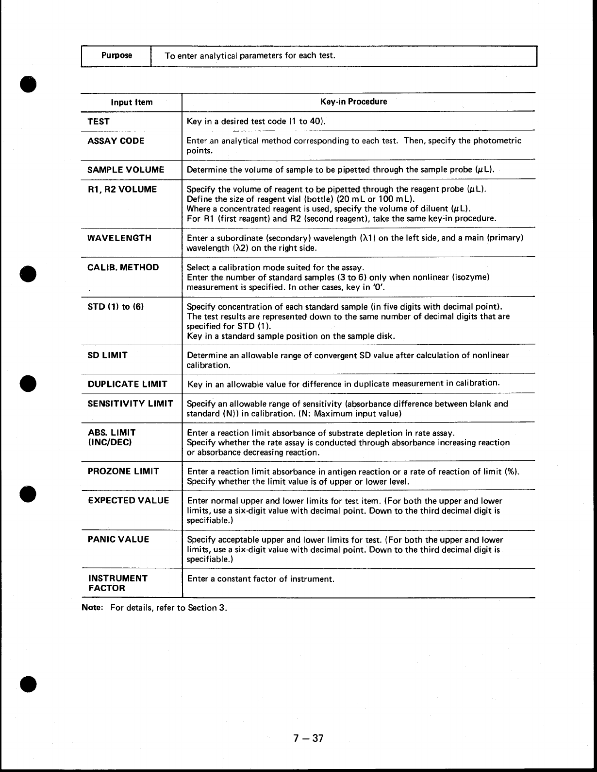
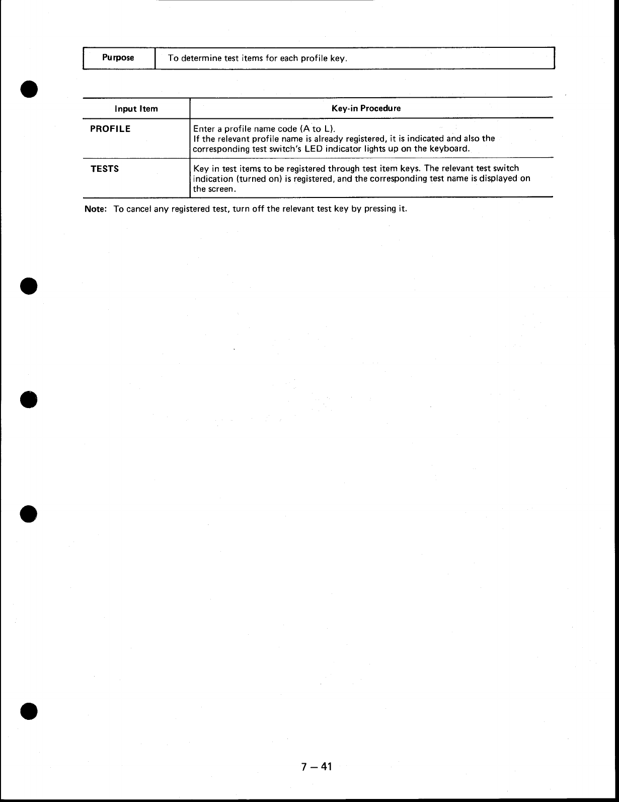
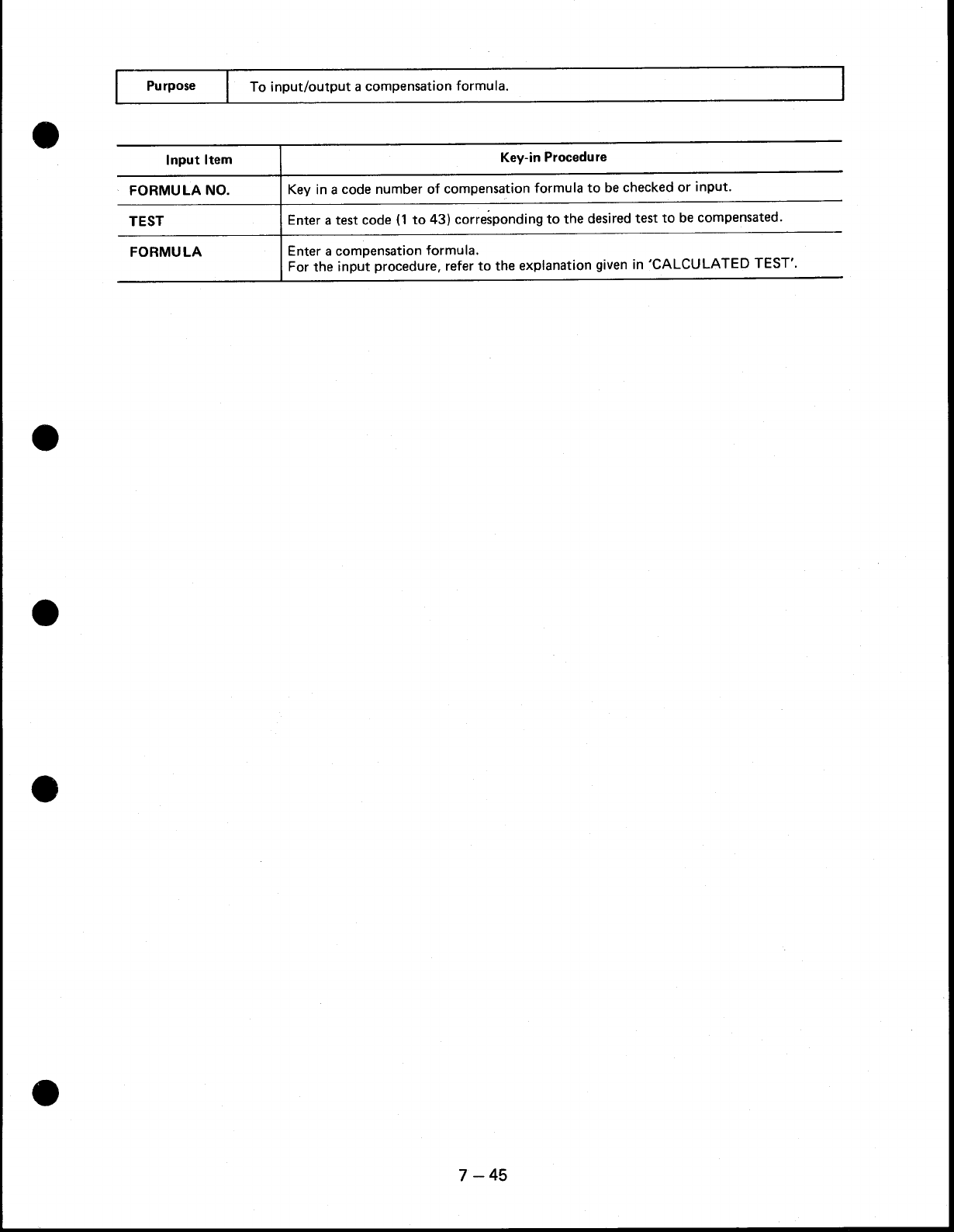
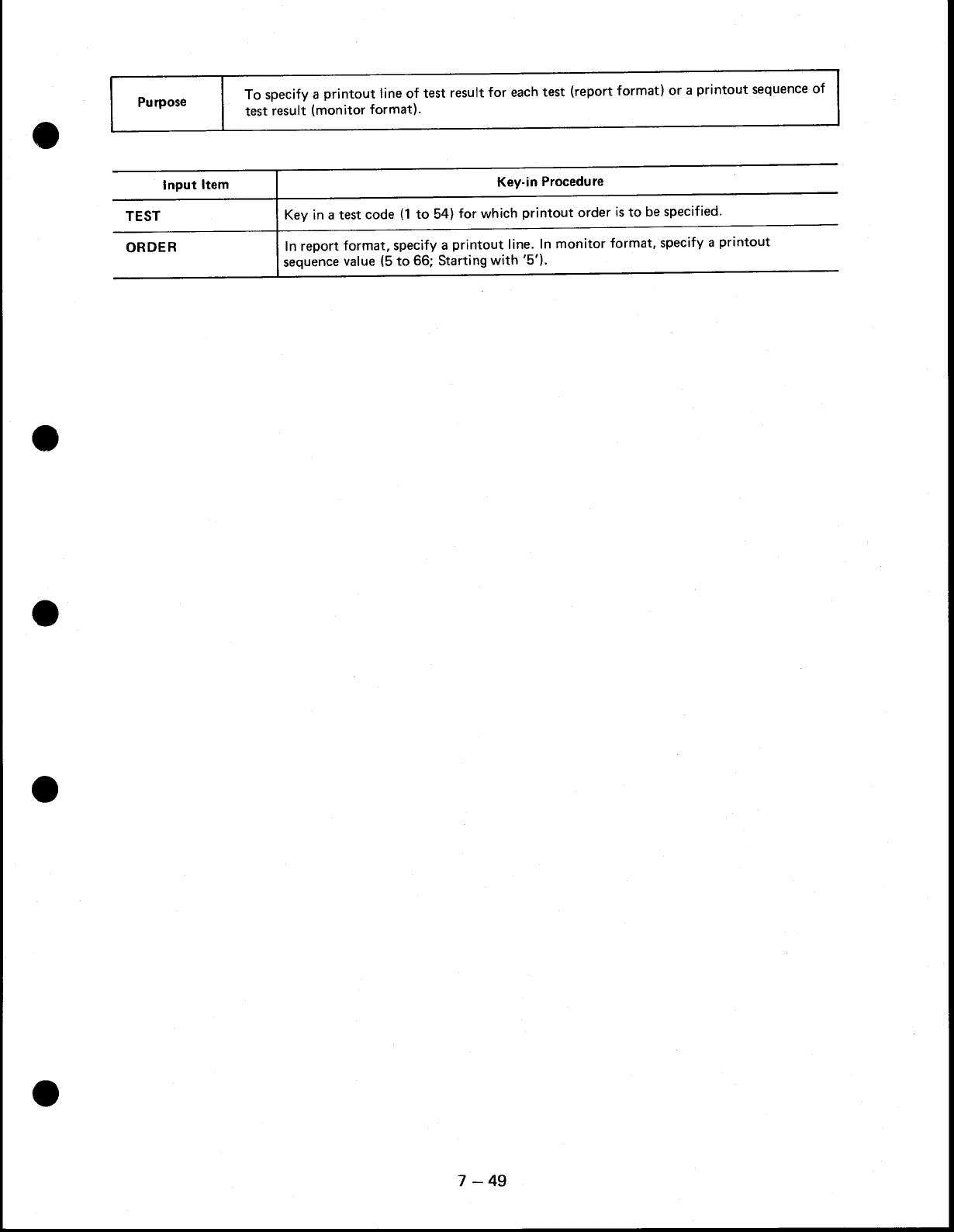
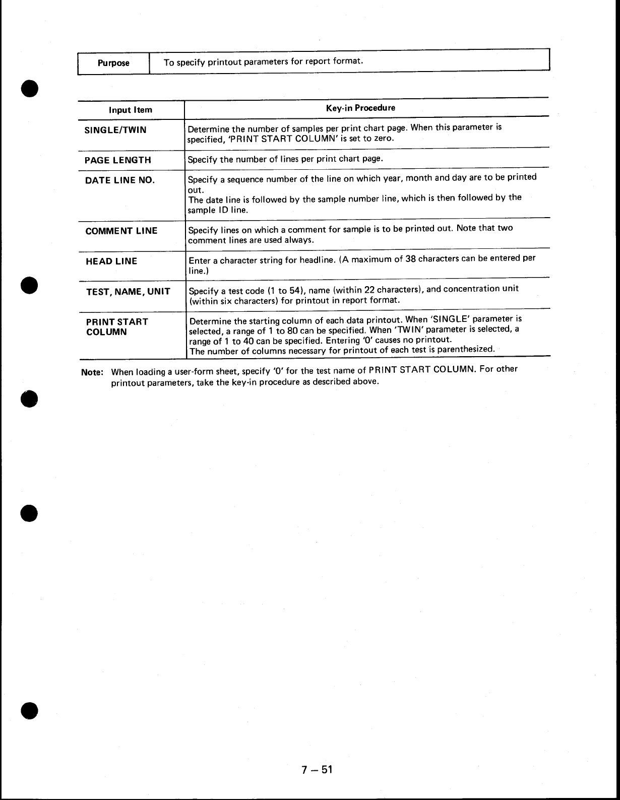
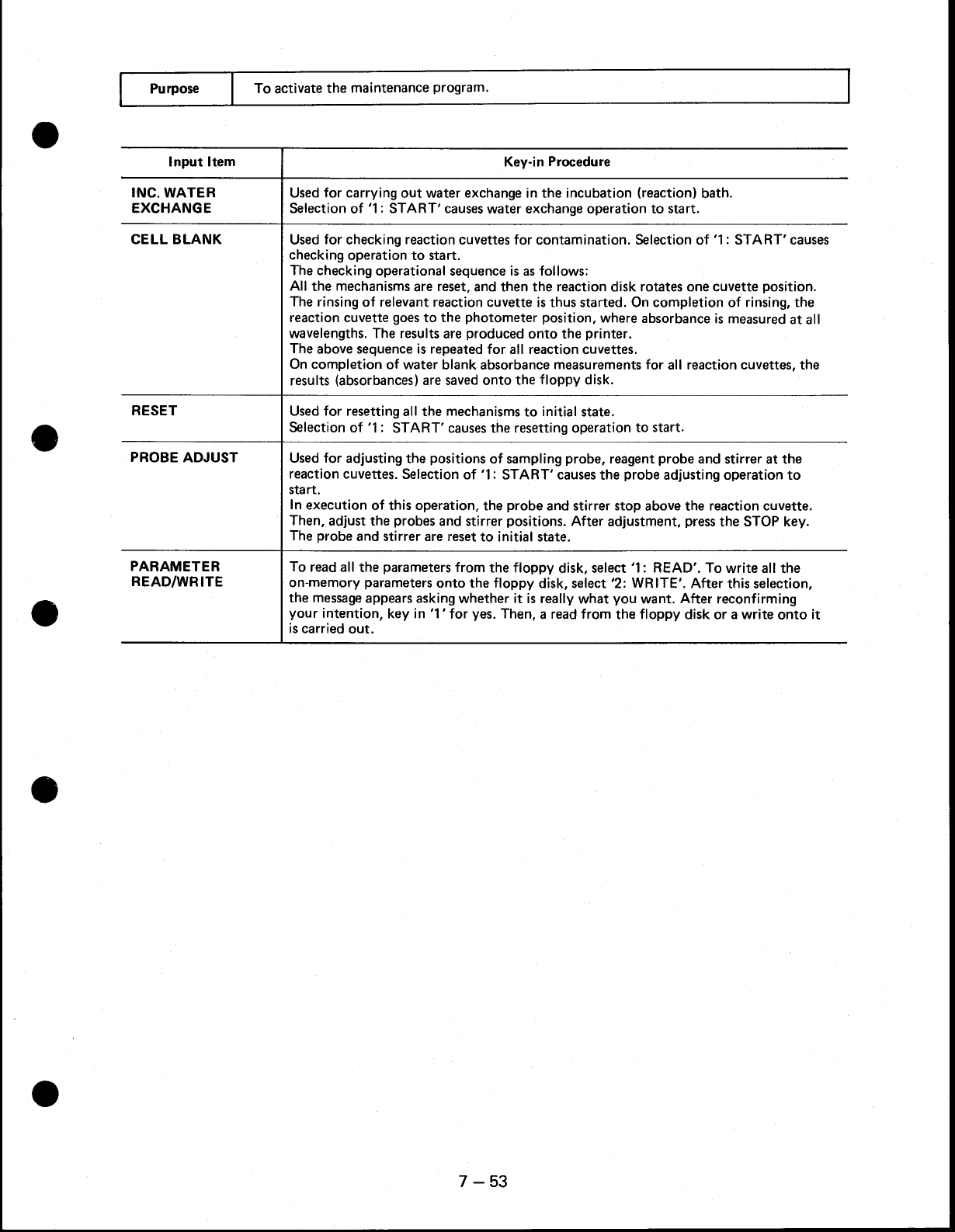
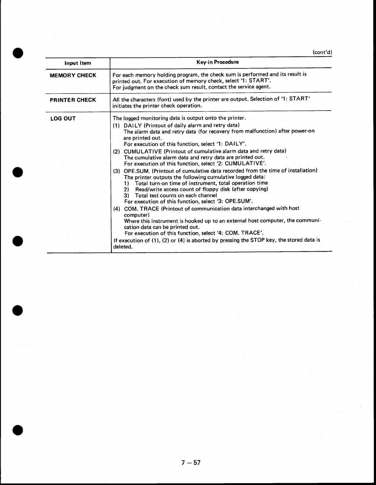
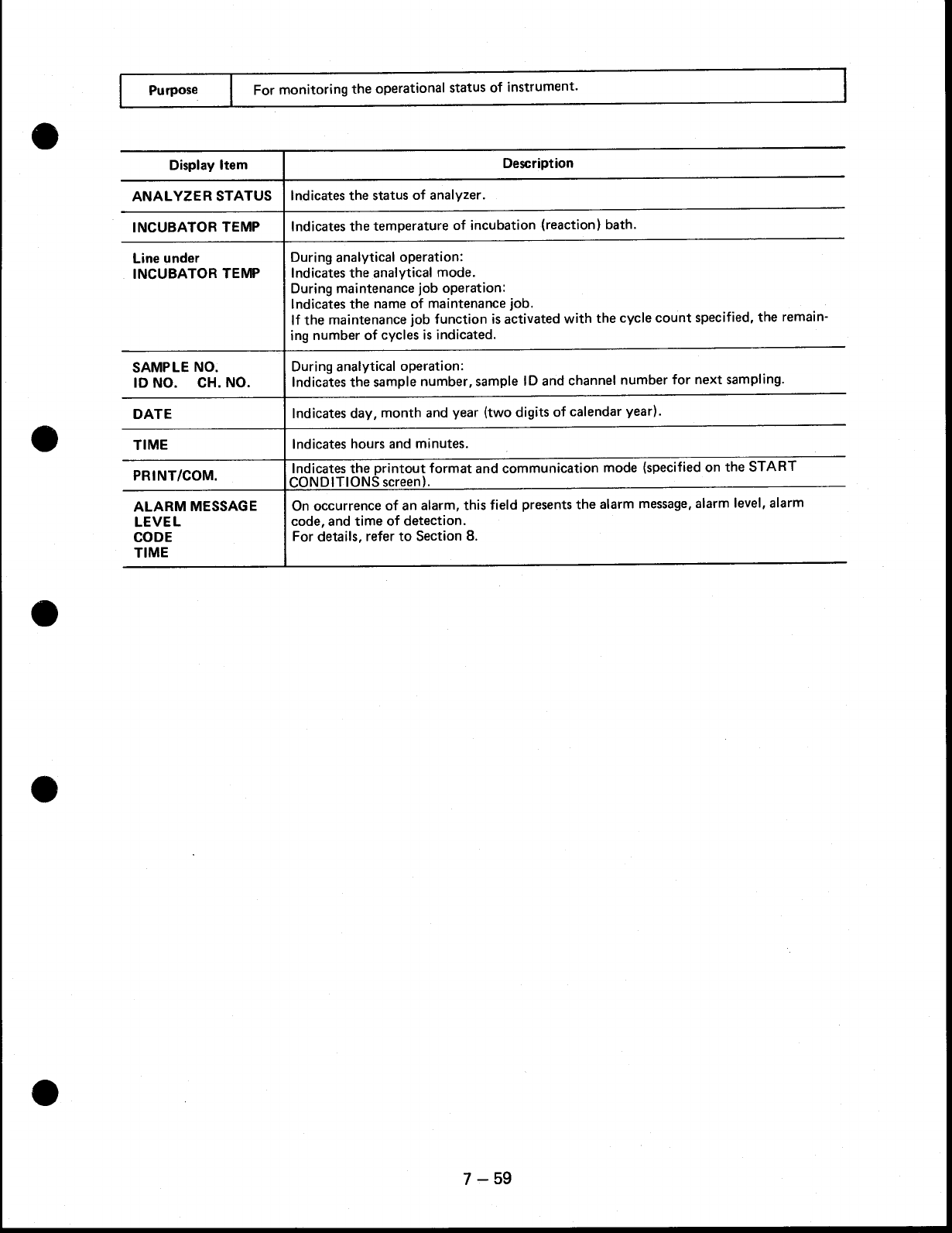
Hitachi 717 Instruction Manual Users Guide
User Manual:
Open the PDF directly: View PDF
.
Page Count: 338 [warning: Documents this large are best viewed by clicking the View PDF Link!]


















































































































































































































































































































































User Manual:
Open the PDF directly: View PDF
.
Page Count: 338 [warning: Documents this large are best viewed by clicking the View PDF Link!]