IR1 En
User Manual: IR1
Open the PDF directly: View PDF
.
Page Count: 44

Plastic Waste:
Ecological and Human Health Impacts
November 2011

Plastic Waste: Ecological and Human Health Impacts
Science for Environment Policy | In-depth Reports | Plastic Waste: Ecological and Human Health Impacts November 2011
Contents
Executive Summary 1
Introduction 3
1.0 Plastic Waste: Drivers and Pressures 4
2.0 State of Plastic Waste in the Environment 8
3.0 Impacts of Plastics Waste on the Health of Ecosystems 16
4.0 Responses 28
References 37
Figures
1. World Plastics Production 1950-2008. From Plastic Waste in the 4
Environment.
2. Continued decoupling of plastic waste and landll 5
3. Main sources and movement pathways for plastic in the
marine environment. 6
4. Proportion of post-consumer waste in EU-27, Norway and
Switzerland according to function, 2008. 7
5. Composition and numbers of marine litter items found on
beaches within OSPAR network. 8
6. Changes in composition of marine items found on beaches
within OSPAR network 9
7. Algalita Research Centre monitoring 10
8.
Litter ( items/ hectare) on the sea bed in the channel (x) and
the gulf of Lion (y) 1998 -2010
11
9. Trends in the average number of marine litter items collected
on reference beaches over three time periods 12
10. Identity and compostition of plastic debris collected from the
strandline of the Tamar Estuary (UK) 12
11. Amount of user and industrial plastic in Fulmar stomachs in
Netherlands over time 14
12. EcoQO performance in North Sea regions 2005-2009 and
preliminary trends. Trend shown by connecting running
average 5 year data 15
13. Trends in EcoQO performance in dierent regions of the
North Sea since 2002 (by running 5-year average data) 15
14. Number and percentage of marine species with documented
entanglement and ingestion records 16

Plastic Waste: Ecological and Human Health Impacts
Science for Environment Policy | In-depth Reports | Plastic Waste: Ecological and Human Health Impacts November 2011
15. Relationship between BPA concentrations in leachate and per
capita GDP of Asian countries 20
16. Illustration of additional eects of plastics in transport of
phenanthrene 22
17. Concentrations of PCBS in beached plastic pellets 23

Plastic Waste: Ecological and Human Health Impacts
Science for Environment Policy | In-depth Reports | Plastic Waste: Ecological and Human Health Impacts November 2011
Plastic waste is a growing concern and the drivers behind
it look set to continue. Although recently there has been
a slight decrease in plastic production, this is unlikely to be
maintained. Plastic is a highly useful material and its applications
are expected to increase as more new products and plastics are
developed to meet demands. The increased use and production
of plastic in developing and emerging countries is a particular
concern, as the sophistication of their waste management
infrastructure may not be developing at an appropriate
rate to deal with their increasing levels of plastic waste.
Management of waste in the EU has been improving in terms
of recycling and energy recovery, but there is still much
to be done. At the heart of the problem is one of plastic’s
most valued properties: its durability. Combined with the
throwaway culture that has grown up around plastic products,
this means that we are using materials that are designed to
last, but for short-term purposes.
The state of plastic waste is notoriously hard to measure. It
is estimated that in 2008 EU-27, Norway and Switzerland
produced about 24.9 megatonnes of plastic waste (Mudgal
et al., 2011) but its distribution is dicult to ascertain. This is
especially so in the marine environment where the constant
movement of the oceans, both horizontally on the surface
and vertically within the water column, make it dicult
to develop an accurate picture. Since the discovery of the
Northern Pacic Garbage Patch, research has explored
the gyres as areas of plastic waste accumulation, as well
as beaches and river estuaries. There are a number of
methods used to survey marine litter and currently there
are initiatives to harmonise these. Several standardised
surveillance guidelines have been developed, for example,
those produced by the Oslo Paris Convention for Protection
of the Marine Environment of the North-East Atlantic (OSPAR)
and the United Nations Environmental Programme (UNEP).
On land, there are few gures on the level of plastic waste
and there is a need for more information on sources and
possible pathways into the environment. There has been
increasing concern about the presence of microplastics, which
are generally dened as plastic fragments less than 5mm in
size. These are produced either from the weathering of larger
plastics or deposited directly as pre-consumer plastic or
from use in abrasives, such as those used in some cosmetics.
Microplastics are particularly dicult to monitor and they
may also have more inuential impacts than larger plastics.
The impacts of plastic waste on our health and the environment
are only just becoming apparent. Most of our knowledge is
around plastic waste in the marine environment, although
there is research that indicates that plastic waste in landll
and in badly managed recycling systems could be having
an impact, mainly from the chemicals contained in plastic.
In the marine environment, the most well documented impacts
are entanglement and ingestion by wildlife. Other lesser-
known eects are the alteration of habitats and the transport
of alien species. Perhaps one of the most dicult impacts
to fully understand, but also potentially one of the most
concerning, is the impact of chemicals associated with plastic
waste. There are several chemicals within plastic material itself
that have been added to give it certain properties such as
Bisphenol A, phthalates and ame retardants. These all have
known negative eects on human and animal health, mainly
aecting the endocrine system. There are also toxic monomers,
which have been linked to cancer and reproductive problems.
The actual role of plastic waste in causing these health impacts
is uncertain. This is partly because it is not clear what level of
exposure is caused by plastic waste, and partly because the
mechanisms by which the chemicals from plastic may have
an impact on humans and animals are not fully established.
The most likely pathway is through ingestion, after which
chemicals could bioaccumulate up the food chain, meaning
that those at the top could be exposed to greater levels of
chemicals.
Plastic waste also has the ability to attract contaminants, such
as persistent organic pollutants (POPs). This is particularly so
in the marine environment since many of these contaminants
are hydrophobic, which means they do not mix or bind with
water. Again, the role of plastic waste in the impact of these
toxic chemicals is unclear. Plastic could potentially transport
these chemicals to otherwise clean environments and, when
ingested by wildlife, plastic could cause the transfer of chemicals
into the organism’s system. However, in some conditions
plastic could potentially act as a sink for contaminants,
making them less available to wildlife, particularly if they are
buried on the seaoor. With their large surface area-to-volume
ratio, microplastics may have the capacity to make chemicals
more available to wildlife and the environment in comparison
to larger sized plastics. However, once ingested, microplastics
may pass through the digestive system more quickly than
larger plastics, potentially providing less opportunity for
chemicals to be absorbed into the circulatory system.
Although plastic waste may not always cause detectable
harm or death as an isolated factor, when combined with
other impacts, such as uncontrolled shing or oil spills, it may
contribute cumulatively to serious impacts. These sub-lethal
eects are dicult to monitor, but are nonetheless important
to recognise. Research has indicated that some species or
developmental stages are more vulnerable to ingestion of plastic
waste and the toxic eects of the chemicals associated with it.
Policy responses to plastic waste come in many forms and
EXECUTIVE SUMMARY
1

Plastic Waste: Ecological and Human Health Impacts
Science for Environment Policy | In-depth Reports | Plastic Waste: Ecological and Human Health Impacts November 2011
work on many levels, ranging from beach clean-ups to bans on
plastic waste disposal at sea, to targets for waste management
and recycling. Several market-based instruments have been
explored such as deposit schemes to encourage the return
and multi-use of plastics, and taxation on single-use plastics
that do not t into deposit return systems. However there has
been little widespread application of these instruments and
more research is needed to maximise their eectiveness and
ensure they do not have secondary eects other than those
intended.
Plastic waste has the additional complication of spanning
many policy areas, such as marine management, coastal
management, waste management and the regulation of
chemicals. This range of responses is necessary for such
a global problem with such local variation, but to ensure
plastic waste does not fall through the holes in the net of
responsibility, there is a need to harmonise eorts and co-
ordinate between dierent policy areas. A number of reports
have called for better implementation of existing policy. The
Marine Strategy Framework Directive has specied ‘marine
litter’ as one of its descriptors of good environmental status
and four indicators of this have been identied which can be
applied to plastic waste. However, there may also be room for
policy that is more specically related to plastic waste, while
still allowing for its connection to dierent policy areas.
Lastly, there are a number of research gaps that need to be
addressed to provide a stronger evidence-base on which
to develop policy. Some of these are at the detailed level
of impact, such as the actual levels of chemical exposure
caused by plastic waste. Others are more action-orientated,
for example, identifying potential hotspots where plastic
waste is problematic, identifying high-risk products that use
plastic or identifying wildlife and human groups that are more
vulnerable to the impacts of plastic waste. However, the very
nature of plastic waste as a uctuating and mobile issue means
that science is unlikely to be able to answer all the questions.
It may be preferable to take policy action before waiting for
a completely clear research picture to emerge so as to avoid
the risk of impacts worsening and becoming more dicult to
manage in the future.
2

Plastic Waste: Ecological and Human Health Impacts
Science for Environment Policy | In-depth Reports | Plastic Waste: Ecological and Human Health Impacts November 2011
In the last 60 years, plastic has become a useful and versatile
material with a wide range of applications. Its uses are likely to
increase with ongoing developments in the plastic industry.
In the future, plastic could help address some of the world’s
most pressing problems, such as climate change and food
shortages. For example, plastics are used in the manufacture of
rotors for wind turbines and tunnels made from polyethylene
can help crops grow in otherwise unfavourable conditions.
As demand for materials with certain qualities increases,
the plastics industry will aim to supply them. Meanwhile,
increasing plastic production and use in emerging economies
looks set to continue, and waste management infrastructure
will have to develop accordingly.
Unfortunately, the properties of plastic that make it so valuable
also make its disposal problematic, such as its durability, light
weight and low cost. In many cases plastics are thrown away after
one use, especially packaging and sheeting, but because they
are durable, they persist in the environment. If plastic reaches
the sea, its low density means it tends to remain on the surface.
Increasing attention has been paid to plastic waste by
policymakers, scientists and the media and probably one of
the most inuential factors was the discovery of the Great
Pacic Garbage Patch by Charles Moore in the late 1990s.
This is a layer of rubbish oating between California and
Hawaii that has been estimated to span about 3.43 million
km2 (the size of Europe). It is mostly plastic and contains
everything from large abandoned shing nets to plastic
bottles to tiny particles of plastic (or ‘microplastics’). This type
of mass in the seas can be known as ‘plastic soup’ and there
are concerns that Europe hosts similar patches, in areas such
as the Mediterranean and the North Sea. As such, marine
litter and plastic waste is a priority on the EU policy agenda.
Plastic is still a relatively new material, which means the
problem of plastic waste has only recently been realised, as
has knowledge about its environmental persistence (Barnes
et al., 2009). Even more recent is the discovery of possible
health and environmental eects, such as the impacts of the
chemicals contained in plastics. The monitoring of plastic
waste and research into its impacts are still in their infancy,
but so far the implications are worrying.
The complexity of the issue is enhanced by the global nature
of plastic waste and its constant movement, particularly at
sea. This makes it dicult to condently identify sources and
scale up impacts from a specic location to create a global
picture. The content of plastic waste can dier according
to the location and time of year, while its impacts can vary
between species and human life stages. So far, research has
been somewhat piecemeal in documenting plastic waste’s
distribution and impacts. To eectively inform policy, there
needs to be more collation of existing data and greater
harmonisation of research methods. This is also necessary to
implement and monitor policy.
This Science for Environment Policy In-depth Report on
the human health and ecological impacts of plastic waste
summarises and collates current research in this area. Using the
Drivers Pressures State Impact Response (DPSIR) framework,
it highlights major issues and concerns, as well as outlining
questions around existing responses and possible strategies
for the future.
With the global nature of plastic waste, it is dicult to be
precise about the Drivers and Pressures that bear inuence
and Section 1 combines the two and concentrates on
measurement and monitoring. The sections covering
State and Impacts concentrate on human health and
ecological impacts. Finally, Section 4 deals with Responses
to Plastic Waste and highlights current and future issues
that need to be addressed, as well as knowledge gaps
where more research is required to inform policy responses.
3
INTRODUCTION

Plastic Waste: Ecological and Human Health Impacts
Science for Environment Policy | In-depth Reports | Plastic Waste: Ecological and Human Health Impacts November 2011
In 2009, around 230 million tonnes of plastic were produced
and around 25 per cent of these plastics were used in the EU
(Mudgal et al., 2011). This global gure has been increasing
by an average rate of 9 per cent since 1950 to a peak of 245
million tonnes in 2008, after which there was a slight drop in
production. The nancial recession may be responsible for this
slight decline in plastic production, (PlasticsEurope, 2010 see
Figure 1).
About 50 per cent of plastic is used for single-use disposable
applications, such as packaging, agricultural lms and
disposable consumer items (Hopewell et al., 2009). The
drivers for plastic use are its improved physical and chemical
properties compared to alternatives, its low cost and the
possibility of mass production. Drivers for its reduction lie in a
desire to minimise the use of resources (Kershaw et al., 2011).
A life cycle analysis study has indicated that the use of plastics
leads to signicantly less energy consumption and emissions
of greenhouse gases than the use of alternative materials
(Pilz et al., 2010). In other words, plastic has surpassed other
materials for certain functions and its comparative advantages
may be increasing as technology improves.
In addition, the increasingly short lifetime of products that use
plastic, especially electronic goods, means that more plastic
waste is being produced in today’s upgrade-and-dispose
culture. A key example of this is the mobile phone: its plastic
components contain several toxic substances (Nnorom &
Osibanjo, 2009). Although these substances are not at levels
to cause immediate risk, if quantities increase and end-of-
life management is inadequate, such as the open burning
often practised in developing countries, there is potential for
environmental pollution and human health impacts.
Production of plastic has levelled o in recent years, however,
it is not declining and may well increase in the future as
applications for plastic increase and its use continues to grow
in developing and emerging economies (Global Industry
Analysts, 2011). Without appropriate waste management, this
will lead to increased plastic waste, which will add to the ‘back
log’ of plastic waste already in existence. There is no agreed
gure on the time that plastic takes to degrade, but it could be
hundreds or thousands of years (Kershaw et al., 2011).
Most types of plastic are not biodegradable. Some plastics are
designed to be biodegradable and can be broken down in a
controlled environment, such as landll, but it is uncertain if
this will occur under other conditions, especially in oceans
where the temperature is colder (Song et al., 2009; O’Brine &
Thompson, 2010). Even if plastic does eventually biodegrade,
it will temporarily break into smaller fragments, which then
produce so-called ‘microplastics’. These have a specic and
signicant set of impacts (see sections 3.4, 3.7 and 3.9).
4
1.0 PLASTIC WASTE: DRIVERS AND PRESSURES
Figure 1. World Plastics Production 1950-2008. FromThe Compelling
Facts about Plastic, PlasticsEurope (2009), p33.
Box 1 Examples of the distribution of plastic waste
• In 1992, a container ship lost 30,000 rubber ducks o the coast of China. Fifteen years later, some of these
turned up on the shores of the UK (Maggs et al., 2010).
• In 2005 a piece of plastic found in an albatross stomach bore a serial number traced to a World War II seaplane
shot down in 1944. Computer models re-creating the object’s journey showed it spent a decade the Western
Garbage Patch, just south of Japan, and then drifted 6,000 miles to the Eastern Garbage Patch o the West
Coast of the U.S., where it spun in circles for the next 50 years (Weiss et al., 2006)
• Van Franeker (2011) estimated that North Sea fulmars annually reshape and redistribute about six tons of
plastic through ingestion of plastic waste.

Plastic Waste: Ecological and Human Health Impacts
Science for Environment Policy | In-depth Reports | Plastic Waste: Ecological and Human Health Impacts November 2011
1.1 Sources of plastic waste
Plastic waste is a global problem, but with regional
variability. This is particularly true of plastic waste in the
marine environment, which can travel long distances, carried
by currents or transported by wildlife, which ingest or become
entangled in plastic.
The EU’s Waste Framework Directive prioritises prevention
in waste management. To develop eective prevention
strategies, it is useful for policymakers to know the major
sources of plastic waste and, if possible, which of these
represent the greatest risk. Furthermore, to implement
prevention-orientated policy eectively, meaningful
monitoring of plastic waste is needed to assess the impact
of policy. An example of this is the EU’s Marine Strategy
Framework Directive (MFSD), which has established that
Member States should take necessary measures to achieve
or maintain good environmental status of marine waters by
the year 2020. This requires monitoring and therefore the
development of indicators of good environmental status. The
MFSD has outlined 11 descriptors of environmental status,
one of which is marine litter and identied four indicators for
marine litter which, by default, also apply to plastic waste in
the marine environment (see Box 2).
A signicant issue is that, while there is an abundance of data
on debris in the marine environment, there is a comparative
shortage of data on plastic waste on land. This is despite
the estimate that 80 per cent of plastic waste in the sea is
from land-based sources (Sheavly, 2005). The main land-
based sources of marine plastic waste include storm water
discharge, combined sewer overows, tourism related litter,
illegal dumping, industrial activities e.g. plastic resin pellets,
losses from accidents and transport, and blowing from landll
sites (Allsopp et al., 2006). The ocean-based sources tend to be
commercial shing, recreational boaters, merchant/military/
research vessels, losses from transport, oshore oil and gas
platforms (Sheavly, 2005). A disproportionate amount of
waste in the marine environment is plastic. Plastics make up
an estimated 10 per cent of household waste, most of which
is disposed in landll (Barnes, 2009; Hopewell et al., 2009).
However, 60- 80 per cent of the waste found on beaches,
oating on the ocean or on the seabed is plastic (Derraik,
2002; Barnes, 2005).
Waste management varies from
country to country. One of the most
instrumental EU waste management
regulations is the Landll Directive
(1999), which sets targets for the
diversion of biodegradable municipal
waste from landll, allowing Member
States to choose their own strategies for
meeting these targets. However, there
are no specic targets for diversion of
plastic waste. An EEA review (Herczeg
et al., 2009) of the Directive in ve EU
countries and one sub-national area
(Estonia, Finland, the Flemish Region of
Belgium, Germany, Hungary and Italy),
indicates that there has generally been a drop in the amount
of waste going to landll from 1999-2006. Separate data from
a PlasticsEurope report (PlasticsEurope, 2009) indicate that,
despite a 3 per cent annual growth in the past decade for
post-consumer plastic waste in EU15, landll amounts have
increased by only 1.1 per cent per year (see Figure 2), thanks
to increases in recycling and energy recovery.
Sources of plastic waste vary by region, for example, shipping
and sheries are signicant contributors in the East Asian
Seas region and the southern North Sea (Kershaw et al., 2011),
whereas tourism is a major source in the Mediterranean.
Plastic waste accumulates in certain areas of the sea, such as
gyres, which are large rotating currents, which have lower
sea levels near their centres. There are ve major gyres in
the world: the North Pacic, the South Pacic, the Indian
Ocean, the North Atlantic and the South Atlantic. These act
as accumulation zones for marine debris, which is forced into
the centre where winds and currents are weaker (Moore et al.,
2001).
Currents, wave action, and the nature of the continental
shelf and seaoor also aect the distribution of plastic waste.
Harbours and estuaries near urban areas tend to attract large
amounts of plastic waste from recreation and land-based
sources, while more remote beaches tend to be littered with
shing debris (Derraik, 2002). This is supported by ndings
from a study in a conservation area in north-eastern Brazil (Ivar
5
Figure 2. Continued decoupling of plastic waste and landll. From The Compelling Facts about Plastic,
PlasticsEurope (2009) p11.

Plastic Waste: Ecological and Human Health Impacts
Science for Environment Policy | In-depth Reports | Plastic Waste: Ecological and Human Health Impacts November 2011
do Sul et al., 2011) which indicated that 70 per cent of debris
on populated beaches comes from local sources, mainly
tourism activities, while on unpopulated beaches, non-local
sources account for 70 per cent of plastic waste, mainly from
shing and domestic activities, such as household waste from
rivers and onshore, as well as waste from transiting ships.
Although it is important to try and determine sources of
plastic waste for developing and monitoring policy, it should
be remembered that the distinction between land-based and
sea-based sources is irrelevant for prevention, as all plastic
is produced on land. If we are to reduce overall amounts of
plastic waste, the land is where the greatest eorts need to
be made.
1.2 Categories of plastic waste
Categorisation can help us understand plastic waste and
identify sources. However, most classications have a purpose
and waste is often categorised with a specic goal in mind.
For example, a waste classication designed to support a
recycling programme would identify commonly recycled
plastics (Barnes et al., 2009). Classication can also depend on
policy, for example, Moore et al. (2011) conducted a study on
plastic debris in two Californian rivers that categorised pieces
as below or above 4.5mm, because Californian law denes
rubbish as being 5mm or greater.
One of the most fundamental categorisations is into pre- and
post-consumer plastic waste. Pre-consumer plastic waste is
produced during manufacturing or converting processes,
while post-consumer plastic waste is produced after a product
is consumed or used. Pre-consumer plastic waste often
consists of small pellets that are used to make larger plastic
objects. Many statistics are concerned with post-consumer
plastic waste. In 2008, the EU-27, Norway and Switzerland
were estimated to generate a total of 24.9 megatonnes of
post-consumer plastic waste (PlasticsEurope, 2009). This was
further categorised according to function. (See g. 4)
At sea, plastic waste is often categorised into macro- (over
20mm diameter), meso- (5-20mm diameter) and micro-
(under 5mm diameter) plastics. Very small microplastics are
barely detectable, and for practical purposes, microplastics
are usually dened as those that range from 5mm to 333
micrometres (µm). Practically, this is the lower limit because
333µm mesh nets (‘Neuston nets’) are commonly used for
sampling (Arthur et al., 2009). However, methods, such as
‘Fourier Transform infrared spectroscopy’, can detect particles
less than 1.6µm. Macroplastics can be further categorised
according to type of object, for example, bottle, bag or lid.
1.3 Microplastics: sources and categories
Microplastics are a signicant issue in plastic waste, partly
because they are more dicult to monitor, and partly because
they may have greater impacts at a chemical and physical
level on ecosystems and human health, owing to their size
and large volume-to-surface area ratio.
In the ocean as well as on land, plastics tend to fragment into
smaller particles. This can be aided by the action of ultraviolet
(UV) radiation, waves and wind. In landlls, leachate acidity
and chemicals can break down plastics. In the sea, water
absorbs and scatters UV so plastics oating near the surface
will break down more rapidly than those at depth. For those
on the seabed, breakdown is signicantly slower since there is
no UV radiation and temperatures are colder.
6
Box 2 MSFD indicators of marine debris to measure good environmental status:
1. Trends in the amount, distribution and composition of marine debris on coastlines.
2. Trends in marine debris in the column and deposited on seaoor.
3. Trends in the amount, distribution and composition of micro particles (mainly microplastics)
4. Trends in the amount and composition of marine debris ingested by wildlife.
Figure 3. Main sources and movement pathways for plastic in the ma-
rine environment. (from UNEP Year Book, Kershaw et al., 2011)

Plastic Waste: Ecological and Human Health Impacts
Science for Environment Policy | In-depth Reports | Plastic Waste: Ecological and Human Health Impacts November 2011
Plastic fragments can also come from the use of plastic particles
as abrasives in ‘sandblasting’ and exfoliants in cosmetics (Barnes
et al., 2009; Andrady, 2011), from spillage of pre-production
plastic pellets and powders used for moulding plastic objects,
as well as from plastic items deliberately shredded on board
ships to conceal plastic waste in food waste (Barnes et al.,
2009). These sources are known as primary microplastic
sources, whereas secondary microplastics are those formed
from breakdown of larger plastic material (Arthur et al., 2009).
The relative importance of primary and secondary sources of
microplastics to the environment is unknown and addressing
this gap could help inform measures to mitigate and prevent
microplastic pollution (Arthur et al., 2009).
Andrady (2011) provides a comprehensive review of the
degradation processes of plastics under marine conditions
and the origin of microplastics. The review raises the concept
of nanoplastics. These are engineered plastic nanoparticles
derived from post-consumer waste via degradation. Although
they have not been quantied yet the review suggests there is
little doubt that weathering of plastic can produce nanoscale
particles, which could potentially be easily absorbed by
phytoplankton and zooplankton (Andrady, 2011).
Another potential secondary source of degradation into
microplastic is through digestion by wildlife, which also
transport plastic waste. Van Franeker (2011) suggest that
fulmars (a type of seabird) reduce the size of plastic particles
in their muscular stomach and excrete them back into the
environment in the form of microplastics. They estimate that
fulmars reshape and redistribute about 630 million plastic
particles every year, representing about six tons in plastic
mass.
7
Figure 4. Proportion of post-consumer waste in EU-27, Norway and
Switzerland according to function, 2008. From Plastic Waste in the Envi-
ronment, Mudgal et al.(2011)

Plastic Waste: Ecological and Human Health Impacts
Science for Environment Policy | In-depth Reports | Plastic Waste: Ecological and Human Health Impacts November 2011
As production and use of plastic has increased over the
years, a large amount of plastic waste has accumulated in
the environment. As a durable material, it is also persistent.
Recycling and recovery rates may be improving, but the actual
amount of plastic waste produced remains roughly the same
and adds to existing waste.
There is little information on the amounts, rates, fate or impacts
of plastic waste on land, whereas there has been a major eort
to quantify impacts on shorelines and sea (Barnes et al., 2009).
If it is not recycled or recovered, most plastic waste is disposed
of in landll sites where, although not visible, it may still come
to the surface as ‘debris’. In addition, the conditions within
landll may cause the chemicals contained within plastic to
become more readily available to the environment (see section
3.6). This is a particular concern in developing countries where
landll management is not as closely monitored as in the EU.
2.1 Between land and sea - Monitoring plastic waste
on coastlines
Although it is dicult to determine source and type of plastic
at sea, particularly if it is weathered or partially degraded by
sunlight, there are several methods to monitor plastic waste in
the marine environment, including beach surveys, surveys at
sea and monitoring species aected by plastic waste.
Beach surveys vary in their sampling protocols. For example,
they can record the number of items and/or the mass of waste,
and can dier in the areas covered and whether they include
buried litter. There is debate on whether standing ‘stocks’ of
plastic waste should be recorded, i.e. snapshots of plastic
waste at points in time, or rates of accumulation, i.e. how much
plastic waste accumulates per unit of time. The latter requires
an initial clean-up of the area, which is dicult, particularly for
microplastics.
Plastic waste monitoring is usually embedded in the
monitoring of general marine litter. The OSPAR (Oslo Paris
Convention for Protection of the Marine Environment of
the North-East Atlantic) Pilot Project on Monitoring Marine
Beach Litter in the North Sea was one of the rst region-wide
projects in Europe to develop a standard method to monitor
marine litter found on beaches. It identied the sources and
quantitative trends in marine litter on the beaches of nine
countries within the OSPAR network. This conrmed that the
predominant type of marine litter is plastic. On the Greater
North Sea coast, plastic dominated with the highest levels in
the north where it made up 80 per cent of beach litter; on
average there were 900 items of litter per 100m of beach.
Lower percentages of plastic were found further south, where
it made up 75 per cent of items on the Southern North Sea
coast (out of 400 items per 100m), 70 per cent on the Celtic
Sea Coast (out of 650 items per 100m) and 62 per cent on the
Iberian Coast and Bay of Biscay (out of 200 items per 100m)
(OSPAR, 2007). These plastic items were classied according
to type (see Figure 5), with plastic/polystyrene pieces smaller
than 50cm dominating.
Overall quantities of plastic waste on OSPAR beaches
uctuated between 2001 and 2006 with no discernible
pattern. The composition of the plastic waste also changed,
particularly for plastic/polystyrene (see Figure 6). It is dicult
to nd a consistent trend over time for plastic waste both on
beaches and at sea. This lack of pattern is likely to be partly
because plastic debris in the marine environment is always
moving. Barnes and Milner (2005) found no consistent trend in
general debris in northern hemisphere shores, but there were
increasing densities throughout the 1980s, 1990s and early
2000s in the southern
hemisphere with the
highest increases at
high southern latitudes.
More recent data (Barnes
et al., 2009) suggests
that patterns of debris
accumulation may be
stabilising on islands
(those considered were
South Orkney, South
Georgia and NW Hawaii).
A relatively new survey
method combines the use
of aerial photography and
in situ measurements.
This calculates the mass
8
2.0 STATE OF PLASTIC WASTE IN THE ENVIRONMENT
Figure 5. Composition and numbers of marine litter items found on beaches within OSPAR network. From Marine
litter Preventing a Sea of Plastic (2009), OSPAR Convention

Plastic Waste: Ecological and Human Health Impacts
Science for Environment Policy | In-depth Reports | Plastic Waste: Ecological and Human Health Impacts November 2011
of litter per unit area using a sample and then combines it with
balloon-assisted photography to dene the area covered by
litter. On an island beach surveyed in Japan, the mass of litter
was calculated to be 716 kg, 74 per cent of which was plastic
(Nakashima et al., 2011). Despite being measured by weight,
55 per cent of the plastic waste was light plastic. Polyethylene
was the most common type found and the study suggested
further research is needed to determine if lighter plastics, such
as polyethylene, are more readily transported by winds and
currents than heavier plastics, such as PVC which tends to sink
and so is subject to dierent patterns of transportation than
plastic on the surface. From -their pilot project, OSPAR have
developed a set of guidelines for monitoring marine litter
on beaches (OSPAR, 2010a) that sets out recommendations
on selecting reference beaches, sampling, timing and
identication of litter. As part of Cheshire et al.’s (2009) UNEP/
IOC Guidelines on Survey and Monitoring marine litter, there is
also a set of operational guidelines for comprehensive beach
litter assessment. More informally Ryan et al. (2009) have set
out best practices for beach surveys (see Box 4).
2.2 The marine surface - monitoring plastic waste
oating at sea
Surveys at sea are more costly and challenging than beach
surveys and can only assess standing (or oating) stocks rather
than accumulation rates, because it is impossible to perform
a complete clean-up. Amounts of oating debris can be
estimated either by direct observation or by net trawls.
Most observation surveys are conducted from ships or small
boats. Aerial surveys have also been used which have the
advantage of covering large areas but the disadvantage of
only detecting large items of waste (Ryan et al., 2009). In 2008,
an assessment prepared by MED POL (the marine pollution
assessment and control component of the Mediterranean
Action Plan) reported nding 2.1 items of general debris
per km2 oating in the Mediterranean Sea (observation with
binoculars) and 83 per cent of this waste was plastic (UNEP,
2009). All observation surveys suer discrepancies between
individual observers (inter-observer variability), but variability
can also occur for other reasons, such as meteorological
conditions, ocean currents and the constant movement of
plastic waste. For example, in a visual survey of general debris
conducted in the northwestern Mediterranean 15-25 items
per km2 were reported in 1997, and just 1.5-3 items per km2
were reported in 2000 (Aliani et al., 2003).
In general, net-based surveys tend to be less subjective.
Most research has been done using Neuston or Manta trawl
nets, which have a small mesh (usually 0.3mm, and small net
opening and thus focus on microplastics). Manta trawls have
been used to sample and characterise the large gyre systems
in the oceans with elevated amounts of clustered marine litter
(Pichel et al., 2007). One of the most well known research
programmes that use this method is the Algalita Centre, which
regularly monitors the North Pacic Subtropical Gyre (see
Figure 7). In 1999, they reported just under 335,000 items of
plastic per km2, weighing 5.1 kg per km2 (Moore et al., 2001).
9
Figure 6. Changes in composition of marine items found on beaches
within OSPAR network. Diagram from Marine Litter Preventing a Sea of
Plastic (2009) OSPAR Commission
Box 3 Local variability in plastic waste
A study in Portugal (Frias et al., 2011) researched plastic
debris on mainland coasts. This found that out of 9655 plastic
items identied from 10 beaches, about 85 per cent were
plastic fragments, plastic pellets and styrofoam. There was a
decrease in volume of plastics from north to south, probably
because north-south main currents carry and deposit
plastic debris from both land-based and sea-based sources.
Box 4 Best practices for beach surveys of
plastic waste, Ryan et al (2009)
• Record litter from the sea-edge to the highest area
at the top of the beach where debris is deposited
(strandline)
• Record both the mass and the number of items of
plastic waste
• Categorise according to composition and function
• Ideally sample across a network of sites
• Sampling of meso-debris should be done with a
combination of methods

Plastic Waste: Ecological and Human Health Impacts
Science for Environment Policy | In-depth Reports | Plastic Waste: Ecological and Human Health Impacts November 2011
Investigation into the physical and chemical composition
of plastic waste is limited, although there has been a recent
study of the composition of plastic debris in the western North
Atlantic Ocean (Moret-Fergusson et al., 2010). This found that
more than 88 per cent of particles were less than 10 mm in
length and 69 per cent measuring between 2 and 6 mm. Over
time the percentage of smaller sized particles has increased.
In the 1990s, 16 per cent of plastic particles were 10mm or
larger, while in a more recent study period, only 6 per cent
were 10 mm or larger. This could indicate that mechanical
abrasion and photochemical breakdown are causing plastic
particles to decrease in size.
Secondly, the study indicated that the density of plastic
particles on coastlines was similar to that of virgin plastics i.e.
the plastic had changed little from its original form, whereas
at sea the density of plastic particles were greater, indicating
a change from its time at sea. This was thought to be due to
biomass accumulation on the plastic or biofouling, which is
likely to increase the density of the plastic. The researchers
suggest that data on particle density could help us understand
what types of plastics are sinking or oating and the potential
impact of plastics on wildlife.
Methods to ascertain composition of plastics tend to rely
on ‘Fourier transform infrared spectroscopy’. However,
Moret-Fergusson et al. (2010) suggest that this technology
is scarce and expensive, and propose a simpler alternative
for establishing composition, which analyses the amount of
carbon, hydrogen and nitrogen in plastic. This method may
be cheaper, but it is not as accurate and requires combusting
samples of plastic. Infrared spectroscopy methods are under
further development and may become cheaper in the future.
2.3 Monitoring plastic debris in rivers and estuaries
Studying plastic waste in rivers and estuaries could prove
useful in trying to identify sources. Browne et al. (2010)
investigated the composition of plastic debris on the banks
of a UK estuary from both the surface and the underlying
3cm of sediment. Out of the 952 items found, microplastic
(less than 1mm) accounted for 65 per cent of debris and
mainly (80 per cent) consisted of the denser plastics such as
PVC, polyester and polyamide. Macroplastics tended to be
less dense. There are a number of possible explanations for
this. For example, it could be that denser plastics are more
likely to suer weathering as they are in contact with abrasive
particles in sediment, or it could be that denser microplastics
are easier to distinguish from the sediment so appear to
be more abundant. The research found a larger amount of
microplastics at the more exposed sites towards the mouth of
the estuary where debris is likely to experience strong wave-
action and abrasion. Another possible source is the discharge
from sewage treatment, as domestic laundry may act a source
of bres or microplastics.
Galgani et al. (2000) suggest that strong currents in large
rivers may transport litter oshore while in the smaller
rivers, where currents are weaker, the litter tends to become
beached in the estuaries. As existing research indicates, there
is much speculation about the reasons for the composition
and distribution of plastic debris and much still needs to be
done on the major inuences to identify where policy can
be eective. Moore et al. (2011) studied quantity and type
of plastic debris from two urban rivers to coastal waters and
beaches in Southern California. Using nets in the rivers they
found 2.3 billion pieces over 72 hours, which weighed 30,500
kg. The majority were foams, such as polystyrene (71 per
cent), followed by ‘miscellaneous fragments’ (14 per cent),
pre-production pellets (10 per cent) and whole items (1 per
cent). 81 per cent of all plastics were between 1 and 4.75 mm
(the size above which California ocially classies them as
rubbish). The study suggests more systemic monitoring could
provide a picture of how much debris is being transported
by rivers, which in turn could provide a baseline to support
decisions by policymakers on how to prevent plastic entering
rivers.
2.4 Monitoring plastic waste in the water column and
on the seaoor
Most studies tend to sample oating plastic debris, but it is
also important to monitor suspended plastic and plastic on
the sea bottom. Bongo nets can be used to sample suspended
debris, while trawl surveys, scuba diver surveys, and submarine
vehicles can be used to sample plastic waste on the sea
bottom. Data from the KIMO (Kommunenes Internasjonale
Miljøorganisasjon) ‘Fishing for Litter’ activities organised
by national governments in the Netherlands, Scotland and
the United Kingdom found that plastic made up a large
percentage of marine litter on the seabed.
For example, in Scotland 55 per cent of the 3464 items of
marine litter recovered (which made up 117 tonnes in weight)
were plastic (KIMO, 2008). In their study of benthic marine
litter, Galgani et al. (2000) found relatively lower percentages
of plastic in the Celtic Sea, the Baltic Sea and the North Sea
(30 per cent, 36 per cent and 49 per cent, respectively) while
10
Figure 7. Algalita Research Centre monitoring. Weight density
refers to the total weight of plastic particles found per cubic
metre of water. The larger the circle on the map, the greater
the weight of plastic particles found at that particular site.

Plastic Waste: Ecological and Human Health Impacts
Science for Environment Policy | In-depth Reports | Plastic Waste: Ecological and Human Health Impacts November 2011
in the north-western Mediterranean, the East English Channel
and Bay of Seine, the percentages were higher (77 per cent, 85
per cent and 89 per cent, respectively).
The gures are most concerning for the north-western
Mediterranean where the level of litter is much higher than
other regions at just under 20 items per hectare (ranging
between 0 and 78 items), which means there are, on average,
15 items of plastic waste per hectare, most of which are plastic
bags. Other regions had between 1 and 6 items of marine
litter per hectare. As well as regional variability, there was also
seasonal variability, for example, in the Bay of Biscay there are
approximately two items of marine litter per hectare during
the summer and 14 items per hectare in winter. Most of the
items were plastic (92 per cent) and out of those, the majority
(94 per cent) were plastic bags.
The densely populated coastline, shipping and limited tidal
ow or water circulation which traps the bottom debris
may be responsible for the large amounts of plastic waste
in Mediterranean sites. High sediment accumulation also
tends to trap plastic. Large rivers are responsible for inputs of
plastic debris to the seabed and collections are often found
around the river mouth. At a smaller scale, there is a high
concentration of plastic around rocks and in channels or
canyons, particularly on the continental shelf (Galgani et al.,
1996). As most polymers degrade through exposure to UV
radiation, it is likely that plastic on the sea oor will be even
more persistent than that on the surface or on the
beach.
Just as plastic waste moves on the surface of the
sea and from the sea to the coast, it can also move
vertically. So-called ‘biofouling’ or accumulation of
micro-organisms, plants or algae onto plastic debris
causes it to become heavier and eventually sink. In
their sample of plastic debris in the western North
Atlantic Ocean, Morét-Ferguson et al. (2010) found
that the range in specic gravities (specic gravity is
the ratio of the plastic density to the density of water)
was 0.808 to 1.24 grams per milliliter. This range
was greater than most virgin plastics and indicated
that the plastics had been subject to fouling. They
also found that the plastic in the sea had a dierent
specic gravity to plastic debris found at the beach,
suggesting that plastic undergoes changes when it
is at sea.
Lobelle and Cunlie (2011) investigated the formation
of lms of micro-organisms (biolms) on plastic waste
in the sea and found that lms developed rapidly and
were visibly apparent after one week. By three weeks,
the plastic started to sink below the surface. These
data could help identify what types of plastic are
oating or sinking, and which are therefore potential
hazards for either surface-feeding or seaoor-feeding wildlife.
Establishing the size, mass and composition of plastics that
persist in the ocean is important for understanding the
impacts of plastics (Morét-Ferguson et al., 2010)
2.5 Trends in plastic waste over time
It is dicult to nd any clear patterns in the quantities
of plastic waste over time. In some regions, and over some
timescales, there appears to be an increase, whereas in others
there may be a short-term decline and then stabilisation. This is
evidenced by the ndings from the OSPAR survey (see Figure 9).
As yet, no studies have found evidence of a continuing decline
in the quantity of plastic debris in the oceans over time and
the majority of studies show considerable variability between
sampling dates and therefore give little evidence of temporal
trends. The monitoring data we have is mostly from beaches
or surface waters. There is evidence that plastics are sinking
from the sea surface to the seabed with substantial quantities
observed by submersibles, there are also reports of plastic
debris accumulating beneath the surface in beach sediments.
Hence movement of debris away from the compartments
that have traditionally been monitored will also inuence
our ability to detect underlying trends in the accumulation
of debris (Thompson, 2011, in correspondence). As plastic
is continually being manufactured and notoriously dicult
11
Figure 8. Litter ( items/ hectare) on the sea bed in the channel (x) and the gulf of
Lion (y) 1998 -2010. Data collected from International Bottom Trawl Surveys from
the IBTS and MEDITS programs in France (Source: Galgani, F. IFREMER).

Plastic Waste: Ecological and Human Health Impacts
Science for Environment Policy | In-depth Reports | Plastic Waste: Ecological and Human Health Impacts November 2011
to degrade, plastic waste could be moving to areas where
it cannot be monitored, either in an inaccessible location
(buried or in the deep sea), or because it has been ingested
by wildlife. It could also have changed into microplastic that is
more dicult to monitor.
2.8 Microplastics: monitoring trends
The MSFD species that trends in micro-particles,
especially microplastics, should be an indicator of
marine debris to determine good environmental
status. However, the sampling of microplastics is still
in its infancy. With beach surveys it is not possible to
conduct accumulation studies as they require an initial
clean-up, and, when sampling is performed, it needs to
be done by sieving, typically to a depth of 50 mm and
then sorting by oating in seawater (Ryan et al., 2009).
Various studies at sea have indicated that microscopic
plastic fragments and bres are widespread. Browne
et al. (2007) reported that microplastics account for
80 per cent of the number of stranded plastics in the
Tamar Estuary, UK (see Figure 10), and Moore et al.
(2011) reported that microplastics contribute about
80 per cent by count of total plastic debris in Los
Angeles watershed. Browne et al. (2010) indicated that
microplastics tend to be composed of denser plastics and are
more abundant at the mouth of the river. Microplastics often
become part of the sediment, both on the beach and on the
sea bottom. Currently it is unclear whether this sedimentation
could actually act as a sink for microplastics and alter their
exposure to the environment and wildlife (Zar et al., 2011).
KIMO Sweden has assessed the abundance of microscopic
plastic particles that are less than 4.5mm in Swedish west
coast waters (Norén, 2007). A considerably higher amount
of microplastic particles was found using an 80µm mesh,
compared to using a 450µm mesh, to concentrate the water
samples. Up to 100,000 times higher concentrations, (150-
2400 per m3), of small plastic bres were retained on an 80µm
mesh with the highest concentration (102,000 per m3) found
locally in the harbour outside a polyethylene production
plant. This illustrates the impact of dierent methodologies
on ndings and local inuences.
A study in the Hawaiian island of Kauai investigated the
degradation processes involved in production of microplastic
by analysing the relationships between particle composition
and surface texture on plastics collected from beaches
(Cooper & Corcoran, 2010; Corcoran et al., 2009). Over ten days
of sampling, the research found that, on average, 484 pieces
of plastic were deposited on the beach daily. Results indicated
that both chemical breakdown (usually caused by sunlight
exposure) and mechanical breakdown (usually from the
motion of currents and abrasion against rock and sand) are
occurring. Examination of texture indicated that mechanical
erosion had occurred on most samples, for example impacts
caused fractures, sand abrasion caused grooves, and the eects
of salt caused notches. Pits were identied on almost half of
the plastic samples, indicating the occurrence of chemical
12
Figure 9. Trends in the average number of marine litter items
collected on reference beaches over three time periods. OSPAR
Quality Status Report, chap 9: other human uses and impacts, 2010b.
Figure 10. Identity and composition of plastic debris collected from
the strandline of the Tamar Estuary (UK) From Browne et al. (2010)

Plastic Waste: Ecological and Human Health Impacts
Science for Environment Policy | In-depth Reports | Plastic Waste: Ecological and Human Health Impacts November 2011
weathering. There was also a tendency for fractures and edges
in particles to contain oxidation products, which suggested
that fractures created by mechanical weathering were then
favourable locations for chemical weathering, which further
weakens the surface and causes the plastic to become brittle
and break. The results also suggest that polyethylene has the
potential to degrade more readily than polypropylene, as it is
more conducive to the oxidation process. There is a possibility
that additives may provide preferential sites for continued
degradation, as indicated by the small patches of heavily
oxidized areas in otherwise intact plastic pellets.
O’Brine & Thompson (2010) have investigated the degradation
of plastic carrier bags. They studied compostable and oxo-
biodegradable plastics (which contain metal salts to speed
up the degradation process) and found compostable plastics
were completely lost from the wooden platforms to which
they were stapled within 16 to 24 weeks, whereas 98 per
cent of the oxo-biodegradable plastic remained after 40
weeks. Increasing the degradation rates of plastic could
have unintended negative impacts in some cases due to the
possibility that plastic does not fully degrade in the marine
environment and could therefore speed up the creation of
microplastics.
Better methods to isolate microplastics from surface waters,
sediments and organisms are needed, as well as research
methods that produce comparable data across dierent
studies. Where possible, microplastic measurements could be
added to existing and ongoing plankton surveys, especially
in coastal areas (Arthur et al., 2009). At the Joint Group of
Experts on the Scientic Aspects of Marine Environmental
Protection (GESAMP) workshop on this subject there was a
call for a taxonomy of plastic particles in terms of size, shape,
density, chemical composition and properties as well as the
age of particles (Bowmer & Kershaw, 2010). This could be
incorporated into more specic standards that dene Good
Environmental Status in the EU MFSD and help develop
guidelines of sampling and reporting.
2.7 Monitoring the impact of plastic waste on wildlife
One of the major concerns about plastic waste is the
impact on wildlife. The actual impacts and their implications
for biodiversity and environmental health will be discussed
in more detail in section 3.1. Here, impact is considered in
terms of its role in monitoring the state of plastic waste in the
environment. Once again, there is very little research on land-
based wildlife.
Monitoring entangled wildlife can be used to evaluate the
eectiveness of policy. However, it must be remembered
that this type of monitoring indicates changes in abundance
of debris that are responsible for entanglement, which can
vary according to species and location. For example, after
the MARPOL Annex V banned the disposal of plastics at sea,
there was no decrease in entanglement rates of Hawaiian
Monk Seals (Henderson, 2001). This is probably because
most entanglements are due to lost shing gear rather
than plastics disposed by ships at sea. If the monitoring had
considered a species that tended to be entangled by the
type of plastic waste disposed by ships, then the impact may
have been noticeable. With this variability and the relatively
small numbers of entanglements that are recorded, caution
has to be taken when scaling up gures. For example, UNEP’s
general gure of 100,000 mammals dying each year has been
called into question. (National Oceanic and Atmospheric
Administration, 2010).
Ingestion of plastic occurs more frequently than entanglement.
The MFSD has identied ingestion of waste as an indicator for
monitoring environmental status. Ingestion of plastic waste
has been documented in a number of species. For some
species, almost all individuals contain ingested plastic (Ryan
et al., 2009), including sea birds, sh, turtles, mussels and
mammals. Clearly dierent species ingest dierent types and
sizes of plastic debris. Many animals mistake plastic waste for
prey, for example, sh can confuse plastic pellets for plankton,
birds may mistake pieces of plastic for cuttlesh or other prey
13
Box 5 Ryan et al. (2009) – Best practices for at-sea surveys of plastic waste
• Eective monitoring of oating plastics requires huge sample sizes to overcome large variation in spatial
distribution.
• Stratied sampling could be helpful which places similar water masses in the same category before sampling
occurs.
• Probably the best sampling tool is the Neuston net with a 0.33mm mesh
• The continuous plankton recorder (CPR) is a valuable subsurface tool to track changes in microplastic particles
• For shallow waters, monitoring plastic litter on the seaoor can use the same protocols as beach sampling. For
deeper waters, sampling issues have to be considered because variation in the eciency of trawling means
trawling nets may become clogged. Remote cameras may provide a more accurate sampling strategy.

Plastic Waste: Ecological and Human Health Impacts
Science for Environment Policy | In-depth Reports | Plastic Waste: Ecological and Human Health Impacts November 2011
and sea turtles can confuse plastic bags for jellysh (Derraik,
2002; Gregory, 2009). Young birds typically contain more
plastic than adults, probably because they cannot discriminate
between suitable food items, and sometimes parents will
accidently feed plastic to ospring (Ryan, 1988). Other animals
may ingest plastic that is present in their prey, for example,
pelagic sh (those that live between the sea bottom and the
surface) are thought to consume plastic particles and these
sh are then eaten by fur seals.
Recent research on plankton-eating (and pelagic) sh in the
North Pacic Gyre (Boerger et al., 2010) has indicated that 35
per cent had ingested plastic, averaging 2.1 pieces per sh.
However, Davison & Asch (2011) found only 9.2 per cent of
sampled mesopelagic sh (those that inhabit water at depths
from about 200m to 1000m) contained plastic in the North
Pacic Gyre. This study was the rst to account for the potential
bias of ‘net feeding’, which is when sh are more likely to ingest
plastic because the nets that capture them also catch and
concentrate plastic waste. Davison & Asch (2011) suggest that
the higher levels of plastic waste in Boerger et al.’s study could
be the result of net feeding as they used Manta nets, which
have very long tow duration.
To give some idea of the overall level of plastic in sh stomachs,
Davison & Asch (2011) scaled up their ndings to estimate
that mesopelagic sh in total ingest 12,000 to 24,000 tons of
plastic in the North Pacic. However, similar to entanglement,
there is a great deal of variability and caution must be taken
when scaling up or extrapolating gures to cover numbers or
regions larger than the sample.
A study on catsh in an estuary in northeastern Brazil
indicated that between 18 and 33 per cent of individuals had
plastic debris in their stomach, depending on the species of
catsh (Possatto et al., 2011). This illustrates the variability
between dierent species of the same type of sh. Despite the
variability between species, catsh could be a good species
for monitoring plastic ingestion in rivers, as they are both
predators and prey to larger sh.
Seabirds are commonly used to monitor ingested plastics and
the best-known example is the northern fulmar that has been
used by the OSPAR Commission to develop ecological quality
objectives (EcoQOs). It is a convenient species to measure
plastic pollution because it frequently ingests plastic litter,
is abundant in the North Sea, forages exclusively at sea and
retains slowly digesting materials in the stomach. Patterns
have been found over time with types of plastic (Van Franeker
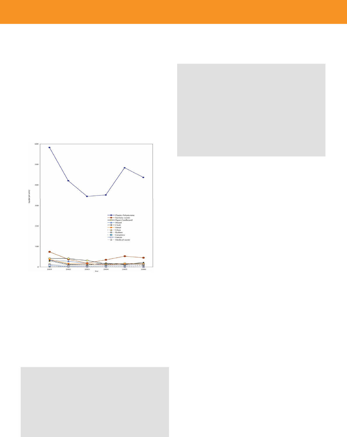
et al., 2011). Figure 11 indicates that the amount of consumer
plastic in fulmar stomachs in the Netherlands increased
almost threefold from the 1980s to 1990s, then decreased,
but is currently stable at a level still above that in the 1980s.
Industrial plastic granules followed a dierent pattern and
almost halved in quantity between the 1980s and 1990s; since
then that trend has slowed to an insignicant level of change.
Overall, the amount of plastic in fulmar stomachs is currently
similar to that in the 1980s, but has a dierent composition
with less industrial and more consumer plastic debris.
From a long-term study, OSPAR have put forward the following
EcoQO that spells out the target and temporal and spatial
frame in which it must be reached:
‘There should be less than 10 per cent of northern fulmars
having more than 0.1g of plastic particles in their stomach
in samples of 50 to 100 beach-washed fulmars found from
each of 4 to 5 areas of the North Sea over a period of at least
ve years.’
The initial suggestion for a target was more strict (less
than 10 per cent of northern fulmars having more than 10
pieces of plastic particles in their stomach, equal to about
0.01g) but it such a target was thought not be achievable.
The 0.1g limit for ten per cent is ambitious but achievable
and currently only occurs in more pristine conditions (Van
Franeker et al., 2011). So far the EcoQO has not been met
in any of the study areas and is probably only achieved in
Arctic populations. From 2005 to 2009, the stomachs of 916
beached fulmars from the North Sea were analysed and the
percentage with more than 0.1g of plastic in their stomach
ranged from 53 per cent to 86 per cent. The English Channel
area is the most heavily polluted with plastics in the North
Sea, while seas around the Scottish Islands are the cleanest
(Figure 12).
14
Figure 11. Amount of user and industrial plastic in Fulmar stomachs in
Netherlands over time. Van Franeker, J.A.; & the SNS Fulmar Study Group
(2011a).

Plastic Waste: Ecological and Human Health Impacts
Science for Environment Policy | In-depth Reports | Plastic Waste: Ecological and Human Health Impacts November 2011
In terms of trends over time in plastic waste found in the
stomachs of fulmars in dierent regions of the North Sea,
the most recent data suggest stability or slow decline in the
southern North Sea, and slow increases in most other areas,
but none of these are signicant (Van Franeker & the SNS
Fulmar Study Group 2011a, see Figure 13). The lack of a clear
trend in marine litter in the North Sea is not dissimilar to the
ndings from beach surveys by OSPAR.
It should be noted that the 10 per cent target established by
OSPAR is not directly related to the current health status of
fulmars, but is more a political choice. It is dicult to establish
a biologically meaningful level because a ‘no eect’ level for
fulmars could still be harmful to other ecosystem components,
and the EcoQO is an indication of the level of litter and only
indirectly of harm to marine organisms from that litter. It
is a ’thermometer’ of the environment and other species
could be aected more or less (Galgani et al., 2010). In order
to harmonise the monitoring of fulmars, a manual has been
produced describing methods, standard forms and codes (Van
Franeker, 2004). The cost of implementing such a monitoring
initiative in the OSPAR region has been estimated at €10,000
per contracting partner (Barnay et al., 2010) when added to
the Dutch basic monitoring program and made into a larger
project. In addition to being a valuable policy instrument,
studying ingestion of plastic waste by wildlife is a useful
communication tool to attract public attention. The image of
a bird with plastic in its stomach makes the ecological impact
of plastic waste very real. However, the fulmar is not present
globally and parallel species for monitoring may need to be
identied in other parts of the world. For areas where fulmars
are not so abundant, the project has initiated pilot studies into
the suitability of another seabird species (Cory’s Shearwater)
for monitoring. In time, it may be useful to monitor other
species, such as mammals, turtles and sh, with standardised
measures. For example, the turtle may be the most appropriate
monitoring species in the Mediterranean. The identication
of marine species or life stages that are most vulnerable to
plastic exposure could be useful to perform exposure studies
in locations likely to be ‘plastic or microplastic hotspots’ as well
as habitats to these vulnerable species (Arthur et al., 2009).
15
Figure 12. EcoQO performance in North Sea regions 2005-2009 and
preliminary trends. Trend shown by connecting running average 5 year
data . From Van Franeker, J.A.; & the SNS Fulmar Study Group (2011a).
Figure 13. Trends in EcoQO performance in dierent regions of the
North Sea since 2002 (by running 5-year average data). Van Franeker,
J.A.; & the SNS Fulmar Study Group (2011a).

Plastic Waste: Ecological and Human Health Impacts
Science for Environment Policy | In-depth Reports | Plastic Waste: Ecological and Human Health Impacts November 2011
Plastic waste has several impacts on the health
of ecosystems and humans. Some of these are
more obvious and clearly proven, for example, the
entanglement of marine wildlife. Others are subtler and
not well understood, such as the transport and possible
concentration of contaminants by plastic waste. Again,
there appears to be more monitoring of ecological and
human health impacts in the marine environment than
on land.
3.1 Harm to wildlife
Although there is little research on the specic
impacts of plastic waste on land-based wildlife, there
is concern that incorrectly managed landlls could lead
to either the escape of plastic waste or the escape of
landll leachate containing the chemicals associated
with plastic. In addition, unocial recycling methods,
particularly in developing countries, can cause the
release of chemicals into the environment, for example,
the burning of plastic coated wires to extract metal. The
possible impacts of the release of these chemicals are
examined in section 3.62 on plastic additives.
UNEP (2006) claims that plastic waste causes the death
of up to a million seabirds, 100,000 marine mammals
and countless sh through various impacts. Although
this gure is useful in raising awareness, it is important
to remember that it has been derived from the scaling
up of smaller samples from a study in Canada (NOAA,
2010). Probably a more accurate representation is that
compiled by Laist (1997), which reported that at least 267
dierent species are known to have suered from impacts
of plastic waste. This includes 86 per cent of all sea turtle
species, 44 per cent of all seabird species and 43 per cent of
all marine mammal species (Laist, 1997). This is likely to be
an underestimate as the list was compiled over ten years ago
and, even with updating, there are probably a large number
of species that have not been studied and therefore impacts
are not included. There is a huge amount of literature on
ingestion and entanglement (Gregory, 2009) and Figure
14 lists examples of known impacts on wildlife in terms of
entanglement and ingestion. This list is far from complete, but
gives a good indication of impacts.
3.2 Entanglement of wildlife in plastic waste
Wildlife entanglement in plastic can happen in a number
of ways and the results can be devastating. The research in
this area tends to be limited to certain species and certain
locations and it is dicult to understand changing rates of
entanglement (Gregory, 2009). Once an animal is entangled it
can drown, incur wounds or be less able to catch food or avoid
predators. Young fur seals have been documented as being
badly aected (Mattlin & Cawthorn, 1986) and it appears the
decline in the Hawaiian monk seal and the northern fur seal
has been aggravated by entanglement of young animals. In
1976 it was estimated that up to 40,000 fur seals were being
killed a year by plastic entanglement (Weisskopf, 1988). There
have also been sightings of whales towing masses of tangled
rope and other debris, including craysh pots and buoys.
(Gregory, 2009).
Major sources of the plastic responsible for entanglement are
abandoned or lost shing nets and pots (also known as ‘ghost
shing’), plastic packing loops, six-pack carriers and plastic
rope (Derraik, 2002; Gregory, 2009). Ghost shing can trap
and kill sh, which can reduce catches for sheries. It is not
16
3.0 IMPACTS OF PLASTIC WASTE ON THE HEALTH OF
ECOSYSTEMS AND HUMANS
Figure 14. Number and percentage of marine species with documented
entanglement and ingestion records from Mudgal et al. (2011) Plastic Waste in the
Environment p114 (adapted from Laist, 1997)

Plastic Waste: Ecological and Human Health Impacts
Science for Environment Policy | In-depth Reports | Plastic Waste: Ecological and Human Health Impacts November 2011
restricted to surface waters as trawl gear can also be caught
during passage across the seabed and, because it is durable,
it is likely to remain there almost indenitely. For example, a
1500 metre long section of net was found south of the Aleutian
Islands containing 99 seabirds, 2 sharks and 75 salmon and the
net was estimated to be adrift for about a month and to have
travelled over 60 miles (US EPA, 1992). Local environmental
conditions inuence the lifetime of a ghost net, for example,
in calm waters the net can continue to ‘sh’ for decades, while
nets in areas of large swell and storm activity are more likely
to be torn apart and destroyed (Allsopp et al., 2006). Derelict
shing gear can also be destructive to coral reefs by becoming
snagged on coral and causing coral heads to break-o. These
can then become caught in the nets and cause more damage
(NOAA, 2005).
3.3 Ingestion of plastic waste
Harm to wildlife caused by ingested plastic will vary,
depending on their digestive system, the amount and type of
plastic ingested and the developmental stage of the animal.
For example, certain birds (procellariiformes – a group of birds
that includes albatrosses) are more vulnerable because they
generally do not regurgitate plastics. When feeding their
chicks, they can regurgitate the contents (including plastics)
of their larger stomachs, but they retain the plastics in their
second muscular stomach. Fry et al. (1987) found that 90 per
cent of Laysan albatross chicks had plastic debris in their upper
tract, most likely the result of feeding by parents. Further
evidence of plastic ingestion by Laysan albatross chicks comes
from studies by Auman et al. (1998) and Young et al. (2009).
One major eect of ingestion is reduced appetite, as it causes
the stomach to feel full. This can lead to starvation. Ryan (1988)
investigated this experimentally by feeding polyethylene
pellets to domestic chickens. Results indicated that ingested
plastics reduced the volume of the stomach and therefore
the meal size. Spear et al. (1995) provided evidence that the
higher the number of plastic particles ingested, the worse
the physical condition (body weight) is in seabirds from the
tropical Pacic.
Ingestion of plastic can cause more serious blockage of the
digestive tract and internal injuries. Sea turtles have been
particularly prone to this, but studies dier in their ndings
according to the geographical area. Tomás et al. (2002) found
that plastic debris had been ingested by over three quarters
of a sample of loggerhead turtles caught by shermen in the
western Mediterranean, while Casale et al. (2008) found about
half of their sample in the central Mediterranean had ingested
plastic. Lazar and Gracan (2011) found just over a third of sea
turtles had ingested plastic debris. This indicates geographical
and possibly temporal variation in recordings of plastic waste
ingestion, despite research involving the same species.
Among cetaceans (mammals best adapted to aquatic life), at
least 26 species have been documented with plastic debris
in their stomach (Denuncio et al., 2011). A recent study on
Franciscana dolphins accidently captured by sheries in
Argentina found that 28 per cent of the sample had plastic
debris in their stomachs (Denuncio et al., 2011). Packaging
debris (cellophane, bags and bands) was found in just under
two thirds of these dolphins, while just over a third had
ingested shery gear fragments (monolament lines, ropes
and nets). Ingestion of plastic was high in recently weaned
dolphins, possibly because young dolphins are still learning
how to catch prey and misidentied plastic as food. It is also
at this life stage when heavy metals, such as mercury and
cadmium, start to bioaccumulate (Gerpe et al., 2002). It could
be that, although ingestion of plastic debris on its own is not
lethal, when it combines with other impacts, it could cause a
lethal cumulative eect. In turn, this interaction could be more
likely at certain points in an animal’s life, such as just after
weaning in the Franciscana dolphin. This type of information
could be useful for conservation management.
Murray and Cowie (2011) investigated plastic ingestion by
Nephrops norvegicus (langoustines). They found 81 per cent
of their sample contained plastics, mainly in the form of
laments, but also in tightly tangled balls of plastic strands.
In a parallel experimental study, they also found that N.
norvegicus that were fed with sh containing plastic did
ingest the strands, but did not excrete them. Although the
ecological impacts are uncertain, this is a commercial species
shed on a large-scale and the presence of plastics in their
stomach may have implications for human health, particularly
in terms of chemicals moving from the plastic into the esh
(see section 3.6).
3.4 Ingestion of microplastics
The specic impacts of microplastics is a growing concern
and also an area that is not well understood (Browne et al.,
2008), as it is dicult to quantify microplastics in animal
tissues. Experimental studies have revealed that amphipods,
barnacles and lugworms ingest microplastics (Thompson et
al., 2004). Studies on mussels (Browne et al., 2008) indicate that
microplastics are translocated from the gut to the circulatory
system within 3 days and then persist in circulation for over
48 days. The research also found a higher number of smaller
particles (3.0 µm microspheres) in the circulatory fluid than
larger particles (9.6 µm microspheres), which indicates that
17

Plastic Waste: Ecological and Human Health Impacts
Science for Environment Policy | In-depth Reports | Plastic Waste: Ecological and Human Health Impacts November 2011
these smaller particles have greater potential for accumulation
in tissues of organisms. The study did not nd any signicant
toxicological eects, but these may occur over a longer
period of exposure (as might occur in a natural environment).
Research on the nal fate of microplastics after ingestion is still
sparse and more knowledge is needed on the processes by
which they move into the circulatory system.
3.5 Sub-lethal eects of ingesting plastic waste
On a few occasions it can be condently inferred that
ingestion of plastic waste has caused death, for example, one
juvenile turtle in Lazar and Gracan’s study (2011) had ingested
enough plastic to occupy a major part of the stomach and
was very likely the cause of death. Such observations are
rare. Nevertheless, there are numerous sub-lethal eects
of ingesting plastic waste and more research is needed to
understand these and to determine if animals can pass plastic
through the gut or if some plastic remains throughout the
life span (Boerger et al., 2010). This could inform mitigation
of negative impacts before populations become threatened,
rather than waiting for population decline (Williams et al.,
2011). Eects associated with chemicals that are part of plastic
or transported by plastic may also be sub-lethal (see section
3.6). There could also be other impacts not necessarily linked
to digestion, for example, plastic ingestion could increase the
buoyancy of sh making it dicult for mesopelagic sh to
return to deeper waters (Boerger et al., 2010).
It has been suggested that research on ingestion may be
skewed, in that animals studied are those that have been
stranded and might have had ‘abnormal’ foraging patterns
before their death. However, in their study of northern fulmar
monitoring, van Franeker & Meijboom (2002) compared birds
that were found stranded and died of starvation to those that
died accidentally, such as from collision, and found the same
amount of plastic within the stomachs of the two groups. This
indicates that those birds found stranded can be considered
representative of the ‘healthy’ population. Similar assessments
will be needed when initiating monitoring work that uses
other species.
Research in British Columbia, Canada, (Williams et al.,
2011) has attempted to identify where marine animals and
marine debris overlap by mapping and super-imposing
the distribution of both. They combined survey results and
modelling on both the distribution of marine debris and
the distribution of 11 marine animals. Areas of overlap were
identied and the researchers suggest that high-overlap areas
should be prioritised for future research. They also highlight
the fact that many of the species most likely to ingest plastic
are not protected species and there is little incorporation of
vulnerability to plastic debris ingestion or entanglement into
conservation policy.
Although this study has used modelling to estimate the larger
scale impacts its dataset was limited and it is still very dicult
to quantify population level deaths or eects. There is a need
for more co-ordination between data and regions. Any scaling
up must be done to an optimum level, i.e. at an appropriate
regional scale, as there is high geographical variability in the
level of plastic waste.
3.6 Possible impact of chemicals on human health
and ecosystems
A lesser-known impact that could result from ingestion,
entanglement and inadequate waste management is the
impact of chemicals on humans and ecosystems, either
contained in plastic or transported by plastic waste. Plastic is
not inert, but contains several chemicals with toxic potential.
It also has the potential to transport contaminants. Although
much is known about the impact of actual chemicals
themselves, there still remain many questions about the role
of plastic and plastic waste in exposing humans and wildlife to
these chemicals.
3.6.1 Toxic monomers
Polymers are composed of repeating subunits, or
‘monomers’, and some of the major plastics (for example, PVC
and polystyrene) have been found to release toxic monomers
linked to cancer and reproductive problems (Marcilla et al.,
2004; Garrigos et al., 2004). Often, during plastic production,
polymerisation reactions are not complete and the unreacted
monomers can be found in the nal material. Polymers can
also be broken up into monomers by heat, UV radiation,
mechanical action and other chemicals. Lithner et al. (2011)
compiled an environmental and health hazard ranking of
55 polymers based on the hazard classications of their
component monomers from the EU classication, labelling
and packaging regulation. Thirty-one of these were made
from monomers that belong to the two worst hazard levels
and many have high global annual production. The study
indicated that PVC should receive extra attention because it
contains a carcinogenic monomer and is produced globally in
large quantities. The study did not include risks from additives
and this could increase the hazard ranking of many polymers.
18

Plastic Waste: Ecological and Human Health Impacts
Science for Environment Policy | In-depth Reports | Plastic Waste: Ecological and Human Health Impacts November 2011
3.6.2 Plastic Additives
Plastic contains chemicals or additives to give it certain
properties. There is a wide range of additives, but probably the
most relevant to ecology and human health are the following:
1. Bisphenol A is a monomer that is used to make the
hard, clear plastic in polycarbonate food and beverage
containers, CD cases and many other consumer products.
It is an endocrine disruptor and acts like the female
hormone oestrogen. It leaches in variable amounts
and for dierent lengths of time, depending on the
product and conditions, i.e. it is released more easily at
higher temperatures and with changes in acidity. Early
development appears to be particularly sensitive to its
eects, with a growing body of evidence for associations
with chronic disease, including cardiovascular disease
and type 2 diabetes and with hormonal changes in adults
(Lang et al., 2008, Galloway et al., 2010, Melzer et al., 2011).
Experiments on animals have revealed that Bisphenol
A (BPA) causes various impacts on their reproductive
systems, as well as increases in body weight and insulin
resistance (Ben-Jonathan et al., 2009). A major concern is
that these adverse eects relate to current disease trends
in human populations, such as increases in prostrate
cancer, breast cancer, sperm count decreases, miscarriage,
obesity and type 2 diabetes (Oehlmann et al., 2009).
2. Phthalates (diesters of 1,2 – benzenedicarboxylic acid) are
a group of industrial chemicals used as plasticisers, which
make plastics, such as PVC, more exible or resilient. They
are extremely widespread and are found in items including
toys, food packaging, hoses, raincoats, shower curtains
and vinyl ooring. High-molecular weight phthalates (e.g.
di(2-ethylhexyl) phthalate, DEHP) are primarily used as
plasticisers, but the low-molecular weight phthalates (e.g.
diethyl phthalate, DEP) are used as solvents in personal-
care products. This means the sources of phthalates in the
environment are numerous. Certain phthalates have been
shown to function as endocrine disruptors, and to have
anti-androgenic activity. They are not chemically bound
to the plastic matrix, which means they can easily leach
out of products to contaminate the environment (Talness
et al., 2009; Meeker et al., 2009). There is experimental
evidence of negative impacts on reproductive systems
of animals and these resemble human reproductive
disorders, especially testicular dysgenesis syndrome,
indicating a possible link between phthalate exposure
and human disease. However, the dosages in animal
studies are likely to be much higher than exposure levels
to humans. Links have also been made between phthalate
exposure and obesity and allergies.
3. Brominated Flame Retardants are deemed necessary
in plastics for safety reasons. Common examples of
these are polybrominated diphenyl esters (PBDEs) and
tetrabromobisphenol A (TBBPA). They are added to a
variety of consumer products, including textiles and
thermoplastics used in electronics, e.g. televisions and
computers. Studies indicate that PBDEs and TBBPA have
hormone-disrupting eects, in particular on oestrogen
and thyroid hormones, and that exposure to PBDEs impairs
development of the reproductive and nervous system.
The potential harmful eects of these chemicals have been
documented (for reviews see Talsness et al., 2009; Meeker et
al., 2009; Oehlmann et al., 2009; Hengstler et al., 2011), as has
their presence in the environment and within the biological
systems of wildlife and humans (Koch & Calafat, 2009). There
is some variation across dierent demographic groups and, of
particular concern, is the higher concentrations of Bisphenol A
and phthalates in young children (Koch & Calafat, 2009).
Bisphenol A and phthalates are rapidly metabolised once
ingested but their concentration within the tissues varies
between species for the same exposure. The bioconcentration
factor is the concentration of a chemical within the tissue of the
species compared with its concentration in the surrounding
environment. For example bioconcentration factors of the
phthalate DEHP (bis(2-ethylhexyl)phthalate) are between 42
and 842 in sh, but they are 3600 for an amphipod and 2500
for a type of mussel (Oehlmann et al., 2009).
A review by Talsness et al. (2009) has identied several studies
that demonstrate BPA is leaching from products that have been
thrown into landlls and entering groundwater, contaminating
rivers, streams and drinking water. Because BPA breaks down
slowly, the compound could build up in waters and harm sh
and other aquatic life. Research on 10 landll sites in Japan
(Yamamoto et al., 2001) found concentrations of BPA ranging
from 1.3 to 17,200 µg per litre with a median concentration of
269 µg per litre. In some cases, the concentrations exceeded
the level above which it is considered toxic to aquatic biota.
Plastic waste was the major type of waste in landlls with the
highest levels of BPA, indicating that plastic waste was an
important source of the BPA.
Teuten et al., (2009) suggested that the migration of
additives from plastic to the landll leachate depends on
several factors, including the pore size of the plastic, the
molecular size of the additive and the nature of the leachate,
in terms of its acidityand organic content. By comparing
19

Plastic Waste: Ecological and Human Health Impacts
Science for Environment Policy | In-depth Reports | Plastic Waste: Ecological and Human Health Impacts November 2011
studies on endocrine disrupting chemicals in tropical Asian
countries, Teuten et al. (2009) found evidence that the more
industrialised countries (Malaysia and Thailand) had higher
BPA concentrations in landll leachate than less industrialised
countries (e.g. Laos and Cambodia). They suggested that the
most probable reason for this is the greater use of plastics in
the industrialised countries, which thus generates more plastic
waste. (See Figure 15).
If badly managed, recycling processes can cause the
release of chemicals from plastics into the environment and
subsequent impacts on human health. This can be the case
of electronic waste, which is exported outside Europe where
it is recycled in small workshops, sometimes without proper
ventilation, often by burning to extract the valuable metals.
Chipping and melting of plastics releases toxic chemicals,
for example, copper wires are often recovered by burning
the PVC, and PBDE (ame retardant) protected cables and
can release toxic chlorinated and brominates dioxins (PCDD/
PBDD) and furans (PCDF/PBDF). Kyung-Seop et al. (2007,
2009) demonstrated that combustion of PVC with other
plastics in the laboratory produced substantial levels of PAHs
(polycyclic aromatic hydrocarbons) and these were strongly
associated with plasticiser content. Wong et al. (2007) studied
the concentrations of POPs (persistent organic pollutants) in a
province in China, which had become an intensive electronic
waste recycling site. In comparison to levels of chemicals in
other sites and to guidelines adopted by other countries, the
air, soil and sediment was highly contaminated, in some cases,
100 times higher than published data (for PBDE). In general,
it appeared the incomplete combustion of plastic wastes
(plastic chips, wire insulations, PVC materials) was the main
source of POPs. Such high concentrations of toxic chemicals
would aect workers and residents through inhalation, dermal
exposure and ingestion of contaminated drinking water
and food, especially as the province was also a rice-growing
region. Since Wong et al.’s (2007) study was conducted, the
Chinese government has tightened regulations on the import
of electronic waste, but it is likely that it may make its way to
other countries and be processed in a similar way.
3.6.3 Metals
There has been some concern about heavy metals, such as
cadmium, in plastic especially in children’s toys and in plastic
crates and pellets. Although there is little evidence that these
traces of heavy metals present a health risk to humans, there
is also a lack of research on the presence of heavy metals in
children’s toys, which could potentially leach out when thrown
away (Mudgal et al., 2011). Waste plastic components of mobile
phones have also been found to contain lead, cadmium, nickel
and silver (Nnorom & Osibanjo, 2009).
Ashton et al. (2010) analysed pre-production plastic pellets
from four UK beaches for traces of major metals such as
aluminium and iron, and for trace metals such as copper, zinc,
lead etc. Results showed that production pellets are able to
accumulate metals to concentrations that, in some cases,
approach those on other marine solids such as sediment and
algal fragments.
Plastics may represent only a small reservoir of metals on
beaches and there are other more important sources, but
when the plastics move into the open sea their importance
in the transportation of metals is greater. In addition since
metals are adsorbed to the surface of plastic, they are likely to
be accessible to fauna that inadvertently ingest them.
3.6.4 Status of knowledge and research
A large number of questions remain about the toxicity of
plastic. Currently little is known about the possible exposure
levels of chemicals from plastic waste and the specic
impact caused by plastic waste. Plastic waste is not the only
source of these chemicals. For example, BPA also comes from
thermal paper and printer ink, while phthalates are also used
in solvents, personal-care products, textiles and pesticides,
and ame retardants have a number of applications other
than protecting plastic objects from re. In addition, it may
not be plastic waste but the product during its lifetime that
is a source of contamination, for example, exposure to BPA
20
Figure 15. Relationship between BPA concentrations in leachate
and per capita GDP of Asian countries. From Teuten et al (2009)

Plastic Waste: Ecological and Human Health Impacts
Science for Environment Policy | In-depth Reports | Plastic Waste: Ecological and Human Health Impacts November 2011
and high molecular-weight phthalates result primarily from
ingesting food that has been in contact with plastic (Koch &
Calafat, 2009). More research is needed to try to establish the
pathways by which these chemicals reach the environment
and how much plastic waste contributes to the levels of
these chemicals within wildlife and humans. The sources and
routes to exposure need to be identied and their relative
contributions assessed to inform measures to reduce exposure.
3.7 Microplastics: potential toxic impacts
Microplastics have a larger surface to volume ratio than
macroplastics, which potentially could encourage the
exchange of contaminants (Bowmer & Kershaw, 2010). Very
little is known about the rates of leaching of integral plastic
components, such as additives and toxic monomers, to
seawater. The proceedings of the International Research
Workshop on the Occurrence, Eects and Fate of Micro
plastic Marine Debris (Bowmer & Kershaw, 2010) suggested
realistic exposure experiments of microplastics are needed
to determine their toxicity levels in the laboratory and better
knowledge on the dose-response relationships between
specic types of microplastics and vulnerable marine species
or life stages. The toxicity studies could then be scaled up to
levels of microplastics observed in hotspots to provide an idea
of the possible real-life impact (Arthur et al., 2009). Similarly,
little is known about the bioavailability of chemicals through
ingestion of microplastics, but the evidence from lter feeders,
deposit feeders and detritivores (Thompson et al., 2004;
Browne et al., 2008) indicates that these animals can absorb
microplastics from the gut into the bloodstream. Further
study is needed on possible bioaccumulation, especially
with phthalates, and whether it occurs selectively in dierent
species and at dierent life stages within species.
3.8 Collection and transport of other contaminants
by plastic waste
Other chemicals may also contaminate plastic debris.
This can happen in a number of ways. Plastic particles from
hand cleaners, cosmetic preparations and air blast cleaning
may all have collected chemicals. In air blasting technology,
polyethylene particles are used to strip paint from metallic
surfaces and clean engine parts. These can be used up to
ten times before they are discarded, which means they can
become signicantly contaminated by heavy metals (Derraik,
2002). Many will nd their way into marine waters where they
could be transferred to lter-feeding organisms and other
invertebrates, eventually reaching species higher up in the
food chain.
Plastic can also pick up contaminants that are present in
water, particularly those that are hydrophobic (repel or
unable to mix with water). This includes many POPs, such as
PCBs (polychlorinated biphenyls) and PAHs (polyaromatic
hydrocarbons), as well as organo-chlorine pesticides, such as
DDT (dichlorodiphenyltrichloroethane). Some are highly toxic
and have a wide range of chronic eects, including endocrine
disruption, mutation and cancer (Rios et al., 2007). At least
half the PCBs ever produced are still in use, especially in older
electrical equipment, so there remains a large reservoir of
PCBs with the potential to be released into the environment
through spills or leakages from transformers and other devices
(Rios et al., 2007). PAHs are formed during the incomplete
combustion of coal, oil, gas, garbage and other organic
substances. In laboratory studies where animals are exposed
to some PAHs over long periods, they have developed lung
cancer from inhalation, stomach cancer from ingesting PAHs
in food, and skin cancer from skin contact. Human health
eects from chronic or long-term exposure to PAHs may
include decreased immune function, cataracts, kidney and
21
Box 6 Major challenges facing research into impact of chemicals within plastic (Meeker et al., 2009;
Oehlmann et al.2009)
• Shifts in exposure levels among populations over time, causing ever-changing patterns of production.
• The impact of mixtures of dierent chemicals and their cumulative eect on ecosystems and human health,
also known as the ‘cocktail eect’.
• The possibility of multiple interaction sites within the body aecting a wide range of biological processes
• Potential latent and transgenerational eects (e.g. epigenetic modication) of exposure to chemicals
Innovations that can help meet these challenges:
• Improved biomarkers (substances used as indicators) of the level of exposure to chemicals
• Better statistical methods to deal with multiple exposures
• New measures to assess the routes of exposure and links between exposure and impacts on human health
and ecosystems

Plastic Waste: Ecological and Human Health Impacts
Science for Environment Policy | In-depth Reports | Plastic Waste: Ecological and Human Health Impacts November 2011
liver damage, breathing problems, asthma-like symptoms,
and lung function abnormalities, and repeated contact
with skin may induce skin inammation. Evidence primarily
from occupational studies of workers exposed to mixtures
containing PAHs shows an increased risk of predominantly
skin and lung cancers but also bladder and gastrointestinal
cancers (Toxipedia, 2011). Pesticides such as DDT are toxic to
a wide range of animals, particularly birds. DDT and DDE have
been linked to diabetes, developmental and reproductive
toxicity and cancer in humans. Although some of the more
toxic pesticides, such as DDT, have been banned, they are still
persistent in the environment.
Many of the hydrophobic contaminants are concentrated at
the sea surface and their levels are up to 500 times greater
than in the underlying water column (Teuten et al., 2007). As
most plastics oat, they have the potential to adsorb these
contaminants that are concentrated at the sea surface leading
to several possible outcomes. The plastics can either transport
the contaminants to other areas and, if washed up, the
contaminants could be transferred to shoreline sediment or
plastic could be eaten by wildlife and potentially transferred
to their tissues and further up the food chain. Plastic could
be subject to fouling and then sink to the bottom where it
becomes part of the sediment or is eaten by benthic organisms
that live on the sea bottom. If plastic does become part of the
sediment, whether on the shore or sea bottom, then it is no
longer as available for degradation by micro-organisms as it
was in the water, especially if it is buried (Teuten et al., 2007).
According to the Stockholm Convention on POPs, persistence,
long-range transport potential and bioaccumulation potential
are fundamental criteria in assessing the risk of POPs. A
compound’s persistence tends to be based on environmental
half-lives while transport potential is based on monitoring
data in remote regions. Bioaccumulation potential is derived
from bioconcentration factor (BCF), which is the concentration
of a chemical in a tissue compared to its concentration in the
surrounding water.
Rios et al. (2010) investigated the amount of POPs on samples of
plastic debris from the Northern Pacic Gyre and found that over
50 per cent contained PCBs, 40 per cent contained pesticides
and nearly 80 per cent contained PAHs. The concentrations
of pollutants ranged from a few parts per billion (ppb) to
thousands of ppb, with the types of contaminants similar to
those found in marine sediments. The researchers suggested
that plastic debris behaves similarly to sediments in the way it
accumulates pollutants but, unlike sediments, micro-plastics
tend to remain at the surface where they are potentially more
available to wildlife. Research on plastic found on beaches and
in stranded albatrosses in California, Hawaii and Mexico, found
a ratio of dierent PAHs that indicated the principle source of
the PAHs on the plastic was incomplete combustion of fossil
fuels, most probably from urban and industrial areas (Rios et
al., 2007). The main types of polymer were polyethylene and
polypropylene, which are very common thermoplastic resins
used mostly in packaging. Teuten et al. (2009) suggested that
polyethylene might accumulate more organic contaminants
than other plastics.
More recently Hirai et al. (2011) analysed the concentrations
and composition of organic pollutants on plastic fragments
(about 10 mm in size) at eight locations including gyres,
remote beaches and urban beaches. PCBs, PAHs, DDT, PBDEs,
alkylphenols
and Bisphenol A
were detected in
concentrations
ranging from
one to 10,000
nanogrammes
per gram of
plastic. There was
variability in how
the pollutants
had become
associated with
the plastic.
Hydrophobic
compounds such
as PCBs and PAHs
appeared to have
22
Figure 16. Illustration of additional eects of plastics in transport of phenanthrene. From Teuten et al. (2009).

Plastic Waste: Ecological and Human Health Impacts
Science for Environment Policy | In-depth Reports | Plastic Waste: Ecological and Human Health Impacts November 2011
been absorbed to the plastic from the seawater. They tended
to be in higher concentrations at urban beaches, although
there were occasionally in very high concentrations at sea. In
comparison PCBs were derived mainly from legacy pollution
i.e. pollution still remaining from before the time when
they were banned. The source of PAHs seemed to be on the
whole from oil slicks while Bisphenol A and PBDEs came from
additives in the plastic.
Monitoring in remote regions is one means of assessing long-
range transport. Zar & Matthies (2010) estimated the uxes
of PCBs, PBDEs and peruorooctanaic acid (PFOA) to the Arctic
via plastic debris on the main ocean currents. They estimated
that uxes in pollutants caused by plastic was in the order of
four to six times smaller than uxes caused by atmospheric
or seawater currents, which accounted for several tons of
pollutants per year. However, the researchers did highlight
that the signicance of pollutant transport routes does not
only depend on the absolute amount of pollutants, but also on
their impact from direct plastic ingestion and bioaccumulation
in food chains.
Teuten et al. (2009) investigated in more detail the uptake
and subsequent release of one POP – phenanthrene – on
three major plastics: polyethylene, polypropylene and
polyvinylchloride. In all cases they found that pollutants
adsorbed onto the plastics at a much higher rate than onto
natural sediments. However, desorption (or release) of the
phenanthrene occurred more rapidly from sediments than
from plastic. This has several possible consequences as it
could mean the plastic acts
like a sink for the pollutants by
lessening their availability to the
environment, or it could mean
that it increases their lifetime in
the environment by hindering
their disposal by natural means,
such as microbial degradation.
There is therefore a debate as to
whether plastic debris acts as a
sink for pollutants or as a storage
and transport vessel whose
impact ultimately depends on
the fate of the plastic.
Another factor to consider
is what happens to plastic
loaded with pollutants when
it is ingested by wildlife.
Research demonstrates the
potential for plastic to gather
toxic contaminants, but little is known about the potential
for plastics to release contaminants or additives to marine
wildlife. Once inside an organism, the presence of digestive
surfactants (which prevent particles sticking together) is
known to increase the desorption rate of PAHs from plastics
by up to 20 times compared with seawater (Murray & Cowie,
2011). Teuten et al. (2007) investigated this by modelling the
possible eects on the lugworm, which is a common benthic
deposit feeder. They estimated that the addition of as little as 1
µg of contaminated polyethylene to a gram of sediment would
produce a signicant increase (80 per cent) in phenanthrene
accumulation by the lugworm. As this plastic concentration
is lower than that found in the environment, it suggests
plastic debris may play an important role in transporting
contaminants to sediment-dwelling organisms.
Ryan et al. (1988) found a positive correlation between the
mass of ingested plastic and PCB concentrations in fat tissue
of Great Shearwater birds, providing the rst indication that
marine organisms can absorb toxic chemicals into their
esh. Further study with shearwater chicks that were fed
with polyethylene pellets containing PCBs (Teuten et al.,
2009) indicated that plastics could transport environmental
contaminants to organisms at various levels of the food chain.
This study analysed levels of PCBs in preen gland oil (produced
by birds for preening) and found higher levels in chicks that
had been fed on PCB plastic. More research is needed on other
organisms, considering a range of contaminants and plastic
types, as well as the eects of environmental exposure in
terms of weathering and aging of polymers.
23
Figure 17. Concentrations of PCBS in beached plastic pellets. From Teuten et al. (2009)
paper in PNAS but also from International Pellet Watch paper (Ogata et al, 2011)

Plastic Waste: Ecological and Human Health Impacts
Science for Environment Policy | In-depth Reports | Plastic Waste: Ecological and Human Health Impacts November 2011
3.9 Microplastic accumulation and transport of
chemicals
A number of studies have focused specically on the role of
microplastics in the transport of pollutants, partly because
they are more likely to be ingested, but also they have an
increased surface-to-volume ratio. Rios et al. (2007) analysed
pre-production plastic pellets and post-consumer fragments
from beaches and regurgitated albatross stomach contents in
California, Hawaii and Mexico. They found PAHs in all samples
and PCBs only in the debris collected on beaches. The only
pesticide detected was DDT. Observations suggested that the
concentration of POPs on plastic debris could be a function of
the age of the plastic. Teuten et al. (2009) indicated that time-
scales of adsorption and desorption are a function of the type
of plastic, its size and the compound.
One study (Ogata et al., 2011) actually used plastic pellets as
a means to monitor the amount of POPs in coastal waters.
International Pellet Watch has been in operation since 2006,
sampling pre-production polyethylene pellets from countries
around the world by asking local communities to collect
plastic pellets and send them to the laboratory where they are
analysed for PCBs, DDTs and HCHs (hexachlorocyclohexanes).
Initial ndings have indicated that PCB concentrations are
highest in US coasts, followed by Western Europe and Japan,
whereas concentrations are lower in tropical Asia, southern
Africa and Australia. However, in India, especially in Chennai,
there were high PCB concentrations, probably from recycling
of electronic waste and poor management of ship-breaking
activities.
These high concentrations could expose wildlife, which ingest
plastics in that area to signicant amounts of pollutants
(Bowmer & Kershaw, 2010). High concentrations of DDTs are
found on the US west coast and in Vietnam, probably the result
of high pesticide use in the past. Although this research was
primarily to monitor POPs, it has the dual purpose of clarifying
the role of plastic waste in transporting these chemicals and
identifying patterns of prevalence of POPs in the marine
environment.
Interestingly, a study on POPs and microplastics on a
Portuguese beach very close to one of the beaches sampled
in the International Pellet Watch study indicated much higher
levels of PCBs and PAHS, which suggests either a large variation
within close proximity or variation in the results produced by
dierent sampling methods (Frias et al., 2010). This research in
Portugal also indicated that older particles have higher levels
of POPs, suggesting that microplastics continue to accumulate
contaminants throughout their lifetime.
Although we are knowledgeable about the harmful eects
of most chemicals, it remains unclear as to the degree of
their bioavailability once they are adsorbed to plastics. The
challenge is how to identify the added or reduced chemical
impact of plastics and microplastics relative to the ‘natural’
bioaccumulation of pollutants from water and through the
food chain (Bowmer & Kershaw, 2010).
Research has indicated that animals at lower trophic levels do
ingest microplastics and they are absorbed into their system.
There is a possibility that microplastics could act as a sink for
POPs (as described in scenario 3 in Box 7), but it is likely that
this will depend on the surrounding environment in terms of
concentration of POPs in the water column, level of fouling,
ocean and air currents, level and type of sediment, age and
type of plastic (Teuten et al., 2009).
In turn, any impact on wildlife, whether from transported
contaminants or those contained within the plastic, will
depend on species, its distribution in that area, its stage of
development, surrounding environmental conditions, food
availability, and perhaps its position in the food web. Very little
24
Box 7 Possible scenarios of the fate of transported chemicals in microplastics (Bowmer & Kershaw,
2010)
1. Microplastics will take up and release pollutants from the water column. This could mean they adsorb
pollutants where concentrations are high and then release them in cleaner, remote regions. The speed of this
could depend on the type of microplastic.
2. For most pollutants, atmospheric transport by wind and ocean currents will be the most dominant form of
transportation, as suggested by Zar & Matthies (2010). The inuence of microplastics will be relatively low,
apart from in locations where atmospheric transport is small.
3. Microplastics will serve as a stable phase in the water column in addition to organic matter and sediments
and act as a sink for pollutants. To assess this modelling is needed to evaluate the tendency of chemicals to
partition between air, water, plastics and organic carbon in the sediments.

Plastic Waste: Ecological and Human Health Impacts
Science for Environment Policy | In-depth Reports | Plastic Waste: Ecological and Human Health Impacts November 2011
is known about bioaccumulation of these chemicals and since
humans could be one of the creatures most aected by this,
there is a need for greater understanding. Already, concern has
been raised about the presence of microplastics in crustaceans
and mussels and the possible impact on human health further
up the food chain (Murray & Cowie, 2011; Browne et al., 2008).
3.10 Plastic waste: impact on habitats
As well as a direct physical impact on marine wildlife and
humans, plastic waste also aects habitats, both on land and
sea. Visually, plastic waste is a problem for human habitats,
but it also has substantial impacts on wildlife habitat. Most
documented eects are on the marine environment and,
once again, there is a lack of evidence on possible land-based
impacts. Although plastic is often buoyant, it can sink to the
bottom of the sea, pulled down by certain ‘bottom-hugging’
currents, oceanic fronts or rapid and heavy fouling. Sediment
may also help keep plastic on the seaoor.
It is likely that once on the seaoor, plastic waste will change
the workings of the ecosystem. Goldberg (1997) has suggested
the plastic sheets could act like a blanket, inhibiting gas
exchange and leading to anoxia or hypoxia (low oxygen levels).
Plastic waste could also create articial hard grounds (Gregory,
2009) and cause problems, especially for burying creatures.
Katsenevakis et al. (2006) investigated the eect of marine
litter on benthic (seaoor dwelling) animals by purposefully
placing litter on the seaoor of Greek coves, most of which
was plastic bottles. In areas of litter, there was an increase in
abundance and number of species, either because the waste
provided refuge or reproduction sites for mobile species, such
as Alica mirabilis (a sea anemone) or because species which
prefer hard surfaces had the opportunity to settle, such as
barnacles and sponge. However, it would be naïve to interpret
the results as indicating that litter can be benecial, as this
would ignore the long-term eects of ecological change on
benthic communities. Plastic waste could encourage the
invasion of species who prefer hard surfaces and, as a result,
indigenous species may be displaced, particularly those who
prefer sandy and muddy bottoms. The researchers called for
further research into the impact of plastic waste on other
habitat types, such as coral reefs, seagrass beds and deep
bottoms.
Plastic waste also aects beaches. So-called ‘wrack’
environments consist of natural otsam and jetsam such
as seaweed, driftwood etc. that is washed up on the shore,
and often contains plastic waste. These habitats can support
diverse, marginal invertebrate species and are also visited
by many vertebrates, mostly birds who can use plastic waste
as nesting material. However, they can also displace species
that live in unspoiled beach conditions and aect the ability
of wildlife to nd food. For example research by Aloy et al.
(2011) in the Philippines showed that the eciency of the
gastropod Nassarius pullus to locate and move towards a food
item decreased as the level of plastic debris increased on the
beach. Beach clean-ups are a way to remove plastic waste, but
it is often assumed that the beach will return to its previous
state once the clean-up is done. However, it can take time
for certain displaced species to recolonise. Another problem
with clean-ups is that they can miss buried plastic waste and
microplastics that are often mixed up with the sediment itself.
25
Box 8 Observations in mass mortality of the northern fulmar (Van Franeker, 2011c)
• As part of the North Sea monitoring of fulmars, surveyors encountered an exceptionally large number of dead
fulmars in March to June 2004 in the southern North Sea. Patterns of delayed moult (renewal of feathers)
indicated that most of the birds had suered continuous food shortages since the previous autumn. The poor
plumage may have aected waterproong, ying and insulation. The large majority of the birds were adult
females, which is unusual. Some of these were egg-carrying females, which again is unusual as the normal
strategy for fulmars under poor food conditions is to cease reproduction.
• Both moulting and reproductive decisions tend to be hormonally regulated, which suggests the possibility of
a disturbed endocrine hormonal system in these fulmars. As fulmars grind down plastic in their digestive tract,
this is likely to maximise uptake of plastic-related chemicals but, even if absorbed, the eects of pollutants can
only become apparent when the birds use their fat reserves and contaminants start circulating in the blood.
• Under prolonged periods of reduced food and therefore body condition, it is likely that endocrine hormone
disruptors take full eect. If this is the case, it would mean that chemicals related to plastic ingestion could
be latent and then, under unfavourable conditions, their release is triggered. This explanation could not be
proven as no funds were available to test levels of pollutants and hormones in the birds; it is however an
argued example of how sub-lethal eects of plastic waste can combine with other eects and contribute to
lethal impacts.

Plastic Waste: Ecological and Human Health Impacts
Science for Environment Policy | In-depth Reports | Plastic Waste: Ecological and Human Health Impacts November 2011
Carson et al. (2011) assessed the impact of plastic fragments
on beaches in terms of how they alter the physical properties
when they are part of the sediment. They compared sand from
a beach in Hawaii that contained up to 30.2 per cent of plastic
by weight (mainly in the top 15 cm) to sand from a beach with
a negligible amount of plastic. Their results indicated that the
presence of plastic fragments changed the water movement
and heat transfer of the beach. Plastic fragments appeared to
increase the permeability of the beach so that greater volumes
of water could pass through it, which could enrich the beach
water with nutrients and potentially alter ecosystems. They
also found that the beach containing plastic fragments
warmed at a slower rate and reached a lower maximum
temperature. This could have implications for beach wildlife,
including those who bury eggs in the sediments and whose
sex of ospring depends on the temperature of the sand, such
as sea turtles.
3.11 The role of plastic waste in invasions of alien
species
As well as transporting pollutants, plastic waste can also
be a mode of transport for species, potentially increasing
the range of certain marine organisms or introducing
species into an environment where they were previously
absent (Derraik, 2002). This in turn can cause subsequent
changes in the ecosystem. Although large-scale and long-
term documentation of this is dicult to establish, there
are a number of examples that provide insight into this
problem. Plastic debris is most commonly colonised by
encrusting and fouling organisms that tend to live on the
surface of other creatures, including: barnacles, tube worms,
foraminifera, coralline algae, hydroids and bivalve molluscs.
Recorded plastics that have transported alien species are
virgin plastic pellets, synthetic rope, crates and netting, but
many other forms of plastic could serve as vessels or vehicles
for transport. Often plastic debris can provide habitat for the
larval and juvenile stages of marine animals that can then be
transported and develop in the new environment. However,
not all the species that are transported will necessarily prove
harmful to their new host environment (Gregory, 2009). Little
is known about the current and future implications of the
transport of invasive species via plastic waste, especially the
role of microplastics in transporting microorganisms that are
very dicult to observe or study.
Invasive species and their impacts on ecosystems are becoming
an increasing concern, especially with the potential of climate
change to alter population distributions. Despite the lack of
knowledge of the impact of plastic waste on the transportation
of alien species it should not be underestimated as it may have
larger eects in the future, especially if combined with other
impacts such as climate change.
3.12 Social and economic impacts as result of
ecological and health impacts
Mouat et al. (2009) investigated the North Atlantic region
and estimated substantial economic losses caused by marine
litter. For example, costs associated with removing beach litter
each year for local municipalities is approximately €18 million
in the UK, and €10.4 million in the Netherlands and Belgium.
In terms of shing, Mouat et al. (2009) estimated the cost of
marine litter to the Scottish shing eet was between €11.7 -
13 million on average per year, which is the equivalent of 5 per
cent of the total revenue of aected sheries. This is mainly
because marine litter restricts and contaminates catch, and
nets become caught on debris. Given that plastic waste often
makes up the majority of marine litter, then the cost of plastic
waste in the environment is substantial. However, the cost
attributable only to ecological harm caused by plastic waste is
dicult to extract from existing gures.
The study by Mouat et al. (2009) also examined costs to several
other areas, such as tourism, rescue services and voluntary
organisations. Galgani et al. (2010) highlight that these gures
are based on voluntary responses to surveys and may be
lacking in spatial coverage. In terms of tourism, Balance et al.
(2000) considered beaches in South Africa and estimated that
an increase in litter of 10 pieces per m2 would deter 40 per
cent of foreign tourists and 60 per cent of domestic tourists
from returning to the beaches. Little research has been carried
out on the specic social and economic impacts of plastic
waste, although the type of impacts are likely to be similar
to those identied for general debris. There has been no
specic research on the social and economic repercussions of
the ecological and health impacts of plastic waste, but some
studies have incorporated cost implications into their analysis,
for example, Sancho et al., (2003) calculated that the amount
of monksh trapped by ghost nets in Cantabrian Sea may be
around 1.5 per cent of commercial landings.
Mouat et al. (2009) have suggested that economic impact
could provide a more powerful incentive for removing and
preventing beach litter than current legislation. Whether
a specic cost analysis of the impacts of plastic waste will
add anything further to this is dicult to know. Analysing
economic costs may be easier for the more direct impacts,
such as ingestion and entanglement, but dicult for the
toxic impacts of additives in plastic waste or contaminants
26

Plastic Waste: Ecological and Human Health Impacts
Science for Environment Policy | In-depth Reports | Plastic Waste: Ecological and Human Health Impacts November 2011
transported by plastic waste, especially as little is known
about the specic eects of these. Contaminated marine
species could create costs for shing, aquaculture and coastal
agriculture, and chemicals within or transported by plastic
waste could potentially create costs human health costs.
Furthermore, costs may be incurred by damage to ecosystem
services (Galgani et al., 2010), such as the oceans’ ability to
store CO2 and water quality regulation provided by soil. To
accurately calculate these costs more detailed assessments
are needed on the ecological impact of plastic waste. As the
impacts of plastic waste could be greater when considered as
part of a system that includes several anthropogenic impacts
rather than on its own, it may be more valuable to consider the
total cost of impacts or create ‘scenarios’ where plastic waste
plays a part to demonstrate its eects.
Plastic fragments inland, on beaches and on the sea are
potentially dangerous to small children as they may be
ingested. Depending on the seriousness of the toxic impacts
of chemicals involved in plastic waste, there could also be
social impacts in terms of human health, particularly if it
occurs at an important developmental stage. If these impacts
occur there would also be subsequent pressures on health
and care systems. Since plastics are relatively new, it may be
that the human health impacts and wider social implications
of plastic waste may become more serious and widespread in
the future as we learn more.
27

Plastic Waste: Ecological and Human Health Impacts
Science for Environment Policy | In-depth Reports | Plastic Waste: Ecological and Human Health Impacts November 2011
There is a wide range of policy responses to marine litter,
but there are also some more specically aimed at plastic
waste. Responses can be at the international level, such
as Annex V to International Convention for Prevention of
Pollution from Ships (MARPOL), the UNEP Global Programme
of Action for Protection of the Marine Environment from
Land-based activities and the EU Marine Strategy Framework
Directive (MSFD). The Basel Convention on the control of
transboundary movements of hazardous wastes and their
disposal was adopted in 1989. This year, the meeting of those
party to the Basel Convention (COP10) chose as its theme
the prevention, minimisation and recovery of wastes. It links
waste management to the achievement of the Millennium
Development Goals and could create opportunities to draw
attention to plastic waste in the future. The UNEP (DTIE IETC)
Global Partnership on Waste Management was created in 2009
and earlier this year it drafted its framework document. It aims
to coordinate dierent waste sectors and related activities/
initiatives and has eleven thematic focal areas, one of which
is plastic waste while another is marine litter. Each focal group
will have a working group that will develop a work plan for
their activities, including timeline, identication of resources,
and a fund-raising strategy.
Other responses are regional, such as the Barcelona Convention
for the protection of the Mediterranean Sea against pollution,
or the OSPAR EcoQO initiatives or HELCOM convention’s
Strategy on Port Reception Facilities for Ship-Generated Waste
in the Baltic (Galgani et al., 2010). There are also national and
local policy responses, sometimes to implement international
policy, but also as initiatives in their own right. Many of the
clean-up and monitoring programmes are conducted at this
level.
As well as crossing many levels of policy, plastic debris is
an issue that crosses many policy areas, including waste
management, enterprise and ecodesign, chemical regulation,
marine policy, integrated coastal zone management and
shing policy. Some of the themes that are important to
consider in policy responses are discussed below.
4.1 Who is responsible for plastic waste?
One of the diculties with responding to the problem of
plastic waste lies in locating responsibility for its impacts.
Identifying sources is particularly dicult, exacerbated by
the transport of plastic waste on the world’s oceans. It is
very much a global problem and comes with all the issues
of responsibility that surround governing the commons. It is
further complicated by the lack of research into the impacts
of plastic waste on land, where all plastic originates. More
research is needed to identify sources and locate areas where
policy can have an eect. The research must be clearly policy-
relevant, for example, establishing if plastic waste comes from
landll, shing equipment or littering could inform policy,
whereas establishing the details of whether microplastics are
formed by physical weathering or photo-oxidation may not
be so directly useful to policymakers.
‘The seas are shared and major research infrastructure and
programmes require funding beyond the capacity of single
member states, demanding an improved synergy within
an inter-disciplinary, multi-sector scientic and industrial
community which in turn calls for new governance
mechanisms. This is broadly speaking the aims of the EU
marine/maritime research strategy.’ (Bowmer & Kershaw,
2010)
What must be remembered is that, although little is known
about the specic sources of plastic waste, we do know
that plastic waste is driven by the production of plastic and
this, in turn, is driven by human demand and consumption.
Regardless of which pathway the plastic takes to becoming
waste and its eventual fate in the environment, and regardless
of whether it comes from the land or sea, human production
and consumption of plastic is the primary source.
At the heart of recognising this responsibility is the ’prevention‘
level of the European Waste Framework Directive hierarchy.
Prevention can be approached in two ways: prevention of
plastic production and prevention of plastic becoming waste.
These two sub-levels feed into each other: if less plastic is
produced then less plastic becomes waste. If less plastic is
thrown away through reuse or recycling, then potentially there
is less demand for virgin plastic and production decreases.
This is just one illustration of how the dierent levels of the
waste management hierarchy interact.
4.2 Preventing plastic production
In very basic terms there are two parts to the prevention
equation: the consumer and the producer, or supply and
demand. Both need incentives to produce and use less
plastic and, ideally, the incentives would come from each
other. However, the supply chain is more complex than this
and involves many players who are both consumers and
producers. Incentives do not happen naturally and may need
a third party to introduce them.
Incentives can take many shapes and forms, working at
28
4.0 RESPONSES

Plastic Waste: Ecological and Human Health Impacts
Science for Environment Policy | In-depth Reports | Plastic Waste: Ecological and Human Health Impacts November 2011
several levels and scales and sometimes working alongside
disincentives. There can be incentives for manufacturers
to increase the lifetime of products through redesign,
replaceable parts, recycling and producing upgrades. Already
the EU Ecolabel initiative is awarded to products designed for
greater durability and recyclability (for example, televisions) or
whose durability is increased through upgrades (for example,
computers). However, it may be possible to make the Ecolabel
more specic to plastic or create a plastic Ecolabel.
Alongside incentives for manufacturers, there will need to
be incentives for consumers to reuse and recycle. Ecolabels,
deposit schemes and reverse vending schemes that incentivise
the reuse of plastic bottles can help encourage this (Mouat et
al., 2009). These have been proven to be eective for rellable
bottles, with return rates of up to 90 per cent in Germany,
Denmark and Malta (Ten Brink et al., 2009). For higher value
items, extended producer responsibility could be adopted, for
example, shing nets that are rented by producers (sheries)
rather than sold outright (Macfadyen et al., 2009). This aims to
encourage the producer to reuse the net, eventually returning
it at the end of its life, thus reducing the temptation to dispose
of it at sea. Disincentives for consumers can also be applied to
encourage reuse, for example, taxes on plastic bags.
Another alternative is to charge extra for certain problematic
products, such as shing line, shing oats and plastic food
containers (Ten Brink et al., 2009). In terms of targeting
specic products, labels could be instrumental in informing
consumers of the plastic content of the product or indeed a
breakdown of the plastic and its potentially harmful additives.
However, this must go alongside education so that consumers
fully understand the implications of the labels and impacts
of plastic waste. The Chemical Branch of the UNEP Division
of Technology, Industry and Economics CIP has investigated
the information ow about chemicals in products and made
several recommendations on how this could be improved at
an industry level (see Box 9)
A more stringent response could be the banning of
problematic types of plastic (particularly packaging), but it
should be noted that bans can have unintended impacts
caused by replacement products and should be thoroughly
reviewed before implementation (Ten Brink et al., 2009).
In terms of targeting specic consumers of plastic, shing and
marine-based litter is more abundant in the North Sea than
in other European seas, so interventions here should perhaps
target the shing community. For the Mediterranean, much of
the litter is caused by tourism, so policy should be directed at
this sector.
4.3 Preventing plastic becoming waste
Preventing plastic becoming waste could depend on how
it is viewed. Mouat et al. (2009) suggest that, as a starting
point, marine litter needs to be regarded as a pollutant on the
same level as heavy metals, chemicals and oil, which would
then give it the same political credibility. They explain that, in
most countries, NGOs and volunteers undertake monitoring
of marine litter and there are no national monitoring
programmes as there are for other pollutants.
The prevention of plastic becoming waste can be addressed
by some activities including reuse and recycling, but it also
needs to address the activities that lead to its disposal. The
high movement of communities linked to plastic waste, such
as tourists and shing eets, causes another responsibility
issue, as they may not have any long-standing relationship
29
Box 9 Findings from the UNEP/DTIE CIP Report on information on chemicals in products
1. Information is available about chemicals, but does not ow easily through supply chains and is often lost mid-chain
between chemical production and manufacture of the nal product. Engagement of mid-chain actors, such as
distributors and brand name companies, is therefore crucial.
2. A harmonised industry-wide eort by the plastic sector to improve information ow would be more ecient and
eective than individual company actions.
3. Such a project would require commitment from a few leading companies in selected sectors, e.g. textiles, toys,
construction or electronic equipment.
4. Systems that indicate the harmful chemicals that are not contained in a given product could be used as a simplied
approach.
5. Improving information ow should take a two-tier approach: to address the challenges of knowing which substances
are present in the product, and possibly which ones can migrate from it, and to address the challenge of interpreting
and evaluating information to serve stakeholder needs.

Plastic Waste: Ecological and Human Health Impacts
Science for Environment Policy | In-depth Reports | Plastic Waste: Ecological and Human Health Impacts November 2011
with the region that they are potentially aecting. As such,
some preventative measures can be directly targeted at these
communities, as well as at more permanent groups. Ten Brink
et al. (2009) have reviewed several of these measures in their
guidelines on the use of market-based instruments to address
the problem of marine litter. These include:
• Applying the polluter pays principle, in terms of nes for
littering, dumping waste and illegal disposal.
• Applying the user pays principle, in terms of tourist taxes,
car park fees, port reception and ship berthing fees. These
can then contribute to beach cleaning and improving
waste infrastructure.
• Incentives for portside disposal of ship-generated waste
can curb waste discharges at sea. In addition, economic
incentives can be provided to encourage disposal of
waste onshore, such as the no-special-fee system for oils
and waste discharged to port reception facilities in the
Baltic Sea Area implemented by HELCOM.
• Landll taxes. These are present in many EU Member
States and vary from country to country, and have
dierent eects on dierent actors with industry tending
to feel a greater impact. Sometimes, high landll taxes
can lead to an increase in illegal dumping so they should
be set at an aordable level.
• Tradable permits. In theory these would allow actors to
produce plastic waste in exchange for buying permits to
fund organisations or initiatives that were reducing plastic
waste elsewhere. In general, it is thought that tradable
permits are not appropriate for littering.
• Incentives to shermen for reporting on and removing
debris, for example the ‘Fishing for Plastic’ project in the
Save our North Sea programme, which pays shermen to
remove plastic.
• Financial and technical support for installing waste
management systems on board shing vessels, leisure
crafts and larger ships with inadequate facilities.
• Award based incentives for coastal villages with Integrated
Waste Management systems, which incorporate all the
policies, programmes and technologies that are necessary
to manage the entire waste stream.
4.4 Waste management
Waste management has a large part to play in preventing
plastic waste becoming harmful. Incorrectly managed landlls
may cause waste to reach the environment, as well as the
additional issue of chemicals from plastic waste escaping in
the leachate. Wastewater is another potential source, both
in terms of microplastic that has not been eectively ltered
or the presence of chemicals released from the plastic within
wastewater. The endpoint of treated wastewater is generally
into rivers or the sea. Prevention in this area can take the form
of bans, such as Annex V to the MARPOL agreement, which
prevents the disposal of plastic waste in the sea. However,
many are sceptical about the impact of Annex V and call for
better implementation and monitoring (Mouat et al., 2010;
Kershaw et al., 2011). The EU Landll Directive has restricted
some specic waste streams, such as tyres, liquids and
explosives, going to landll, but there is no specic mention
of plastic.
The most noticeable shift is in newer Member States who
have greater room for improvement. Recycling of plastic has
increased from 20.4 per cent in 2007 to 21.3 per cent in 2008
across Europe, while energy recovery increased from 29.2 per
cent in 2007 to 30 per cent in 2008 (PlasticsEurope, 2009).
Since plastic lends itself well to alternative means of disposal,
such as recycling and energy recovery, it has been suggested
that landll bans could reduce the amount of plastic waste in
landll. Nine of the EU 27+2 Member States have achieved
plastic recovery of 80 per cent, and all these nine countries
have legislation on restricting the ‘Total Organic Carbon’
content of waste sent to landll. This indirectly aects the
recycling of plastic waste as it has a high organic carbon
content, but there may be potential for landll legislation to
address plastic waste more directly.
There are concerns that waste management is inadequate.
This is particularly the case for some developing countries,
which can also be the recipients of illegally exported waste.
This raises the issue of responsibility again, as waste may have
originated in developed countries, yet its poor management
elsewhere is contributing to the harmful eects of plastic
waste on the environment and human health.
The use of targets could be instrumental in this area. While
there are currently targets for the amount and type of waste
going to landll, targets could be set more specically for
plastic waste. For example:
• Specic recycling targets for plastic waste
• 100 per cent collection and separation of plastic waste
from households and businesses
• Full recyclability of plastic products
• Specic targets for plastic waste within the MSFD
descriptor for marine litter
• Targets on the percentage of plastic produced that must
be fully biodegradable
This raises the issue of whether plastic waste requires its own
30

Plastic Waste: Ecological and Human Health Impacts
Science for Environment Policy | In-depth Reports | Plastic Waste: Ecological and Human Health Impacts November 2011
monitoring and legislation, or if it can be embedded in more
general legislation of waste or marine litter. Again, this touches
on the issue of responsibility. Plastic waste does require
responses from several policy areas, but by distributing the
responsibility it may mean that less direct action is taken. The
EU has a directive specically on packaging and perhaps it
may be worth considering a specic directive on plastic waste.
4.5 Plastic waste: a cross-boundary issue
Plastic waste crosses and straddles many boundaries, one
of the most important being the boundary between land
and sea. The frameworks to address these transboundary
issues are in place, such as the Global Programme of Action
for the Protection of the Marine Environment from Land-
based Activities and the EU’s recommendation on Integrated
Coastal Zone Management. However, both of these could be
more specically instrumental in the area of marine debris and
plastic waste. Plastic waste does not recognise boundaries
in the environment and, although it is important to identify
sources, it may be more useful to identify the routes that
plastic takes to reach the environment, which would highlight
appropriate locations for intervention.
Geographical boundaries are not respected by plastic waste,
but are necessary to propose locally tuned responses, for
example, through regional initiatives such as the UNEP Regional
Seas Programme and the various conventions targeted at
specic seas, such as the Barcelona (Mediterranean), OSPAR
(North Atlantic) and HELCOM (Baltic Sea) conventions. There
are disparities between regions, for example, in the Black
Sea all aected states are in the process of developing and
updating their national instruments aimed at combating
marine pollution. One of the main problems aecting Black
Sea countries in this process is that they do not fully implement
and apply existing laws and regulations (Galgani et al., 2010).
The issues of plastic waste are covered and implemented
by several authorities, including maritime authorities,
environmental authorities and waste authorities. They also
involve many sectors, such as politicians, the plastics and
retail industry, science, education and the general public.
Co-ordination of enforcement is essential as each authority
and sector may consider plastic waste to be another’s
responsibility. As several reports suggest, (Mouat et al., 2010;
Kershaw et al., 2011) the legislation is often in place, but there
are diculties with enforcement.
‘Coordination of enforcement is therefore essential. Many
countries reported the general legislations to be insucient
and some of the present regulations to be too vague or
dicult to understand for the people working with marine
litter in practice. To have marine litter policy, in most of the
countries, it is necessary to compile all the texts relative
to the water pollution, to the waste and to the protection
of habitats and species. The diculty lies in the fact that
public policies relative to waste are often separated from
that relative to water pollution. The marine litter is situated
at the cross of these two sectoral policies.’ (Galgani et al.,
2010)
Another boundary issue is that of establishing the level of
impact above which plastic waste is considered harmful. The
presence of plastic waste is clearly a concern and some of its
impacts are visible. However, many of its more potentially
concerning impacts are not so observable or provable.
Ingestion of plastic can be studied, but the level at which
ingested plastic starts to cause harm is not well established.
Similarly, the potential eects of chemicals within plastic and
transported by plastic are not known in terms of the level at
which they become toxic. It could be that plastic waste acts
a sink for some of these chemicals. Many of the impacts of
plastic waste are sub-lethal, but in conjunction with other
impacts from plastic waste or environmental eects, such as oil
spills or harsh weather conditions, they could become lethal.
As such, it may prove useful to not only study the immediate
impacts of plastic waste but also the cumulative impacts. This
could have the possible objective of establishing risk factors
or situations that exacerbate the eects of plastic waste, or
indeed identifying other impacts that are exacerbated by the
presence of plastic waste.
4.6 An appropriate evidence-base for plastic waste
policy
There is no question that environmental policy needs to be
evidence-based. However, where questions do arise is how
hard the evidence base needs to be before policy action
is taken. There is currently a wide range of evidence for
various ecological impacts of plastic waste and some serious
implications for impacts on human health. However, there
are also many research gaps, which means that the overall
picture is not entirely clear. The question is whether to wait
until the picture becomes clearer but, by which time, impacts
could have worsened and be more dicult to manage. A
good example of when policy action was taken before a rm
evidence base was established is the OSPAR Ecological Quality
Objective (EcoQO), which has set a target for the number of
fulmars found with a certain percentage of plastic waste in
their stomachs. When this objective was set it was not based
31

Plastic Waste: Ecological and Human Health Impacts
Science for Environment Policy | In-depth Reports | Plastic Waste: Ecological and Human Health Impacts November 2011
on hard scientic fact, but was an estimate of the amount
of fulmars with this level of plastic in relatively untouched
areas, such as the Arctic. The estimate did t well with later
monitoring ndings, suggesting that sometimes targets need
to be set before the full scientic picture is clear.
The four indicators outlined in the Marine Framework Strategy
Directive are a good starting point (see Box 2). Already based on
scientic ndings, they call for further research to explore the
acceptable levels of plastic waste with the aim of monitoring
and managing them. However, there is still a knowledge gap
concerning the impact of plastic waste on land and eventual
impact of land-based plastic waste at sea. The scientic world
needs to be clear about how realistic it is to answer some of
the research questions that policymakers would like to pose in
order to inform policy and, if these cannot be answered, then
scientists and policymakers need to reach a middle ground.
This is particularly relevant to sources of plastic waste and
whether there is any possible way of tracing or identifying
major sources that could then be addressed. For macro debris,
there is evidence that certain objects, such as plastic bottles
and plastic bags, are more widespread than others, and
highlighting these in education and public awareness around
littering and the types of plastic objects that are particularly
problematic could be useful.
There is also evidence that certain types of polymer are present
in far greater quantities than others, for example, polyethylene.
What is not known is whether amounts of certain polymers
are excessive, considering the ratio of dierent polymers
produced. What has been noted is the amount of plastic waste
direct from industry (pre-consumer) has declined, while post-
consumer plastic waste has increased (van Franeker & SNS
Fulmar Study Group, 2011a; Ryan, 2008).
Policy based on ndings about chemicals within plastics has
already been made, such as the ban on Bisphenol A (see box
10 below), but for chemicals with less clear impacts (especially
if their eects are sub-lethal or sub-toxic but could still
accumulate) other initiatives may need to be developed.
4.7 Marine Strategy Framework Directive response
to plastic waste
There are already methods in use to investigate the four
indicators for the marine litter outlined in the MSFD (see Box 2)
and their denition has been established (Galgani et al., 2010).
Plastic waste is not only inuential in marine litter, but also in
several other elements of the MSFD, such as non-indigenous
species introduced by human activities, marine food webs
and concentrations of contaminants.
The MFSD task force dedicated to marine litter suggested in
their report (Galgani et al., 2010) that monitoring of marine
litter should occur at appropriate spatial and temporal scales.
For all four indicators it recommended the harmonisation of
monitoring protocols and methods in the European region
and recording the composition of litter in categories indicative
of sources. This is likely to include plastic but could possibly be
sub-divided into other categories to help identify types and
sources of plastic.
One of the main goals of identifying the indicators is to establish
targets to work towards to establish good environmental
status. Setting targets is not easy and, as discussed in section
4.6, scientic evidence on which to base targets is sometimes
lacking. Possible targets can be based on levels found in
32
Box 10 Restrictions on use of plastic additives
Bisphenol A - There has been ongoing debate about the use of Bisphenol A in Europe, and the EU has now banned the
placing on the market and importing of polycarbonate baby bottles containing Bisphenol A. Although this ban will aect
the type of new plastic waste entering the environment it will not aect debris already in the environment.
Phthalates - The use of some phthalates has been restricted in the EU for use in children’s toys since 1999. DEHP, BBP,
and DBP are restricted for all toys; DINP, DIDP, and DNOP are restricted only in toys that can be taken into the mouth. The
restriction states that the amount of phthalates may not be greater than 0.1 per cent mass per cent of the plasticised part
of the toy. There are no other specic restrictions in the EU, although draft proposals have been tabled for the inclusion of
BBP, DEHP, and DBP on the Candidate list of Substances for Authorisation under REACH
Flame-retardants - In 2008 the EU banned several types of PBDEs when it was discovered that they were accumulating in
breast milk. This is of particular concern as is their release through the burning of electronic and electric waste when it is
dismantled/recycled in uncontrolled environments.

Plastic Waste: Ecological and Human Health Impacts
Science for Environment Policy | In-depth Reports | Plastic Waste: Ecological and Human Health Impacts November 2011
relatively untouched regions, such as the Arctic, but, in some
cases, they may have to be more arbitrary (Galgani et al., 2010).
The EcoQO target set by OSPAR provides a good example
from which to follow and has already been adopted by the
Netherlands to monitor the eects of implementing the EU
Directive on port reception facilities for ship-generated waste
and cargo residues (Van Franeker, J.A. & the SNS Fulmar Study
Group, 2011a).
As well as the complexity of the current situation of plastic
waste there are also numerous future impacts and possible
trends that could further complicate matters (see Box 11).
4.8 Identifying and lling knowledge gaps
By its nature, plastic waste is a dicult area to research and
is also a relatively recent phenomenon so that research is still
in its infancy. As such there are various knowledge gaps about
the ecological and human health impacts of plastic waste and
it is important to identify and prioritise the most pressing gaps
that need to be lled for eective policymaking.
4.8.1 Knowledge gaps: monitoring data
‘There is a dearth of information on the actual inputs of
plastics to the oceans; this needs to be urgently addressed
by Governments, municipalities, the plastic industry and
multi-national retailers because land-based sources are
expected to have a far greater contribution than maritime
activities.’ (Bowmer & Kershaw, 2010).
A great deal is unknown about the state of plastic waste in
the environment, but there is also a great deal that it is not
possible to know. Eective responses need better information
on geographic origins of plastic waste, which require regular
surveys and analysis on the relationship between local weather
conditions and geography, such as the washing out of litter
from land into sea after torrential rain on Mediterranean coasts
(Galgani et al., 2010). Surveys should cover dierent seasons
and variability in human activities, such as tourism and be
done at a local, regional, river basin and European level.
It is clear that there is a need for better harmonisation and
initiatives like the MSFD and established guidelines by OSPAR
and UNEP are moving towards this. The role of citizen science
has great potential in this area and research has shown that
the use of volunteers to conduct litter surveys is a reliable
method with no statistical dierence between results of
data gathered by inexperienced and experienced surveyors
(Tudor & Williams, 2001). High-resolution geo-referenced
images used for wildlife monitoring could provide a platform
for litter monitoring alongside better satellite images.
Other possibilities include ship-based camera monitoring
and cameras on stationary platforms (Galgani et al., 2010).
However, it is also important to prioritise what needs to be
known to inform policy and to ensure that this can be done
realistically.
The GESAMP report (Bowmer & Kershaw, 2010) has questioned
the necessity of a global assessment of microplastics, bearing
in mind the length of completion and costs. The report
suggests it should be rmly embedded in the wider scientic
context of marine debris and that microplastic monitoring
in the water column could be introduced into routine
programmes of plankton sampling. It has also been suggested
that aerial surveys conducted for oil spill detection could
be used to evaluate litter (Galgani et al., 2010). The GESAMP
report (Bowmer & Kershaw, 2010) also suggests that classical
monitoring may not be the best use of scarce resources when
considered globally. A clearer focus on specic areas, such as
33
Box 11 Future issues that may inuence the impacts of plastic waste
• Increases in plastic production, use, waste and recycling in developing and emerging countries, taking into account
projected population growth
• Continuing production of plastic waste on top of existing plastic waste – how big is the problem and how much big-
ger will it get in the future?
• Impacts of climate change, such as ooding and emergency events, may increase plastic waste. For example, the
oods in China in 2010 carried tonnes of plastic to the Three Gorges dam, threatening the functioning of water
overow valves. Increases in temperature and environmental conditions may aect the degradation of plastic into
microplastics or the release of chemicals contained or transported on plastic waste.
• Synergic or interactive eects of plastic debris with other impacts, such as bioaccumulation of mercury and cadmium
in Franciscana dolphins, alongside ingested plastic waste and entanglement in shing nets (Denuncio et al, 2011).
• Potential positive or negative impacts of biodegradable plastics in terms of biodegradation of plastic so that it is no
longer waste but, depending on the time scale of degradation, could risk accelerating the formation of microplastics.

Plastic Waste: Ecological and Human Health Impacts
Science for Environment Policy | In-depth Reports | Plastic Waste: Ecological and Human Health Impacts November 2011
hotspots, might translate more quickly and eectively into
policy decisions. The question is then how to dene these
hotspots, bearing in mind not only concern in terms of human
health and the environment, but also what can realistically be
determined. An example is provided by Galgani et al. (2010)
who suggested targeting research on microplasatics in sewage
outfalls and locations where microplastics are used for shot
blasting. Once appropriate measures for the four EU MSFD
indicators related to marine litter have been developed, then
they could also be used to identify hotspots for policy action
at a regional and national level. Galgani et al. (2010) have
identied a lack of data on waste on the seabed and generally,
more research needs to be conducted into microplastics (see
Box 12).
There is a need to harmonise research methods to assess
impacts, but at the same time, the regional or local context
must be taken into account. For example, diculties arise
in selecting the wildlife in which to measure the amount
of ingested plastic waste. Modelling is another option for
estimating the state of plastic waste and identifying hotspots,
particularly as policy decisions need to consider future
distribution of plastic waste. However, an accurate model
would need to consider a huge amount of meteorological,
oceanic and wildlife variables. Some research has modelled
the overlap of plastic waste distribution with the distribution
of marine species (Williams et al., 2011), which could provide
useful information for identifying problematic areas. However,
Galgani et al. (2010) have urged caution in this approach, as
the two parameters (distribution of species and distribution
of plastic waste) are inuenced by a wide range of natural
and human circumstances. They do, however, highlight the
potential in using existing datasets and models of drift times,
regional connectivity and weather and currents.
A better understanding of the degradation process of plastic
waste would be useful to inform policy, particularly relating to
biodegradable materials, as there is concern that these could
exacerbate issues surrounding microplastics if materials do
not biodegrade completely and/or within an adequate time
frame. Finally, monitoring of plastic waste on land is a large
research gap. Although there is plenty of monitoring on
beaches and coastlines, inland monitoring is not well reported
and better data are needed on the level and type of plastic
waste within landlls.
4.8.2 Knowledge gaps: impacts of chemicals in plastic
There is currently an absence of knowledge on exposure
levels and toxicity of chemicals associated with plastic in the
environment.
As awareness of the harmful impacts of chemicals associated
with plastic is recent, there is a need for more longitudinal
studies to explore the long-term impacts and the temporal
relationship between exposure to additives and adverse
reproductive and developmental outcomes to ascertain
causality, i.e. how long they take to have a harmful impact
(Meeker et al., 2009).
Longitudinal research would also allow analysis of shifts
in exposure among populations, while larger scale
epidemiological studies could help quantify human health
impacts and allow meaningful samples of particularly
vulnerable groups, e.g. children and women of reproductive
age (Koch & Calafat, 2009; Meeker et al., 2009).
Studies are also needed to identify which phthalate metabolites
and BPA species should be monitored, i.e. which are relevant
to human health (Koch & Calafat, 2009). Research on wildlife
has indicated that the concentrations of plasticisers at which
there is a biological eect in the laboratory are similar to the
concentrations found in real environments. This suggests that
some wildlife populations are being aected (Oehlmann et
34
Box 12 Recommendations for monitoring the four
dierent indicators of marine debris in the
MFSD (Galgani et al., 2010)
1. Coastlines – Four counts of marine litter each year
for each season to monitor the number of items, vol-
ume or weight. A unied system of classifying litter
at least on the regional scale.
2. Water column, surface and seabed – Frequency
of surveys can vary from a count every year (shallow
waters) to one every ve years or decade (deep
seaoor). It should be reported in appropriate units,
such as items per m2 of seabed or per m3 of water. A
classication system of a minimum of six categories
is suggested.
3. Biomonitoring in marine wildlife – The use of the
fulmar in regions where it occurs and other suitable
species in non-fulmar regions, for example, shear-
waters, in warmer parts of the Atlantic and Medi-
terranean. Other representative species should be
investigated.
4. Microplastics – The monitoring of both sediments
and seawater, including intertidal and subtidal
zones. Possible target areas could be industrial areas
where plastic powders are used, sewage outfalls and
locations where plastics are used for shot blasting.
Results should be recorded in density units.

Plastic Waste: Ecological and Human Health Impacts
Science for Environment Policy | In-depth Reports | Plastic Waste: Ecological and Human Health Impacts November 2011
al., 2009), but there are as yet no studies on the population
eects of additives. The impacts of long-term exposures
on species that are most sensitive to additives should be a
research priority, amongst these are molluscs, crustaceans
and amphibians (Oehlmann et al., 2009). There is growing
concern about the impact of chemical mixtures and the
possibility that the harmful impacts of some chemicals could
be greater when they are combined with other chemicals.
It is possible that plastic waste could act as a platform for
the mixing of chemicals. Similarly, looking at the impacts of
chemicals it could be mixtures of impacts that are harmful
to the environment or human health. For example, Meeker
et al. (2009) suggested that evaluations of impact should not
be just at the level of individual hormones, but on the ratios
between hormones as well.
Modelling may have a role to play in lling some research
gaps. Teuten et al. (2009) have modelled the desorption of
persistant organic pollutants (POPs) from plastic waste and
this could prove useful in predicting impacts of real levels of
plastic waste. There is also potential to model the tendency of
chemicals to partition between air, water, plastics and organic
carbon in the sediments, in order to understand more about
whether plastic waste could be a sink for POPs or a dangerous
transport vessel.
4.8.3 Knowledge gaps –exposure levels to chemicals
associated with plastic waste
Better knowledge is needed on the actual impact of
chemicals associated with plastic waste on the environment
and human health. This would include the dierential
impacts of chemicals on dierent forms of wildlife. Better
understanding is needed of the biological mechanisms
involved in the exposure of humans and animals to chemicals
associated with plastic waste and the transfer of chemicals
into biological systems.
In terms of management, it would be useful to identify
the sources and routes by which wildlife and humans are
exposed to chemicals in plastic waste. If possible, some kind
of identication of which plastics transfer contaminants
and which contaminants are most likely to be adsorbed and
transferred. This would include more land-based research on
plastic waste and research on chemicals in landlls, particularly
measuring level of additives leached into environment
(Oehlmann et al., 2009).
4.9 Possible interventions
‘There is a need for scientists to express ‘damage’ in terms
that can be easily understood by the general public. Where
resources are limited it will be important to focus on
policies that deliver benets to the largest proportion of
the population on the most important sociological/health
issues and micro-plastics might fare better in this regard
when considered as a subset of marine litter problem.’
(Bowmer & Kershaw, 2010).
Plastic waste prevention is preferable to clean-up, which is
very dicult to implement. Prevention can work at the level
of production of plastic in terms of redesigning products to
use less plastic, design for reuse and recycling and reduced
packaging material. For these to be successful interventions,
there may need to be a value placed on disposable products
to encourage their reuse and encourage manufacturers to
design them for reuse and recycling. Prevention can also work
at the level of plastic becoming waste with the use of targets,
taxes and bans but these must be carefully implemented.
Although prevention is a priority, due to the amount of plastic
waste already in the environment, clean-up initiatives must also
continue. These can be combined with monitoring exercises
and involve local communities and shing communities, such
as KIMO’s Fishing for Litter. Some, such as International Pellet
Watch, can assess levels of POPs. With such a huge issue as
plastic waste, citizen science is a good approach to cleaning-
up and monitoring, while also increasing awareness.
Eective policy requires eective monitoring and the current
state of plastic waste monitoring needs harmonisation, which
is being put into place by various guidelines on marine debris
in general. Although it is good to take into account regional
35
Box 13 Targeting current bad practices
• Landll management and waste management in new
Member States and developing countries.
• Littering on land, the coastal zone and at sea.
• The use of microplastics for abrasion in products
including cosmetics.
• Shredding plastic waste (particularly on boats) to put
in food waste.
• Excessive use of plastic bags and packaging.
• Use of additives that are a risk to health, especially
Bisphenol A and some phthalates.
• Use of plastics that will degrade quickly but not
completely, leading to increase in microplastics i.e.
oxo-degradable plastics.

Plastic Waste: Ecological and Human Health Impacts
Science for Environment Policy | In-depth Reports | Plastic Waste: Ecological and Human Health Impacts November 2011
dierences, production of an excessive number of guidelines
should be avoided as these would later require harmonisation.
Monitoring can be embedded in more general marine debris
initiatives as long as there are gures specically related to
plastic. Similarly, microplastic monitoring can be performed
alongside plankton sampling.
There is also a need for better education and awareness
around plastic waste. Plastic footprints and labelling on
products are possible but need the appropriate education
to make them meaningful. Alongside this there could be
labelling of products that contain known harmful additives.
Banning of some harmful chemicals contained in plastic, such
as Bisphenol A and some phthalates, has already occurred, but
for others restriction may have to be voluntary. A harmonised
industry-wide eort is needed to communicate information
about chemicals used in plastic, alongside public education
about the chemicals.
Waste management is highly important in addressing the
issues of plastic waste. The systems dier from country to
country and region to region. Although international and
European legislation exists, it requires better monitoring to
ensure complete implementation. More specic legislation
or clauses within existing legislation relating to plastic waste
could be considered.
In terms of addressing existing problems with plastic waste the
identication of plastic waste ’hotspots‘ may prove useful. This
can be done by monitoring or by some forms of modelling, for
example, models of ocean currents such as gyres and the Gulf
Stream that casts oating objects to Caribbean and eastern
North Atlantic shores (Bowmer and Kershaw, 2010). Another
approach is the identication and protection of species,
habitats and human groups that are vulnerable to plastic
waste and the chemicals associated with it.
In general, there needs to be better integration of marine
planning with terrestrial planning. The frameworks are in place
for this in terms of the EU Recommendation for Integrated
Coastal Management and the Integration of Marine and
Maritime Research, but more needs to be done to ensure
better implementation and this may need to be more focused
on plastic waste (Mouat et al., 2010; Kershaw et al., 2011).
36

Plastic Waste: Ecological and Human Health Impacts
Science for Environment Policy | In-depth Reports | Plastic Waste: Ecological and Human Health Impacts November 2011 37
Aliani, S., A. Gria & A. Molcard. (2003). Floating debris in the Ligurian Sea,
northwestern Mediterranean. Marine Pollution Bulletin 46: 1142-1149.
Allsopp, M., Walters, A., Santillo, D. & Johnston, P. (2006) Plastic Debris in
the World’s Oceans. Greenpeace International. Downloadable from http://
oceans.greenpeace.org/en/documents-reports/plastic_ocean_report
Aloy, A.B., Vallejo, B.M. & Juinio-Meñez, M.A. (2011) Increased plastic litter
cover aects the foraging activity of the sandy intertidal gastropod Nassarius
pullus. Marine Pollution Bulletin 62:1772-1779.
Andrady, A.L. (2011) Microplastics in the marine environment. Marine
Pollution Bulletin 62:1596-1605.
Arthur, C., Baker, J. & Bamford, H. (2009) Proceedings of the International
Research Workshop on the Occurrence, Eects, and Fate of Microplastic
Marine Debris. Sept 9-11, 2008. National Oceanic and Atmospheric
Administration Technical Memorandum NOS-OR&R-30.
Auman, H.J., Ludwig, J.P., Giesy, J.P. & Colborn, T. (1997) Plastic ingestion by
Laysan Albaross chicks on Sand Island, Midway Atoll, in 1994 and 1995. In
G.Robinson & R. Gales (eds.) Albatross Biology and Conservation. Surrey Beatty
& Sons, Chipping Norton. Chapter 20 pp 239-244.
Ashton, K., Holmes, I. & Turner, A. (2010) Association of metals with plastic
production pellets in the marine environment. Marine Pollution Bulletin,
60(11):2050-2055
Balance, A., P. Ryan, and J.K. Turpie. (2000) How much is a clean beach worth?
The impact of litter on beach users in the Cape Peninsula, South Africa. South
African Journal of Science 96: 210-213.
Barnay, A., Degre, E., Emmerson, R. et al. (2010) Evaluation of the OSPAR
system of Ecological Quality Objectives for the North Sea . OSPAR
Commission Biodiversity Series.
Barnes, D.K.A & Milner, P. (2005) Drifting plastic and its consequences for
sessile organism dispersal in the Atlantic Ocean. Marine Biology 146:815-825.
Barnes, D.K.A., Galgani, F., Thompson, R.C. & Barlaz, M. (2009) Accumulation
and fragmentation of plastic debris in global environments. Philosophical
Transactions of the Royal Society B. 364:1985-1998.
Ben-Jonathan, N., Hugo, E.R & Brandebourg, T.D. (2009). Eects of bisphenol
A on adipokine release from human adipose tissue: Implications for the
metabolic syndrome. Molecular and Cellular Endocrinol 304(1-2): 49-54.
Boerger, C.M., Lattin, G.L., Moore, S.L. & Moore, C.J. (2010) Plastic ingestion
by planktivorous shes in the North Pacic Central Gyre. Marine Pollution
Bulletin 60:2275-2278.
Bowmer, T. & Kershaw, P. (2010) Proceedings of the GESAMP International
Workshop on Microplastic particles as a vector in transporting persistent,
bio-accumulating and toxic substances in the ocean. GESAMP Reports &
Studies No. 8
Browne, M.A., Galloway, T. & Thompson, R. (2007) Microplastic – An emerging
contaminant of potential concern? Integrated Environmental Assessment and
Management 3(4):559-566.
Browne, M.A., Dissanayake, A., Galloway, T.S. et al. (2008) Ingested
Microscopic Plastic Translocates to the Circulatory System of the Mussel,
Mytilus edulis (L.) Environmental Science & Technology 42(13): 5026-5031.
Browne, M.A., Galloway, T.S. & Thompson, R.C. (2010) Spatial Patterns of
Plastic Debris along Estuarine Shorelines Environmental Science & Technology
44(9):3404-3409.
Carson, H.S., Colbert, S.L., Kaylor, M.J. & McDermid, K.J. (2011) Small
plastic debris changes water movement and heat transfer through beach
sediments. Marine Pollution Bulletin 62:1708-1713.
Casale, P., Abbate, G., Freggi, D. et al. (2008). Foraging ecology of loggerhead
sea turtles Caretta caretta in the central Mediterranean Sea: evidence for a
relaxed life history model. Marine Ecology Progress Series 372, 265–276.
Cheshire, A.C., Adler, E., Barbière, J. et al. (2009). UNEP/IOC Guidelines on
Survey and Monitoring of Marine Litter. UNEP Regional Seas Reports and
Studies, No. 186; IOC Technical Series No. 83
Cooper, D.A. & Corcoran, P.L. (2010) Eects of mechanical and chemical
processes on the degradation of plastic beach debris on the island of Kauai,
Hawaii. Marine Pollution Bulletin 60:650-654.
Corcoran, P.L., Biesinger, M.C. & Gri, M. (2009) Plastics and beaches: A
degrading relationship. Marine Pollution Bulletin 58:80-84.
Davison, P. & Asch, R.G. (2011) Plastic ingestion by mesopelagic shes in the
North Pacic Subtropical Gyre. Marine Ecology Progress Series 432:173-180.
Denuncio, P., Bastida, R., Dassis, M. et al. (2011) Plastic ingestion in
Franciscana dolphins, Pontoporia blainvillei (Gervais and d’Orbigny,
1844) from Argentina. Marine Pollution Bulletin doi: 10.1016/j.
marpolbul.2011.05.003.
Derraik, J.G.B. (2002) The pollution of the marine environment by plastic
debris: a review. Marine Pollution Bulletin 44:842-852.
DiGangi, J., Blum, A., Bergman, Å. et al. (2010) San Antonio Statement on
Brominated and Chlorinated Flame Retardants Environmental Health
Perspectives 118(12): 516-518.
Frias, J.P.G.L., Sobral, P. & Ferreira, A.M. (2010) Organic pollutants in
microplastics from two beaches of the Portuguese coast. Marine Pollution
Bulletin. 60:1988-1992.
Frias, J.P.G.L., Martins, J. & Sobral, P. (2011) Research in plastic marine debris in
mainland Portugal. Journal of Integrated Coastal Zone Management 11(1):145-
148.
Fry, D.M., Fefer, S.I. & Sileo, L. (1987) Ingestion of plastic debris by Laysan
Albatrosses and Wedge-tailed Shearwaters in the Hawaiian Islands. Marine
Pollution Bulletin 18(6): 339-343.
Galgani, F. et al. (2000) Litter on the sea oor along European coasts. Marine
Pollution Bulletin 40, 516 – 527.
Galgani, F., Souplet, A. & Cadiou, Y. (1996). Accumulation of debris on the
deep sea oor of the French Mediterranean coast. Mar. Ecol. Progr. Ser. 142,
225–234.
Galgani, F., Fleet, D., Van Franeker, J. et al. (2010) Marine Strategy Framework
Directive Task Group 10 Report Marine Litter JRC scientic and technical
Reports, European Union, IFREMER and ICES 2010.
Galgani, F. & Piha, H. (2010) Report of the Joint MEDPOL/Blacksea/ICES
Workshop on Marine Litter (WKMAL), ICES report n°27 .
REFERENCES

Plastic Waste: Ecological and Human Health Impacts
Science for Environment Policy | In-depth Reports | Plastic Waste: Ecological and Human Health Impacts November 2011
Galloway, T. (2008) Plastic bottles and moral codes. Marine Pollution Bulletin
56:163-165.
Galloway T., Cipelli R., Guralnik J. et al. (2010) Daily Bisphenol A Excretion and
Associations with Sex Hormone Concentrations: Results from the InCHIANTI
Adult Population Study. Environmental Health Perspectives 118:1603-1608.
http://dx.doi.org/10.1289/ehp.1002367
Garrigos, M.C., Marin, M.L, Canto, A. & Sanchez, A. (2004) Determination of
residual styrene monomer in polystyrene granules by gas chromatography-
mass spectrometry. Journal of Chromatography A 1061:211-216.
Gerpe, M., Rodriguez, D., Moreno, V. et al. (2002). Accumulation of heavy
metals in the Franciscana (Pontoporia blainvillei) from Buenos Aires Province,
Argentina. LAJAM 1 (1), 95–106.
Global Industry Analysts (2011) Molded Plastics: A Global Strategic Business
Report. Global Industry Analysts Inc.
Goldberg, E.D. (1997) Plasticizing the seaoor: an overview. Environmental
Technology 18:195-202.
Gregory, M.R. (1996) Plastic ‘scrubbers’ in hand cleansers: a further (and
minor) source for marine pollution identied. Marine Pollution Bulletin
32:867-871
Gregory, M.R. (2009) Environmental implications of plastic debris in marine
settings – entanglement, ingestion, smothering, hangers-on, hitch-hiking
and alien invasions. Philosophical Transactions of the Royal Society B.
364:2013-2025.
Henderson, J.R. (2001) A pre and post-MARPOL Annex V summary of
Hawaiian Monk Seal entanglements and marine debris accumulation in the
northwestern Hawaiian Islands, 1982-1998. Marine Pollution Bulletin. 42:584-
589.
Hengstler, J.G., Foth, H., Gebel, T. et al. (2011) Critical evaluation of key
evidence on the human health hazards of exposure to bisphenol A. Critical
Review of Toxicology 2011 41(4): 263-291.
Herczeg, M, Skovgaard, M., Zoboli, R. & Mazzanti, M. (2009) Diverting waste
from landll. Eectiveness of waste management policies in the European
Union. European Environment Agency Report No. 7/2009.
Hirai, H., Takada, H., Ogata, Y. et al. (2011) Organic micropollutants in marine
plastic debris from the open ocean and remote and urban beaches. Marine
Pollution Bulletin 62:1683-1692.
Ivar do Sul, J.A., Santos, I.R., Friedrich, A.C. et al. (2011) Plastic Pollution at
a Sea Turtle Conservation Area in NE Brazil: Contrasting Developed and
Undeveloped Beaches. Estuaries and Coasts 34:814-823.
Jeerson Hopewell, J., Robert Dvorak, R., & Edward Kosior, E. (2009) Plastics
recycling: challenges and opportunities. Philosophical Transactions of the
Royal Society B 364(1526): 2115–2126.
Katsanevakis, S., Verriopoulos, G., Nicolaidou, A. et al. (2006) Eect of marine
litter on the benthic megafauna of coastal soft bottoms: a manipulative eld
experiment. Marine Pollution Bulletin 54:771-778.
Kershaw, P., Katsuhiko, S., Lee, S. et al. (2011) Plastic Debris in the Ocean in
UNEP Year Book 2011: Emerging issues in our global environment, United
Nations Environment Programme, Nairobi.
KIMO (2008) Fishing for Litter Scotland Final Report 2005 – 2008. KIMO
publication
Koch, H.M. & Calafat, A.M. (2009) Human body burdens of chemicals used
in plastic manufacture. Philosophical Transactions of the Royal Society B.
364:2063-2078
Kyung-Seop, K., Young-Bok, J., Young-Hwan, K. et al. (2009) The eect on
formation of polychlorinated benzenes, polychlorinated phenols and PAHs
during PVC combustion at variable plasticizer content. Organohalogen
Compounds 71:1875-1878
Kyung-Seop, K., Won-Kuk, K., Young-Hwan, K. et al. (2007) Emission
characteristics of hazardous air pollutants from co-combustion of various
plastics. Organohalogen Compounds 69:2427-2430
Laist, D. W., (1997) Impacts of marine debris: entanglement of marine life in
marine debris including a comprehensive list of species with entanglement
and ingestion records. In: Coe, J. M. and D. B. Rogers (Eds.), Marine Debris --
Sources, Impacts and Solutions. Springer-Verlag, New York, pp. 99-139.
Lang, I.A., Galloway, T.S., Scarlett, A. et al. (2008) Association of Urinary
Bisphenol A Concentration With Medical Disorders and Laboratory
Abnormalities in Adults. Journal of the American Medical Association
doi:10.1001/jama.300.11.1303.
Lazar, B. & Gracan, R. (2011) Ingestion of marine debris by loggerhead sea
turtles, Caretta caretta, in the Adriatic Sea. Marine Pollution Bulletin 62:43-47.
Lithner, D., Larsson, Å. & Dave, G. (2011) Environmental and health hazard
ranking and assessment of plastic polymers based on chemical composition.
Science of the Total Environment 409:3309-3324.
Lobelle, D. & Cunlie, M. (2011) Early microbial biolm formation on marine
plastic debris. Marine Pollution Bulletin 62:197-200.
Marcilla, A., Garia, S., Garcia-Queseda, J.C. (2004) Study of the migration of
PVC plasticizers. J Anal Appl Pyrolysis 71:457-463.
MacFadyen, G., Huntingdon, T. & Cappell, R. (2009) Abandoned, lost or
otherwise discarded shing gear. UNEP Rome.
Maggs, J, Hougee, M & Balk, V. (2010) No place for waste. Let’s end ship waste
dumping at sea. Brochure by Seas at Risk and the North Sea Foundation.
Mattlin, R.H. and Cawthorn, M.W. (1986) Marine debris – an international
problem. New Zealand Environment 51:3-6.
Melzer, D, Rice, N.E., Lewis, C. et al. (2010) Association of urinary bisphenol a
concentration with heart disease: evidence from NHANES 2003/06. PLoS One
13: 5(1).
Mouat, J., Lopez Lozano, M. & Bateson, H. (2010) Economic Impacts of Marine
Litter. Kommunenes Internasjonale Miljøorganisasjon (KIMO) publication.
Meeker, J.D., Sathyanarayana, S. & Swan, S.H. (2009) Phthalates and other
additives in plastics: human exposure and associated health outcomes.
Philosophical Transactions of the Royal Society B. 364:2097-2113.
Moore, C.J., Moore, S.L., Leecaster, M.K. & Weisberg, S.B. (2001) A comparison
of plastic and plankton in the North Pacic central gyre. Marine Pollution
Bulletin 40:83-88.
38

Plastic Waste: Ecological and Human Health Impacts
Science for Environment Policy | In-depth Reports | Plastic Waste: Ecological and Human Health Impacts November 2011 39
Moore, C.J., Lattin, G.L. & Zellers, A.F. (2011) Quantity and type of plastic
debris owing from two urban rivers to coastal waters and beaches of
Southern California. Journal of Integrated Coastal Zone Management 11(1):
65-73.
Morét-Ferguson, S., Lavendar-Law, K. Proskurowski, G. et al. (2010) The size,
mass and composition of plastic debris in the western North Atlantic Ocean.
Marine Pollution Bulletin 60:1873-1878.
Mudgal, S., Lyons, L., Bain, J. et al. (2011) Plastic Waste in the Environment
– Revised Final Report for European Commission DG Environment. Bio
Intelligence Service. Downloadable from http://www.ec.europa.eu/
environment/waste/studies/pdf/plastics.pdf
Murray, F. & Cowie, P.R. (2011) Plastic contamination in the decapod
crustacean Nephrops norvegicus (Linnaeus, 1758) Marine Pollution Bulletin
doi:10.1016/j.marpolbul.2011.03.032.
Nakashima, E., Isobe, A., Magome, S. et al. (2011) Using aerial photography
and in situ measurements to estimate the quantity of macro-litter on
beaches. Marine Pollution Bulletin 62:762-769.
National Oceanic and Atmospheric Administration (NOAA) (2010) Plastic
Marine Debris What We Know. Downloadable from http://marinedebris.noaa.
gov/info/plastic.html
National Oceanic and Atmospheric Administration (NOAA), US Department
of Commerce (2005). Coral reef restoration through marine debris
mitigation. NOAA.
Norén, F. (2007) Small plastic particles in Coastal Swedish Waters. KIMO
Sweden.
Nnorom, I.C. & Osibanjo, O. (2009) Toxicity characterization of waste mobile
phone plastics. Journal of Hazardous Materials. 161:183-188.
O’ Brine, T. & Thompson, R.C. (2010) Degradation of plastic carrier bags in the
marine environment Marine Pollution Bulletin 60:2279-2283.
Oehlmann, J., Schulte-Oehlmann, U., Kloas, W. et al. (2009) A critical analysis
of the biological impacts of plasticizers on wildlife. Philosophical Transactions
of the Royal Society B. 364:2047-2062.
Ogata, Y., Takada, H., Mizukawa, K. et al. (2009) International Pellet Watch:
Global monitoring of persistent organic pollutants (POPs) in coastal waters.
1. Initial phase data on PCBs, DDTs and HCHs. Marine Pollution Bulletin
58:1437-1446.
OSPAR (2007) Pilot Project on Monitoring Marine Beach Litter. OSPAR
Commission.
OSPAR (2008) Background document for the EcoQO on plastic particles in
stomachs of seabirds OSPAR Commission.
OSPAR (2009) Evaluation of OSPAR system of Ecological Quality Objectives
for the North Sea (update 2010) OSPAR Commission.
OSPAR (2010a) Guideline for monitoring marine litter on the beaches in the
OSPAR Maritime area . OSPAR Commission.
OSPAR (2010b) Quality Status Report 2010. OSPAR Commission.
OSPAR & UNEP (2009) Marine Litter Preventing a Sea of Plastic. UNEP and
OSPAR Commission.
Pichel, W.G., Churnside, J.H., Veenstra, T.S. et al. (2007) Marine debris collects
within the North Pacic Subtropical Convergence Zone. Marine Pollution
Bulletin 54:1207-1211.
Pilz, H., Brandt, B. & Fehringer, R. (2010) The impact of plastics on life cycle
energy consumption and greenhouse gas emissions in Europe. Summary
report by denkstatt for Plastics Europe.
PlasticsEurope (2009) The Compelling Facts about Plastics 2009. An
analysis of European plastics production, demand and recovery for 2008.
PlasticsEurope, European Plastics Converters, European Association of
Plastics Recycling and Recovery Organisations & European Plastics Recyclers.
PlasticsEurope (2010) Plastics the Facts 2010. An analysis of European plastics
production, demand and recovery for 2009. PlasticsEurope, European
Plastics Converters, European Association of Plastics Recycling and Recovery
Organisations & European Plastics Recyclers.
Possatto, F.E., Barletta, M., Costa, M.F. et al. (2011) Plastic debris ingestion by
marine catsh: An unexpected sheries impact. Marine Pollution Bulletin 62:
1098-1102.
Rios, L.M., Moore, C. & Jones, P.R. (2007) Persistent organic pollutants carried
by synthetic polymers in the ocean environment. Marine Pollution Bulletin
54:1230-1237.
Rios, L.M., Jones, P.R., Moore, C. & Narayan, U.V. (2010) Quantication of
persistent organic pollutants adsorbed on plastic debris from the Northern
Pacic Gyre’s “eastern garbage patch” Journal of Environmental Monitoring
12:2226-2236.
Ryan, P.G. (1988) Intraspecic variation in plastic ingestion by seabirds and
the ux of plastic through seabird populations. Condor 90: 446-452.
Ryan, P.G. (2008) Seabirds indicate changes in the composition of plastic
litter in the Atlantic and south-western Indian Oceans Marine Pollution
Bulletin 56:1406-1409.
Ryan, P.G., Moore, C.J., van Franeker, J.A. & Moloney, C.L. (2009) Monitoring
the abundance of plastic debris in the marine environment. Philosophical
Transactions of the Royal Society B. 364:1999-2012
Sancho G., Puente E., Bilbao A. et al. (2003) Catch rates of monksh (Lophius
spp.) by lost tangle nets in the Cantabrian Sea (northern Spain) Fisheries
Research 64:129-139.
Sheavly S.B. (2005). Sixth Meeting of the UN Open-ended Informal
Consultative Processes on Oceans & the Law of the Sea. Marine debris – an
overview of a critical issue for our oceans. June 6-10, 2005. http://www.
un.org/Depts/los/consultative_process/consultative_process.htm
Sheavly, S.B. & Register, K.M. (2007) Marine Debris & Plastics: Environmental
Concerns, Sources, Impacts and Solutions. Journal of Polymer Environment
15:301-305.
Spear, L.B., Ainley, D.G. & Ribic, C.A. (1995) Incidence of plastic in seabirds
from the tropical Pacific, 1984–91 – relation with distribution of species,
sex, age, season, year and body-weight. Marine Environmental Research
40:123–146.
Stockholm Convention on Persistent Organic Pollutants (2011) www.pops.int
J. H. Song, J.H., R. J. Murphy, R.J., Narayan, R. & Davies, G.B.H (2009)
Biodegradable and compostable alternatives to conventional plastics.
Philosophical Transactions of the Royal Society B 364(1526): 2127–2139.

Plastic Waste: Ecological and Human Health Impacts
Science for Environment Policy | In-depth Reports | Plastic Waste: Ecological and Human Health Impacts November 2011 40
Talness, C.E., Andrade, A.J., Kuriyama, S.N. et al. (2009) Components of
plastic: experimental studies in animals and relevance for human health.
Philosophical Transactions of the Royal Society B 364:2079-2096.
Teuten, E.L., Rowland, S.J., Galloway, T.S. & Thompson, R.C. (2007) Potential
for Plastics to Transport Hydrophobic Contaminants. Environmental Science &
Technology 41:7759-7764.
Teuten, E.L., Saquing, J.M., Knappe, D.R.U et al. (2009) Transport and release
of chemicals from plastics to the environment and to wildlife Philosophical
Transactions of the Royal Society B 364:2027-2045.
Ten Brink, P., Lutchman, I., Bassi. S. et al. (2009) Guidelines on the Use of
Market-based instruments to Address the Problem of Marine Litter. Institute
for European Environmental Policy (IEEP), Brussels, Belgium & Sheavly
Consultants, Virginia Beach, Virginia, USA.
Thompson, R.C., Olsen, Y., Mitchell, R.P. et al. (2004) Lost at Sea: Where is all
the plastic? Science 7: 838.
Thompson, R.C., Swan, S.H., Moore, C.J. & vom Saal, F.S. (2009) Our plastic
age. Philosophical Transactions of the Royal Society B 364:1973-1976.
Tomás, J., Guitart, R., Mateo, R., & Raga, J.A., (2002) Marine debris ingestion
in loggerhead sea turtles, Caretta caretta, from the Western Mediterranean.
Marine Pollution Bulletin 44, 211–216.
Tourinho, P.S., Ivar do Sul, J.A. & Fillmann, G. (2009) Is marine debris ingestion
still a problem for the coastal marine biota of southern Brazil? Marine
Pollution Bulletin doi:10.1016/j.marpolbul.2009.10.013.
Toxipedia (2011) http://toxipedia.org
Tudor, D.T. & Williams, A.T. (2001) Investigation of litter problems in the
Severn estuary/Bristol channel area, R&D Technical Summary, E1-082/TS.
Bristol: Environment Agency; 2001.
Turner, A. & Holmes, L. (2011) Occurrence, distribution and characteristics
of beached plastic production pellets on the island of Malta (central
Mediterranean) Marine Pollution Bulletin 62: 377-381.
UmweltBundesAmt (German Federal Environment Agency) (2010) Bisphenol
A: An industrial chemical with adverse eects. UmweltBundesAmt (German
Federal Environment Agency).
Van Franeker, J.A.; & Meijboom, A. 2002. Litter NSV - Marine litter monitoring
by Northern Fulmars: a pilot study. Alterra (Alterra-Rapport 4010.
Van Franeker, J.A. (2004) Save the North Sea fulmar-litter-EcoQO manual Part
1: collection and dissection procedures. Alterra (Alterra-Rapport 672).
Van Franeker, J.A. (2011). Reshape and relocate: seabirds as transformers and
transporters of microplastics. Fifth International Marine Debris Conference,
Honolulu Hawaii 20-25 Mar 2011. Oral Presentation Extended Abstracts 6.d.3.
278-280.
Van Franeker, J.A., Blaize, C., Danielsen, J. et al. (2011) Monitoring plastic
ingestion by the northern fulmar Fulmarus glacialis in the North Sea..
Environmental Pollution doi:10.1016/j.envpol.2011.06.008.
Van Franeker, J.A. & the SNS Fulmar Study Group (2011a). Fulmar Litter
EcoQO monitoring along Dutch and North Sea coasts in relation to EU
Directive 2000/59/EC on Port Reception Facilities: results to 2009. IMARES
Report Nr C037/11. IMARES, Texel, 52pp +2app.
Van Franeker, J.A. & SNS Fulmar Study Group (2011b). A standard protocol
for monitoring marine debris using seabird stomach contents: the Fulmar
EcoQO approach from the North Sea. Fifth International Marine Debris
Conference, Honolulu Hawaii 20-25 Mar 2011. Oral Presentation Extended
Abstracts 3.c.5. 116-120.
Van Franeker, J.A. & SNS Fulmar Study Group (2011c). Chemicals in marine
plastics and potential risks for a seabird like the Northern Fulmar (Fulmarus
glacialis). Fifth International Marine Debris Conference, Honolulu Hawaii 20-
25 Mar 2011. Oral Presentation Extended Abstracts 8.c.4. 415-418.
UNEP (2006). Ecosystems and Biodiversity in Deep Waters and High Seas.
UNEP Regional Seas Reports and Studies No. 178. UNEP/ IUCN, Switzerland
2006. ISBN: 92-807-2734-6 .
UNEP (2009) Marine Litter: A Global Challenge. Nairobi: UNEP.
UNEP & IOMC (Inter-organisation Programme for the Sound Management of
Chemicals) (2011) A Synthesis of ndings under the UNEP/IOMC project on
Information on Chemicals in Products UNEP/DTIE CIP Project.
UNEP (DTIE ITEC) (2011) Framework of Global Partnership on Waste
Management.
US EPA (1992), Turning the tide on trash. A learning guide on marine debris.
EPA842-B-92-003.
Weiss, K.R., McFarling, U.L. & Loomis, R. (2006) Plague of plastic chokes the
seas. Los Angeles Times. 2 August.
Weisskopf, M. (1988) Plastic reaps a grim harvest in the oceans of the world
(plastic trash kills and maims marine life) Smithsonian 18, 58.
Williams, R., Ashe, E. & O’Hara, P.D. (2011) Marine mammals and debris in
coastal waters of British Columbia, Canada. Marine Pollution Bulletin 62:1303-
1316.
Wong, M.H., Wu, S.C., Deng, W.J. et al. (2007) Export of toxic chemicals - A
review of the case of uncontrolled electronic waste recycling. Environmental
Pollution 149:131-140.
Yamamoto, T. & Yasuhara, A. (1999) Quantities of Bisphenol A leached from
Plastic Waste Samples. Chemosphere 38(11):2569-2576.
Yamamoto, T., Yasuhara, A., Shiraishi, H. & Nakasugi, O. (2001) Bisphenol A in
hazardous waste landll leachates. Chemosphere 42:415-418.
Young, L.C., Vanderlip, C., Duy, D.C, et al. (2009) Bringing Home the Trash:
Do Colony-Based Dierences in Foraging Distribution Lead to Increased
Plastic Ingestion in Laysan Albatrosses? PLoS One 4(10): 1-9
Zar, C., Flet, D., Fries, E. et al. (2011) Microplastics in oceans. Marine Pollution
Bulletin 62:1589-1591.
Zar, C. & Matthies, M., (2010) Are marine plastic particles transport vectors
for organic pollutants to the Arctic? Marine Pollution Bulletin 60:1810-1814.

Plastic Waste: Ecological and Human Health Impacts
Science for Environment Policy | In-depth Reports | Plastic Waste: Ecological and Human Health Impacts November 2011
The contents and views included in this In-depth Report are based on independent research and do
not necessarily reect the position of the European Commission.
This In-depth Report is published by the European Commission’s Directorate-General Environment and edited by the
Science Communication Unit, the University of the West of England (UWE), Bristol. Email: sfep.editorial@uwe.ac.uk
Images are reproduced with permission from the following sources:
Page1 © Science Communication Unit, UWE;
Figure 1: World Plastics Production 1950-2008. The Compelling Facts about Plastic, PlasticsEurope (2009), p33.
Figure 2: Continued decoupling of plastic waste and landll. The Compelling Facts about Plastic, PlasticsEurope (2009), p11.
Figure 3: Main sources and movement pathways for plastic in the marine environment. Kershaw, P., Katsuhiko, S., Lee, S. et al. (2011) Plastic Debris in
the Ocean in UNEP Year Book 2011: Emerging issues in our global environment. United Nations Environment Programme: Nairobi. Adapted from Ryan et
al., (2009). Philosophical Transactions of the Royal Society. 364: 1999-2012 .
Figure 4: Proportion of post-consumer waste in EU-27, Norway and Switzerland according to function, 2008. From Plastic Waste in the Environment
(2011), Mudgal et al.
Figure 5: Composition and numbers of marine litter items found on beaches within OSPAR network. From Marine litter Preventing a Sea of Plastic
(2009), OSPAR Commission
Figure 6: Changes in composition of marine items found on beaches within OSPAR network. Diagram from Marine Litter Preventing a Sea of Plastic
(2009) OSPAR Commission.
Figure 7: Weight densities of plastic debris from Ocean Surface samples, North Pacic Gyre 2007-2008. Plastic Density in the Pacic: 2007-2008 data.
Algalita Research Centre Monitoring.
Figure 8: Litter ( items/ hectare) on the sea bed in the channel (x) and the gulf of Lion (y). Data collected from International Bottom Trawl Surveys
from the IBTS and MEDITS programs in France. Galgani, F., IFREMER.
Figure 9: Trends in the average number of marine litter items collected on reference beaches over three time periods. Other human uses and im-
pacts, OSPAR Quality Status Report, chap 9: 2010b.
Figure 10: Identity and composition of plastic debris collected from the strandline of the Tamar Estuary (UK.) Browne, M.A., Galloway, T.S. & Thomp-
son, R.C. (2010) Spatial Patterns of Plastic Debris along Estuarine Shorelines. Environmental Science & Technology. 44(9):3404-3409.
Figure 11: Amount of user and industrial plastic in Fulmar stomachs in Netherlands over time. Van Franeker, J.A.; & the SNS Fulmar Study Group
(2011a).
Figure 12: EcoQO performance in North Sea regions 2005-2009 and preliminary trends. Trend shown by connecting running average 5 year data .
Van Franeker, J.A.; & the SNS Fulmar Study Group (2011a).
Figure 13: Trends in EcoQO performance in dierent regions of the North Sea since 2002 (by running 5-year average data). Van Franeker, J.A.; & the
SNS Fulmar Study Group (2011a).
Figure 14: Number and percentage of marine species with documented entanglement and ingestion records. Mudgal et al. (2011) Plastic Waste in
the Environment Report, p 114 (adapted from Laist, 1997).
Figure 15: Relationship between BPA concentrations in leachate and per capita GDP of Asian countries. Teuten, E.L., Saquing, J.M., Knappe, D.R.U
et al. (2009) Transport and release of chemicals from plastics to the environment and to wildlife. Philosophical Transactions of the Royal Society B.
364:2027-2045.
Figure 16: Illustration of additional eects of plastics in transport of phenanthrene. Teuten, E.L., Saquing, J.M., Knappe, D.R.U et al. (2009) Transport
and release of chemicals from plastics to the environment and to wildlife. Philosophical Transactions of the Royal Society B. 364:2027-2045.
Figure 17: Concentrations of PCBs in beached plastic pellets. Teuten et al. (2009) and also from International Pellet Watch paper (Ogata et al, 2011).
41
About Science for Environment Policy
Science for Environment Policy is a free news and information service from the European Commission’s
Directorate-General Environment, which provides the latest environmental policy-relevant research ndings.
In-depth Reports are a new feature to the service, which report on the latest relevant science for
policy issues in question. The service also publishes a weekly News Alert and regular Thematic Issues,
which are delivered by email to subscribers and provide accessible summaries of key scientic studies.
For more information or to subscribe to the News Alert and Thematic Issues, please email:
sfep@uwe.ac.uk or visit: http://ec.europa.eu/environment/integration/research/newsalert/index_en.htm