Ir_cover.dvi MANUAL
User Manual: MANUAL manual pdf - FTP File Search (14/20)
Open the PDF directly: View PDF
.
Page Count: 210 [warning: Documents this large are best viewed by clicking the View PDF Link!]


U
N
I
T
E
D
S
T
A
T
E
S
O
F
A
M
E
R
I
C
A
D
E
P
A
R
T
M
E
N
T
O
F
C
O
M
M
E
R
C
E











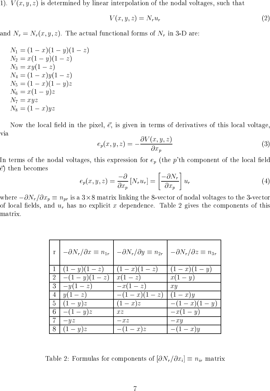
X, i
Z,k
Y, j
1
3
8
4
5
2
7
6













∂2En/∂u2
∂2En/∂ε2
∂2En/(∂u∂ε)
∂2En/(∂ε∂u)
(ns,3)
(ns,3)
(2,3)
(2,3)
















1.00 1.10 1.20 1.30 1.40
σ2
0.000
0.002
0.004
0.006
0.008
0.010
σeff
Small contrast data on 303 system
Centered 223 cube
FEM
Brown (2nd order)



0.0 2.0 4.0 6.0 8.0 10.0
σ2/σ1
0.00
1.00
2.00
3.00
Quantities
<σ>/σ1
<E2>2/<E2>
Exact



10−2 10−1 100101102
x
−2.0
−1.0
0.0
1.0
2.0
3.0
[σ]
Intrinsic conductivity for a sphere
d=15 sphere in 403 unit cell
FEM
FD
Exact

10−2 10−1 100101102
x
−2.5
−1.5
−0.5
0.5
1.5
2.5
[K], [G]
Intrinsic elastic moduli for a sphere
d=15 sphere in 403 unit cell
[K]
[G]
Exact


10−2 10−1 100101102
x
−2.0
−1.0
0.0
1.0
2.0
3.0
[σ]
Intrinsic conductivity for a cube
103 cube in 403 unit cell







0 102030405060
Thickness L
0.0
0.4
0.8
1.2
1.6
2.0
Reff/R









0.0 0.5 1.0 1.5 2.0
Current
0.00
0.10
0.20
0.30
Area fraction
Exact
FE
FD

0.0 0.5 1.0 1.5 2.0
Current
0.00
0.10
0.20
0.30
Area fraction
Exact
FE
FD













































































































































