Nio Gram User Manual
User Manual:
Open the PDF directly: View PDF
.
Page Count: 14
NioGram
Grammar Analysis Tool
User Manual
Version 1.0.0
Copyright (c) by Nikolay Ognyanov, 2018

1. Introduction
NioGram is a tool for LL(k) syntax analysis of context free grammars. Such analysis can be
benefitial in the process of language and grammar design and for the process of hand-coded parser
implementation.
At present the only directly supported by NioGram grammar specification language is the
language of ANTLR 4. The grammar model and analysis methods of NioGram though are not
dependent on any specific grammar specification language. If an appropriate parser to NioGram AST is
implemented then NioGram can process grammars specified in other languages such as e.g. JavaCC,
YACC, Bison etc.
This manual assumes that the readers are familiar with the theory of grammar directed syntax
analysis. Readers who need to refresh or acquire knowledge in the subject will need to first look into
any of the available compiler design books. The one most favored by the NioGram author is [1].
Familiarity of the readers with the ANTLR 4 parser generator is also beneficial since NioGram
can process grammars defined in the ANTLR 4 grammar specification language. A starting point for
access to relevant information is the site at http://www.antlr.org/. As a matter of convenience further in
this manual ANTLR 4 is referred to as simply “ANTLR”.
2. Product Overview
2.1. Use Cases
2.1.1. ANTLR IDEs
In ANTLR IDEs the data from NioGram analysis can be used to signal possible grammar
inefficiencies and bugs. In the author's opinion this can be extremely helpful for ANTLR grammar
developers.
2.1.2. Command Line Tool
NioGram provides a command line tool which servers the same purpose as the potential
ANTLR IDE enhancements but in a less convenient way.
2.1.3. Code Generation
NioGram generates analysis data artefacts to be used in hand-coded parsers and simple
recursive descend parsers.
2.2. ANTLR Grammar Syntax Analysis
ANTLR implements an extremely powerful parsing strategy. It can deal with almost any
grammar which lacks indirect left recursion. For developers this power is both a blessing and a curse.
During grammar development ANTLR provides no diagnostics of possible grammar inefficiencies and
even outright bugs. NioGram mitigates this problem by providing tools for traditional LL(k) syntax
analysis of ANTLR grammars. The information computed in the process of NioGram analysis is as
follows:
•Nonterminal productivity
•Nonterminal reachability
•Nonterminal use
•Nonterminal nullability
•Grammar dependency graph
•Simple cycles in the grammar dependency graph
•Strongly connected components of the grammar depencency graph
•Left-recursive cycles in the grammar
•First/Follow sets
•FirstK/FollowK sets
•Linearized FirstK/FollowK sets
•Conflicts
Perhaps most important for ANTLR grammar development is the information about LL(k) conflicts.
Even though ANTLR will typically deal with those automatically, the grammar author will be
prompted to look into the corresponded rules for inefficiencies, ambiguities and bugs.
2.3. Hand Coded Parser Development
Despite the existence of excellent parser generator tools, hand-coded parsers are still being
developed even for A-list languages such as Java. More often than not though the analysis data needed
for hand coding is very difficult to collect by hand. Unfortunately there appear to be no publicly
available tools for automatic computation of the needed data. NioGram fills this gap by providing the
analysis information described above. Furthermore, since NioGram grammars are also ANTLR
grammars, hand-coded parsers can be validated against parsers generated by ANTLR. NioGram also
facilitates integration of generated parsers with ANTLR lexers.
In a bit more detail :
First order of business in grammar development is to clean up the grammar of (usually buggy)
non-productive nonterminals and left recursion. Doing this by hand is usually feasible but with
NioGram analysis the task is considerably easier to accomplish and verify. Then the typical situation
will be :
1. Most rules are LL(1)
2. Some rules are LL(k) with small k > 1.
3. A few rules may be not LL(k) for any k.
If the situation is worse than this then the language is either old, influential and bloated or
poorly designed (or both). Apart from the subject of language implementation LL(k) properties of the
grammar are highly important from the standpoint of ease of comprehension of the language by its
"speakers".
Finding out which rules belong to which of the above categories is a crucially important task in
parser development. Doing this by hand though is very far from trivial. Even very talented and
experienced developers can easily make mistakes. NioGram on the other hand fully authomates the
task and thus makes it cheap and error free.
Parsing of the LL(k) rules can be easily implemented by hand in a recursive descent parser if
the FirstK/FollowK sets are known. This is more often than not a really big "IF" since the
FirstK/FollowK sets for higher level nonterminals tend to be quite sizeable. Collecting the information
by hand is very tedious and error prone. It is highly questionable whether the task is even feasible for
"serious" language grammars. NioGram fully automates the process. Thus feasibility is always
guaranteed and a lot of time for development and even more time for testing and debugging is saved.
The non-LL(k) rules (if any) have to be resolved by one or more of the following:
1. Context dependency
2. Temporary switch to a different parsing strategy
3. Temporary switch to a different grammar
4. Ad hoc tricks
NioGram strives to facilitate the above solutions with code generation support.
3. Code Overview
3.1. Project Structure
The NioGram project is Maven – based and has a fairly standard folder layout. All sources
reside under the top level folder src. Documentation resides in the top level folder doc.
All Java packages are in the net.ognyanov.NioGram “domain”. And the packages are:
•analysis Tools for LL(k) analysis of grammars.
•ast The AST model.
•generator The code generator.
•parser The parser.
•tool The command line tool.
•util Various utility classes used by other packages.
3.2. Project Build
It is a standard Maven build:
mvn install
This generates in the target folder the following artefacts:
•NioGram-x.y.z-SNAPSHOT.jar – the compiled product without dependencies
•NioGram-x.y.z-SNAPSHOT-src.tar.bz2 – the product sources in bz2 package
•NioGram-x.y.z-SNAPSHOT-src.tar.gz – the product sources in tar.gz package
•NioGram-x.y.z-SNAPSHOT-src.zip - the product sources in zip package
•NioGram-complete-x.y.z-SNAPSHOT.jar – the compiled product with all dependencies
Where “x.y.z” stays for the current version.
The command line tool is invoked by :
java -jar NioGram-complete-x.y.z-SNAPSHOT.jar
The API documentation is built by
mvn javadoc:javadoc
3.3. Embedding in 3d Party Products
NioGram is meant to be published to Maven central for easy inclusion in third party projects.
As of the time of this writing though the code is not mature enough for that. Information will be
included here at later time.
Embedding of NioGram in ANTLR IDEs deserves some special attention. Normally an ANTLR
IDE maintains its own internal object model of the grammar. Typically a parse tree or a model close to
it. Startup IDEs can use the NioGram parse tree as (a starting point for) their grammar object model.
Preexisting IDEs with already established grammar models will need to develop a translator from the
IDE grammar object model to the NioGram AST grammar model. An example of such parser is the
class net.ognyanov.NioGram.parser.GrammarParser. It translates an ANLTR – generated parse tree into
NioGram AST tree. The source code of this class should be studied by eventual AST parser
implementators. NioGram provides also a small facility meant to facilitate the interlinkig of the two
object models – a publicly accessible (through a getter and a setter) field “sourceContext” which is not
is available for use by third party AST parsers.

3.4. AST Model
The primary structure of interest for NioGram users is the AST (Abstract Syntax Tree)
generated by the AST parser. It holds all substantial information about the grammar in a structured
form. The model of the AST is described by the following grammar :
tokens {Nonterminal, Terminal, TerminalRule}
grammar : nonterminalRule* TerminalRule*;
nonterminalRule : alternative+;
alternative : term*;
term : Terminal | Nonterminal | block;
block : alternative*;

Here the names match up to first letter capitalization the names of the implementing Java
classes. The type hierarchy of the implementing Java classes is as follows:
Grammar – related tools tend to have different conventions about the representation of the
empty strings in grammar rules. Some use explicit epsilon symbol for that and others do not. NioGram
adheres to the second convention and defines no explicit epsilon terminal in its AST model. Empty
alternatives are literally empty rather than containing the epsilon terminal.
EBNF occurrence indicators have a representation in AST only for AST blocks. Therefore if
other type of term (i.e. - terminal or nonterminal) has an EBNF occurrence indicator in the source text
of the grammar then it (the term) is embedded in a dedicated AST block of its own. If an occurrence
indicator in the source is one of ‘?’, ‘??’, ‘*’ or ‘*?’ then an empty alternative is inserted into the
correspondent block.
For the sake of precision let us finally note that even though the AST is viewed mostly as a tree,
technically it is a general directed graph. Rules contain references to all their instances on the right
hand side of productions and instances contain references to their correspondent rule.
4. Grammar Specification Topics
4.1. Grammar Types
NioGram focuses primarily on pure parser grammars and provides code generation only for
those. Combined grammars are supported for grammar analysis but not for code generation. Processing
of pure lexer grammars technically doable but pointless.
4.2. Grammar Imports
ANTLR supports certain type of grammar import into other grammars. This facility is rarely
used at all and even more rarely used to import parser rules. NioGram on the other hand is solely
focused on parser rules and at this time does not support grammar imports.
4.3. Grammar Options
NioGram supports the token vocabulary grammar option and can import token vocabularies in
ANTLR format. Other options are accepted and passed to the client but otherwise ignored. IDE
developers may but do not have to choose to resurrect the “k” option from ANTLR 3.
4.4. Dot Expressions
ANRLR supports a feature called dot expressions which is not traditional to parser (as opposed
to lexer) grammars. NioGram does not support this feature and converts all such sets to instances of the
built-in terminal $DOT. Diagnostic information is provided whenever this happens. With such a
substitution further grammar analysis will not be necessarily entirely correct but it may still provide
useful suggestions about inefficient or/and incorrect rules.
4.5. Not Sets
ANRLR supports a feature called not sets which is not traditional to parser (as opposed to lexer)
grammars. NioGram does not support this feature and converts all such sets to instances of the built-in
terminal $NOT. Diagnostic information is provided whenever this happens. With such substitution
further grammar analysis will not be necessarily entirely correct but it may still provide useful
suggestions about inefficient or/and incorrect rules. Analysis in the presence of not sets could possibly
yield somewhat better results if each individual not set was treated as an unique terminal but this
enhancement does not appear to have a good enough price/performance ratio.
4.6. String Constants in Nonterminal Rules
The use of string literals in parser (as opposed to lexer) rules is a bad idea. It can be sort of
convenience but can have unexpected interference with the lexer rules. ANTLR thow allows this
feature, so NioGram has to address it. NioGram first sures that all occurrences of a literal are treated as
instances of one single token. Then in combined grammars it tries to identify a declared lexer token
which matches exactly the string. If such token is found then the literals are treated as its instances. If
not then a new pseudo-token is created and the literals are treated as instances of that token. In the
second case correctness of the grammar analysis can not be guaranteed since it is not really known how
the lexer will treat these literals.
4.7. Non-greedy occurrence indicators
ANTLR allows for non-greedy occurrence indicators in parser grammars (??, *?, +?). NioGram
on the other hand treats all occurrence indicators as greedy. The impact on grammar analysis is difficult
to assess exhaustively but is definitely not positive. NioGram provides diagnostic information in such
cases.
5. Grammar Analysis Topics
5.1. Start Rule
NioGram always treats the first parser rule as the start rule of the grammar.
5.2. Nonterminal Productivity
NioGram uses the standard definition of nonterminal productivity : a nonterminal is productive
if a string consisting of terminals only can be derived from it. Nonproductive nonterminals are an error
which has to be eliminated from the grammar before proceeding with further analysis and
implementation.
5.3. Nonterminal Reachability
NioGram calculates reachability of nonterminal from the start rule in the dependency graph of
the grammar. Normally all nonterminals with the possible exception of the start rule should be
reachable. It may happen though that the developer wants to have multiple independent entry points to
the parser. The presence of non-reachable nonterminals does not affect the LL(k) analysis.
5.4. Nonterminal Use
NioGram defines use of nonterminals as occurrence on the right side of a parser rule. Normally
all nonterminals with the possible exception of the start one should be used this way. It may happen
though as noted above that the developer wants to have multiple independent entry points to the parser
and those are not otherwise used. The presence of unused nonterminals does not affect the LL(k)
analysis.
5.5. Nonterminal Nullability
NioGram uses the standard definition of nullability : a string of terminal and nonterminal
symbols is nullable if the empty string can be derived from it. Nullability of nonterminals is important
for making parsing decisions. For nullable nonterminals the parser has to consider matches of the input
with both the FirstX and the FollowX sets. By FirstX and FollowX here we refer to any type of
first/follow set (see below).
5.6. Left-recursive Cycles
NioGram uses the following definition of left-recursive cycles : a sequence of nonterminals n1,
…, nk such that n1 = nk and for each ni ni+1 is reachable from ni in the grammar dependency graph
through a nullable path and the same applies for nk and n1. The presence of left-recursive cycles
inevitably leads to unresolvable LL(k) conflicts and prevents straightforward recursive descent
implementation. It does not however invalidate the LL(k) analysis of the grammar.

5.7. First/Follow Sets
NioGram just uses the standard definition . We refer to [1] for that. A brief summary quote
from [1] is :
The definition is somewhat complicated by the use of EBNF occurrence indicators in ANTLR
parser rules but this is easy to account for. AST blocks are equivalent to anonymous nonterminal rules
with a single in-place reference.
5.8. FirstK/FollowK Sets
NioGram just uses the standard definition. We refer to [1] for that. A brief summary quote from [1] is :
The definition is somewhat complicated by the use of EBNF occurrence indicators in ANTLR
parser rules but this is easy to account for. AST blocks are equivalent to anonymous nonterminal rules
with a single in-place reference.
5.9. Linearized FirstK/FollowK “Sets”
Calculation of FirstK and FollowK sets is a computationally expensive procedure. It is usually
more practical to use instead the so-called linearized “sets” which NioGram denotes as FirstKL and
FollowKL. These “sets” are actually strings of length k of sets of terminal symbols. The set at position i
contains all terminals which can occur at position i in a terminal-only string derived from the target
string. The FirstKL/FollowKL “sets” have less prediction power than the FirstK/FollowK sets but are
much cheaper to compute. Details about NioGram implementation and treatment of these “sets” can be
found in the API documentation and the source code.

5.10. Conflicts
LL(k) conflicts occur when 2 or more nonterminal rule alternatives have intersecting FirstX
sets and the parser is not able to choose between these alternatives based on lookahead into the input.
Unless the conflicts stem from the presence of a left-recursive cycle, they can always be solved in a
recursive descent parser by backtracking. Backtracking however is computationally expensive and
often it is more appropriate to resolve the conflicts by choosing the first matching alternative or an
alternative enforced by a semantic predicate. Both options however can mask ambiguities in the
grammar which are generally speaking undesirable.
For nullable nonterminals there can also be FirstX/FollowX conflicts where the FirstX set of
one or more alternatives intersects with the FollowX set of the nonterminal. Such conflicts are resolved
similarly to the FirstX/FirstX conflicts.
NioGram calculates conflict information as part of the FirstX/FollowX calculation. Conflicts
are calculated for each alternative in rules and blocks. In addition to this, NioGram calculates for
blocks and nonterminal FirstX/FollowX conflicts. In case that a conflict of certain type does not exist,
NioGram computes the minimum amount of lookahead for which the conflict still does not exits.
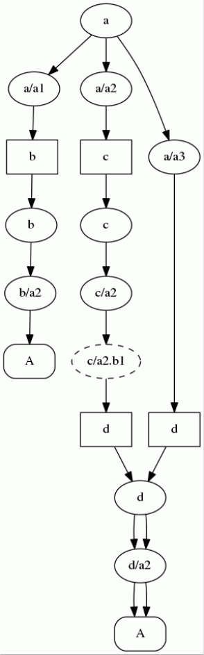
5.11. Terminal Occurrence Traces
When a terminal occurs in a conflict set it is good to know where the terminal “came from”.
The answer to the question where do the terminals in FirstX/FollowX sets “come from” can be of
interest in other cases too. Therefore NioGram supports computation of terminal occurrence traces. We
will skip here the formal definition based on sequences of productions (which is rather straightforward)
and will present instead an example. Let us consider the following grammar :
grammar traces;
tokens {A, B, C, D, E}
a : b | c | d;
b : B | A b;
c : E | C? d;
d : D | A d;
The terminal ‘A’ occurs at position 0 in the FirstX set of nonterminal ‘a’. It also participates in a
conflict between all 3 alternatives for ‘a’. There are 3 paths through the AST which lead from the
occurrence of ‘A’ in the FirstX set of ‘a’ to the possible sources of that occurrence. The endpoints of
those paths are the occurrences of ‘A’ in the rules for ‘b’ and ‘c’. Two of the paths overlap to some
extent since they both pass through the rule for ‘d’. Note also that one of the paths passes through the
occurrence of ‘C’ in the rule for ‘c’. That ‘C’ does not contain ‘A’ in its FirstX set but is nullable and
therefore – “transparent” for ‘A’. And the complete trace for ‘A’ at position 0 in the FirstX set of ‘a’
looks as follows:

Generally a terminal occurrence trace is a directed acyclic graph which is a subgraph of the
AST. Here we need to remind that in addition to the primary tree structure the AST also contains
references from rules to their instances on the rhs of productions and from instances to their
correspondent rules. Occurrence traces traverse the links from occurrences to their correspondent rules.
All nodes in the trace either contain the specified terminal at the specified position in their
FirstX/FollowX set or are nullable. Nullability is signaled in the image above by dashed edges of the
correspondent node. NioGram supports computation of terminal occurrence traces for the following
set types : First, FirstK, FirstKL, Follow, FollowK, FollowKL.
Note that whenever NioGram computes FirstX/FollowX sets, it computes those sets not only for
the rules but also for the root Grammar node of the AST. Therefore it is possible to compute grammar-
wide traces of terminal occurrence.
6. Hand-Coded Parser Support
NioGram does not yet generate code. Even so though the results of its analysis can be used in
hand-coded parsers. The command line tool has an option to record a serialized version of the analyzed
grammar. This serialized object can be later deserialized and used in a hand-coded parser. Deserialized
grammar objects can also be used in tools which generate more convenient and efficient analysis data
artefacts for use in hand-coded parsers.
The process of serialization/deserialization has two caveats as follows:
The “unique” IDs of grammar nodes are only unique within a single running Java virtual
machine. This may cause problems if nodes from different JVMs are mixed e.g. in the same container
because the equality and hashing of grammar nodes are based for the sake of efficiency on the “unique”
IDs only. It is (so far) the belief of the NioGram author that resolving these issues by more rigorous
equality/hashing or by truly globally unique IDs would be an overkill.
The content of the source context and payload fields of grammar nodes is not retained in the
serialization/deserialization process. This is a design decision rather than a limitation of the technology.
7. Grammar Visualization
NioGram provides DOT format printouts of the grammar parse tree, the grammar AST, the
railroad diagrams of all rules and the terminal occurrence traces. The parse tree and the AST can also
be printed out in XML format.
8. Literature
[1] R.Wilhelm, H. Seidl, S.Hack : Compiler Design – Syntactic and Semantic Analysis, Springer 2013