Mplus User Guide Ver 8
MplusUserGuideVer_8
User Manual:
Open the PDF directly: View PDF
.
Page Count: 950 [warning: Documents this large are best viewed by clicking the View PDF Link!]

Statistical Analysis With Latent Variables
User’s Guide
Linda K. Muthén
Bengt O. Muthén
Following is the correct citation for this document:
Muthén, L.K. and Muthén, B.O. (1998-2017). Mplus User’s Guide. Eighth Edition.
Los Angeles, CA: Muthén & Muthén
Copyright © 1998-2017 Muthén & Muthén
Program Copyright © 1998-2017 Muthén & Muthén
Version 8
April 2017
The development of this software has been funded in whole or in part with Federal funds
from the National Institute on Alcohol Abuse and Alcoholism, National Institutes of
Health, under Contract No. N44AA52008 and Contract No. N44AA92009.
Muthén & Muthén
3463 Stoner Avenue
Los Angeles, CA 90066
Tel: (310) 391-9971
Fax: (310) 391-8971
Web: www.StatModel.com
Support@StatModel.com
TABLE OF CONTENTS
Chapter 1: Introduction 1
Chapter 2: Getting started with Mplus 13
Chapter 3: Regression and path analysis 19
Chapter 4: Exploratory factor analysis 43
Chapter 5: Confirmatory factor analysis and structural equation modeling 55
Chapter 6: Growth modeling, survival analysis, and N=1 time series analysis 113
Chapter 7: Mixture modeling with cross-sectional data 165
Chapter 8: Mixture modeling with longitudinal data 221
Chapter 9: Multilevel modeling with complex survey data 261
Chapter 10: Multilevel mixture modeling 395
Chapter 11: Missing data modeling and Bayesian analysis 443
Chapter 12: Monte Carlo simulation studies 465
Chapter 13: Special features 499
Chapter 14: Special modeling issues 515
Chapter 15: TITLE, DATA, VARIABLE, and DEFINE commands 563
Chapter 16: ANALYSIS command 651
Chapter 17: MODEL command 711
Chapter 18: OUTPUT, SAVEDATA, and PLOT commands 791
Chapter 19: MONTECARLO command 859
Chapter 20: A summary of the Mplus language 893
PREFACE
We started to develop Mplus in 1995 with the goal of providing researchers with
powerful new statistical modeling techniques. We saw a wide gap between new
statistical methods presented in the statistical literature and the statistical methods used
by researchers in substantively-oriented papers. Our goal was to help bridge this gap
with easy-to-use but powerful software. Version 1 of Mplus was released in November
1998; Version 2 was released in February 2001; Version 3 was released in March 2004;
Version 4 was released in February 2006; Version 5 was released in November 2007,
Version 6 was released in April 2010; and Version 7 was released in September 2012.
After four expansions of Version 7 during the last five years, we are now proud to present
the new and unique features of Version 8. With Version 8, we have gone a considerable
way toward accomplishing our goal, and we plan to continue to pursue it in the future.
The new features that have been added between Version 7 and Version 8 would never
have been accomplished without two very important team members, Tihomir
Asparouhov and Thuy Nguyen. It may be hard to believe that the Mplus team has only
two programmers, but these two programmers are extraordinary. Tihomir has developed
and programmed sophisticated statistical algorithms to make the new modeling possible.
Without his ingenuity, they would not exist. His deep insights into complex modeling
issues and statistical theory are invaluable. Thuy has developed the post-processing
graphics module, the Mplus editor and language generator, and the Mplus Diagrammer
based on a framework designed by Delian Asparouhov. In addition, Thuy has
programmed the Mplus language and is responsible for producing new release versions,
testing, and keeping control of the entire code which has grown enormously. Her
unwavering consistency, logic, and steady and calm approach to problems keep everyone
on target. We feel fortunate to work with such a talented team. Not only are they
extremely bright, but they are also hard-working, loyal, and always striving for
excellence. Mplus Version 8 would not have been possible without them.
Another important team member is Michelle Conn. Michelle was with us at the
beginning when she was instrumental in setting up the Mplus office and returned fifteen
years ago. Michelle wears many hats: Chief Financial Officer, Office Manager, and
Sales Manager, among others. She was the driving force behind the design of the new
shopping cart. With the vastly increased customer base, her efficiency in multi-tasking
and calm under pressure are much appreciated. Noah Hastings joined the Mplus team in
2009. He is responsible for testing the Graphics Module and the Mplus Diagrammer,
creating the pictures of the models in the example chapters of the Mplus User’s Guide,
keeping the website updated, and providing assistance to Bengt with presentations,
papers, and our book. He has proven to be a most trustworthy and valuable team
member.
We would also like to thank all of the people who have contributed to the development of
Mplus in past years. These include Stephen Du Toit, Shyan Lam, Damir Spisic, Kerby
Shedden, and John Molitor.
Initial work on Mplus was supported by SBIR contracts and grants from NIAAA that we
acknowledge gratefully. We thank Bridget Grant for her encouragement in this work.
Linda K. Muthén
Bengt O. Muthén
Los Angeles, California
April 2017

Introduction
1
CHAPTER 1
INTRODUCTION
Mplus is a statistical modeling program that provides researchers with a
flexible tool to analyze their data. Mplus offers researchers a wide
choice of models, estimators, and algorithms in a program that has an
easy-to-use interface and graphical displays of data and analysis results.
Mplus allows the analysis of both cross-sectional and longitudinal data,
single-level and multilevel data, data that come from different
populations with either observed or unobserved heterogeneity, and data
that contain missing values. Analyses can be carried out for observed
variables that are continuous, censored, binary, ordered categorical
(ordinal), unordered categorical (nominal), counts, or combinations of
these variable types. In addition, Mplus has extensive capabilities for
Monte Carlo simulation studies, where data can be generated and
analyzed according to most of the models included in the program.
The Mplus modeling framework draws on the unifying theme of latent
variables. The generality of the Mplus modeling framework comes from
the unique use of both continuous and categorical latent variables.
Continuous latent variables are used to represent factors corresponding
to unobserved constructs, random effects corresponding to individual
differences in development, random effects corresponding to variation in
coefficients across groups in hierarchical data, frailties corresponding to
unobserved heterogeneity in survival time, liabilities corresponding to
genetic susceptibility to disease, and latent response variable values
corresponding to missing data. Categorical latent variables are used to
represent latent classes corresponding to homogeneous groups of
individuals, latent trajectory classes corresponding to types of
development in unobserved populations, mixture components
corresponding to finite mixtures of unobserved populations, and latent
response variable categories corresponding to missing data.
THE Mplus MODELING FRAMEWORK
The purpose of modeling data is to describe the structure of data in a
simple way so that it is understandable and interpretable. Essentially,
the modeling of data amounts to specifying a set of relationships
CHAPTER 1
2
between variables. The figure below shows the types of relationships
that can be modeled in Mplus. The rectangles represent observed
variables. Observed variables can be outcome variables or background
variables. Background variables are referred to as x; continuous and
censored outcome variables are referred to as y; and binary, ordered
categorical (ordinal), unordered categorical (nominal), and count
outcome variables are referred to as u. The circles represent latent
variables. Both continuous and categorical latent variables are allowed.
Continuous latent variables are referred to as f. Categorical latent
variables are referred to as c.
The arrows in the figure represent regression relationships between
variables. Regressions relationships that are allowed but not specifically
shown in the figure include regressions among observed outcome
variables, among continuous latent variables, and among categorical
latent variables. For continuous outcome variables, linear regression
models are used. For censored outcome variables, censored (tobit)
regression models are used, with or without inflation at the censoring
point. For binary and ordered categorical outcomes, probit or logistic
regressions models are used. For unordered categorical outcomes,
multinomial logistic regression models are used. For count outcomes,
Poisson and negative binomial regression models are used, with or
without inflation at the zero point.

Introduction
3
Models in Mplus can include continuous latent variables, categorical
latent variables, or a combination of continuous and categorical latent
variables. In the figure above, Ellipse A describes models with only
continuous latent variables. Ellipse B describes models with only
categorical latent variables. The full modeling framework describes
models with a combination of continuous and categorical latent
variables. The Within and Between parts of the figure above indicate
that multilevel models that describe individual-level (within) and cluster-
level (between) variation can be estimated using Mplus.
MODELING WITH CONTINUOUS LATENT
VARIABLES
Ellipse A describes models with only continuous latent variables.
Following are models in Ellipse A that can be estimated using Mplus:
CHAPTER 1
4
Regression analysis
Path analysis
Exploratory factor analysis
Confirmatory factor analysis
Item response theory modeling
Structural equation modeling
Growth modeling
Discrete-time survival analysis
Continuous-time survival analysis
Time series analysis
Observed outcome variables can be continuous, censored, binary,
ordered categorical (ordinal), unordered categorical (nominal), counts,
or combinations of these variable types.
Special features available with the above models for all observed
outcome variables types are:
Single or multiple group analysis
Missing data under MCAR, MAR, and NMAR and with multiple
imputation
Complex survey data features including stratification, clustering,
unequal probabilities of selection (sampling weights), subpopulation
analysis, replicate weights, and finite population correction
Latent variable interactions and non-linear factor analysis using
maximum likelihood
Random slopes
Individually-varying times of observations
Linear and non-linear parameter constraints
Indirect effects including specific paths
Maximum likelihood estimation for all outcomes types
Bootstrap standard errors and confidence intervals
Wald chi-square test of parameter equalities
Factor scores and plausible values for latent variables
Introduction
5
MODELING WITH CATEGORICAL LATENT
VARIABLES
Ellipse B describes models with only categorical latent variables.
Following are models in Ellipse B that can be estimated using Mplus:
Regression mixture modeling
Path analysis mixture modeling
Latent class analysis
Latent class analysis with covariates and direct effects
Confirmatory latent class analysis
Latent class analysis with multiple categorical latent variables
Loglinear modeling
Non-parametric modeling of latent variable distributions
Multiple group analysis
Finite mixture modeling
Complier Average Causal Effect (CACE) modeling
Latent transition analysis and hidden Markov modeling including
mixtures and covariates
Latent class growth analysis
Discrete-time survival mixture analysis
Continuous-time survival mixture analysis
Observed outcome variables can be continuous, censored, binary,
ordered categorical (ordinal), unordered categorical (nominal), counts,
or combinations of these variable types. Most of the special features
listed above are available for models with categorical latent variables.
The following special features are also available.
Analysis with between-level categorical latent variables
Tests to identify possible covariates not included in the analysis that
influence the categorical latent variables
Tests of equality of means across latent classes on variables not
included in the analysis
Plausible values for latent classes
CHAPTER 1
6
MODELING WITH BOTH CONTINUOUS AND
CATEGORICAL LATENT VARIABLES
The full modeling framework includes models with a combination of
continuous and categorical latent variables. Observed outcome variables
can be continuous, censored, binary, ordered categorical (ordinal),
unordered categorical (nominal), counts, or combinations of these
variable types. Most of the special features listed above are available for
models with both continuous and categorical latent variables. Following
are models in the full modeling framework that can be estimated using
Mplus:
Latent class analysis with random effects
Factor mixture modeling
Structural equation mixture modeling
Growth mixture modeling with latent trajectory classes
Discrete-time survival mixture analysis
Continuous-time survival mixture analysis
Most of the special features listed above are available for models with
both continuous and categorical latent variables. The following special
features are also available.
Analysis with between-level categorical latent variables
Tests to identify possible covariates not included in the analysis that
influence the categorical latent variables
Tests of equality of means across latent classes on variables not
included in the analysis
MODELING WITH COMPLEX SURVEY DATA
There are two approaches to the analysis of complex survey data in
Mplus. One approach is to compute standard errors and a chi-square test
of model fit taking into account stratification, non-independence of
observations due to cluster sampling, and/or unequal probability of
selection. Subpopulation analysis, replicate weights, and finite
population correction are also available. With sampling weights,
parameters are estimated by maximizing a weighted loglikelihood
function. Standard error computations use a sandwich estimator. For
this approach, observed outcome variables can be continuous, censored,
Introduction
7
binary, ordered categorical (ordinal), unordered categorical (nominal),
counts, or combinations of these variable types.
A second approach is to specify a model for each level of the multilevel
data thereby modeling the non-independence of observations due to
cluster sampling. This is commonly referred to as multilevel modeling.
The use of sampling weights in the estimation of parameters, standard
errors, and the chi-square test of model fit is allowed. Both individual-
level and cluster-level weights can be used. With sampling weights,
parameters are estimated by maximizing a weighted loglikelihood
function. Standard error computations use a sandwich estimator. For
this approach, observed outcome variables can be continuous, censored,
binary, ordered categorical (ordinal), unordered categorical (nominal),
counts, or combinations of these variable types.
The multilevel extension of the full modeling framework allows random
intercepts and random slopes that vary across clusters in hierarchical
data. Random slopes include the special case of random factor loadings.
These random effects can be specified for any of the relationships of the
full Mplus model for both independent and dependent variables and both
observed and latent variables. Random effects representing across-
cluster variation in intercepts and slopes or individual differences in
growth can be combined with factors measured by multiple indicators on
both the individual and cluster levels. In line with SEM, regressions
among random effects, among factors, and between random effects and
factors are allowed.
The two approaches described above can be combined. In addition to
specifying a model for each level of the multilevel data thereby
modeling the non-independence of observations due to cluster sampling,
standard errors and a chi-square test of model fit are computed taking
into account stratification, non-independence of observations due to
cluster sampling, and/or unequal probability of selection. When there is
clustering due to both primary and secondary sampling stages, the
standard errors and chi-square test of model fit are computed taking into
account the clustering due to the primary sampling stage and clustering
due to the secondary sampling stage is modeled.
Most of the special features listed above are available for modeling of
complex survey data.
CHAPTER 1
8
MODELING WITH MISSING DATA
Mplus has several options for the estimation of models with missing
data. Mplus provides maximum likelihood estimation under MCAR
(missing completely at random), MAR (missing at random), and NMAR
(not missing at random) for continuous, censored, binary, ordered
categorical (ordinal), unordered categorical (nominal), counts, or
combinations of these variable types (Little & Rubin, 2002). MAR
means that missingness can be a function of observed covariates and
observed outcomes. For censored and categorical outcomes using
weighted least squares estimation, missingness is allowed to be a
function of the observed covariates but not the observed outcomes
(Asparouhov & Muthén, 2010a). When there are no covariates in the
model, this is analogous to pairwise present analysis. Non-ignorable
missing data (NMAR) modeling is possible using maximum likelihood
estimation where categorical outcomes are indicators of missingness and
where missingness can be predicted by continuous and categorical latent
variables (Muthén, Jo, & Brown, 2003; Muthén et al., 2011).
In all models, missingness is not allowed for the observed covariates
because they are not part of the model. The model is estimated
conditional on the covariates and no distributional assumptions are made
about the covariates. Covariate missingness can be modeled if the
covariates are brought into the model and distributional assumptions
such as normality are made about them. With missing data, the standard
errors for the parameter estimates are computed using the observed
information matrix (Kenward & Molenberghs, 1998). Bootstrap
standard errors and confidence intervals are also available with missing
data.
Mplus provides multiple imputation of missing data using Bayesian
analysis (Rubin, 1987; Schafer, 1997). Both the unrestricted H1 model
and a restricted H0 model can be used for imputation. Multiple data sets
generated using multiple imputation can be analyzed using a special
feature of Mplus. Parameter estimates are averaged over the set of
analyses, and standard errors are computed using the average of the
standard errors over the set of analyses and the between analysis
parameter estimate variation (Rubin, 1987; Schafer, 1997). A chi-square
test of overall model fit is provided (Asparouhov & Muthén, 2008c;
Enders, 2010).
Introduction
9
ESTIMATORS AND ALGORITHMS
Mplus provides both Bayesian and frequentist inference. Bayesian
analysis uses Markov chain Monte Carlo (MCMC) algorithms. Posterior
distributions can be monitored by trace and autocorrelation plots.
Convergence can be monitored by the Gelman-Rubin potential scaling
reduction using parallel computing in multiple MCMC chains. Posterior
predictive checks are provided.
Frequentist analysis uses maximum likelihood and weighted least
squares estimators. Mplus provides maximum likelihood estimation for
all models. With censored and categorical outcomes, an alternative
weighted least squares estimator is also available. For all types of
outcomes, robust estimation of standard errors and robust chi-square
tests of model fit are provided. These procedures take into account non-
normality of outcomes and non-independence of observations due to
cluster sampling. Robust standard errors are computed using the
sandwich estimator. Robust chi-square tests of model fit are computed
using mean and mean and variance adjustments as well as a likelihood-
based approach. Bootstrap standard errors are available for most
models. The optimization algorithms use one or a combination of the
following: Quasi-Newton, Fisher scoring, Newton-Raphson, and the
Expectation Maximization (EM) algorithm (Dempster et al., 1977).
Linear and non-linear parameter constraints are allowed. With
maximum likelihood estimation and categorical outcomes, models with
continuous latent variables and missing data for dependent variables
require numerical integration in the computations. The numerical
integration is carried out with or without adaptive quadrature in
combination with rectangular integration, Gauss-Hermite integration, or
Monte Carlo integration.
MONTE CARLO SIMULATION CAPABILITIES
Mplus has extensive Monte Carlo facilities both for data generation and
data analysis. Several types of data can be generated: simple random
samples, clustered (multilevel) data, missing data, discrete- and
continuous-time survival data, and data from populations that are
observed (multiple groups) or unobserved (latent classes). Data
generation models can include random effects and interactions between
continuous latent variables and between categorical latent variables.
Outcome variables can be generated as continuous, censored, binary,
CHAPTER 1
10
ordered categorical (ordinal), unordered categorical (nominal), counts,
or combinations of these variable types. In addition, two-part
(semicontinuous) variables and time-to-event variables can be generated.
Independent variables can be generated as binary or continuous. All or
some of the Monte Carlo generated data sets can be saved.
The analysis model can be different from the data generation model. For
example, variables can be generated as categorical and analyzed as
continuous or generated as a three-class model and analyzed as a two-
class model. In some situations, a special external Monte Carlo feature
is needed to generate data by one model and analyze it by a different
model. For example, variables can be generated using a clustered design
and analyzed ignoring the clustering. Data generated outside of Mplus
can also be analyzed using this special external Monte Carlo feature.
Other special Monte Carlo features include saving parameter estimates
from the analysis of real data to be used as population and/or coverage
values for data generation in a Monte Carlo simulation study. In
addition, analysis results from each replication of a Monte Carlo
simulation study can be saved in an external file.
GRAPHICS
Mplus includes a dialog-based, post-processing graphics module that
provides graphical displays of observed data and analysis results
including outliers and influential observations.
These graphical displays can be viewed after the Mplus analysis is
completed. They include histograms, scatterplots, plots of individual
observed and estimated values, plots of sample and estimated means and
proportions/probabilities, plots of estimated probabilities for a
categorical latent variable as a function of its covariates, plots of item
characteristic curves and information curves, plots of survival and
hazard curves, plots of missing data statistics, plots of user-specified
functions, and plots related to Bayesian estimation. These are available
for the total sample, by group, by class, and adjusted for covariates. The
graphical displays can be edited and exported as a DIB, EMF, or JPEG
file. In addition, the data for each graphical display can be saved in an
external file for use by another graphics program.

Introduction
11
DIAGRAMMER
The Diagrammer can be used to draw an input diagram, to automatically
create an output diagram, and to automatically create a diagram using an
Mplus input without an analysis or data. To draw an input diagram, the
Diagrammer is accessed through the Open Diagrammer menu option of
the Diagram menu in the Mplus Editor. The Diagrammer uses a set of
drawing tools and pop-up menus to draw a diagram. When an input
diagram is drawn, a partial input is created which can be edited before
the analysis. To automatically create an output diagram, an input is
created in the Mplus Editor. The output diagram is automatically
created when the analysis is completed. This diagram can be edited and
used in a new analysis. The Diagrammer can be used as a drawing tool
by using an input without an analysis or data.
LTA CALCULATOR
Conditional probabilities, including latent transition probabilities, for
different values of a set of covariates can be computed using the LTA
Calculator. It is accessed by choosing LTA calculator from the Mplus
menu of the Mplus Editor.
LANGUAGE GENERATOR
Mplus includes a language generator to help users create Mplus input
files. The language generator takes users through a series of screens that
prompts them for information about their data and model. The language
generator contains all of the Mplus commands except DEFINE,
MODEL, PLOT, and MONTECARLO. Features added after Version 2
are not included in the language generator.
THE ORGANIZATION OF THE USER’S GUIDE
The Mplus User’s Guide has 20 chapters. Chapter 2 describes how to
get started with Mplus. Chapters 3 through 13 contain examples of
analyses that can be done using Mplus. Chapter 14 discusses special
issues. Chapters 15 through 19 describe the Mplus language. Chapter
20 contains a summary of the Mplus language. Technical appendices
that contain information on modeling, model estimation, model testing,
CHAPTER 1
12
numerical algorithms, and references to further technical information
can be found at www.statmodel.com.
It is not necessary to read the entire User’s Guide before using the
program. A user may go straight to Chapter 2 for an overview of Mplus
and then to one of the example chapters.

Getting Started With Mplus
13
CHAPTER 2
GETTING STARTED WITH Mplus
After Mplus is installed, the program can be run from the Mplus editor.
The Mplus Editor for Windows includes a language generator and a
graphics module. The graphics module provides graphical displays of
observed data and analysis results.
In this chapter, a brief description of the user language is presented
along with an overview of the examples and some model estimation
considerations.
THE Mplus LANGUAGE
The user language for Mplus consists of a set of ten commands each of
which has several options. The default options for Mplus have been
chosen so that user input can be minimized for the most common types
of analyses. For most analyses, only a small subset of the Mplus
commands is needed. Complicated models can be easily described using
the Mplus language. The ten commands of Mplus are:
TITLE
DATA (required)
VARIABLE (required)
DEFINE
ANALYSIS
MODEL
OUTPUT
SAVEDATA
PLOT
MONTECARLO
The TITLE command is used to provide a title for the analysis. The
DATA command is used to provide information about the data set to be
analyzed. The VARIABLE command is used to provide information
about the variables in the data set to be analyzed. The DEFINE
command is used to transform existing variables and create new
variables. The ANALYSIS command is used to describe the technical
CHAPTER 2
14
details of the analysis. The MODEL command is used to describe the
model to be estimated. The OUTPUT command is used to request
additional output not included as the default. The SAVEDATA
command is used to save the analysis data, auxiliary data, and a variety
of analysis results. The PLOT command is used to request graphical
displays of observed data and analysis results. The MONTECARLO
command is used to specify the details of a Monte Carlo simulation
study.
The Mplus commands may come in any order. The DATA and
VARIABLE commands are required for all analyses. All commands
must begin on a new line and must be followed by a colon. Semicolons
separate command options. There can be more than one option per line.
The records in the input setup must be no longer than 90 columns. They
can contain upper and/or lower case letters and tabs.
Commands, options, and option settings can be shortened for
convenience. Commands and options can be shortened to four or more
letters. Option settings can be referred to by either the complete word or
the part of the word shown in bold type in the command boxes in each
chapter.
Comments can be included anywhere in the input setup. A comment is
designated by an exclamation point. Anything on a line following an
exclamation point is treated as a user comment and is ignored by the
program. Several lines can be commented out by starting the first line
with !* and ending the last line with *!.
The keywords IS, ARE, and = can be used interchangeably in all
commands except DEFINE, MODEL CONSTRAINT, and MODEL
TEST. Items in a list can be separated by blanks or commas.
Mplus uses a hyphen (-) to indicate a list of variables or numbers. The
use of this feature is discussed in each section for which it is appropriate.
There is also a special keyword ALL which can be used to indicate all
variables. This keyword is discussed with the options that use it.
Following is a set of Mplus input files for a few prototypical examples.
The first example shows the input file for a factor analysis with
covariates (MIMIC model).

Getting Started With Mplus
15
TITLE: this is an example of a MIMIC model
with two factors, six continuous factor
indicators, and three covariates
DATA: FILE IS mimic.dat;
VARIABLE: NAMES ARE y1-y6 x1-x3;
MODEL: f1 BY y1-y3;
f2 BY y4-y6;
f1 f2 ON x1-x3;
The second example shows the input file for a growth model with time-
invariant covariates. It illustrates the new simplified Mplus language for
specifying growth models.
TITLE: this is an example of a linear growth
model for a continuous outcome at four
time points with the intercept and slope
growth factors regressed on two time-
invariant covariates
DATA: FILE IS growth.dat;
VARIABLE: NAMES ARE y1-y4 x1 x2;
MODEL: i s | y1@0 y2@1 y3@2 y4@3;
i s ON x1 x2;
The third example shows the input file for a latent class analysis with
covariates and a direct effect.
TITLE: this is an example of a latent class
analysis with two classes, one covariate,
and a direct effect
DATA: FILE IS lcax.dat;
VARIABLE: NAMES ARE u1-u4 x;
CLASSES = c (2);
CATEGORICAL = u1-u4;
ANALYSIS: TYPE = MIXTURE;
MODEL:
%OVERALL%
c ON x;
u4 ON x;
The fourth example shows the input file for a multilevel regression
model with a random intercept and a random slope varying across
clusters.

CHAPTER 2
16
TITLE: this is an example of a multilevel
regression analysis with one individual-
level outcome variable regressed on an
individual-level background variable where
the intercept and slope are regressed on a
cluster-level variable
DATA: FILE IS reg.dat;
VARIABLE: NAMES ARE clus y x w;
CLUSTER = clus;
WITHIN = x;
BETWEEN = w;
MISSING = .;
DEFINE: CENTER x (GRANDMEAN);
ANALYSIS: TYPE = TWOLEVEL RANDOM;
MODEL:
%WITHIN%
s | y ON x;
%BETWEEN%
y s ON w;
OVERVIEW OF Mplus EXAMPLES
The next eleven chapters contain examples of prototypical input setups
for several different types of analyses. The input, data, and output, as
well as the corresponding Monte Carlo input and Monte Carlo output for
most of the examples are on the CD that contains the Mplus program.
The Monte Carlo input is used to generate the data for each example.
They are named using the example number. For example, the names of
the files for Example 3.1 are ex3.1.inp; ex3.1.dat; ex3.1.out;
mcex3.1.inp, and mcex3.1.out. The data in ex3.1.dat are generated using
mcex3.1.inp.
The examples presented do not cover all models that can be estimated
using Mplus but do cover the major areas of modeling. They can be
seen as building blocks that can be put together as needed. For example,
a model can combine features described in an example from one chapter
with features described in an example from another chapter. Many
unique and unexplored models can therefore be created. In each chapter,
all commands and options for the first example are discussed. After that,
only the highlighted parts of each example are discussed.
For clarity, certain conventions are used in the input setups. Program
commands, options, settings, and keywords are written in upper case.
Information provided by the user is written in lower case. Note,
Getting Started With Mplus
17
however, that Mplus is not case sensitive. Upper and lower case can be
used interchangeably in the input setups.
For simplicity, the input setups for the examples are generic. Observed
continuous and censored outcome variable names start with a y;
observed binary or ordered categorical (ordinal), unordered categorical
(nominal), and count outcome variable names start with a u; time-to-
event variables in continuous-time survival analysis start with a t;
observed background variable names start with an x; observed time-
varying background variables start with an a; observed between-level
background variables start with a w; continuous latent variable names
start with an f; categorical latent variable names start with a c; intercept
growth factor names start with an i; and slope growth factor names and
random slope names start with an s or a q. Note, however, that variable
names are not limited to these choices.
Following is a list of the example chapters:
Chapter 3: Regression and path analysis
Chapter 4: Exploratory factor analysis
Chapter 5: Confirmatory factor analysis and structural equation
modeling
Chapter 6: Growth modeling and survival analysis
Chapter 7: Mixture modeling with cross-sectional data
Chapter 8: Mixture modeling with longitudinal data
Chapter 9: Multilevel modeling with complex survey data
Chapter 10: Multilevel mixture modeling
Chapter 11: Missing data modeling and Bayesian analysis
Chapter 12: Monte Carlo simulation studies
Chapter 13: Special features
The Mplus Base program covers the analyses described in Chapters 3, 5,
6, 11, 13, and parts of Chapters 4 and 12. The Mplus Base program does
not include analyses with TYPE=MIXTURE, TYPE=TWOLEVEL,
TYPE=THREELEVEL, or TYPE=CROSSCLASSIFIED.
The Mplus Base and Mixture Add-On program covers the analyses
described in Chapters 3, 5, 6, 7, 8, 11, 13, and parts of Chapters 4 and
12. The Mplus Base and Mixture Add-On program does not include
analyses with TYPE=TWOLEVEL, TYPE=THREELEVEL, or
TYPE=CROSSCLASSIFIED.
CHAPTER 2
18
The Mplus Base and Multilevel Add-On program covers the analyses
described in Chapters 3, 5, 6, 9, 11, 13, and parts of Chapters 4 and 12.
The Mplus Base and Multilevel Add-On program does not include
analyses with TYPE=MIXTURE.
The Mplus Base and Combination Add-On program covers the analyses
described in all chapters. There are no restrictions on the analyses that
can be requested.
Examples: Regression And Path Analysis
19
CHAPTER 3
EXAMPLES: REGRESSION AND
PATH ANALYSIS
Regression analysis with univariate or multivariate dependent variables
is a standard procedure for modeling relationships among observed
variables. Path analysis allows the simultaneous modeling of several
related regression relationships. In path analysis, a variable can be a
dependent variable in one relationship and an independent variable in
another. These variables are referred to as mediating variables. For both
types of analyses, observed dependent variables can be continuous,
censored, binary, ordered categorical (ordinal), counts, or combinations
of these variable types. In addition, for regression analysis and path
analysis for non-mediating variables, observed dependent variables can
be unordered categorical (nominal).
For continuous dependent variables, linear regression models are used.
For censored dependent variables, censored-normal regression models
are used, with or without inflation at the censoring point. For binary and
ordered categorical dependent variables, probit or logistic regression
models are used. Logistic regression for ordered categorical dependent
variables uses the proportional odds specification. For unordered
categorical dependent variables, multinomial logistic regression models
are used. For count dependent variables, Poisson regression models are
used, with or without inflation at the zero point. Both maximum
likelihood and weighted least squares estimators are available.
All regression and path analysis models can be estimated using the
following special features:
Single or multiple group analysis
Missing data
Complex survey data
Random slopes
Linear and non-linear parameter constraints
Indirect effects including specific paths
Maximum likelihood estimation for all outcome types
Bootstrap standard errors and confidence intervals
CHAPTER 3
20
Wald chi-square test of parameter equalities
For continuous, censored with weighted least squares estimation, binary,
and ordered categorical (ordinal) outcomes, multiple group analysis is
specified by using the GROUPING option of the VARIABLE command
for individual data or the NGROUPS option of the DATA command for
summary data. For censored with maximum likelihood estimation,
unordered categorical (nominal), and count outcomes, multiple group
analysis is specified using the KNOWNCLASS option of the
VARIABLE command in conjunction with the TYPE=MIXTURE
option of the ANALYSIS command. The default is to estimate the
model under missing data theory using all available data. The
LISTWISE option of the DATA command can be used to delete all
observations from the analysis that have missing values on one or more
of the analysis variables. Corrections to the standard errors and chi-
square test of model fit that take into account stratification, non-
independence of observations, and unequal probability of selection are
obtained by using the TYPE=COMPLEX option of the ANALYSIS
command in conjunction with the STRATIFICATION, CLUSTER, and
WEIGHT options of the VARIABLE command. The
SUBPOPULATION option is used to select observations for an analysis
when a subpopulation (domain) is analyzed. Random slopes are
specified by using the | symbol of the MODEL command in conjunction
with the ON option of the MODEL command. Linear and non-linear
parameter constraints are specified by using the MODEL
CONSTRAINT command. Indirect effects are specified by using the
MODEL INDIRECT command. Maximum likelihood estimation is
specified by using the ESTIMATOR option of the ANALYSIS
command. Bootstrap standard errors are obtained by using the
BOOTSTRAP option of the ANALYSIS command. Bootstrap
confidence intervals are obtained by using the BOOTSTRAP option of
the ANALYSIS command in conjunction with the CINTERVAL option
of the OUTPUT command. The MODEL TEST command is used to test
linear restrictions on the parameters in the MODEL and MODEL
CONSTRAINT commands using the Wald chi-square test.
Graphical displays of observed data and analysis results can be obtained
using the PLOT command in conjunction with a post-processing
graphics module. The PLOT command provides histograms,
scatterplots, plots of individual observed and estimated values, and plots
of sample and estimated means and proportions/probabilities. These are
Examples: Regression And Path Analysis
21
available for the total sample, by group, by class, and adjusted for
covariates. The PLOT command includes a display showing a set of
descriptive statistics for each variable. The graphical displays can be
edited and exported as a DIB, EMF, or JPEG file. In addition, the data
for each graphical display can be saved in an external file for use by
another graphics program.
Following is the set of regression examples included in this chapter:
3.1: Linear regression
3.2: Censored regression
3.3: Censored-inflated regression
3.4: Probit regression
3.5: Logistic regression
3.6: Multinomial logistic regression
3.7: Poisson regression
3.8: Zero-inflated Poisson and negative binomial regression
3.9: Random coefficient regression
3.10: Non-linear constraint on the logit parameters of an unordered
categorical (nominal) variable
Following is the set of path analysis examples included in this chapter:
3.11: Path analysis with continuous dependent variables
3.12: Path analysis with categorical dependent variables
3.13: Path analysis with categorical dependent variables using the
Theta parameterization
3.14: Path analysis with a combination of continuous and
categorical dependent variables
3.15: Path analysis with a combination of censored, categorical, and
unordered categorical (nominal) dependent variables
3.16: Path analysis with continuous dependent variables,
bootstrapped standard errors, indirect effects, and confidence
intervals
3.17: Path analysis with a categorical dependent variable and a
continuous mediating variable with missing data*
3.18: Moderated mediation with a plot of the indirect effect

CHAPTER 3
22
* Example uses numerical integration in the estimation of the model.
This can be computationally demanding depending on the size of the
problem.
EXAMPLE 3.1: LINEAR REGRESSION
TITLE: this is an example of a linear regression
for a continuous observed dependent
variable with two covariates
DATA: FILE IS ex3.1.dat;
VARIABLE: NAMES ARE y1-y6 x1-x4;
USEVARIABLES ARE y1 x1 x3;
MODEL: y1 ON x1 x3;
In this example, a linear regression is estimated.
TITLE: this is an example of a linear regression
for a continuous observed dependent
variable with two covariates
The TITLE command is used to provide a title for the analysis. The title
is printed in the output just before the Summary of Analysis.
DATA: FILE IS ex3.1.dat;
The DATA command is used to provide information about the data set
to be analyzed. The FILE option is used to specify the name of the file
that contains the data to be analyzed, ex3.1.dat. Because the data set is
in free format, the default, a FORMAT statement is not required.
VARIABLE: NAMES ARE y1-y6 x1-x4;
USEVARIABLES ARE y1 x1 x3;
The VARIABLE command is used to provide information about the
variables in the data set to be analyzed. The NAMES option is used to
assign names to the variables in the data set. The data set in this
example contains ten variables: y1, y2, y3, y4, y5, y6, x1, x2, x3, and
x4. Note that the hyphen can be used as a convenience feature in order
to generate a list of names. If not all of the variables in the data set are
used in the analysis, the USEVARIABLES option can be used to select a
subset of variables for analysis. Here the variables y1, x1, and x3 have

Examples: Regression And Path Analysis
23
been selected for analysis. Because the scale of the dependent variable
is not specified, it is assumed to be continuous.
MODEL: y1 ON x1 x3;
The MODEL command is used to describe the model to be estimated.
The ON statement describes the linear regression of y1 on the covariates
x1 and x3. It is not necessary to refer to the means, variances, and
covariances among the x variables in the MODEL command because the
parameters of the x variables are not part of the model estimation.
Because the model does not impose restrictions on the parameters of the
x variables, these parameters can be estimated separately as the sample
values. The default estimator for this type of analysis is maximum
likelihood. The ESTIMATOR option of the ANALYSIS command can
be used to select a different estimator.
EXAMPLE 3.2: CENSORED REGRESSION
TITLE: this is an example of a censored
regression for a censored dependent
variable with two covariates
DATA: FILE IS ex3.2.dat;
VARIABLE: NAMES ARE y1-y6 x1-x4;
USEVARIABLES ARE y1 x1 x3;
CENSORED ARE y1 (b);
ANALYSIS: ESTIMATOR = MLR;
MODEL: y1 ON x1 x3;
The difference between this example and Example 3.1 is that the
dependent variable is a censored variable instead of a continuous
variable. The CENSORED option is used to specify which dependent
variables are treated as censored variables in the model and its
estimation, whether they are censored from above or below, and whether
a censored or censored-inflated model will be estimated. In the example
above, y1 is a censored variable. The b in parentheses following y1
indicates that y1 is censored from below, that is, has a floor effect, and
that the model is a censored regression model. The censoring limit is
determined from the data. The default estimator for this type of analysis
is a robust weighted least squares estimator. By specifying
ESTIMATOR=MLR, maximum likelihood estimation with robust
standard errors is used. The ON statement describes the censored

CHAPTER 3
24
regression of y1 on the covariates x1 and x3. An explanation of the
other commands can be found in Example 3.1.
EXAMPLE 3.3: CENSORED-INFLATED REGRESSION
TITLE: this is an example of a censored-inflated
regression for a censored dependent
variable with two covariates
DATA: FILE IS ex3.3.dat;
VARIABLE: NAMES ARE y1-y6 x1-x4;
USEVARIABLES ARE y1 x1 x3;
CENSORED ARE y1 (bi);
MODEL: y1 ON x1 x3;
y1#1 ON x1 x3;
The difference between this example and Example 3.1 is that the
dependent variable is a censored variable instead of a continuous
variable. The CENSORED option is used to specify which dependent
variables are treated as censored variables in the model and its
estimation, whether they are censored from above or below, and whether
a censored or censored-inflated model will be estimated. In the example
above, y1 is a censored variable. The bi in parentheses following y1
indicates that y1 is censored from below, that is, has a floor effect, and
that a censored-inflated regression model will be estimated. The
censoring limit is determined from the data.
With a censored-inflated model, two regressions are estimated. The first
ON statement describes the censored regression of the continuous part of
y1 on the covariates x1 and x3. This regression predicts the value of the
censored dependent variable for individuals who are able to assume
values of the censoring point and above. The second ON statement
describes the logistic regression of the binary latent inflation variable
y1#1 on the covariates x1 and x3. This regression predicts the
probability of being unable to assume any value except the censoring
point. The inflation variable is referred to by adding to the name of the
censored variable the number sign (#) followed by the number 1. The
default estimator for this type of analysis is maximum likelihood with
robust standard errors. The ESTIMATOR option of the ANALYSIS
command can be used to select a different estimator. An explanation of
the other commands can be found in Example 3.1.

Examples: Regression And Path Analysis
25
EXAMPLE 3.4: PROBIT REGRESSION
TITLE: this is an example of a probit regression
for a binary or categorical observed
dependent variable with two covariates
DATA: FILE IS ex3.4.dat;
VARIABLE: NAMES ARE u1-u6 x1-x4;
USEVARIABLES ARE u1 x1 x3;
CATEGORICAL = u1;
MODEL: u1 ON x1 x3;
The difference between this example and Example 3.1 is that the
dependent variable is a binary or ordered categorical (ordinal) variable
instead of a continuous variable. The CATEGORICAL option is used to
specify which dependent variables are treated as binary or ordered
categorical (ordinal) variables in the model and its estimation. In the
example above, u1 is a binary or ordered categorical variable. The
program determines the number of categories. The ON statement
describes the probit regression of u1 on the covariates x1 and x3. The
default estimator for this type of analysis is a robust weighted least
squares estimator. The ESTIMATOR option of the ANALYSIS
command can be used to select a different estimator. An explanation of
the other commands can be found in Example 3.1.
EXAMPLE 3.5: LOGISTIC REGRESSION
TITLE: this is an example of a logistic
regression for a categorical observed
dependent variable with two covariates
DATA: FILE IS ex3.5.dat;
VARIABLE: NAMES ARE u1-u6 x1-x4;
USEVARIABLES ARE u1 x1 x3;
CATEGORICAL IS u1;
ANALYSIS: ESTIMATOR = ML;
MODEL: u1 ON x1 x3;
The difference between this example and Example 3.1 is that the
dependent variable is a binary or ordered categorical (ordinal) variable
instead of a continuous variable. The CATEGORICAL option is used to
specify which dependent variables are treated as binary or ordered
categorical (ordinal) variables in the model and its estimation. In the

CHAPTER 3
26
example above, u1 is a binary or ordered categorical variable. The
program determines the number of categories. By specifying
ESTIMATOR=ML, a logistic regression will be estimated. The ON
statement describes the logistic regression of u1 on the covariates x1 and
x3. An explanation of the other commands can be found in Example 3.1.
EXAMPLE 3.6: MULTINOMIAL LOGISTIC REGRESSION
TITLE: this is an example of a multinomial
logistic regression for an unordered
categorical (nominal) dependent variable
with two covariates
DATA: FILE IS ex3.6.dat;
VARIABLE: NAMES ARE u1-u6 x1-x4;
USEVARIABLES ARE u1 x1 x3;
NOMINAL IS u1;
MODEL: u1 ON x1 x3;
The difference between this example and Example 3.1 is that the
dependent variable is an unordered categorical (nominal) variable
instead of a continuous variable. The NOMINAL option is used to
specify which dependent variables are treated as unordered categorical
variables in the model and its estimation. In the example above, u1 is a
three-category unordered variable. The program determines the number
of categories. The ON statement describes the multinomial logistic
regression of u1 on the covariates x1 and x3 when comparing categories
one and two of u1 to the third category of u1. The intercept and slopes
of the last category are fixed at zero as the default. The default estimator
for this type of analysis is maximum likelihood with robust standard
errors. The ESTIMATOR option of the ANALYSIS command can be
used to select a different estimator. An explanation of the other
commands can be found in Example 3.1.
Following is an alternative specification of the multinomial logistic
regression of u1 on the covariates x1 and x3:
u1#1 u1#2 ON x1 x3;
where u1#1 refers to the first category of u1 and u1#2 refers to the
second category of u1. The categories of an unordered categorical
variable are referred to by adding to the name of the unordered

Examples: Regression And Path Analysis
27
categorical variable the number sign (#) followed by the number of the
category. This alternative specification allows individual parameters to
be referred to in the MODEL command for the purpose of giving starting
values or placing restrictions.
EXAMPLE 3.7: POISSON REGRESSION
TITLE: this is an example of a Poisson regression
for a count dependent variable with two
covariates
DATA: FILE IS ex3.7.dat;
VARIABLE: NAMES ARE u1-u6 x1-x4;
USEVARIABLES ARE u1 x1 x3;
COUNT IS u1;
MODEL: u1 ON x1 x3;
The difference between this example and Example 3.1 is that the
dependent variable is a count variable instead of a continuous variable.
The COUNT option is used to specify which dependent variables are
treated as count variables in the model and its estimation and whether a
Poisson or zero-inflated Poisson model will be estimated. In the
example above, u1 is a count variable that is not inflated. The ON
statement describes the Poisson regression of u1 on the covariates x1
and x3. The default estimator for this type of analysis is maximum
likelihood with robust standard errors. The ESTIMATOR option of the
ANALYSIS command can be used to select a different estimator. An
explanation of the other commands can be found in Example 3.1.

CHAPTER 3
28
EXAMPLE 3.8: ZERO-INFLATED POISSON AND NEGATIVE
BINOMIAL REGRESSION
TITLE: this is an example of a zero-inflated
Poisson regression for a count dependent
variable with two covariates
DATA: FILE IS ex3.8a.dat;
VARIABLE: NAMES ARE u1-u6 x1-x4;
USEVARIABLES ARE u1 x1 x3;
COUNT IS u1 (i);
MODEL: u1 ON x1 x3;
u1#1 ON x1 x3;
The difference between this example and Example 3.1 is that the
dependent variable is a count variable instead of a continuous variable.
The COUNT option is used to specify which dependent variables are
treated as count variables in the model and its estimation and whether a
Poisson or zero-inflated Poisson model will be estimated. In the first
part of this example, a zero-inflated Poisson regression is estimated. In
the example above, u1 is a count variable. The i in parentheses
following u1 indicates that a zero-inflated Poisson model will be
estimated. In the second part of this example, a negative binomial model
is estimated.
With a zero-inflated Poisson model, two regressions are estimated. The
first ON statement describes the Poisson regression of the count part of
u1 on the covariates x1 and x3. This regression predicts the value of the
count dependent variable for individuals who are able to assume values
of zero and above. The second ON statement describes the logistic
regression of the binary latent inflation variable u1#1 on the covariates
x1 and x3. This regression predicts the probability of being unable to
assume any value except zero. The inflation variable is referred to by
adding to the name of the count variable the number sign (#) followed by
the number 1. The default estimator for this type of analysis is
maximum likelihood with robust standard errors. The ESTIMATOR
option of the ANALYSIS command can be used to select a different
estimator. An explanation of the other commands can be found in
Example 3.1.
An alternative way of specifying this model is presented in Example
7.25. In Example 7.25, a categorical latent variable with two classes is

Examples: Regression And Path Analysis
29
used to represent individuals who are able to assume values of zero and
above and individuals who are unable to assume any value except zero.
This approach allows the estimation of the probability of being in each
class and the posterior probabilities of being in each class for each
individual.
TITLE: this is an example of a negative binomial
model for a count dependent variable with
two covariates
DATA: FILE IS ex3.8b.dat;
VARIABLE: NAMES ARE u1-u6 x1-x4;
USEVARIABLES ARE u1 x1 x3;
COUNT IS u1 (nb);
MODEL: u1 ON x1 x3;
The difference between this part of the example and the first part is that
a regression for a count outcome using a negative binomial model is
estimated instead of a zero-inflated Poisson model. The negative
binomial model estimates a dispersion parameter for each of the
outcomes (Long, 1997; Hilbe, 2011).
The COUNT option is used to specify which dependent variables are
treated as count variables in the model and its estimation and which type
of model is estimated. The nb in parentheses following u1 indicates that
a negative binomial model will be estimated. The dispersion parameter
can be referred to using the name of the count variable. An explanation
of the other commands can be found in the first part of this example and
in Example 3.1.
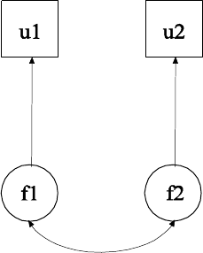
EXAMPLE 3.9: RANDOM COEFFICIENT REGRESSION
TITLE: this is an example of a random coefficient
regression
DATA: FILE IS ex3.9.dat;
VARIABLE: NAMES ARE y x1 x2;
DEFINE: CENTER x1 x2 (GRANDMEAN);
ANALYSIS: TYPE = RANDOM;
MODEL: s | y ON x1;
s WITH y;
y s ON x2;

CHAPTER 3
30
In this example a regression with random coefficients shown in the
picture above is estimated. Random coefficient regression uses random
slopes to model heterogeneity in the residual variance as a function of a
covariate that has a random slope (Hildreth & Houck, 1968; Johnston,
1984). The s shown in a circle represents the random slope. The broken
arrow from s to the arrow from x1 to y indicates that the slope in this
regression is random. The random slope is predicted by the covariate
x2.
The CENTER option is used to specify the type of centering to be used
in an analysis and the variables that will be centered. Centering
facilitates the interpretation of the results. In this example, the
covariates are centered using the grand means, that is, the sample means
of x1 and x2 are subtracted from the values of the covariates x1 and x2.
The TYPE option is used to describe the type of analysis that is to be
performed.
By selecting RANDOM, a model with random slopes will be estimated.
The | symbol is used in conjunction with TYPE=RANDOM to name and
define the random slope variables in the model. The name on the left-
hand side of the | symbol names the random slope variable. The
statement on the right-hand side of the | symbol defines the random slope
variable. The random slope s is defined by the linear regression of y on
the covariate x1. The residual variance in the regression of y on x is
estimated as the default. The residual covariance between s and y is
fixed at zero as the default. The WITH statement is used to free this
parameter. The ON statement describes the linear regressions of the
dependent variable y and the random slope s on the covariate x2. The
default estimator for this type of analysis is maximum likelihood with
robust standard errors. The estimator option of the ANALYSIS

Examples: Regression And Path Analysis
31
command can be used to select a different estimator. An explanation of
the other commands can be found in Example 3.1.
EXAMPLE 3.10: NON-LINEAR CONSTRAINT ON THE LOGIT
PARAMETERS OF AN UNORDERED CATEGORICAL
(NOMINAL) VARIABLE
TITLE: this is an example of non-linear
constraint on the logit parameters of an
unordered categorical (nominal) variable
DATA: FILE IS ex3.10.dat;
VARIABLE: NAMES ARE u;
NOMINAL = u;
MODEL: [u#1] (p1);
[u#2] (p2);
[u#3] (p2);
MODEL CONSTRAINT:
p2 = log ((exp (p1) – 1)/2 – 1);
In this example, theory specifies the following probabilities for the four
categories of an unordered categorical (nominal) variable: ½ + ¼ p, ¼
(1-p), ¼ (1-p), ¼ p, where p is a probability parameter to be estimated.
These restrictions on the category probabilities correspond to non-linear
constraints on the logit parameters for the categories in the multinomial
logistic model. This example is based on Dempster, Laird, and Rubin
(1977, p. 2).
The NOMINAL option is used to specify which dependent variables are
treated as unordered categorical (nominal) variables in the model and its
estimation. In the example above, u is a four-category unordered
variable. The program determines the number of categories. The
categories of an unordered categorical variable are referred to by adding
to the name of the unordered categorical variable the number sign (#)
followed by the number of the category. In this example, u#1 refers to
the first category of u, u#2 refers to the second category of u, and u#3
refers to the third category of u.
In the MODEL command, parameters are given labels by placing a name
in parentheses after the parameter. The logit parameter for category one
is referred to as p1; the logit parameter for category two is referred to as
p2; and the logit parameter for category three is also referred to as p2.

CHAPTER 3
32
When two parameters are referred to using the same label, they are held
equal. The MODEL CONSTRAINT command is used to define linear
and non-linear constraints on the parameters in the model. The non-
linear constraint for the logits follows from the four probabilities given
above after some algebra. The default estimator for this type of analysis
is maximum likelihood with robust standard errors. The ESTIMATOR
option of the ANALYSIS command can be used to select a different
estimator. An explanation of the other commands can be found in
Example 3.1.
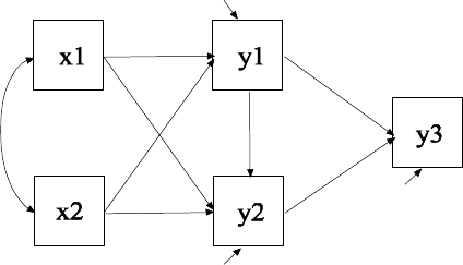
EXAMPLE 3.11: PATH ANALYSIS WITH CONTINUOUS
DEPENDENT VARIABLES
TITLE: this is an example of a path analysis
with continuous dependent variables
DATA: FILE IS ex3.11.dat;
VARIABLE: NAMES ARE y1-y6 x1-x4;
USEVARIABLES ARE y1-y3 x1-x3;
MODEL: y1 y2 ON x1 x2 x3;
y3 ON y1 y2 x2;
In this example, the path analysis model shown in the picture above is
estimated. The dependent variables in the analysis are continuous. Two
of the dependent variables y1 and y2 mediate the effects of the
covariates x1, x2, and x3 on the dependent variable y3.

Examples: Regression And Path Analysis
33
The first ON statement describes the linear regressions of y1 and y2 on
the covariates x1, x2, and x3. The second ON statement describes the
linear regression of y3 on the mediating variables y1 and y2 and the
covariate x2. The residual variances of the three dependent variables are
estimated as the default. The residuals are not correlated as the default.
As in regression analysis, it is not necessary to refer to the means,
variances, and covariances among the x variables in the MODEL
command because the parameters of the x variables are not part of the
model estimation. Because the model does not impose restrictions on
the parameters of the x variables, these parameters can be estimated
separately as the sample values. The default estimator for this type of
analysis is maximum likelihood. The ESTIMATOR option of the
ANALYSIS command can be used to select a different estimator. An
explanation of the other commands can be found in Example 3.1.
EXAMPLE 3.12: PATH ANALYSIS WITH CATEGORICAL
DEPENDENT VARIABLES
TITLE: this is an example of a path analysis
with categorical dependent variables
DATA: FILE IS ex3.12.dat;
VARIABLE: NAMES ARE u1-u6 x1-x4;
USEVARIABLES ARE u1-u3 x1-x3;
CATEGORICAL ARE u1-u3;
MODEL: u1 u2 ON x1 x2 x3;
u3 ON u1 u2 x2;
The difference between this example and Example 3.11 is that the
dependent variables are binary and/or ordered categorical (ordinal)
variables instead of continuous variables. The CATEGORICAL option
is used to specify which dependent variables are treated as binary or
ordered categorical (ordinal) variables in the model and its estimation.
In the example above, u1, u2, and u3 are binary or ordered categorical
variables. The program determines the number of categories for each
variable. The first ON statement describes the probit regressions of u1
and u2 on the covariates x1, x2, and x3. The second ON statement
describes the probit regression of u3 on the mediating variables u1 and
u2 and the covariate x2. The default estimator for this type of analysis is
a robust weighted least squares estimator. The ESTIMATOR option of
the ANALYSIS command can be used to select a different estimator. If
the maximum likelihood estimator is selected, the regressions are

CHAPTER 3
34
logistic regressions. An explanation of the other commands can be
found in Example 3.1.
EXAMPLE 3.13: PATH ANALYSIS WITH CATEGORICAL
DEPENDENT VARIABLES USING THE THETA
PARAMETERIZATION
TITLE: this is an example of a path analysis
with categorical dependent variables using
the Theta parameterization
DATA: FILE IS ex3.13.dat;
VARIABLE: NAMES ARE u1-u6 x1-x4;
USEVARIABLES ARE u1-u3 x1-x3;
CATEGORICAL ARE u1-u3;
ANALYSIS: PARAMETERIZATION = THETA;
MODEL: u1 u2 ON x1 x2 x3;
u3 ON u1 u2 x2;
The difference between this example and Example 3.12 is that the Theta
parameterization is used instead of the default Delta parameterization.
In the Delta parameterization, scale factors for continuous latent
response variables of observed categorical dependent variables are
allowed to be parameters in the model, but residual variances for
continuous latent response variables are not. In the Theta
parameterization, residual variances for continuous latent response
variables of observed categorical dependent variables are allowed to be
parameters in the model, but scale factors for continuous latent response
variables are not. An explanation of the other commands can be found
in Examples 3.1 and 3.12.

Examples: Regression And Path Analysis
35
EXAMPLE 3.14: PATH ANALYSIS WITH A COMBINATION
OF CONTINUOUS AND CATEGORICAL DEPENDENT
VARIABLES
TITLE: this is an example of a path analysis
with a combination of continuous and
categorical dependent variables
DATA: FILE IS ex3.14.dat;
VARIABLE: NAMES ARE y1 y2 u1 y4-y6 x1-x4;
USEVARIABLES ARE y1-u1 x1-x3;
CATEGORICAL IS u1;
MODEL: y1 y2 ON x1 x2 x3;
u1 ON y1 y2 x2;
The difference between this example and Example 3.11 is that the
dependent variables are a combination of continuous and binary or
ordered categorical (ordinal) variables instead of all continuous
variables. The CATEGORICAL option is used to specify which
dependent variables are treated as binary or ordered categorical (ordinal)
variables in the model and its estimation. In the example above, y1 and
y2 are continuous variables and u1 is a binary or ordered categorical
variable. The program determines the number of categories. The first
ON statement describes the linear regressions of y1 and y2 on the
covariates x1, x2, and x3. The second ON statement describes the probit
regression of u1 on the mediating variables y1 and y2 and the covariate
x2. The default estimator for this type of analysis is a robust weighted
least squares estimator. The ESTIMATOR option of the ANALYSIS
command can be used to select a different estimator. If a maximum
likelihood estimator is selected, the regression for u1 is a logistic
regression. An explanation of the other commands can be found in
Example 3.1.

CHAPTER 3
36
EXAMPLE 3.15: PATH ANALYSIS WITH A COMBINATION
OF CENSORED, CATEGORICAL, AND UNORDERED
CATEGORICAL (NOMINAL) DEPENDENT VARIABLES
TITLE: this is an example of a path analysis
with a combination of censored,
categorical, and unordered categorical
(nominal) dependent variables
DATA: FILE IS ex3.15.dat;
VARIABLE: NAMES ARE y1 u1 u2 y4-y6 x1-x4;
USEVARIABLES ARE y1-u2 x1-x3;
CENSORED IS y1 (a);
CATEGORICAL IS u1;
NOMINAL IS u2;
MODEL: y1 u1 ON x1 x2 x3;
u2 ON y1 u1 x2;
The difference between this example and Example 3.11 is that the
dependent variables are a combination of censored, binary or ordered
categorical (ordinal), and unordered categorical (nominal) variables
instead of continuous variables. The CENSORED option is used to
specify which dependent variables are treated as censored variables in
the model and its estimation, whether they are censored from above or
below, and whether a censored or censored-inflated model will be
estimated. In the example above, y1 is a censored variable. The a in
parentheses following y1 indicates that y1 is censored from above, that
is, has a ceiling effect, and that the model is a censored regression
model. The censoring limit is determined from the data. The
CATEGORICAL option is used to specify which dependent variables
are treated as binary or ordered categorical (ordinal) variables in the
model and its estimation. In the example above, u1 is a binary or
ordered categorical variable. The program determines the number of
categories. The NOMINAL option is used to specify which dependent
variables are treated as unordered categorical (nominal) variables in the
model and its estimation. In the example above, u2 is a three-category
unordered variable. The program determines the number of categories.
The first ON statement describes the censored regression of y1 and the
logistic regression of u1 on the covariates x1, x2, and x3. The second
ON statement describes the multinomial logistic regression of u2 on the
mediating variables y1 and u1 and the covariate x2 when comparing

Examples: Regression And Path Analysis
37
categories one and two of u2 to the third category of u2. The intercept
and slopes of the last category are fixed at zero as the default. The
default estimator for this type of analysis is maximum likelihood with
robust standard errors. The ESTIMATOR option of the ANALYSIS
command can be used to select a different estimator. An explanation of
the other commands can be found in Example 3.1.
Following is an alternative specification of the multinomial logistic
regression of u2 on the mediating variables y1 and u1 and the covariate
x2:
u2#1 u2#2 ON y1 u1 x2;
where u2#1 refers to the first category of u2 and u2#2 refers to the
second category of u2. The categories of an unordered categorical
variable are referred to by adding to the name of the unordered
categorical variable the number sign (#) followed by the number of the
category. This alternative specification allows individual parameters to
be referred to in the MODEL command for the purpose of giving starting
values or placing restrictions.
EXAMPLE 3.16: PATH ANALYSIS WITH CONTINUOUS
DEPENDENT VARIABLES, BOOTSTRAPPED STANDARD
ERRORS, INDIRECT EFFECTS, AND NON-SYMMETRIC
BOOTSTRAP CONFIDENCE INTERVALS
TITLE: this is an example of a path analysis
with continuous dependent variables,
bootstrapped standard errors, indirect
effects, and non-symmetric bootstrap
confidence intervals
DATA: FILE IS ex3.16.dat;
VARIABLE: NAMES ARE y1-y6 x1-x4;
USEVARIABLES ARE y1-y3 x1-x3;
ANALYSIS: BOOTSTRAP = 1000;
MODEL: y1 y2 ON x1 x2 x3;
y3 ON y1 y2 x2;
MODEL INDIRECT:
y3 IND y1 x1;
y3 IND y2 x1;
OUTPUT: CINTERVAL (BOOTSTRAP);
CHAPTER 3
38
The difference between this example and Example 3.11 is that
bootstrapped standard errors, indirect effects, and non-symmetric
bootstrap confidence intervals are requested. The BOOTSTRAP option
is used to request bootstrapping and to specify the number of bootstrap
draws to be used in the computation. When the BOOTSTRAP option is
used alone, bootstrap standard errors of the model parameter estimates
are obtained. When the BOOTSTRAP option is used in conjunction
with the CINTERVAL(BOOTSTRAP) option of the OUTPUT
command, bootstrap standard errors of the model parameter estimates
and non-symmetric bootstrap confidence intervals for the model
parameter estimates are obtained. The BOOTSTRAP option can be used
in conjunction with the MODEL INDIRECT command to obtain
bootstrap standard errors for indirect effects. When both MODEL
INDIRECT and CINTERVAL(BOOTSTRAP) are used, bootstrapped
standard errors and bootstrap confidence intervals are obtained for the
indirect effects. By selecting BOOTSTRAP=1000, bootstrapped
standard errors will be computed using 1000 draws.
The MODEL INDIRECT command is used to request indirect effects
and their standard errors. Total indirect, specific indirect, and total
effects are obtained using the IND and VIA options of the MODEL
INDIRECT command. The IND option is used to request a specific
indirect effect or a set of indirect effects. In the IND statements above,
the variable on the left-hand side of IND is the dependent variable. The
last variable on the right-hand side of IND is the independent variable.
Other variables on the right-hand side of IND are mediating variables.
The first IND statement requests the specific indirect effect from x1 to
y1 to y3. The second IND statement requests the specific indirect effect
from x1 to y2 to y3. Total effects are computed for all IND statements
that start and end with the same variables. An explanation of the other
commands can be found in Examples 3.1 and 3.11.

Examples: Regression And Path Analysis
39
EXAMPLE 3.17: PATH ANALYSIS WITH A CATEGORICAL
DEPENDENT VARIABLE AND A CONTINUOUS MEDIATING
VARIABLE WITH MISSING DATA
TITLE: this is an example of a path analysis
with a categorical dependent variable and
a continuous mediating variable with
missing data
DATA: FILE IS ex3.17.dat;
VARIABLE: NAMES ARE u y x;
CATEGORICAL IS u;
MISSING IS y (999);
ANALYSIS: ESTIMATOR = MLR;
INTEGRATION = MONTECARLO;
MODEL: y ON x;
u ON y x;
OUTPUT: TECH1 TECH8;
In this example, the dependent variable is binary or ordered categorical
(ordinal) and the continuous mediating variable has missing values. The
CATEGORICAL option is used to specify which dependent variables
are treated as binary or ordered categorical (ordinal) variables in the
model and its estimation. In the example above, u is a binary or ordered
categorical variable. The program determines the number of categories.
The MISSING option is used to identify the values or symbols in the
analysis data set that will be treated as missing or invalid. In this
example, the number 999 is the missing value flag. By specifying
ESTIMATOR=MLR, a maximum likelihood estimator with robust
standard errors using a numerical integration algorithm will be used.
Note that numerical integration becomes increasingly more
computationally demanding as the number of mediating variables with
missing data and the sample size increase. In this example, Monte Carlo
integration with 500 integration points is used. The ESTIMATOR
option can be used to select a different estimator.
The first ON statement describes the linear regression of y on the
covariate x. The second ON statement describes the logistic regression
of u on the mediating variable y and the covariate x. The OUTPUT
command is used to request additional output not included as the default.
The TECH1 option is used to request the arrays containing parameter
specifications and starting values for all free parameters in the model.

CHAPTER 3
40
The TECH8 option is used to request that the optimization history in
estimating the model be printed in the output. TECH8 is printed to the
screen during the computations as the default. TECH8 screen printing is
useful for determining how long the analysis takes. An explanation of
the other commands can be found in Example 3.1.
EXAMPLE 3.18: MODERATED MEDIATION WITH A PLOT
OF THE INDIRECT EFFECT
TITLE: this is an example of moderated mediation
with a plot of the indirect effect
DATA: FILE = ex3.18.dat;
VARIABLE: NAMES = y m x z;
USEVARIABLES = y m x z xz;
DEFINE: xz = x*z;
ANALYSIS: ESTIMATOR = BAYES;
PROCESSORS = 2;
BITERATIONS = (30000);
MODEL: y ON m (b)
x z;
m ON x (gamma1)
z
xz (gamma2);
MODEL CONSTRAINT:
PLOT(indirect);
LOOP(mod,-2,2,0.1);
indirect = b*(gamma1+gamma2*mod);
PLOT: TYPE = PLOT2;
OUTPUT: TECH8;
In this example, a moderated mediation analysis with a plot of the
indirect effect is carried out (Preacher, Rucker, & Hayes, 2007). The
variable z moderates the relationship between the mediator m and the
covariate x. The DEFINE command is used to create the variable xz
which is the interaction between the moderator z and the covariate x.
The variable xz must be included on the USEVARIABLES list after the
original variables in order to be used in the analysis.
By specifying ESTIMATOR=BAYES, a Bayesian analysis will be
carried out. In Bayesian estimation, the default is to use two
independent Markov chain Monte Carlo (MCMC) chains. If multiple
processors are available, using PROCESSORS=2 will speed up
computations. The BITERATIONS option is used to specify the
Examples: Regression And Path Analysis
41
maximum and minimum number of iterations for each Markov chain
Monte Carlo (MCMC) chain when the potential scale reduction (PSR)
convergence criterion (Gelman & Rubin, 1992) is used. Using a number
in parentheses, the BITERATIONS option specifies that a minimum of
30,000 and a maximum of the default of 50,000 iterations will be used.
The large minimum value is chosen to obtain a smooth plot.
In the MODEL command, the first ON statement describes the linear
regression of y on the mediator m, the covariate x, and the moderator z.
The second ON statement describes the linear regression of the mediator
m on the covariate x, the moderator z, and the interaction xz. The
intercepts and residual variances of y and m are estimated and the
residuals are not correlated as the default.
In MODEL CONSTRAINT, the LOOP option is used in conjunction
with the PLOT option to create plots of variables. In this example, the
indirect effect defined in MODEL CONSTRAINT will be plotted. The
PLOT option names the variable that will be plotted on the y-axis. The
LOOP option names the variable that will be plotted on the x-axis, gives
the numbers that are the lower and upper values of the variable, and the
incremental value of the variable to be used in the computations. In this
example, the variable indirect will be on the y-axis and the variable mod
will be on the x-axis. The variable mod, as in moderation, varies over
the range of z that is of interest such as two standard deviations away
from its mean. Corresponding to the case of z being standardized, the
lower and upper values of mod are -2 and 2 and 0.1 is the incremental
value of mod to use in the computations. When mod appears in a
MODEL CONSTRAINT statement involving a new parameter, that
statement is evaluated for each value of mod specified by the LOOP
option. For example, the first value of mod is -2; the second value of
mod is -2 plus 0.1 or -1.9; the third value of mod is -1.9 plus 0.1 or -1.8;
the last value of mod is 2.
Using TYPE=PLOT2 in the PLOT command, the plot of indirect and
mod can be viewed by choosing Loop plots from the Plot menu of the
Mplus Editor. The plot presents the computed values along with a 95%
confidence interval. For Bayesian estimation, the default is credibility
intervals of the posterior distribution with equal tail percentages. The
CINTERVAL option of the OUTPUT command can be used to obtain
credibility intervals of the posterior distribution that give the highest
CHAPTER 3
42
posterior density. An explanation of the other commands can be found
in Example 3.1.
Examples: Exploratory Factor Analysis
43
CHAPTER 4
EXAMPLES: EXPLORATORY
FACTOR ANALYSIS
Exploratory factor analysis (EFA) is used to determine the number of
continuous latent variables that are needed to explain the correlations
among a set of observed variables. The continuous latent variables are
referred to as factors, and the observed variables are referred to as factor
indicators. In EFA, factor indicators can be continuous, censored,
binary, ordered categorical (ordinal), counts, or combinations of these
variable types. EFA can also be carried out using exploratory structural
equation modeling (ESEM; Asparouhov & Muthén, 2009a) when factor
indicators are continuous, censored, binary, ordered categorical
(ordinal), and combinations of these variable types. ESEM examples are
shown under Confirmatory Factor Analysis in Chapter 5.
Several rotations are available using both orthogonal and oblique
procedures. The algorithms used in the rotations are described in
Jennrich and Sampson (1966), Browne (2001), Bernaards and Jennrich
(2005), Browne et al. (2004), and Jennrich and Bentler (2011, 2012).
Standard errors for the rotated solutions are available using algorithms
described in Jennrich (1973, 1974, 2007). Cudeck and O’Dell (1994)
discuss the benefits of standard errors for rotated solutions. Chi-square
difference testing comparing m-1 factors to m factors is carried out
automatically using scaling correction factors for MLM, MLR, and
WLSM and using the DIFFTEST option for WLSMV and MLMV.
All EFA models can be estimated using the following special features:
Missing data
Complex survey data
Mixture modeling
The default is to estimate the model under missing data theory using all
available data. The LISTWISE option of the DATA command can be
used to delete all observations from the analysis that have missing values
on one or more of the analysis variables. Corrections to the standard
errors and chi-square test of model fit that take into account
CHAPTER 4
44
stratification, non-independence of observations, and unequal probability
of selection are obtained by using the TYPE=COMPLEX option of the
ANALYSIS command in conjunction with the STRATIFICATION,
CLUSTER, and WEIGHT options of the VARIABLE command. The
SUBPOPULATION option is used to select observations for an analysis
when a subpopulation (domain) is analyzed.
Graphical displays of observed data and analysis results can be obtained
using the PLOT command in conjunction with a post-processing
graphics module. The PLOT command provides histograms,
scatterplots, plots of eigenvalues, individual observed and estimated
values, and plots of sample and estimated means and
proportions/probabilities. These are available for the total sample, by
group, by class, and adjusted for covariates. The PLOT command
includes a display showing a set of descriptive statistics for each
variable. The graphical displays can be edited and exported as a DIB,
EMF, or JPEG file. In addition, the data for each graphical display can
be saved in an external file for use by another graphics program.
Following is the set of EFA examples included in this chapter.
4.1: Exploratory factor analysis with continuous factor indicators
4.2: Exploratory factor analysis with categorical factor indicators
4.3: Exploratory factor analysis with continuous, censored,
categorical, and count factor indicators*
4.4: Exploratory factor mixture analysis with continuous latent class
indicators
4.5: Two-level exploratory factor analysis with continuous factor
indicators
4.6: Two-level exploratory factor analysis with both individual- and
cluster-level factor indicators
4.7: Bi-factor exploratory factor analysis with continuous factor
indicators
* Example uses numerical integration in the estimation of the model.
This can be computationally demanding depending on the size of the
problem.

Examples: Exploratory Factor Analysis
45
EXAMPLE 4.1: EXPLORATORY FACTOR ANALYSIS WITH
CONTINUOUS FACTOR INDICATORS
TITLE: this is an example of an exploratory
factor analysis with continuous factor
indicators
DATA: FILE IS ex4.1a.dat;
VARIABLE: NAMES ARE y1-y12;
ANALYSIS: TYPE = EFA 1 4;
OUTPUT: MODINDICES;
In the first part of this example, an exploratory factor analysis with
continuous factor indicators is carried out. Rotated solutions with
standard errors are obtained for each number of factors. Modification
indices are requested for the residual correlations. In the second part of
this example, the same exploratory factor analysis for four factors is
carried out using exploratory structural equation modeling (ESEM).
TITLE: this is an example of an exploratory
factor analysis with continuous factor
indicators
The TITLE command is used to provide a title for the analysis. The title
is printed in the output just before the Summary of Analysis.
DATA: FILE IS ex4.1.dat;
The DATA command is used to provide information about the data set
to be analyzed. The FILE option is used to specify the name of the file
that contains the data to be analyzed, ex4.1.dat. Because the data set is
in free format, the default, a FORMAT statement is not required.
VARIABLE: NAMES ARE y1-y12;
The VARIABLE command is used to provide information about the
variables in the data set to be analyzed. The NAMES option is used to
assign names to the variables in the data set. The data set in this
example contains 12 variables: y1, y2, y3, y4, y5, y6, y7, y8, y9, y10,
y11, and y12. Note that the hyphen can be used as a convenience feature
in order to generate a list of names.

CHAPTER 4
46
ANALYSIS: TYPE = EFA 1 4;
The ANALYSIS command is used to describe the technical details of the
analysis. The TYPE option is used to describe the type of analysis that
is to be performed. By specifying TYPE=EFA, an exploratory factor
analysis will be carried out. The numbers following EFA give the lower
and upper limits on the number of factors to be extracted. The default
rotation is the oblique rotation of GEOMIN. The ROTATION option of
the ANALYSIS command can be used to select a different rotation. The
default estimator for this type of analysis is maximum likelihood. The
ESTIMATOR option of the ANALYSIS command can be used to select
a different estimator.
OUTPUT: MODINDICES;
The MODINDICES option is used with EFA to request modification
indices and expected parameter change indices for the residual
correlations which are fixed at zero in EFA.
TITLE: this is an example of an exploratory
factor analysis with continuous factor
indicators using exploratory structural
equation modeling (ESEM)
DATA: FILE IS ex4.1b.dat;
VARIABLE: NAMES ARE y1-y12;
MODEL: f1-f4 BY y1-y12 (*1);
OUTPUT: MODINDICES;
The difference between this part of the example and the first part is that
an exploratory factor analysis for four factors is carried out using
exploratory structural equation modeling (ESEM). In the MODEL
command, the BY statement specifies that the factors f1 through f4 are
measured by the continuous factor indicators y1 through y12. The label
1 following an asterisk (*) in parentheses following the BY statement is
used to indicate that f1, f2, f3, and f4 are a set of EFA factors. When no
rotation is specified using the ROTATION option of the ANALYSIS
command, the default oblique GEOMIN rotation is used. The intercepts
and residual variances of the factor indicators are estimated and the
residuals are not correlated as the default. The variances of the factors
are fixed at one as the default. The factors are correlated under the
default oblique GEOMIN rotation. The results are the same as for the
four-factor EFA in the first part of the example.

Examples: Exploratory Factor Analysis
47
EXAMPLE 4.2: EXPLORATORY FACTOR ANALYSIS WITH
CATEGORICAL FACTOR INDICATORS
TITLE: this is an example of an exploratory
factor analysis with categorical factor
indicators
DATA: FILE IS ex4.2.dat;
VARIABLE: NAMES ARE u1-u12;
CATEGORICAL ARE u1-u12;
ANALYSIS: TYPE = EFA 1 4;
The difference between this example and Example 4.1 is that the factor
indicators are binary or ordered categorical (ordinal) variables instead of
continuous variables. Estimation of factor analysis models with binary
variables is discussed in Muthén (1978) and Muthén et al. (1997). The
CATEGORICAL option is used to specify which dependent variables
are treated as binary or ordered categorical (ordinal) variables in the
model and its estimation. In the example above, all twelve factor
indicators are binary or ordered categorical variables. Categorical
variables can be binary or ordered categorical. The program determines
the number of categories for each variable. The default estimator for
this type of analysis is a robust weighted least squares estimator. The
ESTIMATOR option of the ANALYSIS command can be used to select
a different estimator. With maximum likelihood estimation, numerical
integration is used with one dimension of integration for each factor. To
reduce computational time with several factors, the number of
integration points per dimension can be reduced from the default of 7 for
exploratory factor analysis to as few as 3 for an approximate solution.
An explanation of the other commands can be found in Example 4.1.

CHAPTER 4
48
EXAMPLE 4.3: EXPLORATORY FACTOR ANALYSIS WITH
CONTINUOUS, CENSORED, CATEGORICAL, AND COUNT
FACTOR INDICATORS
TITLE: this is an example of an exploratory
factor analysis with continuous, censored,
categorical, and count factor indicators
DATA: FILE = ex4.3.dat;
VARIABLE: NAMES = u4-u6 y4-y6 u1-u3 y1-y3;
CENSORED = y4-y6(b);
CATEGORICAL = u1-u3;
COUNT = u4-u6;
ANALYSIS: TYPE = EFA 1 4;
The difference between this example and Example 4.1 is that the factor
indicators are a combination of continuous, censored, binary or ordered
categorical (ordinal), and count variables instead of all continuous
variables. The CENSORED option is used to specify which dependent
variables are treated as censored variables in the model and its
estimation, whether they are censored from above or below, and whether
a censored or censored-inflated model will be estimated. In the example
above, y4, y5, and y6 are censored variables. The b in parentheses
indicates that they are censored from below, that is, have a floor effect,
and that the model is a censored regression model. The censoring limit
is determined from the data. The CATEGORICAL option is used to
specify which dependent variables are treated as binary or ordered
categorical (ordinal) variables in the model and its estimation. In the
example above, the factor indicators u1, u2, and u3 are binary or ordered
categorical variables. The program determines the number of categories
for each variable. The COUNT option is used to specify which
dependent variables are treated as count variables in the model and its
estimation and whether a Poisson or zero-inflated Poisson model will be
estimated. In the example above, u4, u5, and u6 are count variables.
The variables y1, y2, and y3 are continuous variables.
The default estimator for this type of analysis is maximum likelihood
with robust standard errors using a numerical integration algorithm.
Note that numerical integration becomes increasingly more
computationally demanding as the number of factors and the sample size
increase. In this example, the four-factor solution requires four

Examples: Exploratory Factor Analysis
49
dimensions of integration. Using the default of 7 integration points per
factor for exploratory factor analysis, a total of 2,401 integration points
is required for this analysis. To reduce computational time with several
factors, the number of integration points per dimension can be reduced
from the default of 7 for exploratory factor analysis to as few as 3 for an
approximate solution. The ESTIMATOR option of the ANALYSIS
command can be used to select a different estimator. An explanation of
the other commands can be found in Example 4.1.
EXAMPLE 4.4: EXPLORATORY FACTOR MIXTURE
ANALYSIS WITH CONTINUOUS LATENT CLASS
INDICATORS
TITLE: this is an example of an exploratory
factor mixture analysis with continuous
latent class indicators
DATA: FILE = ex4.4.dat;
VARIABLE: NAMES = y1-y8;
CLASSES = c(2);
ANALYSIS: TYPE = MIXTURE EFA 1 2;
In this example, an exploratory factor mixture analysis with continuous
latent class indicators is carried out. Factor mixture analysis uses a
combination of categorical and continuous latent variables. Mixture
modeling refers to modeling with categorical latent variables that
represent subpopulations where population membership is not known
but is inferred from the data. With continuous latent class indicators, the
means of the latent class indicators vary across the classes as the default.
The continuous latent variables describe within-class correlations among
the latent class indicators. The within-class correlations follow an
exploratory factor analysis model that varies across the latent classes.
This is the mixtures of factor analyzers model discussed in McLachlan
and Peel (2000) and McLachlan et al. (2004). Rotated solutions with
standard errors are obtained for each latent class. See Example 7.27 for
a confirmatory factor mixture analysis.
The CLASSES option is used to assign names to the categorical latent
variables in the model and to specify the number of latent classes in the
model for each categorical latent variable. In the example above, there
is one categorical latent variable c that has two latent classes. The

CHAPTER 4
50
ANALYSIS command is used to describe the technical details of the
analysis. The TYPE option is used to describe the type of analysis that
is to be performed. By specifying TYPE=MIXTURE EFA, an
exploratory factor mixture analysis will be carried out. The numbers
following EFA give the lower and upper limits on the number of factors
to be extracted. The default rotation is the oblique rotation of GEOMIN.
The ROTATION option of the ANALYSIS command can be used to
select a different rotation. The default estimator for this type of analysis
is maximum likelihood with robust standard errors. The ESTIMATOR
option of the ANALYSIS command can be used to select a different
estimator. An explanation of the other commands can be found in
Example 4.1.
EXAMPLE 4.5: TWO-LEVEL EXPLORATORY FACTOR
ANALYSIS WITH CONTINUOUS FACTOR INDICATORS
TITLE: this is an example of a two-level
exploratory factor analysis with
continuous factor indicators
DATA: FILE IS ex4.5.dat;
VARIABLE: NAMES ARE y1-y6 x1 x2 w clus;
USEVARIABLES = y1-y6;
CLUSTER = clus;
ANALYSIS: TYPE = TWOLEVEL EFA 1 2 UW 1 1 UB;
In this example, a two-level exploratory factor analysis model with
individual-level continuous factor indicators is carried out. Two-level
analysis models non-independence of observations due to cluster
sampling. An exploratory factor analysis is specified for both the within
and between parts of the model. Rotated solutions with standard errors
are obtained for both the within and between parts of the model. See
Example 9.6 for a two-level confirmatory factor analysis.
The CLUSTER option is used to identify the variable that contains
clustering information. The ANALYSIS command is used to describe
the technical details of the analysis. The TYPE option is used to
describe the type of analysis that is to be performed. By specifying
TYPE=TWOLEVEL EFA, a two-level exploratory factor analysis will
be carried out. The numbers following EFA give the lower and upper
limits on the number of factors to be extracted. The first set of numbers
are for the within part of the model. The second set of numbers are for

Examples: Exploratory Factor Analysis
51
the between part of the model. In both parts of the model, one- and two-
factors solutions and an unrestricted solution will be obtained. The
unrestricted solution for the within part of the model is specified by UW
and the unrestricted solution for the between part of the model is
specified by UB. The within and between specifications are crossed.
Factor solutions will be obtained for one factor within and one factor
between, two factors within and one factor between, unrestricted within
and one factor between, one factor within and unrestricted between, and
two factors within and unrestricted between. Rotations are not given for
unrestricted solutions. The default rotation is the oblique rotation of
GEOMIN. The ROTATION option of the ANALYSIS command can be
used to select a different rotation. The default estimator for this type of
analysis is maximum likelihood with robust standard errors. The
ESTIMATOR option of the ANALYSIS command can be used to select
a different estimator. An explanation of the other commands can be
found in Example 4.1.
EXAMPLE 4.6: TWO-LEVEL EXPLORATORY FACTOR
ANALYSIS WITH BOTH INDIVIDUAL- AND CLUSTER-
LEVEL FACTOR INDICATORS
TITLE: this is an example of a two-level
exploratory factor analysis with both
individual- and cluster-level factor
indicators
DATA: FILE = ex4.6.dat;
VARIABLE: NAMES = u1-u6 y1-y4 x1 x2 w clus;
USEVARIABLES = u1-u6 y1-y4;
CATEGORICAL = u1-u6;
CLUSTER = clus;
BETWEEN = y1-y4;
ANALYSIS: TYPE = TWOLEVEL EFA 1 2 UW 1 2 UB;
SAVEDATA: SWMATRIX = ex4.6sw.dat;
The difference between this example and Example 4.5 is that there is a
combination of individual-level categorical factor indicators and
between-level continuous factor indicators. The exploratory factor
analysis structure for the within part of the model includes only the
individual-level factor indicators whereas the exploratory factor analysis
structure for the between part of the model includes the between part of
the individual-level factor indicators and the between-level factor

CHAPTER 4
52
indicators. Rotated solutions with standard errors are obtained for both
the within and between parts of the model.
The BETWEEN option is used to identify the variables in the data set
that are measured on the cluster level and modeled only on the between
level. Variables not mentioned on the WITHIN or the BETWEEN
statements are measured on the individual level and can be modeled on
both the within and between levels. The default rotation is the oblique
rotation of GEOMIN. The ROTATION option of the ANALYSIS
command can be used to select a different rotation. The default
estimator for this type of analysis is a robust weighted least squares
estimator using a diagonal weight matrix (Asparouhov & Muthén, 2007).
The ESTIMATOR option of the ANALYSIS command can be used to
select a different estimator. The SWMATRIX option of the
SAVEDATA command is used with TYPE=TWOLEVEL and weighted
least squares estimation to specify the name and location of the file that
contains the within- and between-level sample statistics and their
corresponding estimated asymptotic covariance matrix. It is
recommended to save this information and use it in subsequent analyses
along with the raw data to reduce computational time during model
estimation. An explanation of the other commands can be found in
Examples 4.1, 4.3, and 4.5.
EXAMPLE 4.7: BI-FACTOR EXPLORATORY FACTOR
ANALYSIS WITH CONTINUOUS FACTOR INDICATORS
TITLE: this is an example of a bi-factor
exploratory factor analysis with
continuous factor indicators
DATA: FILE = ex4.7.dat;
VARIABLE: NAMES = y1-y10;
ANALYSIS: TYPE = EFA 2 3;
ROTATION = BI-GEOMIN;
In this example, a bi-factor exploratory factor analysis (Jennrich &
Bentler, 2011, 2012) with continuous factor indicators is carried out
using a Geomin rotation. By specifying TYPE=EFA, an exploratory
factor analysis will be carried out. The number 2 is the lower limit and
the number 3 is the upper limit on the number of factors to be extracted.
By specifying BI-GEOMIN, a bi-factor EFA will be carried out using a
Examples: Exploratory Factor Analysis
53
bi-factor Geomin rotation. Because this is a bi-factor analysis, the two-
factor solution will have one general factor and one specific factor. The
three-factor solution will have one general factor and two specific
factors. The default for the BI-GEOMIN rotation is an oblique rotation
where the specific factors are correlated with the general factor and are
correlated with each other. In the orthogonal rotation, the specific
factors are uncorrelated with the general factor and are uncorrelated with
each other. An orthogonal rotation is obtained by specifying
ROTATION=BI-GEOMIN(ORTHOGONAL). An alternative bi-factor
rotation can be obtained using the BI-CF-QUARTIMAX setting of the
ROTATION option. The default estimator for this type of analysis is
maximum likelihood. The ESTIMATOR option of the ANALYSIS
command can be used to select a different estimator. An explanation of
the other commands can be found in Example 4.1.
CHAPTER 4
54
Examples: Confirmatory Factor Analysis And
Structural Equation Modeling
55
CHAPTER 5
EXAMPLES: CONFIRMATORY
FACTOR ANALYSIS AND
STRUCTURAL EQUATION
MODELING
Confirmatory factor analysis (CFA) is used to study the relationships
between a set of observed variables and a set of continuous latent
variables. When the observed variables are categorical, CFA is also
referred to as item response theory (IRT) analysis (Fox, 2010; van der
Linden, 2016). CFA with covariates (MIMIC) includes models where
the relationship between factors and a set of covariates are studied to
understand measurement invariance and population heterogeneity.
These models can include direct effects, that is, the regression of a factor
indicator on a covariate in order to study measurement non-invariance.
Structural equation modeling (SEM) includes models in which
regressions among the continuous latent variables are estimated (Bollen,
1989; Browne & Arminger, 1995; Joreskog & Sorbom, 1979). In all of
these models, the latent variables are continuous. Observed dependent
variable variables can be continuous, censored, binary, ordered
categorical (ordinal), unordered categorical (nominal), counts, or
combinations of these variable types.
CFA is a measurement model. SEM has two parts: a measurement
model and a structural model. The measurement model for both CFA
and SEM is a multivariate regression model that describes the
relationships between a set of observed dependent variables and a set of
continuous latent variables. The observed dependent variables are
referred to as factor indicators and the continuous latent variables are
referred to as factors. The relationships are described by a set of linear
regression equations for continuous factor indicators, a set of censored
normal or censored-inflated normal regression equations for censored
factor indicators, a set of probit or logistic regression equations for
binary or ordered categorical factor indicators, a set of multinomial
logistic regression equations for unordered categorical factor indicators,
CHAPTER 5
56
and a set of Poisson or zero-inflated Poisson regression equations for
count factor indicators.
The structural model describes three types of relationships in one set of
multivariate regression equations: the relationships among factors, the
relationships among observed variables, and the relationships between
factors and observed variables that are not factor indicators. These
relationships are described by a set of linear regression equations for the
factors that are dependent variables and for continuous observed
dependent variables, a set of censored normal or censored-inflated
normal regression equations for censored observed dependent variables,
a set of probit or logistic regression equations for binary or ordered
categorical observed dependent variables, a set of multinomial logistic
regression equations for unordered categorical observed dependent
variables, and a set of Poisson or zero-inflated Poisson regression
equations for count observed dependent variables. For logistic
regression, ordered categorical variables are modeled using the
proportional odds specification. Both maximum likelihood and weighted
least squares estimators are available.
All CFA, MIMIC and SEM models can be estimated using the following
special features:
Single or multiple group analysis
Missing data
Complex survey data
Latent variable interactions and non-linear factor analysis using
maximum likelihood
Random slopes
Linear and non-linear parameter constraints
Indirect effects including specific paths
Maximum likelihood estimation for all outcome types
Bootstrap standard errors and confidence intervals
Wald chi-square test of parameter equalities
For continuous, censored with weighted least squares estimation, binary,
and ordered categorical (ordinal) outcomes, multiple group analysis is
specified by using the GROUPING option of the VARIABLE command
for individual data or the NGROUPS option of the DATA command for
summary data. For censored with maximum likelihood estimation,
unordered categorical (nominal), and count outcomes, multiple group
Examples: Confirmatory Factor Analysis And
Structural Equation Modeling
57
analysis is specified using the KNOWNCLASS option of the
VARIABLE command in conjunction with the TYPE=MIXTURE
option of the ANALYSIS command. The default is to estimate the
model under missing data theory using all available data. The
LISTWISE option of the DATA command can be used to delete all
observations from the analysis that have missing values on one or more
of the analysis variables. Corrections to the standard errors and chi-
square test of model fit that take into account stratification, non-
independence of observations, and unequal probability of selection are
obtained by using the TYPE=COMPLEX option of the ANALYSIS
command in conjunction with the STRATIFICATION, CLUSTER, and
WEIGHT options of the VARIABLE command. The
SUBPOPULATION option is used to select observations for an analysis
when a subpopulation (domain) is analyzed. Latent variable interactions
are specified by using the | symbol of the MODEL command in
conjunction with the XWITH option of the MODEL command. Random
slopes are specified by using the | symbol of the MODEL command in
conjunction with the ON option of the MODEL command. Linear and
non-linear parameter constraints are specified by using the MODEL
CONSTRAINT command. Indirect effects are specified by using the
MODEL INDIRECT command. Maximum likelihood estimation is
specified by using the ESTIMATOR option of the ANALYSIS
command. Bootstrap standard errors are obtained by using the
BOOTSTRAP option of the ANALYSIS command. Bootstrap
confidence intervals are obtained by using the BOOTSTRAP option of
the ANALYSIS command in conjunction with the CINTERVAL option
of the OUTPUT command. The MODEL TEST command is used to test
linear restrictions on the parameters in the MODEL and MODEL
CONSTRAINT commands using the Wald chi-square test.
Graphical displays of observed data and analysis results can be obtained
using the PLOT command in conjunction with a post-processing
graphics module. The PLOT command provides histograms,
scatterplots, plots of individual observed and estimated values, plots of
sample and estimated means and proportions/probabilities, and plots of
item characteristic curves and information curves. These are available
for the total sample, by group, by class, and adjusted for covariates. The
PLOT command includes a display showing a set of descriptive statistics
for each variable. The graphical displays can be edited and exported as a
DIB, EMF, or JPEG file. In addition, the data for each graphical display
can be saved in an external file for use by another graphics program.
CHAPTER 5
58
Following is the set of CFA examples included in this chapter:
5.1: CFA with continuous factor indicators
5.2: CFA with categorical factor indicators
5.3: CFA with continuous and categorical factor indicators
5.4: CFA with censored and count factor indicators*
5.5: Item response theory (IRT) models*
5.6: Second-order factor analysis
5.7: Non-linear CFA*
5.8: CFA with covariates (MIMIC) with continuous factor
indicators
5.9: Mean structure CFA for continuous factor indicators
5.10: Threshold structure CFA for categorical factor indicators
Following is the set of SEM examples included in this chapter:
5.11: SEM with continuous factor indicators
5.12: SEM with continuous factor indicators and an indirect effect
for factors
5.13: SEM with continuous factor indicators and an interaction
between two factors*
Following is the set of multiple group examples included in this chapter:
5.14: Multiple group CFA with covariates (MIMIC) with
continuous factor indicators and no mean structure
5.15: Multiple group CFA with covariates (MIMIC) with
continuous factor indicators and a mean structure
5.16: Multiple group CFA with covariates (MIMIC) with
categorical factor indicators and a threshold structure
5.17: Multiple group CFA with covariates (MIMIC) with
categorical factor indicators and a threshold structure using the
Theta parameterization
5.18: Two-group twin model for continuous outcomes where factors
represent the ACE components
5.19: Two-group twin model for categorical outcomes where factors
represent the ACE components
Examples: Confirmatory Factor Analysis And
Structural Equation Modeling
59
Following is the set of examples included in this chapter that estimate
models with parameter constraints:
5.20: CFA with parameter constraints
5.21: Two-group twin model for continuous outcomes using
parameter constraints
5.22: Two-group twin model for categorical outcomes using
parameter constraints
5.23: QTL sibling model for a continuous outcome using parameter
constraints
Following is the set of exploratory structural equation modeling (ESEM)
examples included in this chapter:
5.24: EFA with covariates (MIMIC) with continuous factor
indicators and direct effects
5.25: SEM with EFA and CFA factors with continuous factor
indicators
5.26: EFA at two time points with factor loading invariance and
correlated residuals across time
5.27: Multiple-group EFA with continuous factor indicators
5.28: EFA with residual variances constrained to be greater than
zero
5.29: Bi-factor EFA using ESEM
5.30: Bi-factor EFA with two items loading on only the general
factor
Following is the set of Bayesian CFA examples included in this chapter:
5.31: Bayesian bi-factor CFA with two items loading on only the
general factor and cross-loadings with zero-mean and small-variance
priors
5.32: Bayesian MIMIC model with cross-loadings and direct effects
with zero-mean and small-variance priors
5.33: Bayesian multiple group model with approximate
measurement invariance using zero-mean and small-variance priors
* Example uses numerical integration in the estimation of the model.
This can be computationally demanding depending on the size of the
problem.

CHAPTER 5
60
EXAMPLE 5.1: CFA WITH CONTINUOUS FACTOR
INDICATORS
TITLE: this is an example of a CFA with
continuous factor indicators
DATA: FILE IS ex5.1.dat;
VARIABLE: NAMES ARE y1-y6;
MODEL: f1 BY y1-y3;
f2 BY y4-y6;
In this example, the confirmatory factor analysis (CFA) model with
continuous factor indicators shown in the picture above is estimated.
The model has two correlated factors that are each measured by three
continuous factor indicators.

Examples: Confirmatory Factor Analysis And
Structural Equation Modeling
61
TITLE: this is an example of a CFA with
continuous factor indicators
The TITLE command is used to provide a title for the analysis. The title
is printed in the output just before the Summary of Analysis.
DATA: FILE IS ex5.1.dat;
The DATA command is used to provide information about the data set
to be analyzed. The FILE option is used to specify the name of the file
that contains the data to be analyzed, ex5.1.dat. Because the data set is
in free format, the default, a FORMAT statement is not required.
VARIABLE: NAMES ARE y1-y6;
The VARIABLE command is used to provide information about the
variables in the data set to be analyzed. The NAMES option is used to
assign names to the variables in the data set. The data set in this
example contains six variables: y1, y2, y3, y4, y5, y6. Note that the
hyphen can be used as a convenience feature in order to generate a list of
names.
MODEL: f1 BY y1-y3;
f2 BY y4-y6;
The MODEL command is used to describe the model to be estimated.
Here the two BY statements specify that f1 is measured by y1, y2, and
y3, and f2 is measured by y4, y5, and y6. The metric of the factors is set
automatically by the program by fixing the first factor loading in each
BY statement to 1. This option can be overridden. The intercepts and
residual variances of the factor indicators are estimated and the residuals
are not correlated as the default. The variances of the factors are
estimated as the default. The factors are correlated as the default
because they are independent (exogenous) variables. The default
estimator for this type of analysis is maximum likelihood. The
ESTIMATOR option of the ANALYSIS command can be used to select
a different estimator.

CHAPTER 5
62
EXAMPLE 5.2: CFA WITH CATEGORICAL FACTOR
INDICATORS
TITLE: this is an example of a CFA with
categorical factor indicators
DATA: FILE IS ex5.2.dat;
VARIABLE: NAMES ARE u1-u6;
CATEGORICAL ARE u1-u6;
MODEL: f1 BY u1-u3;
f2 BY u4-u6;
The difference between this example and Example 5.1 is that the factor
indicators are binary or ordered categorical (ordinal) variables instead of
continuous variables. The CATEGORICAL option is used to specify
which dependent variables are treated as binary or ordered categorical
(ordinal) variables in the model and its estimation. In the example
above, all six factor indicators are binary or ordered categorical
variables. The program determines the number of categories for each
factor indicator. The default estimator for this type of analysis is a
robust weighted least squares estimator (Muthén, 1984; Muthén, du Toit,
& Spisic, 1997). With this estimator, probit regressions for the factor
indicators regressed on the factors are estimated. The ESTIMATOR
option of the ANALYSIS command can be used to select a different
estimator. An explanation of the other commands can be found in
Example 5.1.
With maximum likelihood estimation, logistic regressions for the factor
indicators regressed on the factors are estimated using a numerical
integration algorithm. This is shown in Example 5.5. Note that
numerical integration becomes increasingly more computationally
demanding as the number of factors and the sample size increase.

Examples: Confirmatory Factor Analysis And
Structural Equation Modeling
63
EXAMPLE 5.3: CFA WITH CONTINUOUS AND
CATEGORICAL FACTOR INDICATORS
TITLE: this is an example of a CFA with
continuous and categorical factor
indicators
DATA: FILE IS ex5.3.dat;
VARIABLE: NAMES ARE u1-u3 y4-y6;
CATEGORICAL ARE u1 u2 u3;
MODEL: f1 BY u1-u3;
f2 BY y4-y6;
The difference between this example and Example 5.1 is that the factor
indicators are a combination of binary or ordered categorical (ordinal)
and continuous variables instead of all continuous variables. The
CATEGORICAL option is used to specify which dependent variables
are treated as binary or ordered categorical (ordinal) variables in the
model and its estimation. In the example above, the factor indicators u1,
u2, and u3 are binary or ordered categorical variables whereas the factor
indicators y4, y5, and y6 are continuous variables. The program
determines the number of categories for each factor indicator. The
default estimator for this type of analysis is a robust weighted least
squares estimator. With this estimator, probit regressions are estimated
for the categorical factor indicators, and linear regressions are estimated
for the continuous factor indicators. The ESTIMATOR option of the
ANALYSIS command can be used to select a different estimator. With
maximum likelihood estimation, logistic regressions are estimated for
the categorical dependent variables using a numerical integration
algorithm. Note that numerical integration becomes increasingly more
computationally demanding as the number of factors and the sample size
increase. An explanation of the other commands can be found in
Example 5.1.

CHAPTER 5
64
EXAMPLE 5.4: CFA WITH CENSORED AND COUNT FACTOR
INDICATORS
TITLE: this is an example of a CFA with censored
and count factor indicators
DATA: FILE IS ex5.4.dat;
VARIABLE: NAMES ARE y1-y3 u4-u6;
CENSORED ARE y1-y3 (a);
COUNT ARE u4-u6;
MODEL: f1 BY y1-y3;
f2 BY u4-u6;
OUTPUT: TECH1 TECH8;
The difference between this example and Example 5.1 is that the factor
indicators are a combination of censored and count variables instead of
all continuous variables. The CENSORED option is used to specify
which dependent variables are treated as censored variables in the model
and its estimation, whether they are censored from above or below, and
whether a censored or censored-inflated model will be estimated. In the
example above, y1, y2, and y3 are censored variables. The a in
parentheses following y1-y3 indicates that y1, y2, and y3 are censored
from above, that is, have ceiling effects, and that the model is a censored
regression model. The censoring limit is determined from the data. The
COUNT option is used to specify which dependent variables are treated
as count variables in the model and its estimation and whether a Poisson
or zero-inflated Poisson model will be estimated. In the example above,
u4, u5, and u6 are count variables. Poisson regressions are estimated for
the count dependent variables and censored regressions are estimated for
the censored dependent variables.
The default estimator for this type of analysis is maximum likelihood
with robust standard errors using a numerical integration algorithm.
Note that numerical integration becomes increasingly more
computationally demanding as the number of factors and the sample size
increase. In this example, two dimensions of integration are used with a
total of 225 integration points. The ESTIMATOR option of the
ANALYSIS command can be used to select a different estimator. The
OUTPUT command is used to request additional output not included as
the default. The TECH1 option is used to request the arrays containing
parameter specifications and starting values for all free parameters in the
model. The TECH8 option is used to request that the optimization

Examples: Confirmatory Factor Analysis And
Structural Equation Modeling
65
history in estimating the model be printed in the output. TECH8 is
printed to the screen during the computations as the default. TECH8
screen printing is useful for determining how long the analysis takes. An
explanation of the other commands can be found in Example 5.1.
EXAMPLE 5.5: ITEM RESPONSE THEORY (IRT) MODELS
In this example, four logistic IRT models are estimated: the generalized
partial credit model (GPCM), the two-parameter logistic model (2PL),
the three-parameter logistic model (3PL) with a guessing parameter, and
the four-parameter logistic model (4PL) with a lower (guessing)
parameter and an upper asymptote parameter. In all examples, a single
continuous factor is measured by 20 categorical factor indicators.
TITLE: this is an example of a generalized
partial credit item response theory (IRT)
model
DATA: FILE IS ex5.5part1.dat;
VARIABLE: NAMES ARE u1-u20;
CATEGORICAL ARE u1-u20 (gpcm);
ANALYSIS: ESTIMATOR = MLR;
MODEL: f BY u1-u20*;
f@1;
OUTPUT: TECH1 TECH8;
PLOT: TYPE = PLOT3;
In the first part of the example shown above, the GPCM model is
estimated. The CATEGORICAL option is used to specify which
dependent variables are treated as binary or ordered categorical (ordinal)
variables in the model and its estimation. In the example above, the
factor indicators u1 through u20 are ordered categorical (ordinal)
variables. The letters gpcm in parentheses specify that a GPCM model
is estimated. The program determines the number of categories for each
factor indicator. By specifying ESTIMATOR=MLR, a maximum
likelihood estimator with robust standard errors using a numerical
integration algorithm will be used. Note that numerical integration
becomes increasingly more computationally demanding as the number of
factors and the sample size increase. In this example, one dimension of
integration is used with 15 integration points. The ESTIMATOR option
of the ANALYSIS command can be used to select a different estimator.

CHAPTER 5
66
In the MODEL command, the BY statement specifies that f is measured
by u1 through u20. The asterisk (*) frees the first factor loading which
is fixed at one as the default to define the metric of the factor. Instead
the metric of the factor is defined by fixing the factor variance at one in
line with IRT. For one-factor models with no covariates, results are
presented both in a factor model parameterization and in a conventional
IRT parameterization.
With the following MODEL command, a partial credit model is
estimated:
MODEL: f BY u1-u20@1;
f*1;
The OUTPUT command is used to request additional output not
included as the default. The TECH1 option is used to request the arrays
containing parameter specifications and starting values for all free
parameters in the model. The TECH8 option is used to request that the
optimization history in estimating the model be printed in the output.
TECH8 is printed to the screen during the computations as the default.
TECH8 screen printing is useful for determining how long the analysis
takes. The PLOT command is used to request graphical displays of
observed data and analysis results. These graphical displays can be
viewed after the analysis is completed using a post-processing graphics
module. Item characteristic curves and information curves are available.
When covariates are included in the model with direct effects on one or
more factor indicators, item characteristic curves can be plotted for each
value of the covariate to show differential item functioning (DIF). An
explanation of the other commands can be found in Example 5.1.
TITLE: this is an example of a two-parameter
logistic item response theory (IRT) model
DATA: FILE IS ex5.5part2.dat;
VARIABLE: NAMES ARE u1-u20;
CATEGORICAL ARE u1-u20;
ANALYSIS: ESTIMATOR = MLR;
MODEL: f BY u1-u20*;
f@1;
OUTPUT: TECH1 TECH8;
PLOT: TYPE = PLOT3;
In the second part of the example shown above, a two-parameter logistic
model is estimated. The difference between the specification for the

Examples: Confirmatory Factor Analysis And
Structural Equation Modeling
67
GPCM and the 2PL models is that nothing is placed in parentheses after
the variable names in the CATEGORICAL option. The factor indicators
u1 through u20 are binary variables. If the factor indicators are ordered
categorical (ordinal) variables, the input is the same but a graded-
response model is estimated.
TITLE: this is an example of a three-parameter
logistic item response theory (IRT) model
using priors for the guessing parameters
DATA: FILE = ex5.5part3.dat;
VARIABLE: NAMES = u1-u20;
CATEGORICAL = u1-u20(3pl);
ANALYSIS: ESTIMATOR = MLR;
MODEL: f BY u1-u20*;
f@1;
[u1$2-u20$2] (a1-a20);
OUTPUT: TECH1 TECH8;
PLOT: TYPE = PLOT3;
MODEL PRIORS:
a1-a20~N(1.386,1);
In the third part of the example shown above, a three-parameter logistic
model is estimated. One difference between the specification for the
GPCM and the 3PL models is that 3pl is placed in parentheses after the
variable names in the CATEGORICAL option. The factor indicators u1
through u20 are binary variables. In addition, because convergence
problems are common with the 3PL model, the MODEL PRIORS
command is used to provide priors for the second thresholds. The
second thresholds are parameters related to the guessing parameters
which cannot be referred to directly. The first thresholds are referred to
by adding $1 to the variable names. The second thresholds are referred
to by adding $2 to the variable names. In the MODEL command, labels
are given to the second thresholds. These labels are used in MODEL
PRIORS to assign priors to the second thresholds. Prior mean values for
the second thresholds of 1.386 correspond to guessing values of 0.25
(Asparouhov & Muthén, 2016).
TITLE: this is an example of a four-parameter
logistic item response theory (IRT) model
using priors for the lower (guessing) and
upper asymptote parameters
DATA: FILE = ex5.5part4.dat;
VARIABLE: NAMES = u1-u20;
CATEGORICAL = u1-u20(4pl);
ANALYSIS: ESTIMATOR = MLR;

CHAPTER 5
68
MODEL: f BY u1-u20*;
f@1;
[u1$2-u20$2] (a1-a20);
[u1$3-u20$3] (b1-b20);
OUTPUT: TECH1 TECH8;
PLOT: TYPE = PLOT3;
MODEL PRIORS:
a1-a20~N(1.386,1);
b1-b20~N(-2,1);
In the fourth part of the example shown above, a four-parameter logistic
model is estimated. One difference between the specification for the
GPCM and the 4PL models is that 4pl is placed in parentheses after the
variable names in the CATEGORICAL option. The factor indicators u1
through u20 are binary variables. In addition, because convergence
problems are common with the 4PL model, the MODEL PRIORS
command is used to provide priors for the second and third thresholds.
The second and third thresholds are parameters related to the upper
asymptote (guessing) and lower asymptote parameters, respectively,
which cannot be referred to directly. The first thresholds are referred to
by adding $1 to the variable names. The second thresholds are referred
to by adding $2 to the variable names. The third thresholds are referred
to by adding $3 to the variable names. In the MODEL command, labels
are given to the second and third thresholds. These labels are used in
MODEL PRIORS to assign priors to the second and third thresholds.
Prior mean values for the second thresholds of 1.386 correspond to
guessing values of 0.25. Prior mean values for the third thresholds of -2
correspond to upper asymptote values of 0.88 (Asparouhov & Muthén,
2016).
EXAMPLE 5.6: SECOND-ORDER FACTOR ANALYSIS
TITLE: this is an example of a second-order
factor analysis
DATA: FILE IS ex5.6.dat;
VARIABLE: NAMES ARE y1-y12;
MODEL: f1 BY y1-y3;
f2 BY y4-y6;
f3 BY y7-y9;
f4 BY y10-y12;
f5 BY f1-f4;

Examples: Confirmatory Factor Analysis And
Structural Equation Modeling
69
In this example, the second-order factor analysis model shown in the
picture above is estimated. The factor indicators of the first-order
factors f1, f2, f3, and f4 are continuous. The first-order factors are
indicators of the second-order factor f5.
The first four BY statements specify that f1 is measured by y1, y2, and
y3; f2 is measured by y4, y5, and y6; f3 is measured by y7, y8, and y9;
and f4 is measured by y10, y11, and y12. The fifth BY statement
specifies that the second-order factor f5 is measured by f1, f2, f3, and f4.
The metrics of the first- and second-order factors are set automatically
by the program by fixing the first factor loading in each BY statement to
1. This option can be overridden. The intercepts and residual variances
of the first-order factor indicators are estimated and the residuals are not
correlated as the default. The residual variances of the first-order factors
are estimated as the default. The residuals of the first-order factors are
not correlated as the default. The variance of the second-order factor is
estimated as the default. The default estimator for this type of analysis
is maximum likelihood. The ESTIMATOR option of the ANALYSIS
command can be used to select a different estimator. An explanation of
the other commands can be found in Example 5.1.

CHAPTER 5
70
EXAMPLE 5.7: NON-LINEAR CFA
TITLE: this is an example of a non-linear CFA
DATA: FILE IS ex5.7.dat;
VARIABLE: NAMES ARE y1-y5;
ANALYSIS: TYPE = RANDOM;
ALGORITHM = INTEGRATION;
MODEL: f BY y1-y5;
fxf | f XWITH f;
y1-y5 ON fxf;
OUTPUT: TECH1 TECH8;
In this example, a non-linear CFA model is estimated (McDonald, 1967).
The factor indicators are quadratic functions of the factor. The TYPE
option is used to describe the type of analysis that is to be performed.
By selecting RANDOM, a model with a random effect will be estimated.
By specifying ALGORITHM=INTEGRATION, a maximum likelihood
estimator with robust standard errors using a numerical integration
algorithm will be used. Note that numerical integration becomes
increasingly more computationally demanding as the number of factors
and the sample size increase. In this example, one dimension of
integration is used with 15 integration points. The ESTIMATOR option
of the ANALYSIS command can be used to select a different estimator.
The BY statement specifies that f is measured by y1 through y5. This
specifies the linear part of the quadratic function. The | statement in
conjunction with the XWITH option of the MODEL command is used to
define the quadratic factor term. The name on the left-hand side of the |
symbol names the quadratic factor term. The XWITH statement on the
right-hand side of the | symbol defines the quadratic factor term fxf. The
ON statement specifies the quadratic part of the quadratic function. The
OUTPUT command is used to request additional output not included as
the default. The TECH1 option is used to request the arrays containing
parameter specifications and starting values for all free parameters in the
model. The TECH8 option is used to request that the optimization
history in estimating the model be printed in the output. TECH8 is
printed to the screen during the computations as the default. TECH8
screen printing is useful for determining how long the analysis takes. An
explanation of the other commands can be found in Example 5.1.

Examples: Confirmatory Factor Analysis And
Structural Equation Modeling
71
EXAMPLE 5.8: CFA WITH COVARIATES (MIMIC) WITH
CONTINUOUS FACTOR INDICATORS
TITLE: this is an example of a CFA with
covariates (MIMIC) with continuous factor
indicators
DATA: FILE IS ex5.8.dat;
VARIABLE: NAMES ARE y1-y6 x1-x3;
MODEL: f1 BY y1-y3;
f2 BY y4-y6;
f1 f2 ON x1-x3;
In this example, the CFA model with covariates (MIMIC) shown in the
picture above is estimated. The two factors are regressed on three
covariates.

CHAPTER 5
72
The first BY statement specifies that f1 is measured by y1, y2, and y3.
The second BY statement specifies that f2 is measured by y4, y5, and y6.
The metric of the factors is set automatically by the program by fixing
the first factor loading in each BY statement to 1. This option can be
overridden. The intercepts and residual variances of the factor
indicators are estimated and the residuals are not correlated as the
default. The residual variances of the factors are estimated as the
default. The residuals of the factors are correlated as the default because
residuals are correlated for latent variables that do not influence any
other variable in the model except their own indicators. The ON
statement describes the linear regressions of f1 and f2 on the covariates
x1, x2, and x3. The ESTIMATOR option of the ANALYSIS command
can be used to select a different estimator. An explanation of the other
commands can be found in Example 5.1.
EXAMPLE 5.9: MEAN STRUCTURE CFA FOR CONTINUOUS
FACTOR INDICATORS
TITLE: this is an example of a mean structure CFA
for continuous factor indicators
DATA: FILE IS ex5.9.dat;
VARIABLE: NAMES ARE y1a-y1c y2a-y2c;
MODEL: f1 BY y1a y1b@1 y1c@1;
f2 BY y2a y2b@1 y2c@1;
[y1a y1b y1c] (1);
[y2a y2b y2c] (2);

Examples: Confirmatory Factor Analysis And
Structural Equation Modeling
73
In this example, the CFA model in which two factors are measured by
three equivalent tests forms shown in the picture above is estimated.
The three equivalent test forms are referred to as a, b, and c.
The first BY statement specifies that f1 is measured by y1a, y1b, and
y1c. The second BY statement specifies that f2 is measured by y2a, y2b,
and y2c. The letters a, b, and c are used to represent three equivalent test
forms, and 1 and 2 represent two different topics. The metric of the
factors is set automatically by the program by fixing the first factor
loading in each BY statement to 1. This option can be overridden. The
second and third factor loadings for both factors are fixed at one using
the @ option to reflect the hypothesis that the two test forms are
equivalent. The intercepts and residual variances of the factor indicators
are estimated and the residuals are not correlated as the default. The
variances of the factors are estimated as the default. The covariance
between f1 and f2 is estimated as the default because f1 and f2 are
independent (exogenous) variables.
To reflect the hypothesis that the three test forms are equivalent with
respect to their measurement intercepts, the first bracket statement
specifies that the intercepts for y1a, y1b, and y1c are equal and the

CHAPTER 5
74
second bracket statement specifies that the intercepts for y2a, y2b, and
y2c are equal. Equalities are designated by a number in parentheses. All
parameters in a statement followed by the same number in parentheses
are held equal. The means of the two factors are fixed at zero as the
default. The default estimator for this type of analysis is maximum
likelihood. The ESTIMATOR option of the ANALYSIS command can
be used to select a different estimator. An explanation of the other
commands can be found in Example 5.1.
EXAMPLE 5.10: THRESHOLD STRUCTURE CFA FOR
CATEGORICAL FACTOR INDICATORS
TITLE: this is an example of a threshold
structure CFA for categorical factor
indicators
DATA: FILE IS ex5.10.dat;
VARIABLE: NAMES ARE u1a-u1c u2a-u2c;
CATEGORICAL ARE u1a-u1c u2a-u2c;
MODEL: f1 BY u1a u1b@1 u1c@1;
f2 BY u2a u2b@1 u2c@1;
[u1a$1 u1b$1 u1c$1] (1);
[u2a$1 u2b$1 u2c$1] (2);
The difference between this example and Example 5.9 is that the factor
indicators are binary or ordered categorical (ordinal) variables instead of
continuous variables. The CATEGORICAL option is used to specify
which dependent variables are treated as binary or ordered categorical
(ordinal) variables in the model and its estimation. In the example
above, all six factor indicators are binary or ordered categorical
variables. The program determines the number of categories for each
factor indicator. In this example, it is assumed that the factor indicators
are binary variables with one threshold each.
For binary and ordered categorical factor indicators, thresholds are
modeled rather than intercepts or means. The number of thresholds for a
categorical variable is equal to the number of categories minus one. In
the example above, the categorical variables are binary so they have one
threshold. Thresholds are referred to by adding to the variable name a $
followed by a number. The thresholds of the factor indicators are
referred to as u1a$1, u1b$1, u1c$1, u2a$1, u2b$1, and u2c$1.
Thresholds are referred to in square brackets. To reflect the hypothesis

Examples: Confirmatory Factor Analysis And
Structural Equation Modeling
75
that the three test forms are equivalent with respect to their measurement
thresholds, the (1) after the first bracket statement specifies that the
thresholds for u1a, u1b, and u1c are constrained to be equal and the (2)
after the second bracket statement specifies that the thresholds for u2a,
u2b, and u2c are constrained to be equal. The default estimator for this
type of analysis is a robust weighted least squares estimator. The
ESTIMATOR option of the ANALYSIS command can be used to select
a different estimator. With maximum likelihood, logistic regressions are
estimated using a numerical integration algorithm. Note that numerical
integration becomes increasingly more computationally demanding as
the number of factors and the sample size increase. An explanation of
the other commands can be found in Examples 5.1 and 5.9.
EXAMPLE 5.11: SEM WITH CONTINUOUS FACTOR
INDICATORS
TITLE: this is an example of a SEM with
continuous factor indicators
DATA: FILE IS ex5.11.dat;
VARIABLE: NAMES ARE y1-y12;
MODEL: f1 BY y1-y3;
f2 BY y4-y6;
f3 BY y7-y9;
f4 BY y10-y12;
f4 ON f3;
f3 ON f1 f2;

CHAPTER 5
76
In this example, the SEM model with four continuous latent variables
shown in the picture above is estimated. The factor indicators are
continuous variables.
The first BY statement specifies that f1 is measured by y1, y2 and y3.
The second BY statement specifies that f2 is measured by y4, y5, and y6.
The third BY statement specifies that f3 is measured by y7, y8, and y9.
The fourth BY statement specifies that f4 is measured by y10, y11, and
y12. The metric of the factors is set automatically by the program by
fixing the first factor loading in each BY statement to 1. This option can
be overridden. The intercepts and residual variances of the factor
indicators are estimated and the residuals are not correlated as the
default. The variances of the factors are estimated as the default. The
covariance between f1 and f2 is estimated as the default because f1 and
f2 are independent (exogenous) variables. The other factor covariances
are not estimated as the default.
The first ON statement describes the linear regression of f4 on f3. The
second ON statement describes the linear regression of f3 on f1 and f2.
The default estimator for this type of analysis is maximum likelihood.
The ESTIMATOR option of the ANALYSIS command can be used to
select a different estimator. An explanation of the other commands can
be found in Example 5.1.

Examples: Confirmatory Factor Analysis And
Structural Equation Modeling
77
EXAMPLE 5.12: SEM WITH CONTINUOUS FACTOR
INDICATORS AND AN INDIRECT EFFECT FOR FACTORS
TITLE: this is an example of a SEM with
continuous factor indicators and an
indirect effect for factors
DATA: FILE IS ex5.12.dat;
VARIABLE: NAMES ARE y1-y12;
MODEL: f1 BY y1-y3;
f2 BY y4-y6;
f3 BY y7-y9;
f4 BY y10-y12;
f4 ON f3;
f3 ON f1 f2;
MODEL INDIRECT:
f4 IND f3 f1;
The difference between this example and Example 5.11 is that an
indirect effect is estimated. Indirect effects and their standard errors can
be requested using the MODEL INDIRECT command. Total indirect,
specific indirect, and total effects are specified by using the IND and
VIA statements. Total effects include all indirect effects and the direct
effect. The IND statement is used to request a specific indirect effect or
set of indirect effects. The VIA statement is used to request a set of
indirect effects that include specific mediators.
In the IND statement above, the variable on the left-hand side of IND is
the dependent variable. The last variable on the right-hand side of IND
is the independent variable. Other variables on the right-hand side of
IND are mediating variables. The IND statement requests the specific
indirect effect from f1 to f3 to f4. The default estimator for this type of
analysis is maximum likelihood. The ESTIMATOR option of the
ANALYSIS command can be used to select a different estimator. An
explanation of the other commands can be found in Examples 5.1 and
5.11.

CHAPTER 5
78
EXAMPLE 5.13: SEM WITH CONTINUOUS FACTOR
INDICATORS AND AN INTERACTION BETWEEN TWO
LATENT VARIABLES
TITLE: this is an example of a SEM with
continuous factor indicators and an
interaction between two latent variables
DATA: FILE IS ex5.13.dat;
VARIABLE: NAMES ARE y1-y12;
ANALYSIS: TYPE = RANDOM;
ALGORITHM = INTEGRATION;
MODEL: f1 BY y1-y3;
f2 BY y4-y6;
f3 BY y7-y9;
f4 BY y10-y12;
f4 ON f3;
f3 ON f1 f2;
f1xf2 | f1 XWITH f2;
f3 ON f1xf2;
OUTPUT: TECH1 TECH8;
The difference between this example and Example 5.11 is that an
interaction between two latent variables is included in the model. The
Examples: Confirmatory Factor Analysis And
Structural Equation Modeling
79
interaction is shown in the picture above as a filled circle. The model is
estimated using maximum likelihood (Klein & Moosbrugger, 2000).
The TYPE option is used to describe the type of analysis that is to be
performed. By selecting RANDOM, a model with a random effect will
be estimated. By specifying ALGORITHM=INTEGRATION, a
maximum likelihood estimator with robust standard errors using a
numerical integration algorithm will be used. Note that numerical
integration becomes increasingly more computationally demanding as
the number of factors and the sample size increase. In this example, two
dimensions of integration are used with a total of 225 integration points.
The ESTIMATOR option of the ANALYSIS command can be used to
select a different estimator.
Latent variable interactions are specified by using the | statement in
conjunction with the XWITH option of the MODEL command. The
name on the left-hand side of the | symbol names the latent variable
interaction. The XWITH statement on the right-hand side of the |
symbol defines the latent variable interaction. The latent variable f1xf2
is the interaction between f1 and f2. The last ON statement uses the
latent variable interaction as an independent variable. The OUTPUT
command is used to request additional output not included as the default.
The TECH1 option is used to request the arrays containing parameter
specifications and starting values for all free parameters in the model.
The TECH8 option is used to request that the optimization history in
estimating the model be printed in the output. TECH8 is printed to the
screen during the computations as the default. TECH8 screen printing is
useful for determining how long the analysis takes. An explanation of
the other commands can be found in Examples 5.1 and 5.11.

CHAPTER 5
80
EXAMPLE 5.14: MULTIPLE GROUP CFA WITH
COVARIATES (MIMIC) WITH CONTINUOUS FACTOR
INDICATORS AND NO MEAN STRUCTURE
TITLE: this is an example of a multiple group CFA
with covariates (MIMIC) with continuous
factor indicators and no mean structure
DATA: FILE IS ex5.14.dat;
VARIABLE: NAMES ARE y1-y6 x1-x3 g;
GROUPING IS g (1 = male 2 = female);
ANALYSIS: MODEL = NOMEANSTRUCTURE;
INFORMATION = EXPECTED;
MODEL: f1 BY y1-y3;
f2 BY y4-y6;
f1 f2 ON x1-x3;
MODEL female:
f1 BY y3;
The difference between this example and Example 5.8 is that this is a
multiple group rather than a single group analysis. The GROUPING
option is used to identify the variable in the data set that contains
information on group membership when the data for all groups are
stored in a single data set. The information in parentheses after the
grouping variable name assigns labels to the values of the grouping
variable found in the data set. In the example above, observations with g
equal to 1 are assigned the label male, and individuals with g equal to 2
are assigned the label female. These labels are used in conjunction with
the MODEL command to specify model statements specific to each
group.
The NOMEANSTRUCTURE setting for the MODEL option of the
ANALYSIS command is used with TYPE=GENERAL to specify that
means, intercepts, and thresholds are not included in the analysis model.
As a result, a covariance structure model is estimated. The
INFORMATION option is used to select the estimator of the information
matrix to be used in computing standard errors when the ML or MLR
estimators are used for analysis. The default is the observed information
matrix. In this example, the expected information matrix is used in line
with conventional covariance structure analysis.

Examples: Confirmatory Factor Analysis And
Structural Equation Modeling
81
In multiple group analysis, two variations of the MODEL command are
used. They are MODEL and MODEL followed by a label. MODEL
describes the overall model to be estimated for each group. The factor
loading measurement parameters are held equal across groups as the
default to specify measurement invariance. MODEL followed by a label
describes differences between the overall model and the model for the
group designated by the label. In the group-specific MODEL command
for females, the factor loading for variable y3 and factor f1 is specified
to be free and not equal to the same factor loading for males. The
default estimator for this type of analysis is maximum likelihood. The
ESTIMATOR option of the ANALYSIS command can be used to select
a different estimator. An explanation of the other commands can be
found in Examples 5.1 and 5.8.
EXAMPLE 5.15: MULTIPLE GROUP CFA WITH
COVARIATES (MIMIC) WITH CONTINUOUS FACTOR
INDICATORS AND A MEAN STRUCTURE
TITLE: this is an example of a multiple group CFA
with covariates (MIMIC) with continuous
factor indicators and a mean structure
DATA: FILE IS ex5.15.dat;
VARIABLE: NAMES ARE y1-y6 x1-x3 g;
GROUPING IS g (1 = male 2 = female);
MODEL: f1 BY y1-y3;
f2 BY y4-y6;
f1 f2 ON x1-x3;
MODEL female:
f1 BY y3;
[y3];
The difference between this example and Example 5.14 is that means are
included in the model. In multiple group analysis, when a model
includes a mean structure, both the intercepts and factor loadings of the
continuous factor indicators are held equal across groups as the default
to specify measurement invariance. The intercepts of the factors are
fixed at zero in the first group and are free to be estimated in the other
groups as the default. The group-specific MODEL command for
females specifies that the intercept of y3 for females is free and not
equal to the intercept for males. Intercepts are referred to by using
square brackets. The default estimator for this type of analysis is

CHAPTER 5
82
maximum likelihood. The ESTIMATOR option of the ANALYSIS
command can be used to select a different estimator. An explanation of
the other commands can be found in Examples 5.1, 5.8, and 5.14.
EXAMPLE 5.16: MULTIPLE GROUP CFA WITH
COVARIATES (MIMIC) WITH CATEGORICAL FACTOR
INDICATORS AND A THRESHOLD STRUCTURE
TITLE: this is an example of a multiple group CFA
with covariates (MIMIC) with categorical
factor indicators and a threshold
structure
DATA: FILE IS ex5.16.dat;
VARIABLE: NAMES ARE u1-u6 x1-x3 g;
CATEGORICAL ARE u1-u6;
GROUPING IS g (1 = male 2 = female);
MODEL: f1 BY u1-u3;
f2 BY u4-u6;
f1 f2 ON x1-x3;
MODEL female:
f1 BY u3;
[u3$1];
{u3@1};
The difference between this example and Example 5.15 is that the factor
indicators are binary or ordered categorical (ordinal) variables instead of
continuous variables. For multiple-group CFA with categorical factor
indicators, see Muthén and Christoffersson (1981) and Muthén and
Asparouhov (2002).
The CATEGORICAL option is used to specify which dependent
variables are treated as binary or ordered categorical (ordinal) variables
in the model and its estimation. In the example above, all six factor
indicators are binary or ordered categorical variables. The program
determines the number of categories for each factor indicator.
For binary and ordered categorical factor indicators, thresholds are
modeled rather than intercepts or means. The number of thresholds for a
categorical variable is equal to the number of categories minus one. In
the above example, u3 is a binary variable with two categories.
Thresholds are referred to by adding to the variable name a $ followed
by a number. The threshold for u3 is u3$1. Thresholds are referred to in
Examples: Confirmatory Factor Analysis And
Structural Equation Modeling
83
square brackets. When a model includes a mean structure, the
thresholds of the factor indicators are held equal across groups as the
default to specify measurement invariance. In the group-specific
MODEL command for females, the threshold and factor loading of u3
for females are specified to be free and not equal to the threshold and
factor loading for males.
Because the factor indicators are categorical, scale factors are required
for multiple group analysis when the default Delta parameterization is
used. Scale factors are referred to using curly brackets ({}). By default,
scale factors are fixed at one in the first group and are free to be
estimated in the other groups. When a threshold and a factor loading for
a categorical factor indicator are free across groups, the scale factor for
that variable must be fixed at one in all groups for identification
purposes. Therefore, the scale factor for u3 is fixed at one for females.
The default estimator for this type of analysis is a robust weighted least
squares estimator. The ESTIMATOR option of the ANALYSIS
command can be used to select a different estimator. With maximum
likelihood, logistic regressions are estimated using a numerical
integration algorithm. Note that numerical integration becomes
increasingly more computationally demanding as the number of factors
and the sample size increase. An explanation of the other commands can
be found in Examples 5.1, 5.8, 5.14, and 5.15.

CHAPTER 5
84
EXAMPLE 5.17: MULTIPLE GROUP CFA WITH
COVARIATES (MIMIC) WITH CATEGORICAL FACTOR
INDICATORS AND A THRESHOLD STRUCTURE USING THE
THETA PARAMETERIZATION
TITLE: this is an example of a multiple group CFA
with covariates (MIMIC) with categorical
factor indicators and a threshold
structure using the Theta parameterization
DATA: FILE IS ex5.17.dat;
VARIABLE: NAMES ARE u1-u6 x1-x3 g;
CATEGORICAL ARE u1-u6;
GROUPING IS g (1 = male 2 = female);
ANALYSIS: PARAMETERIZATION = THETA;
MODEL: f1 BY u1-u3;
f2 BY u4-u6;
f1 f2 ON x1-x3;
MODEL female:
f1 BY u3;
[u3$1];
u3@1;
The difference between this example and Example 5.16 is that the Theta
parameterization is used instead of the Delta parameterization. In the
Delta parameterization, scale factors are allowed to be parameters in the
model, but residual variances for latent response variables of observed
categorical dependent variables are not. In the alternative Theta
parameterization, residual variances for latent response variables are
allowed to be parameters in the model but scale factors are not. The
Theta parameterization is selected by specifying
PARAMETERIZATION=THETA in the ANALYSIS command.
When the Theta parameterization is used, the residual variances for the
latent response variables of the observed categorical dependent variables
are fixed at one in the first group and are free to be estimated in the other
groups as the default. When a threshold and a factor loading for a
categorical factor indicator are free across groups, the residual variance
for the variable must be fixed at one in these groups for identification
purposes. In the group-specific MODEL command for females, the
residual variance for u3 is fixed at one. An explanation of the other
commands can be found in Examples 5.1, 5.8, 5.14, 5.15, and 5.16.

Examples: Confirmatory Factor Analysis And
Structural Equation Modeling
85
EXAMPLE 5.18: TWO-GROUP TWIN MODEL FOR
CONTINUOUS OUTCOMES WHERE FACTORS REPRESENT
THE ACE COMPONENTS
TITLE: this is an example of a two-group twin
model for continuous outcomes where
factors represent the ACE components
DATA: FILE = ex5.18.dat;
VARIABLE: NAMES = y1 y2 g;
GROUPING = g (1 = mz 2 = dz);
ANALYSIS: MODEL = NOCOVARIANCES;
MODEL: [y1-y2] (1);
y1-y2@0;
a1 BY y1* (2);
a2 BY y2* (2);
c1 BY y1* (3);
c2 BY y2* (3);
e1 BY y1* (4);
e2 BY y2* (4);
a1-e2@1;
[a1-e2@0];
a1 WITH a2@1;
c1 WITH c2@1;
MODEL dz: a1 WITH a2@.5;
In this example, the univariate twin model shown in the picture above is
estimated. This is a two-group twin model for a continuous outcome
where factors represent the ACE components (Neale & Cardon, 1992).
CHAPTER 5
86
The variables y1 and y2 represent a univariate outcome for each member
of the twin pair. The A factors represent the additive genetic
components which correlate 1.0 for monozygotic twin pairs and 0.5 for
dizygotic twin pairs. The C factors represent common environmental
effects which correlate 1.0 for all twin pairs. The E factors represent
uncorrelated environmental effects. A simpler alternative way of
specifying this model is shown in Example 5.21 where parameter
constraints are used instead of the A, C, and E factors.
Exogenous factors are correlated as the default. By specifying
MODEL=NOCOVARIANCES in the ANALYSIS command, all
covariances in the model are fixed at zero. The WITH option of the
MODEL command can be used to override the default for selected
covariances as shown in the three WITH statements. In the MODEL
command, the (1) following the first bracket statement specifies that the
intercepts of y1 and y2 are held equal across twins. The second
statement fixes the residual variances of y1 and y2 to zero. The residual
variances of y1 and y2 are instead captured by the loadings of the E
factors. The six BY statements are used to define the six factors. The
asterisk (*) is used to free the factor loadings because the default is that
the factor loading for the first factor indicator is fixed at one. The
loadings for the A, C, and E factors are held equal across twins by
placing (2) following the two BY statements for the A factors, (3)
following the two BY statements for the C factors, and (4) following the
two BY statements for the E factors. In the next two statements, the A,
C, and E factor variances are fixed at one and the A, C, and E factor
means are fixed at zero. Because the factor means are fixed at zero, the
intercepts of y1 and y2 are their means.
The WITH statement for the A factors is used to fix the covariance
(correlation) between the A factors to 1.0 for monozygotic twin pairs.
The group-specific MODEL command is used to fix the covariance
between the A factors to 0.5 for the dizygotic twin pairs. The WITH
statement for the C factors is used to fix the covariance between the C
factors to 1. The default estimator for this type of analysis is maximum
likelihood. The ESTIMATOR option of the ANALYSIS command can
be used to select a different estimator. An explanation of the other
commands can be found in Examples 5.1 and 5.14.

Examples: Confirmatory Factor Analysis And
Structural Equation Modeling
87
EXAMPLE 5.19: TWO-GROUP TWIN MODEL FOR
CATEGORICAL OUTCOMES WHERE FACTORS
REPRESENT THE ACE COMPONENTS
TITLE: this is an example of a two-group twin
model for categorical outcomes where
factors represent the ACE components
DATA: FILE = ex5.19.dat;
VARIABLE: NAMES = u1 u2 g;
CATEGORICAL = u1-u2;
GROUPING = g (1 = mz 2 = dz);
ANALYSIS: MODEL = NOCOVARIANCES;
MODEL: [u1$1-u2$1] (1);
a1 BY u1* (2);
a2 BY u2* (2);
c1 BY u1* (3);
c2 BY u2* (3);
a1-c2@1;
[a1-c2@0];
a1 WITH a2@1;
c1 WITH c2@1;
MODEL dz: a1 WITH a2@.5;
{u1-u2@1};
The difference between this example and Example 5.18 is that the
outcomes are binary or ordered categorical instead of continuous
variables. Because of this, the outcomes have no freely estimated
residual variances and therefore the E factors are not part of the model.
With categorical outcomes, the twin model is formulated for normally-
distributed latent response variables underlying the categorical outcomes
which are also called liabilities. This model is referred to as the
threshold model for liabilities (Neale & Cardon, 1992). More complex
examples of such models are given in Prescott (2004). A simpler
alternative way of specifying this model is shown in Example 5.22
where parameter constraints are used instead of the A and C factors.
The CATEGORICAL option is used to specify which dependent
variables are treated as binary or ordered categorical (ordinal) variables
in the model and its estimation. In the example above, u1 and u2 are
binary or ordered categorical variables. The program determines the
number of categories for each variable.
CHAPTER 5
88
For binary and ordered categorical outcomes, thresholds are modeled
rather than intercepts or means. The number of thresholds for a
categorical variable is equal to the number of categories minus one. In
the example above, the categorical variables are binary so they have one
threshold. Thresholds are referred to by adding to the variable name a $
followed by a number. The thresholds of u1 and u2 are referred to as
u1$1 and u2$1. Thresholds are referred to in square brackets. The (1)
after the first bracket statement specifies that the thresholds for u1$1 and
u2$1 are constrained to be equal.
Because the outcomes are categorical, scale factors are required for
multiple group analysis when the default Delta parameterization is used.
Scale factors are referred to using curly brackets ({}). By default, scale
factors are fixed at one in the first group and are free to be estimated in
the other groups. In this model where the variance contributions from
the A and C factors are assumed equal across the two groups, the scale
factors are fixed at one in both groups to represent the equality of
variance for latent response variables underlying u1 and u2. The
statement in curly brackets in the group-specific MODEL command
specifies that the scale factors are fixed at one. The variance
contribution from the E factor is a remainder obtained by subtracting the
variance contributions of the A and C factors from the unit variance of
the latent response variables underlying u1 and u2. These are obtained
as part of the STANDARDIZED option of the OUTPUT command.
The default estimator for this type of analysis is a robust weighted least
squares estimator. The ESTIMATOR option of the ANALYSIS
command can be used to select a different estimator. With maximum
likelihood and categorical factor indicators, numerical integration is
required. Note that numerical integration becomes increasingly more
computationally demanding as the number of factors and the sample size
increase. An explanation of the other commands can be found in
Examples 5.1, 5.14, and 5.18.

Examples: Confirmatory Factor Analysis And
Structural Equation Modeling
89
EXAMPLE 5.20: CFA WITH PARAMETER CONSTRAINTS
TITLE: this is an example of a CFA with parameter
constraints
DATA: FILE = ex5.20.dat;
VARIABLE: NAMES = y1-y6;
MODEL: f1 BY y1
y2-y3(lam2-lam3);
f2 BY y4
y5-y6(lam5-lam6);
f1 (vf1);
f2 (vf2);
y1-y3 (ve1-ve3);
y4-y6 (ve4-ve6);
MODEL CONSTRAINT:
NEW(rel2 rel5 stan3 stan6);
rel2 = lam2**2*vf1/(lam2**2*vf1 + ve2);
rel5 = lam5**2*vf2/(lam5**2*vf2 + ve5);
rel5 = rel2;
stan3 = lam3*SQRT(vf1)/SQRT(lam3**2*vf1 +
ve3);
stan6 = lam6*SQRT(vf2)/SQRT(lam6**2*vf2 +
ve6);
0 = stan6 - stan3;
ve2 > ve5;
ve4 > 0;
OUTPUT: STANDARDIZED;
In this example, parameter constraints are used to estimate reliabilities,
estimate standardized coefficients, constrain functions of parameters to
be equal, and constrain parameters to be greater than a value. This
example uses the model from Example 5.1.
The MODEL CONSTRAINT command specifies parameter constraints
using labels defined for parameters in the MODEL command, labels
defined for parameters not in the MODEL command using the NEW
option of the MODEL CONSTRAINT command, and names of observed
variables that are identified using the CONSTRAINT option of the
VARIABLE command. This example illustrates constraints using labels
defined for parameters in the MODEL command and labels defined
using the NEW option. The NEW option is used to assign labels and
starting values to parameters not in the analysis model. Parameters in
the analysis model are given labels by placing a name in parentheses
after the parameter in the MODEL command.
CHAPTER 5
90
In the MODEL command, labels are defined for twelve parameters. The
list function can be used when assigning labels to a list of parameters.
The labels lam2, lam3, lam5, and lam6 are assigned to the factor
loadings for y2, y3, y5, and y6. The labels vf1 and vf2 are assigned to
the factor variances for f1 and f2. The labels ve1, ve2, ve3, ve4, ve5,
and ve6 are assigned to the residual variances of y1, y2, y3, y4, y5, and
y6.
In the MODEL CONSTRAINT command, the NEW option is used to
assign labels to four parameters that are not in the analysis model: rel2,
rel5, stan3, and stan6. The parameters rel2 and rel6 estimate the
reliability of y2 and y6 where reliability is defined as variance explained
divided by total variance. The parameters stan3 and stan6 estimate the
standardized coefficients for y3 and y6 using conventional
standardization formulas. In the statement that begins 0=, two
parameters are held equal to each other by defining their difference as
zero. In the last two statements, the residual variance of y2 is
constrained to be greater than the residual variance of y5, and the
residual variance of y4 is constrained to be greater than zero. The
STANDARDIZED option of the OUTPUT command is requested to
illustrate that the R-square values found in the output are the same as the
estimated reliabilities, and the standardized values found in the output
are the same as the estimated standardized values. Standard errors for
parameters named using the NEW option are given. The default
estimator for this type of analysis is maximum likelihood. The
ESTIMATOR option of the ANALYSIS command can be used to select
a different estimator. An explanation of the other commands can be
found in Example 5.1.

Examples: Confirmatory Factor Analysis And
Structural Equation Modeling
91
EXAMPLE 5.21: TWO-GROUP TWIN MODEL FOR
CONTINUOUS OUTCOMES USING PARAMETER
CONSTRAINTS
TITLE: this is an example of a two-group twin
model for continuous outcomes using
parameter constraints
DATA: FILE = ex5.21.dat;
VARIABLE: NAMES = y1 y2 g;
GROUPING = g(1 = mz 2 = dz);
MODEL: [y1-y2] (1);
y1-y2 (var);
y1 WITH y2 (covmz);
MODEL dz: y1 WITH y2 (covdz);
MODEL CONSTRAINT:
NEW(a c e h);
var = a**2 + c**2 + e**2;
covmz = a**2 + c**2;
covdz = 0.5*a**2 + c**2;
h = a**2/(a**2 + c**2 + e**2);
In this example, the model shown in the picture above is estimated using
parameter constraints. The model estimated is the same as the model in
Example 5.18.
In the MODEL command, labels are defined for three parameters. The
label var is assigned to the variances of y1 and y2. Because they are
given the same label, these parameters are held equal. In the overall
MODEL command, the label covmz is assigned to the covariance
between y1 and y2 for the monozygotic twins. In the group-specific
MODEL command, the label covdz is assigned to the covariance
between y1 and y2 for the dizygotic twins.
In the MODEL CONSTRAINT command, the NEW option is used to
assign labels to four parameters that are not in the analysis model: a, c,

CHAPTER 5
92
e, and h. The three parameters a, c, and e are used to decompose the
variances and covariances of y1 and y2 into genetic and environmental
components. The parameter h does not impose restrictions on the model
parameters but is used to compute the heritability estimate and its
standard error. The default estimator for this type of analysis is
maximum likelihood. The ESTIMATOR option of the ANALYSIS
command can be used to select a different estimator. An explanation of
the other commands can be found in Examples 5.1, 5.14, 5.18, and 5.20.
EXAMPLE 5.22: TWO-GROUP TWIN MODEL FOR
CATEGORICAL OUTCOMES USING PARAMETER
CONSTRAINTS
TITLE: this is an example of a two-group twin
model for categorical outcomes using
parameter constraints
DATA: FILE = ex5.22.dat;
VARIABLE: NAMES = u1 u2 g;
GROUPING = g(1 = mz 2 = dz);
CATEGORICAL = u1 u2;
MODEL: [u1$1-u2$1](1);
u1 WITH u2(covmz);
MODEL dz: u1 WITH u2(covdz);
MODEL CONSTRAINT:
NEW(a c e h);
covmz = a**2 + c**2;
covdz = 0.5*a**2 + c**2;
e = 1 - (a**2 + c**2);
h = a**2/1;
The difference between this example and Example 5.21 is that the
outcomes are binary or ordered categorical instead of continuous
variables. Because of this, the outcomes have no freely estimated
residual variances. The ACE variance and covariance restrictions are
placed on normally-distributed latent response variables underlying the
categorical outcomes which are also called liabilities. This model is
referred to as the threshold model for liabilities (Neale & Cardon, 1992).
The model estimated is the same as the model in Example 5.19.
The variance contribution from the E factor is not a freely estimated
parameter with categorical outcomes. It is a remainder obtained by
subtracting the variance contributions of the A and C factors from the

Examples: Confirmatory Factor Analysis And
Structural Equation Modeling
93
unit variance of the latent response variables underlying u1 and u2 as
shown in the MODEL CONSTRAINT command. The denominator for
the heritability estimate is one with categorical outcomes because the
latent response variables have unit variances.
The default estimator for this type of analysis is a robust weighted least
squares estimator. The ESTIMATOR option of the ANALYSIS
command can be used to select a different estimator. With maximum
likelihood, logistic or probit regressions are estimated using a numerical
integration algorithm. Note that numerical integration becomes
increasingly more computationally demanding as the number of factors
and the sample size increase. An explanation of the other commands can
be found in Examples 5.1, 5.14, 5.19 and 5.21.
EXAMPLE 5.23: QTL SIBLING MODEL FOR A CONTINUOUS
OUTCOME USING PARAMETER CONSTRAINTS
TITLE: this is an example of a QTL sibling model
for a continuous outcome using parameter
constraints
DATA: FILE = ex5.23.dat;
VARIABLE: NAMES = y1 y2 pihat;
USEVARIABLES = y1 y2;
CONSTRAINT = pihat;
MODEL: [y1-y2] (1);
y1-y2 (var);
y1 WITH y2 (cov);
MODEL CONSTRAINT:
NEW(a e q);
var = a**2 + e**2 + q**2;
cov = 0.5*a**2 + pihat*q**2;
CHAPTER 5
94
In this example, the model shown in the picture above is estimated. This
is a QTL model for two siblings (Marlow et al. 2003; Posthuma et al.
2004) for continuous outcomes where parameter constraints are used to
represent the A, E, and Q components. The A component represents the
additive genetic effects which correlate 0.5 for siblings. The E
component represents uncorrelated environmental effects. The Q
component represents a quantitative trait locus (QTL). The observed
variable pihat contains the estimated proportion alleles shared identity-
by-descent (IBD) by the siblings and moderates the effect of the Q
component on the covariance between the outcomes.
The CONSTRAINT option in the VARIABLE command is used to
identify the variables that can be used in the MODEL CONSTRAINT
command. These can be not only variables used in the MODEL
command but also other variables. In this example, the variable pihat is
used in the MODEL CONSTRAINT command although it is not used in
the MODEL command.
In the MODEL command, the (1) following the first bracket statement
specifies that the intercepts of y1 and y2 are held equal across the two
siblings. In addition, labels are defined for two parameters. The label
var is assigned to the variances of y1 and y2. Because they are given the
same label, these parameters are held equal. The label cov is assigned to
the covariance between y1 and y2.
In the MODEL CONSTRAINT command, the NEW option is used to
assign labels to three parameters that are not in the analysis model: a, e,
and q. The three parameters a, e, and q and the variable pihat are used to
decompose the variances and covariances of y1 and y2 into genetic,
environmental, and QTL components. The default estimator for this
type of analysis is maximum likelihood. The ESTIMATOR option of
the ANALYSIS command can be used to select a different estimator.
An explanation of the other commands can be found in Examples 5.1
and 5.20.

Examples: Confirmatory Factor Analysis And
Structural Equation Modeling
95
EXAMPLE 5.24: EFA WITH COVARIATES (MIMIC) WITH
CONTINUOUS FACTOR INDICATORS AND DIRECT
EFFECTS
TITLE: this is an example of an EFA with
covariates (MIMIC) with continuous factor
indicators and direct effects
DATA: FILE IS ex5.24.dat;
VARIABLE: NAMES ARE y1-y8 x1 x2;
MODEL: f1-f2 BY y1-y8(*1);
f1-f2 ON x1-x2;
y1 ON x1;
y8 ON x2;
OUTPUT: TECH1;
In this example, the EFA with covariates (MIMIC) with continuous
factor indicators and direct effects shown in the picture above is
CHAPTER 5
96
estimated. This is an exploratory structural equation model (ESEM;
Asparouhov & Muthén, 2009a). The factors f1 and f2 are EFA factors
which have the same factor indicators. Unlike CFA, no factor loadings
are fixed at zero. Instead, the four restrictions on the factor loadings,
factor variances, and factor covariances necessary for identification are
imposed by rotating the factor loading matrix and fixing the factor
residual variances at one.
In the MODEL command, the BY statement specifies that the factors f1
and f2 are measured by the continuous factor indicators y1 through y8.
The label 1 following an asterisk (*) in parentheses following the BY
statement is used to indicate that f1 and f2 are a set of EFA factors.
When no rotation is specified using the ROTATION option of the
ANALYSIS command, the default oblique GEOMIN rotation is used.
The intercepts and residual variances of the factor indicators are
estimated and the residuals are not correlated as the default. The
residual variances of the factors are fixed at one as the default. The
residuals of the factors are correlated under the default oblique
GEOMIN rotation. The first ON statement describes the linear
regressions of f1 and f2 on the covariates x1 and x2. The second and
third ON statements describe the linear regressions of y1 on x1 and y8
on x2. These regressions represent direct effects used to test for
measurement non-invariance.
The default estimator for this type of analysis is maximum likelihood.
The ESTIMATOR option of the ANALYSIS command can be used to
select a different estimator. An explanation of the other commands can
be found in Example 5.1.

Examples: Confirmatory Factor Analysis And
Structural Equation Modeling
97
EXAMPLE 5.25: SEM WITH EFA AND CFA FACTORS WITH
CONTINUOUS FACTOR INDICATORS
TITLE: this is an example of a SEM with EFA and
CFA factors with continuous factor
indicators
DATA: FILE IS ex5.25.dat;
VARIABLE: NAMES ARE y1-y12;
MODEL: f1-f2 BY y1-y6 (*1);
f3 BY y7-y9;
f4 BY y10-y12;
f3 ON f1-f2;
f4 ON f3;
In this example, the SEM with EFA and CFA factors with continuous
factor indicators shown in the picture above is estimated. This is an
exploratory structural equation model (ESEM; Asparouhov & Muthén,
2009a). The factors f1 and f2 are EFA factors which have the same
factor indicators. Unlike CFA, no factor loadings are fixed at zero.
Instead, the four restrictions on the factor loadings, factor variances, and
factor covariances necessary for identification are imposed by rotating
CHAPTER 5
98
the factor loading matrix and fixing the factor variances at one. The
factors f3 and f4 are CFA factors.
In the MODEL command, the first BY statement specifies that the
factors f1 and f2 are measured by the continuous factor indicators y1
through y6. The label 1 following an asterisk (*) in parentheses
following the BY statement is used to indicate that f1 and f2 are a set of
EFA factors. When no rotation is specified using the ROTATION
option of the ANALYSIS command, the default oblique GEOMIN
rotation is used. For EFA factors, the intercepts and residual variances
of the factor indicators are estimated and the residuals are not correlated
as the default. The variances of the factors are fixed at one as the
default. The factors are correlated under the default oblique GEOMIN
rotation. The second BY statement specifies that f3 is measured by y7,
y8, and y9. The third BY statement specifies that f4 is measured by y10,
y11, and y12. The metric of the factors is set automatically by the
program by fixing the first factor loading in each BY statement to 1.
This option can be overridden. The intercepts and residual variances of
the factor indicators are estimated and the residual are not correlated as
the default. The residual variances of the factors are estimated as the
default.
The first ON statement describes the linear regression of f3 on the set of
EFA factors f1 and f2. The second ON statement describes the linear
regression of f4 on f3. The default estimator for this type of analysis is
maximum likelihood. The ESTIMATOR option of the ANALYSIS
command can be used to select a different estimator. An explanation of
the other commands can be found in Example 5.1.

Examples: Confirmatory Factor Analysis And
Structural Equation Modeling
99
EXAMPLE 5.26: EFA AT TWO TIME POINTS WITH FACTOR
LOADING INVARIANCE AND CORRELATED RESIDUALS
ACROSS TIME
TITLE: this is an example of an EFA at two time
points with factor loading invariance and
correlated residuals across time
DATA: FILE IS ex5.26.dat;
VARIABLE: NAMES ARE y1-y12;
MODEL: f1-f2 BY y1-y6 (*t1 1);
f3-f4 BY y7-y12 (*t2 1);
y1-y6 PWITH y7-y12;
OUTPUT: TECH1 STANDARDIZED;
In this example, the EFA at two time points with factor loading
invariance and correlated residuals across time shown in the picture
above is estimated. This is an exploratory structural equation model
(ESEM; Asparouhov & Muthén, 2009a). The factor indicators y1
through y6 and y7 through y12 are the same variables measured at two
time points. The factors f1 and f2 are one set of EFA factors which have
the same factor indicators and the factors f3 and f4 are a second set of
EFA factors which have the same factor indicators. Unlike CFA, no
factor loadings are fixed at zero in either set. Instead, for each set, the
four restrictions on the factor loadings, factor variances, and factor
covariances necessary for identification are imposed by rotating the
factor loading matrix and fixing the factor variances at one at the first
time point. For the other time point, factor variances are free to be
CHAPTER 5
100
estimated as the default when factor loadings are constrained to be equal
across time.
In the MODEL command, the first BY statement specifies that the
factors f1 and f2 are measured by the continuous factor indicators y1
through y6. The label t1 following an asterisk (*) in parentheses
following the BY statement is used to indicate that f1 and f2 are a set of
EFA factors. The second BY statement specifies that the factors f3 and
f4 are measured by the continuous factor indicators y7 through y12. The
label t2 following an asterisk (*) in parentheses following the BY
statement is used to indicate that f3 and f4 are a set of EFA factors. The
number 1 following the labels t1 and t2 specifies that the factor loadings
matrices for the two sets of EFA factors are constrained to be equal.
When no rotation is specified using the ROTATION option of the
ANALYSIS command, the default oblique GEOMIN rotation is used.
For EFA factors, the intercepts and residual variances of the factor
indicators are estimated and the residuals are not correlated as the
default. The intercepts are not held equal across time as the default.
The means of the factors are fixed at zero at both time points and the
variances of the factors are fixed at one as the default. In this example
because the factor loadings are constrained to be equal across time, the
factor variances are fixed at one at the first time point and are free to be
estimated at the other time point. The factors are correlated as the
default under the oblique GEOMIN rotation. The PWITH statement
specifies that the residuals for each factor indicator are correlated over
time. The default estimator for this type of analysis is maximum
likelihood. The ESTIMATOR option of the ANALYSIS command can
be used to select a different estimator. An explanation of the other
commands can be found in Example 5.1.

Examples: Confirmatory Factor Analysis And
Structural Equation Modeling
101
EXAMPLE 5.27: MULTIPLE-GROUP EFA WITH
CONTINUOUS FACTOR INDICATORS
TITLE: this is an example of multiple-group EFA
with continuous factor indicators with no
measurement invariance
DATA: FILE IS ex5.27.dat;
VARIABLE: NAMES ARE y1-y10 group;
GROUPING IS group (1 = g1 2 = g2);
MODEL: f1-f2 BY y1-y10 (*1);
[f1-f2@0];
MODEL g2: f1-f2 BY y1-y10 (*1);
[y1-y10];
OUTPUT: TECH1;
In this example, the multiple-group EFA with continuous indicators
shown in the picture above is estimated. This is an exploratory
structural equation model (ESEM; Asparouhov & Muthén, 2009a). The
factors f1 and f2 are EFA factors which have the same factor indicators.
Unlike CFA, no factor loadings are fixed at zero. Instead, for the first
group the four restrictions on the factor loadings, factor variances, and
factor covariances necessary for model identification are imposed by
rotating the factor loading matrix and fixing the factor variances at one
in all groups. The first model in this example imposes no equality
constraints on the model parameters across the two groups. Four
subsequent models impose varying degrees of invariance on the model
parameters.
In the MODEL command, the BY statement specifies that the factors f1
and f2 are measured by the continuous factor indicators y1 through y10.

CHAPTER 5
102
The label 1 following an asterisk (*) in parentheses following the BY
statement is used to indicate that f1 and f2 are a set of EFA factors.
When no rotation is specified using the ROTATION option of the
ANALYSIS command, the default oblique GEOMIN rotation is used.
The intercepts and residual variances of the factor indicators are
estimated and the residuals are not correlated as the default. The
variances of the factors are fixed at one in both groups. The factors are
correlated under the default oblique GEOMIN rotation. The bracket
statement specifies that the factor means are fixed at zero in both groups
to override the default of the factor means being fixed at zero in the first
group and being free in the other group.
In the group-specific MODEL command for g2, the BY statement
relaxes the default equality constraint on the factor loading matrices in
the two groups. The bracket statement relaxes the default equality
constraint on the intercepts of the factor indicators y1 through y10 in the
two groups. The default estimator for this type of analysis is maximum
likelihood. The ESTIMATOR option of the ANALYSIS command can
be used to select a different estimator. An explanation of the other
commands can be found in Example 5.1
Following is the second part of the example where equality of factor
loading matrices across the two groups is imposed. The variances of the
factors are fixed at one in the first group and are free to be estimated in
the other group.
MODEL: f1-f2 BY y1-y10 (*1);
[f1-f2@0];
MODEL g2: [y1-y10];
Equality of factor loading matrices is accomplished by removing the BY
statement from the group-specific MODEL command for g2. Equality
of factor loading matrices is the default.
Following is the third part of the example where equality of factor
loading matrices and intercepts of the factor indicators across the two
groups is imposed.
MODEL: f1-f2 by y1-y10 (*1);

Examples: Confirmatory Factor Analysis And
Structural Equation Modeling
103
Equality of factor indicator intercepts is accomplished by removing the
bracket statement for y1 through y10 from the group-specific MODEL
command for g2. Equality of factor indicator intercepts is the default.
This specification is the default setting in multiple group analysis,
specifying measurement invariance of the intercepts of the factor
indicators and the factor loading matrices. The factor means are fixed at
zero in the first group and are free to be estimated in the other group as
the default.
Following is the fourth part of the example where equality of factor
variances and the factor covariance is imposed in addition to
measurement invariance of the intercepts and factor loading matrices.
MODEL: f1-f2 by y1-y10 (*1);
f1 WITH f2 (1);
f1-f2@1;
In the MODEL command, the number one in parentheses following the
WITH statement specifies that the covariance between f1 and f2 is held
equal across the two groups. The default in multiple group EFA when
factor loading matrices are held equal across groups is that the factor
variances are fixed to one in the first group and are free to be estimated
in the other group. The third statement in the MODEL command
overrides this default by specifing that the factor variances are fixed at
one in both groups.
Following is the fifth part of the example where in addition to equality
of factor variances and the factor covariance, equality of the factor
means is imposed in addition to measurement invariance of the
intercepts and factor loading matrices.
MODEL: f1-f2 by y1-y10 (*1);
f1 WITH f2 (1);
f1-f2@1;
[f1-f2@0];
The default in multiple group EFA is that the factor means are fixed to
zero in the first group and are free to be estimated in the other groups.
The bracket statement in the MODEL command specifies that the factor
means are fixed at zero in both groups.

CHAPTER 5
104
EXAMPLE 5.28: EFA WITH RESIDUAL VARIANCES
CONSTRAINED TO BE GREATER THAN ZERO
TITLE: this is an example of an EFA with residual
variances constrained to be greater than
zero
DATA: FILE = ex5.28.dat;
VARIABLE: NAMES = y1-y10;
ANALYSIS: ROTATION = GEOMIN;
MODEL: f1-f2 BY y1-y10 (*1);
y1-y10 (v1-v10);
MODEL CONSTRAINT:
DO(1,10) v#>0;
OUTPUT: STDY;
In this example, an exploratory factor analysis with residual variances
constrained to be greater than zero is carried out using a Geomin
rotation. This is an exploratory structural equation model (ESEM;
Asparouhov & Muthén, 2009a). The factors f1 and f2 are EFA factors
which have the same factor indicators. By specifying GEOMIN, an EFA
will be carried out using the Geomin rotation. The default is an oblique
rotation. An orthogonal rotation can be obtained by specifying
ROTATION=GEOMIN(ORTHOGONAL). The ROTATION option can
be used to specify other rotations.
In the MODEL command, the BY statement specifies that the factors f1
and f2 are measured by the continuous factor indicators y1 through y10.
The label 1 following an asterisk (*) in parentheses following the BY
statement is used to indicate that f1 and f2 are a set of EFA factors. The
intercepts and residual variances of the factor indicators are estimated
and the residuals are not correlated as the default. The variances of the
factors are fixed at one as the default. The DO option of the MODEL
CONSTRAINT command is used to constrain the residual variances of
the factor indicators to be greater than zero. The DO option provides a
do loop to facilitate specifying the same expression for a set of
parameters. The parameters are given labels in the MODEL command.
In the DO option, the numbers in parentheses give the range of values
for the do loop. The number sign (#) is replaced by these values during
the execution of the do loop. In the OUTPUT command, the STDY
option is chosen for standardization with respect to y. This puts the
results in the metric of an EFA. The default estimator for this type of

Examples: Confirmatory Factor Analysis And
Structural Equation Modeling
105
analysis is maximum likelihood. The ESTIMATOR option of the
ANALYSIS command can be used to select a different estimator. An
explanation of the other commands can be found in Examples 5.1.
EXAMPLE 5.29: BI-FACTOR EFA USING ESEM
TITLE: this is an example of a bi-factor EFA
using ESEM
DATA: FILE = ex5.29.dat;
VARIABLE: NAMES = y1-y10;
ANALYSIS: ROTATION = BI-GEOMIN;
MODEL: fg f1 f2 BY y1-y10 (*1);
OUTPUT: STDY;
In this example, a bi-factor exploratory factor analysis (Jennrich &
Bentler, 2011, 2012) using ESEM with continuous factor indicators is
carried out using a bi-factor Geomin rotation. This is an exploratory
structural equation model (ESEM; Asparouhov & Muthén, 2009a). The
factors fg, f1, and f2 are EFA factors which have the same factor
indicators. By specifying BI-GEOMIN, a bi-factor EFA will be carried
out using a bi-factor Geomin rotation. The default is an oblique solution
where the specific factors are correlated with the general factor and are
correlated with each other. In the orthogonal solution, the specific
factors are uncorrelated with the general factor and are uncorrelated with
each other. An orthogonal rotation is obtained by specifying
ROTATION=BI-GEOMIN(ORTHOGONAL). An alternative bi-factor
rotation can be obtained using the BI-CF-QUARTIMAX setting of the
ROTATION option.
In the MODEL command, the BY statement specifies that the factors fg,
f1, and f2 are measured by the continuous factor indicators y1 through
y10. The factor fg is a general factor and f1 and f2 are specific factors.
The label 1 following an asterisk (*) in parentheses following the BY
statement is used to indicate that fg, f1, and f2 are a set of EFA factors.
The intercepts and residual variances of the factor indicators are
estimated and the residuals are not correlated as the default. The
variances of the factors are fixed at one as the default. In the OUTPUT
command, the STDY option is chosen for standardization with respect to
y. This puts the results in the metric of an EFA. The default estimator
for this type of analysis is maximum likelihood. The ESTIMATOR
option of the ANALYSIS command can be used to select a different

CHAPTER 5
106
estimator. An explanation of the other commands can be found in
Example 5.1.
EXAMPLE 5.30: BI-FACTOR EFA WITH TWO ITEMS
LOADING ON ONLY THE GENERAL FACTOR
TITLE: this is an example of bi-factor EFA with
two items loading on only the general
factor
DATA: FILE = ex5.30.dat;
VARIABLE: NAMES = y1-y10;
ANALYSIS: ROTATION = GEOMIN;
MODEL: fg BY y1-y10*;
fg@1;
f1-f2 BY y1-y8 (*1);
fg WITH f1-f2@0;
OUTPUT: STDY;
In this example, a bi-factor exploratory factor analysis with continuous
factor indicators is carried out using a Geomin rotation. This is an
exploratory structural equation model (ESEM; Asparouhov & Muthén,
2009a). The general factor fg is a CFA factor. The specific factors f1
and f2 are EFA factors which have the same factor indicators. Only the
specific factors are rotated. By specifying GEOMIN, an EFA will be
carried out using the Geomin rotation for the specific factors. The
default is an oblique rotation. An orthogonal rotation can be obtained by
specifying ROTATION=GEOMIN(ORTHOGONAL). The ROTATION
option can be used to specify other rotations.
In the MODEL command, the first BY statement specifies that the
general factor fg is measured by y1 through y10. The asterisk (*) frees
the first factor loading which is fixed at one as the default to define the
metric of the factor. Instead the metric of the factor is defined by fixing
the factor variance at one. The second BY statement specifies that the
specific factors f1 and f2 are measured by the continuous factor
indicators y1 through y8. The label following an asterisk (*) in
parentheses following the BY statement is used to indicate that f1 and f2
are a set of EFA factors. The variances of the factors are fixed at one as
the default. The specific factors are correlated under the oblique
Geomin rotation. The WITH statement specifies that the general and
specific factors are not correlated. The intercepts and residual variances

Examples: Confirmatory Factor Analysis And
Structural Equation Modeling
107
of the factor indicators are estimated and the residuals are not correlated
as the default. In the OUTPUT command, the STDY option is chosen
for standardization with respect to y. This puts the results in the metric
of an EFA. The default estimator for this type of analysis is maximum
likelihood. The ESTIMATOR option of the ANALYSIS command can
be used to select a different estimator. An explanation of the other
commands can be found in Example 5.1.
EXAMPLE 5.31: BAYESIAN BI-FACTOR CFA WITH TWO
ITEMS LOADING ON ONLY THE GENERAL FACTOR AND
CROSS-LOADINGS WITH ZERO-MEAN AND SMALL-
VARIANCE PRIORS
TITLE: this is an example of a Bayesian bi-factor
CFA with two items loading on only the
general factor and cross-loadings with
zero-mean and small-variance priors
DATA: FILE = ex5.31.dat;
VARIABLE: NAMES = y1-y10;
ANALYSIS: ESTIMATOR = BAYES;
PROCESSORS = 2;
MODEL: fg BY y1-y10*;
fg@1;
f1 BY y1-y4
y5-y10 (f1xlam5-f1xlam10);
f2 BY y5-y8
y1-y4 y9-y10(f2xlam1-f2xlam6);
fg WITH f1-f2@0;
MODEL PRIORS:
f1xlam5-f2xlam6~N(0,0.01);
PLOT: TYPE = PLOT2;
In this example, a bi-factor CFA with two items loading on only the
general factor and cross-loadings with zero-mean and small-variance
priors is carried out using the Bayes estimator. This is a Bayesian
structural equation model (BSEM; Muthén & Asparouhov, 2012). By
specifying ESTIMATOR=BAYES, a Bayesian analysis will be carried
out. In Bayesian estimation, the default is to use two independent
Markov chain Monte Carlo (MCMC) chains. If multiple processors are
available, using PROCESSORS=2 will speed up computations.
CHAPTER 5
108
In the MODEL command, the first BY statement specifies that the
general factor, fg, is measured by the continuous factor indicators y1
through y10. The asterisk (*) frees the first factor loading which is fixed
at one as the default to define the metric of the factor. Instead the metric
of the factor is defined by fixing the factor variance at one. The second
and third BY statements specify that the specific factors, f1 and f2, are
measured by y1 through y10. The first factor loadings are fixed at one to
set the metric of the factors. The first line of each BY statement shows
the major loadings for each factor. The second line shows the cross-
loadings which are assigned labels. For f1, labels are assigned to cross-
loadings for y5 through y10. For f2, labels are assigned to cross-
loadings for y1 through y4, y9, and y10. The WITH statement specifies
that the general and specific factors are not correlated. The intercepts
and residual variances of the factor indicators are estimated and the
residuals are not correlated as the default. In MODEL PRIORS, the
labels assigned in the MODEL command are used to assign zero-mean
and small-variance priors to the cross-loadings. By specifying
TYPE=PLOT2 in the PLOT command, the following plots are available:
posterior parameter distributions, posterior parameter trace plots,
autocorrelation plots, posterior predictive checking scatterplots, and
posterior predictive checking distribution plots. An explanation of the
other commands can be found in Example 5.1.

Examples: Confirmatory Factor Analysis And
Structural Equation Modeling
109
EXAMPLE 5.32: BAYESIAN MIMIC MODEL WITH CROSS-
LOADINGS AND DIRECT EFFECTS WITH ZERO-MEAN AND
SMALL-VARIANCE PRIORS
TITLE: this is an example of a Bayesian MIMIC
model with cross-loadings and direct
effects with zero-mean and small-variance
priors
DATA: FILE = ex5.32.dat;
VARIABLE: NAMES = y1-y6 x1-x3;
ANALYSIS: ESTIMATOR = BAYES;
PROCESSORS = 2;
MODEL: f1 BY y1-y3
y4-y6 (xload4-xload6);
f2 BY y4-y6
y1-y3 (xload1-xload3);
f1-f2 ON x1-x3;
y1-y6 ON x1-x3 (dir1-dir18);
MODEL PRIORS:
xload1-xload6~N(0,0.01);
dir1-dir18~N(0,0.01);
PLOT: TYPE = PLOT2;
In this example, a MIMIC model with cross-loadings and direct effects
with zero-mean and small-variance priors is carried out using the Bayes
estimator. This is a Bayesian structural equation model (BSEM; Muthén
& Asparouhov, 2012).
In the MODEL command, the first BY statement specifies that f1 is
measured by the continuous factor indicators y1 through y6. The second
BY statements specifies that f2 is measured by the continuous factor
indicators y1 through y6. The first factor loadings are fixed at one to set
the metric of the factors. The first line of each BY statement shows the
major loadings for each factor. The second line shows the cross-
loadings which are assigned labels. For f1, labels are assigned to y4
through y6. For f2, labels are assigned to y1 through y3. The intercepts
and residual variances of the factor indicators are estimated and the
residuals are not correlated as the default. In MODEL PRIORS, the
labels assigned in the MODEL command are used to assign zero-mean
and small-variance priors to the factor loadings. The first ON statement
describes the linear regressions of f1 and f2 on the covariates x1, x2, and
x3. The residual variances of f1 and f2 are estimated and the residuals

CHAPTER 5
110
are correlated as the default. The second ON statement describes the
linear regressions of y1 through y6 on the covariates x1, x2, and x3.
These are direct effects which are assumed to be small. Labels are
assigned to these regression coefficients. In MODEL PRIORS, the
labels assigned in the MODEL command are used to assign zero-mean
and small-variance priors to the factor loadings and regression
coefficients. By specifying TYPE=PLOT2 in the PLOT command, the
following plots are available: posterior parameter distributions,
posterior parameter trace plots, autocorrelation plots, posterior
predictive checking scatterplots, and posterior predictive checking
distribution plots. An explanation of the other commands can be found
in Examples 5.1 and 5.31.
EXAMPLE 5.33: BAYESIAN MULTIPLE GROUP MODEL
WITH APPROXIMATE MEASUREMENT INVARIANCE
USING ZERO-MEAN AND SMALL-VARIANCE PRIORS
TITLE: this is an example of a Bayesian
multiple group model with approximate
measurement invariance using zero-mean and
small-variance priors
DATA: FILE = ex5.33.dat;
VARIABLE: NAMES = u y1-y6 group;
USEVARIABLES = y1-y6 group;
CLASSES = c(10);
KNOWNCLASS = c(group = 1-10);
ANALYSIS: TYPE = MIXTURE;
ESTIMATOR = BAYES;
PROCESSORS = 2;
MODEL = ALLFREE;
MODEL: %OVERALL%
f1 BY y1-y3* (lam#_1-lam#_3);
f2 BY y4-y6* (lam#_4-lam#_6);
[y1-y6] (nu#_1-nu#_6);
%c#10%
f1-f2@1;
[f1-f2@0];
MODEL PRIORS:
DO(1,6) DIFF(lam1_#-lam10_#)~N(0,0.01);
DO(1,6) DIFF(nu1_#-nu10_#)~N(0,0.01);
PLOT: TYPE = PLOT2;
OUTPUT: TECH1 TECH8;
Examples: Confirmatory Factor Analysis And
Structural Equation Modeling
111
In this example, a multiple group model with approximate measurement
invariance using zero-mean and small-variance priors is carried out using
the Bayes estimator. This is a Bayesian structural equation model
(BSEM; Muthén & Asparouhov, 2012). In Bayesian estimation,
multiple group analysis is carried out using the CLASSES and
KNOWNCLASS options and TYPE=MIXTURE. The CLASSES option
is used to assign names to the categorical latent variables in the model
and to specify the number of latent classes in the model for each
categorical latent variable. In the example above, there is one
categorical latent variable c that has ten latent classes. The
KNOWNCLASS option identifies c as the categorical latent variable for
which latent class membership is known. The information in
parentheses following the categorical latent variable name defines the
known classes using an observed variable. In this example, the observed
variable group is used to define the known classes. The first class
consists of individuals with the value 1 on the variable group. The
second class consists of individuals with the value 2 on the variable
group etc.
MODEL=ALLFREE is used with TYPE=MIXTURE, the
KNOWNCLASS option, ESTIMATOR=BAYES, and a special labeling
function to assign zero-mean and small-variance priors to differences in
intercepts, thresholds, and factor loadings across groups. By specifying
MODEL=ALLFREE, factor means, variances, and covariances are free
across groups except for factor means in the last group which are fixed
at zero. In addition, intercepts, thresholds, factor loadings, and residual
variances of the factor indicators are free across the groups.
In the overall model, the first BY statement specifies that f1 is measured
by the continuous factor indicators y1 through y3. The second BY
statement specifies that f2 is measured by the continuous factor
indicators y4 through y6. In both BY statements the asterisk (*) frees
the first factor loadings which are fixed at one as the default to set the
metric of the factors. The metric of the factors is set instead by fixing
the factor variances to one in class 10. The residual variances of the
factor indicators are estimated and the residuals are not correlated as the
default.
In the overall part of the model, labels are assigned to the factor loadings
and the intercepts using automatic labeling for groups. The labels must
include the number sign (#) followed by the underscore (_) symbol
CHAPTER 5
112
followed by a number. The number sign (#) refers to a group and the
number refers to a parameter. The label lam#_1 is assigned to the factor
loading for y1; the label lam#_2 is assigned to the factor loading for y2;
and the label lam#_3 is assigned to the factor loading for y3. These
labels are expanded to include group information. For example, the
label for parameter 1 is expanded across the ten groups to give labels
lam1_1, lam2_1 through lam10_1. In MODEL PRIORS, these expanded
labels are used to assign zero-mean and small-variance priors to the
differences across groups of the factor loadings and intercepts using the
DO and DIFFERENCE options. They can be used together to simplify
the assignment of priors to a large set of difference parameters for
models with multiple groups and multiple time points. For the DO
option, the numbers in parentheses give the range of values for the do
loop. The number sign (#) is replaced by these values during the
execution of the do loop. The numbers refer to the six factor indicators.
By specifying TYPE=PLOT2 in the PLOT command, the following
plots are available: posterior parameter distributions, posterior
parameter trace plots, autocorrelation plots, posterior predictive
checking scatterplots, and posterior predictive checking distribution
plots. An explanation of the other commands can be found in Example
5.1 and 5.31.
Examples: Growth, Survival, And N=1 Time Series Analysis
113
CHAPTER 6
EXAMPLES: GROWTH
MODELING, SURVIVAL
ANALYSIS, AND N=1 TIME
SERIES ANALYSIS
Growth models examine the development of individuals on one or more
outcome variables over time. These outcome variables can be observed
variables or continuous latent variables. Observed outcome variables
can be continuous, censored, binary, ordered categorical (ordinal),
counts, or combinations of these variable types if more than one growth
process is being modeled. In growth modeling, random effects are used
to capture individual differences in development. In a latent variable
modeling framework, the random effects are reconceptualized as
continuous latent variables, that is, growth factors.
Mplus takes a multivariate approach to growth modeling such that an
outcome variable measured at four occasions gives rise to a four-variate
outcome vector. In contrast, multilevel modeling typically takes a
univariate approach to growth modeling where an outcome variable
measured at four occasions gives rise to a single outcome for which
observations at the different occasions are nested within individuals,
resulting in two-level data. Due to the use of the multivariate approach,
Mplus does not consider a growth model to be a two-level model as in
multilevel modeling but a single-level model. With longitudinal data,
the number of levels in Mplus is one less than the number of levels in
conventional multilevel modeling. The multivariate approach allows
flexible modeling of the outcomes such as differences in residual
variances over time, correlated residuals over time, and regressions
among the outcomes over time.
In Mplus, there are two options for handling the relationship between the
outcome and time. One approach allows time scores to be parameters in
the model so that the growth function can be estimated. This is the
approach used in structural equation modeling. The second approach
allows time to be a variable that reflects individually-varying times of
CHAPTER 6
114
observations. This variable has a random slope. This is the approach
used in multilevel modeling. Random effects in the form of random
slopes are also used to represent individual variation in the influence of
time-varying covariates on outcomes.
Growth modeling in Mplus allows the analysis of multiple processes,
both parallel and sequential; regressions among growth factors and
random effects; growth modeling of factors measured by multiple
indicators; and growth modeling as part of a larger latent variable model.
Survival modeling in Mplus includes both discrete-time and continuous-
time analyses. Both types of analyses consider the time to an event.
Discrete-time survival analysis is used when the outcome is recorded
infrequently such as monthly or annually, typically leading to a limited
number of measurements. Continuous-time survival analysis is used
when the outcome is recorded more frequently such as hourly or daily,
typically leading to a large number of measurements. Survival modeling
is integrated into the general latent variable modeling framework so that
it can be part of a larger model.
N=1 time series analysis is used to analyze intensive longitudinal data
such as those obtained with ecological momentary assessments,
experience sampling methods, daily diary methods, and ambulatory
assessments for a single person. Such data typically have a large number
of time points, for example, twenty to two hundred. The measurements
are typically closely spaced in time. In Mplus, univariate autoregressive,
regression, cross-lagged, confirmatory factor analysis, Item Response
Theory, and structural equation models can be estimated for continuous,
binary, ordered categorical (ordinal), or combinations of these variable
types. Multilevel extensions of these models can be found in Chapter 9.
All growth and survival models can be estimated using the following
special features:
Single or multiple group analysis
Missing data
Complex survey data
Latent variable interactions and non-linear factor analysis using
maximum likelihood
Random slopes
Individually-varying times of observations
Examples: Growth, Survival, And N=1 Time Series Analysis
115
Linear and non-linear parameter constraints
Indirect effects including specific paths
Maximum likelihood estimation for all outcome types
Bootstrap standard errors and confidence intervals
Wald chi-square test of parameter equalities
For continuous, censored with weighted least squares estimation, binary,
and ordered categorical (ordinal) outcomes, multiple group analysis is
specified by using the GROUPING option of the VARIABLE command
for individual data or the NGROUPS option of the DATA command for
summary data. For censored with maximum likelihood estimation,
unordered categorical (nominal), and count outcomes, multiple group
analysis is specified using the KNOWNCLASS option of the
VARIABLE command in conjunction with the TYPE=MIXTURE
option of the ANALYSIS command. The default is to estimate the
model under missing data theory using all available data. The
LISTWISE option of the DATA command can be used to delete all
observations from the analysis that have missing values on one or more
of the analysis variables. Corrections to the standard errors and chi-
square test of model fit that take into account stratification, non-
independence of observations, and unequal probability of selection are
obtained by using the TYPE=COMPLEX option of the ANALYSIS
command in conjunction with the STRATIFICATION, CLUSTER, and
WEIGHT options of the VARIABLE command. The
SUBPOPULATION option is used to select observations for an analysis
when a subpopulation (domain) is analyzed. Latent variable interactions
are specified by using the | symbol of the MODEL command in
conjunction with the XWITH option of the MODEL command. Random
slopes are specified by using the | symbol of the MODEL command in
conjunction with the ON option of the MODEL command. Individually-
varying times of observations are specified by using the | symbol of the
MODEL command in conjunction with the AT option of the MODEL
command and the TSCORES option of the VARIABLE command.
Linear and non-linear parameter constraints are specified by using the
MODEL CONSTRAINT command. Indirect effects are specified by
using the MODEL INDIRECT command. Maximum likelihood
estimation is specified by using the ESTIMATOR option of the
ANALYSIS command. Bootstrap standard errors are obtained by using
the BOOTSTRAP option of the ANALYSIS command. Bootstrap
confidence intervals are obtained by using the BOOTSTRAP option of
the ANALYSIS command in conjunction with the CINTERVAL option
CHAPTER 6
116
of the OUTPUT command. The MODEL TEST command is used to test
linear restrictions on the parameters in the MODEL and MODEL
CONSTRAINT commands using the Wald chi-square test.
Graphical displays of observed data and analysis results can be obtained
using the PLOT command in conjunction with a post-processing
graphics module. The PLOT command provides histograms,
scatterplots, plots of individual observed and estimated values, and plots
of sample and estimated means and proportions/probabilities. These are
available for the total sample, by group, by class, and adjusted for
covariates. The PLOT command includes a display showing a set of
descriptive statistics for each variable. The graphical displays can be
edited and exported as a DIB, EMF, or JPEG file. In addition, the data
for each graphical display can be saved in an external file for use by
another graphics program.
Following is the set of growth modeling examples included in this
chapter:
6.1: Linear growth model for a continuous outcome
6.2: Linear growth model for a censored outcome using a censored
model*
6.3: Linear growth model for a censored outcome using a censored-
inflated model*
6.4: Linear growth model for a categorical outcome
6.5: Linear growth model for a categorical outcome using the Theta
parameterization
6.6: Linear growth model for a count outcome using a Poisson
model*
6.7: Linear growth model for a count outcome using a zero-inflated
Poisson model*
6.8: Growth model for a continuous outcome with estimated time
scores
6.9: Quadratic growth model for a continuous outcome
6.10: Linear growth model for a continuous outcome with time-
invariant and time-varying covariates
6.11: Piecewise growth model for a continuous outcome
6.12: Growth model with individually-varying times of observation
and a random slope for time-varying covariates for a continuous
outcome
Examples: Growth, Survival, And N=1 Time Series Analysis
117
6.13: Growth model for two parallel processes for continuous
outcomes with regressions among the random effects
6.14: Multiple indicator linear growth model for continuous
outcomes
6.15: Multiple indicator linear growth model for categorical
outcomes
6.16: Two-part (semicontinuous) growth model for a continuous
outcome*
6.17: Linear growth model for a continuous outcome with first-
order auto correlated residuals using non-linear constraints
6.18: Multiple group multiple cohort growth model
Following is the set of survival analysis examples included in this
chapter:
6.19: Discrete-time survival analysis
6.20: Continuous-time survival analysis using the Cox regression
model
6.21: Continuous-time survival analysis using a parametric
proportional hazards model
6.22: Continuous-time survival analysis using a parametric
proportional hazards model with a factor influencing survival*
Following is the set of N=1 time series analysis examples included in
this chapter:
6.23: N=1 time series analysis with a univariate first-order
autoregressive AR(1) model for a continuous dependent variable
6.24: N=1 time series analysis with a univariate first-order
autoregressive AR(1) model for a continuous dependent variable
with a covariate
6.25: N=1 time series analysis with a bivariate cross-lagged model
for continuous dependent variables
6.26: N=1 time series analysis with a first-order autoregressive
AR(1) confirmatory factor analysis (CFA) model with continuous
factor indicators
6.27: N=1 time series analysis with a first-order autoregressive
AR(1) IRT model with binary factor indicators
6.28: N=1 time series analysis with a bivariate cross-lagged model
with two factors and continuous factor indicators

CHAPTER 6
118
* Example uses numerical integration in the estimation of the model.
This can be computationally demanding depending on the size of the
problem.
EXAMPLE 6.1: LINEAR GROWTH MODEL FOR A
CONTINUOUS OUTCOME
TITLE: this is an example of a linear growth
model for a continuous outcome
DATA: FILE IS ex6.1.dat;
VARIABLE: NAMES ARE y11-y14 x1 x2 x31-x34;
USEVARIABLES ARE y11-y14;
MODEL: i s | y11@0 y12@1 y13@2 y14@3;
In this example, the linear growth model for a continuous outcome at
four time points shown in the picture above is estimated.
TITLE: this is an example of a linear growth
model for a continuous outcome
The TITLE command is used to provide a title for the analysis. The title
is printed in the output just before the Summary of Analysis.
DATA: FILE IS ex6.1.dat;
The DATA command is used to provide information about the data set
to be analyzed. The FILE option is used to specify the name of the file

Examples: Growth, Survival, And N=1 Time Series Analysis
119
that contains the data to be analyzed, ex6.1.dat. Because the data set is
in free format, the default, a FORMAT statement is not required.
VARIABLE: NAMES ARE y11-y14 x1 x2 x31-x34;
USEVARIABLES ARE y11-y14;
The VARIABLE command is used to provide information about the
variables in the data set to be analyzed. The NAMES option is used to
assign names to the variables in the data set. The data set in this
example contains ten variables: y11, y12, y13, y14, x1, x2, x31, x32,
x33, and x34. Note that the hyphen can be used as a convenience feature
in order to generate a list of names. If not all of the variables in the data
set are used in the analysis, the USEVARIABLES option can be used to
select a subset of variables for analysis. Here the variables y11, y12,
y13, and y14 have been selected for analysis. They represent the
outcome measured at four equidistant occasions.
MODEL: i s | y11@0 y12@1 y13@2 y14@3;
The MODEL command is used to describe the model to be estimated.
The | symbol is used to name and define the intercept and slope factors
in a growth model. The names i and s on the left-hand side of the |
symbol are the names of the intercept and slope growth factors,
respectively. The statement on the right-hand side of the | symbol
specifies the outcome and the time scores for the growth model. The
time scores for the slope growth factor are fixed at 0, 1, 2, and 3 to
define a linear growth model with equidistant time points. The zero time
score for the slope growth factor at time point one defines the intercept
growth factor as an initial status factor. The coefficients of the intercept
growth factor are fixed at one as part of the growth model
parameterization. The residual variances of the outcome variables are
estimated and allowed to be different across time and the residuals are
not correlated as the default.
In the parameterization of the growth model shown here, the intercepts
of the outcome variables at the four time points are fixed at zero as the
default. The means and variances of the growth factors are estimated as
the default, and the growth factor covariance is estimated as the default
because the growth factors are independent (exogenous) variables. The
default estimator for this type of analysis is maximum likelihood. The
ESTIMATOR option of the ANALYSIS command can be used to select
a different estimator.

CHAPTER 6
120
EXAMPLE 6.2: LINEAR GROWTH MODEL FOR A
CENSORED OUTCOME USING A CENSORED MODEL
TITLE: this is an example of a linear growth
model for a censored outcome using a
censored model
DATA: FILE IS ex6.2.dat;
VARIABLE: NAMES ARE y11-y14 x1 x2 x31-x34;
USEVARIABLES ARE y11-y14;
CENSORED ARE y11-y14 (b);
ANALYSIS: ESTIMATOR = MLR;
MODEL: i s | y11@0 y12@1 y13@2 y14@3;
OUTPUT: TECH1 TECH8;
The difference between this example and Example 6.1 is that the
outcome variable is a censored variable instead of a continuous variable.
The CENSORED option is used to specify which dependent variables
are treated as censored variables in the model and its estimation, whether
they are censored from above or below, and whether a censored or
censored-inflated model will be estimated. In the example above, y11,
y12, y13, and y14 are censored variables. They represent the outcome
variable measured at four equidistant occasions. The b in parentheses
following y11-y14 indicates that y11, y12, y13, and y14 are censored
from below, that is, have floor effects, and that the model is a censored
regression model. The censoring limit is determined from the data. The
residual variances of the outcome variables are estimated and allowed to
be different across time and the residuals are not correlated as the
default.
The default estimator for this type of analysis is a robust weighted least
squares estimator. By specifying ESTIMATOR=MLR, maximum
likelihood estimation with robust standard errors using a numerical
integration algorithm is used. Note that numerical integration becomes
increasingly more computationally demanding as the number of factors
and the sample size increase. In this example, two dimensions of
integration are used with a total of 225 integration points. The
ESTIMATOR option of the ANALYSIS command can be used to select
a different estimator.
In the parameterization of the growth model shown here, the intercepts
of the outcome variables at the four time points are fixed at zero as the

Examples: Growth, Survival, And N=1 Time Series Analysis
121
default. The means and variances of the growth factors are estimated as
the default, and the growth factor covariance is estimated as the default
because the growth factors are independent (exogenous) variables. The
OUTPUT command is used to request additional output not included as
the default. The TECH1 option is used to request the arrays containing
parameter specifications and starting values for all free parameters in the
model. The TECH8 option is used to request that the optimization
history in estimating the model be printed in the output. TECH8 is
printed to the screen during the computations as the default. TECH8
screen printing is useful for determining how long the analysis takes. An
explanation of the other commands can be found in Example 6.1.
EXAMPLE 6.3: LINEAR GROWTH MODEL FOR A
CENSORED OUTCOME USING A CENSORED-INFLATED
MODEL
TITLE: this is an example of a linear growth
model for a censored outcome using a
censored-inflated model
DATA: FILE IS ex6.3.dat;
VARIABLE: NAMES ARE y11-y14 x1 x2 x31-x34;
USEVARIABLES ARE y11-y14;
CENSORED ARE y11-y14 (bi);
ANALYSIS: INTEGRATION = 7;
MODEL: i s | y11@0 y12@1 y13@2 y14@3;
ii si | y11#1@0 y12#1@1 y13#1@2 y14#1@3;
si@0;
OUTPUT: TECH1 TECH8;
The difference between this example and Example 6.1 is that the
outcome variable is a censored variable instead of a continuous variable.
The CENSORED option is used to specify which dependent variables
are treated as censored variables in the model and its estimation, whether
they are censored from above or below, and whether a censored or
censored-inflated model will be estimated. In the example above, y11,
y12, y13, and y14 are censored variables. They represent the outcome
variable measured at four equidistant occasions. The bi in parentheses
following y11-y14 indicates that y11, y12, y13, and y14 are censored
from below, that is, have floor effects, and that a censored-inflated
regression model will be estimated. The censoring limit is determined
from the data. The residual variances of the outcome variables are
CHAPTER 6
122
estimated and allowed to be different across time and the residuals are
not correlated as the default.
With a censored-inflated model, two growth models are estimated. The
first | statement describes the growth model for the continuous part of
the outcome for individuals who are able to assume values of the
censoring point and above. The residual variances of the outcome
variables are estimated and allowed to be different across time and the
residuals are not correlated as the default. The second | statement
describes the growth model for the inflation part of the outcome, the
probability of being unable to assume any value except the censoring
point. The binary latent inflation variable is referred to by adding to the
name of the censored variable the number sign (#) followed by the
number 1.
In the parameterization of the growth model for the continuous part of
the outcome, the intercepts of the outcome variables at the four time
points are fixed at zero as the default. The means and variances of the
growth factors are estimated as the default, and the growth factor
covariance is estimated as the default because the growth factors are
independent (exogenous) variables.
In the parameterization of the growth model for the inflation part of the
outcome, the intercepts of the outcome variable at the four time points
are held equal as the default. The mean of the intercept growth factor is
fixed at zero. The mean of the slope growth factor and the variances of
the intercept and slope growth factors are estimated as the default, and
the growth factor covariance is estimated as the default because the
growth factors are independent (exogenous) variables.
In this example, the variance of the slope growth factor si for the
inflation part of the outcome is fixed at zero. Because of this, the
covariances among si and all of the other growth factors are fixed at zero
as the default. The covariances among the remaining three growth
factors are estimated as the default.
The default estimator for this type of analysis is maximum likelihood
with robust standard errors using a numerical integration algorithm.
Note that numerical integration becomes increasingly more
computationally demanding as the number of factors and the sample size
increase. In this example, three dimensions of integration are used with

Examples: Growth, Survival, And N=1 Time Series Analysis
123
a total of 343 integration points. The INTEGRATION option of the
ANALYSIS command is used to change the number of integration points
per dimension from the default of 15 to 7. The ESTIMATOR option of
the ANALYSIS command can be used to select a different estimator.
The OUTPUT command is used to request additional output not
included as the default. The TECH1 option is used to request the arrays
containing parameter specifications and starting values for all free
parameters in the model. The TECH8 option is used to request that the
optimization history in estimating the model be printed in the output.
TECH8 is printed to the screen during the computations as the default.
TECH8 screen printing is useful for determining how long the analysis
takes. An explanation of the other commands can be found in Example
6.1.
EXAMPLE 6.4: LINEAR GROWTH MODEL FOR A
CATEGORICAL OUTCOME
TITLE: this is an example of a linear growth
model for a categorical outcome
DATA: FILE IS ex6.4.dat;
VARIABLE: NAMES ARE u11-u14 x1 x2 x31-x34;
USEVARIABLES ARE u11-u14;
CATEGORICAL ARE u11-u14;
MODEL: i s | u11@0 u12@1 u13@2 u14@3;
The difference between this example and Example 6.1 is that the
outcome variable is a binary or ordered categorical (ordinal) variable
instead of a continuous variable. The CATEGORICAL option is used to
specify which dependent variables are treated as binary or ordered
categorical (ordinal) variables in the model and its estimation. In the
example above, u11, u12, u13, and u14 are binary or ordered categorical
variables. They represent the outcome variable measured at four
equidistant occasions.
In the parameterization of the growth model shown here, the thresholds
of the outcome variable at the four time points are held equal as the
default. The mean of the intercept growth factor is fixed at zero. The
mean of the slope growth factor and the variances of the intercept and
slope growth factors are estimated as the default, and the growth factor

CHAPTER 6
124
covariance is estimated as the default because the growth factors are
independent (exogenous) variables.
The default estimator for this type of analysis is a robust weighted least
squares estimator. The ESTIMATOR option of the ANALYSIS
command can be used to select a different estimator. With the weighted
least squares estimator, the probit model and the default Delta
parameterization for categorical outcomes are used. The scale factor for
the latent response variable of the categorical outcome at the first time
point is fixed at one as the default, while the scale factors for the latent
response variables at the other time points are free to be estimated. If a
maximum likelihood estimator is used, the logistic model for categorical
outcomes with a numerical integration algorithm is used (Hedeker &
Gibbons, 1994). Note that numerical integration becomes increasingly
more computationally demanding as the number of factors and the
sample size increase. An explanation of the other commands can be
found in Example 6.1.
EXAMPLE 6.5: LINEAR GROWTH MODEL FOR A
CATEGORICAL OUTCOME USING THE THETA
PARAMETERIZATION
TITLE: this is an example of a linear growth
model for a categorical outcome using the
Theta parameterization
DATA: FILE IS ex6.5.dat;
VARIABLE: NAMES ARE u11-u14 x1 x2 x31-x34;
USEVARIABLES ARE u11-u14;
CATEGORICAL ARE u11-u14;
ANALYSIS: PARAMETERIZATION = THETA;
MODEL: i s | u11@0 u12@1 u13@2 u14@3;
The difference between this example and Example 6.4 is that the Theta
parameterization instead of the default Delta parameterization is used.
In the Delta parameterization, scale factors for the latent response
variables of the observed categorical outcomes are allowed to be
parameters in the model, but residual variances for the latent response
variables are not. In the Theta parameterization, residual variances for
latent response variables are allowed to be parameters in the model, but
scale factors are not. Because the Theta parameterization is used, the

Examples: Growth, Survival, And N=1 Time Series Analysis
125
residual variance for the latent response variable at the first time point is
fixed at one as the default, while the residual variances for the latent
response variables at the other time points are free to be estimated. An
explanation of the other commands can be found in Examples 6.1 and
6.4.
EXAMPLE 6.6: LINEAR GROWTH MODEL FOR A COUNT
OUTCOME USING A POISSON MODEL
TITLE: this is an example of a linear growth
model for a count outcome using a Poisson
model
DATA: FILE IS ex6.6.dat;
VARIABLE: NAMES ARE u11-u14 x1 x2 x31-x34;
USEVARIABLES ARE u11-u14;
COUNT ARE u11-u14;
MODEL: i s | u11@0 u12@1 u13@2 u14@3;
OUTPUT: TECH1 TECH8;
The difference between this example and Example 6.1 is that the
outcome variable is a count variable instead of a continuous variable.
The COUNT option is used to specify which dependent variables are
treated as count variables in the model and its estimation and whether a
Poisson or zero-inflated Poisson model will be estimated. In the
example above, u11, u12, u13, and u14 are count variables. They
represent the outcome variable measured at four equidistant occasions.
In the parameterization of the growth model shown here, the intercepts
of the outcome variables at the four time points are fixed at zero as the
default. The means and variances of the growth factors are estimated as
the default, and the growth factor covariance is estimated as the default
because the growth factors are independent (exogenous) variables. The
default estimator for this type of analysis is maximum likelihood with
robust standard errors using a numerical integration algorithm. Note that
numerical integration becomes increasingly more computationally
demanding as the number of factors and the sample size increase. In this
example, two dimensions of integration are used with a total of 225
integration points. The ESTIMATOR option of the ANALYSIS
command can be used to select a different estimator. The OUTPUT
command is used to request additional output not included as the default.
The TECH1 option is used to request the arrays containing parameter

CHAPTER 6
126
specifications and starting values for all free parameters in the model.
The TECH8 option is used to request that the optimization history in
estimating the model be printed in the output. TECH8 is printed to the
screen during the computations as the default. TECH8 screen printing is
useful for determining how long the analysis takes. An explanation of
the other commands can be found in Example 6.1.
EXAMPLE 6.7: LINEAR GROWTH MODEL FOR A COUNT
OUTCOME USING A ZERO-INFLATED POISSON MODEL
TITLE: this is an example of a linear growth
model for a count outcome using a zero-
inflated Poisson model
DATA: FILE IS ex6.7.dat;
VARIABLE: NAMES ARE u11-u14 x1 x2 x31-x34;
USEVARIABLES ARE u11-u14;
COUNT ARE u11-u14 (i);
ANALYSIS: INTEGRATION = 7;
MODEL: i s | u11@0 u12@1 u13@2 u14@3;
ii si | u11#1@0 u12#1@1 u13#1@2 u14#1@3;
s@0 si@0;
OUTPUT: TECH1 TECH8;
The difference between this example and Example 6.1 is that the
outcome variable is a count variable instead of a continuous variable.
The COUNT option is used to specify which dependent variables are
treated as count variables in the model and its estimation and whether a
Poisson or zero-inflated Poisson model will be estimated. In the
example above, u11, u12, u13, and u14 are count variables. They
represent the outcome variable u1 measured at four equidistant
occasions. The i in parentheses following u11-u14 indicates that a zero-
inflated Poisson model will be estimated.
With a zero-inflated Poisson model, two growth models are estimated.
The first | statement describes the growth model for the count part of the
outcome for individuals who are able to assume values of zero and
above. The second | statement describes the growth model for the
inflation part of the outcome, the probability of being unable to assume
any value except zero. The binary latent inflation variable is referred to
by adding to the name of the count variable the number sign (#) followed
by the number 1.
Examples: Growth, Survival, And N=1 Time Series Analysis
127
In the parameterization of the growth model for the count part of the
outcome, the intercepts of the outcome variables at the four time points
are fixed at zero as the default. The means and variances of the growth
factors are estimated as the default, and the growth factor covariance is
estimated as the default because the growth factors are independent
(exogenous) variables.
In the parameterization of the growth model for the inflation part of the
outcome, the intercepts of the outcome variable at the four time points
are held equal as the default. The mean of the intercept growth factor is
fixed at zero. The mean of the slope growth factor and the variances of
the intercept and slope growth factors are estimated as the default, and
the growth factor covariance is estimated as the default because the
growth factors are independent (exogenous) variables.
In this example, the variance of the slope growth factor s for the count
part and the slope growth factor si for the inflation part of the outcome
are fixed at zero. Because of this, the covariances among s, si, and the
other growth factors are fixed at zero as the default. The covariance
between the i and ii intercept growth factors is estimated as the default.
The default estimator for this type of analysis is maximum likelihood
with robust standard errors using a numerical integration algorithm.
Note that numerical integration becomes increasingly more
computationally demanding as the number of factors and the sample size
increase. In this example, two dimensions of integration are used with a
total of 49 integration points. The INTEGRATION option of the
ANALYSIS command is used to change the number of integration points
per dimension from the default of 15 to 7. The ESTIMATOR option of
the ANALYSIS command can be used to select a different estimator.
The OUTPUT command is used to request additional output not
included as the default. The TECH1 option is used to request the arrays
containing parameter specifications and starting values for all free
parameters in the model. The TECH8 option is used to request that the
optimization history in estimating the model be printed in the output.
TECH8 is printed to the screen during the computations as the default.
TECH8 screen printing is useful for determining how long the analysis
takes. An explanation of the other commands can be found in Example
6.1.

CHAPTER 6
128
EXAMPLE 6.8: GROWTH MODEL FOR A CONTINUOUS
OUTCOME WITH ESTIMATED TIME SCORES
TITLE: this is an example of a growth model for a
continuous outcome with estimated time
scores
DATA: FILE IS ex6.8.dat;
VARIABLE: NAMES ARE y11-y14 x1 x2 x31-x34;
USEVARIABLES ARE y11-y14;
MODEL: i s | y11@0 y12@1 y13*2 y14*3;
The difference between this example and Example 6.1 is that two of the
time scores are estimated. The | statement highlighted above shows how
to specify free time scores by using the asterisk (*) to designate a free
parameter. Starting values are specified as the value following the
asterisk (*). For purposes of model identification, two time scores must
be fixed for a growth model with two growth factors. In the example
above, the first two time scores are fixed at zero and one, respectively.
The third and fourth time scores are free to be estimated at starting
values of 2 and 3, respectively. The default estimator for this type of
analysis is maximum likelihood. The ESTIMATOR option of the
ANALYSIS command can be used to select a different estimator. An
explanation of the other commands can be found in Example 6.1.
EXAMPLE 6.9: QUADRATIC GROWTH MODEL FOR A
CONTINUOUS OUTCOME
TITLE: this is an example of a quadratic growth
model for a continuous outcome
DATA: FILE IS ex6.9.dat;
VARIABLE: NAMES ARE y11-y14 x1 x2 x31-x34;
USEVARIABLES ARE y11-y14;
MODEL: i s q | y11@0 y12@1 y13@2 y14@3;

Examples: Growth, Survival, And N=1 Time Series Analysis
129
The difference between this example and Example 6.1 is that the
quadratic growth model shown in the picture above is estimated. A
quadratic growth model requires three random effects: an intercept
factor (i), a linear slope factor (s), and a quadratic slope factor (q). The |
symbol is used to name and define the intercept and slope factors in the
growth model. The names i, s, and q on the left-hand side of the |
symbol are the names of the intercept, linear slope, and quadratic slope
factors, respectively. In the example above, the linear slope factor has
equidistant time scores of 0, 1, 2, and 3. The time scores for the
quadratic slope factor are the squared values of the linear time scores.
These time scores are automatically computed by the program.
In the parameterization of the growth model shown here, the intercepts
of the outcome variable at the four time points are fixed at zero as the
default. The means and variances of the three growth factors are
estimated as the default, and the three growth factors are correlated as
the default because they are independent (exogenous) variables. The
default estimator for this type of analysis is maximum likelihood. The
ESTIMATOR option of the ANALYSIS command can be used to select
a different estimator. An explanation of the other commands can be
found in Example 6.1.

CHAPTER 6
130
EXAMPLE 6.10: LINEAR GROWTH MODEL FOR A
CONTINUOUS OUTCOME WITH TIME-INVARIANT AND
TIME-VARYING COVARIATES
TITLE: this is an example of a linear growth
model for a continuous outcome with time-
invariant and time-varying covariates
DATA: FILE IS ex6.10.dat;
VARIABLE: NAMES ARE y11-y14 x1 x2 a31-a34;
MODEL: i s | y11@0 y12@1 y13@2 y14@3;
i s ON x1 x2;
y11 ON a31;
y12 ON a32;
y13 ON a33;
y14 ON a34;
The difference between this example and Example 6.1 is that time-
invariant and time-varying covariates as shown in the picture above are
included in the model.

Examples: Growth, Survival, And N=1 Time Series Analysis
131
The first ON statement describes the linear regressions of the two
growth factors on the time-invariant covariates x1 and x2. The next four
ON statements describe the linear regressions of the outcome variable on
the time-varying covariates a31, a32, a33, and a34 at each of the four
time points. The default estimator for this type of analysis is maximum
likelihood. The ESTIMATOR option of the ANALYSIS command can
be used to select a different estimator. An explanation of the other
commands can be found in Example 6.1.
EXAMPLE 6.11: PIECEWISE GROWTH MODEL FOR A
CONTINUOUS OUTCOME
TITLE: this is an example of a piecewise growth
model for a continuous outcome
DATA: FILE IS ex6.11.dat;
VARIABLE: NAMES ARE y1-y5;
MODEL: i s1 | y1@0 y2@1 y3@2 y4@2 y5@2;
i s2 | y1@0 y2@0 y3@0 y4@1 y5@2;
In this example, the piecewise growth model shown in the picture above
is estimated. In a piecewise growth model, different phases of
development are captured by more than one slope growth factor. The
first | statement specifies a linear growth model for the first phase of
development which includes the first three time points. The second |
statement specifies a linear growth model for the second phase of
development which includes the last three time points. Note that there is

CHAPTER 6
132
one intercept growth factor i. It must be named in the specification of
both growth models when using the | symbol.
In the parameterization of the growth models shown here, the intercepts
of the outcome variable at the five time points are fixed at zero as the
default. The means and variances of the three growth factors are
estimated as the default, and the three growth factors are correlated as
the default because they are independent (exogenous) variables. The
default estimator for this type of analysis is maximum likelihood. The
ESTIMATOR option of the ANALYSIS command can be used to select
a different estimator. An explanation of the other commands can be
found in Example 6.1.
EXAMPLE 6.12: GROWTH MODEL WITH INDIVIDUALLY-
VARYING TIMES OF OBSERVATION AND A RANDOM
SLOPE FOR TIME-VARYING COVARIATES FOR A
CONTINUOUS OUTCOME
TITLE: this is an example of a growth model with
individually-varying times of observation
and a random slope for time-varying
covariates for a continuous outcome
DATA: FILE IS ex6.12.dat;
VARIABLE: NAMES ARE y1-y4 x a11-a14 a21-a24;
TSCORES = a11-a14;
ANALYSIS: TYPE = RANDOM;
MODEL: i s | y1-y4 AT a11-a14;
st | y1 ON a21;
st | y2 ON a22;
st | y3 ON a23;
st | y4 ON a24;
i s st ON x;

Examples: Growth, Survival, And N=1 Time Series Analysis
133
In this example, the growth model with individually-varying times of
observation, a time-invariant covariate, and time-varying covariates with
random slopes shown in the picture above is estimated. The st shown in
a circle represents the random slope. The broken arrows from st to the
arrows from a21 to y1, a22 to y2, a23 to y3, and a24 to y4 indicate that
the slopes in these regressions are random.
The TSCORES option is used to identify the variables in the data set that
contain information about individually-varying times of observation for
the outcomes. The TYPE option is used to describe the type of analysis
that is to be performed. By selecting RANDOM, a growth model with
random slopes will be estimated.
The | symbol is used in conjunction with TYPE=RANDOM to name and
define the random effect variables in the model. The names on the left-
hand side of the | symbol name the random effect variables. In the first |
statement, the AT option is used on the right-hand side of the | symbol to
define a growth model with individually-varying times of observation for
CHAPTER 6
134
the outcome variable. Two growth factors are used in the model, a
random intercept, i, and a random slope, s.
In the parameterization of the growth model shown here, the intercepts
of the outcome variables are fixed at zero as the default. The residual
variances of the outcome variables are free to be estimated as the
default. The residual covariances of the outcome variables are fixed at
zero as the default. The means, variances, and covariances of the
intercept and slope growth factors are free as the default.
The second, third, fourth, and fifth | statements use the ON option to
name and define the random slope variables in the model. The name on
the left-hand side of the | symbol names the random slope variable. The
statement on the right-hand side of the | symbol defines the random slope
variable. In the second | statement, the random slope st is defined by the
linear regression of the dependent variable y1 on the time-varying
covariate a21. In the third | statement, the random slope st is defined by
the linear regression of the dependent variable y2 on the time-varying
covariate a22. In the fourth | statement, the random slope st is defined
by the linear regression of the dependent variable y3 on the time-varying
covariate a23. In the fifth | statement, the random slope st is defined by
the linear regression of the dependent variable y4 on the time-varying
covariate a24. Random slopes with the same name are treated as one
variable during model estimation. The ON statement describes the linear
regressions of the intercept growth factor i, the slope growth factor s,
and the random slope st on the covariate x. The intercepts and residual
variances of, i, s, and st, are free as the default. The residual covariance
between i and s is estimated as the default. The residual covariances
between st and i and s are fixed at zero as the default. The default
estimator for this type of analysis is maximum likelihood with robust
standard errors. The estimator option of the ANALYSIS command can
be used to select a different estimator. An explanation of the other
commands can be found in Example 6.1.

Examples: Growth, Survival, And N=1 Time Series Analysis
135
EXAMPLE 6.13: GROWTH MODEL FOR TWO PARALLEL
PROCESSES FOR CONTINUOUS OUTCOMES WITH
REGRESSIONS AMONG THE RANDOM EFFECTS
TITLE: this is an example of a growth model for
two parallel processes for continuous
outcomes with regressions among the random
effects
DATA: FILE IS ex6.13.dat;
VARIABLE: NAMES ARE y11 y12 y13 y14 y21 y22 y23 y24;
MODEL: i1 s1 | y11@0 y12@1 y13@2 y14@3;
i2 s2 | y21@0 y22@1 y23@2 y24@3;
s1 ON i2;
s2 ON i1;
CHAPTER 6
136
In this example, the model for two parallel processes shown in the
picture above is estimated. Regressions among the growth factors are
included in the model.
The | statements are used to name and define the intercept and slope
growth factors for the two linear growth models. The names i1 and s1
on the left-hand side of the first | statement are the names of the intercept
and slope growth factors for the first linear growth model. The names i2
and s2 on the left-hand side of the second | statement are the names of
the intercept and slope growth factors for the second linear growth
model. The values on the right-hand side of the two | statements are the
time scores for the two slope growth factors. For both growth models,
the time scores of the slope growth factors are fixed at 0, 1, 2, and 3 to
define a linear growth model with equidistant time points. The zero time
score for the slope growth factor at time point one defines the intercept
factors as initial status factors. The coefficients of the intercept growth
factors are fixed at one as part of the growth model parameterization.
The residual variances of the outcome variables are estimated and
allowed to be different across time, and the residuals are not correlated
as the default.
In the parameterization of the growth model shown here, the intercepts
of the outcome variables at the four time points are fixed at zero as the
default. The means and variances of the intercept growth factors are
estimated as the default, and the intercept growth factor covariance is
estimated as the default because the intercept growth factors are
independent (exogenous) variables. The intercepts and residual
variances of the slope growth factors are estimated as the default, and
the slope growth factors are correlated as the default because residuals
are correlated for latent variables that do not influence any other variable
in the model except their own indicators.
The two ON statements describe the regressions of the slope growth
factor for each process on the intercept growth factor of the other
process. The default estimator for this type of analysis is maximum
likelihood. The ESTIMATOR option of the ANALYSIS command can
be used to select a different estimator. An explanation of the other
commands can be found in Example 6.1.

Examples: Growth, Survival, And N=1 Time Series Analysis
137
EXAMPLE 6.14: MULTIPLE INDICATOR LINEAR GROWTH
MODEL FOR CONTINUOUS OUTCOMES
TITLE: this is an example of a multiple indicator
linear growth model for continuous
outcomes
DATA: FILE IS ex6.14.dat;
VARIABLE: NAMES ARE y11 y21 y31 y12 y22 y32 y13
y23 y33;
MODEL: f1 BY y11
y21-y31 (1-2);
f2 BY y12
y22-y32 (1-2);
f3 BY y13
y23-y33 (1-2);
[y11 y12 y13] (3);
[y21 y22 y23] (4);
[y31 y32 y33] (5);
i s | f1@0 f2@1 f3@2;
In this example, the multiple indicator linear growth model for
continuous outcomes shown in the picture above is estimated. The first
BY statement specifies that f1 is measured by y11, y21, and y31. The
second BY statement specifies that f2 is measured by y12, y22, and y32.
The third BY statement specifies that f3 is measured by y13, y23, and
y33. The metric of the three factors is set automatically by the program
CHAPTER 6
138
by fixing the first factor loading in each BY statement to one. This
option can be overridden. The residual variances of the factor indicators
are estimated and the residuals are not correlated as the default.
A multiple indicator growth model requires measurement invariance of
the three factors across time. Measurement invariance is specified by
holding the intercepts and factor loadings of the factor indicators equal
over time. The (1-2) following the factor loadings in the three BY
statements uses the list function to assign equality labels to these
parameters. The label 1 is assigned to the factor loadings of y21, y22,
and y23 which holds these factor loadings equal across time. The label 2
is assigned to the factor loadings of y31, y32, and y33 which holds these
factor loadings equal across time. The factor loadings of y11, y21, and
y31 are fixed at one as described above. The bracket statements refer to
the intercepts. The (3) holds the intercepts of y11, y12, and y13 equal.
The (4) holds the intercepts of y21, y22, and y23 equal. The (5) holds
the intercepts of y31, y32, and y33 equal.
The | statement is used to name and define the intercept and slope factors
in the growth model. The names i and s on the left-hand side of the | are
the names of the intercept and slope growth factors, respectively. The
values on the right-hand side of the | are the time scores for the slope
growth factor. The time scores of the slope growth factor are fixed at 0,
1, and 2 to define a linear growth model with equidistant time points.
The zero time score for the slope growth factor at time point one defines
the intercept growth factor as an initial status factor. The coefficients of
the intercept growth factor are fixed at one as part of the growth model
parameterization. The residual variances of the factors f1, f2, and f3 are
estimated and allowed to be different across time, and the residuals are
not correlated as the default.
In the parameterization of the growth model shown here, the intercepts
of the factors f1, f2, and f3 are fixed at zero as the default. The mean of
the intercept growth factor is fixed at zero and the mean of the slope
growth factor is estimated as the default. The variances of the growth
factors are estimated as the default, and the growth factors are correlated
as the default because they are independent (exogenous) variables. The
default estimator for this type of analysis is maximum likelihood. The
ESTIMATOR option of the ANALYSIS command can be used to select
a different estimator. An explanation of the other commands can be
found in Example 6.1.

Examples: Growth, Survival, And N=1 Time Series Analysis
139
EXAMPLE 6.15: MULTIPLE INDICATOR LINEAR GROWTH
MODEL FOR CATEGORICAL OUTCOMES
TITLE: this is an example of a multiple indicator
linear growth model for categorical
outcomes
DATA: FILE IS ex6.15.dat;
VARIABLE: NAMES ARE u11 u21 u31 u12 u22 u32
u13 u23 u33;
CATEGORICAL ARE u11 u21 u31 u12 u22 u32
u13 u23 u33;
MODEL: f1 BY u11
u21-u31 (1-2);
f2 BY u12
u22-u32 (1-2);
f3 BY u13
u23-u33 (1-2);
[u11$1 u12$1 u13$1] (3);
[u21$1 u22$1 u23$1] (4);
[u31$1 u32$1 u33$1] (5);
{u11-u31@1 u12-u33};
i s | f1@0 f2@1 f3@2;
The difference between this example and Example 6.14 is that the factor
indicators are binary or ordered categorical (ordinal) variables instead of
continuous variables. The CATEGORICAL option is used to specify
which dependent variables are treated as binary or ordered categorical
(ordinal) variables in the model and its estimation. In the example
above, all of the factor indicators are categorical variables. The program
determines the number of categories for each indicator.
For binary and ordered categorical factor indicators, thresholds are
modeled rather than intercepts or means. The number of thresholds for a
categorical variable is equal to the number of categories minus one. In
the example above, the categorical variables are binary so they have one
threshold. Thresholds are referred to by adding to the variable name a $
followed by a number. The thresholds of the factor indicators are
referred to as u11$1, u12$1, u13$1, u21$1, u22$1, u23$1, u31$1, u32$1,
and u33$1. Thresholds are referred to in square brackets.
The growth model requires measurement invariance of the three factors
across time. Measurement invariance is specified by holding the

CHAPTER 6
140
thresholds and factor loadings of the factor indicators equal over time.
The (3) after the first bracket statement holds the thresholds of u11, u12,
and u13 equal. The (4) after the second bracket statement holds the
thresholds of u21, u22, and u23 equal. The (5) after the third bracket
statement holds the thresholds of u31, u32, and u33 equal. A list of
observed variables in curly brackets refers to scale factors. These are
part of the model with weighted least squares estimation and the Delta
parameterization. The scale factors for the latent response variables of
the categorical outcomes for the first factor are fixed at one, while the
scale factors for the latent response variables for the other factors are
free to be estimated. An explanation of the other commands can be
found in Examples 6.1 and 6.14.
EXAMPLE 6.16: TWO-PART (SEMICONTINUOUS) GROWTH
MODEL FOR A CONTINUOUS OUTCOME
TITLE: this is an example of a two-part
(semicontinuous) growth model for a
continuous outcome
DATA: FILE = ex6.16.dat;
DATA TWOPART:
NAMES = y1-y4;
BINARY = bin1-bin4;
CONTINUOUS = cont1-cont4;
VARIABLE: NAMES = x y1-y4;
USEVARIABLES = bin1-bin4 cont1-cont4;
CATEGORICAL = bin1-bin4;
MISSING = ALL(999);
ANALYSIS: ESTIMATOR = MLR;
MODEL: iu su | bin1@0 bin2@1 bin3@2 bin4@3;
iy sy | cont1@0 cont2@1 cont3@2 cont4@3;
su@0; iu WITH sy@0;
OUTPUT: TECH1 TECH8;

Examples: Growth, Survival, And N=1 Time Series Analysis
141
In this example, the two-part (semicontinuous) growth model (Olsen &
Schafer, 2001) for a continuous outcome shown in the picture above is
estimated. This is one type of model that can be considered when a
variable has a floor effect, for example, a preponderance of zeroes. The
analysis requires that one binary variable and one continuous variable be
created from the outcome being studied.
The DATA TWOPART command is used to create a binary and a
continuous variable from a variable with a floor effect. In this example,
a set of binary and continuous variables are created using the default
value of zero as the cutpoint. The CUTPOINT option of the DATA
TWOPART command can be used to select another value. The two
variables are created using the following rules:
1. If the value of the original variable is missing, both the new binary
and the new continuous variable values are missing.
CHAPTER 6
142
2. If the value of the original variable is greater than the cutpoint value,
the new binary variable value is one and the new continuous variable
value is the log of the original variable as the default.
3. If the value of the original variable is less than or equal to the
cutpoint value, the new binary variable value is zero and the new
continuous variable value is missing.
The TRANSFORM option of the DATA TWOPART command can be
used to select an alternative to the default log transformation of the new
continuous variables. One choice is no transformation.
The NAMES option of the DATA TWOPART command is used to
identify the variables from the NAMES option of the VARIABLE
command that are used to create a set of binary and continuous variables.
Variables y1, y2, y3, and y4 are used. The BINARY option is used to
assign names to the new set of binary variables. The names for the new
binary variables are bin1, bin2, bin3, and bin4. The CONTINUOUS
option is used to assign names to the new set of continuous variables.
The names for the new continuous variables are cont1, cont2, cont3, and
cont4. The new variables must be placed on the USEVARIABLES
statement of the VARIABLE command if they are used in the analysis.
The CATEGORICAL option is used to specify which dependent
variables are treated as binary or ordered categorical (ordinal) variables
in the model and its estimation. In the example above, bin1, bin2, bin3,
and bin4 are binary variables. The MISSING option is used to identify
the values or symbols in the analysis data set that are to be treated as
missing or invalid. In this example, the number 999 is the missing value
flag. The default is to estimate the model under missing data theory
using all available data. By specifying ESTIMATOR=MLR, a
maximum likelihood estimator with robust standard errors using a
numerical integration algorithm will be used. Note that numerical
integration becomes increasingly more computationally demanding as
the number of growth factors and the sample size increase. In this
example, one dimension of integration is used with a total of 15
integration points. The ESTIMATOR option of the ANALYSIS
command can be used to select a different estimator.
The first | statement specifies a linear growth model for the binary
outcome. The second | statement specifies a linear growth model for the
continuous outcome. In the parameterization of the growth model for
Examples: Growth, Survival, And N=1 Time Series Analysis
143
the binary outcome, the thresholds of the outcome variable at the four
time points are held equal as the default. The mean of the intercept
growth factor is fixed at zero. The mean of the slope growth factor and
the variances of the intercept and slope growth factors are estimated as
the default. In this example, the variance of the slope growth factor is
fized at zero for simplicity. In the parameterization of the growth model
for the continuous outcome, the intercepts of the outcome variables at
the four time points are fixed at zero as the default. The means and
variances of the growth factors are estimated as the default, and the
growth factors are correlated as the default because they are independent
(exogenous) variables.
It is often the case that not all growth factor covariances are significant
in two-part growth modeling. Fixing these at zero stabilizes the
estimation. This is why the growth factor covariance between iu and sy
is fixed at zero. The OUTPUT command is used to request additional
output not included as the default. The TECH1 option is used to request
the arrays containing parameter specifications and starting values for all
free parameters in the model. The TECH8 option is used to request that
the optimization history in estimating the model be printed in the output.
TECH8 is printed to the screen during the computations as the default.
TECH8 screen printing is useful for determining how long the analysis
takes. An explanation of the other commands can be found in Example
6.1.

CHAPTER 6
144
EXAMPLE 6.17: LINEAR GROWTH MODEL FOR A
CONTINUOUS OUTCOME WITH FIRST-ORDER AUTO
CORRELATED RESIDUALS USING NON-LINEAR
CONSTRAINTS
TITLE: this is an example of a linear growth
model for a continuous outcome with first-
order auto correlated residuals using non-
linear constraints
DATA: FILE = ex6.17.dat;
VARIABLE: NAMES = y1-y4;
MODEL: i s | y1@0 y2@1 y3@2 y4@3;
y1-y4 (resvar);
y1-y3 PWITH y2-y4 (p1);
y1-y2 PWITH y3-y4 (p2);
y1 WITH y4 (p3);
MODEL CONSTRAINT:
NEW (corr);
p1 = resvar*corr;
p2 = resvar*corr**2;
p3 = resvar*corr**3;
The difference between this example and Example 6.1 is that first-order
auto correlated residuals have been added to the model. In a model with
first-order correlated residuals, one residual variance parameter and one
residual auto-correlation parameter are estimated.
In the MODEL command, the label resvar following the residual
variances serves two purposes. It specifies that the residual variances
are held equal to each other and gives that residual variance parameter a
label to be used in the MODEL CONSTRAINT command. The labels
p1, p2, and p3 specify that the residual covariances at adjacent time
points, at adjacent time points once removed, and at adjacent time points
twice removed are held equal. The MODEL CONSTRAINT command
is used to define linear and non-linear constraints on the parameters in
the model. In the MODEL CONSTRAINT command, the NEW option
is used to introduce a new parameter that is not part of the MODEL
command. This residual auto-correlation parameter is referred to as
corr. The p1 parameter constraint specifies that the residual covariances
at adjacent time points are equal to the residual variance parameter
multiplied by the auto-correlation parameter. The p2 parameter

Examples: Growth, Survival, And N=1 Time Series Analysis
145
constraint specifies that the residual covariances at adjacent time points
once removed are equal to the residual variance parameter multiplied by
the auto-correlation parameter to the power of two. The p3 parameter
constraint specifies that the residual covariance at adjacent time points
twice removed is equal to the residual variance parameter multiplied by
the auto-correlation parameter to the power of three. An explanation of
the other commands can be found in Example 6.1.
EXAMPLE 6.18: MULTIPLE GROUP MULTIPLE COHORT
GROWTH MODEL
TITLE: this is an example of a multiple group
multiple cohort growth model
DATA: FILE = ex6.18.dat;
VARIABLE: NAMES = y1-y4 x a21-a24 g;
GROUPING = g (1 = 1990 2 = 1989 3 = 1988);
MODEL: i s |y1@0 y2@.2 y3@.4 y4@.6;
[i] (1); [s] (2);
i (3); s (4);
i WITH s (5);
i ON x (6);
s ON x (7);
y1 ON a21;
y2 ON a22 (12);
y3 ON a23 (14);
y4 ON a24 (16);
y2-y4 (22-24);
MODEL 1989:
i s |y1@.1 y2@.3 y3@.5 y4@.7;
y1 ON a21;
y2 ON a22;
y3 ON a23;
y4 ON a24;
y1-y4;
MODEL 1988:
i s |y1@.2 y2@.4 y3@.6 y4@.8;
y1 ON a21 (12);
y2 ON a22 (14);
y3 ON a23 (16);
y4 ON a24;
y1-y3 (22-24);
y4;
OUTPUT: TECH1 MODINDICES(3.84);

CHAPTER 6
146
In this example, the multiple group multiple cohort growth model shown
in the picture above is estimated. Longitudinal research studies often
collect data on several different groups of individuals defined by their
birth year or cohort. This allows the study of development over a wider
age range than the length of the study and is referred to as an accelerated
or sequential cohort design. The interest in these studies is the
development of an outcome over age not measurement occasion. This
can be handled by rearranging the data so that age is the time axis using
the DATA COHORT command or using a multiple group approach as
described in this example. The advantage of the multiple group
approach is that it can be used to test assumptions of invariance of
growth parameters across cohorts.
In the multiple group approach the variables in the data set represent the
measurement occasions. In this example, there are four measurement
occasions: 2000, 2002, 2004, and 2006. Therefore there are four
variables to represent the outcome. In this example, there are three
cohorts with birth years 1988, 1989, and 1990. It is the combination of
the time of measurement and birth year that determines the ages
represented in the data. This is shown in the table below where rows
represent cohort and columns represent measurement occasion. The

Examples: Growth, Survival, And N=1 Time Series Analysis
147
entries in the table represent the ages. In this example, ages 10 to 18 are
represented.
M.O./
Cohort
2000
2002
2004
2006
1988
12
14
16
18
1989
11
13
15
17
1990
10
12
14
16
The model that is estimated uses the time axis of age as shown in the
table below where rows represent cohort and columns represent age.
The entries for the first three rows in the table are the years of the
measurement occasions. The entries for the last row are the time scores
for a linear model.
Age/
Cohort
10
11
12
13
14
15
16
17
18
1988
2000
2002
2004
2006
1989
2000
2002
2004
2006
1990
2000
2002
2004
2006
Time
Score
0
.1
.2
.3
.4
.5
.6
.7
.8
As shown in the table, three ages are represented by more than one
cohort. Age 12 is represented by cohorts 1988 and 1990 measured in
2000 and 2002; age 14 is represented by cohorts 1988 and 1990
measured in 2002 and 2004; and age 16 is represented by cohorts 1988
and 1990 measured in 2004 and 2006. This information is needed to
constrain parameters to be equal in the multiple group model.
The table also provides information about the time scores for each
cohort. The time scores are obtained as the difference in age between
measurement occasions divided by ten. The division is used to avoid
large time scores which can lead to convergence problems. Cohort 1990
provides information for ages 10, 12, 14, and 16. The time scores for
cohort 2000 are 0, .2, .4, and .6. Cohort 1989 provides information for
ages 11, 13, 15, and 17. The time scores for cohort 1989 are .1, .3, .5,
and .7. Cohort 1988 provides information for ages 12, 14, 16, and 18.
The time scores for cohort 1988 are .2, .4, .6, and .8.
CHAPTER 6
148
The GROUPING option is used to identify the variable in the data set
that contains information on group membership when the data for all
groups are stored in a single data set. The information in parentheses
after the grouping variable name assigns labels to the values of the
grouping variable found in the data set. In the example above,
observations with g equal to 1 will be assigned the label 1990,
individuals with g equal to 2 will be assigned the label 1989, and
individuals with g equal to 3 will be assigned the label 1988. These
labels are used in conjunction with the MODEL command to specify
model statements specific to each group.
In multiple group analysis, two variations of the MODEL command are
used. They are MODEL and MODEL followed by a label. MODEL
describes the overall model to be estimated for each group. MODEL
followed by a label describes differences between the overall model and
the model for the group designated by the label. In the MODEL
command, the | symbol is used to name and define the intercept and
slope factors in a growth model. The names i and s on the left-hand side
of the | symbol are the names of the intercept and slope growth factors,
respectively. The statement on the right-hand side of the | symbol
specifies the outcome and the time scores for the growth model. The
time scores for the slope growth factor are fixed at 0, .2, .4, and .6.
These are the time scores for cohort 1990. The zero time score for the
slope growth factor at time point one defines the intercept growth factor
as an initial status factor for age 10. The coefficients of the intercept
growth factor are fixed at one as part of the growth model
parameterization. The residual variances of the outcome variables are
estimated and allowed to be different across age and the residuals are not
correlated as the default. The time scores for the other two cohorts are
specified in the group-specific MODEL commands. The group-specific
MODEL command for cohort 1989 fixes the time scores at .1, .3, .5, and
.7. The group-specific MODEL command for cohort 1988 fixes the time
scores at .2, .4, .6, and .8.
The equalities specified by the numbers in parentheses represent the
baseline assumption that the cohorts come from the same population.
Equalities specified in the overall MODEL command constrain
parameters to be equal across all groups. All parameters related to the
growth factors are constrained to be equal across all groups. Other
parameters are held equal when an age is represented by more than one
cohort. For example, the ON statement with the (12) equality in the

Examples: Growth, Survival, And N=1 Time Series Analysis
149
overall MODEL command describes the linear regression of y2 on the
time-varying covariate a22 for cohort 1990 at age 12. In the group-
specific MODEL command for cohort 1988, the ON statement with the
(12) equality describes the linear regression of y1 on the time-varying
covariate a21 for cohort 1988 at age 12. Other combinations of cohort
and age do not involve equality constraints. Cohort 1990 is the only
cohort that represents age 10; cohort 1989 is the only cohort that
represents ages 11, 13, 15, 17; and cohort 1988 is the only cohort that
represents age 18. Statements in the group-specific MODEL commands
relax equality constraints specified in the overall MODEL command.
An explanation of the other commands can be found in Example 6.1.
EXAMPLE 6.19: DISCRETE-TIME SURVIVAL ANALYSIS
TITLE: this is an example of a discrete-time
survival analysis
DATA: FILE IS ex6.19.dat;
VARIABLE: NAMES ARE u1-u4 x;
CATEGORICAL = u1-u4;
MISSING = ALL (999);
ANALYSIS: ESTIMATOR = MLR;
MODEL: f BY u1-u4@1;
f ON x;
f@0;
In this example, the discrete-time survival analysis model shown in the
picture above is estimated. Each u variable represents whether or not a
single non-repeatable event has occurred in a specific time period. The
value 1 means that the event has occurred, 0 means that the event has not

CHAPTER 6
150
occurred, and a missing value flag means that the event has occurred in a
preceding time period or that the individual has dropped out of the study
(Muthén & Masyn, 2005). The factor f is used to specify a proportional
odds assumption for the hazards of the event.
The MISSING option is used to identify the values or symbols in the
analysis data set that are to be treated as missing or invalid. In this
example, the number 999 is the missing value flag. The default is to
estimate the model under missing data theory using all available data.
The default estimator for this type of analysis is a robust weighted least
squares estimator. By specifying ESTIMATOR=MLR, maximum
likelihood estimation with robust standard errors is used. The BY
statement specifies that f is measured by u1, u2, u3, and u4 where the
factor loadings are fixed at one. This represents a proportional odds
assumption where the covariate x has the same influence on u1, u2, u3,
and u4. The ON statement describes the linear regression of f on the
covariate x. The residual variance of f is fixed at zero to correspond to a
conventional discrete-time survival model. An explanation of the other
commands can be found in Example 6.1.
EXAMPLE 6.20: CONTINUOUS-TIME SURVIVAL ANALYSIS
USING THE COX REGRESSION MODEL
TITLE: this is an example of a continuous-time
survival analysis using the Cox regression
model
DATA: FILE = ex6.20.dat;
VARIABLE: NAMES = t x tc;
SURVIVAL = t;
TIMECENSORED = tc (0 = NOT 1 = RIGHT);
MODEL: t ON x;
In this example, the continuous-time survival analysis model shown in
the picture above is estimated. This is the Cox regression model (Singer

Examples: Growth, Survival, And N=1 Time Series Analysis
151
& Willett, 2003). The profile likelihood method is used for model
estimation (Asparouhov et al., 2006).
The SURVIVAL option is used to identify the variables that contain
information about time to event and to provide information about the
number and lengths of the time intervals in the baseline hazard function
to be used in the analysis. The SURVIVAL option must be used in
conjunction with the TIMECENSORED option. In this example, t is the
variable that contains time-to-event information. Because nothing is
specified in parentheses behind t, the default baseline hazard function is
used. The TIMECENSORED option is used to identify the variables
that contain information about right censoring. In this example, the
variable is named tc. The information in parentheses specifies that the
value zero represents no censoring and the value one represents right
censoring. This is the default.
In the MODEL command, the ON statement describes the loglinear
regression of the time-to-event variable t on the covariate x. The default
estimator for this type of analysis is maximum likelihood with robust
standard errors. The estimator option of the ANALYSIS command can
be used to select a different estimator. An explanation of the other
commands can be found in Example 6.1.
EXAMPLE 6.21: CONTINUOUS-TIME SURVIVAL ANALYSIS
USING A PARAMETRIC PROPORTIONAL HAZARDS MODEL
TITLE: this is an example of a continuous-time
survival analysis using a parametric
proportional hazards model
DATA: FILE = ex6.21.dat;
VARIABLE: NAMES = t x tc;
SURVIVAL = t(20*1);
TIMECENSORED = tc (0 = NOT 1 = RIGHT);
ANALYSIS: BASEHAZARD = ON;
MODEL: [t#1-t#21];
t ON x;
The difference between this example and Example 6.20 is that a
parametric proportional hazards model is used instead of a Cox
regression model. In contrast to the Cox regression model, the
CHAPTER 6
152
parametric model estimates parameters and their standard errors for the
baseline hazard function (Asparouhov et al., 2006).
The SURVIVAL option is used to identify the variables that contain
information about time to event and to provide information about the
number and lengths of the time intervals in the baseline hazard function
to be used in the analysis. The SURVIVAL option must be used in
conjunction with the TIMECENSORED option. In this example, t is the
variable that contains time-to-event information. The numbers in
parentheses following the time-to-event variable specify that twenty time
intervals of length one are used in the analysis for the baseline hazard
function. The TIMECENSORED option is used to identify the variables
that contain information about right censoring. In this example, this
variable is named tc. The information in parentheses specifies that the
value zero represents no censoring and the value one represents right
censoring. This is the default.
The BASEHAZARD option of the ANALYSIS command is used with
continuous-time survival analysis to specify whether the baseline hazard
parameters are treated as model parameters or as auxiliary parameters.
The ON setting specifies that the parameters are treated as model
parameters. There are as many baseline hazard parameters as there are
time intervals plus one. These parameters can be referred to in the
MODEL command by adding to the name of the time-to-event variable
the number sign (#) followed by a number. In the MODEL command,
the bracket statement specifies that the 21 baseline hazard parameters are
part of the model.
The default estimator for this type of analysis is maximum likelihood
with robust standard errors. The estimator option of the ANALYSIS
command can be used to select a different estimator. An explanation of
the other commands can be found in Examples 6.1 and 6.20.

Examples: Growth, Survival, And N=1 Time Series Analysis
153
EXAMPLE 6.22: CONTINUOUS-TIME SURVIVAL ANALYSIS
USING A PARAMETRIC PROPORTIONAL HAZARDS MODEL
WITH A FACTOR INFLUENCING SURVIVAL
TITLE: this is an example of a continuous-time
survival analysis using a parametric
proportional hazards model with a factor
influencing survival
DATA: FILE = ex6.22.dat;
VARIABLE: NAMES = t u1-u4 x tc;
SURVIVAL = t (20*1);
TIMECENSORED = tc;
CATEGORICAL = u1-u4;
ANALYSIS: ALGORITHM = INTEGRATION;
BASEHAZARD = ON;
MODEL: f BY u1-u4;
[t#1-t#21];
t ON x f;
f ON x;
OUTPUT: TECH1 TECH8;
In this example, the continuous-time survival analysis model shown in
the picture above is estimated. The model is similar to Larsen (2005)

CHAPTER 6
154
although in this example the analysis uses a parametric baseline hazard
function (Asparouhov et al., 2006).
By specifying ALGORITHM=INTEGRATION, a maximum likelihood
estimator with robust standard errors using a numerical integration
algorithm will be used. Note that numerical integration becomes
increasingly more computationally demanding as the number of factors
and the sample size increase. In this example, one dimension of
integration is used with a total of 15 integration points. The
ESTIMATOR option of the ANALYSIS command can be used to select
a different estimator.
In the MODEL command the BY statement specifies that f is measured
by the binary indicators u1, u2, u3, and u4. The bracket statement
specifies that the 21 baseline hazard parameters are part of the model.
The first ON statement describes the loglinear regression of the time-to-
event variable t on the covariate x and the factor f. The second ON
statement describes the linear regression of f on the covariate x. An
explanation of the other commands can be found in Examples 6.1 and
6.21.
EXAMPLE 6.23: N=1 TIME SERIES ANALYSIS WITH A
UNIVARIATE FIRST-ORDER AUTOREGRESSIVE AR(1)
MODEL FOR A CONTINUOUS DEPENDENT VARIABLE
TITLE: this is an example of an N=1 time series
analysis with a univariate first-order
autoregressive AR(1) model for a
continuous dependent variable
DATA: FILE = ex6.23.dat;
VARIABLE: NAMES = y;
LAGGED = y(1);
ANALYSIS: ESTIMATOR = BAYES;
PROCESSORS = 2;
BITERATIONS = (2000);
MODEL: y ON y&1;
OUTPUT: TECH1 TECH8;
PLOT: TYPE = PLOT3;

Examples: Growth, Survival, And N=1 Time Series Analysis
155
In this example, the N=1 time series analysis with a univariate first-order
autoregressive AR(1) model for a continuous dependent variable shown
in the picture above is estimated (Shumway & Stoffer, 2011). The
subscript t refers to a time point and the subscript t-1 refers to the
previous time point. The dots indicate that the process includes both
previous and future time points using the same model.
In the VARIABLE command, the NAMES option is used to assign
names to the variables in the data set. The data set in this example
contains one variable y. The variable y is measured over multiple time
points. The number of times it is measured is equal to the number of
records in the data set. The records must be ordered by time. The
LAGGED option is used to specify the maximum lag to use for an
observed variable during model estimation. The variable y has lag 1.
The lagged variable is referred to by adding to the name of the variable
an ampersand (&) and the number of the lag.
In the ANALYSIS command, by specifying ESTIMATOR=BAYES, a
Bayesian analysis will be carried out. In Bayesian estimation, the
default is to use two independent Markov chain Monte Carlo (MCMC)
chains. If multiple processors are available, using PROCESSORS=2
will speed up computations. The BITERATIONS option is used to
specify the maximum and minimum number of iterations for each
Markov chain Monte Carlo (MCMC) chain when the potential scale
reduction (PSR) convergence criterion (Gelman & Rubin, 1992) is used.
Using a number in parentheses, the BITERATIONS option specifies that
a minimum of 2,000 and a maximum of the default of 50,000 iterations
will be used.
In the MODEL command, the ON statement describes the linear
regression over multiple time points of the dependent variable y on the
dependent variable y&1 which is y at the previous time point. An
intercept, regression coefficient, and residual variance are estimated.

CHAPTER 6
156
An N=1 time series analysis with a univariate second-order
autoregressive AR(2) model can also be estimated. For this analysis, the
LAGGED option is specified as LAGGED = y (2); and the MODEL
command is specified as follows:
MODEL: y ON y&1 y&2;
In the MODEL command, the ON statement describes the linear
regression over multiple time points of the dependent variable y on the
dependent variable y&1 which is y at the previous time point and the
dependent variable y&2 which is y at two time points prior. An
intercept, two regression coefficients, and a residual variance are
estimated. A model where only y at lag 2 is used is specified as follows:
MODEL: y ON y&1@0 y&2;
where the coefficient for y at lag 1 is fixed at zero. An intercept,
regression coefficient, and residual variance are estimated.
The OUTPUT command is used to request additional output not
included as the default. The TECH1 option is used to request the arrays
containing parameter specifications and starting values for all free
parameters in the model. The TECH8 option is used to request that the
optimization history in estimating the model be printed in the output.
TECH8 is printed to the screen during the computations as the default.
TECH8 screen printing is useful for determining how long the analysis
takes and to check convergence using the PSR convergence criterion.
The PLOT command is used to request graphical displays of observed
data and analysis results. These graphical displays can be viewed after
the analysis is completed using a post-processing graphics module. The
trace plot and autocorrelation plot can be used to monitor the MCMC
iterations in terms of convergence and quality of the posterior
distribution for each parameter. The posterior distribution plot shows the
complete posterior distribution of the parameter estimate. Also available
are time series plots of observed values, autocorrelations at different
lags, and partial autocorrelations at different lags. An explanation of the
other commands can be found in Example 6.1.

Examples: Growth, Survival, And N=1 Time Series Analysis
157
EXAMPLE 6.24: N=1 TIME SERIES ANALYSIS WITH A
UNIVARIATE FIRST-ORDER AUTOREGRESSIVE AR(1)
MODEL FOR A CONTINUOUS DEPENDENT VARIABLE
WITH A COVARIATE
TITLE: this is an example of an N=1 time series
analysis with a univariate first-order
autoregressive AR(1) model for a
continuous dependent variable with a
covariate
DATA: FILE = ex6.24.dat;
VARIABLE: NAMES ARE y x;
LAGGED = y(1) x(1);
ANALYSIS: ESTIMATOR = BAYES;
PROCESSORS = 2;
BITERATIONS = (1000);
MODEL: y ON y&1 x x&1;
OUTPUT: TECH1 TECH8;
PLOT: TYPE = PLOT3;
In this example, the N=1 time series analysis with a univariate first-order
autoregressive AR(1) model for a continuous dependent variable with a
covariate shown in the picture above is estimated. The subscript t refers
to a time point and the subscript t-1 refers to the previous time point.
The dots indicate that the process includes both previous and future time
points using the same model.
In the MODEL command, the ON statement describes the linear
regression over multiple time points of the dependent variable y on the

CHAPTER 6
158
dependent variable y&1 which is y at the previous time point, a covariate
x, and a covariate x&1 which is x at the previous time point. An
intercept, three regression coefficients, and a residual variance are
estimated. An explanation of the other commands can be found in
Examples 6.1 and 6.23.
EXAMPLE 6.25: N=1 TIME SERIES ANALYSIS WITH A
BIVARIATE CROSS-LAGGED MODEL FOR CONTINUOUS
DEPENDENT VARIABLES
TITLE: this is an example of an N=1 time series
analysis with a bivariate cross-lagged
model for continuous dependent variables
DATA: FILE = ex6.25.dat;
VARIABLE: NAMES = y1 y2;
LAGGED = y1(1) y2(1);
ANALYSIS: ESTIMATOR = BAYES;
PROCESSORS = 2;
BITERATIONS = (500);
MODEL: y1 ON y1&1 y2&1;
y2 ON y2&1 y1&1;
OUTPUT: TECH1 TECH8;
PLOT: TYPE = PLOT3;
In this example, the N=1 time series analysis with a bivariate cross-
lagged model for continuous dependent variables shown in the picture
above is estimated. This model is also referred to as a first-order vector
autoregressive VAR(1) model, see e.g., Shumway and Stoffer (2011).
The subscript t refers to a time point and the subscript t-1 refers to the

Examples: Growth, Survival, And N=1 Time Series Analysis
159
previous time point. The dots indicate that the process includes both
previous and future time points using the same model.
In the MODEL command, the first ON statement describes the linear
regression over multiple time points of the dependent variable y1 on the
dependent variable y1&1 which is y1 at the previous time point, and the
dependent variable y2&1 which is y2 at the previous time point. The
second ON statement describes the linear regression over multiple time
points of the dependent variable y2 on the dependent variable y2&1
which is y2 at the previous time point, and the dependent variable y1&1
which is y1 at the previous time point. Two intercepts, four regression
coefficients, two residual variances, and one residual covariance are
estimated. An explanation of the other commands can be found in
Examples 6.1 and 6.23.
EXAMPLE 6.26: N=1 TIME SERIES ANALYSIS WITH A
FIRST-ORDER AUTOREGRESSIVE AR(1) CONFIRMATORY
FACTOR ANALYSIS (CFA) MODEL WITH CONTINUOUS
FACTOR INDICATORS
TITLE: this is an example of an N=1 time series
analysis with a first-order autoregressive
AR(1) confirmatory factor analysis (CFA)
model with continuous factor indicators
DATA: FILE = ex6.26.dat;
VARIABLE: NAMES = y1-y4;
ANALYSIS: ESTIMATOR = BAYES;
PROCESSORS = 2;
BITERATIONS = (2000);
MODEL: f BY y1-y4 (&1);
f ON f&1;
OUTPUT: TECH1 TECH8;
PLOT: TYPE = PLOT3;

CHAPTER 6
160
In this example, the N=1 time series analysis with a first-order
autoregressive AR(1) confirmatory factor analysis (CFA) model with
continuous factor indicators shown in the picture above is estimated.
This model is also referred to as a direct autoregressive factor score
(DAFS) model. For a discussion of N=1 time series factor analysis, also
referred to as dynamic factor analysis, see e.g., Molenaar (1985); Zhang,
Hamaker, and Nesselroade (2008); and Asparouhov, Hamaker, and
Muthén (2017). The subscript t refers to a time point and the subscript t-
1 refers to the previous time point. The dots indicate that the process
includes both previous and future time points using the same model.
In the MODEL command, the BY statement specifies that f is measured
by y1, y2, y3, and y4. The metric of the factor is set automatically by
the program by fixing the first factor loading to one. This option can be
overridden. An ampersand (&) followed by the number 1 is placed in
parentheses following the BY statement to indicate that the factor f at
lag 1 can be used in the analysis. The factor f at lag 1 is referred to as
f&1. The intercepts and residual variances of the factor indicators are
estimated and the residuals are not correlated as the default. The ON
statement describes the linear regression over multiple time points of the
factor f on the factor f&1 which is f at the previous time point. A
regression coefficient and residual variance of the factor are estimated.
The intercept of the factor is fixed at zero as the default.
A white noise factor score (WNFS) model (Zhang & Nesselroade, 2007)
can be estimated using the MODEL command below where instead of
regressing the factor f on f&1, the factor indicators y1, y2, y3, and y4 are
regressed on f&1.

Examples: Growth, Survival, And N=1 Time Series Analysis
161
MODEL: f BY y1-y4 (&1);
y1-y4 ON f&1;
An explanation of the other commands can be found in Examples 6.1
and 6.23.
EXAMPLE 6.27: N=1 TIME SERIES ANALYSIS WITH A
FIRST-ORDER AUTOREGRESSIVE AR(1) IRT MODEL WITH
BINARY FACTOR INDICATORS
TITLE: this is an example of an N=1 time series
analysis with a first-order autoregressive
AR(1) IRT model with binary factor
indicators
DATA: FILE = ex6.27.dat;
VARIABLE: NAMES = u1-u4;
CATEGORICAL = u1-u4;
ANALYSIS: ESTIMATOR = BAYES;
PROCESSORS = 2;
BITERATIONS = (2000);
MODEL: f BY u1-u4*(&1);
f@1;
f ON f&1;
OUTPUT: TECH1 TECH8;
PLOT: TYPE = PLOT3;
In this example, an N=1 time series analysis with a first-order
autoregressive AR(1) IRT model with binary factor indicators is
estimated. The subscript t refers to a time point and the subscript t-1
refers to the previous time point. The dots indicate that the process
includes both previous and future time points using the same model.
The CATEGORICAL option specifies that the variables u1, u2, u3, and
u4 are binary. In the MODEL command, the BY statement specifies that
f is measured by u1, u2, u3, and u4. The metric of the factor is set
automatically by the program by fixing the first factor loading to one.
The asterisk following u1-u4 overrides this default. The metric of the
factor is set by fixing the factor residual variance to one. An ampersand
(&) followed by the number 1 is placed in parentheses following the BY
statement to indicate that the factor f at lag 1 can be used in the analysis.
The factor f at lag 1 is referred to as f&1. The thresholds of the factor
indicators are estimated as the default. The ON statement describes the

CHAPTER 6
162
linear regression over multiple time points of the factor f on the factor
f&1 which is f at the previous time point. A regression coefficient and
residual variance of the factor are estimated. The intercept of the factor
is fixed at zero as the default. An explanation of the other commands
can be found in Examples 6.1, 6.4, and 6.23.
EXAMPLE 6.28: N=1 TIME SERIES ANALYSIS WITH A
BIVARIATE CROSS-LAGGED MODEL WITH TWO FACTORS
AND CONTINUOUS FACTOR INDICATORS
TITLE: this is an example of an N=1 time series
analysis with a bivariate cross-lagged
model with two factors and continuous
factor indicators
DATA: FILE = ex6.28.dat;
VARIABLE: NAMES = y11-y14 y21-y24;
ANALYSIS: ESTIMATOR = BAYES;
PROCESSORS = 2;
BITERATIONS = (2000);
MODEL: f1 BY y11-y14 (&1);
f2 BY y21-y24 (&1);
f1 ON f1&1 f2&1;
f2 ON f2&1 f1&1;
OUTPUT: TECH1 TECH8;
PLOT: TYPE = PLOT3;

Examples: Growth, Survival, And N=1 Time Series Analysis
163
In this example, the N=1 time series analysis with a bivariate cross-
lagged model with two factors and continuous factor indicators shown in
the picture above is estimated. The subscript t refers to a time point and
the subscript t-1 refers to the previous time point. The dots indicate that
the process includes both previous and future time points using the same
model.
In the MODEL command, the first BY statement specifies that f1 is
measured by y11, y12, y13, and y14. The second BY statement specifies
that f2 is measured by y21, y22, y23, and y24. The metric of the factors
is set automatically by the program by fixing the first factor loading to
one. This option can be overridden. An ampersand (&) followed by the
number 1 is placed in parentheses following the BY statements to
indicate that the factors f1 and f2 at lag 1 are used during model
estimation. The factors f1 and f2 at lag 1 are referred to as f1&1 and
f2&1, respectively. The intercepts and residual variances of the factor
indicators are estimated and the residuals are not correlated as the
default. The first ON statement describes the linear regression over
CHAPTER 6
164
multiple time points of the factor f1 on the factor f1&1 which is f1 at the
previous time point and the factor f2&1 which is f2 at the previous time
point. The second ON statement describes the linear regression over
multiple time points of the factor f2 on the factor f2&1 which is f2 at the
previous time point and the factor f1&1 which is f1 at the previous time
point. Four regression coefficients, two residual variances, and one
residual covariance of the factors are estimated. The intercepts of the
factors are fixed at zero as the default. An explanation of the other
commands can be found in Examples 6.1 and 6.23.
Examples: Mixture Modeling With Cross-Sectional Data
165
CHAPTER 7
EXAMPLES: MIXTURE
MODELING WITH CROSS-
SECTIONAL DATA
Mixture modeling refers to modeling with categorical latent variables
that represent subpopulations where population membership is not
known but is inferred from the data. This is referred to as finite mixture
modeling in statistics (McLachlan & Peel, 2000). A special case is
latent class analysis (LCA) where the latent classes explain the
relationships among the observed dependent variables similar to factor
analysis. In contrast to factor analysis, however, LCA provides
classification of individuals. In addition to conventional exploratory
LCA, confirmatory LCA and LCA with multiple categorical latent
variables can be estimated. In Mplus, mixture modeling can be applied
to any of the analyses discussed in the other example chapters including
regression analysis, path analysis, confirmatory factor analysis (CFA),
item response theory (IRT) analysis, structural equation modeling
(SEM), growth modeling, survival analysis, and multilevel modeling.
Observed dependent variables can be continuous, censored, binary,
ordered categorical (ordinal), unordered categorical (nominal), counts,
or combinations of these variable types. LCA and general mixture
models can be extended to include continuous latent variables. An
overview can be found in Muthén (2008).
LCA is a measurement model. A general mixture model has two parts: a
measurement model and a structural model. The measurement model for
LCA and the general mixture model is a multivariate regression model
that describes the relationships between a set of observed dependent
variables and a set of categorical latent variables. The observed
dependent variables are referred to as latent class indicators. The
relationships are described by a set of linear regression equations for
continuous latent class indicators, a set of censored normal or censored-
inflated normal regression equations for censored latent class indicators,
a set of logistic regression equations for binary or ordered categorical
latent class indicators, a set of multinomial logistic regressions for
unordered categorical latent class indicators, and a set of Poisson or
CHAPTER 7
166
zero-inflated Poisson regression equations for count latent class
indicators.
The structural model describes three types of relationships in one set of
multivariate regression equations: the relationships among the
categorical latent variables, the relationships among observed variables,
and the relationships between the categorical latent variables and
observed variables that are not latent class indicators. These
relationships are described by a set of multinomial logistic regression
equations for the categorical latent dependent variables and unordered
observed dependent variables, a set of linear regression equations for
continuous observed dependent variables, a set of censored normal or
censored normal regression equations for censored-inflated observed
dependent variables, a set of logistic regression equations for binary or
ordered categorical observed dependent variables, and a set of Poisson
or zero-inflated Poisson regression equations for count observed
dependent variables. For logistic regression, ordered categorical
variables are modeled using the proportional odds specification.
Maximum likelihood estimation is used.
The general mixture model can be extended to include continuous latent
variables. The measurement and structural models for continuous latent
variables are described in Chapter 5. In the extended general mixture
model, relationships between categorical and continuous latent variables
are allowed. These relationships are described by a set of multinomial
logistic regression equations for the categorical latent dependent
variables and a set of linear regression equations for the continuous
latent dependent variables.
In mixture modeling, some starting values may result in local solutions
that do not represent the global maximum of the likelihood. To avoid
this, different sets of starting values are automatically produced and the
solution with the best likelihood is reported.
All cross-sectional mixture models can be estimated using the following
special features:
Single or multiple group analysis
Missing data
Complex survey data
Examples: Mixture Modeling With Cross-Sectional Data
167
Latent variable interactions and non-linear factor analysis using
maximum likelihood
Random slopes
Linear and non-linear parameter constraints
Indirect effects including specific paths
Maximum likelihood estimation for all outcome types
Bootstrap standard errors and confidence intervals
Wald chi-square test of parameter equalities
Test of equality of means across latent classes using posterior
probability-based multiple imputations
For TYPE=MIXTURE, multiple group analysis is specified by using the
KNOWNCLASS option of the VARIABLE command. The default is to
estimate the model under missing data theory using all available data.
The LISTWISE option of the DATA command can be used to delete all
observations from the analysis that have missing values on one or more
of the analysis variables. Corrections to the standard errors and chi-
square test of model fit that take into account stratification, non-
independence of observations, and unequal probability of selection are
obtained by using the TYPE=COMPLEX option of the ANALYSIS
command in conjunction with the STRATIFICATION, CLUSTER, and
WEIGHT options of the VARIABLE command. The
SUBPOPULATION option is used to select observations for an analysis
when a subpopulation (domain) is analyzed. Latent variable interactions
are specified by using the | symbol of the MODEL command in
conjunction with the XWITH option of the MODEL command. Random
slopes are specified by using the | symbol of the MODEL command in
conjunction with the ON option of the MODEL command. Linear and
non-linear parameter constraints are specified by using the MODEL
CONSTRAINT command. Indirect effects are specified by using the
MODEL INDIRECT command. Maximum likelihood estimation is
specified by using the ESTIMATOR option of the ANALYSIS
command. Bootstrap standard errors are obtained by using the
BOOTSTRAP option of the ANALYSIS command. Bootstrap
confidence intervals are obtained by using the BOOTSTRAP option of
the ANALYSIS command in conjunction with the CINTERVAL option
of the OUTPUT command. The MODEL TEST command is used to test
linear restrictions on the parameters in the MODEL and MODEL
CONSTRAINT commands using the Wald chi-square test. The
AUXILIARY option is used to test the equality of means across latent
classes using posterior probability-based multiple imputations.
CHAPTER 7
168
Graphical displays of observed data and analysis results can be obtained
using the PLOT command in conjunction with a post-processing
graphics module. The PLOT command provides histograms,
scatterplots, plots of individual observed and estimated values, plots of
sample and estimated means and proportions/probabilities, and plots of
estimated probabilities for a categorical latent variable as a function of
its covariates. These are available for the total sample, by group, by
class, and adjusted for covariates. The PLOT command includes
a display showing a set of descriptive statistics for each variable. The
graphical displays can be edited and exported as a DIB, EMF, or JPEG
file. In addition, the data for each graphical display can be saved in an
external file for use by another graphics program.
Following is the set of examples included in this chapter.
7.1: Mixture regression analysis for a continuous dependent
variable using automatic starting values with random starts
7.2: Mixture regression analysis for a count variable using a zero-
inflated Poisson model using automatic starting values with random
starts
7.3: LCA with binary latent class indicators using automatic starting
values with random starts
7.4: LCA with binary latent class indicators using user-specified
starting values without random starts
7.5: LCA with binary latent class indicators using user-specified
starting values with random starts
7.6: LCA with three-category latent class indicators using user-
specified starting values without random starts
7.7: LCA with unordered categorical latent class indicators using
automatic starting values with random starts
7.8: LCA with unordered categorical latent class indicators using
user-specified starting values with random starts
7.9: LCA with continuous latent class indicators using automatic
starting values with random starts
7.10: LCA with continuous latent class indicators using user-
specified starting values without random starts
7.11: LCA with binary, censored, unordered, and count latent class
indicators using user-specified starting values without random starts
7.12: LCA with binary latent class indicators using automatic
starting values with random starts with a covariate and a direct effect
Examples: Mixture Modeling With Cross-Sectional Data
169
7.13: Confirmatory LCA with binary latent class indicators and
parameter constraints
7.14: Confirmatory LCA with two categorical latent variables
7.15: Loglinear model for a three-way table with conditional
independence between the first two variables
7.16: LCA with partial conditional independence*
7.17: Mixture CFA modeling
7.18: LCA with a second-order factor (twin analysis)*
7.19: SEM with a categorical latent variable regressed on a
continuous latent variable*
7.20: Structural equation mixture modeling
7.21: Mixture modeling with known classes (multiple group
analysis)
7.22: Mixture modeling with continuous variables that correlate
within class
7.23: Mixture randomized trials modeling using CACE estimation
with training data
7.24: Mixture randomized trials modeling using CACE estimation
with missing data on the latent class indicator
7.25: Zero-inflated Poisson regression carried out as a two-class
model
7.26: CFA with a non-parametric representation of a non-normal
factor distribution
7.27: Factor (IRT) mixture analysis with binary latent class and
factor indicators*
7.28: Two-group twin model for categorical outcomes using
maximum likelihood and parameter constraints*
7.29: Two-group IRT twin model for factors with categorical factor
indicators using parameter constraints*
7.30: Continuous-time survival analysis using a Cox regression
model to estimate a treatment effect
* Example uses numerical integration in the estimation of the model.
This can be computationally demanding depending on the size of the
problem.

CHAPTER 7
170
EXAMPLE 7.1: MIXTURE REGRESSION ANALYSIS FOR A
CONTINUOUS DEPENDENT VARIABLE USING AUTOMATIC
STARTING VALUES WITH RANDOM STARTS
TITLE: this is an example of a mixture regression
analysis for a continuous dependent
variable using automatic starting values
with random starts
DATA: FILE IS ex7.1.dat;
VARIABLE: NAMES ARE y x1 x2;
CLASSES = c (2);
ANALYSIS: TYPE = MIXTURE;
MODEL:
%OVERALL%
y ON x1 x2;
c ON x1;
%c#2%
y ON x2;
y;
OUTPUT: TECH1 TECH8;

Examples: Mixture Modeling With Cross-Sectional Data
171
In this example, the mixture regression model for a continuous
dependent variable shown in the picture above is estimated using
automatic starting values with random starts. Because c is a categorical
latent variable, the interpretation of the picture is not the same as for
models with continuous latent variables. The arrow from c to y indicates
that the intercept of y varies across the classes of c. This corresponds to
the regression of y on a set of dummy variables representing the
categories of c. The broken arrow from c to the arrow from x2 to y
indicates that the slope in the regression of y on x2 varies across the
classes of c. The arrow from x1 to c represents the multinomial logistic
regression of c on x1.
TITLE: this is an example of a mixture regression
analysis for a continuous dependent
variable
The TITLE command is used to provide a title for the analysis. The title
is printed in the output just before the Summary of Analysis.
DATA: FILE IS ex7.1.dat;
The DATA command is used to provide information about the data set
to be analyzed. The FILE option is used to specify the name of the file
that contains the data to be analyzed, ex7.1.dat. Because the data set is
in free format, the default, a FORMAT statement is not required.
VARIABLE: NAMES ARE y x1 x2;
CLASSES = c (2);
The VARIABLE command is used to provide information about the
variables in the data set to be analyzed. The NAMES option is used to
assign names to the variables in the data set. The data set in this
example contains three variables: y, x1, and x2. The CLASSES option
is used to assign names to the categorical latent variables in the model
and to specify the number of latent classes in the model for each
categorical latent variable. In the example above, there is one
categorical latent variable c that has two latent classes.
ANALYSIS: TYPE = MIXTURE;
The ANALYSIS command is used to describe the technical details of the
analysis. The TYPE option is used to describe the type of analysis that

CHAPTER 7
172
is to be performed. By selecting MIXTURE, a mixture model will be
estimated.
When TYPE=MIXTURE is specified, either user-specified or automatic
starting values are used to create randomly perturbed sets of starting
values for all parameters in the model except variances and covariances.
In this example, the random perturbations are based on automatic
starting values. Maximum likelihood optimization is done in two stages.
In the initial stage, 20 random sets of starting values are generated. An
optimization is carried out for ten iterations using each of the 20 random
sets of starting values. The ending values from the 4 optimizations with
the highest loglikelihoods are used as the starting values in the final
stage optimizations which are carried out using the default optimization
settings for TYPE=MIXTURE. A more thorough investigation of
multiple solutions can be carried out using the STARTS and
STITERATIONS options of the ANALYSIS command.
MODEL:
%OVERALL%
y ON x1 x2;
c ON x1;
%c#2%
y ON x2;
y;
The MODEL command is used to describe the model to be estimated.
For mixture models, there is an overall model designated by the label
%OVERALL%. The overall model describes the part of the model that
is in common for all latent classes. The part of the model that differs for
each class is specified by a label that consists of the categorical latent
variable followed by the number sign followed by the class number. In
the example above, the label %c#2% refers to the part of the model for
class 2 that differs from the overall model.
In the overall model, the first ON statement describes the linear
regression of y on the covariates x1 and x2. The second ON statement
describes the multinomial logistic regression of the categorical latent
variable c on the covariate x1 when comparing class 1 to class 2. The
intercept in the regression of c on x1 is estimated as the default.
In the model for class 2, the ON statement describes the linear regression
of y on the covariate x2. This specification relaxes the default equality

Examples: Mixture Modeling With Cross-Sectional Data
173
constraint for the regression coefficient. By mentioning the residual
variance of y, it is not held equal across classes. The intercepts in class
1 and class 2 are free and unequal as the default. The default estimator
for this type of analysis is maximum likelihood with robust standard
errors. The ESTIMATOR option of the ANALYSIS command can be
used to select a different estimator.
Following is an alternative specification of the multinomial logistic
regression of c on the covariate x1:
c#1 ON x1;
where c#1 refers to the first class of c. The classes of a categorical latent
variable are referred to by adding to the name of the categorical latent
variable the number sign (#) followed by the number of the class. This
alternative specification allows individual parameters to be referred to in
the MODEL command for the purpose of giving starting values or
placing restrictions.
OUTPUT: TECH1 TECH8;
The OUTPUT command is used to request additional output not
included as the default. The TECH1 option is used to request the arrays
containing parameter specifications and starting values for all free
parameters in the model. The TECH8 option is used to request that the
optimization history in estimating the model be printed in the output.
TECH8 is printed to the screen during the computations as the default.
TECH8 screen printing is useful for determining how long the analysis
takes.

CHAPTER 7
174
EXAMPLE 7.2: MIXTURE REGRESSION ANALYSIS FOR A
COUNT VARIABLE USING A ZERO-INFLATED POISSON
MODEL USING AUTOMATIC STARTING VALUES WITH
RANDOM STARTS
TITLE: this is an example of a mixture regression
analysis for a count variable using a
zero-inflated Poisson model using
automatic starting values with random
starts
DATA: FILE IS ex7.2.dat;
VARIABLE: NAMES ARE u x1 x2;
CLASSES = c (2);
COUNT = u (i);
ANALYSIS: TYPE = MIXTURE;
MODEL:
%OVERALL%
u ON x1 x2;
u#1 ON x1 x2;
c ON x1;
%c#2%
u ON x2;
OUTPUT: TECH1 TECH8;
The difference between this example and Example 7.1 is that the
dependent variable is a count variable instead of a continuous variable.
The COUNT option is used to specify which dependent variables are
treated as count variables in the model and its estimation and whether a
Poisson or zero-inflated Poisson model will be estimated. In the
example above, u is a count variable. The i in parentheses following u
indicates that a zero-inflated Poisson model will be estimated.
With a zero-inflated Poisson model, two regressions are estimated. In
the overall model, the first ON statement describes the Poisson
regression of the count part of u on the covariates x1 and x2. This
regression predicts the value of the count dependent variable for
individuals who are able to assume values of zero and above. The
second ON statement describes the logistic regression of the binary
latent inflation variable u#1 on the covariates x1 and x2. This
regression describes the probability of being unable to assume any value
except zero. The inflation variable is referred to by adding to the name
of the count variable the number sign (#) followed by the number 1. The

Examples: Mixture Modeling With Cross-Sectional Data
175
third ON statement specifies the multinomial logistic regression of the
categorical latent variable c on the covariate x1 when comparing class 1
to class 2. The intercept in the regression of c on x1 is estimated as the
default.
In the model for class 2, the ON statement describes the Poisson
regression of the count part of u on the covariate x2. This specification
relaxes the default equality constraint for the regression coefficient. The
intercepts of u are free and unequal across classes as the default. All
other parameters are held equal across classes as the default. The
default estimator for this type of analysis is maximum likelihood with
robust standard errors. The ESTIMATOR option of the ANALYSIS
command can be used to select a different estimator. An explanation of
the other commands can be found in Example 7.1.
EXAMPLE 7.3: LCA WITH BINARY LATENT CLASS
INDICATORS USING AUTOMATIC STARTING VALUES
WITH RANDOM STARTS
TITLE: this is an example of a LCA with binary
latent class indicators using automatic
starting values with random starts
DATA: FILE IS ex7.3.dat;
VARIABLE: NAMES ARE u1-u4 x1-x10;
USEVARIABLES = u1-u4;
CLASSES = c (2);
CATEGORICAL = u1-u4;
AUXILIARY = x1-x10 (R3STEP);
ANALYSIS: TYPE = MIXTURE;
OUTPUT: TECH1 TECH8 TECH10;

CHAPTER 7
176
In this example, the latent class analysis (LCA) model with binary latent
class indicators shown in the picture above is estimated using automatic
starting values and random starts. Because c is a categorical latent
variable, the interpretation of the picture is not the same as for models
with continuous latent variables. The arrows from c to the latent class
indicators u1, u2, u3, and u4 indicate that the thresholds of the latent
class indicators vary across the classes of c. This implies that the
probabilities of the latent class indicators vary across the classes of c.
The arrows correspond to the regressions of the latent class indicators on
a set of dummy variables representing the categories of c.
The CATEGORICAL option is used to specify which dependent
variables are treated as binary or ordered categorical (ordinal) variables
in the model and its estimation. In the example above, the latent class
indicators u1, u2, u3, and u4, are binary or ordered categorical variables.
The program determines the number of categories for each indicator.
The AUXILIARY option is used to specify variables that are not part of
the analysis that are important predictors of latent classes using a three-
step approach (Vermunt, 2010; Asparouhov & Muthén, 2012b). The
letters R3STEP in parentheses is placed behind the variables in the
AUXILIARY statement that that will be used as covariates in the third
step multinomial logistic regression in a mixture model.

Examples: Mixture Modeling With Cross-Sectional Data
177
The MODEL command does not need to be specified when automatic
starting values are used. The thresholds of the observed variables and
the mean of the categorical latent variable are estimated as the default.
The thresholds are not held equal across classes as the default. The
default estimator for this type of analysis is maximum likelihood with
robust standard errors. The ESTIMATOR option of the ANALYSIS
command can be used to select a different estimator.
The TECH10 option is used to request univariate, bivariate, and
response pattern model fit information for the categorical dependent
variables in the model. This includes observed and estimated (expected)
frequencies and standardized residuals. An explanation of the other
commands can be found in Example 7.1.
EXAMPLE 7.4: LCA WITH BINARY LATENT CLASS
INDICATORS USING USER-SPECIFIED STARTING VALUES
WITHOUT RANDOM STARTS
TITLE: this is an example of a LCA with binary
latent class indicators using user-
specified starting values without random
starts
DATA: FILE IS ex7.4.dat;
VARIABLE: NAMES ARE u1-u4;
CLASSES = c (2);
CATEGORICAL = u1-u4;
ANALYSIS: TYPE = MIXTURE;
STARTS = 0;
MODEL:
%OVERALL%
%c#1%
[u1$1*1 u2$1*1 u3$1*-1 u4$1*-1];
%c#2%
[u1$1*-1 u2$1*-1 u3$1*1 u4$1*1];
OUTPUT: TECH1 TECH8;
The differences between this example and Example 7.3 are that user-
specified starting values are used instead of automatic starting values
and there are no random starts. By specifying STARTS=0 in the
ANALYSIS command, random starts are turned off.

CHAPTER 7
178
In the MODEL command, user-specified starting values are given for the
thresholds of the binary latent class indicators. For binary and ordered
categorical dependent variables, thresholds are referred to by adding to a
variable name a dollar sign ($) followed by a threshold number. The
number of thresholds is equal to the number of categories minus one.
Because the latent class indicators are binary, they have one threshold.
The thresholds of the latent class indicators are referred to as u1$1,
u2$1, u3$1, and u4$1. Square brackets are used to specify starting
values in the logit scale for the thresholds of the binary latent class
indicators. The asterisk (*) is used to assign a starting value. It is placed
after a variable with the starting value following it. In the example
above, the threshold of u1 is assigned the starting value of 1 for class 1
and -1 for class 2. The threshold of u4 is assigned the starting value of -
1 for class 1 and 1 for class 2. The default estimator for this type of
analysis is maximum likelihood with robust standard errors. The
ESTIMATOR option of the ANALYSIS command can be used to select
a different estimator. An explanation of the other commands can be
found in Examples 7.1 and 7.3.
EXAMPLE 7.5: LCA WITH BINARY LATENT CLASS
INDICATORS USING USER-SPECIFIED STARTING VALUES
WITH RANDOM STARTS
TITLE: this is an example of a LCA with binary
latent class indicators using user-
specified starting values with random
starts
DATA: FILE IS ex7.5.dat;
VARIABLE: NAMES ARE u1-u4;
CLASSES = c (2);
CATEGORICAL = u1-u4;
ANALYSIS: TYPE = MIXTURE;
STARTS = 100 10;
STITERATIONS = 20;
MODEL:
%OVERALL%
%c#1%
[u1$1*1 u2$1*1 u3$1*-1 u4$1*-1];
%c#2%
[u1$1*-1 u2$1*-1 u3$1*1 u4$1*1];
OUTPUT: TECH1 TECH8;

Examples: Mixture Modeling With Cross-Sectional Data
179
The difference between this example and Example 7.4 is that random
starts are used. In this example, the random perturbations are based on
user-specified starting values. The STARTS option is used to specify
the number of initial stage random sets of starting values to generate and
the number of final stage optimizations to use. The default is 20 random
sets of starting values for the initial stage and 4 optimizations for the
final stage. In the example above, the STARTS option specifies that 100
random sets of starting values for the initial stage and 10 final stage
optimizations will be used. The STITERATIONS option is used to
specify the maximum number of iterations allowed in the initial stage.
In this example, 20 iterations are allowed in the initial stage instead of
the default of 10. The default estimator for this type of analysis is
maximum likelihood with robust standard errors. The ESTIMATOR
option of the ANALYSIS command can be used to select a different
estimator. An explanation of the other commands can be found in
Examples 7.1, 7.3, and 7.4.
EXAMPLE 7.6: LCA WITH THREE-CATEGORY LATENT
CLASS INDICATORS USING USER-SPECIFIED STARTING
VALUES WITHOUT RANDOM STARTS
TITLE: this is an example of a LCA with three-
category latent class indicators using
user-specified starting values without
random starts
DATA: FILE IS ex7.6.dat;
VARIABLE: NAMES ARE u1-u4;
CLASSES = c (2);
CATEGORICAL = u1-u4;
ANALYSIS: TYPE = MIXTURE;
STARTS = 0;
MODEL:
%OVERALL%
%c#1%
[u1$1*.5 u2$1*.5 u3$1*-.5 u4$1*-.5];
[u1$2*1 u2$2*1 u3$2*0 u4$2*0];
%c#2%
[u1$1*-.5 u2$1*-.5 u3$1*.5 u4$1*.5];
[u1$2*0 u2$2*0 u3$2*1 u4$2*1];
OUTPUT: TECH1 TECH8;

CHAPTER 7
180
The difference between this example and Example 7.4 is that the latent
class indicators are ordered categorical (ordinal) variables with three
categories instead of binary variables. When latent class indicators are
ordered categorical variables, each latent class indicator has more than
one threshold. The number of thresholds is equal to the number of
categories minus one. When user-specified starting values are used, they
must be specified for all thresholds and they must be in increasing order
for each variable within each class. For example, in class 1 the threshold
starting values for latent class indicator u1 are .5 for the first threshold
and 1 for the second threshold. The default estimator for this type of
analysis is maximum likelihood with robust standard errors. The
ESTIMATOR option of the ANALYSIS command can be used to select
a different estimator. An explanation of the other commands can be
found in Examples 7.1, 7.3, and 7.4.
EXAMPLE 7.7: LCA WITH UNORDERED CATEGORICAL
LATENT CLASS INDICATORS USING AUTOMATIC
STARTING VALUES WITH RANDOM STARTS
TITLE: this is an example of a LCA with unordered
categorical latent class indicators using
automatic starting values with random
starts
DATA: FILE IS ex7.7.dat;
VARIABLE: NAMES ARE u1-u4;
CLASSES = c (2);
NOMINAL = u1-u4;
ANALYSIS: TYPE = MIXTURE;
OUTPUT: TECH1 TECH8;
The difference between this example and Example 7.3 is that the latent
class indicators are unordered categorical (nominal) variables instead of
binary variables. The NOMINAL option is used to specify which
dependent variables are treated as unordered categorical (nominal)
variables in the model and its estimation. In the example above, u1, u2,
u3, and u4 are three-category unordered variables. The categories of an
unordered categorical variable are referred to by adding to the name of
the unordered categorical variable the number sign (#) followed by the
number of the category. The default estimator for this type of analysis is
maximum likelihood with robust standard errors. The ESTIMATOR
option of the ANALYSIS command can be used to select a different

Examples: Mixture Modeling With Cross-Sectional Data
181
estimator. An explanation of the other commands can be found in
Examples 7.1 and 7.3.
EXAMPLE 7.8: LCA WITH UNORDERED CATEGORICAL
LATENT CLASS INDICATORS USING USER-SPECIFIED
STARTING VALUES WITH RANDOM STARTS
TITLE: this is an example of a LCA with unordered
categorical latent class indicators using
user-specified starting values with random
starts
DATA: FILE IS ex7.8.dat;
VARIABLE: NAMES ARE u1-u4;
CLASSES = c (2);
NOMINAL = u1-u4;
ANALYSIS: TYPE = MIXTURE;
MODEL: %OVERALL%
%c#1%
[u1#1-u4#1*0];
[u1#2-u4#2*1];
%c#2%
[u1#1-u4#1*-1];
[u1#2-u4#2*-1];
OUTPUT: TECH1 TECH8;
The difference between this example and Example 7.7 is that user-
specified starting values are used instead of automatic starting values.
Means are referred to by using bracket statements. The categories of an
unordered categorical variable are referred to by adding to the name of
the unordered categorical variable the number sign (#) followed by the
number of the category. In this example, u1#1 refers to the first category
of u1 and u1#2 refers to the second category of u1. Starting values of 0
and 1 are given for the means in class 1 and starting values of -1 are
given for the means in class 2. The default estimator for this type of
analysis is maximum likelihood with robust standard errors. The
ESTIMATOR option of the ANALYSIS command can be used to select
a different estimator. An explanation of the other commands can be
found in Examples 7.1, 7.3, and 7.7.

CHAPTER 7
182
EXAMPLE 7.9: LCA WITH CONTINUOUS LATENT CLASS
INDICATORS USING AUTOMATIC STARTING VALUES
WITH RANDOM STARTS
TITLE: this is an example of a LCA with
continuous latent class indicators using
automatic starting values with random
starts
DATA: FILE IS ex7.9.dat;
VARIABLE: NAMES ARE y1-y4;
CLASSES = c (2);
ANALYSIS: TYPE = MIXTURE;
OUTPUT: TECH1 TECH8;
The difference between this example and Example 7.3 is that the latent
class indicators are continuous variables instead of binary variables.
When there is no specification in the VARIABLE command regarding
the scale of the dependent variables, it is assumed that they are
continuous. Latent class analysis with continuous latent class indicators
is often referred to as latent profile analysis.

Examples: Mixture Modeling With Cross-Sectional Data
183
The MODEL command does not need to be specified when automatic
starting values are used. The means and variances of the latent class
indicators and the mean of the categorical latent variable are estimated
as the default. The means of the latent class indicators are not held
equal across classes as the default. The variances are held equal across
classes as the default and the covariances among the latent class
indicators are fixed at zero as the default. The default estimator for this
type of analysis is maximum likelihood with robust standard errors. The
ESTIMATOR option of the ANALYSIS command can be used to select
a different estimator. An explanation of the other commands can be
found in Examples 7.1 and 7.3.
EXAMPLE 7.10: LCA WITH CONTINUOUS LATENT CLASS
INDICATORS USING USER-SPECIFIED STARTING VALUES
WITHOUT RANDOM STARTS
TITLE: this is an example of a LCA with
continuous latent class indicators using
user-specified starting values without
random starts
DATA: FILE IS ex7.10.dat;
VARIABLE: NAMES ARE y1-y4;
CLASSES = c (2);
ANALYSIS: TYPE = MIXTURE;
STARTS = 0;
MODEL:
%OVERALL%
%c#1%
[y1–y4*1];
y1-y4;
%c#2%
[y1–y4*-1];
y1-y4;
OUTPUT: TECH1 TECH8;
The difference between this example and Example 7.4 is that the latent
class indicators are continuous variables instead of binary variables. As
a result, starting values are given for means instead of thresholds.
The means and variances of the latent class indicators and the mean of
the categorical latent variable are estimated as the default. In the models
for class 1 and class 2, by mentioning the variances of the latent class

CHAPTER 7
184
indicators, the default constraint of equality of variances across classes
is relaxed. The covariances among the latent class indicators within
class are fixed at zero as the default. The default estimator for this type
of analysis is maximum likelihood with robust standard errors. The
ESTIMATOR option of the ANALYSIS command can be used to select
a different estimator. An explanation of the other commands can be
found in Examples 7.1 and 7.4.
EXAMPLE 7.11: LCA WITH BINARY, CENSORED,
UNORDERED, AND COUNT LATENT CLASS INDICATORS
USING USER-SPECIFIED STARTING VALUES WITHOUT
RANDOM STARTS
TITLE: this is an example of a LCA with binary,
censored, unordered, and count latent
class indicators using user-specified
starting values without random starts
DATA: FILE IS ex7.11.dat;
VARIABLE: NAMES ARE u1 y1 u2 u3;
CLASSES = c (2);
CATEGORICAL = u1;
CENSORED = y1 (b);
NOMINAL = u2;
COUNT = u3 (i);
ANALYSIS: TYPE = MIXTURE;
STARTS = 0;
MODEL:
%OVERALL%
%c#1%
[u1$1*-1 y1*3 u2#1*0 u2#2*1 u3*.5
u3#1*1.5];
y1*2;
%c#2%
[u1$1*0 y1*1 u2#1*-1 u2#2*0 u3*1 u3#1*1];
y1*1;
OUTPUT: TECH1 TECH8;
The difference between this example and Example 7.4 is that the latent
class indicators are a combination of binary, censored, unordered
categorical (nominal) and count variables instead of binary variables.
The CATEGORICAL option is used to specify which dependent
variables are treated as binary or ordered categorical (ordinal) variables
Examples: Mixture Modeling With Cross-Sectional Data
185
in the model and its estimation. In the example above, the latent class
indicator u1 is a binary variable. The CENSORED option is used to
specify which dependent variables are treated as censored variables in
the model and its estimation, whether they are censored from above or
below, and whether a censored or censored-inflated model will be
estimated. In the example above, y1 is a censored variable. The b in
parentheses following y1 indicates that y1 is censored from below, that
is, has a floor effect, and that the model is a censored regression model.
The censoring limit is determined from the data. The NOMINAL option
is used to specify which dependent variables are treated as unordered
categorical (nominal) variables in the model and its estimation. In the
example above, u2 is a three-category unordered variable. The program
determines the number of categories. The categories of an unordered
categorical variable are referred to by adding to the name of the
unordered categorical variable the number sign (#) followed by the
number of the category. In this example, u2#1 refers to the first category
of u2 and u2#2 refers to the second category of u2. The COUNT option
is used to specify which dependent variables are treated as count
variables in the model and its estimation and whether a Poisson or zero-
inflated Poisson model will be estimated. In the example above, u3 is a
count variable. The i in parentheses following u3 indicates that a zero-
inflated model will be estimated. The inflation part of the count variable
is referred to by adding to the name of the count variable the number
sign (#) followed by the number 1. The default estimator for this type of
analysis is maximum likelihood with robust standard errors. The
ESTIMATOR option of the ANALYSIS command can be used to select
a different estimator. An explanation of the other commands can be
found in Examples 7.1 and 7.4.

CHAPTER 7
186
EXAMPLE 7.12: LCA WITH BINARY LATENT CLASS
INDICATORS USING AUTOMATIC STARTING VALUES
WITH RANDOM STARTS WITH A COVARIATE AND A
DIRECT EFFECT
TITLE: this is an example of a LCA with binary
latent class indicators using automatic
starting values with random starts with a
covariate and a direct effect
DATA: FILE IS ex7.12.dat;
VARIABLE: NAMES ARE u1-u4 x;
CLASSES = c (2);
CATEGORICAL = u1-u4;
ANALYSIS: TYPE = MIXTURE;
MODEL:
%OVERALL%
c ON x;
u4 ON x;
OUTPUT: TECH1 TECH8;
The difference between this example and Example 7.3 is that the model
contains a covariate and a direct effect. The first ON statement

Examples: Mixture Modeling With Cross-Sectional Data
187
describes the multinomial logistic regression of the categorical latent
variable c on the covariate x when comparing class 1 to class 2. The
intercepts of this regression are estimated as the default. The second ON
statement describes the logistic regression of the binary indicator u4 on
the covariate x. This is referred to as a direct effect from x to u4. The
regression coefficient is held equal across classes as the default. The
default estimator for this type of analysis is maximum likelihood with
robust standard errors. The ESTIMATOR option of the ANALYSIS
command can be used to select a different estimator. An explanation of
the other commands can be found in Examples 7.1 and 7.3.
EXAMPLE 7.13: CONFIRMATORY LCA WITH BINARY
LATENT CLASS INDICATORS AND PARAMETER
CONSTRAINTS
TITLE: this is an example of a confirmatory LCA
with binary latent class indicators and
parameter constraints
DATA: FILE IS ex7.13.dat;
VARIABLE: NAMES ARE u1-u4;
CLASSES = c (2);
CATEGORICAL = u1-u4;
ANALYSIS: TYPE = MIXTURE;
MODEL:
%OVERALL%
%c#1%
[u1$1*-1];
[u2$1-u3$1*-1] (1);
[u4$1*-1] (p1);
%c#2%
[u1$1@-15];
[u2$1-u3$1*1] (2);
[u4$1*1] (p2);
MODEL CONSTRAINT:
p2 = - p1;
OUTPUT: TECH1 TECH8;
In this example, constraints are placed on the measurement parameters
of the latent class indicators to reflect three hypotheses: (1) u2 and u3
are parallel measurements, (2) u1 has a probability of one in class 2, and
(3) the error rate for u4 is the same in the two classes (McCutcheon,
2002, pp. 70-72).

CHAPTER 7
188
The first hypothesis is specified by placing (1) following the threshold
parameters for u2 and u3 in class 1 and (2) following the threshold
parameters for u2 and u3 in class 2. This holds the thresholds for the
two latent class indicators equal to each other but not equal across
classes. The second hypothesis is specified by fixing the threshold of u1
in class 2 to the logit value of -15. The third hypothesis is specified
using the MODEL CONSTRAINT command. The MODEL
CONSTRAINT command is used to define linear and non-linear
constraints on the parameters in the model. Parameters are given labels
by placing a name in parentheses after the parameter in the MODEL
command. In the MODEL command, the threshold of u4 in class 1 is
given the label p1 and the threshold of u4 in class 2 is given the label p2.
In the MODEL CONSTRAINT command, the linear constraint is
defined. The threshold of u4 in class 1 is equal to the negative value of
the threshold of u4 in class 2. The default estimator for this type of
analysis is maximum likelihood with robust standard errors. The
ESTIMATOR option of the ANALYSIS command can be used to select
a different estimator. An explanation of the other commands can be
found in Example 7.1.
EXAMPLE 7.14: CONFIRMATORY LCA WITH TWO
CATEGORICAL LATENT VARIABLES
TITLE: this is an example of a confirmatory LCA
with two categorical latent variables
DATA: FILE IS ex7.14.dat;
VARIABLE: NAMES ARE u1-u4 y1-y4;
CLASSES = cu (2) cy (3);
CATEGORICAL = u1-u4;
ANALYSIS: TYPE = MIXTURE;
PARAMETERIZATION = LOGLINEAR;
MODEL:
%OVERALL%
cu WITH cy;

Examples: Mixture Modeling With Cross-Sectional Data
189
MODEL cu:
%cu#1%
[u1$1-u4$1];
%cu#2%
[u1$1-u4$1];
MODEL cy:
%cy#1%
[y1-y4];
%cy#2%
[y1-y4];
%cy#3%
[y1-y4];
OUTPUT: TECH1 TECH8;
In this example, the confirmatory LCA with two categorical latent
variables shown in the picture above is estimated. The two categorical
latent variables are correlated and have their own sets of latent class
indicators.
CHAPTER 7
190
The CLASSES option is used to assign names to the categorical latent
variables in the model and to specify the number of latent classes in the
model for each categorical latent variable. In the example above, there
are two categorical latent variables cu and cy. The categorical latent
variable cu has two latent classes and the categorical latent variable cy
has three latent classes. PARAMETERIZATION=LOGLINEAR is used
to specify associations among categorical latent variables. In the
LOGLINEAR parameterization, the WITH option of the MODEL
command is used to specify the relationships between the categorical
latent variables. When a model has more than one categorical latent
variable, MODEL followed by a label is used to describe the analysis
model for each categorical latent variable. Labels are defined by using
the names of the categorical latent variables. The categorical latent
variable cu has four binary indicators u1 through u4. Their thresholds
are specified to vary only across the classes of the categorical latent
variable cu. The categorical latent variable cy has four continuous
indicators y1 through y4. Their means are specified to vary only across
the classes of the categorical latent variable cy. The default estimator
for this type of analysis is maximum likelihood with robust standard
errors. The ESTIMATOR option of the ANALYSIS command can be
used to select a different estimator. An explanation of the other
commands can be found in Example 7.1.
Following is an alternative specification of the associations among cu
and cy:
cu#1 WITH cy#1 cy#2;
where cu#1 refers to the first class of cu, cy#1 refers to the first class of
cy, and cy#2 refers to the second class of cy. The classes of a
categorical latent variable are referred to by adding to the name of the
categorical latent variable the number sign (#) followed by the number
of the class. This alternative specification allows individual parameters
to be referred to in the MODEL command for the purpose of giving
starting values or placing restrictions.

Examples: Mixture Modeling With Cross-Sectional Data
191
EXAMPLE 7.15: LOGLINEAR MODEL FOR A THREE-WAY
TABLE WITH CONDITIONAL INDEPENDENCE BETWEEN
THE FIRST TWO VARIABLES
TITLE: this is an example of a loglinear model
for a three-way table with conditional
independence between the first two
variables
DATA: FILE IS ex7.15.dat;
VARIABLE: NAMES ARE u1 u2 u3 w;
FREQWEIGHT = w;
CATEGORICAL = u1-u3;
CLASSES = c1 (2) c2 (2) c3 (2);
ANALYSIS: TYPE = MIXTURE;
STARTS = 0;
PARAMETERIZATION = LOGLINEAR;
MODEL:
%OVERALL%
c1 WITH c3;
c2 WITH c3;
MODEL c1:
%c1#1%
[u1$1@15];
%c1#2%
[u1$1@-15];
MODEL c2:
%c2#1%
[u2$1@15];
%c2#2%
[u2$1@-15];
MODEL c3:
%c3#1%
[u3$1@15];
%c3#2%
[u3$1@-15];
OUTPUT: TECH1 TECH8;
In this example, a loglinear model for a three-way frequency table with
conditional independence between the first two variables is estimated.
The loglinear model is estimated using categorical latent variables that
are perfectly measured by observed categorical variables. It is also
possible to estimate loglinear models for categorical latent variables that
are measured with error by observed categorical variables. The
conditional independence is specified by the two-way interaction

CHAPTER 7
192
between the first two variables being zero for each of the two levels of
the third variable.
PARAMETERIZATION=LOGLINEAR is used to estimate loglinear
models with two- and three-way interactions. In the LOGLINEAR
parameterization, the WITH option of the MODEL command is used to
specify the associations among the categorical latent variables. When a
model has more than one categorical latent variable, MODEL followed
by a label is used to describe the analysis model for each categorical
latent variable. Labels are defined by using the names of the categorical
latent variables. In the example above, the categorical latent variables
are perfectly measured by the latent class indicators. This is specified by
fixing their thresholds to the logit value of plus or minus 15,
corresponding to probabilities of zero and one. The default estimator for
this type of analysis is maximum likelihood with robust standard errors.
The ESTIMATOR option of the ANALYSIS command can be used to
select a different estimator. An explanation of the other commands can
be found in Examples 7.1 and 7.14.
EXAMPLE 7.16: LCA WITH PARTIAL CONDITIONAL
INDEPENDENCE
TITLE: this is an example of LCA with partial
conditional independence
DATA: FILE IS ex7.16.dat;
VARIABLE: NAMES ARE u1-u4;
CATEGORICAL = u1-u4;
CLASSES = c(2);
ANALYSIS: TYPE = MIXTURE;
PARAMETERIZATION = RESCOVARIANCES;
MODEL:
%OVERALL%
%c#1%
[u1$1-u4$1*-1];
u2 WITH u3;
OUTPUT: TECH1 TECH8;

Examples: Mixture Modeling With Cross-Sectional Data
193
In this example, the LCA with partial conditional independence shown
in the picture above is estimated. A similar model is described in Qu,
Tan, and Kutner (1996).
By specifying PARAMETERIZATION=RESCOVARIANCES, the
WITH option can be used to specify residual covariances for binary and
ordered categorical outcomes using maximum likelihood estimation
Asparouhov & Muthén, 2015b). In the example above, the WITH
statement in class 1 specifies the residual covariance between u2 and u3
for class 1. The conditional independence assumption of u2 and u3 is
not violated for class 2. An explanation of the other commands can be
found in Example 7.1.

CHAPTER 7
194
EXAMPLE 7.17: MIXTURE CFA MODELING
TITLE: this is an example of mixture CFA modeling
DATA: FILE IS ex7.17.dat;
VARIABLE: NAMES ARE y1-y5;
CLASSES = c(2);
ANALYSIS: TYPE = MIXTURE;
MODEL: %OVERALL%
f BY y1-y5;
%c#1%
[f*1];
OUTPUT: TECH1 TECH8;
In this example, the mixture CFA model shown in the picture above is
estimated (Muthén, 2008). The mean of the factor f varies across the
classes of the categorical latent variable c. The residual arrow pointing
to f indicates that the factor varies within class. This implies that the
distribution of f is allowed to be non-normal. It is possible to allow
other parameters of the CFA model to vary across classes.
The BY statement specifies that f is measured by y1, y2, y3, y4, and y5.
The factor mean varies across the classes. All other model parameters
are held equal across classes as the default. The default estimator for
this type of analysis is maximum likelihood with robust standard errors.
The ESTIMATOR option of the ANALYSIS command can be used to
select a different estimator. An explanation of the other commands can
be found in Example 7.1.

Examples: Mixture Modeling With Cross-Sectional Data
195
EXAMPLE 7.18: LCA WITH A SECOND-ORDER FACTOR
(TWIN ANALYSIS)
TITLE: this is an example of a LCA with a second-
order factor (twin analysis)
DATA: FILE IS ex7.18.dat;
VARIABLE: NAMES ARE u11-u13 u21-u23;
CLASSES = c1(2) c2(2);
CATEGORICAL = u11-u23;
ANALYSIS: TYPE = MIXTURE;
ALGORITHM = INTEGRATION;
MODEL:
%OVERALL%
f BY;
f@1;
c1 c2 ON f*1 (1);
MODEL c1:
%c1#1%
[u11$1-u13$1*-1];
%c1#2%
[u11$1-u13$1*1];
MODEL c2:
%c2#1%
[u21$1-u23$1*-1];
%c2#2%
[u21$1-u23$1*1];
OUTPUT: TECH1 TECH8;

CHAPTER 7
196
In this example, the second-order factor model shown in the picture
above is estimated. The first-order factors are categorical latent
variables and the second-order factor is a continuous latent variable.
This is a model that can be used for studies of twin associations where
the categorical latent variable c1 refers to twin 1 and the categorical
latent variable c2 refers to twin 2.
By specifying ALGORITHM=INTEGRATION, a maximum likelihood
estimator with robust standard errors using a numerical integration
algorithm will be used. Note that numerical integration becomes
increasingly more computationally demanding as the number of factors
and the sample size increase. In this example, one dimension of
integration is used with 15 integration points. The ESTIMATOR option
can be used to select a different estimator. When a model has more than
one categorical latent variable, MODEL followed by a label is used to
describe the analysis model for each categorical latent variable. Labels
are defined by using the names of the categorical latent variables.
In the overall model, the BY statement names the second order factor f.
The ON statement specifies that f influences both categorical latent
variables in the same amount by imposing an equality constraint on the
two multinomial logistic regression coefficients. The slope in the
multinomial regression of c on f reflects the strength of association

Examples: Mixture Modeling With Cross-Sectional Data
197
between the two categorical latent variables. An explanation of the
other commands can be found in Examples 7.1 and 7.14.
EXAMPLE 7.19: SEM WITH A CATEGORICAL LATENT
VARIABLE REGRESSED ON A CONTINUOUS LATENT
VARIABLE
TITLE: this is an example of a SEM with a
categorical latent variable regressed on a
continuous latent variable
DATA: FILE IS ex7.19.dat;
VARIABLE: NAMES ARE u1-u8;
CATEGORICAL = u1-u8;
CLASSES = c (2);
ANALYSIS: TYPE = MIXTURE;
ALGORITHM = INTEGRATION;
MODEL:
%OVERALL%
f BY u1-u4;
c ON f;
%c#1%
[u5$1-u8$1];
%c#2%
[u5$1-u8$1];
OUTPUT: TECH1 TECH8;

CHAPTER 7
198
In this example, the model with both a continuous and categorical latent
variable shown in the picture above is estimated. The categorical latent
variable c is regressed on the continuous latent variable f in a
multinomial logistic regression.
By specifying ALGORITHM=INTEGRATION, a maximum likelihood
estimator with robust standard errors using a numerical integration
algorithm will be used. Note that numerical integration becomes
increasingly more computationally demanding as the number of factors
and the sample size increase. In this example, one dimension of
integration is used with 15 integration points. The ESTIMATOR option
can be used to select a different estimator. In the overall model, the BY
statement specifies that f is measured by the categorical factor indicators
u1 through u4. The categorical latent variable c has four binary latent
class indicators u5 through u8. The ON statement specifies the
multinomial logistic regression of the categorical latent variable c on the
continuous latent variable f. An explanation of the other commands can
be found in Example 7.1.
EXAMPLE 7.20: STRUCTURAL EQUATION MIXTURE
MODELING
TITLE: this is an example of structural equation
mixture modeling
DATA: FILE IS ex7.20.dat;
VARIABLE: NAMES ARE y1-y6;
CLASSES = c (2);
ANALYSIS: TYPE = MIXTURE;
MODEL:
%OVERALL%
f1 BY y1-y3;
f2 BY y4-y6;
f2 ON f1;
%c#1%
[f1*1 f2];
f2 ON f1;
OUTPUT: TECH1 TECH8;

Examples: Mixture Modeling With Cross-Sectional Data
199
In this example, the structural equation mixture model shown in the
picture above is estimated. A continuous latent variable f2 is regressed
on a second continuous latent variable f1. The solid arrows from the
categorical latent variable c to f1 and f2 indicate that the mean of f1 and
the intercept of f2 vary across classes. The broken arrow from c to the
arrow from f1 to f2 indicates that the slope in the linear regression of f2
on f1 varies across classes. For related models, see Jedidi, Jagpal, and
DeSarbo (1997).
In the overall model, the first BY statement specifies that f1 is measured
by y1 through y3. The second BY statement specifies that f2 is
measured by y4 through y6. The ON statement describes the linear
regression of f2 on f1. In the model for class 1, the mean of f1, the
intercept of f2, and the slope in the regression of f2 on f1 are specified to
be free across classes. All other parameters are held equal across classes
as the default. The default estimator for this type of analysis is
maximum likelihood with robust standard errors. The ESTIMATOR
option of the ANALYSIS command can be used to select a different
estimator. An explanation of the other commands can be found in
Example 7.1.

CHAPTER 7
200
EXAMPLE 7.21: MIXTURE MODELING WITH KNOWN
CLASSES (MULTIPLE GROUP ANALYSIS)
TITLE: this is an example of mixture modeling
with known classes (multiple group
analysis)
DATA: FILE IS ex7.21.dat;
VARIABLE: NAMES = g y1-y4;
CLASSES = cg (2) c (2);
KNOWNCLASS = cg (g = 0 g = 1);
ANALYSIS: TYPE = MIXTURE;
MODEL:
%OVERALL%
c ON cg;
MODEL c:
%c#1%
[y1-y4];
%c#2%
[y1-y4];
MODEL cg:
%cg#1%
y1-y4;
%cg#2%
y1-y4;
OUTPUT: TECH1 TECH8;
In this example, the multiple group mixture model shown in the picture
above is estimated. The groups are represented by the classes of the
categorical latent variable cg, which has known class (group)
membership.

Examples: Mixture Modeling With Cross-Sectional Data
201
The KNOWNCLASS option is used for multiple group analysis with
TYPE=MIXTURE. It is used to identify the categorical latent variable
for which latent class membership is known and is equal to observed
groups in the sample. The KNOWNCLASS option identifies cg as the
categorical latent variable for which latent class membership is known.
The information in parentheses following the categorical latent variable
name defines the known classes using an observed variable. In this
example, the observed variable g is used to define the known classes.
The first class consists of individuals with the value 0 on the variable g.
The second class consists of individuals with the value 1 on the variable
g. The means of y1, y2, y3, and y4 vary across the classes of c, while
the variances of y1, y2, y3, and y4 vary across the classes of cg. An
explanation of the other commands can be found in Example 7.1.
EXAMPLE 7.22: MIXTURE MODELING WITH CONTINUOUS
VARIABLES THAT CORRELATE WITHIN CLASS
(MULTIVARIATE NORMAL MIXTURE MODEL)
TITLE: this is an example of mixture modeling
with continuous variables that correlate
within class (multivariate normal mixture
model)
DATA: FILE IS ex7.22.dat;
VARIABLE: NAMES ARE y1-y4;
CLASSES = c (3);
ANALYSIS: TYPE = MIXTURE;
MODEL:
%OVERALL%
y1 WITH y2-y4;
y2 WITH y3 y4;
y3 WITH y4;
%c#2%
[y1–y4*-1];
%c#3%
[y1–y4*1];
OUTPUT: TECH1 TECH8;

CHAPTER 7
202
In this example, the mixture model shown in the picture above is
estimated. Because c is a categorical latent variable, the interpretation of
the picture is not the same as for models with continuous latent
variables. The arrows from c to the observed variables y1, y2, y3, and
y4 indicate that the means of the observed variables vary across the
classes of c. The arrows correspond to the regressions of the observed
variables on a set of dummy variables representing the categories of c.
The observed variables correlate within class. This is a conventional
multivariate mixture model (Everitt & Hand, 1981; McLachlan & Peel,
2000).
In the overall model, by specifying the three WITH statements the
default of zero covariances within class is relaxed and the covariances
among y1, y2, y3, and y4 are estimated. These covariances are held
equal across classes as the default. The variances of y1, y2, y3, and y4
are estimated and held equal as the default. These defaults can be
overridden. The means of the categorical latent variable c are estimated
as the default.
When WITH statements are included in a mixture model, starting values
may be useful. In the class-specific model for class 2, starting values of
-1 are given for the means of y1, y2, y3, and y4. In the class-specific
model for class 3, starting values of 1 are given for the means of y1, y2,

Examples: Mixture Modeling With Cross-Sectional Data
203
y3, and y4. The default estimator for this type of analysis is maximum
likelihood with robust standard errors. The ESTIMATOR option of the
ANALYSIS command can be used to select a different estimator. An
explanation of the other commands can be found in Example 7.1.
EXAMPLE 7.23: MIXTURE RANDOMIZED TRIALS
MODELING USING CACE ESTIMATION WITH TRAINING
DATA
TITLE: this is an example of mixture randomized
trials modeling using CACE estimation with
training data
DATA: FILE IS ex7.23.dat;
VARIABLE: NAMES ARE y x1 x2 c1 c2;
CLASSES = c (2);
TRAINING = c1 c2;
ANALYSIS: TYPE = MIXTURE;
MODEL:
%OVERALL%
y ON x1 x2;
c ON x1;
%c#1%
[y];
y;
y ON x2@0;
%c#2%
[y*.5];
y;
OUTPUT: TECH1 TECH8;

CHAPTER 7
204
In this example, the mixture model for randomized trials using CACE
(Complier-Average Causal Effect) estimation with training data shown
in the picture above is estimated (Little & Yau, 1998). The continuous
dependent variable y is regressed on the covariate x1 and the treatment
dummy variable x2. The categorical latent variable c is compliance
status, with class 1 referring to non-compliers and class 2 referring to
compliers. Compliance status is observed in the treatment group and
unobserved in the control group. Because c is a categorical latent
variable, the interpretation of the picture is not the same as for models
with continuous latent variables. The arrow from c to the y variable
indicates that the intercept of y varies across the classes of c. The arrow
from c to the arrow from x2 to y indicates that the slope in the regression
of y on x2 varies across the classes of c. The arrow from x1 to c
represents the multinomial logistic regression of c on x1.
The TRAINING option is used to identify the variables that contain
information about latent class membership. Because there are two
classes, there are two training variables c1 and c2. Individuals in the
treatment group are assigned values of 1 for c1 and 0 for c2 if they are
non-compliers and 0 for c1 and 1 for c2 if they are compliers.
Individuals in the control group are assigned values of 1 for both c1 and

Examples: Mixture Modeling With Cross-Sectional Data
205
c2 to indicate that they are allowed to be a member of either class and
that their class membership is estimated.
In the overall model, the first ON statement describes the linear
regression of y on the covariate x1 and the treatment dummy variable x2.
The intercept and residual variance of y are estimated as the default.
The second ON statement describes the multinomial logistic regression
of the categorical latent variable c on the covariate x1 when comparing
class 1 to class 2. The intercept in the regression of c on x1 is estimated
as the default.
In the model for class 1, a starting value of zero is given for the intercept
of y as the default. The residual variance of y is specified to relax the
default across class equality constraint. The ON statement describes the
linear regression of y on x2 where the slope is fixed at zero. This is
done because non-compliers do not receive treatment. In the model for
class 2, a starting value of .5 is given for the intercept of y. The residual
variance of y is specified to relax the default across class equality
constraint. The regression of y ON x2, which represents the CACE
treatment effect, is not fixed at zero for class 2. The default estimator
for this type of analysis is maximum likelihood with robust standard
errors. The ESTIMATOR option of the ANALYSIS command can be
used to select a different estimator. An explanation of the other
commands can be found in Example 7.1.
EXAMPLE 7.24: MIXTURE RANDOMIZED TRIALS
MODELING USING CACE ESTIMATION WITH MISSING
DATA ON THE LATENT CLASS INDICATOR
TITLE: this is an example of mixture randomized
trials modeling using CACE estimation with
missing data on the latent class indicator
DATA: FILE IS ex7.24.dat;
VARIABLE: NAMES ARE u y x1 x2;
CLASSES = c (2);
CATEGORICAL = u;
MISSING = u (999);
ANALYSIS: TYPE = MIXTURE;

CHAPTER 7
206
MODEL:
%OVERALL%
y ON x1 x2;
c ON x1;
%c#1%
[u$1@15];
[y];
y;
y ON x2@0;
%c#2%
[u$1@-15];
[y*.5];
y;
OUTPUT: TECH1 TECH8;
The difference between this example and Example 7.23 is that a binary
latent class indicator u has been added to the model. This binary
variable represents observed compliance status. Treatment compliers
have a value of 1 on this variable; treatment non-compliers have a value
of 0 on this variable; and individuals in the control group have a missing
value on this variable. The latent class indicator u is used instead of
training data.

Examples: Mixture Modeling With Cross-Sectional Data
207
In the model for class 1, the threshold of the latent class indicator
variable u is set to a logit value of 15. In the model for class 2, the
threshold of the latent class indicator variable u is set to a logit value of
–15. These logit values reflect that c is perfectly measured by u.
Individuals in the non-complier class (class 1) have probability zero of
observed compliance and individuals in the complier class (class 2) have
probability one of observed compliance. The default estimator for this
type of analysis is maximum likelihood with robust standard errors. The
ESTIMATOR option of the ANALYSIS command can be used to select
a different estimator. An explanation of the other commands can be
found in Examples 7.1 and 7.23.
EXAMPLE 7.25: ZERO-INFLATED POISSON REGRESSION
CARRIED OUT AS A TWO-CLASS MODEL
TITLE: this is an example of a zero-inflated
Poisson regression carried out as a two-
class model
DATA: FILE IS ex3.8.dat;
VARIABLE: NAMES ARE u1 x1 x3;
COUNT IS u1;
CLASSES = c (2);
ANALYSIS: TYPE = MIXTURE;
MODEL:
%OVERALL%
u1 ON x1 x3;
c ON x1 x3;
%c#1%
[u1@-15];
u1 ON x1@0 x3@0;
OUTPUT: TECH1 TECH8;
CHAPTER 7
208
In this example, the zero-inflated Poisson regression model shown in the
picture above is estimated. This is an alternative to the way zero-
inflated Poisson regression was carried out in Example 3.8. In the
example above, a categorical latent variable c with two classes is used to
represent individuals who are able to assume values of zero and above
and individuals who are unable to assume any value except zero. The
categorical latent variable c corresponds to the binary latent inflation
variable u1#1 in Example 3.8. This approach has the advantage of
allowing the estimation of the probability of being in each class and the
posterior probabilities of being in each class for each individual.
The COUNT option is used to specify which dependent variables are
treated as count variables in the model and its estimation and whether a
Poisson or zero-inflated Poisson model will be estimated. In the
example above, u1 is a specified as count variable without inflation
because the inflation is captured by the categorical latent variable c.
In the overall model, the first ON statement describes the Poisson
regression of the count variable u1 on the covariates x1 and x3. The
second ON statement describes the multinomial logistic regression of the
categorical latent variable c on the covariates x1 and x3 when comparing
class 1 to class 2. In this example, class 1 contains individuals who are
unable to assume any value except zero on u1. Class 2 contains
individuals whose values on u1 are distributed as a Poisson variable
without inflation. Mixing the two classes results in u1 having a zero-
inflated Poisson distribution. In the class-specific model for class 1, the
intercept of u1 is fixed at -15 to represent a low log rate at which the
probability of a count greater than zero is zero. Therefore, all
individuals in class 1 have a value of 0 on u1. Because u1 has no
variability, the slopes in the Poisson regression of u1 on the covariates
x1 and x3 in class 1 are fixed at zero. The default estimator for this type
of analysis is maximum likelihood with robust standard errors. The
ESTIMATOR option of the ANALYSIS command can be used to select
a different estimator. An explanation of the other commands can be
found in Example 7.1.

Examples: Mixture Modeling With Cross-Sectional Data
209
EXAMPLE 7.26: CFA WITH A NON-PARAMETRIC
REPRESENTATION OF A NON-NORMAL FACTOR
DISTRIBUTION
TITLE: this is an example of CFA with a non-
parametric representation of a non-normal
factor distribution
DATA: FILE IS ex7.26.dat;
VARIABLE: NAMES ARE y1-y5 c;
USEV = y1-y5;
CLASSES = c (3);
ANALYSIS: TYPE = MIXTURE;
MODEL: %OVERALL%
f BY y1-y5;
f@0;
OUTPUT: TECH1 TECH8;
In this example, a CFA model with a non-parametric representation of a
non-normal factor distribution is estimated. One difference between this
example and Example 7.17 is that the factor variance is fixed at zero in
each class. This is done to capture a non-parametric representation of
the factor distribution (Aitkin, 1999) where the latent classes are used to
represent non-normality not unobserved heterogeneity with substantively
meaningful latent classes. This is also referred to as semiparametric
modeling. The factor distribution is represented by a histogram with as
many bars as there are classes. The bars represent scale steps on the
continuous latent variable. The spacing of the scale steps is obtained by
the factor means in the different classes with a factor mean for one class
fixed at zero for identification, and the percentage of individuals at the
different scale steps is obtained by the latent class percentages. This
means that continuous factor scores are obtained for the individuals
while not assuming normality for the factor but estimating its
distribution. Factor variances can also be estimated to obtain a more
general mixture although this reverts to the parametric assumption of
normality, in this case, within each class. When the latent classes are
used to represent non-normality, the mixed parameter values are of
greater interest than the parameters for each mixture component
(Muthén, 2002, p. 102; Muthén, 2004). An explanation of the other
commands can be found in Example 7.1.

CHAPTER 7
210
EXAMPLE 7.27: FACTOR (IRT) MIXTURE ANALYSIS WITH
BINARY LATENT CLASS AND FACTOR INDICATORS
TITLE: this is an example of a factor (IRT)
mixture analysis with binary latent class
and factor indicators
DATA: FILE = ex7.27.dat;
VARIABLE: NAMES = u1-u8;
CATEGORICAL = u1-u8;
CLASSES = c (2);
ANALYSIS: TYPE = MIXTURE;
ALGORITHM = INTEGRATION;
STARTS = 100 20;
MODEL: %OVERALL%
f BY u1-u8;
[f@0];
%c#1%
f BY u1@1 u2-u8;
f;
[u1$1-u8$1];
%c#2%
f BY u1@1 u2-u8;
f;
[u1$1-u8$1];
OUTPUT: TECH1 TECH8;
Examples: Mixture Modeling With Cross-Sectional Data
211
In this example, the factor (IRT) mixture model shown in the picture
above is estimated (Muthén, 2008). The model is a generalization of the
latent class model where the latent class model assumption of
conditional independence between the latent class indicators within class
is relaxed using a factor that influences the items within each class
(Muthén, 2006; Muthén & Asparouhov, 2006; Muthén, Asparouhov, &
Rebollo, 2006). The factor represents individual variation in response
probabilities within class. Alternatively, this model may be seen as an
Item Response Theory (IRT) mixture model. The broken arrows from
the categorical latent variable c to the arrows from the factor f to the
latent class indicators u1 to u8 indicate that the factor loadings vary
across classes.
By specifying ALGORITHM=INTEGRATION, a maximum likelihood
estimator with robust standard errors using a numerical integration
algorithm will be used. Note that numerical integration becomes
increasingly more computationally demanding as the number of factors
and the sample size increase. In this example, one dimension of
integration is used with 15 integration points. The ESTIMATOR option
can be used to select a different estimator. The STARTS option is used
to specify the number of initial stage random sets of starting values to
generate and the number of final stage optimizations to use. The default
is 20 random sets of starting values for the initial stage and 4
optimizations for the final stage. In the example above, the STARTS
option specifies that 100 random sets of starting values for the initial
stage and 20 final stage optimizations will be used.
In the overall model, the BY statement specifies that the factor f is
measured by u1, u2, u3, u4, u5, u6, u7, and u8. The mean of the factor is
fixed at zero which implies that the mean is zero in both classes. The
factor variance is held equal across classes as the default. The
statements in the class-specific parts of the model relax the equality
constraints across classes for the factor loadings, factor variance, and the
thresholds of the indicators. An explanation of the other commands can
be found in Examples 7.1 and 7.3.

CHAPTER 7
212
EXAMPLE 7.28: TWO-GROUP TWIN MODEL FOR
CATEGORICAL OUTCOMES USING MAXIMUM
LIKELIHOOD AND PARAMETER CONSTRAINTS
TITLE: this is an example of a two-group twin
model for categorical outcomes using
maximum likelihood and parameter
constraints
DATA: FILE = ex7.28.dat;
VARIABLE: NAMES = u1 u2 dz;
CATEGORICAL = u1 u2;
CLASSES = cdz (2);
KNOWNCLASS = cdz (dz = 0 dz = 1);
ANALYSIS: TYPE = MIXTURE;
ALGORITHM = INTEGRATION;
LINK = PROBIT;
MODEL: %OVERALL%
[u1$1-u2$1] (1);
f1 BY u1;
f2 BY u2;
[f1-f2@0];
f1-f2 (varf);
%cdz#1%
f1 WITH f2(covmz);
%cdz#2%
f1 WITH f2(covdz);
MODEL CONSTRAINT:
NEW(a c h);
varf = a**2 + c**2 + .001;
covmz = a**2 + c**2;
covdz = 0.5*a**2 + c**2;
h = a**2/(a**2 + c**2 + 1);

Examples: Mixture Modeling With Cross-Sectional Data
213
In this example, the model shown in the picture above is estimated. The
variables u1 and u2 represent a univariate outcome for each member of a
twin pair. Monozygotic and dizygotic twins are considered in a two-
group twin model for categorical outcomes using maximum likelihood
estimation. Parameter constraints are used to represent the ACE model
restrictions. The ACE variance and covariance restrictions are placed on
normally-distributed latent response variables, which are also called
liabilities, underlying the categorical outcomes. This model is referred
to as the threshold model for liabilities (Neale & Cardon, 1992). The
monozygotic and dizygotic twin groups are represented by latent classes
with known class membership.
The CATEGORICAL option is used to specify which dependent
variables are treated as binary or ordered categorical (ordinal) variables
in the model and its estimation. In the example above, the variables u1
and u2 are binary or ordered categorical variables. The program
determines the number of categories for each indicator. The
KNOWNCLASS option identifies cdz as the categorical latent variable
for which latent class membership is known. The information in
parentheses following the categorical latent variable name defines the
known classes using an observed variable. In this example, the observed
variable dz is used to define the known classes. The first class consists
of the monozygotic twins who have the value 0 on the variable dz. The
second class consists of the dizygotic twins who have the value 1 on the
variable dz.
By specifying ALGORITHM=INTEGRATION, a maximum likelihood
estimator with robust standard errors using a numerical integration
CHAPTER 7
214
algorithm will be used. Note that numerical integration becomes
increasingly more computationally demanding as the number of factors
and the sample size increase. In this example, two dimensions of
integration are used with 225 integration points. The ESTIMATOR
option can be used to select a different estimator. The LINK option is
used with maximum likelihood estimation to select a logit or a probit
link for models with categorical outcomes. The default is a logit link. In
this example, the probit link is used because the threshold model for
liabilities uses normally-distributed latent response variables.
In the overall model, the (1) following the first bracket statement
specifies that the thresholds of u1 and u2 are held equal across twins.
The two BY statements define a factor behind each outcome. This is
done because covariances of categorical outcomes are not part of the
model when maximum likelihood estimation is used. The covariances of
the factors become the covariances of the categorical outcomes or more
precisely the covariances of the latent response variables underlying the
categorical outcomes. The means of the factors are fixed at zero and
their variances are held equal across twins. The variance of each
underlying response variable is obtained as the sum of the factor
variance plus one where one is the residual variance in the probit
regression of the categorical outcome on the factor.
In the MODEL command, labels are defined for three parameters. The
label varf is assigned to the variances of f1 and f2. Because they are
given the same label, these parameters are held equal. The label covmz
is assigned to the covariance between f1 and f2 for the monozygotic
twins and the label covdz is assigned to the covariance between f1 and f2
for the dizygotic twins. In the MODEL CONSTRAINT command, the
NEW option is used to assign labels to three parameters that are not in
the analysis model: a, c, and h. The two parameters a and c are used to
decompose the covariances of u1 and u2 into genetic and environmental
components. The value .001 is added to the variance of the factors to
avoid a singular factor covariance matrix which comes about because the
factor variances and covariances are the same. The parameter h does not
impose restrictions on the model parameters but is used to compute the
heritability estimate and its standard error. This heritability estimate
uses the residual variances for the latent response variables which are
fixed at one. An explanation of the other commands can be found in
Example 7.1.

Examples: Mixture Modeling With Cross-Sectional Data
215
EXAMPLE 7.29: TWO-GROUP IRT TWIN MODEL FOR
FACTORS WITH CATEGORICAL FACTOR INDICATORS
USING PARAMETER CONSTRAINTS
TITLE: this is an example of a two-group IRT twin
model for factors with categorical factor
indicators using parameter constraints
DATA: FILE = ex7.29.dat;
VARIABLE: NAMES = u11-u14 u21-u24 dz;
CATEGORICAL = u11-u24;
CLASSES = cdz (2);
KNOWNCLASS = cdz (dz = 0 dz = 1);
ANALYSIS: TYPE = MIXTURE;
ALGORITHM = INTEGRATION;
MODEL: %OVERALL%
f1 BY u11
u12-u14 (lam2-lam4);
f2 BY u21
u22-u24 (lam2-lam4);
[f1-f2@0];
f1-f2 (var);
[u11$1-u14$1] (t1-t4);
[u21$1-u24$1] (t1-t4);
%cdz#1%
f1 WITH f2(covmz);
%cdz#2%
f1 WITH f2(covdz);
MODEL CONSTRAINT:
NEW(a c e h);
var = a**2 + c**2 + e**2;
covmz = a**2 + c**2;
covdz = 0.5*a**2 + c**2;
h = a**2/(a**2 + c**2 + e**2);

CHAPTER 7
216
In this example, the model shown in the picture above is estimated. The
factors f1 and f2 represent a univariate variable for each member of the
twin pair. Monozygotic and dizygotic twins are considered in a two-
group twin model for factors with categorical factor indicators using
parameter constraints and maximum likelihood estimation. Parameter
constraints are used to represent the ACE model restrictions. The ACE
variance and covariance restrictions are placed on two factors instead of
two observed variables as in Example 7.28. The relationships between
the categorical factor indicators and the factors are logistic regressions.
Therefore, the factor model for each twin is a two-parameter logistic
Item Response Theory model (Muthén, Asparouhov, & Rebollo, 2006).
The monozygotic and dizygotic twin groups are represented by latent
classes with known class membership.
By specifying ALGORITHM=INTEGRATION, a maximum likelihood
estimator with robust standard errors using a numerical integration
algorithm will be used. Note that numerical integration becomes
increasingly more computationally demanding as the number of factors
and the sample size increase. In this example, two dimensions of
integration are used with 225 integration points. The ESTIMATOR
option can be used to select a different estimator.
In the overall model, the two BY statements specify that f1 is measured
by u11, u12, u13, and u14 and that f2 is measured by u21, u22, u23, and
u24. The means of the factors are fixed at zero. In the class-specific
models, the threshold of the dz variable is fixed at 15 in class one and -
15 in class 2.

Examples: Mixture Modeling With Cross-Sectional Data
217
In the MODEL command, labels are defined for nine parameters. The
list function can be used when assigning labels. The label lam2 is
assigned to the factor loadings for u12 and u22; the label lam3 is
assigned to the factor loadings for u13 and u23; and the label lam4 is
assigned to the factor loadings for u14 and u24. Factor loadings with the
same label are held equal. The label t1 is assigned to the thresholds of
u11 and u21; the label t2 is assigned to the thresholds of u12 and u22;
the label t3 is assigned to the thresholds of u13 and u23; and the label t4
is assigned to the thresholds of u14 and u24. Parameters with the same
label are held equal. The label covmz is assigned to the covariance
between f1 and f2 for the monozygotic twins and the label covdz is
assigned to the covariance between f1 and f2 for the dizygotic twins.
In the MODEL CONSTRAINT command, the NEW option is used to
assign labels to four parameters that are not in the analysis model: a, c,
e, and h. The three parameters a, c, and e are used to decompose the
variances and covariances of f1 and f2 into genetic and environmental
components. The parameter h does not impose restrictions on the model
parameters but is used to compute the heritability estimate and its
standard error. An explanation of the other commands can be found in
Examples 7.1 and 7.28.
EXAMPLE 7.30: CONTINUOUS-TIME SURVIVAL ANALYSIS
USING A COX REGRESSION MODEL TO ESTIMATE A
TREATMENT EFFECT
TITLE: this is an example of continuous-time
survival analysis using a Cox regression
model to estimate a treatment effect
DATA: FILE = ex7.30.dat;
VARIABLE: NAMES are t u x tcent class;
USEVARIABLES = t-tcent;
SURVIVAL = t;
TIMECENSORED = tcent;
CATEGORICAL = u;
CLASSES = c (2);
ANALYSIS: TYPE = MIXTURE;

CHAPTER 7
218
MODEL:
%OVERALL%
t ON x;
%c#1%
[u$1@15];
[t@0];
%c#2%
[u$1@-15];
[t];
OUTPUT: TECH1 LOGRANK;
PLOT: TYPE = PLOT2;
In this example, the continuous-time survival analysis model shown in
the picture above is estimated. The model is similar to Larsen (2004). A
treatment and a control group are analyzed as two known latent classes.
The baseline hazards are held equal across the classes and the treatment
effect is expressed as the intercept of the survival variable in the
treatment group. For applications of this model, see Muthén et al.
(2009).
The CATEGORICAL option is used to specify that the variable u is a
binary variable. This variable is a treatment dummy variable where zero
represents the control group and one represents the treatment group. In
this example, the categorical latent variable c has two classes. In the
MODEL command, in the model for class 1, the threshold for u is fixed
at 15 so that the probability that u equals one is zero. By this
Examples: Mixture Modeling With Cross-Sectional Data
219
specification, class 1 is the control group. In the model for class 2, the
threshold for u is fixed at -15 so that the probability that u equals one is
one. By this specification, class 2 is the treatment group. In the overall
model, the ON statement describes the Cox regression for the survival
variable t on the covariate x. In class 1, the intercept in the Cox
regression is fixed at zero. In class 2, it is free. This intercept represents
the treatment effect. The LOGRANK option of the OUTPUT command
provides a logrank test of the equality of the treatment and control
survival curves (Mantel, 1966). By specifying PLOT2 in the PLOT
command, the following plots are obtained:
Kaplan-Meier curve
Sample log cumulative hazard curve
Estimated baseline hazard curve
Estimated baseline survival curve
Estimated log cumulative baseline curve
Kaplan-Meier curve with estimated baseline survival curve
Sample log cumulative hazard curve with estimated log
cumulative baseline curve
An explanation of the other commands can be found in Example 7.1.
CHAPTER 7
220
Examples: Mixture Modeling With Longitudinal Data
221
CHAPTER 8
EXAMPLES: MIXTURE
MODELING WITH
LONGITUDINAL DATA
Mixture modeling refers to modeling with categorical latent variables
that represent subpopulations where population membership is not
known but is inferred from the data. This is referred to as finite mixture
modeling in statistics (McLachlan & Peel, 2000). For an overview of
different mixture models, see Muthén (2008). In mixture modeling with
longitudinal data, unobserved heterogeneity in the development of an
outcome over time is captured by categorical and continuous latent
variables. The simplest longitudinal mixture model is latent class
growth analysis (LCGA). In LCGA, the mixture corresponds to
different latent trajectory classes. No variation across individuals is
allowed within classes (Nagin, 1999; Roeder, Lynch, & Nagin, 1999;
Kreuter & Muthén, 2008). Another longitudinal mixture model is the
growth mixture model (GMM; Muthén & Shedden, 1999; Muthén et al.,
2002; Muthén, 2004; Muthén & Asparouhov, 2009). In GMM, within-
class variation of individuals is allowed for the latent trajectory classes.
The within-class variation is represented by random effects, that is,
continuous latent variables, as in regular growth modeling. All of the
growth models discussed in Chapter 6 can be generalized to mixture
modeling. Yet another mixture model for analyzing longitudinal data is
latent transition analysis (LTA; Collins & Wugalter, 1992; Reboussin et
al., 1998), also referred to as hidden Markov modeling, where latent
class indicators are measured over time and individuals are allowed to
transition between latent classes. With discrete-time survival mixture
analysis (DTSMA; Muthén & Masyn, 2005), the repeated observed
outcomes represent event histories. Continuous-time survival mixture
modeling is also available (Asparouhov et al., 2006). For mixture
modeling with longitudinal data, observed outcome variables can be
continuous, censored, binary, ordered categorical (ordinal), counts, or
combinations of these variable types.
CHAPTER 8
222
All longitudinal mixture models can be estimated using the following
special features:
Single or multiple group analysis
Missing data
Complex survey data
Latent variable interactions and non-linear factor analysis using
maximum likelihood
Random slopes
Individually-varying times of observations
Linear and non-linear parameter constraints
Indirect effects including specific paths
Maximum likelihood estimation for all outcome types
Bootstrap standard errors and confidence intervals
Wald chi-square test of parameter equalities
Test of equality of means across latent classes using posterior
probability-based multiple imputations
For TYPE=MIXTURE, multiple group analysis is specified by using the
KNOWNCLASS option of the VARIABLE command. The default is to
estimate the model under missing data theory using all available data.
The LISTWISE option of the DATA command can be used to delete all
observations from the analysis that have missing values on one or more
of the analysis variables. Corrections to the standard errors and chi-
square test of model fit that take into account stratification, non-
independence of observations, and unequal probability of selection are
obtained by using the TYPE=COMPLEX option of the ANALYSIS
command in conjunction with the STRATIFICATION, CLUSTER, and
WEIGHT options of the VARIABLE command. The
SUBPOPULATION option is used to select observations for an analysis
when a subpopulation (domain) is analyzed. Latent variable interactions
are specified by using the | symbol of the MODEL command in
conjunction with the XWITH option of the MODEL command. Random
slopes are specified by using the | symbol of the MODEL command in
conjunction with the ON option of the MODEL command. Individually-
varying times of observations are specified by using the | symbol of the
MODEL command in conjunction with the AT option of the MODEL
command and the TSCORES option of the VARIABLE command.
Linear and non-linear parameter constraints are specified by using the
MODEL CONSTRAINT command. Indirect effects are specified by
using the MODEL INDIRECT command. Maximum likelihood
Examples: Mixture Modeling With Longitudinal Data
223
estimation is specified by using the ESTIMATOR option of the
ANALYSIS command. Bootstrap standard errors are obtained by using
the BOOTSTRAP option of the ANALYSIS command. Bootstrap
confidence intervals are obtained by using the BOOTSTRAP option of
the ANALYSIS command in conjunction with the CINTERVAL option
of the OUTPUT command. The MODEL TEST command is used to test
linear restrictions on the parameters in the MODEL and MODEL
CONSTRAINT commands using the Wald chi-square test. The
AUXILIARY option is used to test the equality of means across latent
classes using posterior probability-based multiple imputations.
Graphical displays of observed data and analysis results can be obtained
using the PLOT command in conjunction with a post-processing
graphics module. The PLOT command provides histograms,
scatterplots, plots of individual observed and estimated values, plots of
sample and estimated means and proportions/probabilities, and plots of
estimated probabilities for a categorical latent variable as a function of
its covariates. These are available for the total sample, by group, by
class, and adjusted for covariates. The PLOT command includes
a display showing a set of descriptive statistics for each variable. The
graphical displays can be edited and exported as a DIB, EMF, or JPEG
file. In addition, the data for each graphical display can be saved in an
external file for use by another graphics program.
Following is the set of GMM examples included in this chapter:
8.1: GMM for a continuous outcome using automatic starting values
and random starts
8.2: GMM for a continuous outcome using user-specified starting
values and random starts
8.3: GMM for a censored outcome using a censored model with
automatic starting values and random starts*
8.4: GMM for a categorical outcome using automatic starting values
and random starts*
8.5: GMM for a count outcome using a zero-inflated Poisson model
and a negative binomial model with automatic starting values and
random starts*
8.6: GMM with a categorical distal outcome using automatic
starting values and random starts
8.7: A sequential process GMM for continuous outcomes with two
categorical latent variables
CHAPTER 8
224
8.8: GMM with known classes (multiple group analysis)
Following is the set of LCGA examples included in this chapter:
8.9: LCGA for a binary outcome
8.10: LCGA for a three-category outcome
8.11: LCGA for a count outcome using a zero-inflated Poisson
model
Following is the set of hidden Markov and LTA examples included in
this chapter:
8.12: Hidden Markov model with four time points
8.13: LTA for two time points with a binary covariate influencing
the latent transition probabilities
8.14: LTA for two time points with a continuous covariate
influencing the latent transition probabilities
8.15: Mover-stayer LTA for three time points using a probability
parameterization
Following are the discrete-time and continuous-time survival mixture
analysis examples included in this chapter:
8.16: Discrete-time survival mixture analysis with survival
predicted by growth trajectory classes
8.17: Continuous-time survival mixture analysis using a Cox
regression model
* Example uses numerical integration in the estimation of the model.
This can be computationally demanding depending on the size of the
problem.

Examples: Mixture Modeling With Longitudinal Data
225
EXAMPLE 8.1: GMM FOR A CONTINUOUS OUTCOME
USING AUTOMATIC STARTING VALUES AND RANDOM
STARTS
TITLE: this is an example of a GMM for a
continuous outcome using automatic
starting values and random starts
DATA: FILE IS ex8.1.dat;
VARIABLE: NAMES ARE y1–y4 x;
CLASSES = c (2);
ANALYSIS: TYPE = MIXTURE;
STARTS = 40 8;
MODEL:
%OVERALL%
i s | y1@0 y2@1 y3@2 y4@3;
i s ON x;
c ON x;
OUTPUT: TECH1 TECH8;
In the example above, the growth mixture model (GMM) for a
continuous outcome shown in the picture above is estimated. Because c
is a categorical latent variable, the interpretation of the picture is not the
same as for models with continuous latent variables. The arrows from c

CHAPTER 8
226
to the growth factors i and s indicate that the intercepts in the regressions
of the growth factors on x vary across the classes of c. This corresponds
to the regressions of i and s on a set of dummy variables representing the
categories of c. The arrow from x to c represents the multinomial
logistic regression of c on x. GMM is discussed in Muthén and Shedden
(1999), Muthén (2004), and Muthén and Asparouhov (2009).
TITLE: this is an example of a growth mixture
model for a continuous outcome
The TITLE command is used to provide a title for the analysis. The title
is printed in the output just before the Summary of Analysis.
DATA: FILE IS ex8.1.dat;
The DATA command is used to provide information about the data set
to be analyzed. The FILE option is used to specify the name of the file
that contains the data to be analyzed, ex8.1.dat. Because the data set is
in free format, the default, a FORMAT statement is not required.
VARIABLE: NAMES ARE y1–y4 x;
CLASSES = c (2);
The VARIABLE command is used to provide information about the
variables in the data set to be analyzed. The NAMES option is used to
assign names to the variables in the data set. The data set in this
example contains five variables: y1, y2, y3, y4, and x. Note that the
hyphen can be used as a convenience feature in order to generate a list of
names. The CLASSES option is used to assign names to the categorical
latent variables in the model and to specify the number of latent classes
in the model for each categorical latent variable. In the example above,
there is one categorical latent variable c that has two latent classes.
ANALYSIS: TYPE = MIXTURE;
STARTS = 40 8;
The ANALYSIS command is used to describe the technical details of the
analysis. The TYPE option is used to describe the type of analysis that
is to be performed. By selecting MIXTURE, a mixture model will be
estimated.

Examples: Mixture Modeling With Longitudinal Data
227
When TYPE=MIXTURE is specified, either user-specified or automatic
starting values are used to create randomly perturbed sets of starting
values for all parameters in the model except variances and covariances.
In this example, the random perturbations are based on automatic
starting values. Maximum likelihood optimization is done in two stages.
In the initial stage, 20 random sets of starting values are generated. An
optimization is carried out for 10 iterations using each of the 20 random
sets of starting values. The ending values from the 4 optimizations with
the highest loglikelihoods are used as the starting values in the final
stage optimizations which is carried out using the default optimization
settings for TYPE=MIXTURE. A more thorough investigation of
multiple solutions can be carried out using the STARTS and
STITERATIONS options of the ANALYSIS command. In this example,
40 initial stage random sets of starting values are used and 8 final stage
optimizations are carried out.
MODEL:
%OVERALL%
i s | y1@0 y2@1 y3@2 y4@3;
i s ON x;
c ON x;
The MODEL command is used to describe the model to be estimated.
For mixture models, there is an overall model designated by the label
%OVERALL%. The overall model describes the part of the model that
is in common for all latent classes. The | symbol is used to name and
define the intercept and slope growth factors in a growth model. The
names i and s on the left-hand side of the | symbol are the names of the
intercept and slope growth factors, respectively. The statement on the
right-hand side of the | symbol specifies the outcome and the time scores
for the growth model. The time scores for the slope growth factor are
fixed at 0, 1, 2, and 3 to define a linear growth model with equidistant
time points. The zero time score for the slope growth factor at time
point one defines the intercept growth factor as an initial status factor.
The coefficients of the intercept growth factor are fixed at one as part of
the growth model parameterization. The residual variances of the
outcome variables are estimated and allowed to be different across time
and the residuals are not correlated as the default.
In the parameterization of the growth model shown here, the intercepts
of the outcome variable at the four time points are fixed at zero as the
default. The intercepts and residual variances of the growth factors are

CHAPTER 8
228
estimated as the default, and the growth factor residual covariance is
estimated as the default because the growth factors do not influence any
variable in the model except their own indicators. The intercepts of the
growth factors are not held equal across classes as the default. The
residual variances and residual covariance of the growth factors are held
equal across classes as the default.
The first ON statement describes the linear regressions of the intercept
and slope growth factors on the covariate x. The second ON statement
describes the multinomial logistic regression of the categorical latent
variable c on the covariate x when comparing class 1 to class 2. The
intercept of this regression is estimated as the default. The default
estimator for this type of analysis is maximum likelihood with robust
standard errors. The ESTIMATOR option of the ANALYSIS command
can be used to select a different estimator.
Following is an alternative specification of the multinomial logistic
regression of c on the covariate x:
c#1 ON x;
where c#1 refers to the first class of c. The classes of a categorical latent
variable are referred to by adding to the name of the categorical latent
variable the number sign (#) followed by the number of the class. This
alternative specification allows individual parameters to be referred to in
the MODEL command for the purpose of giving starting values or
placing restrictions.
OUTPUT: TECH1 TECH8;
The OUTPUT command is used to request additional output not
included as the default. The TECH1 option is used to request the arrays
containing parameter specifications and starting values for all free
parameters in the model. The TECH8 option is used to request that the
optimization history in estimating the model be printed in the output.
TECH8 is printed to the screen during the computations as the default.
TECH8 screen printing is useful for determining how long the analysis
takes.

Examples: Mixture Modeling With Longitudinal Data
229
EXAMPLE 8.2: GMM FOR A CONTINUOUS OUTCOME
USING USER-SPECIFIED STARTING VALUES AND RANDOM
STARTS
TITLE: this is an example of a GMM for a
continuous outcome using user-specified
starting values and random starts
DATA: FILE IS ex8.2.dat;
VARIABLE: NAMES ARE y1–y4 x;
CLASSES = c (2);
ANALYSIS: TYPE = MIXTURE;
MODEL:
%OVERALL%
i s | y1@0 y2@1 y3@2 y4@3;
i s ON x;
c ON x;
%c#1%
[i*1 s*.5];
%c#2%
[i*3 s*1];
OUTPUT: TECH1 TECH8;
The difference between this example and Example 8.1 is that user-
specified starting values are used instead of automatic starting values. In
the MODEL command, user-specified starting values are given for the
intercepts of the intercept and slope growth factors. Intercepts are
referred to using brackets statements. The asterisk (*) is used to assign a
starting value for a parameter. It is placed after the parameter with the
starting value following it. In class 1, a starting value of 1 is given for
the intercept growth factor and a starting value of .5 is given for the
slope growth factor. In class 2, a starting value of 3 is given for the
intercept growth factor and a starting value of 1 is given for the slope
growth factor. The default estimator for this type of analysis is
maximum likelihood with robust standard errors. The ESTIMATOR
option of the ANALYSIS command can be used to select a different
estimator. An explanation of the other commands can be found in
Example 8.1.

CHAPTER 8
230
EXAMPLE 8.3: GMM FOR A CENSORED OUTCOME USING A
CENSORED MODEL WITH AUTOMATIC STARTING
VALUES AND RANDOM STARTS
TITLE: this is an example of a GMM for a censored
outcome using a censored model with
automatic starting values and random
starts
DATA: FILE IS ex8.3.dat;
VARIABLE: NAMES ARE y1-y4 x;
CLASSES = c (2);
CENSORED = y1-y4 (b);
ANALYSIS: TYPE = MIXTURE;
ALGORITHM = INTEGRATION;
MODEL:
%OVERALL%
i s | y1@0 y2@1 y3@2 y4@3;
i s ON x;
c ON x;
OUTPUT: TECH1 TECH8;
The difference between this example and Example 8.1 is that the
outcome variable is a censored variable instead of a continuous variable.
The CENSORED option is used to specify which dependent variables
are treated as censored variables in the model and its estimation, whether
they are censored from above or below, and whether a censored or
censored-inflated model will be estimated. In the example above, y1, y2,
y3, and y4 are censored variables. They represent the outcome variable
measured at four equidistant occasions. The b in parentheses following
y1-y4 indicates that y1, y2, y3, and y4 are censored from below, that is,
have floor effects, and that the model is a censored regression model.
The censoring limit is determined from the data.
By specifying ALGORITHM=INTEGRATION, a maximum likelihood
estimator with robust standard errors using a numerical integration
algorithm will be used. Note that numerical integration becomes
increasingly more computationally demanding as the number of factors
and the sample size increase. In this example, two dimensions of
integration are used with a total of 225 integration points. The
ESTIMATOR option of the ANALYSIS command can be used to select
a different estimator.

Examples: Mixture Modeling With Longitudinal Data
231
In the parameterization of the growth model shown here, the intercepts
of the outcome variable at the four time points are fixed at zero as the
default. The intercepts and residual variances of the growth factors are
estimated as the default, and the growth factor residual covariance is
estimated as the default because the growth factors do not influence any
variable in the model except their own indicators. The intercepts of the
growth factors are not held equal across classes as the default. The
residual variances and residual covariance of the growth factors are held
equal across classes as the default. An explanation of the other
commands can be found in Example 8.1.
EXAMPLE 8.4: GMM FOR A CATEGORICAL OUTCOME
USING AUTOMATIC STARTING VALUES AND RANDOM
STARTS
TITLE: this is an example of a GMM for a
categorical outcome using automatic
starting values and random starts
DATA: FILE IS ex8.4.dat;
VARIABLE: NAMES ARE u1–u4 x;
CLASSES = c (2);
CATEGORICAL = u1-u4;
ANALYSIS: TYPE = MIXTURE;
ALGORITHM = INTEGRATION;
MODEL:
%OVERALL%
i s | u1@0 u2@1 u3@2 u4@3;
i s ON x;
c ON x;
OUTPUT: TECH1 TECH8;
The difference between this example and Example 8.1 is that the
outcome variable is a binary or ordered categorical (ordinal) variable
instead of a continuous variable. The CATEGORICAL option is used to
specify which dependent variables are treated as binary or ordered
categorical (ordinal) variables in the model and its estimation. In the
example above, u1, u2, u3, and u4 are binary or ordered categorical
variables. They represent the outcome variable measured at four
equidistant occasions.
By specifying ALGORITHM=INTEGRATION, a maximum likelihood
estimator with robust standard errors using a numerical integration

CHAPTER 8
232
algorithm will be used. Note that numerical integration becomes
increasingly more computationally demanding as the number of factors
and the sample size increase. In this example, two dimensions of
integration are used with a total of 225 integration points. The
ESTIMATOR option of the ANALYSIS command can be used to select
a different estimator.
In the parameterization of the growth model shown here, the thresholds
of the outcome variable at the four time points are held equal as the
default. The intercept of the intercept growth factor is fixed at zero in
the last class and is free to be estimated in the other classes. The
intercept of the slope growth factor and the residual variances of the
intercept and slope growth factors are estimated as the default, and the
growth factor residual covariance is estimated as the default because the
growth factors do not influence any variable in the model except their
own indicators. The intercepts of the growth factors are not held equal
across classes as the default. The residual variances and residual
covariance of the growth factors are held equal across classes as the
default. An explanation of the other commands can be found in
Example 8.1.
EXAMPLE 8.5: GMM FOR A COUNT OUTCOME USING A
ZERO-INFLATED POISSON MODEL AND A NEGATIVE
BINOMIAL MODEL WITH AUTOMATIC STARTING VALUES
AND RANDOM STARTS
TITLE: this is an example of a GMM for a count
outcome using a zero-inflated Poisson
model with automatic starting values and
random starts
DATA: FILE IS ex8.5a.dat;
VARIABLE: NAMES ARE u1–u8 x;
CLASSES = c (2);
COUNT ARE u1-u8 (i);
ANALYSIS: TYPE = MIXTURE;
STARTS = 40 8;
STITERATIONS = 20;
ALGORITHM = INTEGRATION;

Examples: Mixture Modeling With Longitudinal Data
233
MODEL:
%OVERALL%
i s q | u1@0 u2@.1 u3@.2 u4@.3 u5@.4 u6@.5
u7@.6 u8@.7;
ii si qi | u1#1@0 u2#1@.1 u3#1@.2 u4#1@.3
u5#1@.4 u6#1@.5 u7#1@.6 u8#1@.7;
s-qi@0;
i s ON x;
c ON x;
OUTPUT: TECH1 TECH8;
The difference between this example and Example 8.1 is that the
outcome variable is a count variable instead of a continuous variable. In
addition, the outcome is measured at eight occasions instead of four and
a quadratic rather than a linear growth model is estimated. The COUNT
option is used to specify which dependent variables are treated as count
variables in the model and its estimation and the type of model that will
be estimated. In the first part of this example a zero-inflated Poisson
model is estimated. In the example above, u1, u2, u3, u4, u5, u6, u7, and
u8 are count variables. They represent the outcome variable measured at
eight equidistant occasions. The i in parentheses following u1-u8
indicates that a zero-inflated Poisson model will be estimated.
A more thorough investigation of multiple solutions can be carried out
using the STARTS and STITERATIONS options of the ANALYSIS
command. In this example, 40 initial stage random sets of starting
values are used and 8 final stage optimizations are carried out. In the
initial stage analyses, 20 iterations are used instead of the default of 10
iterations. By specifying ALGORITHM=INTEGRATION, a maximum
likelihood estimator with robust standard errors using a numerical
integration algorithm will be used. Note that numerical integration
becomes increasingly more computationally demanding as the number of
factors and the sample size increase. In this example, one dimension of
integration is used with 15 integration points. The ESTIMATOR option
of the ANALYSIS command can be used to select a different estimator.
With a zero-inflated Poisson model, two growth models are estimated.
The first | statement describes the growth model for the count part of the
outcome for individuals who are able to assume values of zero and
above. The second | statement describes the growth model for the
inflation part of the outcome, the probability of being unable to assume
any value except zero. The binary latent inflation variable is referred to

CHAPTER 8
234
by adding to the name of the count variable the number sign (#) followed
by the number 1.
In the parameterization of the growth model for the count part of the
outcome, the intercepts of the outcome variable at the eight time points
are fixed at zero as the default. The intercepts and residual variances of
the growth factors are estimated as the default, and the growth factor
residual covariances are estimated as the default because the growth
factors do not influence any variable in the model except their own
indicators. The intercepts of the growth factors are not held equal across
classes as the default. The residual variances and residual covariances
of the growth factors are held equal across classes as the default. In this
example, the variances of the slope growth factors s and q are fixed at
zero. This implies that the covariances between i, s, and q are fixed at
zero. Only the variance of the intercept growth factor i is estimated.
In the parameterization of the growth model for the inflation part of the
outcome, the intercepts of the outcome variable at the eight time points
are held equal as the default. The intercept of the intercept growth factor
is fixed at zero in all classes as the default. The intercept of the slope
growth factor and the residual variances of the intercept and slope
growth factors are estimated as the default, and the growth factor
residual covariances are estimated as the default because the growth
factors do not influence any variable in the model except their own
indicators. The intercept of the slope growth factor, the residual
variances of the growth factors, and residual covariance of the growth
factors are held equal across classes as the default. These defaults can
be overridden, but freeing too many parameters in the inflation part of
the model can lead to convergence problems. In this example, the
variances of the intercept and slope growth factors are fixed at zero.
This implies that the covariances between ii, si, and qi are fixed at zero.
An explanation of the other commands can be found in Example 8.1.
TITLE: this is an example of a GMM for a count
outcome using a negative binomial model
with automatic starting values and random
starts
DATA: FILE IS ex8.5b.dat;
VARIABLE: NAMES ARE u1-u8 x;
CLASSES = c(2);
COUNT = u1-u8(nb);
ANALYSIS: TYPE = MIXTURE;
ALGORITHM = INTEGRATION;

Examples: Mixture Modeling With Longitudinal Data
235
MODEL:
%OVERALL%
i s q | u1@0 u2@.1 u3@.2 u4@.3 u5@.4 u6@.5
u7@.6 u8@.7;
s-q@0;
i s ON x;
c ON x;
OUTPUT: TECH1 TECH8;
The difference between this part of the example and the first part is that
a growth mixture model (GMM) for a count outcome using a negative
binomial model is estimated instead of a zero-inflated Poisson model.
The negative binomial model estimates a dispersion parameter for each
of the outcomes (Long, 1997; Hilbe, 2011).
The COUNT option is used to specify which dependent variables are
treated as count variables in the model and its estimation and which type
of model is estimated. The nb in parentheses following u1-u8 indicates
that a negative binomial model will be estimated. The dispersion
parameters for each of the outcomes are held equal across classes as the
default. The dispersion parameters can be referred to using the names of
the count variables. An explanation of the other commands can be
found in the first part of this example and in Example 8.1.
EXAMPLE 8.6: GMM WITH A CATEGORICAL DISTAL
OUTCOME USING AUTOMATIC STARTING VALUES AND
RANDOM STARTS
TITLE: this is an example of a GMM with a
categorical distal outcome using automatic
starting values and random starts
DATA: FILE IS ex8.6.dat;
VARIABLE: NAMES ARE y1–y4 u x;
CLASSES = c(2);
CATEGORICAL = u;
ANALYSIS: TYPE = MIXTURE;
MODEL:
%OVERALL%
i s | y1@0 y2@1 y3@2 y4@3;
i s ON x;
c ON x;
OUTPUT: TECH1 TECH8;

CHAPTER 8
236
The difference between this example and Example 8.1 is that a binary or
ordered categorical (ordinal) distal outcome has been added to the model
as shown in the picture above. The distal outcome u is regressed on the
categorical latent variable c using logistic regression. This is
represented as the thresholds of u varying across classes.
The CATEGORICAL option is used to specify which dependent
variables are treated as binary or ordered categorical (ordinal) variables
in the model and its estimation. In the example above, u is a binary or
ordered categorical variable. The program determines the number of
categories for each indicator. The default is that the thresholds of u are
estimated and vary across the latent classes. Because automatic starting
values are used, it is not necessary to include these class-specific
statements in the model command. The default estimator for this type of
analysis is maximum likelihood with robust standard errors. The
ESTIMATOR option of the ANALYSIS command can be used to select
a different estimator. An explanation of the other commands can be
found in Example 8.1.

Examples: Mixture Modeling With Longitudinal Data
237
EXAMPLE 8.7: A SEQUENTIAL PROCESS GMM FOR
CONTINUOUS OUTCOMES WITH TWO CATEGORICAL
LATENT VARIABLES
TITLE: this is an example of a sequential
process GMM for continuous outcomes with
two categorical latent variables
DATA: FILE IS ex8.7.dat;
VARIABLE: NAMES ARE y1-y8;
CLASSES = c1 (3) c2 (2);
ANALYSIS: TYPE = MIXTURE;
MODEL:
%OVERALL%
i1 s1 | y1@0 y2@1 y3@2 y4@3;
i2 s2 | y5@0 y6@1 y7@2 y8@3;
c2 ON c1;
MODEL c1:
%c1#1%
[i1 s1];
%c1#2%
[i1*1 s1];
%c1#3%
[i1*2 s1];
MODEL c2:
%c2#1%
[i2 s2];
%c2#2%
[i2*-1 s2];
OUTPUT: TECH1 TECH8;

CHAPTER 8
238
In this example, the sequential process growth mixture model for
continuous outcomes shown in the picture above is estimated. The latent
classes of the second process are related to the latent classes of the first
process. This is a type of latent transition analysis. Latent transition
analysis is shown in Examples 8.12, 8.13, and 8.14.
The | statements in the overall model are used to name and define the
intercept and slope growth factors in the growth models. In the first |
statement, the names i1 and s1 on the left-hand side of the | symbol are
the names of the intercept and slope growth factors, respectively. In the
second | statement, the names i2 and s2 on the left-hand side of the |
symbol are the names of the intercept and slope growth factors,
respectively. In both | statements, the values on the right-hand side of
the | symbol are the time scores for the slope growth factor. For both
growth processes, the time scores of the slope growth factors are fixed at
0, 1, 2, and 3 to define linear growth models with equidistant time
points. The zero time scores for the slope growth factors at time point
one define the intercept growth factors as initial status factors. The
coefficients of the intercept growth factors i1 and i2 are fixed at one as
part of the growth model parameterization. In the parameterization of
the growth model shown here, the means of the outcome variables at the
four time points are fixed at zero as the default. The intercept and slope
growth factor means are estimated as the default. The variances of the
growth factors are also estimated as the default. The growth factors are
Examples: Mixture Modeling With Longitudinal Data
239
correlated as the default because they are independent (exogenous)
variables. The means of the growth factors are not held equal across
classes as the default. The variances and covariances of the growth
factors are held equal across classes as the default.
In the overall model, the ON statement describes the probabilities of
transitioning from a class of the categorical latent variable c1 to a class
of the categorical latent variable c2. The ON statement describes the
multinomial logistic regression of c2 on c1 when comparing class 1 of c2
to class 2 of c2. In this multinomial logistic regression, coefficients
corresponding to the last class of each of the categorical latent variables
are fixed at zero. The parameterization of models with more than one
categorical latent variable is discussed in Chapter 14. Because c1 has
three classes and c2 has two classes, two regression coefficients are
estimated. The means of c1 and the intercepts of c2 are estimated as the
default.
When there are multiple categorical latent variables, each one has its
own MODEL command. The MODEL command for each latent
variable is specified by MODEL followed by the name of the latent
variable. For each categorical latent variable, the part of the model that
differs for each class is specified by a label that consists of the
categorical latent variable followed by the number sign followed by the
class number. In the example above, the label %c1#1% refers to the part
of the model for class one of the categorical latent variable c1 that
differs from the overall model. The label %c2#1% refers to the part of
the model for class one of the categorical latent variable c2 that differs
from the overall model. The class-specific part of the model for each
categorical latent variable specifies that the means of the intercept and
slope growth factors are free to be estimated for each class. The default
estimator for this type of analysis is maximum likelihood with robust
standard errors. The ESTIMATOR option of the ANALYSIS command
can be used to select a different estimator. An explanation of the other
commands can be found in Example 8.1.
Following is an alternative specification of the multinomial logistic
regression of c2 on c1:
c2#1 ON c1#1 c1#2;

CHAPTER 8
240
where c2#1 refers to the first class of c2, c1#1 refers to the first class of
c1, and c1#2 refers to the second class of c1. The classes of a
categorical latent variable are referred to by adding to the name of the
categorical latent variable the number sign (#) followed by the number
of the class. This alternative specification allows individual parameters
to be referred to in the MODEL command for the purpose of giving
starting values or placing restrictions.
EXAMPLE 8.8: GMM WITH KNOWN CLASSES (MULTIPLE
GROUP ANALYSIS)
TITLE: this is an example of GMM with known
classes (multiple group analysis)
DATA: FILE IS ex8.8.dat;
VARIABLE: NAMES ARE g y1-y4 x;
USEVARIABLES ARE y1-y4 x;
CLASSES = cg (2) c (2);
KNOWNCLASS = cg (g = 0 g = 1);
ANALYSIS: TYPE = MIXTURE;
MODEL:
%OVERALL%
i s | y1@0 y2@1 y3@2 y4@3;
i s ON x;
c ON cg x;
%cg#1.c#1%
[i*2 s*1];
%cg#1.c#2%
[i*0 s*0];
%cg#2.c#1%
[i*3 s*1.5];
%cg#2.c#2%
[i*1 s*.5];
OUTPUT: TECH1 TECH8;

Examples: Mixture Modeling With Longitudinal Data
241
The difference between this example and Example 8.1 is that this
analysis includes a categorical latent variable for which class
membership is known resulting in a multiple group growth mixture
model. The CLASSES option is used to assign names to the categorical
latent variables in the model and to specify the number of latent classes
in the model for each categorical latent variable. In the example above,
there are two categorical latent variables cg and c. Both categorical
latent variables have two latent classes. The KNOWNCLASS option is
used for multiple group analysis with TYPE=MIXTURE to identify the
categorical latent variable for which latent class membership is known
and is equal to observed groups in the sample. The KNOWNCLASS
option identifies cg as the categorical latent variable for which class
membership is known. The information in parentheses following the
categorical latent variable name defines the known classes using an
observed variable. In this example, the observed variable g is used to
define the known classes. The first class consists of individuals with the
value 0 on the variable g. The second class consists of individuals with
the value 1 on the variable g.
In the overall model, the second ON statement describes the multinomial
logistic regression of the categorical latent variable c on the known class
variable cg and the covariate x. This allows the class probabilities to
vary across the observed groups in the sample. In the four class-specific

CHAPTER 8
242
parts of the model, starting values are given for the growth factor
intercepts. The four classes correspond to a combination of the classes
of cg and c. They are referred to by combining the class labels using a
period (.). For example, the combination of class 1 of cg and class 1 of c
is referred to as cg#1.c#1. The default estimator for this type of analysis
is maximum likelihood with robust standard errors. The ESTIMATOR
option of the ANALYSIS command can be used to select a different
estimator. An explanation of the other commands can be found in
Example 8.1.
EXAMPLE 8.9: LCGA FOR A BINARY OUTCOME
TITLE: this is an example of a LCGA for a binary
outcome
DATA: FILE IS ex8.9.dat;
VARIABLE: NAMES ARE u1-u4;
CLASSES = c (2);
CATEGORICAL = u1-u4;
ANALYSIS: TYPE = MIXTURE;
MODEL:
%OVERALL%
i s | u1@0 u2@1 u3@2 u4@3;
OUTPUT: TECH1 TECH8;

Examples: Mixture Modeling With Longitudinal Data
243
The difference between this example and Example 8.4 is that a LCGA
for a binary outcome as shown in the picture above is estimated instead
of a GMM. The difference between these two models is that GMM
allows within class variability and LCGA does not (Kreuter & Muthén,
2008; Muthén, 2004; Muthén & Asparouhov, 2009).
When TYPE=MIXTURE without ALGORITHM=INTEGRATION is
selected, a LCGA is carried out. In the parameterization of the growth
model shown here, the thresholds of the outcome variable at the four
time points are held equal as the default. The intercept growth factor
mean is fixed at zero in the last class and estimated in the other classes.
The slope growth factor mean is estimated as the default in all classes.
The variances of the growth factors are fixed at zero as the default
without ALGORITHM=INTEGRATION. Because of this, the growth
factor covariance is fixed at zero. The default estimator for this type of
analysis is maximum likelihood with robust standard errors. The
ESTIMATOR option of the ANALYSIS command can be used to select
a different estimator. An explanation of the other commands can be
found in Examples 8.1 and 8.4.
EXAMPLE 8.10: LCGA FOR A THREE-CATEGORY
OUTCOME
TITLE: this is an example of a LCGA for a three-
category outcome
DATA: FILE IS ex8.10.dat;
VARIABLE: NAMES ARE u1-u4;
CLASSES = c(2);
CATEGORICAL = u1-u4;
ANALYSIS: TYPE = MIXTURE;
MODEL:
%OVERALL%
i s | u1@0 u2@1 u3@2 u4@3;
! [u1$1-u4$1*-.5] (1);
! [u1$2-u4$2* .5] (2);
! %c#1%
! [i*1 s*0];
! %c#2%
! [i@0 s*0];
OUTPUT: TECH1 TECH8;

CHAPTER 8
244
The difference between this example and Example 8.9 is that the
outcome variable is an ordered categorical (ordinal) variable instead of a
binary variable. Note that the statements that are commented out are not
necessary. This results in an input identical to Example 8.9. The
statements are shown to illustrate how starting values can be given for
the thresholds and growth factor means in the model if this is needed.
Because the outcome is a three-category variable, it has two thresholds.
An explanation of the other commands can be found in Examples 8.1,
8.4 and 8.9.
EXAMPLE 8.11: LCGA FOR A COUNT OUTCOME USING A
ZERO-INFLATED POISSON MODEL
TITLE: this is an example of a LCGA for a count
outcome using a zero-inflated Poisson
model
DATA: FILE IS ex8.11.dat;
VARIABLE: NAMES ARE u1-u4;
COUNT = u1-u4 (i);
CLASSES = c (2);
ANALYSIS: TYPE = MIXTURE;
MODEL:
%OVERALL%
i s | u1@0 u2@1 u3@2 u4@3;
ii si | u1#1@0 u2#1@1 u3#1@2 u4#1@3;
OUTPUT: TECH1 TECH8;
The difference between this example and Example 8.9 is that the
outcome variable is a count variable instead of a continuous variable.
The COUNT option is used to specify which dependent variables are
treated as count variables in the model and its estimation and whether a
Poisson or zero-inflated Poisson model will be estimated. In the
example above, u1, u2, u3, and u4 are count variables and a zero-inflated
Poisson model is used. The count variables represent the outcome
measured at four equidistant occasions.
With a zero-inflated Poisson model, two growth models are estimated.
The first | statement describes the growth model for the count part of the
outcome for individuals who are able to assume values of zero and
above. The second | statement describes the growth model for the
inflation part of the outcome, the probability of being unable to assume
any value except zero. The binary latent inflation variable is referred to

Examples: Mixture Modeling With Longitudinal Data
245
by adding to the name of the count variable the number sign (#) followed
by the number 1.
In the parameterization of the growth model for the count part of the
outcome, the intercepts of the outcome variable at the four time points
are fixed at zero as the default. The means of the growth factors are
estimated as the default. The variances of the growth factors are fixed
at zero. Because of this, the growth factor covariance is fixed at zero as
the default. The means of the growth factors are not held equal across
classes as the default.
In the parameterization of the growth model for the inflation part of the
outcome, the intercepts of the outcome variable at the four time points
are held equal as the default. The mean of the intercept growth factor is
fixed at zero in all classes as the default. The mean of the slope growth
factor is estimated and held equal across classes as the default. These
defaults can be overridden, but freeing too many parameters in the
inflation part of the model can lead to convergence problems. The
variances of the growth factors are fixed at zero. Because of this, the
growth factor covariance is fixed at zero. The default estimator for this
type of analysis is maximum likelihood with robust standard errors. The
ESTIMATOR option of the ANALYSIS command can be used to select
a different estimator. An explanation of the other commands can be
found in Examples 8.1 and 8.9.
EXAMPLE 8.12: HIDDEN MARKOV MODEL WITH FOUR
TIME POINTS
TITLE: this is an example of a hidden Markov
model with four time points
DATA: FILE IS ex8.12.dat;
VARIABLE: NAMES ARE u1-u4;
CATEGORICAL = u1-u4;
CLASSES = c1(2) c2(2) c3(2) c4(2);
ANALYSIS: TYPE = MIXTURE;
MODEL:
%OVERALL%
[c2#1-c4#1] (1);
c4 ON c3 (2);
c3 ON c2 (2);
c2 ON c1 (2);

CHAPTER 8
246
MODEL c1:
%c1#1%
[u1$1] (3);
%c1#2%
[u1$1] (4);
MODEL c2:
%c2#1%
[u2$1] (3);
%c2#2%
[u2$1] (4);
MODEL c3:
%c3#1%
[u3$1] (3);
%c3#2%
[u3$1] (4);
MODEL c4:
%c4#1%
[u4$1] (3);
%c4#2%
[u4$1] (4);
OUTPUT: TECH1 TECH8;
In this example, the hidden Markov model for a single binary outcome
measured at four time points shown in the picture above is estimated.
Although each categorical latent variable has only one latent class
indicator, this model allows the estimation of measurement error by
allowing latent class membership and observed response to disagree.
This is a first-order Markov process where the transition matrices are
specified to be equal over time (Langeheine & van de Pol, 2002). The
parameterization of this model is described in Chapter 14.
The CLASSES option is used to assign names to the categorical latent
variables in the model and to specify the number of latent classes in the

Examples: Mixture Modeling With Longitudinal Data
247
model for each categorical latent variable. In the example above, there
are four categorical latent variables c1, c2, c3, and c4. All of the
categorical latent variables have two latent classes. In the overall model,
the transition matrices are held equal over time. This is done by placing
(1) after the bracket statement for the intercepts of c2, c3, and c4 and by
placing (2) after each of the ON statements that represent the first-order
Markov relationships. When a model has more than one categorical
latent variable, MODEL followed by a label is used to describe the
analysis model for each categorical latent variable. Labels are defined
by using the names of the categorical latent variables. The class-specific
equalities (3) and (4) represent measurement invariance across time. An
explanation of the other commands can be found in Example 8.1.
EXAMPLE 8.13: LTA FOR TWO TIME POINTS WITH A
BINARY COVARIATE INFLUENCING THE LATENT
TRANSITION PROBABILITIES
TITLE: this is an example of a LTA for two time
points with a binary covariate influencing
the latent transition probabilities
DATA: FILE = ex8.13.dat;
VARIABLE: NAMES = u11-u15 u21-u25 g;
CATEGORICAL = u11-u15 u21-u25;
CLASSES = cg (2) c1 (3) c2 (3);
KNOWNCLASS = cg (g = 0 g = 1);
ANALYSIS: TYPE = MIXTURE;
MODEL: %OVERALL%
c1 c2 ON cg;
MODEL cg: %cg#1%
c2 ON c1;
%cg#2%
c2 ON c1;
MODEL c1: %c1#1%
[u11$1] (1);
[u12$1] (2);
[u13$1] (3);
[u14$1] (4);
[u15$1] (5);
%c1#2%
[u11$1] (6);
[u12$1] (7);
[u13$1] (8);
[u14$1] (9);
[u15$1] (10);

CHAPTER 8
248
%c1#3%
[u11$1] (11);
[u12$1] (12);
[u13$1] (13);
[u14$1] (14);
[u15$1] (15);
MODEL c2:
%c2#1%
[u21$1] (1);
[u22$1] (2);
[u23$1] (3);
[u24$1] (4);
[u25$1] (5);
%c2#2%
[u21$1] (6);
[u22$1] (7);
[u23$1] (8);
[u24$1] (9);
[u25$1] (10);
%c2#3%
[u21$1] (11);
[u22$1] (12);
[u23$1] (13);
[u24$1] (14);
[u25$1] (15);
OUTPUT: TECH1 TECH8 TECH15;
Examples: Mixture Modeling With Longitudinal Data
249
In this example, the latent transition analysis (LTA; Mooijaart, 1998;
Reboussin et al., 1998; Kaplan, 2007; Nylund, 2007; Collins & Lanza,
2010) model for two time points with a binary covariate influencing the
latent transition probabilities shown in the picture above is estimated.
The same five latent class indicators are measured at two time points.
The model assumes measurement invariance across time for the five
latent class indicators. The parameterization of this model is described
in Chapter 14.
The KNOWNCLASS option is used for multiple group analysis with
TYPE=MIXTURE to identify the categorical latent variable for which
latent class membership is known and is equal to observed groups in the
sample. The KNOWNCLASS option identifies cg as the categorical
latent variable for which class membership is known. The information
in parentheses following the categorical latent variable name defines the
known classes using an observed variable. In this example, the observed
variable g is used to define the known classes. The first class consists of
individuals with the value 0 on the variable g. The second class consists
of individuals with the value 1 on the variable g.
In the overall model, the first ON statement describes the multinomial
logistic regression of the categorical latent variables c1 and c2 on the
known class variable cg. This allows the class probabilities to vary
across the observed groups in the sample.
When there are multiple categorical latent variables, each one has its
own MODEL command. The MODEL command for each categorical
latent variable is specified by MODEL followed by the name of the
categorical latent variable. In this example, MODEL cg describes the
group-specific parameters of the regression of c2 on c1. This allows the
binary covariate to influence the latent transition probabilities. MODEL
c1 describes the class-specific measurement parameters for variable c1
and MODEL c2 describes the class-specific measurement parameters for
variable c2. The model for each categorical latent variable that differs
for each class of that variable is specified by a label that consists of the
categorical latent variable name followed by the number sign followed
by the class number. For example, in the example above, the label
%c1#1% refers to class 1 of categorical latent variable c1.
In this example, the thresholds of the latent class indicators for a given
class are held equal for the two categorical latent variables. The (1-5),

CHAPTER 8
250
(6-10), and (11-15) following the bracket statements containing the
thresholds use the list function to assign equality labels to these
parameters. For example, the label 1 is assigned to the thresholds u11$1
and u21$1 which holds these thresholds equal over time.
The TECH15 option is used to obtain the transition probabilities for
each of the two known classes. The default estimator for this type of
analysis is maximum likelihood with robust standard errors. The
estimator option of the ANALYSIS command can be used to select a
different estimator. An explanation of the other commands can be found
in Example 8.1.
Following is the second part of the example that shows an alternative
parameterization. The PARAMETERIZATION option is used to select
a probability parameterization rather than a logit parameterization. This
allows latent transition probabilities to be expressed directly in terms of
probability parameters instead of via logit parameters. In the overall
model, only the c1 on cg regression is specified, not the c2 on cg
regression. Other specifications are the same as in the first part of the
example.
ANALYSIS: TYPE = MIXTURE;
PARAMETERIZATION = PROBABILITY;
MODEL: %OVERALL%
c1 ON cg;
MODEL cg: %cg#1%
c2 ON c1;
%cg#2%
c2 ON c1;
EXAMPLE 8.14: LTA FOR TWO TIME POINTS WITH A
CONTINUOUS COVARIATE INFLUENCING THE LATENT
TRANSITION PROBABILITIES
TITLE: this is an example of a LTA for two time
points with a continuous covariate
influencing the latent transition
probabilities
DATA: FILE = ex8.14.dat;
VARIABLE: NAMES = u11-u15 u21-u25 x;
CATEGORICAL = u11-u15 u21-u25;
CLASSES = c1 (3) c2 (3);

Examples: Mixture Modeling With Longitudinal Data
251
ANALYSIS: TYPE = MIXTURE;
PROCESSORS = 8;
MODEL: %OVERALL%
c1 ON x;
c2 ON c1;
MODEL c1: %c1#1%
c2 ON x;
[u11$1] (1);
[u12$1] (2);
[u13$1] (3);
[u14$1] (4);
[u15$1] (5);
%c1#2%
c2 ON x;
[u11$1] (6);
[u12$1] (7);
[u13$1] (8);
[u14$1] (9);
[u15$1] (10);
%c1#3%
c2 ON x;
[u11$1] (11);
[u12$1] (12);
[u13$1] (13);
[u14$1] (14);
[u15$1] (15);
MODEL c2: %c2#1%
[u21$1] (1);
[u22$1] (2);
[u23$1] (3);
[u24$1] (4);
[u25$1] (5);
%c2#2%
[u21$1] (6);
[u22$1] (7);
[u23$1] (8);
[u24$1] (9);
[u25$1] (10);
%c2#3%
[u21$1] (11);
[u22$1] (12);
[u23$1] (13);
[u24$1] (14);
[u25$1] (15);
OUTPUT: TECH1 TECH8;

CHAPTER 8
252
In this example, the latent transition analysis (LTA; Reboussin et al.,
1998; Kaplan, 2007; Nylund, 2007; Collins & Lanza, 2010) model for
two time points with a continuous covariate influencing the latent
transition probabilities shown in the picture above is estimated. The
same five latent class indicators are measured at two time points. The
model assumes measurement invariance across time for the five latent
class indicators. The parameterization of this model is described in
Chapter 14.
In the overall model, the first ON statement describes the multinomial
logistic regression of the categorical latent variable c1 on the continuous
covariate x. The second ON statement describes the multinomial logistic
regression of c2 on c1. The multinomial logistic regression of c2 on the
continuous covariate x is specified in the class-specific parts of MODEL
c1. This follows parameterization 2 discussed in Muthén and
Asparouhov (2011). The class-specific regressions of c2 on x allow the
continuous covariate x to influence the latent transition probabilities.
The latent transition probabilities for different values of the covariates
can be computed by choosing LTA calculator from the Mplus menu of
the Mplus Editor.
When there are multiple categorical latent variables, each one has its
own MODEL command. The MODEL command for each categorical
latent variable is specified by MODEL followed by the name of the
categorical latent variable. MODEL c1 describes the class-specific

Examples: Mixture Modeling With Longitudinal Data
253
multinomial logistic regression of c2 on x and the class-specific
measurement parameters for variable c1. MODEL c2 describes the
class-specific measurement parameters for variable c2. The model for
each categorical latent variable that differs for each class of that variable
is specified by a label that consists of the categorical latent variable
name followed by the number sign followed by the class number. For
example, in the example above, the label %c1#1% refers to class 1 of
categorical latent variable c1.
In this example, the thresholds of the latent class indicators for a given
class are held equal for the two categorical latent variables. The (1-5),
(6-10), and (11-15) following the bracket statements containing the
thresholds use the list function to assign equality labels to these
parameters. For example, the label 1 is assigned to the thresholds u11$1
and u21$1 which holds these thresholds equal over time. The default
estimator for this type of analysis is maximum likelihood with robust
standard errors. The estimator option of the ANALYSIS command can
be used to select a different estimator. An explanation of the other
commands can be found in Example 8.1.
EXAMPLE 8.15: MOVER-STAYER LTA FOR THREE TIME
POINTS USING A PROBABILITY PARAMETERIZATION
TITLE: this is an example of a mover-stayer LTA
for three time points using a probability
parameterization
DATA: FILE = ex8.15.dat;
VARIABLE: NAMES = u11-u15 u21-u25 u31-u35;
CATEGORICAL = u11-u15 u21-u25 u31-u35;
CLASSES = c(2) c1(3) c2(3) c3(3);
ANALYSIS: TYPE = MIXTURE;
PARAMETERIZATION = PROBABILITY;
STARTS = 100 20;
PROCESSORS = 8;
MODEL: %OVERALL%
c1 ON c;
MODEL c: %c#1% !mover class
c2 ON c1;
c3 ON c2;
%c#2% ! stayer class
c2#1 ON c1#1@1; c2#2 ON c1#1@0;
c2#1 ON c1#2@0; c2#2 ON c1#2@1;
c2#1 ON c1#3@0; c2#2 ON c1#3@0;

CHAPTER 8
254
c3#1 ON c2#1@1; c3#2 ON c2#1@0;
c3#1 ON c2#2@0; c3#2 ON c2#2@1;
c3#1 ON c2#3@0; c3#2 ON c2#3@0;
MODEL c1: %c1#1%
[u11$1] (1);
[u12$1] (2);
[u13$1] (3);
[u14$1] (4);
[u15$1] (5);
%c1#2%
[u11$1] (6);
[u12$1] (7);
[u13$1] (8);
[u14$1] (9);
[u15$1] (10);
%c1#3%
[u11$1] (11);
[u12$1] (12);
[u13$1] (13);
[u14$1] (14);
[u15$1] (15);
MODEL c2:
%c2#1%
[u21$1] (1);
[u22$1] (2);
[u23$1] (3);
[u24$1] (4);
[u25$1] (5);
%c2#2%
[u21$1] (6);
[u22$1] (7);
[u23$1] (8);
[u24$1] (9);
[u25$1] (10);
%c2#3%
[u21$1] (11);
[u22$1] (12);
[u23$1] (13);
[u24$1] (14);
[u25$1] (15);
MODEL c3:
%c3#1%
[u31$1] (1);
[u32$1] (2);
[u33$1] (3);
[u34$1] (4);
[u35$1] (5);
%c3#2%
[u31$1] (6);
[u32$1] (7);
[u33$1] (8);

Examples: Mixture Modeling With Longitudinal Data
255
[u34$1] (9);
[u35$1] (10);
%c3#3%
[u31$1] (11);
[u32$1] (12);
[u33$1] (13);
[u34$1] (14);
[u35$1] (15);
OUTPUT: TECH1 TECH8 TECH15;
In this example, the mover-stayer (Langeheine & van de Pol, 2002)
latent transition analysis (LTA) for three time points using a probability
parameterization shown in the picture above is estimated. The same five
latent class indicators are measured at three time points. The model
assumes measurement invariance across time for the five latent class
indicators. The parameterization of this model is described in Chapter
14.
The PARAMETERIZATION option is used to select a probability
parameterization rather than a logit parameterization. This allows latent
transition probabilities to be expressed directly in terms of probability
parameters instead of via logit parameters. The alternative logit
CHAPTER 8
256
parameterization of mover-stayer LTA is described in the document
LTA With Movers-Stayers (see FAQ, www.statmodel.com).
In the overall model, the ON statement describes the multinomial
logistic regression of the categorical latent variable c1 on the mover-
stayer categorical latent variable c. The multinomial logistic regressions
of c2 on c1 and c3 on c2 are specified in the class-specific parts of
MODEL c.
When there are multiple categorical latent variables, each one has its
own MODEL command. The MODEL command for each categorical
latent variable is specified by MODEL followed by the name of the
categorical latent variable. MODEL c describes the class-specific
multinomial logistic regressions of c2 on c1 and c3 on c2 where the first
c class is the mover class and the second c class is the stayer class.
MODEL c1 describes the class-specific measurement parameters for
variable c1; MODEL c2 describes the class-specific measurement
parameters for variable c2; and MODEL c3 describes the class-specific
measurement parameters for variable c3. The model for each categorical
latent variable that differs for each class of that variable is specified by a
label that consists of the categorical latent variable name followed by the
number sign followed by the class number. For example, in the example
above, the label %c1#1% refers to class 1 of categorical latent variable
c1.
In class 1, the mover class of MODEL c, the two ON statements specify
that the latent transition probabilities are estimated. In class 2, the stayer
class, the ON statements specify that the latent transition probabilities
are fixed at either zero or one. A latent transition probability of one
specifies that an observation stays in the same class across time.
In this example, the thresholds of the latent class indicators for a given
class are held equal for the three categorical latent variables. The (1-5),
(6-10), and (11-15) following the bracket statements containing the
thresholds use the list function to assign equality labels to these
parameters. For example, the label 1 is assigned to the thresholds
u11$1, u21$1, and u31$1 which holds these thresholds equal over time.
The TECH15 option is used to obtain the transition probabilities for both
the mover and stayer classes. The default estimator for this type of
analysis is maximum likelihood with robust standard errors. The

Examples: Mixture Modeling With Longitudinal Data
257
estimator option of the ANALYSIS command can be used to select a
different estimator. An explanation of the other commands can be found
in Example 8.1.
EXAMPLE 8.16: DISCRETE-TIME SURVIVAL MIXTURE
ANALYSIS WITH SURVIVAL PREDICTED BY GROWTH
TRAJECTORY CLASSES
TITLE: this is an example of a discrete-time
survival mixture analysis with survival
predicted by growth trajectory classes
DATA: FILE IS ex8.16.dat;
VARIABLE: NAMES ARE y1-y3 u1-u4;
CLASSES = c(2);
CATEGORICAL = u1-u4;
MISSING = u1-u4 (999);
ANALYSIS: TYPE = MIXTURE;
MODEL:
%OVERALL%
i s | y1@0 y2@1 y3@2;
f BY u1-u4@1;
OUTPUT: TECH1 TECH8;
CHAPTER 8
258
In this example, the discrete-time survival mixture analysis model shown
in the picture above is estimated. In this model, a survival model for u1,
u2, u3, and u4 is specified for each class of c defined by a growth
mixture model for y1-y3 (Muthén & Masyn, 2005). Each u variable
represents whether or not a single non-repeatable event has occurred in a
specific time period. The value 1 means that the event has occurred, 0
means that the event has not occurred, and a missing value flag means
that the event has occurred in a preceding time period or that the
individual has dropped out of the study. The factor f is used to specify a
proportional odds assumption for the hazards of the event. The arrows
from c to the growth factors i and s indicate that the means of the growth
factors vary across the classes of c.
In the overall model, the | symbol is used to name and define the
intercept and slope growth factors in a growth model. The names i and s
on the left-hand side of the | symbol are the names of the intercept and
slope growth factors, respectively. The statement on the right-hand side
of the | symbol specifies the outcomes and the time scores for the growth
model. The time scores for the slope growth factor are fixed at 0, 1, and
2 to define a linear growth model with equidistant time points. The zero
time score for the slope growth factor at time point one defines the
intercept growth factor as an initial status factor. The coefficients of the
intercept growth factor are fixed at one as part of the growth model
parameterization. The residual variances of the outcome variables are
estimated and allowed to be different across time and the residuals are
not correlated as the default.
In the parameterization of the growth model shown here, the intercepts
of the outcome variable at the four time points are fixed at zero as the
default. The means and variances of the growth factors are estimated as
the default, and the growth factor covariance is estimated as the default
because they are independent (exogenous) variables. The means of the
growth factors are not held equal across classes as the default. The
variances and covariance of the growth factors are held equal across
classes as the default.
In the overall model, the BY statement specifies that f is measured by
u1, u2, u3, and u4 where the factor loadings are fixed at one. This
represents a proportional odds assumption. The mean of f is fixed at
zero in class two as the default. The variance of f is fixed at zero in both
classes. The ESTIMATOR option of the ANALYSIS command can be

Examples: Mixture Modeling With Longitudinal Data
259
used to select a different estimator. An explanation of the other
commands can be found in Example 8.1.
EXAMPLE 8.17: CONTINUOUS-TIME SURVIVAL MIXTURE
ANALYSIS USING A COX REGRESSION MODEL
TITLE: this is an example of a continuous-time
survival mixture analysis using a Cox
regression model
DATA: FILE = ex8.17.dat;
VARIABLE: NAMES = t u1-u5 x tc;
CATEGORICAL = u1-u5;
CLASSES = c (2);
SURVIVAL = t (ALL);
TIMECENSORED = tc (0 = NOT 1 = RIGHT);
ANALYSIS: TYPE = MIXTURE;
MODEL: %OVERALL%
t ON x;
c ON x;
%c#1%
[u1$1-u5$1];
t ON x;
%c#2%
[u1$1-u5$1];
t ON x;
OUTPUT: TECH1 TECH8;
CHAPTER 8
260
In this example, the continuous-time survival analysis model shown in
the picture above is estimated. This is a Cox regression mixture model
similar to the model of Larsen (2004) as discussed in Asparouhov et al.
(2006). The profile likelihood method is used for estimation.
The SURVIVAL option is used to identify the variables that contain
information about time to event and to provide information about the
number and lengths of the time intervals in the baseline hazard function
to be used in the analysis. The SURVIVAL option must be used in
conjunction with the TIMECENSORED option. In this example, t is the
variable that contains time-to-event information. By specifying the
keyword ALL in parenthesis following the time-to-event variable, the
time intervals are taken from the data. The TIMECENSORED option is
used to identify the variables that contain information about right
censoring. In this example, the variable is named tc. The information in
parentheses specifies that the value zero represents no censoring and the
value one represents right censoring. This is the default.
In the overall model, the first ON statement describes the loglinear
regression of the time-to-event variable t on the covariate x. The second
ON statement describes the multinomial logistic regression of the
categorical latent variable c on the covariate x. In the class-specific
models, by specifying the thresholds of the latent class indicator
variables and the regression of the time-to-event t on the covariate x,
these parameters will be estimated separately for each class. The non-
parametric baseline hazard function varies across class as the default.
The default estimator for this type of analysis is maximum likelihood
with robust standard errors. The estimator option of the ANALYSIS
command can be used to select a different estimator. An explanation of
the other commands can be found in Example 8.1.
Examples: Multilevel Modeling With Complex Survey Data
261
CHAPTER 9
EXAMPLES: MULTILEVEL
MODELING WITH COMPLEX
SURVEY DATA
Complex survey data refers to data obtained by stratification, cluster
sampling and/or sampling with an unequal probability of selection.
Complex survey data are also referred to as multilevel or hierarchical
data. For an overview, see Muthén and Satorra (1995). There are two
approaches to the analysis of complex survey data in Mplus.
One approach is to compute standard errors and a chi-square test of
model fit taking into account stratification, non-independence of
observations due to cluster sampling, and/or unequal probability of
selection. Subpopulation analysis is also available. With sampling
weights, parameters are estimated by maximizing a weighted
loglikelihood function. Standard error computations use a sandwich
estimator. This approach can be obtained by specifying
TYPE=COMPLEX in the ANALYSIS command in conjunction with the
STRATIFICATION, CLUSTER, WEIGHT, and/or SUBPOPULATION
options of the VARIABLE command. Observed outcome variables can
be continuous, censored, binary, ordered categorical (ordinal), unordered
categorical (nominal), counts, or combinations of these variable types.
The implementation of these methods in Mplus is discussed in
Asparouhov (2005, 2006) and Asparouhov and Muthén (2005, 2006a).
A second approach is to specify a model for each level of the multilevel
data thereby modeling the non-independence of observations due to
cluster sampling. This is commonly referred to as multilevel modeling.
The use of sampling weights in the estimation of parameters, standard
errors, and the chi-square test of model fit is allowed. Both individual-
level and cluster-level weights can be used. With sampling weights,
parameters are estimated by maximizing a weighted loglikelihood
function. Standard error computations use a sandwich estimator. This
approach can be obtained for two-level data by specifying
TYPE=TWOLEVEL in the ANALYSIS command in conjunction with
the CLUSTER, WEIGHT, WTSCALE, BWEIGHT, and/or BWTSCALE
CHAPTER 9
262
options of the VARIABLE command. For TYPE=TWOLEVEL,
observed outcome variables can be continuous, censored, binary, ordered
categorical (ordinal), unordered categorical (nominal), counts, or
combinations of these variable types. This approach can also be
obtained for three-level data by specifying TYPE=THREELEVEL in
conjunction with the CLUSTER, WEIGHT, WTSCALE, B2WEIGHT,
B3WEIGHT and/or BWTSCALE options of the VARIABLE command.
For TYPE=THREELEVEL, observed outcome variables can be
continuous. Complex survey features are not available for
TYPE=THREELEVEL with categorical variables or
TYPE=CROSSCLASSIFIED because these models are estimated using
Bayesian analysis for which complex survey features have not been
generally developed.
The approaches described above can be combined by specifying
TYPE=COMPLEX TWOLEVEL in the ANALYSIS command in
conjunction with the STRATIFICATION, CLUSTER, WEIGHT,
WTSCALE, BWEIGHT, and/or BWTSCALE options of the
VARIABLE command or TYPE=COMPLEX THREELEVEL in
conjunction with the STRATIFICATION, CLUSTER, WEIGHT,
WTSCALE, B2WEIGHT, B3WEIGHT, and/or BWTSCALE options of
the VARIABLE command For TYPE=TWOLEVEL, when there is
clustering due to two cluster variables, the standard errors and chi-square
test of model fit are computed taking into account the clustering due to
the highest cluster level using TYPE=COMPLEX whereas clustering
due to the lowest cluster level is modeled using TYPE=TWOLEVEL.
For TYPE=THREELEVEL, when there is clustering due to three cluster
variables, the standard errors and chi-square test of model fit are
computed taking into account the clustering due to the highest cluster
level using TYPE=COMPLEX whereas clustering due to the other
cluster levels is modeled using TYPE=THREELEVEL.
A distinction can be made between cross-sectional data in which non-
independence arises because of cluster sampling and longitudinal data in
which non-independence arises because of repeated measures of the
same individuals across time. With cross-sectional data, the number of
levels in Mplus is the same as the number of levels in conventional
multilevel modeling programs. Mplus allows three-level modeling.
With longitudinal data, the number of levels in Mplus is one less than
the number of levels in conventional multilevel modeling programs
because Mplus takes a multivariate approach to repeated measures
Examples: Multilevel Modeling With Complex Survey Data
263
analysis. Longitudinal models are two-level models in conventional
multilevel programs, whereas they are single-level models in Mplus.
These models are discussed in Chapter 6. Three-level analysis where
time is the first level, individual is the second level, and cluster is the
third level is handled by two-level modeling in Mplus (see also Muthén,
1997). Four-level analysis where time is the first level, individual is the
second level, classroom is the third level, and school is the fourth level is
handled by three-level modeling in Mplus.
Time series analysis is used to analyze intensive longitudinal data such
as those obtained with ecological momentary assessments, experience
sampling methods, daily diary methods, and ambulatory assessments.
Such data typically have a large number of time points, for example,
twenty to two hundred. The measurements are typically closely spaced
in time. In Mplus, a variety of two-level and cross-classified time series
models can be estimated. These include univariate autoregressive,
regression, cross-lagged, confirmatory factor analysis, Item Response
Theory, and structural equation models for continuous, binary, ordered
categorical (ordinal), or combinations of these variable types. N=1
versions of these models can be found in Chapter 6.
The general latent variable modeling framework of Mplus allows the
integration of random effects and other continuous latent variables
within a single analysis model. Random effects are allowed for both
independent and dependent variables and both observed and latent
variables. Random effects representing across-cluster variation in
intercepts and slopes or individual differences in growth can be
combined with factors measured by multiple indicators on both the
individual and cluster levels. Random factor loadings are available as a
special case of random slopes. Random variances are also available. In
line with SEM, regressions among random effects, among factors, and
between random effects and factors are allowed.
Multilevel models can include regression analysis, path analysis,
confirmatory factor analysis (CFA), item response theory (IRT) analysis,
structural equation modeling (SEM), latent class analysis (LCA), latent
transition analysis (LTA), latent class growth analysis (LCGA), growth
mixture modeling (GMM), discrete-time survival analysis, continuous-
time survival analysis, and combinations of these models.
CHAPTER 9
264
For TYPE=TWOLEVEL, there are four estimator options. The first
estimator option is full-information maximum likelihood which allows
continuous, censored, binary, ordered categorical (ordinal), unordered
categorical (nominal), counts, or combinations of these variable types;
random intercepts and slopes; and missing data. With longitudinal data,
maximum likelihood estimation allows modeling of individually-varying
times of observation and random slopes for time-varying covariates.
Non-normality robust standard errors and a chi-square test of model fit
are available. The second estimator option is limited-information
weighted least squares (Asparouhov & Muthén, 2007) which allows
continuous, binary, ordered categorical (ordinal), and combinations of
these variables types; random intercepts; and missing data. The third
estimator option is the Muthén limited information estimator (MUML;
Muthén, 1994) which is restricted to models with continuous variables,
random intercepts, and no missing data. The fourth estimator option is
Bayes which allows continuous, categorical, and combinations of these
variable types; random intercepts and slopes; and missing data.
All two-level models can be estimated using the following special
features:
Multiple group analysis
Missing data
Complex survey data
Latent variable interactions and non-linear factor analysis using
maximum likelihood
Random slopes
Individually-varying times of observations
Linear and non-linear parameter constraints
Indirect effects including specific paths
Maximum likelihood estimation for all outcome types
Wald chi-square test of parameter equalities
For continuous, censored with weighted least squares estimation, binary,
and ordered categorical (ordinal) outcomes, multiple group analysis is
specified by using the GROUPING option of the VARIABLE command
for individual data. For censored with maximum likelihood estimation,
unordered categorical (nominal), and count outcomes, multiple group
analysis is specified using the KNOWNCLASS option of the
VARIABLE command in conjunction with the TYPE=MIXTURE
option of the ANALYSIS command. The default is to estimate the
Examples: Multilevel Modeling With Complex Survey Data
265
model under missing data theory using all available data. The
LISTWISE option of the DATA command can be used to delete all
observations from the analysis that have missing values on one or more
of the analysis variables. Corrections to the standard errors and chi-
square test of model fit that take into account stratification, non-
independence of observations, and unequal probability of selection are
obtained by using the TYPE=COMPLEX option of the ANALYSIS
command in conjunction with the STRATIFICATION, CLUSTER, and
WEIGHT options of the VARIABLE command. Latent variable
interactions are specified by using the | symbol of the MODEL command
in conjunction with the XWITH option of the MODEL command.
Random slopes are specified by using the | symbol of the MODEL
command in conjunction with the ON option of the MODEL command.
Individually-varying times of observations are specified by using the |
symbol of the MODEL command in conjunction with the AT option of
the MODEL command and the TSCORES option of the VARIABLE
command. Linear and non-linear parameter constraints are specified by
using the MODEL CONSTRAINT command. Indirect effects are
specified by using the MODEL INDIRECT command. Maximum
likelihood estimation is specified by using the ESTIMATOR option of
the ANALYSIS command. The MODEL TEST command is used to test
linear restrictions on the parameters in the MODEL and MODEL
CONSTRAINT commands using the Wald chi-square test.
For TYPE=THREELEVEL, there are two estimator options. The first
estimator option is full-information maximum likelihood which allows
continuous variables; random intercepts and slopes; and missing data.
Non-normality robust standard errors and a chi-square test of model fit
are available. The second estimator option is Bayes which allows
continuous, categorical, and combinations of these variable types;
random intercepts and slopes; and missing data.
All three-level models can be estimated using the following special
features:
Multiple group analysis
Missing data
Complex survey data
Random slopes
Linear and non-linear parameter constraints
Maximum likelihood estimation for all outcome types
CHAPTER 9
266
Wald chi-square test of parameter equalities
For continuous outcomes, multiple group analysis is specified by using
the GROUPING option of the VARIABLE command. The default is to
estimate the model under missing data theory using all available data.
The LISTWISE option of the DATA command can be used to delete all
observations from the analysis that have missing values on one or more
of the analysis variables. Corrections to the standard errors and chi-
square test of model fit that take into account stratification, non-
independence of observations, and unequal probability of selection are
obtained by using the TYPE=COMPLEX option of the ANALYSIS
command in conjunction with the STRATIFICATION, CLUSTER, and
WEIGHT options of the VARIABLE command. Random slopes are
specified by using the | symbol of the MODEL command in conjunction
with the ON option of the MODEL command. Linear and non-linear
parameter constraints are specified by using the MODEL
CONSTRAINT command. Maximum likelihood estimation is specified
by using the ESTIMATOR option of the ANALYSIS command. The
MODEL TEST command is used to test linear restrictions on the
parameters in the MODEL and MODEL CONSTRAINT commands
using the Wald chi-square test.
For TYPE=CROSSCLASSIFIED, there is one estimator option, Bayes,
which allows continuous, categorical, and combinations of these variable
types; random intercepts and slopes; and missing data.
All cross-classified models can be estimated using the following special
features:
Missing data
Random slopes
Random factor loadings
Random variances
The default is to estimate the model under missing data theory using all
available data. The LISTWISE option of the DATA command can be
used to delete all observations from the analysis that have missing values
on one or more of the analysis variables. Random slopes are specified
by using the | symbol of the MODEL command in conjunction with the
ON option of the MODEL command.
Examples: Multilevel Modeling With Complex Survey Data
267
Graphical displays of observed data and analysis results can be obtained
using the PLOT command in conjunction with a post-processing
graphics module. The PLOT command provides histograms,
scatterplots, plots of individual observed and estimated values, and plots
of sample and estimated means and proportions/probabilities. These are
available for the total sample, by group, by class, and adjusted for
covariates. The PLOT command includes a display showing a set of
descriptive statistics for each variable. The graphical displays can be
edited and exported as a DIB, EMF, or JPEG file. In addition, the data
for each graphical display can be saved in an external file for use by
another graphics program.
Following is the set of cross-sectional two-level modeling examples
included in this chapter:
9.1: Two-level regression analysis for a continuous dependent
variable with a random intercept
9.2: Two-level regression analysis for a continuous dependent
variable with a random slope
9.3: Two-level path analysis with a continuous and a categorical
dependent variable*
9.4: Two-level path analysis with a continuous, a categorical, and a
cluster-level observed dependent variable
9.5: Two-level path analysis with continuous dependent variables
and random slopes*
9.6: Two-level CFA with continuous factor indicators and
covariates
9.7: Two-level CFA with categorical factor indicators and
covariates*
9.8: Two-level CFA with continuous factor indicators, covariates,
and random slopes
9.9: Two-level SEM with categorical factor indicators on the within
level and cluster-level continuous observed and random intercept
factor indicators on the between level
9.10: Two-level SEM with continuous factor indicators and a
random slope for a factor*
9.11: Two-level multiple group CFA with continuous factor
indicators
Following is the set of longitudinal two-level modeling examples
included in this chapter:
CHAPTER 9
268
9.12: Two-level growth model for a continuous outcome (three-
level analysis)
9.13: Two-level growth model for a categorical outcome (three-
level analysis)*
9.14: Two-level growth model for a continuous outcome (three-
level analysis) with variation on both the within and between levels
for a random slope of a time-varying covariate*
9.15: Two-level multiple indicator growth model with categorical
outcomes (three-level analysis)
9.16: Linear growth model for a continuous outcome with time-
invariant and time-varying covariates carried out as a two-level
growth model using the DATA WIDETOLONG command
9.17: Two-level growth model for a count outcome using a zero-
inflated Poisson model (three-level analysis)*
9.18: Two-level continuous-time survival analysis using Cox
regression with a random intercept
9.19: Two-level mimic model with continuous factor indicators,
random factor loadings, two covariates on within, and one covariate
on between with equal loadings across levels
Following is the set of three-level and cross-classified modeling
examples included in this chapter:
9.20: Three-level regression for a continuous dependent variable
9.21: Three-level path analysis with a continuous and a categorical
dependent variable
9.22: Three-level MIMIC model with continuous factor indicators,
two covariates on within, one covariate on between level 2, one
covariate on between level 3 with random slopes on both within and
between level 2
9.23: Three-level growth model with a continuous outcome and one
covariate on each of the three levels
9.24: Regression for a continuous dependent variable using cross-
classified data
9.25: Path analysis with continuous dependent variables using
cross-classified data
9.26: IRT with random binary items using cross-classified data
9.27: Multiple indicator growth model with random intercepts and
factor loadings using cross-classified data
Examples: Multilevel Modeling With Complex Survey Data
269
Following is the set of cross-sectional two-level modeling examples with
random residual variances included in this chapter:
9.28: Two-level regression analysis for a continuous dependent
variable with a random intercept and a random residual variance
9.29: Two-level confirmatory factor analysis (CFA) with continuous
factor indicators, covariates, and a factor with a random residual
variance
Following is the set of two-level time series analysis examples with
random effects included in this chapter:
9.30: Two-level time series analysis with a univariate first-order
autoregressive AR(1) model for a continuous dependent variable
with a random intercept, random AR(1) slope, and random residual
variance
9.31: Two-level time series analysis with a univariate first-order
autoregressive AR(1) model for a continuous dependent variable
with a covariate, random intercept, random AR(1) slope, random
slope, and random residual variance
9.32: Two-level time series analysis with a bivariate cross-lagged
model for continuous dependent variables with random intercepts
and random slopes
9.33: Two-level time series analysis with a first-order
autoregressive AR(1) factor analysis model for a single continuous
indicator and measurement error
9.34: Two-level time series analysis with a first-order
autoregressive AR(1) confirmatory factor analysis (CFA) model for
continuous factor indicators with random intercepts, a random
AR(1) slope, and a random residual variance
9.35: Two-level time series analysis with a first-order
autoregressive AR(1) IRT model for binary factor indicators with
random thresholds, a random AR(1) slope, and a random residual
variance
9.36: Two-level time series analysis with a bivariate cross-lagged
model for two factors and continuous factor indicators with random
intercepts and random slopes
9.37: Two-level time series analysis with a univariate first-order
autoregressive AR(1) model for a continuous dependent variable
with a covariate, linear trend, random slopes, and a random residual
variance

CHAPTER 9
270
Following is the set of cross-classified time series analysis examples
with random effects included in this chapter:
9.38: Cross-classified time series analysis with a univariate first-
order autoregressive AR(1) model for a continuous dependent
variable with a covariate, random intercept, and random slope
9.39: Cross-classified time series analysis with a univariate first-
order autoregressive AR(1) model for a continuous dependent
variable with a covariate, linear trend, and random slope
9.40: Cross-classified time series analysis with a first-order
autoregressive AR(1) confirmatory factor analysis (CFA) model for
continuous factor indicators with random intercepts and a factor
varying across both subjects and time
* Example uses numerical integration in the estimation of the model.
This can be computationally demanding depending on the size of the
problem.
EXAMPLE 9.1: TWO-LEVEL REGRESSION ANALYSIS FOR A
CONTINUOUS DEPENDENT VARIABLE WITH A RANDOM
INTERCEPT
TITLE: this is an example of a two-level
regression analysis for a continuous
dependent variable with a random intercept
and an observed covariate
DATA: FILE = ex9.1a.dat;
VARIABLE: NAMES = y x w xm clus;
WITHIN = x;
BETWEEN = w xm;
CLUSTER = clus;
DEFINE: CENTER x (GRANDMEAN);
ANALYSIS: TYPE = TWOLEVEL;
MODEL:
%WITHIN%
y ON x;
%BETWEEN%
y ON w xm;

Examples: Multilevel Modeling With Complex Survey Data
271
In this example, the two-level regression model shown in the picture
above is estimated. The dependent variable y in this regression is
continuous. Two ways of treating the covariate x are described. In this
part of the example, the covariate x is treated as an observed variable in
line with conventional multilevel regression modeling. In the second
part of the example, the covariate x is decomposed into two latent
variable parts.
The within part of the model describes the regression of y on an
observed covariate x where the intercept is a random effect that varies
across the clusters. In the within part of the model, the filled circle at the
end of the arrow from x to y represents a random intercept that is
referred to as y in the between part of the model. In the between part of
the model, the random intercept is shown in a circle because it is a
continuous latent variable that varies across clusters. The between part
of the model describes the linear regression of the random intercept y on
observed cluster-level covariates w and xm. The observed cluster-level
covariate xm takes the value of the mean of x for each cluster. The
within and between parts of the model correspond to level 1 and level 2
of a conventional multilevel regression model with a random intercept.

CHAPTER 9
272
TITLE: this is an example of a two-level
regression analysis for a continuous
dependent variable with a random intercept
and an observed covariate
The TITLE command is used to provide a title for the analysis. The title
is printed in the output just before the Summary of Analysis.
DATA: FILE = ex9.1a.dat;
The DATA command is used to provide information about the data set
to be analyzed. The FILE option is used to specify the name of the file
that contains the data to be analyzed, ex9.1a.dat. Because the data set is
in free format, the default, a FORMAT statement is not required.
VARIABLE: NAMES = y x w xm clus;
WITHIN = x;
BETWEEN = w xm;
CLUSTER = clus;
The VARIABLE command is used to provide information about the
variables in the data set to be analyzed. The NAMES option is used to
assign names to the variables in the data set. The data set in this
example contains five variables: y, x, w, xm, and clus.
The WITHIN option is used to identify the variables in the data set that
are measured on the individual level and modeled only on the within
level. They are specified to have no variance in the between part of the
model. The BETWEEN option is used to identify the variables in the
data set that are measured on the cluster level and modeled only on the
between level. Variables not mentioned on the WITHIN or the
BETWEEN statements are measured on the individual level and can be
modeled on both the within and between levels. Because y is not
mentioned on the WITHIN statement, it is modeled on both the within
and between levels. On the between level, it is a random intercept. The
CLUSTER option is used to identify the variable that contains clustering
information. The CENTER option is used to specify the type of
centering to be used in an analysis and the variables that are to be
centered. In this example, grand-mean centering is chosen.

Examples: Multilevel Modeling With Complex Survey Data
273
DEFINE: CENTER x (GRANDMEAN);
The DEFINE command is used to transform existing variables and create
new variables. The CENTER option is used to specify the type of
centering to be used in an analysis and the variables that will be
centered. Centering facilitates the interpretation of the results. In this
example, the covariate is centered using the grand mean, that is, the
sample mean of x is subtracted from the values of the covariate x.
ANALYSIS: TYPE = TWOLEVEL;
The ANALYSIS command is used to describe the technical details of the
analysis. By selecting TWOLEVEL, a multilevel model with random
intercepts will be estimated.
MODEL:
%WITHIN%
y ON x;
%BETWEEN%
y ON w xm;
The MODEL command is used to describe the model to be estimated. In
multilevel models, a model is specified for both the within and between
parts of the model. In the within part of the model, the ON statement
describes the linear regression of y on the observed individual-level
covariate x. The within-level residual variance in the regression of y on
x is estimated as the default.
In the between part of the model, the ON statement describes the linear
regression of the random intercept y on the observed cluster-level
covariates w and xm. The intercept and residual variance of y are
estimated as the default. The default estimator for this type of analysis
is maximum likelihood with robust standard errors. The ESTIMATOR
option of the ANALYSIS command can be used to select a different
estimator.
Following is the second part of the example where the covariate x is
decomposed into two latent variable parts.

CHAPTER 9
274
TITLE: this is an example of a two-level
regression analysis for a continuous
dependent variable with a random intercept
and a latent covariate
DATA: FILE = ex9.1b.dat;
VARIABLE: NAMES = y x w clus;
BETWEEN = w;
CLUSTER = clus;
DEFINE: CENTER = x (GRANDMEAN);
ANALYSIS: TYPE = TWOLEVEL;
MODEL:
%WITHIN%
y ON x (gamma10);
%BETWEEN%
y ON w
x (gamma01);
MODEL CONSTRAINT:
NEW(betac);
betac = gamma01 - gamma10;
The difference between this part of the example and the first part is that
the covariate x is decomposed into two latent variable parts instead of
being treated as an observed variable as in conventional multilevel
regression modeling. The decomposition occurs when the covariate x is
not mentioned on the WITHIN statement and is therefore modeled on
both the within and between levels. When a covariate is not mentioned
on the WITHIN statement, it is decomposed into two uncorrelated latent
variables,
xij = xwij + xbj ,
where i represents individual, j represents cluster, xwij is the latent
variable covariate used on the within level, and xbj is the latent variable
covariate used on the between level. This model is described in Muthén
(1989, 1990, 1994). The latent variable covariate xb is not used in
conventional multilevel analysis. Using a latent covariate may, however,
be advantageous when the observed cluster-mean covariate xm does not
have sufficient reliability resulting in biased estimation of the between-
level slope (Asparouhov & Muthén, 2006b; Ludtke et al., 2008).
The decomposition can be expressed as,
xwij = xij - xbj ,

Examples: Multilevel Modeling With Complex Survey Data
275
which can be viewed as an implicit, latent group-mean centering of the
latent within-level covariate. To obtain results that are not group-mean
centered, a linear transformation of the within and between slopes can be
done as described below using the MODEL CONSTRAINT command.
In the MODEL command, the label gamma10 in the within part of the
model and the label gamma01 in the between part of the model are
assigned to the regression coefficients in the linear regression of y on x
in both parts of the model for use in the MODEL CONSTRAINT
command. The MODEL CONSTRAINT command is used to define
linear and non-linear constraints on the parameters in the model. In the
MODEL CONSTRAINT command, the NEW option is used to
introduce a new parameter that is not part of the MODEL command.
This parameter is called betac and is defined as the difference between
gamma01 and gamma10. It corresponds to a “contextual effect” as
described in Raudenbush and Bryk (2002, p. 140, Table 5.11).
EXAMPLE 9.2: TWO-LEVEL REGRESSION ANALYSIS FOR A
CONTINUOUS DEPENDENT VARIABLE WITH A RANDOM
SLOPE
TITLE: this is an example of a two-level
regression analysis for a continuous
dependent variable with a random slope and
an observed covariate
DATA: FILE = ex9.2a.dat;
VARIABLE: NAMES = y x w xm clus;
WITHIN = x;
BETWEEN = w xm;
CLUSTER = clus;
DEFINE: CENTER x (GROUPMEAN);
ANALYSIS: TYPE = TWOLEVEL RANDOM;
MODEL:
%WITHIN%
s | y ON x;
%BETWEEN%
y s ON w xm;
y WITH s;

CHAPTER 9
276
The difference between this example and the first part of Example 9.1 is
that the model has both a random intercept and a random slope. In the
within part of the model, the filled circle at the end of the arrow from x
to y represents a random intercept that is referred to as y in the between
part of the model. The filled circle on the arrow from x to y represents a
random slope that is referred to as s in the between part of the model. In
the between part of the model, the random intercept and random slope
are shown in circles because they are continuous latent variables that
vary across clusters. The observed cluster-level covariate xm takes the
value of the mean of x for each cluster. The within and between parts of
the model correspond to level 1 and level 2 of a conventional multilevel
regression model with a random intercept and a random slope.
In the DEFINE command, the individual-level covariate x is centered
using the cluster means for x. This is recommended when a random
slope is estimated (Raudenbush & Bryk, 2002, p. 143).
In the within part of the model, the | symbol is used in conjunction with
TYPE=RANDOM to name and define the random slope variables in the
model. The name on the left-hand side of the | symbol names the
random slope variable. The statement on the right-hand side of the |
symbol defines the random slope variable. Random slopes are defined
using the ON option. The random slope s is defined by the linear

Examples: Multilevel Modeling With Complex Survey Data
277
regression of the dependent variable y on the observed individual-level
covariate x. The within-level residual variance in the regression of y on
x is estimated as the default.
In the between part of the model, the ON statement describes the linear
regressions of the random intercept y and the random slope s on the
observed cluster-level covariates w and xm. The intercepts and residual
variances of s and y are estimated and the residuals are not correlated as
the default. The WITH statement specifies that the residuals of s and y
are correlated. The default estimator for this type of analysis is
maximum likelihood with robust standard errors. The ESTIMATOR
option of the ANALYSIS command can be used to select a different
estimator. An explanation of the other commands can be found in
Example 9.1.
Following is the second part of the example that shows how to plot a
cross-level interaction where the cluster-level covariate w moderates the
influence of the within-level covariate x on y.
MODEL: %WITHIN%
s | y ON x;
%BETWEEN%
y ON w xm;
[s] (gam0);
s ON w (gam1)
xm;
y WITH s;
MODEL CONSTRAINT:
PLOT(ylow yhigh);
LOOP(level1,-3,3,0.01);
ylow = (gam0+gam1*(-1))*level1;
yhigh = (gam0+gam1*1)*level1;
PLOT: TYPE = PLOT2;
In MODEL CONSTRAINT, the LOOP option is used in conjunction
with the PLOT option to create plots of variables. In this example,
cross-level interaction effects defined in MODEL CONSTRAINT will
be plotted. The PLOT option names the variables that will be plotted on
the y-axis. The LOOP option names the variable that will be plotted on
the x-axis, gives the numbers that are the lower and upper values of the
variable, and the incremental value of the variable to be used in the
computations. In this example, the variables ylow and yhigh will be on
the y-axes and the variable level1 will be on the x-axes. The variable
level1, representing the x covariate, varies over the range of x that is of

CHAPTER 9
278
interest such as three standard deviations away from its mean. The
lower and upper values of level1 are -3 and 3 and 0.01 is the incremental
value of level1 to use in the computations. When level1 appears in a
MODEL CONSTRAINT statement involving a new parameter, that
statement is evaluated for each value of level1 specified by the LOOP
option. For example, the first value of level1 is -3; the second value of
level1 is -3 plus 0.01 or -2.99; the third value of level1 is -2.99 plus 0.01
or -2.98; the last value of level1 is 3. Ylow and yhigh use the values -1
and 1 of the cluster-level covariate w to represent minus one standard
deviation and plus one standard deviation from the mean for w. The
cross-level interaction effects are evaluated at the value zero for the
cluster-level covariate xm.
Using TYPE=PLOT2 in the PLOT command, the plots of ylow and
yhigh and level1 can be viewed by choosing Loop plots from the Plot
menu of the Mplus Editor. The plots present the computed values along
with a 95% confidence interval. For Bayesian estimation, the default is
credibility intervals of the posterior distribution with equal tail
percentages. The CINTERVAL option of the OUTPUT command can
be used to obtain credibility intervals of the posterior distribution that
give the highest posterior density.
Following is the third part of the example that shows an alternative
treatment of the observed covariate x.
TITLE: this is an example of a two-level
regression analysis for a continuous
dependent variable with a random slope and
a latent covariate
DATA: FILE = ex9.2c.dat;
VARIABLE: NAMES = y x w clus;
BETWEEN = w;
CLUSTER = clus;
ANALYSIS: TYPE = TWOLEVEL RANDOM;
MODEL:
%WITHIN%
s | y ON x;
%BETWEEN%
y s ON w x;
y WITH s;
The difference between this part of the example and the first part of the
example is that the covariate x is latent instead of observed on the
between level. This is achieved when the individual-level observed

Examples: Multilevel Modeling With Complex Survey Data
279
covariate is modeled in both the within and between parts of the model.
This is requested by not mentioning the observed covariate x on the
WITHIN statement in the VARIABLE command. When a random slope
is estimated, the observed covariate x is used on the within level and the
latent variable covariate xbj is used on the between level. The
ESTIMATOR option of the ANALYSIS command can be used to select
a different estimator. An explanation of the other commands can be
found in Example 9.1.
EXAMPLE 9.3: TWO-LEVEL PATH ANALYSIS WITH A
CONTINUOUS AND A CATEGORICAL DEPENDENT
VARIABLE
TITLE: this is an example of a two-level path
analysis with a continuous and a
categorical dependent variable
DATA: FILE IS ex9.3.dat;
VARIABLE: NAMES ARE u y x1 x2 w clus;
CATEGORICAL = u;
WITHIN = x1 x2;
BETWEEN = w;
CLUSTER IS clus;
ANALYSIS: TYPE = TWOLEVEL;
ALGORITHM = INTEGRATION;
MODEL:
%WITHIN%
y ON x1 x2;
u ON y x2;
%BETWEEN%
y u ON w;
OUTPUT: TECH1 TECH8;

CHAPTER 9
280
In this example, the two-level path analysis model shown in the picture
above is estimated. The mediating variable y is a continuous variable
and the dependent variable u is a binary or ordered categorical variable.
The within part of the model describes the linear regression of y on x1
and x2 and the logistic regression of u on y and x2 where the intercepts
in the two regressions are random effects that vary across the clusters
and the slopes are fixed effects that do not vary across the clusters. In
the within part of the model, the filled circles at the end of the arrows
from x1 to y and x2 to u represent random intercepts that are referred to
as y and u in the between part of the model. In the between part of the
model, the random intercepts are shown in circles because they are
continuous latent variables that vary across clusters. The between part
of the model describes the linear regressions of the random intercepts y
and u on a cluster-level covariate w.
The CATEGORICAL option is used to specify which dependent
variables are treated as binary or ordered categorical (ordinal) variables
in the model and its estimation. The program determines the number of
categories of u. The dependent variable u could alternatively be an
unordered categorical (nominal) variable. The NOMINAL option is
used and a multinomial logistic regression is estimated.
Examples: Multilevel Modeling With Complex Survey Data
281
In the within part of the model, the first ON statement describes the
linear regression of y on the individual-level covariates x1 and x2 and
the second ON statement describes the logistic regression of u on the
mediating variable y and the individual-level covariate x2. The slopes in
these regressions are fixed effects that do not vary across the clusters.
The residual variance in the linear regression of y on x1 and x2 is
estimated as the default. There is no residual variance to be estimated in
the logistic regression of u on y and x2 because u is a binary or ordered
categorical variable. In the between part of the model, the ON statement
describes the linear regressions of the random intercepts y and u on the
cluster-level covariate w. The intercept and residual variance of y and u
are estimated as the default. The residual covariance between y and u is
free to be estimated as the default.
By specifying ALGORITHM=INTEGRATION, a maximum likelihood
estimator with robust standard errors using a numerical integration
algorithm will be used. Note that numerical integration becomes
increasingly more computationally demanding as the number of factors
and the sample size increase. In this example, two dimensions of
integration are used with a total of 225 integration points. The
ESTIMATOR option of the ANALYSIS command can be used to select
a different estimator. The OUTPUT command is used to request
additional output not included as the default. The TECH1 option is used
to request the arrays containing parameter specifications and starting
values for all free parameters in the model. The TECH8 option is used
to request that the optimization history in estimating the model be
printed in the output. TECH8 is printed to the screen during the
computations as the default. TECH8 screen printing is useful for
determining how long the analysis takes. An explanation of the other
commands can be found in Example 9.1.

CHAPTER 9
282
EXAMPLE 9.4: TWO-LEVEL PATH ANALYSIS WITH A
CONTINUOUS, A CATEGORICAL, AND A CLUSTER-LEVEL
OBSERVED DEPENDENT VARIABLE
TITLE: this is an example of a two-level path
analysis with a continuous, a categorical,
and a cluster-level observed dependent
variable
DATA: FILE = ex9.4.dat;
VARIABLE: NAMES ARE u z y x w clus;
CATEGORICAL = u;
WITHIN = x;
BETWEEN = w z;
CLUSTER = clus;
ANALYSIS: TYPE = TWOLEVEL;
ESTIMATOR = WLSM;
MODEL:
%WITHIN%
u ON y x;
y ON x;
%BETWEEN%
u ON w y z;
y ON w;
z ON w;
y WITH z;
OUTPUT: TECH1;

Examples: Multilevel Modeling With Complex Survey Data
283
The difference between this example and Example 9.3 is that the
between part of the model has an observed cluster-level mediating
variable z and a latent mediating variable y that is a random intercept.
The model is estimated using weighted least squares estimation instead
of maximum likelihood.
By specifying ESTIMATOR=WLSM, a robust weighted least squares
estimator using a diagonal weight matrix is used (Asparouhov &
Muthén, 2007). The ESTIMATOR option of the ANALYSIS command
can be used to select a different estimator.
In the between part of the model, the first ON statement describes the
linear regression of the random intercept u on the cluster-level covariate
w, the random intercept y, and the observed cluster-level mediating
variable z. The third ON statement describes the linear regression of the
observed cluster-level mediating variable z on the cluster-level covariate
w. An explanation of the other commands can be found in Examples 9.1
and 9.3.

CHAPTER 9
284
EXAMPLE 9.5: TWO-LEVEL PATH ANALYSIS WITH
CONTINUOUS DEPENDENT VARIABLES AND RANDOM
SLOPES
TITLE: this is an example of two-level path
analysis with continuous dependent
variables and random slopes
DATA: FILE IS ex9.5.dat;
VARIABLE: NAMES ARE y1 y2 x1 x2 w clus;
WITHIN = x1 x2;
BETWEEN = w;
CLUSTER IS clus;
ANALYSIS: TYPE = TWOLEVEL RANDOM;
MODEL:
%WITHIN%
s2 | y2 ON y1;
y2 ON x2;
s1 | y1 ON x2;
y1 ON x1;
%BETWEEN%
y1 y2 s1 s2 ON w;
OUTPUT: TECH1 TECH8;

Examples: Multilevel Modeling With Complex Survey Data
285
The difference between this example and Example 9.3 is that the model
includes two random intercepts and two random slopes instead of two
random intercepts and two fixed slopes and the dependent variable is
continuous. In the within part of the model, the filled circle on the arrow
from the covariate x2 to the mediating variable y1 represents a random
slope and is referred to as s1 in the between part of the model. The filled
circle on the arrow from the mediating variable y1 to the dependent
variable y2 represents a random slope and is referred to as s2 in the
between part of the model. In the between part of the model, the
random slopes s1 and s2 are shown in circles because they are
continuous latent variables that vary across clusters.
In the within part of the model, the | symbol is used in conjunction with
TYPE=RANDOM to name and define the random slope variables in the
model. The name on the left-hand side of the | symbol names the
random slope variable. The statement on the right-hand side of the |
symbol defines the random slope variable. Random slopes are defined

CHAPTER 9
286
using the ON option. In the first | statement, the random slope s2 is
defined by the linear regression of the dependent variable y2 on the
mediating variable y1. In the second | statement, the random slope s1 is
defined by the linear regression of the mediating variable y1 on the
individual-level covariate x2. The within-level residual variances of y1
and y2 are estimated as the default. The first ON statement describes the
linear regression of the dependent variable y2 on the individual-level
covariate x2. The second ON statement describes the linear regression
of the mediating variable y1 on the individual-level covariate x1.
In the between part of the model, the ON statement describes the linear
regressions of the random intercepts y1 and y2 and the random slopes s1
and s2 on the cluster-level covariate w. The intercepts and residual
variances of y1, y2, s2, and s1 are estimated as the default. The residual
covariances between y1, y2, s2, and s1 are fixed at zero as the default.
This default can be overridden. The default estimator for this type of
analysis is maximum likelihood with robust standard errors. The
ESTIMATOR option of the ANALYSIS command can be used to select
a different estimator. An explanation of the other commands can be
found in Examples 9.1 and 9.3.
EXAMPLE 9.6: TWO-LEVEL CFA WITH CONTINUOUS
FACTOR INDICATORS AND COVARIATES
TITLE: this is an example of a two-level CFA with
continuous factor indicators and
covariates
DATA: FILE IS ex9.6.dat;
VARIABLE: NAMES ARE y1-y4 x1 x2 w clus;
WITHIN = x1 x2;
BETWEEN = w;
CLUSTER = clus;
ANALYSIS: TYPE = TWOLEVEL;
MODEL:
%WITHIN%
fw BY y1-y4;
fw ON x1 x2;
%BETWEEN%
fb BY y1-y4;
y1-y4@0;
fb ON w;

Examples: Multilevel Modeling With Complex Survey Data
287
In this example, the two-level CFA model with continuous factor
indicators, a between factor, and covariates shown in the picture above is
estimated. In the within part of the model, the filled circles at the end of
the arrows from the within factor fw to y1, y2, y3, and y4 represent
random intercepts that are referred to as y1, y2, y3, and y4 in the
between part of the model. In the between part of the model, the random
intercepts are shown in circles because they are continuous latent
variables that vary across clusters. They are indicators of the between
factor fb. In this model, the residual variances for the factor indicators
in the between part of the model are fixed at zero. If factor loadings are
CHAPTER 9
288
constrained to be equal across the within and the between levels, this
implies a model where the regression of the within factor on x1 and x2
has a random intercept varying across the clusters.
In the within part of the model, the BY statement specifies that fw is
measured by y1, y2, y3, and y4. The metric of the factor is set
automatically by the program by fixing the first factor loading to one.
This option can be overridden. The residual variances of the factor
indicators are estimated and the residuals are not correlated as the
default. The ON statement describes the linear regression of fw on the
individual-level covariates x1 and x2. The residual variance of the
factor is estimated as the default. The intercept of the factor is fixed at
zero.
In the between part of the model, the BY statement specifies that fb is
measured by the random intercepts y1, y2, y3, and y4. The metric of the
factor is set automatically by the program by fixing the first factor
loading to one. This option can be overridden. The residual variances
of the factor indicators are set to zero. The ON statement describes the
regression of fb on the cluster-level covariate w. The residual variance
of the factor is estimated as the default. The intercept of the factor is
fixed at zero as the default. The default estimator for this type of
analysis is maximum likelihood with robust standard errors. The
ESTIMATOR option of the ANALYSIS command can be used to select
a different estimator. An explanation of the other commands can be
found in Example 9.1.

Examples: Multilevel Modeling With Complex Survey Data
289
EXAMPLE 9.7: TWO-LEVEL CFA WITH CATEGORICAL
FACTOR INDICATORS AND COVARIATES
TITLE: this is an example of a two-level CFA with
categorical factor indicators and
covariates
DATA: FILE IS ex9.7.dat;
VARIABLE: NAMES ARE u1-u4 x1 x2 w clus;
CATEGORICAL = u1-u4;
WITHIN = x1 x2;
BETWEEN = w;
CLUSTER = clus;
MISSING = ALL (999);
ANALYSIS: TYPE = TWOLEVEL;
MODEL:
%WITHIN%
fw BY u1-u4;
fw ON x1 x2;
%BETWEEN%
fb BY u1-u4;
fb ON w;
OUTPUT: TECH1 TECH8;
The difference between this example and Example 9.6 is that the factor
indicators are binary or ordered categorical (ordinal) variables instead of
continuous variables. The CATEGORICAL option is used to specify
which dependent variables are treated as binary or ordered categorical
(ordinal) variables in the model and its estimation. In the example
above, all four factor indicators are binary or ordered categorical. The
program determines the number of categories for each indicator. The
default estimator for this type of analysis is maximum likelihood with
robust standard errors using a numerical integration algorithm. Note that
numerical integration becomes increasingly more computationally
demanding as the number of factors and the sample size increase. In this
example, two dimensions of integration are used with a total of 225
integration points. The ESTIMATOR option of the ANALYSIS
command can be used to select a different estimator.
In the between part of the model, the residual variances of the random
intercepts of the categorical factor indicators are fixed at zero as the
default because the residual variances of random intercepts are often
very small and require one dimension of numerical integration each.
Weighted least squares estimation of between-level residual variances

CHAPTER 9
290
does not require numerical integration in estimating the model. An
explanation of the other commands can be found in Examples 9.1 and
9.6.
EXAMPLE 9.8: TWO-LEVEL CFA WITH CONTINUOUS
FACTOR INDICATORS, COVARIATES, AND RANDOM
SLOPES
TITLE: this is an example of a two-level CFA with
continuous factor indicators, covariates,
and random slopes
DATA: FILE IS ex9.8.dat;
VARIABLE: NAMES ARE y1-y4 x1 x2 w clus;
CLUSTER = clus;
WITHIN = x1 x2;
BETWEEN = w;
ANALYSIS: TYPE = TWOLEVEL RANDOM;
MODEL:
%WITHIN%
fw BY y1-y4;
s1 | fw ON x1;
s2 | fw ON x2;
%BETWEEN%
fb BY y1-y4;
y1-y4@0;
fb s1 s2 ON w;

Examples: Multilevel Modeling With Complex Survey Data
291
The difference between this example and Example 9.6 is that the model
has random slopes in addition to random intercepts and the random
slopes are regressed on a cluster-level covariate. In the within part of the
model, the filled circles on the arrows from x1 and x2 to fw represent
random slopes that are referred to as s1 and s2 in the between part of the
model. In the between part of the model, the random slopes are shown
in circles because they are latent variables that vary across clusters.
CHAPTER 9
292
In the within part of the model, the | symbol is used in conjunction with
TYPE=RANDOM to name and define the random slope variables in the
model. The name on the left-hand side of the | symbol names the
random slope variable. The statement on the right-hand side of the |
symbol defines the random slope variable. Random slopes are defined
using the ON option. In the first | statement, the random slope s1 is
defined by the linear regression of the factor fw on the individual-level
covariate x1. In the second | statement, the random slope s2 is defined
by the linear regression of the factor fw on the individual-level covariate
x2. The within-level residual variance of f1 is estimated as the default.
In the between part of the model, the ON statement describes the linear
regressions of fb, s1, and s2 on the cluster-level covariate w. The
residual variances of fb, s1, and s2 are estimated as the default. The
residuals are not correlated as the default. The default estimator for this
type of analysis is maximum likelihood with robust standard errors. The
ESTIMATOR option of the ANALYSIS command can be used to select
a different estimator. An explanation of the other commands can be
found in Examples 9.1 and 9.6.

Examples: Multilevel Modeling With Complex Survey Data
293
EXAMPLE 9.9: TWO-LEVEL SEM WITH CATEGORICAL
FACTOR INDICATORS ON THE WITHIN LEVEL AND
CLUSTER-LEVEL CONTINUOUS OBSERVED AND RANDOM
INTERCEPT FACTOR INDICATORS ON THE BETWEEN
LEVEL
TITLE: this is an example of a two-level SEM with
categorical factor indicators on the
within level and cluster-level continuous
observed and random intercept factor
indicators on the between level
DATA: FILE IS ex9.9.dat;
VARIABLE: NAMES ARE u1-u6 y1-y4 x1 x2 w clus;
CATEGORICAL = u1-u6;
WITHIN = x1 x2;
BETWEEN = w y1-y4;
CLUSTER IS clus;
ANALYSIS: TYPE IS TWOLEVEL;
ESTIMATOR = WLSMV;
MODEL:
%WITHIN%
fw1 BY u1-u3;
fw2 BY u4-u6;
fw1 fw2 ON x1 x2;
%BETWEEN%
fb BY u1-u6;
f BY y1-y4;
fb ON w f;
f ON w;
SAVEDATA: SWMATRIX = ex9.9sw.dat;

CHAPTER 9
294
Examples: Multilevel Modeling With Complex Survey Data
295
In this example, the model with two within factors and two between
factors shown in the picture above is estimated. The within-level factor
indicators are categorical. In the within part of the model, the filled
circles at the end of the arrows from the within factor fw1 to u1, u2, and
u3 and fw2 to u4, u5, and u6 represent random intercepts that are
referred to as u1, u2, u3, u4, u5, and u6 in the between part of the model.
In the between part of the model, the random intercepts are shown in
circles because they are continuous latent variables that vary across
clusters. The random intercepts are indicators of the between factor fb.
This example illustrates the common finding of fewer between factors
than within factors for the same set of factor indicators. The between
factor f has observed cluster-level continuous variables as factor
indicators.
By specifying ESTIMATOR=WLSMV, a robust weighted least squares
estimator using a diagonal weight matrix will be used. The default
estimator for this type of analysis is maximum likelihood with robust
standard errors using a numerical integration algorithm. Note that
numerical integration becomes increasingly more computationally
demanding as the number of factors and the sample size increase. In this
example, three dimensions of integration would be used with a total of
3,375 integration points. For models with many dimensions of
integration and categorical outcomes, the weighted least squares
estimator may improve computational speed. The ESTIMATOR option
of the ANALYSIS command can be used to select a different estimator.
In the within part of the model, the first BY statement specifies that fw1
is measured by u1, u2, and u3. The second BY statement specifies that
fw2 is measured by u4, u5, and u6. The metric of the factors are set
automatically by the program by fixing the first factor loading for each
factor to one. This option can be overridden. Residual variances of the
latent response variables of the categorical factor indicators are not
parameters in the model. They are fixed at one in line with the Theta
parameterization. Residuals are not correlated as the default. The ON
statement describes the linear regressions of fw1 and fw2 on the
individual-level covariates x1 and x2. The residual variances of the
factors are estimated as the default. The residuals of the factors are
correlated as the default because residuals are correlated for latent
variables that do not influence any other variable in the model except
their own indicators. The intercepts of the factors are fixed at zero as
the default.
CHAPTER 9
296
In the between part of the model, the first BY statement specifies that fb
is measured by the random intercepts u1, u2, u3, u4, u5, and u6. The
metric of the factor is set automatically by the program by fixing the first
factor loading to one. This option can be overridden. The residual
variances of the factor indicators are estimated and the residuals are not
correlated as the default. Unlike maximum likelihood estimation,
weighted least squares estimation of between-level residual variances
does not require numerical integration in estimating the model. The
second BY statement specifies that f is measured by the cluster-level
factor indicators y1, y2, y3, and y4. The residual variances of the factor
indicators are estimated and the residuals are not correlated as the
default. The first ON statement describes the linear regression of fb on
the cluster-level covariate w and the factor f. The second ON statement
describes the linear regression of f on the cluster-level covariate w. The
residual variances of the factors are estimated as the default. The
intercepts of the factors are fixed at zero as the default.
The SWMATRIX option of the SAVEDATA command is used with
TYPE=TWOLEVEL and weighted least squares estimation to specify
the name and location of the file that contains the within- and between-
level sample statistics and their corresponding estimated asymptotic
covariance matrix. It is recommended to save this information and use it
in subsequent analyses along with the raw data to reduce computational
time during model estimation. An explanation of the other commands
can be found in Example 9.1.

Examples: Multilevel Modeling With Complex Survey Data
297
EXAMPLE 9.10: TWO-LEVEL SEM WITH CONTINUOUS
FACTOR INDICATORS AND A RANDOM SLOPE FOR A
FACTOR
TITLE: this is an example of a two-level SEM with
continuous factor indicators and a random
slope for a factor
DATA: FILE IS ex9.10.dat;
VARIABLE: NAMES ARE y1-y5 w clus;
BETWEEN = w;
CLUSTER = clus;
ANALYSIS: TYPE = TWOLEVEL RANDOM;
ALGORITHM = INTEGRATION;
INTEGRATION = 10;
MODEL:
%WITHIN%
fw BY y1-y4;
s | y5 ON fw;
%BETWEEN%
fb BY y1-y4;
y1-y4@0;
y5 s ON fb w;
OUTPUT: TECH1 TECH8;

CHAPTER 9
298
In this example, the two-level SEM with continuous factor indicators
shown in the picture above is estimated. In the within part of the model,
the filled circles at the end of the arrows from fw to the factor indicators
y1, y2, y3, and y4 and the filled circle at the end of the arrow from fw to
y5 represent random intercepts that are referred to as y1, y2, y3, y4, and
y5 in the between part of the model. The filled circle on the arrow from
fw to y5 represents a random slope that is referred to as s in the between
Examples: Multilevel Modeling With Complex Survey Data
299
part of the model. In the between part of the model, the random
intercepts and random slope are shown in circles because they are
continuous latent variables that vary across clusters.
By specifying TYPE=TWOLEVEL RANDOM in the ANALYSIS
command, a multilevel model with random intercepts and random slopes
will be estimated. By specifying ALGORITHM=INTEGRATION, a
maximum likelihood estimator with robust standard errors using a
numerical integration algorithm will be used. Note that numerical
integration becomes increasingly more computationally demanding as
the number of factors and the sample size increase. In this example, four
dimensions of integration are used with a total of 10,000 integration
points. The INTEGRATION option of the ANALYSIS command is
used to change the number of integration points per dimension from the
default of 15 to 10. The ESTIMATOR option of the ANALYSIS
command can be used to select a different estimator.
In the within part of the model, the BY statement specifies that fw is
measured by the factor indicators y1, y2, y3, and y4. The metric of the
factor is set automatically by the program by fixing the first factor
loading in each BY statement to one. This option can be overridden.
The residual variances of the factor indicators are estimated and the
residuals are uncorrelated as the default. The variance of the factor is
estimated as the default.
In the within part of the model, the | symbol is used in conjunction with
TYPE=RANDOM to name and define the random slope variables in the
model. The name on the left-hand side of the | symbol names the
random slope variable. The statement on the right-hand side of the |
symbol defines the random slope variable. Random slopes are defined
using the ON option. In the | statement, the random slope s is defined by
the linear regression of the dependent variable y5 on the within factor
fw. The within-level residual variance of y5 is estimated as the default.
In the between part of the model, the BY statement specifies that fb is
measured by the random intercepts y1, y2, y3, and y4. The metric of the
factor is set automatically by the program by fixing the first factor
loading in the BY statement to one. This option can be overridden. The
residual variances of the factor indicators are fixed at zero. The variance
of the factor is estimated as the default. The ON statement describes the
linear regressions of the random intercept y5 and the random slope s on

CHAPTER 9
300
the factor fb and the cluster-level covariate w. The intercepts and
residual variances of y5 and s are estimated and their residuals are
uncorrelated as the default.
The OUTPUT command is used to request additional output not
included as the default. The TECH1 option is used to request the arrays
containing parameter specifications and starting values for all free
parameters in the model. The TECH8 option is used to request that the
optimization history in estimating the model be printed in the output.
TECH8 is printed to the screen during the computations as the default.
TECH8 screen printing is useful for determining how long the analysis
takes. An explanation of the other commands can be found in Example
9.1.
EXAMPLE 9.11: TWO-LEVEL MULTIPLE GROUP CFA WITH
CONTINUOUS FACTOR INDICATORS
TITLE: this is an example of a two-level
multiple group CFA with continuous
factor indicators
DATA: FILE IS ex9.11.dat;
VARIABLE: NAMES ARE y1-y6 g clus;
GROUPING = g (1 = g1 2 = g2);
CLUSTER = clus;
ANALYSIS: TYPE = TWOLEVEL;
MODEL:
%WITHIN%
fw1 BY y1-y3;
fw2 BY y4-y6;
%BETWEEN%
fb1 BY y1-y3;
fb2 BY y4-y6;
MODEL g2: %WITHIN%
fw1 BY y2-y3;
fw2 BY y5-y6;

Examples: Multilevel Modeling With Complex Survey Data
301
In this example, the two-level multiple group CFA with continuous
factor indicators shown in the picture above is estimated. In the within
part of the model, the filled circles at the end of the arrows from the
within factors fw1 to y1, y2, and y3 and fw2 to y4, y5, and y6 represent
random intercepts that are referred to as y1, y2, y3, y4, y5, and y6 in the
between part of the model. In the between part of the model, the random
intercepts are shown in circles because they are continuous latent
variables that vary across clusters. The random intercepts are indicators
of the between factors fb1 and fb2.
The GROUPING option of the VARIABLE command is used to identify
the variable in the data set that contains information on group
membership when the data for all groups are stored in a single data set.
The information in parentheses after the grouping variable name assigns
labels to the values of the grouping variable found in the data set. In the
example above, observations with g equal to 1 are assigned the label g1,
CHAPTER 9
302
and individuals with g equal to 2 are assigned the label g2. These labels
are used in conjunction with the MODEL command to specify model
statements specific to each group. The grouping variable should be a
cluster-level variable.
In multiple group analysis, two variations of the MODEL command are
used. They are MODEL and MODEL followed by a label. MODEL
describes the model to be estimated for all groups. The factor loadings
and intercepts are held equal across groups as the default to specify
measurement invariance. MODEL followed by a label describes
differences between the overall model and the model for the group
designated by the label.
In the within part of the model, the BY statements specify that fw1 is
measured by y1, y2, and y3, and fw2 is measured by y4, y5, and y6. The
metric of the factors is set automatically by the program by fixing the
first factor loading in each BY statement to one. This option can be
overridden. The variances of the factors are estimated as the default.
The factors fw1 and fw2 are correlated as the default because they are
independent (exogenous) variables. In the between part of the model,
the BY statements specify that fb1 is measured by y1, y2, and y3, and
fb2 is measured by y4, y5, and y6. The metric of the factor is set
automatically by the program by fixing the first factor loading in each
BY statement to one. This option can be overridden. The variances of
the factors are estimated as the default. The factors fb1 and fb2 are
correlated as the default because they are independent (exogenous)
variables.
In the group-specific MODEL command for group 2, by specifying the
within factor loadings for fw1 and fw2, the default equality constraints
are relaxed and the factor loadings are no longer held equal across
groups. The factor indicators that are fixed at one remain the same, in
this case y1 and y4. The default estimator for this type of analysis is
maximum likelihood with robust standard errors. The ESTIMATOR
option of the ANALYSIS command can be used to select a different
estimator. An explanation of the other commands can be found in
Example 9.1.

Examples: Multilevel Modeling With Complex Survey Data
303
EXAMPLE 9.12: TWO-LEVEL GROWTH MODEL FOR A
CONTINUOUS OUTCOME (THREE-LEVEL ANALYSIS)
TITLE: this is an example of a two-level growth
model for a continuous outcome (three-
level analysis)
DATA: FILE IS ex9.12.dat;
VARIABLE: NAMES ARE y1-y4 x w clus;
WITHIN = x;
BETWEEN = w;
CLUSTER = clus;
ANALYSIS: TYPE = TWOLEVEL;
MODEL:
%WITHIN%
iw sw | y1@0 y2@1 y3@2 y4@3;
y1-y4 (1);
iw sw ON x;
%BETWEEN%
ib sb | y1@0 y2@1 y3@2 y4@3;
y1-y4@0;
ib sb ON w;

CHAPTER 9
304
Examples: Multilevel Modeling With Complex Survey Data
305
In this example, the two-level growth model for a continuous outcome
(three-level analysis) shown in the picture above is estimated. In the
within part of the model, the filled circles at the end of the arrows from
the within growth factors iw and sw to y1, y2, y3, and y4 represent
random intercepts that are referred to as y1, y2, y3, and y4 in the
between part of the model. In the between part of the model, the random
intercepts are shown in circles because they are continuous latent
variables that vary across clusters.
In the within part of the model, the | statement names and defines the
within intercept and slope factors for the growth model. The names iw
and sw on the left-hand side of the | symbol are the names of the
intercept and slope growth factors, respectively. The values on the right-
hand side of the | symbol are the time scores for the slope growth factor.
The time scores of the slope growth factor are fixed at 0, 1, 2, and 3 to
define a linear growth model with equidistant time points. The zero time
score for the slope growth factor at time point one defines the intercept
growth factor as an initial status factor. The coefficients of the intercept
growth factor are fixed at one as part of the growth model
parameterization. The residual variances of the outcome variables are
constrained to be equal over time in line with conventional multilevel
growth modeling. This is done by placing (1) after them. The residual
covariances of the outcome variables are fixed at zero as the default.
Both of these restrictions can be overridden. The ON statement
describes the linear regressions of the growth factors on the individual-
level covariate x. The residual variances of the growth factors are free
to be estimated as the default. The residuals of the growth factors are
correlated as the default because residuals are correlated for latent
variables that do not influence any other variable in the model except
their own indicators.
In the between part of the model, the | statement names and defines the
between intercept and slope factors for the growth model. The names ib
and sb on the left-hand side of the | symbol are the names of the intercept
and slope growth factors, respectively. The values on the right-hand side
of the | symbol are the time scores for the slope growth factor. The time
scores of the slope growth factor are fixed at 0, 1, 2, and 3 to define a
linear growth model with equidistant time points. The zero time score
for the slope growth factor at time point one defines the intercept factor
as an initial status factor. The coefficients of the intercept growth factor
are fixed at one as part of the growth model parameterization. The

CHAPTER 9
306
residual variances of the outcome variables are fixed at zero on the
between level in line with conventional multilevel growth modeling.
These residual variances can be estimated. The ON statement describes
the linear regressions of the growth factors on the cluster-level covariate
w. The residual variances and the residual covariance of the growth
factors are free to be estimated as the default.
In the parameterization of the growth model shown here, the intercepts
of the outcome variable at the four time points are fixed at zero as the
default. The intercepts of the growth factors are estimated as the default
in the between part of the model. The default estimator for this type of
analysis is maximum likelihood with robust standard errors. The
ESTIMATOR option of the ANALYSIS command can be used to select
a different estimator. An explanation of the other commands can be
found in Example 9.1.
EXAMPLE 9.13: TWO-LEVEL GROWTH MODEL FOR A
CATEGORICAL OUTCOME (THREE-LEVEL ANALYSIS)
TITLE: this is an example of a two-level
growth model for a categorical outcome
(three-level analysis)
DATA: FILE IS ex9.13.dat;
VARIABLE: NAMES ARE u1-u4 x w clus;
CATEGORICAL = u1-u4;
WITHIN = x;
BETWEEN = w;
CLUSTER = clus;
ANALYSIS: TYPE = TWOLEVEL;
INTEGRATION = 7;
MODEL:
%WITHIN%
iw sw | u1@0 u2@1 u3@2 u4@3;
iw sw ON x;
%BETWEEN%
ib sb | u1@0 u2@1 u3@2 u4@3;
ib sb ON w;
OUTPUT: TECH1 TECH8;
The difference between this example and Example 9.12 is that the
outcome variable is a binary or ordered categorical (ordinal) variable
instead of a continuous variable.
Examples: Multilevel Modeling With Complex Survey Data
307
The CATEGORICAL option is used to specify which dependent
variables are treated as binary or ordered categorical (ordinal) variables
in the model and its estimation. In the example above, u1, u2, u3, and u4
are binary or ordered categorical variables. They represent the outcome
measured at four equidistant occasions.
The default estimator for this type of analysis is maximum likelihood
with robust standard errors using a numerical integration algorithm.
Note that numerical integration becomes increasingly more
computationally demanding as the number of factors and the sample size
increase. In this example, four dimensions of integration are used with a
total of 2,401 integration points. The INTEGRATION option of the
ANALYSIS command is used to change the number of integration points
per dimension from the default of 15 to 7. The ESTIMATOR option of
the ANALYSIS command can be used to select a different estimator.
For models with many dimensions of integration and categorical
outcomes, the weighted least squares estimator may improve
computational speed.
In the parameterization of the growth model shown here, the thresholds
of the outcome variable at the four time points are held equal as the
default and are estimated in the between part of the model. The
intercept of the intercept growth factor is fixed at zero. The intercept of
the slope growth factor is estimated as the default in the between part of
the model. The residual variances of the growth factors are estimated as
the default. The residuals of the growth factors are correlated as the
default because residuals are correlated for latent variables that do not
influence any other variable in the model except their own indicators.
On the between level, the residual variances of the random intercepts u1,
u2, u3, and u4 are fixed at zero as the default.
The OUTPUT command is used to request additional output not
included as the default. The TECH1 option is used to request the arrays
containing parameter specifications and starting values for all free
parameters in the model. The TECH8 option is used to request that the
optimization history in estimating the model be printed in the output.
TECH8 is printed to the screen during the computations as the default.
TECH8 screen printing is useful for determining how long the analysis
takes. An explanation of the other commands can be found in Examples
9.1 and 9.12.

CHAPTER 9
308
EXAMPLE 9.14: TWO-LEVEL GROWTH MODEL FOR A
CONTINUOUS OUTCOME (THREE-LEVEL ANALYSIS) WITH
VARIATION ON BOTH THE WITHIN AND BETWEEN
LEVELS FOR A RANDOM SLOPE OF A TIME-VARYING
COVARIATE
TITLE: this is an example of a two-level growth
model for a continuous outcome (three-
level analysis) with variation on both the
within and between levels for a random
slope of a time-varying covariate
DATA: FILE IS ex9.14.dat;
VARIABLE: NAMES ARE y1-y4 x a1-a4 w clus;
WITHIN = x a1-a4;
BETWEEN = w;
CLUSTER = clus;
ANALYSIS: TYPE = TWOLEVEL RANDOM;
ALGORITHM = INTEGRATION;
INTEGRATION = 10;
MODEL:
%WITHIN%
iw sw | y1@0 y2@1 y3@2 y4@3;
y1-y4 (1);
iw sw ON x;
s* | y1 ON a1;
s* | y2 ON a2;
s* | y3 ON a3;
s* | y4 ON a4;
%BETWEEN%
ib sb | y1@0 y2@1 y3@2 y4@3;
y1-y4@0;
ib sb s ON w;
OUTPUT: TECH1 TECH8;

Examples: Multilevel Modeling With Complex Survey Data
309
The difference between this example and Example 9.12 is that the model
includes an individual-level time-varying covariate with a random slope
that varies on both the within and between levels. In the within part of
the model, the filled circles at the end of the arrows from a1 to y1, a2 to
y2, a3 to y3, and a4 to y4 represent random intercepts that are referred to
CHAPTER 9
310
as y1, y2, y3, and y4 in the between part of the model. In the between
part of the model, the random intercepts are shown in circles because
they are continuous latent variables that vary across classes. The broken
arrows from s to the arrows from a1 to y1, a2 to y2, a3 to y3, and a4 to
y4 indicate that the slopes in these regressions are random. The s is
shown in a circle in both the within and between parts of the model to
represent a decomposition of the random slope into its within and
between components.
By specifying TYPE=TWOLEVEL RANDOM in the ANALYSIS
command, a multilevel model with random intercepts and random slopes
will be estimated. By specifying ALGORITHM=INTEGRATION, a
maximum likelihood estimator with robust standard errors using a
numerical integration algorithm will be used. Note that numerical
integration becomes increasingly more computationally demanding as
the number of factors and the sample size increase. In this example, four
dimensions of integration are used with a total of 10,000 integration
points. The INTEGRATION option of the ANALYSIS command is
used to change the number of integration points per dimension from the
default of 15 to 10. The ESTIMATOR option of the ANALYSIS
command can be used to select a different estimator.
The | symbol is used in conjunction with TYPE=RANDOM to name and
define the random slope variables in the model. The name on the left-
hand side of the | symbol names the random slope variable. The
statement on the right-hand side of the | symbol defines the random slope
variable. The random slope s is defined by the linear regressions of y1
on a1, y2 on a2, y3 on a3, and y4 on a4. Random slopes with the same
name are treated as one variable during model estimation. The random
intercepts for these regressions are referred to by using the name of the
dependent variables in the regressions, that is, y1, y2, y3, and y4. The
asterisk (*) following the s specifies that s will have variation on both
the within and between levels. Without the asterisk (*), s would have
variation on only the between level. An explanation of the other
commands can be found in Examples 9.1 and 9.12.

Examples: Multilevel Modeling With Complex Survey Data
311
EXAMPLE 9.15: TWO-LEVEL MULTIPLE INDICATOR
GROWTH MODEL WITH CATEGORICAL OUTCOMES
(THREE-LEVEL ANALYSIS)
TITLE: this is an example of a two-level multiple
indicator growth model with categorical
outcomes (three-level analysis)
DATA: FILE IS ex9.15.dat;
VARIABLE: NAMES ARE u11 u21 u31 u12 u22 u32 u13 u23
u33 clus;
CATEGORICAL = u11-u33;
CLUSTER = clus;
ANALYSIS: TYPE IS TWOLEVEL;
ESTIMATOR = WLSM;
MODEL:
%WITHIN%
f1w BY u11
u21-u31 (1-2);
f2w BY u12
u22-u32 (1-2);
f3w BY u13
u23-u33 (1-2);
iw sw | f1w@0 f2w@1 f3w@2;
%BETWEEN%
f1b BY u11
u21-u31 (1-2);
f2b BY u12
u22-u32 (1-2);
f3b BY u13
u23-u33 (1-2);
[u11$1 u12$1 u13$1] (3);
[u21$1 u22$1 u23$1] (4);
[u31$1 u32$1 u33$1] (5);
ib sb | f1b@0 f2b@1 f3b@2;
[f1b-f3b@0 ib@0 sb];
f1b-f3b (6);
SAVEDATA: SWMATRIX = ex9.15sw.dat;

CHAPTER 9
312
In this example, the two-level multiple indicator growth model with
categorical outcomes (three-level analysis) shown in the picture above is
estimated. The picture shows a factor measured by three indicators at
three time points. In the within part of the model, the filled circles at the
end of the arrows from the within factors f1w to u11, u21, and u31; f2w
to u12, u22, and u32; and f3w to u13, u23, and u33 represent random
intercepts that are referred to as u11, u21, u31, u12, u22, u32, u13, u23,
and u33 in the between part of the model. In the between part of the
model, the random intercepts are continuous latent variables that vary
across clusters. The random intercepts are indicators of the between
factors f1b, f2b, and f3b. In this model, the residual variances of the
Examples: Multilevel Modeling With Complex Survey Data
313
factor indicators in the between part of the model are estimated. The
residuals are not correlated as the default. Taken together with the
specification of equal factor loadings on the within and the between
parts of the model, this implies a model where the regressions of the
within factors on the growth factors have random intercepts that vary
across the clusters.
By specifying ESTIMATOR=WLSM, a robust weighted least squares
estimator using a diagonal weight matrix will be used. The default
estimator for this type of analysis is maximum likelihood with robust
standard errors using a numerical integration algorithm. Note that
numerical integration becomes increasingly more computationally
demanding as the number of factors and the sample size increase. For
models with many dimensions of integration and categorical outcomes,
the weighted least squares estimator may improve computational speed.
In the within part of the model, the three BY statements define a within-
level factor at three time points. The metric of the three factors is set
automatically by the program by fixing the first factor loading to one.
This option can be overridden. The (1-2) following the factor loadings
uses the list function to assign equality labels to these parameters. The
label 1 is assigned to the factor loadings of u21, u22, and u23 which
holds these factor loadings equal across time. The label 2 is assigned to
the factor loadings of u31, u32, and u33 which holds these factor
loadings equal across time. Residual variances of the latent response
variables of the categorical factor indicators are not free parameters to be
estimated in the model. They are fixed at one in line with the Theta
parameterization. Residuals are not correlated as the default. The |
statement names and defines the within intercept and slope growth
factors for the growth model. The names iw and sw on the left-hand side
of the | symbol are the names of the intercept and slope growth factors,
respectively. The names and values on the right-hand side of the |
symbol are the outcome and time scores for the slope growth factor. The
time scores of the slope growth factor are fixed at 0, 1, and 2 to define a
linear growth model with equidistant time points. The zero time score
for the slope growth factor at time point one defines the intercept growth
factor as an initial status factor. The coefficients of the intercept growth
factor are fixed at one as part of the growth model parameterization.
The variances of the growth factors are free to be estimated as the
default. The covariance between the growth factors is free to be
estimated as the default. The intercepts of the factors defined using BY
CHAPTER 9
314
statements are fixed at zero. The residual variances of the factors are
free and not held equal across time. The residuals of the factors are
uncorrelated in line with the default of residuals for first-order factors.
In the between part of the model, the first three BY statements define a
between-level factor at three time points. The (1-2) following the factor
loadings uses the list function to assign equality labels to these
parameters. The label 1 is assigned to the factor loadings of u21, u22,
and u23 which holds these factor loadings equal across time as well as
across levels. The label 2 is assigned to the factor loadings of u31, u32,
and u33 which holds these factor loadings equal across time as well as
across levels. Time-invariant thresholds for the three indicators are
specified using (3), (4), and (5) following the bracket statements. The
residual variances of the factor indicators are free to be estimated. The |
statement names and defines the between intercept and slope growth
factors for the growth model. The names ib and sb on the left-hand side
of the | symbol are the names of the intercept and slope growth factors,
respectively. The values on the right-hand side of the | symbol are the
time scores for the slope growth factor. The time scores of the slope
growth factor are fixed at 0, 1, and 2 to define a linear growth model
with equidistant time points. The zero time score for the slope growth
factor at time point one defines the intercept growth factor as an initial
status factor. The coefficients of the intercept growth factor are fixed at
one as part of the growth model parameterization. In the
parameterization of the growth model shown here, the intercept growth
factor mean is fixed at zero as the default for identification purposes.
The variances of the growth factors are free to be estimated as the
default. The covariance between the growth factors is free to be
estimated as the default. The intercepts of the factors defined using BY
statements are fixed at zero. The residual variances of the factors are
held equal across time. The residuals of the factors are uncorrelated in
line with the default of residuals for first-order factors.
The SWMATRIX option of the SAVEDATA command is used with
TYPE=TWOLEVEL and weighted least squares estimation to specify
the name and location of the file that contains the within- and between-
level sample statistics and their corresponding estimated asymptotic
covariance matrix. It is recommended to save this information and use it
in subsequent analyses along with the raw data to reduce computational
time during model estimation. An explanation of the other commands
can be found in Example 9.1

Examples: Multilevel Modeling With Complex Survey Data
315
EXAMPLE 9.16: LINEAR GROWTH MODEL FOR A
CONTINUOUS OUTCOME WITH TIME-INVARIANT AND
TIME-VARYING COVARIATES CARRIED OUT AS A TWO-
LEVEL GROWTH MODEL USING THE DATA WIDETOLONG
COMMAND
TITLE: this is an example of a linear growth
model for a continuous outcome with time-
invariant and time-varying covariates
carried out as a two-level growth model
using the DATA WIDETOLONG command
DATA: FILE IS ex9.16.dat;
DATA WIDETOLONG:
WIDE = y11-y14 | a31-a34;
LONG = y | a3;
IDVARIABLE = person;
REPETITION = time;
VARIABLE: NAMES ARE y11-y14 x1 x2 a31-a34;
USEVARIABLE = x1 x2 y a3 person time;
CLUSTER = person;
WITHIN = time a3;
BETWEEN = x1 x2;
ANALYSIS: TYPE = TWOLEVEL RANDOM;
MODEL: %WITHIN%
s | y ON time;
y ON a3;
%BETWEEN%
y s ON x1 x2;
y WITH s;

CHAPTER 9
316
In this example, a linear growth model for a continuous outcome with
time-invariant and time-varying covariates as shown in the picture above
is estimated. As part of the analysis, the DATA WIDETOLONG
command is used to rearrange the data from a multivariate wide format
to a univariate long format. The model is similar to the one in Example
6.10 using multivariate wide format data. The differences are that the
current model restricts the within-level residual variances to be equal
across time and the within-level influence of the time-varying covariate
on the outcome to be equal across time.
The WIDE option of the DATA WIDETOLONG command is used to
identify sets of variables in the wide format data set that are to be
converted into single variables in the long format data set. These
variables must variables from the NAMES statement of the VARIABLE
command. The two sets of variables y11, y12, y13, and y14 and a31,
a32, a33, and a34 are identified. The LONG option is used to provide
names for the new variables in the long format data set. The names y
and a3 are the names of the new variables. The IDVARIABLE option is
used to provide a name for the variable that provides information about
the unit to which the record belongs. In univariate growth modeling, this
is the person identifier which is used as a cluster variable. In this
example, the name person is used. This option is not required. The
Examples: Multilevel Modeling With Complex Survey Data
317
default variable name is id. The REPETITION option is used to provide
a name for the variable that contains information on the order in which
the variables were measured. In this example, the name time is used.
This option is not required. The default variable name is rep. The new
variables must be mentioned on the USEVARIABLE statement of the
VARIABLE command if they are used in the analysis. They must be
placed after any original variables. The USEVARIABLES option lists
the original variables x1 and x2 followed by the new variables y, a3,
person, and time.
The CLUSTER option of the VARIABLE command is used to identify
the variable that contains clustering information. In this example, the
cluster variable person is the variable that was created using the
IDVARIABLE option of the DATA WIDETOLONG command. The
WITHIN option is used to identify the variables in the data set that are
measured on the individual level and modeled only on the within level.
They are specified to have no variance in the between part of the model.
The BETWEEN option is used to identify the variables in the data set
that are measured on the cluster level and modeled only on the between
level. Variables not mentioned on the WITHIN or the BETWEEN
statements are measured on the individual level and can be modeled on
both the within and between levels.
In the within part of the model, the | symbol is used in conjunction with
TYPE=RANDOM to name and define the random slope variables in the
model. The name on the left-hand side of the | symbol names the
random slope variable. The statement on the right-hand side of the |
symbol defines the random slope variable. Random slopes are defined
using the ON option. In the | statement, the random slope s is defined by
the linear regression of the dependent variable y on time. The within-
level residual variance of y is estimated as the default. The ON
statement describes the linear regression of y on the covariate a3.
In the between part of the model, the ON statement describes the linear
regressions of the random intercept y and the random slope s on the
covariates x1 and x2. The WITH statement is used to free the
covariance between y and s. The default estimator for this type of
analysis is maximum likelihood with robust standard errors. The
estimator option of the ANALYSIS command can be used to select a
different estimator. An explanation of the other commands can be found
in Example 9.1.

CHAPTER 9
318
EXAMPLE 9.17: TWO-LEVEL GROWTH MODEL FOR A
COUNT OUTCOME USING A ZERO-INFLATED POISSON
MODEL (THREE-LEVEL ANALYSIS)
TITLE: this is an example of a two-level growth
model for a count outcome using a zero-
inflated Poisson model (three-level
analysis)
DATA: FILE = ex9.17.dat;
VARIABLE: NAMES = u1-u4 x w clus;
COUNT = u1-u4 (i);
CLUSTER = clus;
WITHIN = x;
BETWEEN = w;
ANALYSIS: TYPE = TWOLEVEL;
ALGORITHM = INTEGRATION;
INTEGRATION = 10;
MCONVERGENCE = 0.01;
MODEL: %WITHIN%
iw sw | u1@0 u2@1 u3@2 u4@3;
iiw siw | u1#1@0 u2#1@1 u3#1@2 u4#1@3;
sw@0;
siw@0;
iw WITH iiw;
iw ON x;
sw ON x;
%BETWEEN%
ib sb | u1@0 u2@1 u3@2 u4@3;
iib sib | u1#1@0 u2#1@1 u3#1@2 u4#1@3;
sb-sib@0;
ib ON w;
OUTPUT: TECH1 TECH8;
The difference between this example and Example 9.12 is that the
outcome variable is a count variable instead of a continuous variable.
The COUNT option is used to specify which dependent variables are
treated as count variables in the model and its estimation and whether a
Poisson or zero-inflated Poisson model will be estimated. In the
example above, u1, u2, u3, and u4 are count variables. The i in
parentheses following u indicates that a zero-inflated Poisson model will
be estimated.
Examples: Multilevel Modeling With Complex Survey Data
319
By specifying ALGORITHM=INTEGRATION, a maximum likelihood
estimator with robust standard errors using a numerical integration
algorithm will be used. Note that numerical integration becomes
increasingly more computationally demanding as the number of factors
and the sample size increase. In this example, three dimensions of
integration are used with a total of 1,000 integration points. The
INTEGRATION option of the ANALYSIS command is used to change
the number of integration points per dimension from the default of 15 to
10. The ESTIMATOR option of the ANALYSIS command can be used
to select a different estimator. The MCONVERGENCE option is used
to change the observed-data log likelihood derivative convergence
criterion for the EM algorithm from the default value of .001 to .01
because it is difficult to obtain high numerical precision in this example.
With a zero-inflated Poisson model, two growth models are estimated.
In the within and between parts of the model, the first | statement
describes the growth model for the count part of the outcome for
individuals who are able to assume values of zero and above. The
second | statement describes the growth model for the inflation part of
the outcome, the probability of being unable to assume any value except
zero. The binary latent inflation variable is referred to by adding to the
name of the count variable the number sign (#) followed by the number
1. In the parameterization of the growth model for the count part of the
outcome, the intercepts of the outcome variables at the four time points
are fixed at zero as the default. In the parameterization of the growth
model for the inflation part of the outcome, the intercepts of the outcome
variable at the four time points are held equal as the default. In the
within part of the model, the variances of the growth factors are
estimated as the default, and the growth factor covariances are fixed at
zero as the default. In the between part of the model, the mean of the
growth factors for the count part of outcome are free. The mean of the
intercept growth factor for the inflation part of the outcome is fixed at
zero and the mean for the slope growth factor for the inflation part of the
outcome is free. The variances of the growth factors are estimated as the
default, and the growth factor covariances are fixed at zero as the
default.
In the within part of the model, the variances of the slope growth factors
sw and siw are fixed at zero. The ON statements describes the linear
regressions of the intercept and slope growth factors iw and sw for the
count part of the outcome on the covariate x. In the between part of the

CHAPTER 9
320
model, the variances of the intercept growth factor iib and the slope
growth factors sb and sib are fixed at zero. The ON statement describes
the linear regression of the intercept growth factor ib on the covariate w.
An explanation of the other commands can be found in Examples 9.1
and 9.12.
EXAMPLE 9.18: TWO-LEVEL CONTINUOUS-TIME
SURVIVAL ANALYSIS USING COX REGRESSION WITH A
RANDOM INTERCEPT
TITLE: this is an example of a two-level
continuous-time survival analysis using
Cox regression with a random intercept
DATA: FILE = ex9.18.dat;
VARIABLE: NAMES = t x w tc clus;
CLUSTER = clus;
WITHIN = x;
BETWEEN = w;
SURVIVAL = t (ALL);
TIMECENSORED = tc (0 = NOT 1 = RIGHT);
ANALYSIS: TYPE = TWOLEVEL;
BASEHAZARD = OFF;
MODEL: %WITHIN%
t ON x;
%BETWEEN%
t ON w;
t;
Examples: Multilevel Modeling With Complex Survey Data
321
In this example, the two-level continuous-time survival analysis model
shown in the picture above is estimated. This is the Cox regression
model with a random intercept (Klein & Moeschberger, 1997; Hougaard,
2000). The profile likelihood method is used for estimation
(Asparouhov et al., 2006).
The SURVIVAL option is used to identify the variables that contain
information about time to event and to provide information about the
time intervals in the baseline hazard function to be used in the analysis.
The SURVIVAL option must be used in conjunction with the
TIMECENSORED option. In this example, t is the variable that
contains time to event information. By specifying the keyword ALL in
parenthesis following the time-to-event variable, the time intervals are
taken from the data. The TIMECENSORED option is used to identify
the variables that contain information about right censoring. In this
example, this variable is named tc. The information in parentheses
specifies that the value zero represents no censoring and the value one
represents right censoring. This is the default. The BASEHAZARD
option of the ANALYSIS command is used with continuous-time
survival analysis to specify if a non-parametric or a parametric baseline
hazard function is used in the estimation of the model. The setting OFF
specifies that a non-parametric baseline hazard function is used. This is
the default.
The MODEL command is used to describe the model to be estimated. In
multilevel models, a model is specified for both the within and between
parts of the model. In the within part of the model, the loglinear
regression of the time-to-event t on the covariate x is specified. In the
between part of the model, the linear regression of the random intercept t
on the cluster-level covariate w is specified. The residual variance of t is
estimated. The default estimator for this type of analysis is maximum
likelihood with robust standard errors. The estimator option of the
ANALYSIS command can be used to select a different estimator. An
explanation of the other commands can be found in Example 9.1.

CHAPTER 9
322
EXAMPLE 9.19: TWO-LEVEL MIMIC MODEL WITH
CONTINUOUS FACTOR INDICATORS, RANDOM FACTOR
LOADINGS, TWO COVARIATES ON WITHIN, AND ONE
COVARIATE ON BETWEEN WITH EQUAL LOADINGS
ACROSS LEVELS
TITLE: this is an example of a two-level MIMIC
model with continuous factor indicators,
random factor loadings, two covariates on
within, and one covariate on between
with equal loadings across levels
DATA: FILE = ex9.19.dat;
VARIABLE: NAMES = y1-y4 x1 x2 w clus;
WITHIN = x1 x2;
BETWEEN = w;
CLUSTER = clus;
ANALYSIS: TYPE = TWOLEVEL RANDOM;
ESTIMATOR = BAYES;
PROCESSORS = 2;
BITERATIONS = (1000);
MODEL: %WITHIN%
s1-s4 | f BY y1-y4;
f@1;
f ON x1 x2;
%BETWEEN%
f ON w;
f;
PLOT: TYPE = PLOT2;
OUTPUT: TECH1 TECH8;
In this example, a two-level MIMIC model with continuous factor
indicators, random factor loadings, two covariates on within, and one
covariate on between with equal loadings across levels is estimated. In
the ANALYSIS command, TYPE=TWOLEVEL RANDOM is specified
indicating that a two-level model will be estimated. By specifying
ESTIMATOR=BAYES, a Bayesian analysis will be carried out. In
Bayesian estimation, the default is to use two independent Markov chain
Monte Carlo (MCMC) chains. If multiple processors are available,
using PROCESSORS=2 will speed up computations. The
BITERATIONS option is used to specify the maximum and minimum
number of iterations for each Markov chain Monte Carlo (MCMC) chain
when the potential scale reduction (PSR) convergence criterion (Gelman

Examples: Multilevel Modeling With Complex Survey Data
323
& Rubin, 1992) is used. Using a number in parentheses, the
BITERATIONS option specifies that a minimum of 1000 and a
maximum of the default of 50,000 iterations will be used.
In the within part of the model, the | symbol is used in conjunction with
TYPE=RANDOM to name and define the random factor loading
variables in the model. The name on the left-hand side of the | symbol
names the random factor loading variable. The statement on the right-
hand side of the | symbol defines the random factor loading variable.
Random factor loadings are defined using the BY option. The random
factor loading variables s1, s2, s3, and s4 are defined by the linear
regression of the factor indicators y1, y2, y3, and y4 on the factor f. The
factor variance is fixed at one to set the metric of the factor. The
residual variances of y1 through y4 are estimated and the residuals are
not correlated as the default. The ON statement describes the linear
regression of f on the individual-level covariates x1 and x2. In the
between part of the model, the ON statement describes the linear
regression of the random intercept f on the cluster-level covariate w.
The cluster-level residual variance of the factor is estimated. The
intercepts and the cluster-level residual variances of y1 through y4 are
estimated and the residuals are not correlated as the default.
By specifying TYPE=PLOT2 in the PLOT command, the following
plots are available: posterior parameter distributions, posterior
parameter trace plots, autocorrelation plots, posterior predictive
checking scatterplots, and posterior predictive checking distribution
plots. An explanation of the other commands can be found in Example
9.1.
Following is one alternative specification of the MODEL command
where a different factor fb is specified in the between part of the model
using the random intercepts as factor indicators. The residual variance
of fb is estimated as the default.
MODEL: %WITHIN%
s1-s4 | f BY y1-y4;
f@1;
f ON x1 x2;
%BETWEEN%
fb BY y1-y4;
fb ON w;

CHAPTER 9
324
Following is another alternative specification of the MODEL command
where a factor is specified in the between part of the model using the
random intercepts as factors indicators. The factor loadings of this
factor are held equal to the means of the random factor loadings defined
in the within part of the model.
MODEL: %WITHIN%
s1-s4 | f BY y1-y4;
f@1;
f ON x1 x2;
%BETWEEN%
fb BY y1-y4* (lam1-lam4);
fb ON w;
[s1-s4] (lam1-lam4);
EXAMPLE 9.20: THREE-LEVEL REGRESSION FOR A
CONTINUOUS DEPENDENT VARIABLE
TITLE: this is an example of a three-level
regression for a continuous dependent
variable
DATA: FILE = ex9.20.dat;
VARIABLE: NAMES = y x w z level2 level3;
CLUSTER = level3 level2;
WITHIN = x;
BETWEEN =(level2) w (level3) z;
ANALYSIS: TYPE = THREELEVEL RANDOM;
MODEL:
%WITHIN%
s1 | y ON x;
%BETWEEN level2%
s2 | y ON w;
s12 | s1 ON w;
y WITH s1;
%BETWEEN level3%
y ON z;
s1 ON z;
s2 ON z;
s12 ON z;
y WITH s1 s2 s12;
s1 WITH s2 s12;
s2 WITH s12;
OUTPUT: TECH1 TECH8;

Examples: Multilevel Modeling With Complex Survey Data
325
In this example, the three-level regression with a continuous dependent
variable shown in the picture above is estimated. The CLUSTER option
is used to identify the variables in the data set that contain clustering
information. Two cluster variables are used for a three-level model.
The CLUSTER option specifies that level3 is the cluster variable for
level 3 and level2 is the cluster variable for level 2. The cluster variable
for the highest level must come first, that is, level 2 is nested in level 3.
The WITHIN option is used to identify the variables in the data set that
are measured on the individual level and to specify the levels on which
CHAPTER 9
326
they are modeled. All variables on the WITHIN list must be measured
on the individual level. An individual-level variable can be modeled on
all or some levels. If a variable measured on the individual level is
mentioned on the WITHIN list without a label, it is modeled on only
level 1. It has no variance on levels 2 and 3. If a variable is not
mentioned on the WITHIN list, it is modeled on all levels. The variable
x can be modeled on only level 1. The variable y can be modeled on all
levels.
The BETWEEN option is used to identify the variables in the data set
that are measured on the cluster level(s) and to specify the level(s) on
which they are modeled. All variables on the BETWEEN list must be
measured on a cluster level. A cluster-level variable can be modeled on
all or some cluster levels. For TYPE=THREELEVEL, if a variable
measured on level 2 is mentioned on the BETWEEN list with a level 2
cluster label, it is modeled on only level 2. It has no variance on level 3.
A variable measured on level 3 must be mentioned on the BETWEEN
list with a level 3 cluster label. The variable w can be modeled on only
level 2. The variable z can be modeled on only level 3.
In the ANALYSIS command, TYPE=THREELEVEL RANDOM is
specified indicating that a three-level model will be estimated. In the
within and level 2 parts of the model, the | symbol is used in conjunction
with TYPE=RANDOM to name and define the random slope variables
in the model. The name on the left-hand side of the | symbol names the
random slope variable. The statement on the right-hand side of the |
symbol defines the random slope variable. Random slopes are defined
using the ON option. In the within part of the model, the random slope
s1 is defined by the linear regression of y on the individual-level
covariate x. The within-level residual variance of y is estimated as the
default. In the level 2 part of the model, two random slopes are defined.
The random slope s2 is defined by the linear regression of the level 2
random intercept y on the level 2 covariate w. The random slope s12 is
defined by the linear regression of the level 2 random slope s1 on the
level 2 covariate w. The level 2 residual variances of y and s1 are
estimated and the residuals are not correlated as the default. The WITH
statement specifies that the level 2 residuals of y and s1 are correlated.
In the level 3 part of the model, the first ON statement describes the
linear regression of the level 3 random intercept y on the level 3
covariate z. The next three ON statements describe the linear

Examples: Multilevel Modeling With Complex Survey Data
327
regressions of the level 3 random slopes s1, s2, and s12 on the level 3
covariate z. The intercepts and level 3 residual variances of y, s1, s2,
and s12 are estimated and the residuals are not correlated as the default.
The WITH statements specify that the level 3 residuals of y, s1, s2, and
s12 are correlated. The default estimator for this type of analysis is
maximum likelihood with robust standard errors. The ESTIMATOR
option of the ANALYSIS command can be used to select a different
estimator. An explanation of the other commands can be found in
Examples 9.1 and 9.3.
EXAMPLE 9.21: THREE-LEVEL PATH ANALYSIS WITH A
CONTINUOUS AND A CATEGORICAL DEPENDENT
VARIABLE
TITLE: this an example of a three-level path
analysis with a continuous and a
categorical dependent variable
DATA: FILE = ex9.21.dat;
VARIABLE: NAMES = u y2 y y3 x w z level2 level3;
CATEGORICAL = u;
CLUSTER = level3 level2;
WITHIN = x;
BETWEEN = y2 (level2) w (level3) z y3;
ANALYSIS: TYPE = THREELEVEL;
ESTIMATOR = BAYES;
PROCESSORS = 2;
BITERATIONS = (1000);
MODEL: %WITHIN%
u ON y x;
y ON x;
%BETWEEN level2%
u ON w y y2;
y ON w;
y2 ON w;
y WITH y2;
%BETWEEN level3%
u ON y y2;
y ON z;
y2 ON z;
y3 ON y y2;
y WITH y2;
u WITH y3;
OUTPUT: TECH1 TECH8;

CHAPTER 9
328
In this example, the three-level path analysis with a continuous and a
categorical dependent variable shown in the picture above is estimated.
The CATEGORICAL option is used to specify which dependent
variables are treated as binary or ordered categorical (ordinal) variables
Examples: Multilevel Modeling With Complex Survey Data
329
in the model and its estimation. In the example above, the variable u is
binary or ordered categorical.
The WITHIN option is used to identify the variables in the data set that
are measured on the individual level and to specify the levels on which
they are modeled. All variables on the WITHIN list must be measured
on the individual level. An individual-level variable can be modeled on
all or some levels. If a variable measured on the individual level is
mentioned on the WITHIN list without a label, it is modeled on only
level 1. It has no variance on levels 2 and 3. If a variable is not
mentioned on the WITHIN list, it is modeled on all levels. The variable
x can be modeled on only level 1. The variables u and y can be modeled
on all levels.
The BETWEEN option is used to identify the variables in the data set
that are measured on the cluster level(s) and to specify the level(s) on
which they are modeled. All variables on the BETWEEN list must be
measured on a cluster level. A cluster-level variable can be modeled on
all or some cluster levels. For TYPE=THREELEVEL, if a variable
measured on level 2 is mentioned on the BETWEEN list without a label,
it is modeled on levels 2 and 3. If a variable measured on level 2 is
mentioned on the BETWEEN list with a level 2 cluster label, it is
modeled on only level 2. It has no variance on level 3. A variable
measured on level 3 must be mentioned on the BETWEEN list with a
level 3 cluster label. The variable y2 can be modeled on levels 2 and 3.
The variable w can be modeled on only level 2. The variables z and y3
can be modeled on only level 3.
In the ANALYSIS command, TYPE=THREELEVEL is specified
indicating that a three-level model will be estimated. By specifying
ESTIMATOR=BAYES, a Bayesian analysis will be carried out. In
Bayesian estimation, the default is to use two independent Markov chain
Monte Carlo (MCMC) chains. If multiple processors are available,
using PROCESSORS=2 will speed up computations. The
BITERATIONS option is used to specify the maximum and minimum
number of iterations for each Markov chain Monte Carlo (MCMC) chain
when the potential scale reduction (PSR) convergence criterion (Gelman
& Rubin, 1992) is used. Using a number in parentheses, the
BITERATIONS option specifies that a minimum of 1,000 and a
maximum of the default of 50,000 iterations will be used.
CHAPTER 9
330
In the within part of the model, the first ON statement describes the
probit regression of u on the mediator y and the individual-level
covariate x. The second ON statement describes the linear regression of
the mediator y on the covariate x. The within-level residual variance of
y is estimated as the default. In the level 2 part of the model, the first
ON statement describes the linear regression of the level 2 random
intercept u on the level 2 covariate w, the level 2 random intercept y, and
the level 2 mediator y2. The second ON statement describes the linear
regression of the level 2 random intercept y on the level 2 covariate w.
The third ON statement describes the linear regression of the level 2
mediator y2 on the level 2 covariate w. The level 2 residual variances of
u, y, and y2 are estimated and the residuals are not correlated as the
default. The WITH statement specifies that the level 2 residuals of y and
y2 are correlated. In the level 3 part of the model, the first ON statement
describes the linear regression of the level 3 random intercept u on the
level 3 random intercepts y and y2. The second ON statement describes
the linear regression of the level 3 random intercept y on the level 3
covariate z. The third ON statement describes the linear regression of
the level 3 random intercept y2 on the level 3 covariate z. The fourth
ON statement describes the linear regression of the level 3 variable y3
on the level 3 random intercepts y and y2. The threshold of u; the
intercepts of y, y2, and y3; and the level 3 residual variances of u, y, y2,
and y3 are estimated and the residuals are not correlated as the default.
The first WITH statement specifies that the residuals of y and y2 are
correlated. The second WITH statement specifies that the residuals of u
and y3 are correlated. An explanation of the other commands can be
found in Examples 9.1, 9.3, and 9.20.

Examples: Multilevel Modeling With Complex Survey Data
331
EXAMPLE 9.22: THREE-LEVEL MIMIC MODEL WITH
CONTINUOUS FACTOR INDICATORS, TWO COVARIATES
ON WITHIN, ONE COVARIATE ON BETWEEN LEVEL 2, AND
ONE COVARIATE ON BETWEEN LEVEL 3 WITH RANDOM
SLOPES ON BOTH WITHIN AND BETWEEN LEVEL 2
TITLE: this is an example of a three-level MIMIC
model with continuous factor indicators,
two covariates on within, one covariate on
between level 2, one covariate on between
level 3 with random slopes on both within
and between level 2
DATA: FILE = ex9.22.dat;
VARIABLE: NAMES = y1-y6 x1 x2 w z level2 level3;
CLUSTER = level3 level2;
WITHIN = x1 x2;
BETWEEN = (level2) w (level3) z;
ANALYSIS: TYPE = THREELEVEL RANDOM;
MODEL: %WITHIN%
fw1 BY y1-y3;
fw2 BY y4-y6;
fw1 ON x1;
s | fw2 ON x2;
%BETWEEN level2%
fb2 BY y1-y6;
sf2 | fb2 ON w;
ss | s ON w;
fb2 WITH s;
%BETWEEN level3%
fb3 BY y1-y6;
fb3 ON z;
s ON z;
sf2 ON z;
ss ON z;
fb3 WITH s sf2 ss;
s WITH sf2 ss;
sf2 WITH ss;
OUTPUT: TECH1 TECH8;

CHAPTER 9
332
Examples: Multilevel Modeling With Complex Survey Data
333
In this example, the three-level MIMIC model with continuous factor
indicators, two covariates on within, one covariate on between level 2,
one covariate on between level 3 with random slopes on both within and
between level 2 shown in the picture above is estimated.
The WITHIN option is used to identify the variables in the data set that
are measured on the individual level and to specify the levels on which
they are modeled. All variables on the WITHIN list must be measured
on the individual level. An individual-level variable can be modeled on
all or some levels. If a variable measured on the individual level is
mentioned on the WITHIN list without a label, it is modeled on only
level 1. It has no variance on levels 2 and 3. If a variable is not
mentioned on the WITHIN list, it is modeled on all levels. The variables
x1 and x2 can be modeled on only level 1. The variables y1 through y6
can be modeled on all levels.
The BETWEEN option is used to identify the variables in the data set
that are measured on the cluster level(s) and to specify the level(s) on
which they are modeled. All variables on the BETWEEN list must be
measured on a cluster level. A cluster-level variable can be modeled on
all or some cluster levels. For TYPE=THREELEVEL, if a variable
measured on level 2 is mentioned on the BETWEEN list with a level 2
cluster label, it is modeled on only level 2. It has no variance on level 3.
A variable measured on level 3 must be mentioned on the BETWEEN
list with a level 3 cluster label. The variable w can be modeled on only
level 2. The variable z can be modeled on only level 3.
In the ANALYSIS command, TYPE=THREELEVEL RANDOM is
specified indicating that a three-level model will be estimated. In the
within part of the model, the first BY statement specifies that the factor
fw1 is measured by y1 through y3. The second BY statement specifies
that fw2 is measured by y4 through y6. The metric of the factors is set
automatically by the program by fixing the first factor loading in each
BY statement to one. This default can be overridden. The residual
variances of the factor indicators are estimated and the residuals are not
correlated as the default. The residual variances of the factors are
estimated and the residuals are correlated as the default. The ON
statement describes the linear regression of fw1 on the individual-level
covariate x1.
CHAPTER 9
334
In the within and level 2 parts of the model, the | symbol is used in
conjunction with TYPE=RANDOM to name and define the random
slope variables in the model. The name on the left-hand side of the |
symbol names the random slope variable. The statement on the right-
hand side of the | symbol defines the random slope variable. Random
slopes are defined using the ON option. In the within part of the model,
the random slope s is defined by the linear regression of fw2 on the
individual-level covariate x2.
In the level 2 part of the model, the BY statement specifies that the
factor fb2 is measured by the level 2 random intercepts y1 through y6.
The metric of the factors is set automatically by the program by fixing
the first factor loading in each BY statement to one. This default can be
overridden. The level 2 residual variances of the factor indicators are
estimated and the residuals are not correlated as the default. The
variance of the factor is estimated as the default. The random slope sf2
is defined by the linear regression of fb2 on the level 2 covariate w. The
random slope ss is defined by the linear regression of the random slope s
on the level 2 covariate w. The level 2 residual variances of fb2 and s
are estimated and the residuals are not correlated as the default.
In the level 3 part of the model, the BY statement specifies that the
factor fb3 is measured by the level 3 random intercepts y1 through y6.
The metric of the factors is set automatically by the program by fixing
the first factor loading in each BY statement to one. This default can be
overridden. The intercept and level 3 residual variances of the factor
indicators are estimated and the residuals are not correlated as the
default. The residual variance of the factor is estimated as the default.
The first ON statement describes the linear regression of fb3 on the level
3 covariate z. The second ON statement describes the linear regression
of the random slope s on the level 3 covariate z. The third ON statement
describes the linear regression of the random slope sf2 on the level 3
covariate z. The fourth ON statement specifies the linear regression of
the random slope ss on the level 3 covariate z. The intercepts of y1
through y6, s, sf2, and ss; and the level 3 residual variances of fb3, s,
sf2, and ss are estimated and the residuals are not correlated as the
default. The WITH statements specify that the level 3 residuals of fb3,
s, sf2, and ss are correlated. The default estimator for this type of
analysis is maximum likelihood with robust standard errors. The
ESTIMATOR option of the ANALYSIS command can be used to select

Examples: Multilevel Modeling With Complex Survey Data
335
a different estimator. An explanation of the other commands can be
found in Examples 9.1, 9.3, and 9.20.
EXAMPLE 9.23: THREE-LEVEL GROWTH MODEL WITH A
CONTINUOUS OUTCOME AND ONE COVARIATE ON EACH
OF THE THREE LEVELS
TITLE: this is an example of a three-level growth
model with a continuous outcome and one
covariate on each of the three levels
DATA: FILE = ex9.23.dat;
VARIABLE: NAMES = y1-y4 x w z level2 level3;
CLUSTER = level3 level2;
WITHIN = x;
BETWEEN = (level2) w (level3) z;
ANALYSIS: TYPE = THREELEVEL;
MODEL: %WITHIN%
iw sw | y1@0 y2@1 y3@2 y4@3;
iw sw ON x;
%BETWEEN level2%
ib2 sb2 | y1@0 y2@1 y3@2 y4@3;
ib2 sb2 ON w;
%BETWEEN level3%
ib3 sb3 | y1@0 y2@1 y3@2 y4@3;
ib3 sb3 ON z;
y1-y4@0;
OUTPUT: TECH1 TECH8;

CHAPTER 9
336
Examples: Multilevel Modeling With Complex Survey Data
337
In this example, the three-level growth model with a continuous outcome
and one covariate on each of the three levels shown in the picture above
is estimated.
The WITHIN option is used to identify the variables in the data set that
are measured on the individual level and to specify the levels on which
they are modeled. All variables on the WITHIN list must be measured
on the individual level. An individual-level variable can be modeled on
all or some levels. If a variable measured on the individual level is
mentioned on the WITHIN list without a label, it is modeled on only
level 1. It has no variance on levels 2 and 3. If a variable is not
mentioned on the WITHIN list, it is modeled on all levels. The variable
x can be modeled on only level 1. The variables y1 through y4 can be
modeled on all levels.
The BETWEEN option is used to identify the variables in the data set
that are measured on the cluster level(s) and to specify the level(s) on
which they are modeled. All variables on the BETWEEN list must be
measured on a cluster level. A cluster-level variable can be modeled on
all or some cluster levels. For TYPE=THREELEVEL, if a variable
measured on level 2 is mentioned on the BETWEEN list with a level 2
cluster label, it is modeled on only level 2. It has no variance on level 3.
A variable measured on level 3 must be mentioned on the BETWEEN
list with a level 3 cluster label. The variable w can be modeled on only
level 2. The variable z can be modeled on only level 3.
In the ANALYSIS command, TYPE=THREELEVEL is specified
indicating that a three-level model will be estimated. In the within part
of the model, the | symbol is used to name and define the within
intercept and slope factors in a growth model. The names iw and sw on
the left-hand side of the | symbol are the names of the intercept and slope
growth factors, respectively. The statement on the right-hand side of the
| symbol specifies the outcome and the time scores for the growth model.
The time scores for the slope growth factor are fixed at 0, 1, 2, and 3 to
define a linear growth model with equidistant time points. The zero time
score for the slope growth factor at time point one defines the intercept
growth factor as an initial status factor. The coefficients of the intercept
growth factor are fixed at one as part of the growth model
parameterization. The residual variances of y1 through y4 are estimated
and allowed to be different across time and the residuals are not
correlated as the default. In the parameterization of the growth model
CHAPTER 9
338
shown here, the intercepts of the outcome variables at the four time
points are fixed at zero as the default. The ON statement describes the
linear regression of the intercept and slope growth factors on the
individual-level covariate x. The residual variances of the growth
factors are estimated and the residuals are correlated as the default. The
level 2 residual variances of y1 through y4 are estimated and allowed to
be different across time and the residuals are not correlated as the
default.
The growth model specified in the within part of the model is also
specified on levels 2 and 3. In the level 2 part of the model, the ON
statement describes the linear regression of the level 2 intercept and
slope growth factors on the level 2 covariate w. The level 2 residual
variances of the growth factors are estimated and the residuals are
correlated as the default. In the level 3 part of the model, the ON
statement describes the linear regression of the level 3 intercept and
slope growth factors on the level 3 covariate z. The intercepts and level
3 residual variances of the growth factors are estimated and the residuals
are correlated as the default. The level 3 residual variances of y1
through y4 are fixed at zero. The default estimator for this type of
analysis is maximum likelihood with robust standard errors. The
ESTIMATOR option of the ANALYSIS command can be used to select
a different estimator. An explanation of the other commands can be
found in Examples 9.1, 9.3, and 9.20.

Examples: Multilevel Modeling With Complex Survey Data
339
EXAMPLE 9.24: REGRESSION FOR A CONTINUOUS
DEPENDENT VARIABLE USING CROSS-CLASSIFIED DATA
TITLE: this is an example of a regression for a
continuous dependent variable using cross-
classified data
DATA: FILE = ex9.24.dat;
VARIABLE: NAMES = y x1 x2 w z level2a level2b;
CLUSTER = level2b level2a;
WITHIN = x1 x2;
BETWEEN = (level2a) w (level2b) z;
ANALYSIS: TYPE = CROSSCLASSIFIED RANDOM;
ESTIMATOR = BAYES;
PROCESSORS = 2;
BITERATIONS = (2000);
MODEL: %WITHIN%
y ON x1;
s | y ON x2;
%BETWEEN level2a%
y ON w;
s ON w;
y WITH s;
%BETWEEN level2b%
y ON z;
s ON z;
y WITH s;
OUTPUT: TECH1 TECH8;

CHAPTER 9
340
In this example, the regression for a continuous dependent variable using
cross-classified data shown in the picture above is estimated. The
CLUSTER option is used to identify the variables in the data set that
contain clustering information. Two cluster variables are used for a
cross-classified model. The CLUSTER option specifies that level2b is
the cluster variable for level 2b and level2a is the cluster variable for
level 2a.
Examples: Multilevel Modeling With Complex Survey Data
341
The WITHIN option is used to identify the variables in the data set that
are measured on the individual level and to specify the levels on which
they are modeled. All variables on the WITHIN list must be measured
on the individual level. An individual-level variable can be modeled on
all or some levels. If a variable measured on the individual level is
mentioned on the WITHIN list without a label, it is modeled on only
level 1. It has no variance on levels 2a and 2b. If a variable is not
mentioned on the WITHIN list, it is modeled on all levels. The variables
x1 and x2 can be modeled on only level 1. The variable y can be
modeled on all levels.
The BETWEEN option is used to identify the variables in the data set
that are measured on the cluster level(s) and to specify the level(s) on
which they are modeled. All variables on the BETWEEN list must be
measured on a cluster level. For TYPE=CROSSCLASSIFIED, a
variable measured on level 2a must be mentioned on the BETWEEN list
with a level 2a cluster label. It can be modeled on only level 2a. A
variable measured on level 2b must be mentioned on the BETWEEN list
with a level 2b cluster label. It can be modeled on only level 2b. The
variable w can be modeled on only level 2a. The variable z can be
modeled on only level 2b.
In the ANALYSIS command, TYPE=CROSSCLASSIFIED RANDOM
is specified indicating that a cross-classified model will be estimated.
By specifying ESTIMATOR=BAYES, a Bayesian analysis will be
carried out. In Bayesian estimation, the default is to use two
independent Markov chain Monte Carlo (MCMC) chains. If multiple
processors are available, using PROCESSORS=2 will speed up
computations. The BITERATIONS option is used to specify the
maximum and minimum number of iterations for each Markov chain
Monte Carlo (MCMC) chain when the potential scale reduction (PSR)
convergence criterion (Gelman & Rubin, 1992) is used. Using a number
in parentheses, the BITERATIONS option specifies that a minimum of
2000 and a maximum of the default of 50,000 iterations will be used.
In the within part of the model, the ON statement describes the linear
regression of y on the individual-level covariate x1. The residual
variance of y is estimated as the default. The | symbol is used in
conjunction with TYPE=RANDOM to name and define the random
slope variables in the model. The name on the left-hand side of the |
symbol names the random slope variable. The statement on the right-

CHAPTER 9
342
hand side of the | symbol defines the random slope variable. Random
slopes are defined using the ON option. The random slope s is defined
by the linear regression of y on the individual-level covariate x2. In the
level 2a part of the model, the first ON statement describes the linear
regression of the level 2a random intercept y on the level 2a covariate w.
The second ON statement describes the linear regression of the level 2a
random slope s on the level 2a covariate w. The residuals of y and s are
estimated and the residuals are not correlated as the default. The WITH
statement specifies that the residuals of y and s are correlated. In the
level 2b part of the model, the first ON statement describes the linear
regression of the level 2b random intercept y on the level 2b covariate z.
The second ON statement describes the linear regression of the level 2b
random slope s on the level 2b covariate z. The residual variances of y
and s are estimated and the residuals are not correlated as the default.
The WITH statement specifies that the residuals of y and s are
correlated. The intercepts of y and s are estimated as the default on level
2b. An explanation of the other commands can be found in Examples
9.1 and 9.3.
EXAMPLE 9.25: PATH ANALYSIS WITH CONTINUOUS
DEPENDENT VARIABLES USING CROSS-CLASSIFIED DATA
TITLE: this is an example of path analysis with
continuous dependent variables using
cross-classified data
DATA: FILE = ex9.25.dat;
VARIABLE: NAMES = y1 y2 x w z level2a level2b;
CLUSTER = level2b level2a;
WITHIN = x;
BETWEEN = (level2a) w (level2b) z;
ANALYSIS: TYPE = CROSSCLASSIFIED;
ESTIMATOR = BAYES;
PROCESSORS = 2;
MODEL: %WITHIN%
y2 ON y1 x;
y1 ON x;
%BETWEEN level2a%
y1 y2 ON w;
y1 WITH y2;
%BETWEEN level2b%
y1 y2 ON z;
y1 WITH y2;
OUTPUT: TECH1 TECH8;

Examples: Multilevel Modeling With Complex Survey Data
343
In this example, the path analysis with continuous dependent variables
using cross-classified data shown in the picture above is estimated. The
WITHIN option is used to identify the variables in the data set that are
measured on the individual level and to specify the levels on which they
are modeled. All variables on the WITHIN list must be measured on the
individual level. An individual-level variable can be modeled on all or
some levels. If a variable measured on the individual level is mentioned
CHAPTER 9
344
on the WITHIN list without a label, it is modeled on only level 1. It has
no variance on levels 2a and 2b. If a variable is not mentioned on the
WITHIN list, it is modeled on all levels. The variable x can be modeled
on only level 1. The variables y1 and y2 can be modeled on all levels.
The BETWEEN option is used to identify the variables in the data set
that are measured on the cluster level(s) and to specify the level(s) on
which they are modeled. All variables on the BETWEEN list must be
measured on a cluster level. For TYPE=CROSSCLASSIFIED, a
variable measured on level 2a must be mentioned on the BETWEEN list
with a level 2a cluster label. It can be modeled on only level 2a. A
variable measured on level 2b must be mentioned on the BETWEEN list
with a level 2b cluster label. It can be modeled on only level 2b. The
variable w can be modeled on only level 2a. The variable z can be
modeled on only level 2b.
In the ANALYSIS command, TYPE=CROSSCLASSIFIED is specified
indicating that a cross-classified model will be estimated. By specifying
ESTIMATOR=BAYES, a Bayesian analysis will be carried out. No
other estimators are available. In Bayesian estimation, the default is to
use two independent Markov chain Monte Carlo (MCMC) chains. If
multiple processors are available, using PROCESSORS=2 will speed up
computations.
In the within part of the model, the first ON statement describes the
linear regression of y2 on the mediator y1 and the individual-level
covariate x. The second ON statement describes the linear regression of
y1 on the individual-level covariate x. The residuals of y1 and y2 are
estimated and the residual are not correlated as the default. In the level
2a part of the model, the first ON statement describes the linear
regressions of the level 2a intercepts y1 and y2 on the level 2a covariate
w. The level 2a residuals are estimated and the residuals are not
correlated as the default. The WITH statement specifies that the level 2a
residuals of y1 and y2 are correlated. In the level 2b part of the model,
the first ON statement describes the linear regression of the level 2b
random intercepts y1 and y2 on the level 2b covariate z. The level 2b
residuals are estimated and the residuals are not correlated as the default.
The WITH statement specifies that the level 2b residuals of y1 and y2
are correlated. The intercepts of y1 and y2 are estimated as the default
on level 2b. An explanation of the other commands can be found in
Examples 9.1, 9.3, and 9.24.

Examples: Multilevel Modeling With Complex Survey Data
345
EXAMPLE 9.26: IRT WITH RANDOM BINARY ITEMS USING
CROSS-CLASSIFIED DATA
TITLE: this is an example of IRT with random
binary items using cross-classified
data
DATA: FILE = ex9.26.dat;
VARIABLE: NAMES = u subject item;
CATEGORICAL = u;
CLUSTER = item subject;
ANALYSIS: TYPE = CROSSCLASSIFIED RANDOM;
ESTIMATOR = BAYES;
PROCESSORS = 2;
MODEL: %WITHIN%
%BETWEEN subject%
s | f BY u;
f@1;
u@0;
%BETWEEN item%
u; [u$1];
s; [s];
OUTPUT: TECH1 TECH8;
In this example, an IRT with random binary items using cross-classified
data is estimated (Fox, 2010). Both the intercepts and factor loadings of
the set of items are random. The CATEGORICAL option is used to
specify which dependent variables are treated as binary or ordered
categorical (ordinal) variables in the model and its estimation. In the
example above, the variable u is binary or ordered categorical. The
CLUSTER option is used to identify the variables in the data set that
contain clustering information. Two cluster variables are used for a
cross-classified model. The CLUSTER option specifies that item is the
cluster variable for the item level and subject is the cluster variable for
the subject level. The fastest moving level must come first.
The WITHIN option is used to identify the variables in the data set that
are measured on the individual level and to specify the levels on which
they are modeled. If a variable is not mentioned on the WITHIN list, it
is modeled on all levels. The variable u can be modeled on the subject
and item levels.
In the ANALYSIS command, TYPE=CROSSCLASSIFIED RANDOM
is specified indicating that a cross-classified model will be estimated.
CHAPTER 9
346
By specifying ESTIMATOR=BAYES, a Bayesian analysis will be
carried out. In Bayesian estimation, the default is to use two
independent Markov chain Monte Carlo (MCMC) chains. If multiple
processors are available, using PROCESSORS=2 will speed up
computations.
The within part of the model is not used in this example. In the subject
part of the model, the | symbol is used in conjunction with
TYPE=RANDOM to name and define the random factor loading
variables in the model. The name on the left-hand side of the | symbol
names the random factor loading variable. The statement on the right-
hand side of the | symbol defines the random factor loading variable.
Random factor loadings are defined using the BY option. The random
factor loading variable s is defined by the probit regression of u on the
factor f. The factor variance is fixed at one to set the metric of the
factor. The across-subject variance of u is fixed at zero. In the item part
of the model, the variance of the random intercept u, the threshold of u,
and the mean and variance of the random factor loading s are estimated
as the default. An explanation of the other commands can be found in
Examples 9.1, 9.3, and 9.24.

Examples: Multilevel Modeling With Complex Survey Data
347
EXAMPLE 9.27: MULTIPLE INDICATOR GROWTH MODEL
WITH RANDOM INTERCEPTS AND FACTOR LOADINGS
USING CROSS-CLASSIFIED DATA
TITLE: this is an example of a multiple indicator
growth model with random intercepts and
factor loadings using cross-classified
data
DATA: FILE = ex9.27.dat;
VARIABLE: NAMES = y1-y3 time subject;
USEVARIABLES = y1-y3 timescor;
CLUSTER = subject time;
WITHIN = timescor (time) y1-y3;
DEFINE: timescor = (time-1)/100;
ANALYSIS: TYPE = CROSSCLASSIFIED RANDOM;
ESTIMATOR = BAYES;
PROCESSORS = 2;
BITERATIONS = (1000);
MODEL: %WITHIN%
s1-s3 | f BY y1-y3;
f@1;
s | f ON timescor;
y1-y3; [y1-y3@0];
%BETWEEN time%
s1-s3; [s1-s3];
y1-y3; [y1-y3@0];
s@0; [s@0];
%BETWEEN subject%
f; [f];
s1-s3@0; [s1-s3@0];
s; [s];
OUTPUT: TECH1 TECH8;
In this example, a multiple indicator growth model with random
intercepts and factor loadings using cross-classified data is estimated.
The WITHIN option is used to identify the variables in the data set that
are measured on the individual level and to specify the levels on which
they are modeled. All variables on the WITHIN list must be measured
on the individual level. An individual-level variable can be modeled on
all or some levels. If a variable measured on the individual level is
mentioned on the WITHIN list without a label, it is modeled on only
level 1. It has no variance on the time and subject levels. If it is
mentioned on the WITHIN list with a time cluster label, it is modeled on
levels 1 and on the time level. It has no variance on the subject level.
CHAPTER 9
348
The variable timescor can be modeled on only level 1. The variables y1,
y2, and y3 can be modeled on levels 1 and the time level. The DEFINE
command is used to transform existing variables and to create new
variables. The new variable timescor is a time score variable centered at
the first time point.
In the ANALYSIS command, TYPE=CROSSCLASSIFIED RANDOM
is specified indicating that a cross-classified model will be estimated.
By specifying ESTIMATOR=BAYES, a Bayesian analysis will be
carried out. In Bayesian estimation, the default is to use two
independent Markov chain Monte Carlo (MCMC) chains. If multiple
processors are available, using PROCESSORS=2 will speed up
computations. The BITERATIONS option is used to specify the
maximum and minimum number of iterations for each Markov chain
Monte Carlo (MCMC) chain when the potential scale reduction (PSR)
convergence criterion (Gelman & Rubin, 1992) is used. Using a number
in parentheses, the BITERATIONS option specifies that a minimum of
1000 and a maximum of the default of 50,000 iterations will be used.
In the within part of the model, the | symbol is used in conjunction with
TYPE=RANDOM to name and define the random factor loading
variables in the model. The name on the left-hand side of the | symbol
names the random factor loading variable. The statement on the right-
hand side of the | symbol defines the random factor loading variable.
Random factor loadings are defined using the BY option. The random
factor loading variables s1, s2, and s3 are defined by the linear
regression of the factor indicators y1, y2, and y3 on the factor f. The
factor variance is fixed to one to set the metric of the factor. The
intercepts of the factor indicators are fixed at zero as part of the growth
model parameterization. The residual variances are estimated and the
residuals are not correlated as the default.
The | symbol is used in conjunction with TYPE=RANDOM to name and
define the random slope variables in the model. The name on the left-
hand side of the | symbol names the random slope variable. The
statement on the right-hand side of the | symbol defines the random slope
variable. Random slopes are defined using the ON option. The random
slope growth factor s is defined by the linear regression of f on the
individual-level covariate timescor.

Examples: Multilevel Modeling With Complex Survey Data
349
In the time part of the model, the means and variances of the random
factor loadings s1, s2, and s3 and the variances of the random intercepts
y1, y2, and y3 are estimated. The intercepts of y1, y2, and y3 are fixed
at zero as part of the growth model parameterization. The variances of
the random factor loadings s1, s2, and s3 and the variances of the
random intercepts y1, y2, and y3 represent measurement non-invariance
across time. The mean and variance of the random slope growth factor s
are fixed at zero.
In the subject part of the model, f is a random intercept growth factor.
Its mean and variance are estimated. The means and variances of the
random factor loadings s1, s2, and s3 are fixed at zero. The mean and
variance of the random slope growth factor s are estimated. An
explanation of the other commands can be found in Examples 9.1, 9.3,
and 9.24.
EXAMPLE 9.28: TWO-LEVEL REGRESSION ANALYSIS FOR
A CONTINUOUS DEPENDENT VARIABLE WITH A RANDOM
INTERCEPT AND A RANDOM RESIDUAL VARIANCE
TITLE: this is an example of a two-level
regression analysis for a continuous
dependent variable with a random intercept
and a random residual variance
DATA: FILE = ex9.28.dat;
VARIABLE: NAMES ARE z y x w xm clus;
WITHIN = x;
BETWEEN = w xm z;
CLUSTER = clus;
ANALYSIS: TYPE = TWOLEVEL RANDOM;
ESTIMATOR = BAYES;
PROCESSORS = 2;
BITERATIONS = (2000);
MODEL: %WITHIN%
y ON x;
logv | y;
%BETWEEN%
y ON w xm;
logv ON w xm;
y WITH logv;
z ON y logv;
OUTPUT: TECH1 TECH8;
PLOT: TYPE = PLOT3;

CHAPTER 9
350
In this example, the two-level regression analysis for a continuous
dependent variable with a random intercept and a random residual
variance shown in the picture above is estimated. The dependent
variable y in this regression is continuous. Both the intercept and
residual variance are random. In the within part of the model, the filled
circle at the end of the arrow from x to y represents a random intercept
that is referred to as y in the between part of the model. The filled circle
at the end of the residual arrow pointing to y represents a random
residual variance that is referred to as logv in the between part of the
model. In the between part of the model, the random intercept and
random residual variance are shown in circles because they are
continuous latent variables that vary across clusters. The log of the
random residual variance is used in the model.
In the ANALYSIS command, TYPE=TWOLEVEL RANDOM is
specified indicating that a two-level model will be estimated. By
specifying ESTIMATOR=BAYES, a Bayesian analysis will be carried
out. In Bayesian estimation, the default is to use two independent
Markov chain Monte Carlo (MCMC) chains. If multiple processors are
available, using PROCESSORS=2 will speed up computations. The
BITERATIONS option is used to specify the maximum and minimum
number of iterations for each Markov chain Monte Carlo (MCMC) chain
when the potential scale reduction (PSR) convergence criterion (Gelman
& Rubin, 1992) is used. Using a number in parentheses, the
BITERATIONS option specifies that a minimum of 2,000 and a
maximum of the default of 50,000 iterations will be used.
Examples: Multilevel Modeling With Complex Survey Data
351
In the within part of the model, the ON statement describes the linear
regression of y on the observed individual-level covariate x. The
residual variance of y is estimated as the default. The | symbol is used in
conjunction with TYPE=RANDOM to name and define the random
residual variance. The name on the left-hand side of the | symbol names
the log of the random residual variance. The name on the right-hand
side of the | symbol specifies the name of the variable that has a random
residual variance. Logv is the random residual variance for y.
In the between part of the model, the first ON statement describes the
linear regression of the random intercept y on the observed cluster-level
covariates w and xm. The second ON statement describes the linear
regression of the log of the random residual variance logv on the cluster-
level covariates w and xm. The intercept and residual variance of y and
logv are estimated as the default. The WITH statement specifies that the
residuals of y and logv are correlated. The third ON statement describes
the linear regression of the cluster-level dependent variable z on the
random intercept and the log of the random residual variance. The
intercept and residual variance of z are estimated as the default.
The OUTPUT command is used to request additional output not
included as the default. The TECH1 option is used to request the arrays
containing parameter specifications and starting values for all free
parameters in the model. The TECH8 option is used to request that the
optimization history in estimating the model be printed in the output.
TECH8 is printed to the screen during the computations as the default.
TECH8 screen printing is useful for determining how long the analysis
takes and to check convergence using the PSR convergence criterion.
The PLOT command is used to request graphical displays of observed
data and analysis results. These graphical displays can be viewed after
the analysis is completed using a post-processing graphics module. The
trace plot and autocorrelation plot can be used to monitor the MCMC
iterations in terms of convergence and quality of the posterior
distribution for each parameter. The posterior distribution plot shows the
complete posterior distribution of the parameter estimate. An
explanation of the other commands can be found in Example 9.1.

CHAPTER 9
352
EXAMPLE 9.29: TWO-LEVEL CONFIRMATORY FACTOR
ANALYSIS (CFA) WITH CONTINUOUS FACTOR
INDICATORS, COVARIATES, AND A FACTOR WITH A
RANDOM RESIDUAL VARIANCE
TITLE: this is an example of a two-level
confirmatory factor analysis (CFA)
with continuous factor indicators,
covariates, and a factor with a random
residual variance
DATA: FILE = ex9.29.dat;
VARIABLE: NAMES ARE y1-y4 x1 x2 w clus;
WITHIN = x1 x2;
BETWEEN = w;
CLUSTER = clus;
ANALYSIS: TYPE = TWOLEVEL RANDOM;
ESTIMATOR = BAYES;
PROCESSORS = 2;
BITERATIONS = (10000);
MODEL: %WITHIN%
fw BY y1-y4;
fw ON x1 x2;
logv | fw;
%BETWEEN%
fb BY y1-y4;
fb ON w;
logv ON w;
OUTPUT: TECH1 TECH8;
PLOT: TYPE = PLOT3;

Examples: Multilevel Modeling With Complex Survey Data
353
In this example, the two-level CFA model with continuous factor
indicators, covariates, and a factor with a random residual variance
shown in the picture above is estimated. In the within part of the model,
the filled circles at the end of the arrows from the within factor fw to y1,
y2, y3, and y4 represent random intercepts that are referred to as y1, y2,
y3, and y4 in the between part of the model. The filled circle at the end
of the residual arrow pointing to fw represents a random residual
variance that is referred to as logv in the between part of the model. In
the between part of the model, the random intercepts are shown in
circles because they are continuous latent variables that vary across
CHAPTER 9
354
clusters. They are indicators of the between factor fb. The log of the
random residual variance is used in the model.
The BITERATIONS option is used to specify the maximum and
minimum number of iterations for each Markov chain Monte Carlo
(MCMC) chain when the potential scale reduction (PSR) convergence
criterion (Gelman & Rubin, 1992) is used. Using a number in
parentheses, the BITERATIONS option specifies that a minimum of
10,000 and a maximum of the default of 50,000 iterations will be used.
The minimum is relatively large because this model may be more
difficult to estimate.
In the within part of the model, the BY statement specifies that fw is
measured by y1, y2, y3, and y4. The metric of the factor is set
automatically by the program by fixing the first factor loading to one.
This option can be overridden. The residual variances of the factor
indicators are estimated and the residuals are not correlated as the
default. The ON statement describes the linear regression of fw on the
individual-level covariates x1 and x2. The | symbol is used in
conjunction with TYPE=RANDOM to name and define the random
residual variance. The name on the left-hand side of the | symbol names
the log of the random residual variance. The name on the right-hand
side of the | symbol specifies the name of the variable that has a random
residual variance. Logv is the random residual variance for fw.
In the between part of the model, the BY statement specifies that fb is
measured by the random intercepts y1, y2, y3, and y4. The metric of the
factor is set automatically by the program by fixing the first factor
loading to one. This option can be overridden. The intercepts and
residual variances of the factor indicators are estimated and the residuals
are not correlated as the default. The first ON statement describes the
regression of fb on the cluster-level covariate w. The residual variance
of the factor is estimated as the default. The intercept of the factor is
fixed at zero as the default. The second ON statement describes the
regression of the log of the random residual variance logv on the cluster-
level covariate w. The intercept and residual variance of logv are
estimated as the default. An explanation of the other commands can be
found in Examples 9.1 and 9.28.

Examples: Multilevel Modeling With Complex Survey Data
355
EXAMPLE 9.30: TWO-LEVEL TIME SERIES ANALYSIS
WITH A UNIVARIATE FIRST-ORDER AUTOREGRESSIVE
AR(1) MODEL FOR A CONTINUOUS DEPENDENT
VARIABLE WITH A RANDOM INTERCEPT, RANDOM AR(1)
SLOPE, AND RANDOM RESIDUAL VARIANCE
TITLE: this is an example of a two-level time
series analysis with a univariate first-
order autoregressive AR(1) model for a
continuous dependent variable with a
random intercept, random AR(1) slope, and
random residual variance
DATA: FILE = ex9.30.dat;
VARIABLE: NAMES = z y w time subject;
BETWEEN = z w;
CLUSTER = subject;
LAGGED = y(1);
TINTERVAL = time (1);
ANALYSIS: TYPE = TWOLEVEL RANDOM;
ESTIMATOR = BAYES;
PROCESSORS = 2;
BITERATIONS = (2000);
MODEL: %WITHIN%
s | y ON y&1;
logv | y;
%BETWEEN%
y ON w;
s ON w;
logv ON w;
y s logv WITH y s logv;
z ON y s logv;
OUTPUT: TECH1 TECH8 FSCOMPARISON;
PLOT: TYPE = PLOT3;
FACTORS = ALL;

CHAPTER 9
356
In this example, the two-level time series analysis with a univariate first-
order autoregressive AR(1) model for a continuous dependent variable
with a random intercept, random AR(1) slope, and random residual
variance shown in the picture above is estimated (Asparouhov, Hamaker,
& Muthén, 2017). The subscript t refers to a time point and the
subscript t-1 refers to the previous time point. The dots indicate that the
process includes both previous and future time points using the same
model. In the within part of the model, the filled circle at the end of the
arrow from yt-1 to yt represents a random intercept that is referred to as y
in the between part of the model. The filled circle on the arrow from yt-1
to yt represents a random AR(1) slope that is referred to as s in the
between part of the model. The filled circle at the end of the residual
arrow pointing to y represents a random residual variance that is referred
to as logv in the between part of the model. In the between part of the
model, the random intercept, random AR(1) slope, and random residual
variance are shown in circles because they are continuous latent
variables that vary across clusters. In this model, the random intercept is
the random mean because y in the within part of the model is centered.
The log of the random residual variance is used in the model.
Examples: Multilevel Modeling With Complex Survey Data
357
The LAGGED option of the VARIABLE command is used to specify
the maximum lag to use for an observed variable during model
estimation. The variable y has lag 1. The lagged variable is referred to
by adding to the name of the variable an ampersand (&) and the number
of the lag.
The TINTERVAL option is used in time series analysis to specify the
time interval that is used to create a time variable when data are
misaligned with respect to time due to missed measurement occasions
that are not assigned a missing value flag and when measurement
occasions are random. The data set must be sorted by the time interval
variable. In this example, the time interval value is one and the time
interval variable values are 1, 2, 3, etc.. This results in intervals of -.5 to
1.5, 1.5 to 2.5, and 2.5 to 3.5, etc.
In the within part of the model, the | symbol is used in conjunction with
TYPE=RANDOM to name and define the random variables in the
model. The name on the left-hand side of the | symbol names the
random variable. The statement on the right-hand side of the | symbol
defines the random variable. In the first | statement, the random AR(1)
slope s is defined by the linear regression over multiple time points of
the dependent variable y on the dependent variable y&1 which is y at the
previous time point. In the second | statement, the random residual
variance logv is defined as the log of the residual variance of the
dependent variable y.
In the between part of the model, the first ON statement describes the
linear regression of the random intercept y on the observed cluster-level
covariate w. The second ON statement describes the linear regression of
the random AR(1) slope s on the observed cluster-level covariate w. The
third ON statement describes the linear regression of the log of the
random residual variance logv on the observed cluster-level covariate w.
The intercepts and residual variances of y, s, and logv are estimated and
the residuals are not correlated as the default. The WITH statement
specifies that the residuals among y, s, and logv are correlated. The
fourth ON statement describes the linear regression of the observed
cluster-level dependent variable z on the random intercept y, the random
AR(1) slope s, and the log of the random residual variance logv.
A two-level time series analysis with a univariate second-order
autoregressive AR(2) model can also be estimated. For this analysis, the

CHAPTER 9
358
LAGGED option is specified as LAGGED = y (2); and the MODEL
command is specified as follows:
MODEL: %WITHIN%
s1 | y ON y&1;
s2 | y ON y&2;
logv | y;
%BETWEEN%
y ON w;
s1-s2 ON w;
logv ON w;
y s1 s2 logv WITH y s1 s2 logv;
z ON y s1 s2 logv;
In the first | statement, the random AR(1) slope s1 is defined by the
linear regression over multiple time points of the dependent variable y
on the dependent variable y&1 which is y at the previous time point. In
the second | statement, the random AR(2) slope s2 is defined by the
linear regression over multiple time points of the dependent variable y
on the dependent variable y&2 which is y at two time points prior. A
model where only y at lag 2 is used is specified as follows:
MODEL: %WITHIN%
y ON y&1@0;
s2 | y ON y&2;
where the coefficient for y at lag 1 is fixed at zero.
In the OUTPUT command, the FSCOMPARISON option is used to
request a comparison of between-level estimated factor scores. In the
PLOT command, the FACTORS option is used with the keyword ALL
to request that estimated factor scores for all between-level random
effects be available for plotting. An explanation of the other commands
can be found in Examples 9.1 and 9.28.

Examples: Multilevel Modeling With Complex Survey Data
359
A more detailed picture of the model is shown above. This picture
reflects that the dependent variable y is decomposed into two
uncorrelated latent variables,
yit = ywit + ybi ,
where i represents individual, t represents time, ywit is the latent variable
used on the within level, and ybi is the latent variable used on the
between level. This model is described in Asparouhov, Hamaker, and
Muthén (2017). The decomposition can also be expressed as
ywit = yit - ybi ,
which can be viewed as a latent group-mean centering of the within-level
latent variable. For a further discussion of centering and latent variable
decomposition, see Ludtke et al. (2008).

CHAPTER 9
360
EXAMPLE 9.31: TWO-LEVEL TIME SERIES ANALYSIS
WITH A UNIVARIATE FIRST-ORDER AUTOREGRESSIVE
AR(1) MODEL FOR A CONTINUOUS DEPENDENT
VARIABLE WITH A COVARIATE, RANDOM INTERCEPT,
RANDOM AR(1) SLOPE, RANDOM SLOPE, AND RANDOM
RESIDUAL VARIANCE
TITLE: this is an example of a two-level time
series analysis with a univariate first-
order autoregressive AR(1) model for a
continuous dependent variable with a
covariate, random intercept, random AR(1)
slope, random slope, and random residual
variance
DATA: FILE = ex9.31.dat;
VARIABLE: NAMES = y x w xm subject;
WITHIN = x;
BETWEEN = w xm;
CLUSTER = subject;
LAGGED = y(1);
DEFINE: CENTER X (GROUPMEAN);
ANALYSIS: TYPE = TWOLEVEL RANDOM;
ESTIMATOR = BAYES;
PROCESSORS = 2;
BITERATIONS = (2000);
MODEL: %WITHIN%
sy | y ON y&1;
sx | y ON x;
logv | y;
%BETWEEN%
y ON w xm;
sy ON w xm;
sx ON w xm;
logv ON w xm;
y sy sx logv WITH y sy sx logv;
OUTPUT: TECH1 TECH8;
PLOT: TYPE= PLOT3;

Examples: Multilevel Modeling With Complex Survey Data
361
The difference between this example and Example 9.30 is that a
covariate with a random slope is added and no cluster-level dependent
variable is used. In this example, the two-level time series analysis with
a univariate first-order autoregressive AR(1) model for a continuous
dependent variable with a covariate, random intercept, random AR(1)
slope, random slope, and random residual variance shown in the picture
above is estimated. The log of the random residual variance is used in
the model.
CHAPTER 9
362
In the DEFINE command, the individual-level covariate x is centered
using the cluster means for x. In this analysis, the cluster means are the
means for each subject.
In the within part of the model, the | symbol is used in conjunction with
TYPE=RANDOM to name and define the random variables in the
model. The name on the left-hand side of the | symbol names the
random variable. The statement on the right-hand side of the | symbol
defines the random variable. In the first | statement, the random AR(1)
slope sy is defined by the linear regression over multiple time points of
the dependent variable y on the dependent variable y&1 which is y at the
previous time point. In the second | statement, the random slope sx is
defined by the linear regression over multiple time points of the
dependent variable y on the observed individual-level covariate x. In the
third | statement, the random residual variance logv is defined as the log
of the residual variance of the dependent variable y.
In the between part of the model, the first ON statement describes the
linear regression of the random intercept y on the observed cluster-level
covariates w and xm. The second ON statement describes the linear
regression of the random AR(1) slope sy on the observed cluster-level
covariates w and xm. The third ON statement describes the linear
regression of the random slope sx on the observed cluster-level
covariates w and xm. The fourth ON statement describes the linear
regression of the random residual variance logv on the observed cluster-
level covariates w and xm. The intercepts and residual variances of y,
sy, sx, and logv are estimated and the residuals are not correlated as the
default. The WITH statement specifies that the residuals among y, sy,
sx, and logv are correlated. An explanation of the other commands can
be found in Examples 9.1, 9.28, and 9.30.

Examples: Multilevel Modeling With Complex Survey Data
363
EXAMPLE 9.32: TWO-LEVEL TIME SERIES ANALYSIS
WITH A BIVARIATE CROSS-LAGGED MODEL FOR
CONTINUOUS DEPENDENT VARIABLES WITH RANDOM
INTERCEPTS AND RANDOM SLOPES
TITLE: this is an example of a two-level time
series analysis with a bivariate cross-
lagged model for continuous dependent
variables with random intercepts and
random slopes
DATA: FILE = ex9.32.dat;
VARIABLE: NAMES = y1 y2 subject;
CLUSTER = subject;
LAGGED = y1(1) y2(1);
ANALYSIS: TYPE = TWOLEVEL RANDOM;
ESTIMATOR = BAYES;
PROCESSORS = 2;
BITERATIONS = (2000);
MODEL: %WITHIN%
s1 | y1 ON y1&1;
s2 | y2 ON y2&1;
s12 | y1 ON y2&1;
s21 | y2 ON y1&1;
%BETWEEN%
y1 y2 s1-s21 WITH y1 y2 s1-s21;
OUTPUT: TECH1 TECH8 STANDARDIZED (CLUSTER);
PLOT: TYPE = PLOT3;

CHAPTER 9
364
The difference between this example and Example 9.30 is that a
bivariate cross-lagged model rather than a univariate first-order
autoregressive AR(1) model is estimated. In this example, the two-level
time series analysis with a bivariate cross-lagged model for continuous
dependent variables with random intercepts and random slopes shown in
the picture above is estimated.
In the within part of the model, the | symbol is used in conjunction with
TYPE=RANDOM to name and define the random variables in the
model. The name on the left-hand side of the | symbol names the
random variable. The statement on the right-hand side of the | symbol
defines the random variable. In the first | statement, the random AR(1)
slope s1 is defined by the linear regression over multiple time points of
the dependent variable y1 on the dependent variable y1&1 which is y1 at
the previous time point. In the second | statement, the random AR(1)
slope s2 is defined by the linear regression over multiple time points of
the dependent variable y2 on the dependent variable y2&1 which is y2 at
the previous time point. In the third | statement, the random cross-lagged

Examples: Multilevel Modeling With Complex Survey Data
365
slope s12 is defined by the linear regression over multiple time points of
the dependent variable y1 on the dependent variable y2&1 which is y2 at
the previous time point. In the fourth | statement, the random cross-
lagged slope s21 is defined by the linear regression over multiple time
points of the dependent variable y2 on the dependent variable y1&1
which is y1 at the previous time point.
In the between part of the model, the WITH statement specifies that y1,
y2, s1, s2, s12, s21, are correlated.
In the OUTPUT command, the STANDARDIZED option is used to
request standardized parameter estimates and their standard errors and
R-square. When a model has random effects, each parameter is
standardized for each cluster. The standardized values reported are the
average of the standardized values across clusters for each parameter
(Schuurman et al., 2016; Asparouhov, Hamaker, & Muthén, 2017). The
CLUSTER setting requests that the standardized values for each cluster
be printed in the output.
A two-level time series analysis with a bivariate cross-lagged model for
continuous dependent variables with random residual variances and a
random residual covariance can also be estimated. The MODEL
command is specified as follows:
MODEL: %WITHIN%
s1 | y1 ON y1&1;
s2 | y2 ON y2&1;
s12 | y1 ON y2&1;
s21 | y2 ON y1&1;
logv1 | y1;
logv2 | y2;
f BY y1@1 y2@1;
logvf | f;
%BETWEEN%
y1 y2 s1-logvf WITH y1 y2 s1-logvf;
In the fifth | statement, the random residual variance logv1 is defined as
the residual variance of the dependent variable y1. In the sixth |
statement, the random residual variance logv2 is defined as the residual
variance of the dependent variable y2. The logs of the random residual
variances are used in the model. In the BY statement, the factor loadings
for the factor f are fixed at one for the factor indicators y1 and y2. The
variance of the factor f is the covariance between the residuals of y1 and

CHAPTER 9
366
y2. In the seventh | statement, the random residual covariance logvf is
defined as the variance of the factor f. An explanation of the other
commands can be found in Examples 9.1, 9.28, and 9.30.
EXAMPLE 9.33: TWO-LEVEL TIME SERIES ANALYSIS
WITH A FIRST-ORDER AUTOREGRESSIVE AR(1) FACTOR
ANALYSIS MODEL FOR A SINGLE CONTINUOUS
INDICATOR AND MEASUREMENT ERROR
TITLE: this is an example of a two-level time
series analysis with a first-order
autoregressive AR(1) factor analysis model
for a single continuous indicator and
measurement error
DATA: FILE = ex9.33.dat;
VARIABLE: NAMES = y subject;
CLUSTER = subject;
ANALYSIS: TYPE = TWOLEVEL RANDOM;
ESTIMATOR = BAYES;
PROCESSORS = 2;
BITERATIONS = (5000);
MODEL: %WITHIN%
f BY y@1(&1);
s | f ON f&1;
%BETWEEN%
y WITH s;
OUTPUT: TECH1 TECH8;
PLOT: TYPE = PLOT3;

Examples: Multilevel Modeling With Complex Survey Data
367
In this example, the two-level time series analysis with a first-order
autoregressive AR(1) factor analysis model for a single continuous
indicator and measurement error shown in the picture above is estimated.
The BITERATIONS option is used to specify the maximum and
minimum number of iterations for each Markov chain Monte Carlo
(MCMC) chain when the potential scale reduction (PSR) convergence
criterion (Gelman & Rubin, 1992) is used. Using a number in
parentheses, the BITERATIONS option specifies that a minimum of
5,000 and a maximum of the default of 50,000 iterations will be used.
The minimum is relatively large because this model may be more
difficult to estimate.
In the within part of the model, the BY statement specifies that the factor
f is equivalent to the dependent variable y without measurement error. It
is possible to identify measurement error because the model is
autoregressive. An ampersand (&) followed by the number 1 is placed
in parentheses following the BY statement to indicate that the factor f at
lag 1 can be used in the analysis. The factor f at lag 1 is referred to as

CHAPTER 9
368
f&1. The | symbol is used in conjunction with TYPE=RANDOM to
name and define the random variables in the model. The name on the
left-hand side of the | symbol names the random variable. The statement
on the right-hand side of the | symbol defines the random variable. In
the | statement, the random AR(1) slope s is defined by the linear
regression over multiple time points of the factor f on the factor f&1
which is f at the previous time point.
In the between part of the model, the WITH statement specifies that y
and s are correlated.
A two-level time series analysis with an ARMA (1, 1) model where AR
stands for autoregressive and MA stands for moving average (Shumway
& Stoffer, 2011) shown in the picture below can also be estimated. As
shown in Granger and Morris (1976) and Schuurman et al. (2015) for
N=1 time series analysis, this is an alternative representation of the data
used in the measurement error model shown above. For this analysis,
the LAGGED option of the VARIABLE command is specified as
LAGGED = y (1); and the MODEL command is specified as shown
below.

Examples: Multilevel Modeling With Complex Survey Data
369
MODEL: %WITHIN%
s | y ON y&1;
e BY y@1 (&1);
y@.01;
y ON e&1;
In the | statement, the random AR(1) slope s is defined by the linear
regression over multiple time points of the dependent variable y on the
dependent variable y&1 which is y at the previous time point. The BY
statement together with fixing the residual variance of y at a small value
specify that the factor e is equivalent to the residual of the dependent
variable y. The small value of .01 is chosen rather than zero to obtain
faster convergence. An ampersand (&) followed by the number 1 is
placed in parentheses following the BY statement to indicate that the
factor e at lag 1 can be used in the analysis. The factor e at lag 1 is
referred to as e&1. The ON statement describes the linear regression of
the dependent variable y on the residual e&1 which is the residual of y at
the previous time point. This is the moving average component of the
model. An explanation of the other commands can be found in
Examples 9.1, 9.28, and 9.30.

CHAPTER 9
370
EXAMPLE 9.34: TWO-LEVEL TIME SERIES ANALYSIS
WITH A FIRST-ORDER AUTOREGRESSIVE AR(1)
CONFIRMATORY FACTOR ANALYSIS (CFA) MODEL FOR
CONTINUOUS FACTOR INDICATORS WITH RANDOM
INTERCEPTS, A RANDOM AR(1) SLOPE, AND A RANDOM
RESIDUAL VARIANCE
TITLE: this is an example of a two-level time
series analysis with a first-order
autoregressive AR(1) confirmatory factor
analysis (CFA) model for continuous factor
indicators with random intercepts, a
random AR(1) slope, and a random residual
variance
DATA: FILE = ex9.34.dat;
VARIABLE: NAMES = y1-y4 subject;
CLUSTER = subject;
ANALYSIS: TYPE = TWOLEVEL RANDOM;
ESTIMATOR = BAYES;
PROCESSORS = 2;
BITERATIONS = (2000);
MODEL: %WITHIN%
f BY y1-y4(&1);
s | f ON f&1;
logv | f;
%BETWEEN%
fb BY y1-y4*;
fb@1;
fb s logv WITH fb s logv;
OUTPUT: TECH1 TECH8;
PLOT: TYPE = PLOT3;

Examples: Multilevel Modeling With Complex Survey Data
371
In this example, the two-level time series analysis with a first-order
autoregressive AR(1) confirmatory factor analysis (CFA) model for
continuous factor indicators with random intercepts, a random AR(1)
slope, and a random residual variance shown in the picture above is
estimated. The log of the random residual variance is used in the model.
In the within part of the model, the BY statement specifies that f is
measured by y1, y2, y3, and y4. The metric of the factor is set
automatically by the program by fixing the first factor loading to one.
This option can be overridden. An ampersand (&) followed by the
number 1 is placed in parentheses following the BY statement to
indicate that the factor f at lag 1 can be used in the analysis. The factor f
CHAPTER 9
372
at lag 1 is referred to as f&1. The residual variances of the factor
indicators are estimated and the residuals are not correlated as the
default. The | symbol is used in conjunction with TYPE=RANDOM to
name and define the random variables in the model. The name on the
left-hand side of the | symbol names the random variable. The statement
on the right-hand side of the | symbol defines the random variable. In
the first | statement, the random AR(1) slope s is defined by the linear
regression over multiple time points of the factor f on the factor f&1
which is f at the previous time point. In the second | statement, the
random residual variance logv is defined as the log of the residual
variance of the factor f.
In the between part of the model, the BY statement specifies that fb is
measured by the random intercepts y1, y2, y3, and y4. The metric of the
factor is set automatically by the program by fixing the first factor
loading to one. The asterisk following y1-y4 overrides this default. The
metric of the factor is set by fixing the factor variance to one. The
WITH statement specifies that fb, s, and logv are correlated. An
explanation of the other commands can be found in Examples 9.1, 9.28,
and 9.30.

Examples: Multilevel Modeling With Complex Survey Data
373
EXAMPLE 9.35: TWO-LEVEL TIME SERIES ANALYSIS
WITH A FIRST-ORDER AUTOREGRESSIVE AR(1) IRT
MODEL FOR BINARY FACTOR INDICATORS WITH
RANDOM THRESHOLDS, A RANDOM AR(1) SLOPE, AND A
RANDOM RESIDUAL VARIANCE
TITLE: this is an example of a two-level time
series analysis with a first-order
autoregressive AR(1) IRT model for binary
factor indicators with random thresholds,
a random AR(1) slope, and a random
residual variance
DATA: FILE = ex9.35part2.dat;
VARIABLE: NAMES = u1-u4 subject;
CATEGORICAL = u1-u4;
CLUSTER = subject;
ANALYSIS: TYPE = TWOLEVEL RANDOM;
ESTIMATOR = BAYES;
PROCESSORS = 2;
BITERATIONS = (3000);
MODEL: %WITHIN%
f BY u1-u4*(&1 1-4);
s | f ON f&1;
logvf | f;
%BETWEEN%
fb BY u1-u4* (1-4);
[logvf@0];
fb s logvf WITH fb s logvf;
OUTPUT: TECH1 TECH8;
In this example, a two-level time series analysis with a first-order
autoregressive AR(1) IRT model for binary factor indicators with
random thresholds, a random AR(1) slope, and a random residual
variance is estimated. The log of the random residual variance is used in
the model.
The CATEGORICAL option specifies that the variables u1, u2, u3, and
u4 are binary. The BITERATIONS option is used to specify the
maximum and minimum number of iterations for each Markov chain
Monte Carlo (MCMC) chain when the potential scale reduction (PSR)
convergence criterion (Gelman & Rubin, 1992) is used. Using a number
in parentheses, the BITERATIONS option specifies that a minimum of
CHAPTER 9
374
3,000 and a maximum of the default of 50,000 iterations will be used.
The minimum is relatively large because this model may be more
difficult to estimate
In the within part of the model, the BY statement specifies that f is
measured by u1, u2, u3, and u4. The metric of the factor is set
automatically by the program by fixing the first factor loading to one.
The asterisk following u1-u4 overrides this default. The metric of the
factor is set by fixing the mean of the log of the random residual
variance of the factor f to zero in the between part of the model which is
described below. An ampersand (&) followed by the number 1 is placed
in parentheses following the BY statement to indicate that the factor f at
lag 1 can be used in the analysis. The factor f at lag 1 is referred to as
f&1. The numbers 1-4 in parentheses in combination with the same
numbers in the between part of the model specify that the factor loadings
are constrained to be equal to those of the factor fb in the between part
of the model. The | symbol is used in conjunction with
TYPE=RANDOM to name and define the random variables in the
model. The name on the left-hand side of the | symbol names the
random variable. The statement on the right-hand side of the | symbol
defines the random variable. In the first | statement, the random AR(1)
slope s is defined by the linear regression over multiple time points of
the factor f on the factor f&1 which is f at the previous time point. In the
second | statement, the random residual variance logvf is defined as the
log of the residual variance of the factor f.
In the between part of the model, the BY statement specifies that fb is
measured by the random intercepts u1, u2, u3, and u4. The metric of the
factor is set automatically by the program by fixing the first factor
loading to one. The asterisk following u1-u4 overrides this default.
Because the factor loadings are constrained to be equal for the within-
level factor f and the between-level factor fb, the metric of the factors
can be set by fixing the mean of the log of the random residual variance
of the factor f to zero or the variance of the factor fb to one. The WITH
statement specifies that fb, s, and logvf are correlated. An explanation
of the other commands can be found in Examples 9.1, 9.28, and 9.30.

Examples: Multilevel Modeling With Complex Survey Data
375
EXAMPLE 9.36: TWO-LEVEL TIME SERIES ANALYSIS
WITH A BIVARIATE CROSS-LAGGED MODEL FOR TWO
FACTORS AND CONTINUOUS FACTOR INDICATORS WITH
RANDOM INTERCEPTS AND RANDOM SLOPES
TITLE: two-level time series analysis with a
bivariate cross-lagged model for two
factors and continuous factor indicators
with random intercepts and random slopes
DATA: FILE = ex9.36.dat;
VARIABLE: NAMES = y11-y14 y21-y24 subject;
CLUSTER = subject;
ANALYSIS: TYPE = TWOLEVEL RANDOM;
ESTIMATOR = BAYES;
PROCESSORS = 2;
BITERATIONS = (2000);
MODEL: %WITHIN%
f1 BY y11-y14(&1);
f2 BY y21-y24(&1);
s11 | f1 ON f1&1;
s22 | f2 ON f2&1;
s12 | f1 ON f2&1;
s21 | f2 ON f1&1;
%BETWEEN%
fb1 BY y11-y14*;
fb2 BY y21-y24*;
fb1-fb2@1;
fb1 fb2 s11-s21 WITH fb1 fb2 s11-s21;
OUTPUT: TECH1 TECH8;
PLOT: TYPE = PLOT3;

CHAPTER 9
376
Examples: Multilevel Modeling With Complex Survey Data
377
In this example, the two-level time series analysis with a bivariate cross-
lagged model for two factors and continuous factor indicators with
random intercepts and random slopes shown in the picture above is
estimated.
In the within part of the model, the first BY statement specifies that f1 is
measured by y11, y12, y13, and y14. The second BY statement specifies
that f2 is measured by y21, y22, y23, and y24. The metric of the factors
is set automatically by the program by fixing the first factor loading to
one. This option can be overridden. An ampersand (&) followed by the
number 1 is placed in parentheses following the BY statements to
indicate that the factors f1 and f2 at lag 1 are used during model
estimation. The factors f1 and f2 at lag 1 are referred to as f1&1 and
f2&1, respectively. The residual variances of the factor indicators are
estimated and the residuals are not correlated as the default. The |
symbol is used in conjunction with TYPE=RANDOM to name and
define the random variables in the model. The name on the left-hand
side of the | symbol names the random variable. The statement on the
right-hand side of the | symbol defines the random variable. In the first |
statement, the random AR(1) slope s11 is defined by the linear
regression over multiple time points of the factor f1 on the factor f1&1
which is f1 at the previous time point. In the second | statement, the
random AR(1) slope s22 is defined by the linear regression over multiple
time points of the factor f2 on the factor f2&1 which is f2 at the previous
time point. In the third | statement, the random cross-lagged slope s12 is
defined by the linear regression over multiple time points of the factor f1
on the factor f2&1 which is f2 at the previous time point. In the fourth |
statement, the random cross-lagged slope s21 is defined by the linear
regression over multiple time points of the factor f2 on the factor f1&1
which is f1 at the previous time point.
In the between part of the model, the first BY statement specifies that f1
is measured by the random intercepts y11, y12, y13, and y14. The
second BY statement specifies that f2 is measured by the random
intercepts y21, y22, y23, and y24. The metric of the factors is set
automatically by the program by fixing the first factor loadings to one.
The asterisk following y11-y14 and y21-y24 overrides this default. The
metric of the factors is set by fixing the factor variances to one. The
WITH statement specifies that fb1, fb2, s11, s22, s12, and s21 are
correlated. An explanation of the other commands can be found in
Examples 9.1, 9.28, and 9.30.

CHAPTER 9
378
EXAMPLE 9.37: TWO-LEVEL TIME SERIES ANALYSIS
WITH A UNIVARIATE FIRST-ORDER AUTOREGRESSIVE
AR(1) MODEL FOR A CONTINUOUS DEPENDENT
VARIABLE WITH A COVARIATE, LINEAR TREND,
RANDOM SLOPES, AND A RANDOM RESIDUAL VARIANCE
TITLE: two-level time series analysis with a
univariate first-order autoregressive
AR(1) model for a continuous dependent
variable with a covariate, linear trend,
random slopes, and a random residual
variance
DATA: FILE = ex9.37.dat;
VARIABLE: NAMES = y x w xm time subject;
WITHIN = x time;
BETWEEN = w xm;
CLUSTER = subject;
LAGGED = y(1);
DEFINE: CENTER x (GROUPMEAN);
ANALYSIS: TYPE = TWOLEVEL RANDOM;
ESTIMATOR = BAYES;
PROCESSORS = 2;
BITERATIONS = (10000);
MODEL: %WITHIN%
sy | y ON y&1;
sx | y ON x;
s | y ON time;
logv | y;
%BETWEEN%
sy ON w xm;
sx ON w xm;
s ON w xm;
logv ON w xm;
y ON w xm;
sy-logv y WITH sy-logv y;
OUTPUT: TECH1 TECH8;
PLOT: TYPE= PLOT3;

Examples: Multilevel Modeling With Complex Survey Data
379
In this example, the two-level time series analysis with a univariate first-
order autoregressive AR(1) model for a continuous dependent variable
with a covariate, linear trend, random slopes, and a random residual
variance shown in the picture above is estimated. The log of the random
residual variance is used in the model.
The BITERATIONS option is used to specify the maximum and
minimum number of iterations for each Markov chain Monte Carlo
(MCMC) chain when the potential scale reduction (PSR) convergence
criterion (Gelman & Rubin, 1992) is used. Using a number in
CHAPTER 9
380
parentheses, the BITERATIONS option specifies that a minimum of
10,000 and a maximum of the default of 50,000 iterations will be used.
The minimum is relatively large because this model may be more
difficult to estimate.
In the within part of the model, the | symbol is used in conjunction with
TYPE=RANDOM to name and define the random variables in the
model. The name on the left-hand side of the | symbol names the
random variable. The statement on the right-hand side of the | symbol
defines the random variable. In the first | statement, the random AR(1)
slope sy is defined by the linear regression over multiple time points of
the dependent variable y on the dependent variable y&1 which is y at the
previous time point. In the second | statement, the random slope sx is
defined by the linear regression over multiple time points of the
dependent variable y on the observed individual-level covariate x. In the
third | statement, the random linear trend s is defined by the linear
regression over multiple time points of the dependent variable y on the
observed individual-level covariate time. In the fourth | statement, the
random residual variance logv is defined as the log of the residual
variance of the dependent variable y.
In the between part of the model, the first ON describes the linear
regression of the random AR(1) slope sy on the observed cluster-level
covariates w and xm. The second ON statement describes the linear
regression of the random slope sx on the observed cluster-level
covariates w and xm. The third ON statement describes the linear
regression of the random linear trend s on the observed cluster-level
covariates w and xm. The fourth ON statement describes the linear
regression of the random residual variance logv on the observed cluster-
level covariates w and xm. The fifth ON statement describes the linear
regression of the random intercept y on the observed cluster-level
covariates w and xm. The intercepts and residual variances of sy, sx, s,
logv, and y are estimated and the residuals are not correlated as the
default. The WITH statement specifies that the residuals among sy, sx,
s, logv, and y are correlated. An explanation of the other commands can
be found in Examples 9.1, 9.28, 9.30, and 9.31.

Examples: Multilevel Modeling With Complex Survey Data
381
EXAMPLE 9.38: CROSS-CLASSIFIED TIME SERIES
ANALYSIS WITH A UNIVARIATE FIRST-ORDER
AUTOREGRESSIVE AR(1) MODEL FOR A CONTINUOUS
DEPENDENT VARIABLE WITH A COVARIATE, RANDOM
INTERCEPT, AND RANDOM SLOPE
TITLE: cross-classified time series analysis with
a univariate first-order autoregressive
AR(1) model for a continuous dependent
variable with a covariate, random
intercept, and random slope
DATA: FILE = ex9.38.dat;
VARIABLE: NAMES = w xm y x time subject;
CLUSTER = subject time;
WITHIN = x;
BETWEEN = (subject)w xm;
LAGGED = y(1);
DEFINE: CENTER x (GROUPMEAN subject);
ANALYSIS: TYPE = CROSSCLASSIFIED RANDOM;
ESTIMATOR = BAYES;
PROCESSORS = 2;
BITERATIONS = (2000);
MODEL: %WITHIN%
sx | y ON x;
y ON y&1;
%BETWEEN subject%
y sx ON w xm;
y WITH sx;
%BETWEEN time%
y WITH sx;
OUTPUT: TECH1 TECH8;
PLOT: TYPE = PLOT3;
FACTORS = ALL;

CHAPTER 9
382
In this example, the cross-classified time series analysis with a univariate
first-order autoregressive AR(1) model for a continuous dependent
variable with a covariate, random intercept, and random slope shown in
the picture above is estimated.
Examples: Multilevel Modeling With Complex Survey Data
383
The CLUSTER option is used to identify the variables in the data set
that contain clustering information. Two cluster variables are used for a
cross-classified time series model. One is for subject and the other for
time. Subject and time are crossed. There is no nesting because each
subject is observed only once at any one time. The cluster variable for
subject must precede the cluster variable for time. Within each cluster,
data must be ordered by time.
The WITHIN option is used to identify the variables in the data set that
are measured on the individual level and to specify the levels on which
they are modeled. All variables on the WITHIN list must be measured
on the individual level. An individual-level variable can be modeled on
all or some levels. If a variable measured on the individual level is
mentioned on the WITHIN list without a label, it is modeled only in the
within part of the model. It has no variance in the between subject and
between time parts of the model. If a variable is not mentioned on the
WITHIN list, it is modeled on all levels. The variable x can be modeled
in only the within part of the model.
The BETWEEN option is used to identify the variables in the data set
that are measured on the cluster level(s) and to specify the level(s) on
which they are modeled. All variables on the BETWEEN list must be
measured on a cluster level. For TYPE=CROSSCLASSIFIED, a
variable measured on the subject level must be mentioned on the
BETWEEN list with a subject label. It can be modeled in only the
between subject part of the model. A variable measured on the time
level must be mentioned on the BETWEEN list with a time label. It can
be modeled in only the between time part of the model. The variables w
and xm can be modeled in only the between subject part of the model.
In the ANALYSIS command, TYPE=CROSSCLASSIFIED RANDOM
is specified indicating that a cross-classified model will be estimated. In
the within part of the model, the | symbol is used in conjunction with
TYPE=RANDOM to name and define the random variables in the
model. The name on the left-hand side of the | symbol names the
random variable. The statement on the right-hand side of the | symbol
defines the random variable. In the | statement, the random slope sx is
defined by the linear regression over multiple time points of the
dependent variable y on the observed individual-level covariate x. The
ON statement describes the linear regression over multiple time points of

CHAPTER 9
384
the dependent variable y on the dependent variable y&1 which is y at the
previous time point.
In the between subject part of the model, the ON statement describes the
linear regressions of the random intercept y and the random slope sx on
the observed cluster-level covariates w and xm. The intercepts and
residual variances of y and sx across subjects are estimated and the
residuals are not correlated as the default. The WITH statement
specifies that the residuals among y and sx are correlated. In the
between time part of the model, the WITH statement specifies that y and
sx are correlated. The variances of y and sx across time are estimated as
the default.
A cross-classified time series analysis with a univariate first-order
autoregressive AR(1) model for a continuous dependent variable with a
random AR(1) slope and a random residual variance can also be
estimated. The estimation of this model is computationally demanding.
The MODEL command is specified as follows:
MODEL: %WITHIN%
sx | y ON x;
sy | y ON y&1;
logv | y;
%BETWEEN subject%
y sx sy logv ON w xm;
y sx-logv WITH y sx-logv;
%BETWEEN time%
y sx-sy WITH y sx-sy;
In the second | statement, the random AR(1) slope sy is defined by the
linear regression over multiple time points of the dependent variable y
on the dependent variable y&1 which is y at the previous time point. In
the third | statement, the random residual variance logv is defined as the
log of the residual variance of the dependent variable y. The log of the
random residual variance is used in the model.
In the between subject part of the model, the ON statement describes the
linear regression of the random intercept y, the random slope sx, the
random AR(1) slope sy, and the random residual variance logv on the
observed cluster-level covariates w and xm. The intercepts and residual
variances of y, sx, sy, and logv across subjects are estimated and the
residuals are not correlated as the default. The WITH statement
specifies that the residuals among y, sx, sy, and logv are correlated.

Examples: Multilevel Modeling With Complex Survey Data
385
In the between time part of the model, the variances of y, sx, and sy
across subjects are estimated and they are not correlated as the default.
The WITH statement specifies that y, sx, and sy are correlated. An
explanation of the other commands can be found in Examples 9.1, 9.28,
9.30, and 9.31.
EXAMPLE 9.39: CROSS-CLASSIFIED TIME SERIES
ANALYSIS WITH A UNIVARIATE FIRST-ORDER
AUTOREGRESSIVE AR(1) MODEL FOR A CONTINUOUS
DEPENDENT VARIABLE WITH A COVARIATE, LINEAR
TREND, AND RANDOM SLOPE
TITLE: this is an example of a cross-classified
time series analysis with a univariate
first-order autoregressive AR(1) model for
a continuous dependent variable with a
covariate, linear trend, and random slope
DATA: FILE = ex9.39.dat;
VARIABLE: NAMES = w xm y x time subject;
USEVARIABLES = w xm y x timew timet;
WITHIN = x timew;
BETWEEN = (subject) w xm (time) timet;
CLUSTER = subject time;
LAGGED = y(1);
DEFINE: timew = time;
timet = time;
CENTER x (GROUPMEAN subject);
ANALYSIS: TYPE = CROSSCLASSIFIED RANDOM;
ESTIMATOR = BAYES;
PROCESSORS = 2;
BITERATIONS = (5000);
MODEL: %WITHIN%
y ON y&1;
s | y ON timew;
sx | y ON x;
%BETWEEN subject%
y s sx ON w xm;
y s sx WITH y s sx;
%BETWEEN time%
sx ON timet;
y WITH sx;
s@0;
OUTPUT: TECH1 TECH8;
PLOT: TYPE = PLOT3;

CHAPTER 9
386
Examples: Multilevel Modeling With Complex Survey Data
387
In this example, the cross-classified time series analysis with a univariate
first-order autoregressive AR(1) model for a continuous dependent
variable with a covariate, linear trend, and random slope shown in the
picture above is estimated.
In the DEFINE command, the variables timew and timet are created as
duplicates of the cluster variable time. Timew is used in the within part
of the model and timet is used in the between time part of the model.
The variables timew and timet are placed at the end of the
USEVARIABLES list after the original variables to indicate that they
will be used in the analysis. The individual-level covariate x is centered
using the cluster means for x.
The BITERATIONS option is used to specify the maximum and
minimum number of iterations for each Markov chain Monte Carlo
(MCMC) chain when the potential scale reduction (PSR) convergence
criterion (Gelman & Rubin, 1992) is used. Using a number in
parentheses, the BITERATIONS option specifies that a minimum of
5,000 and a maximum of the default of 50,000 iterations will be used.
The minimum is relatively large because this model may be more
difficult to estimate.
In the within part of the model, the ON statement describes the linear
regression over multiple time points of the dependent variable y on the
dependent variable y&1 which is y at the previous time point. The |
symbol is used in conjunction with TYPE=RANDOM to name and
define the random variables in the model. The name on the left-hand
side of the | symbol names the random variable. The statement on the
right-hand side of the | symbol defines the random variable. In the first |
statement, the random linear trend s is defined by the linear regression
over multiple time points of the dependent variable y on the observed
individual-level covariate timew. In the second | statement, the random
slope sx is defined by the linear regression over multiple time points of
the dependent variable y on the observed individual-level covariate x.
In the between subject part of the model, the ON statement describes the
linear regression of the random intercept y, the random linear trend s,
and the random slope sx on the observed subject-level covariates w and
xm. The WITH statement specifies that the residuals among y, s, and sx
are correlated.

CHAPTER 9
388
In the between time part of the model, the ON statement describes the
linear regression of the random slope sx on the observed time-level
covariate timet. The WITH statement specifies that the residuals among
y and sx are correlated. The variance of the random linear trend s is free
as the default but is fixed at zero because it can be difficult to estimate
and is not a necessary model component.
A cross-classified time series analysis with a univariate first-order
autoregressive AR(1) model for a continuous dependent variable with a
random AR(1) slope and a random residual variance can also be
estimated. The estimation of this model is very demanding
computationally. The MODEL command is specified as follows:
MODEL: %WITHIN%
sy | y ON y&1;
s | y ON timew;
sx | y ON x;
logv | y;
%BETWEEN subject%
y sy sx logv s ON w xm;
y sy sx logv s WITH y sy s logv s;
%BETWEEN time%
sx ON timet;
y sy sx WITH y sy sx;
s@0;
In the first | statement, the random AR(1) slope sy is defined by the
linear regression over multiple time points of the dependent variable y
on the dependent variable y&1 which is y at the previous time point. In
the fourth | statement, the random residual variance logv is defined as the
log of the residual variance of the dependent variable y. The log of the
random residual variance is used in the model. The random AR(1) slope
sy is allowed to vary across both subjects and time whereas the random
residual variance logv is allowed to vary only across subjects. An
explanation of the other commands can be found in Examples 9.1, 9.28,
9.30, and 9.38.

Examples: Multilevel Modeling With Complex Survey Data
389
EXAMPLE 9.40: CROSS-CLASSIFIED TIME SERIES
ANALYSIS WITH A UNIVARIATE FIRST-ORDER
AUTOREGRESSIVE AR(1) CONFIRMATORY FACTOR
ANALYSIS (CFA) MODEL FOR CONTINUOUS FACTOR
INDICATORS WITH RANDOM INTERCEPTS AND A FACTOR
VARYING ACROSS BOTH SUBJECTS AND TIME
TITLE: this is an example of a cross-classified
time series analysis with a first-order
autoregressive AR(1) confirmatory factor
analysis (CFA) model for continuous factor
indicators with random intercepts and a
factor varying across both subjects and
time
DATA: FILE = ex9.40.dat;
VARIABLE: NAMES = y1-y3 time subject;
CLUSTER = subject time;
ANALYSIS: TYPE = CROSSCLASSIFIED RANDOM;
ESTIMATOR = BAYES;
PROCESSORS = 2;
BITERATIONS = (1000);
MODEL: %WITHIN%
f BY y1-y3* (&1 1-3);
f@1;
f ON f&1;
%BETWEEN subject%
fsubj BY y1-y3* (1-3);
%BETWEEN time%
ftime BY y1-y3* (1-3);
OUTPUT: TECH1 TECH8;
PLOT: TYPE = PLOT3;
FACTORS = ALL;

CHAPTER 9
390
Examples: Multilevel Modeling With Complex Survey Data
391
In this example, the cross-classified time series analysis with a first-
order autoregressive AR(1) confirmatory factor analysis (CFA) model
for continuous factor indicators with random intercepts and a factor
varying across both subjects and time shown in the picture above is
estimated.
In the within part of the model, the BY statement specifies that f is
measured by y1, y2, and y3. The metric of the factor is set automatically
by the program by fixing the first factor loading to one. The asterisk
following y1-y3 overrides this default. The metric of the factor is set by
fixing the factor residual variance to one. An ampersand (&) followed
by the number 1 is placed in parentheses following the BY statement to
indicate that the factor f at lag 1 can be used in the analysis. The factor f
at lag 1 is referred to as f&1. The numbers 1-3 in parentheses in
combination with the same numbers in the between subject and between
time parts of the model specify that the factor loadings are constrained to
be equal to those of the factor fsubj in the between subject part of the
model and the factor ftime in the between time part of the model. The
ON statement describes the linear regression over multiple time points of
the factor f on the factor f&1 which is f at the previous time point.
In the between subject part of the model, the intercepts and residual
variances of the random intercepts of the within-level factor indicators
are estimated and the residuals are not correlated as the default. In the
between time part of the model, the residual variances of the random
intercepts of the within-level factor indicators are estimated and the
residuals are not correlated as the default.
In the second part of this example, a cross-classified time series analysis
with a first-order autoregressive AR(1) confirmatory factor analysis
(CFA) model for continuous factor indicators with random intercepts,
random factor loadings, and a factor varying across both subjects and
time is estimated.

CHAPTER 9
392
TITLE: this is an example of a cross-classified
time series analysis with a first-order
autoregressive AR(1) confirmatory factor
analysis (CFA) model for continuous factor
indicators with random intercepts, random
factor loadings, and a factor varying
across both subjects and time
DATA: FILE = ex9.40part2.dat;
VARIABLE: NAMES = y1-y3 time subject;
CLUSTER = subject time;
ANALYSIS: TYPE = CROSSCLASSIFIED RANDOM;
ESTIMATOR = BAYES;
PROCESSORS = 2;
BITERATIONS = (1000);
MODEL: %WITHIN%
s1-s3 | f BY y1-y3 (&1);
f@1;
f ON f&1;
%BETWEEN subject%
f;
%BETWEEN time%
f;
OUTPUT: TECH1 TECH8;
PLOT: TYPE = PLOT3;
In the within part of the model, the | symbol is used in conjunction with
TYPE=RANDOM to name and define the random variables in the
model. The name on the left-hand side of the | symbol names the
random variable. The statement on the right-hand side of the | symbol
defines the random variable. In the | statement, the random factor
loadings s1, s2, and s3 are defined by the linear regression over multiple
time points of the factor indicators y1, y2, and y3 on the factor f. The
variance of the factor is fixed at one to set the metric of the factor. An
ampersand (&) followed by the number 1 is placed in parentheses
following the BY statement to indicate that the factor f at lag 1 can be
used in the analysis. The factor f at lag 1 is referred to as f&1. The
intercepts of the factor indicators are random. The residual variances are
estimated and the residuals are not correlated as the default. The ON
statement describes the linear regression of the factor f on the factor f&1
which is f at the previous time point.
In the between subject and between time parts of the model, the factor f
does not need to be defined using a BY statement because the factor
loadings are random. In the between subject part of the model, the
random intercepts and random factor loadings of the within-level factor
Examples: Multilevel Modeling With Complex Survey Data
393
indicators and the factor f vary across subjects. The means and
variances of the random intercepts and random factor loadings are
estimated and not correlated as the default. The factor variance is
estimated only when mentioned. In the between time part of the model,
the random intercepts of the within-level factor indicators and the factor
f vary across time. The variances of the random intercepts are estimated
and not correlated as the default. The factor variance is estimated only
when mentioned. An explanation of the other commands can be found
in Examples 9.1, 9.28, 9.30, and 9.38.
CHAPTER 9
394
Examples: Multilevel Mixture Modeling
395
CHAPTER 10
EXAMPLES: MULTILEVEL
MIXTURE MODELING
Multilevel mixture modeling (Asparouhov & Muthén, 2008a) combines
the multilevel and mixture models by allowing not only the modeling of
multilevel data but also the modeling of subpopulations where
population membership is not known but is inferred from the data.
Mixture modeling can be combined with the multilevel analyses
discussed in Chapter 9. Observed outcome variables can be continuous,
censored, binary, ordered categorical (ordinal), unordered categorical
(nominal), counts, or combinations of these variable types.
With cross-sectional data, the number of levels in Mplus is the same as
the number of levels in conventional multilevel modeling programs.
Mplus allows two-level modeling. With longitudinal data, the number of
levels in Mplus is one less than the number of levels in conventional
multilevel modeling programs because Mplus takes a multivariate
approach to repeated measures analysis. Longitudinal models are two-
level models in conventional multilevel programs, whereas they are one-
level models in Mplus. Single-level longitudinal models are discussed in
Chapter 6, and single-level longitudinal mixture models are discussed in
Chapter 8. Three-level longitudinal analysis where time is the first level,
individual is the second level, and cluster is the third level is handled by
two-level growth modeling in Mplus as discussed in Chapter 9.
Multilevel mixture models can include regression analysis, path analysis,
confirmatory factor analysis (CFA), item response theory (IRT) analysis,
structural equation modeling (SEM), latent class analysis (LCA), latent
transition analysis (LTA), latent class growth analysis (LCGA), growth
mixture modeling (GMM), discrete-time survival analysis, continuous-
time survival analysis, and combinations of these models.
All multilevel mixture models can be estimated using the following
special features:
Single or multiple group analysis
Missing data
CHAPTER 10
396
Complex survey data
Latent variable interactions and non-linear factor analysis using
maximum likelihood
Random slopes
Individually-varying times of observations
Linear and non-linear parameter constraints
Maximum likelihood estimation for all outcome types
Wald chi-square test of parameter equalities
Analysis with between-level categorical latent variables
Test of equality of means across latent classes using posterior
probability-based multiple imputations
For TYPE=MIXTURE, multiple group analysis is specified by using the
KNOWNCLASS option of the VARIABLE command. The default is to
estimate the model under missing data theory using all available data.
The LISTWISE option of the DATA command can be used to delete all
observations from the analysis that have missing values on one or more
of the analysis variables. Corrections to the standard errors and chi-
square test of model fit that take into account stratification, non-
independence of observations, and unequal probability of selection are
obtained by using the TYPE=COMPLEX option of the ANALYSIS
command in conjunction with the STRATIFICATION, CLUSTER,
WEIGHT, WTSCALE, BWEIGHT, and BWTSCALE options of the
VARIABLE command. Latent variable interactions are specified by
using the | symbol of the MODEL command in conjunction with the
XWITH option of the MODEL command. Random slopes are specified
by using the | symbol of the MODEL command in conjunction with the
ON option of the MODEL command. Individually-varying times of
observations are specified by using the | symbol of the MODEL
command in conjunction with the AT option of the MODEL command
and the TSCORES option of the VARIABLE command. Linear and
non-linear parameter constraints are specified by using the MODEL
CONSTRAINT command. Maximum likelihood estimation is specified
by using the ESTIMATOR option of the ANALYSIS command. The
MODEL TEST command is used to test linear restrictions on the
parameters in the MODEL and MODEL CONSTRAINT commands
using the Wald chi-square test. Between-level categorical latent
variables are specified using the CLASSES and BETWEEN options of
the VARIABLE command. The AUXILIARY option is used to test the
equality of means across latent classes using posterior probability-based
multiple imputations.
Examples: Multilevel Mixture Modeling
397
Graphical displays of observed data and analysis results can be obtained
using the PLOT command in conjunction with a post-processing
graphics module. The PLOT command provides histograms,
scatterplots, plots of individual observed and estimated values, and plots
of sample and estimated means and proportions/probabilities. These are
available for the total sample, by group, by class, and adjusted for
covariates. The PLOT command includes a display showing a set of
descriptive statistics for each variable. The graphical displays can be
edited and exported as a DIB, EMF, or JPEG file. In addition, the data
for each graphical display can be saved in an external file for use by
another graphics program.
Following is the set of cross-sectional examples included in this chapter:
10.1: Two-level mixture regression for a continuous dependent
variable*
10.2: Two-level mixture regression for a continuous dependent
variable with a between-level categorical latent variable*
10.3: Two-level mixture regression for a continuous dependent
variable with between-level categorical latent class indicators for a
between-level categorical latent variable*
10.4: Two-level CFA mixture model with continuous factor
indicators*
10.5: Two-level IRT mixture analysis with binary factor indicators
and a between-level categorical latent variable*
10.6: Two-level LCA with categorical latent class indicators with
covariates*
10.7: Two-level LCA with categorical latent class indicators and a
between-level categorical latent variable
Following is the set of longitudinal examples included in this chapter:
10.8: Two-level growth model for a continuous outcome (three-
level analysis) with a between-level categorical latent variable*
10.9: Two-level GMM for a continuous outcome (three-level
analysis)*
10.10: Two-level GMM for a continuous outcome (three-level
analysis) with a between-level categorical latent variable*
10.11: Two-level LCGA for a three-category outcome*
10.12: Two-level LTA with a covariate*

CHAPTER 10
398
10.13: Two-level LTA with a covariate and a between-level
categorical latent variable
* Example uses numerical integration in the estimation of the model.
This can be computationally demanding depending on the size of the
problem.
EXAMPLE 10.1: TWO-LEVEL MIXTURE REGRESSION FOR
A CONTINUOUS DEPENDENT VARIABLE
TITLE: this is an example of a two-level mixture
regression for a continuous dependent
variable
DATA: FILE IS ex10.1.dat;
VARIABLE: NAMES ARE y x1 x2 w class clus;
USEVARIABLES = y x1 x2 w;
CLASSES = c (2);
WITHIN = x1 x2;
BETWEEN = w;
CLUSTER = clus;
ANALYSIS: TYPE = TWOLEVEL MIXTURE;
STARTS = 0;
MODEL:
%WITHIN%
%OVERALL%
y ON x1 x2;
c ON x1;
%c#1%
y ON x2;
y;
%BETWEEN%
%OVERALL%
y ON w;
c#1 ON w;
c#1*1;
%c#1%
[y*2];
OUTPUT: TECH1 TECH8;

Examples: Multilevel Mixture Modeling
399
In this example, the two-level mixture regression model for a continuous
dependent variable shown in the picture above is estimated. This
example is the same as Example 7.1 except that it has been extended to
the multilevel framework. In the within part of the model, the filled
circles at the end of the arrows from x1 to c and y represent random
intercepts that are referred to as c#1 and y in the between part of the
model. In the between part of the model, the random intercepts are
shown in circles because they are continuous latent variables that vary

CHAPTER 10
400
across clusters. The random intercepts y and c#1 are regressed on a
cluster-level covariate w.
Because c is a categorical latent variable, the interpretation of the picture
is not the same as for models with continuous latent variables. The
arrow from c to the y variable indicates that the intercept of the y
variable varies across the classes of c. This corresponds to the
regression of y on a set of dummy variables representing the categories
of c. The broken arrow from c to the arrow from x2 to y indicates that
the slope in the linear regression of y on x2 varies across the classes of c.
The arrow from x1 to c represents the multinomial logistic regression of
c on x1.
TITLE: this is an example of a two-level mixture
regression for a continuous dependent
variable
The TITLE command is used to provide a title for the analysis. The title
is printed in the output just before the Summary of Analysis.
DATA: FILE IS ex10.1.dat;
The DATA command is used to provide information about the data set
to be analyzed. The FILE option is used to specify the name of the file
that contains the data to be analyzed, ex10.1.dat. Because the data set is
in free format, the default, a FORMAT statement is not required.
VARIABLE: NAMES ARE y x1 x2 w class clus;
USEVARIABLES = y x1 x2 w;
CLASSES = c (2);
WITHIN = x1 x2;
BETWEEN = w;
CLUSTER = clus;
The VARIABLE command is used to provide information about the
variables in the data set to be analyzed. The NAMES option is used to
assign names to the variables in the data set. The data set in this
example contains six variables: y, x1, x2, w, c, and clus. If not all of the
variables in the data set are used in the analysis, the USEVARIABLES
option can be used to select a subset of variables for analysis. Here the
variables y1, x1, x2, and w have been selected for analysis. The
CLASSES option is used to assign names to the categorical latent
variables in the model and to specify the number of latent classes in the
model for each categorical latent variable. In the example above, there

Examples: Multilevel Mixture Modeling
401
is one categorical latent variable c that has two latent classes. The
WITHIN option is used to identify the variables in the data set that are
measured on the individual level and modeled only on the within level.
They are specified to have no variance in the between part of the model.
The BETWEEN option is used to identify the variables in the data set
that are measured on the cluster level and modeled only on the between
level. Variables not mentioned on the WITHIN or the BETWEEN
statements are measured on the individual level and can be modeled on
both the within and between levels. The CLUSTER option is used to
identify the variable that contains cluster information.
ANALYSIS: TYPE = TWOLEVEL MIXTURE;
STARTS = 0;
The ANALYSIS command is used to describe the technical details of the
analysis. The TYPE option is used to describe the type of analysis that
is to be performed. By selecting TWOLEVEL MIXTURE, a multilevel
mixture model will be estimated. By specifying STARTS=0 in the
ANALYSIS command, random starts are turned off.
MODEL:
%WITHIN%
%OVERALL%
y ON x1 x2;
c ON x1;
%c#1%
y ON x2;
y;
%BETWEEN%
%OVERALL%
y ON w;
c#1 ON w;
c#1*1;
%c#1%
[y*2];
The MODEL command is used to describe the model to be estimated. In
multilevel models, a model is specified for both the within and between
parts of the model. For mixture models, there is an overall model
designated by the label %OVERALL%. The overall model describes the
part of the model that is in common for all latent classes. The part of the
model that differs for each class is specified by a label that consists of
the categorical latent variable name followed by the number sign (#)
followed by the class number. In the example above, the label %c#2%
CHAPTER 10
402
refers to the part of the model for class 2 that differs from the overall
model.
In the overall model in the within part of the model, the first ON
statement describes the linear regression of y on the individual-level
covariates x1 and x2. The second ON statement describes the
multinomial logistic regression of the categorical latent variable c on the
individual-level covariate x1 when comparing class 1 to class 2. The
intercept in the regression of c on x1 is estimated as the default. In the
model for class 1 in the within part of the model, the ON statement
describes the linear regression of y on the individual-level covariate x2
which relaxes the default equality of regression coefficients across
classes. By mentioning the residual variance of y, it is not held equal
across classes.
In the overall model in the between part of the model, the first ON
statement describes the linear regression of the random intercept y on the
cluster-level covariate w. The second ON statement describes the linear
regression of the random intercept c#1 of the categorical latent variable c
on the cluster-level covariate w. The random intercept c#1 is a
continuous latent variable. Each class of the categorical latent variable c
except the last class has a random intercept. A starting value of one is
given to the residual variance of the random intercept c#1. In the class-
specific part of the between part of the model, the intercept of y is given
a starting value of 2 for class 1.
The default estimator for this type of analysis is maximum likelihood
with robust standard errors using a numerical integration algorithm.
Note that numerical integration becomes increasingly more
computationally demanding as the number of factors and the sample size
increase. In this example, two dimensions of integration are used with a
total of 225 integration points. The ESTIMATOR option of the
ANALYSIS command can be used to select a different estimator.
Following is an alternative specification of the multinomial logistic
regression of c on the individual-level covariate x1 in the within part of
the model:
c#1 ON x1;

Examples: Multilevel Mixture Modeling
403
where c#1 refers to the first class of c. The classes of a categorical latent
variable are referred to by adding to the name of the categorical latent
variable the number sign (#) followed by the number of the class. This
alternative specification allows individual parameters to be referred to in
the MODEL command for the purpose of giving starting values or
placing restrictions.
OUTPUT: TECH1 TECH8;
The OUTPUT command is used to request additional output not
included as the default. The TECH1 option is used to request the arrays
containing parameter specifications and starting values for all free
parameters in the model. The TECH8 option is used to request that the
optimization history in estimating the model be printed in the output.
TECH8 is printed to the screen during the computations as the default.
TECH8 screen printing is useful for determining how long the analysis
takes.

CHAPTER 10
404
EXAMPLE 10.2: TWO-LEVEL MIXTURE REGRESSION FOR
A CONTINUOUS DEPENDENT VARIABLE WITH A
BETWEEN-LEVEL CATEGORICAL LATENT VARIABLE
TITLE: this is an example of a two-level mixture
regression for a continuous dependent
variable with a between-level categorical
latent variable
DATA: FILE = ex10.2.dat;
VARIABLE: NAMES ARE y x1 x2 w dummy clus;
USEVARIABLES = y-w;
CLASSES = cb(2);
WITHIN = x1 x2;
BETWEEN = cb w;
CLUSTER = clus;
ANALYSIS: TYPE = TWOLEVEL MIXTURE RANDOM;
PROCESSORS = 2;
MODEL:
%WITHIN%
%OVERALL%
s1 | y ON x1;
s2 | y ON x2;
%BETWEEN%
%OVERALL%
cb y ON w; s1-s2@0;
%cb#1%
[s1 s2];
%cb#2%
[s1 s2];

Examples: Multilevel Mixture Modeling
405
In this example, the two-level mixture regression model for a continuous
dependent variable shown in the picture above is estimated. This
example is similar to Example 10.1 except that the categorical latent
variable is a between-level variable. This means that latent classes are
formed for clusters (between-level units) not individuals. In addition,
the regression slopes are random not fixed. In the within part of the
model, the random intercept is shown in the picture as a filled circle at
CHAPTER 10
406
the end of the arrow pointing to y. It is referred to as y on the between
level. The random slopes are shown as filled circles on the arrows from
x1 and x2 to y. They are referred to as s1 and s2 on the between level.
The random effects y, s1, and s2 are shown in circles in the between part
of the model because they are continuous latent variables that vary
across clusters (between-level units). In the between part of the model,
the arrows from cb to y, s1, and s2 indicate that the intercept of y and the
means of s1 and s2 vary across the classes of cb. In addition, the random
intercept y and the categorical latent variable cb are regressed on a
cluster-level covariate w. The random slopes s1 and s2 have no within-
class variance. Only their means vary across the classes of cb. This
implies that the distributions of s1 and s2 can be thought of as non-
parametric representations rather than normal distributions (Aitkin,
1999; Muthén & Asparouhov, 2009). Another example of a non-
parametric representation of a latent variable distribution is shown in
Example 7.26.
The BETWEEN option is used to identify the variables in the data set
that are measured on the cluster level and modeled only on the between
level and to identify between-level categorical latent variables. In this
example, the categorical latent variable cb is a between-level variable.
Between-level classes consist of clusters such as schools instead of
individuals. The PROCESSORS option of the ANALYSIS command is
used to specify that 2 processors will be used in the analysis for parallel
computations.
In the overall part of the within part of the model, the | symbol is used in
conjunction with TYPE=RANDOM to name and define the random
slope variables in the model. The name on the left-hand side of the |
symbol names the random slope variable. The statement on the right-
hand side of the | symbol defines the random slope variable. Random
slopes are defined using the ON option. The random slopes s1 and s2
are defined by the linear regressions of the dependent variable y on the
individual-level covariates x1 and x2. The within-level residual variance
in the regression of y on x is estimated as the default.
In the overall part of the between part of the model, the ON statement
describes the multinomial logistic regression of the categorical latent
variable cb on the cluster-level covariate w and the linear regression of
the random intercept y on the cluster-level covariate w. The variances of
the random slopes s1 and s2 are fixed at zero. In the class-specific parts

Examples: Multilevel Mixture Modeling
407
of the between part of the model, the means of the random slopes are
specified to vary across the between-level classes of cb. The intercept of
the random intercept y varies across the between-level classes of cb as
the default.
The default estimator for this type of analysis is maximum likelihood
with robust standard errors using a numerical integration algorithm.
Note that numerical integration becomes increasingly more
computationally demanding as the number of factors and the sample size
increase. In this example, one dimension of integration is used with a
total of 15 integration points. The ESTIMATOR option of the
ANALYSIS command can be used to select a different estimator. An
explanation of the other commands can be found in Example 10.1.
Following is an alternative specification of the MODEL command that is
simpler when the model has many covariates and when the variances of
the random slopes are zero:
MODEL:
%WITHIN%
%OVERALL%
y ON x1 x2;
%cb#1%
y ON x1 x2;
%cb#2%
y ON x1 x2;
%BETWEEN%
%OVERALL%
cb ON w;
y ON w;
In this specification, instead of the | statements, the random slopes are
represented as class-varying slopes in the class-specific parts of the
within part of the model. This specification makes it unnecessary to
refer to the means and variances of the random slopes in the between
part of the model.

CHAPTER 10
408
EXAMPLE 10.3: TWO-LEVEL MIXTURE REGRESSION FOR
A CONTINUOUS DEPENDENT VARIABLE WITH BETWEEN-
LEVEL CATEGORICAL LATENT CLASS INDICATORS FOR
A BETWEEN-LEVEL CATEGORICAL LATENT VARIABLE
TITLE: this is an example of a two-level mixture
regression for a continuous dependent
variable with between-level categorical
latent class indicators for a between-
level categorical latent variable
DATA: FILE = ex10.3.dat;
VARIABLE: NAMES ARE u1-u6 y x1 x2 w dummy clus;
USEVARIABLES = u1-w;
CATEGORICAL = u1-u6;
CLASSES = cb(2);
WITHIN = x1 x2;
BETWEEN = cb w u1-u6;
CLUSTER = clus;
ANALYSIS: TYPE = TWOLEVEL MIXTURE;
PROCESSORS = 2;
MODEL:
%WITHIN%
%OVERALL%
y ON x1 x2;
%BETWEEN%
%OVERALL%
cb ON w;
y ON w;
OUTPUT: TECH1 TECH8;

Examples: Multilevel Mixture Modeling
409
In this example, the two-level mixture regression model for a continuous
dependent variable shown in the picture above is estimated. This
example is similar to Example 10.2 except that the between-level
categorical latent variable has between-level categorical latent class
indicators and the slopes are fixed. In the within part of the model, the
random intercept is shown in the picture as a filled circle at the end of
the arrow pointing to y. It is referred to as y on the between level. The
CHAPTER 10
410
random intercept y is shown in a circle in the between part of the model
because it is a continuous latent variable that varies across clusters
(between-level units). In the between part of the model, the arrow from
cb to y indicates that the intercept of y varies across the classes of cb. In
addition, the random intercept y and the categorical latent variable cb are
regressed on a cluster-level covariate w. The arrows from cb to u1, u2,
u3, u4, u5, and u6 indicate that these variables are between-level
categorical latent class indicators of the categorical latent variable cb.
In the overall part of the between part of the model, the first ON
statement describes the multinomial logistic regression of the categorical
latent variable cb on the cluster-level covariate w. The second ON
statement describes the linear regression of the random intercept y on the
cluster-level covariate w. The intercept of the random intercept y and
the thresholds of the between-level latent class indicators u1, u2, u3, u4,
u5, and u6 vary across the between-level classes of cb as the default.
The default estimator for this type of analysis is maximum likelihood
with robust standard errors using a numerical integration algorithm.
Note that numerical integration becomes increasingly more
computationally demanding as the number of factors and the sample size
increase. In this example, one dimension of integration is used with a
total of 15 integration points. The ESTIMATOR option of the
ANALYSIS command can be used to select a different estimator. An
explanation of the other commands can be found in Examples 10.1 and
10.2.

Examples: Multilevel Mixture Modeling
411
EXAMPLE 10.4: TWO-LEVEL CFA MIXTURE MODEL WITH
CONTINUOUS FACTOR INDICATORS
TITLE: this is an example of a two-level CFA
mixture model with continuous factor
indicators
DATA: FILE IS ex10.4.dat;
VARIABLE: NAMES ARE y1-y5 class clus;
USEVARIABLES = y1-y5;
CLASSES = c (2);
CLUSTER = clus;
ANALYSIS: TYPE = TWOLEVEL MIXTURE;
STARTS = 0;
MODEL:
%WITHIN%
%OVERALL%
fw BY y1-y5;
%BETWEEN%
%OVERALL%
fb BY y1-y5;
c#1*1;
%c#1%
[fb*2];
OUTPUT: TECH1 TECH8;

CHAPTER 10
412
In this example, the two-level confirmatory factor analysis (CFA)
mixture model with continuous factor indicators in the picture above is
estimated. This example is the same as Example 7.17 except that it has
been extended to the multilevel framework. In the within part of the
model, the filled circles at the end of the arrows from the within factor
fw to y1, y2, y3, y4, and y5 represent random intercepts that vary across
clusters. The filled circle on the circle containing c represents the
random mean of c that varies across clusters. In the between part of the
model, the random intercepts are referred to as y1, y2, y3, y4, and y5
and the random mean is referred to as c#1 where they are shown in
circles because they are continuous latent variables that vary across
clusters. In the between part of the model, the random intercepts are
indicators of the between factor fb. In this model, the residual variances
Examples: Multilevel Mixture Modeling
413
for the factor indicators in the between part of the model are zero. If
factor loadings are constrained to be equal across the within and the
between levels, this implies a model where the mean of the within factor
varies across the clusters. The between part of the model specifies that
the random mean c#1 of the categorical latent variable c and the between
factor fb are uncorrelated. Other modeling possibilities are for fb and
c#1 to be correlated, for fb to be regressed on c#1, or for c#1 to be
regressed on fb. Regressing c#1 on fb, however, leads to an internally
inconsistent model where the mean of fb is influenced by c at the same
time as c#1 is regressed on fb, leading to a reciprocal interaction.
In the overall part of the within part of the model, the BY statement
specifies that fw is measured by the factor indicators y1, y2, y3, y4, and
y5. The metric of the factor is set automatically by the program by
fixing the first factor loading to one. This option can be overridden.
The residual variances of the factor indicators are estimated and the
residuals are not correlated as the default. The variance of the factor is
estimated as the default.
In the overall part of the between part of the model, the BY statement
specifies that fb is measured by the random intercepts y1, y2, y3, y4, and
y5. The residual variances of the random intercepts are fixed at zero as
the default because they are often very small and each residual variance
requires one dimension of numerical integration. The variance of fb is
estimated as the default. A starting value of one is given to the variance
of the random mean of the categorical latent variable c referred to as
c#1. In the model for class 1 in the between part of the model, the mean
of fb is given a starting value of 2.
The default estimator for this type of analysis is maximum likelihood
with robust standard errors using a numerical integration algorithm.
Note that numerical integration becomes increasingly more
computationally demanding as the number of factors and the sample size
increase. In this example, two dimensions of integration are used with a
total of 225 integration points. The ESTIMATOR option of the
ANALYSIS command can be used to select a different estimator. An
explanation of the other commands can be found in Example 10.1.

CHAPTER 10
414
EXAMPLE 10.5: TWO-LEVEL IRT MIXTURE ANALYSIS
WITH BINARY FACTOR INDICATORS AND A BETWEEN-
LEVEL CATEGORICAL LATENT VARIABLE
TITLE: this is an example of a two-level IRT
mixture analysis with binary factor
indicators and a between-level categorical
latent variable
DATA: FILE = ex10.5.dat;
VARIABLE: NAMES ARE u1-u8 dumb dum clus;
USEVARIABLES = u1-u8;
CATEGORICAL = u1-u8;
CLASSES = cb(2) c(2);
BETWEEN = cb;
CLUSTER = clus;
ANALYSIS: TYPE = TWOLEVEL MIXTURE;
ALGORITHM = INTEGRATION;
PROCESSORS = 2;
MODEL:
%WITHIN%
%OVERALL%
f BY u1-u8;
[f@0];
%BETWEEN%
%OVERALL%
%cb#1.c#1%
[u1$1-u8$1];
%cb#1.c#2%
[u1$1-u8$1];
%cb#2.c#1%
[u1$1-u8$1];
%cb#2.c#2%
[u1$1-u8$1];
MODEL c:
%WITHIN%
%c#1%
f;
%c#2%
f;
OUTPUT: TECH1 TECH8;

Examples: Multilevel Mixture Modeling
415
In this example, the two-level item response theory (IRT) mixture model
with binary factor indicators shown in the picture above is estimated.
The model has both individual-level classes and between-level classes.
Individual-level classes consist of individuals, for example, students.
Between-level classes consist of clusters, for example, schools. The
within part of the model is similar to the single-level model in Example
7.27. In the within part of the model, an IRT mixture model is specified
where the factor indicators u1, u2, u3, u4, u5, u6, u7, and u8 have
thresholds that vary across the classes of the individual-level categorical
CHAPTER 10
416
latent variable c. The filled circles at the end of the arrows pointing to
the factor indicators show that the thresholds of the factor indicators are
random. They are referred to as u1, u2, u3, u4, u5, u6, u7, and u8 on the
between level. The random thresholds u1, u2, u3, u4, u5, u6, u7, and u8
are shown in circles in the between part of the model because they are
continuous latent variables that vary across clusters (between-level
units). The random thresholds have no within-class variance. They vary
across the classes of the between-level categorical latent variable cb.
For related models, see Asparouhov and Muthén (2008a).
In the class-specific part of the between part of the model, the random
thresholds are specified to vary across classes that are a combination of
the classes of the between-level categorical latent variable cb and the
individual-level categorical latent variable c. These classes are referred
to by combining the class labels using a period (.). For example, a
combination of class 1 of cb and class 1 of c is referred to as cb#1.c#1.
This represents an interaction between the two categorical latent
variables in their influence on the thresholds.
When a model has more than one categorical latent variable, MODEL
followed by a label is used to describe the analysis model for each
categorical latent variable. Labels are defined by using the names of the
categorical latent variables. In the model for the individual-level
categorical latent variable c, the variances of the factor f are allowed to
vary across the classes of c.
The default estimator for this type of analysis is maximum likelihood
with robust standard errors using a numerical integration algorithm.
Note that numerical integration becomes increasingly more
computationally demanding as the number of factors and the sample size
increase. In this example, one dimension of integration is used with a
total of 15 integration points. The ESTIMATOR option of the
ANALYSIS command can be used to select a different estimator. An
explanation of the other commands can be found in Examples 7.27, 10.1,
and 10.2.

Examples: Multilevel Mixture Modeling
417
EXAMPLE 10.6: TWO-LEVEL LCA WITH CATEGORICAL
LATENT CLASS INDICATORS WITH COVARIATES
TITLE: this is an example of a two-level LCA with
categorical latent class indicators with
covariates
DATA: FILE IS ex10.6.dat;
VARIABLE: NAMES ARE u1-u6 x w class clus;
USEVARIABLES = u1-u6 x w;
CATEGORICAL = u1-u6;
CLASSES = c (3);
WITHIN = x;
BETWEEN = w;
CLUSTER = clus;
ANALYSIS: TYPE = TWOLEVEL MIXTURE;
MODEL:
%WITHIN%
%OVERALL%
c ON x;
%BETWEEN%
%OVERALL%
f BY c#1 c#2;
f ON w;
OUTPUT: TECH1 TECH8;

CHAPTER 10
418
In this example, the two-level latent class analysis (LCA) with
categorical latent class indicators and covariates shown in the picture
above is estimated (Vermunt, 2003). This example is similar to Example
7.12 except that it has been extended to the multilevel framework. In the
Examples: Multilevel Mixture Modeling
419
within part of the model, the categorical latent variable c is regressed on
the individual-level covariate x. The filled circles at the end of the
arrow from x to c represent the random intercepts for classes 1 and 2 of
the categorical latent variable c which has three classes. The random
intercepts are referred to as c#1 and c#2 in the between part of the model
where they are shown in circles instead of squares because they are
continuous latent variables that vary across clusters. Because the
random intercepts in LCA are often highly correlated and to reduce the
dimensions of integration, a factor is used to represent the random
intercept variation. This factor is regressed on the cluster-level covariate
w.
The CATEGORICAL option is used to specify which dependent
variables are treated as binary or ordered categorical (ordinal) variables
in the model and its estimation. In the example above, the latent class
indicators u1, u2, u3, u4, u5, and u6 are binary or ordered categorical
variables. The program determines the number of categories for each
indicator.
In the within part of the model, the ON statement describes the
multinomial logistic regression of the categorical latent variable c on the
individual-level covariate x when comparing classes 1 and 2 to class 3.
The intercepts of the random intercepts in the regression of c on x are
estimated as the default. The random intercept for class 3 is zero
because it is the reference class. In the between part of the model, the
BY statement specifies that f is measured by the random intercepts c#1
and c#2. The metric of the factor is set automatically by the program by
fixing the first factor loading to one. The residual variances of the
random intercepts are fixed at zero as the default. The ON statement
describes the linear regression of the between factor f on the cluster-
level covariate w.
The default estimator for this type of analysis is maximum likelihood
with robust standard errors using a numerical integration algorithm.
Note that numerical integration becomes increasingly more
computationally demanding as the number of factors and the sample size
increase. In this example, one dimension of integration is used with 15
integration points. The ESTIMATOR option of the ANALYSIS
command can be used to select a different estimator. An explanation of
the other commands can be found in Example 10.1.

CHAPTER 10
420
EXAMPLE 10.7: TWO-LEVEL LCA WITH CATEGORICAL
LATENT CLASS INDICATORS AND A BETWEEN-LEVEL
CATEGORICAL LATENT VARIABLE
TITLE: this is an example of a two-level LCA with
categorical latent class indicators and a
between-level categorical latent variable
DATA: FILE = ex10.7.dat;
VARIABLE: NAMES ARE u1-u10 dumb dumw clus;
USEVARIABLES = u1-u10;
CATEGORICAL = u1-u10;
CLASSES = cb(5) cw(4);
WITHIN = u1-u10;
BETWEEN = cb;
CLUSTER = clus;
ANALYSIS: TYPE = TWOLEVEL MIXTURE;
PROCESSORS = 2;
STARTS = 100 10;
MODEL:
%WITHIN%
%OVERALL%
%BETWEEN%
%OVERALL%
cw#1-cw#3 ON cb;
MODEL cw:
%WITHIN%
%cw#1%
[u1$1-u10$1];
[u1$2-u10$2];
%cw#2%
[u1$1-u10$1];
[u1$2-u10$2];
%cw#3%
[u1$1-u10$1];
[u1$2-u10$2];
%cw#4%
[u1$1-u10$1];
[u1$2-u10$2];
OUTPUT: TECH1 TECH8;

Examples: Multilevel Mixture Modeling
421
In this example, the two-level latent class analysis (LCA) with
categorical latent class indicators shown in the picture above is
estimated. This example is similar to Example 10.6 except that the
between level random means are influenced by the between-level
categorical latent variable cb. In the within part of the model, the filled
circles represent the three random means of the four classes of the
individual-level categorical latent variable cw. They are referred to as
cw#1, cw#2, and cw#3 on the between level. The random means are
shown in circles in the between part of the model because they are
continuous latent variables that vary across clusters (between-level
units). The random means have means that vary across the classes of the
categorical latent variable cb but the within-class variances of the
random means are zero (Bijmolt, Paas, & Vermunt, 2004).
CHAPTER 10
422
In the overall part of the between part of the model, the ON statement
describes the linear regressions of cw#1, cw#2, and cw#3 on the
between-level categorical latent variable cb. This regression implies that
the means of these random means vary across the classes of the
categorical latent variable cb.
The default estimator for this type of analysis is maximum likelihood
with robust standard errors. The ESTIMATOR option of the
ANALYSIS command can be used to select a different estimator. An
explanation of the other commands can be found in Examples 10.1, 10.2,
and 10.6.

Examples: Multilevel Mixture Modeling
423
EXAMPLE 10.8: TWO-LEVEL GROWTH MODEL FOR A
CONTINUOUS OUTCOME (THREE-LEVEL ANALYSIS) WITH
A BETWEEN-LEVEL CATEGORICAL LATENT VARIABLE
TITLE: this is an example of a two-level growth
model for a continuous outcome (three-
level analysis) with a between-level
categorical latent variable
DATA: FILE = ex10.8.dat;
VARIABLE: NAMES ARE y1-y4 x w dummy clus;
USEVARIABLES = y1-w;
CLASSES = cb(2);
WITHIN = x;
BETWEEN = cb w;
CLUSTER = clus;
ANALYSIS: TYPE = TWOLEVEL MIXTURE RANDOM;
PROCESSORS = 2;
MODEL:
%WITHIN%
%OVERALL%
iw sw | y1@0 y2@1 y3@2 y4@3;
y1-y4 (1);
iw sw ON x;
s | sw ON iw;
%BETWEEN%
%OVERALL%
ib sb | y1@0 y2@1 y3@2 y4@3;
y1-y4@0;
ib sb ON w;
cb ON w;
s@0;
%cb#1%
[ib sb s];
%cb#2%
[ib sb s];
OUTPUT: TECH1 TECH8;

CHAPTER 10
424
Examples: Multilevel Mixture Modeling
425
In this example, the two-level growth model for a continuous outcome
(three-level analysis) shown in the picture above is estimated. This
example is similar to Example 9.12 except that a random slope is
estimated in the within-level regression of the slope growth factor on the
intercept growth factor and a between-level latent class variable cb is
part of the model. This means that latent classes are formed for clusters
(between-level units) not individuals. In the within part of the model,
the random slope is shown in the picture as a filled circle on the arrow
from iw to sw. It is referred to as s on the between level. The random
slope s is shown in a circle in the between part of the model because it is
a continuous latent variable that varies across clusters (between-level
units). In the between part of the model, the arrows from cb to ib, sb,
and s indicate that the intercepts of ib and sb and the mean of s vary
across the classes of cb. In addition, the categorical latent variable cb is
regressed on a cluster-level covariate w. The random slope s has no
within-class variance. Only its mean varies across the classes of cb.
This implies that the distributions of s can be thought of as a non-
parametric representation rather than a normal distribution (Aitkin,
1999; Muthén & Asparouhov, 2007).
In the overall part of the within part of the model, the | statement is used
to name and define the random slope s which is used in the between part
of the model. In the overall part of the between part of the model, the
second ON statement describes the multinomial logistic regression of the
categorical latent variable cb on a cluster-level covariate w. The
variance of the random slope s is fixed at zero. In the class-specific parts
of the between part of the model, the intercepts of the growth factors ib
and sb and the mean of the random slope s are specified to vary across
the between-level classes of cb.
The default estimator for this type of analysis is maximum likelihood
with robust standard errors using a numerical integration algorithm.
Note that numerical integration becomes increasingly more
computationally demanding as the number of factors and the sample size
increase. In this example, two dimensions of integration are used with a
total of 225 integration points. The ESTIMATOR option of the
ANALYSIS command can be used to select a different estimator. An
explanation of the other commands can be found in Examples 9.12, 10.1,
and 10.2.

CHAPTER 10
426
Following is an alternative specification of the MODEL command that is
simpler when the variances of the random slopes are zero:
MODEL:
%WITHIN%
%OVERALL%
iw sw | y1@0 y2@1 y3@2 y4@3;
y1-y4 (1);
iw ON x;
sw ON x iw;
%cb#1%
sw ON iw;
%cb#2%
sw ON iw;
%BETWEEN%
%OVERALL%
ib sb | y1@0 y2@1 y3@2 y4@3;
y1-y4@0;
ib sb ON w;
cb ON w;
%cb#1%
[ib sb];
%cb#2%
[ib sb];
In this specification, instead of the | statement, the random slope is
represented as class-varying slopes in the class-specific parts of the
within part of the model. This specification makes it unnecessary to
refer to the means and variances of the random slopes in the between
part of the model.

Examples: Multilevel Mixture Modeling
427
EXAMPLE 10.9: TWO-LEVEL GMM FOR A CONTINUOUS
OUTCOME (THREE-LEVEL ANALYSIS)
TITLE: this is an example of a two-level GMM for
a continuous outcome (three-level
analysis)
DATA: FILE IS ex10.9.dat;
VARIABLE: NAMES ARE y1-y4 x w class clus;
USEVARIABLES = y1-y4 x w;
CLASSES = c (2);
WITHIN = x;
BETWEEN = w;
CLUSTER = clus;
ANALYSIS: TYPE = TWOLEVEL MIXTURE;
STARTS = 0;
MODEL:
%WITHIN%
%OVERALL%
iw sw | y1@0 y2@1 y3@2 y4@3;
iw sw ON x;
c ON x;
%BETWEEN%
%OVERALL%
ib sb | y1@0 y2@1 y3@2 y4@3;
y1-y4@0;
ib sb ON w;
sb@0;
c#1 ON w;
c#1*1;
%c#1%
[ib sb];
%c#2%
[ib*3 sb*1];
OUTPUT: TECH1 TECH8;

CHAPTER 10
428
In this example, the two-level growth mixture model (GMM; Muthén,
2004; Muthén & Asparouhov, 2009) for a continuous outcome (three-
level analysis) shown in the picture above is estimated. This example is
similar to Example 8.1 except that it has been extended to the multilevel
Examples: Multilevel Mixture Modeling
429
framework. In the within part of the model, the filled circles at the end
of the arrows from the within growth factors iw and sw to y1, y2, y3, and
y4 represent random intercepts that vary across clusters. The filled
circle at the end of the arrow from x to c represents a random intercept.
The random intercepts are referred to in the between part of the model as
y1, y2, y3, y4, and c#1. In the between-part of the model, the random
intercepts are shown in circles because they are continuous latent
variables that vary across clusters.
In the within part of the model, the | statement names and defines the
within intercept and slope factors for the growth model. The names iw
and sw on the left-hand side of the | symbol are the names of the
intercept and slope growth factors, respectively. The values on the right-
hand side of the | symbol are the time scores for the slope growth factor.
The time scores of the slope growth factor are fixed at 0, 1, 2, and 3 to
define a linear growth model with equidistant time points. The zero time
score for the slope growth factor at time point one defines the intercept
growth factor as an initial status factor. The coefficients of the intercept
growth factor are fixed at one as part of the growth model
parameterization. The residual variances of the outcome variables are
estimated and allowed to be different across time and the residuals are
not correlated as the default. The first ON statement describes the linear
regressions of the growth factors on the individual-level covariate x.
The residual variances of the growth factors are free to be estimated as
the default. The residuals of the growth factors are correlated as the
default because residuals are correlated for latent variables that do not
influence any other variable in the model except their own indicators.
The second ON statement describes the multinomial logistic regression
of the categorical latent variable c on the individual-level covariate x
when comparing class 1 to class 2. The intercept in the regression of c
on x is estimated as the default.
In the overall model in the between part of the model, the | statement
names and defines the between intercept and slope factors for the growth
model. The names ib and sb on the left-hand side of the | symbol are the
names of the intercept and slope growth factors, respectively. The
values of the right-hand side of the | symbol are the time scores for the
slope growth factor. The time scores of the slope growth factor are fixed
at 0, 1, 2, and 3 to define a linear growth model with equidistant time
points. The zero time score for the slope growth factor at time point one
defines the intercept growth factor as an initial status factor. The
CHAPTER 10
430
coefficients of the intercept growth factor are fixed at one as part of the
growth model parameterization. The residual variances of the outcome
variables are fixed at zero on the between level in line with conventional
multilevel growth modeling. This can be overridden. The first ON
statement describes the linear regressions of the growth factors on the
cluster-level covariate w. The residual variance of the intercept growth
factor is free to be estimated as the default. The residual variance of the
slope growth factor is fixed at zero because it is often small and each
residual variance requires one dimension of numerical integration.
Because the slope growth factor residual variance is fixed at zero, the
residual covariance between the growth factors is automatically fixed at
zero. The second ON statement describes the linear regression of the
random intercept c#1 of the categorical latent variable c on the cluster-
level covariate w. A starting value of one is given to the residual
variance of the random intercept of the categorical latent variable c
referred to as c#1.
In the parameterization of the growth model shown here, the intercepts
of the outcome variable at the four time points are fixed at zero as the
default. The growth factor intercepts are estimated as the default in the
between part of the model. In the model for class 2 in the between part
of the model, the mean of ib and sb are given a starting value of zero in
class 1 and three and one in class 2.
The default estimator for this type of analysis is maximum likelihood
with robust standard errors using a numerical integration algorithm.
Note that numerical integration becomes increasingly more
computationally demanding as the number of factors and the sample size
increase. In this example, two dimensions of integration are used with a
total of 225 integration points. The ESTIMATOR option of the
ANALYSIS command can be used to select a different estimator. An
explanation of the other commands can be found in Example 10.1.

Examples: Multilevel Mixture Modeling
431
EXAMPLE 10.10: TWO-LEVEL GMM FOR A CONTINUOUS
OUTCOME (THREE-LEVEL ANALYSIS) WITH A BETWEEN-
LEVEL CATEGORICAL LATENT VARIABLE
TITLE: this is an example of a two-level GMM for
a continuous outcome (three-level
analysis) with a between-level categorical
latent variable
DATA: FILE = ex10.10.dat;
VARIABLE: NAMES ARE y1-y4 x w dummyb dummy clus;
USEVARIABLES = y1-w;
CLASSES = cb(2) c(2);
WITHIN = x;
BETWEEN = cb w;
CLUSTER = clus;
ANALYSIS: TYPE = TWOLEVEL MIXTURE;
PROCESSORS = 2;
MODEL:
%WITHIN%
%OVERALL%
iw sw | y1@0 y2@1 y3@2 y4@3;
iw sw ON x;
c ON x;
%BETWEEN%
%OVERALL%
ib sb | y1@0 y2@1 y3@2 y4@3;
ib2 | y1-y4@1;
y1-y4@0;
ib sb ON w;
c#1 ON w;
sb@0; c#1;
ib2@0;
cb ON w;
MODEL c:
%BETWEEN%
%c#1%
[ib sb];
%c#2%
[ib sb];
MODEL cb:
%BETWEEN%
%cb#1%
[ib2@0];
%cb#2%
[ib2];
OUTPUT: TECH1 TECH8;

CHAPTER 10
432
In this example, the two-level growth mixture model (GMM; Muthén &
Asparouhov, 2009) for a continuous outcome (three-level analysis)
shown in the picture above is estimated. This example is similar to
Example 10.9 except that a between-level categorical latent variable cb
has been added along with a second between-level intercept growth
factor ib2. The second intercept growth factor is added to the model so
Examples: Multilevel Mixture Modeling
433
that the intercept growth factor mean can vary across not only the classes
of the individual-level categorical latent variable c but also across the
classes of the between-level categorical latent variable cb. Individual-
level classes consist of individuals, for example, students. Between-
level classes consist of clusters, for example, schools.
In the overall part of the between part of the model, the second |
statement names and defines the second between-level intercept growth
factor ib2. This growth factor is used to represent differences in
intercept growth factor means across the between-level classes of the
categorical latent variable cb.
When a model has more than one categorical latent variable, MODEL
followed by a label is used to describe the analysis model for each
categorical latent variable. Labels are defined by using the names of the
categorical latent variables. In the model for the individual-level
categorical latent variable c, the intercepts of the intercept and slope
growth factors ib and sb are allowed to vary across the classes of the
individual-level categorical latent variable c. In the model for the
between-level categorical latent variable cb, the means of the intercept
growth factor ib2 are allowed to vary across clusters (between-level
units). The mean in one class is fixed at zero for identification purposes.
The default estimator for this type of analysis is maximum likelihood
with robust standard errors using a numerical integration algorithm.
Note that numerical integration becomes increasingly more
computationally demanding as the number of factors and the sample size
increase. In this example, two dimensions of integration are used with a
total of 225 integration points. The ESTIMATOR option of the
ANALYSIS command can be used to select a different estimator. An
explanation of the other commands can be found in Examples 10.1, 10.2,
and 10.4.

CHAPTER 10
434
EXAMPLE 10.11: TWO-LEVEL LCGA FOR A THREE-
CATEGORY OUTCOME
TITLE: this is an example of a two-level LCGA for
a three-category outcome
DATA: FILE IS ex10.11.dat;
VARIABLE: NAMES ARE u1-u4 class clus;
USEVARIABLES = u1-u4;
CATEGORICAL = u1-u4;
CLASSES = c(2);
CLUSTER = clus;
ANALYSIS: TYPE = TWOLEVEL MIXTURE;
MODEL:
%WITHIN%
%OVERALL%
i s | u1@0 u2@1 u3@2 u4@3;
i-s@0;
%c#1%
[i*1 s*1];
%c#2%
[i@0 s];
%BETWEEN%
%OVERALL%
c#1*1;
[u1$1-u4$1*1] (1);
[u1$2-u4$2*1.5] (2);
OUTPUT: TECH1 TECH8;

Examples: Multilevel Mixture Modeling
435
In this example, the two-level latent class growth analysis (LCGA)
shown in the picture above is estimated. This example is the same as
Example 8.10 except that it has been extended to the multilevel
framework. A growth model is not specified in the between part of the
model because the variances of the growth factors i and s are zero in
LCGA. The filled circle on the circle containing the categorical latent
variable c represents the random mean of c. In the between part of the
model, the random mean is shown in a circle because it is a continuous
latent variable that varies across clusters.
The CATEGORICAL option is used to specify which dependent
variables are treated as binary or ordered categorical (ordinal) variables
in the model and its estimation. In the example above, the latent class
indicators u1, u2, u3, u4, u5, and u6 are binary or ordered categorical
variables. The program determines the number of categories for each
indicator. In this example, u1, u2, u3, and u4 are three-category
variables.

CHAPTER 10
436
In the overall part of the of the within part of the model, the variances of
the growth factors i and s are fixed at zero because latent class growth
analysis has no within class variability. In the overall part of the of the
between part of the model, the two thresholds for the outcome are held
equal across the four time points. The growth factor means are specified
in the within part of the model because there are no between growth
factors.
The default estimator for this type of analysis is maximum likelihood
with robust standard errors using a numerical integration algorithm.
Note that numerical integration becomes increasingly more
computationally demanding as the number of factors and the sample size
increase. In this example, one dimension of integration is used with 15
integration points. The ESTIMATOR option of the ANALYSIS
command can be used to select a different estimator. An explanation of
the other commands can be found in Example 10.1.
EXAMPLE 10.12: TWO-LEVEL LTA WITH A COVARIATE
TITLE: this is an example of a two-level LTA with
a covariate
DATA: FILE = ex10.12.dat;
VARIABLE: NAMES ARE u11-u14 u21-u24 x w dum1 dum2
clus;
USEVARIABLES = u11-w;
CATEGORICAL = u11-u14 u21-u24;
CLASSES = c1(2) c2(2);
WITHIN = x;
BETWEEN = w;
CLUSTER = clus;
ANALYSIS: TYPE = TWOLEVEL MIXTURE;
PROCESSORS = 2;
MODEL:
%WITHIN%
%OVERALL%
c2 ON c1 x;
c1 ON x;
%BETWEEN%
%OVERALL%
c1#1 ON w;
c2#1 ON c1#1 w;
c1#1 c2#1;

Examples: Multilevel Mixture Modeling
437
MODEL c1:
%BETWEEN%
%c1#1%
[u11$1-u14$1] (1-4);
%c1#2%
[u11$1-u14$1] (5-8);
MODEL c2:
%BETWEEN%
%c2#1%
[u21$1-u24$1] (1-4);
%c2#2%
[u21$1-u24$1] (5-8);
OUTPUT: TECH1 TECH8;
CHAPTER 10
438
In this example, the two-level latent transition analysis (LTA) with a
covariate shown in the picture above is estimated. This example is
similar to Example 8.13 except that the categorical latent variables are
allowed to have random intercepts that vary on the between level. This
model is described in Asparouhov and Muthén (2008a). In the within
part of the model, the random intercepts are shown in the picture as
filled circles at the end of the arrows pointing to c1 and c2. They are
referred to as c1#1 and c2#1 on the between level. The random
intercepts c1#1 and c2#1 are shown in circles in the between part of the
model because they are continuous latent variables that vary across
clusters (between-level units).
In the overall part of the between part of the model, the first ON
statement describes the linear regression of the random intercept c1#1 on
a cluster-level covariate w. The second ON statement describes the
linear regression of the random intercept c2#1 on the random intercept
c1#1 and the cluster-level covariate w. The residual variances of the
random intercepts c1#1 and c2#1 are estimated instead of being fixed at
the default value of zero.
The default estimator for this type of analysis is maximum likelihood
with robust standard errors using a numerical integration algorithm.
Note that numerical integration becomes increasingly more
computationally demanding as the number of factors and the sample size
increase. In this example, two dimensions of integration are used with a
total of 225 integration points. The ESTIMATOR option of the
ANALYSIS command can be used to select a different estimator. An
explanation of the other commands can be found in Examples 8.13, 10.1,
and 10.2.

Examples: Multilevel Mixture Modeling
439
EXAMPLE 10.13: TWO-LEVEL LTA WITH A COVARIATE
AND A BETWEEN-LEVEL CATEGORICAL LATENT
VARIABLE
TITLE: this is an example of a two-level LTA with
a covariate and a between-level
categorical latent variable
DATA: FILE = ex10.13.dat;
VARIABLE: NAMES ARE u11-u14 u21-u24 x w dumb dum1
dum2 clus;
USEVARIABLES = u11-w;
CATEGORICAL = u11-u14 u21-u24;
CLASSES = cb(2) c1(2) c2(2);
WITHIN = x;
BETWEEN = cb w;
CLUSTER = clus;
ANALYSIS: TYPE = TWOLEVEL MIXTURE;
PROCESSORS = 2;
MODEL:
%WITHIN%
%OVERALL%
c2 ON c1 x;
c1 ON x;
%BETWEEN%
%OVERALL%
c1#1 ON cb;
c2#1 ON cb;
cb ON w;
MODEL cb:
%WITHIN%
%cb#1%
c2 ON c1;
MODEL c1:
%BETWEEN%
%c1#1%
[u11$1-u14$1] (1-4);
%c1#2%
[u11$1-u14$1] (5-8);
MODEL c2:
%BETWEEN%
%c2#1%
[u21$1-u24$1] (1-4);
%c2#2%
[u21$1-u24$1] (5-8);
OUTPUT: TECH1 TECH8;

CHAPTER 10
440
In this example, the two-level latent transition analysis (LTA) with a
covariate shown in the picture above is estimated. This example is
similar to Example 10.12 except that a between-level categorical latent
variable cb has been added, a random slope has been added, and the
random intercepts and random slope have no variance within the classes
of the between-level categorical latent variable cb (Asparouhov &
Muthén, 2008a). In the within part of the model, the random intercepts
are shown in the picture as filled circles at the end of the arrows pointing
to c1 and c2. The random slope is shown as a filled circle on the arrow
from c1 to c2. In the between part of the model, the random intercepts
are referred to as c1#1 and c2#1 and the random slope is referred to as s.
The random intercepts c1#1 and c2#1 and the random slope s are shown
in circles in because they are continuous latent variables that vary across
Examples: Multilevel Mixture Modeling
441
clusters (between-level units). In the between part of the model, the
arrows from cb to c1#1, c2#1, and s indicate that the means of c1#1,
c2#1, and s vary across the classes of cb.
In the overall part of the between part of the model, the first two ON
statements describe the linear regressions of c1#1 and c2#1 on the
between-level categorical latent variable cb. These regressions imply
that the means of the random intercepts vary across the classes of the
categorical latent variable cb. The variances of c1#1 and c2#1 within
the cb classes are zero as the default.
When a model has more than one categorical latent variable, MODEL
followed by a label is used to describe the analysis model for each
categorical latent variable. Labels are defined by using the names of the
categorical latent variables. In the class-specific part of the within part
of the model for the between-level categorical latent variable cb, the ON
statement describes the multinomial regression of c2 on c1. This implies
that the random slope s varies across the classes of cb. The within-class
variance of s is zero as the default.
The default estimator for this type of analysis is maximum likelihood
with robust standard errors. The ESTIMATOR option of the
ANALYSIS command can be used to select a different estimator. An
explanation of the other commands can be found in Examples 8.13, 10.1,
10.2, and 10.12.
CHAPTER 10
442
Examples: Missing Data Modeling And Bayesian Analysis
443
CHAPTER 11
EXAMPLES: MISSING DATA
MODELING AND BAYESIAN
ANALYSIS
Mplus provides estimation of models with missing data using both
frequentist and Bayesian analysis. Descriptive statistics and graphics are
available for understanding dropout in longitudinal studies. Bayesian
analysis provides multiple imputation for missing data as well as
plausible values for latent variables.
With frequentist analysis, Mplus provides maximum likelihood
estimation under MCAR (missing completely at random), MAR (missing
at random), and NMAR (not missing at random) for continuous,
censored, binary, ordered categorical (ordinal), unordered categorical
(nominal), counts, or combinations of these variable types (Little &
Rubin, 2002). MAR means that missingness can be a function of
observed covariates and observed outcomes. For censored and
categorical outcomes using weighted least squares estimation,
missingness is allowed to be a function of the observed covariates but
not the observed outcomes. When there are no covariates in the model,
this is analogous to pairwise present analysis. Non-ignorable missing
data (NMAR) modeling is possible using maximum likelihood
estimation where categorical outcomes are indicators of missingness and
where missingness can be predicted by continuous and categorical latent
variables (Muthén, Jo, & Brown, 2003; Muthén et al., 2011). This
includes selection models, pattern-mixture models, and shared-parameter
models (see, e.g., Muthén et al., 2011). In all models, observations with
missing data on covariates are deleted because models are estimated
conditional on the covariates. Covariate missingness can be modeled if
the covariates are brought into the model and distributional assumptions
such as normality are made about them. With missing data, the standard
errors for the parameter estimates are computed using the observed
information matrix (Kenward & Molenberghs, 1998). Bootstrap
standard errors and confidence intervals are also available with missing
data.
CHAPTER 11
444
With Bayesian analysis, modeling with missing data gives
asymptotically the same results as maximum-likelihood estimation under
MAR. Multiple imputation of missing data using Bayesian analysis
(Rubin, 1987; Schafer, 1997) is also available. For an overview, see
Enders (2010). Both unrestricted H1 models and restricted H0 models
can be used for imputation. Several different algorithms are available
for H1 imputation, including sequential regression, also referred to as
chained regression, in line with Raghunathan et al. (2001); see also van
Buuren (2007). Multiple imputation of plausible values for latent
variables is provided. For applications of plausible values in the context
of Item Response Theory, see Mislevy et al. (1992) and von Davier et al.
(2009). Multiple data sets generated using multiple imputation can be
analyzed with frequentist estimators using a special feature of Mplus.
Parameter estimates are averaged over the set of analyses, and standard
errors are computed using the average of the standard errors over the set
of analyses and the between analysis parameter estimate variation
(Rubin, 1987; Schafer, 1997). A chi-square test of overall model fit is
provided with maximum-likelihood estimation (Asparouhov & Muthén,
2008c; Enders, 2010).
Following is the set of frequentist examples included in this chapter:
11.1: Growth model with missing data using a missing data
correlate
11.2: Descriptive statistics and graphics related to dropout in a
longitudinal study
11.3: Modeling with data not missing at random (NMAR) using the
Diggle-Kenward selection model*
11.4: Modeling with data not missing at random (NMAR) using a
pattern-mixture model
Following is the set of Bayesian examples included in this chapter:
11.5: Multiple imputation for a set of variables with missing values
11.6: Multiple imputation followed by the estimation of a growth
model using maximum likelihood
11.7: Multiple imputation of plausible values using Bayesian
estimation of a growth model
11.8: Multiple imputation using a two-level factor model with
categorical outcomes followed by the estimation of a growth model

Examples: Missing Data Modeling And Bayesian Analysis
445
* Example uses numerical integration in the estimation of the model.
This can be computationally demanding depending on the size of the
problem.
EXAMPLE 11.1: GROWTH MODEL WITH MISSING DATA
USING A MISSING DATA CORRELATE
TITLE: this is an example of a linear growth
model with missing data on a continuous
outcome using a missing data correlate to
improve the plausibility of MAR
DATA: FILE = ex11.1.dat;
VARIABLE: NAMES = x1 x2 y1-y4 z;
USEVARIABLES = y1-y4;
MISSING = ALL (999);
AUXILIARY = (m) z;
ANALYSIS: ESTIMATOR = ML;
MODEL: i s | y1@0 y2@1 y3@2 y4@3;
OUTPUT: TECH1;
In this example, the linear growth model at four time points with missing
data on a continuous outcome shown in the picture above is estimated
using a missing data correlate. The missing data correlate is not part of
the growth model but is used to improve the plausibility of the MAR
assumption of maximum likelihood estimation (Collins, Schafer, &
Kam, 2001; Graham, 2003; Enders, 2010). The missing data correlate is
allowed to correlate with the outcome while providing the correct

CHAPTER 11
446
number of parameters and chi-square test for the analysis model as
described in Asparouhov and Muthén (2008b).
TITLE: this is an example of a linear growth
model with missing data on a continuous
outcome using a missing data correlate to
improve the plausibility of MAR
The TITLE command is used to provide a title for the analysis. The title
is printed in the output just before the Summary of Analysis.
DATA: FILE = ex11.1.dat;
The DATA command is used to provide information about the data set
to be analyzed. The FILE option is used to specify the name of the file
that contains the data to be analyzed, ex11.1.dat. Because the data set is
in free format, the default, a FORMAT statement is not required.
VARIABLE: NAMES = x1 x2 y1-y4 z;
USEVARIABLES = y1-y4;
MISSING = ALL (999);
AUXILIARY = (m) z;
The VARIABLE command is used to provide information about the
variables in the data set to be analyzed. The NAMES option is used to
assign names to the variables in the data set. The data set in this
example contains seven variables: x1, x2, y1, y2, y3, y4, and z. Note
that the hyphen can be used as a convenience feature in order to generate
a list of names. If not all of the variables in the data set are used in the
analysis, the USEVARIABLES option can be used to select a subset of
variables for analysis. Here the variables y1, y2, y3, and y4 have been
selected for analysis. They represent the outcome measured at four
equidistant occasions. The MISSING option is used to identify the
values or symbol in the analysis data set that are treated as missing or
invalid. The keyword ALL specifies that all variables in the analysis
data set have the missing value flag of 999. The AUXILIARY option
using the m setting is used to identify a set of variables that will be used
as missing data correlates in addition to the analysis variables. In this
example, the variable z is a missing data correlate.

Examples: Missing Data Modeling And Bayesian Analysis
447
ANALYSIS: ESTIMATOR = ML;
The ANALYSIS command is used to describe the technical details of the
analysis. The ESTIMATOR option is used to specify the estimator to be
used in the analysis. By specifying ML, maximum likelihood estimation
is used.
MODEL: i s | y1@0 y2@1 y3@2 y4@3;
The MODEL command is used to describe the model to be estimated.
The | symbol is used to name and define the intercept and slope factors
in a growth model. The names i and s on the left-hand side of the |
symbol are the names of the intercept and slope growth factors,
respectively. The statement on the right-hand side of the | symbol
specifies the outcome and the time scores for the growth model. The
time scores for the slope growth factor are fixed at 0, 1, 2, and 3 to
define a linear growth model with equidistant time points. The zero time
score for the slope growth factor at time point one defines the intercept
growth factor as an initial status factor. The coefficients of the intercept
growth factor are fixed at one as part of the growth model
parameterization. The residual variances of the outcome variables are
estimated and allowed to be different across time and the residuals are
not correlated as the default.
In the parameterization of the growth model shown here, the intercepts
of the outcome variables at the four time points are fixed at zero as the
default. The means and variances of the growth factors are estimated as
the default, and the growth factor covariance is estimated as the default
because the growth factors are independent (exogenous) variables. The
default estimator for this type of analysis is maximum likelihood. The
ESTIMATOR option of the ANALYSIS command can be used to select
a different estimator.
OUTPUT: TECH1;
The OUTPUT command is used to request additional output not
included as the default. The TECH1 option is used to request the arrays
containing parameter specifications and starting values for all free
parameters in the model.

CHAPTER 11
448
EXAMPLE 11.2: DESCRIPTIVE STATISTICS AND GRAPHICS
RELATED TO DROPOUT IN A LONGITUDINAL STUDY
TITLE: this is an example of descriptive
statistics and graphics related to dropout
in a longitudinal study
DATA: FILE = ex11.2.dat;
VARIABLE: NAMES = z1-z5 y0 y1-y5;
USEVARIABLES = z1-z5 y0-y5 d1-d5;
MISSING = ALL (999);
DATA MISSING:
NAMES = y0-y5;
TYPE = DDROPOUT;
BINARY = d1-d5;
DESCRIPTIVE = y0-y5 | * z1-z5;
ANALYSIS: TYPE = BASIC;
PLOT: TYPE = PLOT2;
SERIES = y0-y5(*);
In this example, descriptive statistics and graphics related to dropout in a
longitudinal study are obtained. The descriptive statistics show the
mean and standard deviation for sets of variables related to the outcome
for those who drop out or not before the next time point. These means
are plotted to help in understanding dropout.
The DATA MISSING command is used to create a set of binary
variables that are indicators of missing data or dropout for another set of
variables. Dropout indicators can be scored as discrete-time survival
indicators or dummy dropout indicators. The NAMES option identifies
the set of variables that are used to create a set of binary variables that
are indicators of missing data. In this example, they are y0, y1, y2, y3,
y4, and y5. These variables must be variables from the NAMES
statement of the VARIABLE command. The TYPE option is used to
specify how missingness is coded. In this example, the DDROPOUT
setting specifies that binary dummy dropout indicators will be used. The
BINARY option is used to assign the names d1, d2, d3, d4, and d5 to the
new set of binary variables. There is one less dummy dropout indicator
than there are time points. The DESCRIPTIVE option is used in
conjunction with TYPE=BASIC of the ANALYSIS command and the
DDROPOUT setting to specify the sets of variables for which additional
descriptive statistics are computed. For each variable, the mean and
standard deviation are computed using all observations without missing

Examples: Missing Data Modeling And Bayesian Analysis
449
on the variable and for those who drop out or not before the next time
point.
The PLOT command is used to request graphical displays of observed
data and analysis results. These graphical displays can be viewed after
the analysis is completed using a post-processing graphics module. The
TYPE option is used to specify the types of plots that are requested. The
setting PLOT2 is used to obtain missing data plots of dropout means and
sample means. The SERIES option is used to list the names of the set of
variables to be used in plots where the values are connected by a line.
The asterisk (*) in parentheses following the variable names indicates
that the values 1, 2, 3, 4, 5, and 6 will be used on the x-axis. An
explanation of the other commands can be found in Example 11.1.
EXAMPLE 11.3: MODELING WITH DATA NOT MISSING AT
RANDOM (NMAR) USING THE DIGGLE-KENWARD
SELECTION MODEL
TITLE: this is an example of modeling with data
not missing at random (NMAR) using the
Diggle-Kenward selection model
DATA: FILE = ex11.3.dat;
VARIABLE: NAMES = z1-z5 y0 y1-y5;
USEVARIABLES = y0-y5 d1-d5;
MISSING = ALL (999);
CATEGORICAL = d1-d5;
DATA MISSING:
NAMES = y0-y5;
TYPE = SDROPOUT;
BINARY = d1-d5;
ANALYSIS: ESTIMATOR = ML;
ALGORITHM = INTEGRATION;
INTEGRATION = MONTECARLO;
PROCESSORS = 2;

CHAPTER 11
450
MODEL: i s | y0@0 y1@1 y2@2 y3@3 y4@4 y5@5;
d1 ON y0 (1)
y1 (2);
d2 ON y1 (1)
y2 (2);
d3 ON y2 (1)
y3 (2);
d4 ON y3 (1)
y4 (2);
d5 ON y4 (1)
y5 (2);
OUTPUT: TECH1;
In this example, the linear growth model at six time points with missing
data on a continuous outcome shown in the picture above is estimated.
The data are not missing at random because dropout is related to both
past and current outcomes where the current outcome is missing for
those who drop out. In the picture above, y1 through y5 are shown in
both circles and squares where circles imply that dropout has occurred
and squares imply that dropout has not occurred. The Diggle-Kenward
selection model (Diggle & Kenward, 1994) is used to jointly estimate a

Examples: Missing Data Modeling And Bayesian Analysis
451
growth model for the outcome and a discrete-time survival model for the
dropout indicators (see also Muthén et al, 2011).
In this example, the SDROPOUT setting of the TYPE option specifies
that binary discrete-time (event-history) survival dropout indicators will
be used. In the ANALYSIS command, ALGORITHM=INTEGRATION
is required because latent continuous variables corresponding to missing
data on the outcome influence the binary dropout indicators.
INTEGRATION=MONTECARLO is required because the dimensions
of integration vary across observations. In the MODEL command, the
ON statements specify the logistic regressions of a dropout indicator at a
given time point regressed on the outcome at the previous time point and
the outcome at the current time point. The outcome at the current time
point is latent, missing, for those who have dropped out since the last
time point. The logistic regression coefficients are held equal across
time. An explanation of the other commands can be found in Examples
11.1 and 11.2.
EXAMPLE 11.4: MODELING WITH DATA NOT MISSING AT
RANDOM (NMAR) USING A PATTERN-MIXTURE MODEL
TITLE: this is an example of modeling with data
not missing at random (NMAR) using a
pattern-mixture model
DATA: FILE = ex11.4.dat;
VARIABLE: NAMES = z1-z5 y0 y1-y5;
USEVARIABLES = y0-y5 d1-d5;
MISSING = ALL (999);
DATA MISSING:
NAMES = y0-y5;
TYPE = DDROPOUT;
BINARY = d1-d5;
MODEL: i s | y0@0 y1@1 y2@2 y3@3 y4@4 y5@5;
i ON d1-d5;
s ON d3-d5;
s ON d1 (1);
s ON d2 (1);
OUTPUT: TECH1;

CHAPTER 11
452
In this example, the linear growth model at six time points with missing
data on a continuous outcome shown in the picture above is estimated.
The data are not missing at random because dropout is related to both
past and current outcomes where the current outcome is missing for
those who drop out. A pattern-mixture model (Little, 1995; Hedeker &
Gibbons, 1997; Demirtas & Schafer, 2003) is used to estimate a growth
model for the outcome with binary dummy dropout indicators used as
covariates (see also Muthén et al, 2011).
The MODEL command is used to specify that the dropout indicators
influence the growth factors. The ON statements specify the linear
regressions of the intercept and slope growth factors on the dropout
indicators. The coefficient in the linear regression of s on d1 is not
identified because the outcome is observed only at the first time point for
the dropout pattern with d1 equal to one. This regression coefficient is
held equal to the linear regression of s on d2 for identification purposes.
An explanation of the other commands can be found in Examples 11.1
and 11.2.

Examples: Missing Data Modeling And Bayesian Analysis
453
EXAMPLE 11.5: MULTIPLE IMPUTATION FOR A SET OF
VARIABLES WITH MISSING VALUES
TITLE: this is an example of multiple imputation
for a set of variables with missing values
DATA: FILE = ex11.5.dat;
VARIABLE: NAMES = x1 x2 y1-y4 v1-v50 z1-z5;
USEVARIABLES = x1 x2 y1-y4 z1-z5;
AUXILIARY = v1-v10;
MISSING = ALL (999);
DATA IMPUTATION:
IMPUTE = y1-y4 x1 (c) x2;
NDATASETS = 10;
SAVE = missimp*.dat;
ANALYSIS: TYPE = BASIC;
OUTPUT: TECH8;
In this example, multiple imputation for a set of variables with missing
values is carried out using Bayesian analysis (Rubin, 1987; Schafer,
1997). The NAMES option is used to assign names to the variables in
the original data set. The variables on the USEVARIABLES list are
used to create the imputed data sets. The AUXILIARY option is used to
specify the variables that are not used in the data imputation but that will
be saved with the imputed data sets. In the DATA IMPUTATION
command, the IMPUTE option is used to specify the variables for which
missing values will be imputed. A c in parentheses following a variable
indicates that it is categorical. The NDATASETS option is used to
specify the number of imputed data sets to create. In this example, ten
imputed data sets will be created. The SAVE option is used to save the
imputed data sets for further analysis using TYPE=IMPUTATION in the
DATA command. All variables on the USEVARIABLES and
AUXILIARY lists are saved. The asterisk in the data set name is
replaced by the number of the imputation. The data sets saved are
missimp1.dat, missimp2.dat, etc. The imputed data sets will contain the
variables x1, x2, y1-y4, z1-z5, and v1-v10 in that order. The data sets
can be used in a subsequent analysis using TYPE=IMPUTATION in the
DATA command. See Example 13.13. An explanation of the other
commands can be found in Example 11.1.

CHAPTER 11
454
EXAMPLE 11.6: MULTIPLE IMPUTATION FOLLOWED BY
THE ESTIMATION OF A GROWTH MODEL USING
MAXIMUM LIKELIHOOD
TITLE: this is an example of multiple imputation
followed by the estimation of a growth
model using maximum likelihood
DATA: FILE = ex11.6.dat;
VARIABLE: NAMES = x1 y1-y4 z x2;
USEVARIABLES = y1-y4 x1 x2;
MISSING = ALL(999);
DATA IMPUTATION:
IMPUTE = y1-y4 x1 (c) x2;
NDATASETS = 10;
ANALYSIS: ESTIMATOR = ML;
MODEL: i s | y1@0 y2@1 y3@2 y4@3;
i s ON x1 x2;
OUTPUT: TECH1 TECH8;

Examples: Missing Data Modeling And Bayesian Analysis
455
In this example, multiple imputation for a set of variables with missing
values is carried out using Bayesian analysis (Rubin, 1987; Schafer,
1997). The imputed data sets are used in the estimation of the growth
model shown in the picture above using maximum likelihood estimation.
The DATA IMPUTATION command is used when a data set contains
missing values to create a set of imputed data sets using multiple
imputation methodology. Multiple imputation is carried out using
Bayesian estimation. Data are imputed using an unrestricted H1 model.
The IMPUTE option is used to specify the analysis variables for which
missing values will be imputed. In this example, missing values will be
imputed for y1, y2, y3, y4, x1, and x2. The c in parentheses after x1
specifies that x1 is treated as a categorical variable for data imputation.
The NDATASETS option is used to specify the number of imputed data
sets to create. The default is five. In this example, 10 data sets will be
imputed.
The maximum likelihood parameter estimates for the growth model are
averaged over the set of 10 analyses and standard errors are computed
using the average of the standard errors over the set of 10 analyses and
the between analysis parameter estimate variation (Rubin, 1987; Schafer,
1997). A chi-square test of overall model fit is provided (Asparouhov &
Muthén, 2008c; Enders, 2010). The ESTIMATOR option is used to
specify the estimator to be used in the analysis. By specifying ML,
maximum likelihood estimation is used. An explanation of the other
commands can be found in Examples 11.1 and 11.5.
EXAMPLE 11.7: MULTIPLE IMPUTATION OF PLAUSIBLE
VALUES USING BAYESIAN ESTIMATION OF A GROWTH
MODEL
TITLE: this is an example of multiple imputation
of plausible values generated from a
multiple indicator linear growth model for
categorical outcomes using Bayesian
estimation
DATA: FILE = ex11.7.dat;
VARIABLE: NAMES = u11 u21 u31 u12 u22 u32 u13 u23
u33;
CATEGORICAL = u11-u33;
ANALYSIS: ESTIMATOR = BAYES;

CHAPTER 11
456
PROCESSORS = 2;
MODEL: f1 BY u11
u21-u31 (1-2);
f2 BY u12
u22-u32 (1-2);
f3 BY u13
u23-u33 (1-2);
[u11$1 u12$1 u13$1] (3);
[u21$1 u22$1 u23$1] (4);
[u31$1 u32$1 u33$1] (5);
i s | f1@0 f2@1 f3@2;
DATA IMPUTATION:
NDATASETS = 20;
SAVE = ex11.7imp*.dat;
SAVEDATA: FILE = ex11.7plaus.dat;
SAVE = FSCORES (20);
FACTORS = f1-f3 i s;
SAVE = LRESPONSES (20);
LRESPONSES = u11-u33;
OUTPUT: TECH1 TECH8;
In this example, plausible values (Mislevy et al., 1992; von Davier et al.,
2009) are obtained by multiple imputation (Rubin, 1987; Schafer, 1997)
based on a multiple indicator linear growth model for categorical
outcomes shown in the picture above using Bayesian estimation. The
Examples: Missing Data Modeling And Bayesian Analysis
457
plausible values in the multiple imputation data sets can be used for
subsequent analysis.
The ANALYSIS command is used to describe the technical details of the
analysis. The ESTIMATOR option is used to specify the estimator to be
used in the analysis. By specifying BAYES, Bayesian estimation is used
to estimate the model. The DATA IMPUTATION command is used
when a data set contains missing values to create a set of imputed data
sets using multiple imputation methodology. Multiple imputation is
carried out using Bayesian estimation. When a MODEL command is
used with ESTIMATOR=BAYES, data are imputed using the H0 model
specified in the MODEL command. The IMPUTE option is used to
specify the analysis variables for which missing values will be imputed.
When the IMPUTE option is not used, no imputation of missing data for
the analysis variables is done.
In the DATA IMPUTATION command, the NDATASETS option is
used to specify the number of imputed data sets to create. The default is
five. In this example, 20 data sets will be imputed to more fully
represent the variability in the latent variables. The SAVE option is
used to save the imputed data sets for subsequent analysis. The asterisk
(*) is replaced by the number of the imputed data set. A file is also
produced that contains the names of all of the data sets. To name this
file, the asterisk (*) is replaced by the word list. In this example, the file
is called ex11.7implist.dat. The multiple imputation data sets named
using the SAVE option contain the imputed values for each observation
for the observed variables u11 through u33; the continuous latent
response variables u11* through u33* for the categorical outcomes u11
through u33; and the factor scores for the latent variables f1, f2, f3, i,
and s.
In the SAVEDATA command, the FILE option is used to specify the
name of the ASCII file in which the individual-level data used in the
analysis will be saved. In this example, the file is called
ex11.7plaus.dat. When SAVE=FSCORES is used with
ESTIMATOR=BAYES, a distribution of factor scores, called plausible
values, is obtained for each observation. The following summaries are
saved along with the other analysis variables: mean, median, standard
deviation, lower 2.5% limit, and upper 97.5% limit. The number 20 in
parentheses is the number of imputations or draws that are used from the
Bayesian posterior distribution to compute the plausible value

CHAPTER 11
458
distribution for each observation. The FACTORS option is used to
specify the names of the factors for which the plausible value
distributions will also be saved. In this example, the plausible value
distributions will be saved for f1, f2, f3, i, and s.
When SAVE=LRESPONSES is used with ESTIMATOR=BAYES, a
distribution of latent response variable scores is obtained for each
observation. The following summaries are saved along with the other
analysis variables: mean, median, standard deviation, lower 2.5% limit,
and upper 97.5% limit. The number 20 in parentheses is the number of
imputations or draws that are used from the Bayesian posterior
distribution to compute the latent response variable distribution for each
observation. The LRESPONSES option is used to specify the names of
the latent response variables underlying categorical outcomes for which
the latent response variable distributions will also be saved. In this
example, the latent response variable distributions will be saved for u11
through u33. An explanation of the other commands can be found in
Examples 11.1 and 11.2.
EXAMPLE 11.8: MULTIPLE IMPUTATION USING A TWO-
LEVEL FACTOR MODEL WITH CATEGORICAL OUTCOMES
FOLLOWED BY THE ESTIMATION OF A GROWTH MODEL
TITLE: this is an example of multiple imputation
using a two-level factor model with
categorical outcomes
DATA: FILE = ex11.8.dat;
VARIABLE: NAMES are u11 u21 u31 u12 u22 u32 u13 u23
u33 clus;
CATEGORICAL = u11-u33;
CLUSTER = clus;
MISSING = ALL (999);
ANALYSIS: TYPE = TWOLEVEL;
ESTIMATOR = BAYES;
PROCESSORS = 2;

Examples: Missing Data Modeling And Bayesian Analysis
459
MODEL: %WITHIN%
f1w BY u11
u21 (1)
u31 (2);
f2w BY u12
u22 (1)
u32 (2);
f3w BY u13
u23 (1)
u33 (2);
%BETWEEN%
fb BY u11-u33*1;
fb@1;
DATA IMPUTATION:
IMPUTE = u11-u33(c);
SAVE = ex11.8imp*.dat;
OUTPUT: TECH1 TECH8;
CHAPTER 11
460
In this example, missing values are imputed for a set of variables using
multiple imputation (Rubin, 1987; Schafer, 1997). In the first part of
this example, imputation is done using the two-level factor model with
categorical outcomes shown in the picture above. In the second part of
this example, the multiple imputation data sets are used for a two-level
multiple indicator growth model with categorical outcomes using two-
level weighted least squares estimation.
The ANALYSIS command is used to describe the technical details of the
analysis. The TYPE option is used to describe the type of analysis. By
selecting TWOLEVEL, a multilevel model with random intercepts is
estimated. The ESTIMATOR option is used to specify the estimator to
be used in the analysis. By specifying BAYES, Bayesian estimation is
used to estimate the model. The DATA IMPUTATION command is
used when a data set contains missing values to create a set of imputed
data sets using multiple imputation methodology. Multiple imputation is
carried out using Bayesian estimation. When a MODEL command is
used, data are imputed using the H0 model specified in the MODEL
command. The IMPUTE option is used to specify the analysis variables
for which missing values will be imputed. In this example, missing
values will be imputed for u11, u21, u31, u12, u22, u32, u13, u23, and
u33. The c in parentheses after the list of variables specifies that they
are treated as categorical variables for data imputation. An explanation
of the other commands can be found in Examples 11.1, 11.2, and 11.5.

Examples: Missing Data Modeling And Bayesian Analysis
461
TITLE: this is an example of a two-level multiple
indicator growth model with categorical
outcomes using multiple imputation data
DATA: FILE = ex11.8implist.dat;
TYPE = IMPUTATION;
VARIABLE: NAMES are u11 u21 u31 u12 u22 u32 u13 u23
u33 clus;
CATEGORICAL = u11-u33;
CLUSTER = clus;
ANALYSIS: TYPE = TWOLEVEL;
ESTIMATOR = WLSMV;
PROCESSORS = 2;
MODEL: %WITHIN%
f1w BY u11
u21 (1)
u31 (2);
f2w BY u12
u22 (1)
u32 (2);
f3w BY u13
u23 (1)
u33 (2);
iw sw | f1w@0 f2w@1 f3w@2;
%BETWEEN%
f1b BY u11
u21 (1)
u31 (2);
f2b BY u12
u22 (1)
u32 (2);
f3b BY u13
u23 (1)
u33 (2);
[u11$1 u12$1 u13$1] (3);
[u21$1 u22$1 u23$1] (4);
[u31$1 u32$1 u33$1] (5);
u11-u33;
ib sb | f1b@0 f2b@1 f3b@2;
[f1b-f3b@0 ib@0 sb];
f1b-f3b (6);
OUTPUT: TECH1 TECH8;
SAVEDATA: SWMATRIX = ex11.8sw*.dat;

CHAPTER 11
462
In the second part of this example, the data sets saved in the first part of
the example are used in the estimation of a two-level multiple indicator
growth model with categorical outcomes. The model is the same as in
Example 9.15. The two-level weighted least squares estimator described
in Asparouhov and Muthén (2007) is used in this example. This
estimator does not handle missing data using MAR. By doing Bayesian
multiple imputation as a first step, this disadvantage is avoided given
that there is no missing data for the weighted least squares analysis. To
save computational time in subsequent analyses, the two-level weighted
least squares sample statistics and weight matrix for each of the imputed
data sets are saved.
Examples: Missing Data Modeling And Bayesian Analysis
463
The ANALYSIS command is used to describe the technical details of the
analysis. The TYPE option is used to describe the type of analysis. By
selecting TWOLEVEL, a multilevel model with random intercepts is
estimated. The ESTIMATOR option is used to specify the estimator to
be used in the analysis. By specifying WLSMV, a robust weighted least
squares estimator is used. The SAVEDATA command is used to save
the analysis data, auxiliary variables, and a variety of analysis results.
The SWMATRIX option is used with TYPE=TWOLEVEL and
weighted least squares estimation to specify the name of the ASCII file
in which the within- and between-level sample statistics and their
corresponding estimated asymptotic covariance matrix will be saved. In
this example, the files are called ex11.8sw*.dat where the asterisk (*) is
replaced by the number of the imputed data set. A file is also produced
that contains the names of all of the imputed data sets. To name this file,
the asterisk (*) is replaced by the word list. The file, in this case
ex11.8swlist.dat, contains the names of the imputed data sets.
To use the saved within- and between-level sample statistics and their
corresponding estimated asymptotic covariance matrix for each
imputation in a subsequent analysis, specify:
DATA:
FILE = ex11.8implist.dat;
TYPE = IMPUTATION;
SWMATRIX = ex11.8swlist.dat;
An explanation of the other commands can be found in Examples 9.15,
11.1, 11.2, and 11.5.
CHAPTER 11
464
Examples: Monte Carlo Simulation Studies
465
CHAPTER 12
EXAMPLES: MONTE CARLO
SIMULATION STUDIES
Monte Carlo simulation studies are often used for methodological
investigations of the performance of statistical estimators under various
conditions. They can also be used to decide on the sample size needed
for a study and to determine power (Muthén & Muthén, 2002). Monte
Carlo studies are sometimes referred to as simulation studies.
Mplus has extensive Monte Carlo simulation facilities for both data
generation and data analysis. Several types of data can be generated:
simple random samples, clustered (multilevel) data, missing data, and
data from populations that are observed (multiple groups) or unobserved
(latent classes). Data generation models can include random effects,
interactions between continuous latent variables, interactions between
continuous latent variables and observed variables, and between
categorical latent variables. Dependent variables can be continuous,
censored, binary, ordered categorical (ordinal), unordered categorical
(nominal), counts, or combinations of these variable types. In addition,
two-part (semicontinuous) variables and time-to-event variables can be
generated. Independent variables can be binary or continuous. All or
some of the Monte Carlo generated data sets can be saved.
The analysis model can be different from the data generation model. For
example, variables can be generated as categorical and analyzed as
continuous or data can be generated as a three-class model and analyzed
as a two-class model. In some situations, a special external Monte Carlo
feature is needed to generate data by one model and analyze it by a
different model. For example, variables can be generated using a
clustered design and analyzed ignoring the clustering. Data generated
outside of Mplus can also be analyzed using this special Monte Carlo
feature.
Other special features that can be used with Monte Carlo simulation
studies include saving parameter estimates from the analysis of real data
to be used as population parameter and/or coverage values for data
generation in a Monte Carlo simulation study. In addition, analysis
results from each replication of a Monte Carlo simulation study can be
CHAPTER 12
466
saved in an external file for further investigation. Chapter 19 discusses
the options of the MONTECARLO command.
Monte Carlo data generation can include the following special features:
Single or multiple group analysis for non-mixture models
Missing data
Complex survey data
Latent variable interactions and non-linear factor analysis using
maximum likelihood
Random slopes
Individually-varying times of observations
Linear and non-linear parameter constraints
Indirect effects including specific paths
Maximum likelihood estimation for all outcome types
Wald chi-square test of parameter equalities
Analysis with between-level categorical latent variables
Multiple group data generation is specified by using the NGROUPS
option of the MONTECARLO command and the MODEL
POPULATION-label command. Missing data generation is specified by
using the PATMISS and PATPROBS options of the MONTECARLO
command or the MISSING option of the MONTECARLO command in
conjunction with the MODEL MISSING command. Complex survey
data are generated by using the TYPE=TWOLEVEL option of the
ANALYSIS command in conjunction with the NCSIZES and CSIZES
options of the MONTECARLO command. Latent variable interactions
are generated by using the | symbol of the MODEL POPULATION
command in conjunction with the XWITH option of the MODEL
POPULATION command. Random slopes are generated by using the |
symbol of the MODEL POPULATION command in conjunction with
the ON option of the MODEL POPULATION command. Individually-
varying times of observations are generated by using the | symbol of the
MODEL POPULATION command in conjunction with the AT option of
the MODEL POPULATION command and the TSCORES option of the
MONTECARLO command. Linear and non-linear parameter constraints
are specified by using the MODEL CONSTRAINT command. Indirect
effects are specified by using the MODEL INDIRECT command.
Maximum likelihood estimation is specified by using the ESTIMATOR
option of the ANALYSIS command. The MODEL TEST command is
used to test linear restrictions on the parameters in the MODEL and
Examples: Monte Carlo Simulation Studies
467
MODEL CONSTRAINT commands using the Wald chi-square test.
Between-level categorical latent variables are generated using the
GENCLASSES option and specified using the CLASSES and
BETWEEN options.
Besides the examples in this chapter, Monte Carlo versions of most of
the examples in the previous example chapters are included on the CD
that contains the Mplus program and at www.statmodel.com. Following
is the set of Monte Carlo examples included in this chapter:
12.1: Monte Carlo simulation study for a CFA with covariates
(MIMIC) with continuous factor indicators and patterns of missing
data
12.2: Monte Carlo simulation study for a linear growth model for a
continuous outcome with missing data where attrition is predicted by
time-invariant covariates (MAR)
12.3: Monte Carlo simulation study for a growth mixture model
with two classes and a misspecified model
12.4: Monte Carlo simulation study for a two-level growth model
for a continuous outcome (three-level analysis)
12.5: Monte Carlo simulation study for an exploratory factor
analysis with continuous factor indicators
12.6 Step 1: Monte Carlo simulation study where clustered data for a
two-level growth model for a continuous outcome (three-level
analysis) are generated, analyzed, and saved
12.6 Step 2: External Monte Carlo analysis of clustered data
generated for a two-level growth model for a continuous outcome
using TYPE=COMPLEX for a single-level growth model
12.7 Step 1: Real data analysis of a CFA with covariates (MIMIC)
for continuous factor indicators where the parameter estimates are
saved for use in a Monte Carlo simulation study
12.7 Step 2: Monte Carlo simulation study where parameter
estimates saved from a real data analysis are used for population
parameter values for data generation and coverage
12.8: Monte Carlo simulation study for discrete-time survival
analysis*
12.9: Monte Carlo simulation study for a two-part (semicontinuous)
growth model for a continuous outcome*
12.10: Monte Carlo simulation study for a two-level continuous-time
survival analysis using Cox regression with a random intercept and a
frailty*

CHAPTER 12
468
12.11: Monte Carlo simulation study for a two-level mediation
model with random slopes
12.12 Monte Carlo simulation study for a multiple group EFA with
continuous factor indicators with measurement invariance of
intercepts and factor loadings
* Example uses numerical integration in the estimation of the model.
This can be computationally demanding depending on the size of the
problem.
MONTE CARLO DATA GENERATION
Data are generated according to the following steps. First, multivariate
normal data are generated for the independent variables in the model.
Second, the independent variables are categorized if requested. The
third step varies depending on the dependent variable type and the model
used. Data for continuous dependent variables are generated according
to a distribution that is multivariate normal conditional on the
independent variables. For categorical dependent variables under the
probit model using weighted least squares estimation, data for
continuous dependent variables are generated according to a distribution
that is multivariate normal conditional on the independent variables.
These dependent variables are then categorized using the thresholds
provided in the MODEL POPULATION command or the
POPULATION option of the MONTECARLO command. For
categorical dependent variables under the probit model using maximum
likelihood estimation, the dependent variables are generated according to
the probit model using the values of the thresholds and slopes from the
MODEL POPULATION command or the POPULATION option of the
MONTECARLO command. For categorical dependent variables under
the logistic model using maximum likelihood estimation, the dependent
variables are generated according to the logistic model using the values
of the thresholds and slopes from the MODEL POPULATION command
or the POPULATION option of the MONTECARLO command. For
censored dependent variables, the dependent variables are generated
according to the censored normal model using the values of the
intercepts and slopes from the MODEL POPULATION command or the
POPULATION option of the MONTECARLO command. For
unordered categorical (nominal) dependent variables, the dependent
variables are generated according to the multinomial logistic model
using the values of the intercepts and slopes from the MODEL

Examples: Monte Carlo Simulation Studies
469
POPULATION command or the POPULATION option of the
MONTECARLO command. For count dependent variables, the
dependent variables are generated according to the log rate model using
the values of the intercepts and slopes from the MODEL POPULATION
command or the POPULATION option of the MONTECARLO
command. For time-to-event variables in continuous-time survival
analysis, the dependent variables are generated according to the loglinear
model using the values of the intercepts and slopes from the MODEL
POPULATION command or the POPULATION option of the
MONTECARLO command.
To save the generated data for subsequent analysis without analyzing
them, use the TYPE=BASIC option of the ANALYSIS command in
conjunction with the REPSAVE and SAVE options of the
MONTECARLO command.
MONTE CARLO DATA ANALYSIS
There are two ways to carry out a Monte Carlo simulation study in
Mplus: an internal Monte Carlo simulation study or an external Monte
Carlo simulation study. In an internal Monte Carlo simulation study,
data are generated and analyzed in one step using the MONTECARLO
command. In an external Monte Carlo simulation study, multiple data
sets are generated in a first step using either Mplus or another computer
program. These data are analyzed and the results summarized in a
second step using regular Mplus analysis facilities in conjunction with
the TYPE=MONTECARLO option of the DATA command.
Internal Monte Carlo can be used whenever the analysis type and scales
of the dependent variables remain the same for both data generation and
analysis. Internal Monte Carlo can also be used with TYPE=GENERAL
when dependent variables are generated as categorical and analyzed as
continuous. Internal Monte Carlo can also be used when data are
generated and analyzed for a different number of latent classes. In all
other cases, data from all replications can be saved and subsequently
analyzed using external Monte Carlo.

CHAPTER 12
470
MONTE CARLO OUTPUT
The default output for the MONTECARLO command includes a listing
of the input setup, a summary of the analysis specifications, sample
statistics from the first replication, the analysis results summarized over
replications, and TECH1 which shows the free parameters in the model
and the starting values. Following is an example of the output for tests
of model fit for the chi-square test statistic. The same format is used
with other fit statistics.
Chi-Square Test of Model Fit
Degrees of freedom 5
Mean 5.253
Std Dev 3.325
Number of successful computations 500
Proportions Percentiles
Expected Observed Expected Observed
0.990 0.988 0.554 0.372
0.980 0.976 0.752 0.727
0.950 0.958 1.145 1.193
0.900 0.894 1.610 1.539
0.800 0.804 2.343 2.367
0.700 0.710 3.000 3.090
0.500 0.532 4.351 4.555
0.300 0.330 6.064 6.480
0.200 0.242 7.289 7.870
0.100 0.136 9.236 9.950
0.050 0.062 11.070 11.576
0.020 0.022 13.388 13.394
0.010 0.014 15.086 15.146
The mean and standard deviation of the chi-square test statistic over the
replications of the Monte Carlo analysis are given. The column labeled
Proportions Expected (column 1) should be understood in conjunction
with the column labeled Percentiles Expected (column 3). Each value in
column 1 gives the probability of observing a chi-square value greater
than the corresponding value in column 3. The column 3 percentile
values are determined from a chi-square distribution with the degrees of
freedom given by the model, in this case 5. In this output, the column 1
value of 0.05 gives the probability that the chi-square value exceeds the
column 3 percentile value (the critical value of the chi-square
distribution) of 11.070. Columns 2 and 4 give the corresponding values
observed in the Monte Carlo replications. Column 2 gives the
proportion of replications for which the critical value is exceeded, which
Examples: Monte Carlo Simulation Studies
471
in this example is 0.062, close to the expected value 0.05 which
indicates that the chi-square distribution is well approximated in this
case. The column 4 value of 11.576 is the chi-square value at this
percentile from the Monte Carlo analysis that has 5% of the values in the
replications above it. The fact that it deviates little from the theoretical
value of 11.070 is again an indication that the chi-square distribution is
well approximated in this case. For the other fit statistics, the normal
distribution is used to obtain the critical values of the test statistic.
The summary of the analysis results includes the population value for
each parameter, the average of the parameter estimates across
replications, the standard deviation of the parameter estimates across
replications, the average of the estimated standard errors across
replications, the mean square error for each parameter (M.S.E.), 95
percent coverage, and the proportion of replications for which the null
hypothesis that a parameter is equal to zero is rejected at the .05 level.
MODEL RESULTS
ESTIMATES S. E. M. S. E. 95% % Sig
Population Average Std. Dev. Average Cover Coeff
I |
Y1 1.000 1.0000 0.0000 0.0000 0.0000 1.000 0.000
Y2 1.000 1.0000 0.0000 0.0000 0.0000 1.000 0.000
Y3 1.000 1.0000 0.0000 0.0000 0.0000 1.000 0.000
Y4 1.000 1.0000 0.0000 0.0000 0.0000 1.000 0.000
S |
Y1 0.000 0.0000 0.0000 0.0000 0.0000 1.000 0.000
Y2 1.000 1.0000 0.0000 0.0000 0.0000 1.000 0.000
Y3 2.000 2.0000 0.0000 0.0000 0.0000 1.000 0.000
Y4 3.000 3.0000 0.0000 0.0000 0.0000 1.000 0.000
I WITH
S 0.000 0.0006 0.0301 0.0306 0.0009 0.958 0.042
Means
I 0.000 -0.0006 0.0473 0.0460 0.0022 0.950 0.050
S 0.200 0.2015 0.0278 0.0274 0.0008 0.946 1.000
Variances
I 0.500 0.4969 0.0704 0.0685 0.0050 0.936 1.000
S 0.200 0.1997 0.0250 0.0237 0.0006 0.930 1.000
Residual Variances
Y1 0.500 0.5016 0.0683 0.0657 0.0047 0.934 1.000
Y2 0.500 0.5018 0.0460 0.0451 0.0021 0.958 1.000
Y3 0.500 0.5025 0.0515 0.0532 0.0027 0.956 1.000
Y4 0.500 0.4991 0.0932 0.0918 0.0087 0.946 1.000
CHAPTER 12
472
The column labeled Population gives the population parameter values
that are given in the MODEL command, the MODEL COVERAGE
command, or using the COVERAGE option of the MONTECARLO
command. The column labeled Average gives the average of the
parameter estimates across the replications of the Monte Carlo
simulation study. These two values are used to evaluate parameter bias.
To determine the percentage of parameter bias, subtract the population
parameter value from the average parameter value, divide this number by
the population parameter value, and multiply by 100. The parameter
bias for the variance of i would be
100 (.4969 - .5000) / .5000 = -0.62.
This results in a bias of -0.62 percent.
The column labeled Std. Dev. gives the standard deviation of the
parameter estimates across the replications of the Monte Carlo
simulation study. When the number of replications is large, this is
considered to be the population standard error. The column labeled S.E.
Average gives the average of the estimated standard errors across
replications of the Monte Carlo simulation study. To determine standard
error bias, subtract the population standard error value from the average
standard error value, divide this number by the population standard error
value, and multiply by 100.
The column labeled M.S.E. gives the mean square error for each
parameter. M.S.E. is equal to the variance of the estimates across the
replications plus the square of the bias. For example, the M.S.E. for the
variance of i is equal to 0.0704 squared plus (0.4969 - 0.5) squared
which is equal to 0.00497 or 0.0050. The column labeled 95% Cover
gives the proportion of replications for which the 95% confidence
interval contains the population parameter value. This gives the
coverage which indicates how well the parameters and their standard
errors are estimated. In this output, all coverage values are close to the
correct value of 0.95.
The column labeled % Sig Coeff gives the proportion of replications for
which the null hypothesis that a parameter is equal to zero is rejected at
the .05 level (two-tailed test with a critical value of 1.96). The statistical
test is the ratio of the parameter estimate to its standard error, an
approximately normally distributed quantity (z-score) in large samples.

Examples: Monte Carlo Simulation Studies
473
For parameters with population values different from zero, this value is
an estimate of power with respect to a single parameter, that is, the
probability of rejecting the null hypothesis when it is false. For
parameters with population values equal to zero, this value is an estimate
of Type I error, that is, the probability of rejecting the null hypothesis
when it is true. In this output, the power to reject that the slope growth
factor mean is zero is estimated as 1.000, that is, exceeding the standard
of 0.8 power.
MONTE CARLO EXAMPLES
Following is the set of Monte Carlo simulation study examples. Besides
the examples in this chapter, Monte Carlo versions of most of the
examples in the previous example chapters are included on the CD that
contains the Mplus program and at www.statmodel.com.

CHAPTER 12
474
EXAMPLE 12.1: MONTE CARLO SIMULATION STUDY FOR
A CFA WITH COVARIATES (MIMIC) WITH CONTINUOUS
FACTOR INDICATORS AND PATTERNS OF MISSING DATA
TITLE: this is an example of a Monte Carlo
simulation study for a CFA with covariates
(MIMIC) with continuous factor indicators
and patterns of missing data
MONTECARLO:
NAMES ARE y1-y4 x1 x2;
NOBSERVATIONS = 500;
NREPS = 500;
SEED = 4533;
CUTPOINTS = x2(1);
PATMISS = y1(.1) y2(.2) y3(.3) y4(1) |
y1(1) y2(.1) y3(.2) y4(.3);
PATPROBS = .4 | .6;
MODEL POPULATION:
[x1-x2@0];
x1-x2@1;
f BY y1@1 y2-y4*1;
f*.5;
y1-y4*.5;
f ON x1*1 x2*.3;
MODEL: f BY y1@1 y2-y4*1;
f*.5;
y1-y4*.5;
f ON x1*1 x2*.3;
OUTPUT: TECH9;
In this example, data are generated and analyzed according to the CFA
with covariates (MIMIC) model described in Example 5.8. Two factors
are regressed on two covariates and data are generated with patterns of
missing data.
TITLE: this is an example of a Monte Carlo
simulation study for a CFA with covariates
(MIMIC) with continuous factor indicators
and patterns of missing data
The TITLE command is used to provide a title for the output. The title
is printed in the output just before the Summary of Analysis.

Examples: Monte Carlo Simulation Studies
475
MONTECARLO:
NAMES ARE y1-y4 x1 x2;
NOBSERVATIONS = 500;
NREPS = 500;
SEED = 4533;
CUTPOINTS = x2(1);
PATMISS = y1(.1) y2(.2) y3(.3) y4(1) |
y1(1) y2(.1) y3(.2) y4(.3);
PATPROBS = .4 | .6;
The MONTECARLO command is used to describe the details of a
Monte Carlo simulation study. The NAMES option is used to assign
names to the variables in the generated data sets. The data sets in this
example each have six variables: y1, y2, y3, y4, x1, and x2. Note that a
hyphen can be used as a convenience feature in order to generate a list of
names. The NOBSERVATIONS option is used to specify the sample
size to be used for data generation and for analysis. In this example, the
sample size is 500. The NREPS option is used to specify the number of
replications, that is, the number of samples to draw from a specified
population. In this example, 500 samples will be drawn. The SEED
option is used to specify the seed to be used for the random draws. The
seed 4533 is used here. The default seed value is zero.
The GENERATE option is used to specify the scale of the dependent
variables for data generation. In this example, the dependent variables
are continuous which is the default for the GENERATE option.
Therefore, the GENERATE option is not necessary and is not used here.
The CUTPOINTS option is used to create binary variables from the
multivariate normal independent variables generated by the program. In
this example, the variable x2 is cut at the value of one which is one
standard deviation above the mean because the mean and variance used
for data generation are zero and one. This implies that after the cut x2 is
a 0/1 binary variable where 16 percent of the population have the value
of 1. The mean and variance of x2 for data generation are specified in
the MODEL POPULATION command.
The PATMISS and PATPROBS options are used together to describe
the patterns of missing data to be used in data generation. The
PATMISS option is used to specify the missing data patterns and the
proportion missing for each variable. The patterns are separated using
the | symbol. The PATPROBS option is used to specify the proportion
of individuals for each missing data pattern. In this example, there are
two missing value patterns. In the first pattern, y1 has 10 percent

CHAPTER 12
476
missing, y2 has 20 percent missing, y3 has 30 percent missing, and y4
has 100 percent missing. In the second pattern, y1 has 100 percent
missing, y2 has 10 percent missing, y3 has 20 percent missing, and y4
has 30 percent missing. As specified in the PATPROBS option, 40
percent of the individuals in the generated data have missing data pattern
1 and 60 percent have missing data pattern 2. This may correspond to a
situation of planned missingness where a measurement instrument is
administered in two different versions given to randomly chosen parts of
the population. In this example, some individuals answer items y1, y2,
and y3, while others answer y2, y3, and y4.
MODEL POPULATION:
[x1-x2@0];
x1-x2@1;
f BY y1@1 y2-y4*1;
f*.5;
y1-y4*.5;
f ON x1*1 x2*.3;
The MODEL POPULATION command is used to provide the
population parameter values to be used in data generation. Each
parameter in the model must be specified followed by the @ symbol or
the asterisk (*) and the population parameter value. Any model
parameter not given a population parameter value will be assigned the
value of zero as the population parameter value. The first two lines in
the MODEL POPULATION command refer to the means and variances
of the independent variables x1 and x2. The covariances between the
independent variables can also be specified. Variances of the
independent variables in the model must be specified. Means and
covariances of the independent variables do not need to be specified if
their values are zero.
MODEL: f BY y1@1 y2-y4*1;
f*.5;
y1-y4*.5;
f ON x1*1 x2*.3;
The MODEL command is used to describe the analysis model as in
regular analyses. In Monte Carlo simulation studies, the MODEL
command is also used to provide values for each parameter that are used
as population parameter values for computing coverage and mean square
error and starting values in the estimation of the model. They are printed
in the first column of the output labeled Population. Population

Examples: Monte Carlo Simulation Studies
477
parameter values for the analysis model can also be provided using the
MODEL COVERAGE command or the COVERAGE option of the
MONTECARLO command. Alternate starting values can be provided
using the STARTING option of the MONTECARLO command. Note
that the population parameter values for coverage given in the analysis
model are different from the population parameter values used for data
generation if the analysis model is misspecified.
OUTPUT: TECH9;
The OUTPUT command is used to request additional output not
included as the default. The TECH9 option is used to request error
messages related to convergence for each replication of the Monte Carlo
simulation study.
EXAMPLE 12.2: MONTE CARLO SIMULATION STUDY FOR
A LINEAR GROWTH MODEL FOR A CONTINUOUS
OUTCOME WITH MISSING DATA WHERE ATTRITION IS
PREDICTED BY TIME-INVARIANT COVARIATES (MAR)
TITLE: this is an example of a Monte Carlo
simulation study for a linear growth model
for a continuous outcome with missing data
where attrition is predicted by time-
invariant covariates (MAR)
MONTECARLO:
NAMES ARE y1-y4 x1 x2;
NOBSERVATIONS = 500;
NREPS = 500;
SEED = 4533;
CUTPOINTS = x2(1);
MISSING = y1-y4;
MODEL POPULATION:
x1-x2@1;
[x1-x2@0];
i s | y1@0 y2@1 y3@2 y4@3;
[i*1 s*2];
i*1; s*.2; i WITH s*.1;
y1-y4*.5;
i ON x1*1 x2*.5;
s ON x1*.4 x2*.25;

CHAPTER 12
478
MODEL MISSING:
[y1-y4@-1];
y1 ON x1*.4 x2*.2;
y2 ON x1*.8 x2*.4;
y3 ON x1*1.6 x2*.8;
y4 ON x1*3.2 x2*1.6;
MODEL: i s | y1@0 y2@1 y3@2 y4@3;
[i*1 s*2];
i*1; s*.2; i WITH s*.1;
y1-y4*.5;
i ON x1*1 x2*.5;
s ON x1*.4 x2*.25;
OUTPUT: TECH9;
In this example, missing data are generated to illustrate both random
missingness and attrition predicted by time-invariant covariates (MAR).
This Monte Carlo simulation study can be used to estimate the power to
detect that the binary covariate x2 has a significant effect on the growth
slope factor s. The binary covariate x2 may correspond to a treatment
variable or a gender variable.
The MISSING option in the MONTECARLO command is used to
identify the dependent variables in the data generation model for which
missing data will be generated. The MODEL MISSING command is
used to provide information about the population parameter values for
the missing data model to be used in the generation of data. The
MODEL MISSING command specifies a logistic regression model for a
set of binary dependent variables that represent not missing (scored as 0)
and missing (scored as 1) for the dependent variables in the data
generation model. The first statement in the MODEL MISSING
command defines the intercepts in the logistic regressions for each of the
binary dependent variables. If the covariates predicting missingness all
have values of zero, the logistic regression intercept value of -1
corresponds to a probability of 0.27 of having missing data on the
dependent variables. This would reflect missing completely at random.
The four ON statements specify the logistic regression of the four binary
dependent variables on the two covariates x1 and x2 to reflect attrition
predicted by the covariates. Because the values of the logistic regression
slopes increase over time as seen in the increase of the slopes from y1 to
y4, attrition also increases over time and becomes more selective over
time. An explanation of the other commands can be found in Example
12.1.

Examples: Monte Carlo Simulation Studies
479
EXAMPLE 12.3: MONTE CARLO SIMULATION STUDY FOR
A GROWTH MIXTURE MODEL WITH TWO CLASSES AND A
MISSPECIFIED MODEL
TITLE: this is an example of a Monte Carlo
simulation study for a growth mixture
model with two classes and a misspecified
model
MONTECARLO:
NAMES ARE u y1-y4 x;
NOBSERVATIONS = 500;
NREPS = 10;
SEED = 53487;
GENERATE = u (1);
CATEGORICAL = u;
GENCLASSES = c (2);
CLASSES = c (1);
MODEL POPULATION:
%OVERALL%
[x@0];
x@1;
i s | y1@0 y2@1 y3@2 y4@3;
i*.25 s*.04;
i WITH s*0;
y1*.4 y2*.35 y3*.3 y4*.25;
i ON x*.5;
s ON x*.1;
c#1 ON x*.2;
[c#1*0];
%c#1%
[u$1*1 i*3 s*.5];
%c#2%
[u$1*-1 i*1 s*0];

CHAPTER 12
480
ANALYSIS: TYPE = MIXTURE;
MODEL:
%OVERALL%
i s | y1@0 y2@1 y3@2 y4@3;
i*.25 s*.04;
i WITH s*0;
y1*.4 y2*.35 y3*.3 y4*.25;
i ON x*.5;
s ON x*.1;
! c#1 ON x*.2;
! [c#1*0];
u ON x;
%c#1%
[u$1*1 i*3 s*.5];
! %c#2%
! [u$1*-1 i*1 s*0];
OUTPUT: TECH9;
In this example, data are generated according the two class model
described in Example 8.1 and analyzed as a one class model. This
results in a misspecified model. Differences between the parameter
values that generated the data and the estimated parameters can be
studied to determine the extent of the distortion.
The GENERATE option is used to specify the scale of the dependent
variables for data generation. In this example, the dependent variable u
is binary because it has one threshold. For binary variables, this is
specified by placing the number one in parenthesis following the
variable name. The CATEGORICAL option is used to specify which
dependent variables are treated as binary or ordered categorical (ordinal)
variables in the model and its estimation. In the example above, the
variable u is generated and analyzed as a binary variable. The
GENCLASSES option is used to assign names to the categorical latent
variables in the data generation model and to specify the number of
latent classes to be used for data generation. In the example above, there
is one categorical latent variable c that has two latent classes for data
generation. The CLASSES option is used to assign names to the
categorical latent variables in the analysis model and to specify the
number of latent classes to be used for analysis. In the example above,
there is one categorical latent variable c that has one latent class for
analysis. The ANALYSIS command is used to describe the technical
details of the analysis. The TYPE option is used to describe the type of
analysis that is to be performed. By selecting MIXTURE, a mixture
model will be estimated.

Examples: Monte Carlo Simulation Studies
481
The commented out lines in the MODEL command show how the
MODEL command is changed from a two class model to a one class
model. An explanation of the other commands can be found in
Examples 12.1 and 8.1.
EXAMPLE 12.4: MONTE CARLO SIMULATION STUDY FOR
A TWO-LEVEL GROWTH MODEL FOR A CONTINUOUS
OUTCOME (THREE-LEVEL ANALYSIS)
TITLE: this is an example of a Monte Carlo
simulation study for a two-level growth
model for a continuous outcome (three-
level analysis)
MONTECARLO:
NAMES ARE y1-y4 x w;
NOBSERVATIONS = 1000;
NREPS = 500;
SEED = 58459;
CUTPOINTS = x (1) w (0);
MISSING = y1-y4;
NCSIZES = 3;
CSIZES = 40 (5) 50 (10) 20 (15);
WITHIN = x;
BETWEEN = w;
MODEL POPULATION:
%WITHIN%
x@1;
iw sw | y1@0 y2@1 y3@2 y4@3;
y1-y4*.5;
iw ON x*1;
sw ON x*.25;
iw*1; sw*.2;
%BETWEEN%
w@1;
ib sb | y1@0 y2@1 y3@2 y4@3;
y1-y4@0;
ib ON w*.5;
sb ON w*.25;
[ib*1 sb*.5];
ib*.2; sb*.1;

CHAPTER 12
482
MODEL MISSING:
[y1-y4@-1];
y1 ON x*.4;
y2 ON x*.8;
y3 ON x*1.6;
y4 ON x*3.2;
ANALYSIS: TYPE IS TWOLEVEL;
MODEL:
%WITHIN%
iw sw | y1@0 y2@1 y3@2 y4@3;
y1-y4*.5;
iw ON x*1;
sw ON x*.25;
iw*1; sw*.2;
%BETWEEN%
ib sb | y1@0 y2@1 y3@2 y4@3;
y1-y4@0;
ib ON w*.5;
sb ON w*.25;
[ib*1 sb*.5];
ib*.2; sb*.1;
OUTPUT: TECH9 NOCHISQUARE;
In this example, data for the two-level growth model for a continuous
outcome (three-level analysis) described in Example 9.12 are generated
and analyzed. This Monte Carlo simulation study can be used to
estimate the power to detect that the binary cluster-level covariate w has
a significant effect on the growth slope factor sb.
The NCSIZES option is used to specify the number of unique cluster
sizes to be used in data generation. In the example above, there are three
unique cluster sizes. The CSIZES option is used to specify the number
of clusters and the sizes of the clusters to be used in data generation.
The CSIZES option specifies that 40 clusters of size 5, 50 clusters of
size 10, and 20 clusters of size 15 will be generated. The WITHIN
option is used to identify the variables in the data set that are measured
on the individual level and modeled only on the within level. They are
specified to have no variance in the between part of the model. The
variable x is an individual-level variable. The BETWEEN option is used
to identify the variables in the data set that are measured on the cluster
level and modeled only on the between level. The variable w is a
cluster-level variable. Variables not mentioned on the WITHIN or the
BETWEEN statements are measured on the individual level and can be
modeled on both the within and between levels. The NOCHISQUARE
option of the OUTPUT command is used to request that the chi-square

Examples: Monte Carlo Simulation Studies
483
fit statistic not be computed. This reduces computational time. An
explanation of the other commands can be found in Examples 12.1 and
12.2 and Example 9.12.
EXAMPLE 12.5: MONTE CARLO SIMULATION STUDY FOR
AN EXPLORATORY FACTOR ANALYSIS WITH
CONTINUOUS FACTOR INDICATORS
TITLE: this is an example of a Monte Carlo
simulation study for an exploratory factor
analysis with continuous factor indicators
MONTECARLO:
NAMES ARE y1-y10;
NOBSERVATIONS = 500;
NREPS = 500;
MODEL POPULATION:
f1 BY y1-y7*.5;
f2 BY y4-y5*.25 y6-y10*.8;
f1-f2@1;
f1 WITH f2*.5;
y1-y10*.36;
MODEL: f1 BY y1-y7*.5 y8-y10*0 (*1);
f2 BY y1-y3*.0 y4-y5*.25 y6-y10*.8 (*1);
f1 WITH f2*.5;
y1-y10*.36;
OUTPUT: TECH9;
In this example, data are generated according to a two-factor CFA model
with continuous outcomes and analyzed as an exploratory factor analysis
using exploratory structural equation modeling (ESEM; Asparouhov &
Muthén, 2009a).
In the MODEL command, the BY statements specify that the factors f1
and f2 are measured by the continuous factor indicators y1 through y10.
The label 1 following an asterisk (*) in parentheses following the BY
statements is used to indicate that f1 and f2 are a set of EFA factors.
When no rotation is specified using the ROTATION option of the
ANALYSIS command, the default oblique GEOMIN rotation is used to
obtain factor loadings and factor correlations. The intercepts and
residual variances of the factor indicators are estimated and the residuals
are not correlated as the default. The variances of the factors are fixed at

CHAPTER 12
484
one as the default. The factors are correlated under the default oblique
GEOMIN rotation.
The default estimator for this type of analysis is maximum likelihood.
The ESTIMATOR option of the ANALYSIS command can be used to
select a different estimator. An explanation of the other commands can
be found in Examples 12.1 and 12.2.
EXAMPLE 12.6 STEP 1: MONTE CARLO SIMULATION
STUDY WHERE CLUSTERED DATA FOR A TWO-LEVEL
GROWTH MODEL FOR A CONTINUOUS OUTCOME
(THREE-LEVEL ANALYSIS) ARE GENERATED, ANALYZED,
AND SAVED
TITLE: this is an example of a Monte Carlo
simulation study where clustered data for
a two-level growth model for a continuous
outcome (three-level) analysis are
generated and analyzed
MONTECARLO:
NAMES ARE y1-y4 x w;
NOBSERVATIONS = 1000;
NREPS = 100;
SEED = 58459;
CUTPOINTS = x(1) w(0);
MISSING = y1-y4;
NCSIZES = 3;
CSIZES = 40 (5) 50 (10) 20 (15);
WITHIN = x; BETWEEN = w;
REPSAVE = ALL;
SAVE = ex12.6rep*.dat;
MODEL POPULATION:
%WITHIN%
x@1;
iw sw | y1@0 y2@1 y3@2 y4@3;
y1-y4*.5;
iw ON x*1;
sw ON x*.25;
iw*1; sw*.2;
%BETWEEN%
w@1;
ib sb | y1@0 y2@1 y3@2 y4@3;
y1-y4@0;
ib ON w*.5;

Examples: Monte Carlo Simulation Studies
485
sb ON w*.25;
[ib*1 sb*.5];
ib*.2; sb*.1;
MODEL MISSING:
[y1-y4@-1];
y1 ON x*.4;
y2 ON x*.8;
y3 ON x*1.6;
y4 ON x*3.2;
ANALYSIS: TYPE = TWOLEVEL;
MODEL:
%WITHIN%
iw sw | y1@0 y2@1 y3@2 y4@3;
y1-y4*.5;
iw ON x*1;
sw ON x*.25;
iw*1; sw*.2;
%BETWEEN%
ib sb | y1@0 y2@1 y3@2 y4@3;
y1-y4@0;
ib ON w*.5;
sb ON w*.25;
[ib*1 sb*.5];
ib*.2; sb*.1;
OUTPUT: TECH8 TECH9;
In this example, clustered data are generated and analyzed for the two-
level growth model for a continuous outcome (three-level) analysis
described in Example 9.12. The data are saved for a subsequent external
Monte Carlo simulation study. The REPSAVE and SAVE options of the
MONTECARLO command are used to save some or all of the data sets
generated in a Monte Carlo simulation study. The REPSAVE option
specifies the numbers of the replications for which the data will be
saved. In the example above, the keyword ALL specifies that all of the
data sets will be saved. The SAVE option is used to name the files to
which the data sets will be written. The asterisk (*) is replaced by the
replication number. For example, data from the first replication will be
saved in the file named ex12.6rep1.dat. A file is also produced where
the asterisk (*) is replaced by the word list. The file, in this case
ex12.6replist.dat, contains the names of the generated data sets. The
ANALYSIS command is used to describe the technical details of the
analysis. By selecting TYPE=TWOLEVEL, a multilevel model is
estimated. An explanation of the other commands can be found in
Examples 12.1, 12.2, 12.4 and Example 9.12.

CHAPTER 12
486
EXAMPLE 12.6 STEP 2: EXTERNAL MONTE CARLO
ANALYSIS OF CLUSTERED DATA GENERATED FOR A
TWO-LEVEL GROWTH MODEL FOR A CONTINUOUS
OUTCOME USING TYPE=COMPLEX FOR A SINGLE-LEVEL
GROWTH MODEL
TITLE: this is an example of an external Monte
Carlo analysis of clustered data generated
for a two-level growth model for a
continuous outcome using TYPE=COMPLEX for
a single-level growth model
DATA: FILE = ex12.6replist.dat;
TYPE = MONTECARLO;
VARIABLE: NAMES = y1-y4 x w clus;
USEVARIABLES = y1-w;
MISSING = ALL (999);
CLUSTER = clus;
ANALYSIS: TYPE = COMPLEX;
MODEL: i s | y1@0 y2@1 y3@2 y4@3;
y1-y4*.5;
i ON x*1 w*.5;
s ON x*.25 w*.25;
i*1.2; s*.3;
[i*1 s*.5];
OUTPUT: TECH9;
In this example, an external Monte Carlo simulation study of clustered
data generated for a two-level growth model for a continuous outcome is
carried out using TYPE=COMPLEX for a single-level growth model.
The DATA command is used to provide information about the data sets
to be analyzed. The MONTECARLO setting of the TYPE option is used
when the data sets being analyzed have been generated and saved using
either the REPSAVE option of the MONTECARLO command or by
another computer program. The file named using the FILE option of the
DATA command contains a list of the names of the data sets to be
analyzed and summarized as in a Monte Carlo simulation study. This
file is created when the SAVE and REPSAVE options of the
MONTECARLO command are used to save Monte Carlo generated data
sets. The CLUSTER option of the VARIABLE command is used when
data have been collected under a complex survey data design to identify
the variable that contains cluster information. In the example above, the
variable clus contains cluster information. By selecting

Examples: Monte Carlo Simulation Studies
487
TYPE=COMPLEX, an analysis is carried out that takes non-
independence of observations into account.
In external Monte Carlo simulation studies, the MODEL command is
also used to provide values for each parameter. These are used as the
population parameter values for the analysis model and are printed in the
first column of the output labeled Population. They are used for
computing coverage and as starting values in the estimation of the
model.
EXAMPLE 12.7 STEP 1: REAL DATA ANALYSIS OF A CFA
WITH COVARIATES (MIMIC) FOR CONTINUOUS FACTOR
INDICATORS WHERE THE PARAMETER ESTIMATES ARE
SAVED FOR USE IN A MONTE CARLO SIMULATION STUDY
TITLE: this is an example of a real data analysis
of a CFA with covariates (MIMIC) for
continuous factor indicators where the
parameter estimates are saved for use in a
Monte Carlo simulation study
DATA: FILE = ex12.7real.dat;
VARIABLE: NAMES = y1-y10 x1 x2;
MODEL: f1 BY y1@1 y2-y5*1;
f2 BY y6@1 y7-y10*1;
f1-f2*.5;
f1 WITH f2*.25;
y1-y5*.5;
[y1-y5*1];
y6-y10*.75;
[y6-y10*2];
f1 ON x1*.3 x2*.5;
f2 ON x1*.5 x2*.3;
OUTPUT: TECH1;
SAVEDATA: ESTIMATES = ex12.7estimates.dat;
In this example, parameter estimates from a real data analysis of a CFA
with covariates (MIMIC) for continuous factor indicators are saved for
use as population parameter values for use in data generation and
coverage in a subsequent internal Monte Carlo simulation study. The
ESTIMATES option of the SAVEDATA command is used to specify the
name of the file in which the parameter estimates of the analysis will be
saved.

CHAPTER 12
488
EXAMPLE 12.7 STEP 2: MONTE CARLO SIMULATION
STUDY WHERE PARAMETER ESTIMATES SAVED FROM A
REAL DATA ANALYSIS ARE USED FOR POPULATION
PARAMETER VALUES FOR DATA GENERATION AND
COVERAGE
TITLE: this is an example of a Monte Carlo
simulation study where parameter estimates
saved from a real data analysis are used
for population parameter values for data
generation and coverage
MONTECARLO:
NAMES ARE y1-y10 x1 x2;
NOBSERVATIONS = 500;
NREPS = 500;
SEED = 45335;
POPULATION = ex12.7estimates.dat;
COVERAGE = ex12.7estimates.dat;
MODEL POPULATION:
f1 BY y1-y5;
f2 BY y6-y10;
f1 ON x1 x2;
f2 ON x1 x2;
MODEL: f1 BY y1-y5;
f2 BY y6-y10;
f1 ON x1 x2;
f2 ON x1 x2;
OUTPUT: TECH9;
In this example, parameter estimates saved from a real data analysis are
used for population parameter values for data generation and coverage
using the POPULATION and COVERAGE options of the
MONTECARLO command. The POPULATION option is used to name
the data set that contains the population parameter values to be used in
data generation. The COVERAGE option is used to name the data set
that contains the parameter values to be used for computing coverage
and are printed in the first column of the output labeled Population. An
explanation of the other commands can be found in Example 12.1.

Examples: Monte Carlo Simulation Studies
489
EXAMPLE 12.8: MONTE CARLO SIMULATION STUDY FOR
DISCRETE-TIME SURVIVAL ANALYSIS
TITLE: this is an example of a Monte Carlo
simulation study for discrete-time
survival analysis
MONTECARLO:
NAMES = u1-u4 x;
NOBSERVATIONS = 1000;
NREPS = 100;
GENERATE = u1-u4(1);
MISSING = u2-u4;
CATEGORICAL = u1-u4;
MODEL POPULATION:
[x@0]; x@1;
[u1$1*2 u2$1*1.5 u3$1*1 u4$1*1];
f BY u1-u4@1;
f ON x*.5;
f@0;
MODEL MISSING:
[u2-u4@-15];
u2 ON u1@30;
u3 ON u1-u2@30;
u4 ON u1-u3@30;
ANALYSIS: ESTIMATOR = MLR;
MODEL: [u1$1*2 u2$1*1.5 u3$1*1 u4$1*1];
f BY u1-u4@1;
f ON x*.5;
f@0;
OUTPUT: TECH8 TECH9;
In this example, data are generated and analyzed for a discrete-time
survival model like the one shown in Example 6.19. Maximum
likelihood estimation with discrete-time survival analysis for a non-
repeatable event requires that the event history indicators for an
individual are scored as missing after an event has occurred (Muthén &
Masyn, 2005). This is accomplished using the MODEL MISSING
command.
The MISSING option in the MONTECARLO command is used to
identify the dependent variables in the data generation model for which
missing data will be generated. The MODEL MISSING command is
used to provide information about the population parameter values for
the missing data model to be used in the generation of data. The
CHAPTER 12
490
MODEL MISSING command specifies a logistic regression model for a
set of binary dependent variables that represent not missing (scored as 0)
and missing (scored as 1) for the dependent variables in the data
generation model. The binary missing data indicators have the same
names as the dependent variables in the data generation model. The first
statement in the MODEL MISSING command defines the intercepts in
the logistic regressions for the binary dependent variables u2, u3, and u4.
If the covariates predicting missingness all have values of zero, the
logistic regression intercept value of -15 corresponds to a probability of
zero of having missing data on the dependent variables. The variable u1
has no missing values. The first ON statement describes the regression
of the missing value indicator u2 on the event-history variable u1 where
the logistic regression coefficient is fixed at 30 indicating that
observations with the value one on the event-history variable u1 result in
a logit value 15 for the missing value indicator u2 indicating that the
probability that the event-history variable u2 is missing is one. The
second ON statement describes the regression of the missing value
indicator u3 on the event-history variables u1 and u2 where the logistic
regression coefficients are fixed at 30 indicating that observations with
the value one on either or both of the event-history variables u1 and u2
result in a logit value of at least 15 for the missing value indicator u3
indicating that the probability that the event-history variable u3 is
missing is one. The third ON statement describes the regression of the
missing value indicator u4 on the event-history variables u1, u2, and u3
where the logistic regression coefficients are fixed at 30 indicating that
observations with the value one on one or more of the event-history
variables u1, u2, and u3 result in a logit value of at least 15 for the
missing value indicator u4 indicating that the probability that the event-
history variable u4 is missing is one. An explanation of the other
commands can be found in Examples 12.1 and 12.3.

Examples: Monte Carlo Simulation Studies
491
EXAMPLE 12.9: MONTE CARLO SIMULATION STUDY FOR
A TWO-PART (SEMICONTINUOUS) GROWTH MODEL FOR
A CONTINUOUS OUTCOME
TITLE: this is an example of a Monte Carlo
simulation study for a two-part
(semicontinuous) growth model for a
continuous outcome
MONTECARLO:
NAMES = u1-u4 y1-y4;
NOBSERVATIONS = 500;
NREPS = 100;
GENERATE = u1-u4(1);
MISSING = y1-y4;
CATEGORICAL = u1-u4;
MODEL POPULATION:
iu su | u1@0 u2@1 u3@2 u4@3;
[u1$1-u4$1*-.5] (1);
[iu@0 su*.85];
iu*1.45;
iy sy | y1@0 y2@1 y3@2 y4@3;
[y1-y4@0];
y1-y4*.5;
[iy*.5 sy*1];
iy*1;
sy*.2;
iy WITH sy*.1;
iu WITH iy*0.9;
MODEL MISSING:
[y1-y4@15];
y1 ON u1@-30;
y2 ON u2@-30;
y3 ON u3@-30;
y4 ON u4@-30;
ANALYSIS: ESTIMATOR = MLR;

CHAPTER 12
492
MODEL: iu su | u1@0 u2@1 u3@2 u4@3;
[u1$1-u4$1*-.5] (1);
[iu@0 su*.85];
iu*1.45;
su@0;
iy sy | y1@0 y2@1 y3@2 y4@3;
[y1-y4@0];
y1-y4*.5;
[iy*.5 sy*1];
iy*1;
sy*.2;
iy WITH sy*.1;
iu WITH iy*0.9;
iu WITH sy@0;
OUTPUT: TECH8;
In this example, data are generated and analyzed for a two-part
(semicontinuous) growth model for a continuous outcome like the one
shown in Example 6.16. If these data are saved for subsequent two-part
analysis using the DATA TWOPART command, an adjustment to the
saved data must be made using the DEFINE command as part of the
analysis. If the values of the continuous outcomes y are not 999 which is
the value used as the missing data flag in the saved data, the exponential
function must be applied to the continuous variables. After that
transformation, the value 999 must be changed to zero for the continuous
variables. This represents the floor of the scale.
The MISSING option in the MONTECARLO command is used to
identify the dependent variables in the data generation model for which
missing data will be generated. The MODEL MISSING command is
used to provide information about the population parameter values for
the missing data model to be used in the generation of data. The
MODEL MISSING command specifies a logistic regression model for a
set of binary dependent variables that represent not missing (scored as 0)
and missing (scored as 1) for the dependent variables in the data
generation model. The binary missing data indicators have the same
names as the dependent variables in the data generation model. The first
statement in the MODEL MISSING command defines the intercepts in
the logistic regressions for the binary dependent variables y1, y2, y3, and
y4. If the covariates predicting missingness all have values of zero, the
logistic regression intercept value of 15 corresponds to a probability of
one of having missing data on the dependent variables. The four ON
statements describe the regressions of the missing value indicators y1,
y2, y3, and y4 on the binary outcomes u1, u2, u3, and u4 where the

Examples: Monte Carlo Simulation Studies
493
logistic regression coefficient is fixed at -30. This results in
observations with the value one on u1, u2, u3, and u4 giving logit values
-15 for the binary missing data indicators. A logit value -15 implies that
the probability that the continuous outcomes y are missing is zero. An
explanation of the other commands can be found in Examples 12.1 and
12.3.
EXAMPLE 12.10: MONTE CARLO SIMULATION STUDY FOR
A TWO-LEVEL CONTINUOUS-TIME SURVIVAL ANALYSIS
USING COX REGRESSION WITH A RANDOM INTERCEPT
AND A FRAILTY
TITLE: this is an example of a Monte Carlo
simulation study for a two-level
continuous-time survival analysis using
Cox regression with a random intercept and
a frailty
MONTECARLO:
NAMES = t x w;
NOBSERVATIONS = 1000;
NREPS = 100;
GENERATE = t(s 20*1);
NCSIZES = 3;
CSIZES = 40 (5) 50 (10) 20 (15);
HAZARDC = t (.5);
SURVIVAL = t (ALL);
WITHIN = x;
BETWEEN = w;
MODEL POPULATION:
%WITHIN%
x@1;
t ON x*.5;
%BETWEEN%
w@1;
[t#1-t#21*1];
t ON w*.2;
t*0.5;
ANALYSIS: TYPE = TWOLEVEL;
BASEHAZARD = OFF;
MODEL: %WITHIN%
t ON x*.5;
%BETWEEN%
t ON w*.2;
t*0.5;
CHAPTER 12
494
In this example, data are generated and analyzed for the two-level
continuous-time survival analysis using Cox regression with a random
intercept and a frailty shown in Example 9.16. Monte Carlo simulation
of continuous-time survival models is described in Asparouhov et al.
(2006).
The GENERATE option is used to specify the scale of the dependent
variables for data generation. In this example, the dependent variable t
is a time-to-event variable. The numbers in parentheses specify that
twenty time intervals of length one will be used for data generation. The
HAZARDC option is used to specify the hazard for the censoring
process in continuous-time survival analysis when time-to-event
variables are generated. This information is used to create a censoring
indicator variable where zero is not censored and one is right censored.
A hazard for censoring of .5 is specified for the time-to-event variable t
by placing the number .5 in parentheses following the variable name.
The SURVIVAL option is used to identify the analysis variables that
contain information about time to event and to provide information
about the time intervals in the baseline hazard function to be used in the
analysis. The keyword ALL is used if the time intervals are taken from
the data.
The ANALYSIS command is used to describe the technical details of the
analysis. By selecting TYPE=TWOLEVEL, a multilevel model will be
estimated. The BASEHAZARD option is used with continuous-time
survival analysis to specify if a non-parametric or a parametric baseline
hazard function is used in the estimation of the model. The default is
OFF which uses the non-parametric baseline hazard function.
The MODEL command is used to describe the analysis model as in
regular analyses. In the within part of the model, the ON statement
describes the loglinear regression of the time-to-event variable t on the
covariate x. In the between part of the model, the ON statement
describes the linear regression of the random intercept of the time-to-
event variable t on the covariate w. The residual variance of t is
estimated and represents a frailty parameter. A detailed explanation of
the MODEL command can be found in Examples 12.1 and 12.4.

Examples: Monte Carlo Simulation Studies
495
EXAMPLE 12.11: MONTE CARLO SIMULATION STUDY FOR
A TWO-LEVEL MEDIATION MODEL WITH RANDOM
SLOPES
TITLE: this is an example of a Monte Carlo
simulation study for a two-level mediation
model with random slopes
MONTECARLO:
NAMES ARE y m x;
WITHIN = x;
NOBSERVATIONS = 1000;
NCSIZES = 1;
CSIZES = 100 (10);
NREP = 100;
ANALYSIS: TYPE = TWOLEVEL RANDOM;
MODEL POPULATION:
%WITHIN%
x@1;
c | y ON x;
b | y ON m;
a | m ON x;
m*1; y*1;
%BETWEEN%
y WITH m*0.1 b*0.1 a*0.1 c*0.1;
m WITH b*0.1 a*0.1 c*0.1;
a WITH b*0.1 (cab);
a WITH c*0.1;
b WITH c*0.1;
y*1 m*1 a*1 b*1 c*1;
[a*0.4] (ma);
[b*0.5] (mb);
[c*0.6];

CHAPTER 12
496
MODEL:
%WITHIN%
c | y ON x;
b | y ON m;
a | m ON x;
m*1; y*1;
%BETWEEN%
y WITH m*0.1 b*0.1 a*0.1 c*0.1;
m WITH b*0.1 a*0.1 c*0.1;
a WITH b*0.1 (cab);
a WITH c*0.1;
b WITH c*0.1;
y*1 m*1 a*1 b*1 c*1;
[a*0.4] (ma);
[b*0.5] (mb);
[c*0.6];
MODEL CONSTRAINT:
NEW(m*0.3);
m=ma*mb+cab;
In this example, data for a two-level mediation model with a random
slope are generated and analyzed. For related modeling see Bauer et al.
(2006).
The TYPE option is used to describe the type of analysis that is to be
performed. By selecting TWOLEVEL RANDOM, a multilevel model
with random intercepts and random slopes will be estimated. In the
MODEL command, the | statement is used to name and define the
random slopes c, b, and a. The random intercept uses the name of the
dependent variables c, b, and a. The ON statements on the right-hand
side of the | statements describe the linear regressions that have a
random slope.
The label cab is assigned to the covariance between the random slopes a
and b. The labels ma and mb are assigned to the means of the random
slopes a and b. These labels are used in the MODEL CONSTRAINT
command. The MODEL CONSTRAINT command is used to define
linear and non-linear constraints on the parameters in the model. In the
MODEL CONSTRAINT command, the NEW option is used to
introduce a new parameter that is not part of the MODEL command.
The new parameter m is the indirect effect of the covariate x on the
outcome y. The two outcomes y and m can also be categorical. For a
discussion of indirect effects when the outcome y is categorical, see
MacKinnon et al. (2007).

Examples: Monte Carlo Simulation Studies
497
The default estimator for this type of analysis is maximum likelihood
with robust standard errors. An explanation of the other commands can
be found in Examples 12.1 and 12.4.
EXAMPLE 12.12: MONTE CARLO SIMULATION STUDY FOR
A MULTIPLE GROUP EFA WITH CONTINUOUS FACTOR
INDICATORS WITH MEASUREMENT INVARIANCE OF
INTERCEPTS AND FACTOR LOADINGS
TITLE: this is an example of a Monte Carlo
simulation study for a multiple group EFA
with continuous factor indicators with
measurement invariance of intercepts and
factor loadings
MONTECARLO:
NAMES ARE y1-y10;
NOBSERVATIONS = 500 500;
NREPS = 1;
NGROUPS = 2;
MODEL POPULATION:
f1 BY y1-y5*.8 y6-y10*0;
f2 BY y1-y5*0 y6-y10*.8;
f1-f2@1;
f1 WITH f2*.5;
y1-y10*1;
[y1-y10*1];
[f1-f2@0];
MODEL POPULATION-g2:
f1*1.5 f2*2;
f1 WITH f2*1;
y1-y10*2;
[f1*.5 f2*.8];
MODEL: f1 BY y1-y5*.8 y6-y10*0 (*1);
f2 BY y1-y5*0 y6-y10*.8 (*1);
f1-f2@1;
f1 WITH f2*.5;
y1-y10*1;
[y1-y10*1]; [f1-f2@0];
MODEL g2: f1*1.5 f2*2;
f1 WITH f2*1;
y1-y10*2; [f1*.5 f2*.8];
OUTPUT: TECH9;
In this example, data are generated and analyzed according to a multiple
group EFA model with continuous factor indicators with measurement
CHAPTER 12
498
invariance across groups of intercepts and factor loadings. This model is
described in Example 5.27. The NOBSERVATIONS option specifies
the number of observations for each group. The NGROUPS option
specifies the number of groups. In this study data for two groups of 500
observations are generated and analyzed. One difference between the
MODEL command when EFA factors are involved rather than CFA
factors is that the values given using the asterisk (*) are used only for
coverage. Starting values are not allowed for the factor loading and
factor covariance matrices for EFA factors. An explanation of the other
commands can be found in Example 12.1 and Example 5.27.
Examples: Special Features
499
CHAPTER 13
EXAMPLES: SPECIAL FEATURES
In this chapter, special features not illustrated in the previous example
chapters are discussed. A cross-reference to the original example is
given when appropriate.
Following is the set of special feature examples included in this chapter:
13.1: A covariance matrix as data
13.2: Means and a covariance matrix as data
13.3: Reading data with a fixed format
13.4: Non-numeric missing value flags
13.5: Numeric missing value flags
13.6: Selecting observations and variables
13.7: Transforming variables using the DEFINE command
13.8: Freeing and fixing parameters and giving starting values
13.9: Equalities in a single group analysis
13.10: Equalities in a multiple group analysis
13.11: Using PWITH to estimate adjacent residual covariances
13.12: Chi-square difference testing for WLSMV and MLMV
13.13: Analyzing multiple imputation data sets
13.14: Saving data
13.15: Saving factor scores
13.16: Using the PLOT command
13.17: Merging data sets
13.18: Using replicate weights
13.19: Generating, using, and saving replicate weights

CHAPTER 13
500
EXAMPLE 13.1: A COVARIANCE MATRIX AS DATA
TITLE: this is an example of a CFA with
continuous factor indicators using a
covariance matrix as data
DATA: FILE IS ex5.1.dat;
TYPE = COVARIANCE;
NOBSERVATIONS = 1000;
VARIABLE: NAMES ARE y1-y6;
MODEL: f1 BY y1-y3;
f2 BY y4-y6;
The example above is based on Example 5.1 in which individual data are
analyzed. In this example, a covariance matrix is analyzed. The TYPE
option is used to specify that the input data set is a covariance matrix.
The NOBSERVATIONS option is required for summary data and is
used to indicate how many observations are in the data set used to create
the covariance matrix. Summary data are required to be in an external
data file in free format. Following is an example of the data:
1.0
.86 1.0
.56 .76 1.0
.78 .34 .48 1.0
.65 .87 .32 .56 1.0
.66 .78 .43 .45 .33 1.0
EXAMPLE 13.2: MEANS AND A COVARIANCE MATRIX AS
DATA
TITLE: this is an example of a mean structure CFA
with continuous factor indicators using
means and a covariance matrix as data
DATA: FILE IS ex5.9.dat;
TYPE IS MEANS COVARIANCE;
NOBSERVATIONS = 1000;
VARIABLE: NAMES ARE y1a-y1c y2a-y2c;
MODEL: f1 BY y1a y1b@1 y1c@1;
f2 BY y2a y2b@1 y2c@1;
[y1a y1b y1c] (1);
[y2a y2b y2c] (2);

Examples: Special Features
501
The example above is based on Example 5.9 in which individual data are
analyzed. In this example, means and a covariance matrix are analyzed.
The TYPE option is used to specify that the input data set contains
means and a covariance matrix. The NOBSERVATIONS option is
required for summary data and is used to indicate how many
observations are in the data set used to create the means and covariance
matrix. Summary data are required to be in an external data file in free
format. Following is an example of the data. The means come first
followed by the covariances. The covariances must start on a new
record.
.4 .6 .3 .5
1.0
.86 1.0
.56 .76 1.0
.78 .34 .48 1.0
EXAMPLE 13.3: READING DATA WITH A FIXED FORMAT
TITLE: this is an example of a CFA with
covariates (MIMIC) with continuous factor
indicators using data in a fixed format
DATA: FILE IS ex5.8.dat;
FORMAT IS 3f4.2 3f2 f1 2f2;
VARIABLE: NAMES ARE y1-y6 x1-x3;
MODEL: f1 BY y1-y3;
f2 BY y4-y6;
f1 f2 ON x1-x3;
The example above is based on Example 5.8 in which individual data
with a free format are analyzed. Because the data are in free format, a
FORMAT statement is not required. In this example, the data have a
fixed format. The inclusion of a FORMAT statement is required in this
situation. The FORMAT statement describes the position of the nine
variables in the data set. In this example, the first three variables take up
four columns each and are read such that two digits follow the decimal
point (3f4.2). The next three variables take three columns with no digits
after the decimal point (3f2). The seventh variable takes one column
with no digits following the decimal point (f1), and the eighth and ninth
variables each take two columns with no digits following the decimal
point (2f2).

CHAPTER 13
502
EXAMPLE 13.4: NON-NUMERIC MISSING VALUE FLAGS
TITLE: this is an example of a SEM with
continuous factor indicators using data
with non-numeric missing value flags
DATA: FILE IS ex5.11.dat;
VARIABLE: NAMES ARE y1-y12;
MISSING = *;
MODEL: f1 BY y1-y3;
f2 BY y4-y6;
f3 BY y7-y9;
f4 BY y10-y12;
f4 ON f3;
f3 ON f1 f2;
The example above is based on Example 5.11 in which the data contain
no missing values. In this example, there are missing values and the
asterisk (*) is used as a missing value flag. The MISSING option is used
to identify the values or symbol in the analysis data set that will be
treated as missing or invalid. Non-numeric missing value flags are
applied to all variables in the data set.
EXAMPLE 13.5: NUMERIC MISSING VALUE FLAGS
TITLE: this is an example of a SEM with
continuous factor indicators using data
with numeric missing value flags
DATA: FILE IS ex5.11.dat;
VARIABLE: NAMES ARE y1-y12;
MISSING = y1-y3(9) y4(9 99) y5-y12(9-12);
MODEL: f1 BY y1-y3;
f2 BY y4-y6;
f3 BY y7-y9;
f4 BY y10-y12;
f4 ON f3;
f3 ON f1 f2;
The example above is based on Example 5.11 in which the data contain
no missing values. In this example, there are missing values and
numeric missing value flags are used. The MISSING option is used to
identify the values or symbol in the analysis data set that will be treated
as missing or invalid. Numeric missing value flags can be applied to a

Examples: Special Features
503
single variable, to groups of variables, or to all of the variables in a data
set. In the example above, y1, y2, and y3 have a missing value flag of 9;
y4 has missing value flags of 9 and 99; and y5 through y12 have missing
value flags of 9, 10, 11, and 12. If all variables in a data set have the
same missing value flags, the keyword ALL can be used as follows:
MISSING = ALL (9);
to indicate that all variables have the missing value flag of 9.
EXAMPLE 13.6: SELECTING OBSERVATIONS AND
VARIABLES
TITLE: this is an example of a path analysis
with continuous dependent variables using
a subset of the data
DATA: FILE IS ex3.11.dat;
VARIABLE: NAMES ARE y1-y6 x1-x4;
USEVARIABLES ARE y1-y3 x1-x3;
USEOBSERVATION ARE (x4 EQ 2);
MODEL: y1 y2 ON x1 x2 x3;
y3 ON y1 y2 x2;
The example above is based on Example 3.11 in which the entire data
set is analyzed. In this example, a subset of variables and a subset of
observations are analyzed. The USEVARIABLES option is used to
select variables for an analysis. In the example above, y1, y2, y3, x1, x2,
and x3 are selected. The USEOBSERVATIONS option is used to select
observations for an analysis by specifying a conditional statement. In
the example above, individuals with the value of 2 on variable x4 are
included in the analysis.

CHAPTER 13
504
EXAMPLE 13.7: TRANSFORMING VARIABLES USING THE
DEFINE COMMAND
TITLE: this is an example of a path analysis
with continuous dependent variables where
two variables are transformed
DATA: FILE IS ex3.11.dat;
DEFINE: y1 = y1/100;
x3 = SQRT(x3);
VARIABLE: NAMES ARE y1-y6 x1-x4;
USEVARIABLES = y1-y3 x1-x3;
MODEL: y1 y2 ON x1 x2 x3;
y3 ON y1 y2 x2;
The example above is based on Example 3.11 where the variables are
not transformed. In this example, two variables are transformed using
the DEFINE command. The variable y1 is transformed by dividing it by
100. The variable x3 is transformed by taking the square root of it. The
transformed variables are used in the estimation of the model. The
DEFINE command can also be used to create new variables.
EXAMPLE 13.8: FREEING AND FIXING PARAMETERS AND
GIVING STARTING VALUES
TITLE: this is an example of a CFA with
continuous factor indicators where
parameters are freed, fixed, and starting
values are given
DATA: FILE IS ex5.1.dat;
VARIABLE: NAMES ARE y1-y6;
MODEL: f1 BY y1* y2*.5 y3;
f2 BY y4* y5 y6*.8;
f1-f2@1;
The example above is based on Example 5.1 where default starting
values are used. In this example, parameters are freed, assigned starting
values, and fixed. In the two BY statements, the factor loadings for y1
and y4 are fixed at one as the default because they are the first variable
following the BY statement. This is done to set the metric of the factors.
To free these parameters, an asterisk (*) is placed after y1 and y4. The
factor loadings for variables y2, y3, y5, and y6 are free as the default

Examples: Special Features
505
with starting values of one. To assign starting values to y2 and y6, an
asterisk (*) followed by a number is placed after y2 and y6. The starting
value of .5 is assigned to y2, and the starting value of .8 is assigned to
y6. The variances of f1 and f2 are free to be estimated as the default.
To fix these variances to one, an @ symbol followed by 1 is placed after
f1 and f2 in a list statement. This is another way to set the metric of the
factors.
EXAMPLE 13.9: EQUALITIES IN A SINGLE GROUP
ANALYSIS
TITLE: this is an example of a CFA with
continuous factor indicators with
equalities
DATA: FILE IS ex5.1.dat;
VARIABLE: NAMES ARE y1-y6;
MODEL: f1 BY y1
y2-y3 (1-2);
f2 BY y4
y5-y6 (1-2);
y1-y3 (3);
y4-y6 (4);
This example is based on the model in Example 5.1 where there are no
equality constraints on model parameters. In the example above, several
model parameters are constrained to be equal. Equality constraints are
specified by placing the same number in parentheses following the
parameters that are to be held equal. The label (1-2) following the factor
loadings uses the list function to assign equality labels to these
parameters. The label 1 is assigned to the factor loadings of y2 and y5
which holds these factor loadings equal. The label 2 is assigned to the
factor loadings of y3 and y6 which holds these factor loadings equal.
The third equality statement holds the residual variances of y1, y2, and
y3 equal using the label (3), and the fourth equality statement holds the
residual variances of y4, y5, and y6 equal using the label (4).

CHAPTER 13
506
EXAMPLE 13.10: EQUALITIES IN A MULTIPLE GROUP
ANALYSIS
TITLE: this is an example of a multiple group CFA
with covariates (MIMIC) with continuous
factor indicators and a mean structure
with between and within group equalities
DATA: FILE IS ex5.15.dat;
VARIABLE: NAMES ARE y1-y6 x1-x3 g;
GROUPING IS g (1=g1 2=g2 3=g3);
MODEL: f1 BY y1-y3;
f2 BY y4-y6;
f1 f2 ON x1-x3;
f1 (1);
y1-y3 (2);
y4-y6 (3-5);
MODEL g1: f1 BY y3*;
[y3*];
f2 (6);
MODEL g3: f2 (6);
This example is based on Example 5.15 in which the model has two
groups. In this example, the model has three groups. Parameters are
constrained to be equal by placing the same number in parentheses
following the parameters that will be held equal. In multiple group
analysis, the overall MODEL command is used to set equalities across
groups. The group-specific MODEL commands are used to specify
equalities for specific groups or to relax equalities specified in the
overall MODEL command. In the example above, the first equality
statement holds the variance of f1 equal across the three groups in the
analysis using the equality label 1. The second equality statement holds
the residual variances of y1, y2, and y3 equal to each other and equal
across groups using the equality label 2. The third equality statement
uses the list function to hold the residual variance of y4, y5, and y6 equal
across groups by assigning the equality label 3 to the residual variance of
y4, the label 4 to the residual variance of y5, and the label 5 to the
residual variance of y6. The fourth and fifth equality statements hold
the variance of f2 equal across groups g1 and g3 using the equality label
6.

Examples: Special Features
507
EXAMPLE 13.11: USING PWITH TO ESTIMATE ADJACENT
RESIDUAL COVARIANCES
TITLE: this is an example of a linear growth
model for a continuous outcome with
adjacent residual covariances
DATA: FILE IS ex6.1.dat;
VARIABLE: NAMES ARE y11-y14 x1 x2 x31-x34;
USEVARIABLES ARE y11-y14;
MODEL: i s | y11@0 y12@1 y13@2 y14@3;
y11-y13 PWITH y12-y14;
The example above is based on Example 6.1 in which a linear growth
model with no residual covariances for the outcome is estimated. In this
example, the PWITH option is used to specify adjacent residual
covariances. The PWITH option pairs the variables on the left-hand side
of the PWITH statement with the variables on the right-hand side of the
PWITH statement. Residual covariances are estimated for the pairs of
variables. In the example above, residual covariances are estimated for
y11 with y12, y12 with y13, and y13 with y14.
EXAMPLE 13.12: CHI-SQUARE DIFFERENCE TESTING FOR
WLSMV AND MLMV
This example shows the two steps needed to do a chi-square difference
test using the WLSMV and MLMV estimators. For these estimators, the
conventional approach of taking the difference between the chi-square
values and the difference in the degrees of freedom is not appropriate
because the chi-square difference is not distributed as chi-square. This
example is based on Example 5.3.

CHAPTER 13
508
TITLE: this is an example of the first step
needed for a chi-square difference test
for the WLSMV or the MLMV estimator
DATA: FILE IS ex5.3.dat;
VARIABLE: NAMES ARE u1-u3 y4-y9;
CATEGORICAL ARE u1 u2 u3;
MODEL: f1 BY u1-u3;
f2 BY y4-y6;
f3 BY y7-y9;
SAVEDATA: DIFFTEST IS deriv.dat;
The input setup above shows the first step needed to do a chi-square
difference test for the WLSMV and MLMV estimators. In this analysis,
the less restrictive H1 model is estimated. The DIFFTEST option of the
SAVEDATA command is used to save the derivatives of the H1 model
for use in the second step of the analysis. The DIFFTEST option is used
to specify the name of the file in which the derivatives from the H1
model will be saved. In the example above, the file name is deriv.dat.
TITLE: this is an example of the second step
needed for a chi-square difference test
for the WLSMV or the MLMV estimator
DATA: FILE IS ex5.3.dat;
VARIABLE: NAMES ARE u1-u3 y4-y9;
CATEGORICAL ARE u1 u2 u3;
ANALYSIS: DIFFTEST IS deriv.dat;
MODEL: f1 BY u1-u3;
f2 BY y4-y6;
f3 BY y7-y9;
f1 WITH f2-f3@0;
f2 WITH f3@0;
The input setup above shows the second step needed to do a chi-square
difference test for the WLSMV and MLMV estimators. In this analysis,
the more restrictive H0 model is estimated. The restriction is that the
covariances among the factors are fixed at zero in this model. The
DIFFTEST option of the ANALYSIS command is used to specify the
name of the file that contains the derivatives of the H1 model that was
estimated in the first step of the analysis. This file is deriv.dat.

Examples: Special Features
509
EXAMPLE 13.13: ANALYZING MULTIPLE IMPUTATION
DATA SETS
TITLE: this is an example of a CFA with
continuous factor indicators using
multiple imputation data sets
DATA: FILE IS implist.dat;
TYPE = IMPUTATION;
VARIABLE: NAMES ARE y1-y6;
MODEL: f1 BY y1-y3;
f2 BY y4-y6;
The example above is based on Example 5.1 in which a single data set is
analyzed. In this example, data sets generated using multiple imputation
are analyzed. The FILE option of the DATA command is used to give
the name of the file that contains the names of the multiple imputation
data sets to be analyzed. The file named using the FILE option of the
DATA command must contain a list of the names of the multiple
imputation data sets to be analyzed. This file must be created by the
user unless the data are imputed using the DATA IMPUTATION
command in which case the file is created as part of the multiple
imputation. Each record of the file must contain one data set name. For
example, if five data sets are being analyzed, the contents of implist.dat
would be:
imp1.dat
imp2.dat
imp3.dat
imp4.dat
imp5.dat
where imp1.dat, imp2.dat, imp3.dat, imp4.dat, and imp5.dat are the
names of the five data sets created using multiple imputation.
When TYPE=IMPUTATION is specified, an analysis is carried out for
each data set in the file named using the FILE option. Parameter
estimates are averaged over the set of analyses, and standard errors are
computed using the average of the standard errors over the set of
analyses and the between analysis parameter estimate variation (Schafer,
1997).

CHAPTER 13
510
EXAMPLE 13.14: SAVING DATA
TITLE: this is an example of a path analysis
with continuous dependent variables using
a subset of the data which is saved for
future analysis
DATA: FILE IS ex3.11.dat;
VARIABLE: NAMES ARE y1-y6 x1-x4;
USEOBSERVATION ARE (x4 EQ 2);
USEVARIABLES ARE y1-y3 x1-x3;
MODEL: y1 y2 ON x1 x2 x3;
y3 ON y1 y2 x2;
SAVEDATA: FILE IS regress.sav;
The example above is based on Example 3.11 in which the analysis data
are not saved. In this example, the SAVEDATA command is used to
save the analysis data set. The FILE option is used to specify the name
of the ASCII file in which the individual data used in the analysis will be
saved. In this example, the data will be saved in the file regress.sav.
The data are saved in fixed format as the default unless the FORMAT
option of the SAVEDATA command is used.
EXAMPLE 13.15: SAVING FACTOR SCORES
TITLE: this is an example of a CFA with
covariates (MIMIC) with continuous factor
indicators where factor scores are
estimated and saved
DATA: FILE IS ex5.8.dat;
VARIABLE: NAMES ARE y1-y6 x1-x3;
MODEL: f1 BY y1-y3;
f2 BY y4-y6;
f1 f2 ON x1-x3;
SAVEDATA: FILE IS mimic.sav; SAVE = FSCORES;
The example above is based on Example 5.8 in which factor scores are
not saved. In this example, the SAVEDATA command is used to save
the analysis data set and factor scores. The FILE option is used to
specify the name of the ASCII file in which the individual data used in
the analysis will be saved. In this example, the data will be saved in the
file mimic.sav. The SAVE option is used to specify that factor scores
will be saved along with the analysis data. The data are saved in fixed

Examples: Special Features
511
format as the default unless the FORMAT option of the SAVEDATA
command is used.
EXAMPLE 13.16: USING THE PLOT COMMAND
TITLE: this is an example of a linear growth
model for a continuous outcome
DATA: FILE IS ex6.1.dat;
VARIABLE: NAMES ARE y11-y14 x1 x2 x31-x34;
USEVARIABLES ARE y11-y14;
MODEL: i s | y11@0 y12@1 y13@2 y14@3;
PLOT: SERIES = y11-y14 (s);
TYPE = PLOT3;
The example above is based on Example 6.1 in which no graphical
displays of observed data or analysis results are requested. In this
example, the PLOT command is used to request graphical displays of
observed data and analysis results. These graphical outputs can be
viewed after the Mplus analysis is completed using a post-processing
graphics module. The SERIES option is used to list the names of a set
of variables along with information about the x-axis values to be used in
the graphs. For growth models, the set of variables is the repeated
measures of the outcome over time, and the x-axis values are the time
scores in the growth model. In the example above, the s in parentheses
after the variables listed in the SERIES statement is the name of the
slope growth factor. This specifies that the x-axis values are the time
scores values specified in the growth model. In this example, they are 0,
1, 2, and 3. Other ways to specify x-axis values are described in Chapter
18. The TYPE option is used to request specific plots. The TYPE
option of the PLOT command is described in Chapter 18.

CHAPTER 13
512
EXAMPLE 13.17: MERGING DATA SETS
TITLE: this is an example of merging two data
sets
DATA: FILE IS data1.dat;
VARIABLE: NAMES ARE id y1-y4;
IDVARIABLE IS id;
USEVARIABLES = y1 y2;
MISSING IS *;
ANALYSIS: TYPE = BASIC;
SAVEDATA: MFILE = data2.dat;
MNAMES ARE id y5-y8;
MFORMAT IS F6 4F2;
MSELECT ARE y5 y8;
MMISSING = y5-y8 (99);
FILE IS data12.sav;
FORMAT IS FREE;
MISSFLAG = 999;
This example shows how to merge two data sets using TYPE=BASIC.
Merging can be done with any analysis type. The first data set data1.dat
is named using the FILE option of the DATA command. The second
data set data2.dat is named using the MFILE option of the SAVEDATA
command. The NAMES option of the VARIABLE command gives the
names of the variables in data1.dat. The MNAMES option of the
SAVEDATA command gives the names of the variables in data2.dat.
The IDVARIABLE option of the VARIABLE command gives the name
of the variable to be used for merging. This variable must appear on
both the NAMES and MNAMES statements. The merged data set
data12.dat is saved in the file named using the FILE option of the
SAVEDATA command. The default format for this file is free and the
default missing value flag is the asterisk (*). These defaults can be
changed using the FORMAT and MISSFLAG options as shown above.
In the merged data set data12.dat, the missing value flags of asterisk (*)
in data1.dat and 99 in data2.dat are replaced by 999.
For data1.dat, the USEVARIABLES option of the VARIABLE
command is used to select a subset of the variables to be in the analysis
and for merging. The MISSING option of the VARIABLE command is
used to identify the values or symbol in the data set that are treated as
missing or invalid. In data1.dat, the asterisk (*) is the missing value

Examples: Special Features
513
flag. If the data are not in free format, the FORMAT statement can be
used to specify a fixed format.
For data2.dat, the MFORMAT option is used to specify a format if the
data are not in the default free format. The MSELECT option is used to
select a subset of the variables to be used for merging. The MMISSING
option is used to identify the values or symbol in the data set that are
treated as missing or invalid.
EXAMPLE 13.18: USING REPLICATE WEIGHTS
TITLE: this is an example of using replicate
weights
DATA: FILE IS rweights.dat;
VARIABLE: NAMES ARE y1-y4 weight r1-r80;
WEIGHT = weight;
REPWEIGHTS = r1-r80;
ANALYSIS: TYPE = COMPLEX;
REPSE = JACKKNIFE1;
MODEL: f BY y1-y4;
This example shows how to use replicate weights in a factor analysis.
Replicate weights summarize information about a complex sampling
design. The WEIGHT option must be used when the REPWEIGHTS
option is used. The WEIGHT option is used to identify the variable that
contains sampling weight information. In this example, the sampling
weight variable is weight. The REPWEIGHTS option is used to identify
the replicate weight variables. These variables are used in the estimation
of standard errors of parameter estimates (Asparouhov & Muthén,
2009b). The data set in this example contains 80 replicate weights
variables, r1 through r80. The STRATIFICATION and CLUSTER
options may not be used in conjunction with the REPWEIGHTS option.
Analysis using replicate weights is available only with
TYPE=COMPLEX. The REPSE option is used to specify the
resampling method that was used to create the replicate weights. The
setting JACKKNIFE1 specifies that Jackknife draws were used.

CHAPTER 13
514
EXAMPLE 13.19: GENERATING, USING, AND SAVING
REPLICATE WEIGHTS
TITLE: this is an example of generating, using,
and saving replicate weights
DATA: FILE IS ex13.19.dat;
VARIABLE: NAMES ARE y1-y4 weight strat psu;
WEIGHT = weight;
STRATIFICATION = strat;
CLUSTER = psu;
ANALYSIS: TYPE = COMPLEX;
REPSE = BOOTSTRAP;
BOOTSTRAP = 100;
MODEL: f BY y1-y4;
SAVEDATA: FILE IS rweights.sav;
SAVE = REPWEIGHTS;
This example shows how to generate, use, and save replicate weights in
a factor analysis. Replicate weights summarize information about a
complex sampling design (Korn & Graubard, 1999; Lohr, 1999;
Asparouhov & Muthén, 2009b). When replicate weights are generated,
the REPSE option of the ANALYSIS command and the WEIGHT option
of the VARIABLE command along with the STRATIFICATION and/or
CLUSTER options of the VARIABLE command are used. The
WEIGHT option is used to identify the variable that contains sampling
weight information. In this example, the sampling weight variable is
weight. The STRATIFICATION option is used to identify the variable
in the data set that contains information about the subpopulations from
which independent probability samples are drawn. In this example, the
variable is strat. The CLUSTER option is used to identify the variable
in the data set that contains clustering information. In this example, the
variable is psu. Replicate weights can be generated and analyzed only
with TYPE=COMPLEX. The REPSE option is used to specify the
resampling method that will be used to create the replicate weights. The
setting BOOTSTRAP specifies that bootstrap draws will be used. The
BOOTSTRAP option specifies that 100 bootstrap draws will be carried
out. When replicate weights are generated, they can be saved for further
analysis using the FILE and SAVE options of the SAVEDATA
command. Replicate weights will be saved along with the other analysis
variables in the file named rweights.sav.

Special Modeling Issues
515
CHAPTER 14
SPECIAL MODELING ISSUES
In this chapter, the following special modeling issues are discussed:
Model estimation
Multiple group analysis
Missing data
Categorical mediating variables
Calculating probabilities from probit regression coefficients
Calculating probabilities from logistic regression coefficients
Parameterization of models with more than one categorical latent
variable
In the model estimation section, technical details of parameter
specification and model estimation are discussed. In the multiple group
analysis section, differences in model specification, differences in data
between single-group analysis and multiple group analysis, and testing
for measurement invariance are described. In the missing data section,
estimation of models when there is missing data and special features for
data missing by design are described. There is a section that describes
how categorical mediating variables are treated in model estimation.
There is a section on calculating probabilities for probit regression
coefficients. In the section on calculating probabilities for logistic
regression coefficients, a brief background with examples of converting
logistic regression coefficients to probabilities and odds is given. In the
section on parameterization with multiple categorical latent variables,
conventions related to logistic and loglinear parameterizations of these
models are described.
MODEL ESTIMATION
There are several important issues involved in model estimation beyond
specifying the model. The following general analysis considerations are
discussed below:
Parameter default settings
Parameter default starting values
CHAPTER 14
516
User-specified starting values for mixture models
Multiple solutions for mixture models
Convergence problems
Model identification
Numerical integration
PARAMETER DEFAULT SETTINGS
Default settings are used to simplify the model specification. In order to
minimize the information provided by the user, certain parameters are
free, constrained to be equal, or fixed at zero as the default. These
defaults are chosen to reflect common practice and to avoid
computational problems. These defaults can be overridden. Because of
the extensive default settings, it is important to examine the analysis
results to verify that the model that is estimated is the intended model.
The output contains parameter estimates for all free parameters in the
model, including those that are free by default and those that are free
because of the model specification. Parameters that are fixed in the
input file are also listed with these results. Parameters fixed by default
are not included. In addition, the TECH1 option of the OUTPUT
command shows which parameters in the model are free to be estimated
and which are fixed.
Following are the default settings for means/intercepts/thresholds in the
model when they are included:
Means of observed independent variables are not part of the model.
The model is estimated conditioned on the observed independent
variables.
In single group analysis, intercepts and thresholds of observed
dependent variables are free.
In multiple group analysis and multiple class analysis, intercepts and
thresholds of observed dependent variables that are used as factor
indicators for continuous latent variables are free and equal across
groups or classes. Otherwise, they are free and unequal in the other
groups or classes except for the inflation part of censored and count
variables in which case they are free and equal.
In single group analysis, means and intercepts of continuous latent
variables are fixed at zero.
Special Modeling Issues
517
In multiple group analysis and multiple class analysis, means and
intercepts of continuous latent variables are fixed at zero in the first
group and last class and are free and unequal in the other groups or
classes except when a categorical latent variable is regressed on a
continuous latent variable. In this case, the means and intercepts of
continuous latent variables are fixed at zero in all classes.
Logit means and intercepts of categorical latent variables are fixed at
zero in the last class and free and unequal in the other classes.
Following are the default settings for variances/residual variances/scale
factors:
Variances of observed independent variables are not part of the
model. The model is estimated conditioned on the observed
independent variables.
In single group analysis and multiple group analysis, variances and
residual variances of continuous and censored observed dependent
variables and continuous latent variables are free. In multiple class
analysis, variances/residual variances of continuous and censored
observed dependent variables and continuous latent variables are
free and equal across classes.
In single group analysis using the Delta parameterization, scale
factors of latent response variables for categorical observed
dependent variables are fixed at one. In multiple group analysis
using the Delta parameterization, scale factors of latent response
variables for categorical observed dependent variables are fixed at
one in the first group and are free and unequal in the other groups.
In single group analysis using the Theta parameterization, variances
and residual variances of latent response variables for categorical
observed dependent variables are fixed at one. In multiple group
analysis using the Theta parameterization, variances and residual
variances of latent response variables for categorical observed
dependent variables are fixed at one in the first group and are free
and unequal in the other groups.
Following are the default settings for covariances/residual covariances:
Covariances among observed independent variables are not part of
the model. The model is estimated conditioned on the observed
independent variables.
CHAPTER 14
518
In single group analysis and multiple group analysis, covariances
among continuous latent independent variables are free except when
they are random effect variables defined by using ON or XWITH in
conjunction with the | symbol. In these cases, the covariances
among continuous latent independent variables are fixed at zero. In
multiple class analysis, free covariances among continuous latent
independent variables are equal across classes.
In single group analysis and multiple group analysis, covariances
among continuous latent independent variables and observed
independent variables are fixed at zero.
Covariances among observed variables not explicitly dependent or
independent are fixed at zero.
Residual covariances among observed dependent variables and
among continuous latent dependent variables are fixed at zero with
the following exceptions:
In single group analysis and multiple group analysis,
residual covariances among observed dependent variables
are free when neither variable influences any other variable,
when the variables are not factor indicators, and when the
variables are either continuous, censored (using weighted
least squares), or categorical (using weighted least squares).
In multiple class analysis, free residual covariances among
observed dependent variables are equal across classes.
In single group analysis and multiple group analysis,
residual covariances among continuous latent dependent
variables that are not indicators of a second-order factor are
free when neither variable influences any other variable
except its own indicators, except when they are random
effect variables defined by using ON or XWITH in
conjunction with the | symbol. In these cases, the
covariances among continuous latent independent variables
are fixed at zero. In multiple class analysis, free residual
covariances among continuous latent dependent variables
are equal across classes.
Following are the default settings for regression coefficients:
Regression coefficients are fixed at zero unless they are explicitly
mentioned in the MODEL command. In multiple group analysis,
free regression coefficients are unequal in all groups unless they
involve the regression of an observed dependent variable that is used
Special Modeling Issues
519
as a factor indicator on a continuous latent variable. In this case,
they are free and equal across groups. In multiple class analysis,
free regression coefficients are equal across classes.
PARAMETER DEFAULT STARTING VALUES
If a parameter is not free by default, when the parameter is mentioned in
the MODEL command, it is free at the default starting value unless
another starting value is specified using the asterisk (*) followed by a
number or the parameter is fixed using the @ symbol followed by a
number. The exception to this is that variances and residual variances
for latent response variables corresponding to categorical observed
dependent variables cannot be free in the Delta parameterization. They
can be free in the Theta parameterization. In the Theta parameterization,
scale factors for latent response variables corresponding to categorical
observed dependent variables cannot be free. They can be free in the
Delta parameterization.
GENERAL DEFAULTS
Following are the default starting values:
Means/intercepts of continuous and 0 or sample mean
censored observed variables depending on the
analysis
Means/intercepts of count observed variables 0
Thresholds of categorical observed variables 0 or determined by the
sample proportions
depending on the
analysis
Variances/residual variances of .05 or 1 depending on
continuous latent variables the analysis
Variances/residual variances of .5 of the sample
continuous and censored observed variables variance
Variances/residual variances of 1
latent response variables for categorical
observed variables
Scale factors 1
Loadings for indicators of continuous 1
latent variables
CHAPTER 14
520
All other parameters 0
For situations where starting values depend on the analysis, the starting
values can be found using the TECH1 option of the OUTPUT command.
DEFAULTS FOR GROWTH MODELS
When growth models are specified using the | symbol of the MODEL
command and the outcome is continuous or censored, automatic starting
values for the growth factor means and variances are generated based on
individual regressions of the outcome variable on time. For other
outcome types, the defaults above apply.
RANDOM STARTING VALUES FOR MIXTURE MODELS
When TYPE=MIXTURE is specified, the default starting values are
automatically generated values that are used to create randomly
perturbed sets of starting values for all parameters in the model except
variances and covariances.
USER-SPECIFIED STARTING VALUES FOR
MIXTURE MODELS
Following are suggestions for obtaining starting values when random
starts are not used with TYPE=MIXTURE. User-specified starting
values can reduce computation time with STARTS=0. They can be
helpful when there is substantive knowledge of the relationship between
latent classes and the latent class indicators. For example, it may be
well-known that there is a normative class in which individuals have a
very low probability of engaging in any of the behaviors represented by
the latent class indicators. User-specified starting values may also be
used for confirmatory latent class analysis or confirmatory growth
mixture modeling.
LATENT CLASS INDICATORS
Starting values for the thresholds of the categorical latent class
indicators are given in the logit scale. For ordered categorical latent
class indicators, the threshold starting values for each variable must be
ordered from low to high. The exception to this is when equality
Special Modeling Issues
521
constraints are placed on adjacent thresholds for a variable in which case
the same starting value is used. It is a good idea to start the classes apart
from each other.
Following is a translation of probabilities to logit threshold values that
can be used to help in selecting starting values. Note that logit threshold
values have the opposite sign from logit intercept values. The probability
is the probability of exceeding a threshold. High thresholds are
associated with low probabilities.
Very low probability Logit threshold of +3
Low probability Logit threshold of +1
High probability Logit threshold of -1
Very high probability Logit threshold of -3
GROWTH MIXTURE MODELS
In most analyses, it is sufficient to use the default starting values
together with random starts. If starting values are needed, the following
two strategies are suggested. The first strategy is to estimate the growth
model as either a one-class model or a regular growth model to obtain
means and standard deviations for the intercept and slope growth factors.
These values can be used to compute starting values. For example,
starting values for a 2 class model could be the mean plus or minus half
of a standard deviation.
The second strategy is to estimate a multi-class model with the variances
and covariances of the growth factors fixed at zero. The estimates of the
growth factor means from this analysis can be used as starting values in
an analysis where the growth factor variances and covariances are not
fixed at zero.
MULTIPLE SOLUTIONS FOR MIXTURE
MODELS
With mixture models, multiple maxima of the likelihood often exist. It
is therefore important to use more than one set of starting values to find
the global maximum. If the best (highest) loglikelihood value is not
replicated in at least two final stage solutions and preferably more, it is
possible that a local solution has been reached, and the results should not
be interpreted without further investigation. Following is an example of
CHAPTER 14
522
a set of ten final stage solutions that point to a good solution because all
of the final stage solutions have the same loglikelihood value:
Loglikelihood Seed Initial Stage Starts
-836.899 902278 21
-836.899 366706 29
-836.899 903420 5
-836.899 unperturbed 0
-836.899 27071 15
-836.899 967237 48
-836.899 462953 7
-836.899 749453 33
-836.899 637345 19
-836.899 392418 28
Following is an example of a set of final stage solutions that may point
to a possible local solution because the best loglikelihood value is not
replicated:
Loglikelihood Seed Initial Stage Starts
-835.247 902278 21
-837.132 366706 29
-840.786 903420 5
-840.786 unperturbed 0
-840.786 27071 15
-853.684 967237 48
-867.123 462953 7
-890.442 749453 33
-905.512 637345 19
-956.774 392418 28
Although the loglikelihood value of -840.786 is replicated three times, it
points to a local solution because it is not the best loglikelihood value.
The best loglikelihood value must be replicated for a trustworthy
solution.
When several final stage optimizations result in similar loglikelihood
values that are close to the highest loglikelihood value, the parameter
estimates for these solutions should be studied using the OPTSEED
option of the ANALYSIS command. If the parameter estimates are
different across the solutions, this indicates that the model is not well-
defined for the data. This may be because too many classes are being
extracted. If the parameter values are very similar across the solutions,
the solution with the highest loglikelihood should be chosen.
Special Modeling Issues
523
Following is a set of recommendations for an increasingly more
thorough investigation of multiple solutions using the STARTS and
STITERATIONS options of the ANALYSIS command. The first
recommendation is:
STARTS = 100 20;
which increases the number of initial stage random sets of starting
values from the default of 20 to 100 and the number of final stage
optimizations from the default of 4 to 20. In this recommendation, the
default of ten STITERATIONS is used.
A second recommendation is:
STARTS = 100 20;
STITERATIONS = 20;
where STITERATIONS is increased from the default of 10 iterations to
20 iterations in addition to increasing the number of initial stage random
sets of starting values and final stage optimizations.
A third recommendation is to increase the initial stage random sets of
starting values further to 500, increase the final stage optimizations to
100, with or without increasing STITERATIONS. Following is the
specification without increasing STITERATIONS.
STARTS = 500 100;
CONVERGENCE PROBLEMS
Some combinations of models and data may cause convergence
problems. A message to this effect is found in the output. Convergence
problems are often related to variables in the model being measured on
very different scales, poor starting values, and/or a model being
estimated that is not appropriate for the data. In addition, certain models
are more likely to have convergence problems. These include mixture
models, two-level models, and models with random effects that have
small variances.
CHAPTER 14
524
GENERAL CONVERGENCE PROBLEMS
It is useful to distinguish between two types of non-convergence. The
type of non-convergence can be determined by examining the
optimization history of the analysis which is obtained by using the
TECH5 and/or TECH8 options of the OUTPUT command. In the first
type of non-convergence, the program stops before convergence because
the maximum number of iterations has been reached. In the second type
of non-convergence, the program stops before the maximum number of
iterations has been reached because of difficulties in optimizing the
fitting function.
For both types of convergence problems, the first thing to check is that
the continuous observed variables are measured on similar scales.
Convergence problems can occur when the sample variance values for
continuous observed variables fall substantially outside of the range of 1
to 10. This is particularly important with a combination of categorical
and continuous observed variables. When variances of continuous
observed variables are large, the DEFINE command can be used to
divide the variables by a constant. When they are small, the DEFINE
command can be used to multiply them by a constant.
In the first type of problem, as long as no large negative
variances/residual variances are found in the preliminary parameter
estimates and each iteration has not had a large number of trys,
convergence may be reached by increasing the number of iterations or
using the preliminary parameter estimates as starting values. If there are
large negative variances/residual variances, new starting values should
be tried. In the second type of problem, the starting values are not
appropriate for the model and the data. New starting values should be
tried. Starting values for variance/residual variance parameters are the
most important to change. If new starting values do not help, the model
should be modified.
A useful way to avoid convergence problems due to poor starting values
is to build up a model by estimating the model parts separately to obtain
appropriate starting values for the full model.
Special Modeling Issues
525
CONVERGENCE PROBLEMS SPECIFIC TO MODELING
WITH RANDOM EFFECTS
Random effect models can have convergence problems when the random
effect variables have small variances. Problems can arise in models in
which random effect variables are defined using the ON or AT options
of the MODEL command in conjunction with the | symbol of the
MODEL command and in growth models for censored, categorical, and
count outcomes. If convergence problems arise, information in the error
messages identifies the problematic variable. In addition, the output can
be examined to see the size of the random effect variable variance. If it
is close to zero and the random effect variable is a random slope defined
using an ON statement in conjunction with the | symbol, a fixed effect
should be used instead by using a regular ON statement. If it is close to
zero and the random effect variable is a growth factor, the growth factor
variance and corresponding covariances should be fixed at zero.
CONVERGENCE PROBLEMS SPECIFIC TO MIXTURE
MODELS
In mixture models, convergence is determined not only by the
derivatives of the loglikelihood but also by the absolute and relative
changes in the loglikelihood and the changes in the class counts.
Information about changes in the loglikelihood and the class counts can
be found in TECH8.
Even when a mixture model does converge, it is possible to obtain a
local solution. Therefore, it is important to run the model with multiple
sets of starting values to guarantee that the best solution is obtained.
The best solution is the solution with the largest loglikelihood. As
discussed above, the STARTS option of the ANALYSIS command can
be used for automatically generating multiple sets of randomly drawn
starting values that are used to find the best solution.
MODEL IDENTIFICATION
Not all models that can be specified in the program are identified. A
non-identified model is one that does not have meaningful estimates for
all of its parameters. Standard errors cannot be computed for non-
identified models because of a singular Fisher information matrix.
When a model is not identified, an error message is printed in the output.
CHAPTER 14
526
In most cases, the error message gives the number of the parameter that
contributes to the non-identification. The parameter to which the
number applies is found using the TECH1 option of the OUTPUT
command. Additional restrictions on the parameters of the model are
often needed to make the model identified.
Model identification can be complex for mixture models. Mixture
models that are in theory identified can in certain samples and with
certain starting values be empirically non-identified. In this situation,
changing the starting values or changing the model is recommended.
For all models, model identification can be determined by examining
modification indices and derivatives. If a fixed parameter for an
outcome has a modification index or a derivative of zero, it will not be
identified if it is free. For an estimated model that is known to be
identified, the model remains identified if a parameter with a non-zero
modification index or a non-zero derivative is freed. Derivatives are
obtained by using the TECH2 option of the OUTPUT command.
Modification indices are obtained by using the MODINDICES option of
the OUTPUT command.
NUMERICAL INTEGRATION
Numerical integration is required for maximum likelihood estimation
when the posterior distribution of the latent variable does not have a
closed form expression. In the table below, the ON and BY statements
that require numerical integration are designated by a single or double
asterisk (*). A single asterisk (*) indicates that numerical integration is
always required. A double asterisk (*) indicates that numerical
integration is required when the mediating variable has missing data.
Numerical integration is also required for models with interactions
involving continuous latent variables and for certain models with
random slopes such as multilevel mixture models.

Special Modeling Issues
527
Scale of
Dependent
Variable
Scale of Observed Mediating
Variable
Scale of Latent
Variable
Continuous
Censored,
Categorical,
and Count
Continuous
Continuous
ON
ON**
ON
BY
Censored,
Categorical,
and Count
ON**
ON**
ON*
BY*
Nominal
ON**
ON**
ON*
Continuous
Latent
ON
ON**
ON
BY
Categorical
Latent
ON**
ON**
ON*
BY*
Inflation Part of
Censored and
Count
ON**
ON**
ON*
BY*
When the posterior distribution does not have a closed form, it is
necessary to integrate over the density of the latent variable multiplied
by the conditional distribution of the outcomes given the latent variable.
Numerical integration approximates this integration by using a weighted
sum over a set of integration points (quadrature nodes) representing
values of the latent variable.
Three types of numerical integration are available in Mplus with or
without adaptive numerical integration. They are rectangular (trapezoid)
numerical integration with a default of 15 integration points per
dimension, Gauss-Hermite integration with a default of 15 integration
points per dimension, and Monte Carlo integration with integration
points generated randomly with a default of 500 integration points in
total. In many cases, all three integration types are available. When
mediating variables have missing data, only the Monte Carlo integration
algorithm is available.
For some analyses it is necessary to increase the number of integration
points to obtain sufficient numerical precision. In these cases, 20-50
integration points per dimension are recommended for rectangular and
Gauss-Hermite integration and 5000 total integration points for Monte
Carlo integration. Going beyond these recommendations is not
advisable because the precision is unlikely to be improved any further,
computations will become slower, and numerical instability can arise
from increased round off error.
CHAPTER 14
528
In most analyses, the default of adaptive numerical integration is
expected to outperform non-adaptive numerical integration. In most
analyses, 15 integration points per dimension are sufficient with adaptive
numerical integration, whereas non-adaptive numerical integration may
require 30-50 integration points per dimension. There are analyses,
however, where adaptive numerical integration leads to numerical
instability. These include analyses with outliers, non-normality in the
latent variable distribution, and small cluster sizes. In such analyses, it
is recommended to turn off the adaptive numerical integration using the
ADAPTIVE option of the ANALYSIS command.
Numerical integration is computationally heavy and thereby time-
consuming because the integration must be done at each iteration, both
when computing the function value and when computing the derivative
values. The computational burden increases as a function of the number
of integration points, increases linearly as a function of the number of
observations, and increases exponentially as a function of the number of
dimensions of integration. For rectangular and Gauss-Hermite
integration, the computational burden also increases exponentially as a
function of the dimensions of integration, that is, the number of latent
variables, random slopes, or latent variable interactions for which
numerical integration is needed. Following is a list that shows the
computational burden in terms of the number of dimensions of
integration using the default number of integration points.
One dimension of integration Light
Two dimensions of integration Moderate
Three to four dimensions of integration Heavy
Five or more dimensions of integration Very heavy
Note that with several dimensions of integration it may be advantageous
to use Monte Carlo integration. Monte Carlo integration may, however,
result in loglikelihood values with low numerical precision making the
testing of nested models using likelihood ratio chi-square tests based on
loglikelihood differences imprecise. To reduce the computational
burden with several dimensions of integration, it is sometimes possible
to get sufficiently precise results by reducing the number of integration
points per dimension from the default of 15 to 10 or 7. For exploratory
factor analysis, as few as three integration points per dimension may be
sufficient.

Special Modeling Issues
529
PRACTICAL ASPECTS OF NUMERICAL INTEGRATION
Following is a list of suggestions for using numerical integration:
Start with a model that has a small number of latent variables,
random slopes, or latent variable interactions for which numerical
integration is required and add to this number in small increments
Start with an analysis using the TECH8 and TECH1 options of the
OUTPUT command in conjunction with the MITERATIONS and
STARTS options of the ANALYSIS command set to 1 and 0,
respectively, to obtain information on the time required for one
iteration and to check that the model specifications are correct
With more than 3 dimensions of integration, reduce the number of
integration points per dimension to 10 or use Monte Carlo
integration with 5000 total integration points
If the TECH8 output shows large negative values in the column
labeled ABS CHANGE, increase the number of integration points to
improve the precision of the numerical integration and resolve
convergence problems
Because non-identification based on a singular information matrix
may be difficult to determine when numerical integration is
involved, it is important to check for a low condition number which
may indicate non-identification, for example, a condition number
less than 1.0E-6
MULTIPLE GROUP ANALYSIS
In this section, special issues related to multiple group or multiple
population analysis are discussed. Multiple group analysis is used when
data from more than one population are being examined to investigate
measurement invariance and population heterogeneity. Measurement
invariance is investigated by testing the invariance of measurement
parameters across groups. Measurement parameters include intercepts
or thresholds of the factor indicators, factor loadings, and residual
variances of the factor indicators. Population heterogeneity is
investigated by testing the invariance of structural parameters across
groups. Structural parameters include factor means, variances, and
covariances and regression coefficients. Multiple group analysis is not
available for TYPE=MIXTURE and EFA. Multiple group analysis for
TYPE=MIXTURE can be carried out using the KNOWNCLASS option
CHAPTER 14
530
of the VARIABLE command. Following are the topics discussed in this
section:
Requesting a multiple group analysis
First group in multiple group analysis
Defaults for multiple group analysis
MODEL command in multiple group analysis
Equalities in multiple group analysis
Means/intercepts/thresholds in multiple group analysis
Scale factors in multiple group analysis
Residual variances of latent response variables in multiple group
analysis
Data in multiple group analysis
Testing for measurement invariance using multiple group analysis
REQUESTING A MULTIPLE GROUP ANALYSIS
The way to request a multiple group analysis depends on the type of data
that are being analyzed. When individual data stored in one data set are
analyzed, a multiple group analysis is requested by using the
GROUPING option of the VARIABLE command. When individual data
stored in different data sets are analyzed, multiple group analysis is
requested by using multiple FILE statements in the DATA command.
When summary data are analyzed, multiple group analysis is requested
by using the NGROUPS option of the DATA command.
FIRST GROUP IN MULTIPLE GROUP ANALYSIS
In some situations it is necessary to know which group the program
considers to be the first group. How the first group is defined differs
depending on the type of data being analyzed. For individual data in a
single data set, the first group is defined as the group with the lowest
value on the grouping variable. For example if the grouping variable is
gender with males having the value of 1 and females having the value of
0, then the first group is females. For individual data in separate data
sets, the first group is the group represented by the first FILE statement
listed in the DATA command. For example, if the following FILE
statements are specified in an input setup,
Special Modeling Issues
531
FILE (male) IS male.dat;
FILE (female) IS female.dat;
the first group is males. For summary data, the first group is the group
with the label, g1. This group is the group represented by the first set of
summary data found in the summary data set.
DEFAULTS FOR MULTIPLE GROUP ANALYSIS
In multiple group analysis, some measurement parameters are held equal
across the groups as the default. This is done to reflect measurement
invariance of these parameters. Intercepts, thresholds, and factor
loadings are held equal across groups. The residual variances of the
factor indicators are not held equal across groups.
All structural parameters are free and not constrained to be equal across
groups as the default. Structural parameters include factor means,
variances, and covariances and regressions coefficients. Factor means
are fixed at zero in the first group and are free to be estimated in the
other groups as the default. This is because factor means generally
cannot be identified for all groups. The customary approach is to set the
factor means to zero in a reference group, here the first group.
For observed categorical dependent variables using the default Delta
parameterization, the scale factors of the latent response variables of the
categorical factor indicators are fixed at one in the first group and are
free to be estimated in the other groups as the default. This is because
the latent response variables are not restricted to have across-group
equalities of variances. For observed categorical dependent variables
using the Theta parameterization, the residual variances of the latent
response variables of the categorical factor indicators are fixed at one in
the first group and are free to be estimated in the other groups as the
default.
CHAPTER 14
532
MODEL COMMAND IN MULTIPLE GROUP
ANALYSIS
In multiple group analysis, two variations of the MODEL command are
used. They are MODEL and MODEL followed by a label. MODEL is
used to describe the overall analysis model. MODEL followed by a
label is used to describe differences between the overall analysis model
and the analysis model for each group. These are referred to as group-
specific models. The labels are defined using the GROUPING option of
the VARIABLE command for individual data in a single file, by the
FILE options of the DATA command for individual data in separate
files, and by the program for summary data and Monte Carlo simulation
studies. It is not necessary to describe the full model for each group in
the group-specific models. Group-specific models should contain only
differences from the model described in the overall MODEL command
and the model for that group.
Following is an example of an overall MODEL command for multiple
group analysis:
MODEL: f1 BY y1 y2 y3;
f2 BY y4 y5 y6;
In the above overall MODEL command, the two BY statements specify
that f1 is measured by y1, y2, and y3, and f2 is measured by y4, y5, and
y6. The metric of the factors is set automatically by the program by
fixing the first factor loading in each BY statement to 1. The intercepts
of the factor indicators and the other factor loadings are held equal
across the groups as the default. The residual variances are estimated for
each group and the residual covariances are fixed at zero as the default.
Factor variances and the factor covariance are estimated for each group.
Following is a group-specific MODEL command that relaxes the
equality constraints on the factor loadings in a two-group analysis:
MODEL g2: f1 BY y2 y3;
f2 BY y5 y6;
In the above group-specific MODEL command, the equality constraints
on the factor loadings of y2, y3, y5, and y6 are relaxed by including
them in a group-specific MODEL command. The first factor indicator
Special Modeling Issues
533
of each factor should not be included because including them frees their
factor loadings which should be fixed at one to set the metric of the
factors.
Factor means are fixed at zero in the first group and are estimated in
each of the other groups. The following group-specific MODEL
command relaxes the equality constraints on the intercepts and
thresholds of the observed dependent variables:
MODEL g2: [y1 y2 y3];
[u4$1 u5$2 u6$3];
Following is a set of MODEL commands for a multiple group analysis in
which three groups are being analyzed: g1, g2, and g3:
MODEL: f1 BY y1-y5;
f2 BY y6-y10;
f1 ON f2;
MODEL g1: f1 BY y5;
MODEL g2: f2 BY y9;
In the overall MODEL command, the first BY statement specifies that f1
is measured by y1, y2, y3, y4, and y5. The second BY statement
specifies that f2 is measured by y6, y7, y8, y9, and y10. The metric of
the factors is set automatically by the program by fixing the first factor
loading in each BY statement to one. The intercepts of the factor
indicators and the other factor loadings are held equal across the groups
as the default. The residual variances for y1 through y10 are estimated
for each group and the residual covariances are fixed at zero as the
default. The variance of the factor f2 and the residual variance of the
factor f1 are estimated for each group. A regression coefficient for the
linear regression of f1 on f2 is estimated for each group.
Differences between the overall model and the group-specific models are
specified using the MODEL command followed by a label. The two
group-specific MODEL commands above specify differences between
the overall model and the group-specific models. In the above example,
the factor loading for y5 in group g1 is not constrained to be equal to the
factor loading for y5 in the other two groups and the factor loading for
y9 in group g2 is not constrained to be equal to the factor loading for y9
CHAPTER 14
534
in the other two groups. The model for g3 is identical to that of the
overall model because there is no group-specific model statement for g3.
EQUALITIES IN MULTIPLE GROUP ANALYSIS
A number or list of numbers in parentheses following a parameter or list
of parameters is used to indicate equality constraints. Constraining
parameters to be equal in a single group analysis is discussed in Chapter
17. In a single group analysis, parameters are constrained to be equal by
placing the same number or list of numbers in parentheses following the
parameters that are to be held equal. For example,
y1 ON x1 (1) ;
y2 ON x2 (1) ;
y3 ON x3 (2) ;
y4 ON x4 (2) ;
y5 ON x5 (2) ;
constrains the regression coefficients of the first two equations to be
equal and the regression coefficients of the last three equations to be
equal.
In multiple group analysis, the interpretation of equality constraints
depends on whether they are part of the overall MODEL command or a
group-specific MODEL command. Equality constraints specified in the
overall MODEL command apply to all groups. Equality constraints
specified in a group-specific MODEL command apply to only that
group.
Following is an example of how to specify across group equality
constraints in the overall MODEL command:
MODEL: f1 BY y1-y5;
y1 (1)
y2 (2)
y3 (3)
y4 (4)
y5 (5);
By placing a different number in parentheses after each residual
variance, each residual variance is held equal across all groups but not
Special Modeling Issues
535
equal to each other. Note that only one equality constraint can be
specified per line.
Following is another example of how to specify across group equality
constraints in the overall MODEL command:
MODEL: f1 BY y1-y5;
y1-y5 (1);
By placing a one in parentheses after the list of residual variances, y1
through y5, the values of those parameters are held equal to each other
and across groups. If the five residual variances are free to be estimated
across the three groups, there are fifteen parameters. With the equality
constraint, one parameter is estimated.
Following is an example of how to specify an equality constraint in a
group-specific MODEL command:
MODEL g2: y1-y5 (2);
In the group-specific MODEL command for g2, the residual variances of
y1 through y5 are held equal for g2 but are not held equal to the residual
variances of any other group because (2) is not specified in the overall
MODEL command or in any other group-specific MODEL command.
One residual variance is estimated for g2.
Following is an example of how to relax an equality constraint in a
group-specific MODEL command:
MODEL g3: y1-y5;
In this example, by mentioning the residual variances in a group-specific
MODEL command, they are no longer held equal to the residual
variances in groups 1 and 3. Five residual variances are estimated for
g3.
The overall and group-specific MODEL commands discussed above are
shown and interpreted together below:
MODEL: f1 BY y1-y5;
y1-y5 (1);
CHAPTER 14
536
MODEL g2: y1-y5 (2);
MODEL g3: y1-y5;
The overall MODEL command specifies the overall model for the three
groups as described above. Because there is no group-specific MODEL
command for g1, g1 uses the same model as that described in the overall
MODEL command. The group-specific MODEL commands describe
the differences between the overall model and the group-specific
models. The group g2 uses the overall model with the exception that the
one residual variance that is estimated is not constrained to be equal to
the other two groups. The group g3 uses the overall model with the
exception that five residual variances not constrained to be equal to the
other groups are estimated.
MEANS/INTERCEPTS/THRESHOLDS IN
MULTIPLE GROUP ANALYSIS
In multiple group analysis, the intercepts and thresholds of observed
dependent variables that are factor indicators are constrained to be equal
across groups as the default. The means and intercepts of continuous
latent variables are fixed at zero in the first group and are free to be
estimated in the other groups as the default. Means, intercepts, and
thresholds are referred to by the use of square brackets.
Following is an example how to refer to means and intercepts in a
multiple group model.
MODEL: f1 BY y1-y5;
f2 BY y6-y10;
f1 ON f2;
MODEL g1: [f1 f2];
MODEL g2: [f1@0 f2@0];
In the above example, the intercepts and the factor loadings for the
factor indicators y1-y5 are held equal across the three groups as the
default. In the group-specific MODEL command for g1, the mean of f2
and the intercept of f1 are specified to be free. In the group-specific
MODEL command for g2, the mean of f2 and the intercept of f1 are
fixed at zero.
Special Modeling Issues
537
The following group-specific MODEL command relaxes the equality
constraints on the intercepts of the observed dependent variables:
MODEL g2: [y1-y10];
SCALE FACTORS IN MULTIPLE GROUP
ANALYSIS
Scale factors can be used in multiple group analysis. They are
recommended when observed dependent variables are categorical and a
weighted least squares estimator is used. They capture across group
differences in the variances of the latent response variables for the
observed categorical dependent variables. Scale factors are part of the
model as the default using a weighted least squares estimator when one
or more observed dependent variables are categorical. In this situation,
the first group has scale factors fixed at one. In the other groups, scale
factors are free to be estimated with starting values of one. Scale factors
are referred to using curly brackets. Following is an example of how to
refer to scale factors in a model with multiple groups where u1, u2, u3,
u4, and u5 are observed categorical dependent variables:
MODEL: f BY u1-u5;
MODEL g2: {u1-u5*.5};
In the above example, the scale factors of the latent response variables of
the observed categorical dependent variables in g1 are fixed at one as the
default. Starting values are given for the free scale factors in g2.
RESIDUAL VARIANCES OF LATENT RESPONSE
VARIABLES IN MULTIPLE GROUP ANALYSIS
With the Theta parameterization for observed categorical dependent
variables using a weighted least squares estimator, residual variances of
the latent response variables for the observed categorical dependent
variables are part of the model as the default. In this situation, the first
group has residual variances fixed at one for all observed categorical
dependent variables. In the other groups, residual variances are free to
be estimated with starting values of one. Residual variances of the latent
response variables are referred to using the name of the corresponding
observed variable. Following is an example of how to refer to residual
CHAPTER 14
538
variances in a model with multiple groups where u1, u2, u3, u4, and u5
are observed categorical dependent variables:
MODEL: f BY u1-u5;
MODEL g2: u1-u5*2;
In the above example, the residual variances of the latent response
variables of the observed categorical dependent variables in g1 are fixed
at one as the default. Starting values are given for the free residual
variances in g2.
DATA IN MULTIPLE GROUP ANALYSIS
One difference between single group analysis and multiple group
analysis is related to the data to be analyzed. For individual data, the
data for all groups can be stored in one data set or in different data sets.
If the data are stored in one data set, the data set must include a variable
that identifies the group to which each observation belongs. For
summary data, all data must be stored in the same data set.
INDIVIDUAL DATA, ONE DATA SET
If individual data for several groups are stored in one data set, the data
set must include a variable that identifies the group to which each
observation belongs. The name of this variable is specified using the
GROUPING option of the VARIABLE command. Only one grouping
variable can be specified. If the groups to be analyzed are a combination
of more than one variable, for example, gender and ethnicity, a single
grouping variable can be created using the DEFINE command. An
example of how to specify the GROUPING option is:
GROUPING IS gender (1 = male 2 = female);
The information in parentheses after the grouping variable name assigns
labels to the values of the grouping variable found in the data set. In the
example above, observations with the variable gender equal to 1 are
assigned the label male, and observations with the variable gender equal
to 2 are assigned the label female. These labels are used in group-
specific MODEL commands to specify differences between the overall
model and the group-specific models. If an observation has a value for
Special Modeling Issues
539
the grouping variable that is not specified using the GROUPING option,
it is not included in the analysis.
INDIVIDUAL DATA, DIFFERENT DATA SETS
For individual data stored in different data sets, the specification of the
FILE option of the DATA command has two differences for multiple
group analysis. First, a FILE statement is required for each data set.
Second, the FILE option allows a label to be specified that can be used
in the group-specific MODEL commands. In the situation where the
data for males are stored in a file named male.dat, and the data for
females are stored in a file named female.dat, the FILE option is
specified as follows:
FILE (male) = male.dat;
FILE (female) = female.dat;
The labels male and female can be used in the group-specific MODEL
commands to specify differences between the group-specific models for
males and females and the overall model.
When individual data are stored in different data sets, all of the data sets
must contain the same number of variables. These variables must be
assigned the same names and be read using the same format.
SUMMARY DATA, ONE DATA SET
Summary data must be stored in one data set with the data for the first
group followed by the data for the second group, etc.. For example, in
an analysis of means and a covariance matrix for two groups with four
observed variables, the data would appear as follows:
0 0 0 0
2
1 2
1 1 2
1 1 1 2
1 1 1 1
CHAPTER 14
540
3
2 3
2 2 3
2 2 2 3
where the means for group 1 come first, followed by the covariances for
group 1, followed by the means for group 2, followed by the covariances
for group 2.
The NOBSERVATIONS and NGROUPS options have special formats
for multiple group analysis when summary data are analyzed. The
NOBSERVATIONS option requires an entry for each group in the order
that the data appear in the data set. For example, if the summary data for
males appear first in a data set followed by the summary data for
females, the NOBSERVATIONS statement,
NOBSERVATIONS = 180 220;
indicates that the summary data for males come from 180 observations
and the summary data for females come from 220 observations.
In addition, for summary data, it is necessary to specify the number of
groups in the analysis using the NGROUPS option of the DATA
command. The format of this option follows:
NGROUPS = 2;
which indicates that there are two groups in the analysis. For summary
data, the program automatically assigns the label g1 to the first group, g2
to the second group, etc. In this example, males would have the label g1
and females would have the label g2.
TESTING FOR MEASUREMENT INVARIANCE
USING MULTIPLE GROUP ANALYSIS
Multiple group analysis can be used to test measurement invariance of
factors using chi-square difference tests or loglikelihood difference tests
for a set of nested models. For continuous, censored, and count
variables, the measurement parameters are the intercepts, factor
loadings, and residual variances of the factor indicators. In many
disciplines, invariance of intercepts or thresholds and factor loadings are
Special Modeling Issues
541
considered sufficient for measurement invariance. Some disciplines also
require invariance of residual variances. For categorical variables, the
measurement parameters are thresholds and factor loadings. For the
Delta parameterization of weighted least squares estimation, scale
factors can also be considered. For the Theta parameterization of
weighted least squares estimation, residual variances can also be
considered.
Following is a description of the models to be used to test for
measurement invariance for various variable types and estimators.
These models can also be used to test for longitudinal measurement
invariance. Necessary restrictions are placed across time rather than
across groups.
MODELS FOR CONTINUOUS, CENSORED, AND COUNT
VARIABLES
Following is a set of models that can be considered for measurement
invariance of continuous, censored, and count variables. They are listed
from least restrictive to most restrictive.
For continuous, censored, and count variables, the configural model has
factor loadings, intercepts, and residual variances free across groups and
factor means fixed at zero in all groups. If the metric of a factor is set by
fixing a factor loading to one, factor variances are free across groups. If
the metric of a factor is set by freeing all factor loadings and fixing the
factor variance to one, the factor variance is fixed at one in all groups.
The metric has factor loadings constrained to be equal across groups,
intercepts and residual variances free across groups, and factor means
fixed at zero in all groups. If the metric of a factor is set by fixing a
factor loading to one, factor variances are free across groups. If the
metric of a factor is set by freeing all factor loadings within a group and
fixing the factor variance to one, the factor variance is fixed at one in
one group and is free in the other groups.
The scalar model has factor loadings and intercepts constrained to be
equal across groups, residual variances free across groups, and factor
means fixed at zero in one group and free in the other groups. If the
metric of a factor is set by fixing a factor loading to one, factor variances
are free across groups. If the metric of a factor is set by freeing all factor
CHAPTER 14
542
loadings within a group and fixing the factor variance to one, the factor
variance is fixed at one in one group and is free in the other groups.
MODELS FOR BINARY VARIABLES
Following is a set of models that can be considered for measurement
invariance of binary variables. They are listed from least restrictive to
most restrictive. For binary variables and weighted least squares
estimation, only the configural and scalar models are considered. The
metric model is not identified because scale factors or residual variances
are allowed to vary across groups. For binary variables and maximum
likelihood estimation, the configural, metric, and scalar models are
considered. The metric model is identified because residual variances
are implicitly fixed at one in all groups.
WEIGHTED LEAST SQUARES ESTIMATION USING THE
DELTA PARAMETERIZATION
For binary variables using weighted least squares estimation and the
Delta parameterization, the configural model has factor loadings and
thresholds free across groups, scale factors fixed at one in all groups,
and factor means fixed at zero in all groups. If the metric of a factor is
set by fixing a factor loading to one, factor variances are free across
groups. If the metric of a factor is set by freeing all factor loadings and
fixing the factor variance to one, the factor variance is fixed at one in all
groups.
The scalar model has factor loadings and thresholds constrained to be
equal across groups, scale factors fixed at one in one group and free in
the other groups, and factor means fixed at zero in one group and free in
the other groups. If the metric of a factor is set by fixing a factor
loading to one, factor variances are free across groups. If the metric of a
factor is set by freeing all factor loadings within a group and fixing the
factor variance to one, the factor variance is fixed at one in one group
and is free in the other groups.
WEIGHTED LEAST SQUARES ESTIMATION USING THE
THETA PARAMETERIZATION
For binary variables using weighted least squares estimation and the
Theta parameterization, the configural model has factor loadings and
Special Modeling Issues
543
thresholds free across groups, residual variances fixed at one in all
groups, and factor means fixed at zero in all groups. If the metric of a
factor is set by fixing a factor loading to one, factor variances are free
across groups. If the metric of a factor is set by freeing all factor
loadings and fixing the factor variance to one, the factor variance is
fixed at one in all groups.
The scalar model has factor loadings and thresholds constrained to be
equal across groups, residual variances fixed at one in one group and
free in the other groups, and factor means fixed at zero in one group and
free in the other groups. If the metric of a factor is set by fixing a factor
loading to one, factor variances are free across groups. If the metric of a
factor is set by freeing all factor loadings within a group and fixing the
factor variance to one, the factor variance is fixed at one in one group
and is free in the other groups.
MAXIMUM LIKELIHOOD ESTIMATION
For binary variables and maximum likelihood estimation, the configural
model has factor loadings and thresholds free across groups and factor
means fixed at zero in all groups. If the metric of a factor is set by fixing
a factor loading to one, factor variances are free across groups. If the
metric of a factor is set by freeing all factor loadings and fixing the
factor variance to one, the factor variance is fixed at one in all groups.
The metric model has factor loadings constrained to be equal across
groups, thresholds free across groups, and factor means fixed at zero in
all groups. If the metric of a factor is set by fixing a factor loading to
one, factor variances are free across groups. If the metric of a factor is
set by freeing all factor loadings within a group and fixing the factor
variance to one, the factor variance is fixed at one in one group and is
free in the other groups.
The scalar model has factor loadings and thresholds constrained to be
equal across groups and factor means fixed at zero in one group and free
in the other groups. If the metric of a factor is set by fixing a factor
loading to one, factor variances are free across groups. If the metric of a
factor is set by freeing all factor loadings within a group and fixing the
factor variance to one, the factor variance is fixed at one in one group
and is free in the other groups.
CHAPTER 14
544
MODELS FOR ORDERED CATEGORICAL (ORDINAL)
VARIABLES
Following is a set of models that can be considered for measurement
invariance of ordered categorical (ordinal) variables. They are listed
from least restrictive to most restrictive. The metric model is not
allowed for ordered categorical (ordinal) variables when a factor
indicator loads on more than one factor, when the metric of a factor is
set by fixing a factor variance to one, and when Exploratory Structural
Equation Modeling (ESEM) is used.
WEIGHTED LEAST SQUARES ESTIMATION USING THE
DELTA PARAMETERIZATION
For ordered categorical (ordinal) variables using weighted least squares
estimation and the Delta parameterization, the configural model has
factor loadings and thresholds free across groups, scale factors fixed at
one in all groups, and factor means fixed at zero in all groups. If the
metric of a factor is set by fixing a factor loading to one, factor variances
are free across groups. If the metric of a factor is set by freeing all
factor loadings and fixing the factor variance to one, the factor variance
is fixed at one in all groups.
The metric model has factor loadings constrained to be equal across
groups, scale factors fixed at one in one group and free in the other
groups, and factor means fixed at zero in one group and free in the other
groups. The first threshold of each item is held equal across groups.
The second threshold of the item that is used to set the metric of the
factor is held equal across groups. Factor variances are free across
groups. For a discussion of these specifications, see Millsap (2011).
The scalar model has factor loadings and thresholds constrained to be
equal across groups, scale factors fixed at one in one group and free in
the other groups, and factor means fixed at zero in one group and free in
the other groups. If the metric of a factor is set by fixing a factor
loading to one, factor variances are free across groups. If the metric of a
factor is set by freeing all factor loadings within a group and fixing the
factor variance to one, the factor variance is fixed at one in one group
and is free in the other groups.
Special Modeling Issues
545
WEIGHTED LEAST SQUARES ESTIMATION USING THE
THETA PARAMETERIZATION
For ordered categorical (ordinal) variables using weighted least squares
estimation and the Theta parameterization, the configural model has
factor loadings and thresholds free across groups, residual variances
fixed at one in all groups, and factor means fixed at zero in all groups. If
the metric of a factor is set by fixing a factor loading to one, factor
variances are free across groups. If the metric of a factor is set by
freeing all factor loadings and fixing the factor variance to one, the
factor variance is fixed at one in all groups.
The metric model has factor loadings constrained to be equal across
groups, residual variances fixed at one in one group and free in the other
groups, and factor means fixed at zero in one group and free in the other
groups. The first threshold of each item is held equal across groups.
The second threshold of the item that is used to set the metric of the
factor is held equal across groups. Factor variances are free across
groups. For a discussion of these specifications, see Millsap (2011).
The scalar model has factor loadings and thresholds constrained to be
equal across groups, residual variances fixed at one in one group and
free in the other groups, and factor means fixed at zero in one group and
free in the other groups. If the metric of a factor is set by fixing a factor
loading to one, factor variances are free across groups. If the metric of a
factor is set by freeing all factor loadings within a group and fixing the
factor variance to one, the factor variance is fixed at one in one group
and is free in the other groups.
MAXIMUM LIKELIHOOD ESTIMATION
For ordered categorical variables and maximum likelihood estimation,
the configural model has factor loadings and thresholds free across
groups and factor means fixed at zero in all groups. If the metric of a
factor is set by fixing a factor loading to one, factor variances are free
across groups. If the metric of a factor is set by freeing all factor
loadings and fixing the factor variance to one, the factor variance is
fixed at one in all groups.
The metric model has factor loadings constrained to be equal across
groups, thresholds free across groups, and factor means fixed at zero in
CHAPTER 14
546
all groups. If the metric of a factor is set by fixing a factor loading to
one, factor variances are free across groups. If the metric of a factor is
set by freeing all factor loadings within a group and fixing the factor
variance to one, the factor variance is fixed at one in one group and is
free in the other groups.
The scalar model has factor loadings and thresholds constrained to be
equal across groups and factor means fixed at zero in one group and free
in the other groups. If the metric of a factor is set by fixing a factor
loading to one, factor variances are free across groups. If the metric of a
factor is set by freeing all factor loadings within a group and fixing the
factor variance to one, the factor variance is fixed at one in one group
and is free in the other groups.
PARTIAL MEASUREMENT INVARIANCE
When full measurement invariance does not hold, partial measurement
invariance can be considered. This involves relaxing some equality
constraints on the measurement parameters. For continuous variables,
equality constraints can be relaxed for the intercepts, factor loadings,
and residual variances. This is shown in Example 5.15. For categorical
variables, equality constraints for thresholds and factor loadings for a
variable should be relaxed in tandem. In addition, for the Delta
parameterization, the scale factor must be fixed at one for that variable.
This is shown in Example 5.16. For the Theta parameterization, the
residual variance must be fixed at one for that variable. This is shown in
Example 5.17.
MODEL DIFFERENCE TESTING
In chi-square difference testing of measurement invariance, the chi-
square value and degrees of freedom of the less restrictive model are
subtracted from the chi-square value and degrees of freedom of the
nested, more restrictive model. The chi-square difference value is
compared to the chi-square value in a chi-square table using the
difference in degrees of freedom between the more restrictive and less
restrictive models. If the chi-square difference value is significant, it
indicates that constraining the parameters of the nested model
significantly worsens the fit of the model. This indicates measurement
non-invariance. If the chi-square difference value is not significant, this
indicates that constraining the parameters of the nested model did not

Special Modeling Issues
547
significantly worsen the fit of the model. This indicates measurement
invariance of the parameters constrained to be equal in the nested model.
For models where chi-square is not available, difference testing can be
done using -2 times the difference of the loglikelihoods. For the MLR,
MLM, and WLSM estimators, difference testing must be done using the
scaling correction factor printed in the output. A description of how to
do this is posted on the website. For WLSMV and MLMV, difference
testing must be done using the DIFFTEST option of the SAVEDATA
and ANALYSIS commands.
MISSING DATA ANALYSIS
Mplus has several options for the estimation of models with missing
data. Mplus provides maximum likelihood estimation under MCAR
(missing completely at random) and MAR (missing at random; Little &
Rubin, 2002) for continuous, censored, binary, ordered categorical
(ordinal), unordered categorical (nominal), counts, or combinations of
these variable types. MAR means that missingness can be a function of
observed covariates and observed outcomes. For censored and
categorical outcomes using weighted least squares estimation,
missingness is allowed to be a function of the observed covariates but
not the observed outcomes. When there are no covariates in the model,
this is analogous to pairwise present analysis. Non-ignorable missing
data modeling is possible using maximum likelihood estimation where
categorical outcomes are indicators of missingness and where
missingness can be predicted by continuous and categorical latent
variables (Muthén, Jo, & Brown, 2003; Muthén et al., 2011). Robust
standard errors and chi-square are available for all outcomes using the
MLR estimator. For non-normal continuous outcomes, this gives the T2*
chi-square test statistic of Yuan and Bentler (2000).
Mplus provides multiple imputation of missing data using Bayesian
analysis (Rubin, 1987; Schafer, 1997). Both unrestricted H1 and
restricted H0 models can be used for imputation.
Multiple data sets generated using multiple imputation (Rubin, 1987;
Schafer, 1997) can be analyzed using a special feature of Mplus.
Parameter estimates are averaged over the set of analyses, and standard
errors are computed using the average of the standard errors over the set
of analyses and the between analysis parameter estimate variation.
CHAPTER 14
548
In all models, missingness is not allowed for the observed covariates
because they are not part of the model. The model is estimated
conditional on the covariates and no distributional assumptions are made
about the covariates. Covariate missingness can be modeled if the
covariates are brought into the model and distributional assumptions
such as normality are made about them. With missing data, the standard
errors for the parameter estimates are computed using the observed
information matrix (Kenward & Molenberghs, 1998). Bootstrap
standard errors and confidence intervals are also available with missing
data.
With missing data, it is useful to do a descriptive analysis to study the
percentage of missing data as a first step. This can be accomplished by
specifying TYPE=BASIC in the ANALYSIS command. The output for
this analysis produces the number of missing data patterns and the
proportion of non-missing data, or coverage, for variables and pairs of
variables. A default of .10 is used as the minimum coverage proportion
for a model to be estimated. This minimum value can be changed by
using the COVERAGE option of the ANALYSIS command.
DATA MISSING BY DESIGN
Data missing by design occurs when the study determines which subjects
will be observed on which measures. One example is when different
forms of a measurement instrument are administered to randomly
selected subgroups of individuals. A second example is when it is
expensive to collect data on all variables for all individuals and only a
subset of variables is measured for a random subgroup of individuals. A
third example is multiple cohort analysis where individuals who are
measured repeatedly over time represent different birth cohorts. These
types of studies can use the missing data method where all individuals
are used in the analysis, including those who have missing values on
some of the analysis variables by design. This type of analysis is
obtained by identifying the values in the data set that are considered to
be missing value flags using the MISSING option of the VARIABLE
command and identifying the variables for which individuals should
have a value using the PATTERN option of the VARIABLE command.
Special Modeling Issues
549
MULTIPLE COHORT DESIGN
Longitudinal research studies often collect data on several different
groups of individuals defined by their birth year or cohort. This allows
the study of development over a wider age range than the length of the
study and is referred to as an accelerated or sequential cohort design.
The interest in these studies is the development of an outcome over age
not measurement occasion. When dependent variables are measured
using a continuous scale, options are available for rearranging such a
data set so that age rather than time of measurement is the time variable.
This is available only for TYPE=GENERAL without
ALGORITHM=INTEGRATION.
The DATA COHORT command is used to rearrange longitudinal data
from a format where time points represent measurement occasions to a
format where time points represent age or another time-related variable.
It is necessary to know the cohort (birth year) of each individual and the
year in which each measurement was taken. The difference between
measurement year and cohort year is the age of the individual at the time
of measurement. Age is the variable that is used to determine the pattern
of missing values for each cohort. If an individual does not have
information for a particular age, that value is missing for that individual.
The transformed data set is analyzed using maximum likelihood
estimation for missing data.
REARRANGEMENT OF THE MULTIPLE COHORT DATA
What is of interest in multiple cohort analysis is not how a variable
changes from survey year to survey year, but how it changes with age.
What is needed to answer this question is a data set where age is the time
variable. Following is an example of how a data set is transformed using
the DATA COHORT command. In the following data set, the variable
heavy drinking (HD) is measured in 1982, 1983, 1987, and 1989.
Missing data are indicated with an asterisk (*). The respondents include
individuals born in 1963, 1964, and 1965. Although the respondents
from any one cohort are measured on only four occasions, the cohorts
taken together cover the ages 17 through 26.

CHAPTER 14
550
Observation
Cohort
HD82
HD83
HD87
HD89
1
63
3
4
5
6
2
63
*
6
7
8
3
63
9
8
*
3
4
63
5
7
6
3
5
63
5
8
7
9
6
64
3
6
5
9
7
64
3
8
*
5
8
64
4
9
8
6
9
64
4
*
6
7
10
64
3
9
8
5
11
65
*
4
5
6
12
65
6
5
5
5
13
65
5
5
5
5
14
65
4
5
6
7
15
65
4
5
5
4
The information in the table above represents how the data look before
they are transformed. As a first step, each observation that does not
have complete data for 1982, 1983, 1987, and 1989 is deleted from the
data set. Following is the data after this step.
Observation
Cohort
HD82
HD83
HD87
HD89
1
63
3
4
5
6
4
63
5
7
6
3
5
63
5
8
7
9
6
64
3
6
5
9
8
64
4
9
8
6
10
64
3
9
8
5
12
65
6
5
5
5
13
65
5
5
5
5
14
65
4
5
6
7
15
65
4
5
5
4
The second step is to rearrange the data so that age is the time
dimension. This results in the following data set where asterisks (*)
represent values that are missing by design.

Special Modeling Issues
551
Obs
Coh
HD17
HD18
HD19
HD20
HD22
HD23
HD24
HD25
HD26
1
63
*
*
3
4
*
*
5
*
6
4
63
*
*
5
7
*
*
6
*
3
5
63
*
*
5
8
*
*
7
*
9
6
64
*
3
6
*
*
5
*
9
*
8
64
*
4
9
*
*
8
*
6
*
10
64
*
3
9
*
*
8
*
5
*
12
65
6
5
*
*
5
*
5
*
*
13
65
5
5
*
*
5
*
5
*
*
14
65
4
5
*
*
6
*
7
*
*
15
65
4
5
*
*
5
*
4
*
*
The model is specified in the MODEL command using the new variables
hd17 through hd26 instead of the original variables hd82, hd83, hd87,
and hd89. Note that there is no hd21 because no combination of survey
year and birth cohort represents this age. The data are analyzed using
the missing by design feature.
CATEGORICAL MEDIATING VARIABLES
The treatment of categorical mediating variables in model estimation
differs depending on the estimator being used. Consider the following
model:
x -> u -> y
where u is a categorical variable. The issue is how is u treated when it is
a dependent variable predicted by x and how is it treated when it is an
independent variable predicting y. With weighted least squares
estimation, a probit regression coefficient is estimated in the regression
of u on x. In the regression of y on u, the continuous latent response
variable u* is used as the covariate. With maximum likelihood
estimation, either a logistic or probit regression coefficient is estimated
in the regression of u on x. In the regression of y on u, the observed
variable u is used as the covariate. With Bayesian estimation, a probit
regression coefficient is estimated in the regression of u on x. In the
regression of y on u, either the observed variable u or the latent response
variable u* can be used as the covariate using the MEDIATOR option of
the ANALYSIS command.

CHAPTER 14
552
CALCULATING PROBABILITIES FROM PROBIT
REGRESSION COEFFICIENTS
Following is a description of how to translate probit regression
coefficients to probability values. For a treatment of probit regression
for binary and ordered categorical (ordinal) variables, see Agresti (1996,
2002).
For a binary dependent variable, the probit regression model expresses
the probability of u given x as,
P (u = 1 | x) = F (a + b*x)
= F (-t + b*x),
where F is the standard normal distribution function, a is the probit
regression intercept, b is the probit regression slope, t is the probit
threshold where t = -a, and P (u = 0 | x) = 1 – P (u = 1 | x).
Following is an output excerpt that shows the results from the probit
regression of a binary variable u on the covariate age:
Estimates S.E. Est./S.E.
u ON
age 0.055 0.001 43.075
Thresholds
u$1 3.581 0.062 57.866
Using the formula shown above, the probability of u = 1 for age = 62 is
computed as follows:
P (u = 1 | x = 62) = F (-3.581 + 0.055*62)
= F (-0.171).
Using the z table, the value -0.171 corresponds to a probability of
approximately 0.43. This means that the probability of u = 1 at age 62 is
0.43.
For an ordered categorical (ordinal) dependent variable with three
categories, the probit regression model expresses the probability of u

Special Modeling Issues
553
given x using the two thresholds t1 and t2 and the single probit regression
coefficient b,
P (u = 0 | x) = F (t1 - b*x),
P (u = 1 | x) = F (t2 - b*x) - F (t1 - b*x),
P (u = 2 | x) = F (- t2 + b*x).
CALCULATING PROBABILITIES FROM LOGISTIC
REGRESSION COEFFICIENTS
Following is a description of how to translate logistic regression
coefficients to probability values. Also described is how to interpret the
coefficient estimates in terms of log odds, odds, and odds ratios. For a
treatment of logistic regression for binary, ordered categorical (ordinal),
and unordered categorical (nominal) variables, see Agresti (1996, 2002)
and Hosmer and Lemeshow (2000).
An odds is a ratio of two probabilities. A log odds is therefore the log of
a ratio of two probabilities. The exponentiation of a log odds is an odds.
A logistic regression coefficient is a log odds which is also referred to as
a logit.
For a binary dependent variable u, the logistic regression model
expresses the probability of u given x as,
(1) P (u = 1 | x) = exp (a + b*x) / (1 + exp (a + b*x) )
= 1 / (1 + exp (-a – b*x)),
where P (u = 0 | x) = 1 – P (u = 1 | x). The probability expression in (1)
results in the linear logistic regression expression also referred to as a
log odds or logit,
log [P (u = 1 | x) / P (u = 0 | x)] = log [exp (a + b*x)] = a + b*x,
where b is the logistic regression coefficient which is interpreted as the
increase in the log odds of u = 1 versus u = 0 for a unit increase in x.
For example, consider the x values of x0 and x0 + 1. The corresponding
log odds are,
log odds (x0) = a + b*x0,
CHAPTER 14
554
log odds (x0 +1) = a + b*(x0 + 1) = a + b*x0 + b,
such that the increase from x0 to x0 + 1 in the log odds is b. The
corresponding odds increase is exp (b). For example, consider the
continuous covariate age with a logistic regression coefficient of .75 for
a dependent variable of being depressed (u = 1) or not being depressed
(u = 0). This means that for an increase of one year of age the log odds
of being depressed versus not being depressed increases by .75. The
corresponding odds increase is 2.12.
For a binary covariate x scored as 0 and 1, the log odds for u = 1 versus
u = 0 are,
log odds (x = 0) = a + b*0,
log odds (x = 1) = a + b*1,
such that the increase in the log odds is b as above. Given the
mathematical rule that log y – log z is equal to log (y / z), the difference
in the two log odds,
b = log odds (x = 1) – log odds (x = 0)
= log [odds (x = 1) / odds (x = 0)],
is the log odds ratio for u = 1 versus u = 0 when comparing x = 1 to x =
0. For example, consider the binary covariate gender (1 = female, 0 =
male) with a logistic regression coefficient of 1.0 for a dependent
variable of being depressed (u = 1) or not being depressed (u = 0). This
means that the log odds for females is 1.0 higher than the log odds for
males for being depressed versus not being depressed. The
corresponding odds ratio is 2.72, that is the odds for being depressed
versus not being depressed is 2.72 times larger for females than for
males.
In the case of a binary dependent variable, it is customary to let the first
category u = 0 be the reference category as is done in (1). When a
dependent variable has more than two categories, it is customary to let
the last category be the reference category as is done below. For an
unordered categorical (nominal) variable with more than two categories
R, the probability expression in (1) generalizes to the following
multinomial logistic regression,
Special Modeling Issues
555
(2) P (u = r | x) = exp (ar + br*x) / (exp (a1 + b1*x) + …
+ exp (aR + bR*x)),
where exp (aR + bR*x) = exp (0 + 0*x) = 1 and the log odds for
comparing category r to category R is
(3) log [P (u = r | x)/P (u = R | x)] = ar + br*x.
With an ordered categorical (ordinal) variable, the logistic regression
slopes br are the same across the categories of u.
Following is an example of an unordered categorical (nominal)
dependent variable that is the categorical latent variable in the model.
The categorical latent variable has four classes and there are three
covariates. The output excerpt shows the results from the multinomial
logistic regression of the categorical latent variable c on the covariates
age94, male, and black:
Estimates S.E. Est./S.E.
C#1 ON
AGE94 -.285 .028 -10.045
MALE 2.578 .151 17.086
BLACK .158 .139 1.141
C#2 ON
AGE94 .069 .022 3.182
MALE .187 .110 1.702
BLACK -.606 .139 -4.357
C#3 ON
AGE94 -.317 .028 -11.311
MALE 1.459 .101 14.431
BLACK .999 .117 8.513
Intercepts
C#1 -1.822 .174 -10.485
C#2 -.748 .103 -7.258
C#3 -.324 .125 -2.600
Using (3), the log odds expression for a particular class compared to the
last class is,
log odds = a + b1*age94 + b2*male + b3*black.
In the first example, the values of the three covariates are all zero so that
only the intercepts contribute to the log odds. Probabilities are
computed using (2). In the first step, the estimated intercept log odds
CHAPTER 14
556
values are exponentiated and summed. In the second step, each
exponentiated value is divided by the sum to compute the probability for
each class of c.
exp probability = exp/sum
log odds (c = 1) = -1.822 0.162 0.069
log odds (c = 2) = -0.748 0.473 0.201
log odds (c = 3) = -0.324 0.723 0.307
log odds (c = 4) = 0 1.0 0.424
_______ ________
sum 2.358 1.001
In the second example, the values of the three covariates are all one so
that both the intercepts and the slopes contribute to the logs odds. In the
first step, the log odds values for each class are computed. In the second
step, the log odds values are exponentiated and summed. In the last step,
the exponentiated value is divided by the sum to compute the probability
for each class of c.
log odds (c = 1) = -1.822 + (-0.285*1) + (2.578*1) + (0.158*1)
= 0.629
log odds (c = 2) = -0.748 + 0.069*1 + 0.187*1 + (-0.606*1)
= -1.098
log odds (c = 3) = -0.324 + (-0.317*1) + 1.459*1 + 0.999*1
= 1.817
exp probability = exp/sum
log odds (c = 1) = 0.629 1.876 0.200
log odds (c = 2) = -1.098 0.334 0.036
log odds (c = 3) = 1.817 6.153 0.657
log odds (c = 4) = 0 1.0 0.107
_______ ________
sum 9.363 1.000
The interpretation of these probabilities is that individuals who have a
value of 1 on each of the covariates have a probability of .200 of being
in class 1, .036 of being in class 2, .657 of being in class 3, and .107 of
being in class 4.

Special Modeling Issues
557
In the output shown above, the variable male has the value of 1 for males
and 0 for females and the variable black has the value of 1 for blacks and
0 for non-blacks. The variable age94 has the value of 0 for age 16, 1 for
age 17, up to 7 for age 23. An interpretation of the logistic regression
coefficient for class 1 is that comparing class 1 to class 4, the log odds
decreases by -.285 for a unit increase in age, is 2.578 higher for males
than for females, and is .158 higher for blacks than for non-blacks. This
implies that the odds ratio for being in class 1 versus class 4 when
comparing males to females is 13.17 (exp 2.578), holding the other two
covariates constant.
Following is a plot of the estimated probabilities in each of the four
classes where age is plotted on the x-axis and the other covariates take
on the value of one. This plot was created and exported as an EMF file
using the PLOT command in conjunction with the Mplus post-
processing graphics module.
0
1
2
3
4
5
6
7
age94
0
0.2
0.4
0.6
Probability
Class 1, 12.7%
Class 2, 20.5%
Class 3, 30.7%
Class 4, 36.2%
PARAMETERIZATION OF MODELS WITH MORE THAN
ONE CATEGORICAL LATENT VARIABLE
The parameterization of models with more than one categorical latent
variables is described in this section. There are three parameterizations
CHAPTER 14
558
available for these models. The first parameterization is based on a
series of logistic regressions for non-recursive models. The second
parameterization is that of loglinear modeling of frequency tables. The
third parameterization uses probabilities rather than logits.
LOGIT PARAMETERIZATION
Following is a description of the logistic regression parameterization,
specified using PARAMETERIZATION=LOGIT, for the following
MODEL command for two categorical latent variables with three classes
each:
MODEL:
%OVERALL%
c2#1 ON c1#1;
c2#1 ON c1#2;
c2#2 ON c1#1;
c2#2 ON c1#2;
The set of ON statements describes the logistic regression coefficients in
the conditional distribution of c2 given c1. With three classes for both
c2 and c1, there are a total of six parameters in this conditional
distribution. Two of the parameters are intercepts for c2 and four are the
logistic regression coefficients specified in the MODEL command.
For the c2 classes r = 1, 2, 3, the transition probabilities going from the
classes of c1 to the classes of c2 are given by the following unordered
multinomial logistic regression expressions:
P (c2 = r | c1 = 1) = exp (ar + br1) / sum1,
P (c2 = r | c1 = 2) = exp (ar + br2) / sum2,
P (c2 = r | c1 = 3) = exp (ar + br3) / sum3,
where a3 = 0, b31 = 0, b32 = 0, and b33 = 0 because the last class is the
reference class, and sumj represents the sum of the exponentiations
across the classes of c2 for c1 = j (j = 1, 2, 3). The corresponding log
odds when comparing a c2 class to the last c2 class are summarized in
the table below.

Special Modeling Issues
559
c2
c1
1
2
3
1
a1 + b11
a2 + b21
0
2
a1 + b12
a2 + b22
0
3
a1
a2
0
The parameters in the table are referred to in the MODEL command
using the following statements:
a1 [c2#1];
a2 [c2#2];
b11 c2#1 ON c1#1;
b12 c2#1 ON c1#2;
b21 c2#2 ON c1#1;
b22 c2#2 ON c1#2;
The TECH15 option is used in conjunction with TYPE=MIXTURE and
PARAMETERIZATION=LOGIT to request marginal and conditional
probabilities, including latent transition probabilities, for the categorical
latent variables in a model. Conditional probabilities, including latent
transition probabilities, for different values of a set of covariates can be
computed using the LTA Calculator. It is accessed by choosing LTA
calculator from the Mplus menu of the Mplus Editor. The logit
parameterization with covariates is described in Muthén and Asparouhov
(2011).
LOGLINEAR PARAMETERIZATION
Following is a description of the loglinear parameterization for the
following MODEL command for two categorical latent variables with
three classes each:
MODEL:
%OVERALL%
c2#1 WITH c1#1;
c2#1 WITH c1#2;
c2#2 WITH c1#1;
c2#2 WITH c1#2;

CHAPTER 14
560
The set of WITH statements describes the relationship between c1 and
c2. The parameters in the table below are referred to in the MODEL
command using the following statements:
a11 [c1#1];
a12 [c1#2];
a21 [c2#1];
a22 [c2#2];
w11 c2#1 WITH c1#1;
w12 c2#1 WITH c1#2;
w21 c2#2 WITH c1#1;
w22 c2#2 WITH c1#2;
The joint probabilities for the classes of c1 and c2 are computed using
the multinomial logistic regression formula (2) in the previous section,
summing over the nine cells shown in the table below.
c2
c1
1
2
3
1
a11 + a21 +
w11
a11 + a22 +
w21
a11
2
a12 + a21 +
w12
a12 + a22 +
w22
a12
3
a21
a22
0
PROBABILITY PARAMETERIZATION
Following is a description of the probability parameterization for the
following MODEL command for two categorical latent variables with
three classes each:
MODEL:
%OVERALL%
c2#1 ON c1#1;
c2#1 ON c1#2;
c2#1 ON c1#3;
c2#2 ON c1#1;
c2#2 ON c1#2;
c2#2 ON c1#3;
The set of ON statements describes the probability parameters in the
conditional distribution of c2 given c1. With three classes for both c2

Special Modeling Issues
561
and c1, there are a total of six probabilities in this conditional
distribution. The last class of c2 is not referred to because the
probabilities sum to one for each row, for example, the probability of
being in class three of c2 for those in class 1 of c1 is 1 – (p11 + p12).
c2
c1
1
2
3
1
p11
p12
-
2
p21
p22
-
3
p31
p32
-
The marginal probabilities for c1 are referred to as:
[c1#1];
[c1#2];
CHAPTER 14
562

TITLE, DATA, VARIABLE, And DEFINE Commands
563
CHAPTER 15
TITLE, DATA, VARIABLE, AND
DEFINE COMMANDS
In this chapter, the TITLE, DATA, VARIABLE, and DEFINE
commands are discussed. The TITLE command is used to provide a title
for the analysis. The DATA command is used to provide information
about the data set to be analyzed. The VARIABLE command is used to
provide information about the variables in the data set to be analyzed.
The DEFINE command is used to transform existing variables and create
new variables.
THE TITLE COMMAND
The TITLE command is used to provide a title for the analysis.
Following is the general format for the TITLE command:
TITLE:
title for the analysis
The TITLE command is not a required command. Note that commands
can be shortened to four or more letters.
The TITLE command can contain any letters and symbols except the
words used as Mplus commands when they are followed by a colon.
These words are: title, data, variable, define, analysis, model, output,
savedata, montecarlo, and plot. These words can be included in the title
if they are not followed by a colon. Colons can be used in the title as
long as they do not follow words that are used as Mplus commands.
Following is an example of how to specify a title:
TITLE: confirmatory factor analysis of diagnostic criteria
The title is printed in the output just before the Summary of Analysis.

CHAPTER 15
564
THE DATA COMMAND
The DATA command is used to provide information about the data set
to be analyzed. The DATA command has options for specifying the
location of the data set to be analyzed, describing the format and type of
data in the data set, specifying the number of observations and number
of groups in the data set if the data are in summary form such as a
correlation or covariance matrix, requesting listwise deletion of
observations with missing data, and specifying whether the data should
be checked for variances of zero.
Data must be numeric except for certain missing value flags and must
reside in an external ASCII file. There is no limit on the number of
variables or observations. The maximum record length is 10,000.
Special features of the DATA command for multiple group analysis are
discussed in Chapter 14. Monte Carlo data generation is discussed in
Chapters 12 and 19. The estimator chosen for an analysis determines the
type of data required for the analysis. Some estimators require a data set
with information for each observation. Some estimators require only
summary information.
There are six DATA transformation commands. They are used to
rearrange data from a wide to long format, to rearrange data from a long
to wide format, to create a binary and a continuous variable from a
semicontinuous variable, to create a set of binary variables that are
indicators of missing data, to create variables for discrete-time survival
modeling, and to rearrange longitudinal data from a format where time
points represent measurement occasions to a format where time points
represent age or another time-related variable.

TITLE, DATA, VARIABLE, And DEFINE Commands
565
Following are the options for the DATA and the DATA transformation
commands:
DATA:
FILE IS
file name;
FORMAT IS
format statement;
FREE
FREE;
TYPE IS
INDIVIDUAL;
INDIVIDUAL
COVARIANCE;
CORRELATION;
FULLCOV;
FULLCORR;
MEANS;
STDEVIATIONS;
MONTECARLO;
IMPUTATION;
NOBSERVATIONS ARE
number of observations;
NGROUPS =
number of groups;
1
LISTWISE =
ON;
OFF;
OFF
SWMATRIX =
file name;
VARIANCES =
CHECK;
NOCHECK;
CHECK
DATA IMPUTATION:
IMPUTE =
NDATASETS =
SAVE =
FORMAT =
MODEL =
VALUES =
ROUNDING =
THIN =
names of variables for which missing values
will be imputed;
number of imputed data sets;
names of files in which imputed data sets
are stored;
format statement;
COVARIANCE;
SEQUENTIAL;
REGRESSION;
values imputed data can take;
number of decimals for imputed continuous
variables;
k where every k-th imputation is saved;
5
F10.3
depends on
analysis type
no restrictions
3
100
DATA WIDETOLONG:
WIDE =
LONG =
IDVARIABLE =
REPETITION =
names of old wide format variables;
names of new long format variables;
name of variable with ID information;
name of variable with repetition information;
ID
REP

CHAPTER 15
566
DATA LONGTOWIDE:
LONG =
WIDE =
IDVARIABLE =
REPETITION =
names of old long format variables;
names of new wide format variables;
name of variable with ID information;
name of variable with repetition information
(values);
0, 1, 2, etc.
DATA TWOPART:
NAMES =
CUTPOINT =
BINARY =
CONTINUOUS =
TRANSFORM =
names of variables used to create a set of
binary and continuous variables;
value used to divide the original variables
into a set of binary and continuous
variables;
names of new binary variables;
names of new continuous variables;
function to use to transform new continuous
variables;
0
LOG
DATA MISSING:
NAMES =
BINARY =
names of variables used to create a set of
binary variables;
names of new binary variables;
TYPE =
MISSING;
SDROPOUT;
DDROPOUT;
DESCRIPTIVE =
sets of variables for additional descriptive
statistics separated by the | symbol;
DATA SURVIVAL:
NAMES =
CUTPOINT =
BINARY =
names of variables used to create a set of
binary event-history variables;
value used to create a set of binary event-
history variables from a set of original
variables;
names of new binary variables;
DATA COHORT:
COHORT IS
COPATTERN IS
COHRECODE =
TIMEMEASURES =
TNAMES =
name of cohort variable (values);
name of cohort/pattern variable (patterns);
(old value = new value);
list of sets of variables separated by the |
symbol;
list of root names for the sets of variables in
TIMEMEASURES separated by the |
symbol;
The DATA command is a required command. The FILE option is a
required option. The NOBSERVATIONS option is required when
TITLE, DATA, VARIABLE, And DEFINE Commands
567
summary data are analyzed. This option is not required when individual
data are analyzed. Default settings are shown in the last column. If the
default settings are appropriate for the options that are not required,
nothing needs to be specified for these options.
Note that commands and options can be shortened to four or more
letters. Option settings can be referred to by either the complete word or
the part of the word shown above in bold type.
FILE
The FILE option is used to specify the name and location of the ASCII
file that contains the data to be analyzed. The FILE option is required
for each analysis. It is specified for a single group analysis as follows:
FILE IS c:\analysis\data.dat;
where data.dat is the name of the ASCII file containing the data to be
analyzed. In this example, the file data.dat is located in the directory
c:\analysis. If the full path name of the data set contains any blanks, the
full path name must have quotes around it.
If the name of the data set is specified with a path, the directory
specified by the path is checked. If the name of the data set is specified
without a path, the local directory is checked. If the data set is not found
in the local directory, the directory where the input file is located is
checked.
FORMAT
The FORMAT option is used to describe the format of the data set to be
analyzed. Individual data can be in fixed or free format. Free format is
the default. Fixed format is recommended for large data sets because it
is faster to read data using a fixed format. Summary data must be in free
format.
For data in free format, each entry on a record must be delimited by a
comma, space, or tab. When data are in free format, the use of blanks is
not allowed. The number of variables in the data set is determined from
CHAPTER 15
568
information provided in the NAMES option of the VARIABLE
command. Data are read until the number of pieces of information equal
to the number of variables is found. The program then goes to the next
record to begin reading information for the next observation.
For data in fixed format, each observation must have the same number of
records. Information for a given variable must occupy the same position
on the same record for each observation. A FORTRAN-like format
statement describing the position of the variables in the data set is
required. Following is an example of how to specify a format statement:
FORMAT IS 5F4.0, 10x, 6F1.0;
Although any FORTRAN format descriptor (i.e., F, I, G, E, x, t, /, etc.) is
acceptable in a format statement, most format statements use only F, t, x,
and /. Following is an explanation of how to create a FORTRAN-like
format statement using these descriptors.
The F format describes the format for a real variable. F is followed by a
number. It can be a whole number or a decimal, for example, F5.3. The
number before the decimal point describes the number of columns
reserved for the variable; the number after the decimal point specifies
the number of decimal places. If the number 34234 is read with an F5.3
format, it is read as 34.234. If the data contain a decimal point, it is not
necessary to specify information about the position of the decimal point.
For example, the number 34.234 can be read with a F6 format as 34.234.
The F format can also be preceded by a number. This number represents
the number of variables to be read using that format. The statement
5F5.3 is a shorthand way of saying F5.3, F5.3, F5.3, F5.3, F5.3.
There are three options for the format statement related to skipping
columns or records when reading data: x, t, and /. The x option instructs
the program to skip columns. The statement 10x says to skip 10
columns and begin reading in column 11. The t option instructs the
program to go to a particular column and begin reading. For example,
t130 says to go to column 130 and begin reading in column 130. The /
option is used to instruct the program to go to the next record. Consider
the following format statements:
TITLE, DATA, VARIABLE, And DEFINE Commands
569
1. (20F4, 13F5, 3F2)
2. (3F4.1,25x,5F5)
3. (3F4.1,t38,5F5)
4. (2F4/14F4.2//6F3.1)
1. In the first statement, for each record the program reads 20 four-digit
numbers followed by 13 five-digit numbers, then three two-digit
numbers with a total record length of 151.
2. In the second statement, for each record the program reads three four-
digit numbers with one digit to the right of the decimal, skips 25 spaces,
and then reads five five-digit numbers with a total record length of 62.
3. The third statement is the same as the second but uses the t option
instead of the x option. In the third statement, for each record the
program reads three four-digit numbers with one digit to the right of the
decimal, goes to column 38, and then reads five five-digit numbers.
4. In the fourth statement, each observation has four records. For record
one the program reads two four-digit numbers; for record two the
program reads fourteen four-digit numbers with two digits to the right of
the decimal; record three is skipped; and for record four the program
reads six three-digit numbers with one number to the right of the decimal
point.
Following is an example of a data set with six one-digit numbers with no
numbers to the right of the decimal point:
123234
342765
348765
The format statement for the data set above is:
FORMAT IS 6F1.0;
or
FORMAT IS 6F1;
CHAPTER 15
570
TYPE
The TYPE option is used in conjunction with the FILE option to
describe the contents of the file named using the FILE option. It has the
following settings:
INDIVIDUAL Data matrix where rows represent observations and
columns represent variables
COVARIANCE A lower triangular covariance matrix read row wise
CORRELATION A lower triangular correlation matrix read row wise
FULLCOV A full covariance matrix read row wise
FULLCORR A full correlation matrix read row wise
MEANS Means
STDEVIATIONS Standard deviations
MONTECARLO A list of the names of the data sets to be analyzed
IMPUTATION A list of the names of the imputed data sets to be
analyzed
INDIVIDUAL
The default for the TYPE option is INDIVIDUAL. The TYPE option is
not required if individual data are being analyzed where rows represent
observations and columns represent variables.
SUMMARY DATA
The TYPE option is required when summary data such as a covariance
matrix or a correlation matrix are analyzed. The TYPE option has six
settings related to the analysis of summary data. They are:
COVARIANCE, CORRELATION, FULLCOV, FULLCORR, MEANS,
and STDEVIATIONS. Summary data must reside in a free format
external ASCII file. The number of observations must be specified using
the NOBSERVATIONS option of the DATA command.
When summary data are analyzed and one or more dependent variables
are binary or ordered categorical (ordinal), only a correlation matrix can
be analyzed. When summary data are analyzed and all dependent
TITLE, DATA, VARIABLE, And DEFINE Commands
571
variables are continuous, a covariance matrix is usually analyzed. In
some cases, a correlation matrix can be analyzed.
A data set with all continuous dependent variables in the form of a
correlation matrix, standard deviations, and means is specified as:
TYPE IS CORRELATION MEANS STDEVIATIONS;
The program creates a covariance matrix using the correlations and
standard deviations and then analyzes the means and covariance matrix.
The external ASCII file for the above example contains the means,
standard deviations, and correlations in free format. Each type of data
must begin on a separate record even if the data fits on less than one
record. The means come first; the standard deviations begin on the
record following the last mean; and the entries of the lower triangular
correlation matrix begin on the record following the last standard
deviation. The data set appears as follows:
.4 .6 .3 .5 .5
.2 .5 .4 .5 .6
1.0
.86 1.0
.56 .76 1.0
.78 .34 .48 1.0
.65 .87 .32 .56 1.0
or alternatively:
.4 .6 .3 .5 .5
.2 .5 .4 .5 .6
1.0 .86 1.0 .56 .76 1.0 .78 .34 .48 1.0 .65 .87 .32 .56 1.0
MONTECARLO
The MONTECARLO setting of the TYPE option is used when the data
sets being analyzed have been generated and saved using either the
REPSAVE option of the MONTECARLO command or by another
computer program. The file named using the FILE option of the DATA
command contains a list of the names of the data sets to be analyzed and
CHAPTER 15
572
summarized as in a Monte Carlo study. This ASCII file is created
automatically when the data sets are generated and saved in a prior
analysis using the REPSAVE option of the MONTECARLO command.
This file must be created by the user when the data sets are generated
and saved using another computer program. Each record of the file must
contain one data set name. For example, if five data sets are being
analyzed, the contents of the file would be:
data1.dat
data2.dat
data3.dat
data4.dat
data5.dat
where data1.dat, data2.dat, data3.dat, data4.dat, and data5.dat are the
names of the five data sets generated and saved using another computer
program. All files must be in the same format. Files saved using the
REPSAVE option are in free format.
When the MONTECARLO option is used, the results are presented in a
Monte Carlo summary format. The output includes the population value
for each parameter, the average of the parameter estimates across
replications, the standard deviation of the parameter estimates across
replications, the average of the estimated standard errors across
replications, the mean square error for each parameter (M.S.E.), 95
percent coverage, and the proportion of replications for which the null
hypothesis that a parameter is equal to zero is rejected at the .05 level.
In addition, the average fit statistics and the percentiles for the fit
statistics are given if appropriate. A description of Monte Carlo output
is given in Chapter 12.
IMPUTATION
The IMPUTATION setting of the TYPE option is used when the data
sets being analyzed have been generated using multiple imputation
procedures. The file named using the FILE option of the DATA
command must contain a list of the names of the multiple imputation
data sets to be analyzed. Parameter estimates are averaged over the set
of analyses. Standard errors are computed using the average of the
squared standard errors over the set of analyses and the between analysis
TITLE, DATA, VARIABLE, And DEFINE Commands
573
parameter estimate variation (Rubin, 1987; Schafer, 1997). A chi-square
test of overall model fit is provided (Asparouhov & Muthén, 2008c;
Enders, 2010). The ASCII file containing the names of the data sets
must be created by the user. Each record of the file must contain one
data set name. For example, if five data sets are being analyzed, the
contents of the file would be:
imp1.dat
imp2.dat
imp3.dat
imp4.dat
imp5.dat
where imp1.dat, imp2.dat, imp3.dat, imp4.dat, and imp5.dat are the
names of the five data sets created using multiple imputation.
NOBSERVATIONS
The NOBSERVATIONS option is required when summary data are
analyzed. When individual data are analyzed, the program counts the
number of observations. The NOBSERVATIONS option can, however,
be used with individual data to limit the number of records used in the
analysis. For example, if a data set contains 20,000 observations, it is
possible to analyze only the first 1,000 observations by specifying:
NOBSERVATIONS = 1000;
NGROUPS
The NGROUPS option is used for multiple group analysis when
summary data are analyzed. It specifies the number of groups in the
analysis. It is specified as follows:
NGROUPS = 3;
which indicates that the analysis is a three-group analysis. Multiple
group analysis is discussed in Chapter 14.
CHAPTER 15
574
LISTWISE
The LISTWISE option is used to indicate that any observation with one
or more missing values on the set of analysis variables not be used in the
analysis. The default is to estimate the model under missing data theory
using all available data. To turn on listwise deletion, specify:
LISTWISE = ON;
SWMATRIX
The SWMATRIX option is used with TYPE=TWOLEVEL and
weighted least squares estimation to specify the name and location of the
file that contains the within- and between-level sample statistics and
their corresponding estimated asymptotic covariance matrix. The
univariate and bivariate sample statistics are estimated using one- and
two-dimensional numerical integration with a default of 7 integration
points. The INTEGRATION option of the ANALYSIS command can be
used to change the default. It is recommended to save this information
and use it in subsequent analyses along with the raw data to reduce
computational time during model estimation. Analyses using this
information must have the same set of observed dependent and
independent variables, the same DEFINE command, the same
USEOBSERVATIONS statement, and the same USEVARIABLES
statement as the analysis which was used to save the information. It is
specified as follows:
SWMATRIX = swmatrix.dat;
where swmatrix.dat is the file that contains the within- and between-
level sample statistics and their corresponding estimated asymptotic
covariance matrix.
For TYPE=IMPUTATION, the file specified contains a list of file
names. These files contain the within- and between-level sample
statistics and their corresponding estimated asymptotic covariance
matrix for a set of imputed data sets.

TITLE, DATA, VARIABLE, And DEFINE Commands
575
VARIANCES
The VARIANCES option is used to check that the analysis variables do
not have variances of zero in the sample used for the analysis. Checking
for variances of zero is the default. To turn off this check, specify:
VARIANCES = NOCHECK;
THE DATA IMPUTATION COMMAND
The DATA IMPUTATION command is used when a data set contains
missing values to create a set of imputed data sets using multiple
imputation methodology. Imputation refers to the estimation of missing
values in a data set to create a data set without missing values. Multiple
imputation refers to the creation of several data sets where missing
values have been imputed. Multiple imputation is carried out using
Bayesian estimation. The multiple imputations are random draws from
the posterior distribution of the missing values (Rubin, 1987; Schafer,
1997). For an overview, see Enders (2010). The multiple imputation
data sets can be used for subsequent model estimation using maximum
likelihood or weighted least squares estimation of each data set where
the parameter estimates are averaged over the data sets and the standard
errors are computed using the Rubin formula (Rubin, 1987). A chi-
square test of overall model fit is provided (Asparouhov & Muthén,
2008c; Enders, 2010). Plausible values for latent variables in the model
can be saved by specifying SAVE=FSCORES in conjunction with the
FACTORS option of the SAVEDATA command.

CHAPTER 15
576
The figure above shows three ways that data imputation can be done.
The first path in the figure uses an unrestricted H1 imputation model and
saves the imputed data sets for a subsequent analysis. In this case,
TYPE=BASIC is specified in the ANALYSIS command. See Example
11.5. To use the data sets in a subsequent analysis, specify
TYPE=IMPUTATION in the DATA command. See Example 13.13.
The second path in the figure uses an unrestricted H1 imputation model
with an estimator other than BAYES. In this case, the model is
estimated immediately after the data are imputed. See Example 11.6.
The third path in the figure uses an H0 imputation model and
ESTIMATOR=BAYES. The H0 model specified in the MODEL
command is used to impute the data. See Example 11.7.
IMPUTE
The IMPUTE option is used to specify the analysis variables for which
missing values will be imputed. Data can be imputed for all or a subset
of the analysis variables. These variables can be continuous or
categorical. If they are categorical a letter c in parentheses must be
included after the variable name. If a variable is on the
CATEGORICAL list in the VARIABLE command, it must have a c in
parentheses following its name. A variable not on the CATEGORICAL
list can have a c in parentheses following its name. Following is an
example of how to specify the IMPUTE option:
TITLE, DATA, VARIABLE, And DEFINE Commands
577
IMPUTE = y1-y4 u1-u4 (c) x1 x2;
where values will be imputed for the continuous variables y1, y2, y3, y4,
x1, and x2 and the categorical variables u1, u2, u3, and u4.
The IMPUTE option has an alternative specification that is convenient
when there are several variables that cannot be specified using the list
function. When c in parentheses follows the equal sign, it means that c
applies to all of the variables that follow. For example, the following
IMPUTE statement specifies that the variables x1, x3, x5, x7, and x9 are
categorical:
IMPUTE = (c) x1 x3 x5 x7 x9;
The keyword ALL can be used to indicate that values are to be imputed
for all variables in the dataset. The ALL option can be used with the c
setting, for example,
IMPUTE = ALL (c);
indicates that all of the variables in the data set are categorical.
NDATASETS
The NDATASETS option is used to specify the number of imputed data
sets to create. The default is five. Following is an example of how to
specify the NDATASETS option:
NDATASETS = 20;
where 20 is the number of imputed data sets that will be created. The
default for the NDATASETS option is 5.
SAVE
The SAVE option is used to save the imputed data sets for subsequent
analysis using TYPE=IMPUTATION in the DATA command. It is
specified as follows:
SAVE = impute*.dat;
CHAPTER 15
578
where the asterisk (*) is replaced by the number of the imputed data set.
A file is also produced that contains the names of all of the data sets. To
name this file, the asterisk (*) is replaced by the word list.
FORMAT
The FORMAT option is used to specify the format in which the imputed
data will be saved. All dependent and independent variables used in the
analysis are saved. In addition, all other variables that are used in
conjunction with the analysis are saved as well as any variables specified
using the AUXILIARY option of the VARIABLE command. The names
of the data sets along with the names of the variables saved and the
format are printed in the output. The default is to save the analysis
variables using a fixed format.
Following is an example of how to specify the FORMAT option to save
imputed data in a free format:
FORMAT IS FREE;
Imputed data can also be saved in a fixed format specified by the user.
The user has the choice of which F or E format the analysis variables are
saved in with the format of other saved variables determined by the
program. This option is specified as:
FORMAT IS F2.0;
which indicates that all analysis variables will be saved with an F2.0
format.
MODEL
The MODEL option is used to specify the type of unrestricted H1 model
to use for imputation (Asparouhov & Muthén, 2010b). The MODEL
option has three settings: COVARIANCE, SEQUENTIAL, and
REGRESSION. The default is COVARIANCE. The COVARIANCE
setting uses a model of unrestricted means, variances, and covariances
for a set of continuous variables. The SEQUENTIAL setting uses a
sequential regression method also referred to as the chained equations
algorithm in line with Raghunathan et al. (2001). The REGRESSION
TITLE, DATA, VARIABLE, And DEFINE Commands
579
setting uses a model where variables with missing data are regressed on
variables without missing data (Asparouhov & Muthén, 2010b). To
request the sequential regression method, specify:
MODEL = SEQUENTIAL;
VALUES
The VALUES option is used to provide the values for continuous
variables that the imputed data can take. The default is to put no
restrictions on the values that the imputed data can take. The values
must be integers. For example, four five-category variables not declared
as categorical can be restricted to take on only the values of one through
five by specifying:
VALUES = y1-y4 (1-5);
The closest value to the imputed value is used. If the imputed value is
2.7, the value 3 will be used.
ROUNDING
The ROUNDING option is used to specify the number of decimals that
imputed continuous variables will have. The default is three. To request
that five decimals be used, specify:
ROUNDING = y1-y10 (5);
The value zero is used to specify no decimals, that is, integer values.
THIN
The THIN option is used to specify which intervals in the draws from
the posterior distribution are used for imputed values. The default is to
use every 100th iteration. To request that every 200th iteration be used,
specify:
THIN = 200;

CHAPTER 15
580
THE DATA TRANSFORMATION COMMANDS
There are six DATA transformation commands. They are used to
rearrange data from a wide to long format, to rearrange data from a long
to wide format, to create a binary and a continuous variable from a
semicontinuous variable, to create a set of binary variables that are
indicators of missing data for another set of variables, to create variables
for discrete-time survival modeling where a binary variable represents
the occurrence of a single non-repeatable event, and to rearrange
longitudinal data from a format where time points represent
measurement occasions to a format where time points represent age or
another time-related variable. The DATA transformation commands are
executed after the statements in the DEFINE command that come before
the CLUSTER_MEAN, CENTER, and STANDARDIZE options of the
DEFINE command. The CLUSTER_MEAN, CENTER, and
STANDARDIZE options are then executed in the order mentioned
followed by the execution of any statements that follow them.
THE DATA WIDETOLONG COMMAND
In growth modeling an outcome measured at four time points can be
represented in a data set in two ways. In the wide format, the outcome is
represented as four variables on a single record. In the long format, the
outcome is represented as a single variable using four records, one for
each time point. The DATA WIDETOLONG command is used to
rearrange data from a multivariate wide format to a univariate long
format.
When the data are rearranged, the set of outcomes is given a new
variable name and ID and repetition variables are created. These new
variable names must be placed on the USEVARIABLES statement of
the VARIABLE command if they are used in the analysis. They must be
placed after any original variables. If the ID variable is used as a cluster
variable, this must be specified using the CLUSTER option of the
VARIABLE command.
The creation of the new variables in the DATA WIDETOLONG
command occurs after any transformations in the DEFINE command and
any of the other DATA transformation commands. If listwise deletion is
TITLE, DATA, VARIABLE, And DEFINE Commands
581
used, it occurs after the data have been rearranged. Following is a
description of the options used in the DATA WIDETOLONG command.
WIDE
The WIDE option is used to identify sets of variables in the wide format
data set that will be converted into single variables in the long format
data set. These variables must be variables from the NAMES statement
of the VARIABLE command. The WIDE option is specified as follows:
WIDE = y1-y4 | x1-x4;
where y1, y2, y3, and y4 represent one variable measured at four time
points and x1, x2, x3, and x4 represent another variable measured at four
time points.
LONG
The LONG option is used to provide names for the new variables in the
long format data set. There should be the same number of names as
there are sets of variables in the WIDE statement. The LONG option is
specified as follows:
LONG = y | x;
where y is the name assigned to the set of variables y1-y4 on the WIDE
statement and x is the name assigned to the set of variables x1-x4.
IDVARIABLE
The IDVARIABLE option is used to provide a name for the variable that
provides information about the unit to which the record belongs. In
univariate growth modeling, this is the person identifier which is used as
a cluster variable. The IDVARIABLE option is specified as follows:
IDVARIABLE = subject;
where subject is the name of the variable that contains information about
the unit to which the record belongs. If an id variable is specified using
the IDVARIABLE option of the VARIABLE command, the values of
CHAPTER 15
582
this variable are used for the variable specified using the IDVARIABLE
option. This option is not required.
REPETITION
The REPETITION option is used to provide a name for the variable that
contains information on the order in which the variables were measured.
The REPETITION option is specified as follows:
REPETITION = time;
where time is the variable that contains information on the order in
which the variables were measured. This variable assigns consecutive
values starting with zero to the repetitions. This variable can be used in
a growth model as a time score variable. This option is not required.
THE DATA LONGTOWIDE COMMAND
In growth modeling an outcome measured at four time points can be
represented in a data set in two ways. In the long format, the outcome is
represented as a single variable using four records, one for each time
point. In the wide format, the outcome is represented as four variables
on a single record. The DATA LONGTOWIDE command is used to
rearrange data from a univariate long format to a multivariate wide
format.
When the data are rearranged, the outcome is given a set of new variable
names. These new variable names must be placed on the
USEVARIABLES statement of the VARIABLE command if they are
used in the analysis. They must be placed after any original variables.
The creation of the new variables in the DATA LONGTOWIDE
command occurs after any transformations in the DEFINE command and
any of the other DATA transformation commands. Following is a
description of the options used in the DATA LONGTOWIDE command.
TITLE, DATA, VARIABLE, And DEFINE Commands
583
LONG
The LONG option is used to identify the variables in the long format
data set that will be used to create sets of variables in the wide format
data set. These variables must be variables from the NAMES statement
of the VARIABLE command. The LONG option is specified as follows:
LONG = y | x;
where y and x are two variables that have been measured at multiple
time points which are represented by multiple records.
WIDE
The WIDE option is used to provide sets of names for the new variables
in the wide format data set. There should be the same number of sets of
names as there are variables in the LONG statement. The number of
names in each set corresponds to the number of time points at which the
variables in the long data set were measured. The WIDE option is
specified as follows:
WIDE = y1-y4 | x1-x4;
where y1, y2, y3, and y4 are the names for the variable y in the wide data
set and x1, x2, x3, and x4 are the names for the variable x in the wide
data set.
IDVARIABLE
The IDVARIABLE option is used to identify the variable in the long
data set that contains information about the unit to which each record
belongs. The IDVARIABLE option is specified as follows:
IDVARIABLE = subject;
where subject is the name of the variable that contains information about
the unit to which each record belongs. This variable becomes the
identifier for each observation in the wide data set. The IDVARIABLE
option of the VARIABLE command cannot be used to select a different
identifier.
CHAPTER 15
584
REPETITION
The REPETITION option is used to identify the variable that contains
information about the times at which the variables in the long data set
were measured. The REPETITION option is specified as follows:
REPETITION = time;
where time is the variable that contains information about the time at
which the variables in the long data set were measured. If the time
variable does not contain consecutive integer values starting at zero, the
time values must be given. For example,
REPETITION = time (4 8 16);
specifies that the values 4, 8, and 16 are the values of the variable time.
The number of values should be equal to the number of variables in the
WIDE option and the order of the values should correspond to the order
of the variables.
THE DATA TWOPART COMMAND
The DATA TWOPART command is used to create a binary and a
continuous variable from a continuous variable with a floor effect for
use in two-part (semicontinuous) modeling (Duan et al., 1983; Olsen &
Schafer, 2001). One situation where this occurs is when variables have a
preponderance of zeros.
A set of binary and continuous variables are created using the value
specified in the CUTPOINT option of the DATA TWOPART command
or zero which is the default. The two variables are created using the
following rules:
1. If the value of the original variable is missing, both the new binary
and the new continuous variable values are missing.
2. If the value of the original variable is greater than the cutpoint value,
the new binary variable value is one and the new continuous variable
value is the log of the original variable as the default.
TITLE, DATA, VARIABLE, And DEFINE Commands
585
3. If the value of the original variable is less than or equal to the
cutpoint value, the new binary variable value is zero and the new
continuous variable value is missing.
The new variables must be placed on the USEVARIABLES statement of
the VARIABLE command if they are used in the analysis. These
variables must come after any original variables. If the binary variables
are used as dependent variables in the analysis, they must be declared as
categorical using the CATEGORICAL option of the VARIABLE
command.
The creation of the new variables in the DATA TWOPART command
occurs after any transformations in the DEFINE command and before
any transformations using the DATA MISSING command. Following is
a description of the options used in the DATA TWOPART command.
NAMES
The NAMES option identifies the variables that are used to create a set
of binary and continuous variables. These variables must be variables
from the NAMES statement of the VARIABLE command. The NAMES
option is specified as follows:
NAMES = smoke1-smoke4;
where smoke1, smoke2, smoke3, and smoke4 are the semicontinuous
variables that are used to create a set of binary and continuous variables.
CUTPOINT
The CUTPOINT option is used to provide the value that is used to divide
the original variables into a set of binary and continuous variables. The
default value for the CUTPOINT option is zero. The CUTPOINT
option is specified as follows:
CUTPOINT = 1;
where variables are created based on values being less than or equal to
one or greater than one.
CHAPTER 15
586
BINARY
The BINARY option is used to assign names to the new set of binary
variables. The BINARY option is specified as follows:
BINARY = u1-u4;
where u1, u2, u3, and u4 are the names of the new set of binary
variables.
CONTINUOUS
The CONTINUOUS option is used to assign names to the new set of
continuous variables. The CONTINUOUS option is specified as
follows:
CONTINUOUS = y1-y4;
where y1, y2, y3, and y4 are the names of the new set of continuous
variables.
TRANSFORM
The TRANSFORM option is used to transform the new continuous
variables. The LOG function is the default. The following functions
can be used with the TRANSFORM option:
LOG base e log LOG (y);
LOG10 base 10 log LOG10 (y);
EXP exponential EXP (y);
SQRT square root SQRT (y);
ABS absolute value ABS(y);
SIN sine SIN (y);
COS cosine COS (y);
TAN tangent TAN(y);
ASIN arcsine ASIN (y);
ACOS arccosine ACOS (y);
ATAN arctangent ATAN (y);
NONE no transformation
TITLE, DATA, VARIABLE, And DEFINE Commands
587
The TRANSFORM option is specified as follows:
TRANSFORM = NONE;
where specifying NONE results in no transformation of the new
continuous variables.
THE DATA MISSING COMMAND
The DATA MISSING command is used to create a set of binary
variables that are indicators of missing data or dropout for another set of
variables. Dropout indicators can be scored as discrete-time survival
indicators or dropout dummy indicators. The new variables can be used
to study non-ignorable missing data (Little & Rubin, 2002; Muthén et
al., 2011).
The new variables must be placed on the USEVARIABLES statement of
the VARIABLE command if they are used in the analysis. These
variables must come after any original variables. If the binary variables
are used as dependent variables in the analysis, they must be declared as
categorical using the CATEGORICAL option of the VARIABLE
command.
The creation of the new variables in the DATA MISSING command
occurs after any transformations in the DEFINE command and after any
transformations using the DATA TWOPART command. Following is a
description of the options used in the DATA MISSING command.
NAMES
The NAMES option identifies the set of variables that are used to create
a set of binary variables that are indicators of missing data. These
variables must be variables from the NAMES statement of the
VARIABLE command. The NAMES option is specified as follows:
NAMES = drink1-drink4;
where drink1, drink2, drink3, and drink4 are the set of variables for
which a set of binary indicators of missing data are created.
CHAPTER 15
588
BINARY
The BINARY option is used to assign names to the new set of binary
variables. The BINARY option is specified as follows:
BINARY = u1-u4;
where u1, u2, u3, and u4 are the names of the new set of binary
variables.
For TYPE=MISSING, the number of binary indicators is equal to the
number of variables in the NAMES statement. For TYPE=SDROPOUT
and TYPE=DDROPOUT, the number of binary indicators is one less
than the number of variables in the NAMES statement because dropout
cannot occur before the second time point an individual is observed.
TYPE
The TYPE option is used to specify how missingness is coded. It has
three settings: MISSING, SDROPOUT, and DDROPOUT. The default
is MISSING. For the MISSING setting, a binary missing data indicator
variable is created. For the SDROPOUT setting, which is used with
selection missing data modeling, a binary discrete-time (event-history)
survival dropout indicator is created. For the DDROPOUT setting,
which is used with pattern-mixture missing data modeling, a binary
dummy dropout indicator is created. The TYPE option is specified as
follows:
TYPE = SDROPOUT;
Following are the rules for creating the set of binary variables for the
MISSING setting:
1. If the value of the original variable is missing, the new binary
variable value is one.
2. If the value of the original variable is not missing, the new binary
variable value is zero.
For the SDROPOUT and DDROPOUT settings, the set of indicator
variables is defined by the last time point an individual is observed.
TITLE, DATA, VARIABLE, And DEFINE Commands
589
Following are the rules for creating the set of binary variables for the
SDROPOUT setting:
1. The value one is assigned to the time point after the last time point
an individual is observed.
2. The value missing is assigned to all time points after the value of
one.
3. The value zero is assigned to all time points before the value of one.
Following are the rules for creating the set of binary variables for the
DDROPOUT setting:
1. The value one is assigned to the time point after the last time point
an individual is observed.
2. The value zero is assigned to all other time points.
DESCRIPTIVE
The DESCRIPTIVE option is used in conjunction with TYPE=BASIC
of the ANALYSIS command and the SDROPOUT and DDROPOUT
settings of the TYPE option to specify the sets of variables for which
additional descriptive statistics are computed. For each variable, the
mean and standard deviation are computed using all observations
without missing on the variable. Means and standard deviations are
provided for the following sets of observations whose definitions are
based on missing data patterns:
Dropouts after each time point – Individuals who drop out before the
next time point and do not return to the study
Non-dropouts after each time point – Individuals who do not drop out
before the next time point
Total Dropouts – Individuals who are missing at the last time point
Dropouts no intermittent missing – Individuals who do not return to
the study once they have dropped out
Dropouts intermittent missing – Individuals who drop out and return
to the study
CHAPTER 15
590
Total Non-dropouts – Individuals who are present at the last time point
Non-dropouts complete data – Individuals with complete data
Non-dropouts intermittent missing – Individuals who have missing
data but are present at the last time point
Total sample
The first set of variables given in the DESCRIPTIVE statement is the
outcome variable. This set of variables defines the number of time
points in the model. If the other sets of variables do not have the same
number of time points, the asterisk (*) is used as a placeholder. Sets of
variables are separated by the | symbol. Following is an example of how
to specify the DESCRIPTIVE option:
DESCRIPTIVE = y0-y5 | x0-x5 | * z1-z5;
The first set of variables, y0-y5 defines the number of time points as six.
The last set of variables has only five measures. An asterisk (*) is used
as a placeholder for the first time point.
THE DATA SURVIVAL COMMAND
The DATA SURVIVAL command is used to create variables for
discrete-time survival modeling where a binary discrete-time survival
(event-history) variable represents whether or not a single non-
repeatable event has occurred in a specific time period.
A set of binary discrete-time survival variables is created using the
following rules:
1. If the value of the original variable is missing, the new binary
variable value is missing.
2. If the value of the original variable is greater than the cutpoint value,
the new binary variable value is one which represents that the event
has occurred.
3. If the value of the original variable is less than or equal to the
cutpoint value, the new binary variable value is zero which
represents that the event has not occurred.
4. After a discrete-time survival variable for an observation is assigned
the value one, subsequent discrete-time survival variables for that
observation are assigned the value of the missing value flag.
TITLE, DATA, VARIABLE, And DEFINE Commands
591
The new variables must be placed on the USEVARIABLES statement of
the VARIABLE command if they are used in the analysis. These
variables must come after any original variables. If the binary variables
are used as dependent variables in the analysis, they must be declared as
categorical using the CATEGORICAL option of the VARIABLE
command.
The creation of the new variables in the DATA SURVIVAL command
occurs after any transformations in the DEFINE command, the DATA
TWOPART command, and the DATA MISSING command. Following
is a description of the options used in the DATA SURVIVAL command.
NAMES
The NAMES option identifies the variables that are used to create a set
of binary event-history variables. These variables must be variables
from the NAMES statement of the VARIABLE command. The NAMES
option is specified as follows:
NAMES = dropout1-dropout4;
where dropout1, dropout2, dropout3, and dropout4 are the variables that
are used to create a set of binary event-history variables.
CUTPOINT
The CUTPOINT option is used provide the value to use to create a set of
binary event-history variables from a set of original variables. The
default value for the CUTPOINT option is zero. The CUTPOINT
option is specified as follows:
CUTPOINT = 1;
where variables are created based on values being less than or equal to
one or greater than one.
BINARY
The BINARY option is used to assign names to the new set of binary
event-history variables. The BINARY option is specified as follows:
CHAPTER 15
592
BINARY = u1-u4;
where u1, u2, u3, and u4 are the names of the new set of binary event-
history variables.
THE DATA COHORT COMMAND
The DATA COHORT command is used to rearrange longitudinal data
from a format where time points represent measurement occasions to a
format where time points represent age or another time-related variable.
It is available only for continuous outcomes. Multiple cohort analysis is
described in Chapter 14.
The new variables must be placed on the USEVARIABLES statement of
the VARIABLE command if they are used in the analysis.
These variables must come after any original variables. The creation of
the new variables in the DATA COHORT command occurs after any
transformations in the DEFINE command. Following is a description of
the options used in the DATA COHORT command.
COHORT
The COHORT option is used when data have been collected using a
multiple cohort design. The COHORT option is used in conjunction
with the TIMEMEASURES and TNAMES options that are described
below. Variables used with the COHORT option must be variables from
the NAMES statement of the VARIABLE command. Following is an
example of how the COHORT option is specified:
COHORT IS birthyear (63 64 65);
where birthyear is a variable in the data set to be analyzed, and the
numbers in parentheses following the variable name are the values that
the birthyear variable contains. Birth years of 1963, 1964, and 1965 are
included in the example below. The cohort variable must contain only
integer values.
TITLE, DATA, VARIABLE, And DEFINE Commands
593
COPATTERN
The COPATTERN option is used when data are both missing by design
and have been collected using a multiple cohort design. Variables used
with the COPATTERN option must be variables from the NAMES
statement of the VARIABLE command. Following is an example of
how the COPATTERN option is specified:
COPATTERN = cohort (67=y1 y2 y3 68=y4 y5 y6 69=y2 y3 y4);
where cohort is a variable that provides information about both the
cohorts included in the data set and the patterns of variables for each
cohort. In the example above, individuals in cohort 67 should have
information on y1, y2, and y3; individuals in cohort 68 should have
information on y4, y5, and y6; and individuals in cohort 69 should have
information on y2, y3, and y4. Individuals who have missing values on
any variable for which they are expected to have information are
eliminated from the analysis. The copattern variable must contain only
integer values.
COHRECODE
The COHRECODE option is used in conjunction with either the
COHORT or COPATTERN options to recode the values of the cohort or
copattern variable. The COHRECODE option is specified as follows:
COHRECODE = (1=67 2=68 3=69 4=70);
where the original values of 1, 2, 3, and 4 of the cohort or copattern
variable are recoded to 67, 68, 69, and 70, respectively. If the
COHRECODE option is used, all values of the original variable must be
recoded to be included in the analysis. Observations with values that are
not recoded will be eliminated from the analysis.
TIMEMEASURES
The TIMEMEASURES option is used with multiple cohort data to
specify the years in which variables to be used in the analysis were
measured. It is used in conjunction with the COHORT and
COPATTERN options to determine the ages that are represented in the
CHAPTER 15
594
multiple cohort data set. Variables used with the TIMEMEASURES
option must be variables from the NAMES statement of the VARIABLE
command. Following is an example of how the TIMEMEASURES
option is specified:
TIMEMEASURES = y1 (82) y2 (84) y3 (85) y4 (88) y5 (94);
where y1, y2, y3, y4, and y5 are original variables that are to be used in
the analysis, and the numbers in parentheses following each of these
variables represent the years in which they were measured. In this
situation, y1, y2, y3, y4, and y5 are the same measure, for example,
frequency of heavy drinking measured on multiple occasions.
The TIMEMEASURES option can be used to identify more than one
measure that has been measured repeatedly as shown in the following
example:
TIMEMEASURES = y1 (82) y2 (84) y3 (85) y4 (88) y5 (94) |
y6 (82) y7 (85) y8 (90) y9 (95) |
x1 (83) x2(88) x3 (95);
where each set of variables separated by the symbol | represents repeated
measures of that variable. For example, y1, y2, y3, y4, and y5 may
represent repeated measures of heavy drinking; y6, y7, y8, and y9 may
represent repeated measures of alcohol dependence; and x1, x2, and x3
may represent repeated measures of marital status.
TNAMES
The TNAMES option is used to generate variable names for the new
multiple cohort analysis variables. A root name is specified for each set
of variables mentioned using the TIMEMEASURES option. The age of
the respondent at the time the variable was measured is attached to the
root name. The age is determined by subtracting the cohort value from
the year the variable was measured. Following is an example of how the
TNAMES option is specified:
TNAMES = hd;
where hd is the root name for the new variables.

TITLE, DATA, VARIABLE, And DEFINE Commands
595
Following is an example of how the TNAMES option is specified for the
TIMEMEASURES and COHORT options when multiple outcomes are
measured:
TNAMES = hd | dep | marstat;
Following are the variables that would be created:
hd22, hd24, hd25, hd26, hd27, hd28, hd29, hd30,
hd31, hd32, hd33, hd34, hd36, hd37, hd38, hd39,
dep22, dep24, dep25, dep26, dep27, dep28, dep29, dep30,
dep32, dep33, dep35, dep36, dep37, dep38, dep39, dep40,
marstat23, marstat25, marstat26, marstat27, marstat28
marstat30, marstat31, marstat32, marstat33, marstat35
marstat37, marstat38, marstat39, marstat40.
There is no hd variable for ages 23 and 35, no dep variable for ages 23,
31, and 34, and no marstat variable for ages 24, 29, 34, and 36 because
these ages are not represented by the combination of cohort values and
years of measurement.
THE VARIABLE COMMAND
The VARIABLE command is used to provide information about the
variables in the data set to be analyzed. The VARIABLE command has
options for naming and describing the variables in the data set to be
analyzed, subsetting the data set on observations, subsetting the data set
on variables, and specifying missing values for each variable.

CHAPTER 15
596
Following are the options for the VARIABLE command:
VARIABLE:
NAMES ARE
names of variables in the data set;
USEOBSERVATIONS ARE
conditional statement to select observations;
all observations
in data set
USEVARIABLES ARE
names of analysis variables;
all variables in
NAMES
MISSING ARE
variable (#);
. ;
* ;
BLANK;
CENSORED ARE
names, censoring type, and inflation status for
censored dependent variables;
CATEGORICAL ARE
names of binary and ordered categorical
(ordinal) dependent variables (model);
NOMINAL ARE
names of unordered categorical (nominal)
dependent variables;
COUNT ARE
names of count variables (model);
DSURVIVAL ARE
names of discrete-time survival variables;
GROUPING IS
name of grouping variable (labels);
IDVARIABLE IS
name of ID variable;
_RECNUM;
FREQWEIGHT IS
name of frequency (case) weight variable;
TSCORES ARE
names of observed variables with information
on individually-varying times of observation;
AUXILIARY =
names of auxiliary variables;
names of auxiliary variables (M);
names of auxiliary variables (R3STEP);
names of auxiliary variables (R);
names of auxiliary variables (BCH);
names of auxiliary variables (DU3STEP);
names of auxiliary variables
(DCATEGORICAL);
names of auxiliary variables (DE3STEP);
names of auxiliary variables
(DCONTINUOUS);
names of auxiliary variables (E);
CONSTRAINT =
names of observed variables that can be used
in the MODEL CONSTRAINT command;
PATTERN IS
name of pattern variable (patterns);
STRATIFICATION IS
name of stratification variable;
CLUSTER IS
name of cluster variables;
WEIGHT IS
name of sampling weight variable;

TITLE, DATA, VARIABLE, And DEFINE Commands
597
WTSCALE IS
UNSCALED;
CLUSTER
CLUSTER;
ECLUSTER;
BWEIGHT
name of between-level sampling weight
variable;
B2WEIGHT IS
name of the level 2 sampling weight variable;
B3WEIGHT IS
name of the level 3 sampling weight variable;
BWTSCALE IS
UNSCALED;
SAMPLE;
SAMPLE
REPWEIGHTS ARE
names of replicate weight variables;
SUBPOPULATION IS
conditional statement to select subpopulation;
all observations
in data set
FINITE =
name of variable;
name of variable (FPC);
name of variable (SFRACTION);
name of variable (POPULATION);
FPC
CLASSES =
names of categorical latent variables (number
of latent classes);
KNOWNCLASS =
name of categorical latent variable with known
class membership (labels);
TRAINING =
names of training variables;
names of variables (MEMBERSHIP);
names of variables (PROBABILITIES);
names of variables (PRIORS);
MEMBERSHIP
WITHIN ARE
WITHIN ARE (label)
names of individual-level observed variables;
names of individual-level observed variables;
BETWEEN ARE
BETWEEN ARE (label)
names of cluster-level observed variables;
names of cluster-level observed variables;
SURVIVAL ARE
names and time intervals for time-to-event
variables;
TIMECENSORED ARE
LAGGED ARE
TINTERVAL IS
names and values of variables that contain
right censoring information;
names of lagged variables (lag);
name of time variable (interval);
(0 = NOT
1 = RIGHT)
The VARIABLE command is a required command. The NAMES option
is a required option. Default settings are shown in the last column. If
the default settings are appropriate for the analysis, nothing needs to be
specified except the NAMES option.
Note that commands and options can be shortened to four or more
letters. Option settings can be referred to by either the complete word or
the part of the word shown above in bold type.
CHAPTER 15
598
ASSIGNING NAMES TO VARIABLES
NAMES
The NAMES option is used to assign names to the variables in the data
set named using the FILE option of the DATA command. This option is
required. The variable names can be separated by blanks or commas and
can be up to 8 characters in length. Variable names must begin with a
letter. They can contain only letters, numbers, and the underscore
symbol. The program makes no distinction between upper and lower
case letters. Following is an example of how the NAMES option is
specified:
NAMES ARE gender ethnic income educatn drink_st agedrink;
Variable names are generated if a list of variables is specified using the
NAMES option. For example,
NAMES ARE y1-y5 x1-x3;
generates the variable names y1 y2 y3 y4 y5 x1 x2 x3.
NAMES ARE itema-itemd;
generates the variable names itema itemb itemc itemd.
SUBSETTING OBSERVATIONS AND VARIABLES
There are options for selecting a subset of observations or variables from
the data set named using the FILE option of the DATA command. The
USEOBSERVATIONS option is used to select a subset of observations
from the data set. The USEVARIABLES option is used to select a
subset of variables from the data set.
TITLE, DATA, VARIABLE, And DEFINE Commands
599
USEOBSERVATIONS
The USEOBSERVATIONS option is used to select observations for an
analysis from the data set named using the FILE option of the DATA
command. This option is not available for summary data. The
USEOBSERVATIONS option selects only those observations that
satisfy the conditional statement specified after the equal sign. For
example, the following statement selects observations with the variable
ethnic equal to 1 and the variable gender equal to 2:
USEOBSERVATIONS = ethnic EQ 1 AND gender EQ 2;
Only variables from the NAMES statement of the VARIABLE command
can be used in the conditional statement of the USEOBSERVATIONS
option. Logical operators, not arithmetic operators, must be used in the
conditional statement. Following are the logical operators that can be
used in conditional statements to select observations for analysis:
AND logical and
OR logical or
NOT logical not
EQ equal ==
NE not equal /=
GE greater than or equal to >=
LE less than or equal to <=
GT greater than >
LT less than <
As shown above, some of the logical operators can be referred to in two
different ways. For example, equal can be referred to as EQ or ==.
USEVARIABLES
The USEVARIABLES option is used to select variables for an analysis.
It can be used with individual data or summary data. Variables included
on the USEVARIABLES statement can be variables from the NAMES
statement of the VARIABLE command and variables created using the
DEFINE command and the DATA transformation commands. New
variables created using the DEFINE command and the DATA
CHAPTER 15
600
transformation commands must be included on the USEVARIABLES
statement.
The USEVARIABLES option identifies the observed dependent and
independent variables that are used in an analysis. Variables with
special functions such as grouping variables do not need to be included
on the USEVARIABLES statement unless they are new variables
created using the DEFINE command or the DATA transformation
commands. Following is an example of how to specify the
USEVARIABLES option:
USEVARIABLES ARE gender income agefirst;
Variables on the USEVARIABLES statement must follow a particular
order. The order of the variables is important because it determines the
order of variables used with the list function. The set of original
variables from the NAMES statement of the VARIABLE command must
be listed before the set of new variables created using the DEFINE
command or the DATA transformation commands. Within the two sets
of original and new variables, any order is allowed.
If all of the original variables plus some of the new variables are used in
the analysis, the keyword ALL can be used as the first entry in the
USEVARIABLES statement. This indicates that all of the original
variables from the NAMES statement of the VARIABLE command are
used in the analysis. The keyword ALL is followed by the names of the
new variables created using the DEFINE command or the DATA
transformation commands that will be used in the analysis. Following is
an example of how to specify the USEVARIABLES option for this
situation:
USEVARIABLES = ALL hd1 hd2 hd3;
where ALL refers to the total set of original variables and hd1, hd2, and
hd3 are new variables created using the DEFINE command or the DATA
transformation commands.
TITLE, DATA, VARIABLE, And DEFINE Commands
601
MISSING VALUES
MISSING
The MISSING option is used to identify the values or symbol in the
analysis data set that are treated as missing or invalid. Any numeric
value and the non-numeric symbols of the period, asterisk (*), or blank
can be used as missing value flags. There is no default missing value
flag. Numeric and non-numeric missing value flags cannot be combined.
The blank cannot be used as a missing value flag for data in free format.
When a list of missing value flags contains a negative number, the
entries must be separated by commas.
NON-NUMERIC MISSING VALUE FLAGS
The period (.), the asterisk (*), or the blank can be used as non-numeric
missing value flags. Only one non-numeric missing value flag can be
used for a particular data set. This missing value flag applies to all
variables in the data set. The blank cannot be used with free format data.
With fixed format data, blanks in the data not declared as missing value
flags are treated as zeroes.
The following command indicates that the period is the missing value
flag for all variables in the data set:
MISSING ARE . ;
The blank can be a missing value flag only in fixed format data sets.
The following command indicates that blanks are to be considered as
missing value flags:
MISSING = BLANK;
NUMERIC MISSING VALUE FLAGS
Any number of numeric values can be specified as missing value flags
for the complete data set or for individual variables. The keyword ALL
can be used with the MISSING option if all variables have the same
numeric value(s) as missing value flags.
CHAPTER 15
602
The following statement specifies that the number 9 is the missing value
flag for all variables in the data set:
MISSING ARE ALL (9);
The following example specifies that for the variable ethnic, the
numbers 9 and 99 are missing value flags, while for the variable y1, the
number 1 is the missing value flag:
MISSING ARE ethnic (9 99) y1 (1);
The list function can be used with the MISSING option to specify a list
of missing value flags and/or a set of variables. The order of variables in
the list is determined by the order of variables in the NAMES statement
of the VARIABLE command. Values of 9, 99, 100, 101, and 102 can be
declared as missing value flags for all variables in a data set by the
following specification:
MISSING ARE ALL (9 99-102);
Missing values can be specified for a list of variables as follows:
MISSING ARE gender-income (9 30 98-102);
The statement above specifies that the values of 9, 30, 98, 99, 100, 101,
and 102 are missing value flags for the list of variables beginning with
gender and ending with income.
If a single missing value flag is negative, it can be specified as described
above. If there are several negative missing value flags, they must be
separated by commas to distinguish between the list function and a
negative value. The following example specifies that for the variable
ethnic, the numbers -9 and -99 are missing value flags.
MISSING ARE ethnic (-9, -99);
The list function can be used with negative missing value flags. It is
specified as:
MISSING = ALL (-778- -775);
TITLE, DATA, VARIABLE, And DEFINE Commands
603
The statement above specifies that the values of -778, -777, -776, and -
775 are missing value flags for all variables in the data set.
MEASUREMENT SCALE OF OBSERVED
DEPENDENT VARIABLES
All observed dependent variables are assumed to be measured on a
continuous scale unless the CENSORED, CATEGORICAL, NOMINAL,
and/or COUNT options are used. The specification of the scale of the
dependent variables determines how the variables are treated in the
model and its estimation. Independent variables can be binary or
continuous. The scale of the independent variables has no influence on
the model or its estimation. The distinction between dependent and
independent variables is described in Chapter 17.
Variables named using the CENSORED, CATEGORICAL, NOMINAL,
and/or COUNT options can be variables from the NAMES statement of
the VARIABLE command and variables created using the DEFINE
command and the DATA transformation commands.
CENSORED
The CENSORED option is used to specify which dependent variables
are treated as censored variables in the model and its estimation, whether
they are censored from above or below, and whether a censored or
censored-inflated model will be estimated.
The CENSORED option is specified as follows for a censored model:
CENSORED ARE y1 (a) y2 (b) y3 (a) y4 (b);
where y1, y2, y3, y4 are censored dependent variables in the analysis.
The letter a in parentheses following the variable name indicates that the
variable is censored from above. The letter b in parentheses following
the variable name indicates that the variable is censored from below.
The lower and upper censoring limits are determined from the data.
The CENSORED option is specified as follows for a censored-inflated
model:
CHAPTER 15
604
CENSORED ARE y1 (ai) y2 (bi) y3 (ai) y4 (bi);
where y1, y2, y3, y4 are censored dependent variables in the analysis.
The letters ai in parentheses following the variable name indicate that
the variable is censored from above and that a censored-inflated model
will be estimated. The letters bi in parentheses following the variable
name indicate that the variable is censored from below and that a
censored-inflated model will be estimated. The lower and upper
censoring limits are determined from the data.
With a censored-inflated model, two variables are considered, a
censored variable and an inflation variable. The censored variable takes
on values for individuals who are able to assume values of the censoring
point and beyond. The inflation variable is a binary latent variable for
which the value one denotes that an individual is unable to assume any
value except the censoring point. The inflation variable is referred to by
adding to the name of the censored variable the number sign (#)
followed by the number 1. In the example above, the censored variables
available for use in the MODEL command are y1, y2, y3, and y4, and
the inflation variables available for use in the MODEL command are
y1#1, y2#1, y3#1, and y4#1.
CATEGORICAL
The CATEGORICAL option is used to specify which dependent
variables are treated as binary or ordered categorical (ordinal) variables
in the model and its estimation and the type of model to be estimated.
Both probit and logistic regression models can be estimated for
categorical variables. For binary variables, the following IRT models
can be estimated: two-parameter normal ogive, two-parameter logistic,
three-parameter logistic, and four-parameter logistic. For ordered
categorical (ordinal) variables, the following IRT models can be
estimated: generalized partial credit with logistic and graded-response
with probit (normal ogive) and logistic. For a nominal IRT model, use
the NOMINAL option.
For categorical dependent variables, there are as many thresholds as
there are categories minus one. The thresholds are referred to in the
MODEL command by adding to the variable name the dollar sign ($)
followed by a number. The threshold for a binary variable u1 is referred
TITLE, DATA, VARIABLE, And DEFINE Commands
605
to as u1$1. The two thresholds for a three-category variable u2 are
referred to as u2$1 and u2$2. Ordered categorical dependent variables
cannot have more than 10 categories. The number of categories is
determined from the data.
The CATEGORICAL option is specified as follows:
CATEGORICAL ARE u2 u3 u7-u13;
where u2, u3, u7, u8, u9, u10, u11, u12, and u13 are binary or ordered
categorical dependent variables in the analysis. With weighted least
squares and Bayes estimation, a probit model is estimated. For binary
variables, this is a two-parameter normal ogive model. For ordered
categorical (ordinal) variables, this is a graded response model. With
maximum likelihood estimation, a logistic model is estimated as the
default. For binary variables, this is a two-parameter logistic model. For
ordered categorical (ordinal) variables, this is a proportional odds model
which is the same as a graded response model. Probit models can also
be estimated with maximum likelihood estimation using the LINK
option of the ANALYSIS command.
The CATEGORICAL option for a generalized partial credit model is
specified as follows:
CATEGORICAL = u1 –u3 (gpcm) u10 (gpcm);
where the variables u1, u2, u3, and u10 are ordered categorical (ordinal)
variables for which a generalized partial credit model will be estimated.
The partial credit model has c-1 step parameters for an item with c
categories and one slope parameter (Asparouhov & Muthén, 2016). The
step parameters are referred to in the same way as thresholds. The first
step parameter for a three-category ordered categorical (ordinal) variable
u1 is referred to as u1$1. The second step parameter is referred to as
u1$2.
The CATEGORICAL option for a three-parameter logistic model is
specified as follows:
CATEGORICAL = u1 –u3 (3pl) u10 (3pl);
CHAPTER 15
606
where the variables u1, u2, u3, and u10 are binary variables for which a
three-parameter logistic model will be estimated. The guessing
parameter cannot be referred to directly. Instead a parameter related to
the guessing parameter is referred to (Asparouhov & Muthén, 2016).
This parameter is referred to as the second threshold. The first threshold
for a binary variable u1 is referred to as u1$1. The second threshold is
referred to as u1$2.
The CATEGORICAL option for a four-parameter logistic model is
specified as follows:
CATEGORICAL = u1 –u3 (4pl) u10 (4pl);
where the variables u1, u2, u3, and u10 are binary variables for which a
four-parameter logistic model will be estimated. The lower asymptote
(guessing) and upper asymptote parameters cannot be referred to
directly. Instead a parameter which is related to the lower asymptote
(guessing) and a parameter which is related to the upper asymptote
parameter are referred to (Asparouhov & Muthén, 2016). The parameter
related to the lower asymptote (guessing) parameter is referred to as the
second threshold. The parameter related to the upper asymptote
parameter is referred to as the third threshold. The first threshold for a
binary variable u1 is referred to as u1$1. The second threshold is
referred to as u1$2. The third threshold is referred to as u1$3.
RECODING OF DEPENDENT VARIABLES
The estimation of the model for binary or ordered categorical dependent
variables uses zero to denote the lowest category, one to denote the
second lowest category, two to denote the third lowest category, etc. If
the variables are not coded this way in the data, they are automatically
recoded as described below. When data are saved for subsequent
analyses, the recoded categories are saved.
Following are examples of situations in which data are recoded by the
program:

TITLE, DATA, VARIABLE, And DEFINE Commands
607
Categories in Original Data Categories in Recoded Data
1 2 3 4 0 1 2 3
2 3 4 5 0 1 2 3
2 5 8 9 0 1 2 3
0 1 no recode needed
1 2 0 1
In most situations, the default recoding is appropriate. In multiple group
analysis and growth modeling, the default recoding may not be
appropriate because the categories observed in the data for a variable
may not be the same across groups or time. For example, it is sometimes
the case that individuals are observed in lower categories at earlier time
points and higher categories at later time points. Several variations of
the CATEGORICAL option are available for these situations. These are
allowed only for maximum likelihood estimation.
Using the automatic recoding, each variable is recoded using the
categories found in the data for that variable. Following is an example
of how to specify the CATEGORICAL option so that each variable is
recoded using the categories found in the data for a set of variables:
CATEGORICAL u1-u3 (*);
where u1, u2, and u3 are a set of ordered categorical variables and the
asterisk (*) in parentheses indicates that the categories of each variable
are to be recoded using the categories found in the data for the set of
variables not for each variable. Based on the original data shown in the
table below, where the rows represent observations and the columns
represent variables, the set of variables are found to have four possible
categories: 1, 2, 3, and 4. The variable u1 has observed categories 1
and 2; u2 has observed categories 1, 2, and 3; and u3 has observed
categories 2, 3, and 4. The recoded values are shown in the table below.
Categories in the Original Data Set
Categories in the Recoded Data Set
u1
u2
u3
u1
u2
u3
1
2
3
0
1
2
1
1
2
0
0
1
2
2
2
1
1
1
2
3
4
1
2
3
CHAPTER 15
608
The CATEGORICAL option can be used to give a set of categories that
are allowed for a variable or set of variables rather than having these
categories determined from the data. Following is an example of how to
specify this:
CATEGORICAL = u1-u3 (1-6);
where the set of variables u1, u2, and u3 can have the categories of 1, 2,
3, 4, 5, and 6. In this example, 1 will be recoded as 0, 2 as 1, 3 as 2, 4 as
3, 5 as 4, and 6 as 5.
Another variation of this is:
CATEGORICAL = u1-u3 (2 4 6);
where the set of variables u1, u2, and u3 can have the categories 2, 4,
and 6. In this example, 2 will be recoded as 0, 4 as 1, and 6 as 2.
The CATEGORICAL option can be used to specify that different sets of
variables have different sets of categories by using the | symbol. For
example,
CATEGORICAL = u1-u3 (*) | u4-u6 (2-5) | u7-u9;
specifies that for the variables u1, u2, and u3, the possible categories are
taken from the data for the set of variables; for the variables u4, u5, and
u6, the possible categories are 2, 3, 4, and 5; and for the variables u7, u8,
and u9, the possible categories are the default, that is, the possible
categories are taken from the data for each variable.
NOMINAL
The NOMINAL option is used to specify which dependent variables are
treated as unordered categorical (nominal) variables in the model and its
estimation. Unordered categorical dependent variables cannot have
more than 10 categories. The number of categories is determined from
the data. The NOMINAL option is specified as follows:
NOMINAL ARE u1 u2 u3 u4;
TITLE, DATA, VARIABLE, And DEFINE Commands
609
where u1, u2, u3, u4 are unordered categorical dependent variables in
the analysis.
For nominal dependent variables, all categories but the last category can
be referred to. The last category is the reference category. The
categories are referred to in the MODEL command by adding to the
variable name the number sign (#) followed by a number. The three
categories of a four-category nominal variable are referred to as u1#1,
u1#2, and u1#3.
The estimation of the model for unordered categorical dependent
variables uses zero to denote the lowest category, one to denote the
second lowest category, two to denote the third lowest category, etc. If
the variables are not coded this way in the data, they are automatically
recoded as described below. When data are saved for subsequent
analyses, the recoded categories are saved.
Following are examples of situations in which data are recoded by the
program:
Categories in Original Data Categories in Recoded Data
1 2 3 4 0 1 2 3
2 3 4 5 0 1 2 3
2 5 8 9 0 1 2 3
0 1 no recode needed
1 2 0 1
COUNT
The COUNT option is used to specify which dependent variables are
treated as count variables in the model and its estimation and the type of
model to be estimated. The following models can be estimated for count
variables: Poisson, zero-inflated Poisson, negative binomial, zero-
inflated negative binomial, zero-truncated negative binomial, and
negative binomial hurdle (Long, 1997; Hilbe, 2011). The negative
binomial models use the NB-2 variance representation (Hilbe, 2011, p.
63). Count variables may not have negative or non-integer values.
CHAPTER 15
610
The COUNT option can be specified in two ways for a Poisson model:
COUNT = u1 u2 u3 u4;
or
COUNT = u1 (p) u2 (p) u3 (p) u4 (p);
or using the list function:
COUNT = u1-u4 (p);
The COUNT option can be specified in two ways for a zero-inflated
Poisson model:
COUNT = u1-u4 (i);
or
COUNT = u1-u4 (pi);
where u1, u2, u3, and u4 are count dependent variables in the analysis.
The letter i or pi in parentheses following the variable name indicates
that a zero-inflated Poisson model will be estimated.
With a zero-inflated Poisson model, two variables are considered, a
count variable and an inflation variable. The count variable takes on
values for individuals who are able to assume values of zero and above
following the Poisson model. The inflation variable is a binary latent
variable with one denoting that an individual is unable to assume any
value except zero. The inflation variable is referred to by adding to the
name of the count variable the number sign (#) followed by the number
1. If the inflation parameter value is estimated at a large negative value
corresponding to a probability of zero, the inflation part of the model is
not needed.
Following is the specification of the COUNT option for a negative
binomial model:
COUNT = u1 (nb) u2 (nb) u3 (nb) u4 (nb);
TITLE, DATA, VARIABLE, And DEFINE Commands
611
or using the list function:
COUNT = u1-u4 (nb);
With a negative binomial model, a dispersion parameter is estimated.
The dispersion parameter is referred to by using the name of the count
variable. If the dispersion parameter is estimated at zero, the model is a
Poisson model.
Following is the specification of the COUNT option for a zero-inflated
negative binomial model:
COUNT = u1- u4 (nbi);
With a zero-inflated negative binomial model, two variables are
considered, a count variable and an inflation variable. The count
variable takes on values for individuals who are able to assume values of
zero and above following the negative binomial model. The inflation
variable is a binary latent variable with one denoting that an individual is
unable to assume any value except zero. The inflation variable is
referred to by adding to the name of the count variable the number sign
(#) followed by the number 1. If the inflation parameter value is
estimated at a large negative value corresponding to a probability of
zero, the inflation part of the model is not needed.
Following is the specification of the COUNT option for a zero-truncated
negative binomial model:
COUNT = u1-u4 (nbt);
Count variables for the zero-truncated negative binomial model must
have values greater than zero.
Following is the specification of the COUNT option for a negative
binomial hurdle model:
COUNT = u1-u4 (nbh);
With a negative binomial hurdle model, two variables are considered, a
count variable and a hurdle variable. The count variable takes on values
CHAPTER 15
612
for individuals who are able to assume values of one and above
following the truncated negative binomial model. The hurdle variable is
a binary latent variable with one denoting that an individual is unable to
assume any value except zero. The hurdle variable is referred to by
adding to the name of the count variable the number sign (#) followed by
the number 1.
DSURVIVAL
The DSURVIVAL option is used in conjunction with the PLOT
command to identify the discrete-time survival variables so that survival
curves are generated. The DSURVIVAL option is specified as follows:
DSURVIVAL = u1-u4;
where u1 to u4 are discrete-time survival variables.
VARIABLES WITH SPECIAL FUNCTIONS
There are several options that are used to identify variables that have
special functions. These variables can be variables from the NAMES
statement of the VARIABLE command and variables created using the
DEFINE command and the DATA transformation commands.
Following is a description of these options and their specifications.
GROUPING
The GROUPING option is used to identify the variable in the data set
that contains information on group membership when the data for all
groups are stored in a single data set. Multiple group analysis is
discussed in Chapter 14. A grouping variable must contain only integer
values. Only one grouping variable can be used. If the groups to be
analyzed are a combination of more than one variable, a single grouping
variable can be created using the DEFINE command. Following is an
example of how to specify the GROUPING option:
GROUPING IS gender (1=male 2 = female);
TITLE, DATA, VARIABLE, And DEFINE Commands
613
The information in parentheses after the grouping variable name assigns
labels to the values of the grouping variable found in the data set. In the
example above, observations with gender equal to 1 are assigned the
label male, and individuals with gender equal to 2 are assigned the label
female. These labels are used in conjunction with the MODEL
command to specify model statements specific to each group.
Observations that have a value on the grouping variable that is not
specified using the GROUPING option are not included in the analysis.
In situations where there are many groups, a shorthand notation can be
used for the GROUPING option. It is specified as follows:
GROUPING = country (101-200 225 350-360);
where country is the grouping variable and 101 through 200, 225, and
350 through 360 are the values of country that will be used as groups.
The values of the variable country are used as labels in group-specific
MODEL commands.
The GROUPING option can be specified by mentioning only the number
of groups, for example,
GROUPING = country (34);
where country is the grouping variable and the number 34 specifies that
there are 34 groups. The group values are taken from the data. The
reference group is the group with the lowest value. Default group labels
are used. G1 is the label for the group with the lowest value, g2 is the
label for the group with the next value, etc..
IDVARIABLE
The IDVARIABLE option is used in conjunction with the SAVEDATA
command to provide an identifier for each observation in the data set
that is saved. This is useful for merging the data with another data set.
The IDVARIABLE option is specified as follows:
IDVARIABLE = id;
CHAPTER 15
614
where id is a variable that contains a unique numerical identifier for each
observation. The length of this variable may not exceed 16.
If a data set does not contain an identifier variable, the _RECNUM
setting can be used as follows to create one:
IDVARIABLE = _RECNUM;
The unique numerical identifier corresponds to the record number of the
data set specified using the FILE option of the DATA command.
FREQWEIGHT
The FREQWEIGHT option is used to identify the variable that contains
frequency (case) weight information. Frequency weights are used when
a single record in the data set represents the responses of more than one
individual. Frequency weight values must be integers. Frequency
weights do not have to sum to the total number of observations in the
analysis data set and are not rescaled in any way. Frequency weights are
available for all analysis types except TYPE=COMPLEX,
TYPE=TWOLEVEL, TYPE=THREELEVEL,
TYPE=CROSSCLASSIFIED, and TYPE=EFA. With
TYPE=RANDOM, frequency weights are available only with
ALGORITHM=INTEGRATION. Following is an example of how the
FREQWEIGHT option is specified:
FREQWEIGHT IS casewgt;
where casewgt is the variable that contains frequency weight
information.
TSCORES
The TSCORES option is used in conjunction with TYPE=RANDOM to
identify the variables in the data set that contain information about
individually-varying times of observation for the outcome in a growth
model. Variables listed in the TSCORES statement can be used only in
AT statements in the MODEL command to define a growth model. For
TYPE=TWOLEVEL, ALGORITHM=INTEGRATION must be
TITLE, DATA, VARIABLE, And DEFINE Commands
615
specified in the ANALYSIS command for this type of analysis. The
TSCORES option is specified as follows:
TSCORES ARE a1 a2 a3 a4;
where a1, a2, a3, and a4 are observed variables in the analysis data set
that contain the individually-varying times of observation for an
outcome at four time points.
AUXILIARY
Auxiliary variables are variables that are not part of the analysis model.
The AUXILIARY option has three uses. One is to identify a set of
variables that is not used in the analysis but is saved for use in a
subsequent analysis. A second is to identify a set of variables that will
be used as missing data correlates in addition to the analysis variables.
The third is to automatically carry out the 3-step approach of
TYPE=MIXTURE.
SAVED
In the first use of the AUXILIARY option, variables listed on the
AUXILIARY statement are saved along with the analysis variables if the
SAVEDATA command is used. These variables can be used in
graphical displays if the PLOT command is used. If these variables are
created using the DEFINE command or the DATA transformation
commands, they must be listed on the USEVARIABLES statement of
the VARIABLE command in addition to being listed on the
AUXILIARY statement. The AUXILIARY option is specified as
follows:
AUXILIARY = gender race educ;
where gender, race, and educ are variables that are not used in the
analysis but that are saved in conjunction with the SAVEDATA and/or
the PLOT commands.
CHAPTER 15
616
MISSING DATA CORRELATES
In the second use of the AUXILIARY option, it is used in conjunction
with TYPE=GENERAL with continuous dependent variables and
maximum likelihood estimation to identify a set of variables that will be
used as missing data correlates in addition to the analysis variables
(Collins, Schafer, & Kam, 2001; Graham, 2003; Asparouhov & Muthén,
2008b; Enders, 2010). This use is not available with MODINDICES,
BOOTSTRAP, and models with a set of exploratory factor analysis
(EFA) factors in the MODEL command. The setting M in parentheses is
placed behind the variables on the AUXILIARY statement that will be
used as missing data correlates. Following is an example of how to
specify the M setting:
AUXILIARY = z1-z4 (M);
where z1, z2, z3, and z4 are variables that will be used as missing data
correlates in addition to the analysis variables.
An alternative specification that is convenient when there are several
variables that cannot be specified using the list function is:
AUXILIARY = (M) x1 x3 x5 x7 x9;
where all variables after (M) will be used as missing data correlates in
addition to the analysis variables.
3-STEP APPROACH
In the third use of the AUXILIARY option, the 3-step approach using
TYPE=MIXTURE is automatically carried out. There are eight settings
of the AUXILIARY option that automatically carry out the 3-step
approach. Two of these settings are used to identify a set of variables
not used in the first step of the analysis that are possible covariates in a
multinomial logistic regression for a categorical latent variable. The
multimonial logistic regression uses all covariates at the same time. Six
of the settings are used to identify a set of variables not used in the first
step of the analysis for which the equality of means across latent classes
will be tested. The equality of means is tested one variable at a time.
Only one of these eight settings can be used in an analysis at a time.
TITLE, DATA, VARIABLE, And DEFINE Commands
617
Only one categorical latent variable is allowed with the 3-step approach.
The manual 3-step approach in described in Asparouhov and Muthen
(2014a, b).
The two settings that are used to identify a set of variables not used in
the first step of the analysis that are possible covariates in a multinomial
logistic regression for a categorical latent variable are R3STEP
(Vermunt, 2010; Asparouhov & Muthén, 2012b) and R (Wang et al.,
2005). R3STEP is preferred. R is superseded by R3STEP and should be
used only for methods research.
The six settings that are used to identify a set of variables not used in the
first step of the analysis for which the equality of means across latent
classes will be tested are BCH (Bakk & Vermunt, 2015), DU3STEP
(Asparouhov & Muthén, 2012b), DCATEGORICAL (Lanza et al.,
2013), DE3STEP (Asparouhov & Muthén, 2012b), DCONTINUOUS
(Lanza et al., 2013), and E (Asparouhov, 2007). BCH is preferred for
continuous distal outcomes. DU3STEP should be used only when there
are no class changes between the first and last steps. DCATEGORICAL
is for categorical distal outcomes. The following settings for continuous
distal outcomes, DE3STEP, DCONTINUOUS, and E, should be used
only for methods research.
All of the settings are specified in the same way. The setting in
parentheses is placed behind the variables on the AUXILIARY
statement that will be used as covariates in the multinomial logistic
regression or for which the equality of means will be tested. Following
is an example of how to specify the R3STEP setting:
AUXILIARY = race (R3STEP) ses (R3STEP) x1-x5 (R3STEP);
where race, ses, x1, x2, x3, x4, and x5 will be used as covariates in a
multinomial logistic regression in a mixture model.
An alternative specification for the eight settings that is convenient when
there are several variables that cannot be specified using the list function
is:
AUXILIARY = (R3STEP) x1 x3 x5 x7 x9;
CHAPTER 15
618
where all variables after R3STEP) will be used as covariates in a
multinomial logistic regression in a mixture model.
Following is an example of how to specify more than one setting in the
same AUXILIARY statement:
AUXILIARY = gender age (BCH) educ ses (BCH) x1-x5 (BCH);
where all of the variables on the AUXILIARY statement will be saved if
the SAVEDATA command is used, will be available for plots if the
PLOT command is used, and tests of equality of means across latent
classes will be carried out for the variables age, ses, x1, x2, x3, x4, and
x5.
CONSTRAINT
The CONSTRAINT option is used to identify the variables that can be
used in the MODEL CONSTRAINT command. These can be not only
variables used in the MODEL command but also other variables. All
variables on the CONSTRAINT list are treated as continuous variables
in the analysis. Only variables used by the following options cannot be
included: GROUPING, PATTERN, COHORT, COPATTERN,
CLUSTER, STRATIFICATION, and AUXILIARY. Variables that are
part of these options can be used in DEFINE to create new variables that
can be used in the CONSTRAINT statement. The CONSTRAINT
option is not available for TYPE=RANDOM, TYPE=TWOLEVEL,
TYPE=THREELEVEL, TYPE=CROSSCLASSIFIED,
TYPE=COMPLEX, and for estimators other than ML, MLR, and MLF.
The CONSTRAINT option is specified as follows:
CONSTRAINT = y1 u1;
where y1 and u1 are variables that can be used in the MODEL
CONSTRAINT command.
PATTERN
The PATTERN option is used when data are missing by design. The
typical use is in situations when, because of the design of the study, all
variables are not measured on all individuals in the analysis. This can
TITLE, DATA, VARIABLE, And DEFINE Commands
619
occur, for example, when individuals receive different forms of a
measurement instrument that contain different sets of items. Following
is an example of how the PATTERN option is specified:
PATTERN IS design (1= y1 y3 y5 2= y2 y3 y4 3= y1 y4 y5);
where design is a variable in the data set that has integer values of 1, 2,
and 3. The variable names listed after each number and the equal sign
are variables used in the analysis which should have no missing values
for observations with that value on the pattern variable. For example,
observations with the value of one on the variable design should have
information for variables y1, y3, and y5 and have missing values for y2
and y4. Observations with the value of three on the variable design
should have information for variables y1, y4, and y5 and have missing
values for variables y2 and y3. The pattern variable must contain only
integer values. Observations that have a value for the pattern variable
that is not specified using the PATTERN option are not included in the
analysis.
COMPLEX SURVEY DATA
There are several options that are used for complex survey data. These
include options for stratification, clustering, unequal probabilities of
selection (sampling weights), and subpopulation analysis. The variables
used with these options can be variables from the NAMES statement of
the VARIABLE command and variables created using the DEFINE
command and the DATA transformation commands. The exception is
that variables used with the SUBPOPULATION option must be
variables from the NAMES statement of the VARIABLE command.
Following is a description of these options and their specifications.
STRATIFICATION
The STRATIFICATION option is used with TYPE=COMPLEX to
identify the variable in the data set that contains information about the
subpopulations from which independent probability samples are drawn.
Following is an example of how the STRATIFICATION option is used:
STRATIFICATION IS region;
CHAPTER 15
620
where region is the variable that contains stratification information.
CLUSTER
The CLUSTER option is used with TYPE=TWOLEVEL,
TYPE=THREELEVEL, TYPE=CROSSCLASSIFIED, and
TYPE=COMPLEX to identify the variables in the data set that contain
clustering information. One cluster variable is used for
TYPE=TWOLEVEL and TYPE=COMPLEX. Two cluster variables are
used for TYPE=THREELEVEL, TYPE=CROSSCLASSIFIED, and
TYPE=COMPLEX TWOLEVEL. Three cluster variables are used for
TYPE=COMPLEX THREELEVEL.
Following is an example of how the CLUSTER option is used with
TYPE=TWOLEVEL and TYPE=COMPLEX:
CLUSTER IS school;
where school is the variable that contains clustering information.
Following is an example of how the CLUSTER option is used with
TYPE=THREELEVEL:
CLUSTER IS school class;
where school and class are the variables that contain clustering
information. The cluster variable for the highest level must come first,
that is, classrooms are nested in schools.
Following is an example of how the CLUSTER option is used with
TYPE=CROSSCLASSIFIED:
CLUSTER = neighbor school;
where neighbor and school are the variables that contain clustering
information. Students are nested in schools crossed with neighborhoods.
Following is an example of how the CLUSTER option is used with
TYPE=CROSSCLASSIFIED and time series analysis:
TITLE, DATA, VARIABLE, And DEFINE Commands
621
CLUSTER = subject time;
where subject and time are the variables that contain clustering
information. In cross-classified time series analysis, subject and time are
crossed. There is no nesting because each subject is observed only once
at any one time. The cluster variable for subject must precede the
cluster variable for time. Within each cluster, data must be ordered by
time.
TYPE=COMPLEX TWOLEVEL can be used with either two cluster
variables, one stratification and two cluster variables, or one
stratification and one cluster variable. Following is an example of using
two cluster variables:
CLUSTER = school class;
where school and class are the variables that contain clustering
information. The clusters for TYPE=TWOLEVEL are classroom. The
standard error and chi-square computations for TYPE=COMPLEX are
based on school.
Following is an example with stratification and clustering:
STRATIFICATION = region;
CLUSTER = school;
where the clusters for TYPE=TWOLEVEL are schools and the standard
error and chi-square computations for TYPE=COMPLEX are based on
region.
TYPE=COMPLEX THREELEVEL can be used with either three cluster
variables, one stratification and three cluster variables, or one
stratification and two cluster variables. Following is an example of how
the CLUSTER option is used with TYPE=COMPLEX THREELEVEL:
CLUSTER IS psu school class;
where psu, school, and class are the variables that contain clustering
information. The cluster variable for the highest level must come first,
that is, classrooms are nested in schools and schools are nested in psu’s.
CHAPTER 15
622
The clusters for TYPE=THREELEVEL are classroom and school. The
standard error and chi-square computations for TYPE=COMPLEX are
based on psu’s.
WEIGHT
The WEIGHT option is used to identify the variable that contains
sampling weight information for non-clustered data using
TYPE=GENERAL, clustered data using TYPE=COMPLEX, and level 1
data using TYPE=TWOLEVEL and TYPE=THREELEVEL. Sampling
weights are not available for TYPE=CROSSCLASSIFIED. Sampling
weights are used when data have been collected with unequal
probabilities of being selected. Sampling weight values must be non-
negative real numbers. If the sum of the sampling weights is not equal to
the total number of observations in the analysis data set, the weights are
rescaled so that they sum to the total number of observations. Sampling
weights are available for all analysis types. Sampling weights are
available for ESTIMATOR=MLR, MLM, MLMV, WLS, WLSM,
WLSMV, and ULS. There are two exceptions. They are not available
for WLS when all dependent variables are continuous and are not
available for MLM or MLMV for EFA. Following is an example of
how the WEIGHT option is used to identify a sampling weight variable:
WEIGHT IS sampwgt;
where sampwgt is the variable that contains sampling weight
information.
WTSCALE
The WTSCALE option is used with TYPE=TWOLEVEL to adjust the
weight variable named using the WEIGHT option. With
TYPE=TWOLEVEL, the WEIGHT option is used to identify the
variable that contains within-level sampling weight information.
The WTSCALE option has the following settings: UNSCALED,
CLUSTER, and ECLUSTER. CLUSTER is the default.
The UNSCALED setting uses the within weights from the data set with
no adjustment. The CLUSTER setting scales the within weights from
TITLE, DATA, VARIABLE, And DEFINE Commands
623
the data set so that they sum to the sample size in each cluster. The
ECLUSTER setting scales the within weights from the data so that they
sum to the effective sample size (Pothoff, Woodbury, & Manton, 1992).
The WTSCALE option is specified as follows:
WTSCALE = ECLUSTER;
where scaling the within weights so that they sum to the effective sample
size is chosen.
BWEIGHT
The BWEIGHT option is used with TYPE=TWOLEVEL to identify the
variable that contains between-level sampling weight information.
The BWEIGHT option is specified as follows:
BWEIGHT = bweight;
where bweight is the variable that contains between-level sampling
weight information.
B2WEIGHT
The B2WEIGHT option is used with TYPE=THREELEVEL to identify
the variable that contains level 2 sampling weight information.
Sampling weights are not available for TYPE=CROSSCLASSIFIED.
The B2WEIGHT option is specified as follows:
B2WEIGHT = b2weight;
where b2weight is the variable that contains level 2 sampling weight
information.
CHAPTER 15
624
B3WEIGHT
The B3WEIGHT option is used with TYPE=THREELEVEL to identify
the variable that contains level 3 sampling weight information.
Sampling weights are not available for TYPE=CROSSCLASSIFIED.
The B3WEIGHT option is specified as follows:
B3WEIGHT = b3weight;
where b3weight is the variable that contains level 3 sampling weight
information.
BWTSCALE
The BWTSCALE option is used in with TYPE=TWOLEVEL to adjust
the between-level sampling weight variable named using the BWEIGHT
option. The BWTSCALE option is used in with TYPE=THREELEVEL
to adjust the level 2 and level 3 sampling weight variables named using
the B2WEIGHT and B3WEIGHT options.
The BWTSCALE option has the following settings: UNSCALED and
SAMPLE. SAMPLE is the default.
The UNSCALED setting uses the between weights from the data set
with no adjustment. The SAMPLE option adjusts the between weights
so that the product of the between and the within weights sums to the
total sample size.
The BWTSCALE option is specified as follows:
BWTSCALE = UNSCALED;
where no adjustment is made to the between weights.
REPWEIGHTS
Replicate weights summarize information about a complex sampling
design (Korn & Graubard, 1999; Lohr, 1999). They are used to properly
estimate standard errors of parameter estimates. Replicate weights are
TITLE, DATA, VARIABLE, And DEFINE Commands
625
available for TYPE=COMPLEX for continuous variables using
maximum likelihood estimation and for binary, ordered categorical, and
censored variables using weighted least squares estimation. The
SUBPOPULATION option is not available with replicate weights.
Replicate weights can be used or generated. When they are generated,
they can be used in the analysis and/or saved (Asparouhov & Muthén,
2009b).
The REPWEIGHTS option is used to identify the replicate weight
variables. The STRATIFICATION and CLUSTER options may not be
used in conjunction with the REPWEIGHTS option. The WEIGHT
option must be used. Following is an example of how to specify the
REPWEIGHTS option:
REPWEIGHTS = rweight1-rweight80;
where rweight1 through rweight80 are replicate weight variables.
USING REPLICATE WEIGHTS
When existing replicate weights are used, the REPWEIGHTS option of
the VARIABLE command is used in conjunction with the WEIGHT
option of the VARIABLE command and the REPSE option of the
ANALYSIS command. The sampling weights are used in the estimation
of parameter estimates. The replicate weights are used in the estimation
of standard errors of parameter estimates. The REPSE option specifies
the resampling method that is used in the computation of the standard
errors.
GENERATING REPLICATE WEIGHTS
When replicate weights are generated, the REPSE option of the
ANALYSIS command and the WEIGHT option of the VARIABLE
command along with the CLUSTER and/or the STRATIFICATION
options of the VARIABLE command are used.
SUBPOPULATION
The SUBPOPULATION option is used with TYPE=COMPLEX to
select observations for an analysis when a subpopulation (domain) is
CHAPTER 15
626
analyzed. If the SUBPOPULATION option is used, the
USEOBSERVATIONS option cannot be used. When the
SUBPOPULATION option is used, all observations are included in the
analysis although observations not in the subpopulation are assigned
weights of zero (see Korn & Graubard, 1999, pp. 207-211). The
SUBPOPULATION option is not available for multiple group analysis.
The SUBPOPULATION option identifies those observations for
analysis that satisfy the conditional statement specified after the equal
sign and assigns them non-zero weights. For example, the following
statement identifies observations with the variable gender equal to 2:
SUBPOPULATION = gender EQ 2;
Only variables from the NAMES statement of the VARIABLE command
can be used in the conditional statement of the SUBPOPULATION
option. Logical operators, not arithmetic operators, must be used in the
conditional statement. Following are the logical operators that can be
used in the conditional statement of the SUBPOPULATION option:
AND logical and
OR logical or
NOT logical not
EQ equal ==
NE not equal /=
GE greater than or equal to >=
LE less than or equal to <=
GT greater than >
LT less than <
As shown above, some of the logical operators can be referred to in two
different ways. For example, equal can be referred to as EQ or ==.
FINITE
For TYPE=COMPLEX, the FINITE option is used to identify the
variable that contains the finite population correction factor, the
sampling fraction, or the population size for each stratum. If the
sampling fraction or the population size for each stratum is provided,
these are used to compute the finite population correction factor. The
TITLE, DATA, VARIABLE, And DEFINE Commands
627
finite population correction factor is used to adjust standard errors when
clusters have been sampled without replacement (WOR) from strata in a
finite population. The finite population correction factor is equal to one
minus the sampling fraction. The sampling fraction is equal to the
number of sampled clusters in a stratum divided by the number of
clusters in the population for that stratum. The population size for each
stratum is the number of clusters in the population for that stratum. The
FINITE option is not available with replicate weights.
The FINITE option has three settings: FPC, SFRACTION, and
POPULATION. FPC is used when the finite population correction
factor is provided. SFRACTION is used when the sampling fraction is
provided. POPULATION is used when the population size for each
stratum is provided. FPC is the default. Following is an example of
how the FINITE option is used to identify a finite population correction
variable:
FINITE IS sampfrac (SFRACTION);
where sampfrac is the variable that contains the sampling fraction for
each stratum.
MIXTURE MODELS
There are three options that are used specifically for mixture models.
They are CLASSES, KNOWNCLASS, and TRAINING.
CLASSES
The CLASSES option is used to assign names to the categorical latent
variables in the model and to specify the number of latent classes in the
model for each categorical latent variable. This option is required for
TYPE=MIXTURE. Between-level categorical latent variables must be
identified as between-level variables using the BETWEEN option.
Following is an example of how the CLASSES option is used:
CLASSES = c1 (2) c2 (2) c3 (3);
CHAPTER 15
628
where c1, c2, and c3 are the names of the three categorical latent
variables in the model. The numbers in parentheses specify the number
of classes for each categorical latent variable in the model. The
categorical latent variable c1 has two classes, c2 has two classes, and c3
has three classes.
When there is more than one categorical latent variable in the model,
there are rules related to the order of the categorical latent variables.
The order is taken from the order of the categorical latent variables in
the CLASSES statement. Because of the order in the CLASSES
statement above, c1 is not allowed to be regressed on c2 in the model. It
is only possible to regress c2 on c1 and c3 on c2 or c1. This order
restriction does not apply to PARAMETERIZATION=LOGLINEAR.
KNOWNCLASS
The KNOWNCLASS option is used for multiple group analysis with
TYPE=MIXTURE. The KNOWNCLASS option is used to identify the
categorical latent variable for which latent class membership is known
and equal to observed groups in the sample. Only one KNOWNCLASS
variable can be used. Following is an example of how to specify the
KNOWNCLASS option:
KNOWNCLASS = c1 (gender = 0 1);
where c1 is a categorical latent variable named and defined using the
CLASSES option. The information in parentheses following the
categorical latent variable name defines the known classes using an
observed variable. In this example, the observed variable gender is used
to define the known classes. The first class consists of individuals with
the value 0 on the variable gender. The second class consists of
individuals with the value 1 on the variable gender.
Following is an example with many known classes that uses the list
function:
KNOWNCLASS = c (country = 101-110 112 113-115);
where c is a categorical latent variable named and defined using the
CLASSES option. The information in parentheses following the
TITLE, DATA, VARIABLE, And DEFINE Commands
629
categorical latent variable name defines the known classes using an
observed variable. In this example, the observed variable country is
used to define the known classes. The first class consists of individuals
with the value 101 on the variable country. The last class consists of
individuals with the value 115 on the variable country. There are a total
of 14 classes.
The KNOWNCLASS option can be specified by mentioning only the
name of the observed variable that defines the known classes without
giving the values of the observed variable:
KNOWNCLASS = c (country);
where c is a categorical latent variable named and defined using the
CLASSES option. In this example, the observed variable country is
used to define the known classes. The number of known classes is taken
from the CLASSES option. The values of the variable country are taken
from the data. The first class consists of individuals with the lowest
value on the variable country. The last class consists of individuals with
the highest value on the variable country.
TRAINING
The TRAINING option is used to identify the variables that contain
information about latent class membership and specify whether the
information is about class membership, probability of class membership,
or priors of class membership. The TRAINING option has three
settings: MEMBERSHIP, PROBABILITIES, and PRIORS.
MEMBERSHIP is the default. Training variables can be variables from
the NAMES statement of the VARIABLE command and variables
created using the DEFINE command and the DATA transformation
commands. This option is available only for models with a single
categorical latent variable.
Following is an example of how the TRAINING option is used for an
example with three latent classes where the training variables contain
information about class membership:
TRAINING = t1 t2 t3;
CHAPTER 15
630
where t1, t2, and t3 are variables that contain information about latent
class membership. The variable t1 provides information about
membership in class 1, t2 provides information about membership in
class 2, and t3 provides information about membership in class 3. An
individual is allowed to be in any class for which they have a value of
one on a training variable. An individual who is known to be in class 2
would have values of 0, 1, and 0 on t1, t2, and t3, respectively. An
individual with unknown class membership would have the value of 1 on
t1, t2, and t3. An alternative specification is:
TRAINING = t1 t2 t3 (MEMBERSHIP);
Fractional values can be used to provide information about the
probability of class membership when class membership is not estimated
but is fixed at fractional values for each individual. For example, an
individual who has a probability of .9 for being in class 1, .05 for being
in class 2, and .05 for being in class 3 would have t1=.9, t2=.05, and
t3=.05. Fractional training data must sum to one for each individual.
Following is an example of how the TRAINING option is used for an
example with three latent classes where the training variables contain
information about probabilities of class membership:
TRAINING = t1 t2 t3 (PROBABILITIES);
where t1, t2, and t3 are variables that contain information about the
probability of latent class membership. The variable t1 provides
information about the probability of membership in class 1, t2 provides
information about the probability of membership in class 2, and t3
provides information about the probability of membership in class 3.
Priors can be used when individual class membership is not known but
when information is available on the probability of an individual being
in a certain class. For example, an individual who has a probability of .9
for being in class 1, .05 for being in class 2, and .05 for being in class 3
would have t1=.9, t2=.05, and t3=.05. Prior values must sum to one for
each individual.
TITLE, DATA, VARIABLE, And DEFINE Commands
631
Following is an example of how the PRIORS option is used for an
example with three latent classes where the training variables contain
information about priors of class membership:
TRAINING = t1 t2 t3 (PRIORS);
where t1, t2, and t3 are variables that contain information about the
probability of being in a certain class. The variable t1 provides
information about the probability of membership in class 1, t2 provides
information about the probability of membership in class 2, and t3
provides information about the probability of membership in class 3.
MULTILEVEL MODELS
There are two options specific to multilevel models. They are WITHIN
and BETWEEN. Variables identified using the WITHIN and
BETWEEN options can be variables from the NAMES statement of the
VARIABLE command and variables created using the DEFINE
command and the DATA transformation commands.
WITHIN
The WITHIN option is used with TYPE=TWOLEVEL,
TYPE=THREELEVEL, and TYPE=CROSSCLASSIFIED to identify the
variables in the data set that are measured on the individual level and to
specify the levels on which they are modeled. All variables on the
WITHIN list must be measured on the individual level. An individual-
level variable can be modeled on all or some levels.
For TYPE=TWOLEVEL, an individual-level variable can be modeled
on only the within level or on both the within and between levels. If a
variable measured on the individual level is mentioned on the WITHIN
list, it is modeled on only the within level. It has no variance in the
between part of the model. If it is not mentioned on the WITHIN list, it
is modeled on both the within and between levels. The WITHIN option
is specified as follows:
WITHIN = y1 y2 x1;
CHAPTER 15
632
where y1, y2, and x1 are variables measured on the individual level and
modeled on only the within level.
For TYPE=THREELEVEL, an individual-level variable can be modeled
on only level 1, on levels 1 and 2, levels 1 and 3, or on all levels.
Consider a model where students are nested in classrooms and
classrooms are nested in schools. Level 1 is student; level 2 is
classroom; and level 3 is school. If a variable measured on the
individual level is mentioned on the WITHIN list without a label, it is
modeled on only level 1. It has no variance on levels 2 and 3. If it is
mentioned on the WITHIN list with a level 2 cluster label, it is modeled
on levels 1 and 2. It has no variance on level 3. If it is mentioned on the
WITHIN list with a level 3 cluster label, it is modeled on levels 1 and 3.
It has no variance on level 2. If it is not mentioned on the WITHIN list,
it is modeled on all levels.
Following is an example of how to specify the WITHIN option for
TYPE=THREELEVEL:
WITHIN = y1-y3 (class) y4-y6 (school) y7-y9;
In the example, y1, y2, and y3 are variables measured on the individual
level and modeled on only level 1, student. Variables modeled on only
level 1 must precede variables modeled on the other levels. Y4, y5, and
y6 are variables measured on the individual level and modeled on level
1, student, and level 2, class, where class is the level 2 cluster variable.
Y7, y8, and y9 are variables measured on the individual level and
modeled on level 1, student, and level 3, school, where school is the
level 3 cluster variable.
An alternative specification of the WITHIN option above reverses the
order of the level 2 and level 3 variables:
WITHIN = y1-y3 (school) y7-y9 (class) y4-y6;
Variables modeled on only level 1 must precede variables modeled on
the other levels. Another alternative specification is:
WITHIN = y1-y3;
WITHIN = (class) y4-y6;
TITLE, DATA, VARIABLE, And DEFINE Commands
633
WITHIN = (school) y7-y9;
In this specification, the WITHIN statement for variables modeled on
only level 1 must precede the other WITHIN statements. The order of
the other WITHIN statements does not matter.
For TYPE=CROSSCLASSIFIED, an individual-level variable can be
modeled on only level 1, on levels 1 and 2a, levels 1 and 2b, or on all
levels. Consider a model where students are nested in schools crossed
with neighborhoods. Level 1 is student; level 2a is school; and level 2b
is neighborhood. If a variable measured on the individual level is
mentioned on the WITHIN list without a label, it is modeled on only
level 1. It has no variance on levels 2a and 2b. If it is mentioned on the
WITHIN list with a level 2a cluster label, it is modeled on levels 1 and
2a. It has no variance on level 2b. If it is mentioned on the WITHIN list
with a level 2b cluster label, it is modeled on levels 1 and 2b. It has no
variance on level 2a. If it is not mentioned on the WITHIN list, it is
modeled on all levels.
Following is an example of how to specify the WITHIN option for
TYPE=CROSSCLASSIFIED:
WITHIN = y1-y3 (school) y4-y6 (neighbor) y7-y9;
In the example, y1, y2, and y3 are variables measured on the individual
level and modeled on only level 1, student. Variables modeled on only
level 1 must precede variables modeled on the other levels. Y4, y5, and
y6 are variables measured on the individual level and modeled on level
1, student, and level 2a, school, where school is the level 2a cluster
variable. Y7, y8, and y9 are variables measured on the individual level
and modeled on level 1, student, and level 2b, neighborhood, where
neighborhood is the level 2b cluster variable.
BETWEEN
The BETWEEN option is used with TYPE=TWOLEVEL,
TYPE=THREELEVEL, and TYPE=CROSSCLASSIFIED to identify the
variables in the data set that are measured on the cluster level(s) and to
specify the level(s) on which they are modeled. All variables on the
CHAPTER 15
634
BETWEEN list must be measured on a cluster level. A cluster-level
variable can be modeled on all or some cluster levels.
For TYPE=TWOLEVEL, a cluster-level variable can be modeled on
only the between level. The BETWEEN option is specified as follows:
BETWEEN = z1 z2 x1;
where z1, z2, and x1 are variables measured on the cluster level and
modeled on the between level. The BETWEEN option is also used to
identify between-level categorical latent variables with
TYPE=TWOLEVEL MIXTURE.
For TYPE=THREELEVEL, a variable measured on level 2 can be
modeled on only level 2 or on levels 2 and 3. A variable measured on
level 3 can be modeled on only level 3. Consider a model where
students are nested in classrooms and classrooms are nested in schools.
Level 1 is student; level 2 is classroom; and level 3 is school. If a
variable measured on level 2 is mentioned on the BETWEEN list
without a label, it is modeled on levels 2 and 3. If a variable measured
on level 2 is mentioned on the BETWEEN list with a level 2 cluster
label, it is modeled on only level 2. It has no variance on level 3. A
variable measured on level 3 must be mentioned on the BETWEEN list
with a level 3 cluster label. Following is an example of how to specify
the BETWEEN option for TYPE=THREELEVEL:
BETWEEN = y1-y3 (class) y4-y6 (school) y7-y9;
In this example, y1, y2, and y3 are cluster-level variables measured on
level 2, class, and modeled on both levels 2 and 3. Variables modeled
on both levels 2 and 3 must precede variables modeled on only level 2 or
level 3. Y4, y5, and y6 are cluster-level variables measured on level 2,
class, and modeled on level 2. Y7, y8, and y9 are cluster-level variables
measured on level 3 and modeled on level 3.
An alternative specification of the BETWEEN option above reverses the
order of the level 2 and level 3 variables:
BETWEEN = y1-y3 (school) y7-y9 (class) y4-y6;
TITLE, DATA, VARIABLE, And DEFINE Commands
635
Variables modeled on both levels 2 and 3 must precede variables
modeled on only level 2 or level 3. Another alternative specification is:
BETWEEN = y1-y3;
BETWEEN = (class) y4-y6;
BETWEEN = (school) y7-y9;
In this specification, the BETWEEN statement for variables modeled on
both levels 2 and 3 must precede the other BETWEEN statements. The
order of the other BETWEEN statements does not matter.
For TYPE=CROSSCLASSIFIED, a variable measured on level 2a must
be mentioned on the BETWEEN list with a level 2a cluster label. It can
be modeled on only level 2a. A variable measured on level 2b must be
mentioned on the BETWEEN list with a level 2b cluster label. It can be
modeled on only level 2b. Consider a model where students are nested
in schools crossed with neighborhoods. Level 1 is student; level 2a is
school; and level 2b is neighborhood. Following is an example of how
to specify the BETWEEN option for TYPE=CROSSCLASSIFIED:
BETWEEN = (school) y1-y3 (neighbor) y4-y6;
In this example, y1, y2, and y3 are cluster-level variables measured on
level 2a, school, and modeled on only level 2a. Y4, y5, and y6 are
cluster-level variables measured on level 2b, neighborhood, and modeled
on only level 2b.
CONTINUOUS-TIME SURVIVAL MODELS
There are two options specific to continuous-time survival models. They
are SURVIVAL and TIMECENSORED. Variables identified using the
SURVIVAL and TIMECENSORED options can be variables from the
NAMES statement of the VARIABLE command and variables created
using the DEFINE command and the DATA transformation commands.
SURVIVAL
The SURVIVAL option is used to identify the variables that contain
information about time to event and to provide information about the
number and lengths of the time intervals in the baseline hazard function
CHAPTER 15
636
to be used in the analysis. The SURVIVAL option must be used in
conjunction with the TIMECENSORED option. The SURVIVAL
option can be specified in five ways: the default baseline hazard
function, a non-parametric baseline hazard function, a semi-parametric
baseline hazard function, a parametric baseline hazard function, and a
constant baseline hazard function.
The SURVIVAL option is specified as follows when using the default
baseline hazard function:
SURVIVAL = t;
where t is the variable that contains time-to-event information. The
default is either a semi-parametric baseline hazard function with ten time
intervals or a non-parametric baseline hazard function. The default is a
semi-parametric baseline hazard function with ten time intervals for
models where t is regressed on a continuous latent variable, for
multilevel models, and for models that require Monte Carlo numerical
integration. In this case, the lengths of the time intervals are selected
internally in a non-parametric fashion. For all other models, the default
is a non-parametric baseline hazard function as in Cox regression where
the number and lengths of the time intervals are taken from the data and
the baseline hazard function is saturated.
The SURVIVAL option is specified as follows when using a non-
parametric baseline hazard function as in Cox regression:
SURVIVAL = t (ALL);
where t is the variable that contains time-to-event information and ALL
is a keyword that specifies that the number and lengths of the time
intervals are taken from the data and the baseline hazard is saturated. It
is not recommended to use the keyword ALL when the BASEHAZARD
option of the ANALYSIS command is ON because it results in a large
number of baseline hazard parameters.
The SURVIVAL option is specified as follows when using a semi-
parametric baseline hazard:
SURVIVAL = t (10);
TITLE, DATA, VARIABLE, And DEFINE Commands
637
where t is the variable that contains time-to-event information. The
number in parentheses specifies that 10 intervals are used in the analysis
where the lengths of the time intervals are selected internally in a non-
parametric fashion.
The SURVIVAL option is specified as follows when using a parametric
baseline hazard function:
SURVIVAL = t (4*5 1*10);
where t is the variable that contains time-to-event information. The
numbers in parentheses specify that four time intervals of length five and
one time interval of length ten are used in the analysis.
The SURVIVAL option is specified as follows when using a constant
baseline hazard function:
SURVIVAL = t (CONSTANT);
where t is the variable that contains time-to-event information and
CONSTANT is the keyword that specifies a constant baseline hazard
function.
TIMECENSORED
The TIMECENSORED option is used in conjunction with the
SURVIVAL option to identify the variables that contain information
about right censoring, for example, when an individual leaves a study or
when an individual has not experienced the event before the study ends.
There must be the same number and order of variables in the
TIMECENSORED option as there are in the SURVIVAL option. The
variables that contain information about right censoring must be coded
so that zero is not censored and one is right censored. If they are not,
this can be specified as part of the TIMECENSORED option. The
TIMECENSORED option is specified as follows when the variable is
coded zero for not censored and one for right censored:
TIMECENSORED = tc;
CHAPTER 15
638
The TIMECENSORED option is specified as follows when the variable
is not coded zero for not censored and one for right censored:
TIMECENSORED = tc (1 = NOT 999 = RIGHT);
The value one is automatically recoded to zero and the value 999 is
automatically recoded to one.
LAGGED
The LAGGED option is used in time series analysis to specify the
maximum lag to use for an observed variable during model estimation.
Following is an example of how to specify the LAGGED option:
LAGGED = y (1);
where y is the variable in a time series analysis and the number 1 in
parentheses is the maximum lag that will be used in model estimation.
The lagged variable is referred to in the MODEL command by adding to
the name of the variable an ampersand (&) and the number of the lag.
The variable y at lag one is referred to as y&1.
Following is an example of how to specify a maximum lag of 2 for a set
of variables:
LAGGED = y1-y3 (2);
where y1, y2, and y3 are variables in a time series analysis and the
number 2 in parentheses is the maximum lag that will be used in model
estimation. The lagged variables are referred to in the MODEL
command by adding to the name of the variable an ampersand (&) and
the number of the lag. The variable y1 at lag one is referred to as y1&1.
The variable y1 at lag two is referred to as y1&2.
TINTERVAL
The TINTERVAL option is used in time series analysis to specify the
time interval that is used to create a time variable when data are
misaligned with respect to time due to missed measurement occasions
that are not assigned a missing value flag and when measurement

TITLE, DATA, VARIABLE, And DEFINE Commands
639
occasions are random. The data set must be sorted by the time interval
variable.
The time interval value represents the difference in time between two
consecutive measurement occasions. Using this value and the lowest
value of the time interval variable, intervals are created that are used to
create a time variable. The first interval is the lowest value of the time
interval variable plus/minus half of the time interval value. The second
interval adds the time interval value to the values of the first interval
etc.. All values of the time interval variable that fall into the same
interval are given the same value on the time variable. If an interval
does not contain a value, a missing value flag is assigned. Following is
an example of how to specify the TINTERVAL option:
TINTERVAL = time (1);
where time is the time interval variable and the value one is the time
interval value. If the lowest time interval variable value is one, the first
three intervals are .5 to 1.5, 1.5 to 2.5, and 2.5 to 3.5. The first three
time variable values are 1, 2, and 3. For further details, see Asparouhov,
Hamaker, and Muthén (2017).
THE DEFINE COMMAND
The DEFINE command is used to transform existing variables and to
create new variables. It includes several options for transforming
variables including a do loop for repeating statements. The operations
available in DEFINE can be executed for all observations or selectively
using conditional statements. Transformations of existing variables do
not affect the original data but only the data used for the analysis. If
analysis data are saved using the SAVEDATA command, the
transformed values rather than the original values are saved.
The statements in the DEFINE command are executed one observation
at a time in the order specified with one exception. The
CLUSTER_MEAN, CENTER, and STANDARDIZE options are
executed in the order mentioned after all transformations specified
before them in the DEFINE command and the DATA transformation
commands are executed. All statements specified after these options are

CHAPTER 15
640
then executed one observation at a time in the order specified. These
transformations use the new values from the CLUSTER_MEAN,
CENTER, and STANDARDIZE options where applicable. For example,
if two variables are centered and an interaction between them is
specified after the CENTER option, the interaction uses the centered
variables. Any variable listed in the NAMES option of the VARIABLE
command or created in the DEFINE command can be transformed or
used to create new variables. New variables created in the DEFINE
command that will be used in an analysis must be listed on the
USEVARIABLES list after the original variables. All statements
specified after the CLUSTER_MEAN, CENTER and STANDARDIZE
options must refer to variables used in the analysis that are listed on the
USEVARIABLES list.
Following are examples of the types of transformations available:
DEFINE:
variable = mathematical expression;
IF (conditional statement) THEN transformation
statements;
_MISSING
variable = MEAN (list of variables);
variable = SUM (list of variables);
CUT variable or list of variables (cutpoints);
variable = CLUSTER_MEAN (variable);
CENTER variable or list of variables (GRANDMEAN);
CENTER variable or list of variables (GROUPMEAN);
CENTER variable or list of variables (GROUPMEAN
label);
STANDARDIZE variable or list of variables;
DO (number, number) expression;
DO ($, number, number) DO (#, number, number)
expression;
DEFINE is not a required command.
TITLE, DATA, VARIABLE, And DEFINE Commands
641
LOGICAL OPERATORS, ARITHMETIC
OPERATORS, AND FUNCTIONS
The following logical operators can be used in DEFINE:
AND logical and
OR logical or
NOT logical not
EQ = = equal
NE /= not equal
GE >= greater than or equal to
LE <= less than or equal to
GT > greater than
LT < less than
As shown above, some of the logical operators can be referred to in two
different ways. For example, equal can be referred to as EQ or = =.
The following arithmetic operations can be used in DEFINE:
+ addition y + x;
- subtraction y - x;
* multiplication y * x;
/ division y / x;
** exponentiation y**2;
% remainder remainder of y/x;
The following functions can be used in DEFINE:
LOG base e log LOG (y);
LOG10 base 10 log LOG10 (y);
EXP exponential EXP (y);
SQRT square root SQRT (y);
ABS absolute value ABS(y);
SIN sine SIN (y);
COS cosine COS (y);
TAN tangent TAN(y);
ASIN arcsine ASIN (y);
CHAPTER 15
642
ACOS arccosine ACOS (y);
ATAN arctangent ATAN (y);
PHI standard normal PHI (y); PHI (#);
distribution function
NON-CONDITIONAL STATEMENTS
When a non-conditional statement is used to transform existing variables
or create new variables, the variable on the left-hand side of the equal
sign is assigned the value of the expression on the right-hand side of the
equal sign, for example,
y = y/100;
transforms the original variable y by dividing it by 100. Non-conditional
statements can be used to create new variables, for example,
abuse = item1 + item2 + item8 + item9;
An individual with a missing value on any variable used on the right-
hand side of the equal sign is assigned a missing value on the variable on
the left-hand side of the equal sign.
CONDITIONAL STATEMENTS
Conditional statements can also be used to transform existing variables
and to create new variables. Conditional statements take the following
form:
IF (gender EQ 1 AND ses EQ 1) THEN group = 1;
IF (gender EQ 1 AND ses EQ 2) THEN group = 2;
IF (gender EQ 1 AND ses EQ 3) THEN group = 3;
IF (gender EQ 2 AND ses EQ 1) THEN group = 4;
IF (gender EQ 2 AND ses EQ 2) THEN group = 5;
IF (gender EQ 2 AND ses EQ 3) THEN group = 6;
An individual with a missing value on any variable used in the
conditional statement is assigned a missing value on the new variable. If
no value is specified for a condition, individuals with that condition are
assigned a missing value.
TITLE, DATA, VARIABLE, And DEFINE Commands
643
The _MISSING keyword can be used in DEFINE to refer to missing
values. The _MISSING keyword can be used to assign a missing value
to a variable, for example,
IF (y EQ 0) THEN u = _MISSING;
It can also be used as part of the condition, for example,
IF (y EQ _MISSING) THEN u = 1;
OPTIONS FOR DATA TRANSFORMATION
The DEFINE command has six options for data transformation. The
first option creates a variable that is the average of a set of variables.
The second option creates a variable that is the sum of a set of variables.
The third option categorizes one or several variables using the same set
of cutpoints. The fourth option creates a variable that is the average for
each cluster of an individual-level variable. The fifth option centers a
variable by subtracting the grand mean or group mean from each value.
The sixth option standardizes a variable to have a mean of zero and a
standard deviation of one.
MEAN
The MEAN option is used to create a variable that is the average of a set
of variables. It is specified as follows:
mean = MEAN (y1 y3 y5);
where the variable mean is the average of variables y1, y3, and y5.
Averages are based on the set of variables with no missing values. Any
observation that has a missing value on all of the variables being
averaged is assigned a missing value on the mean variable.
The list function can be used with the MEAN option as follows:
ymean = MEAN (y1-y10);
where the variable ymean is the average of variables y1 through y10.
CHAPTER 15
644
Variables used with the MEAN option must be original variables from
the NAMES statement of the VARIABLE command or temporary
variables created using the DEFINE command. The order of the
variables for the list function is taken from the NAMES statement not
the USEVARIABLES statement.
SUM
The SUM option is used to create a variable that is the sum of a set of
variables. It is specified as follows:
sum = SUM (y1 y3 y5);
where the variable sum is the sum of variables y1, y3, and y5. Any
observation that has a missing value on one or more of the variables
being summed is assigned a missing value on the sum variable.
The list function can be used with the SUM option as follows:
ysum = SUM (y1-y10);
where the variable ysum is the sum of variables y1 through y10.
Variables used with the SUM option must be original variables from the
NAMES statement of the VARIABLE command or temporary variables
created using the DEFINE command. The order of the variables for the
list function is taken from the NAMES statement not the
USEVARIABLES statement.
CUT
The CUT option categorizes a variable or list of variables using the same
set of cutpoints. More than one CUT statement can be included in the
DEFINE command. Following is an example of how the CUT option is
used:
CUT y1 y5-y7 (30 40);
This statement results in the variables y1, y5, y6, and y7 having three
categories: less than or equal to 30, greater than 30 and less than or
TITLE, DATA, VARIABLE, And DEFINE Commands
645
equal to 40, and greater than 40, with values of 0, 1, and 2, respectively.
Any observation that has a missing value on a variable that is being cut
is assigned a missing value on the cut variable.
Variables used with the CUT option must be original variables from the
NAMES statement of the VARIABLE command or temporary variables
created using the DEFINE command. The order of the variables for the
list function is taken from the NAMES statement not the
USEVARIABLES statement.
CLUSTER_MEAN
The CLUSTER_MEAN option is used with TYPE=TWOLEVEL and
TYPE=COMPLEX along with the CLUSTER option to create a variable
that is the average of the values of an individual-level variable for each
cluster. In multiple group analysis, each group’s means are used for
creating cluster means in that group. It is specified as follows:
clusmean = CLUSTER_MEAN (x);
where the variable clusmean is the average of the values of x for each
cluster. Averages are based on the set of non-missing values for the
observations in each cluster. Any cluster for which all observations have
missing values is assigned a missing value on the cluster mean variable.
All transformations specified in the DATA transformation commands or
before the CLUSTER_MEAN option in the DEFINE command use the
original values of the variables. All transformations specified in the
DEFINE command after the CLUSTER_MEAN option use the cluster-
mean values of the variables. To be used with the CLUSTER_MEAN
option, any new variables created using the DEFINE command must be
placed on the USEVARIABLES list after the original variables. The
order of the variables for the list function is taken from the
USEVARIALES list. If there is not USEVARIABLES list, the order of
the variables is taken from the NAMES list.
CENTER
The CENTER option is used to center continuous observed variables by
subtracting the grand mean or group mean from each variable. In
CHAPTER 15
646
multiple group analysis, each group’s means are used for centering in
that group. Grand-mean centering is available for all analyses. Group-
mean centering is available with TYPE=TWOLEVEL,
TYPE=THREELEVEL, TYPE=CROSSCLASSIFIED, and
TYPE=COMPLEX in conjunction with the CLUSTER option. The
CENTER option has two settings: GRANDMEAN and GROUPMEAN.
All transformations that are specified in the DATA transformation
commands or before the CENTER option in the DEFINE command use
the original values of the variables. All transformations that are
specified in the DEFINE command after the CENTER option use the
centered values of the variables. To be used with the CENTER option,
any new variables created using the DEFINE command must be placed
on the USEVARIABLES list after the original variables. The order of
variables for the list function is taken from the USEVARIABLES list. If
there is no USEVARIABLES list, the order of the variables is taken
from the NAMES list. Any observation that has a missing value on the
variable to be centered is assigned a missing value on the centered
variable.
GRANDMEAN
Grand-mean centering subtracts the overall mean from a variable.
Grand-mean centering is available for all continuous observed variables
used in an analysis. Following is an example of how to specify grand-
mean centering for TYPE=TWOLEVEL and TYPE=COMPLEX:
CENTER x1-x4 (GRANDMEAN);
where x1, x2, x3, and x4 are the variables to be centered using the
overall means for these variables.
For TYPE=THREELEVEL, there are three types of grand-mean
centering. Consider a model where students are nested in classrooms
and classrooms are nested in schools. Level 1 is student; level 2 is
classroom; and level 3 is school. For variables modeled on level 1 and
higher, grand-mean centering subtracts the overall mean from a variable.
For variables modeled on level 2 and higher, grand-mean centering
subtracts the cluster 1, classroom, mean from a variable. For variables
TITLE, DATA, VARIABLE, And DEFINE Commands
647
modeled on level 3, grand-mean centering subtracts the cluster 2, school,
mean from a variable.
Following is an example of how to specify grand-mean centering for
TYPE=THREELEVEL:
CENTER x1-x4 (GRANDMEAN);
where x1, x2, x3, and x4 are the variables to be centered using the
overall means for variables modeled on level 1 and higher, the cluster 1
means for variables modeled on level 2 and higher, and the cluster 2
means for variables modeled on level 3 and higher.
For TYPE=CROSSCLASSIFIED, there are three types of grand-mean
centering. Consider a model where students are nested in schools
crossed with neighborhoods. Level 1 is student; level 2a is school; and
level 2b is neighborhood. For variables modeled on level 1 and higher,
grand-mean centering subtracts the overall mean from a variable. For
variables modeled on level 2a, grand-mean centering subtracts the
cluster 2a, school, mean from a variable. For variables modeled on level
2b, grand-mean centering subtracts the cluster 2b, neighborhood, mean
from a variable.
Following is an example of how to specify grand-mean centering for
TYPE=CROSSCLASSIFIED:
CENTER x1-x4 (GRANDMEAN);
where x1, x2, x3, and x4 are the variables to be centered using the
overall means for variables modeled on level 1 and higher, the cluster 2a
means for variables modeled on level 2a, and the cluster 2b means for
variables modeled on level 2b.
GROUPMEAN
For TYPE=TWOLEVEL and TYPE=COMPLEX, group-mean centering
subtracts the cluster mean from a variable. For TYPE=COMPLEX,
group-mean centering is available for all continuous observed variables
in an analysis. For TYPE=TWOLEVEL, group-mean centering is
available for all continuous observed variables used in an analysis that
CHAPTER 15
648
are not modeled at the highest level. Following is an example of how to
specify group-mean centering:
CENTER x1-x4 (GROUPMEAN);
where x1, x2, x3, and x4 are the variables to be centered using the
cluster means for these variables.
For TYPE=THREELEVEL, group-mean centering is available for any
continuous observed variable that is not modeled at the highest level.
Consider a model where students are nested in classrooms and
classrooms are nested in schools. Level 1 is student; level 2 is
classroom; and level 3 is school. For variables modeled on levels 1 and
2 and for variables modeled on only level 2, group-mean centering
subtracts the cluster 2, school, mean from a variable where the cluster 2
mean is the average of the cluster 1, class, means for each level 3,
school, cluster. Following is an example of how to specify cluster 2
group-mean centering:
CENTER x1-x4 (GROUPMEAN school);
where school is the cluster 2 variable and x1, x2, x3, and x4 are the
variables to be centered using cluster 2 means for these variables.
For variables modeled on only level 1, both cluster 1, classroom, and
cluster 2, school, group-mean centering are available. Following is an
example of how to specify group-mean centering using cluster 1 and
cluster 2 means:
CENTER x1-x2 (GROUPMEAN class);
CENTER x3 x4 (GROUPMEAN school);
In this example, class is the cluster 1 variable and x1 and x2 are the
variables to be centered using cluster 1 means for these variables.
School is the cluster 2 variable and x3 and x4 are the variables to be
centered using cluster 2 means for these variables. A variable cannot be
centered using both cluster 1 and cluster 2 means.
For TYPE=CROSSCLASSIFIED, group-mean centering is available for
any continuous observed variable that is not modeled at the highest
TITLE, DATA, VARIABLE, And DEFINE Commands
649
level. Consider a model where students are nested in schools crossed
with neighborhoods. Level 1 is student; level 2a is school; and level 2b
is neighborhood. For variables modeled on only level 1, group-mean
centering subtracts the cluster 2a, school, mean or the cluster 2b,
neighborhood mean from a variable. Following is an example of how to
specify cluster 2a and 2b group-mean centering:
CENTER x1-x4 (GROUPMEAN school);
CENTER x5-x8 (GROUPMEAN neighbor);
In this example, school is the cluster 2a variable and x1, x2, x3, and x4
are the variables to be centered using cluster 2a means for these
variables. Neighbor is the cluster 2b variable and x5, x6, x7, and x8 are
the variables to be centered using the cluster 2b means for these
variables.
STANDARDIZE
The STANDARDIZE option is used to standardize continuous variables
by subtracting the mean from each value and dividing each value by the
standard deviation. In multiple group analysis, each group’s means are
used for standardizing in that group. Following is an example of how
the STANDARDIZE option is used:
STANDARDIZE y1 y5-y10 y14;
where the variables y1, y5 through y10, and y14 will be standardized.
Any observation that has a missing value on the variable to be
standardized is assigned a missing value on the standardized variable.
All transformations that are specified in the DATA transformation
commands or before the STANDARDIZE option in the DEFINE
command use the original values of the variables. All transformations
that are specified in the DEFINE command after the STANDARDIZE
option use the standardized values of the variables. To be used with the
STANDARDIZE option, any new variables created using the DEFINE
command must be placed on the USEVARIABLES list after the original
variables. The order of variables for the list function is taken from the
USEVARIABLES list. If there is no USEVARIABLES list, the order is
taken from the NAMES list.
CHAPTER 15
650
DO
The DO option provides a do loop and a double do loop to facilitate
specifying the same transformation for a set of variables. Following is
an example of how to specify a do loop:
DO (1, 5) diff# = y# - x#;
where the numbers in parentheses give the range of values the do loop
will use. The number sign (#) is replaced by these values during the
execution of the do loop. Following are the transformations that are
executed based on the DO option specified above:
diff1 = y1 - x1;
diff2 = y2 - x2;
diff3 = y3 - x3;
diff4 = y4 - x4;
diff5 = y5 - x5;
Following is an example of how to specify a double do loop where x1 is
equal to 0.1 and x2 is equal to 2:
DO ($,1,2) DO (#,1,4) y$# = x$ * u#;
where the numbers in parentheses give the range of values the double do
loop will use. The numbers replace the symbol preceding them.
Following are the transformations that are executed based on the DO
option specified above:
y11 = 0.1 * u1;
y12 = 0.1 * u2;
y13 = 0.1 * u3;
y14 = 0.1 * u4;
y21 = 2 * u1;
y22 = 2 * u2;
y23 = 2 * u3;
y24 = 2 * u4;

ANALYSIS Command
651
CHAPTER 16
ANALYSIS COMMAND
In this chapter, the ANALYSIS command is discussed. The ANALYSIS
command is used to describe the technical details of the analysis
including the type of analysis, the statistical estimator, the
parameterization of the model, and the specifics of the computational
algorithms.
THE ANALYSIS COMMAND
Following are the options for the ANALYSIS command:
ANALYSIS:
TYPE =
GENERAL;
GENERAL
BASIC;
RANDOM;
COMPLEX;
MIXTURE;
BASIC;
RANDOM;
COMPLEX;
TWOLEVEL;
BASIC;
RANDOM;
MIXTURE;
COMPLEX;
THREELEVEL;
BASIC;
RANDOM;
COMPLEX;
CROSSCLASSIFIED;
RANDOM;
EFA # #;
BASIC;
MIXTURE;
COMPLEX;
TWOLEVEL;
EFA # # UW* # # UB*;
EFA # # UW # # UB;

CHAPTER 16
652
ESTIMATOR =
ML;
depends on
MLM;
analysis type
MLMV;
MLR;
MLF;
MUML;
WLS;
WLSM;
WLSMV;
ULS;
ULSMV;
GLS;
BAYES;
MODEL =
CONFIGURAL;
METRIC;
SCALAR;
NOMEANSTRUCTURE;
means
NOCOVARIANCES;
covariances
ALLFREE;
equal
ALIGNMENT =
FIXED;
last class
CONFIGURAL
FIXED (reference class CONFIGURAL);
FIXED (reference class BSEM);
FREE;
last class
CONFIGURAL
FREE (reference class CONFIGURAL);
FREE (reference class BSEM);
DISTRIBUTION =
NORMAL;
NORMAL
SKEWNORMAL;
TDISTRIBUTION;
SKEWT;
PARAMETERIZATION =
DELTA;
DELTA
THETA;
LOGIT;
LOGIT
LOGLINEAR;
PROBABILITY;
RESCOVARIANCES;
RESCOV
LINK =
LOGIT;
LOGIT
PROBIT;

ANALYSIS Command
653
ROTATION =
GEOMIN;
GEOMIN
(OBLIQUE value)
GEOMIN (OBLIQUE value);
GEOMIN (ORTHOGONAL value);
QUARTIMIN;
OBLIQUE
CF-VARIMAX;
OBLIQUE
CF-VARIMAX (OBLIQUE);
CF-VARIMAX (ORTHOGONAL);
CF-QUARTIMAX;
OBLIQUE
CF- QUARTIMAX (OBLIQUE);
CF- QUARTIMAX (ORTHOGONAL);
CF-EQUAMAX;
OBLIQUE
CF- EQUAMAX (OBLIQUE);
CF- EQUAMAX (ORTHOGONAL);
CF-PARSIMAX;
OBLIQUE
CF- PARSIMAX (OBLIQUE);
CF- PARSIMAX (ORTHOGONAL);
CF-FACPARSIM;
OBLIQUE
CF- FACPARSIM (OBLIQUE);
CF- FACPARSIM (ORTHOGONAL);
CRAWFER;
OBLIQUE 1/p
CRAWFER (OBLIQUE value);
CRAWFER (ORTHOGONAL value);
OBLIMIN;
OBLIQUE 0
OBLIMIN (OBLIQUE value);
OBLIMIN (ORTHOGONAL value);
VARIMAX;
PROMAX;
TARGET;
BI-GEOMIN;
OBLIQUE
BI-GEOMIN (OBLIQUE);
BI-GEOMIN (ORTHOGONAL);
BI-CF-QUARTIMAX;
OBLIQUE
BI-CF-QUARTIMAX (OBLIQUE);
BI-CF-QUARTIMAX (ORTHOGONAL);
ROWSTANDARDIZATION =
CORRELATION;
CORRELATION
KAISER;
COVARIANCE;
PARALLEL =
number;
0
REPSE =
BOOTSTRAP;
JACKKNIFE;
JACKKNIFE1;
JACKKNIFE2;
BRR;
FAY (#);
.3

CHAPTER 16
654
BASEHAZARD =
ON;
OFF;
ON (EQUAL);
ON (UNEQUAL);
OFF (EQUAL);
OFF (UNEQUAL);
depends on
analysis type
EQUAL
EQUAL
CHOLESKY =
ON;
OFF;
depends on
analysis type
ALGORITHM =
EM;
depends on
EMA;
analysis type
FS;
ODLL;
INTEGRATION;
INTEGRATION =
number of integration points;
STANDARD (number of integration points) ;
GAUSSHERMITE (number of integration
points) ;
MONTECARLO (number of integration points);
STANDARD
depends on
analysis type
15
depends on
analysis type
MCSEED =
random seed for Monte Carlo integration;
0
ADAPTIVE =
ON;
OFF;
ON
INFORMATION =
OBSERVED;
depends on
EXPECTED;
analysis type
COMBINATION;
BOOTSTRAP =
number of bootstrap draws;
number of bootstrap draws (STANDARD);
number of bootstrap draws (RESIDUAL):
STANDARD
LRTBOOTSTRAP =
number of bootstrap draws for TECH14;
depends on
analysis type
STARTS =
number of initial stage starts and number of
final stage optimizations;
depends on
analysis type
STITERATIONS =
number of initial stage iterations;
10
STCONVERGENCE =
initial stage convergence criterion;
1
STSCALE =
random start scale;
5
STSEED =
random seed for generating random starts;
0
OPTSEED =
random seed for analysis;
K-1STARTS =
number of initial stage starts and number of
final stage optimizations for the k-1 class model
for TECH14;
20 4
LRTSTARTS =
number of initial stage starts and number of
final stage optimizations for TECH14;
0 0 40 8
RSTARTS =
number of random starts for the rotation
algorithm and number of factor solutions
printed for exploratory factor analysis;
depends on
analysis type

ANALYSIS Command
655
ASTARTS =
number of random starts for the alignment
optimization;
30
H1STARTS =
Number of initial stage starts and number of
final stage optimizations for the H1 model;
0 0
DIFFTEST =
file name;
MULTIPLIER =
file name;
COVERAGE =
minimum covariance coverage with missing
data;
.10
ADDFREQUENCY =
value divided by sample size to add to cells
with zero frequency;
.5
ITERATIONS =
maximum number of iterations for the Quasi-
Newton algorithm for continuous outcomes;
1000
SDITERATIONS =
maximum number of steepest descent
iterations for the Quasi-Newton algorithm for
continuous outcomes;
20
H1ITERATIONS =
maximum number of iterations for unrestricted
model with missing data;
2000
MITERATIONS =
number of iterations for the EM algorithm;
500
MCITERATIONS =
number of iterations for the M step of the EM
algorithm for categorical latent variables;
1
MUITERATIONS =
number of iterations for the M step of the EM
algorithm for censored, categorical, and count
outcomes;
1
RITERATIONS =
maximum number of iterations in the rotation
algorithm for exploratory factor analysis;
10000
AITERATIONS =
maximum number of iterations in the
5000
alignment optimization;
CONVERGENCE =
convergence criterion for the Quasi-Newton
algorithm for continuous outcomes;
depends on
analysis type
H1CONVERGENCE =
convergence criterion for unrestricted model
with missing data;
.0001
LOGCRITERION =
likelihood convergence criterion for the EM
algorithm;
depends on
analysis type
RLOGCRITERION =
relative likelihood convergence criterion for the
EM algorithm;
depends on
analysis type
MCONVERGENCE =
convergence criterion for the EM algorithm;
depends on
analysis type
MCCONVERGENCE =
convergence criterion for the M step of the EM
algorithm for categorical latent variables;
.000001
MUCONVERGENCE =
convergence criterion for the M step of the EM
algorithm for censored, categorical, and count
outcomes;
.000001
RCONVERGENCE =
convergence criterion for the rotation algorithm
for exploratory factor analysis;
.00001
ACONVERGENCE =
convergence criterion for the derivatives of
the alignment optimization;.
.001

CHAPTER 16
656
MIXC =
ITERATIONS;
ITERATIONS
CONVERGENCE;
M step iteration termination based on number
of iterations or convergence for categorical
latent variables;
MIXU =
ITERATIONS;
ITERATIONS
CONVERGENCE;
M step iteration termination based on number
of iterations or convergence for censored,
categorical, and count outcomes;
LOGHIGH =
max value for logit thresholds;
+15
LOGLOW =
min value for logit thresholds;
- 15
UCELLSIZE =
minimum expected cell size;
.01
VARIANCE =
minimum variance value;
.0001
SIMPLICITY =
SQRT;
SQRT
FOURTHRT;
TOLERANCE =
simplicity tolerance value;
.0001
METRIC=
REFGROUP;
REFGROUP
PRODUCT;
MATRIX =
COVARIANCE;
COVARIANCE
CORRELATION;
POINT =
MEDIAN;
MEAN;
MODE;
MEDIAN
CHAINS =
number of MCMC chains;
2
BSEED =
seed for MCMC random number generation;
0
STVALUES =
UNPERTURBED;
PERTURBED;
ML;
UNPERTURBED
PREDICTOR =
LATENT;
OBSERVED;
LATENT
ALGORITHM =
GIBBS;
GIBBS (PX1);
GIBBS (PX2);
GIBBS (PX3);
GIBBS (RW);
MH;
GIBBS (PX1)
BCONVERGENCE =
MCMC convergence criterion using Gelman-
Rubin PSR;
.05
BITERATIONS =
maximum and minimum number of iterations
for each MCMC chain when Gelman-Rubin
PSR is used;
50000 0
FBITERATIONS =
fixed number of iterations for each MCMC
chain when Gelman-Rubin PSR is not used;
THIN =
k where every k-th MCMC iteration is saved;
1

ANALYSIS Command
657
MDITERATIONS =
maximum number of iterations used to
compute the Bayes multivariate mode;
10000
KOLMOGOROV =
number of draws from the MCMC chains;
100
PRIOR =
number of draws from the prior distribution;
1000
INTERACTIVE =
file name;
PROCESSORS =
# of processors # of threads;
1 1
The ANALYSIS command is not a required command. Default settings
are shown in the last column. If the default settings are appropriate for
the analysis, it is not necessary to specify the ANALYSIS command.
Note that commands and options can be shortened to four or more
letters. Option settings can be referred to by either the complete word or
the part of the word shown above in bold type.
TYPE
The TYPE option is used to describe the type of analysis. There are six
major analysis types in Mplus: GENERAL, MIXTURE, TWOLEVEL,
THREELEVEL, CROSSCLASSIFIED, and EFA. GENERAL is the
default.
The default is to estimate the model under missing data theory using all
available data; to include means, thresholds, and intercepts in the model;
to compute standard errors; and to compute chi-square when available.
These defaults can be overridden. The LISTWISE option of the DATA
command can be used to delete all observations from the analysis that
have one or more missing values on the set of analysis variables. For
TYPE=GENERAL, means, thresholds, and intercepts can be excluded
from the analysis model by specifying
MODEL=NOMEANSTRUCTURE in the ANALYSIS command. The
NOSERROR option of the OUTPUT command can be used to suppress
the computation of standard errors. The NOCHISQUARE option of the
OUTPUT command can be used to suppress the computation of chi-
square. In some models, suppressing the computation of standard errors
and chi-square can greatly reduce computational time. Following is a
description of each of the four major analysis types.
CHAPTER 16
658
GENERAL
Analyses using TYPE=GENERAL include models with relationships
among observed variables, among continuous latent variables, and
among observed variables and continuous latent variables. In these
models, the continuous latent variables represent factors and random
effects. Observed outcome variables can be continuous, censored,
binary, ordered categorical (ordinal), counts, or combinations of these
variable types. In addition, for regression analysis and path analysis for
non-mediating outcomes, observed outcome variables can be unordered
categorical (nominal). Following are models that can be estimated using
TYPE=GENERAL:
Regression analysis
Path analysis
Confirmatory factor analysis
Structural equation modeling
Growth modeling
Discrete-time survival analysis
Continuous-time survival analysis
N=1 time series analysis
Special features available with the above models for all observed
outcome variable types are:
Multiple group analysis
Missing data
Complex survey data
Latent variable interactions and non-linear factor analysis using
maximum likelihood
Random slopes
Individually-varying times of observations
Linear and non-linear parameter constraints
Indirect effects including specific paths
Maximum likelihood estimation for all outcome types
Bootstrap standard errors and confidence intervals
Wald chi-square test of parameter equalities
ANALYSIS Command
659
Following is a list of the other TYPE settings that can be used in
conjunction with TYPE=GENERAL along with a brief description of
their functions:
BASIC computes sample statistics and other descriptive information.
RANDOM allows models with both random intercepts and random
slopes.
COMPLEX computes standard errors and a chi-square test of model
fit taking into account stratification, non-independence of
observations, and/or unequal probability of selection.
Following is an example of how to specify the TYPE option for a
regression analysis with a random slope:
TYPE = GENERAL RANDOM;
or simply,
TYPE = RANDOM;
because GENERAL is the default.
MIXTURE
Analyses using TYPE=MIXTURE include models with categorical
latent variables which are also referred to as latent class or finite mixture
models.
For models with only categorical latent variables, observed outcome
variables can be continuous, censored, binary, ordered categorical
(ordinal), unordered categorical (nominal), counts, or combinations of
these variable types. Following are the models that can be estimated
using TYPE=MIXTURE with only categorical latent variables:
Regression mixture modeling
Path analysis mixture modeling
Latent class analysis
Latent class analysis with covariates and direct effects
Confirmatory latent class analysis
Latent class analysis with multiple categorical latent variables
Loglinear modeling
CHAPTER 16
660
Non-parametric modeling of latent variable distributions
Finite mixture modeling
Complier Average Causal Effect (CACE) modeling
Latent transition analysis and hidden Markov modeling including
mixtures and covariates
Latent class growth analysis
Discrete-time survival mixture analysis
Continuous-time survival mixture analysis
For models that include both continuous and categorical latent variables,
observed outcome variables can be continuous, censored, binary, ordered
categorical (ordinal), counts, or combinations of these variable types. In
addition, for regression analysis and path analysis for non-mediating
outcomes, observed outcome variables can also be unordered categorical
(nominal). Following are models that can be estimated using
TYPE=MIXTURE with both continuous and categorical latent variables:
Latent class analysis with random effects
Factor mixture modeling
SEM mixture modeling
Growth mixture modeling with latent trajectory classes
Discrete-time survival mixture analysis
Continuous-time survival mixture analysis
Special features available with the above models for all observed
outcome variable types are:
Multiple group analysis
Missing data
Complex survey data
Latent variable interactions and non-linear factor analysis using
maximum likelihood
Random slopes
Individually-varying times of observations
Linear and non-linear parameter constraints
Indirect effects including specific paths
Maximum likelihood estimation for all outcome types
Bootstrap standard errors and confidence intervals
Wald chi-square test of parameter equalities
Analysis with between-level categorical latent variables
ANALYSIS Command
661
Test of equality of means across latent classes using posterior
probability-based multiple imputations
Following is a list of the other TYPE settings that can be used in
conjunction with TYPE=MIXTURE along with a brief description of
their functions:
BASIC computes sample statistics and other descriptive information.
RANDOM allows models with both random intercepts and random
slopes.
COMPLEX computes standard errors and a chi-square test of model
fit taking into account stratification, non-independence of
observations, and/or unequal probability of selection.
TWOLEVEL
Analyses using TYPE=TWOLEVEL include models with random
intercepts and random slopes that vary across clusters in hierarchical
data. These random effects can be specified for any of the relationships
of the multilevel modeling framework. Observed outcome variables can
be continuous, censored, binary, ordered categorical (ordinal), unordered
categorical (nominal), counts, or combinations of these variable types.
Special features available for two-level models for all observed outcome
variable types are:
Multiple group analysis
Missing data
Complex survey data
Latent variable interactions and non-linear factor analysis using
maximum likelihood
Random slopes
Individually-varying times of observations
Linear and non-linear parameter constraints
Indirect effects including specific paths
Maximum likelihood estimation for all outcome types
Wald chi-square test of parameter equalities
CHAPTER 16
662
Following is a list of the other TYPE settings that can be used in
conjunction with TYPE=TWOLEVEL along with a brief description of
their functions:
BASIC computes sample statistics and other descriptive information.
RANDOM allows models with random intercepts, random slopes,
random factor loadings, and random variances.
MIXTURE allows models that have both categorical and continuous
latent variables.
COMPLEX computes standard errors and a chi-square test of model
fit taking into account stratification, non-independence of
observations, and/or unequal probability of selection.
THREELEVEL
Analyses using TYPE=THREELEVEL include models with random
intercepts and random slopes that vary across clusters in hierarchical
data. These random effects can be specified for any of the relationships
of the multilevel modeling framework. Observed outcome variables can
be continuous, binary, or combinations of these variable types.
Special features available for three-level models for all observed
outcome variable types are:
Multiple group analysis
Missing data
Complex survey data
Random slopes
Linear and non-linear parameter constraints
Maximum likelihood estimation for continuous outcomes
Wald chi-square test of parameter equalities
Following is a list of the other TYPE settings that can be used in
conjunction with TYPE=THREELEVEL along with a brief description
of their functions:
BASIC computes sample statistics and other descriptive information.
RANDOM allows models with random intercepts, random slopes,
random factor loadings, and random variances.
ANALYSIS Command
663
COMPLEX computes standard errors and a chi-square test of model
fit taking into account stratification, non-independence of
observations, and/or unequal probability of selection. This is
available for continuous variables.
CROSSCLASSIFIED
Analyses using TYPE=CROSSCLASSIFIED include models with
random intercepts, random slopes, and random variances that vary across
clusters in hierarchical data. These random effects can be specified for
any of the relationships of the multilevel modeling framework.
Observed outcome variables can be continuous, binary, ordered
categorical (ordinal), or combinations of these variable types.
Special features available for cross-classified models for all observed
outcome variable types are:
Missing data
Random slopes
Random variances
Following is a list of the other TYPE settings that can be used in
conjunction with TYPE=CROSSCLASSIFIED along with a brief
description of their functions:
RANDOM allows models with random intercepts, random slopes,
and random variances.
EFA
Analyses using TYPE=EFA include exploratory factor analysis of
continuous, censored, binary, ordered categorical (ordinal), counts, or
combinations of these variable types. See the ROTATION option of the
ANALYSIS command for a description of the rotations available for
TYPE=EFA. Modification indices are available for the residual
correlations using the MODINDICES option of the OUTPUT command.
Special features available for EFA for all observed outcome variable
types are:
Missing data
CHAPTER 16
664
Complex survey data
Following are the other TYPE settings that can be used in conjunction
with TYPE=EFA along with a brief description of their functions:
BASIC computes sample statistics and other descriptive information.
MIXTURE allows models that have both categorical and continuous
latent variables.
COMPLEX computes standard errors and a chi-square test of model
fit taking into account stratification, non-independence of
observations, and/or unequal probability of selection.
TWOLEVEL models non-independence of observations due to
clustering taking into account stratification and/or unequal
probability of selection.
Following is an example of how to specify the TYPE option for a single-
level exploratory factor analysis:
TYPE = EFA 1 3;
where the two numbers following EFA are the lower and upper limits of
the number of factors to be extracted. In the example above factor
solutions are given for one, two, and three factors.
Following is an example of how to specify the full TYPE option for a
multilevel exploratory factor analysis (Asparouhov & Muthén, 2007):
TYPE = TWOLEVEL EFA 3 4 UW* 1 2 UB*;
where the first two numbers, 3 and 4, are the lower and upper limits of
the number of factors to be extracted on the within level, UW* specifies
that an unrestricted within-level model is estimated, the second two
numbers, 1 and 2, are the lower and upper limits of the number of factors
to be extracted on the between level, and UB* specifies that an
unrestricted between-level model is estimated. The within- and
between-level specifications are crossed. In the example shown above,
the three- and four-factor models and the unrestricted model on the
within level are estimated in combination with the one- and two-factor
models and the unrestricted model on between resulting in nine
solutions.
ANALYSIS Command
665
If UW and UB are used instead of UW* and UB*, the unrestricted
models are not estimated but instead the model parameters are fixed at
the sample statistic values. This can speed up the analysis.
For multilevel exploratory factor analysis, the TYPE option can be
specified using only numbers or the UW* and UB* specifications for
each level. For example,
TYPE = TWOLEVEL EFA 3 4 UB*;
specifies that three- and four-factors models on the within level are
estimated in combination with an unrestricted model on the between
level.
TYPE = TWOLEVEL EFA UW* 12;
specifies that an unrestricted model on the within level is estimated in
combination with one- and two-factor model on the between level.
ESTIMATOR
The ESTIMATOR option is used to specify the estimator to be used in
the analysis. The default estimator differs depending on the type of
analysis and the measurement scale of the dependent variable(s). Not all
estimators are available for all models. Following is a table that shows
which estimators are available for specific models and variable types.
The information is broken down by models with all continuous
dependent variables, those with at least one binary or ordered categorical
dependent variable, and those with at least one censored, unordered
categorical, or count dependent variable. All of the estimators require
individual-level data except ML for TYPE=GENERAL and EFA, GLS,
and ULS which can use summary data. The default settings are
indicated by bold type.
The first column of the table shows the combinations of TYPE settings
that are allowed. The second column shows the set of estimators
available for the analysis types in the first column for a model with all
continuous dependent variables. The third column shows the set of
estimators available for the analysis types in the first column for a model
with at least one binary or ordered categorical dependent variable. The
fourth column shows the set of estimators available for the analysis

CHAPTER 16
666
types in the first column for a model with at least one censored,
unordered categorical, or count dependent variable.
Type of Analysis
TYPE=
All continuous
dependent
variables
At least one
binary or
ordered
categorical
dependent
variable
At least one
censored,
unordered
categorical,
or count
dependent
variable
GENERAL
ML**
MLM*****
MLMV*****
MLR**
MLF**
GLS*****
WLS*****
BAYES
WLS
WLSM
WLSMV
ULSMV
ML*
MLR*
MLF*
BAYES
WLS****
WLSM****
WLSMV****
ML*
MLR*
MLF*
GENERAL RANDOM
ML**
MLR**
MLF**
ML*
MLR*
MLF*
ML*
MLR*
MLF*
GENERAL RANDOM COMPLEX
MLR**
MLR*
MLR*
GENERAL COMPLEX
ML******
MLR**
WLS
WLSM
WLSMV
ULSMV
MLR*
WLS****
WLSM****
WLSMV****
ULSMV****
MLR*
MIXTURE
ML**
MLR**
MLF**
BAYES
ML**
MLR**
MLF**
BAYES
ML**
MLR**
MLF**
MIXTURE RANDOM
ML**
MLR**
MLF**
ML**
MLR**
MLF**
ML**
MLR**
MLF**
MIXTURE COMPLEX
MIXTURE COMPLEX RANDOM
MLR**
MLR**
MLR*
TWOLEVEL
MUML***
ML**
MLR**
MLF**
WLS
WLSM
WLSMV
ULSMV
BAYES
ML*
MLR*
MLF*
WLS
WLSM
WLSMV
ULSMV
BAYES
ML*
MLR*
MLF*
TWOLEVEL RANDOM
ML**
MLR**
MLF**
BAYES
ML*
MLR*
MLF*
BAYES
ML*
MLR*
MLF*
TWOLEVEL MIXTURE
TWOLEVEL RANDOM MIXTURE
ML*
MLR*
MLF*
ML *
MLR*
MLF*
ML*
MLR*
MLF*
COMPLEX TWOLEVEL
COMPLEX TWOLEVEL RANDOM
MLR**
MLR*
MLR*

ANALYSIS Command
667
COMPLEX TWOLEVEL MIXTURE
COMPLEX TWOLEVEL RANDOM MIXTURE
MLR*
MLR*
MLR*
THREELEVEL
THREELEVEL RANDOM
ML
MLR
MLF
BAYES
BAYES
NA
COMPLEX THREELEVEL
COMPLEX THREELEVEL RANDOM
MLR
NA
NA
CROSSCLASSIFIED
CROSSCLASSIFIED RANDOM
BAYES
BAYES
NA
EFA
ML
MLR**
MLF**
ULS*****
BAYES
WLS
WLSM
WLSMV
ULS
ULSMV
ML*
MLR*
MLF*
BAYES
ML*
MLR*
MLF*
EFA MIXTURE
ML**
MLR**
MLF**
ML*
MLR*
MLF*
ML*
MLR*
MLF*
EFA COMPLEX
MLR**
WLS
WLSM
WLSMV
ULSMV
MLR*
MLR*
EFA TWOLEVEL
M**
MLR**
MLF**
WLS
WLSM
WLSMV
ULSMV
WLS
WLSM
WLSMV
ULSMV
NA
* Numerical integration required
** Numerical integration an option
*** Maximum likelihood with balanced data, limited-information for
unbalanced data, not available with missing data
**** Only available for censored outcomes without inflation
***** Not available with missing data
****** Default with replicate weights
NA Not available
Following is a description of what the above estimator settings represent:
ML – maximum likelihood parameter estimates with conventional
standard errors and chi-square test statistic
MLM – maximum likelihood parameter estimates with standard
errors and a mean-adjusted chi-square test statistic that are robust to
CHAPTER 16
668
non-normality. The MLM chi-square test statistic is also referred to
as the Satorra-Bentler chi-square.
MLMV – maximum likelihood parameter estimates with standard
errors and a mean- and variance-adjusted chi-square test statistic that
are robust to non-normality
MLR – maximum likelihood parameter estimates with standard
errors and a chi-square test statistic (when applicable) that are robust
to non-normality and non-independence of observations when used
with TYPE=COMPLEX. The MLR standard errors are computed
using a sandwich estimator. The MLR chi-square test statistic is
asymptotically equivalent to the Yuan-Bentler T2* test statistic.
MLF – maximum likelihood parameter estimates with standard
errors approximated by first-order derivatives and a conventional
chi-square test statistic
MUML – Muthén’s limited information parameter estimates,
standard errors, and chi-square test statistic
WLS – weighted least square parameter estimates with conventional
standard errors and chi-square test statistic that use a full weight
matrix. The WLS chi-square test statistic is also referred to as ADF
when all outcome variables are continuous.
WLSM – weighted least square parameter estimates using a diagonal
weight matrix with standard errors and mean-adjusted chi-square test
statistic that use a full weight matrix
WLSMV – weighted least square parameter estimates using a
diagonal weight matrix with standard errors and mean- and variance-
adjusted chi-square test statistic that use a full weight matrix
ULS – unweighted least squares parameter estimates
ULSMV – unweighted least squares parameter estimates with
standard errors and a mean- and variance-adjusted chi-square test
statistic that use a full weight matrix
GLS – generalized least square parameter estimates with
conventional standard errors and chi-square test statistic that use a
normal-theory based weight matrix
Bayes – Bayesian posterior parameter estimates with credibility
intervals and posterior predictive checking
BAYESIAN ESTIMATION
Bayesian estimation differs from frequentist estimation in that
parameters are not considered to be constants but to be variables
ANALYSIS Command
669
(Gelman et al., 2004). The parameters can be given priors
corresponding to theory or previous studies. Together with the
likelihood of the data, this gives rise to posterior distributions for the
parameters. Bayesian estimation uses Markov chain Monte Carlo
(MCMC) algorithms to create approximations to the posterior
distributions by iteratively making random draws in the MCMC chain.
The initial draws in the MCMC chain are referred to as the burnin phase.
In Mplus, the first half of each chain is discarded as being part of the
burnin phase. Convergence is assessed using the Gelman-Rubin
convergence criterion based on the potential scale reduction factor for
each parameter (Gelman & Rubin, 1992; Gelman et al., 2004, pp. 296-
297). With multiple chains, this is a comparison of within- and between-
chain variation. With a single chain, the last half of the iterations is split
into two quarters and the potential scale reduction factor is computed for
these two quarters. Convergence can also be monitored by the trace
plots of the posterior draws in the chains. Auto-correlation plots
describe the degree of non-independence of consecutive draws. These
plots aid in determining the quality of the mixing in the chain. For each
parameter, credibility intervals are obtained from the percentiles of its
posterior distribution. Model comparisons are aided by the Deviance
Information Criterion (DIC). Overall test of model fit is judged by
Posterior Predictive Checks (PPC) where the observed data is compared
to the posterior predictive distribution. In Mplus, PPC p-values are
computed using the likelihood-ratio chi-square statistic for continuous
outcomes and for the continuous latent response variables of categorical
outcomes. Gelman et al. (2004, Chapter 6) and Lee (2007, Chapter 5)
give overviews of model comparison and model checking. For a
technical description of the Bayesian implementation, see Asparouhov
and Muthén (2010b). See also Chapter 9 of Muthén, Muthén, and
Asparouhov (2016).
Bayesian estimation is available for continuous, binary, ordered
categorical (ordinal) or combinations of these variable types with
TYPE=GENERAL, MIXTURE with only one categorical latent
variable, TWOLEVEL, THREELEVEL, THREELEVEL RANDOM,
CROSSCLASSIFIED, CROSSCLASSIFIED RANDOM, and EFA. To
obtain Bayesian estimation, specify:
ESTIMATOR=BAYES;
CHAPTER 16
670
MODEL
The MODEL option has two uses. The first use is to automatically set
up multiple group models for the purpose of testing for measurement
invariance. The second use is to make changes to the defaults of the
MODEL command.
TESTING FOR MEASUREMENT INVARIANCE
The MODEL option is used to automatically set up multiple group
models for the purpose of testing for measurement invariance using the
GROUPING option or the KNOWNCLASS option. It is available for
CFA and ESEM models for continuous variables with the maximum
likelihood and Bayes estimators; for censored variables with the
weighted least squares and maximum likelihood estimators; for binary
and ordered categorical (ordinal) variables using the weighted least
squares, maximum likelihood, and Bayes estimators; and for count
variables using the maximum likelihood estimator. It is not available for
censored-inflated, count-inflated, nominal, continuous-time survival,
negative binomial variables, or combinations of variable types. The
MODEL command can contain only BY statements for first-order
factors. The metric for the factors can be set by fixing a factor loading
to one in each group or by fixing the factor variance to one in one group.
No partial measurement invariance is allowed. The configural, metric,
and scalar models used are described in Chapter 14.
The MODEL option has three settings for testing for measurement
invariance: CONFIGURAL, METRIC, and SCALAR. These settings
can be used alone to set up a particular model or together to test the
models for measurement invariance. Chi-square difference testing is
carried out automatically using scaling correction factors for MLM,
MLR, and WLSM and using the DIFFTEST option for WLSMV and
MLMV. The settings cannot be used together for
ESTIMATOR=BAYES and for Monte Carlo analyses. Full analysis
results are printed along with a summary of the difference testing. The
CONFIGURAL setting produces a model with the same number of
factors and the same set of zero factor loadings in all groups. The
METRIC setting produces a model where factor loadings are held equal
across groups. The SCALAR setting produces a model where factor
loadings and intercepts/thresholds are held equal across groups. When
the factor variance is fixed to one in one group, it is the first group when
ANALYSIS Command
671
the GROUPING option is used and the last class when the
KNOWNCLASS option is used.
The MODEL option for testing measurement invariance is specified as
follows:
MODEL = CONFIGURAL METRIC SCALAR;
which specifies that configural, metric, and scalar models will be
estimated and difference testing of the models will be done.
CHANGE DEFAULTS OF MODEL COMMAND
The MODEL option has three settings that change the defaults of the
MODEL command: NOMEANSTRUCTURE, NOCOVARIANCES,
and ALLFREE. The NOMEANSTRUCTURE setting is used with
TYPE=GENERAL to specify that means, intercepts, and thresholds are
not included in the analysis model. The NOCOVARIANCES setting
specifies that the covariances and residual covariances among all latent
and observed variables in the analysis model are fixed at zero. The
WITH option of the MODEL command can be used to free selected
covariances and residual covariances. Following is an example of how
to specify that the covariances and residual covariances among all latent
and observed variables in the model are fixed at zero:
MODEL = NOCOVARIANCES;
The ALLFREE setting is used with TYPE=MIXTURE, the
KNOWNCLASS option, ESTIMATOR=BAYES, and a special
automatic labeling function to assign zero-mean and small-variance
priors to differences in intercepts, thresholds, and factor loadings across
groups. By specifying MODEL=ALLFREE, factor means, variances,
and covariances are free across groups except for factor means in the last
group which are fixed at zero. In addition, intercepts, thresholds, factor
loadings, and residual variances of the factor indicators are free across
the groups.
Following is an example of how to use the ALLFREE setting and
automatic labeling to assign zero-mean and small-variance priors to
differences in intercepts, thresholds, and factor loadings across the ten
groups.
CHAPTER 16
672
MODEL: %OVERALL%
f1 BY y1-y3* (lam#_1-lam#_3);
f2 BY y4-y6* (lam#_4-lam#_6);
[y1-y6] (nu#_1-nu#_6);
MODEL PRIORS:
DO(1,6) DIFF(lam1_#-lam10_#)~N(0,0.01);
DO(1,6) DIFF(nu1_#-nu10_#)~N(0,0.01);
In the overall part of the model, labels are assigned to the factor loadings
and the intercepts using automatic labeling for groups. The labels must
include the number sign (#) followed by the underscore (_) symbol
followed by a number. The number sign (#) refers to a group and the
number refers to a parameter. The label lam#_1 is assigned to the factor
loading for y1; the label lam#_2 is assigned to the factor loading for y2;
and the label lam#_3 is assigned to the factor loading for y3. These
labels are expanded to include group information. For example, the
label for parameter 1 is expanded across the ten groups to give labels
lam1_1, lam2_1 through lam10_1. In MODEL PRIORS, these expanded
labels are used to assign zero-mean and small-variance priors to the
differences across groups of the factor loadings and intercepts using the
DO and DIFF options. They can be used together to simplify the
assignment of priors to a large set of difference parameters for models
with multiple groups and multiple time points. For the DO option, the
numbers in parentheses give the range of values for the do loop. The
number sign (#) is replaced by these values during the execution of the
do loop. The numbers refer to the six factor indicators.
ALIGNMENT
The ALIGNMENT option is used with multiple group models to assess
measurement invariance and compare factor means and variances across
groups (Asparouhov & Muthén, 2014c). It is most useful when there are
many groups as seen in country comparisons of achievement like the
Programme for International Student Assessment (PISA), the Trends in
International Mathematics and Science Study (TIMSS), and the Progress
in International Reading Literacy Study (PIRLS) as well as in cross-
cultural studies like the International Social Survey Program (ISSP) and
the European Social Survey (ESS). It is available when all variables are
continuous or binary with the ML, MLR, MLF, and BAYES estimators
and when all variables are ordered categorical (ordinal) with the ML,
ANALYSIS Command
673
MLR, and MLF estimators. It is available for regular and Monte Carlo
analyses using TYPE=MIXTURE and TYPE=COMPLEX MIXTURE in
conjunction with the KNOWNCLASS option for real data and the
NGROUPS option for Monte Carlo analyses. The MODEL command
can contain only BY statements for first-order factors where factor
indicators do not load on more than one factor.
The alignment optimization method consists of three steps:
1. Analysis of a configural model with the same number of factors
and same pattern of zero factor loadings in all groups.
2. Alignment optimization of the measurement parameters, factor
loadings and intercepts/thresholds according to a simplicity
criterion that favors few non-invariant measurement parameters.
3. Adjustment of the factor means and variances in line with the
optimal alignment.
The ALIGNMENT option has two settings: FIXED and FREE. There is
no default. In the FIXED setting, a factor mean is fixed at zero in the
reference group. In the FREE setting, all factor means are estimated.
FREE is the most general approach. FIXED is recommended when there
is little factor loading non-invariance which may occur when there is a
small number of groups. The ALIGNMENT option has two subsettings
for specifying the reference group and the type of configural model used
in the first step of the alignment optimization. The default for the
reference group is the last known class. The default for the type of
configural model is CONFIGURAL. The alternative setting is BSEM
where approximate invariance of measurement parameters is specified
using Bayes priors (Muthén & Asparouhov, 2013). The subsettings are
specified in parentheses following the FIXED or FREE settings.
Following is an example of how to specify the ALIGNMENT option:
ALIGNMENT = FREE;
where the default reference group is the last known class. The default
configural model is CONFIGURAL. Following are three equivalent
ways to specify this:
ALIGNMENT = FREE (1 CONFIGURAL);
ALIGNMENT = FREE (1);
CHAPTER 16
674
ALIGNMENT = FREE (CONFIGURAL);
DISTRIBUTION
The DISTRIBUTION option is used in conjunction with
TYPE=GENERAL and TYPE=MIXTURE to specify non-normal
distributions for continuous observed variables and continuous factors
(Asparouhov & Muthén, 2015a; Muthén & Asparouhouv, 2015a). These
new methods are experimental in that they have not been extensively
used in practice.
The DISTRIBUTION option has four settings: NORMAL,
SKEWNORMAL, TDISTRIBUTION, and SKEWT. The default is
NORMAL. The DISTRIBUTION option can be used with only
continuous observed and latent variables although the analysis model
can contain other types of variables. The DISTRIBUTION option
cannot be used with models that require numerical integration.
The SKEWNORMAL and SKEWT settings have a special skew
parameter for each observed and latent variable that is related to the
skewness of the variable. It is specified by mentioning the name of the
variable in curly brackets. For example, the skew parameter for a
variable y is specified as {y}. Skew parameters are free and unequal
across groups or classes with starting values of one. They can be
constrained to be equal or fixed at a particular value. The
TDISTRIBUTION and SKEWT settings have a special degree of
freedom parameter for each group or class that is related to the degrees
of freedom in the t-distribution. The degree of freedom parameter is
specified by putting df in curly brackets, for example, {df}. The degree
of freedom parameter is free and unequal across groups or classes with a
starting value of one. It can be constrained to be equal or fixed at a
particular value. The SKEWNORMAL setting can capture skewness
less than the absolute value of one, whereas the SKEWT setting has no
such limitations.
PARAMETERIZATION
The PARAMETERIZATION option is used for three purposes. The
first purpose is to change from the default Delta parameterization to the
alternative Theta parameterization when TYPE=GENERAL is used, at
ANALYSIS Command
675
least one observed dependent variable is categorical, and weighted least
squares estimation is used in the analysis. The second purpose is to
change from the default logit regression parameterization to either the
loglinear or probability parameterization when TYPE=MIXTURE and
more than one categorical latent variable is used in the analysis. The
third purpose is to allow the WITH option of the MODEL command to
be used to specify residual covariances for binary and ordered
categorical (ordinal) outcomes using maximum likelihood estimation.
DELTA VERSUS THETA PARAMETERIZATION
There are two model parameterizations available when
TYPE=GENERAL is used, one or more dependent variables are
categorical, and weighted least squares estimation is used in the analysis.
The first parameterization is referred to as DELTA. This is the default
parameterization. In the DELTA parameterization, scale factors for
continuous latent response variables of observed categorical outcome
variables are allowed to be parameters in the model, but residual
variances for continuous latent response variables are not. The second
parameterization is referred to as THETA. In the THETA
parameterization, residual variances for continuous latent response
variables of observed categorical outcome variables are allowed to be
parameters in the model, but scale factors for continuous latent response
variables are not.
The DELTA parameterization is the default because it has been found to
perform better in many situations (Muthén & Asparouhov, 2002). The
THETA parameterization is preferred when hypotheses involving
residual variances are of interest. Such hypotheses may arise with
multiple group analysis and analysis of longitudinal data. In addition,
there are certain models that can be estimated using only the THETA
parameterization because they have been found to impose improper
parameter constraints with the DELTA parameterization. These are
models where a categorical dependent variable is both influenced by and
influences either another observed dependent variable or a latent
variable.
To select the THETA parameterization, specify the following:
PARAMETERIZATION = THETA;
CHAPTER 16
676
LOGIT, LOGLINEAR, AND PROBABILITY
PARAMETERIZATIONS
There are three model parameterizations available when
TYPE=MIXTURE is used and more than one categorical latent variable
is used in the analysis. The first parameterization is referred to as
LOGIT. This is the default parameterization. In the LOGIT
parameterization, logistic regressions are estimated for categorical latent
variables. In the LOGIT parameterization, the ON and WITH options of
the MODEL command can be used to specify the relationships between
the categorical latent variables. The second parameterization is referred
to as LOGLINEAR. In the LOGLINEAR parameterization, loglinear
models are estimated for categorical latent variables allowing two- and
three-way interactions. In the LOGLINEAR parameterization, only the
WITH option of the MODEL command can be used to specify the
relationships between the categorical latent variables. The third
parameterization is referred to as PROBABILITY. In the
PROBABILITY parameterization, categorical latent variable regression
coefficients can be expressed as probabilities rather than logits.
RESCOVARIANCES
The RESCOVARIANCES option is used with Latent Class Analysis and
Latent Transition Analysis to specify residual covariances for binary and
ordered categorical (ordinal) variables using maximum likelihood
estimation (Asparouhov & Muthén, 2015b). These residual covariances
are specified using the WITH option of the MODEL command. They
can be free across classes, constrained to be equal across classes, or
appear in only certain classes. Following is a partial input for a latent
class analysis where the residual covariances are held equal across
classes:
VARIABLE:
CATEGORICAL = u1-u4;
CLASSES = c(2);
ANALYSIS:
TYPE=MIXTURE;
PARAMETERIZATION=RESCOVARIANCES;
MODEL:
%OVERALL%
u1 WITH u3;
ANALYSIS Command
677
Following is a partial input for a latent class analysis where the residual
covariances are not held equal across classes:
VARIABLE:
CATEGORICAL = u1-u4;
CLASSES = c(2);
ANALYSIS:
TYPE=MIXTURE;
PARAMETERIZATION=RESCOV;
MODEL:
%OVERALL%
u1 WITH u3;
%c#1%
u1 WITH u3;
Following is a partial input for a latent transition analysis where the
residual covariances are allowed in only specific classes:
VARIABLE:
CATEGORICAL = u1-u8;
CLASSES = c1 (3) c2 (3);
ANALYSIS:
TYPE=MIXTURE;
PARAMETERIZATION=RESCOV;
MODEL:
%OVERALL%
c2 ON c1;
%c1#2.c2#2%
u1 WITH u5;
u2 WITH u6;
u3 WITH u7;
u4 WITH u8;
LINK
The LINK option is used with maximum likelihood estimation to select a
logit or probit link for models with categorical outcomes. The default is
a logit link. Following is an example of how to request a probit link:
LINK = PROBIT:
CHAPTER 16
678
ROTATION
The ROTATION option is used with TYPE=EFA to specify the type of
rotation of the factor loading matrix to be used in exploratory factor
analysis. The default is the GEOMIN oblique rotation (Yates, 1987;
Browne, 2001). The algorithms used in the rotations are described in
Jennrich and Sampson (1966), Browne (2001), Bernaards and Jennrich
(2005), and Jennrich (2007). For consistency, the names of the rotations
used in the CEFA program (Browne, Cudeck, Tateneni, & Mels, 2004)
are used for rotations that are included in both the CEFA and Mplus
programs. Target rotations (Browne, 2001) and bi-factor rotations
(Jennrich & Bentler, 2011, 2012) are also available.
Standard errors are available as the default for all rotations except
PROMAX and VARIMAX. THE NOSERROR options of the OUTPUT
command can be used to request that standard errors not be computed.
The following rotations are available:
GEOMIN
QUARTIMIN
CF-VARIMAX
CF-QUARTIMAX
CF-EQUAMAX
CF-PARSIMAX
CF-FACPARSIM
CRAWFER
OBLIMIN
PROMAX
VARIMAX
TARGET
BI-GEOMIN
BI-CF-QUARTIMAX
All rotations are available as both oblique and orthogonal except
PROMAX and QUARTIMIN which are oblique and VARIMAX which
is orthogonal. The default for rotations that can be both oblique and
orthogonal is oblique.
The GEOMIN rotation is recommended when factor indicators have
substantial loadings on more than one factor resulting in a variable
complexity greater than one. Geomin performs well on Thurstone’s 26
ANALYSIS Command
679
variable Box Data (Browne, 2001, Table 3, p. 135). The GEOMIN
epsilon (Browne, 2001) default setting varies as a function of the number
of factors. With two factors, it is .0001. With three factors, it is .001.
With four or more factors, it is .01. The default can be overridden using
the GEOMIN option. The epsilon value must be a positive number.
The Geomin rotation algorithm often finds several local minima of the
rotation function (Browne, 2001). To find a global minimum, 30
random rotation starts are used as the default. The RSTARTS option of
the ANALYSIS command can be used to change the default.
Following is an example of how to change the GEOMIN epsilon value
for an oblique rotation:
ROTATION = GEOMIN (OBLIQUE .5);
or
ROTATION = GEOMIN (.5);
where .5 is the value of epsilon.
Following is an example of how to specify an orthogonal rotation for the
GEOMIN rotation and to specify an epsilon value different from the
default:
ROTATION = GEOMIN (ORTHOGONAL .5);
The QUARTIMIN rotation uses the direct quartimin rotation of Jennrich
and Sampson (1966). The following rotations are identical to direct
quartimin:
CF-QUARTIMAX (OBLIQUE)
CRAWFER (OBLIQUE 0)
OBLIMIN (OBLIQUE 0)
The rotations that begin with CF are part of the Crawford-Ferguson
family of rotations (Browne, 2001). They are related to the CRAWFER
rotation by the value of the CRAWFER parameter kappa. Following are
the values of kappa for the Crawford-Ferguson family of rotations
(Browne, 2001, Table 1):
CHAPTER 16
680
CF-VARIMAX 1/p
CF-QUARTIMAX 0
CF-EQUAMAX m/2p
CF-PARSIMAX (m-1)/(p+m-2)
CF-FACPARSIM 1
where p is the number of variables and m is the number of factors.
The default for these rotations is oblique. Following is an example of
how to specify an orthogonal rotation for the Crawford-Ferguson family
of rotations:
ROTATION = CF-VARIMAX (ORTHOGONAL);
The CRAWFER rotation is a general form of the Crawford-Ferguson
family of rotations where kappa can be specified as a value from 0
through 1. The default value of kappa is 1/p where p is the number of
variables. Following is an example of how to specify an orthogonal
rotation for the CRAWFER rotation and to specify a kappa value
different from 1/p:
ROTATION = CRAWFER (ORTHOGONAL .5);
where .5 is the value of kappa. The kappa value can also be changed for
an oblique rotation as follows:
ROTATION = CRAWFER (OBLIQUE .5);
or
ROTATION = CRAWFER (.5);
The default for the OBLIMIN rotation is oblique with a gamma value of
0. Gamma can take on any value. Following is an example of how to
specify an orthogonal rotation for the OBLIMIN rotation and to specify
a gamma value different than 0:
ROTATION = OBLIMIN (ORTHOGONAL 1);
where 1 is the value of gamma. The gamma value can also be changed
for an oblique rotation as follows:
ANALYSIS Command
681
ROTATION = OBLIMIN (OBLIQUE 1);
or
ROTATION = OBLIMIN (1);
The VARIMAX and PROMAX rotations are the same rotations as those
available in earlier versions of Mplus. The VARIMAX rotation is the
same as the CF-VARIMAX orthogonal rotation except that VARIMAX
row standardizes the factor loading matrix before rotation.
The TARGET setting of the ROTATION option (Browne, 2001) is used
with models that have a set of EFA factors in the MODEL command.
This setting allows the specification of target factor loading values to
guide the rotation of the factor loading matrix. Typically these values
are zero. The default for the TARGET rotation is oblique. Following is
an example of how to specify an orthogonal TARGET rotation:
ROTATION = TARGET (ORTHOGONAL);
For TARGET rotation, a minimum number of target values must be
given for purposes of model identification. For the oblique TARGET
rotation, the minimum is m(m-1) where the m is the number of factors.
For the orthogonal TARGET rotation, the minimum is m(m-1)/2. The
target values are given in the MODEL command using the tilde (~)
symbol, for example,
f1 BY y1-y10 y1~0 (*t);
f2 BY y1-y10 y5~0 (*t);
where the target values of y1 and y5 are zero.
For the bi-factor rotations, BI-GEOMIN and BI-CF-QUARTIMAX, a
general factor is allowed in combination with specific factors. In the
oblique rotation, the specific factors are correlated with the general
factor and are correlated with each other. In the orthogonal rotation, the
specific factors are uncorrelated with the general factor and are
uncorrelated with each other. The default for the BI-GEOMIN and BI-
CF-QUARTIMAX rotations is oblique. Following is an example of how
to specify an orthogonal BI-GEOMIN rotation:
CHAPTER 16
682
ROTATION = BI-GEOMIN (ORTHOGONAL);
ROWSTANDARDIZATION
The ROWSTANDARDIZATION option is used with exploratory factor
analysis (EFA) and when a set of EFA factors is part of the MODEL
command to request row standardization of the factor loading matrix
before rotation. The ROWSTANDARDIZATION option has three
settings: CORRELATION, KAISER, and COVARIANCE. The
CORRELATION setting rotates a factor loading matrix derived from a
correlation matrix with no row standardization. The KAISER setting
rotates a factor loading matrix derived from a correlation matrix with
standardization of the factor loadings in each row using the square root
of the sum of the squares of the factor loadings in each row (Browne,
2001). The COVARIANCE setting rotates a factor loading matrix
derived from a covariance matrix with no row standardization. The
default is CORRELATION. The COVARIANCE setting is not allowed
for TYPE=EFA. If factor loading equalities are specified in a model for
EFA factors, the CORRELATION and KAISER settings are not
allowed.
Following is an example of how to specify row standardization using the
Kaiser method:
ROWSTANDARDIZATION = KAISER;
PARALLEL
The PARALLEL option is used with TYPE=EFA to determine the
optimum number of factors in an exploratory factor analysis. It is
available for continuous outcomes using maximum likelihood
estimation. Parallel analysis (see, for example, Fabrigar, Wegener,
MacCallum, & Strahan, 1999; Hayton, Allen, & Scarpello, 2004) is a
method that uses random data with the same number of observations and
variables as the original data. The correlation matrix of the random data
is used to compute eigenvalues. These eigenvalues are compared to the
eigenvalues of the original data. The optimum number of factors is the
number of the original data eigenvalues that are larger than the random
data eigenvalues. TYPE=PLOT2 of the PLOT command gives a plot of
the sample eigenvalues, the parallel analysis eigenvalues, and the
ANALYSIS Command
683
parallel analysis eigenvalues for the 95th percentile. The PARALLEL
option is specified as follows:
PARALLEL = 50;
where 50 is the number of random data sets that is drawn.
REPSE
The REPSE option is used to specify the resampling method that was
used to create existing replicate weights or will be used to generate
replicate weights (Fay, 1989; Korn & Graubard, 1999; Lohr, 1999;
Asparouhov, 2009). Replicate weights are used in the estimation of
standard errors of parameter estimates. The REPSE option has six
settings: BOOTSTRAP, JACKKNIFE, JACKKNIFE1, JACKKNIFE2,
BRR and FAY. There is no default. The REPSE option must be
specified when replicate weights are used or generated.
With the BOOTSTRAP setting, the BOOTSTRAP option of the
ANALYSIS command is used to specify the number of bootstrap draws
used in the generation of the replicate weights. With the JACKKNIFE
setting, the number of Jackknife draws is equal to the number of PSU’s
in the sample. A multiplier file is required for JACKKNIFE when
replicate weights are used. The size of this file is one column with rows
equal to the number of PSU’s. For each PSU in a stratum, the value in
the file is equal to the number of PSU’s in the stratum minus one divided
by the number of PSU’s in the stratum. All PSU’s in a stratum have the
same value. If replicate weights are generated using JACKKNIFE, a
multiplier file can be saved. JACKKNIFE1 cannot be used when data
are stratified. JACKKNIFE2, balanced repeated replication (BRR), and
FAY are available only when there are two PSU’s in each stratum. The
BRR and FAY resampling methods use Hadamard matrices. With BRR
and FAY, the number of replicate weights is equal to the size of the
Hadamard matrix. The REPSE option is specified as follows:
REPSE = BRR;
where BRR specifies that the balanced repeated replication resampling
method is used to generate replicate weights.
CHAPTER 16
684
For the FAY resampling method, a constant can be given that is used to
modify the sample weights. The constant must range between zero and
one. The default is .3. The REPSE option for the FAY setting is
specified as follows:
REPSE = FAY (.5);
where .5 is the constant used to modify the sample weights.
BASEHAZARD
The BASEHAZARD option is used in continuous-time survival analysis
to specify whether the baseline hazard parameters are treated as model
parameters or as auxiliary parameters. When the BASEHAZARD
option is OFF, the parameters are treated as auxiliary parameters. When
the BASEHAZARD option is ON, the parameters are treated as model
parameters. In most cases, the default is OFF. For models where the
time-to-event variable is regressed on a continuous latent variable, for
multilevel models, and for models that require Monte Carlo numerical
integration, the default is ON. Following is an example of how to
request that baseline hazard parameters are treated as model parameters
when this is not the default:
BASEHAZARD = ON;
With TYPE=MIXTURE, the ON and OFF settings have two
alternatives, EQUAL and UNEQUAL. EQUAL is the default. With
EQUAL, the baseline hazard parameters are held equal across classes.
With BASEHAZARD=OFF, the baseline hazard parameters are held
equal across classes as the default in line with Larsen (2004). To relax
this equality, specify:
BASEHAZARD = ON (UNEQUAL);
or
BASEHAZARD = OFF (UNEQUAL);
In continuous-time survival modeling, there are as many baseline hazard
parameters as there are time intervals plus one. When the
BASEHAZARD option of the ANALYSIS command is ON, these
ANALYSIS Command
685
parameters can be referred to in the MODEL command by adding to the
name of the time-to-event variable the number sign (#) followed by a
number. For example, for a time-to-event variable t with 5 time
intervals, the six baseline hazard parameters are referred to as t#1, t#2,
t#3, t#4, t#5, and t#6. In addition to the baseline hazard parameters, the
time-to-event variable has a mean or an intercept depending on whether
the model is unconditional or conditional. The mean or intercept is
referred to by using a bracket statement, for example,
[t];
where t is the time-to-event variable.
CHOLESKY
The CHOLESKY option is used in conjunction with
ALGORITHM=INTEGRATION to decompose the continuous latent
variable covariance matrix and the observed variable residual covariance
matrix into orthogonal components in order to improve the optimization.
The optimization algorithm starts out with Fisher Scoring used in
combination with EM. The CHOLESKY option has two settings: ON
and OFF. The default when all dependent variables are censored,
categorical, and counts is ON except for categorical dependent variables
when LINK=PROBIT. Then and in all other cases, it is OFF. To turn
the CHOLESKY option ON, specify:
CHOLESKY = ON;
ALGORITHM
The ALGORITHM option is used in conjunction with
TYPE=MIXTURE, TYPE=RANDOM, and TYPE=TWOLEVEL with
maximum likelihood estimation to indicate the optimization method to
use to obtain maximum likelihood estimates and to specify whether the
computations require numerical integration. The ALGORITHM option
is used with TYPE=TWOLEVEL and weighted least squares estimation
to indicate the optimization method to use to obtain sample statistics for
model estimation. There are four settings related to the optimization
method: EM, EMA, FS, and ODLL. The default depends on the analysis
type.
CHAPTER 16
686
EM optimizes the complete-data loglikelihood using the expectation
maximization (EM) algorithm (Dempster et al., 1977). EMA is an
accelerated EM procedure that uses Quasi-Newton and Fisher Scoring
optimization steps when needed. FS is Fisher Scoring. ODLL optimizes
the observed-data loglikelihood directly.
To select the EM algorithm, specify the following:
ALGORITHM = EM;
The INTEGRATION setting of the ALGORITHM option is used in
conjunction with numerical integration and the INTEGRATION option
of the ANALYSIS command.
To select INTEGRATION, specify the following:
ALGORITHM = INTEGRATION;
The ALGORITHM option can specify an optimization setting in
addition to the INTEGRATION setting, for example,
ALGORITHM = INTEGRATION EM;
OPTIONS RELATED TO NUMERICAL
INTEGRATION
INTEGRATION
The INTEGRATION option is used to specify the type of numerical
integration and the number of integration points to be used in the
computation when ALGORITHM=INTEGRATION is used. The
INTEGRATION option has three settings: STANDARD,
GAUSSHERMITE, and MONTECARLO. The default is STANDARD.
STANDARD uses rectangular (trapezoid) numerical integration. The
default for TYPE=EFA and TYPE=TWOLEVEL with weighted least
squares estimation is 7 integration points per dimension. For all other
analyses, the default is 15 integration points per dimension.
GAUSSHERMITE uses Gauss-Hermite integration with a default of 15
integration point per dimension. MONTECARLO uses randomly
ANALYSIS Command
687
generated integration points. The default number of integration points
varies depending on the analysis type. In most cases, it is 500.
Following is an example of how the INTEGRATION option is used to
change the number of integration points for the default setting of
STANDARD.
INTEGRATION = 10;
where 10 is the number of integration points per dimension to be used in
the computation. An alternative specification is:
INTEGRATION = STANDARD (10);
To select the MONTECARLO setting, specify:
INTEGRATION = MONTECARLO;
The default number of integration points varies depending on the
analysis type. In most cases, 5000 integration points are used.
Following is an example of how to specify a specific number of Monte
Carlo integration points:
INTEGRATION = MONTECARLO (1000);
MCSEED
The MCSEED option is used to specify a random seed when the
MONTECARLO setting of the INTEGRATION option is used. It is
specified as follows:
MCSEED = 23456;
ADAPTIVE
The ADAPTIVE option is used to customize the numerical integration
points for each observation during the computation. The ADAPTIVE
option is available for each of the three settings of the INTEGRATION
option. The ADAPTIVE option has two settings: ON and OFF. The
default is ON. To turn the ADAPTIVE option off, specify:
CHAPTER 16
688
ADAPTIVE = OFF;
INFORMATION
The INFORMATION option is used to select the estimator of the
information matrix to be used in computing standard errors when the ML
or MLR estimators are used for analysis. The INFORMATION option
has three settings: OBSERVED, EXPECTED, and COMBINATION.
OBSERVED estimates the information matrix using observed second-
order derivatives; EXPECTED estimates the information matrix using
expected second-order derivatives; and COMBINATION estimates the
information matrix using a combination of observed and expected
second-order derivatives. For MLR, OBSERVED, EXPECTED, and
COMBINATION refer to the outside matrices of the sandwich estimator
used to compute standard errors. The INFORMATION option is
specified as follows:
INFORMATION = COMBINATION;
The default is to estimate models under missing data theory using all
available data. In this case, the observed information matrix is used
Kenward & Molenberghs, 1998). For models with all continuous
outcomes that are estimated without numerical integration, the expected
information matrix is also available. For other outcome types and
models that are estimated with numerical integration, the combination
information matrix is also available.
BOOTSTRAP
The BOOTSTRAP option is used to request bootstrapping and to specify
the type of bootstrapping and the number of bootstrap draws to be used
in the computation. Two types of bootstrapping are available, standard
non-parametric and residual parametric (Bollen & Stine, 1992; Efron &
Tibshirani, 1993; Enders, 2002). Residual parametric bootstrap is the
Bollen-Stine bootstrap. The BOOTSTRAP option requires individual
data.
Standard non-parametric bootstrapping is available for the ML, WLS,
WLSM, WLSMV, ULS, and GLS estimators. The reason that it is not
available for MLR, MLF, MLM, and MLMV is that parameter estimates
for these estimators do not differ from those of ML. Standard non-
ANALYSIS Command
689
parametric bootstrapping is not available for TYPE=EFA, COMPLEX,
TWOLEVEL, THREELEVEL, CROSSCLASSIFIED, and RANDOM
without ALGORITHM=INTEGRATION.
Residual parametric bootstrapping is available for only continuous
outcomes using maximum likelihood estimation. In addition to the
restrictions for standard non-parametric bootstrapping listed above,
residual parametric bootstrapping is not available for TYPE=MIXTURE.
When the BOOTSTRAP option is used alone, bootstrap standard errors
of the model parameter estimates are obtained for standard bootstrapping
and bootstrap standard errors of the model parameter estimates and the
chi-square p-value are obtained for residual bootstrapping. When the
BOOTSTRAP option is used in conjunction with the CINTERVAL
option of the OUTPUT command, bootstrap standard errors of the model
parameter estimates and either symmetric, bootstrap, or bias-corrected
bootstrap confidence intervals for the model parameter estimates can be
obtained. The BOOTSTRAP option can be used in conjunction with the
MODEL INDIRECT command to obtain bootstrap standard errors for
indirect effects. When both MODEL INDIRECT and CINTERVAL are
used, bootstrap standard errors and either symmetric, bootstrap, or bias-
corrected bootstrap confidence intervals are obtained for the indirect
effects.
The BOOTSTRAP option for standard bootstrapping is specified as
follows:
BOOTSTRAP = 500;
where 500 is the number of bootstrap draws to be used in the
computation. An alternative specification is:
BOOTSTRAP = 500 (STANDARD);
The BOOTSTRAP option for residual bootstrapping is specified as
follows:
BOOTSTRAP = 500 (RESIDUAL);
where 500 is the number of bootstrap draws to be used in the
computation.
CHAPTER 16
690
LRTBOOTSTRAP
The LRTBOOTSTRAP option is used in conjunction with the TECH14
option of the OUTPUT command to specify the number of bootstrap
draws to be used in estimating the p-value of the parametric
bootstrapped likelihood ratio test (McLachlan & Peel, 2000). The
default number of bootstrap draws is determined by the program using a
sequential method in which the number of draws varies from 2 to 100.
The LRTBOOTSTRAP option is used to override this default.
The LRTBOOTSTRAP option is specified as follows:
LRTBOOTSTRAP = 100;
where 100 is the number of bootstrap draws to be used in estimating the
p-value of the parametric bootstrapped likelihood ratio test.
OPTIONS RELATED TO RANDOM STARTS
For TYPE=MIXTURE, TYPE=TWOLEVEL with categorical outcomes
and weighted least squares estimation, and TYPE=EFA, random sets of
starting values can be generated. Random starts can be turned off or
done more thoroughly using the following set of options.
When TYPE=MIXTURE is used, random sets of starting values are
generated as the default for all parameters in the model except variances
and covariances. These random sets of starting values are random
perturbations of either user-specified starting values or default starting
values produced by the program. Maximum likelihood optimization is
done in two stages. In the initial stage, random sets of starting values are
generated. An optimization is carried out for ten iterations using each of
the random sets of starting values. The ending values from the
optimizations with the two highest loglikelihoods are used as the starting
values in the final stage optimizations which are carried out using the
default optimization settings for TYPE=MIXTURE.
When TYPE=TWOLEVEL with categorical outcomes and weighted
least squares estimation or TYPE=EFA is used random sets of starting
values are generated for the factor loading parameters in the model. For
TYPE=TWOLEVEL with categorical outcomes and weighted least
squares estimation, these random sets of starting values are random
ANALYSIS Command
691
perturbations of either user-specified starting values or default starting
values produced by the program. For TYPE=EFA, these random sets of
starting values are random perturbations of default starting values
produced by the program.
STARTS
The STARTS option is used to specify the number of random sets of
starting values to generate in the initial stage and the number of
optimizations to use in the final stage. For TYPE=MIXTURE, the
default is 20 random sets of starting values in the initial stage and 4
optimizations in the final stage. To turn off random starts, the STARTS
option is specified as follows:
STARTS = 0;
Following is an example of how to use the STARTS option for
TYPE=MIXTURE:
STARTS = 100 20;
specifies that 100 random sets of starting values are generated in the
initial stage and 20 optimizations are carried out in the final stage using
the default optimization settings for TYPE=MIXTURE.
Following are recommendations for a more thorough investigation of
multiple solutions:
STARTS = 400 100;
or
STARTS = 1000 250;
For TYPE=EFA; TYPE=GENERAL; and TYPE=TWOLEVEL using
the WLS, WLSM, WLSMV, and ULSVM estimators, the STARTS
option is specified as follows:
STARTS = 10;
CHAPTER 16
692
which specifies that 10 random sets of starting values are generated and
ten optimizations are carried out.
STITERATIONS
The STITERATIONS option is used to specify the maximum number of
iterations allowed in the initial stage. The default number of iterations is
10. For a more thorough investigation, 20 iterations can be requested as
follows:
STITERATIONS = 20;
STCONVERGENCE
The STCONVERGENCE option is used to specify the value of the
derivative convergence criterion to be used in the initial stage
optimization. The default is one.
STSCALE
The STSCALE option is used to specify the scale of the random
perturbation. The default is five which represents a medium level scale
of perturbation.
STSEED
The STSEED option is used to specify the random seed for generating
the random starts. The default value is zero.
OPTSEED
The OPTSEED option is used to specify the random seed that has been
found to result in the highest loglikelihood in a previous analysis. The
OPTSEED option results in no random starts being used.
K-1STARTS
The K-1STARTS option is used in conjunction with the TECH11 and
TECH14 options of the OUTPUT command to specify the number of
random sets of starting values to use in the initial stage and the number
ANALYSIS Command
693
of optimizations to use in the final stage for the k-1 class analysis model.
When the OPTSEED option is used, the default is 20 random sets of
starting values in the initial stage and 4 optimizations in the final stage.
When the OPTSEED option is not used, the default is the same as what
is used for the STARTS option. Following is an example of how to
specify the K-1STARTS option:
K-1STARTS = 80 16;
which specifies that 80 random sets of starting values are generated in
the initial stage and 16 optimizations are carried out in the final stage
using the default optimization settings for TYPE=MIXTURE.
LRTSTARTS
The LRTSTARTS option is used in conjunction with the TECH14
option of the OUTPUT command to specify the number of starting
values to use in the initial stage and the number of optimizations to use
in the final stage for the k-1 and k class models when the data generated
by bootstrap draws are analyzed. The default for the k-1 class model is 0
random sets of starting values in the initial stage and 0 optimizations in
the final stage. One optimization is carried out for the unperturbed set of
starting values. The default for the k class model is 40 random sets of
starting values in the initial stage and 8 optimizations in the final stage.
Following is an example of how to use the LRTSTARTS option:
LRTSTARTS = 2 1 80 16;
which specifies that for the k-1 class model 2 random sets of starting
values are used in the initial stage and 1 optimization is carried out in the
final stage and for the k class model 80 random sets of starting values
are used in the initial stage and 16 optimizations are carried out in the
final stage.
RSTARTS
The RSTARTS option is used to specify the number of random sets of
starting values to use for the GPA rotation algorithm and the number of
rotated factor solutions with the best unique rotation function values to
print for exploratory factor analysis. The default is 30 random sets of
CHAPTER 16
694
starting values and printing of the best solution. Following is an
example of how to use the RSTARTS option.
RSTARTS = 10 2;
which specifies that 10 random sets of starting values are used for the
rotations and that the rotated factor solutions with the two best rotation
function values will be printed.
ASTARTS
The ASTARTS option is used to specify the number of random sets of
starting values to use for the alignment optimization. The default is 30.
H1STARTS
For TYPE=GENERAL and the DISTRIBUTION option, the
H1STARTS option is used to specify the number of random sets of
starting values to generate in the initial stage and the number of
optimizations to use in the final stage for the H1 model. The H1 model
typically requires several random starts. The default is zero random sets
of starting values in the initial stage and zero optimizations in the final
stage.
Following is an example of how to specify the H1STARTS option:
H1STARTS = 100 20;
which specifies that 100 random sets of starting values are generated in
the initial stage and 20 optimizations are carried out in the final stage.
DIFFTEST
The DIFFTEST option is used to obtain a correct chi-square difference
test when the MLMV and the WLSMV estimators are used because the
difference in chi-square values for two nested models using the MLMV
or WLSMV chi-square values is not distributed as chi-square. The chi-
square difference test compares the H0 analysis model to a less
restrictive H1 alternative model in which the H0 model is nested. To
obtain a correct chi-square difference test for MLMV or WLSMV, a
ANALYSIS Command
695
two-step procedure is needed. In the first step, the H1 model is
estimated. In the H1 analysis, the DIFFTEST option of the
SAVEDATA command is used to save the derivatives needed for the
chi-square difference test. In the second step, the H0 model is estimated
and the chi-square difference test is computed using the derivatives from
the H0 and H1 analyses. The DIFFTEST option of the ANALYSIS
command is used as follows to specify the name of the data set that
contains the derivatives from the H1 analysis:
DIFFTEST = deriv.dat;
where deriv.dat is the name of the data set that contains the derivatives
from the H1 analysis that were saved using the DIFFTEST option of the
SAVEDATA command when the H1 model was estimated.
MULTIPLIER
The MULTIPLIER option is used with the JACKKNIFE setting of the
RESPE option when replicate weights are used in the analysis to provide
multiplier values needed for the computation of standard errors. The
MULTIPLIER option is specified as follows:
MULTIPLIER = multiplier.dat;
where multiplier.dat is the name of the data set that contains the
multiplier values needed for the computation of standard errors.
COVERAGE
The COVERAGE option is used with missing data to specify the
minimum acceptable covariance coverage value for the unrestricted H1
model. The default value is .10 which means that if all variables and
pairs of variables have data for at least ten percent of the sample, the
model will be estimated. Following is an example of how to use the
COVERAGE option:
COVERAGE = .05;
where .05 is the minimum acceptable covariance coverage value.
CHAPTER 16
696
ADDFREQUENCY
The ADDFREQUENCY option is used to specify a value that is divided
by the sample size and added to each cell with zero frequency in the two-
way tables that are used in categorical data analysis. As the default, 0.5
divided by the sample size is added to each cell with zero frequency.
The ADDFREQUENCY option is specified as follows:
ADDFREQUENCY = 0;
where the value 0 specifies that nothing is added to each cell with zero
frequency. Any non-negative value can be used with this option.
OPTIONS RELATED TO ITERATIONS
ITERATIONS
The ITERATIONS option is used to specify the maximum number of
iterations for the Quasi-Newton algorithm for continuous outcomes. The
default number of iterations is 1,000.
SDITERATIONS
The SDITERATIONS option is used to specify the maximum number of
steepest descent iterations for the Quasi-Newton algorithm for
continuous outcomes. The default number of iterations is 20.
H1ITERATIONS
The H1ITERATIONS option is used to specify the maximum number of
iterations for the EM algorithm for the estimation of the unrestricted H1
model. The default number of iterations is 2000.
MITERATIONS
The MITERATIONS option is used to specify the number of iterations
allowed for the EM algorithm. The default number of iterations is 500.
ANALYSIS Command
697
MCITERATIONS
The MCITERATIONS option is used to specify the number of iterations
for the M step of the EM algorithm for categorical latent variables. The
default number of iterations is 1.
MUITERATIONS
The MUITERATIONS option is used to specify the number of iterations
for the M step of the EM algorithm for censored, categorical, and count
outcomes. The default number of iterations is 1.
RITERATIONS
The RITERATIONS option is used to specify the maximum number of
iterations in the GPA rotation algorithm for exploratory factor analysis.
The default number of iterations is 10000.
AITERATIONS
The AITERATIONS option is used to specify the maximum number of
iterations in the alignment optimization. The default is 5000.
OPTIONS RELATED TO CONVERGENCE
CONVERGENCE
The CONVERGENCE option is used to specify the value of the
derivative convergence criterion to be used for the Quasi-Newton
algorithm for continuous outcomes. The default convergence criterion
for TYPE=TWOLEVEL, TYPE=MIXTURE, TYPE=RANDOM, and
ALGORITHM=INTEGRATION is .000001. The default convergence
criterion for all other models is .00005.
H1CONVERGENCE
The H1CONVERGENCE option is used to specify the value of the
convergence criterion to be used for the EM algorithm for the estimation
of the unrestricted H1 model. The default convergence criterion for
CHAPTER 16
698
TYPE=THREELEVEL and TYPE=CROSSCLASSIFIED is .001. The
default convergence criterion for all other models is .0001.
LOGCRITERION
The LOGCRITERION option is used to specify the absolute observed-
data loglikelihood change convergence criterion for the EM algorithm.
The default convergence criterion for TYPE=TWOLEVEL,
TYPE=RANDOM, and ALGORITHM=INTEGRATION is .001. The
default convergence criterion for TYPE=MIXTURE with
PARAMETERIZATION=PROBABILITY is .0001. The default
convergence criterion for all other models is .0000001.
RLOGCRITERION
The RLOGCRITERION option is used to specify the relative observed-
data loglikelihood change convergence criterion for the EM algorithm.
The default convergence criterion for TYPE=TWOLEVEL,
TYPE=RANDOM, and ALGORITHM=INTEGRATION is .000001.
The default convergence criterion for all other models is .0000001.
MCONVERGENCE
The MCONVERGENCE option is used to specify the observed-data log
likelihood derivative convergence criterion for the EM algorithm. The
default convergence criterion for TYPE=TWOLEVEL,
TYPE=RANDOM, and ALGORITHM=INTEGRATION is .001. The
default for TYPE=MIXTURE with
PARAMETERIZATION=PROBABILITY is .0001. The default
convergence criterion for all other models is .000001.
MCCONVERGENCE
The MCCONVERGENCE option is used to specify the complete-data
log likelihood derivative convergence criterion for the M step of the EM
algorithm for categorical latent variables. The default convergence
criterion is .000001.
ANALYSIS Command
699
MUCONVERGENCE
The MUCONVERGENCE option is used to specify the complete-data
log likelihood derivative convergence criterion for the M step of the EM
algorithm for censored, categorical, and count outcomes. The default
convergence criterion is .000001.
RCONVERGENCE
The RCONVERGENCE option is used to specify the convergence
criterion for the GPA rotation algorithm for exploratory factor analysis.
The default convergence criterion is .00001.
ACONVERGENCE
The ACONVERGENCE option is used to specify the convergence
criterion for the derivatives of the alignment optimization. The default is
0.001.
MIXC
The MIXC option is used to specify whether to use the number of
iterations or the convergence criterion to terminate the M step iterations
of the EM algorithm for categorical latent variables. Following is an
example of how to select the convergence criterion being fulfilled:
MIXC = CONVERGENCE;
MIXU
The MIXU option is used to specify whether to use the number of
iterations or the convergence criterion to terminate the M step iterations
of the EM algorithm for censored, categorical, and count outcomes.
Following is an example of how to select the convergence criterion
being fulfilled:
MIXU = CONVERGENCE;
CHAPTER 16
700
LOGHIGH
The LOGHIGH option is used to specify the maximum value allowed for
the logit thresholds of the latent class indicators. The default is +15.
LOGLOW
The LOGLOW option is used to specify the minimum value allowed for
the logit thresholds of the latent class indicators. The default is -15.
UCELLSIZE
The UCELLSIZE option is used to specify the minimum expected cell
size allowed for computing chi-square from the frequency table of the
latent class indicators when the corresponding observed cell size is not
zero. The default value is .01.
VARIANCE
The VARIANCE option is used in conjunction with TYPE=RANDOM
and TYPE=TWOLEVEL when ESTIMATOR=ML, MLR, or MLF to
specify the minimum value that is allowed in the estimation of the
variance of the random effect variables and the variances of the between-
level outcome variables. The default value is .0001.
SIMPLICITY
The SIMPLICITY option is used to select the simplicity criterion of the
alignment optimization. The simplicity function is optimized at a
solution with a few large non-invariant parameters and many invariant
parameters rather than many medium-sized non-invariant parameters.
The SIMPLICITY option has two settings: SQRT and FOURTHRT.
SQRT is the default. The SQRT setting takes the square root of the
weighted component loss function. The FOURTHRT setting takes the
double square root of the weighted component loss function. It may in
some cases further reduce small significant differences.
ANALYSIS Command
701
TOLERANCE
The TOLERANCE option is used to specify the simplicity tolerance
value of the alignment optimization which must be positive. The default
is 0.01.
METRIC
The METRIC option is used to specify the factor variance metric of the
alignment optimization. The METRIC option has two settings:
REFGROUP and PRODUCT. REFGROUP is the default where the
factor variance is fixed at one in the reference group. The PRODUCT
setting sets the product of the factor variances in all of the groups to one.
The PRODUCT setting is not allowed with ALIGNMENT=FIXED.
MATRIX
The MATRIX option identifies the matrix to be analyzed. The default
for continuous outcomes is to analyze the covariance matrix. The
following statement requests that a correlation matrix be analyzed:
MATRIX = CORRELATION;
The analysis of the correlation matrix is allowed only when all
dependent variables are continuous and there is a single group analysis
with no mean structure. Only the WLS estimator is allowed for this type
of analysis.
For models with all categorical dependent variables, the correlation
matrix is always analyzed. For models with combinations of categorical
and continuous dependent variables, the variances for the continuous
dependent variables are always included.
OPTIONS RELATED TO BAYES ESTIMATION
AND MULTIPLE IMPUTATION
POINT
The POINT option is used to specify the type of Bayes point estimate to
compute. The POINT option has three settings: MEDIAN, MEAN, and
CHAPTER 16
702
MODE. The default is MEDIAN. With the MODE setting, the mode
reported refers to the multivariate mode of the posterior distribution.
This mode is different from the univariate mode reported in the plot of
the Bayesian posterior parameter distribution. To request that the mean
be computed, specify:
POINT = MEAN;
CHAINS
The CHAINS option is used to specify how many independent Markov
chain Monte Carlo (MCMC) chains to use. The default is two. To
request that four chains be used, specify:
CHAINS = 4;
With multiple chains, parallel computing uses one chain per processor.
To benefit from this speed advantage, it is important to specify the
number of processors using the PROCESSORS option.
BSEED
The BSEED option is used to specify the seed to use for random number
generation in the Markov chain Monte Carlo (MCMC) chains. The
default is zero. If one chain is used, the seed is used for this chain. If
more than one chain is used, the seed is used for the first chain and is the
basis for generating seeds for the other chains. The randomly generated
seeds for the other chains can be found in TECH8. If the same seed is
used in a subsequent analysis, the other chains will have the same seeds
as in the previous analysis. To request a seed other than zero be used,
specify:
BSEED = 5437;
STVALUES
The STVALUES option is used to specify starting value information
(Asparouhov & Muthén, 2010b). The STVALUES option has three
settings: UNPERTURBED, PERTURBED, and ML. The default is
UNPERTURBED. If the UNPERTURBED setting is specified, the
default or user-specified starting values are used. If the PERTURBED
ANALYSIS Command
703
setting is used, a BSEED value must be specified. The default or user-
specified starting values are randomly perturbed using the BSEED value.
If the ML setting is used, the model is first estimated using maximum
likelihood estimation and the maximum likelihood parameter estimates
are used as starting values in the Bayesian analysis. To request that
maximum likelihood parameters be used as starting values, specify:
STVALUES = ML;
PREDICTOR
The PREDICTOR option is used with ESTIMATOR=BAYES to specify
how a categorical mediator variable is treated when it is an independent
variable in a regression and how an observed exogenous binary variable
is treated when it is brought into the model and put on the
CATEGORICAL list. The PREDICTOR option has two settings:
LATENT and OBSERVED. The default is LATENT where the predictor
variable is treated as a continuous latent response variable underlying
the categorical variable. When the OBSERVED setting is specified, the
predictor variable is treated as a continuous observed variable. Muthén,
Muthén, and Asparouhov (2016, section 9.8.2) recommend using the
OBSERVED setting for an observed exogenous binary variable on the
CATEGORICAL list. To request that the predictor variable be treated
as a continuous observed variable, specify:
PREDICTOR = OBSERVED;
ALGORITHM
The ALGORITHM option is used to specify the Markov chain Monte
Carlo (MCMC) algorithm to use for generating the posterior distribution
of the parameters (Gelman et al., 2004). The ALGORITHM option has
two settings: GIBBS and MH. The default is GIBBS. The GIBBS
setting uses the Gibbs sampler algorithm which divides the parameters
and the latent variables into groups that are conditionally and
sequentially generated. The GIBBS setting has four choices: PX1, PX2,
PX3, and RW. The default is PX1. PX1, PX2, and PX3 use parameter
extension techniques to generate correlation and covariance matrices.
PX1 is described in Asparouhov and Muthén (2010b). PX2 is described
in Boscardin et al. (2008). PX3 is described in Liu and Daniels (2006).
RW uses a random walk, Metropolis-Hastings algorithm to generate
CHAPTER 16
704
correlation and covariance matrices (Chib & Greenberg, 1998). This
algorithm can generate a covariance matrix with an arbitrary structure.
Following is an example of how to select an alternative choice for the
GIBBS setting:
ALGORITHM = GIBBS (PX3);
The MH setting uses the Metropolis-Hastings algorithm to generate all
of the parameters simultaneously using the observed-data loglikelihood.
The MH setting uses maximum likelihood starting values. The MH
proposal distribution uses the estimated covariance matrix of the
maximum likelihood parameter estimates. The MH algorithm is not
available for TYPE=MIXTURE or TYPE=TWOLEVEL. To request
that the Metropolis-Hastings algorithm be used, specify:
ALGORITHM = MH;
BCONVERGENCE
The BCONVERGENCE option is used to specify the value of the
convergence criterion to use for determining convergence of the
Bayesian estimation using the Gelman-Rubin convergence criterion
(Gelman & Rubin, 1992). The Gelman-Rubin convergence criterion
determines convergence by considering within and between chain
variability of the parameter estimates in terms of the potential scale
reduction (PSR) to determine convergence (Gelman et al., 2004, pp. 296-
298). The default is 0.05. The BCONVERGENCE value is used in the
following formula (Asparouhov & Muthén, 2010b):
a = 1 + BCONVERGENCE* factor,
such that convergence is obtained when PSR < a for each parameter.
The factor value ranges between one and two depending on the number
of parameters. With one parameter, the value of factor is one and the
value of a is 1.05 using the default value of BCONVERGENCE. With a
large number of parameters, the value of factor is 2 and the value of a is
1.1 using the default value of BCONVERGENCE.
With a single chain, PSR is defined using the third and the fourth
quarters of the chain. The first half of the chain is discarded as a burnin
phase. To request a stricter convergence criterion, specify:
ANALYSIS Command
705
BCONVERGENCE = .01;
BITERATIONS
The BITERATIONS option is used to specify the maximum and
minimum numbers of iterations for each Markov chain Monte Carlo
(MCMC) chain when the potential scale reduction (PSR) convergence
criterion (Gelman & Rubin, 1992) is used. The default for the maximum
number of iterations is 50,000. The default for the minimum number of
iterations is zero. To request more Bayes iterations for each chain,
specify:
BITERATIONS = 60000 (2000);
where 60,000 is the maximum number of iterations and 2,000 is the
minimum number of iterations when the PSR convergence criterion
(Gelman & Rubin, 1992) is used.
Another specification is:
BITERATIONS = (2000);
where the default of 50,000 is the maximum number of iterations and
2,000 is the minimum number of iterations when the PSR convergence
criterion is used.
FBITERATIONS
The FBITERATIONS option is used to specify a fixed number of
iterations for each Markov Chain Monte Carlo (MCMC) chain when the
potential scale reduction (PSR) convergence criterion (Gelman & Rubin,
1992) is not used. There is no default. When using this option, it is
important to use other means to determine convergence such as posterior
parameter trace plots. To request a fixed number of iterations for each
Markov Chain Monte Carlo (MCMC) chain, specify:
FBITERATIONS = 30000;
CHAPTER 16
706
THIN
The THIN option is used to specify which iterations from the posterior
distribution to use in the parameter estimation. When a chain is mixing
poorly with high auto-correlations, the estimation can be based on every
k-th iteration rather than every iteration. This is referred to as thinning.
The default is 1 in which case every iteration is used. To request that
every 20th iteration be used, specify:
THIN = 20;
which means that the first iteration used is 20, the second is 40, the third
is 60 etc.
MDITERATIONS
The MDITERATIONS option is used with the MODE setting of the
POINT option to specify the maximum number of iterations to use to
compute the multivariate mode in Bayes estimation. The default is
10,000. If the number of iterations used in the estimation exceeds the
number of iterations specified using the MDITERATIONS option, the
number of iterations specified using the MDITERATIONS option is
used. This number of iterations is selected from the total iterations using
equally-spaced intervals. To request that more iterations be used to
compute the multivariate mode, specify:
MDITERATIONS = 15000;
KOLMOGOROV
The KOLMOGOROV option is used to request a Kolmogorov-Smirnov
test of equality of the posterior parameter distributions across the
different chains using draws from the chains. The default is 100. To
request more draws, specify:
KOLMOGOROV = 1000;
PRIOR
The PRIOR option is used to request a plot of the prior distribution for
each parameter that has a proper prior. The plot of the prior
ANALYSIS Command
707
distributions can be viewed by choosing Bayesian prior distributions
from the Plot menu of the Mplus Editor. The default is 1,000 draws
from the prior distribution. To request more draws, specify:
PRIOR = 5000;
INTERACTIVE
The INTERACTIVE option is used to allow changes in technical
specifications during the iterations of an analysis when TECH8 is used.
This is useful in analyses that are computationally demanding. If a
starting value set has computational difficulties, it can be skipped. If too
many random starts have been chosen, the STARTS option can be
changed. If a too strict convergence criterion has been chosen, the
MCONVERGENCE option can be changed. Following is an example of
how to use the INTERACTIVE option:
INTERACTIVE = control.dat;
where control.dat is the name of the file that contains the technical
specifications that can be changed during an analysis. This file is
created automatically and resides in the same directory as the input file.
The following options of the ANALYSIS command are contained in this
file: STARTS, MITERATIONS, MCONVERGENCE,
LOGCRITERION, and RLOGCRITERION. No other options can be
used in this file except the INTERRUPT statement which is used to skip
the current starting value set and go to the next starting value set. It has
settings of 0 and 1. A setting of 0 specifies that a starting value set is not
skipped. A setting of 1 specifies that the starting value set is skipped.
As the default, the INTERRUPT statement is set to 0 and the other
options are set to either the program default values or the values
specified in the input file.
The following file is automatically created and given the name specified
using the INTERACTIVE option.
INTERRUPT = 0
STARTS = 200 50
MITERATIONS = 500
MCONVERGENCE = 1.0E-06
LOGCRITERION = 1.0E-003
CHAPTER 16
708
RLOGCRITERION = 1.0E-006
When the file is modified and saved, the new settings go into effect
immediately and are applied at each iteration. Following is an example
of a modified control.dat file where INTERRUPT and STARTS are
changed:
INTERRUPT = 1
STARTS = 150 50
MITERATIONS = 500
MCONVERGENCE = 1.0E-06
LOGCRITERION = 1.0E-003
RLOGCRITERION = 1.0E-006
PROCESSORS
The PROCESSORS option is used to specify the number of processors
to be used for parallel computing to increase computational speed.
When random starts are used, the PROCESSORS option is used in
conjunction with the STARTS option to determine the number of threads
to be used for parallel computing. The default is one processor and one
thread. Parallel computing is not available for all analyses. For some
analyses, multiple processors are used alone. In other analyses, multiple
processors are used together with threads.
MULTIPLE PROCESSORS
The use of multiple processors without threads is available for
TYPE=MIXTURE; Bayesian analysis with more than one chain unless
STVALUES=ML; models that require numerical integration; models
with all continuous variables, missing data, and maximum likelihood
estimation; and TYPE=TWOLEVEL with categorical outcomes and
ESTIMATOR= WLSMV. In these cases, the PROCESSORS option is
specified using one number as shown below:
PROCESSORS = 8;
where 8 is the number of processors to be used for parallel computing.
For Bayesian analysis, the PROCESSORS option is specified using one
number as shown below:
ANALYSIS Command
709
PROCESSORS = 2;
where 2 is the number of processors used for parallel computing. The
number of processors used cannot exceed the number of chains. If there
are more processors than chains, only the number of processors equal to
the number of chains is used. If there are more chains than processors,
each processor carries out one chain until it is completed and then the
remaining chains are carried out.
PROCESSORS AND THREADS
When processor and threads are used together, the threads are distributed
across the processors and the memory used is a multiple of the number
of threads. For large models that require a lot of memory, it is important
to have fewer threads than processors because computations are slower
or impossible when the memory used by all processors exceeds the
memory limit.
The use of multiple processors and multiple threads with random starts
as the default is available for TYPE=MIXTURE; Bayesian analysis with
more than one chain if STVALUES=ML; and models that require
numerical integration. They are also available for TYPE=RANDOM
and TYPE=TWOLEVEL and THREELEVEL with continuous outcomes
using ESTIMATOR=ML, MLR, and MLF without numerical integration
if the STARTS option is used. Without random starts only one
processor is used in these cases.
When the PROCESSORS option is used with random starts, it is used
with two numbers, the number of processors and the number of threads.
The number of threads is the smaller of the number of threads specified
using the PROCESSORS option or the number of final perturbations
specified using the STARTS option. Following is an example:
PROCESSORS = 8 4;
STARTS = 400 40;
where 4 is the number of threads and 40 is the number of final stage
optimizations. Because four is smaller than 40, the number of threads
for this example is four. Two processors are distributed across each of
the four threads. Each of the four threads carries out 100 initial stage
CHAPTER 16
710
and ten final stage optimizations. When a thread completes, its
processors are distributed across the remaining threads.
If the number of threads is not specified, it is the same as the number of
processors. In this case, the PROCESSORS option is specified as
follows:
PROCESSORS = 4;
where 4 is the number of processors to be used in the analysis for
parallel computing. The number of threads is also 4.

MODEL Command
711
CHAPTER 17
MODEL COMMAND
In this chapter, the MODEL command is discussed. The MODEL
command is used to describe the model to be estimated. The first part of
this chapter describes the general modeling framework used by Mplus
and introduces a set of terms that are used to describe the model to be
estimated. The second part of this chapter explains how a model is
translated into the Mplus language using the options of the MODEL
command. The last part of the chapter describes variations of the
MODEL command. The MODEL command has variations for use with
models with indirect effects, models with linear and non-linear
constraints, models with parameter constraints for the Wald test,
multiple group models, mixture models, multilevel models, and models
for generating data for Monte Carlo simulation studies.
THE Mplus FRAMEWORK
VARIABLES
There are three important distinctions that need to be made about the
variables in an analysis in order to be able to specify a model. The
distinctions are whether variables are observed or latent, whether
variables are dependent or independent, and the scale of the observed
dependent variables.
OBSERVED OR LATENT VARIABLES
Two types of variables can be modeled: observed variables and latent
variables. Observed variables are variables that are directly measured
such as test scores and diagnostic criteria. They are sometimes referred
to as manifest variables, outcomes, or indicators. Latent variables are
variables that are not directly measured such as ability, depression, and
health status. They are measured indirectly by a set of observed
variables. There are two types of latent variables: continuous and
categorical. Continuous latent variables are sometimes referred to as
factors, dimension, constructs, or random effects. Categorical latent
variables are sometimes referred to as latent class variables or mixtures.
CHAPTER 17
712
DEPENDENT OR INDEPENDENT VARIABLES
Observed and latent variables can play the role of a dependent variable
or an independent variable in the model. The distinction between
dependent and independent variables is that of a regression analysis for y
regressed on x where y is a dependent variable and x is an independent
variable. An independent variable is one that is not influenced by any
other variable. Dependent variables are those that are influenced by
other variables. Other terms used for dependent variables are outcome
variable, response variable, indicator variable, y variable, and
endogenous variable. Other terms used for independent variables are
covariate, background variable, explanatory variable, predictor, x
variable, and exogenous variable.
SCALE OF OBSERVED DEPENDENT VARIABLES
The scale of observed dependent variables can be continuous, censored,
binary, ordered categorical (ordinal), unordered categorical (nominal),
counts, or combinations of these variable types.
UNDERLYING GENERAL MODEL
The purpose of modeling data is to describe the structure of a data set in
a simple way so that it is more understandable and interpretable.
Essentially, modeling data amounts to specifying a set of relationships
between variables.
The underlying model of Mplus consists of three parts: the measurement
model for the indicators of the continuous latent variables, the
measurement model for the indicators of the categorical latent variables,
and the structural model involving the continuous and categorical latent
variables and the observed variables that are not indicators of the
continuous or categorical latent variables. A model may consist of only
a measurement model as in confirmatory factor analysis or latent class
analysis, only a structural model as in a path analysis, or both a
measurement model and a structural model as in latent variable
structural equation modeling, longitudinal growth modeling, regression
mixture modeling, or growth mixture modeling.

MODEL Command
713
THE MODEL COMMAND
The MODEL command is used to describe the model to be estimated. It
has options for defining latent variables, describing relationships among
variables in the model, and specifying details of the model. The
MODEL command has variations for use with models with indirect
effects, models with non-linear constraints, models with parameter
constraints for the Wald test, multiple group models, mixture models,
multilevel models, and models for generating data for Monte Carlo
simulation studies.
Following are the options for the MODEL command:
MODEL:
BY
short for measured by -- defines latent variables
example: f1 BY y1-y5;
ON
short for regressed on -- defines regression relationships
example: f1 ON x1-x9;
PON
short for regressed on -- defines paired regression relationships
example: f2 f3 PON f1 f2;
WITH
short for correlated with -- defines correlational relationships
example: f1 WITH f2;
PWITH
short for correlated with -- defines paired correlational
relationships
example: f1 f2 f3 PWITH f4 f5 f6;
list of variables;
refers to variances and residual variances
example: f1 y1-y9;
[list of variables];
refers to means, intercepts, thresholds
example: [f1, y1-y9];
*
frees a parameter at a default value or a specific starting value
example: y1* y2*.5;
@
fixes a parameter at a default value or a specific value
example: y1@ y2@0;
(number)
constrains parameters to be equal
example: f1 ON x1 (1);
f2 ON x2 (1);
variable$number
label for the threshold of a variable
variable#number
label for nominal observed or categorical latent variable
variable#1
label for censored or count inflation variable
variable#number
label for baseline hazard parameters
variable#number
label for a latent class
(name)
label for a parameter
{list of variables};
refers to scale factors
example: {y1-y9};

CHAPTER 17
714
|
growth model
AT
ON
BY
variable name
XWITH
used for growth models, random effects, and latent variable
interactions
example: i s | y1@0 y2@1 y3@2;
example: i s | y1 y2 y3 AT t1 t2 t3;
example: s | y1 ON x1;
example: s1 s2 s3 | f BY y1 y2 y3; f@1;
example: logv | y;
example: int | f1 XWITH f2;
MODEL INDIRECT:
IND
VIA
MOD
describes indirect and total effects
describes a specific indirect effect or a set of indirect effects
when there is no moderation;
describes a set of indirect effects that includes specific
mediators;
describes a specific indirect effect when there is moderation;
MODEL CONSTRAINT:
NEW
DO
PLOT
LOOP
describes linear and non-linear constraints on parameters
assigns labels to parameters not in the analysis model;
describes a do loop or double do loop;
describes y-axis variables;
describes x-axis variables;
MODEL TEST:
DO
describes testing restrictions on the analysis model using the
Wald test
describes a do loop or double do loop;
MODEL PRIORS:
COVARIANCE
DO
DIFFERENCE
specifies the prior distribution for the parameters
assigns a prior to the covariance between two parameters;
describes a do loop or double do loop;
assigns priors to differences between parameters;
Following are variations of the MODEL command:
MODEL:
describes the analysis model
MODEL label:
describes the group-specific model in multiple group analysis
and the model for each categorical latent variable and
combinations of categorical latent variables in mixture modeling
MODEL:
%OVERALL%
%class label%
describes the overall part of a mixture model
describes the class-specific part of a mixture model
MODEL:
%WITHIN%
%BETWEEN%
%BETWEEN label%
describes the individual-level model
describes the cluster-level model for a two-level model
describes the cluster-level model for a three-level or cross-
classified model
MODEL POPULATION:
describes the data generation model
MODEL POPULATION-
label:
describes the group-specific data generation model in multiple
group analysis and the data generation model for each
categorical latent variable in mixture modeling

MODEL Command
715
MODEL POPULATION:
%OVERALL%
%class label%
describes the overall data generation model for a mixture
model
describes the class-specific data generation model for a mixture
model
MODEL POPULATION:
%WITHIN%
%BETWEEN%
%BETWEEN label%
describes the individual-level data generation model for a
multilevel model
describes the cluster-level data generation model for a two-level
model
describes the cluster-level data generation model for a three-
level or cross-classified model
MODEL COVERAGE:
describes the population parameter values for a Monte Carlo
study
MODEL COVERAGE-label:
describes the group-specific population parameter values in
multiple group analysis and the population parameter values for
each categorical latent variable and combinations of categorical
latent variables in mixture modeling for a Monte Carlo study
MODEL COVERAGE:
%OVERALL%
%class label%
describes the overall population parameter values of a mixture
model for a Monte Carlo study
describes the class-specific population parameter values of a
mixture model
MODEL COVERAGE:
%WITHIN%
%BETWEEN%
%BETWEEN label%
describes the individual-level population parameter values for
coverage
describes the cluster-level population parameter values for a
two-level model for coverage
describes the cluster-level population parameter values for a
three-level or cross-classified model for coverage
MODEL MISSING:
describes the missing data generation model for a Monte Carlo
study
MODEL MISSING-label:
describes the group-specific missing data generation model for
a Monte Carlo study
MODEL MISSING:
%OVERALL%
%class label%
describes the overall data generation model of a mixture model
describes the class-specific data generation model of a mixture
model
The MODEL command is required for all analyses except exploratory
factor analysis (EFA), exploratory latent class analysis (LCA), a baseline
model, and TYPE=BASIC.

CHAPTER 17
716
MODEL COMMAND OPTIONS
There are three major options in the MODEL command that are used to
describe the relationships among observed variables and latent variables
in the model. They are:
BY
ON
WITH
BY is used to describe the regression relationships in the measurement
model for the indicators of the continuous latent variables. These
relationships define the continuous latent variables in the model. BY is
short for measured by. ON is used to describe the regression
relationships among the observed and latent variables in the model. It is
short for regressed on. WITH is used to describe correlational
(covariance) relationships in the measurement and structural models. It
is short for correlated with.
The model in the following figure is used to illustrate the use of the BY,
ON, and WITH options. The squares represent observed variables and
the circles represent latent variables. Regression relationships are
represented by arrows from independent variables to dependent
variables. The variables f1 and f2 are continuous latent variables. The
observed dependent variables are y1, y2, y3, y4, y5, y6, y7, y8, and y9.
The measurement part of the model consists of the two continuous latent
variables and their indicators. The continuous latent variable f1 is
measured by y1, y2, y3, y4, and y5. The continuous latent variable f2 is
measured by y6, y7, y8, and y9. The structural part of the model
consists of the regression of the two continuous latent variables on nine
observed independent variables. The observed independent variables are
x1, x2, x3, x4, x5, x6, x7, x8, and x9. Following is the MODEL
command for the figure below:
MODEL: f1 BY y1-y5;
f2 BY y6-y9;
f1 f2 ON x1-x9;

MODEL Command
717
BY
The BY option is used to name and define the continuous latent
variables in the model. BY is short for measured by. The parameters
that are estimated are sometimes referred to as factor loadings or
lambdas. These are the coefficients for the regressions of the observed
dependent variables on the continuous latent variables. These observed
dependent variables are sometimes referred to as factor indicators. Each
BY statement can be thought of as a set of ON statements that describes
the regressions of a set of observed variables on a continuous latent
variable or factor. However, continuous latent variables in the
measurement model cannot be specified using a set of ON statements
CHAPTER 17
718
because BY statements are used to name the continuous latent variables.
BY statements also provide a set of convenient defaults.
Observed factor indicators for continuous latent variables can be
continuous, censored, binary, ordered categorical (ordinal), or counts.
Factor indicators can also be continuous latent variables or the inflation
part of censored and count variables. Combinations of all factor
indicator types are allowed. With TYPE=TWOLEVEL and
TYPE=TWOLEVEL MIXTURE, factor indicators for continuous latent
variables can be between-level random effects. These factor indicators
can appear only on the BETWEEN level.
CONFIRMATORY FACTOR ANALYSIS MODELING
In this section the use of the BY option for confirmatory factor analysis
(CFA) models is described. Following are the two BY statements that
describe how the continuous latent variables in the figure above are
measured:
f1 BY y1- y5;
f2 BY y6- y9;
The factor loading of any observed variable mentioned on the right-hand
side of the BY statement is free to be estimated with the exception of the
factor loading of the first variable after the BY option. This factor
loading is fixed at one as the default. Fixing a factor loading of an
indicator of a continuous latent variable sets the metric of the continuous
latent variable. Setting the metric can also be accomplished by fixing
the variance of the continuous latent variable to one and freeing the
factor loading of the factor indicator that is fixed at one as the default.
In the example above, the factor loadings of y1 and y6 are fixed at one.
The other factor loadings are estimated using default starting values of
one.
Following is an example of how to set the metric of the continuous latent
variable by fixing the variance of the continuous latent variable to one
and allowing all factor loadings to be free:
f1 BY y1* y2- y5;
f2 BY y6* y7- y9;
f1@1 f2@1;
MODEL Command
719
where the asterisk (*) after y1 and y6 frees the factor loadings of y1 and
y6, and the @1 after f1 and f2 fixes the variances of f1 and f2 to one.
The use of the asterisk (*); @ symbol; and the specification of means,
thresholds, variances, and covariances are discussed later in the chapter.
Residual variances are estimated as the default when factor indicators
are continuous or censored. Residual covariances among the factor
indicators are fixed at zero as the default. All default settings can be
overridden. How to do so is discussed later in this chapter.
The BY option can also be used to define continuous latent variables
underlying other continuous latent variables that have observed factor
indicators. This is referred to as second-order factor analysis. However,
a continuous latent variable cannot be used on the right-hand side of a
BY statement before it has been defined on the left-hand side of another
BY statement. For example, the following statements are acceptable:
f1 BY y1 y2 y3 y4 y5;
f2 BY y6 y7 y8 y9;
f3 BY f1 f2;
whereas, the following statements are not acceptable:
f3 BY f1 f2;
f1 BY y1 y2 y3 y4 y5;
f2 BY y6 y7 y8 y9;
because f1 and f2 are used on the right-hand side of a BY statement
before they are defined on the left-hand side of a BY statement.
EXPLORATORY STRUCTURAL EQUATION MODELING
In this section the use of the BY option for exploratory structural
equation (ESEM) modeling (Asparouhov & Muthén, 2009a) is
described. One of the differences between CFA and EFA factors is that
CFA factors are not rotated. For a set of EFA factors, the factor loading
matrix is rotated as in conventional EFA using the rotations available
through the ROTATION option of the ANALYSIS command. A set of
EFA factors must have the same factor indicators. A set of EFA factors
can be regressed on the same set of covariates. An observed or latent
variable can be regressed on a set of EFA factors. EFA factors are
CHAPTER 17
720
allowed with TYPE=GENERAL and TYPE=COMPLEX with observed
dependent variables that are continuous, censored, binary, ordered
categorical (ordinal), and combinations of these variable types. EFA
factors are not allowed when summary data are analyzed or when the
MLM, MLMV, or GLS estimators are used.
The BY option has three special features that are used with sets of EFA
factors in the MODEL command. One feature is used to define sets of
EFA factors. The second feature is a special way of specifying factor
loading matrix equality for sets of EFA factors. The third feature is used
in conjunction with the TARGET setting of the ROTATION option of
the ANALYSIS command to provide target factor loading values to
guide the rotation of the factor loading matrix for sets of EFA factors.
DEFINING EFA FACTORS
Following is an example of how to define a set of EFA factors using the
BY option:
f1-f2 BY y1-y5 (*1);
where the asterisk (*) followed by a label specifies that factors f1 and f2
are a set of EFA factors with factor indicators y1 through y5.
Following is an alternative specification:
f1 BY y1-y5 (*1);
f2 BY y1-y5 (*1);
where the label 1 specifies that factors f1 and f2 are part of the same set
of EFA factors. Rotation is carried out on the five by two factor loading
matrix. Labels for EFA factors must follow an asterisk (*). EFA factors
with the same label must have the same factor indicators.
More than one set of EFA factors may appear in the MODEL command.
For example,
f1-f2 BY y1-y5 (*1);
f3-f4 BY y6-y10 (*2);
MODEL Command
721
specifies that factors f1 and f2 are one set of EFA factors with the label
1 and factors f3 and f4 are another set of EFA factors with the label 2.
The two sets of EFA factors are rotated separately.
Factors in a set of EFA factors can be regressed on covariates but the set
of covariates must be the same, for example,
f1-f2 ON x1-x3;
or
f1 ON x1-x3;
f2 ON x1-x3;
A set of EFA factors can also be used as covariates in a regression, for
example,
y ON f1-f2;
EQUALITIES WITH EFA FACTORS
The BY option has a special convention for specifying equalities of the
factor loading matrices for more than one set of EFA factors. The
equality label is placed after the label that defines the set of EFA factors
and applies to the entire factor loading matrix not to a single parameter.
Following is an example of how to specify that the factor loading
matrices for the set of EFA factors f1 and f2 and the set of EFA factors
f3 and f4 are held equal:
f1-f2 BY y1-y5 (*1 1);
f3-f4 BY y6-y10 (*2 1);
The number 1 following the labels 1 and 2 that define the EFA factors
specifies that the factor loadings matrices for the two sets of EFA factors
are held equal.
TARGET ROTATION WITH EFA FACTORS
The BY option has a special feature that is used with the TARGET
setting of the ROTATION option of the ANALYSIS command to
specify target factor loading values for a set of EFA factors (Browne,
CHAPTER 17
722
2001). The target factor loading values are used to guide the rotation of
the factor loading matrix. Typically these values are zero. For the
TARGET rotation, a minimum number of target values must be given for
purposes of model identification. For the default oblique TARGET
rotation, the minimum is m(m-1) where the m is the number of factors.
For the orthogonal TARGET rotation, the minimum is m(m-1)/2. The
target values are given in the MODEL command using the tilde (~)
symbol. The target values are specified in a BY statement using the tilde
(~) symbol as follows:
f1 BY y1-y5 y1~0 (*1);
f2 BY y1-y5 y5~0 (*1);
where the target factor loading values for the factor indicator y1 for
factor f1 and y5 for factor f2 are zero.
ON
The ON option is used to describe the regression relationships in the
model and is short for regressed on. The general form of the ON
statement is:
y ON x;
where y is a dependent variable and x is an independent variable.
Dependent and independent variables can be observed or latent
variables.
In the previous figure, the structural relationships are the regressions of
the continuous latent variables f1 and f2 on the nine independent
variables x1 through x9. The ON statements shown below are used to
specify these regressions:
f1 ON x1-x9;
f2 ON x1-x9;
These statements specify that regression coefficients are free to be
estimated for f1 and f2 regressed on the independent variables x1
through x9 with default starting values of zero.
MODEL Command
723
For continuous latent variables, the residual variances are estimated as
the default. The residuals of the latent variables are correlated as the
default because residuals are correlated for latent variables that do not
influence any other variable in the model except their own indicators.
These defaults can be overridden. Means, variances, and covariances of
the independent variables in the model should not be mentioned in the
MODEL command because the model is estimated conditioned on the
covariates.
An ON statement can be used to describe the regression relationship
between an observed dependent variable and an observed independent
variable. Following is an example of how to specify the regression of an
observed dependent variable y9 on the observed independent variable
x9:
y9 ON x9;
The general form of the ON statement is used to describe regression
relationships for continuous latent variables and observed variables that
are continuous, censored, binary, ordered categorical (ordinal), counts,
censored inflated, and count inflated. The ON option has special
features for categorical latent variables and unordered categorical
(nominal) observed variables which are described below.
CATEGORICAL LATENT VARIABLES AND
UNORDERED CATEGORICAL (NOMINAL) OBSERVED
VARIABLES
For categorical latent variables and unordered categorical (nominal)
observed variables, the ON option is used to describe the multinomial
logistic regression of the categorical latent variable or the unordered
categorical (nominal) observed variable on one or more independent
variables.
For a categorical latent variable, an ON statement is specified for each
latent class except the last class which is the reference class. A class
label is used to refer to each class. Class labels use the convention of
adding to a variable name the number symbol (#) followed by a number.
For a categorical latent variable c with three classes,
c#1 c#2 ON x1-x3;
CHAPTER 17
724
specifies that regression coefficients are free to be estimated for classes
1 and 2 of the categorical latent variable c regressed on the independent
variables x1, x2, and x3. The intercepts in the regression of the
categorical latent variable on the independent variables are free to be
estimated as the default.
The statement above can be simplified to the following:
c ON x1-x3;
The multinomial logistic regression of one categorical latent variable on
another categorical latent variable where c2 has four classes and c1 has
three classes is specified as follows:
c2 ON c1;
or
c2#1 c2#2 c2#3 ON c1#1 c1#2;
For an unordered categorical (nominal) observed variable, an ON
statement is specified for each category except the last category which is
the reference category. A category label is used to refer to each
category. Category labels use the convention of adding to a variable
name the number symbol (#) followed by a number. For a three-
category variable u,
u#1 u#2 ON x1-x3;
specifies that regression coefficients are free to be estimated for
categories 1 and 2 of the unordered categorical (nominal) observed
variable u regressed on the independent variables x1, x2, and x3. The
thresholds in the regression of the unordered categorical (nominal)
observed variable on the independent variables are free to be estimated
as the default.
The statement above can be simplified to the following:
u ON x1-x3;

MODEL Command
725
Following is a table that describes how the relationships between
dependent variables and observed mediating variables or latent variables
are specified. Relationships with the designation of NA are not allowed.
Relationships not specified using the ON option are specified by listing
for each class the intercepts or thresholds in square brackets and the
residual variances with no brackets. Not shown in the table is that all
dependent variables can be regressed on independent variables that are
not mediating variables using the ON option.
Scale of
Dependent
Variable
Scale of Observed
Mediating Variable
Scale of Latent Variable
Continuous
Censored,
Categorical,
and Count
Nominal
Continuous
Categorical
Inflation
Part of
Censored
and Count
Continuous
ON
ON
NA
ON
Mean and
variance vary
across classes
NA
Censored,
Categorical,
and Count
ON
ON
NA
ON
Mean/
threshold
and variance
vary across
classes
NA
Nominal
ON
ON
NA
ON
Means vary
across classes
NA
Continuous
Latent
ON
ON
NA
ON
Mean and
variance vary
across classes
NA
Categorical
Latent
ON
ON
NA
ON
ON
NA
Inflation
Part of
Censored
and Count
ON
ON
NA
ON
Mean varies
across classes
NA
PON
A second form of the ON option is PON. PON is used to describe the
paired regression relationships in the model and is short for regressed
on. PON pairs the variables on the left-hand side of the PON statement
with the variables on the right-hand side of the PON statement. For
CHAPTER 17
726
PON, the number of variables on the left-hand side of the PON statement
must equal the number of variables on the right-hand side of the PON
statement. For example,
y2 y3 y4 PON y1 y2 y3;
implies
y2 ON y1;
y3 ON y2;
y4 ON y3;
The PON option cannot be used with the simplified language for
categorical latent variables or unordered categorical (nominal) observed
variables.
WITH
The WITH option is used to describe correlational relationships in a
model and is short for correlated with. Correlational relationships
include covariances among continuous observed variables and
continuous latent variables and among categorical latent variables. With
the weighted least squares estimator, correlational relationships are also
allowed for binary, ordered categorical, and censored observed
variables. For all other variable types, the WITH option cannot be used
to specify correlational relationships. Special modeling needs to be used
in these situations, for example, using a latent variable that influences
both variables.
The NOCOVARIANCES setting of the MODEL option of the
ANALYSIS command specifies that the covariances and residual
covariances among all latent and observed variables in the analysis
model are fixed at zero. The WITH option is used to free selected
covariances and residual covariances.
Following is an example of how to specify the WITH option:
f1 WITH f2;
This statement frees the covariance parameter for the continuous latent
variables f1 and f2.
MODEL Command
727
Several variables can be included on both sides of the WITH statement.
In this situation, the variables on the left-hand side of the WITH
statement are crossed with the variables on the right-hand side of the
WITH statement resulting in all possible combinations of left- and right-
hand side variables.
The association between two categorical latent variables c1 and c2
where c1 has three classes and c2 has four classes is specified as
follows:
c1#1 c1#2 WITH c2#1 c2#2 c2#3;
The statement above can be simplified to:
c1 WITH c2;
The association coefficient for the last class of each categorical latent
variable is fixed at zero as the default as in loglinear modeling.
PWITH
A second form of the WITH option is PWITH. PWITH pairs the
variables on the left-hand side of the PWITH statement with those on the
right-hand side of the PWITH statement. For PWITH, the number of
variables on the left-hand side of the PWITH statement must equal the
number of variables on the right-hand side of the PWITH statement. For
example,
y1 y2 y3 PWITH y4 y5 y6;
implies
y1 WITH y4;
y2 WITH y5;
y3 WITH y6;
whereas,
y1 y2 y3 WITH y4 y5 y6;
implies
CHAPTER 17
728
y1 WITH y4;
y1 WITH y5;
y1 WITH y6;
y2 WITH y4;
y2 WITH y5;
y2 WITH y6;
y3 WITH y4;
y3 WITH y5;
y3 WITH y6;
The PWITH option cannot be used with the simplified language for
categorical latent variables.
VARIANCES/RESIDUAL VARIANCES
For convenience, no distinction is made in how variances and residual
variances are referred to in the MODEL command. The model defines
whether the parameter to be estimated is a variance or a residual
variance. Variances are estimated for independent variables and residual
variances are estimated for dependent variables. Variances of
continuous and censored observed variables and continuous latent
variables are free to be estimated as the default. Variances of categorical
observed variables are not estimated. When the Theta parameterization
is used in either a growth model or a multiple group model, variances for
continuous latent response variables for the categorical observed
variables are estimated. Unordered categorical (nominal) observed
variables, observed count variables, and categorical latent variables have
no variance parameters.
A list of observed or latent variables refers to the variances or residual
variances of those variables. For example,
y1 y2 y3;
refers to the variances of y1, y2, and y3 if they are independent variables
and refers to the residual variances of y1, y2, and y3 if they are
dependent variables. The statement means that the variances or residual
variances are free parameters to be estimated using default starting
values.
MODEL Command
729
MEANS/INTERCEPTS/THRESHOLDS
Means, intercepts, and thresholds are included in the analysis model as
the default. The NOMEANSTRUCTURE setting of the MODEL option
of the ANALYSIS command is used with TYPE=GENERAL to specify
that means, intercepts, and thresholds are not included in the analysis
model.
For convenience, no distinction is made in how means and intercepts are
referred to in the MODEL command. The model defines whether the
parameter to be estimated is a mean or an intercept. Means are
estimated for independent observed variables and observed variables that
are neither independent nor dependent variables in the model. Means for
nominal variables are logit coefficients corresponding to probabilities
for each category except the last category. Means for count variables are
log rates. Means for time-to-event variables in continuous-time survival
analysis are log rates. Means are also estimated for independent
continuous latent variables and independent categorical latent variables.
For an independent categorical latent variable, the means are logit
coefficients corresponding to probabilities for each class except the last
class.
Intercepts are estimated for continuous observed dependent variables,
censored observed dependent variables, unordered categorical (nominal)
observed dependent variable, count observed dependent variables,
baseline hazard parameters for continuous-time survival analysis,
continuous latent dependent variables, and categorical latent dependent
variables.
Thresholds are estimated for binary and ordered categorical observed
variables. The sign of a threshold is the opposite of the sign of a mean
or intercept for the same variable. For example, with a binary dependent
variable, a threshold of -0.5 is the same as an intercept of .5.
A list of observed or latent variables enclosed in brackets refers to
means, intercepts, or thresholds.
For example,
[y1 y2 y3];
CHAPTER 17
730
refers to the means of variables y1, y2, and y3 if they are independent
variables and refers to the intercepts if they are continuous dependent
variables. This statement indicates that the means or intercepts are free
parameters to be estimated using the default starting values.
If the variables are categorical, the thresholds are referred to as follows,
[y1$1 y1$2 y1$3 y2$1 y2$2];
where y1 is a four category variable with three thresholds and y2 is a
three category variable with two thresholds. y1$1 refers to the first and
lowest threshold of variable y1; y1$2 refers to the next threshold; and
y1$3 refers to the highest threshold. This statement means that the
thresholds are free parameters to be estimated using the default starting
values.
For models with a mean structure, all means, intercepts, and thresholds
of observed variables are free to be estimated at the default starting
values. The means and intercepts of continuous latent variables are
fixed at zero in a single group analysis. In a multiple group analysis, the
means and intercepts of the continuous latent variables are fixed at zero
in the first group and are free to be estimated in the other groups. In a
mixture model, the means and intercepts of the continuous latent
variables are fixed at zero in the last class and are free to be estimated in
the other classes. The means and intercepts of categorical latent
variables are fixed at zero in the last class and are free to be estimated in
the other classes.
CONVENIENCE FEATURES FOR THE MODEL
COMMAND
There are several features that make it easier for users to specify the
model to be estimated. One feature is the list function. A user can use a
hyphen to specify a list of variables, a list of equality constraints, and a
list of parameter labels.
When using the list function, it is important to know the order of
observed and latent variables that the program expects. The order of
observed variables is determined by the order of variables in the
NAMES or USEVARIABLES options of the VARIABLE command. If
MODEL Command
731
all of the variables in NAMES statement are used in the analysis, then
the order is taken from there. If the variables for the analysis are a
subset of the variables in the NAMES statement, the order is taken from
the USEVARIABLES statement.
The order of continuous latent variables is determined by the order of
the BY and | statements in the MODEL command. Factors defined using
the BY option come first in the order that they occur in the MODEL
command followed by the random effects defined using the | symbol in
the order that they occur in the MODEL command.
The list function can be used on the left- and right-hand sides of ON and
WITH statements and on the right-hand side of BY statements. A list on
the left-hand side implies multiple statements. A list on the right-hand
side implies a list of variables.
Following is an example of the use of the list function on the right-hand
side of a BY statement. It assumes the variables are in the order: y1, y2,
y3, y4, y5, y6, y7, y8, y9, y10, y11, and y12.
f1 BY y1-y4;
f2 BY y5-y9;
f3 BY y10-y12;
The program would interpret these BY statements as:
f1 BY y1 y2 y3 y4;
f2 BY y5 y6 y7 y8 y9;
f3 BY y10 y11 y12;
To use the list function with latent variables the order of latent variables
would be f1, f2, f3 because of the order of the BY statements in the
MODEL command.
Following is an example of using the list function on both the left- and
the right-hand sides of the ON statement:
f1-f3 ON x1-x3;
This implies the multiple statements:
CHAPTER 17
732
f1 ON x1 x2 x3;
f2 ON x1 x2 x3;
f3 ON x1 x2 x3;
The list function can also be used with the WITH option,
y1-y3 WITH y4-y6;
This implies
y1 WITH y4;
y1 WITH y5;
y1 WITH y6;
y2 WITH y4;
y2 WITH y5;
y2 WITH y6;
y3 WITH y4;
y3 WITH y5;
y3 WITH y6;
FREEING PARAMETERS AND ASSIGNING
STARTING VALUES
The asterisk (*) is used to free a parameter and/or assign a starting value
for the estimation of that parameter. It is placed after a parameter with a
number following it. For example:
y1*.5;
is interpreted as freeing the variance/residual variance of y1 to be
estimated with a starting value of 0.5.
Consider the BY statements from the previous section:
f1 BY y1 y2 y3 y4 y5;
f2 BY y6 y7 y8 y9;
As mentioned previously, the above statements result in the factor
loadings for y1 and y6 being fixed at one in order to set the metric of the
latent variables f1 and f2. All of the other parameters mentioned are free
MODEL Command
733
to be estimated with starting values of one. Consider the following BY
statements:
f1 BY y1* y2*0.5 y3 y4 y5;
f2 BY y6 y7-y9*0.9;
By putting an asterisk (*) after y1, the y1 parameter is freed at the
default starting value of one instead of being fixed at one by default. By
placing an asterisk (*) followed by 0.5 behind y2, the parameter starting
value is changed from the default starting value of 1 to 0.5. The
variables y3, y4, and y5 are free to be estimated at the default starting
value of one. In the BY statement for f2 the variables y7, y8, and y9 are
specified using the list function, y7-y9, followed by an asterisk (*) and
the value 0.9. This changes the starting values for y7, y8, and y9 from
the default starting value of 1 to 0.9.
These same features can be used with the ON and WITH options and for
assigning starting values to variances, means, thresholds, and scales.
Following are examples of assigning starting values to a variety of
parameters:
f1 ON x1-x3*1.5;
f1 WITH f2*.8;
y1-y12*.75;
[f1-f3*.5];
{y1-y12*5.0};
FIXING PARAMETER VALUES
In some cases, it is necessary to fix a parameter at a specific value. The
@ symbol is used to fix the values of parameters. Consider the
following example based on the measurement model in the earlier figure.
Following are the specifications needed to free the value of the first
indicator of each latent variable at starting values of one and to fix the
value of the second indicator of each latent variable to one in order to set
the metric of each latent variable:
f1 BY y1* y2@1 y3 y4 y5;
f2 BY y6* y7@1 y8 y9;
CHAPTER 17
734
By placing an asterisk (*) after y1, the factor loading for y1 is estimated
using the starting value of one. By placing @1 after y2, the factor
loading for y2 is fixed at one. Likewise, by placing an asterisk (*) after
y6, the factor loading for y6 is estimated using the starting value of one.
By placing @1 after y7, the factor loading for y7 is fixed at one.
The @ symbol can be used to fix any parameter in a model. The
following example fixes the covariance between f1 and f2 at zero:
f1 WITH f2@0;
CONSTRAINING PARAMETER VALUES TO BE
EQUAL
Parameters can be constrained to be equal by placing the same number in
parentheses following the parameters that are to be held equal. This
convention can be used for all parameters. Following is an example in
which regression coefficients, residual variances, and residual
covariances are held equal:
y1 ON x1 (1) ;
y2 ON x2 (1) ;
y3 ON x3 (1) ;
y1 y2 y3 (2);
y1 WITH y2-y3 (3);
In the above example, the regression coefficients for the three
regressions are constrained to be equal, the three residual variances are
constrained to be equal, and the two residual covariances are constrained
to be equal.
There can be only one number in parentheses on each line. If a
statement continues on more than one line, the number in parentheses
must be stated at the end of each line.
For example,
f1 BY y1 y2 y3 y4 y5 y6 y7 y8 y9 y10 y11 y12 (1)
y13 y14 y15 (1);
MODEL Command
735
specifies that the factor loadings of y2 through y15 are constrained to be
equal. The factor loading of y1 is fixed at one as the default.
The following statement,
f1 BY y1 y2 y3 y4 y5 y6 y7 y8 y9 y10 y11 y12
y13 y14 y15 (1);
specifies that the factor loadings of y13, y14, and y15 are constrained to
be equal because (1) refers to only the information on the line on which
it is located.
The following statement,
f1 BY y1 y2 y3 y4 y5 (1)
y6 y7 y8 y9 y10 (2)
y11 y12 y13 y14 y15 (3);
specifies that the factor loading of y1 is fixed at one and that the factor
loadings of y2, y3, y4, and y5 are held equal, that the factor loadings of
y6, y7, y8, y9, and y10 are held equal, and that the factor loadings of
y11, y12, y13, y14, and y15 are held equal.
Following are examples of how to constrain the parameters of means,
intercepts and/or thresholds to be equal.
[y1 y2 y3] (1);
indicates that the means/intercepts of variables y1, y2, and y3 are
constrained to be equal. The statements
[u1$1 u2$1 u3$1] (2);
[u1$2 u2$2 u3$2] (3);
[u1$3 u2$3 u3$3] (4);
indicate that the first threshold for variables u1, u2, and u3 are
constrained to be equal; that the second threshold for variables u1, u2,
and u3 are constrained to be equal; and that the third threshold for
variables u1, u2, and u3 are constrained to be equal. Out of nine
possible thresholds, three parameters are estimated. Only one set of
parentheses can be included on each line of the input file.
CHAPTER 17
736
USING THE LIST FUNCTION FOR ASSIGNING
STARTING VALUES, FIXING VALUES,
CONSTRAINING VALUES TO BE EQUAL, AND
ASSIGNING LABELS TO PARAMETERS
The list function is convenient for assigning starting values to
parameters, fixing parameters values, constraining parameter values to
be equal, and assigning labels to parameters.
ASSIGNING STARTING VALUES TO PARAMETERS
Following is an example of how to use the list function to assign starting
values to parameters:
f1 BY y1 y2-y4*0;
f2 BY y5 y6-y9*.5;
f3 BY y10 y11-y12*.75;
The program interprets these BY statements as:
f1 BY y1 y2*0 y3*0 y4*0;
f2 BY y5 y6*.5 y7*.5 y8*.5 y9*.5;
f3 BY y10 y11*.75 y12*.75;
where the starting value of 0 is assigned to the factor loadings for y2, y3,
and y4; the starting value of .5 is assigned to the factor loadings for y6,
y7, y8, and y9; and the starting value of .75 is assigned to the factor
loadings for y11 and y12. The factor loading for the first factor
indicator of each factor is fixed at one as the default to set the metric of
the factor.
FIXING PARAMETER VALUES
Following is an example of using the list function to fix parameter
values:
f1-f3@1;
The statement above fixes the variances/residual variances of f1, f2, and
f3 at one.
MODEL Command
737
CONSTRAINING PARAMETER VALUES TO BE EQUAL
Following is an example of using the list function to constrain parameter
values to be equal:
f1 BY y1-y5 (1)
y6-y10 (2);
The statement above specifies that the factor loadings of y2, y3, y4, and
y5 are held equal and that the factor loadings of y6, y7, y8, y9, and y10
are held equal. The factor loading of y1 is fixed at one as the default to
set the metric of the factor.
The list function can be used to assign equalities to a list of parameters
using a list of equality constraints. A list of equality constraints cannot
be used with a set of individual parameters. Following is an example of
how to use the list function with a list of parameters on the right-hand
side of the BY option:
f1 BY y1
y2-y5 (2-5);
f2 BY y6
y7-y10 (2-5);
The statements above specify that the factor loadings for y2 and y7 are
held equal, the factor loadings for y3 and y8 are held equal, the factor
loadings for y4 and y9 are held equal, and the factor loadings for y5 and
y10 are held equal. This can also be specified as shown below for
convenience.
f1 BY y1-y5 (1-5);
f2 BY y6-y10 (1-5);
No equality constraint is assigned to y1 and y6 even though they are part
of the list of variables because they are fixed at one to set the metric of
the factors. The number of equalities in the list must equal the number
of variables on the right-hand side of the BY option.
A list of equality constraints cannot be used with a list of parameters on
the left-hand side of an option. Following is an example of how equality
CHAPTER 17
738
constraints are specified for a list of parameters on the left-hand side of
the ON option:
y1-y3 ON x (1 2 3);
y4-y6 ON x (1 2 3);
where the regression coefficients in the regression of y1 on x and y4 on
x are constrained to be equal; the regression coefficients in the
regression of y2 on x and y5 on x are constrained to be equal; and the
regression coefficients in the regression of y3 on x and y6 on x are
constrained to be equal.
Following is an example of how equalities are specified when a list of
parameters appears on both the left- and right-hand sides of an option:
y1-y3 ON x1-x2 (1-2 3-4 5-6);
y4-y6 ON x1-x2 (1-2 3-4 5-6);
Each variable on the left-hand side of the ON option must have a list of
equalities for use with the variables on the right-hand side of the ON
option. Because there are three variables on the left-hand side of the ON
statement and two variables on the right-hand side of the ON statement,
three lists of two equalities are needed. A single list cannot be used.
Following is what this specifies:
y1 ON x1 (1);
y1 ON x2 (2);
y2 ON x1 (3);
y2 ON x2 (4);
y3 ON x1 (5);
y3 ON x2 (6);
y4 ON x1 (1);
y4 ON x2 (2);
y5 ON x1 (3);
y5 ON x2 (4);
y6 ON x1 (5);
y6 ON x2 (6);
The list function can be used with the simplified language for categorical
latent variables and unordered categorical (nominal) observed variables.
MODEL Command
739
The multinomial logistic regression of one categorical latent variable on
another categorical latent variable where c2 has four classes and c1 has
three classes is specified as follows:
c2 ON c1;
Following is an example of how equalities are specified when a list of
parameters appears on both the left- and right-hand sides of the ON
option using the simplified language:
c2 ON c1 (1-2 1-2 1-2);
or
c2 ON c1 (1-2);
Following is what this specifies:
c2#1 ON c1#1 (1);
c2#2 ON c1#2 (2);
c2#3 ON c1#1 (1);
c2#1 ON c1#2 (2);
c2#2 ON c1#1 (1);
c2#3 ON c1#3 (2);
ASSIGNING LABELS TO PARAMETERS
The list function can be used to assign labels to parameters in the
MODEL command. Following is an example of how to use the list
function in this way:
[y1-y5] (p1-p5);
The statement above assigns the parameter label p1 to y1, p2 to y2, p3 to
y3, p4 to y4, and p5 to y5.
The list function can be used to assign labels to a list of parameters using
a list of labels. A list of labels cannot be used with a set of individual
parameters. Following is an example of how to use the list function with
a list of parameters on the right-hand side of the BY option:
CHAPTER 17
740
f1 BY y1
y2-y5 (p2-p5);
The statement above assigns the label p2 to the factor loading for y2, p3
to the factor loading for y3, p4 to the factor loading for y4, and p5 to the
factor loading for y5.
A list of labels cannot be used with a list of parameters on the left-hand
side of an option. Following is an example of how labels are specified
for a list of parameters on the left-hand side of the ON option:
y1-y3 ON x (p1 p2 p3);
where the regression coefficient in the regression of y1 on x is assigned
the label p1; the regression coefficient in the regression of y2 on x is
assigned the label p; and the regression coefficient in the regression of
y3 on x is assigned the label p3.
Following is an example of how labels are specified when a list of
parameters appears on both the left- and right-hand sides of an option:
y1-y3 ON x1-x2 (p1-p2 p3-p4 p5-p6);
Each variable on the left-hand side of the ON option must have a list of
labels for use with the variables on the right-hand side of the ON option.
Because there are three variables on the left-hand side of the ON
statement and two variables on the right-hand side of the ON statement,
three lists of two equalities are needed. A single list cannot be used.
Because there are three variables on the left-hand side of the ON
statement and two variables on the right-hand side of the ON statement,
three lists of two equalities are needed.
Following is what this specifies:
y1 ON x1 (p1);
y1 ON x2 (p2);
y2 ON x1 (p3);
y2 ON x2 (p4);
y3 ON x1 (p5);
y3 ON x2 (p6);
MODEL Command
741
The list function can be used with the simplified language for categorical
latent variables and unordered categorical (nominal) observed variables.
The multinomial logistic regression of one categorical latent variable on
another categorical latent variable where c2 has four classes and c1 has
three classes is specified as follows:
c2 ON c1;
Following is an example of how labels are assigned when a list of
parameters appears on both the left- and right-hand sides of the ON
option using the simplified language:
c2 ON c1 (p1-p2 p3-p4 p5-p6);
Following is what this specifies:
c2#1 ON c1#1 (p1);
c2#2 ON c1#2 (p2);
c2#3 ON c1#1 (p3);
c2#1 ON c1#2 (p4);
c2#2 ON c1#1 (p5);
c2#3 ON c1#3 (p6);
SPECIAL LIST FUNCTION FEATURE
The list function has a special feature that can make model specification
easier. This feature allows a parameter to be mentioned in the MODEL
command more than once. The last specification is used in the analysis.
For example,
f1 BY y1-y6*0 y5*.5;
is interpreted by the program as
f1 BY y1*0 y2*0 y3*0 y4*0 y5*.5 y6*0;
Although y5 is assigned a starting value of 0.0 in the beginning of the
BY statement using the list function, y5 is assigned a starting value of
0.5 later in the statement. The program uses the last specification.
CHAPTER 17
742
If a variable is mentioned more than once on the right-hand side of a BY,
ON, or WITH statement or in a list of variances, means, or scale factors,
the program uses the last value it reads. This makes it convenient when
a user wants all of the starting values in a list to be the same except for a
few. The same feature can be used when fixing values. For example,
f1-f4@1 f3@2;
fixes the variances/residual variances of f1, f2, and f4 at one and fixes
the variance/residual variance of f3 at 2.
This feature can also be used with equalities, however, the variable from
the list that is not to be constrained to be equal must appear on a separate
line in the input file. In a line with an equality constraint, anything after
the equality constraint is ignored. For example,
f1 BY y1-y5 (1)
y4
y6-y10 (2);
indicates that the factor loadings for y2, y3, and y5 are held equal, the
factor loading for y4 is free and not equal to any other factor loading,
and the factor loadings for y6, y7, y8, y9, and y10 are held equal. The
factor loading for y1 is fixed at one as the default.
LABELING THRESHOLDS
For binary and ordered categorical dependent variables, thresholds are
referred to by using the convention of adding to a variable name a dollar
sign ($) followed by a number. The number of thresholds is equal to the
number of categories minus one. For example, if u1 is an ordered
categorical variable with four categories it has three thresholds. These
thresholds are referred to as u1$1, u1$2, and u1$3.
LABELING CATEGORICAL LATENT
VARIABLES AND UNORDERED CATEGORIAL
(NOMINAL) OBSERVED VARIABLES
The classes of categorical latent variables and the categories of
unordered categorical (nominal) observed variables are referred to by
MODEL Command
743
using the convention of adding to a variable name a number sign (#)
followed by the category/class number. For example, if c is a
categorical latent variable with three classes, the first two classes are
referred to as c#1 and c#2. The third class has all parameters fixed at
zero as a reference category. If u1 is a nominal variable with three
categories, the first two categories are referred to as u1#1 and u1#2. The
third category has all parameters fixed at zero as a reference category.
With the ON option categorical latent variables and unordered
categorical (nominal) observed variables can be referred to by their
variable name. With the WITH option, categorical latent variables can
be referred to by their variable name.
LABELING INFLATION VARIABLES
Censored and count inflation variables are referred to by using the
convention of adding to a variable name a number sign (#) followed by
the number one. For example, if y1 is a censored variable, the inflation
part of y1 is referred to as y1#1. If u1 is a count variable, the inflation
part of u1 is referred to as u1#1.
LABELING BASELINE HAZARD PARAMETERS
In continuous-time survival modeling, there are as many baseline hazard
parameters are there are time intervals plus one. When the
BASEHAZARD option of the ANALYSIS command is ON, these
parameters can be referred to by using the convention of adding to the
name of the time-to-event variable the number sign (#) followed by a
number. For example, for a time-to-event variable t with 5 time
intervals, the six baseline hazard parameters are referred to as t#1, t#2,
t#3, t#4, t#5, and t#6.
LABELING CLASSES OF A CATEGORICAL
LATENT VARIABLE
In the MODEL command, categorical latent variable classes are referred
to using labels. These labels are constructed by using the convention of
adding to the name of the categorical latent variable a number sign (#)
followed by a number. For example, if c is a categorical latent variable
with four classes, the labels for the four classes are c#1, c#2, and c#3.
The last class is the reference class.
CHAPTER 17
744
LABELING PARAMETERS
Labels can be assigned to parameters by placing a name in parentheses
following the parameter in the MODEL command. These labels are
used in three ways. First, they are used in conjunction with the MODEL
CONSTRAINT command to define linear and non-linear constraints on
the parameters in the model. Second, they are used with the MODEL
TEST command to test linear restrictions on the model defined in the
MODEL and MODEL CONSTRAINT commands. Third, they are used
with ESTIMATOR=BAYES and the MODEL PRIORS command to
specify the prior distribution for parameters in the MODEL command.
The parameter labels follow the same rules as variable names. They can
be up to 8 characters in length; must begin with a letter; can contain only
letters, numbers, and the underscore symbol; and are not case sensitive.
Only one label can appear on a line. Following is an example of how to
label parameters:
MODEL: y ON x1 (p1)
x2 (p2)
x3 (p3);
where p1 is the label assigned to the regression slope for y on x1, p2 is
the label assigned to the regression slope for y on the x2, and p3 is the
label assigned to the regression slope for y on x3.
The list function can be used to assign labels. Following is an example
of how to use the list function to label parameters:
MODEL: [y1-y10] (q1-q10);
y1-y10 (p1-p10);
f BY y1-y10 (z2-z10);
where the labels q1 through q10 are assigned to the intercepts of y1
through y10, the labels p1 through p10 are assigned to the residual
variances of y1 through y10, and the labels z2 through z10 are assigned
to the factors loadings for y2 through y10. The factor loading of y1 is
fixed at one as the default to set the metric of the factor.
If a list of labels is used, for example, in MODEL PRIORS, the order of
the labels is alphabetical not the order of the labels in the MODEL
MODEL Command
745
command. For example, the list p4-q2 includes p4, p5, p6, p7, p8, p9,
p10, q1, and q2.
The list function can be used with the ON and WITH options when there
are lists of variable names on both the right- and left-hand sides of these
options. Following is an example of how to use the list function to
assign labels when there are lists of variables on both the right- and left-
hand sides of ON:
y1-y3 ON x1-x2 (p1-p6);
The first variable on the left-hand side of ON is paired with all variables
on the right-hand side. Then the second variable on the left-hand side of
ON is paired with all variables on the right-hand side etc. The label p1
is assigned to the regression slope for y1 on x1. The label p2 is assigned
to the regression slope for y1 on x2. The label p3 is assigned to the
regression slope for y2 on y1. The label p6 is assigned to the regression
slope for y3 on x2.
Following is an example of how to use the list function to assign labels
when there are lists of variables on both the right- and left-hand sides of
WITH:
y1-y3 WITH y1-y3 ( p1-p3);
The labels are assigned to the upper triangle of a symmetric matrix read
row-wise. The label p1 is assigned to the covariance between y1 and y2.
The label p2 is assigned to the covariance between y1 and y3. The label
p3 is assigned to the covariance between y2 and y3.
SCALE FACTORS
In models that use TYPE=GENERAL, it may be useful to multiply each
observed variable or latent response variable by a scale factor that can be
estimated. For example, with categorical observed variables, a scale
factor refers to the underlying latent response variables and facilitates
growth modeling and multiple group analysis because the latent response
variables are not restricted to have across-time or across-group equalities
of variances. With continuous observed variables, using scale factors
containing standard deviations makes it possible to analyze a sample
covariance matrix by a correlation structure model.
CHAPTER 17
746
A list of observed variables in curly brackets refers to scale factors. For
example,
{u1 u2 u3};
refers to scale factors for variables u1, u2, and u3. This statement means
that the scale factors are free parameters to be estimated using the
default starting values of one.
The | SYMBOL
The | symbol is used to specify growth models, to name and define
random effect variables in the model, and to name and define latent
variable interactions.
GROWTH MODELS
Following is a description of the language specific to growth models.
The | symbol can be used with all analysis types to specify growth
models. The names on the left-hand side of the | symbol name the
random effect variables, also referred to as growth factors. The
statement on the right-hand side of the | symbol names the outcome and
specifies the time scores for the growth model.
Following is an example of the MODEL command for a quadratic
growth model for a continuous outcome specified without using the |
symbol:
MODEL: i BY y1-y4@1;
s BY y1@0 y2@1 y3@2 y4@3;
q BY y1@0 y2@1 y3@4 y4@9;
[y1-y4@0 i s q];
If the | symbol is used to specify the same growth model for a continuous
outcome, the MODEL command is:
MODEL: i s q | y1@0 y2@1 y3@2 y4@3;
All of the other specifications shown above are done as the default. The
defaults can be overridden by mentioning the parameters in the MODEL
command after the | statement. For example,

MODEL Command
747
MODEL: i s q | y1@0 y2@1 y3@2 y4@3;
[y1-y4] (1);
[i@0 s q];
changes the parameterization of the growth model from one with the
intercepts of the outcome variable fixed at zero and the growth factor
means free to be estimated to a parameterization with the intercepts of
the outcome variable held equal, the intercept growth factor mean fixed
at zero, and the slope growth factor means free to be estimated.
Many other types of growth models can be specified using the | symbol.
Following is a table that shows how to specify some of these growth
models using the | symbol and also how to specify the same growth
models using the BY option and other options. All examples are for
continuous outcomes unless specified otherwise.
Growth Language
Alternative
Intercept only
MODEL:
i | y1-y4@1;
MODEL:
i BY y1-y4@1;
[y1-y4@0 i];
Linear
MODEL:
i s | y1@0 y2@1 y3@2 y4@3;
MODEL:
i BY y1-y4@1;
s BY y1@0 y2@1 y3@2 y4@3;
[y1-y4@0 i s];
Linear with free
time scores
MODEL:
i s | y1@0 y2@1 y3 y4;
MODEL:
i BY y1-y4@1;
s BY y1@0 y2@1 y3 y4;
[y1-y4@0 i s];
Quadratic
MODEL:
i s q | y1@0 y2@1 y3@2 y4@3;
MODEL:
i BY y1-y4@1;
s BY y1@0 y2@1 y3@2 y4@3;
q BY y1@0 y2@1 y3@4 y4@9;
[y1-y4@0 i s q];
Piecewise
MODEL:
i s1 | y1@0 y2@1 y3@2 y4@2 y5@2;
i s2 | y1@0 y2@0 y3@0 y4@1 y5@2;
MODEL:
i BY y1-y4@1;
s1 BY y1@0 y2@1 y3@2 y4@2 y5@2;
s2 BY y1@0 y2@0 y3@0 y4@1 y5@2;
[y1-y4@0 i s1 s2];

CHAPTER 17
748
Linear for a
censored
outcome
MODEL:
i s | y1@0 y2@1 y3@2 y4@3;
MODEL:
i BY y1-y4@1;
s BY y1@0 y2@1 y3@2 y4@3;
[y1-y4@0 i s];
Linear for a
censored
outcome and the
inflation part of
a censored
outcome
MODEL:
i s | y1@0 y2@1 y3@2 y4@3;
ii si |y1#1@0 y2#1@1 y3#1@2
y4#1@3;
MODEL:
i BY y1-y4@1;
s BY y1@0 y2@1 y3@2 y4@3;
ii BY y1#1-y4#1@1;
si BY y1#1@0 y2#1@1 y3#1@2
y4#1@3;
[y1-y4@0 i s];
[y1#1-y4#1] (1);
[ii@0 si];
Linear for a
binary outcome
with the Delta
parameterization
MODEL:
i s | u1@0 u2@1 u3@2 u4@3;
MODEL:
i BY u1-u4@1;
s BY u1@0 u2@1 u3@2 u4@3;
[u1$1-u4$1] (1);
[i@0 s];
{u1@1 u2-u4};
Linear for a
binary outcome
with the Theta
parameterization
MODEL:
i s | u1@0 u2@1 u3@2 u4@3;
MODEL:
i BY u1-u4@1;
s BY u1@0 u2@1 u3@2 u4@3;
[u1$1-u4$1] (1);
[i@0 s];
u1@1 u2-u4;
Linear for a
binary outcome
with the logistic
model
MODEL:
i s | u1@0 u2@1 u3@2 u4@3;
MODEL:
i BY u1-u4@1;
s BY u1@0 u2@1 u3@2 u4@3;
[u1$1-u4$1] (1);
[i@0 s];
Linear for a
count outcome
MODEL:
i s | u1@0 u2@1 u3@2 u4@3;
MODEL:
i BY u1-u4@1;
s BY u1@0 u2@1 u3@2 u4@3;
[u1-u4@0 i s];

MODEL Command
749
Linear for a
count outcome
and the inflation
part of a count
outcome
MODEL:
i s | u1@0 u2@1 u3@2 u4@3;
ii si | u1#1@0 u2#1@1 u3#1@2
u4#1@3;
MODEL:
i BY u1-u4@1;
s BY u1@0 u2@1 u3@2 u4@3;
ii BY u1#1-u4#1@1;
si BY u1#1@0 u2#1@1 u3#1@2
u4#1@3;
[u1-u4@0 i s];
[u1#1-u4#1] (1);
[ii@0 si];
Multiple group
MODEL:
i s | y1@0 y2@1 y3@2 y4@3;
MODEL:
i BY y1-y4@1;
s BY y1@0 y2@1 y3@2 y4@3;
[y1-y4@0 i s];
MODEL g1:
[i s];
Multiple group
for a binary
outcome with
the Delta
parameterization
MODEL:
i s | u1@0 u2@1 u3@2 u4@3;
MODEL:
i BY u1-u4@1;
s BY u1@0 u2@1 u3@2 u4@3;
[u1$1-u4$1] (1);
{u1@1};
MODEL g1:
[s];
{u2-u4};
Multiple group
for a three-
category
outcome with
the Delta
parameterization
MODEL:
i s | u1@0 u2@1 u3@2 u4@3;
MODEL:
i BY u1-u4@1;
s BY u1@0 u2@1 u3@2 u4@3;
[u1$1-u4$1] (1);
[u1$2-u4$2] (2);
MODEL g1:
[s];
{u2-u4};
Multiple group
for a binary
outcome with
the Theta
parameterization
MODEL:
i s | u1@0 u2@1 u3@2 u4@3;
MODEL:
i BY u1-u4@1;
s BY u1@0 u2@1 u3@2 u4@3;
[u1$1-u4$1] (1);
u1@1;
MODEL g1:
[s];
u2-u4;

CHAPTER 17
750
Multiple group
for a three-
category
outcome with
the Theta
parameterization
MODEL:
i s | u1@0 u2@1 u3@2 u4@3;
MODEL:
i BY u1-u4@1;
s BY u1@0 u2@1 u3@2 u4@3;
[u1$1-u4$1] (1);
[u1$2-u4$2] (2);
MODEL g1:
[s];
u2-u4;
Mixture
MODEL:
%OVERALL%
i s | y1@0 y2@1 y3@2 y4@3;
MODEL:
%OVERALL%
i BY y1-y4@1;
s BY y1@0 y2@1 y3@2 y4@3;
[y1-y4@0 i s];
%c#1%
[i s];
Mixture for a
binary outcome
MODEL:
%OVERALL%
i s | u1@0 u2@1 u3@2 u4@3;
MODEL:
%OVERALL%
i BY u1-u4@1;
s BY u1@0 u2@1 u3@2 u4@3;
[u1$1-u4$1] (1);
[ i s];
%c#1%
[i s];
%c#2%
[i@0 ];
Multilevel
MODEL:
%WITHIN%
iw sw | y1@0 y2@1 y3@2 y4@3;
%BETWEEN%
ib sb | y1@0 y2@1 y3@2 y4@3;
MODEL:
%WITHIN%
iw BY y1-y4@1;
sw BY y1@0 y2@1 y3@2 y4@3;
%BETWEEN%
ib BY y1-y4@1;
sb BY y1@0 y2@1 y3@2 y4@3;
[y1-y4@0 ib sb];

MODEL Command
751
Multiple
indicator
MODEL:
f1 BY y11
y21 (1);
f2 BY y12
y22 (1);
f3 BY y13
y23 (1);
f4 BY y14
y24 (1);
[y11 y12 y13 y14] (2);
[y21 y22 y23 y24] (3);
i s | f1@0 f2@1 f3@2 f4@3;
MODEL:
f1 BY y11
y21 (1);
f2 BY y12
y22 (1);
f3 BY y13
y23 (1);
f4 BY y14
y24 (1);
[y11 y12 y13 y14] (2);
[y21 y22 y23 y24] (3);
i BY f1-f4@1;
s BY f1@0 f2@1 f3@2 f4@3;
[f1-f4@0 i@0 s];
Multiple
indicator for a
binary outcome
with the Delta
parameterization
MODEL:
f1 BY u11
u21 (1);
f2 BY u12
u22 (1);
f3 BY u13
u23 (1);
f4 BY u14
u24 (1);
[u11$1 u12$1 u13$1 u14$1] (2);
[u21$1 u22$1 u23$1 u24$1] (3);
{u11-u21@1 u12-u24};
i s | f1@0 f2@1 f3@2 f4@3;
MODEL:
f1 BY u11
u21 (1);
f2 BY u12
u22 (1);
f3 BY u13
u23 (1);
f4 BY u14
u24 (1);
[u11$1 u12$1 u13$1 u14$1] (2);
[u21$1 u22$1 u23$1 u24$1] (3);
{u11-u21@1 u12-u24};
i BY f1-f4@1;
s BY f1@0 f2@1 f3@2 f4@3;
[f1-f4@0 i@0 s];

CHAPTER 17
752
Multiple
indicator for a
binary outcome
with the Theta
parameterization
MODEL:
f1 BY u11
u21 (1);
f2 BY u12
u22 (1);
f3 BY u13
u23 (1);
f4 BY u14
u24 (1);
[u11$1 u12$1 u13$1 u14$1] (2);
[u21$1 u22$1 u23$1 u24$1] (3);
u11-u21@1 u12-u24;
i s | f1@0 f2@1 f3@2 f4@3;
MODEL:
f1 BY u11
u21 (1);
f2 BY u12
u22 (1);
f3 BY u13
u23 (1);
f4 BY u14
u24 (1);
[u11$1 u12$1 u13$1 u14$1] (2);
[u21$1 u22$1 u23$1 u24$1] (3);
u11-u21@1 u12-u24;
i BY f1-f4@1;
s BY f1@0 f2@1 f3@2 f4@3;
[f1-f4@0 i@0 s];
The defaults for the means/intercepts of the growth factors vary
depending on the scale of the outcome variable as described below. The
variances/residual variances and covariances/residual covariances of
growth factors are free to be estimated for all outcomes as the default.
For continuous, censored, and count outcomes, the means/intercepts of
the growth factors are free to be estimated. For a binary outcome, an
ordered categorical (ordinal) outcome, the inflation part of a censored
outcome, the inflation part of a count outcome, and a multiple indicator
growth model, the mean/intercept of the intercept growth factor is fixed
at zero. The means/intercepts of the slopes growth factors are free to be
estimated.
In multiple group analysis for continuous, censored, and count outcomes,
the means/intercepts of the growth factors are free to be estimated in all
groups. In multiple group analysis for a binary outcome, an ordered
categorical (ordinal) outcome, the inflation part of a censored outcome,
the inflation part of a count outcome, and a multiple indicator growth
model, the mean/intercept of the intercept growth factor is fixed at zero
in the first group and is free to be estimated in the other groups. The
means/intercepts of the slopes growth factors are free to be estimated in
all groups.
MODEL Command
753
In mixture models for continuous, censored, and count outcomes, the
means/intercepts of the growth factors are free to be estimated in all
classes. In mixture models for a binary outcome, an ordered categorical
(ordinal) outcome, the inflation part of a censored outcome, the inflation
part of a count outcome, and a multiple indicator growth model, the
mean/intercept of the intercept growth factor is fixed at zero in the last
class and is free to be estimated in the other classes. The
means/intercepts of the slopes growth factors are free to be estimated in
all classes.
The residual variances of continuous and censored outcome variables are
free as the default. The inflated part of censored outcomes, binary
outcomes, ordered categorical (ordinal) outcomes, count outcomes, and
the inflated part of count outcomes have no variance parameters. An
exception is the Theta parameterization used for binary and ordered
categorical (ordinal) outcomes. In the Theta parameterization, residual
variances are fixed at one at the first time point and are free at the other
time points.
AT
The AT option is used with TYPE=RANDOM to define a growth model
with individually-varying times of observation for the outcome variable.
AT is short for measured at. It is used in conjunction with the | symbol
to name and define the random effect variables in a growth model which
are referred to as growth factors.
Four types of growth models can be defined using AT and the | symbol:
an intercept only model, a model with two growth factors, a model with
three growth factors, and a model with four growth factors. The names
of the random effect variables are specified on the left-hand side of the |
symbol. The number of names determines which of the four models
model will be estimated. One name is needed for an intercept only
model and it refers to the intercept growth factor. Two names are
needed for a model with two growth factors: the first one is for the
intercept growth factor and the second one is for the slope growth factor
that uses the time scores to the power of one. Three names are needed
for a model with three growth factors: the first one is for the intercept
growth factor; the second one is for the slope growth factor that uses the
time scores to the power of one; and the third one is for the slope growth
factor that uses the time scores to the power of two. Four names are
CHAPTER 17
754
needed for a model with four growth factors: the first one is for the
intercept growth factor; the second one is for the slope growth factor that
uses the time scores to the power of one; the third one is for the slope
growth factor that uses the time scores to the power of two; and the
fourth one is for the slope growth factor that uses the time scores to the
power of three. Following are examples of how to specify these growth
models:
intercpt | y1 y2 y3 y4 AT t1 t2 t3 t4;
intercpt slope1 | y1 y2 y3 y4 AT t1 t2 t3 t4;
intercpt slope1 slope2 | y1 y2 y3 y4 AT t1 t2 t3 t4;
intercpt slope1 slope2 slope3 | y1 y2 y3 y4 AT t1 t2 t3 t4;
where intercpt, slope1, slope2, and slope3 are the names of the intercept
and slope growth factors; y1, y2, y3, and y4 are the outcome variables in
the growth model; and t1, t2, t3, and t4 are observed variables in the data
set that contain information on times of measurement. The TSCORES
option of the VARIABLE command is used to identify the variables that
contain information about individually-varying times of observation for
the outcome in a growth model. The variables on the left-hand side of
AT are paired with the variables on the right-hand side of AT.
The intercepts of the outcome variables are fixed at zero as the default.
The residual variances of the outcome variables are free to be estimated
as the default. The residual covariances of the outcome variables are
fixed at zero as the default. The means, variances, and covariances of
the intercept and slope growth factors are free as the default.
RANDOM SLOPES
The | symbol is used in conjunction with TYPE=RANDOM to name and
define the random slope variables in the model. The name on the left-
hand side of the | symbol names the random slope variable. The
statement on the right-hand side of the | symbol defines the random slope
variable. Random slopes are defined using the ON or PON options. ON
or PON statements used on the right-hand side of the | symbol may not
use the asterisk (*) or @ symbols. Otherwise, the regular rules regarding
ON and PON apply. The means and the variances of the random slope
variables are free as the default. Covariances among random slope
variables are fixed at zero as the default. Covariances between random
MODEL Command
755
slope variables and growth factors, latent variables defined using BY
statements, and observed variables are fixed at zero as the default.
With TYPE=TWOLEVEL RANDOM and TYPE=CROSSCLASSIFIED
RANDOM, the random slope variables are named and defined in the
within part of the MODEL command and used in the between part of the
MODEL command. For TYPE=THREELEVEL RANDOM, the random
slope variables are named and defined in the within and between level 2
parts of the MODEL command. Random slope variables defined in
within part of the MODEL command can be used in both the between
level 2 and between level 3 parts of the MODEL command. Random
slope variables defined in the between level 2 part of the MODEL
command can be used only in the between level 3 part of the MODEL
command.
For TYPE=THREELEVEL and TYPE=CROSSCLASSIFIED, random
slope variables are between-level variables. For TYPE=TWOLEVEL,
random slope variables are between-level variables unless specifically
designated as having variation on both levels. This is done by placing an
asterisk (*) after the name on the left-hand side of the | symbol as
follows:
s* | y ON x;
where the asterisk (*) indicates that the random slope variable s has
variation on both the within and between levels.
Following is an example of how to specify a random slope using the |
symbol:
s | y ON x;
where s is a random slope in the regression of y on x where y is a
continuous dependent variable and x is an independent variable. Both
dependent and independent variables can be latent or observed variables.
Lists can be used on both the left-hand side of the | symbol and the left-
and right-hand sides of ON and PON. Following is an example of how
to specify a set of random slopes using the | symbol and PON:
s1-s3 | y1-y3 PON x1-x3;
CHAPTER 17
756
where s1, s2, and s3 are random slopes in the regressions of y1 on x1, y2
on x2, and y3 on x3.
A random slope variable can refer to more than one slope by being used
on the left-hand side of more than one | statement. In this case, the
random slope variables are the same. For example,
s1 | y1 ON x1;
s1 | y2 ON x2;
defines the random slope, s1, to be the same in the regressions of y1 on
x1 and y2 on x2.
Another example is,
s2 | y1 ON x1 x2;
which defines the random slope, s2, to be the same in the regressions of
y1 on x1 and y1 on x2.
RANDOM FACTOR LOADINGS
For TYPE=TWOLEVEL and TYPE=CROSSCLASSIFIED, the | symbol
is used in conjunction with TYPE=RANDOM to name and define the
random factor loading variables in the model. The names on the left-
hand side of the | symbol name the random factor loading variables. The
statements on the right-hand side of the | symbol define the random
factor loading variables. Random factor loadings are defined using the
BY option. BY statements used on the right-hand side of the | symbol
may not use the asterisk (*) or @ symbol. Otherwise, the regular rules
regarding BY apply. The means and the variances of the random factor
loading variables are free as the default. Covariances between random
factor loading variables and growth factors, latent variables defined
using BY statements, and observed variables are fixed at zero as the
default.
For TYPE=TWOLEVEL, the random factor loading variables are named
and defined in the within part of the MODEL command and used in the
between part of the MODEL command. For
TYPE=CROSSCLASSIFIED, random factor loading variables that are
named and defined in the level 2a part of the MODEL command can be
MODEL Command
757
used in the level 2b part of the MODEL command. Level 2a is the
second cluster variable on the CLUSTER statement. Level 2b is the first
cluster variable on the CLUSTER statement. Random factor loading
variables are between-level variables. Following is an example of how
to specify random factor loadings using the | symbol:
s1-s10 | f BY y1-y10;
f@1;
where s1 through s10 are random factor loadings for the factor f. All
factor loadings are free. The metric of the factor is set by fixing the
factor variance to one.
RANDOM VARIANCES
The | symbol is used in conjunction with TYPE=RANDOM to name and
define random variance variables in the model. Random variances are
available only for TYPE=TWOLEVEL with ESTIMATOR=BAYES.
The name on the left-hand side of the | symbol names the random
variance variable. The variable on the right-hand side of the | symbol
specifies the variable that will have a random variance. The log of the
random residual variance is used in the model. The asterisk (*) or @
symbols may not be used on the right-hand side of the | symbol. The
means and the variances of the random variance variables are free as the
default. Covariances among random variance variables are fixed at zero
as the default. Covariances among random variance variables and
growth factors, latent variables defined using BY statements, and
observed variables are fixed at zero as the default. Following is an
example of how to specify and random variance using the | symbol.
logv | y;
where logv is the random variance for the variable y.
XWITH
The XWITH option is used with TYPE=RANDOM to define
interactions between continuous latent variables or between a continuous
latent variable and an observed variable. XWITH is short for multiplied
with. It is used in conjunction with the | symbol to name and define
interaction variables in a model. It is not available for
CHAPTER 17
758
TYPE=THREELEVEL or TYPE=CROSSCLASSIFIED. Following is
an example of how to use XWITH and the | symbol to name and define
an interaction:
int | f1 XWITH f2;
where int is the name of the interaction between f1 and f2. Interaction
variables can be used only on the right-hand side of ON statements.
The XWITH option can be used to create an interaction variable that is
the square of a latent variable. Following is an example of how this is
specified:
fsquare | f XWITH f;
Latent variable interactions are estimated using maximum likelihood for
all regular models as well as mixture models and multilevel models.
Interactions are allowed between continuous latent variables and
between a continuous latent variable and an observed variable. Factor
indicators for the continuous latent variables can be continuous,
censored, binary, ordered categorical (ordinal), counts, or combinations
of these variable types. Observed variables in the interaction can be
independent or mediating variables and the mediating variables can be
censored, binary, ordered categorical (ordinal), counts, or combinations
of these variable types. Dependent observed variables in the interaction
can have missing data. In many cases, numerical integration is required
in the maximum likelihood estimation of latent variable interactions.
Numerical integration becomes increasingly more computationally
demanding as the number of factors and the sample size increase.
Interactions between observed variables are handled using the DEFINE
command where an interaction variable is created via multiplication. If
an observed dependent variable has missing data, a latent variable can be
created for this observed variable and the procedure described above can
be used.
Interactions between categorical latent variables and between a
categorical latent variable and an observed or continuous latent variable
are handled using mixture modeling.

MODEL Command
759
Following is a table that summarizes ways of obtaining interactions for
different variable types.
Types of Variables
Interaction Options
observed continuous with
observed continuous
DEFINE
observed categorical with
observed continuous
DEFINE
Multiple Group
observed continuous with
continuous latent
XWITH
observed categorical with
continuous latent
XWITH
Multiple Group
observed continuous with
categorical latent
MIXTURE
observed categorical with
categorical latent
MIXTURE
KNOWNCLASS
continuous latent with
continuous latent
XWITH
continuous latent with
categorical latent
MIXTURE
categorical latent with
categorical latent
MIXTURE
THE MODEL INDIRECT COMMAND
The MODEL INDIRECT command is used to request indirect and direct
effects and their standard errors. Both the conventional indirect and
direct effects used in the traditional mediation literature (see, e.g.,
MacKinnon, 2008; Hayes, 2013) and counterfactually-defined causal
effects (see, e.g., Muthén, 2011; VanderWeele, 2015; Muthén &
Asparouhov, 2015b; Muthén, Muthén, & Asparouhov, 2016) are
available. The MODEL INDIRECT command is not available for
TYPE=RANDOM, the CONSTRAINT option of the VARIABLE
command, and TYPE=EFA.
Delta method standard errors for the indirect effects are computed as the
default. Bootstrap standard errors for the indirect effects can be
obtained by using the MODEL INDIRECT command in conjunction
with the BOOTSTRAP option of the ANALYSIS command.
CHAPTER 17
760
For conventional indirect and direct effects, the MODEL INDIRECT
command can be used in conjunction with the STANDARDIZED option
of the OUTPUT command to obtain standardized indirect effects and
their standard errors. Bootstapped standard errors are available for the
standardized indirect and direct effects when the BOOTSTRAP option is
used.
MODEL INDIRECT can also be used in conjunction with the
CINTERVAL option of the OUTPUT command to obtain confidence
intervals and Bayes credibility intervals for the indirect and direct effects
and the standardized indirect and direct effects. Three types of 95% and
99% confidence intervals can be obtained: symmetric, bootstrap, and
bias-corrected bootstrap confidence intervals (MacKinnon, Lockwood,
& Williams, 2004; MacKinnon, 2008). The bootstrapped distribution of
each parameter estimate is used to determine the bootstrap and bias-
corrected bootstrap confidence intervals. These intervals take non-
normality of the parameter estimate distribution into account. As a
result, they are not necessarily symmetric around the parameter estimate.
CONVENTIONAL INDIRECT AND DIRECT
EFFECTS
Conventional indirect effects defined as products of regression
coefficients are available for the case of a continuous, censored, binary,
or ordered categorical (ordinal) mediator and a continuous, censored,
binary, or ordered categorical (ordinal) outcome. Continuous mediators
and outcomes can be observed continuous variables or continuous latent
variables. For censored, binary, and ordered categorical (ordinal)
mediators or outcomes, the latent response variables underlying these
variables are used in the indirect and direct effects. These effects are
available for multiple mediators and multiple outcomes. Total, total
indirect, specific indirect, and direct effects used in traditional mediation
modeling are obtained using the IND and VIA options. The IND option
is used to request a specific indirect effect or a set of indirect effects.
The VIA option is used to request a set of indirect effects that includes
specific mediators.

MODEL Command
761
IND
The variable on the left-hand side of IND is the dependent variable in the
indirect effect. The last variable on the right-hand side of IND is the
independent variable in the indirect effect. Other variables on the right-
hand side of IND are mediating variables. If there are no mediating
variables included in the IND option, all indirect effects between the
independent variable and dependent variable are computed. The total
indirect effect is the sum of all indirect effects. The total effect is the
sum of all indirect effects and the direct effect.
VIA
The variable on the left-hand side of VIA is the dependent variable in
the indirect effect. The last variable on the right-hand side of VIA is the
independent variable in the indirect effect. Other variables on the right-
hand side of VIA are mediating variables. All indirect effects that go
from the independent variable to the dependent variable and include the
mediating variables are computed. The total indirect effect is the sum of
all indirect effects.
Following is an example of the model shown in the picture above for
which IND and VIA options will be specified.
MODEL:
y3 ON y1 y2;
y2 ON y1 x1 x2;
y1 ON x1 x2;
Following is an example of how MODEL INDIRECT can be used to
request indirect effects using the IND option:
CHAPTER 17
762
MODEL INDIRECT:
y3 IND y1 x1;
y3 IND y2 x1;
y3 IND x2;
The first IND statement requests the specific indirect effect from x1 to
y1 to y3. The second IND statement requests the specific indirect effect
from x1 to y2 to y3. The third IND statement requests all indirect effects
from x2 to y3. These include x2 to y1 to y3, x2 to y2 to y3, and x2 to y1
to y2 to y3.
Following is an example of how MODEL INDIRECT can be used to
request indirect effects using the VIA option:
MODEL INDIRECT:
y3 VIA y1 x1 ;
The VIA statement requests all indirect effects from x1 to y3 that are
mediated by y1. These include x1 to y1 to y3 and x1 to y1 to y2 to y3.
Following is an example of how MODEL INDIRECT can be used to
request total, total indirect, specific indirect, and direct effects:
MODEL INDIRECT:
y3 IND x1;
The IND statement requests all indirect effects from x1 to y3. These
include x1 to y1 to y3, x1 to y2 to y3, and x1 to y1 to y2 to y3, the total
effect, and the total indirect effect.
COUNTERFACTUALLY-DEFINED CAUSAL
EFFECTS
Counterfactually-defined total natural indirect effects (TNIE), pure
natural direct effects (PNDE), and total effects are available for
continuous, binary, and ordered categorical (ordinal) mediators and
continuous, binary, ordered categorical (ordinal) and count outcomes.
Continuous mediators and outcomes can be observed continuous
variables or continuous latent variables. The exposure variable can be
binary or continuous. Counterfactually-defined total natural indirect
MODEL Command
763
effects, pure natural direct effects, and total effects are available for a
single mediator. These effects are obtained using the IND and MOD
options. The IND option is used to specify a specific indirect effect
when there is no moderation. The MOD option is used to specify a
specific indirect effect when there is moderation.
IND
The IND option is used to specify a specific indirect effect when there is
no moderation. Following is an example of how to specify the IND
option with a binary exposure variable:
MODEL INDIRECT:
y IND m x;
where y is the outcome, m is the mediator, and x is a binary exposure
variable. The outcome and mediator can be continuous latent variables.
When the exposure variable is continuous, two values must be given in
parentheses following the exposure variable. The causal effects are
computed comparing these two values. The default is one for the first
value and zero for the second value corresponding to a binary exposure
variable such as comparing a treatment group to a control group.
Following is an example of how to specify the IND option with a
continuous exposure variable:
MODEL INDIRECT:
y IND m x (1 -1);
where y is the outcome, m is the mediator, and x is the continuous
exposure variable. The two values in parentheses following x are the
values used to compute the causal effects, in this case, comparing 1 to -
1, which represents an increase in x from -1 to 1. The outcome,
mediator, and the exposure variable can be continuous latent variables.
MOD
The MOD option is used to specify a specific indirect effect when there
is moderation. The MOD option can have three, four, or five arguments
on the right-hand side of MOD. If the model contains continuous
control variables, they should be centered for more meaningful results.
CHAPTER 17
764
If they are centered, indirect and direct effects are evaluated using their
means. If they are not centered, indirect and direct effects are evaluated
at the value zero.
The MOD option has three arguments when there is an interaction
between the exposure variable and the mediator. Following is an
example of how to specify the MOD option with three arguments:
MODEL INDIRECT:
y MOD m mx x;
where y is the outcome, m is the mediator, mx is the interaction between
m and x, and x is a binary exposure variable. The variables must be
given in this order. The outcome can be a continuous latent variable.
When a model contains a moderator variable in addition to an exposure
and a mediator variable, a moderator plot is available showing the
effects and their confidence intervals as a function of different values of
the moderator variable. The MOD option with a moderator can have
four or five arguments. The moderation plots are obtained by specifying
TYPE=PLOT2 or TYPE=PLOT3 in the PLOT command.
The MOD option followed by four arguments has two specifications.
The moderator can interact with either the mediator or the exposure
variable. Following is an example of how to specify the MOD option
with four arguments when the moderator interacts with the mediator:
MODEL INDIRECT:
y MOD m z (-1 1 0.1) mz x;
where y is the outcome, m is the mediator, z is the moderator, mz is the
interaction between m and z, and x is a binary exposure variable. The
variables must be given in this order. The numbers in parentheses
following z are the lower limit, upper limit, and the increment to be used
in evaluating and plotting the direct and indirect effects. The outcome
can be a continuous latent variable.
Following is an example of how to specify the MOD option with four
arguments when the moderator interacts with the mediator and the
exposure variable is continuous:
MODEL Command
765
MODEL INDIRECT:
y MOD m z (-1 1 0.1) mz x (1 -1);
where y is the outcome, m is the mediator, z is the moderator, mz is the
interaction between m and z, and x is a continuous exposure variable.
The variables must be given in this order. The numbers in parentheses
following z are the lower limit, upper limit, and the increment to be used
in evaluating and plotting the direct and indirect effects. The two values
in parentheses following x are the values used to compute the causal
effects, in this case, comparing 1 to -1, which represents an increase in x
from -1 to 1. The outcome and the exposure variable can be continuous
latent variables.
Following is an example of how to specify the MOD option with four
arguments when the moderator interacts with the binary exposure
variable:
MODEL INDIRECT:
y MOD m z (-1 1 0.1) xz x;
where y is the outcome, m is the mediator, z is the moderator, xz is the
interaction between x and z, and x is a binary exposure variable. The
variables must be given in this order. The numbers in parentheses
following z are the lower limit, upper limit, and the increment to be used
in evaluating and plotting the direct and indirect effects. The mediator
and outcome can be continuous latent variables.
The MOD option has five arguments when a moderator interacts with
both the mediator and the exposure variable. Following is an example of
how to specify the MOD option with five arguments:
MODEL INDIRECT:
y MOD m z (-1 1 0.1) mz xz x;
where y is the outcome, m is the mediator, z is the moderator, mz is the
interaction between m and z, xz is the interaction between x and z, and x
is a binary exposure variable. The variables must be given in this order.
The numbers in parentheses following z are the lower limit, upper limit,
and the increment to be used in evaluating and plotting the direct and
indirect effects. The outcome can be a continuous latent variable.

CHAPTER 17
766
If the special direct effect referred to as the controlled direct effect is
wanted, a value of the mediator must be given in parentheses following
the mediator variable. Following is an example of how to specify the
IND option with a binary exposure variable:
MODEL INDIRECT:
y IND m (2) x;
where y is the outcome, m is the mediator, and x is the binary exposure
variable. The value in parentheses following m is used to compute the
controlled direct effect.
THE MODEL CONSTRAINT COMMAND
The MODEL CONSTRAINT command is used to define linear and non-
linear constraints on the parameters in the model and to create new
parameters using the parameters in the model. These constraints can be
implicit or explicit. The default setting for the INFORMATION option
of the ANALYSIS command for MODEL CONSTRAINT is
OBSERVED. The MODEL CONSTRAINT command is not available
for TYPE=EFA.
LABELING THE PARAMETERS AND
SELECTING VARIABLES
The MODEL CONSTRAINT command specifies parameter constraints
using labels defined for parameters in the MODEL command, labels
defined for parameters not in the MODEL command using the NEW
option of the MODEL CONSTRAINT command, and names of observed
variables that are identified using the CONSTRAINT option of the
VARIABLE command. See Labeling Parameters to see how parameters
are labeled using the MODEL command.
NEW
The NEW option is used to assign labels and starting values to
parameters not in the analysis model. These parameters are used to
constrain the parameters in the analysis model. The default starting
value for these parameters is 0.5. Following is an example of how the
NEW option is specified:
MODEL Command
767
MODEL:
[y1-y3] (p1-p3);
MODEL CONSTRAINT:
NEW (c*.6);
p2 = p1 + c;
p3 = p1 + 2*c;
where c is a parameter that constrains the means to change linearly
across the three variables. The value .6 following the asterisk (*)
specifies that the value .6 will be used as a starting value for model
estimation. If the analysis is a Monte Carlo simulation study, the value
will also be used as a coverage value.
CONSTRAINT
The CONSTRAINT option of the VARIABLE command is used to
identify the variables that can be used in the MODEL CONSTRAINT
command. These can be not only variables used in the MODEL
command but also other variables. All variables on the CONSTRAINT
list are treated as continuous variables in the analysis. Only variables
used by the following options cannot be included: GROUPING,
PATTERN, COHORT, COPATTERN, CLUSTER, STRATIFICATION,
and AUXILIARY. Variables that are part of these options can be used
in DEFINE to create new variables that can be used in the
CONSTRAINT statement. The CONSTRAINT option is not available
for TYPE=RANDOM, TYPE=TWOLEVEL, TYPE=THREELEVEL,
TYPE=CROSSCLASSIFIED, TYPE=COMPLEX, and for estimators
other than ML, MLR, and MLF. The CONSTRAINT option is specified
as follows:
CONSTRAINT = y1 u1;
where y1 and u1 are variables that can be used in the MODEL
CONSTRAINT command.
DEFINING LINEAR AND NON-LINEAR
CONSTRAINTS
Linear and non-linear constraints can be defined using the equal sign (=),
the greater than sign (>), the less than sign (<), and all arithmetic
CHAPTER 17
768
operators and functions that are available in the DEFINE command with
the exception of the absolute value function.
In the MODEL CONSTRAINT command, labels from the MODEL
command and the NEW option of the MODEL CONSTRAINT
command can be used on both the left-hand and right-hand sides of one
or more parameter constraint statements. Variables listed on the
CONSTRAINT option of the VARIABLE command can appear on the
right-hand side of one or more parameter constraint statements.
Following is an example of how to define an explicit constraint:
MODEL:
[y1-y3] (p1-p3);
MODEL CONSTRAINT:
p1 = p2**2 + p3**2;
where the parameter p1 is constrained to be equal to the sum of the
squares of the p2 and p3 parameters.
Following is an example of how to define an implicit constraint where a
function of parameters is constrained to be zero:
MODEL:
[y1-y5] (m1-m5);
MODEL CONSTRAINT:
0 = - m4 + m1*m3 - m2;
0 = exp(m3) - 1 - m2;
0 = m4 - m5;
Following is an example of how to define an implicit constraint where a
parameter appears in a set of parameter constraints:
MODEL:
[y1-y4] (p1-p4);
MODEL CONSTRAINT:
p1 = p2**2 + p3**2;
p2 = p4;
MODEL Command
769
DO
The DO option provides a do loop and a double do loop to facilitate
specifying a set of new parameters that are a function of the parameters
of the model. Following is an example of how to specify a do loop:
MODEL:
y1 ON x1 (p1);
y1 ON x2 (p2);
y1 ON x3 (p3);
y2 ON x1 (q1);
y2 ON x2 (q2);
y2 ON x3 (q3);
MODEL CONSTRAINT:
NEW (ratio1-ratio3);
DO (1, 3) ratio# = p#/q#;
where the numbers in parentheses give the range of values for the do
loop. The number sign (#) is replaced by these values during the
execution of the do loop. Following are the new parameters that are
created based on the DO option specified above:
ratio1 = p1/q1;
ratio2 = p2/q2;
ratio3 = p2/q3;
The DO option can also be used to place constraints on a set of
parameters. Following is an example of how to use a do loop to
constrain the residual variances of y1 through y4 to be greater than zero:
MODEL:
f BY y1-y4;
y1-y4 (p1-p4);
MODEL CONSTRAINT:
DO (1, 4) p# > 0;
where the numbers in parentheses give the range of values for the do
loop. The number sign (#) is replaced by these values during the
CHAPTER 17
770
execution of the do loop. Following are the constraints that are placed
on the model parameters based on the DO option specified above:
p1 > 0;
p2 > 0;
p3 > 0;
p4 > 0;
Following is an example of how to specify a double do loop:
MODEL:
y1 ON x1 (p1);
y2 ON x2 (p2);
y3 ON x3 (q3);
y4 ON x4 (q4);
MODEL CONSTRAINT:
DO ($,1,2) DO (%,3,4) p$ = q%;
where the numbers in parentheses give the range of values the double do
loop will use. The numbers replace the symbol preceding them.
Following are the constraints that are placed on the model parameters
based on the DO option specified above:
p1 = q3;
p1 = q4;
p2 = q3;
p2 = q4;
PLOT
The PLOT option is used to name the variables that will be plotted on
the y-axis in the plots created using the LOOP option. Following is an
example of how to specify the PLOT option:
PLOT (ind1 ind2);
where ind1 and ind2 are the variables that will be plotted on the y-axis in
the plots created using the LOOP option.
MODEL Command
771
LOOP
The LOOP option is used in conjunction with the PLOT option to create
plots of variables. For example, it is useful for plotting indirect effects
with moderation and mediation (Preacher, Rucker, & Hayes, 2007),
cross-level interactions in multilevel regression (Bauer & Curran, 2005),
and sensitivity graphs for causal effect mediation modeling (Imai, Keele,
& Tingley, 2010a; Muthén, 2011; Muthén, Muthén, & Asparouhov,
2016). Following is an example of how to specify the LOOP option:
LOOP (mod, -1, 1, 0.01);
where mod is a variable that will be used on the x-axis, the numbers -1
and 1 are the lower and upper values of mod, and 0.01 is the incremental
value of mod to use in the computations. When mod appears in a
MODEL CONSTRAINT statement involving a new parameter, that
statement is evaluated for each value of mod specified by the LOOP
option. For example, the first value of mod is -1; the second value of
mod is -1 plus 0.01 or -0.99; the third value of mod is -0.99 plus 0.01 or -
0.98; the last value of mod is 1. Plots are created with mod on the x-axis
and the names in the PLOT option on the y-axis.
Following is an example of how to use the PLOT and LOOP options
with the MODEL and MODEL CONSTRAINT commands:
MODEL:
y ON x (p1);
MODEL CONSTRAINT:
PLOT (ypred);
LOOP (age, 10, 50, 1);
ypred = p1*age;
Using TYPE=PLOT2 in the PLOT command, the plot of ypred and age
can be viewed by choosing Loop plots from the Plot menu of the Mplus
Editor. The plot presents the computed values along with a 95%
confidence interval. For frequentist estimation, the default confidence
interval uses plus and minus 1.96 times the standard error. The
CINTERVAL option of the OUTPUT command can be used in
conjunction with the BOOTSTRAP option of the ANALYSIS command
to obtain bootstapped or bias-corrected bootstrap confidence intervals.

CHAPTER 17
772
For Bayesian estimation, the default is credibility intervals of the
posterior distribution with equal tail percentages. The CINTERVAL
option of the OUTPUT command can be used to obtain credibility
intervals of the posterior distribution that give the highest posterior
density.
THE MODEL TEST COMMAND
The MODEL TEST command is used to test restrictions on the
parameters in the MODEL and MODEL CONSTRAINT commands
using the Wald chi-square test. These restrictions are defined using
labels from the MODEL command and new parameters from the NEW
option of the MODEL CONSTRAINT command. See Labeling
Parameters to see how parameters are labeled using the MODEL
command. See the NEW option to see how new parameters are named
using this option. Variables listed on the CONSTRAINT statement of
the VARIABLE command cannot be used in MODEL TEST. Model
restrictions can be defined using the equal sign (=) and all arithmetic
operators and functions that are available in the DEFINE command with
the exception of the absolute value function.
Following is an example of how to test restrictions on the parameters in
the MODEL command using MODEL TEST:
MODEL:
y ON x1 (p1)
x2 (p2)
x3 (p3);
MODEL TEST:
0 = p2 – p1;
0 = p3 – p1;
where in the MODEL command p1, p2, and p3 represent the regression
coefficients for x1, x2, and x3, respectively. In the MODEL TEST
command, a joint test of the equality of the three regression coefficients
is carried out using the Wald test with two degrees of freedom. Note
that having 0 = p3 - p2 in MODEL TEST is redundant and incorrect.
MODEL Command
773
Following is an example of how to test a restriction on the parameters in
the MODEL CONSTRAINT command using MODEL TEST:
MODEL:
y ON m1 (b1);
y ON m2 (b2);
m1 ON x1 (a1);
m2 ON x2 (a2);
MODEL CONSTRAINT:
NEW (ind1 ind2);
ind1 = a1*b1;
ind2 = a2*b2;
MODEL TEST:
0 = ind1 – ind2;
where in the MODEL command b1 and b2 represent the regression
coefficients for m1 and m2 and a1 and a2 represent the regression
coefficients for x1 and x2. In the MODEL CONSTRAINT command,
two new parameters are defined. Ind1 is the indirect effect from x1 to y
via m1. Ind2 is the indirect effect from x2 to y via m2. In the MODEL
TEST command, a test of the equality of the two indirect effects is
carried out using the Wald test with one degree of freedom.
DO
The DO option provides a do loop and a double do loop to facilitate
specifying a set of tests involving model parameters that will be jointly
tested using the Wald test. Following is an example of how to specify a
do loop:
MODEL:
y1 ON x1 (p1);
y1 ON x2 (p2);
y1 ON x3 (p3);
y2 ON x1 (q1);
y2 ON x2 (q2);
y2 ON x3 (q3);
MODEL TEST:
DO (1, 3) 0 = p# - q#;
CHAPTER 17
774
where the numbers in parentheses give the range of values for the do
loop. The number sign (#) is replaced by these values during the
execution of the do loop. Following is the set of tests involving model
parameters that will be jointly tested using the Wald test based on the
DO option specified above:
0 = p1 – q1;
0 = p2 – q2;
0 = p3 – q3;
Following is an example of how to specify a double do loop:
MODEL:
y1 ON x1 (p1);
y1 ON x2 (p2);
y1 ON x3 (p3);
y2 ON x1 (q1);
y2 ON x2 (q2);
y2 ON x3 (q3);
MODEL TEST:
DO (#,1,3) DO ($,1,3) 0 = p# - q$;
where the numbers in parentheses give the range of values the double do
loop will use. The numbers replace the symbol preceding them.
Following is the set of tests involving model parameters that will be
jointly tested using the Wald test based on the DO option specified
above:
0 = p1 – q1;
0 = p1 – q2;
0 = p1 – q3;
0 = p2 – q1;
0 = p2 – q2;
0 = p2 – q3;
0 = p3 – q1;
0 = p3 – q2;
0 = p3 – q3;

MODEL Command
775
THE MODEL PRIORS COMMAND
The MODEL PRIORS command is used with ESTIMATOR=BAYES to
specify the prior distribution for each parameter. The default is to use
diffuse (non-informative) priors. Following is a table that shows the
distributions available and the default priors for different types of
parameters:
Type of Parameter
Distributions Available
Default Priors
Observed continuous
dependent variable
means/intercepts (nu)
normal
normal (0, infinity)
Observed continuous
dependent variable
variances/residual
variances (theta)
inverse Gamma
inverse Gamma (-1, 0)
Observed categorical
dependent variable
thresholds (tau)
normal
uniform
normal (0, infinity)
Factor loadings (lambda)
normal
normal (0, infinity)*
normal (0, 5)**
Regression coefficients (beta)
normal
normal (0, infinity)*
normal (0, 5)**
Continuous latent variable
means/intercepts (alpha)
normal
normal (0, infinity)
Continuous latent variable
variances/residual variances
(psi)
One latent variable
inverse Gamma
Gamma
uniform
lognormal
normal
More than one latent variable
inverse Wishart
inverse Gamma (-1, 0)
inverse Wishart (0, -p-1)***
Categorical latent variable
parameters (varies)
Dirichlet
Dirichlet (10, 10)
* Continuous variables
** Categorical variables
*** Not available for GIBBS(RW)
For the normal distribution default, infinity is ten to the power of ten.
For the inverse Gamma default, the settings imply a uniform prior
ranging from minus infinity to plus infinity. For the inverse Wishart
default, p is the dimension of the multivariate block of latent variables.
CHAPTER 17
776
For the Dirichlet default, the first number gives the number of
observations to add to the class referred to and the second number gives
the number of observations to add to the last class. For a discussion of
priors, see Gelman et al. (2004), Browne and Draper (2006), and Gelman
(2006).
ASSIGNING PRIORS TO PARAMETERS
Priors are assigned to the parameters using the tilde (~) symbol, which
means distributed as, using the following distribution settings:
Normal – N
Lognormal – LN
Uniform – U
Inverse Gamma – IG
Gamma – G
Inverse Wishart – IW
Dirichlet – D
Each setting has two numbers in parentheses following the setting. For
the normal and lognormal distributions, the first number is the mean and
the second number is the variance. For the uniform distribution, the first
number is the lower limit and the second number is upper limit. For the
inverse Gamma distribution, the first number is the shape parameter and
the second number is the scale parameter. For the Gamma distribution,
the first number is the shape parameter and the second number is the
inverse scale parameter. For the inverse Wishart distribution, the first
number is used to form a covariance matrix and the second number is the
degrees of freedom. For the Dirichlet distribution, the first number gives
the number of observations to add to the class referred to and the second
number gives the number of observations to add to the last class. For a
technical description of the implementation of priors, see Asparouhov
and Muthén (2010b).
In the MODEL PRIORS command, labels from the MODEL command
are used to represent parameters for which prior distributions are
specified. See Labeling Parameters to see how parameters are labeled
using the MODEL command. Following is an example of how to assign
priors to the factor loading parameters:
MODEL Command
777
MODEL:
f BY y1-y10* (p1-p10);
f@1;
MODEL PRIORS:
p1-p10 ~ N (1, 0.5);
where parameters p1 through p10 have normal priors with mean one and
variance 0.5.
COVARIANCE
The COVARIANCE option is used to assign a prior to the covariance
between two parameters. Only normal priors are available. Covariance
priors can be assigned to only factor loadings, regression coefficients,
intercepts, and thresholds for binary variables. Following is an example
of how to specify the COVARIANCE option:
MODEL:
y ON x1 (p1)
x2 (p2);
MODEL PRIORS:
p1 ~ N (10, 4);
p2 ~ N (6, 1);
COVARIANCE (p1, p2) = 0.5;
where the bivariate prior distribution of p1 and p2 has a covariance of
0.5 which corresponds to a correlation of 0.25 computed as 0.5 / (sqrt (4)
* sqrt (1)).
DO
The DO option provides a do loop and a double do loop to facilitate
specifying the same prior for a set of parameters. With MODEL
PRIORS it can be used with the DIFFERENCE option to assign priors to
differences among a set of parameters. Following is an example of how
to specify a do loop:
CHAPTER 17
778
MODEL:
f1 BY y1-y20;
f2 BY y1-y10
y11-y20 (s1-s10);
MODEL PRIORS:
DO (1,10) s# ~ N (0,0.1);
where the numbers in parentheses give the range of values for the do
loop. The number sign (#) is replaced by these values during the
execution of the do loop. Following are the statements that are
generated based on the DO option specified above:
s1 ~ N (0,0.1);
s2 ~ N (0,0.1);
s3 ~ N (0,0.1);
s4 ~ N (0,0.1);
s5 ~ N (0,0.1);
s6 ~ N (0,0.1);
s7 ~ N (0,0.1);
s8 ~ N (0,0.1);
s9 ~ N (0,0.1);
s10 ~ N (0,0.1);
Following is an example of how to specify a double do loop for a
multiple group model:
MODEL:
f1 BY y1-y20;
f2 BY y1-y15
y16-y20 (s#_1-s#_5);
MODEL PRIORS:
DO (#,1,2) DO ($,1,5) s#_$ ~ N (0,0.1);
where the numbers in parentheses give the range of values the double do
loop will use. The numbers replace the symbol preceding them. In this
example, the first do loop refers to the two groups. Following are the
statements that are generated based on the DO option specified above:
MODEL Command
779
s1_1 ~ N (0,0.01);
s1_2 ~ N (0,0.01);
s1_3 ~ N (0,0.01);
s1_4 ~ N (0,0.01);
s1_5 ~ N (0,0.01);
s2_1 ~ N (0,0.01);
s2_2 ~ N (0,0.01);
s2_3 ~ N (0,0.01);
s2_4 ~ N (0,0.01);
s2_5 ~ N (0,0.01);
DIFFERENCE
The DIFFERENCE option is used to assign priors to the difference
between two parameters. Only normal priors are available. Difference
priors can be assigned to only factor loadings, regression coefficients,
intercepts, and thresholds for binary variables. Following is an example
of how to specify the DIFFERENCE option:
MODEL:
y ON x1 (p1)
x2 (p2);
MODEL PRIORS:
DIFFERENCE (p1, p2) ~ N (0, 0.01);
where the difference between p1 and p2 has a normal prior with mean
zero and variance 0.01.
The DO option provides a do loop to facilitate specifying the same
expression for a set of parameters. The DO and DIFFERENCE options
can be used together to simplify the assignment of priors to a large set of
difference parameters for models with multiple groups and multiple time
points. In Bayesian estimation, multiple group analysis is obtained using
TYPE=MIXTURE and the KNOWNCLASS option. Following is an
example of how to use the DO and DIFFERENCE options to assign
priors to differences across groups among a set of parameters:

CHAPTER 17
780
MODEL:
%OVERALL%
f BY y1-y5;
%c#1%
f BY y2-y5 (p12-p15);
%c#2%
f BY y2-y5 (p22-p25);
%c#3%
f BY y2-y5 (p32-p35);
MODEL PRIORS:
DO (2, 5) DIFFERENCE (p1#-p3#) ~ N (0, 0.01);
where the numbers in parentheses give the range of values for the do
loop. The number sign (#) is replaced by these values during the
execution of the do loop. Following are the differences that were
assigned normal priors with mean zero and variance 0.01:
p12 - p22
p12 - p32
p22 - p32
p13 - p23
p13 - p33
p23 - p33
p14 - p24
p14 - p34
p24 - p34
p15 - p25
p15 - p35
p25 - p35
MODEL COMMAND VARIATIONS
The MODEL command is used to describe the analysis model using the
options described in the previous sections. This section discusses
variations of the MODEL command for use with multiple group models,
mixture models, multilevel models, and models for generating data for
Monte Carlo simulations studies.
MODEL Command
781
MODEL:
The MODEL command is used to describe the analysis model for a
single group analysis and the overall analysis model for multiple group
analysis.
MODEL label:
MODEL followed by a label is used to describe the group-specific
analysis models in multiple group analysis and the analysis model for
each categorical latent variable in mixture modeling when there are more
than one categorical latent variable in the analysis.
In multiple group analysis, MODEL followed by a label is used to
describe differences between the overall analysis model described in the
MODEL command and the analysis model for each group. Labels are
defined using the GROUPING option of the VARIABLE command for
raw data in a single file, by the FILE option of the DATA command for
raw data in separate files, and by the program for summary data.
MODEL followed by a label is used in conjunction with the
%WITHIN% and %BETWEEN% specifications in multiple group
multilevel analysis.
In mixture modeling, MODEL followed by a label is used to describe the
analysis model for each categorical latent variable when there are more
than one categorical latent variable in the analysis and for combinations
of categorical latent variables when there are more than two categorical
latent variables in the analysis. Labels are defined by using the names of
the categorical latent variables.
When there are more than one categorical latent variable in the model,
the class-specific parts of the model for each categorical latent variable
must be specified within a MODEL command for that categorical latent
variable. The %OVERALL% specification is not included in the
MODEL commands for each categorical latent variable. Following is an
example of how to specify the MODEL command when there are more
than one categorical latent variable in the model:
CHAPTER 17
782
MODEL c1:
%c1#1%
%c1#2%
where the class-specific parts of the model for c1 is specified after
MODEL c1.
When there are more than two categorical latent variables in the model,
MODEL commands for pairs of categorical latent variables are allowed.
These are used to specify parameters that are specific to the
combinations of classes for those two categorical latent variables.
Categorical latent variables can be combined in sets involving all but one
categorical latent variable. For example, with three categorical latent
variables c1, c2, and c3, combinations of up to two categorical latent
variables are allowed. Following is an example of how this is specified:
MODEL c1.c2:
%c1#1.c2#1%
where %c1#1.c2#1% refers to a combination of class 1 for c1 and class 1
for c2.
MODEL:
%OVERALL%
%class label%
The MODEL command used in conjunction with %OVERALL% and
%class label% is used to describe the overall and class-specific models
for mixture models. Statements following %OVERALL% refer to the
model common to all latent classes. Statements following %class
label% refer to class-specific model statements.
Class labels are created by adding to the name of the categorical latent
variable a number sign (#) followed by the class number. For example,
if c is a categorical latent variable with two latent classes, the class
labels are c#1 and c#2.

MODEL Command
783
MODEL:
%WITHIN%
%BETWEEN%
%BETWEEN label%
The MODEL command used in conjunction with %WITHIN%,
%BETWEEN%, and %BETWEEN label% is used to describe the
individual-level and cluster-level models for multilevel modeling. For
TYPE=TWOLEVEL, the statements following %WITHIN% describe
the individual-level model and the statements following %BETWEEN%
describe the cluster-level model. With multilevel mixture models, the
%OVERALL% and %class label% specifications are used with the
%WITHIN% and %BETWEEN% specifications to describe the mixture
part of the model.
For TYPE=THREELEVEL and TYPE=CROSSCLASSIFIED, the
statements following %WITHIN% describe the individual-level model
and the statements following %BETWEEN label% describe the cluster-
level model. The label is a cluster variable from the CLUSTER option.
THE MODEL POPULATION COMMAND
The MODEL POPULATION command is used to provide the
population parameter values to be used in data generation using the
options of the MODEL command described earlier. The MODEL
POPULATION command has variations for use with multiple group
models, mixture models, and multilevel models. These are described
below.
In the MODEL POPULATION command, each parameter in the model
must be specified followed by the @ symbol or the asterisk (*) and the
population parameter value. Any model parameter not specified will
have the value of zero as the population parameter value.
Parameter estimates can be saved from a real data analysis using the
ESTIMATES option of the SAVEDATA command and used in a
subsequent Monte Carlo analysis as population parameter values. This
is done by using the POPULATION option of the MONTECARLO
command.
CHAPTER 17
784
MODEL POPULATION:
The MODEL POPULATION command is used to provide the
population parameter values to be used in data generation for single
group analysis and the overall analysis model for multiple group
analysis.
MODEL POPULATION-label:
MODEL POPULATION followed by a dash and a label is used to
provide parameter values to be used in the generation of data for the
group-specific analysis models in multiple group analysis and the
analysis model for each categorical latent variable in mixture modeling
when there are more than one categorical latent variable in the analysis.
In multiple group analysis, the label following the dash refers to the
group. The first group is referred to by g1, the second group by g2, and
so on. In mixture modeling, the label following the dash is the name of
each categorical latent variable when there are more than one categorical
latent variables in the generation of the data.
In addition, the NGROUPS option of the MONTECARLO command is
used for the generation of data for multiple group Monte Carlo
simulation studies.
MODEL POPULATION:
%OVERALL%
%class label%
MODEL POPULATION used in conjunction with %OVERALL% and
%class label% is used to provide the population parameter values to be
used in the generation of data for mixture models. Statements following
%OVERALL% refer to the model common to all latent classes.
Statements following %class label% refer to class-specific model
statements. In addition, the GENCLASSES option of the
MONTECARLO command is used for the generation of data for mixture
models.
The statements in the overall part of the model include information
about the means, variances, and covariances of the background variables

MODEL Command
785
and the specification of the overall model including information about
parameters that do not vary across the classes. The class-specific parts
of the model describe the parameters that vary across classes.
MODEL POPULATION:
%WITHIN%
%BETWEEN%
%BETWEEN label%
MODEL POPULATION used in conjunction with %WITHIN%,
%BETWEEN%, and %BETWEEN label% is used to provide the
population parameter values to be used in the generation of clustered
data. For TYPE=TWOLEVEL, %WITHIN% is used to provide
population parameter values for the individual-level model parameters.
%BETWEEN% is used to provide population parameter values for the
cluster-level model parameters. With multilevel mixture models, the
%OVERALL% and %class label% specifications are used with the
%WITHIN% and %BETWEEN% specifications to provide the
population parameter values to be used in the generation of data for
mixture models.
For TYPE=THREELEVEL and TYPE=CROSSCLASSIFIED,
%WITHIN% is used to provide population parameter values for the
individual-level model parameters. %BETWEEN label% is used to
provide population parameter values for the cluster-level model
parameters. For TYPE=THREELEVEL, the labels level2 and level3 are
used to provide the level 2 and level 3 population parameter values. For
TYPE=CROSSCLASSIFIED, the labels level2a and level2b are used to
describe the level 2a and level 2b population parameter values.
In addition, the NCSIZES, CSIZES, BETWEEN, and WITHIN options
of the MONTECARLO command are used for the generation of
clustered data.
THE MODEL COVERAGE COMMAND
In Monte Carlo simulation studies, the MODEL command describes not
only the analysis model but also provides values for each parameter that
are used both as the population parameter values for computing coverage
and as starting values in the estimation of the model. If the MODEL
CHAPTER 17
786
COVERAGE command is used, coverage is computed using the
population parameter values specified in the MODEL COVERAGE
command, and the values specified in the MODEL command are used
only as starting values. The MODEL COVERAGE command has
special options for multiple group models, mixture models, and
multilevel models.
In MODEL COVERAGE, each parameter in the model must be
specified followed by the @ symbol or the asterisk (*) and the
population parameter value. Any model parameter not specified will
have the value of zero as the population parameter value.
Parameter estimates can be saved from a real data analysis using the
ESTIMATES option of the SAVEDATA command and used in a
subsequent Monte Carlo analysis as population parameter values. This
is done by using the COVERAGE option of the MONTECARLO
command.
MODEL COVERAGE:
The MODEL COVERAGE command is used to provide the population
parameter values to be used for computing coverage for single group
analysis and the overall analysis model for multiple group analysis.
MODEL COVERAGE-label:
MODEL COVERAGE followed by a dash and a label is used in multiple
group analysis to provide group-specific parameter values to be used in
computing coverage. The label following the dash refers to the group.
The first group is referred to by g1, the second group by g2, and so on.
In mixture modeling, the label following the dash is the name of each
categorical latent variable when there are more than one categorical
latent variable.
MODEL COVERAGE:
%OVERALL%
%class label%
MODEL COVERAGE used in conjunction with %OVERALL% and
%class label% is used to provide the population parameter values to be
MODEL Command
787
used in computing coverage. Statements following %OVERALL% refer
to the model common to all latent classes. Statements following %class
label% refer to class-specific model statements.
Class labels are created by adding to the name of the categorical latent
variable a number sign (#) followed by the class number. For example,
if c1 is a categorical latent variable with two latent classes, the class
labels are c1#1 and c1#2.
The statements in the overall part of the model include information
about the means, variances, and covariances of the background variables
and the specification of the overall model including information about
latent class parameters that do not vary across the classes. The class-
specific parts of the model describe the latent class parameters that do
vary across classes.
MODEL COVERAGE:
%WITHIN%
%BETWEEN%
%BETWEEN label%
MODEL COVERAGE used in conjunction with %WITHIN% and
%BETWEEN% is used to provide the population parameter values to be
used in computing coverage. For TYPE=TWOLEVEL, %WITHIN% is
used to provide the population parameter values for the individual-level
model parameters. %BETWEEN% is used to provide the population
parameter values for the cluster-level model parameters.
For TYPE=THREELEVEL and TYPE=CROSSCLASSIFIED,
%WITHIN% is used to provide population parameter values for the
individual-level model parameters. %BETWEEN label% is used to
provide population parameter values for the cluster-level model
parameters. For TYPE=THREELEVEL, the labels level2 and level3 are
used to provide the level 2 and level 3 population parameter values. For
TYPE=CROSSCLASSIFIED, the labels level2a and level2b are used to
describe the level 2a and level 2b population parameter values.

CHAPTER 17
788
THE MODEL MISSING COMMAND
The MODEL MISSING command is used to provide information about
the population parameter values for the missing data model to be used in
the generation of data. The MODEL MISSING command has special
options for multiple group models and for mixture models. The
MISSING option of the MONTECARLO command is required for
MODEL MISSING.
Each parameter in the model must be specified followed by the @
symbol or the asterisk (*) and the population parameter value. Any
model parameter not specified will have the value of zero as the
population parameter value.
Information about each variable listed in the MISSING statement of the
MONTECARLO command must be included as part of the MODEL
MISSING command. These variables must be dependent variables in
the MODEL command. The probability of having missing data or not on
these dependent variables is described by logistic regressions in the
MODEL MISSING command. In the MODEL MISSING command, the
missing data indicators use the same names as the dependent variables in
the MODEL command. For each dependent variable, the intercept and
slopes for all covariates must be specified for the logistic regression.
The covariates in these logistic regressions can be both independent and
dependent variables in the MODEL command. When a dependent
variable in the MODEL command is used as a dependent variable in the
logistic regression, it is a missing value indicator. When it is used as a
covariate in the logistic regression, it is the original variable in the
MODEL command. In the following example, in the first ON statement
y1 is a missing value indicator variable. In the second ON statement, y1
is treated as the original variable.
MODEL MISSING:
y1 ON x;
y2 ON y1 x;
A dependent variable that is censored, categorical, or count is treated as
a continuous covariate in the logistic regressions.
MODEL Command
789
MODEL MISSING:
The MODEL MISSING command is used to provide information about
the population parameter values for the missing data model to be used in
the generation of data for single group analysis and the overall analysis
model for multiple group analysis.
MODEL MISSING-label:
MODEL MISSING followed by a dash and a label is used in multiple
group analysis to provide group-specific population parameter values for
the missing data model to be used in the generation of data. The label
following the dash refers to the group. The first group is referred to by
g1, the second group by g2, and so on.
MODEL MISSING:
%OVERALL%
%class label%
MODEL MISSING used in conjunction with %OVERALL% and %class
label% is used to provide the population parameter values for the
missing data model to be used in the generation of data for mixture
models. Statements following %OVERALL% refer to the model
common to all latent classes. Statements following %class label% refer
to class-specific model statements.
Class labels are created by adding to the name of the categorical latent
variable a number sign (#) followed by the class number. For example,
if c1 is a categorical latent variable with two latent classes, the class
labels are c1#1 and c1#2.
CHAPTER 17
790

OUTPUT, SAVEDATA, And PLOT Commands
791
CHAPTER 18
OUTPUT, SAVEDATA, AND PLOT
COMMANDS
In this chapter, the OUTPUT, SAVEDATA, and PLOT commands are
discussed. The OUTPUT command is used to request additional output
beyond that included as the default. The SAVEDATA command is used
to save the analysis data and/or a variety of model results in an ASCII
file for future use. The PLOT command is used to request graphical
displays of observed data and analysis results.
THE OUTPUT COMMAND
The OUTPUT command is used to request additional output not
included as the default.
Following are the option settings for the OUTPUT command:
OUTPUT:
SAMPSTAT;
CROSSTABS;
ALL
CROSSTABS (ALL);
CROSSTABS (COUNT);
CROSSTABS (%ROW);
CROSSTABS (%COLUMN);
CROSSTABS (%TOTAL);
STANDARDIZED;
STDYX;
STDY;
STD;
STANDARDIZED (CLUSTER);
STDYX (CLUSTER);
STDY (CLUSTER);
STD (CLUSTER);
RESIDUAL;
RESIDUAL (CLUSTER);
MODINDICES (minimum chi-square);
10

CHAPTER 18
792
MODINDICES (ALL);
MODINDICES (ALL minimum chi-square);
10
CINTERVAL;
CINTERVAL (SYMMETRIC);
CINTERVAL (BOOTSTRAP);
CINTERVAL (BCBOOTSTRAP);
CINTERVAL (EQTAIL);
CINTERVAL (HPD);
SYMMETRIC
EQTAIL
SVALUES;
NOCHISQUARE;
NOSERROR;
H1SE;
H1TECH3;
H1MODEL;
H1MODEL (COVARIANCE);
H1MODEL (SEQUENTIAL);
COVARIANCE
PATTERNS;
FSCOEFFICIENT;
FSDETERMINACY;
FSCOMPARISON;
BASEHAZARD;
LOGRANK;
ALIGNMENT;
ENTROPY;
TECH1;
TECH2;
TECH3;
TECH4;
TECH4 (CLUSTER);
TECH5;
TECH6;
TECH7;
TECH8;
TECH9;
TECH10;
TECH11;
TECH12;
TECH13;
TECH14;
TECH15;
TECH16;
The OUTPUT command is not a required command. Note that
commands can be shortened to four or more letters. Option settings can
OUTPUT, SAVEDATA, And PLOT Commands
793
be referred to by either the complete word or the part of the word shown
above in bold type.
The default output for all analyses includes a listing of the input setup, a
summary of the analysis specifications, and a summary of the analysis
results. Analysis results include a set of fit statistics, parameter
estimates, standard errors of the parameter estimates, the ratio of each
parameter estimate to its standard error, and a two-tailed p-value for the
ratio. Analysis results for TYPE=EFA include eigenvalues for the
sample correlation matrix, a set of fit statistics, estimated rotated factor
loadings and correlations and their standard errors, estimated residual
variances and their standard errors, the factor structure matrix, and factor
determinacies. Output for TYPE=BASIC includes sample statistics for
the analysis data set and other descriptive information appropriate for
the particular analysis.
Mplus OUTPUT
Following is a description of the information that is provided in the
output as the default. Information about optional output is described in
the next section. The output can be shown in a plain text or HTML
format. The default is plain text.
INPUT SETUP
The first information printed in the Mplus output is a restatement of the
input file. The restatement of the input instructions is useful as a record
of which input produced the results provided in the output. Following is
the input file that produced the output that will be used in this chapter to
illustrate most of the output features:
TITLE: example for the output chapter
DATA: FILE = output.dat;
VARIABLE: NAMES = y1-y4 x;
MODEL: f BY y1-y4;
f ON x;
OUTPUT: SAMPSTAT MODINDICES (0) STANDARDIZED
RESIDUAL TECH1 TECH2 TECH3 TECH4
TECH5 FSCOEF FSDET CINTERVAL PATTERNS;
SAVEDATA: FILE IS output.sav;
SAVE IS FSCORES;
CHAPTER 18
794
SUMMARY OF ANALYSIS SPECIFICATIONS
A summary of the analysis specifications is printed in the output after
the restatement of the input instructions. This is useful because it shows
how the program has interpreted the input instructions and read the data.
It is important to check that the number of observations is as expected.
It is also important to read any warnings and error messages that have
been generated by the program. These contain useful information for
understanding and modifying the analysis.
Following is the summary of the analysis for the example output:
SUMMARY OF ANALYSIS
Number of groups 1
Number of observations 500
Number of dependent variables 4
Number of independent variables 1
Number of continuous latent variables 1
Observed dependent variables
Continuous
Y1 Y2 Y3 Y4
Observed independent variables
X
Continuous latent variables
F
Estimator ML
Information matrix EXPECTED
Maximum number of iterations 1000
Convergence criterion 0.500D-04
Maximum number of steepest descent iterations 20
Input data file(s)
output.dat
Input data format FREE
OUTPUT, SAVEDATA, And PLOT Commands
795
SUMMARY OF ANALYSIS RESULTS
The third part of the output consists of a summary of the analysis results.
Fit statistics, parameter estimates, and standard errors can be saved in an
external data set by using the RESULTS option of the SAVEDATA
command. Following is a description of what is included in the output.
Tests of model fit are printed first. For most analyses, these consist of
the chi-square test statistic, degrees of freedom, and p-value for the
analysis model; the chi-square test statistic, degrees of freedom, and p-
value for the baseline model of uncorrelated dependent variables; CFI
and TLI; the loglikelihood for the analysis model; the loglikelihood for
the unrestricted model; the number of free parameters in the estimated
model; AIC, BIC, and sample-size adjusted BIC; RMSEA; and SRMR.
MODEL FIT INFORMATION
Number of Free Parameters 13
Loglikelihood
H0 Value -3329.929
H1 Value -3326.522
Information Criteria
Akaike (AIC) 6685.858
Bayesian (BIC) 6740.648
Sample-Size Adjusted BIC 6699.385
(n* = (n + 2) / 24)
Chi-Square Test of Model Fit
Value 6.815
Degrees of Freedom 5
P-Value 0.2348
RMSEA (Root Mean Square Error Of Approximation)
Estimate 0.027
90 Percent C.I. 0.000 0.072
Probability RMSEA <= .05 0.755
CFI/TLI
CFI 0.999
CHAPTER 18
796
TLI 0.997
Chi-Square Test of Model Fit for the Baseline Model
Value 1236.962
Degrees of Freedom 10
P-Value 0.0000
SRMR (Standardized Root Mean Square Residual)
Value 0.012
The results of the model estimation are printed after the tests of model
fit. The first column of the output labeled Estimates contains the model
estimated value for each parameter. The parameters are identified using
the conventions of the MODEL command. For example, factor loadings
are found in the BY statements. Other regression coefficients are found
in the ON statements. Covariances and residual covariances are found in
the WITH statements. Variances, residual variances, means, intercepts,
and thresholds are found under these headings. The scale factors used in
the estimation of models with categorical outcomes are found under the
heading Scales.
The type of regression coefficient produced during model estimation is
determined by the scale of the dependent variable and the estimator
being used in the analysis. For continuous observed dependent variables
and for continuous latent dependent variables, the regression coefficients
produced for BY and ON statements for all estimators are linear
regression coefficients. For censored observed dependent variables, the
regression coefficients produced for BY and ON statements for all
estimators are censored-normal regression coefficients. For the inflation
part of censored observed dependent variables, the regression
coefficients produced for BY and ON statements are logistic regression
coefficients. For binary and ordered categorical observed dependent
variables, the regression coefficients produced for BY and ON
statements using a weighted least squares estimator such as WLSMV are
probit regression coefficients. For binary and ordered categorical
observed dependent variables, the regression coefficients produced for
BY and ON statements using a maximum likelihood estimator are
logistic regression coefficients using the default LINK=LOGIT and
probit regression coefficients using LINK=PROBIT. Logistic regression
for ordered categorical outcomes uses the proportional odds
OUTPUT, SAVEDATA, And PLOT Commands
797
specification. For categorical latent dependent variables and unordered
categorical observed dependent variables, the regression coefficients
produced for ON statements are multinomial logistic regression
coefficients. For count observed dependent variables and time-to-event
variables in continuous-time survival analysis, the regression
coefficients produced for BY and ON statements are loglinear regression
coefficients. For the inflation part of count observed dependent
variables, the regression coefficients produced for BY and ON
statements are logistic regression coefficients.
MODEL RESULTS
Two-Tailed
Estimate S.E. Est./S.E. P-Value
F BY
Y1 1.000 0.000 999.000 999.000
Y2 0.907 0.046 19.908 0.000
Y3 0.921 0.045 20.509 0.000
Y4 0.949 0.046 20.480 0.000
F ON
X 0.606 0.049 12.445 0.000
Intercepts
Y1 0.132 0.051 2.608 0.009
Y2 0.118 0.049 2.393 0.017
Y3 0.061 0.048 1.268 0.205
Y4 0.076 0.050 1.529 0.126
Residual Variances
Y1 0.479 0.043 11.061 0.000
Y2 0.558 0.045 12.538 0.000
Y3 0.492 0.041 11.923 0.000
Y4 0.534 0.044 12.034 0.000
F 0.794 0.073 10.837 0.000
The second column of the output labeled S.E. contains the standard
errors of the parameter estimates. The type of standard errors produced
during model estimation is determined by the estimator that is used. The
estimator being used is printed in the summary of the analysis. Each
analysis type has a default estimator. For several analysis types, the
default estimator can be changed using the ESTIMATOR option of the
ANALYSIS command. A table of estimators that are available for each
analysis type can be found in Chapter 16.
CHAPTER 18
798
The third column of the output labeled Est./S.E. contains the value of the
parameter estimate divided by the standard error (column 1 divided by
column 2). This statistical test is an approximately normally distributed
quantity (z-score) in large samples. The critical value for a two-tailed
test at the .05 level is an absolute value greater than 1.96. The fourth
column of the output labeled Two-Tailed P-Value gives the p-value for
the z-score in the third column.
The value of 999 is printed when a value cannot be computed. This
happens most often when there are negative variances or residual
variances. A series of asterisks (*) is printed when the value to be
printed is too large to fit in the space provided. This happens when
variables are measured on a large scale. To reduce the risk of
computational difficulties, it is recommended to keep variables on a
scale such that their variances do not deviate too far from the range of
one to ten. Variables can be rescaled using the DEFINE command.
OUTPUT OPTIONS
SAMPSTAT
The SAMPSTAT option is used to request sample statistics for the data
being analyzed. For continuous variables, these include sample means,
sample variances, sample covariances, and sample correlations. In
addition to these, the following univariate descriptive statistics are
available: sample size, mean, variance, skewness, kurtosis, minimum,
maximum, percent with minimum, percent with maximum, percentiles,
and the median. For binary and ordered categorical (ordinal) variables
using weighted least squares estimation, the sample statistics include
sample thresholds; sample tetrachoric, polychoric and polyserial
correlations for models without covariates; and sample probit regression
coefficients and sample probit residual correlations for models with
covariates. In addition to these, univariate proportions and counts are
available. The SAMPSTAT option is not available for censored
variables using maximum likelihood estimation, unordered categorical
(nominal) variables, count variables, binary and ordered categorical
(ordinal) variables using maximum likelihood estimation, and time-to-
event variables. The sample correlation and covariance matrices can be
saved in an ASCII file using the SAMPLE option of the SAVEDATA
command.
OUTPUT, SAVEDATA, And PLOT Commands
799
CROSSTABS
The CROSSTABS option is used to request bivariate frequency tables
for pairs of binary, ordered categorical (ordinal), and/or unordered
categorical (nominal) variables. Row, column, and total counts are
given along with row, column, and total percentages for each category of
the variable and the total counts. The CROSSTAB option has the
following settings: ALL, COUNT, %ROW, %COLUMN, and
%TOTAL. The default is ALL. These settings can be used to request
specific information in the bivariate frequency table. For example,
CROSSTABS (COUNT %ROW);
provides a bivariate frequency table with count and row percentages.
STANDARDIZED
The STANDARDIZED option is used to request standardized parameter
estimates and their standard errors and R-square. Standard errors are
computed using the Delta method. Both symmetric and non-symmetric
confidence intervals for standardized parameter estimates are available
using the CINTERVAL option of the OUTPUT command.
Three types of standardizations are provided as the default. The first
type of standardization is shown under the heading StdYX in the output.
StdYX uses the variances of the continuous latent variables as well as
the variances of the background and outcome variables for
standardization. The StdYX standardization is the one used in the linear
regression of y on x,
bStdYX = b*SD(x)/SD(y),
where b is the unstandardized linear regression coefficient, SD(x) is the
sample standard deviation of x, and SD(y) is the model estimated
standard deviation of y. The standardized coefficient bStdYX is
interpreted as the change in y in y standard deviation units for a standard
deviation change in x.
The second type of standardization is shown under the heading StdY in
the output. StdY uses the variances of the continuous latent variables as
CHAPTER 18
800
well as the variances of the outcome variables for standardization. The
StdY standardization for the linear regression of y on x is
bStdY = b/SD(y).
StdY should be used for binary covariates because a standard deviation
change of a binary variable is not meaningful. The standardized
coefficient bStdY is interpreted as the change in y in y standard deviation
units when x changes from zero to one.
In mediation modeling where y is regressed on the mediator m and m is
regressed on x, the StdY coefficient for y on m is standardized by both
the standard deviation of y and the standard deviation of m because m is
a dependent variable in the regression of m on x. StdY is therefore
equivalent to StdYX in this case.
The third type of standardization is shown under the heading Std in the
output. Std uses the variances of the continuous latent variables for
standardization.
Covariances are standardized using variances. Residual covariances are
standardized using residual variances. This is the case for both latent
and observed variables.
Options are available to request one or two of the standardizations.
They are STDYX, STDY, and STD. To request only the standardization
that uses the variances of the continuous latent variables as well as the
variances of the background and outcome variables, specify:
STDYX;
To request both the standardization that uses the variances of the
continuous latent variables as well as the variances of the background
and outcome variables and the standardization that uses the variances of
the continuous latent variables and the variances of the outcome
variables, specify:
STDYX STDY;
OUTPUT, SAVEDATA, And PLOT Commands
801
For models with random effects defined using the | symbol in
conjunction with ON and BY and for random variances, the
STANDARDIZED option is available for TYPE=TWOLEVEL and
ESTIMATOR=BAYES. When a model has random effects, each
parameter is standardized for each cluster. The standardized values
reported are the average of the standardized values across clusters for
each parameter (Schuurman et al., 2016; Asparouhov, Hamaker, &
Muthén, 2017). The CLUSTER setting of the STANDARDIZED option
is used when a model has random effects to request that the standardized
values for each cluster be printed in the output. Following is an example
of how to specify the STANDARDIZED option using the CLUSTER
setting:
STANDARDIZED (CLUSTER);
The STANDARDIZED option is not available for TYPE=RANDOM
with maximum likelihood estimation or the CONSTRAINT option of the
VARIABLE command. For the MUML estimator, STDY and standard
errors for standardized estimates are not available.
Following is the output obtained when requesting STDYX:
STDYX Standardization
Two-Tailed
Estimates S.E. Est./S.E. P-Value
F BY
Y1 0.838 0.018 47.679 0.000
Y2 0.790 0.020 38.807 0.000
Y3 0.813 0.019 42.691 0.000
Y4 0.810 0.019 42.142 0.000
F ON
X 0.545 0.034 15.873 0.000
Intercepts
Y1 0.104 0.040 2.605 0.009
Y2 0.097 0.040 2.391 0.017
Y3 0.051 0.040 1.269 0.205
Y4 0.061 0.040 1.529 0.126
Residual Variances
Y1 0.298 0.029 10.106 0.000
Y2 0.375 0.032 11.657 0.000
CHAPTER 18
802
Y3 0.339 0.031 10.964 0.000
Y4 0.345 0.031 11.078 0.000
F 0.703 0.037 18.822 0.000
where the first column of the output labeled Estimates contains the
parameter estimate that has been standardized using the variances of the
continuous latent variables as well as the variances of the background
and outcome variables for standardization, the second column of the
output labeled S.E. contains the standard error of the standardized
parameter estimate, the third column of the output labeled Est./S.E.
contains the value of the parameter estimate divided by the standard
error (column 1 divided by column 2), and the fourth column of the
output labeled Two-Tailed P-Value gives the p-value for the z-score in
the third column. When standardized parameter estimates and standard
errors are requested, an R-square value and its standard error are given
for each observed and latent dependent variable in the model.
RESIDUAL
The RESIDUAL option is used to request residuals for the observed
variables in the analysis. Residuals are computed for the model
estimated means/intercepts/thresholds and the model estimated
covariances/correlations/residual correlations. Residuals are computed
as the difference between the value of the observed sample statistic and
its model-estimated value. With missing data, the observed sample
statistics are replaced by the estimated unrestricted model for the
means/intercepts/thresholds and the covariances/correlations/residual
correlations. Standardized and normalized residuals are available for
continuous outcomes with TYPE=GENERAL and maximum likelihood
estimation. Standardized residuals are computed as the difference
between the value of the observed sample statistic and its model
estimated value divided by the standard deviation of the difference
between the value of the observed sample statistic and its model
estimated value. Standardized residuals are approximate z-scores.
Normalized residuals are computed as the difference between the value
of the observed sample statistic and its model estimated value divided by
the standard deviation of the value of the observed sample statistic. The
RESIDUAL option is not available for TYPE=RANDOM with
maximum likelihood estimation or the CONSTRAINT option of the
VARIABLE command.
OUTPUT, SAVEDATA, And PLOT Commands
803
or models with random effects defined using the | symbol in conjunction
with ON and BY and for random variances, the RESIDUAL option is
available for TYPE=TWOLEVEL and ESTIMATOR=BAYES. The
CLUSTER setting of the RESIDUAL option is used when a model has
random effects to request that residuals for each cluster be printed in the
output. Following is an example of how to specify RESIDUAL option
using the CLUSTER setting:
RESIDUAL (CLUSTER);
Following is an example of the residual output for a covariance matrix:
RESIDUAL OUTPUT
ESTIMATED MODEL AND RESIDUALS (OBSERVED - ESTIMATED)
Model Estimated Covariances/Correlations/Residual Correlations
Y1 Y2 Y3 Y4 X
________ ________ ________ ________ ________
Y1 1.608
Y2 1.024 1.487
Y3 1.041 0.944 1.451
Y4 1.072 0.972 0.987 1.551
X 0.553 0.501 0.509 0.524 0.912
Residuals for Covariances/Correlations/Residual Correlations
Y1 Y2 Y3 Y4 X
________ ________ ________ ________ ________
Y1 0.000
Y2 0.004 0.000
Y3 -0.014 0.013 0.000
Y4 -0.006 0.002 0.005 0.000
X 0.040 -0.048 -0.003 0.000 0.000
Standardized Residuals (z-scores) for Covariances/Correlations/
Residual Correlations
Y1 Y2 Y3 Y4 X
________ ________ ________ ________ ________
Y1 0.000
Y2 0.252 0.000
Y3 -1.241 0.819 0.000
Y4 -0.505 0.143 0.336 0.000
X 1.906 -2.284 -0.132 -0.003 0.000
Normalized Residuals for Covariances/Correlations/Residual
Correlations
Y1 Y2 Y3 Y4 X
CHAPTER 18
804
________ ________ ________ ________ ________
Y1 0.000
Y2 0.043 0.000
Y3 -0.165 0.171 0.000
Y4 -0.073 0.029 0.061 0.00
X 0.664 -0.864 -0.049 -0.001 0.000
MODINDICES
The MODINDICES option is used to request the following indices:
modification indices, expected parameter change indices, and two types
of standardized expected parameter change indices for all parameters in
the model that are fixed or constrained to be equal to other parameters.
Model modification indices are available for most models when
observed dependent variables are continuous, binary, and ordered
categorical (ordinal). The MODINDICES option is used with EFA to
request modification indices and expected parameter change indices for
the residual correlations. The MODINDICES option is not available for
the MODEL CONSTRAINT command,
ALGORITHM=INTEGRATION, TYPE=TWOLEVEL using the
MUML estimator, the BOOTSTRAP option of the ANALYSIS
command, and for models with more than one categorical latent variable.
When model modification indices are requested, they are provided as the
default when the modification index for a parameter is greater than or
equal to 10. The following statement requests modification indices
greater than zero:
MODINDICES (0);
Model modification indices are provided for the matrices that are opened
as part of the analysis. To request modification indices for all matrices,
specify:
MODINDICES (ALL);
or
MODINDICES (ALL 0);
OUTPUT, SAVEDATA, And PLOT Commands
805
The first column of the output labeled M.I. contains the modification
index for each parameter that is fixed or constrained to be equal to
another parameter. A modification index gives the expected drop in
chi-square if the parameter in question is freely estimated. The
parameters are labeled using the conventions of the MODEL command.
For example, factor loadings are found in the BY statements. Other
regression coefficients are found in the ON statements. Covariances and
residual covariances are found in the WITH statements. Variances,
residual variances, means, intercepts, and thresholds are found under
these headings. The scale factors used in the estimation of models with
categorical outcomes are found under the heading Scales.
MODEL MODIFICATION INDICES
Minimum M.I. value for printing the modification index 0.000
M.I. E.P.C. Std E.P.C. StdYX E.P.C.
WITH Statements
Y2 WITH Y1 0.066 0.010 0.010 0.019
Y3 WITH Y1 1.209 -0.042 -0.042 -0.086
Y3 WITH Y2 0.754 0.031 0.031 0.059
Y4 WITH Y1 0.226 -0.019 -0.019 -0.037
Y4 WITH Y2 0.021 0.005 0.005 0.010
Y4 WITH Y3 0.116 0.013 0.013 0.024
The second column of the output labeled E.P.C. contains the expected
parameter change index for each parameter that is fixed or constrained to
be equal to another parameter. An E.P.C. index provides the expected
value of the parameter in question if it is freely estimated. The third and
fourth columns of the output labeled Std E.P.C. and StdYX E.P.C.
contain the two standardized expected parameter change indices. These
indices are useful because the standardized values provide relative
comparisons. The Std E.P.C. indices are standardized using the
variances of the continuous latent variables. The StdYX E.P.C. indices
are standardized using the variances of the continuous latent variables as
well as the variances of the background and/or outcome variables.
CHAPTER 18
806
CINTERVAL
The CINTERVAL option is used to request confidence intervals for
frequentist model parameter estimates and credibility intervals for
Bayesian model parameter estimates. Confidence intervals are also
available for indirect effects and standardized indirect effects. The
CINTERVAL option has three settings for frequentist estimation and
two settings for Bayesian estimation.
The frequentist settings are SYMMETRIC, BOOTSTRAP, and
BCBOOTSTRAP. SYMMETRIC is the default for frequentist
estimation. SYMMETRIC produces 90%, 95% and 99% symmetric
confidence intervals. BOOTSTRAP produces 90%, 95%, and 99%
bootstrap confidence intervals. BCBOOTSTRAP produces 90%, 95%,
and 99% bias-corrected bootstrap confidence intervals. The
bootstrapped distribution of each parameter estimate is used to
determine the bootstrap and bias-corrected bootstrap confidence
intervals. These intervals take non-normality of the parameter estimate
distribution into account. As a result, they are not necessarily symmetric
around the parameter estimate.
The Bayesian settings are EQTAIL and HPD. EQTAIL is the default for
Bayesian estimation. EQTAIL produces 90%, 95%, and 99% credibility
intervals of the posterior distribution with equal tail percentages. HPD
produces 90%, 95%, and 99% credibility intervals of the posterior
distribution that give the highest posterior density (Gelman et al., 2004).
With frequentist estimation, only SYMMETRIC confidence intervals are
available for standardized parameter estimates. With Bayesian
estimation, both EQTAIL and HPD confidence intervals are available
for standardized parameter estimates.
The following statement shows how to request bootstrap confidence
intervals:
CINTERVAL (BOOTSTRAP);
In the output, the parameters are labeled using the conventions of the
MODEL command. For example, factor loadings are found in the BY
statements. Other regression coefficients are found in the ON
OUTPUT, SAVEDATA, And PLOT Commands
807
statements. Covariances and residual covariances are found in the
WITH statements. Variances, residual variances, means, intercepts, and
thresholds will be found under these headings. The scale factors used in
the estimation of models with categorical outcomes are found under the
heading Scales. The CINTERVAL option is not available for
TYPE=EFA.
The outputs for frequentist confidence intervals and Bayesian credibility
intervals have the same format. Following is output showing symmetric
frequentist confidence intervals:
CONFIDENCE INTERVALS OF MODEL RESULTS
Lower .5% Lower 2.5% Lower 5% Estimate Upper 5% Upper 2.5% Upper .5%
F BY
Y1 1.000 1.000 1.000 1.000 1.000 1.000 1.000
Y2 0.790 0.818 0.832 0.907 0.982 0.996 1.024
Y3 0.806 0.833 0.847 0.921 0.995 1.009 1.037
Y4 0.829 0.858 0.872 0.949 1.025 1.039 1.068
F ON
X 0.481 0.511 0.526 0.606 0.686 0.702 0.732
Intercepts
Y1 0.002 0.033 0.049 0.132 0.215 0.231 0.262
Y2 -0.009 0.021 0.037 0.118 0.199 0.214 0.245
Y3 -0.063 -0.033 -0.018 0.061 0.141 0.156 0.186
Y4 -0.052 -0.022 -0.006 0.077 0.159 0.175 0.205
Residual Variances
Y1 0.367 0.394 0.408 0.479 0.550 0.564 0.590
Y2 0.443 0.471 0.485 0.558 0.631 0.645 0.673
Y3 0.386 0.411 0.424 0.492 0.560 0.573 0.599
Y4 0.420 0.447 0.461 0.534 0.607 0.621 0.649
F 0.606 0.651 0.674 0.794 0.915 0.938 0.983
The fourth column of the output labeled Estimate contains the parameter
estimates. The third and fifth columns of the output labeled Lower 5%
and Upper 5%, respectively, contain the lower and upper bounds of the
90% confidence interval. The second and sixth columns of the output
labeled Lower 2.5% and Upper 2.5%, respectively, contain the lower
and upper bounds of the 95% confidence interval. The first and seventh
columns of the output labeled Lower .5% and Upper .5%, respectively,
contain the lower and upper bounds of the 99% confidence interval.
CHAPTER 18
808
SVALUES
The SVALUES option is used to create input statements that contain
parameter estimates from the analysis. These values are used as starting
values in the input statements. The input statements can be used in a
subsequent analysis in the MODEL or MODEL POPULATION
commands. Not all input statements are reported, for example, input
statements with the | symbol followed by ON, AT, or XWITH. For
MODEL CONSTRAINT, input statements are created for only the
parameters of the NEW option. Input statements are created as the
default when a model does not converge. To request that these input
statements be created, specify the following:
SVALUES;
NOCHISQUARE
The NOCHISQUARE option is used to request that the chi-square fit
statistic not be computed. This reduces computational time when the
model contains many observed variables. The chi-square fit statistic is
computed as the default when available. To request that the chi-square
fit statistic not be computed, specify the following:
NOCHISQUARE;
This option is not available for the MONTECARLO command unless
missing data are generated.
NOSERROR
The NOSERROR option is used to request that standard errors not be
computed. This reduces computational time when the model contains
many observed variables. To request that standard errors not be
computed, specify the following:
NOSERROR;
This option is not available for the MONTECARLO command.
OUTPUT, SAVEDATA, And PLOT Commands
809
H1SE
The H1SE option is used with the ML, MLR, and MLF estimators to
request standard errors for the unrestricted H1 model. It must be used in
conjunction with TYPE=BASIC or the SAMPSTAT option of the
OUTPUT command. It is not available for any other analysis type and it
cannot be used in conjunction with the BOOTSTRAP option of the
ANALYSIS command.
H1TECH3
The H1TECH3 option is used to request estimated covariance and
correlation matrices for the parameter estimates of the unrestricted H1
model. It is not available for any other analysis types, and it cannot be
used in conjunction with the BOOTSTRAP option of the ANALYSIS
command.
H1MODEL
For TYPE=GENERAL and the DISTRIBUTION option of the
ANALYSIS command, a chi-square test of model fit is available for
testing the H0 model against an unrestricted model of means, variances,
covariances, skew, and degrees of freedom using the H1MODEL option
(Asparouhov & Muthén, 2015a). This test is not provided by default
because it can be computationally demanding. The H1MODEL has two
settings: COVARIANCE and SEQUENTIAL. The default is
COVARIANCE. Following is an example of how to specify the
SEQUENTIAL setting:
H1MODEL (SEQUENTIAL);
PATTERNS
The PATTERNS option is used to request a summary of missing data
patterns. The first part of the output shows the missing data patterns that
occur in the data. In the example below, there are 13 patterns of
missingness. In pattern 1, individuals are observed on y1, y2, y3, and
y4. In pattern 7, individuals are observed on y1 and y4.
CHAPTER 18
810
SUMMARY OF MISSING DATA PATTERNS
MISSING DATA PATTERNS (x = not missing)
1 2 3 4 5 6 7 8 9 10 11 12 13
Y1 x x x x x x x x
Y2 x x x x x x x
Y3 x x x x x x x
Y4 x x x x x x
MISSING DATA PATTERN FREQUENCIES
Pattern Frequency Pattern Frequency Pattern Frequency
1 984 6 12 11 1
2 127 7 14 12 1
3 56 8 87 13 1
4 139 9 9
5 48 10 3
The second part of the output shows the frequency with which each
pattern is observed in the data. For example, 984 individuals have
pattern 1 whereas 14 have pattern 7.
FSCOEFFICIENT
The FSCOEFFICIENT option is used to request factor score coefficients
and a factor score posterior covariance matrix. It is available only for
TYPE=GENERAL and TYPE=COMPLEX with all continuous
dependent variables. The factor score posterior covariance matrix is the
variance/covariance matrix of the factor scores. Following is the
information produced by the FSCOEFFICIENT option:
FACTOR SCORE INFORMATION (COMPLETE DATA)
FACTOR SCORE COEFFICIENTS
Y1 Y2 Y3 Y4 X
________ ________ ________ ________ ________
F 0.254 0.197 0.227 0.216 0.093
FACTOR SCORE POSTERIOR COVARIANCE MATRIX
F
________
F 0.122
OUTPUT, SAVEDATA, And PLOT Commands
811
FSDETERMINACY
The FSDETERMINACY option is used to request a factor score
determinacy value for each factor in the model. It is available only for
TYPE=EFA, TYPE=GENERAL, and TYPE=COMPLEX with all
continuous dependent variables. The factor score determinacy is the
correlation between the estimated and true factor scores. It ranges from
zero to one and describes how well the factor is measured with one being
the best value. Following is the information produced by the
FSDETERMINACY option:
FACTOR DETERMINACIES
F 0.945
FSCOMPARISON
The FSCOMPARISON option is used with ESTIMATOR=BAYES in
conjunction with TYPE=TWOLEVEL to request a comparison of
between-level estimated factor scores.
BASEHAZARD
The BASEHAZARD option is used to request baseline hazard values for
each time interval used in a continuous-time survival analysis. This
option is available only with the SURVIVAL option. The baseline
hazard values can be saved using the BASEHAZARD option of the
SAVEDATA command.
LOGRANK
With TYPE=MIXTURE, the LOGRANK option is used to request the
logrank test also known as the Mantel-Cox test (Mantel, 1966). This test
compares the survival distributions between pairs of classes for both
continuous-time and discrete-time survival models. It is a nonparametric
test for right-censored data. For discrete-time survival models, the
DSURVIVAL option of the VARIABLE command must be used to
identify the discrete-time survival variables.
CHAPTER 18
812
ALIGNMENT
The ALIGNMENT option is used with the ALIGNMENT option of the
ANALYSIS command to obtain detailed measurement invariance test
results for all items and factor mean comparisons for all pairs of groups.
ENTROPY
The ENTROPY option is used in conjunction with TYPE=MIXTURE to
request the entropy contribution for each latent class indicator. This
information is useful for understanding each indicator’s importance in
distinguishing among the latent classes. This variable-specific entropy is
described in Asparouhov and Muthén (2014d).
TECH1
The TECH1 option is used to request the arrays containing parameter
specifications and starting values for all free parameters in the model.
The number assigned to the parameter in the parameter specification
matrices is the number used to refer to the parameter in error messages
regarding non-identification and other issues. When saving analysis
results, the parameters are saved in the order used in the parameter
specification matrices. The starting values are shown in the starting
value matrices. The TECH1 option is not available for TYPE=EFA.
TECHNICAL 1 OUTPUT
PARAMETER SPECIFICATION
NU
Y1 Y2 Y3 Y4 X
________ ________ ________ ________ ________
1 2 3 4 0
LAMBDA
F X
________ ________
Y1 0 0
Y2 5 0
Y3 6 0
Y4 7 0
X 0 0
OUTPUT, SAVEDATA, And PLOT Commands
813
THETA
Y1 Y2 Y3 Y4 X
________ ________ ________ ________ ________
Y1 8
Y2 0 9
Y3 0 0 10
Y4 0 0 0 11
X 0 0 0 0 0
ALPHA
F X
________ ________
0 0
BETA
F X
________ ________
F 0 12
X 0 0
PSI
F X
________ ________
F 13
X 0 0
STARTING VALUES
NU
Y1 Y2 Y3 Y4 X
________ ________ ________ ________ ________
0.104 0.092 0.035 0.050 0.000
LAMBDA
F X
________ ________
Y1 1.000 0.000
Y2 1.000 0.000
Y3 1.000 0.000
Y4 1.000 0.000
X 0.000 1.000
THETA
Y1 Y2 Y3 Y4 X
________ ________ ________ ________ ________
Y1 0.806
Y2 0.000 0.745
Y3 0.000 0.000 0.727
Y4 0.000 0.000 0.000 0.777
X 0.000 0.000 0.000 0.000 0.000
CHAPTER 18
814
ALPHA
F X
________ ________
0.000 -0.046
BETA
F X
________ ________
F 0.000 0.000
X 0.000 0.000
PSI
F X
________ ________
F 0.050
X 0.000 0.912
TECH2
The TECH2 option is used to request parameter derivatives. The
TECH2 option is not available for TYPE=EFA and the CONSTRAINT
option of the VARIABLE command unless TYPE=MIXTURE is used.
TECHNICAL 2 OUTPUT
DERIVATIVES
Derivatives With Respect to NU
Y1 Y2 Y3 Y4 X
________ ________ ________ ________ ________
0.000 0.000 0.000 0.000 0.000
Derivatives With Respect to LAMBDA
F X
________ ________
Y1 0.000 -0.084
Y2 0.000 0.086
Y3 0.000 0.006
Y4 0.000 0.000
X 0.000 -0.014
Derivatives With Respect to THETA
Y1 Y2 Y3 Y4 X
________ ________ ________ ________ ________
Y1 0.000
Y2 -0.014 0.000
OUTPUT, SAVEDATA, And PLOT Commands
815
Y3 0.058 -0.049 0.000
Y4 0.024 -0.008 -0.019 0.000
X 0.000 0.000 0.000 0.000 0.000
Derivatives With Respect to ALPHA
F X
________ ________
0.000 0.000
Derivatives With Respect to BETA
F X
________ ________
F 0.000 0.000
X 0.000 0.000
Derivatives With Respect to PSI
F X
________ ________
F 0.000
X 0.000 0.000
TECH3
The TECH3 option is used to request estimated covariance and
correlation matrices for the parameter estimates. The parameters are
referred to using the numbers assigned to them in TECH1. The TECH3
covariance matrix can be saved using the TECH3 option of the
SAVEDATA command. The TECH3 option is not available for
ESTIMATOR=ULS, the BOOTSTRAP option of the ANALYSIS
command, and TYPE=EFA.
TECH4
The TECH4 option is used to request estimated means, covariances, and
correlations for the latent variables in the model. In addition to the
means, covariances, and correlations, standard errors and p-values are
given. The TECH4 means and covariance matrix can be saved using the
TECH4 option of the SAVEDATA command. The TECH4 option is not
available for TYPE=RANDOM with maximum likelihood estimation,
the CONSTRAINT option of the VARIABLE command, or
TYPE=EFA.
CHAPTER 18
816
For models with random effects defined using the | symbol in
conjunction with ON and BY and for random variances, the TECH4
option is available for TYPE=TWOLEVEL and ESTIMATOR=BAYES.
The CLUSTER setting of the TECH4 option is used when a model has
random effects to request that estimated means, covariances, and
correlations for each cluster be printed in the output. Following is an
example of how to specify the TECH4 option using the CLUSTER
setting:
TECH4 (CLUSTER);
TECH5
The TECH5 option is used to request the optimization history in
estimating the model. The TECH5 option is not available for
TYPE=EFA.
TECH6
The TECH6 option is used to request the optimization history in
estimating sample statistics for categorical observed dependent
variables. TECH6 is produced when at least one outcome variable is
categorical but not when all outcomes are binary unless there is an
independent variable in the model.
TECH7
The TECH7 option is used in conjunction with TYPE=MIXTURE to
request sample statistics for each class using raw data weighted by the
estimated posterior probabilities for each class.
TECH8
The TECH8 option is used to request that the optimization history in
estimating the model be printed in the output. TECH8 is printed to the
screen during the computations as the default. TECH8 screen printing is
useful for determining how long the analysis takes. TECH8 is available
for TYPE=RANDOM, MIXTURE, TWOLEVEL and analyses where
numerical integration is used.
OUTPUT, SAVEDATA, And PLOT Commands
817
TECH9
The TECH9 option is used in conjunction with the MONTECARLO
command, the MONTECARLO and IMPUTATION options of the
DATA command, and the BOOTSTRAP option of the ANALYSIS
command to request error messages related to convergence for each
replication or bootstrap draw. These messages are suppressed if TECH9
is not specified.
TECH10
The TECH10 option is used to request univariate, bivariate, and
response pattern model fit information for the categorical dependent
variables in the model. This includes observed and estimated (expected)
frequencies and standardized residuals. TECH10 is available for
TYPE=MIXTURE and categorical and count variables with maximum
likelihood estimation.
TECH11
The TECH11 option is used in conjunction with TYPE=MIXTURE to
request the Lo-Mendell-Rubin likelihood ratio test of model fit (Lo,
Mendell, & Rubin, 2001) that compares the estimated model with a
model with one less class than the estimated model. The Lo-Mendell-
Rubin approach has been criticized (Jeffries, 2003) although it is unclear
to which extent the critique affects its use in practice. The p-value
obtained represents the probability that the data have been generated by
the model with one less class. A low p-value indicates that the model
with one less class is rejected in favor of the estimated model. An
adjustment to the test according to Lo-Mendell-Rubin is also given. The
model with one less class is obtained by deleting the first class in the
estimated model. Because of this, it is recommended when using
starting values that they be chosen so that the last class is the largest
class. In addition, it is recommended that model identifying restrictions
not be included in the first class. TECH11 is available only for
ESTIMATOR=MLR. The TECH11 option is not available for the
MODEL CONSTRAINT command, the BOOTSTRAP option of the
ANALYSIS command, training data, and for models with more than one
categorical latent variable.
CHAPTER 18
818
TECH12
The TECH12 option is used in conjunction with TYPE=MIXTURE to
request residuals for observed versus model estimated means, variances,
covariances, univariate skewness, and univariate kurtosis. The observed
values come from the total sample. The estimated values are computed
as a mixture across the latent classes. The TECH12 option is not
available for TYPE=RANDOM, the MONTECARLO command, the
CONSTRAINT option of the VARIABLE command, and when there are
no continuous dependent variables.
TECH13
The TECH13 option is used in conjunction with TYPE=MIXTURE to
request two-sided tests of model fit for univariate, bivariate, and
multivariate skew and kurtosis (Mardia’s measure of multivariate
kurtosis). Observed sample values are compared to model estimated
values generated over 200 replications. Each p-value obtained
represents the probability that the estimated model has generated the
data. A high p-value indicates that the estimated model fits the data.
TECH13 is available only when the LISTWISE option of the DATA
command is set to ON. TECH13 is not available for
TYPE=TWOLEVEL MIXTURE, ALGORITHM=INTEGRATION, the
BOOTSTRAP option of the ANALYSIS command, the CONSTRAINT
option of the VARIABLE command, and when there are no continuous
dependent variables.
TECH14
The TECH14 option is used in conjunction with TYPE=MIXTURE to
request a parametric bootstrapped likelihood ratio test (McLachlan and
Peel, 2000) that compares the estimated model to a model with one less
class than the estimated model. The p-value obtained represents an
approximation to the probability that the data have been generated by the
model with one less class. A low p-value indicates that the model with
one less class is rejected in favor of the estimated model. The model
with one less class is obtained by deleting the first class in the estimated
model. Because of this, it is recommended that model identifying
restrictions not be included in the first class. In addition, it is
recommended when using starting values that they be chosen so that the
OUTPUT, SAVEDATA, And PLOT Commands
819
last class is the largest class. TECH14 is not available for
TYPE=RANDOM unless ALGORITHM=INTEGRATION is used, the
BOOTSTRAP option of the ANALYSIS command, training data, the
CONSTRAINT option of the VARIABLE command, with sampling
weights, and for models with more than one categorical latent variable.
Following is a description of the bootstrap method that is used in
TECH14. Models are estimated for both the number of classes in the
analysis model (k) and the number of classes in the analysis model
minus one (k–1). The loglikelihood values from the k and k-1 class
analyses are used to compute a likelihood ratio test statistic (-2 times the
loglikelihood difference). Several data sets, referred to as bootstrap
draws, are then generated using the parameter estimates from the k-1
class model. These data are analyzed for both the k and k-1 class models
to obtain loglikelihood values which are used to compute a likelihood
ratio test statistic for each bootstrap draw. The likelihood ratio test
statistic from the initial analysis is compared to the distribution of
likelihood ratio test statistics obtained from the bootstrap draws to
compute a p-value which is used to decide if the k-1 class model fits the
data as well as the k class model.
The parametric bootstrapped likelihood ratio test can be obtained in two
ways. The default method is a sequential method that saves
computational time by using a minimum number of bootstrap draws to
decide whether the p-value is less than or greater than 0.05. The number
of draws varies from 2 to 100. This method gives an approximation to
the p-value. A more precise estimate of the p-value is obtained by using
a full set of bootstrap draws using the LRTBOOTSTRAP option of the
ANALYSIS command. A common value suggested in the literature is
100 bootstrap draws (McLachlan & Peel, 2000). For more information
about TECH14 see Nylund et al. (2007) and Asparouhov and Muthén
(2012c).
In the TECH14 output, the H0 loglikelihood value given is for the k-1
class model. It is important to check that the H0 loglikelihood value in
the TECH14 output is the same as the loglikelihood value for the H0
model obtained in a previous k-1 class analysis. If it is not the same, the
K-1STARTS option of the ANALYSIS command can be used to
increase the number of random starts for the estimation of the k-1 class
model for TECH14.
CHAPTER 18
820
TECH14 computations are time consuming because for each bootstrap
draw random starts are needed for the k class model. The default for the
k class model is to generate 20 random sets of starting values in the
initial stage followed by 5 optimizations in the final stage. The default
values can be changed using the LRTSTARTS option of the ANALYSIS
command. The following steps are recommended to save computational
time when using TECH14 (Asparouhov & Muthén, 2012c):
1. Run without TECH14 using the STARTS option of the ANALYSIS
command to find a stable solution if the default starts are not
sufficient.
2. Run with TECH14 using the OPTSEED option of the ANALYSIS
command to specify the seed of the stable solution from Step 1.
3. Run with LRTSTARTS = 0 0 100 20; to check if the results are
sensitive to the number of random starts for the k class model.
TECH15
The TECH15 option is used in conjunction with TYPE=MIXTURE,
PARAMETERIZATION=LOGIT or PROBABILITY, and more than
one categorical latent variable to request marginal and conditional
probabilities, including latent transition probabilities, for the categorical
latent variables in a model. If the model includes binary covariates, the
KNOWNCLASS option is used to represent the categories of the binary
covariates. For example, if the binary covariates of gender and treatment
are used, the two covariates should be combined into one observed
variable with four categories using the DEFINE command. This variable
should be used with the KNOWNCLASS option to create four known
classes. If a continuous covariate is used, the probabilities are evaluated
at the sample mean of the covariate.
TECH16
The TECH16 option is used in conjunction with ESTIMATOR=BAYES
to request test statistics for the Bayes factor approach which is used in
conjunction with MODEL PRIORS to test if variances are greater than
zero (Gelman et al., 2004; Asparouhov & Muthén, 2012a; Verhagen &
Fox, 2012).
OUTPUT, SAVEDATA, And PLOT Commands
821
Mplus PARAMETER ARRAYS
Following is a description of some parameter arrays that are commonly
used in model estimation. The first nine arrays are for the structural
equation part of the model. The remaining eight arrays are for the
mixture part of the model.
ARRAYS FOR THE STRUCTURAL EQUATION PART OF
THE MODEL
TAU
The tau vector contains information regarding thresholds of categorical
observed variables. The elements are in the order of thresholds within
variables.
NU
The nu vector contains information regarding means or intercepts of
continuous observed variables.
LAMBDA
The lambda matrix contains information regarding factor loadings. The
rows of lambda represent the observed dependent variables in the model.
The columns of lambda represent the continuous latent variables in the
model.
THETA
The theta matrix contains the residual variances and covariances of the
observed dependent variables or the latent response variables. The rows
and columns both represent the observed dependent variables.
ALPHA
The alpha vector contains the means and/or intercepts of the continuous
latent variables.
CHAPTER 18
822
BETA
The beta matrix contains the regression coefficients for the regressions
of continuous latent variables on continuous latent variables. Both the
rows and columns represent continuous latent variables.
GAMMA
The gamma matrix contains the regression coefficients for the
regressions of continuous latent variables on observed independent
variables. The rows represent the continuous latent variables in the
model. The columns represent the observed independent variables in the
model.
PSI
The psi matrix contains the variances and covariances of the continuous
latent variables. Both the rows and columns represent the continuous
latent variables in the model.
DELTA
Delta is a vector that contains scaling information for the observed
dependent variables.
ARRAYS FOR THE MIXTURE PART OF THE MODEL
ALPHA (C)
The alpha (c) vector contains the mean or intercept of the categorical
latent variables.
LAMBDA (U)
The lambda (u) matrix contains the intercepts of the binary observed
variables that are influenced by the categorical latent variables. The
rows of lambda (u) represent the binary observed variables in the model.
The columns of lambda (u) represent the classes of the categorical latent
variables in the model.
OUTPUT, SAVEDATA, And PLOT Commands
823
TAU (U)
The tau (u) vector contains the thresholds of the categorical observed
variables that are influenced by the categorical latent variables. The
elements are in the order of thresholds within variables.
GAMMA (C)
The gamma (c) matrix contains the regression coefficients for the
regressions of the categorical latent variables on observed independent
variables. The rows represent the latent classes. The columns represent
the observed independent variables in the model.
KAPPA (U)
The kappa (u) matrix contains the regression coefficients for the
regressions of the binary observed variables on the observed independent
variables. The rows represent the binary observed variables. The
columns represent the observed independent variables in the model.
ALPHA (F)
The alpha (f) vector contains the means and/or intercepts of the growth
factors for the categorical observed variables that are influenced by the
categorical latent variables.
LAMBDA (F)
The lambda (f) matrix contains the fixed loadings that describe the
growth of the categorical observed variables that are influenced by the
categorical latent variables. The rows represent the categorical observed
variables. The columns represent the growth factors.
GAMMA (F)
The gamma (f) matrix contains the regression coefficients for the
regressions of the growth factors on the observed independent variables
and the regression coefficients for the regressions of the categorical
observed variables on the observed independent variables.

CHAPTER 18
824
THE SAVEDATA COMMAND
The SAVEDATA command is used to save the analysis data, auxiliary
variables, and a variety of analysis results. Following is a list of the
types of information that can be saved:
Analysis data
Sample correlation or covariance matrix
Model estimated covariance matrix
Estimated sigma between matrix from TYPE=TWOLEVEL
Within- and between-level sample statistics and their asymptotic
covariance matrix for weighted least squares estimation
Analysis results
Parameter estimates for use in the MONTECARLO command
Derivatives from an H1 model
Covariance matrix of parameter estimates
Model estimated means and covariance matrix for latent variables
Kaplan-Meier survival curve values for continuous-time survival
Baseline hazard values for continuous-time survival
Estimated baseline survival rates for continuous-time survival
Factor scores, posterior probabilities, and most likely class
membership for each response pattern
Bayesian posterior parameter values
Ranking of groups based on the group factor means
Factor scores
Latent response variables
Propensity scores
Posterior probabilities for each latent class and most likely class
membership
Replicate weights
Outliers
3-step mixture weights for BCH

OUTPUT, SAVEDATA, And PLOT Commands
825
Following are the options for the SAVEDATA command:
SAVEDATA:
FILE IS
file name;
FORMAT IS
format statement;
F10.3
FREE;
MISSFLAG =
missing value flag;
*
RECORDLENGTH IS
characters per record;
1000
SAMPLE IS
file name;
COVARIANCE IS
file name;
SIGBETWEEN IS
file name;
SWMATRIX IS
file name;
RESULTS ARE
STDRESULTS ARE
STDDISTRIBUTION IS
file name;
file name;
file name;
ESTIMATES ARE
file name;
DIFFTEST IS
file name;
TECH3 IS
file name;
TECH4 IS
file name;
KAPLANMEIER IS
file name;
BASEHAZARD IS
file name;
ESTBASELINE IS
file name;
RESPONSE IS
file name;
MULTIPLIER IS
file name;
BPARAMETERS IS
file name;
RANKING IS
file name;
TYPE IS
COVARIANCE;
varies
CORRELATION;
SAVE =
FSCORES;
FSCORES (# #);
LRESPONSES (#);
PROPENSITY;
CPROBABILITIES;
REPWEIGHTS;
MAHALANOBIS;
LOGLIKELIHOOD;
INFLUENCE;
COOKS;
BCHWEIGHTS;
FACTORS =
names of factors;
LRESPONSES =
names of latent response variables;
MFILE =
file name;

CHAPTER 18
826
MNAMES =
names of variables in the data set;
MFORMAT =
format statement;
FREE;
FREE
MMISSING =
Variable (#);
*;
.;
MSELECT =
names of variables;
all variables in
MNAMES
Although SAVEDATA is not a required command, one or more of the
following options is required when the SAVEDATA command is used:
FILE, SAMPLE, COVARIANCE, SIGBETWEEN, SWMATRIX,
RESULTS, ESTIMATES, DIFFTEST, TECH3, TECH4,
KAPLANMEIER, BASEHAZARD, ESTBASELINE, RESPONSE,
MULTIPLIER, BPARAMETERS, and RANKING.
Note that commands and options can be shortened to four or more
letters. Option settings can be referred to by either the complete word or
the part of the word shown above in bold type.
FILE
The FILE option is used to specify the name of the ASCII file in which
the individual-level data used in the analysis will be saved. Following is
an example of how to specify the FILE option:
FILE IS newdata.dat;
where newdata.dat is the name of the file in which the individual-level
data used in the analysis will be saved. If the working directory contains
a file of the same name, it will be overwritten. The data are saved in a
fixed format unless the FORMAT option is used. Any original and/or
transformed variables used in the analysis will be saved. Missing values
are saved as an asterisk (*). If categorical variables have been recoded
by the program, the recoded values are saved. If the weight variable has
been rescaled by the program, the rescaled values are saved. The order
in which the variables are saved is given at the end of the output under
SAVEDATA INFORMATION.
OUTPUT, SAVEDATA, And PLOT Commands
827
The AUXILIARY option of the VARIABLE command can be used in
conjunction with the SAVEDATA command to save variables that are
not used in the analysis along with the analysis variables.
FORMAT
The FORMAT option is used to specify the format in which the analysis
data will be saved. This option cannot be used for saving other types of
data. All dependent and independent variables used in the analysis are
saved. In addition, all other variables that are used in conjunction with
the analysis are saved as well as any variables specified using the
AUXILIARY option of the VARIABLE command. The name of the
data set along with the names of the variables saved and the format are
printed in the output. The default is to save the analysis variables using a
fixed format.
Following is an example of how to specify the FORMAT option to save
individual data in a free format:
FORMAT IS FREE;
Individual data can also be saved in a fixed format specified by the user.
The user has the choice of which F or E format the analysis variables are
saved in with the format of other saved variables determined by the
program. This option is specified as:
FORMAT IS F2.0;
which indicates that all analysis variables will be saved with an F2.0
format.
MISSFLAG
The MISSFLAG option is used to specify the missing value flag to use
in the data set named in the FILE option of the SAVEDATA command.
The default is the asterisk (*). The period (.) and any number can be
used instead. All variables must have the same missing value flag.
CHAPTER 18
828
RECORDLENGTH
The RECORDLENGTH option is used to specify the number of
characters per record in the file to which the analysis data are saved. It
cannot be used for saving other types of data. The default and maximum
record length is 5000. Following is an example of how the
RECORDLENGTH option is specified:
RECORDLENGTH = 220;
SAMPLE
The SAMPLE option is used to specify the name of the ASCII file in
which the sample statistics such as the correlation or covariance matrix
will be saved. Following is an example of how to specify the SAMPLE
option:
SAMPLE IS sample.dat;
where sample.dat is the name of the file in which the sample statistics
will be saved. If the working directory contains a file of the same name,
it will be overwritten. The data are saved using free format delimited by
a space.
For continuous outcomes, the default is the covariance matrix. For
categorical outcomes, the default is the correlation matrix. For
combinations of continuous and categorical outcomes, the default is the
correlation matrix. The TYPE option can be used in conjunction with
the SAMPLE option to obtain a matrix other than the default matrix.
For TYPE=TWOLEVEL and maximum likelihood estimation, the
sample correlation and covariance matrices are the maximum likelihood
estimated sigma within covariance and correlation matrices. For
TYPE=TWOLEVEL and weighted least squares estimation, the sample
correlation and covariance matrices are the pairwise maximum
likelihood estimated sigma within covariance and correlation matrices.
For ESTIMATOR=MUML, the sample correlation and covariance
matrices are the sample pooled-within correlation and covariance
matrices.
OUTPUT, SAVEDATA, And PLOT Commands
829
COVARIANCE
The COVARIANCE option is used to specify the name of the ASCII file
in which the model estimated covariance matrix for continuous variables
is saved. Following is an example of how this option is specified:
COVARIANCE = cov.dat;
where cov.dat is the name of the file in which the covariance matrix for
continuous analysis variables will be saved. If the working directory
contains a file of the same name, it will be overwritten. The data are
saved using free format delimited by a space.
SIGBETWEEN
The SIGBETWEEN option is used to specify the name of the ASCII file
in which the estimated sigma between covariance matrix or the estimated
sigma between correlation matrix will be saved. For maximum
likelihood estimation, it is the consistent maximum likelihood estimate
of sigma between. For weighted least squares estimation, it is the
pairwise maximum likelihood estimated sigma between covariance and
correlation matrices. For ESTIMATOR=MUML, it is the unbiased
estimate of sigma between. Following is an example of how to specify
the SIGB option:
SIGBETWEEN IS sigma.dat;
where sigma.dat is the name of the file in which the estimated sigma
between matrix will be saved. If the working directory contains a file of
the same name, it will be overwritten. The data are saved using free
format delimited by a space.
The default is to save the estimated sigma between covariance matrix.
The TYPE option can be used in conjunction with the SIGB option to
obtain the estimated sigma between correlation matrix.
CHAPTER 18
830
SWMATRIX
The SWMATRIX option is used with TYPE=TWOLEVEL and
weighted least squares estimation to specify the name of the ASCII file
in which the within- and between-level sample statistics and their
corresponding estimated asymptotic covariance matrix will be saved.
The univariate and bivariate sample statistics are estimated using one-
and two-dimensional numerical integration with a default of 7
integration points. The INTEGRATION option of the ANALYSIS
command can be used to change the default. It is recommended to save
this information and use it in subsequent analyses along with the raw
data to reduce computational time during model estimation. Analyses
using this information must have the same set of observed dependent and
independent variables, the same DEFINE command, the same
USEOBSERVATIONS statement, and the same USEVARIABLES
statement as the analysis which was used to save the information.
Following is an example of how to specify the SWMATRIX option:
SWMATRIX IS swmatrix.dat;
where swmatrix.dat is the name of the file in which the analysis results
will be saved. If the working directory contains a file of the same name,
it will be overwritten.
For the DATA IMPUTATION command and the IMPUTATION option
of the DATA command, the SWMATRIX option is specified as follows:
SWMATRIX IS sw*.dat;
where the asterisk (*) is replaced by the number of the imputed data set.
A file is also produced that contains the names of all of the imputed data
sets. To name this file, the asterisk (*) is replaced by the word list. The
file, in this case swlist.dat, contains the names of the imputed data sets.
This file is used with the SWMATRIX of the DATA command in
subsequent analyses.
OUTPUT, SAVEDATA, And PLOT Commands
831
RESULTS
The RESULTS option is used to specify the name of the ASCII file in
which the results of an analysis will be saved. The results saved include
parameter estimates, standard errors of the parameter estimates, and fit
statistics. If the STANDARDIZED option of the OUTPUT command is
used, standardized parameters estimates and their standard errors will
also be saved. Following is an example of how to specify the RESULTS
option:
RESULTS ARE results.dat;
where results.dat is the name of the file in which the analysis results will
be saved. If the working directory contains a file of the same name, it
will be overwritten. The data are saved using free format delimited by a
space.
STDRESULTS
The STDRESULTS option is used in conjunction with the
STANDARDIZED option of the OUTPUT command to specify the
name of the ASCII file in which the cluster-specific standardized results
of the analysis will be saved. These are saved for models with random
effects defined using the | symbol in conjunction with ON and BY and
for random variances using TYPE=TWOLEVEL and
ESTIMATOR=BAYES. The results saved include for each cluster, the
within-level parameter estimates, the posterior standard deviations of the
parameters estimates, the one-tailed p-values, and the upper and lower
2.5% credibility limits.
Following is an example of how to specify the STDRESULTS option:
STDRESULTS ARE stdresults.dat;
where stdresults.dat is the name of the file in which the cluster-specific
standardized results of the analysis will be saved. If the working
directory contains a file of the same name, it will be overwritten. The
data are saved using free format delimited by a space.
CHAPTER 18
832
STDDISTRIBUTION
The STDDISTRIBUTION option is used in conjunction with the
STANDARDIZED option of the OUTPUT command to specify the
name of the ASCII file in which the distributions of the standardized
results based on the last 1,000 iterations of the analysis will be saved.
These are saved for models with random effects defined using the |
symbol in conjunction with ON and BY and for random variances using
TYPE=TWOLEVEL and ESTIMATOR=BAYES. The results saved
include the cluster, chain, iteration, and parameter values.
Following is an example of how to specify the STDDISTRIBUTION
option:
STDDISTRIBUTION IS stddistribution.dat;
where stddistribution.dat is the name of the file in which distributions of
the standardized results based on the last 1,000 iterations of the analysis
will be saved. If the working directory contains a file of the same name,
it will be overwritten. The data are saved using free format delimited by
a space.
ESTIMATES
The ESTIMATES option is used to specify the name of the ASCII file in
which the parameter estimates of an analysis will be saved. The saved
parameter estimates can be used in a subsequent Monte Carlo simulation
study as population values for data generation and/or coverage values
using the POPULATION and/or COVERAGE options of the
MONTECARLO command. The SVALUES option is an alternative to
the ESTIMATES option. The SVALUES option creates input
statements that contain parameter estimates from the analysis as starting
values.
Following is an example of how to specify the ESTIMATES option:
ESTIMATES ARE estimate.dat;
OUTPUT, SAVEDATA, And PLOT Commands
833
where estimate.dat is the name of the file in which the parameter
estimates will be saved. If the working directory contains a file of the
same name, it will be overwritten. The data are saved using free format
delimited by a space.
DIFFTEST
The DIFFTEST option is used in conjunction with the MLMV and
WLSMV estimators to specify the name of the ASCII file in which the
derivatives from an H1 model will be saved. These derivatives are used
in the subsequent estimation of an H0 model to compute a chi-square
difference test using the DIFFTEST option of the ANALYSIS
command. The H1 model is the less restrictive model. The H0 model is
the more restrictive model nested within H1. Following is an example of
how to specify the DIFFTEST option:
DIFFTEST IS deriv.dat;
where deriv.dat is the name of the file in which the derivatives from the
H1 model will be saved. If the working directory contains a file of the
same name, it will be overwritten. The data are saved using free format
delimited by a space.
TECH3
The TECH3 option is used to specify the name of the ASCII file in
which the covariance matrix of parameter estimates will be saved.
Following is an example of how to specify the TECH3 option:
TECH3 IS tech3.dat;
where tech3.dat is the name of the file in which the covariance matrix of
parameter estimates will be saved. If the working directory contains a
file of the same name, it will be overwritten. The data are saved using
free format delimited by a space.
CHAPTER 18
834
TECH4
The TECH4 option is used to specify the name of the ASCII file in
which the estimated means and covariance matrix for the latent variables
in the analysis will be saved. Following is an example of how to specify
the TECH4 option:
TECH4 IS tech4.dat;
where tech4.dat is the name of the file in which the estimated means and
covariance matrix for the latent variables will be saved. If the working
directory contains a file of the same name, it will be overwritten. The
data are saved using free format delimited by a space.
KAPLANMEIER
The KAPLANMEIER option is used to specify the name of the ASCII
file in which the y- and x-axis values for the Kaplan-Meier survival
curve for continuous-time survival analysis will be saved. This option is
available only with the SURVIVAL option. Following is an example of
how this option is specified:
KAPLANMEIER IS kapmeier.dat;
where kapmeier.dat is the name of the file in which the survival curve
values will be saved. If the working directory contains a file of the same
name, it will be overwritten. The data are saved using free format
delimited by a space.
BASEHAZARD
The BASEHAZARD option is used to specify the name of the ASCII file
in which the estimated baseline hazard values for continuous-time
survival analysis will be saved. This option is available only with the
SURVIVAL option. Following is an example of how this option is
specified:
BASEHAZARD IS base.dat;
OUTPUT, SAVEDATA, And PLOT Commands
835
where base.dat is the name of the file in which the estimated baseline
hazard values will be saved. If the working directory contains a file of
the same name, it will be overwritten. The data are saved using free
format delimited by a space.
ESTBASELINE
The ESTBASELINE option is used to specify the name of the ASCII file
in which the y- and x-axis values for the estimated baseline survival rate
of the continuous-time survival analysis will be saved. This option is
available only with the SURVIVAL option. Following is an example of
how this option is specified:
ESTBASELINE IS estbase.dat;
where estbase.dat is the name of the file in which the y- and x-axis
values for the estimated baseline survival rate of the continuous-time
survival analysis will be saved. If the working directory contains a file
of the same name, it will be overwritten. The data are saved using free
format delimited by a space.
RESPONSE
The RESPONSE option is used with single-level models and the ML,
MLR, and MLF estimators when all dependent variables are categorical
to specify the name of the ASCII file in which information about each
response pattern is saved. It is not available for models with covariates.
It is available for TYPE=EFA and TYPE=MIXTURE EFA when the
lower and upper limits of the number of factors to be extracted is the
same. If the model has continuous latent variables, factor scores and the
standard errors of the factor scores are saved. For TYPE=MIXTURE,
the factor scores based on most likely class membership are saved in
addition to posterior probabilities for each class and most likely class
membership for each response pattern. The RESPONSE option is not
available for the KNOWNCLASS and TRAINING options of the
VARIABLE command. Following is an example of how to specify the
RESPONSE option:
RESPONSE IS response.dat;
CHAPTER 18
836
where response.dat is the name of the file in which information about
each response pattern is saved. If the working directory contains a file
of the same name, it will be overwritten. The data are saved using free
format delimited by a space. Response pattern frequencies, factor
scores, standard errors of the factor scores, and posterior probabilities
are saved as F10.3. Pattern values and most likely class membership are
saved as integers.
MULTIPLIER
The MULTIPLIER option is used with the JACKKNIFE setting of the
REPSE option to specify the name of the ASCII file in which the
multiplier values are saved. Following is an example of how to specify
the MULTIPLIER option:
MULTIPLIER IS multiplier.dat;
where multiplier.dat is the name of the file in which the multiplier values
are saved. If the working directory contains a file of the same name, it
will be overwritten. The values are saved as E15.8.
BPARAMETERS
The BPARAMETERS option is used in Bayesian analysis to specify the
name of the ASCII file in which the Bayesian posterior parameter values
for all iterations are saved. Following is an example of how this option
is specified:
BPARAMETERS = bayes.dat;
where bayes.dat is the name of the file in which the Bayesian posterior
parameter values for all iterations will be saved. If the working directory
contains a file of the same name, it will be overwritten. The data are
saved using free format delimited by a space.
RANKING
The RANKING option is used in conjunction with the ALIGNMENT
option to specify the name of the ASCII file in which the rankings of
OUTPUT, SAVEDATA, And PLOT Commands
837
groups based on group factor means and the significance of the factor
mean differences are saved. Following is an example of how this option
is specified:
RANKING = ranking.dat;
where ranking.dat is the name of the file in which the rankings of groups
based on group factor means and the significance of the factor mean
differences will be saved. If the working directory contains a file of the
same name, it will be overwritten. The data are saved using free format
delimited by a comma.
TYPE
The TYPE option is used to specify the type of matrix to be saved. It
can be used in conjunction with the SAMPLE and SIGB options to
override the default. The default matrix for the SAMPLE option is the
covariance matrix for continuous outcomes, the correlation matrix for
categorical outcomes, and the correlation matrix for combinations of
continuous and categorical outcomes. The default matrix for the SIGB
option is the covariance matrix. If the default matrix is the covariance
matrix, a correlation matrix can be requested by the following statement:
TYPE = CORRELATION;
SAVE
The SAVE option is used to save factor scores, latent response variable
scores, propensity scores, posterior probabilities for each latent class and
most likely class membership, replicate weights, outliers, and 3-step
mixture weights for the BCH method along with the analysis and/or
auxiliary variables.
FSCORES
When SAVE=FSCORES is used with frequentist estimation, factor
scores are saved along with the other analysis variables. Following is an
example of how this option is specified:
CHAPTER 18
838
SAVE = FSCORES;
Factor scores are available when observed dependent variables are
continuous, censored, binary, ordered categorical (ordinal), count or a
combination of these variable types. Factor scores are not available for
TYPE=BASIC, TYPE=EFA, or TYPE=TWOLEVEL with weighted
least squares estimation. For censored and count dependent variables,
factor scores are available only for maximum likelihood estimators using
numerical integration.
When SAVE=FSCORES is used with ESTIMATOR=BAYES, a
distribution of factor scores, called plausible values, is obtained for each
observation. The following summaries are saved along with the other
analysis variables: mean, median, standard deviation, lower 2.5% limit,
and upper 97.5% limit. Following is an example of how this option is
specified:
SAVE = FSCORES (50 10);
where 50 is the number of imputations or draws that are used from the
Bayesian posterior distribution to compute the plausible value
distribution for each observation and 10 is the number to use for
thinning. This means that from a total of 500 iterations, every tenth
iteration from the posterior distribution is used to compute the plausible
value distribution for each observation. The number of imputations or
draws must be specified. There is no default. The default for thinning is
one.
The FACTORS option is used to specify the names of the factors for
which the plausible value distributions will be saved. Following is an
example of how this option is specified:
FACTORS = f1 f2 f3;
where f1, f2, and f3 are the factors for which the plausible value
distributions will be saved. If the PLOT command is used, these
plausible values will be saved for plotting.
For two-level models with random effects defined using the | symbol in
conjunction with ON and BY and for random variances, the
OUTPUT, SAVEDATA, And PLOT Commands
839
BPARAMETER option can be used to save the distributions of the fixed
parameters used in the computation of the factor scores.
LRESPONSES
When SAVE=LRESPONSES is used with ESTIMATOR=BAYES, a
distribution of latent response variable scores is obtained for each
observation. The following summaries are saved along with the other
analysis variables: mean, median, standard deviation, lower 2.5% limit,
and upper 97.5% limit. Following is an example of how this option is
specified:
SAVE = LRESPONSES (50);
where 50 is the number of imputations or draws that are used from the
Bayesian posterior distribution to compute the latent response variable
distribution for each observation. The number of imputations or draws
must be specified. There is no default.
The LRESPONSES option is used to specify the names of the latent
response variables underlying categorical outcomes for which the latent
response variable distributions will be saved. Following is an example
of how this option is specified:
LRESPONSES = u1 u2 u3;
where u1, u2, and u3 are the latent response variables underlying
categorical outcomes for which the latent response variable distributions
will be saved.
PROPENSITY
When SAVE=PROPENSITY is used in conjunction with
TYPE=GENERAL, TYPE=COMPLEX, or TYPE=MIXTURE using the
ML, MLF, MLR, WLS, WLSM, WLSMV, and ULSMV estimators,
propensity scores, that is, estimated probabilities are saved for the
second category of binary outcomes. For ML, MLF, and MLR, both a
logit and probit link are available. For the other estimators, only a probit
link is available. Following is an example of how this option is
specified:
CHAPTER 18
840
SAVE = PROPENSITY;
Propensity scores can be a function of observed and latent predictors.
CPROBABILITIES
When SAVE=CPROBABILITIES is used in conjunction with
TYPE=MIXTURE in the ANALYSIS command, individual posterior
probabilities for each latent class are saved along with the other analysis
variables. In addition, a variable is saved that contains the most likely
class membership, that is, the class with the highest posterior probability
for each individual. Following is an example of how this option is
specified:
SAVE = CPROBABILITIES;
REPWEIGHTS
When SAVE=REPWEIGHTS is used in conjunction with the REPSE
option of the ANALYSIS command, the replicate weights generated are
saved along with the other analysis variables. Following is an example
of how this option is specified:
SAVE = REPWEIGHTS;
MAHALANOBIS
When SAVE=MAHALANOBIS is used, the Mahalanobis distance and
its p-value (Rousseeuw & Van Zomeren, 1990) are saved for each
observation along with the other analysis variables. The
MAHALANOBIS option is available only for continuous outcomes. It
is not available for TYPE=MIXTURE, TWOLEVEL, RANDOM, EFA,
and BASIC; for ESTIMATOR=WLS, WLSM, WLSMV, and ULS; for
the MONTECARLO command; and for the BOOTSTRAP option of the
ANALYSIS command. Following is an example of how this option is
specified:
SAVE = MAHALANOBIS;
OUTPUT, SAVEDATA, And PLOT Commands
841
LOGLIKELIHOOD
When SAVE=LOGLIKELIHOOD is used, the loglikelihood
contribution from each observation is saved along with the other analysis
variables. The LOGLIKELIHOOD option is available only for the
maximum likelihood estimators. It is not available for TYPE=EFA and
BASIC, the MONTECARLO command, and the BOOTSTRAP option
of the ANALYSIS command. Following is an example of how this
option is specified:
SAVE = LOGLIKELIHOOD;
INFLUENCE
When SAVE=INFLUENCE is used, the loglikelihood distance influence
measure (Cook & Weisberg, 1982) is saved for each observation along
with the other analysis variables. This measure is an overall influence
statistic that computes the influence of an observation on the function
being optimized. This measure is also referred to as likelihood
displacement for maximum likelihood estimators. An analogous fit
function displacement is available for the weighted least squares
estimators. The INFLUENCE option is not available for TYPE=EFA
and BASIC, the MONTECARLO command, and the BOOTSTRAP
option of the ANALYSIS command. The INFLUENCE option can be
computationally demanding because the model is re-estimated as many
times as there are observations. Following is an example of how this
option is specified:
SAVE = INFLUENCE;
COOKS
When SAVE=COOKS is used, Cook’s D (Cook, 1977) is saved for each
observation along with the other analysis variables. This measure is a
statistic that computes the influence of an observation on the parameter
estimates. The COOKS option is not available for TYPE=EFA and
BASIC, the MONTECARLO command, and the BOOTSTRAP option
of the ANALYSIS command. The COOKS option can be
computationally demanding because the model is re-estimated as many
CHAPTER 18
842
times as there are observations. Following is an example of how this
option is specified:
SAVE = COOKS;
BCHWEIGHTS
When SAVE=BCHWEIGHTS is used in conjunction with the
TYPE=MIXTURE manual 3-step approach (Asparouhov & Muthén,
2014a) and the BCH setting of the AUXILIARY option of the
VARIABLE command, weights are saved for each subject and latent
class along with the latent class indicators, distal outcomes, and
covariates of interest. Following is an example of how this option is
specified:
SAVE = BCHWEIGHTS;
FACTORS
The FACTORS option is used in conjunction with
ESTIMATOR=BAYES to specify the names of the factors for which the
distribution of factor scores, called plausible values, will be saved.
Following is an example of how to specify the FACTORS option:
FACTORS = f1 f2 f3;
where f1, f2, and f3 are the factors for which the plausible value
distributions will be saved.
LRESPONSES
The LRESPONSES option is used in conjunction with ESTIMATOR =
BAYES to specify the names of the latent response variables underlying
the categorical outcomes for which the plausible value distributions will
be saved. Following is an example of how to specify the LRESPONSES
option:
LRESPONSES = u1 u2 u3;
OUTPUT, SAVEDATA, And PLOT Commands
843
where u1, u2, and u3 are the latent responses variables underlying the
categorical outcomes for which the latent response variable distributions
will be saved.
MERGING DATA SETS
The following options are used in conjunction with the FILE option of
the DATA command and the FILE option of the SAVEDATA command
to merge the analysis data set with the data set named using the MFILE
option described below. Only individual data sets can be merged. Both
data sets must contain an ID variable which is used for merging.
MFILE
The MFILE option is used to specify the name and location of the ASCII
file that is merged with the file named in the FILE option of the DATA
command. It is specified as
MFILE IS c:\merge\merge.dat;
where merge.dat is the name of the ASCII file containing the data to be
merged with the data set named using the FILE option of the DATA
command. In this example, the file merge.dat is located in the directory
c:\merge. If the full path name of the data set contains any blanks, the
full path name must have quotes around it.
If the name of the data set is specified with a path, the directory
specified by the path is checked. If the name of the data set is specified
without a path, the local directory is checked. If the data set is not found
in the local directory, the directory where the input file is located is
checked.
MNAMES
The MNAMES option is used to assign names to the variables in the
data set named using the MFILE option of the SAVEDATA command.
The variable names can be separated by blanks or commas and can be up
to 8 characters in length. Variable names must begin with a letter. They
can contain only letters, numbers, and the underscore symbol. The
CHAPTER 18
844
program makes no distinction between upper and lower case letters.
Following is an example of how the MNAMES option is specified:
MNAMES ARE id gender ethnic income educatn drink_st agedrink;
The ID variable from the IDVARIABLE option of the VARIABLE
command must be one of the variables listed in the MNAMES statement,
Variable names are generated if a list of variables is specified using the
MNAMES option. For example,
MNAMES ARE y1-y5 x1-x3;
generates the variable names y1 y2 y3 y4 y5 x1 x2 x3.
MNAMES ARE itema-itemd;
generates the variable names itema itemb itemc itemd.
MFORMAT
The MFORMAT option is used to describe the format of the data set to
be merged with the analysis data set. Individual data can be in fixed or
free format. Free format is the default. Fixed format is recommended
for large data sets because it is faster to read data using a fixed format.
For data in free format, each entry on a record must be delimited by a
comma, space, or tab. When data are in free format, the use of blanks is
not allowed. The number of variables in the data set is determined from
information provided in the MNAMES option of the SAVEDATA
command. Data are read until the number of pieces of information equal
to the number of variables is found. The program then goes to the next
record to begin reading information for the next observation.
For data in fixed format, each observation must have the same number of
records. Information for a given variable must occupy the same position
on the same record for each observation. A FORTRAN-like format
statement describing the position of the variables in the data set is
required. See the FORMAT option of the DATA command for a
description of how to specify a format statement.

OUTPUT, SAVEDATA, And PLOT Commands
845
MMISSING
The MMISSING option is used to identify the values or symbol in the
data set to be merged with the analysis data set that are treated as
missing or invalid. Any numeric value and the non-numeric symbols of
the period, asterisk (*), or blank can be used as missing value flags.
There is no default missing value flag. Numeric and non-numeric
missing value flags cannot be combined. The blank cannot be used as a
missing value flag for data in free format. When a list of missing value
flags contains a negative number, the entries must be separated by
commas. See the MISSING option of the VARIABLE command for
further information about missing value flags.
MSELECT
The MSELECT option is used to select the variables from the data set to
be merged with the analysis data set. Variables included on the
MSELECT list must come from the MNAMES statement. The
MSELECT option is specified as follows:
MSELECT ARE gender income agefirst;
THE PLOT COMMAND
The PLOT command is used to request graphical displays of observed
data and analysis results. These graphical displays can be viewed after
the analysis is completed using a post-processing graphics module.
Following are the options for the PLOT command:
PLOT:
TYPE IS
PLOT1;
PLOT2;
PLOT3;
SENSITIVITY;
SERIES IS
list of variables in a series plus x-axis
values;
FACTORS ARE
LRESPONSES ARE
names of factors (#);
names of latent response variables (#);

CHAPTER 18
846
OUTLIERS ARE
MAHALANOBIS;
LOGLIKELIHOOD;
INFLUENCE;
COOKS;
MONITOR IS
ON;
OFF;
OFF
The PLOT command is not a required command. Note that commands
can be shortened to four or more letters. Option settings can be referred
to by either the complete word or the part of the word shown above in
bold type.
The AUXILIARY option of the VARIABLE command can be used in
conjunction with the PLOT command to save variables that are not used
in the analysis for subsequent use in graphical displays.
TYPE
The TYPE option is used to specify the type of plots that are requested.
The TYPE option has four settings: PLOT1, PLOT2, PLOT3, and
SENSITIVITY. Plots can be generated for the total sample, by group,
by class, and adjusted for covariates.
PLOT1
Following is a list of the plots obtained with TYPE=PLOT1:
Histograms of sample values
Scatterplots of sample values
Between-level histograms (sample values, sample means/variances)
Between-level scatterplots (sample values, sample means/variances)
Observed individual values
Time series plots (sample values, ACF, PACF)
PLOT2
Following is a list of the plots obtained with TYPE=PLOT2:
OUTPUT, SAVEDATA, And PLOT Commands
847
Estimated means, medians, modes, and percentiles
Sample proportions, estimated and conditional estimated
probabilities
Plot estimated probabilities only
Plot sample proportions only
Plot estimated probabilities and sample proportions
Plot estimated probabilities conditional on a set of covariates
Plot conditional estimated probabilities as a function of one
covariate
Sample and estimated means
Loop plots
Moderation plots
Sensitivity plots
Bootstrap distributions
Dropout means
Eigenvalues for EFA
IRT plots
Item characteristic curves
Information curves
Estimated overall and class-specific distributions
Continuous –time survival curves
Kaplan-Meier curve
Sample log cumulative hazard curve
Estimated baseline hazard curve
Estimated baseline survival curve
Estimated log cumulative baseline curve
Kaplan-Meier curve with estimated baseline survival curve
Sample log cumulative hazard curve with estimated log
cumulative baseline curve
Estimated survival curve
Estimated log cumulative curve
Discrete-time survival curves
Kaplan-Meier curve
Estimated baseline survival curve
Kaplan-Meier curve with estimated baseline survival curve
Estimated survival curve
Estimated distributions
Conditional expectation plots
CHAPTER 18
848
Measurement parameter plots
Bayesian plots
Posterior parameter distributions
Posterior parameter trace plots
Autocorrelation plots
Prior parameter distributions
Posterior predictive checking scatterplots
Posterior predictive checking distribution plots
PLOT3
Following is a list of the plots obtained with TYPE=PLOT3 in addition
to the plots listed above for PLOT1 and PLOT2:
Histograms of estimated factors scores, outliers, estimated values,
and residuals
Between-level histograms (sample values, sample/estimated
means/variances)
Between-level histograms (sample values, sample means/variances,
estimated factor scores)
Between-level histograms (sample values, sample/estimated
means/variances, estimated factor scores)
Scatterplots of estimated factor scores, outliers, estimated values,
and residuals
Between-level scatterplots (sample values, sample/estimated
means/variances)
Between-level scatterplots (sample values, sample means/variances,
estimated factor scores)
Between-level scatterplots (sample values, sample/estimated
means/variances, estimated factor scores)
Estimated individual values
Estimated individual probability values
Estimated means and observed individual values
Estimated means and estimated individual values
Adjusted estimated means and estimated individual values
Estimated probabilities for a categorical latent variable as a function
of its covariates
Time series plots (sample values, ACF, PACF, estimated factor
scores)
OUTPUT, SAVEDATA, And PLOT Commands
849
Latent variable distribution plots
SENSITIVITY
The SENSITIVITY setting is used in conjunction with MODEL
INDIRECT and the PLOT2 or PLOT3 settings to obtain plots to use in a
sensitivity analysis of mediator-outcome confounding for
counterfactually-defined causal effects as proposed by Imai et al. (2010a,
b) and described in Muthén et al. (2016). The SENSITIVITY setting is
specified as follows:
TYPE = SENSITIVITY PLOT3;
SERIES
The SERIES option is used to list the names of the set of variables to be
used in plots where the values are connected by a line. The x-axis values
for each variable must also be given. For growth models, the set of
variables is the repeated measures of the outcome over time, and the x-
axis values are the time scores in the growth model. For other models,
the set of variables reflects an ordering of the observed variables in the
plot. Non-series plots such as histograms and scatterplots are available
for all analyses.
Values for the x axis can be given in three ways: by putting the x-axis
values in parentheses following each variable in the series; by using an
asterisk (*) in parentheses to request integer values starting with 0 and
increasing by 1; and for growth models, by putting the name of the slope
growth factor in parentheses following each outcome or a list of the
outcomes to request time score values.
Following is an example of putting the x-axis values in parentheses
following each outcome:
SERIES = y1 (0) y2 (1) y3 (2) y4 (3);
where the x-axis value for y1 is 0, for y2 is 1, for y3 is 2, and for y4 is 3.
Following is an example of putting an asterisk (*) in parentheses to
request integer values starting with 0 and increasing by 1:
CHAPTER 18
850
SERIES = y1 y2 y3 y4 (*);
or
SERIES = y1-y4 (*);
This results in 0 as the first x-axis value and 1, 2, and 3 as subsequent
values.
Following is an example of putting the name of the slope growth factor
in parentheses following each outcome in a growth model:
SERIES = y1 (slope) y2 (slope) y3 (slope) y4 (slope);
where slope is the name of the slope growth factor. The list function can
also be used with the SERIES option. It is specified as follows:
SERIES = y1-y4 (slope);
This results in the time scores for the slope growth factor being used as
the x-axis values.
The SERIES option can be used to give variables and x-axis values for
more than one series. The list of variables for each series is separated by
the | symbol. Following is an example for two growth processes:
SERIES = y1 (0) y2 (1) y3 (2) y4 (3) | y5 (0) y6 (1) y7 (4) y8 (5);
where for the first growth process, the time score for y1 is 0, the time
score for y2 is 1, the time score for y3 is 2, and the time score for y4 is 3;
and for the second growth process, the time score for y5 is 0, the time
score for y6 is 1, the time score for y7 is 4, and the time score for y8 is 5.
Using the list function and the name of the slope growth factor, the
SERIES option is specified as:
SERIES = y1-y4 (s1) | y5-y8 (s2);
where s1 is the name of the slope growth factor for the first growth
process and s2 is the name of the slope growth factor for the second
OUTPUT, SAVEDATA, And PLOT Commands
851
growth process. The names of the slope growth factors are defined in
the MODEL command.
FACTORS
The FACTORS option is used in conjunction with
ESTIMATOR=BAYES to specify the names of the factors for which the
distributions of factor scores, called plausible values, will be saved for
plotting. Following is an example of how to specify the FACTORS
option:
FACTORS = f1 f2 f3 (100);
where 100 is the number of imputations or draws that are used from the
Bayesian posterior distribution to compute the plausible value
distribution for each observation. F1, f2, and f3 are the factors for which
the plausible value distributions will be saved for plotting. The default
number of imputations or draws is 50.
LRESPONSES
The LRESPONSES option is used in conjunction with
ESTIMATOR=BAYES to specify the names of the latent response
variables underlying the categorical outcomes for which the plausible
value distributions will be saved for plotting. Following is an example
of how to specify the LRESPONSES option:
LRESPONSES = u1 u2 u3 (50);
where 50 is the number of imputations or draws that are used from the
Bayesian posterior distribution to compute the latent response variable
distributions for each observation. U1, u2, and u3 are the latent response
variables underlying the categorical outcomes for which the latent
response variable distributions will be saved for plotting.
CHAPTER 18
852
OUTLIERS
The OUTLIERS option is used to select the outliers that will be saved
for use in graphical displays. The OUTLIERS option has the following
settings:
MAHALANOBIS Mahalanobis distance and its p-value
LOGLIKELIHOOD Loglikelihood contribution
INFLUENCE Loglikelihood distance influence measure
COOKS Cook’s D parameter estimate influence measure
Following is an example of how to specify the OUTLIERS option:
OUTLIERS = MAHALANOBIS COOKS;
With this specification, the Mahalanobis distance and its p-value and
Cook’s D will be saved for use in graphical displays.
The loglikelihood distance influence measure and Cooks D can be
computationally demanding because the model is re-estimated as many
times as there are observations. For further information about the
outliers, see the SAVEDATA command.
For TYPE=TWOLEVEL, INFLUENCE and COOKS are available at the
individual and cluster levels and LOGLIKELIHOOD is available at the
cluster level.
MONITOR
The MONITOR option is used to request that certain plots be shown on
the monitor during model estimation. The default is OFF. To request
that the plots be shown specify:
MONITOR = ON:
For Bayesian analysis, trace plots are shown when one chain is used.
For all models except TYPE=GENERAL and TYPE=EFA,
loglikelihoods are shown.

OUTPUT, SAVEDATA, And PLOT Commands
853
VIEWING GRAPHICAL OUTPUTS
Mplus includes a dialog-based, post-processing graphics module that can
be accessed using the Plot menu of the Mplus Editor or by clicking on
the V button on the toolbar. Following is a description of some of the
features of the graphics module.
Plots can be viewed by selecting the View plots item under the Plot
menu or by clicking on the V button on the toolbar. A list of plots
available appears in the window as shown below.
After a plot is selected, a window appears showing ways that the plot
can be customized. For example, if observed individual curves are
selected, the following window appears:

CHAPTER 18
854
Individual curves can be viewed in consecutive or random order. The
window above shows that sets of 10 individual curves will be viewed in
consecutive order. Random order can be selected and the number of
curves can be changed. The next set of curves are displayed by either
selecting the Get next sample item under the Individual data submenu of
the Plot menu or by using the arrow button on the toolbar bar.
When viewing a plot, if the mouse is held on a point, information about
the variable values for the individual represented by that point are given
as shown in the window below.

OUTPUT, SAVEDATA, And PLOT Commands
855
Following is the window that is used to adjust plots of estimated means
for different covariate values. A set of covariates is named by typing a
name in the edit box next to the Name covariate set button and clicking
on the Name covariate set button. The set of covariates for the analysis
then appears in the section under Covariate values. The mean or
particular values of the covariates can be given for the plot.

CHAPTER 18
856
Descriptive statistics can be viewed by using the View descriptive
statistics item of the Plot menu which provides the following
information for each variable.

OUTPUT, SAVEDATA, And PLOT Commands
857
The plots can be exported as a DIB, EMF, or JPEG file using the Export
plot to item of the Plot menu. In addition, the data for each plot can be
saved in an external file using the Save plot data item of the Plot menu
for subsequent use by another program.
CHAPTER 18
858

MONTECARLO Command
859
CHAPTER 19
MONTECARLO COMMAND
In this chapter, the MONTECARLO command is discussed. The
MONTECARLO command is used to set up and carry out a Monte Carlo
simulation study.
THE MONTECARLO COMMAND
Following are the options for the MONTECARLO command:
MONTECARLO:
NAMES =
names of variables;
NOBSERVATIONS =
number of observations;
NGROUPS =
number of groups;
1
NREPS =
number of replications;
1
SEED =
random seed for data generation;
0
GENERATE =
scale of dependent variables for data
generation;
CUTPOINTS =
thresholds to be used for categorization of
covariates;
GENCLASSES =
names of categorical latent variables (number
of latent classes used for data generation);
NCSIZES =
number of unique cluster sizes for each group
separated by the | symbol;
CSIZES =
number (cluster size) for each group
separated by the | symbol;
HAZARDC =
specifies the hazard for the censoring
process;
PATMISS =
missing data patterns and proportion missing
for each dependent variable;
PATPROBS =
proportion for each missing data pattern;
MISSING =
names of dependent variables that have
missing data;
CENSORED ARE
names, censoring type, and inflation status for
censored dependent variables;
CATEGORICAL ARE
names of binary and ordered categorical
(ordinal) dependent variables (model);
NOMINAL ARE
names of unordered categorical (nominal)
dependent variables;
COUNT ARE
names of count variables (model);

CHAPTER 19
860
CLASSES =
names of categorical latent variables (number
of latent classes used for model estimation);
AUXILIARY =
names of auxiliary variables (R3STEP);
names of auxiliary variables (R);
names of auxiliary variables (BCH);
names of auxiliary variables (DU3STEP);
names of auxiliary variables
(DCATEGORICAL);
names of auxiliary variables (DE3STEP);
names of auxiliary variables
(DCONTINUOUS);
names of auxiliary variables (E);
SURVIVAL =
names and time intervals for time-to-event
variables;
TSCORES =
names, means, and standard deviations of
observed variables with information on
individually-varying times of observation;
WITHIN =
names of individual-level observed variables;
BETWEEN =
names of cluster-level observed variables;
POPULATION =
name of file containing population parameter
values for data generation;
COVERAGE =
name of file containing population parameter
values for computing parameter coverage;
STARTING =
name of file containing parameter values for
use as starting values for the analysis;
REPSAVE =
numbers of the replications to save data from
or ALL;
SAVE =
name of file in which generated data are
stored;
RESULTS =
name of file in which analysis results are
stored;
BPARAMETERS =
LAGGED ARE
name of file in which Bayesian posterior
parameter values are stored;
names of lagged variables (lag);
The MONTECARLO command is not a required command. When the
MONTECARLO command is used, however, the NAMES and
NOBSERVATIONS options are required. Default settings are shown in
the last column. If the default settings are appropriate for the analysis,
nothing besides the required options needs to be specified. Following is
a description of the MONTECARLO command.
MONTECARLO Command
861
GENERAL SPECIFICATIONS
The NAMES, NOBSERVATIONS, NGROUPS, NREPS, and SEED
options are used to give the basic specifications for a Monte Carlo
simulation study. These options are described below.
NAMES
The NAMES option is used to assign names to the variables in the
generated data sets. These names are used in the MODEL
POPULATION and MODEL commands to specify the data generation
and analysis models. As in regular analysis, the list feature can be used
to generate variable names. Consider the following specification of the
NAMES option:
NAMES = y1-y10 x1-x5;
which is the same as specifying:
NAMES = y1 y2 y3 y4 y5 y6 y7 y8 y9 y10 x1 x2 x3 x4 x5;
NOBSERVATIONS
The NOBSERVATIONS option is used to specify the sample size to be
used for data generation and in the analysis. The NOBSERVATIONS
option is specified as follows:
NOBSERVATIONS = 500;
where 500 is the sample size to be used for data generation and in the
analysis.
If the data being generated are for a multiple group analysis, a sample
size must be specified for each group. In multiple group analysis, the
NOBSERVATIONS option is specified as follows:
NOBSERVATIONS = 500 1000;
where a sample size of 500 is used for data generation and in the
analysis in the first group and a sample size of 1000 is used for data
generation and in the analysis for the second group.
CHAPTER 19
862
The NOBSERVATION option can be specified as follows when there
are many groups:
NOBSERVATIONS = 2(1000) 38(500);
which specifies 2 groups of size 1000 and 38 groups of size 500.
NGROUPS
The NGROUPS option is used to specify the number of groups to be
used for data generation and in the analysis. The NGROUPS option is
specified as follows:
NGROUPS = 3;
where 3 is the number of groups to be used for data generation and in the
analysis. The default for the NGROUPS option is 1. The NGROUPS
option is not available for TYPE=MIXTURE.
For Monte Carlo studies, the program automatically assigns the label g1
to the first group, g2 to the second group, etc. These labels are used with
the MODEL POPULATION and MODEL commands to describe the
data generation and analysis models for each group.
The NGROUPS option can be used with TYPE=MIXTURE to specify
the number of known classes to be used for data generation and in the
analysis. The label %g#1% is assigned to the first known class, %g#2%
to the second known class, etc.. These labels are used in the MODEL
POPULATION and MODEL commands.
NREPS
The NREPS option is used to specify the number of replications for a
Monte Carlo study, that is, the number of samples that are drawn from
the specified population and the number of analyses that are carried out.
The NREPS option is specified as follows:
NREPS = 100;
where 100 is the number of samples that are drawn and the number of
analyses that are carried out. The default for the NREPS option is 1.
MONTECARLO Command
863
SEED
The SEED option is used to specify the seed to be used for the random
draws. The SEED option is specified as follows:
SEED = 23458256;
where 23458256 is the random seed to be used for the random draws.
The default for the SEED option is zero.
DATA GENERATION
The GENERATE, CUTPOINTS, GENCLASSES, NCSIZES, CSIZES,
and HAZARDC options are used in conjunction with the MODEL
POPULATION command to specify how data are to be generated for a
Monte Carlo simulation study. These options are described below.
GENERATE
The GENERATE option is used to specify the scales of the dependent
variables for data generation. Variables not mentioned using the
GENERATE option are generated as continuous variables. In addition
to generating continuous variables which is the default, dependent
variables can be generated as censored, binary, ordered categorical
(ordinal), unordered categorical (nominal), count variables, and time-to-
event variables.
Censored variables can be generated with censoring from above or from
below and can be generated with or without inflation. The letters ca
followed by a censoring limit in parentheses following a variable name
indicate that the variable is censored from above. The letters cb
followed by a censoring limit in parentheses following a variable name
indicate that the variable is censored from below. The letters cai
followed by a censoring limit in parentheses following a variable name
indicate that the variable is censored from above with inflation. The
letters cbi followed by a censoring limit in parentheses following a
variable name indicate that the variable is censored from below with
inflation.
For binary and ordered categorical (ordinal) variables using maximum
likelihood estimation, the number of thresholds followed by the letter l
CHAPTER 19
864
for a logistic model or the letter p for a probit model is put in
parentheses following the variable name. If no letter is specified, a
logistic model is used. The number of thresholds is equal to the number
of categories minus one. For binary variables, the logistic model is the
same as a two-parameter logistic model. To generate data for a three-
parameter logistic model, the number 1 and the letters 3pl are put in
parentheses following the variable name. To generate data for a four-
parameter logistic model, the number 1 and the letters 4pl are put in
parentheses following the variable name. For ordered categorical
(ordinal) variables and a logistic model, the data are generated according
to a proportional odds model which is the same as a graded response
model. To generate data for a generalized partial credit model, the
number of thresholds and the letters gpcm are put in parentheses
following the variable name. For binary variables and a probit model,
the data are generated according to a two-parameter normal ogive model.
For ordered categorical (ordinal) variables and a probit model, the data
are generated according to a graded response model.
For binary and ordered categorical (ordinal) variables using weighted
least squares estimation, only a probit model is allowed. If p is not
specified, a probit model is used. The number of thresholds is equal to
the number of categories minus one. For binary variables and a probit
model, the data are generated according to a two-parameter normal ogive
model. For ordered categorical (ordinal) variables and a probit model,
the data are generated according to a graded response model.
For unordered categorical (nominal) variables, the letter n followed by
the number of intercepts is put in parentheses following the variable
name. The number of intercepts is equal to the number of categories
minus one because the intercepts are fixed to zero in the last category
which is the reference category.
Count variables can be generated for the following six models: Poisson,
zero-inflated Poisson, negative binomial, zero-inflated negative
binomial, zero-truncated negative binomial, and negative binomial
hurdle (Long, 1997; Hilbe, 2011). The letter c or p in parentheses
following the variable name indicates that the variable is generated using
a Poisson model. The letters ci or pi in parentheses following the
variable name indicate that the variable is generated using a zero-inflated
Poisson model. The letters nb in parentheses following the variable
name indicate that the variable is generated using a negative binomial
MONTECARLO Command
865
model. The letters nbi in parentheses following the variable name
indicate that the variable is generated using a zero-inflated negative
binomial model. The letters nbt in parentheses following the variable
name indicate that the variable is generated using a zero-truncated
negative binomial model. The letters nbh in parentheses following the
variable name indicate that the variable is generated using a negative
binomial hurdle model.
For time-to-event variables in continuous-time survival analysis, the
letter s and the number and length of time intervals of the baseline
hazard function is put in parentheses following the variable name. When
only s is in parentheses, the number of intervals is equal to the number
of observations.
The GENERATE option is specified as follows:
GENERATE = u1-u2 (1) u3 (1 p) u4 (1 l) u5 u6 (2 p) y1 (ca 1) y2 (cbi 0)
u7 (n 2) u8 (ci) t1 (s 5*1);
where the information in parentheses following the variable name or list
of variable names defines the scale of the dependent variables for data
generation. In this example, the variables u1, u2, u3, and u4 are binary
variables with one threshold. Variables u1, u2, and u4 are generated
using the logistic model. This is specified by placing nothing or the
letter l after the number of thresholds. Variable u3 is generated using
the probit model. This is specified by placing the letter p after the
number of thresholds. Variables u5 and u6 are three-category ordered
categorical (ordinal) variables with two thresholds. The p in parentheses
specifies that they are generated using the probit model. Note that if a
variable has nothing in parentheses after it, the specification in the next
set of parentheses is applied. This means that both u5 and u6 are
ordered categorical (ordinal) variables with two thresholds. Variable y1
is a censored variable that is censored from above with a censoring limit
of one. Variable y2 is a censored variable with an inflation part that is
censored from below with a censoring limit of zero. Variable u7 is a
three-category unordered categorical (nominal) variable with two
intercepts. Variable u8 is a count variable with an inflation part.
Variable t1 is a time-to-event variable. The numbers in parentheses
specify that five time intervals of length one will be used for data
generation.
CHAPTER 19
866
In MODEL POPULATION, the inflation part of a censored or count
variable is referred to by adding to the name of the censored or count
variable the number sign (#) followed by the number 1. The baseline
hazard parameters in continuous-time survival analysis are referred to by
adding to the name of the time-to-event variable the number sign (#)
followed by a number. There are as many baseline hazard parameters as
there are time intervals plus one.
CUTPOINTS
The CUTPOINTS option is used to create binary independent variables
from the multivariate normal independent variables generated by the
program. The CUTPOINTS option specifies the value of the cutpoint to
be used in categorizing an independent variable. Following is an
example of how the CUTPOINTS option is specified:
CUTPOINTS = x1 (0) x2 ( 1);
where x1 has a cutpoint of 0 and x2 has a cutpoint of 1. For x1,
observations having a value less than or equal to 0 are assigned the value
of zero and observations having values greater than 0 are assigned the
value of one. Any independent variable not mentioned using the
CUTPOINTS option is assumed to be continuous.
In multiple group analysis, the CUTPOINT option is specified as follows
where the cutpoints for the groups are separated using the | symbol:
CUTPOINTS = x1 (0) x2 ( 1) | x1 (1) x2 (0);
where the cutpoints before the | symbol are the cutpoints for group 1 and
the cutpoints after the | symbol are the cutpoints for group 2.
GENCLASSES
The GENCLASSES option is used to assign names to the categorical
latent variables in the data generation model and to specify the number
of latent classes to be used for data generation. This option is used in
conjunction with TYPE=MIXTURE. The GENCLASSES option is
specified as follows:
GENCLASSES = c1 (3) c2 (2) c3 (3);
MONTECARLO Command
867
where c1, c2, and c3 are the names of the three categorical latent
variables in the data generation model. The numbers in parentheses are
the number of classes that will be used for each categorical latent
variable for data generation. Three classes will be used for data
generation for c1, two classes for c2, and three classes for c3.
The letter b following the number of classes specifies that the categorical
latent variable is a between-level variable. Following is an example of
how to specify that a categorical latent variable being generated is a
between-level variable:
GENCLASSES = cb (2 b);
Categorical latent variables that are to be treated as between-level
variables in the analysis must be specified as between-level variables
using the BETWEEN option.
NCSIZES
The NCSIZES option is used with TYPE=TWOLEVEL,
TYPE=THREELEVEL, and TYPE=CROSSCLASSIFIED to specify the
number of unique cluster sizes to be used for data generation. If the data
being generated are for a multiple group analysis, the number of unique
cluster sizes must be specified for each group.
For TYPE=TWOLEVEL, the NCSIZES option is specified as follows:
NCSIZES = 3;
where 3 is the number of unique cluster sizes to be used for data
generation.
In multiple group analysis, the NCSIZES option is specified as follows
where the number of unique cluster sizes for the groups are separated
using the | symbol:
NCSIZES = 3 | 2;
where 3 is the number of unique cluster sizes to be used for data
generation for group 1 and 2 is the number of unique cluster sizes for
group 2.
CHAPTER 19
868
For TYPE=THREELEVEL, consider a model where students are nested
in classrooms and classrooms are nested in schools. Level 1 is student;
level 2 is classroom; and level 3 is school. For TYPE=THREELEVEL,
the NCSIZES option is specified as follows:
NCSIZES = 3 [2];
where the numbers 3 and 2 are the unique cluster sizes to be used for
data generation. In this example, 3 is the number of unique cluster sizes
for level 3, school, and 2 is the number of unique cluster sizes for level
2, classroom.
In multiple group analysis, the NCSIZES option is specified as follows
where the number of unique cluster sizes for the groups are separated
using the | symbol:
NCSIZES = 3 [2] | 4 [3];
where the numbers 3 and 2 are the unique cluster sizes to be used for
data generation in group 1 and the numbers 4 and 3 are the unique
cluster sizes to be used for data generation in group 2. In this example, 3
is the number of unique cluster sizes for level 3, school, and 2 is the
number of unique cluster sizes for level 2, classroom, for group 1 and 4
is the number of unique cluster sizes for level 3, school, and 3 is the
number of unique clusters sizes for level 2, classroom, for group 2.
For TYPE=CROSSCLASSIFIED, consider a model where students are
nested in schools crossed with neighborhoods. Level 1 is student; level
2a is school; and level 2b is neighborhood. For
TYPE=CROSSCLASSIFIED, the NCSIZES option is specified as
follows:
NCSIZES = 3 [2];
where the numbers 3 and 2 are the unique cluster sizes to be used for
data generation. In this example, 3 is the number of unique cluster sizes
for level 2a, school, and 2 is the number of unique cluster sizes for level
2b, neighborhood.
MONTECARLO Command
869
CSIZES
The CSIZES option is used with TYPE=TWOLEVEL,
TYPE=THREELEVEL, and TYPE=CROSSCLASSIFIED to specify the
number of clusters and the sizes of the clusters to be used for data
generation.
For TYPE=TWOLEVEL, the CSIZES option is specified as follows:
CSIZES = 100 (10) 30 (5) 15 (1);
where 100 clusters of size 10, 30 clusters of size 5, and 15 clusters of
size 1 will be used for data generation.
In multiple group analysis, the CSIZES option is specified as follows
where the number of clusters and the sizes of the clusters to be used for
the groups are separated by the | symbol:
CSIZES = 100 (10) 30 (5) 15 (1) | 80 (10) 20 (5);
where 100 clusters of size 10, 30 clusters of size 5, and 15 clusters of
size 1 will be used for data generation for group 1 and 80 clusters of size
10 and 20 clusters of size 5 will be used for data generation for group 2.
For TYPE=THREELEVEL, consider a model where students are nested
in classrooms and classrooms are nested in schools. Level 1 is student;
level 2 is classroom; and level 3 is school. For TYPE=THREELEVEL,
the CSIZES option is specified as follows:
CSIZES = 40 [15(2) 10(5)] 30 [6(8)] 7 [20(2)];
where the numbers 40, 30, and 7 are the number of level 3, school,
clusters. There are a total of 77 level 3, school, clusters. The 40 level 3,
school, clusters are made up of 15 level 2, class, clusters of size two and
10 level 2, class, clusters of size 5 for a total of 3200 observations. The
30 level 3, school, clusters are made up of 6 level 2, class, clusters of
size 8 for a total of 1440 observations. The 7 level 3, school, clusters are
made up of 20 level 2, class, clusters of size 2 for a total of 280
observations. The total sample size for data generation is 4920.
CHAPTER 19
870
In multiple group analysis, the CSIZES option is specified as follows
where the number of clusters and the sizes of the clusters to be used for
the groups are separated by the | symbol:
CSIZES = 30 [6(8)] 7 [20(2)] | 40 [5(6)] 20 [4(2)] ;
where the numbers 30 and 7 are the number of level 3, school, clusters
for group 1 and the numbers 40 and 20 are the number of level 3, school,
clusters for group 2. There are a total of 37 level 3, school, clusters for
group 1 and 60 level 3, school, clusters for group 2. For group 1, the 30
level 3, school, clusters are made up of 6 level 2, class, clusters of size 8
for a total of 1440 observations. The 7 level 3, school, clusters are made
up of 20 level 2, class, clusters of size 2 for a total of 280 observations.
For group 1, the total sample size for data generation is 1720. For group
2, the 40 level 3, school, clusters are made up of 5 level 2, class, clusters
of size 6 for a total of 1200 observations. The 20 level 3, school,
clusters are made up of 4 level 2, class, clusters of size 2 for a total of
160 observations. For group 2, the total sample size for data generation
is 1360.
For TYPE=CROSSCLASSIFIED, consider a model where students are
nested in schools crossed with neighborhoods. Level 1 is student; level
2a is school; and level 2b is neighborhood. For
TYPE=CROSSCLASSIFIED, the CSIZES option is specified as follows:
CSIZES = 40 [15(2) 10(5)] 30 [6(8)] 7 [20(2)];
where the numbers 40, 30, and 7 are the number of level 2b,
neighborhood, clusters. There are a total of 77 level 2b, neighborhood,
clusters. The numbers 15, 10, 6, and 20 are the number of level 2a,
school, clusters. There are a total of 51 level 2a, school, clusters. The
40 level 2b, neighborhood, clusters are crossed with the 15 level 2a,
school, clusters and the 10 level 2a, school, clusters. Each cell of the 40
by 15 cross-classification contains 2 students for a total of 1200
observations. Each cell of the 40 by 10 cross-classification contains 5
students for a total of 2000 observations. The 30 level 2b,
neighborhood, clusters are crossed with 6 level 2a, school, clusters.
Each cell of the 30 by 6 cross-classification contains 8 students for a
total of 1440 observations. The 7 level 2b, neighborhood, clusters are
crossed with the 20 level 2a, school, clusters. Each cell of the 7 by 20
MONTECARLO Command
871
cross-classification contains 2 students for a total of 280 observations.
The total sample size for data generation is 4920.
HAZARDC
The HAZARDC option is used to specify the hazard for the censoring
process in continuous-time survival analysis when time-to-event
variables are generated. This information is used to create a censoring
indicator variable where zero is not censored and one is right censored.
The HAZARDC option is specified as follows:
HAZARDC = t1 (.5);
where t1 is the name of the time-to-event variable that is generated and
.5 is the hazard for censoring.
MISSING DATA GENERATION
The PATMISS, PATPROBS, and MISSING options and the MODEL
MISSING command are used to specify how missing data will be
generated for a Monte Carlo simulation study. These options are
described below. Missing data can be generated using two approaches.
In the first approach, the PATMISS and PATPROBS options are used
together to generate missing data. In the second approach, the MISSING
option is used in conjunction with the MODEL MISSING command to
generate missing data. The approaches cannot be used in combination.
When generated data are saved, the missing value flag is 999. The
PATMISS and PATPROBS options are not available for multiple group
analysis. For multiple group analysis, missing data are generated using
the MISSING option in conjunction with the MODEL MISSING
command. These options are described below.
PATMISS
The PATMISS option is used to specify the missing data patterns and
the proportion of data that are missing to be used in missing data
generation for each dependent variable in the model. Any variable in the
NAMES statement that is not listed in a missing data pattern is assumed
to have no missing data for all individuals in that pattern. The
PATMISS option is used in conjunction with the PATPROBS option.
The PATMISS option is specified as follows:
CHAPTER 19
872
PATMISS = y1 (.2) y2 (.3) y3 (.1) |
y2 (.2) y3 (.1) y4 (.3) |
y3 (.1) y4 (.3);
The statement above specifies that there are three missing data patterns
which are separated by the | symbol. The number in parentheses
following each variable is the probability of missingness to be used for
that variable in data generation. In the first pattern, y1, y2, y3 are
observed with missingness probabilities of .2, .3, and .1, respectively. In
the second pattern, y2, y3, y4 are observed with missingness
probabilities of .2, .1, and .3, respectively. In the third pattern, y3 and y4
are observed with missingness probabilities of .1 and .3, respectively.
Assuming that the NAMES statement includes variables y1, y2, y3, and
y4, individuals in the first pattern have no missing data on variable y4;
individuals in the second pattern have no missing data on variable y1;
and individuals in the third pattern have no missing data on variables y1
and y2.
PATPROBS
The PATPROBS option is used to specify the proportion of individuals
for each missing data pattern to be used in the missing data generation.
The PATPROBS option is used in conjunction with the PATMISS
option. The proportions are listed in the order of the missing data
patterns in the PATMISS option and are separated by the | symbol. The
PATPROBS option is specified as follows:
PATPROBS = .4 | .3 | .3;
where missing data pattern one has probability .40 of being observed in
the data being generated, missing data pattern two has probability .30 of
being observed in the data being generated, and missing data pattern
three has probability .30 of being observed in the data being generated.
The missing data pattern probabilities must sum to one.
MISSING
The MISSING option is used to identify the dependent variables for
which missing data are be generated. This option is used in conjunction
with the MODEL MISSING command. Missing data are not allowed on
MONTECARLO Command
873
the observed independent variables. The MISSING option is specified
as follows:
MISSING = y1 y2 u1;
which indicates that missing data will be generated for variables y1, y2,
and u1. The probabilities of missingness are described using the
MODEL MISSING command which is described in Chapter 17.
SCALE OF DEPENDENT VARIABLES FOR
ANALYSIS
The CENSORED, CATEGORICAL, NOMINAL, and COUNT options
are used to specify the scale of the dependent variables for analysis.
These options are described below.
All observed dependent variables are assumed to be measured on a
continuous scale for the analysis unless the CENSORED,
CATEGORICAL, NOMINAL, and/or COUNT options are specified.
The specification of the scale of the dependent variables determines how
the variables are treated in the model and its estimation. Independent
variables can be binary or continuous. The scales of the independent
variables have no impact on the model or its estimation. The distinction
between dependent and independent variables is described in the
discussion of the MODEL command.
CENSORED
The CENSORED option is used to specify which dependent variables
are treated as censored variables in the model and its estimation, whether
they are censored from above or below, and whether a censored or
censored-inflated model will be estimated.
The CENSORED option is specified as follows for a censored model:
CENSORED ARE y1 (a) y2 (b) y3 (a) y4 (b);
where y1, y2, y3, y4 are censored dependent variables in the analysis.
The letter a in parentheses following the variable name indicates that the
variable is censored from above. The letter b in parentheses following
the variable name indicates that the variable is censored from below.
CHAPTER 19
874
The lower and upper censoring limits are determined from the data
generation.
The CENSORED option is specified as follows for a censored-inflated
model:
CENSORED ARE y1 (ai) y2 (bi) y3 (ai) y4 (bi);
where y1, y2, y3, y4 are censored dependent variables in the analysis.
The letters ai in parentheses following the variable name indicates that
the variable is censored from above and that a censored-inflated model
will be estimated. The letter bi in parentheses following the variable
name indicates that the variable is censored from below and that a
censored-inflated model will be estimated. The lower and upper
censoring limits are determined from the data generation.
With a censored-inflated model, two variables are considered, a
censored variable and an inflation variable. The censored variable takes
on values for individuals who are able to assume values of the censoring
point and beyond. The inflation variable is a binary latent variable for
which the value one denotes that an individual is unable to assume any
value except the censoring point. The inflation variable is referred to by
adding to the name of the censored variable the number sign (#)
followed by the number 1. In the example above, the censored variables
available for use in the MODEL command are y1, y2, y3, and y4, and
the inflation variables available for use in the MODEL command are
y1#1, y2#1, y3#1, and y4#1.
CATEGORICAL
The CATEGORICAL option is used to specify which dependent
variables are treated as binary or ordered categorical (ordinal) variables
in the model and its estimation and the type of model to be estimated.
Both probit and logistic regression models can be estimated for
categorical variables. For binary variables, the following IRT models
can be estimated: two-parameter normal ogive, two-parameter logistic,
three-parameter logistic, and four-parameter logistic. For ordered
categorical (ordinal) variables, the following IRT models can be
estimated: generalized partial credit with logistic and graded-response
with probit (normal ogive) and logistic. For a nominal IRT model, use
the NOMINAL option.
MONTECARLO Command
875
For categorical dependent variables, there are as many thresholds as
there are categories minus one. The thresholds are referred to in the
MODEL command by adding to the variable name the dollar sign ($)
followed by a number. The threshold for a binary variable u1 is referred
to as u1$1. The two thresholds for a three-category variable u2 are
referred to as u2$1 and u2$2. Ordered categorical dependent variables
cannot have more than 10 categories. The number of categories is
determined from the data generation.
The CATEGORICAL option is specified as follows:
CATEGORICAL ARE u2 u3 u7-u13;
where u2, u3, u7, u8, u9, u10, u11, u12, and u13 are binary or ordered
categorical dependent variables in the analysis. With weighted least
squares and Bayes estimation, a probit model is estimated. For binary
variables, this is a two-parameter normal ogive model. For ordered
categorical (ordinal) variables, this is a graded response model. With
maximum likelihood estimation, a logistic model is estimated as the
default. For binary variables, this is a two-parameter logistic model. For
ordered categorical (ordinal) variables, this is a proportional odds model
which is the same as a graded response model. Probit models can also
be estimated with maximum likelihood estimation using the LINK
option of the ANALYSIS command.
The CATEGORICAL option for a generalized partial credit model is
specified as follows:
CATEGORICAL = u1 –u3 (gpcm) u10 (gpcm);
where the variables u1, u2, u3, and u10 are ordered categorical (ordinal)
variables for which a generalized partial credit model will be estimated.
The partial credit model has c-1 step parameters for an item with c
categories and one slope parameter (Asparouhov & Muthén, 2016). The
step parameters are referred to in the same way as thresholds. The first
step parameter for a three-category ordered categorical (ordinal) variable
u1 is referred to as u1$1. The second step parameter is referred to as
u1$2.
The CATEGORICAL option for a three-parameter logistic model is
specified as follows:
CHAPTER 19
876
CATEGORICAL = u1 –u3 (3pl) u10 (3pl);
where the variables u1, u2, u3, and u10 are binary variables for which a
three-parameter logistic model will be estimated. The guessing
parameter cannot be referred to directly. Instead a parameter related to
the guessing parameter is referred to (Asparouhov & Muthén, 2016).
This parameter is referred to as the second threshold. The first threshold
for a binary variable u1 is referred to as u1$1. The second threshold is
referred to as u1$2.
The CATEGORICAL option for a four-parameter logistic model is
specified as follows:
CATEGORICAL = u1 –u3 (4pl) u10 (4pl);
where the variables u1, u2, u3, and u10 are binary variables for which a
four-parameter logistic model will be estimated. The lower asymptote
(guessing) and upper asymptote parameters cannot be referred to
directly. Instead a parameter which is related to the lower asymptote
(guessing) and a parameter which is related to the upper asymptote
parameter are referred to (Asparouhov & Muthén, 2016). The parameter
related to the lower asymptote (guessing) parameter is referred to as the
second threshold. The parameter related to the upper asymptote
parameter is referred to as the third threshold. The first threshold for a
binary variable u1 is referred to as u1$1. The second threshold is
referred to as u1$2. The third threshold is referred to as u1$3.
NOMINAL
The NOMINAL option is used to specify which dependent variables are
treated as unordered categorical (nominal) variables in the model and its
estimation. Unordered categorical dependent variables cannot have
more than 10 categories. The number of categories is determined from
the data generation. The NOMINAL option is specified as follows:
NOMINAL ARE u1 u2 u3 u4;
where u1, u2, u3, u4 are unordered categorical dependent variables in
the analysis.
MONTECARLO Command
877
For nominal dependent variables, all categories but the last category can
be referred to. The last category is the reference category. The
categories are referred to in the MODEL command by adding to the
variable name the number sign (#) followed by a number. The three
categories of a four-category nominal variable are referred to as u1#1,
u1#2, and u1#3.
COUNT
The COUNT option is used to specify which dependent variables are
treated as count variables in the model and its estimation and the type of
model to be estimated. The following models can be estimated for count
variables: Poisson, zero-inflated Poisson, negative binomial, zero-
inflated negative binomial, zero-truncated negative binomial, and
negative binomial hurdle (Long, 1997; Hilbe, 2011). The negative
binomial models use the NB-2 variance representation (Hilbe, 2011, p.
63). Count variables may not have negative or non-integer values.
The COUNT option can be specified in two ways for a Poisson model:
COUNT = u1 u2 u3 u4;
or
COUNT = u1 (p) u2 (p) u3 (p) u4 (p);
or using the list function:
COUNT = u1-u4 (p);
The COUNT option can be specified in two ways for a zero-inflated
Poisson model:
COUNT = u1-u4 (i);
or
COUNT = u1-u4 (pi);
CHAPTER 19
878
where u1, u2, u3, and u4 are count dependent variables in the analysis.
The letter i or pi in parentheses following the variable name indicates
that a zero-inflated Poisson model will be estimated.
With a zero-inflated Poisson model, two variables are considered, a
count variable and an inflation variable. The count variable takes on
values for individuals who are able to assume values of zero and above
following the Poisson model. The inflation variable is a binary latent
variable with one denoting that an individual is unable to assume any
value except zero. The inflation variable is referred to by adding to the
name of the count variable the number sign (#) followed by the number
1. If the inflation parameter value is estimated at a large negative value
corresponding to a probability of zero, the inflation part of the model is
not needed.
Following is the specification of the COUNT option for a negative
binomial model:
COUNT = u1 (nb) u2 (nb) u3 (nb) u4 (nb);
or using the list function:
COUNT = u1-u4 (nb);
With a negative binomial model, a dispersion parameter is estimated.
The dispersion parameter is referred to by using the name of the count
variable. If the dispersion parameter is estimated at zero, the model is a
Poisson model.
Following is the specification of the COUNT option for a zero-inflated
negative binomial model:
COUNT = u1- u4 (nbi);
With a zero-inflated negative binomial model, two variables are
considered, a count variable and an inflation variable. The count
variable takes on values for individuals who are able to assume values of
zero and above following the negative binomial model. The inflation
variable is a binary latent variable with one denoting that an individual is
unable to assume any value except zero. The inflation variable is
referred to by adding to the name of the count variable the number sign
MONTECARLO Command
879
(#) followed by the number 1. If the inflation parameter value is
estimated at a large negative value corresponding to a probability of
zero, the inflation part of the model is not needed.
Following is the specification of the COUNT option for a zero-truncated
negative binomial model:
COUNT = u1-u4 (nbt);
Count variables for the zero-truncated negative binomial model must
have values greater than zero.
Following is the specification of the COUNT option for a negative
binomial hurdle model:
COUNT = u1-u4 (nbh);
With a negative binomial hurdle model, two variables are considered, a
count variable and a hurdle variable. The count variable takes on values
for individuals who are able to assume values of one and above
following the truncated negative binomial model. The hurdle variable is
a binary latent variable with one denoting that an individual is unable to
assume any value except zero. The hurdle variable is referred to by
adding to the name of the count variable the number sign (#) followed by
the number 1.
OPTIONS FOR DATA ANALYSIS
The CLASSES, AUXILIARY, and SURVIVAL options are used only in
the analysis. These options are described below.
CLASSES
The CLASSES option is used to assign names to the categorical latent
variables in the model and to specify the number of latent classes in the
model for each categorical latent variable. This option is required for
TYPE=MIXTURE. Between-level categorical latent variables must be
identified as between-level variables using the BETWEEN option. The
CLASSES option is specified as follows:
CLASSES = c1 (2) c2 (2) c3 (3);
CHAPTER 19
880
where c1, c2, and c3 are the names of the three categorical latent
variables in the analysis model. The numbers in parentheses specify the
number of classes that will be used for each categorical latent variable in
the analysis. The categorical latent variable c1 has two classes, c2 has
two classes, and c3 has three classes.
AUXILIARY
Auxiliary variables are variables that are not part of the analysis model.
With TYPE=MIXTURE, the AUXILIARY option is used to
automatically carry out the 3-step approach. There are eight settings of
the AUXILIARY option that automatically carry out the 3-step
approach. Two of these settings are used to identify a set of variables
not used in the first step of the analysis that are possible covariates in a
multinomial logistic regression for a categorical latent variable. The
multimonial logistic regression uses all covariates at the same time. Six
of the settings are used to identify a set of variables not used in the first
step of the analysis for which the equality of means across latent classes
will be tested. The equality of means is tested one variable at a time.
Only one of these eight settings can be used in an analysis at a time.
Only one categorical latent variable is allowed with the 3-step approach.
The manual 3-step approach in described in Asparouhov and Muthén
(2014a, b).
The two settings that are used to identify a set of variables not used in
the first step of the analysis that are possible covariates in a multinomial
logistic regression for a categorical latent variable are R3STEP
(Vermunt, 2010; Asparouhov & Muthén, 2012b) and R (Wang et al.,
2005). R3STEP is preferred. R is superseded by R3STEP and should be
used only for methods research.
The six settings that are used to identify a set of variables not used in the
first step of the analysis for which the equality of means across latent
classes will be tested are BCH (Bakk & Vermunt, 2014), DU3STEP
(Asparouhov & Muthén, 2012b), DCAT (Lanza et al., 2013), DE3STEP
(Asparouhov & Muthén, 2012b), DCON (Lanza et al., 2013), and E
(Asparouhov, 2007). BCH is preferred for continuous distal outcomes.
DU3STEP should be used only when there are no class changes between
the first and last steps. DCAT is for categorical distal outcomes. The
following settings for continuous distal outcomes, DE3STEP, DCON,
and E, should be used only for methods research.
MONTECARLO Command
881
All of the settings are specified in the same way. The setting in
parentheses is placed behind the variables on the AUXILIARY
statement that will be used as covariates in the multinomial logistic
regression or for which the equality of means will be tested. Following
is an example of how to specify the R3STEP setting:
AUXILIARY = race (R3STEP) ses (R3STEP) x1-x5 (R3STEP);
where race, ses, x1, x2, x3, x4, and x5 will be used as covariates in a
multinomial logistic regression in a mixture model.
An alternative specification for the eight settings that is convenient when
there are several variables that cannot be specified using the list function
is:
AUXILIARY = (R3STEP) x1 x3 x5 x7 x9;
where all variables after R3STEP) will be used as covariates in a
multinomial logistic regression in a mixture model.
Following is an example of how to specify more than one setting in the
same AUXILIARY statement:
AUXILIARY = gender age (BCH) educ ses (BCH) x1-x5 (BCH);
where all of the variables on the AUXILIARY statement will be saved if
the SAVEDATA command is used, will be available for plots if the
PLOT command is used, and tests of equality of means across latent
classes will be carried out for the variables age, ses, x1, x2, x3, x4, and
x5.
SURVIVAL
The SURVIVAL option is used to identify the variables that contain
information about time to event and to provide information about the
number and lengths of the time intervals in the baseline hazard function
to be used in the analysis. The SURVIVAL option must be used in
conjunction with the TIMECENSORED option. The SURVIVAL
option can be specified in five ways: the default baseline hazard
function, a non-parametric baseline hazard function, a semi-parametric
CHAPTER 19
882
baseline hazard function, a parametric baseline hazard function, and a
constant baseline hazard function.
The SURVIVAL option is specified as follows when using the default
baseline hazard function:
SURVIVAL = t;
where t is the variable that contains time-to-event information. The
default is either a semi-parametric baseline hazard function with ten time
intervals or a non-parametric baseline hazard function. The default is a
semi-parametric baseline hazard function with ten time intervals for
models where t is regressed on a continuous latent variable, for
multilevel models, and for models that require Monte Carlo numerical
integration. In this case, the lengths of the time intervals are selected
internally in a non-parametric fashion. For all other models, the default
is a non-parametric baseline hazard function as in Cox regression where
the number and lengths of the time intervals are taken from the data and
the baseline hazard function is saturated.
The SURVIVAL option is specified as follows when using a non-
parametric baseline hazard function as in Cox regression:
SURVIVAL = t (ALL);
where t is the variable that contains time-to-event information and ALL
is a keyword that specifies that the number and lengths of the time
intervals are taken from the data and the baseline hazard is saturated. It
is not recommended to use the keyword ALL when the BASEHAZARD
option of the ANALYSIS command is ON because it results in a large
number of baseline hazard parameters.
The SURVIVAL option is specified as follows when using a semi-
parametric baseline hazard:
SURVIVAL = t (10);
where t is the variable that contains time-to-event information. The
number in parentheses specifies that 10 intervals are used in the analysis
where the lengths of the time intervals are selected internally in a non-
parametric fashion.
MONTECARLO Command
883
The SURVIVAL option is specified as follows when using a parametric
baseline hazard function:
SURVIVAL = t (4*5 1*10);
where t is the variable that contains time-to-event information. The
numbers in parentheses specify that four time intervals of length five and
one time interval of length ten are used in the analysis.
The SURVIVAL option is specified as follows when using a constant
baseline hazard function:
SURVIVAL = t (CONSTANT);
where t is the variable that contains time-to-event information and
CONSTANT is the keyword that specifies a constant baseline hazard
function.
VARIABLES WITH SPECIAL FUNCTIONS FOR
DATA GENERATION AND ANALYSIS
The TSCORES, WITHIN, and BETWEEN options are used for both
data generation and in the analysis. These options are described below.
TSCORES
The TSCORES option is used in conjunction with TYPE=RANDOM to
name and define the variables to be generated that contain information
about individually-varying times of observation for the outcome in a
longitudinal study. Variables listed in the TSCORES statement can be
used only in AT statements in the MODEL and MODEL POPULATION
commands to define a growth model. They cannot be used with other
statements in the MODEL command. The TSCORES option is specified
as follows:
TSCORES ARE a1 (0 0) a2 (1 .1) a3 (2 .2) a4 (3 .3);
where a1, a2, a3, and a4 are variables to be generated that contain the
individually-varying times of observation for an outcome at four time
points. The first number in parentheses is the mean of the variable. The
second number in parentheses is the standard deviation of the variable.
CHAPTER 19
884
Each variable is generated using a univariate normal distribution using
the mean and standard deviation specified in the TSCORES statement.
WITHIN
The WITHIN option is used with TYPE=TWOLEVEL,
TYPE=THREELEVEL, and TYPE=CROSSCLASSIFIED to identify the
variables in the data set that are measured on the individual level and to
specify the levels on which they are modeled. All variables on the
WITHIN list must be measured on the individual level. An individual-
level variable can be modeled on all or some levels.
For TYPE=TWOLEVEL, an individual-level variable can be modeled
on only the within level or on both the within and between levels. If a
variable measured on the individual level is mentioned on the WITHIN
list, it is modeled on only the within level. It has no variance in the
between part of the model. If it is not mentioned on the WITHIN list, it
is modeled on both the within and between levels. The WITHIN option
is specified as follows:
WITHIN = y1 y2 x1;
where y1, y2, and x1 are variables measured on the individual level and
modeled on only the within level.
For TYPE=THREELEVEL, an individual-level variable can be modeled
on only level 1, on levels 1 and 2, levels 1 and 3, or on all levels.
Consider a model where students are nested in classrooms and
classrooms are nested in schools. Level 1 is student; level 2 is
classroom; and level 3 is school. If a variable measured on the
individual level is mentioned on the WITHIN list without a label, it is
modeled on only level 1. It has no variance on levels 2 and 3. If it is
mentioned on the WITHIN list with a level 2 cluster label, it is modeled
on levels 1 and 2. It has no variance on level 3. If it is mentioned on the
WITHIN list with a level 3 cluster label, it is modeled on levels 1 and 3.
It has no variance on level 2. If it is not mentioned on the WITHIN list,
it is modeled on all levels.
Following is an example of how to specify the WITHIN option for
TYPE=THREELEVEL:
MONTECARLO Command
885
WITHIN = y1-y3 (level2) y4-y6 (level3) y7-y9;
In the example, y1, y2, and y3 are variables measured on the individual
level and modeled on only level 1. Variables modeled on only level 1
must precede variables modeled on the other levels. Y4, y5, and y6 are
variables measured on the individual level and modeled on levels 1 and
2. Y7, y8, and y9 are variables measured on the individual level and
modeled on levels 1 and 3.
An alternative specification of the WITHIN option above reverses the
order of the level 2 and level 3 variables:
WITHIN = y1-y3 (level3) y7-y9 (level2) y4-y6;
Variables modeled on only level 1 must precede variables modeled on
the other levels. Another alternative specification is:
WITHIN = y1-y3;
WITHIN = (level2) y4-y6;
WITHIN = (level3) y7-y9;
In this specification, the WITHIN statement for variables modeled on
only level 1 must precede the other WITHIN statements. The order of
the other WITHIN statements does not matter.
For TYPE=CROSSCLASSIFIED, an individual-level variable can be
modeled on only level 1, on levels 1 and 2a, levels 1 and 2b, or on all
levels. Consider a model where students are nested in schools crossed
with neighborhoods. Level 1 is student; level 2a is school; and level 2b
is neighborhood. If a variable measured on the individual level is
mentioned on the WITHIN list without a label, it is modeled on only
level 1. It has no variance on levels 2a and 2b. If it is mentioned on the
WITHIN list with a level 2a cluster label, it is modeled on levels 1 and
2a. It has no variance on level 2b. If it is mentioned on the WITHIN list
with a level 2b cluster label, it is modeled on levels 1 and 2b. It has no
variance on level 2a. If it is not mentioned on the WITHIN list, it is
modeled on all levels.
Following is an example of how to specify the WITHIN option for
TYPE=CROSSCLASSIFIED:
CHAPTER 19
886
WITHIN = y1-y3 (level2a) y4-y6 (level2b) y7-y9;
In the example, y1, y2, and y3 are variables measured on the individual
level and modeled on only level 1. Variables modeled on only level 1
must precede variables modeled on the other levels. Y4, y5, and y6 are
variables measured on the individual level and modeled on levels 1 and
2a. Y7, y8, and y9 are variables measured on the individual level and
modeled on levels 1 and 2b.
BETWEEN
The BETWEEN option is used with TYPE=TWOLEVEL,
TYPE=THREELEVEL, and TYPE=CROSSCLASSIFIED to identify the
variables in the data set that are measured on the cluster level(s) and to
specify the level(s) on which they are modeled. All variables on the
BETWEEN list must be measured on a cluster level. A cluster-level
variable can be modeled on all or some cluster levels.
For TYPE=TWOLEVEL, a cluster-level variable can be modeled on
only the between level. The BETWEEN option is specified as follows:
BETWEEN = z1 z2 x1;
where z1, z2, and x1 are variables measured on the cluster level and
modeled on the between level. The BETWEEN option is also used to
identify between-level categorical latent variables with
TYPE=TWOLEVEL MIXTURE.
For TYPE=THREELEVEL, a variable measured on level 2 can be
modeled on only level 2 or on levels 2 and 3. A variable measured on
level 3 can be modeled on only level 3. Consider a model where
students are nested in classrooms and classrooms are nested in schools.
Level 1 is student; level 2 is classroom; and level 3 is school. If a
variable measured on level 2 is mentioned on the BETWEEN list
without a label, it is modeled on levels 2 and 3. If a variable measured
on level 2 is mentioned on the BETWEEN list with a level 2 cluster
label, it is modeled on only level 2. It has no variance on level 3. A
variable measured on level 3 must be mentioned on the BETWEEN list
with a level 3 cluster label. Following is an example of how to specify
the BETWEEN option for TYPE=THREELEVEL:
MONTECARLO Command
887
BETWEEN = y1-y3 (level2) y4-y6 (level3) y7-y9;
In this example, y1, y2, and y3 are cluster-level variables measured on
level 2 and modeled on both levels 2 and 3. Variables modeled on both
levels 2 and 3 must precede variables modeled on only level 2 or level 3.
Y4, y5, and y6 are cluster-level variables measured on level 2 and
modeled on level 2. Y7, y8, and y9 are cluster-level variables measured
on level 3 and modeled on level 3.
An alternative specification of the BETWEEN option above reverses the
order of the level 2 and level 3 variables:
BETWEEN = y1-y3 (level3) y7-y9 (level2) y4-y6;
Variables modeled on both levels 2 and 3 must precede variables
modeled on only level 2 or level 3. Another alternative specification is:
BETWEEN = y1-y3;
BETWEEN = (level2) y4-y6;
BETWEEN = (level3) y7-y9;
In this specification, the BETWEEN statement for variables modeled on
both levels 2 and 3 must precede the other BETWEEN statements. The
order of the other BETWEEN statements does not matter.
For TYPE=CROSSCLASSIFIED, a variable measured on level 2a must
be mentioned on the BETWEEN list with a level 2a cluster label. It can
be modeled on only level 2a. A variable measured on level 2b must be
mentioned on the BETWEEN list with a level 2b cluster label. It can be
modeled on only level 2b. Consider a model where students are nested
in schools crossed with neighborhoods. Level 1 is student; level 2a is
school; and level 2b is neighborhood. Following is an example of how
to specify the BETWEEN option for TYPE=CROSSCLASSIFIED:
BETWEEN = (school) y1-y3 (neighbor) y4-y6;
In this example, y1, y2, and y3 are cluster-level variables measured on
level 2a, school, and modeled on only level 2a. Y4, y5, and y6 are
cluster-level variables measured on level 2b, neighborhood, and modeled
on only level 2b.
CHAPTER 19
888
POPULATION, COVERAGE, AND STARTING
VALUES
The POPULATION, COVERAGE, and STARTING options are used as
population parameter values for data generation; population parameter
values for computing parameter coverage that are printed in the first
column of the output labeled Population; and as starting values for the
analysis. These values are the parameter estimates obtained from a
previous analysis where the parameter estimates are saved using the
ESTIMATES option of the SAVEDATA command. These options are
described below.
POPULATION
The POPULATION option is used to name the data set that contains the
population parameter values to be used in data generation. Following is
an example of how the POPULATION option is specified:
POPULATION = estimates.dat;
where estimates.dat is a file that contains the parameter estimates from a
previous analysis of the model that is specified in the MODEL
POPULATION command.
COVERAGE
The COVERAGE option is used to name the data set that contains the
population parameter values to be used for computing parameter
coverage in the Monte Carlo summary. They are printed in the first
column of the output labeled Population. Following is an example of
how the COVERAGE option is specified:
COVERAGE = estimates.dat;
where estimates.dat is a file that contains the parameter estimates from a
previous analysis of the model that is specified in the MODEL
command.
MONTECARLO Command
889
STARTING
The STARTING option is used to name the data set that contains the
values to be used as starting values for the analysis. Following is an
example of how the STARTING option is specified:
STARTING = estimates.dat;
where estimates.dat is a file that contains the parameter estimates from a
previous analysis of the model that is specified in the MODEL
command.
SAVING DATA AND RESULTS
The REPSAVE, SAVE, RESULTS, and BPARAMETERS options are
used to save data and results. These options are described below.
REPSAVE
The REPSAVE option is used in conjunction with the SAVE option to
save some or all of the data sets generated in a Monte Carlo study. The
REPSAVE option specifies the numbers of the replications for which the
data are saved. The keyword ALL can be used to save the data from all
of the replications. The list function is also available with REPSAVE.
To save the data from specific replications, REPSAVE is specified as
follows:
REPSAVE = 1 10-15 100;
which results in the data from replications 1, 10, 11, 12, 13, 14, 15, and
100 being saved. To save the data from all replications, REPSAVE is
specified as follows:
REPSAVE = ALL;
SAVE
The SAVE option is used to save data from the first replication for
future analysis. It is specified as follows:
SAVE = rep1.dat;
CHAPTER 19
890
where rep1.dat is the name of the file in which data from the first
replication is saved. The data are saved using a free format.
The SAVE option can be used in conjunction with the REPSAVE option
to save data from any or all replications. When the SAVE option is used
with the REPSAVE option, it is specified as follows:
SAVE = rep*.dat;
where the asterisk (*) is replaced by the replication number. For
example, if replications 10 and 30 are saved, the data are stored in the
files rep10.dat and rep30.dat. A file is also produced that contains the
names of all of the data sets. To name this file, the asterisk (*) is
replaced by the word list. The file, in this case replist.dat, contains the
names of the generated data sets. The variables are not always saved in
the order that they appear in the NAMES statement.
RESULTS
The RESULTS option is used to save the analysis results for each
replication of the Monte Carlo study in an ASCII file. The results saved
include the replication number, parameter estimates, standard errors, and
a set of fit statistics. The parameter estimates and standard errors are
saved in the order shown in the TECH1 output in free format delimited
by a space. The values are saved as E15.8. The RESULTS option is
specified as follows:
RESULTS = results.sav;
where results.sav is the name of the file in which the analysis results for
each replication will be saved.
BPARAMETERS
The BPARAMETERS option is used in Bayesian analysis to specify the
name of the ASCII file in which the Bayesian posterior parameter values
for all iterations are saved. Following is an example of how this option
is specified:
BPARAMETERS = bayes.dat;
MONTECARLO Command
891
where bayes.dat is the name of the file in which the Bayesian posterior
parameter values for all iterations will be saved.
LAGGED
The LAGGED option is used in time series analysis to specify the
maximum lag to use for an observed variable during model estimation.
Following is an example of how to specify the LAGGED option:
LAGGED = y (1);
where y is the variable in a time series analysis and the number 1 in
parentheses is the maximum lag that will be used in model estimation.
The lagged variable is referred to in the MODEL command by adding to
the name of the variable an ampersand (&) and the number of the lag.
The variable y at lag one is referred to as y&1.
Following is an example of how to specify a maximum lag of 2 for a set
of variables:
LAGGED = y1-y3 (2);
where y1, y2, and y3 are variables in a time series analysis and the
number 2 in parentheses is the maximum lag that will be used in model
estimation. The lagged variables are referred to in the MODEL
command by adding to the name of the variable an ampersand (&) and
the number of the lag. The variable y1 at lag one is referred to as y1&1.
The variable y1 at lag two is referred to as y1&2.
CHAPTER 19
892

A Summary Of The Mplus Language
893
CHAPTER 20
A SUMMARY OF THE Mplus
LANGUAGE
This chapter contains a summary of the commands, options, and settings
of the Mplus language. For each command, default settings are found in
the last column. Commands and options can be shortened to four or
more letters. Option settings can be referred to by either the complete
word or the part of the word shown in bold type.
THE TITLE COMMAND
TITLE:
title for the analysis
THE DATA COMMAND
DATA:
FILE IS
file name;
FORMAT IS
format statement;
FREE
FREE;
TYPE IS
INDIVIDUAL;
INDIVIDUAL
COVARIANCE;
CORRELATION;
FULLCOV;
FULLCORR;
MEANS;
STDEVIATIONS;
MONTECARLO;
IMPUTATION;
NOBSERVATIONS ARE
number of observations;
NGROUPS =
number of groups;
1
LISTWISE =
ON;
OFF;
OFF
SWMATRIX =
file name;
VARIANCES =
CHECK;
NOCHECK;
CHECK

CHAPTER 20
894
DATA IMPUTATION:
IMPUTE =
NDATASETS =
SAVE =
FORMAT =
MODEL =
VALUES =
ROUNDING =
THIN =
names of variables for which missing values
will be imputed;
number of imputed data sets;
names of files in which imputed data sets
are stored;
format statement;
COVARIANCE;
SEQUENTIAL;
REGRESSION;
values imputed data can take;
number of decimals for imputed continuous
variables;
k where every k-th imputation is saved;
5
F10.3
depends on
analysis type
no restrictions
3
100
DATA WIDETOLONG:
WIDE =
LONG =
IDVARIABLE =
REPETITION =
names of old wide format variables;
names of new long format variables;
name of variable with ID information;
name of variable with repetition information;
DATA LONGTOWIDE:
LONG =
WIDE =
IDVARIABLE =
REPETITION =
names of old long format variables;
names of new wide format variables;
name of variable with ID information;
name of variable with repetition information
(values);
0, 1, 2, etc.
DATA TWOPART:
NAMES =
CUTPOINT =
BINARY =
CONTINUOUS =
TRANSFORM =
names of variables used to create a set of
binary and continuous variables;
value used to divide the original variables
into a set of binary and continuous
variables;
names of new binary variables;
names of new continuous variables;
function to use to transform new continuous
variables;
0
LOG
DATA MISSING:
NAMES =
BINARY =
names of variables used to create a set of
binary variables;
names of new binary variables;
TYPE =
MISSING;
SDROPOUT;
DDROPOUT;
DESCRIPTIVE =
sets of variables for additional descriptive
statistics separated by the | symbol;

A Summary Of The Mplus Language
895
DATA SURVIVAL:
NAMES =
CUTPOINT =
BINARY =
names of variables used to create a set of
binary event-history variables;
value used to create a set of binary event-
history variables from a set of original
variables;
names of new binary variables;
DATA COHORT:
COHORT IS
COPATTERN IS
COHRECODE =
TIMEMEASURES =
TNAMES =
name of cohort variable (values);
name of cohort/pattern variable (patterns);
(old value = new value);
list of sets of variables separated by the |
symbol;
list of root names for the sets of variables in
TIMEMEASURES separated by the |
symbol;
THE VARIABLE COMMAND
VARIABLE:
NAMES ARE
names of variables in the data set;
USEOBSERVATIONS ARE
conditional statement to select observations;
all observations
in data set
USEVARIABLES ARE
names of analysis variables;
all variables in
NAMES
MISSING ARE
variable (#);
. ;
* ;
BLANK;
CENSORED ARE
names, censoring type, and inflation status for
censored dependent variables;
CATEGORICAL ARE
names of binary and ordered categorical
(ordinal) dependent variables;
NOMINAL ARE
names of unordered categorical (nominal)
dependent variables;
COUNT ARE
names of count variables (model);
DSURVIVAL ARE
names of discrete-time survival variables;
GROUPING IS
name of grouping variable (labels);
IDVARIABLE IS
name of ID variable;
_RECNUM;
FREQWEIGHT IS
name of frequency (case) weight variable;
names of observed variables with information

CHAPTER 20
896
TSCORES ARE
on individually-varying times of observation;
AUXILIARY =
names of auxiliary variables;
names of auxiliary variables (M);
names of auxiliary variables (R3STEP);
names of auxiliary variables (R);
names of auxiliary variables (BCH);
names of auxiliary variables (DU3STEP);
names of auxiliary variables
(DCATEGORICAL);
names of auxiliary variables (DE3STEP);
names of auxiliary variables
(DCONTINUOUS);
names of auxiliary variables (E);
CONSTRAINT =
names of observed variables that can be used
in the MODEL CONSTRAINT command;
PATTERN IS
name of pattern variable (patterns);
STRATIFICATION IS
name of stratification variable;
CLUSTER IS
name of cluster variables;
WEIGHT IS
name of sampling weight variable;
WTSCALE IS
UNSCALED;
CLUSTER
CLUSTER;
ECLUSTER;
BWEIGHT
name of between-level sampling weight
variable;
B2WEIGHT IS
name of the level 2 sampling weight variable;
B3WEIGHT IS
name of the level 3 sampling weight variable;
BWTSCALE IS
UNSCALED;
SAMPLE;
SAMPLE
REPWEIGHTS ARE
names of replicate weight variables;
SUBPOPULATION IS
conditional statement to select subpopulation;
all observations
in data set
FINITE =
name of variable;
name of variable (FPC);
name of variable (SFRACTION);
name of variable (POPULATION);
FPC
CLASSES =
names of categorical latent variables (number
of latent classes);
KNOWNCLASS =
name of categorical latent variable with known
class membership (labels);
TRAINING =
names of training variables;
names of variables (MEMBERSHIP);
names of variables (PROBABILITIES);
names of variables (PRIORS);
MEMBERSHIP
WITHIN ARE
WITHIN ARE (label)
names of individual-level observed variables;
names of individual-level observed variables;

A Summary Of The Mplus Language
897
BETWEEN ARE
BETWEEN ARE (label)
names of cluster-level observed variables;
names of cluster-level observed variables;
SURVIVAL ARE
names and time intervals for time-to-event
variables;
TIMECENSORED ARE
LAGGED ARE
TINTERVAL IS
names and values of variables that contain
right censoring information;
names of lagged variables (lag);
name of time variable (interval);
(0 = NOT
1 = RIGHT)
THE DEFINE COMMAND
DEFINE:
variable = mathematical expression;
IF (conditional statement) THEN transformation
statements;
_MISSING
variable = MEAN (list of variables);
variable = SUM (list of variables);
CUT variable or list of variables (cutpoints);
variable = CLUSTER_MEAN (variable);
CENTER variable or list of variables (GRANDMEAN);
CENTER variable or list of variables (GROUPMEAN);
CENTER variable or list of variables (GROUPMEAN
label);
STANDARDIZE variable or list of variables;
DO (number, number) expression;
DO ($, number, number) DO (#, number, number)
expression;

CHAPTER 20
898
THE ANALYSIS COMMAND
ANALYSIS:
TYPE =
GENERAL;
GENERAL
BASIC;
RANDOM;
COMPLEX;
MIXTURE;
BASIC;
RANDOM;
COMPLEX;
TWOLEVEL;
BASIC;
RANDOM;
MIXTURE;
COMPLEX;
THREELEVEL;
BASIC;
RANDOM;
COMPLEX;
CROSSCLASSIFIED;
RANDOM;
EFA # #;
BASIC;
MIXTURE;
COMPLEX;
TWOLEVEL;
EFA # # UW* # # UB*;
EFA # # UW # # UB;
ESTIMATOR =
ML;
depends on
MLM;
analysis type
MLMV;
MLR;
MLF;
MUML;
WLS;
WLSM;
WLSMV;
ULS;
ULSMV;
GLS;
BAYES;

A Summary Of The Mplus Language
899
MODEL =
CONFIGURAL;
METRIC;
SCALAR;
NOMEANSTRUCTURE;
means
NOCOVARIANCES;
covariances
ALLFREE;
equal
ALIGNMENT =
FIXED;
last class
CONFIGURAL
FIXED (reference class CONFIGURAL);
FIXED (reference class BSEM);
FREE;
last class
CONFIGURAL
FREE (reference class CONFIGURAL);
FREE (reference class BSEM);
DISTRIBUTION =
NORMAL;
NORMAL
SKEWNORMAL;
TDISTRIBUTION;
SKEWT;
PARAMETERIZATION =
DELTA;
DELTA
THETA;
LOGIT;
LOGIT
LOGLINEAR;
PROBABILITY;
RESCOVARIANCES;
RESCOV
LINK =
LOGIT;
LOGIT
PROBIT;
ROTATION =
GEOMIN;
GEOMIN
(OBLIQUE value)
GEOMIN (OBLIQUE value);
GEOMIN (ORTHOGONAL value);
QUARTIMIN;
OBLIQUE
CF-VARIMAX;
OBLIQUE
CF-VARIMAX (OBLIQUE);
CF-VARIMAX (ORTHOGONAL);
CF-QUARTIMAX;
OBLIQUE
CF- QUARTIMAX (OBLIQUE);
CF- QUARTIMAX (ORTHOGONAL);
CF-EQUAMAX;
OBLIQUE
CF- EQUAMAX (OBLIQUE);
CF- EQUAMAX (ORTHOGONAL);
CF-PARSIMAX;
OBLIQUE
CF- PARSIMAX (OBLIQUE);
CF- PARSIMAX (ORTHOGONAL);

CHAPTER 20
900
CF-FACPARSIM;
OBLIQUE
CF- FACPARSIM (OBLIQUE);
CF- FACPARSIM (ORTHOGONAL);
CRAWFER;
OBLIQUE 1/p
CRAWFER (OBLIQUE value);
CRAWFER (ORTHOGONAL value);
OBLIMIN;
OBLIQUE 0
OBLIMIN (OBLIQUE value);
OBLIMIN (ORTHOGONAL value);
VARIMAX;
PROMAX;
TARGET;
BI-GEOMIN;
OBLIQUE
BI-GEOMIN (OBLIQUE);
BI-GEOMIN (ORTHOGONAL);
BI-CF-QUARTIMAX;
OBLIQUE
BI-CF-QUARTIMAX (OBLIQUE);
BI-CF-QUARTIMAX (ORTHOGONAL);
ROWSTANDARDIZATION =
CORRELATION;
CORRELATION
KAISER;
COVARIANCE;
PARALLEL =
number;
0
REPSE =
BOOTSTRAP;
JACKKNIFE;
JACKKNIFE1;
JACKKNIFE2;
BRR;
FAY (#);
.3
BASEHAZARD =
ON;
OFF;
ON (EQUAL);
ON (UNEQUAL);
OFF (EQUAL);
OFF (UNEQUAL);
depends on
analysis type
EQUAL
EQUAL
CHOLESKY =
ON;
OFF;
depends on
analysis type
ALGORITHM =
EM;
depends on
EMA;
analysis type
FS;
ODLL;
INTEGRATION;

A Summary Of The Mplus Language
901
INTEGRATION =
number of integration points;
STANDARD (number of integration points) ;
GAUSSHERMITE (number of integration
points) ;
MONTECARLO (number of integration points);
STANDARD
depends on
analysis type
15
depends on
analysis type
MCSEED =
random seed for Monte Carlo integration;
0
ADAPTIVE =
ON;
OFF;
ON
INFORMATION =
OBSERVED;
depends on
EXPECTED;
analysis type
COMBINATION;
BOOTSTRAP =
number of bootstrap draws;
number of bootstrap draws (STANDARD);
number of bootstrap draws (RESIDUAL):
STANDARD
LRTBOOTSTRAP =
number of bootstrap draws for TECH14;
depends on
analysis type
STARTS =
number of initial stage starts and number of
final stage optimizations;
depends on
analysis type
STITERATIONS =
number of initial stage iterations;
10
STCONVERGENCE =
initial stage convergence criterion;
1
STSCALE =
random start scale;
5
STSEED =
random seed for generating random starts;
0
OPTSEED =
random seed for analysis;
K-1STARTS =
number of initial stage starts and number of
final stage optimizations for the k-1 class
model for TECH14;
20 4
LRTSTARTS =
number of initial stage starts and number of
final stage optimizations for TECH14;
0 0 40 8
RSTARTS =
number of random starts for the rotation
algorithm and number of factor solutions
printed for exploratory factor analysis;
depends on
analysis type
ASTARTS =
number of random starts for the alignment
optimization;
30
H1STARTS =
Number of initial stage starts and number of
final stage optimizations for the H1 model;
0 0
DIFFTEST =
file name;
MULTIPLIER =
file name;
COVERAGE =
minimum covariance coverage with missing
data;
.10
ADDFREQUENCY =
value divided by sample size to add to cells
with zero frequency;
.5

CHAPTER 20
902
ITERATIONS =
maximum number of iterations for the Quasi-
Newton algorithm for continuous outcomes;
1000
SDITERATIONS =
maximum number of steepest descent
iterations for the Quasi-Newton algorithm for
continuous outcomes;
20
H1ITERATIONS =
maximum number of iterations for unrestricted
model with missing data;
2000
MITERATIONS =
number of iterations for the EM algorithm;
500
MCITERATIONS =
number of iterations for the M step of the EM
algorithm for categorical latent variables;
1
MUITERATIONS =
number of iterations for the M step of the EM
algorithm for censored, categorical, and count
outcomes;
1
RITERATIONS =
maximum number of iterations in the rotation
algorithm for exploratory factor analysis;
10000
AITERATIONS =
maximum number of iterations in the
5000
alignment optimization;
CONVERGENCE =
convergence criterion for the Quasi-Newton
algorithm for continuous outcomes;
depends on
analysis type
H1CONVERGENCE =
convergence criterion for unrestricted model
with missing data;
.0001
LOGCRITERION =
likelihood convergence criterion for the EM
algorithm;
depends on
analysis type
RLOGCRITERION =
relative likelihood convergence criterion for the
EM algorithm;
depends on
analysis type
MCONVERGENCE =
convergence criterion for the EM algorithm;
depends on
analysis type
MCCONVERGENCE =
convergence criterion for the M step of the EM
algorithm for categorical latent variables;
.000001
MUCONVERGENCE =
convergence criterion for the M step of the EM
algorithm for censored, categorical, and count
outcomes;
.000001
RCONVERGENCE =
convergence criterion for the rotation algorithm
for exploratory factor analysis;
.00001
ACONVERGENCE =
convergence criterion for the derivatives of
the alignment optimization;.
.001
MIXC =
ITERATIONS;
ITERATIONS
CONVERGENCE;
M step iteration termination based on number
of iterations or convergence for categorical
latent variables;

A Summary Of The Mplus Language
903
MIXU =
ITERATIONS;
ITERATIONS
CONVERGENCE;
M step iteration termination based on number
of iterations or convergence for censored,
categorical, and count outcomes;
LOGHIGH =
max value for logit thresholds;
+15
LOGLOW =
min value for logit thresholds;
- 15
UCELLSIZE =
minimum expected cell size;
.01
VARIANCE =
minimum variance value;
.0001
SIMPLICITY =
SQRT;
SQRT
FOURTHRT;
TOLERANCE =
simplicity tolerance value;
.0001
METRIC=
REFGROUP;
REFGROUP
PRODUCT;
MATRIX =
COVARIANCE;
COVARIANCE
CORRELATION;
POINT =
MEDIAN;
MEAN;
MODE;
MEDIAN
CHAINS =
number of MCMC chains;
2
BSEED =
seed for MCMC random number generation;
0
STVALUES =
UNPERTURBED;
PERTURBED;
ML;
UNPERTURBED
PREDICTOR =
LATENT;
OBSERVED;
depends on
analysis type
ALGORITHM =
GIBBS;
GIBBS (PX1);
GIBBS (PX2);
GIBBS (PX3);
GIBBS (RW);
MH;
GIBBS (PX1)
BCONVERGENCE =
MCMC convergence criterion using Gelman-
Rubin PSR;
.05
BITERATIONS =
maximum and minimum number of iterations
for each MCMC chain when Gelman-Rubin
PSR is used;
50000 0
FBITERATIONS =
fixed number of iterations for each MCMC
chain when Gelman-Rubin PSR is not used;
THIN =
k where every k-th MCMC iteration is saved;
1
MDITERATIONS =
maximum number of iterations used to
compute the Bayes multivariate mode;
10000
KOLMOGOROV =
number of draws from the MCMC chains;
100

CHAPTER 20
904
PRIOR =
number of draws from the prior distribution;
1000
INTERACTIVE =
file name;
PROCESSORS =
# of processors # of threads;
1 1
THE MODEL COMMAND
MODEL:
BY
short for measured by -- defines latent variables
example: f1 BY y1-y5;
ON
short for regressed on -- defines regression relationships
example: f1 ON x1-x9;
PON
short for regressed on -- defines paired regression relationships
example: f2 f3 PON f1 f2;
WITH
short for correlated with -- defines correlational relationships
example: f1 WITH f2;
PWITH
short for correlated with -- defines paired correlational
relationships
example: f1 f2 f3 PWITH f4 f5 f6;
list of variables;
refers to variances and residual variances
example: f1 y1-y9;
[list of variables];
refers to means, intercepts, thresholds
example: [f1, y1-y9];
*
frees a parameter at a default value or a specific starting value
example: y1* y2*.5;
@
fixes a parameter at a default value or a specific value
example: y1@ y2@0;
(number)
constrains parameters to be equal
example: f1 ON x1 (1);
f2 ON x2 (1);
variable$number
label for the threshold of a variable
variable#number
label for nominal observed or categorical latent variable
variable#1
label for censored or count inflation variable
variable#number
label for baseline hazard parameters
variable#number
label for a latent class
(name)
label for a parameter
{list of variables};
refers to scale factors
example: {y1-y9};
|
names and defines random effect variables
example: s | y1 ON x1;
AT
short for measured at -- defines random effect variables
example: s | y1-y4 AT t1-t4;
XWITH
defines interactions between variables;

A Summary Of The Mplus Language
905
MODEL INDIRECT:
IND
VIA
MOD
describes the relationships for which indirect and total effects
are requested
describes a specific indirect effect or a set of indirect effects
when there is no moderation;
describes a set of indirect effects that includes specific
mediators;
describes a specific indirect effect when there is moderation;
MODEL CONSTRAINT:
NEW
DO
PLOT
LOOP
describes linear and non-linear constraints on parameters
assigns labels to parameters not in the analysis model;
describes a do loop or double do loop;
describes y-axis variables;
describes x-axis variables;
MODEL TEST:
DO
describes restrictions on the analysis model for the Wald test
describes a do loop or double do loop;
MODEL PRIORS:
COVARIANCE
DO
DIFFERENCE
specifies the prior distribution for the parameters
assigns a prior to the covariance between two parameters;
describes a do loop or double do loop;
assigns priors to differences between parameters;
MODEL:
describes the analysis model
MODEL label:
describes the group-specific model in multiple group analysis
and the model for each categorical latent variable and
combinations of categorical latent variables in mixture modeling
MODEL:
%OVERALL%
%class label%
describes the overall part of a mixture model
describes the class-specific part of a mixture model
MODEL:
%WITHIN%
%BETWEEN%
%BETWEEN label%
describes the individual-level model
describes the cluster-level model for a two-level model
describes the cluster-level model for a three-level or cross-
classified model
MODEL POPULATION:
describes the data generation model
MODEL POPULATION-label:
describes the group-specific data generation model in multiple
group analysis and the data generation model for each
categorical latent variable and combinations of categorical
latent variables in mixture modeling
MODEL POPULATION:
%OVERALL%
%class label%
describes the overall data generation model for a mixture
model
describes the class-specific data generation model for a
mixture model

CHAPTER 20
906
MODEL POPULATION:
%WITHIN%
%BETWEEN%
%BETWEEN label%
describes the individual-level data generation model for a
multilevel model
describes the cluster-level data generation model for a two-
level model
describes the cluster-level data generation model for a three-
level or cross-classified model
MODEL COVERAGE:
describes the population parameter values for a Monte Carlo
study
MODEL COVERAGE-label:
describes the group-specific population parameter values in
multiple group analysis and the population parameter values for
each categorical latent variable and combinations of categorical
latent variables in mixture modeling for a Monte Carlo study
MODEL COVERAGE:
%OVERALL%
%class label%
describes the overall population parameter values of a mixture
model for a Monte Carlo study
describes the class-specific population parameter values of a
mixture model
MODEL COVERAGE:
%WITHIN%
%BETWEEN%
%BETWEEN label%
describes the individual-level population parameter values for
coverage
describes the cluster-level population parameter values for a
two-level model for coverage
describes the cluster-level population parameter values for a
three-level or cross-classified model for coverage
MODEL MISSING:
describes the missing data generation model for a Monte Carlo
study
MODEL MISSING-label:
describes the group-specific missing data generation model for
a Monte Carlo study
MODEL MISSING:
%OVERALL%
%class label%
describes the overall data generation model of a mixture model
describes the class-specific data generation model of a mixture
model
THE OUTPUT COMMAND
OUTPUT:
SAMPSTAT;
CROSSTABS;
ALL
CROSSTABS (ALL);
CROSSTABS (COUNT);
CROSSTABS (%ROW);

A Summary Of The Mplus Language
907
CROSSTABS (%COLUMN);
CROSSTABS (%TOTAL);
STANDARDIZED;
STDYX;
STDY;
STDY;
STANDARDIZED (CLUSTER);
STDYX (CLUSTER);
STDY (CLUSTER);
STD (CLUSTER);
RESIDUAL;
RESIDUAL (CLUSTER);
MODINDICES (minimum chi-square);
MODINDICES (ALL);
MODINDICES (ALL minimum chi-square);
10
10
CINTERVAL;
CINTERVAL (SYMMETRIC);
CINTERVAL (BOOTSTRAP);
CINTERVAL (BCBOOTSTRAP);
CINTERVAL (EQTAIL);
CINTERVAL (HPD);
SYMMETRIC
EQTAIL
SVALUES;
NOCHISQUARE;
NOSERROR;
H1SE;
H1TECH3;
H1MODEL;
H1MODEL (COVARIANCE);
H1MODEL (SEQUENTIAL);
COVARIANCE
PATTERNS;
FSCOEFFICIENT;
FSDETERMINACY;
FSCOMPARISON;
BASEHAZARD;
LOGRANK;
ALIGNMENT;
ENTROPY;
TECH1;
TECH2;
TECH3;
TECH4;
TECH4 (CLUSTER);
TECH5;
TECH6;

CHAPTER 20
908
TECH7;
TECH8;
TECH9;
TECH10;
TECH11;
TECH12;
TECH13;
TECH14;
TECH15;
TECH16;
THE SAVEDATA COMMAND
SAVEDATA:
FILE IS
file name;
FORMAT IS
format statement;
F10.3
FREE;
MISSFLAG =
missing value flag;
*
RECORDLENGTH IS
characters per record;
1000
SAMPLE IS
file name;
COVARIANCE IS
file name;
SIGBETWEEN IS
file name;
SWMATRIX IS
file name;
RESULTS ARE
STDRESULTS ARE
STDDISTRIBUTION IS
file name;
file name;
file name;
ESTIMATES ARE
file name;
DIFFTEST IS
file name;
TECH3 IS
file name;
TECH4 IS
file name;
KAPLANMEIER IS
file name;
BASEHAZARD IS
file name;
ESTBASELINE IS
file name;
RESPONSE IS
file name;
MULTIPLIER IS
file name;
BPARAMETERS IS
file name;
RANKING IS
file name;
TYPE IS
COVARIANCE;
varies
CORRELATION;
SAVE =
FSCORES;
FSCORES (# #);
LRESPONSES (#);

A Summary Of The Mplus Language
909
PROPENSITY;
CPROBABILITIES;
REPWEIGHTS;
MAHALANOBIS;
LOGLIKELIHOOD;
INFLUENCE;
COOKS;
BCHWEIGHTS;
FACTORS =
names of factors;
LRESPONSES =
names of latent response variables;
MFILE =
file name;
MNAMES =
names of variables in the data set;
MFORMAT =
format statement;
FREE;
FREE
MMISSING =
Variable (#);
*;
.;
MSELECT =
names of variables;
all variables in
MNAMES
THE PLOT COMMAND
PLOT:
TYPE IS
PLOT1;
PLOT2;
PLOT3;
SENSITIVITY;
SERIES IS
list of variables in a series plus x-axis
values;
FACTORS ARE
names of factors (#);
LRESPONSES ARE
names of latent response variables (#);
OUTLIERS ARE
MAHALANOBIS;
LOGLIKELIHOOD;
INFLUENCE;
COOKS;
MONITOR IS
ON;
OFF;
OFF

CHAPTER 20
910
THE MONTECARLO COMMAND
MONTECARLO:
NAMES =
names of variables;
NOBSERVATIONS =
number of observations;
NGROUPS =
number of groups;
1
NREPS =
number of replications;
1
SEED =
random seed for data generation;
0
GENERATE =
scale of dependent variables for data
generation;
CUTPOINTS =
thresholds to be used for categorization of
covariates;
GENCLASSES =
names of categorical latent variables (number
of latent classes used for data generation);
NCSIZES =
number of unique cluster sizes for each group
separated by the | symbol;
CSIZES =
number (cluster size) for each group
separated by the | symbol;
HAZARDC =
specifies the hazard for the censoring
process;
PATMISS =
missing data patterns and proportion missing
for each dependent variable;
PATPROBS =
proportion for each missing data pattern;
MISSING =
names of dependent variables that have
missing data;
CENSORED ARE
names and limits of censored-normal
dependent variables;
CATEGORICAL ARE
names of ordered categorical dependent
variables;
NOMINAL ARE
names of unordered categorical dependent
variables;
COUNT ARE
names of count variables;
CLASSES =
names of categorical latent variables (number
of latent classes used for model estimation);
AUXILIARY =
names of auxiliary variables (R3STEP);
names of auxiliary variables (R);
names of auxiliary variables (BCH);
names of auxiliary variables (DU3STEP);
names of auxiliary variables
(DCATEGORICAL);
names of auxiliary variables (DE3STEP);
names of auxiliary variables
(DCONTINUOUS);

A Summary Of The Mplus Language
911
names of auxiliary variables (E);
SURVIVAL =
names and time intervals for time-to-event
variables;
TSCORES =
names, means, and standard deviations of
observed variables with information on
individually-varying times of observation;
WITHIN =
names of individual-level observed variables;
BETWEEN =
names of cluster-level observed variables;
POPULATION =
name of file containing population parameter
values for data generation;
COVERAGE =
name of file containing population parameter
values for computing parameter coverage;
STARTING =
name of file containing parameter values for
use as starting values for the analysis;
REPSAVE =
numbers of the replications to save data from
or ALL;
SAVE =
name of file in which generated data are
stored;
RESULTS =
name of file in which analysis results are
stored;
BPARAMETERS =
LAGGED ARE
name of file in which Bayesian posterior
parameter values are stored;
names of lagged variables (lag);
CHAPTER 20
912
913
REFERENCES
Agresti, A. (1996). An introduction to categorical data analysis. New York: John Wiley & Sons.
Agresti, A. (2002). Categorical data analysis. Second Edition. New York: John Wiley & Sons.
Aitkin, M. (1999). A general maximum likelihood analysis of variance components in
generalized linear models. Biometrics, 55, 117-128.
Asparouhov, T. (2005). Sampling weights in latent variable modeling. Structural Equation
Modeling, 12, 411-434.
Asparouhov, T. (2006). General multi-level modeling with sampling weights. Communications in
Statistics: Theory and Methods, 35, 439-460.
Asparouhov, T. (2007). Wald test of mean equality for potential latent class predictors in mixture
modeling. Technical appendix. Los Angeles: Muthén & Muthén.
Asparouhov, T. (2014). Continuous-time survival analysis in Mplus. Technical appendix. Los
Angeles: Muthén & Muthén.
Asparouhov, T. & Muthén, B. (2005). Multivariate statistical modeling with survey data.
Proceedings of the FCMS 2005 Research Conference.
Asparouhov, T. & Muthén, B. (2006a). Multilevel modeling of complex survey data.
Proceedings of the Joint Statistical Meeting in Seattle, August 2006. ASA Section on Survey
Research Methods, 2718-2726.
Asparouhov, T. & Muthén, B. (2006b). Constructing covariates in multilevel regression. Mplus
Web Notes: No. 11. www.statmodel.com.
Asparouhov, T. & Muthén, B. (2007). Computationally efficient estimation of multilevel high-
dimensional latent variable models. Proceedings of the Joint Statistical Meeting in Salt Lake
City, August 2007. ASA section on Biometrics.
Asparouhov, T. & Muthén, B. (2008a). Multilevel mixture models. In G.R. Hancock, & K.M.
Samuelson (eds.), Advances in latent variable mixture models. Charlotte, NC: Information Age
Publishing, Inc.
Asparouhov, T. & Muthén, B. (2008b). Auxiliary variables predicting missing data. Technical
appendix. Los Angeles: Muthén & Muthén.
914
Asparouhov, T. & Muthén, B. (2008c). Chi-square statistics with multiple imputation. Technical
appendix. Los Angeles: Muthén & Muthén.
Asparouhov, T. & Muthén, B. (2009a). Exploratory structural equation modeling. Structural
Equation Modeling, 16, 397-438.
Asparouhov, T. & Muthén, B. (2009b). Resampling methods in Mplus for complex survey data.
Technical appendix. Los Angeles: Muthén & Muthén.
Asparouhov, T. & Muthén, B. (2010a). Weighted least squares estimation with missing data.
Technical appendix. Los Angeles: Muthén & Muthén.
Asparouhov, T. & Muthén, B. (2010b). Bayesian analysis using Mplus: Technical
implementation. Technical Report. Los Angeles: Muthén & Muthén.
Asparouhov, T. & Muthén, B. (2012a). General random effect latent variable modeling:
Random subjects, items, contexts, and parameters. Technical Report. Los Angeles: Muthén &
Muthén.
Asparouhov, T. & Muthén, B. (2012b). Auxiliary variables in mixture modeling: A 3-step
approach using Mplus. Mplus Web Notes: No. 15. www.statmodel.com.
Asparouhov, T. & Muthén, B. (2012c). Using Mplus TECH11 and TECH14 to test the number
of latent classes. Mplus Web Notes: No. 14. www.statmodel.com.
Asparouhov, T. & Muthén, B. (2014a). Auxiliary variables in mixture modeling: Three-step
approaches using Mplus. Structural Equation Modeling: A Multidisciplinary Journal, 21, 329-
341.
Asparouhov, T. & Muthén, B. (2014b). Auxiliary variables in mixture modeling: Using the BCH
method in Mplus to estimate a distal outcome model and an arbitrary secondary model. Mplus
Web Notes: No. 21. www.statmodel.com.
Asparouhov, T. & Muthén, B. (2014c). Multiple-group factor analysis alignment. Structural
Equation Modeling, 21, 495-508.
Asparouhov, T. & Muthén, B. (2014d). Variable-specific entropy contribution. Technical
appendix. Los Angeles: Muthén & Muthén.
Asparouhov, T. & Muthén B. (2015a). Structural equation models and mixture models with
continuous non-normal skewed distributions. Structural Equation Modeling, 22, 12-23.
915
Asparouhov, T. & Muthén, B. (2015b). Residual associations in latent class and latent transition
analysis. Structural Equation Modeling, 22, 169-177.
Asparouhov, T. & Muthén, B. (2016). IRT in Mplus. Technical appendix. Los Angeles: Muthén
& Muthén.
Asparouhov, T., Hamaker, E.L. & Muthén, B. (2017). Dynamic structural equation models.
Technical Report. Los Angeles: Muthén & Muthén.
Asparouhov, T., Masyn, K. & Muthén, B. (2006). Continuous time survival in latent variable
models. Proceedings of the Joint Statistical Meeting in Seattle, August 2006. ASA section on
Biometrics, 180-187.
Bakk, Z, & Vermunt, J.K. (2016). Robustness of stepwise latent class modeling with continuous
distal outcomes. Structural Equation Modeling, 23, 20-31.
Bauer, D.J. & Curran, P.J. (2005). Probing interactions in fixed and multilevel regression:
Inferential and graphical techniques. Multivariate Behavioral Research, 40, 373-400.
Bauer, D.J., Preacher, K.J., & Gil, K.M. (2006). Conceptualizing and testing random indirect
effects and moderated mediation in multilevel models: New procedures and recommendations.
Psychological Methods, 11, 142-163.
Bernaards, C.A. & Jennrich, R.I. (2005). Gradient projection algorithms and software for
arbitrary rotation criteria in factor analysis. Educational and Psychological Measurement, 65,
676-696.
Bijmolt, T.H.A., Paas, L.J., & Vermunt, J.K. (2004). Country and consumer segmentation:
Multi-level latent class analysis of financial product ownership. International Journal of Research
in Marketing, 21, 323-340.
Bollen, K.A. (1989). Structural equations with latent variables. New York: John Wiley & Sons.
Bollen, K.A. & Stein, R.A. (1992). Bootstrapping goodness-of-fit measures in structural equation
models. Sociological Methods & Research, 21, 205-229.
Boscardin, J., Zhang, X., & Belin, T. (2008). Modeling a mixture of ordinal and continuous
repeated measures. Journal of Statistical Computation and Simulation, 78, 873-886.
Browne, M.W. (2001). An overview of analytic rotation in exploratory factor analysis.
Multivariate Behavioral Research, 36, 111-150.
916
Browne, M.W. & Arminger, G. (1995). Specification and estimation of mean- and covariance-
structure models. In G. Arminger, C.C. Clogg & M.E. Sobel (eds.), Handbook of statistical
modeling for the social and behavioral sciences (pp. 311-359). New York: Plenum Press.
Browne, W.J. & Draper, D. (2006). A comparison of Bayesian and likelihood-based methods for
fitting multilevel models. Bayesian Analysis, 3, 473-514.
Browne, M.W., Cudeck, R., Tateneni, K., & Mels, G. (2004). CEFA: Comprehensive
Exploratory Factor Analysis, Version 2.00 [Computer software and manual]. Retrieved from
http://quantrm2.psy.ohio-state.edu/browne/.
Chib, S. & Greenberg, E. (1998). Bayesian analysis of multivariate probit models. Biometrika,
85, 347-361.
Collins, L.M. & Lanza, S.T. (2010). Latent class and latent transition analysis. Hoboken, N.J.:
John Wiley & Sons.
Collins, L.M, Schafer, J.L., & Kam, C-H (2001). A comparison of inclusive and restrictive
strategies in modern missing data procedures. Psychological Methods, 6, 330-351.
Cook, R.D. (1977). Detection of influential observations in linear regression. Technometrics, 19,
15-18.
Cook, R.D. & Weisberg, S. (1982). Residuals and influence in regression. New York: Chapman
& Hall.
Cudeck, R. & O'Dell, L.L. (1994). Applications of standard error estimates in unrestricted factor
analysis: Significance tests for factor loadings and correlations. Psychological Bulletin, 115,
475-487.
Duan, N., Manning, W.G., Morris, C.N. & Newhouse, J.P. (1983). A comparison of alternative
models for the demand for medical care. Journal of Business & Economic Statistics, 1, 115-126.
Demirtas, H. & Schafer, J.L. (2003). On the performance of random-coefficient pattern-mixture
models for non-ignorable drop-out. Statistics in Medicine, 22, 2553-2575.
Dempster, A.P., Laird, N.M., & Rubin, D.B. (1977). Maximum likelihood from incomplete data
via the EM algorithm. Journal of the Royal Statistical Society, Series B, 39, 1-38.
Diggle, P.D. & Kenward, M.G. (1994). Informative drop-out in longitudinal data analysis (with
discussion). Applied Statistics, 43, 49-73.
917
Efron, B. & Tibshirani, R.J. (1993). An introduction to the bootstrap. New York: Chapman &
Hall.
Enders, C.K. (2002). Applying the Bollen-Stine bootstrap for goodness-of-fit measures to
structural equation models with missing data. Multivariate Behavioral Research, 37, 359-377.
Enders, C.K. (2010). Applied missing data analysis. New York: Guilford Press.
Everitt, B.S. & Hand, D.J. (1981). Finite mixture distributions. London: Chapman & Hall.
Fabrigar, L.R., Wegener, D.T., MacCallum, R.C., & Strahan, E.J. (1999). Evaluating the use of
exploratory factor analysis in psychological research. Psychological Methods, 4, 272-299.
Fay, R.E. (1989). Theoretical application of weighting for variance calculation. Proceedings of
the Section on Survey Research Methods of the American Statistical Association, 212-217.
Fox, J. P. (2010). Bayesian item response modeling. Theory and applications. New York:
Springer.
Gelman, A. (2006). Prior distributions for variance parameters in hierarchical models. Bayesian
Analysis, 3, 515-533.
Gelman, A. & Rubin, D.B. (1992). Inference from iterative simulation using multiple sequences
(with discussion). Statistical Science, 7, 457-511.
Gelman, A., Carlin, J.B., Stern, H.S., and Rubin, D.B. (2004). Bayesian data analysis. Second
edition. New York: Chapman & Hall.
Graham, J.W. (2003). Adding missing-data relevant variables to FIML-based structural equation
models. Structural Equation Modeling: A Multidisciplinary Journal, 10, 80-100.
Granger, C.W.J. & Morris, M.J. (1976). Time series modelling and interpretation. Journal of the
Royal Statistical Society, Series A, 139, 246-257.
Hagenaars, J.A. & McCutcheon, A.L. (2002). Applied latent class analysis. Cambridge, UK:
Cambridge University Press.
Hayes, A.F. (2013). Introduction to mediation, moderation, and conditional process analysis. A
regression-based approach. New York: The Guilford Press.
Hayton, J.C., Allen, D.G., & Scarpello, V. (2004). Factor retention decisions in exploratory
factor analysis: A tutorial on parallel analysis. Organizational Research Methods, 7, 191-205.
918
Hedeker, D. & Gibbons, R.D. (1994). A random-effects ordinal regression model for multilevel
analysis. Biometrics, 50, 933-944.
Hedeker, D. & Gibbons, R.D. (1997). Application of random-effects pattern-mixture models for
missing data in longitudinal studies. Psychological Methods, 2, 64-78.
Hilbe, J.M. (2011). Negative binomial regression. Second edition. New York: Cambridge
University Press.
Hildreth, C. & Houck, J.P. (1968). Some estimates for a linear model with random coefficients.
Journal of the American Statistical Association, 63, 584-595.
Hosmer, D.W. & Lemeshow, S. (2000). Applied logistic regression. Second edition. New York:
John Wiley & Sons.
Hougaard, P. (2000). Analysis of multivariate survival data. New York: Springer.
Imai, K., Keele, L., & Tingley, D. (2010a). A general approach to causal mediation analysis.
Psychological Methods, 15, 309-334.
Imai, K., Keele, L., & Yamamoto, Y. (2010b). Identification, inference and sensitivity analysis
for causal mediation effects. Statistical Science, 25, 51-71.
Jedidi, K., Jagpal. H.S. & DeSarbo, W.S. (1997). Finite-mixture structural equation models for
response-based segmentation and unobserved heterogeneity. Marketing Science, 16, 39-59.
Jeffries, N.O. (2003). A note on ‘testing the number of components in a normal mixture’.
Biometrika, 90, 991-994.
Jennrich, R.I. (1973). Standard errors for obliquely rotated factor loadings. Psychometrika, 38,
593-604.
Jennrich, R.I. (1974). Simplified formulae for standard errors in maximum-likelihood factor
analysis. The British Journal of Mathematical and Statistical Psychology, 27, 122-131.
Jennrich, R.I. (2007). Rotation methods, algorithms, and standard errors. In R. Cudeck & R.C.
MacCallum (eds.). Factor analysis at 100. Historical developments and future directions (pp.
315-335). Mahwah, New Jersey: Lawrence Erlbaum Associates, Inc.
Jennrich, R.I. & Bentler, P.M. (2011). Exploratory bi-factor analysis. Psychometrika, 76, 537-
549.
919
Jennrich, R.I. & Bentler, P.M. (2012). Exploratory bi-factor analysis: The oblique case.
Psychometrika, 77, 442-454.
Jennrich, R.I. & Sampson, P.F. (1966). Rotation for simple loadings. Psychometrika, 31, 313-
323.
Johnston, J. (1984). Econometric methods. Third edition. New York: McGraw-Hill.
Joreskog, K.G. & Sorbom, D. (1979). Advances in factor analysis and structural equation
models. Cambridge, MA: Abt Books.
Kaplan, D. (2008). An overview of Markov chain methods for the study of stage-sequential
developmental processes. Developmental Psychology, 44, 457-467.
Kenward, M.G. & Molenberghs, G. (1998). Likelihood based frequentist inference when data are
missing at random. Statistical Science, 13, 236-247.
Klein, A. & Moosbrugger, H. (2000). Maximum likelihood estimation of latent interaction
effects with the LMS method. Psychometrika, 65, 457-474.
Klein J.P. & Moeschberger, M.L. (1997). Survival analysis: Techniques for censored and
truncated data. New York: Springer.
Korn, E.L. & Graubard, B.I. (1999). Analysis of health surveys. New York: John Wiley & Sons.
Kreuter, F. & Muthén, B. (2008). Analyzing criminal trajectory profiles: Bridging multilevel and
group-based approaches using growth mixture modeling. Journal of Quantitative Criminology,
24, 1-31.
Langeheine, R. & van de Pol, F. (2002). Latent Markov chains. In J.A. Hagenaars & A.L.
McCutcheon (eds.), Applied latent class analysis (pp. 304-341). Cambridge, UK: Cambridge
University Press.
Lanza, S.T., Tan, X, & Bray, B.C. (2013). Latent class analysis with distal outcomes: A flexible
model-based approach. Structural Equation Modeling, 20, 1-26.
Larsen, K. (2004). Joint analysis of time-to-event and multiple binary indicators of latent classes.
Biometrics 60, 85-92.
Larsen, K. (2005). The Cox proportional hazards model with a continuous latent variable
measured by multiple binary indicators. Biometrics, 61, 1049-1055.
920
Lee, S.Y. (2007). Structural equation modeling. A Bayesian approach. New York: John Wiley
& Sons.
Little, R.J. (1995). Modeling the drop-out mechanism in repeated-measures studies. Journal of
the American Statistical Association, 90, 1112-1121.
Little, R.J. & Rubin, D.B. (2002). Statistical analysis with missing data. Second edition. New
York: John Wiley & Sons.
Little, R.J. & Yau, L.H.Y. (1998). Statistical techniques for analyzing data from prevention
trials: Treatment of no-shows using Rubin’s causal model. Psychological Methods, 3, 147-159.
Lo, Y., Mendell, N.R. & Rubin, D.B. (2001). Testing the number of components in a normal
mixture. Biometrika, 88, 767-778.
Lohr, S.L. (1999). Sampling: Design and analysis. Pacific Grove, CA: Brooks/Cole Publishing
Company.
Long, J.S. (1997). Regression models for categorical and limited dependent variables. Thousand
Oaks, CA: Sage Publications, Inc.
Lüdtke, O., Marsh, H.W., Robitzsch, A., Trautwein, U., Asparouhov, T., & Muthén, B. (2008).
The multilevel latent covariate model: A new, more reliable approach to group-level effects in
contextual studies. Psychological Methods, 13, 203-229.
MacKinnon, D.P. (2008). Introduction to statistical mediation analysis. New York: Lawrence
Erlbaum Associates.
MacKinnon, D.P., Lockwood, C.M., & Williams, J. (2004). Confidence limits for the indirect
effect: Distribution of the product and resampling methods. Multivariate Behavioral Research,
39, 99-128.
MacKinnon, D. P., Lockwood, C. M., Brown, C. H., Wang, W., & Hoffman, J. M. (2007). The
intermediate endpoint effect in logistic and probit regression. Clinical Trials, 4, 499-513.
Mantel, N. (1966). Evaluation of survival data and two new rank order statistics arising in its
consideration. Cancer Chemotherapy Reports, 50, 163-170.
Marlow, A.J., Fisher, S.E., Francks, C., MacPhie, I.L., Cherny, S.S., Richardson, A.J., Talcott,
J.B., Stein, J.F., Monaco, A.P., & Cardon, L.R. (2003). Use of multivariate linkage analysis for
dissection of a complex cognitive trait. American Journal of Human Genetics, 72, 561-570.
921
McCutcheon, A.L. (2002). Basic concepts and procedures in single- and multiple-group latent
class analysis. In J.A. Hagenaars & A.L. McCutcheon (eds.), Applied latent class analysis (pp.
56-85). Cambridge, UK: Cambridge University Press.
McDonald, R.P. (1967). Nonlinear factor analysis. Psychometric Monograph Number 15.
University of Chicago. Richmond, VA: The William Byrd Press.
McLachlan, G. & Peel, D. (2000). Finite mixture models. New York: John Wiley & Sons.
McLachlan, G.J., Do, K.A., & Ambroise, C. (2004). Analyzing microarray gene expression data.
New York: John Wiley & Sons.
Millsap, R.E. (2011). Statistical approaches to measurement invariance. Taylor and Francis
Group: New York.
Mislevy, R.J., Johnson, E.G., & Muraki, E. (1992). Scaling procedures in NAEP. Journal of
Educational Statistics, 17, 131-154.
Molenaar, P.C.M. (1985). A dynamic factor model for the analysis of multivariate time series.
Psychometrika, 50, 181-202.
Mooijaart, A. (1998). Log-linear and Markov modeling of categorical longitudinal data. In
C.C.J.H. Bijleveld & T. van der Kamp, Longitudinal data analysis: Designs, models, and
methods (pp. 318-370). Newbury Park, CA: Sage Publications.
Muthén, B. (1978). Contributions to factor analysis of dichotomous variables. Psychometrika,
43, 551-560.
Muthén, B. (1984). A general structural equation model with dichotomous, ordered categorical,
and continuous latent variable indicators. Psychometrika, 49, 115-132.
Muthén, B. (1989). Latent variable modeling in heterogeneous populations. Psychometrika, 54,
557-585.
Muthén, B. (1990). Mean and covariance structure analysis of hierarchical data. Paper presented
at the Psychometric Society meeting in Princeton, NJ, June 1990. UCLA Statistics Series 62.
Muthén, B. (1994). Multilevel covariance structure analysis. In J. Hox & I. Kreft (eds.),
Multilevel Modeling, a special issue of Sociological Methods & Research, 22, 376-398.
922
Muthén, B. (1997). Latent variable modeling with longitudinal and multilevel data. In A.
Raftery (ed.), Sociological Methodology (pp. 453-480). Boston: Blackwell Publishers.
Muthén, B. (2002). Beyond SEM: General latent variable modeling. Behaviormetrika, 29, 81-
117.
Muthén, B. (2004). Latent variable analysis: Growth mixture modeling and related techniques for
longitudinal data. In D. Kaplan (ed.), Handbook of quantitative methodology for the social
sciences (pp. 345-368). Newbury Park, CA: Sage Publications.
Muthén, B. (2006). Should substance use disorders be considered as categorical or dimensional?
Addiction, 101 (Suppl. 1), 6-16.
Muthén, B. (2008). Latent variable hybrids: Overview of old and new models. In Hancock, G.
R., & Samuelsen, K. M. (Eds.), Advances in latent variable mixture models, pp. 1-24. Charlotte,
NC: Information Age Publishing, Inc.
Muthén, B. (2011). Applications of causally defined direct and indirect effects in mediation
analysis using SEM in Mplus. Technical Report. Los Angeles: Muthén & Muthén.
Muthén, B. & Asparouhov, T. (2002). Latent variable analysis with categorical outcomes:
Multiple-group and growth modeling in Mplus. Mplus Web Notes: No. 4. www.statmodel.com.
Muthén, B. & Asparouhov, T. (2006). Item response mixture modeling: Application to tobacco
dependence criteria. Addictive Behaviors, 31, 1050-1066.
Muthén, B. & Asparouhov, T. (2007). Non-parametric hierarchical regressions. In preparation.
Muthén, B. & Asparouhov, T. (2009). Growth mixture modeling: Analysis with non-Gaussian
random effects. In Fitzmaurice, G., Davidian, M., Verbeke, G. & Molenberghs, G. (eds.),
Longitudinal Data Analysis, pp. 143-165. Boca Raton: Chapman & Hall/CRC Press.
Muthén, B. & Asparouhov, T. (2011). LTA in Mplus: Transition probabilities influenced by
covariates. Mplus Web Notes: No. 13. www.statmodel.com.
Muthén, B. & Asparouhov, T. (2012). Bayesian SEM: A more flexible representation of
substantive theory. Psychological Methods, 17, 313-335.
Muthén, B. & Asparouhov, T. (2013). BSEM measurement invariance analysis. Mplus Web
Notes: No. 17. www.statmodel.com.
923
Muthén, B. & Asparouhov T. (2015a). Growth mixture modeling with non-normal distributions.
Statistics in Medicine, 34, 1041–1058.
Muthén, B. & Asparouhov, T. (2015b). Causal effects in mediation modeling: An introduction
with applications to latent variables. Structural Equation Modeling, 22, 12-23.
Muthén, B. & Christoffersson, A. (1981). Simultaneous factor analysis of dichotomous variables
in several groups. Psychometrika, 46, 407-419.
Muthén, B. & Masyn, K. (2005). Discrete-time survival mixture analysis. Journal of Educational
and Behavioral Statistics, 30, 27-28.
Muthén, L.K. & Muthén, B. (2002). How to use a Monte Carlo study to decide on sample size
and determine power. Structural Equation Modeling, 4, 599-620.
Muthén, B. & Satorra, A. (1995). Complex sample data in structural equation modeling. In P.
Marsden (ed.), Sociological Methodology 1995, 216-316.
Muthén, B. & Shedden, K. (1999). Finite mixture modeling with mixture outcomes using the EM
algorithm. Biometrics, 55, 463-469.
Muthén, B., du Toit, S.H.C. & Spisic, D. (1997). Robust inference using weighted least squares
and quadratic estimating equations in latent variable modeling with categorical and continuous
outcomes. Unpublished manuscript.
Muthén, B., Jo., B., & Brown, H. (2003). Comment on the Barnard, Frangakis, Hill, & Rubin
article, Principal stratification approach to broken randomized experiments: A case study of
school choice vouchers in New York City. Journal of the American Statistical Association, 98,
311-314.
Muthén, B., Asparouhov, T. & Rebollo, I. (2006). Advances in behavioral genetics modeling
using Mplus: Applications of factor mixture modeling to twin data. Twin Research and Human
Genetics, 9, 313-324.
Muthén, B., Muthén , L.K., & Asparouhov, T. (2016). Regression and Mediation Analysis using
Mplus. Los Angeles, CA: Muthén & Muthén.
Muthén, B., Asparouhov, T., Boye, M.E., Hackshaw, M.D., & Naegeli, A.N. (2009).
Applications of continuous-time survival in latent variable models for the analysis of oncology
randomized clinical trial data using Mplus. Technical Report. www.statmodel.com.
924
Muthén, B., Asparouhov, T., Hunter, A., & Leuchter, A. (2011). Growth modeling with non-
ignorable dropout: Alternative analyses of the STAR*D antidepressant trial. Psychological
Methods, 16, 17-33.
Muthén, B., Brown, C.H., Masyn, K., Jo, B., Khoo, S.T., Yang, C.C., Wang, C.P., Kellam, S.,
Carlin, J., & Liao, J. (2002). General growth mixture modeling for randomized preventive
interventions. Biostatistics, 3, 459-475.
Nagin, D.S. (1999). Analyzing developmental trajectories: A semi-parametric, group-based
approach. Psychological Methods, 4, 139-157.
Neale, M.C. & Cardon, L.R. (1992). Methodology for genetic studies of twins and families. The
Netherlands: Kluwer Academic Publishers.
Nylund, K. (2007). Latent transition analysis: Modeling extensions and an application to peer
victimization. Doctoral dissertation, University of California, Los Angeles.
www.statmodel.com.
Nylund, K.L., Asparouhov, T., & Muthén, B.O. (2007). Deciding on the number of classes in
latent class analysis and growth mixture modeling: A Monte Carlo simulation study. Structural
Equation Modeling, 14, 535-569.
Olsen, M.K. & Schafer, J.L. (2001). A two-part random-effects model for semicontinuous
longitudinal data. Journal of the American Statistical Association, 96, 730-745.
Qu, Y., Tan, M., & Kutner, M.H. (1996). Random effects models in latent class analysis for
evaluating accuracy of diagnostic tests. Biometrics, 52, 797-810.
Posthuma, D., de Geus, E.J.C., Boomsma, D.I., & Neale, M.C. (2004). Combined linkage and
association tests in Mx. Behavior Genetics, 34, 179-196.
Pothoff, R.F., Woodbury, M.A., & Manton, K.G. (1992). “Equivalent sample size” and
“equivalent degrees of freedom” refinements for inference using survey weights under
superpopulation models. Journal of the American Statistical Association, 87, 383-396.
Preacher, K.J., Rucker, D.D., & Hayes, A.F. (2007). Addressing moderated mediation
hypotheses: Theory, methods, and prescriptions. Multivariate Behavioral Research, 42, 185-227.
Prescott, C.A. (2004). Using the Mplus computer program to estimate models for continuous and
categorical data from twins. Behavior Genetics, 34, 17- 40.
925
Raghunathan, T.E., Lepkowski, J.M., Van Hoewyk, J., & Solenberger, P. (2001). A multivariate
technique for multiply imputing missing values using a sequence of regression models. Survey
Methodology, 27, 85-95.
Raudenbush, S.W. & Bryk, A.S. (2002). Hierarchical linear models: Applications and data
analysis methods. Second edition. Newbury Park, CA: Sage Publications.
Reboussin, B.A., Reboussin, D.M., Liang, K.L., & Anthony, J.C. (1998). Latent transition
modeling of progression of health-risk behavior. Multivariate Behavioral Research, 33, 457-478.
Roeder, K., Lynch, K.G., & Nagin, D.S. (1999). Modeling uncertainty in latent class
membership: A case study in criminology. Journal of the American Statistical Association, 94,
766-776.
Rousseeuw P.J. & Van Zomeren B.C. (1990). Unmasking multivariate outliers and leverage
points. Journal of the American Statistical Association. 85, 633-651.
Rubin, D.B. (1987). Multiple imputation for nonresponse in surveys. New York: John Wiley &
Sons.
Schafer, J.L. (1997). Analysis of incomplete multivariate data. London: Chapman & Hall.
Schuurman, N.K., Houtveen, J.H., & Hamaker, E.L. (2015). Incorporating measurement error in
n=1 psychological autoregressive modeling. Frontiers in Psychology, 6, 1-15.
Schuurman, N.K., Ferrer, E., de Boer-Sonnenschein, M., & Hamaker, E.L. (2016). How to
compute cross-lagged associations in a multilevel autoregressive model. Psychological Methods,
21, 206-221.
Shumway, R.H. & Stoffer, D.S. (2011). Time series analysis and its applications. New York:
Springer.
Singer, J.D. & Willett, J.B. (2003). Applied longitudinal data analysis: Modeling change and
event occurrence. New York: Oxford University Press.
van Buuren, S. (2007). Multiple imputation of discrete and continuous data by fully conditional
specification. Statistical Methods in Medical Research, 16, 219-242.
van der Linden, W.J. (2016). Handbook of item response theory. Volume 1. Models. Boca
Raton, Florida: Taylor & Francis Group.
926
VanderWeele, T.J. (2015). Explanation in causal inference. Methods for mediation and
interaction. New York: Oxford University Press.
Verhagen, J. & Fox, J.P. (2012). Bayesian tests of measurement invariance. British Journal of
Mathematical and Statistical Psychology. Accepted for publication.
Vermunt, J.K. (2003). Multilevel latent class models. In R.M. Stolzenberg (ed.), Sociological
Methodology 2003 (pp. 213-239). Washington, D.C.: ASA.
Vermunt, J.K. (2010). Latent class modeling with covariates: Two improved three-step
approaches. Political Analysis, 18, 450-469.
von Davier, M., Gonzalez, E., & Mislevy, R.J. (2009). What are plausible values and why are
they useful? IERI Monograph Series, 2, 9-36.
Wang C-P, Brown CH, Bandeen-Roche K (2005). Residual diagnostics for growth mixture
models: Examining the impact of a preventive intervention on multiple trajectories of aggressive
behavior. Journal of the American Statistical Association, 100, 1054-1076.
Yates, A. (1987). Multivariate exploratory data analysis: A perspective on exploratory factor
analysis. Albany: State University of New York Press.
Yuan, K.H. & Bentler, P.M. (2000). Three likelihood-based methods for mean and covariance
structure analysis with nonnormal missing data. In M.E. Sobel & M.P. Becker (eds.),
Sociological Methodology 2000 (pp. 165-200). Washington, D.C.: ASA.
Zhang, Z. & Nesselroade, J.R. (2007). Bayesian estimation of categorical dynamic factor models.
Multivariate Behavioral Research, 42, 729-756.
Zhang, Z., Hamaker, E.L., & Nesselroade, J.R. (2008). Comparisons of four methods for
estimating a dynamic factor model. Structural Equation Modeling, 15, 377-402.
927
INDEX
!, 14
!*, 14
", 757
%BETWEEN%, 783
%class label%, 782
%COLUMN, 799
%OVERALL%, 782
%ROW, 799
%TOTAL, 799
%WITHIN%, 783
(#), 734–35
*, 732–33
*!, 14
@, 733–34
[ ], 729–30
_MISSING, 643
_RECNUM, 613–14
{ }, 745–46
| symbol
growth models, 746–53
individually-varying times of observation,
753–54
latent variable interactions, 757–59
random slopes, 754–56
random variances, 757
3-step mixture analysis
Monte Carlo, 880–81
real data, 615–18
ABS, 641–42
accelerated cohort, 145–49
ACE, 85–86, 87–88
ACONVERGENCE, 699
ACOS, 641–42
ADAPTIVE, 687–88
ADDFREQUENCY, 696
AITERATIONS, 697
ALGORITHM
Bayesian, 703–4
frequentist, 685–86
ALIGNMENT, 672–74
OUTPUT, 812
alignment optimization, 694, 697, 699, 700
ALL
CROSSTABS, 799
MISSING, 601–2
MODINDICES, 804–5
REPSAVE, 889
USEVARIABLES, 599–600
ALLFREE, 110–12, 671–72
alpha, 821
alpha (c), 822
alpha (f), 823
ANALYSIS command, 651–710
AR(1), 154–56, 157–58, 159–61, 161–62,
162–64, 355–59, 360–62, 366–69, 370–
72, 373–74, 378–80, 381–85, 385–88,
389–93
AR(2), 154–56, 355–59
arithmetic operators, 641
ARMA, 366–69
ASIN, 641–42
ASTARTS, 694
AT, 753–54
ATAN, 641–42
auto-correlated residuals, 144–45
automatic labeling, 671–72
autoregression, 154–56, 157–58, 159–61,
161–62, 162–64, 355–59, 360–62, 366–
69, 370–72, 373–74, 378–80, 381–85,
385–88, 389–93
AUXILIARY
Monte Carlo, 880–81
real data, 615–18
B2WEIGHT, 623
B3WEIGHT, 624
balanced repeated replication, 683–84
BASEHAZARD
ANALYSIS, 684–85
OUTPUT, 811
SAVEDATA, 834–35
928
baseline hazard function, 151–52, 259–60
BASIC, 659
Bayes, 668–69, 701–7
BAYES, 668–69
Bayes factor, 820
Bayesian estimation, 668–69, 701–7
Bayesian plots, 846–48
Bayesian posterior parameter values, 836,
890–91
Bayesian structural equation modeling
(BSEM)
bi-factor CFA with two items loading on only
the general factor and cross-loadings with
zero-mean and small-variance priors, 107–
8
MIMIC model with cross-loadings and direct
effects with zero-mean and small-variance
priors, 109–10
multiple group model with approximate
measurement invariance using zero-mean
and small-variance priors, 110–12
BCH
Monte Carlo, 880–81
real data, 615–18
BCHWEIGHTS, 842
BCONVERGENCE, 704–5
beta, 822
BETWEEN
Monte Carlo, 886–87
real data, 633–35
between-level categorical latent variable,
404–7, 408–10, 414–16, 420–22, 423–26,
431–33, 439–41
BI-CF-QUARTIMAX, 678–82
bi-factor EFA, 52–53
bi-factor rotations, 678–82
BI-GEOMIN, 678–82
BINARY
DATA MISSING, 588
DATA SURVIVAL, 591–92
DATA TWOPART, 586
birth cohort, 145–49
BITERATIONS, 705
bivariate frequency tables, 799
BLANK, 601
BOOTSTRAP
ANALYSIS, 688–89
REPSE, 683–84
bootstrap confidence intervals, 759–66
bootstrap standard errors, 37–38, 688–89,
759–66
Box data, 679
BPARAMETERS
Monte Carlo, 890–91
real data, 836
BRR, 683–84
BSEED, 702
BSEM, 107–8, 109–10, 110–12
ALIGNMENT, 672–74
burnin, 668–69
BWEIGHT, 623
BWTSCALE, 624
BY, 717–22
confirmatory factor analysis (CFA), 718–19
exploratory structural equation modeling
(ESEM), 719–22
CATEGORICAL
Monte Carlo, 874–76
real data, 604–8
categorical latent variables, 4–5, 723–24
categorical mediating variables, 551
CENSORED
Monte Carlo, 873–74
real data, 603–4
CENTER, 645–49
CF-EQUAMAX, 678–82
CF-FACPARSIM, 678–82
CF-PARSIMAX, 678–82
CF-QUARTIMAX, 678–82
CF-VARIMAX, 678–82
CHAINS, 702
CHECK, 574–75
chi-square difference test for WLSMV and
MLMV, 507–8, 694–95, 833
chi-square difference testing, 546–47
chi-square test of model fit, 809
CHOLESKY, 685
929
CINTERVAL, 806–7
CINTERVAL (BCBOOTSTRAP), 806
CINTERVAL (BOOTSTRAP), 806
CINTERVAL (EQTAIL), 806
CINTERVAL (HPD), 806
CINTERVAL (SYMMETRIC), 806
class probabilities, 840
CLASSES
Monte Carlo, 879–80
real data, 627–28
CLUSTER
OUTPUT, 799–802
RESIDUAL, 802–4
TECH4, 815–16
VARIABLE, 620–22
cluster size, 869–71
CLUSTER_MEAN, 645
cluster-level factor indicators, 292–96
cohort, 145–49
COHORT, 592
COHRECODE, 593
COMBINATION, 688
comment, 14
COMPLEX, 659
complex survey data, 619–26
complier-average causal effect estimation
(CACE), 203–5, 205–7
conditional independence (relaxed), 192–93,
210–11
conditional probabilities, 820
confidence intervals, 37–38, 806–7
CONFIGURAL
ALIGNMENT, 672–74
MODEL, 670–71
configural model, 540–47, 672–74
confirmatory analysis, 60–61, 188–90
confirmatory factor analysis (CFA)
categorical factor indicators, 62
censored and count factor indicators, 64–65
continuous and categorical factor indicators,
63
continuous factor indicators, 60–61
mixture, 194
two-level mixture, 411–13
CONSTRAINT, 618
constraints, 31–32, 89–90, 91–92, 92–93,
93–94, 187–88, 212–14, 215–17, 766–72
contextual effect, 275–79
CONTINUOUS, 586
continuous latent variables, 3–4
continuous-time survival analysis, 150–51,
151–52, 153–54, 217–19, 259–60, 320–
21, 493–94
controlled direct effect, 763–66
convenience features, 730–32
CONVERGENCE, 697
convergence problems, 523–25
COOKS
PLOT, 852
SAVEDATA, 841–42
Cook's distance, 841–42
COPATTERN, 592–93
CORRELATION
ANALYSIS, 701
DATA, 570
ROWSTANDARDIZATION, 682
SAVEDATA, 837
COS, 641–42
COUNT
CROSSTABS, 799
Monte Carlo, 877–79
real data, 609–12
count variable models
negative binomial, 610–11, 878
negative binomial hurdle, 611–12, 879
Poisson, 610, 877
zero-inflated negative binomial, 611, 878–79
zero-inflated Poisson, 610, 877–78
zero-truncated negative binomial, 611, 879
counterfactually-defined indirect effects,
762–66
COVARIANCE
ANALYSIS, 701
DATA, 570
DATA IMPUTATION, 578–79
H1MODEL, 809
MODEL PRIORS, 777
ROWSTANDARDIZATION, 682
930
SAVEDATA, 829, 837
COVERAGE
ANALYSIS, 695
MONTECARLO, 888
Cox regression, 150–51, 259–60, 320–21,
493–94
CPROBABILITIES, 840
CRAWFER, 678–82
Crawfer family of rotations, 680
credibility interval, 759–66, 806–7
CROSSCLASSIFIED, 663
cross-classified modeling
IRT with random binary items, 345–46
multiple indicator growth model with random
intercepts and factor loadings, 347–49
path analysis with continuous dependent
variables, 342–44
regression for a continuous dependent
variable, 338–42
cross-lagged, 158–59, 363–66, 375–77
cross-loadings, 109–10
CROSSTABS, 799
CSIZES, 869–71
CUT, 644–45
CUTPOINT
DATA SURVIVAL, 591
DATA TWOPART, 585
CUTPOINTS, 866
DAFS, 159–61
DATA COHORT, 592–95
DATA command, 564–95
data generation, 863–66
data imputation, 575–79
DATA IMPUTATION, 575–79
DATA LONGTOWIDE, 582–84
DATA MISSING, 587–90
data reading
covariance matrix, 500
fixed format, 501
means and covariance matrix, 500–501
DATA SURVIVAL, 590–92
data transformation, 580–95, 639–50
DATA TWOPART, 584–87
DATA WIDETOLONG, 580–82
DCATEGORICAL
Monte Carlo, 880–81
real data, 615–18
DCONTINUOUS
Monte Carlo, 880–81
real data, 615–18
DDROPOUT, 587–90
DE3STEP
Monte Carlo, 880–81
real data, 615–18
decomposition, 270–75
defaults, 516–20
DEFINE command, 639–50
degree of freedom parameter, 674
delta, 822
DELTA, 675
Delta method standard errors, 759–66
derivatives of parameters, 814–15
DESCRIPTIVE, 589–90
Deviance Information Criterion, 668–69
Diagrammer, 10–11
DIC, 668–69
DIFFERENCE, 110–12, 779–80
difference testing, 546–47
DIFFTEST, 507–8
ANALYSIS, 694–95
SAVEDATA, 833
direct autoregressive factor score model,
159–61
direct effects, 109–10, 759–66
Dirichlet, 774–80
discrete-time survival analysis, 149–50,
489–90
discrete-time survival mixture analysis,
257–59
distal outcome, 235–36
DISTRIBUTION, 674
DO
DEFINE, 650
MODEL CONSTRAINT, 769–70
MODEL PRIORS, 777–79
MODEL TEST, 773–74
do loop
931
DEFINE, 650
MODEL CONSTRAINT, 769–70
MODEL PRIORS, 777–79
MODEL TEST, 773–74
double do loop
DEFINE, 650
MODEL CONSTRAINT, 769–70
MODEL PRIORS, 777–79
MODEL TEST, 773–74
dropout, 448–49
DSEM, 114, 263
DSURVIVAL, 612
DU3STEP
Monte Carlo, 880–81
real data, 615–18
dynamic factor model, 159–61
dynamic structural equation modeling, 114,
263
E Monte Carlo, 880–81
real data, 615–18
ECLUSTER, 622–23
EFA, 663–65
eigenvalues, 682–83
EM, 685–86
EMA, 685–86
ENTROPY, 812
entropy individual variable, 812
EQUAL, 684–85
equalities, 734–35
ESEM, 95–96, 97–98, 99–100, 101–3, 104–
5, 105–6, 106–7, 719–22
ESTBASELINE, 835
estimated correlation matrix, 815–16
estimated covariance matrix
OUTPUT, 815
SAVEDATA, 829
estimated sigma between matrix, 829
estimated time scores, 128
ESTIMATES, 832–33
ESTIMATOR, 665–68
event history indicators, 489–90
EXP, 641–42
EXPECTED, 688
expected frequencies, 817
exploratory factor analysis (EFA)
bi-factor with continuous factor indicators,
52–53
categorical factor indicators, 46–47
continuous factor indicators, 45–46
continuous, censored, categorical, and count
factor indicators, 48–49
factor mixture analysis, 49–50
parallel analysis, 682–83
two-level with continuous factor indicators,
50–51
two-level with individual- and cluster-level
factor indicators, 51–52
exploratory structural equation modeling
(ESEM), 719–22
bi-factor EFA, 105–6
bi-factor EFA with two items loading on only
the general factor, 106–7
EFA at two timepoints, 99–100
EFA with covariates (MIMIC), 95–96
EFA with residual variances constrained to be
greater than zero, 104–5
multiple group EFA with continuous factor
indicators, 101–3
SEM with EFA and CFA factors, 97–98
exposure variable, 762–66
external Monte Carlo simulation, 484–87
factor mixture analysis, 49–50, 210–11
factor score coefficients, 810
factor score determinacy, 811
factor scores, 837–39, 842, 851
FACTORS
PLOT, 851
SAVEDATA, 842
FAY, 683–84
FBITERATIONS, 705
FILE
DATA, 567
SAVEDATA, 826–27
FINITE, 626–27
finite population correction factor, 626–27
FIXED, 672–74
fixing parameter values, 733–34
932
FORMAT
DATA, 567–69
DATA IMPUTATION, 578
SAVEDATA, 827
four-parameter logistic, 65–68, 606
FOURTHRT, 700
FPC, 626–27, 626–27
frailty, 1
FREE
ALIGNMENT, 672–74
DATA, 567–68
DATA IMPUTATION, 578
MFORMAT, 844
SAVEDATA, 827
freeing parameters, 732–33
frequency tables, 799
frequency weights, 614
FREQWEIGHT, 614
FS, 685–86
FSCOEFFICIENT, 810
FSCOMPARISON, 811
FSCORES, 837–39
FSDETERMINACY, 811
FULLCORR, 570
FULLCOV, 570
functions, 641–42
gamma, 822
Gamma, 774–80
gamma (c), 823
gamma (f), 823
GAUSSHERMITE, 686–87
Gelman-Rubin convergence, 704–5
GENCLASSES, 866–67
GENERAL, 657–59
generalized partial credit, 65–68, 605
GENERATE, 863–66
generating data, 863–66
generating missing data, 871–73
GEOMIN, 678–82
GIBBS, 703–4
Gibbs sampler algorithm, 703–4
GLS, 668
GPA algorithm, 699
GRANDMEAN, 645–49
graphics module, 853–57
GROUPING, 612–13
GROUPMEAN, 645–49
growth mixture modeling
between-level categorical latent variable, 431–
33
categorical outcome, 231–32
censored outcome, 230–31
continuous outcome, 225–28
distal outcome, 235–36
known classes (multiple group analysis), 240–
42
negative binomial model, 235
sequential process, 237–40
two-level, 427–30
zero-inflated Poisson model, 232–35
growth modeling, 746–53
auto-correlated residuals, 144–45
categorical outcome, 123–24
censored outcome, 120–21
censored-inflated outcome, 121–23
continuous outcome, 118–19
count outcome, 125–26
estimated time scores, 128
individually-varying times of observation,
132–34
multiple group multiple cohort, 145–49
multiple indicators, 137–38, 139–40
parallel processes, 135–36
piecewise model, 131–32
quadratic model, 128–29
time-invariant covariate, 130–31
time-varying covariate, 130–31
two-part (semicontinuous), 140–43
using the Theta parameterization, 124–25
with covariates, 130–31
zero-inflated count outcome, 126–27
H1CONVERGENCE, 697–98
H1ITERATIONS, 696
H1MODEL, 809
H1SE, 809
H1STARTS, 694
H1TECH3, 809
HAZARDC, 871
933
heritability, 91–92, 92–93, 212–14, 215–17
hidden Markov model, 245–47
highest posterior density, 806–7
identification, 525–26
identity by descent (IBD), 93–94
IDVARIABLE
DATA LONGTOWIDE, 583
DATA WIDETOLONG, 581–82
VARIABLE, 613–14
imputation, 575–79
IMPUTATION, 572–73
IMPUTE, 576–77
IND
conventional indirect effects, 761
counterfactually-defined indirect effects, 763
indirect effect plot, 40–42
indirect effects, 37–38, 77, 759–66
INDIVIDUAL, 570
individually-varying times of observation,
132–34, 753–54
INFLUENCE
PLOT, 852
SAVEDATA, 841
influential observations, 852
INFORMATION, 688
information curves, 846–48
INTEGRATION, 686–87
INTEGRATION setting for ALGORITHM,
685–86
interaction between latent variables, 78–79,
757–59
interactions, 757–59
INTERACTIVE, 707–8
intercepts, 729–30
INTERRUPT, 707
inverse Gamma, 774–80
inverse Wishart, 774–80
IRT models
four-parameter logistic, 65–68, 606
generalized partial credit, 65–68, 605
graded response, 605
nominal, 604
partial credit, 65–68
three-parameter logistic, 65–68, 605–6
two-parameter logistic, 65–68, 605
two-paramter normal ogive, 605
item characteristic curves, 846–48
item response theory (IRT) models
factor mixture, 210–11
random binary items using cross-classified
data, 345–46
twin, 215–17
two-level mixture, 414–16
two-parameter logistic, 65–68
ITERATIONS, 696
JACKKNIFE, 683–84
JACKKNIFE1, 683–84
JACKKNIFE2, 683–84
K-1STARTS, 692–93
KAISER, 682
KAPLANMEIER, 834
kappa (u), 823
known class, 200–201, 240–42
KNOWNCLASS, 110–12, 628–29
KOLMOGOROV, 706
Kolmogorov-Smirnov test, 706
labeling
baseline hazard parameters, 743
categorical latent variables, 742–43
classes, 743
inflation variables, 743
nominal variables, 742–43
parameters, 744–45, 766–67
thresholds, 742
lag
Monte Carlo, 891
real data, 638
LAGGED
Monte Carlo, 891
real data, 638
Lagrange multiplier tests. See modification
indices
lambda, 821
lambda (f), 823
lambda (u), 822
LATENT, 703
latent class analysis (LCA)
934
binary latent class indicators, 175–77
binary, censored, unordered, and count latent
class indicators, 184–85
confirmatory, 187–88, 188–90
continuous latent class indicators, 182–83
three-category latent class indicators, 179–80
two-level, 417–19
two-level with a between-level categorical
latent variable, 420–22
unordered categorical latent class indicators,
180–81
with a covariate and a direct effect, 186–87
with a second-order factor (twin analysis),
195–97
with partial conditional independence, 192–93
latent class growth analysis (LCGA)
binary outcome, 242–43
three-category outcome, 243–44
two-level, 434–36
zero-inflated count outcome, 244–45
latent response variables, 839, 842–43, 851
latent transition analysis (LTA)
for two time points with a binary covariate
influencing the latent transition
probabilities, 247–50
for two time points with a continuous
covariate influencing the latent transition
probabilities, 250–53
mover-stayer for three time points using a
probability parameterization, 253–57
two-level, 436–38
two-level with a between-level categorical
latent variable, 439–41
latent transition probabilities, 820
latent variable covariate, 270–75, 275–79
latent variable interactions, 78–79, 757–59
liabilities, 1, 87–88, 92–93, 212–14
likelihood ratio bootstrap draws, 818–20
likelihood ratio test, 817, 818–20
linear constraints, 187–88, 766–72
linear trend, 378–80, 385–88
LINK, 677
list function, 736–42
LISTWISE, 574
listwise deletion, 574
local maxima, 521–23
local solution, 521–23
LOG, 641–42
log odds, 553–57
LOG10, 641–42
LOGCRITERION, 698
LOGHIGH, 700
logical operators, 641
logistic regression, 553–57
LOGIT
LINK, 677
PARAMETERIZATION, 676
LOGLIKELIHOOD
PLOT, 852
SAVEDATA, 841
LOGLINEAR, 676
loglinear analysis, 191–92, 559–60
LOGLOW, 700
lognormal, 774–80
LOGRANK, 811
logrank test, 811
Lo-Mendell-Rubin test, 817
LONG
DATA LONGTOWIDE, 582–83
DATA WIDETOLONG, 581
LOOP, 40–42, 771–72
loop plots, 40–42
LRESPONSES
PLOT, 851
SAVE, 839
SAVEDATA, 842–43
LRTBOOTSTRAP, 690
LRTSTARTS, 693
LTA calculator, 11, 250–53
M, 615–18
MAHALANOBIS
PLOT, 852
SAVEDATA, 840
Mantel-Cox test, 811
marginal probabilities, 820
Markov chain Monte Carlo, 701–7
MATRIX, 701
MCCONVERGENCE, 698
935
MCITERATIONS, 697
MCMC, 668–69
MCMC chain, 668–69
MCONVERGENCE, 698
MCSEED, 687
MDITERATIONS, 706
MEAN
DEFINE, 643–44
POINT, 701–2
mean square error (MSE), 472
mean structure, 72–74, 81–82
means, 729–30
MEANS, 570
measurement error, 366–69
measurement invariance, 540–47, 670–71,
672–74, 812
approximate, 110–12
MEDIAN, 701–2
mediation
bootstrap, 37–38
categorical variable, 551
cluster-level latent variable, 282–83
continuous variable, 32–33
missing data, 39–40
moderated, 40–42
random slopes, 495–97
MEMBERSHIP, 629–31
merging data sets, 512–13, 843–45
METRIC
ALIGNMENT, 701
MODEL, 670–71
metric model, 540–47
Metropolis-Hastings algorithm, 703–4
MFILE, 843
MFORMAT, 844
MH, 703–4
MIMIC
continuous factor indicators, 71–72
multiple group analysis, 80–81, 81–82, 82–83
MISSFLAG, 827
MISSING
DATA MISSING, 587–90
MONTECARLO, 872–73
VARIABLE, 601–3
missing data, 39–40, 445–47, 448–49, 449–
51, 451–52, 453, 454–55, 455–58, 458–
60, 473–77, 477–78, 481–83, 547–51
missing data correlate, 445–47, 615–18
missing data generation, 871–73
missing data patterns, 809–10
missing data plots, 846–48
missing value flags, 601–3
non-numeric, 502
numeric, 502–3
MITERATIONS, 696
MIXC, 699
MIXTURE, 659–61
mixture modeling
confirmatory factor analysis (CFA), 194
multivariate normal, 201–3
randomized trials (CACE), 203–5, 205–7
regression analysis, 170–73
structural equation modeling (SEM), 198–99
with known class, 200–201
zero-inflated Poisson regression analysis,
174–75
zero-inflated Poisson regression as a two-class
model, 207–8
MIXU, 699
ML
ESTIMATOR, 667
STVALUES, 702–3
MLF, 668
MLM, 667–68
MLMV, 668
MLR, 668
MMISSING, 845
MNAMES, 843–44
MOD, 763–66
MODE, 701–2
MODEL
ANALYSIS, 669–72
DATA IMPUTATION, 578–79
MODEL command, 713–89
MODEL command variations, 780–83
MODEL CONSTRAINT, 766–72
MODEL COVERAGE, 785–87
model estimation, 515–29
936
MODEL INDIRECT, 759–66
MODEL label, 781–82
MODEL MISSING, 788–89
MODEL POPULATION, 783–85
MODEL PRIORS, 774–80
MODEL TEST, 772–74
modeling framework, 1–6
moderated mediation, 40–42, 771–72
moderation, 763–66
moderator, 763–66
modification indices, 804–5
MODINDICES, 804–5
MONITOR, 852
Monte Carlo simulation studies
discrete-time survival analysis, 489–90
EFA with continuous outcomes, 483–84
external Monte Carlo, 484–87
GMM for a continuous outcome, 479–81
growth with attrition under MAR, 477–78
mediation with random slopes, 495–97
MIMIC with patterns of missing data, 473–77
missing data, 473–77, 477–78
multiple group EFA with measurement
invariance, 497–98
saved parameter estimates, 487–88
two-level Cox regression, 493–94
two-level growth model for a continuous
outcomes (three-level analysis), 481–83
two-part (semicontinuous) model, 491–93
MONTECARLO
DATA, 571–72
INTEGRATION, 686–87
MONTECARLO command, 859–91
mover-stayer model, 253–57
moving average, 366–69
Mplus language, 13–14
Mplus program
base, 17
combination add-on, 18
mixture add-on, 17
multilevel add-on, 18
MSE, 472
MSELECT, 845
MUCONVERGENCE, 698–99
MUITERATIONS, 697
multilevel mixture modeling
two-level confirmatory factor analysis (CFA),
411–13
two-level growth mixture model (GMM),
427–30
two-level growth mixture model (GMM) with
a between-level categorical latent variable,
431–33
two-level growth model with a between-level
categorical latent variable, 423–26
two-level item response theory (IRT), 414–16
two-level latent class analysis (LCA), 417–19
two-level latent class analysis (LCA) with a
between-level categorical latent variable,
420–22
two-level latent class growth analysis
(LCGA), 434–36
two-level latent transition analysis (LTA),
436–38
two-level latent transition analysis (LTA) with
a between-level categorical latent variable,
439–41
two-level mixture regression, 398–403, 404–
7, 408–10
multilevel modeling
three-level growth model with a continuous
outcome and one covariate on each of the
three levels, 335–38
three-level MIMIC model with continuous
factor indicators, two covariates on within,
one covariate on between level 2, and one
covariate on between level 3 with random
slopes on both within and between level 2,
330–35
three-level path analysis with a continuous
and a categorical dependent variable, 327–
30
three-level regression for a continuous
dependent variable, 324–27
two-level confirmatory factor analysis (CFA)
with categorical factor indicators, 289–90
two-level confirmatory factor analysis (CFA)
with continuous factor indicators, 286–88,
290–92
937
two-level confirmatory factor analysis (CFA)
with continuous factor indicators,
covariates, and a factor with a random
residual variance, 352–54
two-level growth for a zero-inflated count
outcome (three-level analysis), 318–20
two-level growth model for a categorical
outcome (three-level analysis), 306–7
two-level growth model for a continuous
outcome (three-level analysis), 303–6
two-level MIMIC model with continuous
factor indicators, random factor loadings,
two covariates on within, and one covariate
on between with equal loadings across
levels, 322–24
two-level multiple group confirmatory factor
analysis (CFA), 300–302
two-level multiple indicator growth model,
311–14
two-level path analysis with a continuous and
a categorical dependent variable, 279–81
two-level path analysis with a continuous, a
categorical, and a cluster-level observed
dependent variable, 282–83
two-level path analysis with random slopes,
284–86
two-level regression analysis for a continuous
dependent variable with a random intercept
and a random residual variance, 349–51
two-level regression for a continuous
dependent variable with a random
intercept, 270–75
two-level regression for a continuous
dependent variable with a random slope,
275–79
two-level structural equation modeling
(SEM), 297–300
multinomial logistic regression, 553–57
multiple categorical latent variables, 188–90
multiple cohort, 145–49
multiple group analysis
known class, 200–201, 240–42
MIMIC with categorical factor indicators, 82–
83
MIMIC with continuous factor indicators, 81–
82
special issues, 529–40
multiple imputation, 509, 572–73, 575–79
missing values, 453, 454–55, 458–60
plausible values, 455–58
multiple indicators, 137–38, 139–40
multiple processors, 708–10
multiple solutions, 521–23
MULTIPLIER
ANALYSIS, 695
SAVEDATA, 836
multivariate normal mixture model, 201–3
MUML, 668
NAMES
DATA MISSING, 587
DATA SURVIVAL, 591
DATA TWOPART, 585
MONTECARLO, 861
VARIABLE, 598
natural direct effects, 762–66
natural indirect effects, 762–66
NCSIZES, 867–68
NDATASETS, 577
negative binomial, 28–29, 609–12
NEW, 766–67
NGROUPS
DATA, 573
MONTECARLO, 862
NOBSERVATIONS
DATA, 573
MONTECARLO, 861–62
NOCHECK, 574–75
NOCHISQUARE, 808
NOCOVARIANCES, 671–72
NOMEANSTRUCTURE, 671–72
NOMINAL
Monte Carlo, 876–77
real data, 608–9
non-convergence, 523–25
non-linear constraints, 31–32, 766–72
non-linear factor analysis, 70
non-normal distributions, 674
non-parametric, 209
NORMAL, 674
NOSERROR, 808
938
not missing at random (NMAR)
Diggle-Kenward selection model, 449–51
pattern-mixture model, 451–52
NREPS, 862
nu, 821
numerical integration, 526–29
OBLIMIN, 678–82
OBLIQUE, 678–82
OBSERVED
INFORMATION, 688
PREDICTOR, 703
odds, 553–57
ODLL, 685–86
OFF
ADAPTIVE, 687–88
BASEHAZARD, 684–85
CHOLESKY, 685
LISTWISE, 574
MONITOR, 852
ON
ADAPTIVE, 687–88
BASEHAZARD, 684–85
CHOLESKY, 685
LISTWISE, 574
MODEL, 722–25
MONITOR, 852
optimization history, 816
OPTSEED, 692
ORTHOGONAL, 678–82
outliers, 852
OUTLIERS, 852
OUTPUT command, 791–823
PARALLEL, 682–83
parallel analysis, 682–83
parallel computing, 708–10
parallel processes, 135–36
parameter constraints. See constraints
parameter derivatives, 815
parameter extension, 703–4
parameterization
delta, 82–83
logistic, 558–59
loglinear, 188–90, 191–92, 559–60
probability, 560–61
theta, 34, 84, 124–25
PARAMETERIZATION, 674–76
parametric bootstrap, 818–20
parametric proportional hazards, 151–52,
153–54
partial credit, 65–68
path analysis
categorical dependent variables, 33–34
combination of censored, categorical, and
unordered categorical (nominal) dependent
variables, 36–37
combination of continuous and categorical
dependent variables, 35
continuous dependent variables, 32–33
PATMISS, 871–72
PATPROBS, 872
PATTERN, 618–19
PATTERNS, 809–10
PERTURBED, 702–3
PHI, 641–42
piecewise growth model, 131–32
plausible values, 455–58, 837–39, 842, 851
PLOT, 770
PLOT command, 845–57
PLOT1, 846
PLOT2, 846–48
PLOT3, 848–49
plots
Bayesian, 846–48
missing data, 846–48
moderation, 763–66
survival, 846–48
time series, 848–49
PNDE, 762–66
POINT, 701–2
Poisson. See zero-inflated Poisson
PON, 725–26
pooled-within covariance matrix. See
sample covariance matrices
POPULATION
FINITE, 626–27
MONTECARLO, 888
population size, 626–27
posterior, 668–69
939
posterior predictive checks, 668–69
potential scale reduction, 668–69, 704–5
PREDICTOR, 703
PRIOR, 706–7
priors, 774–80
PRIORS, 629–31
PROBABILITIES, 629–31
PROBABILITY, 676
probability calculations
logistic regression, 553–57
multinomial logistic regression, 553–57
probit regression, 552–53
PROBIT, 677
probit link, 212–14, 677
PROCESSORS, 708–10
PRODUCT, 701
profile likelihood, 151–52, 259–60, 320–21
PROMAX, 678–82
PROPENSITY, 839–40
propensity scores, 839–40
proportional hazards model, 151–52, 153–54
psi, 822
PSR, 704–5
pure natural direct effects, 762–66
PWITH, 727
PX1, 703–4
PX2, 703–4
PX3, 703–4
quadratic growth model, 128–29
quantitative trait locus (QTL), 93–94
QUARTIMIN, 678–82
R Monte Carlo, 880–81
real data, 615–18
R3STEP
Monte Carlo, 880–81
real data, 615–18
RANDOM, 659
random AR(1) slope, 355–59, 360–62, 370–
72, 373–74, 381–85, 385–88
random factor loadings, 322–24, 347–49,
756–57
random items, 345–46
random residual covariance, 363–66
random residual variance, 349–51, 352–54,
355–59, 360–62, 363–66, 370–72, 373–
74, 378–80, 381–85, 385–88
random slopes, 29–31, 132–34, 275–79,
284–86, 290–92, 297–300, 308–10, 315–
17, 754–56
random starts, 170–73, 179
random variance, 349–51, 352–54
random variances, 757
RANKING, 836–37
RCONVERGENCE, 699
reading data
fixed format, 501
RECORDLENGTH, 828
REFGROUP, 701
REGRESSION, 578–79
regression analysis
censored inflated regression, 24
censored regression, 23–24
linear regression, 22–23
logistic regression, 25–26
multinomial logistic regression, 26–27
negative binomial regression, 28–29
Poisson regression, 27
probit regression, 25
random coefficient regression, 29–31
zero-inflated Poisson regression, 28
REPETITION
DATA LONGTOWIDE, 584
DATA WIDETOLONG, 582
replicate weights, 513, 514, 624–25
REPSAVE, 889
REPSE, 683–84
REPWEIGHTS
SAVEDATA, 840
VARIABLE, 624–25
RESCOVARIANCES, 676–77
RESIDUAL
BOOTSTRAP, 689
OUTPUT, 802–4
residual covariances, 676–77
residual variances, 728
residuals, 802–4
940
RESPONSE, 835–36
RESULTS
MONTECARLO, 890
SAVEDATA, 831
right censoring, 151–52, 153–54, 320–21
RITERATIONS, 697
RLOGCRITERION, 698
robust chi-square, 668
robust standard errors, 668
ROTATION, 678–82
ROUNDING, 579
ROWSTANDARDIZATION, 682
R-square, 799–802
RSTARTS, 693–94
RW, 703–4
SAMPLE, 828
sample covariance matrices
pooled-within, 830
sample, 828
sigma between, 829
sample statistics, 798
sampling fraction, 626–27
sampling weights, 622
SAMPSTAT, 798
SAVE
DATA IMPUTATION, 577–78
MONTECARLO, 889–90
SAVEDATA, 837
SAVEDATA command, 824–45
saving data and results, 824–45
SCALAR, 670–71
scalar model, 540–47
scale factors, 745–46
SDITERATIONS, 696
SDROPOUT, 587–90
second-order factor analysis, 68–69
SEED, 863
selection modeling, 449–51
semicontinuous, 140–43, 491–93
SENSITIVITY, 849
sensitivity plots, 849
SEQUENTIAL
DATA IMPUTATION, 578–79
H1MODEL, 809
sequential cohort, 145–49
sequential regression, 578–79
SERIES, 849–51
SFRACTION, 626–27
sibling modeling, 93–94
SIGB, 829
sigma between covariance matrix. See
sample covariance matrices
SIMPLICITY, 700
simplicity function, 700
SIN, 641–42
skew parameters, 674
SKEWNORMAL, 674
SKEWT, 674
SQRT, 700
DEFINE, 641–42
STANDARD
BOOTSTRAP, 689
INTEGRATION, 687
STANDARDIZE, 649
STANDARDIZED, 799–802
standardized parameter estimates, 799–802
STARTING, 889
starting values
assigning, 732–33
automatic, 170–73
saving, 807–8
user-specified, 177–78, 229, 732–33
STARTS, 691–92
STCONVERGENCE, 692
STD, 800–801
STDDISTRIBUTION, 832
STDEVIATIONS, 570
STDRESULTS, 831
STDY, 800–801
STDYX, 800–801
STITERATIONS, 692
STRATIFICATION, 619–20
structural equation modeling (SEM)
categorical latent variable regressed on a
continuous latent variable, 197–98
continuous factor indicators, 75–76
941
with interaction between latent variables, 78–
79
STSCALE, 692
STSEED, 692
STVALUES, 702–3
SUBPOPULATION, 625–26
SUM, 644
summary data, 570–72
SURVIVAL
Monte Carlo, 881–83
real data, 635–37
survival analysis. See continuous-time
survival analysis and discrete-time
survival analysis
survival plots, 846–48
SVALUES, 807–8
SWMATRIX
DATA, 574
SAVEDATA, 830
TAN, 641–42
TARGET, 678–82
tau, 821
tau (u), 823
TDISTRIBUTION, 674
TECH1, 812–14
TECH10, 817
TECH11, 817
TECH12, 818
TECH13, 818
TECH14, 818–20
TECH15, 820
TECH16, 820
TECH2, 814–15
TECH3
OUTPUT, 815
SAVEDATA, 833
TECH4
OUTPUT, 815–16
SAVEDATA, 834
TECH5, 816
TECH6, 816
TECH7, 816
TECH8, 816
TECH9, 817
theta, 821
THETA, 675
theta parameterization, 34, 84, 124–25, 675
THIN
ANALYSIS, 706
DATA IMPUTATION, 579
thinning, 579
threads, 708–10
THREELEVEL, 662–63
three-level analysis, 303–6, 306–7, 423–26
three-parameter logistic, 65–68, 605–6
three-step mixture analysis
Monte Carlo, 880–81
real data, 175–77, 615–18
threshold structure, 74–75
thresholds, 729–30
Thurstone's Box data, 679
time series analysis
cross-classified time series analysis with a
univariate first-order autoregressive AR(1)
confirmatory factor analysis (CFA) model
for continuous factor indicators with
random intercepts and a factor varying
across both subjects and time, 389–93
cross-classified time series analysis with a
univariate first-order autoregressive AR(1)
model for a continuous dependent variable
with a covariate, linear trend, and random
slope, 385–88
cross-classified time series analysis with a
univariate first-order autoregressive AR(1)
model for a continuous dependent variable
with a covariate, random intercept, and
random slope, 381–85
N=1 time series analysis with a bivariate
cross-lagged model for continuous
dependent variables, 158–59
N=1 time series analysis with a first-order
autoregressive AR(1) confirmatory factor
analysis (CFA) model with continuous
factor indicators, 159–61
N=1 time series analysis with a first-order
autoregressive AR(1) IRT model with
binary factor indicators, 161–62
942
N=1 time series analysis with a first-order
autoregressive AR(1) structural equation
model (SEM) with continuous factor
indicators, 162–64
N=1 time series analysis with a univariate
first-order autoregressive AR(1) model for
a continuous dependent variable, 154–56
N=1 time series analysis with a univariate
first-order autoregressive AR(1) model for
a continuous dependent variable with a
covariate, 157–58
two-level time series analysis with a bivariate
cross-lagged model for continuous
dependent variables with random slopes,
random residual variances, and a random
covariance, 363–66
two-level time series analysis with a bivariate
cross-lagged model for two factors and
continuous factor indicators with random
intercepts and random slopes, 375–77
two-level time series analysis with a first-
order autoregressive AR(1) confirmatory
factor analysis (CFA) model for continuous
factor indicators with random intercepts, a
random AR(1) slope, and a random residual
variance, 370–72
two-level time series analysis with a first-
order autoregressive AR(1) factor analysis
model for a single continuous indicator and
measurement error, 366–69
two-level time series analysis with a first-
order autoregressive AR(1) IRT model for
binary factor indicators with random
thresholds, a random AR(1) slope, and a
random residual variance, 373–74
two-level time series analysis with a
univariate first-order autoregressive AR(1)
model for a continuous dependent variable
with a covariate, linear trend, random
slopes, and a random residual variance,
378–80
two-level time series analysis with a
univariate first-order autoregressive AR(1)
model for a continuous dependent variable
with a covariate, random intercept, random
AR(1) slope, random slope, and random
residual variance, 360–62
two-level time series analysis with a
univariate first-order autoregressive AR(1)
model for a continuous dependent variable
with a random intercept, random AR(1)
slope, and random residual variance, 355–
59
TIMECENSORED, 637–38
time-invariant covariates, 130–31
TIMEMEASURES, 593–94
time-to-event variable, 150–51, 259–60,
320–21, 493–94
time-varying covariates, 130–31
TINTERVAL, 638–39
TITLE command, 563
TNAMES, 594–95
TNIE, 762–66
TOLERANCE, 701
total effect, 759–66
total natural indirect effects, 762–66
TRAINING, 629–31
training data, 203–5
TRANSFORM, 586–87
transformation
data, 580–95
variables, 639–50
TSCORES
Monte Carlo, 883–84
real data, 614
twin analysis, 85–86, 87–88, 91–92, 92–93,
195–97, 212–14, 215–17
TWOLEVEL, 661–62
two-parameter logistic, 65–68
two-part (semicontinuous), 140–43, 491–93,
584–87
TYPE
ANALYSIS, 657–65
DATA, 570–73
DATA MISSING, 588–89
PLOT, 846–49
SAVEDATA, 837
UB, 664–65
UB*, 664–65
943
UCELLSIZE, 700
ULS, 668
ULSMV, 668
UNEQUAL, 684–85
UNPERTURBED, 702–3
UNSCALED
BWTSCALE, 624
WTSCALE, 622–23
USEOBSERVATIONS, 599
USEVARIABLES, 599–600
UW, 664–65
UW*, 664–65
VALUES, 579
VARIABLE command, 595–639
variables
dependent, 712
independent, 712
latent, 711
observed, 711
scale of measurement, 712
VARIANCE, 700
variances, 728
VARIANCES, 574–75
VARIMAX, 678–82
VIA, 761
Wald test, 772–74
WEIGHT, 622
white noise factor score model, 159–61
WIDE
DATA LONGTOWIDE, 583
DATA WIDETOLONG, 581
WITH, 726–27
WITHIN
Monte Carlo, 884–86
real data, 631–33
WLS, 668
WLSM, 668
WLSMV, 668
WNFS, 159–61
WTSCALE, 622–23
XWITH, 757–59
zero cells, 696
zero-inflated Poisson, 28–29, 126–27, 207–
8, 232–35, 244–45, 609–12
zero-mean and small-variance priors, 107–8,
109–10, 110–12
944
MUTHÉN & MUTHÉN
Mplus SINGLE-USER LICENSE AGREEMENT
Carefully read the following terms and conditions before opening the sealed CD sleeve or downloading the
software. Opening the CD sleeve or downloading the software indicates your acceptance of the terms and
conditions listed below. The Mplus CD and download contains several versions of Mplus. The Mplus
Single-User License allows for the use of only one of these programs. Using more than one is a violation
of the Mplus Single-User License Agreement.
Muthén & Muthén grants you the non-exclusive right to use the copyrighted computer program Mplus and the
accompanying written materials. You assume responsibility for the selection of Mplus to achieve your intended
results, and for the installation, use, and results obtained from Mplus.
1. Copy and Use Restrictions. Mplus and the accompanying written materials are copyrighted. Unauthorized
copying of Mplus and the accompanying written materials is expressly forbidden. One copy of Mplus may be
made for backup purposes, and it may be copied as part of a normal system backup. Mplus may be transferred
from one computer to another but may only be used on one computer at a time.
2. Transfer Restrictions. The Mplus license may be transferred from one individual to another as long as all
copies of the program and documentation are transferred, registered, and the recipient agrees to the terms and
conditions of this agreement.
3. Termination. The license is effective until terminated. You may terminate it at any time by destroying the
written materials and all copies of Mplus, including modified copies, if any. The license will terminate
automatically without notice from Muthén & Muthén if you fail to comply with any provision of this agreement.
Upon termination, you shall destroy the written materials and all copies of Mplus, including modified copies, if
any, and shall notify Muthén & Muthén of same.
4. Limited Warranty. Muthén & Muthén warrants that for ninety (90) days after purchase, Mplus shall
reasonably perform in accordance with the accompanying documentation. Muthén & Muthén specifically does
not warrant that Mplus will operate uninterrupted and error free. If Mplus does not perform in accordance with
the accompanying documentation, you may notify Muthén & Muthén in writing of the non-performance within
ninety (90) days of purchase.
5. Customer Remedies. Muthén & Muthén and its supplier’s entire liability and your exclusive remedy shall be,
at Muthén & Muthén’s option, either return of the price paid, or repair or replacement of the defective copy of
Mplus and/or written materials after they have been returned to Muthén & Muthén with a copy of your receipt.
6. Disclaimer of Other Warranties. Muthén & Muthén and its suppliers disclaim all other warranties, either
express or implied, including, but not limited to, any implied warranties of fitness for a particular purpose or
merchantability. Muthén & Muthén disclaims all other warranties including, but not limited to, those made by
distributors and retailers of Mplus. This license agreement gives you specific legal rights. You may have other
rights that vary from state to state.
7. Disclaimer. In no event shall Muthén & Muthén or its suppliers be liable for any damages, including any lost
profits, lost savings or other incidental or consequential damages arising out of the use or inability to use Mplus
even if Muthén & Muthén or its suppliers have been advised of the possibility of such damages. Some states do
not allow the limitation or exclusion of liability for incidental or consequential damages so the above limitation
or exclusion may not apply to you.
8. Return Policy: All sales are final. Software purchased on-line through our website is considered opened at
the time of purchase. This also applies to hard copy purchases because downloads are made available at the time
of purchase. In rare instances, and only within 30 days of purchase, if due to technical difficulties or platform
incompatibilities, the software will not function, we may, at our discretion, issue a refund. In such instances, an
LOD (Letter Of Destruction) on company letterhead will be required to process the refund.
This agreement is governed by the laws of the State of California.