PTX_UM_P7_CRP_HSeries_254797E PTX UM P7 CRP HSeries 254797E
PTX_UM_P7_CRP_HSeries_254797E-1 PTX_UM_P7_CRP_HSeries_254797E-1
PTX_UM_P7_CRP_HSeries_254797E PTX_UM_P7_CRP_HSeries_254797E
PTX_UM_P7_CRP_HSeries_254797E PTX_UM_P7_CRP_HSeries_254797E
PTX_UM_P7_CRP_HSeries_254797E PTX_UM_P7_CRP_HSeries_254797E
PTX_UM_P7_CRP_HSeries_254797E PTX_UM_P7_CRP_HSeries_254797E
User Manual: PTX_UM_P7_CRP_HSeries_254797E
Open the PDF directly: View PDF
.
Page Count: 220 [warning: Documents this large are best viewed by clicking the View PDF Link!]
- 1 Introduction
- 2 Setting Up The Printer
- 3 Operating The Printer
- 4 The Configuration Menus
- 5 Interfaces
- 6 Reprogramming the Security Key
- 7 Troubleshooting
- A Printer Specifications
- B ASCII Character Set
- C Zero Tear Pedestal
- D Customer Support
- E Communication Notices

P7000 H-Series Cartridge Ribbon Printer
User’s Manual
Software License Agreement
CAREFULLY READ THE FOLLOWING TERMS AND
CONDITIONS BEFORE USING THIS PRINTER. USING THIS
PRINTER INDICATES YOUR ACCEPTANCE OF THESE
TERMS AND CONDITIONS. IF YOU DO NOT AGREE TO
THESE TERMS AND CONDITIONS, PROMPTLY RETURN
THE PRINTER AND ALL ACCOMPANYING HARDWARE
AND WRITTEN MATERIALS TO THE PLACE YOU
OBTAINED THEM, AND YOUR MONEY WILL BE
REFUNDED.
Definitions.
“Software” shall mean the digitally encoded, machine-readable
data and program. The term “Software Product” includes the
Software resident in the printer and its documentation. The
Software Product is licensed (not sold) to you, and Printronix,
Inc. either owns or licenses from other vendors who own, all
copyright, trade secret, patent and other proprietary rights in
the Software Product.
License.
1.
Authorized Use. You agree to accept a non-exclusive
license to use the Software resident in the printer solely
for your own customary business or personal purposes.
2.
Restrictions.
a. To protect the proprietary rights of Printronix, Inc.,
you agree to maintain the Software Product and
other proprietary information concerning the
typefaces in strict confidence.
b. You agree not to duplicate or copy the Software
Product.
c. You shall not sublicense, sell, lease, or otherwise
transfer all or any portion of the Software Product
separate from the printer, without the prior written
consent of Printronix, Inc.
d. You may not modify or prepare derivative works of
the Software Product.
e. You may not transmit the Software Product over a
network, by telephone, or electronically using any
means; or reverse engineer, decompile or
disassemble the Software.
f. You agree to keep confidential and use your best
efforts to prevent and protect the contents of the
Software Product from unauthorized disclosure or
use.
3.
Transfer. You may transfer the Software Product with the
printer, but only if the recipient agrees to accept the
terms and conditions of this Agreement. Your license is
automatically terminated if you transfer the Software
Product and printer.
Limited Software Product Warranty
Printronix, Inc. warrants that for ninety (90) days after delivery,
the Software will perform in accordance with specifications
published by Printronix, Inc. Printronix, Inc. does not warrant
that the Software is free from all bugs, errors and omissions.
Remedy
Your exclusive remedy and the sole liability of Printronix, Inc.
in connection with the Software is replacement of defective
software with a copy of the same version and revision level.
Disclaimer of Warranties and Limitation of Remedies
1.
THE PARTIES AGREE THAT ALL OTHER
WARRANTIES, EXPRESS OR IMPLIED, INCLUDING
WARRANTIES OF FITNESS FOR A PARTICULAR
PURPOSE AND MERCHANTABILITY ARE EXCLUDED.
Printronix, Inc. does not warrant that the functions
contained in the Software will meet your requirements or
that the operation of the Software will be uninterrupted or
error free. Printronix, Inc. reserves the right to make
changes and/or improvements in the Software without
notice at any time.
2.
IN NO EVENT WILL PRINTRONIX, INC. BE LIABLE
FOR LOST PROFITS, LOST DATA, BUSINESS
INTERRUPTIONS, OR ANY OTHER DIRECT,
INDIRECT, INCIDENTAL OR CONSEQUENTIAL
DAMAGES ARISING OUT OF THE USE OF OR
INABILITY TO USE THIS PRODUCT, EVEN IF
PRINTRONIX, INC. HAS BEEN ADVISED OF THE
POSSIBILITY OF SUCH DAMAGES, OR ANY
DAMAGES CAUSED BY THE ABUSE OR
MANIPULATION OF THE SOFTWARE. SOME STATES
DO NOT ALLOW THE EXCLUSION OR LIMITATION OF
LIABILITY FOR CONSEQUENTIAL OR INCIDENTAL
DAMAGES, SO THE ABOVE LIMITATION MAY NOT
APPLY TO YOU.
3.
Printronix, Inc. will not be liable for any loss or damage
caused by delay in furnishing a Software Product or any
other performance under this Agreement.
4.
Our entire liability and your exclusive remedies for our
liability of any kind (including liability for negligence
except liability for personal injury caused solely by our
negligence) for the Software Product covered by this
Agreement and all other performance or nonperformance
by us under or related to this Agreement are limited to the
remedies specified by this Agreement.
5.
California law governs this Agreement.
Termination of License Agreement
This License shall continue until terminated. This license may
be terminated by agreement between you and Printronix, Inc.
or by Printronix, Inc. If you fail to comply with the terms of this
License and such failure is not corrected within thirty (30) days
after notice. When this License is terminated, you shall return
to the place you obtained them, the printer and all copies of the
Software and documentation.
U.S. Government Restricted Rights
Use, duplication or disclosure by the Government is subject to
restrictions as set forth in the Rights in Technical Data and
Computer Software clause at FAR 242.227-7013, subdivision
(b) (3) (ii) or subparagraph (c) (1) (ii), as appropriate. Further
use, duplication or disclosure is subject to restrictions
applicable to restricted rights software as set forth in FAR
52.227-19 (c) (2).
Acknowledgement of Terms and Conditions
YOU ACKNOWLEDGE THAT YOU HAVE READ THIS
AGREEMENT, UNDERSTAND IT, AND AGREE TO BE
BOUND BY ITS TERMS AND CONDITIONS. NEITHER
PARTY SHALL BE BOUND BY ANY STATEMENT OR
REPRESENTATION NOT CONTAINED IN THIS
AGREEMENT. NO CHANGE IN THIS AGREEMENT IS
EFFECTIVE UNLESS WRITTEN AND SIGNED BY
PROPERLY AUTHORIZED REPRESENTATIVES OF EACH
PARTY. BY USING THIS PRINTER, YOU AGREE TO
ACCEPT THE TERMS AND CONDITIONS OF THIS
AGREEMENT.
READ THIS SOFTWARE LICENSE AGREEMENT BEFORE USING THIS PRINTER

User’s Manual
P7000 H-Series Cartridge Ribbon Printer

This document contains proprietary information protected by copyright. No
part of this document may be reproduced, copied, translated, or incorporated
in any other material in any form or by any means, whether manual, graphic,
electronic, mechanical, or otherwise, without the prior written consent of
Printronix.
Printronix makes no representations or warranties of any kind regarding this
material, including, but not limited to, implied warranties of merchantability
and fitness for a particular purpose. Printronix shall not be held responsible
for errors contained herein or any omissions from this material or for any
damages, whether direct or indirect, incidental or consequential, in connection
with the furnishing, distribution, performance, or use of this material. The
information in this manual is subject to change without notice.
COPYRIGHT 2005, 2012 PRINTRONIX, INC.
Trademark Acknowledgements
IBM, AS/400, and Proprinter are registered trademarks, and Intelligent Printer
Data Stream and IPDS are trademarks of International Business Machines
Corporation.
Printronix, PGL, LinePrinter Plus, and IGP are registered trademarks, and
P7005, P7010, P7015, P7205, P7210, P7215, P7220, and SureStak are
trademarks of Printronix, Inc.
ANSI is a registered trademark of the American National Standards Institute,
Inc.
Centronics is a registered trademark of Genicom Corporation.
CSA is a registered certification mark of the Canadian Standards Association.
Dataproducts is a registered trademark of Dataproducts Corporation.
EIA is a registered service mark of the Electronic Industries Association.
Epson is a registered trademark of Seiko Epson Corporation.
Ethernet is a trademark of Xerox Corporation.
IEEE is a registered service mark of the Institute of Electrical and Electronics
Engineers, Inc.
QMS is a registered trademark, and Code V is a trademark of Quality Micro
Systems, Inc.
TUV is a registered certification mark of TUV Rheinland of North America, Inc.
UL is a registered certification mark of Underwriters Laboratories, Inc.
ENERGY STAR is a registered trademark of the United States Environmental
Protection Agency. As an ENERGY STAR
®
Partner, Printronix has
determined that this product meets the ENERGY STAR guidelines for energy
efficiency.

Table of Contents
1 Introduction............................................................. 9
Printer Overview .......................................................................................9
Printronix P7000 H-Series Printers ....................................................9
Conventions In This Manual ...................................................................11
Warnings And Special Information .........................................................11
Related Documents ................................................................................12
Taking Care Of Your Printer ...................................................................12
Protocols And Emulations.......................................................................12
2 Setting Up The Printer .......................................... 13
Before You Begin....................................................................................13
Power Requirements ..............................................................................13
Select A Site ...........................................................................................13
Printer Dimensions .................................................................................14
Printer Component Locations .................................................................17
3 Operating The Printer ........................................... 19
Powering On The Printer ........................................................................19
Operating Modes ....................................................................................19
The Control Panel...................................................................................20
Control Panel Keys ..........................................................................20
Cancel A Print Job ...........................................................................23
Operational Procedures..........................................................................24
Reload Paper ...................................................................................24
Unload Paper ...................................................................................33
Integrated Print Management System ....................................................36
Output Darkness ..............................................................................36
Loading a Used Ribbon Cartridge....................................................37
Lighter Or Darker Print .....................................................................37
Changing Ribbon Cartridge..............................................................38

Table of Contents
4 The Configuration Menus ..................................... 41
Configuration Overview ..........................................................................41
Changing And Saving Parameter Settings.......................................41
Saving Parameter Settings ..............................................................41
Default And Custom Configurations.................................................42
Navigating The Menus .....................................................................42
Changing Parameters Example .......................................................43
Auto Save Configuration ..................................................................46
Saving Your New Configuration .......................................................46
Optimizing Print Quality....................................................................51
Optimizing Print Speed ....................................................................51
Main Menu ..............................................................................................52
QUICK SETUP .......................................................................................54
ZTP SETTINGS......................................................................................58
CONFIG. CONTROL ..............................................................................58
HOST INTERFACE ................................................................................60
Auto Switching Submenu .................................................................61
Centronics (Parallel) Submenu ........................................................63
Dataproducts Submenu ...................................................................65
Serial Submenu................................................................................68
IEEE 1284 Parallel (Bidirectional) Submenu....................................74
E-Net Adapter Submenu ..................................................................75
Ethernet Submenu ...........................................................................76
NETWORK SETUP MENU.....................................................................77
ADAPTER ADDRESS......................................................................77
ADAPTER PARAMS ........................................................................78
ETHERNET ADDRESS ...................................................................81
ETHERNET PARAMS......................................................................82
WLAN ADDRESS ............................................................................84
WLAN PARAMS...............................................................................85
WLAN KERBEROS..........................................................................89
WLAN LEAP.....................................................................................91
EMULATION...........................................................................................92
Hanzi GB LP+ Emulation .................................................................92
Hanzi Big5 LP+ Emulation ...............................................................93
Kanji LP+ Emulation.........................................................................94
Hangul LP+ Emulation .....................................................................95
Page Format Submenu ..................................................................100
PRINTER CONTROL ...........................................................................102
ADVANCED USER...............................................................................104
DIAGNOSTICS .....................................................................................110

Table of Contents
DATE ....................................................................................................113
Printer MGMT .......................................................................................114
5 Interfaces............................................................ 115
Overview...............................................................................................115
Centronics Parallel Interface.................................................................116
Centronics Parallel Interface Signals .............................................117
IEEE 1284 Parallel Interface.................................................................117
Compatibility Mode.........................................................................117
Nibble Mode ...................................................................................118
Byte Mode ......................................................................................118
Signals ...........................................................................................118
Terminating Resistor Configurations..............................................121
RS-232 And RS-422 Serial Interfaces ..................................................122
RS-232 ...........................................................................................122
RS-422 ...........................................................................................123
Dataproducts Parallel Interface ............................................................124
Dataproducts Parallel Interface Signals .........................................125
6 Reprogramming the Security Key....................... 127
Reprogramming The Security Key........................................................127
How To Program The Security Key................................................127
7 Troubleshooting.................................................. 129
Cleaning Requirements ........................................................................129
Exterior Cleaning............................................................................129
Interior Cleaning.............................................................................130
Diagnosing Problems............................................................................132
Bar Code Verification .....................................................................132
Printing A Hex Dump......................................................................132
Fault Messages..............................................................................133
A Printer Specifications ......................................... 169
Ribbon Cartridge Specifications ...........................................................169
Paper Specifications .............................................................................169
Labels ...................................................................................................170
Printer Weight And Dimensions............................................................170
Environmental Characteristics ..............................................................170
Acoustic Noise Level ............................................................................171
Energy Star...........................................................................................171

Table of Contents
Electrical Characteristics ......................................................................171
Input Voltage ..................................................................................171
Power Consumption.......................................................................172
Interfaces..............................................................................................172
Printing Rates .......................................................................................173
B ASCII Character Set........................................... 175
C Zero Tear Pedestal ............................................ 177
Overview...............................................................................................177
Position The Paper Input And Adjust The Paper Guides ...............178
Load Paper.....................................................................................180
Position The Paper Out Sensor .....................................................182
Set The Tear Bar Distance.............................................................183
Set The Top Of Form .....................................................................184
ZTP SETTINGS Menu ..........................................................................185
Performance Limitations.......................................................................186
D Customer Support .............................................. 189
Printronix Customer Support Center.....................................................189
Printronix Supplies Department............................................................189
Corporate Offices..................................................................................190
E Communication Notices ..................................... 191
Notices..................................................................................................191
Energy Star...........................................................................................193
Communication Statements..................................................................193
Software License Agreement................................................................198

9
1
Introduction
Printer Overview
This chapter provides a general overview of your printer and the conventions
used within this manual.
Printronix P7000 H-Series Printers
Printronix
®
has been the global leader in industrial printing solutions for over
30 years, earning a reputation for designing and manufacturing leading edge
products and delivering them to market with unsurpassed service and
support.
The Printronix P7000™ Line Matrix Printing Platform extends the series of
technology innovations that cement Printronix’s leadership position. Line
matrix printing is Printronix’s flagship technology, and it remains the
workhorse solution for supply-chain and back-office printing applications
because of its reliability, lower cost of ownership and flexibility of printing
applications.
•
Most reliable printer ever – provides more up time and lower operating
costs
•
Ultra capacity ribbons – deliver darker image, last longer, and costs less
to operate than other print technologies
•
Integrated print management system – provides precise control over print
quality, print costs, and job planning
•
Cabinet or Pedestal styles – best user access and forms handling
flexibility
•
Unsurpassed ease of use – simplifies operation and enhances
productivity

10
Chapter 1
Printer Overview
There are three printer configurations:
Enclosed Cabinet (P72XXH)
•
The enclosed cabinet models provide for near silent operation, making
these printers perfectly suitable for use in the quietest of office
environments.
•
Provides the best paper handling for large print runs. All paper input and
output is contained inside the cabinet and protected from bumping and
contamination.
•
Highly effective combination of moveable fences and chains allows for
precise stacking all the way up to a full box of paper.
•
For tougher forms that tend not to refold well, a SureStak power stacker
option is available for the enclosed cabinet models.
•
Available in four print speeds – 200 line per minute, 300 line per minute,
600 line per minute, and 800 line per minute models.
Pedestal (P70XXH)
•
The pedestal model has a clamshell design that allows easy access to all
controls providing faster ribbon replacements and easier paper loading
•
Oversized casters are standard making movement easy.
•
Versatility to configure the paper path for either top or rear exit.
•
Using the top paper exit, this printer is ideal for short print runs and easy
access to output
•
Available in four print speeds – 200 line per minute, 300 line per minute,
600 line per minute, and 800 line per minute models.
Zero Tear Pedestal (P70XXZTH)
•
Special push tractor configuration enables printing from the very first to
the very last line of a form and then tear-off with no forms lost
•
The elimination of wasted forms between jobs can yield significant
savings.
•
An ideal solution for supply-chain and back-office applications.
•
Available in three print speeds – 200 line per minute, 300 line per minute,
and 600 line per minute models.

Printronix P7000 H-Series Printers
11
Conventions In This Manual
All uppercase print indicates control panel keys.
Example: Press the CLEAR key, then press the ON LINE key.
Quotation marks (“ ”) indicate messages on the Liquid Crystal Display (LCD).
Example: Press the ON LINE key. “OFFLINE” appears on the LCD.
The + (plus) symbol represents key combinations.
Example: “Press
=
+
>
” means press the
=
(UP) key and the
>
(DOWN) key at the same time.
Warnings And Special Information
Read and comply with all information highlighted under special headings:
WARNING
A warning notice calls attention to a condition that could harm you.
WARNUNG
Ein Warhinweis dieser Art weist auf Verletzungsgefahr hin.
AVISO
Las notas de adviso llaman la atención sobre una condición que puede
causar lesiones.
ATTENTION
Attire votre attention sur une opération pouvant présenter un danger.
AVVERTENZA
Un’indicazione di avvertenza segnala una condizione di pericolo
suscttibile causare lesioni all’operatore.
CAUTION
A caution notice calls attention to a condition that could damage the
printer.

12
Chapter 1
Related Documents
Related Documents
•
Quick Reference Guide — Explains how to set up the printer for basic
operation (load ribbon cartridge and media, and clear paper jams).
•
Maintenance Manual — Explains how to maintain and repair the line
matrix printer at the field service level of maintenance.
•
Network Interface Card User's Manual — Information about network
protocols, configuration, and operation.
•
LQ-1600K Emulation For The P7000 H-Series Of Line Matrix Printers
Programmer’s Reference Manual — Covers the host control codes for the
LQ-1600K emulation.
•
KS Programmer’s Reference Manual — Covers the host control codes for
the KS emulation.
•
KSSM Programmer’s Reference Manual — Covers the host control codes
for the KSSM emulation.
Taking Care Of Your Printer
Your printer will produce high print quality jobs if it is well taken care of.
Periodic cleaning, handling the printer properly, and using the correct printer
supplies such as paper and ribbons ensures optimum performance.
Chapter 7 explains how to clean the printer, and printer supplies are listed in
Appendix A.
Protocols And Emulations
A protocol is a set of rules governing the exchange of information between the
printer and its host computer. These rules consist of codes that manipulate
and print data and allow for machine-to-machine communication. A printer
and its host computer must use the same protocol. As used in this manual,
protocol and emulation mean the same thing.
Most impact printers use single ASCII character codes to print text, numbers,
and punctuation marks. Some characters, are defined as control codes.
Control codes instruct the printer to perform specific functions, such as
underlining text, printing subscripts, setting page margins, etc. The main
difference between most printer protocols is in the characters used to create
control codes and the ways in which these characters are formatted.
When the printer executes the character and control codes of a particular
printer protocol, it is “emulating” that printer.

13
2
Setting Up The Printer
Before You Begin
Read this chapter carefully before installing and operating the printer. The
printer is easy to install. However, for your safety and to protect valuable
equipment, perform all the procedures in this chapter in the order presented.
Power Requirements
The printer must be connected to a power outlet that supplies 88 to 270 volts
AC. The printer automatically senses and adjusts itself to conform to the
correct voltage range.
Primary circuit protection is provided by the power switch, which is also a
circuit breaker. Consult an electrician if printer operation affects local
electrical lines. See “Electrical Characteristics” on page 171 for additional
power specifications.
IMPORTANT
Printer power should be supplied from a separate AC circuit protected
at 10 amperes for 100 - 120 volts or 5 amperes for 200 - 240 volts at 50 or
60 Hertz.
Select A Site
Select a printer site that meets all of the following requirements:
•
Permits complete opening of the printer cover and doors.
•
For cabinet models, allows at least three feet of clearance behind the
printer. (This permits air to circulate freely around the printer and provides
access to the paper stacking area.)
•
Has a standard power outlet that supplies 88-135 Volts AC or
178-270 Volts AC power, at 47 to 63 Hz.
•
Is relatively dust-free.
•
Has a temperature range of 10°
C
to 40° C (50° F to 104° F) and a
relative humidity from 15% to 90% non-condensing.
•
Is located within the maximum allowable cable length to the host
computer. This distance depends on the type of interface you plan to use,
as shown in Table 1 on page 14.

14
Chapter 2
Printer Dimensions
Printer Dimensions
Figure 1. Printer Dimensions - Cabinet Model
Table 1. Maximum Interface Connection Cable Length
Interface Type Maximum Cable Length
Centronics Parallel 5 meters (15 feet)
Dataproducts Parallel 12 meters (40 feet)
IEEE 1284 Parallel 10 meters (32 feet)
Serial RS-232 15 meters (50 feet)
Serial RS-422 1220 meters (4000 feet)
Dataproducts Long Line 150 meters (492 feet)
Coax 1500 meters (4920 feet)
Twinax 1500 meters (4920 feet)
Twinax (shielded cable) 1500 meters (4920 feet)
Twisted Pair / Type 3 300 meters (985 feet)
Ethernet 10/100Base-T 100 meters (328 feet)
183468b
27.0 in
(68.84 cm)
83.0 in
(210.8 cm)
29.0 in
(73.7 cm)
27.0 in
(68.6 cm)
27.0 in
(68.6 cm)
41.0 in
(104 cm) 57.5 in
(146.1 cm)

15
Figure 2. Printer Dimensions - Cabinet Model with Paper Stacker
183469b
27.0 in
(68.6 cm)
83.0 in
(210.8 cm)
32.5 in
(82.6 cm)
27.0 in
(68.6 cm)
27.0 in
(68.6 cm)
32.0 in
(81.3 cm)
42.5 in
(107.8 cm)
59.0 in
(149.9 cm)

16
Chapter 2
Printer Dimensions
Figure 3. Printer Dimensions - Pedestal Model
183882 REV A
TOF
TOF
TOF
TOF
183882a
25 in.
(63.5 cm)
10.5 in.
(26.67 cm.)
48.0 in.
(122 cm)
30 in.
(76.2 cm.)
24.6 in.
(62.48 cm)

17
Printer Component Locations
Familiarize yourself with the names and locations of the printer components,
shown in Figure 4 before continuing with the rest of the installation
procedures.
Figure 4. Printer Component Locations
TOF
TOF
TOF
TOF
183871 REV A
183871a
Ribbon
Ribbon
Cartridge
Ribbon
Tension Knob
Air Shroud
Assembly
Tab (2)
Tab
Slot (2)
Blue Tractor
Lock (2)
Paper
Support (2)
Tractor (2)
Vertical
Position Knob
Platen Lever
Splined Shaft
Platen Stop
Hammer Bank
Cover and
Ribbon Mask
Ribbon Cartridge
Interface

18
Chapter 2
Printer Component Locations

19
3
Operating The Printer
Powering On The Printer
When you power on the printer, it executes a self-test. The default power-up
state is online. When the self-test completes and the software has initialized
successfully, the status indicator light turns on, indicating the printer is online.
The default value of the type of emulation you have installed appears in the
upper right corner of the display. The ribbon life remaining is shown on the
second line.
If there is a fault during the self-test, the status indicator flashes and a specific
fault message appears on the display (such as “LOAD PAPER”). The alarm
also sounds if it is configured to do so. See “ LCD Message Troubleshooting
Table” on page 134 for information on fault messages and solutions.
Operating Modes
Online. In online mode, the printer can receive and print data sent from the
host. Pressing the
(
ON LINE/CLEAR) key toggles the printer from online
to offline mode. The status indicator is lit in online mode.
Offline. In offline mode, you can perform operator functions, such as loading
paper and setting top-of-form. You can also move within the printer
configuration menus. Pressing the
(
ON LINE/CLEAR) key toggles the
printer from offline to online mode. The status indicator is off in offline mode.
Fault. In fault mode, a condition exists which must be cleared before printing
can continue. The status indicator flashes, the alarm beeps (if configured to
sound), and a descriptive fault message displays.
The current operating mode can be selected via control panel keys or can
result from routine operations such as powering on the printer.

20
Chapter 3
The Control Panel
The Control Panel
Figure 5 shows the keys, displays, and indicators as they appear on the
control panel. The following section provides the descriptions, and functions
of the control panel keys.
Key combinations are indicated with the plus (+) sign. For example, “Press
U
+
V
” means to press the
U
key and the
V
key at the same time.
Figure 5. Control Panel
Control Panel Keys
ON LINE / CLEAR
Toggles the printer between online and offline modes. If a fault condition
exists, pressing this key will clear the fault message and return the printer
from fault mode to offline mode.
NOTE: If the fault condition is not corrected before pressing this key, the fault
message will reappear when attempting to place the printer online.
183452b
JOB SELECT/
PRINT MODE
PRT CONFIG SET TOF
ENTER ON LINE/CLEAR
PAPER ADVANCE VIEW/EJECT
CANCEL

Control Panel Keys
21
PAPER ADVANCE
Performs advance to top-of-form, as defined by the current active form length.
The key works both online and offline.
•
If online with data in the printer buffer, the data will print and then the
paper will move to the next top-of-form.
•
In the fault state, PAPER ADVANCE will advance the paper. The first
press moves to the top of the next available form. All subsequent presses
advances one forms length as defined by the current active forms length.
VIEW / EJECT
When the printer is online or offline, pressing this key executes the view or
eject function, depending on whether the printer is a cabinet or a pedestal (or
zero tear pedestal).
If online with data in the printer buffer, the data prints and the key functions as
described below.
If in a fault state, this key will be ignored.
•
View Function — for cabinet models, pressing the
VIEW/EJECT key moves the last data printed to the tractor area for
viewing. While in the view state, the message "Printer in View" displays,
pressing the UP or DOWN arrow keys moves the paper up or down in 1/
72 inch increments. This is done to align the image within a pre-printed
form, for example. Refer to the UP and DOWN key functions for additional
details on the microstep feature. Pressing VIEW/EJECT a second time
moves the paper back to the adjusted print position.
•
Eject Function — for pedestal models, when the VIEW/EJECT key is
pressed, the bottom of the last printed form will move to the tear bar
position. The message "READY TO TEAR/EJECT To Return" displays.
While in this position, pressing the UP or DOWN arrow keys moves the
paper up or down in 1/72 inch increments. Refer to the Up and Down key
functions for additional details on the microstep feature. When the VIEW/
EJECT key is pressed a second time, the printer will move the paper to
enable printing on the next available form.
CANCEL
In offline mode, this key cancels all data in the print buffer, if enabled in
“ADVANCED USER” menu (see page 104). The print buffer is cleared without
printing any of the data and the current paper position is set as the top-of-
form. If this function is disabled, the CANCEL key will be ignored.
NOTE: Use of this key will cause loss of data.

22
Chapter 3
The Control Panel
SET TOF
Sets the top-of-form on the printer. This key is active only when the printer is
offline and will not operate if the printer is in a fault condition. The paper
moves down to the print position and aligns to the top-of-form. See the Quick
Setup Guide for the complete top-of-form setting procedure.
NOTE: If there is any data in the buffer, the paper will move to the last print
position.
PRT CONFIG
In offline mode, PRT CONFIG prints the current printer configuration. This key
requires a confirmation with the ENTER key; pressing any other key will exit
from this function. See “The Configuration Menus” on page 41 for an
explanation of configuration menus.
JOB SELECT/PRINT MODE
In offline mode, this key allows for fast selection of any of the previously
stored configurations or typeface of the printer. Pressing this key causes the
printer to cycle through the following messages: Load Config., Factory Config,
Load Config 1, Load Config 2, Load Config 3,...,Load Config 8.
ENTER
When navigating the configuration menus, ENTER selects the currently
displayed option value as the active value. An asterisk (*) appears next to the
active value on the display. ENTER is also used for starting and stopping
printer tests and generating a configuration printout.
NOTE: The ENTER key must be unlocked in order to function.
See UP + DOWN, below.
The ENTER key lock and unlock function can be configured to be a
key combination other than
=
+
>
(see page 108).
UP or DOWN (
=
or
>
)
Moves up or down between levels in the configuration menus and makes
vertical forms adjustment. After pressing VIEW, press
=
or
>
to adjust the
paper up or down in 1/72 inch increments for fine vertical forms alignment.
When the printer is in offline mode, press
=
or
>
to move through levels in the
configuration menus.

Cancel A Print Job
23
UP + DOWN (
=
+
>
)
Locks and unlocks the ENTER key.
NOTE: The ENTER key lock and unlock function can be configured to be a
key combination other than
=
+
>
(see page 108).
PREV or NEXT (
;
or
<
)
Moves between the options on the current level of configuration menu. In the
configuration menu, press
;
to scroll backward or press
<
to scroll forward
through the menu selections on the same level.
PREV + NEXT (
;
+
<
)
When both keys are pressed simultaneously, the printer will reset to the
power-up configuration and reset its internal state (in offline mode).
Ribbon Life Indicator
The second line of the LCD displays the remaining life of the currently
installed ribbon. The default settings for this feature should match the
requirements for most applications; no special user setup is needed. If your
particular application requires darker printing or can tolerate lighter printing,
the ribbon end point can be adjusted as appropriate. Please refer “Ribbon
End Point” on page 102.
Cancel A Print Job
The procedure to cancel a print job depends on the printer emulation and your
application software. Contact your system administrator for additional
information.
1. If the printer is online, press
(
ON LINE/CLEAR) to place the printer in
offline mode.
2. From the host system, stop the print job.
NOTE: If the print job is not stopped from the host system before pressing
(
CANCEL), the print job continues with data missing when the
printer returns to online mode. Exercise caution to prevent unwanted
data loss occurrences, as this function deletes unprinted data in the
printer. This function is active only in offline mode; the purpose of this
function is to eliminate the necessity of printing unwanted data when
print jobs are canceled.
3. Press
(
CANCEL).
NOTE: You may need to enable the Cancel option on the front panel.
See “ADVANCED USER” on page 104 for details.
4. Set the top-of-form. Refer to the Quick Reference Guide.

24
Chapter 3
Operational Procedures
Operational Procedures
This section contains routine printer operating procedures on how to:
•
reload paper;
•
unload paper;
•
cancel a print job.
Reload Paper
Do this procedure when “LOAD PAPER” displays. (This message occurs
when the last sheet of paper passes through the paper slot.) This procedure
reloads paper without removing the last sheet of the old paper supply, while
retaining the current top-of-form setting.
Figure 6. Paper Slot Location
1. Raise the printer cover. Raise the platen lever as far as it will go. (See
“Printer Component Locations” on page 17 for the location of the lever.)
2. Press
(
ON LINE/CLEAR) to turn off the alarm. Do not open the tractor
doors or remove the existing paper.
3. For cabinet models, open the front door. Align the paper supply with the
label on the floor. Ensure the paper pulls freely from the box.
4. Feed the paper up through the paper slot (see Figure 6). It may be easier
to feed one corner of the new paper up through the slot first. When this
corner can be grasped from the top, rotate the paper back to the normal
position.
NOTE: If you are using thick, multi-part forms and are unable to load the new
paper over the existing paper, go to step 15.
5. Hold the paper to prevent it from slipping down and through the paper
slot.
183440b
183439b
Paper
Slot
Cabinet Model Pedestal Model
Paper Slot
Metal Paper Guide
(P7208H)
Wire
Guide (2)

Reload Paper
25
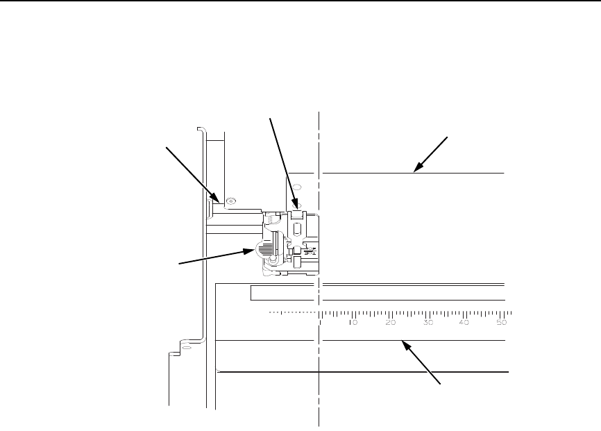
Figure 7. Loading New Paper into the Printer
6. Pull the new paper above and behind the ribbon mask, but in front of the
existing paper. The ribbon mask location is shown on the ribbon path
diagram. If necessary, gently press the existing paper back.
7. Align the top edge of the new paper with the top perforation of the existing
paper.
8. Load the new paper over the existing paper. Open and load the tractors
one at a time to prevent the paper from slipping.
NOTE: Make sure that the top edge of the new paper lines up with the top
horizontal perforation of the last page.
183888a
New Paper Existing Paper

26
Chapter 3
Operational Procedures
Figure 8. Setting the Platen Lever
9. Turn the platen stop knob clockwise or counterclockwise to match the
paper thickness. (The A-B-C scale corresponds approximately to 1-, 3-,
and 6-part paper thickness).
NOTE: If you are using the same thickness of paper, there is no need to
readjust.
10. Lower the platen lever.
NOTE: Do not set the platen lever too tightly; excessive friction can cause
paper jams, ribbon jams with potential for ribbon damage, smeared
ink, or wavy print.
11. Press
(
ON LINE/CLEAR) to remove the “LOAD PAPER” fault
message from the display.
12. Press
(PAPER ADVANCE) several times to make sure the paper
feeds properly beyond the tractors and over the lower paper guide. Feed
sufficient paper to ensure the paper stacks correctly.
13. Close the printer cover. Close the cabinet front door.
14. Press
(
ON LINE/CLEAR) to place the printer in online mode and
resume printing.
183444b
183446b
Platen Lever
Vertical Position
Knob
Platen Stop
Knob
A
Platen
Stop
183445b
Paper Thickness
Indicator
A

Reload Paper
27
Figure 9. Paper Slots on the Printers
NOTE: Perform steps 15 through 32 only if you are unable to load the new
paper over the existing paper.
15. Open both tractor doors.
16. Remove the old paper from the tractors. Allow the paper to fall into the
paper supply area.
17. Feed the new paper up through the paper slot. Hold the paper to prevent
it from slipping down through the paper slot.
183440 REV B
183440b
183439 REV B
183439b
Paper
Slot
Cabinet Model Pedestal Model
Paper Slot
Metal Paper Guide
(P7208H)
Wire
Guide (2)

28
Chapter 3
Operational Procedures
Figure 10. Loading Paper on the Left Tractor
18. Pull the paper above and behind the ribbon mask. See Figure 4 on
page 17 for the ribbon mask location.
19. Load the paper on the left tractor.
20. Close the tractor door.
TOF
TOF
183441b
Paper
Left Tractor Door
Left Tractor Lock

Reload Paper
29
Figure 11. Positioning the Left Tractor to Avoid Damage
CAUTION
To avoid damage to the printer caused by printing on the platen, always
position the left tractor unit directly to the left of the “1” mark on the
paper scale.
21. Normally, you should not need to adjust the position of the left tractor.
If adjustment is necessary, unlock the left tractor by placing the tractor
lock in the middle position. Slide the tractor until it is directly to the left of
the number “1” on the paper scale and lock it. (You can also use the
paper scale to count columns.)
183442b
Paper
Paper Scale
Tractor
Tractor
Splined Shaft
Tractor Lock

30
Chapter 3
Operational Procedures
Figure 12. Loading Paper onto the Sprockets
22. Unlock the right tractor.
23. Load the paper onto the sprockets and close the tractor door.
If necessary, slide the right tractor to remove paper slack or to adjust for
various paper widths. Then, lock the tractor.
Figure 13. Using the Paper Guide to Orient the Paper
TOF
TOF
TOF
TOF
183443b
Tractor Lock
Tractor Door
183440 REV
183440b
183439 REV B
183439b
Cabinet Model Pedestal Model
Wire
Guide (2)
Paper Slot
Upper Paper
Guide
Upper Paper
Guide

Reload Paper
31
24. Pedestal models:
Using the vertical position knob to move the paper up, guide the paper
over the lower paper guide and through the slot in the top cover. For
pedestal models with the Quick Access Cover, refer to the Quick Setup
Guide for paper exiting options.
25. Press
(PAPER ADVANCE) several times to make sure the paper
feeds properly beyond the tractors and over the lower paper guide. Feed
sufficient paper to ensure the paper stacks correctly.
26. Cabinet models:
Open the cabinet rear door. Make sure the paper is aligned with the label
in the output area (inside the cabinet). Close the front and rear doors.
Figure 14. Aligning the Perforation with the TOF Indicator
27. Align the top of the first print line with the TOF indicator on the tractor by
rotating the vertical position knob. For best print quality, set the top-of-
form at least 1/2 inch below the perforation.
NOTE: For exact positioning, press the
(VIEW/EJECT) key to move the
last data printed to the tractor area for viewing. While in View mode
“Printer in View” displays. Press the Up or Down Arrow keys to move
the paper vertically in small increments. Pressing the
(VIEW/
EJECT) key a second time moves the paper back to the adjusted
print position. The key owrks both online and offline provided that the
printer is in View mode. (This procedure is applicable for both the
cabinet and pedestal models.)
TOF
TOF
TOF
TOF
183967a
TOF Indicator
Perforation
Vertical
Position
Knob

32
Chapter 3
Operational Procedures
Figure 15. Adjusting the Platen Lever
28. Turn the platen stop knob clockwise or counterclockwise to match the
paper thickness. (The A-B-C scale corresponds approximately to 1-, 3-,
and 6-part paper thickness. Adjust until you have the desired print
quality.)
NOTE: The platen stop allows you to set an optimum and consistent
thickness that is not affected when opening and closing the platen
lever.
29. Lower the platen lever until it stops.
30. Press
(
ON LINE/CLEAR) to clear any fault messages (such as “LOAD
PAPER”) from the LCD.
31. Press
(
SET TOF). The top-of-form you have set moves down to the
print position. If there is data in the buffer, the paper moves forward to the
last print position on the next page.
32. Press
(
ON LINE/CLEAR) and close the printer cover.
183444 REV B
183444b
183446b
Platen Lever
Vertical Position
Knob
Platen Stop
Knob
A
Platen
Stop
183445b
Paper Thickness
Indicator
A

Unload Paper
33
Unload Paper
1. Press
(
ON LINE/CLEAR) to place the printer in offline mode and open
the printer cover.
2. For cabinet models, open the cabinet rear door. For models with the
power stacker installed, press the STACKER UP key on the rear control
panel.
Figure 16. Unloading the Paper from the Printer
3. Tear off the paper at the perforation.
4. Allow the paper to fall to the back of the printer and into the paper
stacking area.
5. For pedestal models, remove the stacked paper from the paper tray.
TOF
TOF
TOF
TOF
183477b
Paper
Perforation

34
Chapter 3
Operational Procedures
Figure 17. Removing Stacked Paper from the Printer
6. For cabinet models, remove the stacked paper from the rear cabinet floor.
For cabinet models with the power stacker installed, remove the paper
from the wire paper tent and press the STACKER DOWN key to lower the
stacker mechanism.
7. Close the cabinet rear door.
183478b
Paper
Power Stacker

Unload Paper
35
Figure 18. Completely Removing the Paper
8. To completely remove the paper from the printer:
a. Raise the platen lever as far as it will go and open both tractor doors.
CAUTION
Be careful when pulling any paper backward through the paper path,
especially when using a label stock. If you are not careful, labels can
detach and adhere to the printer within the paper path, where only an
authorized service representative can remove them.
b. Open the cabinet front door.
c. Gently pull the paper down through the paper slot. Allow the paper to
fall into the paper supply area.
d. Remove the paper from the paper supply area.
183904a
Platen Lever
Tractor Door

36
Chapter 3
Integrated Print Management System
Integrated Print Management System
The P7000 has a new feature that automatically monitors and communicates
the status of the ribbon life to help the operator know when to change ribbons.
Using an ink delivery system called the Cartridge Ribbon System (CRS), the
printer can automatically detect when a new or used ribbon is loaded, and all
ribbon properties. The ribbon is contained in a plastic box (the cartridge) and
feeds only in one direction. The CRS contains an interface board that allows
communication between the printer and the cartridge. Using the CRS, the
P7000 automatically detects when a new or used ribbon is installed and
determines the ribbon’s length, ink color, and expected yield. The ribbon life,
starting from 100% when new and decreasing to 0% when depleted, is always
displayed on the control panel. See Figure 5 on page 20.
When the ribbon life reaches 2%, a warning message “RIBBON UNDER 2%/
Change RBN soon” appears on the control panel display. The control panel
status indicator lamp flashes. The printer will continue printing in this condition
until the ribbon life reaches 0% at which time, printing will stop. The ribbon
may be changed at any time while the printer is in the “RBN END POINT/
Change Ribbon” condition without losing data in the printer’s buffer. If a new
ribbon is loaded, the system automatically detects the change, clears the
condition when the platen is closed, and restarts the life at 100%. If a partially
used ribbon is loaded, the system continues the life at the percentage
indicated for the used ribbon.
You may also resume printing for approximately two more minutes without
changing the ribbon by pressing the ON LINE/CLEAR key twice. This may be
done as many times as needed to complete the job in progress.
Ribbon usage information is calculated by maintaining a count of impressions
(dots) that is stored on the ribbon cartridge and updated periodically so that
the cartridge can be used on a different printer with the information intact. This
allows the system administrator to have precise control over print quality and
consumable costs. The accurate presentation of available ribbon life allows
for efficient planning of print jobs. For example, if the displayed ribbon life
were low, you can install a new ribbon before printing a large print job.
Output Darkness
By default the system is configured to meet most user requirements.
However, some applications require that the output remains darker than the
nominal set point while some applications are less critical and could tolerate a
lighter final image. The system can easily adjust to this variability. A setting
under the Printer Control menu is available that allows the user to adjust the
final output. The range is as follows:
Normal (Default)
Darker +1 through +6
Lighter -1 through -10
The ribbon life indicator always cycles between 100% and 0%, but if a darker
setting is selected, zero will be reached more quickly. If a lighter setting is
selected, the system will extend the amount of printing it takes to reach zero.

Loading a Used Ribbon Cartridge
37
Loading a Used Ribbon Cartridge
You can take the ribbon cartridge off the printer and reload it at a later time.
The ribbon life gauge automatically updates to reflect the correct remaining
capacity.
NOTE: Since the ribbon usage information is stored on the ribbon cartridge,
you can reload a partially used cartridge onto a different printer.
Lighter Or Darker Print
The ribbon life value as determined by the Integrated Print Management
System is factory set so that the image quality at the end of the ribbon life is
as good as it was when the ribbon was new. You may adjust the ribbon end
point for a lighter or darker image as required for your printing needs.
See “PRINTER CONTROL” on page 102.

38
Chapter 3
Integrated Print Management System
Changing Ribbon Cartridge
Before changing the ribbon cartridge, determine whether at the end of ribbon
life if you want to make the print lighter (extend the ribbon life) or darker
(shorten the ribbon life). If you want to make the print lighter, go to “Ribbon
End Point” on page 57 and follow the procedures for adjusting the image
density. If you are satisfied with the print darkness, or if you want to increase
the darkness at the end of ribbon life, continue with the following steps.
NOTE: Ribbon cartridge instructions and illustrations shown in the following
section are for the pedestal model. Follow the same procedures for
the cabinet model.
Figure 19. Preparing to Load the Ribbon
1. Open the printer cover.
2. Raise the platen lever as far as it will go.
3. Close the tractor doors.
4. Remove the old ribbon cartridge and discard properly.
TOF
TOF
183816a
Blue Tractor
Door (2)
Platen Lever

Changing Ribbon Cartridge
39
Figure 20. Installing the Ribbon Cartridge
5. Remove the ribbon slack on the new ribbon cartridge by turning the
ribbon tension knob clockwise.
CAUTION
Do not turn the ribbon tension knob counterclockwise. This could
damage the ribbon cartridge.
6. Hold the cartridge at an angle, so that the rear side nearest you is lower
than the side with the ribbon. Find the two tabs on the outside of the
cartridge and place them into the corresponding slots on the air shroud
assembly (see Figure 20).
TOF
TOF
TOF
TOF
183871a
Ribbon
Ribbon
Cartridge
Ribbon
Tension Knob
Air Shroud
Assembly
Tab (2)
Tab Slot (2)

40
Chapter 3
Integrated Print Management System
Figure 21. The Ribbon Cartridge Snapped in Place
7. Rock the cartridge downward, making sure that the ribbon goes between
the guide and the mask (see Figure 21). You will feel it snap into place.
CAUTION
Make sure that the ribbon does not twist or fold over.
8. Turn the ribbon tension knob clockwise a few times to make sure the
ribbon tracks correctly in the ribbon path.
9. Close the platen lever.
10. Close the printer top cover.
If you want to increase the darkness level of the ribbon at the end of life, go to
“Ribbon End Point” on page 57 and follow the procedures for adjusting the
image density.
If you are satisfied with the print darkness, press the
(
ON LINE/CLEAR)
key twice to return the printer to operation.
TOF
TOF
183872a
TOF
TOF
TOF
TOF
183874a
Ribbon
Cartridge
A
Hammerbank
Cover
Ribbon Mask
Ribbon Cartridge
Ribbon
Ribbon Tension Knob
A

41
4
The Configuration Menus
Configuration Overview
To print data, the printer must respond correctly to signals and commands
received from the host computer. Configuration is the process of matching the
printer's operating characteristics to those of the host computer and to
specific tasks, such as printing labels or printing on different sizes of paper.
The characteristics which define the printer's response to signals and
commands received from the host computer are called configuration
parameters.
You can configure the printer using the configuration menus and the control
panel or by sending control codes in the data stream from a host computer
attached to the printer. This chapter provides an introduction to configuring
the printer and includes the configuration menus available (depending on
which emulation you have installed in the printer).
IMPORTANT
Configuration directly affects printer operation. Do not change the
configuration of your printer until you are thoroughly familiar with the
procedures in this chapter.
Changing And Saving Parameter Settings
You may change a printer parameter setting, such as line spacing or forms
length, either by pressing keys on the control panel or by sending emulation
control codes in the data stream from a host attached to the printer. The
control panel allows you to configure the printer’s resident set of configuration
menus. An example procedure for using the control panel to change
parameter settings begins on page 43.
When control codes are sent from a host attached to the printer, they override
control panel settings. For example, if you set the line spacing to 6 lpi with the
control panel, and application software later changes this to 8 lpi with a control
code, the control code overrides the control panel setting.
Saving Parameter Settings
The parameter settings that you have changed can be permanently stored in
the printer’s memory as a configuration. See “Auto Save Configuration” on
page 46. and “Saving Your New Configuration” on page 46.
You may also save your new configurations using the PTX_SETUP command
host control code. See your LinePrinter Plus Programmer’s Reference
Manual for details.

42
Chapter 4
Configuration Overview
Default And Custom Configurations
A configuration consists of a group of parameter settings, such as line
spacing, forms length, etc. Your printer provides a fixed default configuration
and allows you to define several custom configurations for use with particular
print jobs. The factory default configuration can be loaded, but it cannot be
altered.
Eight configurations can be modified for unique print job requirements. The
“Save Config.” option allows you to save eight groups of parameter settings in
memory as custom configurations numbered from 1 through 8. An
explanation on how to save a set of parameter values as a custom
configuration using the “Save Config.” menu option begins on page 46.
Navigating The Menus
To manipulate configurations review the following instructions about
navigating through the menus.
You must be offline to move within the menus.
To experiment with navigating the menus, use the example on the next page
as a tutorial.
Press to toggle between ONLINE and OFFLINE.
Menus are accessed with the printer offline.
Press to move up or down through the menu levels.
Press to scroll through the available choices on a
chosen level.
Press to confirm selection.
Press to lock and unlock the ENTER key. The
ENTER key is locked by default to prevent you
from accidentally changing the printer
configuration. The lock and unlock function can be
configured to be other than
=
+
>
(See “Set Lock
Key” on page 108.)
ON LINE/CLEAR
OR
OR
ENTER
+

Changing Parameters Example
43
Changing Parameters Example
A configuration consists of several parameters. The default factory
configuration has a starting set of parameters. In the configuration menu
above, and in all the configuration menus in this chapter, the factory default
values are indicated by an asterisk (*).
Your print jobs may require parameter values which vary from the default
settings. This section provides an example procedure for changing individual
parameter values.
The following procedure shows how to change and save the settings for the
Unidirectional and Accented Char options. Use these guidelines to navigate
the configuration menus and change other parameters.
NOTE: When changing Ribbon End Point parameters, all changes will apply
to every configuration saved. Changes to Ribbon End Point cannot
be saved to an individual configuration.
. . .
OFFLINE
QUICK
SETUP PRINTER
CONTROL
Ribbon End
Point
Open Platen
@ BOF
Unidirectional
Tear Bar
Dist.
Display
Language
Disable*
Enable
Disable*
Enable
7.46 in.*
(4.5-10.5 in.)
English*
* = Factory Default
1
Only for P7000 Pedestal Model
Accented
Char
Standard*
Tall
Darker +6
Darker +5
Darker +4
Darker +3
Darker +2
Darker +1
Normal
Lighter -1
Lighter -2
Lighter -3
Lighter -4
Lighter -5
Lighter -6
Lighter -7*
Lighter -8
Lighter -9
Lighter -10
View
Function
1
.
Disable*
Enable

44
Chapter 4
Configuration Overview
Step Press LCD Notes
1. Make sure the printer is on.
2. OFFLINE
QUICK SETUP
3. ENTER SWITCH
UNLOCKED
Allows you to make configuration changes.
OFFLINE
QUICK SETUP
4. OFFLINE
PRINTER CONTROL
5. PRINTER CONTROL
Ribbon End Point
6. PRINTER CONTROL
Unidirectional
7. Unidirectional
Disable*
8. Unidirectional
Enable
Cycle through the choices.
9. Unidirectional
Enable*
The * indicates this choice is active.
10. PRINTER CONTROL
Unidirectional
ON LINE/CLEAR
+
UNTIL
UNTIL
OR
ENTER

Changing Parameters Example
45
The parameters you have changed will remain active as long as the printer is
on. When you turn off the printer, the parameters will be erased from memory
unless you save them in a configuration. If you do not save the configuration,
the printer will revert to the default values next time the printer is powered on.
11. PRINTER CONTROL
Accented Char
12. Accented Char
Standard*
13. Accented Char
Tall
Press until the desired parameter displays.
14. Accented Char
Tall*
The * indicates this choice is active.
15. ENTER SWITCH
LOCKED
Locks the ENTER key.
16. ENTER = Save
ONLINE = No Save
Press ENTER to automatically save
configuration changes. Press ONLINE to
continue without saving.
17A. Cfg = 1*
= Power-Up Cfg
Configuration changes have been saved as
Configuration 1, and will be set as the
Power-Up config. The printer will then be
brought online.
17B. ONLINE
Ribbon Life 100%
Places the printer online without
permanently saving the configuration
changes.
18. The printer is ready for operation
Step Press LCD Notes
UNTIL
OR
ENTER
+
ON LINE/CLEAR
ENTER
ON LINE/CLEAR

46
Chapter 4
Configuration Overview
Auto Save Configuration
After any changes are made to the Factory Default configuration menu items,
you will be prompted to save the changes to “Config #” when you place the
printer online. “#” represents the next available unassigned configuration
number. When prompted, press one of the following:
•
Enter. Saves to Config 1 or the next available Config, and becomes the
power-up config.
•
Online. Changes will be implemented but saved only temporarily until
deliberately saved as a new configuration or until you power off the
printer. All changes will be lost when you power off the printer.
Saving Your New Configuration
The Save Config. option allows you to save up to eight custom configurations
to meet different print job requirements. Once you have changed all of the
necessary parameters, you may save them as a numbered configuration
(Example 1 on page 47) or a named configuration (Example 2 on page 49)
that can be stored and loaded later for future use. If you do not save your
configuration using the Auto Save, or this option, all of your parameter
changes will be erased when you power off the printer.
Once you have saved a custom configuration using this option, it will not be
lost if you power off the printer. You can load a configuration for a specific
print job (see “Load Config.” on page 58). You can also modify and resave it.
You may want to print your configurations (see “Print Config.” on page 59)
and store them in a safe place, such as inside the printer cabinet. If the
Protect Configs. parameter is enabled and you try to resave an existing
configuration, the new configuration will not be saved until the existing
configuration has been deleted (see “Delete Config.” on page 59).
NOTE: Once you change active emulations, any changes to the previously
selected emulation will be gone unless they have been saved.

Saving Your New Configuration
47
Example 1
This example shows how to save a configuration as a numbered
configuration, then later print it.
Step Press LCD Notes
1. Make sure the printer is on.
2. OFFLINE
QUICK SETUP
3. ENTER SWITCH
UNLOCKED
Allows you to make configuration changes.
OFFLINE
QUICK SETUP
4. OFFLINE
CONFIG. CONTROL
5. CONFIG. CONTROL
Load Config.
6. CONFIG. CONTROL
Save Config.
7. Save Config.
1*
8. Save Config.
2
Cycle through the choices.
9. Save Config.
2*
The * indicates this choice is active.
ON LINE/CLEAR
+
UNTIL
UNTIL
OR
ENTER

48
Chapter 4
Configuration Overview
NOTE: We recommend that you print the configuration. To print the configuration go to Step 9. To skip this procedure
and resume printer operation, go to Step 14.
10. CONFIG. CONTROL
Save Config.
11. CONFIG. CONTROL
Print Config.
12. Print Config.
Current
13. Print Config.
2
Press until the desired parameter displays.
14. OFFLINE
CONFIG. CONTROL
The selected configuration is printed.
15. ENTER SWITCH
LOCKED
Locks the ENTER key.
16. ONLINE
Ribbon Life 100%
17. If you printed out the configuration, store it in a safe place. The printer is ready for operation.
Step Press LCD Notes
UNTIL
OR
ENTER
+
ON LINE/CLEAR

Saving Your New Configuration
49
Example 2
This example shows how to save a configuration as a named configuration.
Step Press LCD Notes
1. Make sure the printer is on.
2. OFFLINE
QUICK SETUP
3. ENTER SWITCH
UNLOCKED
Allows you to make configuration changes.
OFFLINE
QUICK SETUP
4. OFFLINE
CONFIG. CONTROL
5. CONFIG. CONTROL
Load Config.
6. CONFIG. CONTROL
Name Configs.
7. Name Configs.
1
The LCD flashes.
8. Name Configs
2
You will rename config 2.
9. 2
2*
10. 2
T
Cycle through the choices until “T” displays.
ON LINE/CLEAR
+
UNTIL
UNTIL
UNTIL
UNTIL

50
Chapter 4
Configuration Overview
11. 2
T_
Saves the first character.
12. 2
TE
Cycle through the choices until “E” displays.
13. 2
TE_
Saves the second character.
14. 2
TES
Cycle through the choices until “S” displays.
15. 2
TES_
Saves the third character.
16. 2
TEST
Cycle through the choices until “T” displays.
17. 2
TEST_
Saves the fourth character.
18. Name Configs
TEST
The configuration is renamed TEST.
19. CONFIG. CONTROL
Name Configs
20. CONFIG. CONTROL
Save Config.
21. Save Config.
1*
Step Press LCD Notes
UNTIL
UNTIL
UNTIL
ENTER
UNTIL

Optimizing Print Quality
51
Optimizing Print Quality
The print quality will vary according to the typeface selected. Both text and
barcodes will print using the resolution of the typeface selected.
Optimizing Print Speed
The print speed will vary according to the typeface selected.
22. Save Config.
TEST
TEST now appears as one of configuration
choices.
23. Saving Configuration
Save Config.
TEST*
Your configuration is saved as TEST.
24. ENTER SWITCH
LOCKED
Locks the ENTER key.
25. ONLINE
Ribbon Life 100%
Now you have the saved configuration for later use if needed.
Step Press LCD Notes
ENTER
+
ON LINE/CLEAR

52
Chapter 4
Main Menu
Main Menu
Figure 22. Main Menu Configuration
OFFLINE
CONFIG.
CONTROL
page 58
Load Config.
Save Config.
Print Config.
Delete Config.
Power-Up Config.
Protect Configs.
Name Configs
Reset Cfg Names
Auto Save
NOTE:
1
Available for Hanzi and Kanji LP+ Printers Only
2
Available for Hangul LP+ Printers Only
3
If installed
4
Available for Zero Tear Pedestal Printers only.
5
Only for P7000 Pedestal Model
6
Not available if PNE Port is set to Seria
7
If Real Time Clock (RTC) option is installed.
8
If a Feature File has been downloaded.
QUICK
SETUP
page 54
Host Interface
Adapter Address
3
Ethernet Address
3
WLAN Address
3
ZTP Data Time
4
ZTP Wait Time
4
ZTP TearDistance
4
Graphic Spd Up
Typeface
DBCS CPI
Select LPI
DBCS ASCII Style
DBCS/ASCII Mode
1
Ribbon End Point
Reset Cmd CFG Ld
Load Config.
Save Config.
Power-Up Config.
HOST
INTERFACE
page 60
E-Net Adapter
3
Ethernet
3
Auto Switching*
Centronics
Dataproducts
Serial
IEEE 1284
NETWORK
SETUP
3
page 77
Adapter Address
3
Adapter Params
3
Ethernet Address
3
Ethernet Params
3
WLAN Address
3
WLAN Params
3
PRINTER
CONTROL
page 102
Ribbon End Point
Open Platen @ BOF
Tear Bar Dist.
View Function
5
Unidirectional
Display Language
Accented Chars
ADVANCED
USER
page 104
Ptx Setup Option
Hex Dump Mode
Power-Up State
Downloaded Fonts
PMD Fault
Power Stacker
3
Auto Elevator
3
Auto Locking
File System
Set Sharing
Shuttle Timeout
Slow Paper Slew
Alarm
Power Saver Time
Pwr Save Control
Cancel Key
Ret. Status Port
Set Lock Key
Job Set/Typeface
Print Hist. Log
RBN Low Warn@
RBN Low Action
RBN End Action
DIAGNOSTICS
page 110
Printer Tests
Test Width
Paper Out Dots
System Memory
Print Statistics
Software Build
Feature File
8
Shuttle Type
Printer MGMT
page 114
PNE Port
Mgmt Protocol
PNE Port Number
6
PNE Port Timeout
6
Status Port Numb
Mgmt Port Number
EMULATION
page 92
LinePrinter+
Printer Protocol
LQ 1600K
1
KS
2
KSSM
2
ZTP
SETTINGS
4
page 185
ZTP Data Time
ZTP Wait Time
ZTP Tear Distance
ZTP Function
ZTP Platen Open
DATE
7
page 113
Hour
Minute
Year
Month
Day

Optimizing Print Speed
53
Brief descriptions follow for the first-level configuration menu options:
•
QUICK SETUP — These options allow quick access to the main printer
options used most.
•
ZTP SETTINGS These options allow you to set parameters for zero tear
pedestal printers.
•
CONFIG. CONTROL — These options allow you to save, print, load,
delete, name, and reset entire sets of configuration parameters.
•
HOST INTERFACE — These options allow you to select either the Serial
RS-232, Serial RS-422, Centronics
®
parallel, Data Products parallel,
Ethernet
™
, IEEE
®
1284 parallel, or Auto Switching interface for the
printer. This menu also allows you to configure several parameters for
each interface.
•
NETWORK SETUP — This option allows you to select from Ethernet
Address option and Ethernet Parameters options.
•
EMULATION — This menu allows you to configure the options which are
available for the current operating (active) emulation.
•
PRINTER CONTROL — These options allow you to select several
operating parameters for the printer, such as the speed at which paper
will advance when slewing.
•
ADVANCED USER — These options allow you to select several
advanced operating parameters for the printer, such as the speed at
which paper will advance when slewing.
•
DIAGNOSTICS — This menu includes the diagnostic tests, system
memory, software build part number, Feature File (if one exists),
the shuttle type, and statistics of the printer.
•
DATE — This menu allows you to set the printer’s real time clock. The
parameters include hour, minute, year, month, and day.
•
PRINTER MGMT — These options allow you to select the PNE port type,
port number, port timeout period, status port number, and management
port number.
Main Menu

54
Chapter 4
QUICK SETUP
QUICK SETUP
QUICK
SETUP
(from page 52)
Typeface
Host
Interface
* = Factory Default
1
Available for Hanzi and Kanji LP+ Printers Only
2
Available for Hangul LP+ Printers Only
3
If installed.
4
Available for Zero Tear Pedestal Printers only.
DBCS
CPI
Graphics
Spd-Up
LQ
Near LQ*
Normal
Hi-Speed
Super Hi-Speed
Ultra Hi-Speed
Auto Switching*
Centronics
Dataproducts
Serial
IEEE 1284
E-Net Adapters
3
Ethernet
3
5.0 CPI
6.0 CPI
6.7 CPI*
7.5 CPI
8.5 CPI
2
9 CPI
2
10.0 CPI
2
Others CPI
Normal*
Enhanced
Turbo
Match Typeface
Adapter
Address
3
IP Address
Subnet Mask
Gateway Address
MAC Address
DHCP
Ethernet
Address
3
IP Address
Subnet Mask
Gateway Address
MAC Address
DHCP
WLAN
Address
3
IP Address
Subnet Mask
Gateway Address
MAC Address
DHCP
ZTP
Data Time
4
.5 Sec*
1.0 - 15.0 Sec
ZTP
Wait Time
4
2 Sec*
3 - 10 Sec
1 Sec
ZTP
TearDistance
4
1060/144 Inch*
Select
LPI
6.0 LPI*
8.0 LPI
DBCS/ASCII
Mode
1
DBCS ASCII
Style
DBCS Mode*
ASCII Mode
Normal*
Oversize
1
OCR B
Load
Config.
Factory*
1-8
Power-Up
Config.
Factory*
1-8
Save
Config.
1*
2-8
Ribbon End
Point
Darker +6
Darker +5
Darker +3
Darker +2
Darker +1
Normal
Lighter -1
Lighter -2
Lighter -3
Lighter -4
Lighter -5
Lighter -6
Lighter -7*
Lighter -8
Lighter -9
Lighter -10
Reset Cmd
CFG Ld
Disable*
Power up config
Current config
Factory config

Optimizing Print Speed
55
Host Interface
The Host Interface menu enables you to select and configure interfaces
between the printer and your host computer.
Adapter Address
•
IP Address. A numeric address such as 123.45.61.23 which identifies a
printer or server in a LAN or WAN.
•
Subnet Mask. A binary value used to divide IP networks into smaller
subnetworks or subnets. This mask is used to help determine whether IP
packets need to be forwarded to other subnets.
•
Gateway Address. A gateway address is the IP address of a hardware
device (gateway) that translates data between two incompatible
networks, which can include protocol translation.
•
MAC Address. This menu item is the Manufacturer’s Assigned Number,
and is unique for each printer. It is read-only.
•
DHCP. You can enable/disable the DHCP protocol using this option, but
consult your administrator for the appropriate setting.
Ethernet Address
•
IP Address. A numeric address such as 123.45.61.23 which identifies a
printer or server in a LAN or WAN.
•
Subnet Mask. A binary value used to divide IP networks into smaller
subnetworks or subnets. This mask is used to help determine whether IP
packets need to be forwarded to other subnets.
•
Gateway Address. A gateway address is the IP address of a hardware
device (gateway) that translates data between two incompatible
networks, which can include protocol translation.
•
MAC Address. This menu item is the Manufacturer’s Assigned Number,
and is unique for each printer. It is read-only.
•
DHCP. You can enable/disable the DHCP protocol using this option, but
consult your administrator for the appropriate setting.
WLAN Address
•
IP Address. A numeric address such as 123.45.61.23 which identifies a
printer or server in a LAN or WAN.
•
Subnet Mask. A binary value used to divide IP networks into smaller
subnetworks or subnets. This mask is used to help determine whether IP
packets need to be forwarded to other subnets.
•
Gateway Address. A gateway address is the IP address of a hardware
device (gateway) that translates data between two incompatible
networks, which can include protocol translation.
•
MAC Address. This menu item is the Manufacturer’s Assigned Number,
and is unique for each printer. It is read-only.
•
DHCP. You can enable/disable the DHCP protocol using this option, but
consult your administrator for the appropriate setting.
QUICK SETUP

56
Chapter 4
QUICK SETUP
ZTP Data Time
This option sets the pause time in the data stream that the ZTP requires
before moving the form to the tear bar once a print job is completed. The
values range from .5 to 15 seconds. The default is .5 seconds.
ZTP Wait Time
This option sets the minimum amount of time that the form stays at the tear
bar. This allows you time to remove the form before the form is retracted to
print the next form. The adjustable values range from 1 to 10 seconds in
increments of 1 second. The default value is 2 seconds.
ZTP TearDistance
This option sets the tear off distance from the current print position to the tear
bar. Adjustable values in increments of 1/144th of an inch range from 200 to
2880. The up and down arrows adjust the display value. When you press the
Enter key, the selected value is stored and a scale is printed to indicate the
current tear off position. The default value is 1060.
NOTE: When a new value is selected, the printer will lose the current print
position. You must reset the top of form to automatically save the new
value.
Graphics Spd-Up
This menu is used to increase (speed up) graphic printing speed by turning on
Enhanced/Turbo mode. See “Graphics Spd Up” in the Programmer’s
Reference manual.
Typeface
Sets the typeface of the printer. This key requires confirmation with the
ENTER key.
NOTE: The factory default for the Hanzi GB and Kanji SJIS LP+ is Near LQ.
The factory default for the Hangul and Hanzi Big5 LP+ is LQ.
DBCS CPI
Defines the default values for horizontal character spacing in DBCS mode.
For the Hanzi and Kanji LP+ printer, select from 5.0, 6.0, 6.7, 7.5, and Others
CPI. For the Hangul LP+ printer, selected from 5.0, 6.0, 6.7, 7.5, 8.5, 10, and
others CPI.
NOTE: The factory default for the Hanzi LP+ printer is 6.7 cpi. The factory
default for the Hangul LP+ printer is 6.0 cpi. The factory default for the
Kanji LP+ printer is 7.5 cpi.

Optimizing Print Speed
57
Select LPI
Defines the default values for vertical character spacing. The number of lines
per inch can be 6.0 or 8.0.
NOTE: The factory default for the Hanzi and Hangul LP+ is 6.0. The factory
default for Kanji LP+ is 8.0.
DBCS ASCII Style
This option specifies the appearance of the single-byte numeric characters.
For the Hanzi and Kanji LP+ printer, select from Normal, Oversize and OCRB.
For the Hangul LP+ printer, select from Normal, and OCRB.
DBCS/ASCII Mode
This option specifies the operating mode of the Hanzi printer. Refer to “Font
Attribues” in the LQ1600K Programmer's Reference Manual for more
information.
NOTE: Available for the Hanzi and Kanji LP+ printers only.
Ribbon End Point
This parameter adjusts the point at which the system will declare the ribbon
as being expended. The life count will always be from 100% to 0%, but if a
darker setting is selected 0% will be reached more quickly. If a lighter setting
is selected, the system will extend the time it takes to reach 0%.
Reset Cmd CFG Ld
When the printer receives a host data stream reset command
(ESC @ or ESC[K) in addition to resetting printer variables, the selected
configuration will be loaded.
•
Disable (default). The active emulation parameters are loaded when the
reset command is executed.
•
Power-Up Config. The power-up configuration is loaded when the reset
command is executed.
•
Current Config. The currently selected configuration is loaded when the
reset command is executed.
•
Factory Config. The factory installed configuration is loaded when the
reset command is executed.
Load Config.
The printer can store numerous configurations in memory. This parameter
allows you to select and load a specific configuration.
QUICK SETUP

58
Chapter 4
ZTP SETTINGS
Save Config.
This option allows you to save up to eight configurations to meet different print
job requirements. This eliminates the need to change the parameter settings
for each new job. The configurations are stored in memory and will not be lost
if you turn off the printer. If the Protect Configs. parameter is enabled, the new
configuration will not be saved unless the existing configuration has been
deleted first. The factory default configuration cannot be changed. See
“Saving Your New Configuration” on page 46 for details.
Power-Up Config.
You can specify which of the nine configurations (Factory or 1-8) will be the
power-up configuration.
ZTP SETTINGS
See Appendix C, page 177.
CONFIG. CONTROL
The CONFIG. CONTROL menu allows you to control your printer’s
configurations according to the specifications necessary for your print jobs.
Load Config.
The printer can store numerous configurations in memory. This parameter
allows you to select and load a specific configuration.
CONFIG.
CONTROL
(from page 52)
Load
Config.
Save
Config.
Print
Config.
Delete
Config.
Power-Up
Config.
Protect
Configs.
Name
Configs
Reset Cfg
Names
Factory*
1-8
1*
2-8
Current Short*
Current Full
Factory
Power-Up
All
1-8
1*
2-8
Factory*
1-8
Disable*
Enable
1-8 1*
2-8
All
* = Factory Default
Auto
Save
Enable*
Disable

Optimizing Print Speed
59
Save Config.
This option allows you to save up to eight configurations to meet different print
job requirements. This eliminates the need to change the parameter settings
for each new job. The configurations are stored in memory and will not be lost
if you turn off the printer. If the Protect Configs. parameter is enabled, the new
configuration will not be saved unless the existing configuration has been
deleted first. The factory default configuration cannot be changed. See
“Saving Your New Configuration” on page 46 for details.
Print Config.
This option is used to print a listing of various stored printer configurations.
Store printouts of your configurations in a safe place for quick referral.
Delete Config.
You can delete one or all of your eight customized configurations. The factory
default configuration cannot be deleted.
Power-Up Config.
You can specify which of the nine configurations (Factory or 1-8) will be the
power-up configuration.
Protect Configs.
You can specify whether or not a new configuration should overwrite an
existing configuration when you activate the Save Configs. parameter. When
disabled (default), the new configuration will overwrite the existing
configuration. When enabled, the new configuration will not overwrite the
existing configuration, and the message “CONFIG. EXISTS / Delete First”
displays.
Name Configs
You may specify a 15-character name which can be used to refer to a
configuration. The name you enter for a configuration will be used in the Load
Config., Save Config., Print Config., Delete Config., and Power-Up Config.
menus. The name can only be cleared by using the Reset Cfg Names menu.
When you move into the Name Configs. menu, the top line of the display
shows the current configuration name. The second line of the display is
initially the same as the top line. You can modify the second line of the display
without affecting the top line until the ENTER key is pressed, which sets the
modified name.
Press the UP or DOWN (
=
or
>
)
keys to cycle through the values available
for that character at the cursor location. Press the NEXT (
<
) key to move to
the next character to be modified. Press the PREV key (
;
) to go back to a
character you have already modified. Continue until you have entered the
name you want to give to this configuration, then press ENTER to save. The
name you entered will now represent this configuration on the printer's front
panel. To exit this menu without saving, press any key other than the ENTER
key. The configuration name will revert to the last saved value.
CONFIG. CONTROL

60
Chapter 4
HOST INTERFACE
Reset Cfg Names
You can reset specific configuration names back to the default value of the
configuration number.
Auto Save
•
Enable (default). When a change has been made to a configuration
menu, this option automatically prompts you to save or not save the
change to config #. If you are currently in the Factory Config. menus and
make a change, pressing Enter saves to Config 1 or the next available
config. and becomes the Power-Up config. If the current config is Config 1
and a menu change is made, pressing Enter will save the change to
Config 1.
•
Disable. The printer will not prompt you to save any changes made.
HOST INTERFACE
The Host Interface Menu enables you to select and configure one of many
types of interfaces between the printer and your host computer. The currently
selected interface is indicated with an asterisk on the control panel message
display. Each interface has its own submenu with a set of interface
parameters which can be configured.
HOST
INTERFACE
(from page 52)
IEEE 1284Auto
Switching*
Centronics Serial
Ethernet
1
(see page 74)
(see page 61) (see page 63) (see page 68)
(see page 76)
* = Factory Default
1
Available when an Ethernet is present.
2
Available when an Adapter is present.
E-Net
Adapter
2
(see page 75)
Dataproducts
(see page 65)

Auto Switching Submenu
61
Auto Switching Submenu
Auto Switching
Gives the printer the ability to handle multiple data streams sequentially. With
Auto Switching, the printer can service hosts attached to the serial, parallel,
coax and twinax ports as if they were the only interface connected.
For example, if the host computer sends one print job to the
RS-232 serial port and a separate print job to the IEEE 1284 parallel port, the
printer's Auto Switching is able to handle both jobs, in the order they were
received. The user does not have to reconfigure the selected interface
between jobs.
Auto Switching
(from page 60)
Parallel
Hotport
Serial
Hotport
Port Type
Centronics*
(see page 63 for options)
Dataproducts
(see page 65 for options)
IEEE 1284
(see page 74 for options)
Disable
E-Net Adapter
(see page 75 for options)
Trickle Time
1/4 sec*
1/2 sec
1 sec
2 sec
4 sec
8 sec
16 sec
Off
Timeout
10 sec.*
(10-60)
Report Status
Disable*
Enable
Switch Out On
Data Timeout*
Session Close
Port Type
RS 232*
RS 422
Disable
Trickle Time
1/4 sec*
1/2 sec
1 sec
2 sec
4 sec
8 sec
16 sec
Off
Timeout
10 sec.*
(10-60)
Report Status
Disable*
Enable
* = Factory Default
1
= If installed
Ethernet
Hotport
1
Timeout
10 sec.*
(10-60)
Switch Out On
Data Timeout*
Session Close
HOST INTERFACE

62
Chapter 4
HOST INTERFACE
Port Type
Select the types of parallel, serial and/or C/T interfaces which are connected
to the printer. For example, if your printer is attached to one host with a
Centronics connection and a second host with an RS-422 serial connection,
you would select Centronics under the Parallel Hotport menu, RS-422 under
the Serial Hotport menu, and Disable under the C/T Hotport menu.
Trickle Time
When the printer is printing data from a host and a second job is received by
the printer from a different host, Trickle Time prevents the second host from
timing out while it is waiting for its data to be printed. In order to support this
feature, the port has to be able to accept data from the host and store it for
future use.
For example, if the printer is printing a job from the serial port, and then
receives a second print job from the parallel port, the data from the parallel
port will “trickle” bit by bit into the printer buffer to prevent a timeout error from
being sent back to the host connected to the parallel port.
The selected value is the time that the printer waits before getting the next
byte of data from the host. The Trickle Time value should be less than the
host time out value, but not too much shorter or else the printer fills up its
buffer too fast. This function is not applicable for C/T hotport.
Timeout
This is the value used by the printer to time out from the current port and
check the other selected port types for data to print. When the printer has not
received data from the host after a certain period of time, it needs to timeout in
order to service the other ports.
Report Status
•
Disable (default). When a fault occurs on the printer, only the active port
reports the fault to the host.
•
Enable. The port will report any fault even when it is not the current active
port.
Switch Out On
•
Data Timeout (default). Allows Autoswitching when no data has been
received for the selected Time Out period.
•
Session Close. Allows Autoswitching only when the Network Socket is
closed. If the Ethernet option is not installed the Network Socket is always
reported as closed and this menu option is ignored.

Centronics (Parallel) Submenu
63
Centronics (Parallel) Submenu
Data Bit 8
•
Enable (default). Allows access to the extended ASCII character set.
•
Disable. The printer interprets bit 8 of each incoming data character as a
zero, regardless of its actual setting.
PI Ignored
The PI (Paper Instruction) signal is used to control vertical paper motion.
•
Enable (default). Ignores the PI signal and treats the data as characters
or control codes.
•
Disable. Causes the printer to interpret the eight data lines as VFU
commands when the PI signal is true.
Data Polarity
The Data Polarity parameter must be set to match the data polarity of your
host computer.
•
Standard (default). Does not expect the host computer to invert the data.
•
Inverted. Expects the data received on the data lines from the host
computer to be inverted. Ones become zeros, and vice versa.
Centronics
(from page 60)
Prime
Signal
TOF Action Buffer Size
in K
Enable
Disable*
Reset*
Do Nothing
1
2
4
8
16
32
64*
128
256
* = Factory Default
Auto Trickle
Disable*
Enable
Trickle Time
1/4 sec*
1/2 sec
1 sec
2 sec
4 sec
8 sec
16 sec
Off
Data Bit 8
Enable*
Disable
PI Ignored
Enable*
Disable
Data Polarity
Standard*
Inverted
Resp.
Polarity
Standard*
Inverted
Busy on
Strobe
Enable*
Disable
Latch Data
On
Leading*
Trailing

64
Chapter 4
HOST INTERFACE
Resp. Polarity
The Resp. Polarity parameter must be set to match the response polarity of
your host computer.
•
Standard (default). Does not invert the response signal.
•
Inverted. Inverts the response signal sent to the host computer.
Busy On Strobe
•
Enable (default). Asserts a busy signal after each character is received.
•
Disable. Asserts a busy signal only when the print buffers are full.
Latch Data On
Specifies whether the data is read on the leading or trailing edge of the data
strobe signal.
Prime Signal
•
Enable. The parallel port will perform a warm start (reboot) if the host
asserts the prime signal.
•
Disable (default). The parallel port will not perform a warm start (reboot) if
the host asserts the prime signal.
TOF Action
•
Reset (default). A form feed is performed before a warm start when the
prime signal is asserted from the host. This setting is used only if the
prime signal parameter is enabled.
•
Do Nothing. Nothing occurs before a warm start when the prime signal is
asserted from the host.
Buffer Size in K
Configures the amount of memory allocated for the Centronics parallel port
buffer. You can specify between 1, 2, 4, 8, 16, 32, 64, 128, and 256.
Auto Trickle
Auto Trickle is used to prevent a host computer from timing out because the
parallel interface was busy for too long. When Auto Trickle is enabled and the
printer's buffers are almost full, the printer will begin to trickle data in (at the
rate set in the Trickle Time menu) until the buffers start to empty out.

Dataproducts Submenu
65
Trickle Time
When the printer is printing data from a host and a second job is received by
the printer from a different host, Trickle Time prevents the second host from
timing out while it is waiting for its data to be printed. In order to support this
feature, the port has to be able to accept data from the host and store it for
future use.
For example, if the printer is printing a job from the serial port, and then
receives a second print job from the parallel port, the data from the parallel
port will “trickle” bit by bit into the printer buffer to prevent a timeout error from
being sent back to the host connected to the parallel port.
The selected value is the time that the printer waits before getting the next
byte of data from the host. The Trickle Time value should be less than the
host time out value, but not too much shorter or else the printer fills up its
buffer too fast. This function is not applicable for C/T hotport.
Dataproducts Submenu
Data Bit 8
•
Enable (default). Allows access to the extended ASCII character set.
•
Disable. The printer interprets bit 8 of each incoming data character as a
zero, regardless of its actual setting.
Dataproducts
(from page 60)
Data Bit 8 PI Ignored Data
Polarity
Resp.
Polarity
Latch Data
On
Prime Signal
TOF Action Buffer Size
in K
Enable*
Disable
Enable*
Disable
Standard*
Inverted
Standard*
Inverted
Middle*
Trailing
Leading
Disable*
Enable
Reset*
Do Nothing
64*
1
2
4
8
16
32
128
256
* = Factory Default
Auto
Trickle
Disable*
Enable
Trickle
Time
1/4 sec*
1/2 sec
1 sec
2 sec
4 sec
8 sec
16 sec
Off

66
Chapter 4
HOST INTERFACE
PI Ignored
The PI (Paper Instruction) signal is used to control vertical paper motion.
•
Enable (default). Causes the printer to interpret the eight data lines as
DVFU commands when the PI signal is true.
•
Disable. Ignores the PI signal and treats the data as characters or control
codes.
Data Polarity
The Data Polarity parameter must be set to match the data polarity of your
host computer.
•
Standard (default). Does not expect the host computer to invert the data.
•
Inverted. Expects the data received on the data lines from the host
computer to be inverted. Ones become zeros, and zeros become ones.
Resp. Polarity
The Response Polarity parameter must be set to match the response polarity
of your host computer.
•
Standard (default). Does not invert the response signal.
•
Inverted. Inverts the response signal sent to the host computer.
Latch Data On
Specifies whether the data is read on the leading, middle, or trailing edge of
the data strobe signal. The default is Middle.
Prime Signal
•
Disable (default). The parallel port will not perform a warm start (reboot) if
the host asserts the prime signal.
•
Enable. The parallel port will perform a warm start (reboot) if the host
asserts the prime signal.
TOF Action
•
Reset (default). A form feed is performed before a warm start when the
prime signal is asserted from the host. This setting is used only if the
prime signal parameter is enabled.
•
Do Nothing. Nothing occurs before a warm start when the prime signal is
asserted from the host.
Buffer Size in K
Configures the amount of memory allocated for the Dataproducts parallel port
buffer. You can specify between 1, 2, 4, 8, 16, 32, 64, 128, and 256 Kbytes.

Dataproducts Submenu
67
Auto Trickle
Auto Trickle is used to prevent a host computer from timing out because the
parallel interface was busy for too long. When Auto Trickle is enabled and the
printer's buffers are almost full, the printer will begin to trickle data in (at the
rate set in the Trickle Time menu) until the buffers start to empty out.
Trickle Time
When the printer is printing data from a host and a second job is received by
the printer from a different host, Trickle Time prevents the second host from
timing out while it is waiting for its data to be printed. In order to support this
feature, the port has to be able to accept data from the host and store it for
future use.
For example, if the printer is printing a job from the serial port, and then
receives a second print job from the parallel port, the data from the parallel
port will “trickle” bit by bit into the printer buffer to prevent a timeout error from
being sent back to the host connected to the parallel port.
The selected value is the time that the printer waits before getting the next
byte of data from the host. The Trickle Time value should be less than the
host time out value, but not too much shorter or else the printer fills up its
buffer too fast. This function is not applicable for C/T hotport.

68
Chapter 4
HOST INTERFACE
Serial Submenu
Interface Type
This parameter allows you to select either the RS-232 or RS-422 serial port
interface. The default is RS-232.
Serial
(from page 60)
Interface
Type
Data
Protocol
Baud
Rate
Word
Length 8
Stop
Bits 1
Parity
Data Term
Ready
Request to
Send
Buffer Size
in K
Poll
Character
Poll
Response
Idle
Response
RS 232*
RS 422
XON/XOFF*
ETX/ACK
ACK/NAK
Series1 1 Char
Series1 2 Char
ENQ/ACK
DTR
9600 Baud*
19200 Baud
38400 Baud
57600 Baud
115200 Baud
600 Baud
1200 Baud
2400 Baud
4800 Baud
8*
7
1*
2
None*
Odd
Even
Mark
Sense
True*
On-Line and BNF
Off-Line or BF
On-Line
False
On-Line and BNF*
Off-Line or BF
On-Line
False
True
1
2
4
8
16*
32
64
128
256
00 Hex*
(0-FF hex)
0 ms*
(0-30 ms)
Disable*
Enable
* = Factory Default
One Char
Enquiry
Disable*
Enable
Framing
Errors
Enable*
Disable

Serial Submenu
69
Data Protocol
You can select one of the following serial interface protocols to meet the host
interface requirements.
•
XON / XOFF (default). The printer controls the flow of communication
from the host by turning the transmission on and off. In some situations,
such as when the buffer is full or the timing of signals is too slow or too
fast, the printer will tell the host to stop transmission by sending an XOFF
character. An XOFF character is sent when the number of empty bytes in
the buffer is less than or equal to 25 percent of the buffer size. If the host
keeps sending data after an XOFF is sent, the printer firmware will
continue to send an XOFF for every 16 characters received. When
cleared, the printer will resume receiving data (XON). The data does not
have any End of Text codes;
XON / XOFF is a non-block protocol.
•
ETX / ACK. End of Text / Acknowledge. The host controls the flow of
communication to the printer by sending a block of data and ending the
block with an End of Text (ETX) signal. When the printer receives the ETX
signal, it will acknowledge the ETX, thereby acknowledging it has
received the entire block of data.
•
ACK / NAK. ACK means acknowledge; the device acknowledges it has
accepted a transmission. NAK means negative acknowledge; the device
did not receive the transmission.
SERIES1 1 CHAR. The printer controls the flow of communication from
the host by turning the transmission on and off using response characters
sent to the host. If the number of valid bytes in the buffer reaches 75
percent of the buffer size, the online or offline and buffer full response
character is sent. If the buffer is completely full, an online or offline buffer
full response is sent every time a character is sent from the host.
Whenever the printer state changes to online or offline, the appropriate
response character is sent. If the idle response option is enabled, the
printer will send a response character every two seconds while the
number of valid bytes in the buffer is less than 75 percent of the buffer
size. If a poll character is received (configurable from the Poll Character
xx Hex option on the front panel from hex 0 through FF), the printer will
send a response character n milliseconds later (configurable from the Poll
Character xx MS on the front panel from 0 through 30). This n
milliseconds is called the poll delay. The poll character will be removed
from the input data stream and will not be processed. This may cause
problems with the transmission of binary data (e.g., control codes, bit
image, etc.). If a poll delay is started due to the receipt of a poll character
and another poll character is received, the second poll character has no
effect and is removed from the input data stream. If a transition (from
buffer full to empty or online to offline) occurs during a poll delay, the new
printer state will be sent at the end of the poll delay.

70
Chapter 4
HOST INTERFACE
The response characters are described in Table 2.
•
SERIES1 2 CHAR. This protocol behaves exactly the same as the
Series1 Char except there is a two-character response to the host. The
response characters are described in Table 3.
•
ENQ / ACK. ENQ selects odd dot plot mode to print dots in odd
numbered dot columns for normal density plotting. It defines certain data
between the next and last paper motion commands as odd dot plot data.
ACK selects line spacing of 1/8” or 7/72” for current line only.
•
DTR. The printer controls the data flow by sending this hardware signal to
the host. If there is enough room in the printer buffer, the printer will send
a high signal; if the buffer is full, the printer will send a low signal. DTR
tells the host if it is safe to send more data. (If the host sends data during
an unsafe condition, data will be lost.) DTR is not available when RS-422
is selected.
Table 2. Series1 1 Char Response Characters
Printer State Response
Online and Buffer Empty CR
Online and Buffer Full 3
Offline and Buffer Empty 0
Offline and Buffer Full 2
Table 3. Series1 2 Char Response Characters
Printer State Response
Online and Buffer Empty 1 CR
Online and Buffer Full 3 CR
Offline and Buffer Empty 0 CR
Offline and Buffer Full 2 CR

Serial Submenu
71
Baud Rate
Sets the baud rate of the serial interface in the printer. Baud rate is the speed
at which serial data is transferred between the host computer and the printer.
The choices for the RS-232 and RS-422 interfaces are 600, 1200, 2400,
4800, 9600, 19200, 38400, 57600, and 115200 Baud. The default is 9600
Baud.
NOTE: If you select a baud rate that is greater than 19200, you may need to
use RS-422 or select a lower baud rate to prevent data loss. You also
may need to increase the Buffer Size in K parameter from the default
(16 Kbyte) to improve performance.
Word Length
Sets the length of the serial data word. The length of the data word can be set
to 7 or 8 bits, and must match the corresponding data bits setting in the host
computer.
Stop Bits 1
Sets the number of stop bits in the serial data word. Either one or two stop bits
can be selected. The setting must match the corresponding stop bit setting in
the host computer.
Parity
Set for odd parity, even parity, mark, sense, or no parity. The setting must
match the corresponding parity setting in the host computer.
Data Term Ready
This configuration is part of hardware flow control and determines when the
Data Terminal Ready (DTR) signal is generated. This signal indicates if the
printer is ready to receive data.
•
True (default). Continuously asserts the DTR signal.
•
On Line and BNF (buffer not full). Asserts the DTR signal when the
printer is online and the internal serial buffer is not full.
•
Off Line or BF (buffer full). Asserts the DTR signal when the printer is
offline or the internal serial buffer is full.
•
On Line. Asserts the DTR signal when the printer is online.
•
False. Never asserts the DTR signal.

72
Chapter 4
HOST INTERFACE
Request To Send
This configuration is part of hardware flow control and determines when the
Request to Send (RTS) signal is generated. This signal indicates whether or
not the printer is ready to receive data.
•
On Line and BNF (default). Asserts the RTS signal when the printer is
online and the internal serial buffer is not full.
•
Off Line or BF. Asserts the RTS signal when the printer is offline or the
internal serial buffer is full.
•
On Line. Asserts the RTS signal when the printer is online.
•
False. Never asserts the RTS signal.
•
True. Continuously asserts the RTS signal.
Buffer Size in K
This option configures the amount of memory allocated for the serial port
buffer. You may specify between 1, 2, 4, 8, 16, 32, 64, 128, and 256.
NOTE: If you select a baud rate that is 19200 or greater, you may need to
increase the Buffer Size in K to improve performance.
Poll Character
This option is for the Series1 protocol. Whenever the printer receives this
character, it sends a response to the host indicating the current state of the
printer (see Series1 protocol). It may be configured from 0 through FF
hexadecimal.
Poll Response
This option is for the Series1 protocol. After receiving a poll character, the
printer will wait the poll response time in milliseconds before sending the
response. It may be configured from 0 through 30.
Idle Response
This option is for the Series1 protocol.
•
Disable (default)
•
Enable. The printer will send a response character every two seconds
while the number of valid bytes in the buffer is less than 75 percent of the
buffer size.

Serial Submenu
73
One Char Enquiry
The One Char Enquiry mode uses the Poll Character to detect a request from
the host and sends a response back to the host. This option also allows you to
turn on and off this feature.
The Poll Character is removed from the data stream. If the Data Protocol is
set to ETX/ACK, ACK/NAK, or Series 1, One Char Enquiry is automatically
disabled.
Framing Errors
Possible errors that can occur when the printer’s serial interface settings do
not match those of the host computer.
•
Enable (default). If a framing error occurs, a fault message will display on
the control panel.
•
Disable. If a framing error occurs, a fault message will not display on the
control panel.
Table 4. One Char Enquiry Response Characters
Printer State Response (hex)
Online and Buffer Not Full 22
Online and Buffer Full 23
Offline and Buffer Not Full 20
Offline and Buffer Full 21

74
Chapter 4
HOST INTERFACE
IEEE 1284 Parallel (Bidirectional) Submenu
The IEEE 1284 interface is faster and more versatile than Centronics and
supports bidirectional communication. Configuration of this interface is
controlled from the host. Refer to
ΙΕΕΕ 1284 Παραλλελ Ιντερφαχε
ον παγε 117
more details about the available modes (Compatibility, Nibble,
and Byte).
Prime Signal
•
Disable (default). The parallel port will not perform a warm start (reboot) if
the host asserts the prime signal.
•
Enable. The parallel port will perform a warm start (reboot) if the host
asserts the prime signal.
TOF Action
•
Reset (default). A form feed is performed before a warm start when the
prime signal is asserted from the host. This setting is used only if the
prime signal parameter is enabled.
•
Do Nothing. Nothing occurs before a warm start when the prime signal is
asserted from the host.
Buffer Size in K
This option configures the amount of memory allocated for the IEEE 1284
parallel port buffer. You can specify between 1, 2, 4, 8, 16, 32, 64, 128, and
256 Kbytes. The default is 64 K.
Auto Trickle
Auto Trickle is used to prevent a host computer from timing out because the
parallel interface was busy for too long. When Auto Trickle is enabled and the
printer's buffers are almost full, the printer will begin to trickle data in (at the
rate set in the Trickle Time menu) until the buffers start to empty out.
IEEE 1284
(from page 60)
Prime
Signal
TOF
Action
Buffer Size
in K
Enable
Disable*
Reset*
Do Nothing
1
2
4
8
16
32
64*
128
256
* = Factory Default
Auto Trickle
Disable*
Enable
Trickle
Time
1/4 sec*
1/2 sec
1 sec
2 sec
4 sec
8 sec
16 sec
Off
Offline
Process
Disable*
Enable

E-Net Adapter Submenu
75
Trickle Time
When the printer is printing data from a host and a second job is received by
the printer from a different host, Trickle Time prevents the second host from
timing out while it is waiting for its data to be printed. In order to support this
feature, the port has to be able to accept data from the host and store it for
future use.
For example, if the printer is printing a job from the serial port, and then
receives a second print job from the parallel port, the data from the parallel
port will “trickle” bit by bit into the printer buffer to prevent a timeout error from
being sent back to the host connected to the parallel port.
The selected value is the time that the printer waits before getting the next
byte of data from the host. The Trickle Time value should be less than the
host time out value, but not too much shorter or else the printer fills up its
buffer too fast. This function is not applicable for C/T hotport.
Offline Process
•
Disable (the default). When set to disable, the printer does not process
parallel/network data while offline.
•
Enable. When set to enable, the printer continues to process (but not
print) the current network/parallel job while the printer is offline until the
printer's buffer is full.
E-Net Adapter Submenu
The E-Net Adapter interface allows you to locate the printer on a LAN rather
than attach the host directly into the printer. The detailed configuration of this
option is given in the Network Interface Card User's Manual.
E-Net Adapter
(from page 60)
Buffer Size
in K
64*
1
2
4
8
16
32
128
256
* = Factory Default

76
Chapter 4
HOST INTERFACE
Buffer Size in K
This option configures the amount of memory allocated for the Ethernet
buffer. You can specify between 1, 2, 4, 8, 16, 32, 128, and 256 Kbytes. The
default is 64 Kbytes.
Ethernet Submenu
The Ethernet interface allows you to locate the printer on a LAN rather than
attach the host directly into the printer. The detailed configuration of this
option is given in the Network Interface Card User's Manual.
Buffer Size in K
This option configures the amount of memory allocated for the Ethernet
buffer. You can specify between 1 and 16 Kbytes, in 1-Kbyte increments.
The default is 16 Kbytes.
Ethernet
(from page 60)
Buffer Size
in K
16*
1-16
* = Factory Default

ADAPTER ADDRESS
77
NETWORK SETUP MENU
ADAPTER ADDRESS
IP Address
A numeric address such as 123.45.61.23 which identifies a printer or server in
a LAN or WAN.
Subnet Mask
A binary value used to divide IP networks into smaller subnetworks or
subnets. This mask is used to help determine whether IP packets need to be
forwarded to other subnets.
NETWORK
SETUP
(from page 52)
ADAPTER
ADDRESS
1
See page 77.
WLAN
ADDRESS
3
See page 84.
ETHERNET
PARAMS
2
See page 82.
ETHERNET
ADDRESS
2
See page 81.
ADAPTER
PARAMS
1
See page 78.
WLAN
PARAMS
3
See page 85.
WLAN
KERBEROS
4
See page 89.
WLAN
LEAP
5
See page 91.
1
Only if the Ethernet Adapter feature is installed.
2
Only if the Integrated Ethernet feature is installed.
3
Only if the Wireless Adapter feature is installed.
4
Only if a Symbol radio card is installed.
5
Only if a Cisco radio card is installed.
ADAPTER
ADDRESS
(from page 77)
IP Address Subnet
Mask
xxx.xxx.xxx.xxx xxx.xxx.xxx.xxx xxx.xxx.xxx.xxx hhhhhhhhhhhh
* = Factory Default
Gateway
Address
MAC
Address
DHCP
Disable*
Enable

78
Chapter 4
NETWORK SETUP MENU
Gateway Address
A gateway address is the IP address of a hardware device (gateway) that
translates data between two incompatible networks, which can include
protocol translation.
MAC Address
This menu item is the Manufacturer’s Assigned Number, and is unique for
each printer. It is read-only.
DHCP
You can enable/disable the DHCP protocol using this option, but consult your
administrator for the appropriate setting.
The options include:
•
Disable (default)
•
Enable.
ADAPTER PARAMS
You may enable or disable the Novell or NetBIOS Protocols within this menu,
as well as selecting which Novell Frame scheme to use in processing Novell
signals. See the Novell chapter in the Network Interface Card User's Manual
for more details.
ADAPTER
PARAMS
(from page 77)
Novell
Protocol
Enable*
Disable
Auto*
Bindery
NDS
* = Factory Default
1
If Installed
Novell
Frame
IPDS
Data Port
1
Ethernet
Speed
Ethernet 802.2*
802.2 Snap
Auto Sensing
Ethernet II
Ethernet 802.3
5001*
1023-65535
Auto Select*
10 Half Duplex
10 Full Duplex
100 Half Duplex
100 Full Duplex
Nest Serv
Type
Keep Alive
Timer
3 Minutes*
2 - 10 Minutes
NetBIOS
Protocol
Enable*
Disable
Job Control
Standard*
Enhanced
Off
ASCII
Data Port
9100*
1023 - 65535

ADAPTER PARAMS
79
Novell Protocol
This option determines whether the Novell protocol will be available. The
selections are as indicated below:
•
Enable (default). Makes the Novell protocol available with the ethernet
installed.
•
Disable. Makes the Novell protocol unavailable during printer operation.
Nest Serv Type
You can change the Nest Server using this option, but consult your
administrator for the appropriate setting.
The options are Auto (default), Bindery, and NDS.
NetBIOS Protocol
This option determines whether the NetBIOS protocol will be available. The
selections are as indicated below:
•
Enable (default). Makes the NetBIOS protocol available with the ethernet
installed.
•
Disable. Makes the NetBIOS protocol unavailable during printer
operation.
Novell Frame
This selection determines which framing scheme will be used in processing
Novell signals.
•
Ethernet 802.2 (default)
•
802.2 Snap
•
Auto Sensing
•
Ethernet II
•
Ethernet 802.3
ASCII Data Port
This option sets the port number for ASCII print jobs. The data port number
needs to match your host system setting.
•
9100 (default)
•
1023 - 65535
IPDS Data Port
This option allows you to set the port number for IPDS print jobs only if the
IPDS option is installed.
The range is 0 - 5000, and the factory default is 5001.

80
Chapter 4
NETWORK SETUP MENU
Keep Alive Timer
This is the time that the Keep Alive Timer will run. With the Keep Alive Timer
on, the tcp connection will stay connected even after the print job has
terminated.
•
3 Minutes (default)
•
2 - 10 Minutes
Ethernet Speed
This menu option only appears if a 10/100Base-T network interface card
(NIC) is installed. The Ethernet Speed menu allows compatibility with different
systems and networks. The factory default is Auto Select.
•
Auto Select. (default) This setting tells the 10/100Base-T NIC to perform
an auto detection scheme and configure itself to be 10 Half Duplex, 10
Full Duplex, 100 Half Duplex, or 100 Full Duplex.
•
10 Half Duplex. Tells the 10/100Base-T NIC to communicate at 10
Megabits per second using half duplex.
•
10 Full Duplex. Tells the 10/100Base-T NIC to communicate at 10
Megabits per second using full duplex.
•
100 Half Duplex. Tells the 10/100Base-T NIC to communicate at 100
Megabits per second using half duplex.
•
100 Full Duplex. Tells the 10/100Base-T NIC to communicate at 100
Megabits per second using full duplex.
Job Control
The job control mode has three options:
•
Standard (default). The NIC waits for the printer to finish receiving the
current job before sending another job. The status line shows “done”
when the job is completely received by the NIC. This is the default.
•
Enhanced. The NIC waits for the printer to finish receiving the current job
before sending another job. The status line shows “done” when the job is
fully printed.
•
Off. No job synchonization between the NIC and the printer.

ETHERNET ADDRESS
81
ETHERNET ADDRESS
IP Address
A numeric address such as 123.45.61.23 which identifies a printer or server in
a LAN or WAN.
Subnet Mask
A binary value used to divide IP networks into smaller subnetworks or
subnets. This mask is used to help determine whether IP packets need to be
forwarded to other subnets.
Gateway Address
A gateway address is the IP address of a hardware device (gateway) that
translates data between two incompatible networks, which can include
protocol translation.
MAC Address
This menu item is the Manufacturer’s Assigned Number, and is unique for
each printer. It is read-only.
DHCP
You can enable/disable the DHCP protocol using this option, but consult your
administrator for the appropriate setting.
The options include:
•
Disable (default)
•
Enable.
ETHERNET
ADDRESS
(from page 77)
IP Address Subnet
Mask
xxx.xxx.xxx.xxx xxx.xxx.xxx.xxx xxx.xxx.xxx.xxx hhhhhhhhhhhh
* = Factory Default
Gateway
Address
MAC
Address
DHCP
Disable*
Enable

82
Chapter 4
NETWORK SETUP MENU
ETHERNET PARAMS
The ETHERNET PARAMS menu helps your printer communicate on a
network.
For information on assigning the IP Address, Gateway Address, Subnet
Mask, and MAC Address, refer to the Network Interface Card User's Manual.
NetBIOS Protocol
This option determines whether the NetBIOS protocol will be available. The
selections are as indicated below:
•
Enable (default). Makes the NetBIOS protocol available with the ethernet
installed.
•
Disable. Makes the NetBIOS protocol unavailable during printer
operation.
ASCII Data Port
This option sets the port number for ASCII print jobs. The data port number
needs to match your host system setting.
•
9100 (default)
•
1023 - 65535
IPDS Data Port
This option allows you to set the port number for IPDS print jobs only if the
IPDS option is installed.
The range is 1023 - 65535, and the factory default is 5001.
Keep Alive Timer
This is the time that the Keep Alive Timer will run. With the Keep Alive Timer
on, the tcp connection will stay connected even after the print job has
terminated.
•
3 Minutes (default)
•
2 - 10 Minutes
ETHERNET
PARAMS
(from page 77)
* = Factory Default
1
If Installed
ASCII
Data Port
Ethernet
Speed
9100*
1023 - 65535
Auto Select*
10 Half Duplex
10 Full Duplex
100 Half Duplex
100 Full Duplex
Keep Alive
Timer
3 Minutes*
2 - 10 Minutes
NetBIOS
Protocol
Enable*
Disable
Job Control
Standard*
Enhanced
Off
IPDS Data
Port
1
5001*
1023 - 65535

ETHERNET PARAMS
83
Ethernet Speed
This menu option only appears if a 10/100Base-T network interface card
(NIC) is installed. The Ethernet Speed menu allows compatibility with different
systems and networks. The factory default is Auto Select.
•
Auto Select. (default) This setting tells the 10/100Base-T NIC to perform
an auto detection scheme and configure itself to be 10 Half Duplex, 10
Full Duplex, 100 Half Duplex, or 100 Full Duplex.
•
10 Half Duplex. Tells the 10/100Base-T NIC to communicate at 10
Megabits per second using half duplex.
•
10 Full Duplex. Tells the 10/100Base-T NIC to communicate at 10
Megabits per second using full duplex.
•
100 Half Duplex. Tells the 10/100Base-T NIC to communicate at 100
Megabits per second using half duplex.
•
100 Full Duplex. Tells the 10/100Base-T NIC to communicate at 100
Megabits per second using full duplex.
Job Control
The job control mode has three options:
•
Standard (default). The NIC waits for the printer to finish receiving the
current job before sending another job. The status line shows “done”
when the job is completely received by the NIC. This is the default.
•
Enhanced. The NIC waits for the printer to finish receiving the current job
before sending another job. The status line shows “done” when the job is
fully printed.
•
Off. No job synchonization between the NIC and the printer.

84
Chapter 4
NETWORK SETUP MENU
WLAN ADDRESS
IP Address
A numeric address such as 123.45.61.23 which identifies a printer or server in
a LAN or WAN.
Subnet Mask
A binary value used to divide IP networks into smaller subnetworks or
subnets. This mask is used to help determine whether IP packets need to be
forwarded to other subnets.
Gateway Address
A gateway address is the IP address of a hardware device (gateway) that
translates data between two incompatible networks, which can include
protocol translation.
MAC Address
This menu item is the Manufacturer’s Assigned Number, and is unique for
each printer. It is read-only.
DHCP
You can enable/disable the DHCP protocol using this option, but consult your
administrator for the appropriate setting.
The options include:
•
Disable (default)
•
Enable.
WLAN
ADDRESS
(from page 77)
IP Address Subnet
Mask
xxx.xxx.xxx.xxx xxx.xxx.xxx.xxx xxx.xxx.xxx.xxx hhhhhhhhhhhh
* = Factory Default
Gateway
Address
MAC
Address
DHCP
Disable*
Enable

WLAN PARAMS
85
WLAN PARAMS
WLAN
PARAMS
(from page 77)
Signal
Strength
5
0%
SSID
Name
SSID Name (01 - 15)
SSID Name (16 - 30)
SSID Name (31 - 32)
Preamble
6
Default*
Short
Long
Operation
Mode
6
Infrastructure*
Pseudo IBSS
Ad Hoc
Ant. Diversity
6
Diverse
Primary*
Auxiliary
* = Factory Default
1
Only when 40 Bits is selected
2
Only when 128 Bits is selected
3
Only when a Symbol radio card is installed.
4
Only when a Cisco radio card is installed.
5
Read only
6
Not displayed if LA5127 radio card is installed.
7
Only if LA5127 radio card is installed.
Min xfer
Rate
Auto-negotiate*
1Mb/Sec
2Mb/Sec
5.5Mb/Sec
11Mb/Sec
Power
Mgmt
0 ms.*
100 ms.
200 ms.
300 ms.
400 ms.
500 ms.
600 ms.
700 ms.
800 ms.
900 ms.
1000 ms.
Channel
6
Default*
1 - 15
Reset SSID
Name
Transmit
Power
100%*
0 - 100 %
Antenna
7
Primary*
Auxiliary
Internat.
Mode
Disable*
Enable
Auth
Method
Open*
Shared
Kerberos
3
LEAP
4
WEP Key 1
Key Format
Hexadecimal*
ASCII
Key Width
128 Bits*
40 Bits
Byte 1 - Byte 5
1
Byte 1 - Byte 13
2
WEP Key 2
Key Format
Hexadecimal*
ASCII
Key Width
128 Bits*
40 Bits
Byte 1 - Byte 5
1
Byte 1 - Byte 13
2
WEP Key 3
Key Format
Hexadecimal*
ASCII
Key Width
128 Bits*
40 Bits
Byte 1 - Byte 5
1
Byte 1 - Byte 13
2
WEP Key 4
Key Format
Hexadecimal*
ASCII
Key Width
128 Bits*
40 Bits
Byte 1 - Byte 5
1
Byte 1 - Byte 13
2
Default WEP
Keys
Reset WEP
Keys
WPA
Mode
7
Disable*
Personal
WPA
Cipher
7
TKIP*
AES
TKIP+AES
WPA
P-Phs (01-15)
7
WPA P-Phs
(16-30)
7
WPA P-Phs
(31-32)
7
Reset WPA
P-Phs
7

86
Chapter 4
NETWORK SETUP MENU
Signal Strength
This menu displays the strength of the wireless signal.
NOTE: This is a display value only and cannot be changed.
Operation Mode
Allows you to select the way the Wireless option communicates:
•
Infrastructure (default). The Wireless option must go through a server.
•
Pseudo IBSS. Proprietary, peer-to-peer communication (without a
server). The two peers must be specific to one manufacturer.
•
Ad Hoc. Standard, peer-to-peer communication (without a server). The
two peers can be from different manufacturers.
SSID Name
A 1 - 32 character, case sensitive string that identifies the group the printer
talks to.
NOTE: The SSID name may be edited in three parts (1-15), (16-30), and
(31-32).
For each part of the SSID name, press the MICRO UP or MICRO DOWN
keys to cycle through the values available for that character at the cursor
location. Press the SCROLL UP key to move to the next character to be
modified. Press the SCROLL DOWN key to go back to the name you want to
give to this SSID name, then press ENTER to save. The name you entered
will now represent this SSID name on the printer’s front panel. To exit this
menu without saving, press any key other than the ENTER key. The SSID
name will revert to the last saved value.
Reset SSID Name
Allows you to reset the SSID name.
Min Xfer Rate
Allows you to set the minimum speed at which the Wireless Option will accept
a connection (in million bits per second). The options are:
•
Auto-negotiate (default)
•
1Mb/Sec.
•
2Mb/Sec.
•
5.5Mb/Sec
•
11Mb/Sec
Channel
Allows you to select the RF channel. The options are Default (the factory
default) and 1-15.

WLAN PARAMS
87
Ant. Diversity
The type of antenna used:
•
Diverse. Select when you want to use the antenna with the best
reception.
•
Primary (default). Select when you want to use the Primary antenna on
the server.
•
Auxiliary. Select when you want to use the Auxiliary antenna on the
server.
Preamble
The length of the preamble in transmit packets.
•
Default. The Wireless option automatically determines the length.
•
Short. For newer printers which can handle higher transer rate speeds.
•
Long. For older printers which cannot handle higher transfer rate speeds.
Antenna
•
Primary (default). Select when you want to use the primary antenna on
the RF card.
•
Auxiliary. Select when you want to use the Auxiliary antenna on the RF
card.
Power Mgmt
This allows you to set power-save mode and sleep time. A value specifying
the sleep time in milliseconds will be provided. If set to zero, power-save
mode will be disabled. The range includes:
•
0 ms. (default)
•
100 ms. - 1000 ms.
Transmit Power
The power level as a percentage of full power (0 - 100%).
Internat. Mode
When enabled, the Wireless option adapts to international frequency
requirements in Europe. The options include:
•
Disable (default)
•
Enable

88
Chapter 4
NETWORK SETUP MENU
Auth Method
This feature allows the user to select the authentication method used for the
wireless network interface.
•
Open (the default). Selects open authentication.
•
Shared. Selects shared key authentication.
•
Kerberos. Selects Kerberos authentication (for use when a Symbol RF
card is installed).
•
LEAP. Selects LEAP authentication (for use with a Cisco RF card
installed).
WEP Key 1 Through WEP Key 4
•
WEP Key Format. Allows you to format the WEP keys in ASCII or
hexadecimal code. The default is hexadecimal.
•
WEP Key Width. This is the encryption strength. The options are 40 Bits
and 128 Bits; 40 Bits are weaker and 128 Bits are stronger.
NOTE: If you select 40 Bits, the WEP key BYTE6 through WEP Key BYTE13
menus will not display.
The default is 128 Bits.
•
WEP Key BYTE1 through BYTE13. These are the individual characters
of the encryption key.
Default WEP Key
This feature enables you to encrypt (scramble) information for security
purposes. With this feature, you can set up to four encryption keys, in either
ASCII or hexadecimal format, and in either 40 or 128 bits. (The more bits you
choose, the more difficult it will be to decode the information.)
NOTE: None of the WEP Key Configuration menus display on the
configuration printout.
Reset WEP Keys
Allows you to reset all four WEP keys (WEP Key 1 through WEP Key 4) at
one time.
WPA Mode
Selects the WPA wireless security mode.
•
Disable (the default). WPA security is disabled.
•
Personal. Selects personal or pre-shared key mode for WPA security.

WLAN KERBEROS
89
WPA Cipher
Selects the WPA wireless security cipher setting. Options include:
•
TKIP (the default)
•
AES
•
TKIP+AES
WPA P-Phs
Allows you to set the individual bytes of the WPA passphrase.
Reset WPA P-Phs
Allows you to reset all 32 bytes of the WPA passphrase at once.
WLAN KERBEROS
Kerberos Enable
•
Disable (the default). Disables Kerberos authentication in the wireless
network interface.
•
Enable. Enables Kerberos authentication in the wireless network
interface.
WLAN
Kerberos
1
(from page 77)
Kerberos
Enable
Disable*
Enable
Kerb.
Passwd
Kerb Pwd(01-15)
Kerb Pwd (16-30)
Kerb Pwd (31-40)
Reset
Kerb. Pwd
Ticket Lifetime
Tckt Life Units
Seconds*
Minutes
Hours
Days
Tckt Life (SEC)
43200*
300, 305, 310, ..., 259200
* = Factory Default
1 = Only if a Symbol radio card is installed.
KDC Port
Number
88*
0-65535
Clock Skew
Clock Skew Units
Seconds*
Minutes
Clock Skew (Sec)
300*
60, 65, 70, ..., 900
Renew
Lifetime
Renew Life Units
Seconds*
Minutes
Hours
Days
Renew Life (SEC)
0*
0, 5, 10, ..., 604800

90
Chapter 4
NETWORK SETUP MENU
Kerb. Passwd
•
Kerb. Pwd (01-15). The first 15 characters of the Kerberos password
(maximum number of characters is 40).
•
Kerb. Pwd (16-30). Characters 16 to 30 of the Kerberos password
(maximum number of characters is 40).
•
Kerb. Pwd (31-40). Characters 31 to 40 of the Kerberos password
(maximum number of characters is 40).
Reset Kerb. Pwd
Resets the Kerberos password to an empty string.
KDC Port Number
KDC (Key Distribution Center) port number is the 2-byte UDP/TCP port used
for Kerberos Communication.
The range is 0-65535, and the factory default is 88.
Clock Skew
Sets the maximum allowable amount of time in seconds or minutes that
Kerberos authentication will tolerate before assuming that a Kerberos
message is valid. The range for Seconds is 60-900, and the default is 300.
The range for Minutes is 1-15, and the default is 5.
Ticket Lifetime
Sets the maximum allowable amount of time in Seconds, Minutes, Hours, or
Days that a ticket obtained from the Kerberos server is valid before getting a
new one.
•
Seconds. The range is 300-259200, and the default is 43200.
•
Minutes. The range is 5-4320, and the default is 720.
•
Hours. The range is 1-72, and the default is 12.
•
Days. The range is 1-3, and the default is 1.
•
Tckt Life (SEC). The ticket lifetime unit in seconds. The default is 43200.
Renew Lifetime
Sets the maximum allowable amount of time in Seconds, Minutes, Hours, or
Days before warning that a new Kerberos password is needed.
•
Seconds. The range is 0-604800, and the default is 0.
•
Minutes. The range is 0-10080, and the default is 0.
•
Hours. The range is 1-168, and the default is 0.
•
Days. The range is 0-7, and the default is 0.
•
Renew Life (SEC). Renew lifetime unit in seconds. The default is 0.

WLAN LEAP
91
WLAN LEAP
Auth Method
This feature allows the user to select the authentication method used for the
wireless network interface.
•
Open (the default). Selects open authentication.
•
Shared. Selects shared key authentication.
•
Kerberos. Selects Kerberos authentication (for use when a Symbol RF
card is installed).
•
LEAP. Selects LEAP authentication (for use with a Cisco RF card
installed).
LEAP Username
•
LEAP Username (01-15). The first 15 characters of the LEAP user name
(maximum number of characters is 32).
•
LEAP Username (16-30). Characters 16 to 30 of the LEAP user name
(maximum number of characters is 32).
•
LEAP User (31-32). Characters 31 to 32 of the LEAP user name
(maximum number of characters is 32).
Reset LEAP User
Resets the LEAP user name to an empty string.
LEAP Password
•
LEAP Password (01-15). The first 15 characters of the LEAP password
(maximum number of characters is 32).
•
LEAP Password (16-30). Characters 16 to 30 of the LEAP password
(maximum number of characters is 32).
•
LEAP Password (31-32). Characters 31 to 32 of the LEAP password
(maximum number of characters is 32).
Reset LEAP Password
Resets the LEAP password to an empty string.
WLAN
LEAP
2
(from page 77)
Auth Method
Open*
Shared
Kerberos
1
LEAP
2
* = Factory Default
1 = Only if a Symbol radio card is installed.
2 = Only if a Cisco radio card is installed.
LEAP
Username
Reset LEAP
User
Reset LEAP
Password
LEAP Username (01-15)
LEAP Username (16-30)
LEAP Username (31-32)
LEAP
Password
LEAP Password (01-15)
LEAP Password (16-30)
LEAP Password (31-32)

92
Chapter 4
EMULATION
EMULATION
The EMULATION menu allows you to select the emulation to be used with
your printer. You can configure options for the active emulation via the
EMULATION menu. Emulation options are further described in their
corresponding Programmer's Reference Manual.
Hanzi GB LP+ Emulation
EMULATION
(from page 52)
LinePrinter+
Printer
Protocol
CPI/LPI
Select
Select CPI
10.0 CPI*
12.0 CPI
13.3 CPI
15.0 CPI
17.1 CPI
20.0 CPI
Select LPI
6.0 LPI*
8.0 LPI
DBCS CPI
5.0 CPI
6.0 CPI
6.7 CPI*
7.5 CPI
Others CPI
Host
Command
Enable
Ignore All
Ignore CPI
Ignore LPI
Ignore Unidir*
Font
Attributes
Typeface
LQ
Near LQ*
Normal
Hi-Speed
Super Hi-Speed
Ultra Hi-Speed
Styling Type
SONG*
High Density
Disable*
Enable
Prop. Spacing
Disable*/Enable
Bold Print
Disable*/Enable
Italic Print
Disable*
Forward Slant
Backward Slant
Slashed Zero
Disable*/Enable
DBCS/ASCII Mode
DBCS Mode*
ASCII Mode
DBCS ASCII Style
Normal*
Oversize
OCRB
Text Position
Bottom of Line*
Top of Line
Compressed Mode
Disable*
Enable
DBCS Compressed
Disable*
Enable
Encoding
Address Table*
UTF-8
Taller 15 CPI
Disable*
Enable
Horizontal Expnd
24* pt size
(24 - 72) pt size
Vertical Expnd
24* pt size
(24 - 72) pt size
Graphics
Spd Up
Normal*
Enhanced
Turbo
Match Typeface
Page
Format
See page 100.
Reset Cmd
CFG Ld
Disable*
Power up Config.
Current Config.
Factory Config.
Error
Handling
Illegal Code Pt.
Normal*
As Space
* = Factory Default
LQ-1600K

Hanzi Big5 LP+ Emulation
93
Hanzi Big5 LP+ Emulation
EMULATION
(from page 52)
LinePrinter+
Printer
Protocol
CPI/LPI
Select
Select CPI
10.0 CPI*
12.0 CPI
13.3 CPI
15.0 CPI
17.1 CPI
20.0 CPI
Select LPI
6.0 LPI*
8.0 LPI
DBCS CPI
5.0 CPI
6.0 CPI
6.7 CPI*
7.5 CPI
Others CPI
Host
Command
Enable
Ignore All
Ignore CPI
Ignore LPI
Ignore Unidir*
Font
Attributes
Typeface
LQ*
Near LQ
Normal
Hi-Speed
Super Hi-Speed
Ultra Hi-Speed
Styling Type
MING*
High Density
Disable*
Enable
Prop. Spacing
Disable*/Enable
Bold Print
Disable*/Enable
Italic Print
Disable*
Forward Slant
Backward Slant
Slashed Zero
Disable*/Enable
DBCS/ASCII Mode
DBCS Mode*
ASCII Mode
DBCS ASCII Style
Normal*
Oversize
OCRB
Text Position
Bottom of Line*
Top of Line
Compressed Mode
Disable*
Enable
DBCS Compressed
Disable*
Enable
Encoding
Address Table*
UTF-8
Taller 15 CPI
Disable*
Enable
Horizontal Expnd
24* pt size
(24 - 72) pt size
Vertical Expnd
24* pt size
(24 - 72) pt size
Graphics
Spd Up
Normal
Enhanced
Turbo
Match Typeface*
Page
Format
See page 100.
Reset Cmd
CFG Ld
Disable
Power up Config.
Current Config.*
Factory Config.
Error
Handling
Illegal Code Pt.
Normal
As Space*
As Square
* = Factory Default
LQ-1600K

94
Chapter 4
EMULATION
Kanji LP+ Emulation
EMULATION
(from page 52)
LinePrinter+
Printer
Protocol
CPI/LPI
Select
Select CPI
10.0 CPI
12.0 CPI
13.3 CPI
15.0 CPI*
17.1 CPI
20.0 CPI
Select LPI
6.0 LPI
8.0 LPI*
DBCS CPI
5.0 CPI
6.0 CPI
6.7 CPI
7.5 CPI*
Others CPI
Host
Command
Enable
Ignore All
Ignore CPI
Ignore LPI
Ignore Unidir*
Font
Attributes
Typeface
LQ
Near LQ*
Normal
Hi-Speed
Super Hi-Speed
Ultra Hi-Speed
Styling Type
Mincho*
High Density
Disable*
Enable
Prop. Spacing
Disable*/Enable
Bold Print
Disable*/Enable
Italic Print
Disable*
Forward Slant
Backward Slant
Slashed Zero
Disable*/Enable
DBCS/ASCII Mode
DBCS Mode*
ASCII Mode
DBCS ASCII Style
Normal*
Oversize
OCRB
Text Position
Bottom of Line*
Top of Line
Compressed Mode
Disable*
Enable
DBCS Compressed
Disable*
Enable
Encoding
Address Table*
UTF-8
Taller 15 CPI
Disable*
Enable
Horizontal Expnd
24* pt size
(24 - 72) pt size
Vertical Expnd
24* pt size
(24 - 72) pt size
Graphics
Spd Up
Normal*
Enhanced
Turbo
Match Typeface
Page
Format
See page 100.
Reset Cmd
CFG Ld
Disable*
Power up Config.
Current Config.
Factory Config.
Error
Handling
Illegal Code Pt.
Normal*
As Space
* = Factory Default
LQ-1600K

Hangul LP+ Emulation
95
Hangul LP+ Emulation
Printer Protocol
For the Hanzi/Kanji LP+ printer, refer to the the LQ-1600K Programmer’s
Reference Manual for details. For the Hangul LP+ printer, refer to the KS or
KSSM Programmer’s Reference Manual for details.
EMULATION
(from page 52)
LinePrinter+
Printer
Protocol
CPI/LPI
Select
Select CPI
1
10.0 CPI*
12.0 CPI
13.3 CPI
15.0 CPI
17.1 CPI
20.0 CPI
Select LPI
6.0 LPI*
8.0 LPI
DBCS CPI
5.0 CPI
6.0 CPI*
6.7 CPI
7.5 CPI
8.5 CPI
9.0 CPI
10.0 CPI
Others CPI
Host
Command
Enable*
Ignore All
Ignore CPI
Ignore LPI
Ignore Unidir
Ignore Pg. Fmt
Font
Attributes
Typeface
LQ*
Near LQ
Normal
Hi-Speed
Super Hi-Speed
Ultra Hi-Speed
Styling Type
Myungjo*
Gothic
High Density
Disable*
Enable
Bold Print
Disable*/Enable
Italic Print
Disable*
Forward Slant
Backward Slant
Slashed Zero
Disable*/Enable
DBCS/ASCII Mode
1
DBCS Mode*
ASCII Mode
DBCS ASCII Style
Normal*
OCRB
Normal Thin
Text Position
Bottom of Line*
Top of Line
Encoding
Address Table*
UTF-8
Taller 15 CPI
1
Disable*
Enable
Horizontal Expnd
24* pt size
(24 - 72) pt size
Vertical Expnd
24* pt size
(24 - 72) pt size
Graphics
Spd Up
Normal*
Enhanced
Turbo
Match Typeface
Page
Format
See page 100.
Reset Cmd
CFG Ld
Disable*
Power up Config.
Current Config.
Factory Config.
Error
Handling
Illegal Code Pt.
Normal*
As Space
* = Factory Default
1 = Hangul KSSM only
KS*
KSSM.

96
Chapter 4
EMULATION
CPI/LPI Select
This parameter lets you specify the characters per inch (cpi) and lines per
inch (lpi) values. The defaults are 10 cpi, 6 lpi, and 6.7 cpi for the Hanzi LP+
printer. For the Hangul LP+ printer, the default is 6 cpi and 6 lpi. For the Kanji
LP+ printer, the default is 15 cpi, 8 lpi, and 7.5 cpi.
Host Command
•
Enable. Enables all host printing commands.
•
Ignore All. This function ignores all host commands.
•
Ignore CPI. This function ignores the CPI selection commands only (e.g.,
ESC M, ESC P, and ESC g).
•
Ignore LPI. This function ignores the LPI selection commands only (e.g,
ESC 2 and ESC 0).
•
Ignore Unidirectional (the default). All unidirectional commands sent by
the host are ignored by the printer.
•
Ignore Pg. Fmt. All page format commands sent by the host are ignored
by the printer. This is applicable only for Hangul LP+ printers only.
Font Attributes
Typeface
This parameter allows you to select the typeface for printing in the emulation.
•
LQ. Default value for Hanzi Big5/Hangul.
•
Near LQ. Default value for Hanzi GB/Kanji printer.
•
Normal.
•
Hi-Speed
•
Super Hi-Speed
•
Ultra Hi-Speed
Styling Typeface
•
SONG. Only for Hanzi GB printer.
•
MING. Only for Hanzi Big5 printer.
•
Mincho. Only for Kanji printer.
•
Myungjo, Gothic. Only for Hangul printer. Myungjo is the default value.
High Density
•
Disable (default)
•
Enable. Allows the LQ typeface to print in higher print density, and it will
not take effect when other typefaces are selected.

Hangul LP+ Emulation
97
Prop. Spacing
Each printed character is contained inside a character cell. The width of the
character cell includes the character and the space arround the character.
This parameter only works in ASCII mode. This is not applicable for Hangul
printer.
•
Disable (default). Each character cell is printed with the same width.
•
Enable. The width of each character cell varies with the width of the
character.
Bold Print
•
Disable (default). Text is printed normally.
•
Enable. Text is printed with a heavy line thickness.
Italic Print
•
Disable (default). Text is printed normally.
•
Forward Slant. Text is printed with a forward slant.
•
Backward Slant. Text is printed with a backward slant.
Slashed Zero
This parameter allows you to print the number “0” with or without the slash.
•
Disable (default). Zero is printed without a slash.
•
Enable. Zero is printed with a slash.
DBCS/ASCII Mode
•
DBCS Mode (default). The printer is in DBCS mode. It can print double-
byte characters as well as a limited number of single-byte characters.
•
ASCII Mode. The printer is in ASCII mode. It can only print single-byte
characters.
DBCS ASCII Style
This parameter allows you to specify the appearance of the single-byte
alphanumeric characters in DBCS mode.
•
Normal (default).
•
Oversize. The alphanumeric characters will appear larger than normal
single-byte characters. For example, the appearance of character “8” will
be changed to “8”.
•
OCRB. The alphanumeric characters will print in OCRB style. It only
takes effect on LQ typeface for Hanzi/Kanji printer.
•
Normal Thin. The alphanumeric characters will be slightly thinner
compared with Normal style. This is only applicable for Hangul printer.

98
Chapter 4
EMULATION
Text Position
Specifies where the text will be positioned in the line space. When set to
Top of Line, text will be positioned at the top of the line space. When set to
Bottom of Line, the text will be positioned as if it was at the bottom of a 6 lpi
line space. The following example shows both Top-of-Line and Bottom-of-Line
text positions:
Compressed Mode
This parameter allows you to specify the appearance of ASCII/DBCS
characters in ASCII mode. It is not applicable for Hangul printer.
•
Disable (default)
•
Enable. Prints out ASCII mode ASCII characters and half-width DBCS
characters.
DBCS Compressed
This parameter allows you to specify the appearance of ASCII/DBCS
characters in DBCS mode. It is not applicable for Hangul printer.
•
Disable (default)
•
Enable. Both the DBCS and ASCII characters will be printed as half-width
of their original size.
Encoding
•
Address Table (default). Specifies the address table supported.
GB18030 is for Hanzi GB printer.
BIG5 (default), CNS, TCA, ETEN, IBM5550, TELETEXT, BIG5+,
BIG5E, and HKSCS are for Hanzi Big5 printer.
KSC5601 is for Hangul printer.
Shift-JIS is for Kanji printer.
•
UTF-8. The printer takes in UTF-8 data stream and prints out according to
Unicode format.
Top of Linespace
Bottom of 8 LPI Linespace
Bottom of 6 LPI Linespace
Dot
Row
Text Position
Top of Line Text Position
Bottom of Line
1
1
2
3
4
5
6
7
8
9
10
11
12
Text Position
Top-of-Line Text Position
Bottom-of-Line

Hangul LP+ Emulation
99
Taller 15 CPI
This parameter allows you to specify the appearance of ASCII characters as
15 CPI in ASCII mode.
•
Disable (default). The characters in 15 CPI appear shorter than other
CPIs such as 10 CPI.
•
Enable. The height of 15 CPI characters is the same as other CPIs such
as 10 CPI.
Horizontal Expnd
This parameter allows you to specify dot character horizontal expansion for
both ASCII and DBCS characters in DBCS mode.
Vertical Expnd
This parameter allows you to specify dot character vertical expansion for both
ASCII and DBCS characters in DBCS mode.
Graphics Spd Up
This menu is used to increase (speed up) graphic printing speed by turning on
the Enhanced/Turbo mode.
•
Normal (the default). The printer prints at the given input graphics
resolution.
•
Enhanced. The printer provides first-level speed up, which means the
speed is faster than Normal mode.
•
Turbo. The printer provides second-level speed up, which means the
speed is faster than Enhanced mode.
•
Match Typeface. The input 180x180 dpi graphics resolution will drop-dot
to the resolution which matches the typeface selected.
Page Format
See page 100.
Reset Cmd CFG Ld
When the printer receives a host data stream reset command (ESC @) in
addition to resetting printer variables, the power-up configuration will be
loaded.
•
Disable (the default). The active emulation parameters are loaded when
the reset command is executed.
•
Power-Up Config. The power-up configuration is loaded when the reset
command is executed.
•
Current Config. The currently selected configuration is loaded when the
reset command is executed.
•
Factory Config. The factory installed configuration is loaded when the
reset command is executed.

100
Chapter 4
EMULATION
Error Handling
This command determines the way illegal DBCS characters are processed:
•
Normal (the default). Will ignore illegal DBCS characters.
•
As Space. Will insert two space characters (0X20, 0X20) when the data
stream contains the illegal DBCS character.
•
As Square. Will insert a black square (0xAIBD) when the data stream
contains the illegal DBCS character. This is applicable for the Hanzi Big5
build only.
Page Format Submenu
Page Format
Form Length.
Forms length is the number of lines that can be printed on a page. You can
set the form length in inches, millimeters (mm), or as a function of the current
lpi (lines per inch).
Form Width
The form width can be specified in inches, millimeters, or as a function of the
current cpi (characters per inch). The forms width set should not exced the
actual paper width.
Page Format
(from page 92)
Margins
Left Margin
0* columns
(0-369)
Right Margin
0* columns
(0-369)
Bottom Margin
0* lines
(0-451)
* = Factory Default for Hanzi and Hangul printer
** = Factory Default for Kanji printer
Perforation
Skip
Disable*
1/2 inch
2/3 inch
5/6 inch
1 inch
Form
Length
Abs. Length IN
11.0* inches
08.5** inches
(0.1-24)
Abs. Length MM
279.4* mm
215.9** mm
(0.1-609.6)
Funct. of Lines
66* Lines
68** Lines
(1-192)
Form
Width
Abs. Width IN
13.6* inches
(0.1-13.6)
Abs. Width MM
345.4* mm
(0.1-345.5)
Funct. of CPI
136* Characters
204** Characters
(1-272)

Page Format Submenu
101
Margins
•
Left Margin. Set in columns. Colum zero is defined as the far left edge of
the page, and column numbering increments from left to right.
•
Right Margin. Set in columns. Column zero is defined as the far right
edge of the page, and column numbering increments from right to left.
•
Bottom Margin. Defined in lines, starting from line zero at the bottom of
the page and incrementing from the bottom up.
Perforation Skip
•
Disable (default). Allows printing on page perforation.
•
1/2 inch, 2/3 inch, 5/6 inch, or 1inch. For example, a skip-over margin of
1 inch allows a 1 inch margin at the bottom of the page.

102
Chapter 4
PRINTER CONTROL
PRINTER CONTROL
Ribbon End Point
This parameter adjusts the point at which the system will declare the ribbon
as being expended. The life count will always be from 100% to 0%, but if a
darker setting is selected 0% will be reached more quickly. If a lighter setting
is selected, the system will extend the time it takes to reach 0%. The range of
values are as follows:
•
Normal
•
Darker +1 through Darker +6
•
Lighter -1 through Lighter -10
(Lighter -7 is the default)
NOTE: This value can be adjusted at any time and the display will
automatically adjust to show the correct percentage relative to the
new end point.
Open Platen @ BOF (Bottom of Form)
Some special forms have perforation areas that are too thick to pass through
the print station. This parameter, when enabled, opens and closes the platen
when the perforations move across the platen. When enabling this parameter,
you must set the forms length to match the physical distance between
perforations.
PRINTER
CONTROL
(from page 52)
Unidirectional Display
Language
Open Platen
@BOF
Accented
Char
Tear Bar
Dist.
Disable*
Enable
English*Disable*
Enable
Standard*
Tall
7.46 inches.*
(4.5 - 10.5)
* = Factory Default
1
Available only for P7000 pedestal model
2
Factory default for Hanzi GB/Kanji/Hangul printer.
3
Factory default for Hanzi Big5 printer.
Ribbon End
Point
Darker +6
Darker +5
Darker +4
Darker +3
Darker +2
Darker +1
Normal
Lighter -1
Lighter -2
Lighter -3
Lighter -4
Lighter -5
Lighter -6
Lighter -7*
Lighter -8
Lighter -9
Lighter -10
View
Function
1
Disable
2
Enable
3

Page Format Submenu
103
Tear Bar Dist. (Distance)
Allows fine and course adjustment of the tear bar position. For a pedestal
model printer using the top paper exit, the default
(7.46 inches) is used. You can specify 4.5 to 10.5 inches in .01 inch
increments to accommodate variations in cover and form design.
View Function
•
Disable. Disables the View Function which allows you to press the VIEW/
EJECT key to move the last data printed to the tractor area for viewing.
Default value for Hanzi Gb/Kanji/Hangul printer.
•
Enable. Enables the View Function. Default value for Hanzi Big5 printer.
Unidirectional
The Unidirectional feature affects both print quality and printing speed. By
setting this feature, you can configure the printer to print in both directions of
the shuttle sweep (bidirectional), or to print in one direction only
(unidirectional).
•
Disable (default). The printer will print all data in both directions of the
shuttle sweep (bidirectional printing). This choice produces higher printing
speed.
•
Enable. The printer will print all data in only one direction of the shuttle
sweep (unidirectional printing). Although enabling this feature reduces
print speed, it enhances the vertical alignment of dots and produces
cleaner, sharper barcodes and text.
Display Language
This parameter chooses the language that will appear on the LCD: English.
Accented Char
Selects whether the accented characters are standard or tall. See Figure 23
for an example. Selecting tall will slow print speed and may cause the printer
to back up during printing.
Figure 23. Accented Characters
Standard
Tall
PRINTER CONTROL

104
Chapter 4
ADVANCED USER
ADVANCED USER
ADVANCED
USER
(from page 52)
Power-up
State
Auto
Locking
PTX Setup
Option
Online*
Offline
Disable*
Enable
Setup Parse
Disable
Enable*
Ignore
Setup SFCC
21h*
(1-FF hex)
* = Factory Default
1
= If Installed
File
System
Overwrite Files
Enable*
Disable
View File List
Delete Files
Flash Avail.
Optimize&Reboot
Print File List
Set
Sharing
Disable*
Enable
Disable*
Enable
Downloaded
Fonts
Hex Dump
Mode
Char Operations
Delete frm Flash
Load from Flash
Save to Flash
Delete from RAM
Ld Char at Pwrup
Disable*
Enable
Set Operations
Delete frm Flash
Load from Flash
Save to Flash
Delete from RAM
PDM Fault
Enable*
Disable
Power
Stacker
1
Enable*
Disable
Auto
Elevator
1
Enable*
Disable
Shuttle
Timeout
5 seconds*
1 - 60 seconds
Alarm
On*
Cont. Beep
Off
Pwr Save
Control
Enable*
Disable
Cancel Key
Disable*
Enable
Power
Saver Time
15 minutes*
(1 min - 240 min)
Instant
(5 sec - 30 sec)
Ribbon End
Action
Stop At RBN End*
Ignore RBN End
Print Hist.
Log
RBN Low
Warn @
Under 2%*
Under 5%
Under 10%
Under 20%
Under 30%
RBN Low
Action
Warn & Continue*
Warn & Pause
Job Sel/
Typeface
Job-Select On*
Typeface On
Ret. Status
Port
Automatic*
Serial
E-Net Stat Port
IEEE 1284
Disable
E-Net Data Port
Slow Paper
Slew
Disable*
Enable
Ld Set at PwrUp
Disable*
Enable
DBCS Download
Save to Flash
Delete DL. Font
Set Lock Key

Page Format Submenu
105
PTX Setup Option
Selects the Special Function Control Code for the PTX_SETUP command
and functions.
•
Setup Parse. Disables or enables the PTX_SETUP command.
•
Setup SFCC. Allows you to choose the hex value of the ASCII character
you wish to use as the SFCC for the PTX_SETUP command. Valid hex
values are 01-FF. The default value is hex 21, which corresponds to the
“!” character.
Hex Dump Mode
A hex code printout (or hex dump) translates all incoming data to hexadecimal
equivalents. A hex dump lists each ASCII data character received from the
host computer, together with its corresponding two-digit hexadecimal code.
Hex dumps can be used to troubleshoot some types of printer data reception
problems. The options include:
•
Disable (default)
•
Enable
Figure 27 on page 133. shows a hex dump sample.
Power-Up State
•
Online (default). The printer powers up in the online state.
•
Offline. The printer powers up in the offline state.
Downloaded Fonts
Allows you to download a substitution table to replace any character in the
current character set with a different character in the same font.
•
Char Operations. Allows you to delete a character from flash, load a
character from flash, save a character to flash, and delete a character
from RAM.
•
Ld Char at Pwrup. Allows you to disable or enable loading a character at
power up.
•
Set Operations. Allows you to delete a character set from flash, load a
character set from flash, save a character set to flash, and delete a
character set from RAM.
•
Ld Set at PwrUp. Allows you to disable or enable loading a character set
at power up.
•
DBCS Download. Allows you to save and delete downloadable DBCS
characters from flash.
ADVANCED USER

106
Chapter 4
ADVANCED USER
PMD (Paper Motion Detection) Fault
•
Enable (default). In the event of a paper jam, an audible alarm beeps,
“CLEAR PAPER JAM” appears on the message display, and the printer
stops printing.
•
Disable. You should disable PMD only if special paper requires it.
CAUTION
Once PMD is disabled, paper motion is not monitored. If a paper jam
occurs, the printer ignores the condition and continues to print,
possibly causing damage to the printer.
Power Stacker
This parameter allows you to enable or disable the power paper stacker
(provided this option is installed).
Auto Elevator
This parameter exists only on printers with the power paper stacker installed.
The power stacker has a sensor which detects paper movement and raises
the stacker as the printed paper stack grows. If the printer has been printing
for three minutes continually and the sensor has not detected any growth in
the paper stack, the stacker raises itself 1/4 inch automatically.
•
Enable (default). The automatic elevator on the power stacker operates
normally.
•
Disable. The stacker does not raise automatically every three minutes
and is entirely dependent on the sensor. Diable is used with extremely
high-quality print jobs that take a long time to print.
Auto Locking
•
Disable (default). The ENTER key must be locked manually.
•
Enable. The printer automatically locks the ENTER key five minutes after
the last front panel key press.
File System
•
Overwrite Files. Allows you to prevent files from being overwritten by
disabling the overwrite function.
•
View File List. Displays the list of files in the file system. Pressing the
DOWN key displays the file size.
•
Delete Files. Displays the list of files in the file system. Pressing the
ENTER key deletes the file displayed on the front panel.
•
Flash Avail. The amount of flash available for the user to save or
download files into flash.
•
Optimize&Reboot. Reclaims flash space from deleted flash files. After
pressing ENTER, wait for the printer to reboot.
NOTE: When the Optimize&Reboot option is executed, the message,
“Optimizing Flash Files” does not display before printer rebooting
takes place.

Page Format Submenu
107
•
Print File List. Prints a summary of the files stored in flash memory and
several statistics on File System usage.
IMPORTANT
Do not turn the printer off until it has completely rebooted and is either
back online or offline.
Set Sharing
This option allows character sets to be shared between the active LP+
protocol and the active IGP emulation.
Changing characters sets in LP+ causes the active IGP to change to the
same character set if the selected set exists in IGP. If the active IGP has no
access to the selected set, no changes are made. Selecting a new character
set in the active IGP causes the LP+ to change to the same character set if
the selected character set exists in the active LP+ protocol. Not all sets are
shared between emulations in the Standard group of character sets. As a
result, selecting a set in the Standard group of LP+ or IGP emulation may or
may not cause the other emulation to have the same set.
NOTE: The Set Sharing front panel option has no effect on the LP+ builds.
The option only applies to the builds with IGP.
Shuttle Timeout
The amount of time the shuttle continues moving after no data is received. If
your host is slow, setting the number to a higher value will prevent the printer
from spending time shuttling up and down between data bursts.
Slow Paper Slew
•
Disable (default). The paper will slew and stack paper at maximum
speed.
•
Enable. Causes the paper to stack at a slower rate. This ensures that
certain forms will stack neatly.
Alarm
•
On (default). An audible alarm sounds (3 beeps) when a fault occurs,
such as a paper jam.
•
Cont. Beep. A continuous audible alarm sounds when a fault occurs,
which can be stopped by pressing CLEAR.
•
Off. No audible alarm will sound.
Power Saver Time
The time interval you specify for this parameter sets the amount of idle time
before the printer goes into Power Saver mode. When Instant is chosen, the
printer goes into Power Saver mode as soon as it is able to stop the shuttle
properly. The time allotted to perform this function depends upon the shuttle
timeout value which can be set in the menu.
NOTE: Power Saver Mode will not be shown on the control panel even
though the function still exists. Sending a print job to the printer will
turn off Power Saver mode.
ADVANCED USER

108
Chapter 4
ADVANCED USER
Pwr Save Control
Allows you to enable or disable the Power Save (Energy Star) mode.
•
Enable (default). Allows you to enable the Power Save (Energy Star)
mode.
•
Disable. Allows you to disable the Power Save (Energy Star) mode.
Cancel Key
•
Disable (default)
•
Enable. The CANCEL key may be used to clear all data in the print buffer
without printing any of the data.
Ret. Status Port
This option selects the port for the Return Status Commands (i.e., ~STATUS
(PGL) and ~HS (PPI/ZGL)) to send the status data back to the Host.
The options are Automatic (factory default), Serial, E-NET Stat Port,
IEEE 1284, Disable, and E-NET Data Port.
Set Lock Key
Normally, to lock or unlock the printer menu, the UP and DOWN keys are
pressed at the same time. The Set Lock Key parameter lets you choose
different keys to lock or unlock the printer menu. You may choose almost any
group of keys as the new lock and unlock keys. You cannot use the ENTER
key or any key combinations which are already used for another function.
There is no limit to how many keys you can select.
To set the new lock key, follow these steps:
1. Work your way through the configuration menu until the display reads
“Set Lock Key” (follow the menu structure on page 104).
2. Press ENTER. The display reads, “Select a new lock key.”
3. Press the combination of keys you want to be the new lock key. Make
sure you press all keys selected at the same time.
4. If the selection is valid, the display will read, “Enter the new lock key
again.” If the selection is invalid, the display will read, “Invalid key
selection.” Return to step 2 and start over.
5. Press the same combination of keys a second time. If the new lock key
combination is entered again correctly, the display will read, “Lock key
has been changed.” If it was entered incorrectly, the display will read
“Verification failed.” Start over at step 2.
6. After entering the new lock combination successfully, press the ON LINE
key to put the printer back online.
NOTE: The new lock combination will remain even if the printer is powered
off and back on.

Page Format Submenu
109
Job Sel/Typeface On
Allows you to customize this key to either function as Job Select or Typeface
Select.
•
Job-Select On (default). In offline mode, JOB SELECT allows you to
change the active configuration without having to navigate the
configuration menu. When pressed, the display reads “Load Config” with
the name or number of the currently loaded configuration. Press JOB
SELECT again until the configuration you want to load displays. Press
ENTER and “Loading Saved Configuration” displays. The selected
configuration is loaded into memory and becomes the active
configuration. Press ON LINE to return to online mode.
•
Typeface On. Sets the typeface of the printer. This key requires
confirmation with the ENTER key.
Print Hist. Log
Prints the “Font File Log Report” if a custom font is downloaded.
RBN Low Warn @
This option allows the user to select the Ribbon Life value at which point the
printer will declare a ribbon low condition and display the "418 RBN INK Low/
Change RBN Soon" warning message. The default is Under 2%. See “RBN
Low Action” on page 109 for details of how the printer behaves once a ribbon
low condition is reached.
The values are Under 2% (default), Under 5%, Under 10%, Under 20%, and
Under 30%.
RBN Low Action
This menu determines how the printer behaves once a ribbon low condition is
reached.
•
Warn & Continue (default). Once a ribbon low condition is reached the
printer beeps and displays the "418 RBN INK LOW / Change RBN Soon"
warning message. Printing will continue without interruption. The warning
message can be cleared by pressing the ONLINE/Clear button, however
the message will persist again in two minutes. This action will continue
until a ribbon out (ribbon life reaches 0%) condition occurs.
•
Warn & Pause. This setting is similar to the Warn & Continue selection
with one exception. When a ribbon low condition is reached the printer will
still display the "418 RBN INK LOW / Change RBN Soon" warning
message, however the printer will stop printing. This is meant to get the
user’s attention. To resume printing the user must press the ONLINE/
Clear key.
NOTE: Printing will only stop on the first occurrence of a ribbon low condition.
Once the user clears the warning message, subsequent warnings will
display the warning message but printing will continue.
ADVANCED USER

110
Chapter 4
DIAGNOSTICS
RBN End Action
This menu allows the user to override the normal ribbon low warning and
ribbon out conditions.
•
Stop At RBN End (default). When this factory default option is selected
the printer displays a warning message when a ribbon low condition is
reached and display a ribbon out fault when ribbon life reaches 0%.
•
Ignore RBN End. When this menu option is selected it overrides the
ribbon low and ribbon out conditions, i.e. no warning or fault messages is
displayed and printing continues even after ribbon life reaches 0%.
However, once the ribbon life reaches an excess wear condition as
indicated by the fault message “420 EXC RBN WEAR / Install New RBN”,
printing will stop and the user must install a new ribbon before printing
can resume.
NOTE: The excess ribbon wear is set below the “Lighter -10” Ribbon End
Point setting.
DIAGNOSTICS
DIAGNOSTICS
(from page 52)
Printer
Tests
Shift Recycle*
All E’s
E’s + TOF
All H’s
All Underlines
All Black
Shuttle Slow
Shuttle Fast
Shuttle Only
Phase Printer
Paperout Adj.
Burnin Test
Print Error Log
Clear Error Log
Adapter Test
1
Ethernet Test
1
Acoustics
Dice 5
Prnt Ribbon Log
Checker
Full Width*
80 col.
76 dots*
(40-112)
32 Megabytes On: 127.7 Hrs.
Print: 8.3 Hrs
Print Strokes:
1370097
Print Lines:
106441
11 inch Pages:
4265
* = Factory Default
1
If installed
2
If a Feature File exists.
Test Width Paper Out
Dots
System
Memory
Print
Statistics
SW P/N + Ver
Software
Build
P/N of File
Feature
File
2
800H
Shuttle
Type

Page Format Submenu
111
Printer Tests
These tests are used to check the print quality and operation of the printer.
NOTE: Your authorized service representative will typically run the tests.
They are described in more detail in the Maintenance Manual.
•
Shift Recycle. A sliding alphanumeric pattern which identifies missing or
malformed characters, improper vertical alignment, or vertical
compression.
•
All E's. A pattern of all uppercase E's which identifies missing characters,
misplaced dots, smeared characters, improper phasing problems, or light/
dark character variations.
•
E's + TOF. A pattern of all E's followed by a form feed to the next page
top-of-form, which identifies paper motion or feeding problems.
•
All H's. A pattern of all uppercase H's used to detect missing characters,
misplaced dots, smeared characters, or improper phasing.
•
All Underlines. An underline pattern useful for identifying hammer bank
misalignment.
•
All Black. A condition where all dot positions are printed, creating a solid
black band.
•
Shuttle Slow. Verifies proper operation by exercising shuttle and ribbon
motion at low speed.
•
Shuttle Fast. Verifies proper operation by exercising shuttle and ribbon
motion at fast speed.
•
Shuttle Only. Exercises only the shuttle at fast speed.
•
Phase Printer. Checks for wavy print. The initial phase value is set in the
factory. Run the test and check the quality. (The phase value prints on the
left margin.) If the print looks too wavy, change the Phase Value
parameter while the test is running. While the phase printer test runs,
press the DOWN key. To change the value, press the PREV or NEXT key
until the desired value displays and then press ENTER.
•
Paperout Adj.. Verifies the current Paper Out Dots setting, which
determines where the last line of text will print when there is a paper out
condition. Setting this parameter correctly prevents printing on the platen.
•
Burnin Test. Reserved for factory use.
•
Print Error Log. Prints the current log of errors. Most non-routine faults
(ribbon stall, voltage faults) are stored in the error log.
•
Clear Error Log. Clears entries in the error log.
•
Acoustics. A particular test pattern that is used to measure acoustics.
•
Adapter Test. Prints the Ethernet adapter statistics stored on the
Ethernet adapter (if present).
•
Ethernet Test. Prints the Ethernet statistics stored on the Ethernet
(if present).
•
Dice 5. Pattern used to measure print density.
•
Prnt Ribbon Log. Prints log of cartridge installed in the printer.
DIAGNOSTICS

112
Chapter 4
DIAGNOSTICS
•
Checker. For factory use. This pattern helps identify marginal printhead
elements, quality of edge sharpness, and uneven print quality.
Test Width
Set this parameter to run the self-tests at full width or 80 columns.
Paper Out Dots
CAUTION
Only authorized service representatives should set this parameter.
This parameter is used to adjust the paper out distance from the perforation;
you can specify where the last line on the page will print when there is a paper
out condition. Setting this parameter correctly prevents printing on the platen.
System Memory
Displays the amount of RAM installed.
Print Statistics
You can view various printer statistics and refer to them for preventive
maintenance purposes. Printer statistics accumulate continuously; they do
not reset when you turn off the printer. All of the printer statistics are set to
zero at the factory after burn-in testing.
•
On. The cumulative time in hours the printer has been powered on. The
range is 0 to 30,000 hours.
•
Print. The cumulative time in hours the printer has actually been printing.
The range is 0 to 30,000 hours.
•
Print Strokes. The cumulative number of back-and-forth shuttle strokes
the printer has printed during normal printer operation. The range is 0 to
2,147,483,647 shuttle strokes.
•
Print Lines. The cumulative number of lines the printer has printed. The
range is 0 to 2,147,483,647 print lines.
•
11 inch Pages. The cumulative number of pages the printer has printed.
The range in print pages is 0 to 2,147,483,647 total inches of paper
movement divided by 11.
Software Build
Displays the part number and version of the printer firmware.
Feature File
Displays the part number of the file if one has been downloaded to the printer.
Shuttle Type
Displays the type of shuttle installed, i.e. 800H, 600H, or 200H.

Page Format Submenu
113
DATE
Hour
This option allows you to set the hour. The factory default is 00 and the range
is from 00 to 23 hours.
Minute
This option allows you to set the minutes. The factory default is 00 and the
range is from 00 to 59 minutes.
Year
This option allows you to set the year. The factory default is 2099 and the
range is from the year 2000 to 2099.
Month
This option allows you to set the month. The factory default is Jan and the
range is from Jan to Dec.
Day
This option allows you to set the day. The factory default is 01 and the range
is from 01 to 31 days.
DATE
1
(from page 52)
Hour
00*
00 - 23
Minute Year
00*
00 - 59
2099*
2000 - 2099
Month
Jan*
Jan - Dec
Day
01*
01 - 31
* = Factory Default
1
Appears only if the real time clock option is installed.
DIAGNOSTICS

114
Chapter 4
Printer MGMT
Printer MGMT
PNE Port
This menu selects which port the printer expects PNE to connect to, via
Ethernet or Serial. The factory default is Ethernet.
Mgmt Protocol
Since PXML and UCP management protocols share the same Ethernet Port,
only one can be active at a time. This menu selects the active Management
Protocol Interface, either PXML or UCP. The factory default is UCP.
PNE Port Number
This menu selects the port number the printer expects the PNE to connect
through. The factory default is 3001 and the range is from 1023 to 65535.
PNE Port Timeout
If the PNE has not communicated to the printer within a timeout period, the
PNE session closes. The factory default is 100 seconds. The range is from 1
to 255 seconds.
Status Port Numb
This menu selects the port number the printer sends the emulation status.
The factory default is 3001 and the range is from 1023 to 65535.
Mgmt Port Number
This menu selects the port number the printer expects the PXML or UCP to
connect through. The factory default is 3007 and the range is from 1023 to
65535.
Printer MGMT
(from page 52)
PNE Port
UCP*
PXML
3001*
1023 - 65535
100 Seconds*
1-255 Seconds
* = Factory Default
1
Not available if PNE Port number is set at Serial.
Mgmt
Protocol
PNE Port
Number
1
PNE Port
Timeout
1
3002*
1023 - 65535
Status Port
Numb
3007*
1023 - 65535
Mgmt Port
Number
Ethernet*
Disable
Serial

115
5
Interfaces
Overview
This chapter describes the host interfaces provided with the printer. The
printer interface is the point where the data line from the host computer plugs
into the printer. The interface processes all communications signals and data
to and from the host computer. Plus, with the Auto Switching feature, you can
configure the printer to accept several interfaces at the same time (see “Auto
Switching Submenu” on page 61).
IMPORTANT
To comply with Electromagnetic Compatibility (EMC) regulatory
requirements all electrical signal interface cables connected to this
printer must be of a minimal quality level, be of the correct length, and
be properly installed.
The RS-232 port and parallel port interface cables must meet the
following specifications:
•
The cable design must be double shielded with a copper braid over
an aluminum mylar foil and not just a conductive foil spiral wrapped
around a drain wire.
•
The shield must terminate coaxially (360 degrees) to a metal
connector housing and not be terminated by just a simple wire lead.
•
The cable length, including connectors, must be 3 meters or less.
•
The cable connector anchor screws must be securely seated into
the printer receptor hardware.
For reference purposes only, two specific Centronics parallel port
cables that have been tested and found to comply with these
requirements are Belkin
®
part number F2A046-10 and Primelogic
®
part
number PLU 2823224. Other electrically equivalent cables are
acceptable.
This chapter describes the interfaces provided with the printer.
Standard Host Interfaces:
•
IEEE 1284 parallel
•
RS-232 Serial

116
Chapter 5
Centronics Parallel Interface
Optional Host Interfaces:
•
Ethernet 10/100BaseT
•
RS-422 Serial (not available in Taiwan)
In addition to descriptions for the multi-line interfaces, this chapter also
provides instructions for configuration of terminating resistors for the parallel
interfaces.
Centronics Parallel Interface
The length of the data cable from the host computer to the printer must not
exceed 15 feet (5 meters).
Table 5. Centronics Interface Connector Pin Assignments
Input Signals Output Signals Miscellaneous
Signal Pin Signal Pin Signal Pin
DATA LINE 1
Return
2
20
ACKNOWLEDGE
Return
10
28
CHASSIS GROUND 17
DATA LINE 2
Return
3
21
ONLINE
Return
13
28
GROUND 30
DATA LINE 3
Return
4
22
FAULT
Return
32
29
Spares 14
DATA LINE 4
Return
5
23
PAPER EMPTY
Return
12
28
No Connection 34,35,
36
DATA LINE 5
Return
6
24
BUSY
Return
11
29
+5 Volts 18
DATA LINE 6
Return
7
25
DATA LINE 7
Return
8
26
DATA LINE 8
Return
9
27
DATA STROBE
Return
1
19
PAPER INSTRUCTION
Return
15
29
PRIME
Return
31
30

Centronics Parallel Interface Signals
117
Centronics Parallel Interface Signals
Data Lines 1 through 8. Provides eight standard or inverted levels from the
host that specify character data, plot data, or a control code. Data Line 8
allows access to the extended ASCII character set. You may enable or
disable this line via the Data Bit 8 parameter on the Centronics submenu (see
page page 63).
Data Strobe. Carries a low true, 100 ns minimum pulse from the host that
clocks data into the printer.
Acknowledge. A low true pulse from the printer indicating the character or
function code has been received and the printer is ready for the next data
transfer.
Online. A high true level from the printer to indicate the printer is ready for
data transfer and the ON LINE key on the control panel has been activated.
When the printer is in online mode, it may accept data from the host.
Paper Empty (PE). A high true level from the printer to indicate the printer is
in a paper empty or paper jam fault.
Busy. A high true level from the printer to indicate the printer cannot receive
data.
Prime. A high true level from the host to indicate the printer should perform a
warm start (printer is reset to the power-up configuration values).
Paper Instruction (PI). Carries a CVFU signal from the host with the same
timing and polarity as the data line.
Fault. A low true level from the printer indicates a printer fault.
IEEE 1284 Parallel Interface
The 1284 supports three operating modes, which are determined by
negotiation between the printer and the host.
Compatibility Mode
This mode provides compatibility with Centronics-like host I/O (see Table 6).
Data is transferred from the host to the printer in 8-bit bytes over the data
lines.
Compatibility Mode can be combined with Nibble and Byte Modes to provide
bidirectional communication.

118
Chapter 5
IEEE 1284 Parallel Interface
Nibble Mode
Eight bits equals one byte. When a byte of data is sent to the printer, the eight
bits are sent over eight data lines.
Some devices cannot send data over their eight data lines. To bypass this,
the 1284 permits data to be sent as half a byte over four status lines. (Half a
byte equals one nibble.) Two sequential four-bit nibbles are sent over the
lines.
Data is transferred from printer to host in four-bit nibbles over the status lines,
and the host controls the transmission.
Byte Mode
The printer and host send data to each other along eight data lines (one bit
per line).
If bidirectional communication is supported by the printer and the host, the
host will take control of the data transfer.
Signals
Table 6 lists each of the signals associated with the corresponding pins on the
1284 interface. Descriptions of the signals follow.
Table 6. 1284 Signals
Pin Source of Data Type of Mode
Compatible Nibble Byte
1Host nStrobe HostClk Host/Clk
2Host/Printer Data 1 (LSB)
3Host/Printer Data 2
4Host/Printer Data 3
5Host/Printer Data 4
6Host/Printer Data 5
7Host/Printer Data 6
8Host/Printer Data 7
9Host/Printer Data 8 (MSB)
10 Printer nAck PtrClk PtrClk
11 Printer Busy PtrBusy PtrBusy
12 Printer PError AckDataReq AckDataReq
13 Printer Select Xflag Xflag

Signals
119
NOTE: The length of the data cable from the host computer to the printer
should not exceed 32 feet (10 meters).
Host Clock / nWrite. Driven by host. Data transferred from host to printer.
When printer sends data, two types are available. If Nibble mode, signal is set
high. If Byte mode, signal is set low.
Data 1 through Data 8. These pins are host-driven in Compatibility mode and
bidirectional in Byte mode. They are not used in Nibble mode. Data 1 is the
least significant bit; Data 8 is the most significant bit.
14 Host nAutoFd Host Busy HostAck
15 Not Defined
16 Logic Grid
17 Chassis Grid
18 Printer Peripheral Logic High
19 Signal Ground (nStrobe)
20 Signal Ground (Data 1)
21 Signal Ground (Data 2)
22 Signal Ground (Data 3)
23 Signal Ground (Data 4)
24 Signal Ground (Data 5)
25 Signal Ground (Data 6)
26 Signal Ground (Data 7)
27 Signal Ground (Data 8)
28 Signal Ground (PError, Select, nAck)
29 Signal Ground (Busy, nFault)
30 Signal Ground (nAutoFd, nSelectIn, nInit)
31 Host nInit
32 Printer NFault nDataAvail aDataAvail
33 Not Defined
34 Not Defined
35 Not Defined
36 Host nSelectIn 1284 Active 1284 Active
Table 6. 1284 Signals (continued)
Pin Source of Data Type of Mode
Compatible Nibble Byte

120
Chapter 5
IEEE 1284 Parallel Interface
Printer Clock / Peripheral Clock / Interrup. Driven by the printer. A signal
from the printer indicating the character or function code has been received
and the printer is ready for the next data transfer.
Printer Busy / Peripheral Acknowledge / nWait. Driven by the printer.
Indicates the printer cannot receive data. (Data bits 4 and 8 in Nibble mode.)
Acknowledge Data Request / nAcknowledge Reverse. Driven by the
printer. Indicates the printer is in a fault condition. (Data bits 3 and 7 in Nibble
mode.)
Xflag. Driven by the printer. A high true level indicating the printer is ready for
data transfer and the printer is on line. (Data bits 2 and 6 in Nibble mode.)
Host Busy / Host Acknowledge / NDStrobe. Driven by the host. Activates
auto-line feed mode.
Peripheral Logic High. Driven by the printer. When the line is high, the
printer indicates all of its signals are in a valid state. When the line is low, the
printer indicates its power is off or its signals are in an invalid state.
nReverse Request. Driven by the host. Resets the interface and forces a
return to Compatibility mode idle phase.
nData Available / nPeripheral Request. Driven by the printer. Indicates the
printer has encountered an error. (Data bits 1 and 5 in Nibble mode.)
1284 Active / nAStrobe. Driven by the host. A peripheral device is selected.
Host Logic High—Driven by the host. When set to high, the host indicates all
of its signals are in a valid state. When set to low, the host indicates its power
is off or its signals are in an invalid state.
nInit —Resets init interface from the host.

Terminating Resistor Configurations
121
Terminating Resistor Configurations
V6 Controller Board
For parallel interface configurations, the printer is equipped with 470 Ohm and
and 1K Ohm terminating resistors on the controller board. These are suitable
for most applications. See Figure 24.
If the standard terminating resistor pack is not compatible with the particular
interface driver requirements of the host computer, other RP1 and RP2 values
may be required. 220 Ohm and 330 Ohm alternate terminating resistors are
provided with the printer. If you install the 220 Ohm resistor, you must also
install the 330 Ohm resistor. Possible terminating resistor combinations are
shown below.
Figure 24. Terminating Resistors, V6 Controller
Configuration RP1 RP2
Factory Default 470 Ohm 1K Ohm
Alternate 220 Ohm 330 Ohm
183480b
Default: 470/1K Ohm
Alt: 220/330 Ohm
RP1 and RP2

122
Chapter 5
RS-232 And RS-422 Serial Interfaces
Removal And Installation
The procedure for removing and installing terminating resistors is provided in
your Maintenance Manual.
CAUTION
This is an involved maintenance procedure. To avoid damage to the
equipment, only a trained technician should perform this procedure.
RS-232 And RS-422 Serial Interfaces
NOTE: The RS-232 and RS-422 serial interface circuit characteristics are
compatible with the Electronic Industry Association Specifications
EIA-232-E and EIA-422-B.
The RS-232 and RS-422 serial interfaces enable the printer to operate with bit
serial devices that are compatible with an RS-232 controller. The input serial
data transfer rate (in baud) is selectable from the printer's control panel. Baud
rates of 600, 1200, 2400, 4800, 9600, 19200, 38400, 57600, and 115200
baud rates are available.
NOTE: If you select a baud rate that is greater than 19200, you may need to
use RS-422 to prevent data loss.
The length of the data cable from the host computer to the printer must not
exceed 50 feet (15 meters) for RS-232 or 4000 feet (1220 meters) for RS-422.
(A copper conductor, twisted-pair telephone cable with a shunt capacitance of
16 pF/foot [52.5 pF/meter] terminated in a 100 ohm resistive load must be
used for the RS-422.)
RS-232
Receive Data (RD). Serial data stream to the printer.
Transmit Status & Control Data (TD). Serial data stream from the printer for
transmitting status and control information to the host. Subject to protocol
selection.
Request To Send (RTS). Control signal from the printer. Subject to
configuration.
Table 7. RS-232 Serial Interface Connector Pin Assignments
Input Signals Output Signals Miscellaneous
Signal Pin Signal Pin Signal Pin
Receive Data (RD) 2Transmit Status & Control
Data (TD)
3Chassis/Signal Ground 5
Clear To Send (CTS) 8Request To Send (RTS) 7
Data Set Ready (DSR) 6Data Terminal Ready (DTR) 4
Data Carrier Detect (DCD) 1

RS-422
123
Clear To Send (CTS). Status signal to the printer indicating the host is ready
to receive data/status signals from the printer.
Data Set Ready (DSR). Status signal to the printer indicating the host is in a
ready condition.
Data Carrier Detect (DCD). Status signal to the printer. The ON condition is
required for the printer to receive data.
Data Terminal Ready (DTR). Control signal from the printer. Subject to
configuration.
RS-422
+RD, -RD.Serial data stream differentially received by printer.
+TD, -TD.Differentially driven serial data stream for transmitting status and
control information to the host. Subject to protocol selection.
NOTE:
±
RD and
±
TD form signal and return paths of a differential line signal.
Table 8. PSA3 RS-422 Serial Interface Connector Pin Assignments
Input Signals Output Signals Miscellaneous
Signal Pin Signal Pin Signal Pin
- Receive Data
(-RD)
1- Transmit Data
(-TD)
3Chassis/Signal
Ground
5
+ Receive Data
(+RD)
6+ Transmit Data
(+TD)
8

124
Chapter 5
Dataproducts Parallel Interface
Dataproducts Parallel Interface
The length of the data cable from the host computer to the printer must not
exceed 40 feet (12 meters).
Table 9. Dataproducts Parallel Interface Connector Pin Assignments
(with a 50-pin AMP HDH-20 Data Cable Connector)
Input Signals Output Signals Miscellaneous
Signal Pin Signal Pin Signal Pin
DATA LINE 1
Return
19
3
READY
Return
22
6
CABLE VERIFY 45, 46
DATA LINE 2
Return
20
4
ONLINE
Return
21
5
GROUND 39
DATA LINE 3
Return
1
2
DEMAND/DATA REQ.
Return
23
7
DATA LINE 4
Return
41
40
PARITY ERROR 27
11
DATA LINE 5
Return
34
18
DATA LINE 6
Return
43
42
DATA LINE 7
Return
36
35
DATA LINE 8
Return
28
44
DATA STROBE
Return
38
37
PAPER INSTRUCTION
Return
30
14
BUFFER CLEAR
Return
31
15
NOTE: Pins not listed are not connected.

Dataproducts Parallel Interface Signals
125
Dataproducts Parallel Interface Signals
Data Lines 1 through 8. Provides eight standard or inverted levels from the
host that specify character data, plot data, or a control code. Data Line 8
allows access to the extended ASCII character set. You can enable or disable
this line via the Data Bit 8 parameter on the Dataproducts submenu (see page
page 65).
Data Strobe. Carries a high true pulse from the host when data is ready. The
data strobe remains high until the Data Request line goes false. The active
edge of the strobe signal can be configured as leading, middle (default), or
trailing.
Paper Instruction (PI). Carries a DVFU signal from the host with the same
timing and polarity as the data lines.
Ready. Carries a high true signal from the printer when AC power and DC
voltages are present, paper is loaded properly, and the printer is not in a
check condition.
Online. Carries a high true signal from the printer when the Ready Line is true
and the ON LINE key on the control panel has been pressed. When the
printer is in online mode, it may accept data from the host.
Demand/Data Request. Carries a high true signal from the printer when the
printer is ready to accept character data from the host. This signal changes to
false shortly after the leading edge of the data strobe signal.
Cable Verify. Two pins on the interface connector are jumpered together to
allow the user to verify proper installation of the interface connector.
Buffer Clear. A high true level from the host to indicate the printer should
perform a reboot.
Parity Error. Always carries a low false signal from the printer indicating there
is no parity error.

126
Chapter 5
Dataproducts Parallel Interface

127
6
Reprogramming the
Security Key
Reprogramming The Security Key
The security key on the PSA3 controller board can be reprogrammed with a
Software Program Exchange (SPX) module. The SPX is an intelligent module
that plugs into the debug port on the back of printers equipped with the PSA3
“Hurricane” controller board. The SPX is used only once; it automatically
overwrites itself after successfully reprogramming a security key. This allows
the end user or a service technician to enable features such as new
emulations without having to remove covers and install a new security key on
the controller board.
The SPX is used at power-up only and is not left in the printer during normal
operation. Because it is a single-use disposable item the user is not required
to return it to the vendor or manufacturer.
How To Program The Security Key
1. Power off the printer.
2. On cabinet models, open the rear door. On pedestal models, refer to
Figure 25 to locate the debug port at the rear of the printer.
3. Insert the SPX into the debug port as shown.

128
Chapter 6
Reprogramming The Security Key
Figure 25. Inserting The SPX into the Debug Port
4. Power on the printer. The printer will begin its boot-up sequence.
5. When the printer detects a valid SPX, the control panel displays: “NEW
SPX DETECTED
PRESS ENTER”
NOTE: If an error message displays, find the message in the Message List in
Chapter 7 and follow the troubleshooting instructions.
6. Press the ENTER key to activate the reprogramming sequence. The
display will read:
“PROGRAMMING. PLEASE WAIT.”
7. When the security key is reprogrammed, the display will read:
“REMOVE USED SPX
THEN PRESS ENTER”
8. Remove the SPX from the debug port at the rear of the printer.
9. Press the ENTER key. The printer will reboot itself and you may resume
normal printing.
10. You may need to download a new program file to use the new feature.
11. You may need to set additional menu parameters for any new features
that have been added or enabled.
183482b
183481b
A
A
Debug Port
SPX

129
7
Troubleshooting
Cleaning Requirements
Clean the printer every six months or after every 1000 hours of operation,
whichever occurs first. If the printer is located in a dusty area or is used for
heavy duty printing, clean it more often.
WARNING
Disconnect the power source before cleaning the printer.
Vor dem Säubern des Druckers ist die Netzverbindung zu unterbrechen.
Débranchez l’alimentation avant de nettoyer l’imprimante.
Desconecte la fuente de energía antes de limpiar la impresora.
Staccare la fonte di energia prima della pulitura della stampante.
Exterior Cleaning
Clean the outside of the cabinet with a soft, lint-free cloth and mild detergent
soap. (Dishwashing liquid works well.) Do not use abrasive powders or
chemical solvents. Clean the windows with plain water or mild window
cleaner. Always apply the cleaning solution to the cloth; never pour cleaning
solution directly onto the printer.

130
Chapter 7
Cleaning Requirements
Interior Cleaning
Over time, particles of paper and ink accumulate inside impact printers. This
is normal. Paper dust and ink build-up must be periodically removed to avoid
degraded print quality. Most paper dust accumulates around the ends of the
platen and ribbon path.
Figure 26. Interior Printer Components
TOF
TOF
TOF
TOF
183871 REV A
183871a
Ribbon
Ribbon
Cartridge
Ribbon
Tension Knob
Air Shroud
Assembly
Tab (2)
Tab
Slot (2)
Blue Tractor
Lock (2)
Paper
Support (2)
Tractor (2)
Vertical
Position Knob
Platen Lever
Splined Shaft
Platen Stop
Hammer Bank
Cover and
Ribbon Mask
Ribbon Cartridge
Interface

Interior Cleaning
131
To clean the interior of the printer perform the following steps.
1. Power off the printer and unplug the printer power cord.
2. Open the printer cover.
3. Fully raise the forms thickness lever.
4. Unload the paper.
5. Remove the ribbon catridge.
6. Lift the ribbon out of the ribbon path.
7. Brush the paper dust and ribbon lint off the tractors, shuttle cover
assembly, and base casting with a soft-bristled, non-metallic brush
(such as a toothbrush). Vacuum up the residue.
CAUTION Vacuum carefully around the hammer bank and surrounding area to
avoid damage. To avoid corrosion damage, use only alcohol when
cleaning the printer mechanical elements. Solutions used to clean
mechanical elements must contain no water.
8. Wipe the splined shaft with a soft cloth.
9. Check the ribbon mask and hammer bank cover for bits of torn paper or
ribbon lint.
10. Remove dust and ink from the platen using a soft cloth lightly moistened
with anhydrous alcohol. (The platen is the thick silver bar behind the
hammer bank cover that rotates when the forms thickness lever is
rotated.).
CAUTION
When cleaning the platen, be very careful not to get any alcohol in the
hammer bank, because alcohol will cause severe damage to the
hammer bank. Only a trained service technician should clean the shuttle
assembly.
11. Brush and vacuum the accumulated dust or residue inside the lower
cabinet.
12. Wipe the lower cabinet interior with a clean, lint-free cloth dampened (not
wet) with water and mild detergent or window cleaning solution. Dry the
lower cabinet interior by wiping it down with a clean, lint-free cloth.
13. Install the ribbon cartridge and load paper.

132
Chapter 7
Diagnosing Problems
Diagnosing Problems
This section is designed to help you fix problems which may arise with normal
printer operation.
Bar Code Verification
The most important consideration when printing a bar code is to ensure that
the bar code will be scanned properly. Incorporating a bar code quality
procedure in the printing process is the best way to ensure that bar codes are
being printed correctly. A properly implemented verification procedure will
increase overall bar code quality, reduce waste from misprinted bar codes,
and achieve high first-time read rates. A high first-time read rate is an
increasingly important factor in newer, more efficient systems where manually
entered data is not acceptable as a backup function. Verification also
minimizes the costs of returned products due to poor reading or
unaccountable bar codes.
RJS designs and manufactures the world’s most complete line of bar code
verification products, including their portable Inspector and Laser Inspector
models, On-Line Inspector and AutoScan II series. For more information on
RJS bar code verifiers, visit their web site at www.printronix.com/rjs.
Printing A Hex Dump
A hex code printout (or hex dump) is a translation of all host interface data to
its hexadecimal equivalent, listing all ASCII character data received from the
host computer with their corresponding two-digit hexadecimal codes. Hex
dumps are used to troubleshoot printer data reception problems.
Printable characters print as the assigned symbol; nonprintable characters
are indicated by a period (.).
Figure 27 shows an example of a hex dump.

Fault Messages
133
Figure 27. Hex Dump Sample
Fault Messages
If a fault condition occurs in the printer, the status indicator on the control
panel flashes on and off, and the message display indicates the specific fault.
Fault messages are summarized in Table 10.
Displayed faults fall into one of two categories:
•
Operator correctable
•
Field service required
For the operator-correctable faults, follow the suggested solution in Table 10.
After correcting the displayed fault, press the CLEAR key to clear the error
message and status indicator and resume printing. If the fault message
reappears, contact your authorized service representative.
NOTE: The Maintenance Manual provides more detailed information and
procedures for resolving fault conditions. However, many of the
procedures described there must be performed only by your
authorized service representative.

134
Chapter 7
Diagnosing Problems
Fault Messages Requiring Field Service Attention
If a fault is not correctable by the operator, the fault message is followed by an
asterisk (*). This usually indicates that an authorized service representative is
needed. You may try two steps to clear the fault before calling your authorized
service representative:
1. Set the printer power switch to O (Off), wait 15 seconds, then turn the
printer on again. Run your print job again. If the message does not
appear, it was a false indication and no further attention is required.
2. If the message reappears, press the CLEAR key. If the message
disappears, it was a false indication and no further attention is required. If
the message reappears, call your authorized service representative.
Table 10. LCD Message Troubleshooting Table
Displayed Message Can User
Correct? Explanation Solution
000:SHUTTLE TYPE
NOT SUPPORTED*
No The shuttle type was not
detected at power-up or the
shuttle installed in the printer
is not supported by the
firmware.
Contact your authorized service
representative.
1
06 HOST REQUEST Yes Host attention message. The host computer or printer
controller requires attention.
08 HOLD PRINT
TIMEOUT
Yes Printer was offline more than
10 minutes, and the
“Intervention Required”
parameter is set to “Send to
Host.”
Press ON LINE to put printer in
online state.
15 COMM CHECK Yes A message that appears in
the CT emulation meaning
the line is not active on a
twinax interface.
Check cable connection.
15V CTL FAIL* No Controller voltage failure. Contact your authorized service
representative.
1
22 INVALID ADDR Yes Unit address not recognized
by printer. (Twinax interface)
Ensure that printer address
matches host setting.
31 PAPER OUT
TIMEOUT
Yes A timeout message is sent to
the host if paper is not
loaded 10 minutes after
CLEAR was pressed to clear
the paper out fault.
Load paper and run a print test.
If the message reappears,
contact your authorized service
representative.
1
32 PAPER JAM
TIMEOUT
Yes A timeout message is sent to
the host if no paper motion
has occurred for 10 minutes
after CLEAR was pressed to
clear the jam fault.
Clear paper jam and reload
paper.

Fault Messages
135
33 PLATEN OPEN
TIMEOUT
Yes The forms thickness lever
has been open for at least
one minute.
Load paper, close the forms
thickness lever, and press
CLEAR.
34 RIBBON STALL
TIMEOUT
Yes In the CT emulation with a
coax interface, the ribbon
has not moved for 10
minutes after CLEAR was
pressed to clear the ribbon
drive fault.
Reload the ribbon.
48V PWR FAIL* No Internal power failure. Contact your authorized service
representative.
1
104:POWER SUPPLY
HOT
Yes Power supply sensors report
high temperatures.
Check printer environment. If hot
or dusty, relocate printer.
Contact your authorized service
representative if this occurs
frequently.
1
105:PRINTER HOT Yes This message indicates
internal temperatures over
60° Celsius (140°
Fahrenheit).
Check printer environment. If hot
or dusty, relocate printer.
Contact your authorized service
representative if this occurs
frequently.
1
401:BUFFER
OVERRUN
Yes The print buffer has
overflowed on a serial
interface. The printed output
may contain random *
(asterisk) characters. Make
a configuration printout.
Verify that the printer matches
the host serial interface
configuration settings for Data
Protocol, Baud Rate, Data Bits,
Stop Bits, Parity, Data Terminal
Ready, and Request to Send.
Set printer serial interface
parameters to match those of
the host.
402:CLEAR PAPER
JAM
Yes No paper motion. Clear jam and reload paper. If
this message recurs, contact
your authorized service
representative.
1
403:CLOSE PLATEN Yes The platen lever is open. Close the platen lever.
409:FRAMING ERROR Yes The printed output may
contain random !
(exclamation point)
characters.
Make a configuation printout. Set
printer serial interface
parameters to match host
configuration settings for Data
Protocol, Baud Rate, Data Bits,
Stop Bits, Parity, Data Terminal
Ready, and Request to Send.
410:LOAD PAPER Yes Printer is out of paper. Load paper and press CLEAR.
Table 10. LCD Message Troubleshooting Table
Displayed Message Can User
Correct? Explanation Solution

136
Chapter 7
Diagnosing Problems
411:PARITY ERROR Yes The printed output may
contain a random ?
(question mark) characters.
Check your printer serial
interface parameter settings; if
necessary, adjust them so that
they match the settings of the
attached host.
414:RIBBON STALL Yes The controller board does
not detect ribbon movement.
Check the ribbon path for jams.
Turn the Ribbon Tension Knob
clockwise a few rotations. If
necessary, install a new ribbon.
415:SHUTTLE JAM Yes No shuttle movement or
shuttle moving at the wrong
speed.
Check for obstruction to shuttle,
a twisted ribbon, or platen lever
closed too tightly. If fault source
is not apparent, contact your
authorized service
representative.
1
416:STACKER FULL Yes Status message: the power
paper stacker is full of paper.
Unload the stacker. If fault
persists, contact your authorized
service representative.
1
417:STACKER JAM Yes This message is triggered if
there is paper inside the
throat of the stacker
elevator, but the elevator is
not moving.
1. Open the cabinet rear door
and check for obstructions
preventing elevator movement.
Remove any obstructions.
2. Run the print job again. If the
message appears again, contact
your authorized service
representative.
1
418:RBN INK LOW
Change RBN Soon
Yes Status message indicating
the Integrated Print
Management System is
enabled and ribbon ink level
is 2%.
Install a new ribbon.
419:RBN INK OUT*
Install New RBN
Yes Integrated Print
Management System
software has determined
that the ribbon is out of ink.
Install a new ribbon.
420:EXC RBN WEAR
Install New RBN
Yes Status message that
displays when ribbon
reaches end of life, whether
the Integrated Print
Management System is
enabled or not.
Install a new ribbon.
Table 10. LCD Message Troubleshooting Table
Displayed Message Can User
Correct? Explanation Solution

Fault Messages
137
421:BC MISSING
Install New RBN
Yes The ribbon sensor does not
detect the presence of the
ribbon spool, indicating a
missing label or a damaged
sensor.
If label is missing, install new
ribbon. If barcode label is
present and undamaged, clean
sensor lens using damp cloth or
swab.
422:BC DAMAGED
Reverse Spools
Yes Barcode detected, but not
fully decoded.
If barcode appears damaged,
reverse ribbon spools. If barcode
label is present and undamaged,
clean sensor lens using damp
cloth or swab. Check that platen
gap may be too tight constricting
ribbon motion. Loosen gap if
needed.
423:OLD RIBBON
Install New RBN
Yes The sensor detects a ribbon
that was previously declared
to be at the end of its service
life.
Install a new ribbon.
424:UNKNOWN RBN1
Install New RBN
Yes The sensor detects a bar
code, but the ribbon model is
not permitted on this printer.
Install a new ribbon.
425:UNKNOWN RBN2
Install New RBN
Yes The sensor detects a bar
code, but the region code
does not match the printer.
Install a new ribbon.
427:CRTG MISSING
Install new RBN
Yes The ribbon cartridge is
missing or installed
improperly.
1. Make sure a ribbon
cartridge is installed in
the printer.
2. Make sure the ribbon
cartridge is seated
properly.
3. Remove and replace the
cartridge if necessary.
4. Contact your authorized
customer service
representative.
428:CRTG COMM ER
See User Manual
No The hardware cannot
communicate properly with
the cartridge.
1. Make sure the ribbon
cartridge is seated
properly.
2. Remove and replace the
ribbon cartridge if
necessary.
3. Contact your authorized
service representative.
Table 10. LCD Message Troubleshooting Table
Displayed Message Can User
Correct? Explanation Solution

138
Chapter 7
Diagnosing Problems
432:CRT NOT SET Yes The ribbon cartridge is not
correctly positioned.
1. Make sure a ribbon
cartridge is installed in
the printer.
2. Make sure the ribbon
cartridge is seated
properly.
3. Remove and replace the
cartridge if necessary.
4. Contact your authorized
customer service
representative.
435:NO WELD
See User Manual
No The cartridge weld was not
detected.
Contact your authorized service
representative.
437:REG MISSING
Use Correct RBN
Yes The incorrect cartridge type
is being used for the printer.
Install region X ribbon cartridge
in the printer.
NOTE: Specify the region of
the printer when
ordering ribbons.
438:TIP MISMATCH
Use Correct RBN
Yes The incorrect cartridge type
is being used for the printer.
Install the correct ribbon
cartridge type in the printer.
439:SHTL MISMATCH
Use Correct RBN
Yes This message displays when
an Extended Life Ribbon is
mounted on a 500 lpm
printer.
Install Standard Life Ribbon.
440:RWP DOWNLOAD
Please Wait
No Status message indicating
the software in the cartridge
is being updated. The user
must wait fo rthe update to
complete.
No action is required.
602:23.5V CTL FAIL* No 23.5 Volt Controller failed: a
voltage failure on the
controller board.
Contact your authorized service
representative.
1
604:48V CIRCUIT*
See User Manual
No Either the power supply is
not generating a proper 48
Volts or the controller board
is not detecting a 48 Volt
output from the power
supply board.
Contact your authorized service
representative.
1
606:Power 8.5V
CHECK
No 8.5 Volt power failed.
Internal power failure.
Contact your authorized service
representative.
1
Table 10. LCD Message Troubleshooting Table
Displayed Message Can User
Correct? Explanation Solution

Fault Messages
139
607:CTL VOLT FAIL* No Controller Voltage Failure.
15 V failure on the controller
board.
Contact your authorized service
representative.
1
608:DRIVER CIRCUIT
BAD
No Driver Circuit Bad. The
hammer coil count test
failed.
Contact your authorized service
representative.
1
609:EXHAUST FAN
CHECK
(Cabinet model only)
Yes Sensors cannot detect
current in fan circuit.
Power off the printer and remove
the paper path (see
Maintenance Manual). Check
that the fan cable connector is
connected. Check for
obstruction of vents and fan
airway, and remove any
obstructions. Check for items
beneath the printer blocking
cabinet vents. Power back on
the printer. If this message
appears again, contact your
authorized service
representative.
1
613: HAM. COIL BAD
#, #, #, ...etc
No Hammer coil # failed current
test at power up.
Contact your authorized service
representative.
1
614:HAMMER BANK*
NOT INSTALLED
No Hammer Bank Not Installed.
Self-test routines do not
detect hammer coils at
printer start-up.
Contact your authorized service
representative.
1
615:HAMMER FAN
CHECK
Yes Sensors cannot detect
current in fan circuit.
Check that fan cable is
connected. Check for
obstruction of vents and fan
airway; remove any
obstructions. Check for items
beneath the printer blocking
cabinet vents. Power back on
the printer. If this message
recurs, contact your authorized
service representative.
1
617:LOWER DRIVER
SHORT*
No Lower Driver Short.
Circuit(s) on the hammer
bank or in the hammer bank
power cable shorted to
ground.
Contact your authorized service
representative.
1
619:PAPER FEED
DRIVER CIRCUIT*
See Manual
No Paper Feed Driver Circuit.
The paper feed driver circuit
on the controller board is
drawing too much current.
Contact your authorized service
representative.
1
Table 10. LCD Message Troubleshooting Table
Displayed Message Can User
Correct? Explanation Solution

140
Chapter 7
Diagnosing Problems
620:POWER VOLT
CHECK*
No Power Supply Voltage. The
power supply has failed.
Replace power supply board.
622:SHUTTLE
DRIVER CRCUIT*
No The shuttle driver circuit on
the controller board is
drawing too much current.
Contact your authorized service
representative.
1
623:STACKER FAULT Yes Stacker is not functioning
correctly.
Check for obstructions in the
stacker area. If fault persists,
contact your authorized service
representative.
1
624:UPPER DRIVER
SHORT*
No Upper Driver Short. Hammer
driver circuits on the boards
shorted to ground.
Cycle power to see if the
message clears, if not, contact
your authorized service
representative.
1
625:WRONG E-NET
Remove NIC
Yes Incompatible network
interface card (NIC) is
installed.
Install a compatible NIC to the
printer then reboot. If this
message still appears, contact
your authorized service
representative.
1
700:A TO D OVERUN* No Analog to Digital Overrun.
The analog-to-digital
converter overflowed.
Contact your authorized service
representative.
1
701:ACCESS NULL
POINTER*
No Access Null Pointer: The
processor tried to access a
pointer that contains nothing
(null).
Contact your authorized service
representative.
1
702:FIRMWARE
ERROR*
No Application software tried to
perform an illegal printer
function or damaged
memory detected on the
controller board.
Contact your authorized service
representative.
1
703:ILLEGAL
EXTERNAL BUS ACC*
No Illegal External Bus Access.
Firmware error on the
controller board.
Contact your authorized service
representative.
1
704:ILLEGAL
INSTRUCTION ACC*
No Illegal Instruction Accessed.
Firmware error on the
controller board.
Contact your authorized service
representative.
1
705:ILLEGAL
OPERAND ACCESS*
No Illegal Operand Accessed.
Firmware error on controller
board.
Contact your authorized service
representative.
1
706:PAP BAD TABLE* No Paper Bad Table. The paper
feed process on the
controller board has a
corrupted table.
Contact your authorized service
representative.
1
Table 10. LCD Message Troubleshooting Table
Displayed Message Can User
Correct? Explanation Solution

Fault Messages
141
707:PAPER BUSY
TOO LONG*
No Paper Busy Too Long.
Firmware error on controller
board.
Contact your authorized service
representative.
1
708:PAPER FIFO
OVERFLOW*
No Paper First In First Out
Overflow. Firmware error on
controller board.
Contact your authorized service
representative.
1
709:PAPER FIFO
UNDERFLOW*
No Paper First In First Out
Underflow. Firmware error
on controller board.
Contact your authorized service
representative.
1
710:PAP ILLGL ST* No Paper Illegal State. Firmware
error on controller board.
Contact your authorized service
representative.
1
711:PAP INCMPL
ENER*
No Paper Incompletely
Energized. Firmware error
on controller board.
Contact your authorized service
representative.
1
712:PAP INVLD CMD* No Paper Invalid Command.
Firmware error on controller
board.
Contact your authorized service
representative.
1
713:PAP INVLD
PARM*
No Paper Invalid Parameter.
Firmware error on controller
board.
Contact your authorized service
representative.
1
714:PAP NOT SCHED* No Paper Not Scheduled. The
paper feed process is not
scheduling on the controller
board, and the printer cannot
feed paper.
Contact your authorized service
representative.
1
715:PAP NT AT
SPEED*
No Paper Not At Speed.
Firmware error on controller
board.
Contact your authorized service
representative.
1
716:PAP UNEXP INT* No Paper Unexpected Interrupt.
Firmware error on controller
board.
Contact your authorized service
representative.
1
717:PLAT INV CMD* No Platen Invalid Command.
Firmware error on controller
board.
Contact your authorized service
representative.
1
718:PLAT INV PARM* No Platen Invalid Parameter.
Firmware error on controller
board.
Contact your authorized service
representative.
1
719:PLAT INV STATE* No Platen Invalid State.
Firmware error on controller
board.
Contact your authorized service
representative.
1
Table 10. LCD Message Troubleshooting Table
Displayed Message Can User
Correct? Explanation Solution

142
Chapter 7
Diagnosing Problems
720:PROTECTED
INSTRUCTION*
No Protected Instruction.
Firmware error on controller
board.
Contact your authorized service
representative.
1
721:RIB INVLD CMD*
See User Manual
Yes Ribbon Invalid Command.
Firmware error on the
controller board.
Cycle power. Run the print job
again. If the message appears,
download the emulation
software again. If the message
appears again, contact your
authorized service
representative.
1
723:SHUTL INV CMD* No Shuttle Invalid Command.
Firmware error on controller
board.
Contact your authorized service
representative.
1
724 SHUTL INV
PARM*
No Shuttle Invalid Parameter.
Firmware error on controller
board.
Contact your authorized service
representative.
1
725:SHUTL OVER
SPEED*
No The shuttle is oscillating too
rapidly.
Contact your authorized service
representative.
1
727:SOFTWARE
ERROR*
No Application software tried to
perform illegal printer
function, or damaged logic
circuits found on controller
board.
Contact your authorized service
representative.
1
728:STACK
OVERFLOW*
No Firmware error on controller
board.
Contact your authorized service
representative.
1
729:STACK
UNDERFLOW*
No Firmware error on the
controller board.
Contact your authorized service
representative.
1
730:TCB
CORRUPTED*
No Task Control Block
Corrupted. Firmware error
on controller board.
Contact your authorized service
representative.
1
731:UNDEFINED
INTERRUPT*
No Undefined Interrupt.
Firmware error on controller
board.
Contact your authorized service
representative.
1
732:UNDEFINED
OPCODE
No Undefined Opcode.
Firmware error on controller
board.
Contact your authorized service
representative.
1
Table 10. LCD Message Troubleshooting Table
Displayed Message Can User
Correct? Explanation Solution

Fault Messages
143
733 DP FIFO Busy* Yes There is a timing problem in
the Engine Controller
firmware.
1. Cycle power. Run the
print job again. If the
message reappears,
download the emulation
software again.
2. Cycle power. Run the
print job again. If the
message reappears,
contact your authorized
service representative.
1
ACTIVATE LOST No The printer detects a twinax
protocol communication
error and reports the error.
Contact your authorized service
representative.
1
B00 STATUS: SDRAM
DETECTION 166MHZ
No Status message: the printer
has begun its boot-up
routines and is checking for
the presence of SDRAM.
No action required.
B01 STATUS: 8245
SDRAM TEST 32MB
No Status message: printer
boot-up routines are testing
SDRAM.
No action required.
B10 ERROR: NO
DRAM DETECTED*
No SDRAM DIMM may not be
properly installed. Boot-up
routines did not detect the
presence of the SDRAM
DIMM.
Cycle power to see if the
message clears, if not, contact
your authorized service
representative.
1
B11 ERROR: RAM
TEST FAILED*
No SDRAM failed the boot
initialization test. SDRAM
DIMM may not be properly
installed.
Cycle power to see if the
message clears, if not, contact
your authorized service
representative.
1
B12 ERROR:
PROGRAM MISSING*
Yes The printer does not see a
program in flash memory.
There is no program in printer
memory. Download an
emulation.
B13 ERROR: NOT
COMPATIBLE*
No Attempting to download a
program that is not
compatible with the printer.
Cycle power to see if the
message clears, if not, contact
your authorized service
representative.
1
B19 ERROR: DC
RETURNED*
No The message indicates an
incorrectly assembled and
tested machine.
Cycle power to see if the
message clears, if not, contact
your authorized service
representative.
1
Table 10. LCD Message Troubleshooting Table
Displayed Message Can User
Correct? Explanation Solution

144
Chapter 7
Diagnosing Problems
B20 STATUS :00%
DOWNLOAD MODE
No Status message informing
the operator that software is
being downloaded.
Percentage figure indicates
approximate amount loaded
into the printer.
No action is required.
B21 STATUS:
PRINTER RESET
No Status message informing
the operator that the printer
is undergoing a system
reset.
No action is required.
B22 ERROR:
DECOMPRESS SIZE*
No FLASH memory has not
passed boot initialization
tests.
Cycle power to see if the
message clears, if not, contact
your authorized service
representative.
1
B23 ERROR:
DECOMPRESS
CKSUM*
No FLASH memory has not
passed boot initialization
tests.
Cycle power to see if the
message clears, if not, contact
your authorized service
representative.
1
B30 STATUS:
INITIALIZING...
N/A Status message: the printer
is running its initialization
routines after startup and
successful memory tests.
No action is required.
B35 STATUS:
WAITING FOR EC
STATUS
N/A Status message: the DC on
the controller board is
waiting for communication
with the EC. If this message
does not clear witin a few
seconds there is an
electrical or electronic
problem on the controller
board.
Cycle power to see if the
message clears, if not, contact
your authorized service
representative.
1
B40 ERROR: SDRAM
EEPROM CKSUM
BAD*
No Flash memory has not
passed boot initialization
tests.
Cycle power to see if the
message clears, if not, contact
your authorized service
representative.
1
B41 ERROR: DIM
MEMORY NOT
SDRAM*
No The DRAM DIMM installed
on the controller board is not
Synchronous DRAM
(SDRAM).
Cycle power to see if the
message clears, if not, contact
your authorized service
representative.
1
B42 ERROR: SDRAM
ROWS NOT
ALLOWED*
No Printer boot initialization
tests detect incorrect
SDRAM.
Cycle power to see if the
message clears, if not, contact
your authorized service
representative.
1
Table 10. LCD Message Troubleshooting Table
Displayed Message Can User
Correct? Explanation Solution

Fault Messages
145
B43 ERROR: SDRAM
TOO MANY BANKS*
No Printer boot initialization
tests detect incorrect
SDRAM.
Cycle power to see if the
message clears, if not, contact
your authorized service
representative.
1
B44 ERROR: SDRAM
NOT 64 BITS WIDE*
No Printer boot initialization
tests detect incorrect
SDRAM.
Cycle power to see if the
message clears, if not, contact
your authorized service
representative.
1
B45 ERROR: SDRAM
IS WRONG VOLTAGE*
No Printer boot initialization
tests detect incorrect
SDRAM.
Cycle power to see if the
message clears, if not, contact
your authorized service
representative.
1
B46 ERROR: SDRAM
HAS MIXED SIZES*
No Printer boot initialization
tests detect incorrect
SDRAM.
Cycle power to see if the
message clears, if not, contact
your authorized service
representative.
1
B47 ERROR: SDRAM
LARGER THAN 256M*
No Printer boot initialization
tests detect incorrect
SDRAM.
Cycle power to see if the
message clears, if not, contact
your authorized service
representative.
1
B49 ERROR: SDRAM
# LOGICAL BANKS*
No Printer boot initialization
tests detect incorrect
SDRAM.
Cycle power to see if the
message clears, if not, contact
your authorized service
representative.
1
B50 ERROR: SDRAM
LOGIC COMB BANKS*
No SDRAM DIMM is not
compatible with the
computer. SDRAM DIMM
may not be properly
installed.
Cycle power to see if the
message clears, if not, contact
your authorized service
representative.
1
B51 STATUS: XX%
LOADING...
No Status message: printer
boot-up routines are loading
printer system software into
flash memory and SDRAM.
No action required.
B53 ERROR: 12C NO
ARBITRATION
No There is a problem on the
I
2
C bus which allows the
SDRAM DIMM to
communicate with the GPIO
or CT interface.
Cycle power to see if the
message clears, if not, contact
your authorized service
representative.
1
B54 ERROR: SDA
LINE STUCK LOW
No The SDRAM or a PCI card is
shorting out the serial data
bus on the controller board.
Cycle power to see if the
message clears, if not, contact
your authorized service
representative.
1
Table 10. LCD Message Troubleshooting Table
Displayed Message Can User
Correct? Explanation Solution

146
Chapter 7
Diagnosing Problems
CLEARING
PROGRAM FROM
FLASH
No Status message: emulation
software successfully loaded
into printer RAM and the
checksum matched. The old
program is now being
deleted from flash memory.
No action is required.
D50 Status %XX
Clearing Flash
No Status message: The printer
is clearing its flash memory,
where %XX represents the
percentage completed.
No action is required.
D51 Status %XX
Programming...
No Status message: The printer
is loading firmware, where
%XX represents the
percentage completed.
No action is required.
D55 Status: Send
Program to EC
No Status message: The printer
is loading the engine
controller program into the
engine controller (EC).
No action is required.
DIAGNOSTIC
PASSED
No Status message: the printer
passed its memory and
hardware initialization tests.
No action is required.
DO NOT POWER OFF No Status message: The printer
is performing an operation
that must be completed
before you can cycle power.
No action is required, but do not
power off the printer until the
operation is complete.
E00 EXE @ ADDR0
See User Manual
Yes An illegal or unsupported
instruction was attempted in
the application program.
1. Cycle Power. Run the
print job again. If the
message appears, load
the latest emulation
software.
2. Cycle power. Run the
print job again. If the
message appears,
record the display
message and send it to
your next higher support
facility.
Table 10. LCD Message Troubleshooting Table
Displayed Message Can User
Correct? Explanation Solution

Fault Messages
147
E01A TYPE 0x40
See User Manual
Yes An illegal or unsupported
instruction was attempted in
the application program.
1. Cycle Power. Run the
print job again. If the
message appears, load
the latest emulation
software.
2. Cycle power. Run the
print job again. If the
message appears,
record the display
message and send it to
your next higher support
facility.
E01B TYPE 0x60
See User Manual
Yes An illegal or unsupported
instruction was attempted in
the application program.
1. Cycle Power. Run the
print job again. If the
message appears, load
the latest emulation
software.
2. Cycle power. Run the
print job again. If the
message appears,
record the display
message and send it to
your next higher support
facility.
E02 MACHINE CHK
See User Manual
Yes An illegal or unsupported
instruction was attempted in
the application program.
1. Cycle Power. Run the
print job again. If the
message appears, load
the latest emulation
software.
2. Cycle power. Run the
print job again. If the
message appears,
record the display
message and send it to
your next higher support
facility.
Table 10. LCD Message Troubleshooting Table
Displayed Message Can User
Correct? Explanation Solution

148
Chapter 7
Diagnosing Problems
E03A DSI HASH L
See User Manual
Yes An illegal or unsupported
instruction was attempted in
the application program.
1. Cycle Power. Run the
print job again. If the
message appears, load
the latest emulation
software.
2. Cycle power. Run the
print job again. If the
message appears,
record the display
message and send it to
your next higher support
facility.
E03B DSI HASH S
See User Manual
Yes An illegal or unsupported
instruction was attempted in
the application program.
1. Cycle Power. Run the
print job again. If the
message appears, load
the latest emulation
software.
2. Cycle power. Run the
print job again. If the
message appears,
record the display
message and send it to
your next higher support
facility.
E03C DSI BAT PL
See User Manual
Yes An illegal or unsupported
instruction was attempted in
the application program.
1. Cycle Power. Run the
print job again. If the
message appears, load
the latest emulation
software.
2. Cycle power. Run the
print job again. If the
message appears,
record the display
message and send it to
your next higher support
facility.
Table 10. LCD Message Troubleshooting Table
Displayed Message Can User
Correct? Explanation Solution

Fault Messages
149
E03D DSI BAT PS
See User Manual
Yes An illegal or unsupported
instruction was attempted in
the application program.
1. Cycle Power. Run the
print job again. If the
message appears, load
the latest emulation
software.
2. Cycle power. Run the
print job again. If the
message appears,
record the display
message and send it to
your next higher support
facility.
E03E DSI CXIWX
See User Manual
Yes An illegal or unsupported
instruction was attempted in
the application program.
1. Cycle Power. Run the
print job again. If the
message appears, load
the latest emulation
software.
2. Cycle power. Run the
print job again. If the
message appears,
record the display
message and send it to
your next higher support
facility.
E03F DSI CXOWX
See User Manual
Yes An illegal or unsupported
instruction was attempted in
the application program.
1. Cycle Power. Run the
print job again. If the
message appears, load
the latest emulation
software.
2. Cycle power. Run the
print job again. If the
message appears,
record the display
message and send it to
your next higher support
facility.
Table 10. LCD Message Troubleshooting Table
Displayed Message Can User
Correct? Explanation Solution

150
Chapter 7
Diagnosing Problems
E03G DSI ECXIWX
See User Manual
Yes An illegal or unsupported
instruction was attempted in
the application program.
1. Cycle Power. Run the
print job again. If the
message appears, load
the latest emulation
software.
2. Cycle power. Run the
print job again. If the
message appears,
record the display
message and send it to
your next higher support
facility.
E03H DSI ECXOWX
See User Manual
Yes An illegal or unsupported
instruction was attempted in
the application program.
1. Cycle Power. Run the
print job again. If the
message appears, load
the latest emulation
software.
2. Cycle power. Run the
print job again. If the
message appears,
record the display
message and send it to
your next higher support
facility.
E04A ISI NO TRA
See User Manual
Yes An illegal or unsupported
instruction was attempted in
the application program.
1. Cycle Power. Run the
print job again. If the
message appears, load
the latest emulation
software.
2. Cycle power. Run the
print job again. If the
message appears,
record the display
message and send it to
your next higher support
facility.
Table 10. LCD Message Troubleshooting Table
Displayed Message Can User
Correct? Explanation Solution

Fault Messages
151
E04B ISI DIRECT
See User Manual
Yes An illegal or unsupported
instruction was attempted in
the application program.
1. Cycle Power. Run the
print job again. If the
message appears, load
the latest emulation
software.
2. Cycle power. Run the
print job again. If the
message appears,
record the display
message and send it to
your next higher support
facility.
E04C ISI PROTEC
See User Manual
Yes An illegal or unsupported
instruction was attempted in
the application program.
1. Cycle Power. Run the
print job again. If the
message appears, load
the latest emulation
software.
2. Cycle power. Run the
print job again. If the
message appears,
record the display
message and send it to
your next higher support
facility.
E06 NOT ALIGNED
See User Manual
Yes An illegal or unsupported
instruction was attempted in
the application program.
1. Cycle Power. Run the
print job again. If the
message appears, load
the latest emulation
software.
2. Cycle power. Run the
print job again. If the
message appears,
record the display
message and send it to
your next higher support
facility.
Table 10. LCD Message Troubleshooting Table
Displayed Message Can User
Correct? Explanation Solution

152
Chapter 7
Diagnosing Problems
E07 ILLEGAL INS
See User Manual
Yes An illegal or unsupported
instruction was attempted in
the application program.
1. Cycle Power. Run the
print job again. If the
message appears, load
the latest emulation
software.
2. Cycle power. Run the
print job again. If the
message appears,
record the display
message and send it to
your next higher support
facility.
E08 FLOATINGPNT
See User Manual
Yes An illegal or unsupported
instruction was attempted in
the application program.
1. Cycle Power. Run the
print job again. If the
message appears, load
the latest emulation
software.
2. Cycle power. Run the
print job again. If the
message appears,
record the display
message and send it to
your next higher support
facility.
E12 SYSTEM CALL
See User Manual
Yes An illegal or unsupported
instruction was attempted in
the application program.
1. Cycle Power. Run the
print job again. If the
message appears, load
the latest emulation
software.
2. Cycle power. Run the
print job again. If the
message appears,
record the display
message and send it to
your next higher support
facility.
Table 10. LCD Message Troubleshooting Table
Displayed Message Can User
Correct? Explanation Solution

Fault Messages
153
E13 TRACE INT
See User Manual
Yes An illegal or unsupported
instruction was attempted in
the application program.
1. Cycle Power. Run the
print job again. If the
message appears, load
the latest emulation
software.
2. Cycle power. Run the
print job again. If the
message appears,
record the display
message and send it to
your next higher support
facility.
E16 ITRANS MISS
See User Manual
Yes An illegal or unsupported
instruction was attempted in
the application program.
1. Cycle Power. Run the
print job again. If the
message appears, load
the latest emulation
software.
2. Cycle power. Run the
print job again. If the
message appears,
record the display
message and send it to
your next higher support
facility.
E17 DLOAD MISS
See User Manual
Yes An illegal or unsupported
instruction was attempted in
the application program.
1. Cycle Power. Run the
print job again. If the
message appears, load
the latest emulation
software.
2. Cycle power. Run the
print job again. If the
message appears,
record the display
message and send it to
your next higher support
facility.
Table 10. LCD Message Troubleshooting Table
Displayed Message Can User
Correct? Explanation Solution

154
Chapter 7
Diagnosing Problems
E18 DSTORE MISS
See User Manual
Yes An illegal or unsupported
instruction was attempted in
the application program.
1. Cycle Power. Run the
print job again. If the
message appears, load
the latest emulation
software.
2. Cycle power. Run the
print job again. If the
message appears,
record the display
message and send it to
your next higher support
facility.
E19 BREAKPOINT
See User Manual
Yes An illegal or unsupported
instruction was attempted in
the application program.
1. Cycle Power. Run the
print job again. If the
message appears, load
the latest emulation
software.
2. Cycle power. Run the
print job again. If the
message appears,
record the display
message and send it to
your next higher support
facility.
E20 SYS MANAGE
See User Manual
Yes An illegal or unsupported
instruction was attempted in
the application program.
1. Cycle Power. Run the
print job again. If the
message appears, load
the latest emulation
software.
2. Cycle power. Run the
print job again. If the
message appears,
record the display
message and send it to
your next higher support
facility.
Table 10. LCD Message Troubleshooting Table
Displayed Message Can User
Correct? Explanation Solution

Fault Messages
155
E30 DEBUGGER
See User Manual
Yes An illegal or unsupported
instruction was attempted in
the application program.
1. Cycle Power. Run the
print job again. If the
message appears, load
the latest emulation
software.
2. Cycle power. Run the
print job again. If the
message appears,
record the display
message and send it to
your next higher support
facility.
E31A EVENT O BP
See User Manual
Yes An illegal or unsupported
instruction was attempted in
the application program.
1. Cycle Power. Run the
print job again. If the
message appears, load
the latest emulation
software.
2. Cycle power. Run the
print job again. If the
message appears,
record the display
message and send it to
your next higher support
facility.
E31B EVENT 1 BP
See User Manual
Yes An illegal or unsupported
instruction was attempted in
the application program.
1. Cycle Power. Run the
print job again. If the
message appears, load
the latest emulation
software.
2. Cycle power. Run the
print job again. If the
message appears,
record the display
message and send it to
your next higher support
facility.
Table 10. LCD Message Troubleshooting Table
Displayed Message Can User
Correct? Explanation Solution

156
Chapter 7
Diagnosing Problems
E31C EVENT 2 BP
See User Manual
Yes An illegal or unsupported
instruction was attempted in
the application program.
1. Cycle Power. Run the
print job again. If the
message appears, load
the latest emulation
software.
2. Cycle power. Run the
print job again. If the
message appears,
record the display
message and send it to
your next higher support
facility.
E31D EVENT 3 BP
See User Manual
Yes An illegal or unsupported
instruction was attempted in
the application program.
1. Cycle Power. Run the
print job again. If the
message appears, load
the latest emulation
software.
2. Cycle power. Run the
print job again. If the
message appears,
record the display
message and send it to
your next higher support
facility.
E31E EVENT 4 BP
See User Manual
Yes An illegal or unsupported
instruction was attempted in
the application program.
1. Cycle Power. Run the
print job again. If the
message appears, load
the latest emulation
software.
2. Cycle power. Run the
print job again. If the
message appears,
record the display
message and send it to
your next higher support
facility.
Table 10. LCD Message Troubleshooting Table
Displayed Message Can User
Correct? Explanation Solution

Fault Messages
157
E31F EVENT 5 BP
See User Manual
Yes An illegal or unsupported
instruction was attempted in
the application program.
1. Cycle Power. Run the
print job again. If the
message appears, load
the latest emulation
software.
2. Cycle power. Run the
print job again. If the
message appears,
record the display
message and send it to
your next higher support
facility.
E31G EVENT 6 BP
See User Manual
Yes An illegal or unsupported
instruction was attempted in
the application program.
1. Cycle Power. Run the
print job again. If the
message appears, load
the latest emulation
software.
2. Cycle power. Run the
print job again. If the
message appears,
record the display
message and send it to
your next higher support
facility.
E31H EVENT 7 BP
See User Manual
Yes An illegal or unsupported
instruction was attempted in
the application program.
1. Cycle Power. Run the
print job again. If the
message appears, load
the latest emulation
software.
2. Cycle power. Run the
print job again. If the
message appears,
record the display
message and send it to
your next higher support
facility.
Table 10. LCD Message Troubleshooting Table
Displayed Message Can User
Correct? Explanation Solution

158
Chapter 7
Diagnosing Problems
E32A CND 0 BP
See User Manual
Yes An illegal or unsupported
instruction was attempted in
the application program.
1. Cycle Power. Run the
print job again. If the
message appears, load
the latest emulation
software.
2. Cycle power. Run the
print job again. If the
message appears,
record the display
message and send it to
your next higher support
facility.
E32B CND 1 BP
See User Manual
Yes An illegal or unsupported
instruction was attempted in
the application program.
1. Cycle Power. Run the
print job again. If the
message appears, load
the latest emulation
software.
2. Cycle power. Run the
print job again. If the
message appears,
record the display
message and send it to
your next higher support
facility.
E32C CND 2 BP
See User Manual
Yes An illegal or unsupported
instruction was attempted in
the application program.
1. Cycle Power. Run the
print job again. If the
message appears, load
the latest emulation
software.
2. Cycle power. Run the
print job again. If the
message appears,
record the display
message and send it to
your next higher support
facility.
Table 10. LCD Message Troubleshooting Table
Displayed Message Can User
Correct? Explanation Solution

Fault Messages
159
E32D CND 3 BP
See User Manual
Yes An illegal or unsupported
instruction was attempted in
the application program.
1. Cycle Power. Run the
print job again. If the
message appears, load
the latest emulation
software.
2. Cycle power. Run the
print job again. If the
message appears,
record the display
message and send it to
your next higher support
facility.
E32E CND 4 BP
See User Manual
Yes An illegal or unsupported
instruction was attempted in
the application program.
1. Cycle Power. Run the
print job again. If the
message appears, load
the latest emulation
software.
2. Cycle power. Run the
print job again. If the
message appears,
record the display
message and send it to
your next higher support
facility.
E32F CND 5 BP
See User Manual
Yes An illegal or unsupported
instruction was attempted in
the application program.
1. Cycle Power. Run the
print job again. If the
message appears, load
the latest emulation
software.
2. Cycle power. Run the
print job again. If the
message appears,
record the display
message and send it to
your next higher support
facility.
Table 10. LCD Message Troubleshooting Table
Displayed Message Can User
Correct? Explanation Solution

160
Chapter 7
Diagnosing Problems
E32G CND 6 BP
See User Manual
Yes An illegal or unsupported
instruction was attempted in
the application program.
1. Cycle Power. Run the
print job again. If the
message appears, load
the latest emulation
software.
2. Cycle power. Run the
print job again. If the
message appears,
record the display
message and send it to
your next higher support
facility.
E32H CND 7 BP
See User Manual
Yes An illegal or unsupported
instruction was attempted in
the application program.
1. Cycle Power. Run the
print job again. If the
message appears, load
the latest emulation
software.
2. Cycle power. Run the
print job again. If the
message appears,
record the display
message and send it to
your next higher support
facility.
E33 WRITE BP
See User Manual
Yes An illegal or unsupported
instruction was attempted in
the application program.
1. Cycle Power. Run the
print job again. If the
message appears, load
the latest emulation
software.
2. Cycle power. Run the
print job again. If the
message appears,
record the display
message and send it to
your next higher support
facility.
Table 10. LCD Message Troubleshooting Table
Displayed Message Can User
Correct? Explanation Solution

Fault Messages
161
E34 TRACE CMPLT
See User Manual
Yes An illegal or unsupported
instruction was attempted in
the application program.
1. Cycle Power. Run the
print job again. If the
message appears, load
the latest emulation
software.
2. Cycle power. Run the
print job again. If the
message appears,
record the display
message and send it to
your next higher support
facility.
E99 UNKNOWN INT
See User Manual
Yes An illegal or unsupported
instruction was attempted in
the application program.
1. Cycle Power. Run the
print job again. If the
message appears, load
the latest emulation
software.
2. Cycle power. Run the
print job again. If the
message appears,
record the display
message and send it to
your next higher support
facility.
E Net Test Unavailable Yes The ethernet PCBA did not
initialize correctly.
Cycle power. Wait for “E Net
Ready” to display, then retry
operation. If it still fails, contact
your authorized service
representative.
1
ERROR: CPLD NOT
PROGRAMMED
No The Complex Programmable
Logic Device (CPLD) on the
controller board is not
programmed. The EC
cannot read the version bits
in the CPLD which tell the
EC which configuration
version is installed.
Contact your authorized service
representative.
1
ERROR: DC
PROGRAM NOT
VALID
Yes The printer cannot find the
data controller program or
the validation checksum is
corrupt.
Download the program again. If
the message appears, contact
your authorized service
representative.
1
Table 10. LCD Message Troubleshooting Table
Displayed Message Can User
Correct? Explanation Solution

162
Chapter 7
Diagnosing Problems
ERROR: DRAM AT
ADDRESS XXXXXXXX
Yes The printer cannot find the
engine controller program or
the validation checksum is
corrupt.
Download the program again. If
the message appears, contact
your authorized service
representative.
1
ERROR: EC
PROGRAM NOT
VALID
The printer cannot find the
engine controller program or
the validation checksum is
corrupt.
Download the program again. If
the message occurs again,
contact your authorized service
representative.
1
ERROR: EC
STOPPED AT STATE
XXXX
No XXXX is a number from
0000 to 0010. The Engine
Controller has stopped and
is in the state identified by
the number displayed.
Contact your authorized service
representative.
1
ERROR: FLASH DID
NOT PROGRAM
Yes The printer encountered an
error trying to program flash
memory.
Download the program again. If
the message displays again,
contact your authorized service
representative.
1
ERROR: FLASH NOT
DETECTED
No The printer could not find
flash memory.
Contact your authorized service
representative.
1
ERROR: LOCKED
SN=nnnnnnnnnnnnnnn
nnnnnn
No nnnnnnnnnnnnnnnnnnnnn is
the serial number of the
printer’s security key. The
SPX serial number does not
match the printer’s serial
number and cannot be used
with the printer.
Contact your authorized service
representative.
1
ERROR: NO DRAM
DETECTED
No The printer could not find
any DRAM.
Contact your authorized service
representative.
1
ERROR: NVRAM
FAILURE
No The non-volatile SRAM on
the controller board has
failed.
Contact your authorized service
representative.
1
ERROR OCCURRED
FLUSHING QUEUES*
No An interim message that
displays while the printer
discards host data it cannot
use because a fault
condition exists.
Wait. When the asterisk (*) stops
rotating, a different fault
message will appear:
troubleshoot the final message.
ERROR: PROGRAM
NEEDS MORE DRAM
No The printer requires more
DRAM to run the
downloaded program.
Contact your authorized service
representative.
1
ERROR: PROGRAM
NEEDS MORE FLASH
No The printer requires more
flash memory to run the
downloaded program
Contact your authorized service
representative.
1
Table 10. LCD Message Troubleshooting Table
Displayed Message Can User
Correct? Explanation Solution

Fault Messages
163
ERROR: PROGRAM
NOT COMPATIBLE
Yes The printer is not compatible
with the downloaded
program.
Use the correct emulation
software options(s) for this
printer model.
ERROR: PROGRAM
NOT VALID
Yes The printer does not see a
program in flash memory.
There is no program in printer
memory. Download the
emulation.
ERROR: SECURITY
KEY NOT DETECTED
No The security key is not
present or failed.
Contact your authorized service
representative.
1
ERROR: SHORT AT
ADDRESS XXXX
No Hardware failure in SDRAM
or controller circuitry.
Contact your authorized service
representative.
1
ERROR: WRITING TO
FLASH
No Hardware or software fault in
flash memory.
Contact your authorized service
representative.
1
ERROR: WRONG
CHECKSUM
No The printer received the
complete program but the
checksum did not match.
The data may have been
corrupted during
downloading.
Contact your authorized service
representative.
1
ERROR: WRONG
OEM
No The SPX inserted in the
debug port is not intended
for this model printer or this
OEM.
Contact your authorized service
representative.
1
ERROR: WRONG
PRINTER TYPE
No The SPX inserted in the
debug port is not intended
for this model printer or this
OEM.
Contact your authorized service
representative.
1
ETHERNET ADAPTER
BEING INITIALIZED
N/A Status message indicating
that the ethernet interface is
processing the boot
procedure.
No action is required.
ETHERNET
DETECTED
N/A Status message indicating
that the Network Interface
Card has established
connection.
No action is required.
ETHERNET
INITIALIZING
No Status message: the internal
Network Interface Card is
processing the boot
procedure. (May occur with
older versions of microcode.)
No action is required.
FM HEADER ERROR* No Frame Header Error.
Application software has
violated header parameters.
Contact your system
administrator.
Table 10. LCD Message Troubleshooting Table
Displayed Message Can User
Correct? Explanation Solution

164
Chapter 7
Diagnosing Problems
GRF CHK ERROR
PRESS STOP
Yes Graphic Check Error: in the
CT emulation over a twinax
interface, the printer
received a non-printable
character.
Press CLEAR and then ON
LINE.
H00: PCI SLOT ?
See User Manual
No The controller board is not
communicating with a PCI
card. This could indicate a
bad PCI card, poor
connection, or problem in
the PCI bus.
Contact your authorized service
representative.
1
H01: PCI J12
See User Manual
No The controller board is not
communicating with the PCI
card in PCI slot J12. This
could indicate a bad PCI
card, poor connection, or
problem in the PCI bus.
Contact your authorized service
representative.
1
H02: PCI J13
See User Manual
No The controller board is not
communicating with the PCI
card in PCI slot J13. This
could indicate a bad PCI
card, poor connection, or
problem in the PCI bus.
Contact your authorized service
representative.
1
<Online, etc...>
Half Speed Mode
No Status message: The
controller samples the
operating temperature of key
components of the print
mechanism. When higher
than normal temperatures
are sensed, the print speed
is automatically reduced by
50% and the message sent
the LCD. When the
components cool down, the
print speed returns to 100%
and the message clears.
No action is required. If the
message appears often, contact
your authorized service
representative.
1
HAM. COIL OPEN* No Hammer Coil Open.
Electrical malfunction of one
or more hammer coils.
Contact your authorized service
representative.
1
HAMMER SHORT*
See User Manual
No Electrical malfunction of one
or more hammer coils.
Contact your authorized service
representative.
1
INTAKE FAN FAULT Yes Sensors cannot detect
current in fan circuit.
Cycle power. If the message
appears, press CLEAR. If the
message does not clear, contact
your authorized service
representative.
1
Table 10. LCD Message Troubleshooting Table
Displayed Message Can User
Correct? Explanation Solution

Fault Messages
165
INTERRUPT UNUSED
VECTOR 00
No The controller board
receives an interrupt it does
not understand. The problem
can be created by electrical
noise, by a software
problem, or by a hardware
problem.
Cycle power. If this message
occurred once and never again,
you can ignore it. If the message
reappears or appears
consistently, contact your
authorized service
representative.
1
INVALID ACTIVATE No Printer detects a twinax
protocol communication
error.
Contact your authorized service
representative.
1
INVALID COMMAND No Printer detects a twinax
protocol communication
error and reports the error.
Contact your authorized service
representative.
1
LOADING PROGRAM
FROM PORT XX%
No Status message: the new
emulation program is loading
into printer RAM. XX%
indicates how much of the
program has loaded.
No action is required.
LOADING PROGRAM
INTO FLASH
No The printer has deleted the
previous program from flash
memory and is loading the
new program into flash
memory.
No action is required.
NEW SPX DETECTED
PRESS ENTER
No The printer detects an SPX
installed at the debug port
and the SPX is valid for the
printer.
Contact your authorized service
representative.
1
NON VOLATILE
MEMORY FAILED
No Large emulations reduce the
amount of space available
for saving configurations,
which means that
sometimes fewer than eight
configurations can be saved.
Contact your authorized service
representative.
1
ON LINE N/A Printer state message:
printer is online and in
communication with host.
No action is required.
ONLINE
28 CU NOT ENAB
Yes Controller Unit Not Enabled.
Poll
time-out error. The printer
was not polled for one
minute across a coax
interface.
Check cable connection and
host system.
ONLINE
8344 FAILED*
No Link-level code test detects
hardware failure.
Contact your authorized service
representative.
1
Table 10. LCD Message Troubleshooting Table
Displayed Message Can User
Correct? Explanation Solution

166
Chapter 7
Diagnosing Problems
ONLINE
CU TIMED OUT
Yes Controller Unit Timed Out.
The printer was not enabled
for one minute or more on a
coax interface.
Check cable connection and
host system.
PARAMETER ERROR* No Illegal parameter value
received in command code
over a coax/twinax interface.
Contact your system
administrator.
PLEASE WAIT...
RESET IN
PROGRESS
N/A Status message: the printer
finished loading the program
into flash memory and is
automatically resetting itself.
No action is required.
PRINTER UNDER
REMOTE CONTROL
No Status message: The printer
is under the control of
PrintNet Enterprise (PNE)
remote management
software.
No action is required.
QUEUE OVERRUN No In CT twinax emulation, the
print buffer has overflowed.
Contact your authorized service
representative.
1
REMOVE USED SPX
THEN PRESS ENTER
No Status message: An SPX is
depleted because it has
successfully reprogrammed
the security key on the
controller board.
Contact your authorized service
representative.
1
RESTORING BOOT
CODE
No Normal download
initialization message.
No action is required.
SCS COMMAND
ERROR*
No In the CT emulation, the
printer received undefined
control character (hex 40).
Contact your system
administrator.
SECURITY
VIOLATION*
No Security code of PAL on
controller board does not
match code of firmware on
the controller board.
Contact your authorized service
representative.
1
SECURITY KEY NOT
DETECTED
No The security key is not
present or has failed.
Contact your authorized service
representative.
1
SENDING PROGRAM
TO EC PROCESSOR
No Status message: the printer
is loading the engine
controller program into the
engine controller.
No action is required.
SF ERROR No Structured Field Error.
Application software has
violated structured data field
parameters.
Not a printer problem. Have the
system administrator correct
applications data or
configuration.
Table 10. LCD Message Troubleshooting Table
Displayed Message Can User
Correct? Explanation Solution

Fault Messages
167
SHUTTLE STALL Yes The shuttle is not moving.
See “415:SHUTTLE JAM”
on page 136.
Set the platen lever to match the
thickness of paper, but not too
tightly. Check and adjust the
platen gap. Inspect the ribbon
mask for deformation that snags
and interferes with shuttle
movement. If fault source is not
apparent, contact your
authorized service
representative.
1
SPX FOUND, ERROR:
KEY NOT DETECTED
No The controller board does
not have a security key.
Contact your authorized service
representative.
1
SPX NOT NEEDED
OPTIONS ENABLED
No The user has attempted to
use the SPX to turn on
printer options that are
already enabled.
Contact your authorized service
representative.
1
TCP PORT BUSY Yes Error message reported by
the Printer Manager when
ethernet interface option is
installed. The network
address given in the printer
properties was reached, but
the printer port is busy.
Refer to the Printronix P7000
Maintenance Manual.
WAITING FOR
ETHERNET ADAPTER
N/A Status message: Appears
when the printer is first
powered on if the optional
Network Interface Card is
installed.
No action is required.
1
Before contacting an authorized service representative, power off the printer, wait 15 seconds, then
power it back on and rerun your print job. If the message reappears, press CLEAR. If the fault message still
displays, then contact your authorized service representative.
Table 10. LCD Message Troubleshooting Table
Displayed Message Can User
Correct? Explanation Solution

168
Chapter 7
Diagnosing Problems

169
A
Printer Specifications
Ribbon Cartridge Specifications
Paper Specifications
P/N Europe North
America South
America M.E. & Asia China &
India
255048
Ext Life ASCII
(-401) 4 Pack (-402) 4-Pack (-403) 4-Pack (-403) 4-Pack (-404) 4-Pack
255049
Std Life ASCII
(-401) 4 Pack
(-101) Single
(-402) 4-Pack
(-102) Single
(-403) 4-Pack
(-103) Single
(-403) 4-Pack
(-103) Single
(-404) 4-Pack
(-104) Single
255050
Ext Life
HD/HANZI
(-401) 4 Pack (-402) 4-Pack (-403) 4-Pack (-403) 4-Pack (-404) 4-Pack
255041
Std life HD/
HANZI
N/A N/A (-103) Single (-403) 4-Pack
(-103) Single
(-404) 4-Pack
(-104) Single
Type: Edge-perforated, fan-fold, 3 to 17 inches (7.62 to 43.18 cm) wide, 2 to 12
inches (5.08 to 30.48 cm) long.
SureStak Power Stacker option works with forms 5 to 12 inches (12.7 to
30.48 cm) long and up to 16 inches (41 cm) wide without the paper tent or 15.5
inches (39.5 cm) wide with the paper tent installed.
Thickness: Single-part: 15 to 100 pound (6.80 to 45.36 kg) stock;
Multi-part: 1- to 6-part forms (maximum 12 lb [5.44 kg] ply of upper plies)
Sheet
Thickness:
0.025 inch (0.064 cm) maximum
Drive: Adjustable tractors (6-pin engagement)

170
Appendix A
Labels
Labels
Printer Weight And Dimensions
* With a power stacker, the weight increases by 21 lbs. and the depth
increases by 4.75 inches for a deeper rear door.
** With the ZTP option, the weight increases by 12 lbs. and the height
is increased by 7 inches.
Environmental Characteristics
On Backing: One-part continuous perforated fanfold back form. Labels must be placed at
least 1/6 inch (0.42 cm) from the fan-fold perforation. Backing adhesive must
not be squeezed out during printing.
Sheet Size: 3 to 17 inches (7.62 to 43.18 cm) wide, including the two standard perforated
tractor feed strips. A maximum sheet length of 16 inches (40.64 cm) between
top and bottom perforations. Power Paper Stacker option is 5 to 12 inches
(12.7 to 30.48 cm) long.
NOTE: A 16 inch rear door is needed for the cabinet model. Power Paper
Stacker option is 5 to 12 inches (12.7 to 30.48 cm) long.
Thickness: Not to exceed 0.025 inch (0.064 cm) (including backing sheet)
Cabinet Type Dimensions Weight
Height Width Depth Unpacked Packaged
Floor Cabinet 42.5 inches 27 inches 29 inches* 225 lbs. 285 lbs.*
Pedestal 35 inches** 26 inches 21 inches 105 lbs.** 115 lbs.**
Temperature:
Operating: 50° to 104° F (10° to 40° C) up to 5000 feet (1524 meters)
50° to 90° F (10° to 32° C) up to 8000 feet (2438 meters)
Storage: -40° to 158° F (- 40° to 70° C)
Relative Humidity
Operating: 15% to 80% (noncondensing)
Storage: 15% to 90% (noncondensing)

Input Voltage
171
Acoustic Noise Level
Energy Star
The printers described in this User’s Manual comply with the requirements of
the
E
NERGY
S
TAR
®
Office Equipment Program of the U.S. Environmental
Protection Agency.
Electrical Characteristics
Input Voltage
Acoustic Noise Levels
per ISO 9296 Cabinet Models Pedestal
Models
Printing 50 dB (200 lpm)
52 dB (300 lpm)
55 dB (600/800 lpm)
65 dB
65 dB
NA
6.8 Bel 8.0 Bel
Standby 48 dB 50 dB
6.3 Bel 6.5 Bel
Voltage (+/-10%) Freq (+/-10%) Amps Watts BTU/Hr
P7003H
P7003HZT
AC 100-120V 50/60 Hz 3.5 300 1025
AC 200-240V 50/60 Hz 1.6 300 1025
P7006H
P7006HZT
AC 100-120V 50/60 Hz 4.5 430 1469
AC 200-240V 50/60 Hz 1.9 430 1469
P7008H AC 100-120V 50/60 Hz 5.5 540 1844
AC 200-240V 50/60 Hz 2.1 540 1844
P7203H AC 100-120V 50/60 Hz 3.5 350 1195
AC 200-240V 50/60 Hz 1.6 350 1195
P7206H AC 100-120V 50/60 Hz 5460 1571
AC 200-240V 50/60 Hz 2460 1571
P7208H AC 100-120V 50/60 Hz 5.5 540 1844
AC 200-240V 50/60 Hz 2.1 540 1844

172
Appendix A
Interfaces
Power Consumption
Interfaces
Operating
Mode Units Power Consumption
200 LPM 300 LPM 600/800 LPM
Standby
1
Watts 30 (60) 45 (80) 85
BTU/Hour 100 (205) 154 (273) 289
Nominal
2
Watts 220 310 450
BTU/Hour 750 1058 1531
Maximum
3
Watts 315 440 650 - 900
BTU/Hour 1075 1500 2211 - 3062
1
Numbers represent consumption in Power Saver Mode.
Numbers in parenthesis represent standby mode.
2
Nominal power measured at 120 VAC while printing ASCII Shift-Recycle.
3
Maximum power measured at 120 VAC while printing Black Plot.
Type: Standard: IEEE 1284 Parallel, RS-232 serial
Optional: Ethernet 10/100Base-T,
RS-422 serial (not available in Taiwan)
Logic Levels: TTL/EIA
®
-232E/EIA-422B
Transfer Rates: Up to 200 Kilobytes on parallel interface.
Up to 19.2K baud on RS-232 serial interface.
Up to 115.2K baud on RS-422 serial interface

Power Consumption
173
Printing Rates
The printing speed of text is measured in lines per minute (lpm) and is a
function of the selected font and the vertical dot density. Printing speed is
independent of the number of characters configured in the character set
repertoire. Print rates for lines containing attributes such as bold or
emphasized printing, superscripts, subscripts, or elongated attributes will
decrease to not less than half the rates of the font without such attributes. The
exact print rate of lines containing these attributes depends on the specific
print job, but software maximizes the throughput by dynamically determining
which dot rows contain adjacent dots and must be printed in two strokes.
The reverse paper feed capability allows the printing of multiple densities on a
single line. This is useful in printing forms and text together or in mixing
different fonts on a print line. Use of multiple densities and reverse paper feed
also affects throughput.

174
Appendix A
Printing Rates

175
B
ASCII Character Set
KEY
ASCII Character Name
ESC
33
27
1B
OCTAL equivalent
DECIMAL equivalent
HEX equivalent
B700 00111 1
B6 0
B5 0 01101100011011
COLUMN
01234567
BITS
ROW
B4 B2B3 B1
0
1
2
3
4
5
6
7
8
9
10
11
12
13
14
15
0000
00 10
00 1 0
00 1 1
01 0 0
01 0 1
01 1 0
01 1 1
1000
10 0 1
10 1 0
10 1 1
11 0 0
11 0 1
11 1 0
11 1 1
NUL
SOH
STX
ETX
EOT
ENQ
ACK
BEL
BS
HT
LF
VT
FF
CR
SO
SI
0
0
0
1
1
1
2
2
2
3
3
3
4
4
4
5
5
5
6
6
6
7
7
7
10
8
8
11
9
9
12
10
13
11
14
12
15
13
16
14
17
15
DLE
DC1
DC2
DC3
DC4
NAK
SYN
ETB
CAN
EM
SUB
ESC
FS
GS
RS
US
(XON)
(XOFF)
20
16
10
21
17
11
22
18
12
23
19
13
24
20
14
25
21
15
26
22
16
27
23
17
30
18
24
31
25
19
32
26
1A
33
27
1B
34
28
1C
35
29
1D
36
30
1E
37
31
1F
SP
!
"
#
$
%
&
'
(
)
+
,
-
.
/
40
32
20
41
33
21
42
34
22
43
35
23
44
36
24
45
37
25
46
38
26
47
39
27
50
40
28
51
41
29
52
42
2A
53
43
2B
54
44
2C
55
45
2D
56
46
2E
57
47
2F
0
1
2
3
4
5
6
7
8
9
:
;
<
=
>
?
60
48
30
61
49
31
62
50
32
63
51
33
64
52
34
65
53
35
66
54
36
67
55
37
70
56
38
71
57
39
72
58
3A
73
59
3B
74
60
3C
75
61
3D
76
62
3E
77
63
3F
@
A
B
C
D
E
F
G
H
I
J
K
L
M
N
O
100
64
40
101
65
41
102
66
42
103
67
43
104
68
44
105
69
45
106
70
46
107
71
47
110
72
48
111
73
49
112
74
4A
113
75
4B
114
76
4C
115
77
4D
116
78
4E
117
79
4F
P
Q
R
S
T
U
V
W
X
Y
Z
[
\
]
_
120
80
50
121
81
51
122
82
52
123
83
53
124
84
54
125
85
55
126
86
56
127
87
57
130
88
58
131
89
59
132
90
5A
133
91
5B
134
92
5C
135
93
5D
136
94
5E
137
95
5F
a
b
c
d
e
f
g
h
i
j
k
l
m
n
o
140
96
60
141
97
61
142
98
62
143
99
63
144
100
64
145
101
65
146
102
66
147
103
67
150
104
68
151
105
69
152
106
6A
153
107
6B
154
108
6C
155
109
6D
156
110
6E
157
111
6F
p
q
r
s
t
u
v
w
x
y
z
{
|
}
DEL
160
112
70
161
113
71
162
114
72
163
115
73
164
116
74
165
117
75
166
118
76
167
119
77
170
120
78
171
121
79
172
122
7A
173
123
7B
174
124
7C
175
125
7D
176
126
7E
177
127
7F
10 1 1
B4 B2B3 B1
B7 B6 B5 001
BITS
0 A
0 B
0 C
0 D
0 E
0 F
*
~
^

176
Appendix B

177
C
Zero Tear Pedestal
Overview
The P7000 Zero Tear Pedestal (ZTP) printer can print a form and present it
for tear off without losing a form between print jobs. The printer automatically
presents the current print line to the tear bar when it finishes printing and no
data are being sent to the printer. When it receives more data from the host
computer, the printer pulls the form down to the print station and resumes
printing.
The ZT printer is available:
•
as a 200 lpm, 300 lpm, and 600 lpm H-Series (DBCS) printer
•
with HD printers.

178
Appendix C
Overview
Position The Paper Input And Adjust The Paper Guides
Figure 28. Adjusting The Paper Guides
NOTE: Ensure that the paper guides are not damaged.
1. Remove the left paper guide knob and the left, front paper guide leaf.
(See Figure 28.)
2. Remove the right paper guide knob and the right, front paper guide leaf.
3. Remove the center paper guide knob and the center, front paper guide
leaf.
183483b
183484b
A
Paper Guide
Knob (3)
Center Paper
Guide Leaf
A
Outer Paper
Guide Leaf (2)
Front Paper
Guide Leaf (3)

Position The Paper Input And Adjust The Paper Guides
179
Figure 29. Adjusting Paper Guide Leaves
4. Slide the left outboard mount block so that the left outer paper guide leaf
is .5 inches from the left tractor. (See Figure 29).
5. Slide the right outboard mount block so that the right outer paper guide
leaf is .5 inches from the right tractor.
6. Slide the center mount block so that the center paper guide leaf is
centered between the left and right outer paper guide leaves.
7. Install the paper guide knobs and front paper guide leaves.
(See Figure 28.)
183485b
Paper
Tractor (2)
Outer Paper
Guide Leaf (2)
Center Paper
Guide Leaf
.5
''
.5
''
Outboard Mount
Block (2) Center Mount
Block

180
Appendix C
Overview
Load Paper
Figure 30. Loading Paper Onto The Printer
1. Align the paper supply box with the label on the bottom left side of the
modesty panel. (See Figure 30 on page 180.)
2. Unlock and open the tractor doors and slide the paper from below,
through the black paper out sensor slot on the left side, and up between
all front and rear paper guides.
3. Load the paper on the left tractor sprockets and close the tractor door.
4. Load the paper onto the right tractor sprockets and close the tractor door.
183487b
183486 REV B
183486b
Paper
Paper Out
Sensor
Center Paper
Guide Leaf
Front Paper
Guide Leaf (3)
Tractor Door
Outer Paper
Guide Leaf (2)
A
A
Paper Supply
Box
Paper
Label
Edge
of
Paper
Box

Load Paper
181
Figure 31. Adjusting the Horizontal Paper Tension
5. Adjust the paper web tightness by sliding the right tractor to remove slack
or to adjust for various paper widths. (See Figure 31.)
6. Lock the tractors in position by pressing down on the tractor locks.
Figure 32. Paper Exiting the Top of the Printer
183488b
Tractor
Lock (2)
Tractor (2)
Paper
183489b
TOF
TOF
Paper
Tear Bar

182
Appendix C
Overview
Position The Paper Out Sensor
Figure 33. The Paper Out Sensor
The paper out sensor indicates when the printer runs out of paper. (The
sensor does not work with black backed forms.) Unlike the standard pedestal
printer, the ZT printer requires you to load the paper through the paper out
sensor slot (Figure 30 and Figure 33). Correct positioning of the paper out
sensor ensures that the last form the printer prints will be properly presented
to the tear bar. To position the paper out sensor, do the following:
1. Position the paper properly at the tear bar (page 184).
2. Loosen the paper out sensor by turning the sensor knob
counterclockwise.
3. Position the paper out sensor so that there are at least 2 inches between
the bottom of the aluminum extrusion bar and the top of the paper out
sensor.
IMPORTANT
For optimal performance, 2 inches is recommended for 11 inch forms.
For shorter forms, position the paper out sensor so that there are at
least 2 inches between a perforation and the top of the paper out sensor.
4. Tighten the paper out sensor by turning the sensor knobs clockwise.
5. Press ONLINE/CLEAR. When the first print job is sent to the printer, the
paper is drawn into the printer, the top of form aligns with the print station,
and the print job begins.
183490b
Sensor Knob
Paper Out Sensor
Paper
At least 2 inches

Set The Tear Bar Distance
183
Set The Tear Bar Distance
To set the tear bar distance, do the following steps:
1. Make sure the printer is offline.
2. Press ENTER key to enter the menu.
3. Press the right arrow Z until “OFFLINE/ZTP Menu” displays.
4. Press the down arrow V. “ZTP Data Time” displays.
5. Press the right arrow Z until “ZTP TearDistance” displays.
6. Press the down arrow V. “ZTP TearDistance/xx/144 Inch” displays.
7. Press the left arrow Y or right arrow Z to decrease or increase the tear
bar distance in increments of 1/144th of an inch.
8. Press ENTER to select the desired value. An asterisk appears next the
selected value and a scale prints to indicate the tear bar distance in
relation to the tear bar. For correct tear bar distance, the zero should align
with the tear bar. See Figure 34.
Figure 34. Correct Tear Bar Distance
NOTE: When a new ZTP Tear Bar Dist value is selected, the printer will lose
the current print position until you reset the top of form to
automatically save the new value.
9. Reset the top of form using the procedure on page 184.
+50
-50
0
P
rint Stati
on
Correct
TearBar
D
istan
ce
P
hysical TearBa
r
P
ositi
on

184
Appendix C
Overview
Set The Top Of Form
Figure 35. Setting The Tear Off Position
The ZT printer uses the tear bar as the reference point for setting the tear off
position. To set the position of the forms perforation to the tear bar, use the
SET TOF button as follows:
1. Make sure the paper guides are adjusted correctly and the paper is
properly loaded.
2. Press the SET TOF button on the control panel. The printer display will
read “Align at TearBar/Then Press TOF”.
3. Use the form advance knob to move the top of the form to the tear off bar.
4. Position the perforation so it aligns with the tear off bar.
NOTE: This is easily done by advancing one complete sheet above the tear
off bar and folding it over at the perforation.
5. Position the fold exactly at the tear bar.
6. Tear the sheet off to ensure proper positioning.
NOTE: If you do not want to lose a form, position the top of the form at the
tear bar. Run a finger along the back of the form along the tear bar to
ensure the perforation is presented at the tear off point.
7. Press the SET TOF button again. The printer display will read “Top Of
Form Set/Press ONLINE”. The printer will then be brought OFFLINE and
the top of form will be set.
8. Press the ONLINE/CLEAR key to bring the printer online.
183491b
Form Advance
Knob
Paper
Tear Bar

Set The Top Of Form
185
ZTP SETTINGS Menu
The ZTP SETTINGS menu includes the ability to enable and disable features
unique to the Zero Tear printer (ZTP), set the tear bar distance, set the auto
present data time, and set the auto present wait time. This section defines
these options.
ZTP Function
This option enables or disables all unique ZTP functions. The default is
Enable.
NOTE: When the ZTP Function is enabled, the View/Eject key is disabled
and Slow Paper Slew is enabled.
ZTP TearDistance
This option sets the tear off distance from the current print position to the tear
bar. Adjustable values in increments of 1/144th of an inch range from 200 to
2880. The up and down arrows adjust the display value. When you press the
Enter key, the selected value is stored and a scale is printed to indicate the
current tear off position. The default value is 1060.
NOTE: When a new value is selected, the printer will lose the current print
position. You must reset the top of form to automatically save the new
value.
ZTP Data Time
This option sets the pause time in the data stream that the ZTP requires
before moving the form to the tear bar once a print job is completed. The
values range from .5 to 15 seconds. The default is .5 seconds.
ZTP Wait Time
This option sets the minimum amount of time that the form stays at the tear
bar. This allows you time to remove the form before the form is retracted to
print the next form. The adjustable values range from 1 to 10 seconds in
increments of 1 second. The default value is 2 seconds.
ZTP
SETTINGS
1
(from page 52)
ZTP
Function
ZTP
TearDistance
ZTP
Data Time
ZTP
Wait Time
ZTP
Platen Open
Enable*
Disable
1060/144 Inch* .5 Sec*
1.0 - 15.0 Sec
2 Sec*
3 - 10 Sec
1 Sec
Enable*
Disable
* = Factory Default
1
Available for Zero Tear Pedestal printers only.

186
Appendix C
Performance Limitations
ZTP Platen Open
This option allows the user to have the platen open whenever forms are
reversed. Enabled is the default, used for most papers and labels. The feature
can be disabled as required by some multi-part forms.
Performance Limitations
Forms Type
The paper feed tractors on the ZT printer push the paper up through the print
station instead of pulling it through, as in the standard pedestal printer. This
limits the variety of forms the ZT printer can use. If the forms do not fall within
the range specified in Table 11, dot compression and line separation may
occur. The user should match the media to the application to ensure
acceptable print quality. Also, because paper is pushed from below the print
station, the last form in the tractors may not print fully or may not be presented
to the printer exit for retrieval.
All paper used in the ZT printer requires standard half inch spaced tractor
feed holes. Cut sheet and continuous friction fed paper is not supported. The
forms specified in Table 11 can have no more than one form per page
horizontally.
NOTE: If you use forms outside these limits, the print quality may not be
optimum, the printer may lose top-of-form, or the frequency of paper
jams will increase.
Table 11. Forms Type
Description Length Width
(edge to edge)
One to three part, continuous, with carbon, fan-folded,
edge-perforated paper forms
3 to 12 inches 7 to 16.5 inches
One to four part, continuous, with carbon, fan-folded,
edge-perforated paper forms
3 to 12 inches 7 to 12 inches
One to four part, continuous, carbonless,
fan-folded, edge-perforated paper forms
3 to 12 inches 7 to 16.5 inches
One to six part, continuous, carbonless, fan-folded, edge-
perforated paper forms
3 to 12 inches 7 to 12 inches
Forms with a paper weight of 20 to 100 pounds and a maxi-
mum thickness of 0.025 inches
3 to 12 inches 7 to 16.5 inches
Forms with a paper weight of 18 to 100 pounds and a maxi-
mum thickness of 0.025 inches
3 to 12 inches 7 to 12 inches
Forms with all approved types of interleaf edge attachment
except those using metallic or other hard devices

Set The Top Of Form
187
Paper Jams
Printer jams can occur if you tear off the form incorrectly. If you experience
two or more paper jams per box of forms, follow these guidelines to help
reduce jams:
•
Position the lower paper guides properly
•
Align the paper web tightness properly
•
Position the form perforation against the tear bar
•
Time the tear, while the paper is not moving
•
Direct the tear force toward the user and across the tear bar, not upward.
To Clear Paper Jams
1. Raise the platen lever to open the platen.
2. Open the left and right tractor doors.
3. Pull the paper upward through the top of the printer.
NOTE: DO NOT pull the paper downwards from the bottom. This could cause
the paper guides to bend.
4. Reload the paper (see page 180).

188
Appendix C
Performance Limitations

189
D
Customer Support
Printronix Customer Support Center
IMPORTANT
Please have the following information available prior to calling the
Printronix Customer Support Center:
•
Model number
•
Serial number (located on the back of the printer)
•
Installed options (i.e., interface and host type if applicable to the problem)
•
Configuration printout:
Line Matrix Printer
Press PRT CONFIG on the control panel, then press Enter.
•
Is the problem with a new install or an existing printer?
•
Description of the problem (be specific)
•
Good and bad samples that clearly show the problem (faxing or emailing
of these samples may be required)
Americas (714) 368-2686
Europe, Middle East, and Africa (31) 24 6489 311
Asia Pacific (65) 6548 4114
China (86) 800-999-6836
http://www.printronix.com/support.aspx
Printronix Supplies Department
Contact the Printronix Supplies Department for genuine Printronix supplies.
Americas (800) 733-1900
Europe, Middle East, and Africa 33 (0) 1 46 25 19 07
Asia Pacific (65) 6548 4116
or (65) 6548 4182
China (86) 400-886-5598
India (800) 102-7869
http://www.printronix.com/supplies-parts.aspx

190
Appendix D
Corporate Offices
Corporate Offices
Printronix, Inc.
15345 Barranca Parkway
Irvine, CA 92618
U.S.A.
Phone: (714) 368-2300
Fax: (714) 368-2600
Printronix Inc.
c/o Printronix Nederland BV
Bijsterhuizen 11-38
6546 AS Nijmegen
The Netherlands
Phone: (31) 24 6489489
Fax: (31) 24 6489499
Printronix Schweiz GmbH
42 Changi South Street 1
Changi South Industrial Estate
Singapore 486763
Phone: (65) 6542 0110
Fax: (65) 6546 1588
Printronix Commercial (Shanghai) Co. Ltd
22F, Eton Building East
No.555, Pudong Av.
Shanghai City, 200120, P R China
Phone: (86) 400 886 5598
Fax: (86-21) 5138 0564
Visit the Printronix web site at www.printronix.com

191
E
Communication Notices
Notices
This information was developed for products and services offered in the
U.S.A.
Printronix may not offer the products, services, or features discussed in this
document in other countries. Consult your Printronix representative for
information on the products and services currently available in your area. Any
reference to an Printronix product, program, or service is not intended to state
or imply that only that Printronix product, program, or service may be used.
Any functionally equivalent product, program, or service that does not infringe
any Printronix intellectual property rights may be used instead. However, it is
the user’s responsibility to evaluate and verify the operation of any non-
Printronix product, program, or service.
Printronix may have patents or pending patent applications covering subject
matter described in this document. The furnishing of this document does not
give you any license to these patents. You can send license inquires, in
writing, to:
Printronix, Inc.
15345 Barranca Parkway
Irvine, CA 92618
U.S.A.
The following paragraph does not apply to the United Kingdom or any
other country where such provisions are inconsistent with local law:
PRINTRONIX PROVIDES THIS PUBLICATION “AS IS” WITHOUT
WARRANTY OF ANY KIND, EITHER EXPRESS OR IMPLIED, INCLUDING,
BUT NOT LIMITED TO, THE IMPLIED WARRANTIES OF NON-
INFRINGEMENT, MERCHANTABILITY OR FITNESS FOR A PARTICULAR
PURPOSE. Some states do not allow disclaimer of express or implied
warranties in certain transactions, therefore, this statement may not apply to
you.
This information could include technical inaccuracies or typographical errors.
Changes are periodically made to the information herein; these changes will
be incorporated in new editions of the publication. Printronix may make
improvements and/or changes in the product(s) described in this publication
at any time without notice.
Any references in this information to non-Printronix Web sites are provided for
convenience only and do not in any manner serve as an endorsement of
those Web sites. The materials at those Web sites are not part of the
materials for this Printronix product and use of those Web sites is at your own
risk.

192
Appendix E
Notices
Any performance data contained herein was determined in a controlled
environment. Therefore, the results obtained in other operating environments
may vary significantly. Some measurements may have been made on
development-level systems and there is no guarantee that these
measurements will be the same on generally available systems. Furthermore,
some measurement may have been estimated through extrapolation. Actual
results may vary. Users of this document should verify the applicable data for
their specific environment.
Information concerning non-Printronix products was obtained from the
suppliers of those products, their published announcements or other publicly
available sources. Printronix has not tested those products and cannot
confirm the accuracy of performance, compatibility or any other claims related
to non-Printronix products. Questions on the capabilities of non-Printronix
products should be addressed to the suppliers of those products.
Printronix encourages owners of information technology (IT) equipment to
responsibly recycle their equipment when it is no longer needed. Printronix
offers a variety of programs and services to assist equipment owners in
recycling their IT products. Information on these product recycling offerings
can be found on Printronix’s Internet site at http://www.printronix.com.
If you are viewing this information softcopy, the photographs and color
illustrations may not appear.
For online versions of this book, we authorize you to:
•
Copy, modify, and print the documentation contained on the media, for
use within your enterprise, provided you reproduce the copyright notice,
all warning statements, and other required statements on each copy or
partial copy.
•
Transfer the original unaltered copy of the documentation when you
transfer the related Printronix product (which may be either machines you
own, or programs, if the program’s license terms permit a transfer). You
must, at the same time, destroy all other copies of the documentation.
You are responsible for payment of any taxes, including personal property
taxes, resulting from this authorization.
Your failure to comply with the terms above terminates this authorization.
Upon termination, you must destroy your machine readable documentation.
Before using this information and the product it supports, read the information and
Communication Statements on page 193.
Note!

193
Energy Star
The Environmental Protection Agency E
NERGY
S
TAR
® Computers program is
a partnership effort with manufacturers of data processing equipment to
promote the introduction of energy-efficient personal computers, monitors,
printers, fax machines, and copiers to help reduce air pollution and global
warming caused by electricity generation.
Printronix participates in this program by introducing printers that reduce
power consumption when they are not being used. As an E
NERGY
S
TAR
®
Partner, Printronix has determined that this product meets the E
NERGY
S
TAR
®
guidelines for energy efficiency.
NOTE: The E
NERGY
S
TAR
® emblem does not represent EPA endorsement of
any product or service.
Communication Statements
Federal Communications Commission (FCC) Statement
This equpment has been tested and found to comply with the limits for a
Class A digital device, pursuant to Part 15 of the FCC Fules. These limits are
designed to provide reasonable protection against harmful interference when
the equipment is operated in a commercial environment. This equipment
generates, uses, and can radiate radio frequency energy and, if not installed
and used in accordance with the instructions, may cause harmful interference
to radio communications. Operation of this equipment in a residential area is
likely to cause harmful interference in which case the user will be required to
correct the interference at his own expense.
Properly shielded and grounded cables and connectors must be used in order
to meet FCC emission limits. Printronix is not responsible for any radio or
television interference caused by using other than recommended cables and
connectors or by unauthorized changes or modifications to this equipment.
Unauthorized changes or modifications could void the user’s authority to
operate the equipment.

194
Appendix E
Communication Statements
This device complies with Part 15 of the FCC Fules. Operation is subject to
the following two conditions: (1) this device may not cause harmful
interference, and (2) this device must accept any interference received,
including interference that may cause undesired operation.
European Union (EU) Conformity Statement
Printronix cannot accept responsibility for any failure to satisfy the protection
requirements resulting from a non-recommended modification of the product,
including the fitting of non-Printronix option cards.
This product has been tested and found to comply with the limits for Class A
Information Technology Equipment according to European standard EN
55022. The limits for Class A equipment were derived for commercial and
industrial environments to provide reasonable protection against interference
with licensed communication devices.
Properly shielded and grounded cables and connectors must be used in order
to reduce the potential for causing interference to radio and TV
communications and to other electrical or electronic equipment. Printronix
cannot accept responsibility for any interference caused by using other than
recommended cables and connectors.
Industry Canada Compliance Statement
This Class A digital apparatus complies with Canadian ICES-003.
Cet appareil numérique de la classe A conform á la norme
NMB-003 du Canada.
Statement of CISPR 22 Compliance
Attention: This is a Class A Product. In a domestic environment this product
may cause radio interference in which case the user may be required to take
adequate measures.
Hereby, Printronix declares that this
product is in compliance with the essential
requirements and other relevent
provisions of Directive 1999/5/EC.
This is a Class A product. In a domestic environment this product may cause radio interference
in which case the user may be required to take adequate measures.
WARNING

195
Japanese VCCI Class A
German Conformity Statement
Handbuchtexte: FCC class A entspricht: EMVG Klasse A
Text Für alle in Deutschland vertriebenen EN 55022 Klasse A Geräte:
Zulassungsbescheinigung laut dem Deutschen Gesetz über die
elektromagnetische Verträglichkeit von Geräten (EMVG) vom 18. September
1998 (bzw. der EMC EG Richtlinie 89/336):
Dieses Gerät ist berechtigt in Übereinstimmung mit dem Deutschen EMVG
das EG-Konformitätszeichen - CE - zu führen. Verantwortlich für die
Konformitätserklärung nach Paragraph 5 des EMVG ist die:
Printronix GmbH
Goethering 56
D-63067 Offenbach Germany
Informationen in Hinsicht EMVG Paragraph 4 Abs. (1) 4:
Das Gerät erfüllt die Schutzanforderungen nach EN 55024 und EN 55022
Klasse A.
EN 55022 Klasse A Geräte müssen mit folgendem Warnhinweis versehen
werden: “Warnung: dies ist eine Einrichtung der Klasse A. Diese Einrichtung
kann im Wohnbereich Funkstörungen verursachen; in diesem Fall kann vom
Betreiber verlangt werden, angemessene Maßnahmen durchzuführen und
dafür aufzukommen.”
EN 55024 Hinweis:
Wird dieses Gerät in einer industriellen Umgebung betrieben (wie in EN
55024 festgelegt), dann kann es dabei eventuell gestört werden. In solch
einem Fall ist der Abstand bzw. die Abschirmung zu der industriellen
Störquelle zu öergrvßern.
Anmerkung:
Um die Einhaltung des EMVG sicherzustellen sind die Geräte, wie in den
Printronix Handbüchern angegeben, zu installieren und zu betreiben.

196
Appendix E
Communication Statements
China
Declaration:
This is a Class A product. In a domestic environment this product may cause
radio interference in which case the user may need to perform practical
actions.
Altitude and Non-Tropical Climate Statement

197
Taiwan
Warning:
This is a Class A product. In a domestic environment this product may cause
radio interference in which case the user will be required to take adequate
measures.
CAUTION:
This product is equipped with a 3-wire power cord and plug for the user’s
safety. Use this power cord in conjunction with a properly grounded electrical
outlet to avoid electrical shock.

198
Appendix E
Software License Agreement
Software License Agreement
Your printer contains, among other software, Printronix operating software
including, but not limited to the Embedded Configurable Operating System
(the “eCos Software”) as embedded software. The terms of this Agreement
apply only to the eCos Software, and all other embedded software supplied
with the printer. You accept the terms of this Agreement by your initial use of
your printer.
1. Object Code License
Printronix grants you a nonexclusive license to use the Printronix Software,
the eCos Software and all other embedded software (collectively, the
“Embedded Software” or the “Software”) only in conjunction with the printer.
As the rightful possessor of the printer, you may make a reasonable number
of copies of the Software as necessary for backup, configuration, and
restoration of the printer. You must reproduce the copyright notice and any
other legend of ownership on each copy of the Software you make.
You may transfer possession of the Software and its media to another party
only with the transfer of the printer on which the Software is used. If you do
so, you must give the other party a copy of these terms and provide all user
documentation to that party. When you do so, you must destroy any copies of
Software not resident in the printer.
Your license for the Software terminates when you no longer rightfully
possess the printer. No other rights under this license are granted.
2. Source Code
A source code version of eCos Software is available under the terms of the
Red Hat eCos Public License v1.1 at www.printronix.com. Printronix grants
no rights whatsoever in the source code for the Printronix Software.
3. No Warranty
THE EMBEDDED SOFTWARE IS PROVIDED UNDER THIS LICENSE ON
AN "AS IS" BASIS, WITHOUT WARRANTY OF ANY KIND, EITHER
EXPRESSED OR IMPLIED, INCLUDING, WITHOUT LIMITATION,
WARRANTIES THAT THE EMBEDDED SOFTWARE IS FREE OF
DEFECTS, MERCHANTABLE, FIT FOR A PARTICULAR PURPOSE OR
NON-INFRINGING. THE ENTIRE RISK AS TO THE QUALITY AND
PERFORMANCE OF THE EMBEDDED SOFTWARE IS WITH YOU.
SHOULD ANY OF THE EMBEDDED SOFTWARE PROVE DEFECTIVE IN
ANY RESPECT, YOU (NOT RED HAT, PRINTRONIX, ANY OTHER
CONTRIBUTOR OR ANY DISTRIBUTOR) ASSUME THE COST OF ANY
NECESSARY SERVICING, REPAIR OR CORRECTION. THIS DISCLAIMER
OF WARRANTY CONSTITUTES AN ESSENTIAL PART OF THIS LICENSE.
NO USE OF ANY OF THE EMBEDDED SOFTWARE IS AUTHORIZED
HEREUNDER EXCEPT UNDER THIS DISCLAIMER.
4. Conflicting Terms
You agree that this Agreement provides you no more rights with regards to
warranty, support, indemnity or liability terms with respect to Red Hat, Inc.,
Printronix, Inc. or any contributor to the Embedded Software than that
provided by the Red Hat eCos Public License v.1.1 or any express warranty
that may be made by Printronix, Inc.

199
5. Limitation of Liability
UNDER NO CIRCUMSTANCES AND UNDER NO LEGAL THEORY,
WHETHER TORT (INCLUDING NEGLIGENCE), CONTRACT, OR
OTHERWISE, SHALL RED HAT, PRINTRONIX, ANY OTHER
CONTRIBUTOR, OR ANY DISTRIBUTOR OF THE EMBEDDED
SOFTWARE, OR ANY PART THEREOF, OR ANY SUPPLIER OF ANY OF
SUCH PARTIES, BE LIABLE TO YOU OR ANY OTHER PERSON FOR ANY
INDIRECT, SPECIAL, INCIDENTAL, OR CONSEQUENTIAL DAMAGES OF
ANY CHARACTER INCLUDING, WITHOUT LIMITATION, DAMAGES FOR
LOSS OF GOODWILL, WORK STOPPAGE, COMPUTER FAILURE OR
MALFUNCTION, OR ANY AND ALL OTHER COMMERCIAL DAMAGES OR
LOSSES, EVEN IF SUCH PARTY SHALL HAVE BEEN INFORMED OF THE
POSSIBILITY OF SUCH DAMAGES. THIS LIMITATION OF LIABILITY
SHALL NOT APPLY TO LIABILITY FOR DEATH OR PERSONAL INJURY
RESULTING FROM SUCH PARTY'S NEGLIGENCE TO THE EXTENT
APPLICABLE LAW PROHIBITS SUCH LIMITATION. SOME
JURISDICTIONS DO NOT ALLOW THE EXCLUSION OR LIMITATION OF
INCIDENTAL OR CONSEQUENTIAL DAMAGES, SO THAT EXCLUSION
AND LIMITATION MAY NOT APPLY TO YOU.
6. U.S. Government Users
The Embedded Software is a "commercial item," as that term is defined in 48
C.F.R. 2.101 (Oct. 1995), consisting of "commercial computer software" and
"commercial computer software documentation," as such terms are used in
48 C.F.R. 12.212 (Sept. 1995). Consistent with 48 C.F.R. 12.212 and 48
C.F.R. 227.7202-1 through 227.7202-4 (June 1995), all U.S. Government End
Users acquire Covered Code with only those rights set forth herein.
7. Miscellaneous
This Agreement represents the complete agreement concerning subject
matter hereof. If any provision of this Agreement is held to be unenforceable,
such provision shall be reformed only to the extent necessary to make it
enforceable. This Agreement shall be governed by California law provisions
(except to the extent applicable law, if any, provides otherwise), excluding its
conflict-of-law provisions.

200
Appendix E
Software License Agreement
8. Red Hat Statement with regards to eCos Software
Part of the software embedded in this product is eCos - Embedded
Configurable Operating System, a trademark of Red Hat. Portions created by
Red Hat are Copyright (C) 1998, 1999, 2000 Red Hat, Inc. (http://
www.redhat.com) All Rights Reserved.
THE SOFTWARE IN THIS PRODUCT WAS IN PART PROVIDED BY RED
HAT AND ANY EXPRESS OR IMPLIED WARRANTIES, INCLUDING, BUT
NOT LIMITED TO, THE IMPLIED WARRANTIES OF MERCHANTABILITY
AND FITNESS FOR A PARTICULAR PURPOSE ARE DISCLAIMED. IN NO
EVENT SHALL THE AUTHOR BE LIABLE FOR ANY DIRECT, INDIRECT,
INCIDENTAL, SPECIAL, EXEMPLARY, OR CONSEQUENTIAL DAMAGES
(INCLUDING, BUT NOT LIMITED TO, PROCUREMENT OF SUBSTITUTE
GOODS OR SERVICES; LOSS OF USE, DATA, OR PROFITS; OR
BUSINESS INTERRUPTION) HOWEVER CAUSED AND ON ANY THEORY
OF LIABILITY, WHETHER IN CONTRACT, STRICT LIABILITY, OR TORT
(INCLUDING NEGLIGENCE OR OTHERWISE) ARISING IN ANY WAY OUT
OF THE USE OF THIS SOFTWARE, EVEN IF ADVISED OF THE
POSSIBILITY OF SUCH DAMAGE.

201
Index
Numerics
000 SHUTTLE TYPE NOT SUPPORTED*
message, 134
06 HOST REQUEST message, 134
08 HOLD PRINT TIMEOUT message, 134
104 POWER SUPPLY HOT* message, 135
105 PRINTER HOT* message, 135
15 COMM CHECK message, 134
15V PWR FAIL * message, 134
22 INVALID ADDR message, 134
31 PAPER OUT TIMEOUT message, 134
32 PAPER JAM TIMEOUT message, 134
33 PLATEN OPEN TIMOUT message, 135
34 RIBBON STALL TIMOUT message, 135
401 BUFFER OVERRUN message, 135
402 CLEAR PAPER JAM message, 135
403 CLOSE PLATEN message, 135
409 FRAMING ERROR message, 135
410 LOAD PAPER message, 135
411 PARITY ERROR message, 136
414 RIBBON STALL message, 136
415 SHUTTLE JAM message, 136
416 STACKER FULL message, 136
417 STACKER JAM message, 136
418 RBN INK LOW message, 136
419 RBN INK OUT* message, 136
420 EXC RBN WEAR message, 136
421 BC MISSING message, 137
422 BC DAMAGED message, 137
423 OLD RIBBON message, 137
424 UNKNOWN RBN1 message, 137
425 UNKNOWN RBN2 message, 137
427 CRTG MISSING message, 137
428 CRTG COMM ER message, 137
432 CRT NOT SET message, 138
435 NO WELD message, 138
437 REG MISSING message, 138
438 TIP MISMATCH message, 138
439 SHTL MISMATCH message, 138
440 RWP DOWNLOAD message, 138
48V PWR FAIL * message, 135
602 23.5V PWR FAIL * message, 138
604 48V CIRCUIT* message, 138
606 Power 8.5V CHECK message, 138
607 CTL VOLT FAIL * message, 139
608 DRIVER CIRCUIT BAD message, 139
609 EXHAUST FAN CHECK message, 139
613 HAM. COIL BAD Message, 139
614 HAMMER BANK NOT INSTALLED
message, 139
615 HAMMER BANK CHECK Message, 139
617 LOWER DRIVER SHORT* message, 139
619 PAPER FEED DRIVER CIRCUIT*
message, 139
620 POWER VOLT CHECK* message, 140
622 SHUTTLE DRIVER CRCUIT* message, 140
623 STACK FAULT message, 140
624 UPPER DRIVER SHORT* message, 140
625 WRONG E-NET message, 140
700 A TO D OVERUN * message, 140
701 ACCESS NULL POINTER* message, 140
702 FIRMWARE ERROR message, 140
703 ILLEGAL EXTERNAL BUS ACC *
message, 140
704 ILLEGAL INSTRUCTION ACC* message, 140
705 ILLEGAL OPERAND ACCESS * message, 140
706 PAP BAD TABLE* message, 140
707 PAPER BUSY TOO LONG* message, 141

202
708 PAPER FIFO OVERFLOW* message, 141
709 PAPER FIFO UNDERFLOW* message, 141
710 PAP ILLGL ST* message, 141
711 PAP INCMPL ENER* message, 141
712 PAP INVLD CMD* message, 141
713 PAP INVLD PARM* message, 141
714 PAP NOT SCHED* message, 141
715 PAP NT AT SPEED* message, 141
716 PAP UNEXP INT* message, 141
717 PLAT INV CMD* message, 141
718 PLAT INV PARM* message, 141
719 PLAT INV STATE* message, 141
720 PROTECTED INSTRUCTION* message, 142
721 RIB INVLD CMD* message, 142
723 SHUTL INV CMD* message, 142
724 SHUTL INV PARM* message, 142
725 SHUTL OVER SPEED* message, 142
727 SOFTWARE ERROR* message, 142
728 STACK OVERFLOW* message, 142
729 STACK UNDERFLOW* message, 142
730 TCB CORRUPTED* message, 142
731 UNDEFINED INTERRUPT* message, 142
732 UNDEFINED OPCODE message, 142
733 DP FIFO Busy* message, 143
A
Accented Char, PRINTER CONTROL, 103
Acknowledge, Centronics Parallel Interface
Signals, 117
Acoustic noise level, 171
ACTIVATE LOST message, 143
Adapter Address, 55
ADAPTER ADDRESS menu, 77
DHCP, 78
Gateway address, 78
IP address, 77
MAC address, 78
Subnet mask, 77
ADAPTER PARAMS menu
ASCII data port, 79
Ethernet speed, 80
IPDS Data Port, 79
Job Control, 80
Keep alive timer, 80
Nest Serv Type, 79
NetBIOS protocol, 79
Novell frame, 79
Novell protocol, 79
ADVANCED USER menu, 104
Alarm, 107
Auto Elevator, 106
Auto Locking, 106
Cancel Key, 108
Downloaded Fonts, 105
File System, 106
Hex Dump Mode, 105
Job Sel/Typeface On, 109
PMD (Paper Motion Detection) Fault, 106
Power Saver Time, 107
Power Stacker, 106
Power-Up State, 105
Print Hist. Log, 109
PTX Setup Option, 105
Pwr Save Control, 108
RBN Low Action, 109
RBN Low Warn @, 109
Ret. Status Port, 108
Set Lock Key, 108
Set Sharing, 107
Shuttle Timeout, 107
Slow Paper Slew, 107
Alarm, ADVANCED USER menu, 107
Ant. Diversity, WLAN PARAMS menu, 87
Antenna, WLAN PARAMS menu, 87
ASCII Character Set, 175
ASCII data port, Adapter Params menu, 79
ASCII data port, Ethernet Parameters menu, 82
Auth Method, WLAN LEAP menu, 91
Auth Method, WLAN PARAMS menu, 88
Auto Elevator, ADVANCED USER menu, 106
Auto Locking, ADVANCED USER menu, 106
Auto Save, 60
Auto Save Configuration, 46

203
Auto Switching submenu, 61
Auto Switching submenu, 61
Port Type, 62
Report Status, 62
Switch Out On, 62
Timeout, 62
Trickle Time, 62
Auto Trickle
Centronics (Parallel) submenu, 64
Dataproducts (Standard & Long Lines)
submenu, 67
IEEE 1284 Parallel (Bidirectional) Submenu, 74
B
B00 STATUS SDRAM DETECTION 166MHZ
message, 143
B01 STATUS 8245 SDRAM TEST 32MB
message, 143
B10 ERROR NO DRAM DETECTED*
message, 143
B11 ERROR RAM TEST FAILED* message, 143
B12 ERROR PROGRAM MISSING* message, 143
B13 ERROR NOT COMPATIBLE* message, 143
B19 ERROR DC RETURNED* message, 143
B20 STATUS 00% DOWNLOAD MODE
message, 144
B21 STATUS PRINTER RESET message, 144
B22 ERROR DECOMPRESS SIZE* message, 144
B23 ERROR DECOMPRESS CKSUM*
message, 144
B30 STATUS INITIALIZING, 144
B35 WAITING FOR EC STATUS, 144
B40 ERROR PROM CKSUM BAD* message, 144
B41 ERROR DIM MEMORY NOT SDRAM*
message, 144
B42 ERROR SDRAM ROWS NOT ALLOWED*
message, 144
B43 ERROR SDRAM TOO MANY BANKS*
message, 145
B44 ERROR SDRAM NOT 64 BITS WIDE*
message, 145
B45 ERROR SDRAM IS WRONG VOLTAGE*
message, 145
B46 ERROR SDRAM HAS MIXED SIZES*
message, 145
B47 ERROR SDRAM LARGER THAN 256M*
message, 145
B49 ERROR SDRAM # LOGICAL BANKS*
message, 145
B50 ERROR SDRAM LOGIC COMB BANKS*
message, 145
B51 XX% LOADING, 145
B53 ERROR 12C NO ARBITRATION, 145
B54 ERROR SDA LINE STUCK LOW, 145
Bar Code Verification, 132
Baud Rate, Serial submenu, 71
Buffer Clear, Dataproducts Parallel Interface
Signals, 125
Buffer Size in K
Centronics (Parallel) submenu, 64
Dataproducts (Standard & Long Lines)
submenu, 66
Ethernet submenu, 76
IEEE 1284 Parallel (Bidirectional) Submenu, 74
Serial submenu, 72
Busy On Strobe, Centronics (Parallel) submenu, 64
Busy, Centronics Parallel Interface Signals, 117
Byte Mode, IEEE 1284 Parallel Interface, 118
C
Cable Verify, Dataproducts Parallel Interface
Signals, 125
Cancel a print job, 23
CANCEL key, 21
Cancel Key, ADVANCED USER menu, 108
Cartridge Ribbon System (CRS), 36
Centronics (Parallel) submenu, 63
Auto Trickle, 64
Buffer Size in K, 64
Busy On Strobe, 64
Data Bit 8, 63
Data Polarity, 63
Latch Data On, 64
PI Ignored, 63
Prime Signal, 64
Resp. Polarity, 64

204
TOF Action, 64
Trickle Time, 65
Centronics Parallel Interface, 116
Centronics Parallel Interface Signals, 117
Acknowledge, 117
Busy, 117
Data Lines 1 through 8, 117
Data Strobe, 117
Fault, 117
Online, 117
Paper Empty (PE), 117
Paper Instruction (PI), 117
Prime, 117
Changing parameter settings, 41
Changing parameters, example, 43
Changing Ribbon Cartridge, 38
Channel, WLAN PARAMS menu, 86
Character Set, ASCII, 175
Characteristics, environmental, 170
Cleaning
exterior, 129
interior, 130
Cleaning requirements, 129
CLEAR key, 20
Clear to Send (CTS), RS-232, 123
CLEARING PROGRAM FROM FLASH
message, 146
Clock Skew, WLAN Kerberos menu, 90
Compatibility Mode, IEEE 1284 Parallel
Interface, 117
Compliance, Energy Star, 171
Component locations
printer, 17
CONFIG. CONTROL menu, 58
Auto Save, 60
Delete Config., 59
Load Config., 58
Name Configs, 59
Power-Up Config., 59
Print Config., 59
Protect Configs., 59
Reset Cfg Names, 60
Save Config., 59
Configuration, Auto Save, 46
Configurations
custom, 42
default, 42
overview, 41
saving, 46
Control panel, 20
Control panel keys
CANCEL, 21
CLEAR, 20
ENTER, 22
JOB SELECT/PRINT MODE, 22
ON LINE, 20
PAPER ADVANCE, 21
PREV + NEXT, 23
PREV or NEXT, 23
PRT CONFIG, 22
SET TOF, 22
UP + DOWN, 23
UP or DOWN, 22
VIEW/EJECT key, 21
Conventions, manual, 11
CPI/LPI Select
Hangul LP+ Emulation, 96
Hanzi LP+ Emulation, 96
Custom configurations, 42
Customer Support Center, 189
D
D50 STATUS%XX Clearing Flash message, 146
D50 STATUS%XX Programming, 146
D55 STATUS Send Program to EC, 146
Darker print, Integrated Print Management
System, 37
Data Bit 8
Centronics (Parallel) submenu, 63
Dataproducts (Standard & Long Lines)
submenu, 65
Data Carrier Detect (DCD), RS-232, 123

205
Data Lines 1 through 8
Centronics Parallel Interface Signals, 117
Dataproducts Parallel Interface Signals, 125
Data Polarity
Centronics (Parallel) submenu, 63
Dataproducts (Standard & Long Lines)
submenu, 66
Data Protocol, Serial submenu, 69
Data Set Ready (DSR), RS-232, 123
Data Strobe
Centronics Parallel Interface Signals, 117
Dataproducts Parallel Interface Signals, 125
Data Term Ready, Serial submenu, 71
Data Terminal Ready (DTR), RS-232, 123
Dataproducts (Standard & Long Lines) submenu
Auto Trickle, 67
Buffer Size in K, 66
Data Polarity, 66
Latch Data On, 66
PI Ignored, 66
Prime Signal, 66
Resp. Polarity, 66
TOF Action, 66
Trickle Time, 67
Dataproducts (Standard & Long Lines) submenu,
Data Bit 8, 65
Dataproducts Parallel Interface, 124
Dataproducts Parallel Interface Signals, 125
Buffer Clear, 125
Cable Verify, 125
Data Lines 1 through 8, 125
Data Strobe, 125
Demand/Data Request, 125
Online, 125
Paper Instruction (PI), 125
Parity Error, 125
Ready, 125
Dataproducts submenu, 65
DATE menu
Day, 113
Hour, 113
Minute, 113
Month, 113
Year, 113
Day, DATE menu, 113
DBCS ASCII Style, 57
DBCS CPI, 56
DBCS/ASCII Mode, 57
Default configurations, 42
Default WEP Key, WLAN PARAMS menu, 88
Delete Config., 59
Demand/Data Request, Dataproducts Parallel
Interface Signals, 125
DHCP
Adapter Address menu, 78
Ethernet Address menu, 81
WLAN Address menu, 84
DIAGNOSTIC PASSED message, 146
DIAGNOSTICS menu, 110
Feature File, 112
Paper Out Dots, 112
Print Statistics, 112
Printer Tests, 111
Shuttle Type, 112
Software Build, 112
System Memory, 112
Test Width, 112
Dimensions, printer, 14, 170
Display Language, PRINTER CONTROL, 103
DO NOT POWER OFF message, 146
Documentation list, 12
Downloaded Fonts, ADVANCED USER menu, 105
E
E Net Test Unavailable, 161
E00 EXE @ ADDR0 message, 146
E01A TYPE 0x40 message, 147
E01B TYPE 0x60 message, 147
E02 MACHINE CHK message, 147
E03A DSI HASH L message, 148
E03B DSI HASH S message, 148

206
E03C DSI BAT PL message, 148
E03D DSI BAT message, 149
E03E DSI CXIWX message, 149
E03F DSI CXOWX message, 149
E03G DSI ECXIWX message, 150
E03H DSI ECXOWX message, 150
E04A ISI NO TRA message, 150
E04B ISI DIRECT message, 151
E04C ISI PROTEC message, 151
E06 NOT ALIGNED message, 151
E07 ILLEGAL INS message, 152
E08 FLOATINGPNT message, 152
E12 SYSTEM CALL message, 152
E13 TRACE INT message, 153
E16 ITRANS MISS message, 153
E17 DLOAD MISS message, 153
E18 DSTORE MISS message, 154
E19 BREAKPOINT message, 154
E20 SYS MANAGE message, 154
E30 DEBUGGER message, 155
E31A EVENT 0 BP message, 155
E31B EVENT 1 BP message, 155
E31C EVENT 2 BP message, 156
E31D EVENT 3 BP message, 156
E31E EVENT 4 BP message, 156
E31F EVENT 5 BP message, 157
E31G EVENT 6 BP message, 157
E31H EVENT 7 BP message, 157
E32A CND 0 BP message, 158
E32B CND 1 BP message, 158
E32C CND 2 BP message, 158
E32D CND 3 BP message, 159
E32E CND 4 BP message, 159
E32F CND 5 BP message, 159
E32G CND 6 BP message, 160
E32H CND 7 BP message, 160
E33 WRITE BP message, 160
E34 TRACE CMPLT message, 161
E99 UNKNOWN INT message, 161
Electrical characteristics, 171
EMULATION
Hangul LP+, 95
Hanzi Big5 LP+, 93
Hanzi GB LP+, 92
Kanji LP+, 94
EMULATION Menu, 92
Emulations, 12
Energy Star compliance, 171
E-Net Adapter Submenu, 75
ENTER key, 22
Environmental characteristics, 170
ERROR CPLD NOT PROGRAMMED
message, 161
ERROR DC PROGRAM NOT VALID message, 161
ERROR DRAM AT ADDRESS XXXXXXXX
message, 162
ERROR EC PROGRAM NOT VALID message, 162
ERROR EC STOPPED AT STATE XXXX
message, 162
ERROR FLASH DID NOT PROGRAM
message, 162
ERROR FLASH NOT DETECTED message, 162
Error Handling
Hangul LP+ Emulation, 100
Hanzi LP+ Emulation, 100
ERROR LOCKED SN=nnnnnnnnnnnnnnnnnnnnn
message, 162
ERROR NO DRAM DETECTED message, 162
ERROR NVRAM FAILURE message, 162
ERROR OCCURRED FLUSHING QUEUES*
message, 162
ERROR PROGRAM NEEDS MORE DRAM
message, 162
ERROR PROGRAM NEEDS MORE FLASH
message, 162
ERROR PROGRAM NOT COMPATIBLE
message, 163
ERROR PROGRAM NOT VALID message, 163
ERROR SECURITY KEY NOT DETECTED
message, 163
ERROR SHORT AT ADDRESS XXXX
message, 163

207
ERROR WRITING TO FLASH message, 163
ERROR WRONG CHECKSUM message, 163
ERROR WRONG OEM message, 163
ERROR WRONG PRINTER TYPE message, 163
ETHERNET ADAPTER BEING INITIALIZED
message, 163
Ethernet Address, 55
ETHERNET ADDRESS menu, 81
DHCP, 81
Gateway address, 81
IP address, 81
MAC address, 81
Subnet mask, 81
ETHERNET DETECTED message, 163
ETHERNET INITIALIZING message, 163
ETHERNET PARAMETERS menu
ASCII data port, 82
Ethernet speed, 83
IPDS Data Port, 82
Job Control, 83
Keep alive timer, 82
NetBIOS protocol, 82
ETHERNET PARAMS menu, 82
Ethernet speed
Adapter Params menu, 80
Ethernet Parameters menu, 83
Ethernet submenu, 76
Buffer Size in K, 76
Exterior cleaning, 129
F
Fault messages, 133
000 SHUTTLE TYPE NOT SUPPORTED*, 134
06 HOST REQUEST, 134
08 HOLD PRINT TIMEOUT, 134
104 POWERSUPPLY HOT*, 135
105 PRINTER HOT*, 135
15 COMM CHECK, 134
15V PWR FAIL *, 134
22 INVALID ADDR, 134
31 PAPER OUT TIMEOUT, 134
32 PAPER JAM TIMEOUT, 134
33 PLATEN OPEN TIMEOUT, 135
34 RIBBON STALL TIMEOUT, 135
401 BUFFER OVERRUN, 135
402 CLEAR PAPER JAM, 135
403 CLOSE PLATEN, 135
409 FRAMING ERROR, 135
410 LOAD PAPER, 135
411 PARITY ERROR, 136
414 RIBBON STALL, 136
415 SHUTTLE JAM, 136
416 STACKER FULL, 136
417 STACKER JAM, 136
418 RBN INK LOW, 136
419 RBN INK OUT*, 136
420 EXC RBN WEAR, 136
421 BC MISSING, 137
422 BC DAMAGED, 137
423 OLD RIBBON, 137
424 UNKNOWN RBN1, 137
425 UNKNOWN RBN2, 137
427 CRTG MISSING, 137
428 CRTG COMM ER, 137
432 CRT NOT SET, 138
435 NO WELD, 138
437 REG MISSING, 138
438 TIP MISMATCH, 138
439 SHTL MISMATCH, 138
440 RWP DOWNLOAD, 138
48V PWR FAIL *, 135
602 23.5V PWR FAIL *, 138
604 48V CIRCUIT*, 138
606 Power 8.5V CHECK, 138
607 CTL VOLT FAIL *, 139
608 DRIVER CIRCUIT BAD, 139
609 EXHAUST FAN CHECK, 139
613 HAM. COIL BAD, 139
614 HAMMER BANK* NOT INSTALLED, 139
615 HAMMER FAN CHECK, 139
617 LOWER DRIVER SHORT*, 139
619 PAPER FEED DRIVER CIRCUIT*, 139
620 POWER VOLT CHECK*, 140
622 SHUTTLE DRIVER CRCUIT*, 140
623 STACKER FAULT, 140

208
624 UPPER DRIVER SHORT*, 140
625 WRONG E-NET, 140
700 A TO D OVERUN *, 140
701 ACCESS NULL POINTER*, 140
702 FIRMWARE ERROR, 140
703 ILLEGAL EXTERNAL BUS ACC *, 140
704 ILLEGAL INSTRUCTION ACC*, 140
705 ILLEGAL OPERAND ACCESS *, 140
706 PAP BAD TABLE*, 140
707 PAPER BUSY TOO LONG*, 141
708 PAPER FIFO OVERFLOW*, 141
709 PAPER FIFO UNDERFLOW*, 141
710 PAP ILLGL ST*, 141
711 PAP INCMPL ENER*, 141
712 PAP INVLD CMD*, 141
713 PAP INVLD PARM*, 141
714 PAP NOT SCHED*, 141
715 PAP NT AT SPEED*, 141
716 PAP UNEXP INT*, 141
717 PLAT INV CMD*, 141
718 PLAT INV PARM*, 141
719 PLAT INV STATE*, 141
720 PROTECTED INSTRUCTION*, 142
721 RIB INVLD CMD*, 142
723 SHUTL INV CMD*, 142
724 SHUTL INV PARM*, 142
725 SHUTL OVER SPEED*, 142
727 SOFTWARE ERROR*, 142
728 STACK OVERFLOW*, 142
729 STACK UNDERFLOW*, 142
730 TCB CORRUPTED*, 142
731 UNDEFINED INTERRUPT*, 142
732 UNDEFINED OPCODE, 142
733 DP FIFO Busy*, 143
ACTIVATE LOST, 143
B00 STATUS SDRAM DETECTION
166MHZ, 143
B01 STATUS 8245 SDRAM TEST 32MB, 143
B10 ERROR NO DRAM DETECTED*, 143
B11 ERROR RAM TEST FAILED*, 143
B12 ERROR PROGRAM MISSING*, 143
B13 ERROR NOT COMPATIBLE*, 143
B19 ERROR DC RETURNED*, 143
B20 STATUS 00% DOWNLOAD MODE, 144
B21 STATUS PRINTER RESET, 144
B22 ERROR DECOMPRESS SIZE*, 144
B23 ERROR DECOMPRESS CKSUM*, 144
B30 STATUS INITIALZING, 144
B35 STATUS WAITING FOR EC STATUS, 144
B40 ERROR SDRAMEE PROM CKSUM
BAD*, 144
B41 ERROR DIM MEMORY NOT
SDRAM*, 144
B42 ERROR SDRAM ROWS NOT
ALLOWED*, 144
B43 ERROR SDRAM TOO MANY
BANKS*, 145
B44 ERROR SDRAM NOT 64 BITS
WIDE*, 145
B45 ERROR SDRAM IS WRONG
VOLTAGE*, 145
B46 ERROR SDRAM HAS MIXED SIZES*, 145
B47 ERROR SDRAM LARGER
THAN 256M*, 145
B49 ERROR SDRAM # LOGICAL
BANKS*, 145
B50 ERROR SDRAM LOGIC COMB
BANKS*, 145
B51 XX% LOADING, 145
B53 ERROR 12C NO ARBITRATION, 145
B54 ERROR SDA LINE STUCK LOW, 145
CLEARING PROGRAM FROM FLASH, 146
D50 STATUS%XX Clearing Flash, 146
D51 STATUS%XX Programming, 146
D55 STATUS Send Program to EC, 146
DIAGNOSTIC PASSED, 146
DO NOT POWER OFF, 146
E00 EXE @ ADDR0, 146
E01A TYPE 0x40, 147
E01B TYPE 0x60, 147
E02 MACHINE CHK, 147
E03A DSI HASH L, 148
E03B DSI HASH S, 148
E03C DSI BAT PL, 148

209
E03D DSI BAT, 149
E03E DSI CXIWX, 149
E03F DSI CXOWX, 149
E03G DSI ECXIWX, 150
E03H DSI ECXOWX, 150
E04A ISI NO TRA, 150
E04B ISI DIRECT, 151
E04C ISI PROTEC, 151
E06 NOT ALIGNED, 151
E07 ILLEGAL INS, 152
E08 FLOATINGPNT, 152
E12 SYSTEM CALL, 152
E13 TRACE INT, 153
E16 ITRANS MISS, 153
E17 DLOAD MISS, 153
E18 DSTORE MISS, 154
E19 BREAKPOINT, 154
E20 SYS MANAGE, 154
E30 DEBUGGER, 155
E31A EVENT 0 BP, 155
E31B EVENT 1 BP, 155
E31C EVENT 2 BP, 156
E31D EVENT 3 BP, 156
E31E EVENT 4 BP, 156
E31F EVENT 5 BP, 157
E31G EVENT 6 BP, 157
E31H EVENT 7 BP, 157
E32A CND 0 BP, 158
E32B CND 1 BP, 158
E32C CND 2 BP, 158
E32D CND 3 BP, 159
E32E CND 4 BP, 159
E32F CND 5 BP, 159
E32G CND 6 BP, 160
E32H CND 7 BP, 160
E33 WRITE BP, 160
E34 TRACE CMPLT, 161
E99 UNKNOWN INT, 161
ERROR CPLD NOT PROGRAMMED, 161
ERROR DC PROGRAM NOT VALID, 161
ERROR DRAM AT ADDRESS
XXXXXXXX, 162
ERROR EC PROGRAM NOT VALID, 162
ERROR EC STOPPED AT STATE XXXX, 162
ERROR FLASH DID NOT PROGRAM, 162
ERROR FLASH NOT DETECTED, 162
ERROR LOCKED
SN=nnnnnnnnnnnnnnnnnnnnn, 162
ERROR NO DRAM DETECTED, 162
ERROR NVRAM FAILURE, 162
ERROR OCCURRED FLUSHING
QUEUES*, 162
ERROR PRINTER TYPE, 163
ERROR PROGRAM NEEDS MORE
DRAM, 162
ERROR PROGRAM NEEDS MORE
FLASH, 162
ERROR PROGRAM NOT COMPATIBLE, 163
ERROR PROGRAM NOT VALID, 163
ERROR SECURITY KEY NOT
DETECTED, 163
ERROR SHORT AT ADDRESS XXXX, 163
ERROR WRITING TO FLASH, 163
ERROR WRONG CHECKSUM, 163
ERROR WRONG OEM, 163
ETHERNET ADAPTER BEING
INITIALIZED, 163
ETHERNET DETECTED, 163
ETHERNET INITIALIZING, 163
FM HEADER ERROR, 163
GRF CHECK ERROR PRESS STOP, 164
H00: PCI SLOT ?, 164
H01: PCI J12, 164
H02: PCI J13, 164
HAM. COIL OPEN *, 164
INTAKE FAN FAULT, 164
INTERRUPT UNUSED VECTOR 00, 165
INVALID ACTIVATE, 165
INVALID COMMAND, 165
LOADING PROGRAM FROM PORT XX%, 165
LOADING PROGRAM INTO FLASH, 165
NEW SPX DETECTED, 165
NON VOLATILE MEMORY FAILED, 165
ON LINE, 165

210
ONLINE 28 CU NOT ENAB, 165
ONLINE 8344 FAILED, 165
ONLINE CU TIMED OUT, 166
PARAMETER ERROR, 166
PLEASE WAIT...RESET IN PROGRESS, 166
PRINTER UNDER REMOTE CONTROL, 166
QUEUE OVERRUN*, 166
REMOVE USED SPX, 166
RESTORING BOOT CODE, 166
SCS COMMAND ERROR, 166
SECURITY KEY NOT DETECTED, 166
SECURITY VIOLATION, 166
SENDING PROGRAM TO EC
PROCESSOR, 166
SF ERROR, 166
SHUTTLE STALL, 167
SPX FOUND, ERROR KEY NOT
DETECTED, 167
SPX NOT NEEDED OPTIONS ENABLED, 167
TCP PORT BUSY, 167
WAITING FOR ETHERNET ADAPTER, 167
Fault, Centronics Parallel Interface Signals, 117
Feature File, DIAGNOSTICS, 112
Features, printer, 9
File System, ADVANCED USER menu, 106
FM HEADER ERROR message, 163
Font Attributes
Hangul LP+ Emulation, 96
Hanzi LP+ Emulation, 96
Framing Errors, Serial submenu, 73
G
Gateway address
Adapter Address menu, 78
Ethernet Address menu, 81
WLAN Address menu, 84
Graphics Spd Up
Hangul LP+ Emulation, 99
Hanzi LP+ Emulation, 99
Graphics Speed-Up, 56
GRF CHECK ERROR PRESS STOP
message, 164
H
H00: PCI SLOT ? message, 164
H01: PCI J12 message, 164
H02: PCI J13 message, 164
HAM. COIL OPEN * message, 164
Hangul LP+ Emulation, 95
CPI/LPI Select, 96
Error Handling, 100
Font Attributes, 96
Graphics Spd Up, 99
Host Command, 96
Page Format, 99
Page Format Submenu, 100
Printer Protocol, 95
Reset Cmd CFG Ld, 99
Hanzi BIG5 LP+ Emulation, 93
Hanzi GB LP+ Emulation, 92
Hanzi LP+ Emulation
CPI/LPI Select, 96
Error Handling, 100
Font Attributes, 96
Graphics Spd Up, 99
Host Command, 96
Page Format, 99
Page Format Submenu, 100
Printer Protocol, 95
Reset Cmd CFG Ld, 99
Hex Dump Mode, ADVANCED USER menu, 105
Hex Dump, printing, 132
Host Command
Hangul LP+ Emulation, 96
Hanzi LP+ Emulation, 96
HOST INTERFACE menu, 60
Host Interface., 55
Hour, DATE menu, 113

211
I
Idle Response, Serial submenu, 72
IEEE 1284 Parallel (Bidirectional) Submenu, 74
Auto Trickle, 74
Buffer Size in K, 74
Offline Process, 75
Prime Signal, 74
TOF Action, 74
Trickle Time, 75
IEEE 1284 Parallel Interface, 117
Byte Mode, 118
Compatibility Mode, 117
Nibble Mode, 118
Signals, 118
Input voltage, 171
INTAKE FAN FAULT message, 164
Integrated Print Management System, 36
Darker Print, 37
Lighter Print, 37
Interface Type, Serial submenu, 68
Interfaces
printer, 115
specifications, 172
Interior cleaning, 130
Internat. Mode, WLAN PARAMS menu, 87
INTERRUPT UNUSED VECTOR 00 message, 165
INVALID ACTIVATE message, 165
INVALID COMMAND message, 165
IP address
Adapter Address menu, 77
Ethernet Address menu, 81
WLAN Address menu, 84
IPDS Data Port
Adapter Params menu, 79
Ethernet Parameters menu, 82
J
Job Control
Adapter Params menu, 80
Ethernet Parameters menu, 83
Job Sel/Typeface On, ADVANCED USER
menu, 109
JOB SELECT/PRINT MODE key, 22
K
Kanji LP+ Emulation, 94
KDC Port Number, WLAN Kerberos menu, 90
Keep alive timer
Adapter Params menu, 80
Ethernet Parameters menu, 82
Kerb. Passwrd, WLAN Kerberos menu, 90
Kerberos Enable, WLAN Kerberos menu, 89
L
Label specifications, 170
Latch Data On
Centronics (Parallel) submenu, 64
Dataproducts (Standard & Long Lines)
submenu, 66
LEAP Password, WLAN LEAP menu, 91
LEAP Username, WLAN LEAP menu, 91
Lighter print, Integrated Print Management
System, 37
Load Config., 57, 58
LOADING PROGRAM FROM PORT XX%
message, 165
LOADING PROGRAM INTO FLASH message, 165
Loading Used Ribbon, 37
M
MAC address
Adapter Address menu, 78
Ethernet Address menu, 81
WLAN Address menu, 84
Main menu, 52
Maintenance, 12

212
Manual
conventions, 11
related documents, 12
special information, 11
warnings, 11
Menu
ADVANCED USER, 104
CONFIG. CONTROL, 58
DIAGNOSTICS, 110
EMULATION, 92
HOST INTERFACE, 60
Main, 52
navigating, 42
NETWORK SETUP, 77
PRINTER CONTROL, 102
Printer MGMT, 114
QUICK SETUP, 54
ZTP SETTINGS, 58
Mgmt Port Number, Printer MGMT, 114
Mgmt Protocol, Printer MGMT, 114
Min Xfer Rate, WLAN PARAMS menu, 86
Minute, DATE menu, 113
Month, DATE menu, 113
N
Name Configs, 59
Navigating the menus, 42
Nest Serv Type, Adapter Params menu, 79
NetBIOS protocol
Adapter Params menu, 79
Ethernet Parameters menu, 82
NETWORK SETUP menu, 77
ADAPTER ADDRESS, 77
ETHERNET ADDRESS, 81
ETHERNET PARAMS, 82
WLAN ADDRESS, 84
WLAN PARAMS, 85
NEW SPX DETECTED message, 165
Nibble Mode, IEEE 1284 Parallel Interface, 118
noise level, acoustic, 171
NON VOLATILE MEMORY FAILED message, 165
Novell frame, Adapter Params menu, 79
Novell protocol, Adapter Params menu, 79
Novell Protocols, 78
O
Offline Process, IEEE 1284 Parallel (Bidirectional)
Submenu, 75
ON LINE key, 20
ON LINE message, 165
One Char Enquiry, Serial submenu, 73
ONLINE 28 CU NOT ENAB message, 165
ONLINE 8344 FAILED message, 165
ONLINE CU TIMED OUT message, 166
Online, Centronics Parallel Interface Signals, 117
Online, Dataproducts Parallel Interface
Signals, 125
Open Platen @ BOF (Bottom of Form), PRINTER
CONTROL, 102
Operating modes, 19
Operation Mode, WLAN PARAMS menu, 86
Operational procedures
cancel a print job, 23
reload paper, 24
unload paper, 33
Optimizing print quality, 51
Optimizing print speed, 51
Output Darkness, 36
Overview, printer models, 9
P
Page Format
Hangul LP+ Emulation, 99
Hanzi LP+ Emulation, 99
Page Format Submenu, 100
Page Format Submenu
Hangul LP+ Emulation, 100
Hanzi LP+ Emulation, 100
Page Format, 100
Paper
reload, 24
unload, 33
PAPER ADVANCE key, 21
Paper Empty (PE), Centronics Parallel Interface
Signals, 117

213
Paper Instruction (PI), Centronics Parallel Interface
Signals, 117
Paper Instruction (PI), Dataproducts Parallel
Interface Signals, 125
Paper Out Dots, DIAGNOSTICS, 112
Paper specifications, 169
Parallel Interface, Centronics, 116
Parallel Interface, Dataproducts, 124
PARAMETER ERROR message, 166
Parameter settings
changing, 41
saving, 41
Parameters, changing, example, 43
Parity Error, Dataproducts Parallel Interface
Signals, 125
Parity, Serial submenu, 71
PI Ignored
Centronics (Parallel) submenu, 63
Dataproducts (Standard & Long Lines)
submenu, 66
PLEASE WAIT...RESET IN PROGRESS
message, 166
PMD (Paper Motion Detection) Fault, ADVANCED
USER, 106
PNE Port Number, Printer MGMT, 114
PNE Port Timeout, Printer MGMT, 114
PNE Port, Printer MGMT, 114
Poll Character, Serial submenu, 72
Poll Response, Serial submenu, 72
Port Type, Auto Switching submenu, 62
Power consumption, 172
Power Mgmt, WLAN PARAMS menu, 87
Power requirements, 13
Power Saver Time, ADVANCED USER, 107
Power Stacker, ADVANCED USER menu, 106
Powering on the printer, 19
Power-Up Config., 58, 59
Power-Up State, ADVANCED USER menu, 105
Preamble, WLAN PARAMS menu, 87
PREV + NEXT key, 23
PREV or NEXT key, 23
Prime Signal
Centronics (Parallel) submenu, 64
Dataproducts (Standard & Long Lines)
submenu, 66
IEEE 1284 Parallel (Bidirectional) Submenu, 74
Prime, Centronics Parallel Interface Signals, 117
Print Config., 59
Print Hist. Log, ADVANCED USER, 109
Print job, cancel, 23
Print Quality, optimizing, 51
Print speed, optimizing, 51
Print Statistics, DIAGNOSTICS, 112
Printer
component locations, 17
control panel, 20
dimensions, 14, 170
exterior cleaning, 129
features, 9
interior cleaning, 130
maintenance, 12
models, 9
operating modes, 19
powering on, 19
site requirements, 13
weight, 170
PRINTER CONTROL menu, 102
Accented Char, 103
Display Language, 103
Open Platen @ BOF (Bottom of Form), 102
Ribbon End Point, 102
Tear Bar Dist. (Distance), 103
Unidirectional, 103
View Function, 103
Printer interfaces, 115
Printer MGMT menu, 114
Mgmt Port Number, 114
Mgmt Protocol, 114
PNE Port, 114
PNE Port Number, 114
PNE Port Timeout, 114
Status Port Numb, 114

214
Printer Protocol
Hangul LP+ Emulation, 95
Hanzi LP+ Emulation, 95
Printer Tests, DIAGNOSTICS, 111
PRINTER UNDER REMOTE CONTROL
message, 166
Printing rates, 173
Printing, Hex Dump, 132
Protect Configs., 59
Protocols, 12
PRT CONFIG key, 22
PTX Setup Option, ADVANCED USER menu, 105
Pwr Save Control, ADVANCED USER, 108
Q
QUEUE OVERRUN* message, 166
QUICK SETUP menu, 54
Adapter Address, 55
DBCS ASCII Style, 57
DBCS CPI, 56
DBCS/ASCII Mode, 57
Ethernet Address, 55
Graphics Speed-Up, 56
Host Interface, 55
Load Config., 57
Power-Up Config., 58
Reset Cmd CFG Ld, 57
Ribbon End Point, 57
Save Config., 58
SELECT LPI, 57
Typeface, 56
WLAN Address, 55
ZTP Data Time, 56
ZTP TearDistance, 56
ZTP Wait Time, 56
R
RBN Low Action, ADVANCED USER, 109
RBN Low Warn @, ADVANCED USER, 109
Ready, Dataproducts Parallel Interface
Signals, 125
Receive Data (RD), RS-232, 122
Reload paper, 24
REMOVE USED SPX message, 166
Renew Lifetime, WLAN Kerberos menu, 90
Report Status, Auto Switching submenu, 62
Request to Send
RS-232, 122
Serial submenu, 72
Requirements
power, 13
printer site, 13
Reset Cfg Names, 60
Reset Cmd CFG Ld, 57
Hangul LP+ Emulation, 99
Hanzi LP+ Emulation, 99
Reset Kerb. Pwd, WLAN Kerberos menu, 90
Reset LEAP Password, WLAN LEAP menu, 91
Reset LEAP User, WLAN LEAP menu, 91
Reset SSID Name, WLAN PARAMS menu, 86
Reset WEP Keys, WLAN PARAMS menu, 88
Reset WPA P-Phs, WLAN PARAMS menu, 89
Resistor configurations, terminating, 121
Resistors
installation, 122
removal, 122
Resistors, terminating
location of, 121
Resp. Polarity
Centronics (Parallel) submenu, 64
Dataproducts (Standard & Long Lines), 66
RESTORING BOOT CODE message, 166
Ret. Status Port, ADVANCED USER menu, 108
Ribbon Cartridge, changing, 38
Ribbon End Point, 57
Ribbon End Point, PRINTER CONTROL, 102
Ribbon Life Indicator, 23
Ribbon, specifications, 169

215
RS-232, 122
Clear to Send (CTS), 123
Data Carrier Detect (DCD), 123
Data Set Ready (DSR), 123
Data Terminal Ready (DTR), 123
Receive Data (RD), 122
Request to Send (RTS), 122
Transmit Status & Control Data (TD), 122
RS-232 Serial Interfaces, 122
RS-422, 123
RS-422 Serial Interfaces, 122
S
Save Config., 58, 59
Save, Auto, 46
Saving new configurations, 46
Saving parameter settings, 41
SCS COMMAND ERROR message, 166
SECURITY KEY NOT DETECTED message, 166
SECURITY VIOLATION message, 166
SELECT LPI, 57
SENDING PROGRAM TO EC PROCESSOR
message, 166
Serial Interfaces
RS-232, 122
RS-422, 122
Serial submenu, 68
Baud Rate, 71
Buffer Size in K, 72
Data Protocol, 69
Data Term Ready, 71
Framing Errors, 73
Idle Response, 72
Interface Type, 68
One Char Enquiry, 73
Parity, 71
Poll Character, 72
Poll Response, 72
Request to Send, 72
Stop Bits 1, 71
Word Length, 71
Set Lock Key, ADVANCED USER menu, 108
Set Sharing, ADVANCED USER menu, 107
SET TOF key, 22
SF ERROR message, 166
SHUTTLE STALL message, 167
Shuttle Timeout, ADVANCED USER menu, 107
Shuttle Type , DIAGNOSTICS, 112
Signal Strenth, WLAN PARAMS menu, 86
Signals
Centronics Parallel Interface, 117
Dataproducts Parallel Interface, 125
IEEE 1284 Parallel Interface, 118
Site requirements, 13
Slow Paper Slew, ADVANCED USER menu, 107
Software Build, DIAGNOSTICS, 112
Special information, 11
Specifications
interfaces, 172
label, 170
paper, 169
ribbon, 169
Speed print, 173
SPX FOUND, ERROR KEY NOT DETECTED
message, 167
SPX NOT NEEDED OPTIONS ENABLED
message, 167
SSID Name, WLAN PARAMS menu, 86
Status Port Numb, Printer MGMT, 114
Stop Bits 1, Serial submenu, 71
Subnet mask
Adapter Address menu, 77
Ethernet Address menu, 81
WLAN Address menu, 84
Supplies Department, 189
Switch Out On, Auto Switching submenu, 62
System Memory, DIAGNOSTICS, 112
T
TCP PORT BUSY message, 167
Tear Bar Dist. (Distance), PRINTER
CONTROL, 103
Terminating resistor configurations, 121
Terminating resistors
location of, 121
Test Width, DIAGNOSTICS, 112

216
Ticket Lifetime, WLAN Kerberos menu, 90
Timeout, Auto Switching submenu, 62
TOF Action
Centronics (Parallel) submenu, 64
Dataproducts (Standard & Long Lines)
submenu, 66
IEEE 1284 Parallel (Bidirectional) Submenu, 74
Transmit Power, WLAN PARAMS menu, 87
Transmit Status & Control Data (TD), RS-232, 122
Trickle Time
Centronics (Parallel) submenu, 65
Dataproducts (Standard & Long Lines)
submenu, 67
IEEE 1284 Parallel (Bidirectional) Submenu, 75
Trickle Time, Auto Switching submenu, 62
Typeface, 56
U
Unidirectional, PRINTER CONTROL, 103
Unload paper, 33
UP + DOWN key, 23
UP or DOWN key, 22
V
View Function, PRINTER CONTROL, 103
VIEW/EJECT key, 21
Voltage, input, 171
W
WAITING FOR ETHERNET ADAPTER
message, 167
Warnings, 11
Weight, printer, 170
WEP Key 1, WLAN PARAMS menu, 88
WEP Key 2, WLAN PARAMS menu, 88
WEP Key 3, WLAN PARAMS menu, 88
WEP Key 4, WLAN PARAMS menu, 88
WLAN Address, 55
WLAN ADDRESS menu, 84
DHCP, 84
Gateway address, 84
IP address, 84
MAC address, 84
Subnet mask, 84
WLAN Kerberos menu
Clock Skew, 90
KDC Port Number, 90
Kerb. Passwrd, 90
Kerberos Enable, 89
Renew Lifetime, 90
Reset Kerb. Pwd, 90
Ticket Lifetime, 90
WLAN LEAP menu
Auth Method, 91
LEAP Password, 91
LEAP Username, 91
Reset LEAP Password, 91
Reset LEAP User, 91
WLAN PARAMS menu, 85
Ant. Diversity, 87
Antenna, 87
Auth Method, 88
Channel, 86
Default WEP Key, 88
Internat. Mode, 87
Min Xfer Rate, 86
Operation Mode, 86
Power Mgmt, 87
Preamble, 87
Reset SSID Name, 86
Reset WEP Keys, 88
Reset WPA P-Phs, 89
Signal Strength, 86
SSID Name, 86
Transmit Power, 87
WEP Key 1, 88
WEP Key 2, 88
WEP Key 3, 88
WEP Key 4, 88
WPA Cipher, 89

217
WPA Mode, 88
WPA P-Phs, 89
Word Length, Serial submenu, 71
WPA Cipher, WLAN PARAMS menu, 89
WPA Mode, WLAN PARAMS menu, 88
WPA P-Phs, WLAN PARAMS menu, 89
X-Z
Year, DATE menu, 113
Zero Tear Pedestal (ZTP)
adjust paper guides, 178
clear paper jams, 187
forms type, 186
load paper, 180
menu, 185
overview, 177
paper jams, 187
position paper, 178
position paper out sensor, 182
set tear bar distance, 183
set top of form, 184
ZTP DataTime, 185
ZTP Function, 185
ZTP Platen Open, 186
ZTP TearDistance, 185
ZTP WaitTime, 185
ZTP Data Time, 56
ZTP DataTime, 185
ZTP Function, 185
ZTP Platen Open, 186
ZTP SETTINGS menu, 58
ZTP TearDistance, 56, 185
ZTP Wait Time, 56
ZTP WaitTime, 185

218
254797-001E
*254797-001*