OpenFOAM User Guide, Version 5.0 Open FOAMUser Guide USletter
User Manual:
Open the PDF directly: View PDF
.
Page Count: 235 [warning: Documents this large are best viewed by clicking the View PDF Link!]
- Copyright Notice
- Trademarks
- Contents
- 1 Introduction
- 2 Tutorials
- 2.1 Lid-driven cavity flow
- 2.1.1 Pre-processing
- 2.1.2 Viewing the mesh
- 2.1.3 Running an application
- 2.1.4 Post-processing
- 2.1.5 Increasing the mesh resolution
- 2.1.6 Introducing mesh grading
- 2.1.7 Increasing the Reynolds number
- 2.1.8 High Reynolds number flow
- 2.1.9 Changing the case geometry
- 2.1.10 Post-processing the modified geometry
- 2.2 Stress analysis of a plate with a hole
- 2.3 Breaking of a dam
- 2.3.1 Mesh generation
- 2.3.2 Boundary conditions
- 2.3.3 Setting initial field
- 2.3.4 Fluid properties
- 2.3.5 Turbulence modelling
- 2.3.6 Time step control
- 2.3.7 Discretisation schemes
- 2.3.8 Linear-solver control
- 2.3.9 Running the code
- 2.3.10 Post-processing
- 2.3.11 Running in parallel
- 2.3.12 Post-processing a case run in parallel
- 2.1 Lid-driven cavity flow
- 3 Applications and libraries
- 3.1 The programming language of OpenFOAM
- 3.2 Compiling applications and libraries
- 3.3 Running applications
- 3.4 Running applications in parallel
- 3.5 Standard solvers
- 3.5.1 `Basic' CFD codes
- 3.5.2 Incompressible flow
- 3.5.3 Compressible flow
- 3.5.4 Multiphase flow
- 3.5.5 Direct numerical simulation (DNS)
- 3.5.6 Combustion
- 3.5.7 Heat transfer and buoyancy-driven flows
- 3.5.8 Particle-tracking flows
- 3.5.9 Discrete methods
- 3.5.10 Electromagnetics
- 3.5.11 Stress analysis of solids
- 3.5.12 Finance
- 3.6 Standard utilities
- 4 OpenFOAM cases
- 4.1 File structure of OpenFOAM cases
- 4.2 Basic input/output file format
- 4.2.1 General syntax rules
- 4.2.2 Dictionaries
- 4.2.3 The data file header
- 4.2.4 Lists
- 4.2.5 Scalars, vectors and tensors
- 4.2.6 Dimensional units
- 4.2.7 Dimensioned types
- 4.2.8 Fields
- 4.2.9 Macro expansion
- 4.2.10 Including files
- 4.2.11 Regular expressions
- 4.2.12 Keyword ordering
- 4.2.13 Inline calculations and code
- 4.3 Time and data input/output control
- 4.4 Numerical schemes
- 4.5 Solution and algorithm control
- 4.6 Case management tools
- 5 Mesh generation and conversion
- 5.1 Mesh description
- 5.2 Boundaries
- 5.3 Mesh generation with the blockMesh utility
- 5.4 Mesh generation with the snappyHexMesh utility
- 5.5 Mesh conversion
- 5.6 Mapping fields between different geometries
- 6 Post-processing
- 6.1 ParaView/paraFoam graphical user interface (GUI)
- 6.2 Post-processing command line interface (CLI)
- 6.3 Sampling and monitoring data
- 6.4 Third-Party post-processing
- 7 Models and physical properties
- Index

U-2
Copyright c
°2011-2017 OpenFOAM Foundation Ltd.
Author: Christopher J. Greenshields, CFD Direct Ltd.
This work is licensed under a
Creative Commons Attribution-NonCommercial-NoDerivs 3.0 Unported License.
Typeset in L
A
T
EX.
License
THE WORK (AS DEFINED BELOW) IS PROVIDED UNDER THE TERMS OF THIS CRE-
ATIVE COMMONS PUBLIC LICENSE (“CCPL” OR “LICENSE”). THE WORK IS PROTECTED
BY COPYRIGHT AND/OR OTHER APPLICABLE LAW. ANY USE OF THE WORK OTHER
THAN AS AUTHORIZED UNDER THIS LICENSE OR COPYRIGHT LAW IS PROHIBITED.
BY EXERCISING ANY RIGHTS TO THE WORK PROVIDED HERE, YOU ACCEPT AND
AGREE TO BE BOUND BY THE TERMS OF THIS LICENSE. TO THE EXTENT THIS LI-
CENSE MAY BE CONSIDERED TO BE A CONTRACT, THE LICENSOR GRANTS YOU
THE RIGHTS CONTAINED HERE IN CONSIDERATION OF YOUR ACCEPTANCE OF SUCH
TERMS AND CONDITIONS.
1. Definitions
a. “Adaptation” means a work based upon the Work, or upon the Work and other pre-existing
works, such as a translation, adaptation, derivative work, arrangement of music or other
alterations of a literary or artistic work, or phonogram or performance and includes cine-
matographic adaptations or any other form in which the Work may be recast, transformed,
or adapted including in any form recognizably derived from the original, except that a work
that constitutes a Collection will not be considered an Adaptation for the purpose of this
License. For the avoidance of doubt, where the Work is a musical work, performance or
phonogram, the synchronization of the Work in timed-relation with a moving image (“synch-
ing”) will be considered an Adaptation for the purpose of this License.
b. “Collection” means a collection of literary or artistic works, such as encyclopedias and an-
thologies, or performances, phonograms or broadcasts, or other works or subject matter other
than works listed in Section 1(f) below, which, by reason of the selection and arrangement of
their contents, constitute intellectual creations, in which the Work is included in its entirety
in unmodified form along with one or more other contributions, each constituting separate
and independent works in themselves, which together are assembled into a collective whole.
A work that constitutes a Collection will not be considered an Adaptation (as defined above)
for the purposes of this License.
c. “Distribute” means to make available to the public the original and copies of the Work through
sale or other transfer of ownership.
d. “Licensor” means the individual, individuals, entity or entities that offer(s) the Work under
the terms of this License.
e. “Original Author” means, in the case of a literary or artistic work, the individual, individuals,
entity or entities who created the Work or if no individual or entity can be identified, the
publisher; and in addition (i) in the case of a performance the actors, singers, musicians,
OpenFOAM-5.0

U-3
dancers, and other persons who act, sing, deliver, declaim, play in, interpret or otherwise
perform literary or artistic works or expressions of folklore; (ii) in the case of a phonogram the
producer being the person or legal entity who first fixes the sounds of a performance or other
sounds; and, (iii) in the case of broadcasts, the organization that transmits the broadcast.
f. “Work” means the literary and/or artistic work offered under the terms of this License includ-
ing without limitation any production in the literary, scientific and artistic domain, whatever
may be the mode or form of its expression including digital form, such as a book, pamphlet
and other writing; a lecture, address, sermon or other work of the same nature; a dramatic
or dramatico-musical work; a choreographic work or entertainment in dumb show; a musical
composition with or without words; a cinematographic work to which are assimilated works
expressed by a process analogous to cinematography; a work of drawing, painting, archi-
tecture, sculpture, engraving or lithography; a photographic work to which are assimilated
works expressed by a process analogous to photography; a work of applied art; an illustration,
map, plan, sketch or three-dimensional work relative to geography, topography, architecture
or science; a performance; a broadcast; a phonogram; a compilation of data to the extent it
is protected as a copyrightable work; or a work performed by a variety or circus performer
to the extent it is not otherwise considered a literary or artistic work.
g. “You” means an individual or entity exercising rights under this License who has not pre-
viously violated the terms of this License with respect to the Work, or who has received
express permission from the Licensor to exercise rights under this License despite a previous
violation.
h. “Publicly Perform” means to perform public recitations of the Work and to communicate to
the public those public recitations, by any means or process, including by wire or wireless
means or public digital performances; to make available to the public Works in such a way that
members of the public may access these Works from a place and at a place individually chosen
by them; to perform the Work to the public by any means or process and the communication
to the public of the performances of the Work, including by public digital performance; to
broadcast and rebroadcast the Work by any means including signs, sounds or images.
i. “Reproduce” means to make copies of the Work by any means including without limitation
by sound or visual recordings and the right of fixation and reproducing fixations of the Work,
including storage of a protected performance or phonogram in digital form or other electronic
medium.
2. Fair Dealing Rights.
Nothing in this License is intended to reduce, limit, or restrict any uses free from copyright or
rights arising from limitations or exceptions that are provided for in connection with the copyright
protection under copyright law or other applicable laws.
3. License Grant.
Subject to the terms and conditions of this License, Licensor hereby grants You a worldwide, royalty-
free, non-exclusive, perpetual (for the duration of the applicable copyright) license to exercise the
rights in the Work as stated below:
a. to Reproduce the Work, to incorporate the Work into one or more Collections, and to Re-
produce the Work as incorporated in the Collections;
b. and, to Distribute and Publicly Perform the Work including as incorporated in Collections.
OpenFOAM-5.0

U-4
The above rights may be exercised in all media and formats whether now known or hereafter
devised. The above rights include the right to make such modifications as are technically necessary
to exercise the rights in other media and formats, but otherwise you have no rights to make
Adaptations. Subject to 8(f), all rights not expressly granted by Licensor are hereby reserved,
including but not limited to the rights set forth in Section 4(d).
4. Restrictions.
The license granted in Section 3 above is expressly made subject to and limited by the following
restrictions:
a. You may Distribute or Publicly Perform the Work only under the terms of this License. You
must include a copy of, or the Uniform Resource Identifier (URI) for, this License with every
copy of the Work You Distribute or Publicly Perform. You may not offer or impose any terms
on the Work that restrict the terms of this License or the ability of the recipient of the Work
to exercise the rights granted to that recipient under the terms of the License. You may not
sublicense the Work. You must keep intact all notices that refer to this License and to the
disclaimer of warranties with every copy of the Work You Distribute or Publicly Perform.
When You Distribute or Publicly Perform the Work, You may not impose any effective
technological measures on the Work that restrict the ability of a recipient of the Work from
You to exercise the rights granted to that recipient under the terms of the License. This
Section 4(a) applies to the Work as incorporated in a Collection, but this does not require
the Collection apart from the Work itself to be made subject to the terms of this License. If
You create a Collection, upon notice from any Licensor You must, to the extent practicable,
remove from the Collection any credit as required by Section 4(c), as requested.
b. You may not exercise any of the rights granted to You in Section 3 above in any manner
that is primarily intended for or directed toward commercial advantage or private monetary
compensation. The exchange of the Work for other copyrighted works by means of digital file-
sharing or otherwise shall not be considered to be intended for or directed toward commercial
advantage or private monetary compensation, provided there is no payment of any monetary
compensation in connection with the exchange of copyrighted works.
c. If You Distribute, or Publicly Perform the Work or Collections, You must, unless a request
has been made pursuant to Section 4(a), keep intact all copyright notices for the Work
and provide, reasonable to the medium or means You are utilizing: (i) the name of the
Original Author (or pseudonym, if applicable) if supplied, and/or if the Original Author
and/or Licensor designate another party or parties (e.g., a sponsor institute, publishing
entity, journal) for attribution (“Attribution Parties”) in Licensor’s copyright notice, terms
of service or by other reasonable means, the name of such party or parties; (ii) the title of
the Work if supplied; (iii) to the extent reasonably practicable, the URI, if any, that Licensor
specifies to be associated with the Work, unless such URI does not refer to the copyright
notice or licensing information for the Work. The credit required by this Section 4(c) may be
implemented in any reasonable manner; provided, however, that in the case of a Collection,
at a minimum such credit will appear, if a credit for all contributing authors of Collection
appears, then as part of these credits and in a manner at least as prominent as the credits
for the other contributing authors. For the avoidance of doubt, You may only use the credit
required by this Section for the purpose of attribution in the manner set out above and, by
exercising Your rights under this License, You may not implicitly or explicitly assert or imply
any connection with, sponsorship or endorsement by the Original Author, Licensor and/or
Attribution Parties, as appropriate, of You or Your use of the Work, without the separate,
express prior written permission of the Original Author, Licensor and/or Attribution Parties.
OpenFOAM-5.0

U-5
d. For the avoidance of doubt:
i. Non-waivable Compulsory License Schemes. In those jurisdictions in which the
right to collect royalties through any statutory or compulsory licensing scheme cannot
be waived, the Licensor reserves the exclusive right to collect such royalties for any
exercise by You of the rights granted under this License;
ii. Waivable Compulsory License Schemes. In those jurisdictions in which the right
to collect royalties through any statutory or compulsory licensing scheme can be waived,
the Licensor reserves the exclusive right to collect such royalties for any exercise by You
of the rights granted under this License if Your exercise of such rights is for a purpose
or use which is otherwise than noncommercial as permitted under Section 4(b) and
otherwise waives the right to collect royalties through any statutory or compulsory
licensing scheme; and,
iii. Voluntary License Schemes. The Licensor reserves the right to collect royalties,
whether individually or, in the event that the Licensor is a member of a collecting
society that administers voluntary licensing schemes, via that society, from any exercise
by You of the rights granted under this License that is for a purpose or use which is
otherwise than noncommercial as permitted under Section 4(b).
e. Except as otherwise agreed in writing by the Licensor or as may be otherwise permitted by
applicable law, if You Reproduce, Distribute or Publicly Perform the Work either by itself or
as part of any Collections, You must not distort, mutilate, modify or take other derogatory
action in relation to the Work which would be prejudicial to the Original Author’s honor or
reputation.
5. Representations, Warranties and Disclaimer
UNLESS OTHERWISE MUTUALLY AGREED BY THE PARTIES IN WRITING, LICENSOR
OFFERS THE WORK AS-IS AND MAKES NO REPRESENTATIONS OR WARRANTIES OF
ANY KIND CONCERNING THE WORK, EXPRESS, IMPLIED, STATUTORY OR OTHER-
WISE, INCLUDING, WITHOUT LIMITATION, WARRANTIES OF TITLE, MERCHANTIBIL-
ITY, FITNESS FOR A PARTICULAR PURPOSE, NONINFRINGEMENT, OR THE ABSENCE
OF LATENT OR OTHER DEFECTS, ACCURACY, OR THE PRESENCE OF ABSENCE OF
ERRORS, WHETHER OR NOT DISCOVERABLE. SOME JURISDICTIONS DO NOT ALLOW
THE EXCLUSION OF IMPLIED WARRANTIES, SO SUCH EXCLUSION MAY NOT APPLY
TO YOU.
6. Limitation on Liability.
EXCEPT TO THE EXTENT REQUIRED BY APPLICABLE LAW, IN NO EVENT WILL LI-
CENSOR BE LIABLE TO YOU ON ANY LEGAL THEORY FOR ANY SPECIAL, INCIDEN-
TAL, CONSEQUENTIAL, PUNITIVE OR EXEMPLARY DAMAGES ARISING OUT OF THIS
LICENSE OR THE USE OF THE WORK, EVEN IF LICENSOR HAS BEEN ADVISED OF
THE POSSIBILITY OF SUCH DAMAGES.
7. Termination
a. This License and the rights granted hereunder will terminate automatically upon any breach
by You of the terms of this License. Individuals or entities who have received Collections
from You under this License, however, will not have their licenses terminated provided such
individuals or entities remain in full compliance with those licenses. Sections 1, 2, 5, 6, 7,
and 8 will survive any termination of this License.
OpenFOAM-5.0

U-6
b. Subject to the above terms and conditions, the license granted here is perpetual (for the
duration of the applicable copyright in the Work). Notwithstanding the above, Licensor
reserves the right to release the Work under different license terms or to stop distributing the
Work at any time; provided, however that any such election will not serve to withdraw this
License (or any other license that has been, or is required to be, granted under the terms
of this License), and this License will continue in full force and effect unless terminated as
stated above.
8. Miscellaneous
a. Each time You Distribute or Publicly Perform the Work or a Collection, the Licensor offers
to the recipient a license to the Work on the same terms and conditions as the license granted
to You under this License.
b. If any provision of this License is invalid or unenforceable under applicable law, it shall
not affect the validity or enforceability of the remainder of the terms of this License, and
without further action by the parties to this agreement, such provision shall be reformed to
the minimum extent necessary to make such provision valid and enforceable.
c. No term or provision of this License shall be deemed waived and no breach consented to
unless such waiver or consent shall be in writing and signed by the party to be charged with
such waiver or consent.
d. This License constitutes the entire agreement between the parties with respect to the Work
licensed here. There are no understandings, agreements or representations with respect to
the Work not specified here. Licensor shall not be bound by any additional provisions that
may appear in any communication from You.
e. This License may not be modified without the mutual written agreement of the Licensor
and You. The rights granted under, and the subject matter referenced, in this License were
drafted utilizing the terminology of the Berne Convention for the Protection of Literary
and Artistic Works (as amended on September 28, 1979), the Rome Convention of 1961,
the WIPO Copyright Treaty of 1996, the WIPO Performances and Phonograms Treaty of
1996 and the Universal Copyright Convention (as revised on July 24, 1971). These rights
and subject matter take effect in the relevant jurisdiction in which the License terms are
sought to be enforced according to the corresponding provisions of the implementation of
those treaty provisions in the applicable national law. If the standard suite of rights granted
under applicable copyright law includes additional rights not granted under this License, such
additional rights are deemed to be included in the License; this License is not intended to
restrict the license of any rights under applicable law.
OpenFOAM-5.0

U-7
Trademarks
ANSYS is a registered trademark of ANSYS Inc.
CFX is a registered trademark of Ansys Inc.
CHEMKIN is a registered trademark of Reaction Design Corporation.
EnSight is a registered trademark of Computational Engineering International Ltd.
Fieldview is a registered trademark of Intelligent Light.
Fluent is a registered trademark of Ansys Inc.
GAMBIT is a registered trademark of Ansys Inc.
Icem-CFD is a registered trademark of Ansys Inc.
I-DEAS is a registered trademark of Structural Dynamics Research Corporation.
Linux is a registered trademark of Linus Torvalds.
OpenFOAM is a registered trademark of ESI Group.
ParaView is a registered trademark of Kitware.
STAR-CD is a registered trademark of CD-Adapco.
UNIX is a registered trademark of The Open Group.
OpenFOAM-5.0

U-8
OpenFOAM-5.0
Contents
Copyright Notice U-2
1. Definitions . . . . . . . . . . . . . . . . . . . . . . . . . . . . . . . . . . . U-2
2. Fair Dealing Rights. . . . . . . . . . . . . . . . . . . . . . . . . . . . . . . U-3
3. License Grant. . . . . . . . . . . . . . . . . . . . . . . . . . . . . . . . . . U-3
4. Restrictions. . . . . . . . . . . . . . . . . . . . . . . . . . . . . . . . . . . U-4
5. Representations, Warranties and Disclaimer . . . . . . . . . . . . . . . . . U-5
6. Limitation on Liability. . . . . . . . . . . . . . . . . . . . . . . . . . . . . U-5
7. Termination . . . . . . . . . . . . . . . . . . . . . . . . . . . . . . . . . . U-5
8. Miscellaneous . . . . . . . . . . . . . . . . . . . . . . . . . . . . . . . . . U-6
Trademarks U-7
Contents U-9
1 Introduction U-17
2 Tutorials U-19
2.1 Lid-driven cavity flow . . . . . . . . . . . . . . . . . . . . . . . . . . . . U-20
2.1.1 Pre-processing . . . . . . . . . . . . . . . . . . . . . . . . . . . . U-20
2.1.1.1 Mesh generation . . . . . . . . . . . . . . . . . . . . . U-21
2.1.1.2 Boundary and initial conditions . . . . . . . . . . . . . U-23
2.1.1.3 Physical properties . . . . . . . . . . . . . . . . . . . . U-24
2.1.1.4 Control . . . . . . . . . . . . . . . . . . . . . . . . . . U-24
2.1.1.5 Discretisation and linear-solver settings . . . . . . . . . U-25
2.1.2 Viewing the mesh . . . . . . . . . . . . . . . . . . . . . . . . . . U-26
2.1.3 Running an application . . . . . . . . . . . . . . . . . . . . . . . U-28
2.1.4 Post-processing . . . . . . . . . . . . . . . . . . . . . . . . . . . U-28
2.1.4.1 Colouring surfaces . . . . . . . . . . . . . . . . . . . . U-28
2.1.4.2 Cutting plane (slice) . . . . . . . . . . . . . . . . . . . U-31
2.1.4.3 Contours . . . . . . . . . . . . . . . . . . . . . . . . . U-31
2.1.4.4 Vector plots . . . . . . . . . . . . . . . . . . . . . . . . U-31
2.1.4.5 Streamline plots . . . . . . . . . . . . . . . . . . . . . U-33
2.1.5 Increasing the mesh resolution . . . . . . . . . . . . . . . . . . . U-33
2.1.5.1 Creating a new case using an existing case . . . . . . . U-33
2.1.5.2 Creating the finer mesh . . . . . . . . . . . . . . . . . U-35
2.1.5.3 Mapping the coarse mesh results onto the fine mesh . . U-35
2.1.5.4 Control adjustments . . . . . . . . . . . . . . . . . . . U-36
2.1.5.5 Running the code as a background process . . . . . . . U-36

U-10 Contents
2.1.5.6 Vector plot with the refined mesh . . . . . . . . . . . . U-36
2.1.5.7 Plotting graphs . . . . . . . . . . . . . . . . . . . . . . U-37
2.1.6 Introducing mesh grading . . . . . . . . . . . . . . . . . . . . . U-39
2.1.6.1 Creating the graded mesh . . . . . . . . . . . . . . . . U-39
2.1.6.2 Changing time and time step . . . . . . . . . . . . . . U-41
2.1.6.3 Mapping fields . . . . . . . . . . . . . . . . . . . . . . U-42
2.1.7 Increasing the Reynolds number . . . . . . . . . . . . . . . . . . U-42
2.1.7.1 Pre-processing . . . . . . . . . . . . . . . . . . . . . . U-42
2.1.7.2 Running the code . . . . . . . . . . . . . . . . . . . . . U-43
2.1.8 High Reynolds number flow . . . . . . . . . . . . . . . . . . . . U-43
2.1.8.1 Pre-processing . . . . . . . . . . . . . . . . . . . . . . U-44
2.1.8.2 Running the code . . . . . . . . . . . . . . . . . . . . . U-46
2.1.9 Changing the case geometry . . . . . . . . . . . . . . . . . . . . U-46
2.1.10 Post-processing the modified geometry . . . . . . . . . . . . . . U-50
2.2 Stress analysis of a plate with a hole . . . . . . . . . . . . . . . . . . . U-50
2.2.1 Mesh generation . . . . . . . . . . . . . . . . . . . . . . . . . . U-51
2.2.1.1 Boundary and initial conditions . . . . . . . . . . . . . U-54
2.2.1.2 Mechanical properties . . . . . . . . . . . . . . . . . . U-55
2.2.1.3 Thermal properties . . . . . . . . . . . . . . . . . . . . U-55
2.2.1.4 Control . . . . . . . . . . . . . . . . . . . . . . . . . . U-55
2.2.1.5 Discretisation schemes and linear-solver control . . . . U-56
2.2.2 Running the code . . . . . . . . . . . . . . . . . . . . . . . . . . U-58
2.2.3 Post-processing . . . . . . . . . . . . . . . . . . . . . . . . . . . U-58
2.2.4 Exercises . . . . . . . . . . . . . . . . . . . . . . . . . . . . . . . U-59
2.2.4.1 Increasing mesh resolution . . . . . . . . . . . . . . . . U-59
2.2.4.2 Introducing mesh grading . . . . . . . . . . . . . . . . U-60
2.2.4.3 Changing the plate size . . . . . . . . . . . . . . . . . U-60
2.3 Breaking of a dam . . . . . . . . . . . . . . . . . . . . . . . . . . . . . U-60
2.3.1 Mesh generation . . . . . . . . . . . . . . . . . . . . . . . . . . U-61
2.3.2 Boundary conditions . . . . . . . . . . . . . . . . . . . . . . . . U-63
2.3.3 Setting initial field . . . . . . . . . . . . . . . . . . . . . . . . . U-63
2.3.4 Fluid properties . . . . . . . . . . . . . . . . . . . . . . . . . . . U-64
2.3.5 Turbulence modelling . . . . . . . . . . . . . . . . . . . . . . . . U-65
2.3.6 Time step control . . . . . . . . . . . . . . . . . . . . . . . . . . U-66
2.3.7 Discretisation schemes . . . . . . . . . . . . . . . . . . . . . . . U-67
2.3.8 Linear-solver control . . . . . . . . . . . . . . . . . . . . . . . . U-67
2.3.9 Running the code . . . . . . . . . . . . . . . . . . . . . . . . . . U-68
2.3.10 Post-processing . . . . . . . . . . . . . . . . . . . . . . . . . . . U-68
2.3.11 Running in parallel . . . . . . . . . . . . . . . . . . . . . . . . . U-68
2.3.12 Post-processing a case run in parallel . . . . . . . . . . . . . . . U-71
3 Applications and libraries U-73
3.1 The programming language of OpenFOAM . . . . . . . . . . . . . . . . U-73
3.1.1 Language in general . . . . . . . . . . . . . . . . . . . . . . . . U-73
3.1.2 Object-orientation and C++ . . . . . . . . . . . . . . . . . . . . U-74
3.1.3 Equation representation . . . . . . . . . . . . . . . . . . . . . . U-74
3.1.4 Solver codes . . . . . . . . . . . . . . . . . . . . . . . . . . . . . U-75
3.2 Compiling applications and libraries . . . . . . . . . . . . . . . . . . . . U-75
OpenFOAM-5.0

Contents U-11
3.2.1 Header .H files . . . . . . . . . . . . . . . . . . . . . . . . . . . . U-75
3.2.2 Compiling with wmake . . . . . . . . . . . . . . . . . . . . . . . U-77
3.2.2.1 Including headers . . . . . . . . . . . . . . . . . . . . . U-77
3.2.2.2 Linking to libraries . . . . . . . . . . . . . . . . . . . . U-78
3.2.2.3 Source files to be compiled . . . . . . . . . . . . . . . . U-79
3.2.2.4 Running wmake . . . . . . . . . . . . . . . . . . . . . . U-79
3.2.2.5 wmake environment variables . . . . . . . . . . . . . . U-79
3.2.3 Removing dependency lists: wclean . . . . . . . . . . . . . . . . U-79
3.2.4 Compiling libraries . . . . . . . . . . . . . . . . . . . . . . . . . U-81
3.2.5 Compilation example: the pisoFoam application . . . . . . . . . U-81
3.2.6 Debug messaging and optimisation switches . . . . . . . . . . . U-84
3.2.7 Linking new user-defined libraries to existing applications . . . . U-85
3.3 Running applications . . . . . . . . . . . . . . . . . . . . . . . . . . . . U-85
3.4 Running applications in parallel . . . . . . . . . . . . . . . . . . . . . . U-86
3.4.1 Decomposition of mesh and initial field data . . . . . . . . . . . U-86
3.4.2 File input/output in parallel . . . . . . . . . . . . . . . . . . . . U-87
3.4.2.1 Selecting the file handler . . . . . . . . . . . . . . . . . U-89
3.4.2.2 Updating exisiting files . . . . . . . . . . . . . . . . . . U-89
3.4.2.3 Threading support . . . . . . . . . . . . . . . . . . . . U-89
3.4.3 Running a decomposed case . . . . . . . . . . . . . . . . . . . . U-90
3.4.4 Distributing data across several disks . . . . . . . . . . . . . . . U-90
3.4.5 Post-processing parallel processed cases . . . . . . . . . . . . . . U-91
3.4.5.1 Reconstructing mesh and data . . . . . . . . . . . . . U-91
3.4.5.2 Post-processing decomposed cases . . . . . . . . . . . . U-91
3.5 Standard solvers . . . . . . . . . . . . . . . . . . . . . . . . . . . . . . . U-91
3.5.1 ‘Basic’ CFD codes . . . . . . . . . . . . . . . . . . . . . . . . . U-92
3.5.2 Incompressible flow . . . . . . . . . . . . . . . . . . . . . . . . . U-92
3.5.3 Compressible flow . . . . . . . . . . . . . . . . . . . . . . . . . U-92
3.5.4 Multiphase flow . . . . . . . . . . . . . . . . . . . . . . . . . . . U-93
3.5.5 Direct numerical simulation (DNS) . . . . . . . . . . . . . . . . U-94
3.5.6 Combustion . . . . . . . . . . . . . . . . . . . . . . . . . . . . . U-95
3.5.7 Heat transfer and buoyancy-driven flows . . . . . . . . . . . . . U-95
3.5.8 Particle-tracking flows . . . . . . . . . . . . . . . . . . . . . . . U-96
3.5.9 Discrete methods . . . . . . . . . . . . . . . . . . . . . . . . . . U-97
3.5.10 Electromagnetics . . . . . . . . . . . . . . . . . . . . . . . . . . U-97
3.5.11 Stress analysis of solids . . . . . . . . . . . . . . . . . . . . . . U-97
3.5.12 Finance . . . . . . . . . . . . . . . . . . . . . . . . . . . . . . . U-97
3.6 Standard utilities . . . . . . . . . . . . . . . . . . . . . . . . . . . . . . U-97
3.6.1 Pre-processing . . . . . . . . . . . . . . . . . . . . . . . . . . . . U-97
3.6.2 Mesh generation . . . . . . . . . . . . . . . . . . . . . . . . . . U-98
3.6.3 Mesh conversion . . . . . . . . . . . . . . . . . . . . . . . . . . . U-98
3.6.4 Mesh manipulation . . . . . . . . . . . . . . . . . . . . . . . . . U-99
3.6.5 Other mesh tools . . . . . . . . . . . . . . . . . . . . . . . . . . U-101
3.6.6 Post-processing . . . . . . . . . . . . . . . . . . . . . . . . . . . U-101
3.6.7 Post-processing data converters . . . . . . . . . . . . . . . . . . U-102
3.6.8 Surface mesh (e.g. OBJ/STL) tools . . . . . . . . . . . . . . . . U-102
3.6.9 Parallel processing . . . . . . . . . . . . . . . . . . . . . . . . . U-103
OpenFOAM-5.0

U-12 Contents
3.6.10 Thermophysical-related utilities . . . . . . . . . . . . . . . . . . U-104
3.6.11 Miscellaneous utilities . . . . . . . . . . . . . . . . . . . . . . . U-104
4 OpenFOAM cases U-105
4.1 File structure of OpenFOAM cases . . . . . . . . . . . . . . . . . . . . U-105
4.2 Basic input/output file format . . . . . . . . . . . . . . . . . . . . . . . U-106
4.2.1 General syntax rules . . . . . . . . . . . . . . . . . . . . . . . . U-106
4.2.2 Dictionaries . . . . . . . . . . . . . . . . . . . . . . . . . . . . . U-107
4.2.3 The data file header . . . . . . . . . . . . . . . . . . . . . . . . U-107
4.2.4 Lists . . . . . . . . . . . . . . . . . . . . . . . . . . . . . . . . . U-108
4.2.5 Scalars, vectors and tensors . . . . . . . . . . . . . . . . . . . . U-109
4.2.6 Dimensional units . . . . . . . . . . . . . . . . . . . . . . . . . . U-109
4.2.7 Dimensioned types . . . . . . . . . . . . . . . . . . . . . . . . . U-110
4.2.8 Fields . . . . . . . . . . . . . . . . . . . . . . . . . . . . . . . . U-110
4.2.9 Macro expansion . . . . . . . . . . . . . . . . . . . . . . . . . . U-111
4.2.10 Including files . . . . . . . . . . . . . . . . . . . . . . . . . . . . U-112
4.2.11 Regular expressions . . . . . . . . . . . . . . . . . . . . . . . . . U-113
4.2.12 Keyword ordering . . . . . . . . . . . . . . . . . . . . . . . . . . U-114
4.2.13 Inline calculations and code . . . . . . . . . . . . . . . . . . . . U-114
4.3 Time and data input/output control . . . . . . . . . . . . . . . . . . . U-115
4.3.1 Time control . . . . . . . . . . . . . . . . . . . . . . . . . . . . U-116
4.3.2 Data writing . . . . . . . . . . . . . . . . . . . . . . . . . . . . . U-116
4.3.3 Other settings . . . . . . . . . . . . . . . . . . . . . . . . . . . . U-117
4.4 Numerical schemes . . . . . . . . . . . . . . . . . . . . . . . . . . . . . U-118
4.4.1 Time schemes . . . . . . . . . . . . . . . . . . . . . . . . . . . . U-120
4.4.2 Gradient schemes . . . . . . . . . . . . . . . . . . . . . . . . . . U-120
4.4.3 Divergence schemes . . . . . . . . . . . . . . . . . . . . . . . . . U-121
4.4.4 Surface normal gradient schemes . . . . . . . . . . . . . . . . . U-123
4.4.5 Laplacian schemes . . . . . . . . . . . . . . . . . . . . . . . . . U-124
4.4.6 Interpolation schemes . . . . . . . . . . . . . . . . . . . . . . . . U-125
4.5 Solution and algorithm control . . . . . . . . . . . . . . . . . . . . . . . U-125
4.5.1 Linear solver control . . . . . . . . . . . . . . . . . . . . . . . . U-126
4.5.1.1 Solution tolerances . . . . . . . . . . . . . . . . . . . . U-127
4.5.1.2 Preconditioned conjugate gradient solvers . . . . . . . U-128
4.5.1.3 Smooth solvers . . . . . . . . . . . . . . . . . . . . . . U-128
4.5.1.4 Geometric-algebraic multi-grid solvers . . . . . . . . . U-129
4.5.2 Solution under-relaxation . . . . . . . . . . . . . . . . . . . . . U-130
4.5.3 PISO, SIMPLE and PIMPLE algorithms . . . . . . . . . . . . . U-131
4.5.4 Pressure referencing . . . . . . . . . . . . . . . . . . . . . . . . U-131
4.5.5 Other parameters . . . . . . . . . . . . . . . . . . . . . . . . . . U-131
4.6 Case management tools . . . . . . . . . . . . . . . . . . . . . . . . . . . U-132
4.6.1 File management scripts . . . . . . . . . . . . . . . . . . . . . . U-132
4.6.2 The foamDictionary tool . . . . . . . . . . . . . . . . . . . . . . U-132
5 Mesh generation and conversion U-135
5.1 Mesh description . . . . . . . . . . . . . . . . . . . . . . . . . . . . . . U-135
5.1.1 Mesh specification and validity constraints . . . . . . . . . . . . U-135
5.1.1.1 Points . . . . . . . . . . . . . . . . . . . . . . . . . . . U-135
OpenFOAM-5.0

Contents U-13
5.1.1.2 Faces . . . . . . . . . . . . . . . . . . . . . . . . . . . U-136
5.1.1.3 Cells . . . . . . . . . . . . . . . . . . . . . . . . . . . . U-136
5.1.1.4 Boundary . . . . . . . . . . . . . . . . . . . . . . . . . U-137
5.1.2 The polyMesh description . . . . . . . . . . . . . . . . . . . . . . U-137
5.1.3 Cell shapes . . . . . . . . . . . . . . . . . . . . . . . . . . . . . U-138
5.1.4 1- and 2-dimensional and axi-symmetric problems . . . . . . . . U-138
5.2 Boundaries . . . . . . . . . . . . . . . . . . . . . . . . . . . . . . . . . U-138
5.2.1 Geometric (constraint) patch types . . . . . . . . . . . . . . . . U-141
5.2.2 Basic boundary conditions . . . . . . . . . . . . . . . . . . . . . U-142
5.2.3 Derived types . . . . . . . . . . . . . . . . . . . . . . . . . . . . U-143
5.2.3.1 The inlet/outlet condition . . . . . . . . . . . . . . . . U-143
5.2.3.2 Entrainment boundary conditions . . . . . . . . . . . . U-144
5.2.3.3 Fixed flux pressure . . . . . . . . . . . . . . . . . . . . U-145
5.2.3.4 Time-varying boundary conditions . . . . . . . . . . . U-146
5.3 Mesh generation with the blockMesh utility . . . . . . . . . . . . . . . . U-147
5.3.1 Writing a blockMeshDict file . . . . . . . . . . . . . . . . . . . . U-148
5.3.1.1 The vertices . . . . . . . . . . . . . . . . . . . . . . U-149
5.3.1.2 The edges . . . . . . . . . . . . . . . . . . . . . . . . U-150
5.3.1.3 The blocks . . . . . . . . . . . . . . . . . . . . . . . . U-150
5.3.1.4 Multi-grading of a block . . . . . . . . . . . . . . . . . U-151
5.3.1.5 The boundary . . . . . . . . . . . . . . . . . . . . . . U-153
5.3.2 Multiple blocks . . . . . . . . . . . . . . . . . . . . . . . . . . . U-154
5.3.3 Projection of vertices, edges and faces . . . . . . . . . . . . . . . U-156
5.3.4 Naming vertices, edges, faces and blocks . . . . . . . . . . . . . U-157
5.3.5 Creating blocks with fewer than 8 vertices . . . . . . . . . . . . U-157
5.3.6 Running blockMesh . . . . . . . . . . . . . . . . . . . . . . . . . U-157
5.4 Mesh generation with the snappyHexMesh utility . . . . . . . . . . . . . U-158
5.4.1 The mesh generation process of snappyHexMesh . . . . . . . . . U-159
5.4.2 Creating the background hex mesh . . . . . . . . . . . . . . . . U-160
5.4.3 Cell splitting at feature edges and surfaces . . . . . . . . . . . . U-160
5.4.4 Cell removal . . . . . . . . . . . . . . . . . . . . . . . . . . . . . U-162
5.4.5 Cell splitting in specified regions . . . . . . . . . . . . . . . . . . U-163
5.4.6 Snapping to surfaces . . . . . . . . . . . . . . . . . . . . . . . . U-163
5.4.7 Mesh layers . . . . . . . . . . . . . . . . . . . . . . . . . . . . . U-164
5.4.8 Mesh quality controls . . . . . . . . . . . . . . . . . . . . . . . . U-167
5.5 Mesh conversion . . . . . . . . . . . . . . . . . . . . . . . . . . . . . . . U-168
5.5.1 fluentMeshToFoam . . . . . . . . . . . . . . . . . . . . . . . . . U-168
5.5.2 starToFoam . . . . . . . . . . . . . . . . . . . . . . . . . . . . . U-169
5.5.2.1 General advice on conversion . . . . . . . . . . . . . . U-169
5.5.2.2 Eliminating extraneous data . . . . . . . . . . . . . . . U-169
5.5.2.3 Removing default boundary conditions . . . . . . . . . U-170
5.5.2.4 Renumbering the model . . . . . . . . . . . . . . . . . U-171
5.5.2.5 Writing out the mesh data . . . . . . . . . . . . . . . . U-171
5.5.2.6 Problems with the .vrt file . . . . . . . . . . . . . . . . U-172
5.5.2.7 Converting the mesh to OpenFOAM format . . . . . . U-173
5.5.3 gambitToFoam . . . . . . . . . . . . . . . . . . . . . . . . . . . . U-173
5.5.4 ideasToFoam . . . . . . . . . . . . . . . . . . . . . . . . . . . . . U-173
OpenFOAM-5.0

U-14 Contents
5.5.5 cfx4ToFoam . . . . . . . . . . . . . . . . . . . . . . . . . . . . . U-173
5.6 Mapping fields between different geometries . . . . . . . . . . . . . . . U-174
5.6.1 Mapping consistent fields . . . . . . . . . . . . . . . . . . . . . . U-174
5.6.2 Mapping inconsistent fields . . . . . . . . . . . . . . . . . . . . . U-174
5.6.3 Mapping parallel cases . . . . . . . . . . . . . . . . . . . . . . . U-175
6 Post-processing U-177
6.1 ParaView/paraFoam graphical user interface (GUI) . . . . . . . . . . . . U-177
6.1.1 Overview of ParaView/paraFoam . . . . . . . . . . . . . . . . . . U-177
6.1.2 The Parameters panel . . . . . . . . . . . . . . . . . . . . . . . . U-179
6.1.3 The Display panel . . . . . . . . . . . . . . . . . . . . . . . . . . U-180
6.1.4 The button toolbars . . . . . . . . . . . . . . . . . . . . . . . . U-181
6.1.5 Manipulating the view . . . . . . . . . . . . . . . . . . . . . . . U-181
6.1.5.1 View settings . . . . . . . . . . . . . . . . . . . . . . . U-181
6.1.5.2 General settings . . . . . . . . . . . . . . . . . . . . . U-182
6.1.6 Contour plots . . . . . . . . . . . . . . . . . . . . . . . . . . . . U-182
6.1.6.1 Introducing a cutting plane . . . . . . . . . . . . . . . U-182
6.1.7 Vector plots . . . . . . . . . . . . . . . . . . . . . . . . . . . . . U-182
6.1.7.1 Plotting at cell centres . . . . . . . . . . . . . . . . . . U-183
6.1.8 Streamlines . . . . . . . . . . . . . . . . . . . . . . . . . . . . . U-183
6.1.9 Image output . . . . . . . . . . . . . . . . . . . . . . . . . . . . U-183
6.1.10 Animation output . . . . . . . . . . . . . . . . . . . . . . . . . . U-183
6.2 Post-processing command line interface (CLI) . . . . . . . . . . . . . . U-184
6.2.1 Post-processing functionality . . . . . . . . . . . . . . . . . . . . U-184
6.2.1.1 Field calculation . . . . . . . . . . . . . . . . . . . . . U-185
6.2.1.2 Flow rate calculation . . . . . . . . . . . . . . . . . . . U-186
6.2.1.3 Forces and force coefficients . . . . . . . . . . . . . . . U-186
6.2.1.4 Sampling for graph plotting . . . . . . . . . . . . . . . U-186
6.2.1.5 Lagrangian data . . . . . . . . . . . . . . . . . . . . . U-187
6.2.1.6 Monitoring minima and maxima . . . . . . . . . . . . U-187
6.2.1.7 Numerical data . . . . . . . . . . . . . . . . . . . . . . U-187
6.2.1.8 Pressure tools . . . . . . . . . . . . . . . . . . . . . . . U-187
6.2.1.9 Probes . . . . . . . . . . . . . . . . . . . . . . . . . . . U-187
6.2.1.10 ‘Pluggable’ solvers . . . . . . . . . . . . . . . . . . . . U-188
6.2.1.11 Visualisation tools . . . . . . . . . . . . . . . . . . . . U-188
6.2.2 Run-time data processing . . . . . . . . . . . . . . . . . . . . . U-188
6.2.3 The postProcess utility . . . . . . . . . . . . . . . . . . . . . . . U-189
6.2.4 Solver post-processing . . . . . . . . . . . . . . . . . . . . . . . U-190
6.3 Sampling and monitoring data . . . . . . . . . . . . . . . . . . . . . . . U-191
6.3.1 Probing data . . . . . . . . . . . . . . . . . . . . . . . . . . . . U-191
6.3.2 Sampling for graphs . . . . . . . . . . . . . . . . . . . . . . . . U-192
6.3.3 Sampling for visualisation . . . . . . . . . . . . . . . . . . . . . U-193
6.3.4 Live monitoring of data . . . . . . . . . . . . . . . . . . . . . . U-195
6.4 Third-Party post-processing . . . . . . . . . . . . . . . . . . . . . . . . U-195
6.4.1 Post-processing with EnSight . . . . . . . . . . . . . . . . . . . . U-196
6.4.1.1 Converting data to EnSight format . . . . . . . . . . . U-196
6.4.1.2 The ensightFoamReader reader module . . . . . . . . . U-197
OpenFOAM-5.0

Contents U-15
7 Models and physical properties U-199
7.1 Thermophysical models . . . . . . . . . . . . . . . . . . . . . . . . . . . U-199
7.1.1 Thermophysical and mixture models . . . . . . . . . . . . . . . U-200
7.1.2 Transport model . . . . . . . . . . . . . . . . . . . . . . . . . . U-201
7.1.3 Thermodynamic models . . . . . . . . . . . . . . . . . . . . . . U-202
7.1.4 Composition of each constituent . . . . . . . . . . . . . . . . . . U-202
7.1.5 Equation of state . . . . . . . . . . . . . . . . . . . . . . . . . . U-203
7.1.6 Selection of energy variable . . . . . . . . . . . . . . . . . . . . U-204
7.1.7 Thermophysical property data . . . . . . . . . . . . . . . . . . . U-204
7.2 Turbulence models . . . . . . . . . . . . . . . . . . . . . . . . . . . . . U-205
7.2.1 Reynolds-averaged simulation (RAS) modelling . . . . . . . . . U-206
7.2.1.1 Incompressible RAS turbulence models . . . . . . . . . U-206
7.2.1.2 Compressible RAS turbulence models . . . . . . . . . . U-207
7.2.2 Large eddy simulation (LES) modelling . . . . . . . . . . . . . . U-208
7.2.2.1 Incompressible LES turbulence models . . . . . . . . . U-208
7.2.2.2 Compressible LES turbulence models . . . . . . . . . . U-209
7.2.3 Model coefficients . . . . . . . . . . . . . . . . . . . . . . . . . . U-210
7.2.4 Wall functions . . . . . . . . . . . . . . . . . . . . . . . . . . . . U-210
7.3 Transport/rheology models . . . . . . . . . . . . . . . . . . . . . . . . . U-211
7.3.1 Newtonian model . . . . . . . . . . . . . . . . . . . . . . . . . . U-211
7.3.2 Bird-Carreau model . . . . . . . . . . . . . . . . . . . . . . . . . U-211
7.3.3 Cross Power Law model . . . . . . . . . . . . . . . . . . . . . . U-211
7.3.4 Power Law model . . . . . . . . . . . . . . . . . . . . . . . . . . U-212
7.3.5 Herschel-Bulkley model . . . . . . . . . . . . . . . . . . . . . . . U-212
7.3.6 Casson model . . . . . . . . . . . . . . . . . . . . . . . . . . . . U-212
7.3.7 General strain-rate function . . . . . . . . . . . . . . . . . . . . U-213
Index U-215
OpenFOAM-5.0

U-16 Contents
OpenFOAM-5.0

Chapter 1
Introduction
This guide accompanies the release of version 5.0 of the Open Source Field Operation and
Manipulation (OpenFOAM) C++ libraries. It provides a description of the basic operation
of OpenFOAM, first through a set of tutorial exercises in chapter 2and later by a more
detailed description of the individual components that make up OpenFOAM.
OpenFOAM is a framework for developing application executables that use packaged
functionality contained within a collection of approximately 100 C+ libraries. OpenFOAM is
shipped with approximately 250 pre-built applications that fall into two categories: solvers,
that are each designed to solve a specific problem in fluid (or continuum) mechanics; and
utilities, that are designed to perform tasks that involve data manipulation. The solvers in
OpenFOAM cover a wide range of problems in fluid dynamics, as described in chapter 3.
Users can extend the collection of solvers, utilities and libraries in OpenFOAM, using
some pre-requisite knowledge of the underlying method, physics and programming tech-
niques involved.
OpenFOAM is supplied with pre- and post-processing environments. The interface to the
pre- and post-processing are themselves OpenFOAM utilities, thereby ensuring consistent
data handling across all environments. The overall structure of OpenFOAM is shown in
Figure 1.1. The pre-processing and running of OpenFOAM cases is described in chapter 4.
Applications
User
Tools
Meshing
Utilities Standard
Applications Others
e.g.EnSight
Post-processingSolvingPre-processing
Open Source Field Operation and Manipulation (OpenFOAM) C++ Library
ParaView
Figure 1.1: Overview of OpenFOAM structure.
In chapter 5, we cover both the generation of meshes using the mesh generator supplied
with OpenFOAM and conversion of mesh data generated by third-party products. Post-
processing is described in chapter 6and some aspects of physical modelling, e.g. transport
and thermophysical modelling, are described in in chapter 7.

U-18 Introduction
OpenFOAM-5.0
Chapter 2
Tutorials
In this chapter we shall describe in detail the process of setup, simulation and post-processing
for some OpenFOAM test cases, with the principal aim of introducing a user to the ba-
sic procedures of running OpenFOAM. The $FOAM_TUTORIALS directory contains many
more cases that demonstrate the use of all the solvers and many utilities supplied with
OpenFOAM.
Before attempting to run the tutorials, the user must first make sure that OpenFOAM
is installed correctly. Cases in the tutorials will be copied into the so-called run directory, an
OpenFOAM project directory in the user’s file system at $HOME/OpenFOAM/<USER>/run
where <USER>is the account login name. The run directory is represented by the $FOAM_RUN
environment variable enabling the user to check its existence conveniently by typing
ls $FOAM_RUN
If a message is returned saying no such directory exists, the user should create the directory
by typing
mkdir -p $FOAM_RUN
The tutorial cases describe the use of the blockMesh pre-processing tool, case setup and
running OpenFOAM solvers and post-processing using ParaView. Those users with access to
third-party post-processing tools supported in OpenFOAM have an option: either they can
follow the tutorials using ParaView; or refer to the description of the use of the third-party
product in chapter 6when post-processing is required.
Copies of all tutorials are available from the tutorials directory of the OpenFOAM instal-
lation. The tutorials are organised into a set of directories according to the type of flow and
then subdirectories according to solver. For example, all the icoFoam cases are stored within
a subdirectory incompressible/icoFoam, where incompressible indicates the type of flow. The
user can copy cases from the tutorials directory into their local run directory as needed. For
example to run the pitzDaily tutorial case for the simpleFoam solver, the user can copy it to
the run directory by typing:
cd $FOAM_RUN
cp -r $FOAM_TUTORIALS/incompressible/simpleFoam/pitzDaily .

U-20 Tutorials
2.1 Lid-driven cavity flow
This tutorial will describe how to pre-process, run and post-process a case involving isother-
mal, incompressible flow in a two-dimensional square domain. The geometry is shown in
Figure 2.1 in which all the boundaries of the square are walls. The top wall moves in the
x-direction at a speed of 1 m/s while the other 3 are stationary. Initially, the flow will be
assumed laminar and will be solved on a uniform mesh using the icoFoam solver for laminar,
isothermal, incompressible flow. During the course of the tutorial, the effect of increased
mesh resolution and mesh grading towards the walls will be investigated. Finally, the flow
Reynolds number will be increased and the pisoFoam solver will be used for turbulent,
isothermal, incompressible flow.
x
Ux=1 m/s
d=0.1 m
y
Figure 2.1: Geometry of the lid driven cavity.
2.1.1 Pre-processing
Cases are setup in OpenFOAM by editing case files. Users should select an editor of choice
with which to do this, such as emacs,vi,gedit,nedit,etc. Editing files is possible in Open-
FOAM because the I/O uses a dictionary format with keywords that convey sufficient mean-
ing to be understood by the users.
A case being simulated involves data for mesh, fields, properties, control parameters,
etc. As described in section 4.1, in OpenFOAM this data is stored in a set of files within a
case directory rather than in a single case file, as in many other CFD packages. The case
directory is given a suitably descriptive name. This tutorial consists of a set of cases located
in $FOAM_TUTORIALS/incompressible/icoFoam/cavity, the first of which is simply named
cavity. As a first step, the user should copy the cavity case directory to their run directory.
cd $FOAM_RUN
cp -r $FOAM_TUTORIALS/incompressible/icoFoam/cavity/cavity .
cd cavity
OpenFOAM-5.0

2.1 Lid-driven cavity flow U-21
2.1.1.1 Mesh generation
OpenFOAM always operates in a 3 dimensional Cartesian coordinate system and all geome-
tries are generated in 3 dimensions. OpenFOAM solves the case in 3 dimensions by default
but can be instructed to solve in 2 dimensions by specifying a ‘special’ empty boundary
condition on boundaries normal to the (3rd) dimension for which no solution is required.
The cavity domain consists of a square of side length d= 0.1 m in the x-yplane. A
uniform mesh of 20 by 20 cells will be used initially. The block structure is shown in
Figure 2.2. The mesh generator supplied with OpenFOAM, blockMesh, generates meshes
3 2
4 5
7 6
0
z
x1
y
Figure 2.2: Block structure of the mesh for the cavity.
from a description specified in an input dictionary, blockMeshDict located in the system (or
constant/polyMesh) directory for a given case. The blockMeshDict entries for this case are
as follows:
1/*--------------------------------*- C++ -*----------------------------------*\
2| ========= | |
3| \\ / F ield | OpenFOAM: The Open Source CFD Toolbox |
4| \\ / O peration | Version: 5.0 |
5| \\ / A nd | Web: www.OpenFOAM.org |
6| \\/ M anipulation | |
7\*---------------------------------------------------------------------------*/
8FoamFile
9{
10 version 2.0;
11 format ascii;
12 class dictionary;
13 object blockMeshDict;
14 }
15 //*************************************//
16
17 convertToMeters 0.1;
18
19 vertices
20 (
21 (0 0 0)
22 (1 0 0)
23 (1 1 0)
24 (0 1 0)
25 (0 0 0.1)
26 (1 0 0.1)
27 (1 1 0.1)
28 (0 1 0.1)
29 );
30
31 blocks
32 (
OpenFOAM-5.0

U-22 Tutorials
33 hex (0 1 2 3 4 5 6 7) (20 20 1) simpleGrading (1 1 1)
34 );
35
36 edges
37 (
38 );
39
40 boundary
41 (
42 movingWall
43 {
44 type wall;
45 faces
46 (
47 (3 7 6 2)
48 );
49 }
50 fixedWalls
51 {
52 type wall;
53 faces
54 (
55 (0 4 7 3)
56 (2 6 5 1)
57 (1 5 4 0)
58 );
59 }
60 frontAndBack
61 {
62 type empty;
63 faces
64 (
65 (0 3 2 1)
66 (4 5 6 7)
67 );
68 }
69 );
70
71 mergePatchPairs
72 (
73 );
74
75 // ************************************************************************* //
The file first contains header information in the form of a banner (lines 1-7), then file
information contained in a FoamFile sub-dictionary, delimited by curly braces ({...}).
For the remainder of the manual:
For the sake of clarity and to save space, file headers, including the banner and
FoamFile sub-dictionary, will be removed from verbatim quoting of case files
The file first specifies coordinates of the block vertices; it then defines the blocks
(here, only 1) from the vertex labels and the number of cells within it; and finally, it defines
the boundary patches. The user is encouraged to consult section 5.3 to understand the
meaning of the entries in the blockMeshDict file.
The mesh is generated by running blockMesh on this blockMeshDict file. From within
the case directory, this is done, simply by typing in the terminal:
blockMesh
The running status of blockMesh is reported in the terminal window. Any mistakes in the
blockMeshDict file are picked up by blockMesh and the resulting error message directs the
user to the line in the file where the problem occurred. There should be no error messages
at this stage.
OpenFOAM-5.0

2.1 Lid-driven cavity flow U-23
2.1.1.2 Boundary and initial conditions
Once the mesh generation is complete, the user can look at this initial fields set up for this
case. The case is set up to start at time t= 0 s, so the initial field data is stored in a 0
sub-directory of the cavity directory. The 0sub-directory contains 2 files, pand U, one for
each of the pressure (p) and velocity (U) fields whose initial values and boundary conditions
must be set. Let us examine file p:
17 dimensions [0 2 -2 0 0 0 0];
18
19 internalField uniform 0;
20
21 boundaryField
22 {
23 movingWall
24 {
25 type zeroGradient;
26 }
27
28 fixedWalls
29 {
30 type zeroGradient;
31 }
32
33 frontAndBack
34 {
35 type empty;
36 }
37 }
38
39 // ************************************************************************* //
There are 3 principal entries in field data files:
dimensions specifies the dimensions of the field, here kinematic pressure, i.e. m2s−2(see
section 4.2.6 for more information);
internalField the internal field data which can be uniform, described by a single value;
or nonuniform, where all the values of the field must be specified (see section 4.2.8
for more information);
boundaryField the boundary field data that includes boundary conditions and data for all
the boundary patches (see section 4.2.8 for more information).
For this case cavity, the boundary consists of walls only, split into 2 patches named: (1)
fixedWalls for the fixed sides and base of the cavity; (2) movingWall for the moving top
of the cavity. As walls, both are given a zeroGradient boundary condition for p, meaning
“the normal gradient of pressure is zero”. The frontAndBack patch represents the front and
back planes of the 2D case and therefore must be set as empty.
In this case, as in most we encounter, the initial fields are set to be uniform. Here the
pressure is kinematic, and as an incompressible case, its absolute value is not relevant, so is
set to uniform 0 for convenience.
The user can similarly examine the velocity field in the 0/U file. The dimensions are
those expected for velocity, the internal field is initialised as uniform zero, which in the case of
velocity must be expressed by 3 vector components, i.e.uniform (0 0 0) (see section 4.2.5
for more information).
The boundary field for velocity requires the same boundary condition for the frontAnd-
Back patch. The other patches are walls: a no-slip condition is assumed on the fixedWalls,
hence a noSlip condition. The top surface moves at a speed of 1 m/s in the x-direction so
requires a fixedValue condition with value of uniform (1 0 0).
OpenFOAM-5.0

U-24 Tutorials
2.1.1.3 Physical properties
The physical properties for the case are stored in dictionaries whose names are given the
suffix . . . Properties, located in the Dictionaries directory tree. For an icoFoam case, the
only property that must be specified is the kinematic viscosity which is stored from the
transportProperties dictionary. The user can check that the kinematic viscosity is set correctly
by opening the transportProperties dictionary to view/edit its entries. The keyword for
kinematic viscosity is nu, the phonetic label for the Greek symbol νby which it is represented
in equations. Initially this case will be run with a Reynolds number of 10, where the Reynolds
number is defined as:
Re =d|U|
ν(2.1)
where dand |U|are the characteristic length and velocity respectively and νis the kinematic
viscosity. Here d=0.1 m, |U|=1 m/s, so that for Re =10, ν=0.01 m2s−1. The correct
file entry for kinematic viscosity is thus specified below:
17 nu [0 2 -1 0 0 0 0] 0.01;
18
19 // ************************************************************************* //
2.1.1.4 Control
Input data relating to the control of time and reading and writing of the solution data are
read in from the controlDict dictionary. The user should view this file; as a case control file,
it is located in the system directory.
The start/stop times and the time step for the run must be set. OpenFOAM offers great
flexibility with time control which is described in full in section 4.3. In this tutorial we
wish to start the run at time t= 0 which means that OpenFOAM needs to read field data
from a directory named 0— see section 4.1 for more information of the case file structure.
Therefore we set the startFrom keyword to startTime and then specify the startTime
keyword to be 0.
For the end time, we wish to reach the steady state solution where the flow is circulating
around the cavity. As a general rule, the fluid should pass through the domain 10 times to
reach steady state in laminar flow. In this case the flow does not pass through this domain
as there is no inlet or outlet, so instead the end time can be set to the time taken for the
lid to travel ten times across the cavity, i.e. 1 s; in fact, with hindsight, we discover that
0.5 s is sufficient so we shall adopt this value. To specify this end time, we must specify the
stopAt keyword as endTime and then set the endTime keyword to 0.5.
Now we need to set the time step, represented by the keyword deltaT. To achieve
temporal accuracy and numerical stability when running icoFoam, a Courant number of less
than 1 is required. The Courant number is defined for one cell as:
Co =δt|U|
δx (2.2)
where δt is the time step, |U|is the magnitude of the velocity through that cell and δx is
the cell size in the direction of the velocity. The flow velocity varies across the domain and
we must ensure Co < 1everywhere. We therefore choose δt based on the worst case: the
maximum Co corresponding to the combined effect of a large flow velocity and small cell
OpenFOAM-5.0

2.1 Lid-driven cavity flow U-25
size. Here, the cell size is fixed across the domain so the maximum Co will occur next to
the lid where the velocity approaches 1 m s−1. The cell size is:
δx =d
n=0.1
20 = 0.005 m (2.3)
Therefore to achieve a Courant number less than or equal to 1 throughout the domain the
time step deltaT must be set to less than or equal to:
δt =Co δx
|U|=1×0.005
1= 0.005 s (2.4)
As the simulation progresses we wish to write results at certain intervals of time that we
can later view with a post-processing package. The writeControl keyword presents several
options for setting the time at which the results are written; here we select the timeStep
option which specifies that results are written every nth time step where the value nis
specified under the writeInterval keyword. Let us decide that we wish to write our
results at times 0.1, 0.2,. . . , 0.5 s. With a time step of 0.005 s, we therefore need to output
results at every 20th time time step and so we set writeInterval to 20.
OpenFOAM creates a new directory named after the current time,e.g. 0.1 s, on each
occasion that it writes a set of data, as discussed in full in section 4.1. In the icoFoam solver,
it writes out the results for each field, Uand p, into the time directories. For this case, the
entries in the controlDict are shown below:
17 application icoFoam;
18
19 startFrom startTime;
20
21 startTime 0;
22
23 stopAt endTime;
24
25 endTime 0.5;
26
27 deltaT 0.005;
28
29 writeControl timeStep;
30
31 writeInterval 20;
32
33 purgeWrite 0;
34
35 writeFormat ascii;
36
37 writePrecision 6;
38
39 writeCompression off;
40
41 timeFormat general;
42
43 timePrecision 6;
44
45 runTimeModifiable true;
46
47 // ************************************************************************* //
2.1.1.5 Discretisation and linear-solver settings
The user specifies the choice of finite volume discretisation schemes in the fvSchemes dictio-
nary in the system directory. The specification of the linear equation solvers and tolerances
and other algorithm controls is made in the fvSolution dictionary, similarly in the system
directory. The user is free to view these dictionaries but we do not need to discuss all their
entries at this stage except for pRefCell and pRefValue in the PISO sub-dictionary of the
OpenFOAM-5.0

U-26 Tutorials
fvSolution dictionary. In a closed incompressible system such as the cavity, pressure is rel-
ative: it is the pressure range that matters not the absolute values. In cases such as this,
the solver sets a reference level by pRefValue in cell pRefCell. In this example both are
set to 0. Changing either of these values will change the absolute pressure field, but not, of
course, the relative pressures or velocity field.
2.1.2 Viewing the mesh
Before the case is run it is a good idea to view the mesh to check for any errors. The mesh is
viewed in ParaView, the post-processing tool supplied with OpenFOAM. The ParaView post-
processing is conveniently launched on OpenFOAM case data by executing the paraFoam
script from within the case directory.
Any UNIX/Linux executable can be run in two ways: as a foreground process, i.e. one in
which the shell waits until the command has finished before giving a command prompt; as
a background process, which allows the shell to accept additional commands while it is still
running. Since it is convenient to keep ParaView open while running other commands from
the terminal, we will launch it in the background using the &operator by typing
paraFoam &
Alternatively, it can be launched from another directory location with an optional -case
argument giving the case directory, e.g.
paraFoam -case $FOAM_RUN/cavity &
This launches the ParaView window as shown in Figure 6.1. In the Pipeline Browser,
the user can see that ParaView has opened cavity.OpenFOAM, the module for the cavity
case. Before clicking the Apply button, the user needs to select some geometry from the
Mesh Parts panel. Because the case is small, it is easiest to select all the data by checking
the box adjacent to the Mesh Parts panel title, which automatically checks all individual
components within the respective panel. The user should then click the Apply button to
load the geometry into ParaView.
The user should then scroll down to the Display panel that controls the visual represen-
tation of the selected module. Within the Display panel the user should do the following as
shown in Figure 2.3:
1. in the Coloring section, select Solid Color;
2. click Edit (in Coloring) and select an appropriate colour e.g. black (for a white back-
ground);
3. select Wireframe from the Representation menu. The background colour can be set
in the View Render panel below the Display panel in the Properties window.
Especially the first time the user starts ParaView,it is recommended that they manipulate
the view as described in section 6.1.5. In particular, since this is a 2D case, it is recommended
that Use Parallel Projection is selected near the bottom of the View Render panel, available
only with the Advanced Properties gearwheel button pressed at the top of the Properties
window, next to the search box. View Settings window selected from the Edit menu. The
Orientation Axes can be toggled on and off in the Annotation window or moved by drag and
drop with the mouse.
OpenFOAM-5.0

2.1 Lid-driven cavity flow U-27
Set Solid Color,e.g. black
Select Wireframe
Scroll to Display title
Select Color by Solid Color
Figure 2.3: Viewing the mesh in paraFoam.
OpenFOAM-5.0

U-28 Tutorials
2.1.3 Running an application
Like any UNIX/Linux executable, OpenFOAM applications can be run either in the fore-
ground or background. On this occasion, we will run icoFoam in the foreground. The
icoFoam solver is executed either by entering the case directory and typing
icoFoam
at the command prompt, or with the optional -case argument giving the case directory,
e.g.
icoFoam -case $FOAM_RUN/cavity
The progress of the job is written to the terminal window. It tells the user the current
time, maximum Courant number, initial and final residuals for all fields.
2.1.4 Post-processing
As soon as results are written to time directories, they can be viewed using paraFoam.
Return to the paraFoam window and select the Properties panel for the cavity.OpenFOAM
case module. If the correct window panels for the case module do not seem to be present at
any time, please ensure that: cavity.OpenFOAM is highlighted in blue; eye button alongside
it is switched on to show the graphics are enabled;
To prepare paraFoam to display the data of interest, we must first load the data at the
required run time of 0.5 s. If the case was run while ParaView was open, the output data in
time directories will not be automatically loaded within ParaView. To load the data the user
should click Refresh Times at the top Properties window (scroll up the panel if necessary).
The time data will be loaded into ParaView.
In order to view the solution at t= 0.5s, the user can use the VCR Controls or Current
Time Controls to change the current time to 0.5. These are located in the toolbars at the
top of the ParaView window, as shown in Figure 6.4.
2.1.4.1 Colouring surfaces
To view pressure, the user should go to the Display panel since it controls the visual repre-
sentation of the selected module. To make a simple plot of pressure, the user should select
the following, as described in detail in Figure 2.4:
1. select Surface from the Representation menu;
2. select in Coloring
3. click the Rescale button to set the colour scale to the data range, if necessary.
The pressure field should appear as shown in Figure 2.5, with a region of low pressure at
the top left of the cavity and one of high pressure at the top right of the cavity.
With the point icon ( ) the pressure field is interpolated across each cell to give a
continuous appearance. Instead if the user selects the cell icon, , from the Coloring
menu, a single value for pressure will be attributed to each cell so that each cell will be
denoted by a single colour with no grading.
OpenFOAM-5.0

2.1 Lid-driven cavity flow U-29
Scroll to Display title
Select Color by interpolated p
Select Surface
Rescale to Data Range
Figure 2.4: Displaying pressure contours for the cavity case.
Figure 2.5: Pressures in the cavity case.
OpenFOAM-5.0

U-30 Tutorials
Save as Default
Choose preset
Configure Color Bar
Figure 2.6: Color Map Editor.
A colour legend can be added by either by clicking the Toggle Color Legend Visibility
button in the Active Variable Controls toolbar or the Show button in the Coloring section
of the Display panel. The legend can be located in the image window by drag and drop
with the mouse. The Edit button, either in the Active Variable Controls toolbar or in
the Coloring panel of the Display panel, opens the Color Map Editor window, as shown in
Figure 2.6, where the user can set a range of attributes of the colour scale and the color bar.
In particular, ParaView defaults to using a colour scale of blue to white to red rather than
the more common blue to green to red (rainbow). Therefore the first time that the user
executes ParaView, they may wish to change the colour scale. This can be done by selecting
the Choose Preset button (with the heart icon) in the Color Scale Editor and selecting Blue
to Red Rainbow. After clicking the OK confirmation button, the user can click the Save as
Default button at the bottom of the panel (disk drive symbol) so that ParaView will always
OpenFOAM-5.0

2.1 Lid-driven cavity flow U-31
adopt this type of colour bar.
The user can also edit the color legend properties, such as text size, font selection and
numbering format for the scale, by clicking the Edit Color Legend Properties to the far right
of the search bar, as shown in Figure 2.6.
2.1.4.2 Cutting plane (slice)
If the user rotates the image, by holding down the left mouse button in the image window
and moving the cursor, they can see that they have now coloured the complete geometry
surface by the pressure. In order to produce a genuine 2-dimensional contour plot the user
should first create a cutting plane, or ‘slice’. With the cavity.OpenFOAM module highlighted
in the Pipeline Browser, the user should select the Slice filter from the Filters menu in
the top menu of ParaView (accessible at the top of the screen on some systems). The Slice
filter can be initially found in the Common sub-menu, but once selected, it moves to the
Recent sub-menu, disappearing from the the Common sub-menu. The cutting plane should
be centred at (0.05,0.05,0.005) and its normal should be set to (0,0,1) (click the Z Normal
button).
2.1.4.3 Contours
Having generated the cutting plane, contours can be created using by applying the Contour
filter. With the Slice module highlighted in the Pipeline Browser, the user should select the
Contour filter. In the Properties panel, the user should select pressure from the Contour
By menu. Under Isosurfaces, the user could delete the default value with the minus
button, then add a range of 10 values. The contours can be displayed with a Wireframe
representation if the Coloring is solid or by a field, e.g. pressure.
2.1.4.4 Vector plots
Before we start to plot the vectors of the flow velocity, it may be useful to remove other
modules that have been created, e.g. using the Slice and Contour filters described above.
These can: either be deleted entirely, by highlighting the relevant module in the Pipeline
Browser and clicking Delete in their respective Properties panel; or, be disabled by toggling
the eye button for the relevant module in the Pipeline Browser.
We now wish to generate a vector glyph for velocity at the centre of each cell. We first
need to filter the data to cell centres as described in section 6.1.7.1. With the cavity.Open-
FOAM module highlighted in the Pipeline Browser, the user should select Cell Centers from
the Filter->Alphabetical menu and then click Apply.
With these Centers highlighted in the Pipeline Browser, the user should then select Glyph
from the Filter->Common menu. The Properties window panel should appear as shown in
Figure 2.7. Note that newly selected filters are moved to the Filter->Recent menu and
are unavailable in the menus from where they were originally selected. In the resulting
Properties panel, the velocity field, U, must be selected from the vectors menu. The user
should set the Scale Mode for the glyphs to be off, with Set Scale Factor set to 0.005. On
clicking Apply, the glyphs appear but, probably as a single colour, e.g. white. The user
should colour the glyphs by velocity magnitude which, as usual, is controlled by setting
Color by U in the Display panel. The user can also select Show Color Legend in Edit Color
Map. The output is shown in Figure 2.8, in which uppercase Times Roman fonts are selected
OpenFOAM-5.0

U-32 Tutorials
Open Properties panel
Select Scale Mode off
Specify Set Scale Factor 0.005
Select Glyph Type Arrow
Select vectors U
Figure 2.7: Properties panel for the Glyph filter.
Figure 2.8: Velocities in the cavity case.
OpenFOAM-5.0

2.1 Lid-driven cavity flow U-33
for the Color Legend headings and the labels are specified to 2 fixed significant figures by
deselecting Automatic Label Format and entering %-#6.2f in the Label Format text box. The
background colour is set to white in the General panel of View Settings as described in
section 6.1.5.1.
Note that at the left and right walls, glyphs appear to indicate flow through the walls.
However, it is clear that, while the flow direction is normal to the wall, its magnitude is 0.
This slightly confusing situation is caused by ParaView choosing to orientate the glyphs in
the x-direction when the glyph scaling off and the velocity magnitude is 0.
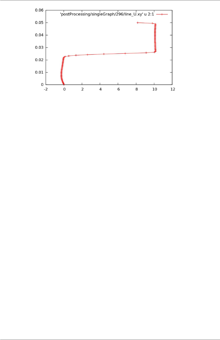
2.1.4.5 Streamline plots
Again, before the user continues to post-process in ParaView, they should disable modules
such as those for the vector plot described above. We now wish to plot streamlines of velocity
as described in section 6.1.8. With the cavity.OpenFOAM module highlighted in the Pipeline
Browser, the user should then select Stream Tracer from the Filter menu and then click
Apply. The Properties window panel should appear as shown in Figure 2.9. The Seed points
should be specified along a High Resolution Line Source running vertically through the
centre of the geometry, i.e. from (0.05,0,0.005) to (0.05,0.1,0.005). For the image in this
guide we used: a point Resolution of 21; Maximum Step Length of 0.5; Initial Step Length
of 0.2; and, Integration Direction BOTH. The Runge-Kutta 4/5 IntegratorType was used
with default parameters.
On clicking Apply the tracer is generated. The user should then select Tube from the
Filter menu to produce high quality streamline images. For the image in this report, we
used: Num. sides 6; Radius 0.0003; and, Radius factor 10. The streamtubes are coloured by
velocity magnitude. On clicking Apply the image in Figure 2.10 should be produced.
2.1.5 Increasing the mesh resolution
The mesh resolution will now be increased by a factor of two in each direction. The results
from the coarser mesh will be mapped onto the finer mesh to use as initial conditions for
the problem. The solution from the finer mesh will then be compared with those from the
coarser mesh.
2.1.5.1 Creating a new case using an existing case
We now wish to create a new case named cavityFine that is created from cavity. The user
should therefore clone the cavity case and edit the necessary files. First the user should go
to the run directory, by typing
cd $FOAM_RUN
Note that there is also a convenient alias, named run, that reproduces the command above
to change directory to $FOAM_RUN, simply by typing run.
The cavityFine case can be created by making a new case directory and copying the
relevant directories from the cavity case.
mkdir cavityFine
cp -r cavity/constant cavityFine
cp -r cavity/system cavityFine
OpenFOAM-5.0

U-34 Tutorials
Set Integration Direction to BOTH
Set Initial Step Length to Cell Length 0.01
Specify Line Source and set points and resolution
Scroll to Properties title
Figure 2.9: Properties panel for the Stream Tracer filter.
Figure 2.10: Streamlines in the cavity case.
OpenFOAM-5.0

2.1 Lid-driven cavity flow U-35
The user can then prepare to run the new case by changing into the case directory.
cd cavityFine
2.1.5.2 Creating the finer mesh
We now wish to increase the number of cells in the mesh by using blockMesh. The user
should open the blockMeshDict file in the system directory in an editor and edit the block
specification. The blocks are specified in a list under the blocks keyword. The syntax of
the block definitions is described fully in section 5.3.1.3; at this stage it is sufficient to know
that following hex is first the list of vertices in the block, then a list (or vector) of numbers
of cells in each direction. This was originally set to (20 20 1) for the cavity case. The user
should now change this to (40 40 1) and save the file. The new refined mesh should then
be created by running blockMesh as before.
2.1.5.3 Mapping the coarse mesh results onto the fine mesh
The mapFields utility maps one or more fields relating to a given geometry onto the cor-
responding fields for another geometry. In our example, the fields are deemed ‘consistent’
because the geometry and the boundary types, or conditions, of both source and target fields
are identical. We use the -consistent command line option when executing mapFields in
this example.
The field data that mapFields maps is read from the time directory specified by startFrom
and startTime in the controlDict of the target case, i.e. those into which the results are
being mapped. In this example, we wish to map the final results of the coarser mesh from
case cavity onto the finer mesh of case cavityFine. Therefore, since these results are stored in
the 0.5 directory of cavity, the startTime should be set to 0.5 s in the controlDict dictionary
and startFrom should be set to startTime.
The case is ready to run mapFields. Typing mapFields -help quickly shows that map-
Fields requires the source case directory as an argument. We are using the -consistent
option, so the utility is executed from withing the cavityFine directory by
mapFields ../cavity -consistent
The utility should run with output to the terminal including:
Source: ".." "cavity"
Target: "." "cavityFine"
Create databases as time
Source time: 0.5
Target time: 0.5
Create meshes
Source mesh size: 400 Target mesh size: 1600
Consistently creating and mapping fields for time 0.5
interpolating p
interpolating U
End
OpenFOAM-5.0

U-36 Tutorials
2.1.5.4 Control adjustments
To maintain a Courant number of less that 1, as discussed in section 2.1.1.4, the time step
must now be halved since the size of all cells has halved. Therefore deltaT should be set to
to 0.0025 s in the controlDict dictionary. Field data is currently written out at an interval
of a fixed number of time steps. Here we demonstrate how to specify data output at fixed
intervals of time. Under the writeControl keyword in controlDict, instead of requesting
output by a fixed number of time steps with the timeStep entry, a fixed amount of run time
can be specified between the writing of results using the runTime entry. In this case the
user should specify output every 0.1 and therefore should set writeInterval to 0.1 and
writeControl to runTime. Finally, since the case is starting with a the solution obtained on
the coarse mesh we only need to run it for a short period to achieve reasonable convergence
to steady-state. Therefore the endTime should be set to 0.7 s. Make sure these settings are
correct and then save the file.
2.1.5.5 Running the code as a background process
The user should experience running icoFoam as a background process, redirecting the ter-
minal output to a log file that can be viewed later. From the cavityFine directory, the user
should execute:
icoFoam > log &
cat log
2.1.5.6 Vector plot with the refined mesh
The user can open multiple cases simultaneously in ParaView; essentially because each new
case is simply another module that appears in the Pipeline Browser. There is an inconvenience
when opening a new OpenFOAM case in ParaView because it expects that case data is
stored in a single file which has a file extension that enables it to establish the format.
However, OpenFOAM stores case data in multiple files without an extension in the name,
within a specific directory structure. The ParaView reader module works on the basis that,
when opening case data in OpenFOAM format, it is passed a dummy (empty) file with the
.OpenFOAM extension that resides in the case directory. The paraFoam script automatically
creates this file — hence, the cavity case module is called cavity.OpenFOAM.
If the user wishes to open a second case directly from within ParaView, they need to
create such a dummy file. They can do this ‘by hand’ or, more simply, use the paraFoam
script with the option -touch. For the cavityFine example, that involves executing from
the case directory:
paraFoam -touch
Now the cavityFine case can be loaded into ParaView by selecting Open from the File
menu, and having navigated to the cavityFine directory, opening cavityFine.OpenFOAM. The
user can now make a vector plot of the results from the refined mesh in ParaView. The plot
can be compared with the cavity case by enabling glyph images for both case simultaneously.
OpenFOAM-5.0

2.1 Lid-driven cavity flow U-37
Select arc_length
Select U_x from Line Series
Select Line Source
Figure 2.11: Selecting fields for graph plotting.
2.1.5.7 Plotting graphs
The user may wish to visualise the results by extracting some scalar measure of velocity and
plotting 2-dimensional graphs along lines through the domain. OpenFOAM is well equipped
for this kind of data manipulation. There are numerous utilities that do specialised data
manipulations, and the postProcess utility that includes a broad range of generic post-
processing functionality. The functions within postProcess can be listed by typing:
postProcess -list
The components and mag functions provide useful scalar measures of velocity. When the
components function is executed on a case, e.g. cavity, it reads in the velocity vector field
from each time directory and, in the corresponding time directories, writes scalar fields Ux,
Uy and Uz representing the x,yand zcomponents of velocity.
OpenFOAM-5.0

U-38 Tutorials
The user can run postProcess with the components function on both cavity and cavityFine
cases. For example, for the cavity case the user should go into the cavity directory and execute
postProcess as follows:
cd $FOAM_RUN/cavity
postProcess -func "components(U)"
The individual components can be plotted as a graph in ParaView. It is quick, convenient
and has reasonably good control over labelling and formatting, so the printed output is a
fairly good standard. However, to produce graphs for publication, users may prefer to write
raw data and plot it with a dedicated graphing tool, such as gnuplot or Grace/xmgr. To do
this, we recommend using the sampling tools, described in section 6.3.2 and section 2.2.3.
Before commencing plotting, the user needs to load the newly generated Ux,Uy and
Uz fields into ParaView. To do this, the user should click the Refresh Times at the top of
the Properties panel for the cavity.OpenFOAM module which will cause the new fields to
be loaded into ParaView and appear in the Volume Fields window. Ensure the new fields
are selected and the changes are applied, i.e. click Apply again if necessary. Also, data
is interpolated incorrectly at boundaries if the boundary regions are selected in the Mesh
Parts panel. Therefore the user should deselect the patches in the Mesh Parts panel, i.e.
movingWall,fixedWall and frontAndBack, and apply the changes.
Now, in order to display a graph in ParaView the user should select the module of
interest, e.g.cavity.OpenFOAM and apply the Plot Over Line filter from the Filter->Data
Analysis menu. This opens up a new XY Plot window below or beside the existing 3D View
window. A PlotOverLine module is created in which the user can specify the end points of
the line in the Properties panel. In this example, the user should position the line vertically
up the centre of the domain, i.e. from (0.05,0,0.005) to (0.05,0.1,0.005), in the Point1 and
Point2 text boxes. The Resolution can be set to 100.
On clicking Apply, a graph is generated in the XY Plot window. In the Display panel,
the user should set Attribute Mode to Point Data. The Use Data Array option can be
selected for the X Axis Data, taking the arc_length option so that the x-axis of the graph
represents distance from the base of the cavity.
The user can choose the fields to be displayed in the Line Series panel of the Display
window. From the list of scalar fields to be displayed, it can be seen that the magnitude
and components of vector fields are available by default, e.g. displayed as U_X, so that it
was not necessary to create Ux using foamCalc. Nevertheless, the user should deselect all
series except Ux (or U_x). A square colour box in the adjacent column to the selected series
indicates the line colour. The user can edit this most easily by a double click of the mouse
over that selection.
In order to format the graph, the user should modify the settings below the Line Series
panel, namely Line Color,Line Thickness,Line Style,Marker Style and Chart Axes.
Also the user can click one of the buttons above the top left corner of the XY Plot. The
third button, for example, allows the user to control View Settings in which the user can set
title and legend for each axis, for example. Also, the user can set font, colour and alignment
of the axes titles, and has several options for axis range and labels in linear or logarithmic
scales.
Figure 2.12 is a graph produced using ParaView. The user can produce a graph however
he/she wishes. For information, the graph in Figure 2.12 was produced with the options for
axes of: Standard type of Notation;Specify Axis Range selected; titles in Sans Serif 12
OpenFOAM-5.0

2.1 Lid-driven cavity flow U-39
Figure 2.12: Plotting graphs in paraFoam.
font. The graph is displayed as a set of points rather than a line by activating the Enable
Line Series button in the Display window. Note: if this button appears to be inactive by
being “greyed out”, it can be made active by selecting and deselecting the sets of variables
in the Line Series panel. Once the Enable Line Series button is selected, the Line Style and
Marker Style can be adjusted to the user’s preference.
2.1.6 Introducing mesh grading
The error in any solution will be more pronounced in regions where the form of the true
solution differ widely from the form assumed in the chosen numerical schemes. For example
a numerical scheme based on linear variations of variables over cells can only generate an
exact solution if the true solution is itself linear in form. The error is largest in regions
where the true solution deviates greatest from linear form, i.e. where the change in gradient
is largest. Error decreases with cell size.
It is useful to have an intuitive appreciation of the form of the solution before setting
up any problem. It is then possible to anticipate where the errors will be largest and to
grade the mesh so that the smallest cells are in these regions. In the cavity case the large
variations in velocity can be expected near a wall and so in this part of the tutorial the
mesh will be graded to be smaller in this region. By using the same number of cells, greater
accuracy can be achieved without a significant increase in computational cost.
A mesh of 20 ×20 cells with grading towards the walls will be created for the lid-driven
cavity problem and the results from the finer mesh of section 2.1.5.2 will then be mapped
onto the graded mesh to use as an initial condition. The results from the graded mesh will
be compared with those from the previous meshes. Since the changes to the blockMeshDict
dictionary are fairly substantial, the case used for this part of the tutorial, cavityGrade,
is supplied in the $FOAM_TUTORIALS/incompressible/icoFoam/cavity directory. The user
should copy the cavityGrade case into the run directory, then follow the steps below.
2.1.6.1 Creating the graded mesh
The mesh now needs 4 blocks as different mesh grading is needed on the left and right and
top and bottom of the domain. The block structure for this mesh is shown in Figure 2.13.
OpenFOAM-5.0

U-40 Tutorials
0
z
x
y
3 4 5
6 87
1 2
1715
911
10
16
12 13 14
0 1
2 3
Figure 2.13: Block structure of the graded mesh for the cavity (block numbers encircled).
The user can view the blockMeshDict file in the system subdirectory of cavityGrade; for
completeness the key elements of the blockMeshDict file are also reproduced below. Each
block now has 10 cells in the xand ydirections and the ratio between largest and smallest
cells is 2.
17 convertToMeters 0.1;
18
19 vertices
20 (
21 (0 0 0)
22 (0.5 0 0)
23 (1 0 0)
24 (0 0.5 0)
25 (0.5 0.5 0)
26 (1 0.5 0)
27 (0 1 0)
28 (0.5 1 0)
29 (1 1 0)
30 (0 0 0.1)
31 (0.5 0 0.1)
32 (1 0 0.1)
33 (0 0.5 0.1)
34 (0.5 0.5 0.1)
35 (1 0.5 0.1)
36 (0 1 0.1)
37 (0.5 1 0.1)
38 (1 1 0.1)
39 );
40
41 blocks
42 (
43 hex (0 1 4 3 9 10 13 12) (10 10 1) simpleGrading (2 2 1)
44 hex (1 2 5 4 10 11 14 13) (10 10 1) simpleGrading (0.5 2 1)
45 hex (3 4 7 6 12 13 16 15) (10 10 1) simpleGrading (2 0.5 1)
46 hex (4 5 8 7 13 14 17 16) (10 10 1) simpleGrading (0.5 0.5 1)
47 );
48
49 edges
50 (
51 );
52
53 boundary
54 (
55 movingWall
56 {
57 type wall;
58 faces
59 (
60 (6 15 16 7)
61 (7 16 17 8)
OpenFOAM-5.0

2.1 Lid-driven cavity flow U-41
62 );
63 }
64 fixedWalls
65 {
66 type wall;
67 faces
68 (
69 (3 12 15 6)
70 (0 9 12 3)
71 (0 1 10 9)
72 (1 2 11 10)
73 (2 5 14 11)
74 (5 8 17 14)
75 );
76 }
77 frontAndBack
78 {
79 type empty;
80 faces
81 (
82 (0 3 4 1)
83 (1 4 5 2)
84 (3 6 7 4)
85 (4 7 8 5)
86 (9 10 13 12)
87 (10 11 14 13)
88 (12 13 16 15)
89 (13 14 17 16)
90 );
91 }
92 );
93
94 mergePatchPairs
95 (
96 );
97
98 // ************************************************************************* //
Once familiar with the blockMeshDict file for this case, the user can execute blockMesh from
the command line. The graded mesh can be viewed as before using paraFoam as described
in section 2.1.2.
2.1.6.2 Changing time and time step
The highest velocities and smallest cells are next to the lid, therefore the highest Courant
number will be generated next to the lid, for reasons given in section 2.1.1.4. It is therefore
useful to estimate the size of the cells next to the lid to calculate an appropriate time step
for this case.
When a nonuniform mesh grading is used, blockMesh calculates the cell sizes using a
geometric progression. Along a length l, if ncells are requested with a ratio of Rbetween
the last and first cells, the size of the smallest cell, δxs, is given by:
δxs=lr−1
αr −1(2.5)
where ris the ratio between one cell size and the next which is given by:
r=R1
n−1(2.6)
and
α=(Rfor R > 1,
1−r−n+r−1for R < 1.(2.7)
For the cavityGrade case the number of cells in each direction in a block is 10, the ratio
between largest and smallest cells is 2and the block height and width is 0.05 m. Therefore
OpenFOAM-5.0

U-42 Tutorials
the smallest cell length is 3.45 mm. From Equation 2.2, the time step should be less than 3.45
ms to maintain a Courant of less than 1. To ensure that results are written out at convenient
time intervals, the time step deltaT should be reduced to 2.5 ms and the writeInterval
set to 40 so that results are written out every 0.1 s. These settings can be viewed in the
cavityGrade/system/controlDict file.
The startTime needs to be set to that of the final conditions of the case cavityFine,i.e.
0.7. Since cavity and cavityFine converged well within the prescribed run time, we can set
the run time for case cavityGrade to 0.1 s, i.e. the endTime should be 0.8.
2.1.6.3 Mapping fields
As in section 2.1.5.3, use mapFields to map the final results from case cavityFine onto the
mesh for case cavityGrade. Enter the cavityGrade directory and execute mapFields by:
cd $FOAM_RUN/cavityGrade
mapFields ../cavityFine -consistent
Now run icoFoam from the case directory and monitor the run time information. View
the converged results for this case and compare with other results using post-processing
tools described previously in section 2.1.5.6 and section 2.1.5.7.
2.1.7 Increasing the Reynolds number
The cases solved so far have had a Reynolds number of 10. This is very low and leads to
a stable solution quickly with only small secondary vortices at the bottom corners of the
cavity. We will now increase the Reynolds number to 100, at which point the solution takes
a noticeably longer time to converge. The coarsest mesh in case cavity will be used initially.
The user should clone the cavity case and name it cavityHighRe. Rather than copying
individual directories (system,constant,etc.) as described previously, the foamCloneCase can
be used, which copies the relevant directories in one step. By default the 0time directory is
copied, but here the user can use the -latestTime option to copy the latest time directory,
0.5, which can be used as the initial field data for our simulation. The example also uses
the run alias as a quick way to change to the run directory.
run
foamCloneCase -latestTime cavity cavityHighRe
cd cavityHighRe
2.1.7.1 Pre-processing
Go into the cavityHighRe case and edit the transportProperties dictionary in the constant
directory. Since the Reynolds number is required to be increased by a factor of 10, decrease
the kinematic viscosity by a factor of 10, i.e. to 1×10−3m2s−1. We now run this case by
restarting from the solution at the end of the cavity case run. To do this we can use the
option of setting the startFrom keyword to latestTime so that icoFoam takes as its initial
data the values stored in the directory corresponding to the most recent time, i.e. 0.5. The
endTime should be set to 2 s.
OpenFOAM-5.0

2.1 Lid-driven cavity flow U-43
2.1.7.2 Running the code
Run icoFoam for this case from the case directory and view the run time information. When
running a job in the background, the following UNIX commands can be useful:
nohup enables a command to keep running after the user who issues the command has
logged out;
nice changes the priority of the job in the kernel’s scheduler; a niceness of -20 is the highest
priority and 19 is the lowest priority.
This is useful, for example, if a user wishes to set a case running on a remote machine and
does not wish to monitor it heavily, in which case they may wish to give it low priority
on the machine. In that case the nohup command allows the user to log out of a remote
machine he/she is running on and the job continues running, while nice can set the priority
to 19. For our case of interest, we can execute the command in this manner as follows:
nohup nice -n 19 icoFoam > log &
cat log
In previous runs you may have noticed that icoFoam stops solving for velocity Uquite quickly
but continues solving for pressure pfor a lot longer or until the end of the run. In practice,
once icoFoam stops solving for Uand the initial residual of pis less than the tolerance
set in the fvSolution dictionary (typically 10−6), the run has effectively converged and can
be stopped once the field data has been written out to a time directory. For example, at
convergence a sample of the log file from the run on the cavityHighRe case appears as follows
in which the velocity has already converged after 1.395 s and initial pressure residuals are
small; No Iterations 0 indicates that the solution of Uhas stopped:
1Time = 1.43
2
3Courant Number mean: 0.221921 max: 0.839902
4smoothSolver: Solving for Ux, Initial residual = 8.73381e-06, Final residual = 8.73381e-06, No Iterations 0
5smoothSolver: Solving for Uy, Initial residual = 9.89679e-06, Final residual = 9.89679e-06, No Iterations 0
6DICPCG: Solving for p, Initial residual = 3.67506e-06, Final residual = 8.62986e-07, No Iterations 4
7time step continuity errors : sum local = 6.57947e-09, global = -6.6679e-19, cumulative = -6.2539e-18
8DICPCG: Solving for p, Initial residual = 2.60898e-06, Final residual = 7.92532e-07, No Iterations 3
9time step continuity errors : sum local = 6.26199e-09, global = -1.02984e-18, cumulative = -7.28374e-18
10 ExecutionTime = 0.37 s ClockTime = 0 s
11
12 Time = 1.435
13
14 Courant Number mean: 0.221923 max: 0.839903
15 smoothSolver: Solving for Ux, Initial residual = 8.53935e-06, Final residual = 8.53935e-06, No Iterations 0
16 smoothSolver: Solving for Uy, Initial residual = 9.71405e-06, Final residual = 9.71405e-06, No Iterations 0
17 DICPCG: Solving for p, Initial residual = 4.0223e-06, Final residual = 9.89693e-07, No Iterations 3
18 time step continuity errors : sum local = 8.15199e-09, global = 5.33614e-19, cumulative = -6.75012e-18
19 DICPCG: Solving for p, Initial residual = 2.38807e-06, Final residual = 8.44595e-07, No Iterations 3
20 time step continuity errors : sum local = 7.48751e-09, global = -4.42707e-19, cumulative = -7.19283e-18
21 ExecutionTime = 0.37 s ClockTime = 0 s
2.1.8 High Reynolds number flow
View the results in paraFoam and display the velocity vectors. The secondary vortices in
the corners have increased in size. The user can then increase the Reynolds number further
by decreasing the viscosity and then rerun the case. The number of vortices increases so the
mesh resolution around them will need to increase in order to resolve the more complicated
flow patterns. In addition, as the Reynolds number increases the time to convergence
increases. The user should monitor residuals and extend the endTime accordingly to ensure
convergence.
OpenFOAM-5.0

U-44 Tutorials
The need to increase spatial and temporal resolution then becomes impractical as the
flow moves into the turbulent regime, where problems of solution stability may also occur. Of
course, many engineering problems have very high Reynolds numbers and it is infeasible to
bear the huge cost of solving the turbulent behaviour directly. Instead Reynolds-averaged
simulation (RAS) turbulence models are used to solve for the mean flow behaviour and
calculate the statistics of the fluctuations. The standard k−εmodel with wall functions
will be used in this tutorial to solve the lid-driven cavity case with a Reynolds number of
104. Two extra variables are solved for: k, the turbulent kinetic energy; and, ε, the turbulent
dissipation rate. The additional equations and models for turbulent flow are implemented
into a OpenFOAM solver called pisoFoam.
2.1.8.1 Pre-processing
Go back to the run directory and copy the cavity case in the $FOAM_RUN/tutorials/-
incompressible/pisoFoam/RAS directory (N.B: the pisoFoam/RAS directory), renaming it
cavityRAS to avoid a clash with the existing cavity tutorial. Go into the new case directory.
run
cp -r $FOAM_TUTORIALS/incompressible/pisoFoam/RAS/cavity cavityRAS
cd cavityRAS
Generate the mesh by running blockMesh as before. Mesh grading towards the wall is not
necessary when using the standard k−εmodel with wall functions since the flow in the
near wall cell is modelled, rather than having to be resolved.
A range of wall function models is available in OpenFOAM that are applied as boundary
conditions on individual patches. This enables different wall function models to be applied to
different wall regions. The choice of wall function models are specified through the turbulent
viscosity field, νtin the 0/nut file:
17 dimensions [0 2 -1 0 0 0 0];
18
19 internalField uniform 0;
20
21 boundaryField
22 {
23 movingWall
24 {
25 type nutkWallFunction;
26 value uniform 0;
27 }
28 fixedWalls
29 {
30 type nutkWallFunction;
31 value uniform 0;
32 }
33 frontAndBack
34 {
35 type empty;
36 }
37 }
38
39 // ************************************************************************* //
This case uses standard wall functions, specified by the nutWallFunction type on the
movingWall and fixedWalls patches. Other wall function models include the rough wall
functions, specified though the nutRoughWallFunction keyword.
The user should now open the field files for kand ε(0/k and 0/epsilon) and examine
their boundary conditions. For a wall boundary condition, εis assigned a epsilonWallFunction
OpenFOAM-5.0

2.1 Lid-driven cavity flow U-45
boundary condition and a kqRwallFunction boundary condition is assigned to k. The latter
is a generic boundary condition that can be applied to any field that are of a turbulent
kinetic energy type, e.g. k,qor Reynolds Stress R. The initial values for kand εare set
using an estimated fluctuating component of velocity U′and a turbulent length scale, l.k
and εare defined in terms of these parameters as follows:
k=1
2U′•U′(2.8)
ε=C0.75
µk1.5
l(2.9)
where Cµis a constant of the k−εmodel equal to 0.09. For a Cartesian coordinate system,
kis given by:
k=1
2(U′2
x+U′2
y+U′2
z)(2.10)
where U′2
x,U′2
yand U′2
zare the fluctuating components of velocity in the x,yand z
directions respectively. Let us assume the initial turbulence is isotropic, i.e. U′2
x=U′2
y=
U′2
z, and equal to 5% of the lid velocity and that l, is equal to 5% of the box width, 0.1 m,
then kand εare given by:
U′
x=U′
y=U′
z=5
1001 m s−1(2.11)
⇒k=3
2µ5
100¶2
m2s−2= 3.75 ×10−3m2s−2(2.12)
ε=C0.75
µk1.5
l≈7.54 ×10−3m2s−3(2.13)
These form the initial conditions for kand ε. The initial conditions for Uand pare (0,0,0)
and 0 respectively as before.
Turbulence modelling includes a range of methods, e.g. RAS or large-eddy simulation
(LES), that are provided in OpenFOAM. The choice of turbulence modelling method is
selectable at run-time through the simulationType keyword in turbulenceProperties dictio-
nary. The user can view this file in the constant directory:
17 simulationType RAS;
18
19 RAS
20 {
21 RASModel kEpsilon;
22
23 turbulence on;
24
25 printCoeffs on;
26 }
27
28 // ************************************************************************* //
The options for simulationType are laminar,RAS and LES. With RAS selected in this case,
the choice of RAS modelling is specified in a RAS subdictionary. The turbulence model
is selected by the RASModel entry from a long list of available models that are listed in
Table ??. The kEpsilon model should be selected which is is the standard k−εmodel; the
user should also ensure that turbulence calculation is switched on.
The coefficients for each turbulence model are stored within the respective code with
a set of default values. Setting the optional switch called printCoeffs to on will make
OpenFOAM-5.0

U-46 Tutorials
the default values be printed to standard output, i.e. the terminal, when the model is
called at run time. The coefficients are printed out as a sub-dictionary whose name is
that of the model name with the word Coeffs appended, e.g. kEpsilonCoeffs in the case
of the kEpsilon model. The coefficients of the model, e.g. kEpsilon, can be modified by
optionally including (copying and pasting) that sub-dictionary within the RAS sub-dictionary
and adjusting values accordingly.
The user should next set the laminar kinematic viscosity in the transportProperties dic-
tionary. To achieve a Reynolds number of 104, a kinematic viscosity of 10−5mis required
based on the Reynolds number definition given in Equation 2.1.
Finally the user should set the startTime,stopTime,deltaT and the writeInterval
in the controlDict. Set deltaT to 0.005 s to satisfy the Courant number restriction and the
endTime to 10 s.
2.1.8.2 Running the code
Execute pisoFoam by entering the case directory and typing “pisoFoam” in a terminal. In
this case, where the viscosity is low, the boundary layer next to the moving lid is very thin
and the cells next to the lid are comparatively large so the velocity at their centres are
much less than the lid velocity. In fact, after ≈100 time steps it becomes apparent that
the velocity in the cells adjacent to the lid reaches an upper limit of around 0.2 m s−1hence
the maximum Courant number does not rise much above 0.2. It is sensible to increase the
solution time by increasing the time step to a level where the Courant number is much closer
to 1. Therefore reset deltaT to 0.02 s and, on this occasion, set startFrom to latestTime.
This instructs pisoFoam to read the start data from the latest time directory, i.e.10.0. The
endTime should be set to 20 s since the run converges a lot slower than the laminar case.
Restart the run as before and monitor the convergence of the solution. View the results at
consecutive time steps as the solution progresses to see if the solution converges to a steady-
state or perhaps reaches some periodically oscillating state. In the latter case, convergence
may never occur but this does not mean the results are inaccurate.
2.1.9 Changing the case geometry
A user may wish to make changes to the geometry of a case and perform a new simulation.
It may be useful to retain some or all of the original solution as the starting conditions for
the new simulation. This is a little complex because the fields of the original solution are
not consistent with the fields of the new case. However the mapFields utility can map fields
that are inconsistent, either in terms of geometry or boundary types or both.
As an example, let us copy the cavityClipped case from the tutorials directory in the user’s
run directory, and change into the cavityClipped directory:
run
cp -r $FOAM_TUTORIALS/incompressible/icoFoam/cavity/cavityClipped .
cd cavityClipped
The case consists of the standard cavity geometry but with a square of length 0.04 m removed
from the bottom right of the cavity, according to the blockMeshDict below:
17 convertToMeters 0.1;
18
OpenFOAM-5.0

2.1 Lid-driven cavity flow U-47
19 vertices
20 (
21 (0 0 0)
22 (0.6 0 0)
23 (0 0.4 0)
24 (0.6 0.4 0)
25 (1 0.4 0)
26 (0 1 0)
27 (0.6 1 0)
28 (1 1 0)
29
30 (0 0 0.1)
31 (0.6 0 0.1)
32 (0 0.4 0.1)
33 (0.6 0.4 0.1)
34 (1 0.4 0.1)
35 (0 1 0.1)
36 (0.6 1 0.1)
37 (1 1 0.1)
38
39 );
40
41 blocks
42 (
43 hex (0 1 3 2 8 9 11 10) (12 8 1) simpleGrading (1 1 1)
44 hex (2 3 6 5 10 11 14 13) (12 12 1) simpleGrading (1 1 1)
45 hex (3 4 7 6 11 12 15 14) (8 12 1) simpleGrading (1 1 1)
46 );
47
48 edges
49 (
50 );
51
52 boundary
53 (
54 lid
55 {
56 type wall;
57 faces
58 (
59 (5 13 14 6)
60 (6 14 15 7)
61 );
62 }
63 fixedWalls
64 {
65 type wall;
66 faces
67 (
68 (0 8 10 2)
69 (2 10 13 5)
70 (7 15 12 4)
71 (4 12 11 3)
72 (3 11 9 1)
73 (1 9 8 0)
74 );
75 }
76 frontAndBack
77 {
78 type empty;
79 faces
80 (
81 (0 2 3 1)
82 (2 5 6 3)
83 (3 6 7 4)
84 (8 9 11 10)
85 (10 11 14 13)
86 (11 12 15 14)
87 );
88 }
89 );
90
91 mergePatchPairs
92 (
93 );
94
95 // ************************************************************************* //
Generate the mesh with blockMesh. The patches are set accordingly as in previous cavity
OpenFOAM-5.0

U-48 Tutorials
cases. For the sake of clarity in describing the field mapping process, the upper wall patch
is renamed lid, previously the movingWall patch of the original cavity.
In an inconsistent mapping, there is no guarantee that all the field data can be mapped
from the source case. The remaining data must come from field files in the target case itself.
Therefore field data must exist in the time directory of the target case before mapping
takes place. In the cavityClipped case the mapping is set to occur at time 0.5 s, since the
startTime is set to 0.5 s in the controlDict. Therefore the user needs to copy initial field
data to that directory, e.g. from time 0:
cp -r 0 0.5
Before mapping the data, the user should view the geometry and fields at 0.5 s.
Now we wish to map the velocity and pressure fields from cavity onto the new fields of
cavityClipped. Since the mapping is inconsistent, we need to edit the mapFieldsDict dictio-
nary, located in the system directory. The dictionary contains 2 keyword entries: patchMap
and cuttingPatches. The patchMap list contains a mapping of patches from the source
fields to the target fields. It is used if the user wishes a patch in the target field to inherit
values from a corresponding patch in the source field. In cavityClipped, we wish to inherit the
boundary values on the lid patch from movingWall in cavity so we must set the patchMap
as:
patchMap
(
lid movingWall
);
The cuttingPatches list contains names of target patches whose values are to be
mapped from the source internal field through which the target patch cuts. In this case, the
fixedWalls patch is a noSlip condition so the internal values cannot be interpolated to the
patch. Therefore the cuttingPatches list can simply be empty:
cuttingPatches
(
);
If the user does wish to interpolate internal values from the source case to the fixedWalls
patch in the target case, a fixedValue boundary condition needs to be specified on the patch,
whose value can then be overridden during the mapping process; the fixedWalls patch
then needs to be included in the cuttingPatches list.
The user should run mapFields, from within the cavityClipped directory:
mapFields ../cavity
The user can view the mapped field as shown in Figure 2.14. The fixedWalls patch has
not inherited values from the source case as we expected. The user can then run the case
with icoFoam.
OpenFOAM-5.0

2.1 Lid-driven cavity flow U-49
Figure 2.14: cavity solution velocity field mapped onto cavityClipped.
Figure 2.15: cavityClipped solution for velocity field.
OpenFOAM-5.0

U-50 Tutorials
2.1.10 Post-processing the modified geometry
Velocity glyphs can be generated for the case as normal, first at time 0.5 s and later at
time 0.6 s, to compare the initial and final solutions. In addition, we provide an outline of
the geometry which requires some care to generate for a 2D case. The user should select
Extract Block from the Filter menu and, in the Parameter panel, highlight the patches
of interest, namely the lid and fixedWalls. On clicking Apply, these items of geometry can be
displayed by selecting Wireframe in the Display panel. Figure 2.15 displays the patches in
black and shows vortices forming in the bottom corners of the modified geometry.
2.2 Stress analysis of a plate with a hole
This tutorial describes how to pre-process, run and post-process a case involving linear-
elastic, steady-state stress analysis on a square plate with a circular hole at its centre. The
plate dimensions are: side length 4 mand radius R=0.5 m. It is loaded with a uniform
traction of σ=10 kPa over its left and right faces as shown in Figure 2.16. Two symmetry
planes can be identified for this geometry and therefore the solution domain need only cover
a quarter of the geometry, shown by the shaded area in Figure 2.16.
xsymmetry plane
4.0 m
y
σ=10 kPa
σ=10 kPa
R=0.5 m
symmetry plane
Figure 2.16: Geometry of the plate with a hole.
The problem can be approximated as 2-dimensional since the load is applied in the plane
of the plate. In a Cartesian coordinate system there are two possible assumptions to take
in regard to the behaviour of the structure in the third dimension: (1) the plane stress
condition, in which the stress components acting out of the 2D plane are assumed to be
negligible; (2) the plane strain condition, in which the strain components out of the 2D
plane are assumed negligible. The plane stress condition is appropriate for solids whose
third dimension is thin as in this case; the plane strain condition is applicable for solids
where the third dimension is thick.
OpenFOAM-5.0

2.2 Stress analysis of a plate with a hole U-51
An analytical solution exists for loading of an infinitely large, thin plate with a circular
hole. The solution for the stress normal to the vertical plane of symmetry is
(σxx)x=0 =
σµ1 + R2
2y2+3R4
2y4¶for |y| ≥ R
0for |y|< R
(2.14)
Results from the simulation will be compared with this solution. At the end of the tutorial,
the user can: investigate the sensitivity of the solution to mesh resolution and mesh grading;
and, increase the size of the plate in comparison to the hole to try to estimate the error in
comparing the analytical solution for an infinite plate to the solution of this problem of a
finite plate.
2.2.1 Mesh generation
The domain consists of four blocks, some of which have arc-shaped edges. The block struc-
ture for the part of the mesh in the x−yplane is shown in Figure 2.17. As already mentioned
in section 2.1.1.1, all geometries are generated in 3 dimensions in OpenFOAM even if the
case is to be as a 2 dimensional problem. Therefore a dimension of the block in the z
direction has to be chosen; here, 0.5 mis selected. It does not affect the solution since the
traction boundary condition is specified as a stress rather than a force, thereby making the
solution independent of the cross-sectional area.
The user should change to the run directory and copy the plateHole case into it from
the $FOAM_TUTORIALS/stressAnalysis/solidDisplacementFoam directory. The user should
then go into the plateHole directory and open the blockMeshDict file in an editor, as listed
below
17 convertToMeters 1;
18
19 vertices
20 (
21 (0.5 0 0)
22 (1 0 0)
23 (2 0 0)
24 (2 0.707107 0)
25 (0.707107 0.707107 0)
26 (0.353553 0.353553 0)
27 (2 2 0)
28 (0.707107 2 0)
29 (0 2 0)
30 (0 1 0)
31 (0 0.5 0)
32 (0.5 0 0.5)
33 (1 0 0.5)
34 (2 0 0.5)
35 (2 0.707107 0.5)
36 (0.707107 0.707107 0.5)
37 (0.353553 0.353553 0.5)
38 (2 2 0.5)
39 (0.707107 2 0.5)
40 (0 2 0.5)
41 (0 1 0.5)
42 (0 0.5 0.5)
43 );
44
45 blocks
46 (
47 hex (5 4 9 10 16 15 20 21) (10 10 1) simpleGrading (1 1 1)
48 hex (0 1 4 5 11 12 15 16) (10 10 1) simpleGrading (1 1 1)
49 hex (1 2 3 4 12 13 14 15) (20 10 1) simpleGrading (1 1 1)
50 hex (4 3 6 7 15 14 17 18) (20 20 1) simpleGrading (1 1 1)
51 hex (9 4 7 8 20 15 18 19) (10 20 1) simpleGrading (1 1 1)
52 );
OpenFOAM-5.0

U-52 Tutorials
x
y x2
x1x1
x2
x2
x1
x1
x2
x2x1
left
left
up 7up
right
3
down
hole
0
down
right
6
9
8
4
10
10 2
5
2
1
4 3
Figure 2.17: Block structure of the mesh for the plate with a hole.
53
54 edges
55 (
56 arc 0 5 (0.469846 0.17101 0)
57 arc 5 10 (0.17101 0.469846 0)
58 arc 1 4 (0.939693 0.34202 0)
59 arc 4 9 (0.34202 0.939693 0)
60 arc 11 16 (0.469846 0.17101 0.5)
61 arc 16 21 (0.17101 0.469846 0.5)
62 arc 12 15 (0.939693 0.34202 0.5)
63 arc 15 20 (0.34202 0.939693 0.5)
64 );
65
66 boundary
67 (
68 left
69 {
70 type symmetryPlane;
71 faces
72 (
73 (8 9 20 19)
74 (9 10 21 20)
75 );
76 }
77 right
78 {
79 type patch;
80 faces
81 (
82 (2 3 14 13)
83 (3 6 17 14)
84 );
85 }
86 down
87 {
OpenFOAM-5.0

2.2 Stress analysis of a plate with a hole U-53
88 type symmetryPlane;
89 faces
90 (
91 (0 1 12 11)
92 (1 2 13 12)
93 );
94 }
95 up
96 {
97 type patch;
98 faces
99 (
100 (7 8 19 18)
101 (6 7 18 17)
102 );
103 }
104 hole
105 {
106 type patch;
107 faces
108 (
109 (10 5 16 21)
110 (5 0 11 16)
111 );
112 }
113 frontAndBack
114 {
115 type empty;
116 faces
117 (
118 (10 9 4 5)
119 (5 4 1 0)
120 (1 4 3 2)
121 (4 7 6 3)
122 (4 9 8 7)
123 (21 16 15 20)
124 (16 11 12 15)
125 (12 13 14 15)
126 (15 14 17 18)
127 (15 18 19 20)
128 );
129 }
130 );
131
132 mergePatchPairs
133 (
134 );
135
136 // ************************************************************************* //
Until now, we have only specified straight edges in the geometries of previous tutorials but
here we need to specify curved edges. These are specified under the edges keyword entry
which is a list of non-straight edges. The syntax of each list entry begins with the type of
curve, including arc,simpleSpline,polyLine etc., described further in section 5.3.1. In
this example, all the edges are circular and so can be specified by the arc keyword entry.
The following entries are the labels of the start and end vertices of the arc and a point vector
through which the circular arc passes.
The blocks in this blockMeshDict do not all have the same orientation. As can be seen in
Figure 2.17 the x2direction of block 0 is equivalent to the −x1direction for block 4. This
means care must be taken when defining the number and distribution of cells in each block
so that the cells match up at the block faces.
6 patches are defined: one for each side of the plate, one for the hole and one for the
front and back planes. The left and down patches are both a symmetry plane. Since this is
ageometric constraint, it is included in the definition of the mesh, rather than being purely
a specification on the boundary condition of the fields. Therefore they are defined as such
using a special symmetryPlane type as shown in the blockMeshDict.
The frontAndBack patch represents the plane which is ignored in a 2D case. Again this
is a geometric constraint so is defined within the mesh, using the empty type as shown in the
OpenFOAM-5.0

U-54 Tutorials
blockMeshDict. For further details of boundary types and geometric constraints, the user
should refer to section 5.2.
The remaining patches are of the regular patch type. The mesh should be generated
using blockMesh and can be viewed in paraFoam as described in section 2.1.2. It should
appear as in Figure 2.18.
Figure 2.18: Mesh of the hole in a plate problem.
2.2.1.1 Boundary and initial conditions
Once the mesh generation is complete, the initial field with boundary conditions must be
set. For a stress analysis case without thermal stresses, only displacement Dneeds to be set.
The 0/D is as follows:
17 dimensions [0 1 0 0 0 0 0];
18
19 internalField uniform (0 0 0);
20
21 boundaryField
22 {
23 left
24 {
25 type symmetryPlane;
26 }
27 right
28 {
29 type tractionDisplacement;
30 traction uniform (10000 0 0);
31 pressure uniform 0;
32 value uniform (0 0 0);
33 }
34 down
35 {
36 type symmetryPlane;
37 }
38 up
39 {
40 type tractionDisplacement;
41 traction uniform (0 0 0);
42 pressure uniform 0;
43 value uniform (0 0 0);
44 }
45 hole
46 {
47 type tractionDisplacement;
OpenFOAM-5.0

2.2 Stress analysis of a plate with a hole U-55
48 traction uniform (0 0 0);
49 pressure uniform 0;
50 value uniform (0 0 0);
51 }
52 frontAndBack
53 {
54 type empty;
55 }
56 }
57
58 // ************************************************************************* //
Firstly, it can be seen that the displacement initial conditions are set to (0,0,0) m. The
left and down patches must be both of symmetryPlane type since they are specified as such
in the mesh description in the constant/polyMesh/boundary file. Similarly the frontAndBack
patch is declared empty.
The other patches are traction boundary conditions, set by a specialist traction bound-
ary type. The traction boundary conditions are specified by a linear combination of: (1) a
boundary traction vector under keyword traction; (2) a pressure that produces a traction
normal to the boundary surface that is defined as negative when pointing out of the surface,
under keyword pressure. The up and hole patches are zero traction so the boundary trac-
tion and pressure are set to zero. For the right patch the traction should be (1e4,0,0) Pa
and the pressure should be 0 Pa.
2.2.1.2 Mechanical properties
The physical properties for the case are set in the mechanicalProperties dictionary in the con-
stant directory. For this problem, we need to specify the mechanical properties of steel given
in Table 2.1. In the mechanical properties dictionary, the user must also set planeStress
to yes.
Property Units Keyword Value
Density kg m−3rho 7854
Young’s modulus Pa E2×1011
Poisson’s ratio — nu 0.3
Table 2.1: Mechanical properties for steel
2.2.1.3 Thermal properties
The temperature field variable Tis present in the solidDisplacementFoam solver since the user
may opt to solve a thermal equation that is coupled with the momentum equation through
the thermal stresses that are generated. The user specifies at run time whether OpenFOAM
should solve the thermal equation by the thermalStress switch in the thermalProperties
dictionary. This dictionary also sets the thermal properties for the case, e.g. for steel as
listed in Table 2.2.
In this case we do not want to solve for the thermal equation. Therefore we must set
the thermalStress keyword entry to no in the thermalProperties dictionary.
2.2.1.4 Control
As before, the information relating to the control of the solution procedure are read in
from the controlDict dictionary. For this case, the startTime is 0 s. The time step is not
OpenFOAM-5.0

U-56 Tutorials
Property Units Keyword Value
Specific heat capacity Jkg−1K−1C434
Thermal conductivity Wm−1K−1k60.5
Thermal expansion coeff. K−1alpha 1.1×10−5
Table 2.2: Thermal properties for steel
important since this is a steady state case; in this situation it is best to set the time step
deltaT to 1 so it simply acts as an iteration counter for the steady-state case. The endTime,
set to 100, then acts as a limit on the number of iterations. The writeInterval can be set
to 20.
The controlDict entries are as follows:
17 application solidDisplacementFoam;
18
19 startFrom startTime;
20
21 startTime 0;
22
23 stopAt endTime;
24
25 endTime 100;
26
27 deltaT 1;
28
29 writeControl timeStep;
30
31 writeInterval 20;
32
33 purgeWrite 0;
34
35 writeFormat ascii;
36
37 writePrecision 6;
38
39 writeCompression off;
40
41 timeFormat general;
42
43 timePrecision 6;
44
45 graphFormat raw;
46
47 runTimeModifiable true;
48
49 // ************************************************************************* //
2.2.1.5 Discretisation schemes and linear-solver control
Let us turn our attention to the fvSchemes dictionary. Firstly, the problem we are analysing
is steady-state so the user should select SteadyState for the time derivatives in timeScheme.
This essentially switches off the time derivative terms. Not all solvers, especially in fluid
dynamics, work for both steady-state and transient problems but solidDisplacementFoam
does work, since the base algorithm is the same for both types of simulation.
The momentum equation in linear-elastic stress analysis includes several explicit terms
containing the gradient of displacement. The calculations benefit from accurate and smooth
evaluation of the gradient. Normally, in the finite volume method the discretisation is based
on Gauss’s theorem The Gauss method is sufficiently accurate for most purposes but, in this
case, the least squares method will be used. The user should therefore open the fvSchemes
dictionary in the system directory and ensure the leastSquares method is selected for the
grad(U) gradient discretisation scheme in the gradSchemes sub-dictionary:
OpenFOAM-5.0

2.2 Stress analysis of a plate with a hole U-57
17 d2dt2Schemes
18 {
19 default steadyState;
20 }
21
22 ddtSchemes
23 {
24 default Euler;
25 }
26
27 gradSchemes
28 {
29 default leastSquares;
30 grad(D) leastSquares;
31 grad(T) leastSquares;
32 }
33
34 divSchemes
35 {
36 default none;
37 div(sigmaD) Gauss linear;
38 }
39
40 laplacianSchemes
41 {
42 default none;
43 laplacian(DD,D) Gauss linear corrected;
44 laplacian(DT,T) Gauss linear corrected;
45 }
46
47 interpolationSchemes
48 {
49 default linear;
50 }
51
52 snGradSchemes
53 {
54 default none;
55 }
56
57 // ************************************************************************* //
The fvSolution dictionary in the system directory controls the linear equation solvers and
algorithms used in the solution. The user should first look at the solvers sub-dictionary
and notice that the choice of solver for Dis GAMG. The solver tolerance should be set to
10−6for this problem. The solver relative tolerance, denoted by relTol, sets the required
reduction in the residuals within each iteration. It is uneconomical to set a tight (low)
relative tolerance within each iteration since a lot of terms in each equation are explicit and
are updated as part of the segregated iterative procedure. Therefore a reasonable value for
the relative tolerance is 0.01, or possibly even higher, say 0.1, or in some cases even 0.9(as
in this case).
17 solvers
18 {
19 "(D|T)"
20 {
21 solver GAMG;
22 tolerance 1e-06;
23 relTol 0.9;
24 smoother GaussSeidel;
25 nCellsInCoarsestLevel 20;
26 }
27 }
28
29 stressAnalysis
30 {
31 compactNormalStress yes;
32 nCorrectors 1;
33 D 1e-06;
34 }
35
36 // ************************************************************************* //
OpenFOAM-5.0

U-58 Tutorials
The fvSolution dictionary contains a sub-dictionary, stressAnalysis that contains some control
parameters specific to the application solver. Firstly there is nCorrectors which specifies
the number of outer loops around the complete system of equations, including traction
boundary conditions within each time step. Since this problem is steady-state, we are
performing a set of iterations towards a converged solution with the ’time step’ acting
as an iteration counter. We can therefore set nCorrectors to 1.
The Dkeyword specifies a convergence tolerance for the outer iteration loop, i.e. sets a
level of initial residual below which solving will cease. It should be set to the desired solver
tolerance specified earlier, 10−6for this problem.
2.2.2 Running the code
The user should run the code here in the background from the command line as specified
below, so he/she can look at convergence information in the log file afterwards.
solidDisplacementFoam > log &
The user should check the convergence information by viewing the generated log file which
shows the number of iterations and the initial and final residuals of the displacement in each
direction being solved. The final residual should always be less than 0.9 times the initial
residual as this iteration tolerance set. Once both initial residuals have dropped below the
convergence tolerance of 10−6the run has converged and can be stopped by killing the batch
job.
2.2.3 Post-processing
Post processing can be performed as in section 2.1.4. The solidDisplacementFoam solver
outputs the stress field σas a symmetric tensor field sigma. This is consistent with the way
variables are usually represented in OpenFOAM solvers by the mathematical symbol by
which they are represented; in the case of Greek symbols, the variable is named phonetically.
For post-processing individual scalar field components, σxx,σxy etc., can be generated
by running the postProcess utility as before in section 2.1.5.7, this time on sigma:
postProcess -func "components(sigma)"
Components named sigmaxx,sigmaxy etc. are written to time directories of the case. The
σxx stresses can be viewed in paraFoam as shown in Figure 2.19.
We would like to compare the analytical solution of Equation 2.14 to our solution.
We therefore must output a set of data of σxx along the left edge symmetry plane of our
domain. The user may generate the required graph data using the postProcess utility with
the singleGraph function. Unlike earlier examples of postProcess where no configuration
is required, this example includes a singleGraph file pre-configured in the system directory.
The sample line is set between (0.0,0.5,0.25) and (0.0,2.0,0.25), and the fields are specified
in the fields list:
9singleGraph
10 {
11 start (0 0.5 0.25);
12 end (0 2 0.25);
13 fields (sigmaxx);
OpenFOAM-5.0

2.2 Stress analysis of a plate with a hole U-59
0
5
10
15
20
25
30
σxx (kPa)
Figure 2.19: σxx stress field in the plate with hole.
14
15 #includeEtc "caseDicts/postProcessing/graphs/sampleDict.cfg"
16
17 setConfig
18 {
19 axis y;
20 }
21
22 // Must be last entry
23 #includeEtc "caseDicts/postProcessing/graphs/graph.cfg"
24 }
25
26 // ************************************************************************* //
The user should execute postProcessing with the singleGraph function:
postProcess -func "singleGraph"
Data is written is raw 2 column format into files within time subdirectories of a post-
Processing/singleGraph directory, e.g. the data at t= 100 s is found within the file sin-
gleGraph/100/line_sigmaxx.xy. If the user has GnuPlot installed they launch it (by typing
gnuplot) and then plot both the numerical data and analytical solution as follows:
plot [0.5:2] [0:] "postProcessing/singleGraph/100/line_sigmaxx.xy",
1e4*(1+(0.125/(x**2))+(0.09375/(x**4)))
An example plot is shown in Figure 2.20.
2.2.4 Exercises
The user may wish to experiment with solidDisplacementFoam by trying the following exer-
cises:
2.2.4.1 Increasing mesh resolution
Increase the mesh resolution in each of the xand ydirections. Use mapFields to map the
final coarse mesh results from section 2.2.3 to the initial conditions for the fine mesh.
OpenFOAM-5.0

U-60 Tutorials
0
5
10
15
20
25
30
35
0.6 0.8 1.0 1.2 1.4 1.6 1.8 2.0
Stress (σxx)x=0 (kPa)
Distance, y(m)
Numerical prediction Analytical solution
Figure 2.20: Normal stress along the vertical symmetry (σxx)x=0
2.2.4.2 Introducing mesh grading
Grade the mesh so that the cells near the hole are finer than those away from the hole.
Design the mesh so that the ratio of sizes between adjacent cells is no more than 1.1 and so
that the ratio of cell sizes between blocks is similar to the ratios within blocks. Mesh grading
is described in section 2.1.6. Again use mapFields to map the final coarse mesh results from
section 2.2.3 to the initial conditions for the graded mesh. Compare the results with those
from the analytical solution and previous calculations. Can this solution be improved upon
using the same number of cells with a different solution?
2.2.4.3 Changing the plate size
The analytical solution is for an infinitely large plate with a finite sized hole in it. Therefore
this solution is not completely accurate for a finite sized plate. To estimate the error,
increase the plate size while maintaining the hole size at the same value.
2.3 Breaking of a dam
In this tutorial we shall solve a problem of simplified dam break in 2 dimensions using the
interFoam.The feature of the problem is a transient flow of two fluids separated by a sharp
interface, or free surface. The two-phase algorithm in interFoam is based on the volume of
fluid (VOF) method in which a specie transport equation is used to determine the relative
volume fraction of the two phases, or phase fraction α, in each computational cell. Physical
properties are calculated as weighted averages based on this fraction. The nature of the
VOF method means that an interface between the species is not explicitly computed, but
rather emerges as a property of the phase fraction field. Since the phase fraction can have
any value between 0 and 1, the interface is never sharply defined, but occupies a volume
around the region where a sharp interface should exist.
The test setup consists of a column of water at rest located behind a membrane on the
left side of a tank. At time t= 0 s, the membrane is removed and the column of water
OpenFOAM-5.0

2.3 Breaking of a dam U-61
collapses. During the collapse, the water impacts an obstacle at the bottom of the tank
and creates a complicated flow structure, including several captured pockets of air. The
geometry and the initial setup is shown in Figure 2.21.
0.584 m
0.048 m
0.024 m
0.584 m
0.292 m
0.1459 m0.1461 m
water column
Figure 2.21: Geometry of the dam break.
2.3.1 Mesh generation
The user should go to their run directory and copy the damBreak case from the $FOAM_TUTO-
RIALS/multiphase/interFoam/laminar/damBreak directory, i.e.
run
cp -r $FOAM_TUTORIALS/multiphase/interFoam/laminar/damBreak/damBreak .
Go into the damBreak case directory and generate the mesh running blockMesh as described
previously. The damBreak mesh consist of 5 blocks; the blockMeshDict entries are given
below.
17 convertToMeters 0.146;
18
19 vertices
20 (
21 (0 0 0)
22 (2 0 0)
23 (2.16438 0 0)
24 (4 0 0)
25 (0 0.32876 0)
26 (2 0.32876 0)
27 (2.16438 0.32876 0)
28 (4 0.32876 0)
29 (0 4 0)
30 (2 4 0)
31 (2.16438 4 0)
32 (4 4 0)
33 (0 0 0.1)
OpenFOAM-5.0

U-62 Tutorials
34 (2 0 0.1)
35 (2.16438 0 0.1)
36 (4 0 0.1)
37 (0 0.32876 0.1)
38 (2 0.32876 0.1)
39 (2.16438 0.32876 0.1)
40 (4 0.32876 0.1)
41 (0 4 0.1)
42 (2 4 0.1)
43 (2.16438 4 0.1)
44 (4 4 0.1)
45 );
46
47 blocks
48 (
49 hex (0 1 5 4 12 13 17 16) (23 8 1) simpleGrading (1 1 1)
50 hex (2 3 7 6 14 15 19 18) (19 8 1) simpleGrading (1 1 1)
51 hex (4 5 9 8 16 17 21 20) (23 42 1) simpleGrading (1 1 1)
52 hex (5 6 10 9 17 18 22 21) (4 42 1) simpleGrading (1 1 1)
53 hex (6 7 11 10 18 19 23 22) (19 42 1) simpleGrading (1 1 1)
54 );
55
56 edges
57 (
58 );
59
60 boundary
61 (
62 leftWall
63 {
64 type wall;
65 faces
66 (
67 (0 12 16 4)
68 (4 16 20 8)
69 );
70 }
71 rightWall
72 {
73 type wall;
74 faces
75 (
76 (7 19 15 3)
77 (11 23 19 7)
78 );
79 }
80 lowerWall
81 {
82 type wall;
83 faces
84 (
85 (0 1 13 12)
86 (1 5 17 13)
87 (5 6 18 17)
88 (2 14 18 6)
89 (2 3 15 14)
90 );
91 }
92 atmosphere
93 {
94 type patch;
95 faces
96 (
97 (8 20 21 9)
98 (9 21 22 10)
99 (10 22 23 11)
100 );
101 }
102 );
103
104 mergePatchPairs
105 (
106 );
107
108 // ************************************************************************* //
OpenFOAM-5.0

2.3 Breaking of a dam U-63
2.3.2 Boundary conditions
The user can examine the boundary geometry generated by blockMesh by viewing the bound-
ary file in the constant/polyMesh directory. The file contains a list of 5 boundary patches:
leftWall,rightWall,lowerWall,atmosphere and defaultFaces. The user should notice
the type of the patches. The atmosphere is a standard patch,i.e. has no special attributes,
merely an entity on which boundary conditions can be specified. The defaultFaces patch
is empty since the patch normal is in the direction we will not solve in this 2D case. The
leftWall,rightWall and lowerWall patches are each a wall.
Like the generic patch, the wall type contains no geometric or topological information
about the mesh and only differs from the plain patch in that it identifies the patch as
a wall, should an application need to know, e.g. to apply special wall surface modelling.
For example, the interFoam solver includes modelling of surface tension and can include
wall adhesion at the contact point between the interface and wall surface. Wall adhesion
models can be applied through a special boundary condition on the alpha (α) field, e.g. the
constantAlphaContactAngle boundary condition, which requires the user to specify a static
contact angle, theta0.
In this tutorial we would like to ignore surface tension effects between the wall and
interface. We can do this by setting the static contact angle, θ0= 90◦. However, rather
than using the constantAlphaContactAngle boundary condition, the simpler zeroGradient can
be applied to alpha on the walls.
The top boundary is free to the atmosphere so needs to permit both outflow and inflow
according to the internal flow. We therefore use a combination of boundary conditions for
pressure and velocity that does this while maintaining stability. They are:
•totalPressure which is a fixedValue condition calculated from specified total pressure
p0 and local velocity U;
•pressureInletOutletVelocity, which applies zeroGradient on all components, except where
there is inflow, in which case a fixedValue condition is applied to the tangential com-
ponent;
•inletOutlet, which is a zeroGradient condition when flow outwards, fixedValue when flow
is inwards.
At all wall boundaries, the fixedFluxPressure boundary condition is applied to the pressure
field, which adjusts the pressure gradient so that the boundary flux matches the velocity
boundary condition for solvers that include body forces such as gravity and surface tension.
The defaultFaces patch representing the front and back planes of the 2D problem, is,
as usual, an empty type.
2.3.3 Setting initial field
Unlike the previous cases, we shall now specify a non-uniform initial condition for the phase
fraction αwater where
αwater =(1for the water phase
0for the air phase (2.15)
This will be done by running the setFields utility. It requires a setFieldsDict dictionary,
located in the system directory, whose entries for this case are shown below.
OpenFOAM-5.0

U-64 Tutorials
17 defaultFieldValues
18 (
19 volScalarFieldValue alpha.water 0
20 );
21
22 regions
23 (
24 boxToCell
25 {
26 box (0 0 -1) (0.1461 0.292 1);
27 fieldValues
28 (
29 volScalarFieldValue alpha.water 1
30 );
31 }
32 );
33
34 // ************************************************************************* //
The defaultFieldValues sets the default value of the fields, i.e. the value the field takes
unless specified otherwise in the regions sub-dictionary. That sub-dictionary contains a list
of subdictionaries containing fieldValues that override the defaults in a specified region.
The region is expressed in terms of a topoSetSource that creates a set of points, cells or
faces based on some topological constraint. Here, boxToCell creates a bounding box within
a vector minimum and maximum to define the set of cells of the water region. The phase
fraction αwater is defined as 1 in this region.
The setFields utility reads fields from file and, after re-calculating those fields, will write
them back to file. Because the files are then overridden, it is recommended that a backup
is made before setFields is executed. In the damBreak tutorial, the alpha.water field is
initially stored as a backup named alpha.water.orig. Before running setFields, the user
first needs to copy alpha.water.orig to alpha.water,e.g. by typing:
cp 0/alpha.water.orig 0/alpha.water
The user should then execute setFields like any other utility by:
setFields
Using paraFoam, check that the initial alpha.water field corresponds to the desired distri-
bution as in Figure 2.22.
2.3.4 Fluid properties
Let us examine the transportProperties file in the constant directory. The dictionary first
contains the names of each fluid phase in the phases list, here water and air. The material
properties for each fluid are then separated into two dictionaries water and air. The trans-
port model for each phase is selected by the transportModel keyword. The user should
select Newtonian in which case the kinematic viscosity is single valued and specified under
the keyword nu. The viscosity parameters for other models, e.g.CrossPowerLaw, would oth-
erwise be specified as described in section 7.3. The density is specified under the keyword
rho.
The surface tension between the two phases is specified by the keyword sigma. The
values used in this tutorial are listed in Table 2.3.
OpenFOAM-5.0

2.3 Breaking of a dam U-65
0.0
0.1
0.2
0.3
0.4
0.5
0.6
0.7
0.8
0.9
1.0
Phase fraction, α1
Figure 2.22: Initial conditions for phase fraction alpha.water.
water properties
Kinematic viscosity m2s−1nu 1.0×10−6
Density kg m−3rho 1.0×103
air properties
Kinematic viscosity m2s−1nu 1.48 ×10−5
Density kg m−3rho 1.0
Properties of both phases
Surface tension N m−1sigma 0.07
Table 2.3: Fluid properties for the damBreak tutorial
Gravitational acceleration is uniform across the domain and is specified in a file named
gin the constant directory. Unlike a normal field file, e.g. Uand p,gis a uniformDimen-
sionedVectorField and so simply contains a set of dimensions and a value that represents
(0,9.81,0) m s−2for this tutorial:
17 dimensions [0 1 -2 0 0 0 0];
18 value (0 -9.81 0);
19
20 // ************************************************************************* //
2.3.5 Turbulence modelling
As in the cavity example, the choice of turbulence modelling method is selectable at run-time
through the simulationType keyword in turbulenceProperties dictionary. In this example,
we wish to run without turbulence modelling so we set laminar:
17 simulationType laminar;
18
19 // ************************************************************************* //
OpenFOAM-5.0

U-66 Tutorials
2.3.6 Time step control
Time step control is an important issue in transient simulation and the surface-tracking
algorithm in interface capturing solvers. The Courant number Co needs to be limited
depending on the choice of algorithm: with the “explicit” MULES algorithm, an upper limit
of Co ≈0.25 for stability is typical in the region of the interface; but with “semi-implicit”
MULES, specified by the MULESCorr keyword in the fvSolution file, there is really no upper
limit in Co for stability, but instead the level is determined by requirements of temporal
accuracy.
In general it is difficult to specify a fixed time-step to satisfy the Co criterion, so interFoam
offers automatic adjustment of the time step as standard in the controlDict. The user should
specify adjustTimeStep to be on and the the maximum Co for the phase fields, maxAlphaCo,
and other fields, maxCo, to be 1.0. The upper limit on time step maxDeltaT can be set to a
value that will not be exceeded in this simulation, e.g. 1.0.
By using automatic time step control, the steps themselves are never rounded to a
convenient value. Consequently if we request that OpenFOAM saves results at a fixed
number of time step intervals, the times at which results are saved are somewhat arbitrary.
However even with automatic time step adjustment, OpenFOAM allows the user to specify
that results are written at fixed times; in this case OpenFOAM forces the automatic time
stepping procedure to adjust time steps so that it ‘hits’ on the exact times specified for write
output. The user selects this with the adjustableRunTime option for writeControl in the
controlDict dictionary. The controlDict dictionary entries should be:
17 application interFoam;
18
19 startFrom startTime;
20
21 startTime 0;
22
23 stopAt endTime;
24
25 endTime 1;
26
27 deltaT 0.001;
28
29 writeControl adjustableRunTime;
30
31 writeInterval 0.05;
32
33 purgeWrite 0;
34
35 writeFormat ascii;
36
37 writePrecision 6;
38
39 writeCompression uncompressed;
40
41 timeFormat general;
42
43 timePrecision 6;
44
45 runTimeModifiable yes;
46
47 adjustTimeStep yes;
48
49 maxCo 1;
50 maxAlphaCo 1;
51
52 maxDeltaT 1;
53
54 // ************************************************************************* //
OpenFOAM-5.0

2.3 Breaking of a dam U-67
2.3.7 Discretisation schemes
The interFoam solver uses the multidimensional universal limiter for explicit solution (MULES)
method, created by Henry Weller, to maintain boundedness of the phase fraction indepen-
dent of underlying numerical scheme, mesh structure, etc. The choice of schemes for con-
vection are therfore not restricted to those that are strongly stable or bounded, e.g. upwind
differencing.
The convection schemes settings are made in the divSchemes sub-dictionary of the fv-
Schemes dictionary. In this example, the convection term in the momentum equation
(∇•(ρUU)), denoted by the div(rho*phi,U) keyword, uses Gauss linearUpwind grad(U)
to produce good accuracy. The limited linear schemes require a coefficient φas described
in section 4.4.6. Here, we have opted for best stability with φ= 1.0. The ∇•(Uα1)term,
represented by the div(phi,alpha) keyword uses the vanLeer scheme. The ∇•(Urbα1)
term, represented by the div(phirb,alpha) keyword, can use second order linear (central)
differencing as boundedness is assured by the MULES algorithm.
The other discretised terms use commonly employed schemes so that the fvSchemes
dictionary entries should therefore be:
17 ddtSchemes
18 {
19 default Euler;
20 }
21
22 gradSchemes
23 {
24 default Gauss linear;
25 }
26
27 divSchemes
28 {
29 div(rhoPhi,U) Gauss linearUpwind grad(U);
30 div(phi,alpha) Gauss vanLeer;
31 div(phirb,alpha) Gauss linear;
32 div(((rho*nuEff)*dev2(T(grad(U))))) Gauss linear;
33 }
34
35 laplacianSchemes
36 {
37 default Gauss linear corrected;
38 }
39
40 interpolationSchemes
41 {
42 default linear;
43 }
44
45 snGradSchemes
46 {
47 default corrected;
48 }
49
50 // ************************************************************************* //
2.3.8 Linear-solver control
In the fvSolution file, the alpha.water sub-dictionary in solvers contains elements that are
specific to interFoam. Of particular interest are the nAlphaSubCycles and cAlpha keywords.
nAlphaSubCycles represents the number of sub-cycles within the αequation; sub-cycles are
additional solutions to an equation within a given time step. It is used to enable the solution
to be stable without reducing the time step and vastly increasing the solution time. Here
we specify 2 sub-cycles, which means that the αequation is solved in 2×half length time
steps within each actual time step.
OpenFOAM-5.0

U-68 Tutorials
The cAlpha keyword is a factor that controls the compression of the interface where: 0
corresponds to no compression; 1 corresponds to conservative compression; and, anything
larger than 1, relates to enhanced compression of the interface. We generally adopt a value
of 1.0 which is employed in this example.
2.3.9 Running the code
Running of the code has been described in detail in previous tutorials. Try the following,
that uses tee, a command that enables output to be written to both standard output and
files:
cd $FOAM_RUN/damBreak
interFoam | tee log
The code will now be run interactively, with a copy of output stored in the log file.
2.3.10 Post-processing
Post-processing of the results can now be done in the usual way. The user can monitor the
development of the phase fraction alpha.water in time, e.g. see Figure 2.23.
2.3.11 Running in parallel
The results from the previous example are generated using a fairly coarse mesh. We now
wish to increase the mesh resolution and re-run the case. The new case will typically take
a few hours to run with a single processor so, should the user have access to multiple
processors, we can demonstrate the parallel processing capability of OpenFOAM.
The user should first clone the damBreak case, e.g. by
run
foamCloneCase damBreak damBreakFine
Enter the new case directory and change the blocks description in the blockMeshDict dic-
tionary to
blocks
(
hex (0 1 5 4 12 13 17 16) (46 10 1) simpleGrading (1 1 1)
hex (2 3 7 6 14 15 19 18) (40 10 1) simpleGrading (1 1 1)
hex (4 5 9 8 16 17 21 20) (46 76 1) simpleGrading (1 2 1)
hex (5 6 10 9 17 18 22 21) (4 76 1) simpleGrading (1 2 1)
hex (6 7 11 10 18 19 23 22) (40 76 1) simpleGrading (1 2 1)
);
Here, the entry is presented as printed from the blockMeshDict file; in short the user must
change the mesh densities, e.g. the 46 10 1 entry, and some of the mesh grading entries to
121. Once the dictionary is correct, generate the mesh.
OpenFOAM-5.0

2.3 Breaking of a dam U-69
0.0
0.1
0.2
0.3
0.4
0.5
0.6
0.7
0.8
0.9
1.0
Phase fraction, α1
(a) At t= 0.25 s.
0.0
0.1
0.2
0.3
0.4
0.5
0.6
0.7
0.8
0.9
1.0
Phase fraction, α1
(b) At t= 0.50 s.
Figure 2.23: Snapshots of phase α.
OpenFOAM-5.0

U-70 Tutorials
As the mesh has now changed from the damBreak example, the user must re-initialise the
phase field alpha.water in the 0time directory since it contains a number of elements that
is inconsistent with the new mesh. Note that there is no need to change the Uand p_rgh
fields since they are specified as uniform which is independent of the number of elements
in the field. We wish to initialise the field with a sharp interface, i.e. it elements would
have α= 1 or α= 0. Updating the field with mapFields may produce interpolated values
0< α < 1at the interface, so it is better to rerun the setFields utility. The user should copy
the backup copy of the initial uniform αfield, 0/alpha.water.orig, to 0/alpha.water before
running setFields:
cp -r 0/alpha.water.orig 0/alpha.water
setFields
The method of parallel computing used by OpenFOAM is known as domain decomposi-
tion, in which the geometry and associated fields are broken into pieces and allocated to sep-
arate processors for solution. The first step required to run a parallel case is therefore to de-
compose the domain using the decomposePar utility. There is a dictionary associated with de-
composePar named decomposeParDict which is located in the system directory of the tutorial
case; also, like with many utilities, a default dictionary can be found in the directory of the
source code of the specific utility, i.e. in $FOAM_UTILITIES/parallelProcessing/decomposePar
for this case.
The first entry is numberOfSubdomains which specifies the number of subdomains into
which the case will be decomposed, usually corresponding to the number of processors
available for the case.
In this tutorial, the method of decomposition should be simple and the corresponding
simpleCoeffs should be edited according to the following criteria. The domain is split
into pieces, or subdomains, in the x,yand zdirections, the number of subdomains in each
direction being given by the vector n. As this geometry is 2 dimensional, the 3rd direction,
z, cannot be split, hence nzmust equal 1. The nxand nycomponents of nsplit the domain
in the xand ydirections and must be specified so that the number of subdomains specified
by nxand nyequals the specified numberOfSubdomains,i.e. nxny=numberOfSubdomains.
It is beneficial to keep the number of cell faces adjoining the subdomains to a minimum so,
for a square geometry, it is best to keep the split between the xand ydirections should be
fairly even. The delta keyword should be set to 0.001.
For example, let us assume we wish to run on 4 processors. We would set numberOfSub-
domains to 4 and n= (2,2,1). When running decomposePar, we can see from the screen
messages that the decomposition is distributed fairly even between the processors.
The user should consult section 3.4 for details of how to run a case in parallel; in
this tutorial we merely present an example of running in parallel. We use the openMPI
implementation of the standard message-passing interface (MPI). As a test here, the user
can run in parallel on a single node, the local host only, by typing:
mpirun -np 4 interFoam -parallel >log &
The user may run on more nodes over a network by creating a file that lists the host
names of the machines on which the case is to be run as described in section 3.4.3. The case
should run in the background and the user can follow its progress by monitoring the log file
as usual.
OpenFOAM-5.0

2.3 Breaking of a dam U-71
Figure 2.24: Mesh of processor 2 in parallel processed case.
2.3.12 Post-processing a case run in parallel
Once the case has completed running, the decomposed fields and mesh must be reassembled
for post-processing using the reconstructPar utility. Simply execute it from the command
line. The results from the fine mesh are shown in Figure 2.25. The user can see that the
resolution of interface has improved significantly compared to the coarse mesh.
The user may also post-process a segment of the decomposed domain individually by
simply treating the individual processor directory as a case in its own right. For example if
the user starts paraFoam by
paraFoam -case processor1
then processor1 will appear as a case module in ParaView. Figure 2.24 shows the mesh from
processor 1 following the decomposition of the domain using the simple method.
OpenFOAM-5.0

U-72 Tutorials
0.0
0.1
0.2
0.3
0.4
0.5
0.6
0.7
0.8
0.9
1.0
Phase fraction, α1
(a) At t= 0.25 s.
0.0
0.1
0.2
0.3
0.4
0.5
0.6
0.7
0.8
0.9
1.0
Phase fraction, α1
(b) At t= 0.50 s.
Figure 2.25: Snapshots of phase αwith refined mesh.
OpenFOAM-5.0
Chapter 3
Applications and libraries
We should reiterate from the outset that OpenFOAM is a C++ library used primarily to
create executables, known as applications. OpenFOAM is distributed with a large set of
precompiled applications but users also have the freedom to create their own or modify
existing ones. Applications are split into two main categories:
solvers that are each designed to solve a specific problem in computational continuum
mechanics;
utilities that perform simple pre-and post-processing tasks, mainly involving data manip-
ulation and algebraic calculations.
OpenFOAM is divided into a set of precompiled libraries that are dynamically linked during
compilation of the solvers and utilities. Libraries such as those for physical models are
supplied as source code so that users may conveniently add their own models to the libraries.
This chapter gives an overview of solvers, utilities and libraries, their creation, modification,
compilation and execution.
3.1 The programming language of OpenFOAM
In order to understand the way in which the OpenFOAM library works, some background
knowledge of C++, the base language of OpenFOAM, is required; the necessary information
will be presented in this chapter. Before doing so, it is worthwhile addressing the concept of
language in general terms to explain some of the ideas behind object-oriented programming
and our choice of C++ as the main programming language of OpenFOAM.
3.1.1 Language in general
The success of verbal language and mathematics is based on efficiency, especially in express-
ing abstract concepts. For example, in fluid flow, we use the term “velocity field”, which has
meaning without any reference to the nature of the flow or any specific velocity data. The
term encapsulates the idea of movement with direction and magnitude and relates to other
physical properties. In mathematics, we can represent velocity field by a single symbol, e.g.
U, and express certain concepts using symbols, e.g. “the field of velocity magnitude” by
|U|. The advantage of mathematics over verbal language is its greater efficiency, making it
possible to express complex concepts with extreme clarity.

U-74 Applications and libraries
The problems that we wish to solve in continuum mechanics are not presented in terms of
intrinsic entities, or types, known to a computer, e.g. bits, bytes, integers. They are usually
presented first in verbal language, then as partial differential equations in 3 dimensions of
space and time. The equations contain the following concepts: scalars, vectors, tensors,
and fields thereof; tensor algebra; tensor calculus; dimensional units. The solution to these
equations involves discretisation procedures, matrices, solvers, and solution algorithms.
3.1.2 Object-orientation and C++
Progamming languages that are object-oriented, such as C++, provide the mechanism —
classes — to declare types and associated operations that are part of the verbal and mathe-
matical languages used in science and engineering. Our velocity field introduced earlier can
be represented in programming code by the symbol Uand “the field of velocity magnitude”
can be mag(U). The velocity is a vector field for which there should exist, in an object-
oriented code, a vectorField class. The velocity field Uwould then be an instance, or object,
of the vectorField class; hence the term object-oriented.
The clarity of having objects in programming that represent physical objects and abstract
entities should not be underestimated. The class structure concentrates code development
to contained regions of the code, i.e. the classes themselves, thereby making the code easier
to manage. New classes can be derived or inherit properties from other classes, e.g. the
vectorField can be derived from a vector class and a Field class. C++ provides the mechanism
of template classes such that the template class Field<Type>can represent a field of any
<Type>,e.g.scalar,vector,tensor. The general features of the template class are passed on
to any class created from the template. Templating and inheritance reduce duplication of
code and create class hierarchies that impose an overall structure on the code.
3.1.3 Equation representation
A central theme of the OpenFOAM design is that the solver applications, written using the
OpenFOAM classes, have a syntax that closely resembles the partial differential equations
being solved. For example the equation
∂ρU
∂t +∇•φU− ∇ •µ∇U=−∇p
is represented by the code
solve
(
fvm::ddt(rho, U)
+ fvm::div(phi, U)
- fvm::laplacian(mu, U)
==
- fvc::grad(p)
);
This and other requirements demand that the principal programming language of Open-
FOAM has object-oriented features such as inheritance, template classes, virtual functions
and operator overloading. These features are not available in many languages that purport
OpenFOAM-5.0

3.2 Compiling applications and libraries U-75
to be object-orientated but actually have very limited object-orientated capability, such
as FORTRAN-90. C++, however, possesses all these features while having the additional
advantage that it is widely used with a standard specification so that reliable compilers
are available that produce efficient executables. It is therefore the primary language of
OpenFOAM.
3.1.4 Solver codes
Solver codes are largely procedural since they are a close representation of solution algo-
rithms and equations, which are themselves procedural in nature. Users do not need a deep
knowledge of object-orientation and C++ programming to write a solver but should know
the principles behind object-orientation and classes, and to have a basic knowledge of some
C++ code syntax. An understanding of the underlying equations, models and solution
method and algorithms is far more important.
There is often little need for a user to immerse themselves in the code of any of the
OpenFOAM classes. The essence of object-orientation is that the user should not have to
go through the code of each class they use; merely the knowledge of the class’ existence
and its functionality are sufficient to use the class. A description of each class, its functions
etc. is supplied with the OpenFOAM distribution in HTML documentation generated with
Doxygen at http://openfoam.org/docs/cpp
3.2 Compiling applications and libraries
Compilation is an integral part of application development that requires careful management
since every piece of code requires its own set instructions to access dependent components
of the OpenFOAM library. In UNIX/Linux systems these instructions are often organised
and delivered to the compiler using the standard UNIXmake utility. OpenFOAM uses its
own wmake compilation script that is based on make but is considerably more versatile
and easier to use (wmake can be used on any code, not only the OpenFOAM library). To
understand the compilation process, we first need to explain certain aspects of C++ and
its file structure, shown schematically in Figure 3.1. A class is defined through a set of
instructions such as object construction, data storage and class member functions. The file
that defines these functions — the class definition — takes a .C extension, e.g. a class nc
would be written in the file nc.C. This file can be compiled independently of other code into
a binary executable library file known as a shared object library with the .so file extension,
i.e.nc.so. When compiling a piece of code, say newApp.C, that uses the nc class, nc.C need
not be recompiled, rather newApp.C calls the nc.so library at runtime. This is known as
dynamic linking.
3.2.1 Header .H files
As a means of checking errors, the piece of code being compiled must know that the classes
it uses and the operations they perform actually exist. Therefore each class requires a class
declaration, contained in a header file with a .H file extension, e.g. nc.H, that includes the
names of the class and its functions. This file is included at the beginning of any piece
of code using the class, using the #include directive described below, including the class
declaration code itself. Any piece of .C code can resource any number of classes and must
OpenFOAM-5.0

U-76 Applications and libraries
int main()
...
...
return(0);
{
}
nc.so
Library
option-I
#include "nc.H"
Main code
Code...
Compiled
nc.H
nc.C
#include "nc.H"
nc class
Definition...
Compiled
Executable
Header file
Linked
option-l
newApp.C
newApp
Figure 3.1: Header files, source files, compilation and linking
begin by including all the .H files required to declare these classes. Those classes in turn
can resource other classes and so also begin by including the relevant .H files. By searching
recursively down the class hierarchy we can produce a complete list of header files for all the
classes on which the top level .C code ultimately depends; these .H files are known as the
dependencies. With a dependency list, a compiler can check whether the source files have
been updated since their last compilation and selectively compile only those that need to
be.
Header files are included in the code using the # include directive, e.g.
# include "otherHeader.H";
This causes the compiler to suspend reading from the current file, to read the included file.
This mechanism allows any self-contained piece of code to be put into a header file and
included at the relevant location in the main code in order to improve code readability. For
example, in most OpenFOAM applications the code for creating fields and reading field
input data is included in a file createFields.H which is called at the beginning of the code.
In this way, header files are not solely used as class declarations.
It is wmake that performs the task of maintaining file dependency lists amongst other
functions listed below.
•Automatic generation and maintenance of file dependency lists, i.e. lists of files which
are included in the source files and hence on which they depend.
•Multi-platform compilation and linkage, handled through appropriate directory struc-
ture.
•Multi-language compilation and linkage, e.g. C, C++, Java.
•Multi-option compilation and linkage, e.g. debug, optimised, parallel and profiling.
•Support for source code generation programs, e.g. lex, yacc, IDL, MOC.
OpenFOAM-5.0

3.2 Compiling applications and libraries U-77
•Simple syntax for source file lists.
•Automatic creation of source file lists for new codes.
•Simple handling of multiple shared or static libraries.
•Extensible to new machine types.
•Extremely portable, works on any machine with: make;sh,ksh or csh;lex,cc.
3.2.2 Compiling with wmake
OpenFOAM applications are organised using a standard convention that the source code
of each application is placed in a directory whose name is that of the application. The top
level source file then takes the application name with the .C extension. For example, the
source code for an application called newApp would reside is a directory newApp and the
top level file would be newApp.C as shown in Figure 3.2.wmake then requires the directory
newApp
newApp.C
otherHeader.H
Make
files
options
Figure 3.2: Directory structure for an application
must contain a Make subdirectory containing 2 files, options and files, that are described in
the following sections.
3.2.2.1 Including headers
The compiler searches for the included header files in the following order, specified with the
-I option in wmake:
1. the $WM_PROJECT_DIR/src/OpenFOAM/lnInclude directory;
2. a local lnInclude directory, i.e.newApp/lnInclude;
3. the local directory, i.e.newApp;
4. platform dependent paths set in files in the $WM_PROJECT_DIR/wmake/rules/-
$WM_ARCH/ directory, e.g./usr/X11/include and $(MPICH_ARCH_PATH)/include;
5. other directories specified explicitly in the Make/options file with the -I option.
The Make/options file contains the full directory paths to locate header files using the syntax:
OpenFOAM-5.0

U-78 Applications and libraries
EXE_INC = \
-I<directoryPath1>\
-I<directoryPath2>\
... \
-I<directoryPathN>
Notice first that the directory names are preceeded by the -I flag and that the syntax uses
the \to continue the EXE_INC across several lines, with no \after the final entry.
3.2.2.2 Linking to libraries
The compiler links to shared object library files in the following directory paths, specified
with the -L option in wmake:
1. the $FOAM_LIBBIN directory;
2. platform dependent paths set in files in the $WM_DIR/rules/$WM_ARCH/ directory,
e.g./usr/X11/lib and $(MPICH_ARCH_PATH)/lib;
3. other directories specified in the Make/options file.
The actual library files to be linked must be specified using the -l option and removing
the lib prefix and .so extension from the library file name, e.g. libnew.so is included with
the flag -lnew. By default, wmake loads the following libraries:
1. the libOpenFOAM.so library from the $FOAM_LIBBIN directory;
2. platform dependent libraries specified in set in files in the $WM_DIR/rules/$WM_ARCH/
directory, e.g. libm.so from /usr/X11/lib and liblam.so from $(LAM_ARCH_PATH)/lib;
3. other libraries specified in the Make/options file.
The Make/options file contains the full directory paths and library names using the syntax:
EXE_LIBS = \
-L<libraryPath>\
-l<library1>\
-l<library2>\
... \
-l<libraryN>
To summarise: the directory paths are preceeded by the -L flag, the library names are
preceeded by the -l flag.
OpenFOAM-5.0

3.2 Compiling applications and libraries U-79
3.2.2.3 Source files to be compiled
The compiler requires a list of .C source files that must be compiled. The list must contain
the main .C file but also any other source files that are created for the specific application
but are not included in a class library. For example, users may create a new class or some
new functionality to an existing class for a particular application. The full list of .C source
files must be included in the Make/files file. For many applications the list only includes the
name of the main .C file, e.g. newApp.C in the case of our earlier example.
The Make/files file also includes a full path and name of the compiled executable, specified
by the EXE = syntax. Standard convention stipulates the name is that of the application,
i.e.newApp in our example. The OpenFOAM release offers two useful choices for path:
standard release applications are stored in $FOAM_APPBIN; applications developed by the
user are stored in $FOAM_USER_APPBIN.
If the user is developing their own applications, we recommend they create an applications
subdirectory in their $WM_PROJECT_USER_DIR directory containing the source code for
personal OpenFOAM applications. As with standard applications, the source code for each
OpenFOAM application should be stored within its own directory. The only difference
between a user application and one from the standard release is that the Make/files file
should specify that the user’s executables are written into their $FOAM_USER_APPBIN
directory. The Make/files file for our example would appear as follows:
newApp.C
EXE = $(FOAM_USER_APPBIN)/newApp
3.2.2.4 Running wmake
The wmake script is generally executed by typing:
wmake <optionalDirectory>
The <optionalDirectory>is the directory path of the application that is being compiled.
Typically, wmake is executed from within the directory of the application being compiled,
in which case <optionalDirectory>can be omitted.
3.2.2.5 wmake environment variables
For information, the environment variable settings used by wmake are listed in Table 3.1.
3.2.3 Removing dependency lists: wclean
On execution, wmake builds a dependency list file with a .dep file extension, e.g. newApp.C.dep
in our example, in a $WM_OPTIONS sub-directory of the Make directory, e.g. Make/linux-
GccDPInt64Opt. If the user wishes to remove these files, e.g. after making code changes, the
user can run the wclean script by typing:
wclean <optionalDirectory>
OpenFOAM-5.0

U-80 Applications and libraries
Main paths
$WM_PROJECT_INST_DIR Full path to installation directory,
e.g.$HOME/OpenFOAM
$WM_PROJECT Name of the project being compiled: OpenFOAM
$WM_PROJECT_VERSION Version of the project being compiled: 5.0
$WM_PROJECT_DIR Full path to locate binary executables of OpenFOAM
release, e.g. $HOME/OpenFOAM/OpenFOAM-5.0
$WM_PROJECT_USER_DIR Full path to locate binary executables of the user e.g.
$HOME/OpenFOAM/${USER}-5.0
$WM_THIRD_PARTY_DIR Full path to the ThirdParty software directory e.g.
$HOME/OpenFOAM/ThirdParty-5.0
Other paths/settings
$WM_ARCH Machine architecture: linux,linux64,linuxIa64,
linuxARM7,linuxPPC64,linuxPPC64le
$WM_ARCH_OPTION 32 or 64 bit architecture
$WM_COMPILER Compiler being used: Gcc -gcc,ICC - Intel, Clang -
LLVM Clang
$WM_COMPILE_OPTION Compilation option: Debug - debugging, Opt optimisa-
tion.
$WM_COMPILER_TYPE Choice of compiler: system,ThirdParty - compiled in
ThirdParty directory
$WM_DIR Full path of the wmake directory
$WM_LABEL_SIZE 32 or 64 bit size for labels (integers)
$WM_LABEL_OPTION Int32 or Int64 compilation of labels
$WM_LINK_LANGUAGE Compiler used to link libraries and executables c++.
$WM_MPLIB Parallel communications library: SYSTEMOPENMPI - sys-
tem version of openMPI,OPENMPI,SYSTEMMPI,MPICH,
MPICH-GM,HPMPI,MPI,QSMPI,SGIMPI.
$WM_OPTIONS =$WM_ARCH...
$WM_COMPILER...
$WM_PRECISION_OPTION...
$WM_LABEL_OPTION...
$WM_COMPILE_OPTION
e.g. linuxGccDPInt64Opt
$WM_PRECISION_OPTION Precision of the compiled binares, SP, single precision
or DP, double precision
Table 3.1: Environment variable settings for wmake.
OpenFOAM-5.0

3.2 Compiling applications and libraries U-81
Again, the <optionalDirectory>is a path to the directory of the application that is being
compiled. Typically, wclean is executed from within the directory of the application, in
which case the path can be omitted.
3.2.4 Compiling libraries
When compiling a library, there are 2 critical differences in the configuration of the file in
the Make directory:
•in the files file, EXE = is replaced by LIB = and the target directory for the compiled
entity changes from $FOAM_APPBIN to $FOAM_LIBBIN (and an equivalent $FOAM_USER_-
LIBBIN directory);
•in the options file, EXE_LIBS = is replaced by LIB_LIBS = to indicate libraries linked
to library being compiled.
When wmake is executed it additionally creates a directory named lnInclude that contains
soft links to all the files in the library. The lnInclude directory is deleted by the wclean script
when cleaning library source code.
3.2.5 Compilation example: the pisoFoam application
The source code for application pisoFoam is in the $FOAM_APP/solvers/incompressible/piso-
Foam directory and the top level source file is named pisoFoam.C. The pisoFoam.C source
code is:
1/*---------------------------------------------------------------------------*\
2========= |
3\\ / F ield | OpenFOAM: The Open Source CFD Toolbox
4\\ / O peration |
5\\ / A nd | Copyright (C) 2011-2016 OpenFOAM Foundation
6\\/ M anipulation |
7-------------------------------------------------------------------------------
8License
9This file is part of OpenFOAM.
10
11 OpenFOAM is free software: you can redistribute it and/or modify it
12 under the terms of the GNU General Public License as published by
13 the Free Software Foundation, either version 3 of the License, or
14 (at your option) any later version.
15
16 OpenFOAM is distributed in the hope that it will be useful, but WITHOUT
17 ANY WARRANTY; without even the implied warranty of MERCHANTABILITY or
18 FITNESS FOR A PARTICULAR PURPOSE. See the GNU General Public License
19 for more details.
20
21 You should have received a copy of the GNU General Public License
22 along with OpenFOAM. If not, see <http://www.gnu.org/licenses/>.
23
24 Application
25 pisoFoam
26
27 Description
28 Transient solver for incompressible, turbulent flow, using the PISO
29 algorithm.
30
31 Sub-models include:
32 - turbulence modelling, i.e. laminar, RAS or LES
33 - run-time selectable MRF and finite volume options, e.g. explicit porosity
34
35 \*---------------------------------------------------------------------------*/
36
37 #include "fvCFD.H"
38 #include "singlePhaseTransportModel.H"
39 #include "turbulentTransportModel.H"
OpenFOAM-5.0

U-82 Applications and libraries
40 #include "pisoControl.H"
41 #include "fvOptions.H"
42
43 //*************************************//
44
45 int main(int argc, char *argv[])
46 {
47 #include "postProcess.H"
48
49 #include "setRootCase.H"
50 #include "createTime.H"
51 #include "createMesh.H"
52 #include "createControl.H"
53 #include "createFields.H"
54 #include "createFvOptions.H"
55 #include "initContinuityErrs.H"
56
57 turbulence->validate();
58
59 //***********************************//
60
61 Info<< "\nStarting time loop\n" << endl;
62
63 while (runTime.loop())
64 {
65 Info<< "Time = " << runTime.timeName() << nl << endl;
66
67 #include "CourantNo.H"
68
69 // Pressure-velocity PISO corrector
70 {
71 #include "UEqn.H"
72
73 // --- PISO loop
74 while (piso.correct())
75 {
76 #include "pEqn.H"
77 }
78 }
79
80 laminarTransport.correct();
81 turbulence->correct();
82
83 runTime.write();
84
85 Info<< "ExecutionTime = " << runTime.elapsedCpuTime() << " s"
86 << " ClockTime = " << runTime.elapsedClockTime() << " s"
87 << nl << endl;
88 }
89
90 Info<< "End\n" << endl;
91
92 return 0;
93 }
94
95
96 // ************************************************************************* //
The code begins with a brief description of the application contained within comments over 1
line (//) and multiple lines (/*...*/). Following that, the code contains several # include
statements, e.g. # include "fvCFD.H", which causes the compiler to suspend reading from
the current file, pisoFoam.C to read the fvCFD.H.
pisoFoam resources the turbulence and transport model libraries and therefore requires
the necessary header files, specified by the EXE_INC = -I... option, and links to the
libraries with the EXE_LIBS = -l... option. The Make/options therefore contains the
following:
1EXE_INC = \
2-I$(LIB_SRC)/TurbulenceModels/turbulenceModels/lnInclude \
3-I$(LIB_SRC)/TurbulenceModels/incompressible/lnInclude \
4-I$(LIB_SRC)/transportModels \
5-I$(LIB_SRC)/transportModels/incompressible/singlePhaseTransportModel \
6-I$(LIB_SRC)/finiteVolume/lnInclude \
OpenFOAM-5.0

3.2 Compiling applications and libraries U-83
7-I$(LIB_SRC)/meshTools/lnInclude \
8-I$(LIB_SRC)/sampling/lnInclude
9
10 EXE_LIBS = \
11 -lturbulenceModels \
12 -lincompressibleTurbulenceModels \
13 -lincompressibleTransportModels \
14 -lfiniteVolume \
15 -lmeshTools \
16 -lfvOptions \
17 -lsampling
pisoFoam contains only the pisoFoam.C source and the executable is written to the $FOAM_-
APPBIN directory as all standard applications are. The Make/files therefore contains:
1pisoFoam.C
2
3EXE = $(FOAM_APPBIN)/pisoFoam
Following the recommendations of section 3.2.2.3, the user can compile a separate version
of pisoFoam into their local $FOAM_USER_DIR directory by the following:
•copying the pisoFoam source code to a local directory, e.g. $FOAM_RUN;
cd $FOAM_RUN
cp -r $FOAM_SOLVERS/incompressible/pisoFoam .
cd pisoFoam
•editing the Make/files file as follows;
1pisoFoam.C
2
3EXE = $(FOAM_USER_APPBIN)/pisoFoam
•executing wmake.
wmake
The code should compile and produce a message similar to the following
Making dependency list for source file pisoFoam.C
g++ -std=c++0x -m32...
...
-o ... platforms/linuxGccDPInt64Opt/bin/pisoFoam
The user can now try recompiling and will receive a message similar to the following to say
that the executable is up to date and compiling is not necessary:
make: ´
.../bin/pisoFoam´ is up to date.
The user can compile the application from scratch by removing the dependency list with
wclean
and running wmake.
OpenFOAM-5.0

U-84 Applications and libraries
3.2.6 Debug messaging and optimisation switches
OpenFOAM provides a system of messaging that is written during runtime, most of which
are to help debugging problems encountered during running of a OpenFOAM case. The
switches are listed in the $WM_PROJECT_DIR/etc/controlDict file; should the user wish
to change the settings they should make a copy to their $HOME directory, i.e. $HOME/-
.OpenFOAM/5.0/controlDict file. The list of possible switches is extensive and can be viewed
by running the foamDebugSwitches application. Most of the switches correspond to a class
or range of functionality and can be switched on by their inclusion in the controlDict file,
and by being set to 1. For example, OpenFOAM can perform the checking of dimensional
units in all calculations by setting the dimensionSet switch to 1. There are some switches
that control messaging at a higher level than most, listed in Table 3.2.
In addition, there are some switches that control certain operational and optimisa-
tion issues. These switches are also listed in Table 3.2. Of particular importance is
fileModificationSkew. OpenFOAM scans the write time of data files to check for mod-
ification. When running over a NFS with some disparity in the clock settings on different
machines, field data files appear to be modified ahead of time. This can cause a problem
if OpenFOAM views the files as newly modified and attempting to re-read this data. The
fileModificationSkew keyword is the time in seconds that OpenFOAM will subtract from
the file write time when assessing whether the file has been newly modified.
High level debugging switches - sub-dictionary DebugSwitches
level Overall level of debugging messaging for OpenFOAM- - 3 levels 0,
1,2
lduMatrix Messaging for solver convergence during a run - 3 levels 0,1,2
Optimisation switches - sub-dictionary OptimisationSwitches
fileModific-
ationSkew
A time in seconds that should be set higher than the maximum
delay in NFS updates and clock difference for running OpenFOAM
over a NFS.
fileModific-
ationChecking
Method of checking whether files have been modified during a
simulation, either reading the timeStamp or using inotify; ver-
sions that read only master-node data exist, timeStampMaster,
inotifyMaster.
commsType Parallel communications type: nonBlocking,scheduled,
blocking.
floatTransfer If 1, will compact numbers to float precision before transfer; de-
fault is 0
nProcsSimpleSum Optimises global sum for parallel processing; sets number of pro-
cessors above which hierarchical sum is performed rather than a
linear sum (default 16)
Table 3.2: Runtime message switches.
OpenFOAM-5.0

3.3 Running applications U-85
3.2.7 Linking new user-defined libraries to existing applications
The situation may arise that a user creates a new library, say new, and wishes the features
within that library to be available across a range of applications. For example, the user
may create a new boundary condition, compiled into new, that would need to be recognised
by a range of solver applications, pre- and post-processing utilities, mesh tools, etc. Under
normal circumstances, the user would need to recompile every application with the new
linked to it.
Instead there is a simple mechanism to link one or more shared object libraries dy-
namically at run-time in OpenFOAM. Simply add the optional keyword entry libs to the
controlDict file for a case and enter the full names of the libraries within a list (as quoted
string entries). For example, if a user wished to link the libraries new1 and new2 at run-time,
they would simply need to add the following to the case controlDict file:
libs
(
"libnew1.so"
"libnew2.so"
);
3.3 Running applications
Each application is designed to be executed from a terminal command line, typically reading
and writing a set of data files associated with a particular case. The data files for a case are
stored in a directory named after the case as described in section 4.1; the directory name
with full path is here given the generic name <caseDir>.
For any application, the form of the command line entry for any can be found by simply
entering the application name at the command line with the -help option, e.g. typing
blockMesh -help
returns the usage
Usage: blockMesh [OPTIONS]
options:
-blockTopology write block edges and centres as .obj files
-case <dir> specify alternate case directory, default is the
cwd
-dict <file> specify alternative dictionary for the blockMesh
description
-noFunctionObjects do not execute functionObjects
-region <name> specify alternative mesh region
-srcDoc display source code in browser
-doc display application documentation in browser
-help print the usage
OpenFOAM-5.0

U-86 Applications and libraries
If the application is executed from within a case directory, it will operate on that case.
Alternatively, the -case <caseDir>option allows the case to be specified directly so that
the application can be executed from anywhere in the filing system.
Like any UNIX/Linux executable, applications can be run as a background process, i.e.
one which does not have to be completed before the user can give the shell additional
commands. If the user wished to run the blockMesh example as a background process and
output the case progress to a log file, they could enter:
blockMesh > log &
3.4 Running applications in parallel
This section describes how to run OpenFOAM in parallel on distributed processors. The
method of parallel computing used by OpenFOAM is known as domain decomposition, in
which the geometry and associated fields are broken into pieces and allocated to separate
processors for solution. The process of parallel computation involves: decomposition of mesh
and fields; running the application in parallel; and, post-processing the decomposed case as
described in the following sections. The parallel running uses the public domain openMPI
implementation of the standard message passing interface (MPI) by default, although other
libraries can be used.
3.4.1 Decomposition of mesh and initial field data
The mesh and fields are decomposed using the decomposePar utility. The underlying aim
is to break up the domain with minimal effort but in such a way to guarantee an eco-
nomic solution. The geometry and fields are broken up according to a set of parameters
specified in a dictionary named decomposeParDict that must be located in the system di-
rectory of the case of interest. An example decomposeParDict dictionary is available from
the interFoam/damBreak tutorial if the user requires one; the dictionary entries within it are
reproduced below:
17 numberOfSubdomains 4;
18
19 method simple;
20
21 simpleCoeffs
22 {
23 n (2 2 1);
24 delta 0.001;
25 }
26
27 hierarchicalCoeffs
28 {
29 n (1 1 1);
30 delta 0.001;
31 order xyz;
32 }
33
34 manualCoeffs
35 {
36 dataFile "";
37 }
38
39 distributed no;
40
41 roots ( );
42
43 // ************************************************************************* //
OpenFOAM-5.0

3.4 Running applications in parallel U-87
The user has a choice of four methods of decomposition, specified by the method keyword
as described below.
simple Simple geometric decomposition in which the domain is split into pieces by direction,
e.g. 2 pieces in the xdirection, 1 in yetc.
hierarchical Hierarchical geometric decomposition which is the same as simple except
the user specifies the order in which the directional split is done, e.g. first in the
y-direction, then the x-direction etc.
scotch Scotch decomposition which requires no geometric input from the user and attempts
to minimise the number of processor boundaries. The user can specify a weighting for
the decomposition between processors, through an optional processorWeights key-
word which can be useful on machines with differing performance between processors.
There is also an optional keyword entry strategy that controls the decomposition
strategy through a complex string supplied to Scotch. For more information, see the
source code file: $FOAM_SRC/parallel/decompose/scotchDecomp/scotchDecomp.C
manual Manual decomposition, where the user directly specifies the allocation of each cell
to a particular processor.
For each method there are a set of coefficients specified in a sub-dictionary of decomposi-
tionDict, named <method>Coeffs as shown in the dictionary listing. The full set of keyword
entries in the decomposeParDict dictionary are explained in Table 3.3.
The decomposePar utility is executed in the normal manner by typing
decomposePar
3.4.2 File input/output in parallel
Using standard file input/output completion, a set of subdirectories will have been created,
one for each processor, in the case directory. The directories are named processorNwhere
N= 0,1,...represents a processor number and contains a time directory, containing the de-
composed field descriptions, and a constant/polyMesh directory containing the decomposed
mesh description.
While this file structure is well-organised, for large parallel cases, it generates a large
number of files. In very large simulations, users can experience problems including hitting
limits on the number of open files imposed by the operating system.
As an alternative, the collated file format was introduced in OpenFOAM in which the
data for each decomposed field (and mesh) is collated into a single file that is written (and
read) on the master processor. The files are stored in a single directory named processors.
The file writing can be threaded allowing the simulation to continue running while the
data is being written to file — see below for details. NFS (Network File System) is not
needed when using the collated format and, additionally, there is a masterUncollated
option to write data with the original uncollated format without NFS.
The controls for the file handling are in the OptimisationSwitches of the global etc/-
controlDict file:
OpenFOAM-5.0

U-88 Applications and libraries
Compulsory entries
numberOfSubdomains Total number of subdomains N
method Method of decomposition simple/
hierarchical/
scotch/manual/
simpleCoeffs entries
nNumber of subdomains in x,y,z(nxnynz)
delta Cell skew factor Typically, 10−3
hierarchicalCoeffs entries
nNumber of subdomains in x,y,z(nxnynz)
delta Cell skew factor Typically, 10−3
order Order of decomposition xyz/xzy/yxz...
scotchCoeffs entries
processorWeights
(optional)
List of weighting factors for allocation
of cells to processors; <wt1>is the
weighting factor for processor 1, etc.;
weights are normalised so can take any
range of values.
(<wt1>...<wtN>)
strategy Decomposition strategy: optional and
complex
manualCoeffs entries
dataFile Name of file containing data of alloca-
tion of cells to processors
"<fileName>"
Distributed data entries (optional) — see section 3.4.4
distributed Is the data distributed across several
disks?
yes/no
roots Root paths to case directories; <rt1>
is the root path for node 1, etc.
(<rt1>...<rtN>)
Table 3.3: Keywords in decompositionDict dictionary.
OptimisationSwitches
{
...
//- Parallel IO file handler
// uncollated (default), collated or masterUncollated
fileHandler uncollated;
//- collated: thread buffer size for queued file writes.
// If set to 0 or not sufficient for the file size threading is not used.
// Default: 2e9
maxThreadFileBufferSize 2e9;
//- masterUncollated: non-blocking buffer size.
// If the file exceeds this buffer size scheduled transfer is used.
// Default: 2e9
OpenFOAM-5.0

3.4 Running applications in parallel U-89
maxMasterFileBufferSize 2e9;
}
3.4.2.1 Selecting the file handler
The fileHandler can be set for a specific simulation by:
•over-riding the global OptimisationSwitches {fileHandler ...;} in the case con-
trolDict file;
•using the -fileHandler command line argument to the solver;
•setting the $FOAM_FILEHANDLER environment variable.
3.4.2.2 Updating exisiting files
AfoamFormatConvert utility allows users to convert files between the collated and uncollated
formats, e.g.
mpirun -np 2 foamFormatConvert -parallel -fileHandler uncollated
An example case demonstrating the file handling methods is provided in:
$FOAM_TUTORIALS/IO/fileHandling
3.4.2.3 Threading support
Collated file handling runs faster with threading, especially on large cases. But it requires
threading support to be enabled in the underlying MPI. Without it, the simulation will
“hang” or crash. For openMPI, threading support is not set by default prior to version 2,
but is generally switched on from version 2 onwards. The user can check whether openMPI
is compiled with threading support by the following command:
ompi_info -c | grep -oE "MPI_THREAD_MULTIPLE[^,]*"
When using the collated file handling, memory is allocated for the data in the thread.
maxThreadFileBufferSize sets the maximum size of memory that is allocated in bytes. If
the data exceeds this size, the write does not use threading.
Note: if threading is not enabled in the MPI, it must be disabled for collated file
handling by setting in the global etc/controlDict file:
maxThreadFileBufferSize 0;
When using the masterUncollated file handling, non-blocking MPI communication re-
quires a sufficiently large memory buffer on the master node. maxMasterFileBufferSize
sets the maximum size of the buffer. If the data exceeds this size, the system uses scheduled
communication.
OpenFOAM-5.0

U-90 Applications and libraries
3.4.3 Running a decomposed case
A decomposed OpenFOAM case is run in parallel using the openMPI implementation of
MPI.
openMPI can be run on a local multiprocessor machine very simply but when running
on machines across a network, a file must be created that contains the host names of
the machines. The file can be given any name and located at any path. In the following
description we shall refer to such a file by the generic name, including full path, <machines>.
The <machines>file contains the names of the machines listed one machine per line. The
names must correspond to a fully resolved hostname in the /etc/hosts file of the machine
on which the openMPI is run. The list must contain the name of the machine running the
openMPI. Where a machine node contains more than one processor, the node name may be
followed by the entry cpu=nwhere nis the number of processors openMPI should run on
that node.
For example, let us imagine a user wishes to run openMPI from machine aaa on the
following machines: aaa;bbb, which has 2 processors; and ccc. The <machines>would
contain:
aaa
bbb cpu=2
ccc
An application is run in parallel using mpirun.
mpirun --hostfile <machines>-np <nProcs>
<foamExec> <otherArgs>-parallel > log &
where: <nProcs>is the number of processors; <foamExec>is the executable, e.g.icoFoam;
and, the output is redirected to a file named log. For example, if icoFoam is run on 4 nodes,
specified in a file named machines, on the cavity tutorial in the $FOAM_RUN/tutorials/-
incompressible/icoFoam directory, then the following command should be executed:
mpirun --hostfile machines -np 4 icoFoam -parallel > log &
3.4.4 Distributing data across several disks
Data files may need to be distributed if, for example, if only local disks are used in order to
improve performance. In this case, the user may find that the root path to the case directory
may differ between machines. The paths must then be specified in the decomposeParDict
dictionary using distributed and roots keywords. The distributed entry should read
distributed yes;
and the roots entry is a list of root paths, <root0>,<root1>, . . . , for each node
roots
<nRoots>
(
OpenFOAM-5.0

3.5 Standard solvers U-91
"<root0>"
"<root1>"
...
);
where <nRoots>is the number of roots.
Each of the processorNdirectories should be placed in the case directory at each of
the root paths specified in the decomposeParDict dictionary. The system directory and files
within the constant directory must also be present in each case directory. Note: the files in
the constant directory are needed, but the polyMesh directory is not.
3.4.5 Post-processing parallel processed cases
When post-processing cases that have been run in parallel the user has two options:
•reconstruction of the mesh and field data to recreate the complete domain and fields,
which can be post-processed as normal;
•post-processing each segment of decomposed domain individually.
3.4.5.1 Reconstructing mesh and data
After a case has been run in parallel, it can be reconstructed for post-processing. The case
is reconstructed by merging the sets of time directories from each processorNdirectory into
a single set of time directories. The reconstructPar utility performs such a reconstruction by
executing the command:
reconstructPar
When the data is distributed across several disks, it must be first copied to the local case
directory for reconstruction.
3.4.5.2 Post-processing decomposed cases
The user may post-process decomposed cases using the paraFoam post-processor, described
in section 6.1. The whole simulation can be post-processed by reconstructing the case or
alternatively it is possible to post-process a segment of the decomposed domain individually
by simply treating the individual processor directory as a case in its own right.
3.5 Standard solvers
The solvers with the OpenFOAM distribution are in the $FOAM_SOLVERS directory,
reached quickly by typing sol at the command line. This directory is further subdivided into
several directories by category of continuum mechanics, e.g. incompressible flow, combustion
and solid body stress analysis. Each solver is given a name that is reasonably descriptive,
e.g.icoFoam solves incompressible, laminar flow. The current list of solvers distributed with
OpenFOAM is given in the following Sections.
OpenFOAM-5.0

U-92 Applications and libraries
3.5.1 ‘Basic’ CFD codes
laplacianFoam Solves a simple Laplace equation, e.g. for thermal diffusion in a solid.
potentialFoam Potential flow solver which solves for the velocity potential, to calculate the
flux-field, from which the velocity field is obtained by reconstructing the flux.
scalarTransportFoam Solves the steady or transient transport equation for a passive scalar.
3.5.2 Incompressible flow
adjointShapeOptimizationFoam Steady-state solver for incompressible, turbulent flow of non-
Newtonian fluids with optimisation of duct shape by applying "blockage" in regions
causing pressure loss as estimated using an adjoint formulation.
boundaryFoam Steady-state solver for incompressible, 1D turbulent flow, typically to gen-
erate boundary layer conditions at an inlet, for use in a simulation.
icoFoam Transient solver for incompressible, laminar flow of Newtonian fluids.
nonNewtonianIcoFoam Transient solver for incompressible, laminar flow of non-Newtonian
fluids.
pimpleFoam Large time-step transient solver for incompressible, turbulent flow, using the
PIMPLE (merged PISO-SIMPLE) algorithm.
pimpleDyMFoam Transient solver for incompressible, turbulent flow of Newtonian fluids on
a moving mesh.
SRFPimpleFoam Large time-step transient solver for incompressible, turbulent flow in a
single rotating frame.
pisoFoam Transient solver for incompressible, turbulent flow, using the PISO algorithm.
shallowWaterFoam Transient solver for inviscid shallow-water equations with rotation.
simpleFoam Steady-state solver for incompressible, turbulent flow, using the SIMPLE algo-
rithm.
porousSimpleFoam Steady-state solver for incompressible, turbulent flow with implicit or
explicit porosity treatment and support for multiple reference frames (MRF).
SRFSimpleFoam Steady-state solver for incompressible, turbulent flow of non-Newtonian
fluids in a single rotating frame.
3.5.3 Compressible flow
rhoCentralFoam Density-based compressible flow solver based on central-upwind schemes of
Kurganov and Tadmor.
rhoCentralDyMFoam Density-based compressible flow solver based on central-upwind schemes
of Kurganov and Tadmor with support for mesh-motion and topology changes.
OpenFOAM-5.0

3.5 Standard solvers U-93
rhoPimpleFoam Transient solver for turbulent flow of compressible fluids for HVAC and
similar applications.
rhoPimpleDyMFoam Transient solver for turbulent flow of compressible fluids for HVAC and
similar applications, with optional mesh motion and mesh topology changes.
rhoSimpleFoam Steady-state solver for turbulent flow of compressible fluids.
rhoPorousSimpleFoam Steady-state solver for turbulent flow of compressible fluids, with im-
plicit or explicit porosity treatment and optional sources.
sonicFoam Transient solver for trans-sonic/supersonic, turbulent flow of a compressible gas.
sonicDyMFoam Transient solver for trans-sonic/supersonic, turbulent flow of a compressible
gas, with optional mesh motion and mesh topology changes.
sonicLiquidFoam Transient solver for trans-sonic/supersonic, laminar flow of a compressible
liquid.
3.5.4 Multiphase flow
cavitatingFoam Transient cavitation code based on the homogeneous equilibrium model from
which the compressibility of the liquid/vapour "mixture" is obtained.
cavitatingDyMFoam Transient cavitation code based on the homogeneous equilibrium model
from which the compressibility of the liquid/vapour "mixture" is obtained, with op-
tional mesh motion and mesh topology changes.
compressibleInterFoam Solver for 2 compressible, non-isothermal immiscible fluids using a
VOF (volume of fluid) phase-fraction based interface capturing approach.
compressibleInterDyMFoam Solver for 2 compressible, non-isothermal immiscible fluids us-
ing a VOF (volume of fluid) phase-fraction based interface capturing approach, with
optional mesh motion and mesh topology changes including adaptive re-meshing.
compressibleMultiphaseInterFoam Solver for n compressible, non-isothermal immiscible fluids
using a VOF (volume of fluid) phase-fraction based interface capturing approach.
driftFluxFoam Solver for 2 incompressible fluids using the mixture approach with the drift-
flux approximation for relative motion of the phases.
interFoam Solver for 2 incompressible, isothermal immiscible fluids using a VOF (volume of
fluid) phase-fraction based interface capturing approach.
interDyMFoam Solver for 2 incompressible, isothermal immiscible fluids using a VOF (vol-
ume of fluid) phase-fraction based interface capturing approach, with optional mesh
motion and mesh topology changes including adaptive re-meshing.
interMixingFoam Solver for 3 incompressible fluids, two of which are miscible, using a VOF
method to capture the interface.
OpenFOAM-5.0

U-94 Applications and libraries
interPhaseChangeFoam Solver for 2 incompressible, isothermal immiscible fluids with phase-
change (e.g. cavitation). Uses a VOF (volume of fluid) phase-fraction based interface
capturing approach.
interPhaseChangeDyMFoam Solver for 2 incompressible, isothermal immiscible fluids with
phase-change (e.g. cavitation). Uses a VOF (volume of fluid) phase-fraction based
interface capturing approach, with optional mesh motion and mesh topology changes
including adaptive re-meshing.
multiphaseEulerFoam Solver for a system of many compressible fluid phases including heat-
transfer.
multiphaseInterFoam Solver for n incompressible fluids which captures the interfaces and
includes surface-tension and contact-angle effects for each phase.
multiphaseInterDyMFoam Solver for n incompressible fluids which captures the interfaces
and includes surface-tension and contact-angle effects for each phase, with optional
mesh motion and mesh topology changes.
potentialFreeSurfaceFoam Incompressible Navier-Stokes solver with inclusion of a wave height
field to enable single-phase free-surface approximations
potentialFreeSurfaceDyMFoam Incompressible Navier-Stokes solver with inclusion of a wave
height field to enable single-phase free-surface approximations, with optional mesh
motion and mesh topology changes.
reactingMultiphaseEulerFoam Solver for a system of any number of compressible fluid phases
with a common pressure, but otherwise separate properties. The type of phase model
is run time selectable and can optionally represent multiple species and in-phase re-
actions. The phase system is also run time selectable and can optionally represent
different types of momentun, heat and mass transfer.
reactingTwoPhaseEulerFoam Solver for a system of 2 compressible fluid phases with a com-
mon pressure, but otherwise separate properties. The type of phase model is run time
selectable and can optionally represent multiple species and in-phase reactions. The
phase system is also run time selectable and can optionally represent different types
of momentun, heat and mass transfer.
twoLiquidMixingFoam Solver for mixing 2 incompressible fluids.
twoPhaseEulerFoam Solver for a system of 2 compressible fluid phases with one phase dis-
persed, e.g. gas bubbles in a liquid including heat-transfer.
3.5.5 Direct numerical simulation (DNS)
dnsFoam Direct numerical simulation solver for boxes of isotropic turbulence.
OpenFOAM-5.0

3.5 Standard solvers U-95
3.5.6 Combustion
chemFoam Solver for chemistry problems, designed for use on single cell cases to provide
comparison against other chemistry solvers, that uses a single cell mesh, and fields
created from the initial conditions.
coldEngineFoam Solver for cold-flow in internal combustion engines.
engineFoam Solver for internal combustion engines.
fireFoam Transient solver for fires and turbulent diffusion flames with reacting particle
clouds, surface film and pyrolysis modelling.
PDRFoam Solver for compressible premixed/partially-premixed combustion with turbulence
modelling.
reactingFoam Solver for combustion with chemical reactions.
rhoReactingBuoyantFoam Solver for combustion with chemical reactions using a density
based thermodynamics package with enhanced buoyancy treatment.
rhoReactingFoam Solver for combustion with chemical reactions using density based ther-
modynamics package.
XiFoam Solver for compressible premixed/partially-premixed combustion with turbulence
modelling.
3.5.7 Heat transfer and buoyancy-driven flows
buoyantBoussinesqPimpleFoam Transient solver for buoyant, turbulent flow of incompressible
fluids.
buoyantBoussinesqSimpleFoam Steady-state solver for buoyant, turbulent flow of incompress-
ible fluids.
buoyantPimpleFoam Transient solver for buoyant, turbulent flow of compressible fluids for
ventilation and heat-transfer.
buoyantSimpleFoam Steady-state solver for buoyant, turbulent flow of compressible fluids,
including radiation, for ventilation and heat-transfer.
chtMultiRegionFoam Transient solver for buoyant, turbulent fluid flow and solid heat con-
duction with conjugate heat transfer between solid and fluid regions.
chtMultiRegionSimpleFoam Steady-state solver for buoyant, turbulent fluid flow and solid
heat conduction with conjugate heat transfer between solid and fluid regions.
thermoFoam Solver for energy transport and thermodynamics on a frozen flow field.
OpenFOAM-5.0

U-96 Applications and libraries
3.5.8 Particle-tracking flows
coalChemistryFoam Transient solver for compressible, turbulent flow, with coal and lime-
stone particle clouds, an energy source, and combustion.
DPMFoam Transient solver for the coupled transport of a single kinematic particle cloud
including the effect of the volume fraction of particles on the continuous phase.
DPMDyMFoam Transient solver for the coupled transport of a single kinematic particle
cloud including the effect of the volume fraction of particles on the continuous phase,
with optional mesh motion and mesh topology changes.
MPPICFoam Transient solver for the coupled transport of a single kinematic particle cloud
including the effect of the volume fraction of particles on the continuous phase. Multi-
Phase Particle In Cell (MPPIC) modeling is used to represent collisions without re-
solving particle-particle interactions.
MPPICDyMFoam Transient solver for the coupled transport of a single kinematic particle
cloud including the effect of the volume fraction of particles on the continuous phase.
Multi-Phase Particle In Cell (MPPIC) modeling is used to represent collisions without
resolving particle-particle interactions, with optional mesh motion and mesh topology
changes.
icoUncoupledKinematicParcelFoam Transient solver for the passive transport of a single kine-
matic particle cloud.
icoUncoupledKinematicParcelDyMFoam Transient solver for the passive transport of a single
kinematic particle cloud, with optional mesh motion and mesh topology changes.
reactingParcelFilmFoam Transient solver for compressible, turbulent flow with a reacting,
multiphase particle cloud, and surface film modelling.
reactingParcelFoam Transient solver for compressible, turbulent flow with a reacting, multi-
phase particle cloud, and optional sources/constraints.
simpleReactingParcelFoam Steady state solver for compressible, turbulent flow with reacting,
multiphase particle clouds and optional sources/constraints.
sprayFoam Transient solver for compressible, turbulent flow with a spray particle cloud.
sprayDyMFoam Transient solver for compressible, turbulent flow with a spray particle cloud,
with optional mesh motion and mesh topology changes.
sprayEngineFoam Transient solver for compressible, turbulent engine flow with a spray par-
ticle cloud.
uncoupledKinematicParcelFoam Transient solver for the passive transport of a particle cloud.
uncoupledKinematicParcelDyMFoam Transient solver for the passive transport of a particle
cloud, with optional mesh motion and mesh topology changes.
OpenFOAM-5.0

3.6 Standard utilities U-97
3.5.9 Discrete methods
dsmcFoam Direct simulation Monte Carlo (DSMC) solver for, transient, multi-species flows.
mdEquilibrationFoam Solver to equilibrate and/or precondition molecular dynamics systems.
mdFoam Molecular dynamics solver for fluid dynamics.
3.5.10 Electromagnetics
electrostaticFoam Solver for electrostatics.
magneticFoam Solver for the magnetic field generated by permanent magnets.
mhdFoam Solver for magnetohydrodynamics (MHD): incompressible, laminar flow of a con-
ducting fluid under the influence of a magnetic field.
3.5.11 Stress analysis of solids
solidDisplacementFoam Transient segregated finite-volume solver of linear-elastic, small-strain
deformation of a solid body, with optional thermal diffusion and thermal stresses.
solidEquilibriumDisplacementFoam Steady-state segregated finite-volume solver of linear-elastic,
small-strain deformation of a solid body, with optional thermal diffusion and thermal
stresses.
3.5.12 Finance
financialFoam Solves the Black-Scholes equation to price commodities.
3.6 Standard utilities
The utilities with the OpenFOAM distribution are in the $FOAM_UTILITIES directory.
The names are reasonably descriptive, e.g. ideasToFoam converts mesh data from the for-
mat written by I-DEAS to the OpenFOAM format. The descriptions of current utilities
distributed with OpenFOAM are given in the following Sections.
3.6.1 Pre-processing
applyBoundaryLayer Apply a simplified boundary-layer model to the velocity and turbulence
fields based on the 1/7th power-law.
boxTurb Makes a box of turbulence which conforms to a given energy spectrum and is
divergence free.
changeDictionary Utility to change dictionary entries, e.g. can be used to change the patch
type in the field and polyMesh/boundary files.
createExternalCoupledPatchGeometry Application to generate the patch geometry (points
and faces) for use with the externalCoupled boundary condition.
OpenFOAM-5.0

U-98 Applications and libraries
dsmcInitialise Initialise a case for dsmcFoam by reading the initialisation dictionary system/-
dsmcInitialise.
engineSwirl Generates a swirling flow for engine calulations.
foamUpgradeCyclics Tool to upgrade mesh and fields for split cyclics.
mapFields Maps volume fields from one mesh to another, reading and interpolating all fields
present in the time directory of both cases. Parallel and non-parallel cases are handled
without the need to reconstruct them first.
mapFieldsPar Maps volume fields from one mesh to another, reading and interpolating all
fields present in the time directory of both cases.
mdInitialise Initialises fields for a molecular dynamics (MD) simulation.
setFields Set values on a selected set of cells/patchfaces through a dictionary.
viewFactorsGen View factors are calculated based on a face agglomeration array (finalAgglom
generated by faceAgglomerate utility).
wallFunctionTable Generates a table suitable for use by tabulated wall functions.
3.6.2 Mesh generation
blockMesh A multi-block mesh generator.
extrudeMesh Extrude mesh from existing patch (by default outwards facing normals; op-
tional flips faces) or from patch read from file.
extrudeToRegionMesh Extrude faceZones (internal or boundary faces) or faceSets (bound-
ary faces only) into a separate mesh (as a different region).
foamyHexMesh Conformal Voronoi automatic mesh generator
foamyHexMeshBackgroundMesh Writes out background mesh as constructed by foamyHexMesh
and constructs distanceSurface.
foamyHexMeshSurfaceSimplify Simplifies surfaces by resampling.
foamyQuadMesh Conformal-Voronoi 2D extruding automatic mesher with grid or read initial
points and point position relaxation with optional "squarification".
snappyHexMesh Automatic split hex mesher. Refines and snaps to surface.
3.6.3 Mesh conversion
ansysToFoam Converts an ANSYS input mesh file, exported from I-DEAS, to OpenFOAM
format.
cfx4ToFoam Converts a CFX 4 mesh to OpenFOAM format.
datToFoam Reads in a datToFoam mesh file and outputs a points file. Used in conjunction
with blockMesh.
OpenFOAM-5.0

3.6 Standard utilities U-99
fluent3DMeshToFoam Converts a Fluent mesh to OpenFOAM format.
fluentMeshToFoam Converts a Fluent mesh to OpenFOAM format including multiple region
and region boundary handling.
foamMeshToFluent Writes out the OpenFOAM mesh in Fluent mesh format.
foamToStarMesh Reads an OpenFOAM mesh and writes a pro-STAR (v4) bnd/cel/vrt for-
mat.
foamToSurface Reads an OpenFOAM mesh and writes the boundaries in a surface format.
gambitToFoam Converts a GAMBIT mesh to OpenFOAM format.
gmshToFoam Reads .msh file as written by Gmsh.
ideasUnvToFoam I-Deas unv format mesh conversion.
kivaToFoam Converts a KIVA3v grid to OpenFOAM format.
mshToFoam Converts .msh file generated by the Adventure system.
netgenNeutralToFoam Converts neutral file format as written by Netgen v4.4.
ccm26ToFoam Reads CCM files as written by Prostar/ccm using ccm 2.6 (not 2.4)
plot3dToFoam Plot3d mesh (ascii/formatted format) converter.
sammToFoam Converts a Star-CD (v3) SAMM mesh to OpenFOAM format.
star3ToFoam Converts a Star-CD (v3) pro-STAR mesh into OpenFOAM format.
star4ToFoam Converts a Star-CD (v4) pro-STAR mesh into OpenFOAM format.
tetgenToFoam Converts .ele and .node and .face files, written by tetgen.
vtkUnstructuredToFoam Converts ascii .vtk (legacy format) file generated by vtk/paraview.
writeMeshObj For mesh debugging: writes mesh as three separate OBJ files which can be
viewed with e.g. javaview.
3.6.4 Mesh manipulation
attachMesh Attach topologically detached mesh using prescribed mesh modifiers.
autoPatch Divides external faces into patches based on (user supplied) feature angle.
checkMesh Checks validity of a mesh.
createBaffles Makes internal faces into boundary faces. Does not duplicate points, unlike
mergeOrSplitBaffles.
createPatch Utility to create patches out of selected boundary faces. Faces come either from
existing patches or from a faceSet.
OpenFOAM-5.0

U-100 Applications and libraries
deformedGeom Deforms a polyMesh using a displacement field U and a scaling factor sup-
plied as an argument.
flattenMesh Flattens the front and back planes of a 2D cartesian mesh.
insideCells Picks up cells with cell centre ’inside’ of surface. Requires surface to be closed
and singly connected.
mergeMeshes Merges two meshes.
mergeOrSplitBaffles Detects faces that share points (baffles). Either merge them or duplicate
the points.
mirrorMesh Mirrors a mesh around a given plane.
moveDynamicMesh Mesh motion and topological mesh changes utility.
moveEngineMesh Solver for moving meshes for engine calculations.
moveMesh Solver for moving meshes.
objToVTK Read obj line (not surface!) file and convert into vtk.
orientFaceZone Corrects orientation of faceZone.
polyDualMesh Calculates the dual of a polyMesh. Adheres to all the feature and patch
edges.
refineMesh Utility to refine cells in multiple directions.
renumberMesh Renumbers the cell list in order to reduce the bandwidth, reading and renum-
bering all fields from all the time directories.
rotateMesh Rotates the mesh and fields from the direction n1 to direction n2.
setSet Manipulate a cell/face/point/ set or zone interactively.
setsToZones Add pointZones/faceZones/cellZones to the mesh from similar named pointSets/-
faceSets/cellSets.
singleCellMesh Reads all fields and maps them to a mesh with all internal faces removed
(singleCellFvMesh) which gets written to region "singleCell".
splitMesh Splits mesh by making internal faces external. Uses attachDetach.
splitMeshRegions Splits mesh into multiple regions.
stitchMesh ’Stitches’ a mesh.
subsetMesh Selects a section of mesh based on a cellSet.
topoSet Operates on cellSets/faceSets/pointSets through a dictionary.
transformPoints Transforms the mesh points in the polyMesh directory according to the
translate, rotate and scale options.
zipUpMesh Reads in a mesh with hanging vertices and zips up the cells to guarantee that
all polyhedral cells of valid shape are closed.
OpenFOAM-5.0

3.6 Standard utilities U-101
3.6.5 Other mesh tools
autoRefineMesh Utility to refine cells near to a surface.
collapseEdges Collapses short edges and combines edges that are in line.
combinePatchFaces Checks for multiple patch faces on same cell and combines them. Mul-
tiple patch faces can result from e.g. removal of refined neighbouring cells, leaving 4
exposed faces with same owner.
modifyMesh Manipulates mesh elements.
PDRMesh Mesh and field preparation utility for PDR type simulations.
refineHexMesh Refines a hex mesh by 2x2x2 cell splitting.
refinementLevel Tries to figure out what the refinement level is on refined cartesian meshes.
Run BEFORE snapping.
refineWallLayer Utility to refine cells next to patches.
removeFaces Utility to remove faces (combines cells on both sides).
selectCells Select cells in relation to surface.
splitCells Utility to split cells with flat faces.
3.6.6 Post-processing
engineCompRatio Calculate the geometric compression ratio. Note that if you have valves
and/or extra volumes it will not work, since it calculates the volume at BDC and
TCD.
pdfPlot Generates a graph of a probability distribution function.
postChannel Post-processes data from channel flow calculations.
temporalInterpolate Interpolate fields between time-steps e.g. for animation.
noise Utility to perform noise analysis of pressure data using the noiseFFT library.
postProcess Execute the set of functionObjects specified in the selected dictionary (which
defaults to system/controlDict) or on the command-line for the selected set of times
on the selected set of fields.
particleTracks Generates a VTK file of particle tracks for cases that were computed using a
tracked-parcel-type cloud.
steadyParticleTracks Generates a VTK file of particle tracks for cases that were computed
using a steady-state cloud NOTE: case must be re-constructed (if running in parallel)
before use
OpenFOAM-5.0

U-102 Applications and libraries
3.6.7 Post-processing data converters
foamDataToFluent Translates OpenFOAM data to Fluent format.
foamToEnsight Translates OpenFOAM data to EnSight format.
foamToEnsightParts Translates OpenFOAM data to Ensight format. An Ensight part is
created for each cellZone and patch.
foamToGMV Translates foam output to GMV readable files.
foamToTecplot360 Tecplot binary file format writer.
foamToTetDualMesh Converts polyMesh results to tetDualMesh.
foamToVTK Legacy VTK file format writer.
smapToFoam Translates a STAR-CD SMAP data file into OpenFOAM field format.
3.6.8 Surface mesh (e.g. OBJ/STL) tools
surfaceAdd Add two surfaces. Does geometric merge on points. Does not check for overlap-
ping/intersecting triangles.
surfaceAutoPatch Patches surface according to feature angle. Like autoPatch.
surfaceCheck Checks geometric and topological quality of a surface.
surfaceClean - removes baffles - collapses small edges, removing triangles. - converts sliver
triangles into split edges by projecting point onto base of triangle.
surfaceCoarsen Surface coarsening using ’bunnylod’:
surfaceConvert Converts from one surface mesh format to another.
surfaceFeatureConvert Convert between edgeMesh formats.
surfaceFeatureExtract Extracts and writes surface features to file. All but the basic feature
extraction is WIP.
surfaceFind Finds nearest face and vertex.
surfaceHookUp Find close open edges and stitches the surface along them
surfaceInertia Calculates the inertia tensor, principal axes and moments of a command line
specified triSurface. Inertia can either be of the solid body or of a thin shell.
surfaceLambdaMuSmooth Smooths a surface using lambda/mu smoothing.
surfaceMeshConvert Converts between surface formats with optional scaling or transforma-
tions (rotate/translate) on a coordinateSystem.
surfaceMeshConvertTesting Converts from one surface mesh format to another, but primarily
used for testing functionality.
OpenFOAM-5.0

3.6 Standard utilities U-103
surfaceMeshExport Export from surfMesh to various third-party surface formats with op-
tional scaling or transformations (rotate/translate) on a coordinateSystem.
surfaceMeshImport Import from various third-party surface formats into surfMesh with op-
tional scaling or transformations (rotate/translate) on a coordinateSystem.
surfaceMeshInfo Miscellaneous information about surface meshes.
surfaceMeshTriangulate Extracts surface from a polyMesh. Depending on output surface
format triangulates faces.
surfaceOrient Set normal consistent with respect to a user provided ’outside’ point. If the
-inside option is used the point is considered inside.
surfacePointMerge Merges points on surface if they are within absolute distance. Since
absolute distance use with care!
surfaceRedistributePar (Re)distribution of triSurface. Either takes an undecomposed sur-
face or an already decomposed surface and redistributes it so that each processor has
all triangles that overlap its mesh.
surfaceRefineRedGreen Refine by splitting all three edges of triangle (’red’ refinement). Neigh-
bouring triangles (which are not marked for refinement get split in half (’green’ refine-
ment). (R. Verfuerth, "A review of a posteriori error estimation and adaptive mesh
refinement techniques", Wiley-Teubner, 1996)
surfaceSplitByPatch Writes regions of triSurface to separate files.
surfaceSplitNonManifolds Takes multiply connected surface and tries to split surface at mul-
tiply connected edges by duplicating points. Introduces concept of - borderEdge.
Edge with 4 faces connected to it. - borderPoint. Point connected to exactly 2
borderEdges. - borderLine. Connected list of borderEdges.
surfaceSubset A surface analysis tool which sub-sets the triSurface to choose only a part
of interest. Based on subsetMesh.
surfaceToPatch Reads surface and applies surface regioning to a mesh. Uses boundaryMesh
to do the hard work.
surfaceTransformPoints Transform (scale/rotate) a surface. Like transformPoints but for
surfaces.
3.6.9 Parallel processing
decomposePar Automatically decomposes a mesh and fields of a case for parallel execution
of OpenFOAM.
reconstructPar Reconstructs fields of a case that is decomposed for parallel execution of
OpenFOAM.
reconstructParMesh Reconstructs a mesh using geometric information only.
redistributePar Redistributes existing decomposed mesh and fields according to the current
settings in the decomposeParDict file.
OpenFOAM-5.0

U-104 Applications and libraries
3.6.10 Thermophysical-related utilities
adiabaticFlameT Calculates the adiabatic flame temperature for a given fuel over a range of
unburnt temperatures and equivalence ratios.
chemkinToFoam Converts CHEMKINIII thermodynamics and reaction data files into Open-
FOAM format.
equilibriumCO Calculates the equilibrium level of carbon monoxide.
equilibriumFlameT Calculates the equilibrium flame temperature for a given fuel and pres-
sure for a range of unburnt gas temperatures and equivalence ratios; the effects of
dissociation on O2, H2O and CO2 are included.
mixtureAdiabaticFlameT Calculates the adiabatic flame temperature for a given mixture at
a given temperature.
3.6.11 Miscellaneous utilities
foamDictionary Interrogates and manipulates dictionaries.
foamFormatConvert Converts all IOobjects associated with a case into the format specified
in the controlDict.
foamHelp Top level wrapper utility around foam help utilities
foamListTimes List times using timeSelector.
patchSummary Writes fields and boundary condition info for each patch at each requested
time instance.
OpenFOAM-5.0
Chapter 4
OpenFOAM cases
This chapter deals with the file structure and organisation of OpenFOAM cases. Normally,
a user would assign a name to a case, e.g. the tutorial case of flow in a cavity is simply
named cavity. This name becomes the name of a directory in which all the case files and
subdirectories are stored. The case directories themselves can be located anywhere but we
recommend they are within a run subdirectory of the user’s project directory, i.e.$HOME/-
OpenFOAM/${USER}-5.0 as described at the beginning of chapter 2. One advantage of this
is that the $FOAM_RUN environment variable is set to $HOME/OpenFOAM/${USER}-5.0/-
run by default; the user can quickly move to that directory by executing a preset alias, run,
at the command line.
The tutorial cases that accompany the OpenFOAM distribution provide useful examples
of the case directory structures. The tutorials are located in the $FOAM_TUTORIALS
directory, reached quickly by executing the tut alias at the command line. Users can view
tutorial examples at their leisure while reading this chapter.
4.1 File structure of OpenFOAM cases
The basic directory structure for a OpenFOAM case, that contains the minimum set of files
required to run an application, is shown in Figure 4.1 and described as follows:
Aconstant directory that contains a full description of the case mesh in a subdirectory
polyMesh and files specifying physical properties for the application concerned, e.g.
transportProperties.
Asystem directory for setting parameters associated with the solution procedure itself.
It contains at least the following 3 files: controlDict where run control parameters are
set including start/end time, time step and parameters for data output; fvSchemes
where discretisation schemes used in the solution may be selected at run-time; and,
fvSolution where the equation solvers, tolerances and other algorithm controls are set
for the run.
The ‘time’ directories containing individual files of data for particular fields, e.g. velocity
and pressure. The data can be: either, initial values and boundary conditions that the
user must specify to define the problem; or, results written to file by OpenFOAM. Note
that the OpenFOAM fields must always be initialised, even when the solution does
not strictly require it, as in steady-state problems. The name of each time directory

U-106 OpenFOAM cases
<case>
system
controlDict
fvSchemes
polyMesh
points
. . . Properties
constant
fvSolution
see section 4.3
see section 4.4
see section 4.5
see section 5.1.2
see chapter 7
boundary
time directories see section 4.2.8
faces
owner
neighbour
Figure 4.1: Case directory structure
is based on the simulated time at which the data is written and is described fully
in section 4.3. It is sufficient to say now that since we usually start our simulations
at time t= 0, the initial conditions are usually stored in a directory named 0or
0.000000e+00, depending on the name format specified. For example, in the cavity
tutorial, the velocity field Uand pressure field pare initialised from files 0/U and 0/p
respectively.
4.2 Basic input/output file format
OpenFOAM needs to read a range of data structures such as strings, scalars, vectors, tensors,
lists and fields. The input/output (I/O) format of files is designed to be extremely flexible to
enable the user to modify the I/O in OpenFOAM applications as easily as possible. The I/O
follows a simple set of rules that make the files extremely easy to understand, in contrast to
many software packages whose file format may not only be difficult to understand intuitively
but also not be published. The OpenFOAM file format is described in the following sections.
4.2.1 General syntax rules
dThe format follows some general principles of C++ source code.
•Files have free form, with no particular meaning assigned to any column and no need
to indicate continuation across lines.
•Lines have no particular meaning except to a // comment delimiter which makes
OpenFOAM ignore any text that follows it until the end of line.
•A comment over multiple lines is done by enclosing the text between /* and */ de-
limiters.
OpenFOAM-5.0

4.2 Basic input/output file format U-107
4.2.2 Dictionaries
OpenFOAM uses dictionaries as the most common means of specifying data. A dictionary
is an entity that contains data entries that can be retrieved by the I/O by means of keywords.
The keyword entries follow the general format
<keyword> <dataEntry1>... <dataEntryN>;
Most entries are single data entries of the form:
<keyword> <dataEntry>;
Most OpenFOAM data files are themselves dictionaries containing a set of keyword entries.
Dictionaries provide the means for organising entries into logical categories and can be
specified hierarchically so that any dictionary can itself contain one or more dictionary
entries. The format for a dictionary is to specify the dictionary name followed by keyword
entries enclosed in curly braces {} as follows.
<dictionaryName>
{
... keyword entries ...
}
4.2.3 The data file header
All data files that are read and written by OpenFOAM begin with a dictionary named
FoamFile containing a standard set of keyword entries, listed in Table 4.1. The table
Keyword Description Entry
version I/O format version 2.0
format Data format ascii /binary
location Path to the file, in "..." (optional)
class OpenFOAM class constructed from the
data file concerned
typically dictionary or a
field, e.g. volVectorField
object Filename e.g. controlDict
Table 4.1: Header keywords entries for data files.
provides brief descriptions of each entry, which is probably sufficient for most entries with
the notable exception of class. The class entry is the name of the C++ class in the
OpenFOAM library that will be constructed from the data in the file. Without knowledge
of the underlying code which calls the file to be read, and knowledge of the OpenFOAM
classes, the user will probably be unable to surmise the class entry correctly. However,
most data files with simple keyword entries are read into an internal dictionary class and
therefore the class entry is dictionary in those cases.
The following example shows the use of keywords to provide data for a case using the
types of entry described so far. The extract, from an fvSolution dictionary file, contains
2 dictionaries, solvers and PISO. The solvers dictionary contains multiple data entries for
OpenFOAM-5.0

U-108 OpenFOAM cases
solver and tolerances for each of the pressure and velocity equations, represented by the p
and Ukeywords respectively; the PISO dictionary contains algorithm controls.
17 solvers
18 {
19 p
20 {
21 solver PCG;
22 preconditioner DIC;
23 tolerance 1e-06;
24 relTol 0.05;
25 }
26
27 pFinal
28 {
29 $p;
30 relTol 0;
31 }
32
33 U
34 {
35 solver smoothSolver;
36 smoother symGaussSeidel;
37 tolerance 1e-05;
38 relTol 0;
39 }
40 }
41
42 PISO
43 {
44 nCorrectors 2;
45 nNonOrthogonalCorrectors 0;
46 pRefCell 0;
47 pRefValue 0;
48 }
49
50 // ************************************************************************* //
4.2.4 Lists
OpenFOAM applications contain lists, e.g. a list of vertex coordinates for a mesh description.
Lists are commonly found in I/O and have a format of their own in which the entries are
contained within round braces ( ). There is also a choice of format preceeding the round
braces:
simple the keyword is followed immediately by round braces
<listName>
(
... entries ...
);
numbered the keyword is followed by the number of elements <n>in the list
<listName>
<n>
(
... entries ...
);
token identifier the keyword is followed by a class name identifier Label<Type>where
<Type>states what the list contains, e.g. for a list of scalar elements is
OpenFOAM-5.0

4.2 Basic input/output file format U-109
<listName>
List<scalar>
<n>// optional
(
... entries ...
);
Note that <scalar>in List<scalar>is not a generic name but the actual text that should
be entered.
The simple format is a convenient way of writing a list. The other formats allow the
code to read the data faster since the size of the list can be allocated to memory in advance
of reading the data. The simple format is therefore preferred for short lists, where read time
is minimal, and the other formats are preferred for long lists.
4.2.5 Scalars, vectors and tensors
A scalar is a single number represented as such in a data file. A vector is a VectorSpace of
rank 1 and dimension 3, and since the number of elements is always fixed to 3, the simple
List format is used. Therefore a vector (1.0,1.1,1.2) is written:
(1.0 1.1 1.2)
In OpenFOAM, a tensor is a VectorSpace of rank 2 and dimension 3 and therefore the data
entries are always fixed to 9 real numbers. Therefore the identity tensor can be written:
(
100
010
001
)
This example demonstrates the way in which OpenFOAM ignores the line return is so that
the entry can be written over multiple lines. It is treated no differently to listing the numbers
on a single line:
(100010001)
4.2.6 Dimensional units
In continuum mechanics, properties are represented in some chosen units, e.g. mass in
kilograms (kg), volume in cubic metres (m3), pressure in Pascals (kg m−1s−2). Algebraic
operations must be performed on these properties using consistent units of measurement; in
particular, addition, subtraction and equality are only physically meaningful for properties
of the same dimensional units. As a safeguard against implementing a meaningless opera-
tion, OpenFOAM attaches dimensions to field data and physical properties and performs
dimension checking on any tensor operation.
The I/O format for a dimensionSet is 7 scalars delimited by square brackets, e.g.
OpenFOAM-5.0

U-110 OpenFOAM cases
No. Property SI unit USCS unit
1 Mass kilogram (kg) pound-mass (lbm)
2 Length metre (m) foot (ft)
3 Time second (s) second (s)
4 Temperature Kelvin (K) degree Rankine (◦R)
5 Quantity mole (mol) mole (mol)
6 Current ampere (A) ampere (A)
7 Luminous intensity candela (cd) candela (cd)
Table 4.2: Base units for SI and USCS
[0 2 -1 0 0 0 0]
where each of the values corresponds to the power of each of the base units of measure-
ment listed in Table 4.2. The table gives the base units for the Système International
(SI) and the United States Customary System (USCS) but OpenFOAM can be used with
any system of units. All that is required is that the input data is correct for the cho-
sen set of units. It is particularly important to recognise that OpenFOAM requires some
dimensioned physical constants, e.g. the Universal Gas Constant R, for certain calcula-
tions, e.g. thermophysical modelling. These dimensioned constants are specified in a Di-
mensionedConstant sub-dictionary of main controlDict file of the OpenFOAM installation
($WM_PROJECT_DIR/etc/controlDict). By default these constants are set in SI units.
Those wishing to use the USCS or any other system of units should modify these constants
to their chosen set of units accordingly.
4.2.7 Dimensioned types
Physical properties are typically specified with their associated dimensions. These entries
formally have the format that the following example of a dimensionedScalar demonstrates:
nu nu [0 2 -1 0 0 0 0] 1;
The first nu is the keyword; the second nu is the word name stored in class word, usually
chosen to be the same as the keyword; the next entry is the dimensionSet and the final entry
is the scalar value.
The majority of dimensioned keyword lookups set a default for the word name which
can therefore be omitted from the entry, so the more common syntax is:
nu [0 2 -1 0 0 0 0] 1;
4.2.8 Fields
Much of the I/O data in OpenFOAM are tensor fields, e.g. velocity, pressure data, that
are read from and written into the time directories. OpenFOAM writes field data using
keyword entries as described in Table 4.3.
The data begins with an entry for its dimensions. Following that, is the internalField,
described in one of the following ways.
OpenFOAM-5.0

4.2 Basic input/output file format U-111
Keyword Description Example
dimensions Dimensions of field [1 1 -2 0 0 0 0]
internalField Value of internal field uniform (1 0 0)
boundaryField Boundary field see file listing in section 4.2.8
Table 4.3: Main keywords used in field dictionaries.
Uniform field a single value is assigned to all elements within the field, taking the form:
internalField uniform <entry>;
Nonuniform field each field element is assigned a unique value from a list, taking the
following form where the token identifier form of list is recommended:
internalField nonuniform <List>;
The boundaryField is a dictionary containing a set of entries whose names correspond
to each of the names of the boundary patches listed in the boundary file in the polyMesh
directory. Each patch entry is itself a dictionary containing a list of keyword entries. The
mandatory entry, type, describes the patch field condition specified for the field. The
remaining entries correspond to the type of patch field condition selected and can typically
include field data specifying initial conditions on patch faces. A selection of patch field
conditions available in OpenFOAM are listed in section 5.2.1, section 5.2.2 and section 5.2.3,
with a description and the data that must be specified with it. Example field dictionary
entries for velocity Uare shown below:
17 dimensions [0 1 -1 0 0 0 0];
18
19 internalField uniform (0 0 0);
20
21 boundaryField
22 {
23 movingWall
24 {
25 type fixedValue;
26 value uniform (1 0 0);
27 }
28
29 fixedWalls
30 {
31 type noSlip;
32 }
33
34 frontAndBack
35 {
36 type empty;
37 }
38 }
39
40 // ************************************************************************* //
4.2.9 Macro expansion
OpenFOAM dictionary files include a macro syntax to allow convenient configuration of
case files. The syntax uses the the dollar ($) symbol in front of a keyword to expand the
data associated with the keyword. For example the value set for keyword abelow, 10, is
expanded in the following line, so that the value of bis also 10.
a 10;
b $a;
OpenFOAM-5.0

U-112 OpenFOAM cases
Variables can be accessed within different levels of sub-dictionaries, or scope. Scoping is
performed using a ‘.’ (dot) syntax, illustrated by the following example, where bis set to
the value of a, specified in a sub-dictionary called subdict.
subdict
{
a 10;
}
b $subdict.a;
There are further syntax rules for macro expansions:
•to traverse up one level of sub-dictionary, use the ‘..’ (double-dot) prefix, see below;
•to traverse up two levels use ‘...’ (triple-dot) prefix, etc.;
•to traverse to the top level dictionary use the ‘:’ (colon) prefix (most useful), see
below;
•for multiple levels of macro substitution, each specified with the ‘$’ dollar syntax, ‘{}’
brackets are required to protect the expansion, see below.
a 10;
b a;
c ${${b}}; // returns 10, since $b returns "a", and $a returns 10
subdict
{
b $..a; // double-dot takes scope up 1 level, then "a" is available
subsubdict
{
c $:a; // colon takes scope to top level, then "a" is available
}
}
4.2.10 Including files
There is additional file syntax that provides further flexibility for setting up of OpenFOAM
case files, namely directives. Directives are commands that can be contained within case
files that begin with the hash (#) symbol. The first set of directive commands are those for
reading a data file from within another data file. For example, let us say a user wishes to
set an initial value of pressure once to be used as the internal field and initial value at a
boundary. We could create a file, e.g. named initialConditions, which contains the following
entries:
pressure 1e+05;
OpenFOAM-5.0

4.2 Basic input/output file format U-113
In order to use this pressure for both the internal and initial boundary fields, the user
would simply include the initialConditions file using the #include directive, then use macro
expansions for the pressure keyword, as follows.
#include "initialConditions"
internalField uniform $pressure;
boundaryField
{
patch1
{
type fixedValue;
value $internalField;
}
}
The file include directives are as follows:
#include "<path>/<fileName>"reads the file of name <fileName>from an absolute or
relative directory path <path>;
#includeIfPresent "<path>/<fileName>"reads the file if it exists;
#includeEtc "<path>/<fileName>"reads the file of name <fileName>from the directory
path <path>, relative to the $FOAM_ETC directory;
#includeFunc <fileName>reads the file of name <fileName>, searched from the case sys-
tem directory, followed by the $FOAM_ETC directory;
#remove <keywordEntry>removes any included keyword entry; can take a word or regular
expression;
4.2.11 Regular expressions
When running an application, data is initialised by looking up keywords from dictionaries.
The user can either provide an entry with a keyword that directly matches the one being
looked up, or can provide a POSIX regular expression that matches the keyword, spec-
ified inside double-quotations ("..."). Regular expressions have an extensive syntax for
various matches of text patterns but they are typically only used in the following ways in
OpenFOAM input files.
•"inlet.*" matches any word beginning inlet. . . , including inlet itself, because ‘.’
denotes “any character” and ‘*’ denotes “repeated any number of times, including 0
times”.
•"(inlet|output)" matches inlet and outlet because () specified an expression
grouping and |is an OR operator.
OpenFOAM-5.0

U-114 OpenFOAM cases
4.2.12 Keyword ordering
The order in which keywords are listed does not matter, except when the same keyword is
specified multiple times. Where the same keyword is duplicated, the last instance is used.
The most common example of a duplicate keyword occurs when a keyword is included from
the file or expanded from a macro, and then overridden. The example below demonstrates
this, where pFinal adopts all the keyword entries, including relTol 0.05 in the psub-
dictionary by the macro expansion $p, then overrides the relTol entry.
p
{
solver PCG;
preconditioner DIC;
tolerance 1e-6;
relTol 0.05;
}
pFinal
{
$p;
relTol 0;
}
Where a data lookup matches both a keyword and a regular expression, the keyword
match takes precedence irrespective of the order of the entries.
4.2.13 Inline calculations and code
There are two further directives that enable calculations from within input files: #calc, for
simple calculations; #codeStream, for more complex calculations.
The pipeCyclic tutorial in $FOAM_TUTORIALS/incompressible/simpleFoam demonstrates
the #calc directive through its blockMesh configuration in blockMeshDict:
//- Half angle of wedge in degrees
halfAngle 45.0;
//- Radius of pipe [m]
radius 0.5;
radHalfAngle #calc "degToRad($halfAngle)";
y #calc "$radius*sin($radHalfAngle)";
minY #calc "-1.0*$y";
z #calc "$radius*cos($radHalfAngle)";
minZ #calc "-1.0*$z";
The file contains several calculations that calculate vertex ordinates, e.g. y,z,etc., from
geometry dimensions, e.g. radius. Calculations include standard C++ functions including
unit conversions, e.g. degToRad, and trigonometric functions, e.g. sin.
OpenFOAM-5.0

4.3 Time and data input/output control U-115
The #codeStream directive takes C++ code which is compiled and executed to deliver
the dictionary entry. The code and compilation instructions are specified through the fol-
lowing keywords.
•code: specifies the code, called with arguments OStream& os and const dictionary&
dict which the user can use in the code, e.g. to lookup keyword entries from within
the current case dictionary (file).
•codeInclude (optional): specifies additional C++ #include statements to include
OpenFOAM files.
•codeOptions (optional): specifies any extra compilation flags to be added to EXE_INC
in Make/options.
•codeLibs (optional): specifies any extra compilation flags to be added to LIB_LIBS
in Make/options.
Code, like any string, can be written across multiple lines by enclosing it within hash-bracket
delimiters, i.e. #{...#}. Anything in between these two delimiters becomes a string with
all newlines, quotes, etc. preserved.
An example of #codeStream is given below, where the code in the calculates moment of
inertia of a box shaped geometry.
momentOfInertia #codeStream
{
codeInclude
#{
#include "diagTensor.H"
#};
code
#{
scalar sqrLx = sqr($Lx);
scalar sqrLy = sqr($Ly);
scalar sqrLz = sqr($Lz);
os <<
$mass
*diagTensor(sqrLy + sqrLz, sqrLx + sqrLz, sqrLx + sqrLy)/12.0;
#};
};
4.3 Time and data input/output control
The OpenFOAM solvers begin all runs by setting up a database. The database controls
I/O and, since output of data is usually requested at intervals of time during the run, time
is an inextricable part of the database. The controlDict dictionary sets input parameters
essential for the creation of the database. The keyword entries in controlDict are listed in the
following sections. Only the time control and writeInterval entries are mandatory, with
the database using default values for any of the optional entries that are omitted. Example
entries from a controlDict dictionary are given below:
17 application icoFoam;
18
19 startFrom startTime;
20
21 startTime 0;
22
23 stopAt endTime;
OpenFOAM-5.0

U-116 OpenFOAM cases
24
25 endTime 0.5;
26
27 deltaT 0.005;
28
29 writeControl timeStep;
30
31 writeInterval 20;
32
33 purgeWrite 0;
34
35 writeFormat ascii;
36
37 writePrecision 6;
38
39 writeCompression off;
40
41 timeFormat general;
42
43 timePrecision 6;
44
45 runTimeModifiable true;
46
47 // ************************************************************************* //
4.3.1 Time control
startFrom Controls the start time of the simulation.
•firstTime: Earliest time step from the set of time directories.
•startTime: Time specified by the startTime keyword entry.
•latestTime: Most recent time step from the set of time directories.
startTime Start time for the simulation with startFrom startTime;
stopAt Controls the end time of the simulation.
•endTime: Time specified by the endTime keyword entry.
•writeNow: Stops simulation on completion of current time step and writes data.
•noWriteNow: Stops simulation on completion of current time step and does not
write out data.
•nextWrite: Stops simulation on completion of next scheduled write time, speci-
fied by writeControl.
endTime End time for the simulation when stopAt endTime; is specified.
deltaT Time step of the simulation.
4.3.2 Data writing
writeControl Controls the timing of write output to file.
•timeStep: Writes data every writeInterval time steps.
•runTime: Writes data every writeInterval seconds of simulated time.
•adjustableRunTime: Writes data every writeInterval seconds of simulated
time, adjusting the time steps to coincide with the writeInterval if necessary
— used in cases with automatic time step adjustment.
OpenFOAM-5.0

4.3 Time and data input/output control U-117
•cpuTime: Writes data every writeInterval seconds of CPU time.
•clockTime: Writes data out every writeInterval seconds of real time.
writeInterval Scalar used in conjunction with writeControl described above.
purgeWrite Integer representing a limit on the number of time directories that are stored
by overwriting time directories on a cyclic basis. For example, if the simulations
starts at t= 5s and ∆t= 1s, then with purgeWrite 2;, data is first written into 2
directories, 6and 7, then when 8is written, 6is deleted, and so on so that only 2 new
results directories exists at any time. To disable the purging, specify purgeWrite 0;
(default).
writeFormat Specifies the format of the data files.
•ascii (default): ASCII format, written to writePrecision significant figures.
•binary: binary format.
writePrecision Integer used in conjunction with writeFormat described above, 6 by de-
fault.
writeCompression Switch to specify whether files are compressed with gzip when written:
on/off (yes/no,true/false)
timeFormat Choice of format of the naming of the time directories.
•fixed:±m.dddddd where the number of ds is set by timePrecision.
•scientific:±m.dddddde±xx where the number of ds is set by timePrecision.
•general (default): Specifies scientific format if the exponent is less than -4
or greater than or equal to that specified by timePrecision.
timePrecision Integer used in conjunction with timeFormat described above, 6 by default.
graphFormat Format for graph data written by an application.
•raw (default): Raw ASCII format in columns.
•gnuplot: Data in gnuplot format.
•xmgr: Data in Grace/xmgr format.
•jplot: Data in jPlot format.
4.3.3 Other settings
adjustTimeStep Switch used by some solvers to adjust the time step during the simulation,
usually according to maxCo.
maxCo Maximum Courant number, e.g. 0.5
runTimeModifiable Switch for whether dictionaries, e.g.controlDict, are re-read during a
simulation at the beginning of each time step, allowing the user to modify parameters
during a simulation.
OpenFOAM-5.0

U-118 OpenFOAM cases
libs List of additional libraries (on $LD_LIBRARY_PATH) to be loaded at run-time,
e.g.("libNew1.so" "libNew2.so")
functions Dictionary of functions, e.g. probes to be loaded at run-time; see examples in
$FOAM_TUTORIALS
4.4 Numerical schemes
The fvSchemes dictionary in the system directory sets the numerical schemes for terms, such
as derivatives in equations, that are calculated during a simulation. This section describes
how to specify the schemes in the fvSchemes dictionary.
The terms that must typically be assigned a numerical scheme in fvSchemes range from
derivatives, e.g. gradient ∇, to interpolations of values from one set of points to another. The
aim in OpenFOAM is to offer an unrestricted choice to the user, starting with the choice
of discretisation practice which is generally standard Gaussian finite volume integration.
Gaussian integration is based on summing values on cell faces, which must be interpolated
from cell centres. The user has a wide range of options for interpolation scheme, with certain
schemes being specifically designed for particular derivative terms, especially the advection
divergence ∇•terms.
The set of terms, for which numerical schemes must be specified, are subdivided within
the fvSchemes dictionary into the categories below.
•timeScheme: first and second time derivatives, e.g. ∂/∂t, ∂2/∂2t
•gradSchemes: gradient ∇
•divSchemes: divergence ∇•
•laplacianSchemes: Laplacian ∇2
•interpolationSchemes: cell to face interpolations of values.
•snGradSchemes: component of gradient normal to a cell face.
•wallDist: distance to wall calculation, where required.
Each keyword in represents the name of a sub-dictionary which contains terms of a particular
type, e.g.gradSchemes contains all the gradient derivative terms such as grad(p) (which
represents ∇p). Further examples can be seen in the extract from an fvSchemes dictionary
below:
17 ddtSchemes
18 {
19 default Euler;
20 }
21
22 gradSchemes
23 {
24 default Gauss linear;
25 }
26
27 divSchemes
28 {
29 default none;
30 div(phi,U) bounded Gauss linearUpwind grad(U);
31 div(phi,k) bounded Gauss upwind;
32 div(phi,epsilon) bounded Gauss upwind;
OpenFOAM-5.0

4.4 Numerical schemes U-119
33 div(phi,R) bounded Gauss upwind;
34 div(R) Gauss linear;
35 div(phi,nuTilda) bounded Gauss upwind;
36 div((nuEff*dev2(T(grad(U))))) Gauss linear;
37 }
38
39 laplacianSchemes
40 {
41 default Gauss linear corrected;
42 }
43
44 interpolationSchemes
45 {
46 default linear;
47 }
48
49 snGradSchemes
50 {
51 default corrected;
52 }
53
54 // ************************************************************************* //
The example shows that the fvSchemes dictionary contains 6 . . . Schemes subdictionaries
containing keyword entries for each term specified within including: a default entry;
other entries whose names correspond to a word identifier for the particular term speci-
fied, e.g.grad(p) for ∇pIf a default scheme is specified in a particular . . . Schemes sub-
dictionary, it is assigned to all of the terms to which the sub-dictionary refers, e.g. specifying
adefault in gradSchemes sets the scheme for all gradient terms in the application, e.g. ∇p,
∇U. When a default is specified, it is not necessary to specify each specific term itself
in that sub-dictionary, i.e. the entries for grad(p),grad(U) in this example. However, if
any of these terms are included, the specified scheme overrides the default scheme for that
term.
Alternatively the user can specify that no default scheme by the none entry, as in the
divSchemes in the example above. In this instance the user is obliged to specify all terms
in that sub-dictionary individually. Setting default to none may appear superfluous since
default can be overridden. However, specifying none forces the user to specify all terms
individually which can be useful to remind the user which terms are actually present in the
application.
OpenFOAM includes a vast number of discretisation schemes, from which only a few
are typically recommended for real-world, engineering applications. The user can get help
with scheme selection by interrogating the tutorial cases for example scheme settings. They
should look at the schemes used in relevant cases, e.g. for running a large-eddy simulation
(LES), look at schemes used in tutorials running LES. Additionally, foamSearch provides a
useful tool to get a quick list of schemes used in all the tutorials. For example, to print
all the default entries for ddtSchemes for cases in the $FOAM_TUTORIALS directory, the
user can type:
foamSearch $FOAM_TUTORIALS fvSchemes ddtSchemes.default
which prints:
default backward;
default CrankNicolson 0.9;
default Euler;
default localEuler;
OpenFOAM-5.0

U-120 OpenFOAM cases
default none;
default steadyState;
The schemes listed using foamSearch are described in the following sections.
4.4.1 Time schemes
The first time derivative (∂/∂t) terms are specified in the ddtSchemes sub-dictionary. The
discretisation schemes for each term can be selected from those listed below.
•steadyState: sets time derivatives to zero.
•Euler: transient, first order implicit, bounded.
•backward: transient, second order implicit, potentially unbounded.
•CrankNicolson: transient, second order implicit, bounded; requires an off-centering
coefficient ψwhere:
ψ=(1corresponds to pure CrankNicolson,
0corresponds to Euler;
generally ψ= 0.9 is used to bound/stabilise the scheme for practical engineering
problems.
•localEuler: pseudo transient for accelerating a solution to steady-state using local-
time stepping; first order implicit.
Solvers are generally configured to simulate either transient or steady-state. Changing the
time scheme from one which is steady-state to transient, or visa versa, does not affect the
fundamental nature of the solver and so fails to achieve its purpose, yielding a nonsensical
solution.
Any second time derivative (∂2/∂t2) terms are specified in the d2dt2Schemes sub-dictionary.
Only the Euler scheme is available for d2dt2Schemes.
4.4.2 Gradient schemes
The gradSchemes sub-dictionary contains gradient terms. The default discretisation scheme
that is primarily used for gradient terms is:
default Gauss linear;
The Gauss entry specifies the standard finite volume discretisation of Gaussian integration
which requires the interpolation of values from cell centres to face centres. The interpo-
lation scheme is then given by the linear entry, meaning linear interpolation or central
differencing.
In some tutorials cases, particular involving poorer quality meshes, the discretisation of
specific gradient terms is overridden to improve boundedness and stability. The terms that
are overridden in those cases are the velocity gradient
OpenFOAM-5.0

4.4 Numerical schemes U-121
grad(U) cellLimited Gauss linear 1;
and, less frequently, the gradient of turbulence fields, e.g.
grad(k) cellLimited Gauss linear 1;
grad(epsilon) cellLimited Gauss linear 1;
They use the cellLimited scheme which limits the gradient such that when cell values are
extrapolated to faces using the calculated gradient, the face values do not fall outside the
bounds of values in surrounding cells. A limiting coefficient is specified after the underlying
scheme for which 1 guarantees boundedness and 0 applies no limiting; 1 is invariably used.
Other schemes that are rarely used are as follows.
•leastSquares: a second-order, least squares distance calculation using all neighbour
cells.
•Gauss cubic: third-order scheme that appears in the dnsFoam simulation on a regular
mesh.
4.4.3 Divergence schemes
The divSchemes sub-dictionary contains divergence terms, i.e. terms of the form ∇•...,
excluding Laplacian terms (of the form ∇•(Γ∇...)). This includes both advection terms,
e.g. ∇•(Uk), where velocity Uprovides the advective flux, and other terms, that are often
diffusive in nature, e.g. ∇•ν(∇U)T.
The fact that terms that are fundamentally different reside in one sub-dictionary means
that the default scheme in generally set to none in divSchemes. The non-advective terms
then generally use the Gauss integration with linear interpolation, e.g.
div(U) Gauss linear;
The treatment of advective terms is one of the major challenges in CFD numerics and so
the options are more extensive. The keyword identifier for the advective terms are usually
of the form div(phi,...), where phi generally denotes the (volumetric) flux of velocity
on the cell faces for constant-density flows and the mass flux for compressible flows, e.g.
div(phi,U) for the advection of velocity, div(phi,e) for the advection of internal energy,
div(phi,k) for turbulent kinetic energy, etc. For advection of velocity, the user can run the
foamSearch script to extract the div(phi,U) keyword from all tutorials.
foamSearch $FOAM_TUTORIALS fvSchemes "divSchemes.div(phi,U)"
The schemes are all based on Gauss integration, using the flux phi and the advected field be-
ing interpolated to the cell faces by one of a selection of schemes, e.g. linear,linearUpwind,
etc. There is a bounded variant of the discretisation, discussed later.
Ignoring ‘V’-schemes (with keywords ending “V”), and rarely-used schemes such as Gauss
cubic and vanLeerV, the interpolation schemes used in the tutorials are as follows.
•linear: second order, unbounded.
OpenFOAM-5.0

U-122 OpenFOAM cases
•linearUpwind: second order, upwind-biased, unbounded (but much less so than
linear), that requires discretisation of the velocity gradient to be specified.
•LUST: blended 75% linear/ 25%linearUpwind scheme, that requires discretisation of
the velocity gradient to be specified.
•limitedLinear:linear scheme that limits towards upwind in regions of rapidly
changing gradient; requires a coefficient, where 1 is strongest limiting, tending towards
linear as the coefficient tends to 0.
•upwind: first-order bounded, generally too inaccurate to be recommended.
Example syntax for these schemes is as follows.
div(phi,U) Gauss linear;
div(phi,U) Gauss linearUpwind grad(U);
div(phi,U) Gauss LUST grad(U);
div(phi,U) Gauss LUST unlimitedGrad(U);
div(phi,U) Gauss limitedLinear 1;
div(phi,U) Gauss upwind;
‘V’-schemes are specialised versions of schemes designed for vector fields. They differ
from conventional schemes by calculating a single limiter which is applied to all components
of the vectors, rather than calculating separate limiters for each component of the vector.
The ‘V’-schemes’ single limiter is calculated based on the direction of most rapidly changing
gradient, resulting in the strongest limiter being calculated which is most stable but arguably
less accurate. Example syntax is as follows.
div(phi,U) Gauss limitedLinearV 1;
div(phi,U) Gauss linearUpwindV grad(U);
The bounded variants of schemes relate to the treatment of the material time derivative
which can be expressed in terms of a spatial time derivative and convection, e.g. for field e
in incompressible flow
De
Dt =∂e
∂t +U•∇e=∂e
∂t +∇•(Ue)−(∇•U)e(4.1)
For numerical solution of incompressible flows, ∇•U= 0 at convergence, at which point
the third term on the right hand side is zero. Before convergence is reached, however,
∇•U6= 0 and in some circumstances, particularly steady-state simulations, it is better to
include the third term within a numerical solution because it helps maintain boundedness of
the solution variable and promotes better convergence. The bounded variant of the Gauss
scheme provides this, automatically including the discretisation of the third-term with the
advection term. Example syntax is as follows, as seen in fvSchemes files for steady-state
cases, e.g. for the simpleFoam tutorials
div(phi,U) bounded Gauss limitedLinearV 1;
div(phi,U) bounded Gauss linearUpwindV grad(U);
OpenFOAM-5.0

4.4 Numerical schemes U-123
The schemes used for advection of scalar fields are similar to those for advection of
velocity, although in general there is greater emphasis placed on boundedness than accuracy
when selecting the schemes. For example, a search for schemes for advection of internal
energy (e) reveals the following.
foamSearch $FOAM_TUTORIALS fvSchemes "divSchemes.div(phi,e)"
div(phi,e) bounded Gauss upwind;
div(phi,e) Gauss limitedLinear 1;
div(phi,e) Gauss LUST grad(e);
div(phi,e) Gauss upwind;
div(phi,e) Gauss vanLeer;
In comparison with advection of velocity, there are no cases set up to use linear or
linearUpwind. Instead the limitedLinear and upwind schemes are commonly used, with
the additional appearance of vanLeer, another limited scheme, with less strong limiting
than limitedLinear.
There are specialised versions of the limited schemes for scalar fields that are commonly
bounded between 0 and 1, e.g. the laminar flame speed regress variable b. A search for the
discretisation used for advection in the laminar flame transport equation yields:
div(phiSt,b) Gauss limitedLinear01 1;
The underlying scheme is limitedLinear, specialised for stronger bounding between 0 and
1 by adding 01 to the name of the scheme.
The multivariateSelection mechanism also exists for grouping multiple equation
terms together, and applying the same limiters on all terms, using the strongest limiter
calculated for all terms. A good example of this is in a set of mass transport equations for
fluid species, where it is good practice to apply the same discretisation to all equations for
consistency. The example below comes from the smallPoolFire3D tutorial in $FOAM_TUT-
ORIALS/combustion/fireFoam/les, in which the equation for enthalpy his included with the
specie mass transport equations in the calculation of a single limiter.
div(phi,Yi_h) Gauss multivariateSelection
{
O2 limitedLinear01 1;
CH4 limitedLinear01 1;
N2 limitedLinear01 1;
H2O limitedLinear01 1;
CO2 limitedLinear01 1;
h limitedLinear 1 ;
}
4.4.4 Surface normal gradient schemes
It is worth explaining the snGradSchemes sub-dictionary that contains surface normal gra-
dient terms, before discussion of laplacianSchemes, because they are required to evaluate a
OpenFOAM-5.0

U-124 OpenFOAM cases
Laplacian term using Gaussian integration. A surface normal gradient is evaluated at a cell
face; it is the component, normal to the face, of the gradient of values at the centres of the
2 cells that the face connects.
A search for the default scheme for snGradSchemes reveals the following entries.
default corrected;
default limited corrected 0.33;
default limited corrected 0.5;
default orthogonal;
default uncorrected;
The basis of the gradient calculation at a face is to subtract the value at the cell centre
on one side of the face from the value in the centre on the other side and divide by the
distance. The calculation is second-order accurate for the gradient normal to the face if
the vector connecting the cell centres is orthogonal to the face, i.e. they are at right-angles.
This is the orthogonal scheme.
Orthogonality requires a regular mesh, typically aligned with the Catersian co-ordinate
system, which does not normally occur in meshes for real world, engineering geometries.
Therefore, to maintain second-order accuracy, an explicit non-orthogonal correction can
be added to the orthogonal component, known as the corrected scheme. The correction
increases in size as the non-orthonality, the angle αbetween the cell-cell vector and face
normal vector, increases.
As αtends towards 90◦,e.g. beyond 70◦, the explicit correction can be so large to cause
a solution to go unstable. The solution can be stabilised by applying the limited scheme
to the correction which requires a coefficient ψ, 0≤ψ≤1where
ψ=
0corresponds to uncorrected,
0.333 non-orthogonal correction ≤0.5×orthogonal part,
0.5non-orthogonal correction ≤orthogonal part,
1corresponds to corrected.
(4.2)
Typically, psi is chosen to be 0.33 or 0.5, where 0.33 offers greater stability and 0.5 greater
accuracy.
The corrected scheme applies under-relaxation in which the implicit orthogonal calcu-
lation is increased by cos−1α, with an equivalent boost within the non-orthogonal correc-
tion. The uncorrected scheme is equivalent to the corrected scheme, without the non-
orthogonal correction, so includes is like orthogonal but with the cos−1αunder-relaxation.
Generally the uncorrected and orthogonal schemes are only recommended for meshes
with very low non-orthogonality (e.g. maximum 5◦). The corrected scheme is generally
recommended, but for maximum non-orthogonality above 70◦,limited may be required.
At non-orthogonality above 80◦, convergence is generally hard to achieve.
4.4.5 Laplacian schemes
The laplacianSchemes sub-dictionary contains Laplacian terms. A typical Laplacian term
is ∇•(ν∇U), the diffusion term in the momentum equations, which corresponds to the
keyword laplacian(nu,U) in laplacianSchemes. The Gauss scheme is the only choice of
discretisation and requires a selection of both an interpolation scheme for the diffusion
OpenFOAM-5.0

4.5 Solution and algorithm control U-125
coefficient, i.e. νin our example, and a surface normal gradient scheme, i.e. ∇U. To
summarise, the entries required are:
Gauss <interpolationScheme> <snGradScheme>
The user can search for the default scheme for laplacianSchemes in all the cases in the
$FOAM_TUTORIALS directory.
foamSearch $FOAM_TUTORIALS fvSchemes laplacianSchemes.default
It reveals the following entries.
default Gauss linear corrected;
default Gauss linear limited corrected 0.33;
default Gauss linear limited corrected 0.5;
default Gauss linear orthogonal;
default Gauss linear uncorrected;
In all cases, the linear interpolation scheme is used for interpolation of the diffusivity.
The cases uses the same array of snGradSchemes based on level on non-orthogonality, as
described in section 4.4.4.
4.4.6 Interpolation schemes
The interpolationSchemes sub-dictionary contains terms that are interpolations of values
typically from cell centres to face centres, primarily used in the interpolation of velocity
to face centres for the calculation of flux phi. There are numerous interpolation schemes
in OpenFOAM, but a search for the default scheme in all the tutorial cases reveals that
linear interpolation is used in almost every case, except for 2-3 unusual cases, e.g. DNS on
a regular mesh, stress analysis, where cubic interpolation is used.
4.5 Solution and algorithm control
The equation solvers, tolerances and algorithms are controlled from the fvSolution dictionary
in the system directory. Below is an example set of entries from the fvSolution dictionary
required for the icoFoam solver.
17 solvers
18 {
19 p
20 {
21 solver PCG;
22 preconditioner DIC;
23 tolerance 1e-06;
24 relTol 0.05;
25 }
26
27 pFinal
28 {
29 $p;
30 relTol 0;
31 }
32
33 U
34 {
OpenFOAM-5.0

U-126 OpenFOAM cases
35 solver smoothSolver;
36 smoother symGaussSeidel;
37 tolerance 1e-05;
38 relTol 0;
39 }
40 }
41
42 PISO
43 {
44 nCorrectors 2;
45 nNonOrthogonalCorrectors 0;
46 pRefCell 0;
47 pRefValue 0;
48 }
49
50 // ************************************************************************* //
fvSolution contains a set of subdictionaries, described in the remainder of this section that
includes: solvers;relaxationFactors; and, PISO,SIMPLE or PIMPLE.
4.5.1 Linear solver control
The first sub-dictionary in our example is solvers. It specifies each linear-solver that is used
for each discretised equation; here, the term linear-solver refers to the method of number-
crunching to solve a matrix equation, as opposed to an application solver, such as simpleFoam
which describes the entire set of equations and algorithms to solve a particular problem.
The term ‘linear-solver’ is abbreviated to ‘solver’ in much of what follows; hopefully the
context of the term avoids any ambiguity.
The syntax for each entry within solvers starts with a keyword that is of the variable
being solved in the particular equation. For example, icoFoam solves equations for velocity
Uand pressure p, hence the entries for Uand p. The keyword relates to a sub-dictionary
containing the type of solver and the parameters that the solver uses. The solver is selected
through the solver keyword from the options listed below. The parameters, including
tolerance,relTol,preconditioner,etc. are described in following sections.
•PCG/PBiCGStab: Stabilised preconditioned (bi-)conjugate gradient, for both symmet-
ric and asymmetric matrices.
•PCG/PBiCG: preconditioned (bi-)conjugate gradient, with PCG for symmetric matrices,
PBiCG for asymmetric matrices.
•smoothSolver: solver that uses a smoother.
•GAMG: generalised geometric-algebraic multi-grid.
•diagonal: diagonal solver for explicit systems.
The solvers distinguish between symmetric matrices and asymmetric matrices. The symme-
try of the matrix depends on the terms of the equation being solved, e.g. time derivatives and
Laplacian terms form coefficients of a symmetric matrix, whereas an advective derivative
introduces asymmetry. If the user specifies a symmetric solver for an asymmetric matrix,
or vice versa, an error message will be written to advise the user accordingly, e.g.
--> FOAM FATAL IO ERROR : Unknown asymmetric matrix solver PCG
Valid asymmetric matrix solvers are :
3
OpenFOAM-5.0

4.5 Solution and algorithm control U-127
(
PBiCG
smoothSolver
GAMG
)
4.5.1.1 Solution tolerances
The matrices are sparse, meaning they predominately include coefficients of 0, in segregated,
decoupled, finite volume numerics. Consequently, the solvers are generally iterative, i.e.
they are based on reducing the equation residual over successive solutions. The residual is
ostensibly a measure of the error in the solution so that the smaller it is, the more accurate
the solution. More precisely, the residual is evaluated by substituting the current solution
into the equation and taking the magnitude of the difference between the left and right
hand sides; it is also normalised to make it independent of the scale of the problem being
analysed.
Before solving an equation for a particular field, the initial residual is evaluated based
on the current values of the field. After each solver iteration the residual is re-evaluated.
The solver stops if any one of the following conditions are reached:
•the residual falls below the solver tolerance,tolerance;
•the ratio of current to initial residuals falls below the solver relative tolerance,relTol;
•the number of iterations exceeds a maximum number of iterations,maxIter;
The solver tolerance should represent the level at which the residual is small enough that
the solution can be deemed sufficiently accurate. The solver relative tolerance limits the
relative improvement from initial to final solution. In transient simulations, it is usual to set
the solver relative tolerance to 0 to force the solution to converge to the solver tolerance in
each time step. The tolerances, tolerance and relTol must be specified in the dictionaries
for all solvers; maxIter is optional and defaults to a value of 1000.
Equations are very often solved multiple times within one solution step, or time step.
For example, when using the PISO algorithm, a pressure equation is solved according to
the number specified by nCorrectors, as described in section 4.5.3. Where this occurs, the
solver is very often set up to use different settings when solving the particular equation for
the final time, specified by a keyword that adds Final to the field name. For example, in
the cavity tutorial in section 2.1, the solver settings for pressure are as follows.
p
{
solver PCG;
preconditioner DIC;
tolerance 1e-06;
relTol 0.05;
}
pFinal
{
OpenFOAM-5.0

U-128 OpenFOAM cases
$p;
relTol 0;
}
If the case is specified to solve pressure 4 times within one time step, then the first 3
solutions would use the settings for pwith relTol of 0.05, so that the cost of solving each
equation is relatively low. Only when the equation is solved the final (4th) time, it solves
to a residual level specified by tolerance (since relTol is 0, effectively deactivating it) for
greater accuracy, but at greater cost.
4.5.1.2 Preconditioned conjugate gradient solvers
There are a range of options for preconditioning of matrices in the conjugate gradient solvers,
represented by the preconditioner keyword in the solver dictionary, listed below. Note
that the DIC/DILU preconditioners are exclusively specified in the tutorials in OpenFOAM.
•DIC/DILU: diagonal incomplete-Cholesky (symmetric) and incomplete-LU (asymmet-
ric)
•FDIC: faster diagonal incomplete-Cholesky (DIC with caching, symmetric)
•diagonal: diagonal preconditioning.
•GAMG: geometric-algebraic multi-grid.
•none: no preconditioning.
4.5.1.3 Smooth solvers
The solvers that use a smoother require the choice of smoother to be specified. The smoother
options are listed below. The symGaussSeidel and GaussSeidel smoothers are preferred
in the tutorials.
•GaussSeidel: Gauss-Seidel.
•symGaussSeidel: symmetric Gauss-Seidel.
•DIC/DILU: diagonal incomplete-Cholesky (symmetric), incomplete-LU (asymmetric).
•DICGaussSeidel: diagonal incomplete-Cholesky/LU with Gauss-Seidel (symmetric/-
asymmetric).
When using the smooth solvers, the user can optionally specify the number of sweeps, by
the nSweeps keyword, before the residual is recalculated. Without setting it, it reverts to a
default value of 1.
OpenFOAM-5.0

4.5 Solution and algorithm control U-129
4.5.1.4 Geometric-algebraic multi-grid solvers
The generalised method of geometric-algebraic multi-grid (GAMG) uses the principle of:
generating a quick solution on a mesh with a small number of cells; mapping this solution
onto a finer mesh; using it as an initial guess to obtain an accurate solution on the fine
mesh. GAMG is faster than standard methods when the increase in speed by solving first
on coarser meshes outweighs the additional costs of mesh refinement and mapping of field
data. In practice, GAMG starts with the mesh specified by the user and coarsens/refines
the mesh in stages. The user is only required to specify an approximate mesh size at the
most coarse level in terms of the number of cells
The agglomeration of cells is performed by the method specified by the agglomerator
keyword. The tutorials all use the default faceAreaPair method, although the MGridGen
option is an alternative method that requires an additional entry specifying the shared
object library for MGridGen:
geometricGamgAgglomerationLibs ("libMGridGenGamgAgglomeration.so");
The agglomeration can be controlled using the following optional entries, most of which
default in the tutorials.
•cacheAgglomeration: switch specifying caching of the agglomeration strategy (de-
fault true).
•nCellsInCoarsestLevel: approximate mesh size at the most coarse level in terms of
the number of cells (default 10).
•directSolveCoarset: use a direct solver at the coarsest level (default false).
•mergeLevels: keyword controls the speed at which coarsening or refinement is per-
formed; the default is 1, which is safest, but for simple meshes, the solution speed can
be increased by coarsening/refining 2 levels at a time, i.e. setting mergeLevels 2.
Smoothing is specified by the smoother as described in section 4.5.1.3. The number of
sweeps used by the smoother at different levels of mesh density are specified by the following
optional entries.
•nPreSweeps: number of sweeps as the algorithm is coarsening (default 0).
•preSweepsLevelMultiplier: multiplier for the the number of sweeps between each
coarsening level (default 1).
•maxPreSweeps: maximum number of sweeps as the algorithm is coarsening (default
4).
•nPostSweeps: number of sweeps as the algorithm is refining (default 2).
•postSweepsLevelMultiplier: multiplier for the the number of sweeps between each
refinement level (default 1).
•maxPostSweeps: maximum number of sweeps as the algorithm is refining (default 4).
•nFinestSweeps: number of sweeps at finest level (default 2).
OpenFOAM-5.0

U-130 OpenFOAM cases
4.5.2 Solution under-relaxation
A second sub-dictionary of fvSolution that is often used in OpenFOAM is relaxationFactors
which controls under-relaxation, a technique used for improving stability of a computa-
tion, particularly in solving steady-state problems. Under-relaxation works by limiting the
amount which a variable changes from one iteration to the next, either by modifying the
solution matrix and source prior to solving for a field or by modifying the field directly. An
under-relaxation factor α, 0< α ≤1specifies the amount of under-relaxation, as described
below.
•No specified α: no under-relaxation.
•α= 1: guaranteed matrix diagonal equality/dominance.
•αdecreases, under-relaxation increases.
•α= 0: solution does not change with successive iterations.
An optimum choice of αis one that is small enough to ensure stable computation but large
enough to move the iterative process forward quickly; values of αas high as 0.9 can ensure
stability in some cases and anything much below, say, 0.2 are prohibitively restrictive in
slowing the iterative process.
Relaxation factors for under-relaxation of fields are specified within a field sub-dictionary;
relaxation factors for equation under-relaxation are within a equations sub-dictionary. An
example is shown below from tutorial example of simpleFoam, showing typical settings for
an incompressible steady-state solver. The factors are specified for pressure p, pressure U,
and turbulent fields grouped using a regular expression.
54
55 relaxationFactors
56 {
57 fields
58 {
59 p 0.3;
60 }
61 equations
62 {
63 U 0.7;
64 "(k|omega|epsilon).*" 0.7;
65 }
66 }
67
68 // ************************************************************************* //
Another example for pimpleFoam, a transient incompressible solver, just uses under-relaxation
to ensure matrix diagonal equality, typical of transient simulations.
60 relaxationFactors
61 {
62 equations
63 {
64 "U.*" 1;
65 "k.*" 1;
66 "epsilon.*" 1;
67 }
68 }
69
70 // ************************************************************************* //
OpenFOAM-5.0

4.5 Solution and algorithm control U-131
4.5.3 PISO, SIMPLE and PIMPLE algorithms
Most fluid dynamics solver applications in OpenFOAM use either the pressure-implicit split-
operator (PISO), the semi-implicit method for pressure-linked equations (SIMPLE) algo-
rithms, or a combined PIMPLE algorithm. These algorithms are iterative procedures for
coupling equations for momentum and mass conservation, PISO and PIMPLE being used
for transient problems and SIMPLE for steady-state.
Within in time, or solution, step, both algorithms solve a pressure equation, to enforce
mass conservation, with an explicit correction to velocity to satisfy momentum conserva-
tion. They optionally begin each step by solving the momentum equation — the so-called
momentum predictor.
While all the algorithms solve the same governing equations (albeit in different forms),
the algorithms principally differ in how they loop over the equations. The looping is con-
trolled by input parameters that are listed below. They are set in a dictionary named after
the algorithm, i.e. SIMPLE,PISO or PIMPLE.
•nCorrectors: used by PISO, and PIMPLE, sets the number of times the algorithm
solves the pressure equation and momentum corrector in each step; typically set to 2
or 3.
•nNonOrthogonalCorrectors: used by all algorithms, specifies repeated solutions of
the pressure equation, used to update the explicit non-orthogonal correction, described
in section 4.4.4, of the Laplacian term ∇•((1/A)∇p); typically set to 0 (particularly
for steady-state) or 1.
•nOuterCorrectors: used by PIMPLE, it enables looping over the entire system of
equations within on time step, representing the total number of times the system is
solved; must be ≥1and is typically set to 1, replicating the PISO algorithm.
•momentumPredictor: switch that controls solving of the momentum predictor; typi-
cally set to off for some flows, including low Reynolds number and multiphase
4.5.4 Pressure referencing
In a closed incompressible system, pressure is relative: it is the pressure range that matters
not the absolute values. In these cases, the solver sets a reference level of pRefValue in cell
pRefCell. These entries are generally stored in the SIMPLE,PISO or PIMPLE sub-dictionary
and are used by those solvers that require them when the case demands it.
4.5.5 Other parameters
The fvSolutions dictionaries in the majority of standard OpenFOAM solver applications
contain no other entries than those described so far in this section. However, in general the
fvSolution dictionary may contain any parameters to control the solvers, algorithms, or in
fact anything. If any parameter or sub-dictionary is missing when an solver is run, it will
terminate, printing a detailed error message. The user can then add missing parameters
accordingly.
OpenFOAM-5.0

U-132 OpenFOAM cases
4.6 Case management tools
There are a set of applications and scripts that help with managing case files and help the
user find and set keyword data entries in case files. The tools are described in the following
sections.
4.6.1 File management scripts
The following tools help manage case files.
foamListTimes lists the time directories for a case, omitting the 0directory by default; the
-rm option deletes the listed time directories, so that a case can be cleaned of time
directories with results by the following command.
foamListTimes -rm
foamCloneCase creates a new case, by copying the 0,system and constant directories from
an existing case; executed simply by the following command, where oldCase refers to
an existing case directory.
foamCloneCase oldCase newCase
foamCleanPolyMesh deletes mesh files for a case; useful to execute before regenerating a
mesh, particularly with snappyHexMesh which generates refinement history and other
files that need removing when re-meshing.
4.6.2 The foamDictionary tool
The foamDictionary utility offer several options for writing, editing and adding keyword
entries in case files. The utility is executed with an OpenFOAM case dictionary file as an
argument, e.g. from within a case directory on the fvSchemes file.
foamDictionary system/fvSchemes
Without options, the utility lists all the keyword entries in the file, e.g. as follows for the
fvSchemes file in the pitzDaily tutorial case for simpleFoam.
{
FoamFile
{
version 2;
format ascii;
class dictionary;
location "system";
object fvSchemes;
}
ddtSchemes
{
default steadyState;
}
gradSchemes
{
default Gauss linear;
}
divSchemes
{
default none;
div(phi,U) bounded Gauss linearUpwind grad(U);
OpenFOAM-5.0

4.6 Case management tools U-133
div(phi,k) bounded Gauss limitedLinear 1;
div(phi,epsilon) bounded Gauss limitedLinear 1;
div(phi,omega) bounded Gauss limitedLinear 1;
div(phi,v2) bounded Gauss limitedLinear 1;
div((nuEff*dev2(T(grad(U))))) Gauss linear;
div(nonlinearStress) Gauss linear;
}
laplacianSchemes
{
default Gauss linear corrected;
}
interpolationSchemes
{
default linear;
}
snGradSchemes
{
default corrected;
}
wallDist
{
method meshWave;
}
}
The -entry option allows the user to print the entry for a particular keyword, e.g. divSchemes
in the example below
foamDictionary -entry divSchemes system/fvSchemes
The example clearly extracts the divSchemes dictionary.
divSchemes
{
default none;
div(phi,U) bounded Gauss linearUpwind grad(U);
div(phi,k) bounded Gauss limitedLinear 1;
div(phi,epsilon) bounded Gauss limitedLinear 1;
div(phi,omega) bounded Gauss limitedLinear 1;
div(phi,v2) bounded Gauss limitedLinear 1;
div((nuEff*dev2(T(grad(U))))) Gauss linear;
div(nonlinearStress) Gauss linear;
}
The “.” syntax allows access to keywords with levels of sub-dictionary. For example, the
div(phi,U) keyword can be accessed within the divSchemes sub-dictionary by the following
command.
foamDictionary -entry "divSchemes.div(phi,U)" system/fvSchemes
The example returns the single divSchemes.div(phi,U) entry.
div(phi,U) bounded Gauss linearUpwind grad(U);
The -value option causes only the entry to be written.
foamDictionary -entry "divSchemes.div(phi,U)" -value system/fvSchemes
The example removes the keyword and terminating semicolon, leaving just the data.
bounded Gauss linearUpwind grad(U)
OpenFOAM-5.0

U-134 OpenFOAM cases
The -keywords option causes only the keywords to be written.
foamDictionary -entry divSchemes -keywords system/fvSchemes
The example produces a list of keywords inside the divSchemes dictionary.
default
div(phi,U)
div(phi,k)
div(phi,epsilon)
div(phi,omega)
div(phi,v2)
div((nuEff*dev2(T(grad(U)))))
div(nonlinearStress)
The example removes the keyword and terminating semicolon, leaving just the data.
bounded Gauss linearUpwind grad(U)
foamDictionary can set entries with the -set option. If the user wishes to change the
div(phi,U) to the upwind scheme, they can enter the following.
foamDictionary -entry "divSchemes.div(phi,U)" \
-set "bounded Gauss upwind" system/fvSchemes
foamDictionary can add entries with the -add option. If the user wishes to add an entry
named turbulence to divSchemes with the upwind scheme, they can enter the following.
foamDictionary -entry "divSchemes.turbulence" \
-add "bounded Gauss upwind" system/fvSchemes
The foamSearch script, demonstrated extensively in section 4.4, uses foamDictionary func-
tionality to extract and sort keyword entries from all files of a specified name in a specified
dictionary. The -c option counts the number of entries of each type, e.g. the user could
searche for the choice of solver for the pequation in all the fvSolution files in the tutorials.
foamSearch -c $FOAM_TUTORIALS fvSolution solvers.p.solver
The search shows GAMG to be the most common choice in all the tutorials.
59 solver GAMG;
3 solver PBiCG;
18 solver PCG;
5 solver smoothSolver;
OpenFOAM-5.0
Chapter 5
Mesh generation and conversion
This chapter describes all topics relating to the creation of meshes in OpenFOAM: section 5.1
gives an overview of the ways a mesh may be described in OpenFOAM; section 5.3 covers
the blockMesh utility for generating simple meshes of blocks of hexahedral cells; section 5.4
covers the snappyHexMesh utility for generating complex meshes of hexahedral and split-
hexahedral cells automatically from triangulated surface geometries; section 5.5 describes
the options available for conversion of a mesh that has been generated by a third-party
product into a format that OpenFOAM can read.
5.1 Mesh description
This section provides a specification of the way the OpenFOAM C++ classes handle a mesh.
The mesh is an integral part of the numerical solution and must satisfy certain criteria to
ensure a valid, and hence accurate, solution. During any run, OpenFOAM checks that
the mesh satisfies a fairly stringent set of validity constraints and will cease running if the
constraints are not satisfied.
By default OpenFOAM defines a mesh of arbitrary polyhedral cells in 3-D, bounded by
arbitrary polygonal faces, i.e. the cells can have an unlimited number of faces where, for
each face, there is no limit on the number of edges nor any restriction on its alignment. A
mesh with this general structure is known in OpenFOAM as a polyMesh. This type of mesh
offers great freedom in mesh generation and manipulation in particular when the geometry
of the domain is complex or changes over time.
5.1.1 Mesh specification and validity constraints
Before describing the OpenFOAM mesh format, we will first set out the validity constraints
used in OpenFOAM. The conditions that a mesh must satisfy are:
5.1.1.1 Points
A point is a location in 3-D space, defined by a vector in units of metres (m). The points are
compiled into a list and each point is referred to by a label, which represents its position in
the list, starting from zero. The point list cannot contain two different points at an exactly
identical position nor any point that is not part at least one face.

U-136 Mesh generation and conversion
5.1.1.2 Faces
A face is an ordered list of points, where a point is referred to by its label. The ordering of
point labels in a face is such that each two neighbouring points are connected by an edge,
i.e. you follow points as you travel around the circumference of the face. Faces are compiled
into a list and each face is referred to by its label, representing its position in the list. The
direction of the face normal vector is defined by the right-hand rule, i.e. looking towards a
face, if the numbering of the points follows an anti-clockwise path, the normal vector points
towards you, as shown in Figure 5.1.
4
3
0
2
1
Sf
Figure 5.1: Face area vector from point numbering on the face
There are two types of face:
Internal faces Those faces that connect two cells (and it can never be more than two).
For each internal face, the ordering of the point labels is such that the face normal
points into the cell with the larger label, i.e. for cells 2 and 5, the normal points into
5;
Boundary faces Those belonging to one cell since they coincide with the boundary of the
domain. A boundary face is therefore addressed by one cell(only) and a boundary
patch. The ordering of the point labels is such that the face normal points outside of
the computational domain.
Faces are generally expected to be convex; at the very least the face centre needs to be
inside the face. Faces are allowed to be warped, i.e. not all points of the face need to be
coplanar.
5.1.1.3 Cells
A cell is a list of faces in arbitrary order. Cells must have the properties listed below.
Contiguous The cells must completely cover the computational domain and must not
overlap one another.
Convex Every cell must be convex and its cell centre inside the cell.
Closed Every cell must be closed, both geometrically and topologically where:
OpenFOAM-5.0

5.1 Mesh description U-137
•geometrical closedness requires that when all face area vectors are oriented to
point outwards of the cell, their sum should equal the zero vector to machine
accuracy;
•topological closedness requires that all the edges in a cell are used by exactly two
faces of the cell in question.
5.1.1.4 Boundary
A boundary is a list of patches, each of which is associated with a boundary condition. A
patch is a list of face labels which clearly must contain only boundary faces and no internal
faces. The boundary is required to be closed, i.e. the sum all boundary face area vectors
equates to zero to machine tolerance.
5.1.2 The polyMesh description
The constant directory contains a full description of the case polyMesh in a subdirectory
polyMesh. The polyMesh description is based around faces and, as already discussed, internal
faces connect 2 cells and boundary faces address a cell and a boundary patch. Each face
is therefore assigned an ‘owner’ cell and ‘neighbour’ cell so that the connectivity across a
given face can simply be described by the owner and neighbour cell labels. In the case of
boundaries, the connected cell is the owner and the neighbour is assigned the label ‘-1’.
With this in mind, the I/O specification consists of the following files:
points a list of vectors describing the cell vertices, where the first vector in the list represents
vertex 0, the second vector represents vertex 1, etc.;
faces a list of faces, each face being a list of indices to vertices in the points list, where
again, the first entry in the list represents face 0, etc.;
owner a list of owner cell labels, the index of entry relating directly to the index of the face,
so that the first entry in the list is the owner label for face 0, the second entry is the
owner label for face 1, etc;
neighbour a list of neighbour cell labels;
boundary a list of patches, containing a dictionary entry for each patch, declared using the
patch name, e.g.
movingWall
{
type patch;
nFaces 20;
startFace 760;
}
The startFace is the index into the face list of the first face in the patch, and nFaces
is the number of faces in the patch.
OpenFOAM-5.0

U-138 Mesh generation and conversion
5.1.3 Cell shapes
While OpenFOAM supports any shapes of cell, other tools and software generally do not.
Therefore conversion of meshes to and from OpenFOAM format often requires the use of
defined cell shapes, such as tetrahedra, hexahedra, etc. The functionality is available in a
cellShape class that uses a set of shapes defined in a cellModels file in the $FOAM_ETC
directory.
Cells of a given shape are then defined by the ordering of point labels in accordance with
the numbering scheme contained in the shape model. For reference, the ordering schemes
for points, faces and edges are shown in Table 5.1. Any cell description then consists of two
parts: the name of a cell model and the ordered list of labels. Thus, using the following list
of points
(
(0 0 0)
(1 0 0)
(1 1 0)
(0 1 0)
(0 0 0.5)
(1 0 0.5)
(1 1 0.5)
(0 1 0.5)
)
A hexahedral cell would be written as follows using the keyword hex.
(hex 8(0 1 2 3 4 5 6 7))
This forms the basis for the input syntax for the blockMesh mesh generator, described in
section 5.3.
5.1.4 1- and 2-dimensional and axi-symmetric problems
OpenFOAM is designed as a code for 3-dimensional space and defines all meshes as such.
However, 1- and 2- dimensional and axi-symmetric problems can be simulated in Open-
FOAM by generating a mesh in 3 dimensions and applying special boundary conditions on
any patch in the plane(s) normal to the direction(s) of interest. More specifically, 1- and 2-
dimensional problems use the empty patch type and axi-symmetric problems use the wedge
type. The use of both are described in section 5.2.2 and the generation of wedge geometries
for axi-symmetric problems is discussed in section 5.3.5.
5.2 Boundaries
In this section we discuss the way in which boundaries are treated in OpenFOAM. The
subject of boundaries is quite complex because their role in modelling is not simply that
of a geometric entity but an integral part of the solution and numerics through boundary
conditions or inter-boundary ‘connections’. A discussion of boundaries sits uncomfortably
between a discussion on meshes, fields, discretisation, computational processing etc.
We first need to consider that, for the purpose of applying boundary conditions, a bound-
ary is generally broken up into a set of patches. One patch may include one or more enclosed
OpenFOAM-5.0

5.2 Boundaries U-139
Cell type Keyword Vertex numbering Face numbering Edge numbering
Hexahedron hex
2
7
3
10
4
6
5
01
2
3
5
40
1
2
3
45
6
7
89
10
11
Wedge wedge
2
10
34
56
0
1
23
5
4
01
2
3
5
6
7
8
9
10
4
Prism prism
2
10
34
5
0
1
3
42
0
12
3
4
5
6 7
8
Pyramid pyr
2
10
4
3
0
23
4
1
01
2
3
4 5 6
7
Tetrahedron tet 0 1
2
3
1
2
3
0
0
1
23
4
5
Tet-wedge tetWedge
2
10
34
0
13
2
01
2
3
456
Table 5.1: Vertex, face and edge numbering for cellShapes.
OpenFOAM-5.0

U-140 Mesh generation and conversion
areas of the boundary surface which do not necessarily need to be physically connected. A
type is assigned to every patch as part of the mesh description, as part of the boundary file
described in section 5.1.2. It describes the type of patch in terms of geometry or a data
‘communication link’. An example boundary file is shown below for a sonicFoam case. A
type entry is clearly included for every patch (inlet,outlet,etc.), with types assigned
that include patch,symmetryPlane and empty.
17
18 6
19 (
20 inlet
21 {
22 type patch;
23 nFaces 50;
24 startFace 10325;
25 }
26 outlet
27 {
28 type patch;
29 nFaces 40;
30 startFace 10375;
31 }
32 bottom
33 {
34 type symmetryPlane;
35 inGroups 1(symmetryPlane);
36 nFaces 25;
37 startFace 10415;
38 }
39 top
40 {
41 type symmetryPlane;
42 inGroups 1(symmetryPlane);
43 nFaces 125;
44 startFace 10440;
45 }
46 obstacle
47 {
48 type patch;
49 nFaces 110;
50 startFace 10565;
51 }
52 defaultFaces
53 {
54 type empty;
55 inGroups 1(empty);
56 nFaces 10500;
57 startFace 10675;
58 }
59 )
60
61 // ************************************************************************* //
The user can scan the tutorials for mesh generation configuration files, e.g. blockMeshDict
for blockMesh (see section 5.3) and snappyHexMeshDict for snappyHexMesh (see section 5.4,
for examples of different types being used. The following example searches for blockMeshDict
files that specify the symmetryPlane condition.
find $FOAM_TUTORIALS -name blockMeshDict | \
xargs grep -El "type[\t ]*symmetryPlane"
The next example searches for snappyHexMeshDict files that specify the wall condition.
find $FOAM_TUTORIALS -name snappyHexMeshDict | \
xargs grep -El "type[\t ]*wall"
OpenFOAM-5.0

5.2 Boundaries U-141
wedge aligned along
coordinate plane
<5◦Axis of symmetry
wedge patch 1
wedge patch 2
Figure 5.2: Axi-symmetric geometry using the wedge patch type.
5.2.1 Geometric (constraint) patch types
The main geometric types available in OpenFOAM are summarised below. This is not a
complete list; for all types see $FOAM_SRC/finiteVolume/fields/fvPatchFields/constraint.
•patch: generic type containing no geometric or topological information about the mesh,
e.g. used for an inlet or an outlet.
•wall: for patch that coincides with a solid wall, required for some physical modelling,
e.g. wall functions in turbulence modelling.
•symmetryPlane: for a planar patch which is a symmetry plane.
•symmetry: for any (non-planar) patch which uses the symmetry plane (slip) condition.
•empty: for solutions in in 2 (or 1) dimensions (2D/1D), the type used on each patch
whose plane is normal to the 3rd (and 2nd) dimension for which no solution is required.
•wedge: for 2 dimensional axi-symmetric cases, e.g. a cylinder, the geometry is specified
as a wedge of small angle (e.g. 1◦) and 1 cell thick, running along the centre line,
straddling one of the coordinate planes, as shown in Figure 5.2; the axi-symmetric
wedge planes must be specified as separate patches of wedge type.
•cyclic: enables two patches to be treated as if they are physically connected; used for
repeated geometries; one cyclic patch is linked to another through a neighbourPatch
keyword in the boundary file; each pair of connecting faces must have similar area to
within a tolerance given by the matchTolerance keyword in the boundary file.
•cyclicAMI: like cyclic, but for 2 patches whose faces are non matching; used for sliding
interface in rotating geometry cases.
•processor: the type that describes inter-processor boundaries for meshes decomposed
for parallel running.
OpenFOAM-5.0

U-142 Mesh generation and conversion
5.2.2 Basic boundary conditions
Boundary conditions are specified in field files, e.g. p,U, in time directories as described
in section 4.2.8. An example pressure field file, p, is shown below for the sonicFoam case
corresponding to the boundary file presented in section 5.2.1.
17 dimensions [1 -1 -2 0 0 0 0];
18
19 internalField uniform 1;
20
21 boundaryField
22 {
23 inlet
24 {
25 type fixedValue;
26 value uniform 1;
27 }
28
29 outlet
30 {
31 type waveTransmissive;
32 field p;
33 psi thermo:psi;
34 gamma 1.4;
35 fieldInf 1;
36 lInf 3;
37 value uniform 1;
38 }
39
40 bottom
41 {
42 type symmetryPlane;
43 }
44
45 top
46 {
47 type symmetryPlane;
48 }
49
50 obstacle
51 {
52 type zeroGradient;
53 }
54
55 defaultFaces
56 {
57 type empty;
58 }
59 }
60
61 // ************************************************************************* //
Every patch includes a type entry that specifies the type of boundary condition. They range
from a basic fixedValue condition applied to the inlet, to a complex waveTransmissive
condition applied to the outlet. The patches with non-generic types, e.g. symmetryPlane,
defined in boundary, use consistent boundary condition types in the pfile.
The main basic boundary condition types available in OpenFOAM are summarised below
using a patch field named Q. This is not a complete list; for all types see $FOAM_SRC/fin-
iteVolume/fields/fvPatchFields/basic.
•fixedValue: value of Qis specified by value.
•fixedGradient: normal gradient of Q(∂Q/∂n) is specified by gradient.
•zeroGradient: normal gradient of Qis zero.
•calculated: patch field Qcalculated from other patch fields.
OpenFOAM-5.0

5.2 Boundaries U-143
•mixed: mixed fixedValue/fixedGradient condition depending on valueFraction (0 ≤
valueFraction ≤1) where
valueFraction =(1corresponds to Q=refValue,
0corresponds to ∂Q/∂n =refGradient.(5.1)
•directionMixed:mixed condition with tensorial valueFraction, to allow different con-
ditions in normal and tangential directions of a vector patch field, e.g. fixedValue in
the tangential direction, zeroGradient in the normal direction.
5.2.3 Derived types
There are numerous more complex boundary conditions derived from the basic conditions.
For example, many complex conditions are derived from fixedValue, where the value is
calculated by a function of other patch fields, time, geometric information, etc. Some other
conditions derived from mixed/directionMixed switch between fixedValue and fixedGradient
(usually zeroGradient).
There are a number of ways the user can list the available boundary conditions in Open-
FOAM, with the -listScalarBCs and -listVectorBCs utility being the quickest. The boundary
conditions for scalar fields and vector fields, respectively, can be listed for a given solver,
e.g. simpleFoam, as follows.
simpleFoam -listScalarBCs -listVectorBCs
These produce longs lists which the user can scan through. If the user wants more infor-
mation of a particular condition, they can try searching for examples in the tutorials, or
look to the source code, where information is usually provided in the Description. For
example, for the totalPressure boundary condition, examples in the tutorials can be found
by the following.
find $FOAM_TUTORIALS -type f | xargs grep -l totalPressure
The source code files can be located by the following.
find $FOAM_SRC -name totalPressure
In the following sections we will highlight some particular important, commonly used bound-
ary conditions.
5.2.3.1 The inlet/outlet condition
The inletOutlet condition is one derived from mixed, which switches between zeroGradient
when the fluid flows out of the domain at a patch face, and fixedValue, when the fluid is
flowing into the domain. For inflow, the inlet value is specified by an inletValue entry.
A good example of its use can be seen in the damBreak tutorial, where it is applied to the
phase fraction on the upper atmosphere boundary. Where there is outflow, the condition is
well posed, where there is inflow, the phase fraction is fixed with a value of 0, corresponding
to 100% air.
OpenFOAM-5.0

U-144 Mesh generation and conversion
17 dimensions [0 0 0 0 0 0 0];
18
19 internalField uniform 0;
20
21 boundaryField
22 {
23 leftWall
24 {
25 type zeroGradient;
26 }
27
28 rightWall
29 {
30 type zeroGradient;
31 }
32
33 lowerWall
34 {
35 type zeroGradient;
36 }
37
38 atmosphere
39 {
40 type inletOutlet;
41 inletValue uniform 0;
42 value uniform 0;
43 }
44
45 defaultFaces
46 {
47 type empty;
48 }
49 }
50
51 // ************************************************************************* //
5.2.3.2 Entrainment boundary conditions
The combination of the totalPressure condition on pressure and pressureInletOutletVelocity
on velocity is extremely common for patches where some inflow occurs and the inlet flow
velocity is not known. That includes the atmosphere boundary in the damBreak tutorial,
inlet conditions where only pressure is known, outlets where flow reversal may occur, and
where flow in entrained, e.g. on boundaries surrounding a jet through a nozzle.
The totalPressure condition specifies
p=(p0for outflow
p0−1
2|U2|for inflow (incompressible, subsonic) (5.2)
where the user specifies p0through the p0 keyword. The pressureInletOutletVelocity condition
specifies zeroGradient at all times, except on the tangential component which is set to fixed-
Value for inflow, with the tangentialVelocity defaulting to 0.
The idea behind this combination is that the condition is a standard combination in the
case of outflow, but for inflow the normal velocity is allowed to find its own value. Under
these circumstances, a rapid rise in velocity presents a risk of instability, but the rise is
moderated by the reduction of inlet pressure, and hence driving pressure gradient, as the
inflow velocity increases.
The specification of these boundary conditions in the Uand p_rgh files, in the damBreak
case, are shown below.
17 dimensions [0 1 -1 0 0 0 0];
18
19 internalField uniform (0 0 0);
20
21 boundaryField
OpenFOAM-5.0

5.2 Boundaries U-145
22 {
23 leftWall
24 {
25 type noSlip;
26 }
27 rightWall
28 {
29 type noSlip;
30 }
31 lowerWall
32 {
33 type noSlip;
34 }
35 atmosphere
36 {
37 type pressureInletOutletVelocity;
38 value uniform (0 0 0);
39 }
40 defaultFaces
41 {
42 type empty;
43 }
44 }
45
46 // ************************************************************************* //
17 dimensions [1 -1 -2 0 0 0 0];
18
19 internalField uniform 0;
20
21 boundaryField
22 {
23 leftWall
24 {
25 type fixedFluxPressure;
26 value uniform 0;
27 }
28
29 rightWall
30 {
31 type fixedFluxPressure;
32 value uniform 0;
33 }
34
35 lowerWall
36 {
37 type fixedFluxPressure;
38 value uniform 0;
39 }
40
41 atmosphere
42 {
43 type totalPressure;
44 p0 uniform 0;
45 }
46
47 defaultFaces
48 {
49 type empty;
50 }
51 }
52
53 // ************************************************************************* //
5.2.3.3 Fixed flux pressure
In the above example, it can be seen that all the wall boundaries use a boundary condition
named fixedFluxPressure. This boundary condition is used for pressure in situations where
zeroGradient is generally used, but where body forces such as gravity and surface tension
are present in the solution equations. The condition adjusts the gradient accordingly.
OpenFOAM-5.0

U-146 Mesh generation and conversion
5.2.3.4 Time-varying boundary conditions
There are several boundary conditions for which some input parameters are specified by a
function of time (using Function1 functionality) class. They can be searched by the following
command.
find $FOAM_SRC/finiteVolume/fields/fvPatchFields -type f | \
xargs grep -l Function1 | xargs dirname | sort -u
They include conditions such as uniformFixedValue, which is a fixedValue condition which
applies a single value which is a function of time through a uniformValue keyword entry.
The Function1 is specified by a keyword following the uniformValue entry, followed by
parameters that relate to the particular function. The Function1 options are list below.
•constant: constant value.
•table: inline list of (time value) pairs; interpolates values linearly between times.
•tableFile: as above, but with data supplied in a separate file.
•csvFile: time-value data supplied in a file in CSV format.
•square: square-wave function.
•sine: sine function.
•one and zero: constant one and zero values.
•polynomial: polynomial function using a list (coeff exponent) pairs.
•scale: scales a given value function by a scalar scale function; both entries can be
themselves Function1;scale function is often a ramp function (below), with value
controlling the ramp value.
•linearRamp,quadraticRamp,halfCosineRamp,quarterCosineRamp and quarter-
SineRamp: monotonic ramp functions which ramp from 0 to 1 over specified duration.
Examples or a time-varying inlet for a scalar are shown below.
inlet
{
type uniformFixedValue;
uniformValue constant 2;
}
inlet
{
type uniformFixedValue;
uniformValue table ((0 0) (10 2));
}
inlet
{
type uniformFixedValue;
uniformValue tableFile;
uniformValueCoeffs
{
fileName "dataTable.txt";
}
OpenFOAM-5.0

5.3 Mesh generation with the blockMesh utility U-147
}
inlet
{
type uniformFixedValue;
uniformValue csvFile;
uniformValueCoeffs
{
nHeaderLine 4; // number of header lines
refColumn 0; // time column index
componentColumns (1); // data column index
separator ","; // optional (defaults to ",")
mergeSeparators no; // merge multiple separators
fileName "dataTable.csv";
}
}
inlet
{
type uniformFixedValue;
uniformValue square;
uniformValueCoeffs
{
frequency 10;
amplitude 1;
scale 2; // Scale factor for wave
level 1; // Offset
}
}
inlet
{
type uniformFixedValue;
uniformValue sine;
uniformValueCoeffs
{
frequency 10;
amplitude 1;
scale 2; // Scale factor for wave
level 1; // Offset
}
}
inlet
{
type uniformFixedValue;
uniformValue polynomial ((1 0) (2 2)); // = 1*t^0 + 2*t^2
}
input // ramp from 0 -> 2, from t = 0 -> 0.4
{
type uniformFixedValue;
uniformValue scale;
scale
{
type linearRamp;
start 0;
duration 0.4;
}
value 2;
}
5.3 Mesh generation with the blockMesh utility
This section describes the mesh generation utility, blockMesh, supplied with OpenFOAM.
The blockMesh utility creates parametric meshes with grading and curved edges.
The mesh is generated from a dictionary file named blockMeshDict located in the system
OpenFOAM-5.0

U-148 Mesh generation and conversion
(or constant/polyMesh) directory of a case. blockMesh reads this dictionary, generates the
mesh and writes out the mesh data to points and faces,cells and boundary files in the same
directory.
The principle behind blockMesh is to decompose the domain geometry into a set of 1 or
more three dimensional, hexahedral blocks. Edges of the blocks can be straight lines, arcs
or splines. The mesh is ostensibly specified as a number of cells in each direction of the
block, sufficient information for blockMesh to generate the mesh data.
Each block of the geometry is defined by 8 vertices, one at each corner of a hexahedron.
The vertices are written in a list so that each vertex can be accessed using its label, remem-
bering that OpenFOAM always uses the C++ convention that the first element of the list
has label ‘0’. An example block is shown in Figure 5.3 with each vertex numbered according
to the list. The edge connecting vertices 1 and 5 is curved to remind the reader that curved
edges can be specified in blockMesh.
It is possible to generate blocks with less than 8 vertices by collapsing one or more pairs
of vertices on top of each other, as described in section 5.3.5.
Each block has a local coordinate system (x1, x2, x3)that must be right-handed. A right-
handed set of axes is defined such that to an observer looking down the Oz axis, with O
nearest them, the arc from a point on the Ox axis to a point on the Oy axis is in a clockwise
sense.
The local coordinate system is defined by the order in which the vertices are presented
in the block definition according to:
•the axis origin is the first entry in the block definition, vertex 0 in our example;
•the x1direction is described by moving from vertex 0 to vertex 1;
•the x2direction is described by moving from vertex 1 to vertex 2;
•vertices 0, 1, 2, 3 define the plane x3= 0;
•vertex 4 is found by moving from vertex 0 in the x3direction;
•vertices 5,6 and 7 are similarly found by moving in the x3direction from vertices 1,2
and 3 respectively.
5.3.1 Writing a blockMeshDict file
The blockMeshDict file is a dictionary using keywords described below.
•convertToMeters: scaling factor for the vertex coordinates, e.g. 0.001 scales to mm.
•vertices: list of vertex coordinates, see section 5.3.1.1.
•edges: used to describe curved geometry, see section 5.3.1.2.
•block: ordered list of vertex labels and mesh size, see section 5.3.1.3.
•boundary: sub-dictionary of boundary patches, see section 5.3.1.5.
•mergePatchPairs: list of patches to be merged, see section 5.3.2.
OpenFOAM-5.0

5.3 Mesh generation with the blockMesh utility U-149
3
9
1
2
x2
x3
x1
0
3
4
5
76
0
2
1
45
6
7
10
8
11
Figure 5.3: A single block
Keyword Description Example/selection
convertToMeters Scaling factor for the vertex
coordinates
0.001 scales to mm
vertices List of vertex coordinates (0 0 0)
edges Used to describe arc or
spline edges
arc 1 4 (0.939 0.342 -0.5)
block Ordered list of vertex labels
and mesh size
hex (0 1 2 3 4 5 6 7)
(10 10 1)
simpleGrading (1.0 1.0 1.0)
patches List of patches symmetryPlane base
( (0 1 2 3) )
mergePatchPairs List of patches to be merged see section 5.3.2
Table 5.2: Keywords used in blockMeshDict.
The convertToMeters keyword specifies a scaling factor by which all vertex coordinates in
the mesh description are multiplied. For example,
convertToMeters 0.001;
means that all coordinates are multiplied by 0.001, i.e. the values quoted in the blockMesh-
Dict file are in mm.
5.3.1.1 The vertices
The vertices of the blocks of the mesh are given next as a standard list named vertices,
e.g. for our example block in Figure 5.3, the vertices are:
vertices
(
OpenFOAM-5.0

U-150 Mesh generation and conversion
( 0 0 0 ) // vertex number 0
( 1 0 0.1) // vertex number 1
( 1.1 1 0.1) // vertex number 2
( 0 1 0.1) // vertex number 3
(-0.1 -0.1 1 ) // vertex number 4
( 1.3 0 1.2) // vertex number 5
( 1.4 1.1 1.3) // vertex number 6
( 0 1 1.1) // vertex number 7
);
5.3.1.2 The edges
Each edge joining 2 vertex points is assumed to be straight by default. However any edge
may be specified to be curved by entries in a list named edges. The list is optional; if the
geometry contains no curved edges, it may be omitted.
Each entry for a curved edge begins with a keyword specifying the type of curve from
those listed in Table 5.3.
Keyword selection Description Additional entries
arc Circular arc Single interpolation point
spline Spline curve List of interpolation points
polyLine Set of lines List of interpolation points
BSpline B-spline curve List of interpolation points
line Straight line —
Table 5.3: Edge types available in the blockMeshDict dictionary.
The keyword is then followed by the labels of the 2 vertices that the edge connects.
Following that, interpolation points must be specified through which the edge passes. For
aarc, a single interpolation point is required, which the circular arc will intersect. For
spline,polyLine and BSpline, a list of interpolation points is required. The line edge is
directly equivalent to the option executed by default, and requires no interpolation points.
Note that there is no need to use the line edge but it is included for completeness. For our
example block in Figure 5.3 we specify an arc edge connecting vertices 1 and 5 as follows
through the interpolation point (1.1,0.0,0.5):
edges
(
arc 1 5 (1.1 0.0 0.5)
);
5.3.1.3 The blocks
The block definitions are contained in a list named blocks. Each block definition is a
compound entry consisting of a list of vertex labels whose order is described in section 5.3,
a vector giving the number of cells required in each direction, the type and list of cell
expansion ratio in each direction.
Then the blocks are defined as follows:
OpenFOAM-5.0

5.3 Mesh generation with the blockMesh utility U-151
blocks
(
hex (0 1 2 3 4 5 6 7) // vertex numbers
(10 10 10) // numbers of cells in each direction
simpleGrading (1 2 3) // cell expansion ratios
);
The definition of each block is as follows:
Vertex numbering The first entry is the shape identifier of the block, as defined in the
.OpenFOAM-5.0/cellModels file. The shape is always hex since the blocks are always
hexahedra. There follows a list of vertex numbers, ordered in the manner described
on page U-148.
Number of cells The second entry gives the number of cells in each of the x1x2and x3
directions for that block.
Cell expansion ratios The third entry gives the cell expansion ratios for each direction in
the block. The expansion ratio enables the mesh to be graded, or refined, in specified
directions. The ratio is that of the width of the end cell δealong one edge of a block
to the width of the start cell δsalong that edge, as shown in Figure 5.4. Each of
the following keywords specify one of two types of grading specification available in
blockMesh.
simpleGrading The simple description specifies uniform expansions in the local x1,
x2and x3directions respectively with only 3 expansion ratios, e.g.
simpleGrading (1 2 3)
edgeGrading The full cell expansion description gives a ratio for each edge of the
block, numbered according to the scheme shown in Figure 5.3 with the arrows
representing the direction ‘from first cell. . . to last cell’ e.g. something like
edgeGrading (1 1 1 1 2 2 2 2 3 3 3 3)
This means the ratio of cell widths along edges 0-3 is 1, along edges 4-7 is 2 and
along 8-11 is 3 and is directly equivalent to the simpleGrading example given
above.
δsExpansion ratio =δe
δsδe
Expansion direction
Figure 5.4: Mesh grading along a block edge
5.3.1.4 Multi-grading of a block
Using a single expansion ratio to describe mesh grading permits only “one-way” grading
within a mesh block. In some cases, it reduces complexity and effort to be able to control
grading within separate divisions of a single block, rather than have to define several blocks
with one grading per block. For example, to mesh a channel with two opposing walls and
OpenFOAM-5.0

U-152 Mesh generation and conversion
grade the mesh towards the walls requires three regions: two with grading to the wall with
one in the middle without grading.
OpenFOAM v2.4+ includes multi-grading functionality that can divide a block in an
given direction and apply different grading within each division. This multi-grading is
specified by replacing any single value expansion ratio in the grading specification of the
block, e.g. “1”, “2”, “3” in
blocks
(
hex (0 1 2 3 4 5 6 7) (100 300 100)
simpleGrading (1 2 3);
);
We will present multi-grading for the following example:
•split the block into 3 divisions in the y-direction, representing 20%, 60% and 20% of
the block length;
•include 30% of the total cells in the y-direction (300) in each divisions 1 and 3 and
the remaining 40% in division 2;
•apply 1:4 expansion in divisions 1 and 3, and zero expansion in division 2.
We can specify this by replacing the y-direction expansion ratio “2” in the example above
with the following:
blocks
(
hex (0 1 2 3 4 5 6 7) (100 300 100)
simpleGrading
(
1 // x-direction expansion ratio
(
(0.2 0.3 4) // 20% y-dir, 30% cells, expansion = 4
(0.6 0.4 1) // 60% y-dir, 40% cells, expansion = 1
(0.2 0.3 0.25) // 20% y-dir, 30% cells, expansion = 0.25 (1/4)
)
3 // z-direction expansion ratio
)
);
Both the fraction of the block and the fraction of the cells are normalized automatically.
They can be specified as percentages, fractions, absolute lengths, etc. and do not need to
sum to 100, 1, etc. The example above can be specified using percentages, e.g.
blocks
(
hex (0 1 2 3 4 5 6 7) (100 300 100)
simpleGrading
OpenFOAM-5.0

5.3 Mesh generation with the blockMesh utility U-153
(
1
(
(20 30 4) // 20%, 30%...
(60 40 1)
(20 30 0.25)
)
3
)
);
5.3.1.5 The boundary
The boundary of the mesh is given in a list named boundary. The boundary is broken into
patches (regions), where each patch in the list has its name as the keyword, which is the
choice of the user, although we recommend something that conveniently identifies the patch,
e.g.inlet; the name is used as an identifier for setting boundary conditions in the field data
files. The patch information is then contained in sub-dictionary with:
•type: the patch type, either a generic patch on which some boundary conditions are
applied or a particular geometric condition, as listed in section 5.2.1;
•faces: a list of block faces that make up the patch and whose name is the choice of
the user, although we recommend something that conveniently identifies the patch,
e.g.inlet; the name is used as an identifier for setting boundary conditions in the field
data files.
blockMesh collects faces from any boundary patch that is omitted from the boundary
list and assigns them to a default patch named defaultFaces of type empty. This means
that for a 2 dimensional geometry, the user has the option to omit block faces lying in the
2D plane, knowing that they will be collected into an empty patch as required.
Returning to the example block in Figure 5.3, if it has an inlet on the left face, an output
on the right face and the four other faces are walls then the patches could be defined as
follows:
boundary // keyword
(
inlet // patch name
{
type patch; // patch type for patch 0
faces
(
(0 4 7 3) // block face in this patch
);
} // end of 0th patch definition
outlet // patch name
{
type patch; // patch type for patch 1
OpenFOAM-5.0

U-154 Mesh generation and conversion
faces
(
(1 2 6 5)
);
}
walls
{
type wall;
faces
(
(0 1 5 4)
(0 3 2 1)
(3 7 6 2)
(4 5 6 7)
);
}
);
Each block face is defined by a list of 4 vertex numbers. The order in which the vertices are
given must be such that, looking from inside the block and starting with any vertex, the
face must be traversed in a clockwise direction to define the other vertices.
When specifying a cyclic patch in blockMesh, the user must specify the name of the
related cyclic patch through the neighbourPatch keyword. For example, a pair of cyclic
patches might be specified as follows:
left
{
type cyclic;
neighbourPatch right;
faces ((0 4 7 3));
}
right
{
type cyclic;
neighbourPatch left;
faces ((1 5 6 2));
}
5.3.2 Multiple blocks
A mesh can be created using more than 1 block. In such circumstances, the mesh is created
as has been described in the preceeding text; the only additional issue is the connection
between blocks, in which there are two distinct possibilities:
face matching the set of faces that comprise a patch from one block are formed from the
same set of vertices as a set of faces patch that comprise a patch from another block;
OpenFOAM-5.0

5.3 Mesh generation with the blockMesh utility U-155
face merging a group of faces from a patch from one block are connected to another
group of faces from a patch from another block, to create a new set of internal faces
connecting the two blocks.
To connect two blocks with face matching, the two patches that form the connection
should simply be ignored from the patches list. blockMesh then identifies that the faces
do not form an external boundary and combines each collocated pair into a single internal
faces that connects cells from the two blocks.
The alternative, face merging, requires that the block patches to be merged are first
defined in the patches list. Each pair of patches whose faces are to be merged must then
be included in an optional list named mergePatchPairs. The format of mergePatchPairs
is:
mergePatchPairs
(
(<masterPatch> <slavePatch>) // merge patch pair 0
(<masterPatch> <slavePatch>) // merge patch pair 1
...
)
The pairs of patches are interpreted such that the first patch becomes the master and the
second becomes the slave. The rules for merging are as follows:
•the faces of the master patch remain as originally defined, with all vertices in their
original location;
•the faces of the slave patch are projected onto the master patch where there is some
separation between slave and master patch;
•the location of any vertex of a slave face might be adjusted by blockMesh to eliminate
any face edge that is shorter than a minimum tolerance;
•if patches overlap as shown in Figure 5.5, each face that does not merge remains as
an external face of the original patch, on which boundary conditions must then be
applied;
•if all the faces of a patch are merged, then the patch itself will contain no faces and is
removed.
The consequence is that the original geometry of the slave patch will not necessarily be
completely preserved during merging. Therefore in a case, say, where a cylindrical block
is being connected to a larger block, it would be wise to the assign the master patch to
the cylinder, so that its cylindrical shape is correctly preserved. There are some additional
recommendations to ensure successful merge procedures:
•in 2 dimensional geometries, the size of the cells in the third dimension, i.e. out of the
2D plane, should be similar to the width/height of cells in the 2D plane;
•it is inadvisable to merge a patch twice, i.e. include it twice in mergePatchPairs;
•where a patch to be merged shares a common edge with another patch to be merged,
both should be declared as a master patch.
OpenFOAM-5.0

U-156 Mesh generation and conversion
patch 1
patch 2
region of internal connecting faces
region of external boundary faces
Figure 5.5: Merging overlapping patches
5.3.3 Projection of vertices, edges and faces
blockMesh can be configured to create body fitted meshes using projection of vertices, edges
and/or faces onto specified geometry. The functionality can be used to mesh spherical and
cylindrical geometries such as pipes and vessels conveniently. The user can specify within
the blockMeshDict file within an optional geometry dictionary with the same format as used
in the snappyHexMeshDict file. For example to specify a cylinder using the built in geometric
type the user could configure with the following:
geometry
{
cylinder
{
type searchableCylinder;
point1 (0 -4 0);
point2 (0 4 0);
radius 0.7;
}
};
The user can then project vertices, edges and/or faces onto the cylinder surface with the
project keyword using example syntax shown below:
vertices
(
project (-1 -0.1 -1) (cylinder)
project ( 1 -0.1 -1) (cylinder)
...
);
edges
(
project 0 1 (cylinder)
...
);
faces
(
project (0 4 7 3) cylinder
...
);
OpenFOAM-5.0

5.3 Mesh generation with the blockMesh utility U-157
The use of this functionality is demonstrated in tutorials which can be located by searching
for the project keyword in all the blockMeshDict files by:
find $FOAM_TUTORIALS -name blockMeshDict | xargs grep -l project
5.3.4 Naming vertices, edges, faces and blocks
Vertices, edges, faces and blocks can be named in the configuration of a blockMeshDict file,
which can make it easier to manage more complex examples. It is done simply using the
name keyword. The following syntax shows naming using the example for projection in the
previous subsection:
vertices
(
name v0 project (-1 -0.1 -1) (cylinder)
name v1 project ( 1 -0.1 -1) (cylinder)
...
);
edges
(
project v0 v1 (cylinder)
...
);
When a name is provided for a given entity, it can be used to replace the index. In the
example about, rather than specify the edge using vertex indices 0and 1, the names v0 and
v1 are used.
5.3.5 Creating blocks with fewer than 8 vertices
It is possible to collapse one or more pair(s) of vertices onto each other in order to create
a block with fewer than 8 vertices. The most common example of collapsing vertices is
when creating a 6-sided wedge shaped block for 2-dimensional axi-symmetric cases that use
the wedge patch type described in section 5.2.2. The process is best illustrated by using a
simplified version of our example block shown in Figure 5.6. Let us say we wished to create
a wedge shaped block by collapsing vertex 7 onto 4 and 6 onto 5. This is simply done by
exchanging the vertex number 7 by 4 and 6 by 5 respectively so that the block numbering
would become:
hex (0 1 2 3 4 5 5 4)
The same applies to the patches with the main consideration that the block face contain-
ing the collapsed vertices, previously (4 5 6 7) now becomes (4 5 5 4). This is a block
face of zero area which creates a patch with no faces in the polyMesh, as the user can see in
aboundary file for such a case. The patch should be specified as empty in the blockMeshDict
and the boundary condition for any fields should consequently be empty also.
5.3.6 Running blockMesh
As described in section 3.3, the following can be executed at the command line to run
blockMesh for a case in the <case>directory:
OpenFOAM-5.0

U-158 Mesh generation and conversion
0
3
4
76
5
1
2
Figure 5.6: Creating a wedge shaped block with 6 vertices
blockMesh -case <case>
The blockMeshDict file must exist in the system (or constant/polyMesh) directory.
5.4 Mesh generation with the snappyHexMesh utility
This section describes the mesh generation utility, snappyHexMesh, supplied with Open-
FOAM. The snappyHexMesh utility generates 3-dimensional meshes containing hexahedra
(hex) and split-hexahedra (split-hex) automatically from triangulated surface geometries,
or tri-surfaces, in Stereolithography (STL) or Wavefront Object (OBJ) format. The mesh
approximately conforms to the surface by iteratively refining a starting mesh and morphing
the resulting split-hex mesh to the surface. An optional phase will shrink back the resulting
mesh and insert cell layers. The specification of mesh refinement level is very flexible and
the surface handling is robust with a pre-specified final mesh quality. It runs in parallel
with a load balancing step every iteration.
STL surface
Figure 5.7: Schematic 2D meshing problem for snappyHexMesh
OpenFOAM-5.0

5.4 Mesh generation with the snappyHexMesh utility U-159
5.4.1 The mesh generation process of snappyHexMesh
The process of generating a mesh using snappyHexMesh will be described using the schematic
in Figure 5.7. The objective is to mesh a rectangular shaped region (shaded grey in the
figure) surrounding an object described by a tri-surface, e.g. typical for an external aerody-
namics simulation. Note that the schematic is 2-dimensional to make it easier to understand,
even though the snappyHexMesh is a 3D meshing tool.
In order to run snappyHexMesh, the user requires the following:
•one or more tri-surface files located in a constant/triSurface sub-directory of the case
directory;
•a background hex mesh which defines the extent of the computational domain and a
base level mesh density; typically generated using blockMesh, discussed in section 5.4.2.
•asnappyHexMeshDict dictionary, with appropriate entries, located in the system sub-
directory of the case.
The snappyHexMeshDict dictionary includes: switches at the top level that control the
various stages of the meshing process; and, individual sub-directories for each process. The
entries are listed below.
•castellatedMesh: to switch on creation of the castellated mesh.
•snap: to switch on surface snapping stage.
•addLayers: to switch on surface layer insertion.
•mergeTolerance: merge tolerance as fraction of bounding box of initial mesh.
•geometry: sub-dictionary of all surface geometry used.
•castellatedMeshControls: sub-dictionary of controls for castellated mesh.
•snapControls: sub-dictionary of controls for surface snapping.
•addLayersControls: sub-dictionary of controls for layer addition.
•meshQualityControls: sub-dictionary of controls for mesh quality.
All the geometry used by snappyHexMesh is specified in a geometry sub-dictionary in
the snappyHexMeshDict dictionary. The geometry can be specified through a tri-surface or
bounding geometry entities in OpenFOAM. An example is given below:
geometry
{
sphere1 // User defined region name
{
type triSurfaceMesh;
file "sphere1.obj"; // surface geometry OBJ file
regions
{
secondSolid // Named region in the OBJ file
{
name mySecondPatch; // User-defined patch name
} // otherwise given sphere1_secondSolid
}
}
OpenFOAM-5.0

U-160 Mesh generation and conversion
box1x1x1 // User defined region name
{
type searchableBox; // region defined by bounding box
min (1.5 1 -0.5);
max (3.5 2 0.5);
}
sphere2 // User defined region name
{
type searchableSphere; // region defined by bounding sphere
centre (1.5 1.5 1.5);
radius 1.03;
}
};
5.4.2 Creating the background hex mesh
Before snappyHexMesh is executed the user must create a background mesh of hexahedral
cells that fills the entire region within by the external boundary as shown in Figure 5.8.
This can be done simply using blockMesh. The following criteria must be observed when
Figure 5.8: Initial mesh generation in snappyHexMesh meshing process
creating the background mesh:
•the mesh must consist purely of hexes;
•the cell aspect ratio should be approximately 1, at least near surfaces at which the
subsequent snapping procedure is applied, otherwise the convergence of the snapping
procedure is slow, possibly to the point of failure;
•there must be at least one intersection of a cell edge with the tri-surface, i.e. a mesh
of one cell will not work.
5.4.3 Cell splitting at feature edges and surfaces
Cell splitting is performed according to the specification supplied by the user in the castellat-
edMeshControls sub-dictionary in the snappyHexMeshDict. The entries for castellatedMesh-
Controls are presented below.
OpenFOAM-5.0

5.4 Mesh generation with the snappyHexMesh utility U-161
Figure 5.9: Cell splitting by feature edge in snappyHexMesh meshing process
•locationInMesh: location vector inside the region to be meshed; vector must not
coincide with a cell face either before or during refinement.
•maxLocalCells: max number of cells per processor during refinement.
•maxGlobalCells: overall cell limit during refinement (i.e. before removal).
•minRefinementCells: if minRefinementCells ≥number of cells to be refined, surface
refinement stops.
•nCellsBetweenLevels: number of buffer layers of cells between successive levels of
refinement (typically set to 3).
•resolveFeatureAngle: applies maximum level of refinement to cells that can see
intersections whose angle exceeds resolveFeatureAngle (typically set to 30).
•features: list of features for refinement.
•refinementSurfaces: dictionary of surfaces for refinement.
•refinementRegions: dictionary of regions for refinement.
The splitting process begins with cells being selected according to specified edge features
first within the domain as illustrated in Figure 5.9. The features list in the castellat-
edMeshControls sub-dictionary permits dictionary entries containing a name of an edgeMesh
file and the level of refinement, e.g.:
features
(
{
file "features.eMesh"; // file containing edge mesh
level 2; // level of refinement
}
);
The edgeMesh containing the features can be extracted from the tri-surface file using surface-
FeatureExtract which specifies the tri-surface and controls such as included angle through a
surfaceFeatureExtractDict configuration file, examples of which can be found in several tuto-
rials and the $FOAM_UTILITIES/surface/surfaceFeatureExtract directory in the OpenFOAM
installation. The utility is simply run by executing the following in a terminal
OpenFOAM-5.0

U-162 Mesh generation and conversion
surfaceFeatureExtract
Following feature refinement, cells are selected for splitting in the locality of specified sur-
faces as illustrated in Figure 5.10. The refinementSurfaces dictionary in castellatedMesh-
Controls requires dictionary entries for each STL surface and a default level specification of
the minimum and maximum refinement in the form (<min> <max>). The minimum level
is applied generally across the surface; the maximum level is applied to cells that can see
intersections that form an angle in excess of that specified by resolveFeatureAngle.
The refinement can optionally be overridden on one or more specific region of an STL
surface. The region entries are collected in a regions sub-dictionary. The keyword for each
region entry is the name of the region itself and the refinement level is contained within a
further sub-dictionary. An example is given below:
refinementSurfaces
{
sphere1
{
level (2 2); // default (min max) refinement for whole surface
regions
{
secondSolid
{
level (3 3); // optional refinement for secondSolid region
}
}
}
}
5.4.4 Cell removal
Once the feature and surface splitting is complete a process of cell removal begins. Cell
removal requires one or more regions enclosed entirely by a bounding surface within the
domain. The region in which cells are retained are simply identified by a location vector
within that region, specified by the locationInMesh keyword in castellatedMeshControls.
Cells are retained if, approximately speaking, 50% or more of their volume lies within the
region. The remaining cells are removed accordingly as illustrated in Figure 5.11.
Figure 5.10: Cell splitting by surface in snappyHexMesh meshing process
OpenFOAM-5.0

5.4 Mesh generation with the snappyHexMesh utility U-163
Figure 5.11: Cell removal in snappyHexMesh meshing process
5.4.5 Cell splitting in specified regions
Those cells that lie within one or more specified volume regions can be further split as
illustrated in Figure 5.12 by a rectangular region shown by dark shading. The refinement-
Regions sub-dictionary in castellatedMeshControls contains entries for refinement of the
volume regions specified in the geometry sub-dictionary. A refinement mode is applied to
each region which can be:
•inside refines inside the volume region;
•outside refines outside the volume region
•distance refines according to distance to the surface; and can accommodate different
levels at multiple distances with the levels keyword.
For the refinementRegions, the refinement level is specified by the levels list of entries
with the format(<distance> <level>). In the case of inside and outside refinement,
the <distance>is not required so is ignored (but it must be specified). Examples are shown
below:
refinementRegions
{
box1x1x1
{
mode inside;
levels ((1.0 4)); // refinement level 4 (1.0 entry ignored)
}
sphere1
{ // refinement level 5 within 1.0 m
mode distance; // refinement level 3 within 2.0 m
levels ((1.0 5) (2.0 3)); // levels must be ordered nearest first
}
}
5.4.6 Snapping to surfaces
The next stage of the meshing process involves moving cell vertex points onto surface ge-
ometry to remove the jagged castellated surface from the mesh. The process is:
OpenFOAM-5.0

U-164 Mesh generation and conversion
1. displace the vertices in the castellated boundary onto the STL surface;
2. solve for relaxation of the internal mesh with the latest displaced boundary vertices;
3. find the vertices that cause mesh quality parameters to be violated;
4. reduce the displacement of those vertices from their initial value (at 1) and repeat
from 2 until mesh quality is satisfied.
The method uses the settings in the snapControls sub-dictionary in snappyHexMeshDict,
listed below.
•nSmoothPatch: number of patch smoothing iterations before finding correspondence
to surface (typically 3).
•tolerance: ratio of distance for points to be attracted by surface feature point or
edge, to local maximum edge length (typically 2.0).
•nSolveIter: number of mesh displacement relaxation iterations (typically 30-100).
•nRelaxIter: maximum number of snapping relaxation iterations (typically 5).
An example is illustrated in the schematic in Figure 5.13 (albeit with mesh motion that
looks slightly unrealistic).
5.4.7 Mesh layers
The mesh output from the snapping stage may be suitable for the purpose, although it
can produce some irregular cells along boundary surfaces. There is an optional stage of
the meshing process which introduces additional layers of hexahedral cells aligned to the
boundary surface as illustrated by the dark shaded cells in Figure 5.14.
The process of mesh layer addition involves shrinking the existing mesh from the bound-
ary and inserting layers of cells, broadly as follows:
1. the mesh is projected back from the surface by a specified thickness in the direction
normal to the surface;
2. solve for relaxation of the internal mesh with the latest projected boundary vertices;
3. check if validation criteria are satisfied otherwise reduce the projected thickness and
return to 2; if validation cannot be satisfied for any thickness, do not insert layers;
4. if the validation criteria can be satisfied, insert mesh layers;
5. the mesh is checked again; if the checks fail, layers are removed and we return to 2.
The layer addition procedure uses the settings in the addLayersControls sub-dictionary in
snappyHexMeshDict; entries are listed below. The user has the option of 4 different layer
thickness parameters — expansionRatio,finalLayerThickness,firstLayerThickness,
thickness —from which they must specify 2 only; more than 2, and the problem is over-
specified.
•layers: dictionary specifying layers to be inserted.
OpenFOAM-5.0

5.4 Mesh generation with the snappyHexMesh utility U-165
Figure 5.12: Cell splitting by region in snappyHexMesh meshing process
Figure 5.13: Surface snapping in snappyHexMesh meshing process
Figure 5.14: Layer addition in snappyHexMesh meshing process
OpenFOAM-5.0

U-166 Mesh generation and conversion
•relativeSizes: switch that sets whether the specified layer thicknesses are relative
to undistorted cell size outside layer or absolute.
•expansionRatio: expansion factor for layer mesh, increase in size from one layer to
the next.
•finalLayerThickness: thickness of layer furthest from the wall, usually in combina-
tion with relative sizes according to the relativeSizes entry.
•firstLayerThickness: thickness of layer nearest the wall, usually in combination
with absolute sizes according to the relativeSizes entry.
•thickness: total thickness of all layers of cells, usually in combination with absolute
sizes according to the
•relativeSizes entry.
•minThickness: minimum thickness of cell layer, either relative or absolute (as above).
•nGrow: number of layers of connected faces that are not grown if points do not get
extruded; helps convergence of layer addition close to features.
•featureAngle: angle above which surface is not extruded.
•nRelaxIter: maximum number of snapping relaxation iterations (typcially 5).
•nSmoothSurfaceNormals: number of smoothing iterations of surface normals (typi-
cally 1).
•nSmoothNormals: number of smoothing iterations of interior mesh movement direction
(typically 3).
•nSmoothThickness: smooth layer thickness over surface patches (typically 10).
•maxFaceThicknessRatio: stop layer growth on highly warped cells (typically 0.5).
•maxThicknessToMedialRatio: reduce layer growth where ratio thickness to medial
distance is large (typically 0.3)
•minMedianAxisAngle: angle used to pick up medial axis points (typically 90).
•nBufferCellsNoExtrude: create buffer region for new layer terminations (typically
0).
•nLayerIter: overall max number of layer addition iterations (typically 50).
•nRelaxedIter: max number of iterations after which the controls in the relaxed sub
dictionary of meshQuality are used (typically 20).
The layers sub-dictionary contains entries for each patch on which the layers are to be
applied and the number of surface layers required. The patch name is used because the
layers addition relates to the existing mesh, not the surface geometry; hence applied to a
patch, not a surface region. An example layers entry is as follows:
OpenFOAM-5.0

5.4 Mesh generation with the snappyHexMesh utility U-167
layers
{
sphere1_firstSolid
{
nSurfaceLayers 1;
}
maxY
{
nSurfaceLayers 1;
}
}
5.4.8 Mesh quality controls
The mesh quality is controlled by the entries in the meshQualityControls sub-dictionary in
snappyHexMeshDict; entries are listed below.
•maxNonOrtho: maximum non-orthogonality allowed (degrees, typically 65).
•maxBoundarySkewness: max boundary face skewness allowed (typically 20).
•maxInternalSkewness: max internal face skewness allowed (typically 4).
•maxConcave: max concaveness allowed (typically 80).
•minFlatness: ratio of minimum projected area to actual area (typically 0.5)
•minTetQuality: minimum quality of tetrahedral cells from cell decomposition; gen-
erally deactivated by setting large negative number since v5.0 when new barycentric
tracking was introduced, which could handle negative tets.
•minVol: minimum cell pyramid volume (typically 1e-13, large negative number dis-
ables).
•minArea: minimum face area (typically -1).
•minTwist: minimum face twist (typically 0.05).
•minDeterminant: minimum normalised cell determinant; 1 =hex; ≤0 = illegal cell
(typically 0.001).
•minFaceWeight: 0→0.5 (typically 0.05).
•minVolRatio: 0→1.0 (typically 0.01).
•minTriangleTwist:>0 for Fluent compatibility (typically -1).
•nSmoothScale: number of error distribution iterations (typically 4).
•errorReduction: amount to scale back displacement at error points (typically 0.75).
•relaxed: sub-dictionary that can include modified values for the above keyword entries
to be used when nRelaxedIter is exceeded in the layer addition process.
OpenFOAM-5.0

U-168 Mesh generation and conversion
5.5 Mesh conversion
The user can generate meshes using other packages and convert them into the format that
OpenFOAM uses. There are numerous mesh conversion utilities listed in section 3.6.3.
Some of the more popular mesh converters are listed below and their use is presented in this
section.
fluentMeshToFoam reads a Fluent.msh mesh file, working for both 2-D and 3-D cases;
starToFoam reads STAR-CD/PROSTAR mesh files.
gambitToFoam reads a GAMBIT.neu neutral file;
ideasToFoam reads an I-DEAS mesh written in ANSYS.ans format;
cfx4ToFoam reads a CFX mesh written in .geo format;
5.5.1 fluentMeshToFoam
Fluent writes mesh data to a single file with a .msh extension. The file must be writ-
ten in ASCII format, which is not the default option in Fluent. It is possible to convert
single-stream Fluent meshes, including the 2 dimensional geometries. In OpenFOAM, 2 di-
mensional geometries are currently treated by defining a mesh in 3 dimensions, where the
front and back plane are defined as the empty boundary patch type. When reading a 2 di-
mensional Fluent mesh, the converter automatically extrudes the mesh in the third direction
and adds the empty patch, naming it frontAndBackPlanes.
The following features should also be observed.
•The OpenFOAM converter will attempt to capture the Fluent boundary condition
definition as much as possible; however, since there is no clear, direct correspondence
between the OpenFOAM and Fluent boundary conditions, the user should check the
boundary conditions before running a case.
•Creation of axi-symmetric meshes from a 2 dimensional mesh is currently not sup-
ported but can be implemented on request.
•Multiple material meshes are not permitted. If multiple fluid materials exist, they will
be converted into a single OpenFOAM mesh; if a solid region is detected, the converter
will attempt to filter it out.
•Fluent allows the user to define a patch which is internal to the mesh, i.e. consists of
the faces with cells on both sides. Such patches are not allowed in OpenFOAM and
the converter will attempt to filter them out.
•There is currently no support for embedded interfaces and refinement trees.
The procedure of converting a Fluent.msh file is first to create a new OpenFOAM case
by creating the necessary directories/files: the case directory containing a controlDict file in
asystem subdirectory. Then at a command prompt the user should execute:
fluentMeshToFoam <meshFile>
where <meshFile>is the name of the .msh file, including the full or relative path.
OpenFOAM-5.0

5.5 Mesh conversion U-169
5.5.2 starToFoam
This section describes how to convert a mesh generated on the STAR-CD code into a form
that can be read by OpenFOAM mesh classes. The mesh can be generated by any of the
packages supplied with STAR-CD,i.e.PROSTAR,SAMM,ProAM and their derivatives. The
converter accepts any single-stream mesh including integral and arbitrary couple matching
and all cell types are supported. The features that the converter does not support are:
•multi-stream mesh specification;
•baffles, i.e. zero-thickness walls inserted into the domain;
•partial boundaries, where an uncovered part of a couple match is considered to be a
boundary face;
•sliding interfaces.
For multi-stream meshes, mesh conversion can be achieved by writing each individual stream
as a separate mesh and reassemble them in OpenFOAM.
OpenFOAM adopts a policy of only accepting input meshes that conform to the fairly
stringent validity criteria specified in section 5.1. It will simply not run using invalid meshes
and cannot convert a mesh that is itself invalid. The following sections describe steps that
must be taken when generating a mesh using a mesh generating package supplied with
STAR-CD to ensure that it can be converted to OpenFOAM format. To avoid repetition
in the remainder of the section, the mesh generation tools supplied with STAR-CD will be
referred to by the collective name STAR-CD.
5.5.2.1 General advice on conversion
We strongly recommend that the user run the STAR-CD mesh checking tools before attempt-
ing a starToFoam conversion and, after conversion, the checkMesh utility should be run on
the newly converted mesh. Alternatively, starToFoam may itself issue warnings containing
PROSTAR commands that will enable the user to take a closer look at cells with problems.
Problematic cells and matches should be checked and fixed before attempting to use the
mesh with OpenFOAM. Remember that an invalid mesh will not run with OpenFOAM, but
it may run in another environment that does not impose the validity criteria.
Some problems of tolerance matching can be overcome by the use of a matching tolerance
in the converter. However, there is a limit to its effectiveness and an apparent need to
increase the matching tolerance from its default level indicates that the original mesh suffers
from inaccuracies.
5.5.2.2 Eliminating extraneous data
When mesh generation in is completed, remove any extraneous vertices and compress the
cells boundary and vertex numbering, assuming that fluid cells have been created and all
other cells are discarded. This is done with the following PROSTAR commands:
CSET NEWS FLUID
CSET INVE
OpenFOAM-5.0

U-170 Mesh generation and conversion
The CSET should be empty. If this is not the case, examine the cells in CSET and adjust
the model. If the cells are genuinely not desired, they can be removed using the PROSTAR
command:
CDEL CSET
Similarly, vertices will need to be discarded as well:
CSET NEWS FLUID
VSET NEWS CSET
VSET INVE
Before discarding these unwanted vertices, the unwanted boundary faces have to be collected
before purging:
CSET NEWS FLUID
VSET NEWS CSET
BSET NEWS VSET ALL
BSET INVE
If the BSET is not empty, the unwanted boundary faces can be deleted using:
BDEL BSET
At this time, the model should contain only the fluid cells and the supporting vertices,
as well as the defined boundary faces. All boundary faces should be fully supported by the
vertices of the cells, if this is not the case, carry on cleaning the geometry until everything
is clean.
5.5.2.3 Removing default boundary conditions
By default, STAR-CD assigns wall boundaries to any boundary faces not explicitly associated
with a boundary region. The remaining boundary faces are collected into a default bound-
ary region, with the assigned boundary type 0. OpenFOAM deliberately does not have
a concept of a default boundary condition for undefined boundary faces since it invites
human error, e.g. there is no means of checking that we meant to give all the unassociated
faces the default condition.
Therefore all boundaries for each OpenFOAM mesh must be specified for a mesh to
be successfully converted. The default boundary needs to be transformed into a real one
using the procedure described below:
1. Plot the geometry with Wire Surface option.
2. Define an extra boundary region with the same parameters as the default region 0
and add all visible faces into the new region, say 10, by selecting a zone option in the
boundary tool and drawing a polygon around the entire screen draw of the model.
This can be done by issuing the following commands in PROSTAR:
RDEF 10 WALL
BZON 10 ALL
OpenFOAM-5.0

5.5 Mesh conversion U-171
3. We shall remove all previously defined boundary types from the set. Go through the
boundary regions:
BSET NEWS REGI 1
BSET NEWS REGI 2
... 3, 4, ...
Collect the vertices associated with the boundary set and then the boundary faces
associated with the vertices (there will be twice as many of them as in the original
set).
BSET NEWS REGI 1
VSET NEWS BSET
BSET NEWS VSET ALL
BSET DELE REGI 1
REPL
This should give the faces of boundary Region 10 which have been defined on top of
boundary Region 1. Delete them with BDEL BSET. Repeat these for all regions.
5.5.2.4 Renumbering the model
Renumber and check the model using the commands:
CSET NEW FLUID
CCOM CSET
VSET NEWS CSET
VSET INVE (Should be empty!)
VSET INVE
VCOM VSET
BSET NEWS VSET ALL
BSET INVE (Should be empty also!)
BSET INVE
BCOM BSET
CHECK ALL
GEOM
Internal PROSTAR checking is performed by the last two commands, which may reveal
some other unforeseeable error(s). Also, take note of the scaling factor because PROSTAR
only applies the factor for STAR-CD and not the geometry. If the factor is not 1, use the
scalePoints utility in OpenFOAM.
5.5.2.5 Writing out the mesh data
Once the mesh is completed, place all the integral matches of the model into the couple
type 1. All other types will be used to indicate arbitrary matches.
CPSET NEWS TYPE INTEGRAL
CPMOD CPSET 1
OpenFOAM-5.0

U-172 Mesh generation and conversion
The components of the computational grid must then be written to their own files. This is
done using PROSTAR for boundaries by issuing the command
BWRITE
by default, this writes to a .23 file (versions prior to 3.0) or a .bnd file (versions 3.0 and
higher). For cells, the command
CWRITE
outputs the cells to a .14 or .cel file and for vertices, the command
VWRITE
outputs to file a .15 or .vrt file. The current default setting writes the files in ASCII format.
If couples are present, an additional couple file with the extension .cpl needs to be written
out by typing:
CPWRITE
After outputting to the three files, exit PROSTAR or close the files. Look through the
panels and take note of all STAR-CD sub-models, material and fluid properties used – the
material properties and mathematical model will need to be set up by creating and editing
OpenFOAM dictionary files.
The procedure of converting the PROSTAR files is first to create a new OpenFOAM
case by creating the necessary directories. The PROSTAR files must be stored within the
same directory and the user must change the file extensions: from .23,.14 and .15 (below
STAR-CD version 3.0), or .pcs,.cls and .vtx (STAR-CD version 3.0 and above); to .bnd,.cel
and .vrt respectively.
5.5.2.6 Problems with the .vrt file
The .vrt file is written in columns of data of specified width, rather than free format. A
typical line of data might be as follows, giving a vertex number followed by the coordinates:
19422 -0.105988957 -0.413711881E-02 0.000000000E+00
If the ordinates are written in scientific notation and are negative, there may be no space
between values, e.g.:
19423 -0.953953117E-01-0.338810333E-02 0.000000000E+00
The starToFoam converter reads the data using spaces to delimit the ordinate values and
will therefore object when reading the previous example. Therefore, OpenFOAM includes a
simple script, foamCorrectVrt to insert a space between values where necessary, i.e. it would
convert the previous example to:
19423 -0.953953117E-01 -0.338810333E-02 0.000000000E+00
The foamCorrectVrt script should therefore be executed if necessary before running the
starToFoam converter, by typing:
foamCorrectVrt <file>.vrt
OpenFOAM-5.0

5.5 Mesh conversion U-173
5.5.2.7 Converting the mesh to OpenFOAM format
The translator utility starToFoam can now be run to create the boundaries, cells and points
files necessary for a OpenFOAM run:
starToFoam <meshFilePrefix>
where <meshFilePrefix>is the name of the the prefix of the mesh files, including the full
or relative path. After the utility has finished running, OpenFOAM boundary types should
be specified by editing the boundary file by hand.
5.5.3 gambitToFoam
GAMBIT writes mesh data to a single file with a .neu extension. The procedure of converting
aGAMBIT.neu file is first to create a new OpenFOAM case, then at a command prompt,
the user should execute:
gambitToFoam <meshFile>
where <meshFile>is the name of the .neu file, including the full or relative path.
The GAMBIT file format does not provide information about type of the boundary patch,
e.g. wall, symmetry plane, cyclic. Therefore all the patches have been created as type patch.
Please reset after mesh conversion as necessary.
5.5.4 ideasToFoam
OpenFOAM can convert a mesh generated by I-DEAS but written out in ANSYS format as
a.ans file. The procedure of converting the .ans file is first to create a new OpenFOAM
case, then at a command prompt, the user should execute:
ideasToFoam <meshFile>
where <meshFile>is the name of the .ans file, including the full or relative path.
5.5.5 cfx4ToFoam
CFX writes mesh data to a single file with a .geo extension. The mesh format in CFX is
block-structured, i.e. the mesh is specified as a set of blocks with glueing information and
the vertex locations. OpenFOAM will convert the mesh and capture the CFX boundary
condition as best as possible. The 3 dimensional ‘patch’ definition in CFX, containing
information about the porous, solid regions etc. is ignored with all regions being converted
into a single OpenFOAM mesh. CFX supports the concept of a ‘default’ patch, where each
external face without a defined boundary condition is treated as a wall. These faces are
collected by the converter and put into a defaultFaces patch in the OpenFOAM mesh and
given the type wall; of course, the patch type can be subsequently changed.
Like, OpenFOAM 2 dimensional geometries in CFX are created as 3 dimensional meshes
of 1 cell thickness. If a user wishes to run a 2 dimensional case on a mesh created by CFX,
the boundary condition on the front and back planes should be set to empty; the user should
OpenFOAM-5.0

U-174 Mesh generation and conversion
ensure that the boundary conditions on all other faces in the plane of the calculation are
set correctly. Currently there is no facility for creating an axi-symmetric geometry from a
2 dimensional CFX mesh.
The procedure of converting a CFX.geo file is first to create a new OpenFOAM case,
then at a command prompt, the user should execute:
cfx4ToFoam <meshFile>
where <meshFile>is the name of the .geo file, including the full or relative path.
5.6 Mapping fields between different geometries
The mapFields utility maps one or more fields relating to a given geometry onto the corre-
sponding fields for another geometry. It is completely generalised in so much as there does
not need to be any similarity between the geometries to which the fields relate. However, for
cases where the geometries are consistent, mapFields can be executed with a special option
that simplifies the mapping process.
For our discussion of mapFields we need to define a few terms. First, we say that the
data is mapped from the source to the target. The fields are deemed consistent if the
geometry and boundary types, or conditions, of both source and target fields are identical.
The field data that mapFields maps are those fields within the time directory specified by
startFrom/startTime in the controlDict of the target case. The data is read from the
equivalent time directory of the source case and mapped onto the equivalent time directory
of the target case.
5.6.1 Mapping consistent fields
A mapping of consistent fields is simply performed by executing mapFields on the (target)
case using the -consistent command line option as follows:
mapFields <source dir>-consistent
5.6.2 Mapping inconsistent fields
When the fields are not consistent, as shown in Figure 5.15,mapFields requires a mapFields-
Dict dictionary in the system directory of the target case. The following rules apply to the
mapping:
•the field data is mapped from source to target wherever possible, i.e. in our example
all the field data within the target geometry is mapped from the source, except those
in the shaded region which remain unaltered;
•the patch field data is left unaltered unless specified otherwise in the mapFieldsDict
dictionary.
The mapFieldsDict dictionary contain two lists that specify mapping of patch data. The first
list is patchMap that specifies mapping of data between pairs of source and target patches
that are geometrically coincident, as shown in Figure 5.15. The list contains each pair of
OpenFOAM-5.0

5.6 Mapping fields between different geometries U-175
names of source and target patch. The second list is cuttingPatches that contains names
of target patches whose values are to be mapped from the source internal field through which
the target patch cuts. In the situation where the target patch only cuts through part of the
source internal field, e.g. bottom left target patch in our example, those values within the
internal field are mapped and those outside remain unchanged. An example mapFieldsDict
Internal target patches:
can be mapped using cuttingPatches
Target field geometry
Source field geometry
can be mapped using patchMap
Coincident patches:
Figure 5.15: Mapping inconsistent fields
dictionary is shown below:
17 patchMap (lid movingWall);
18
19 cuttingPatches ();
20
21 // ************************************************************************* //
mapFields <source dir>
5.6.3 Mapping parallel cases
If either or both of the source and target cases are decomposed for running in parallel,
additional options must be supplied when executing mapFields:
-parallelSource if the source case is decomposed for parallel running;
-parallelTarget if the target case is decomposed for parallel running.
OpenFOAM-5.0

U-176 Mesh generation and conversion
OpenFOAM-5.0
Chapter 6
Post-processing
This chapter describes options for post-processing with OpenFOAM. OpenFOAM is supplied
with a post-processing utility paraFoam that uses ParaView, an open source visualisation
application described in section 6.1.
Other methods of post-processing using third party products are offered, including En-
Sight,Fieldview and the post-processing supplied with Fluent.
6.1 ParaView/paraFoam graphical user interface (GUI)
The main post-processing tool provided with OpenFOAM is a reader module to run with
ParaView, an open-source, visualization application. The module is compiled into 2 li-
braries, PVFoamReader and vtkPVFoam using version 5.4.0 of ParaView supplied with the
OpenFOAM release. It is recommended that this version of ParaView is used, although it
is possible that the latest binary release of the software will run adequately. Further details
about ParaView can be found at http://www.paraview.org.
ParaView uses the Visualisation Toolkit (VTK) as its data processing and rendering engine
and can therefore read any data in VTK format. OpenFOAM includes the foamToVTK utility
to convert data from its native format to VTK format, which means that any VTK-based
graphics tools can be used to post-process OpenFOAM cases. This provides an alternative
means for using ParaView with OpenFOAM.
In summary, we recommend the reader module for ParaView as the primary post-processing
tool for OpenFOAM. Alternatively OpenFOAM data can be converted into VTK format to
be read by ParaView or any other VTK-based graphics tools.
6.1.1 Overview of ParaView/paraFoam
paraFoam is a script that launches ParaView using the reader module supplied with Open-
FOAM. It is executed like any of the OpenFOAM utilities either by the single command
from within the case directory or with the -case option with the case path as an argument,
e.g.:
paraFoam -case <caseDir>
ParaView is launched and opens the window shown in Figure 6.1. The case is controlled
from the left panel, which contains the following:

U-178 Post-processing
Figure 6.1: The paraFoam window
Pipeline Browser lists the modules opened in ParaView, where the selected modules are high-
lighted in blue and the graphics for the given module can be enabled/disabled by
clicking the eye button alongside;
Properties panel contains the input selections for the case, such as times, regions and fields;
it includes the Display panel that controls the visual representation of the selected
module, e.g. colours;
Other panels can be selected from the View menu, including the Information panel which
gives case statistics such as mesh geometry and size.
ParaView operates a tree-based structure in which data can be filtered from the top-level
case module to create sets of sub-modules. For example, a contour plot of, say, pressure
could be a sub-module of the case module which contains all the pressure data. The strength
of ParaView is that the user can create a number of sub-modules and display whichever ones
they feel to create the desired image or animation. For example, they may add some solid
geometry, mesh and velocity vectors, to a contour plot of pressure, switching any of the
items on and off as necessary.
The general operation of the system is based on the user making a selection and then
clicking the green Apply button in the Properties panel. The additional buttons are: the
Reset button which can be used to reset the GUI if necessary; and, the Delete button that
will delete the active module.
OpenFOAM-5.0

6.1 ParaView/paraFoam graphical user interface (GUI) U-179
6.1.2 The Parameters panel
The Properties window for the case module includes the Paramters panel that contains the
settings for mesh, fields and global controls. The controls are described in Figure 6.2. The
read into the case module
The user can select the fields
The user can select internalMesh
region and/or individual patches
Check this to enable ParaView to display
polyhedral cells and polygonal faces correctly
Figure 6.2: The Properties panel for the case module
user can select mesh and field data which is loaded for all time directories into ParaView.
The buttons in the Current Time Controls and VCR Controls toolbars then select the
time data to be displayed, as shown is section 6.1.4.
As with any operation in paraFoam, the user must click Apply after making any changes
to any selections. The Apply button is highlighted in green to alert the user if changes have
been made but not accepted. This method of operation has the advantage of allowing the
user to make a number of selections before accepting them, which is particularly useful in
large cases where data processing is best kept to a minimum.
If new data is written to time directories while the user is running ParaView, the user
must load the additional time directories by checking the Refresh Times button. Where there
are occasions when the case data changes on file and ParaView needs to load the changes, the
user can also check the Update GUI button in the Parameters panel and apply the changes.
OpenFOAM-5.0

U-180 Post-processing
Change image opacity
e.g. to make transluscent
Set colour map range/appearance
Colour geometry/entity by. . .
Geometry manipulation tools
Data interpolation method
Outline, surface, wireframe or points
Figure 6.3: The Display panel
6.1.3 The Display panel
The Properties window contains the Display panel that includes the settings for visualising
the data for a given case module. The following points are particularly important:
•the data range may not be automatically updated to the max/min limits of a field, so
the user should take care to select Rescale at appropriate intervals, in particular after
loading the initial case module;
•clicking the Edit Color Map button, brings up a window in which there are two panels:
OpenFOAM-5.0

6.1 ParaView/paraFoam graphical user interface (GUI) U-181
1. The Color Scale panel in which the colours within the scale can be chosen. The
standard blue to red colour scale for CFD can be selected by clicking Choose
Preset and selecting Blue to Red Rainbox HSV.
2. The Color Legend panel has a toggle switch for a colour bar legend and contains
settings for the layout of the legend, e.g. font.
•the underlying mesh can be represented by selecting Wireframe in the Representat-
ion menu of the Style panel;
•the geometry, e.g. a mesh (if Wireframe is selected), can be visualised as a single
colour by selecting Solid Color from the Color By menu and specifying the colour
in the Set Ambient Color window;
•the image can be made translucent by editing the value in the Opacity text box (1 =
solid, 0 = invisible) in the Style panel.
6.1.4 The button toolbars
ParaView duplicates functionality from pull-down menus at the top of the main window
and the major panels, within the toolbars below the main pull-down menus. The displayed
toolbars can be selected from Toolbars in the main View menu. The default layout with
all toolbars is shown in Figure 6.4 with each toolbar labelled. The function of many of the
buttons is clear from their icon and, with tooltips enabled in the Help menu, the user is
given a concise description of the function of any button.
Undo/Redo Controls
Camera Controls
Centre Axes Controls
Main controls
VCR Controls
Current Time Controls
Common and Data Analysis Filters
Active Variable Controls |Representation
Figure 6.4: Toolbars in ParaView
6.1.5 Manipulating the view
This section describes operations for setting and manipulating the view of objects in paraFoam.
6.1.5.1 View settings
The View Settings are available in the Render View panel below the Display panel in the
Properties window. Settings that are generally important only appear when the user checks
the gearwheel button at the top of the Properties window, next to the search bar. These
advanced properties include setting the background colour, where white is often a preferred
choice for creating images for printed and website material.
OpenFOAM-5.0

U-182 Post-processing
The Lights button opens detailed lighting controls within the Light Kit panel. A separate
Headlight panel controls the direct lighting of the image. Checking the Headlight button with
white light colour of strength 1 seems to help produce images with strong bright colours,
e.g. with an isosurface.
The Camera Parallel Projection is is the usual choice for CFD, especially for 2D cases,
and so should generally be checked. Other settings include Cube Axes which displays axes
on the selected object to show the its orientation and geometric dimensions.
6.1.5.2 General settings
The general Settings are selected from the Edit menu, which opens a general Options
window with General,Colors,Animations,Charts and Render View menu items.
The General panel controls some default behaviour of ParaView. In particular, there is an
Auto Accept button that enables ParaView to accept changes automatically without clicking
the green Apply button in the Properties window. For larger cases, this option is generally
not recommended: the user does not generally want the image to be re-rendered between
each of a number of changes he/she selects, but be able to apply a number of changes to be
re-rendered in their entirety once.
The Render View panel contains 3 sub-items: General,Camera and Server. The General
panel includes the level of detail (LOD) which controls the rendering of the image while it
is being manipulated, e.g. translated, resized, rotated; lowering the levels set by the sliders,
allows cases with large numbers of cells to be re-rendered quickly during manipulation.
The Camera panel includes control settings for 3D and 2D movements. This presents the
user with a map of rotation, translate and zoom controls using the mouse in combination
with Shift- and Control-keys. The map can be edited to suit by the user.
6.1.6 Contour plots
A contour plot is created by selecting Contour from the Filter menu at the top menu
bar. The filter acts on a given module so that, if the module is the 3D case module itself,
the contours will be a set of 2D surfaces that represent a constant value, i.e. isosurfaces.
The Properties panel for contours contains an Isosurfaces list that the user can edit, most
conveniently by the New Range window. The chosen scalar field is selected from a pull down
menu.
6.1.6.1 Introducing a cutting plane
Very often a user will wish to create a contour plot across a plane rather than producing
isosurfaces. To do so, the user must first use the Slice filter to create the cutting plane,
on which the contours can be plotted. The Slice filter allows the user to specify a cutting
Plane,Box or Sphere in the Slice Type menu by a center and normal/radius respectively.
The user can manipulate the cutting plane like any other using the mouse.
The user can then run the Contour filter on the cut plane to generate contour lines.
6.1.7 Vector plots
Vector plots are created using the Glyph filter. The filter reads the field selected in Vectors
and offers a range of Glyph Types for which the Arrow provides a clear vector plot images.
OpenFOAM-5.0

6.1 ParaView/paraFoam graphical user interface (GUI) U-183
Each glyph has a selection of graphical controls in a panel which the user can manipulate
to best effect.
The remainder of the Properties panel contains mainly the Scale Mode menu for the
glyphs. The most common options are Scale Mode are: Vector, where the glyph length is
proportional to the vector magnitude; and, Off where each glyph is the same length. The
Set Scale Factor parameter controls the base length of the glyphs.
6.1.7.1 Plotting at cell centres
Vectors are by default plotted on cell vertices but, very often, we wish to plot data at cell
centres. This is done by first applying the Cell Centers filter to the case module, and then
applying the Glyph filter to the resulting cell centre data.
6.1.8 Streamlines
Streamlines are created by first creating tracer lines using the Stream Tracer filter. The
tracer Seed panel specifies a distribution of tracer points over a Line Source or Point
Cloud. The user can view the tracer source, e.g. the line, but it is displayed in white, so
they may need to change the background colour in order to see it.
The distance the tracer travels and the length of steps the tracer takes are specified in
the text boxes in the main Stream Tracer panel. The process of achieving desired tracer lines
is largely one of trial and error in which the tracer lines obviously appear smoother as the
step length is reduced but with the penalty of a longer calculation time.
Once the tracer lines have been created, the Tubes filter can be applied to the Tracer
module to produce high quality images. The tubes follow each tracer line and are not
strictly cylindrical but have a fixed number of sides and given radius. When the number of
sides is set above, say, 10, the tubes do however appear cylindrical, but again this adds a
computational cost.
6.1.9 Image output
The simplest way to output an image to file from ParaView is to select Save Screenshot
from the File menu. On selection, a window appears in which the user can select the
resolution for the image to save. There is a button that, when clicked, locks the aspect
ratio, so if the user changes the resolution in one direction, the resolution is adjusted in the
other direction automatically. After selecting the pixel resolution, the image can be saved.
To achieve high quality output, the user might try setting the pixel resolution to 1000 or
more in the x-direction so that when the image is scaled to a typical size of a figure in an
A4 or US letter document, perhaps in a PDF document, the resolution is sharp.
6.1.10 Animation output
To create an animation, the user should first select Save Animation from the File menu.
A dialogue window appears in which the user can specify a number of things including the
image resolution. The user should specify the resolution as required. The other noteworthy
setting is number of frames per timestep. While this would intuitively be set to 1, it can
be set to a larger number in order to introduce more frames into the animation artificially.
OpenFOAM-5.0

U-184 Post-processing
This technique can be particularly useful to produce a slower animation because some movie
players have limited speed control, particularly over mpeg movies.
On clicking the Save Animation button, another window appears in which the user spec-
ifies a file name root and file format for a set of images. On clicking OK, the set of files will
be saved according to the naming convention “<fileRoot>_<imageNo>.<fileExt>”, e.g.
the third image of a series with the file root “animation”, saved in jpg format would be
named “animation_0002.jpg” (<imageNo>starts at 0000).
Once the set of images are saved the user can convert them into a movie using their soft-
ware of choice. One option is to use the built in foamCreateVideo script from the command
line whose usage is shown with the -help option.
6.2 Post-processing command line interface (CLI)
In OpenFOAM version 4.0, the ‘non-GUI’ post-processing tools have been unified within
a single command line interface (CLI). Post-processing functionality includes data process-
ing, sampling (e.g. probes, graph plotting) visualisation, case control and run-time I/O.
Functionality can be executed by:
•conventional post-processing, a data processing activity that occurs after a simulation
has run;
•run-time processing, data processing that is performed during the running of a simu-
lation.
Both approaches have advantages. Conventional post-processing allows the user to choose
how to analyse data after the results are obtained. Run-time processing offers greater
flexibility because it has access to all the data in the database of the run at all times,
rather than just the data written during the simulation. It also allows the user to monitor
processed data during a simulation and provides a greater level of convenience because the
processed results can be available immediately to the user when the simulation ends.
There are 3 methods of post-processing that cover the options described above
•Every solver, e.g. simpleFoam can be configured to include run-time processing.
•The postProcess utility provides conventional post-processing of data written by a
simulation.
•Every solver can be run with the -postProcess option, which only executes post-
processing, but with additional access to data available on the database for the par-
ticular solver.
6.2.1 Post-processing functionality
All modes of post-processing access the same functionality implemented in OpenFOAM in
the function object framework. Function objects can be listed by running a solver with the
-listFunctionObjects option, e.g.
simpleFoam -listFunctionObjects
OpenFOAM-5.0

6.2 Post-processing command line interface (CLI) U-185
The list represents the underlying post-processing functionality. Almost all the functionality
is packaged into a set of configured tools that are conveniently integrated within the post-
processing CLI. Those tools are located in $FOAM_ETC/caseDicts/postProcessing and are
listed by running postProcess with the -list option.
postProcess -list
This produces a list of tools that are described in the following sections.
6.2.1.1 Field calculation
CourantNo Calculates the Courant Number field from the flux field.
Lambda2 Calculates and writes the second largest eigenvalue of the sum of the square of
the symmetrical and anti-symmetrical parts of the velocity gradient tensor.
MachNo Calculates the Mach Number field from the velocity field.
PecletNo Calculates the Peclet Number field from the flux field.
QCalculates the second invariant of the velocity gradient tensor.
RCalculates the Reynolds stress tensor field and stores it on the database.
XiReactionRate Writes the turbulent flame-speed and reaction-rate volScalarFields for
the Xi-based combustion models.
add Add a list of fields.
components Writes the component scalar fields (e.g. Ux, Uy, Uz) of a field (e.g. U).
div Calculates the divergence of a field.
enstrophy Calculates the enstrophy of the velocity field.
flowType Calculates and writes the flowType of velocity field where: -1 = rotational flow;
0 = simple shear flow; +1 = planar extensional flow.
grad Calculates the gradient of a field.
mag Calculates the magnitude of a field.
magSqr Calculates the magnitude-squared of a field.
randomise Adds a random component to a field, with a specified perturbation magnitude.
streamFunction Writes the steam-function pointScalarField, calculated from the specified
flux surfaceScalarField.
subtract From the first field, subtracts the remaining fields in the list.
turbulenceFields Calculates specified turbulence fields and stores it on the database.
vorticity Calculates the vorticity field, i.e. the curl of the velocity field.
OpenFOAM-5.0

U-186 Post-processing
wallShearStress Calculates the shear stress at wall patches, outputting the data as a vol-
VectorField.
wallHeatFlux Calculates the heat flux at wall patches, outputting the data as a volVector-
Field.
writeCellCentres Writes the cell-centres volVectorField and the three component fields as
volScalarFields; useful for post-processing thresholding.
writeCellVolumes Writes the cell-volumes volScalarField
writeObjects Writes out specified objects, e.g. fields, stored on the case database.
yPlus Calculates the turbulence y+, outputting the data as a yPlus field.
6.2.1.2 Flow rate calculation
flowRateFaceZone Calculates the flow rate through a specified face zone by summing the flux
on patch faces. For solvers where the flux is volumetric, the flow rate is volumetric;
where flux is mass flux, the flow rate is mass flow rate.
flowRatePatch Calculates the flow rate through a specified patch by summing the flux on
patch faces. For solvers where the flux is volumetric, the flow rate is volumetric; where
flux is mass flux, the flow rate is mass flow rate.
volFlowRateSurface Calculates volumetric flow rate through a specified triangulated surface
by interpolating velocity onto the triangles and integrating over the surface area.
Triangles need to be small (<= cell size) for an accurate result.
6.2.1.3 Forces and force coefficients
forceCoeffsCompressible Calculates lift, drag and moment coefficients by summing forces
on specified patches for a case where the solver is compressible (pressure is in units
M/(LTˆ2), e.g. Pa).
forceCoeffsIncompressible Calculates lift, drag and moment coefficients by summing forces on
specified patches for a case where the solver is incompressible (pressure is kinematic,
e.g. mˆ2/sˆ2).
forcesCompressible Calculates pressure and viscous forces over specified patches for a case
where the solver is compressible (pressure is in units M/(LTˆ2), e.g. Pa).
forcesIncompressible Calculates pressure and viscous forces over specified patches for a case
where the solver is incompressible (pressure is kinematic, e.g. mˆ2/sˆ2).
6.2.1.4 Sampling for graph plotting
singleGraph Writes graph data for specified fields along a line, specified by start and end
points.
OpenFOAM-5.0

6.2 Post-processing command line interface (CLI) U-187
6.2.1.5 Lagrangian data
dsmcFields Calculate intensive fields UMean,translationalT,internalT,overallT from
averaged extensive fields from a DSMC calculation.
6.2.1.6 Monitoring minima and maxima
cellMax Writes out the maximum cell value for one or more fields.
cellMin Writes out the minimum cell value for one or more fields.
faceMax Writes out the maximum face value for one or more fields.
faceMin Writes out the minimum face value for one or more fields.
minMaxComponents Writes out the minimum and maximum values, by component for non-
scalar fields, and the locations where they occur.
minMaxMagnitude Writes out the minimum and maximum values, by magnitude for non-
scalar fields, and the locations where they occur.
6.2.1.7 Numerical data
residuals For specified fields, writes out the initial residuals for the first solution of each
time step; for non-scalar fields (e.g. vectors), writes the largest of the residuals for
each component (e.g. x, y, z).
6.2.1.8 Pressure tools
pressureDifferencePatch Calculates the difference between the average pressures on 2 speci-
fied patches.
pressureDifferenceSurface Interpolates pressures onto 2 specified triangulated surfaces and
calculates the difference between the average pressures.
staticPressure Calculates the pressure field in units M/(LTˆ2) (e.g. Pa) from kinematic
pressure by scaling by a specified density.
totalPressureCompressible Calculates the total pressure field for a case where the solver is
compressible (pressure is in units M/(LTˆ2), e.g. Pa).
totalPressureIncompressible Calculates the total pressure field for a case where the solver is
incompressible (pressure is kinematic, e.g. mˆ2/sˆ2).
6.2.1.9 Probes
boundaryCloud Writes out values of fields at a cloud of points, interpolated to specified
boundary patches.
interfaceHeight Reports the height of the interface above a set of locations. For each location,
it writes the vertical distance of the interface above both the location and the lowest
boundary. It also writes the point on the interface from which these heights are
computed.
OpenFOAM-5.0

U-188 Post-processing
internalCloud Writes out values of fields interpolated to a specified cloud of points.
probes Writes out values of fields from cells nearest to specified locations.
6.2.1.10 ‘Pluggable’ solvers
scalarTransport Solves a transport equation for a scalar field.
6.2.1.11 Visualisation tools
streamlines Writes out files of streamlines with interpolated field data in VTK format.
surfaces Writes out surface files with interpolated field data in VTK format, e.g. cutting
planes, iso-surfaces and patch boundary surfaces.
6.2.2 Run-time data processing
When a user wishes to process data during a simulation, they need to configure the case
accordingly. The configuration process is as follows, using an example of monitoring flow
rate at an outlet patch named outlet.
Firstly, the user should include the flowRatePatch function in functions sub-dictionary
in the case controlDict file, using the #includeFunc directive.
functions
{
#includeFunc flowRatePatch
... other function objects here ...
}
That will include the functionality in the flowRatePatch configuration file, located in the
directory hierarchy beginning with $FOAM_ETC/caseDicts/postProcessing.
The configuration of flowRatePatch requires the name of the patch to be supplied. Op-
tion 1 for doing this is that the user copies the flowRatePatch file into their case system
directory by
cp $FOAM_ETC/caseDicts/postProcessing/flowRate/flowRatePatch system
and edits the patch name, in the copied file, as outlet. When the solver is run, it will pick up
an included function in the local case system directory, in precedence over $FOAM_ETC/case-
Dicts/postProcessing. The flow rate through the patch will be calculated and written out
into a file within a directory named postProcessing.
Option 2 for specifying the patch name is to provide the name as an argument to the
flowRatePatch in the #includeFunc directive, using the syntax keyword=entry.
functions
{
#includeFunc flowRatePatch(name=outlet)
... other function objects here ...
}
OpenFOAM-5.0

6.2 Post-processing command line interface (CLI) U-189
In the case where the keyword is field or fields, only the entry is needed when
specifying an argument to a function. For example, if the user wanted to calculate and
write out the magnitude of velocity into time directories during a simulation they could
simply add the following to the functions sub-dictionary in controlDict.
functions
{
#includeFunc mag(U)
... other function objects here ...
}
This works because the function’s argument Uis represented by the keyword field, see
$FOAM_ETC/caseDicts/postProcessing/fields/mag.
Some functions require the setting of many parameters, e.g. forces,forceCoeffs,surfaces,
etc. For those functions, it is more reliable and convenient to copy and configure the function
using option 1 (above) rather than through arguments.
6.2.3 The postProcess utility
The user can execute post-processing functions after the simulation is complete using the
postProcess utility. Let us illustrate the use of postProcess using the pitzDaily case from the
tutorials directory. The case can be copied, e.g. into the user’s run directory; the user can
then go into the case directory, generate the mesh with blockMesh and then run simpleFoam
run
cp -r $FOAM_TUTORIALS/incompressible/simpleFoam/pitzDaily .
cd pitzDaily
blockMesh
simpleFoam
Now the user can run execute post-processing functions with postProcess. The -help option
provides a summary of its use.
postProcess -help
Simple functions like mag can be executed using the -func option; text on the command
line generally needs to be quoted ("...") if it contains punctuation characters.
postProcess -func "mag(U)"
This operation calculates and writes the field of magnitude of velocity into a file named
mag(U) in each time directory. Similarly, the flowRatePatch example can be executed using
postProcess.
postProcess -func "flowRatePatch(name=outlet)"
Let us say the user now wants to calculate total pressure =p+|U|2/2for incompressible
flow with kinematic pressure, p. The function is available, named totalPressureIncompressible,
which the user could attempt first to run as follows.
OpenFOAM-5.0

U-190 Post-processing
postProcess -func totalPressureIncompressible
This returns the following error message.
--> FOAM Warning : functionObject pressure: Cannot find required field p
The error message is telling the user that the pressure field pis not loaded; the same is
true of the velocity field U. For the function to work, both fields can be loaded as comma
separated arguments.
postProcess -func "totalPressureIncompressible(p,U)"
Alternatively the user can load a space separated list of fields using the -fields option,
which the function can access.
postProcess -fields "(p U)" -func totalPressureIncompressible
Both options work effectively because the pressure and velocity data is available directly
from the files, pand U.
6.2.4 Solver post-processing
A more complex example is calculating wall shear stress using the wallShearStress function.
postProcess -fields "(p U)" -func wallShearStress
Even loading relevant fields, the post-processing fails with the following message.
--> FOAM FATAL ERROR:
Unable to find turbulence model in the database
The message is telling us that the postProcess utility has not constructed the necessary
models that the solver, simpleFoam, used when running the simulation, i.e. a turbulence
model. This is a situation where we need to post-process (as opposed to run-time process)
using the solver with the -postProcess option so that the modelling will be available that
the post-processing function needs. Help for this operation can be printed with the following
command.
simpleFoam -postProcess -help
It can be seen that the options for a solver with -postProcess are the same as when
running postProcess utility. This means that the -func option can be used to execute the
wallShearStress function effectively.
simpleFoam -postProcess -func wallShearStress
Note that no fields need to be supplied, either by function arguments "(p,U)" or using
"-fields (p U)", because simpleFoam itself constructs and stores the required fields. Func-
tions can also be selected by the #includeFunc directive in functions in the controlDict
file, instead of the -func option.
OpenFOAM-5.0

6.3 Sampling and monitoring data U-191
6.3 Sampling and monitoring data
There are a set of general post-processing functions for sampling data across the domain for
graphs and visualisation. Several functions also provide data in a single file, in the form of
time versus values, that can be plotted onto graphs. This time-value data can be monitored
during a simulation with the foamMonitor script.
6.3.1 Probing data
The functions for probing data are boundaryCloud,internalCloud and probes as listed in
section 6.2.1.9. All functions work on the basis that the user provides some point locations
and a list of fields, and the function writes out values of the fields are those locations. The
differences between the cloud and probe functionality are as follows.
•probes identifies the nearest cells to the probe locations and writes out the cell values;
data is written into a single file in time-value format, suitable for plotting a graph.
•boundaryCloud and internalCloud interpolate field data to the probe locations, with the
locations being snapped onto boundaries for boundaryCloud; data sets are written to
separate files at scheduled write times (like fields). data.
Generally probes is more suitable for monitoring values at smaller numbers of locations,
whereas the cloud functions are typically for sampling at large numbers of locations.
As an example, the user could use the pitzDaily case set up in section 6.2.3. The probes
function is best configured by copying the file to the local system directory as follows.
cp -r $FOAM_ETC/caseDicts/postProcessing/probes/probes system
The user can modify the probeLocations in the probes file as follows.
12
13 #includeEtc "caseDicts/postProcessing/probes/probes.cfg"
14
15 fields (p U);
16 probeLocations
17 (
18 (0.01 0 0)
19 );
20
21 // ************************************************************************* //
The configuration is completed by adding the #includeFunc directive to functions in the
the controlDict file.
functions
{
#includeFunc probes
... other function objects here ...
}
When simpleFoam is run, time-value data is written into pand Ufiles in postProcessing/pro-
bes/0.
OpenFOAM-5.0

U-192 Post-processing
6.3.2 Sampling for graphs
The singleGraph function samples data for graph plotting. To use it, the singleGraph file
should be copied into the system directory to be configured. We will configure it here using
the pitzDaily case as before.
cp -r $FOAM_ETC/caseDicts/postProcessing/graphs/singleGraph system
The start and end points of the line, along which data is sampled, should be edited; the
entries below provide a vertical line across the full height of the geometry 0.01 m beyond
the back step.
13
14 start (0.01 0.025 0);
15 end (0.01 -0.025 0);
16 fields (U p);
17
18 // Sampling and I/O settings
19 #includeEtc "caseDicts/postProcessing/graphs/sampleDict.cfg"
20
21 // Override settings here, e.g.
22 // setConfig { type midPoint; }
23
24 // Must be last entry
25 #includeEtc "caseDicts/postProcessing/graphs/graph.cfg"
26
27 // ************************************************************************* //
The configuration is completed by adding the #includeFunc directive to functions in the
the controlDict file.
functions
{
#includeFunc singleGraph
... other function objects here ...
}
simpleFoam can be then run; try running simply with the -postProcess option. Distance-
value data is written into files in time directories within postProcessing/singleGraph. The
user can quickly display the data for x-component of velocity, Uxin the last time 296, by
running gnuplot and plotting values.
gnuplot
gnuplot> set style data linespoints
gnuplot> plot "postProcessing/singleGraph/296/line_U.xy" u 2:1
This produces the graph shown in Figure 6.5. The formatting of the graph is specified in
configuration files in $FOAM_ETC/caseDicts/postProcessing/graphs. The sampleDict.cfg file
in that directory contains a setConfig sub-dictionary as shown below.
8
9interpolationScheme cellPoint;
10
11 setFormat raw;
12
13 setConfig
14 {
15 type uniform; // midPoint, midPointAndFace
16 axis distance; // x, y, z, xyz
17 nPoints 100;
18 }
19
20 // ************************************************************************* //
OpenFOAM-5.0

6.3 Sampling and monitoring data U-193
Figure 6.5: Graph of Uxat x= 0.01, uniform sampling
This shows that the sampling is at uniform distribution of 100 points and that the axis
labelling is based on the distance from the start point. Instead the user may wish to
sample at the mid-point of each cell, using the y-ordinate for the axis labelling. This can
be done by override the settings in setConfig in their singleGraph file, as shown below.
13
14 start (0.01 -0.025 0);
15 end (0.01 0.025 0);
16 fields (U p);
17
18 // Sampling and I/O settings
19 #includeEtc "caseDicts/postProcessing/graphs/sampleDict.cfg"
20
21 // Override settings here, e.g.
22 setConfig
23 {
24 type midPoint;
25 axis y;
26 }
27
28 // Must be last entry
29 #includeEtc "caseDicts/postProcessing/graphs/graph.cfg"
30
31 // ************************************************************************* //
Running simpleFoam produces the graph in Figure 6.6.
6.3.3 Sampling for visualisation
The surfaces and streamlines functions can be used to generate files for visualisation. The use
of streamlines is already configured in the pitzDaily case. The surfaces function is configured
by copying the surfaces file to the system directory.
cp -r $FOAM_ETC/caseDicts/postProcessing/visualization/surfaces system
The file is configured with a set of example surfaces that includes cutting planes, isosurfaces
and patch surfaces. We can edit the file to produce a cutting plane along the pitzDaily
geometry, normal to the z-direction.
16
17 #includeEtc "caseDicts/postProcessing/visualization/surfaces.cfg"
18
OpenFOAM-5.0

U-194 Post-processing
Figure 6.6: Graph of Uxat x= 0.01, mid-point sampling
19 fields (p U);
20
21 surfaces
22 (
23 zNormal
24 {
25 $cuttingPlane;
26 pointAndNormalDict
27 {
28 normalVector $z;
29 }
30 }
31 );
32
33 // ************************************************************************* //
The function can be included as normal from the by adding the #includeFunc directive to
functions in the the controlDict file. Alternatively, the user could test running the function
using the solver post-processing by the following command.
simpleFoam -postProcess -func surfaces
This produces VTK format files of the cutting plane with pressure and velocity data in time
directories in the the postProcessing/surfaces directory. The user can display the cutting
plane by opening ParaView (type paraview), then doing File->Open and selecting one of
the files, e.g. postProcessing/surfaces/296/U_zNormal.vtk as shown in Figure 6.7.
Figure 6.7: Cutting plane with velocity
OpenFOAM-5.0

6.4 Third-Party post-processing U-195
6.3.4 Live monitoring of data
Functions like probes produce a singe file of time-value data, suitable for graph plotting.
When the function is executed during a simulation, the user may wish to monitor the data
live on screen. The foamMonitor script enables this; to discover its functionality, the user
run it with the -help option. The help option includes an example of monitoring residuals
that we can demonstrate in this section.
Firstly, include the residuals function in the controlDict file.
functions
{
#includeFunc residuals
... other function objects here ...
}
The default fields whose residuals are captured are pand U. Should the user wish to configure
other fields, they should make copy the residuals file in their system and edit the fields
entry accordingly. All functions files are within the $FOAM_ETC/caseDicts directory; the
residuals file, for example, can be located by typing:
find $FOAM_ETC -name residuals
It is advisable to delete the postProcessing directory to avoid duplicate files for each function.
The user can delete the directory, then run simpleFoam in the background.
rm -rf postProcessing
simpleFoam > log &
The user should then run foamMonitor using the -l option for a log scale y-axis on the
residuals file as follows. If the command is executed before the simulation is complete, they
can see the graph being updated live.
foamMonitor -l postProcessing/residuals/0/residuals.dat
It produces the graph of residuals for pressure and velocity in Figure 6.8.
6.4 Third-Party post-processing
OpenFOAM includes the following applications for converting data to formats for post-
processing with several third-party tools. For EnSight, it additionally includes a reader
module, described in the next section.
foamDataToFluent Translates OpenFOAM data to Fluent format.
foamToEnsight Translates OpenFOAM data to EnSight format.
foamToEnsightParts Translates OpenFOAM data to Ensight format. An Ensight part is
created for each cellZone and patch.
OpenFOAM-5.0

U-196 Post-processing
Figure 6.8: Live plot of residuals with foamMonitor
foamToGMV Translates foam output to GMV readable files.
foamToTecplot360 Tecplot binary file format writer.
foamToTetDualMesh Converts polyMesh results to tetDualMesh.
foamToVTK Legacy VTK file format writer.
smapToFoam Translates a STAR-CD SMAP data file into OpenFOAM field format.
6.4.1 Post-processing with EnSight
OpenFOAM offers the capability for post-processing OpenFOAM cases with EnSight, with
a choice of 2 options:
•converting the OpenFOAM data to EnSight format with the foamToEnsight utility;
•reading the OpenFOAM data directly into EnSight using the ensight74FoamExec mod-
ule.
6.4.1.1 Converting data to EnSight format
The foamToEnsight utility converts data from OpenFOAM to EnSight file format. For a
given case, foamToEnsight is executed like any normal application. foamToEnsight creates a
directory named Ensight in the case directory, deleting any existing Ensight directory in the
process. The converter reads the data in all time directories and writes into a case file and
a set of data files. The case file is named EnSight_Case and contains details of the data file
names. Each data file has a name of the form EnSight_nn.ext, where nn is an incremental
counter starting from 1 for the first time directory, 2 for the second and so on and ext is a
file extension of the name of the field that the data refers to, as described in the case file,
OpenFOAM-5.0

6.4 Third-Party post-processing U-197
e.g.Tfor temperature, mesh for the mesh. Once converted, the data can be read into EnSight
by the normal means:
1. from the EnSight GUI, the user should select Data (Reader) from the File menu;
2. the appropriate EnSight_Case file should be highlighted in the Files box;
3. the Format selector should be set to Case, the EnSight default setting;
4. the user should click (Set) Case and Okay.
6.4.1.2 The ensightFoamReader reader module
EnSight provides the capability of using a user-defined module to read data from a format
other than the standard EnSight format. OpenFOAM includes its own reader module en-
sightFoamReader that is compiled into a library named libuserd-foam. It is this library that
EnSight needs to use which means that it must be able to locate it on the filing system as
described in the following section.
In order to run the EnSight reader, it is necessary to set some environment variables cor-
rectly. The settings are made in the bashrc (or cshrc) file in the $WM_PROJECT_DIR/etc/-
apps/ensightFoam directory. The environment variables associated with EnSight are prefixed
by $CEI_ or $ENSIGHT7_ and listed in Table 6.1. With a standard user setup, only
$CEI_HOME may need to be set manually, to the path of the EnSight installation.
Environment variable Description and options
$CEI_HOME Path where EnSight is installed, eg /usr/local/ensight, added
to the system path by default
$CEI_ARCH Machine architecture, from a choice of names cor-
responding to the machine directory names in
$CEI_HOME/ensight74/machines; default settings include
linux_2.4 and sgi_6.5_n32
$ENSIGHT7_READER Path that EnSight searches for the user defined libuserd-foam
reader library, set by default to $FOAM_LIBBIN
$ENSIGHT7_INPUT Set by default to dummy
Table 6.1: Environment variable settings for EnSight.
The principal difficulty in using the EnSight reader lies in the fact that EnSight expects
that a case to be defined by the contents of a particular file, rather than a directory as it is
in OpenFOAM. Therefore in following the instructions for the using the reader below, the
user should pay particular attention to the details of case selection, since EnSight does not
permit selection of a directory name.
1. from the EnSight GUI, the user should select Data (Reader) from the File menu;
2. The user should now be able to select the OpenFOAM from the Format menu; if not,
there is a problem with the configuration described above.
3. The user should find their case directory from the File Selection window, highlight one
of top 2 entries in the Directories box ending in /. or /.. and click (Set) Geometry.
OpenFOAM-5.0

U-198 Post-processing
4. The path field should now contain an entry for the case. The (Set) Geometry text box
should contain a ‘/’.
5. The user may now click Okay and EnSight will begin reading the data.
6. When the data is read, a new Data Part Loader window will appear, asking which
part(s) are to be read. The user should select Load all.
7. When the mesh is displayed in the EnSight window the user should close the Data Part
Loader window, since some features of EnSight will not work with this window open.
OpenFOAM-5.0
Chapter 7
Models and physical properties
OpenFOAM includes a large range of solvers each designed for a specific class of problem.
The equations and algorithms differ from one solver to another so that the selection of a
solver involves the user making some initial choices on the modelling for their particular case.
The choice of solver typically involves scanning through their descriptions in section 3.5 to
find the one suitable for the case. It ultimately determines many of the parameters and
physical properties required to define the case but leaves the user with some modelling
options that can be specified at runtime through the entries in dictionary files in the constant
directory of a case. This chapter deals with many of the more common models and associated
properties that must be specified at runtime.
7.1 Thermophysical models
Thermophysical models are concerned with energy, heat and physical properties. The ther-
mophysicalProperties dictionary is read by any solver that uses the thermophysical model
library. A thermophysical model is constructed in OpenFOAM as a pressure-temperature
p−Tsystem from which other properties are computed. There is one compulsory dictio-
nary entry called thermoType which specifies the package of thermophysical modelling that
is used in the simulation. OpenFOAM includes a large set of pre-compiled combinations
of modelling, built within the code using C++ templates. This coding approach assembles
thermophysical modelling packages beginning with the equation of state and then adding
more layers of thermophysical modelling that derive properties from the previous layer(s).
The keyword entries in thermoType reflects the multiple layers of modelling and the under-
lying framework in which they combined. Below is an example entry for thermoType:
thermoType
{
type hePsiThermo;
mixture pureMixture;
transport const;
thermo hConst;
equationOfState perfectGas;
specie specie;
energy sensibleEnthalpy;
}

U-200 Models and physical properties
The keyword entries specify the choice of thermophysical models, e.g. constant transport
(constant viscosity, thermal diffusion), Perfect Gas equationOfState,etc. In addition there
is a keyword entry named energy that allows the user to specify the form of energy to be
used in the solution and thermodynamics. The following sections explains the entries and
options in the thermoType package.
7.1.1 Thermophysical and mixture models
Each solver that uses thermophysical modelling constructs an object of a specific thermo-
physical model class. The model classes are listed below.
psiThermo Thermophysical model for fixed composition, based on compressibility ψ=
(RT )−1, where Ris Gas Constant and Tis temperature. The solvers that construct
psiThermo include the compressible family of solvers (sonicFoam,simpleFoam,etc.,
excluding rhoPorousSimpleFoam) and uncoupledKinematicParcelFoam and coldEngine-
Foam.
rhoThermo Thermophysical model for fixed composition, based on density ρ. The solvers
that construct rhoThermo include the heatTransfer family of solvers (buoyantSimple-
Foam, CHT solvers, etc., excluding Boussinesq solvers) and rhoPorousSimpleFoam,
twoPhaseEulerFoam and thermoFoam.
psiReactionThermo Thermophysical model for reacting mixture, based on ψ. The solvers
that construct psiReactionThermo include many of the combustion solvers, e.g.sprayFoam,
chemFoam,fireFoam and reactingFoam, and some lagrangian solvers, e.g. coalChemistry-
Foam and reactingParcelFilmFoam.
psiuReactionThermo Thermophysical model for combustion, based on compressibility of un-
burnt gas ψu. The solvers that construct psiuReactionThermo include combustion
solvers that model combustion based on laminar flame speed and regress variable,
e.g.XiFoam,PDRFoam and engineFoam.
rhoReactionThermo Thermophysical model for reacting mixture, based on ρ. The solvers
that construct rhoReactionThermo include some combustion solvers, e.g.rhoReactingFoam,
rhoReactingBuoyantFoam, and some lagrangian solvers, e.g. reactingParcelFoam and sim-
pleReactingParcelFoam.
multiphaseMixtureThermo Thermophysical models for multiple phases. The solvers that con-
struct multiphaseMixtureThermo include compressible multiphase interface-capturing
solvers, e.g.compressibleInterFoam, and compressibleMultiphaseInterFoam.
Note: a new generalised fluidThermo model currently exists that allows the user to
specify the thermophysical model through the type entry (described below) at run-time.
Currently only the rhoSimpleFoam and rhoPimpleFoam solvers construct the generalised flu-
idThermo.
The type keyword specifies the underlying thermophysical model. Options are listed
below.
•hePsiThermo: for solvers that construct psiThermo and psiReactionThermo.
OpenFOAM-5.0

7.1 Thermophysical models U-201
•heRhoThermo: for solvers that construct rhoThermo,rhoReactionThermo and multi-
phaseMixtureThermo.
•heheuPsiThermo: for solvers that construct psiuReactionThermo.
The mixture specifies the mixture composition. The option typically used for thermo-
physical models without reactions is pureMixture, which represents a mixture with fixed
composition. When pureMixture is specified, the thermophysical models coefficients are
specified within a sub-dictionary called mixture.
For mixtures with variable composition, required by thermophysical models with reac-
tions, the reactingMixture option is used. Species and reactions are listed in a chem-
istry file, specified by the foamChemistryFile keyword. The reactingMixture model then
requires the thermophysical models coefficients to be specified for each specie within sub-
dictionaries named after each specie, e.g. O2,N2.
For combustion based on laminar flame speed and regress variables, constituents are a
set of mixtures, such as fuel,oxidant and burntProducts. The available mixture mod-
els for this combustion modelling are homogeneousMixture,inhomogeneousMixture and
veryInhomogeneousMixture.
Other models for variable composition are egrMixture,multiComponentMixture and
singleStepReactingMixture.
7.1.2 Transport model
The transport modelling concerns evaluating dynamic viscosity µ, thermal conductivity κ
and thermal diffusivity α(for internal energy and enthalpy equations). The current transport
models are as follows:
const assumes a constant µand Prandtl number P r =cpµ/κ which is simply specified by a
two keywords, mu and Pr, respectively.
sutherland calculates µas a function of temperature Tfrom a Sutherland coefficient Asand
Sutherland temperature Ts, specified by keywords As and Ts;µis calculated according
to:
µ=As√T
1 + Ts/T .(7.1)
polynomial calculates µand κas a function of temperature Tfrom a polynomial of any
order N,e.g.:
µ=
N−1
X
i=0
aiTi.(7.2)
logPolynomial calculates ln(µ)and ln(κ)as a function of ln(T)from a polynomial of any
order N; from which µ,κare calculated by taking the exponential, e.g.:
ln(µ) =
N−1
X
i=0
ai[ln(T)]i.(7.3)
OpenFOAM-5.0

U-202 Models and physical properties
7.1.3 Thermodynamic models
The thermodynamic models are concerned with evaluating the specific heat cpfrom which
other properties are derived. The current thermo models are as follows:
hConst assumes a constant cpand a heat of fusion Hfwhich is simply specified by a two
values cpHf, given by keywords Cp and Hf.
eConst assumes a constant cvand a heat of fusion Hfwhich is simply specified by a two
values cvHf, given by keywords Cv and Hf.
janaf calculates cpas a function of temperature Tfrom a set of coefficients taken from JANAF
tables of thermodynamics. The ordered list of coefficients is given in Table 7.1. The
function is valid between a lower and upper limit in temperature Tland Threspectively.
Two sets of coefficients are specified, the first set for temperatures above a common
temperature Tc(and below Th), the second for temperatures below Tc(and above Tl).
The function relating cpto temperature is:
cp=R((((a4T+a3)T+a2)T+a1)T+a0).(7.4)
In addition, there are constants of integration, a5and a6, both at high and low tem-
perature, used to evaluating hand srespectively.
hPolynomial calculates cpas a function of temperature by a polynomial of any order N:
cp=
N−1
X
i=0
aiTi.(7.5)
The following case provides an example of its use: $FOAM_TUTORIALS/lagrangian/-
porousExplicitSourceReactingParcelFoam/filter
Description Entry Keyword
Lower temperature limit Tl(K) Tlow
Upper temperature limit Th(K) Thigh
Common temperature Tc(K) Tcommon
High temperature coefficients a0. . . a4highCpCoeffs (a0 a1 a2 a3 a4...
High temperature enthalpy offset a5a5...
High temperature entropy offset a6a6)
Low temperature coefficients a0. . . a4lowCpCoeffs (a0 a1 a2 a3 a4...
Low temperature enthalpy offset a5a5...
Low temperature entropy offset a6a6)
Table 7.1: JANAF thermodynamics coefficients.
7.1.4 Composition of each constituent
There is currently only one option for the specie model which specifies the composition of
each constituent. That model is itself named specie, which is specified by the following
entries.
OpenFOAM-5.0

7.1 Thermophysical models U-203
•nMoles: number of moles of component. This entry is only used for combustion mod-
elling based on regress variable with a homogeneous mixture of reactants; otherwise
it is set to 1.
•molWeight in grams per mole of specie.
7.1.5 Equation of state
The following equations of state are available in the thermophysical modelling library.
rhoConst Constant density:
ρ=constant.(7.6)
perfectGas Perfect gas:
ρ=1
RT p. (7.7)
incompressiblePerfectGas Perfect gas for an incompressible fluid:
ρ=1
RT pref,(7.8)
where pref is a reference pressure.
perfectFluid Perfect fluid:
ρ=1
RT p+ρ0,(7.9)
where ρ0is the density at T= 0.
linear Linear equation of state:
ρ=ψp +ρ0,(7.10)
where ψis compressibility (not necessarily (RT )−1).
adiabaticPerfectFluid Adiabatic perfect fluid:
ρ=ρ0µp+B
p0+B¶1/γ
,(7.11)
where ρ0, p0are reference density and pressure respectively, and Bis a model constant.
Boussinesq Boussinesq approximation
ρ=ρ0[1 −β(T−T0)] (7.12)
where βis the coeffient of volumetric expansion and ρ0is the reference density at
reference temperature T0.
OpenFOAM-5.0

U-204 Models and physical properties
PengRobinsonGas Peng Robinson equation of state:
ρ=1
zRT p, (7.13)
where the complex function z=z(p, T )can be referenced in the source code in Peng-
RobinsonGasI.H, in the $FOAM_SRC/thermophysicalModels/specie/equationOfState/ di-
rectory.
icoPolynomial Incompressible, polynomial equation of state:
ρ=
N−1
X
i=0
aiTi,(7.14)
where aiare polynomial coefficients of any order N.
7.1.6 Selection of energy variable
The user must specify the form of energy to be used in the solution, either internal energy
eand enthalpy h, and in forms that include the heat of formation ∆hfor not. This choice
is specified through the energy keyword.
We refer to absolute energy where heat of formation is included, and sensible energy
where it is not. For example absolute enthalpy his related to sensible enthalpy hsby
h=hs+X
i
ci∆hi
f(7.15)
where ciand hi
fare the molar fraction and heat of formation, respectively, of specie i. In most
cases, we use the sensible form of energy, for which it is easier to account for energy change
due to reactions. Keyword entries for energy therefore include e.g. sensibleEnthalpy,
sensibleInternalEnergy and absoluteEnthalpy.
7.1.7 Thermophysical property data
The basic thermophysical properties are specified for each species from input data. Data
entries must contain the name of the specie as the keyword, e.g. O2,H2O,mixture, followed
by sub-dictionaries of coefficients, including:
specie containing i.e. number of moles, nMoles, of the specie, and molecular weight,
molWeight in units of g/mol;
thermodynamics containing coefficients for the chosen thermodynamic model (see below);
transport containing coefficients for the chosen tranpsort model (see below).
The following is an example entry for a specie named fuel modelled using sutherland
transport and janaf thermodynamics:
fuel
{
specie
OpenFOAM-5.0

7.2 Turbulence models U-205
{
nMoles 1;
molWeight 16.0428;
}
thermodynamics
{
Tlow 200;
Thigh 6000;
Tcommon 1000;
highCpCoeffs (1.63543 0.0100844 -3.36924e-06 5.34973e-10
-3.15528e-14 -10005.6 9.9937);
lowCpCoeffs (5.14988 -0.013671 4.91801e-05 -4.84744e-08
1.66694e-11 -10246.6 -4.64132);
}
transport
{
As 1.67212e-06;
Ts 170.672;
}
}
The following is an example entry for a specie named air modelled using const transport
and hConst thermodynamics:
air
{
specie
{
nMoles 1;
molWeight 28.96;
}
thermodynamics
{
Cp 1004.5;
Hf 2.544e+06;
}
transport
{
mu 1.8e-05;
Pr 0.7;
}
}
7.2 Turbulence models
The turbulenceProperties dictionary is read by any solver that includes turbulence mod-
elling. Within that file is the simulationType keyword that controls the type of turbulence
OpenFOAM-5.0

U-206 Models and physical properties
modelling to be used, either:
laminar uses no turbulence models;
RAS uses Reynolds-averaged simulation (RAS) modelling;
LES uses large-eddy simulation (LES) modelling.
7.2.1 Reynolds-averaged simulation (RAS) modelling
If RAS is selected, the choice of RAS modelling is specified in a RAS sub-dictionary which
requires the following entries.
•RASModel: name of RAS turbulence model.
•turbulence: switch to turn the solving of turbulence modelling on/off.
•printCoeffs: switch to print model coeffs to terminal at simulation start up.
•<RASModel>Coeffs: optional dictionary of coefficients for the respective RASModel,
to override the default coefficients.
Turbulence models can be listed by running a solver with the -listTurbulenceModels
option, e.g.
simpleFoam -listTurbulenceModels
With simpleFoam, the incompressible models are listed. The compressible models are listed
for a compressible solver, e.g. rhoSimpleFoam.
The RAS models used in the tutorials can be listed using foamSearch with the following
command. The lists of available models are given in the following sections.
foamSearch $FOAM_TUTORIALS RAS.RASModel turbulenceProperties
Users can locate tutorials using a particular model, e.g. buoyantKEpsilon, using find/grep.
find $FOAM_TUTORIALS -name turbulenceProperties | \
xargs grep -l buoyantKEpsilon
7.2.1.1 Incompressible RAS turbulence models
For incompressible flows, the RASModel can be chosen from the list below.
LRR Launder, Reece and Rodi Reynolds-stress turbulence model for incompressible and
compressible flows.
LamBremhorstKE Lam and Bremhorst low-Reynolds number k-epsilon turbulence model for
incompressible flows
LaunderSharmaKE Launder and Sharma low-Reynolds k-epsilon turbulence model for in-
compressible and compressible and combusting flows including rapid distortion theory
(RDT) based compression term.
OpenFOAM-5.0

7.2 Turbulence models U-207
LienCubicKE Lien cubic non-linear low-Reynolds k-epsilon turbulence models for incom-
pressible flows.
LienLeschziner Lien and Leschziner low-Reynolds number k-epsilon turbulence model for
incompressible flows.
RNGkEpsilon Renormalization group k-epsilon turbulence model for incompressible and com-
pressible flows.
SSG Speziale, Sarkar and Gatski Reynolds-stress turbulence model for incompressible and
compressible flows.
ShihQuadraticKE Shih’s quadratic algebraic Reynolds stress k-epsilon turbulence model for
incompressible flows
SpalartAllmaras Spalart-Allmaras one-eqn mixing-length model for incompressible and com-
pressible external flows.
kEpsilon Standard k-epsilon turbulence model for incompressible and compressible flows
including rapid distortion theory (RDT) based compression term.
kOmega Standard high Reynolds-number k-omega turbulence model for incompressible and
compressible flows.
kOmegaSSTLM Langtry-Menter 4-equation transitional SST model based on the k-omega-
SST RAS model.
kOmegaSSTSAS Scale-adaptive URAS model based on the k-omega-SST RAS model.
kkLOmega Low Reynolds-number k-kl-omega turbulence model for incompressible flows.
qZeta Gibson and Dafa’Alla’s q-zeta two-equation low-Re turbulence model for incompress-
ible flows
realizableKE Realizable k-epsilon turbulence model for incompressible and compressible flows.
v2f Lien and Kalitzin’s v2-f turbulence model for incompressible and compressible flows,
with a limit imposed on the turbulent viscosity given by Davidson et al.
7.2.1.2 Compressible RAS turbulence models
For compressible flows, the RASModel can be chosen from the list below.
LRR Launder, Reece and Rodi Reynolds-stress turbulence model for incompressible and
compressible flows.
LaunderSharmaKE Launder and Sharma low-Reynolds k-epsilon turbulence model for in-
compressible and compressible and combusting flows including rapid distortion theory
(RDT) based compression term.
RNGkEpsilon Renormalization group k-epsilon turbulence model for incompressible and com-
pressible flows.
OpenFOAM-5.0

U-208 Models and physical properties
SSG Speziale, Sarkar and Gatski Reynolds-stress turbulence model for incompressible and
compressible flows.
SpalartAllmaras Spalart-Allmaras one-eqn mixing-length model for incompressible and com-
pressible external flows.
buoyantKEpsilon Additional buoyancy generation/dissipation term applied to the k and ep-
silon equations of the standard k-epsilon model.
kEpsilon Standard k-epsilon turbulence model for incompressible and compressible flows
including rapid distortion theory (RDT) based compression term.
kOmega Standard high Reynolds-number k-omega turbulence model for incompressible and
compressible flows.
kOmegaSSTLM Langtry-Menter 4-equation transitional SST model based on the k-omega-
SST RAS model.
kOmegaSSTSAS Scale-adaptive URAS model based on the k-omega-SST RAS model.
realizableKE Realizable k-epsilon turbulence model for incompressible and compressible flows.
v2f Lien and Kalitzin’s v2-f turbulence model for incompressible and compressible flows,
with a limit imposed on the turbulent viscosity given by Davidson et al.
7.2.2 Large eddy simulation (LES) modelling
If LES is selected, the choice of LES modelling is specified in a LES sub-dictionary which
requires the following entries.
•LESModel: name of LES turbulence model.
•delta: name of delta δmodel.
•<LESModel>Coeffs: dictionary of coefficients for the respective LESModel, to override
the default coefficients.
•<delta>Coeffs: dictionary of coefficients for the delta model.
The LES models used in the tutorials can be listed using foamSearch with the following
command. The lists of available models are given in the following sections.
foamSearch $FOAM_TUTORIALS turbulenceProperties LES.LESModel
7.2.2.1 Incompressible LES turbulence models
For incompressible flows, the LESModel can be chosen from the list below.
DeardorffDiffStress Differential SGS Stress Equation Model for incompressible and compress-
ible flows
Smagorinsky The Smagorinsky SGS model.
OpenFOAM-5.0

7.2 Turbulence models U-209
SpalartAllmarasDDES SpalartAllmaras DDES turbulence model for incompressible and com-
pressible flows
SpalartAllmarasDES SpalartAllmarasDES DES turbulence model for incompressible and com-
pressible flows
SpalartAllmarasIDDES SpalartAllmaras IDDES turbulence model for incompressible and
compressible flows
WALE The Wall-adapting local eddy-viscosity (WALE) SGS model.
dynamicKEqn Dynamic one equation eddy-viscosity model
dynamicLagrangian Dynamic SGS model with Lagrangian averaging
kEqn One equation eddy-viscosity model
kOmegaSSTDES Implementation of the k-omega-SST-DES turbulence model for incom-
pressible and compressible flows.
7.2.2.2 Compressible LES turbulence models
For compressible flows, the LESModel can be chosen from the list below.
DeardorffDiffStress Differential SGS Stress Equation Model for incompressible and compress-
ible flows
Smagorinsky The Smagorinsky SGS model.
SpalartAllmarasDDES SpalartAllmaras DDES turbulence model for incompressible and com-
pressible flows
SpalartAllmarasDES SpalartAllmarasDES DES turbulence model for incompressible and com-
pressible flows
SpalartAllmarasIDDES SpalartAllmaras IDDES turbulence model for incompressible and
compressible flows
WALE The Wall-adapting local eddy-viscosity (WALE) SGS model.
dynamicKEqn Dynamic one equation eddy-viscosity model
dynamicLagrangian Dynamic SGS model with Lagrangian averaging
kEqn One equation eddy-viscosity model
kOmegaSSTDES Implementation of the k-omega-SST-DES turbulence model for incom-
pressible and compressible flows.
OpenFOAM-5.0

U-210 Models and physical properties
7.2.3 Model coefficients
The coefficients for the RAS turbulence models are given default values in their respective
source code. If the user wishes to override these default values, then they can do so by
adding a sub-dictionary entry to the RAS sub-dictionary file, whose keyword name is that
of the model with Coeffs appended, e.g. kEpsilonCoeffs for the kEpsilon model. If the
printCoeffs switch is on in the RAS sub-dictionary, an example of the relevant ...Coeffs
dictionary is printed to standard output when the model is created at the beginning of a
run. The user can simply copy this into the RAS sub-dictionary file and edit the entries as
required.
7.2.4 Wall functions
A range of wall function models is available in OpenFOAM that are applied as boundary
conditions on individual patches. This enables different wall function models to be applied
to different wall regions. The choice of wall function model is specified through the turbulent
viscosity field νtin the 0/nut file. Note for OpenFOAM versions prior to v3.0.0: wall
functions for compressible RAS are specified through the µtfield in the 0/mut file, through
νsgs in the 0/nuSgs file for incompressible LES and µsgs in the 0/muSgs file for compressible
LES. For example, a 0/nut file:
17 dimensions [0 2 -1 0 0 0 0];
18
19 internalField uniform 0;
20
21 boundaryField
22 {
23 movingWall
24 {
25 type nutkWallFunction;
26 value uniform 0;
27 }
28 fixedWalls
29 {
30 type nutkWallFunction;
31 value uniform 0;
32 }
33 frontAndBack
34 {
35 type empty;
36 }
37 }
38
39 // ************************************************************************* //
There are a number of wall function models available in the release, e.g. nutWallFunction,
nutRoughWallFunction,nutUSpaldingWallFunction,nutkWallFunction and nutkAtm-
WallFunction. The user can consult the relevant directories for a full list of wall function
models:
find $FOAM_SRC/TurbulenceModels -name wallFunctions
Within each wall function boundary condition the user can over-ride default settings for E,
κand Cµthrough optional E,kappa and Cmu keyword entries.
Having selected the particular wall functions on various patches in the nut/mut file,
the user should select epsilonWallFunction on corresponding patches in the epsilon field and
kqRwallFunction on corresponding patches in the turbulent fields k,qand R.
OpenFOAM-5.0

7.3 Transport/rheology models U-211
7.3 Transport/rheology models
In OpenFOAM, solvers that do not include energy/heat, include a library of models for
viscosity ν. The models typically relate viscosity to strain rate ˙γand are specified by the
user in the transportProperties dictionary. The available models are listed in the following
sections.
7.3.1 Newtonian model
The Newtonian model assumes νis constant. Viscosity is specified by a dimensionedScalar
nu in transportProperties,e.g.
transportModel Newtonian;
nu [ 0 2 -1 0 0 0 0 ] 1.5e-05;
Note the units for kinematic viscosity are L2/T.
7.3.2 Bird-Carreau model
The Bird-Carreau model is:
ν=ν∞+ (ν0−ν∞) [1 + (k˙γ)a](n−1)/a (7.16)
where the coefficient ahas a default value of 2. An example specification of the model in
transportProperties is:
transportModel BirdCarreau;
BirdCarreauCoeffs
{
nu0 [ 0 2 -1 0 0 0 0 ] 1e-03;
nuInf [ 0 2 -1 0 0 0 0 ] 1e-05;
k [ 0 0 1 0 0 0 0 ] 1;
n [ 0 0 0 0 0 0 0 ] 0.5;
}
7.3.3 Cross Power Law model
The Cross Power Law model is:
ν=ν∞+ν0−ν∞
1 + (m˙γ)n(7.17)
An example specification of the model in transportProperties is:
transportModel CrossPowerLaw;
CrossPowerLawCoeffs
{
nu0 [ 0 2 -1 0 0 0 0 ] 1e-03;
OpenFOAM-5.0

U-212 Models and physical properties
nuInf [ 0 2 -1 0 0 0 0 ] 1e-05;
m [00 10000]1;
n [ 0 0 0 0 0 0 0 ] 0.5;
}
7.3.4 Power Law model
The Power Law model provides a function for viscosity, limited by minimum and maximum
values, νmin and νmax respectively. The function is:
ν=k˙γn−1νmin ≤ν≤νmax (7.18)
An example specification of the model in transportProperties is:
transportModel powerLaw;
powerLawCoeffs
{
nuMax [ 0 2 -1 0 0 0 0 ] 1e-03;
nuMin [ 0 2 -1 0 0 0 0 ] 1e-05;
k [ 0 2 -1 0 0 0 0 ] 1e-05;
n [00 00000]1;
}
7.3.5 Herschel-Bulkley model
The Herschel-Bulkley model combines the effects of Bingham plastic and power-law behavior
in a fluid. For low strain rates, the material is modelled as a very viscous fluid with viscosity
ν0. Beyond a threshold in strain-rate corresponding to threshold stress τ0, the viscosity is
described by a power law. The model is:
ν= min ¡ν0, τ0/˙γ+k˙γn−1¢(7.19)
An example specification of the model in transportProperties is:
transportModel HerschelBulkley;
HerschelBulkleyCoeffs
{
nu0 [ 0 2 -1 0 0 0 0 ] 1e-03;
tau0 [ 0 2 -2 0 0 0 0 ] 1;
k [ 0 2 -1 0 0 0 0 ] 1e-05;
n [00 00000]1;
}
7.3.6 Casson model
The Casson model is a basic model used in blood rheology that specifies minimum and
maximum viscosities, νmin and νmax respectively. Beyond a threshold in strain-rate corre-
sponding to threshold stress τ0, the viscosity is described by a “square-root” relationship.
OpenFOAM-5.0

7.3 Transport/rheology models U-213
The model is:
ν=³pτ0/˙γ+√m´2νmin ≤ν≤νmax (7.20)
An example specification of model parameters for blood is:
transportModel Casson;
CassonCoeffs
{
m [ 0 2 -1 0 0 0 0 ] 3.934986e-6;
tau0 [ 0 2 -2 0 0 0 0 ] 2.9032e-6;
nuMax [ 0 2 -1 0 0 0 0 ] 13.3333e-6;
nuMin [ 0 2 -1 0 0 0 0 ] 3.9047e-6;
}
7.3.7 General strain-rate function
AstrainRateFunction model exists that allows a user to specify viscosity as a function
of strain rate at run-time. It uses the same Function1 functionality to specify the function
of strain-rate, used by time varying properties in boundary conditions described in sec-
tion 5.2.3.4. An example specification of the model in transportProperties is shown below
using the polynomial function:
transportModel strainRateFunction;
strainRateFunctionCoeffs
{
function polynomial ((0 0.1) (1 1.3));
}
OpenFOAM-5.0

U-214 Models and physical properties
OpenFOAM-5.0

Index U-215
Index
Symbols Numbers A B C D E F G H I J K L M N O P Q R S T U V W X Z
-listTurbulenceModels keyword, U-206
/*...*/
C++ syntax, U-82
//
C++ syntax, U-82
OpenFOAM file syntax, U-106
# include
C++ syntax, U-76,U-82
bounded keyword, U-122
<LESModel>Coeffs keyword, U-208
<RASModel>Coeffs keyword, U-206
<delta>Coeffs keyword, U-208
0.000000e+00 directory, U-106
1-dimensional mesh, U-138
1D mesh, U-138
2-dimensional mesh, U-138
2D mesh, U-138
0directory, U-106
add post-processing, U-185
addLayers keyword, U-159
addLayersControls keyword, U-159
adiabaticFlameT utility, U-104
adiabaticPerfectFluid model, U-203
adjointShapeOptimizationFoam solver, U-92
adjustableRunTime
keyword entry, U-66,U-116
adjustTimeStep keyword, U-66,U-117
agglomerator keyword, U-129
Animations window panel, U-182
Annotation window panel, U-26
ansysToFoam utility, U-98
applications, U-73
Apply button, U-178,U-182
applyBoundaryLayer utility, U-97
arc
keyword entry, U-150
arc keyword, U-149
As keyword, U-201
ascii
keyword entry, U-117
attachMesh utility, U-99
Auto Accept button, U-182
autoPatch utility, U-99
autoRefineMesh utility, U-101
axes
right-handed, U-148
right-handed rectangular Cartesian, U-21
axi-symmetric cases, U-141,U-157
axi-symmetric mesh, U-138
background
process, U-26,U-86
backward
keyword entry, U-120
binary
keyword entry, U-117
block
expansion ratio, U-151
block keyword, U-148,U-149
blockMesh utility, U-98
blocking
keyword entry, U-84
blockMesh utility, U-41,U-147
blockMesh executable
vertex numbering, U-151
blockMeshDict
dictionary, U-21,U-22,U-40,U-53,U-147,
U-158
blocks keyword, U-22,U-35,U-150
boundaries, U-138
boundary, U-138
boundary
dictionary, U-137,U-148
boundary keyword, U-148,U-153
boundary condition
calculated,U-142
OpenFOAM-5.0

U-216 Index
constantAlphaContactAngle,U-63
cyclic,U-141,U-154
cyclicAMI,U-141
directionMixed,U-143
empty,U-21,U-138,U-141
fixedGradient,U-142
fixedValue,U-142,U-146
inletOutlet,U-143
mixed,U-143
noSlip,U-23
patch,U-141
pressureInletOutletVelocity,U-144
processor,U-141
setup, U-23
symmetry,U-141
symmetryPlane,U-140,U-141
totalPressure,U-144
uniformFixedValue,U-146
wall, U-44
wall,U-63,U-140,U-141
wedge,U-138,U-141,U-157
zeroGradient,U-142
boundaryCloud post-processing, U-187
boundaryFoam solver, U-92
boundaryField keyword, U-23,U-111
bounded keyword, U-122
Boussinesq model, U-203
boxTurb utility, U-97
boxToCell keyword, U-64
breaking of a dam, U-60
BSpline
keyword entry, U-150
buoyantBoussinesqPimpleFoam solver, U-95
buoyantBoussinesqSimpleFoam solver, U-95
buoyantPimpleFoam solver, U-95
buoyantSimpleFoam solver, U-95
buoyantKEpsilon model, U-208
burntProducts keyword, U-201
button
Apply,U-178,U-182
Auto Accept,U-182
Camera Parallel Projection,U-182
Choose Preset,U-181
Delete,U-178
Edit Color Legend Properties,U-31
Edit Color Map,U-180
Enable Line Series,U-39
Lights,U-182
Orientation Axes,U-26
Refresh Times,U-28,U-179
Rescale,U-28
Reset,U-178
Set Ambient Color,U-181
Update GUI,U-179
Use Parallel Projection,U-26
C++ syntax
/*...*/,U-82
//,U-82
# include,U-76,U-82
cacheAgglomeration keyword, U-129
calculated
boundary condition, U-142
cAlpha keyword, U-67
Camera Parallel Projection button, U-182
case
management, U-132
cases, U-105
castellatedMesh keyword, U-159
castellatedMeshControls
dictionary, U-160–U-163
castellatedMeshControls keyword, U-159
cavitatingDyMFoam solver, U-93
cavitatingFoam solver, U-93
cavity flow, U-20
ccm26ToFoam utility, U-99
CEI_ARCH
environment variable, U-197
CEI_HOME
environment variable, U-197
cell
expansion ratio, U-151
cellMax post-processing, U-187
cellMin post-processing, U-187
cellLimited
keyword entry, U-121
cells
dictionary, U-148
cfx4ToFoam utility, U-98
cfx4ToFoam utility, U-168
changeDictionary utility, U-97
Charts window panel, U-182
checkMesh utility, U-99
checkMesh utility, U-169
chemFoam solver, U-95
chemkinToFoam utility, U-104
Choose Preset button, U-181
chtMultiRegionFoam solver, U-95
chtMultiRegionSimpleFoam solver, U-95
class
polyMesh,U-135,U-137
OpenFOAM-5.0

Index U-217
vector,U-109
class keyword, U-107
clockTime
keyword entry, U-117
coalChemistryFoam solver, U-96
coldEngineFoam solver, U-95
collapseEdges utility, U-101
Color By menu, U-181
Color Legend window, U-33
Color Legend window panel, U-181
Color Scale window panel, U-181
Colors window panel, U-182
combinePatchFaces utility, U-101
comments, U-82
Common menu, U-31
commsType keyword, U-84
components post-processing, U-185
compressibleInterDyMFoam solver, U-93
compressibleInterFoam solver, U-93
compressibleMultiphaseInterFoam solver, U-93
constant directory, U-105,U-199
constant keyword, U-146
constantAlphaContactAngle
boundary condition, U-63
Contour
menu entry, U-31
control
of time, U-115
controlDict
dictionary, U-24,U-35,U-46,U-55,U-66,
U-105,U-174
convergence, U-43
convertToMeters keyword, U-149
convertToMeters keyword, U-148,U-149
coordinate system, U-21
corrected
keyword entry, U-124
Courant number, U-24
CourantNo post-processing, U-185
Cp keyword, U-202
cpuTime
keyword entry, U-117
CrankNicolson
keyword entry, U-120
createBaffles utility, U-99
createExternalCoupledPatchGeometry utility, U-97
createPatch utility, U-99
CrossPowerLaw
keyword entry, U-64
csvFile keyword, U-146
Current Time Controls menu, U-28,U-179
Cv keyword, U-202
cyclic
boundary condition, U-141,U-154
cyclicAMI
boundary condition, U-141
dam
breaking of a, U-60
datToFoam utility, U-98
DeardorffDiffStress model, U-208,U-209
decomposePar utility, U-103
decomposePar utility, U-86,U-87
decomposeParDict
dictionary, U-86
decomposition
of field, U-86
of mesh, U-86
defaultFieldValues keyword, U-64
deformedGeom utility, U-100
Delete button, U-178
delta keyword, U-88,U-208
deltaT keyword, U-116
dependencies, U-76
dependency lists, U-76
diagonal
keyword entry, U-126,U-128
DIC
keyword entry, U-128
DICGaussSeidel
keyword entry, U-128
dictionary
PIMPLE,U-131
PISO,U-25,U-131
SIMPLE,U-131
blockMeshDict,U-21,U-22,U-40,U-53,
U-147,U-158
boundary,U-137,U-148
castellatedMeshControls,U-160–U-163
cells,U-148
controlDict,U-24,U-35,U-46,U-55,U-66,
U-105,U-174
decomposeParDict,U-86
faces,U-137,U-148
fvSchemes,U-67,U-105,U-118
fvSolution,U-105,U-125
fvSchemes,U-67
mechanicalProperties,U-55
neighbour,U-137
owner,U-137
points,U-137,U-148
OpenFOAM-5.0

U-218 Index
thermalProperties,U-55
thermophysicalProperties,U-199
transportProperties,U-24,U-42,U-46,U-211
turbulenceProperties,U-45,U-65,U-205
DILU
keyword entry, U-128
dimension
checking in OpenFOAM, U-109
dimensional units, U-109
dimensions keyword, U-23,U-111
directionMixed
boundary condition, U-143
directory
0.000000e+00,U-106
0,U-106
Make,U-77
constant,U-105,U-199
polyMesh,U-105,U-137
processorN,U-87
run,U-19,U-105
system,U-105
tutorials,U-19
Display window panel, U-26,U-28,U-178,U-180
distance
keyword entry, U-163
distributed keyword, U-88,U-90
div post-processing, U-185
div(phi,e) keyword, U-121
div(phi,k) keyword, U-121
div(phi,U) keyword, U-121
divSchemes keyword, U-118
dnsFoam solver, U-94
DPMFoam solver, U-96
DPMDyMFoam solver, U-96
driftFluxFoam solver, U-93
dsmcFoam solver, U-97
dsmcInitialise utility, U-98
dsmcFields post-processing, U-187
dynamicLagrangian model, U-209
dynamicKEqn model, U-209
edgeGrading keyword, U-151
edges keyword, U-148,U-149
Edit menu, U-182
Edit Color Legend Properties button, U-31
Edit Color Map button, U-180
egrMixture keyword, U-201
electrostaticFoam solver, U-97
empty
boundary condition, U-21,U-138,U-141
Enable Line Series button, U-39
endTime keyword, U-24,U-116
energy keyword, U-200,U-204
engineCompRatio utility, U-101
engineFoam solver, U-95
engineSwirl utility, U-98
ENSIGHT7_INPUT
environment variable, U-197
ENSIGHT7_READER
environment variable, U-197
ensightFoamReader utility, U-197
enstrophy post-processing, U-185
environment variable
CEI_ARCH,U-197
CEI_HOME,U-197
ENSIGHT7_INPUT,U-197
ENSIGHT7_READER,U-197
FOAM_FILEHANDLER,U-89
FOAM_RUN,U-105
WM_ARCH_OPTION,U-80
WM_ARCH,U-80
WM_COMPILER_TYPE,U-80
WM_COMPILER,U-80
WM_COMPILE_OPTION,U-80
WM_DIR,U-80
WM_LABEL_OPTION,U-80
WM_LABEL_SIZE,U-80
WM_LINK_LANGUAGE,U-80
WM_MPLIB,U-80
WM_OPTIONS,U-80
WM_PRECISION_OPTION,U-80
WM_PROJECT_DIR,U-80
WM_PROJECT_INST_DIR,U-80
WM_PROJECT_USER_DIR,U-80
WM_PROJECT_VERSION,U-80
WM_PROJECT,U-80
WM_THIRD_PARTY_DIR,U-80
wmake,U-79
equationOfState keyword, U-200
equilibriumFlameT utility, U-104
equilibriumCO utility, U-104
errorReduction keyword, U-167
Euler
keyword entry, U-120
expansionRatio keyword, U-166
extrudeMesh utility, U-98
extrudeToRegionMesh utility, U-98
faceMax post-processing, U-187
faceMin post-processing, U-187
faceAreaPair
keyword entry, U-129
OpenFOAM-5.0

Index U-219
faces
dictionary, U-137,U-148
FDIC
keyword entry, U-128
featureAngle keyword, U-166
features keyword, U-161
field
U,U-25
p,U-25
decomposition, U-86
field keyword, U-189
fields
mapping, U-174
fields keyword, U-189
fieldValues keyword, U-64
file
Make/files,U-79
files,U-77
g,U-65
options,U-77
snappyHexMeshDict,U-159
transportProperties,U-64
handler, U-89
parallel I/O, U-87
file format, U-106
fileModificationChecking keyword, U-84
fileModificationSkew keyword, U-84
files file, U-77
Filters menu, U-31
finalLayerThickness keyword, U-166
financialFoam solver, U-97
fireFoam solver, U-95
firstLayerThickness keyword, U-166
firstTime keyword, U-116
fixed
keyword entry, U-117
fixedGradient
boundary condition, U-142
fixedValue
boundary condition, U-142,U-146
flattenMesh utility, U-100
floatTransfer keyword, U-84
flow
free surface, U-60
laminar, U-20
turbulent, U-20
flowRateFaceZone post-processing, U-186
flowRatePatch post-processing, U-186
flowType post-processing, U-185
fluent3DMeshToFoam utility, U-99
fluentMeshToFoam utility, U-99
fluentMeshToFoam utility, U-168
fluidThermo model, U-200
OpenFOAM
cases, U-105
FOAM_FILEHANDLER
environment variable, U-89
FOAM_RUN
environment variable, U-105
foamDataToFluent utility, U-102,U-195
foamDictionary utility, U-104
foamFormatConvert utility, U-104
foamHelp utility, U-104
foamListTimes utility, U-104
foamMeshToFluent utility, U-99
foamToEnsight utility, U-102,U-195
foamToEnsightParts utility, U-102,U-195
foamToGMV utility, U-102,U-196
foamToStarMesh utility, U-99
foamToSurface utility, U-99
foamToTecplot360 utility, U-102,U-196
foamToTetDualMesh utility, U-102,U-196
foamToVTK utility, U-102,U-196
foamUpgradeCyclics utility, U-98
foamChemistryFile keyword, U-201
foamCloneCase script, U-42,U-132
foamCorrectVrt script, U-172
foamDictionary utility, U-132
FoamFile keyword, U-107
foamFormatConvert utility, U-89
foamListTimes utility, U-132
foamSearch script, U-119
foamyHexMesh utility, U-98
foamyHexMeshBackgroundMesh utility, U-98
foamyHexMeshSurfaceSimplify utility, U-98
foamyQuadMesh utility, U-98
forceCoeffsCompressible post-processing, U-186
forceCoeffsIncompressible post-processing, U-186
forcesCompressible post-processing, U-186
forcesIncompressible post-processing, U-186
foreground
process, U-26
format keyword, U-107
fuel keyword, U-201
functions keyword, U-118
fvSchemes
dictionary, U-67
fvSchemes
dictionary, U-67,U-105,U-118
fvSchemes
OpenFOAM-5.0

U-220 Index
menu entry, U-56
fvSolution
dictionary, U-105,U-125
gfile, U-65
gambitToFoam utility, U-99
gambitToFoam utility, U-168
GAMG
keyword entry, U-57,U-126,U-128
Gauss cubic
keyword entry, U-121
GaussSeidel
keyword entry, U-128
General window panel, U-182
general
keyword entry, U-117
geometric-algebraic multi-grid, U-129
geometry keyword, U-156,U-159
gmshToFoam utility, U-99
gnuplot
keyword entry, U-117
grad post-processing, U-185
gradient
Gauss’s theorem, U-56
least square fit, U-56
least squares method, U-56
gradSchemes keyword, U-118
graphFormat keyword, U-117
halfCosineRamp keyword, U-146
heheuPsiThermo
keyword entry, U-201
Help menu, U-181
hePsiThermo
keyword entry, U-200
heRhoThermo
keyword entry, U-201
Hf keyword, U-202
hierarchical
keyword entry, U-87,U-88
highCpCoeffs keyword, U-202
homogeneousMixture keyword, U-201
icoFoam solver, U-92
icoUncoupledKinematicParcelDyMFoam solver,
U-96
icoUncoupledKinematicParcelFoam solver, U-96
icoFoam solver, U-20,U-24,U-28
icoPolynomial model, U-204
ideasUnvToFoam utility, U-99
ideasToFoam utility, U-168
incompressiblePerfectGas model, U-203
Information window panel, U-178
inhomogeneousMixture keyword, U-201
inletOutlet
boundary condition, U-143
inletValue keyword, U-143
inotify
keyword entry, U-84
inotifyMaster
keyword entry, U-84
inside
keyword entry, U-163
insideCells utility, U-100
interDyMFoam solver, U-93
interFoam solver, U-93
interMixingFoam solver, U-93
interPhaseChangeDyMFoam solver, U-94
interPhaseChangeFoam solver, U-94
interfaceHeight post-processing, U-187
internalCloud post-processing, U-188
internalField keyword, U-23,U-111
interpolationSchemes keyword, U-118
iterations
maximum, U-127
jplot
keyword entry, U-117
kEpsilon model, U-207,U-208
kEqn model, U-209
kOmega model, U-207,U-208
kOmegaSSTDES model, U-209
kOmegaSSTLM model, U-207,U-208
kOmegaSSTSAS model, U-207,U-208
keyword
-listTurbulenceModels,U-206
As,U-201
Cp,U-202
Cv,U-202
FoamFile,U-107
Hf,U-202
LESModel,U-208,U-209
MULESCorr,U-66
N2,U-201
O2,U-201
Pr,U-201
RASModel,U-206,U-207
Tcommon,U-202
Thigh,U-202
Tlow,U-202
Ts,U-201
OpenFOAM-5.0

Index U-221
bounded,U-122
addLayersControls,U-159
addLayers,U-159
adjustTimeStep,U-66,U-117
agglomerator,U-129
arc,U-149
blocks,U-22,U-35,U-150
block,U-148,U-149
boundaryField,U-23,U-111
boundary,U-148,U-153
bounded,U-122
boxToCell,U-64
burntProducts,U-201
cAlpha,U-67
cacheAgglomeration,U-129
castellatedMeshControls,U-159
castellatedMesh,U-159
class,U-107
commsType,U-84
constant,U-146
convertToMeters,U-148,U-149
convertToMeters,U-149
csvFile,U-146
defaultFieldValues,U-64
deltaT,U-116
delta,U-88,U-208
dimensions,U-23,U-111
distributed,U-88,U-90
div(phi,U),U-121
div(phi,e),U-121
div(phi,k),U-121
divSchemes,U-118
edgeGrading,U-151
edges,U-148,U-149
egrMixture,U-201
endTime,U-24,U-116
energy,U-200,U-204
equationOfState,U-200
errorReduction,U-167
expansionRatio,U-166
featureAngle,U-166
features,U-161
fieldValues,U-64
fields,U-189
field,U-189
fileModificationChecking,U-84
fileModificationSkew,U-84
finalLayerThickness,U-166
firstLayerThickness,U-166
firstTime,U-116
floatTransfer,U-84
foamChemistryFile,U-201
format,U-107
fuel,U-201
functions,U-118
geometry,U-156,U-159
gradSchemes,U-118
graphFormat,U-117
halfCosineRamp,U-146
highCpCoeffs,U-202
homogeneousMixture,U-201
inhomogeneousMixture,U-201
inletValue,U-143
internalField,U-23,U-111
interpolationSchemes,U-118
laplacianSchemes,U-118
latestTime,U-42
layers,U-164
leastSquares,U-56
levels,U-163
libs,U-85,U-118
linearRamp,U-146
locationInMesh,U-161,U-162
location,U-107
lowCpCoeffs,U-202
manualCoeffs,U-88
maxAlphaCo,U-66
maxBoundarySkewness,U-167
maxConcave,U-167
maxCo,U-66,U-117
maxDeltaT,U-66
maxFaceThicknessRatio,U-166
maxGlobalCells,U-161
maxInternalSkewness,U-167
maxIter,U-127
maxLocalCells,U-161
maxNonOrtho,U-167
maxPostSweeps,U-129
maxPreSweeps,U-129
maxThicknessToMedialRatio,U-166
maxThreadFileBufferSize,U-89
mergeLevels,U-129
mergePatchPairs,U-148,U-149
mergeTolerance,U-159
meshQualityControls,U-159
method,U-88
minArea,U-167
minDeterminant,U-167
minFaceWeight,U-167
minFlatness,U-167
OpenFOAM-5.0

U-222 Index
minMedianAxisAngle,U-166
minRefinementCells,U-161
minTetQuality,U-167
minThickness,U-166
minTriangleTwist,U-167
minTwist,U-167
minVolRatio,U-167
minVol,U-167
mixture,U-201
mode,U-163
molWeight,U-204
momentumPredictor,U-131
multiComponentMixture,U-201
mu,U-201
nAlphaSubCycles,U-67
nBufferCellsNoExtrude,U-166
nCellsBetweenLevels,U-161
nCorrectors,U-131
nFaces,U-137
nFinestSweeps,U-129
nGrow,U-166
nLayerIter,U-166
nMoles,U-204
nNonOrthogonalCorrectors,U-131
nPostSweeps,U-129
nPreSweeps,U-129
nRelaxIter,U-164,U-166
nRelaxedIter,U-166
nSmoothNormals,U-166
nSmoothPatch,U-164
nSmoothScale,U-167
nSmoothSurfaceNormals,U-166
nSmoothThickness,U-166
nSolveIter,U-164
name,U-157
neighbourPatch,U-154
numberOfSubdomains,U-88
nu,U-211
n,U-88
object,U-107
one,U-146
order,U-88
oxidant,U-201
pRefCell,U-25,U-26,U-131
pRefValue,U-25,U-26,U-131
patchMap,U-174
patches,U-149
phases,U-64
polynomial,U-146
postSweepsLevelMultiplier,U-129
preSweepsLevelMultiplier,U-129
preconditioner,U-126,U-128
pressure,U-55
printCoeffs,U-45,U-206
processorWeights,U-87
probeLocations,U-191
processorWeights,U-88
project,U-156
purgeWrite,U-117
quadraticRamp,U-146
quarterSineRamp,U-146
quarterCosineRamp,U-146
refinementRegions,U-161,U-163
refinementSurfaces,U-161,U-162
refinementRegions,U-163
regions,U-64
relTol,U-57,U-126,U-127
relativeSizes,U-166
relaxed,U-167
resolveFeatureAngle,U-161,U-162
roots,U-88,U-90
runTimeModifiable,U-117
scale,U-146
scotchCoeffs,U-88
sigma,U-64
simpleGrading,U-151
simulationType,U-45,U-65,U-205
sine,U-146
singleStepReactingMixture,U-201
smoother,U-129
snGradSchemes,U-118
snapControls,U-159
snap,U-159
solvers,U-126
solver,U-57,U-126
specie,U-204
spline,U-149
square,U-146
startFace,U-137
startFrom,U-24,U-116
startTime,U-24,U-116
stopAt,U-116
strategy,U-87,U-88
tableFile,U-146
table,U-146
thermoType,U-199
thermodynamics,U-204
thickness,U-166
timeFormat,U-117
timePrecision,U-117
OpenFOAM-5.0

Index U-223
timeScheme,U-118
tolerance,U-57,U-126,U-127,U-164
topoSetSource,U-64
traction,U-55
transport,U-200,U-204
turbulence,U-206
type,U-200
uniformValue,U-146
valueFraction,U-143
value,U-23,U-142
version,U-107
vertices,U-22,U-148,U-149
veryInhomogeneousMixture,U-201
wallDist,U-118
writeCompression,U-117
writeControl,U-25,U-66,U-116
writeFormat,U-117
writeInterval,U-25,U-36,U-117
writePrecision,U-117
zero,U-146
<LESModel>Coeffs,U-208
<RASModel>Coeffs,U-206
<delta>Coeffs,U-208
keyword entry
BSpline,U-150
CrankNicolson,U-120
CrossPowerLaw,U-64
DICGaussSeidel,U-128
DIC,U-128
DILU,U-128
Euler,U-120
FDIC,U-128
GAMG,U-57,U-126,U-128
Gauss cubic,U-121
GaussSeidel,U-128
LES,U-45,U-206
LUST,U-122
MGridGen,U-129
Newtonian,U-64
PBiCGStab,U-126
PBiCG,U-126
PCG,U-126
RAS,U-45,U-206
adjustableRunTime,U-66,U-116
arc,U-150
ascii,U-117
backward,U-120
binary,U-117
blocking,U-84
cellLimited,U-121
clockTime,U-117
corrected,U-124
cpuTime,U-117
diagonal,U-126,U-128
distance,U-163
faceAreaPair,U-129
fixed,U-117
general,U-117
gnuplot,U-117
hePsiThermo,U-200
heRhoThermo,U-201
heheuPsiThermo,U-201
hierarchical,U-87,U-88
inotifyMaster,U-84
inotify,U-84
inside,U-163
jplot,U-117
laminar,U-45,U-206
latestTime,U-116
leastSquares,U-121
limitedLinear,U-122
limited,U-124
linearUpwind,U-122
linear,U-121
line,U-150
localEuler,U-120
manual,U-87,U-88
masterUncollated,U-87
multivariateSelection,U-123
nextWrite,U-116
noWriteNow,U-116
nonBlocking,U-84
none,U-119,U-128
orthogonal,U-124
outside,U-163
polyLine,U-150
pureMixture,U-201
raw,U-117
reactingMixture,U-201
runTime,U-36,U-116
scheduled,U-84
scientific,U-117
scotch,U-87,U-88
simple,U-87,U-88
smoothSolver,U-126
spline,U-150
startTime,U-24,U-116
steadyState,U-120
symGaussSeidel,U-128
timeStampMaster,U-84
OpenFOAM-5.0

U-224 Index
timeStamp,U-84
timeStep,U-25,U-36,U-116
uncollated,U-87
uncorrected,U-124
upwind,U-122
writeNow,U-116
xmgr,U-117
kivaToFoam utility, U-99
kkLOmega model, U-207
LamBremhorstKE model, U-206
Lambda2 post-processing, U-185
laminar
keyword entry, U-45,U-206
laplacianFoam solver, U-92
laplacianSchemes keyword, U-118
latestTime
keyword entry, U-116
latestTime keyword, U-42
LaunderSharmaKE model, U-206,U-207
layers keyword, U-164
leastSquares
keyword entry, U-121
leastSquares keyword, U-56
LES
keyword entry, U-45,U-206
LESModel keyword, U-208,U-209
levels keyword, U-163
libraries, U-73
library
PVFoamReader,U-177
thermophysical,U-199
vtkPVFoam,U-177
libs keyword, U-85,U-118
lid-driven cavity flow, U-20
LienCubicKE model, U-207
LienLeschziner model, U-207
Lights button, U-182
limited
keyword entry, U-124
limitedLinear
keyword entry, U-122
line
keyword entry, U-150
Line Style menu, U-39
linear model, U-203
linear
keyword entry, U-121
linearRamp keyword, U-146
linearUpwind
keyword entry, U-122
localEuler
keyword entry, U-120
location keyword, U-107
locationInMesh keyword, U-161,U-162
lowCpCoeffs keyword, U-202
LRR model, U-206,U-207
LUST
keyword entry, U-122
MachNo post-processing, U-185
mag post-processing, U-185
magSqr post-processing, U-185
magneticFoam solver, U-97
Make directory, U-77
make script, U-75
Make/files file, U-79
manual
keyword entry, U-87,U-88
manualCoeffs keyword, U-88
mapFields utility, U-98
mapFieldsPar utility, U-98
mapFields utility, U-35,U-42,U-46,U-59,U-174
mapping
fields, U-174
Marker Style menu, U-39
masterUncollated
keyword entry, U-87
maxAlphaCo keyword, U-66
maxBoundarySkewness keyword, U-167
maxCo keyword, U-66,U-117
maxConcave keyword, U-167
maxDeltaT keyword, U-66
maxFaceThicknessRatio keyword, U-166
maxGlobalCells keyword, U-161
maximum iterations, U-127
maxInternalSkewness keyword, U-167
maxIter keyword, U-127
maxLocalCells keyword, U-161
maxNonOrtho keyword, U-167
maxPostSweeps keyword, U-129
maxPreSweeps keyword, U-129
maxThicknessToMedialRatio keyword, U-166
maxThreadFileBufferSize keyword, U-89
mdEquilibrationFoam solver, U-97
mdFoam solver, U-97
mdInitialise utility, U-98
mechanicalProperties
dictionary, U-55
menu
Color By,U-181
Common,U-31
OpenFOAM-5.0

Index U-225
Current Time Controls,U-28,U-179
Edit,U-182
Filters,U-31
Help,U-181
Line Style,U-39
Marker Style,U-39
Recent,U-31
VCR Controls,U-28,U-179
View,U-178,U-181
menu entry
Contour,U-31
Plot Over Line,U-38
Save Animation,U-183
Save Screenshot,U-183
Settings,U-182
Slice,U-31
Solid Color,U-181
Toolbars,U-181
View Settings,U-26,U-181
Wireframe,U-181
fvSchemes,U-56
mergeMeshes utility, U-100
mergeOrSplitBaffles utility, U-100
mergeLevels keyword, U-129
mergePatchPairs keyword, U-148,U-149
mergeTolerance keyword, U-159
mesh
1-dimensional, U-138
1D, U-138
2-dimensional, U-138
2D, U-138
axi-symmetric, U-138
block structured, U-147
decomposition, U-86
description, U-135
generation, U-147,U-158
grading, U-147,U-151
resolution, U-33
specification, U-135
split-hex, U-158
Stereolithography (STL), U-158
surface, U-158
validity constraints, U-135
Mesh Parts window panel, U-26
meshQualityControls keyword, U-159
message passing interface
openMPI,U-90
method keyword, U-88
MGridGen
keyword entry, U-129
mhdFoam solver, U-97
minMaxComponents post-processing, U-187
minMaxMagnitude post-processing, U-187
minArea keyword, U-167
minDeterminant keyword, U-167
minFaceWeight keyword, U-167
minFlatness keyword, U-167
minMedianAxisAngle keyword, U-166
minRefinementCells keyword, U-161
minTetQuality keyword, U-167
minThickness keyword, U-166
minTriangleTwist keyword, U-167
minTwist keyword, U-167
minVol keyword, U-167
minVolRatio keyword, U-167
mirrorMesh utility, U-100
mixed
boundary condition, U-143
mixture keyword, U-201
mixtureAdiabaticFlameT utility, U-104
mode keyword, U-163
model
Boussinesq,U-203
DeardorffDiffStress,U-208,U-209
LRR,U-206,U-207
LamBremhorstKE,U-206
LaunderSharmaKE,U-206,U-207
LienCubicKE,U-207
LienLeschziner,U-207
PengRobinsonGas,U-204
RNGkEpsilon,U-207
SSG,U-207,U-208
ShihQuadraticKE,U-207
Smagorinsky,U-208,U-209
SpalartAllmarasDDES,U-209
SpalartAllmarasDES,U-209
SpalartAllmarasIDDES,U-209
SpalartAllmaras,U-207,U-208
WALE,U-209
adiabaticPerfectFluid,U-203
buoyantKEpsilon,U-208
dynamicKEqn,U-209
dynamicLagrangian,U-209
fluidThermo,U-200
icoPolynomial,U-204
incompressiblePerfectGas,U-203
kEpsilon,U-207,U-208
kEqn,U-209
kOmegaSSTDES,U-209
kOmegaSSTLM,U-207,U-208
OpenFOAM-5.0

U-226 Index
kOmegaSSTSAS,U-207,U-208
kOmega,U-207,U-208
kkLOmega,U-207
linear,U-203
multiphaseMixtureThermo,U-200
perfectFluid,U-203
perfectGas,U-203
psiReactionThermo,U-200
psiThermo,U-200
psiuReactionThermo,U-200
qZeta,U-207
realizableKE,U-207,U-208
rhoConst,U-203
rhoReactionThermo,U-200
rhoThermo,U-200
v2f,U-207,U-208
modifyMesh utility, U-101
molWeight keyword, U-204
momentumPredictor keyword, U-131
moveDynamicMesh utility, U-100
moveEngineMesh utility, U-100
moveMesh utility, U-100
MPI
openMPI,U-90
MPPICDyMFoam solver, U-96
MPPICFoam solver, U-96
mshToFoam utility, U-99
mu keyword, U-201
MULESCorr keyword, U-66
multiComponentMixture keyword, U-201
multigrid
geometric-algebraic, U-129
multiphaseEulerFoam solver, U-94
multiphaseInterDyMFoam solver, U-94
multiphaseInterFoam solver, U-94
multiphaseMixtureThermo model, U-200
multivariateSelection
keyword entry, U-123
nkeyword, U-88
N2 keyword, U-201
nAlphaSubCycles keyword, U-67
name keyword, U-157
nBufferCellsNoExtrude keyword, U-166
nCellsBetweenLevels keyword, U-161
nCorrectors keyword, U-131
neighbour
dictionary, U-137
neighbourPatch keyword, U-154
netgenNeutralToFoam utility, U-99
Newtonian
keyword entry, U-64
nextWrite
keyword entry, U-116
nFaces keyword, U-137
nFinestSweeps keyword, U-129
nGrow keyword, U-166
nLayerIter keyword, U-166
nMoles keyword, U-204
nNonOrthogonalCorrectors keyword, U-131
noise utility, U-101
nonNewtonianIcoFoam solver, U-92
nonBlocking
keyword entry, U-84
none
keyword entry, U-119,U-128
noSlip
boundary condition, U-23
noWriteNow
keyword entry, U-116
nPostSweeps keyword, U-129
nPreSweeps keyword, U-129
nRelaxedIter keyword, U-166
nRelaxIter keyword, U-164,U-166
nSmoothNormals keyword, U-166
nSmoothPatch keyword, U-164
nSmoothScale keyword, U-167
nSmoothSurfaceNormals keyword, U-166
nSmoothThickness keyword, U-166
nSolveIter keyword, U-164
nu keyword, U-211
numberOfSubdomains keyword, U-88
O2 keyword, U-201
objToVTK utility, U-100
object keyword, U-107
one keyword, U-146
Opacity text box, U-181
OpenFOAM
applications, U-73
file format, U-106
libraries, U-73
OpenFOAM file syntax
//,U-106
openMPI
message passing interface, U-90
MPI, U-90
Options window, U-182
options file, U-77
order keyword, U-88
orientFaceZone utility, U-100
Orientation Axes button, U-26
OpenFOAM-5.0

Index U-227
orthogonal
keyword entry, U-124
outside
keyword entry, U-163
owner
dictionary, U-137
oxidant keyword, U-201
pfield, U-25
paraFoam,U-177
paraFoam,U-26
parallel
running, U-86
parallel I/O, U-87
file handler, U-89
threading support, U-89
Paramters window panel, U-179
ParaView,U-26
particleTracks utility, U-101
patch
boundary condition, U-141
patchSummary utility, U-104
patches keyword, U-149
patchMap keyword, U-174
PBiCG
keyword entry, U-126
PBiCGStab
keyword entry, U-126
PCG
keyword entry, U-126
pdfPlot utility, U-101
PDRFoam solver, U-95
PDRMesh utility, U-101
PecletNo post-processing, U-185
PengRobinsonGas model, U-204
perfectFluid model, U-203
perfectGas model, U-203
phases keyword, U-64
PIMPLE
dictionary, U-131
pimpleDyMFoam solver, U-92
pimpleFoam solver, U-92
Pipeline Browser window, U-26,U-178
PISO
dictionary, U-25,U-131
pisoFoam solver, U-92
pisoFoam solver, U-20
Plot Over Line
menu entry, U-38
plot3dToFoam utility, U-99
points
dictionary, U-137,U-148
polyDualMesh utility, U-100
polyLine
keyword entry, U-150
polyMesh directory, U-105,U-137
polyMesh class, U-135,U-137
polynomial keyword, U-146
porousSimpleFoam solver, U-92
post-processing, U-177
CourantNo,U-185
Lambda2,U-185
MachNo,U-185
PecletNo,U-185
Q,U-185
R,U-185
XiReactionRate,U-185
add,U-185
boundaryCloud,U-187
cellMax,U-187
cellMin,U-187
components,U-185
div,U-185
dsmcFields,U-187
enstrophy,U-185
faceMax,U-187
faceMin,U-187
flowRateFaceZone,U-186
flowRatePatch,U-186
flowType,U-185
forceCoeffsCompressible,U-186
forceCoeffsIncompressible,U-186
forcesCompressible,U-186
forcesIncompressible,U-186
grad,U-185
interfaceHeight,U-187
internalCloud,U-188
magSqr,U-185
mag,U-185
minMaxComponents,U-187
minMaxMagnitude,U-187
pressureDifferencePatch,U-187
pressureDifferenceSurface,U-187
probes,U-188,U-191
randomise,U-185
residuals,U-187,U-195
scalarTransport,U-188
singleGraph,U-186,U-192
staticPressure,U-187
streamFunction,U-185
streamlines,U-188,U-193
OpenFOAM-5.0

U-228 Index
subtract,U-185
surfaces,U-188,U-193
totalPressureCompressible,U-187
totalPressureIncompressible,U-187
turbulenceFields,U-185
volFlowRateSurface,U-186
vorticity,U-185
wallHeatFlux,U-186
wallShearStress,U-186
writeCellCentres,U-186
writeCellVolumes,U-186
writeObjects,U-186
yPlus,U-186
post-processing
paraFoam,U-177
postChannel utility, U-101
postProcess utility, U-101
postProcess utility, U-37,U-184
postSweepsLevelMultiplier keyword, U-129
potentialFoam solver, U-92
potentialFreeSurfaceDyMFoam solver, U-94
potentialFreeSurfaceFoam solver, U-94
Pr keyword, U-201
preconditioner keyword, U-126,U-128
pRefCell keyword, U-25,U-26,U-131
pRefValue keyword, U-25,U-26,U-131
pressure keyword, U-55
pressureDifferencePatch post-processing, U-187
pressureDifferenceSurface post-processing, U-187
pressureInletOutletVelocity
boundary condition, U-144
preSweepsLevelMultiplier keyword, U-129
printCoeffs keyword, U-45,U-206
processorWeights keyword, U-87
probeLocations keyword, U-191
probes post-processing, U-188,U-191
process
background, U-26,U-86
foreground, U-26
processor
boundary condition, U-141
processorNdirectory, U-87
processorWeights keyword, U-88
project keyword, U-156
Properties window, U-179,U-180
Properties window panel, U-28,U-178
psiReactionThermo model, U-200
psiThermo model, U-200
psiuReactionThermo model, U-200
pureMixture
keyword entry, U-201
purgeWrite keyword, U-117
PVFoamReader
library, U-177
Qpost-processing, U-185
qZeta model, U-207
quadraticRamp keyword, U-146
quarterSineRamp keyword, U-146
quarterCosineRamp keyword, U-146
Rpost-processing, U-185
randomise post-processing, U-185
RAS
keyword entry, U-45,U-206
RASModel keyword, U-206,U-207
raw
keyword entry, U-117
reactingFoam solver, U-95
reactingMultiphaseEulerFoam solver, U-94
reactingParcelFilmFoam solver, U-96
reactingParcelFoam solver, U-96
reactingTwoPhaseEulerFoam solver, U-94
reactingMixture
keyword entry, U-201
realizableKE model, U-207,U-208
Recent menu, U-31
reconstructPar utility, U-103
reconstructParMesh utility, U-103
reconstructPar utility, U-91
redistributePar utility, U-103
refineHexMesh utility, U-101
refineMesh utility, U-100
refineWallLayer utility, U-101
refinementLevel utility, U-101
refinementRegions keyword, U-163
refinementRegions keyword, U-161,U-163
refinementSurfaces keyword, U-161,U-162
Refresh Times button, U-28,U-179
regions keyword, U-64
relative tolerance, U-127
relativeSizes keyword, U-166
relaxed keyword, U-167
relTol keyword, U-57,U-126,U-127
removeFaces utility, U-101
Render View window, U-182
Render View window panel, U-181,U-182
renumberMesh utility, U-100
Rescale button, U-28
Reset button, U-178
residuals
OpenFOAM-5.0

Index U-229
monitoring, U-195
residuals post-processing, U-187,U-195
resolveFeatureAngle keyword, U-161,U-162
restart, U-42
Reynolds number, U-20,U-24
rhoCentralDyMFoam solver, U-92
rhoCentralFoam solver, U-92
rhoPimpleDyMFoam solver, U-93
rhoPimpleFoam solver, U-93
rhoPorousSimpleFoam solver, U-93
rhoReactingBuoyantFoam solver, U-95
rhoReactingFoam solver, U-95
rhoSimpleFoam solver, U-93
rhoConst model, U-203
rhoReactionThermo model, U-200
rhoThermo model, U-200
RNGkEpsilon model, U-207
roots keyword, U-88,U-90
rotateMesh utility, U-100
run
parallel, U-86
run directory, U-19,U-105
runTime
keyword entry, U-36,U-116
runTimeModifiable keyword, U-117
sammToFoam utility, U-99
Save Animation
menu entry, U-183
Save Screenshot
menu entry, U-183
scalarTransportFoam solver, U-92
scalarTransport post-processing, U-188
scale keyword, U-146
scalePoints utility, U-171
scheduled
keyword entry, U-84
scientific
keyword entry, U-117
scotch
keyword entry, U-87,U-88
scotchCoeffs keyword, U-88
script
foamCloneCase,U-42,U-132
foamCorrectVrt,U-172
foamSearch,U-119
make,U-75
wclean,U-79
wmake,U-75
Seed window, U-183
selectCells utility, U-101
Set Ambient Color button, U-181
setFields utility, U-98
setSet utility, U-100
setFields utility, U-63,U-64
setsToZones utility, U-100
Settings
menu entry, U-182
shallowWaterFoam solver, U-92
shape, U-151
ShihQuadraticKE model, U-207
SI units, U-110
sigma keyword, U-64
SIMPLE
dictionary, U-131
simple
keyword entry, U-87,U-88
simpleFoam solver, U-92
simpleReactingParcelFoam solver, U-96
simpleGrading keyword, U-151
simulationType keyword, U-45,U-65,U-205
sine keyword, U-146
singleCellMesh utility, U-100
singleGraph post-processing, U-186,U-192
singleStepReactingMixture keyword, U-201
Slice
menu entry, U-31
Smagorinsky model, U-208,U-209
smapToFoam utility, U-102,U-196
smoother keyword, U-129
smoothSolver
keyword entry, U-126
snap keyword, U-159
snapControls keyword, U-159
snappyHexMesh utility, U-98
snappyHexMesh utility
background mesh, U-160
cell removal, U-162
cell splitting, U-160
mesh layers, U-164
meshing process, U-159
snapping to surfaces, U-163
snappyHexMesh utility, U-158
snappyHexMeshDict file, U-159
snGradSchemes keyword, U-118
Solid Color
menu entry, U-181
solidDisplacementFoam solver, U-97
solidEquilibriumDisplacementFoam solver, U-97
solidDisplacementFoam solver, U-55
solver
OpenFOAM-5.0

U-230 Index
DPMDyMFoam,U-96
DPMFoam,U-96
MPPICDyMFoam,U-96
MPPICFoam,U-96
PDRFoam,U-95
SRFPimpleFoam,U-92
SRFSimpleFoam,U-92
XiFoam,U-95
adjointShapeOptimizationFoam,U-92
boundaryFoam,U-92
buoyantBoussinesqPimpleFoam,U-95
buoyantBoussinesqSimpleFoam,U-95
buoyantPimpleFoam,U-95
buoyantSimpleFoam,U-95
cavitatingDyMFoam,U-93
cavitatingFoam,U-93
chemFoam,U-95
chtMultiRegionFoam,U-95
chtMultiRegionSimpleFoam,U-95
coalChemistryFoam,U-96
coldEngineFoam,U-95
compressibleInterDyMFoam,U-93
compressibleInterFoam,U-93
compressibleMultiphaseInterFoam,U-93
dnsFoam,U-94
driftFluxFoam,U-93
dsmcFoam,U-97
electrostaticFoam,U-97
engineFoam,U-95
financialFoam,U-97
fireFoam,U-95
icoFoam,U-20,U-24,U-28
icoFoam,U-92
icoUncoupledKinematicParcelDyMFoam,U-96
icoUncoupledKinematicParcelFoam,U-96
interDyMFoam,U-93
interFoam,U-93
interMixingFoam,U-93
interPhaseChangeDyMFoam,U-94
interPhaseChangeFoam,U-94
laplacianFoam,U-92
magneticFoam,U-97
mdEquilibrationFoam,U-97
mdFoam,U-97
mhdFoam,U-97
multiphaseEulerFoam,U-94
multiphaseInterDyMFoam,U-94
multiphaseInterFoam,U-94
nonNewtonianIcoFoam,U-92
pimpleDyMFoam,U-92
pimpleFoam,U-92
pisoFoam,U-20
pisoFoam,U-92
porousSimpleFoam,U-92
potentialFoam,U-92
potentialFreeSurfaceDyMFoam,U-94
potentialFreeSurfaceFoam,U-94
reactingFoam,U-95
reactingMultiphaseEulerFoam,U-94
reactingParcelFilmFoam,U-96
reactingParcelFoam,U-96
reactingTwoPhaseEulerFoam,U-94
rhoCentralDyMFoam,U-92
rhoCentralFoam,U-92
rhoPimpleDyMFoam,U-93
rhoPimpleFoam,U-93
rhoPorousSimpleFoam,U-93
rhoReactingBuoyantFoam,U-95
rhoReactingFoam,U-95
rhoSimpleFoam,U-93
scalarTransportFoam,U-92
shallowWaterFoam,U-92
simpleFoam,U-92
simpleReactingParcelFoam,U-96
solidDisplacementFoam,U-55
solidDisplacementFoam,U-97
solidEquilibriumDisplacementFoam,U-97
sonicDyMFoam,U-93
sonicFoam,U-93
sonicLiquidFoam,U-93
sprayDyMFoam,U-96
sprayEngineFoam,U-96
sprayFoam,U-96
thermoFoam,U-95
twoLiquidMixingFoam,U-94
twoPhaseEulerFoam,U-94
uncoupledKinematicParcelDyMFoam,U-96
uncoupledKinematicParcelFoam,U-96
solver keyword, U-57,U-126
solver relative tolerance, U-127
solver tolerance, U-127
solvers keyword, U-126
sonicDyMFoam solver, U-93
sonicFoam solver, U-93
sonicLiquidFoam solver, U-93
SpalartAllmaras model, U-207,U-208
SpalartAllmarasDDES model, U-209
SpalartAllmarasDES model, U-209
SpalartAllmarasIDDES model, U-209
specie keyword, U-204
OpenFOAM-5.0

Index U-231
spline
keyword entry, U-150
spline keyword, U-149
splitCells utility, U-101
splitMesh utility, U-100
splitMeshRegions utility, U-100
sprayDyMFoam solver, U-96
sprayEngineFoam solver, U-96
sprayFoam solver, U-96
square keyword, U-146
SRFPimpleFoam solver, U-92
SRFSimpleFoam solver, U-92
SSG model, U-207,U-208
star3ToFoam utility, U-99
star4ToFoam utility, U-99
startFace keyword, U-137
startFrom keyword, U-24,U-116
starToFoam utility, U-168
startTime
keyword entry, U-24,U-116
startTime keyword, U-24,U-116
staticPressure post-processing, U-187
steadyParticleTracks utility, U-101
steadyState
keyword entry, U-120
Stereolithography (STL), U-158
stitchMesh utility, U-100
stopAt keyword, U-116
strategy keyword, U-87,U-88
streamFunction post-processing, U-185
streamlines post-processing, U-188,U-193
stress analysis of plate with hole, U-50
Style window panel, U-181
subsetMesh utility, U-100
subtract post-processing, U-185
surface mesh, U-158
surfaceAdd utility, U-102
surfaceAutoPatch utility, U-102
surfaceCheck utility, U-102
surfaceClean utility, U-102
surfaceCoarsen utility, U-102
surfaceConvert utility, U-102
surfaceFeatureConvert utility, U-102
surfaceFeatureExtract utility, U-102
surfaceFind utility, U-102
surfaceHookUp utility, U-102
surfaceInertia utility, U-102
surfaceLambdaMuSmooth utility, U-102
surfaceMeshConvert utility, U-102
surfaceMeshConvertTesting utility, U-102
surfaceMeshExport utility, U-103
surfaceMeshImport utility, U-103
surfaceMeshInfo utility, U-103
surfaceMeshTriangulate utility, U-103
surfaceOrient utility, U-103
surfacePointMerge utility, U-103
surfaceRedistributePar utility, U-103
surfaceRefineRedGreen utility, U-103
surfaceSplitByPatch utility, U-103
surfaceSplitNonManifolds utility, U-103
surfaceSubset utility, U-103
surfaceToPatch utility, U-103
surfaceTransformPoints utility, U-103
surfaceFeatureExtract utility, U-161
surfaces post-processing, U-188,U-193
symGaussSeidel
keyword entry, U-128
symmetry
boundary condition, U-141
symmetryPlane
boundary condition, U-140,U-141
system directory, U-105
table keyword, U-146
tableFile keyword, U-146
Tcommon keyword, U-202
temporalInterpolate utility, U-101
tetgenToFoam utility, U-99
text box
Opacity,U-181
thermalProperties
dictionary, U-55
thermoFoam solver, U-95
thermodynamics keyword, U-204
thermophysical
library, U-199
thermophysicalProperties
dictionary, U-199
thermoType keyword, U-199
thickness keyword, U-166
Thigh keyword, U-202
time
control, U-115
time step, U-24
timeFormat keyword, U-117
timePrecision keyword, U-117
timeScheme keyword, U-118
timeStamp
keyword entry, U-84
timeStampMaster
keyword entry, U-84
OpenFOAM-5.0

U-232 Index
timeStep
keyword entry, U-25,U-36,U-116
Tlow keyword, U-202
tolerance
solver, U-127
solver relative, U-127
tolerance keyword, U-57,U-126,U-127,U-164
Toolbars
menu entry, U-181
topoSet utility, U-100
topoSetSource keyword, U-64
totalPressure
boundary condition, U-144
totalPressureCompressible post-processing, U-187
totalPressureIncompressible post-processing,
U-187
traction keyword, U-55
transformPoints utility, U-100
transport keyword, U-200,U-204
transportProperties
dictionary, U-24,U-42,U-46,U-211
transportProperties file, U-64
Ts keyword, U-201
turbulence
dissipation, U-44
kinetic energy, U-44
length scale, U-45
turbulence keyword, U-206
turbulence model
RAS, U-44
turbulenceFields post-processing, U-185
turbulenceProperties
dictionary, U-45,U-65,U-205
tutorials
breaking of a dam, U-60
lid-driven cavity flow, U-20
stress analysis of plate with hole, U-50
tutorials directory, U-19
twoLiquidMixingFoam solver, U-94
twoPhaseEulerFoam solver, U-94
type keyword, U-200
Ufield, U-25
uncollated
keyword entry, U-87
uncorrected
keyword entry, U-124
uncoupledKinematicParcelDyMFoam solver, U-96
uncoupledKinematicParcelFoam solver, U-96
uniformFixedValue
boundary condition, U-146
uniformValue keyword, U-146
units
base, U-110
of measurement, U-109
SI, U-110
Système International, U-110
United States Customary System, U-110
USCS, U-110
Update GUI button, U-179
upwind
keyword entry, U-122
upwind differencing, U-67
USCS units, U-110
Use Parallel Projection button, U-26
utility
PDRMesh,U-101
adiabaticFlameT,U-104
ansysToFoam,U-98
applyBoundaryLayer,U-97
attachMesh,U-99
autoPatch,U-99
autoRefineMesh,U-101
blockMesh,U-41,U-147
blockMesh,U-98
boxTurb,U-97
ccm26ToFoam,U-99
cfx4ToFoam,U-168
cfx4ToFoam,U-98
changeDictionary,U-97
checkMesh,U-169
checkMesh,U-99
chemkinToFoam,U-104
collapseEdges,U-101
combinePatchFaces,U-101
createBaffles,U-99
createExternalCoupledPatchGeometry,U-97
createPatch,U-99
datToFoam,U-98
decomposePar,U-86,U-87
decomposePar,U-103
deformedGeom,U-100
dsmcInitialise,U-98
engineCompRatio,U-101
engineSwirl,U-98
ensightFoamReader,U-197
equilibriumCO,U-104
equilibriumFlameT,U-104
extrudeMesh,U-98
extrudeToRegionMesh,U-98
flattenMesh,U-100
OpenFOAM-5.0

Index U-233
fluent3DMeshToFoam,U-99
fluentMeshToFoam,U-168
fluentMeshToFoam,U-99
foamDictionary,U-132
foamFormatConvert,U-89
foamListTimes,U-132
foamDataToFluent,U-102,U-195
foamDictionary,U-104
foamFormatConvert,U-104
foamHelp,U-104
foamListTimes,U-104
foamMeshToFluent,U-99
foamToEnsightParts,U-102,U-195
foamToEnsight,U-102,U-195
foamToGMV,U-102,U-196
foamToStarMesh,U-99
foamToSurface,U-99
foamToTecplot360,U-102,U-196
foamToTetDualMesh,U-102,U-196
foamToVTK,U-102,U-196
foamUpgradeCyclics,U-98
foamyHexMeshBackgroundMesh,U-98
foamyHexMeshSurfaceSimplify,U-98
foamyHexMesh,U-98
foamyQuadMesh,U-98
gambitToFoam,U-168
gambitToFoam,U-99
gmshToFoam,U-99
ideasToFoam,U-168
ideasUnvToFoam,U-99
insideCells,U-100
kivaToFoam,U-99
mapFields,U-35,U-42,U-46,U-59,U-174
mapFieldsPar,U-98
mapFields,U-98
mdInitialise,U-98
mergeMeshes,U-100
mergeOrSplitBaffles,U-100
mirrorMesh,U-100
mixtureAdiabaticFlameT,U-104
modifyMesh,U-101
moveDynamicMesh,U-100
moveEngineMesh,U-100
moveMesh,U-100
mshToFoam,U-99
netgenNeutralToFoam,U-99
noise,U-101
objToVTK,U-100
orientFaceZone,U-100
particleTracks,U-101
patchSummary,U-104
pdfPlot,U-101
plot3dToFoam,U-99
polyDualMesh,U-100
postProcess,U-37,U-184
postChannel,U-101
postProcess,U-101
reconstructPar,U-91
reconstructParMesh,U-103
reconstructPar,U-103
redistributePar,U-103
refineHexMesh,U-101
refineMesh,U-100
refineWallLayer,U-101
refinementLevel,U-101
removeFaces,U-101
renumberMesh,U-100
rotateMesh,U-100
sammToFoam,U-99
scalePoints,U-171
selectCells,U-101
setFields,U-63,U-64
setFields,U-98
setSet,U-100
setsToZones,U-100
singleCellMesh,U-100
smapToFoam,U-102,U-196
snappyHexMesh,U-158
snappyHexMesh,U-98
splitCells,U-101
splitMeshRegions,U-100
splitMesh,U-100
star3ToFoam,U-99
star4ToFoam,U-99
starToFoam,U-168
steadyParticleTracks,U-101
stitchMesh,U-100
subsetMesh,U-100
surfaceFeatureExtract,U-161
surfaceAdd,U-102
surfaceAutoPatch,U-102
surfaceCheck,U-102
surfaceClean,U-102
surfaceCoarsen,U-102
surfaceConvert,U-102
surfaceFeatureConvert,U-102
surfaceFeatureExtract,U-102
surfaceFind,U-102
surfaceHookUp,U-102
surfaceInertia,U-102
OpenFOAM-5.0

U-234 Index
surfaceLambdaMuSmooth,U-102
surfaceMeshConvertTesting,U-102
surfaceMeshConvert,U-102
surfaceMeshExport,U-103
surfaceMeshImport,U-103
surfaceMeshInfo,U-103
surfaceMeshTriangulate,U-103
surfaceOrient,U-103
surfacePointMerge,U-103
surfaceRedistributePar,U-103
surfaceRefineRedGreen,U-103
surfaceSplitByPatch,U-103
surfaceSplitNonManifolds,U-103
surfaceSubset,U-103
surfaceToPatch,U-103
surfaceTransformPoints,U-103
temporalInterpolate,U-101
tetgenToFoam,U-99
topoSet,U-100
transformPoints,U-100
viewFactorsGen,U-98
vtkUnstructuredToFoam,U-99
wallFunctionTable,U-98
writeMeshObj,U-99
zipUpMesh,U-100
v2f model, U-207,U-208
value keyword, U-23,U-142
valueFraction keyword, U-143
VCR Controls menu, U-28,U-179
vector class, U-109
version keyword, U-107
vertices keyword, U-22,U-148,U-149
veryInhomogeneousMixture keyword, U-201
View menu, U-178,U-181
View Render window panel, U-26
View Settings
menu entry, U-26,U-181
viewFactorsGen utility, U-98
viscosity
kinematic, U-24,U-46
volFlowRateSurface post-processing, U-186
vorticity post-processing, U-185
vtkUnstructuredToFoam utility, U-99
vtkPVFoam
library, U-177
WALE model, U-209
wall
boundary condition, U-63,U-140,U-141
wallFunctionTable utility, U-98
wallHeatFlux post-processing, U-186
wallShearStress post-processing, U-186
wallDist keyword, U-118
wclean script, U-79
wedge
boundary condition, U-138,U-141,U-157
window
Color Legend,U-33
Options,U-182
Pipeline Browser,U-26,U-178
Properties,U-179,U-180
Render View,U-182
Seed,U-183
window panel
Animations,U-182
Annotation,U-26
Charts,U-182
Color Legend,U-181
Color Scale,U-181
Colors,U-182
Display,U-26,U-28,U-178,U-180
General,U-182
Information,U-178
Mesh Parts,U-26
Paramters,U-179
Properties,U-28,U-178
Render View,U-181,U-182
Style,U-181
View Render,U-26
Wireframe
menu entry, U-181
WM_ARCH
environment variable, U-80
WM_ARCH_OPTION
environment variable, U-80
WM_COMPILE_OPTION
environment variable, U-80
WM_COMPILER
environment variable, U-80
WM_COMPILER_TYPE
environment variable, U-80
WM_DIR
environment variable, U-80
WM_LABEL_OPTION
environment variable, U-80
WM_LABEL_SIZE
environment variable, U-80
WM_LINK_LANGUAGE
environment variable, U-80
WM_MPLIB
OpenFOAM-5.0

Index U-235
environment variable, U-80
WM_OPTIONS
environment variable, U-80
WM_PRECISION_OPTION
environment variable, U-80
WM_PROJECT
environment variable, U-80
WM_PROJECT_DIR
environment variable, U-80
WM_PROJECT_INST_DIR
environment variable, U-80
WM_PROJECT_USER_DIR
environment variable, U-80
WM_PROJECT_VERSION
environment variable, U-80
WM_THIRD_PARTY_DIR
environment variable, U-80
wmake script, U-75
writeCellCentres post-processing, U-186
writeCellVolumes post-processing, U-186
writeMeshObj utility, U-99
writeObjects post-processing, U-186
writeCompression keyword, U-117
writeControl keyword, U-25,U-66,U-116
writeFormat keyword, U-117
writeInterval keyword, U-25,U-36,U-117
writeNow
keyword entry, U-116
writePrecision keyword, U-117
XiFoam solver, U-95
XiReactionRate post-processing, U-185
xmgr
keyword entry, U-117
yPlus post-processing, U-186
zero keyword, U-146
zeroGradient
boundary condition, U-142
zipUpMesh utility, U-100
OpenFOAM-5.0
