Hammond Organ B3 C3 Service Manual
Hammond B-3 Service Manual hammond_organ_b3-c3_service_manual Hammond - B-3 - Service Manual
Hammond C-3 Service Manual hammond_organ_b3-c3_service_manual Hammond - C-3 - Service Manual
Hammond C-3 Service Manual hammond_organ_b3-c3_service_manual Hammond - C-3 - Service Manual
Hammond B-3 Service Manual hammond_organ_b3-c3_service_manual Hammond - B-3 - Service Manual
User Manual: Hammond Organ B3-C3 Service Manual
Open the PDF directly: View PDF
.
Page Count: 73
- Table of Contents
- B-3 illustration
- C-3 illustration
- Introduction & Description
- Pedal Clavier, Tone Gen.
- Rear view of console
- Tone Generator
- Virbrato, Percussion, Manual Chassis, Preamp
- Console Preamp, Tone Cabinet, Power Amplifier. Reverberation Unit, Overall Theory of Operation
- Reverberation Unit
- Overall Theory of Operation (cont.)
- Power Requirements
- Inspecting, Stripping, Cleaning and Lubricating
- Rem. & Repl. of Pluck-out Parts
- Pedal Clavier
- Lubrication & Approved Lubricants
- Oiling
- Inspecting Tubes, Cables & Connectors
- Testing with Ohmmeter
- Block Diagram
- Pedal Switch Assembly
- Voltage & Resistance Measurements
- Resistors
- Schematic
- Schematic (cont.)
- Receptacles & Plugs
- Schematic
- Resistor Color Code
- Coil Measurements
- Amplification System Trouble
- Locating and Correcting Defective Tones
- Frequency Numbers Assigned to Keys and Pedals
- Freq. #s (cont.)
- Freq. #s (cont.)
- Dead Notes
- Location of Filters on Tone Generator
- Troubleshooting
- Troubleshooting (cont.)
- Preset Panel Tone Selection
- Alignment of Coil Assemblies
- Schematic
- Schematic (cont.)
- Alignment of Coil Assemblies (cont.)
- Generator Output Voltages
- Adjustment of Percussion Cut-off Control
- Adjustment of Intermittent or Non-Operating Keys
- View of Manual Assemble
- View of Bus-Bar Shifter
- Pedal Switch Assembly
- Detailed Theory of Operation
- Tone Wheel Tooth Count
- Detailed Theory (cont.)
- Starting Motor
- Scanner diagram
- Vibrato (cont.)
- Vibrato Scanner and Switch
- Vibrato Schematic
- Manual Chasis Assembly
- Pedal Switch Assembly
- Pedal Switch Contacts Illustration
- Volume Control and Pre-Amp Assembly
- Percussion System
- Percussion (cont.)
- Reverberation Unit
- Power Amplifier
- Replacement of Tone Generator
- Schematic of Power Amplifier
- Replacement of Tone Generator (cont.)
- Replacement of Mixing Transformer
- Replacement of Playing Key
- Replacement of Pedal Switch Assembly
- Replacement of Manual Chasis
- Replacement of Switches for Start and Run Motors
- Replacement of Start Motor
- Replacement of Run Motor and Vibrato Scanner Assembly
- Rep. of Run Motor (cont.)
- Replacement of TG Filters
- Recommended Spare Parts List
- Recommended Spare Parts List (cont.)
- Recommended Spare Parts List (cont.)
- Recommended Spare Parts List (cont.)
- Recommended Spare Parts List (cont.)
- Recommended Spare Parts List (cont.)
- Recommended Spare Parts List (cont.)
- Recommended Spare Parts List (cont.)
- Recommended Spare Parts List (cont.)
- Recommended Spare Parts List (cont.)
- Manual Assembly, Complete
- Generator Cover
- Tone Cabinet Amplifier
- PR-40 Tone Cabinet
- Console with Bench
- Pedal Switch Assembly
- Lower Manual Partially Disassembled
- Power Pack Assemble
- Interconnecting Cables
- Tone Generator & Motor Assembly
- Vibrato Line Assembly
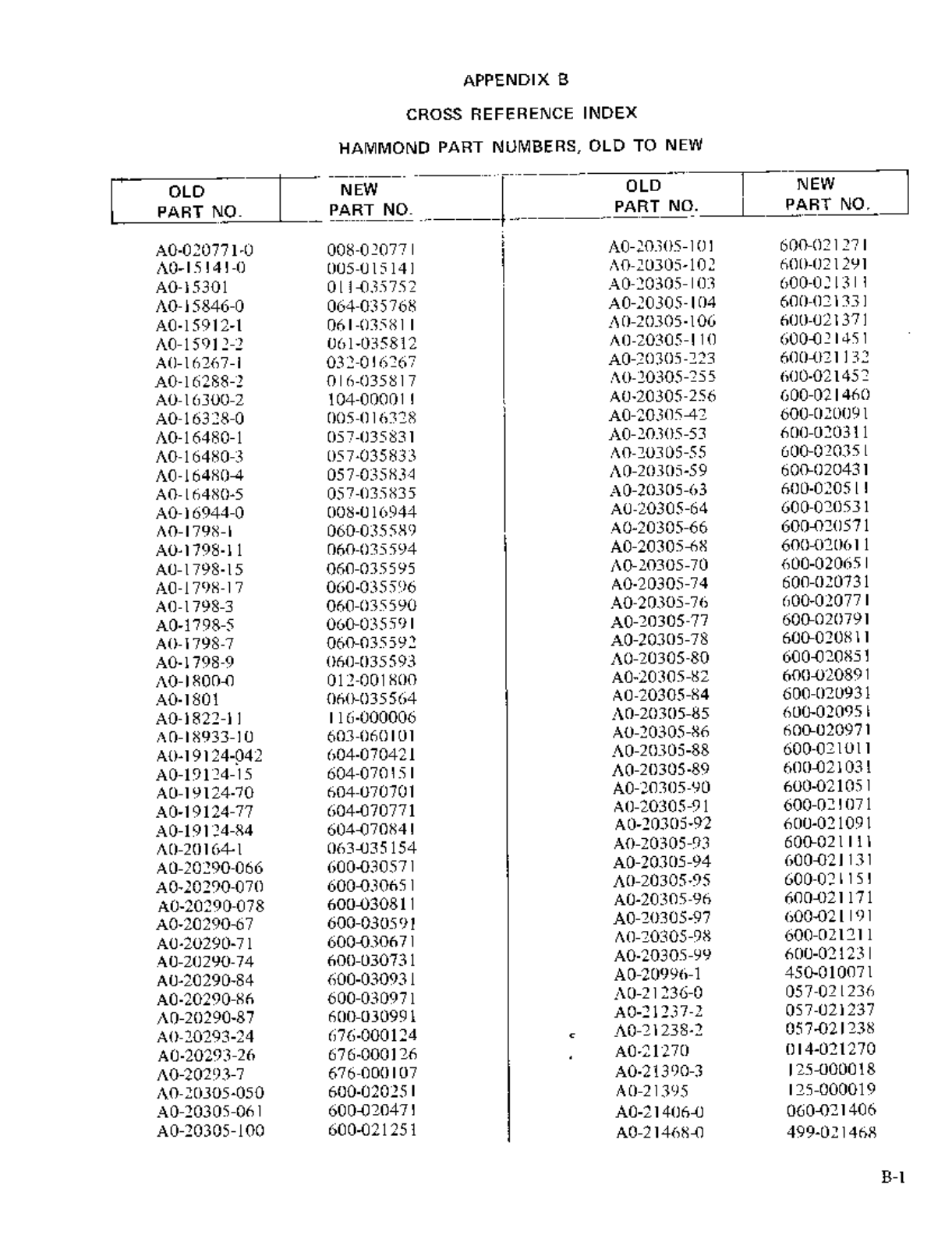
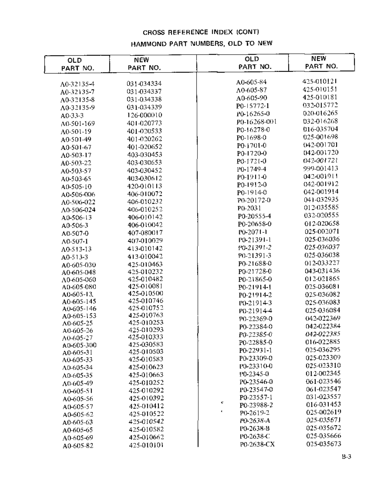
- Hammond Part Numbers
- Hammond Part Numbers (cont.)
- Hammond Part Numbers (cont.)
- Hammond Part Numbers (cont.)
- Hammond Part Numbers (cont.)
- Hammond Part Numbers (cont.)
- Hammond Part Numbers (cont.)
- Hammond Part Numbers (cont.)
- Schematic
- Schematic
- Schematic







































































Date: April 20, 1995 Sheet 1 of 1
Size Document Number REV
B --- --- --- 1.0
Title
PREAMPLIFIER TYPE AO-28
MODEL B3, C3, RT3
G
C23
.033
E F
TO
"VOLUME"
TABLET
C24
82PF
C22
24-90PF
C17
680PF
RADIO-PHONO
EXPRESSION
CONTROL
C16
.033
C6
30PF
C15
51PF
C2
39PF
R9
820K
R4
1.8M
R5
10M
A
C3
100PF
R6
47K
R3
270K
NON-VIB
CHANNEL
INPUT
5
1
62
7
V1
6AU6A
R8
470K
C5
.01
R10
3.9M
130V
R27
1.8M
R29
330K
+1.7 (V2)
2
1
3
V4A
12AX7A
145V
+280
C18
220PF
C20
220PF
R30
1.8M
R32
1.8M
R31
68K
R33
68K
60PF/SEC
R35
3.3M
+1.7V (V2)
7
6
8
V4B
12AX7A
R34
15M
140V
+280
R37
270K
R39
330K
R38
390K
R36
330K
7
6
8
V3B
12BH7A
C26
30/25
R42
1200
+290
R41
100K
12V
R40
.3M
TONE
G
BN
T3
CABINET
TO TONE
+205
335V
C25
.001
R97
4500
TO HTRS
T7
"BL"
C19
.0022 C21
.001
C35
150PF
D
INPUT FROM
VIBRATO SCANNER
C
OUTPUT TO
VIBRATO LINE
C13
1.0
R7
2.2M
+280
+1.7 (V2)
C7
24PF
C11
.0047
C4
.33
INPUT FROM
MATCHING XFMRS
THRU VIBRATO
TABLETS
R13
4.7M
B
C8
100PF
VIBRATO
CHANNEL
INPUT
R14
10M
R16
47K
R12
270K
R18
10M
C12
.0047
5
1
62
7
V2
6AU6A
R15
2.7M
+290
2
1
3
V3A
12BH7A R25
100
R63
390K
C33
.0033
C34
.001
C33
.0022
R63
390K
R62
220K
C34
.001
R62
100K
C32
390PF
C35
390PF
"GY"
117VAC
60 HZ
375V R91
900
C56
40/450
7
3
4 1
6
V8
6X4
+280
+290
C60
50/300
R95
4.7K
R96
4.7K
R94
4.7K
+37
+33
R99
180
R98
7500
R100
2.7K
R101
2.7K
T5
C57
40/400
C58
30/350
C56
10/350
TOP VIEW
THESE COMPONENTS GO BETWEEN
POINTS "P" AND "D" IN AO-28-1
LETTER ONLY) INSTEAD OF
AMPLIFIERS (WITH NO CODE
THOSE SHOWN AT LEFT
R24
22K
R22
820
95V
C10
.33
R20
2.2M
R19
470K
R17
1.2K
+280
R23
22K
R21
1M
C9
30/25
+1.7V
R48
470K
R47
47K
6
7
1
V5
6C4
T5
C28
.047 R53
47K
R52
47K
*
**
(* SEE NOTE)
C32
.0082 T6
R61
39K
P
2
1
3
V7A
12AU7A
CHANNEL BALANCE
SELECT FOR
(MOUNTED ON "P" TERMINAL)
V8
C56
C57
C58
T1
V1V4
V3
EXPRES-
SION
CONTROL
T3
C9,C26
C59,C60
V5V6V2 V7
T4
T6
NKMJH
EC P D AB LGY BL BN G G F
N
+33
R60
30K
PERCUSSION
CUTOFF
+205
R58
4.7M
7
6
8
V7B
12AU7A
6
7 1
V6
6C4
C31
.33
R54
47K
+37
*
+205
C29
100PF
C30
25/25
R49
2.2K
H
PERCUSSION
CHANNEL
INPUT
T4
TO
PERCUSSION
SWITCH
R50
22
R51
4.7K
K
J R55
82K
25V
+33
R56
22K
R57
1.5M
L
M
TO
PERCUSSSION
SWITCH NOTE:
R52,R53,R54,C32 IN
AO-28-1 AMPLIFIERS
(WITH NO CODE LETTER ONLY)
SIDE VIEW

Date: December 11, 1995 Sheet 1 of 1
Size Document Number REV
E --- ---- --- 1.0
Title
B3/C3 SCHEMATIC
F
C22
24-90PF
R37
270K
C17
680PF C24
82PF
C23
.033
VOLUMESOFT
NORMAL
E
C16
.033
RADIO-PHONO
R29
330K
EXPRESSION
CONTROL
+280V
C2
39PF
1
62
7
5
V1
6AU6
C5
.01
R9
820K TO BALANCE CHANNELS
R10
3.9M
C8
30PF C15
51PF
R10 - SELECT AT TEST
145V
130V
R8
470K
OFF
ON
OFF
ON
VIBRATO
GREAT
VIBRATO
SWELL
R2
1M
C1
470PF
R4
1.8M
R5
10M
R6
47K
C3
100PF
A
T2
MATCHING
TRANSFORMER
UPPER
PEDAL
DRAWBARS TYPICAL GROUP OF UPPER
(SWELL) MANUAL DRAWBARS
TYPICAL GROUP OF LOWER
(GREAT) MANUAL DRAWBARS
T1
MATCHING
TRANSFORMER
(LOWER AND PEDAL)
2 3
65
B
R1
3.9M
R3
270K
(FROM V2)
R13
4.7M
C7
24PF
R7
2.2M
C4
.33
R28
270K
R27
1.8M
+1.7V
(FROM V2)
2
1
3
V4A
12AX7
C11
.0047
60V
+280V
+1.7V
C18
220PF
C20
220PF
R30
1.8M
R32
1.8M
R31
68K
R33
68K
R34
15M
60PF/SEC
R35
3.3M
7
6
8
V4B
12AX7A
R39
330K
R38
390K
R36
330K
140V
+1.7V
(FROM V2)
+280V
G
G
BN
C25
.001
T3
C26
30/25
R42
1200
R41
100K
12V
7
6
8
V3B
12BH7A
+290V
R40
300K
TONE 285V
C19
.0022 C21
.001
D
7
6
8
V3B
12BH7
R19
470K
C12
.0047
R21
1M R22
820
R25
100
C13
1.0
C
+290V
130V
100V
95V PERCUSSION
SIGNAL
R14
10M
R15
2.7M
R12
270K
R16
470K
C8
.0001
R17
1.2K
1
62
7
5
V2
6AU6
60V
R20
2.2M
UPPER MANUAL
PRESET PANEL
LOWER MANUAL
PRESET PANEL
0
1
2
3
4
5
6
7
8
UPPER MANUAL
LOWER MANUAL BUSBARS
91
(GEN 49-91)
BUSBARS
2 3
6
5
C10
.33
+1.7V
(TO V1,V4)
C9
30/25
R62
100K
R23
22K
R24
22K
C32
390PF
C34
.001 R63
390K
C35
150PF
+280V
R44
22K
VIBRATO
SWITCH
CLOSED
IN V1/C1
CLOSED
IN V1,V2,V3 CLOSED
IN V2/C2 CLOSED
IN V3/C3
SCANNER
18
17
16
15141312111098
7
6
5
4
3
21
C33
.0033
7
R61
33K
+205
+205
2
1
3
V7A
12AU7
C31
.33
T5
T6
+37V
200V
7
6
8
V7B
12AU7
6
7
1
V5
6C4
T4
C29
100PF
C30
25/25
C28
.047
R49
2.2K
R48
470K
R47
47K
85V
H
THIRD
SECOND
OFF
ON
PERCUSSION
1
44
(GEN 44-48)
4
1
(GEN 1-43)
GENERATOR
OUTPUT
TERMINALS
R50
22
R51
4.7K
SOFT
PERCUSSION
VOLUME
J
K25V
R58
4.7M
R57
1.5M
FAST
PERC.
DECAY
PERCUSSION
CUTOFF
200V
L
M
6
7
1
V6
6C4
SLOW
R55 82K
R56 22K
+33V
L1 L2
R65
27K
C37
.004
C38
.004
R66
68K
R67
56K
R68
150K
R60
30K
R59
120K
+33V
L3 L5 L6L4
C39
.004
C40
.004
C41
.004
R70
150K
R72
180K
R74
180K
R76
180K
R69
39K
R71
33K
R73
18K
R75
12K
L13L12L11L10L9L8L7
C42
.004
C43
.004
C44
.004
C45
.004
C46
.004
C47
.004
C48
.004
L18L17L16L15L14
R77
15K
C49
.004
C50
.004
C51
.004
C52
.004
C53
.004
C54
.001
T5
T4
T6
TOP VIEW
VIBRATO DELAY LINE
EXPRES-
SION
T3
C56
C57
C58
T1
C9,C26
C59,C60
1
2
NINE CONTACTS AND CONNECTIONS
SAME AS "B" EXCEPT THAT
UNDER "A#" ADJUST KEY ARE
THESE THREE DRAWBAR WIRES
NINE CONTACTS UNDER TYPICAL
PLAYING KEY.
GO DIRECTLY TO KEY CONTACTS.
3
NOTES:
C60
50/300
R97
4500 R98
7500
+37V
+205V
+290V
335V
R94
4.7K
6.0V
HEATERS
T7
NORMAL
OFF
ON BL
R46
12K
START
SWITCH
RUN
SWITCH
R85 5
R84 5
R80
10
R82 47
R81 10
8 CONTACTS UNDER
TYPICAL PEDAL KEY
TONE
GENERATOR
L20 R83 470
PEDAL SWITCH
BUSBARS
TERMINALS
TO GENERATOR
(SEE PEDAL
WIRING CHART) (1000)
HEATER
(IF USED)
R88
600
R86 20 R87
250
STARTING
MOTOR SYNCHRONOUS
MOTOR
GY
117VAC
50/60HZ
TO GND
340VRMS PINS 1,6
375V R91
900
C57
40/400
C56
40/450
7
3
4 1
6
V8
6X4
R95
4.7K
C58
30/350
C56
10/350
R100
2.7K
R101
2.7K
R96
4.7K
R99
180
+33V
+280V
NINE CONTACTS AND CONNECTIONS
UNDER "B" ADJUST KEY.
4
5NINE CONTACTS AND CONNECTIONS
UNDER TYPICAL PRESET KEY.
PRESET PERCUSSION SWITCH
UNDER "B" ADJUST KEY ONLY.
6TO GENERATOR TERMINALS
(SEE MANUAL WIRING CHART)
7R61 SELECTED AT TEST
TO BALANCE THE CHANNELS.
V8 V3 CONTROL
V5V6V2V1V4 V7

Date: December 12, 1995 Sheet 1 of 1
Size Document Number REV
EB
Title
WIRING DIAGRAM - HAMMOND B3 OR C3
GY
VI
BL
GN
YL
OR
RD
GY
VI
BL
GN
YL
OR
RD
BN
BK
W
HG
YV
IB
LG
NY
LO
RR
DB
NW
HG
YV
IB
LG
N
RESISTOR PANEL
AND PEDAL FILTER
ON BACK OF
MANUAL ASSEMBLY
Y
LO
RR
DB
NR
DB
NW
HG
YV
IB
LG
N
R83
RESISTOR PANEL
Y
LO
RR
DB
NW
HG
YV
IB
LG
YY
LO
RR
DB
N
BN
BK A G# F# E D# C#DFG GY
VI
BL
GN
YL
OR
RD
BN
A G# F# EFG GY
VI
BL
GN
YL
OR
RD
BN
D# C#D
BK
1
BK
BK
BK
R85 R84 R81
OR
RD
R82
R86
BK YL
W
HG
NY
L
R80
L20
BN
BN
BL
PEDAL FILTER
RUN SWITCH
O
F
F
O
N
ON
OFF
START SWITCH
BKBKBNYL
R87
B
N
Y
L
RD RD
(BL)
BK 91
LOWER MANUAL
LINE
PANEL
13
GY
BN
GN
BL
BK
WH
WH YL
RD
VI
MATCHING XFMR
T1 (LOWER MANUAL)
OR
GY
GN
BL
BN
RD
YL
WH WH
VI
T2 (UPPER MANUAL)
BK
BK
OR
R1
R2
C1
BKBK
GN
BK
YL
PRESET
SWITCH
UPPER MANUAL
BL
STARTING
MOTOR SYNC
MOTOR
GY
VIBRATO SCANNER 8
54
23
07
86
61
865
49
03
5
68
BL
Y
LO
RR
DB
N
RD
TONE GENERATOR
8
32
35
94
07
61
65
23
36
994
52
66
227
11
14
72
86
448
88
12
15
73
87
41
48
6
5
03
16
779
18
42
46
04
17
71
75
33
47
01
0
4
37
91
95
53
67
21
24
82
96
558
98
22
25
8
FREQUENCY NUMBERS IN CONSECUTIVE ORDER
4
62
76
338
7
3
97
51
55
13
2
8
0
6
8
2
0
85
64
43
72
57
36
11
314
9
1
YL
YL
GN
RD
BN
R46
R59
WH YL GN
BK
GN
GNYLWH
BL
COLOR CODE
BK BLACK
BN
RD
OR
YL
GN
BROWN
RED
ORANGE
YELLOW
GREEN
PERCUSSION SWITCH
(REAR VIEW, COVER REMOVED)
GN
YL GN
YL
YL
23456782345
56789
1
0
1
1
5791
1
SCANNER TERMINAL NUMBERS
6782345678
R44
1
3
1
4
1
5
691
2
1
5
1
6
1
7
1
8
VIBRATO SWITCH
TERMINALS ON
DRAWBAR BASE
PEDAL SWITCH
AC LINE JACK TO
TONE CABINET
OUTLET BOXGY BK
BL
BN
RD
GY BL BN
G
YB
LB
N
GGF E C
B
KG
NB
N
GN
BKGN
P D A B
R
DY
L
YL
BN
BL
1
B
LB
NG
N
L N K M J H
Y
LY
LR
D
RD
PREAMP
VIBRATO LINE TERMINAL NUMBERS
151413121110987652 3 4
VIBRATO LINE BOX
CONTROL PANEL
(REAR VIEW, COVER REMOVED)
181716
GN BL
VI
GY
WH
B
BLUE
VIOLET
GREY
WHITE
BARE