the previously
entered values, but the Nuclide Half-Life and Activity must be entered for each energy.
121

GammaVision® V8 (A66-BW) 783620K / 0915
Figure 107. Set Knee
Energy.
As each peak (above the minimum) is entered, the table and graph will update and new fits will
be made. The fitting mode can be changed at any time to see how the various functions model the
data. Note that for quadratic fit, a linear fit is made for one or two points and a quadratic fit is not
done until three points are entered. For a polynomial fit, no fit is made until five points are
entered. Because of the separate energy regions, the TCC polynomial fit requires more points.
Any point in the Efficiency Table can be deleted by selecting the point then clicking on the side-
bar’s Delete Entry button. Any point in the table can be modified by selecting it and clicking
Calc.... When the worksheet opens, the previously entered values will be shown. These values
can be changed and a new efficiency generated by clicking on Calculate Efficiency=. To retain
the changes, click OK; to discard them, click Cancel.
You can change the knee energy by clicking on the Knee...
button in the calibration sidebar. This will open the Knee
dialog (Fig. 107). It will display the energy value for the
knee. To change it, enter a new number and click Apply.
This will move the knee to this energy and update the fit,
graph, and table. The value in the Knee dialog field will be
set to the marker energy when you move the marker and
click in the spectrum or the Efficiency graph window. This
is most easily seen in the Efficiency graph window. The knee energy
is not changed until you click Apply. To close the Knee dialog, click the Close box.
GammaVision will use the knee value shown when Apply was last clicked.
The Merge... button on the Energy Calibration Sidebar allows you to merge two efficiency
tables. Clicking on it opens a standard file-recall dialog. Choose the .EFT file to be used. and
click on Open. GammaVision will use the efficiency table data to calculate the efficiency at each
energy from the spectrum and fill in the efficiency table.
The table of worksheet entries, including the gammas/sec, half-life, and certification date, con-
tains all the information needed to do the calibration. It can be saved by clicking the Save...
button in the Table area of the sidebar. This opens a standard file-save dialog. Enter a filename
and click Save; GammaVision will assign a default extension of .EFT.
122

783620K / 0915 5. MENU COMMANDS
Figure 108. Sidebar
Control Menu.
The worksheet table is saved as an ASCII file that can be edited with
the Edit File... feature from the calibration sidebar’s control menu
(Fig. 108) as described in Section 5.3.3.12, or off line with an ASCII
text editor.
When the Efficiency graph and table are shown, the marker in the
graph window can be moved to an energy by clicking the mouse on
the graph, the table, the Full Spectrum View, or the Expanded Spec-
trum View. The Peak, ROI, and Library indexing buttons on the
Status Sidebar can also be used to move the marker to the desired
energy.
5.3.3.8. Using The Library
The library can be used to assist in the efficiency calibration in two ways:
●To direct the marker.
●As input for automatic calibration.
To open a library, select Library/Select File.... To display the list of library peaks by energy,
choose Library/Select Peak.... This can be done before or during the calibration process.
Arrange the Efficiency Table, graph window, and Library List so the two peak lists are not
covered (see Fig. 109).
To select a peak from the Library List, double-click the desired energy in the list. This will move
the marker to that energy in the spectrum (updating the view, if necessary), and redisplay the
graph and spectrum to reflect the changes.
By clicking on a library peak and then the worksheet, the worksheet is ready for the values for
that peak. The half-life is copied from the library to the Half-Life field on the worksheet. You
need only to enter the Activity.
123

GammaVision® V8 (A66-BW) 783620K / 0915
Figure 109. Using the Library in the Efficiency Calibration.
124

783620K / 0915 5. MENU COMMANDS
Figure 110. Recall Efficiency Table.
5.3.3.9. Automatic Efficiency Calibration
GammaVision lets you automatically
perform the efficiency calibration by
using the table in an existing .EFT file.
Click the calibration sidebar’s Merge...
button. This will open a standard file-
recall dialog (Fig. 110). Select the .EFT
file to be used and click Open. Gamma-
Vision will recall the table of entries
and perform a calibration based on the
data in the table. When the procedure is
complete, the graph and table will be
displayed.
5.3.3.10. Manual Calibration
To perform a completely manual calibration, enter the efficiency and energy in the upper section
of the Efficiency Calibration Sidebar, then click Enter. The fit, graphs, and table will update
after each point is entered.
If the table of values for a manually entered calibration is saved, the only values it will contain
are the energy and the efficiency. Doing an automatic recalibration with this table will restore the
manual calibration. If the calibration is a mixture of worksheet values and manual entries, the
automatic recalibration will use recalculated values for the worksheet entries, and the manual
entries will be used as entered.
5.3.3.11. Other Efficiency Sidebar Control Commands
In addition to Edit File..., the Efficiency Calibration Sidebar’s control menu (Fig. 108) contains
the Move, Close, Graph, Table, Restore, and Destroy functions. Close saves the efficiency and
exits the efficiency calibration function. Graph and Table are display/hide toggles. Use Restore
to ignore all calibration inputs made during this calibration session, and Destroy to clear the
current working calibration and table of values.
5.3.3.12. Editing the Standard (.EFT) Table File
An efficiency standard table file contains all the data input needed to perform a calibration using
the standard. This file can be created from the Efficiency Calibration Sidebar by clicking on the
Save button and assigning a filename, or with an ASCII text editor. The file can be modified with
the Edit File... function on the sidebar’s control menu. Click File Edit... to open a standard file-
recall dialog. Select the .EFT file to be edited; it will be displayed as shown in Fig. 111.
125

GammaVision® V8 (A66-BW) 783620K / 0915
Figure 111. Edit Efficiency Table.
The table contains the following information (by columns):
●Isotope name (same as library).
●Gamma-ray energy (keV).
●Efficiency (used for manual efficiency inputs, ignored if remainder of line is valid).
●Activity in Bq or μCi at the date and time specified in column 7.
●Gammas/sec for this energy, at the specified date and time.
●Uncertainty for this nuclide.
●Calibration date and time for the gammas/sec calibration. The gammas/sec are automati-
cally decay corrected from the date/time in column 5 to the date/time of the spectrum
acquisition.
●Half-life of this nuclide in days.
●Branching ratio as gammas/100 disintegrations.
126

783620K / 0915 5. MENU COMMANDS
The Gammas per second and activity fields are shown based on the activity units as described
below:
●If the units are GPS, then the Activity in the table is displayed as: Activity in edit control
divided by (Gammas per 100d divided by 100) and GPS is displayed as the Activity in the
edit control.
●If the units are Bq, then the Activity in the table is displayed as the activity in the edit
control and the GPS in the table is calculated as the Activity in the edit control multiplied
by (Gammas per 100d divided by 100).
●If the units are μCi, then the Activity in the table is displayed as the Activity in the edit
control and the GPS in the table is calculated as the Activity in the edit control mulitplied
by (Gammas per 100d divided by 100) multiplied by 37000.0.
The fields to validate are the Activity and GPS fields in the table. They are calculated from the
(1) Activity edit control, (2) Activity unit’s combo box, and (3) Gammas/100d field in the library
group. Based on units:
●Activity Units set to GPS:
Activity in table = Activity in edit control / (Gammas/100d * 0.01)
GPS in table = Activity in edit control
●Activity Units set to Bq:
Activity in table = Activity in edit control
GPS in table = Activity in edit control * (Gammas/100d * 0.01)
●Activity Units set to μCi:
Activity in table = Activity in edit control
GPS in table = Activity in edit control * (Gammas/100d * 0.01) * 37000.0
After the energy list in the .EFT files is the following line:
FitType = <iAbove> <iBelow> <Knee>
where:
<iAbove> = The fit type above the knee (0–3 or 6).
<iBelow> = The fit type below the knee (0–3).
<Knee> = Knee energy for fit types 1–3.
127

GammaVision® V8 (A66-BW) 783620K / 0915
The fit types are:
0 no fit and no efficiency
1 interpolative fit
2 linear fit
3 quadratic fit
6 polynomial fit
8 TCC polynomial fit
This line is used on recall of the efficiency table to select the fit type to be used.
After the fit type comes the total calculated source uncertainty, the number of nuclides in the
source uncertainty calculation, and the list of nuclides used in the uncertainty calculation. The
total is the individual uncertainties added in quadrature.
To add an energy to the table, enter the values directly or click Select from Lib, then click Add
New. To delete an energy, select the energy and click Delete.
To change the values for an energy, select the energy, enter the new values directly or click
Select from Lib, then click Update to record the changes (you must click Update or the changes
will not be made).
When finished, click Save As... to rewrite the new file to disk. To discard the changes you have
just made, click Cancel; a dialog will verify that you want to discard.
5.3.3.13. The Efficiency Graph Control Menu
Figure 112 shows the control menu for the graph of efficiency vs. energy. It contains selections
to turn a Grid on/off and to switch from Log/Log to Linear axes. The graph can also be Closed
(removed). If closed, it can be redisplayed with the Graph command from the Efficiency
Calibration Sidebar’s control menu.
5.3.3.14. The Efficiency Table Control Menu
Figure 113 shows the control menu for the table of efficiency vs. energy. It contains commands
to Print and Close the table. If closed, it can be redisplayed with the Table selection from the
Efficiency Calibration Sidebar’s control menu.
128

783620K / 0915 5. MENU COMMANDS
Figure 112.
Efficiency Graph
Control Menu.
Figure 113.
Efficiency Table
Control Menu.
Figure 114. Calibration Description.
5.3.4. Description...
This command opens the dialog shown in Fig. 114, which allows you to create a description of
the calibration for the currently displayed spectrum. This description is printed in the standard
GammaVision report. It is also displayed each time you use the Save Calibration... command.
You can modify the description at any time by re-saving the calibration.
5.3.5. Recall Calibration...
This command (see Fig. 115) recalls the calibration fields from the specified file to the working
calibration for the currently selected Detector. The current working calibration is lost. The cali-
bration data can be read from any file containing the correct records. This includes .CLB, .SPC,
and analy-sis (.UFO) files.
The complete calibration or just the energy or efficiency calibration can be recalled. The Recall
Energy Calibration and Recall Efficiency Calibration checkboxes at the bottom of the dialog
129

GammaVision® V8 (A66-BW) 783620K / 0915
Figure 115. Recall Calibration.
indicate which part(s) of the calibration will be retrieved. Note that an efficiency calibration, by
itself, cannot be recalled unless the currently selected Detector is energy calibrated. The original
calibration is retained for the parts not retrieved. If one or both calibration segments is retrieved,
the calibration file’s calibration description is also loaded.
To change the calibration stored in a spectrum file, recall the spectrum file (its calibration is
automatically loaded), recall the desired calibration, and then save the spectrum back to disk.
5.3.6. Save Calibration...
Save Calibration saves the current working calibration to disk in the .CLB format. Both the
energy and efficiency data are saved.
5.3.7. Print Calibration...
This sends all the calibration data for the working calibration to the display, a printer, or a disk
file. The data include the dates the calibrations were performed; the calibration tables (if they
exist), the fit types, coefficients, and uncertainties; and for TCC calibrations, the peak-to-total
calibration table and LS energy table. Figure 116 shows all available features in this report.
130

783620K / 0915 5. MENU COMMANDS
Figure 116. Print Calibration Report.
131

GammaVision® V8 (A66-BW) 783620K / 0915
Figure 117. Calibration Wizard Opening Screen.
5.3.8. Calibration Wizard...
NOTE The Calibration Wizard should not be used with Low Resolution systems (i.e. NaI,
LaBr, CZT, etc.) to Create New Energy or TCC Calibrations.
The GammaVision calibration wizard automates the complete calibration process, including
spectrum acquisition. The calibration can be done from an MCB or from stored spectra. At the
end of the calibration, the complete results are presented for review. During the review, you can
repeat any or all of the calibration steps with any changes necessary to improve the calibration.
Figure 117 shows the first calibration wizard screen. The options for each type of calibration are
to Keep Current, Create New, or Recall From File.
Keep Current
This means to continue using the calibration stored in the MCB or in the spectrum (the
current working calibration). The wizard will skip this calibration step. However, if review
of the calibration shows a problem, you can change this selection and repeat the process.
Create New
This choice means that the calibration selected (energy, efficiency, or TCC) will be
replaced by the results of the subsequent steps. The TCC calibration is closely linked to the
efficiency calibration, so when you select TCC Calibration, Efficiency Calibration is
also selected automatically.
132

783620K / 0915 5. MENU COMMANDS
All of the peak calculations use the Analyze/Settings/Sample Type... values; see Sec-
tion 5.5.1.1. This is to ensure that the calibration and analysis calculations are the same. Be
sure to check the settings before starting the wizard; several of these settings are important.
If spectrum has high dead time, there will also be a significant amount of random
summing. The correction for random summing is applied in the calibration calculations.
The Random Summing factor is discussed in Section 6.11 and entered on the Sample tab
under Analyze/Settings/Sample Type.... The starting channel of the Analysis Region
should be set above the low-level cutoff. The peak-cutoff sensitivity used in the calibration
is the smaller of the following: 10% or the value entered on the Analysis tab. Note also that
the net peak area calculation can be affected by the library match width, as specified on the
System tab. Before calibrating, make sure the Match Width parameter is set to the same
value you will be using during analysis. Per the note in Section 5.3.1.1, we recommend a
value between 0.4 and 0.75. Lastly, the peak-search sensitivity setting will be the greater of
the following: 4 or the value selected on the System tab.
Read From File
This means that the calibration will be read from a .CLB file. The later dialogs will ask for
the filename for each calibration separately. Each calibration can be from a different .CLB
file.
When the selections have been made, click Next to go to the next step in the wizard. The next
step will depend on the selections made on this first screen.
5.3.8.1. Energy Calibration — Setting Up a New Calibration or Recalling from File
Create New
If you chose to create a new energy calibration, the dialog shown in Fig. 118 opens. Enter the
Library filename and select a Source Label.
When performing this calibration on new data in the MCB, you must enter the live-time preset
(Count Time) in seconds, and mark the Clear Data Before Start check-box. The counting time
must be long enough to accumulate well-formed peaks with low counting uncertainty.
To use the spectrum currently in the MCB, unmark the Clear Data Before Start box.
The Source Label entered here is used in a later step that tells you which source to put on the
detector.
Click Browse to find the correct library file. To view or change the contents of the library, click
Edit. This opens the GammaVision library editor, which is discussed in Section 5.6.3, page 208.
When finished, click Next.
133

GammaVision® V8 (A66-BW) 783620K / 0915
Figure 118. Choose Library and Source Name for Energy
Calibration.
If the FWHM calibration fails one of the internal validity tests, a message is displayed. Click
OK to acknowledge the message and the calibration process will continue. Remember to check
the FWHM at the end of the process by clicking on Edit Energy on the review page (see
Fig. 126).
Read From File
If you selected Read From File, the dialog shown in Fig. 119 opens. Enter the name of the file in
which the desired energy calibration is stored. The calibration Description stored in the file is
displayed (read-only) so you can more easily choose the correct file and reduce errors. Any type
of file that stores calibration records can be used.
This function operates the same as Calibrate/Recall Calibration (recalling the energy calibra-
tion only). Since this is a complete calibration, no checking (e.g., FWHM) is performed.
When finished, click Next.
134

783620K / 0915 5. MENU COMMANDS
Figure 119. Select the File that Contains the Desired Energy
Calibration.
5.3.8.2. Efficiency and Efficiency-plus-TCC Calibrations — Setting Up a New Calibration
or Recalling from File
Create New
If you chose to create a new efficiency or efficiency-plus-TCC calibration, the dialog shown in
Fig. 120 opens. Use this dialog to enter the source Certificate File, Library file, Source Label,
and TCC Calibration Method settings.
When performing this calibration on the MCB, you must enter the live-time preset (Count Time)
in seconds. In addition, you might also wish to mark the Clear Data Before Start checkbox.
The counting time must be long enough to accumulate well-formed peaks with low counting
uncertainty. This is especially important for TCC calibration, which uses the summed peaks in
the calculations.
Also note that your library and TCC table should include only peaks that exist in the spectrum.
To use the spectrum currently in the MCB, unmark the Clear Data Before Start box. This is
useful if the same source is used for both energy and efficiency calibration.
135

GammaVision® V8 (A66-BW) 783620K / 0915
Figure 120. Create a New Efficiency Calibration.
The Source Label entered here is used in a later step that tells you which source to put on the
detector.
Certificate File
Use the Browse button to find the correct certificate. To make changes to the certificate, click
Edit. This opens the wizard’s Certificate File Editor dialog, shown in Fig. 121.
The certificate file is the same as the efficiency standard file, except that the contents of the
efficiency field are not used here and all fields must have valid contents. The certificate file
also has the EFT extension. Tables with all fields entered can be used for both the calibration
wizard and the efficiency calibration (Calibrate/ Efficiency...). Any energy in the .EFT file that
is not completely filled in will be ignored by the wizard. The file contains all the data needed to
perform an efficiency or efficiency-plus-TCC calibration using this standard source. This file can
be created here, with the Efficiency calibration sidebar (see Section 5.3.3.12) or with an ASCII
text editor.
The table contains the following columns:
1) Isotope name (same as library).
2) Gamma-ray energy (keV).
3) Activity in Bq or μCi at the date and time specified in column 6.
4) Gammas/sec for this energy at the specified date and time.
136

783620K / 0915 5. MENU COMMANDS
Figure 121. Edit Wizard Certificate File.
5) Uncertainty for this nuclide.
6) Calibration date and time for the gammas/sec calibration. The gammas/sec are automatically
decay corrected from the date/time in column 4 to the date/time of the spectrum acquisition.
7) Half-life of this nuclide in days.
8) Branching ratio (yield) as gammas/100 disintegrations.
To add an energy to the table, enter the values directly or click Select from Lib, then click Add
New.
To delete an energy, select the energy and click Delete.
To change the values for an energy, select the energy, enter the new values directly or click
Select from Lib, then click Update to record the changes (you must click Update or the changes
will not be made).
When finished, click Save As... to rewrite the new file to disk. To discard the changes you have
just made, click Cancel; a dialog will verify that you want to discard.
137

GammaVision® V8 (A66-BW) 783620K / 0915
Library
Click Browse to find the correct library file. For TCC calibrations, the library (.LIB or .MDB) file
and TCC table should include only the nuclides present in the spectrum.
To view or change the contents of the library, click Edit. This opens the GammaVision library
editor, which is discussed in Section 5.6.3, page 208.
When finished, click Next.
TCC Calibration Method
The Single Point Source Method uses a point source with all the nuclides needed in one source.
The point source is normally a small area (1 mm–2 mm diameter). Larger sources can be used if
they are more than a few centimeters from the detector. An example of the nuclide mixture is
given below.
The Single Extended Source Method uses bulk or large-volume sources such as Marinelli
beakers or bottles with all the nuclides needed in one source.
The source must be a mixture of nuclides with gamma rays that do not have true coincidence
summing and nuclides with gamma rays that do have summing. The energies of the gamma rays
must extend over the range of interest for the unknown samples. A mixture of 109Cd, 113Sn, 139Ce,
203Hg, 134Cs, 137Cs, 88Y, and 54Mn will be sufficient for most situations. 241Am can be added for
lower energies.
NOTE 60Co should not be added because of the interference with gamma rays from 134Cs.
The selection of point or extended geometry changes the fitting process in the calibration
calculation which gives different calibration coefficients for the different geometries. The TCC
results depend on the source/detector geometry, so selecting the correct geometry is important.
Absorber
The absorber present/not present selection determines the low-energy fitting function. The
efficiency for low-energy gamma rays depends on the absorbing material between the detector
and the source. The absorbing material and thickness are not important. GammaVision will
automatically account for the loss in the fitting process if the absorber is present. The low-energy
coefficients are listed as the last 2 (of 6) of the TCC polynomial coefficients and are zero for
absorber Not Present.
When finished, click Next.
138

783620K / 0915 5. MENU COMMANDS
Figure 122. Select the File Containing the Desired Efficiency
Calibration.
Read From File — Efficiency
If you selected Read From File for the efficiency calibration, the dialog shown in Fig. 122
opens. Enter the name of the file in which the desired efficiency calibration is stored. The calibra-
tion Description stored in the file is displayed (read-only) so you can more easily choose the
correct file and reduce errors. Any type of file that stores calibration records can be used.
This function operates the same as Calibrate/Recall Calibration (recalling the efficiency
calibration only).
When finished, click Next.
Read from File — TCC
If you selected Read From File for the TCC calibration, the dialog shown in Fig. 123 opens.
Enter the name of the file in which the desired TCC calibration is stored. Since the TCC is linked
to the efficiency, this will load both the efficiency and the TCC calibration parameters. Be sure to
use the same file for the efficiency calibration (Read From File — Efficiency) and TCC
calibration; otherwise, the TCC calibration loaded may not be complete and will not produce
accurate results.
The calibration Description stored in the file is displayed (read-only) so you can more easily
choose the correct file and reduce errors. Any file that stores calibration records can be used.
139

GammaVision® V8 (A66-BW) 783620K / 0915
Figure 123. Select the File that Contains the Desired TCC
Calibration.
Figure 124. Position the Source for Energy Calibration.
When finished, click Next.
5.3.8.3. Performing the New Energy Calibration
If you chose to create a new energy calibration, the dialog shown in Fig. 124 opens. Position the
source and click OK to begin spectrum acquisition. If the buffer is selected, the current spectrum
in the buffer is used.
When spectrum collection is complete (or the buffer is used), the energy and FWHM calibration
is performed. If successful, the wizard goes on to the next step.
140

783620K / 0915 5. MENU COMMANDS
Figure 125. Position the Source for the Efficiency or
Efficiency-plus-TCC Calibration.
If the energy calibration process detects a severe error, an error message is displayed. Click OK
to acknowledge the error. The calibration process will stop at this point.
If the energy calibration process detects a minor error, a warning message is shown. Click OK to
acknowledge the warning and remember that this warning was given. The calibration process will
continue as normal. When the final review screen is displayed (Fig. 126), click Edit Energy to
review the cause of the error and correct it if needed (see Section 5.3.8.5).
5.3.8.4. Performing the New Efficiency or Efficiency-plus-TCC Calibration
If you chose to create a new
efficiency or efficiency-plus-
TCC calibration, the wizard
asks for the next source to be
positioned (see Fig. 125). Click
OK to begin spectrum acqui-
sition. If the buffer is selected,
the current spectrum in the
buffer is used.
If the efficiency calibration
process detects a severe error, an error message is displayed. Click OK to acknowledge the error.
The calibration process will stop at this point.
5.3.8.5. Reviewing the Calibration Wizard Results
The final screen in the calibration wizard is the review screen shown in Fig. 126. This shows the
plots of the results of all the calibration steps. The TCC functions are not plotted, but indicated as
Tcc Calibrated or Uncalibrated.
When the TCC calibration is performed, it includes recalculating the efficiency function, there-
fore, the efficiency curve (upper right) might not appear to be a good fit to the experimental
points. This is because the total efficiency function is the combination of all the different
functions.
To review or change the energy or FWHM calibration, click Edit Energy. This opens the com-
plete energy calibration dialog as explained in Section 5.3.2, page 105. If any changes are made,
the efficiency (and TCC) calibration should be repeated. If you did not select TCC, the efficiency
calibration can be redone by clicking on Edit Efficiency. This will open up the complete
efficiency calibration dialog as explained in Section 5.3.3, page 114. This does not redo the TCC
calibration.
141

GammaVision® V8 (A66-BW) 783620K / 0915
Figure 126. Review the Calibration Results.
Alternatively, you can change a calibration by clicking on Back to return to previous wizard
screens. Click Back to return to the efficiency dialog, then Back again to return to the energy
dialog.
NOTE If the spectrum currently in the MCB is the right spectrum, be sure to unmark the Clear
Data Before Start checkbox.
Once you have reset the starting parameters as needed, the process will continue on as before
with the spectrum collection or file recall.
The calibration is now stored with the MCB or buffer, but not on disk. Use the Save Calibration
button to save the calibration to a file. This should always be done to preserve the calibration for
later use.
To complete the calibration wizard and close the dialog, click Finish. (Cancel operates the same
as Finish.)
142

783620K / 0915 5. MENU COMMANDS
Figure 127.
Calculate Menu.
Figure 128.
Figure 129. Select a Time Slice of List Mode Data.
5.4. Calculate
The Calculate menu (Fig. 127) provides useful analytical tools for
spectrum manipulation. Smooth and Strip... are only available in
buffer windows.
5.4.1. Settings...
This dialog (Fig. 128) allows you to set the “x” factor in the Peak
Info calculation of full width at 1/x maximum (FW[1/x]M) for the
ROI marked by the cursor (see Section 5.4.3). In addition, you can
set the number of background channels used on each side of the
peak. The background is subtracted before starting the calculation.
Enter the factor x, an integer from 2 to 99. This number
will be retained and used until changed. (Peak Info
always displays the FWHM, so an x of 2 is not useful.)
The number of Background Points ranges from 1 to 5,
and the default value is 3.
5.4.2. List Data Range...
Use this dialog (Fig. 129) to retrieve a
specified time slice of data from a List
Mode (.LIS) file that has been recalled
into a buffer window. GammaVision
samples the list mode data stream every
250 milliseconds of real time, and can
display the data with a granularity of
1 second (see the List Mode discus-
sion in Section 1.6).
Click to highlight the desired start and
end Date/Time values, then adjust them
by clicking the up/down buttons; or set
the desired Data Start Date/Time and enter the time slice Duration in whole seconds.24 To
retrieve the data, click Apply. Click Increment to add the next more data to the currently dis-
played time slice; set the Duration, then click Increment. To save a time slice in any Gamma-
Vision file format (i.e., as list files and/or spectrum files), use the Save commands.
24The analogous JOB stream command, SET_RANGE (page 414), can use fractional real times and durations.
143

GammaVision® V8 (A66-BW) 783620K / 0915
Figure 130. Peak Info Beneath Marker and
Above Peak.
To redisplay the complete data set rounded down to the nearest whole second, click Restore. To
redisplay the entire data set without rounding, close and recall the .LIS file.
This command is duplicated by the List Data Range button on the toolbar.
5.4.3. Peak Info
This command operates when the marker is
positioned in a peak or in an area marked as
an ROI. It displays the following information
in a pop-up box and on the Supplementary
Information Line (Fig. 130):
●If the spectrum is not calibrated, the
centroid channel, FWHM, FW1/xM
(all in channels), gross area, net area,
and net-area uncertainty are displayed
for the ROI.
●If the spectrum is calibrated, the
centroid channel, FWHM, FW1/xM
in channels and calibration units (e.g.,
energy), library “best match” energy
and activity, gross area, net area, and
net-area uncertainty are displayed for
the ROI.
If the Detector is acquiring data, the values displayed are continuously updated.
NOTE If the marker is in an ROI, peak information is displayed whether or not the area is a
detectable peak. If no ROI is marked, the peak limits are the same as the limits for the
ROI Insert button on the Status Sidebar. If a peak is detected, its information is
displayed (otherwise a “could not fit peak properly” message is displayed).
To close the pop-up box, click it or press <Esc>.
This command is duplicated by the Peak Info command on the right-mouse-button menu and by
double-clicking the mouse in the ROI.
144

783620K / 0915 5. MENU COMMANDS
Figure 131. Calculation Details.
(15)
(16)
5.4.3.1. Calculation
The program subtracts the calculated background, channel by channel, and attempts a least-
squares fit of a Gaussian function to the remaining data. If unsuccessful, it displays “Could Not
Properly Fit Peak.” If successful, the centroid is based on the fitted function. The reported
widths are linearly interpolated between the background-subtracted channels. The spectrum
components used in the background calculation are illustrated in see Fig. 131.
The background on the low channel side
of the peak is the average of the first n channels
of the ROI, where n is the number
of background points selected on the dialog
under Calculate/Settings... (Section 5.4.1).
The channel number for this background
point is the midpoint fractional channel of
the n points. The background on the high
channel side of the peak is the average of
the last n channels of the ROI. The channel
number for this background point is also the
midpoint fractional channel of the n points.
These (n−1) points on each side of the peak
form the end points of the straight-line
background.
The background is given by the following:
where:
B= the background area
l= the ROI low limit
h= the ROI high limit
Ci= the contents of channel i
n= the number of background points
The gross area is the sum of all the channels marked by the ROI according to the following:
145

GammaVision® V8 (A66-BW) 783620K / 0915
(17)
(18)
(19)
where:
Ag= the gross counts in the ROI
l= the ROI low limit
h= the ROI high limit
Ci= the contents of channel i
The adjusted gross area is the sum of all the channels marked by the ROI but not used in the
background according to the following:
where:
Aag = the adjusted gross counts in the ROI
l= the ROI low limit
h= the ROI high limit
Ci = the contents of channel i
n= the number of background points
The net area is the adjusted gross area minus the adjusted calculated background, as follows:
The uncertainty in the net area is the square root of the sum of the squares of the uncertainty in
the adjusted gross area and the weighted error of the adjusted background. The background
uncertainty is weighted by the ratio of the adjusted peak width to the number of channels used to
calculate the adjusted background. Therefore, net peak-area uncertainty is given by:
where:
Aag = the adjusted gross area
An = the net area
B = the background area
l = the ROI low limit
h = the ROI high limit
n= the number of background points
146

783620K / 0915 5. MENU COMMANDS
(20)
Figure 132. Input Count Rate
Meter.
The counting activity, cA, is calculated as:
where:
Percent = Gammas per 100 disintegrations (from library list)
Net Counts = Net counts in the peak
Live Time = Live time in seconds
5.4.4. Input Count Rate
This command is supported by most newer ORTEC MCBs
and disabled for unsupported units. It displays or hides the input
count rate meter (Fig. 132) in the upper left corner of
the spectrum window.25 (This is input count rate used for the
dead-time calculation, not the number of processed pulses.)
This command is also on the right-mouse-button menu.
Detector windows show the current (live) input count rate, whether or not the MCB is currently
acquiring data. Buffer windows show the input count rate when the spectrum was (1) transferred
to the buffer from the MCB or (2) saved to disk.
5.4.5. Sum
The Sum function performs its calculation as follows, and displays the sum on the Marker
Information Line:
1) If the marker is not in an ROI, the counts in all data channels in the buffer (e.g., channel 1
to the maximum channel currently selected) are summed.
2) If the marker is in an ROI, the sum of the data channels in the ROI is shown on the display.
This is the same as the gross counts in the Peak Info display, but can be used on wider ROIs.
3) You can also sum a region by marking it with a rubber rectangle, then selecting Sum. This is
illustrated in Fig. 133.
25Note that if the full spectrum view is positioned in the same corner, it can obscure the Input Count Rate box.
147

GammaVision® V8 (A66-BW) 783620K / 0915
(21)
5.4.6. Smooth
The Smooth command is available in buffer windows only. It transforms the data in the buffer
spectrum according to a five-point, area-preserving, binomial smoothing algorithm. That is, the
existing data is replaced, channel-by-channel, with the averaged or smoothed data as follows:
where:
Si= the smoothed data in channel i
Oi= the original data in channel i
5.4.7. Strip...
This command (Fig. 134) strips the specified disk spectrum from the spectrum in the buffer and
stores the result in the buffer. Select a File name and Stripping Factor, and click on OK.
NOTE Any valid spectral data file can be selected, but it must contain the same number of
channels as the buffer.
Figure 133. Summing the Channels Within a
Rubber Rectangle.
148

783620K / 0915 5. MENU COMMANDS
Figure 135. Analyze Menu.
The strip factor is a real number that is multiplied, channel by channel, by the disk spectrum
before being subtracted from the buffer. If the Use Ratio of Live Times box is marked, the strip
factor is calculated as the ratio of the live time of the buffer spectrum divided by the live time of
the disk spectrum. Unmarking the Use Ratio box allows you to enter a factor, which can be
negative, in which case the spectra are added.
NOTE The live time and real time are not changed by any strip operation. Also, the peak uncer-
tainty (see Section 6.3.4) does not include the stripped areas and might not represent the
true uncertainty.
5.5. Analyze
The Analyze menu (Fig. 135) contains commands that allow
you to analyze all or part of a spectrum on the screen or on
disk. The results can be displayed in both graphic and text
forms. In the interactive analysis mode, peaks can be added,
deleted, or shifted in energy. You can perform these com-
mands on data in a buffer window or in a Detector if the
Detector is not acquiring data. If a command is not available,
it is disabled (gray). Interactive in viewed area... is active
only when the Expanded Spectrum View displays ≤4096
channels (zoom in on a portion of the spectrum to activate
this command).
Figure 134. Choose Strip Spectrum.
149

GammaVision® V8 (A66-BW) 783620K / 0915
Figure 136. Settings
Submenu.
5.5.1. Settings
This opens the submenu shown in Fig. 136. The user-
controlled factors in the analysis are defined in these
dialogs, and the analysis results can be captured in the
analysis report discussed in Chapter 7.
NOTE Version 7 and 8 analysis settings (.SDF) files are
not compatible with earlier versions of
GammaVision.
5.5.1.1. Sample Type...
This opens the multi-tab Sample Type Settings dialog discussed in
the following sections. The fields on this set of screens define a
complete set of GammaVision analysis settings. Once defined, they can be saved to a Sample
Description (.SDF) file. This .SDF file can then be used in .JOB files, in the QA analysis, as the
acquisition preset default in Ask on Start, as the current defaults, and in other places within
GammaVision.
To create an .SDF file, complete all screens of the dialog, then return to the Sample tab. Click the
Save As... button in the upper right of the dialog; this will open a standard file-save dialog. Enter
the path (if necessary) and new filename, then click OK to return to the Sample tab. Click again
on OK to close the Sample Type Settings dialog.
NOTE Although this dialog has multiple tabs, any changes to the current set of “working”
parameters for the selected Detector will not take effect until you click OK. To retain
the current working parameters, click on Cancel.
Sample Tab
Sample settings (Fig. 137) are those whose values are generally different for each sample type.
When an .SDF file is recalled, the date of Creation and last date the file was updated (Edition)
are displayed. Whenever the file is changed, the edition date is updated.
The Description is used to identify the sample-type file, and can be 64 characters long.
Clicking on the Presets button opens a Presets dialog corresponding to the available presets for
this MCB, as discussed in Acquire/MCB Properties....(Remember that these default presets can
be used automatically if the appropriate Ask on Start box in checked under Acquire/ Acquisi-
tion Settings...; see Section 5.2.1 for more information.)
150

783620K / 0915 5. MENU COMMANDS
Figure 137. Sample Tab.
The Calibration data to be saved with the spectrum or used for online analysis can be the cur-
rently loaded Internal (working) calibration or a calibration stored on disk. The working calibra-
tion is the calibration just created with the Calibrate menu commands (see Section 5.3.1) or the
calibration most recently recalled from disk. When the .SPC file for this spectrum is saved to
disk, the current calibration will be saved with it for later analysis. The interactive analysis
(performed with Analyze/Interactive in viewed area), uses the internal calibration.
Note that each Detector and buffer can have separate calibrations.26 This is useful if different
types of calibrations (e.g., point source and Marinelli beaker calibrations) are used for different
types of samples.
26Note to legacy GammaVision users: The Detectors are calibrated directly, therefore it is not necessary to move
the spectrum to the buffer in order to do a calibration. If the spectrum is moved to the buffer and the buffer is
used for calibration, then the calibration is not associated with the Detector unless the calibration is moved to the
Detector by using the Calibrate/Save Calibration... and Calibrate/Recall Calibration... commands.
151

GammaVision® V8 (A66-BW) 783620K / 0915
The filename of the Nuclide Library to be used in the spectrum analysis can be the Internal
(working) library or a library on disk. The working library is the library from Library/Select
File..., and will include any modifications made during the interactive analysis mode.
The Background Type can be set to Auto, X-Points, or X * FWHM. These are explained in
more detail in Section 6.3.1.
Random Summing is the random summing correction factor discussed in Section 6.11. Entering
zero turns this correction off.
The Analysis Range, in channels, can be entered. This is usually used to eliminate analysis of the
ends of the spectrum that do not contain useful data. The Analysis Range should be as wide as
possible because the automatic energy recalibration feature (see Section 6.3.6) requires separated
library peaks to work properly. Also, the correlation of lines from a single nuclide done by the
analysis is defeated if the energy range analyzed does not include all the lines.
System Tab
System settings are those settings that are generally the same from sample to sample. However,
all of these entries except the Laboratory and Operator names can be different for each sample
type. The dialog is shown in Fig. 138.
The Laboratory name, composed of any 64 characters, is printed as the second line on each
page of the report. The spectrum name is printed on the next line.
The Operator name is the name of the person operating the system. This name will appear on
the analysis reports. This field defaults to the user name entered during Windows installation.
MDA Type — This allows the selection of the type of MDA calculation to be used as the method
of calculating the MDA to be on the report. The MDA is a measure of how small an activity
could be present and not be detected by the analysis. Many factors affect the MDA, which is
reported in units of activity, such as becquerels. The calibration geometry, backgrounds (system
and source-induced), detector resolution, and particular nuclide all seriously affect the MDA
reported. Section 6.9 provides explanations of the different MDA formulas used by
GammaVision.
In the Library section, Match Width sets the maximum amount by which a peak centroid can
deviate from the nearest library peak energy and still be associated with that library peak. The
value entered is multiplied by the FWHM at the peak energy to get the width used.
152

783620K / 0915 5. MENU COMMANDS
Figure 138. System Tab.
NOTES If the value is too small, some spectrum peaks will be misidentified due to statistical
variation in the centroid; if it is too large, some library peaks will be incorrectly
identified.
During efficiency calibration, the net peak area calculation can be affected by the
library Match Width setting in effect at the time the calibration is performed. Before
starting an efficiency calibration, make sure the Match Width is set to the same
value you will be using during analysis. Most users will keep the default setting, 0.5.
If using a different setting, we recommend a value between 0.4 and 0.75.
If the Match Width is set to a value other than 0.5, the value will be printed on the report.
The Fraction Limit is one of the parameters used to determine the presence or absence of a
nuclide. The sum of the emission probabilities of the peaks in the spectrum identified with the
nuclide is divided by the sum of the emission probabilities of all peaks of the nuclide in the
energy range being analyzed. If the result is greater than the fraction limit, the nuclide is marked
as being present. To turn off this test, set the limit to zero.
153

GammaVision® V8 (A66-BW) 783620K / 0915
File for Suspected Nuclides — In the list of unknown peaks, there is a column for suspected
nuclides. This is the closest energy in the library file to the unknown peak’s energy. Suspected
nuclides are identified in GammaVision using a suspected-nuclide library. This file is a library
file (see Section 5.6). Typically, it is a much larger file than the analysis library file. The identi-
fication window is also much larger for this list than for the analysis library. This list might con-
tain common lines (such as 511 keV or 40K) that are present in the spectrum, but not desired in
the analysis.
If the suspected-nuclide library contains the same lines as the analysis library, a nuclide whose
energy is shifted just out of range for the analysis (the default is 0.5 × FWHM) will be marked as
suspected on the unknown list.
The File for Suspected Nuclides must not have the same name as the analysis library file. If
necessary, make a copy of the analysis library file with a new name.
The Units section allows the selection of either becquerels (Bq) or microcuries (μCi) as the base
units, a Multiplier and Divisor to scale the numbers up or down.
The units label is printed at the top of the activity columns on the report and should reflect the
values chosen; that is, if μCi is chosen with a multiplier of 1000, then “nanocuries” should be
entered in the Activity field. If the sample quantity is entered later (see Acquire/Acquisition
Settings... or File/Settings...), the units for quantity (weight or volume) are entered in the Size
field. The combined label (activity/quantity) is limited to 14 characters. Optionally enter a
1-sigma sample Size uncertainty (+/-) between 0% and 1000%.
The Multiplier, Divisor, and sample Size values are used to generate the Activity scaling factor
listed in the Analysis Parameters section of the report, and used by the NPP32 and ENV32
analysis engines to calculate the report’s Summary of Library Peak Usage table.
The PEAK SEARCH SENSITIVITY sets the sensitivity for the peak search used in the Peak
Search (Section 5.5.2), Interactive in viewed area (Section 5.5.7), and the full-spectrum
analysis (Section 5.5.4). Before a suspected peak is accepted, the magnitude of the second
difference must be greater than the weighted error of the channel counts. The PEAK SEARCH
SENSITIVITY is a multiplicative factor used in error weighting.
The sensitivity can be set at any integer value from 1 to 5, with 1 the most sensitive (that is, “1"
finds the most peaks). A value of 1 will find small peaks, but will also “find” many false peaks. A
value of 5 will locate all the large peaks, but might miss some of the smaller peaks. If too large,
some small peaks will be missed. In the interactive mode, many regions will be deconvoluted
unnecessarily if the value is too sensitive. The parabolic background method is disabled for
energies above 200 keV if the sensitivity is set to 1.
154

783620K / 0915 5. MENU COMMANDS
Figure 139. Decay Tab.
Decay Tab
The Decay tab is shown in Fig. 139. This dialog shows all the decay options and date/time entry
fields.
Mark the checkboxes in the Decay Correction section to enable or disable decay correction
During Acquisition and decay correction to a given date and time. Both of these affect the
report of the analysis of the total spectrum.
The Collection date and time can also be entered under Acquire/Acquisition Settings....
Mark the checkbox in the Sample Collection section and enter the times for sample collection.
These dates/times are the start time of the sample collection and the stop time of the sample
collection. For example, for air filters, the start time is the time when the air flow is started and
the stop time is when the air flow is stopped. These times are used to calculate the buildup of the
activity in the sample. It is assumed that the spectrum is not collected during the build-up time.
The correction for the build-up is given in Section 6.10.5.
155

GammaVision® V8 (A66-BW) 783620K / 0915
Figure 140. Report Tab.
Report Tab
This screen (Fig. 140) controls the contents, destination, and some details of the output report
discussed in Chapter 7.
Reporting Options
Select one or more Reporting Options by marking the checkboxes. If there is not enough infor-
mation for GammaVision to generate one or more of the requested options, the software can print
another option if there is enough information for it. For example, suppose a nuclide activity
report is the only report option selected. If the spectrum has not been efficiency calibrated, the
activities cannot be calculated. In this case, GammaVision will instead print the peak list because
there is sufficient information to do that.
Output examples for all the reporting options are discussed in Chapter 7.
156

783620K / 0915 5. MENU COMMANDS
The ISO NORM Report
Note that analysis flags in the library editor and in the analysis parameters file, b30winds.ini
(n30winds.ini for NAI32), are treated differently between GammaVision’s standard analysis
and its ISO NORM implementation. The ISO NORM report contents are discussed and
illustrated in Section 7.7.11.
Library
No-MDA flag
Note that the “No MDA” flag functions differently for ISO NORM than for the
standard GammaVision analysis. If an isotope flagged as “No MDA” is not detected in
the sample, it is not reported in the standard GammaVision report sections unless the
Directed Fit flag is turned on. However, the isotope is always reported in the ISO
NORM table.
b30winds.ini ( n30winds.ini for NAI32)
The b30winds.ini and n30winds.ini files include settings for the ISO NORM report
(Section A.2.2), e.g., settings for the three probability factors, α, β, and δ, plus a flag to
report MDA if the activity is less than the CL (In ISO NORM Table, print MDA if y < y*).
The probabilities for these factors are set by default to 0.05 for 5% error, with a range of
1.0E−6 to 1. If the input values are outside this range, 0.05 is used. Changing the default
parameters requires editing the probability alpha, probability beta, and probability
gamma flags in the b30winds.ini or n30winds.ini files (see page 448 in Section A.2.2). By
default, if the CL is greater than the activity, the MDA is reported. However, the In ISO
NORM Table, print MDA if y < y* flag can be set to false so that the activity and
associated uncertainty are always reported.
Following are additional b30winds.ini/n30winds.ini flags that operate differently for the
ISO NORM calculations than for other parts of the GammaVision report:
Print MDA in Nuclide Summary
When the ISO NORM reporting option is selected, this flag (page 447) is ignored so
the format of the ISO NORM table remains fixed.
Nuclide Summary MDA Text
This flag (page 448) is ignored; the “MDA” title cannot be changed to read “CL” in
the ISO NORM section of the report.
Background Width for MDA
This flag (page 447) is not used in ISO NORM calculations.
157

GammaVision® V8 (A66-BW) 783620K / 0915
Second MDA Type
This flag (page 447) is ignored because there is no second MDA in the ISO NORM
table. A second MDA can still be calculated through the regular GammaVision
analysis.
Allow MDA Type Change
This flag (page 443) is ignored in the ISO NORM table because there is no other
MDA type.
Uncertainty Reporting
The Confidence level multiplier shown here is used on the report only. All internal checks on
peak uncertainty are done at the 1-sigma level. See Section 6 for details on the total uncertainty
calculation. The uncertainty can be in Activity (e.g., 200 Bq ± 10 Bq) or Percent (e.g.,
200 Bq ± 5%). If Counting is selected, counting uncertainty will be printed. If Total is selected,
both the counting and total uncertainty will be printed.
Output
When GammaVision performs an analysis, a spectrum files is automatically created with the
extension of .AN1. In addition, the results are written to a .UFO file and an ASCII-format .RPT
file that use the same base filename as the spectrum file. Use the Output section of the Report
tab to send the appropriate results file to any Windows-supported Printer available to the com-
puter, a disk File, a Program, or the optional GammaVision Report Writer. You can also
choose to display the analysis results graphically onscreen, in the same form as for Analyze/
Display analysis results (Section 5.5.6).
When File is selected, you can specify a new or existing filename; click Browse... and select an
existing file to overwrite with the new output data; or leave the default asterisk (*) in the file-
name field. In this case, the report filename will remain the spectrum filename with the extension
.RPT.
When Program is selected, you can choose any Windows program to be run with the report
filename as an argument on the command line. The report filename sent to the program is the
spectrum filename with the extension .RPT. The default program is Windows Notepad,
Notepad.exe. In this case, when the analysis finishes, Notepad automatically starts, and opens the
.RPT file. (You can also use Notepad to save the .RPT file to a different filename if desired or
print the report.) The analysis is not complete until you close the selected program.
Instead of Notepad.exe, any user-written program (actually, any program that can read ORTEC
.RPT files) can be selected here. In this case, the .RPT filename is used as an argument on the
command line of the specified program.
158

783620K / 0915 5. MENU COMMANDS
Figure 141. Analysis Tab.
The name of the .UFO file corresponds to the spectrum file from which it derives. A user-written
program can read the report filename from the command line, change the extension to .UFO, and
read the analysis results from the .UFO file.
The Report Writer check box is only active if the GammaVision Report Writer (A44-BW) is
installed. This option uses an Access database and SAP® BusinessObjects Crystal Reports™ to
produce the desired report. Click Browse... to select the report template to be used (see the
GammaVision Report Writer’s user manual for a complete discussion of templates).
Analysis Tab
Use this screen (Fig. 141) to select the Analysis Method, Additional Error, Analysis, and Peak
Stripping options to be used. The actual analysis is done by a separate program referred to as an
analysis engine.
159

GammaVision® V8 (A66-BW) 783620K / 0915
Analysis Method
The analysis engine for the normal analysis is named WAN32; GammaVision also offers the
ROI32, GAM32, NPP32, and ENV32 engines.
See Chapter 6 for more information on the analysis programs.
GammaVision also accommodates user-supplied analysis programs. The program must be able to
read the spectrum name from the command line. There are no other restrictions, but if the
program does not produce a results file in the .UFO format, the display results functions and the
GammaVision Report Writer database will not work. All the analysis options can be taken from
the .SPC file. The analysis program should also produce an ASCII report file so the report can be
printed by the Windows print spooler.
Additional Error
The parameters in the Additional Error section are used in the calculation of the total uncer-
tainty. Total uncertainty is composed of error estimates that follow a normal distribution and
error estimates that follow a uniform distribution over a range. Most errors in gamma spectro-
scopy, whether systematic or random, follow a normal distribution. Error estimates are included
for counting, random summing, absorption, nuclide uncertainty, efficiency, and geometry. Enter
additional errors (%) related to the measurement that follow a normal distribution at the 1-sigma
level. Enter uniform distribution errors (%) at the complete range of the uniform error limit. That
is, if the likelihood of an uncertainty is uniform over 3% of the reported results, enter 3.0 in this
field. The error estimates from all corrections are explained in Section 6.12.
Peak Stripping
When Peak Stripping is enabled, the analysis will perform the library-based peak deconvolution
or “peak interference correction” described in Section 6.5.5. Briefly, this will separate peak areas
that are too close together to be accurately separated by mathematical deconvolution. Gamma-
Vision supports two types of peak stripping: Library Based and Manual Based. In Library
Based peak stripping, the program automatically detects overlapped peaks and the associated
peaks needed. The program then performs the peak stripping using these peaks. In Manual
Based peak stripping, you determine the overlapping peaks and the associated peaks. The
associated peaks are given in the Second Library and the analysis peaks are given in the Third
Library.
The availability of peak-stripping options depends on the analysis engine you choose. See
Section 6.2 for a discussion of the analysis engines, a decision matrix, and selection guidelines.
WAN32 offers both the Library Based and Manual Based options, however, you can only
choose one option at a time (or leave the boxes unmarked to perform no stripping).
160

783620K / 0915 5. MENU COMMANDS
When GAM32 or ROI32 is selected, the Library Based Peak Stripping and Directed Fit
methods are turned off and the selections disabled.
When NPP32, ENV32, or NAI32 is selected, the Library Based Peak Stripping option is
turned on and cannot be disabled. If analysis without library-based peak stripping is desired, then
either WAN32, GAM32, or ROI32 analysis engines must be used.
Analysis
Only peaks with 1-sigma counting uncertainty less than the Peak Cutoff are used to calculate
nuclide activity or report as unidentified. Library peaks with uncertainty higher than the Peak
Cutoff may still be reported in different sections of the analysis report for different analysis
engines based on parameter settings in the b30winds.ini (n30winds.ini for NAI32) file; see
Section A.2.2.
Click True Coincidence Correction to enable TCC.
●If the Detector has not been calibrated for TCC, the correction is automatically turned off
in the analysis.
●If preparing to analyze a saved spectrum, be sure it contains a TCC calibration; otherwise
the analysis results may be incorrect. To check a spectrum file for TCC calibration, recall
it, step through the Calibration Wizard , and on the final screen (Fig. 126, page 142)
confirm that the lower-right window says TCC Calibrated.
Click Directed Fit to allow for negative peak areas in low-level spectra. The following rules
should normally be followed when using directed fit:
●Preferentially use the ENV32 analysis engine (NAI32 for sodium iodide) unless a feature
of one of the other engines is required. ENV32 is required when analyzing complicated
spectra with overlapping peaks or large libraries.
●Use NPP32 or WAN32 only for relatively simple spectra that contain only singlet peaks.
●The Peak Cutoff is typically set to a high value (i.e., 1000) in order to preferentially find
peaks using the normal peak search method rather than resorting to Directed Fit. This
option is generally preferred when peak stripping is necessary because directed fit peaks
are not considered in the peak stripping algorithms.
For more information, see the Directed Fit discussion in Section 6.3.2.2.
161

GammaVision® V8 (A66-BW) 783620K / 0915
Figure 142. Corrections Tab.
Corrections Tab
The Corrections tab is shown in Fig. 142.
The Peaked Background Correction (Section 6.10.4) can be turned On or off, and the
correction file specified. The filename of the .PBC file to be used for the correction in the
spectrum analysis can be the Internal (working) file or a File on disk. If the Internal box is not
marked, a filename must be entered. The working file is the one most recently loaded with
Analyze/Settings/ Peak Background Correction/Select PBC... (which is discussed beginning
on page 175).
162

783620K / 0915 5. MENU COMMANDS
Adjust the Match Width as desired. For the By Energy option, when not using a library you
may wish to use a greater PBC match width. It may be useful to perform test acquisitions based
on your application.
●If the By Energy checkbox is marked, PBC subtraction is also applied to the unknown
peaks in the spectrum.
●For the peaks listed in the report’s Peaks in Range table, if By Energy is marked, PBC
will be applied to applicable library and unknown peaks. If By Energy is not marked,
PBC will be applied to the applicable library peak only.
The Geometry Correction (Section 6.10.5) can be turned On or off, and the correction (.GEO)
File can be specified. The filename of the .GEO file to be used for the correction in the spectrum
analysis can be the Internal (working) file or a file on disk. If the Internal box is not checked, a
filename must be entered. The working file is the file most recently loaded with Analyze/Set-
tings/Geometry Correction (see Section 5.5.1.4).
The Linear Attenuation can be turned On or off, Internal or External can be selected, and the
source of the correction parameters (Internal or DataBase) can be specified. The correction
function can be:
●The Internal (working) correction loaded in the Absorption Correction dialogs discussed
in Section 5.5.1.3.
●A specific .SOR file calculated from two spectra.
●Selected from GammaVision’s built-in database of stored coefficients.
The filename of the .SOR file to be used for the correction in the spectrum analysis can be the
internal (working) file or a file on disk. If the Internal box is checked, the internal file is used,
otherwise a filename or database must be entered. The working correction is the correction most
recently viewed or calculated per Section 5.5.1.3.
If Data Base is selected, the Material, Length, Configuration, and Internal or External type
must also be selected. The material is selected from the list in the database. The Configuration is
also selected from the database. The database values are based on an absorber Length of 1 cm.
For larger or smaller lengths (external) and thicker or thinner materials (internal), enter the actual
length or thickness. Either Internal or External absorption can be selected. Internal absorption
is for cases where the radioactive material is distributed throughout the absorber (matrix) and
External is where the absorber is between the radioactive material and the detector.
The attenuation correction is explained in detail in Section 6.10.6.
163

GammaVision® V8 (A66-BW) 783620K / 0915
Figure 143. Isotopes Tab.
Isotopes Tab
The isotope-specific corrections or calculations are specified on this tab (Fig. 143).
NOTE Be sure the isotope identifiers (e.g., “Xe-133", “I-133") in the average energy, iodine
equivalence, and DAC/MPC tables match the identifiers in the analysis library; other-
wise, GammaVision will be unable to perform these calculations correctly.
The Average Energy calculation (Section 6.13) can be turned On or off and can use either the
Internal correction table most recently created or loaded according to Section 5.5.1.6, or a
specific EBAR table (.EBR) file. When enabled, this calculation will produce an addition to the
report with the average gamma energy for the spectrum.
The Iodine Equivalence calculation (Section 6.14) can be turned On or off and can use either
the Internal correction table or a specific table file. When enabled, this will produce an addition
to the report with the iodine equivalence for the spectrum. The working table is the one most
recently created or loaded according to Section 5.5.1.7.
164

783620K / 0915 5. MENU COMMANDS
Figure 144. Uncertainties Tab.
The Derived Activity Calculation, DAC, (also called Maximum Permitted Concentration, MPC),
can be turned On or off, and can use either the Internal (working) correction table or a specific
table File. When enabled, it will produce an addition to the report with the DAC calculation for
each isotope in the table that is also in the spectrum and analysis library. See Section 6.15 for
details on this calculation. The working table is the table created or loaded in Section 5.5.1.8.
Uncertainties Tab
This tab (Fig. 144) allows you to optionally define up to nine uncertainty values that will be
summed and used in the analysis. Both the Description and a non-zero Value must be defined
for an uncertainty entry or it will not be used in the analysis or report. These values are stored in
the .SDF file as well as .SPC spectrum files, and are reported in the Analysis Parameters table
(Section 7.5).
165

GammaVision® V8 (A66-BW) 783620K / 0915
Figure 145. Report Generator.
Figure 146. Attenuation
Coefficients Submenu.
5.5.1.2. Report Generator
If the customizable GammaVision Report
Writer (A44-BW) is installed, the Report
Generator Settings dialog (Fig. 145) will
open. There are several report options to
choose from.
See the Report Writer user manual for
more details on these options. The standard
GammaVision analysis report is described in Chapter 7.
5.5.1.3. Attenuation Coefficients
This command opens the submenu shown in Fig. 146. These
commands allow you to create, modify, or view the absorption
correction files or database.
Coefficient Table
This command lets you add to, modify, and view the absorption correction database. The atten-
uation database supplied with GammaVision has many common materials already defined.
There are two ways to add new materials to this database:
●Define a new material that is composed of two or more materials already in the database.
GammaVision will then calculate the new attenuation curve from the existing attenuation
data.
●Define a completely new material, that is, one not composed of materials in the database.
In this case, you will enter the attenuation data in the Attenuation Worksheet sidebar, and
save the new material and its attenuation data it to the database.
Selecting Coefficient Table opens the Attenuation Worksheet Sidebar, Attenuation Table, and
Attenuation graph window, as illustrated in Fig. 147.
To select an absorber from the Attenuation Worksheet, click the down-arrow button in the
Absorber section to display the list of materials in the database, and click the desired entry.
Selecting a material loads the attenuation values and redisplays the Attenuation Table and graph.
Clicking the mouse on a the table values moves the marker to that energy in both the Attenuation
graph window and spectrum windows. Clicking the mouse in either spectrum window or the
166

783620K / 0915 5. MENU COMMANDS
Figure 147. Attenuation Worksheet Table for Absorber Coefficient Table.
Attenuation graph window moves the marker to that energy in the other plots. The attenuation
value is displayed on the Marker Information Line.
Adding a Material Composed of Substances Already in the Database
GammaVision makes it easy to add a new absorber made of substances already in the absorber
database. The new absorber can be a chemical compound such as sodium iodide (NaI), or a more
complex mixture, such as sand and lead.
1) In the Attenuation section of the sidebar, click either the Mass or Linear radio button.
2) Click Add. This will open the Absorber Definition dialog (Fig. 148).
167

GammaVision® V8 (A66-BW) 783620K / 0915
Figure 148. Defining a New Absorber.
3) Enter the Name of the new material. As an example, we will use NaI.
4) Next, decide whether to describe the ratio of components in the material as a percentage or
a mass ratio; this will determine which radio button should be marked in the Units section
of the Absorber Definition dialog.
●If you know the relative number of atoms (or molecules) of each constituent in the
absorber — for example, NaI — click on %. Amounts entered are multiplied by the
atomic weight of the constituent and normalized to 100%.
●Click Mass Ratio if you know the relative amounts of constituents by weight — for
example, 90% sand, 10% lead.
5) NaI contains sodium and iodine in a 1-to-1 ratio. Therefore, it should be entered in the
Absorber Definition dialog as two separate Constituents, Na and I, each in the relative
Amount of 1. (Similarly, Al203 would be entered as aluminum in the amount of 2, and
oxygen in the amount of 3.)
●In the Constituent section, enter Na and an amount of 1, then click Add. The Constit-
uent droplist in the upper part of the dialog will now list Na as a component of NaI
(Fig. 148).
●Return to the Constituent section, enter I and an amount of 1, then click Add. The drop-
list at the top of the dialog will now show both components.
●Click OK to close the Absorber Definition dialog.
168

783620K / 0915 5. MENU COMMANDS
The new material’s name will now be displayed in gray on the sidebar Absorber droplist.
NOTE If you choose Mass Ratio instead of %, the ratios of the masses must be entered
and must total 1.00. For example, the atomic mass of NaI is 149.89, so the Na mass
ratio is 0.153 ( = 22.989/149.89) and the I mass ratio is 0.847 ( = 126.90/ 149.89).
If an absorber has only one constituent, the mass ratio is 1.00.
6) If you clicked on Mass in step (2), the Absorber section of the sidebar will contain a field
labeled Mass; enter the atomic mass units for the total compound or element. (The atomic
mass for NaI is 149.89 [ = 22.9897+126.904].) If you clicked on Linear in step (2), this field
will instead be labeled Density; density values can be found in various reference books. (For
example, the density of NaI is 3.67 g/cm3.). Enter the Mass or Density.
7) Click Calculate. If the database contains attenuation data for all of the components in the
new material, the Attenuation Table of coefficients will be displayed. Otherwise, a “Check
the mass attenuation data list for missing elements” message will be displayed.
8) Click the Constituents droplist and check spelling and spacing against the Worksheet’s
droplist. To correct an entry, click it to load it into the bottom section of the Absorber
Definition dialog, make the corrections, click Enter, then click OK to close the dialog.
Return to the Attenuation Worksheet and click again on Calculate.
9) Once the new absorber’s attenuation coefficients have been calculated, the final step is to
either save the new absorber to the database (click Save... at the bottom of the sidebar) or
delete the new entry (Delete Absorber). If you save it, the absorber list at the top of the
Worksheet will become active, and will now list your new material.
10) To close the Attenuation Coefficient feature, including Worksheet, table, and graph, click
the Worksheet’s × box.
NOTE The Linear and Mass attenuations are stored separately in the database. If you
wish to use both, each must be added, calculated, and saved.
Editing or Deleting the Constituents in an Absorber
Suppose that in our example we used an incorrect chemical formula for sodium iodide, Na2I
instead of NaI, and now wish to correct the error. To do this:
1) On the Attenuation Worksheet sidebar, select NaI(Tl) from the Absorber drop list, then
click Edit. This will open the Absorber Definition dialog.
169

GammaVision® V8 (A66-BW) 783620K / 0915
2) Click the Constituents drop list at the top of the dialog, and select Na. The fields at the
bottom of the dialog will now display Na as the Constituent, in the Amount of 2. Change
the amount to 1 and click Enter.
3) To delete a component from an absorber, select it from the Constituent drop list and click
Delete. (This Delete button does not remove an absorber from the database, just changes the
absorber’s composition. To completely remove an absorber, close this dialog, go to the
bottom of the sidebar, and click Delete Absorber.)
4) Click OK to close the Absorber Definition dialog.
5) Next, enter the mass or density as shown in the Absorber section at the top of the sidebar
and click Calculate.
6) Click Save to store the complete record in the database.
Adding a New Element or Single-Constituent Material to the Database
Adding a new material involves (1) defining the absorber name, then (2) using the Attenuation
Worksheet sidebar to create the corresponding table of attenuation coefficients. To do this you
will need enough energy/attenuation pairs to generate a good attenuation function. These values
can be found in reference books.
1) If the attenuation values are in g/cm2, click the Mass radio button in the Attenuation section
of the sidebar. If the attenuation values are in units of 1/cm, click Linear. Either method can
be used in simple cases, however, if you expect to use the materials entered here in creating
absorber files for compounds, Mass must be used.
2) On the sidebar, click Add to open the Absorber Definition dialog.
3) In the Name field, enter the chemical symbol for the element (or substance name) — for
example, Co.
4) In the Constituent section, enter Co and an Amount of 1.0, then click OK to close the
dialog and return to the sidebar.
5) Now, in the Attenuation section of the sidebar (Fig. 149), enter the energy/attenuation pairs
for as many energies as necessary to obtain a good attenuation function. When entering the
X-ray edge, use energy values that are close but not equal, e.g., 13.420 and 13.421 keV.
170

783620K / 0915 5. MENU COMMANDS
Figure 149. Adding a
New Constituent to the
Database.
Figure 150. External
Attenuation Sidebar.
6) Click the Save button at the bottom of the sidebar to store
the table.
7) Next, enter the mass or density as shown in the Absorber
section at the top of the sidebar (Fig. 147), and click
Calculate.
8) Click Save again to store the complete record in the
database.
Calculate from Spectra
Selecting this command opens the External Attenuation Sidebar,
shown in Fig. 150. External attenuation tables can be built
automatically using analysis results (.UFO) files, or manually by
entering the peak net area rates for specific energies.
Automatic Calculation
In the automatic mode, select the UFO Files for the analysis of
two spectra (Reference and Current) and click Calculate.
These two spectra must be the spectrum without the absorber
and the spectrum with the absorber. The two samples should be
otherwise as similar as possible. This will produce a table that is
the ratio of the net peak areas for all the peaks that are in both
spectra. The matching is done by using the identified (library)
peak list in both .UFO files. The calculated table is now dis-
played as shown in Fig. 147.
Enter the thickness of the absorber in the Length field at the
bottom of the Table section of the sidebar. This is important
because the attenuation in the database is normalized to 1 cm,
and the thickness of the actual sample is entered in the
attenuation dialog.
Click the Description button to add a description to the file (see Fig. 151). This is used to label
the files and is copied into the spectrum file for added verification of results.
Manual Calculation
In the manual mode, you enter the values. In the Linear Attenuation section at the top of the
sidebar, enter the Ref Rate (no absorber), the Cur Rate (with absorber), and the energy, then
171

GammaVision® V8 (A66-BW) 783620K / 0915
Figure 151. Attenuation Description.
Figure 152.
click Enter. The Ratio (correction factor) will be displayed above the Ref Rate field and in the
Attenuation Table.
NOTE The Ref Rate must always be greater than the Cur Rate.
Enter the thickness of the absorber in the Length field at the bottom of the Table section of the
sidebar. This is important because the attenuation in the database is normalized to 1 cm, and the
thickness of the actual sample is entered in the attenuation dialog.
Click the Description button to add a description to the file. This is used to label the files and is
copied into the spectrum file for added verification of results.
Editing the External Attenuation Table
To remove an energy from the Attenuation Table window, select it with the mouse and click the
sidebar’s Delete button. To change an energy, select it from the table with the mouse, go to the
Linear Attenuation section of the sidebar, change the values, and click Enter.
To save the current table, click the Save... button in the sidebar. Click Recall... to open a standard
file-open to recall an existing table (which has the default extension .ATT).
The External Attenuation Sidebar’s Control Menu
Figure 152 shows the External Attenuation Sidebar’s control menu
(which opens when you click the title bar icon). To edit an existing
file in a Notepad-like editor, click Edit File.... This opens a standard
file-open dialog to select the file, then an ASCII editor screen show-
ing the file contents. Any changes made will be saved to the file.
The formatting does not have to be exactly as shown.
The Destroy selection erases all the values and energies in the cur-
rently displayed table. It does not alter the disk file (if any) unless the current table is then saved
with the same filename. Restore will undo any changes made to the current table, including
Destroy, as long as it is used before the External Attenuation Sidebar is closed.
172

783620K / 0915 5. MENU COMMANDS
Figure 153. Geometry
Correction Sidebar.
Close ends the Calculate from Spectra session, closing the sidebar, Attenuation Table, and
graph windows. The currently selected table becomes the internal or working external attenuation
table.
5.5.1.4. Geometry Correction
This command opens the Geo Correction Sidebar (Fig. 153) for
building geometry correction (.GEO) files. These tables can be
built automatically using analysis results (.UFO) files, or manually
by entering the peak net area rates for specific energies. The cor-
rection can be greater or less than 1.0 to allow for corrections
between any two geometries.
NOTE Version 7 geometry correction (.GEO) files are not
compatible with earlier versions of GammaVision.
Automatic Calculation
In automatic mode, select the analysis results (.UFO) files for
the analysis of the spectra for the two geometries, and click
Calculate. This will display a table window showing the ratio
of the net peak areas for all the peaks common to both spectra.
The matching is done by using the identified (library) peak list
in both .UFO files.
Click the Description button to add a description to the file. This is used
to label the files and is copied into the spectrum file for added
verification of results.
Manual Calculation
In the manual mode, you enter the values. In the Ratio section at the top of the sidebar, enter the
Ref Rate (Geometry 1), the Cur Rate (Geometry 2), and the energy, then click Enter. The Ratio
(correction factor) will be displayed above the Ref Rate field in the sidebar, as well as in the
table window.
Click the Description button to add a description to the file. This is used to label the files and is
copied into the spectrum file for added verification of results.
At the bottom of the sidebar, you may optionally enter a 1-sigma Uncertainty for this correction,
ranging from 0% to 1000%.
173

GammaVision® V8 (A66-BW) 783620K / 0915
Figure 154. PBC
Menu.
Editing the Geometry Correction Table
To remove an energy from the Geometry Correction Table window, select it with the mouse and
click the sidebar’s Delete button. To change an energy, select it from the table with the mouse, go
to the Ratio section of the sidebar, change the values, and click Enter.
To save the current table, click the Save... button in the sidebar. Click Recall... to open a standard
file-open to recall an existing .GEO file.
The Geometry Correction Sidebar’s Control Menu
This sidebar’s control menu contains the same commands as shown in Fig. 152. To edit an exist-
ing file in a Notepad-like editor, click Edit File.... This opens a standard file-open dialog to select
the file, then an ASCII editor screen showing the file contents. Any changes made will be saved
to the file. The formatting does not have to be exactly as shown.
The Destroy selection erases all the values and energies in the currently displayed table. It does
not alter the disk file (if any) unless the current table is then saved with the same filename.
Restore will undo any changes made to the current table, including Destroy, as long as it is used
before the Geometry Correction Sidebar is closed.
Close ends the Calculate from Spectra session, closing the sidebar and the Attenuation Table
and graph windows. The currently selected table becomes the internal or working geometry table.
5.5.1.5. Peak Background Correction
The Peak Background Correction submenu is shown in Fig. 154.
Use these commands to load a new working .PBC file, to create or
edit .PBC files, and print PBC tables. The PBC file is used with the
Peak Background Correction in the spectrum analysis. Note that the
PBC correction is related to the detector and the shield, but not to the geometry
of the sample. The .PBC files are organized by nuclide, then by peaks, for
each nuclide. Any of the correction table nuclide data include the
nuclide name, which can be any combination of eight characters, but must be consistent
throughout all files.
At startup, GammaVision automatically attempts to load the PBC table last loaded. Thereafter, it
can be replaced at any time using Select PBC.... It stays resident in memory after it have been
loaded.
174

783620K / 0915 5. MENU COMMANDS
Figure 155. PBC Wizard.
Create PBC...
This feature analyzes an existing
.UFO file and creates a correspond-
ing .PBC file. It operates in both
buffer and Detector windows.
Browse for the Background Ufo
file to be used (Fig. 155). Then,
either enter a new filename for the
.PBC file or select an existing .PBC
file (the current contents of the file
will be overwritten). Note that at
startup GammaVision automatically
attempts to load the PBC table last used. It stays resident in memory as the working or internal
PBC file once loaded. You can replace this file at any time using Select PBC....
As of v7, Create PBC... now adds the unknown peaks to the PBC table. A new nuclide, Un-0,
has been added to the library, and its peak list is assigned all of the unknown peaks with uncer-
tainty values less than the Peak Cutoff value set on the Analysis tab under Analyze/Settings/
Sample Type.... These peaks are used in the PBC calculation if the PBC correction’s Match
Width by Energy checkbox is marked on the Corrections tab. Figure 156 shows a PBC table file
with all unknown peaks attributed to nuclide Un-0.
Select PBC...
Use this command to open a standard file-open dialog and select a new working .PBC file. If a
.PBC file is already loaded, its name will be displayed in the File name field; otherwise, the
default, *.PBC, will be shown. Select the desired file and click Open. The .PBC files are
organized by nuclide, then by peaks, for each nuclide.
Edit PBC...
This function is used to create a new .PBC file or to change the contents of an existing .PBC file.
To create a .PBC file, click Edit PBC... to open the Editing dialog shown in Fig. 157.
Figure 158 shows this dialog’s control menu (click the title bar icon to open it). It contains
several of the commands necessary to create and edit .PBC files.
175

GammaVision® V8 (A66-BW) 783620K / 0915
Figure 156. PBC Table File Displaying Peaks for Nuclide “Un-0.”
Manually Creating a New PBC Table
Open the control menu and click New. This will clear the Edit window so nuclides can be
entered manually. Click on the Insert... button to open the dialog shown in Fig. 159. Enter the
nuclide name exactly as it appears in the library.
Now, in the peak (right-hand) section of the dialog, click Insert... to open the dialog in Fig. 160.
Enter the energy of the gamma ray, the peak activity in cps, and an optional 1-sigma uncertainty
between 0% and 1000%. The energy must be the same as the library value. Peak energies in the
PBC Table and not in the library for this nuclide will not be corrected; likewise for peak energies
in the library and not in the PBC Table for this nuclide.
176

783620K / 0915 5. MENU COMMANDS
Figure 157. PBC Table Editing Dialog.
Figure 158. Edit PBC Dialog Control
Menu.
Figure 159. Edit or
Manually Add Nuclide
Name. Figure 160. Edit PBC Peak
Values.
Automatically Creating a PBC Table
To make a .PBC file from the background spectrum analysis results (.UFO) file, the background
count rates are extracted from the analysis results file and inserted in a .PBC file. To do this, open
the control menu and click on Show Background Analysis.... This will open a standard file-open
dialog. Select the correct .UFO file and click Open. The list of nuclides in the analysis will be
displayed to the left of the PBC Table (see Fig. 161). If no peaks are shown, none were in the
analysis file, possibly because they were all outside the energy analysis range.
177

GammaVision® V8 (A66-BW) 783620K / 0915
Figure 161. The List of Analysis Nuclides (left) and the PBC Table (right).
Adding Nuclides
There are two Insert buttons at the bottom of the PBC nuclide list: Insert..., which is for man-
ually specifying the nuclide; and the button below it, which will be labeled with the name of the
nuclide selected in the analysis results list (when no nuclide is selected, this button is labeled
Insert Copy).
To automatically add an analysis nuclide to the PBC list: Go to the analysis results list and click
once on the nuclide of interest. This will activate the gray Insert Copy button at the bottom of
the PBC list, and change its label to Insert plus the name of the nuclide. Now, in the PBC list,
locate the nuclide immediately below the desired insertion position, then click Insert [nuclide
name]. This will insert the nuclide, and display the energies and backgrounds for its peaks in the
analysis.
Double-clicking on a nuclide in the analysis results list will insert it into the PBC list immed-
iately above the highlighted PBC-list nuclide.
To manually add a nuclide to the PBC list, locate the nuclide immediately below the desired
insertion position, and click once to highlight it. Next, click the manual Insert... button to open
the dialog shown in Fig. 159, then follow the manual nuclide and peak insertion instructions that
begin on page 176.
178

783620K / 0915 5. MENU COMMANDS
Figure 162. Control Menu.
Figure 163. Cut Nuclide
Ready to Paste.
The entire analysis nuclide list can be copied to the PBC list by opening the analysis list’s control
menu (Fig. 162) and selecting Copy All to PBC.
To change the name of a nuclide on the PBC list, double-click it to open the PBC Nuclide dialog
(Fig. 159).
To remove a nuclide from the PBC list, click the nuclide, then on Cut. This will remove the
nuclide from the list. In addition, it will activate the gray Paste button at the bottom of the PBC
list, and change its label to include the name of the cut nuclide. This is illustrated for 152Eu in
Fig. 163.
Rearranging a PBC List (Optional)
The order in which nuclides appear in the .PBC file does not matter. However, if you wish to
rearrange the list for ease of reading, you can do so by cutting and pasting.
Peak Editing
When a nuclide is selected in the working .PBC file, the right half of the Edit PBC dialog shows
the peak list. Note the column headers, Rank, Energy, and C.P.S.. To sort the peak list by a
particular parameter in the list, click the appropriate header.
To edit a peak, either double-click the peak in the right-hand list, or click it once then click the
Edit button. This will open the PBC Peak dialog (Fig. 160).
Use the same PBC Peak dialog to add a peak: click the peak just below the desired insertion point
in the peak list, then click Insert.... This will open the PBC Peak dialog. Enter the energy and
counts for the peak and click OK.
Peaks can be deleted with Cut and, for easier readability, moved with Cut/Paste. The order of
the peaks is not important and has no effect on the correction.
Several peaks can be cut at one time from the list, then pasted back into the list into a different
order. Cut peaks remain queued up for pasting, last one first. Each relocated peak will be
179

GammaVision® V8 (A66-BW) 783620K / 0915
assigned a Rank number according to its new position. Click the peak just below the desired
insertion point in the peak list, then click Paste.
Saving or Canceling Changes and Closing the Edit Session
To save this modified .PBC file and use it as the working file, click the control menu, then Save
PBC Table As.... Either use the current filename (which will overwrite the previous values) or
assign a new filename, then click Save. (GammaVision will assign the default .PBC extension.)
To exit the edit session, click the control menu, then Close.
To abandon any changes and restore the .PBC file to its condition before editing, click the control
menu, then Close. A dialog will open asking if you want to save the changes; select No.
Print PBC...
Use this command to open a .PBC file and print the PBC table or save it as an ASCII text file,
ordered either by Nuclide or Energy. A standard file-open dialog allows you to select the desired
.PBC file, then a printer dialog opens so you may choose a printer or the file-save option.
Figure 164 shows a PBC table saved in both orientations.
5.5.1.6. Average Energy
The Average Energy table is built using the sidebar shown in Fig. 165. The calculation is
described in Chapter 6. To make the table, enter the energy per disintegration (keV) and the
Isotope name for each isotope to be included in the report. The isotope name must be exactly as
given in the analysis library.
Now click Enter to create and display the table (see Fig. 166). Each time another isotope is
added, the table updates.
To remove an isotope from the table, click it to select it, then click Delete Isotope on the sidebar.
To edit an isotope name or energy, select it with the mouse, make the necessary changes on the
sidebar, and click Enter. The table will update.
To save the current table, click Save.... This opens a file-save dialog. Enter a filename and click
Save; GammaVision will append the default .EBR file extension.
To display an existing table, click Recall..., select the desired file, and click Open.
180

783620K / 0915 5. MENU COMMANDS
Figure 164. PBC Table Ordered by Nuclide (left) and by Energy (right).
181

GammaVision® V8 (A66-BW) 783620K / 0915
Figure 165.
Figure 166. Average Energy Table.
Figure 167. Average
Energy Sidebar Control
Menu.
Figure 168. Editor Screen for Average Energy Table.
Average Energy Sidebar Control Menu
Figure 167 shows the Average Energy Sidebar’s control menu. To edit an existing file, click Edit
File... and select a file. It will open in a Notepad-like ASCII editor screen (Fig. 168). The
formatting does not have to be exactly as shown. Clicking on Save will save any changes to the
file (in other words, this is not a Save As...).
Destroy clears all values from the current table. Restore abandons any changes and returns the
table to its condition before editing (even after using Destroy), as long as the Restore is executed
before the Average Energy Sidebar is closed. Close closes the sidebar and table, and makes
the currently selected table the internal or working Average Energy table.
182

783620K / 0915 5. MENU COMMANDS
Figure 169. Average
Energy Table
Control Menu.
Figure 170. Iodine Equivalence
Sidebar.
Figure 171. Iodine Equivalence Table.
Average Energy Table Control Menu
Figure 169 shows the Average Energy Table control menu. It
contains commands to Print the table and to Close the table.
5.5.1.7. Iodine Equivalence
The Iodine Equivalence table is built using the sidebar shown in
Fig. 170. The calculation is described in Section 6.13. To make
the table, enter the Iodine Equivalence and Isotope name for
each isotope to be included in the report. The isotope name must
be exactly as given in the analysis library.
Now click Enter to create and display the table (see Fig. 171).
Each time another isotope is added, the table updates.
To remove an isotope from the table, click it to select it, then click Delete Isotope on the sidebar.
To edit an isotope name or energy, select it with the mouse, make the necessary changes on the
sidebar, and click Enter. The table will update.
To save the current table, click Save.... This opens a file-save dialog. Enter a filename and click
Save; GammaVision will append the default .IEQ file extension.
To display an existing table, click Recall..., select the desired file, and click on Open.
183

GammaVision® V8 (A66-BW) 783620K / 0915
Figure 172.
Figure 173. Editor Screen for Iodine Equivalence Table.
Iodine Equivalence Sidebar Control Menu
Figure 172 shows the Iodine Equivalence Sidebar’s control menu. To edit an existing file, click
Edit File... and select a file. It will open in a Notepad-like ASCII editor screen (Fig. 173). The
formatting does not have to be exactly as shown. Clicking on Save will save any changes to the
file (in other words, this is not a Save As...).
Destroy clears all values from the current table. Restore abandons any changes and returns the
table to its condition before editing (even after using Destroy), as long as the Restore is executed
before the Iodine Equivalence Sidebar is closed. Close closes the sidebar and table, and makes
the currently selected table the internal or working Iodine Equivalence table.
Iodine Equivalence Table Control Menu
The Iodine Equivalence Table’s control menu has the same commands as shown in Fig. 169,
including the Print command.
5.5.1.8. DAC (MPC)
The DAC (MPC) table is built using the sidebar shown in Fig. 174; the calculation is described in
Section 6.15. To make the table, enter the DAC value (Bq/Kg) and the Isotope name for each
isotope to be included in the report. The isotope name must be exactly as given in the analysis
library. Now click Enter to create and display the table (see Fig. 175). Each time another isotope
is added, the table updates.
To remove an isotope from the table, click it to select it, then click Delete Isotope on the sidebar.
To edit an isotope name or energy, select it with the mouse, make the necessary changes on the
sidebar, and click Enter. The table will update.
184

783620K / 0915 5. MENU COMMANDS
Figure 174. DAC (MPC) Sidebar.
Figure 175. DAC (MPC) Table.
Figure 176. Warning Message.
Figure 177. Conversion
Factor.
The DAC units displayed at the top of the sidebar are the
currently defined analysis units on the Systems tab under
Analyze/Settings/Sample Type.... If a .DAC file using
different units is recalled, the dialog in Fig. 176 opens,
warning of this difference. Click Yes to open the dialog
for the conversion factor (Fig. 177). Enter the factor and
click OK to scale the table values and put the table in
the analysis units. If No is selected, the analysis and table
will be in different units and the DAC/MPC calculation
will produce unknown results.
To save the current table, click Save.... This opens a file-
save dialog. Enter a filename and click Save; GammaVision
will append the default .DAC file extension.
To display an existing table, click Recall..., select the
desired file, and click on Open.
DAC (MPC) Sidebar Control Menu
The DAC (MPC) Sidebar contains the same commands as the menu
in Figure 172. To edit an existing file, click Edit File... and select a file. It will open in a
Notepad-like ASCII editor (Fig. 178). If you make any changes, click Save before closing the
editor window.
Destroy clears all values from the current table. Restore abandons any changes and returns the
table to its condition before editing (even after using Destroy), as long as the Restore is executed
before the DAC (MPC) Sidebar is closed. Close closes the sidebar and table, and makes
the currently selected table the internal or working DAC (MPC) table.
185

GammaVision® V8 (A66-BW) 783620K / 0915
Figure 178. Editor Screen for DAC (MPC) Table.
DAC (MPC) Table Control Menu
The DAC (MPC) Table’s control menu has the same commands as shown in Fig. 169, including
the Print command.
5.5.1.9. Gamma Total...
As of v6.08, GammaVision supports the EDF’s Gamma Total calculations and report file output.2
Figure 179 shows the Gamma Total/EDF Reports Setting dialog. The filenaming conventions for
the four EDF output file types are discussed on page 187. In addition to these output files you
will also be creating .SPC format spectrum files, as discussed below. These will be stored in the
location specified for spectra in File/Settings... (Section 5.1.1.4).
Gamma Total analyses can be performed on live spectra or on stored .SPC spectrum files. The
Gamma Total setup is saved with the .SPC file. When you recall a spectrum file previously used
for Gamma Total analysis, the Gamma Total dialog will display the analysis settings in effect
when the spectrum was saved. These settings can be changed as desired for reanalysis (however,
the new settings will not be saved with the spectrum unless you re-save the .SPC file).
NOTE Gamma Total report filenames are keyed to the MCB ID number assigned during
MCB configuration. Before performing these analyses, see the discussion on the
assignment of MCB ID numbers on page 11 in Section 2.3.2. If you have more than
10 MCBs, or MCBs with the same final digit in their instrument ID, be sure it is
possible to identify which results files correspond to each particular MCB.
186

783620K / 0915 5. MENU COMMANDS
Each analysis produces one or more characteristic output files, as discussed in the following
section. In addition, an EDF Special Applications Report section is added to the end of the
standard GammaVision report (see Section 7.8). This table lists the Gamma Total settings used in
the analysis, and the quantitative results. If the EDF Table Only box is marked, the standard
report contains only the header information and the EDF Special Applications Report table.
Otherwise, the EDF table is included on the standard report, along with the other report options
specified on the Report tab under Analyze/Settings/Sample Type... (page 155).
To turn off the EDF table in the GammaVision report, unmark all reporting options before the
next analysis.
Gamma Total analyses are typically predicated on an energy range of 100 keV to 2 MeV. If you
use a different energy range, you might wish to adjust the Integration Range on the Gamma
Total dialog accordingly.
Figure 179. Gamma Total Setup Dialog Configured for Gamma
Total Reporting.
187

GammaVision® V8 (A66-BW) 783620K / 0915
Output File Naming Convention
Background Report File
The background report file is named according to:
B#ddmmyy.XXX
where # is the last digit of the instrument ID number as assigned by the MCB Configuration
program; and ddmmyy is the analysis date as two-digit date, two-digit month, and the last
two digits of the year.
Analysis Report File
Analysis report files, for gamma total and germanium reporting, are named according to:
#_ddmmyy.Seq
where # is the last digit of the instrument ID number as assigned by the MCB Configuration
program; ddmmyy is the analysis date as two-digit date, two-digit month, and the last two
digits of the year; and Seq is the spectrum sequence number, as determined by the entry in
the Gamma Total Sequence and Germanium Sequence fields on the Gamma Total dialog.
Germanium Results File
The germanium reporting file is named according to:
DETAIL.Seq
where Seq is the spectrum sequence number, as determined by the entry in the Germanium
Sequence field on the Gamma Total dialog.
Maintenance Report File
These files, for cesium reporting, are named according to:
RDTCS_#.XXX
where # is the last digit of the instrument ID number.
Hardware and Analysis Configuration
Before acquiring data for a Gamma Total analysis, prepare the system as follows:
●The detector must be energy and efficiency calibrated.
188

783620K / 0915 5. MENU COMMANDS
●Select Analyze/Settings/Sample Type... and configure the analysis settings according to
your site procedures.
●Use Acquire/MCB Properties... to set the presets and other hardware properties.
Configuring and Generating the Gamma Total Reports
Background Counting Procedure
On the Gamma Total dialog, mark only the Count Background checkbox (unmark any
Gamma Total options in the left column, if they are marked). This procedure auto-generates a
background report, so there is no need to mark the Write Background Report checkbox.
Select the location for the Gamma Total Report Dir. The background file will be written to
this folder.
Remove any entries from the Background Spectrum, Cesium Spectrum, and Geometry
File fields, and click OK.
Count, analyze with Analyze/Entire spectrum in memory..., and save the resulting
background spectrum for use in other Gamma Total analyses. This will generate a Gamma
Total background file, B#ddmmyy.XXX, in addition to the background .SPC file.
Cesium Counting Procedure
On the Gamma Total dialog, mark only the Count Cs-137 checkbox (unmark any Gamma
Total or background options, if they are marked). This selection auto-generates a
maintenance report so there is no need to mark the Write Maintenance Report checkbox.
Select the location for the Gamma Total Report Dir. The maintenance file will be written to
this folder.
Browse for a Background Spectrum; then select the Geometry File location and enter a
new or existing geometry filename. Click OK.
Count, analyze with Analyze/Entire spectrum in memory..., and save the resulting cesium
spectrum for use in Gamma Total Reporting analyses. This will generate a Gamma Total
maintenance file, RDTCS_#.XXX, and a geometry file with a user-assigned filename and a
.TXT extension, in addition to the cesium .SPC file.
189

GammaVision® V8 (A66-BW) 783620K / 0915
Gamma Total Counting Procedure
On the Gamma Total dialog, mark the Enable Gamma Total Reporting checkbox (make
sure Count Background and Count Cs-137 are unmarked). This will automatically mark
the Enable Gamma Total Calculation and EDF Table Only boxes.
Select the location for the Gamma Total Report Dir.
Browse for a Background Spectrum; then select the Geometry File location and enter an
existing geometry filename. Click OK.
If Write Background Report is checked, a background report will be generated. If you also
specify a cesium spectrum, the K-factor to be used in the Gamma Total activity calculation
will be calculated from the cesium and background spectra. If the geometry file is specified
as well, then the K-factor calculated on-the-fly will be saved to the geometry file (instead of
reading the K-factor from the geometry file). In addition, if the cesium spectrum is specified
and Write Maintenance File is marked, a maintenance file will be generated.
Count, analyze with Analyze/Entire spectrum in memory..., and save the resulting spec-
trum. This will generate a Gamma Total analysis file #_ddmmyy.Seq, in addition to the
Gamma Total .SPC file.
To count only the background within the Integration Range when performing background
QA measurements (Section 8.2.2), mark the Use Range for Background QA checkbox in
the bottom section of the dialog.
Germanium Counting Procedure
On the Gamma Total dialog, mark only the Enable Germanium Reporting checkbox
(unmark any other reporting selections except, optionally, Report ISO NORM MDA On
Reports, as described below.).
Select the location for the Gamma Total Report Dir and the Germanium Report Dir.
No entries are required in the Background Spectrum, Cesium Spectrum, and Geometry
File fields. However if you want a background report generated, mark the Write Back-
ground Report field and recall a Background Spectrum. If you also specify a cesium spec-
trum, the K-factor to be used in the Gamma Total activity calculation will be calculated from
the cesium and background spectra. If a geometry file is specified as well, then the K-factor
calculated on-the-fly will be saved to the geometry file (instead of reading the K-factor from
the geometry file). If you want a maintenance file generated, mark Write Maintenance File
and include a cesium spectrum.
190

783620K / 0915 5. MENU COMMANDS
Figure 180. Generate an ROI Report.
To save the ISO NORM MDA values, instead of the regular MDA values, to the germanium
results file, mark the Report ISO NORM MDA On Reports checkbox.
NOTE To enable this checkbox, you must first mark the ISO NORM checkbox on the
Report tab under Analyze/Settings/Sample Type....
Count, analyze with Analyze/Entire spectrum in memory..., and save the resulting spec-
trum. This will generate a Gamma Total analysis file #_ddmmyy.Seq, and a germanium
results file DETAIL.Seq, in addition to the germanium .SPC file.
To count only the background within the Integration Range when performing background
QA measurements (Section 8.2.2), mark the Use Range for Background QA checkbox in
the bottom section of the dialog.
5.5.2. Peak Search
This command initiates a Mariscotti27-type peak search on the spectrum. The peak-search sensi-
tivity is selected on the Systems tab of the Sample Type Settings dialog (see the discussion
beginning on page 152). Each peak found is marked with an ROI. If the system is calibrated, the
width of the ROI is three times the calculated FWHM of the peak. If not calibrated, the width of
the ROI is based on the width of the peak as determined by the peak search. Overlapping or close
peaks might have contiguous ROIs. Existing ROIs are not cleared.
The report function can be used with Peak Search to produce a semi-quantitative nuclide list for
the spectrum.
5.5.3. ROI Report...
The ROI Report... function creates a
report describing acquisition conditions
and contents of all ROIs, and sends it
to a disk file, the display, or the printer.
The dialog shown in Fig. 180 can direct
the report output to a disk file (name
chosen by user), a printer, or the screen.
27M.A. Mariscotti, “A Method for Automatic Identification of Peaks in the Presence of Background and its
Application to Spectrum Analysis,” Nuclear Instruments and Methods 50, 309−320 (1967).
191

GammaVision® V8 (A66-BW) 783620K / 0915
Detector # 1 ACQ 30-Sep-91 at 14:47:00 RT = 250057.0 LT = 250000.0
No detector description was entered
Background in shield with copper liner
ROI # 1 RANGE: 297 = 63.26keV to 323 = 67.86keV
AREA : Gross = 4231 Net = 490 +/-116
CENTROID: 309.50 = 65.47keV
SHAPE: FWHM = 0.96 FW(1/10)M = 2.11
No close library match.
ROI # 2 RANGE: 708 = 135.95keV to 736 = 140.91keV
AREA : Gross = 5898 Net = 482 +/-145
CENTROID: 724.08 = 138.80keV
SHAPE: FWHM = 0.66 FW(1/10)M = 1.40
ID: Hf181 at 136.28keV
Corrected Rate = 0.76 +/- 0.23 Bq
Detector # 1 ACQ 30-Sep-91 at 14:47:00 RT = 250057.0 LT = 250000.0
No detector description was entered
Background in shield with copper liner
Figure 181. Example of Paragraph-Format Report.
Only the ROIs in the expanded view are shown on the display. You can also select from two
report formats, Paragraph and Column.
Examples of the Paragraph and Column format are illustrated in Figs. 181 and 182, respec-
tively. The information supplied is the same in both formats.
If the spectrum is not calibrated, the following are reported for each ROI:
●ROI number
●Start channel of the ROI
●Stop channel of the ROI
●Gross area of the peak
●Net area of the peak, as calculated in Calculate/Peak Info
●Error in net area, as calculated in Calculate/Peak Info
●Centroid channel of peak, as calculated in Calculate/Peak Info
●FWHM
●FW(1/x)M
192

783620K / 0915 5. MENU COMMANDS
ROI# RANGE (keV) GROSS NET +/- CENTROID FWHM FW(1/10) LIBRARY (keV) Bq +/-
1 63.26 67.86 4231 490 116 65.47 0.96 2.11 No close library match.
2 135.95 140.91 5898 482 145 138.80 0.66 1.40 Hf181 136.28 0.76 0.23
3 507.40 513.06 8632 5445 140 510.22 2.73 4.56 Sr85 514.00 0.74 0.02
4 1455.81 1463.59 2088 1588 69 1460.68 2.07 3.97 Br82 1474.90 2.72 0.12
5 2610.29 2620.19 818 609 48 2614.98 2.83 4.55 No close library match.
Figure 182. Example of Column-Format Report.
If the spectrum is calibrated, both energy and channel values are given for 1–9 above, and in
addition the following is included:
●The best match, if any, from the library
And, if a match is found in the library:
●The activity, calculated using the net area, the live time, and the efficiency
5.5.4. Entire Spectrum in Memory...
This selection initiates an analysis of the entire spectrum in the active buffer or Detector window
(if the Detector is not acquiring data), generating .RPT, .UFO, and .AN1 files. The analysis is
performed in the background and the display is available for continued interactive use. The spec-
trum is moved to disk for the analysis so the spectrum in the Detector or buffer can be changed if
needed. When the analysis is completed, you are notified and the report is generated. If any errors
occur, the error number is displayed along with the spectrum name. The errors corresponding to
the error numbers are explained in Appendix C.
If the Program radio button on the Report tab of Analyze/Settings/Sample Type... has been
selected, with Notepad.exe designated as the output program, GammaVision will open Windows
Notepad and display the analysis report. The software will not accept inputs while the report
display is shown. When you exit Notepad, control returns to GammaVision. At this point, if you
select Analyze/Display Analysis Results, the .UFO file for the spectrum just analyzed will
automatically be displayed.
5.5.5. Spectrum on Disk...
This command analyzes a spectrum stored on disk, using the analysis parameters stored in the
spectrum file. A standard file-open dialog is displayed. A background analysis is performed as
soon as you open the spectrum filename, and a .UFO and .RPT file are generated. When the
analysis is complete a message is displayed on the information line. If any errors occur, the
error number is displayed along with the spectrum name. The numbers are explained in
Appendix C.
193

GammaVision® V8 (A66-BW) 783620K / 0915
Figure 183. Display from .UFO File.
If the Program radio button on the Report tab of Analyze/Settings/Sample Type... has been
selected, with Notepad.exe designated as the output program, GammaVision will open Windows
Notepad and display the analysis report. Close Notepad to end the analysis session and return to
GammaVision.
5.5.6. Display Analysis Results...
This command displays the results of an analysis of the complete spectrum by reading the results
stored in a .UFO file(Fig. 183).28
28.UFO files are created by any analysis command, including Entire spectrum in memory and Spectrum from
disk on the Analyze menu, and Start/Save/Report on the Acquire menu.
194

783620K / 0915 5. MENU COMMANDS
Figure 184.
Analysis Results
Sidebar.
This analysis considers all of the spectrum and all library entries, thus differing from the inter-
active analysis results. When you select Display analysis results, the .UFO file matching the
active spectrum’s filename will be highlighted and ready to open; just click OK. To compare the
analysis results to the corresponding spectrum, the spectrum analyzed should first be recalled into
a buffer window.
5.5.6.1. Analysis Sidebar
Figure 184 shows the Analysis Sidebar. The buttons move the marker up and down through the
results list, library, and spectrum simultaneously.
The within Nuclide buttons move up and down the library list for the selected
nuclide, in the order the energies are stored in the library. Since the library
energies are not usually stored in increasing energy order, this will cause the
marker to jump about the spectrum. This is useful in deciding if a nuclide is
present or not, by looking for all the lines associated with the nuclide. If the
selected peak has a zero area, it is not displayed.
The Energy buttons move the cursor up and down through
the library peak list in energy order. Only non-zero-area
peaks are shown. Since the library used for the analysis
might not be the same as the working library, this might be
a different set of peaks than found with the Library buttons
on the Status Sidebar.
The Peak buttons move the marker up and down through
all the peaks in the spectrum. This includes non-zero-area
library peaks and unknown peaks above the peak-search
sensitivity cutoff.
The Unknown buttons move the marker up and down
through the unknown peaks that satisfy the sensitivity cutoff, in energy order,
skipping over any library peaks.
The Multiplet buttons move up and down through the multiplet or deconvoluted
regions in the spectrum. The multiplet up button goes to the first (lowest-energy)
peak of the next higher multiplet. Similarly, the multiplet down button goes to the
last (highest-energy) peak of the next lower multiplet. To look at individual peaks
in the multiplet, use the Peak, Energy, or Unknown buttons.
195

GammaVision® V8 (A66-BW) 783620K / 0915
Figure 185. Spectrum Residuals
Display (arrow).
Figure 186. Analysis
Results Spectrum
Window Menu (right-
click to open).
The ROI, Peak, and Library buttons on the Status
Sidebar are also active.
Marking the Show Residuals check box adds a line beneath
the spectrum that displays the difference between the actual
spectrum and the calculated spectrum based on the analysis
and the calibration peak shape. An example is shown in
Fig. 185.
5.5.6.2. Analysis Results Spectrum Window
This release of GammaVision features an improved
Analysis Results Spectrum Window that gives you
more flexibility in displaying and printing your analy-
sis results. Right-clicking in the spectrum window
opens the right-mouse-button menu shown in Fig. 186.
Plot Absolute Residuals/Plot Relative Residuals
These commands are active if the Show Residuals check
box is marked on the analysis sidebar. The residuals are
a comparison of the counts in each channel (Actual) to the
calculated counts for that channel as determined by the
peak-fitting algorithm (Fitted). Plot Absolute Residuals
displays the difference in each channel, in counts, between
Actual and Fitted counts. Plot Relative Residuals displays
the difference in each channel, in standard deviations
(abbreviated STD on the screen), between Actual and Fitted
counts divided by the square root of the Actual counts; that
is, .
The Properties command allows you to modify the screen
colors and y-axis scaling for the residuals histogram.
Zoom In
Zoom In adjusts the horizontal and vertical scales in the
Expanded Spectrum Window to view a smaller portion of
the spectrum. This command is duplicated by the Zoom In
button on the toolbar.
196

783620K / 0915 5. MENU COMMANDS
Figure 187. Inactive
(solid) and Active
(diagonal fill) ROI Bars.
Zoom Out
Zoom Out adjusts the horizontal and vertical scales in the Expanded Spectrum Window to view
a larger portion of the spectrum. This command is duplicated by the Zoom Out button on the
toolbar.
Undo Zoom In
This will undo or reverse the last Zoom In operation done with the rubber rectangle. It restores
the display to the horizontal and vertical expansion before the Zoom In. It is not the same as
Zoom Out.
Full View
Full View adjusts the horizontal and vertical scaling to display the entire spectrum in the
Expanded Spectrum View.
Mark ROI
This allows you to mark a peak as an ROI by clicking and dragging the rubber rectangle across a
portion of the spectrum, then selecting Mark ROI. If Show ROI Bars is on, the new ROI will be
marked with the active ROI Bars until you either move to or create another ROI.
Clear Active ROI
This clears the ROI bits in all ROI channels that adjoin the channel containing the marker.
Show ROI Bars
These are vertical markers that indicate the lower and upper
boundaries of each ROI in the spectrum. The ROI bars for
an inactive/unselected ROI have solid fill; when you click an
ROI to activate it (only one is active at a time), the bars for the
active ROI change to a diagonal fill (see Fig. 187). To display
the ROI bars, right-click in the expanded window to open the
right-mouse-button menu, then click ROI Bars to checkmark
it. To hide the ROI bars, click the command again to clear the
checkmark.
197

GammaVision® V8 (A66-BW) 783620K / 0915
Figure 188. The Peak Info Window for an
ROI.
When you activate an ROI by clicking on it, the low (start) and high (end) positions marked by
the ROI bars are displayed on the Marker Information Line.
You can shift the start and end channels of an ROI by clicking and dragging the ROI bars (allow
a moment for the display to update).
The ROI bar color is controlled by the Markers droplist in the Graph Properties dialog.
Peak Info
This command opens a Peak Info box
(Fig. 188) for the selected peak and leaves the
box open until you click inside it. This com-
mand works for peaks loaded from a .UFO file, and ROIs
created within GVPlot or loaded from an .ROI file. The
contents of the Peak Info box are described in
Section 5.4.3. You can simultaneously display multiple
Peak Info boxes as long as they do not overlap. A new
Peak Info box will close any existing boxes that it
overlaps. For very narrow peaks, you might find it useful
to position the marker with the left/right arrow
keys before calling the Peak Info command.
When the marker is on a peak, the right side
of the Marker Information Line will display a
Peak Area readout.
Show Hover Window
When you select this command, a checkmark is displayed by this menu item to indicate that it is
in hover-window mode. In this mode, the Peak Info window opens when the mouse pointer is
paused over a peak for approximately 1 second, and closes when the pointer is moved away from
the peak. To turn off hover mode, select Show Hover Window again to remove the checkmark.
This mode can be used together with Peak Info.
Sum Spectrum
This sums the gross counts in the area selected with the rubber rectangle or, if you have not
selected an area, the gross counts in the entire spectrum. The results are displayed on the status
line, and indicate the span of channels summed.
198

783620K / 0915 5. MENU COMMANDS
Figure 189. Customize Graph Styling.
Print Graph
This command prints the Analysis Results Spectrum Window. It duplicates File/Save Plot.
Properties
This opens the Graph Properties dialog
(Fig. 189), which lets you set the graph
colors, symbol type, and axis scaling
factors. All settings are reset when you
exit GammaVision.
The Text color affects the color of the
axes, axis labels, and spectrum title.
Background controls the color of the
spectrum background. Markers applies
to the ROI bars, and nuclide labels and
pointers.
Data Set Colors allows you to choose
separate colors for spectrum Data, Fit-
ted peaks, and Residuals; select a data
type from the left-hand droplist, then
choose a color from the list on the right. Similarly, use Fill Color to control the colors of ROIs,
Nuclide Peaks, Unknown Peaks, Multiplets, and Composites. Spectrum Style determines how
the histogram data are represented (Points, Line, or Fill All).
The Show Nuclide Name checkbox allows you to hide or display the nuclide markers for an
analyzed spectrum. Clearing the Show Axes checkbox removes the axes so the histogram
occupies the entire window without an inside border.
Set the Y Axis Scale of the spectrum window to Linear or Logarithmic. You can also do this
with the LOG button on the toolbar except as noted in the bullet list below.
The Draw Multiplet radio buttons determine whether multiplets are drawn as a Composite
curve, shown individually (Each), or displayed as individual peaks superimposed with the com-
posite curve (Both). These modes are compared in Fig. 190. This display is most easily seen with
all Fill Modes turned off (checkboxes unmarked).
The Fill Mode checkboxes allow you to determine which peak types, if any, will be displayed in
fill mode rather than data-point mode.
199

GammaVision® V8 (A66-BW) 783620K / 0915
Figure 190. Draw Multiplet Modes.
The toolbar’s Auto button is interlocked with the
Auto Y (Spectrum) checkbox. Therefore, clicking
the toolbar’s Auto button on and off respectively
turns on and off the Auto Y (Spectrum) feature in
the analysis results Graph Properties dialog, and
vice versa.
Similarly, the LOG button on the toolbar is inter-
locked with the Linear and Log radio buttons in the
Y Axis Scale section of the Graph Properties dialog.
The y-axis in the Display Analysis Results window is referred
to as being in auto mode when (1) the Auto Y (Spectrum)
checkbox is marked or (2) the Auto Y (Spectrum) box is
unmarked and the range is set from 0 to 0. In auto mode, the
LOG and Auto toolbar buttons behave as they do in the regular Detector and buffer windows.
When the Auto Y (Spectrum) checkbox is unmarked and the range is other than 0 to 0, the
y-axis is referred to as being in manual range mode. When the y-axis is in manual range mode,
the LOG and Auto buttons behave as follows:
●The LOG button toggles the y-axis between logarithmic (on) and linear (off) scaling.
●The Auto button toggles the y-axis between the auto (on) and manual (off) ranges.
●The LOG and Auto buttons work independently. They can both be turned on at the same
time to achieve an Auto range with a logarithmic scale.
NOTE Manually setting the range for one axis disables zooming for that axis only. If both axis
ranges are manually fixed, all zooming is disabled.
5.5.6.3. Analysis Results Table
Figure 191 shows the Analysis Results Table window. The table records can be sorted by any
parameter (e.g., energy, area, nuclide, FWHM) by clicking on the desired column header.
The Analysis Sidebar’s control menu is shown in Fig. 192 (click the title bar icon to open the
menu). Mark or unmark Table to show or hide the Analysis Results Table; use Print on the
Analysis Results Table control menu to print the table as displayed (note that this is not the same
as the complete report described in Chapter 7).
200

783620K / 0915 5. MENU COMMANDS
Figure 191. Analysis Results Table.
Figure 192.
Figure 193. Details of Analyzed Peak Derived from the .UFO File.
When the Analysis Results Table is displayed and GammaVision is in
interactive-analysis mode, you can see more details about any peak by
double-clicking on that peak in the table. This opens a Details window,
as shown in Fig. 193. Use the Peak buttons to step to the next-highest-
energy and next-lowest-energy peaks. Click Close or press <Esc> to exit.
201

GammaVision® V8 (A66-BW) 783620K / 0915
The Details window shows the following peak information, derived from the .UFO file structure
(which is described in detail in the File Structure Manual):
Peak energy
The library peak energy in keV, or the centroid energy for unknown peaks.
Peak centroid
The peak centroid energy from the spectrum.
Peak center
The peak centroid channel from the spectrum.
Peak range of integration
The low and high channel numbers for the peak region. These are the beginning and end
channel numbers for the background region around a single peak. See also Multiplet range
of integration.
Multiplet range of integration
The low and high channel numbers for the multiplet region. These are the beginning and end
channel numbers for the background region around the entire multiplet. All peaks in the
multiplet will have the same low-/high-channel values.
Full-width-1/2-maximum
The full width at half maximum of the peak. It is a measured value for single peaks and a
calculated value for peaks in a multiplet region.
Full-width-1/10-maximum
The full width at tenth maximum of the peak. It is a measured value for single peaks and a
calculated value for peaks in a multiplet region.
Full-width-1/25-maximum
The full width at twenty-fifth maximum of the peak. It is a measured value for single peaks
and a calculated value for peaks in a multiplet region.
Gammas per 100 disintegrations
Branching ratio from library, if peak was identified.
Net area
The corrected net area of the peak. For example, the PBC correction could be applied to this
number.
202

783620K / 0915 5. MENU COMMANDS
Background
The corrected peak background calculated by the program.
Counting uncertainty
The 1-sigma counting uncertainty in the peak net area, as a fraction.
Isotopic abundance
The activity for this nuclide based on this peak only. It is zero for unknown peaks or if there
is no efficiency calibration.
MDA
The minimum detectable activity for this nuclide based on this peak only. It is zero for
unknown peaks or if there is no efficiency calibration.
Width of background region below peak
Width of background region above peak
The number of channels used in the calculation of the background below and above the peak
(as selected on the Sample tab under Analyze/Settings/Sample Type...). If the background
selection is set to a given number, then these will both be the same. For the Auto background
setting, these can be different.
Average background below peak
Average background above peak
TCC flag
Was TCC enabled?
Original branching ratio of TCC peak
Original branching ratio if TCC was enabled
Suspect library nuclide
Suspect library nuclide name, if peak was not identified.
Second MDA value
If a second MDA calculation is specified in the b30winds.ini (n30winds.ini for NAI32) file,
this is the second MDA value. Otherwise, the value is zero.
5.5.7. Interactive in Viewed Area...
Interactive in viewed area... starts an interactive analysis session by analyzing the spectrum
now displayed. This command is active only when the Expanded Spectrum View displays ≤4096
channels (zoom in on a portion of the spectrum to activate this command). The working library
203

GammaVision® V8 (A66-BW) 783620K / 0915
Figure 194. Results Interactive in Viewed Area.
selected with Library/Select File... is used. The analysis parameters have been set in the
Analyze/Settings/Sample Type... dialogs. When the analysis is complete, the graphical results
and peak area table are displayed as illustrated in Fig. 194. The table records can be sorted by
such parameters as energy, area, FWHM, and background by clicking on the desired column
header.
NOTE This interactive method uses a different analysis engine than the one specified in the
Sample Defaults (Analyze/Settings/Sample Type...), therefore, results from the two
engines might differ somewhat. To see the analysis results generated by the Sample
Defaults, use Display Analysis Results... instead of the interactive function.
204

783620K / 0915 5. MENU COMMANDS
Figure 195 shows the interactive Analysis Sidebar. The buttons move the marker up and down
through the results lists, library, and spectrum simultaneously.
The buttons in the Library Peak section pertain to the results from the analysis; the other buttons
pertain to the spectrum. The peak-found buttons move to the next higher or lower peak in the
analysis results list. This includes non-zero-area library and unknown peaks above the cutoff. See
Peak button below.
The within Nuclide buttons move up and down the
library list for the selected nuclide, in the order the
energies are stored in the library. Since the library
energies are not usually stored in increasing energy
order, this will jump the marker around in the spec-
trum. This is useful in deciding if a nuclide is present
or not, by looking for all the lines associated with the
nuclide. Only non-zero-area peaks are displayed.
The Energy buttons move the marker up and down
through the library peak list in energy order. Only
nonzero-area peaks are shown. Since the library used
for the analysis might not be the same as the work-
ing library, this might be a different set of peaks
than found with the Peak buttons.
The Peak buttons move up and down through the
peaks found by the online peak search. (The sensitivity is set in the system
settings.) This might select more peaks than the analysis peaks above because
of the difference in the cut-off. If the sensitivity for analysis is low, e.g., 5%,
many peaks will not be reported because their uncertainty is too high. They
will have been found by the analysis, but not reported.
The Unknown buttons move the marker up and down through the unknown
peaks in energy order, skipping over any library peaks. Only peaks that satisfy
the sensitivity cutoff are shown. Note that the Library Peak and Unknown
buttons select different groups of peaks.
The Multiplet buttons move up and down through the multiplet or deconvo-
luted regions in the spectrum. The next time the multiplet up button is clicked,
the marker goes to the first (lowest-energy) peak of the next-higher multiplet.
The next down button goes to the last (highest-energy) peak of the next-lower
multiplet. To look at individual peaks in the multiplet, use the Peak, Energy,
or Unknown buttons.
Figure 195.
Analysis Display
Controls.
205

GammaVision® V8 (A66-BW) 783620K / 0915
Figure 196. Shift
keV.
Figure 197.
Library Menu.
To add a peak to the analysis library, position the marker at the desired location and click Add.
This adds a temporary nuclide to the library (assigned the name “Analyze” in the results table)
with a peak at this energy. A new analysis is performed and the new results are displayed. More
peaks can be added as needed.
To delete a peak, click the peak energy in the Analysis Results List. The marker will jump to this
channel in the spectrum. Click Delete. A new analysis is performed and the new results are
displayed.
The energy calibration for all the peaks in the spectrum can be shifted
with the Shift (keV) field and slide bar (Fig. 196). Select the amount
of shift and click OK. The shift increments in energy equivalent to
0.1 channel. GammaVision will perform the new analysis and display
the results.
The residuals are the differences between the calculated spectrum (based
on peak shape, peak area, and background) and the actual raw data. These can be displayed in the
spectrum window by marking the Show Residuals check box (refer to Fig. 185). The scaling
factor for the residual display is the same as for the data display. In log mode, the scale of the
residuals display is somewhat exaggerated and the residuals might appear more significant than
they actually are.
The results of this analysis are stored in memory and can be stored as a .UFO file on disk by
selecting Store Results As... from the Analysis Sidebar’s control menu. Mark/unmark the Table
item to show/hide the Analysis Results Table. Use the Print command in the results window’s
control menu to print the results table.
5.6. Library
The Library menu commands (Fig. 197) allow you to select, display,
create, edit, or print the library files used in the Analyze and Calibrate
sections, using either the GammaVision library editor discussed here
or the NuclideNavigator III library editor. Library files are organized
by nuclide, then by the nuclide’s peaks. Both .LIB and .MDB libraries
are supported.
The nuclide library is used with reference to the peak-search or report
functions for quantitative identification of and activity calculations for spectral components
according to calibrated peak energy. The nuclide library data include the nuclide name, half-life,
and half-life uncertainty. The nuclide names can be any combination of eight characters, but must
be consistent throughout all files. The library peak data include the energies and branching ratio
or gammas/disintegration for each energy.
206

783620K / 0915 5. MENU COMMANDS
Figure 198. Peak List Dialog Box.
At startup, GammaVision automatically attempts to load the library last loaded (the first time you
run GammaVision, the library DEFAULT.LIB is used). Thereafter, this working library can be
replaced at any time with Library/Select File.... The library stays resident in memory after it has
been loaded.
In the analysis report, the nuclides are listed in the order they are in the library. The size of a
working library is limited to 65,000 bytes for any combination of nuclides and peaks (e.g., about
100 nuclides with 1900 peaks or 200 nuclides with 1600 peaks). Master or reference libraries
(e.g., MASTER.LIB from A53-BI or MASTER.MDB from NuclideNavigator), from which the work-
ing libraries are built, can be any size. To analyze using larger libraries, such as those created by
NuclideNavigator III, the library for the analysis is specified in Analyze/Settings/Sample
Type... as the library from disk.
NOTE Some old libraries might need to be rebuilt by copying the complete library to a new
library with the Library/Edit... feature (Section 5.6.3). The “Can’t read library”
error means this should be done.
5.6.1. Select Peak...
This opens a window containing a list of the
library peaks in energy order (Fig. 198). This
list shows the nuclide name, energy, gammas/
100 disintegrations, and half life. Clicking
on any field moves the marker line to that
energy in the spectrum.
The Library List can be sorted by nuclide,
energy, percent, or half life by clicking on
the desired column header.
5.6.2. Select File...
This opens the Load Library File dialog
(Fig. 199). If a library has already been selected,
it is shown in the File name field. If File name
contains a generic entry of *.LIB or *.MDB, no
library is currently selected. Select the desired
disk and filename and click Open. This library becomes the working library.
207

GammaVision® V8 (A66-BW) 783620K / 0915
Figure 199. Select an .LIB- or .MDB-Format Library File.
5.6.3. Edit...
Use this command to create a new library file or change the contents of an existing library file. It
allows you to select the GammaVision Editor... or Nuclide Navigator... (if NuclideNavigator
III is installed). The GammaVision library editor is discussed here. The NuclideNavigator editor
is described in the NuclideNavigator III user manual.
Figure 200 shows the GammaVision library Editing dialog.
The control menu (click the title bar icon to open it) is shown in Fig. 201. It contains several of
the commands necessary to create, edit, and print the .LIB files.
208

783620K / 0915 5. MENU COMMANDS
Figure 200. Editing Library Dialog.
Figure 201. Library Edit
Dialog Control Menu.
5.6.3.1. Copying Nuclides From Library to Library
To copy nuclides from one library to another library — for example, to make a working library
from a master library — click on the Edit window’s control menu and select Show Master
Library. This will open a file selection dialog. Choose the desired disk and file and click Open.
Both libraries will be displayed side by side, as illustrated in Fig. 202.
209

GammaVision® V8 (A66-BW) 783620K / 0915
Figure 202. The Master Library (left) and Library Editing Dialog (right).
Figure 203. Add a Nuclide.
To copy a nuclide from the master library to the
working library: Go to the master library list and
click once on the nuclide of interest. This will acti-
vate the gray Insert Copy button at the bottom of the
Editing dialog’s nuclide list, and change its label to
Insert plus the name of the nuclide. Now, in the Edit-
ing dialog, locate the nuclide immediately below the
desired insertion position, click it once, then click
Insert [nuclide name]. This will insert the nuclide
and display its peak list on the right.
Double-clicking on a nuclide in the master library
will add it to the working library, inserting it imme-
diately above the currently highlighted nuclide in
the list.
5.6.3.2. Creating a New Library Manually
Open the control menu and click New. This will clear the Editing dialog so nuclides can be
entered manually. Click the Insert... button to open the Insert Library Nuclide dialog, shown in
Fig. 203. Enter the Nuclide Name and Half Life and click OK.
210

783620K / 0915 5. MENU COMMANDS
Figure 204. Ready
to Edit this Nuclide.
Figure 205. Edit or Manually Add
Nuclide Name.
NOTE We recommend that you enter the standard name for the nuclide so that Nuclide Navi-
gator will be able to recognize it. If you use a non-standard name, the TCC calculations
could fail due to an inability to compute the parent daughter relationships.
Click the desired row under the Rank/Energy/Percent heading to highlight that row. Now, at the
bottom of the (right-hand) peak list, click Insert... to open the Edit Library Peak dialog
(Fig. 207). Enter the energy of the gamma ray and the branching ratio of the peak.
5.6.3.3. Editing Library List Nuclides
To edit the information about a nuclide in the working library:
Click the nuclide to highlight it. The Edit... button (in the upper
right of Fig. 200) will change to Edit plus the name of the nuclide,
as shown in Figure 204.
Click Edit [nuclide].... This will open the Edit Library Nuclide dialog
(Fig. 205). The Nuclide Name, Half Life, Uncertainty, and Nuclide Flags will already be listed.
The Uncertainty is a single number that represents the
overall uncertainty (2 sigma or 95% confidence level)
in the branching ratios entered for this nuclide. The
1-sigma uncertainty is added in quadrature to form the
total uncertainty on the final report. The Uncertainty
value should be taken from the nuclear data sheet for
this nuclide. The default is 5%, but 2% is a realistic
number.
The first six Nuclide Flags are used to show how the
nuclide was produced. For example, Thermal Neutron
Activation (T) indicates that this nuclide is produced
when the parent nuclide absorbs a slow neutron. This
can be helpful in organizing reports by nuclide category.
More than one flag can be checked. Libraries produced
with Nuclide Navigator II or later versions will already
have these flags set. For other libraries, it will be neces-
sary to consult a reference for the proper settings.
The No MDA Calculation flag indicates that the nuclide will not be reported unless present in
the spectrum. If this is not marked, the MDA value will be printed if the nuclide is not present in
the spectrum.
211

GammaVision® V8 (A66-BW) 783620K / 0915
Figure 206. Cut Nuclide is
Ready to Paste.
This flag is handled differently for the ISO NORM calculations than for the regular Gamma-
Vision report. If an isotope flagged as NO MDA is not detected in the sample, it is not reported in
the standard GammaVision report sections unless the Directed Fit flag is turned on. However, the
isotope is always reported in the ISO NORM table.
The Activity Not in Total flag indicates that the activity for this nuclide will not be included in
the total activity for this sample.
These flags are listed on the report and saved in the .UFO file.
Manually Adding Nuclides
To manually add a nuclide to the library list, locate the nuclide immediately below the desired
insertion position, and click once to highlight it. Next, click the manual Insert... button to open
the Edit Library Nuclide dialog. The dialog will be blank. Fill in the name and half life as well as
any other inputs and click OK.
Deleting Nuclides from the Library
To remove a nuclide from the library, click the nuclide, then Cut.
This will remove the nuclide from the list. In addition, it will
activate the gray Paste button at the bottom of the nuclide list,
and change its label to include the name of the cut nuclide. This
is illustrated for 152Eu in Fig. 206.
Rearranging the Library List
The order of the nuclides in the library is the order in which
they are listed on the report. Nuclides can be rearranged in the .LIB file list by cutting and pasting
them into a different location. To move a nuclide to a new position in the list, highlight the
nuclide to be moved; Cut it from the list; locate the nuclide immediately below the desired new
position and click once on that nuclide to highlight it; then click the Paste button (which will be
labeled with the name of the Cut nuclide). The Cut nuclide will be inserted in the space above
the highlighted nuclide.
Several nuclides can be cut at one time from the list, then pasted back into the list into a different
order. Cut nuclides remain queued up for pasting, last one first, according to the nuclide name on
the Paste button.
To move a nuclide to the end of the library list, Cut the nuclide from the list, highlight the
--end-- entry, and click the Paste button.
212

783620K / 0915 5. MENU COMMANDS
Figure 207. Edit or Manually Add Library
Peak Values.
Editing Nuclide Peaks
When a nuclide is selected in the working .LIB file, the right half of the Editing dialog shows the
peak list. Note the column headers, Rank, Energy, and Percent. To sort the peak list by a parti-
cular parameter in the list, click the appropriate header. Be sure to check the flag settings in old
libraries and edit if necessary.
To edit a peak, either double-click the peak in the
right-hand list, or highlight it and click the Edit
button. This will open the Edit Library Peak dialog
(Fig. 207). The Energy (keV), Gammas per 100
Disintegrations, Photon Flags, and Peak Flags
will already be listed.
The Photon Flags are used to show the peak
origin. Gamma Ray (G) and X-Ray (X) mean the
peak energy is due to a nuclear or atomic transi-
tion, respectively. Positron Decay (P) is used for
the 511 keV peak. Single-Escape (S) peaks are
peaks for which a single 511 keV photon has
escaped the detector. This can only occur for full-
energy peaks above 1.022 MeV. A Double-Escape
(D) peak is one for which two 511 keV photons
have escaped the detector. Both single- and double-
escape peaks are broader than gamma-ray peaks. Neither can be used for activity calculations
because the activity of the peak is not related directly to the activity of the full-energy peak.
Nonetheless, these can be included in the library to account for the peak in the spectrum.
The Not In Average (A) flag in the Peak Flags section of the dialog should be set for these
peaks. All the peaks marked as Key Line (K) must be present before the nuclide will be listed as
present on the report. If no lines are marked as key lines, the nuclide will be listed as present if
the first line is in the spectrum.29
Adding Nuclide Peaks
To add a peak: Click the peak just below the desired insertion point in the peak list, then click
Insert.... This will open the Edit Library Peak dialog; all the fields will be blank. Enter the
necessary information for the peak and click OK.
29To duplicate the operation of older versions of GammaVision, mark either no lines or only the first line as a key
line.
213

GammaVision® V8 (A66-BW) 783620K / 0915
Figure 208. Print Library to Printer or File.
Rearranging the Peak List
The entries in the peak list can be rearranged with the Cut and Paste buttons. Several peaks can
be cut at one time from the list, then pasted back into the list into a different order. Cut peaks
remain queued up for pasting, last one first. Each relocated nuclide will retain its energy and
counts/sec values, but will be assigned a Rank number according to its new position. Click the
peak just below the desired insertion point in the peak list, then click Paste.
5.6.3.4. Saving or Canceling Changes and Closing
To save this modified .LIB file and use it as the working file, click the control menu, then Save
Library As.... Either use the current filename (which will overwrite the previous values) or
assign a new filename, then click Save. (GammaVision will assign the default .LIB extension.) To
exit the edit session, click the control menu, then Close.
To abandon any changes and restore the .LIB file to its condition before editing, click the control
menu, then Close. A dialog will open asking if the changes should be saved; select No.
5.6.4. List...
The List... function (Fig. 208) will print a list of the library, ordered either by Nuclide or
Energy, to either the printer or a disk file.
214

783620K / 0915 5. MENU COMMANDS
Figure 209. Services
Menu.
5.7. Services
The Services menu (Fig. 209) contains several functions and
utilities.
5.7.1. JOB Control...
Most of the functions under the various GammaVision menus
can be automated by writing a JOB, which consists of one or
more commands written in ASCII text (see Chapter 10 for an
in-depth discussion). JOBs allow you to easily perform repetitive
tasks and/or define initial conditions at Detector startup. These
files are given a filename extension of .JOB. To start a JOB or edit a .JOB file, select Services/
Job Control... to display the dialog shown in Fig. 210.
To see the list of commands in a particular .JOB file, mark the Show Contents checkbox, then
click to highlight the desired filename.
To run a JOB, select it and click on Open.
Once a JOB is started, most menu functions will be disabled (gray) to prevent interference with
JOB as it runs. The .JOB filename will be displayed on the Title Bar.
If a JOB is running and you try to start another one, the dialog shown in Fig. 211 will show the
name of the current JOB and ask if you wish to Terminate or continue running the JOB (click on
Close or press <Esc>).
5.7.1.1. Editing a .JOB File
You can edit a .JOB file from the Run JOB File dialog or by opening the file in Notepad. To edit
in the Run JOB File dialog:
●Select a file from the list and click on the Edit File button. This will open the .JOB file in
a Windows Notepad window.
●Edit as desired, then use the Notepad Save or Save As command to save the changes (or
close Notepad without saving to cancel the changes).
●Close Notepad. The newly edited file will be shown in the Run JOB File dialog’s Show
Contents list box.
215

GammaVision® V8 (A66-BW) 783620K / 0915
Figure 210. Select and/or Edit .JOB File.
Figure 211. Terminate
Current JOB?
Figure 212. Sample Description Entry.
If a JOB is terminated prematurely because of some error condition, a message box briefly
explaining the cause of the error will be displayed. More details on the error can be found by
cross-referencing with the error message directory in Appendix C.
5.7.2. Sample Description...
This command opens the dialog shown in Fig. 212 for reading, editing, or entering the Sample
Description of the displayed spectrum. This description can be up to 128 characters in length, and
automatically accompanies the spectrum when it is subsequently copied or saved to a file. This
description also appears in the title bar at the top of the window while the spectrum is displayed.
For files in the .CHN format, only the first 63 characters are saved in the spectrum file.
216

783620K / 0915 5. MENU COMMANDS
Figure 213. Menu Passwords.
5.7.3. Menu Passwords...
This feature of GammaVision (Fig. 213) allows you to protect each of the commands on the
menu-bar menus by a password. When a menu item is password protected, that function cannot
be used unless the password is entered. Each menu item can have a different password or the
passwords can all be the same.
NOTE There is no master password, and passwords cannot be determined from the system.
If the password is lost, contact ORTEC Customer Service for assistance.
The passwords are not case-sensitive,
that is, uppercase and lowercase letters
are treated the same. This protection is
valid for all instances of GammaVision
running on this computer. To prevent the use
of passwords, password-protect the Set
Password menu item itself.
If a menu item already has a password,
there will be an asterisk (*) to the left its
item name. To set, change, or clear the
password, click the menu item name to
highlight it, then click Password... to
open the next dialog.
If there is no password for this item, the
Password for dialog (Fig. 213) will open.
Enter the desired Password and re-enter
in the Verification field, then click OK.
To leave this dialog without setting or
changing a password, click Cancel.
If there is a password for the menu item, the Verify Old Password dialog (Fig. 214) will open.
You cannot change a password without knowing the old password. Enter the old password and
click OK. If the password just entered is not correct, an error message (Fig. 215) will be dis-
played. If you do not know the old password, click Cancel to exit without changing the pass-
word. If you enter an incorrect password, the Enter New Password dialog (which will be similar
to Fig. 213) will open for entry of the new password.
Enter a new password, as described above. To remove the password, leave the box in Fig. 213
blank (not spaces) and click OK.
217

GammaVision® V8 (A66-BW) 783620K / 0915
Figure 214. Verify Old Password.
Figure 215. Wrong
Password.
When finished editing all of the desired passwords, click OK on the Set Passwords dialog to
keep the changes. Clicking on Cancel will restore all password states to their previous condition.
5.7.4. Lock/Unlock Detectors...
This facility enables you to protect a Detector from destructive access (e.g., Start, Stop, Clear)
by any program on the computer or network. While any program can view the data and read the
contents on any Detector in the system — locked or unlocked — the contents of a locked
Detector cannot be changed without knowing the password.
NOTE There is no master password. If the password is lost, contact ORTEC Customer
Service for assistance in unlocking the detector.
●Locking — Select the Lock/Unlock command to display the dialog shown in Fig. 216.
Enter the Owner name. Then enter a password in the Password field, and re-enter it in the
Verify field (the two entries must agree). Click on OK. The password is not case-sensitive
(that is, uppercase and lowercase letters are treated the same).
●Accessing a locked detector — If a Detector is currently locked, selecting Lock/Unlock
will display the Unlock Detector dialog shown in (Fig. 217) and will display the name of
the Owner on the Supplemental Information Line, as shown in Fig. 218. You must enter
the correct password to unlock the Detector.
If a JOB file or network user attempts to change any Detector settings on the Properties
dialog will display the Locked Detector dialog shown in Fig. 219.
●If you enter the incorrect password in either the Unlock or Locked Detector dialog, the
dialog will reopen and wait for the correct password. If you do not know the password,
click on Cancel to close the dialog (you will still have read-only access to the Detector).
●Removing the password — To remove the password lock, issue the Lock/Unlock com-
mand, enter the password to unlock it, then reissue Lock/Unlock, completely delete the
218

783620K / 0915 5. MENU COMMANDS
Figure 216. Enter Owner and Password to
Lock a Detector.
Figure 217. Unlocking a Detector.
Figure 218. Name of Detector
Owner.
Figure 219. Password Required To
Unlock Detector.
Owner entry, click on OK (which will display an “Owner name must be supplied!”), then
click on Cancel.
5.7.5. Edit Detector List...
This function allows you to select the Detectors that will be available to GammaVision on this
computer. Other CONNECTIONS applications (e.g., ScintiVision™, AlphaVision®, MAESTRO) on
the same computer can have their own lists. In this way, the different Detectors on the network
can be segregated by function or type.
NOTE When you invoke this command, all Detector windows close without warning, all buffer
windows close with a warning, and a buffer window opens, followed by the Detector
List Editor dialog! The buffer window remains open after you have closed the editor
dialog.
Figure 220 shows the Detector List Editor dialog. On the left is the Master Detector List of all
Detectors on the system. This master list is created by the MCB Configuration program (see
Section 2.3) and is the same for all ORTEC programs running on all computers connected to the
workgroup. The default description for each instrument is derived from the hardware and can be
changed within the configuration program.
219

GammaVision® V8 (A66-BW) 783620K / 0915
Figure 220. Detector List Editor Dialog.
The GammaVision MCA Pick List initially contains all of the instruments in the master list.
●Add — To add a Detector to the GammaVision Pick List for this computer, click on the
name in the Master list, then click on Add. To add all the Detectors on the Master
Detector List, click on All.
●Remove — To remove a Detector from this local pick list, click on the name in the Pick
List and click on Remove. To remove all the Detectors, click on New.
When Detector selection is complete, click on OK. These selections will be saved to disk and
used by GammaVision until changed on this screen or until the entire network is reconfigured.
CONNECTIONS programs such as GammaVision can have more than one Detector pick list on the
computer. For more information on creating and using alternate pick lists, see the -P listname
discussion on page 437.
220

783620K / 0915 5. MENU COMMANDS
Figure 221. ROI Menu.
5.8. ROI
An ROI — region of interest — is a way to denote channels or groups of channels in the spec-
trum as having special meaning. An ROI can be used to mark peak areas for the printout or to
mark a peak to stop acquisition when that peak reaches a preset value. Channels marked as ROI
channels are displayed in a different color than the unmarked channels.
The ROI menu is shown in Fig. 221. Its functions are available
in both buffer and Detector windows. See Section 4.4.3 for
ROI operations performed with the mouse.
5.8.1. Off
This sets the ROI status to Off. In this state, the ROI bit for the
channels does not change as the cursor moves. This function is
duplicated by <Alt + O> and by <F2> (which toggles between
Off, Mark, and UnMark).
The usual ROI status is Off so the marker can be moved on the
display without changing any of the ROI bits.
5.8.2. Mark
This sets the ROI status to the Mark (set) condition. In this state, the cursor channels are marked
as the cursor is moved with <→> or <←> into the channel. Moving the marker with the mouse
does not change the ROI in this mode. This function is duplicated <Alt + M> and by <F2>
(which toggles between Off, Mark, and UnMark).
ROIs can also be marked with the rubber rectangle and right-mouse-button menu (see
Sections 4.4.3 and 5.11.8), and as described in Section 5.8.4.
5.8.3. UnMark
This sets the ROI status to the Unmark (reset) condition. In this state, the channels are unmarked
as the cursor is moved with <→> or <←> into the channel. Moving the marker with the mouse
does not alter the ROI in this mode. This function is duplicated by <Alt + U> and by <F2>
(which toggles between Off, Mark, and UnMark).
221

GammaVision® V8 (A66-BW) 783620K / 0915
5.8.4. Mark Peak
This function marks an ROI in the spectrum, at the marker position, in one of two ways.
●If the spectrum is calibrated, the region is centered on the marker with a width of three
times the calibrated FWHM. There does not need to be a peak at the marker position.
●If the spectrum is not calibrated, the region is centered on the peak located within two
channels of the marker and as wide as the peak. If the peak search fails, or if the peak is
not well-formed, no ROI is marked. There is no limit on the size of a peak or ROI;
therefore, in some uncalibrated spectra, large ROIs might be marked.
ROIs can also be marked this way with the ROI Ins button on the Status Sidebar, the Mark ROI
button on the toolbar, Keypad<Ins>, and <Insert>. See also Mark ROI on the right-mouse-
button menu, Section 5.11.8.
5.8.5. Clear
This clears the ROI bits of all ROI channels contiguous to the channel containing the marker.
This is duplicated by the ROI Del button on the Status Sidebar, Keypad<Del>, the <Delete>
key, and the Clear ROI toolbar button. See also Clear ROI on the right-mouse-button menu.,
Section 5.11.9.
5.8.6. Clear All
This resets all the ROI bits in the displayed spectrum (i.e., removes all ROI markings from the
spectrum). However, it does not affect the ROI status of Mark/Unmark/Off.
5.8.7. Auto Clear
When this option is active (click to display a checkmark beside it) and you perform a peak search
(see Section 5.5.2), all existing ROIs are cleared from the spectrum before the search is
performed.
5.8.8. Save File...
This allows you to save to disk a table of the channel numbers, for the current spectrum, that have
the ROI set. The contents of the spectrum are not changed.
Selecting Save File... opens a standard file-open dialog. Enter the File name. The default file
extension is .ROI. If the file already exists, the system ask if you want to overwrite the data in the
existing file or cancel the save. Click on OK to overwrite the file. \
222

783620K / 0915 5. MENU COMMANDS
Figure 222. Display Menu.
5.8.9. Recall File...
Recall File... sets the ROIs in the buffer or active Detector to the table in the disk file created by
ROI/Save File... (Section 5.8.8), or from the table stored in an .SPC file. This command opens a
standard file-open dialog. Enter the File name. The ROIs in the buffer or active Detector will be
set according to the table of values in the file. The previous ROIs will be cleared. The data con-
tents of the buffer or Detector are not altered by this operation, only the ROI bits in the buffer or
Detector are set.
Note that in .ROI and spectrum files the ROIs are saved by channel number. Therefore, if the
spectrum peaks have shifted in position, the ROIs in the file will not correspond exactly to the
spectrum data.
5.9. Display
Two of the most important functions of GammaVision are
to display the spectrum data and to provide an easy and
straightforward way to manipulate the data. This is accom-
plished using the Display menu functions, shown in Fig. 222,
and their associated accelerators. The Display functions are
available in both the Detector and buffer modes.
5.9.1. Detector...
Selecting this function opens the Pick Detector list shown in
Fig. 223. Click on a Detector on this list to display its memory
in the Full and Expanded Spectrum Views. The Pick Detector
list shows the available Detectors, listed by Detector number,
and a brief description. To close the dialog, press <Esc>.
This is duplicated by the Detector droplist on the toolbar (see
page 49). In addition, the first 12 Detectors on the list can be selected by pressing <Ctrl + F1>
for the first Detector in the pick list, <Ctrl + F2> for the second Detector, and so on,
through <Ctrl + F12> (see Section 9.4.8).
The current pick list is selected from the Master Detector List using Services/Edit Detector
List..., as discussed in Section 5.7.5.
223

GammaVision® V8 (A66-BW) 783620K / 0915
Figure 223. Detector Selection List.
5.9.2. Detector/Buffer
This command switches the active window
spectrum and Status Sidebar displays between
the last active Detector and the last active buf-
fer. The Full and Expanded Spectrum Views
display the data in histogram form. This com-
mand is duplicated by the accelerators <F4>
and <Alt + 6>. You can also use the toolbar’s
Detector droplist.
5.9.3. Select Spectrum
This menu displays a floating dialog box that
mimics the behavior of the Spectrum navigation
controls on the sidebar when the active buffer
contains an N42 file. (Section 4.5) Unlike the
sidebar controls, the floating dialog can be controlled using keyboard commands.
5.9.4. Logarithmic
Logarithmic toggles the vertical scale of the Spectrum display between the logarithmic
and linear modes. This function is duplicated by Keypad</> and the Log/Linear Display
button on the toolbar.
5.9.5. Automatic
Automatic switches the Expanded Spectrum View to a linear scale that is automatically adjusted
until the largest peak shown is at its maximum height without overflowing the display. It also
toggles the vertical scale of the spectrum display between the automatic and manual modes. If the
logarithmic scale was enabled, the display is switched to linear. This function is duplicated by
Keypad<*> and the Vertical Auto Scale toolbar button.
5.9.6. Baseline Zoom
When you select Baseline Zoom, the baseline of the spectrum displayed in the expanded view is
always zero counts. In this mode, a checkmark is displayed beside the item name on the menu.
When Baseline Zoom is off (no checkmark beside the item name), the baseline can be offset to a
higher value. This is useful to show small peaks on a high background. When the baseline is
offset, the box in the Full Spectrum View is raised above the baseline to show the offset. This is
duplicated on the toolbar.
224

783620K / 0915 5. MENU COMMANDS
Figure 224. Vertical and Horizontal
Full-Scale Setting on the Toolbar.
Figure 225. Isotope Markers.
5.9.7. Zoom In
Zoom In adjusts the horizontal and vertical scales
in the Expanded Spectrum View to view a smaller
portion of the spectrum. The vertical scale is divided
by two and the horizontal scale is reduced by about
6% of the full horizontal scale. The current horizontal
and vertical full-scale values are shown on the toolbar (see Fig. 224). This command is dupli-
cated by Keypad<+>, the toolbar’s Zoom In button, and Zoom In on the right-mouse-button
menu.
5.9.8. Zoom Out
Zoom Out adjusts the horizontal and vertical scales in the Expanded Spectrum View to view a
larger portion of the spectrum. The vertical scale is doubled and the horizontal scale is increased
by about 6% of the full horizontal scale. This command is duplicated by Keypad<−>, the tool-
bar’s Zoom Out button, and Zoom Out on the right-mouse-button menu.
5.9.9. Center
This function forces the marker to the center of the screen by shifting the spectrum without
moving the marker from its current channel. This function is only required when moving the
marker with the mouse; the keyboard functions for moving the marker automatically shift the
spectrum to center the marker when the marker travels past the end of the current expanded
display. Center is duplicated by Keypad<5> and the Center button on the toolbar.
5.9.10. Full View
This function sets the Expanded Spectrum View to the
maximum number of channels in the spectrum (the
ADC conversion gain).
5.9.11. Isotope Markers
The isotope markers can be used in energy cali-
brated spectra to locate other gamma rays of the
same nuclide (from the library) when any one of
the gamma rays from that nuclide is selected. In
this way, you can easily see if the selected nuclide
is present by comparing the spectrum peaks with
the displayed markers. The marker is a solid color
rectangle placed at the energy of the gamma ray,
with the nuclide name shown above the top of the
rectangle (Fig. 225). The markers are shown in both the
225

GammaVision® V8 (A66-BW) 783620K / 0915
Figure 226. Isotope Markers, Expanded View.
full and expanded views (Fig. 226). The base of the rectangle is positioned at the level
of the background for the peak.
The amplitude of the marker for the selected peak is normally proportional to the peak area.
However, the amplitude can be changed by placing the mouse in the rectangle, where it will
become a double-sided arrow. While the double arrow is displayed, click and hold the left mouse
button and move the pointer higher or lower on the y-axis to make the rectangle larger or smaller.
The amplitude of the marker for the other peaks is proportional to the amplitude of the first peak
and the yield (branching ratio). As the amplitude of the peak is changed with the mouse, all the
other rectangles will change proportionally.
The markers are shown in one of two colors. If the peak area, calculated in the same manner as
for Peak Info, is positive (indicating the peak was found), then the rectangle is one color (nor-
mally green). If the peak area is negative or zero (indicating the peak was not found), then the
rectangle is another color (normally blue).
226

783620K / 0915 5. MENU COMMANDS
Figure 227. Display
Preferences Submenu.
Figure 228. Comparison
of the Points, Fill ROI,
and Fill All Display
Modes.
5.9.12. Preferences...
This displays the options available for selecting the screen
colors and spectrum display options. The submenu is shown
in Fig. 227.
5.9.12.1. Points/Fill ROI/Fill All
Use these functions to select the histogram display mode for
both spectrum windows.
In Points mode, the data are displayed as points or pixels on
the screen, in the colors chosen for Foreground and ROI under Display/Preferences/Spectrum
Colors... (see Section 5.9.12.2).
In Fill ROI mode, the unmarked regions of the spectrum are displayed
as points, while the ROIs are filled from the baseline to the data point
with the ROI spectrum color.
In Fill All mode, all the data points are filled from the baseline
to the data point with the Foreground and ROI spectrum colors.
Figure 228 shows a comparison of the three display modes. Note
that the point/pixel size in the Point- and Fill ROI-mode illustra-
tions has been exaggerated to make them easier to see.
5.9.12.2. Spectrum Colors...
Use this dialog (see Fig. 229) to select colors for various features
in the two spectrum windows. Each scroll bar controls the color
of a different feature. The vertical colored stripes behind the scroll
bars show the available colors.
The Background scroll bar controls the background color of the
spectrum window, Foreground determines the color of the spectrum points or fill, ROI governs
the color of the ROI points or fill. The points/fill of a compared spectrum (File/Compare...) use
the Compare color, unless they overlap with the original spectrum, in which case the Composite
color is used.
Click each list and select the desired color. Changes take effect immediately. To reset
to the default colors, click on Defaults. To accept the color changes, click OK. To exit without
saving your changes, click Cancel.
227

GammaVision® V8 (A66-BW) 783620K / 0915
Figure 229. Display Color Selections.
Figure 231. Window
Menu.
NOTE These color settings affect only the GammaVision spectrum windows.
5.9.12.3. Peak Info Font/Color
This function opens the Font dialog (Fig. 230). It allows you to select the font type, size, and
color used to display Peak Info data in the text box in the spectrum windows (see Section 5.4.3,
Fig. 130).
5.10. Window
This menu contains standard Windows commands for controlling
the display of the spectrum windows (Fig. 231). In addition to the
spectrum window display mode (Cascade, Tile Horizontal, Tile
Vertical, etc.), the list of open buffer and Detector windows is
shown. The currently active spectrum is checkmarked.
The Multiple Windows command lets you choose between the
newer multiple-detector-window mode and the original single-
detector-window mode. In single-window mode (no checkmark
beside Multiple Windows), to bring another window forward as
the active window, click on its entry in the list. This is especially
useful if one window has been resized and has obscured other windows.
Figure 230. Peak Info Font/Color Dialog.
228

783620K / 0915 5. MENU COMMANDS
Figure 232. Right-
Mouse-Button
Menu.
5.11. Right-Mouse-Button (Context) Menu
Figure 232 shows the right-mouse-button (context) menu for the
spectrum windows. For Detector windows only, the Start, Stop,
and Clear commands are affected by the Group Acquisitions set-
ting in the Acquisition Settings dialog, which determines whether
these commands will be executed for all currently displayed Detec-
tors or for the active Detector only; or directs the program to ask
each time if you wish to execute the command for one or all dis-
played Detectors. See Sections 5.2.2, 5.2.4, and 5.2.5 for more
information.
5.11.1. Start
Duplicates the <Alt + 1> accelerator, the Start Acquisition tool-
bar button, and the Start command on the Acquire menu.
5.11.2. Stop
Duplicates the <Alt+ 2> accelerator, the Stop Acquisition toolbar
button, and the Stop command on the Acquire menu.
5.11.3. Clear
Duplicates <Alt+ 3>, the Clear Spectrum toolbar button, and the Clear command on the
Acquire menu.
5.11.4. Copy to Buffer
Duplicates <Alt + 5> or the Copy to Buffer command on the Acquire menu.
5.11.5. Zoom In
Zoom In duplicates Keypad<+>, the toolbar’s Zoom In button, and Zoom In on the Display
menu; and zooms in on the area marked with a rubber rectangle.
5.11.6. Zoom Out
Zoom Out duplicates Keypad<->, the toolbar’s Zoom Out button, and Zoom Out on the
Display menu; and zooms out on the area marked with a rubber rectangle.
229

GammaVision® V8 (A66-BW) 783620K / 0915
5.11.7. Undo Zoom In
This will undo or reverse the last Zoom In operation done with the rubber rectangle. It restores
the display to the horizontal and vertical expansion before the Zoom In. It is not the same as
Zoom Out.
5.11.8. Mark ROI
See Sections 4.4.3 and 5.8.4.
5.11.9. Clear ROI
See Section 5.8.5.
5.11.10. Peak Info
See Section 5.4.3.
5.11.11. Input Count Rate
See Section 5.4.4.
5.11.12. Sum
See Section 5.4.5.
5.11.13. MCB Properties...
See Section 5.2.11.
230
6. ANALYSIS METHODS
6.1. General
The GammaVision program analyzes spectrum files and produces a list of the background, net
area, counting uncertainty, FWHM, and net count rate for all peaks in the spectrum. If possible, it
also gives a list of the average activity of the nuclides in the sample, the activity of each nuclide
based on each gamma-ray energy in the library, the MDA for each peak energy of all nuclides in
the library, and the reasons the unacceptable peaks were not used for the activity calculation.
Peaks that are not the correct shape (according to the calibration) are marked as such; peak areas
that are the result of deconvolution of overlapping energies are also marked; gamma-ray energies
not in the analysis library are reported as suspected nuclides if a suitable candidate is found in the
suspected nuclide library.
The result is a report containing all the descriptions stored with the spectrum file, the analysis
parameters, user inputs, and the list of peaks and nuclides found in the spectrum. The standard
GammaVision report is discussed in Chapter 7.
6.2. The Analysis Engines
6.2.1. Analysis Engine Options
GammaVision includes six analysis engines, which are discussed in general terms below. The
traditional HPGe engines were WAN32 and GAM32. NPP32 and ENV32 were created in more
recent years to address applications for which WAN32 and GAM32 were not optimized. ROI32
allows you to choose which spectral regions are to be analyzed, after which the unmarked parts
of the spectrum are evaluated with a simplified WAN32 analysis. The NAI32 engine is designed
specifically for low resolution spectrum analysis (i.e. sodium iodide). All six engines produce a
report file (.RPT) and a binary output (.UFO) file. The following is a basic summary of processes
used by each analysis engine. Section 6.2.2 contains a decision matrix to assist you in choosing
an analysis routine.
6.2.1.1. WAN32
WAN32 does a preliminary library-based peak search of the spectrum. The analysis assumes that
all gamma-ray listed in the library exist in the spectrum so it tries to fit a peak at every energy
listed in the library. The Peak Cutoff value specified in the Sample Defaults File (SDF) is com-
pared to the 1 sigma counting uncertainty for each peak to determine if that energy will be used
for further analysis. With a large Peak Cutoff value (> 200), this engine can “find” false peaks.
A Mariscotti peak search is then implemented on the remainder of the spectrum. For nuclides
with no clean (well resolved) gamma rays WAN32 offers Manual-Based peak stripping.
231

GammaVision® V8 (A66-BW) 783620K / 0915
6.2.1.2. GAM32
GAM32 does a preliminary Mariscotti peak search of the spectrum and removes library nuclides
for which sufficient energy peaks were not found based on Fraction limit. A library-based peak
search is then performed using the reduced library. This analysis engine is used for specialized
applications and generally should not be selected. GAM32 overcomes the false-positive weak-
ness of “library-directed” analysis when the sample is completely unknown, and the activity-
accuracy weakness of the traditional “matrix” method.
In most cases, the MDA for a nuclide will not be reported because all nuclides without gamma
rays in the spectrum will have been removed from the library. In a few cases, the nuclide will be
eliminated in the deconvolution step and the MDA will be reported for this case. To remove these
possibilities, go to the System tab under Analyze/Settings/Sample Type... and select Suppress
Output from the MDA Type droplist.
For information on library reduction during GAM32 analysis, see Section 6.2.3.
6.2.1.3. NPP32
NPP32 does a preliminary library-based peak search like WAN32. Gain shift corrections can be
applied for an accurate determination of peak energy and associated nuclide activity. After the
Library-based analysis is complete, a Mariscotti peak search is used to find any peaks that were
not included in the library or did not pass the library peak search criteria. A Directed Fit can also
be used to generate negative peak areas to meet environmental reporting requirements for singlet
peaks. Standard reports have a “Summary of Peaks in Range” section that displays potential
library matches and associated activity concentration for each peak found during analysis. NPP32
and ENV32 do especially well with Library-Based peak stripping.
For the deconvolution of multiplets in the re-analysis phase, the peaks are allowed to shift in
energy, up to two channels. The entire multiplet moves as a group. This gives more accurate peak
areas when the energy shifts between the calibration and the sample spectrum. (Note that this is
in addition to the recalibration for energy for the entire spectrum.)
6.2.1.4. ENV32 and NAI32
ENV32 and NAI32 are very similar in operation, but designed for different spectrum types -
ENV32 for HPGe, and NAI32 for Sodium Iodide and other lower resolution detector types.
These engines optionally perform a preliminary Mariscotti peak search of the spectrum and
remove library nuclides for which sufficient energy peaks were not found. A library-based peak
search is then performed using the reduced library. Gain shift corrections can be applied for an
accurate determination of peak energy and associated nuclide activity. Directed Fit can also be
used to generate negative peak areas to meet environmental reporting requirements for singlet
232

783620K / 0915 6. ANALYSIS METHODS
(22)
and multiplet peaks. Standard reports have a “Summary of Peaks in Range” section that displays
potential library matches and associated activity concentration for each peak found during
analysis.
See Section 6.2.3 for more information on the library reduction process.
6.2.1.5. ROI32
The ROI32 analysis engine operates on the entire spectrum, performing an ROI analysis on user-
marked ROIs and a modified WAN32 analysis (no peak stripping or directed fit) on unmarked
regions. You can either mark ROIs on a live or retrieved spectrum, then use the Analyze/Entire
Spectrum in Memory command; or use the Analyze/Spectrum on Disk command on a
spectrum file in which ROIs have already been marked and saved.
ROI Analysis
1) The ROI center is used to calculate the ROI peak energy using the existing energy calibration.
If the ROI peak energy is within the match width of a library peak, then the ROI will be used.
Otherwise, the ROI will be ignored. In other words, do not mark an ROI around unknown
peaks.
2) To calculate the ROI peak background, you can set the number of background points to be
used at 1, 3 or 5 on the Sample tab under Analyze/Settings/Sample Type.... If Auto back-
ground is selected, then 5 points will be used always. The background points to be used for
the background calculation are within the selected ROI region, not adjacent and outside the
ROI region.
3) The background of the ROI peak is calculated as:
where:
L= the lowest-energy channel of the ROI
H= the highest-energy channel of the ROI
N= 1, 3, or 5, depending on the background method chosen, as discussed above.
and the sum of background counts on the low and high end of the ROI, B1 and B2,
respectively, are given by:
233

GammaVision® V8 (A66-BW) 783620K / 0915
(25)
(26)
(27)
(23)
(24)
where
CLB = counts per background channel at the low end of the ROI
CHB = counts per background channel at the high end of the ROI
4) The gross counts within the ROI are calculated as:
5) The net peak area is the adjusted gross counts minus the adjusted calculated background, as
follows:
thus:
where all parameters have been defined above. If the 3-point background method is chosen on
the Sample tab (page 150), all three parameters calculated above — B, G, and A — should be
the same as calculated with the Peak Info method (Section 5.4.3).
6) This simplifies to:
Additional Considerations
●If there are multiple ROIs defined for a nuclide, then only the first ROI peak is used to
calculate the nuclide activity.
234

783620K / 0915 6. ANALYSIS METHODS
●In ROI32 engine, if a nuclide has multiple peaks and only one peak is marked with a ROI,
then the nuclide activity displayed is the activity of only the marked ROI peak.
●In the WAN32 analysis results section of the report, the nuclide activity is the same as the
activity reported in the ROI Peak Summary section of the report.
6.2.2. Selecting an Analysis Engine — Decision Matrix
A library-based peak search looks for potential peaks for all gamma rays listed in the library.
Sensitivity is set by the Peak-Cutoff settings. A Mariscotti peak search uses a second differential
method to identify peaks. Sensitivity is set by the Peak-Search Sensitivity setting. Mariscotti
peak searches do a better job of identifying peaks within multiplets; library-based peak searches
will do a better job of finding a weak or misshapen peak listed in the library.
Feature ENV32 WAN32 NPP32 GAM32 ROI32 NAI32
Uses an optional initial Mariscotti peak search √ √ √
Uses an initial library-based peak search √ √ √
ROI peak search on user-marked peaks √
Library based peak stripping √ √ √ √
Manual based peak stripping √
Removes nuclides from library not found in a
preliminary peak search
√ √ √ √
Reports MDA for removed nuclides √ √ √
Utilizes gain shift corrections √ √ √ √ √
Directed fit (negative or misshapen peak
areas) option available
√a√b√b√a
More sensitive in finding misshapen peaks √ √ √
Displays all possible library nuclide matches
and calculates activity for all peaks found.
√ √ √ √
Peak Search designed for High Resolution (H)
(i.e. HPGe) or Low Resolution (L) (i.e.
Sodium Iodide) spectra
H H H H H L
aSinglets and multiplets.
bSinglets only.
235

GammaVision® V8 (A66-BW) 783620K / 0915
6.2.2.1. Guidelines for Selecting an Analysis Engine
1) Decide which peak search method is best for your application.
2) Establish the sensitivity for the peak search (Peak Cutoff for library directed; Sensitivity for
Mariscotti).
3) Decide if an accurate analysis of the multiplets is important. If so, select NPP32 or the
ENV32 analysis engine.
4) Notice if there are false negatives in your answers. That is nuclides have been initially
detected and later dropped. If so, revert to the WAN32 analysis engine.
6.2.3. Library Reduction Based on Nuclide Rejection (ENV32, GAM32 and NAI32
Analysis Engines Only)
The Library Reduction step is optionally enabled or disabled with the “Library Reduction Flag”
in the b30winds.ini (or n30winds.ini for NAI32) file (Section A.2.2.1). By default, this setting is
enabled for HPGe analysis (b30winds.ini) and disabled for Sodium Iodide analysis
(n30winds.ini). If enabled, a raw peak search is performed on the spectrum. The list of peaks
found is compared to the peaks in the library, and the nuclides not likely to be present are
removed from the library. After the library is reduced, a search is performed for the remaining
library peaks, and the raw data (Mariscotti) peak search is run again to pick up any peaks not
accounted for in the library-directed search. If Directed Fit is turned on, then peaks from
nuclides that were previously rejected are fit using the Directed Fit method (Section 6.3.2.2) and
the activity is calculated.
6.2.3.1. Library Reduction based on Peak Order
The following process is used for the library reduction when the “ENV factor” in the
b30winds.ini (n30winds.ini for NAI32) (Section A.2.2.1) is not set to zero:
1) If the first peak for a nuclide in the library is not found meeting the peak cutoff, then that
nuclide is removed from the analysis.
2) If the first peak for a nuclide in the library is found meeting the peak cutoff limit then each
subsequent peak for that nuclide (to a maximum of three peaks per nuclide) is evaluated to
determine if the nuclide should be removed from the analysis as follows:
3) For each subsequent peak i (to the maximum of three per nuclide), evaluate as follows:
If then
236

783620K / 0915 6. ANALYSIS METHODS
Go to the next peak,
Else,
a) Calculate the expected peak area for the ith peak as:
b) Calculate the critical level Lc for the ith peak as:
If Ai > Lc and the ith peak is not a valid peak (that is, the peak is not found or the peak
uncertainty is greater than the peak cutoff), then the nuclide is removed from the library.
Next peak i.
where:
E1= efficiency for the first valid peak
Br1= branching ratio for the first valid peak
Ei= efficiency for subsequent library peaks
Bri= branching ratio for subsequent library peaks
A1= activity calculated for the first nuclide peak
Ai= activity calculated for subsequent library peaks
Bi= peak background for subsequent library peaks
W= peak width for subsequent library peaks
M= number of total points outside the peak used to calculate background
ENV = user-adjustable ENV factor from the b30winds.ini (n30winds.ini for NAI32) file
located in C:\Program Files\GammaVision (Section A.2.2.1). A setting of zero
disables this reduction process, but the reduction based on the Key Line and
Fraction Limit test in the next step still occurs.
6.2.3.2. Library Reduction Based on Key Line and Fraction Limit Tests
In this library reduction algorithm, the key line and fraction limit tests are carried out to
determine if nuclides will be removed.
For the key line test, the first in-range peak for a nuclide is always considered as a key line, even
if it is not marked as a key line. All key lines for a nuclide must be found in the spectrum, even if
the key line has overlap with another library peak. If any of the qualifying key lines are not
found, the key line test fails and the nuclide is rejected.
237

GammaVision® V8 (A66-BW) 783620K / 0915
If the fraction limit is not zero then the fraction of the branching ratios is calculated by summing
the branching ratios of all identified peaks and dividing by the sum of all peak branching ratios
whether identified or not. If the calculated fraction is less than the Fraction Limit set on the
Analysis tab, the nuclide is rejected.
If the “Fraction Limit Test flag” in b30winds.ini (n30winds.ini for NAI32) is False and Directed
Fit is enabled on the System tab, the library peak flags are checked to determine if a peak is
“qualified” for its branching ratio to be summed (in the total sum and the identified peak sum).
Peaks with the “Not In Average” flag set in the library are excluded along with peaks outside the
analysis range.
6.3. Calculation Details for Peaks
For all library peaks in the analysis energy range, the program attempts to calculate the net peak
area and centroid of a peak at that channel. At this step in the analysis, each peak is considered to
be a singlet. A singlet is a single, isolated peak; that is, it is far enough away from other peaks in
the spectrum so that the spectrum is background on both sides of the peak (does not overlap
another peak).
6.3.1. Background Calculation Methods
You can select the method from among these types: automatic, X-point average, and X * FWHM
(see Section 5.5.1.1).
6.3.1.1. Automatic
For the first pass, the peak centroid is the library energy (Fig. 233).
To calculate the first pass background on the low-energy side of the peak, the 5-point average of
the channel contents is calculated for the region from the peak-centroid channel to the channel
which is 6 times the library match width (normally 0.5) times the calculated FWHM (from the
calibration) below the centroid. The 5-point average data at a given point is the sum of the data
from two channels below the point to two channels above the point divided by 5. This is the same
as smoothing the data with a smoothing width of 5 and coefficients of 0.2 for all points. The
background value is the minimum value of the moving 5-point average and the background
channel number is the center channel of the 5. If the minimum average value is within one sigma
(counting statistics) of the actual channel value at the assigned channel point, this 5-point average
238

783620K / 0915 6. ANALYSIS METHODS
Figure 233. Background Calculation.
is the low energy background value for this peak. If the average value is not within one sigma of
the actual data, a 3-point average is used instead of the 5-point average to calculate a new
minimum value. This 3-point average minimum value is compared with the actual data at the
assigned channel and is accepted if it is within 1 sigma of the actual data. If the 3-point average
also fails this test, the data value at the assigned channel is used for the background.
The same process is repeated for the high-energy side of the peak to calculate the background
value above the peak. The background under the peak is the straight line between these two
values.
The net peak area and background are calculated from this first pass. Next, the width is reduced
or increased depending on the peak-area-to-background ratio and the library match width. This
adjustment makes two improvements: (1) it reduces the number of channels in the peak for small
peaks (decreasing the uncertainty), and (2) it improves the area calculation for peaks moved from
the library energy.
This background calculation method (that is, automatically selecting 5-, 3-, or 1-point averaging,
depending on which method best approximates the spectrum data) has advantages, when there are
closely spaced peaks, over other methods. For example, because the 1-point method will be used
when a small peak is very near a large peak, a more accurate measure of the background may be
obtained as compared to using more points in the average (Fig. 234).
239

GammaVision® V8 (A66-BW) 783620K / 0915
Figure 234. Background of a Small Peak Near Large Peak.
The background of the small peak is less affected by the other peak because the automatic
method will tend toward the smaller values.
Even in the case of peaks that are further apart than those shown in Fig. 234, the background is
less dependent on the scatter in the data when the X-point method is used.
6.3.1.2. X-Point Average
If the X-point method is chosen, then the number of points specified by “X” will be used in
average background determination on each side of the peak centroid. The minimum value of X is
1 point. In general, more points provide a better approximation of peak background when there
high scatter in the channel-by-channel data. However, a very large number of background points
could result in the deconvolution of nearby peaks that may be fit more accurately as singlets.
6.3.1.3. X.X * FWHM
This option calculates the number of background points by multiplying the calibration FWHM
(in channels) at the specified energy by the X.X factor and rounding up to the next highest
integer value. This methodology can provide a more robust peak background determination than
the static X-Point averaging by scaling the number of background points to the expected peak
width at low or high energies and across varying ADC Conversion gains.
240

783620K / 0915 6. ANALYSIS METHODS
Figure 235. Example Peak Background Calculation.
6.3.1.4. Example Background
An example is shown in Fig. 235, with the spectrum printout in Table 5. The report section for
this peak is shown in Fig. 236.
The FWHM for this peak is 6.85 channels. The centroid is at channel 2292.16. The background
search width is from channel 2271 to 2313. The 5-point averages are shown in Table 5, and the
minima are 11.8 at channel 2276 and 12.2 at channel 2311. The background slope is +0.0114 and
the offset is −14.4.
241

GammaVision® V8 (A66-BW) 783620K / 0915
UNIDENTIFIED PEAK SUMMARY
PEAK CENTROID BACKGROUND NET AREA INTENSITY UNCERT FWHM SUSPECTED
CHANNEL ENERGY COUNTS COUNTS CTS/SEC 1 SIGMA % keV NUCLIDE
2292.16 569.78 432. 17711. 59.04 .81 1.734 Bi-207
s Peak fails shape tests.
Figure 236. Peak Results for Previous Peak.
Table 5. Spectrum and Five-Point Smooth.
Fig. 237 shows an example of the differences among the four methods for determining the
242

783620K / 0915 6. ANALYSIS METHODS
PEAK CENTROID BACKGROUND NET AREA INTENSITY UNCERT FWHM
CHANNEL ENERGY COUNTS COUNTS CTS/SEC 1 SIGMA % keV
+-+-+-+-+-+-+-+-+-+-+-+-+-+-+-+-+-+-+-+-+-+-+-+-+-+-+-+-+-+-+-+-+-+-+-+-+-+-+-+-+
Background width: best method (based on spectrum).
2939.64 718.00 1514. 79. .009 70.82 1.517
Background width: average of five points.
2939.64 718.00 1372. 12. .001 422.37 1.517
Background width: average of three points.
2939.64 718.00 1299. 43. .005 119.77 1.517
Background width: minimum data point.
2939.64 718.00 1214. 72. .008 69.70 1.517
Figure 237. Example of Different Background Method Results.
(30)
background.
6.3.2. Peak Area — Singlets
6.3.2.1. Total Summation Method
The gross area of the peak is the sum of the contents of each channel between the background
channels (including the two background channels) as follows:
where:
Ag = the gross area
Ci= the data value of channel i
l= the center channel of the background calculation width at the low energy side of the
spectrum
h= the center channel of the background calculation width at the high energy side of the
spectrum
This peak area calculation method (referred to as total summation) maintains precision as the
peak gets smaller, is less sensitive to random fluctuations in the data, and is less sensitive to the
differences between the spectrum peak shape and the calibrated peak shape.
Refer to Fig. 235, Fig. 236, and Table 5 to calculate the gross area for the example peak. The
integral from channel 2276 to 2311 is 18143 counts.
The net area is the gross area minus the background in those channels (Fig. 238).
243

GammaVision® V8 (A66-BW) 783620K / 0915
Figure 238. Gross and Net Peak Area.
(31)
where:
Ab= the background area
Bl= the background on low side of peak
Bh= the background on high side of peak
W= the peak width
If the PBC correction is enabled, the calculation is performed as discussed in Section 6.10.4.
6.3.2.2. Directed Fit Method
In some cases the total summation method does not produce the desired answer for the peak area
and does not produce negative peak areas. Another method of obtaining the peak area for a
particular energy is to fit the spectrum region with a background plus peak shape function. This
so-called “directed fit” — enabled on the Analysis tab — can be applied to peaks and has the
ability to produce negative peak areas, and therefore, activity results less than zero.
The directed fit to the library peak area is performed if the following are true:
1) The option is enabled.
2) The spectrum is energy calibrated.
3) The peak was rejected for any test by the total summation method.
244

783620K / 0915 6. ANALYSIS METHODS
(32)
(33)
Directed Peak Fit for singlet peaks is determined using a range of 4.84 times the calibration
FWHM times the Analysis Settings Match Width times the Directed Fit Peak Region Width
Factor (Section A.2.2.1) centered on the library peak energy. For multiplets, the range is based
on the start channel of the first peak minus the background width and the stop channel of the last
peak plus the background width.
Background, Gross Area, and Net Area are then calculated as described in Section 5.4.3. The net
area is then corrected for contributions from identified nuclide peaks and peak background by
adding these areas to the background. Any remaining area is assigned to the Directed Fit nuclide
peak. When multiple nuclides have interferences at approximately the same energy the first
nuclide that is dependent on that peak energy for the activity calculation is evaluated first, and
nuclides that have peaks that are not interfered are evaluated afterwards.
6.3.2.3. ISO NORM Singlet Peak Method
The guidelines for singlet peak calculations are in Annex C of the ISO 11929:2010 standard, and
are similar to the standard GammaVision total summation method discussed in Section 6.3.2.1.
When the peak background does not dominate, the peak width should be ~2.5 FWHM, per ISO
11929 Eq. C.9:
where h is the FWHM of the peak.
In case of a dominant background, the peak region width should be 1.2 FWHM, per Eq. C.10:
When tg is 2.5, almost the entire peak area is included in the region. However, when tg is 1.2, the
peak region only covers about 84% of the whole peak area. Therefore, a correction factor for the
peak area is needed, as discussed in the remainder of this section.
In GammaVision, the percent Peak Cutoff, entered on the Analysis tab, is used by default as the
criterion for dominant background. Background is considered dominant except when the peak
uncertainty is less than the Peak Cutoff, in which case the peak is flagged as “identified.”
Therefore, for all identified singlet peaks, the default region width should be about tg × FWHM
for this method.
245

GammaVision® V8 (A66-BW) 783620K / 0915
(34)
(35)
(36)
(37)
(38)
If the library peaks are not found, the MDA values are calculated with a width of ~1.2 FWHM.
Since the exact criteria for dominant background are not specified in ISO 11929, GammaVision
includes a “Dominant Background Peak Cutoff and Override Flag” in the b30winds.ini
(n30winds.ini for NAI32) file (Section A.2.2.1) to enable you to define a dominant background
cutoff. This entry is formatted as:
25.0 T
The first parameter is the user-defined dominant background peak uncertainty cutoff. The default
value is 25%, and ranges from >0% to <1000%. The second parameter is a Boolean flag. If the
flag is set to false (F), the user-defined peak cutoff for dominant background is used. If the flag is
true (T), the Peak Cutoff value on the Analysis tab is used.
To calculate a correction factor when the peak region does not cover all the peak area, let the
peak region width be ν (in units of the peak FWHM):
Assume the peak shape is a perfect Gaussian. Let f be the ratio between the net counts in the
region and the true total peak area, then f can be calculated as:
where Φ is a Gaussian integral function defined as:
and c is a constant equal to:
The correction factor f is used as a divisor in the calculations of the peak area:
where N0 is calculated with the region width chosen per ISO 11929. The f factor is not used when
N0 is zero or negative since no peak is present and a negative peak area is non-physical.
246

783620K / 0915 6. ANALYSIS METHODS
(39)
(40)
(41)
(42)
(43)
(44)
The use of f is consistent with Eq. D.5 in ISO 11929:
The definition of the quantities involved in above equation can be found in section D.5.1 of
ISO 11929. The factor f in the denominator is defined in Eq. 35 above, and i is the branching
ratio. The f factor is not used to scale the peak background. The background does not scale as the
peak area (that is, even though 84% of the peak area is covered, it is incorrect to state that only
84% of the background is included).
When x is positive, the Gaussian integral Φ(x) can be calculated as:
where Erfc(x) is the Complimentary Error Function:
The Complimentary Error Function is calculated using the following analytic approximation:30
where t and φ are defined in the following equations:
30Press, W. H., et al., Numerical Recipes in C: The Art of Scientific Computing, Cambridge University Press; 2nd
ed. (October 30, 1992).
247

GammaVision® V8 (A66-BW) 783620K / 0915
(45)
where:
a0= 1.26551223
a1= 1.00002368
a2= 0.37409196
a3= 0.09678418
a4=−0.18628806
a5= 0.27886807
a6=−1.13520398
a7= 1.48851587
a8=−0.82215223
a9= 0.17087277
The approximation work wells for the range of x values we are concerned with.
To calculate the actual peak region start and stop channels, the half width of the region is calcu-
lated first, e.g., 0.5 tg. This half width is converted by rounding to an integer, in channels, with a
lower limit of 1 channel. For best precision, the analysis engine compares the rounded-down and
rounded-up values and selects the best match to the desired overall regional width. For high-
energy peaks, it may not matter whether the integral width is rounded down or up, however, there
may be a big difference for some low-energy peaks. For example, if the energy calibration at low
energies is ~0.5 keV per channel and the calibrated peak FWHM is ~1.0 keV, the difference
between the two rounding methods could be as great as one FWHM. For a desired peak region
width of 1.2 FWHM, the width obtained by rounding up could be about 2.2 FWHM, defeating
the intent to use a narrow peak width when the background is dominant.
The ISO peak evaluation method is applied only for peaks that meet the following requirements:
1) The peak is in the library.
2) The peak range, including the designated number of background points, has no overlap with
both lower or higher energy peaks.
3) The energy separation between the current peak and the nearest low- and high-energy peaks
should be greater than the separation for deconvolution (the latter determined by the “Peak
overlap range in units of peak FWHM” parameter in b30winds.ini (n30winds.ini for NAI32).
4) The peak shape is close to Gaussian. Peaks marked with * or @ on the report do not qualify.
248

783620K / 0915 6. ANALYSIS METHODS
5) The peak centroid cannot be too far from the library energy. Peaks marked with } on the
report do not qualify.
249

GammaVision® V8 (A66-BW) 783620K / 0915
(46)
(47)
Figure 239. Example of Directed Fit.
6.3.3. Example Peak Area
6.3.3.1. Total Summation Method
Again, refer to Fig. 235, Fig. 236, and Table 5 to calculate the background for this peak (PBC
correction disabled). Substituting in the above formulas yields:
and
6.3.3.2. Directed Fit Method
A section of a spectrum with a negative peak is shown in Fig. 239. The raw data values and the
generated fit are shown. In this case the, background at the low energy end of the peak is
1170 counts per channel and on the high end is 1173 counts per channel. This gives a total back-
ground of 35145 counts and the net peak of −133 counts.
Since these values are derived from a fitting process, it is difficult to duplicate the calculations
manually.
250

783620K / 0915 6. ANALYSIS METHODS
(48)
(49)
6.3.4. Peak Uncertainty
The counting statistical uncertainty is the uncertainty in the gross area and the uncertainty in the
background added in quadrature. The uncertainty in the gross area is the square root of the area.
The uncertainty in the background is not as simple because the background is a calculated num-
ber. The background area uncertainty is the uncertainty in the channels used to calculate the end
points of the background multiplied by the ratio of the number of channels in the peak to the
number of channels used to calculate the background. For wide peaks and low counts per chan-
nel, there is high uncertainty in the calculated background.
If the PBC correction is enabled, the uncertainty calculation is performed as discussed in
Section 6.12.12.
PBC correction is disabled for the following example. Referring back to Fig. 235, Fig. 236, and
Table 5, the background uncertainty is:
The peak width is calculated at the half maximum, tenth maximum, and twenty-fifth maximum
for the net peak shape. The peak width points are linearly interpolated between the two channels
that bracket the respective height value.
6.3.4.1. Peak Uncertainty in ZDT Spectra
This is discussed in Section 5.2.11.4.
251

GammaVision® V8 (A66-BW) 783620K / 0915
(50)
6.3.5. Peak Centroid
The peak centroid channel in total summation is the center-of-moment of the peak and is calcu-
lated as the weighted channel number of the peak. That is, the peak centroid is the sum of the net
channel contents times the channel number divided by the sum of the channel contents. The
centroid is calculated as:
where:
l, h = the peak low and high channels
i= the channel number
Ci= net contents of channel i
For the directed fit method, the centroid can be refined from the fitting process.
From the Table 5 values and the calculated background, the net spectrum is shown in Table 6,
continuing the example calculation on this peak.
The FW.04M is 2.2 times the FWHM for a Gaussian peak. The peak integration channels are
then 2284 to 2300. The channel numbers are rounded to the nearest integers. The centroid for this
example is 4.0366×107 / 1.761×104 = 2292.16.
6.3.6. Energy Recalibration
The spectrum energy calibration can be redone “on the fly” for the spectrum being analyzed.
This improves the analysis results and adjusts for small changes in the hardware gain. Energy
recalibration is first performed using singlet peaks only. Then, after deconvolution, the spec-
trum is recalibrated using all the peaks. If the energy calibration changes, the spectrum is
reanalyzed.
For all peaks in the library, the peak centroid energy in the spectrum is compared with the
library energy. If the difference between the library energy and the centroid energy is less
than 0.5 keV, or the current Match Width (the FWHM multiplier entered on the System tab
252

783620K / 0915 6. ANALYSIS METHODS
Channel Background Net Spectrum
2270 11.7152 5.284
2271 11.7266 2.273
2272 11.7380 2.262
2273 11.7494 2.250
2274 11.7608 -4.760
2275 11.7722 0.227
2276 11.7836 3.216
2277 11.7950 4.205
2278 11.8064 -2.806
2279 11.8178 4.182
2280 11.8292 -1.829
2281 11.8406 9.159
2282 11.8520 20.148
2283 11.8634 15.136
2284 11.8748 47.125
2285 11.8862 120.113
2286 11.8976 225.102
2287 11.9090 461.091
2288 11.9204 835.079
2289 11.9318 1369.068
2290 11.9432 1887.057
2291 11.9546 2321.046
2292 11.9660 2391.034
2293 11.9774 2393.023
2294 11.9888 1972.011
2295 12.0002 1503.000
2296 12.0116 933.988
2297 12.0230 622.977
2298 12.0344 295.965
2299 12.0458 175.954
2300 12.0572 56.942
2301 12.0686 28.931
2302 12.0800 11.920
2303 12.0914 -2.091
2304 12.1028 -1.102
2305 12.1142 1.885
2306 12.1256 1.874
2307 12.1370 1.863
2308 12.1484 4.851
2309 12.1598 3.840
2310 12.1712 -4.171
2311 12.1826 1.817
2312 12.1940 1.806
2313 12.2054 -3.205
2314 12.2168 9.783
2315 12.2282 -4.228
2316 12.2396 -1.239
2317 12.2510 -2.251
2318 12.2624 1.737
2319 12.2738 -0.273
Table 6. Example Net Spectrum.
under Analyze/Settings/Sample Type...), or
one channel — whichever is greater — that
centroid is associated with that library energy.
The FWHM multiplier can be changed. If it is
within this limit and has counting error less
than 10% or the input sensitivity value (which-
ever is less), it is a qualified recalibration peak.
The energy range is split into two parts and the
number of qualified library peaks in each region
is counted. It there are more than the user-set
number of qualified recalibration peaks in both
regions of the spectrum, these spectrum cen-
troids and library energies are used to recalcu-
late the energy calibration for the spectrum.
The default energy is 0 keV and the number of
peaks is 1000 below and 1000 above. Only this
analysis is affected and the calibration in the
spectrum file is not changed. If the energy
recalibration is performed, a notice is written on
the report, even if the recalibration had little or
no effect. The new coefficients are printed on
the output report.
Since this energy recalibration is dependent
on the library and the spectrum, changes in the
library can affect the calibration, and hence
the peak energies reported. Only the energy
factors are changed. The shape coefficient and
efficiency coefficients are not altered. While
the automatic energy recalibration will correct
for small changes in the calibration, it is not intended
as a substitute for accurate calibrations or as a
correction for systems suffering from stability
problems.
For an accurately calibrated spectrum, this
recalibration will have little effect. Its effect
will be most pronounced on deconvolutions
of multiplets; this is discussed in Section 6.5.
253

GammaVision® V8 (A66-BW) 783620K / 0915
(51)
Because of this recalibration feature, the analysis results of spectra can change when a library is
changed, or if the peak sensitivity is changed to a value under 10% (see fixed cutoff above). Such
changes between analyses can result in the recalibration being enabled in one case and disabled
in the other case. This can result in the analyses being different in several different ways. The
peak areas and backgrounds can be different because the integration limits for each peak will
change slightly. This change is usually very small, but in a spectrum with very few counts it can
be a high percentage of the total peak. In a given spectrum, some peak areas might change and
others might be constant. Some peaks might move from the identified list to the unknown list (or
the reverse) because the uncorrected centroid is too far from the library energy for validation.
In addition, an energy difference for all good library peaks is calculated. This is the sum of the
absolute value of the difference between the peak centroid energy (before recalibration) and the
library energy, expressed as a fraction of the FWHM, divided by the number of peaks in the sum.
This yields a number between 0 and 1 for good 3-point (or more) calibrations, with 0 being the
best calibration. For 2-point calibrations, this number can be much larger than 1.0 because the
calculated FWHM (which is a linear function) does not fit the spectrum FWHM at the ends of the
spectrum. If high values are reported, and the analysis results are unacceptable, a better cali-
bration should be made. The calibration section can be used to produce a multi-point calibration
which will reduce the energy difference.
where:
Epi = the energy of the ith peak in the spectrum
ELi = the energy of the corresponding peak in the library
FWHMLi = the calculated FWHM of the peak at the library
n= the number of peaks in a spectrum with matching library peaks
This “energy-normalized difference” is printed on the report. For a complex spectrum this
number will range from 0.1 to 0.3. A large value indicates that a new calibration should be
performed or that the library does not match the spectrum well. Smaller values are usually
associated with fewer peaks or a better calibration.
If an energy recalibration has occurred, the library peak list is reanalyzed with the new energy
calibration. This results in more accurate peak values for centroid and area.
254

783620K / 0915 6. ANALYSIS METHODS
Figure 240. Second Difference.
(52)
6.3.7. Peak Search
After the library peaks are located, the spectrum is searched for any other peaks. This is needed,
even if the list of unknown peak values is not requested, for correct calculation of the peak back-
ground near peak multiplets and for determination of the peak centroids for deconvolution of
multiplets not in the library. The stepped background test compares the background above the
peak area to the background of the peak area (see “Background for Multiplets,” Section 6.5.2).
The peak search method is based on the method proposed by Mariscotti. In this method it is
assumed that the spectrum, C(n), is continuous and the background is a linear function of the
channel number in the vicinity of a peak. This implies that the second derivative is zero for back-
ground regions and non-zero in the peak regions. In order to reduce the effect of statistical fluc-
tuations, the smoothed second difference is used (see Fig. 240).
The second difference can be represented as:
where:
ki= the smoothed second difference weighting functions
2j +1 = the smoothing width
255

GammaVision® V8 (A66-BW) 783620K / 0915
Figure 241. A Typical Gamma-Ray Spectrum.
For regular peaks, j = 4; for wide peaks, j = 9. There are nine coefficients for regular peaks and
19 for wide peaks. The criterion for using the wide-peak filter is that the spectrum resolution in
keV per channel at the center of the spectrum is <0.15 keV/channel.
The peaks are located where the second derivative varies significantly from zero.
A typical gamma-ray spectrum is shown in Fig. 241. This gamma-ray spectrum is far from the
ideal spectrum of a well-formed peak on a smooth background. Shown are seven features that can
be distinguished and accounted for in the peak-detection algorithm.
1) The full-energy photopeak that results from the complete capture of all the photon energy in
the detector and is the most well-defined feature
2) The Compton edge for the full-energy peak
3) The Compton plateau
4) The backscatter peak
5) The pulse pileup or sum peaks from the addition of the peak energies in the detector or
electronic processing
6) The single-escape peak
7) The double-escape peak
Not all of these will appear in a given spectrum. For example, escape peaks cannot occur for
photons less than about 1 MeV.
256

783620K / 0915 6. ANALYSIS METHODS
Figure 242. Second Difference for a Compton Edge.
(53)
(54)
(55)
The shape of the second derivative can be used to reject Compton edges and other non-peak
structure in the data (Fig. 242).
6.3.7.1. Peak Acceptance Tests
The second difference must pass the following tests to be considered a peak.
where G is related to S, the PEAK SEARCH SENSITIVITY factor, set on the System tab under
Analyze/ Settings/Sample Type..., as follows:
where:
G= a constant proportional to the resolution of the detector
F= 1.35 for the wide-peak filter and 1.0 for the regular-peak filter
In addition, the spectrum data at the channel indicated by the second derivative must pass these
tests.
257

GammaVision® V8 (A66-BW) 783620K / 0915
(56)
(57)
where:
C(n) = the channel data of the nth channel
Cʺ(n) = the second difference at the nth channel
If the wide-peak filter is used, the second derivatives must also meet the following criterion:
The peak centroid is calculated using the weighted channel sum method as follows:
where:
P= peak centroid in channels
Ci= net contents of channel i
i= channel number
l= peak low limit
h= peak high limit
Once a peak is located, it is recorded and the peak search starts again.
After a peak has been located, if it is not in the library, the peak background, net area, and
uncertainty are calculated in the same manner as library peaks. If the peak uncertainty is less than
the sensitivity threshold level you entered, the peak is added to the list of unknowns. If the peak
is within the deconvolution width (approximately 3.3 times the FWHM) of a library peak, then
the peak is marked on the output list. The unknown peaks are included in a deconvolution when
they are close enough to affect the peak area calculation.
If a peak is located in the spectrum and the library peak is a subsidiary peak, where the major
peak has not been found, the peak will be maintained in the unknown list.
258

783620K / 0915 6. ANALYSIS METHODS
6.3.8. Narrow Peaks
The peak width is compared to the calibration width at the half and tenth maximum. If the peak is
too wide or too narrow it is marked to show this in the output report. If the peak is too narrow, it
is not used in the abundance calculation unless the “accept-low-peaks” or “accept-all-peaks”
switch (T=accept low peaks, page 444) is turned on. If accept-all-peaks is on, all are accepted. If
accept-low-peaks is on, the peak is further tested. If the peak area is less than 200 counts, it is
accepted. If the peak area is between 200 and 300 counts and the background is less than half the
peak area, the peak is accepted. If the peak area is over 300 it is rejected.
6.4. Suspected Nuclides
The suspected nuclides feature will identify peak energies in the unknown peak list, based on a
second gamma-ray library. The unknown peak list is the list of all peaks located in the spectrum
that are not in the analysis library. It is intended to help identify unexpected peaks or can be used
to note peaks that are always present but for which no analysis is desired (e.g., 40K or 511 keV).
The name for the suspected nuclide library is specified on the System tab under Analyze/
Settings/Sample Type....
For each energy listed in the unknown peak list, the nuclide with the closest energy within four
times the FWHM is listed. In the event that two energies are found with the same difference, the
lowest energy entry in the library is printed. If none is found, a symbol is printed. In addition, the
same symbol is printed if the suspected library is not found, a read error occurs, or the spectrum
is not calibrated.
The suspected nuclide feature can be used with calibrated spectrum files (and no analysis library)
to obtain a quick list of nuclides in the sample and their peak count rates.
6.5. Locating Multiplets
A peak is considered to overlap if its start or end channels are within another peak region. The
peak overlap range factor in b30winds.ini (n30winds.ini for NAI32) determines whether two
peaks close in energy will be deconvoluted as a multiplet or stripped. The lowest setting for this
parameter is 1.0.
If the library energies are less than 10 eV apart, only the lowest energy peak is included in the
deconvolution. The peak areas for the other peaks (within 10 eV) are set to zero. The conflicting
peaks are marked as energy-conflicting peaks. This message appears on the report and the
individual peaks are labeled in the comment field of the nuclide/peak matrix. See the discussion
of library-based peak stripping, Section 6.5.5.
259

GammaVision® V8 (A66-BW) 783620K / 0915
All peaks found by the peak search routine and not in the library are included in the deconvolu-
tion regardless of the sensitivity setting, unless all the deconvolution candidates are unknown
peaks with uncertainty greater than the sensitivity setting, in which case the region is ignored.
6.5.1. Defining a Multiplet Region for Deconvolution
After a list of peaks is determined from the library-directed and Mariscotti peak searches, multi-
plets are identified. Note that peaks which are found by the Mariscotti peak search but do not
pass the sensitivity (peak cutoff) test are flagged for further multiplet consideration. For each
located peak, the energy of the next peak is checked to see if it is less than or equal to 3.08 times
the FWHM of the peak currently being processed. If so, the two peaks are marked as a multiplet.
The energy of successive peaks is checked, using the same criteria, to determine if they belong in
the multiplet. After the last peak in the multiplet is identified, the multiplet is flagged for peak
deconvolution.
Because a multiplet identified in this way might contain a combination of library peaks and
unidentified peaks, the analysis engine processes it as follows:
●If library energies are less than 10 eV apart, the lowest-energy peak is included in the
deconvolution and the other peaks within 10 eV are set to zero.
●If all the peaks in the multiplet are unidentified (i.e., not listed in the library) and do not
meet the sensitivity criterion, the entire region is ignored.
The width of the multiplet region is from 1.5 times the FWHM below the lowest peak to
1.5 times the FWHM above the highest-energy peak (Fig. 243).
6.5.2. Establishing Multiplet Background
Three background types are used for multiplets: stepped, parabolic, and straight-line. Selection
of the background type depends on the shape of the peak background.
1) Stepped background is used if the slope of the peak background across the peak area is less
than the slope of the background adjacent to the high-energy side of the peak. That is, if the
background under the peak is declining faster than the background above the highest-energy
peak in the background, the stepped background is selected; see Fig. 244.
260

783620K / 0915 6. ANALYSIS METHODS
Figure 243. Background for Multiplets.
Figure 244. Stepped Background.
2) Parabolic background is selected if:
●The background on the low-energy side of the multiplet is less than the background on the
high-energy side.
261

GammaVision® V8 (A66-BW) 783620K / 0915
Figure 245. Stepped Background.
●At least three contiguous points in the lower 75% of the multiplet region are less than the
straight-line background.
●The energies of the peaks are less than 200 keV.
●The peak sensitivity is 2 or higher; see Fig. 246.
3) Straight-line background is selected if the other two background methods do not apply.
6.5.2.1. Stepped Background
The total height of the background steps is the difference between the background below the peak
region and the value of the peak background above the peak region projected back to the
background point at the low-energy end of the multiplet; see Fig. 244. The size of the step
inserted at each peak centroid is proportional to the height of the peak. The result is then
smoothed. This background is calculated after the deconvolution, the net spectrum is
recalculated, and the deconvolution is repeated.
A real spectrum with stepped background is shown in Fig. 245. The two components of the
doublet are of equal size.
262

783620K / 0915 6. ANALYSIS METHODS
Figure 246. Parabolic Background.
6.5.3. Parabolic Background
The parabolic background is calculated as the least squares fit to the actual spectrum data at the
low-energy background data point, the spectrum data point at the channel most below the
straight-line background and the spectrum data at the high-energy background data point. This
parabolic form is calculated channel-by-channel and subtracted from the original spectrum to
obtain the net spectrum for the fit.
Figure 246 shows this case for an actual spectrum.
6.5.4. Total Peak Area
The net spectrum, which is the composite of the contributions of the individual peaks, can be
represented as a weighted sum of the Gaussian peak shapes. The weighting factors of each
component are proportional to the area of that component peak.
The peaks to be included in the deconvolution are each positioned at the library energy or the
peak finder energy of the component. The shape is calculated for the peak at the given energy
even though the change in shape with energy within the energy range of the multiplet is small.
The calibration peak shape is used. The contribution of a unit-height peak is calculated for each
channel in the multiplet range for each candidate energy. This matrix of peak amplitudes multi-
plied by the weighting factors and summed is equal to the net spectrum. For NPP32 and ENV32,
the peak centroids are allowed to vary in the fitting. The peak positions for all peaks are allowed
to shift in the fitting process to obtain a reduced chi-square. The library peaks are all shifted the
263

GammaVision® V8 (A66-BW) 783620K / 0915
Figure 247. Background for Multiplet Components.
same, while unknown peaks each shift independently. The weighting factors are determined by
solving the matrix equation. The final result, that is, the area of the individual components of the
multiplet, is the corresponding weighting factors times the unit-height area of the peaks at their
respective positions.
If any of the weighting factors (and therefore the peak areas) are negative or zero as a result of
the deconvolution, that peak candidate is deleted from the list and the remaining candidates are
re-fit. Peak areas for deleted peaks are set to zero. The fitting process is repeated until no peak
areas are negative or there is only one peak remaining. If there is only one peak remaining, the
peak parameters for this peak are recalculated as if this peak were a singlet. The peak shape para-
meters and energy are set to the calculated peak parameters.
The background reported for each component peak in a multiplet is the gross area for three times
the FWHM centered at the peak centroid minus the component peak area (Fig. 247). This means
that for each peak the areas of the other peaks in the multiplet are treated as background. By
including all the area not associated with the actual peak in the region of the peak, the uncertainty
due to the background is more accurately calculated.
In the case of a multiplet, the sum of the reported backgrounds and net peak areas will be more
than the sum of the gross spectrum for the same region because the background and some (if not
all) of the net peak counts will be counted more than once.
264

783620K / 0915 6. ANALYSIS METHODS
The energy recalibration affects the multiplets in two ways. For inclusion in the list of deconvo-
lution candidates, the first peak for this nuclide must be present. If the first peak has not been
found because it failed the centroid test (see above), then subsequent peaks are not used. The
deconvolution will then be performed with fewer candidates. Secondly, the library energies are
used to define the location of the multiplet component library peaks. The peak finder energies are
derived from the channel number, so although the reported energy might change, the position
relative to the actual data does not change. A mismatch of these will result in an inaccurate fit,
and a different fit when the peak channels are shifted relative to the spectrum.
6.5.5. Library-Based Peak Stripping
In a few cases, all of the gamma-rays emitted by one isotope are very close in energy to gamma-
rays emitted by other isotopes in the sample. The peaks from the two gamma rays cannot be
separated correctly using conventional analysis, so the activity for one isotope cannot be cor-
rectly determined. This alternative to deconvolution can be used to obtain peak areas of the com-
ponents of a multiplet. It uses peak areas from other parts of the spectrum to determine the areas
of some of the components and calculates the remaining areas. It is also referred to as peak-
interference correction.
When enabled on the System tab under Analyze/Settings/Sample Type..., the program can
operate automatically using only one library, or manually using three user-defined libraries
detailing the peak overlaps.
6.5.5.1. Automatic Peak Stripping
In the automatic or library-based method, GammaVision automatically identifies the isotopes in
the library that are too close together and calculates their activities indirectly. This method is
simpler to use than the manual method.
The first step is to search the library for isotopes with severely overlapping gamma rays. The
criterion for severe is that the peaks are within two channels of one another (regardless of the
energy per channel). For peaks that are this close, the peak areas will be more accurate if they are
found indirectly. Any such peaks are marked in the library as being too close together.
For example, the only useful gamma ray emitted by 226Ra is 185.99 keV. The peak overlaps the
185.72 keV peak of 235U. If these two isotopes are both in the library, 226Ra and the 185.72 keV
235U peak are flagged when the library is read. Table 7 shows some other common examples.
These energies are from Erdmann and Soyka. Other references might have different energies, but
the overlaps will still occur.
The spectrum is then analyzed as described with one exception: any peaks that are marked as too
close are not used in the isotope activity calculations. Instead, the activity of one isotope is based
on other gamma rays from that isotope. That activity is then used to calculate the contribution to
265

GammaVision® V8 (A66-BW) 783620K / 0915
Isotope Energy
(keV)
Probabilit
y
Isotope with
close energy
99mTc 140.99 89.3 99Mo
224Ra 241.00 3.90 92Sr
226Ra 185.99 3.28 235U
241Am 26.35 2.5 237U
241Am 33.20 0.11 144Ce
241Am 59.54 36.3 237U
Table 7. Gamma Peak Overlap Examples.
the overlapped peak of this isotope. That contribution is subtracted from the total peak area to
obtain the peak area due to the other isotope.
In the example above, the activity of 235U is calculated from the area of the peak at the next most
probable energy, i.e., 143 keV. Then the area of the 185.72 keV 235U peak is calculated using the
branching ratio of that gamma ray, the efficiency, and the activity. The 235U area is subtracted
from the area of the peak at 185 keV to give the area due to 226Ra. From this, the activity of 226Ra
in the sample is calculated.
6.5.5.2. Manual Peak Stripping
The manual method of analysis uses three libraries. The first is the working analysis library with
the severely overlapped peak multiplets removed. Multiplets that can be deconvoluted by fitting
should remain in the first library. The Second Library contains the peaks that are to be stripped
from the overlapped doublet. The amount to be stripped is based on the analysis from Library 1.
The nuclide name for the stripped peak must be the same in both libraries, as this is how the
program determines which peak areas to use. The Third Library contains the nuclides with the
other peak in the overlapped doublets. The computations for the third library are the same as the
first library except that deconvolutions are not performed and MDAs are not calculated for the
third-library nuclides. You have complete control over the three libraries and can choose which
peaks to use in each step. Nuclides that appear in both Libraries 1 and 3 are reported twice on the
report.
For example, consider the case in which a spectrum contains nuclides A, B, C, D, E, and F.
Nuclide D has energies of 200 keV and 500 keV, and nuclide F has only one peak at 500 keV.
Let Library 1 contain five nuclides labeled A, B, C, D, and E. Let Library 2 contain nuclide D,
and Library 3 contain nuclide F. In Library 1, nuclide D is listed with only the energy at 200 keV.
In Library 2, nuclide D is listed with only the energy at 500 keV.
266

783620K / 0915 6. ANALYSIS METHODS
(58)
The analysis of the spectrum using Library 1 will give an activity for nuclide D based on the peak
at 200 keV (as well as activities for A, B, C, and E). Using this activity, the peak count rate for
the nuclide D peak at 500 keV will be calculated using Library 2 and the calibration and
corrections, if any. This peak count rate will be converted to a peak shape function (a Gaussian)
based on the calibration peak shape and the counting time. This peak will be subtracted channel
by channel from the net spectrum. This new net spectrum will then be analyzed using Library 3.
The results of all the calculations (that is, the equivalent peak areas and gross areas) will be
shown on the full report. If Library 1 or 3 does not contain any peaks in the energy range being
analyzed, this option is turned off. If Library 2 does not contain any peaks in the energy range or
any peaks in Library 1, the subtraction of peak areas does not take place, but the analysis using
Library 3 is still performed. This can be an easy way to obtain a report with MDA for some
nuclides (those in Library 1) and without MDA for other nuclides (those in Library 3).
6.6. Fraction Limit
To verify the identification of a particular nuclide in a spectrum, the number of identified peaks is
compared to the number of possible peaks, where “identified” peaks are those with a 1-sigma
counting uncertainty less than the Peak Cutoff value, and the possible peaks include only those
within the low-/high-energy analysis range. Peaks with the “Not in Average” flag set as NOT
TRUE in the library are excluded. It is expressed as follows:
where Br is the branching ratio for the peak for the given nuclide, adjusted for TCC where applic-
able; l is the sum over the located peaks; and p is the sum over the possible peaks. This fraction is
between 100 for all peaks located and 0 for no peaks located.
This value is compared to a limit value, entered on the System tab under Analyze/Settings/
Sample Type... (page 152), to determine whether this nuclide’s peaks are present in sufficient
measure to say the nuclide is present. The fraction limit test is passed if the fraction is above the
selected value.
To disable the fraction limit test, enter a limit of zero on the System tab.
267

GammaVision® V8 (A66-BW) 783620K / 0915
6.7. Nuclide Activity
The nuclide activity is calculated for all peaks in the library whose energy is between the energy
limits you have selected for the analysis (in-range). There are several methods of determining if a
nuclide is present or not, and if MDA should be reported.
A nuclide is reported with an activity value under the following conditions:
1) If more than one peak is listed for the nuclide, the following apply:
●The first in-range peak that is not marked as “Not in Average” and not closely overlap-
ping another library peak, such that peak stripping would be applied, must be identified.31
●All peaks marked as key lines must be identified.
●The Fraction Limit Test must be satisfied.
●For GAM32 and ENV32, the Library Reduction requirements must be satisfied (ee
Section 6.2.3.)
2) If only one peak is listed for the nuclide, the following apply:
●If the peak does not closely overlap another library peak, it must identified in the analysis
range.
●If the “Not in Average” flag is set for this peak, the nuclide is automatically rejected when
using all analysis engines except for WAN32, which ignores the “Not in Average” flag
under this condition.
●If the peak closely overlaps another library peak such that peak stripping would be
applied, the uncertainty of the area remaining after peak stripping must be less than the
Peak Cutoff.
3) Directed Fit forces an activity to be reported for nuclides that do not meet the preceding
criteria.
If a nuclide is not reported with an activity value, and the “No MDA Calculation” flag is not set
in the library, the MDA value will be reported in the Summary of Nuclides in Sample. Otherwise,
the nuclide will be omitted from the Summary of Nuclides in Sample.
The nuclide activity (in becquerels or curies), based on the peak at energy E, is given by:
31“Identified” in this discussion indicates the peak counting uncertainty at 1 sigma is less than the Peak Cutoff
value.
268

783620K / 0915 6. ANALYSIS METHODS
(59)
where:
AEi = the activity of nuclide i based on energy E
NEi = net peak area for peak at energy E
TDC = decay corrections, incorporating DDA, DC, and DDC as defined in
Sections 6.10.1 through 6.10.3.
Mult = multiplier entered on the System tab.
RSF = random summing correction factor (Section 6.11).
LT = live time.
εE = detector efficiency at energy E (Section 5.3.3); this efficiency factor is stored in
the .CLB record of the .SPC spectrum file.
Br = peak branching ratio from library.
GeoFac = geometry correction factor as described in Section 6.10.5.
Ac= attenuation correction (Section 6.10.6.1).
Div = divisor entered on the System tab.
s= sample quantity entered on the System tab.
This “peak activity” is reported in the nuclide peak matrix (if requested). If there is more than one
peak in the energy analysis range for a nuclide, then an attempt to average the peak activities is
made. The result of the average is the average nuclide activity.
6.7.1. Average Activity
The average activity for the nuclide is calculated by weighting each peak activity by its
respective branching ratio as shown in the formula below. Only nuclide peaks that meet the
following criteria are included in the weighted average:
(1) The “Not in Average” flag is not set in the library.
(2) The peak has been positively identified per the criteria in Section 6.7.
(3) If the Activity Range Test flag is set to True, then the criteria for the Peak Activity range
factor must be satisfied. See b30winds.ini (n30winds.ini for NAI32) settings in Section A.2.2.
269

GammaVision® V8 (A66-BW) 783620K / 0915
(60)
(61)
The averaged activity is calculated as:
where:
AEi = the activity of nuclide peak i at energy E per Eq. 59
Bri= the gamma/disintegration of the ith peak
n= the number of peaks included in the activity
6.7.2. Nuclide Counting Uncertainty Estimate
Many radioisotopes have more than one peak useful for calculating the measured activity of the
isotope. The uncertainty caused by counting statistics can vary widely among those peaks. This
variation can be caused by differences in the net counting rates in the peaks or the background
levels under the peaks. GammaVision utilizes a relatively simple yet statistically rigorous method
for choosing the peaks to achieve optimum precision. When more than one peak is available, the
software performs two assessments:
1) It finds the peak with the smallest percent standard deviation.
2) It computes the percent standard deviation for the linear average of all peaks detected accord-
ing to the criteria in Section 6.7.
The option which yields the lowest percent standard deviation is the method used to calculate the
nuclide counting uncertainty for the radioisotope. The mathematical process for this selection is
summarized below:
Assume σA is the reported nuclide counting uncertainty, σPi is the counting uncertainty for the ith
peak and n is the total number of peaks used to calculate the nuclide activity. All the uncertainties
are relative.
Furthermore, let us define σPmin as the minimum counting uncertainty of all the n peaks:
where MIN is the minimum function which returns the minimum value from a list of values in the
parenthesis (from 1 to n above).
270

783620K / 0915 6. ANALYSIS METHODS
(62)
(63)
(64)
The averaged nuclide counting uncertainty σavg is calculated from:
The reported nuclide counting uncertainty is calculated at 1 sigma and reported at 1, 2, or 3
sigma, depending on the Confidence level setting on the Report tab. It is calculated as:
GammaVision compares the averaged peak counting uncertainty and the minimum peak counting
uncertainty and reports the smaller value as the nuclide counting uncertainty.
6.8. Total Activity (ROI32 Analysis Engine Only)
Total activity represents the summed activity calculated for all nuclides found in the sample. It is
calculated as follows and printed immediately after the Summary of ROI Nuclides table in the
analysis report.
where Aavg is calculated per Section 6.7.1. Note that if MDA is reported for Aavg for a particular
nuclide, that nuclide’s contribution is not included in Atot.
6.9. MDA
The Minimum Detectable Activity (MDA) is a measure of how small an activity could be present
and not be detected by the analysis. There are many factors affecting the MDA, which is reported
in activity units such as becquerels. The calibration geometry, the backgrounds (system- and
source-induced), the detector resolution and the particular nuclide all substantially affect the
MDA reported.
In most instances, the MDA value is calculated based on the background value of the peak. If the
peak area was not used in the activity calculation because it failed the sensitivity test, or a shape
test, the peak area is added to the background for the MDA calculation unless the MDA defines
the background separately. If the background is 0, it is set to 1 for the MDA calculation. The
background will still be reported as 0 on the report. By reviewing the individual MDA values
271

GammaVision® V8 (A66-BW) 783620K / 0915
Figure 248. Peak Analysis Details Dialog is One Source of Data for the
MDA Calculation.
(which are printed on the nuclide/peak matrix) you can determine how relevant the selected
MDA value is to the physical situation. The MDA reported for the nuclide is the value for the
first peak in the library.
6.9.1. Computing MDA Values
MDA values for many methods depend on area and background values. Area and background
determination varies from method to method. The information needed to validate the MDA
results can be found in the peak analysis Details dialog (Fig. 248; refer also to Section 5.5.6.3);
the analysis options (.SDF file) for the spectrum (Section 5.5.1.1); reports (Chapter 7); and
manual integration of the spectrum peaks.
6.9.1.1. Area Methods
A1
Gross area under the peak determined by integrating the peak with a width of 2.5 times
FWHM (counts). Areas computed in this manner are used in Methods 4, 11, and 14 below.
272

783620K / 0915 6. ANALYSIS METHODS
To determine the area:
1) Determine the (decimal representation) centroid energy of the peak.
2) Determine the (decimal representation) channel of this centroid (based on the energy
calibration).
3) Determine the (decimal representation) FWHM of this peak (based on the FWHM
calibration at the centroid channel).
4) Determine half of the FWHM range (denoted as IL), which is calculated as the integer
representation of (1.25 * FWHM + 0.5). Note that this value is capped at 100.
5) Determine the centroid for integration (denoted as CI), which is simply the centroid
channel determined in step (2) rounded to the closest whole (integer) number.
6) Determine a lower channel of integration (denoted as CLow) as follows. This value has a
minimum value of 1.
CLow = CI - IL
7) Determine an upper channel of integration (denoted as CHigh) as follows:
CHigh = CI + IL
8) A1 is then simply the sum of all channels from CLow to CHigh.
A2Net peak area reported on the Identified Peak Summary Report or peak Details dialog
(counts). Areas computed in this manner are used in Methods 9 and 10 below.
A3Gross area under the peak determined by integrating the peak with a width of 2.5 times
FWHM minus one channel on the high- and low-energy side of the peaks. Areas computed
in this manner are used in Method 13 below.
To determine the gross area:
1) Determine the (decimal representation) centroid energy of the peak.
2) Determine the (decimal representation) channel of this centroid (based on the energy
calibration).
273

GammaVision® V8 (A66-BW) 783620K / 0915
3) Determine the (decimal representation) FWHM of this peak (based on the FWHM
calibration at the centroid channel).
4) Determine half of the FWHM range (denoted as IL), which is calculated as the integer
representation of (1.25 * FWHM + 0.5). Note that this value is capped at 100.
5) Determine the centroid for integration (denoted as CI), which is simply the centroid
channel determined in step (2) rounded to the closest whole (integer) number.
6) Determine a lower channel of integration (denoted as CLow) as follows. This value has a
minimum value of 4.
CLow = CI - IL + 1
7) Determine an upper channel of integration (denoted as CHigh) as follows:
CHigh = CI + IL - 1
8) A3 is then simply the sum of all channels from CLow to CHigh.
6.9.1.2. Background Methods
B1
Background reported in the Identified Peak Summary (counts). These backgrounds are used
in Methods 1, 2, 5, 6, 7, 8, 12, and 16 below. For some MDA methods, if the peak fails
validity tests, B1 = B1 + peak area.
B2The average of three high-energy channels and three low-energy channels as part of peak
area method A3 (counts). Backgrounds computed in this manner are used in Method 13
below.
B3The sum of the counts on the high-energy portion of the peak and the low-energy portion of
the peak. The boundary of the peak is established as described for A1. Backgrounds
computed in this manner are used in Methods 14 and 15 below.
To determine the area:
1) Determine the (decimal representation) centroid energy of the peak.
2) Determine the (decimal representation) channel of this centroid (based on the energy
calibration).
274

783620K / 0915 6. ANALYSIS METHODS
3) Determine the (decimal representation) FWHM of this peak (based on the FWHM
calibration at the centroid channel).
4) Determine the integer value representation of the centroid channel (denoted as CInt)
simply by rounding the centroid channel down to the closest whole (integer) number.
5) Determine the width of 2.5 times the FWHM (denoted as IB, range 4 to 100), then
round to next integer; e.g., round 5.0 to 5, and 5.0001 to 6.0 to 6. This value is
calculated as follows:
IB = (Integer) 2.5 * FWHM + 0.9999
6) Determine half the IB range (denoted as L) as follows and rounded down to the next
closest whole integer:
L = (Integer) IB / 2
7) Determine the start channel of the main peak region (denoted as PkStart). This value is
set at the minimum value of 1, and is calculated as:
PkStart = CInt - (integer) (-0.45 + IB / 2)
8) Determine the end channel of the main peak region (denoted as PkEnd) as follows:
PkStart = CInt + L
9) Determine the starting channel for N1 integration (denoted as N1Low) as follows:
N1Low = PkStart - L
10) Determine the ending channel for N1 integration (denoted as N1High) as follows:
N1High = PkStart - 1
11) N1 is then the summation of all counts from channel N1Low to N1High.
12) Determine the starting channel for N2 integration (denoted as N2Low) as follows:
N2Low = PkStart + 1
275

GammaVision® V8 (A66-BW) 783620K / 0915
(65)
(66)
13) Determine the ending channel for N2 integration (denoted as N2High) as follows:
N2High = PkStart + L
14) N2 is then the summation of all counts from channel N2Low to N2High.
15) The final value B3 is then simply the sum of N1 and N2.
6.9.1.3. Computing MDA
The MDA methods are computed from count rates, CRmda. To convert CRmda from counts to
activity, a conversion factor MDAconv is used that contains detector efficiency, branching ratio,
and activity correction factors.
where ξ is defined in Eq. 146 and LT is the live time.
6.9.2. GammaVision MDA Methods
6.9.2.1. Method 1: Traditional ORTEC
where:
SENS =Peak Cutoff value (%) on the Analysis tab or in the .SDF file
LT = live time (sec)
NOTE If the peak is rejected, the peak area is added to the background term B1.
276

783620K / 0915 6. ANALYSIS METHODS
(67)
(68)
(69)
(70)
6.9.2.2. Method 2: Critical Level ORTEC
Critical level (CL) is defined as the smallest concentration of radioactive material in a sample that
will yield a net count (above background) that will be detected with a 95% probability.
NOTE If B1 is computed as zero, it is assigned a value of 1 for CL calculations.
6.9.2.3. Method 3: Suppress MDA Output
The MDA is not calculated and is set to zero.
6.9.2.4. Method 4: KTA Rule
where:
N= number of channels under peak A1 (channels)
FWHM = full width at half maximum (in channels, where channels is rounded to the
nearest integer); use the Details dialog for the proper value
σ=Confidence Level on the System tab or in the .SDF file (1, 2, or 3 sigma)
6.9.2.5. Method 5: Japan 2 Sigma Limit
6.9.2.6. Method 6: Japan 3 Sigma Limit
277

GammaVision® V8 (A66-BW) 783620K / 0915
(71)
(72)
(73)
(74)
(75)
6.9.2.7. Method 7: Currie Limit
NOTE If B1 is computed as zero, it is assigned a value of 1 for MDA calculations.
6.9.2.8. Method 8: RISO MDA
NOTE If B1 is computed as zero, it is assigned a value of 1 for MDA calculations.
6.9.2.9. Method 9: LLD ORTEC
where σp is the counting uncertainty (%). This value is found in the peak Details dialog.
6.9.2.10. Method 10: Peak Area
This method is useful if negative peak areas are expected.
6.9.2.11. Method 11: Air Monitor — GIMRAD (also called DIN 25 482 Method)
278

783620K / 0915 6. ANALYSIS METHODS
(76)
(77)
(78)
where FWHM is in channels, derived from the FWHM calibration. Unlike the KTA Method
(Section 6.9.2.4), FWHM here is a decimal, not the whole-integer representation.
6.9.2.12. Method 12: Regulatory Guide 4.16
This is a frequently used method in the USA.
6.9.2.13. Method 13: Counting Lab — USA
This method is used when a minus MDA is needed in situations when the background is greater
than the peak area.
where N is the number of channels included in the integration of the peak (channels)
6.9.2.14. Method 14: Erkennungsgrenze (Detection Limit) DIN 25 482.5
This method is described in the German DIN 25 482 teil 5. It is designed to establish a critical
value for the spectrum.
where:
NA= number of channels in the peak rounded up using the A1 peak method (page 271).
NB= number of channels in the background regions above and below the peak. Usually, this
number is approximately half of the number of peak channels, NA (channels). It is
calculated as follows:
1) Determine the peak centroid channel as a whole (integer) number.
2) Determine the FWHM at this channel, based on the FWHM calibration.
279

GammaVision® V8 (A66-BW) 783620K / 0915
(79)
(80)
(81)
3) Determine the integration channel range (IB, ranging from 4 to 100) by multiplying
2.5 by the FWHM and rounding up to the next integer (i.e., such that 5.0 is 5 and
5.0001 to 6.0 is 6).
4) NB is then simply IB / 2 and rounded up as described in (3).
6.9.2.15. Method 15: Nachweisgrenze DIN 25 482.5
This method represents the lowest true value of activity that can be reliably reported with similiar
samples. Its value is approximately twice the value computed for Erkennunggrenze
(Section 6.9.2.14), where NA and NB are defined.
6.9.2.16. Method 16: EDF — France
This method is defined for the EDF and CEA in Rapport CEA-R-5506, Determination du Seuilet
de la Limite de Detection en Spectrometrie Gamma.
NOTE If B1 is computed as zero, it is assigned a value of 1 for MDA calculations.
6.9.2.17. Method 17: NUREG 0472
6.9.2.18. Method 18: ISO Decision Threshold (CL)
This is discussed in Section 6.17.5.1.
6.9.2.19. Method 19: ISO Detection Limit (MDA)
This is discussed in Section 6.17.5.2.
280

783620K / 0915 6. ANALYSIS METHODS
(82)
6.10. Corrections
If enabled, the following corrections are made on a nuclide-by-nuclide or peak-by-peak basis.
6.10.1. Decay During Acquisition
The decay during acquisition correction is used to correct the activity of nuclides whose half-life
is short compared to the spectrum real time.
The correction is:
where:
DDA = the decay correction factor
Real time = the spectrum real time (in seconds)
half-life = the half-life of the nuclide of interest
This can be viewed as scaling up the activity measured to the value of the activity at the start of
the measurement. The correction goes to 1 (no change) as acquisition time becomes much smaller
than the half-life.
The decay during acquisition technique is superior to making use of a hardware dead-time correc-
tion. For example, suppose a sample contains two nuclides, one with a short half-life and one
with a long half-life. The count rate of the short half-life nuclide will be higher at the beginning
of the count time than at the end of the count. This means more counts per unit time will be
accepted at the beginning of the count time than at the end. So even if the count time is extended
by the hardware to compensate for the lost counts at the beginning of the counting period, the
count rate is so low at the end of the count that not enough counts will be added in. For the long
half-life nuclide, the count rate does not change during the count time, so the live-time correction
will correctly account for the lost counts during the count time.
6.10.2. Decay Correction
If disabled on the Decay tab or in the .SDF file, the decay correction is set to 1.0. If enabled, this
correction projects the activity at the time of count back to the time the sample was collected.
This is useful when there is a long time, relative to the half-life, between the sample collection
time and the sample count time. The sample collection time is entered on the Decay tab (alterna-
281

GammaVision® V8 (A66-BW) 783620K / 0915
(83)
(84)
tively, the number of half-lives can be set in b30winds.ini (n30winds.ini for NAI32); see
Section A.2.2). If the time is greater than 12 half-lives, the correction is not made and the
message is printed out. Twelve half-lives corresponds to a decay factor of about 4000. Both the
time of count and decay-corrected values are presented on the report. The total activity is the
decay-corrected activity.
Decay correction is determined as follows:
where
ΔT=TCount − TCollection
6.10.3. Decay During Collection
If the sample was collected over an extended time (see page 155), this correction will account for
the buildup or increase of activity in the sample during the collection time. The correction is
given by:
6.10.4. Peaked Background Correction
The Peaked Background Correction (PBC) is used to correct for the presence of peaks in the
background spectrum that also occurs in the sample. If the peak is not of interest in the analysis
results, there is no need to make this correction. The values in the PBC table are the counts per
second at each library energy. These count rates are multiplied by the sample live time to calcu-
late background counts, and the resulting background counts are added to the respective peak
background. Note that this background subtraction may raise the peak uncertainty above the
peak cutoff such that a peak is no longer considered as identified.
This section describes how peaks are qualified for PBC correction. The correction and uncer-
tainty calculations are covered in Section 6.12.12.
282

783620K / 0915 6. ANALYSIS METHODS
(85)
(86)
6.10.4.1. PBC Match Width (By Energy option OFF)
The PBC is applied only if the nuclide name is the same as the nuclide defined in the PBC file
and the two peak energies are within the Match Width specified on the Correction tab. The
default PBC match width is 0.2 times the peak FWHM. For backward compatibility with earlier
versions of GammaVision, if the match width is found to be zero, the default match width is
used. The minimum match width is 0.1. If you specify a non-zero Match Width, it is used as
follows.
For each peak at energy E0, the PBC match width in keV is calculated first:
where FWHM is the calibrated peak FWHM at that energy and f is the Match Width value
specified on the Correction tab. Then the energy range from E1 to E2 is considered for PBC
matching width:
A PBC peak is considered a matching peak if the PBC peak energy is within this energy range.
The PBC uncertainty calculation is discussed in Section 6.12.12.
6.10.4.2. Match by Energy Only (By Energy option ON)
If the by Energy checkbox is enabled on the Correction tab, when a PBC file is generated, all
peaks with uncertainty less than the Peak Cutoff will be added to the PBC file — this includes
all identified library peaks and all unknown peaks. The unknown peaks are saved as belonging to
a null nuclide name, Un-0.
Analysis of this case proceeds as follows: At first, PBC peaks are associated with the closest
spectral peak. The absolute centroid energy separation between the PBC peak and spectral peak
is used for this purpose. For example, assume a PBC peak has an energy of 186.00 keV. If there
are peaks at 185.70 keV and 186.20 keV, the 186.00 keV PBC peak is considered to be asso-
ciated with the 186.20 keV peak (energy difference 0.2 keV) rather than the 185.70 keV peak
(energy difference 0.3 keV).
Next, the PBC Match Width is applied to see if the energy separation between the subject peak
and the associated PBC peak(s) is within the acceptable PBC match width. If within the match
width, PBC is applied to the peak. Otherwise, PBC is not applied.
283

GammaVision® V8 (A66-BW) 783620K / 0915
(87)
For the above example, if the PBC match width is 0.1 keV, then PBC subtraction will not be
applied to either peak. If the PBC match width is 0.5 keV, then PBC subtraction will be applied
to the 186.20 keV peak only, but not to the 185.70 keV peak, even if the latter is within the PBC
match width. In the table below, some scenarios are tabulated.
PBC Peak E = 186.00 keV PBC Total Match Width (f * FWHM) in keV
Peak No. Peak E (keV) 0.1 0.2 0.5
Peak #1 185.70 PBC — No PBC — No PBC — No
Peak #2 186.20 PBC — No PBC — Yes PBC — Yes
If there are multiple PBC peaks associated with a spectral peak, and if all those PBC peaks are
within the PBC Match Width, then that peak is subject to multiple PBC corrections. For
example, if there is another PBC peak at 186.3 keV, that PBC peak would be associated with the
186.20 keV peak, leading to two PBC peaks to subtract from. In addition, if there is another PBC
peak at 185.6 keV, then that PBC peak would be associated with the 185.7 keV only. When
multiple PBC are applied, the uncertainties of each PBC are propagated accordingly. See the
discussion in Section 6.12.12.
Note that with the above “association rule” for matching PBC with the closest peak, the PBC
match width can be set larger than the default value of 0.2 * FWHM and should not lead to PBC
peaks being incorrectly applied to spectral peaks.
6.10.5. Geometry Correction
The geometry correction is used to adjust the activities reported in a sample of a given source/
detector geometry when the system was calibrated using a different source/detector geometry.
This is useful when many different geometries are used in a laboratory and calibrated sources are
not available for all the geometries used. For more information, see Section 5.5.1.4.
The correction factor multiplies the peak activity for each peak in the library as shown in Eq. 87.
The factors are stored as a function of energy.
where:
AGeo = corrected activity for a given energy
A= uncorrected activity for a given energy
GeoFac = the correction factor for that energy
284

783620K / 0915 6. ANALYSIS METHODS
Figure 249. Example Geometries
Used.
The correction is not applied to unknown peaks. The peak values in the isotope/peak list in the
output report are uncorrected values. The peak uncertainty is maintained as a constant percent-
age. The factor is linearly interpolated between the points in the table and linearly extrapolated
outside the energy range of the table points.
The geometry correction table is stored in the spectrum file (.SPC). The correction can be enabled
or disabled for a specific analysis.
6.10.5.1. Example
As an example of this correction, two spectra were
taken of the same point source (Fig. 249). In case 1, the
source was about 4 cm from the end cap and on-axis of
the detector. The second geometry (case 2) is with the
source about 7.5 cm from the center of the detector in a
position in the plane of the end cap of the detector.
Table 8 shows the analysis of the two spectra for the
peaks due to 154Eu. The ratio of the peak count rates is
shown in column 4. These values are entered into the
geometry table. The spectrum was re-analyzed with the
geometry correction turned on. The comparison of all
three analyses is shown in Table 9.
Note that the 155Eu activity is not corrected as much as
needed. This is primarily due to all of the 155Eu gamma-
ray lines falling below the lowest energy in the correc-
tion table. It is in these low energies that the differences
in the geometries is most noticeable.
The geometry correction table can be made automatically using analysis results files (.UFO) of
the pairs of geometries or manually by entering the correction factor and energy pairs.
285

GammaVision® V8 (A66-BW) 783620K / 0915
Energy
(keV)
Peak Count Rate
ratioCase 1 Case 2
123.14 63.23 51.07 1.238
591.74 3.31 2.19 1.511
723.3 11.50 7.47 1.539
873.20 5.75 3.79 1.517
1004.76 7.71 4.91 1.570
1274.45 10.29 6.07 1.695
Table 8. Geometry Correction Table.
Nuclide
Activity
Case
1
Case 2
no correction
Case 2
correction
154Eu 12750 7730 13000
155Eu 8020 5180 6300
125Sb 2900 1956 2840
Table 9. Geometry Correction Results.
6.10.6. Absorption
The absorption factor is used to correct for the absorption of gamma-rays by material between the
detector and the source. The factors are stored as a function of energy in the attenuation data-
base, Atd.mdb, in C:\User. Materials that are always present (such as the detector end cap) will
be accounted for in the efficiency calibration. Source containers will not normally be accounted
for, nor will an absorbing matrix such as soil. In these cases, the absorption of the gamma-rays
will cause low values for the isotopic abundances to be reported unless the absorption correction
is made. One of two types of absorption correction (as defined in ASTM E181-82)32 can be
selected. External absorption is for cases where all the source gamma-rays pass through the
absorber. Internal absorption is for cases where the radioisotope is mixed with the absorber so
that some of the gamma-rays go through a lot of absorber and some only go through a small
amount of absorber.
32“Standard General Methods for Detector Calibration and Analysis of Radionuclides,” ASTM E181-82, also
ANSI N42.14-1978, IEEE, NY, NY.
286

783620K / 0915 6. ANALYSIS METHODS
(88)
(89)
6.10.6.1. External Absorption
The external absorption is used when the source is separate from the absorber, as in a source in a
metal can. All of the gamma rays from the source must pass through all of the absorber before
reaching the detector. The corrected peak areas are the spectrum peak areas multiplied by the
correction as:
where:
A= the peak area at energy E
μ= the table value at energy E; normally the mass attenuation coefficient
x= the absorption factor; a function of the sample weight, density, or thickness such that it
is in inverse units of μ (Length, entered on the Corrections tab)
For values between the table values, the μ are linearly interpolated between the table values using
the natural logarithms of the μ values and their associated energies when using the coefficient
table. If the spectrum is being used to calculate the μ values, linear interpolation is used on the μ
values and their associated energeis to obtain μ between energies. The correction value is
always 1 or greater.
6.10.6.2. Internal Absorption
The internal absorption is used when the source and the absorber are mixed together, such as soil
or sand samples. Some of the gamma rays pass through no part of the absorber and some pass
through the entire sample. The following formula for the corrected areas assumes that the absorb-
ing matrix is homogeneous and that the source is uniformly distributed in the matrix.
where:
A= the peak area at energy E
μ= the table value at energy E; normally the mass attenuation coefficient
x= the absorption factor; a function of the sample weight, density or thickness such that it is
in inverse units of μ (Length, entered on the Corrections tab)
Internal Absorption Correction
For other absorbing conditions, these approximations might not apply. The corrections should be
checked against a known situation to ensure that these conditions are met for the current analysis
situation.
287

GammaVision® V8 (A66-BW) 783620K / 0915
The absorption table values can be constructed from mass attenuation coefficients or by ratioing
unattenuated spectrum results with attenuated spectrum results. The ratio method is difficult to
apply to the internal absorption correction because of the difficulty in obtaining appropriate
spectra.
The mass attenuation coefficients are available from many sources. For mixtures not listed in the
table, use the molecular weight fractions to obtain an average attenuation coefficient. For
example, for water, multiply the hydrogen coefficient by 2.016, the oxygen coefficient by 16 and
divide the sum by 18.016.
The table will contain the attenuation coefficients for the absorber being used. The x-factor,
which you enter, is in inverse units of the attenuation coefficient. If the coefficient is entered in
cm2/g, then the factor must be in g/cm2, which is the density (g/cm3) times the thickness of the
sample.
The linear attenuation coefficients can also be used. In this case the input factor will be the thick-
ness. It might be more convenient to use the linear attenuation coefficients so that the input factor
can be directly related to the sample.
To use the ratio of two spectra, take at least two spectra with and without the absorber. It is not
necessary that the peaks be listed in the library, only that the peaks be defined in the spectra. The
half-life of any nuclide used should be very long compared to the time of measurement of both
spectra, so that decay corrections will not have to be made. The program calculates the ratio of
the peak areas from the absorber-in and absorber-out analysis output files. This will give a table
of energies (peak energies) and multipliers. The program now stores the natural log of the multi-
pliers to obtain a table of energies and coefficients. The coefficients are divided by the thickness
of the absorber (Length, entered on the Corrections tab, Fig. 142, p. 162), so that the factor you
have entered is the sample thickness.
6.10.6.3. Example — Ratio Method
The following is an example of calculating the absorption factor using the ratio of two spectra.
The results of the spectrum analysis without an absorber is shown in Fig. 250. The 154Eu peaks
are used because they are distributed over the range of interest.
The results with an absorber are shown in Fig. 251. The intensity (activity) columns from both
figures have been transferred to Table 10, which also shows the ratio of the two sets of intensities
and the logarithm of the ratio.
The logarithm values and the energies were entered into the absorption table. The absorption file
records were saved in the “absorber-in” spectrum.
288

783620K / 0915 6. ANALYSIS METHODS
NUCLIDE PEAK CENTROID BACKGROUND NET AREA INTENSITY UNCERT FWHM
CHANNEL ENERGY COUNTS COUNTS CTS/SEC 1 SIGMA % keV
++++++++++++++++++++++++++++++++++++++++++++++++++++++++++++++++++++++++++++++++++++++++
EU-154 205.56 42.83 21567. 81517. 81.52 .56 1.386s
EU-154 600.95 123.08 3702. 63228. 63.23 .46 1.096
EU-154 1216.09 247.92 2387. 7803. 7.80 1.93 1.172
EU-154 1240.28 252.83 842. 66. .07 77.62 .431s
EU-154 2909.92 591.69 1386. 3309. 3.31 3.67 1.490
EU-154 3516.06 714.71 1248. 258. .26 47.25 1.071s
EU-154 3558.06 723.24 1344. 11503. 11.50 1.45 1.577
EU-154 4296.98 873.20 920. 5748. 5.75 2.21 1.631
EU-154 4902.96 996.19 869. 4710. 4.71 2.33 1.685
EU-154 4944.77 1004.67 987. 7712. 7.71 1.81 1.841
EU-154 6273.55 1274.35 77. 10292. 10.29 1.02 2.028
EU-154 7860.55 1596.44 4. 296. .30 6.21 1.297s
s Peak fails shape tests.
D Peak area deconvoluted.
Figure 250. No Absorber Analysis.
NUCLIDE PEAK CENTROID BACKGROUND NET AREA INTENSITY UNCERT FWHM
CHANNEL ENERGY COUNTS COUNTS CTS/SEC 1 SIGMA % keV
+++++++++++++++++++++++++++++++++++++++++++++++++++++++++++++++++++++++++++++++++++++++
EU-154 205.11 42.74 13258. 27358. 27.36 1.12 1.407s
EU-154 600.85 123.06 4562. 40707. 40.71 .68 1.090
EU-154 1215.85 247.88 2402. 5359. 5.36 2.56 1.230
EU-154 1244.33 253.66 1757. 208. .21 43.82 .317s
EU-154 2910.12 591.73 1334. 2679. 2.68 4.42 1.569
EU-154 3517.08 714.92 1205. 278. .28 38.89 .354s
EU-154 3558.02 723.23 1185. 8792. 8.79 1.47 1.628
EU-154 4296.72 873.15 602. 4686. 4.69 2.01 1.697
EU-154 4903.03 996.20 718. 3682. 3.68 2.62 1.690
EU-154 4944.84 1004.69 799. 6249. 6.25 2.00 1.824
EU-154 6273.41 1274.33 85. 8654. 8.65 1.13 2.100
EU-154 7860.54 1596.44 0. 256. .26 6.25 1.780s
s Peak fails shape tests.
D Peak area deconvoluted.
Figure 251. Absorber-In Analysis.
The spectrum was energy and efficiency calibrated using the point source (SRM 4275). The
results of the analysis of the three conditions (no absorber, uncorrected absorber, and corrected
absorber) are shown in Table 11.
All three isotopes in the sample are affected by the correction (see columns 3 and 4). The 154Eu
and 125Sb are corrected to the no-absorber value. The 155Eu activity is not corrected enough
because all the lines used in the analysis of 155Eu are below the lowest energy in the absorption
table and the program uses a linear interpolation between the table values and linear extrapolation
289

GammaVision® V8 (A66-BW) 783620K / 0915
Energy Without With Ratio Log(ratio)
123.14 63.23 40.71 1.553 0.440
248.04 7.80 5.36 1.455 0.375
591.74 3.31 2.68 1.235 0.211
723.3 11.50 8.79 1.308 0.269
873.20 5.75 4.69 1.226 0.204
1004.76 7.71 6.25 1.234 0.210
1274.45 10.29 8.65 1.190 0.174
Table 10. Absorption.
Nuclide No Absorber
Uncorrected
Absorber
Corrected
Absorber
154Eu 12750 Bq 10900 Bq 12750 Bq
155Eu 8020 4813 7621
125Sb 2900 2190 2890
Table 11. Results — Measured Correction.
outside the table values. This underestimates the correction below the lowest energy because the
attenuation is logarithmic in form.
6.10.6.4. Example — Table Values
The same spectrum example can be used to show the calculated coefficients. Using the mass
attenuation coefficients table33 for silicon and oxygen, the linear attenuation coefficients can be
calculated for the sand absorber. Any other materials in the sand are ignored in this case, but
might not be in the general case. Table 12 shows the mass attenuation coefficients for oxygen,
silicon and sand (SiO2).
The sand value can be calculated using the mass ratios. In this case it is also given in the hand-
book tables. The density of the sand was measured to be 1.67 g/cm3. The fifth column in the table
is the coefficient in column 4 multiplied by the density. These numbers are entered into the SOR
table. This is the linear attenuation factor in 1/cm.
33“Radiological Health Handbook,” January 1970, U.S. Dept. of Health, Education and Welfare.
290

783620K / 0915 6. ANALYSIS METHODS
Energy
mu/rho mu
Oxygen Silicon Sand Sand
30 .372 1.41 .859 1.43
40 .257 .696 .463 .773
50 .213 .437 .318 .531
60 .191 .322 .252 .421
80 .168 .224 .194 .324
100 .156 .184 .169 .282
150 .136 .145 .140 .234
200 .124 .128 .126 .210
300 .107 .108 .108 .180
400 .0957 .0962 .0959 .160
500 .0873 .0875 .0874 .146
600 .0808 .0808 .0808 .135
800 .0708 .0707 .0707 .118
1000 .0637 .0635 .0636 .106
1500 .0518 .0518 .0518 .0865
2000 .0446 .0448 .0447 .0746
Table 12. Calculated Coefficients.
Nuclide No absorber
Uncorrected
absorber
Corrected
absorber
154Eu 12750 Bq 10900 Bq 12450 Bq
155Eu 8020 4813 7965
125Sb 2900 2190 2776
Table 13. Results — Calculated Correction.
In the analysis, the absorption factor is entered as 1.6, because this is the thickness of the sand
in cm. The result of the analysis using this table is shown in Table 13. Note that the calculated
correction is more accurate below 100 keV than the measured correction so 155Eu is more
accurately corrected. Figure 252 shows the two correction files. The vertical scales have been
adjusted to account for the difference in the input factor of 1.6.
291

GammaVision® V8 (A66-BW) 783620K / 0915
Figure 252. Comparison of Measured and Calculated Absorption
Factors.
(90)
6.11. Random Summing
If more than one gamma-ray photon signal is absorbed by the detector during a pulse sampling
cycle, the sum of the energies of the two (or more) is recorded in the spectrum. Since the two
gamma rays are not related in any way, this is random coincidence. Random coincidence sum
peaks can be formed at double the energy of the primary peaks (Fig. 253). Any full-energy pho-
ton that is summed with another pulse is not recorded in the single photon peak and represents a
loss of counts or efficiency. This loss is count-rate dependent.
The random summing correction factor is:
where:
RSF = the random summing factor (multiplier)
Ct = the contents of all channels
F= the user-entered slope of the correction curve
LTl= the live time
292

783620K / 0915 6. ANALYSIS METHODS
Figure 253. Random Summing. The Sum Peak Is the Sum of Two
Coincident Low Full-Energy Peaks.
This value is set to 1.0 if it is calculated at less than or equal to zero.
6.11.1. Random Summing Correction
The uncorrected peak area is multiplied by RSF to obtain the corrected peak area. This is done
before the peak area is converted to activity.
The slope of the correction curve is dependent on the detector and the source/detector geometry.
It is experimentally determined by the following simple procedure. The procedure requires two
radioactive sources: one of low activity and high energy, and one of high activity and a lower
energy. The energy of the high-activity source must be chosen so that it will not interfere with the
high-energy peak, i.e., it should be less than half the energy. Two such sources are 88Y and 137Cs.
Position the high-energy source in front of the detector so that the count rate is low and collect a
spectrum with a small counting statistical error (e.g., 100000 counts in the peak area). Measure
the net peak area of the high energy gamma ray and the total counts in the spectrum (see
Section 5.4.3, Calculate/Peak Info...). Now position the low-energy source in front of the detec-
tor to increase the count rate and collect a second spectrum for the same live time as the first
spectrum. Again measure the net peak area and total counts in the spectrum. More spectra can be
collected by moving the low-energy source closer to the detector to increase the count rate.
For example, six spectra were collected and the results are shown in Table 14.
293

GammaVision® V8 (A66-BW) 783620K / 0915
Count Rate Peak Area Ratio
200 100000 1.00
2000 98850 0.98
4000 97200 0.97
6200 95900 0.95
8000 94800 0.94
9500 93700 0.937
Table 14. Random Summing Data.
(91)
(92)
Using the lowest and highest count rate values, the slope is calculated as:
The negative of this slope is the factor you enter as the Random Summing factor on the Sample
tab under Analyze/Settings/Sample Type....
6.12. Reported Uncertainty
The uncertainty printed on the report can be either counting or total uncertainty. They can be
printed at 1, 2, or 3 sigma. The counting uncertainty is the uncertainty of the peak area due to
statistical uncertainty, and was discussed earlier. For a peak net area, the counting uncertainty can
be expressed in percent of the peak area. This same percent is used to express the percent
counting uncertainty in the activity values.
6.12.1. Total Uncertainty Estimate
The total uncertainty estimate (1 sigma) is determined by summing in quadrature the individual
uncertainties from the various analysis components.
294

783620K / 0915 6. ANALYSIS METHODS
(93)
where:
σcount
2= counting uncertainty estimate (Section 6.3.4). If PBC is enabled, this term includes
the PBC uncertainty calculated per Section 6.12.12.
σnor
2= additional normally distributed uncertainty estimate (Section 6.12.3)
σrsum
2= random summing uncertainty estimate (Section 6.12.4)
σabs
2= absorption uncertainty estimate (Section 6.12.5)
σnuc
2= nuclide uncertainty estimate (Section 6.12.6)
σeff
2 = efficiency uncertainty estimate (Section 6.12.7)
σgeo
2= geometry uncertainty estimate (Section 6.12.8)
σsys
2= systematic (uniformly distributed) uncertainty estimate (Section 6.12.9)
σadl
2= additional user-defined uncertainty factor (Section 6.12.10)
σs
2= sample size uncertainty (Section 6.12.11)
All components of uncertainty estimates except σuni are computed at the 1-sigma level. The uncer-
tainty estimate for a uniformly distributed error is used at the full range. If a correction factor is
not used, the uncertainty estimate is zero for that component.
6.12.2. Counting Uncertainty Estimate
This is discussed in Section 6.3.4.
6.12.3. Additional Normally Distributed Uncertainty Estimate
Inputnor is obtained based on the Random setting in the Additional Error section of the Analysis
tab.
where:
σ2
nor = variance of additional normally distributed uncertainty (% 1 sigma)
Inputnor = user input for normally distributed uncertainty (% 1 sigma)
295

GammaVision® V8 (A66-BW) 783620K / 0915
(94)
(95)
(96)
6.12.4. Random Summing Uncertainty Estimate
where:
σ2
rsum = variance of random summing error estimate
CFrs = random summing correction factor
6.12.5. Absorption Uncertainty Estimate
where:
σ2
abs = variance of attenuation error estimate
CFab = absorption correction factor
6.12.6. Nuclide Uncertainty Estimate
where:
σ2
nuc = variance of nuclide error estimate
Inputnuc = user uncertainty input for nuclide (% 2 sigma). This is the uncertainty in the yield
(branching ratio) for the first gamma ray in the library for each nuclide.
6.12.7. Efficiency Uncertainty Estimate
The efficiency uncertainty is computed differently depending on the type of fit used for the
efficiency calculation. The components used for efficiency include the errors due to uncertainty
of the calibration source, uncertainty of the calibration fit, and the counting uncertainty of the
calibration.
The total efficiency uncertainty, σeff, is calculated as:
296

783620K / 0915 6. ANALYSIS METHODS
(97)
(98)
(99)
(100)
(101)
where σc is the calibration fit uncertainty and σp is the calibration counting uncertainty, both
discussed in the sections below.
6.12.7.1. Calibration Counting Uncertainty
When an efficiency calibration is performed, the counting uncertainty is calculated and stored in
the calibration record. In general, there is an above-the-knee counting uncertainty and a below-
the-knee counting uncertainty, both calculated and saved to the calibration data record.
For polynomial and TCC-polynomial type calibrations, the counting uncertainty above the knee
is calculated as the averaged counting uncertainty of all calibration peaks involved, regardless of
the knee energy, as shown below:
where σci is the counting uncertainty of the i-th calibration peak, and N is the total number of
calibration peaks used. The counting uncertainty below the knee is always set to zero for these
two calibration types:
For all other calibration types, the above-the-knee counting uncertainty is calculated as the
averaged counting uncertainty of all the calibration peaks with energy greater than or equal to the
knee energy, as shown below:
where N1 isthe number of calibration peaks whose energies are greater than or equal to the knee
energy.
The below-the-knee counting uncertainty is calculated as the averaged counting uncertainty of all
the calibration peaks with energy less than the knee energy:
297

GammaVision® V8 (A66-BW) 783620K / 0915
(102)
(103)
(104)
where N2 is the number of calibration peaks with energies less than the knee energy. If N2 is
zero, the counting uncertainty is zero.
For polynomial and TCC-polynomial type calibrations, the calibration counting uncertainty σp is
always equal to the counting uncertainty above the knee:
For all other calibration types, σp is calculated as:
NOTE For calibrations performed before GammaVision 7, the above-and below-the-knee
counting uncertainties are both zero. To take into account the counting uncertainty
discussed here, update the efficiency calibration with GammaVision 7 so the new
uncertainties will be calculated and stored in the calibration file. Then, when a spec-
trum is analyzed, the final reported activity uncertainty will take into account the
added uncertainty in calibration.
6.12.7.2. TCC-Polynomial
The calibration variance is the averaged variance of all the calibration points in the certificate
file:
where:
σC= the calibration uncertainty
σi= the uncertainty of the ith calibration point from the certificate
N= the total number of calibration points
6.12.7.3. Interpolative
For this calculation, the calibration points are sorted in ascending order by energy. If energy E is
less than the first (lowest-energy) calibration point, Ei and Ei+1 are the two lowest-energy calibra
298

783620K / 0915 6. ANALYSIS METHODS
(105)
(106)
(107)
(108)
tion points. If energy E is greater than the last (highest-energy) calibration point, Ei and Ei+1 are
the two highest-energy calibration points. For all other cases, Ei < E < Ei+1 :
where:
σi= the uncertainty (not the fractional uncertainty) associated with energy Ei from the
certificate.
This calculation is also used when energy E is less than the first calibration point, the efficiency
fit is polynomial, and the detector is N-type.
6.12.7.4. Linear, Quadratic or Polynomial
In general, the efficiency curve (or efficiency fit) can be expressed as:
where:
ε= the efficiency at energy E
ak= the kth fitting parameter
The parameters x, n, and m depend on the type of efficiency curves:
●For linear/quadratic fits:
●For polynomial fits:
If the energy x is lower than the lowest two calibration points, the analysis engine performs an
interpolated fit instead of a polynomial fit. The summation in Eq. 106 is the sum over all the
fitting parameters, k = 1, ..., m, not the sum over all the calibration points.
299

GammaVision® V8 (A66-BW) 783620K / 0915
(109)
(110)
(111)
(112)
(113)
Now let us define a parameter y as y = ln ε. This yields:
The fitted efficiency at any point xi (as defined in Eqs. 107 and 108 above) is:
Matrix Solution
Equation 110 above is Eq. 7.12 in Bevington,34 except that the function fk (xi ) has been replaced
by xi
n, a particular type of polynomial:
where xi and n are defined in Eqs. 107 and 108.
From Eq. 7.14 in Bevington, the β matrix is calculated using Eq. 111 above:
where σi and N are defined in Eq. 104, yi is defined in Eq. 110, and xi is defined in Eqs. 107
and 108.
From Eq. 7.15 in Bevington, the α matrix is calculated by:
where for a linear/quadratic fit:
n1 = n − 1
k1 = k − 1
and for a polynomial fit:
n1 = 2 − n
k1 = 2 − k
34Bevington, Philip R. and D. K. Robinson. Data Reduction and Error Analysis for the Physical Sciences, 2nd
ed., McGraw-Hill, 1992.
300

783620K / 0915 6. ANALYSIS METHODS
(114)
(115)
(116)
(117)
The σi factor is the fractional uncertainty at the ith calibration point (as defined for Eq. 104). σi is
not the absolute uncertainty because the actual curve being fitted is not the efficiencies them-
selves but the natural log of the curve.
Matrix Inversion
From Eq. 7.20 in Bevington, the nth fitting parameter in our Eq. 109 or Eq. 106 can be calculated
as:
where δ is the inverse matrix of α:
The δ matrix is called the error matrix because its diagonal elements are the variances of the fit-
ting parameters, and the off-diagonal elements are the covariances of the fitting parameters (see
Eq. 7.25 in Bevington):
If i = j, is the variance for the fitting parameter ai. If i ≠ j, is the covariance between
the fitting parameter ai and aj.
Uncertainty of the Fit
From Eq. 3.13 in Bevington, the polynomial fit uncertainty is given by:
where y is the polynomial given in Eq. 109 and ai is the ith fitting parameter. The error matrix δi j
has been used instead of for clarity. Equation 117 does not use the factor 2 before the
covariance terms, as is done in Bevington Eq. 3.13. This is due to the double-summation notation
used in Eq. 117 and because the error matrix is symmetric (δ12 = δ21, ...). The diagonal elements
are not double-counted in the above equation. (In Bevington Eq. 3.13, is denoted as .)
301

GammaVision® V8 (A66-BW) 783620K / 0915
(119)
(120)
(121)
(122)
(118)
From Eq. 109, since , we have:
where for a linear/quadratic fit:
i1 = i − 1
j1 = j − 1
and for a polynomial fit:
i1 = 2 − i
j1 = 2 − j
Finally, the calibration uncertainty is:
where ε is the fitted efficiency at energy E (from Eq. 106), and σy is calculated from Eq. 118. If σc
is zero, then the “sigma above” (σa) or “sigma below” (σb) value described in the following para-
graphs is used.
If the fit type is neither polynomial nor TCC-polynomial, the calibration uncertainty is calculated
as:
where σa and σb are defined as follows.
If the energy E > Eknee ,
302

783620K / 0915 6. ANALYSIS METHODS
(125)
(124)
(123)
If E ≤ Eknee,
where:
εi= the measured efficiency at energy Ei
fi= the calculated efficiency at Ei from Eq. 106
Eknee = the efficiency knee energy
Na is the number of efficiency points above the knee energy and Nb is the number of efficiency
points below the knee energy. Both Na and Nb must be greater than 1. If σa or σb is zero, the
default uncertainty of 1.5% is used.
If the fit type is polynomial but not TCC-polynomial, the calibration uncertainty is calculated as:
For polynomial fits, Eknee is always ignored.
Sometimes, the efficiency pairs might be missing from the calibration file but the fit parameters
and fit type are stored in the file. In these cases, the σa or σb value is used.
6.12.8. Geometry Uncertainty Estimate
This value, σgeo
2,.is based on the geometry uncertainty estimate entered on the geometry correc-
tion sidebar (Fig. 153):
If the uncertainty is 0 or no value is entered, or if using a .GEO file from an earlier version of
GammaVision, a fixed value of 1.5% is used.
303

GammaVision® V8 (A66-BW) 783620K / 0915
(126)
(127)
(128)
6.12.9. Uniformly Distributed Uncertainty Estimate
This is based on the Systematic error entered on the System tab and saved in the .SDF file.
where:
σ2
sys = uncertainty estimate for a uniformly distributed uncertainty estimate
Inputsys = user input for full range (%)
6.12.10. Additional User-Defined Uncertainty Factors
On the Uncertainties tab (Fig. 144) you can optionally define up to nine uncertainty values σusr1
through σusr9, which are added quadratically to the total relative uncertainty, σt, as the additional
user-defined uncertainty factor σadl as follows:
Both the field description and its corresponding non-zero value must be defined for an uncer-
tainty entry or it is not used. These values are stored in the .SDF file as well as .SPC spectrum
files, and are reported individually in the Analysis Parameters table.
6.12.11. Sample Size Uncertainty
The value σs
2 is based on the sample size uncertainty entered on the System tab.
If using an .SDF file from an earlier version of GammaVision, a fixed value of 1.5% is used.
304

783620K / 0915 6. ANALYSIS METHODS
(129)
(130)
(131)
(132)
(133)
6.12.12. Peaked Background Correction and Uncertainty Calculations
6.12.12.1. Single PBC Subtraction
If the PBC net count rate at energy E is Rp (in cps), the live time is LT (in seconds), and the frac-
tional uncertainty of the net PBC peak count rate is σp, then the corresponding PBC counts Np and
the associated absolute uncertainty σabsp in counts can be calculated from the following:
If N0 is the peak area in counts before PBC, σ0 is the corresponding fractional uncertainty, and
σabs0 is the corresponding absolute uncertainty for the net peak area before PBC (see Eq. 48,
page 250), the absolute peak area uncertainty before PBC is:
The PBC corrected peak area N (in counts) is calculated as:
If, after PBC, the net peak area is <0, it is set to 0 unless Directed Fit is enabled (because nega-
tive peak area is not physical). After PBC, the subtracted PBC area is added to the peak back-
ground. If B0 is the peak background before PBC, the peak background after PBC is:
After PBC, the variance of the peak net area counts has contributions from the PBC subtraction
as well as from the change in the peak background discussed above. The variance from the PBC
subtraction is simply σabsp
2.
305

GammaVision® V8 (A66-BW) 783620K / 0915
(134)
(135)
(136)
(137)
The variance due to the change in the peak background is taken to be the increase in the peak
background, Np. Therefore, after PBC, the total absolute uncertainty (in counts) for the net peak
area is calculated as:
Note that for PBC, only the absolute uncertainties (not relative) are added in quadrature. After the
PBC correction, the relative uncertainty in percent is calculated as:
If the PBC corrected area is exactly zero, the relative uncertainty is set at 1000% (or 10.0), the
default value used in all cases where the activity is zero.
Note that when PBC is enabled, the counting uncertainty for a peak always has PBC contribu-
tions. That is, the counting uncertainty calculated before PBC (σ0 in Eq. 131) is not saved in the
.UFO file. The same holds for the peak area; it is always the PBC corrected value, and the net
peak area before PBC is not saved in the .UFO file.
6.12.12.2. Multiple PBC Subtraction
If there are multiple PBC peaks under a peak, that peak is subject to multiple PBC subtractions.
The sum of the PBC net areas is simply the sum of individual PBC areas (for comparison, see
Eq. 129 for single PBC subtraction):
where LT is the live time, Rp_i is the PBC count rate for the i-th PBC, and m is the total number of
PBC peaks.
The total PBC uncertainty is calculated from the following (compare to Eq. 130):
where σabsp_i is the absolute uncertainty of each PBC peak in counts. After calculating Np and σabsp
for the combined PBC subtraction with multiple PBC the rest of the calculations can be applied
the same way as for a single PBC (that is, all equations in this section except Eqs. 129 and 130
can be applied the same way for both single and multiple PBC subtractions).
306

783620K / 0915 6. ANALYSIS METHODS
(138)
6.13. EBAR — Average Energy
The average energy calculation (EBAR) represents the sum of the average beta-gamma emission
energy per disintegration for the identified radionuclides in the sample. The nuclides must be in
the analysis library and the EBAR table (i.e., the .EBR file). The weighting factors of the activity
of each isotope are usually defined by the plant chemistry procedures or can be calculated based
on data found in radioactive-decay tabulations such as DOE/TIC-1102635 or ORNL/NUREG/
TM-102.36
The EBAR formula is:
where:
EBAR = the sum of the average beta and gamma energies in keV/disintegration
Ei= , the average energy/disintegration for an individual nuclide
Ai= the activity for nuclide i
n= the number of nuclides
The average energy for a given nuclide is the sum of the product of the energy of the gamma ray
and the abundance of that ray, plus the product of the energies of the electrons (1/3 the maximum
for beta decay), plus the abundance of that ray.
As an example, consider the decay scheme for 133Xe–133Cs in Fig. 254.
The maximum beta energy is given as 346 keV, which gives 267 keV and 45 keV for the
energies of the transitions to the 160 keV and 382 keV states in 133Cs. In addition to beta-decay
electrons, the internal conversion electrons must also be included. The K-conversion electron has
an energy of 45 keV and an abundance of 54%; the L electron has an energy of 75 keV and an
abundance of 7%.
35DOE/TIC-11026, United States Department of Energy, Office of Scientific and Technical Information, Oak
Ridge, Tennessee.
36Technical Manual TM-102, Nuclear Regulatory Commission Guide, Oak Ridge National Laboratory, Oak
Ridge, Tennessee.
307

GammaVision® V8 (A66-BW) 783620K / 0915
Figure 254. Decay Scheme.
Thus, for the betas, the energy is:
346 × 0.993 × 1/3 = 114.5
+ 267 × 0.007 × 1/3 = 1.9 0.6
+ 45 × 6.0×10-5 × 1/3 = 0
+ 45 × 0.534 = 24.1
+ 45 × 0.09 = 6.8
146.0
For the gamma rays, each gamma energy is multiplied by its abundance. In addition, the x-ray
fluorescence from the internal conversion must also be included. For the two electrons (K and L),
the x-ray energies are 36 keV and 6 keV, respectively. The same abundances as above are used.
308

783620K / 0915 6. ANALYSIS METHODS
Nuclide 131I Equiv
131I 1.00000
132I 3.610000E−02
133I 0.270300
134I 1.690000E−02
135I 8.380000E−02
Table 15. IEQ Table.
The gammas yield the following:
81 × 0.37 = 30.0
+ 79 × 6×10-4 = 0
+ 100 × 9×10-5 = 0
+ 220 × 6×10-7 = 0
+ 302 × 4×10-5 = 0
+ 382 × 2×10-5 = 0
+ 36 × 0.534 = 19.2
+ 6 × 0.09 = 0.5
49.7 keV/disintegration
Adding the values for the electron energy and gamma energy gives the total average energy of
195.7 keV/disintegration for 133Xe.
In the calculation of the average energy value for a nuclide, care must be taken to ensure that all
radiations are counted.
NOTE Be sure the isotope identifiers (e.g., “Xe-133") in the average energy table match the
identifiers in the analysis library, otherwise, GammaVision will be unable to calculate
this value correctly.
6.14. IEQ — Iodine Equivalence
The iodine equivalence (Dose Equivalent Iodine-131)
calculation is used to calculate that concentration of 131I
which alone would produce the same thyroid dose as the
quantity and isotopic mixture of 131I, 132I, 133I, 134I, and 135I
actually present. The thyroid dose conversion factors are
given in Table III of TID-1484437 or Table E-7 of NRC
NUREG 1.109 Rev. 1.38 Table 15 shows the IEQ values
from TID-14844.
The IEQ value is the sum of the products of the isotopic
abundance and the corresponding factor for all the isotopes in both the analysis library and the
table.
37TID-14844, United States Department of Energy, Office of Scientific and Technical Information, Oak Ridge,
Tennessee.
38Guide Number 1.109 Rev. 1, United States Nuclear Regulatory Commission, Washington, DC. October 1977.
309

GammaVision® V8 (A66-BW) 783620K / 0915
(139)
(140)
The value is:
where:
Ai= the activity for the ith isotope
Fi= the ith factor
l= all the isotopes
The units of IEQ are the units specified in the report. If decay correction is specified, both the
decay-corrected equivalent activity and the time-of-count equivalent activity are reported.
Isotopes that are not found (those whose MDAs are reported) are not included in the reported
value. If the decay correction is more than 12 half-lives, the decay-corrected value is not included
in the reported value.
NOTE Be sure the isotope identifiers (e.g., “I-133") in the average energy table match the
identifiers in the analysis library, otherwise, GammaVision will be unable to calculate
this value correctly.
6.15. DAC or MPC
The DAC or MPC calculation is a measure of the fraction of the allowed activity or concentration
in the current sample. The allowed activity or concentration values are stored in a table (see
Section 5.5.1.8). A value of 1 (or 100%) means the sample had 100% of the allowed value.
NOTE Be sure the isotope identifiers (e.g., “Xe-133") in the table match the identifiers in the
analysis library, otherwise, GammaVision will be unable to calculate this value
correctly.
For cases where nuclides are identified in the analysis but not explicitly included in the DAC
table, you can optionally add a nuclide named “Default” with an associated DAC value to the
DAC table for use in the calculation. If no “Default” entry is included, then nuclides with activity
reported that do not match a nuclide name in the DAC table will not affect the DAC calculation.
The value is defined as:
310

783620K / 0915 6. ANALYSIS METHODS
Figure 255. 60Co Decay to 60Ni.
where:
Ai= the activity of isotope i
Di= the allowed value for isotope i
DAC = the fractional allowed value in percent
The value is not calculated for MDA values.
6.16. True Coincidence Correction
In the case where a nuclide emits multiple cascade
gamma rays when it decays, these multiple gamma rays
can be detected individually or together as one gamma
ray. An example decay is 60Co, as shown in Fig. 255.
The two gamma rays (1173.2 and 1332.5 keV) are
emitted in cascade or one after another. The lifetime of
the intermediate state is very short so that it appears
that the two gamma rays are emitted in coincidence
(i.e., at the same time). Since the two gamma rays can
interact in the detector in a time short compared to the response time of the detector and the
resolving time of the electronics, the two gamma rays are recorded as a single gamma ray.
When the two gamma rays are detected as one, it effects the spectrum in two ways. One way is
the creation of a “sum” peak that is the sum of the amplitudes of the two individual full-energy
peaks. The second way is to remove counts from the full-energy peak. The first creates extra
peaks in the spectrum. The second reduces the peak area of these gamma rays and thus the
reported activity of the nuclide.
The reduction of the peak area due to summing is more important than the creation of the “sum
peak.” The sum peak requires the addition of two full-energy pulses to get the summed energy.
The reduction of the peak area only requires that there be a full-energy interaction at the same
time as another interaction from the other members of the cascade. Recall that most of the inter-
actions in the detector do not produce full-energy peaks, but produce partial-energy interactions
(the Compton background). A summing with any of the partial-energy signals will result in the
full-energy pulse being removed from the full-energy peak. Further details can be found in many
references.39,40,41
39 Glenn F. Knoll, Radiation Detection and Measurement, 3rd edition, p. 323, Wiley and Sons, 2000.
40 Gilmore, G., and J.D. Hemingway, Practical Gamma-Ray Spectrometry, p. 156, Wiley and Sons, 1995.
41 “Calibration and use of Germanium Spectrometers for the measurement of gamma-ray emission rates of
radionuclides,” ANSI N42.14-1991.
311

GammaVision® V8 (A66-BW) 783620K / 0915
(141)
(142)
The true coincidence correction (TCC) is the correction necessary to account for all of the pulses
removed from the full-energy peak. This correction is a simple divisor of the net peak area, that is
the net peak area is increased by the correction factor. The correction factor is detector and
sample geometry dependent. The correction factor depends on the full-energy efficiency, that is
the ability of the detector to detect the total energy of the gamma ray, and the total efficiency, that
is the ability of the detector to detect any part of the gamma ray energy. The full-peak efficiency
is determined in the efficiency calibration (Calibrate/Efficiency) and the total efficiency is
determined in the TCC part of Calibrate/Calibration Wizard....
6.17. ISO NORM Implementation in GammaVision
This section details the analysis methods for the GammaVision implementation of ISO NORM.1
Net peak area has been taken as the measurand defined in ISO NORM (see Eq. 141–143). The
background variance is calculated from Eq. 145, and special cases are addressed in Eq. 197–200.
The critical level, in counts, is calculated from Eq. 160; and the MDA, in counts, is calculated
from Eq. 162. The conditions to converge to Currie’s MDA method (see GammaVision MDA
Method 12, “Regulatory Guide 4.16,” Section 6.9.2.12) are presented in Eq. 169–171. The best
estimated activity, in counts, is calculated from Eq. 183, and the uncertainty in the best estimated
activity, in counts, is calculated from Eq. 186. The confidence intervals are calculated from
Eq. 187 and 188, respectively. Negative peak area and confidence interval are discussed in
Section 6.17.7.2.
6.17.1. The ISO NORM Model in GammaVision
The ISO NORM model is discussed in Section 5.2 of ISO NORM, and is described mathe-
matically as:
The parameters above are generic. As an example in ISO NORM, x1 is the gross count rate, x2 is
the background count rate, x3 is a shielding factor, x4 is an additional background correction term,
and w is a conversion factor.
In GammaVision, the model is a simplified version of Eq. 141 above:
312

783620K / 0915 6. ANALYSIS METHODS
(143)
(144)
(145)
where:
x1= The peak gross counts
x2= The peak background counts
x3≡1
x4≡0
Thus, the measurand in Eq. 142 above is the net peak area. According to the ISO NORM docu-
mentation, y in Eq. 141 can be the net count (or count rate) or the net activity. Thus, Eq. 142 is
compliant with the ISO NORM standard.
Using the familiar terms y ≡ N, x1 ≡ G, and x2 ≡ B, where G is the peak gross counts and B is the
peak background, Eq. 142 can be rewritten as:
In the remainder of this discussion, we will use N as the net peak area y.
6.17.2. The Uncertainty of Net Peak Area
From Eq. 143, it is clear that the variance of the net peak area N is the sum of the variance of the
gross counts G and the variance of the background counts B. Therefore, the uncertainty of the net
peak area (or the uncertainty of the measurand y) is given by:
where σB is the uncertainty in the peak background. The fact that the variance of the gross count
G is G itself has been used in Eq. 144 above. The standard uncertainty propagation rule in ISO
NORM (see Eq. 3 in ISO NORM) is used in deriving Eq. 144 above.
The standard uncertainty u(y) for y in Eq. 141 is related to Eq. 9 in ISO NORM. Because a sim-
plified model is used in GammaVision, the uncertainty calculation has been greatly simplified.
The uncertainty in the peak background σB is calculated from Eq. 48 on page 250, which we
restate here:
313

GammaVision® V8 (A66-BW) 783620K / 0915
where:
Lpk = The peak width, LHi − LLo + 1.
LLo = The background width on the peak’s low-energy side
LHi = The background width on the peak’s high-energy side
For special cases, see Section 6.17.7.1.
6.17.3. Other Quantities in ISO NORM
Starting from the model that uses the net peak area as the measurand, the GammaVision equi-
valent of the other quantities required in ISO NORM are defined in Table 16.
All parameters are expressed in units of counts. Note that GammaVision uses the term critical
level (in counts) for the ISO NORM term decision threshold; and the term MDA (in counts) for
the ISO NORM term detection limit.
6.17.4. Conversion from Counts to Activity
On the GammaVision analysis reports, reported quantities in activity units can be obtained by a
simple conversion factor, ξ, from the counts:
GammaVisio
n
expression
ISO NORM
expression Description
N y Net peak area
σNu(y) Uncertainty of the net peak area
NhŷBest-estimate of the net peak area
σNh u(ŷ)Uncertainty of the best-estimate peak area
NCL y* Critical level or decision threshold
NMDA y#The MDA or the detection limit
N < NCL y < y* Peak area less than the critical net peak area
N > NCL y ≥ y* Peak area greater than the critical net peak area
N<y◂Lower limit of the net peak area
N>y▸Upper limit of the net peak area
Table 16. Terminology Comparison: GammaVision vs ISO NORM.
314

783620K / 0915 6. ANALYSIS METHODS
(146)
(147)
(148)
(149)
(150)
(151)
where:
TDC = decay corrections, incorporating DDA, DC, and DDC as defined in
Sections 6.10.1 through 6.10.3.
Mult = multiplier entered on the System tab.
RSF = random summing correction factor (Section 6.11).
LT = live time.
εE = detector efficiency at energy E (Section 5.3.3); this efficiency factor is stored in
the .CLB record of the .SPC spectrum file.
Br = peak branching ratio from library.
GeoFac = geometry correction factor as described in Section 6.10.5.
Ac= attenuation correction (Section 6.10.6.1).
Div = divisor entered on the System tab.
s= sample quantity entered on the System tab.
If reporting total sample activity is requested in GammaVision, then:
Specific conversions from counts to activity units are performed on the following quantities:
●Peak Activity:
●Best Estimated Peak Activity:
●Uncertainty in the Peak Activity and Best Estimated Peak Activity:
315

GammaVision® V8 (A66-BW) 783620K / 0915
(152)
(153)
(154)
(155)
(156)
(157)
(158)
If uncertainty in percent is requested in GammaVision, then no conversion is necessary.
●Peak Decision Threshold or Critical Level:
●Peak Detection Limit:
●Below or Above Decision Threshold Test:
●Lower and Upper Peak Activity Limits:
6.17.5. Peak Calculation Details
This section discusses the calculation of peak related quantities. Most of the time, the task is
simply to substitute the GammaVision expressions presented in Section 6.17.3 directly into the
ISO NORM equation.
6.17.5.1. Critical Level or Decision Threshold
According to Eq. 21 or F.11 in ISO NORM, the critical peak area NCL is calculated as:
where k1-α is the quantile of the normal distribution for the probability α and σN=0 is the net peak
area uncertainty when N is zero. From Eq. 144 above we have:
316

783620K / 0915 6. ANALYSIS METHODS
(159)
(160)
(161)
(162)
Thus,
σB is the peak background uncertainty and can be calculated from Eq. 145 above. If the uncer-
tainty of the background is taken as the square root of the peak background, and if k1-α is 1.645,
then Eq. 160 becomes the familiar one used in GammaVision:
Even if there is an uncertainty associated with the factor for converting counts to activity units,
the critical level is not affected by the magnitude of the uncertainty.
6.17.5.2. Peak MDA or Peak Detection Limit
This section discusses the ISO NORM MDA calculation.
General MDA Equation
In ISO NORM, the equation for MDA42 reads:
where LDNet is the detection limit (GammaVision MDA) in counts, SDNet is the decision threshold
(GammaVision critical level) in counts, and σ%R is the uncertainty of the factor for converting
the net count rate into the activity units. In ISO 11929, the detection limit is defined in Eq. 22 or
F.13, although not in a closed form.
According to Eq. 162 above, the ISO NORM MDA, in counts, can be expressed in a more
compact form:
42Alain Vivier, personal communication, Adequation LVIS vs ISO 11929_AV to JG-1.pdf, July 31, 2013.
317

GammaVision® V8 (A66-BW) 783620K / 0915
(163)
(164)
(165)
(166)
(167)
where NMDA is LDNet in Eq. 162; and the parameters b, c, and v are defined as:
where NCL, the critical level in counts, is SDNet in Eq. 162; µ%R, the uncertainty of the activity
conversion factor, is σ%R in Eq. 162; and all other parameters have been defined above.
Comparing Eq. 163 to the original MDA equation Eq. 162, one sees that b is the first two terms
in the numerator, c is the correction term in the denominator, and v is the operand inside the
square-root operator. The identities above are used in the following sections.
Uncertainties in the MDA Equation
The uncertainty of the conversion factor takes into account the calibration efficiency uncertainty,
nuclide uncertainty, additional random uncertainty, additional systematic uncertainty, and geo-
metry correction uncertainty (if the geometry correction is turned on and the uncertainty is a
fixed value of 1.5%). The equation used to calculate µ%R is:
where:
σeff
2= efficiency uncertainty estimate (Section 6.12.7).
σnuc
2= nuclide uncertainty estimate (Section 6.12.6)
σnor
2= additional normally distributed uncertainty estimate (Section 6.12.3)
σgeo
2= geometry uncertainty estimate (Section 6.12.8)
σrsum
2= random summing uncertainty estimate (Section 6.12.4)
318

783620K / 0915 6. ANALYSIS METHODS
(168)
(169)
(170)
(171)
σabs
2= absorption uncertainty estimate (Section 6.12.5)
σsys
2= systematic (uniformly distributed) uncertainty estimate (Section 6.12.9)
σadl
2= additional user-defined uncertainty factor (Section 6.12.10)
σs
2= sample size uncertainty (Section 6.12.11)
All uncertainty components in this equation have been used in other parts of calculations in
GammaVision. All uncertainties in this equation must be relative uncertainties. This uncertainty
is the total uncertainty without the counting uncertainty term.
Special Cases
Under special conditions when both error probabilities are the same:
The peak MDA in counts is:
where c is defined in Eq. 166.
If we further assume the error probability is at 5% and the variance of the background is back-
ground B itself:
then the MDA in counts is calculated from:
Except for the correction factor c in Eq. 171, this resembles the well-known Currie’s MDA
equation.
319

GammaVision® V8 (A66-BW) 783620K / 0915
(172)
(173)
(174)
(175)
(176)
(177)
MDA to Critical Level Ratio
When the critical level, in counts, is much greater than k1-α
2, the MDA can be calculated from the
following equation:
where f is defined as:
If we define the above MDA ratio as R:
and define X and A as:
then the MDA ratio R becomes:
For a given R and A in Eq. 176, the corresponding f can be obtained by solving Eq. 176 for f:
320

783620K / 0915 6. ANALYSIS METHODS
(178)
(179)
(180)
(181)
If the beta risk error and the alpha risk error are the same (k1-α = k1-β = k), then no matter the value
of k and the uncertainty, R is twice the value of factor f:
If the errors are the same, the term inside the square-root in Eq. 176 is 1.0, thus R is 2.0. The
same result can be obtained using Eq. 177, although it is less obvious that this is the case simply
by inspecting Eq. 177.
Maximum MDA Ratio
If the uncertainties are extremely small so that A is very large, then the MDA correction factor f
should be close to 1.0. From Eq. 177 we see that the MDA ratio R then approaches a value of 2.0.
Note that this is true even though the beta and alpha errors are not the same. Therefore, the mini-
mum MDA ratio should be set to 2.0 as well. Under typical conditions, the following are true:
However, when the uncertainty is increased, A becomes smaller and smaller and f becomes larger
and larger (see Eq. 173). The ratio can approach infinity if the denominator for f is zero (A ≈ 1).
When the uncertainty is further increased, both f (or R) and the MDA become negative.
We can prevent the MDA from going negative or to infinity by reducing the beta risk error so
there is an upper limit for the ratio R:
The steps for limiting the ratio are:
1) Calculate the MDA ratio with Eq. 176, using the original alpha and beta risk error.
2) If the calculated R from Eq. 176 is greater than RMax, force the ratio R to the value of RMax in
Eq. 177 to calculate an MDA correction factor fmax as shown below:
321

GammaVision® V8 (A66-BW) 783620K / 0915
(182)
3) To reduce the MDA correction to the value fmax shown in Eq. 181, it is clear that the beta risk
error must be increased to decrease the k1-β value. The new beta risk error can be calculated
from:
If the upper limit of R is set to 3, the corresponding maximum MDA correction factor is about
1.5. In GammaVision, RMax can be any value from 2 to 1000 for the “Maximum ISO NORM
MDA Ratio factor” in the b30winds.ini (n30winds.ini for NAI32) file. Any value outside this
range will result in using the default value of 3.
Maximum MDA Report
If RMax is 3.0, the uncertainty to reach the maximum correction is about 35.1% with all parameters
at default values. When the actual uncertainty is larger than this critical uncertainty, a new k1-β is
calculated from Eq. 181 so the MDA ratio R remains at RMax. If the uncertainty is extremely large,
the asymptotic value of k1-β is zero and the corresponding value for the beta risk factor is 50%.
When the maximum MDA ratio has been reached, an “I” flag is reported next to the isotope name
as shown here:
AM-241 I 5.7471E+03 6.7293E-01% 6.0850E+01% 1.000E+4
5.7471E+03 5.6712E+03 5.8230E+03 5.791E+01 6.729E-01%
At the end of the ISO NORM table, the flags are defined as:
I - ISO NORM MDA ratio at maximum for one or more peaks
Note that the “I” flag supercedes other nuclide flags (A, B, C, F, and H). If there is more than one
peak defined in the library for an isotope, it is possible that the ISO NORM MDA for one peak is
limited even though the MDA is not capped for other peaks of the same isotope. But the isotope
would still have the “I” flag assigned. However, if the nuclide is not present and the MDA is
reported as the activity, the less-than flag may supercede all other flags, including the “I” flag,
since that flag is of higher importance to the users. At default values, the uncertainty
corresponding to the maximum MDA ratio is about 35%. The best estimated uncertainty can be
used as an indication of whether the maximum MDA ratio has reached.
322

783620K / 0915 6. ANALYSIS METHODS
(183)
(184)
(185)
(186)
(187)
6.17.5.3. The Best Estimated Activity
The best estimate of the net peak area, Nh, is discussed in Eq. 33 and F.20 in ISO NORM. It is
calculated as:
where Q is defined as:
and the parameter ω is defined as follows (see Eq. 31 or F.18 in ISO NORM):
The integration is from −∞ to Q. In Eq. 183, the second term comes from the biased estimator
used in ISO NORM.
Conversion from the above best estimated peak area to the best estimated peak activity is done
through Eq. 149.
The uncertainty of the best estimated net peak area counts, based on Eq. 34 in ISO NORM, is:
where all quantities have been defined before. From Eq. 183, because the best estimated peak
area Nh is always greater than the net peak area N, the uncertainty of the best estimated peak area
is always less than the uncertainty of the net peak area. If this value is zero, it is set to the best
estimated net peak area.
If the isotope activity is zero or negative, and if the best estimated activity is more than three
times the uncertainty of the best estimated activity, the best estimated activity and the associated
uncertainty are set to zero.
6.17.5.4. The Lower and Upper Limits of the Activity
From ISO NORM Eq. 29, the lower limit of the peak area is:
323

GammaVision® V8 (A66-BW) 783620K / 0915
(188)
(189)
All the quantities have been defined earlier except γ, which is related to the confidence interval
and 1−γ is the probability that the measured value is within the confidence limits calculated (the
typical value of γ is 0.05 for 95% confidence).
According to ISO NORM Eq. 30 or F.17, the upper limit of the peak area is:
If the uncertainty is small compared to the net peak area (i.e., when Q is large), then ω is very
close to 1. Under those conditions, N is in the middle of the confidence limits. When Q is small,
kp is less than kq, so N is closer to the lower limit than the upper limit.
If the peak area uncertainty is zero (typically this happens when the net peak area is zero), the
lower and upper confidence limits are set to zero.
Conversion from peak area limits to the corresponding activity limits is done through Eqs. 156
and 157.
6.17.6. Nuclide Calculation Details
The nuclide activity and its associated uncertainty are the branching-ratio weighted average of all
the “qualifying” peaks of the nuclide (i.e., those that meet the criteria in Section 6.7.1 for
inclusion in the average activity calculation). For all ISO NORM quantities (CL, MDA, etc.), if
those qualifying peaks are found, then the ISO NORM results are also weighted using the
branching ratios. Otherwise, ISO NORM quantities are calculated from the “MDA” line, which is
typically the line used by GammaVision to calculate the MDA in regular analysis reports.
6.17.6.1. Nuclide Activity
In GammaVision, the final activity of the nuclide is the average of the peak activity of the quali-
fying peaks (per Section 6.7.1) defined in the library. If there are m qualifying lines for a nuclide,
then the nuclide activity AA is the branching-weighted average of all qualifying peaks, as follows
in this restatement of Eq. 60:
324

783620K / 0915 6. ANALYSIS METHODS
(190)
(191)
where Bri is the branching ratio of the ith qualifying peak for the nuclide, and (A)i is the activity
calculated for the ith qualifying peak using Eq. 148. A peak with a larger branching ratio contri-
butes more to the final nuclide activity, according to Eq. 189.
6.17.6.2. Nuclide Activity Counting Uncertainty
This is discussed in Section 6.7.2.
6.17.6.3. Nuclide Best Estimated Activity
The nuclide best estimated activity is given by:
where Ahi is the best estimated activity for the ith qualifying peak calculated from Eq. 149. If no
appropriate peaks are found, the MDA peak is used.
6.17.6.4. Nuclide Best Estimated Activity Uncertainty
The 1-sigma uncertainty of the best estimated nuclide activity is given by:
where σAhi is the uncertainty of the best estimated activity for the ith qualifying peak in Eq. 151. If
2 sigma or 3 sigma is selected on the Report tab, this value will be multipled respectively by 2
or 3.
325

GammaVision® V8 (A66-BW) 783620K / 0915
(192)
(193)
(194)
(195)
6.17.6.5. Nuclide Critical Level
The nuclide critical level is given by:
where ACLi is the critical level of the ith peak calculated from Eq. 152.
6.17.6.6. Nuclide MDA
The nuclide MDA is given by:
where AMDAi is the MDA for the ith qualifying peak calculated from Eq. 153.
6.17.6.7. Nuclide Lower and Upper Activity Limits
The lower activity limit is given by:
and the upper activity limit is given by:
where A<i and A>i are the lower and upper activity limit of the ith qualifying peak calculated from
Eqs. 156 and 157, respectively.
326

783620K / 0915 6. ANALYSIS METHODS
(196)
(197)
(198)
6.17.6.8. Total Reported Activity
Total reported activity represents the summed activity calculated for all nuclides found in the
sample. It is calculated as follows and printed in the analysis report immediately after the
Summary of Nuclides table, or the Summary of Nuclides (ISO NORM) table if the ISO NORM
report checkbox is marked on the Report tab.
where AAn is the calculated nuclide activity for the n-th nuclide (see Eq. 189).
Note that if an MDA is reported for AAn for a particular nuclide, that nuclide’s contribution is not
included in Atot. In addition, any nuclide with the “Activity Not In Total” flag set is always
excluded. Also note that this total activity is typically different from the total activity calculated
for the standard GammaVision report. This is because the MDA values (which in turn might be
used as the nuclide activity values) are calculated differently in ISO NORM due to the differ-
ences in background variance calculations.
6.17.7. GammaVision / ISO NORM Unique Calculations
6.17.7.1. Special Background Variance Calculations
In some special cases, Eq. 145 will yield a zero background variance due to zero peak back-
ground or zero peak background width. However, it is known that the background variance
should not be zero. Thus special care must be taken to calculate a sensible background variance.
Zero Background Width
If the background widths LLo and LHi are both zero (typically due to peak overlapping), then the
first attempt is to calculate the background variance as:
Narrow Peak Width
When the number of channels in the background is greater than the number of channels in the
peak, Eq. 145 can yield an unrealistically small background variance. In such cases, Gamma-
Vision calculates the background variance as follows:
327

GammaVision® V8 (A66-BW) 783620K / 0915
(199)
(200)
where Lpk is the peak width; and LLo and LHi are respectively the background width below and
above the peak as defined for Eq. 145.
Zero Peak Background
If the background is zero, the background variance is taken as the gross counts under the peak.
The peak centroid is at the library peak energy and the peak width is the calibrated peak width.
The background variance is simply given by:
where G is the peak gross counts.
In other GammaVision reports, the background variance in this case is zero. The MDA calculated
then maybe too small if the Currie’s MDA method is used because the MDA counts are only
2.71. MDA calculated from the equation here could be much larger.
This equation is very often used for overlapping peaks where the peak area is attributed to other
isotopes.
Peaked Background Correction (PBC)
If PBC is involved, the total background uncertainty is calculated from:
where PBC is the amount of peak background correction in counts. Note that the PBC correction
part is not “scaled” by the ratio of peak width to background width.
6.17.7.2. Negative Peak Area and Confidence Interval
The ISO NORM standard does not make clear how negative peak areas should be handled. How-
ever, it can be shown that for the confidence interval, the peak area can be negative.
328

783620K / 0915 6. ANALYSIS METHODS
(201)
(202)
(203)
(204)
(205)
(206)
Lower Confidence Limit
The lower confidence limit can be rewritten as:
From Eq. 185 it is clear that Q is just kω. Because the probability p is always less than ω, to get a
smaller probability, kp (the horizontal axis in Gaussian function) must be less than kω.
Therefore, it can be concluded that no matter the value of Q (positive or negative), the following
is always true:
Upper Confidence Limit
The upper confidence limit, kq, is defined in Eq. 188 (ISO NORM Eq. 30 or F.17). The
probability q is always greater than p because:
Calculating the difference of the two limits:
From the Gaussian distribution, if the probability 1 - q is less than the probability p, then kq + kp
should be greater than zero.
Thus, it can be concluded that :
329

GammaVision® V8 (A66-BW) 783620K / 0915
(207)
(208)
(209)
(210)
(211)
(212)
Finally, it can be concluded that even in case of negative peak area, the following is always true:
The Best Estimated Activity
The best estimated activity is calculated from Eq. 183. Because Q = N / σN, Eq. 183 can be
rewritten as:
The best estimated activity is always positive and the following is true:
Uncertainty of the Best Estimated Activity
If for any reason the uncertainty cannot be calculated (due to negative operand in Eq. 28), σNh will
be set to the maximum best estimated activity uncertainty of 100%.
6.17.7.3. Peak Area Uncertainty
If the relative peak area uncertainty has been calculated, then the peak area uncertainty is simply:
where Pkunct is the relative peak area uncertainty reported in the GammaVision analysis report.
If Pkunct is zero and if the activity uncertainty of the isotope is not zero, then σN is calculated by
converting the activity uncertainty in Bq back to uncertainty in counts:
330

783620K / 0915 6. ANALYSIS METHODS
(213)
(214)
where σA is the nuclide activity. If σA is still zero, then the gross counts under the peak is
calculated and the area uncertainty determined as:
where G is the gross counts under the peak, and σB
2 is the peak background uncertainty calculated
from Eq. 144 or by methods in Section 6.17.7.1. In some cases, because the variance of the back-
ground is G (see Eq. 200), the right side of Eq. 213 simply becomes twice the gross counts.
6.18. EDF Gamma Total Analysis
6.18.1. Geometry (K-Factor) Calculation
1) Measure the background between 100 keV and 2 MeV.
2) Calculate the K coefficient, based on the measurement of a 137Cs source, as follows:
where
K=K coefficient
TR= Real time, in seconds
As= Source activity at the time of measurement, in Bq
Ag= Gross area between the chosen range of the source spectrum (100 keV–2 MeV), in
counts
Abkg = Gross area between the chosen range of the background spectrum
(100 keV–2 MeV), in counts. Choose the background spectrum on the Gamma
Total setup dialog (Section 5.5.1.9).
331

GammaVision® V8 (A66-BW) 783620K / 0915
(215)
6.18.2. Gamma Total (Cesium Equivalence) Activity
where
K=K coefficient
TR= Real time, in seconds
Ag= Gross area between the chosen range of the source spectrum (100 keV–2 MeV), in
counts
Abkg = Gross area between the chosen range of the background spectrum (100 keV–2 MeV),
in counts. Choose the background spectrum on the Gamma Total setup dialog
(Section 5.5.1.9).
332

783620K / 0915 6. ANALYSIS METHODS
[Intentionally blank]
333

GammaVision® V8 (A66-BW) 783620K / 0915
334

Figure 256.
7. ANALYSIS REPORT
This chapter covers the contents of the GammaVision analysis report, which is based on the
entries in the Sample Type Settings dialog under Analyze/Settings/Sample Type...
(Section 5.5.1.1). The report details depend on the analysis engine and setting, spectrum,
calibration, and library content, as described below.
7.1. Report Header
The two-line report header (Fig. 256) is repeated on every page.
The first line contains the program name, analysis code in parenthesis (63 in this example),
analysis Engine name and version code (ROI32 G70W0.37 in this example), analysis date/time,
and page number. The second line contains the Laboratory Name and Spectrum filename.
The analysis code is an integer that defines various conditions applied or encountered during the
analysis. The number is decoded into binary with the following bit usage:
Bit 1 True if the spectrum is energy calibrated
Bit 2 True if the spectrum is efficiency calibrated
Bit 3 True if the library is a valid gamma-ray library
Bit 4 True if the isotopic abundance will be reported
Bit 5 True if the isotopic matrix will be reported
Bit 6 True if the Unidentified Peak Summary, Identified Peak Summary, or Summary
of Library Usage table is reported
Bit 7 True if DAC/MPC is enabled
Bit 8 True if the PBC has been used
Bit 9 True if absorption correction is enabled
Bit 10 True if geometry correction is enabled
Bit 11 True is peak stripping (library or manual based) is enabled
Bit 12 True if the directed fit has been enabled
For example, an analysis code of 63 (which is binary 0000 0011 1111, digit numbers read from
right to left) means that the spectrum is (1) energy calibrated, (2) efficiency calibrated, (3) valid
library found, (4) isotopic abundance is reported, (5) isotope matrix is reported, (6) peak/energy
matrix is reported, (8) PBC not used, and (12) Directed Fit not used.
335

GammaVision® V8 (A66-BW) 783620K / 0915
Figure 257.
Normally, this code just confirms that the proper analysis was performed, but it can be useful
when troubleshooting a particular analysis when the reported results are not as expected.
7.2. Sample, Detector, and Acquisition Parameters
The first four sections of the report (Fig. 257) contain the sample description; the full path to the
spectrum; acquisition information including the start date/time, live time, real time, and dead
time.
The Sample Description may include two lines of text as entered in the Sample Description field
before analyzing the spectrum. The Detector Description is displayed under the Detector System
heading.
7.3. Calibration Parameters
This section (Fig. 258) includes the calibration filename, internal description from the calibration
file, efficiency calibration uncertainty, and the energy and efficiency calibration date/time and
formula coefficients. The particular coefficients displayed for the efficiency calibration depend
on the calibration type and knee settings (where applicable). Refer to Section 5.3 for details about
efficiency calibration formulas and respective coefficients.
336

783620K / -0915 7. ANALYSIS REPORT
Figure 258.
Figure 259.
7.4. Library Parameters
This section (Fig. 259) displays the libraries used for analysis and the Library Match Width
setting.
If Manual Based Peak Stripping is enabled on the Analysis tab, the Second Library specified
on the Analysis tab is identified on the report as the “Stripping library,” and the Third Library
specified on the Analysis tab is identified as the “Second analysis library.” The primary purpose
of the stripping library is to define the interference while the second analysis library defines
which nuclides are assigned the remaining peak area after peak stripping is applied. The stripping
and second analysis libraries are omitted from the report if Manual Based Peak Stripping is not
enabled. Refer to Section 6.5.5.2 for more information on peak stripping.
7.5. Analysis Parameters
This section (Fig. 260) displays various analysis parameters used for the analysis, with the
clarifications below.
337

GammaVision® V8 (A66-BW) 783620K / 0915
Figure 260.
●“Peak rejection level” is the same value as the Peak Cutoff on the Analysis tab. Peaks
with 1-sigma counting uncertainty greater than this value are not used in the analysis
except in the special case when Directed Fit is enabled, which will generate an activity
result for every nuclide in the library even if no peaks for that nuclide pass the Peak
Cutoff criteria.
●The “Activity scaling factor” is the multiplier applied to the total sample activity to
calculate the specific activity. This parameter includes the Multiplier, Divisor, and
sample Size from the System tab.
●The additional uncertainty parameters, “Uncertainty 1" through “Uncertainty 9" in
Fig. 260, reflect the respective entries on the Uncertainties tab. These fields are reported
only if a non-zero uncertainty is entered. If no label or non-zero uncertainty value is
specified, the respective field is omitted from the report.
●The “Background width” is a description of the Background Type specified on the
Sample tab. (In this example, “best method [based on spectrum]” refers to the Auto
background type.)
●All parameters from “Half lives decay limit” to the end of the list are specified in the
b30winds.ini (n30winds.ini for NAI32) file (Section A.2.2).
●The “alpha, beta, gamma” and “Max ISO MDA ratio” fields are only displayed if the ISO
NORM section of the report is enabled on the Report tab.
338

783620K / -0915 7. ANALYSIS REPORT
Figure 261.
7.6. Correction Parameters
This section (Fig. 261) displays the corrections applied during the analysis for decay, coincidence
and random summing, geometry and attenuation/absorption, peak background, and automatic
energy recalibration (if enabled). The Status column displays a “YES” when a correction is
enabled, followed by additional information related to the correction in the “Comments” column.
The Status is listed as “NO” for disabled corrections.
●“Decay correct to date” should normally be set to the “Decay during collection” end time
if both are enabled on the Decay tab.
●“Decay during collection” displays the collection start and stop date/time.
●“Peaked background correction” displays the PBC file name entered on the Corrections
tab and the date/time the file was created.
●Absorption displays either database information as shown in Fig. 261 (material, density or
mass, internal or external, and scaling factor [the latter is the Length value entered on the
Corrections tab]) or the file information (file name, date/time created, .UFO file name used
to generate the attenuation table, and the scaling factor [again, the Length value entered
on the Corrections tab]).
339

GammaVision® V8 (A66-BW) 783620K / 0915
●“Random summing” displays the slope value entered in the Random Summing field on
the Sample tab; and the Net factor, which is the Random Summing Factor calculated per
Section 6.11.
●The “Iodine equivalence” and “Average energy” fields are only displayed if these options
are enabled on the Isotopes tab.
●The “Energy Calibration” section displays the “Normalized difference,” a measure of how
well the spectrum peak energies match those in the library (see Section 6.3.6). This can
range from 0.0 to 1.0, with 0.0 being the best and 1.0 the worst. High values may be due
to a poor calibration or to analyzing very small peaks that do not have statistically good
shape. If the automatic energy recalibration is enabled and the criteria specified in
Section 6.3.6 are satisfied, a message indicates that the energy calibration was changed to
fit the spectrum, and the new energy calibration coefficients used for the analysis are
displayed.
7.7. Peak and Nuclide Tables
This section covers the various peak and nuclide tables GammaVision can report, based on the
analysis engine used; see the following table. The content of a particular table may vary depend-
ing on the settings in the Sample Type Settings dialog or (.SDF) file, and in the b30winds.ini
(n30winds.ini for NAI32) analysis parameters file, which is discussed in detail in Section A.2.2.
Section / Peak or Nuclide Table Analysis Engine
ENV32, NPP32, NAI32 WAN32 ROI32 GAM32
7.7.1 ROI Peak Summary ✓
7.7.2 Summary of ROI Peak Usage ✓
7.7.3 Summary of ROI Nuclides ✓
7.7.4 Summary of Peaks in Range ✓
7.7.5 Unidentified Peak Summary ✓ ✓ ✓ ✓
7.7.6 Identified Peak Summary ✓ ✓ ✓ ✓
7.7.7 Summary of Library Peak Usage ✓ ✓ ✓ ✓
7.7.8 Discarded Isotope Peaks ✓ ✓ ✓
7.7.9 Summary of Discarded Peaks ✓ ✓ ✓ ✓
7.7.10 Summary of Nuclides in Sample ✓ ✓ ✓ ✓
7.7.11 Summary of Nuclides (ISO-NORM) ✓ ✓ ✓ ✓
7.7.12 Iodine Equivalence and Average Energy ✓ ✓ ✓ ✓
7.7.13 DAC Table ✓ ✓ ✓ ✓
340

783620K / -0915 7. ANALYSIS REPORT
Figure 262.
7.7.1. ROI Peak Summary (ROI32 Engine Only)
This table (Fig. 262) displays information for ROIs marked in the spectrum, with the clarifica-
tions below.
●ROI parameters are calculated per Section 6.2.1.5.
●Peaks in this table are arranged in ascending energy order based on ROIs marked in the
spectrum when the analysis is run.
●Only ROIs with calculated uncertainty lower than the peak cutoff are included in the
table.
●If the peak centroid cannot be calculated, then the peak channel is set to 0 (zero).
●The peak centroid energy is listed in units of keV.
●Peak flags are displayed to the right of the FWHM column. The designators for Deconvo-
lution, Shape, and Multiplets (as applicable) can be modified in the b30winds.ini
(n30winds.ini for NAI32) file.
341

GammaVision® V8 (A66-BW) 783620K / 0915
Figure 263.
Figure 264.
7.7.2. Summary of ROI Peak Usage (ROI32 Engine Only)
The content of this table (Fig. 263) is similar to the Summary of Library Peak Usage table
described in Section 7.7.7, except that the analysis data are related only to peaks identified by
ROIs marked in the spectrum. See Section 7.7.7 for a complete explanation of this table content.
7.7.3. Summary of ROI Nuclides (ROI32 Engine Only)
The content of this table (Fig. 264) is similar to the Summary of Nuclides in Sample table
described in Section 7.7.10, except that the analysis data are related only to nuclides with peaks
identified by ROIs marked in the spectrum. See Section 7.7.10 for a complete explanation of this
table content.
342

783620K / -0915 7. ANALYSIS REPORT
Figure 265.
7.7.4. Summary of Peaks in Range (ENV32 and NPP32 Only)
This table (Fig. 265) displays all of the peaks that were found during the analysis process with
the clarifications below.
●The Library peak list option must be enabled on the Report tab for this table to be
displayed.
●The peak data and nuclide activity are based a peak search run with no library peaks (i.e.,
a Mariscotti peak search) and no peak stripping (interference correction) applied. Any
peaks identified using the Library Directed Peak Search that do not overlap those found
using the Mariscotti search are also included in this table.
●The “Uncert” (uncertainty) value is 1-sigma counting uncertainty, which is directly
comparable to the Peak Cutoff acceptance criterion. Only peaks with1-sigma counting
uncertainty below the Peak Cutoff value are reported.
●The “Corrctn Factor” (correction factor) is the effective efficiency at the specified energy
and takes into account any geometry or attenuation corrections enabled.
●The nuclide names (“Nuc”) have all non-alphanumeric characters removed for table
formatting.
●All nuclides that have a photon energy within the Match Width × Calibration FWHM of a
listed peak are listed as a possible source candidate along with the peak energy, branching
ratio, calculated activity, and nuclide name. The specific activity for each potential
nuclide candidate is calculated under the assumption that the full peak area was generated
entirely by that nuclide such that all applicable correction factors (decay, efficiency,
branching ratio, sample size, etc.) are applied except for any potential peak interferences.
The nuclide activity values from this table may be substituted for nuclide activity reported
343

GammaVision® V8 (A66-BW) 783620K / 0915
Figure 266.
in the Summary of Nuclides in Sample if it is determined that the peak was misidentified
or misinterpreted due to peak interferences. This type of correction may be desired in
some cases for manual interference calculations, reporting of conservative activity results,
or to correct for inaccurate nuclide identification. The data from this table can also be
used to compare the results of the Mariscotti vs Library Directed Peak Search and fitting
to help identify where library or analysis option changes may be needed.
7.7.5. Unidentified Peak Summary
This table (Fig. 266) displays peaks found in the spectrum that were not associated with a library
nuclide, with the clarifications below.
●The Unknown peaks option must be enabled on the Report tab for this table to be
displayed.
●Only peaks with1-sigma counting uncertainty below the Peak Cutoff value are reported.
●The uncertainty displayed is based on the Confidence level selected on the Report tab.
●The “Suspected Nuclide” is determined by selecting the nuclide from the suspect library
that has the closest peak energy to the unidentified peak energy and is within the
b30winds.ini (n30winds.ini for NAI32) file “Range Multiplier” parameter multiplied by
the peak FWHM. The Range Multiplier is normally set to 2.0 but you can modify this. If
there are no nuclides with peak energies in the specified range, the “Unknown Suspect”
text from the b30winds.ini (n30winds.ini for NAI32) file is displayed in this column.
●If the b30winds.ini (n30winds.ini for NAI32) parameter “Unidentified Peak Summary and
Library Peak Usage Format flag” is set to “T” (true), then the fifth column is labeled
344

783620K / -0915 7. ANALYSIS REPORT
Figure 267.
Figure 268.
“Efficiency * Area” and displays the Net Area divided by the effective efficiency (which
includes any Geometry or Attenuation corrections). If this parameter is set to “F”, then the
fifth column is labeled “Intensity Cts/Sec” and displays the net count rate as shown in
Fig. 267.
●The designators for peaks flags (Deconvolution, Shape, and Multiplets as applicable) can
be modified in the b30winds.ini (n30winds.ini for NAI32) file.
●The L, C, and M flags are applicable only to the NPP32 and ENV32 analysis engines.
7.7.6. Identified Peak Summary
This table (Fig. 268) displays peaks that were found in the spectrum and associated with a library
nuclide, with the clarifications below.
●The Library peak list option must be enabled on the Report tab for this table to be
displayed.
●If the library is not found or the spectrum is not calibrated, this table is suppressed.
●If Manual Library Based Peak Stripping is enabled on the Analysis tab (WAN32 only),
a separate table for peak data associated with each library is reported with the library
name displayed at the beginning of the table.
345

GammaVision® V8 (A66-BW) 783620K / 0915
Figure 269.
●The designators for Deconvolution, Shape, and Derived Area (as applicable) can be
modified in the b30winds.ini (n30winds.ini for NAI32) file.
●If the b30winds.ini (n30winds.ini for NAI32) parameter “Zero Area Identified Peak flag”
is set to “F” (false), then only peaks with 1-sigma counting uncertainty below the Peak
Cutoff and those resulting from Directed Fit (when enabled on the Analysis tab) are
included in this table. If this parameter is set to “T” (true), additional peaks that did not
pass the Peak Cutoff may be included in the list based on the analysis engine as follows:
—WAN32 and ROI32: Peak data are displayed for all peaks in the library.
—GAM32: Peak data are displayed for all peaks reported, but all library peaks may not
be reported depending on peak quality, library content, and analysis settings.
—NPP32: Deconvoluted peaks that are rejected may not be included in the peak list.
Only the peak background and FWHM are displayed for peaks that do not meet the
peak cutoff criteria.
—ENV32 and NAI32: Some rejected peaks may be included in the list, but peak data
are not available.
7.7.7. Summary of Library Peak Usage
This table (Fig. 269) displays peaks that were found in the spectrum and associated with a library
nuclide with the clarifications below.
●The Library peak matrix option must be enabled on the Report tab for this table to be
displayed.
●If the library is not found or the spectrum is not calibrated, this table is suppressed.
346

783620K / -0915 7. ANALYSIS REPORT
●If Manual Library Based Peak Stripping is enabled on the Analysis tab, a separate table
for data associated with each library is reported with the library name displayed at the
beginning of the table.
●The table format and content are based on the analysis engine as follows:
—NPP32, ENV32, and NAI32:
▪Average Nuclide Activity and Peak Activity values have corrections applied
including the activity scaling factor (based on the Multiplier, Divisor, and sample
Size entered on the System tab) and decay.
▪The column to the right of the Peak MDA is the peak 1-sigma counting uncertainty
in percent.
▪The first nuclide peak is one line below the applicable nuclide data.
▪If the b30winds.ini (n30winds.ini for NAI32) “Zero Activity Isotope flag” flag is
set to “T” (true), rejected nuclides and associated peaks are included in the table.
The activity values are set to zero, but peak flags, MDA, and counting uncertainty
are displayed (as well as branching ratio and half-life if applicable based on the
“Unidentified Peak Summary and Library Peak Usage Format flag” flag setting).
Uncertainty values may be set to a default value of zero (NPP32) or 1E+03
(ENV32) for peaks that are rejected. This may be due to the nuclide being rejected
prior to the Library Directed Fit process, the inability to physically fit a peak in the
spectrum, or other peak rejection criteria. If this parameter is set to “F” (false),
rejected nuclides are not displayed in this table.
▪If Directed Fit is enabled on the Analysis tab, peak fit data associated with
Directed Fit are displayed in this table. When using ENV32, all nuclides should be
reported with an activity value. When using NPP32, nuclides that fail the Key Line
or Fraction Limit tests, or have interferences at key peaks, can still be reported with
zero activity.
▪Peak energies are listed in the library order regardless of the b30winds.ini
(n30winds.ini for NAI32) parameter “Sort Nuclide Peaks by Energy flag” setting.
▪If the b30winds.ini (n30winds.ini for NAI32) parameter “Zero Area Library Peak
flag” is set to “T” (true), display all nuclide library peaks even if they did not pass
the analysis settings criteria. If this flag is set to “F” (false), only the peaks that
passed the analysis settings criteria will be displayed, and a message summarizing
347

GammaVision® V8 (A66-BW) 783620K / 0915
Figure 270.
how many of the library peaks were found will be displayed below the nuclide
peak list (i.e., X of Y peaks found).
—WAN32, GAM32, and ROI32:
▪Average Nuclide Activity is reported as Time of Count Total Activity in either μCi
or Bq as selected on the System tab. This value has all corrections applied except
for activity scaling factor (based on the Multiplier, Divisor, and sample Size
entered on the System tab) and decay.
▪Peak Activity is reported as Time of Count Total Activity in either μCi or Bq as
selected on the System tab. This value has all corrections applied except for
activity scaling factor (Multiplier, Divisor, and sample Size), decay, and Random
Summing.
▪Peak uncertainty is not reported.
▪The first nuclide peak is on the same line as the nuclide data as shown in Fig. 270.
▪All nuclides are reported even when they are not identified (i.e., zero activity)
regardless of the b30winds.ini (n30winds.ini for NAI32) “Zero Activity Isotope
flag” parameter setting.
▪If Directed Fit is enabled on the Analysis tab, peak fit data associated with
Directed Fit are displayed in this table. When using WAN32, nuclides that fail the
Key Line or Fraction Limit tests, or have interferences at key peaks, can still be
reported with zero activity.
▪If the b30winds.ini (n30winds.ini for NAI32) “Sort Nuclide Peaks by Energy flag”
flag is set to “T” (true), then nuclide peaks are listed in order of energy. If this
parameter is set to “F” (false), then nuclide peaks are listed in the library order.
348

783620K / -0915 7. ANALYSIS REPORT
▪All nuclide library peaks are displayed regardless of the b30winds.ini (n30winds.ini
for NAI32) “Zero Area Library Peak flag” setting.
— All analysis engines:
▪If the b30winds.ini (n30winds.ini for NAI32) “Unidentified Peak Summary and
Library Peak Usage Format flag” parameter is set to “T” (true), the nuclide half-life
(in days) is displayed under the COMMENTS header on the same line as the
nuclide data, and the peak branching ratios are displayed in the right-most column
before the peak flags. If this parameter is set to “F”, the nuclide half-life and
branching ratios are omitted.
▪If the b30winds.ini (n30winds.ini for NAI32) “Use Internal TCC Library Peaks”
parameter is set to “T” (true), the nuclide peaks in this table (and throughout the
analysis process) will be based on the internal TCC library including the peak list
and peak order which may (and likely will) differ from the original analysis library.
Additionally, any peak flags set in the library are discarded. This configuration
may not generate optimal results for some applications. If this parameter is set to
“F”, the peak list, peak order, and peak flags from the original library are used for
analysis. Only the Branching Ratio is adjusted for the coincidence summing
correction. This configuration allows for improved optimization of the analysis
results.
●The legend of Nuclide Codes shown after the nuclide name, Peak Codes shown at the far
right, and Peak Flags shown after the Peak Activity are reported after this table. These are
explained in the following section.
7.7.7.1. Summary of Library Peak Usage Flags
This table (Fig. 271) is displayed after the Summary of ROI Peak Usage and Summary of Library
Peak Usage sections of the report. The Nuclide and Peak Codes listed at the bottom of the table
are based on flags set in the analysis library. The Peak Flags are defined as follows:
( This peak was used in the average nuclide activity calculation (even if any other sym-
bols are displayed). For more information on the Weighted Average Nuclide Activity,
see Section 6.7.1.
* The peak FW10M and FW25M were wider than the calibrated shape by more than 20%
which would indicate that this might be a multiplet. However, deconvolution was not
possible because only one peak was in the library.
349

GammaVision® V8 (A66-BW) 783620K / 0915
Figure 271.
! This peak was in an area that was deconvoluted and the area of this component was
zero or negative. The peak was then removed as a component and the deconvolution
redone. This usually indicates the peak was not present or the energy calibration needs
adjustment.
? The peak FW25M is less than 80% of the calibration FW25M. This usually indicates
that the peak has poor shape.
@ The peak FW25M was wider than the calibrated shape by more than 20%, but the
FWHM was within 20% of the calibrated FWHM. This indicates there might be a small
peak near the main peak that may need to be included in the library.
% The 1-sigma counting error was greater than the Peak Cutoff value set on the Analysis
tab.
$ This peak was identified as belonging to this nuclide, but the first non-interfered peak
for this nuclide was not identified or was disqualified. This may indicate that this peak
was not generated by the respective nuclide.
350

783620K / -0915 7. ANALYSIS REPORT
+ The abundance for this peak was higher than the running average of those included at
this point. For more information on the Weighted Average Nuclide Activity, see
Section 6.7.1.
- The abundance for this peak was lower than the running average of those included at
this point. For more information on the Weighted Average Nuclide Activity, see
Section 6.7.1.
= This peak was outside the user-specified limits for the analysis.
& When the library-directed centroid was recalculated after background subtraction, the
centroid value was outside the energy limits such that the peak could not be attributed
to this nuclide. This may occur with very small peaks where the peak shape is not well
defined, when the energy calibration needs adjustment, or if the library peak energies
need to be corrected.
} The peak area for this peak was derived using other peaks for this nuclide. This is
enabled by the library-based peak stripping option.
P Peak Background Subtraction was applied to this peak. (See Section 6.10.4 for details
on peak background subtraction.)
7.7.8. Discarded Isotope Peaks
This table (Fig. 272) displays peaks associated with a nuclide that was rejected during the
analysis due to a failed Key Line or Fraction limit test, with the clarifications below.
●Isotopes may be discarded when using WAN32, ROI32, and NPP32 analysis engines
because the rejection criteria are evaluated after the Library Directed Peak Search has
associated peaks with a nuclide. For GAM32 and ENV32 analysis engines, this table
should be empty because the Key Line and Fraction Limit tests are implemented during
the Library Reduction step at the beginning of the analysis process before the Library
Directed Peak search, which assigns nuclide peaks.
●If the b30winds.ini (n30winds.ini for NAI32) parameter “Print Discarded Peak Table flag”
is set to “T” (true), this table is displayed for all analysis engines except for GAM32. If
this parameter is set to “F” (false), this table is suppressed.
351

GammaVision® V8 (A66-BW) 783620K / 0915
Figure 272.
Figure 273.
7.7.9. Summary of Discarded Peaks
This table (Fig. 273) displays peaks that were evaluated during the Library Directed Peak Search
and rejected from use in calculating Nuclide Activity, with the following notes:
●A peak may be rejected due to failing a peak test, rejection of the nuclide due to key line
or fraction limit tests, peak activity outside the uncertainty range for the nuclide average
activity, as well as other factors.
●This table is displayed only when the Library peak matrix option is disabled on the
Report tab.
●See Section 7.7.7.1 for peak flag descriptions.
352

783620K / -0915 7. ANALYSIS REPORT
Figure 274.
7.7.10. Summary of Nuclides in Sample
This table (Fig. 274) displays the final nuclide activity results with the clarifications below.
●The Nuclide abundance option must be enabled on the Report tab for this table to be
displayed.
●If the library is not found or the spectrum is not calibrated, this table is suppressed.
●Nuclide Activity Notes:
— The “Time of Count” Activity column is weighted by the peak branching ratios as
described in Section 6.10.2, and includes all corrections except for decay during
collection and decay to collection time. Note that this includes Decay During
Acquisition, which is set on the Decay tab.
— The “Time Corrected Activity” column is weighted by the peak branching ratios as
described in Section 6.10.3, and has all corrections applied including decay. It is only
displayed in this table when Decay During Collection or Decay to Collection Time
is enabled on the Decay tab.
353

GammaVision® V8 (A66-BW) 783620K / 0915
●Uncertainty Notes:
— Uncertainty Counting and Total Uncertainty data are reported in either percent or
activity units as specified on the Report tab.
— The Total Uncertainty column is only displayed if the Total Uncertainty option is
specified on the Report tab.
— If activity is set to zero, which may occur when using Directed Fit, the default percent
uncertainty is 1000%.
— Uncertainty is omitted, or set to zero for some analysis engines, if the nuclide activity
is reported with the “<“ flag (i.e. less than the calculated MDA value.)
●MDA Notes:
— Nuclides that have the “No MDA Calculation” flag set in the library will not calculate
an MDA value. If an activity value is not calculated, these nuclides will be omitted
from this table.
— When a nuclide is reported with the “<“ flag, the MDA values are displayed in the
Time of Count and Time Corrected Activity columns as applicable.
— For all analysis engines except for GAM32, if the b30winds.ini (n30winds.ini for
NAI32) parameter “Print MDA flag” is set to “T” (true), the MDA value is reported in
the far right column for nuclides that have an activity value calculated. If this
parameter is set to “F” (false), nuclide MDA is not reported for nuclides that have an
activity value calculated. The GAM32 analysis engine does not report MDA values
when nuclide activity is calculated regardless of this flag setting.
— The MDA Column header is determined by the b30winds.ini (n30winds.ini for NAI32)
parameter “Nuclide Summary MDA Header,” which is set to “MDA” by default.
●Total Activity and Total Decayed Activity at the bottom of the table are the sum of the
respective nuclide activity columns except that nuclides marked with the following flags
are not included in the totals: *, &, <, B, F, (H for Decay Activity only).
●Some nuclide flags may not be reported if no nuclides in the list meet the specified
criteria. Nuclide flags are defined as follows:
354

783620K / -0915 7. ANALYSIS REPORT
# - All peaks for the activity calculation had bad shape. This does not invalidate the
nuclide activity, but may indicate that the peaks may have interference, few counts
(as may also be accompanied with high uncertainty), tails due to detector perform-
ance, or other anomalies that may warrant investigation.
* - This nuclide activity was omitted from the total activity because the “Activity Not
in Total” flag was set for this nuclide in the library.
& - This nuclide activity was omitted from the total activity because the “Activity Not
in Total” flag was set for this nuclide in the library, and all of the peaks had bad
shape. This flag is a combination of the # and * flag conditions.
< - The nuclide MDA is reported in the Time of Count and Decay Corrected activity
columns as applicable.
A - The nuclide activity is lower than the calculated MDA value. This condition does
not necessarily mean that the nuclide activity is invalid or that the true activity
must be below the detection limit. This condition may be due to a liberal peak
acceptance criterion (i.e., Peak Cutoff), using Directed Fit in the analysis options
for nuclides with no substantial peaks, or when nuclide activity is near the detec-
tion level depending on the MDA method specified on the System tab. Further
investigation may be warranted for this condition.
B - This flag is a combination of the “A” and “F” flags. Activity is less than the calcu-
lated MDA, and the Key Line or Fraction limit test failed.
C - The nuclide activity is lower than the Critical Level MDA method, which is
based on the MDA Method 2 described in Section 6.9.2.2. This condition may be
due to a liberal peak acceptance criteria (i.e., Peak Cutoff), or when using
Directed Fit in the analysis options for nuclides with no substantial peaks. Further
investigation may be warranted for this condition.
F - The Fraction Limit or Key Line test failed for this nuclide. Normally, nuclides that
fail one of these tests would be reported as <MDA, but some conditions (i.e.,
Directed Fit or when using the WAN32 analysis engine) may result in nuclide
activity being reported.
H - The number of half-lives specified in the b30winds.ini (n30winds.ini for NAI32)
file for the “Half lives decay cutoff” parameter has been exceeded for this nuclide.
If this occurs, the Time of Count Activity is reported as “>X Halflives” and the
Time of Count Activity is reported based on the analysis engine as follows:
355

GammaVision® V8 (A66-BW) 783620K / 0915
Figure 275.
▪WAN32, ROI32, ENV32, and NAI32: Time of Count activity is reported.
▪GAM32: The “<“ flag and MDA value are reported.
▪NPP32: Time of Count activity is omitted.
I - This flag is only applicable when the ISO NORM table is enabled on the Report
tab. It is displayed if the b30winds.ini (n30winds.ini for NAI32) parameter
“Maximum ISO NORM MDA ratio factor” is exceeded. When this factor is
exceeded, the ISO NORM Detection Limit (MDA) is also limited to a maximum
value, as described in Section 6.17.5.1.
7.7.11. Summary of Nuclides (ISO-NORM)
This table (Fig. 275) displays the final ISO NORM compliant nuclide activity results, with the
clarifications below.
●If the library is not found or the spectrum is not calibrated, this table is suppressed.
●If all peaks for a nuclide are outside of the analysis range, only the nuclide name and flags
(if any) are reported.
●Each nuclide has two rows of data with the respective headers shown at the top of the
table.
356

783620K / -0915 7. ANALYSIS REPORT
●Activity is the same as the “Time of Count Activity” reported in the Summary of
Nuclides in Sample section.
●Corrected_Act is the same as the “Time Corrected Activity” reported in the Summary of
Nuclides in Sample Section. This field is omitted and the remaining columns shifted to the
left if Decay During Collection and Decay to Collection are not enabled on the Decay
tab. If either of these decay options are enabled, and the b30winds.ini (n30winds.ini for
NAI32) parameter “Half lives decay cutoff” is exceeded, the message “>X Halflives” is
displayed and none of the other nuclide data is included in this table.
●Counting_Unc is the same as the “Counting Uncertainty” reported in the Summary of
Nuclides in Sample section.
●Total_Unc is the same as the “Total Uncertainty” reported in the Summary of Nuclides in
Sample section. This field is omitted and the remaining columns shifted to the left if Total
Uncertainty is not enabled on the Report tab.
●Det_Limit is calculated per Section 6.17.5.2 for MDA Method 19, “ISO 11929 Detection
Limit (MDA),” even if a different MDA method is specified on the System tab for report-
ing in all other sections of the report.
●Act_Best (Activity based on best estimate of peak area [Ah]) is calculated per
Section 6.17.6.3.
●Act_Low (Lower Limit of peak area [A<]) is calculated per Section 6.17.6.7.
●Act_High (Upper Limit of peak area [A>]) is calculated per Section 6.17.6.7.
●Det_Thres. (Critical Level or Decision Threshold [ACL]) is calculated per MDA Method
18, “ISO Decision Threshold (CL)”; see Section 6.17.5.1.
●Unc_Best. (Uncertainty of the best estimate activity [σAh]) is calculated per MDA Method
19, “ISO Detection Limit (MDA)”; see Section 6.17.5.2.
7.7.12. Iodine Equivalence and Average Energy Calculations
These parameters (Fig. 276) are displayed after the nuclide summary tables when the applicable
calculation is enabled on the Isotopes tab and the nuclide summary section of the report is
enabled on the Report tab. Refer to Section 6.14 for details on Iodine Equivalence and
Section 6.13 for details on Average Energy.
357

GammaVision® V8 (A66-BW) 783620K / 0915
Figure 276.
Figure 277.
7.7.13. DAC Calculations
This section (Fig. 277) is displayed after the nuclide summary tables when the calculation is
enabled on the Isotopes tab. Refer to Section 6.15 for details on the DAC calculation.
7.8. The EDF Special Application Report
The EDF Special Application Report (see Section 5.5.1.9) is appended to the end of the standard
GammaVision report. This table lists the Gamma Total settings used in the analysis, and the
quantitative results.
Figures 278 and 279 shows representative Gamma Total background and Gamma Total
Reporting analyses.
358

783620K / -0915 7. ANALYSIS REPORT
Figure 278. Gamma Total Background Report.
Figure 279. Gamma Total Report.
359

GammaVision® V8 (A66-BW) 783620K / 0915
[Intentionally blank]
360

8. QUALITY ASSURANCE
8.1. Introduction
The accuracy and reproducibility of results of a data acquisition system should be verified on a
periodic basis. Quality Assurance (QA) in GammaVision supplies a means for doing this in
accordance with ANSI N13.30 and N42.14. The detector-shield background, detector efficiency,
peak shape, and peak drift can be tracked with warning and acceptance limits. The latter use a
check source. These results are stored in a database and can be displayed and charted. The data-
base can be accessed with commercially available database products, including Microsoft Access.
The information stored in the database for each detector includes:
●Total Background — The count rate (counts/sec), over the entire spectrum, of the environ-
mental background (that is, with no source present).
●Total Activity — The sum of the decay-corrected activities of the nuclides measured in the
source, as defined in the analysis library.
where:
N= the number of nuclides in the analysis library
DC = the decay correction factor for nuclide x in the analysis library
A= the calculated activity, in becquerels, for nuclide x in the analysis library
●Average FWHM Ratio — The sum of the ratio of each peak’s measured FWHM vs. its
calibrated FWHM, divided by the total number of peaks, for all peaks defined in the analysis
library.
CAUTION Running the MCB Configuration program can affect the continuity of your QA
measurements in GammaVision. Be sure to read Section 2.4!
361

GammaVision® V8 (A66-BW) 783620K / 0915
where:
P= the number of identified peaks in the spectrum
FWHMMeas = the measured FWHM of analysis library peak x, in keV
FWHMCal = the calibrated FWHM of analysis library peak x, in keV
●Average FWTM ratio — The sum of the ratio of each peak’s measured FWTM vs. its
effective calibrated FWTM, divided by the total number of peaks, for all peaks defined in the
analysis library.
where:
P= the number of identified peaks in the spectrum
FWHMMeas = the measured FWTM of analysis library peak x, in keV
FWHMEffCal = the effective calibrated FWTM of analysis library peak x, in keV
●Average Library Peak Energy Shift — The average of the deviation of the measured peak
enegy from the expected peak energy, for all energies defined in the analysis library.
where:
E= the number of identified peak energies in the spectrum
EMeas = the measured peak energy corresponding to analysis library energy x, in keV
ELib = the expected peak energy x from the analysis library, in keV
The background should be monitored to verify that the detector and shield have not been contam-
inated by radioactive materials. The value stored is the total count rate which is independent of
the count time and any specific isotopic contamination. A background analysis report can be
printed after the analysis completes.
The total activity of a calibration or check source will check the efficiency calibration currently
in use and the general operating parameters of the system, including source positioning, contami-
nation, library values, and energy calibration. This activity calculation uses the general analysis
program to ensure that the total system is checked.
362

783620K / 0915 8. QUALITY ASSURANCE
Figure 280. QA
Submenu.
NOTE Use nuclides with long half-lives for your QA measurements. Short-lived nuclides will
develop poor peak shapes as they decay.
ORTEC Application Note 55 contains more information and help on starting and running QA for
gamma spectroscopy.
The FWHM and FWTM values will check the electronic noise and pole-zero adjustment of the
amplifier. The peak shift checks to verify that the system gain and zero offset have not changed.
8.1.1. Using QA Results to Diagnose System Problems
A gradual deterioration of the FWHMMeas/FWHMCal ratio usually means the detector leakage
current has increased.
A sudden deterioration of the FWHMMeas/FWHMCal ratio suggest that additional noise has been
introduced into the system. Commonly, this can arise from:
●A noisy motor introduced into the ac line
●RF interference
●Electronic failure of a component in the detector, preamplifier, or MCB
Generally, these problems will also cause the FW.1M ratio check to fail.
If the FW.1M ratios fail but the FWHM ratios are acceptable, this could indicate:
●Incorrect pole zero
●Neutron or other radiation damage to the detector
8.2. QA Submenu
Figure 280 shows the QA submenu under the Acquire menu. These
commands allow you to accomplish the three major QA functions in
GammaVision:
The three parts of QA in GammaVision are:
1) Establishing and entering the settings, or “ground rules,” for QA.
2) Measuring background and sample. You perform this periodically,
and it is automatically logged into a database by the program.
363

GammaVision® V8 (A66-BW) 783620K / 0915
3) Analyzing the QA database and generating reports. This includes GammaVision’s Status and
Control Chart features, which allow you to view the current status of measurements for the
Detector and/or view and print the data stored in the database as a control-chart display.
8.2.1. Settings...
The QA settings include the upper and lower radionuclide activity limits which, when exceeded,
indicate that the system is not operating correctly. There are two levels of limits. The warning
limits are determined by the settings in the Low and High fields in the Quality Assurance Set-
tings dialog in Fig. 281. The alarm limits those outside of the Minimum and Maximum fields.
If the result of a QA measurement is outside the warning limits, a warning dialog is displayed. If
the QA result is outside the alarm limits, a violation dialog is displayed. Moreover, if the Lock
Acquire on Violation(s) box is marked, the violation must be corrected and the QA measure-
ment repeated before the out-of-limits Detector can be used to collect more data.
Generally, after setup, these levels should not be changed without careful consideration.
NOTE If the “Unable to Access QA Database” message is displayed when you issue the
Settings... command, the QA database file GvQa32.Mdb is not currently located in the
folder in which it was originally created (i.e., it has been moved, renamed, or deleted).
See Section 8.4.
8.2.1.1. Establishing QA Settings
Click Settings... to open the Quality Assurance Settings dialog shown in Fig. 281. This dialog
contains three main data-entry areas:
●BACKGROUND Acquisition time and Count Rate Limits
●SAMPLE Type Analysis Settings File
●SAMPLE Analysis Parameter Limits
Several preliminary steps must be taken to determine the QA settings:
1) Backgrounds must be counted to determine reasonable levels.
2) Samples must be counted for total activity to obtain expected values, since total activity is
detector and QA source dependent.
3) A QA library containing only the nuclides in the QA source must be created using the nuclide
library editor (see Section 5.6).
364

783620K / 0915 8. QUALITY ASSURANCE
Figure 281. QA Settings Dialog.
4) A sample type settings file (.SDF) must be created which contains the defaults for the QA
acquisition and analysis (see Section 5.5.1.1).
5) A QA database file must exist. The GammaVision QA database, GvQa32.Mdb, is installed as
part of the standard GammaVision installation, and should be located in the \User directory
on the drive where GammaVision was installed. However, if you select the Settings... com-
mand and GammaVision cannot find GvQa32.Mdb (or if the database file cannot be used for
some reason), a warning message will ask if you wish to create a QA database. Click OK to
start the QA database setup wizard and go to Section 8.4 for instructions. When the database
has been successfully created, you will be automatically returned to the Quality Assurance
Settings dialog.
All the information gathered in preliminary Steps 1–4 can be entered in the Quality Assurance
Settings dialog.
The BACKGROUND Acquisition time and Count Rate Limits are entered using the informa-
tion gathered in Step 1 above. Enter the Real time or Live time in seconds; for background
spectra, the dead time is near zero, so these are usually equal.
365

GammaVision® V8 (A66-BW) 783620K / 0915
The Minimum and Maximum count-rate limits are the acceptance thresholds for the alarm
limit. Acceptance thresholds are used to indicate that the system is operating far from the
expected conditions, and can be used to prevent data acquisition from being performed at all until
the condition is corrected. If the Lock Acquire on Violation(s) box is marked and an acceptance
threshold is exceeded, the Detector is automatically locked out from use until the problem is
corrected and QA is rerun. The Low and High count-rate limits are the warning limits, and
exceeding them will cause warning messages to be displayed.
The Background Report is printed after the analysis if you mark the Create Background Report
checkbox. The report can either be saved to disk or printed.
The SAMPLE Type Analysis Settings File is the .SDF file created for QA in Step 4 using
Analyze/Settings/Sample Type.... Click Browse... to select the .SDF file. To edit the .SDF file,
click Edit.... This will open the Analysis Options dialog (see Section 5.5.1.1). Especially relevant
sample type settings include:
●Sample type description
●Acquisition presets
●QA nuclide library file (the one created in Step 3)
If you wish to save or print a SAMPLE Report after the analysis, mark the Create SAMPLE
Report box.
On the left of the SAMPLE Analysis Parameter Limits section are checkboxes for marking the
limits to be tracked. Total Activity (Bq), Average Peak Shift (keV), Average FWHM Ratios,
and Average FWTM Ratios are the choices. Mark the limits to be tracked. The first time
GammaVision QA is set up, click the Suggest button (on the right) to enter factory-set limits.
After this, use the Suggest button with caution, because clicking on it again will reset all the
limits to the previously defined settings. The actual limits can be determined from the samples
counted in Step 2 above.
Click OK. GammaVision will check the measurement limits to determine if they are set consis-
tently. If they are, the dialog will close; if not, a message will be displayed on the Marker Inform-
ation Line and the dialog will remain open so the limits can be changed. QA data can now be
collected using Acquire/QA/Measure Background and Acquire/QA/Measure Sample.
366

783620K / 0915 8. QUALITY ASSURANCE
Figure 282. Begin Background QA
Count.
Figure 283. Background Warning
Message.
Figure 284. Starting Sample Type QA
Measurement.
8.2.2. Measure Background
This command opens the dialog in Fig. 282, to
verify that all sources have been removed from
the Detector before proceeding. Confirm that
all sources have been removed for a background
measurement, click OK–Start. The remaining
functions are performed automatically.
Mark the Overwrite (repeat) previous
background measurement checkbox (by
clicking on it) if the previous measurement was in error. If a sample QA has been run since the
background QA, the previous background run cannot be overwritten. For example, if a problem
was detected, fixed, and this run is to verify the repairs, check the box so the “bad” value is not
kept in the database. Click OK.
If the background is outside the set limits, a warning
similar to Fig. 283 is displayed.
8.2.3. Measure Sample
This command opens the Sample QA Measurement
dialog (Fig. 284). It is a reminder to place the QA
source on the Detector. Click Overwrite to replace
the last measurement. Click OK–Start to begin the
count.
The QA source spectra are collected for
the preset time and analyzed automatically.
The analysis results are compared with the
limits. If the result is outside the limits, a
warning is displayed. The results are also
stored in the QA database.
8.2.4. Status...
367

GammaVision® V8 (A66-BW) 783620K / 0915
Figure 285. Showing Status of QA Measurements for a Detector.
Figure 286. Control Chart Example.
The QA status for the currently selected Detector is displayed as shown in Fig. 285. Click OK to
close the dialog.
8.2.5. Control Charts...
The Control Chart... functions display
the data stored in the QA database as a
control chart. The displayed data can be
scrolled backward or forward across the
screen so that all collected data can be
viewed. A typical chart is shown in
Fig. 286. The short dashed lines represent
the warning limits and the long dashed
lines represent the acceptance threshold
limits. Note that if you call this command
before any QA settings are established in
the GammaVision QA database, you will
receive an error message. Acknowledge
the message and set up your detectors in
the QA database.
Figure 287 shows the control chart File
menu, which contains the Print Graph command for printing the current graph on the current
printer; a standard Windows Print Setup... command for selecting the printer and its setup
features, such as landscape vs. portrait layout, paper size, number of copies, and device control
options; the Exit command for closing the QA Chart Program (this duplicates the dialog’s upper-
368

783620K / 0915 8. QUALITY ASSURANCE
Figure 287. QA Chart
File Menu.
Figure 288.
Scale Menu.
Figure 289. Plot Variable
Menu.
Figure 290. Detector Pick List.
right Close box); and an About box providing version information about the chart program.
Choose the chart time period (Week, Month, or Quarter) from the Scale menu (Fig. 288).
The Plot Variable menu (Fig. 289) contains functions for selecting Activity, Peak Energy,
Peak Width @ Half Max, Peak Width @ Tenth Max, or Background.
The Detector menu item opens the list of Detectors
for which background and sample measurements
have been made (Fig. 290). Select a Detector for
this control chart and click OK.
Offline processing of the QA data-base (including
detailed trend analyses) can be done outside of
GammaVision. The database format used is well-
documented and compatible with a number of
popular software products including Microsoft
Access.
NOTE We strongly recommend that you back
up any GammaVision database files
before performing manipulations on
them outside of GammaVision.
369

GammaVision® V8 (A66-BW) 783620K / 0915
Figure 291. QA
Chart File Menu.
The Options menu (Fig. 291) includes an Always On Top com-
mand, which keeps the QA window on top of all other windows,
no matter which window (in GammaVision or any other program)
might be active.
The Fixed Vertical Scale command adds flexibility in displaying
control charts both onscreen and on printouts, for comparison with
other charts.
●Fixed Vertical Scale Off (no check mark) — In this mode, the vertical scale of the graph is
adjusted so that all points are shown to scale. All points are black. If one or more data points
are substantially out of range, the graph may be quite compressed vertically.
●Fixed Vertical Scale On (check mark) — In this mode, the vertical scale of the graph is set to
show the upper and lower alarm limits as full scale. The data points within the alarm limits are
colored black. Out-of-range points are displayed in red at the lower or upper limits of the
graph, at the proper horizontal coordinate. The out-of-range points are printed as a question
mark ( ? ).
To switch between the two display modes, click the menu item to mark it with a checkmark or
unmark it.
Figures 292 through 295 show the screen and printout for a QA data set with Fixed Vertical
Scale on, then off. Compare the location of the points that exceed alarm limits in Figs. 292
and 293 to the location of the question marks in Figs. 294 and 295.
370

783620K / 0915 8. QUALITY ASSURANCE
Figure 292. Control Chart On Screen with Fixed Vertical Scale
On.
Figure 293. Printout of Control Chart with Fixed Vertical Scale
On.
371

GammaVision® V8 (A66-BW) 783620K / 0915
Figure 294. Control Chart On Screen with Fixed Vertical Scale
Off.
Figure 295. Printout of Control Chart with Fixed Vertical Scale
Off.
372

783620K / 0915 8. QUALITY ASSURANCE
8.3. Quality Assurance Example
This section discusses how to set up QA for a new detector in GammaVision, then perform
background and check-source measurements for the detector.
1) From the detector droplist on the toolbar, select the MCB that has the new detector. This
MCB will now be displayed in the active spectrum window.
2) We will assume our check source was calibrated at 1.0 μCi of 60Co activity and 2.0 μCi of
137Cs activity on June 27, 2000. The total expected activity measured today and decay-
corrected back to the calibration date is 3.0 μCi. We will count the source in the same
position for 10 minutes each day to verify the detector efficiency and calibration have not
changed. It is unlikely the actual detector efficiency has changed, but the calibration file
might have changed or electronic noise might be interfering with the spectrum collection.
We will count background for 120 seconds to verify the detector is not contaminated (if the
detector were contaminated with the same isotopes as in the QA source, the QA activity
would be incorrect) .
3) Use the GammaVision Library Editor on the Library menu to prepare a QA library
containing only 60Co and 137Cs, and save it the library as QA.lib.
4) Select Acquire/QA/Settings... to display the Quality Assurance Settings dialog for this
detector (Fig. 296), then go to the SAMPLE Type Analysis Settings File section and click
the Edit button. This will open the Analysis Options dialog (Fig. 297), which will allow us
to create a sample defaults (.SDF) file for analyzing the QA acquisitions for this detector.
5) We will now enter the following analysis options for this .SDF file:
●On the Sample tab, click the Presets button to open the Presets dialog for this MCB type,
then enter a Live Time preset of 600 seconds.
●In the Nuclide Library section, unmark the Internal box, then browse to retrieve the
newly created QA.lib file.
●Click the Decay tab. Mark the Collection checkbox and enter 06/27/2000 as the Date and
12:00:00 as the Time. The format for the date and time will be determined by the
Windows settings for the host computer.
●Return to the Sample tab, click Save As..., and save this file as QA.SDF.
373

GammaVision® V8 (A66-BW) 783620K / 0915
Figure 296. Example of Quality Assurance Settings.
Figure 297. Typical Settings for Quality Assurance Analysis.
374

783620K / 0915 8. QUALITY ASSURANCE
●Click OK to close the Analysis Options dialog. This will return you to the Quality
Assurance Settings dialog.
6) In the BACKGROUND Acquisition section, enter a Live Time preset of 120 seconds.
Enter arbitrary count-rate values for the Low and High background settings until you know
what the realistic numbers should be. Do not use zero for the Low limit; if you do, you will
not receive a warning if the detector is not counting (for instance, if it is disconnected).
Remember that these values are count rates, so are independent of the counting time.
7) Select the QA.SDF file in the SAMPLE Type Analysis Settings File section.
8) The expected value of the activity of the sample is 1.1E+5 Bq (3.0 μCi). Scale this up and
down by 10% for Low/High and 20% for Minimum/Maximum into activity fields. These
values are shown in the SAMPLE Analysis Parameter Limits section in Fig. 296.
You are now ready to collect data for the QA background followed by the QA check source
measurements.
9) Select Acquire/QA/Measure Background... to start the background process. You will be
prompted to remove all the sources from the detector and click OK-Start. The background
spectrum will be collected and summed, and stored in the QA database, GvQa32.Mdb. If any
limits were exceeded, a warning message will be displayed.
10) Select Acquire/QA/Measure Sample... to start the sample process. You will be prompted to
place the QA source in the proper place on the detector and click OK-Start. The sample
spectrum will be collected and analyzed, and the results stored in the QA database. If any
limits were exceeded, a warning message will be displayed.
11) Note the Lock Acquire on Violation checkbox in the QA settings dialog. If this box is
marked and a limit is exceeded, GammaVision will display a QA warning each time you try
to use the detector until the QA problem is corrected.
12) The background and sample spectra will automatically be stored according to the QA File
Prefix and QA File Sequence number entered in Fig. 296.
You have now completed a QA setup and system verification, and have stored the
results in the QA database.
375

GammaVision® V8 (A66-BW) 783620K / 0915
Figure 298. Cannot Find QA
Database; Do You Wish to Create
a New One?
Figure 299. Accept Default Settings or Choose
Location and Name of New QA Database File.
8.4. Creating a QA Database
If you select the Settings... command on the QA sub-
menu and the “Unable to Access QA Database” message
is displayed (Fig. 298), GammaVision cannot find the
QA database file GvQa32.Mdb in the folder in which it
was originally created (i.e., it has been moved, renamed,
or deleted). By default, GammaVision creates the QA
database file in C:\User.
If you have moved the QA database file to another
folder, you can either (1) reestablish connection with it
and its contents, or (2) create a new, empty QA database.
If you choose to create a new QA database, we recommend that you modify the name of the old
database file to prevent data loss due to overwriting.
To create a new, empty copy of GvQa32.Mdb, answer Yes. This will open the Select Database
File dialog (Fig. 299). Click OK to accept the default filename and location; or select a new
location and/or filename, then click OK. A blank Settings dialog will open, as described in
Section 8.2.1, so you can establish new settings for the currently selected detector.
To reconnect to your existing QA database
file, answer Yes to open the Select Database
File dialog, and click Browse. This will open
a standard Windows file-open dialog. Locate
the desired QA database file, click Save, and
confirm that you wish to overwrite the file.
Note that this does not overwrite (delete) the
contents of your database file. The Settings
dialog will open, as described in Section 8.2.1,
and will display the settings for the currently
selected detector.
376

9. KEYBOARD FUNCTIONS
This chapter describes the GammaVision accelerator keys. The keys described in this section are
grouped primarily according to location on the keyboard and secondarily by related function.
9.1. Introduction
Table 17 provides a quick reference to all of the GammaVision keyboard and keypad functions.
These accelerators are also illustrated in Fig. 300, and discussed in more detail in the remainder
of the chapter.
The accelerators are available only in the GammaVision window. The title bar must be high-
lighted with the active title bar color (as set up in Windows Control Panel). In addition, the active
cursor — or input focus — must be in one of the spectrum windows. Similar to other Windows
applications, the focus can be switched between GammaVision and other applications by clicking
on the Windows Taskbar, pressing <Alt + Tab>, or, if the inactive window is visible, pointing
with the mouse at some spot in the inactive window and clicking.
The multi-key functions, such as <Alt + 1> or <Shift + →>, are executed by holding down the
first key (e.g., <Alt>, <Shift>, or <Ctrl>) while pressing the key that follows the “+” sign in the
brackets, then releasing both keys simultaneously. Functions that use the keypad keys begin with
the word Keypad, e.g., Keypad<5>.
As usual for any Windows application, the menus are accessed by clicking on them with the
mouse, or by using the Alt key plus the key that matches the underlined letter in the menu item
name. For example, the multi-key combination to activate the File menu is <Alt + F>.
Note that the GammaVision accelerator keys do not interfere with Windows menu operations or
task switching. For example, when a menu is active (i.e., pulled down), the <←>/<→> and
<↑>/<↓> keys revert to their normal Windows functions of moving across the menu bar and
scrolling up/down within a menu, respectively. As soon as the menu is closed, they behave as
GammaVision accelerators again.
9.2. Marker and Display Function Keys
9.2.1. Next Channel <→>/<←>
When not in rubber-rectangle mode, the right and left arrow keys move the marker by one
displayed pixel in the corresponding direction. This might represent a jump of more than one
spectral data memory channel, especially if the horizontal scale in channels is larger than the
width in pixels of the window (see the discussion in Section 4.2).
377

GammaVision® V8 (A66-BW) 783620K / 0915
Key Function
<↓> or <F5> Change vertical scale so spectrum peaks appear smaller (vertical zoom out).
<↑> or <F6> Change vertical scale so spectrum peaks appear larger (vertical zoom in).
<→>Move marker to higher channel.
<←>Move marker to lower channel.
<−> or <F7> Narrow the horizontal scale.
<+> or <F8> Widen the horizontal scale.
<Ctrl + →>Jump to next higher peak.
<Ctrl + ←> Jump to next lower peak.
<Shift + →> Jump to next higher ROI. In rubber rectangle mode, shift rectangle right (to higher energy/channel) one pixel.
<Shift + ←> Jump to next lower ROI. In rubber rectangle mode, shift rectangle left (to lower energy/channel) one pixel.
<Shift + ↑> Shift the Compare spectrum up. In rubber rectangle mode, shift rectangle up (away from baseline) one pixel.
<Shift + ↓> Shift the Compare spectrum down. In rubber rectangle mode, shift rectangle down (toward baseline) one pixel.
<Alt + →>Advance to next library entry.
<Alt + ←>Move back to previous library entry.
<PageUp> Jump to higher channel number in 1/16th-screen-width increments.
<PageDown> Jump to lower channel number in 1/16th-screen-width increments.
<Home> Jump to first channel of the full spectrum.
<End> Jump to last channel of the full spectrum.
<Ctrl + Fi> Select Detector i (i = 1 to 12, in pick list order).
<F2> Switch ROI bit control from OFF to SET to CLEAR.
<F3> In MCBs with ZDT Mode, switch between the two spectra stored in ZDT mode.
<Shift + F3> In Compare mode when comparing ZDT spectra, hold the initial spectrum in its current ZDT view (ERR or ZDT)
and toggle the Compare spectrum between its ZDT views.
<F4> or <Alt + 6> Switch between displaying selected Detector and buffer.
<F5> or <↓>Change vertical scale so spectrum peaks appear smaller (vertical zoom out).
<F6> or <↑> Change vertical scale so spectrum peaks appear larger (vertical zoom in).
<F7> or <−>Change the horizontal scale so peaks appear narrower (horizontal zoom out)
<F8> or <+> Change the horizontal scale so peaks appear wider (horizontal zoom in)
<Alt + F7> Reset both horizontal and vertical scaling to view complete spectrum.
Keypad<−>Zoom out.
Keypad<+> Zoom in.
Keypad<5> Center expanded display on cursor.
Keypad</> Switch between logarithmic and linear vertical scaling.
Keypad<*> Switch to auto vertical scale.
Insert<Ins> Mark the peak region around the cursor as an ROI.
Delete<Del> Clear the ROI.
<Alt + 1> Start acquisition in selected Detector.
<Alt + 2> Stop acquisition in selected Detector.
<Alt + 3> Clear data in selected Detector.
<Alt + 5> Copy data in the selected Detector to the buffer.
<Alt + 6> or <F4> Switch between displaying selected Detector and buffer.
<Alt + −>Decrease amplifier fine gain by smallest increment (where supported).
<Shift + Alt + −>Decrease amplifier fine gain by several increments.
<Alt + +> Increase amplifier fine gain by smallest increment.
<Shift + Alt + +> Increase amplifier fine gain by several increments.
<PrintScreen> Capture screen to Windows Clipboard.
Table 17. Quick Reference to GammaVision Keyboard Commands.
378

783620K / 0915 9. KEYBOARD FUNCTIONS
Figure 300. GammaVision Keyboard and Keypad Accelerators.
379

GammaVision® V8 (A66-BW) 783620K / 0915
If the horizontal scale is expanded, when the marker reaches the edge of the spectrum window,
the next key press past the edge shifts the window to the next block of channels in that direction
such that the marker is now in the center of the display.
When the ROI mode is set to Mark, the <→>/<←> keys cause the channels to be marked as the
marker moves. Similarly, they clear the ROI bits while the ROI mode is UnMark. (See
Section 5.8.)
9.2.2. Next/Previous ROI <Shift + →>/<Shift + ←>
The <Shift + →> or <Shift + ←> move the marker to the beginning of the next higher channel
ROI, or the end of the preceding ROI, respectively, of the displayed spectrum. These functions
are duplicated by the ROI indexing buttons on the Status Sidebar.
9.2.3. Next/Previous Peak <Ctrl + →>/<Ctrl + ←>
The <Ctrl+ →> and <Ctrl+ ←> keys perform a peak search on the spectrum in the higher or lower
channel direction, respectively, and move the marker to the first peak found. If no peak is found,
the program displays the “Can’t find any more peaks!” message and the marker does not move.
If the spectrum is energy-calibrated and the library loaded, the system displays the best match
from the library within two FWHMs of the peak centroid. If there is no match within this range,
the “No Close Library Match” message is displayed. These functions are duplicated by the Peak
indexing buttons on the Status Sidebar.
9.2.4. Next/Previous Library Entry <Alt + →>/<Alt + ←>
These keys move forward or backward through the nuclide library to the next closest library
entry. Each button press advances to the next library entry and moves the marker to the corre-
sponding energy. Also, instead of indexing from a previously identified peak, the marker can be
positioned anywhere in the spectrum and these keys used to locate the entries closest in energy to
that point. If a warning beep sounds, it means that all library entries have been exhausted in that
direction, or that the spectrum is not properly calibrated for reaching the energy with the marker.
In any case, if an appropriate peak is available at the location of the marker, data on the peak
activity are displayed on the Marker Information Line. These functions are duplicated by the
Library indexing buttons on the Status Sidebar.
9.2.5. First/Last Channel <Home>/<End>
These keys move the marker to the first or last channel of the spectrum.
380

783620K / 0915 9. KEYBOARD FUNCTIONS
9.2.6. Jump (Sixteenth Screen Width) <PageDown>/<PageUp>
<PageDown> and <PageUp> jump the marker position to the left (to lower channel numbers) or
right (to higher channel numbers), respectively, 1/16 of the window width, regardless of the
horizontal scale. The status of the ROI bit is not altered when the marker is moved with these
keys, that is, the Mark/UnMark/Off state is ignored. The marker channel contents and Marker
Information Line are continuously updated as the marker jumps, so when the jump is complete,
the marker information is up-to-date for the current channel.
9.2.7. Insert ROI <Insert> or Keypad<Ins>
These keys mark an ROI in the spectrum, at the marker position, in one of two ways:
1) If the spectrum is calibrated, the region is centered on the marker with a width of three times
the calibrated FWHM. There does not need to be a peak at the marker position.
2) If the spectrum is not calibrated, the region is centered on the peak, if any, located within two
channels of the marker and is as wide as the peak. If the peak search fails, or if the peak is not
well-formed, no ROI is marked. There is no limit on the size of a peak or ROI; therefore, in
some uncalibrated spectra, large ROIs could be marked.
These accelerators duplicate the function of the Mark ROI toolbar button and the ROI/Mark
Peak menu selection (see Section 5.8).
NOTE <Insert> and Keypad<Ins> work conveniently in combination with <Ctrl + ←> and
<Ctrl + →> to rapidly set peak ROIs.
9.2.8. Clear ROI <Delete> or Keypad<Del>
<Delete> and Keypad<Del> clear the ROI bits of all ROI channels contiguous to the channel
containing the marker. These accelerators duplicate the function of the Clear ROI button on the
toolbar and the ROI/Clear menu selection (see Section 5.8).
9.2.9. Taller/Shorter <↑>/<↓>
The <↑> and <↓> keys decrease or increase the vertical full scale of the displayed spectrum so the
peaks appear taller or shorter, respectively. The minimum is 32 counts-full-scale; the maximum is
1024 million counts. Each successive key press doubles or halves the full scale until the
maximum or minimum is reached. Whenever the maximum full-scale value is reached, the next
<↑> key press switches to logarithmic scale. If the display is already in logarithmic scale, the
display switches to linear scale. In either case, the vertical full-scale value is always shown on the
toolbar.
381

GammaVision® V8 (A66-BW) 783620K / 0915
Note that if the number of counts exceeds the full-scale value, the data points will be displayed at
the full-scale value.
These keys duplicate the function of the <F6>/<F5> keys.
9.2.10. Move Rubber Rectangle One Pixel <Shift + ↑, ↓, →, ←>
In rubber-rectangle mode (see Section 4.4.3), the <Shift + Arrow> keys move the rubber
rectangle one channel or one pixel at a time.
9.2.11. Compare Vertical Separation <Shift + ↑>/<Shift + ↓>
In Compare mode, the <Shift + ↑> or <Shift + ↓> keys decrease or increase the vertical
separation between the two spectra. Each successive key press will increase or decrease the
separation by moving the spectrum read from disk. The spectrum from disk can be moved below
the first spectrum if it has fewer counts.
9.2.12. Zoom In/Zoom Out Keypad<+>/<->
Keypad<+> increases the scale of both axes in the Expanded Spectrum View so the peaks appear
larger, while Keypad<-> does the opposite, making the peaks look smaller. The scale value for
both axes is always shown on the toolbar.
These functions are duplicated by the Zoom In/Zoom Out buttons on the toolbar and Zoom In
and Zoom Out under the Display menu. See Section 4.2 for a more detailed discussion.
9.2.13. Fine Gain <Alt + +>/<Alt + ->
These accelerators step the internal amplifier up or down by one increment of fine gain on the
selected Detector, if it has a software-controlled amplifier. The new fine gain setting is shown on
the Supplemental Information Line at the bottom of the screen. If the gain stabilizer is active, the
display of the histogram data might not change.
The fine gain can also be set with Acquire/MCB Properties... (Section 5.2.11),
<Shift + Alt + +>/<Shift + Alt + -> on the keyboard, and Keypad<Alt + +>/<Alt + ->.
9.2.14. Fine Gain (Large Move) <Shift + Alt + +>/<Shift + Alt + ->
<Shift+Alt+ +> and <Shift+Alt+ -> step the internal amplifier of the selected Detector (if it has a
software-controlled amplifier) up or down by a large increment of fine gain. If the gain stabilizer
is active, the display of the histogram data might not change.
The fine gain can also be set using Acquire/MCB Properties... (Section 5.2.11), <Alt+ +>/
<Alt+ -> on the keyboard, and Keypad<Alt + +>/ <Alt + ->.
382

783620K / 0915 9. KEYBOARD FUNCTIONS
9.2.15. Screen Capture <PrintScreen>
The <PrintScreen> key captures the entire monitor display to the Windows Clipboard, where it
is available for use in other applications such as word processors and Windows Paint. Some older
keyboards require <Alt + PrintScreen> or <Shift + PrintScreen>.
A typical usage would be to set up the display as desired for the snapshot (you might wish to use
Display/Preferences/Spectrum Colors... to select black or white for all areas rather than colors,
since they produce clearer printouts), then press <PrintScreen>. Start the desired graphics or
word processing application. Copy the image from the Clipboard with <Ctrl + V> or Edit/Paste
(refer to the documentation for the graphics or word processing program). See the FullShot
manual for other screen-capture and screen-printing methods.
9.3. Keyboard Number Combinations
NOTE Only the keyboard numbers will function in the following combinations. The keypad
number keys will not perform these functions.
9.3.1. Start <Alt + 1>
<Alt + 1> starts the acquisition in the selected Detector. Any presets desired must be entered
before starting acquisition. This accelerator duplicates the Start toolbar button, the Start
command on the right-mouse-button menu, and Acquire/Start, discussed in Section 5.2.2.
9.3.2. Stop <Alt + 2>
<Alt + 2> stops acquisition in the selected Detector. This duplicates the Stop toolbar button, the
Stop command on the right-mouse-button menu, and Acquire/Stop, discussed in Section 5.2.4.
9.3.3. Clear <Alt + 3>
<Alt + 3> clears the displayed Detector’s histogram data and its descriptors (e.g., real time, live
time). This accelerator duplicates the Clear Spectrum toolbar button, the Clear command on the
right-mouse-button menu, and Acquire/Clear, discussed in Section 5.2.5.
9.3.4. Copy to Buffer <Alt + 5>
<Alt + 5> copies the histogram data from the selected Detector to the buffer, along with its
descriptors (e.g., live time, real time), and displays the spectrum in a new window. This
duplicates the Copy to Buffer command on the right-mouse-button menu and Acquire/Copy to
Buffer (Section 5.2.6).
383

GammaVision® V8 (A66-BW) 783620K / 0915
9.3.5. Detector/Buffer <Alt + 6>
<Alt + 6> switches the display between the histogram of the spectrum in the selected Detector
and the spectrum in the buffer. The buffer will have the memory size of the spectrum that was last
transferred from Detector or disk
file.
The Detector list on the right side of the toolbar indicates whether the buffer or a particular
Detector is currently displayed, and the Status Sidebar shows the presets for the displayed data.
This duplicates <F4> and Display/Detector/Buffer; see Section 4.6.2.
9.3.6. Narrower/Wider <+>/<->
The <+> key decreases the horizontal scale of the Expanded Spectrum View so the peaks appear
wider, while the <-> key increases the horizontal scale, making the peaks look narrower. The
horizontal and vertical scale values are displayed on the toolbar. These functions are duplicated
by <F7>/<F8>.
9.4. Function Keys
9.4.1. ROI <F2>
The <F2> key switches the ROI marker status among the Mark, UnMark, and Off conditions, so
you can use the marker to set or clear the ROI bits for particular channels or groups of channels,
or return the marker to normal usage. The current ROI marking status (Marking, Unmarking) is
shown in at the extreme right of the menu bar (Off mode is shown as blank). ROI bits are
changed by using the keyboard to move the marker to a channel, as follows:
●Mark The channel is marked (set) as an ROI with the marker.
●UnMark The channel is removed from the ROI (reset) with the marker.
●Off The ROI status is unchanged with the marker.
9.4.2. ZDT/Normal <F3>
For MCBs operating in ZDT mode, the <F3> key switches between the normal (LTC) or
uncertainty (ERR) spectrum and the ZDT corrected spectrum. It duplicates the Acquire/ZDT
Display Select command.
9.4.3. ZDT Compare <Shift+F3>
For ZDT-supporting instruments in Compare mode, this accelerator switches the compare spec-
trum between the ZDT spectrum and its accompanying LTC or ERR spectrum. Used in combina-
384

783620K / 0915 9. KEYBOARD FUNCTIONS
tion with <F3> or Acquire/ZDT Display Select, it allows you to display the normal-to-ZDT,
uncertainty-to-ZDT, ZDT-to-normal, or ZDT-to-uncertainty comparisons.
9.4.4. Detector/Buffer <F4>
The <F4> key switches between the display of the data in the Detector and the data in the buffer.
It duplicates the function of <Alt + 6> and Display/Detector/Buffer; see Section 9.3.5.
9.4.5. Taller/Shorter <F5>/<F6>
These keys decrease or increase the vertical full scale of the displayed spectrum so the peaks
appear taller or shorter, respectively. They duplicate the function of the <↑> and <↓> keys. The
vertical scale value is always shown on the toolbar.
9.4.6. Narrower/Wider <F7>/<F8>
These keys increase or decrease the horizontal scale of the data display so the peaks appear
narrower or wider, respectively. They duplicate the function of <-> and <+> keys. The horizontal
scale value is always shown on the toolbar.
9.4.7. Full View <Alt + F7>
Full View adjusts the horizontal and vertical scaling to display the entire spectrum in the
Expanded Spectrum View. This duplicates Display/Full View; see Section 5.9.10.
9.4.8. Select Detector <Ctrl + F1> through <Ctrl + F12>
These keys display the spectrum for the specified Detector n (where n = 1 to 12, corresponding to
<Ctrl+ Fn>, in the order that the Detectors are defined in the Detector pick list; see
Section 5.9.1). The selected Detector name (or the buffer) is shown on the toolbar.
These keys duplicate the function of the Detector pick list on the toolbar, and the Detector...
dialog under the Display menu. However, you should be aware of which Detector numbers are
available when using the function keys. An error message box will appear if the selected Detector
is invalid. In systems with more than 12 Detectors, use Display/Detector... or the droplist on the
toolbar.
385

GammaVision® V8 (A66-BW) 783620K / 0915
9.5. Keypad Keys
9.5.1. Log/Linear Keypad</>
Keypad</> toggles the active spectrum window between logarithmic and linear vertical display.
This is duplicated by the Log toolbar button. The vertical scale can be controlled with the Zoom
In/Zoom Out toolbar buttons, Keypad<+>/<->, the <↑> and <↓> keys, and <F7/F8>.
9.5.2. Auto/Manual Keypad<*>
Keypad<*> switches the spectrum window between automatic and manual vertical full scale (see
the discussion in Section 5.9.5). This is duplicated by the Vertical Auto Scale button on the
toolbar.
9.5.3. Center Keypad<5>
Keypad<5> forces the marker to the center of the screen by shifting the spectrum without
moving the marker from its current channel. This is duplicated by the Center button on the
toolbar. For more information, see Section 5.9.9.
9.5.4. Zoom In/Zoom Out Keypad<+>/<->
Keypad<+> increases the scale of both axes in the Expanded Spectrum View so the peaks appear
larger, while Keypad<-> does the opposite, making the peaks look smaller. The scale value for
both axes is always shown on the toolbar. These functions are duplicated by the Zoom In/Zoom
Out toolbar buttons.
9.5.5. Fine Gain Keypad<Alt + +>/<Alt + ->
These accelerators step the internal amplifier up or down by one increment of fine gain on the
selected Detector, if it has a software-controlled amplifier. The new fine gain setting is shown on
the Supplemental Information Line at the bottom of the screen. If the gain stabilizer is active, the
display of the histogram data might not change.
The fine gain can also be set with Acquire/Adjust Controls... (Section 5.2.11) and
Keypad<Shift + Alt + +>/ <Shift + Alt + ->; and keyboard <Alt + +>/<Alt + -> and
<Shift + Alt + +>/<Shift + Alt + ->.
386
10. JOB FILES
10.1. Introduction
The GammaVision .JOB file consists of one or more lines of ASCII text representing a series of
commands that can automate most of the functions described earlier in this manual. The details of
the commands and the required syntax are given in this chapter. A .JOB file can be created within
GammaVision using the Services/Job Control... command or in Windows Notepad or any other
ASCII editor. A .JOB file can be started from Services/Job Control..., or by including the name
of the .JOB file (e.g., GVDEMO.JOB) on the command line when GammaVision is first started (see
Section A.1).
.JOB files can be used for the following types of functions:
●Performing a repetitive task, such as running a sequence of experiments without user
intervention.
●Defining initial conditions at startup (useful in preloading presets after a power loss for the
916/916A/917/918/918A each time GammaVision is run).
This version of GammaVision is compatible with.JOB files written for previous versions of
GammaVision or MAESTRO. The text versions of these files will work on new Detectors as well
as older models, with the exception of new or deleted commands.
10.1.1. JOB Command Functionality
10.1.1.1. Loops
GammaVision can run repetitive loops. Furthermore, the current loop count can be included as a
variable in any string, including filenames, program parameters, and text. Data can thus be stored
with unique filenames and labeled with unique descriptions.
In previous versions of GammaVision (and MAESTRO) JOB files, the macros $(Loop) and
$(Loop1) were used to embed the Loop counter (zero- and one-based) into text strings. As of v7,
GammaVision can add any offset to the loop counter with the $(LoopN) Macro.
For example, the following JOB commands:
LOOP 5
ASK_CONFIRM “The loop counters are: $(Loop), $(Loop10) and $(Loop25).”
END_LOOP
produce the following output:
387

GammaVision® V8 (A66-BW) 783620K / 0915
The loop counters are: 0, 10 and 25.
The loop counters are: 1, 11 and 26.
The loop counters are: 2, 12 and 27.
The loop counters are: 3, 13 and 28.
The loop counters are: 4, 14 and 29.
Note that custom variable values cannot be embedded in custom variables. For example, the
expression ‘$(Loop$(Variable))’ is invalid.
10.1.1.2. Errors
If an error is encountered in running a .JOB file, the execution of the file stops and control returns
to GammaVision. An error code appears in the JOB Control... dialog; these are described in
Appendix C.
10.1.1.3. Ask on Start and Ask on Save
If the appropriate Ask on Start (see Acquire/Acquisition Settings...) or Ask on Save (see
File/Settings...) fields are turned on, GammaVision will ask the corresponding questions when
START or SAVE commands are executed in the .JOB file. This means that execution of the .JOB
file stops until the entry is made.
The ASK commands will also stop the .JOB file and prompt you to enter the requested inform-
ation. The .JOB file will continue when you click OK or press <Enter> on the dialog. The input
is used or stored immediately, before the next JOB instruction, except for the ASK_SPECTRUM
command.
NOTE If you choose Cancel when responding to an ask-on-start or ask-on-save prompt, the
JOB will terminate at that point.
10.1.1.4. Password-Locked Detectors
When .JOB files are used with locked Detectors, the first time a destructive command is used on
the locked Detector, you will be prompted for the password. Alternatively, you can use the
ASK_PASSWORD command at the beginning of the JOB. From then on while the .JOB file
executes, the password is retained and you will not receive a prompt. When the .JOB file quits, the
password is forgotten.
10.1.1.5. .JOB Files and the Multiple-Detector Interface
GammaVision allows you to open eight Detector windows and eight buffer windows at one time.
However, there is no limit on the number of Detectors that can be operated using .JOB files, and
only one JOB at a time can run in a single instance of GammaVision. A Detector window opens
for each SET_DETECTOR command in the JOB, to a maximum of eight, and these windows
function as follows:
388

783620K / 0915 10. JOB FILES
●JOB streams use the SET_DETECTOR command to open Detector windows. If eight
Detector windows are already open and SET_DETECTOR is issued to open a ninth
window, the oldest displayed Detector window will be closed without prompting.
●The same buffer window is always selected by the commands in a JOB, therefore, a JOB
does not open multiple buffer windows.
●When you start a JOB, a Detector window will open for each Detector called by the .JOB
file. The JOB filename will be echoed on the main GammaVision title bar as well as on
the title bars of all open spectrum windows.
Note that the JOB processor does not support the simultaneous, multiple-detector start, stop,
start/save/report, and clear functions that are available from the toolbar and menu commands.
10.1.2. JOB Command Structure
In the command descriptions in Section 10.4, a variable filename or text is enclosed in “...” and a
variable number is enclosed in <...>; anything enclosed in square brackets [...] is optional.
10.2. .JOB File Variables
Variables have been added to the .JOB file features to allow more flexibility and control of the
JOBS. These variables are defined by the program or by user entries. They can be used anywhere
in the .JOB file.
For example:
$(FullPath)= D:\USER\SOIL\SAM001.SPC
then:
$(FullBase) = D:\USER\SOIL\SAM001
$(FileExt) = SPC
$(FileDir) = D:\USER\SOIL
$(ShortPath) = SAM001.SPC
$(ShortBase) = SAM001
389

GammaVision® V8 (A66-BW) 783620K / 0915
The following variables are expanded in .JOB file strings:
$(FullPath) Full pathname of the spectrum file
$(FullBase) Full pathname of the spectrum without the “.” and extension
$(FileExt) File extension of the spectrum file without the “.”
$(FileDir) Directory of the spectrum file without the last backslash (\)
$(McaDir) GammaVision directory without the last backslash
$(CurDir) Starting (current) directory of GammaVision
$(Loop) Current value of the loop counter (zero based)
$(Loop1) Loop counter plus 1
$(Bel) ASCII bell character
$(CR) ASCII carriage return character
$(FF) ASCII form feed character
$(LF) ASCII line feed character
$(ESC) ASCII escape character
$(AutoFile) Create an automatic filename based on the Start/Save/Report settings
$(ShortPath) Relative pathname of the spectrum file
$(ShortBase) Relative pathname of the spectrum without the “.” and extension
$(Password) Value entered in ASK_PASSWORD command
$(Owner) Value entered in ASK_PASSWORD command
$(Spectra) Number of spectra in a multi-spectrum buffer. See “VIEW” Job
command.
The filename variables are updated each time a READ operation is performed. The READ
operations are:
ANALYZE “file”
ASK_CALIBRATION
ASK_LIBRARY
ASK_OPTIONS
ASK_PBC
ASK_SPECTRUM
CALIBRATE_EFFICIENCY
CALIBRATE_ENERGY
LOAD
RECALL
RECALL_CALIBRATION
RECALL_EFFICIENCY
RECALL_ENERGY
RECALL_OPTIONS
RECALL_ROI
STRIP
The filename is not updated for WRITE commands.
The following sample .JOB file will produce a set of files in which the last character of the
filename is a digit that increments with each loop.
390

783620K / 0915 10. JOB FILES
ASK_SPECTRUM
LOOP 5
SAVE “$(FULLBASE)$(LOOP1).$(FILEEXT)”
END_LOOP
10.3. JOB Programming Example
A common operation that is ideal for a .JOB file is the collection of many consecutive sample
spectra without user intervention. An example of this is the collection of a series of spectra to
show the radioactive decay in a particular sample.
This process can be described as follows:
1) Set the Detector parameters, such as live time.
2) Start the acquisition.
3) Wait for the acquisition to stop.
4) Integrate the nuclide peak.
5) Record the peak area.
6) Repeat this for the required number of samples.
By looking at the list of steps above and the explanations below, the necessary commands can be
determined and written down.
The first step in the process is to initialize the Detector to the condition needed of 1000 seconds
live time. These are:
SET_DETECTOR 1
SET_PRESET_CLEAR
SET_PRESET_LIVE 1000
CLEAR
Note that all the presets were cleared before setting the live-time preset. This is to ensure that no
previous presets (left over from other users) will interfere with this analysis.
Now start the acquisition and wait for completion of the live time.
START
WAIT
During this time the display manipulation keys are active so that the spectrum can be studied
while collection is taking place.
391

GammaVision® V8 (A66-BW) 783620K / 0915
Now move the spectrum from the Detector to the buffer. Select the buffer for the computational
step.
FILL_BUFFER
SET_DETECTOR 0
In this step, the nuclide peak of interest is being marked by reading in an .ROI file. This .ROI file
has been previously defined by looking at the spectrum and marking the peak (or the region
around the peak). This ROI data is saved on the disk under the name DECAYPK.ROI. This .JOB file
will work on different peaks or nuclides just by changing the .ROI file.
RECALL_ROI “DECAYPK.ROI”
The peak areas of the marked peak or peaks is printed on the printer by this command.
REPORT “PRN”
This gives a list of the peak areas and count rates for the marked peak. If the library has a peak
near this energy then the peak identity will also be printed.
The set of instructions, as written so far, will only collect and report once. There are two ways to
make the process repeat itself for a series of samples. The first and hardest is to write one set of
the above instructions for every sample in the series. A much more efficient way is to use the
LOOP command. To use this, put LOOP before CLEAR and END_LOOP after REPORT. The
whole .JOB file now looks like this:
SET_DETECTOR 1
SET_PRESET_CLEAR
SET_PRESET_LIVE 1000
LOOP 10
CLEAR
START
WAIT
FILL_BUFFER
SET_DETECTOR 0
RECALL_ROI “DECAYPK.ROI”
REPORT “PRN”
SET_DETECTOR 1
END_LOOP
Note that an additional SET_DETECTOR 1 has been inserted after REPORT, so the loop will
operate on the desired Detector.
392

783620K / 0915 10. JOB FILES
Now select Services/Job Control. Click once on an existing .JOB filename then click the Edit
File button. This will display the contents of that file in Windows Notepad. You can then over-
write the existing instructions with the above set of commands. However, save the new instruc-
tions to a new file named SAMPDATA.JOB using the File/Save As function (do not use Save or the
original file will be lost).
This new .JOB file can then be executed in GammaVision from the Services menu by selecting
Job Control... to display the Run JOB File dialog. Select SAMPDATA.JOB from the list of files
and click Open.
10.3.1. Improving the JOB
This .JOB file can be improved by adding a save step for each spectrum collected. This is done by
inserting the SAVE command in the .JOB file. The spectrum sample description is also entered
here. This sample description is saved with the spectrum and is printed by the REPORT
command. Note that the loop counter (the ??? in the .JOB file text) is used in the SAVE and
DESCRIBE_SAMPLE commands.
The new .JOB file is:
SET_DETECTOR 1
SET_PRESET_CLEAR
SET_PRESET_LIVE 1000
LOOP 10
CLEAR
START
WAIT
FILL_BUFFER
SET_DETECTOR 0
DESCRIBE_SAMPLE “This is sample ???.”
SAVE “DECAY???.CHN”
RECALL_ROI “DECAYPK.ROI”
REPORT “PRN”
SET_DETECTOR 1
END_LOOP
Spooling the report might take some time. To overlap the data collection with the analysis, the
logic of the .JOB file needs to be modified to restart the acquisition after the data have been
moved to the buffer. All of the analysis is performed on the buffer spectrum so the Detector
spectrum can be erased and the next one started.
393

GammaVision® V8 (A66-BW) 783620K / 0915
Insert CLEAR and START after FILL_BUFFER, as shown here:
SET_DETECTOR 1
SET_PRESET_CLEAR
SET_PRESET_LIVE 1000
CLEAR
START
LOOP 10
WAIT
FILL_BUFFER
CLEAR
START
SET_DETECTOR 0
DESCRIBE_SAMPLE “This is sample ???”
SAVE “DECAY???.CHN”
RECALL_ROI “DECAYPK.ROI”
REPORT “PRN”
SET_DETECTOR 1
END_LOOP
10.3.2. JOB Commands for List Mode
This section discusses the JOB commands for MCBs that support List Mode (which is discussed
in Section 1.6). The SET_LIST and SET_PHA commands switch the selected Detector respec-
tively between the PHA and List modes; the SAVE command supports the .LIS file type; and the
SET_RANGE command retrieves a specified time slice of data from an existing .LIS file. Note
that the SET_RANGE command has two syntaxes: A time slice can be recalled either by speci-
fying an absolute date/time and the desired time-slice duration; or by specifying the starting real
time and the desired time-slice duration. Note that while the List Data Range command on the
Calculate menu (Section 5.4.2) can only retrieve time slices to a resolution of 1 second, the
SET_RANGE command syntax supports fractional real time and duration.
The following example uses the commands discussed in the preceding sections plus the list-mode
commands to switch “Detector 12" from the standard PHA mode to List Mode, collect data and
save it in .LIS format as well as the three supported spectrum file formats, recall the .LIS file into
a buffer, retrieve a time slice of data from the .LIS file using the two syntaxes of the SET_
RANGE command, save the time slices, and switch the Detector back to PHA mode.
REM First set change the Detector to List Mode and set the preset
REM
CLOSEMCBS
CLOSEBUFFERS
SET_DETECTOR 12
SET_LIST
SET_PRESET_CLEAR
SET_PRESET_REAL 60
394

783620K / 0915 10. JOB FILES
REM
REM Next start a List Mode acquisition:
REM
CLEAR
START
WAIT
REM
REM Save the spectrum in the four supported file formats:
REM
SAVE “JobTest.Lis”
SAVE “JobTest.Chn”
SAVE “JobTest.Spc”
SAVE “JobTest.Spe”
REM
REM Close all windows and recall the list mode file just created:
REM
CLOSEMCBS
CLOSEBUFFERS
RECALL “JobTest.Lis”
REM
REM Recall a time slice of the data with the SET_RANGE command using the
REM absolute date/time and duration in whole seconds:
REM
SET_RANGE “6/29/2012", “14:05:00", 900
REM
REM Save the partial list mode file in the four supported file formats:
REM
SAVE “JobTest2.Lis”
SAVE “JobTest2.Chn”
SAVE “JobTest2.Spc”
SAVE “JobTest2.Spe”
SAVE
REM Close all buffer windows
REM
CLOSEBUFFERS
REM
REM Recall the original list mode file
REM
RECALL “JobTest.Lis”
REM
REM Recall a data time slice with SET_RANGE using a starting real time and duration:
REM
SET_RANGE “900", “900"
REM
SAVE “JobTest3.Lis”
SAVE “JobTest3.Chn”
SAVE “JobTest3.Spc”
SAVE “JobTest3.Spe”
REM
REM Set the MCB back to PHA mode:
395

GammaVision® V8 (A66-BW) 783620K / 0915
REM
CLOSEBUFFERS
SET_DETECTOR 12
SET_PHA
10.4. JOB Command Catalog
ANALYZE [“spectrum filename”]
This analyzes the spectrum in the same manner as the menu commands. With no argument,
the spectrum in the display (either the MCB or the buffer) is analyzed according to the set-
tings in the Analyze/Settings/ Sample Type... dialog. With a spectrum filename as argument,
the spectrum on disk is analyzed according to the settings in the spectrum file. The filename
can include any of the variables shown in Section 10.2.
To change the settings used in an analysis, load the spectrum into the buffer using the
RECALL command, recall the new settings using the RECALL_SETTINGS command, then
ANALYZE the spectrum in memory (no filename).
The .JOB file does not wait until the analysis is complete before proceeding to the next com-
mand, however the results will be automatically output according to the settings (printed, file
or program) when the analysis is complete. To force the JOB to wait until the analysis is
complete, put a WAIT “WAN32.EXE” command after the ANALYZE command.
The JOB command might exit after the ANALYZE command, but the QUIT command should
not be used because the results will not be printed if GammaVision is not running.
ASK_CALIBRATION
This asks for the name of a file containing the calibration to be used as the internal calibra-
tion. After entering the filename, the file is read and the calibration is loaded.
ASK_COLLECTION
This asks for the date and time for the decay correction. It is the same as the date and time
entry in the Acquire/Acquisition Settings... dialog. If any Ask on Start options are marked,
the START command in the .JOB file will also open this dialog.
ASK_CONFIRM <“text”>
This opens a dialog showing the text, and waits until you click OK.
396

783620K / 0915 10. JOB FILES
Figure 301. ASK_GAMMATOTAL Dialog.
ASK_DESCRIPTION
This asks for the sample description to be put in the spectrum file and on the report. It is the
same as the sample description entry in the Acquire/Acquisition Settings... dialog and the
sample description entry in the File/Settings... menu. If the Ask on Start option is marked,
the START command in the .JOB file will also open this dialog. If the Ask on Save option is
marked, the SAVE command in the .JOB file will also open this dialog.
ASK_GAMMATOTAL
This command opens the Gamma Total/EDF Report dialog as shown in Fig. 301 (see also
Section 5.5.1.9).
NOTES
Individual parameters can be set in JOB files using the SET_SETTING or SET_OPTIONS
commands. The following parameters are stored in the .SDF file and are loaded when an .SDF
file is recalled:
GammaTotalReportingEnabled
GammaTotalGermaniumReportingEnabled
GammaTotalCalculationEnabled
397

GammaVision® V8 (A66-BW) 783620K / 0915
Figure 302. ASK_ONLYEFFICNCY Dialog. Figure 303. ASK_ONLYENERGY Dialog.
GammaTotalEDFTableOnlyEnabled
GammaTotalReportIsoMdaOnReportsEnabled
GammaTotalCountBackgroundEnabled
GammaTotalCountCesiumEnabled
GammaTotalWriteBackgroundReportEnabled
GammaTotalWriteMaintenanceReportEnabled
GammaTotalAnalysisStartChannel
GammaTotalAnalysisEndChannel
GammaTotalUseRangeForBackgroundQAEnabled
GammaTotalBackgroundSpectrumPath
GammaTotalCesiumSpectrumPath
GammaTotalGeometryFilePath
ASK_LIBRARY
This asks for the name of the library to be used as the internal library. After entering the
filename, the library file is loaded.
ASK_ONLYEFFICIENCY
Displays a dialog (Fig. 302) that asks for a calibration file. Once a file is selected, the com-
mand loads the Efficiency calibration but does not load the Energy or FWHM calibration. If
you click Cancel, the JOB terminates with JOB Error 15 (Problem with Ask).
ASK_ONLYENERGY
Displays a dialog (Fig. 303) that asks for a calibration file. Once a file is selected, the com-
mand loads the energy calibration but does not load the FWHM calibration. If you click
Cancel, the JOB terminates with JOB Error 15 (Problem with Ask).
ASK_ONLYFWHM
Displays a dialog (Fig. 304) that asks for a calibration file. Once a file is selected, the com-
mand loads the FWHM calibration but does not load the Energy calibration. If you click
Cancel, the JOB terminates with JOB Error 15 (Problem with Ask).
398

783620K / 0915 10. JOB FILES
Figure 304. ASK_ONLYFWHM Dialog.
ASK_OPERATOR
Asks for the operator’s name to be put in the spectrum file and on the report. It is also stored
in the Registry.
ASK_OPTIONS
Asks for the .SDF (Sample Description File) filename of the analysis options. The .SDF file is
created in the Analyze/Settings/Sample Type... dialog. It is the same as the sample type
entry in the Acquire/Acquisition Settings... dialog. If Ask on Start is marked, the START
command in the .JOB file will also open this dialog.
ASK_PASSWORD
Used to define the password to be used in the .JOB file. This command can be to lock an
unlocked detector, unlock and use one that is locked, or lock one for the duration of the job
and then unlock it. The actual lock/unlock is done with LOCK and UNLOCK, respectively.
This command is to set the internal password variable, $(Password), to the user input so the
password will be available for use in the JOB. The $(Owner) variable is only used when
locking detectors. Following is an example:
.
.
ASK_PASSWORD
LOCK “Password”,”Owner”
.
.
ASK_PBC
Asks for the name of the peak background correction to be used. After entering the filename,
the Peak Background Correction file is loaded.
ASK_PRESET
Asks for the presets to be set in the Detector. It is the same as the preset entry in the Acquire/
Acquisition Settings... dialog. If Ask on Start is marked, the START command in the .JOB
file will also open this dialog.
399

GammaVision® V8 (A66-BW) 783620K / 0915
Figure 305. ASK_VARIABLE Integer Format. Figure 306. ASK_VARIABLE Float Format.
ASK_SPECTRUM
Asks for the spectrum filename to be used in the next and subsequent SAVE and RECALL
commands. See SAVE command below. This is stored in the variables $(FullPath),
$(FullBase), $(FileExt), and $(FileDir).
ASK_VARIABLE “VarName”, “Label”, “Format”, “FileExtension”
This command displays a dialog box that asks for the JOB variable value. The arguments to
this command are as follows:
VarName The variable name can be up to 32 characters long. If the variable
does not exist in the list of defined variables, a new one is
created. This field is required.
Label This optional field is used to provide a text prompt for data entry.
If omitted, the label used is “Enter Value:”
Format This optional field describes the variable type. Valid Format
values are: “Integer”, “Float”, “String”, “Date”, and “Path”.
Based on this value, the value is checked for the specified type. If
omitted, the Format used is “String”.
FileExtension This value describes the default file extension used for the “Path”
format. A browse button is enabled so the user can select an
existing file. If this field is omitted, the FileExtension used is “*.”
(i.e., all file types).
Figures 305 through 309 illustrate the ASK_VARIABLE dialogs for the different Format
options. If you click OK to close the dialog without entering a value, an error message is
displayed and you are prompted to select a value before closing the dialog. If you click
Cancel, the JOB terminates with JOB Error 15 (Problem with Ask).
400

783620K / 0915 10. JOB FILES
Figure 307. ASK_VARIABLE String Format. Figure 308. ASK_VARIABLE Date Format.
Figure 309. ASK_VARIABLE Path Format.
ASK_WEIGHT
ASK_WEIGHT prompts for the sample size or weight to be stored in the spectrum file and
used in the analysis (the units are specified in the Sample Defaults File). In addition, it
includes an optional 1-sigma sample size uncertainty (+/-) field, which accepts values from
0% to 1000%. This is the same as the sample size entry in the Acquire/Acquisition Set-
tings... and File/Settings... dialogs. If Ask on Start is marked, the START command in the
.JOB file will also open this dialog. If Ask on Save is marked, the SAVE command in the
.JOB file will also open this dialog.
BEEP <freq>,<duration>
In PCs without a sound card, this produces an audible tone at a pitch of <freq> hertz lasting
for <duration> milliseconds. Overridden (disabled) if computer has a sound card.
BEEP ID
A numerical ID is given based on a desired system event. For example, BEEP 7 will generate
the “Exit Windows” sound, if one has been designated.
ID Event
0 Beep Speaker
1 Default Beep
2 Start Windows
401

GammaVision® V8 (A66-BW) 783620K / 0915
3 Asterisk
4 Exclamation
5 Critical Stop
6 Question
7 Exit Windows
BEEP “String”
String can be a .WAV file or any event defined in the Registry.
CALIBRATE_AUTO
This executes the automatic energy calibration on the active spectrum with the working
library.
CALIBRATE_EFFICIENCY “file.eft”
Performs an efficiency calibration using the active spectrum and the data in file.eft. The
filename can include any of the variables defined in Section 10.2.
CALIBRATE_ENERGY “file.ent”
Performs an energy calibration using the active spectrum and the data in file.ent. The filename
can include any of the variables defined in Section 10.2. This performs the same function as
the Merge button on the Energy Calibration Sidebar (see Section 5.3.2.4).
CALL “file.job”
Executes another .JOB file as a subroutine. The filename can include any of the variables
defined in Section 10.2.
CHANGE_SAMPLE
This is used to control the CHANGE SAMPLE output and SAMPLE READY input BNC
signals on the rear panel of most MCBs, and is intended to initiate a hardware handshake
sequence for advancing a sample changer. The SET_OUTPUT_HIGH command is sent to the
currently selected Detector, then the sample-ready status is monitored (for at least
120 seconds) until the input is low, then finally the SET_OUTPUT_LOW command is sent
and input is monitored until it returns to the high level again before proceeding.
Note that if the sample changer controls are not able to make the SAMPLE READY input go
high very soon after the CHANGE SAMPLE signal is set (i.e., the normal state of the
SAMPLE READY is low; it is expected to go high immediately after the CHANGE SAMPLE
condition is set and remain high while the sample changer is moving, and returns to low when
the sample changer is at its new position), then it might be necessary to use the
SEND_MESSAGE command to send a SET_OUTPUT_HIGH command, then pause (with
WAIT or some other time-consuming command), and then send the CHANGE_SAMPLE
command. The following example demonstrates this:
402

783620K / 0915 10. JOB FILES
SET_DETECTOR 1
LOOP 5
CLEAR
START
WAIT
FILL_BUFFER
SEND_MESSAGE “SET_OUTPUT_HIGH”
SET_DETECTOR 0
SAVE “MONTE???.CHN”
SET_DETECTOR 1
CHANGE_SAMPLE
END_LOOP
CLEAR
This clears (erases) the data, the real time and the live time for the selected Detector. The
presets are not changed. This command has the same function as the CLEAR function under
the ACQUIRE menu. The command would logically be preceded by the SET_DETECTOR
commands as follows:
.
.
SET_DETECTOR 1
CLEAR
.
.
CLOSEBUFFERS
Closes all buffer windows.
CLOSEMCBS
Closes all Open Detector windows.
CLOSEWINDOW
Closes the active window if multiple windows are open. This command has no effect if there
is only one open window.
CREATEPBC “file.ufo” , “file.pbc”
Generates a .PBC file when given a .UFO file as input. This is the same as the Create PBC...
command under the Analyze/Settings/Peak Background Correction submenu.
403

GammaVision® V8 (A66-BW) 783620K / 0915
DESCRIBE_SAMPLE “description”
Accepts a 63-character description of the sample being analyzed. This description is saved
with the spectrum using the SAVE command function, and is included in the REPORT
printout. Same function as the Sample Description function under the Services menu.
The loop count value can be included in any text by typing three question marks in the text
where the loop count is to be inserted. The loop count replaces “???” with three characters
wherever it appears.
END_LOOP — see LOOP
EXPORT “filename”
This executes the Export function with the filename specified. The remainder of the options
are defined on the Export tab under File/Settings.... The filename can include any of the
variables defined in Section 10.2.
FILL_BUFFER
This transfers the active Detector data to the buffer. This command has the same function as
Copy to Buffer under Acquire.
IMPORT “filename”
This executes the Import function with the filename specified. The remainder of the options
are defined on the Import tab under File/Settings. The filename can include any of the
variables defined in Section 10.2.
LOAD_LIBRARY “filename.extension”
This loads the nuclide library specified, and duplicates the function of Select File under the
Library menu. The filename can include any of the variables defined in Section 10.2.
LOAD_PBC “name.pbc”
This loads the Peak Background Correction specified, and duplicates the function of Select
PBC... under Analyze/Settings/Peak Background Correction. The filename can include any
of the variables defined in Section 10.2.
LOCK “Pwd” [,”Name”]
This locks the current Detector using “Pwd” as the password. If the optional “Name”
parameter is missing, the Locked name defaults to “Job”.
This password is retained in the .JOB file and used with any .JOB commands so that the user
does not need to re-enter the password.
404

783620K / 0915 10. JOB FILES
LOOP <repetitions> ... END_LOOP
This pair executes multiple times all the commands between LOOP and END_LOOP. The
number of execution times is specified by <repetitions>. Each command must be given on a
separate line. A value of 0 executes once. A LOOP with no END_LOOP statement executes
once.
The loop count value can be included in any text by typing three question marks in the text
where the loop count is to be inserted. The loop count replaces “???” with three characters
using leading zeros if necessary.
The loop variables, $(Loop) and $(LOOP1), can be included in any text. The loop count will
be inserted with leading zeros suppressed.
The following is an example:
SET_DETECTOR 1
SET_PRESET_LIVE 20
LOOP 3
SET_DETECTOR 1
CLEAR
START
WAIT
FILL_BUFFER
SET_DETECTOR 0
SAVE “TEST???.CHN”
END_LOOP
The above commands run three 20-second acquisitions and store the data on a disk in
TEST001.CHN, TEST002.CHN, and TEST003.CHN.
If the SAVE command is replaced with SAVE “TEST$(Loop).CHN,” then the following files
will be saved: TEST0.CHN, TEST1.CHN, and TEST2.CHN.
See also Section 10.1.1.1.
LOOP SPECTRA...END_LOOP
This executes the commands within the loop once for each spectrum stored in the Detector
hardware. This command only works for hardware that supports Field Mode.
MARK_PEAKS
This command performs a Mariscotti-type peak search on the spectrum in the currently
selected Detector or buffer window (see Analyze/Peak Search, Section 5.5.2, which performs
the same function). The peak search sensitivity is chosen on the System tab under
Analyze/Settings/ Sample Type... (page 152). Each peak found is marked with an ROI. If a
405

GammaVision® V8 (A66-BW) 783620K / 0915
calibration is loaded in the selected window, the width of the ROI is three times the calculated
FWHM of the peak. If no calibration is loaded in the selected window, the width of the ROI
equals the width of the peak as determined by the peak search function. Overlapping or close
peaks might have contiguous ROIs. Existing ROIs are not cleared, therefore, you might wish
to clear them before issuing this command.
The following is an example of the MARK_PEAKS command used with REPORT:
.
.
MARK_PEAKS
REPORT “TESTDAT.RPT”
.
.
The above procedure performs a peak-search, then writes to disk an ROI Report for the peaks
found.
QABACKGROUND
This executes the background QA test without displaying prompts or violations.
QASAMPLE
This executes the sample QA test without displaying prompts or violations.
QUIT
This unconditionally terminates the GammaVision program and returns control to Windows.
RECALL “file.chn” or “file.spc”
This reads a disk filename to the buffer. The disk file must be in the format created by SAVE.
Any DOS filename, including the drive and subdirectory, can be used. The resultant horizon-
tal size of the buffer is the same as the file. If the spectrum file has calibration information, the
calibration parameters in the spectrum file are used to set the calibration for the buffer.
This command has the same function as Recall... under the File menu.
The loop count value can be included in the above filename, as in any text, by typing three
question marks in the text where the loop count is to be inserted. The loop count replaces
“???” wherever they appear. The filename can include any of the variables defined in
Section 10.2.
406

783620K / 0915 10. JOB FILES
RECALL_CALIB “file “
This loads both the energy and efficiency calibration data from the specified file to the
calibration data for the selected Detector. If the file is a pure calibration file (.CLB), then all
the information, including any energy or efficiency tables, are replaced in the selected
spectrum data memory. If the file is a spectrum data type file .CHN, only the calibration
parameters from the calibration data stored with a spectrum are loaded.
The filename can include any of the variables defined in Section 10.2.
This command can be used in generating reports that include library nuclide identification.
The following is an example:
.
.
RECALL_CALIB “CALIB001.clb”
MARK_PEAKS
REPORT “NEWDATA.RPT”
.
.
The report NEWDATA.RPT includes nuclide identification using the energy calibration
contained in CALIB001.clb.
RECALL_EFFICIENCY “file “
This loads the efficiency calibration data from the specified file to the calibration data for the
selected Detector. If the file is a pure calibration file (.CLB), then all the information, including
any efficiency tables, are replaced in the selected spectrum data memory. The filename can
include any of the variables defined in Section 10.2.
RECALL_ENERGY “file “
This loads the energy calibration data from the specified file to the calibration data for the
selected Detector. If the file is a pure calibration file (.CLB), then all the information, including
any energy tables, are replaced in the selected spectrum data memory. If the file is a spectrum
data type file .CHN, only the calibration parameters from the calibration data stored with a
spectrum are loaded. The filename can include any of the variables defined in Section 10.2.
RECALL_ONLYEFFICIENCY “File”
Recall efficiency calibration only, where “File” can be any GammaVision file that contains a
valid efficiency calibration. This command is identical to the RECALL_ EFFICIENCY
command and is provided for consistent naming.
407

GammaVision® V8 (A66-BW) 783620K / 0915
RECALL_ONLYENERGY “File”
Recall energy calibration only, where “File” can be any GammaVision file that contains a
valid energy calibration. This command does not recall the FWHM calibration from the file.
RECALL_ONLYFWHM “File”
Recall FWHM calibration only, where “File” can be any GammaVision file that contains a
valid energy calibration. This command does not recall the energy calibration from the file.
RECALL_OPTIONS “file.sdf”
This loads the acquisition and analysis parameters into the working set for the selected
Detector or buffer. This is the same as recalling a .SDF file in the Analyze/Settings/Sample
Type... type menu. The filename can include any of the variables defined in Section 10.2.
RECALL_ROI “file.roi”
This marks the ROI channels in the selected data memory or Detector to conform to the table
in the disk file, which can be an .ROI, .UFO, .SPC, or .LIB file. The data contents of the Detec-
tor or buffer are not altered by this operation. The previous ROIs are cleared. The filename
can include any of the variables defined in Section 10.2.
This command has the same function as Recall File... under ROI.
This command can be used in generating reports that look for specific nuclides (library-
directed as opposed to peak-search-directed). For example, a calibration spectrum is run con-
taining 57Co and 137Cs, and ROIs marked on the 122 keV and 662 keV peaks.
The calibration is saved as spectrum file COBCS.CHN and as .ROI file COBCS.ROI. The
command sequence is:
.
.
RECALL_CALIB “COBCS.CHN”
RECALL_ROI “COBCS.ROI”
REPORT “COBCS.RPT”
.
.
These commands report the values only for the 122 keV and 662 keV peaks. Compare with
the example for MARK_PEAKS.
As usual, the loop count value can be included in any text by typing three question marks in
the text where the loop count is to be inserted.
408

783620K / 0915 10. JOB FILES
REM [Text]
This line is a comment (remark) and is ignored during command processing. The REM com-
mand allows entering descriptive comments into script files or disabling commands during
testing of scripts.
REPORT “filename”
This command will produce a list of areas, activities, and peak shapes for all the ROIs marked
in the spectrum. See Analyze/ROI Report (Section 5.5.3) for more information on the report
format and contents. The ROI data will be presented in either columns or paragraphs, accord-
ing to the format most recently selected in the ROI Report dialog (therefore, you can choose a
format before executing the JOB file). If you do not specify a filename, the report will be sent
to the default Windows printer for this computer. If you specify a filename, the report will be
sent to an ASCII text file that can be used by other programs or printed later. The loop count
value can be included in the filename by typing three question marks in the text where the
loop count is to be inserted. The loop count replaces “???” in the filename. The filename can
include any of the variables defined in Section 10.2.
RUN “program”
This executes an application named “program.” This is typically an .EXE filename. Note that
the program will not run to completion before returning to GammaVision, unless it is run at
higher priority or the WAIT command is used. The filename can include any of the variables
defined in Section 10.2. Any arguments to the program can be included in the quotation
marks.
RUN_MINIMIZED “program”
Same as the RUN command above, except that the application is run initially as an icon
(minimized), rather than as a normal window.
SAVE “[d:][\path\]file[.spc]” [,n]
This saves the active Detector or the selected data memory in a disk file. It has the same
function as Save As... under the File menu. The file type is determined in the File/Settings...
dialog. The disk filename (in quotation marks) can be any valid DOS filename; the drive [d:],
path [\path\] and extension [.spc] are optional. If an extension is not supplied, the default
extension is automatically determined by the file settings selection. Also, the current drive and
directory are used by default when the optional path specification is not supplied. The loop
count value can be included in the filename by typing three question marks in the text where
the loop count is to be inserted. The loop count replaces “???” wherever it appears. The
filename can include any of the variables defined in Section 10.2.
The optional argument n specifies the spectrum number to save for a .CHN or .SPE file. For
the DSPEC Plus in ZDT mode zero, a value of zero will switch the display to the normal
spectrum before the data is saved and a value of 1 will switch the spectrum to the ZDT spec-
409

GammaVision® V8 (A66-BW) 783620K / 0915
trum before the save. For the DSPEC Plus in ZDT mode one, a value of 1 will switch the
display to the ZDT spectrum before the data is saved and a value of zero will switch the
spectrum to the Error spectrum before the save. This parameter is ignored if the DSPEC Plus
is not in ZDT mode. This parameter is not used when saving data to an .SPC file since both
spectra are automatically saved.
The Ask on Save questions as defined in File/Settings... will be asked each time a SAVE
command is executed. This will stop execution of the .JOB file until the question is answered.
Note that if you Cancel an ask-on-save prompt, the JOB will terminate. As with the File/Save
As function, the real time, live time, start of acquisition, and, if available, calibration data,
detector description, and sample description are stored with the spectrum.
If the ASK_SPECTRUM command has been executed in this .JOB file prior to this SAVE
command, the filename is stored in $(FullPath).
SAVE_CALIBRATION “[d:][\path\]file[.clb]”
Saves the current working energy and efficiency calibrations to a .CLB file. It has the same
function as Save Calibration... under the Calibrate menu. The contents of the spectrum are
not altered by this operation. The disk filename (in quotation marks) can be any valid file-
name, with optional elements as described for the SAVE command, above. The default exten-
sion is .CLB. The loop count value can be included in the filename by typing three question
marks in the text where the loop count is to be inserted. The loop count replaces “???”
wherever it appears. The filename can include any of the variables defined in Section 10.2.
SAVE_ROI “[d:][\path\]file[.roi]”
Saves a table of channel numbers that have the ROI set for the active Detector or selected data
memory in a disk file. It has the same function as Save File... under the ROI menu. The
contents of the spectrum are not altered by this operation. The disk filename (in quotation
marks) can be any valid filename, with optional elements as described for the SAVE com-
mand, above. The default extension is .ROI. The loop count value can be included in the file-
name by typing three question marks in the text where the loop count is to be inserted. The
loop count replaces “???” wherever it appears. The filename can include any of the variables
defined in Section 10.2.
SAVE_SPCIMAGE “ImageFile”, “Type”, “SettingsFile”
Saves the currently displayed histogram to the specified “ImageFile” in either .BMP or .JPG
format. The optional argument “Type” may be either “Jpg” or “Bmp”. If this argument is
missing, the image format defaults to “Bmp” format. Additionally, a GVPlot settings file
(created in GVPlot with the File/Save Settings As... command) can also be passed in as an
argument.
410

783620K / 0915 10. JOB FILES
SEND_MESSAGE “command”
This is used to send MCB hardware commands to the active Detector. This can be used to
perform any operations of the Detector that are desired. The text must be in the syntax
expected by the Detector. If the response from the Detector does not end with a command-
accepted message, then this command will exit with error.
Specific Detector commands and syntax are described in the technical manual associated with
each specific Detector.
The following is an example of using this command to set the fine and coarse gain to a total
value of 50 (the product of the fine [= 0.5] and coarse [= 100] gains):
.
.
SET_DETECTOR 1
STOP
CLEAR
SEND_MESSAGE “SET_GAIN_FINE 2048"
SEND_MESSAGE “SET_GAIN_COARSE 100"
.
.
SET_BUFFER
This selects the buffer. It is the same as SET_DETECTOR 0.
SET_DETECTOR <number>
This selects the active Detector or the buffer. The Detector number can be 1 to 999 according
to the Detector configuration, or 0 for the buffer. Also, SET_DETECTOR without an argu-
ment is used to switch to the previously selected Detector. If a Detector is selected that does
not exist, no change is made. The Detector number is the number shown on the toolbar and
the Detector pick list.
The JOB processor expects one or more numerals as the argument to this command, entered
with or without quotation marks (e.g., you can enter the numerals 1000 or the string “1000").
The JOB processor will also accept the loop counter as an argument to the function as long as
it is set in quotation marks. For example, you could use “$(loop1)” to sequence through the
detector list, provided the detector list is in numerical sequence.
This command (for values 1 to 12) has the same function as <Ctrl+ F1> through
<Ctrl+ F12>. For value 0 or no argument at all, it duplicates the Detector/Buffer toggle
under the Display menu, <F4>, and <Alt+ 6>.
See also the notes on SET_DETECTOR and the new GammaVision multi-detector interface
in Section 10.1.1.4.
411

GammaVision® V8 (A66-BW) 783620K / 0915
Figure 310. SET_OPTIONS Options file.
SET_LIST
Switches the currently selected Detector from PHA mode to LIST mode.
SET_NAME_STRIP “file.chn”
This can be used before STRIP to select a disk filename to be used subsequently by the STRIP
command. (It is not necessary to use this command, because the filename can be supplied as
part of the STRIP command itself; however, the command is included for backward
compatibility.) No other action is taken by this command. The filename can include any of the
variables defined in Section 10.2.
SET_OPTIONS “OptionsFile”, “SdfFile”
This command creates “SdfFile” based on the options specified in “OptionsFile”. The
OptionsFile is a text file composed of single settings as defined in the SET_SETTINGS JOB
command. An example file is shown in Fig. 310.
NOTES
●An invalid parameter name, data type, or file structure will generate an error and terminate
the job.
412

783620K / 0915 10. JOB FILES
●A single quote character at the start of a line indicates that the line is a comment, and the
line is not parsed for Parameter/Data pairs.
●A blank line will terminate the parsing process, so the single quote character should be
used if white space is desired to improve readability of the file content.
●The .SDF file does not store the following SET_SETTINGS parameters, so they cannot be
included in the Options File.
Keyword Storage Location
Operator Stored in the Registry
Laboratory Stored in the Registry
GammaTotalGammaTotalSequence Stored in the Context File
GammaTotalGermaniumSequence Stored in the Context File
GammaTotalReportDirectory Stored in the Registry
GammaTotalGermaniumReportDirectory Stored in the Registry
The following additional parameters can be used to set the Presets in the .SDF file, and
they will be applied to the hardware when the .SDF file is loaded into GammaVision.
RealTimePreset Float in seconds
LiveTimePreset Float in seconds
ROIPeakPreset Integer
ROIIntegralPreset Integer
UncertaintyPresetPercent Float in percent
UncertaintyPresetStartChannel Integer
UncertaintyPresetWidth Integer
Note that presets can also be modified when the Job is running by using the following
GammaVision Job commands in lieu of saving presets to an .SDF file.
SET_PRESET_CLEAR
SET_PRESET_REAL
SET_PRESET_LIVE
SET_PRESET_COUNT
SET_PRESET_INTEGRAL
SET_PRESET_UNCERTAINTY
SET_PHA
Switches the currently selected Detector from LIST mode to PHA mode.
413

GammaVision® V8 (A66-BW) 783620K / 0915
SET_PRESET_CLEAR
This clears the presets for the active Detector. The clearing should be done to ensure that
unwanted presets are not used by the Detector when the Detector is started.
NOTE For the Models 916/17/18 Detectors, the new presets (including CLEAR) can be
loaded at any time, but are not put into effect until the Detector goes from STOP to
START. For most other MCBs, the presets can only be changed when the unit is not
counting.
The Detector should be selected by the SET_DETECTOR commands before the
SET_PRESET_CLEAR command is given, as in the following:
.
.
SET_DETECTOR 1
STOP
SET_PRESET_CLEAR
START
.
.
SET_PRESET_COUNT <counts>
This sets the ROI peak count preset for the active Detector. The preset is set to the entered
value. With this preset condition, the Detector stops counting when any ROI channel’s content
reaches this value. If no ROIs are marked in the Detector, then that Detector never meets this
condition. This command has the same function as the ROI Peak Count field on the Presets
tab under Acquire/MCB Properties... (Section 5.2.11); refer to the discussion describing that
dialog for additional information.
The JOB processor expects one or more numerals as the argument to this command, entered
with or without quotation marks (e.g., you can enter the numerals 1000 or the string “1000").
The JOB processor will also accept the loop counter as an argument to the function as long as
it is set in quotation marks. For example, you could use the loop counter to collect a series of
spectra with increasing ROI peak counts by appending zeroes to the loop counter to obtain
1000 counts, then 2000, and so on.
SET_PRESET_INTEGRAL <counts>
This sets the ROI Integral Count preset value for the active Detector. The preset is set to the
entered value. With this preset condition, the Detector stops counting when the sum of all
counts in all channels marked with an ROI reaches this limit. If no ROIs are marked in the
Detector, then that Detector never meets this condition. This command has the same function
as the ROI Integral field on the Presets tab under Acquire/MCB Properties...
(Section 5.2.11); refer to the discussion describing that dialog for additional information.
414

783620K / 0915 10. JOB FILES
The JOB processor expects one or more numerals as the argument to this command, entered
with or without quotation marks (e.g., you can enter the numerals 1000 or the string “1000").
The JOB processor will also accept the loop counter as an argument to the function as long as
it is set in quotation marks. For example, you could use the loop counter to collect a series of
spectra with increasing ROI integral counts by appending zeroes to the loop counter to obtain
1000 counts, then 2000, and so on.
SET_PRESET_LIVE <seconds>
This sets the live-time preset for the active Detector. The preset is set to the entered value.
With this condition, the Detector stops counting when the live time reaches this limit. The live
time is the real time minus the dead time. This command has the same function as the Live
Time field on the Presets tab under Acquire/MCB Properties... (Section 5.2.11); refer to the
discussion describing that dialog for additional information.
The JOB processor expects one or more numerals as the argument to this command, entered
with or without quotation marks (e.g., you can enter the numerals 1000 or the string “1000").
The JOB processor will also accept the loop counter as an argument to the function as long as
it is set in quotation marks. For example, you could use the loop counter to collect a series of
spectra with increasing live times by appending zeroes to the loop counter to obtain 1000
seconds, then 2000, and so on.
SET_PRESET_REAL <seconds>
This sets the real-time preset for the active Detector. The preset is set to the entered value.
With this preset condition, the Detector stops counting when the real time reaches this limit.
This command has the same function as the Real Time field on the Presets tab under
Acquire/MCB Properties... (Section 5.2.11); refer to the discussion describing that dialog for
additional information.
The JOB processor expects one or more numerals as the argument to this command, entered
with or without quotation marks (e.g., you can enter the numerals 1000 or the string “1000").
The JOB processor will also accept the loop counter as an argument to the function as long as
it is set in quotation marks. For example, you could use the loop counter to collect a series of
spectra with increasing real times by appending zeroes to the loop counter to obtain 1000
seconds, then 2000, and so on.
SET_PRESET_UNCERTAINTY <limit>,<low chan>,<high chan>
This sets the statistical preset to the uncertainty based on the counts in the region between the
low and high channels. Not supported by all MCBs. See Section 4.2.1.1 for details on the
calculation. The low channel must be greater than 1 and the high channel must be greater than
the low channel plus 7.
415

GammaVision® V8 (A66-BW) 783620K / 0915
SET_RANGE “M/dd/yyyy”, “hh:mm:ss”, <t>
SET_RANGE “r”, “t”
Displays a time slice of data from a .LIS file that has been recalled into a buffer.
SET_SETTING “Setting”, “Value”
This command updates the analysis setting described by “Setting” to the value specified by
“Value”. Formatting for the Setting / Value combinations are shown below:
NOTE: A valid file path must be specified for the Correction options (i.e. PBC, Geometry,
or Attenuation) prior to setting the “InternalEnabled” parameter to NO or the
“Enabled” parameter to YES. If the file path is not valid then the associated
correction will be automatically disabled.
Setting Description
AnalysisStartChannel Starting channel number
AnalysisEndChannel Ending channel number
RandomSummingFactor Floating point value allowed
BackgroundTypeOption 0 = Auto, 1 = 1Pt, 3 = 3Pt, 5 = 5pt,
xP, x.xF
x = # of points with the “P” suffix
x.x = FWHM Factor with the “F”
suffix
InternalLibraryEnabled 1 = Yes, Anything else = No
LibraryFilePath Library pathname
InternalCalibrationEnabled 1 = Yes, Anything else = No
CalibrationFilePath Calibration override pathname
Laboratory Laboratory name
Operator Operator name
MDAMethod 1 = Traditional ORTEC
2 = Critical Level ORTEC
3 = Suppress Output
4 = KTA Rule
5 = Japan 2-Sigma Limit
6 = Japan 3-Sigma Limit
7 = Currie Limit
8 = RISO MDA
9 = LLD ORTEC
10 = Peak Area
11 = Air Monitor – GIMRAD
12 = Reg. Guide 4.16 Method
13 = Counting Lab USA
416

783620K / 0915 10. JOB FILES
14 = DIN 25 482.5
Erkennungsgrenze
15 = DIN 25 482.5 Nachweisgrenze
16 = EDF – France
17 = Nureg 0472
18 = ISO Decision Threshold (CL)
19 = ISO Detection Limit (MDA)
PeakSearchSensitivityOption 1, 2, 3, 4, or 5
MatchWidth Floating point (0.4 to 1.0)
FractionLimit Floating point in percent
SuspectedNuclideLibraryPath Full pathname to suspected nuclide
library
ActivityuCi 1 = uCi, Anything else = Bq
ActivityUnits Sample Activity Units descriptor
ActivityMultiplier Sample amount multiplier
ActivityDivisor Sample amount divisor
SampleQuantity Sample amount
SampleQuantityUnits Sample amount units
SampleQuantityUncertainty Sample amount uncertainty in
percent
DecayToCollectionEnabled 1 = Yes, Anything else = No
DecayDDuringAcquisitionEnabled 1 = Yes, Anything else = No
DecayDuringCollectionEnabled 1 = Yes, Anything else = No
DecayToDate Date Time “YYYY-MM-DD
HH:MM:SS”
CollectionStartDate Date Time “YYYY-MM-DD
HH:MM:SS”
CollectionEndDate Date Time “YYYY-MM-DD
HH:MM:SS”
ReportUnknownPeaksEnabled 1 = Yes, Anything else = No
ReportLibraryPeakListEnabled 1 = Yes, Anything else = No
ReportLibraryPeakMatrixEnabled 1 = Yes, Anything else = No
ReportNuclideAbundanceEnabled 1 = Yes, Anything else = No
ReportIsoNormEnabled 1 = Yes, Anything else = No
UncertaintyPercentOption 1 = Percent, Anything else =
Activity
UncertaintyCountingOption 1 = Counting, Anything else = Total
UncertaintyConfidenceLevelOption 1 = 1-Sigma, 2 = 2-Sigma, 3 = 3-
Sigma
DisplayAnalysisResultsEnabled 1 = Yes, Anything else = No
417

GammaVision® V8 (A66-BW) 783620K / 0915
ReportOutputOption 1 = Printer, 2 = File, 3 = Program,
4 = Report Writer
ReportFilePath File pathname
ReportProgramPath Program pathname
ReportWriterTemplatePath Template pathname
AnalysisEngine ‘WAN32', ‘GAM32', ‘NPP32',
‘ENV32', ‘ROI32', ‘NAI32', or
user-defined name
NOTES
For GAM32 and ROI32, Directed Fit, Library Based peak stripping, and Manual Based
peak stripping are disabled.
For NPP32, ENV32 and NAI32, Library Based peak stripping is enabled and Manual
Based peak stripping is disabled.
AdditionalRandomError Random error in percent
AdditionalSystemicError Systemic error in percent
LibraryPeakStrippingEnabled 1 = Yes, Anything else = No
ManualPeakStrippingEnabled 1 = Yes, Anything else = No
SecondLibraryPath Pathname to second library
ThirdLibraryPath Pathname to third library
PeakCutoff Peak cutoff in percent
TCCEnabled 1 = Yes, Anything else = No
DirectedFitEnabled 1 = Yes, Anything else = No
PBCEnabled 1 = Yes, Anything else = No
PBCInternalEnabled 1 = Yes, Anything else = No
PBCByEnergyEnabled 1 = Yes, Anything else = No
PBCFilePath Full pathname to the PBC file
PBCMatchWidth Positive floating point number
GEOEnabled 1 = Yes, Anything else = No
GEOInternalEnabled 1 = Yes, Anything else = No
GEOFilePath Full pathname to the Geometry file
ATTEnabled 1 = Yes, Anything else = No
ATTInternalEnabled 1 = Yes, Anything else = No
ATTFromFilePath Full pathname to ATT file
ATTFromDatabaseEnabled 1 = Yes, Anything else = No
ATTMaterial Material name
NOTE: The ATTConfigurationOption must be set prior to setting the Material name.
418

783620K / 0915 10. JOB FILES
ATTConfigurationOption 1 = Linear, Anything else = Mass
ATTLength Length or Mass
ATTTypeOption 1 = Internal, Anything else =
External
AvgEnergyEnabled 1 = Yes, Anything else = No
AvgEnergyInternalEnabled 1 = Yes, Anything else = No
AvgEnergyFilePath Full pathname to the .EBR file
IEQEnabled 1 = Yes, Anything else = No
IEQInternalEnabled 1 = Yes, Anything else = No
IEQFilePath Full pathname to the .IEQ file
DACEnabled 1 = Yes, Anything else = No
DACInternalEnabled 1 = Yes, Anything else = No
DACFilePath Full pathname to the .DAC file
GammaTotalReportingEnabled 1 = Yes, Anything else = No
GammaTotalGermaniumReportingEnabled 1 = Yes, Anything else = No
GammaTotalCalculationEnabled 1 = Yes, Anything else = No
GammaTotalEDFTableOnlyEnabled 1 = Yes, Anything else = No
GammaTotalReportIsoMdaOnReportsEnabled 1 = Yes, Anything else = No
GammaTotalCountBackgroundEnabled 1 = Yes, Anything else = No
GammaTotalCountCesiumEnabled 1 = Yes, Anything else = No
GammaTotalWriteBackgroundReportEnabled 1 = Yes, Anything else = No
GammaTotalWriteMaintenanceReportEnabled 1 = Yes, Anything else = No
GammaTotalSequence Integer number
GammaTotalGermaniumSequence Integer number
GammaTotalReportDirectory Directory path
GammaTotalGermaniumReportDirectory Directory path
GammaTotalAnalysisStartChannel Starting channel number
GammaTotalAnalysisEndChannel Ending channel number
GammaTotalUseRangeForBackgroundQAEnabled 1 = Yes, Anything else = No
GammaTotalBackgroundSpectrumPath Full pathname
GammaTotalCesiumSpectrumPath Full pathname
GammaTotalGeometryFilePath Full pathname
AdditionalUncertainty1Name String description 37 chars max
AdditionalUncertainty2Name String description 37 chars max
AdditionalUncertainty3Name String description 37 chars max
AdditionalUncertainty4Name String description 37 chars max
AdditionalUncertainty5Name String description 37 chars max
419

GammaVision® V8 (A66-BW) 783620K / 0915
AdditionalUncertainty6Name String description 37 chars max
AdditionalUncertainty7Name String description 37 chars max
AdditionalUncertainty8Name String description 37 chars max
AdditionalUncertainty9Name String description 37 chars max
AdditionalUncertainty1Value Float between 0 and 1000%
AdditionalUncertainty2Value Float between 0 and 1000%
AdditionalUncertainty3Value Float between 0 and 1000%
AdditionalUncertainty4Value Float between 0 and 1000%
AdditionalUncertainty5Value Float between 0 and 1000%
AdditionalUncertainty6Value Float between 0 and 1000%
AdditionalUncertainty7Value Float between 0 and 1000%
AdditionalUncertainty8Value Float between 0 and 1000%
AdditionalUncertainty9Value Float between 0 and 1000%
SET_VARIABLE “VarName”, “VarValue”
This command sets the user defined JOB variable “VarName” to “VarValue”. Variable name
are limited in length by 32 characters and variable values are limited to 256 characters. Up to
100 variables can be accessed in a JOB and variable 101 overwrites the first variable assigned.
To access any one of the user-defined variables, the macro expansion ‘$(VarName)’ can be
used in any JOB command. For example, the following JOB commands load the sample type
file stored in the variable ‘SDFPath’:
SET_VARIABLE “SDFPath, “C:\User\Sample Types\SetOptions.Sdf”
RECALL_OPTIONS $(SDFPath)
User-defined variables are shared across multiple jobs when they are nested using the CALL
JOB command. The nested JOBs inherit all previously defined variables and their values at
run time, and changes made to those variables or values added in nested JOBs are available
when control returns to the calling JOB. The maximum limit of 100 user-defined variables is
the total across all nested JOBs that are called from a main JOB.
SMOOTH
This command smooths the data in the active buffer window. Its function is the same as
Smooth under the Calculate menu. A five-point, area-preserving, binomial smoothing
algorithm is used. The original contents of the buffer are lost.
START
This initiates data collection in the selected Detector. This function is the same as Start under
the Acquire menu.
The Ask on Start questions as defined in Acquire/Acquisition Settings... will be asked each
420

783620K / 0915 10. JOB FILES
time a START command is executed. This stops execution of the .JOB file until the question is
answered. If you choose Cancel for an ask-on-start prompt, the JOB terminates.
START_OPTIMIZE
For MCBs that support this feature, this starts the optimize function for the Detector. See
Section 4.2.3.5 for functional details.
START_PZ
This starts the PZ function for the detector. It is automatically included in the optimize
function. This command is only available for MCBs with internal amplifiers.
STOP
This stops data collection in the active Detector. If the Detector has already been stopped, no
operation occurs. This command has the same function as Stop under the Acquire menu.
STOP_PZ
This stops the PZ function for the detector. Note that the PZ function is not complete when
this is used. The PZ function should be allowed to complete automatically. This command is
only available for MCBs with internal amplifiers.
STRIP <factor>,[“file.chn”]
This strips the disk spectrum specified in the SET_NAME_STRIP command or in the com-
mand itself (either way is acceptable; the filename is optional in this command) from the
spectrum in the buffer and stores the results in the buffer. The disk and selected data memory
spectra must be the same size. The disk spectrum can be scaled up or down by <factor> (a
constant) or, if <factor> is zero, by the ratio of the live times of the two spectra. The filename
can include any of the variables defined in Section 10.2.
UNLOCK “Pwd”
This unlocks the current Detector using “Pwd” as the password.
VIEW “i”, [“Type”]
This moves the “i”th stored spectrum to position 0 (i.e. makes it active in the view). This
command is only valid in MCBs with Field Mode or buffers containing N42 files that have
multiple spectra. The optional “Type” argument specifies the spectrum type to view with
valid options of “Any”, “Background”, “TimeSlice”, or “LongCount”. Any other Type
options will generate an error.
The Job variable “$(Spectra)” is updated to reflect the number of spectra stored in a multiple
spectrum file when the VIEW command is run. This variable can be used with the LOOP
command to automatically process each spectrum as necessary. An example Job showing
how to extract all Background spectra to CHN files is shown below.
421

GammaVision® V8 (A66-BW) 783620K / 0915
SET_BUFFER
RECALL “Detective-Pro.N42"
VIEW 1, “Background”
LOOP “$(Spectra)”
RECALL “Detective-Pro.N42"
VIEW “$(LOOP1)”, “Background”
SAVE“Background$(LOOP1).chn”
END_LOOP
WAIT [<seconds>]
This suspends execution of the JOB to wait until either the active Detector stops counting (in
the case where the <seconds> argument is not included), or for a fixed number of seconds.
WAIT “program”
This suspends execution of the JOB to wait until the named program stops execution. If the
program does not stop, this JOB will not continue. It is good practice to put a WAIT 2
command between the RUN “program” and WAIT “program” commands to give Windows
time to start the program before the status is checked. The “program” name must agree with
the name used in Windows, and must include the .EXE extension.
WAIT_AUTO
For DSPEC only; this waits until the optimize function is complete.
WAIT_CHANGER
This waits until the sample ready signal on the rear panel is present. It is used in conjunction
with the SEND_COMMAND function for more control over the sample changer than is
provided by the CHANGE_SAMPLE command.
WAIT_PZ
This waits until the PZ function is complete.
WAIT_QA
This waits until QA is complete.
WAIT_SERIAL “Command”, timeout[,”Response”]
This is used to send and receive commands on the serial port of MCBs. It is designed to be
used to control sample changers with RS-232 controls. “Command” are the characters sent to
the changer to make it operate. Timeout is the maximum time to wait for a response before
error. “Response” is the reply from the changer when it has finished the “Command.”
The first operation is to send “Command” out the serial port for the selected Detector. It then
422

783620K / 0915 10. JOB FILES
waits for a response or timeout according to these entries:
1. If a response string is provided, the length of the response string determines the exact
number of characters to wait for.
2. If a response string is not provided, any character input will generate a success.
3. If a response string is provided, and the characters do not match, an Invalid Response
message is generated and the JOB terminates.
4. If a timeout occurs, a Timeout Message is generated and the JOB terminates.
Example:
SET_DETECTOR 1
LOOP 3
WAIT_SERIAL “$(Loop1)L$(CR)”, 300, “$(BEL)”
BEEP 5
END_LOOP
This code does the following:
1. Sends 1L↵ and waits 5 minutes for an ASCII Bell Character. Beeps 5 after ASCII bell is
received.
2. Sends 2L↵ and waits 5 minutes for an ASCII Bell Character. Beeps 5 on success.
3. Sends 3L↵ and waits 5 minutes for an ASCII Bell Character. Beeps 5 on success.
The ↵ is the $(CR) (carriage return) character.
ZOOM <i>
Changes the size of the GammaVision window. Selects one of icon, normal, or maximum
according to the argument. The arguments are:
−1 = minimize (icon on Taskbar)
0 = normal (size determined by last use)
+1 = maximize (full screen)
ZOOM: <x,y,w,h>
Changes the position and size of the GammaVision window. The arguments are:
x = x position of upper-left corner of window (0 is left)
y = y position of upper-left corner of window (0 is top)
w = width of window in pixels, starting at x and going right
h = height in pixels, starting at y and going down
Since these arguments are in pixels, experimentation is the best way to determine the desired
size.
423

GammaVision® V8 (A66-BW) 783620K / 0915
[Intentionally blank]
424
11. UTILITIES
11.1. GVPlot
GVPlot replaces WinPlots as our program for printing any type of ORTEC spectrum file. In the
interactive mode (it can also be run in command-line mode), a preview of the spectrum plot is
displayed on the screen and updated as you adjust the display parameters. You can select the
graph colors and symbols for the plot, the start and stop channels or energy range, the printer to
be used, and logarithmic or linear vertical scaling. Optionally, you can save these display settings
and recall them for later use. The sample, detector, and acquisition descriptions in the file can be
printed or suppressed. In addition, you can save, recall, and display the spectrum file’s corre-
sponding analysis information; as well as ROIs stored in the spectrum file or in a separate .ROI
file.
To start GVPlot, enter gv or gv[space]p in the “search programs and files” box then click
the Gv Plot search result; or open the Windows Start menu and click GammaVision then Gv
Plot. You can also run GVPlot in command line mode for use in .JOB files, or directly from other
Windows programs (see Section 11.1.5). In this mode, you can either specify the settings or use
the defaults.
The spectrum files are associated with GVPlot by the installation program, so double-clicking on
a spectrum filename in Windows Explorer will start GVPlot and display that spectrum.
11.1.1. Screen Features
Figure 311 shows the major GVPlot screen features.
1) Title bar, shows the current spectrum filename. On the far right are the standard Windows
Minimize, Maximize, and Close buttons.
2) Menu Bar, shows the available menu commands (which can be selected with either the
mouse or keyboard); these functions are discussed in detail in the following sections.
3) Toolbar, beneath the menu bar, contains icons for recalling a spectrum, printing it, and
adjusting the vertical and horizontal scale of the spectrum window. You can display or hide
the toolbar from the View menu.
425

GammaVision® V8 (A66-BW) 783620K / 0915
Figure 311. The Main GVPlot Display.
4) The Expanded Spectrum Window shows all or part of the full histogram; this allows you to
zoom in on a particular part of the spectrum and see it in more detail. You can change the
vertical and horizontal scaling, and perform a number of operations such as displaying peak
information, marking and modifying ROIs, and displaying the residuals (see item 6 below).
This window contains a vertical line called a marker that highlights a particular position in the
spectrum. Information about that position is displayed on the Marker Information Line (see
item 7 below). Right-clicking in this window opens a right-mouse-button menu, which is
discussed in Section 11.1.4.
5) The Full Spectrum Window shows the full histogram from the file or the Detector memory.
The vertical scale switches between logarithmic and linear in concert with the scaling in the
expanded window. When you zoom in on part of the spectrum in the expanded window, the
Full Spectrum Window displays a rectangular area that reflects the portion of spectrum now
426

783620K / 0915 11. UTILITIES
visible in the Expanded Spectrum Window. To quickly move to different region in the spec-
trum, either click that region in the Full Spectrum Window or click and drag the rectangle to
the new position, and the expanded display will update immediately at the new position. You
can also zoom out by clicking and dragging a rubber rectangle over any portion of the Full
Spectrum Window (the starting point for this operation must be outside of the current
expanded-view indicator rectangle). The full-spectrum window can be moved and sized (see
Section 4.4.4).
6) Residuals, which can be displayed in the lower section of the spectrum window, displays a
comparison of the counts in each channel to the calculated counts for that channel as deter-
mined by the peak-fitting algorithm. This comparison can be displayed in counts (absolute
residuals) or standard deviations (relative residuals). See the discussion on page 431.
7) Status Bar, below the Marker Information Line, displays program status information such as
warning messages. You can display or hide the status bar from the View menu.
8) Marker Information Line, beneath the spectrum, shows the Marker channel, marker
energy, and channel contents. The ROI section shows the boundaries of the ROI in energy
(for calibrated spectra) or channels (for uncalibrated spectra), the number of counts in the
ROI, and other information; see the discussion associated with Fig. 323 on page 433.
11.1.2. The Toolbar
The row of buttons below the menu bar provides convenient shortcuts to some of the most
common GVPlot commands.
The Recall button retrieves an existing spectrum file. This is the equivalent of selecting
File/Recall Spectrum... from the menu.
Print sends the current spectrum immediately to the default Windows printer without
opening the standard Print dialog. If you wish to switch to another printer or adjust the
default print properties, use the File/Print... command (Section 11.1.3.1).
Vertical Log/Lin Scale switches between logarithmic and linear scaling. When switching
from logarithmic to linear, it uses the previous linear scale setting.
Zoom In decreases the horizontal full scale of the Expanded Spectrum Window so the
peaks appear larger and broader. You can also access this command from the right-mouse-
button menu (Section 11.1.4.2).
427

GammaVision® V8 (A66-BW) 783620K / 0915
Figure 312. The File Menu.
Figure 313. Open a Spectrum File.
Zoom Out increases the horizontal full scale of the Expanded Spectrum Window so the
peaks appear smaller and narrower. You can also access this command from the right-
mouse-button menu (Section 11.1.4.3).
Center forces the marker to the center of the screen by shifting the spectrum without
moving the marker from its current channel.
Baseline Zoom sets and keeps the baseline of the Expanded Spectrum Window at zero
counts in Linear scale mode and 1.0E+0 counts in Logarithmic scale mode. When Base-
line Zoom is off, the baseline can be offset to a higher value. This is useful to show small
peaks on a high background.
11.1.3. Menu Commands
11.1.3.1. File
Figure 312 shows the File menu. Use these commands to select the spectrum, analysis, and ROIs
to be displayed, recall or save GVPlot settings files, and print the spectrum.
Use the Recall Spectrum... command (Fig. 313) to open a spectrum file.
When the Show Description checkbox at the bottom of the dialog is marked, you can click each
spectrum filename and see its sample description, spectrum format, and number of channels as
an aid in selecting the correct file.
428

783620K / 0915 11. UTILITIES
Figure 314. The Print Plot Dialog.
Figure 315.
Figure 316.
The recalled spectrum will be displayed using the most recently selected graph color, symbol, and
axis-scaling settings (which are set with the Options/Graph... command). These settings
will also be used when you Print the spectrum or save it as a bitmap or jpeg image with Save
Plot...
Once you have opened a spectrum file, Recall ROIs allows you to import the ROIs from an .ROI
file. You can also open the corresponding analysis results (.UFO) file with Recall UFO File.
The graph colors, symbols, and axis parameters selected in Options/Graph... can be saved in an
ASCII text file with the Save Settings As... command (which opens a standard Windows file-
open dialog). The Recall Settings command allows you to recall a particular settings file so you
can quickly and reproducibly adjust the appearance of the spectrum window. You can also call a
settings file from the GVPlot command line to ensure the resulting plot(s) will be displayed
according to your specifications.
The Print... dialog (Fig. 314) allows you
to select a printer Name and specify the
Number of copies to be printed (this
number is reset to 1 after every print ses-
sion). Click Properties to change print
options such as paper size, orientation,
and output resolution.
11.1.3.2. View
Figure 315 shows the View menu, which
allows you to hide or display the Toolbar
and Status Bar.
11.1.3.3. Options
The Options menu is shown in Fig. 21. These menu items govern the appearance of the spectrum
window and printed output.
429

GammaVision® V8 (A66-BW) 783620K / 0915
Figure 317. The Plot Options Dialog.
Graph...
This command opens the dialog shown
in Fig. 317, which lets you set the graph
colors, symbol type, and axis scaling
factors. These settings are stored when
you exit GVPlot and reloaded the next
time GVPlot is started. You can also save
these settings in an ASCII text file using
the Save Settings As... command, and
retrieve them with Recall Settings....
Graph... is duplicated by the Properties item
on the right-mouse-button menu.
The droplists on the left side of the
dialog control the screen and printout
colors. As noted above, there are some
differences between screen and printer
fonts and colors. Also, if you do not have
a color printer, the screen colors will be
rendered in grayscale.
The Text color affects the color of the axes, axis labels, and spectrum title. Background controls
the color of the spectrum background in both the full and expanded windows. Markers applies to
the ROI bars.
Data Set Colors allows you to choose separate colors for spectrum Data, Fitted peaks, and
Residuals; select a data type from the left-hand droplist, then choose a color from the list on the
right. Similarly, use Fill Color to control the colors of ROIs, Nuclide Peaks, Unknown Peaks,
Multiplets, and Composites in both point and fill modes. Spectrum Style determines how the
histogram data are represented (Points, Line, or Fill All).
The Show Nuclide Name checkbox allows you to hide or display the nuclide markers for an
analyzed spectrum (an example of these markers is shown in Fig. 20, page 26). Turning the
nuclide markers on or off slightly adjusts the graph’s vertical scaling.
Clearing the Show Axes checkbox removes the axes so the portion of histogram shown in the
Expanded Spectrum Window occupies the entire window without an inside border.
Set the Y Axis Scale of both the Full and Expanded Spectrum Windows to Linear or Logarith-
mic. You can also do this with the Vertical Log/Lin Scale button on the toolbar.
430

783620K / 0915 11. UTILITIES
Figure 318. Draw Multiplet Modes.
The Draw Multiplet radio buttons determine whether
multiplets are drawn as a Composite curve, shown
individually (Each), or displayed as individual peaks
superimposed with the composite curve (Both). These
modes are compared in Fig. 318. This display is most
easily seen with all Fill Modes turned off (checkboxes
unmarked).
The Fill Mode checkboxes allow you to determine
which peak types, if any, will be displayed in fill mode
rather than data-point mode.
Auto Y (Spectrum) allows you set up a fixed y-axis
range for the Expanded Spectrum Window (Auto Y
unmarked/off), or allow the program to autoscale the
y-axis to accommodate the tallest peak currently displayed in the expanded view (Auto Y
marked/on). The Auto Y (Residual) functions similarly for the residuals plot (which is displayed
from the right-mouse-button menu, Section 11.1.4.1).
If the spectrum is calibrated, the Horizontal axis can be displayed in either Energy units or
Channel numbers. If the spectrum is not calibrated, the horizontal axis is shown in channels and
cannot be changed.
You can plot all or part of a spectrum by turning Auto X Range respectively on or off. Turning
Auto X Range off activates the x-axis range fields that allow you to let the plot limits in either
channels or keV (select units from the droplist). The plot limits are independent of the x-axis units
of measure. This means that you can, if you wish, choose to display the x-axis in Energy units,
then select the portion of the spectrum to be displayed as a range of channel numbers.
In order to easily compare spectra, the energy can be set to values below the first channel in the
spectrum. In this case the data below channel 0 are plotted as 0.
NOTE Manually setting the range for one axis disables zooming for that axis only. If both axis
ranges are manually fixed, all zooming is disabled.
Title Text
This dialog (Fig. 319) allows you to compose a title to be displayed at the top of the spectrum
plot. In addition, you can choose whether or not to display the Real and Live Time, Spectrum
File Name, and the sample or Detector description.
431

GammaVision® V8 (A66-BW) 783620K / 0915
Figure 319. Compose the Plot Title.
Figure 320. The
ROI Menu.
Auto Load UFO
When this feature is turned on (a checkmark is dis-played beside the command), recalling a
spectrum file also recalls the corresponding .UFO file if it shares the same filename and drive/
folder location as the spectrum file. Note that if the analysis captured in the .UFO file covers only
part of the spectrum, that portion of the spectrum, rather than the entire spectrum, will initially be
displayed in the Expanded Spectrum View.
11.1.3.4. ROI
The ROI menu (Fig. 320) works in conjunction with the Mark ROI and Clear Active ROI
commands on the right-mouse-button menu (Section 11.1.4).
Modify Active ROI/Off
This enables the Modify Active ROI mode, which lets you use the left/right arrow keys to add
more channels to the currently active ROI (click inside the ROI to activate it). Pressing the left
arrow shifts the low-energy boundary of the ROI to the left and pressing the right arrow shifts
the high-energy side to the right; this shift might take a moment to occur. As you adjust the size
of the ROI, the ROI boundary (and ROI Bars, if currently displayed; see Section 11.1.4.8) shifts
and the Marker Information Line updates accordingly. When you select Off, the left/right arrow
keys return to their original function of moving the marker through the spectrum. You can also
adjust the size of the ROI by clicking and dragging the ROI bars.
Clear
This clears the ROI bits in all ROI channels that adjoin the channel containing the marker. This is
duplicated by the Clear Active ROI command on the right-mouse-button menu.
432

783620K / 0915 11. UTILITIES
Figure 321. The
Context Menu.
Clear All
This resets all the ROI bits in the spectrum, removing all ROI markings from the spectrum.
Save File...
This command allows you to save to disk a table of the channel numbers, for the current spec-
trum, that have the ROI bit set. The contents of the spectrum are not changed. A standard
Windows file-save dialog opens, allowing you to create a filename or overwrite an existing .ROI
file.
Recall File...
Recall File... sets the ROIs in the spectrum according to the table in the disk file created by ROI/
Save File.... This command opens a standard file-open dialog, prompting you to select a filename.
When you select a file, the ROIs in the currently displayed spectrum are set to conform to the
table in the file. The previous ROIs are cleared. The spectrum data are not altered by this
operation, only the ROI bits.
In .ROI files, the ROIs are saved by channel number. Therefore, if the spectrum peaks have
shifted in position, the ROIs in the file will not correspond exactly to the spectrum data.
11.1.4. Right-Mouse-Button (Context) Menu Commands
Figure 321 shows the right-mouse-button menu that opens
when you right-click in the Expanded Spectrum Window.
11.1.4.1. Show Residuals
Marking this menu item activates the Plot Absolute Residuals
and Plot Relative Residuals modes. The Residuals section of the
spectrum window (item 6 on page 425) displays a comparison of
the counts in each channel (Actual) to the calculated counts for
that channel as determined by the peak-fitting algorithm (Fitted).
Plot Absolute Residuals displays the difference in each channel,
in counts, between Actual and Fitted counts. Plot Relative
Residuals displays the difference in each channel, in standard
deviations (abbreviated STD on the screen), between Actual and
Fitted counts divided by the square root of the Actual counts; that
is, .
The Properties command is equivalent to Options/Graph...;
see Section 11.1.3.3.
433

GammaVision® V8 (A66-BW) 783620K / 0915
11.1.4.2. Zoom In
Zoom In adjusts the horizontal and vertical scales in the Expanded Spectrum Window to view a
smaller portion of the spectrum. This command is duplicated by the Zoom In button on the
toolbar.
11.1.4.3. Zoom Out
Zoom Out adjusts the horizontal and vertical scales in the Expanded Spectrum Window to view a
larger portion of the spectrum. This command is duplicated by the Zoom Out button on the
toolbar.
11.1.4.4. Undo Zoom In
This will undo or reverse the last Zoom In operation done with the rubber rectangle. It restores
the display to the horizontal and vertical expansion before the Zoom In. It is not the same as
Zoom Out.
11.1.4.5. Full View
Full View adjusts the horizontal and vertical scaling to display the entire spectrum in the
Expanded Spectrum View.
11.1.4.6. Mark ROI
This allows you to mark a peak as an ROI by clicking and dragging the rubber rectangle across a
portion of the spectrum, then selecting Mark ROI. If Show ROI Bars is on (Section 11.1.4.8),
the new ROI will be marked with the active ROI Bars until you either move to or create another
ROI. Use the Modify Active ROI command on the ROI menu (Section 11.1.3.4) to widen the
ROI boundaries, or click and drag the ROI bars to increase or decrease the number of channels in
the ROI.
11.1.4.7. Clear Active ROI
This clears the ROI bits in all ROI channels that adjoin the channel containing the marker. This is
the same as the Clear command on the ROI menu (Section 11.1.3.4).
11.1.4.8. Show ROI Bars
These are vertical markers that indicate the lower and upper boundaries of each ROI in the spec-
trum. The ROI bars for an inactive/unselected ROI have solid fill; when you click an ROI to acti-
vate it (only one is active at a time), the bars for the active ROI change to a diagonal fill (see
Fig. 322). To display the ROI bars, right-click in the expanded window to open the right-mouse-
button menu, then click ROI Bars to checkmark it. To hide the ROI bars, click the command
again to clear the checkmark.
434

783620K / 0915 11. UTILITIES
Figure 322. Inactive (solid)
and Active (diagonal fill)
ROI Bars.
Figure 323. The GVPlot Marker Information Line.
When you activate an ROI by clicking on it, the Marker
Information Line (Fig. 323) displays the following inform-
ation about the active ROI:
(a) The marker position, in channels and energy
(b) The counts in the marker channel
(c) The start and end points for the ROI, in channels
for uncalibrated spectra and energy for calibrated
spectra
(d) The total counts in the ROI
(e) The nuclide name, if identified
(f) The net peak area, in counts
(g) The peak background area, in counts
(h) The activity in the peak, in becquerels
You can shift the start or end channel of an ROI by moving the mouse over an ROI bar until the
pointer changes to a double-arrow, then clicking and dragging the ROI bar to the desired location
(allow a moment for the display to update). In addition, you can widen the ROI in the Modify
Active ROI mode (Section 11.1.3.4).
Set the color of the ROI bars with the Markers droplist in the Graph Properties dialog (select
Properties from the right-mouse-button menu or Options/Graph...).
11.1.4.9. Peak Info
This command opens a Peak Info box (Fig. 324) for the selected peak and leaves the box open
until you click inside it. This command works for peaks loaded from a .UFO file and ROIs created
within GVPlot or loaded from an .ROI file. The contents of the Peak Info box are described in
Section 5.4.3. You can simultaneously display multiple Peak Info boxes as long as they do not
overlap (opening a new Peak Info box closes any overlapping boxes). For very narrow peaks, you
might find it useful to position the marker with the left/right arrow keys before calling the Peak
Info command. When the marker is on a peak, the right side of the Marker Information Line will
display a Peak Area readout.
435

GammaVision® V8 (A66-BW) 783620K / 0915
Figure 324. The Peak Info Window for an
ROI.
11.1.4.10. Show Hover Window
When you select this command, a checkmark is displayed by this menu item to indicate that it is
in hover-window mode. In this mode, the Peak Info window opens when the mouse pointer is
paused over a peak for approximately 1 second, and closes when the pointer is moved away from
the peak. To turn off hover mode, select Show Hover Window again to remove the checkmark.
11.1.4.11. Sum Spectrum
This sums the gross counts in the area selected with the rubber rectangle or, if you have not
selected an area, the gross counts in the entire spectrum. The results are displayed on the status
line, and indicate the span of channels summed.
11.1.4.12. Print Graph
This command prints performs a “quick print” of the contents of the Expanded Spectrum
Window, using the currently selected printer and print settings (these will be either the default
printer and print settings for this computer or the printer and settings used most recently during
this GVPlot session). To change printers and/or print properties, use the Print... command on the
File menu (page 427).
11.1.4.13. Properties
This opens the Graph Properties dialog, which is discussed in Section 11.1.3.3.
436

783620K / 0915 11. UTILITIES
11.1.5. Command Line Interface
The GVPlot command line interface supports options available in the interactive mode as shown
below:
GvPlot <spectrum> -U <ufofile> -R <roifile> -S <setfile> -P
where:
<spectrum> Specifies the spectral data file (.SPC, .An1, or .CHN). The extension must be
included.
-U <ufofile> Specifies the .UFO file. The extension must be included.
-R <roifile> Specifies the .ROI file. The extension must be included.
-S <setfile> Specifies the settings file. The extension must be included.
-P Print the plot to the PC’s Windows default printer and exit automatically.
Used mainly in .JOB files and File/Export....
11.2. TRANSLT
The TRANSLT program (TRANSLT.EXE, located in your operating system’s program files folder
under \GammaVision) translates several different text files to and from .SPC or .CHN files. All
operation is controlled from the command line. The command line is:
TRANSLT [-type] inname [[-type] outname] [-w] [-nc] [-col n] [-ni] [-nh] [-i]
where:
type chn The inname file is in CHN format.
spc The inname file is in SPC format.
txt The inname file is in ASCII text format.
The default is based on the filename extension and the i switch. Both chn and spc
cannot be used together.
inname The input spectrum file, no default; default extension is SPC. If the input file is a
.TXT file, it must contain the live and real time in this format:
Real Time: 240.
Live Time: 120
437

GammaVision® V8 (A66-BW) 783620K / 0915
Both values are in seconds.
The header information in the .TXT file will be converted and stored in the .SPC
file if it is in the correct format. The correct format for the .TXT input file is the
same as the .TXT format created as the output file.
type chn The outname file is in CHN format.
spc The outname file is in SPC format.
txt The outname file is in ASCII text format.
outname The output spectrum file. The default is the inname with the extension changed. If
the outname is not given, the spectrum file will not be overwritten by the default
name. The length of the spectrum file converted from text will be the next higher
power of two with the surplus channels set to 0.
wSet the format output to 128 characters per line; default is 70 characters per line.
nc Do not print channel as first number in line; default is to print the channel number.
The channel number is followed by a colon ( : ) to separate it from the data.
col n Number of data columns is n; default is 5. Error returned if line width will exceed
available space.
ni Do not write acquisition or analysis information in output file; default is to write
this information.
nh Do not write header information in output file; default is to write this information.
iImport a text file and save as .SPC (or .CHN) file. If one filename is given, default
is to convert that file to the other format, i.e., for AAA.SPC; the output will be
AAA.TXT. If two filenames are given, the default is to convert the spectrum to text.
The .TXT file will be overwritten even if the .SPC file is not located.
Example:
TRANSLT -SPC GOODSPEC -TXT TEXTSPEC -ni -nh -col 1
This will make a text file of one column with no header, no analysis information, and one channel
per line.
438

Figure 325. GammaVision
Menu.
APPENDIX A. STARTUP AND CONFIGURATION
OPTIONS
To start GammaVision, enter gamm in the “search pro-
grams and files” box then click the GammaVision search
result; or open the Windows Start menu and click Gamma-
Vision, and GammaVision (Fig. 325). You can also start
GammaVision by entering run in the search box and
choosing the Run search result; or (in XP) by selecting
Run... from the Start menu. The Run option allows you to
start up from the command line, with or without arguments,
as described below.
A.1. Command Line Options
GammaVision is run with the following command line properties:
GV32 [-d[n]] [-L file.lib] [-p listname] [-t] [-l] [-B] [-z] [file.job]
All of the arguments are optional; one or more can be omitted. Thus, at a minimum, Gamma-
Vision can be executed without any arguments at all, in which case certain defaults apply for the
Detector list and nuclide library, as described below. Switches (e.g., -d, -z) can be uppercase or
lowercase (e.g., -d or -D, -z or -Z).
[n] An optional parameter for the -d switch to enable debugging output mode at a speci-
fied level (values are 1 or 2; no argument is equivalent to 1). Default is no
debugging. Debug mode is not recommended for general use.
file.lib An optional nuclide library (use with -L option) to be loaded at startup. The default
is the library loaded when GammaVision exited.
-p listname Optionally uses listname as the Detector pick list name. The pick list name must be
5 characters or less. If a pick list is not specified, M32MCA.CFG — located in
C:\ProgramData\ORTEC Shared\UMCBI — is used by default. The current pick list
name is displayed above the Pick List column in the Detector List Editor dialog
(Services/Edit Detector List...). If the pick list name specified by pick does not
439

GammaVision® V8 (A66-BW) 783620K / 0915
exist then one is created. This new list will contain all available detectors included
in the Master Detector List. If the pick list already exists, only the detectors defined
in that list are displayed in the Detector droplist on the toolbar. Changes made to the
pick list with the Edit Detector List... command are stored with the active pick list
filename. Therefore, to create multiple pick lists, use the -p option with the pick list
name and then edit the list to contain only the desired Detectors. The contents of the
list can be overridden with the Edit Detector list function. The new list will be
stored for use the next time this instance of GammaVision is run.
-t Forces GammaVision to be “Always on Top.” The default is the normal Windows
display.
-1 Allows one and only one instance to run. This is the numeral one.
-B Start up with an open buffer window. This should be used if the computer is on a
network and no MCBs are connected anywhere in the system.
-z The “zoom” switch with several variations:
-z or -z: With no arguments, causes the previously stored “ZOOM:”
parameters (see page 421) to be used to position and size the
GammaVision window.
-z:x,y,w,h Changes the position and size of the GammaVision window. The
arguments (which are the same as for the ZOOM: profile
variables, page 421) are:
x= x position of upper-left corner of window (0 is left)
y= y position of upper-left corner of window (0 is top)
w= width of window in pixels, starting at x and going right
h= height in pixels, starting at y and going down
-z0 Forces position and size to be determined by Windows tiling
algorithm.
-z+1 Forces GammaVision to be maximized.
-z-1 Forces GammaVision to be minimized (icon).
file.job An optional .JOB file to be executed at start-up.
440

783620K / 0915 APPENDIX A. STARTUP
Certain defaults apply if any one or more of these arguments is omitted. The initial Detector list is
named M32MCA.CFG. The nuclide library is the last library used. And no JOB is automatically
executed unless the file.job argument is included.
A.2. Analysis Setup
GammaVision includes two configuration files, b30winds.ini (n30winds.ini for NAI32) and
b30win.txt, that allow advanced users to control several options in the analysis options and the
report. If a configuration file is not found or cannot be read then GammaVision will use default
settings. These files should only be changed after careful consideration of the impact of the
changes.
A.2.1. WAN32, GAM32, NPP32, ENV32, ROI32, and NAI32
GammaVision’s analysis engines are standalone programs which perform the complete spectrum
analysis. The NAI32 analysis engine is used for low resolution (i.e. Sodium Iodide) spectrum
analysis, and all of the others are used for high resolution (i.e. HPGe) spectrum analysis. These
analysis engines are normally run within GammaVision, but they can also be run by other
programs or by themselves using command line parameters as shown here for WAN32:
WAN32 file.SPC [DEBUG] [file.INI]
file.SPC This is the spectrum filename and it must be the first argument. For a complete
analysis it must contain all the analysis parameters and calibrations. The output
files are the input file name with the extension of .UFO for the binary output and the
extension of .RPT for the text output.
DEBUG This optional parameter controls the output of debugging information in the analy-
sis report file. GammaVision sets this parameter when GammaVision is run in
debug mode. This produces considerable output and significantly slows the execu-
tion. It must be the second or third argument.
file.INI This optional file overrides the default b30winds.INI or n30winds.INI settings.
441

GammaVision® V8 (A66-BW) 783620K / 0915
Figure 326. The b30winds.ini File in Notepad.
A.2.2. B30winds.ini and N30winds.ini
The b30winds.ini file (Fig. 326) contains global analysis settings for all HPGe analysis engines.
The NAI32 analysis engine has the same parameters in the n30winds.ini to allow for different
settings associated with low resolution spectrum analysis.
If the specified file cannot be found in the same directory as the analysis engine then the
\MESSAGE directory on the default drive is searched. If it is not found there or cannot be read,
then the internal values are used.
NOTE These parameters are read sequentially from the file and none can be omitted even if
they will not be used. Doing so would offset the parameters, and subsequent settings
would be incorrectly interpreted.
A.2.2.1. Contents
Except where indicated, all discussion of analysis settings refers to the current (working) settings
on the Analyze/Settings/Sample Type... tabs or in the selected .SDF file.
442

783620K / 0915 APPENDIX A. STARTUP
Message file name
B30WIN.TXT The name of the file that defines the standard analysis report format.
spellings
YES NO Spelling of Yes and No displayed on analysis report under the
Corrections Status column. Alternates to English can be substituted.
spellings of months
NO LONGER USED.
Deconvol. character
DThe character in the peak tables indicating that this peak is part of a
deconvolution.
Shape character
sBad-peak-shape indicator in the peak tables.
Multiplet character
MThe peak table character indicating this peak is part of a multiplet.
Unknown suspect
‒The character in the unknown peak table indicating that this peak was
not found in the Suspect Library.
EBAR table filename
C:\User\EBAR.TBL Filename for the average energy table. The analysis setting overwrites
this parameter in most cases. (Included for backward compatibility
with older spectrum formats. This setting is used when analyzing .CHN
spectra using the Analyze/ Spectrum on Disk... command or when the
analysis is performed external to GammaVision.)
IEQ table filename
C:\User\IEQT.TBL Filename for the iodine equivalence table. The analysis setting over-
writes this parameter in most cases. (Included for backward compati-
bility with older spectrum formats. This setting is used when analyzing
.CHN spectra using the Analyze/ Spectrum on Disk... command or
when the analysis is performed external to GammaVision.)
443

GammaVision® V8 (A66-BW) 783620K / 0915
EBAR on/off
FAverage Energy flag. The analysis setting overwrites this parameter in
most cases. (Included for backward compatibility with older spectrum
formats. This setting is used when analyzing .CHN spectra using the
Analyze/ Spectrum on Disk... command or when the analysis is
performed external to GammaVision.)
T = Perform average energy calculation.
F = Do not perform average energy calculation.
IEQ on/off
FIodine Equivalence flag. The analysis setting overwrites this parameter
in most cases. (Included for backward compatibility with older spec-
trum formats. This setting is used when analyzing .CHN spectra using
the Analyze/ Spectrum on Disk... command or when the analysis is
performed external to GammaVision.)
T = Perform iodine equivalence calculation
F = Do not perform iodine equivalence calculation
Unidentified Peak Summary and Library Peak Usage Format flag
T
T = Print efficiency corrected peak area for unknown peaks instead of net peak count rate and
include the nuclide half-life and peak branching ratios in the Library Peak Usage section.
F = Print net peak count rate for unknown peaks instead of efficiency corrected peak area and
omit the nuclide half-life and peak branching ratios in the Library Peak Usage section.
Minimum Good Peaks Above Dividing Energy for Energy Recalibration (5 Minimum)
1000 This flag does not function in ROI32. Number of good peaks above the
energy calibration dividing point required for an automatic energy
recalibration during analysis. The maximum value is 9999.
Minimum Good Peaks Below Dividing Energy for Energy Recalibration (5 Minimum)
1000 This flag does not function in ROI32. Number of good peaks below the
energy calibration dividing point required for an automatic energy
recalibration during analysis. The maximum value is 9999.
Energy Recalibration Dividing Energy
0.0 This flag does not function in ROI32. Energy calibration dividing point
(energy). This value must include a decimal point.
444

783620K / 0915 APPENDIX A. STARTUP
Activity Scaling Factor
1.0 Scaling factor multiplied times nuclide activity in addition to the
Multiplier, Divisor, and Weight values specified in the analysis
settings. This value must include a decimal point.
Unidentified Peak Match Width Factor
2.0 Range multiplier for listing suspect nuclides in the unknown peak
table. For peaks listed in the unknown peak table, the suspect nuclide
in the unknown peak table is determined by choosing the closest
energy match to the unknown peak that is within Range Multiplier *
FWHM of each peak. This value must include a decimal point.
Page length
60 Page length (in lines) of analysis report.
Save UFO File flag
TIf the .UFO file is deleted upon completion of the analysis, some
features in GVPlot, the Display Analysis Results... command, and
updating PBC files will not be not available because these functions
rely on information stored in the .UFO file.
T = Do not delete .UFO file after analysis is complete.
F = Erase .UFO file after analysis is complete.
MDA Type, T = Allow change
1 T
T = Allow change and use the MDA Type specified in the analysis settings.
F = Do not allow change and always use the MDA number specified on this line, regardless of
the analysis settings. The MDA number is based on the order in which MDA methods are
listed on the System tab.
PBC F=off and filename
F PBCTEST.PBC
T = Use the PBC file specified here unless a different PBC file is given in the analysis set-
tings. The file must include the full path and is limited to 32 characters total.
F = Do not use a PBC file unless one is specified in the analysis settings.
445

GammaVision® V8 (A66-BW) 783620K / 0915
MPC F=off and filename
F C:\User\MPCTABLE.MPC
T = Use the specified MPC/DAC file unless a different MPC/DAC file is given in the analysis
settings.
F = Do not use an MPC/DAC file unless one is specified in the analysis settings.
Directed Fit flag (T=enable directed fit)
F
T = Perform directed fit regardless of analysis setting.
F = Do not perform directed fit unless the option is turned on in the analysis settings.
F
NO LONGER USED
Accept Small Peaks flag
T
If the following three conditions are all true, then an MDA is reported for the peak. Other-
wise, an activity calculation for the peak is attempted.
Condition 1 — The peak is too narrow (FWHM or FWTM too narrow)
Condition 2 — This condition is TRUE if the Narrow Peak for Activity Calculation flag is
off.
Condition 3 — This condition is TRUE if any one of the following conditions is true:
a) If the area is less than 200 AND the Accept Small Peaks flag is off.
b) The peak area is greater than 300.
c) The background is more than twice the peak area.
Derived Peak Area character
ACharacter displayed in the unidentified and identified peak summaries.
Print Discarded Peak Table
T
T = Discarded Isotope Peaks table is displayed on the report for all analysis engines except
GAM32. (See Section 7.7.8 for more detail related to the Discarded Isotope Peaks Table.)
F = Discarded Isotope Peaks table is suppressed.
446

783620K / 0915 APPENDIX A. STARTUP
Maximum Half-lives Cutoff
12 The Decay-Corrected Activity is flagged as exceeding the half-life cutoff
instead of calculating a decay-corrected activity value. The same type of
flag is displayed in the Summary of Peaks in Range section. The
maximum value is 9999.
Peak Activity range factor
2.
A peak is used in the nuclide activity average if:
●Peak Activity * (1 − A) < activity of first peak in the library for that nuclide and
●Peak Activity * (1 + A) > activity of first peak in the library for that nuclide
where:
Note that this value must be followed by a decimal point.
Activity Range Test flag
T
T = Use the Activity Range Factor in the previous parameter to determine if a nuclide peak is
used to calculate the weighted average nuclide activity.
F = Use all peaks that meet the uncertainty cutoff in determining the weighted average nuclide
activity.
Zero Area Identified Peak flag
F
T = Show peaks that are not found in the spectrum (i.e. fail the Peak Cutoff test) in the Identi-
fied Peak Summary with the following qualifications for specific analysis engines:
●WAN32 and ROI32 — Peak data is displayed for all peaks in the library.
●GAM32 — Peak data is displayed for all peaks reported, but all library peaks may not
be reported depending on peak quality, library content, and analysis settings.
●NPP32 — Deconvoluted peaks that are rejected may not be included in the peak list.
Only the peak background and FWHM is displayed for peaks that do not meet the peak
cutoff criteria.
●ENV32 and NAI32 — Some rejected peaks may be included in the list, but no peak
data are displayed.
F = Only show peaks in the Identified Peak Summary that meet the Uncertainty cutoff limit.
447

GammaVision® V8 (A66-BW) 783620K / 0915
Zero Activity Isotope flag
FThis flag functions only for the NPP32, ENV32, and NAI32 analysis
engines. The GAM32, WAN32, and ROI32 analysis engines show all
nuclides (even if zero activity) regardless of this flag setting.
T = Show nuclides with no activity reported in the Summary of Library Peak Usage table.
This would include all nuclides in the library that were not found during analysis.
F = Only show nuclides in the Summary of Library Peak Usage table that were identified in
the analysis. This includes nuclides that had zero activity because the associated peaks were
found but moved to the Discarded Peaks Table.
Minimum Step Background Energy
0.0 Sets the lowest energy to use for a stepped background under a multiplet.
Typically, this parameter is set greater than zero only when multiplet
peaks are found on the rising edge of a peak or continuum that is not com-
patible with the stepped-background fitting methodology required for fit-
ting small peaks on the high side of larger peaks. This value must include
a decimal point.
Fraction Limit Test flag
TThis flag functions only in ENV32 and NAI32.
T = All nuclide peaks are used for the fraction limit test.
F = Nuclide peaks flagged as “do not include in the average activity” in the library are not
used for the fraction limit test.
Use Narrow Peaks for Nuclide Activity flag
TOperates in conjunction with the “Accept Small Peaks” flag (page 444).
Zero Area Library Peak flag
TThis flag applies only to the NPP32, ENV32, and NAI32 analysis engines.
The WAN32, GAM32, and ROI32 analysis engines always display all
library peaks.
T = Show peaks with no area in the Summary of Library Peak Usage table. This would
include all library peaks that did not pass the analysis settings criteria.
F = Only show peaks in the Summary of Library Peak Usage table that passed the analysis
settings criteria, and summarize how many library peaks were found as compared to the num-
ber listed in the library for that nuclide (i.e., “X of Y peaks found”) under nuclide peak list.
448

783620K / 0915 APPENDIX A. STARTUP
Use Peak Cutoff flag
T
T = Use Peak Cutoff specified in the analysis settings file to limit peaks used in the analysis to
only those that meet the Peak Uncertainty Cutoff limit.
F = Ignore the Peak Cutoff value in the analysis settings and use all peaks found regardless of
uncertainty in the analysis.
Second MDA type, T=Calculate
2 T Second MDA Type (see MDA Type above). If set to T, the second MDA
type is stored in the .UFO file but it is not printed on the analysis report.
Sort Nuclide Peaks By Energy flag
FThis flag applies only to the WAN32, GAM32, and ROI32 analysis
engines. The NPP32, ENV32, and NAI32 analysis engines always sort
peak energy by the library order.
T = Sort peaks in the Summary of Library Peak Usage table by energy
F = Sort peaks in the Summary of Library Peak Usage table by library order.
Multiplet channel shift limit
2.0 The maximum number of channels that multiplet peaks can be shifted in
the peak-fit optimization. This value must include a decimal point.
Background width/FWHM for MDAs
0.0 Use this value times the peak FWHM to determine the background area
for calculating the MDA. If set to zero, the entire background area for the
peak is used to calculate the MDA. (Use zero for old method.) This value
must include a decimal point.
Print MDA in Nuclide Summary (T=Print MDA)
TThis parameter does not function in GAM32. GAM32 does not report
MDA for nuclides that have an activity value calculated.
T = Include the MDA in the Summary of Nuclides in Sample table when a nuclide activity
value is calculated.
F = The nuclide MDA is not included in the Summary of Nuclides in Sample table when a
nuclide activity is calculated.
449

GammaVision® V8 (A66-BW) 783620K / 0915
Maximum Half-life to Unknowns flag
F
T = Treat peaks associated with nuclides exceeding the half-life limit as unknowns.
F = Treat peaks associated with nuclides that exceed the half-life limit as identified peaks
rather than unknowns.
Nuclide Summary MDA Header
MDA MDA column header in “Summary of Nuclides in Sample” section of
report. This column header is displayed only if the nuclide MDA column
is included in the Summary of Nuclides in Sample table (see the “Print
MDA in Nuclide Summary” flag above).
ENV factor
0.0 This flag functions only in ENV32, GAM32, and NAI32. Nuclide rejection
factor. In the library reduction algorithm, it is used to remove nuclides
from the analysis library. If set to a lower value, more nuclides will likely
be removed/dropped from the library (see Section 6.2.3 for details on how
this factor is used). This value must include a decimal point.
ISO NORM Probability alpha
0.05 Probability variable α for the ISO NORM calculations. See also the
“b30winds.ini” discussion on page 157. This value must include a decimal
point.
ISO NORM Probability beta
0.05 Probability variable β for the ISO NORM calculations. See also the
“b30winds.ini” discussion on page 157. This value must include a decimal
point.
ISO NORM Probability gamma
0.05 Probability variable δ for the ISO NORM calculations. See also the
“b30winds.ini” discussion on page 157. This value must include a decimal
point.
ISO NORM Print MDA flag
TT = Report the MDA if the critical level is greater than the activity.
F = Always report the activity and the associated uncertainty.
450

783620K / 0915 APPENDIX A. STARTUP
Maximum ISO NORM MDA Ratio factor
3.0 The maximum ratio of ISO NORM Detection Limit (MDA) to ISO
NORM Decision Threshold (Critical Level). This ratio is used to calculate
the “fmax” term, which limits the maximum ISO NORM Detection Limit
(MDA); see page 320. This value must include a decimal point.
Peak overlap range in units of peak FWHM
3.5 Peaks within FWHM times the Peak Overlap Range Factor plus peak
background points are deconvoluted. This value must include a decimal
point. The minimum value is 1.0. Default for n30winds.ini is 2.0.
Directed Fit Minimum Background Counts for Quadratic Peak Fit
NO LONGER USED
Directed Fit Peak Region Width Factor
1.00 Range factor used in the Directed Fit peak width determination. See
Section 6.3.2.2. This value must include a decimal point. The maximum
value is 9999.
Dominant Background Peak Cutoff and Override flag
25.0 T If the peak uncertainty exceeds this value at 1 sigma, then background
dominates with regard to the next two parameters below. The flag, True by
default, specifies whether to override this value with the Peak Cutoff from
the analysis options (i.e., same criterion as acceptable peak determination).
To set a different criterion for Dominant Background, set the flag to False
and specify the Dominant Background peak cutoff criterion. This value
must include a decimal point.
Dominant Background Peak Width Factor and flag
1.20 T FWHM multiplier dictates the peak integration range (i.e. 1.2 * FWHM)
when background is dominant. When the flag is set to True, the fixed
width factor is used to determine peak background when the peak is not
part of a multiplet. When the flag is set to False, the background is
determined by the normal GammaVision peak integration calculation. The
fixed width background is typically more representative when background
is dominant. This value must include a decimal point.
451

GammaVision® V8 (A66-BW) 783620K / 0915
Non-dominant Background Peak Width Factor and flag
4.5 F FWHM multiplier dictates the peak integration range (i.e. 4.5 * FWHM)
when background is not dominant. When the flag is set to True, the fixed
width factor is used to determine peak background when the peak is not
part of a multiplet. When the flag is set to False, the background is
determined by the normal GammaVision peak integration calculation. The
GammaVision peak integration is typically more representative when
background is not dominant (i.e. when peaks meet the acceptance criteria).
This value must include a decimal point.
TCC Internal Library Flag
FT = Use Internal TCC Library Peaks
F = Use only peaks from the library in the analysis
Regional Decimal Settings
TT = Use decimal symbol in Regional Settings.
F = Use period for the decimal symbol regardless of Regional Settings.
511 kev Peak Centroid Tolerance
1.0 Peaks with a centroid in the range of 511 kev plus or minus this tolerance
factor (in kev) use a FHWM wider than the calibration for the peak fit.
Library Nuclide Reduction Flag (GAM32, ENV32, and NAI32 Only)
T T = Remove nuclides from the analysis that fail the key line or fraction
limit test based on the initial Mariscotti Peak Search. The ENV Factor test
is unaffected by this setting. (Default for b30winds.ini)
F = Library Nuclide Reduction by Key Line and Fraction Limit tests are
disabled (Default for n30winds.ini)
Library Peak Reduction Flag (GAM32, ENV32, and NAI32 Only)
T T = If the Library Nuclide Reduction Flag is set to True, then remove any
peaks not found by the initial Mariscotti Peak Search from the analysis.
F = Library Peak Reduction is disabled (Default)
Library Peak Critical Level Test Flag (GAM32, ENV32, and NAI32 Only)
T T = Secondary nuclide peaks that have a calculated area based on the
nuclide average which is less than the calculated critical level at that
energy will not be associated with the target nuclide. (Default for
b30winds.ini)
F =Peaks will be associated with a nuclide even if the peak area is
expected to be less than the critical level based on the average nuclide
activity. (Default for n30winds.ini)
452
APPENDIX B. FILE FORMATS
This appendix describes the file structure for the GammaVision program files. See the ORTEC
Software File Structures Manual for DOS and Windows Systems for complete descriptions of the
formats for these files, including .SPC, .CHN, and .UFO files. The .LIS file format is instrument-
specific; see the hardware manual for your MCB. The .SPE file format is based on the IAEA
ASCII file format recommendation for gamma spectrometers; see the File Structures Manual for
details.
B.1. GammaVision File Types
B.1.1. Detector Files
.CFG “ConFiGuration”; System Detector configuration information used by GV32.EXE; binary
format.
.CXT “ConteXT”; For each Detector/Device a context file is automatically created to remember
all extra information required for analyses and calibration; binary format.
.SDF “Sample type defaults”; Created by the Analyze/Settings/Sample Type... command;
binary format.
B.1.2. Spectrum Files
.CHN “CHaNnels”; MAESTRO-style spectral data file; binary format.
.SPC “SPeCtrum”; spectrum with full analysis settings, calibration, descriptions, etc; “Inform”
type binary format.
.AN1 Alternate name for spectrum files used for analysis, when the .SPC name is already in use;
same format as .SPC.
B.1.3. Miscellaneous Files
.CLB “CaLibration”; full energy/efficiency calibration; “Inform” style binary format.
.LIB “LIBrary”; nuclide library; “Inform” style binary format.
.ROI “ROI”; channel pairs created by the ROI/Save File... function; binary format.
.UFO “UnFormatted Output”; analysis results; “Inform” style binary format.
453

GammaVision® V8 (A66-BW) 783620K / 0915
.EFT “EFficiency Table”; used for efficiency Calibrate/Recall Calibration... function (and
created with the Save... button on the Efficiency Calibration Sidebar); formatted ASCII
text (also, lines that do not begin with numeric values are ignored).
.ENT “ENergy Table”; used for energy Calibrate/Recall Calibration... function (and created
with the Save... button on the Energy Calibration Sidebar); formatted ASCII text (also,
lines that do not begin with numeric values are ignored).
.RPT “RePorT”; output of analysis engine; ASCII text.
.TXT “TeXT”; general ASCII text files used by File/Print....
.JOB ASCII text providing commands for Services/JOB Control... function.
.DAC “Derived Activity Calculation”; values for the DAC or MPC calculation.
.EBR Average energy tables for the EBAR calculation.
.ATT “ATTenuation” database files.
.GEO “GEOmetry correction”; used for geometry correction function.
.IEQ “Iodine EQuivalence”; table values for the IEQ calculation.
.PBC “Peak Background Correction”; table values for the PBC.
B.1.4. QA Database Files
.MDB Microsoft Access database file extension.
B.2. Database Tables for GammaVision QA
B.2.1. QA Detectors Detector Table
(Only one of these tables for entire database; one record for each detector being monitored for
QA, with fields defined as follows.)
Field Name SQL Data Type Description
Detector SQL_INTEGER Detector ID number. (Primary Key)
DetName SQL_CHAR (32) Detector Pick List Name
DetDesc SQL_CHAR (64) Detector Description
454

783620K / 0915 APPENDIX B. FILE FORMATS
Field Name SQL Data Type Description
Creation SQL_TIMESTAMP Date/Time this record created
NumMeas SQL_INTEGER Measurement counter (all types) for this detector
NumBack SQL_INTEGER Background type only Measurement counter for this
detector
SamFile SQL_CHAR (64) Sample Type File Name
SamType SQL_CHAR (64) Sample Type Description
LibFile SQL_CHAR (64) Nuclide Library File Name
Setup SQL_SMALLINT Setup Flagword
Limits SQL_SMALLINT Limit Settings Flagword
MinBack SQL_REAL Min. Background CPS Acceptance Limit
LowBack SQL_REAL Low Background CPS Excursion Warning Level
BigBack SQL_REAL High Background CPS Excursion Warning Level
MaxBack SQL_REAL Max. Background CPS Acceptance Limit
MinActivity SQL_REAL Min. Total Activity Acceptance Limit
LowActivity SQL_REAL Low Total Activity Excursion Warning Level
BigActivity SQL_REAL High Total Activity Excursion Warning Level
MaxActivity SQL_REAL Max. Total Activity Acceptance Limit
MinShift SQL_REAL Min. Average Peak Shift Acceptance Limit
LowShift SQL_REAL Low Average Peak Shift Warning Level
BigShift SQL_REAL High Average Peak Shift Warning Level
MaxShift SQL_REAL Max. Average Peak Shift Acceptance Limit
MinFWHM SQL_REAL Min. Average FWHM Ratio Acceptance Limit
LowFWHM SQL_REAL Low Average FWHM Ratio Warning Level
BigFWHM SQL_REAL High Average FWHM Ratio Warning Level
MaxFWHM SQL_REAL Max. Average FWHM Ratio Acceptance Limit
MinFWTM SQL_REAL Min. Average FWTM Ratio Acceptance Limit
LowFWTM SQL_REAL Low Average FWTM Ratio Warning Level
BigFWTM SQL_REAL High Average FWTM Ratio Warning Level
MaxFWTM SQL_REAL Max. Average FWTM Ratio Acceptance Limit
Operator SQL_CHAR(64) User name last entered on the System tab under
Analyze/Settings/Sample Type... at start of latest
measurement
455

GammaVision® V8 (A66-BW) 783620K / 0915
B.2.2. Application Information Table
(One of these tables for entire database; one record for GammaVision.)
Field Name SQL Data Type Description
ModelNumber SQL_LONG Product Model No.(i.e., 66)
SerialNumber SQL_CHAR(32) Product Serial No.
AppName SQL_CHAR(16) Application Name (i.e., “GammaVision”)
AppVersion SQL_CHAR(8) Version/Revision (i.e., “2.22" or greater)
Laboratory SQL_CHAR(64) Laboratory name entered under GammaVision’s
system dialog
B.2.3. M...d Measurements Table(s)
(Where “...d” is the detector number in decimal from the Detectors table above. There is one of
these tables for each detector, covering all measurements, whether background or standard sample
type. The total number of records in this table is denoted by NumMeas in the Detectors table,
which is also the measurement number of the last record in this table. The records are stored
sequentially by measurement number.)
Field Name SQL Data Type Description
Measurement SQL_INTEGER Measurement Number (Primary key)
MeasTime SQL_TIMESTAMP Date/Time for this measurement
MeasType SQL_SMALLINT Activity analysis (1) or Background (0)
LiveTime SQL_REAL Acquisition Live Time in Seconds
CountRate SQL_REAL Background CPS (only for Background
measurement)
Activity SQL_REAL Total Activity
PeakShift SQL_REAL Average Peak Shift
FWHMRatio SQL_REAL Average FWHM Ratio
FWTMRatio SQL_REAL Average FWTM Ratio
456

783620K / 0915 APPENDIX B. FILE FORMATS
B.2.4. P...dmmmm Peaks Table(s)
(Where “...d” is the detector number in decimal, “mmmm” is the measurement number to 4
places. There is one of these tables for each measurement in the table above, but only if the output
of actual centroid energies is enabled.)
Field Name SQL Data Type Description
PeakNumber SQL_INTEGER Peak No. counter (Primary key)
PeakFlags SQL_INTEGER Analysis Results Flags
Nuclide SQL_CHAR(8) Library Nuclide Name this peak belongs to
Energy SQL_REAL Library Energy
Centroid SQL_REAL Actual Centroid Energy
CalFWHM SQL_REAL Expected (Calibrated) FWHM at this energy
FWHM SQL_REAL Actual FWHM
FWTM SQL_REAL Actual FWTM
Area SQL_REAL Net counts in peak
Background SQL_REAL Background counts
457

GammaVision® V8 (A66-BW) 783620K / 0915
[Intentionally blank]
458

APPENDIX C. ERROR MESSAGES
Errors are displayed in popup warning boxes, the lower-left corner of some MCB Properties
dialogs, and the supplementary information line at the bottom of the window.
Acquisition Failure (JOB Error 11)
For some reason an acquisition function failed from a .JOB file.
Already started.
Detector already active when a Start Acquisition command was issued.
Altering Detector data.
Restoring data to a Detector would destroy the data already there.
Amplifier not pole-zeroed.
Warning from an MCB with automatic pole zero, indicating that the Detector should be
pole-zeroed.
Analysis Completed for ...
WAN32.EXE has finished executing.
Analysis Error <n>
A call to DLAN1.DLL has been completed, but an error was encountered. The error code <n>
has the following meaning:
Error # Warning # Reason
1 1 Read error in UFO peak record
1 2 Read error in UFO nuclide record
2 1 Write error in UFO peak record
2 2 Write error in UFO nuclide record
3 1 Invalid acquisition date and time
4 0 Illegal absorption correction
5 1 Read error in spectrum file
Analysis Failed!
WAN32.EXE has finished executing, but an error was encountered. Refer to the “WAN32
completion codes...” message.
Analysis Failed (Job Error 18)
The ANALYZE command failed (look for the WAN32 error code for specifics).
459

GammaVision® V8 (A66-BW) 783620K / 0915
Analyzing (Please Wait) ...
Analysis via DLAN1.DLL is being executed.
Attempt to dynamically link to a task! (WinExec error 5)
Error encountered trying to spawn WAN32.EXE or some other application program.
Auto Calibration failed (Job Error 21)
An error occurred when the CALIBRATE_AUTO command was executed.
Auto PZ aborted.
The MCB Auto PZ function was aborted (by <Esc>).
Buffer and Detector not same size or segments.
Error when trying to restore data that does not match the Detector configuration.
Calibration per channel wrong.
Error when trying to calibrate spectrum, arising whenever the calibration slope would be 0,
negative or greater than 100 units per channel.
Can’t allocate memory for library.
Attempting to load a library for which there is not enough room in memory. Best dealt with
by trying again or removing some other applications from memory.
Can’t find any more peaks!
A peak could not be found in the direction indicated by the function button pressed.
Can’t Find Any More ROIs.
Attempting to index to the next ROI in a direction for which no more ROIs can be located.
Can’t read library file.
Attempting to open or read the library file resulting in some kind of file I/O error, usually
because the file doesn’t exist, but also possibly because the disk is defective.
Can’t RESTORE to acquiring Detector.
Error preventing the Restore function from altering data in a Detector in which one or more
segment(s) are actively acquiring data.
Can’t Run Protected Mode Application in Real Mode!
(WinExec error 18)
Error encountered trying to spawn WAN32.EXE or some other application program.
460

783620K / 0915 APPENDIX C. ERROR MESSAGES
Can’t Run Second Instance of this .EXE (multiple writeable data segments)! (WinExec
error 16)
Error encountered trying to spawn WAN32.EXE or some other application program.
Can’t Run Second Instance of this .EXE (Non-shareable DLL in use)! (WinExec error 17)
Error encountered trying to spawn WAN32.EXE or some other application program.
Cannot get valid Spectral Data!
The File/Save function was not presented with valid spectral data; usually the result of
problems obtaining data from a Detector.
Comm. Failure!
Detector communication failure, most likely resulting from a timeout (the Detector failed to
respond within a reasonable period of time).
Configuration failed!
Attempted reconfiguration failed, most likely because of some conflict with Detectors
physically installed.
Could not properly fit the peak.
Function requiring a fitted peak could not obtain an acceptable peak, probably because of
too few counts, too narrow, or non-Gaussian peak shape, or bad statistics such as calculated
sigma-squared less than zero.
Couldn’t get background subtracted ROI.
A function requiring a background subtracted ROI couldn’t obtain such, probably because
there was no ROI at the point specified, or maybe because there weren’t statistically
significant counts above background.
Default Printer Failed! Undefined at Control Panel?
The REPORT or PRINT function was aborted because the default system printer has not
been properly set up. Go to the Printers function in Windows Control Panel, install the
appropriate printer, and select it as outlined in the Microsoft Windows documentation.
Detector #.. ; ......... ; Error ... (Macro) ... (Micro)
An unresolved error originating in the Detector. The offending Detector command is
shown, together with the macro and micro error codes. If the error persists, the error codes
should be recorded and the factory should be contacted. These error codes are explained in
the hardware manual for the Detector.
461

GammaVision® V8 (A66-BW) 783620K / 0915
Detector busy or Segment not responding.
This indicates the Detector was unable to respond within a certain time limit, due to other
activities, such as multiple instances of GammaVision accessing the Detector at the same
time, or otherwise heavy use of the Detector interface.
Detector does not support Field Mode (Job Error 19)
An attempt was made to execute the LOOP_SPECTRA or VIEW command on a Detector
that does not support Field Mode.
Detector Error!
The selected Detector could not be STARTed or STOPped due to some unresolved error
condition.
Detector Not Located.
A Detector could not be located at the configured address.
Do you want to save buffer?
A function that would destroy the buffer (such as COPY or EXIT) queries the user unless
the buffer has not been modified since last being saved.
Do you want to save Library?
The nuclide library has been modified by the library editor, but the user has not yet saved
the changes.
DOS 4.0 Application! (WinExec error 13)
Error encountered trying to spawn WAN32.EXE or some other application program.
Error opening file.
If trying to write a file, this would indicate a disk controller problem such as a full disk. If
trying to read a file, this would indicate that the filename specified could not be found.
Error reading file -- STRIP aborted.
Could not read the file requested for stripping.
Error reading file.
File read error is usually a result of damaged media.
Error writing file.
File write error is usually a result of damaged media or full disk.
462

783620K / 0915 APPENDIX C. ERROR MESSAGES
.EXE for earlier version of Windows! (WinExec error 15)
Error encountered trying to spawn WAN32.EXE or some other application program.
Failure obtaining ROI (or Peak).
A function that requires a defined ROI (or Peak, in the case of the Calibrate function) when
the marker is not placed in a channel with an ROI bit set (and if a Peak is not very close
by).
Failure of Detector function (JOB Error 12)
This error arises from a JOB that encounters an error when trying to access a Detector.
File already exists!
If the file output function requested would write a file with the same name as another file
that already exists, the user is prompted for confirmation of the operation by this warning.
See also “OK To Overwrite Existing File?”
File is wrong size Can’t STRIP.
The STRIP function requires a compatible file for stripping from the spectrum in memory;
i.e., must contain the same number of channels.
File Not Found! (WinExec error 2)
Error encountered trying to spawn WAN32.EXE or some other application program.
Fine gain is at limit of ...
This message appears in the Information Line when an attempt is made to change the MCB
gain setting with the keyboard function, but while the MCB cannot be decreased or
increased any further.
FWHM Fit Error Exceeds 25%.
The peaks entered in an energy calibration produced a FWHM fit with an error on at least
one peak greater than 25%.
Hardware failure!
This message appears as the result of a Detector execution error with micro code 137,
indicating a hardware failure.
High voltage not enabled.
START was attempted on a 92X while the high voltage was not enabled.
Illegal Entry!
Certain values are not permitted in manual dialog entries or tables.
463

GammaVision® V8 (A66-BW) 783620K / 0915
Illegal Detector.
The Detector number for the requested function was not identifiable as part of the active
configuration.
Incorrect Windows Version! (WinExec error 10)
Error encountered trying to spawn WAN32.EXE or some other application program.
Insufficient memory.
System memory has been exhausted. Usually, this error arises when the buffer cannot be
created due to insufficient available memory in the system. Sometimes this error can be
eliminated by attempting the buffer operation again, but this is not recommended due to the
marginal state of the system, which might result in other errors.
Invalid Argument (Job Error 17)
The ROI limits in SET_PRESET_UNCERTAINTY command were invalid. The VIEW
command specified a spectrum that was not stored in the Detector. The ZOOM command
did not specify valid integers.
Invalid Command or Missing Argument. (JOB Error 4)
A syntax error in a JOB, meaning that a command could not be interpreted; usually the
result of misspelling.
Invalid Device or Segment!
This message arises as a result of a Detector execution error with micro code 134,
indicating that an invalid device or Segment was selected.
Invalid .EXE file! (WinExec error 11)
Error encountered trying to spawn WAN32.EXE or some other application program.
Invalid File Format!
A function to recall a file could not obtain data in the proper format.
Invalid library format!
An attempt was made to load a nuclide library from a file that was not in the proper format.
Invalid LOOP count. (JOB Error 7)
The LOOP statement could not be executed properly in a JOB.
464

783620K / 0915 APPENDIX C. ERROR MESSAGES
Invalid Start Date/Time -- Battery Backup Lost??
A 919 or 92X Detector contained an unrecognizable start date. This is usually an indication
that the backup power was lost.
Invalid Start Record.
No valid Start Record file could be found to provide the start date/time for an installed 917
or 918 Detector.
JOB Aborted or Premature EOF (JOB Error 1)
A JOB was aborted by the user, or an End-of-File was encountered while trying to obtain a
command from the executing .JOB file.
JOB Error.
A generic error message indicating that an error was encountered while executing a .JOB
file. Usually some explanatory phrase is given.
Library requires separate data segments for each task!
(WinExec error 6)
Error encountered trying to spawn WAN32.EXE or some other application program.
Library too large to load.
Library files larger than 65,000 bytes are not admissible as internally resident libraries.
(However, any size library can be used for Master Library.)
Multiple-device Detector added.
While performing the CONFIGURATION dialog function ADD, a 919 device type was
specified, and there is room to add up to four Detectors for each 919 device added; the
ADD function is automatically repeated for each possible Detector number.
Must have a value greater than zero!
Certain analysis or library table entries require values greater than 0.0.
Must have valid calibration!
Certain analysis functions cannot be performed if the calibration is invalid.
Must select 92X type Detector!
This error results from an attempt to perform a function available for only 92X-type
Detectors.
Need an ROI at the desired peak location.
The Stabilizer function requires a valid ROI at the desired peak.
465

GammaVision® V8 (A66-BW) 783620K / 0915
No Buffer to RESTORE from!
The RESTORE function requires a valid spectrum in buffer.
No close library match.
The REPORT function could not obtain a library entry close enough to the located peak.
No File Name.
A file function was requested without specifying the filename adequately.
No more library peak energies!
A peak search was attempted in a direction where no more can be found.
No more multiplets!
The multiplet finding sidebar function in Analysis Results display mode cannot find any
more multiplets in the direction indicated.
No more peaks for this nuclide!
The “peaks within nuclide” sidebar function in Analysis Results mode cannot find any
more peaks within the selected nuclide.
No more unknown peaks!
The unknown peak finding sidebar function in Analysis Results display mode cannot find
any more unknown peaks in the direction indicated.
No peaks found!
The peak search function could not find any valid peaks in the spectrum.
No ROI found to report!
The REPORT function could not find any ROIs in range.
No ROI There To Clear.
The Clear ROI function (the <Del> or <Delete> key) requires at least one channel at the
marker with the ROI bit set.
No segment selected.
The Detector function could not be performed because no Segment was selected.
Not Allowed During Acquisition!
An execution error (micro 135) arising from the Detector, indicating that the Detector
command is not allowed while acquisition is in progress.
466

783620K / 0915 APPENDIX C. ERROR MESSAGES
Not Allowed During Current Mode!
An execution error arising from the Detector (micro 136), indicating that the Detector
command attempted is not allowed in the current mode of operation.
Not enough data points for fit.
Efficiency calibration fit for specified type requires a minimum number of table entries for
that type; e.g., for a polynomial fit, six or more points are required.
Not enough memory STRIP aborted.
The STRIP function temporarily allocates enough memory to read the file, but the
allocation failed in this case, probably due to insufficient available memory in the system.
The STRIP function is discontinued.
Not enough memory for COMPARE.
The COMPARE mode could not be executed due to insufficient memory for the second
spectrum.
NOTE: Settings for SEGMENT <n>
GammaVision is informing the user in the case of multi-segment Detector that he is
performing settings (e.g., through an ASK function) on a specific segment only.
OK to add another device?
When a 919 device is being added in the CONFIGURATION dialog, the user is prompted
for confirmation before automatically proceeding with the addition of up to four Detector
numbers.
OK to attempt another instance?
Attempt to start an analysis (via WAN32.EXE) while a previous analysis has not yet
finished, or had been aborted abnormally. GammaVision is asking the user to allow it to
continue with this operation in case it is not properly sensing the state of the previous
analysis. If the user permits this to continue (by answering Yes), but if the previous
instance was actually still running, then another “WinExec()...” error will occur.
OK to destroy contents of Detector?
The RESTORE function prompts the user for confirmation before writing the contents of
the buffer into the Detector.
OK to overwrite ‘...’ ?
A file output function discovered that the specified filename already exists, and will only
overwrite the file after the user confirms his intentions. See also “File already exists!”
467

GammaVision® V8 (A66-BW) 783620K / 0915
OK to save changes?
The user is being prompted to allow the system to save a modified file such as a library file,
table file, or sample-type defaults file.
OK to use it anyway?
A new configuration was applied but failed due to some conflict with the Detectors
physically present; it is possible to use the configuration anyway by answering Yes to this
query.
OS/2 Application! (WinExec error 12)
Error encountered trying to spawn WAN32.EXE or some other application program.
Out of Memory! (WinExec error 0 )
Error encountered trying to spawn WAN32.EXE or some other application program.
Path Not Found! (WinExec error 3)
Error encountered trying to spawn WAN32.EXE or some other application program.
Peak rejected for asymmetry.
Peak statistics could not be obtained for the function due the calculated non-Gaussian
asymmetry of the obtained peak.
Preset already reached.
Acquisition START was attempted on a Detector or Segment that had already satisfied the
preset condition(s) in some way.
Presets can’t be changed during acquisition.
Changes in the preset condition(s) are not allowed while the Detector is actively acquiring.
Presets not programmed to Detector correctly!
Usually a failure of the selected Detector to accept the commands from GammaVision to
program presets. Often the result of improper configuration or faulty interface.
Previous analysis did not run to completion!
Attempt to start an analysis (via WAN32.EXE) while a previous analysis has not yet
finished, or had been aborted abnormally. See “OK to attempt another instance?”
Problem with Buffer. (JOB Error 2)
A JOB error resulting from some problem with the buffer, usually indicating insufficient
memory to create or enlarge the buffer as needed.
468

783620K / 0915 APPENDIX C. ERROR MESSAGES
Problem with Calculation. (JOB Error 13)
A JOB error resulting from a problem with a calculation.
Problem with RECALL. (JOB Error 10)
The RECALL statement could not be executed in a JOB.
Problem with REPORT. (JOB Error 14)
The REPORT function could not be exercised in a JOB.
Problem with SAVE. (JOB Error 9)
The SAVE function could not be executed in a JOB.
QA failed (Job Error 22)
An error occurred when the QASAMPLE or QABACKGROUND command was executed.
Sample Changer Hardware Failure. (JOB Error 16)
The Sample Changer hardware handshake failed in some way; usually the result of too
much time before SAMPLE READY is obtained.
Start/Save/Report sequence aborted!
Start/Save/Report sequence aborted (usually by manual intervention, but also resulting
from certain errors.)
Start/Save/Report waiting for completion of previous analysis...
A status message indicating that the Start/Save/Report sequence has been suspended
while waiting for completion of an ongoing analysis.
Table is Full!
A limit of 96 entries is allowed in the calibration table.
There are no stored spectra to view (Job Error 20)
An attempt was made to execute the LOOP_SPECTRA or VIEW command on a Detector
that does not have any stored spectra.
The Serial I/O Command timed out (Job Error 24)
The WAIT_SERIAL command timed out before receiving a response from the selected
Detector.
The Serial I/O Response did not match (Job Error 25)
The WAIT_SERIAL command did not time out, however, the actual and expected
responses did not match.
469

GammaVision® V8 (A66-BW) 783620K / 0915
The WAIT program was not started by GammaVision (Job Error 23)
All programs “WAITed for” have to be started by GammaVision.
Token Error.
A token error in a JOB, meaning that some argument to the command was invalid or out of
context.
Unable to CALL -- Invalid file name. (JOB Error 8)
A JOB error resulting from a problem with the CALL function (usually because the file
does not exist).
Unable to COMPARE files of different sizes.
The COMPARE function requires compatible files.
Unable to cut peak or peak not selected!
The library editor Cut function or Analysis Results Delete library peak function is
complaining that it cannot cut or delete a peak from the library for some reason, usually
because a peak is not selected.
Unable to open file -- STRIP aborted.
The STRIP function is aborted if the file cannot be read.
Unable to open file for COMPARE.
The COMPARE function is aborted if the second spectrum cannot be read.
Unable to Read Specified File. (JOB Error 3)
A file input/output error encountered while executing a JOB.
Unable to RUN non-executable program. (JOB Error 6)
The specified program could not be RUN from a JOB.
Unable to strip Detector memory.
The stripping function must be performed in the buffer.
Unknown .EXE type! (WinExec error 14)
Error encountered trying to spawn WAN32.EXE or some other application program.
Unknown (misspelled) Command. (JOB Error 5)
A command in a .JOB file could not be executed because it could not be interpreted as a
valid command (usually a result of misspelling).
470

783620K / 0915 APPENDIX C. ERROR MESSAGES
WAIT program was not started by GammaVision (JOB Error 23)
All programs “WAITed for” have to be started by GammaVision. In 32-bit Windows, the
32-bit programs are completely independent.
WAN32 completion codes: i=<i> errnum=<e> warnum=<w>
The following numbers are returned by the analysis routines and displayed on the
information line.
Error # Warning # Reason
1 ? Invalid spectrum filename
1 1 Read error in UFO peak record
1 2 Read error in UFO nuclide record
1 3 Read error in spectrum non-data record
1 4 Read error in UFO file
1 200 Attempt to read start channel after stop channel
1 201 Read error on disk for .CHN files
1 202 Read error on disk for .SPC files
1 203 Attempt to read invalid spectrum file type
2 0 Illegal filename
2 1 Write error in UFO peak record
2 2 Write error in UFO nuclide record
2 3 Write error in other UFO records
2 4 Invalid record for UFO file
2 7 Write error on report file
2 8 Invalid record request for table file
3 0 Invalid acquisition date and time
4 0 Illegal absorption correction
4 3 Spectrum not found
5 0 Read error in spectrum file
5 3 Spectrum wrong file type
6 1 Library not sorted
6 2 Read error on library
6 3 Invalid record request for library
6 4 Library not found
10 Error # System error (e.g., math overflow)
Warning 128.
Warning 64.
Warning 8.
All three of the above messages are the result of Detector Start or Stop warnings and are
hardware dependent.
471

GammaVision® V8 (A66-BW) 783620K / 0915
Warning: Buffer was modified.
When the program is being closed, this message will appear if the buffer spectrum had
been modified but not yet saved to disk. Thus the user is prompted for confirmation of
possibly saving the buffer before proceeding to terminate the application.
Warning: File Changes.
The table editor sensed that modifications were made, but the user had not saved the file.
See “OK to save changes?”
Warning: Library was modified.
The library was edited or modified for analysis but not yet written to a file. See “OK to
save changes?”
Warning: Sample Type Defaults changed
Sample type defaults have been modified but not yet written to selected file. See “OK to
save changes?”
WinExec() Error <n>!
Error encountered trying to spawn WAN32.EXE or some other application program; refer to
Windows SDK documentation for meaning of code <n>.
472
INDEX
.AN1.............................. 52, 451
.ATT..............................172, 452
.CFG................................. 451
.CHN. . . . . . . . . . . . . . . . . . . . . . . . . . 57, 103, 451
.CLB. . . . . . . . . . . 32, 129, 130, 268, 314, 405, 451
.CXT................................. 451
.DAC. ............................... 452
.EBR..............................306, 452
.EFT..............................125, 452
.ENT. . . . . . . . . . . . . . . . . . . . . . . . . . . 29, 111, 452
.GEO..............................173, 452
.IEQ. ................................ 452
.JOB (see also Job). . . . . . . . . . . . . . . . . . . 385, 452
.LIB. . . . . . . . . . . . . . . . . . . . . . . . . . . 52, 206, 451
.LIS.................................... 6
.MDB................................ 452
.PBC................................. 174
.ROI. ................................ 451
.RPT..............................158, 452
.SDF................................. 451
.SPC. . . . . . . . . . . . . . . . . . . . . . . . . . 103, 129, 451
floating-point. . . . . . . . . . . . . . . . . . . . . . . . . 57
integer.............................. 57
.SPE. ................................. 57
.TXT................................. 452
.UFO................................. 451
??? (Job loop counter). . . . . . . . . . . . . . . . . . . . 402
Absorption. . . . . . . . . . . . . . . . . . . . . . . . . . . . 285
example ratio. . . . . . . . . . . . . . . . . . . . . . . . 287
example table.. . . . . . . . . . . . . . . . . . . . . . . 289
external. ........................... 286
internal............................. 286
Accelerator keys. . . . . . . . . . . . . . . . . . . . . . . . 375
keyboard map. . . . . . . . . . . . . . . . . . . . . . . 377
quick-reference table. . . . . . . . . . . . . . . . . . 376
Acceptance thresholds, QA. . . . . . . . . . . . . . . . 364
Acquire menu. . . . . . . . . . . . . . . . . . . . . . . . . . . 70
Acquisition presets. . . . . . . . . . . . . . . . . . . . . . . 87
ask on start.. . . . . . . . . . . . . . . . . . . . . . . . . . 72
Acquisition settings. . . . . . . . . . . . . . . . . . . . . . . 70
Amplifier gain
fine. .............................. 380
Analog-to-Digital Converter (ADC). . . . . . . . . . . 4
Analysis
analysis engine setup. . . . . . . . . . . . . . . . . . 440
analysis engines. . . . . . . . . . . . . . . . . . . . . . 439
display results.. . . . . . . . . . . . . . . . . . . . . . . 194
energy recalibration. . . . . . . . . . . . . . . . . . . 251
ENV32 engine. . . . . . . . . . . . . . . . . . . . . . . 232
GAM32 engine.. . . . . . . . . . . . . . . . . . . 161, 232
interactive........................... 203
manual peak stripping.. . . . . . . . . . . . . . 160, 265
NPP32 engine.. . . . . . . . . . . . . . . . . . . . 161, 232
peak details.......................... 202
peak search.......................... 254
residuals............................ 196
ROI32 engine........................ 233
spectrum on disk.. . . . . . . . . . . . . . . . . . . . . 193
spectrum on display. . . . . . . . . . . . . . . . . . . 193
WAN32 engine.. . . . . . . . . . . . . . . . . . . 160, 231
Analysis results spectrum menu. . . . . . . . . . . . . 196
Analyze menu. ......................... 149
Arguments
import............................... 61
Ask on Save............................ 386
Ask on Start. . . . . . . . . . . . . . . . . . . . . . . . . . 71, 386
acquisition presets.. . . . . . . . . . . . . . . . . . . . . 72
collection date and time. . . . . . . . . . . . . . . . . 72
sample description. . . . . . . . . . . . . . . . . . . . . 72
sample quantity.. . . . . . . . . . . . . . . . . . . . . . . 72
sample type defaults. . . . . . . . . . . . . . . . . . . . 72
Associated files. . . . . . . . . . . . . . . . . . . . . . . . . . 52
Attenuation
automatic........................... 171
calculate............................ 171
coefficients.......................... 166
external............................. 163
internal............................. 163
manual............................. 171
Auto-clear ROI. . . . . . . . . . . . . . . . . . . . . . . . . 222
Average energy. . . . . . . . . . . . . . . . . . . . . . 164, 306
table............................... 180
B30WINDS.INI.. . . . . . . . . . . . . . . . . . . . . . . . 440
ISO NORM flags. . . . . . . . . . . . . . . . . . . . . 448
473

GammaVision® V8 (A66-BW) 783620K / 0915
Background
example.............................241
for multiplets. . . . . . . . . . . . . . . . . . . . . . . . . 259
parabolic............................262
stepped. ............................261
Background methods. . . . . . . . . . . . . . . . . . . . . 238
Branching ratio. . . . . . . . . . . . . . . . . . . . . . . . . . 266
buffer. ...........................4, 74, 229
Detector and buffer concept.. . . . . . . . . . . . . . 17
Calculate menu..........................143
Calibrate menu..........................103
Calibration. ............................103
Automatic...........................123
automatic, efficiency. . . . . . . . . . . . . . . . . . . 125
automatic, energy.. . . . . . . . . . . . . . . . . 106, 400
certificate.. . . . . . . . . . . . . . . . . . . . . . . . 30, 120
efficiency.. . . . 30, 104, 114, 115, 123, 400, 405
energy. . . . . . . . . . . 26, 104, 105, 206, 400, 405
internal. ............................151
manual, efficiency. . . . . . . . . . . . . . . . . . . . . 125
manual, energy. . . . . . . . . . . . . . . . . . . . . . . 107
peak shape...........................105
print................................130
recalibration.. . . . . . . . . . . . . . . . . . . . . 111, 115
recall...............................129
save................................130
working.........................129, 151
Calibration Wizard. . . . . . . . . . . . . . . . . . . 103, 132
efficiency calibration. . . . . . . . . . . . . . . . . . . 135
energy calibration. . . . . . . . . . . . . . . . . . . . . 133
TCC calibration. . . . . . . . . . . . . . . . . . . . . . . 135
Center..............................48, 225
Clear ROI. . . . . . . . . . . . . . . . . . . . . . . 47, 222, 230
Clear spectrum. . . . . . . . . . . . . . . . . . . . 47, 74, 401
Collection date and time. . . . . . . . . . . . . . . . . . . . 58
ask on start. ..........................72
Command line
GammaVision........................437
GVPlot. ............................435
MCB Configuration.. . . . . . . . . . . . . . . . . . . . 14
TRANSLT...........................435
Compare spectra. . . . . . . . . . . . . . . . . . 66, 227, 376
Configuration
analysis setup.. . . . . . . . . . . . . . . . . . . . . . . . 439
Copy to buffer. . . . . . . . . . . . . . . . . . . . . . . . . . . 74
Correction. ............................ 162
attenuation.......................... 163
geometry. . . . . . . . . . . . . . . . . . . . . . . . 163, 173
isotope-specific corrections.. . . . . . . . . . . . . 164
random summing. . . . . . . . . . . . . . . . . . . . . 292
DAC. ................................ 165
table............................... 184
decay correction.. . . . . . . . . . . . . . . . . . 58, 155, 280
deconvolution........................... 104
Derived Activity Calculation - see DAC. . . . . . . 165
detector
background, QA. . . . . . . . . . . . . . . . . . . . . . 359
database, QA. ....................... 359
Detector and buffer concept. . . . . . . . . . . . . . 17
detector table, QA.. . . . . . . . . . . . . . . . . . . . 452
list. ............................... 439
lock. .............................. 218
lock/unlock (password).. . . . . . . . . . . . . . . . . . 5
pick list........................... 43, 49
status sidebar. . . . . . . . . . . . . . . . . . . . . . . . . 45
unlock. ............................ 218
Detector list............................. 43
Directed fit.. . . . . . . . . . . . . . . . . . . . . . . . . 161, 244
Directories
GammaVision file locations. . . . . . . . . . . . . . 62
Display
mode (points/fill). . . . . . . . . . . . . . . . . . . . . 227
spectrum colors. . . . . . . . . . . . . . . . . . . . . . 227
Display menu........................... 223
Dose Equivalent Iodine - see Iodine equivalence
.. . . . . 308
Drag and drop. . . . . . . . . . . . . . . . . . . . . . . . . . . 52
DSPEC-50
ADC setup........................... 83
amplifier settings. . . . . . . . . . . . . . . . . . . 77, 79
anticoincidence.. . . . . . . . . . . . . . . . . . . . . . . 83
coincidence........................... 83
Enhanced throughput mode. . . . . . . . . . . . . . 81
high-voltage setup. . . . . . . . . . . . . . . . . . . . . 85
live-time preset. . . . . . . . . . . . . . . . . . . . . . . . 88
low-frequency rejector (LFR). . . . . . . . . . . . . 80
lower level discriminator. . . . . . . . . . . . . . . . 84
MDA preset.......................... 89
474

INDEX
noise rejection level. . . . . . . . . . . . . . . . . . . . . 81
Nuclide Report setup tab. . . . . . . . . . . . . . . . . 90
optimize............................. 78
real-time preset. . . . . . . . . . . . . . . . . . . . . . . . 88
Resolution Enhancer. . . . . . . . . . . . . . . . . . . . 82
ROI integral preset.. . . . . . . . . . . . . . . . . . . . . 88
ROI peak count preset. . . . . . . . . . . . . . . . . . . 88
stabilizer setup.. . . . . . . . . . . . . . . . . . . . . . . . 84
zero dead-time (ZDT) mode. . . . . . . . . . . . . . 84
EBAR - see Average energy. . . . . . . . . . . . . . . . 306
Efficiency calibration. . . . . . . . . . . . . . . . . 103, 114
automatic from .EFT file. . . . . . . . . . . . . . . . 125
Calibration Wizard. . . . . . . . . . . . . . . . 132, 135
interpolative..........................117
knee energy..........................122
linear...............................118
manual..............................125
performing...........................120
polynomial...........................119
quadratic............................118
recall...............................129
standards file (.EFT). . . . . . . . . . . . . . . . . . . 125
TCC polynomial fit. . . . . . . . . . . . . . . . . . . . 120
using a library. . . . . . . . . . . . . . . . . . . . . . . . 123
working library. . . . . . . . . . . . . . . . . . . . . . . 120
Energy calibration.. . . . . . . . . . . . . . . . . . . 103, 105
Auto Calibrate. . . . . . . . . . . . . . . . . . . . . . . . 106
Calibration Wizard. . . . . . . . . . . . . . . . 132, 133
manual..............................107
recalibration..........................111
recall...............................129
standards file (.ENT). . . . . . . . . . . . . . . . . . . 109
using a library. . . . . . . . . . . . . . . . . . . . . . . . 112
using multiple spectra. . . . . . . . . . . . . . . . . . 113
Energy-normalized difference. . . . . . . . . . . . . . . 253
ENV32 analysis engine.. . . . . . . . . . . . . . . . . . . 232
Error messages..........................457
Exit................................... 69
Expanded Spectrum View.. . . . . . . . . . . . . . . 45, 46
Export
file................................. 58
setup. .............................. 59
spectrum............................ 65
External Absorption. . . . . . . . . . . . . . . . . . . . . . 286
File
export............................... 58
GammaVision file locations. . . . . . . . . . . . . . 62
import............................... 61
recall spectrum. . . . . . . . . . . . . . . . . . . . . . . . 63
save spectrum.. . . . . . . . . . . . . . . . . . . . . . . . 64
File settings............................. 56
collection date and time. . . . . . . . . . . . . . . . . 58
sample description. . . . . . . . . . . . . . . . . . . . . 58
sample quantity. . . . . . . . . . . . . . . . . . . . . . . 58
files, GV sample. . . . . . . . . . . . . . . . . . . . . . . . . 17
Fine gain.............................. 380
Fraction limit. . . . . . . . . . . . . . . . . . . . . . . . 153, 266
Full Spectrum View. . . . . . . . . . . . . . . . . . . . . 45, 46
sizing and moving. . . . . . . . . . . . . . . . . . . . . 50
FW(1/x)M............................. 143
FW1/xM. ............................. 144
FWHM. ........................... 29, 144
Gain
fine................................ 380
Gain stabilization. . . . . . . . . . . . . . . . . . . . . . . . . 84
Initialize............................. 84
Gain stabilizer
operation details. . . . . . . . . . . . . . . . . . . . . . . 93
GAM32 analysis engine.. . . . . . . . . . . . . . . 161, 232
Gamma Total (EDF). . . . . . . . . . . . . . . . . . . . 2, 186
analysis methods.. . . . . . . . . . . . . . . . . . . . . 330
filename conventions. . . . . . . . . . . . . . . . . . 187
generating the Gamma Total reports.. . . . . . . 189
hardware and analysis setup. . . . . . . . . . . . . 188
report table in GammaVision report. . . . . . . . 356
Geometry correction.. . . . . . . . . . . . . . 163, 173, 283
automatic........................... 173
example............................ 284
manual............................. 173
GVPlot................................ 423
command line interface.. . . . . . . . . . . . . . . . 435
Horizontal Scale.. . . . . . . . . . . . . . . . . . . . . . . . 383
Center............................... 48
Zoom In............................. 48
Zoom Out............................ 48
Import
arguments............................ 61
475

GammaVision® V8 (A66-BW) 783620K / 0915
file................................. 61
setup. .............................. 61
spectrum file..........................65
Indexing buttons. . . . . . . . . . . . . . . . . . . . . . . . . . 51
LIB.............................51, 378
PEAK...........................51, 378
ROI.............................52, 378
InSight Mode............................80
Mark...............................100
Mark types...........................100
Installation. ............................. 7
installing Connections. . . . . . . . . . . . . . . . . . . 7
installing GammaVision. . . . . . . . . . . . . . . . . 7
registration........................... 15
running MCB Configuration. . . . . . . . . . . . . . . 9
Internal Absorption. . . . . . . . . . . . . . . . . . . . . . . 286
Iodine equivalence. . . . . . . . . . . . . . . 164, 183, 308
table................................183
Iodine Equivalence Table. . . . . . . . . . . . . . . . . . 183
ISO NORM
analysis methods. . . . . . . . . . . . . . . . . . . . . . 311
report setup..........................157
Job
command catalog.. . . . . . . . . . . . . . . . . . . . . 394
control..............................215
edit. ...............................215
example.............................389
file.................................385
file variables. . . . . . . . . . . . . . . . . . . . . . . . . 387
loop counter (???). . . . . . . . . . . . . . . . . 385, 391
programming.........................389
run.................................215
subroutine...........................400
Keyboard
commands...........................375
map................................377
quick reference. . . . . . . . . . . . . . . . . . . . . . . 376
knee. . . . . . . . . . . . . . . . . . . . . . 104, 115, 116, 122
Library............................112, 123
edit. ............................35, 208
edit peaks............................213
load................................207
Master..............................209
Match Width.........................152
menu. ............................. 206
nuclide flags. . . . . . . . . . . . . . . . . . . . . . . . . 211
old. ............................... 207
photon flags. . . . . . . . . . . . . . . . . . . . . . . . . 213
print............................... 214
show peaks.......................... 207
suspected nuclides. . . . . . . . . . . . . . . . . . . . 154
Working. . . . . . . . . . . . . . . . . . . . . 152, 207, 209
Library-based peak stripping. . . . . . . . . . . . . . . 264
automatic........................... 264
Manual............................. 265
Linear scale............................. 48
List Data Range. . . . . . . . . . . . . . . . . . . . . . . . . 143
List mode................................ 5
add data increment. . . . . . . . . . . . . . . . . . . . 143
JOB commands. . . . . . . . . . . . . . . . . . . . . . 392
List Data Range. . . . . . . . . . . . . . . . . . . . . . 143
set data range (retrieve time slice).. . . . . . . . . 143
toggle between PHA and List mode. . . . . . . . . 74
Lock detector........................... 218
master password. . . . . . . . . . . . . . . . . . . . . . 218
Lock/Unlock
Detectors. .......................... 218
Logarithmic scale.. . . . . . . . . . . . . . . . . . . . . . . . 48
Manual peak stripping. . . . . . . . . . . . . . . . . 160, 265
Mark (InSight mode). . . . . . . . . . . . . . . . . . . . . . 78
Mark ROI. . . . . . . . . . . . . . . . . . . 47, 221, 222, 230
Marker
moving with the mouse. . . . . . . . . . . . . . . . . 49
Marker Information Line. . . . . . . . . . . . . . . . . . . 45
Maximum Permitted Concentration (MPC) - see
DAC. 165
MCA emulation........................... 3
MCB Configuration program. . . . . . . . . . . . . . . . . 9
MDA................................. 270
MDA preset............................. 89
MDA type............................. 152
Menu
Acquire.............................. 70
analysis results spectrum window. . . . . . . . . 196
Analyze. ........................... 149
Calculate. .......................... 143
Calibrate............................ 103
Display............................. 223
476

INDEX
File. ............................... 56
GVPlot. ............................431
Library..............................206
lock with password. . . . . . . . . . . . . . . . . . . . 217
master password. . . . . . . . . . . . . . . . . . . . . . 217
right-mouse-button.. . . . . . . . . . . . . . . . . 49, 229
ROI................................221
Services.............................215
Window.............................228
Menu bar. ..............................43
Minimum Detectable Activity - see MDA. . . . . 270
Mouse................................. 49
moving the marker.. . . . . . . . . . . . . . . . . . . . . 49
Right-mouse-button menu. . . . . . . . . . . . . . . . 49
rubber rectangle.. . . . . . . . . . . . . . . . . . . . . . . 50
Multichannel analyzer (MCA). . . . . . . . . . . . . . . . 3
Multiplets..............................258
Notepad. ..............................194
NPP32 analysis engine. . . . . . . . . . . . . . . . 161, 232
Password-lock a detector.. . . . . . . . . . . . . . . . . . . . 5
Passwords..............................217
menu...............................217
peak
acceptance tests. . . . . . . . . . . . . . . . . . . . . . . 256
centroid.............................251
peak centroid.........................263
search. .............................254
total peak area. . . . . . . . . . . . . . . . . . . . . . . . 262
uncertainty...........................250
Peak area
directed fit...........................244
example.............................249
singlets. ............................243
Peak Info. .........................144, 230
Peak Search. . . . . . . . . . . . . . . . . . . . . . . . 191, 403
Peak search sensitivity. . . . . . . . . . . . . . . . . . . . 154
Peak stripping. . . . . . . . . . . . . . . . . . . . . . . 159, 160
library-based.........................160
manual..........................160, 265
Peaked Background Correction (PBC). . . . 174, 281
analysis details.. . . . . . . . . . . . . . . . . . . . . . . 281
create table, automatic. . . . . . . . . . . . . . . . . . 177
create table, manual. . . . . . . . . . . . . . . . . . . . 176
print or save PBC table. . . . . . . . . . . . . . . . . 180
select. ............................. 175
PHA (pulse height analysis).. . . . . . . . . . . . . . . . . 3
pole zero. ............................. 419
Presets................................. 87
Print
calibration........................... 130
library.............................. 214
spectrum............................. 66
QA - see Quality assurance. . . . . . . . . . . . . . . . . 359
Quality assurance.. . . . . . . . . . . . . . . . . . . . . . . 359
acceptance thresholds. . . . . . . . . . . . . . . . . . 364
ANSI N13.30 and N42.14. . . . . . . . . . . . . . 359
background measurement. . . . . . . . . . . . 365, 404
background QA report. . . . . . . . . . . . . . . . . 364
control chart. . . . . . . . . . . . . . . . . . . . . . . . . 366
database. . . . . . . . . . . . . . . . . . . . . . . . . 374, 452
database tables. . . . . . . . . . . . . . . . . . . . . . . 452
Lock Acquire on Violation(s). . . . . . . . . . . . 362
sample measurement.. . . . . . . . . . . . . . . 365, 404
sample QA report. . . . . . . . . . . . . . . . . . . . . 364
settings............................. 362
status. ............................. 366
unable to access QA database.. . . . . . . . 362, 374
warning limits.. . . . . . . . . . . . . . . . . . . . . . . 364
Quality factor. . . . . . . . . . . . . . . . . . . . . . . . . . . 253
Random coincidence. . . . . . . . . . . . . . . . . . . . . 291
Random summing. . . . . . . . . . . . . . . . . . . . . . . 291
Random summing correction. . . . . . . . . . . . . . . 292
Recalibration. . . . . . . . . . . . . . . . . . . . 111, 115, 251
Recall
calibration........................... 129
load library.......................... 207
read spectrum. . . . . . . . . . . . . . . . . . . . . . . . . 63
ROI file. ........................... 223
Region of interest - see ROI.. . . . . . . . . . . . . . . . 221
Registering your software. . . . . . . . . . . . . . . . . . 15
report................................. 333
options............................. 156
ROI. .............................. 191
standard. . . . . . . . . . . . . . . . . . . . . . . . . 166, 333
Report Writer.. . . . . . . . . . . . . . . . . . . . . . . 159, 166
Residuals
in Display Analysis Results. . . . . . . . . . . . . 196
477

GammaVision® V8 (A66-BW) 783620K / 0915
Right-mouse-button menu.. . . . . . . . . . . . . . 49, 229
Clear ROI...........................230
Copy to Buffer.. . . . . . . . . . . . . . . . . . . . . . . 229
Mark ROI...........................230
Peak Info............................230
Start acquisition. . . . . . . . . . . . . . . . . . . . . . . 229
Sum................................230
Undo Zoom In........................230
Zoom In.............................229
Zoom Out...........................229
ROI................................... 52
Auto Clear...........................222
Clear. . . . . . . . . . . . . . . . . . . . 47, 222, 230, 379
Clear All............................222
Mark. . . . . . . . . . . . . . . . 47, 221, 222, 230, 379
Mark Peak...........................222
move to next/previous. . . . . . . . . . . . . . . . . . 378
Off.................................221
Recall File...........................223
ROI report...........................191
Save File............................222
status............................44, 382
Unmark.............................221
ROI menu..............................221
ROI report..............................191
format examples. . . . . . . . . . . . . . . . . . . . . . 193
ROI Status. .........................44, 382
ROI32 analysis engine. . . . . . . . . . . . . . . . . . . . 233
Rubber rectangle.. . . . . . . . . . . . . . . . . . . . . 50, 230
Sample changers. . . . . . . . . . . . . . . . . . . . . . . . . 420
Sample description. . . . . . . . . . . . . . . . . . . . . . . . 58
ask on start. ..........................72
Sample quantity. .........................58
ask on start. ..........................72
Sample settings. . . . . . . . . . . . . . . . . . . . . . . . . . 150
Sample Start/Stop Time. . . . . . . . . . . . . . . . . . . . 58
Sample Type............................150
analysis options. . . . . . . . . . . . . . . . . . . . . . . 159
corrections...........................162
fraction limit. . . . . . . . . . . . . . . . . . . . . . . . . 153
isotopic-specific corrections.. . . . . . . . . . . . . 164
MDA type...........................152
report settings. . . . . . . . . . . . . . . . . . . . . . . . 156
Sample settings. . . . . . . . . . . . . . . . . . . . . . . 150
system settings. . . . . . . . . . . . . . . . . . . . . . . 152
Save
calibration........................... 130
library.............................. 214
ROI file. ........................... 222
spectrum.......................... 64, 66
Scaling
autoscale.. . . . . . . . . . . . . . . . . . . . . . . . 48, 224
linear. .......................... 48, 224
logarithmic. . . . . . . . . . . . . . . . . . . . . . . 48, 224
Screen Capture.. . . . . . . . . . . . . . . . . . . . . . . . . 381
Serial-port MCBs.. . . . . . . . . . . . . . . . . . . . . . . 420
Services menu. . . . . . . . . . . . . . . . . . . . . . . . . . 215
Settings
acquisition. .......................... 70
Analyze. ........................... 150
Calculate. .......................... 143
File................................. 56
quality assurance. . . . . . . . . . . . . . . . . . . . . 362
setup
analysis setup. . . . . . . . . . . . . . . . . . . . . . . . 439
quality assurance. . . . . . . . . . . . . . . . . . . . . 362
Start/Save/Report. . . . . . . . . . . . . . . . . . . . . . 71
SMART-1 detector. . . . . . . . . . . . . . . . . . . . . . . 87
Smooth. ...........................148, 418
SPC file
floating-point. . . . . . . . . . . . . . . . . . . . . . . . . 57
integer. ............................. 57
Spectrum
clear................................ 47
copy to buffer.. . . . . . . . . . . . . . . . . . . . . . . . 47
recall. .............................. 47
save. ............................... 47
start acquisition.. . . . . . . . . . . . . . . . . . . . . . . 47
stop acquisition.. . . . . . . . . . . . . . . . . . . . . . . 47
Spectrum area. . . . . . . . . . . . . . . . . . . . . . . . . . . 44
Spectrum translation.. . . . . . . . . . . . . . . . . . . . . 435
Start acquisition. . . . . . . . . . . . . . . . . . . . . . . 47, 73
Start/Save/Report. . . . . . . . . . . . . . . . . . . . . . . . . 73
setup................................ 71
Starting GammaVision.. . . . . . . . . . . . . . . . . . . 437
command line options.. . . . . . . . . . . . . . . . . 437
Status sidebar.. . . . . . . . . . . . . . . . . . . . . . . . . . . 45
Stop acquisition. . . . . . . . . . . . . . . . . . . . . . . 47, 73
478

INDEX
Strip..................................148
Sum. .............................147, 230
Supplementary Information Line.. . . . . . . . . . . . . 45
Suspected nuclides. . . . . . . . . . . . . . . . . . . . . . . 154
System settings. . . . . . . . . . . . . . . . . . . . . . . . . . 152
TCC
analysis with true coincidence correction.. . . 161
calibration with Calibration Wizard. . . . . . . . 135
library and table peaks.. . . . . . . . . . . . . 104, 138
TCC calculation.. . . . . . . . . . . . . . . . . . . . . . 310
TCC polynomial fit. . . . . . . . . . . . . . . . . . . . 120
Title Bar................................43
Toolbar................................ 43
total summation.. . . . . . . . . . . . . . . . . . . . . 243, 249
TRANSLT program. . . . . . . . . . . . . . . . . . . . . . 435
command line. .......................435
True-coincidence correction - see TCC. . . . . . . . 103
Tutorial................................ 17
Uncertainty
counting.............................293
total................................293
Undo Zoom In. .........................230
Unlock detector.. . . . . . . . . . . . . . . . . . . . . . . . . 218
Vertical Auto Scale.. . . . . . . . . . . . . . . . . . . 48, 224
Vertical Scale. . . . . . . . . . . . . . . . . . . . . . . 379, 380
linear............................48, 224
logarithmic. . . . . . . . . . . . . . . . . . . . . . . 48, 224
WAN32 analysis engine. . . . . . . . . . . . . . . . . . . 231
Warning limits, QA.. . . . . . . . . . . . . . . . . . . . . . 364
Window menu. .........................228
WINPLOTS - see GVPlot.. . . . . . . . . . . . . . . . . 423
ZDT mode. ..........................84, 94
choosing a ZDT mode. . . . . . . . . . . . . . . . . . . 97
table of available modes. . . . . . . . . . . . . . . . . 96
view ZDT spectrum.. . . . . . . . . . . . . . . . . . . . 75
zero dead time - see ZDT mode. . . . . . . . . . . . . . 84
Zero stabilization
Initialize............................. 84
Zero stabilizer
operation details.. . . . . . . . . . . . . . . . . . . . . . . 93
Zoom In............................48, 225
Zoom Out...........................48, 225
479

GammaVision® V8 (A66-BW) 783620K / 0915
[Intentionally blank]
480