SolutionsManual4edChs1to6 Microwave Engineering 4th Solutions Manual
Microwave%20Engineering%204th%20Solutions%20Manual
User Manual:
Open the PDF directly: View PDF
.
Page Count: 141 [warning: Documents this large are best viewed by clicking the View PDF Link!]
Solutions Manual
for
Microwave Engineering
4th edition
David Pozar
April 2011

1
Chapter 1
This is an open-ended question where the focus of the answer may be largely chosen by
the student or the instructor. Some of the relevant historical developments related to the
early days of radio are listed here (as cited from T. S. Sarkar, R. J. Mailloux, A. A. Oliner, M.
Salazar-Palma, and D. Sengupta, History of Wireless, Wiley, N.J., 2006):
1865: James Clerk Maxwell published his work on the unification of electric and magnetic
phenomenon, including the introduction of the displacement current and the theoretical
prediction of EM wave propagation.
1872: Mahlon Loomis, a dentist, was issued US Patent 129,971 for “aerial telegraphy by
employing an ‘aerial’ used to radiate or receive pulsations caused by producing a disturbance in
the electrical equilibrium of the atmosphere”. This sounds a lot like radio, but in fact Loomis was
not using an RF source, instead relying on static electricity in the atmosphere. Strictly speaking
this method does not involve a propagating EM wave. It was not a practical system.
1887-1888: Heinrich Hertz studied Maxwell’s equations and experimentally verified EM wave
propagation using spark gap sources with dipole and loop antennas.
1893: Nikola Tesla demonstrated a wireless system with tuned circuits in the transmitter and
receiver, with a spark gap source.
1895: Marconi transmitted and received a coded message over a distance of 1.75 miles in Italy.
1894: Oliver Lodge demonstrated wireless transmission of Morse code over a distance of 60 m,
using coupled induction coils. This method relied on the inductive coupling between the two
coils, and did not involve a propagating EM wave.
1897: Marconi was issued a British Patent 12,039 for wireless telegraphy.
1901: Marconi achieved the first trans-Atlantic wireless transmission.
1943: The US Supreme Court invalidated Marconi’s 1904 US patent on tuning using resonant
circuits as being superseded by prior art of Tesla, Lodge, and Braun.
So it is clear that many workers contributed to the development of wireless technology during
this time period, and that Marconi was not the first to develop a wireless system that relied on the
propagation of electromagnetic waves. On the other hand, Marconi was very successful at
making radio practical and commercially viable, for both shipping and land-based services.
1.1

2
1.2
1.3

3
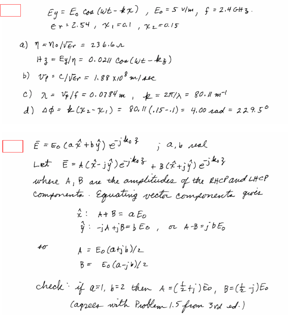
1.4
1.5

4
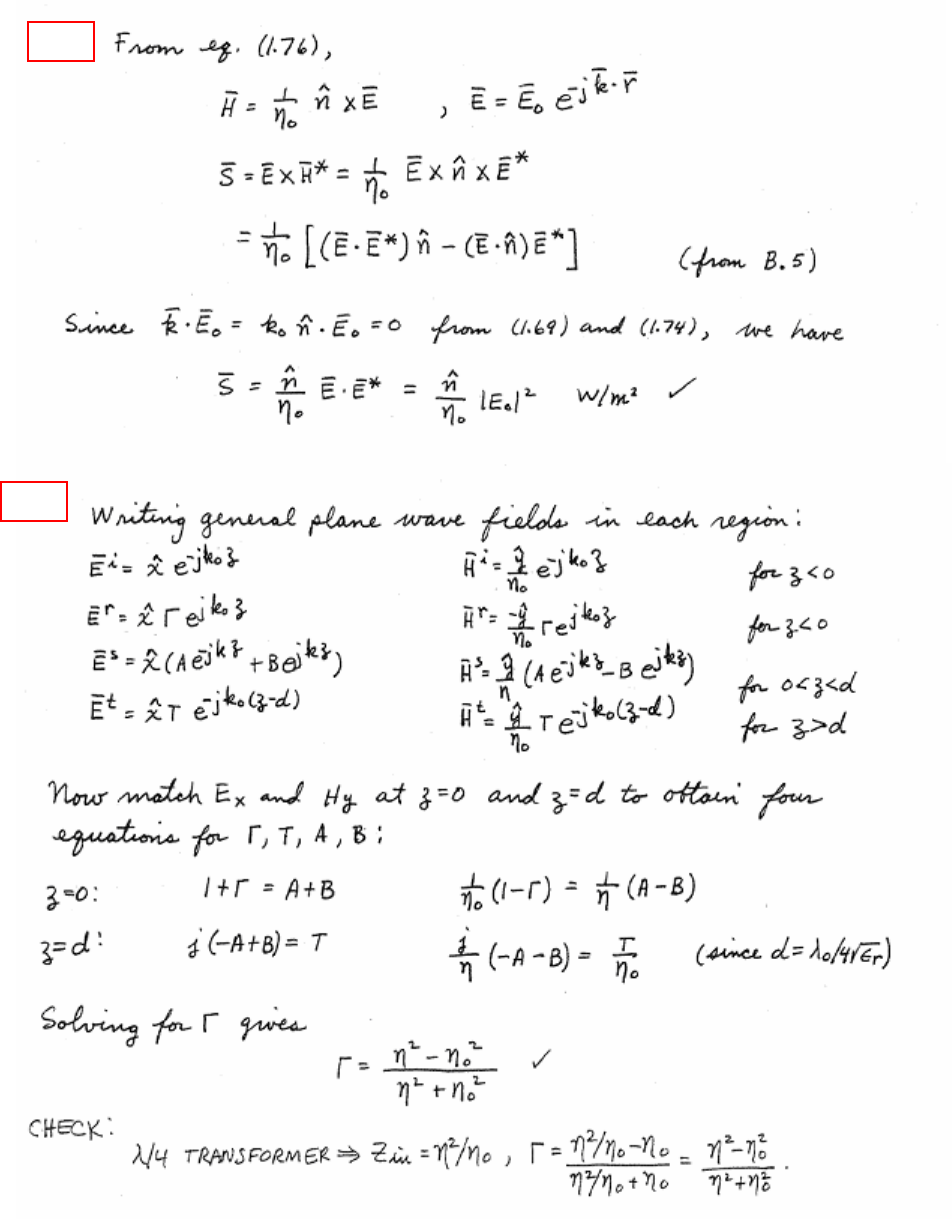
1.6

5
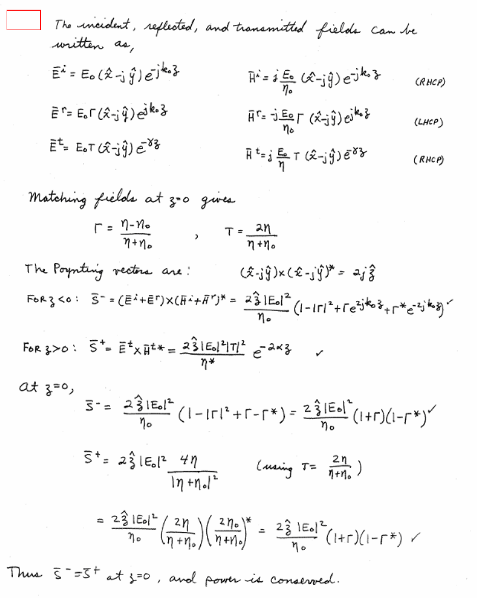
1.7

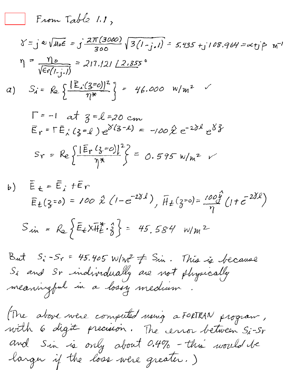
6
1.8

7
1.9

8
1.10

9
1.11

10
1.12

11
1.13
1.14

12
1.15

13
1.16

14
1.17

15

16
1.18

17
Chapter 2
2.1
2.2

18
2.3

19
2.4

20
2.5

21
2.6

22
2.7
2.8
2.9

23
2.10
2.11
2.12

24
2.13
2.14
2.15

25
2.16

26
2.17
2.18

27
2.19

28
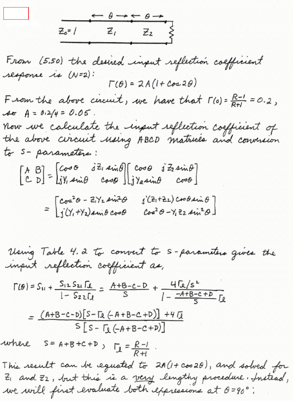
2.20

29
2.21
2.22
2.23

30
2.24
2.25

31
2.26

32
2.27

33
2.28

34
2.29

35
2.30

36
2.31

37
Chapter 3
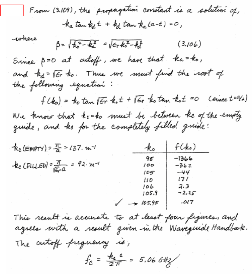
3.1

38
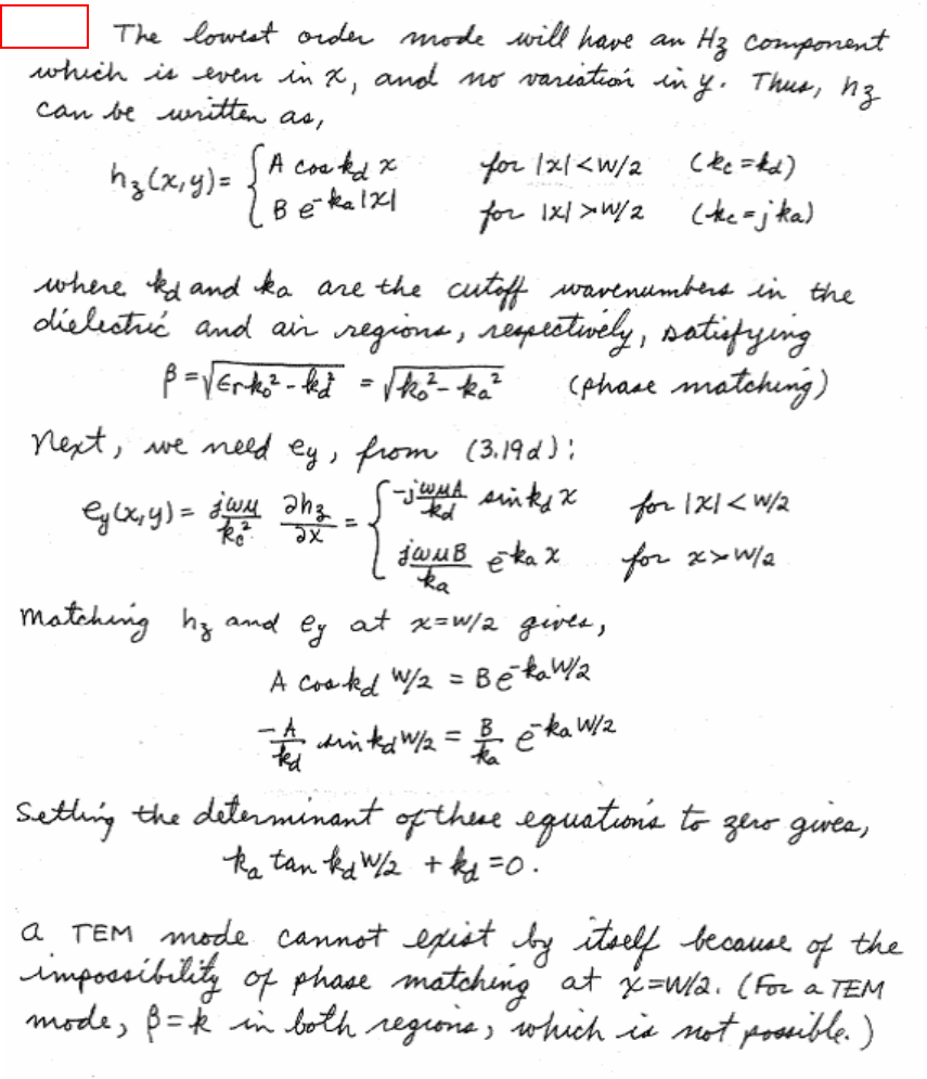
3.2
3.3

39
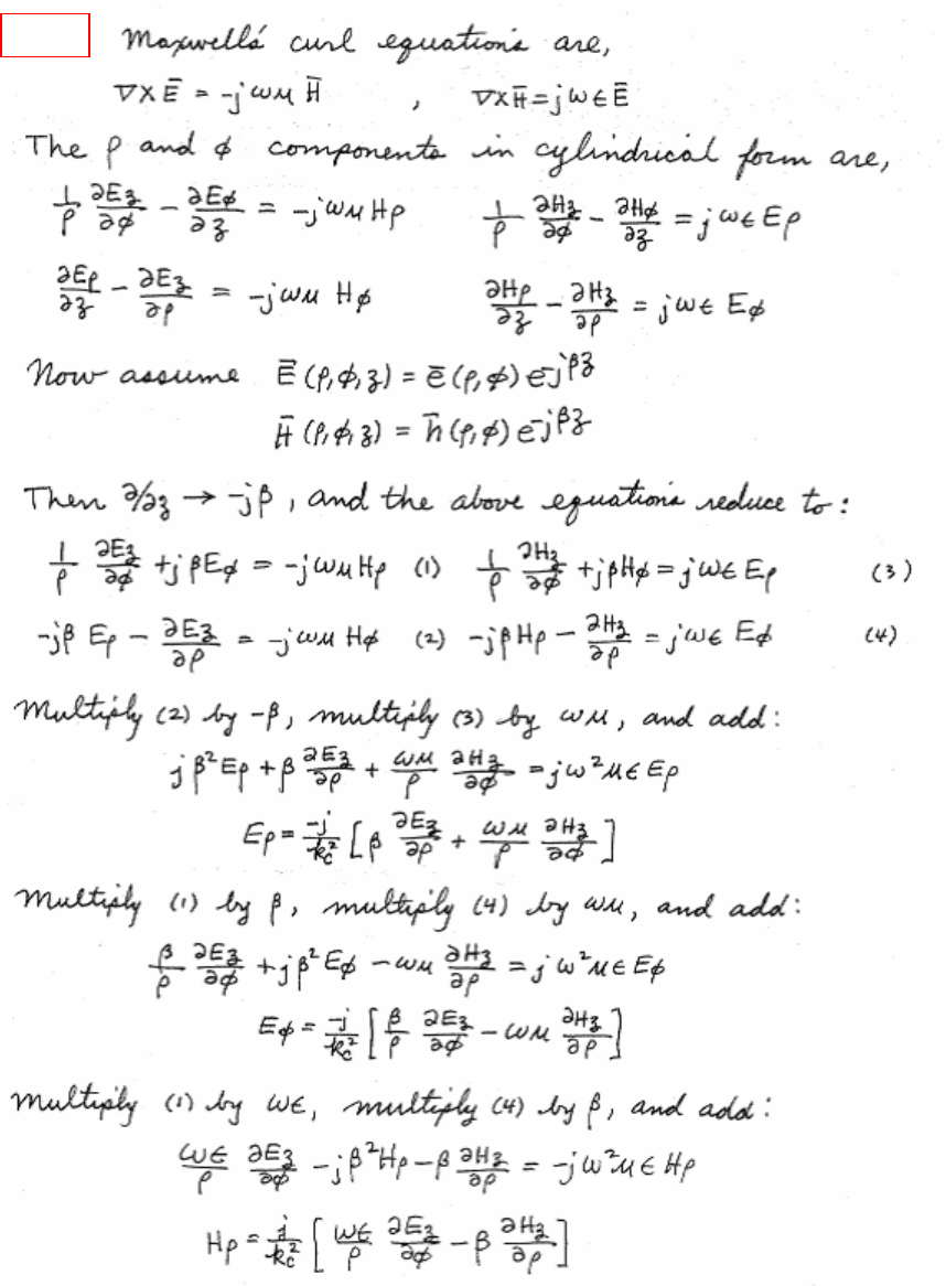
3.4

40
3.5
3.6

41
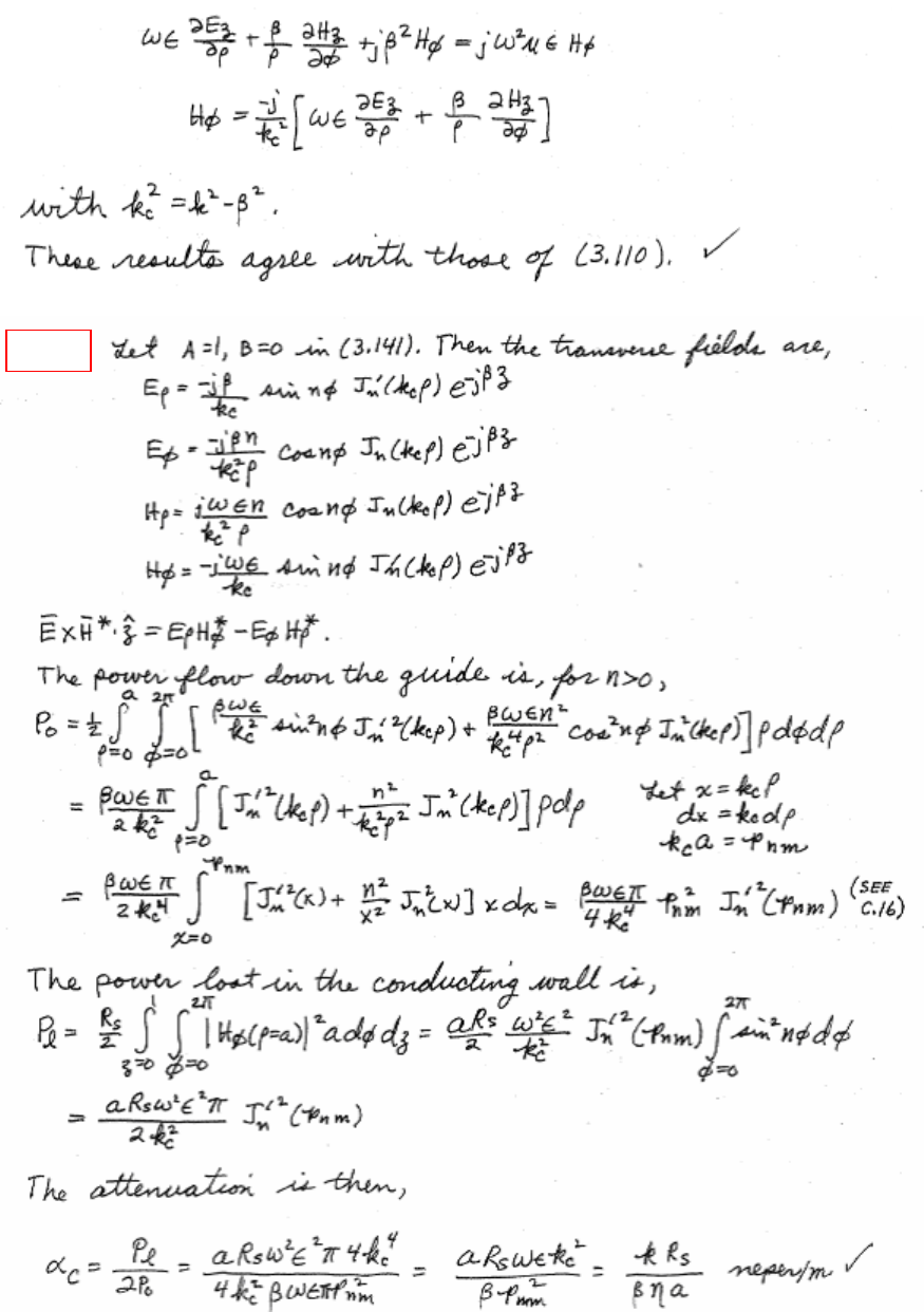
3.7

42
3.8

43
3.9

44
3.10

45
3.11

46
3.12

47
3.13

48
3.14

49
3.15

50
3.16

51
3.17

52
3.18

53
3.19
3.20

54
3.21

55
3.22

56
3.23
3.24

57
3.25
3.26

58
3.27
3.28

59
3.29

60
Chapter 4
4.1
4.2

61
4.3
4.4

62
4.5
4.6

63
4.7

64
4.8
4.9

65
4.10

66
4.11

67
4.12

68
4.13

69
4.14

70
4.15

71
4.16

72
4.17

73
4.18
4.19

74
4.20

75
4.21

76
4.22
4.23

77
4.24

78
4.25

79
4.26

80

81
4.27

82
4.28

83
4.29

84
4.30
4.31

85
4.32

86
4.33

87
4.34

88
4.35

89
4.36

90
4.37

91
Chapter 5
5.1

92
5.2
5.3

93
5.4
5.5
5.6

94
5.7

95
5.8

96

97
5.9

98

99
5.10
5.11

100
5.12

101

102
5.13
5.14

103
5.15

104
5.16

105

106
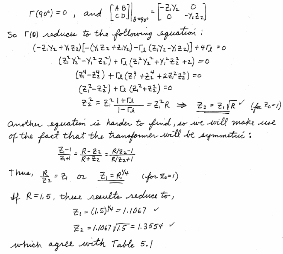
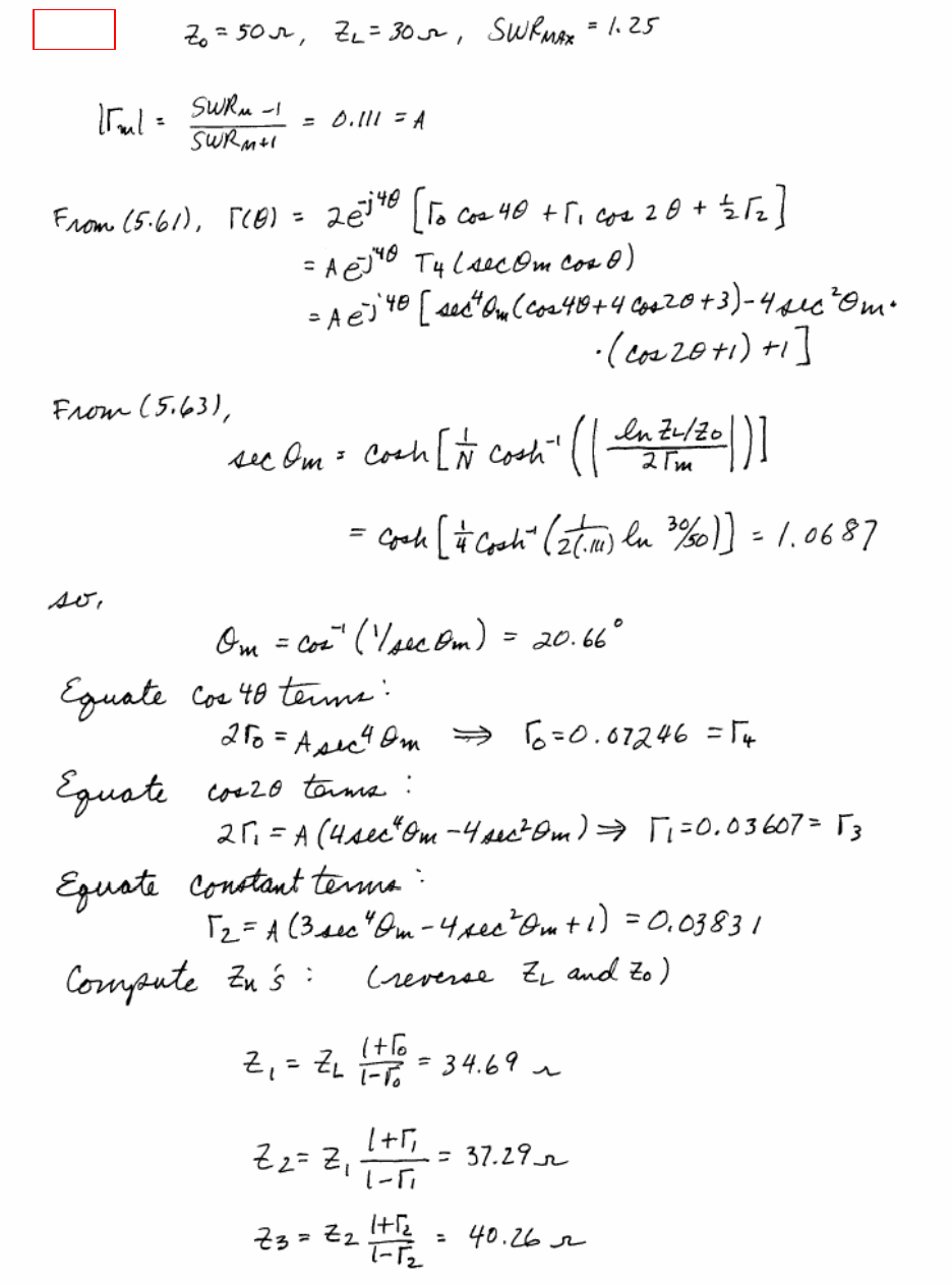
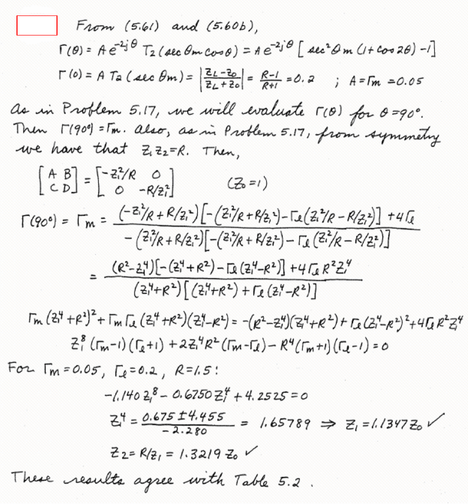
5.17

107

108
5.18

109
5.19

110

111
5.20

112
5.21

113
5.22

114
5.23

115
5.24

116
5.25

117

118
Chapter 6
6.1
6.2

119
6.3

120
6.4
6.5

121
6.6

122
6.7

123
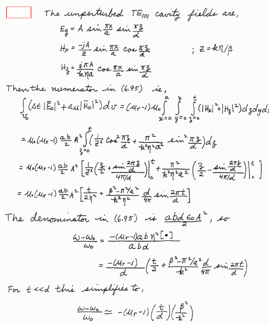
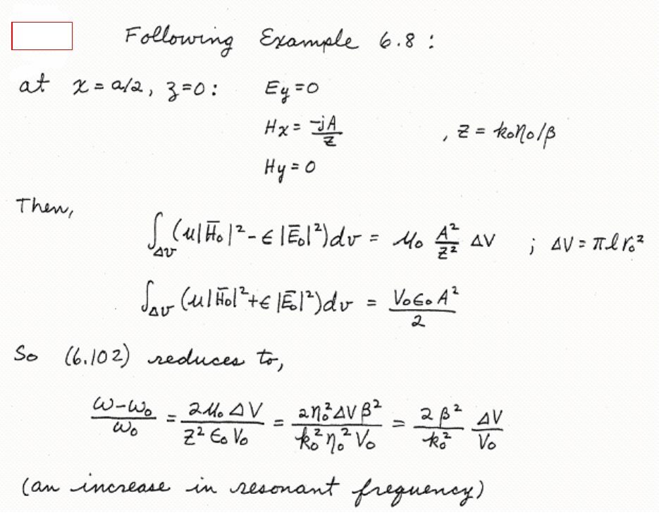
6.8
6.9

124
6.10

125
6.11

126
6.12

127
6.13

128
6.14

129
6.15

130
6.16
6.17

131
6.18

132
6.19

133
6.20

134
6.21

135
6.22

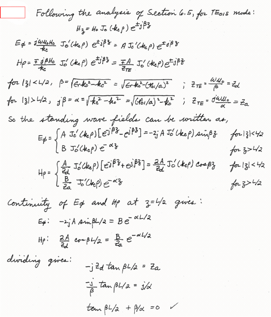
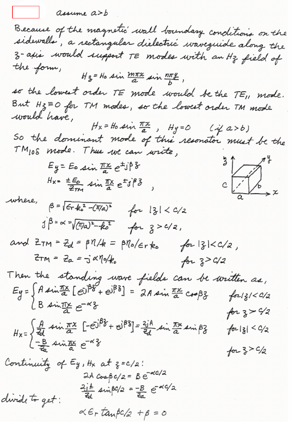
136

137
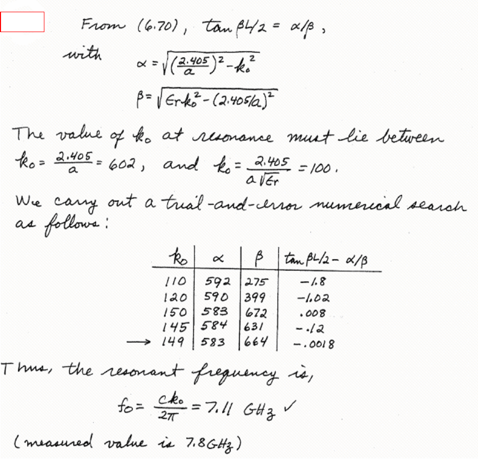
6.23

138
6.24
6.25

139
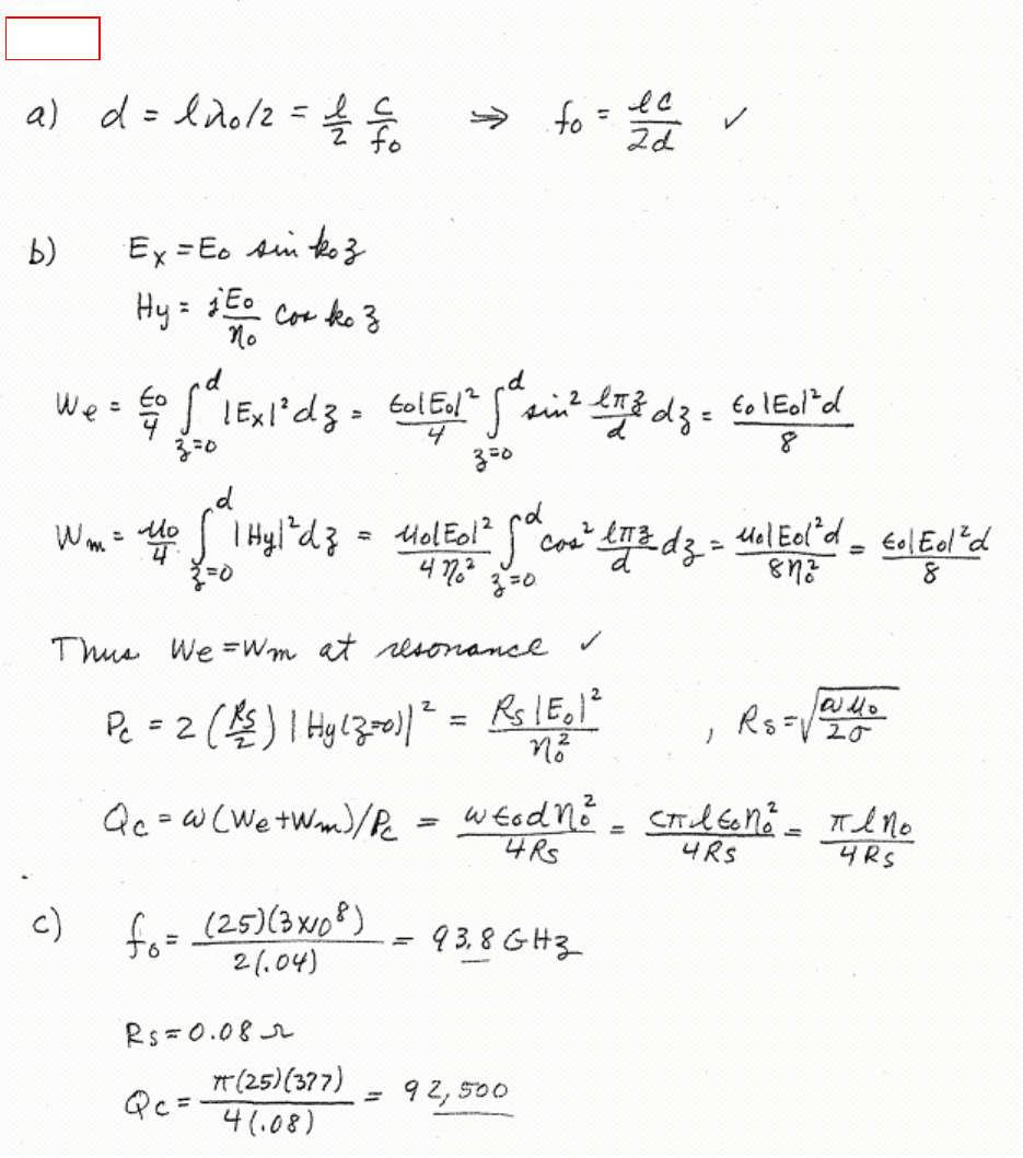
6.26

140
6.27