Parsing Techniques A Practical Guide
User Manual:
Open the PDF directly: View PDF .
Page Count: 669 [warning: Documents this large are best viewed by clicking the View PDF Link!]
- Preface
- Contents
- Introduction
- Grammars as Generating Device
- Languages as Infinite Sets
- Formal Grammars
- Chomsky Hierarchy of Grammars & Languages
- Actually generating Sentences from Grammar
- To shrink or not to shrink
- Grammars that produce the Empty Language
- Limitations of CF & FS Grammars
- CF & FS Grammars as Transition Graphs
- Hygiene in Context-free Grammars
- Set Properties of Context-free & Regular Languages
- Semantic Connection
- Metaphorical Comparison of Grammar Types
- Conclusion
- Problems
- Intro to Parsing
- Parse Tree
- 2 Ways to parse Sentence
- Non-Deterministic Automata
- Recognition & Parsing for Type 0 to Type 4 Grammars
- Overview of Context-free Parsing Methods
- "Strength" of Parsing Technique
- Representations of Parse Trees
- When are we done Parsing?
- Transitive Closure
- Relation btw Parsing & Boolean Matrix Multiplication
- Conclusion
- Problems
- General Non-Directional Parsing
- Unger Parsing Method
- CYK Parsing Method
- CYK Recognition with General CF Grammars
- CYK Recognition with Grammar in Chomsky Normal Form
- Transforming CF Grammar into Chomsky Normal Form
- Eliminating ε-Rules
- Eliminating Unit Rules
- Cleaning up the Grammar
- Finally, to Chomsky Normal Form
- The Example revisited
- CYK Parsing with Chomsky Normal Form
- Undoing the Effect of CNF Transformation
- Short Retrospective of CYK
- Getting Parse-Forest Grammars from CYK Parsing
- Tabular Parsing
- Conclusion
- Problems
- Regular Grammars & FSA
- General Directional Top-Down Parsing
- General Directional Bottom-Up Parsing
- Parsing by Searching
- Earley Parser
- Basic Earley Parser
- Scanner, Completer & Predictor
- Constructing Parse Tree
- Space & Time Requirements
- Relation btw Earley & CYK Algorithms
- Handling ε-Rules
- Completer/Predictor Loop
- Modifying the Predictor
- Determining Nullability
- Exploiting Look-ahead
- Prediction Look-ahead
- Reduction Look-ahead
- Discussion
- Left & Right Recursion
- Chart Parsing
- Conclusion
- Problems
- Deterministic Top-Down Parsing
- Deterministic Bottom-Up Parsing
- Simple Handle-finding Techniques
- Precedence Parsing
- Bounded-Right-Context Parsing
- LR Methods
- LR(0)
- LR(1)
- LALR(1)
- SLR(1)
- Conflict Resolvers
- Further Developments of LR Methods
- Parse Tree Grammar from LR
- Left & Right Contexts of Parsing Decisions
- Exploiting Left & Right Contexts
- LR(k) as Ambiguity Test
- Conclusion
- Problems
- Non-Canonical Parsers
- Generalized Deterministic Parsers
- Substring Parsing
- Parsing as Intersection
- Parallel Parsing
- Non-Chomsky Grammars & Parsers
- Error Handling
- Practical Parser Writing & Usage
- Biblio
- Hints & Solutions
- Index

Dick Grune
Parsing Techniques
A Practical Guide
Second Edition
Ceriel J.H. Jacobs
Dick Grune and Ceriel J.H. Jacobs
Faculteit Exacte Wetenschappen
Vrije Universiteit
De Boelelaan 1081
1081 HV Amsterdam
The Netherlands
ISBN-13: 978-0-387-20248-8 e-ISBN-13: 978-0-387-68954-8
Library of Congress Control Number: 2007936901
©2008 Springer Science+Business Media, LLC
©1990 Ellis Horwood Ltd.
Preface to the Second Edition
As is fit, this second edition arose out of our readers’ demands to read about new
developments and our desire to write about them. Although parsing techniques is
not a fast moving field, it does move. When the first edition went to press in 1990,
there was only one tentative and fairly restrictive algorithm for linear-time substring
parsing. Now there are several powerful ones, covering all deterministic languages;
we describe them in Chapter 12. In 1990 Theorem 8.1 from a 1961 paper by Bar-
Hillel, Perles, and Shamir lay gathering dust; in the last decade it has been used to
create new algorithms, and to obtain insight into existing ones. We report on this in
Chapter 13.
More and more non-Chomsky systems are used, especially in linguistics. None
except two-level grammars had any prominence 20 years ago; we now describe six
of them in Chapter 15. Non-canonical parsers were considered oddities for a very
long time; now they are among the most powerful linear-time parsers we have; see
Chapter 10.
Although still not very practical, marvelous algorithms for parallel parsing have
been designed that shed new light on the principles; see Chapter 14. In 1990 a gen-
eralized LL parser was deemed impossible; now we describe two in Chapter 11.
Traditionally, and unsurprisingly, parsers have been used for parsing; more re-
cently they are also being used for code generation, data compression and logic
language implementation, as shown in Section 17.5. Enough. The reader can find
more developments in many places in the book and in the Annotated Bibliography
in Chapter 18.
Kees van Reeuwijk has — only half in jest — called our book “a reservation
for endangered parsers”. We agree — partly; it is more than that — and we make
no apologies. Several algorithms in this book have very limited or just no practical
value. We have included them because we feel they embody interesting ideas and
offer food for thought; they might also grow and acquire practical value. But we
also include many algorithms that do have practical value but are sorely underused;
describing them here might raise their status in the world.
Exercises and Problems
This book is not a textbook in the school sense of the word. Few universities have
a course in Parsing Techniques, and, as stated in the Preface to the First Edition, read-
ers will have very different motivations to use this book. We have therefore included
hardly any questions or tasks that exercise the material contained within this book;
readers can no doubt make up such tasks for themselves. The questions posed in the
problem sections at the end of each chapter usually require the reader to step outside
the bounds of the covered material. The problems have been divided into three not
too well-defined classes:
• not marked — probably doable in a few minutes to a couple of hours.
•markedProject — probably a lot of work, but almost certainly doable.
•markedResearch Project — almost certainly a lot of work, but hopefully doable.
We make no claims as to the relevance of any of these problems; we hope that some
readers will find some of them enlightening, interesting, or perhaps even useful.
Ideas, hints, and partial or complete solutions to a number of the problems can be
found in Chapter A.
There are also a few questions on formal language that were not answered eas-
ily in the existing literature but have some importance to parsing. These have been
marked accordingly in the problem sections.
Annotated Bibliography
For the first edition, we, the authors, read and summarized all papers on parsing
that we could lay our hands on. Seventeen years later, with the increase in publica-
tions and easier access thanks to the Internet, that is no longer possible, much to our
chagrin. In the first edition we included all relevant summaries. Again that is not pos-
sible now, since doing so would have greatly exceeded the number of pages allotted
to this book. The printed version of this second edition includes only those refer-
ences to the literature and their summaries that are actually referred to in this book.
The complete bibliography with summaries as far as available can be found on the
web site of this book; it includes its own authors index and subject index. This setup
also allows us to list without hesitation technical reports and other material of possi-
bly low accessibility. Often references to sections from Chapter 18 refer to the Web
version of those sections; attention is drawn to this by calling them “(Web)Sections”.
We do not supply URLs in this book, for two reasons: they are ephemeral and
may be incorrect next year, tomorrow, or even before the book is printed; and, es-
pecially for software, better URLs may be available by the time you read this book.
The best URL is a few well-chosen search terms submitted to a good Web search
engine.
Even in the last ten years we have seen a number of Ph.D theses written in lan-
guages other than English, specifically German, French, Spanish and Estonian. This
choice of language has the regrettable but predictable consequence that their con-
tents have been left out of the main stream of science. This is a loss, both to the
authors and to the scientific community. Whether we like it or not, English is the
de facto standard language of present-day science. The time that a scientifically in-
terested gentleman of leisure could be expected to read French, German, English,
Greek, Latin and a tad of Sanskrit is 150 years in the past; today, students and sci-
entists need the room in their heads and the time in their schedules for the vastly
increased amount of knowledge. Although we, the authors, can still read most (but
not all) of the above languages and have done our best to represent the contents of
the non-English theses adequately, this will not suffice to give them the international
attention they deserve.
The Future of Parsing, aka The Crystal Ball
If there will ever be a third edition of this book, we expect it to be substantially
thinner (except for the bibliography section!). The reason is that the more parsing
algorithms one studies the more they seem similar, and there seems to be great op-
portunity for unification. Basically almost all parsing is done by top-down search
with left-recursion protection; this is true even for traditional bottom-up techniques
like LR(1), where the top-down search is built into the LR(1) parse tables. In this
respect it is significant that Earley’s method is classified as top-down by some and
as bottom-up by others. The general memoizing mechanism of tabular parsing takes
the exponential sting out of the search. And it seems likely that transforming the
usual depth-first search into breadth-first search will yield many of the generalized
deterministic algorithms; in this respect we point to Sikkel’s Ph.D thesis [158]. To-
gether this seems to cover almost all algorithms in this book, including parsing by
intersection. Pure bottom-up parsers without a top-down component are rare and not
very powerful.
So in the theoretical future of parsing we see considerable simplification through
unification of algorithms; the role that parsing by intersection can play in this is not
clear. The simplification does not seem to extend to formal languages: it is still as
difficult to prove the intuitively obvious fact that all LL(1) grammars are LR(1) as it
was 35 years ago.
The practical future of parsing may lie in advanced pattern recognition, in addi-
tion to its traditional tasks; the practical contributions of parsing by intersection are
again not clear.
Amsterdam, Amstelveen Dick Grune
June 2007 Ceriel J.H. Jacobs
Preface to the First Edition
Parsing (syntactic analysis) is one of the best understood branches of computer sci-
ence. Parsers are already being used extensively in a number of disciplines: in com-
puter science (for compiler construction, database interfaces, self-describing data-
bases, artificial intelligence), in linguistics (for text analysis, corpora analysis, ma-
chine translation, textual analysis of biblical texts), in document preparation and con-
version, in typesetting chemical formulae and in chromosome recognition, to name
a few; they can be used (and perhaps are) in a far larger number of disciplines. It is
therefore surprising that there is no book which collects the knowledge about pars-
ing and explains it to the non-specialist. Part of the reason may be that parsing has a
name for being “difficult”. In discussing the Amsterdam Compiler Kit and in teach-
ing compiler construction, it has, however, been our experience that seemingly diffi-
cult parsing techniques can be explained in simple terms, given the right approach.
The present book is the result of these considerations.
This book does not address a strictly uniform audience. On the contrary, while
writing this book, we have consistently tried to imagine giving a course on the subject
to a diffuse mixture of students and faculty members of assorted faculties, sophis-
ticated laymen, the avid readers of the science supplement of the large newspapers,
etc. Such a course was never given; a diverse audience like that would be too uncoor-
dinated to convene at regular intervals, which is why we wrote this book, to be read,
studied, perused or consulted wherever or whenever desired.
Addressing such a varied audience has its own difficulties (and rewards). Al-
though no explicit math was used, it could not be avoided that an amount of math-
ematical thinking should pervade this book. Technical terms pertaining to parsing
have of course been explained in the book, but sometimes a term on the fringe of the
subject has been used without definition. Any reader who has ever attended a lec-
ture on a non-familiar subject knows the phenomenon. He skips the term, assumes it
refers to something reasonable and hopes it will not recur too often. And then there
will be passages where the reader will think we are elaborating the obvious (this
paragraph may be one such place). The reader may find solace in the fact that he
does not have to doodle his time away or stare out of the window until the lecturer
progresses.
On the positive side, and that is the main purpose of this enterprise, we hope that
by means of a book with this approach we can reach those who were dimly aware
of the existence and perhaps of the usefulness of parsing but who thought it would
forever be hidden behind phrases like:
Let Pbe a mapping VN
Φ
−→ 2(VN∪VT)∗and Ha homomorphism . . .
No knowledge of any particular programming language is required. The book con-
tains two or three programs in Pascal, which serve as actualizations only and play a
minor role in the explanation. What is required, though, is an understanding of algo-
rithmic thinking, especially of recursion. Books like Learning to program by Howard
Johnston (Prentice-Hall, 1985) or Programming from first principles by Richard Bor-
nat (Prentice-Hall 1987) provide an adequate background (but supply more detail
than required). Pascal was chosen because it is about the only programming lan-
guage more or less widely available outside computer science environments.
The book features an extensive annotated bibliography. The user of the bibliogra-
phy is expected to be more than casually interested in parsing and to possess already
a reasonable knowledge of it, either through this book or otherwise. The bibliogra-
phy as a list serves to open up the more accessible part of the literature on the subject
to the reader; the annotations are in terse technical prose and we hope they will be
useful as stepping stones to reading the actual articles.
On the subject of applications of parsers, this book is vague. Although we sug-
gest a number of applications in Chapter 1, we lack the expertise to supply details.
It is obvious that musical compositions possess a structure which can largely be de-
scribed by a grammar and thus is amenable to parsing, but we shall have to leave it
to the musicologists to implement the idea. It was less obvious to us that behaviour
at corporate meetings proceeds according to a grammar, but we are told that this is
so and that it is a subject of socio-psychological research.
Acknowledgements
We thank the people who helped us in writing this book. Marion de Krieger has
retrieved innumerable books and copies of journal articles for us and without her ef-
fort the annotated bibliography would be much further from completeness. Ed Keizer
has patiently restored peace between us and the pic|tbl|eqn|psfig|troff pipeline, on the
many occasions when we abused, overloaded or just plainly misunderstood the latter.
Leo van Moergestel has made the hardware do things for us that it would not do for
the uninitiated. We also thank Erik Baalbergen, Frans Kaashoek, Erik Groeneveld,
Gerco Ballintijn, Jaco Imthorn, and Egon Amada for their critical remarks and con-
tributions. The rose at the end of Chapter 2 is by Arwen Grune. Ilana and Lily Grune
typed parts of the text on various occasions.
We thank the Faculteit Wiskunde en Informatica of the Vrije Universiteit for the
use of the equipment.
In a wider sense, we extend our thanks to the hundreds of authors who have been
so kind as to invent scores of clever and elegant algorithms and techniques for us to
exhibit. We hope we have named them all in our bibliography.
Amsterdam, Amstelveen Dick Grune
July 1990 Ceriel J.H. Jacobs
Contents
Preface to the Second Edition ...................................... v
Preface to the First Edition ........................................ xi
1 Introduction ................................................. 1
1.1 ParsingasaCraft........................................... 2
1.2 TheApproachUsed ........................................ 2
1.3 Outline of the Contents . . .................................... 3
1.4 The Annotated Bibliography . . . . ............................. 4
2 Grammars as a Generating Device .............................. 5
2.1 Languages as Infinite Sets . . . . . . ............................. 5
2.1.1 Language . . . ........................................ 5
2.1.2 Grammars .......................................... 7
2.1.3 ProblemswithInfiniteSets ............................ 8
2.1.4 Describing a Language through a Finite Recipe ........... 12
2.2 FormalGrammars.......................................... 14
2.2.1 TheFormalismofFormalGrammars.................... 14
2.2.2 GeneratingSentencesfromaFormalGrammar ........... 15
2.2.3 TheExpressivePowerofFormalGrammars.............. 17
2.3 The Chomsky Hierarchy of Grammars and Languages. ........... 19
2.3.1 Type1Grammars.................................... 19
2.3.2 Type2Grammars.................................... 23
2.3.3 Type3Grammars.................................... 30
2.3.4 Type4Grammars.................................... 33
2.3.5 Conclusion ......................................... 34
2.4 ActuallyGeneratingSentencesfromaGrammar................. 34
2.4.1 ThePhrase-StructureCase ............................ 34
2.4.2 TheCSCase........................................ 36
2.4.3 TheCFCase........................................ 36
2.5 ToShrinkorNotToShrink .................................. 38
2.6 Grammars that Produce the Empty Language . .................. 41
2.7 TheLimitationsofCFandFSGrammars....................... 42
2.7.1 The uvwxy Theorem.................................. 42
2.7.2 The uvw Theorem.................................... 45
2.8 CF and FS Grammars as Transition Graphs . . . .................. 45
2.9 HygieneinContext-FreeGrammars........................... 47
2.9.1 UndefinedNon-Terminals............................. 48
2.9.2 Unreachable Non-Terminals . . . . . ...................... 48
2.9.3 Non-Productive Rules and Non-Terminals . . . . ........... 48
2.9.4 Loops . . . . . . ........................................ 48
2.9.5 CleaningupaContext-FreeGrammar................... 49
2.10 Set Properties of Context-Free and Regular Languages . . . . ....... 52
2.11 TheSemanticConnection.................................... 54
2.11.1 AttributeGrammars.................................. 54
2.11.2 TransductionGrammars .............................. 55
2.11.3 Augmented Transition Networks . ...................... 56
2.12 A Metaphorical Comparison of Grammar Types . . . . . . ........... 56
2.13 Conclusion................................................ 59
3 Introduction to Parsing ....................................... 61
3.1 TheParseTree............................................. 61
3.1.1 TheSizeofaParseTree .............................. 62
3.1.2 VariousKindsofAmbiguity........................... 63
3.1.3 LinearizationoftheParseTree......................... 65
3.2 TwoWaystoParseaSentence................................ 65
3.2.1 Top-DownParsing ................................... 66
3.2.2 Bottom-UpParsing................................... 67
3.2.3 Applicability ........................................ 68
3.3 Non-DeterministicAutomata................................. 69
3.3.1 ConstructingtheNDA................................ 70
3.3.2 ConstructingtheControlMechanism.................... 70
3.4 Recognition and Parsing for Type 0 to Type 4 Grammars . . . . . . . . . 71
3.4.1 TimeRequirements .................................. 71
3.4.2 Type0andType1Grammars.......................... 72
3.4.3 Type2Grammars.................................... 73
3.4.4 Type3Grammars.................................... 75
3.4.5 Type4Grammars.................................... 75
3.5 An Overview of Context-Free Parsing Methods . . . . . . ........... 76
3.5.1 Directionality . . . .................................... 76
3.5.2 SearchTechniques ................................... 77
3.5.3 General Directional Methods . . . . ...................... 78
3.5.4 Linear Methods . . .................................... 80
3.5.5 Deterministic Top-Down and Bottom-Up Methods . ....... 82
3.5.6 Non-Canonical Methods . ............................. 83
3.5.7 Generalized Linear Methods . . . . . ...................... 84
3.5.8 Conclusion ......................................... 84
3.6 The“Strength”ofaParsingTechnique......................... 84
3.7 RepresentationsofParseTrees ............................... 85
3.7.1 ParseTreesintheProducer-ConsumerModel ............ 86
3.7.2 ParseTreesintheDataStructureModel ................. 87
3.7.3 ParseForests........................................ 87
3.7.4 Parse-ForestGrammars ............................... 91
3.8 When are we done Parsing? . . . . . ............................. 93
3.9 TransitiveClosure.......................................... 95
3.10 The Relation between Parsing and Boolean Matrix Multiplication . . 97
3.11 Conclusion................................................ 100
4 General Non-Directional Parsing ...............................103
4.1 Unger’sParsingMethod..................................... 104
4.1.1 Unger’s Method without ε-Rules or Loops . . . . ........... 104
4.1.2 Unger’s Method with ε-Rules.......................... 107
4.1.3 Getting Parse-Forest Grammars from Unger Parsing . . . . . . . 110
4.2 TheCYKParsingMethod ................................... 112
4.2.1 CYK Recognition with General CF Grammars ............ 112
4.2.2 CYK Recognition with a Grammar in Chomsky Normal Form116
4.2.3 Transforming a CF Grammar into Chomsky Normal Form . . 119
4.2.4 TheExampleRevisited ............................... 122
4.2.5 CYKParsingwithChomskyNormalForm............... 124
4.2.6 Undoing the Effect of the CNF Transformation ........... 125
4.2.7 A Short Retrospective of CYK . . . ...................... 128
4.2.8 Getting Parse-Forest Grammars from CYK Parsing ........ 129
4.3 TabularParsing ............................................ 129
4.3.1 Top-DownTabularParsing ............................ 131
4.3.2 Bottom-UpTabularParsing............................ 133
4.4 Conclusion................................................ 134
5 Regular Grammars and Finite-State Automata ...................137
5.1 ApplicationsofRegularGrammars............................ 137
5.1.1 Regular Languages in CF Parsing....................... 137
5.1.2 SystemswithFiniteMemory .......................... 139
5.1.3 PatternSearching .................................... 141
5.1.4 SGMLandXMLValidation ........................... 141
5.2 Producing from a Regular Grammar . . . . . ...................... 141
5.3 ParsingwithaRegularGrammar.............................. 143
5.3.1 ReplacingSetsbyStates .............................. 144
5.3.2 ε-TransitionsandNon-StandardNotation ................ 147
5.4 ManipulatingRegularGrammarsandRegularExpressions........ 148
5.4.1 RegularGrammarsfromRegularExpressions ............ 149
5.4.2 RegularExpressionsfromRegularGrammars ............ 151
5.5 Manipulating Regular Languages ............................. 152
5.6 Left-RegularGrammars ..................................... 154
5.7 MinimizingFinite-StateAutomata ............................ 156
5.8 Top-Down Regular Expression Recognition . . .................. 158
5.8.1 The Recognizer . . .................................... 158
5.8.2 Evaluation.......................................... 159
5.9 SemanticsinFSSystems .................................... 160
5.10 FastTextSearchUsingFinite-StateAutomata................... 161
5.11 Conclusion................................................ 162
6 General Directional Top-Down Parsing ..........................165
6.1 ImitatingLeftmostDerivations ............................... 165
6.2 ThePushdownAutomaton................................... 167
6.3 Breadth-FirstTop-DownParsing.............................. 171
6.3.1 AnExample ........................................ 173
6.3.2 A Counterexample: Left Recursion . . . .................. 173
6.4 EliminatingLeftRecursion .................................. 175
6.5 Depth-First(Backtracking)Parsers............................ 176
6.6 RecursiveDescent.......................................... 177
6.6.1 ANaiveApproach ................................... 179
6.6.2 ExhaustiveBacktrackingRecursiveDescent.............. 183
6.6.3 Breadth-FirstRecursiveDescent ....................... 185
6.7 DefiniteClauseGrammars................................... 188
6.7.1 Prolog ............................................. 188
6.7.2 TheDCGFormat .................................... 189
6.7.3 Getting Parse Tree Information . . . ...................... 190
6.7.4 Running Definite Clause Grammar Programs . . ........... 190
6.8 CancellationParsing........................................ 192
6.8.1 CancellationSets .................................... 192
6.8.2 TheTransformationScheme........................... 193
6.8.3 Cancellation Parsing with ε-Rules ...................... 196
6.9 Conclusion................................................ 197
7 General Directional Bottom-Up Parsing .........................199
7.1 ParsingbySearching........................................ 201
7.1.1 Depth-First(Backtracking)Parsing ..................... 201
7.1.2 Breadth-First(On-Line)Parsing........................ 202
7.1.3 ACombinedRepresentation........................... 203
7.1.4 ASlightlyMoreRealisticExample ..................... 204
7.2 TheEarleyParser .......................................... 206
7.2.1 TheBasicEarleyParser............................... 206
7.2.2 The Relation between the Earley and CYK Algorithms . . . . . 212
7.2.3 Handling ε-Rules .................................... 214
7.2.4 Exploiting Look-Ahead . . ............................. 219
7.2.5 LeftandRightRecursion.............................. 224
7.3 ChartParsing.............................................. 226
7.3.1 InferenceRules...................................... 227
7.3.2 ATransitiveClosureAlgorithm ........................ 227
7.3.3 Completion ......................................... 229
7.3.4 Bottom-Up(ActuallyLeft-Corner)...................... 229
7.3.5 TheAgenda......................................... 229
7.3.6 Top-Down.......................................... 231
7.3.7 Conclusion ......................................... 232
7.4 Conclusion................................................ 233
8 Deterministic Top-Down Parsing ...............................235
8.1 Replacing Search by Table Look-Up . . . . ...................... 236
8.2 LL(1)Parsing.............................................. 239
8.2.1 LL(1) Parsing without ε-Rules ......................... 239
8.2.2 LL(1) Parsing with ε-Rules............................ 242
8.2.3 LL(1) versus Strong-LL(1) . . . . . . ...................... 247
8.2.4 FullLL(1)Parsing ................................... 248
8.2.5 Solving LL(1) Conflicts . . ............................. 251
8.2.6 LL(1)andRecursiveDescent .......................... 253
8.3 IncreasingthePowerofDeterministicLLParsing ............... 254
8.3.1 LL(k)Grammars..................................... 254
8.3.2 Linear-Approximate LL(k) ............................ 256
8.3.3 LL-Regular ......................................... 257
8.4 Getting a Parse Tree Grammar from LL(1) Parsing. . . . ........... 258
8.5 ExtendedLL(1)Grammars .................................. 259
8.6 Conclusion................................................ 260
9 Deterministic Bottom-Up Parsing ...............................263
9.1 SimpleHandle-FindingTechniques ........................... 265
9.2 Precedence Parsing . ........................................ 266
9.2.1 ParenthesisGenerators................................ 267
9.2.2 Constructing the Operator-Precedence Table . . ........... 269
9.2.3 Precedence Functions. . . . ............................. 271
9.2.4 Further Precedence Methods . . . . . ...................... 272
9.3 Bounded-Right-Context Parsing . ............................. 275
9.3.1 Bounded-Context Techniques . . . . ...................... 276
9.3.2 Floyd Productions . . . . . . ............................. 277
9.4 LR Methods . . . . . . . ........................................ 278
9.5 LR(0) .................................................... 280
9.5.1 TheLR(0)Automaton................................ 280
9.5.2 UsingtheLR(0)Automaton ........................... 283
9.5.3 LR(0) Conflicts . . .................................... 286
9.5.4 ε-LR(0)Parsing ..................................... 287
9.5.5 PracticalLRParseTableConstruction................... 289
9.6 LR(1) .................................................... 290
9.6.1 LR(1) with ε-Rules................................... 295
9.6.2 LR(k>1)Parsing ................................... 297
9.6.3 Some Properties of LR(k)Parsing ...................... 299
9.7 LALR(1).................................................. 300
9.7.1 ConstructingtheLALR(1)ParsingTables................ 302
9.7.2 Identifying LALR(1) Conflicts . . . ...................... 314
9.8 SLR(1) ................................................... 314
9.9 Conflict Resolvers . . ........................................ 315
9.10 Further Developments of LR Methods . . . ...................... 316
9.10.1 EliminationofUnitRules ............................. 316
9.10.2 ReducingtheStackActivity ........................... 317
9.10.3 RegularRightPartGrammars.......................... 318
9.10.4 IncrementalParsing .................................. 318
9.10.5 IncrementalParserGeneration ......................... 318
9.10.6 RecursiveAscent .................................... 319
9.10.7 Regular Expressions of LR Languages .................. 319
9.11 Getting a Parse Tree Grammar from LR Parsing . . . . . . ........... 319
9.12 LeftandRightContextsofParsingDecisions ................... 320
9.12.1 TheLeftContextofaState............................ 321
9.12.2 TheRightContextofanItem .......................... 322
9.13 Exploiting the Left and Right Contexts. . . ...................... 323
9.13.1 Discriminating-Reverse(DR)Parsing ................... 324
9.13.2 LR-Regular......................................... 327
9.13.3 LAR(m)Parsing ..................................... 333
9.14 LR(k)asanAmbiguityTest.................................. 338
9.15 Conclusion................................................ 338
10 Non-Canonical Parsers ........................................343
10.1 Top-Down Non-Canonical Parsing . . . . . . ...................... 344
10.1.1 Left-CornerParsing .................................. 344
10.1.2 DeterministicCancellationParsing ..................... 353
10.1.3 Partitioned LL . . . .................................... 354
10.1.4 Discussion.......................................... 357
10.2 Bottom-Up Non-Canonical Parsing. . . . . . ...................... 357
10.2.1 Total Precedence . .................................... 358
10.2.2 NSLR(1) ........................................... 359
10.2.3 LR(k,∞)............................................ 364
10.2.4 Partitioned LR. . . .................................... 372
10.3 General Non-Canonical Parsing . ............................. 377
10.4 Conclusion................................................ 379
11 Generalized Deterministic Parsers ..............................381
11.1 GeneralizedLRParsing ..................................... 382
11.1.1 TheBasicGLRParsingAlgorithm...................... 382
11.1.2 NecessaryOptimizations.............................. 383
11.1.3 Hidden Left Recursion and Loops ...................... 387
11.1.4 ExtensionsandImprovements ......................... 390
11.2 GeneralizedLLParsing ..................................... 391
11.2.1 SimpleGeneralizedLLParsing ........................ 391
11.2.2 GeneralizedLLParsingwithLeft-Recursion ............. 393
11.2.3 Generalized LL Parsing with ε-Rules.................... 395
11.2.4 GeneralizedCancellationandLCParsing................ 397
11.3 Conclusion................................................ 398
12 Substring Parsing ............................................399
12.1 TheSuffixGrammar........................................ 401
12.2 General (Non-Linear) Methods . . ............................. 402
12.2.1 ANon-DirectionalMethod............................ 403
12.2.2 ADirectionalMethod ................................ 407
12.3 Linear-Time Methods for LL and LR Grammars . . . . . . ........... 408
12.3.1 Linear-Time Suffix Parsing for LL(1) Grammars . . . . . . . . . . 409
12.3.2 Linear-Time Suffix Parsing for LR(1) Grammars . . . . . . . . . . 414
12.3.3 Tabular Methods . .................................... 418
12.3.4 Discussion.......................................... 421
12.4 Conclusion................................................ 421
13 Parsing as Intersection ........................................425
13.1 TheIntersectionAlgorithm .................................. 426
13.1.1 The Rule Sets Irules,Irough,andI........................ 427
13.1.2 The Languages of Irules,Irough,andI.................... 429
13.1.3 AnExample:ParsingArithmeticExpressions ............ 430
13.2 TheParsingofFSAs........................................ 431
13.2.1 Unknown Tokens .................................... 431
13.2.2 Substring Parsing by Intersection . ...................... 431
13.2.3 Filtering ............................................ 435
13.3 TimeandSpaceRequirements................................ 436
13.4 Reducing the Intermediate Size: Earley’s Algorithm on FSAs . . . . . . 437
13.5 ErrorHandlingUsingIntersectionParsing...................... 439
13.6 Conclusion................................................ 441
14 Parallel Parsing ..............................................443
14.1 TheReasonsforParallelParsing.............................. 443
14.2 Multiple Serial Parsers . . .................................... 444
14.3 Process-Configuration Parsers . . . ............................. 447
14.3.1 AParallelBottom-upGLRParser ...................... 448
14.3.2 Some Other Process-Configuration Parsers . . . . ........... 452
14.4 ConnectionistParsers ....................................... 453
14.4.1 BooleanCircuits..................................... 453
14.4.2 A CYK Recognizer on a Boolean Circuit . . . . . ........... 454
14.4.3 Rytter’sAlgorithm................................... 460
14.5 Conclusion................................................ 470
15 Non-Chomsky Grammars and Their Parsers .....................473
15.1 The Unsuitability of Context-Sensitive Grammars . . . . ........... 473
15.1.1 UnderstandingContext-SensitiveGrammars.............. 474
15.1.2 ParsingwithContext-SensitiveGrammars ............... 475
15.1.3 Expressing Semantics in Context-Sensitive Grammars . . . . . 475
15.1.4 ErrorHandlinginContext-SensitiveGrammars........... 475
15.1.5 Alternatives......................................... 476
15.2 Two-LevelGrammars....................................... 476
15.2.1 VWGrammars ...................................... 477
15.2.2 ExpressingSemanticsinaVWGrammar ................ 480
15.2.3 ParsingwithVWGrammars........................... 482
15.2.4 ErrorHandlinginVWGrammars ...................... 484
15.2.5 InfiniteSymbolSets.................................. 484
15.3 AttributeandAffixGrammars................................ 485
15.3.1 AttributeGrammars.................................. 485
15.3.2 AffixGrammars ..................................... 488
15.4 Tree-AdjoiningGrammars................................... 492
15.4.1 Cross-Dependencies . . . . . ............................. 492
15.4.2 ParsingwithTAGs................................... 497
15.5 Coupled Grammars . ........................................ 500
15.5.1 Parsing with Coupled Grammars . ...................... 501
15.6 OrderedGrammars ......................................... 502
15.6.1 RuleOrderingbyControlGrammar..................... 502
15.6.2 ParsingwithRule-OrderedGrammars................... 503
15.6.3 MarkedOrderedGrammars............................ 504
15.6.4 ParsingwithMarkedOrderedGrammars ................ 505
15.7 Recognition Systems ........................................ 506
15.7.1 Properties of a Recognition System . . . .................. 507
15.7.2 Implementing a Recognition System . . .................. 509
15.7.3 Parsing with Recognition Systems ...................... 512
15.7.4 Expressing Semantics in Recognition Systems . ........... 512
15.7.5 Error Handling in Recognition Systems. . . . . . . ........... 513
15.8 BooleanGrammars......................................... 514
15.8.1 ExpressingContextChecksinBooleanGrammars ........ 514
15.8.2 ParsingwithBooleanGrammars ....................... 516
15.8.3 §-Calculus.......................................... 516
15.9 Conclusion................................................ 517
16 Error Handling ..............................................521
16.1 DetectionversusRecoveryversusCorrection ................... 521
16.2 ParsingTechniquesandErrorDetection........................ 523
16.2.1 Error Detection in Non-Directional Parsing Methods . . . . . . 523
16.2.2 ErrorDetectioninFinite-StateAutomata ................ 524
16.2.3 Error Detection in General Directional Top-Down Parsers . . 524
16.2.4 Error Detection in General Directional Bottom-Up Parsers. . 524
16.2.5 Error Detection in Deterministic Top-Down Parsers . . . . . . . 525
16.2.6 ErrorDetectioninDeterministicBottom-UpParsers....... 525
16.3 RecoveringfromErrors ..................................... 526
16.4 GlobalErrorHandling ...................................... 526
16.5 RegionalErrorHandling .................................... 530
16.5.1 Backward/ForwardMoveErrorRecovery................ 530
16.5.2 Error Recovery with Bounded-Context Grammars . . . . . . . . . 532
16.6 LocalErrorHandling ....................................... 533
16.6.1 PanicMode......................................... 534
16.6.2 FOLLOW-SetErrorRecovery ......................... 534
16.6.3 Acceptable-Sets Derived from Continuations . . ........... 535
16.6.4 Insertion-OnlyErrorCorrection........................ 537
16.6.5 LocallyLeast-CostErrorRecovery ..................... 539
16.7 Non-CorrectingErrorRecovery............................... 540
16.7.1 DetectionandRecovery............................... 540
16.7.2 LocatingtheError ................................... 541
16.8 Ad Hoc Methods . . . ........................................ 542
16.8.1 Error Productions .................................... 542
16.8.2 EmptyTableSlots ................................... 543
16.8.3 ErrorTokens ........................................ 543
16.9 Conclusion................................................ 543
17 Practical Parser Writing and Usage .............................545
17.1 AComparativeSurvey ...................................... 545
17.1.1 Considerations ...................................... 545
17.1.2 GeneralParsers...................................... 546
17.1.3 General Substring Parsers ............................. 547
17.1.4 Linear-TimeParsers.................................. 548
17.1.5 Linear-Time Substring Parsers . . . ...................... 549
17.1.6 ObtainingandUsingaParserGenerator ................. 549
17.2 ParserConstruction......................................... 550
17.2.1 Interpretive,Table-Based,andCompiledParsers .......... 550
17.2.2 Parsing Methods and Implementations .................. 551
17.3 ASimpleGeneralContext-FreeParser......................... 553
17.3.1 PrinciplesoftheParser ............................... 553
17.3.2 TheProgram........................................ 554
17.3.3 HandlingLeftRecursion.............................. 559
17.3.4 Parsing in Polynomial Time . . . . . ...................... 560
17.4 Programming Language Paradigms. . . . . . ...................... 563
17.4.1 ImperativeandObject-OrientedProgramming............ 563
17.4.2 Functional Programming . ............................. 564
17.4.3 LogicProgramming.................................. 567
17.5 AlternativeUsesofParsing .................................. 567
17.5.1 DataCompression ................................... 567
17.5.2 MachineCodeGeneration............................. 570
17.5.3 Support of Logic Languages . . . . . ...................... 573
17.6 Conclusion................................................ 573
18 Annotated Bibliography .......................................575
18.1 Major Parsing Subjects . . .................................... 576
18.1.1 UnrestrictedPSandCSGrammars...................... 576
18.1.2 GeneralContext-FreeParsing.......................... 576
18.1.3 LLParsing.......................................... 584
18.1.4 LRParsing ......................................... 585
18.1.5 Left-CornerParsing .................................. 592
18.1.6 Precedence and Bounded-Right-Context Parsing . . . . . . . . . . 593
18.1.7 Finite-StateAutomata ................................ 596
18.1.8 General Books and Papers on Parsing . .................. 599
18.2 Advanced Parsing Subjects . . . . . ............................. 601
18.2.1 GeneralizedDeterministicParsing...................... 601
18.2.2 Non-Canonical Parsing . . ............................. 605
18.2.3 Substring Parsing .................................... 609
18.2.4 ParsingasIntersection................................ 611
18.2.5 ParallelParsingTechniques............................ 612
18.2.6 Non-ChomskySystems ............................... 614
18.2.7 ErrorHandling ...................................... 623
18.2.8 IncrementalParsing .................................. 629
18.3 ParsersandApplications .................................... 630
18.3.1 Parser Writing . . . .................................... 630
18.3.2 Parser-GeneratingSystems ............................ 634
18.3.3 Applications ........................................ 634
18.3.4 ParsingandDeduction................................ 635
18.3.5 Parsing Issues in Natural Language Handling . . ........... 636
18.4 Support Material . . . ........................................ 638
18.4.1 Formal Languages . . . . . . ............................. 638
18.4.2 ApproximationTechniques............................ 641
18.4.3 TransformationsonGrammars ......................... 641
18.4.4 MiscellaneousLiterature.............................. 642
A Hints and Solutions to Selected Problems ........................645
Author Index ....................................................651
Subject Index ....................................................655

1
Introduction
Parsing is the process of structuring a linear representation in accordance with a
given grammar. This definition has been kept abstract on purpose to allow as wide an
interpretation as possible. The “linear representation” may be a sentence, a computer
program, a knitting pattern, a sequence of geological strata, a piece of music, actions
in ritual behavior, in short any linear sequence in which the preceding elements in
some way restrict1the next element. For some of the examples the grammar is well
known, for some it is an object of research, and for some our notion of a grammar is
only just beginning to take shape.
For each grammar, there are generally an infinite number of linear representa-
tions (“sentences”) that can be structured with it. That is, a finite-size grammar can
supply structure to an infinite number of sentences. This is the main strength of the
grammar paradigm and indeed the main source of the importance of grammars: they
summarize succinctly the structure of an infinite number of objects of a certain class.
There are several reasons to perform this structuring process called parsing. One
reason derives from the fact that the obtained structure helps us to process the object
further. When we know that a certain segment of a sentence is the subject, that in-
formation helps in understanding or translating the sentence. Once the structure of a
document has been brought to the surface, it can be converted more easily.
A second reason is related to the fact that the grammar in a sense represents our
understanding of the observed sentences: the better a grammar we can give for the
movements of bees, the deeper our understanding is of them.
A third lies in the completion of missing information that parsers, and especially
error-repairing parsers, can provide. Given a reasonable grammar of the language,
an error-repairing parser can suggest possible word classes for missing or unknown
words on clay tablets.
The reverse problem — given a (large) set of sentences, find the/a grammar which
produces them — is called grammatical inference. Much less is known about it than
about parsing, but progress is being made. The subject would require a complete
1If there is no restriction, the sequence still has a grammar, but this grammar is trivial and
uninformative.
2 1 Introduction
book. Proceedings of the International Colloquiums on Grammatical Inference are
published as Lecture Notes in Artificial Intelligence by Springer.
1.1 Parsing as a Craft
Parsing is no longer an arcane art; it has not been so since the early 1970s when
Aho, Ullman, Knuth and many others put various parsing techniques solidly on their
theoretical feet. It need not be a mathematical discipline either; the inner workings of
a parser can be visualized, understood and modified to fit the application, with little
more than cutting and pasting strings.
There is a considerable difference between a mathematician’s view of the world
and a computer scientist’s. To a mathematician all structures are static: they have
always been and will always be; the only time dependence is that we just have not
discovered them all yet. The computer scientist is concerned with (and fascinated
by) the continuous creation, combination, separation and destruction of structures:
time is of the essence. In the hands of a mathematician, the Peano axioms create the
integers without reference to time, but if a computer scientist uses them to implement
integer addition, he finds they describe a very slow process, which is why he will be
looking for a more efficient approach. In this respect the computer scientist has more
in common with the physicist and the chemist; like them, he cannot do without a
solid basis in several branches of applied mathematics, but, like them, he is willing
(and often virtually obliged) to take on faith certain theorems handed to him by the
mathematician. Without the rigor of mathematics all science would collapse, but not
all inhabitants of a building need to know all the spars and girders that keep it up-
right. Factoring out certain detailed knowledge to specialists reduces the intellectual
complexity of a task, which is one of the things computer science is about.
This is the vein in which this book is written: parsing for anybody who has pars-
ing to do: the compiler writer, the linguist, the database interface writer, the geologist
or musicologist who wants to test grammatical descriptions of their respective objects
of interest, and so on. We require a good ability to visualize, some programming ex-
perience and the willingness and patience to follow non-trivial examples; there is
nothing better for understanding a kangaroo than seeing it jump. We treat, of course,
the popular parsing techniques, but we will not shun some weird techniques that look
as if they are of theoretical interest only: they often offer new insights and a reader
might find an application for them.
1.2 The Approach Used
This book addresses the reader at least three different levels. The interested non-
computer scientist can read the book as “the story of grammars and parsing”; he
or she can skip the detailed explanations of the algorithms: each algorithm is first
explained in general terms. The computer scientist will find much technical detail on
a wide array of algorithms. To the expert we offer a systematic bibliography of over
1.3 Outline of the Contents 3
1700 entries. The printed book holds only those entries referenced in the book itself;
the full list is available on the web site of this book. All entries in the printed book
and about two-thirds of the entries in the web site list come with an annotation; this
annotation, or summary, is unrelated to the abstract in the referred article, but rather
provides a short explanation of the contents and enough material for the reader to
decide if the referred article is worth reading.
No ready-to-run algorithms are given, except for the general context-free parser
of Section 17.3. The formulation of a parsing algorithm with sufficient precision to
enable a programmer to implement and run it without problems requires a consider-
able support mechanism that would be out of place in this book and in our experience
does little to increase one’s understanding of the process involved. The popular meth-
ods are given in algorithmic form in most books on compiler construction. The less
widely used methods are almost always described in detail in the original publica-
tion, for which see Chapter 18.
1.3 Outline of the Contents
Since parsing is concerned with sentences and grammars and since grammars are
themselves fairly complicated objects, ample attention is paid to them in Chapter 2.
Chapter 3 discusses the principles behind parsing and gives a classification of parsing
methods. In summary, parsing methods can be classified as top-down or bottom-up
and as directional or non-directional; the directional methods can be further dis-
tinguished into deterministic and non-deterministic ones. This situation dictates the
contents of the next few chapters.
In Chapter 4 we treat non-directional methods, including Unger and CYK. Chap-
ter 5 forms an intermezzo with the treatment of finite-state automata, which are
needed in the subsequent chapters. Chapters 6 through 10 are concerned with direc-
tional methods, as follows. Chapter 6 covers non-deterministic directional top-down
parsers (recursive descent, Definite Clause Grammars), Chapter 7 non-deterministic
directional bottom-up parsers (Earley). Deterministic methods are treated in Chap-
ters 8 (top-down: LL in various forms) and 9 (bottom-up: LR methods). Chapter 10
covers non-canonical parsers, parsers that determine the nodes of a parse tree in a not
strictly top-down or bottom-up order (for example left-corner). Non-deterministic
versions of the above deterministic methods (for example the GLR parser) are de-
scribed in Chapter 11.
The next four chapters are concerned with material that does not fit the above
framework. Chapter 12 shows a number of recent techniques, both deterministic and
non-deterministic, for parsing substrings of complete sentences in a language. An-
other recent development, in which parsing is viewed as intersecting a context-free
grammar with a finite-state automaton is covered in Chapter 13. A few of the nu-
merous parallel parsing algorithms are explained in Chapter 14, and a few of the
numerous proposals for non-Chomsky language formalisms are explained in Chap-
ter 15, with their parsers. That completes the parsing methods per se.
4 1 Introduction
Error handling for a selected number of methods is treated in Chapter 16, and
Chapter 17 discusses practical parser writing and use.
1.4 The Annotated Bibliography
The annotated bibliography is presented in Chapter 18 both in the printed book and,
in a much larger version, on the web site of this book. It is an easily accessible and
essential supplement of the main body of the book. Rather than listing all publica-
tions in author-alphabetic order, the bibliography is divided into a number of named
sections, each concerned with a particular aspect of parsing; there are 25 of them in
the printed book and 30 in the web bibliography. Within the sections, the publica-
tions are listed chronologically. An author index at the end of the book replaces the
usual alphabetic list of publications. A numerical reference placed in brackets is used
in the text to refer to a publication. For example, the annotated reference to Earley’s
publication of the Earley parser is indicated in the text by [14] and can be found on
page 578, in the entry marked 14.
2
Grammars as a Generating Device
2.1 Languages as Infinite Sets
In computer science as in everyday parlance, a “grammar” serves to “describe” a
“language”. If taken at face value, this correspondence, however, is misleading, since
the computer scientist and the naive speaker mean slightly different things by the
three terms. To establish our terminology and to demarcate the universe of discourse,
we shall examine the above terms, starting with the last one.
2.1.1 Language
To the larger part of mankind, language is first and foremost a means of communi-
cation, to be used almost unconsciously, certainly so in the heat of a debate. Com-
munication is brought about by sending messages, through air vibrations or through
written symbols. Upon a closer look the language messages (“utterances”) fall apart
into sentences, which are composed of words, which in turn consist of symbol se-
quences when written. Languages can differ on all three levels of composition. The
script can be slightly different, as between English and Irish, or very different, as
between English and Chinese. Words tend to differ greatly, and even in closely re-
lated languages people call un cheval or ein Pferd, that which is known to others as
a horse. Differences in sentence structure are often underestimated; even the closely
related Dutch often has an almost Shakespearean word order: “Ik geloof je niet”, “I
believe you not”, and more distantly related languages readily come up with con-
structions like the Hungarian “Pénzem van”, “Money-my is”, where the English say
“I have money”.
The computer scientist takes a very abstracted view of all this. Yes, a language
has sentences, and these sentences possess structure; whether they communicate
something or not is not his concern, but information may possibly be derived from
their structure and then it is quite all right to call that information the “meaning”
of the sentence. And yes, sentences consist of words, which he calls “tokens”, each
possibly carrying a piece of information, which is its contribution to the meaning of
6 2 Grammars as a Generating Device
the whole sentence. But no, words cannot be broken down any further. This does not
worry the computer scientist. With his love of telescoping solutions and multi-level
techniques, he blithely claims that if words turn out to have structure after all, they
are sentences in a different language, of which the letters are the tokens.
The practitioner of formal linguistics, henceforth called the formal-linguist (to
distinguish him from the “formal linguist”, the specification of whom is left to the
imagination of the reader) again takes an abstracted view of this. A language is a
“set” of sentences, and each sentence is a “sequence” of “symbols”; that is all there
is: no meaning, no structure, either a sentence belongs to the language or it does not.
The only property of a symbol is that it has an identity; in any language there are a
certain number of different symbols, the alphabet, and that number must be finite.
Just for convenience we write these symbols as a,b,c,...,but ✆,✈,❐, ... would
do equally well, as long as there are enough symbols. The word sequence means that
the symbols in each sentence are in a fixed order and we should not shuffle them.
The word set means an unordered collection with all the duplicates removed. A set
can be written down by writing the objects in it, surrounded by curly brackets. All
this means that to the formal-linguist the following is a language: a, b, ab, ba,and
so is {a, aa, aaa, aaaa, . . . } although the latter has notational problems that will
be solved later. In accordance with the correspondence that the computer scientist
sees between sentence/word and word/letter, the formal-linguist also calls a sentence
aword and he says that “the word ab is in the language {a, b, ab, ba}”.
Now let us consider the implications of these compact but powerful ideas.
To the computer scientist, a language is a probably infinitely large set of sen-
tences, each composed of tokens in such a way that it has structure; the tokens and
the structure cooperate to describe the semantics of the sentence, its “meaning” if
you will. Both the structure and the semantics are new, that is, were not present in
the formal model, and it is his responsibility to provide and manipulate them both. To
a computer scientist 3 +4×5 is a sentence in the language of “arithmetics on single
digits” (“single digits” to avoid having an infinite number of symbols); its structure
can be shown by inserting parentheses: (3+(4×5)); and its semantics is probably
23.
To the linguist, whose view of languages, it has to be conceded, is much more
normal than that of either of the above, a language is an infinite set of possibly in-
terrelated sentences. Each sentence consists, in a structured fashion, of words which
have a meaning in the real world. Structure and words together give the sentence a
meaning, which it communicates. Words, again, possess structure and are composed
of letters; the letters cooperate with some of the structure to give a meaning to the
word. The heavy emphasis on semantics, the relation with the real world and the
integration of the two levels sentence/word and word/letters are the domain of the
linguist. “The circle spins furiously” is a sentence, “The circle sleeps red” is non-
sense.
The formal-linguist holds his views of language because he wants to study the
fundamental properties of languages in their naked beauty; the computer scientist
holds his because he wants a clear, well-understood and unambiguous means of de-
scribing objects in the computer and of communication with the computer, a most
2.1 Languages as Infinite Sets 7
exacting communication partner, quite unlike a human; and the linguist holds his
view of language because it gives him a formal tight grip on a seemingly chaotic and
perhaps infinitely complex object: natural language.
2.1.2 Grammars
Everyone who has studied a foreign language knows that a grammar is a book of
rules and examples which describes and teaches the language. Good grammars make
a careful distinction between the sentence/word level, which they often call syntax or
syntaxis and the word/letter level, which they call morphology. Syntax contains rules
like “pour que is followed by the subjunctive, but parce que is not”. Morphology
contains rules like “the plural of an English noun is formed by appending an -s,
except when the word ends in -s,-sh,-o,-ch or -x, in which case -es is appended, or
when the word has an irregular plural.”
We skip the computer scientist’s view of a grammar for the moment and proceed
immediately to that of the formal-linguist. His view is at the same time very ab-
stract and quite similar to the layman’s: a grammar is any exact, finite-size, complete
description of the language, i.e., of the set of sentences. This is in fact the school
grammar, with the fuzziness removed. Although it will be clear that this definition
has full generality, it turns out that it is too general, and therefore relatively power-
less. It includes descriptions like “the set of sentences that could have been written
by Chaucer”; platonically speaking this defines a set, but we have no way of creating
this set or testing whether a given sentence belongs to this language. This particular
example, with its “could have been” does not worry the formal-linguist, but there
are examples closer to his home that do. “The longest block of consecutive sevens
in the decimal expansion of π” describes a language that has at most one word in
it (and then that word will consist of sevens only), and as a definition it is exact, of
finite-size and complete. One bad thing with it, however, is that one cannot find this
word: suppose one finds a block of one hundred sevens after billions and billions of
digits, there is always a chance that further on there is an even longer block. And
another bad thing is that one cannot even know if this longest block exists at all. It
is quite possible that, as one proceeds further and further up the decimal expansion
of π, one would find longer and longer stretches of sevens, probably separated by
ever-increasing gaps. A comprehensive theory of the decimal expansion of πmight
answer these questions, but no such theory exists.
For these and other reasons, the formal-linguists have abandoned their static, pla-
tonic view of a grammar for a more constructive one, that of the generative grammar:
agenerative grammar is an exact, fixed-size recipe for constructing the sentences in
the language. This means that, following the recipe, it must be possible to construct
each sentence of the language (in a finite number of actions) and no others. This does
not mean that, given a sentence, the recipe tells us how to construct that particular
sentence, only that it is possible to do so. Such recipes can have several forms, of
which some are more convenient than others.
The computer scientist essentially subscribes to the same view, often with the ad-
ditional requirement that the recipe should imply how a sentence can be constructed.

8 2 Grammars as a Generating Device
2.1.3 Problems with Infinite Sets
The above definition of a language as a possibly infinite set of sequences of symbols
and of a grammar as a finite recipe to generate these sentences immediately gives
rise to two embarrassing questions:
1. How can finite recipes generate enough infinite sets of sentences?
2. If a sentence is just a sequence and has no structure and if the meaning of a
sentence derives, among other things, from its structure, how can we assess the
meaning of a sentence?
These questions have long and complicated answers, but they do have answers. We
shall first pay some attention to the first question and then devote the main body of
this book to the second.
2.1.3.1 Infinite Sets from Finite Descriptions
In fact there is nothing wrong with getting a single infinite set from a single finite
description: “the set of all positive integers” is a very finite-size description of a
definitely infinite-size set. Still, there is something disquieting about the idea, so we
shall rephrase our question: “Can all languages be described by finite descriptions?”
As the lead-up already suggests, the answer is “No”, but the proof is far from trivial.
It is, however, very interesting and famous, and it would be a shame not to present at
least an outline of it here.
2.1.3.2 Descriptions can be Enumerated
The proof is based on two observations and a trick. The first observation is that de-
scriptions can be listed and given a number. This is done as follows. First, take all
descriptions of size one, that is, those of only one letter long, and sort them alpha-
betically. This is the beginning of our list. Depending on what, exactly, we accept as
a description, there may be zero descriptions of size one, or 27 (all letters + space),
or 95 (all printable ASCII characters) or something similar; this is immaterial to the
discussion which follows.
Second, we take all descriptions of size two, sort them alphabetically to give
the second chunk on the list, and so on for lengths 3, 4 and further. This assigns
a position on the list to each and every description. Our description “the set of all
positive integers”, for example, is of size 32, not counting the quotation marks. To
find its position on the list, we have to calculate how many descriptions there are
with less than 32 characters, say L. We then have to generate all descriptions of size
32, sort them and determine the position of our description in it, say P, and add the
two numbers Land P. This will, of course, give a huge number1but it does ensure
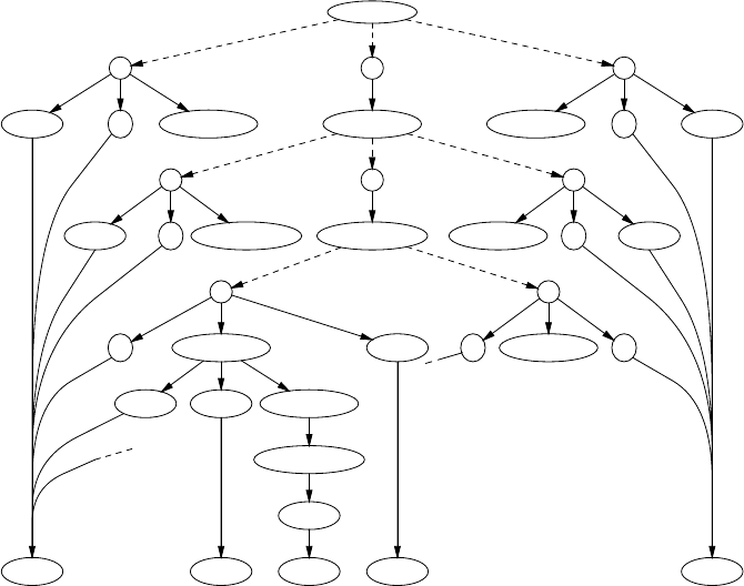
that the description is on the list, in a well-defined position; see Figure 2.1.
1Some calculations tell us that, under the ASCII-128 assumption, the number is 248 17168
89636 37891 49073 14874 06454 89259 38844 52556 26245 57755 89193 30291, or
roughly 2.5×1067.

2.1 Languages as Infinite Sets 9
{ descriptions of size 1
{ descriptions of size 2
{ descriptions of size 3
.. ...
{descriptions of size 31
L
.......................
{descriptions of size 32
“the set of all positive integers”
P
Fig. 2.1. List of all descriptions of length 32 or less
Two things should be pointed out here. The first is that just listing all descriptions
alphabetically, without reference to their lengths, would not do: there are already
infinitely many descriptions starting with an “a” and no description starting with a
higher letter could get a number on the list. The second is that there is no need to
actually do all this. It is just a thought experiment that allows us to examine and draw
conclusions about the behavior of a system in a situation which we cannot possibly
examine physically.
Also, there will be many nonsensical descriptions on the list; it will turn out
that this is immaterial to the argument. The important thing is that all meaningful
descriptions are on the list, and the above argument ensures that.
2.1.3.3 Languages are Infinite Bit-Strings
We know that words (sentences) in a language are composed of a finite set of sym-
bols; this set is called quite reasonably the “alphabet”. We will assume that the sym-
bols in the alphabet are ordered. Then the words in the language can be ordered too.
We shall indicate the alphabet by Σ.
Now the simplest language that uses alphabet Σis that which consists of all words
that can be made by combining letters from the alphabet. For the alphabet Σ={a, b}
we get the language { , a, b, aa, ab, ba, bb, aaa, ...}.Weshallcallthislanguage Σ∗,
for reasons to be explained later; for the moment it is just a name.
The set notation Σ∗above started with “ { ,a,”, a remarkable construction; the
first word in the language is the empty word, the word consisting of zero as and zero
bs. There is no reason to exclude it, but, if written down, it may easily be overlooked,
so we shall write it as ε(epsilon), regardless of the alphabet. So, Σ∗={ε,a, b, aa, ab,
ba, bb, aaa, . . . }. In some natural languages, forms of the present tense of the verb
“to be” are empty words, giving rise to sentences of the form “I student”, meaning
“I am a student.” Russian and Hebrew are examples of this.
Since the symbols in the alphabet Σare ordered, we can list the words in the
language Σ∗, using the same technique as in the previous section: First, all words of
size zero, sorted; then all words of size one, sorted; and so on. This is actually the
order already used in our set notation for Σ∗.
10 2 Grammars as a Generating Device
The language Σ∗has the interesting property that all languages using alphabet Σ
are subsets of it. That means that, given another possibly less trivial language over
Σ, called L, we can go through the list of words in Σ∗and put ticks on all words that
are in L. This will cover all words in L,sinceΣ∗contains any possible word over Σ.
Suppose our language Lis “the set of all words that contain more asthanbs”. L
is the set {a, aa, aab, aba, baa, ...}.Thebeginningof ourlist,withticks,willlook
as follows:
ε
✔a
b
✔aa
ab
ba
bb
✔aaa
✔aab
✔aba
abb
✔baa
bab
bba
bbb
✔aaaa
... ...
Given the alphabet with its ordering, the list of blanks and ticks alone is entirely
sufficient to identify and describe the language. For convenience we write the blank
as a 0 and the tick as a 1 as if they were bits in a computer, and we can now write
L=0101000111010001··· (and Σ∗=1111111111111111···). It should be noted
that this is true for any language, be it a formal language like L, a programming
language like Java or a natural language like English. In English, the 1s in the bit-
string will be very scarce, since hardly any arbitrary sequence of words is a good
English sentence (and hardly any arbitrary sequence of letters is a good English
word, depending on whether we address the sentence/word level or the word/letter
level).
2.1.3.4 Diagonalization
The previous section attaches the infinite bit-string 0101000111010001···to the de-
scription “the set of all the words that contain more asthanbs”. In the same vein
we can attach such bit-strings to all descriptions. Some descriptions may not yield a
language, in which case we can attach an arbitrary infinite bit-string to it. Since all
descriptions can be put on a single numbered list, we get, for example, the following
picture:

2.1 Languages as Infinite Sets 11
Description Language
Description #1 000000100···
Description #2 110010001···
Description #3 011011010···
Description #4 110011010···
Description #5 100000011···
Description #6 111011011···
... ...
At the left we have all descriptions, at the right all languages they describe. We now
claim that many languages exist that are not on the list of languages above: the above
list is far from complete, although the list of descriptions is complete. We shall prove
this by using the diagonalization process (“Diagonalverfahren”) of Cantor.
Consider the language C=100110···, which has the property that its n-th bit is
unequal to the n-th bit of the language described by Description #n. The first bit of
Cis a 1, because the first bit for Description #1 is a 0; the second bit of Cis a 0,
because the second bit for Description #2 is a 1, and so on. Cis made by walking the
NW to SE diagonal of the language field and copying the opposites of the bits we
meet. This is the diagonal in Figure 2.2(a). The language Ccannot be on the list! It
(a)
free
(b)(c)
Fig. 2.2. “Diagonal” languages along n(a), n+10 (b), and 2n(c)
cannot be on line 1, since its first bit differs (is made to differ, one should say) from
that on line 1, and in general it cannot be on line n, since its n-th bit will differ from
that on line n, by definition.
So, in spite of the fact that we have exhaustively listed all possible finite descrip-
tions, we have at least one language that has no description on the list. But there exist
more languages that are not on the list. Construct, for example, the language whose
n+10-th bit differs from the n+10-th bit in Description #n. Again it cannot be on the
list since for every n>0 it differs from line nin the n+10-th bit. But that means that
bits1...9playnorole,andcanbechosenarbitrarily,asshowninFigure2.2(b); this
yields another 29=512 languages that are not on the list. And we can do even much
better than that! Suppose we construct a language whose 2n-th bit differs from the
2n-th bit in Description #n(c). Again it is clear that it cannot be on the list, but now
every odd bit is left unspecified and can be chosen freely! This allows us to create

12 2 Grammars as a Generating Device
freely an infinite number of languages none of which allows a finite description; see
the slanting diagonal in Figure 2.2. In short, for every language that can be described
there are infinitely many that cannot.
The diagonalization technique is described more formally in most books on the-
oretical computer science; see e.g., Rayward-Smith [393, pp. 5-6], or Sudkamp [397,
Section 1.4].
2.1.3.5 Discussion
The above demonstration shows us several things. First, it shows the power of treat-
ing languages as formal objects. Although the above outline clearly needs consider-
able amplification and substantiation to qualify as a proof (for one thing it still has to
be clarified why the above explanation, which defines the language C, is not itself on
the list of descriptions; see Problem 2.1, it allows us to obtain insight into properties
not otherwise assessable.
Secondly, it shows that we can only describe a tiny subset (not even a fraction)
of all possible languages: there is an infinity of languages out there, forever beyond
our reach.
Thirdly, we have proved that, although there are infinitely many descriptions and
infinitely many languages, these infinities are not equal to each other, and the latter
is larger than the former. These infinities are called ℵ0and ℵ1by Cantor, and the
above is just a special case of his proof that ℵ0<ℵ1.
2.1.4 Describing a Language through a Finite Recipe
A good way to build a set of objects is to start with a small object and to give rules
for how to add to it and construct new objects from it. “Two is an even number and
the sum of two even numbers is again an even number” effectively generates the set
of all even numbers. Formalists will add “and no other numbers are even”, but we
will take that as understood.
Suppose we want to generate the set of all enumerations of names, of the type
“Tom, Dick and Harry”, in which all names but the last two are separated by commas.
We will not accept “Tom, Dick, Harry” nor “Tom and Dick and Harry”, but we shall
not object to duplicates: “Grubb, Grubb and Burrowes”2is all right. Although these
are not complete sentences in normal English, we shall still call them “sentences”
since that is what they are in our midget language of name enumerations. A simple-
minded recipe would be:
0. Tomisaname,Dickisaname,Harryisaname;
1. a name is a sentence;
2. a sentence followed by a comma and a name is again a sentence;
3. before finishing, if the sentence ends in “, name”, replace it by “and name”.
2The Hobbit, by J.R.R. Tolkien, Allen and Unwin, 1961, p. 311.
2.1 Languages as Infinite Sets 13
Although this will work for a cooperative reader, there are several things wrong
with it. Clause 3 is especially wrought with trouble. For example, the sentence does
not really end in “, name”, it ends in “, Dick” or such, and “name” is just a symbol
that stands for a real name; such symbols cannot occur in a real sentence and must
in the end be replaced by a real name as given in clause 0. Likewise, the word “sen-
tence” in the recipe is a symbol that stands for all the actual sentences. So there are
two kinds of symbols involved here: real symbols, which occur in finished sentences,
like “Tom”, “Dick”, a comma and the word “and”; and there are intermediate sym-
bols, like “sentence” and “name” that cannot occur in a finished sentence. The first
kind corresponds to the words or tokens explained above; the technical term for them
is terminal symbols (or terminals for short). The intermediate symbols are called non-
terminals, a singularly uninspired term. To distinguish them, we write terminals in
lower case letters and start non-terminals with an upper case letter. Non-terminals
are called (grammar) variables or syntactic categories in linguistic contexts.
To stress the generative character of the recipe, we shall replace “X is a Y” by
“Y may be replaced by X”: if “tom” is an instance of a Name, then everywhere we
have a Name we may narrow it down to “tom”. This gives us:
0. Name may be replaced by “tom”
Name may be replaced by “dick”
Name may be replaced by “harry”
1. Sentence may be replaced by Name
2. Sentence may be replaced by Sentence, Name
3. “, Name” at the end of a Sentence must be replaced by “and Name” before Name
is replaced by any of its replacements
4. a sentence is finished only when it no longer contains non-terminals
5. we start our replacement procedure with Sentence
Clause 0 through 3 describe replacements, but 4 and 5 are different. Clause 4 is not
specific to this grammar. It is valid generally and is one of the rules of the game.
Clause 5 tells us where to start generating. This name is quite naturally called the
start symbol, and it is required for every grammar.
Clause 3 still looks worrisome; most rules have “may be replaced”, but this one
has “must be replaced”, and it refers to the “end of a Sentence”. The rest of the rules
work through replacement, but the problem remains how we can use replacement
to test for the end of a Sentence. This can be solved by adding an end marker after
it. And if we make the end marker a non-terminal which cannot be used anywhere
except in the required replacement from “, Name” to “and Name”, we automatically
enforce the restriction that no sentence is finished unless the replacement test has
taken place. For brevity we write ---> instead of “may be replaced by”; since terminal
and non-terminal symbols are now identified as technical objects we shall write them
in a typewriter-like typeface. The part before the ---> is called the left-hand side,the
part after it the right-hand side. This results in the recipe in Figure 2.3.
This is a simple and relatively precise form for a recipe, and the rules are equally
straightforward: start with the start symbol, and keep replacing until there are no
non-terminals left.
14 2 Grammars as a Generating Device
0. Name ---> tom
Name ---> dick
Name ---> harry
1. Sentence ---> Name
Sentence ---> List End
2. List ---> Name
List ---> List , Name
3. , Name End ---> and Name
4. the start symbol is Sentence
Fig. 2.3. A finite recipe for generating strings in the t, d & h language
2.2 Formal Grammars
The above recipe form, based on replacement according to rules, is strong enough
to serve as a basis for formal grammars. Similar forms, often called “rewriting sys-
tems”, have a long history among mathematicians, and were already in use several
centuries B.C. in India (see, for example, Bhate and Kak [411]). The specific form
of Figure 2.3 was first studied extensively by Chomsky [385]. His analysis has been
the foundation for almost all research and progress in formal languages, parsers and
a considerable part of compiler construction and linguistics.
2.2.1 The Formalism of Formal Grammars
Since formal languages are a branch of mathematics, work in this field is done in a
special notation. To show some of its flavor, we shall give the formal definition of
a grammar and then explain why it describes a grammar like the one in Figure 2.3.
The formalism used is indispensable for correctness proofs, etc., but not for under-
standing the principles; it is shown here only to give an impression and, perhaps, to
bridge a gap.
Definition 2.1:Agenerative grammar is a 4-tuple (VN,VT,R,S)such that
(1) VNand VTare finite sets of symbols,
(2) VN∩VT=/
0,
(3) Ris a set of pairs (P,Q)such that
(3a) P∈(VN∪VT)+and
(3b) Q∈(VN∪VT)∗,
(4) S∈VN
A4-tuple is just an object consisting of 4 identifiable parts; they are the non-
terminals, the terminals, the rules and the start symbol, in that order. The above
definition does not tell this, so this is for the teacher to explain. The set of non-
terminals is named VNandthesetofterminalsVT. For our grammar we have:
VN={Name,Sentence,List,End}
VT={tom,dick,harry,,,and}
2.2 Formal Grammars 15
(note the ,in the set of terminal symbols).
The intersection of VNand VT(2) must be empty, indicated by the symbol for
the empty set, /
0. So the non-terminals and the terminals may not have a symbol in
common, which is understandable.
Ris the set of all rules (3), and Pand Qare the left-hand sides and right-hand
sides, respectively. Each Pmust consist of sequences of one or more non-terminals
and terminals and each Qmust consist of sequences of zero or more non-terminals
and terminals. For our grammar we have:
R={(Name,tom), (Name,dick), (Name,harry),
(Sentence,Name), (Sentence,List End), (List,Name),
(List,List , Name), (, Name End,and Name)}
Note again the two different commas.
The start symbol Smust be an element of VN, that is, it must be a non-terminal:
S=Sentence
This concludes our field trip into formal linguistics. In short, the mathematics of
formal languages is a language, a language that has to be learned; it allows very con-
cise expression of what and how but gives very little information on why. Consider
this book a translation and an exegesis.
2.2.2 Generating Sentences from a Formal Grammar
The grammar in Figure 2.3 is what is known as a phrase structure grammar for
our t,d&h language (often abbreviated to PS grammar). There is a more compact
notation, in which several right-hand sides for one and the same left-hand side are
grouped together and then separated by vertical bars, |. This bar belongs to the
formalism, just as the arrow --->, and can be read “or else”. The right-hand sides
separated by vertical bars are also called alternatives. In this more concise form our
grammar becomes
0. Name ---> tom | dick | harry
1. Sentences---> Name | List End
2. List ---> Name | Name , List
3. , Name End ---> and Name
where the non-terminal with the subscript sis the start symbol. (The subscript iden-
tifies the symbol, not the rule.)
Now let us generate our initial example from this grammar, using replacement
according to the above rules only. We obtain the following successive forms for
Sentence:
16 2 Grammars as a Generating Device
Intermediate form Rule used Explanation
Sentence the start symbol
List End Sentence ---> List End rule 1
Name , List End List ---> Name , List rule 2
Name , Name , List End List ---> Name , List rule 2
Name , Name , Name End List ---> Name rule 2
Name , Name and Name , Name End ---> and Name rule 3
tom , dick and harry rule 0, three times
The intermediate forms are called sentential forms. If a sentential form contains no
non-terminals it is called a sentence and belongs to the generated language. The
transitions from one line to the next are called production steps and the rules are
called production rules, for obvious reasons.
The production process can be made more visual by drawing connective lines be-
tween corresponding symbols, using a “graph”. A graph is a set of nodes connected
by a set of edges. A node can be thought of as a point on paper, and an edge as a
line, where each line connects two points; one point may be the end point of more
than one line. The nodes in a graph are usually “labeled”, which means that they
have been given names, and it is convenient to draw the nodes on paper as bubbles
with their names in them, rather than as points. If the edges are arrows, the graph is
adirected graph; if they are lines, the graph is undirected. Almost all graphs used in
parsing techniques are directed.
The graph corresponding to the above production process is shown in Figure
2.4. Such a picture is called a production graph or syntactic graph and depicts the
syntactic structure (with regard to the given grammar) of the final sentence. We see
that the production graph normally fans out downwards, but occasionally we may
see starlike constructions, which result from rewriting a group of symbols.
Acycle in a graph is a path from a node Nfollowing the arrows, leading back to
N. A production graph cannot contain cycles; we can see that as follows. To get a cy-
cle we would need a non-terminal node Nin the production graph that has produced
children that are directly or indirectly Nagain. But since the production process
always makes new copies for the nodes it produces, it cannot produce an already
existing node. So a production graph is always “acyclic”; directed acyclic graphs are
called dags.
It is patently impossible to have the grammar generate tom, dick, harry,
since any attempt to produce more than one name will drag in an End and the only
way to get rid of it again (and get rid of it we must, since it is a non-terminal) is
to have it absorbed by rule 3, which will produce the and. Amazingly, we have
succeeded in implementing the notion “must replace” in a system that only uses
“may replace”; looking more closely, we see that we have split “must replace” into
“may replace” and “must not be a non-terminal”.
Apart from our standard example, the grammar will of course also produce many
other sentences; examples are
harry and tom
harry
tom, tom, tom and tom

2.2 Formal Grammars 17
Sentence
List End
Name ,List
Name ,List
,Name End
and Name
tom ,dick and harry
Fig. 2.4. Production graph for a sentence
and an infinity of others. A determined and foolhardy attempt to generate the incor-
rect form without the and will lead us to sentential forms like
tom, dick, harry End
which are not sentences and to which no production rule applies. Such forms are
called blind alleys. As the right arrow in a production rule already suggests, the rule
may not be applied in the reverse direction.
2.2.3 The Expressive Power of Formal Grammars
The main property of a formal grammar is that it has production rules, which may
be used for rewriting part of the sentential form (= sentence under construction) and
a starting symbol which is the mother of all sentential forms. In the production rules
we find non-terminals and terminals; finished sentences contain terminals only. That
is about it: the rest is up to the creativity of the grammar writer and the sentence
producer.
This is a framework of impressive frugality and the question immediately rises:
Is it sufficient? That is hard to say, but if it is not, we do not have anything more
expressive. Strange as it may sound, all other methods known to mankind for gen-
erating sets have been proved to be equivalent to or less powerful than a phrase
structure grammar. One obvious method for generating a set is, of course, to write
a program generating it, but it has been proved that any set that can be generated

18 2 Grammars as a Generating Device
by a program can be generated by a phrase structure grammar. There are even more
arcane methods, but all of them have been proved not to be more expressive. On the
other hand there is no proof that no such stronger method can exist. But in view of
the fact that many quite different methods all turn out to halt at the same barrier, it is
highly unlikely3that a stronger method will ever be found. See, e.g. Révész [394, pp
100-102].
As a further example of the expressive power we shall give a grammar for the
movements of a Manhattan turtle. A Manhattan turtle moves in a plane and can only
move north, east, south or west in distances of one block. The grammar of Figure 2.5
produces all paths that return to their own starting point. As to rule 2, it should be
1. Moves---> north Move south | east Move west | ε
2. north east ---> east north
north south ---> south north
north west ---> west north
east north ---> north east
east south ---> south east
east west ---> west east
south north ---> north south
south east ---> east south
south west ---> west south
west north ---> north west
west east ---> east west
west south ---> south west
Fig. 2.5. Grammar for the movements of a Manhattan turtle
noted that many authors require at least one of the symbols in the left-hand side to be
a non-terminal. This restriction can always be enforced by adding new non-terminals.
The simple round trip north east south west is produced as shown in
Figure 2.6 (names abbreviated to their first letter). Note the empty alternative in rule
M
nMs
eMws
n e s w
Fig. 2.6. How the grammar of Figure 2.5 produces a round trip
1(theε), which results in the dying out of the third Min the above production graph.
3Paul Vitány has pointed out that if scientists call something “highly unlikely” they are still
generally not willing to bet a year’s salary on it, double or quit.
2.3 The Chomsky Hierarchy of Grammars and Languages 19
2.3 The Chomsky Hierarchy of Grammars and Languages
The grammars from Figures 2.3 and 2.5 are easy to understand and indeed some
simple phrase structure grammars generate very complicated sets. The grammar for
any given set is, however, usually far from simple. (We say “The grammar for a
given set” although there can be, of course, infinitely many grammars for a set. By
the grammar for a set, we mean any grammar that does the job and is not obviously
overly complicated.) Theory says that if a set can be generated at all (for example,
by a program) it can be generated by a phrase structure grammar, but theory does not
say that it will be easy to do so, or that the grammar will be understandable. In this
context it is illustrative to try to write a grammar for those Manhattan turtle paths in
which the turtle is never allowed to the west of its starting point (Problem 2.3).
Apart from the intellectual problems phrase structure grammars pose, they also
exhibit fundamental and practical problems. We shall see that no general parsing
algorithm for them can exist, and all known special parsing algorithms are either
very inefficient or very complex; see Section 3.4.2.
The desire to restrict the unmanageability of phrase structure grammars, while
keeping as much of their generative powers as possible, has led to the Chomsky hier-
archy of grammars. This hierarchy distinguishes four types of grammars, numbered
from 0 to 3; it is useful to include a fifth type, called Type 4 here. Type 0 grammars
are the (unrestricted) phrase structure grammars of which we have already seen ex-
amples. The other types originate from applying more and more restrictions to the
allowed form of the rules in the grammar. Each of these restrictions has far-reaching
consequences; the resulting grammars are gradually easier to understand and to ma-
nipulate, but are also gradually less powerful. Fortunately, these less powerful types
are still very useful, actually more useful even than Type 0.
We shall now consider each of the three remaining types in turn, followed by a
trivial but useful fourth type.
For an example of a completely different method of generating Type 0 languages
see Geffert [395].
2.3.1 Type 1 Grammars
The characteristic property of a Type 0 grammar is that it may contain rules that
transform an arbitrary (non-zero) number of symbols into an arbitrary (possibly zero)
number of symbols. Example:
,NE---> and N
in which three symbols are replaced by two. By restricting this freedom, we obtain
Type 1 grammars. Strangely enough there are two, intuitively completely different
definitions of Type 1 grammars, which can be easily proved to be equivalent.
20 2 Grammars as a Generating Device
2.3.1.1 Two Types of Type 1 Grammars
A grammar is Type 1 monotonic if it contains no rules in which the left-hand side
consists of more symbols than the right-hand side. This forbids, for example, the
rule ,NE---> and N.
A grammar is Type 1 context-sensitive if all of its rules are context-sensitive. A
rule is context-sensitive if actually only one (non-terminal) symbol in its left-hand
side gets replaced by other symbols, while we find the others back, undamaged and
in the same order, in the right-hand side. Example:
Name Comma Name End ---> Name and Name End
which tells that the rule
Comma ---> and
may be applied if the left context is Name and the right context is Name End.The
contexts themselves are not affected. The replacement must be at least one symbol
long. This means that context-sensitive grammars are always monotonic; see Section
2.5.
Here is a monotonic grammar for our t,d&h example. In writing monotonic
grammars one has to be careful never to produce more symbols than will eventually
be produced. We avoid the need to delete the end marker by incorporating it into the
rightmost name:
Name ---> tom | dick | harry
Sentences---> Name | List
List ---> EndName | Name , List
, EndName ---> and Name
where EndName is a single symbol.
And here is a context-sensitive grammar for it.
Name ---> tom | dick | harry
Sentences---> Name | List
List ---> EndName
| Name Comma List
Comma EndName ---> and EndName context is ... EndName
and EndName ---> and Name context is and ...
Comma --->,
Note that we need an extra non-terminal Comma to produce the terminal and in the
correct context.
Monotonic and context-sensitive grammars are equally powerful: for each lan-
guage that can be generated by a monotonic grammar a context-sensitive grammar
exists that generates the same language, and vice versa. They are less powerful than
the Type 0 grammars, that is, there are languages that can be generated by a Type
0 grammar but not by any Type 1. Strangely enough no simple examples of such
languages are known. Although the difference between Type 0 and Type 1 is funda-
mental and is not just a whim of Mr. Chomsky, grammars for which the difference

2.3 The Chomsky Hierarchy of Grammars and Languages 21
matters are too complicated to write down; only their existence can be proved (see
e.g., Hopcroft and Ullman [391, pp. 183-184], or Révész [394, p. 98]).
Of course any Type 1 grammar is also a Type 0 grammar, since the class of Type
1 grammars is obtained from the class of Type 0 grammars by applying restrictions.
But it would be confusing to call a Type 1 grammar a Type 0 grammar; it would be
like calling a cat a mammal: correct but imprecise. A grammar is named after the
smallest class (that is, the highest type number) in which it will still fit.
We saw that our t,d&h language, which was first generated by a Type 0 gram-
mar, could also be generated by a Type 1 grammar. We shall see that there is also
a Type 2 and a Type 3 grammar for it, but no Type 4 grammar. We therefore say
that the t,d&h language is a Type 3 language, after the most restricted (and simple
and amenable) grammar for it. Some corollaries of this are: A Type nlanguage can
be generated by a Type ngrammar or anything stronger, but not by a weaker Type
n+1 grammar; and: If a language is generated by a Type ngrammar, that does not
necessarily mean that there is no (weaker) Type n+1grammarforit.Theuseof
a Type 0 grammar for our t,d&h language was a serious case of overkill, just for
demonstration purposes.
2.3.1.2 Constructing a Type 1 Grammar
The standard example of a Type 1 language is the set of words that consist of equal
numbers of as, bsandcs, in that order:
aa....a
nof them
bb....b
nof them
cc....c
nof them
For the sake of completeness and to show how one writes a Type 1 grammar if
one is clever enough, we shall now derive a grammar for this toy language. Starting
with the simplest case, we have the rule
0. S---> abc
Having obtained one instance of S, we may want to prepend more as to the be-
ginning; if we want to remember how many there were, we shall have to append
something to the end as well at the same time, and that cannot be a bor a c.Weshall
use a yet unknown symbol Q. The following rule both prepends and appends:
1. S---> aSQ
If we apply this rule, for example, three times, we get the sentential form
aaabcQQ
Now, to get aaabbbccc from this, each Qmust be worth one band one c,as
expected, but we cannot just write
Q--->bc

22 2 Grammars as a Generating Device
because that would allow bs after the first c. The above rule would, however, be all
right if it were allowed to do replacement only between a bon the left and a con the
right. There the newly inserted bc will do no harm:
2. bQc ---> bbcc
Still, we cannot apply this rule since normally the Qs are to the right of the c.This
can be remedied by allowing a Qto hop left over a c:
3. cQ --->Qc
We can now finish our derivation:
aaabcQQ (3 times rule 1)
aaabQcQ (rule 3)
aaabbccQ (rule 2)
aaabbcQc (rule 3)
aaabbQcc (rule 3)
aaabbbccc (rule 2)
It should be noted that the above derivation only shows that the grammar will produce
the right strings, and the reader will still have to convince himself that it will not
generate other and incorrect strings (Problem 2.4).
The grammar is summarized in Figure 2.7. Since a derivation graph of a3b3c3
1. Ss---> abc | aSQ
2. bQc ---> bbcc
3. cQ --->Qc
Fig. 2.7. Monotonic grammar for anbncn
is already rather unwieldy, a derivation graph for a2b2c2is given in Figure 2.8. The
S
a S Q
a b c Q
bQc
aabbcc
Fig. 2.8. Derivation of aabbcc
grammar is monotonic and therefore of Type 1. It can be proved that there is no Type
2 grammar for the language; see Section 2.7.1.

2.3 The Chomsky Hierarchy of Grammars and Languages 23
Although only context-sensitive Type 1 grammars can by rights be called
context-sensitive grammars (CS grammars), that name is often used even if the gram-
mar is actually monotonic Type 1. There are no standard initials for monotonic, but
MT will do.
2.3.2 Type 2 Grammars
Type 2 grammars are called context-free grammars (CF grammars) and their rela-
tion to context-sensitive grammars is as direct as the name suggests. A context-free
grammar is like a context-sensitive grammar, except that both the left and the right
contexts are required to be absent (empty). As a result, the grammar may contain
only rules that have a single non-terminal on their left-hand side. Sample grammar:
0. Name ---> tom | dick | harry
1. Sentences---> Name | List and Name
2. List ---> Name , List | Name
2.3.2.1 Production Independence
Since there is always only one symbol on the left-hand side, each node in a pro-
duction graph has the property that whatever it produces is independent of what its
neighbors produce: the productive life of a non-terminal is independent of its context.
Starlike forms as we saw in Figures 2.4, 2.6, and 2.8 cannot occur in a context-free
production graph, which consequently has a pure tree-form and is called a production
tree. An example is shown in Figure 2.9.
Sentence
List and Name
Name ,List
Name
tom ,dick and harry
Fig. 2.9. Production tree for a context-free grammar
Since there is only one symbol on the left-hand side, all right-hand sides for a
given non-terminal can always be collected in one grammar rule (we have already
24 2 Grammars as a Generating Device
done that in the above grammar) and then each grammar rule reads like a definition
of the left-hand side:
•ASentence is either a Name or a List followed by and followed by a Name.
•AList is either a Name followedbya,followedbyaList,oritisaName.
This shows that context-free grammars build the strings they produce by two pro-
cesses: concatenation (“... followedby...”)andchoice (“either... or...”).Inad-
dition to these processes there is the identification mechanism which links the name
of a non-terminal used in a right-hand side to its defining rule (“. . . is a ...”).
At the beginning of this chapter we identified a language as a set of strings, the
set of terminal productions of the start symbol. The independent production property
allows us to extend this definition to any non-terminal in the grammar: each non-
terminal produces a set, a language, independent of the other non-terminals. If we
write the set of strings produced by Aas L(A)and Ahas a production rule with,
say, two alternatives, A→α|β,thenL(A)=L(α)∪L(β),where∪is the union
operator on sets. This corresponds to the choice in the previous paragraph. If αthen
consists of, say, three members PqR,wehaveL(α)=L(P)◦L(q)◦L(R),where
◦is the concatenation operator on strings (actually on the strings in the sets). This
corresponds to the concatenation above. And L(a)where ais a terminal is of course
the set {a}. A non-terminal whose language contains εis called nullable.Onealso
says that it “produces empty”.
Note that we cannot define a language L(Q)for the Qin Figure 2.7: Qdoes not
produce anything meaningful by itself. Defining a language for a non-start symbol
is possible only for Type 2 grammars and lower, and so is defining a non-start non-
terminal as nullable.
Related to the independent production property is the notion of recursion.A
non-terminal Ais recursive if an Ain a sentential form can produce something that
again contains an A. The production of Figure 2.9 starts with the sentential form
Sentence, which uses rule 1.2 to produce List and Name. The next step could
very well be the replacement of the List by Name,List, using rule 2.1. We see
that List produces something that again contains List:
Sentence ---> List and Name ---> Name , List and Name
List is recursive, more in particular, it is directly recursive. The non-terminal Ain
A--->Bc,B--->dA is indirectly recursive, but not much significance is to be attached
to the difference.
It is more important that List is right-recursive: a non-terminal Ais right-
recursive if it can produce something that has an Aat the right end, as List can:
List ---> Name , List
Likewise, a non-terminal Ais left-recursive if it can produce something that has an
Aat the left end: we could have defined
List ---> List , Name
2.3 The Chomsky Hierarchy of Grammars and Languages 25
A non-terminal Ais self-embedding if there is a derivation in which Aproduces
Awith something, say α,beforeitand something, say β, after it. Self-embedding
describes nesting: αis the part produced when entering another level of nesting; βis
the part produced when leaving that level. The best-known example of nesting is the
use of parentheses in arithmetic expressions:
arith_expressions---> ··· | simple_expression
simple_expression ---> number | ’(’ arith_expression ’)’
A non-terminal can be left-recursive and right-recursive at the same time; it is then
self-embedding. A--->Ab|cA|d is an example.
If no non-terminal in a grammar is recursive, each production step uses up one
non-terminal, since that non-terminal will never occur again in that segment. So the
production process cannot continue unlimitedly, and a finite language results. Recur-
sion is essential for life in grammars.
2.3.2.2 Some Examples
In the actual world, many things are defined in terms of other things. Context-free
grammars are a very concise way to formulate such interrelationships. An almost
trivial example is the composition of a book, as given in Figure 2.10. Of course this
Books---> Preface ChapterSequence Conclusion
Preface ---> "PREFACE" ParagraphSequence
ChapterSequence ---> Chapter | Chapter ChapterSequence
Chapter ---> "CHAPTER" Number ParagraphSequence
ParagraphSequence ---> Paragraph | Paragraph ParagraphSequence
Paragraph ---> SentenceSequence
SentenceSequence ---> ···
···
Conclusion ---> "CONCLUSION" ParagraphSequence
Fig. 2.10. A simple (and incomplete!) grammar of a book
is a context-free description of a book, so one can expect it to also generate a lot of
good-looking nonsense like
PREFACE
qwertyuiop
CHAPTER V
asdfghjkl
zxcvbnm,.
CHAPTER II
qazwsxedcrfvtgb
yhnujmikolp
CONCLUSION
All cats say blert when walking through walls.
26 2 Grammars as a Generating Device
but at least the result has the right structure. Document preparation and text mark-up
systems like SGML, HTML and XML use this approach to express and control the
basic structure of documents.
A shorter but less trivial example is the language of all elevator motions that
return to the same point (a Manhattan turtle restricted to 5th Avenue would make the
same movements)
ZeroMotions---> up ZeroMotion down ZeroMotion
| down ZeroMotion up ZeroMotion
|ε
(in which we assume that the elevator shaft is infinitely long; it would be, in Man-
hattan).
If we ignore enough detail we can also recognize an underlying context-free
structure in the sentences of a natural language, for example, English:
Sentences---> Subject Verb Object
Subject ---> NounPhrase
Object ---> NounPhrase
NounPhrase ---> the QualifiedNoun
QualifiedNoun ---> Noun | Adjective QualifiedNoun
Noun ---> castle | caterpillar | cats
Adjective ---> well-read | white | wistful | ···
Verb ---> admires | bark | criticize | ···
which produces sentences like:
the well-read cats criticize the wistful caterpillar
Since, however, no context is incorporated, it will equally well produce the incorrect
the cats admires the white well-read castle
For keeping context we could use a phrase structure grammar (for a simpler lan-
guage):
Sentences---> Noun Number Verb
Number ---> Singular | Plural
Noun Singular ---> castle Singular | caterpillar Singular | ···
Singular Verb ---> Singular admires | ···
Singular ---> ε
Noun Plural ---> cats Plural | ···
Plural Verb ---> Plural bark | Plural criticize | ···
Plural ---> ε
where the markers Singular and Plural control the production of actual English
words. Still, this grammar allows the cats to bark. . . . For a better way to handle con-
text, see the various sections in Chapter 15, especially Van Wijngaarden grammars
(Section 15.2) and attribute and affix grammars (Section 15.3).
The bulk of examples of CF grammars originate from programming languages.
Sentences in these languages (that is, programs) have to be processed automatically
2.3 The Chomsky Hierarchy of Grammars and Languages 27
(that is, by a compiler) and it was soon recognized (around 1958) that this is much
easier if the language has a well-defined formal grammar. The syntaxes of all pro-
gramming languages in use today are defined through formal grammars.
Some authors (for example Chomsky) and some parsing algorithms, require a
CF grammar to be monotonic. The only way a CF rule can be non-monotonic is by
having an empty right-hand side. Such a rule is called an ε-rule and a grammar that
contains no such rules is called ε-free.
The requirement of being ε-free is not a real restriction, just a nuisance. Almost
any CF grammar can be made ε-free by systematic substitution of the ε-rules; the
exception is a grammar in which the start symbol already produces ε.Thetrans-
formation process is explained in detail in Section 4.2.3.1), but it shares with many
other grammar transformations the disadvantage that it usually ruins the structure of
the grammar. The issue will be discussed further in Section 2.5.
2.3.2.3 Notation Styles
There are several different styles of notation for CF grammars for programming lan-
guages, each with endless variants; they are all functionally equivalent. We shall
show two main styles here. The first is the Backus-Naur Form (BNF)whichwasfirst
used to define ALGOL 60. Here is a sample:
<name>::= tom | dick | harry
<sentence>s::= <name> | <list> and <name>
<list>::= <name>, <list> | <name>
This form’s main properties are the use of angle brackets to enclose non-terminals
and of ::= for “may produce”. In some variants, the rules are terminated by a semi-
colon.
The second style is that of the CF van Wijngaarden grammars. Again a sample:
name: tom symbol; dick symbol; harry symbol.
sentences: name; list, and symbol, name.
list: name, comma symbol, list; name.
The names of terminal symbols end in ...symbol; their representations are
hardware-dependent and are not defined in the grammar. Rules are properly termi-
nated (with a period). Punctuation is used more or less in the traditional way; for
example, the comma binds tighter than the semicolon. The punctuation can be read
as follows:
:“is defined as a(n)”
;“, or as a(n)”
,“followed by a(n)”
.“, and as nothing else.”
The second rule in the above grammar would then read as: “a sentence is defined as
a name, or as a list followed by an and-symbol followed by a name, and as nothing
else.” Although this notation achieves its full power only when applied in the two-
level Van Wijngaarden grammars, it also has its merits on its own: it is formal and
still quite readable.
28 2 Grammars as a Generating Device
2.3.2.4 Extended CF Grammars
CF grammars are often made both more compact and more readable by introduc-
ing special short-hands for frequently used constructions. If we return to the Book
grammar of Figure 2.10, we see that rules like:
SomethingSequence ---> Something | Something SomethingSequence
occur repeatedly. In an extended context-free grammar we can write Something+
meaning “one or more Somethings” and we do not need to give a rule for
Something+;therule
Something+---> Something | Something Something+
is implicit. Likewise we can use Something*for “zero or more Somethings” and
Something?for “zero or one Something” (that is, “optionally a Something”).
In these examples, the operators +,*and ?work on the preceding symbol. Their
range can be extended by using parentheses: (Something ;)?means “option-
ally a Something-followed-by-a-;”. These facilities are very useful and allow the
Book grammar to be written more efficiently (Figure 2.11). Some styles even al-
low constructions like Something+4, meaning “one or more Somethings with a
maximum of 4”, or Something+,meaning “one or more Somethings separated
by commas”; this seems to be a case of overdoing a good thing. This notation for
grammars is called Extended BNF (EBNF).
Books---> Preface Chapter+Conclusion
Preface ---> "PREFACE" Paragraph+
Chapter ---> "CHAPTER" Number Paragraph+
Paragraph ---> Sentence+
Sentence ---> ···
···
Conclusion ---> "CONCLUSION" Paragraph+
Fig. 2.11. A grammar of a book in EBFN notation
The extensions of an EBNF grammar do not increase its expressive powers: all
implicit rules can be made explicit and then a normal CF grammar in BNF notation
results. Their strength lies in their user-friendliness. The star in the notation X∗with
the meaning “a sequence of zero or more Xs” is called the Kleene star.IfXis a set,
X∗should be read as “a sequence of zero or more elements of X”; it is the same star
that we saw in Σ∗in Section 2.1.3.3. Forms involving the repetition operators *,+or
?and possibly the separators (and )are called regular expressions. EBNFs, which
have regular expressions for their right-hand sides, are for that reason sometimes
called regular right part grammars RRP grammars which is more descriptive than
“extended context free”, but which is perceived to be a tongue twister by some.
There are two different schools of thought about the structural meaning of a reg-
ular right-hand side. One school maintains that a rule like:

2.3 The Chomsky Hierarchy of Grammars and Languages 29
Book ---> Preface Chapter+Conclusion
is an abbreviation of
Book ---> Preface αConclusion
α---> Chapter | Chapter α
as shown above. This is the “(right)recursive” interpretation. It has the advantages
that it is easy to explain and that the transformation to “normal” CF is simple. Disad-
vantages are that the transformation entails anonymous rules (identified by αhere)
and that the lopsided production tree for, for example, a book of four chapters does
not correspond to our idea of the structure of the book; see Figure 2.12.
Book
Preface αCon-
clusion
Chapter α
Chapter α
Chapter α
Chapter
Fig. 2.12. Production tree for the (right)recursive interpretation
The second school claims that
Book ---> Preface Chapter+Conclusion
is an abbreviation of
Book ---> Preface Chapter Conclusion
| Preface Chapter Chapter Conclusion
| Preface Chapter Chapter Chapter Conclusion
|···
···
This is the “iterative” interpretation. It has the advantage that it yields a beautiful
production tree (Figure 2.13), but the disadvantages are that it involves an infinite
number of production rules and that the nodes in the production tree have a varying
fan-out.
Since the implementation of the iterative interpretation is far from trivial, most
practical parser generators use the recursive interpretation in some form or another,
whereas most research has been done on the iterative interpretation.

30 2 Grammars as a Generating Device
Book
Preface Chapter Chapter Chapter Chapter Con-
clusion
Fig. 2.13. Production tree for the iterative interpretation
2.3.3 Type 3 Grammars
The basic property of CF grammars is that they describe things that nest: an
object may contain other objects in various places, which in turn may contain
. . . etc. When during the production process we have finished producing one of
the objects, the right-hand side still “remembers” what has to come after it: in
the English grammar, after having descended into the depth of the non-terminal
Subject to produce something like the wistful cat, the right-hand side
Subject Verb Object still remembers that a Verb must follow. While we are
workingontheSubject,theVerb and Object remain queued at the right in the
sentential form, for example,
the wistful QualifiedNoun Verb Object
In the right-hand side
up ZeroMotion down ZeroMotion
after having performed the up and an arbitrarily complicated ZeroMotion,the
right-hand side still remembers that a down must follow.
The restriction to Type 3 disallows this recollection of things that came before: a
right-hand side may only contain one non-terminal and it must come at the end. This
means that there are only two kinds of rules:4
• a non-terminal produces zero or more terminals, and
• a non-terminal produces zero or more terminals followed by one non-terminal.
The original Chomsky definition of Type 3 restricts the kinds of rules to
• a non-terminal produces one terminal.
• A non-terminal produces one terminal followed by one non-terminal.
Our definition is equivalent and more convenient, although the conversion to Chom-
sky Type 3 is not completely trivial.
Type 3 grammars are also called regular grammars (RE grammars) or finite-state
grammars (FS grammars). More precisely the version defined above is called right-
regular since the only non-terminal in a rule is found at the right end of the right-hand
side. This distinguishes them from the left-regular grammars, which are subject to
the restrictions
4There is a natural in-between class, Type 2.5 so to speak, in which only a single non-
terminal is allowed in a right-hand side, but where it need not be at the end. This gives us
the so-called linear grammars.
2.3 The Chomsky Hierarchy of Grammars and Languages 31
• a non-terminal produces zero or more terminals
• a non-terminal produces one non-terminal followed by zero or more terminals
where the only non-terminal in a rule is found at the left end of the right-hand side.
Left-regular grammars are less intuitive than right-regular ones, occur less frequently,
and are more difficult to process, but they do occur occasionally (see for example
Section 5.1.1), and need to be considered. They are discussed in Section 5.6.
Given the prevalence of right-regular over left-regular, the term “regular gram-
mar” is usually intended to mean “right-regular grammar”, and left-regularity is men-
tioned explicitly. We will follow this convention in this book.
It is interesting to compare the definition of right-regular to that of right-recursive
(page 24). A non-terminal Ais right-recursive if it can produce a sentential form that
has an Aat the right end; Ais right-regular if, when it produces a sentential form that
contains A,theAis at the right end.
In analogy to context-free grammars, which are called after what they cannot do,
regular grammars could be called “non-nesting grammars”.
Since regular grammars are used very often to describe the structure of text on the
character level, it is customary for the terminal symbols of a regular grammar to be
single characters. We shall therefore write tfor Tom,dfor Dick,hfor Harry and
&for and. Figure 2.14(a) shows a right-regular grammar for our t,d&h language
in this style, 2.14(b) a left-regular one.
Sentences---> t | d | h | List
List ---> t ListTail | d ListTail | h ListTail
ListTail ---> ,List|&t|&d|&h
(a)
Sentences---> t | d | h | List
List ---> ListHead & t | ListHead & d | ListHead & h
ListHead ---> ListHead , t | ListHead , d | ListHead , h |
t|d|h
(b)
Fig. 2.14. Type 3 grammars for the t, d & h language
The production tree for a sentence from a Type 3 (right-regular) grammar degen-
erates into a “production chain” of non-terminals that drop a sequence of terminals on
their left. Figure 2.15 shows an example. Similar chains are formed by left-regular
grammars, with terminals dropping to the left.
The deadly repetition exhibited by the grammar of Figure 2.14 is typical of reg-
ular grammars and a number of notational devices have been invented to abate this
nuisance. The most common one is the use of square brackets to indicate “one out of
a set of characters”: [tdh] is an abbreviation for t|d|h:
Ss---> [tdh] | L
L---> [tdh] T
T---> , L | & [tdh]

32 2 Grammars as a Generating Device
Sentence
List
tListTail
,List
dListTail
& h
Fig. 2.15. Production chain for a right-regular (Type 3) grammar
which may look more cryptic at first but is actually much more convenient and in
fact allows simplification of the grammar to
Ss---> [tdh] | L
L---> [tdh] , L | [tdh] & [tdh]
A second way is to allow macros, names for pieces of the grammar that are
substituted properly into the grammar before it is used:
Name ---> t|d|h
Ss---> $Name | L
L---> $Name , L | $Name & $Name
The popular parser generator for regular grammars lex (Lesk and Schmidt [360])
features both facilities.
If we adhere to the Chomsky definition of Type 3, our grammar will not get
smaller than:
Ss---> t|d|h|tM|dM|hM
M---> ,N|&P
N---> tM|dM|hM
P---> t|d|h
This form is easier to process but less user-friendly than the lex version. We observe
here that while the formal-linguist is interested in and helped by minimally sufficient
means, the computer scientist values a form in which the concepts underlying the
grammar ($Name, etc.) are easily expressed, at the expense of additional processing.
There are two interesting observations about regular grammars which we want
to make here. First, when we use a regular grammar for generating a sentence, the
sentential forms will only contain one non-terminal and this will always be at the
end; that is where it all happens (using the grammar of Figure 2.14):
2.3 The Chomsky Hierarchy of Grammars and Languages 33
Sentences
List
t ListTail
t , List
t , d ListTail
t,d&h
The second observation is that all regular grammars can be reduced considerably
in size by using the regular expression operators *,+and ?introduced in Section
2.3.2 for “zero or more”, “one or more” and “optionally one”, respectively. Using
these operators and (and )for grouping, we can simplify our grammar to:
Ss---> (( [tdh], )*[tdh]& )?[tdh]
Here the parentheses serve to demarcate the operands of the *and ?operators. Regu-
lar expressions exist for all Type 3 grammars. Note that the *and the +work on what
precedes them. To distinguish them from the normal multiplication and addition op-
erators, they are often printed higher than the level text in print, but in computer input
they are in line with the rest, and other means must be used to distinguish them.
2.3.4 Type 4 Grammars
The last restriction we shall apply to what is allowed in a production rule is a pretty
final one: no non-terminal is allowed in the right-hand side. This removes all the
generative power from the mechanism, except for the choosing of alternatives. The
start symbol has a (finite) list of alternatives from which we are allowed to choose;
this is reflected in the name finite-choice grammar (FC grammar).
There is no FC grammar for our t,d&h language; if, however, we are willing to
restrict ourselves to lists of names of a finite length (say, no more than a hundred),
then there is one, since one could enumerate all combinations. For the obvious limit
of three names, we get:
Ss---> [tdh] | [tdh] & [tdh] | [tdh] , [tdh] & [tdh]
for a total of 3+3×3+3×3×3=39 production rules.
FC grammars are not part of the official Chomsky hierarchy in that they are not
identified by Chomsky. They are nevertheless very useful and are often required as
a tail-piece in some process or reasoning. The set of reserved words (keywords)in
a programming language can be described by an FC grammar. Although not many
grammars are FC in their entirety, some of the rules in many grammars are finite-
choice. For example, the first rule of our first grammar (Figure 2.3) was FC. Another
example of a FC rule was the macro introduced in Section 2.3.3. We do not need the
macro mechanism if we change
zero or more terminals
in the definition of a regular grammar to
zero or more terminals or FC non-terminals
In the end, the FC non-terminals will only introduce a finite number of terminals.

34 2 Grammars as a Generating Device
2.3.5 Conclusion
The table in Figure 2.16 summarizes the most complicated data structures that can
occur in the production of a string, in correlation to the grammar type used. See also
Figure 3.15 for the corresponding data types obtained in parsing.
Chomsky Grammar Most complicated Example
type type data structure figure
0/1 PS/CS production dag 2.8
2CF
production tree 2.9
3FS
production list 2.15
4FC
production element —
Fig. 2.16. The most complicated production data structure for the Chomsky grammar types
2.4 Actually Generating Sentences from a Grammar
2.4.1 The Phrase-Structure Case
Until now we have only produced single sentences from our grammars, in an ad hoc
fashion, but the purpose of a grammar is to generate all of its sentences. Fortunately
there is a systematic way to do so. We shall use the anbncngrammar as an example.
We start from the start symbol and systematically make all possible substitutions to
generate all sentential forms; we just wait and see which ones evolve into sentences
and when. Try this by hand for, say, 10 sentential forms. If we are not careful, we are
apt to only generate forms like aSQ,aaSQQ,aaaSQQQ,...,andwewillneverseea
finished sentence. The reason is that we focus too much on a single sentential form:
we have to give equal time to all of them. This can be done through the following
algorithm, which keeps a queue (that is, a list to which we add at the end and remove
from the beginning), of sentential forms.
Start with the start symbol as the only sentential form in the queue. Now continue
doing the following:
• Consider the first sentential form in the queue.
• Scan it from left to right, looking for strings of symbols that match the left-hand
side of a production rule.
• For each such string found, make enough copies of the sentential form, replace in
each one the string that matched a left-hand side of a rule by a different alternative
of that rule, and add them all to the end of the queue.
• If the original sentential form does not contain any non-terminals, write it down
as a sentence in the language.
• Throw away the original sentential form; it has been fully processed.
2.4 Actually Generating Sentences from a Grammar 35
If no rule matched, and the sentential form was not a finished sentence, it was a blind
alley; they are removed automatically by the above process and leave no trace.
Since the above procedure enumerates all strings in a PS language, PS languages
are also called recursively enumerable sets, where “recursively” is to be taken to
mean “by a possibly recursive algorithm”.
The first couple of steps of this process for our anbncngrammar from Figure
2.7 are depicted in Figure 2.17. The queue runs to the right, with the first item on
Step Queue Result
1S
2abc aSQ abc
3aSQ
4aabcQ aaSQQ
5aaSQQ aabQc
6aabQc aaabcQQ aaaSQQQ
7aaabcQQ aaaSQQQ aabbcc
8aaaSQQQ aabbcc aaabQcQ
9aabbcc aaabQcQ aaaabcQQQ aaaaSQQQQ aabbcc
10 aaabQcQ aaaabcQQQ aaaaSQQQQ
11 aaaabcQQQ aaaaSQQQQ aaabbccQ aaabQQc
··· ···
Fig. 2.17. The first couple of steps in producing for anbncn
the left. We see that we do not get a sentence for each time we turn the crank; in
fact, in this case real sentences will get scarcer and scarcer. The reason is of course
that during the process more and more side lines develop, which all require equal
attention. Still, we can be certain that every sentence that can be produced, will in
the end be produced: we leave no stone unturned. This way of doing things is called
breadth-first production; computers are better at it than people.
It is tempting to think that it is unnecessary to replace all left-hand sides that we
found in the top-most sentential form. Why not just replace the first one and wait
for the resulting sentential form to come up again and then do the next one? This is
wrong, however, since doing the first one may ruin the context for doing the second
one. A simple example is the grammar
Ss--->AC
A--->b
AC --->ac
First doing A--->b will lead to a blind alley and the grammar will produce nothing.
Doing both possible substitutions will lead to the same blind alley, but then there will
also be a second sentential form, ac. This is also an example of a grammar for which
the queue will get empty after a (short) while.
If the grammar is context-free (or regular) there is no context to ruin and it is
quite safe to just replace the first (or only) match.
36 2 Grammars as a Generating Device
There are two remarks to be made here. First, it is not at all certain that we
will indeed obtain a sentence for all our effort: it is quite possible that every new
sentential form again contains non-terminals. We should like to know this in advance
by examining the grammar, but it can be proven that it is impossible to do so for
PS grammars. The formal-linguist says “It is undecidable whether a PS grammar
produces the empty set”, which means that there cannot be an algorithm that will
for every PS grammar correctly tell if the grammar produces at least one sentence.
This does not mean that we cannot prove for some given grammar that it generates
nothing, if that is the case. It means that the proof method used will not work for
all grammars: we could have a program that correctly says Yes in finite time if the
answer is Yes but that takes infinite time if the answer is No. In fact, our generating
procedure above is such an algorithm that gives the correct Yes/No answer in infinite
time (although we can have an algorithm that gives a Yes/Don’t know answer in finite
time). Although it is true that because of some deep property of formal languages
we cannot always get exactly the answer we want, this does not prevent us from
obtaining all kinds of useful information that gets close. We shall see that this is a
recurring phenomenon. The computer scientist is aware of but not daunted by the
impossibilities from formal linguistics.
The second remark is that when we do get sentences from the above produc-
tion process, they may be produced in an unexploitable order. For non-monotonic
grammars the sentential forms may grow for a while and then suddenly shrink again,
perhaps even to the empty string. Formal linguistics proves that there cannot be an
algorithm that for all PS grammars produces their sentences in increasing (actually
“non-decreasing”) length. In other words, the parsing problem for PS grammars is
unsolvable. (Although the terms are used interchangeably, it seems reasonable to use
“undecidable” for yes/no questions and “unsolvable” for problems.)
2.4.2 The CS Case
The above language-generating procedure is also applicable to CS grammars, except
for the parts about undecidability. Since the sentential forms under development can
never shrink, the strings are produced in monotonic order of increasing length. This
means that if the empty string is not the first string, it will never appear and the CS
grammar does not produce ε. Also, if we want to know if a given string wis in the
language, we can just wait until we see it come up, in which case the answer is Yes,
or until we see a longer string come up, in which case the answer is No.
Since the strings in a CS language can be recognized by a possibly recursive
algorithm, CS languages are also called recursive sets.
2.4.3 The CF Case
When we generate sentences from a CF grammar, many things are a lot simpler. It
can still happen that our grammar will never produce a sentence, but now we can test
for that beforehand, as follows. First scan the grammar to find all non-terminals that
have a right-hand side that contains terminals only or is empty. These non-terminals
2.4 Actually Generating Sentences from a Grammar 37
are guaranteed to produce something. Now scan again to find non-terminals that have
a right-hand side that consists of only terminals and non-terminals that are guaran-
teed to produce something. This will give us new non-terminals that are guaranteed
to produce something. Repeat this until we find no more new such non-terminals. If
we have not met the start symbol this way, it will not produce anything.
Furthermore we have seen that if the grammar is CF, we can afford to just rewrite
the leftmost non-terminal every time (provided we rewrite it into all its alternatives).
Of course we can also consistently rewrite the rightmost non-terminal. Both ap-
proaches are similar but different. Using the grammar
0. N---> t|d|h
1. Ss---> N|L&N
2. L---> N,L|N
let us follow the adventures of the sentential form that will eventually result in
d,h&h. Although it will go up and down the production queue several times, we
only depict here what changes are made to it. Figure 2.18 shows the sentential forms
for leftmost and rightmost substitution, with the rules and alternatives involved; for
example, (1b) means rule 1 alternative b, the second alternative.
SS
1b 1b
L&N L&N
2a 0c
N,L&N L&h
0b 2a
d,L&N N,L&h
2b 2b
d,N&N N,N&h
0c 0c
d,h&N N,h&h
0c 0b
d,h&h d,h&h
Fig. 2.18. Sentential forms leading to d,h&h, with leftmost and rightmost substitution
The sequences of production rules used are not as similar as we would expect. Of
course in grand total the same rules and alternatives are applied, but the sequences
are neither equal nor each other’s mirror image, nor is there any other obvious re-
lationship. Both sequences define the same production tree (Figure 2.19(a)), but if
we number the non-terminals in it in the order they were rewritten, we get different
numberings, as shown in (b)and(c).
The sequence of production rules used in leftmost rewriting is called the leftmost
derivation of a sentence. We do not have to indicate at what position a rule must
be applied, nor do we need to give its rule number. Just the alternative is sufficient;
the position and the non-terminal are implicit. A rightmost derivation is defined in a
similar way.

38 2 Grammars as a Generating Device
S
L N
N L
N
d,h&h
(a)
S
L N
N L
N
d,h&h
1
26
34
5
(b)
S
L N
N L
N
d,h&h
1
32
64
5
(c)
Fig. 2.19. Production tree (a) with leftmost (b) and rightmost (c) derivation order
A leftmost production step can be indicated by using an arrow marked with a
small l:N,L&N l
--->d,L&N, and the leftmost production sequence
Sl
---> L&N l
---> N,L&N l
---> d,L&N l
---> d,N&N l
---> d,h&N l
---> d,h&h
can be abbreviated to Sl
*
--->d,h&h. Likewise, the rightmost production sequence
Sr
---> L&N r
---> L&h r
---> N,L&h r
---> N,N&h r
---> N,h&h r
---> d,h&h
can be abbreviated to Sr
*
--->d,h&h. The fact that Sproduces d,h&h in any way is
written as S*
--->d,h&h.
The task of parsing is to reconstruct the derivation tree (or graph) for a given input
string. Some of the most efficient parsing techniques can be understood more easily
if viewed as attempts to reconstruct a left- or rightmost derivation process of the
input string; the derivation tree then follows automatically. This is why the notion
“[left|right]-most derivation” occurs frequently in this book (note the FC grammar
used here).
2.5 To Shrink or Not To Shrink
In the previous paragraphs, we have sometimes been explicit as to the question if a
right-hand side of a rule may be shorter than its left-hand side and sometimes we
have been vague. Type 0 rules may definitely be of the shrinking variety, monotonic
rules definitely may not, and Type 2 and 3 rules can shrink only by producing empty
(ε); that much is sure.
The original Chomsky hierarchy (Chomsky [385]) was very firm on the subject:
only Type 0 rules are allowed to make a sentential form shrink. Type 1, 2 and 3 rules
are all monotonic. Moreover, Type 1 rules have to be of the context-sensitive variety,
which means that only one of the non-terminals in the left-hand side is actually al-
lowed to be replaced (and then not by ε). This makes for a proper hierarchy in which
each next class is a proper subset of its parent and in which all derivation graphs
except for those of Type 0 grammars are actually derivation trees.

2.5 To Shrink or Not To Shrink 39
As an example consider the grammar for the language anbncngiven in Figure
2.7:
1. Ss---> abc | aSQ
2. bQc ---> bbcc
3. cQ --->Qc
which is monotonic but not context-sensitive in the strict sense. It can be made CS
by expanding the offending rule 3 and introducing a non-terminal for c:
1. Ss---> abC | aSQ
2. bQC ---> bbCC
3a. CQ --->CX
3b. CX --->QX
3c. QX --->QC
4. C--->c
Now the production graph of Figure 2.8 turns into a production tree:
S
a S Q
a b C Q
C X
Q X
bQC
bbCC
aabbcc
There is an additional reason for shunning ε-rules: they make both proofs and
parsers more complicated, sometimes much more complicated; see, for example,
Section 9.5.4. So the question arises why we should bother with ε-rules at all; the
answer is that they are very convenient for the grammar writer and user.
If we have a language that is described by a CF grammar with ε-rules and we want
to describe it by a grammar without ε-rules, then that grammar will almost always
be more complicated. Suppose we have a system that can be fed bits of information,
like: “Amsterdam is the capital of the Netherlands”, “Truffles are expensive”, and
can then be asked a question. On a very superficial level we can define its input as:
inputs: zero-or-more-bits-of-info question
or, in an extended notation
inputs: bit-of-info*question
40 2 Grammars as a Generating Device
Since zero-or-more-bits-of-info will, among other strings, produce the
empty string, at least one of the rules used in its grammar will be an ε-rule; the *
in the extended notation already implies an ε-rule somewhere. Still, from the user’s
point of view, the above definition of input neatly fits the problem and is exactly what
we want.
Any attempt to write an ε-free grammar for this input will end up defining a no-
tion that comprises some of the later bits-of-info together with the question
(since the question is the only non-empty part, it must occur in all rules involved!)
But such a notion does not fit our problem at all and is an artifact:
inputs: question-preceded-by-info
question-preceded-by-info: question
| bit-of-info
question-preceded-by-info
As a grammar becomes more and more complicated, the requirement that it be ε-free
becomes more and more of a nuisance: the grammar is working against us, not for
us.
This presents no problem from a theoretical point of view: any CF language can
be described by an ε-free CF grammar and ε-rules are never needed. Better still, any
grammar with ε-rules can be mechanically transformed into an ε-free grammar for
the same language. We saw an example of such a transformation above and details of
the algorithm are given in Section 4.2.3.1. But the price we pay is that of any gram-
mar transformation: it is no longer our grammar and it reflects the original structure
less well.
The bottom line is that the practitioner finds the ε-rule to be a useful tool, and it
would be interesting to see if there exists a hierarchy of non-monotonic grammars
alongside the usual Chomsky hierarchy. To a large extend there is: Type 2 and Type
3 grammars need not be monotonic (since they can always be made so if the need
arises); it turns out that context-sensitive grammars with shrinking rules are equiv-
alent to unrestricted Type 0 grammars; and monotonic grammars with ε-rules are
also equivalent to Type 0 grammars. We can now draw the two hierarchies in one
picture; see Figure 2.20. Drawn lines separate grammar types with different power.
Conceptually different grammar types with the same power are separated by blank
space. We see that if we insist on non-monotonicity, the distinction between Type 0
and Type 1 disappears.
A special case arises if the language of a Type 1 to Type 3 grammar itself contains
the empty string. This cannot be incorporated into the grammar in the monotonic
hierarchy since the start symbol already has length 1 and no monotonic rule can
make it shrink. So the empty string has to be attached as a special property to the
grammar. No such problem occurs in the non-monotonic hierarchy.
Many parsing methods will in principle work for ε-free grammars only: if some-
thing does not produce anything, you can’t very well see if it’s there. Often the pars-
ing method can be doctored to handle ε-rules, but that invariably increases the com-
plexity of the method. It is probably fair to say that this book would be at least 30%

2.6 Grammars that Produce the Empty Language 41
Chomsky (monotonic) hierarchy non-monotonic
hierarchy
global
Type 0
unrestricted
phrase structure
grammars
monotonic
grammars
with ε-rules
unrestricted phrase
structure grammars
production
Type 1 context-sensitive
grammars
monotonic
grammars,
no ε-rules
context-sensitive
grammars with
non-monotonic rules
local Type 2 context-free ε-free grammars context-free grammars
production Type 3 regular (ε-free) grammars regular grammars,
regular expressions
no production Type 4 finite-choice
Fig. 2.20. Summary of grammar hierarchies
thinner if ε-rules did not exist — but then grammars would lose much more than
30% of their usefulness!
2.6 Grammars that Produce the Empty Language
Roughly 1500 years after the introduction of zero as a number by mathematicians in
India, the concept is still not well accepted in computer science. Many programming
languages do not support records with zero fields, arrays with zero elements, or vari-
able definitions with zero variables; in some programming languages the syntax for
calling a routine with zero parameters differs from that for a routine with one or more
parameters; many compilers refuse to compile a module that defines zero names; and
this list could easily be extended. More in particular, we do not know of any parser
generator that can produce a parser for the empty language, the language with zero
strings.
All of which brings us to the question of what the grammar for the empty lan-
guage would look like. First note that the empty language differs from the language
that consists of only the empty string, a string with zero characters. This language is
easily generated by the grammar Ss--->ε, and is handled correctly by the usual lex-
yacc pipeline. Note that this grammar has no terminal symbols, which means that VT
in Section 2.2 is the empty set.
For a grammar to produce nothing, the production process cannot be allowed to
terminate. This suggests one way to obtain such a grammar: Ss--->S. This is ugly,
however, for two reasons. From an algorithmic point of view the generation process
now just loops and no information about the emptiness of the language is obtained;
and the use of the symbol Sis arbitrary.
Another way is to force the production process to get stuck by not having any
production rules in the grammar. Then Rin Section 2.2 is empty too, and the form
of the grammar is ({S}, {}, S, {}). This is not very satisfactory either, since now we
have a non-terminal without a defining rule; and the symbol Sis still arbitrary.

42 2 Grammars as a Generating Device
A better way is never to allow the production process to get started: have no start
symbol. This can be accommodated by allowing a set of start symbols in the defini-
tion of a grammar rather than a single start symbol. There are other good reasons for
doing so. An example is the grammar for a large programming language which has
multiple “roots” for module specifications, module definitions, etc. Although these
differ at the top level, they have large segments of the grammar in common. If we
extend the definition of a CF grammar to use a set of start symbols, the grammar for
the empty language obtains the elegant and satisfactory form ({}, {}, {}, {}).
Also on the subject of zero and empty: it might be useful to consider grammar
rules in which the left-hand side is empty. Terminal productions of the right-hand
sides of such rules may appear anywhere in the input, thus modeling noise and other
every-day but extraneous events.
Our preoccupation with empty strings, sets, languages, etc. is not frivolous, since
it is well known that the ease with which a system handles empty cases is a measure
of its cleanliness and robustness.
2.7 The Limitations of CF and FS Grammars
When one has been working for a while with CF grammars, one gradually gets the
feeling that almost anything could be expressed in a CF grammar. That there are,
however, serious limitations to what can be said by a CF grammar is shown by the
famous uvwxy theorem, which is explained below.
2.7.1 The uvwxy Theorem
When we have obtained a sentence from a CF grammar, we may look at each (ter-
minal) symbol in it, and ask: How did it get here? Then, looking at the production
tree, we see that it was produced as, say, the n-th member of the right-hand side of
rule number m. The left-hand side of this rule, the parent of our symbol, was again
produced as the p-th member of rule q, and so on, until we reach the start symbol.
We can, in a sense, trace the lineage of the symbol in this way. If all rule/member
pairs in the lineage of a symbol are different, we call the symbol original,andifall
the symbols in a sentence are original, we call the sentence “original”.
For example, the lineage of the first hin the production tree
1
3 7
6 4
7
d,h&h
2.7 The Limitations of CF and FS Grammars 43
produced by the grammar
1. Ss--->L&N
2. Ss--->N
3. L--->N,L
4. L--->N
5. N--->t
6. N--->d
7. N--->h
is hof 7,1 of 4,1 of 3,3 of 1,1. Here the first number indicates the rule and the
second number is the member number in that rule. Since all the rule/member pairs
are different the his original.
Now there is only a finite number of ways for a given symbol to be original.
This is easy to see as follows. All rule/member pairs in the lineage of an original
symbol must be different, so the length of its lineage can never be more than the
total number of different rule/member pairs in the grammar. There are only so many
of these, which yields only a finite number of combinations of rule/member pairs of
this length or shorter. In theory the number of original lineages of a symbol can be
very large, but in practice it is very small: if there are more than, say, ten ways to
produce a given symbol from a grammar by original lineage, your grammar will be
very convoluted indeed!
This puts severe restrictions on original sentences. If a symbol occurs twice in
an original sentence, both its lineages must be different: if they were the same, they
would describe the same symbol in the same place. This means that there is a maxi-
mum length to original sentences: the sum of the numbers of original lineages of all
symbols. For the average grammar of a programming language this length is in the
order of some thousands of symbols, i.e., roughly the size of the grammar. So, since
there is a longest original sentence, there can only be a finite number of original sen-
tences, and we arrive at the surprising conclusion that any CF grammar produces a
finite-size kernel of original sentences and (probably) an infinite number of unorigi-
nal sentences!
What do “unoriginal” sentences look like? This is where we come to the uvwxy
theorem. An unoriginal sentence has the property that it contains at least one sym-
bol in the lineage of which a repetition occurs. Suppose that symbol is a qand the
repeated rule is A. We can then draw a picture similar to Figure 2.21, where wis the
part produced by the most recent application of A,vwx the part produced by the other
application of Aand uvwxy is the entire unoriginal sentence. Now we can immedi-
ately find another unoriginal sentence, by removing the smaller triangle headed by A
and replacing it by a copy of the larger triangle headed by A; see Figure 2.22.
This new tree produces the sentence uvvwxxy and it is easy to see that we can, in
this way, construct a complete family of sentences uvnwxnyfor all n≥0. This form
shows the wnested in a number of vand xbrackets, in an indifferent context of uand
y.
The bottom line is that when we examine longer and longer sentences in a
context-free language, the original sentences become exhausted and we meet only
families of closely related sentences telescoping off into infinity. This is summarized

44 2 Grammars as a Generating Device
S
u y
A
v x
A
qw
Fig. 2.21. An unoriginal sentence: uvwxy
S
u y
A
v x
A
v x
A
qw
Fig. 2.22. Another unoriginal sentence, uv2wx2y
in the uvwxy theorem: any sentence generated by a CF grammar that is longer than
the longest original sentence from that grammar can be cut into five pieces u,v,w,x
and y,insuchawaythatuvnwxnyis a sentence from that grammar for all n≥0. The
uvwxy theorem is also called the pumping lemma for context-free languages and has
several variants.
Two remarks must be made here. The first is that if a language keeps on providing
longer and longer sentences without reducing to families of nested sentences, there
cannot be a CF grammar for it. We have already encountered the context-sensitive
language anbncnand it is easy to see (but not quite so easy to prove!) that it does not
decay into such nested sentences, as sentences get longer and longer. Consequently,
there is no CF grammar for it. See Billington [396] for a general technique for such
proofs.
The second is that the longest original sentence is a property of the grammar,
not of the language. By making a more complicated grammar for a language we can
increase the set of original sentences and push away the border beyond which we
are forced to resort to nesting. If we make the grammar infinitely complicated, we
can push the border to infinity and obtain a phrase structure language from it. How
we can make a CF grammar infinitely complicated is described in the section on
two-level grammars, 15.2.1.

2.8 CF and FS Grammars as Transition Graphs 45
2.7.2 The uvw Theorem
A simpler form of the uvwxy theorem applies to regular (Type 3) languages. We have
seen that the sentential forms occurring in the production process for a FS grammar
all contain only one non-terminal, which occurs at the end. During the production
of a very long sentence, one or more non-terminals must occur two or more times,
since there are only a finite number of non-terminals. Figure 2.23 shows what we
see when we list the sentential forms one by one. The substring vhas been produced
Start_symbol
··· P
··· ··· Q
uA
u··· R
u··· ··· S
u v AAappears again
u v ··· T
u v ··· ···U
u v w
Fig. 2.23. Repeated occurrence of Amay result in repeated occurrence of v
from one occurrence of Ato the next, uis a sequence that allows us to reach A,andw
is a sequence that allows us to terminate the production process. It will be clear that,
starting from the second A, we could have followed the same path as from the first
A, and thus have produced uvvw.Thisleadsustotheuvw theorem, or the pumping
lemma for regular languages: any sufficiently long string from a regular language
can be cut into three pieces u,vand w,sothatuvnwis a string in the language for all
n≥0.
2.8 CF and FS Grammars as Transition Graphs
Atransition graph is a directed graph in which the arrows are labeled with zero or
more symbols from the grammar. The idea is that as you follow the arrows in the
graph you produce one of the associated symbols, if there is one, and nothing other-
wise. The nodes, often unlabeled, are resting points between producing the symbols.
If there is more than one outgoing arrow from a node you can choose any to fol-
low. So the transition graph in Figure 2.24 produces the same strings as the sample
grammar on page 23.
It is fairly straightforward to turn a grammar into a set of transition graphs, one
for each non-terminal, as Figure 2.25 shows. But it contains arrows marked with non-
terminals, and the meaning of “producing” a non-terminal associated with an arrow
is not directly clear. Suppose we are at node n1, from which a transition (arrow)
labeled with non-terminal Nleads to a node n2, and we want to take that transition.

46 2 Grammars as a Generating Device
tom
dick
harry
,
and
tom
dick
harry
Fig. 2.24. A transition graph for the [tdh] language
Name
tom
dick
harry
Sentence
Name
List and Name
List
Name , List
Name
Fig. 2.25. A recursive transition network for the sample grammar on page 23
Rather than producing Nby appending it to the output, we push node n2on a stack,
and continue our walk at the entrance to the transition graph for N. And when we
are leaving the transition graph for N, we pop n2from the stack and continue at node
n2.Thisistherecursive transition network interpretation of context-free grammars:
the set of graphs is the transition network, and the stacking mechanism provides the
recursion.
Figure 2.26 shows the right-regular rules of the FS grammar Figure 2.14(a)as
transition graphs. Here we have left out the unmarked arrows at the exits of the
graphs and the corresponding nodes; we could have done the same in Figure 2.25,
but doing so would have complicated the stacking mechanism.
We see that we have to produce a non-terminal only when we are just leaving
another, so we do not need to stack anything, and can interpret an arrow marked
with a non-terminal Nas a jump to the transition graph for N. So a regular grammar
corresponds to a (non-recursive) transition network.
If we connect each exit marked Nin such a network to the entrance of the graph
for Nwe can ignore the non-terminals, and obtain a transition graph for the corre-
sponding language. When we apply this short-circuiting to the transition network of
Figure 2.26 and rearrange the nodes a bit, we get the transition graph of Figure 2.24.

2.9 Hygiene in Context-Free Grammars 47
Sentence
[tdh]
List
List [tdh] ListTail
ListTail
, List
and [tdh]
Fig. 2.26. The FS grammar of Figure 2.14(a) as transition graphs
2.9 Hygiene in Context-Free Grammars
All types of grammars can contain useless rules, rules that cannot play a role in any
successful production process. A production process is successful when it results in a
terminal string. Production attempts can be unsuccessful by getting stuck (no further
substitution possible) or by entering a situation in which no substitution sequence
will ever remove all non-terminals. An example of a Type 0 grammar that can get
stuck is
1. Ss--->AB
2. S--->BA
3. S--->C
4. AB --->x
5. C--->CC
When we start with the first rule for S, all goes well and we produce the terminal
string x. But when we start with rule 2 for Swe get stuck, and when we start with
rule 3, we get ourselves in an infinite loop, producing more and more Cs. Rules 2, 3
and 5 can never occur in a successful production process: they are useless rules, and
can be removed from the grammar without affecting the language produced.
Useless rules are not a fundamental problem: they do not obstruct the normal
production process. Still, they are dead wood in the grammar, and one would like to
remove them. Also, when they occur in a grammar specified by a programmer, they
probably point at some error, and one would like to detect them and give warning or
error messages.
The problems with the above grammar were easy to understand, but it can be
shown that in general it is undecidable whether a rule in a Type 0 or 1 grammar is
useless: there cannot be an algorithm that does it correctly in all cases. For context-
free grammars the situation is different, however, and the problem is rather easily
solved.
48 2 Grammars as a Generating Device
Rules in a context-free grammar can be useless through three causes: they may
contain undefined non-terminals, they may not be reachable from the start symbol,
and they may fail to produce anything. We will now discuss each of these ailments
in more detail; an algorithm to rid a grammar of them is given in Section 2.9.5.
2.9.1 Undefined Non-Terminals
The right-hand side of some rule may contain a non-terminal for which no production
rule is given. Such a rule will never have issue and can be removed from the grammar.
If we do this, we may of course remove the last definition of another non-terminal,
which will then in turn become undefined, etc.
We will see further on (for example in Section 4.1.3) that it is occasionally useful
to also recognize undefined terminals. Rules featuring them in their right-hand sides
can again be removed.
2.9.2 Unreachable Non-Terminals
If a non-terminal cannot be reached from the start symbol, its defining rules will
never be used, and it cannot contribute to the production of any sentence. Unreach-
able non-terminals are sometimes called “unused non-terminals”. But this term is a
bit misleading, because an unreachable non-terminal Amay still occur in some right-
hand side B→···A···, making it look useful, provided Bis unreachable; the same
applies of course to B,etc.
2.9.3 Non-Productive Rules and Non-Terminals
Suppose Xhas as its only rule X→aX and suppose Xcan be reached from the start
symbol. Now Xwill still not contribute anything to the sentences of the language
of the grammar, since once Xis introduced, there is no way to get rid of it: Xis
a non-productive non-terminal. In addition, any rule which has Xin its right-hand
side is non-productive. In short, any rule that does not in itself produce a non-empty
sublanguage is non-productive. If all rules for a non-terminal are non-productive, the
non-terminal is non-productive.
In an extreme case all non-terminals in a grammar are non-productive. This hap-
pens when all right-hand sides in the grammar contain at least one non-terminal.
Then there is just no way to get rid of the non-terminals, and the grammar itself is
non-productive.
These three groups together are called useless non-terminals.
2.9.4 Loops
The above definition makes “non-useless” all rules that can be involved in the pro-
duction of a sentence, but there still is a class of rules that are not really useful: rules
of the form A→A. Such rules are called loops. Loops can also be indirect: A→B,
2.9 Hygiene in Context-Free Grammars 49
B→C,C→A; and they can be hidden: A→PAQ,P*
→ε,Q*
→ε, so a production
sequence A→PAQ →...A... →Ais possible.
A loop can legitimately occur in the production of a sentence, and if it does,
there is also a production of that sentence without the loop. Loops do not contribute
to the language and any sentence the production of which involves a loop is infinitely
ambiguous, meaning that there are infinitely many production trees for it. Algorithms
for loop detection are given in Section 4.1.2.
Different parsers react differently to grammars with loops. Some (most of the
general parsers) faithfully attempt to construct an infinite number of derivation trees,
some (for example, the CYK parser) collapse the loop as described above and some
(most deterministic parsers) reject the grammar. The problem is aggravated by the
fact that loops can be concealed by ε-rules: a loop may only become visible when
certain non-terminals produce ε.
A grammar without useless non-terminals and loops is called a proper grammar.
2.9.5 Cleaning up a Context-Free Grammar
Normally, grammars supplied by people do not contain undefined, unreachable or
non-productive non-terminals. If they do, it is almost certainly a mistake (or a test!),
and we would like to detect and report them. Such anomalies can, however, occur
normally in generated grammars or be introduced by some grammar transforma-
tions, in which case we wish to detect them to “clean up” the grammar. Cleaning the
grammar is also very important when we obtain the result of parsing as a parse-forest
grammar (Section 3.7.4, Chapter 13, and many other places).
The algorithm to detect and remove useless non-terminals and rules from a
context-free grammar consists of two steps: remove the non-productive rules and
remove the unreachable non-terminals. Surprisingly it is not necessary to remove the
useless rules due to undefined non-terminals: the first step does this for us automati-
cally.
Ss---> AB|DE
A--->a
B--->bC
C--->c
D--->dF
E--->e
F--->fD
Fig. 2.27. A demo grammar for grammar cleaning
We will use the grammar of Figure 2.27 for our demonstration. It looks fairly
innocent: all its non-terminals are defined and it does not exhibit any suspicious
constructions.
50 2 Grammars as a Generating Device
2.9.5.1 Removing Non-Productive Rules
We find the non-productive rules by finding the productive ones. Our algorithm
hinges on the observation that a rule is productive if its right-hand side consists of
symbols all of which are productive. Terminal symbols are productive since they
produce terminals and empty is productive since it produces the empty string. A
non-terminal is productive if there is a productive rule for it, but the problem is that
initially we do not know which rules are productive, since that is exactly the thing
we are trying to find out.
We solve this dilemma by first marking all rules and non-terminals as “Don’t
know”. We now go through the grammar of Figure 2.27 and for each rule for which
we do know that all its right-hand side members are productive, we mark the rule
and the non-terminal it defines as “Productive”. This yields markings for the rules
A--->a,C--->c,andE--->e, and for the non-terminals A,Cand E.
Now we know more and apply this knowledge in a second round through the
grammar. This allows us to mark the rule B--->bC and the non-terminal B,sincenow
Cis known to be productive. A third round gives us S--->AB and S. A fourth round
yields nothing new, so there is no point in a fifth round.
We now know that S,A,B,C,andEare productive, but Dand Fand the rule
S--->DE are still marked “Don’t know”. However, now we know more: we know
that we have pursued all possible avenues for productivity, and have not found any
possibilities for D,Fand the second rule for S. That means that we can now upgrade
our knowledge “Don’t know” to “Non-productive”. The rules for D,Fand the second
rule for Scan be removed from the grammar; the result is shown in Figure 2.28. This
makes Dand Fundefined, but Sstays in the grammar since it is productive, in spite
of having a non-productive rule.
Ss--->AB
A--->a
B--->bC
C--->c
E--->e
Fig. 2.28. The demo grammar after removing non-productive rules
It is interesting to see what happens when the grammar contains an undefined
non-terminal, say U.Uwill first be marked “Don’t know”, and since there is no
rule defining it, it will stay “Don’t know”. As a result, any rule Rfeaturing Uin
its right-hand side will also stay “Don’t know”. Eventually both will be recognized
as “Non-productive”, and all rules Rwill be removed. We see that an “undefined
non-terminal” is just a special case of a “non-productive” non-terminal: it is non-
productive because there is no rule for it.
The above knowledge-improving algorithm is our first example of a closure al-
gorithm. Closure algorithms are characterized by two components: an initialization,
which is an assessment of what we know initially, partly derived from the situation
2.9 Hygiene in Context-Free Grammars 51
and partly “Don’t know”; and an inference rule, which is a rule telling how knowl-
edge from several places is to be combined. The inference rule for our problem was:
For each rule for which we do know that all its right-hand side members are
productive, mark the rule and the non-terminal it defines as “Productive’.’
It is implicit in a closure algorithm that the inference rule(s) are repeated until nothing
changes any more. Then the preliminary “Don’t know” can be changed into a more
definitive “Not X”, where “X” was the property the algorithm was designed to detect.
Since it is known beforehand that in the end all remaining “Don’t know” indica-
tions are going to be changed into “Not X”, many descriptions and implementations
of closure algorithms skip the whole “Don’t know” stage and initialize everything to
“Not X”. In an implementation this does not make much difference, since the mean-
ing of the bits in computer memory is not in the computer but in the mind of the
programmer, but especially in text-book descriptions this practice is unelegant and
can be confusing, since it just is not true that initially all the non-terminals in our
grammar are “Non-productive”.
We will see many examples of closure algorithms in this book; they are discussed
in more detail in Section 3.9.
2.9.5.2 Removing Unreachable Non-Terminals
A non-terminal is called reachable or accessible if there exists at least one sentential
form, derivable from the start symbol, in which it occurs. So a non-terminal Ais
reachable if S*
→αAβfor some αand β.
We found the non-productive rules and non-terminals by finding the “productive”
ones. Likewise, we find the unreachable non-terminals by finding the reachable ones.
For this, we can use the following closure algorithm. First, the start symbol is marked
“reachable”; this is the initialization. Then, for each rule in the grammar of the form
A→αwith Amarked, all non-terminals in αare marked; this is the inference rule.
We continue applying the inference rule until nothing changes any more. Now the
unmarked non-terminals are not reachable and their rules can be removed.
The first round marks Aand B; the second marks C, and the third produces no
change. The result — a clean grammar — is in Figure 2.29. We see that rule E--->e,
which was reachable and productive in Figure 2.27 became isolated by removing
the non-productive rules, and is then removed by the second step of the cleaning
algorithm.
Ss--->AB
A--->a
B--->bC
C--->c
Fig. 2.29. The demo grammar after removing all useless rules and non-terminals
52 2 Grammars as a Generating Device
Removing the unreachable rules cannot cause a non-terminal Nused in a reach-
able rule to become undefined, since Ncan only become undefined by removing all
its defining rules but since Nis reachable, the above process will not remove any
rule for it. A slight modification of the same argument shows that removing the un-
reachable rules cannot cause a non-terminal Nused in a reachable rule to become
non-productive: N, which was productive or it would not have survived the previous
clean-up step, can only become non-productive by removing some of its defining
rules but since Nis reachable, the above process will not remove any rule for it.
This shows conclusively that after removing non-productive non-terminals and then
removing unreachable non-terminals we do not need to run the step for removing
non-productive non-terminals again.
It is interesting to note, however, that first removing unreachable non-terminals
and then removing non-productive rules may produce a grammar which again con-
tains unreachable non-terminals. The grammar of Figure 2.27 is an example in point.
Furthermore it should be noted that cleaning a grammar may remove all rules,
including those for the start symbol, in which case the grammar describes the empty
language; see Section 2.6.
Removing the non-productive rules is a bottom-up process: only the bottom level,
where the terminal symbols live, can know what is productive. Removing unreach-
able non-terminals is a top-down process: only the top level, where the start sym-
bol(s) live(s), can know what is reachable.
2.10 Set Properties of Context-Free and Regular Languages
Since languages are sets, it is natural to ask if the standard operations on sets —
union, intersection, and negation (complement) — can be performed on them, and if
so, how.
The union of two sets S1and S2contains the elements that are in either set;
it is written S1∪S2.. The intersection contains the elements that are in both sets;
it is written S1∩S2.Andthenegation of a set Scontains those in Σ∗but not in
S; it is written ¬S. In the context of formal languages the sets are defined through
grammars, so actually we want to do the operations on the grammars rather than on
the languages.
Constructing the grammar for the union of two languages is trivial for context-
free and regular languages (and in fact for all Chomsky types): just construct a new
start symbol S→S1|S2,whereS1and S2are the start symbols of the two grammars
that describe the two languages. (Of course, if we want to combine the two grammars
into one we must make sure that the names in them differ, but that is easy to do.)
Intersection is a different matter, though, since the intersection of two context-
free languages need not be context-free, as the following example shows. Consider
the two CF languages L1=anbncmand L2=ambncndescribed by the CF grammars
L1s--->AP
A--->aAb|ε
P--->cP|ε
and
L2s--->QC
Q--->aQ|ε
C--->bCc|ε
2.10 Set Properties of Context-Free and Regular Languages 53
When we take a string that occurs in both languages and thus in their intersection, it
will have the form apbqcrwhere p=qbecause of L1and q=rbecause of L2.So
the intersection language consists of strings of the form anbncnand we know that
that language is not context-free (Section 2.7.1).
The intersection of CF languages has weird properties. First, the intersection of
two CF languages always has a Type 1 grammar — but this grammar is not easy to
construct. More remarkably, the intersection of three CF languages is more powerful
than the intersection of two of them: Liu and Weiner [390] show that there are lan-
guages that can be obtained as the intersection of kCF languages, but not of k−1. In
spite of that, any Type 1 language, and even any Type 0 language, can be constructed
by intersecting just two CF languages, provided we are allowed to erase all symbols
in the resulting strings that belong to a set of erasable symbols.
The CS language we will use to demonstrate this remarkable phenomenon is the
set of all strings that consist of two identical parts: ww,wherewis any string over
the given alphabet; examples are aa and abbababbab. The two languages to be
intersected are defined by
L3s--->AP
A---> aAx|bAy|ε
P---> aP|bP|ε
and
L4s--->QC
Q---> aQ|bQ|ε
C---> xCa|yCb|ε
where xand yare the erasable symbols. The first grammar produces strings consist-
ing of three parts, a sequence A1of asandbs, followed by its “dark mirror” image
M1,inwhichacorresponds to xand bto y,followedbyanarbitrarysequenceG1of
asandbs. The second grammar produces strings consisting of an arbitrary sequence
G2of asandbs, a “dark” sequence M2, and its mirror image A2, in which again a
corresponds to xand bto y. The intersection forces A1=G2,M1=M2,andG1=A2.
This makes A2the mirror image of the mirror image of A1, in other words equal to
A1. An example of a string in the intersection is abbabyxyyxabbab,wherewe
see the mirror images abbab and yxyyx. We now erase the erasable symbols xand
yand obtain our result abbababbab.
Using a massive application of the above mirror-mirror trick, one can relatively
easily prove that any Type 0 language can be constructed as the intersection of two
CF languages, plus a set of erasable symbols. For details see, for example, Révész
[394].
Remarkably the intersection of a context-free and a regular language is always
a context-free language, and, what’s more, there is a relatively simple algorithm to
construct a grammar for that intersection language. This gives rise to a set of unusual
parsing algorithms, which are discussed in Chapter 13.
If we cannot have intersection of two CF languages and stay inside the CF lan-
guages, we certainly cannot have negation of a CF language and stay inside the CF
languages. If we could, we could negate two languages, take their union, negate the
result, and so obtain their intersection. In a formula: L1∩L2=¬((¬L1)∪(¬L2));
this formula is known as De Morgan’s Law.
In Section 5.4 we shall see that union, intersection and negation of regular (Type
3) languages yield regular languages.
54 2 Grammars as a Generating Device
It is interesting to speculate what would have happened if formal languages had
been based on set theory with all the set operations right from the start, rather than
on the Chomsky hierarchy. Would context-free languages still have been invented?
2.11 The Semantic Connection
Sometimes parsing serves only to check the correctness of a string; that the string
conforms to a given grammar may be all we want to know, for example because it
confirms our hypothesis that certain observed patterns are indeed correctly described
by the grammar we have designed for it. Often, however, we want to go further: we
know that the string conveys a meaning, its semantics, and this semantics is directly
related to the structure of the production tree of the string. (If it is not, we have the
wrong grammar!)
Attaching semantics to a grammar is done in a very simple and effective way: to
each rule in the grammar, a semantic clause is attached which relates the semantics of
the members of the right-hand side of the rule to the semantics of the left-hand side,
in which case the semantic information flows from the leaves of the tree upwards to
the start symbol; or the other way around, in which case the semantic information
flows downwards from the start symbol to the leaves; or both ways, in which case
the semantic information may have to flow up and down for a while until a stable
situation is reached. Semantic information flowing down is called inherited: each
rule inherits it from its parent in the tree. Semantic information flowing up is called
derived: each rule derives it from its children.
There are many ways to express semantic clauses. Since our subject is parsing
and syntax rather than semantics, we will briefly describe only two often-used and
well-studied techniques: attribute grammars and transduction grammars. We shall
explain both using the same simple example, the language of sums of one-digit
numbers; the semantics of a sentence in this language is the value of the sum. The
language is generated by the grammar of Figure 2.30. One of its sentences is, for
1. Sums---> Digit
2. Sum ---> Sum + Digit
3. Digit --->0|1|··· |9
Fig. 2.30. A grammar for sums of one-digit numbers
example, 3+5+1; its semantics is 9.
2.11.1 Attribute Grammars
The semantic clauses in an attribute grammar assume that each node in the produc-
tion tree has room for one or more attributes, which are just values (numbers, strings
or anything else) sitting in nodes in production trees. For simplicity we restrict our-
selves to attribute grammars with only one attribute per node. The semantic clause

2.11 The Semantic Connection 55
of a rule in such a grammar contains some formulas which compute the attributes of
some of the non-terminals in that rule (represented by nodes in the production tree)
from those of other non-terminals in that same rule. These semantic actions connect
only attributes that are local to the rule: the overall semantics is composed as the
result of all the local computations.
If the semantic action of a rule Rcomputes the attribute of the left-hand side of R,
that attribute is derived. If it computes an attribute of one of the non-terminals in the
right-hand side of R,sayA, then that attribute is inherited by A. Derived attributes
are also called “synthesized attributes”. The attribute grammar for our example is:
1. Sums---> Digit {A0:=A1}
2. Sum ---> Sum + Digit {A0:=A1+A3}
3a. Digit --->0 {A0:=0}
··· ···
3j. Digit --->9 {A0:=9}
The semantic clauses are given between curly brackets. A0is the (derived) attribute of
the left-hand side; A1,...,Anare the attributes of the members of the right-hand side.
Traditionally, terminal symbols in a right-hand side are also counted in determining
the index of A, although they do not (normally) carry attributes; the Digit in rule 2
is in position 3 and its attribute is A3. Most systems for handling attribute grammars
have less repetitive ways to express rule 3a through 3j.
The initial production tree for 3+5+1 is given in Figure 2.31. First only the at-
+
+ 1
3 5
A0=1
A0=3A0=5
Fig. 2.31. Initial stage of the attributed production tree for 3+5+1
tributes for the leaves are known, but as soon as all attributes in a right-hand side of
a production rule are known, we can use its semantic clause to compute the attribute
of its left-hand side. This way the attribute values (semantics) percolate up the tree,
finally reach the start symbol and provide us with the semantics of the whole sen-
tence, as shown in Figure 2.32. Attribute grammars are a very powerful method of
handling the semantics of a language. They are discussed in more detail in Section
15.3.1.
2.11.2 Transduction Grammars
Transduction grammars define the semantics of a string (the “input string”) as an-
other string, the “output string” or “translation”, rather than as the final attribute of

56 2 Grammars as a Generating Device
+
+ 1
3 5
A0=9
A0=8A0=1
A0=3A0=5
Fig. 2.32. Fully attributed production tree for 3+5+1
the start symbol. This method is less powerful but much simpler than using attributes
and often sufficient. The semantic clause in a production rule is just the string that
should be output for the corresponding node. We assume that the string for a node is
output just after the strings for all its children. Other variants are possible and in fact
usual. We can now write a transduction grammar which translates a sum of digits
into instructions to compute the value of the sum.
1. Sums---> Digit "make it the result"
2. Sum ---> Sum + Digit "add it to the previous result"
3a. Digit ---> 0 "take a 0"
··· ···
3j. Digit ---> 9 "take a 9"
This transduction grammar translates 3+5+1 into:
take a 3
make it the result
take a 5
add it to the previous result
take a 1
add it to the previous result
which is indeed what 3+5+1 “means”.
2.11.3 Augmented Transition Networks
Semantics can be introduced in a recursive transition network (Section 2.8) by attach-
ing actions to the transitions in the graphs. These actions can set variables, construct
data structures, etc. A thus augmented recursive transition network is known as an
Augmented Transition Network (or ATN) (Woods [378]).
2.12 A Metaphorical Comparison of Grammar Types
Text books claim that “Type ngrammars are more powerful than Type n+1gram-
mars, for n=0,1,2”, and one often reads statements like “A regular (Type 3) gram-
mar is not powerful enough to match parentheses”. It is interesting to see what kind
of power is meant. Naively, one might think that it is the power to generate larger

2.12 A Metaphorical Comparison of Grammar Types 57
and larger sets, but this is clearly incorrect: the largest possible set of strings, Σ∗,is
easily generated by the Type 3 grammar
Ss--->[Σ]S|ε
where [Σ] is an abbreviation for the symbols in the language. It is just when we want
to restrict this set, that we need more powerful grammars. More powerful grammars
can define more complicated boundaries between correct and incorrect sentences.
Some boundaries are so fine that they cannot be described by any grammar (that is,
by any generative process).
This idea has been depicted metaphorically in Figure 2.33, in which a rose is
approximated by increasingly finer outlines. In this metaphor, the rose corresponds
to the language (imagine the sentences of the language as molecules in the rose); the
grammar serves to delineate its silhouette. A regular grammar only allows us straight
horizontal and vertical line segments to describe the flower; ruler and T-square suf-
fice, but the result is a coarse and mechanical-looking picture. A CF grammar would
approximate the outline by straight lines at any angle and by circle segments; the
drawing could still be made using the classical tools of compasses and ruler. The
result is stilted but recognizable. A CS grammar would present us with a smooth
curve tightly enveloping the flower, but the curve is too smooth: it cannot follow all
the sharp turns, and it deviates slightly at complicated points; still, a very realistic
picture results. An unrestricted phrase structure grammar can represent the outline
perfectly. The rose itself cannot be caught in a finite description; its essence remains
forever out of our reach.
A more prosaic and practical example can be found in the successive sets of Java5
programs that can be generated by the various grammar types.
• The set of all lexically correct Java programs can be generated by a regular gram-
mar. A Java program is lexically correct if there are no newlines inside strings,
comments are terminated before end-of-file, all numerical constants have the
right form, etc.
• The set of all syntactically correct Java programs can be generated by a context-
free grammar. These programs conform to the (CF) grammar in the manual.
• The set of all semantically correct Java programs can be generated by a CS gram-
mar. These are the programs that pass through a Java compiler without drawing
error messages.
• The set of all Java programs that would terminate in finite time when run with a
given input can be generated by an unrestricted phrase structure grammar. Such
a grammar would, however, be very complicated, since it would incorporate de-
tailed descriptions of the Java library routines and the Java run-time system.
• The set of all Java programs that solve a given problem (for example, play chess)
cannot be generated by a grammar (although the description of the set is finite).
Note that each of the above sets is a subset of the previous set.
5We use the programming language Java here because we expect that most of our readers
will be more or less familiar with it. Any programming language for which the manual
gives a CF grammar will do.

58 2 Grammars as a Generating Device
Fig. 2.33. The silhouette of a rose, approximated by Type 3 to Type 0 grammars
2.13 Conclusion 59
2.13 Conclusion
A Chomsky grammar is a finite mechanism that produces a usually infinite set of
strings, a “language.” Unlike many other set generation mechanisms, this production
process assigns a structure to the produced string, which can be utilized to attach
semantics to it. For context-free (Type 2) grammars, this structure is a tree, which
allows the semantics to be composed from the semantics of the branches. This is the
basis of the importance of context-free grammars.
Problems
Problem 2.1: The diagonalization procedure on page 11 seems to be a finite
description of a language not on the list. Why is the description not on the list, which
contains all finite descriptions after all?
Problem 2.2: In Section 2.1.3.4 we considered the functions n,n+10, and 2n
to find the positions of the bits that should differ from those in line n.Whatisthe
general form of these functions, i.e., what set of functions will generate languages
that do not have finite descriptions?
Problem 2.3: Write a grammar for Manhattan turtle paths in which the turtle is
never allowed to the west of its starting point.
Problem 2.4: Show that the monotonic Type 1 grammar of Figure 2.7 produces
all strings of the form anbncnfor n≥1, and no others. Why is n=0 excluded?
Problem 2.5: Write a Type 1 grammar that produces the language of all strings
that consists of two identical parts: ww,wherewis any string over the given alphabet
(see Section 2.10).
Problem 2.6: On page 34 we have the sentence production mechanism add the
newly created sentential forms to the end of the queue, claiming that this realizes
breadth-first production. When we put them at the start of the queue, the mechanism
uses depth-first production. Show that this does not work.
Problem 2.7: The last paragraph of Section 2.4.1 contains the words “in increas-
ing (actually ‘non-decreasing’) length”. Explain why “non-decreasing” is enough.
Problem 2.8: Relate the number of strings in the finite language produced by a
grammar without recursion (page 25) to the structure of that grammar.
Problem 2.9: Refer to Section 2.6. Find more examples in your computing en-
vironment where zero as a number gets a second-class treatment.
Problem 2.10: In your favorite parser generator system, write a parser for the
language {ε}. Same question for the language {}.
Problem 2.11:Usetheuvw theorem (Section 2.7.2) to show that there is no Type
3 grammar for the language aibi.
Problem 2.12: In Section 2.9 we write that useless rules can be removed from
the grammar without affecting the language produced. This seems to suggest that
“not affecting the language by its removal” is the actual property we are after, rather
than just uselessness. Comment.
60 2 Grammars as a Generating Device
Problem 2.13: Write the Chomsky production process of Section 2.2.2 as a
closure algorithm.
3
Introduction to Parsing
To parse a string according to a grammar means to reconstruct the production tree (or
trees) that indicate how the given string can be produced from the given grammar. It
is significant in this respect that one of the first publications on parsing (Greibach’s
1963 doctoral thesis [6]), was titled “Inverses of Phrase Structure Generators”, where
a phrase structure generator is to be understood as a system for producing phrases
from a phrase structure (actually context-free) grammar.
Although production of a sentence based on a Type 0 or Type 1 grammar gives
rise to a production graph rather than a production tree, and consequently parsing
yields a parse graph, we shall concentrate on parsing using a Type 2, context-free
grammar, and the resulting parse trees. Occasionally we will touch upon parsing
with Type 0 or Type 1 grammars, as for example in Section 3.2, just to show that it
is a meaningful concept.
3.1 The Parse Tree
There are two important questions on reconstructing the production tree: why do we
need it; and how do we do it.
The requirement to recover the production tree is not natural. After all, a grammar
is a condensed description of a set of strings, i.e., a language, and our input string
either belongs or does not belong to that language; no internal structure or production
path is involved. If we adhere to this formal view, the only meaningful question we
can ask is if a given string can be recognized according to a grammar; any question
as to how would be a sign of senseless, even morbid curiosity. In practice, however,
grammars have semantics attached to them: specific semantics is attached to specific
rules, and in order to determine the semantics of a string we need to find out which
rules were involved in its production and how. In short, recognition is not enough,
and we need to recover the production tree to get the full benefit of the syntactic
approach.
62 3 Introduction to Parsing
The recovered production tree is called the parse tree. The fact that it is next
to impossible to attach semantics to specific rules in Type 0 and Type 1 grammars
explains their relative unimportance in parsing, compared to Types 2 and 3.
How we can reconstruct the production tree is the main subject of the rest of this
book.
3.1.1 The Size of a Parse Tree
A parse tree for a string of ntokens consists of nnodes belonging to the terminals,
plus a number of nodes belonging to the non-terminals. Surprisingly, there cannot be
more than CGnnodes belonging to non-terminals in a parse tree with ntoken nodes,
where CGis a constant that depends on the grammar, provided the grammar has no
loops. This means that the size of any parse tree is linear in the length of the input.
Showing that this is true has to be done in a number of steps. We prove it first
for grammars in which all right-hand sides have length 2; these result in binary trees,
trees in which each node either has two children or is a leaf (a node with no children).
Binary trees have the remarkable property that all binary trees with a given number
of leaves have the same number of nodes, regardless of their shapes. Next we allow
grammars with right-hand sides with lengths > 2, then grammars with unit rules, and
finally grammars with nullable rules.
As we said, an input string of length nconsists of ntoken nodes. When the parse
tree is not there yet, these nodes are parentless leaves. We are now going to build an
arbitrary binary tree to give each of these nodes a parent, labeled with a non-terminal
from the grammar. The first parent node P1we add lowers the number of parentless
nodes by 2, but now P1is itself a parentless node; so we now have n+1 nodes of
which n−2+1=n−1 are parentless. The same happens with the second added
parent node P2, regardless of whether one of its children is P1;sonowwehaven+2
nodes of which n−2 are parentless. After jsteps we have n+jnodes of which n−j
are parentless and after n−1 steps we have 2n−1 nodes of which 1 is parentless.
The 1 parentless node is the top node, and the parse tree is complete. So we see
that when all right-hand sides have length 2, the parse tree for an input of length n
contains 2n−1 nodes, which is linear in n.
If some of the right-hand sides have length > 2, fewer parent nodes may be re-
quired to construct the tree. So the total tree size may be smaller than 2n−1, which
is certainly smaller than 2n.
If the grammar contains unit rules — rules of the form A→B— it is no longer
true that adding a parent node reduces the number of parentless nodes: when a par-
entless node Bgets a parent Athrough the rule A→B, it is no longer parentless,
but the node for Anow is, and, what is worse, the number of nodes has gone up
by one. And it may be necessary to repeat the process, say with a rule Z→A,etc.
But eventually the chain of unit rules must come to an end, say at P(so we have
P→Q···Z→A→B), or there would be a loop in the grammar. This means that
Pgets a parent node with more than one child node and the number of parentless
nodes is reduced (or Pis the top node). So the worst thing the unit rules can do is
3.1 The Parse Tree 63
to “lengthen” each node by a constant factor Cu, the maximum length of a unit rule
chain, and so the size of the parse tree is smaller than 2Cun.
If the grammar contains rules of the form A→ε, only a finite number of εs can
be recognized between each pair of adjacent tokens in the input, or there would again
be a loop in the grammar. So the worst thing nullable rules can do is to “lengthen”
the input by a constant factor Cn, the maximum number of εs recognized between
two tokens, and the size of the parse tree is smaller than 2CnCun, which is linear in
n.
If, on the other hand, the grammar is allowed to contain loops, both the above
processes can introduce unbounded stretches of nodes in the parse tree, which can
then reach any size.
3.1.2 Various Kinds of Ambiguity
A sentence from a grammar can easily have more than one production tree, i.e., there
can easily be more than one way to produce the sentence. From a formal point of
view this is a non-issue (a set does not count how many times it contains an el-
ement), but as soon as we are interested in the semantics, the difference becomes
significant. Not surprisingly, a sentence with more than one production tree is called
ambiguous, but we must immediately distinguish between essential ambiguity and
spurious ambiguity. The difference comes from the fact that we are not interested in
the production trees per se, but rather in the semantics they describe. An ambiguous
sentence is spuriously ambiguous if all its production trees describe the same seman-
tics; if some of them differ in their semantics, the ambiguity is essential. The notion
of “ambiguity” can also be defined for grammars: a grammar is essentially ambigu-
ous if it can produce an essentially ambiguous sentence, spuriously ambiguous if
it can produce a spuriously ambiguous sentence (but not an essentially ambiguous
one) and unambiguous if it cannot do either. For testing the possible ambiguity of a
grammar, see Section 9.14.
A simple ambiguous grammar is given in Figure 3.1. Note that rule 2 differs
1. Sums---> Digit { A0:=A1}
2. Sum ---> Sum + Sum { A0:=A1+A3}
3a. Digit --->0 {A0:=0}
···
3j. Digit --->9 {A0:=9}
Fig. 3.1. A simple ambiguous grammar
from that in Figure 2.30. Now 3+5+1 has two production trees (Figure 3.2) but the
semantics is the same in both cases: 9. The ambiguity is spurious. If we change the
+into a -, however, the ambiguity becomes essential, as seen in Figure 3.3. The
unambiguous grammar in Figure 2.30 remains unambiguous and retains the correct
semantics if +is changed into -.

64 3 Introduction to Parsing
2
1
2
1 1
3c 3e 3a
3+5+1
9
3
6
51
2
2
11 1
3c 3e 3a
3+5+1
9
8
135
Fig. 3.2. Spurious ambiguity: no change in semantics
2
1
2
1 1
3c 3e 3a
3-5-1
−1
3
4
51
2
2
11 1
3c 3e 3a
3-5-1
−3
−2
135
Fig. 3.3. Essential ambiguity: the semantics differ
Strangely enough, languages can also be ambiguous: there are (context-free) lan-
guages for which there is no unambiguous grammar. Such languages are inherently
ambiguous. An example is the language L=ambncn∪apbpcq. Sentences in L
consist either of a number of as followed by a nested sequence of bsandcs, or of a
nested sequence of asandbs followed by a number of cs. Example sentences are:
abcc,aabbc,andaabbcc;abbc is an example of a non-sentence. Lis produced
by the grammar of Figure 3.4.
Ss--->AB|DC
A--->a|aA
B---> bc | bBc
D---> ab | aDb
C--->c|cC
Fig. 3.4. Grammar for an inherently ambiguous language
Intuitively, it is reasonably clear why Lis inherently ambiguous: any part of the
grammar that produces ambncncannot avoid producing anbncn, and any part of the
grammar that produces apbpcqcannot avoid producing apbpcp. So whatever we do,
forms with equal numbers of as, bs, and cs will always be produced twice. Formally
proving that there is really no way to get around this is beyond the scope of this book.
3.2 Two Ways to Parse a Sentence 65
3.1.3 Linearization of the Parse Tree
Often it is inconvenient and unnecessary to construct the actual parse tree: a parser
can produce a list of rule numbers instead, which means that it linearizes the parse
tree. There are three main ways to linearize a tree, prefix, postfix and infix. In prefix
notation, each node is listed by listing its number followed by prefix listings of the
subnodes in left-to-right order; this gives us the leftmost derivation (for the right tree
in Figure 3.2):
leftmost:2213c13e13a
If a parse tree is constructed according to this scheme, it is constructed in pre-order.
In postfix notation, each node is listed by listing in postfix notation all the subnodes
in left-to-right order, followed by the number of the rule in the node itself; this gives
us the rightmost derivation (for the same tree):
rightmost: 3c 1 3e 1 2 3a 1 2
This constructs the parse tree in post-order.Ininfix notation, each node is listed by
first giving an infix listing between parentheses of the first nsubnodes, followed by
the rule number in the node, followed by an infix listing between parentheses of the
remainder of the subnodes; ncan be chosen freely and can even differ from rule
to rule, but n=1 is normal. Infix notation is not common for derivations, but is
occasionally useful. The case with n=1 is called the left-corner derivation; in our
example we get:
left-corner: (((3c)1) 2 ((3e)1)) 2 ((3a)1)
The infix notation requires parentheses to enable us to reconstruct the production
tree from it. The leftmost and rightmost derivations can do without them, provided
we have the grammar ready to find the number of subnodes for each node.
It is easy to tell if a derivation is leftmost or rightmost: a leftmost derivation
starts with a rule for the start symbol, while a rightmost derivation starts with a rule
that produces terminal symbols only. (If both conditions hold, there is only one rule,
which is both a leftmost and a rightmost derivation.)
The existence of several different derivations should not be confused with am-
biguity. The different derivations are just notational variants for one and the same
production tree. No semantic significance can be attached to their differences.
3.2 Two Ways to Parse a Sentence
The basic connection between a sentence and the grammar it derives from is the
parse tree, which describes how the grammar was used to produce the sentence.
For the reconstruction of this connection we need a parsing technique. When we
consult the extensive literature on parsing techniques, we seem to find dozens of
them, yet there are only two techniques to do parsing; all the rest is technical detail
and embellishment.

66 3 Introduction to Parsing
The first method tries to imitate the original production process by rederiving the
sentence from the start symbol. This method is called top-down, because the parse
tree is reconstructed from the top downwards.1
The second method tries to roll back the production process and to reduce the
sentence back to the start symbol. Quite naturally this technique is called bottom-up.
3.2.1 Top-Down Parsing
Suppose we have the monotonic grammar for the language anbncnfrom Figure 2.7,
which we repeat here:
Ss---> aSQ
S---> abc
bQc ---> bbcc
cQ --->Qc
and suppose the (input) sentence is aabbcc. First we try the top-down parsing
method. We know that the production tree must start with the start symbol:
S
Now what could the second step be? We have two rules for S:S--->aSQ and S--->abc.
The second rule would require the sentence to start with ab, which it does not. This
leaves us S--->aSQ:
S
aSQ
This gives us a good explanation of the first ain our sentence. Again two rules apply:
S--->aSQ and S--->abc. Some reflection will reveal that the first rule would be a bad
choice here: all production rules of Sstart with an a, and if we would advance to the
stage aaSQQ, the next step would inevitably lead to aaa..., which contradicts the
input string. The second rule, however, is not without problems either:
S
aSQ
aabcQ
since now the sentence starts with aabc..., which also contradicts the input sen-
tence. Here, however, there is a way out: cQ--->Qc:
1Trees grow from their roots downwards in computer science; this is comparable to electrons
having a negative charge in physics.

3.2 Two Ways to Parse a Sentence 67
S
aSQ
abcQ
aabQc
Now only one rule applies: bQc--->bbcc, and we obtain our input sentence (together
with the parse tree):
S
aSQ
abcQ
bQc
a a b b c c
Top-down parsing identifies the production rules (and thus characterizes the parse
tree) in prefix order.
3.2.2 Bottom-Up Parsing
Using the bottom-up technique, we proceed as follows. One production step must
have been the last and its result must still be visible in the string. We recognize
the right-hand side of bQc--->bbcc in aabbcc. This gives us the final step in the
production (and the first in the reduction):
aabQc
aabbcc
Now we recognize the Qc as derived by cQ--->Qc:
aabcQ
bQc
a a b b c c
Again we find only one right-hand side: abc:

68 3 Introduction to Parsing
aSQ
abcQ
bQc
a a b b c c
and also our last reduction step leaves us no choice:
S
aSQ
abcQ
bQc
a a b b c c
Bottom-up parsing tends to identify the production rules in postfix order.
It is interesting to note that bottom-up parsing turns the parsing process into a
production process. The above reduction can be viewed as a production with the
reversed grammar:
aSQ --->S
abc --->S
bbcc ---> bQc
Qc --->cQ
augmented with a rule that turns the start symbol into a new terminal symbol:
S--->!
and a rule which introduces a new start symbol, the original sentence:
Is---> aabbcc
If, starting from I, we can produce !we have recognized the input string, and if we
have kept records of what we did, we also have obtained the parse tree.
This duality of production and reduction is used by Deussen [21] as a basis for a
very fundamental approach to formal languages.
3.2.3 Applicability
The above examples show that both the top-down and the bottom-up method will
work under certain circumstances, but also that sometimes quite subtle considera-
tions are involved, of which it is not at all clear how we can teach them to a computer.

3.3 Non-Deterministic Automata 69
Almost the entire body of parser literature is concerned with formalizing these subtle
considerations, and there has been considerable success.
3.3 Non-Deterministic Automata
Both examples above feature two components: a machine that can make substitu-
tions and record a parse tree, and a control mechanism that decides which moves the
machine should make. The machine is relatively simple since its substitutions are
restricted to those allowed by the grammar, but the control mechanism can be made
arbitrarily complex and may incorporate extensive knowledge of the grammar.
This structure can be discerned in all parsing methods: there is always a substi-
tuting and record-keeping machine, and a guiding control mechanism:
control
mechanism
substituting and
record-keeping
mechanism
The substituting machine is called a non-deterministic automaton or NDA; it is called
“non-deterministic” because it often has several possible moves and the particular
choice is not predetermined, and an “automaton” because it automatically performs
actions in response to stimuli. It manages three components: the input string (actu-
ally a copy of it), the partial parse tree and some internal administration. Every move
of the NDA transfers some information from the input string through the administra-
tion to the partial parse tree. Each of the three components may be modified in the
process:
partial
parse
tree(s)
control input
internal
administration
The great strength of an NDA, and the main source of its usefulness, is that it can
easily be constructed so that it can only make “correct” moves, that is, moves that
keep the system of partially processed input, internal administration and partial parse
tree consistent. This has the consequence that we may move the NDA any way we
choose: it may move in circles, it may even get stuck, but if it ever gives us an answer,
in the form of a finished parse tree, that answer will be correct. It is also essential
that the NDA can make all correct moves, so that it can produce all parsings if the
70 3 Introduction to Parsing
control mechanism is clever enough to guide the NDA there. This property of the
NDA is also easily arranged.
The inherent correctness of the NDA allows great freedom to the control mecha-
nism, the “control” for short. It may be naive or sophisticated, it may be cumbersome
or it may be efficient, it may even be wrong, but it can never cause the NDA to pro-
duce an incorrect parsing; and that is a comforting thought. If it is wrong it may,
however, cause the NDA to miss a correct parsing, to loop infinitely, or to get stuck
in a place where it should not.
3.3.1 Constructing the NDA
The NDA derives directly from the grammar. For a top-down parser its moves consist
essentially of the production rules of the grammar and the internal administration is
initially the start symbol. The control moves the machine until the internal adminis-
tration is equal to the input string; then a parsing has been found. For a bottom-up
parser the moves consist essentially of the reverse of the production rules of the gram-
mar (see Section 3.2.2) and the internal administration is initially the input string.
The control moves the machine until the internal administration is equal to the start
symbol; then a parsing has been found. A left-corner parser works like a top-down
parser in which a carefully chosen set of production rules has been reversed and
which has special moves to undo this reversion when needed.
3.3.2 Constructing the Control Mechanism
Constructing the control of a parser is quite a different affair. Some controls are
independent of the grammar, some consult the grammar regularly, some use large
tables precomputed from the grammar and some even use tables computed from the
input string. We shall see examples of each of these: the “hand control” that was
demonstrated at the beginning of this section comes in the category “consults the
grammar regularly”, backtracking parsers often use a grammar-independent control,
LL and LR parsers use precomputed grammar-derived tables, the CYK parser uses a
table derived from the input string and Earley’s and GLR parsers use several tables
derived from the grammar and the input string.
Constructing the control mechanism, including the tables, from the grammar is
almost always done by a program. Such a program is called a parser generator;it
is fed the grammar and perhaps a description of the terminal symbols and produces
a program which is a parser. The parser often consists of a driver and one or more
tables, in which case it is called table-driven. The tables can be of considerable size
and of extreme complexity.
The tables that derive from the input string must of course be computed by a rou-
tine that is part of the parser. It should be noted that this reflects the traditional setting
in which a large number of different input strings is parsed according to a relatively
static and unchanging grammar. The inverse situation is not at all unthinkable: many
grammars are tried to explain a given input string, for example an observed sequence
of events.
3.4 Recognition and Parsing for Type 0 to Type 4 Grammars 71
3.4 Recognition and Parsing for Type 0 to Type 4 Grammars
Parsing a sentence according to a grammar is in principle always possible provided
we know in advance that the string indeed derives from the grammar. If we cannot
think of anything better, we can just run the general production process of Section
2.4.1 on the grammar and sit back and wait until the sentence turns up (and we know
it will). This by itself is not exactly enough: we must extend the production process
a little, so that each sentential form carries its own partial production tree, which
must be updated at the appropriate moments, but it is clear that this can be done with
some programming effort. We may have to wait a little while (say a couple of million
years) for the sentence to show up, but in the end we will surely obtain the parse tree.
All this is of course totally impractical, but it still shows us that at least theoretically
any string can be parsed if we know it is parsable, regardless of the grammar type.
3.4.1 Time Requirements
When parsing strings consisting of more than a few symbols, it is important to have
some idea of the time requirements of the parser, i.e., the dependency of the time
required to finish the parsing on the number of symbols in the input string. Expected
lengths of input range from some tens (sentences in natural languages) to some tens
of thousands (large computer programs); the length of some input strings may even
be virtually infinite (the sequence of buttons pushed on a coffee vending machine
over its life-time). The dependency of the time requirements on the input length is
also called time complexity.
Several characteristic time dependencies can be recognized. A time dependency
is exponential if each following input symbol multiplies the required time by a con-
stant factor, say 2: each additional input symbol doubles the parsing time. Exponen-
tial time dependency is written O(Cn)where Cis the constant multiplication factor.
Exponential dependency occurs in the number of grains doubled on each field of the
famous chess board; this way lies bankruptcy.
A time dependency is linear if each following input symbol takes a constant
amount of time to process; doubling the input length doubles the processing time.
This is the kind of behavior we like to see in a parser; the time needed for parsing
is proportional to the time spent on reading the input. So-called real-time parsers
behave even better: they can produce the parse tree within a constant time after the
last input symbol was read; given a fast enough computer they can keep up indefi-
nitely with an input stream of constant speed. Note that this is not necessarily true of
linear-time parsers: they can in principle read the entire input of nsymbols and then
take a time proportional to nto produce the parse tree.
Linear time dependency is written O(n). A time dependency is called quadratic
if the processing time is proportional to the square of the input length (written O(n2))
and cubic if it is proportional to the third power (written O(n3)). In general, a depen-
dency that is proportional to any power of nis called polynomial (written O(np)).
72 3 Introduction to Parsing
3.4.2 Type 0 and Type 1 Grammars
It is a remarkable result in formal linguistics that the recognition problem for a ar-
bitrary Type 0 grammar is unsolvable. This means that there cannot be an algorithm
that accepts an arbitrary Type 0 grammar and an arbitrary string and tells us in fi-
nite time whether the grammar can produce the string or not. This statement can be
proven, but the proof is very intimidating and, what is worse, it does not provide
any insight into the cause of the phenomenon. It is a proof by contradiction: we can
prove that, if such an algorithm existed, we could construct a second algorithm of
which we can prove that it only terminates if it never terminates. Since this is a log-
ical impossibility and since all other premises that went into the intermediate proof
are logically sound we are forced to conclude that our initial premise, the existence
of a recognizer for Type 0 grammars, is a logical impossibility. Convincing, but not
food for the soul. For the full proof see Hopcroft and Ullman [391, pp. 182-183], or
Révész [394, p. 98].
It is quite possible to construct a recognizer that works for a certain number of
Type 0 grammars, using a certain technique. This technique, however, will not work
for all Type 0 grammars. In fact, however many techniques we collect, there will
always be grammars for which they do not work. In a sense we just cannot make our
recognizer complicated enough.
For Type 1 grammars, the situation is completely different. The seemingly in-
consequential property that Type 1 production rules cannot make a sentential form
shrink allows us to construct a control mechanism for a bottom-up NDA that will at
least work in principle, regardless of the grammar. The internal administration of this
control consists of a set of sentential forms that could have played a role in the pro-
duction of the input sentence; it starts off containing only the input sentence. Each
move of the NDA is a reduction according to the grammar. Now the control applies
all possible moves of the NDA to all sentential forms in the internal administration
in an arbitrary order, and adds each result to the internal administration if it is not
already there. It continues doing so until each move on each sentential form results
in a sentential form that has already been found. Since no move of the NDA can
make a sentential form longer (because all right-hand sides are at least as long as
their left-hand sides) and since there are only a finite number of sentential forms as
long as or shorter than the input string, this must eventually happen. Now we search
the sentential forms in the internal administration for one that consists solely of the
start symbol. If it is there, we have recognized the input string; if it is not, the input
string does not belong to the language of the grammar. And if we still remember,
in some additional administration, how we got this start symbol sentential form, we
have obtained the parsing. All this requires a lot of book-keeping, which we are not
going to discuss, since nobody does it this way anyway.
To summarize the above, we cannot always construct a parser for a Type 0 gram-
mar, but for a Type 1 grammar we always can. The construction of a practical and
reasonably efficient parser for these types of grammars is a very difficult subject
on which slow but steady progress has been made during the last 40 years (see
(Web)Section 18.1.1). It is not a hot research topic, mainly because Type 0 and Type

3.4 Recognition and Parsing for Type 0 to Type 4 Grammars 73
1 grammars are well-known to be human-unfriendly and will never see wide appli-
cation. Yet it is not completely devoid of usefulness, since a good parser for Type 0
grammars would probably make a good starting point for a theorem prover.2
The human-unfriendliness consideration does not apply to two-level grammars.
Having a practical parser for two-level grammars would be marvelous, since it
would allow parsing techniques (with all their built-in automation) to be applied in
many more areas than today, especially where context conditions are important. The
present possibilities for two-level grammar parsing are discussed in Section 15.2.3.
All known parsing algorithms for Type 0, Type 1 and unrestricted two-level
grammars have exponential time dependency.
3.4.3 Type 2 Grammars
Fortunately, much better parsing algorithms are known for CF (Type 2) grammars
than for Type 0 and Type 1. Almost all practical parsing is done using CF and FS
grammars, and almost all problems in context-free parsing have been solved. The
cause of this large difference can be found in the locality of the CF production pro-
cess: the evolution of one non-terminal in the sentential form is totally independent
of the evolution of any other non-terminal, and, conversely, during parsing we can
combine partial parse trees regardless of their histories. Neither is true in a context-
sensitive grammar.
Both the top-down and the bottom-up parsing processes are readily applicable to
CF grammars. In the examples below we shall use the simple grammar
Sentences---> Subject Verb Object
Subject ---> the Noun | a Noun | ProperName
Object ---> the Noun | a Noun | ProperName
Verb ---> bit | chased
Noun ---> cat | dog
ProperName ---> ···
3.4.3.1 Top-Down CF Parsing
In top-down CF parsing we start with the start symbol and try to produce the in-
put. The keywords here are predict and match. At any time there is a leftmost non-
terminal Ain the sentential form and the parser tries systematically to predict a fitting
alternative for A, as far as compatible with the symbols found in the input at the po-
sition where the result of Ashould start. This leftmost non-terminal is also called the
goal of the prediction process.
Consider the example of Figure 3.5, where Object is the leftmost non-terminal,
the “goal”. In this situation, the parser will first predict the Noun for Object,but
will immediately reject this alternative since it requires the where the input has
a. Next, it will try a Noun, which is temporarily accepted. The ais matched and
2A theorem prover is a program that, given a set of axioms and a theorem, proves or dis-
proves the theorem without or with minimal human intervention.

74 3 Introduction to Parsing
Input: the cat bit a dog
Sentential form: the cat bit Object
(the internal administration)
Fig. 3.5. Top-down parsing as the imitation of the production process
the new leftmost non-terminal is Noun. This parse will succeed when Noun even-
tually produces dog. The parser will then attempt a third prediction for Object,
ProperName; this alternative is not immediately rejected as the parser cannot see
that ProperName cannot start with a. It will fail at a later stage.
There are two serious problems with this approach. Although it can, in princi-
ple, handle arbitrary CF grammars, it will loop on some grammars if implemented
naively. This can be avoided by using some special techniques, which result in gen-
eral top-down parsers; these are treated in detail in Chapter 6. The second problem is
that the algorithm requires exponential time since any of the predictions may turn out
wrong and may have to be corrected by trial and error. The above example shows that
some efficiency can be gained by preprocessing the grammar: it is advantageous to
know in advance what tokens can start ProperName, to avoid predicting an alter-
native that is doomed in advance. This is true for most non-terminals in the grammar
and this kind of information can be easily computed from the grammar and stored in
a table for use during parsing. For a reasonable set of grammars, linear time depen-
dency can be achieved, as explained in Chapter 8.
3.4.3.2 Bottom-Up CF Parsing
In bottom-up CF parsing we start with the input and try to reduce it to the start
symbol. Here the keywords are shift and reduce. When we are in the middle of the
process, we have in our hands a sentential form reduced from the input. Somewhere
in this sentential form there must be a segment (a substring) that was the result of
the last production step that produced this sentential form. This segment corresponds
to the right-hand side αof a production rule A→αand must now be reduced to A.
The segment and the production rule together are called the handle of the sentential
form, a quite fitting expression; see Figure 3.6. (When the production rule is obvious
Subject chased a dog
a Noun chased a dog
production reduction
handle
Fig. 3.6. Bottom-up parsing as the inversion of the production process
from the way the segment was found, the matching segment alone is often called
the “handle”. We will usually follow this custom, but call the matching segment the
handle segment when we feel that that is clearer.)
The trick is to find the handle. It must be the right-hand side of a rule, so we
start looking for such a right-hand side by shifting symbols from the sentential form

3.4 Recognition and Parsing for Type 0 to Type 4 Grammars 75
into the internal administration. When we find a right-hand side we reduce it to its
left-hand side and repeat the process, until only the start symbol is left. We will not
always find the correct handle this way; if we err, we will get stuck further on, will
have to undo some steps, shift in more symbols and try again. In Figure 3.6 we could
have reduced the a Noun to Object, thereby boldly heading for a dead end.
There are essentially the same two problems with this approach as with the top-
down technique. It may loop, and will do so on grammars with ε-rules: it will con-
tinue to find empty productions all over the place. This can be remedied by touching
up the grammar. And it can take exponential time, since the correct identification of
the handle may have to be done by trial and error. Again, doing preprocessing on
the grammar often helps: it is easy to see from the grammar that Subject can be
followed by chased,butObject cannot. So it is unprofitable to reduce a handle
to Object if the next symbol is chased.
3.4.4 Type 3 Grammars
A right-hand side in a regular grammar contains at most one non-terminal, so there
is no difference between leftmost and rightmost derivation. Top-down methods are
much more efficient for right-regular grammars; bottom-up methods work better for
left-regular grammars. When we take the production tree of Figure 2.15 and if we
turn it 45◦counterclockwise, we get the production chain of Figure 3.7. The se-
Sentence List ListTail List ListTail
t , d & h
Fig. 3.7. The production tree of Figure 2.15 as a production chain
quence of non-terminals rolls on to the right, producing terminal symbols as they
go. In parsing, we are given the terminal symbols and are supposed to construct the
sequence of non-terminals. The first one is given, the start symbol (hence the prefer-
ence for top-down). If only one rule for the start symbol starts with the first symbol
of the input we are lucky and know which way to go. Very often, however, there are
many rules starting with the same symbol and then we are in need of more wisdom.
As with Type 2 grammars, we can of course find the correct continuation by trial and
error, but far more efficient methods exist that can handle any regular grammar. Since
they form the basis of some advanced parsing techniques, they are treated separately,
in Chapter 5.
3.4.5 Type 4 Grammars
Finite-choice (FC) grammars do not involve production trees, and membership of a
given input string in the language of the FC grammar can be determined by simple
76 3 Introduction to Parsing
look-up. This look-up is generally not considered to be “parsing”, but is still men-
tioned here for two reasons. First, it can benefit from parsing techniques, and second,
it is often required in a parsing environment. Natural languages have some categories
of words that have only a very limited number of members; examples are the pro-
nouns, the prepositions and the conjunctions. It is often important to decide quickly
if a given word belongs to one of these finite-choice categories or will have to be
analysed further. The same applies to reserved words in a programming language.
One approach is to consider the FC grammar as a regular grammar and apply the
techniques of Chapter 5. This is often amazingly efficient.
Another often-used approach is to use a hash table. See any book on algorithms,
for example Cormen et al. [415], or Goodrich and Tamassia [416].
3.5 An Overview of Context-Free Parsing Methods
Among the Chomsky grammar types the context-free (Type 2) grammars occupy the
most prominent position. This has three reasons: 1. CF parsing results in trees, which
allow semantics to be expressed and combined easily; 2. CF languages cover a large
part of the languages one would like to process automatically; 3. efficient CF parsing
is possible – though sometimes with great difficulty. The context-free grammars are
followed immediately by the finite-state grammars in importance. This is because the
world and especially equipment is finite; vending machines, remote controls, virus
detectors, all exhibit finite-state behavior. The rest of the chapters in this book will
therefore be mainly concerned with CF parsing, with the exception of Chapter 5
(finite-state grammars) and Chapter 15 (non-Chomsky systems). We shall now give
an overview of the context-free parsing methods.
The reader of literature about parsing is confronted with a large number of tech-
niques with often unclear interrelationships. Yet all techniques can be placed in a
single framework, according to some simple criteria; they are summarized in Figure
3.11.
We have already seen that a parsing technique is either top-down, reproducing
the input string from the start symbol, or bottom-up, reducing the input to the start
symbol. The next division is that between directional and non-directional parsing
methods.
3.5.1 Directionality
Non-directional methods construct the parse tree while accessing the input in any
order they see fit. This of course requires the entire input to be in memory before
parsing can start. There is a top-down and a bottom-up version. Directional parsers
access the input tokens one by one in order, all the while updating the partial parse
tree(s). There is again a top-down and a bottom-up version.
3.5 An Overview of Context-Free Parsing Methods 77
3.5.1.1 Non-Directional Methods
The non-directional top-down method is simple and straightforward and has prob-
ably been invented independently by many people. To the best of our knowledge it
was first described by Unger [12] in 1968, but in his article he gives the impression
that the method already existed. The method has not received much attention in the
literature but is more important than one might think, since it is used anonymously in
a number of other parsers. We shall call it Unger’s method; it is described in Section
4.1.
The non-directional bottom-up method has also been discovered independently
by a number of people, among whom Cocke (in Hays [3, Sect. 17.3.1]), Younger
[10], and Kasami [13]; an earlier description is by Sakai [5]. It is named CYK
(or sometimes CKY) after the three best-known inventors. It has received consid-
erable attention since its naive implementation is much more efficient than that of
Unger’s method. The efficiency of both methods can be improved, however, arriving
at roughly the same performance; see Sheil [20]. The CYK method is described in
Section 4.2.
Non-directional methods usually first construct a data structure which summa-
rizes the grammatical structure of the input sentence. Parse trees can then be derived
from this data structure in a second stage.
3.5.1.2 Directional Methods
The directional methods process the input symbol by symbol, from left to right. (It
is also possible to parse from right to left, using a mirror image of the grammar;
this is occasionally useful.) This has the advantage that parsing can start, and indeed
progress, considerably before the last symbol of the input is seen. The directional
methods are all based explicitly or implicitly on the parsing automaton described in
Section 3.4.3, where the top-down method performs predictions and matches and the
bottom-up method performs shifts and reduces.
Directional methods can usually construct the (partial) parse tree as they proceed
through the input string, unless the grammar is ambiguous and some postprocessing
may be required.
3.5.2 Search Techniques
A third way to classify parsing techniques concerns the search technique used to
guide the (non-deterministic!) parsing automaton through all its possibilities to find
one or all parsings.
There are in general two methods for solving problems in which there are several
alternatives in well-determined points: depth-first search,andbreadth-first search.
• In depth-first search we concentrate on one half-solved problem. If the problem
bifurcates at a given point P, we store one alternative for later processing and
keep concentrating on the other alternative. If this alternative turns out to be a

78 3 Introduction to Parsing
failure (or even a success, but we want all solutions), we roll back our actions to
point Pand continue with the stored alternative. This is called backtracking.
• In breadth-first search we keep a set of half-solved problems. From this set we
compute a new set of (better) half-solved problems by examining each old half-
solved problem; for each alternative, we create a copy in the new set. Eventually,
the set will come to contain all solutions.
Depth-first search has the advantage that it requires an amount of memory that is
proportional to the size of the problem, unlike breadth-first search, which may re-
quire exponential memory. Breadth-first search has the advantage that it will find
the simplest solution first. Both methods require in principle exponential time. If we
want more efficiency (and exponential requirements are virtually unacceptable), we
need some means to restrict the search. See any book on algorithms, for example
Sedgewick [417] or Goodrich and Tamassia [416], for more information on search
techniques.
These search techniques are not at all restricted to parsing and can be used in
a wide array of contexts. A traditional one is that of finding an exit from a maze.
Figure 3.8(a) shows a simple maze with one entrance and two exits. Figure 3.8(b)
depicts the path a depth-first search will take; this is the only option for the human
maze-walker: he cannot duplicate himself and the maze. Dead ends make the depth-
first search backtrack to the most recent untried alternative. If the searcher will also
backtrack at each exit, he will find all exits. Figure 3.8(c) shows which rooms are
(a) (b) (c)
0
1
2
2
3
3
3
4
4
5
5
6
Fig. 3.8. A simple maze with depth-first and breadth-first visits
examined in each stage of the breadth-first search. Dead ends (in stage 3) cause the
search branches in question to be discarded. Breadth-first search will find the shortest
way to an exit (the shortest solution) first. If it continues until there are no branches
left, it will find all exits (all solutions).
3.5.3 General Directional Methods
The idea that parsing is the reconstruction of the production process is especially
clear when using a directional method. It is summarized in the following two sound
bites.
3.5 An Overview of Context-Free Parsing Methods 79
A directional top-down (left-to-right) CF parser identifies leftmost produc-
tions in production order.
and
A directional bottom-up (left-to-right) CF parser identifies rightmost pro-
ductions in reverse production order.
We will use the very simple grammar
Ss--->PQR
P--->p
Q--->q
R--->r
to demonstrate this. The grammar produces only one string, pqr.
The leftmost production process for pqr proceeds as follows:
|S
1|PQR
2p|QR
3pq|R
4pqr|
where the | indicates how far the production process has proceeded. The top-down
analysis mimics this process by first identifying the rule that produced the p,P--->p,
then the one for q, etc.:
|S
S--->PQR
⇒
(1)
|PQR
P--->p
⇒
(2)
p|QR
Q--->q
⇒
(3)
pq|R
R--->r
⇒
(4)
pqr|
The rightmost production process for pqr proceeds as follows:
S|
1PQR|
2PQ|r
3P|qr
4|pqr
where the | again indicates how far the production process has proceeded. The
bottom-up analysis rolls back this process. To do this, it must first identify the rule
in production step 4, P--->p and use it as a reduction, then step 3, Q--->q, etc. Fortu-
nately the parser can easily do this, because the rightmost production process makes
the boundary between the unprocessed and the processed part of the sentential form
creep to the left, so the last production brings it to the left end of the result, as we see
above. The parsing process can then start picking it up there:
|pqr
P--->p
⇒
(4)
P|qr
Q--->q
⇒
(3)
PQ|r
R--->r
⇒
(2)
pqr|
S--->pqr
⇒
(4)
S|
This double reversal is inherent in directional bottom-up parsing.
The connection between parse trees under construction and sentential forms is
shown in Figure 3.9, where the dotted lines indicate the sentential forms. On the left

80 3 Introduction to Parsing
S
PQR
pqr
a
S
PQR
pqr
b
P
pqr
c
Fig. 3.9. Sentential forms in full parse tree (a), during top-down (b), and during bottom-up
(c)
we have the complete parse tree; the corresponding sentential form is the string of
terminals. The middle diagram shows the partial parse tree in a top-down parser after
the phas been processed. The sentential form corresponding to this situation is pQR.
It resulted from the two productions S⇒PQR ⇒pQR, which gave rise to the partial
parse tree. The diagram on the right shows the partial parse tree after the phas been
processed in a bottom-up parser. The corresponding sentential form is Pqr, resulting
from pqr ⇐Pqr; the single reduction gave rise to a partial parse tree of only one
node.
Combining depth-first or breadth-first with top-down or bottom-up gives four
classes of parsing techniques. The top-down techniques are treated in Chapter 6. The
depth-first top-down technique allows a very simple implementation called recursive
descent; this technique, which is explained in Section 6.6, is very suitable for writing
parsers by hand. Since depth-first search is built into the Prolog language, recursive
descent parsers for a large number of grammars can be formulated very elegantly in
that language, using a formalism called “Definite Clause Grammars” (Section 6.7).
The applicability of this technique can be extended to cover all grammars by using a
device called “cancellation” (Section 6.8).
The bottom-up techniques are treated in Chapter 7. The combination of breadth-
first and bottom-up leads to the class of Earley parsers, which have among them
some very effective and popular parsers for general CF grammars (Section 7.2).
A formally similar but implementationwise quite different approach leads to “chart
parsing” (Section 7.3).
Sudkamp [397, Chapter 4] gives a full formal explanation of [breadth-
first | depth-first][top-down | bottom-up] context-free parsing.
3.5.4 Linear Methods
Most of the general search methods indicated in the previous section have exponen-
tial time dependency in the worst case: each additional symbol in the input multiplies
the parsing time by a constant factor. Such methods are unusable except for very
small input length, where 20 symbols is about the maximum. Even the best variants
of the above methods require cubic time in the worst case: for 10 tokens they perform
1000 actions, for 100 tokens 1 000 000 actions and for 10 000 tokens (a fair-sized
3.5 An Overview of Context-Free Parsing Methods 81
computer program file) 1012 actions, which even at 10 nanoseconds per action will
already take almost 3 hours. It is clear that for real speed we should like to have a
linear-time general parsing method. Unfortunately no such method has been discov-
ered to date, and although there is no proof that such a method could not exist, there
are strong indications that that is the case; see Section 3.10 for details. Compare
this to the situation around unrestricted phrase structure parsing, where it has been
proved that no algorithm for it can exist (see Section 3.4.2).
So, in the meantime, and probably forever, we shall have to drop one of the two
adjectives from our goal, a linear-time general parser. We can have a general parser,
which will need cubic time at best, or we can have a linear-time parser, which will
not be able to handle all CF grammars, but not both. Fortunately there are linear-
time parsing methods (in particular LR parsing) that can handle very large classes of
grammars but still, a grammar that is designed without regard for a parsing method
and just describes the intended language in the most natural way has a small chance
of allowing linear parsing automatically. In practice, grammars are often first de-
signed for naturalness and then adjusted by hand to conform to the requirements
of an existing parsing method. Such an adjustment is usually relatively simple, de-
pending on the parsing method chosen. In short, making a linear-time parser for an
arbitrary given grammar is 10% hard work; the other 90% can be done by computer.
We can achieve linear parsing time by restricting the number of possible moves
of our non-deterministic parsing automaton to one in each situation. Since the moves
of such an automaton involve no choice, it is called a “deterministic automaton”.
The moves of a deterministic automaton are determined unambiguously by the
input stream (we can speak of a stream now, since the automaton operates from left
to right). A consequence of this is that a deterministic automaton can give only one
parsing for a sentence. This is all right if the grammar is unambiguous, but if it is
not, the act of making the automaton deterministic has pinned us down to one specific
parsing. We shall say more about this in Sections 8.2.5.3 and 9.9.
All that remains is to explain how a deterministic control mechanism for a parsing
automaton can be derived from a grammar. Since there is no single good solution to
the problem, it is not surprising that quite a number of sub-optimal solutions have
been found. From a very global point of view they all use the same technique: they
analyse the grammar in depth to bring to the surface information that can be used
to identify dead ends. These are then closed. If the method, applied to a grammar,
closes enough dead ends so that no choices remain, the method succeeds for that
grammar and gives us a linear-time parser. Otherwise it fails and we either have to
look for a different method or adapt our grammar to the method.
A (limited) analogy with the maze problem can perhaps make this clearer. If we
are allowed to do preprocessing on the maze (unlikely but instructive) the follow-
ing method will often make our search through it deterministic. We assume that the
maze consists of a grid of square rooms, as shown in Figure 3.10(a). Depth-first
search would find a passage through the maze in 13 moves (Figure 3.10(b)). Now we
preprocess the maze as follows: if there is a room with three walls, add the fourth
wall, and continue with this process until no rooms with three walls are left. If all
rooms now have either two or four walls, there are no choices left and our method

82 3 Introduction to Parsing
(a) (b) (c)
Fig. 3.10. A single-exit maze made deterministic by preprocessing
has succeeded; see Figure 3.10(c), where the passage now takes 5 moves, with no
searching involved. We see how this method brings information about dead ends to
the surface, to help restrict the choice.
It should be pointed out that the above analogy is a limited one. It is concerned
with only one object, the maze, which is preprocessed. In parsing we are concerned
with two objects, the grammar, which is static and can be preprocessed, and the input,
which varies. (But see Problem 3.6 for a way to extend the analogy.)
Returning to the parsing automaton, we can state the fact that it is deterministic
more precisely: a parsing automaton is deterministic with look-ahead k if its control
mechanism can, given the internal administration and the next ksymbols of the input,
decide unambiguously what to do next — to either match or predict and what to
predict in the top-down case, and to either shift or reduce and how to reduce in the
bottom-up case.
It stands to reason that a deterministic automaton creates a linear-time parser,
but this is not completely obvious. The parser may know in finite time what to do
in each step, but many steps may have to be executed for a given input token. More
specifically, some deterministic techniques can require ksteps for a given position
k, which suggests that quadratic behavior is possible (see Problem 3.5). But each
parsing step either creates a node (predict and reduce) or consumes an input token
(match and shift). Both actions can only be performed O(n)times where nis the
length of the input: the first because the size of the parse tree is only O(n)and the
second because there are only ninput tokens. So however the actions of the various
tasks are distributed, their total cannot exceed O(n).
Like grammar types, deterministic parsing methods are indicated by initials, like
LL, LALR, etc. If a method Xuses a look-ahead of ksymbols it is called X(k).All
deterministic methods require some form of grammar preprocessing to derive the
parsing automaton, plus a parsing algorithm or driver to process the input using that
automaton.
3.5.5 Deterministic Top-Down and Bottom-Up Methods
There is only one deterministic top-down method; it is called LL. The first L stands
for Left-to-right, the second for “identifying the Leftmost production”, as directional
top-down parsers do. LL parsing is treated in Chapter 8. LL parsing, especially LL(1)
3.5 An Overview of Context-Free Parsing Methods 83
is very popular. LL(1) parsers are often generated by a parser generator but a simple
variant can, with some effort, be written by hand, using recursive-descent techniques;
see Section 8.2.6. Occasionally, the LL(1) method is used starting from the last token
of the input backwards; it is then called RR(1).
There are quite a variety of deterministic bottom-up methods, the most powerful
being called LR, where again the L stands for Left-to-right, and the R stands for
“identifying the Rightmost production”. Linear bottom-up methods are treated in
Chapter 9. Their parsers are invariably generated by a parser generator: the control
mechanism of such a parser is so complicated that it is not humanly possible to
construct it by hand. Some of the deterministic bottom-up methods are very popular
and are perhaps used even more widely than the LL(1) method.
LR(1) parsing is more powerful than LL(1) parsing, but also more difficult to
understand and less convenient. The other methods cannot be compared easily to the
LL(1) method. See Chapter 17.1 for a comparison of practical parsing methods. The
LR(1) method can also be applied backwards and is then called RL(1).
Both methods use look-ahead to determine which actions to take. Usually this
look-ahead is restricted to one token (LL(1), LR(1), etc.) or a few tokens at most,
but it is occasionally helpful to allow unbounded look-ahead. This requires differ-
ent parsing techniques, which results in a subdivision of the class of deterministic
parsers; see Figure 3.11.
The great difference in variety between top-down and bottom-up methods is eas-
ily understood when we look more closely at the choices the corresponding parsers
face. A top-down parser has by nature little choice: if a terminal symbol is predicted,
it has no choice and can only ascertain that a match is present; only if a non-terminal
is predicted does it have a choice in the production of that non-terminal. A bottom-
up parser can always shift the next input symbol, even if a reduction is also possible
(and it often has to do so). If, in addition, a reduction is possible, it may have a choice
between a number of right-hand sides. In general it has more choice than a top-down
parser and more powerful methods are needed to make it deterministic.
3.5.6 Non-Canonical Methods
For many practical grammars the above methods still do not yield a linear-time de-
terministic parser. One course of action that is often taken is to modify the grammar
slightly so as to fit it to the chosen method. But this is unfortunate because the re-
sulting parser then yields parse trees that do not correspond to the original grammar,
and patching up is needed afterwards. Another alternative is to design a parser so
it postpones the decisions it cannot take for lack of information and continue pars-
ing “at half power” until the information becomes available. Such parsers are called
non-canonical because they identify the nodes in the parse trees in non-standard,
“non-canonical” order. Needless to say this requires treading carefully, and some of
the most powerful, clever, and complicated deterministic parsing algorithms come in
this category. They are treated in Chapter 10.
84 3 Introduction to Parsing
3.5.7 Generalized Linear Methods
When our attempt to construct a deterministic control mechanism fails and leaves
us with a non-deterministic but almost deterministic one, we need not despair yet:
we can fall back on breadth-first search to solve the remnants of non-determinism at
run-time. The better our original method was, the less non-determinism will be left,
the less often breadth-first search will be needed, and the more efficient our parser
will be. Such parsers are called “generalized parsers”; generalized parsers have been
designed for most of the deterministic methods, both top-down and bottom-up. They
are described in Chapter 11. Generalized LR (or GLR) (Tomita [162]) is one of the
best general CF parsers available today.
Of course, by reintroducing breadth-first search we are taking chances. The gram-
mar and the input could conspire so that the non-determinism gets hit by each input
symbol and our parser will again have exponential time dependency. In practice,
however, they never do so and such parsers are very useful.
3.5.8 Conclusion
Figure 3.11 summarizes parsing techniques as they are treated in this book. Nijholt
[154] paints a more abstract view of the parsing landscape, based on left-corner pars-
ing. See Deussen [22] for an even more abstracted overview. An early systematic
survey was given by Griffiths and Petrick [9].
3.6 The “Strength” of a Parsing Technique
Formally a parsing technique T1is stronger (more powerful) than a parsing tech-
nique T2if T1can handle all grammars T2can handle but not the other way around.
Informally one calls one parsing technique stronger than another if to the speaker
it appears to handle a larger set of grammars. Formally this is of course nonsense,
since all parsing techniques can handle infinite sets of grammars, and the notion of
“larger” is moot. Also, a user grammar designed without explicit aim at a particular
parsing technique has an almost zero chance of being amenable to any existing tech-
nique anyway. What counts from a user point of view is the effort required to modify
the “average” practical grammar so it can be handled by method T, and to undo the
damage this modification causes to the parse tree. The strength (power) of parsing
technique Tis inversely proportional to that effort.
Almost invariably a strong parser is more complicated and takes more effort to
write than a weak one. But since a parser or parser generator (see Section 17.2) needs
to be written only once and then can be used as often as needed, a strong parser saves
effort in the long run.
Although the notion of a “strong” parser is intuitively clear, confusion can arise
when it is applied to the combination of parser and grammar. The stronger the parser
is, the fewer restrictions the grammars need to obey and the “weaker” they can af-
ford to be. Usually methods are named after the grammar and it is here where the

3.7 Representations of Parse Trees 85
Top-down Bottom-up
Non-directional methods Unger parser CYK parser
Directional Methods,
depth-first or
breadth-first
The predict/match automaton
recursive descent
DCG (Definite Clause
Grammars)
cancellation parsing
The shift/reduce automaton
Breadth-first, top-down
restricted (Earley)
chart parsing
Deterministic directional
methods:
breadth-first search,
with
breadth restricted to 1,
bounded look-ahead
LL(k)precedence
bounded-right-context
LR(k)
LALR(k)
SLR(k)
unbounded look-ahead LL-regular DR (Discriminating-Reverse)
LR-regular
LAR(m)
Deterministic with
postponed
(“non-canonical”)
node identification
LC(k)
deterministic cancellation
Partitioned LL(k)
total precedence
NSLR(k)
LR(k,∞)
Partitioned LR(k)
Generalized deterministic:
maximally restricted
breadth-first search
Generalized LL
Generalized cancellation
Generalized LC
Generalized LR
Fig. 3.11. An overview of context-free parsing techniques
confusion starts. A “strong LL(1) grammar” is more restricted than an “LL(1) gram-
mar”; one can also say that it is more strongly LL(1). The parser for such grammars
is simpler than one for (full) LL(1) grammars, and is — can afford to be — weaker.
So actually a strong-LL(1) parser is weaker than an LL(1) parser. We have tried to
consistently use the hyphen between “strong” and “LL(1)” to show that “strong” ap-
plies to “LL(1)” and not to “parser”, but not all publications follow that convention,
and the reader must be aware. The reverse occurs with “weak-precedence parsers”
which are stronger than “precedence parsers” (although in that case there are other
differences as well).
3.7 Representations of Parse Trees
The purpose of parsing is to obtain one or more parse trees, but many parsing tech-
niques do not tell you in advance if there will be zero, one, several or even infinitely
many parse trees, so it is a little difficult to prepare for the incoming answers. There
86 3 Introduction to Parsing
are two things we want to avoid: being under-prepared and miss parse trees, and
being over-prepared and pre-allocate an excessive amount of memory. Not much
published research has gone into this problem, but the techniques encountered in the
literature can be grouped into two models: the producer-consumer model and the
data structure model.
3.7.1 Parse Trees in the Producer-Consumer Model
In the producer-consumer model the parser is the producer and the program using
the parse trees is the consumer. As in all producer-consumer situations in computer
science, the immediate question is, which is the main program and which is the
subroutine.
The most esthetically pleasing answer is to have them both as equal partners,
which can be done using coroutines. Coroutines are explained in some books on
principles of programming languages and programming techniques, for example Ad-
vanced Programming Language Design by R.A. Finkel (Addison-Wesley). There are
also good explanations on the Internet.
In the coroutine model, the request for a new parse tree by the user and the offer
of a parse tree by the parser are paired up automatically by the coroutine mechanism.
The problem with coroutines is that they must be built into the programming lan-
guage, and no major programming language features them. So coroutines are not a
practical solution to parse tree representation.
The coroutine’s modern manifestation, the thread, in which the pairing up is done
by the operating system or by a light-weight version of it inside the program, is avail-
able in some major languages, but introduces the notion of parallelism which is not
inherently present in parsing. The UNIX pipe has similar communication properties
but is even more alien to the parsing problem.
Usually the parser is the main program and the consumer is the subroutine. Each
time the parser has finished constructing a parse tree, it calls the consumer routine
with a pointer to the tree as a parameter. The consumer can then decide what to do
with this tree: reject it, accept it, store it for future comparison, etc. In this setup the
parser can just happily produce trees, but the consumer will probably have to save
state data between being called, to be able to choose between parse trees. This is the
usual setup in compiler design, where there is only one parse tree and the user state
saving is less of a problem.
It is also possible to have the user as the main program, but this places a heavy
burden on the parser, which is now forced to keep all state data of its half-finished
parsing process when delivering a parse tree. Since data on the stack cannot be saved
as state data (except by draconian means) this setup is feasible only with parsing
methods that do not use a stack.
With any of these setups the user still has two problems in the general case. First,
when the parser produces more than one parse tree the user receives them as separate
trees and may have to do considerable comparison to find the differences on which to
base further decisions. Second, if the grammar is infinitely ambiguous and the parser
produces infinitely many parse trees, the process does not terminate.

3.7 Representations of Parse Trees 87
So the producer-consumer model is satisfactory for unambiguous grammars, but
is problematic for the general case.
3.7.2 Parse Trees in the Data Structure Model
In the data structure model the parser constructs a single data structure which repre-
sents all parse trees simultaneously. Surprisingly, this can be done even for infinitely
ambiguous grammars; and what is more, it can be done in a space whose size is at
most proportional to the third power of the length of the input string. One says that
the data structure has cubic space dependency.
There are two such representations: parse forests and parse-forest grammars. Al-
though the two are fundamentally the same, they are very different conceptually and
practically, and it is useful to treat them as separate entities.
3.7.3 Parse Forests
Since a forest is just a collection of trees, the naive form of a parse forest consists
of a single node from which all trees in the parse forest are directly reachable. The
two parse trees from Figure 3.2 then combine into the parse forest from Figure 3.12,
where the numbers in the nodes refer to rule numbers in the grammar of Figure 3.1.
2
1 2
1 1
3c 3e 3a
3+5+1
2
2 1
1 1
3c 3e 3a
3+5+1
Fig. 3.12. Naive parse forest from the trees in Figure 3.2
When we look at this drawing, we notice two things: the meaning of the dashed
arrows differs from that of the drawn arrows; and the resulting tree contains a lot of
duplicate subtrees. One also wonders what the label in the empty top node should be.
The meaning of the dashed arrow is “or-or”: the empty top node points to either
the left node marked 2 or to the right node, whereas the drawn arrows mean “and-
and”: the left node marked 2 consists of a node marked Sum and a node marked +and
a node marked Sum. More in particular, the empty top node, which should be labeled
Sum points to two applications of rule 2, each of which produces Sum + Sum;
the leftmost Sum points to an application of rule 1, the second Sum points to an

88 3 Introduction to Parsing
Sum
2
Sum
1
Sum
2
Sum
1
Sum
1
Digit
3c
Digit
3e
Digit
3a
3+5+1
2
Sum
2
Sum
1
Sum
1
Sum
1
Digit
3c
Digit
3e
Digit
3a
3+5+1
Fig. 3.13. The naive parse forest as an AND-OR tree
application of rule 2, etc. The whole AND-OR tree is presented in Figure 3.13, where
we see an alteration of nodes labeled with non-terminals, the OR-nodes and nodes
labeled with rule numbers, the AND-nodes. An OR-node for a non-terminal Ahas the
rule numbers of the alternatives for Aas children; an AND-node for a rule number
has the components of the right-hand side of the rule as children.
3.7.3.1 Combining Duplicate Subtrees
We are now in a position to combine all the duplicate subtrees in the forest. We do
this by having only one copy of a node labeled with a non-terminal Aand spanning
a given substring of the input. If Aproduces that substring in more than one way,
more than one or-arrow will emanate from the OR-node labeled A, each pointing to
an AND-node labeled with a rule number. In this way the AND-OR tree turns into a
directed acyclic graph, a dag, which by rights should be called a parse dag, although
the term “parse forest” is much more usual. The result of our example is shown in
Figure 3.14.
It is important to note that two OR-nodes (which represent right-hand sides of
rules) can only be combined if all members of the one node are the same as the
corresponding members of the other node. It would not do to combine the two nodes
marked 2 in Figure 3.14 right under the top; although they both read Sum+Sum,the
Sumsandeventhe+s are not the same. If they were combined, the parse forest would
represent more parse trees than correspond with the input; see Problem 3.8.
It is possible to do the combining of duplicate subtrees during parsing rather
than afterwards, when all trees have been generated. This is of course more efficient,
and has the additional advantage that it allows infinitely ambiguous parsings to be

3.7 Representations of Parse Trees 89
Sum
2
Sum
2
2
Sum
2
Sum
1
Sum
1
Sum
1
Digit
3c
Digit
3e
Digit
3a
3+5+1
Fig. 3.14. The parse trees of Figure 3.2 as a parse forest
represented in a finite data structure. The resulting parse forest then contains loops
(cycles), and is actually a parse graph.
Figure 3.15 summarizes the situation for the various Chomsky grammar types in
relation to ambiguity. Note that finite-state and context-sensitive grammars cannot
Most complicated data structure
Grammar type unambiguous ambiguous infinitely ambiguous
PS dag dag graph
CS dag dag —
CF tree dag graph
FS list dag —
Fig. 3.15. The data structures obtained when parsing with the Chomsky grammar types
be infinitely ambiguous because they cannot contain nullable rules. See Figure 2.16
for a similar summary of production data structures.
3.7.3.2 Retrieving Parse Trees from a Parse Forest
The receiver of a parse forest has several options. For example, a sequence of parse
trees can be generated from it, or, perhaps more likely, the data structure can be
pruned to eliminate parse trees on various grounds.

90 3 Introduction to Parsing
Generating parse trees from the parse forest is basically simple: each combination
of choices for the or-or arrows is a parse tree. The implementation could be top-down
and will be sketched here briefly. We do a depth-first visit of the graph, and for each
OR-node we turn one of the outgoing dashed arrows into a solid arrow; we record
each of these choices in a backtrack chain. When we have finished our depth-first
visit we have fixed one parse tree. When we are done with this tree, we examine the
most recent choice point, as provided by the last element of the backtrack chain, and
make a different choice there, if available; otherwise we backtrack one step more,
etc. When we have exhausted the entire backtrack chain we know we have generated
all parse trees. One actualization of a parse tree is shown in Figure 3.16.
Sum
2
Sum
2
Sum
1
Sum
1
Sum
1
Digit
3c
Digit
3e
Digit
3a
3+5+1
Fig. 3.16. A tree identified in the parse forest of Figure 3.14
It is usually more profitable to first prune the parse forest. How this is done
depends on the pruning criteria, but the general technique is as follows. Information
is attached to each node in the parse forest, in a way similar to that in attribute
grammars (see Section 2.11.1). Whenever the information in a node is contradictory
to the criteria for that type of node, the node is removed from the parse forest. This
will often make other nodes inaccessible from the top, and these can then be removed
as well.
Useful pruning of the parse forest of Figure 3.14 could be based on the fact
that the +operator is left-associative, which means that a+b+c should be parsed as
((a+b)+c) rather than as (a+(b+c)). The criterion would then be that for each
3.7 Representations of Parse Trees 91
node that has a +operator, its right operand cannot be a non-terminal that has a node
with a +operator. We see that the top-left node marked 2 in Figure 3.14 violates
this criterion: it has a +operator (in position 2) and a right operand which is a non-
terminal (Sum) which has a node which has a node (2) which has a +operator (in
position 4). So this node can be removed, and so can two further nodes. Again the
parse tree from Figure 3.16 remains.
The above criterion is a (very) special case of an operator-precedence criterion
for arithmetic expressions; see Problem 3.10 for a more general one.
3.7.4 Parse-Forest Grammars
Representing the result of parsing as a grammar may seem weird, far-fetched and
even somewhat disappointing; after all, should one start with a grammar and a string
and do all the work of parsing, just to end up with another grammar? We will, how-
ever, see that parse-forest grammars have quite a number of advantages. But none of
these advantages is immediately obvious, which is probably why parse-forest gram-
mars were not described in the literature until the late 1980s, when they were intro-
duced by Lang [210, 220, 31], and by Billot and Lang [164]. The term “parse-forest
grammar” seems to be used first by van Noord [221].
Figure 3.17 presents the parse trees of Figure 3.2 as a parse-forest grammar, and
it is interesting to see how it does that. For every non-terminal Ain the original
Sums---> Sum_1_5
Sum_1_5 ---> Sum_1_1 + Sum_3_3
Sum_1_5 ---> Sum_1_3 + Sum_5_1
Sum_1_3 ---> Sum_1_1 + Sum_3_1
Sum_3_3 ---> Sum_3_1 + Sum_5_1
Sum_1_1 ---> Digit_1_1
Digit_1_1 --->3
Sum_3_1 ---> Digit_3_1
Digit_3_1 --->5
Sum_5_1 ---> Digit_5_1
Digit_5_1 --->1
Fig. 3.17. The parse trees of Figure 3.2 as a parse-forest grammar
grammar that produces an input segment of length lstarting at position i,thereis
a non-terminal A_i_lin the parse-forest grammar, with rules that show how A_i_l
produces that segment. For example, the existence of Sum_1_5 in the parse-tree
grammar shows that Sum produces the whole input string (starting at position 1,
with length 5); the fact that there is more than one rule for Sum_1_5 shows that the
parsing was ambiguous; and the two rules show the two possible ways Sum_1_5
produces the whole input string. When we use this grammar to generate strings, it
generates just the input sentence 3+5+1, but is generates it twice, in accordance with
the ambiguity.
92 3 Introduction to Parsing
We write A_i_lrather than Ai,lbecause A_i_lrepresents the name of a grammar
symbol, not a subscripted element of an entity A: there is no table or matrix A.Noris
there any relationship between A_i_land say A_i_m: each A_i_lis a separate name
of a grammar symbol.
Now for the advantages. First, parse-forest grammars implement in a graphical
way the concept, already expressed less directly in the previous section, that there
should be exactly one entity that describes how a given non-terminal produces a
given substring of the input.
Second, it is mathematically beautiful: parsing a string can now be viewed as a
function which maps a grammar onto a more specific grammar or an error value.
Rather than three concepts — grammars, input strings, and parse forests — we now
need only two: grammars and input strings. More practically, all software used in
handling the original grammar is also available for application to the parse-forest
grammar.
Third, parse-forest grammars are easy to clean up after pruning, using the al-
gorithms from Section 2.9.5. For example, applying the disambiguation criterion
used in the previous section to the rules of the grammar in Figure 3.17 identifies the
first rule for Sum_1_5 as being in violation. Removing this rule and applying the
grammar clean-up algorithm yields the unambiguous grammar of Figure 3.18, which
corresponds to the tree in Figure 3.16.
Sums---> Sum_1_5
Sum_1_5 ---> Sum_1_3 + Sum_5_1
Sum_1_3 ---> Sum_1_1 + Sum_3_1
Sum_1_1 ---> Digit_1_1
Digit_1_1 --->3
Sum_3_1 ---> Digit_3_1
Digit_3_1 --->5
Sum_5_1 ---> Digit_5_1
Digit_5_1 --->1
Fig. 3.18. The disambiguated and cleaned-up parse-forest grammar for Figure 3.2
Fourth, representing infinitely ambiguous parsings is trivial: the parse-forest
grammar just produces infinitely many (identical) strings. And producing infinitely
many strings is exactly what grammars normally do.
And last but probably not least, it fits in very well with the interpretation of
parsing as intersection, an emerging and promising approach, further discussed in
Chapter 13.
Now it could be argued that parse forests and parse-forest grammars are actually
the same and that the pointers in the first have just been replaced by names in the
second, but that would not be fair. Names are more powerful than pointers, since a
pointer can point only to one object, whereas a name can identify several objects,
through overloading or non-determinism: names are multi-way pointers. More in
particular, the name Sum_1_5 in Figure 3.17 identifies two rules, thus playing the

3.8 When are we done Parsing? 93
role of the top OR-node in Figure 3.14. We see that in parse-forest grammars we
get the AND-OR tree mechanism free of charge, since it is built into the production
mechanism of grammars.
3.8 When are we done Parsing?
Since non-directional parsers process the entire input at once and summarize it into
a single data structure, from which parse trees can then be extracted, the question of
when the parsing is done does not really arise. The first stage is done when the data
structure is finished; extracting the parse trees is done when they are exhausted or
the user is satisfied.
In principle, a directional parser is finished when it is in an accepting state and
the entire input has been consumed. But this is a double criterion, and sometimes
one of these conditions implies the other; also other considerations often play a role.
As a result, for directional parsers the question has a complex answer, depending on
a number of factors:
• Is the parser at the end of the input? That is, has it processed completely the last
token of the input?
• Is the parser in an accepting state?
• Can the parser continue, i.e, is there a next token and can the parser process it?
• Is the parser used to produce a parse tree or is just recognition enough? In the first
case several situations can arise; in the second case we just get a yes/no answer.
• If we want parsings, do we want them all or is one parsing enough?
• Does the parser have to accept the entire input or is it used to isolate a prefix of
the input that conforms to the grammar? (A string xis a prefix of a string yif y
begins with x.)
The answers to the question whether we have finished the parsing are combined in
the following table, where EOI stands for “end of input” and the yes/no answer for
recognition is supplied between parentheses.
at end of can in an accepting state?
input? continue? yes no
yes yes prefix identified /
continue continue
yes no OK (yes) premature EOI (no)
no yes prefix identified /
continue continue
no no prefix identified & trailing
text (no) error in input (no)
Some answers are intuitively reasonable: if the parser can continue in a non-
accepting state, it should do so; if the parser cannot continue in a non-accepting
state, there was an error in the input; and if the parser is in an accepting state at the
end of the input and cannot continue, parsing was successful. But others are more

94 3 Introduction to Parsing
complicated: if the parser is in an accepting state, we have isolated a prefix, even if
the parser could continue and/or is at EOI. If that is what we want we can stop, but
usually we want to continue if we can: with the grammar S--->a|ab and the input ab
wecouldstopaftertheaand declare the aa prefix, but it is very likely we want to
continue and get the whole ab parsed. This could be true even if we are at EOI: with
the grammar S--->a|aB where Bproduces εand the input awe need to continue
and parse the B, if we want to obtain all parsings. And if the parser cannot, we have
recognized a string in the language with what error messages usually call “trailing
garbage”.
Note that “premature EOI” (the input is a prefix of a string in the language) is
the dual of “prefix isolated” (a prefix of the input is a string in the language). If we
are looking for a prefix we usually want the longest possible prefix. This can be im-
plemented by recording the most recent position Pin which a prefix was recognized
and continuing parsing until we get stuck, at the end of the input or at an error. Pis
then the end of the longest prefix.
Many directional parsers use look-ahead, which means that there must always be
enough tokens for the look-ahead, even at the end of the input. This is implemented
by introducing an end-of-input token, for example #or any other token that does
not occur elsewhere in the grammar. For a parser that uses ktokens of look-ahead, k
copies of #are appended to the input string; the look-ahead mechanism of the parser
is modified accordingly; see for example Section 9.6. The only accepting state is then
the state in which the first #is about to be accepted, and it always indicates that the
parsing is finished.
This simplifies the situation and the above table considerably since now the
parser cannot be in an accepting state when not at the end of the input. This elim-
inates the two prefix answers from the table above. We can then superimpose the
top half of the table on the bottom half, after which the leftmost column becomes
redundant. This results in the following table:
can in an accepting state?
continue? yes no
yes — continue
no OK (yes) error in input /
premature EOI
(no)
where we leave the check to distinguish between “error in input” and “premature
EOI” to the error reporting mechanism.
Since there is no clear-cut general criterion for termination in directional parsers,
each parser comes with its own stopping criterion, a somewhat undesirable state
of affairs. In this book we will use end-of-input markers whenever it is helpful for
termination, and, of course, for parsers that use look-ahead.
3.9 Transitive Closure 95
3.9 Transitive Closure
Many algorithms in parsing (and in other branches of computer science) have the
property that they start with some initial information and then continue to draw con-
clusions from it based on some inference rules until no more conclusions can be
drawn. We have seen two examples already, with their inference rules, in Sections
2.9.5.1 and 2.9.5.2. These inference rules were quite different, and in general infer-
ence rules can be arbitrarily complex. To get a clear look at the algorithm for drawing
conclusions, the closure algorithm, we shall now consider one of the simplest possi-
ble inference rules: transitivity. Such rules have the form
if A⊗Band B⊗Cthen A⊗C
where ⊗is any operator that obeys the rule. The most obvious one is =,but<,≤
and many others also do. But note that, for example, =(not equal) does not.
As an example we shall consider the computation of the “left-corner set” of a
non-terminal. A non-terminal Bis in the left-corner set of a non-terminal Aif there
is a derivation A*
→B···; it is sometimes useful to know this, because among other
things it means that Acan begin with anything Bcan begin with.
Given the grammar
Ss--->ST
S--->Aa
T--->At
A--->Bb
B--->Cc
C--->x
how can we find out that Cis in the left-corner set of S?TherulesS--->ST and S--->Aa
in the grammar tell us immediately that Sand Aare in the left-corner set of S.We
write this as S∠Sand A∠S,where∠symbolizes the left corner. It also tells us A∠T,
B∠A,andC∠B. This is our initial information (Figure 3.19(a)).
S∠SS∠S✔B∠S✔C∠S✔
A∠SA∠S✔C∠S
A∠TA∠S✔C∠T
B∠AB∠SC∠S✔
C∠BB∠TC∠T✔
B∠S✔
B∠T✔
C∠A
C∠A✔
(a)(b)(c)(d)
Fig. 3.19. The results of the naive transitive closure algorithm
Now it is easy to see that if Ais in the left-corner set of Band Bis in the left-
corner set of C,thenAis also in the left-corner of C. In a formula:

96 3 Introduction to Parsing
A∠B∧B∠C⇒A∠C
This is our inference rule, and we will use it for drawing new conclusions, or “in-
ferences”, by pairwise combining known facts to produce more known facts. The
transitive closure is then obtained by applying the inference rules until no more new
facts are produced. The facts are also called “relations” in the transitive-closure con-
text, although formally ∠is the (binary) relation, and A∠Band B∠Care “instances”
of that relation.
Going through the list in Figure 3.19(a) we first combine S∠Sand S∠S.This
yields S∠S, which is rather disappointing since we knew that already; it is in Figure
3.19(b), marked with a ✔to show that it is not new. The combination (S∠S,A∠S)
yields A∠S, but we already knew that too. No other facts combine with S∠S,sowe
continue with A∠S, which yields A∠Sand B∠S; the first is old, the second our first
new discovery. Then (A∠T,B∠A) yields B∠T, etc., and the rest of the results of the
first round can be seen in Figure 3.19(b).
The second round combines the three new facts with the old and new ones. The
first new discovery is C∠Sfrom A∠Sand C∠A(c); C∠Tfollows.
The third round combines the two new facts in (c) with those in (a), (b), and (c),
but finds no new facts; so the algorithm terminates with 10 facts.
Note that we have already implemented an optimization in this naive algorithm:
the basic algorithm would start the second and subsequent rounds by pairing up all
known facts with all known facts, rather than just the new ones.
It is often useful to represent the facts or relations in a graph, in which they are
arcs. The initial situation is shown in Figure 3.20(a), the final one in (b). The numbers
S
A
B
C
T
(a)
S
A
B
C
T
1
1
1
2
2
(b)
Fig. 3.20. The left-corner relation as a graph
next to the arrows indicate the rounds in which they were added.
The efficiency of the closure algorithm of course depends greatly on the inference
rule it uses, but the case for the transitive rule has been studied extensively. There are
three main ways to do transitive closure: naive, traditional, and advanced; we will
discuss each of them briefly. The naive algorithm, sketched above, is usually quite
efficient in normal cases but may require a large number of rounds to converge in
exceptional cases on very large graphs. Also it recomputes old results several times,
as we see in Figure 3.19: of the 15 results 10 were old. But given the size of “normal”
grammars, the naive algorithm is satisfactory in almost all situations in parsing.
3.10 The Relation between Parsing and Boolean Matrix Multiplication 97
The traditional method to do transitive closure is to use Warshall’s algorithm
[409]. It has the advantage that it is very simple to implement and that the time it
requires depends only on the number of nodes Nin the graph and not on the number
of arcs, but it has the disadvantage that it always requires O(N3)time. It always loses
in any comparison to any other closure algorithm.
The advanced algorithms avoid the inefficiencies of the naive algorithm: 1. cy-
cles in the graph are contracted as “strongly connected components”; 2. the arcs are
combined in an order which avoids duplicate conclusions and allows sets of arcs to
be copied rather than recomputed; 3. efficient data representations are used. For ex-
ample, an advanced algorithm would first compute all outgoing arcs at Aand then
copy them to Trather than recomputing them for T. The first advanced transitive clo-
sure algorithm was described by Tarjan [334]. They are covered extensively in many
other publications; see Nuutila [412] and the Internet. They require time proportional
to the number of conclusions they draw.
Advanced transitive closure algorithms are very useful in large applications
(databases, etc.) but their place in parsing is doubtful. Some authors recommend
their use in LALR parser generators but the grammars used would have to be very
large for the algorithmic complexity to pay off.
The advantage of emphasizing the closure nature of algorithms is that one can
concentrate on the inference rules and take the underlying closure algorithm for
granted; this can be a great help in designing algorithms. Most algorithms in parsing
are, however, simple enough as to not require decomposition into inference rules and
closure for their explanation. We will therefore use inference rules only where they
are helpful in understanding (Section 9.7.1.3) and where they are part of the culture
(Section 7.3, chart parsing). For the rest we will present the algorithms in narrative
form, and point out in passing that they are transitive-closure algorithms.
3.10 The Relation between Parsing and Boolean Matrix
Multiplication
There is a remarkable and somewhat mysterious relationship between parsing and
Boolean matrix multiplication, in that it is possible to turn one into the other and
vice versa, with a lot of ifs and buts. This has interesting implications.
A Boolean matrix is a matrix in which all entries are either 0 or 1. If the indexes of
amatrixTrepresent towns, the element Ti,jcould, for example, indicate the existence
of a direct railroad connection from town ito town j. Such a matrix can be multiplied
by another Boolean matrix Uj,k, which could, for example, indicate the existence of
a direct bus connection from town jto town k.TheresultVi,k(the product of Tand
U) is a Boolean matrix which indicates if there is a connection from town ito town
kby first using a train and then a bus. This immediately shows how Vi,kmust be
computed: it should have a 1 if there is a jfor which both Ti,jand Uj,khold a 1, and
a 0 otherwise. In a formula:
Vi,k=(Ti,1∧U1,k)∨(Ti,2∧U2,k)∨···∨(Ti,n∧Un,k)

98 3 Introduction to Parsing
where ∧is the Boolean AND, ∨is the Boolean OR, and nis the size of the matrices.
This means that O(n)actions are required for each entry in V, of which there are n2;
so the time dependency of this algorithm is O(n3).
Figure 3.21 shows an example; the boxed row T2,∗combines with the boxed
column U∗,2to produce the boxed entry V2,2. Boolean matrix multiplication is not
00000
00001
00010
00000
10000
T
00100
00010
10000
00000
01000
U
×
00000
01000
00000
00000
00100
V
=
Fig. 3.21. Boolean matrix multiplication
commutative: it is quite possible that there is a train-bus connection but no bus-train
connection from one town to another, so T×Uwill in general not be equal to U×T.
Note also that this differs from transitive closure: in transitive closure a single relation
is followed an unbounded number of times, whereas in Boolean matrix multiplication
first one relation is followed and then a second.
The above is a trivial application of Boolean matrix multiplication (BMM), but
BMM is very important in many branches of mathematics and industry, and there is
a complete science on how to perform it efficiently.3Decades of concentrated effort
have resulted in a series of increasingly more efficient and complicated algorithms.
V. Strassen4was the first to break the O(n3)barrier with an O(n2.81···)algorithm, and
the present record stands at O(n2.376···); it dates from 1987. It is clear that at least
O(n2)actions are required, but it is unlikely that that efficiency can be achieved.
More important from our viewpoint is the fact that in 1975 Valiant [18] showed
how a CF parsing problem can be converted into a BMM problem. In particular,
if you can multiply two Boolean matrices of size n×nin O(nk)actions, you can
parse a string of length nin O(nk)+O(n2)actions, where the O(n2)is the cost of
the conversion. So we can do general CF parsing in O(n2.376···), which is indeed
better than the cubic time dependency of the CYK algorithm. But the actions of
both Valiant’s algorithm and the fast BMM are extremely complicated and time-
consuming, so this approach would only be better for inputs of millions of symbols
or more. On top of that it requires all these symbols to be in memory, as it is a non-
directional method, and the size of the data structures it uses is O(n2), which means
that it can only be run profitably on a machine with terabytes of main memory. In
short, its significance is theoretical only.
3For a survey see V. Strassen, “Algebraic complexity theory”, in Handbook of Theoretical
Computer Science, vol. A, Jan van Leeuwen, Ed. Elsevier Science Publishers, Amsterdam,
The Netherlands, pp. 633-672, 1990.
4V. Strassen, “Gaussian elimination is not optimal”, Numerische Mathematik, 13:354-356,
1969.

3.10 The Relation between Parsing and Boolean Matrix Multiplication 99
In 2002 Lee [39] showed how a BMM problem can be converted into a CF pars-
ing problem. More in particular, if you can do general CF parsing of a string of
length nin O(n3−δ)actions, you can multiply two Boolean matrices of size n×n
in O(n3−δ/3)actions. There is again a conversion cost of O(n2), but since δcan be
at most 2 (in which unlikely case parsing could be done in O(n)), O(n3−δ/3)is at
least O(n21
3), which dominates the O(n2); note that for δ=0 the usual O(n3)bounds
for both problems result. The computational efforts involved in Lee’s conversion are
much smaller than those in Valiant’s technique, so a really fast general CF parsing
algorithm would likely supply a fast practical BMM algorithm. Such a fast general
CF parsing algorithm would have to be non-BMM-dependent and have a time com-
plexity better than O(n3); unfortunately no such algorithm is known.
General CF parsing and Boolean matrix multiplication have in common that the
efficiencies of the best algorithms for them are unknown. Figure 3.22 summarizes
the possibilities. The horizontal axis plots the efficiency of the best possible general
n0n1n2n3
n0
n1
n2
n3
Lee
Valiant
best
BMM
best parsing
best known BMM
n2.376
Fig. 3.22. Map of the best parser versus best BMM terrain
CF parsing algorithm; the vertical axis plots the efficiency of the best possible BMM
algorithm. A position in the graph represents a combination of these values. Since
these values are unknown, we do not know which point in the graph corresponds to
reality, but we can exclude several areas.
The grey areas are excluded on the grounds of existing algorithms. For example,
the grey area on the right of the vertical line at n3is excluded because we have the
CYK algorithm, which does general CF parsing in O(n3); so the pair (best parser,
best BMM) cannot have a first component which is larger than O(n3). Likewise the
area left of the vertical line at n1represents parsing algorithms that work in less than
O(n), which is impossible since the parser must touch each token. BMM requires
100 3 Introduction to Parsing
at least O(n2)actions, but an algorithm for O(n2.376···)is available; this yields two
horizontal forbidden areas.
The shading marks the areas that are excluded by the Valiant and Lee conversion
algorithms. Valiant’s result excludes the horizontally shaded area on the right; Lee’s
result excludes the vertically shaded area at the top. The combination of the efficien-
cies of the true best parsing and BMM algorithms can only be situated in the white
unshaded area in the middle.
Extensive research on the BMM problem has not yielded a usable algorithm that
is substantially better than O(n3); since BMM can be converted to parsing this could
explain why the admittedly less extensive research on general CF parsing has not
yielded a better than O(n3)algorithm, except through BMM. On the other hand Fig-
ure 3.22 shows that it is still possible for general CF parsing to be linear (O(n1))and
BMM to be worse than O(n2).
Rytter [34] has linked general CF parsing to a specific form of shortest-path
computation in a lattice, with comparable implications.
Greibach [389] describes the “hardest context-free language”, a language such
that if we can parse it in time O(nx), we can parse any CF language in time O(nx).
Needless to say, it’s hard to parse. The paper implicitly uses a parsing technique
which has received little attention; see Problem 3.7.
3.11 Conclusion
Grammars allow sentences to be produced through a well-defined process, and the
details of this process determines the structure of the sentence. Parsing recovers this
structure either by imitating the production process (top-down parsing) or by rolling
it back (bottom-up parsing). The real work goes into gathering information to guide
the structure recovery process efficiently.
There is a completely different and — surprisingly — grammarless way to do
CF parsing, “data-oriented parsing”, which is outside the scope of this book. See
Bod [348] and the Internet.
Problems
Problem 3.1: Suppose all terminal symbols in a given grammar are different. Is
that grammar unambiguous?
Problem 3.2: Write a program that, given a grammar Gand a number n,com-
putes the number of different parse trees with nleaves (terminals) Gallows.
Problem 3.3: If you are familiar with an existing parser (generator), identify its
parser components, as described on page 69.
Problem 3.4: The maze preprocessing algorithm in Section 3.5.4 eliminates all
rooms with three walls; rules with two or four walls are acceptable in a deterministic
maze. What about rooms with zero or one wall? How do they affect the algorithm
and the result? Is it possible/useful to eliminate them too?
3.11 Conclusion 101
Problem 3.5: Construct an example in which a deterministic bottom-up parser
will have to perform kactions at position k, for a certain k.
Problem 3.6:Project: There are several possible paths through the maze in
Figure 3.10(b), so a maze defines a set of paths. It is easy to see that these paths
form a regular set. This equates a maze to a regular grammar. Develop this analogy,
for example: 1. Derive the regular grammar from some description of the maze. 2.
How does the subset algorithm (Section 5.3.1) transform the maze? 3. Is it possible
to generate a set of mazes so that together they define a given CF set?
Problem 3.7:Project: Study the “translate and cross out matching parentheses”
parsing method of Greibach [389].
Problem 3.8: Show that a version of Figure 3.14 in which the nodes marked 2
near the top are combined represents parse trees that are not supported by the input.
Problem 3.9: Implement the backtracking algorithm sketched in Section 3.7.3.
Problem 3.10: Assume arithmetic expressions are parsed with the highly am-
biguous grammar
Exprs---> Number
Expr ---> Expr Operator Expr | ( Expr )
Operator --->+|-|×|/|↑
with an appropriate definition of Number. Design a criterion that will help prune the
resulting parse forest to obtain the parse tree that obeys the usual precedences for the
operators. For example, 4 +5×6+8 should come out as ((4+(5×6)) + 8).Take
into account that the first four operators are left-associative, but the exponentiation
operator ↑is right-associative: 6/6/6is((6/6)/6)but 6 ↑6↑6is(6↑(6↑6)).
Problem 3.11:Research project: Some parsing problems involve extremely
large CF grammar, with millions of rules. Such a grammar is generated by program
and results from incorporating finite context conditions into the grammar. It is usu-
ally very redundant, containing many very similar rules, and very ambiguous. Many
general CF parsers are quadratic in the size of the grammar, which for ten million
rules brings in a factor of 1014. Can parsing techniques be designed that work well
on such grammars? (See also Problem 4.5.)
Problem 3.12:Extensible Project: 1. A string Sis balanced for a token pair
(t1,t2)if #t1=#t2for Sand #t1≥#t2for all prefixes of S,where#tis the number of
occurrences of tin Sor a prefix of it. A token pair (t1,t2)is a parentheses pair for
a grammar Gif all strings in L(G)are balanced for (t1,t2). Design an algorithm to
check if a token pair (t1,t2)is a parentheses pair for a given grammar G: a) under the
simplifying but reasonable assumption that parentheses pairs occur together in the
right hand side of a rule (for example, as in F--->(E)), and b) in the general case.
2. A token t1in position iin a string matches atokent2in a position jif the string
segment i+1···j−1 between them is balanced for (t1,t2). A parentheses pair (t1,t2)
is compatible with a parentheses pair (u1,u2)if every segment between a t1and its
matching t2in every string in L(G)is balanced for (u1,u2). Show that if (t1,t2)is
compatible with (u1,u2),(u1,u2)is compatible with (t1,t2).
3. Design an algorithm to find a largest set of compatible parentheses pairs for a
given grammar.
102 3 Introduction to Parsing
4. Use the set of parentheses pairs to structure sentences in L(G)in linear time.
5. Derive information from Gabout the segments of strings in L(G)that are not
structured in that process, for example regular expressions.
6. Devise further techniques to exploit the parentheses skeleton of CF languages.

4
General Non-Directional Parsing
In this chapter we will present two general parsing methods, both non-directional:
Unger’s method and the CYK method. These methods are called non-directional
because they access the input in a seemingly arbitrary order. They require the entire
input to be in memory before parsing can start.
Unger’s method is top-down; if the input belongs to the language at hand, it
must be derivable from the start symbol of the grammar, say S. Therefore, it must be
derivable from a right-hand side of the start symbol, say A1A2···Am. This, in turn,
means that A1must derive a first part of the input, A2a second part, etc. If the input
sentence is t1t2···tn, this demand can be depicted as follows:
S
A1··· Ai··· Am
t1··· tk··· tn
Unger’s method tries to find a partition of the input that fits this demand. This is a
recursive problem: if a non-terminal Aiis to derive a certain part of the input, there
must be a partition of this part that fits a right-hand side of Ai. Ultimately, such
a right-hand side must consist of terminal symbols only, and these can easily be
matched with the current part of the input.
The CYK method approaches the problem the other way around: it tries to find
occurrences of right-hand sides in the input; whenever it finds one, it makes a note
that the corresponding left-hand side derives this part of the input. Replacing the
occurrence of the right-hand side with the corresponding left-hand side results in
some sentential forms that derive the input. These sentential forms are again the

104 4 General Non-Directional Parsing
subject of a search for right-hand sides, etc. Ultimately, we may find a sentential
form that both derives the input sentence and is a right-hand side of the start symbol.
In the next two sections, these methods are investigated in detail.
4.1 Unger’s Parsing Method
The input to Unger’s parsing method [12] consists of a CF grammar and an input
sentence. We will first discuss Unger’s parsing method for grammars without ε-rules
and without loops (see Section 2.9.4). Then, the problems introduced by ε-rules will
be discussed, and the parsing method will be modified to allow for all CF grammars.
4.1.1 Unger’s Method without ε-Rules or Loops
To see how Unger’s method solves the parsing problem, let us consider a small ex-
ample. Suppose we have a grammar rule
S→ABC |DE |F
and we want to find out whether Sderives the input sentence pqrs. The initial parsing
problem can then be schematically represented as:
S
pqrs
For each right-hand side we must first generate all possible partitions of the input
sentence. Generating partitions is not difficult: if we have mcups, numbered from 1
to m,andnmarbles, numbered from 1 to n, we have to find all possible partitions
such that each cup contains at least one marble, the numbers of the marbles in any
cup are consecutive, and any cup does not contain lower-numbered marbles than any
marble in a lower-numbered cup. We proceed as follows: first, we put marble 1 in
cup 1, and then generate all partitions of the other n−1 marbles over the other m−1
cups. This gives us all partitions that have marble 1 and only marble 1 in the first
cup. Next, we put marbles 1 and 2 in the first cup, and then generate all partitions of
the other n−2 marbles over the other m−1cups,etc.Ifnis less than m, no partition
is possible.
Partitioning the input corresponds to partitioning the marbles (the input symbols)
over the cups (the right-hand side symbols). If a right-hand side has more symbols
than the sentence, no partition can be found (there being no ε-rules). For the first
right-hand side the following partitions must be tried:
S
A B C
p q rs
pqr s
pq r s

4.1 Unger’s Parsing Method 105
The first partition results in the following sub-problems: does Aderive p, does B
derive q, and does Cderive rs? These sub-problems must all be answered in the
affirmative, or the partition is not the right one.
For the second right-hand side, we obtain the following partitions:
S
D E
pqrs
pq rs
pqr s
The last right-hand side results in the following partition:
S
F
pqrs
All these sub-problems deal with shorter sentences, except the last one. They will
all lead to similar split-ups, and in the end many will fail because a terminal symbol
in a right-hand side does not match the corresponding part of the partition. The only
partition that causes some concern is the last one. It is as complicated as the one
we started with. This is the reason that we have disallowed loops in the grammar. If
the grammar has loops, we may get the original problem back again and again. For
example, if there is a rule F→Sin the example above, this will certainly happen.
The above demonstrates that we have a search problem here, and we can attack
it with either the depth-first or the breadth-first search technique (see Section 3.5.2).
Unger uses depth-first search.
In the following discussion, the grammar of Figure 4.1 will serve as an example.
This grammar represents the language of simple arithmetic expressions, with opera-
Exprs---> Expr + Term | Term
Term ---> Term × Factor | Factor
Factor ---> ( Expr ) | i
Fig. 4.1. A grammar describing simple arithmetic expressions
tors +and ×, and operand i. We will use the sentence (i+i)×i as input example.
So the initial problem can be represented as:
Expr
(i+i)×i
Fitting the first alternative of Expr with the input (i+i)×i results in a list of 15
partitions, shown in Figure 4.2. We will not examine them all here, although the un-
optimized version of the algorithm requires this. We will only examine the partitions
that have at least some chance of succeeding: we can eliminate all partitions that do
not match the terminal symbol of the right-hand side. So the only partition worth
investigating further is:

106 4 General Non-Directional Parsing
Expr
Expr +Term
( i +i)×i
(i+ i)×i
(i+i )×i
(i+i) ×i
(i+i)× i
(i +i)×i
(i +i )×i
(i +i) ×i
(i +i)× i
(i+ i)×i
(i+ i) ×i
(i+ i)× i
(i+i )×i
(i+i )× i
(i+i) × i
Fig. 4.2. All partitions for Expr--->Expr+Term
Expr
Expr +Term
(i +i)×i
The first sub-problem here is to find out whether and, if so, how Expr derives
(i. We cannot partition (i into three non-empty parts because it only consists of
2 symbols. Therefore, the only rule that we can apply is the rule Expr--->Term.
Similarly, the only rule that we can apply next is the rule Term--->Factor.Sowe
now have
Expr
Term
Factor
(i
However, this is impossible, because the first right-hand side of Factor has too
many symbols, and the second one consists of one terminal symbol only. Therefore,
the partition we started with does not fit, and it must be rejected. The other partitions
were already rejected, so we can conclude that the rule Expr--->Expr+Term does
not derive the input.
The second right-hand side of Expr consists of only one symbol, so we only
have one partition here, consisting of one part. Partitioning this part for the first
right-hand side of Term again results in 15 possibilities, of which again only one
has a chance of succeeding:

4.1 Unger’s Parsing Method 107
Expr
Term
Term ×Factor
(i+i) × i
Continuing our search, we will find the following derivation (the only one to be
found):
Expr --->
Term --->
Term × Factor --->
Factor × Factor --->
( Expr ) × Factor --->
( Expr + Term ) × Factor --->
( Term + Term ) × Factor --->
( Factor + Term ) × Factor --->
( i + Term ) × Factor --->
( i + Factor ) × Factor --->
( i + i ) × Factor --->
(i+i)×i
This example demonstrates several aspects of the method: even small examples
require a considerable amount of work, but even some simple checks can result in
huge savings. For example, matching the terminal symbols in a right-hand side with
the partition at hand often leads to the rejection of the partition without investigating
it any further. Unger [12] presents several more of these checks. For example, one
can compute the minimum length of strings of terminal symbols derivable from each
non-terminal. Once it is known that a certain non-terminal only derives terminal
strings of length at least n, all partitions that fit this non-terminal with a substring of
length less than ncan be immediately rejected.
4.1.2 Unger’s Method with ε-Rules
So far, we only have dealt with grammars without ε-rules, and not without reason.
Complications arise when the grammar contains ε-rules, as is demonstrated by the
following example: consider the grammar rule S→ABC and input sentence pqr.
If we want to examine whether this rule derives the input sentence, and we allow
for ε-rules, many more partitions will have to be investigated, because each of the
non-terminals A,B,andCmay derive the empty string. In this case, generating all
partitions proceeds just as above, except that we first generate the partitions that have
no marble at all in the first cup, then the partitions that have marble 1 in the first cup,
etc.:

108 4 General Non-Directional Parsing
S
A B C
pqr
pqr
pq r
pqr
pqr
p q r
pqr
pq r
pq r
pqr
Now suppose that we are investigating whether Bderives pqr, and suppose there is
aruleB→SD. Then, we will have to investigate the following partitions:
B
S D
pqr
pqr
pq r
pqr
It is the last of these partitions that will cause trouble: in the process of finding out
whether Sderives pqr, we end up asking the same question again, in a different
context. If we are not careful and do not detect this, our parser will loop forever, or
run out of memory.
When searching along this path, we are looking for a derivation that is using a
recursive loop in the grammar of the form S→···→αSβ. If the grammar contains
ε-rules and the parser must assume that αand βcan produce ε, this loop will cause
the parser to ask the question “does Sderive pqr?” over and over again.
If αand βcan indeed produce ε, there are infinitely many derivations to be found
along this path, provided that there is at least one, so we will never be able to present
them all. The only interesting derivations are the ones without the loop. Therefore,
we will cut off the search process in these cases. On the other hand, if αand βcannot
both produce ε, a cut-off will not do any harm either, because a second search along
this path is doomed to fail anyway, if the initial search did not succeed.
So we can avoid the problem altogether by cutting off the search process in these
cases. Fortunately, this is not a difficult task. All we have to do is to maintain a list
of questions that we are currently investigating. Before starting to investigate a new
question (for example “does Sderive pqr?”) we first check that the question does not
already appear in the list. If it does, we do not investigate this question. Instead, we
proceed as if the question were answered negatively.
Consider for example the following grammar:

4.1 Unger’s Parsing Method 109
S---> LSD | ε
L---> ε
D--->d
This grammar generates sequences of ds in an awkward way. The complete search
for the questions S*
--->d?andS*
--->dd? is depicted in Figure 4.3. Figure 4.3
S*
--->d?
LSD
εεd
εdε
dεε
ε*
--->d?no
L*
---> ε?ε*
---> ε?yes
S*
---> ε?
LSD
εεε
L*
---> ε?ε*
---> ε?yes
S*
---> ε?cut-off: no
ε*
---> ε?yes
D*
--->d? d*
--->d?yes
L*
---> ε?ε*
---> ε?yes
S*
--->d?cut-off: no
L*
--->d? ε*
--->d?no
S*
---> dd?
LSD
εεdd
εdd
εdd ε
dεd
ddε
dd εε
L*
---> ε?ε*
---> ε?yes
S*
---> ε?
LSD
εεε
L*
---> ε?ε*
---> ε?yes
S*
---> ε?cut-off: no
ε*
---> ε?yes
D*
---> dd? d*
---> dd?no
L*
---> ε?ε*
---> ε?yes
S*
--->d?see above, yes
D*
--->d? d*
--->d?yes
L*
---> ε?ε*
---> ε?yes
S*
---> dd?cut-off: no
L*
--->d? ε*
--->d?no
L*
--->d? ε*
--->d?no
L*
---> dd? ε*
---> dd?no
ε*
---> dd?no
Fig. 4.3. Unger’s parser at work for the sentences dand dd
must be read from left to right, and from top to bottom. The questions are drawn

110 4 General Non-Directional Parsing
in an ellipse, with the split-ups over the right-hand sides in boxes. A question is
answered affirmatively if at least one of the boxes results in a “yes”. In contrast, a
partition only results in an affirmative answer if all questions arising from it result in
a“yes”.
Checking for cut-offs is easy: if a new question is asked, we follow the arrows in
the reversed direction (to the left). This way, we traverse the list of currently investi-
gated questions. If we meet the question again, we have to cut off the search.
To find the parsings, every question that is answered affirmatively has to pass
back a list of rules that start the derivation asked for in the question. This list can be
placed into the ellipse, together with the question. We have not done so in Figure 4.3,
because it is complicated enough as it is. However, if we strip Figure 4.3 of its dead
ends, and leave out the boxes, we get Figure 4.4. In this case, every ellipse only has
S*
---> dd? yes
S---> LSD
L*
---> ε?yes
L---> ε
S*
--->d?yes
S---> LSD
L*
---> ε?yes
L---> ε
S*
---> ε?yes
S---> ε
D*
--->d?yes
D--->d
D*
--->d?yes
D--->d
Fig. 4.4. The result of Unger’s parser for the sentence dd
one possible grammar rule. Therefore, there is only one parsing, and we obtain it by
reading Figure 4.4 from left to right, top to bottom:
S---> LSD --->SD---> LSDD ---> SDD --->DD--->dD--->dd
In general, the total number of parsings is equal to the product of the number of
grammar rules in each ellipse.
This example shows that we can save much time by remembering answers to
questions. For example, the question whether Lderives εis asked many times. Sheil
[20] has shown that the efficiency improves dramatically when this is done: it goes
from exponential to polynomial. Another possible optimization is achieved by com-
puting in advance which non-terminals can derive ε. In fact, this is a special case of
computing the minimum length of a terminal string that each non-terminal derives.
If a non-terminal derives ε, this minimum length is 0.
4.1.3 Getting Parse-Forest Grammars from Unger Parsing
It is surprisingly easy to construct a parse-forest grammar while doing Unger parsing:
all that is needed is to add one rule to the parse-forest grammar for each attempted
partition. For example, the first partition investigated in Section 4.1.1 (line 6 in Figure
4.2) adds the rule
4.1 Unger’s Parsing Method 111
Expr_1_7 ---> Expr_1_2 +_3_1 Term_4_4
to the parse-forest grammar. Each segment of the partition and the partition itself is
designated by a specific non-terminal, the name of which is composed of the orig-
inal name and the starting point and length of the segment is should produce. This
even applies to the original terminals, since the above partition claims that the +is
specifically the +in position 3 (when counting the input tokens starting from 1).
The first partition in Figure 4.2 adds the rule
Expr_1_7 ---> Expr_1_1 +_2_1 Term_3_5
but since the input does not contain a +_2_1,a+in position 2, the rule can be re-
jected immediately. Alternatively, one can say that it contains an undefined terminal,
and then the grammar clean-up algorithm from Section 2.9.5 will remove it for us.
Likewise, the further attempts described in Section 4.1.1 add the rules
Expr_1_2 ---> Term_1_2
Term_1_2 ---> Factor_1_2
Factor_1_2 ---> i_1_2
which again contains an undefined terminal, i_1_2. (The first alternative of
Factor,Factor--->(Expr), is not applicable because it requires breaking
Factor_1_2 into three pieces, and we were not yet allowing ε-rules in Section
4.1.1.)
We see that Unger parsing, being a top-down parsing method, creates a lot of
undefined non-terminals (and ditto terminals); these represent hypotheses of the top-
down process that did not materialize.
Expr_1_7s---> Term_1_7
Term_1_7 ---> Term_1_5 ×_6_1 Factor_7_1
Term_1_5 ---> Factor_1_5
Factor_1_5 ---> (_1_1 Expr_2_3 )_5_1
Expr_2_3 ---> Expr_2_1 +_3_1 Term_4_1
Expr_2_1 ---> Term_2_1
Term_2_1 ---> Factor_2_1
Factor_2_1 ---> i_2_1
Term_4_1 ---> Factor_4_1
Factor_4_1 ---> i_4_1
Factor_7_1 ---> i_7_1
Fig. 4.5. Parse-forest grammar for the string (i+i)×i
The parsing process generates a parse-forest grammar of 294 rules, which we do
not show here. After clean-up the parse-forest grammar of Figure 4.5 remains, with
11 rules. One sees easily that it is equivalent to the one parsing found for the string
(i+i)×i at the end of Section 4.1.1.

112 4 General Non-Directional Parsing
4.2 The CYK Parsing Method
The parsing method described in this section is attributed to J. Cocke, D.H. Younger,
and T. Kasami, who independently discovered variations of the method; it is now
known as the Cocke-Younger-Kasami method, or the CYK method. The most acces-
sible original description is that of Younger [10]. An earlier description is by Sakai
[5].
As with Unger’s parsing method, the input to the CYK algorithm consists of a
CF grammar and an input sentence. The first phase of the algorithm constructs a
table telling us which non-terminal(s) derive which substrings of the sentence. This
is the recognition phase; it ultimately also tells us whether the input sentence can
be derived from the grammar. The second phase uses this recognition table and the
grammar to construct all possible derivations of the sentence.
We will first concentrate on the recognition phase, which is the distinctive feature
of the algorithm.
4.2.1 CYK Recognition with General CF Grammars
To see how the CYK algorithm solves the recognition and parsing problem, let us
consider the grammar of Figure 4.6. This grammar describes the syntax of numbers
Numbers---> Integer | Real
Integer ---> Digit | Integer Digit
Real ---> Integer Fraction Scale
Fraction ---> . Integer
Scale ---> e Sign Integer | Empty
Digit ---> 0|1|2|3|4|5|6|7|8|9
Sign --->+|-
Empty ---> ε
Fig. 4.6. A grammar describing numbers in scientific notation
in scientific notation. An example sentence produced by this grammar is 32.5e+1.
We will use this grammar and sentence as an example.
The CYK algorithm first concentrates on substrings of the input sentence, short-
est substrings first, and then works its way up. The following derivations of substrings
of length 1 can be read directly from the grammar:
Digit Digit Digit Sign Digit
32.5e+1
This means that Digit derives 3,Digit derives 2, etc. Note, however, that this
picture is not yet complete. For one thing, there are several other non-terminals de-
riving 3. This complication arises because the grammar contains so-called unit rules,

4.2 The CYK Parsing Method 113
rules of the form A→B,whereAand Bare non-terminals. Such rules are also called
single rules or chain rules. We can have chains of them in a derivation. So the next
step consists of applying the unit rules, repetitively, for example to find out which
other non-terminals derive 3. This gives us the following result:
Number,
Integer,
Digit
Number,
Integer,
Digit
Number,
Integer,
Digit
Sign
Number,
Integer,
Digit
32.5e+1
Now we already see some combinations that we recognize from the grammar: For
example, an Integer followed by a Digit is again an Integer,anda.(dot)
followedbyanInteger is a Fraction. We get (again also using unit rules):
Number,Integer Fraction Scale
Number,
Integer,
Digit
Number,
Integer,
Digit
Number,
Integer,
Digit
Sign
Number,
Integer,
Digit
32.5e+1
At this point, we see that the rule for Real is applicable in several ways, and then
the rule for Number,soweget:
Number,Real
Number,Real
Number,Integer Fraction Scale
Number,
Integer,
Digit
Number,
Integer,
Digit
Number,
Integer,
Digit
Sign
Number,
Integer,
Digit
32.5e+1
So we find that Number does indeed derive 32.5e+1.
In the example above, we have seen that unit rules complicate things a bit. An-
other complication, one that we have avoided until now, is formed by ε-rules. For
example, if we want to recognize the input 43.1 according to the example gram-
mar, we have to realize that Scale derives εhere, so we get the following picture:
Number,Real
Number,Real
Number,Integer Fraction Scale
Number,
Integer,
Digit
Number,
Integer,
Digit
Number
Integer
Digit
43.1

114 4 General Non-Directional Parsing
In general this is even more complicated. We must take into account the fact that
several non-terminals can derive εbetween any two adjacent terminal symbols in the
input sentence, and also in front of the input sentence or at the back. However, as
we shall see, the problems caused by these kinds of rules can be solved, albeit at a
certain cost.
In the meantime, we will not let these problems discourage us. In the example,
we have seen that the CYK algorithm works by determining which non-terminals
derive which substrings, shortest substrings first. Although we skipped them in the
example, the shortest substrings of any input sentence are, of course, the ε-substrings.
We shall have to recognize them in arbitrary position, so we first compute Rε,theset
of non-terminals that derive ε, using the following closure algorithm.
The set Rεis initialized to the set of non-terminals Afor which A→εis a gram-
mar rule. For the example grammar, Rεis initially the set {Empty}. Next, we check
each grammar rule: If a right-hand side consists only of symbols that are a member
of Rε, we add the left-hand side to Rε(it derives ε, because all symbols in the right-
hand side do). In the example, Scale would be added. This process is repeated until
no new non-terminals can be added to the set. For the example, this results in
Rε={Empty,Scale}.
Now we direct our attention to the non-empty substrings of the input sentence.
Suppose we have an input sentence t=t1t2···tnand we want to compute the set of
non-terminals that derive the substring of tstarting at position i,oflengthl. We will
use the notation si,lfor this substring, so,
si,l=titi+1···ti+l−1.
or in a different notation: si,l=ti...i+l−1. Figure 4.7 presents this notation graphi-
cally, using a sentence of 4 symbols. We will use the notation Ri,lfor the set of
s1,44
s2,3
s1,3
3
s3,2
s2,2
s1,2
2
s1,1s2,1s3,1s4,11
s1,0s2,0s3,0s4,00
length
t1t2t3t4
position
Fig. 4.7. A graphical presentation of substrings
non-terminals deriving the substring si,l. This notation can be extended to deal with
substrings of length 0: si,0=ε,andRi,0=Rε,foralli.

4.2 The CYK Parsing Method 115
Because shorter substrings are dealt with first, we can assume that we are at a
stage in the algorithm where all information on substrings with length smaller than
a certain lis available. Using this information, we check each right-hand side in
the grammar, to see if it derives si,l, as follows: suppose we have a right-hand side
A1···Am.Thenwedividesi,linto m(possibly empty) segments, such that A1derives
the first segment, A2the second, etc. We start with A1.IfA1···Amis to derive si,l,
A1has to derive a first part of it, say of length k.Thatis,A1must derive si,k(be a
member of Ri,k), and A2···Ammust derive the rest:
A1A2··· Am
ti··· ti+k−1ti+kti+k+1··· ti+l−1
This is attempted for every kfor which A1is a member of Ri,k, including k=0.
Naturally, if A1is a terminal, then A1must be equal to ti,andkis 1. Checking if
A2···Amderives ti+k···ti+l−1is done in the same way. Unlike Unger’s method, we
do not have to try all partitions, because we already know which non-terminals derive
which substrings.
Nevertheless, there are two problems with this. In the first place, mcould be 1
and A1a non-terminal, so we are dealing with a unit rule. In this case, A1must derive
the whole substring si,l, and thus be a member of Ri,l, which is the set that we are
computing now, so we do not know yet if this is the case. This problem can be solved
by observing that if A1is to derive si,l, somewhere along the derivation there must be
a first step not using a unit rule. So we have:
A1→B→···→C*
→si,l
where Cis the first non-terminal using a non-unit rule in the derivation. Disregarding
ε-rules (the second problem) for a moment, this means that at a certain moment in
the process of computing the set Ri,l,Cwill be added to Ri,l. Now, if we repeat the
computation of Ri,lagain and again, at some moment Bwill be added, and during
the next repetition, A1will be added. So we have to repeat the process until no new
non-terminals are added to Ri,l. This, like the computation of Rε, is an example of a
closure algorithm.
The second problem is caused by the ε-rules. If all but one of the Atderive ε,
we have a problem that is basically equivalent to the problem of unit rules. It too
requires recomputation of the entries of Runtil nothing changes any more, again
using a closure algorithm.
In the end, when we have computed all the Ri,l, the recognition problem is solved:
the start symbol Sderives t(= s1,n)if and only if SisamemberofR1,n.
This is a complicated process, where part of this complexity stems from the ε-
rules and the unit rules. Their presence forces us to do the Ri,lcomputation repeat-
edly; this is inefficient, because after the first computation of Ri,lrecomputations
yield little new information.

116 4 General Non-Directional Parsing
Another less obvious but equally serious problem is that a right-hand side may
consist of arbitrarily many non-terminals, and trying all possibilities can be a lot of
work. We can see that as follows. For a rule whose right-hand side consists of m
members, m−1 segment ends have to be found, each of them combining with all the
previous ones. Finding a segment end costs O(n)actions, since a list proportional
to the length of the input has to be scanned; so finding the required m−1segment
ends costs O(nm−1). And since there are O(n2)elements in R, filling it completely
costs O(nm+1), so the time requirement is exponential in the maximum length of the
right-hand sides in the grammar. The longest right-hand side in Figure 4.6 is 3, so the
time requirement is O(n4). This is far more efficient than exhaustive search, which
needs a time that is exponential in the length of the input sentence, but still heavy
enough to worry about.
Imposing certain restrictions on the rules may solve these problems to a large ex-
tent. However, these restrictions should not limit the generative power of the gram-
mar significantly.
4.2.2 CYK Recognition with a Grammar in Chomsky Normal Form
Two of the restrictions that we want to impose on the grammar are obvious by now:
no unit rules and no ε-rules. We would also like to limit the maximum length of a
right-hand side to 2; this would reduce the time complexity to O(n3). It turns out
that there is a form for CF grammars that exactly fits these restrictions: the Chomsky
Normal Form. It is as if this normal form was invented for this algorithm. A grammar
is in Chomsky Normal Form (CNF), when all rules either have the form A→a,or
A→BC,whereais a terminal and A,B,andCare non-terminals. Fortunately, as
we shall see later, any CF grammar can be mechanically transformed into a CNF
grammar.
We will first discuss how the CYK algorithm works for a grammar in CNF. There
are no ε-rules in a CNF grammar, so Rεis empty. The sets Ri,1can be read directly
from the rules: they are determined by the rules of the form A→a.AruleA→BC
can never derive a single terminal, because there are no ε-rules.
Next, we proceed iteratively as before, first processing all substrings of length 2,
then all substrings of length 3, etc. When a right-hand side BC is to derive a substring
of length l,Bhas to derive the first part (which is non-empty), and Cthe rest (also
non-empty).
B C
ti··· ti+k−1ti+k··· ti+l−1
So Bmust derive si,k,thatis,BmustbeamemberofRi,k, and likewise Cmust derive
si+k,l−k;thatis,CmustbeamemberofRi+k,l−k. Determining if such a kexists is
easy: just try all possibilities; they range from 1 to l−1. All sets Ri,kand Ri+k,l−k
have already been computed at this point.

4.2 The CYK Parsing Method 117
This process is much less complicated than the one we saw before, which worked
with a general CF grammar, for two reasons. The most important one is that we do
not have to repeat the process again and again until no new non-terminals are added
to Ri,l. Here, the substrings we are dealing with are really substrings: they cannot
be equal to the string we started out with. The second reason is that we have to find
only one place where the substring must be split in two, because the right-hand side
consists of only two non-terminals. In ambiguous grammars, there can be several
different splittings, but at this point that does not worry us. Ambiguity is a parsing
issue, not a recognition issue.
The algorithm results in a complete collection of sets Ri,l. The sentence tconsists
of only nsymbols, so a substring starting at position ican never have more than
n+1−isymbols. This means that there are no substrings si,lwith i+l>n+1.
Therefore, the Ri,lsets can be organized in a triangular table, as depicted in Figure
4.8. This table is called the recognition table,orthewell-formed substring table.
R1,n
R1,n−1R2,n−1
··· ··· ···
··· ··· ··· ···
R1,l··· Ri,l··· ···
··· ··· ··· ··· ··· ···
··· ··· ··· ··· ··· ··· ···
R1,1··· Ri,1··· ··· Ri+l−1,1··· Rn,1
V W
Fig. 4.8. Form of the recognition table
The entry Ri,lis computed from entries along the arrows Vand Wsimultane-
ously, as follows. The first entry we consider is Ri,1, at the start of arrow V.All
non-terminals Bin Ri,1produce substrings which start at position iandhavealength
1. Since we are trying to obtain parsings for the substring starting at position iwith
length l, we are now interested in substrings starting at i+1 and having length l−1.
These should be looked for in Ri+1,l−1,atthestartofarrowW. Now we combine
each of the Bs found in Ri,1with each of the Cs found in Ri+1,l−1, and for each pair B
and Cfor which there is a rule A→BC in the grammar, we insert Ain Ri,l. Likewise
aBin Ri,2can be combined into an Awith a Cfrom Ri+2,l−2, etc., and we continue
in this way until we reach Ri,l−1at the end point of Vand Ri+l−1,1at the end of W.
The entry Ri,lcannot be computed until all entries below it are known in the
triangle of which it is the top. This restricts the order in which the entries can be
computed but still leaves some freedom. One way to compute the recognition table
is depicted in Figure 4.9(a); it follows our earlier description in which no substring of
length lis recognized until all string of length l−1 have been recognized. We could
also compute the recognition table in the order depicted in Figure 4.9(b). In this order,
Ri,lis computed as soon as all sets and input symbols needed for its computation are

118 4 General Non-Directional Parsing
(a) off-line order (b) on-line order
Fig. 4.9. Different orders in which the recognition table can be computed
available. This order is particularly suitable for on-line parsing, where the number of
symbols in the input is not known in advance, and additional information is computed
each time a new symbol is read.
Now let us examine the cost of this algorithm. Figure 4.8 shows that there are
n(n+1)/2 entries to be filled. Filling in an entry requires examining all entries on
the arrow V, of which there are at most n; usually there are fewer, and in practical
situations many of the entries are empty and need not be examined at all. We will
call the number of entries that really have to be considered nocc for “number of oc-
currences”; it is usually much smaller than nand for many grammars it is even a
constant, but for worst-case estimates it should be replaced by n. Once the entry on
the arrow vhas been chosen, the corresponding entry on the arrow Wis fixed, so the
cost of finding it does not depend on n. As a result the algorithm has a time require-
ment of O(n2nocc)and operates in a time proportional to the cube of the length of
the input sentence in the worst case, as already announced at the beginning of this
section.
The cost of the algorithm also depends on the properties of the grammar. The
entries along the Vand Warrows can each contain at most |VN|non-terminals, where
|VN|is the number of non-terminals in the grammar, the size of the set VNfrom
the formal definition of a grammar in Section 2.2. But again the actual number is
usually much lower, since usually only a very limited subset of the non-terminals
can produce a segment of the input of a given length in a given position; we will
indicate the number by |VN|occ. So the cost of one combination step is O(|VN|2
occ).
Finding the rule in the grammar that combines Band Cinto an Acan be done in
constant time, by hashing or precomputation, and does not add to the cost of one
combination step. This gives an overall time requirement of O(|VN|2
occn2nocc).
There is some disagreement in the literature over whether the second index of the
recognition table should represent the length or the end position of the recognized
segment. It is obvious that both carry the same information, but sometimes one is
more convenient and at other times the other. There is some evidence, from Earley
parsing (Section 7.2) and parsing as intersection (Chapter 13), that using the end
point is more fundamental, but for CYK parsing the length is more convenient, both
conceptually and for drawing pictures.
4.2 The CYK Parsing Method 119
4.2.3 Transforming a CF Grammar into Chomsky Normal Form
The previous section has demonstrated that it is certainly worthwhile to try to trans-
form a general CF grammar into CNF. In this section, we will discuss this transfor-
mation, using our number grammar as an example. The transformation is split up
into several stages:
• first, ε-rules are eliminated;
• then, unit rules are eliminated;
• then, the grammar is cleaned as described in Section 2.9.5 (optional);
• then, finally, the remaining grammar rules are modified, and rules are added, until
they all have the desired form, that is, either A→aor A→BC.
All these transformations will not change the language defined by the grammar. This
is not proven here. Most books on formal language theory discuss these transfor-
mations more formally and provide proofs; see for example Hopcroft and Ullman
[391].
4.2.3.1 Eliminating ε-Rules
Suppose we have a grammar G, with an ε-rule A→ε, and we want to eliminate
this rule. We cannot just remove the rule, as this would change the language defined
by the non-terminal A, and also probably the language defined by the grammar G.
So something has to be done about the occurrences of Ain the right-hand sides of
the grammar rules. Whenever Aoccurs in a grammar rule B→αAβ, we replace
this rule with two others: B→αAβ,whereAis a new non-terminal, for which
we shall add rules later (these rules will be the non-empty grammar rules of A),
and B→αβ, which handles the case where Aderives εin a derivation using the
B→αAβrule. Notice that the αand βin the rules above could also contain A;inthis
case, each of the new rules must be replaced in the same way, and this process must
be repeated until all occurrences of Aare removed. When we are through, there will
be no occurrence of Aleft in the grammar.
Every ε-rule must be handled in this way. Of course, during this process new ε-
rules may originate. This is only to be expected: the process makes all ε-derivations
explicit. The newly created ε-rules must be dealt with in exactly the same way. Ul-
timately this process will stop, because the number of non-terminals that derive εis
finite and in the end none of these non-terminals occur in any right-hand side any
more.
The next step in eliminating the ε-rules is the addition of grammar rules for the
new non-terminals. If Ais a non-terminal for which an Awas introduced, we add
aruleA→αfor all non-ε-rules A→α. Since all ε-rules have been made explicit,
we can be sure that if a rule does not derive εdirectly, it cannot do so indirectly. A
problem that may arise here is that there may not be a non-ε-rule for A. In this case,
Aonly derives ε, so we remove all rules using A.
All this leaves us with a grammar that still contains ε-rules. However, none of the
non-terminals having an ε-rule is reachable from the start symbol, with one important
120 4 General Non-Directional Parsing
exception: the start symbol itself. In particular, we now have a rule S→εif and only
if εis a member of the language defined by the grammar G. All other non-terminals
with ε-rules can be removed safely, but the actual cleaning up of the grammar is left
for later.
The grammar of Figure 4.10 is a nasty grammar to test your ε-rule elimination
scheme on. Our scheme transforms this grammar into the grammar of Figure 4.11.
Ss--->LaM
L--->LM
L---> ε
M--->MM
M---> ε
Fig. 4.10. An example grammar to test ε-rule elimination schemes
This grammar still has ε-rules, but these can be eliminated by the removal of non-
Ss---> L’aM’|aM’|L’a|a
L---> L’M’|L’|M’|ε
M---> M’M’|M’|ε
L’ ---> L’M’|L’|M’
M’ ---> M’M’|M’
Fig. 4.11. Result after our ε-rule elimination scheme
productive and/or unreachable non-terminals. Cleaning up this grammar leaves only
one rule: S→a.Removingtheε-rules in our number grammar results in the grammar
of Figure 4.12. Note that the two rules to produce ε,Empty and Scale, are still
present but are not used any more.
Numbers---> Integer | Real
Integer ---> Digit | Integer Digit
Real ---> Integer Fraction Scale’ | Integer Fraction
Fraction ---> . Integer
Scale’ ---> e Sign Integer
Scale ---> e Sign Integer | ε
Digit ---> 0|1|2|3|4|5|6|7|8|9
Sign --->+|-
Empty ---> ε
Fig. 4.12. Our number grammar after elimination of ε-rules
4.2 The CYK Parsing Method 121
4.2.3.2 Eliminating Unit Rules
The next trouble-makers to be eliminated are the unit rules, that is, rules of the form
A→B. It is important to realize that, if such a rule A→Bis used in a derivation, it
must be followed at some point by the use of a rule B→α. Therefore, if we have a
rule A→B, and the rules for Bare
B→α1|α2| ··· |αn,
we can replace the rule A→Bwith
A→α1|α2| ··· |αn.
In doing this, we can of course introduce new unit rules. In particular, when repeating
this process, we could at some point again get the rule A→B. In this case, we have
an infinitely ambiguous grammar, because this means that Bderives B. Now this may
seem to pose a problem, but we can just leave such a unit rule out; the effect is that
we short-cut derivations like
A→B→···→B→···
Also rules of the form A→Aare left out. In fact, a pleasant side effect of removing
ε-rules and unit rules is that the resulting grammar is not infinitely ambiguous any
more.
Removing the unit rules in our ε-free number grammar results in the grammar of
Figure 4.13.
Numbers---> 0|1|2|3|4|5|6|7|8|9
Numbers---> Integer Digit
Numbers---> Integer Fraction Scale’ | Integer Fraction
Integer ---> 0|1|2|3|4|5|6|7|8|9
Integer ---> Integer Digit
Real ---> Integer Fraction Scale’ | Integer Fraction
Fraction ---> . Integer
Scale’ ---> e Sign Integer
Scale ---> e Sign Integer | ε
Digit ---> 0|1|2|3|4|5|6|7|8|9
Sign --->+|-
Empty ---> ε
Fig. 4.13. Our number grammar after eliminating unit rules
4.2.3.3 Cleaning up the Grammar
Although our number grammar does not contain non-productive non-terminals, it
does contain unreachable ones, produced by eliminating the ε-rules: Real,Scale,
and Empty. The CYK algorithm will work equally well with or without them, so
122 4 General Non-Directional Parsing
cleaning up the grammar, as described in Section 2.9.5, is optional. For conceptual
and descriptional simplicity we will clean up our grammar here, but further on (Sec-
tion 4.2.6) we shall see that this is not always advantageous. The cleaned-up grammar
is shown in Figure 4.14.
Numbers---> 0|1|2|3|4|5|6|7|8|9
Numbers---> Integer Digit
Numbers---> Integer Fraction Scale’ | Integer Fraction
Integer ---> 0|1|2|3|4|5|6|7|8|9
Integer ---> Integer Digit
Fraction ---> . Integer
Scale’ ---> e Sign Integer
Digit ---> 0|1|2|3|4|5|6|7|8|9
Sign --->+|-
Fig. 4.14. Our cleaned-up number grammar
4.2.3.4 Finally, to the Chomsky Normal Form
After all these grammar transformations, we have a grammar without ε-rules or unit
rules, all non-terminal are reachable, and there are no non-productive non-terminals.
So we are left with two types of rules: rules of the form A→a, which are already
in the proper form, and rules of the form A→X1X2···Xm, with m≥2. For every
terminal boccurring in such a rule we create a new non-terminal Tbwith only the
rule Tb→b, and we replace each occurrence of bin a rule A→X1X2···Xmwith Tb.
Now the only rules not yet in CNF are of the form A→X1X2···Xm, with m≥3, and
all Xinon-terminals. These rules can now just be split up:
A→X1X2···Xm
is replaced by the following two rules:
A→A1X3···Xm
A1→X1X2
where A1is a new non-terminal. Now we have replaced the original rule with one
that is one shorter, and one that is in CNF. This splitting can be repeated until all
parts are in CNF. Figure 4.15 represents our number grammar in CNF.
4.2.4 The Example Revisited
Now let us see how the CYK algorithm works with our example grammar, which
we have just transformed into CNF. Again, our input sentence is 32.5e+1.The
recognition table is given in Figure 4.16. The bottom row is read directly from the
grammar. For example, the only non-terminals having a production rule with right-
hand side 3are Number,Integer,andDigit. Notice that for each symbol ain

4.2 The CYK Parsing Method 123
Numbers---> 0|1|2|3|4|5|6|7|8|9
Numbers---> Integer Digit
Numbers---> N1 Scale’ | Integer Fraction
N1 ---> Integer Fraction
Integer ---> 0|1|2|3|4|5|6|7|8|9
Integer ---> Integer Digit
Fraction ---> T1 Integer
T1 --->.
Scale’ ---> N2 Integer
N2 ---> T2 Sign
T2 --->e
Digit ---> 0|1|2|3|4|5|6|7|8|9
Sign --->+|-
Fig. 4.15. Our number grammar in CNF
Number
Number
Number,
N1
Number,
N1 Scale’
Number,
Integer Fraction N2
Number,
Integer,
Digit
Number,
Integer,
Digit
T1
Number,
Integer,
Digit
T2 Sign
Number,
Integer,
Digit
7
6
5
4
l3
2
1
3
1
2
2
.
3
5
4
e
5
+
6
1
7
i
Fig. 4.16. The recognition table for the input sentence 32.5e+1
the sentence there must be at least one non-terminal Awith a production rule A→a,
or else the sentence cannot be derived from the grammar.
The other rows are computed as described before. Actually, there are two ways
to compute a certain Ri,l. The first method is to check each right-hand side in the
grammar. For example, to check whether the right-hand side N1 Scale’ derives
the substring 2.5e (= s2,4). The recognition table derived so far tells us that
•N1 is not a member of R2,1or R2,2,
124 4 General Non-Directional Parsing
•N1 is a member of R2,3,butScale’ is not a member of R5,1
so the answer is no. Using this method, we have to check each right-hand side in this
way, adding the left-hand side to R2,4if we find that the right-hand side derives s2,4.
The second method is to compute possible right-hand sides from the recognition
table computed so far. For example, R2,4is the set of non-terminals that have a right-
hand side AB where either
•Ais a member of R2,1and Bis a member of R3,3,or
•Ais a member of R2,2and Bis a member of R4,2,or
•Ais a member of R2,3and Bis a member of R5,1.
This gives as possible combinations for AB:N1 T2 and Number T2.Nowwe
check all rules in the grammar to see if they have a right-hand side that is a member
of this set. If so, the left-hand side is added to R2,4.
4.2.5 CYK Parsing with Chomsky Normal Form
We now have an algorithm that determines whether a sentence belongs to a language
or not, and it is much faster than exhaustive search. Most of us, however, not only
want to know whether a sentence belongs to a language, but also, if so, how it can be
derived from the grammar. If it can be derived in more than one way, we probably
want to know all possible derivations. As the recognition table contains the infor-
mation on all derivations of substrings of the input sentence that we could possibly
make, it also contains the information we want. Unfortunately, this table contains
too much information, so much that it hides what we want to know. The table may
contain information about non-terminals deriving substrings, where these derivations
cannot be used in the derivation of the input sentence from the start symbol S.For
example, in the example above, R2,3contains N1, but the fact that N1 derives 2.5
cannot be used in the derivation of 32.5e+1 from Number.
The key to the solution of this problem lies in the simple observation that the
derivation must start with the start symbol S. The first step of the derivation of the
input sentence t, with length n, can be read from the grammar, together with the
recognition table. If n=1, there must be a rule S→t;ifn≥2, we have to examine
all rules S→AB,whereAderives the first ksymbols of t,andBthe rest, that is, Ais
amemberofR1,kand Bis a member of Rk+1,n−k,forsomek. There must be at least
one such rule, or else Swould not derive t.
Now, for each of these combinations AB we have the same problem: how does
Aderive s1,kand Bderive sk+1,n−k? These problems are solved in exactly the same
way. It does not matter which non-terminal is examined first. Consistently taking the
leftmost one results in a leftmost derivation, consistently taking the rightmost one
results in a rightmost derivation.
Notice that we can use an Unger-style parser for this. However, it would not have
to generate all partitions any more, because we already know which partitions will
work.
Let us try to find a leftmost derivation for the example sentence and grammar,
using the recognition table of Figure 4.16. We begin with the start symbol, Number.
4.2 The CYK Parsing Method 125
Our sentence contains seven symbols, which is certainly more than one, so we have to
use one of the rules with a right-hand side of the form AB.TheInteger Digit
rule is not applicable here, because the only instance of Digit that could lead to
a derivation of the sentence is the one in R7,1,butInteger is not a member of
R1,6.TheInteger Fraction rule is not applicable either, because there is no
Fraction deriving the last part of the sentence. This leaves us with the production
rule Number ---> N1 Scale’, which is indeed applicable, because N1 is a mem-
ber of R1,4,andScale’ is a member of R5,3,soN1 derives 32.5 and Scale’
derives e+1.
Next, we have to find out how N1 derives 32.5. There is only one appli-
cable rule: N1 ---> Integer Fraction, and it is indeed applicable, because
Integer isamemberofR1,2,andFraction isamemberofR3,2,soInteger
derives 32,andFraction derives .5. In the end, we find the following derivation:
Number --->
N1 Scale’ --->
Integer Fraction Scale’ --->
Integer Digit Fraction Scale’ --->
3 Digit Fraction Scale’ --->
3 2 Fraction Scale’ --->
3 2 T1 Integer Scale’ --->
3 2 . Integer Scale’ --->
3 2 . 5 Scale’ --->
3 2 . 5 N2 Integer --->
3 2 . 5 T2 Sign Integer --->
3 2 . 5 e Sign Integer --->
3 2 . 5 e + Integer --->
32.5e+1
Unfortunately, this is not exactly what we want, because this is a derivation that uses
the rules of the grammar of Figure 4.15, not the rules of the grammar of Figure 4.6,
the one that we started with.
4.2.6 Undoing the Effect of the CNF Transformation
When we examine the grammar of Figure 4.6 and the recognition table of Fig-
ure 4.16, we see that the recognition table contains the information we need on
most of the non-terminals of the original grammar. However, there are a few non-
terminals missing in the recognition table: Scale,Real,andEmpty.Scale and
Empty were removed because they became unreachable, after the elimination of
ε-rules. Empty was removed altogether, because it only derived the empty string,
and Scale was replaced by Scale’,whereScale’ derives exactly the same as
Scale, except for the empty string. We can use this to add some more information
to the recognition table: at every occurrence of Scale’,weaddScale.
The non-terminal Real was removed because it became unreachable after elimi-
nating the unit rules. Now, the CYK algorithm does not require that all non-terminals
in the grammar be reachable. We could just as well have left the non-terminal Real

126 4 General Non-Directional Parsing
in the grammar, and transformed its rules to CNF. The CYK algorithm would then
have added Real to the recognition table, wherever that would be appropriate. The
rules for Real that would be added to the grammar of Figure 4.15 are:
Real ---> N1 Scale’ | Integer Fraction
The resulting recognition table is presented in Figure 4.17. In this figure, we have
Number,
Real
Number,
Real
Number,
Real,
N1
Number,
Real,
N1
Scale’,
Scale
Number,
Integer Fraction N2
Number,
Integer,
Digit
Number,
Integer,
Digit
T1
Number,
Integer,
Digit
T2 Sign
Number,
Integer,
Digit
Scale,
Empty
Scale,
Empty
Scale,
Empty
Scale,
Empty
Scale,
Empty
Scale,
Empty
Scale,
Empty
Scale,
Empty
0
1
2
3
4
5
6
7
l
3
1
2
2
.
3
5
4
e
5
+
6
1
78
i
Fig. 4.17. The recognition table with Scale,Real,andEmpty added
also added an extra row at the bottom of the triangle. This extra row represents the
non-terminals that derive the empty string. These non-terminals can be considered
as possibly occurring between any two adjacent symbols in the sentence, and also
in front of or at the end of the sentence. The set Ri,0represents the non-terminals
that can be considered as possibly occurring in front of symbol tiand the set Rn+1,0
represents the ones that can occur at the end of the sentence.
Now we have a recognition table which contains all the information we need to
parse a sentence with the original grammar. Again, a derivation starts with the start
symbol S.IfA1A2···Amis a right-hand side of S, we want to know if this rule can be
applied, that is, if A1A2···Amderives s1,n. This is checked, starting with A1.There
are two cases:

4.2 The CYK Parsing Method 127
•A1is a terminal symbol. In this case, it must be the first symbol of s1,n,orthis
rule is not applicable. Then, we must check if A2···Amderives s2,n−1,inthesame
way that we are now checking if A1A2···Amderives s1,n.
•A1is a non-terminal. In this case, it must be a member of a R1,k,forsomek,or
this rule is not applicable. Then, we must check if A2···Amderives sk+1,n−k,in
the same way that we are now checking if A1A2···Amderives s1,n.Ifwewantall
parsings, we must do this for every kfor which A1is a member of R1,k. Notice
that non-terminals deriving the empty string pose no problem at all, because they
appear as a member of Ri,0for all i.
We have now determined whether the rule is applicable, and if it is, which parts of the
rule derive which substrings. The next step now is to determine how the substrings
can be derived. These tasks are similar to the task we started with, and are solved in
the same way. This process will terminate at some time, provided the grammar does
not contain loops. This is simply an Unger parser which knows in advance which
partitions will lead to a successful parse.
Let us go back to the grammar of Figure 4.6 and the recognition table of Figure
4.17, and see how this works for our example input sentence. We now know that
Number derives 32.5e+1, and want to know how. We first ask ourselves: can we
use the Number--->Integer rule? Integer is a member of R1,1and R1,2,but
there is nothing behind the Integer in the rule to derive the rest of the sentence,
so we cannot use this rule. Can we use the Number--->Real rule? Yes we can,
because Real is a member of R1,7, and the length of the sentence is 7. So we start
our derivation with
Number ---> Real ---> ···
Now we get similar questions for the Real non-terminal: can we use the
Real ---> Integer Fraction Scale rule? Well, Integer is a member of
R1,1, but we cannot find a Fraction in any of the R2,ksets. However, Integer is
also a member of R1,2,andFraction is a member of R3,2.Now,Scale is a mem-
ber of R5,0; this does not help because it would leave nothing in the rule to derive the
rest. Fortunately, Scale is also a member of R5,3, and that matches exactly to the
end of the string. So this rule is indeed applicable, and we continue our derivation:
Number ---> Real ---> Integer Fraction Scale ---> ···
The sentence is now split up into three parts:
Number
Real
Integer Fraction Scale
32 .5 e+1
It is left to the reader to verify that we will find only one derivation, and that this is
it:
128 4 General Non-Directional Parsing
Number --->
Real --->
Integer Fraction Scale --->
Integer Digit Fraction Scale --->
Digit Digit Fraction Scale --->
3 Digit Fraction Scale --->
3 2 Fraction Scale --->
3 2 . Integer Scale --->
3 2 . Digit Scale --->
3 2 . 5 Scale --->
3 2 . 5 e Sign Integer --->
3 2 . 5 e + Integer --->
3 2 . 5 e + Digit --->
32.5e+1
4.2.7 A Short Retrospective of CYK
We have come a long way. We started with building a recognition table using the
original grammar. Then we found that using the original grammar with its unit rules
and ε-rules is somewhat complicated, although it can certainly be done. We pro-
ceeded by transforming the grammar to CNF. CNF does not contain unit rules or
ε-rules. Our gain in this respect was that the algorithm for constructing the recogni-
tion table became much simpler. The limitation of the maximum length of a right-
hand side to 2 was a gain in efficiency, and also a little in simplicity. However, Sheil
[20] has demonstrated that the efficiency only depends on the maximum number of
non-terminals occurring in a right-hand side of the grammar, not on the length of
the right-hand sides per sé. This can easily be understood, once one realizes that the
efficiency depends on (among other things) the number of cuts in a substring that are
“difficult” to find, when checking whether a right-hand side derives this substring.
This number of “difficult” cuts only depends on the number of non-terminals in the
right-hand side. So, for efficiency, Chomsky Normal Form is a bit too restrictive.
A disadvantage of this transformation to CNF is that the resulting recognition ta-
ble lacks some information that we need to construct a derivation using the original
grammar. In the transformation process, some non-terminals were thrown away, be-
cause they became non-productive. Fortunately, the missing information could easily
be recovered. Ultimately, this process resulted in almost the same recognition table
that we would get with our first attempt using the original grammar. It only contains
some extra information on non-terminals that were added during the transformation
of the grammar to CNF. More importantly, however, it was obtained in a simpler and
much more efficient way.
For a more elaborate version of the CYK algorithm, applied to Tree Adjoining
Grammars, see Section 15.4.2.
4.3 Tabular Parsing 129
4.2.8 Getting Parse-Forest Grammars from CYK Parsing
As with Unger parsers, it is quite simple to obtain a parse-forest grammar during
CYK parsing: whenever a non-terminal Ais entered into entry Ri,lof the recognition
table because there is a rule A→BC and Bis in Ri,kand Cis in Ri+k,l−k,therule
A_i_l---> B_i_kC_m_n
is added to the parse-forest grammar, where m=i+kand n=i+l−k.
There are two things to note here. The first is that this algorithm will never intro-
duce undefined non-terminals: a rule A_i_l--->B_i_kC_m_nis added only when it
is guaranteed that rules for B_i_kand C_m_nexist. On the other hand, such a rule is
added without any regard to its reachability: the non-terminal A_i_lmay be reach-
able from the start symbol or it may not; it is just too early to tell. We see that CYK
parsing, being a bottom-up algorithm, creates a lot of unreachable non-terminals;
these represent finds of the bottom-up process that led nowhere.
The second is that the parse-forest grammar contains more information than the
recognition table, since it not only records for each non-terminal in a given entry that
it is there but also why it is there. The parse-forest grammar combines the recogni-
tion phase (Section 4.2.2) and the parsing phase (Section 4.2.5) of the CYK parsing
process.
Obtaining the parse-forest grammar from Figure 4.17 and the grammar from Fig-
ure 4.6 is straightforward; the result is in Figure 4.18. We see that it contains many
unreachable non-terminals, for example Number_2_6,Scale_5_0,etc.Remov-
ing these yields the parse-forest grammar of Figure 4.19; it is easy to see that it is
equivalent to the one derivation found at the end of Section 4.2.6.
4.3 Tabular Parsing
We have drawn the CYK recognition tables as two-dimensional triangular matrices,
but the complexity of the entries — sets of non-terminals — already shows that
this representation is not in its most elementary form. Simplicity and insight can be
gained by realizing that a CYK recognition table is a superposition of a number of
tables, one for each non-terminal in the grammar; the entries in these tables are just
bits, saying “Present” or “Not Present”. Since the grammar for numbers from Figure
4.6 has 8 non-terminals, the recognition table from Figure 4.17 is a superposition of
8 matrices. They are shown in Figure 4.20. The dot in the top left corner of the table
for Number means that a Number of length 7 has been recognized in position 1;
the one almost at the bottom right corner means that a Number of length 1 has been
recognized in position 7; etc.
Imagine these 8 tables standing upright in the order Number ··· Empty,per-
haps cut out of transparent plastic, glued together into a single block. Now topple
the block backwards, away from you. A new matrix appears, T,onwhatwasthe
bottom of the block before you toppled it, as shown in Figure 4.21, where the old
recognition table is still visible on what is now the top. The new table still has the
130 4 General Non-Directional Parsing
Starts---> Number_1_7
Number_1_7 ---> Real_1_7
Real_1_7 ---> Integer_1_2 Fraction_3_2 Scale_5_3
Number_2_6 ---> Real_2_6
Real_2_6 ---> Integer_2_1 Fraction_3_2 Scale_5_3
Number_1_4 ---> Real_1_4
Real_1_4 ---> Integer_1_2 Fraction_3_2 Scale_5_0
Number_2_3 ---> Real_2_3
Real_2_3 ---> Integer_2_1 Fraction_3_2 Scale_5_0
Scale_5_3 ---> e_5_1 Sign_6_1 Integer_7_1
Number_1_2 ---> Integer_1_1 Digit_2_1
Integer_1_2 ---> Integer_1_1 Digit_2_1
Fraction_3_2 ---> ._3_1 Integer_4_1
Number_1_1 ---> Integer_1_1
Integer_1_1 ---> Digit_1_1
Digit_1_1 ---> 3_1_1
Number_2_1 ---> Integer_2_1
Integer_2_1 ---> Digit_2_1
Digit_2_1 ---> 2_2_1
Number_4_1 ---> Integer_4_1
Integer_4_1 ---> Digit_4_1
Digit_4_1 ---> 5_4_1
Sign_6_1 ---> +_6_1
Number_7_1 ---> Integer_7_1
Integer_7_1 ---> Digit_7_1
Digit_7_1 -
--> 1_7_1
Scale_5_0 ---> Empty_5_0
Empty_5_0 ---> ε
Fig. 4.18. Parse-forest grammar retrieved from Figure 4.17 and the grammar from Figure 4.6
Starts---> Number_1_7
Number_1_7 ---> Real_1_7
Real_1_7 ---> Integer_1_2 Fraction_3_2 Scale_5_3
Scale_5_3 ---> e_5_1 Sign_6_1 Integer_7_1
Integer_1_2 ---> Integer_1_1 Digit_2_1
Fraction_3_2 ---> ._3_1 Integer_4_1
Integer_1_1 ---> Digit_1_1
Digit_1_1 ---> 3_1_1
Digit_2_1 ---> 2_2_1
Integer_4_1 ---> Digit_4_1
Digit_4_1 ---> 5_4_1
Sign_6_1 ---> +_6_1
Integer_7_1 ---> Digit_7_1
Digit_7_1 ---> 1_7_1
Fig. 4.19. Cleaned parse-forest grammar obtained by CYK parsing

4.3 Tabular Parsing 131
••
••
•
•• • •
Number
•
•• • •
Integer
••
••
Real
•
Fraction
•
••••••••
Scale
•• • •
Digit
•
Sign
••••••••
Empty
Fig. 4.20. The 8 faces of the table in Figure 4.17
positions in the input as the horizontal axis, but the vertical axis now consists of
names of non-terminals, and the entries are lists of lengths. For example, the list
{1,2,4,7} in T1,
Number
in the top left corner means that productions of Number of
these lengths can be recognized in position 1. Parsing algorithms that use mainly this
representation are called tabular parsing algorithms. It will be clear that no informa-
tion is gained or lost in this transformation, but the tabular representation has its own
advantages and disadvantages.
The table Tis initialized by putting a 1 in all entries Ti,Awhere the input has a
token tin position iand the grammar has a rule A→t. There are two ways to fill the
rest of the table, top-down and bottom-up.
4.3.1 Top-Down Tabular Parsing
For recognition we are only interested in one element in one entry of the table T:
does T
S
,1contain n,whereSis the start symbol and nis the length of the input? To

132 4 General Non-Directional Parsing
Number
Integer
Real
Fraction
Scale
Digit
Sign
Empty
3
1
2
2
.
3
5
4
e
5
+
6
1
78
1,2,
4,7 1,3,6 1 1
1,2 1 1 1
4,7 3,6
2
00000,3000
11 1 1
1
000000000
Fig. 4.21. A tabular representation of the table in Figure 4.17
find this out, we stack this query in some form on a stack and, using all grammar
rules for S, we draw up a list of possibilities for T
S
,1to contain n,muchaswedidin
the Unger parser. For a rule like S--->AB these include:
does T
A
,1contain 0 and does T
B
,1contain n?
does T
A
,1contain 1 and does T
B
,2contain n−1?
does T
A
,1contain 2 and does T
B
,3contain n−2?
···
does T
A
,1contain nand does T
B
,n+1contain 0?
If the conditions in any of these lines are fulfilled, T
S
,1must be made to contain n.
Each of these new queries can be expanded and examined in this same way. In
the end the queries will develop into “terminal queries”, queries that can be resolved
without creating new queries. Examples are “does T
a
,kcontain 1?”, which can be
answered by checking if the input contains an ain position k, and “does TP,kcontain
0”, which is equivalent to “does Pproduce ε?”. Once we have obtained an answer
to a query we store it in the proper position in the table, and we do this not only for
4.3 Tabular Parsing 133
the top query, but also for all intermediate, generated queries. This is very important
since now we can obtain the answer without further computation if the same query
turns up again, which it frequently does. Note that this requires the possibility to
store negative information (actually positive information about absence) in the en-
tries of table T: an entry like TA,kcan contain information like “does not contain 7”.
Also note that this process does not always compute all entries in the table; it may
miss entries that, given the grammar, can never be part of a recognition. For some
applications this is an advantage.
The technique of storing results of computations in a table in order to replace
recomputation by table lookup is called memoization (this is not a spelling error;
there is really no ‘r’ in the word). It is a very useful and widely applicable device in
algorithmics, and can often reduce the time requirements of an algorithm from expo-
nential to polynomial, as it does in the present example. Memoization was invented
in 1968 by Michie [410] and introduced in parsing by Sheil [20], who did not yet use
the term “memoization”; see also Norvig [343].
Furthermore we have to concern ourselves with left-recursive non-terminals,
again using the same technique as in the Unger parser. If the non-terminal Ais left-
recursive, the query “does TA,1contain n” will eventually again create the query
“does TA,1contain n”, and will thus start an endless loop. The loop can easily be pre-
vented by just discarding this recursive occurrence of the same query, since a second
computation would not bring in any information not already obtained by the first.
Whether a generated query is a recursive occurrence can be determined by looking it
up in the stack of queries. In short, top-down tabular parsing is very similar to Unger
parsing with memoization.
A full implementation of this algorithm is discussed in Section 17.3.
4.3.2 Bottom-Up Tabular Parsing
The bottom-up tabular parsing algorithm fills all entries correctly, but requires more
care than the top-down algorithm. Like CYK, it works most efficiently for grammars
that are in Chomsky Normal Form, and we will assume our grammar to be so. And,
like in CYK, we need to be careful with the order in which we compute the entries.
Also, we will fill the three-dimensional “wedge” of Figure 4.21, the entries of which
are Booleans (bits), rather than its two-dimensional front panel, the entries of which
are lists of integers. The entry in the wedge which describes whether a terminal
production of Awith length kstarts in position iis written Ti,A,k.
Bottom-up tabular parsing fills the whole recognition table by filling columns
starting from the right end. To fill entry Ti,A,k, we find a rule of the form A→BC
from the grammar, and we access Ti,B,1. If this entry is set, there is a segment at i
of length 1 produced by B. So we access Ti+1,C,k−1, and if it is also set, there is a
segment at i+1 of length k−1 produced by C. From this we conclude that the input
segment at iof length kholds a terminal production of Aand we set the entry Ti,A,k.
If not, we try again with Ti,B,2and Ti+2,C,k−2, etc., until Ti,B,k−1and Ti+k−1,C,1,justas
in the CYK algorithm.
134 4 General Non-Directional Parsing
We can stop at Ti+k−1,C,1, because grammars in CNF have no ε-rules, so Ti+k,C,0
does not exist. This means that the computation of the entry Ti,A,kinvolves entries
Ti,B,jwith j<konly. So if we compute all entries Ti,P,jbefore all entries Ti,Q,kfor
j<kand arbitrary Pand Q, the values of all entries needed for the computation of
Ti,A,kare guaranteed to be ready. This imposes a particular computation order on the
algorithm:
for all input positions
i
from
n
to 1
for all non-terminals
A
in the grammar
for all length
k
from 1 to
i
compute
Ti,A,k
The cost of computing one entry Ti,A,kis O(n|Pav|),wherenis the length of the
input and |Pav|the average number of production rules of a non-terminal. As we saw,
this computation is repeated O(n|G|n)times, where |G|is proportional to the size of
the grammar. So the time requirements of this parsing algorithm is O(n3|G||Pav|)or
O(n3)×O(|G||Pav|).
Bottom-up tabular parsing is applied in a number of algorithms in Sections 12
and 15.7.
Nederhof and Satta [40] have written a tutorial on tabular parsing, applying it to
a wide selection of non-deterministic parsing algorithms.
4.4 Conclusion
The non-directional methods take hold of the input string over its full width. The
top-down method (Unger) tries to cut the input string into segments and impose a
structure on it deriving from the start symbol; if it succeeds, it has found a parsing.
The bottom-up method tries to divide the input into recognizable segments, which
can then be assembled into the start symbol; if it succeeds, it has found a parsing.
Although their look-and-feel is quite different, both methods can be implemented by
filling in a table; only the order in which the entries are computed differs.
Rus [28] presents a remarkable, deterministic non-directional bottom-up parsing
algorithm.
Problems
Problem 4.1: A string Uis a supersequence of a string Sif Ucan be created from
Sby inserting zero or more tokens from the language in arbitrary places in S.(See
also Section 12.4.) a) Design an Unger parser for a grammar Gthat will recognize a
supersequence of a string in the language generated by G. b) Do the same for a CYK
parser.
Problem 4.2: A string Uis a subsequence of a string Sif Ucan be created from
Sby deleting zero or more tokens from arbitrary places in S. (See also Section 12.4.)
4.4 Conclusion 135
a) Design an Unger parser for a grammar Gthat will recognize a subsequence of a
string in the language generated by G. b) Do the same for a CYK parser.
Problem 4.3:Project: Eliminating ε-rules from a grammar greatly modifies it,
and effort must be spent to undo the damage during parsing. Much of the effort can be
saved by incorporating the removed εs in the modified grammar, as follows. Given a
grammar like S--->aBc,B--->b|ε, we first convert it to AND-OR form, recording the
original right-hand side in the name of the non-terminal. (A grammar is in AND/OR
form if there are only two kinds of rules, AND-rules which specify concatenation of
grammar symbols, and OR-rules which specify choice between non-terminal sym-
bols, and there is only one rule for each non-terminal. This names the alternatives
rather than the non-terminals.) This yields S--->aBc,B--->Bb|Bε,Bb--->b,Bε--->ε.
Next substitute out all nullable OR-rules (the one for Bin our case): S--->SaBbc|SaBεc,
SaBbc--->aBbc,SaBεc--->aBεc,Bb--->b,Bε--->ε. Now substitute the rules of the form
A→ε:S--->SaBbc|SaBεc,SaBbc--->aBbc,SaBεc--->ac,Bb--->b. Then when parsing
SaBεc--->ac the subscript of the Stells us the real form of the right-hand side.
Elaborate this idea into a complete algorithm, with parser.
Problem 4.4: Remove the unit rules from the grammar
SS--->T
T--->U
U--->T
Problem 4.5:Research Project: CYK, especially in its chart parsing form, has
long been a favorite of natural language parsing, but we have seen its time require-
ments are O(|G||Pav|n3). With some natural language grammars being very large
(millions of rules), especially the generated ones, even O(|G|)is a problem, regard-
less of the O(|Pav|). Design a version of the CYK/chart algorithm that is better than
O(|G|). Do not count on |ADJ| to be substantially smaller than |G|2, where ADJ is
the set of pairs of non-terminals that occur adjacently in any right-hand side. (See
also Problem 3.11.)
Problem 4.6:Project: When looking at program source code in a programming
language, usually seeing two adjacent tokens is enough to get a pretty good idea
of which syntactic structure we are looking at. This would eliminate many of the
bottom-up hypotheses that CYK maintains. Use this idea to automatically suppress
the bulk of the table entries, hopefully leaving only a limited number. This would
make it an almost linear-time parser, which might be important for parsing legacy
code, which comes with notoriously sloppy grammar.
Try to suppress more hypotheses of the form A→αby checking tokens that can
occur just before, at the beginning of, inside, at the end of, and just after, a terminal
production of A.
Problem 4.7: Formulate the inference rule for the computation of Ti,Ain Section
4.3.
Problem 4.8: Draw Figures 4.8 and 4.16 using the end position of the recognized
segment as the second index.
Problem 4.9:Project Determine the class of grammars for which Rus’s algo-
rithm [28] works.
136 4 General Non-Directional Parsing
Problem 4.10:Formal Languages: Design an algorithm to transform a given
grammar into one with the lowest possible number of non-terminals. This is impor-
tant since the time requirements of many parsing algorithms depend on the grammar
size.

5
Regular Grammars and Finite-State Automata
Regular grammars, Type 3 grammars, are the simplest form of grammars that still
have generative power. They can describe concatenation (joining two strings to-
gether) and repetition, and can specify alternatives, but they cannot express nesting.
Regular grammars are probably the best-understood part of formal linguistics and
almost all questions about them can be answered.
5.1 Applications of Regular Grammars
In spite of their simplicity there are many applications of regular grammars, of which
we will briefly mention the most important ones.
5.1.1 Regular Languages in CF Parsing
In some parsers for CF grammars, a subparser can be discerned which handles a
regular grammar. Such a subparser is based implicitly or explicitly on the follow-
ing surprising phenomenon. Consider the sentential forms in leftmost or rightmost
derivations. Such sentential forms consist of a closed (finished) part, which contains
terminal symbols only and an open (unfinished) part which contains non-terminals
as well. In leftmost derivations the open part starts at the leftmost non-terminal and
extends to the right; in rightmost derivations the open part starts at the rightmost non-
terminal and extends to the left. See Figure 5.1 which uses sample sentential forms
from Section 2.4.3.
d,N&N N,N&h
Fig. 5.1. Open parts in leftmost and rightmost productions
It can easily be shown that these open parts of the sentential form, which play an
important role in some CF parsing methods, can be described by a regular grammar,
and that that grammar follows from the CF grammar.
138 5 Regular Grammars and Finite-State Automata
To explain this clearly we first have to solve a notational problem. It is conven-
tional to use upper case letters for non-terminals and lower case for terminals, but
here we will be writing grammars that produce parts of sentential forms, and since
these sentential forms can contain non-terminals, our grammars will have to produce
non-terminals. To distinguish these “dead” non-terminals from the “live” ones which
do the production, we shall print them barred: ¯
X.
With that out of the way we can construct a regular grammar Gwith start symbol
Rfor the open parts in leftmost productions of the grammar Cused in Section 2.4.3,
which we repeat here:
Ss--->L&N
S--->N
L--->N,L
L--->N
N---> t|d|h
The first possibility for the start symbol Rof Gis to produce the start symbol of C;
so we have R---> ¯
S,where¯
Sis just a token. The next step is that this token, being
the leftmost non-terminal in the sentential form, is turned into a “live” non-terminal,
from which we are going to produce more of the sentential form: R--->S.HereSis
a non-terminal in G, and describes open parts of sentential forms deriving from S
in C. The first possibility for Sin Gis to produce the right-hand side of Sin Cas
tokens: S--->¯
L&¯
N. But it is also possible that ¯
L, being the leftmost non-terminal in the
sentential form, is already alive: S--->L& ¯
N, and it may even have finished producing,
so that all its tokens have already become part of the closed part of the sentential
form; this leaves &¯
Nfor the open part: S--->& ¯
N. Next we can move the &from the
open part to the closed part: S---> ¯
N. Again this ¯
Ncan become productive: S--->N, and,
like the Labove, can eventually disappear entirely: S--->ε. We see how the original
S---> ¯
L&¯
Ngets gradually worked down to S--->ε. The second alternative of Sin C,
S--->N, yields the rules S--->¯
N,S--->N,andS--->ε, but we had obtained these already.
The above procedure introduces the non-terminals Land Nof G. Rules for them
can be derived in the same way as for S; and so on. The result is the left-regular
grammar G, shown in Figure 5.2. We have already seen that the process can create
R---> ¯
SL---> ¯
N,¯
L
R--->S L--->N,¯
L
S---> ¯
L&¯
NL--->,¯
L
S--->L&¯
NL---> ¯
L
S--->&¯
NL--->L✘
S---> ¯
NL---> ε
S--->N L---> ¯
N
S---> εL--->N
N--->t|d|h
N---> ε
Fig. 5.2. A (left-)regular grammar for the open parts in leftmost derivations
5.1 Applications of Regular Grammars 139
duplicate copies of the same rule; we now see that it can also produce loops, for
example the rule L--->L,marked✘in the figure. Since such rules contribute nothing,
they can be ignored.
In a similar way a right-regular grammar can be constructed for open parts of
sentential forms in a rightmost derivation. These grammars are useful for a better
understanding of top-down and bottom-up parsing (Chapters 6 and 7) and are essen-
tial to the functioning of some parsers (Sections 9.13.2 and 10.2.3).
5.1.2 Systems with Finite Memory
CF (or stronger) grammars allow nesting. Since nesting can, in principle, be arbitrar-
ily deep, the generation of correct CF (or stronger) sentences can require an arbitrary
amount of memory to temporarily hold the unprocessed nesting information. Me-
chanical systems do not possess an arbitrary amount of memory and consequently
cannot exhibit CF behavior and are restricted to regular behavior. This is immedi-
ately clear for simple mechanical systems like vending machines, traffic lights and
DVD recorders: they all behave according to a regular grammar. It is also in princi-
ple true for more complicated mechanical systems, like a country’s train system or a
computer. However, here the argument gets rather vacuous since nesting information
can be represented very efficiently and a little memory can take care of a lot of nest-
ing. Consequently, although these systems in principle exhibit regular behavior, it is
often easier to describe them with CF or stronger means, even though that incorrectly
ascribes infinite memory to them.
Conversely, the global behavior of many systems that do have a lot of memory
can still be described by a regular grammar, and many CF grammars are already for
a large part regular. This is because regular grammars already take adequate care of
concatenation, repetition and choice; context-freeness is only required for nesting. If
we call a rule that produces a regular (sub)language (and which consequently could
be replaced by a regular rule) “quasi-regular”, we can observe the following. If all
alternatives of a rule contain terminals only, that rule is quasi-regular (choice). If
all alternatives of a rule contain only terminals and non-terminals with quasi-regular
and non-recursive rules, then that rule is quasi-regular (concatenation). And if a rule
is recursive but recursion occurs only at the end of an alternative and involves only
quasi-regular rules, then that rule is again quasi-regular (repetition). This often covers
largepartsofaCFgrammar.SeeKrzemie
´
n and Łukasiewicz [142] for an algorithm
to identify all quasi-regular rules in a grammar.
Natural languages are a case in point. Although CF or stronger grammars seem
necessary to delineate the set of correct sentences (and they may very well be, to
catch many subtleties), quite a good rough description can be obtained through reg-
ular languages. Consider the stylized grammar for the main clause in a Subject-
Verb-Object (SVO) language in Figure 5.3. This grammar is quasi-regular: Verb,
Adjective and Noun are regular by themselves, Subject and Object are con-
catenations of repetitions of regular forms (regular non-terminals and choices) and
are therefore quasi-regular, and so is MainClause. It takes some work to bring
this grammar into standard regular form, but it can be done, as shown in Figure 5.4,
140 5 Regular Grammars and Finite-State Automata
MainClauses---> Subject Verb Object
Subject ---> [ a | the ] Adjective*Noun
Object ---> [ a | the ] Adjective*Noun
Verb ---> verb1 | verb2 | ···
Adjective ---> adj1 | adj2 | ···
Noun ---> noun1 | noun2 | ···
Fig. 5.3. A not obviously quasi-regular grammar
in which the lists for verbs, adjectives and nouns have been abbreviated to verb,
adjective and noun, to save space.
MainClauses---> a SubjAdjNoun_verb_Object
MainClauses---> the SubjAdjNoun_verb_Object
SubjAdjNoun_verb_Object ---> noun verb_Object
SubjAdjNoun_verb_Object ---> adjective SubjAdjNoun_verb_Object
verb_Object ---> verb Object
Object ---> a ObjAdjNoun
Object ---> the ObjAdjNoun
ObjAdjNoun ---> noun
ObjAdjNoun ---> adjective ObjAdjNoun
verb ---> verb1 | verb2 | ···
adjective ---> adj1 | adj2 | ···
noun ---> noun1 | noun2 | ···
Fig. 5.4. A regular grammar in standard form for that of Figure 5.3
Even (finite) context-dependency can be incorporated: for languages that require
the verb to agree in number with the subject, we duplicate the first rule:
MainClause ---> SubjectSingular VerbSingular Object
| SubjectPlural VerbPlural Object
and duplicate the rest of the grammar accordingly. The result is still regular. Nested
subordinate clauses may seem a problem, but in practical usage the depth of nesting
is severely limited. In English, a sentence containing a subclause containing a sub-
clause containing a subclause will baffle the reader, and even in German and Dutch
nestings over say five deep are frowned upon. We replicate the grammar the desired
number of times and remove the possibility of further recursion from the deepest
level. Then the deepest level is regular, which makes the other levels regular in turn.
The resulting grammar will be huge but regular and will be able to profit from all sim-
ple and efficient techniques known for regular grammars. The required duplications

5.2 Producing from a Regular Grammar 141
and modifications are mechanical and can be done by a program. Dewar, Bratley and
Thorne [376] describe an early example of this approach, Blank [382] a more recent
one.
5.1.3 Pattern Searching
Many linear patterns, especially text patterns, have a structure that is easily expressed
by a (quasi-)regular grammar. Notations that indicate amounts of money in various
currencies, for example, have the structure given by the grammar of Figure 5.5, where
has been used to indicate a space symbol. Examples are $19.95 and ¥1600.
Such notations, however, do not occur in isolation but are usually embedded in long
stretches of text that themselves do not conform to the grammar of Figure 5.5. To
Amounts---> CurrencySymbol Space*Digit+Cents?
CurrencySymbol ---> €|$|¥|£|···
Space --->
Digit ---> [0123456789]
Cents ---> . Digit Digit | .--
Fig. 5.5. A quasi-regular grammar for currency notations
isolate the notations, a recognizer (rather than a parser) is derived from the grammar
that will accept arbitrary text and will indicate where sequences of symbols are found
that conform to the grammar. Parsing (or another form of analysis) is deferred to a
later stage. A technique for constructing such a recognizer is given in Section 5.10.
5.1.4 SGML and XML Validation
Finite-state automata also play an important role in the analysis of SGML and XML
documents. For the details see Brüggemann-Klein and Wood [150] and Sperberg-
McQueen [359], respectively.
5.2 Producing from a Regular Grammar
When producing from a regular grammar, the producer needs to remember only one
thing: which non-terminal is next. We shall illustrate this and further concepts us-
ing the simple regular grammar of Figure 5.6. This grammar produces sentences
consisting of an afollowed by an alternating sequence of bsandcs followed by
a terminating a. For the moment we shall restrict ourselves to regular grammars in
standard notation; further on we shall extend our methods to more convenient forms.
The one non-terminal the producer remembers is called its state and the producer
is said to be in that state. When a producer is in a given state, for example A,it
chooses one of the rules belonging to that state, for example A--->bC, produces the b

142 5 Regular Grammars and Finite-State Automata
Ss--->aA
S--->aB
A--->bB
A--->bC
B--->cA
B--->cC
C--->a
Fig. 5.6. Sample regular grammar
and moves to state C. Such a move is called a state transition, and for a rule P→tQ
is written Pt
→Q. A rule without a non-terminal in the right-hand side, for example
C--->a, corresponds to a state transition to the accepting state; for a rule P→tit is
written Pt
→♦,where♦is the accepting state.
It is customary to combine the states and the possible transitions of a producer in
atransition diagram. Figure 5.7 shows the transition diagram for the regular gram-
mar of Figure 5.6; we see that, for example, the state transition Ab
→Cis represented
S
A
a
B
a
C
b
C
c
♦
a
c b
Fig. 5.7. Transition diagram for the regular grammar of Figure 5.6
by the arc marked bfrom Ato C.Sis the initial state and the accepting state is
marked with a ♦.1The symbols on the arcs are those produced by the corresponding
move. The producer can stop when it is in an accepting state.
Like the non-deterministic automaton we saw in Section 3.3, the producer is
an automaton, or to be more precise, a non-deterministic finite automaton, NFA or
finite-state automaton,FSA. It is called “finite” because it can only be in a finite
number of states (5 in this case; 3 bits of internal memory would suffice) and “non-
deterministic” because, for example, in state Sit has more than one way to produce
an a.
Regular grammars can suffer from undefined, unproductive and unreachable non-
terminals just like context-free grammars, and the effects are even easier to visualize.
If the grammar of Figure 5.6 is extended with the rules
1Another convention to mark an accepting state is by drawing an extra circle around it;
since we will occasionally want to explicitly mark a non-accepting state, we do not use that
convention.

5.3 Parsing with a Regular Grammar 143
B--->cDundefined
B--->cE
E--->eEunproductive
F--->fAunreachable
F--->h
we obtain the transition diagram
S
A
a
B
a
C
b
C
c
♦
a
c b
D
✘
c
E
✘
ce
F
✘
f
h
where we can see that no further transitions are defined from D, which is the actual
meaning of saying that Dis undefined; that E, although being defined, literally has
no issue; and that Fhas no incoming arrows.
The same algorithm used for cleaning CF grammars (Section 2.9.5) can be used
to clean a regular grammar. Unlike CF grammars, regular grammars and finite-state
automata can be minimized: for a given FS automaton A, a FS automaton can be
constructed that has the least possible number of states and still recognizes the same
language as A. An algorithm for doing so is given in Section 5.7.
5.3 Parsing with a Regular Grammar
The above automaton for producing a sentence can in principle also be used for
parsing. If we have a sentence, for example, abcba, and want to check and parse it,
we can view the above transition diagram as a maze and the (tokens in the) sentence
as a guide. If we manage to follow a path through the maze, matching symbols from
our sentence to those on the walls of the corridors as we go, and end up in ♦exactly
at the end of the sentence, we have checked the sentence. See Figure 5.8, where the
path is shown as a dotted line. The names of the rooms we have visited form the
backbone of the parse tree, which is shown in Figure 5.9.
But finding the correct path is easier said than done. How did we know, for ex-
ample, to turn left in room Srather than right? Of course we could employ general
maze-solving techniques (and they would give us our answer in exponential time) but
a much simpler and much more efficient answer is available here: we split ourselves
in two and head both ways. After the first aof abcba we are in the set of rooms
{A,B}. Now we have a bto follow; from Bthere are no exits marked b, but from A

144 5 Regular Grammars and Finite-State Automata
S
A
B
CC ♦
a
a
b
c
a
bc
S A
aB
bA
cC
b♦
a
Fig. 5.8. Actual and linearized passage through the maze
S
a
A
b
B
c
A
b
C
a
♦
Fig. 5.9. Parse tree from the passage through the maze
S
A
a
B
a
B
b
C
b
A
c
C
c
B
b
C
b♦
a
Fig. 5.10. Linearized set-based passage through the maze
there are two, which lead to Band C. So we are now in rooms {BC}. Our path is
now more difficult to depict but still easy to linearize, as shown in Figure 5.10.
We can find the parsing by starting at the end and following the pointers back-
wards: ♦<---C<---A<---B<---A<---S. If the grammar is ambiguous the
backward pointers may bring us to a fork in the road: an ambiguity has been found
and both paths have to be followed separately to find both parsings. With regular
grammars, however, one is often not interested in the parse, but only in the recogni-
tion: the fact that the input is correct and it ends here suffices.
5.3.1 Replacing Sets by States
Although the process described above is linear in the length of the input (each next
token takes an amount of work that is independent of the length of the input), still
a lot of work has to be done for each token. What is worse, the grammar has to be
consulted repeatedly and so we expect the speed of the process to depend adversely
on the size of the grammar. In short, we have designed an interpreter for the non-
deterministic automaton, which is convenient and easy to understand, but inefficient.
Fortunately there is a surprising and fundamental improvement possible: from the
NFA in Figure 5.7 we construct a new automaton with a new set of states, where each
new state is equivalent to a set of old states. Where the original — non-deterministic
— automaton was in doubt after the first a, a situation we represented as {A,B}, the
new — deterministic — automaton firmly knows that after the first ait is in state AB.

5.3 Parsing with a Regular Grammar 145
The states of the new automaton can be constructed systematically as follows.
We start with the initial state of the old automaton, which is also the initial state
of the new one. For each new state we create, we examine its contents in terms of
the old states, and for each token in the language we determine to which set of old
states the given set leads. These sets of old states are then considered states of the new
automaton. If we create the same state a second time, we do not analyse it again. This
process is called the subset construction and results initially in a (deterministic) state
tree. The state tree for the grammar of Figure 5.6 is depicted in Figure 5.11. To stress
S
AB BC
AC
♦
AC
♦
BC
✔
✔
✔
a
b
c
a
b
c
a
b
c
a
b
c
Fig. 5.11. Deterministic state tree for the grammar of Figure 5.6
that it systematically checks all new states for all symbols, outgoing arcs leading
nowhere are also shown. Newly generated states that have already been generated
before are marked with a ✔.
The state tree of Figure 5.11 is turned into a transition diagram by leading the
arrows to states marked ✔to their first-time representatives and removing the dead
ends. The new automaton is shown in Figure 5.12. It is deterministic, and is therefore
SAB
BC
AC
♦♦
a
b
c
a
a
cb
Fig. 5.12. Deterministic automaton for the grammar of Figure 5.6
called a deterministic finite-state automaton,oraDFA for short.
When we now use the sentence abcba as a guide for traversing this transition
diagram, we find that we are never in doubt and that we safely arrive at the accepting
state. All outgoing arcs from a state bear different symbols, so when following a list
of symbols, we are always pointed to at most one direction. If in a given state there is
no outgoing arc for a given symbol, then that symbol may not occur in that position.
If it does, the input is in error.

146 5 Regular Grammars and Finite-State Automata
There are two things to be noted here. The first is that we see that most of the
possible states of the new automaton do not actually materialize: the old automaton
had 5 states, so there were 25=32 possible states for the new automaton while in
fact it has only 5; states like SB or ABC do not occur. This is usual; although there
are non-deterministic finite-state automata with nstates that turn into a DFA with
2nstates, these are rare and have to be constructed on purpose. The average garden
variety NFA with nstates typically results in a DFA with less than or around 10 ×n
states.
The second is that consulting the grammar is no longer required; the state of
the automaton together with the input token fully determine the next state. To allow
efficient look-up the next state can be stored in a table indexed by the old state and
the input token. The table for our DFA is given in Figure 5.13. Using such a table, an
input symbol
ab c
SAB
old state AB BC AC
AC ♦BC
BC ♦AC
Fig. 5.13. Transition table for the automaton of Figure 5.12
input string can be checked at the cost of only a few machine instructions per token.
For the average DFA, most of the entries in the table are empty (cannot be reached
by correct input and refer to error states). Since the table can be of considerable size
(300 states times 100 tokens is normal), several techniques exist to exploit the empty
space by compressing the table. Dencker, Dürre and Heuft [338] give a survey of
some techniques.
The parse tree obtained looks as follows:
S
a
AB
b
BC
c
AC
b
BC
a
♦
which is not the original parse tree. If the automaton is used only to recognize the
input string this is no drawback. If the parse tree is required, it can be reconstructed
in the following fairly obvious bottom-up way. Starting from the last state ♦and
the last token a, we conclude that the last right-hand side (the “handle segment”
in bottom-up parsing) was a. Since the state was BC, a combination of Band C,we
look through the rules for Band C. We find that aderived from C--->a, which narrows
down BC to C. The rightmost band the Ccombine into the handle bC which in the
set {A,C} must derive from A. Working our way backwards we find the parsing

5.3 Parsing with a Regular Grammar 147
S
a
AB
A
b
BC
B
c
AC
A
b
BC
C
a
♦
This method again requires the grammar to be consulted repeatedly; moreover, the
way back will not always be so straight as in the above example and we will have
problems with ambiguous grammars.
Efficient full parsing of regular grammars has received relatively little attention;
substantial information can be found in papers by Ostrand, Paull and Weyuker [144]
and by Laurikari [151].
5.3.2 ε-Transitions and Non-Standard Notation
A regular grammar in standard form can only have rules of the form A→aand
A→aB. We shall now first extend our notation with two other types of rules, A→B
and A→ε, and show how to construct NFAs and DFAs for them. We shall then turn
to regular expressions and rules that have regular expressions as right-hand sides
(for example, P→a∗bQ) and show how to convert them into rules in the extended
notation.
The grammar in Figure 5.14 contains examples of both new types of rules; Figure
Ss--->A
S--->aB
A--->aA
A---> ε
B--->bB
B--->b
Fig. 5.14. Sample regular grammar with ε-rules
5.15 presents the usual trio of NFA, state tree and DFA for this grammar. First con-
sider the NFA. When we are in state Swe see the expected transition to state Bon the
token a, resulting in the standard rule S--->aB. The non-standard rule S--->A indicates
that we can get from state Sto state Awithout reading (or producing) a symbol; we
then say that we read the zero-length string εand that we make an ε-transition (or
ε-move): Sε
→A. The non-standard rule A--->εcreates an ε-transition to the accepting
state: Aε
→♦.ε-transitions should not be confused with ε-rules: unit rules create ε-
transitions to non-accepting states and ε-rules create ε-transitions to accepting states.
Now that we have constructed an NFA with ε-moves, the question arises how we
can process the ε-moves to obtain a DFA. To answer this question we use the same
reasoning as before; in Figure 5.7, after having seen an awe did not know if we were
in state Aor state Band we represented that as {A,B}. Here, when we enter state S,
even before having processed a single symbol, we already do not know if we are in

148 5 Regular Grammars and Finite-State Automata
S
A
B
♦♦
ε
a
ε
b
a
b
(a)
SA♦
AB♦
A♦
B♦
A♦
B♦
✔
✔
a
b
a
b
a
b
a
b
(b)
SA♦AB♦
A♦
B♦
a
a
b
a
b
(c)
Fig. 5.15. NFA (a), state tree (b)andDFA(c) for the grammar of Figure 5.14
states S,Aor ♦, since the latter two are reachable from Sthrough ε-moves. So the
initial state of the DFA is already compound: SA♦. We now have to consider where
this state leads to for the symbols aand b.IfweareinSthen awill bring us to
Band if we are in A,awill bring us to A. So the new state includes Aand B,and
since ♦is reachable from Athrough ε-moves, it also includes ♦and its name is AB♦.
Continuing in this vein we can construct the complete state tree (Figure 5.15(b)) and
collapse it into a DFA (c). Note that all states of the DFA contain the NFA state ♦,
so the input may end in all of them.
The set of NFA states reachable from a given state through ε-moves is called the
ε-closure of that state. The ε-closure of, for example, Sis {S,A,♦}.
For a completely different way of obtaining a DFA from a regular grammar that
has recently found application in the field of XML validation, see Brzozowski [139].
5.4 Manipulating Regular Grammars and Regular Expressions
As mentioned in Section 2.3.3, regular languages are often specified by regular
expressions rather than by regular grammars. Examples of regular expressions are
[0-9]+(.[0-9]+)?which should be read as “one or more symbols from the set
0 through 9, possibly followed by a dot which must then be followed by one or more
symbols from 0 through 9” (and which represents numbers with possibly a dot in
them) and (ab)*(p|q)+, which should be read as “zero or more strings ab fol-
lowed by one or more psorqs” (and which is not directly meaningful). The usual
forms occurring in regular expressions are recalled in the table in Figure 5.16, where
5.4 Manipulating Regular Grammars and Regular Expressions 149
R,R1,andR2are arbitrary regular expressions; some systems provide more forms,
Form Meaning Name
R1R2R1followed by R2concatenation
R1|R2R1or R2alternative
R∗zero or more Rs optional sequence (Kleene star)
R+one or more Rs (proper) sequence
R?zero or one Roptional
(R)Rgrouping
[abc···] any symbol from the set abc···
athe symbol aitself
Fig. 5.16. Some usual elements of regular expressions
some provide fewer.
In computer input, no difference is generally made between the metasymbol *and
the symbol *, etc. Special notations will be necessary if the language to be described
contains any of the symbols |*+?()[or ].
5.4.1 Regular Grammars from Regular Expressions
A regular expression can be converted into a regular grammar by using the trans-
formations given in Figure 5.17. The Tin the transformations stands for an inter-
mediate non-terminal, to be chosen fresh for each application of a transformation; α
stands for any regular expression not involving non-terminals, possibly followed by
a non-terminal. If αis empty, it should be replaced by εwhen it appears alone in a
right-hand side.
The expansion from regular expression to regular grammar is useful for obtaining
a DFA from a regular expression, as is for example required in lexical analysers like
lex. The resulting regular grammar corresponds directly to an NFA, which can be
used to produce a DFA as described above. There is another method to create an
NFA from the regular expression, which requires, however, some preprocessing on
the regular expression; see Thompson [140].
We shall illustrate the method using the expression (ab)*(p|q)+. Our method
will also work for regular grammars that contain regular expressions (like A→
ab∗cB) and we shall in fact immediately turn our regular expression into such a
grammar:
Ss---> (ab)*(p|q)+
Although the table in Figure 5.17 uses Tfor generated non-terminals, we use A,B,C,
. . . in the example since that is less confusing than T1,T2,T3,....Thetransformations
are to be applied until all rules are in (extended) standard form.
The first transformation that applies is P→R∗α, which replaces
Ss--->(ab)*(p|q)+by
150 5 Regular Grammars and Finite-State Automata
Rule pattern Replace by
P→a(standard)
P→aQ (standard)
P→Q(extended standard)
P→ε(extended standard)
P→aαP→aT
T→α
P→(R1|R2|···)αP→R1α
P→R2α
···
P→(R)αP→Rα
P→R∗αP→T
T→RT
T→α
P→R+αP→RT
T→RT
T→α
P→R?αP→Rα
P→α
P→[abc···]αP→(a|b|c|···)α
Fig. 5.17. Transformations on extended regular grammars
Ss--->A ✔
A---> (ab) A
A---> (p|q)+
The first rule is already in the desired form and has been marked ✔. The transforma-
tions P→(R)αand P→aαwork on A--->(ab)A and result in
A--->aB ✔
B--->bA ✔
Now the transformation P→R+αmust be applied to A--->(p|q)+, yielding
A---> (p|q) C
C---> (p|q) C
C---> ε✔
The εoriginated from the fact that (p|q)+in A--->(p|q)+is not followed by any-
thing (of which εis a faithful representation). Now A--->(p|q)C and C--->(p|q)C
are easily decomposed into
A--->pC ✔
A--->qC ✔
C--->pC ✔
C--->qC ✔
5.4 Manipulating Regular Grammars and Regular Expressions 151
Ss--->A
A--->aB
B--->bA
A--->pC
A--->qC
C--->pC
C--->qC
C---> ε
Fig. 5.18. Extended-standard regular grammar for (ab)*(p|q)+
The complete extended-standard version can be found in Figure 5.18; an NFA and
DFA can now be derived using the methods of Section 5.3.1 (not shown).
5.4.2 Regular Expressions from Regular Grammars
Occasionally, for example in Section 9.12, it is useful to condense a regular grammar
into a regular expression. The transformation can be performed by alternatingly sub-
stituting a rule and applying the transformation patterns from Figure 5.19. The first
Rule pattern Replace by
P→R1Q1
P→R2Q2P→R1Q1|R2Q2···
···
P→R1Q|R2Q| ···Q|αP→(R1|R2|···)Q|α
P→(R)P|R1Q1|R2Q2|αP→(R)∗R1Q1|(R)∗R2Q2|β
Fig. 5.19. Condensing transformations on regular grammars
pattern combines all rules for the same non-terminal. The second pattern combines
all regular expressions that precede the same non-terminal in a right-hand side; α
is a list of alternatives that do not end in Q(but see next paragraph). The third pat-
tern removes right recursion: if the repetitive part is (R), it prepends (R)∗to all non-
recursive alternatives; here βconsists of all the alternatives in α, with (R)∗prepended
to each of them. Q1,Q2,··· should not be equal to P(but see next paragraph). When
αis εit can be left out when it is concatenated with a non-empty regular expression.
The substitutions and transformations may be applied in any order and will al-
ways lead to a correct regular expression, but the result depends heavily on the appli-
cation order; to obtain a “nice” regular expression, human guidance is needed. Also,
the two conditions in the previous paragraph may be violated without endangering
the correctness, but the result will be a more “ugly” regular expression.
We will now apply the transformation to the regular grammar of Figure 5.18, and
will not hesitate to supply the human guidance. We first combine the rules by their
left-hand sides (transformation 1):
152 5 Regular Grammars and Finite-State Automata
S--->A
A---> aB|pC|qC
B--->bA
C---> pC|qC|ε
Next we substitute B:
A---> abA|pC|qC
C---> pC|qC|ε
followed by scooping up prefixes (transformation 2):
A---> (ab) A | (p|q) C
C---> (p|q) C | ε
Note that we have also packed the ab that prefixes A, to prepare it for the next
transformation, which involves turning recursion into repetition:
S--->A
A---> (ab)*(p|q) C
C---> (p|q)*
Now Ccan be substituted in Aand Ain S, resulting in
S---> (ab)*(p|q) (p|q)*
This is equivalent but not identical to the (ab)*(p|q)+we started with.
5.5 Manipulating Regular Languages
In Section 2.10 we discussed the set operations “union”, “intersection”, and “nega-
tion” on CF languages, and saw that the latter two do not always yield CF languages.
For regular languages the situation is simpler: these set operations on regular lan-
guages always yield regular languages.
Creating a FS automaton for the union of two regular languages defined by the
FS automata A1and A2is trivial: just create a new start state and add ε-transitions
from that state to the start states of A1and A2. If need be the ε-transitions can then
be removed as described in Section 5.3.1.
There is an interesting way to get the negation (complement) of a regular lan-
guage Ldefined by a FS automaton, provided the automaton is ε-free. When an
automaton is ε-free, each state tin it shows directly the set of tokens Ctwith which
an input string that brings the automaton in state tcan continue: Ctis exactly the set
of tokens for which thas an outgoing transition. This means that if the string contin-
ues with a token which is not in Ct, the string is not in L, and so we may conclude it
is in ¬L. Now we can “complete” state tby adding outgoing arrows on all tokens not
in Ctand lead these to a non-accepting state, which we will call s−1. If we perform
this completion for all states in the automaton, including s−1, we obtain a so-called
complete automaton, an automaton in which all transitions are defined.
The complete version of the automaton of Figure 5.7 is shown in Figure 5.20,
where the non-accepting state is marked with a ✘.

5.5 Manipulating Regular Languages 153
S
A
a
B
a
C
b
C
c
♦
a
c b ✘
[bc]
[ac]
[ab]
[bc] [abc]
[abc]
Fig. 5.20. The automaton of Figure 5.7 completed
The importance of a complete automaton lies in the fact that it never gets stuck
on any (finite) input string. For those strings that belong to the language Lof the au-
tomaton, it ends in an accepting state; for those that do not it ends in a non-accepting
state. And this immediately suggests how to get an automaton for the complement
(negative) of L: swap the status of accepting and non-accepting states, by making the
accepting states non-accepting and the non-accepting states accepting!
Note that completing the automaton has damaged its error detection properties,
in that it will not reject an input string at the first offending character but will process
the entire string and only then give its verdict.
The completion process requires the automaton to be ε-free. This is easily
achieved by making it deterministic, as described on page 145, but that may be
overkill. See Problem 5.4 for a way to remove the ε-transitions only.
Now that we have negation of FSAs, constructing the intersection of two FSAs
seems easy: just negate both automata, take the union, and negate the result, in an
application of De Morgan’s Law p∩q=¬((¬p)∪(¬q)). But there is a hitch here.
Constructing the negation of an FSA is easy only if the automaton is ε-free, and
the union in the process causes two ε-transitions in awkward positions, making this
“easy” approach quite unattractive.
Fortunately there is a simple trick to construct the intersection of two FS au-
tomata that avoids these problems: run both automata simultaneously, keeping track
of their two states in one single new state. As an example we will intersect automaton
A1, the automaton of Figure 5.7, with an FSA A2which requires the input to con-
tain the sequence ba.A2is represented by the regular expression .*ba.*.Itneeds3
states, which we will call 1(start state), 2and ♦(accepting state); it has the following
transitions: 1[abc]
→1,1b
→2,2a
→♦,♦[abc]
→♦.
We start the intersection automaton A1∩A2in the combined state S1,whichis
composed of the start state Sof A1and the start state 1of A2. For each transition
P1t
→Q1in A1and for each transition P2t
→Q2in A2we create a transition (P1P2)t
→
(Q1Q2)in A1∩A2. This leads to the state tree in Figure 5.21(a); the corresponding
FSA is in (b). We see that it is similar to that in Figure 5.7, except that the transition
Bc
→Cis missing: the requirement that the string should contain the sequence ba
removed it.

154 5 Regular Grammars and Finite-State Automata
S1
A1
a
B1
a✔
B1
b
B2b
✘
C1b
C2
b
A1c
✔
C1
c✘
♦1
a
✘
♦♦
a
(a)
S1
A1
a
B1
a
C2
b
♦♦
a
c b
(b)
Fig. 5.21. State tree (a) and FSA (b) of the intersection of Figure 5.7 and .*ba.*
In principle, the intersection of an FSA with nstates and one with mstates can
require n×mstates, but in practice something like c×(n+m)for some small value
of cis more usual.
Conversely, sometimes a complex FSA can be decomposed into the intersection
of two much simpler FSAs, with great gain in memory requirements, and sometimes
it cannot. There is unfortunately little theory on how to do this, though there are some
heuristics; see Problem 5.7. The process is also called “factorization”, but that is an
unfortunate term, since it suggests the same uniqueness of factorization we find in
integers, and the decomposition of FSAs is not unique.
5.6 Left-Regular Grammars
In a left-regular grammar, all rules are of the form A→aor A→Ba where ais a
terminal and Aand Bare non-terminals. Figure 5.22 gives a left-regular grammar
equivalent to that of Figure 5.6.
Left-regular grammars are often brushed aside as just a variant of right-regular
grammars, but their look and feel is completely different. Take the process of pro-
ducing a string from this grammar, for example. Suppose we want to produce the
sentence abcba used in Section 5.3. To do so we have to first decide all the states
we are going to visit, and only when the last one has been decided upon can the first
token be produced:
5.6 Left-Regular Grammars 155
Ss--->Ca
C--->Bc
C--->Ab
B--->Ab
B--->a
A--->Bc
A--->a
Fig. 5.22. A left-regular grammar equivalent to that of Figure 5.6
S
Ca
Aba
Bcba
Abcba
abcba
And once the first token is available, all of them are, and we do not have any choice
any more; this is vastly different from producing from a right-regular grammar.
Parsing with a left-regular grammar is equally weird. It is easy to see that initially
we are in a union of all states {S,A,B,C},butifwenowseeanain the input, we can
move over this ain two rules, B--->a,andA--->a. Suppose we use rule A--->a;what
state are we in now? The rule specifies no state except A; so what does the move
mean?
The easy way out is to convert the grammar to a right-regular one (see below in
this section), but it is more interesting to try to answer the question what a move over
ain A--->a means. The only thing we know after such a move is that we have just
completed a production of A, so the state we are in can justifiably be described as “A
finished”; we will write such a state as Af. And in the same manner the first rule in
Figure 5.22 means that when we are in a state Cfand we move over an awe are in
a state Sf; this corresponds to a transition Cfa
→Sf. Then we realize that “S finished”
means that we have parsed a complete terminal production of S;sothestateSfis the
accepting state ♦and we see the rightmost transition in Figure 5.7 appear.
Now that we have seen that the rule A→Bt corresponds to the transition Bf
t
→
Af, and that the rule SS→Bt corresponds to Bf
t
→♦, what about rules of the form
A→t? After the transition over twe are certainly in the state Af,butwheredid
we start from? The answer is that we have not seen any terminal production yet,
soweareinastateεf, the start state! So the rules A--->a and B--->a correspond to
transitions εfa
→Afand εfa
→Bf, two more components of Figure 5.7. Continuing this
way we quickly reconstruct the transition diagram of Figure 5.7, with modified state
names:

156 5 Regular Grammars and Finite-State Automata
εf
Af
a
Bf
a
Cf
b
Cf
c
Sf
a
c b
This exposes an awkward asymmetry between start state and accepting state, in that
unlike the start state the accepting state corresponds to a symbol in the grammar. This
asymmetry can be partially removed by representing the start state by a more neutral
symbol, for example . We then obtain the following correspondence between our
right-regular and left-regular grammar:
--->aA A---> a
--->aB B---> a
A--->bB B--->Ab
A--->bC C--->Ab
B--->cA A--->Bc
B--->cC C--->Bc
C--->a♦♦--->Ca
:start state :ε
♦:ε♦:start state
Obtaining a regular expression from a left-regular grammar is simple: most of
the algorithm in Section 5.4.2 can be taken over with minimal change. Only the
transformation that converts recursion into repetition
Rule pattern Replace by
P→(R)P|R1Q1|R2Q2|αP→(R)∗R1Q1|(R)∗R2Q2|β
must be replaced by
P→P(R)|Q1R1|Q2R2|αP→Q1R1(R)∗|Q2R2(R)∗|β
where βconsists of all the alternatives in α, with (R)∗appended to each of them.
This is because A--->aA|b yields a*bbut A--->Aa|b yields ba*.
5.7 Minimizing Finite-State Automata
Turning an NFA into a DFA usually increases the size of the automaton by a mod-
erate factor, perhaps 10 or so, and may occasionally grossly inflate the automaton.
Considering that for a large automaton a size increase of a factor of say 10 can pose
a major problem; that even for a small table any increase in size is undesirable if the
table has to be stored in a small electronic device; and that large inflation factors may
occur unexpectedly, it is often worthwhile to try to reduce the number of states in the
DFA.

5.7 Minimizing Finite-State Automata 157
The key idea of the DFA minimization algorithm presented here is that we con-
sider states to be equivalent until we can see a difference. To this end the algorithm
keeps the DFA states in a number of mutually disjoint subsets, a “partition.” A parti-
tion of a set Sis a collection of subsets of Ssuch that each member of Sis in exactly
one of those subsets; that is, the subsets have no elements in common and their union
is the set S. The algorithm iteratively splits each subset in the partition as long as it
can see a difference between states in it.
We will use the DFA from Figure 5.23(b) as an example; it can be derived from
the NFA in Figure 5.23(a) through the subset algorithm with A=SQ and B=P,and
is not minimal, as we shall see.
S P
xQ
x♦
a
ε
a
(a)
S
♦
a
B
xA
x
♦a
x
(b)
Fig. 5.23. A non-deterministic FSA and the resulting deterministic but not minimal FSA
Initially we partition the set of states into two subsets: one containing all the
accepting states, the other containing all the other states; these are certainly different.
In our example this results in one subset containing states S,Band A, and one subset
containing the accepting state ♦.
Next, we process each subset Siin turn. If there exist two states q1and q2in Si
that on some symbol ahave transitions to members of different subsets in the current
partition, we have found a difference and Simust be split. Suppose we have q1a
→r1
and q2a
→r2,andr1is in subset X1and r2is in a different subset X2,thenSimust be
split into one subset containing q1and all other states qjin Siwhich have qj
a
→rj
with rjin X1, and a second subset containing the other states from Si.Ifq1has no
transition on abut q2does, or vice versa, we have also found a difference and Simust
be split as well.
In our example, states Sand Ahave transitions on a(to the same state, ♦), but
state Bdoes not, so this step results in two subsets, one containing the states Sand
A, and the other containing state B.
We repeat applying this step to all subsets in the partition, until no subset can
be split any more. This will eventually happen, because the total number of subsets
is bounded: there can be no more subsets in a partition than there are states in the
original DFA, and during the process subsets are never merged. (This is another
example of a closure algorithm.)
When this process is completed, all states in a subset Siof the resulting partition
have the property that for any alphabet symbol atheir transition on aends up in the
same subset Si(a)of the partition. Therefore, we can consider each subset to be a sin-

158 5 Regular Grammars and Finite-State Automata
gle state in the minimized DFA. The start state of the minimized DFA is represented
by the subset containing the start state of the original DFA, and the accepting states
of the minimized DFA are represented by the subsets containing accepting states of
the original DFA. The resulting DFA is, in fact, the smallest DFA that recognizes the
language specified by the DFA that we started with. See, for example, Hopcroft and
Ullman [391].
In our example we find no further splits, and the resulting DFA is depicted below.
SA
♦
B
a
x
x
5.8 Top-Down Regular Expression Recognition
The Type 3 recognition technique of Section 5.3 is a bottom-up method collecting
hypotheses about the reconstruction of the production process, with a top-down com-
ponent making sure that the recognized string derives from the start symbol. In fact,
the subset algorithm can be derived quite easily from a specific bottom-up parser, the
Earley parser, which we will meet in Section 7.2 (Problem 5.9). Somewhat surpris-
ingly, much software featuring regular expressions uses the straightforward back-
tracking top-down parser from Section 6.6, adapted to regular expressions. The main
advantage is that this method does not require preprocessing of the regular expres-
sion; the disadvantage is that it may require much more than linear time. We will first
explain the technique briefly (backtracking top-down parsing is more fully discussed
in Section 6.6), and then return to the advantages and disadvantages.
5.8.1 The Recognizer
The top-down recognizer follows the grammar of regular expressions, which we
summarize here:
regular_expressions---> compound_re*
compound_re ---> repeat_re | simple_re
repeat_re ---> simple_re [’*’|’+’|’?’]
simple_re ---> token | ’(’ regular_expression ’)’
The recognizer keeps two pointers, one in the regular expression and one in the input,
and tries to move both in unison: when a token is matched both pointers move one
position forward, but when a simple_re must be repeated, the regular expression
pointer jumps backwards, and the input pointer stays in place. When the regular
expression pointer points to the end of the regular expression, the recognizer registers
a match, based on how far the input pointer got.
5.8 Top-Down Regular Expression Recognition 159
When the recognizer tries to recognize a compound_re, it first finds out
whether it is a repeat_re. If so, it checks the mark. If that is a +indicating a
mandatory simple_re, the recognizer just continues searching for a simple_re,
but if the simple_re is optional (*,?), the search splits in two: one for a
simple_re, and one for the rest of the regular expression, after this repeat_re.
When the recognizer comes to the end of a repeat_re, it again checks the mark.
If it is a ?, it just continues, but if it was a real repeater (*,+), the search again splits
in two: one jumping back to the beginning of the repeat_re, and one continuing
with the rest of the regular expression.
When the recognizer finds that the simple_re is a token, it compares the
token with the token at the input pointer. If they match, both pointers are advanced;
otherwise this search is abandoned.
Two questions remain: how do we implement the splitting of searches, and what
do we do with the recorded matches. We implement the search splitting by doing
them sequentially: we first do the entire first search up to the end or failure, includ-
ing all its subsearches; then, regardless of the result, we do the second search. This
sounds bothersome, both in coding and in efficiency, but it isn’t. The skeleton code
for the optional repeat_re is just
procedure try_optional_repeat_re(rp, ip: int):
begin
try_simple_re(rp, ip);
try_regular_expression(after_subexpression(rp), ip);
end;
where
rp
and
ip
are the regular expression pointer and the input pointer. And the al-
gorithm is usually quite efficient, since almost all searches fail immediately because
atoken search compares two non-matching tokens.
The processing of the recorded matches depends on the application. If we want
to know if the regular expression matches the entire string, as for example in file
name matching, we check if we have simultaneously reached the end of the input,
and if so, we abandon all further searches and return success; if not, we just continue
searching. But if, for example, we want the longest match, we keep a high-water
mark and continue until all searches have been exhausted.
5.8.2 Evaluation
Some advantages of top-down regular expression matching are obvious: the algo-
rithm is very easy to program and involves no or hardly any preprocessing of the
regular expression, depending on the implementation of structuring routines like
after_subexpression(). Other advantages are less directly visible. For ex-
ample, the technique allows naming a part of the regular expression and checking
its repeated presence somewhere else in the input; this is an unexpectedly powerful
feature. A simple example is the pattern (.*)=x\x, which says: match an arbitrary
segment of the input, call it x, and then match the rest of the input to whatever has
been recognized for x;\xis called a backreference. (A more usual but less clear
160 5 Regular Grammars and Finite-State Automata
notation for the same regular expression is \(.*\)\1,inwhich\1means: match
the first subexpression enclosed in \(and \).)
Faced with the input abab, the recognizer sets xto the values ε,a,ab,aba,
and abab in any order, and then tries to match the tail left over in each case to the
present value of x. This succeeds only for x=εand x=ab, and only in the last case is
the whole input recognized. So the above expression recognizes the language of all
strings that consist of two identical parts: ww,wherewis any string over the given
alphabet. Since this is a context-sensitive language, we see to our amazement that,
skipping the entire Type 2 languages, the Type 3 regular expressions with backrefer-
ences recognize a Type 1 language! A system which uses this feature extensively is
the §-calculus (Jackson [285, 291]), discussed further in Section 15.8.3.
The main disadvantage of top-down regular expression recognition is its time
requirements. Although they are usually linear with a very modest multiplication
constant, they can occasionally be disturbingly high, especially at unexpected mo-
ments. O(nk)time requirement occur with patterns like a∗a∗···a∗,wherethea∗is
repeated ktimes, so in principle the cost can be any polynomial in the length of the
input, but behavior worse than quadratic is unusual. Finding all 10000 occurrences
of lines matching the expression .*)in this book took 36 sec.; finding all 11000
occurrences of just the )took no measurable time.
5.9 Semantics in FS Systems
In FS systems, semantic actions can be attached to states or to transitions. If the
semantics is attached to the states, it is available all the time and is static. It could
control an indicator on some panel of some equipment, or keep the motor of an
elevator running. Semantics associated with the states is also called Moore semantics
(Moore [136]).
If the semantics is attached to the transitions, it is available only at the moment
the transition is made, in the form of a signal or procedure call; it is dynamic and
transitory. Such a signal could cause a plastic cup to drop in a coffee machine or shift
railroad points; the stability, staticness, is then provided by the physical construction
of the equipment. And a procedure call could tell the lexical analyser in a compiler
that a token begin has been found. Semantics associated with transitions is also called
Mealy semantics (Mealy [134]).
There are many variants of transition-associated semantics. The signal can come
when specific transition si
t
→sjoccurs (Mealy [134]); when a specific token causes
a specific state to be entered (∗t
→sj,where∗is any state); when a specific state is
entered (∗∗
→sj, McNaughton and Yamada [137]); when a specific state is left (sj∗
→
∗); etc. Not much has been written about these differences. Upon reading a paper it
is essential to find out which convention the author(s) use. In practical situations it is
usually self-evident which variant is the most appropriate.

5.10 Fast Text Search Using Finite-State Automata 161
5.10 Fast Text Search Using Finite-State Automata
Suppose we are looking for the occurrence of a short piece of text, for example, a
word or a name (the “search string”) in a large piece of text, for example, a dictionary
or an encyclopedia. One naive way of finding a search string of length nin a text
would be to try to match it to the characters 1 to n; if that fails, shift the pattern one
position and try to match against characters 2 to n+1, etc., until we find the search
string or reach the end of the text. This process is, however, costly, since we may
have to look at each character ntimes.
Finite automata offer a much more efficient way to do text search. We derive a
DFA from the string, let it run down the text and when it reaches an accepting state, it
has found the string. Assume for example that the search string is ababc and that the
text will contain only as, bsandcs. The NFA that searches for this string is shown in
Figure 5.24(a); it was derived as follows. At each character in the text there are two
ABCDE♦
ababc
abc
(a)
A
AB
A
A
a
b
c
✔
✔
AB
AC
A
a
b
c
✔
✔
ABD
A
A
a
b
c
✔
✔
AB
ACE
A
a
b
c
✔
✔
ABD
A
A♦
a
b
c
✔
✔
AB
A
A
a
b
c
✔
✔
✔
(b)
AAB AC ABD ACE A♦
ababc
bc
cbccbbc
a
aa
a
(c)
Fig. 5.24. NFA (a), state tree (b)andDFA(c) to search for ababc
possibilities: either the search string starts there, which is represented by the chain of
states going to the right, or it does not start there, in which case we have to skip the
present character and return to the initial state. The automaton is non-deterministic,
since when we see an ain state A, we have two options: to believe that it is the start
of an occurrence of ababc or not to believe it.

162 5 Regular Grammars and Finite-State Automata
Using the traditional techniques, this NFA can be used to produce a state tree (b)
and then a DFA (c). Figure 5.25 shows the states the DFA goes through when fed
the text aabababca. We see that we have implemented superstring recognition,in
AAB AB AC ABD ACE ABD ACE A♦AB
aabababca
Fig. 5.25. State transitions of the DFA of Figure 5.24(c)onaabababca
which a substring of the input is recognized as matching the grammar rather than the
entire input. This makes the input a superstring of a string in the language, hence the
name.
This application of finite-state automata is known as the Aho and Corasick bibli-
ographic search algorithm (Aho and Corasick [141]). Like any DFA, it requires only
a few machine instructions per character. As an additional bonus it will search for
several strings for the price of one. The DFA corresponding to the NFA of Figure
5.26 will search simultaneously for Kawabata,Mishima and Tanizaki.Note
AKBKCKDKEKFKGKHK♦K
kawabata
ΣAMBMCMDMEMFMGM♦M
mishima
ATBTCTDTETFTGTHT♦T
tanizaki
ε
ε
ε
Fig. 5.26. Example of an NFA for searching multiple strings
that three different accepting states result, ♦K,♦Mand ♦T.
The Aho and Corasick algorithm is not the last word in string search. It faces
stiff competition from the Rabin-Karp algorithm (Karp and Rabin [145]) and the
Boyer-Moore algorithm (Boyer and Moore [143]). An excellent overview of fast
string search algorithms is given by Aho [147]. Watson [149] extends the Boyer-
Moore technique, which searches for a single word, so it can search for a regular
expression. However fascinating all these algorithms are, they are outside the scope
of this book and will not be treated here.
5.11 Conclusion
Regular grammars are characterized by the fact that no nesting is involved. Switch-
ing from one grammar rule or transition network to another is a memory-less move.
5.11 Conclusion 163
Consequently the production process is determined by a single position in the gram-
mar and the recognition process is determined by a finite number of positions in the
grammar.
Regular grammars correspond to regular expression, and vice versa, although the
conversion algorithms tend to produce results that are more complicated than would
be possible.
Strings in a regular set can be recognized bottom-up, using finite-state automata
created by the “subset algorithm”, or top-down, using recursive descent routines de-
rived from the regular expression. The first has the advantage that it is very efficient;
the second allows easy addition of useful semantic actions and recognition restric-
tions.
Finite-state automata are extremely important in all kinds of text searches, from
bibliographical and Web searches through data mining to virus scanning.
Problems
Problem 5.1: Construct the regular grammar for open parts of sentential forms
in rightmost derivations for the grammar Cin Section 5.1.1.
Problem 5.2: The FS automata in Figures 5.7 and 5.12 have only one accept-
ing state, but the automaton in Figure 5.15(c) has several. Are multiple accepting
states necessary? In particular: 1. Can any FS automaton Abe transformed into an
equivalent single accepting state FS automaton B? 2. So that in addition Bhas no
ε-transitions? 3. So that in addition Bis deterministic?
Problem 5.3: Show that the grammar cleaning operations of removing non-
productive rules and removing unreachable non-terminals can be performed in either
order when cleaning a regular grammar.
Problem 5.4: Design an algorithm for removing ε-transitions from a FS automa-
ton.
Problem 5.5: Design a way to perform the completion and negation of a regular
automaton (Section 5.5) on the regular grammar rather than on the automaton.
Problem 5.6:For readers with a background in logic: Taking the complement
of the complement of an FSA does not always yield the original automaton, but
taking the complement of the complement of an already complemented FSA does,
which shows that complemented automata are in some way different. Analyse this
phenomenon and draw parallels with intuitionistic logic.
Problem 5.7:Project: Study the factorization/decomposition of FSAs; see, for
example, Roche, [148].
Problem 5.8: When we assign two states to each non-terminal A,Asfor “Astart”
and Affor “Afinished, a rule A→XY results in 3 ε-transitions, As
ε
→Xs,Xf
ε
→Ys
and Yf
ε
→Af, and a non-ε-transition Xs
X
→Xfor Ys
Y
→Yf, depending on whether X
or Yis a terminal. Use this view to write a more symmetrical and esthetic account of
left- and right-regular grammars than given in Section 5.6.
Problem 5.9: Derive the subset algorithm from the Earley parser (Section 7.2)
working on a left-regular grammar.
164 5 Regular Grammars and Finite-State Automata
Problem 5.10: Derive a regular expression for Sfrom the grammar of Figure
5.22.
Problem 5.11:Project: Section 5.7 shows how to minimize a FS automa-
ton/grammar by initially assuming all non-terminal are equal. Can a CF grammar
be subjected to a similar process and what will happen?
Problem 5.12:History: Trace the origin of the use of the Kleene star, the raised
star meaning “the set of an unbounded number of occurrences”. (See [135].)

6
General Directional Top-Down Parsing
In this chapter, we will discuss top-down parsing methods that try to rederive the
input sentence by prediction. As explained in Section 3.2.1, we start with the start
symbol and try to produce the input from it; at any point in time, we have a sentential
form that represents our prediction of the rest of the input sentence. It is convenient
to draw the prediction right under the part of the input that it predicts, with their left
ends flush, as we did in Figure 3.5:
rest of input
prediction
This sentential form consists of both terminals and non-terminals. If a terminal sym-
bol is in front, we match it with the current input symbol. If a non-terminal is in front,
we pick one of its right-hand sides and replace the non-terminal with this right-hand
side. This way, we all the time replace the leftmost non-terminal, and in the end,
if we succeed, we have imitated a leftmost derivation. Note that the prediction part
corresponds to the open part of the sentential form when doing leftmost derivation,
as discussed in Section 5.1.1.
6.1 Imitating Leftmost Derivations
Let us now illustrate such a rederiving process with an example. Consider the gram-
mar of Figure 6.1. This grammar produces all sentences with equal numbers of as
Ss---> aB|bA
A---> a | aS | bAA
B---> b | bS | aBB
Fig. 6.1. A grammar producing all sentences with equal numbers of asandbs

166 6 General Directional Top-Down Parsing
and bs.
Let us try to parse the sentence aabb, by trying to rederive it from the start
symbol, S.Sis our first prediction. The first symbol of our prediction is a non-
terminal, so we have to replace it by one of its right-hand sides. In this grammar,
there are two choices for S: either we use the rule S--->aB,orweusetheruleS--->bA.
The sentence starts with an aand not with a b, so we cannot use the second rule here.
Applying the first rule leaves us with the prediction aB. Now the first symbol of the
prediction is a terminal symbol. Here, we have no choice:
a abb
aB
We have to match this symbol with the current symbol of the sentence, which is also
an a. So we have a match, and accept the a. This leaves us with the prediction B
for the rest of the sentence: abb. The first symbol of the prediction is again a non-
terminal, so it has to be replaced by one of its right-hand sides. Now we have three
choices. However, the first and the second are not applicable here, because they start
with a b, and we need another a. Therefore, we take the third choice, so now we
have prediction aBB:
aa bb
aBBa
Again, we have a match with the current input symbol, so we accept it and continue
with the prediction BB for bb. Again, we have to replace the leftmost Bby one of its
choices. The next terminal in the sentence is a b, so the third choice is not applicable
here. This still leaves us with two choices, band bS. So, we can either try them both,
or be a bit more intelligent about it. If we would take bS, then we would get at least
another a(because of the S), so this cannot be the right choice. So we take the b
choice, and get the prediction bB for bb. Again, we have a match, and this leaves
us with prediction Bfor b. For the same reason, we take the bchoice again. After
matching, this leaves us with an empty prediction. Luckily, we are also at the end
of the input sentence, so we accept it. If we had made notes of the production rules
used, we would have found the following derivation:
S--->aB---> aaBB ---> aabB ---> aabb
Figure 6.2 presents the steps of the parse in a tree-form. The dashed line separates
the already processed part from the prediction. All the time, the leftmost symbol of
the prediction is processed.
This example demonstrates several aspects that the parsers discussed in this chap-
ter have in common:
• We always process the leftmost symbol of the prediction.
• If this symbol is a terminal, we have no choice: we have to match it with the
current input symbol or reject the parse.

6.2 The Pushdown Automaton 167
S S
a B
S
a B
S
a B
aBB
S
a B
aBB
S
a B
aBB
b
S
a B
aBB
b
S
a B
aBB
b b
S
a B
aBB
b b
Fig. 6.2. Production trees for the sentence aabb
• If this symbol is a non-terminal, we have to make a prediction: it has to be re-
placed by one of its right-hand sides. Thus, we always process the leftmost non-
terminal first, so we get a leftmost derivation.
• As a result, the top-down method recognizes the nodes of the parse tree in pre-
order: the parent is identified before any of its children.
6.2 The Pushdown Automaton
The steps we have taken in the example above resemble very much the steps of
a so-called pushdown automaton. A pushdown automaton (PDA)isanimaginary
mathematical device that reads input and has control over a stack. The stack can
contain symbols that belong to a so-called stack alphabet.Astack is a list that can
only be accessed at one end: the last symbol entered on the list (“pushed”) is the first
symbol to be taken from it (“popped”). This is also sometimes called a “first-in, last-
out” list, or a FILO list: the first symbol that goes in is the last symbol to come out. In
the example above, the prediction works like a stack, and this is what the pushdown
automaton uses the stack for too. We therefore call this stack the prediction stack.
The stack also explains the name “pushdown” automaton: the automaton “pushes”
symbols on the stack for later processing.
The pushdown automaton operates by popping a stack symbol and reading an
input symbol. These two symbols then in general give us a choice of several lists
168 6 General Directional Top-Down Parsing
of stack symbols to be pushed on the stack. So there is a mapping of (input sym-
bol, stack symbol) pairs to lists of stack symbols. The automaton accepts the input
sentence when the stack is empty at the end of the input. If there are choices (so an
(input symbol, stack symbol) pair maps to more than one list), the automaton ac-
cepts a sentence when there are choices that lead to an empty stack at the end of the
sentence.
This automaton is modeled after context-free grammars with rules in the so-
called Greibach Normal Form (GNF). In this normal form, all grammar rules have
either the form A→aor A→aB1B2···Bn, with aa terminal and A,B1,... ,Bnnon-
terminals. The stack symbols are, of course, the non-terminals. A rule of the form
A→aB1B2···Bnleads to a mapping of the (a,A)pairtothelistB1B2···Bn.This
means that if the input symbol is an a, and the prediction stack starts with an A,we
could accept the a, and replace the Apart of the prediction stack with B1B2···Bn.A
rule of the form A→aleads to a mapping of the (a,A) pair to an empty list. The
automaton starts with the start symbol of the grammar on the stack. Any context-free
grammar that does not produce the empty string can be put into Greibach Normal
Form (Greibach [8]). Most books on formal language theory discuss how to do this
(see for example Hopcroft and Ullman [391]).
The example grammar of Figure 6.1 already is in Greibach Normal Form, so we
can easily build a pushdown automaton for it. The automaton is characterized by the
mapping shown in Figure 6.3.
(a, S) --->B
(b, S) --->A
(a, A) --->
(a, A) --->S
(b, A) --->AA
(b, B) --->
(b, B) --->S
(a, B) --->BB
Fig. 6.3. Mapping of the PDA for the grammar of Figure 6.1
An important remark to be made here is that many pushdown automata are non-
deterministic. For example, the pushdown automaton of Figure 6.3 can choose be-
tween an empty list and an Sfor the pair (a,A). In fact, there are context-free lan-
guages for which we cannot build a deterministic pushdown automaton, although we
can build a non-deterministic one.
We should also mention that the pushdown automata as discussed here are a sim-
plification of the ones we find in automata theory. In automata theory, pushdown
automata have so-called states, and the mapping is from (state, input symbol, stack
symbol) triplets to (state, list of stack symbols) pairs. Seen in this way, they are like
finite-state automata (discussed in Chapter 5), extended with a stack. Also, pushdown
automata come in two different kinds: some accept a sentence by empty stack, others
accept by ending up in a state that is marked as an accepting state. Perhaps surpris-
6.2 The Pushdown Automaton 169
ingly, having states does not make the pushdown automaton concept more powerful
and pushdown automata with states still only accept languages that can be described
with a context-free grammar. In our discussion, the pushdown automaton only has
one state, so we have left it out.
Pushdown automata as described above have several shortcomings that must be
resolved if we want to convert them into parsing automata. Firstly, pushdown au-
tomata require us to put our grammar into Greibach Normal Form. While grammar
transformations are no problem for the formal-linguist, we would like to avoid them
as much as possible, and use the original grammar if we can. Now we could relax
the Greibach Normal Form requirement a little by also allowing terminals as stack
symbols, and adding
(a,a)→
to the mapping for all terminals a. We could then use any grammar all of whose
right-hand sides start with a terminal. We could also split the steps of the pushdown
automaton into separate “match” and “predict” steps, as we did in the example of
Section 6.1. The “match” steps then correspond to usage of the
(a,a)→
mappings, and the “predict” step then corresponds to a
(,A)→···
mapping, that is, a non-terminal on the top of the stack is replaced by one of its right-
hand sides, without consuming a symbol from the input. For the grammar of Figure
6.1, this results in the mapping shown in Figure 6.4, which is in fact just a rewrite of
the grammar of Figure 6.1.
(, S) --->aB
(, S) --->bA
(, A) --->a
(, A) --->aS
(, A) ---> bAA
(, B) --->b
(, B) --->bS
(, B) ---> aBB
(a, a) --->
(b, b) --->
Fig. 6.4. Match and predict mappings of the PDA for the grammar of Figure 6.1
We will see later that, even using this approach, we may have to modify the gram-
mar anyway, but in the meantime this looks very promising, so we adopt this strategy.
This strategy also solves another problem: ε-rules do not need special treatment any
more. To get Greibach Normal Form, we would have to eliminate them but this is
not necessary any more, because they now just correspond to a

170 6 General Directional Top-Down Parsing
(,A)→
mapping.
The second shortcoming is that the pushdown automaton does not keep a record
of the rules (mappings) it uses. Therefore, we introduce an analysis stack into the
automaton. For every prediction step, we push the non-terminal being replaced onto
the analysis stack, suffixed with the number of the right-hand side taken (number-
ing the right-hand sides of a non-terminal from 1 to n). For every match, we push
the matched terminal onto the analysis stack. Thus, the analysis stack corresponds
exactly to the parts to the left of the dashed line in Figure 6.2, and the dashed line
represents the separation between the analysis stack and the prediction stack. This
results in an automaton that at any point in time has a configuration as depicted in
Figure 6.5. Such a configuration, together with its current state, stacks, etc. is called
an instantaneous description. In Figure 6.5, matching can be seen as pushing the
vertical line to the right.
matched input rest of input
analysis prediction
Fig. 6.5. An instantaneous description
The third and most important shortcoming, however, is the non-determinism.
Formally, it may be satisfactory that the automaton accepts a sentence if and only if
there is a sequence of choices that leads to an empty stack at the end of the sentence,
but for our purpose it is not, because it does not tell us how to obtain this sequence.
We have to guide the automaton to the correct choices. Looking back to the example
of Section 6.1, we had to make a choice at several points in the derivation, and we did
so based on some ad hoc considerations that were specific for the grammar at hand:
sometimes we looked at the next symbol in the sentence, and there were also some
points where we had to look further ahead, to make sure that there were no more
as coming. In the example, the choices were easy, because all the right-hand sides
start with a terminal symbol. In general, however, finding the correct choice is much
more difficult. The right-hand sides could for example equally well have started with
a non-terminal symbol that again has right-hand sides starting with a non-terminal,
etc.
In Chapter 8 we will see that many grammars still allow us to decide which right-
hand side to choose, given the next symbol in the sentence. In this chapter, however,
we will focus on top-down parsing methods that work for a larger class of grammars.
Rather than trying to pick a choice based on ad hoc considerations, we would like to
guide the automaton through all the possibilities. In Chapter 3 we saw that there are
in general two methods for solving problems in which there are several alternatives in
well-determined points: depth-first search and breadth-first search. We shall now see
how we can make the machinery operate for both search methods. Since the number
of actions involved can be exponential in the size of the input, even a small example
can get quite big. To make things even more interesting, we will use the inherently

6.3 Breadth-First Top-Down Parsing 171
ambiguous language of Figure 3.4, whose grammar is here repeated in Figure 6.6,
and we will use aabc as test input.
Ss--->AB|DC
A--->a|aA
B---> bc | bBc
D---> ab | aDb
C--->c|cC
Fig. 6.6. A more complicated example grammar
6.3 Breadth-First Top-Down Parsing
The breadth-first solution to the top-down parsing problem is to maintain a list of
all possible predictions. Each of these predictions is then processed as described in
Section 6.2 above, that is, if there is a non-terminal on top, the prediction stack is
replaced by several new prediction stacks, as many as there are choices for this non-
terminal. In each of these new prediction stacks, the top non-terminal is replaced by
the corresponding choice. This prediction step is repeated for all prediction stacks it
applies to (including the new ones), until all prediction stacks have a terminal on top.
For each of the prediction stacks we match the terminal in front with the current
input symbol, and strike out all prediction stacks that do not match. If there are no
prediction stacks left, the sentence does not belong to the language. So instead of
one prediction (stack, analysis stack) pair, our automaton now maintains a list of
prediction (stack, analysis stack) pairs, one for each possible choice, as depicted in
Figure 6.7.
matched input rest of input
analysis1 prediction1
analysis2 prediction2
··· ···
Fig. 6.7. An instantaneous description of our extended automaton
The method is suitable for on-line parsing, because it processes the input from
left to right. Any parsing method that processes its input from left to right and results
in a leftmost derivation is called an LL parsing method. The first Lstands for Left to
right, and the second Lfor Leftmost derivation.
Now we almost know how to write a parser along these lines, but there is one
detail that we have not properly dealt with yet: termination. Does the input sentence
belong to the language defined by the grammar when, ultimately, we have an empty
prediction stack? Only when the input is exhausted! To avoid this extra check, and to

172 6 General Directional Top-Down Parsing
avoid problems about what to do when we arrive at the end of sentence but have not
finished parsing yet, we introduce a special so-called end marker #. This end marker
is appended both to the end of the sentence and to the end of the prediction, so when
both copies match we know that the prediction has been matched by the input and
the parsing has succeeded.
(a)aabc#
S#
(b)aabc#
S1DC#
S2AB#
(c)aabc#
S1D1abC#
S1D2aDbC#
S2A1aB#
S2A2aAB#
(d)aabc#
S1D1abC#
S1D2aDbC#
S2A1aB#
S2A2aAB#
(e)aabc#
S1D1abC#
S1D2aD1abbC#
S1D2aD2aDbbC#
S2A1aB1bc#
S2A1aB2bBc#
S2A2aA1aB#
S2A2aA2aAB#
(f)aa bc#
S1D2aD1abbC#
S1D2aD2aDbbC#
S2A2aA1aB#
S2A2aA2aAB#
(g)aa bc#
S1D2aD1abbC#
S1D2aD2aD1abbbC#
S1D2aD2aD2aDbbbC#
S2A2aA1aB1bc#
S2A2aA1aB2bBc#
S2A2aA2aA1aB#
S2A2aA2aA2aAB#
(h)aab c#
S1D2aD1ab bC#
S2A2aA1aB1bc#
S2A2aA1aB2bBc#
(i)aab c#
S1D2aD1ab bC#
S2A2aA1aB1bc#
S2A2aA1aB2bB1bcc#
S2A2aA1aB2bB1bBcc#
(j)aabc #
S2A2aA1aB1bc #
Fig. 6.8. The breadth-first parsing of the sentence aabc

6.3 Breadth-First Top-Down Parsing 173
6.3.1 An Example
Figure 6.8 presents a complete breadth-first parsing of the sentence aabc. At first
there is only one prediction stack: it contains the start symbol and the end marker;
no symbols have been accepted yet (frame a). The step leading to (b)isapredict
step; there are two possible right-hand sides, so we obtain two prediction stacks.
The difference of the prediction stacks is also reflected in the analysis stacks, where
the different suffixes of Srepresent the different right-hand sides predicted. Another
predict step with multiple right-hand sides leads to (c). Now all prediction stacks
have a terminal on top; all happen to match, resulting in (d). Next, we again have
some predictions with a non-terminal in front, so another predict step leads us to (e).
The next step is a match step, and fortunately, some matches fail; these are dropped
as they can never lead to a successful parse. From (f)to(g) is again a predict step.
Another match in which again some matches fail leads us to (h). A further prediction
results in (i) and then a match brings us finally to (j), leading to a successful parse
with the end markers matching.
The analysis is
S2A2aA1aB1bc#
For now, we do not need the terminals in the analysis; discarding them gives
S2A2A1B1
This means that we get a leftmost derivation by first applying rule S2, then rule A2,
etc., all the time replacing the leftmost non-terminal. Check:
S--->AB---> aAB ---> aaB ---> aabc
The breadth-first method described here was first presented by Greibach [7].
However, in that presentation, grammars are first transformed into Greibach Normal
Form, and the steps taken are like the ones our initial pushdown automaton makes.
The predict and match steps are combined.
6.3.2 A Counterexample: Left Recursion
The method discussed above clearly works for this grammar, and the question arises
whether it works for all context-free grammars. One would think it does, because all
possibilities are systematically tried, for all non-terminals, in any occurring predic-
tion. Unfortunately, this reasoning has a serious flaw, which is demonstrated by the
following example: let us see if the sentence ab belongs to the language defined by
the simple grammar
S--->Sb|a
Our automaton starts off in the following state:
ab#
S#

174 6 General Directional Top-Down Parsing
As we have a non-terminal at the beginning of the prediction, we use a predict step,
resulting in:
ab#
S1Sb#
S2a#
As one prediction again starts with a non-terminal, we predict again:
ab#
S1S1Sbb#
S1S2ab#
S2a#
By now, it is clear what is happening: we seem to have ended up in an infinite
process, leading us nowhere. The reason for this is that we keep trying the S--->Sb
rule without ever coming to a state where a match can be attempted. This problem can
occur whenever there is a non-terminal that derives an infinite sequence of sentential
forms, all starting with a non-terminal, so no matches can take place. As all these
sentential forms in this infinite sequence start with a non-terminal, and the number
of non-terminals is finite, there is at least one non-terminal Aoccurring more than
once at the start of those sentential forms. So we have: A→ ··· → Aα. A non-
terminal that derives a sentential form starting with itself is called left-recursive.
Left recursion comes in several kinds: we speak of immediate left recursion when
there is a grammar rule A→Aα, like in the rule S--->Sb; we speak of indirect left
recursion when the recursion goes through other rules, for example A→Bα,B→Aβ.
Both these forms of left recursion can be concealed by ε-producing non-terminals;
this causes hidden left recursion and hidden indirect left recursion, respectively. For
example in the grammar
S---> ABc
B--->Cd
B---> ABf
C--->Se
A---> ε
the non-terminals S,B,andCare all left-recursive. Grammars with left-recursive
non-terminals are called left-recursive as well.
If a grammar has no ε-rules and no loops, we could still use our parsing scheme if
we use one extra step: if a prediction stack has more symbols than the unmatched part
of the input sentence, it can never derive the sentence (every non-terminal derives
at least one symbol), so it can be dropped. However, this little trick has one big
disadvantage: it requires us to know the length of the input sentence in advance, so
the method no longer is suitable for on-line parsing. Fortunately, left recursion can
be eliminated: given a left-recursive grammar, we can transform it into a grammar
without left-recursive non-terminals that defines the same language. As left recursion
poses a major problem for any top-down parsing method, we will now discuss this
grammar transformation.
6.4 Eliminating Left Recursion 175
6.4 Eliminating Left Recursion
We will first discuss the elimination of immediate left recursion. We will assume that
ε-rules and unit rules already have been eliminated (see Sections 4.2.3.1 and 4.2.3.2).
Now, let Abe a left-recursive rule, and
A→Aα1| ··· |Aαn|β1| ··· |βm
be all the rules for A. None of the αiare equal to ε,orwewouldhavearuleA→A,
a unit rule. None of the βjare equal to εeither,orwewouldhaveanε-rule. The
sentential forms generated by Ausing only the A→Aαkrules all have the form
Aαk1αk2···αkj
and as soon as one of the A→βirules is used, the sentential form no longer has an
Ain front. It has the following form:
βiαk1αk2···αkj
for some i,andsomek1,...,kj,where jcould be 0. These same sentential forms are
generated by the following set of rules:
Ahead →β1| ··· |βm
Atail →α1| ··· |αn
Atails →Atail Atails |ε
A→Ahead Atails
or, without re-introducing ε-rules,
Ahead →β1| ··· |βm
Atail →α1| ··· |αn
Atails →Atail Atails |Atail
A→Ahead Atails |Ahead
where Ahead,Atail,andAtails are newly introduced non-terminals. None of the αiis ε,
so Atail does not derive ε,soAtails is not left-recursive. Acould still be left-recursive,
but it is not immediately left-recursive, because none of the βjstart with an A.They
could, however, derive a sentential form starting with an A.
In general, eliminating indirect left recursion is more complicated. The idea is
that first the non-terminals are numbered, say A1,A2,...,An. Now, for a left-recursive
non-terminal Athere is a derivation
A→Bα→ ··· → Cγ→Aδ
with all the time a non-terminal at the left of the sentential form, and repeatedly
replacing this non-terminal using one of its right-hand sides. All these non-terminals
have a number associated with them, say i1,i2,...,im, and in the derivation we get the
following sequence of numbers: i1,i2,..., im,i1. Now, if we did not have any rules
Ai→Ajαwith j≤i, this would be impossible, because i1<i2<··· <im<i1
is impossible.
The idea now is to eliminate all rules of this form. We start with A1.ForA1,
the only rules to eliminate are the immediately left-recursive ones, and we already
176 6 General Directional Top-Down Parsing
have seen how to do just that. Next, it is A2’s turn. Each production rule of the form
A2→A1αis replaced by the production rules
A2→α1α| ··· |αmα
where
A1→α1| ··· |αm
are the A1-rules. This cannot introduce new rules of the form A2→A1γbecause we
have just eliminated A1’s left-recursive rules, and the αi’s are not equal to ε.Next,we
eliminate the immediate left-recursive rules of A2. This finishes the work we have to
do for A2. Likewise, we deal with A3through An, in this order, always first replacing
rules Ai→A1γ, then rules Ai→A2δ, etc. We have to obey this ordering because
for example replacing a Ai→A2δrule could introduce a Ai→A3γrule, but not a
Ai→A1αrule.
6.5 Depth-First (Backtracking) Parsers
The breadth-first method presented in the previous section has the disadvantage that
it uses a great deal of memory. The depth-first method also has a disadvantage: in its
general form it is not suitable for on-line parsing. However, there are many applica-
tions where parsing does not have to be done on-line, and then the depth-first method
is advantageous since it does not need much memory.
In the depth-first method, when we are faced with a number of possibilities, we
choose one and leave the other possibilities for later. First, we fully examine the
consequences of the choice we just made. If this choice turns out to be a failure (or
even a success, but we want all solutions), we roll back our actions until the present
point and continue with the other possibilities.
Let us see how this search technique applies to top-down parsing. Our depth-first
parser follows the same steps as our breadth-first parser, until it encounters a choice:
a non-terminal that has more than one right-hand side lies on top of the prediction
stack. Now, instead of creating a new analysis stack/prediction stack pair, it chooses
the first right-hand side. This is reflected on the analysis stack by the appearance of
the non-terminal involved, with suffix 1, exactly as it was in our breadth-first parser.
This time however, the analysis stack is not only used for remembering the parse, but
also for backtracking.
The parser continues in this way, until a match fails, or the end markers match.
If the prediction stack is empty, we have found a parse, which is represented by the
analysis stack; if a match fails, the parser will backtrack. This backtracking consists
of the following steps: first, any terminal symbols at the end of the analysis stack
are popped from this stack, and pushed back on top of the prediction stack. Also,
these symbols are removed from the matched input and added to the beginning of
the rest of the input. This is the reversal of the “match” steps. So backtracking over a
terminal is done by moving the vertical line backwards, as is demonstrated in Figure
6.9. Then there are two possibilities: if the analysis stack is empty, there are no

6.6 Recursive Descent 177
a1a2··· ai−1aiai+1··· an#
αaiβ#
(1)
a1a2··· ai−1aiai+1··· an#
αaiβ#
(2)
Fig. 6.9. Backtracking over a terminal
other possibilities to try, and the parsing stops; otherwise, there is a non-terminal
on top of the analysis stack, and the top of the prediction stack corresponds to a
right-hand side of this non-terminal. The choice of this right-hand side just resulted
in a failed match. In this case we pop the non-terminal from the analysis stack and
replace the right-hand side part in the prediction stack with this non-terminal. This
is the reversal of a prediction step, as demonstrated in Figure 6.10. Next there are
a1a2··· aiai+1··· an#
αAkγβ#
(1)
a1a2··· aiai+1··· an#
αAβ#
(2)
Fig. 6.10. Backtracking over the choice for the k-th rule for A,A→γ
again two possibilities: if this was the last right-hand side of this non-terminal, we
have already tried its right-hand sides and have to backtrack further; if not, we start
parsing again, first using a predict step that replaces the non-terminal with its next
right-hand side.
Nowletustrytoparsethesentenceaabc, this time using the backtracking
parser. Figure 6.11 presents the parsing process step by step; the backtracking steps
are marked with a B. The example demonstrates another disadvantage of the back-
tracking method: it can make wrong choices and find out about this only much later.
As presented here, the parsing stops when a parsing is found. If we want to find
all parsings, we should not stop when the end markers match. We can continue by
backtracking just as if we had not found a successful parse, and record the analysis
stack (which represents the parse) every time that the end markers match. Ultimately,
we will end with an empty analysis part, indicating that we have exhausted all anal-
ysis possibilities, and the parsing stops.
6.6 Recursive Descent
In the previous sections, we have seen several automata at work, using a grammar
to decide the parsing steps while processing the input sentence. Now this is just
another way of stating that these automata use a grammar as a program. Looking at
a grammar as a program for a parsing machine is not as far-fetched as it may seem.
After all, a grammar is a prescription for deriving sentences of the language that
the grammar describes, and what we are doing in top-down parsing is rederiving a
sentence from the grammar. This only differs from the classic view of a grammar as a
generating device in that we are now trying to rederive a particular sentence, not just

178 6 General Directional Top-Down Parsing
aabc#
S#
(1)
aabc#
S1DC#
(2)
aabc#
S1D1abC#
(3)
a abc#
S1D1a bC#
(4)
Baabc#
S1D1abC#
(5)
Baabc#
S1D1C#
(6)
aabc#
S1D2aDbC#
(7)
a abc#
S1D2a DbC#
(8)
a abc#
S1D2aD1abbC#
(9)
aa bc#
S1D2aD1a bbC#
(10)
aab c#
S1D2aD1ab bC#
(11)
Baa bc#
S1D2aD1a bbC#
(12)
B
a abc#
S1D2aD1abbC#
(13)
Ba abc#
S1D2aD
1bC#
(14)
a abc#
S1D2aD2aDbbC#
(15)
aa bc#
S1D2aD2a DbbC#
(16)
aa bc#
S1D2aD2aD1abbbC#
(17)
Baa bc#
S1D2aD2aD
1bbC#
(18)
aa bc#
S1D2aD2aD2aDbbbC#
(19)
Baa bc#
S1D2aD2aD
2bbC#
(20)
Ba abc#
S1D2aD2aD2bbC#
(21)
B
a abc#
S1D2aD
2bC#
(22)
Baabc#
S1D2aD2bC#
(23)
Baabc#
S1D2C#
(24)
B
aabc#
S1#
(25)
aabc#
S2AB#
(26)
aabc#
S2A1aB#
(27)
a abc#
S2A1aB#
(28)
a abc#
S2A1aB1bc#
(29)
Ba abc#
S2A1aB
1#
(30)
a abc#
S2A1aB2bBc#
(31)
Ba abc#
S2A1aB
2#
(32)
Baabc#
S2A1aB2#
(33)
B
aabc#
S2A1B2#
(34)
aabc#
S2A2aAB#
(35)
a abc#
S2A2a AB#
(36)
a abc#
S2A2aA1aB#
(37)
aa bc#
S2A2aA1aB#
(38)
aa bc#
S2A2aA1aB1bc#
(39)
aab c#
S2A2aA1aB1bc#
(40)
aabc #
S2A2aA1aB1bc #
(41)
Fig. 6.11. Parsing the sentence aabc
6.6 Recursive Descent 179
any sentence. Seen in this way, grammars are programs, written in a programming
language with a declarative style — that is, it defines the result but not the steps
needed to obtain that result.
If we want to write a top-down parser for a given context-free grammar there
are two options. The first is to write a program that emulates one of the automata
described in the previous sections. This program can then be fed a grammar and
an input sentence. This is a perfectly sound approach and is easy to program. The
difficulty comes when the parser must perform some other actions as parts of the
input are recognized. For example, a compiler must build a symbol table when it
processes a declaration sequence. This, and efficiency considerations lead to the sec-
ond option: writing a special purpose parser for the given grammar. Many of such
special-purpose parsers have been written, and most of them use an implementa-
tion technique called recursive descent. We will assume that the reader has some
programming experience, and knows about procedures and recursion. If not, this
section can be skipped. It does not describe a new parsing method, but just an im-
plementation technique that is often used in hand-written parsers and also in some
machine-generated parsers.
6.6.1 A Naive Approach
As a first approach, we regard a grammar rule as a procedure for recognizing its
left-hand side. A rule like
S---> aB|bA
is regarded as a procedure to recognize an S. This procedure then states something
like the following:
Ssucceeds if
asucceeds and then Bsucceeds
or else
bsucceeds and then Asucceeds
This does not differ much from the grammar rule, but it does not look like a piece of
program either. Like a cookbook recipe, which usually does not tell us that we must
peel the potatoes, let alone how to do that, the procedure is incomplete.
There are several bits of information that we must maintain when carrying out
such a procedure. First, there is the notion of a “current position” in the rule. This
current position indicates what must be tried next. When we implement rules as
procedures, this current position is maintained automatically, by the program counter,
which tells us where we are within a procedure. Next, there is the input sentence
itself. When implementing a backtracking parser, we usually keep the input sentence
in a global array, with one element for each symbol in the sentence. The array must
be global, because it contains information that must be accessible equally easily from
all procedures.
Then there is the notion of a current position in the input sentence. When the
current position in the rule indicates a terminal symbol, and this symbol corresponds

180 6 General Directional Top-Down Parsing
to the symbol at the current position in the input sentence, both current positions will
be advanced one position. The current position in the input sentence is also global
information. We will therefore maintain this position in a global variable. Also, when
starting a rule we must remember the current position in the input sentence, because
we need it for the “or else” clauses. These must all be started at the same position
in the input sentence. For example, starting with the rule for Sof the grammar in
Figure 6.1, suppose that the amatches the symbol at the current position of the input
sentence. The current position is advanced and then Bis tried. For B,wehavearule
similar to that of S. Now suppose that Bfails. We then have to try the next choice for
S, and back up the position in the input sentence to what it was when we started the
rule for S. This is backtracking, just as we have seen it earlier.
All this tells us how to deal with the procedure for one rule. However, usually
we are dealing with a grammar that has more than one non-terminal, so there will
be more than one rule. When we arrive at a non-terminal in a procedure for a rule,
we have to call the procedure for that non-terminal, and, if it succeeds, return to the
current invocation and continue there. We achieve this automatically by using the
procedure-call mechanism of the implementation language.
Another detail that we have not covered yet is that we have to remember the
grammar rules that we use. If we do not remember them, we will not know afterwards
how the sentence was derived. Therefore we note them in a separate list, the “Parse
list”, striking them out when they fail. Each procedure must keep its own copy of the
index in this list, again because we need it for the “or else ” clauses: if a choice fails,
all choices that have been made after the choice now failing must be discarded.
And the last detail to be filled in concerns the way the parser is started: by calling
the procedure for the start symbol. When that procedure succeeds and the next sym-
bol in the input is the end marker, the grammar rules left in the Parse list represent a
leftmost derivation of the sentence.
Now let us see how a parser, as described above, works for an example. Let us
consider again the grammar of Figure 6.6, and input sentence abc. We start with
a call of Sfollowedbyacheckfor#, the input extended with #, and a Parse list
consisting of just a node for S.
Active calls Sentence Parse list
1: •S# •abc# 1: S
Our administration is divided into three parts. The “Active calls” part shows the
active procedure calls, with a dot (•) indicating the current position within each call.
The bottom rule in this part is the currently active procedure. The “Sentence” part
indicates the sentence, including a position marker indicating the current position in
the sentence. The “Parse list” will be used to remember the rules that we use (not
only the currently active ones). The entries in this list are numbered, and each entry
in the “Active calls” part also contains its index in the Parse list. As we shall see later,
this is needed to back up after having taken a wrong choice.
Initially there is only one possibility: the current position in the active call indi-
cates that we must invoke the procedure for S, so let us do so:

6.6 Recursive Descent 181
Active calls Sentence Parse list
1: S•#•abc# 1: S
2: S---> •DC | AB •abc# 2: S--->DC
Notice that we have advanced the position in the call of S. It now indicates where we
have to continue when we are finished with S: the dot represents the return address.
Now we try the first alternative for S. There is a choice here, so the current position
in the input sentence is saved. We have not made this explicit in the pictures, because
this position is already present in the “Sentence” part of the entry that invoked S.
Active calls Sentence Parse list
1: S•#•abc# 1: S
2: S--->D•C|AB •abc# 2: S--->DC
3: D---> •ab | aDb •abc# 3: D--->ab
Now the first choice for Dis tried. The asucceeds, and next the balso succeeds, so
we get:
Active calls Sentence Parse list
1: S•#•abc# 1: S
2: S--->D•C|AB •abc# 2: S--->DC
3: D--->ab•| aDb ab•c# 3: D--->ab
Now we are at the end of a choice for D. This means that the procedure for Dsucceeds
and returns. We remove the entry from the list of active calls, after updating the
current positions in the entry above. Next, it is C’s turn to be called:
Active calls Sentence Parse list
1: S•#•abc# 1: S
2: S--->DC•|AB ab•c# 2: S--->DC
4: C---> •c|cC ab•c# 3: D--->ab
4: C--->c
Now the csucceeds, so the Csucceeds, and then the Salso succeeds:
Active calls Sentence Parse list
1: S•#abc•#1: S
2: S--->DC
3: D--->ab
4: C--->c
Now the #s match, so we have found a parsing and the Parse list part represents a
leftmost derivation of the sentence:
S--->DC---> abC ---> abc
This method is called recursive descent, “descent” because it operates top-down,
and “recursive” because each non-terminal is implemented as a procedure that can
directly or indirectly (through other procedures) invoke itself. It should be stressed
that “recursive descent” is merely an implementation issue, albeit an important one.
182 6 General Directional Top-Down Parsing
It should also be stressed that the parser described above is a backtracking parser,
independent of the implementation method used. Backtracking is a property of the
parsing method, not of the implementation.
The backtracking method developed above is esthetically pleasing, because we
in fact use the grammar itself as a program; we can actually transform the grammar
rules into procedures mechanically, as we shall see below. There is only one problem:
the recursive descent method, as described above, does not always work! We already
know that it does not work for left-recursive grammars, but the problem is worse
than that. For example, aabc and abcc are sentences that are not recognized, but
should be. Parsing of the aabc sentence gets stuck after the first a, and parsing of
the abcc sentence gets stuck after the first c.Yet,aabc can be derived as follows:
S--->AB---> aAB ---> aaB ---> aabc
and abcc can be derived with
S--->DC---> abC ---> abcC ---> abcc
So let us examine why our method fails. A little investigation shows that we
never try the A--->aA choice when parsing aabc, because the A--->a choice succeeds.
Likewise we never try C--->cD when parsing abcc, because C--->c succeeds. Such
a problem arises whenever more than one right-hand side can succeed, and this is
the case whenever a right-hand side can derive a prefix of a string derivable from
another right-hand side of the same non-terminal. The method developed so far is
too optimistic, in that it assumes that if a choice succeeds, it must be the right choice.
It does not allow us to backtrack over such a choice, when it was the wrong one. This
is a particularly serious problem if the grammar has ε-rules, because ε-rules always
succeed. Another consequence of being unable to backtrack over a succeeding choice
is that it does not allow us to get all parses when there is more than one (this is
possible for ambiguous grammars).
Improvement is certainly needed here. Our criterion for determining whether a
choice is the right one clearly is wrong. Looking back at the backtracking parser
of the beginning of this section, we see that that parser does not have this problem,
because it does not evaluate choices independently of their context. One can only
decide that a choice is the right one if taking it results in a successful parse; even if
the choice ultimately succeeds, we have to try the other choices as well if we want all
parses. In the next section, we will develop a recursive-descent parser which solves
all the problems mentioned above.
Meanwhile, the method above only works for grammars that are prefix-free.A
non-terminal Ais prefix-free if it does not produce two different strings xand ysuch
that one is a prefix of the other. And a grammar is prefix-free if all its non-terminals
are prefix-free. For the above algorithm this means that an attempt to recognize A
in a given position in the input string can never succeed in more than one way, so if
the first recognition is rejected later on, there is no need to go back and try another
recognition because there will not be one.
6.6 Recursive Descent 183
6.6.2 Exhaustive Backtracking Recursive Descent
In the previous section we saw that we have to be careful not to accept a choice too
early; it can only be accepted when it leads to a successful parse. Now this demand
is difficult to express in a recursive-descent parser; how do we obtain a procedure
that tells us whether a choice leads to a successful parse? In principle there are in-
finitely many of these, one for each sentential form (the prediction) that must derive
the rest of the input, but we just cannot write them all. However, at any point during
the parsing process we are dealing with only one such sentential form: the current
prediction, so we could try to build a parsing procedure for this sentential form dy-
namically, during parsing. Some programming languages offer a useful facility for
this purpose: procedure parameters. With procedure parameters, a procedure can ac-
cept another procedure (or even the same one) as a parameter and call it, or pass it
on to another procedure.
Let us see how we can use procedure parameters to write a parsing procedure for
a symbol X. This procedure for Xis passed a procedure tail that parses the rest of the
sentence, the part that follows the X. Such procedures are called continuations,since
they embody the continuation of the work to be done. So a call X(tail)will parse
the entire input by first parsing Xand then calling tail to parse the rest. This is the
approach taken for all non-terminals, and, for the time being, for terminals as well.
The parsing procedure for a terminal symbol ais easy: it tries to match the current
input symbol with a. If it succeeds, it advances the input position, and calls the tail
parameter; then, when tail returns, it restores the input position and returns. If it fails
it just returns. So the abstract code for ais
procedure
a
(tail):
begin if text[tp]=’
a
’ then begin tp:=tp+1; tail(); tp:=tp-1 end end;
where the input is in an array
text
and the input position in the variable
tp
.
The parsing procedure for a non-terminal Ais more complicated. The simplest
case is A→ε, which is implemented as a call to tail. The next simple case is A→
X,whereXis either a terminal or a non-terminal symbol. To deal with this case,
we must remember that we assume that we have a parsing procedure for X,sothe
implementation of this case consists of a call to X, with the tail parameter.
The next case is A→XY, with Xand Ysymbols. The procedure for Xexpects a
procedure for “what comes after the X” as parameter. Here this parameter procedure
is built using the Yand the tail procedures: we create a new procedure out of these
two. This, by itself, is a simple procedure: it calls Y, with tail as a parameter. If we
call this procedure Ytail, we can implement Aby calling Xwith Ytail as parameter. So
the abstract code for the rule A→XY is
procedure
A
(tail):
begin
procedure
Ytail
: begin
Y
(tail) end;
X
(
Ytail
)
end;
And finally, if the right-hand side contains more than two symbols, this technique
has to be repeated: for a rule A→X1X2···Xnwe create a procedure for X2···Xnand
184 6 General Directional Top-Down Parsing
tail using a procedure for X3···Xnand tail, and so on. So the abstract code for a rule
A→X1X2···Xnis
procedure
A
(tail):
begin
procedure
Xntail
: begin
Xn
(tail) end;
···
procedure
X2···Xntail
: begin
X2
(
X3···Xntail
) end;
X1
(
X2···Xntail
)
end;
Here X2···Xntail,X3···Xntail, etc., are just names of new procedures. We see the
prediction stack at the start of procedure Xnis represented by and encoded in the
sequence of calls of X1,X2···Xn,and
tail
.
Finally, if we have a non-terminal with nalternatives, that is, we have A→
α1|···|αn, the parsing procedure for Ahas nconsecutive code segments, one for
each alternative, according to the above abstract code. They all call tail in their in-
nermost procedures.
Applying this technique to all grammar rules results in a parser, except that we
do not have a starting point yet. This is easily obtained: we just call the procedure for
the start symbol, with the procedure for recognizing the end marker as a parameter.
This end-marker procedure is different from the others, because this is the proce-
dure where we finally find out whether a parsing attempt succeeds. It tests whether
we have reached the end of the input and if so, reports that we have found a parsing;
it has no parameters, and so does not call any tail. Its abstract code is
procedure end_marker:
begin if at_end_of_input then report_parsing end;
The abstract code for the rule A→X1X2···Xndeclares the auxiliary procedures
X2···Xntail to Xntail as local procedures to that for A. This is necessary because tail
must be accessible from Xntail and the only scope from which tail is accessible is
inside the procedure for A. So to use this coding technique in practice we need a
programming language that allows local procedures and allows them to be passed
as parameters; unfortunately this rules out almost all present-day programming lan-
guages. The only reasonable possibilities are GNU C and the functional languages.
GNU C is a widely available extension of C, and is used in the code below; parser
writing in functional languages is treated briefly in Section 17.4.2. The technique
can also be used in languages without local procedures, but then some trickery is
required; see Problem 6.4.
Listings 6.13 and 6.14 present a fully backtracking recursive-descent parser for
the grammar of Figure 6.6, written in GNU C. The program has a mechanism to
remember the rules used (the procedures
pushrule()
and
poprule()
in Listing 6.14),
so the rules can be printed for each successful parse. We see that, for example, the
rule B--->bBc corresponds to the code
static void c_t(void) { c(tail); }
static void Bc_t(void) { B(c_t); }
pushrule("B -> bBc"); b(Bc_t); poprule();
6.6 Recursive Descent 185
We have also used GNU C’s facility to mix declarations and statements.
Figure 6.12 presents a sample session with this program. Note that no error mes-
> aabc
Derivation:
S->AB
A->aA
A->a
B->bc
> abcc
Derivation:
S->DC
D->ab
C->cC
C->c
> abc
Derivation:
S->DC
D->ab
C->c
Derivation:
S->AB
A->a
B->bc
> abca
Fig. 6.12. A session with the program of Listing 6.13
sage is given for the incorrect input abca; the parser just finds zero parsings.
We see that we can perform recursive descent by interpreting the grammar, as
in Section 6.6.1, or by generating code and compiling it, as in Section 6.6.2. It is
sometimes useful to make the distinction; the first can then be called interpreted
recursive descent and the second compiled recursive descent.
6.6.3 Breadth-First Recursive Descent
Johnstone and Scott [36] present a different approach to exhaustive recursive descent,
called Generalized Recursive Descent Parsing (GRDP). Like the naive approach of
Section 6.6.1 it features a separate parsing procedure for each non-terminal. How-
ever, instead of returning as soon as a match is found, which was the pitfall causing
the naive approach to fail, the GRDP procedure for a non-terminal Akeeps track of
all matches, and in the end returns the set of lengths of input segments that start at
the current position and match A. The returned set can be empty, in which case no
match was found.
The caller of such a procedure, which presumably is processing a right-hand-side
in which Aoccurs, must be prepared for this and process each of the lengths in turn
186 6 General Directional Top-Down Parsing
static void a(void (*tail)(void)) /* recognize an ’a’ and call tail */
{ if (text[tp] == ’a’) { tp++; tail(); --tp; } }
static void b(void (*tail)(void)) /* recognize a ’b’ and call tail */
{ if (text[tp] == ’b’) { tp++; tail(); --tp; } }
static void c(void (*tail)(void)) /* recognize a ’c’ and call tail */
{ if (text[tp] == ’c’) { tp++; tail(); --tp; } }
static void A(void (*tail)(void)) /* recognize an ’A’ and call tail */
{
pushrule("A -> a"); a(tail); poprule();
static void A_t(void) { A(tail); }
pushrule("A -> aA"); a(A_t); poprule();
}
static void B(void (*tail)(void)) /* recognize a ’B’ and call tail */
{
static void c_t(void) { c(tail); }
pushrule("B -> bc"); b(c_t); poprule();
static void Bc_t(void) { B(c_t); }
pushrule("B -> bBc"); b(Bc_t); poprule();
}
static void D(void (*tail)(void)) /* recognize a ’D’ and call tail */
{
static void b_t(void) { b(tail); }
pushrule("D -> ab"); a(b_t); poprule();
static void Db_t(void) { D(b_t); }
pushrule("D -> aDb"); a(Db_t); poprule();
}
static void C(void (*tail)(void)) /* recognize a ’C’ and call tail */
{
pushrule("C -> c"); c(tail); poprule();
static void C_t(void) { C(tail); }
pushrule("C -> cC"); c(C_t); poprule();
}
static void S(void (*tail)(void)) /* recognize a ’S’ and call tail */
{
static void C_t(void) { C(tail); }
pushrule("S -> DC"); D(C_t); poprule();
static void B_t(void) { B(tail); }
pushrule("S -> AB"); A(B_t); poprule();
}
static void endmark(void) /* recognize end and report success */
{ if (text[tp] == ’#’) parsing_found(); }
static void parser(void) { tp = plp = 0; S(endmark); }
int main(void) { while ( getline()) parser(); return 0; }
Fig. 6.13. A fully backtracking recursive-descent parser for the grammar of Figure 6.6
6.6 Recursive Descent 187
#define MAXSIZE 100 /* some large value */
/* text handling */
char text[MAXSIZE]; /* input text */
int length; /* number of symbols in text */
int tp; /* index in text */
static int getline(void) {
int ch;
printf(">"); length = 0;
while ((ch = getchar()), ch >= 0 && ch != ’\n’) {
text[length++] = ch;
}
text[length] = ’#’; return ch == ’\n’;
}
/* administration of rules used */
const char *parse_list[MAXSIZE]; /* store of rules used */
int plp; /* index in parse_list */
static void pushrule (const char *s) { parse_list[plp++] = s; }
static void poprule(void) { --plp; }
static void parsing_found(void) {
int i;
printf("Derivation:\n");
for (i = 0; i < plp; i++) printf(" %s\n", parse_list[i]);
}
Fig. 6.14. Auxiliary code for the fully backtracking recursive-descent parser of Figure 6.13
when trying to match the rest of this right-hand-side. In the end, the caller of the
procedure for the start symbol should check that the length of the input is a member
of the returned set.
Given the grammar
SS--->Aab
A--->aAa|ε
and the input string aaaaaaab,thecallinSto the routine for Awill return the
lengths 0, 2, 4, and 6, and only for length 6 will the routine for Sbe able to parse the
remaining ab. The events inside the routine for Aare more complex. After matching
the first a, the routine calls itself, yielding the lengths 0, 2, 4, and 6. It tries these
lengths and for each length it tries to match the final a; this succeeds for 0, 2, and 4,
but not for 6. Together with the two matched as this yields the lengths 2, 4, and 6.
The alternative A--->εsupplies the length 0, resulting in the length set { 0, 2, 4, 6 } as
returned to S.
The fact that each procedure returns all possible matches prompted us to call this
method breadth-first, although the method also has a depth-first aspect, in that each
right-hand-side of a non-terminal is examined in-depth before the next right-hand-
side is examined.
The method is suitable for all non-left-recursive CF grammars and can be op-
timized to perform competitively with common-place parser generators for LL(1)
188 6 General Directional Top-Down Parsing
grammars or non-left-recursive LR(1) grammars. The method is implemented in a
freely available parser generator; see Johnstone and Scott [363].
6.7 Definite Clause Grammars
In Sections 6.6.1 and 6.6.2 we have seen how to create parsers that retain much of
the original structure of the grammar. The programming language Prolog allows us
to take this one step further. We will first give a very short introduction to Prolog
and then explain how to create top-down parsers using it. For more information on
Prolog, see, for example, TheArtofPrologby Leon Sterling and Ehud Shapiro (MIT
Press).
6.7.1 Prolog
Prolog has its foundations in logic. The programmer declares some facts about ob-
jects and their relationships, and asks questions about these. The Prolog system uses
a built-in search and backtracking mechanism to answer the questions. For example,
we can tell the Prolog system about the fact that a table and a chair are pieces of
furniture by writing
furniture(table).
furniture(chair).
We can then ask if a bread is a piece of furniture:
| ?- furniture(bread).
and the answer will be “no”, but the answer to the question
| ?- furniture(table).
will be “yes”. Such a Prolog form that can succeed or fail is called a predicate and
when it is used as the start of a search it is called a goal.
We can also use variables, which can be either instantiated (have a value), or
uninstantiated; such variables are called logic variables. Logic variables are identi-
fied by names starting with a capital letter or an underscore (_). We can use them for
example as follows:
| ?- furniture(X).
This is asking for an instantiation of the logic variable X. The Prolog system will
search for a possible instantiation and respond:
X = table
We can then either stop by typing a RETURN, or continue searching by typing a
semicolon (and then a RETURN). In the latter case the Prolog system will search
for another instantiation of X. The process of finding instantiations of logic variables
that match the known facts is called inference.
Not every fact is as simple as the one in the example above. For example, a Prolog
clause that tells us something about antique furniture is the following:
6.7 Definite Clause Grammars 189
antique_furniture(Obj,Age) :- furniture(Obj), Age > 100.
Here we see a predicate which is the conjunction of two goals: an object Obj with
age Age is an antique piece of furniture if it is a piece of furniture and its age is more
than 100 years.
An important data structure in Prolog is the list, in which a arbitrary number of
data items are concatenated. The empty list is denoted by [];[a] is a list with
head aand tail [];[a,b,c] is a list with head aand tail [b,c]. Another useful
data structure is the compound value, in which a fixed number of data items are
combined in a named entity. An example is dog(’Fido’,brown). Data items in
data structures may be logic variables.
6.7.2 The DCG Format
Many Prolog systems allow us to specify grammars in a format that differs from the
usual Prolog clauses. Since Prolog clauses are sometimes called definite clauses,a
grammar in this format is called a Definite Clause Grammar, often abbreviated to
DCG. The DCG form of the grammar of Figure 6.6 is shown in Figure 6.15. There
s_n --> d_n, c_n.
s_n --> a_n, b_n.
a_n --> [a].
a_n --> [a], a_n.
b_n --> [b], [c].
b_n --> [b], b_n, [c].
c_n --> [c].
c_n --> [c], c_n.
d_n --> [a], [b].
d_n --> [a], d_n, [b].
Fig. 6.15. The example grammar of Figure 6.6 in Definite Clause Grammar format
is a DCG predicate for each non-terminal and a DCG clause for each grammar rule.
Since predicate names have to start with lower case letters in Prolog, we have trans-
lated non-terminal names like Sby predicate names like s_n,for“S-non-terminal”.
The terminal symbols appear as lists of one element.
The Prolog system translates these DCG rules into Prolog clauses. The idea is to
let each DCG rule for a non-terminal Acorrespond to a Prolog rule with two logic
arguments of type list, traditionally called Sentence and Remainder, such that
the rule
A_n(Sentence, Remainder):- ...
means that the character list Sentence is equal to whatever this rule for Aproduces
concatenated with the character list Remainder.
More in particular, the DCG rule d_n-->[a],[b]. corresponds to the Prolog
clause
190 6 General Directional Top-Down Parsing
d_n(S,R) :- symbol(S,a,R1), symbol(R1,b,R).
where we have abbreviated Sentence to Sand Remainder to R. The predicate
symbol() is defined as
symbol([A|R],A,R).
This is a form of the Prolog predicate definition in which the condition lies in the
matching of the arguments only: the predicate symbol(S,a,R1)succeeds when S
can be split into two parts, Aand R, such that Amatches aand Rmatches R1, in short
when there is an R1such that S=aR1. Likewise the predicate symbol(R1,b,R)
tries to find an Rsuch that R1=bR. Together they enforce that S=abR,whichis
exactly what the DCG rule d_n-->[a],[b]. means.
This technique can be extended to more than one intermediate logic variable, as,
for example, in the translation of the second DCG rule for d_n:
d_n(S,R) :- symbol(S,a,R1), d_n(R1,R2), symbol(R2,b,R).
Here the Prolog system will have to find instantiations of two logic variables, R1and
R2such that S=aR1,R1=P(d_n)R2,andR2=bR,whereP(d_n) is any terminal
production of d_n. When we combine these equations we obtain the semantics of
d_n(S,R) as described above: S=aP(d_n)bR. (Most Prolog processors use a
much less readable format internally.)
6.7.3 Getting Parse Tree Information
The DCG program of Figure 6.15 is a recognizer rather than a parser, but logic vari-
ables make it easy to collect parse tree information as well. To this end, we supply
each non-terminal in the DCG program with a logic argument, the tree it has con-
structed. Nodes in the tree are conveniently represented as compound values, with the
entire rule (between apostrophes) as the name and the children as the components. So
a node for the rule S--->AB with children Xand Yis represented as ’S--->AB’(X,Y).
Tokens in right-hand sides do not produce parse trees, since they occur in the rule
name already.
Since the parse trees of the children of a non-terminal Aare delivered by the
non-terminals of those children in the right-hand sides of the DCG rule for A,all
we have to do to obtain the correct parse tree to be delivered by Ais to create a
compound value from the name of the rule and the parse trees of its children. The
result is shown in Figure 6.16. It relies heavily on Prolog’s ability to postpone the
instantiation of values until the sources for that instantiation are available.
6.7.4 Running Definite Clause Grammar Programs
The DCG program of Figure 6.16 can be loaded into a Prolog interpreter, after which
we can submit queries as described above. In composing these queries we should be
aware that the root of the grammar, S, corresponds to a DCG name s_n(T) where
Tis the parse tree and to a Prolog predicate s_n(T,S,R) where Sis the sentence

6.7 Definite Clause Grammars 191
s_n(’S--->DC’(T1,T2)) --> d_n(T1), c_n(T2).
s_n(’S--->AB’(T1,T2)) --> a_n(T1), b_n(T2).
a_n(’A--->a’) --> [a].
a_n(’A--->aA’(T1)) --> [a], a_n(T1).
b_n(’B--->bc’) --> [b], [c].
b_n(’B--->bBc’(T1)) --> [b], b_n(T1), [c].
c_n(’C--->c’) --> [c].
c_n(’C--->cC’(T1)) --> [c], c_n(T1).
d_n(’D--->ab’) --> [a], [b].
d_n(’D--->aDb’(T1)) --> [a], d_n(T1), [b].
Fig. 6.16. The Definite Clause Grammar of Figure 6.16 with parse tree construction
and Ris the remainder. The runs presented here were performed on C-Prolog version
1.5.
First we want the DCG program to generate some sentences, together with their
parse trees. We do so by passing two uninstantiated variables, Sand T,tos_n,and
requesting the system to find three instantiations (user input has been underlined to
differentiate it from computer output):
| ?- s_n(T,S,[]).
T = S->DC(D->ab,C->c)
S = [a,b,c] ;
T = S->DC(D->ab,C->cC(C->c))
S = [a,b,c,c] ;
T = S->DC(D->ab,C->cC(C->cC(C->c)))
S = [a,b,c,c,c] .
yes
We see that the system will only generate sentences Sstarting with an afol-
lowedbyab, and then followed by an ever increasing number of cs. The Pro-
log system uses a depth-first search mechanism, which is not suitable for sen-
tence generation (see Section 2.4, where we use a breadth-first method). The val-
ues of Tshow the corresponding parse trees; each has the rule S--->DC as the top,
and the components describe its two children. It is important to note that S--->DC
is used here as a name, so S--->DC(D--->ab,C--->cC(C--->c)) should be read as
’S->DC’(’D->ab’,’C->cC’(’C->c’)), which corresponds to the parse tree
S
D C
abcC
c
Next we ask the system to recognize some sentences; we start with our example
from Section 6.6.1, abc:

192 6 General Directional Top-Down Parsing
| ?- s_n(T,[a,b,c],[]).
T = S->DC(D->ab,C->c) ;
T = S->AB(A->a,B->bc) ;
no
The full backtracking parser correctly parses the string but also supplies a second
parsing, missed by the naive backtracking parser. The third answer, no, indicates
that no further parsings are possible.
Finally we try the two input strings on which the naive parser of Section 6.6.1
failed, aabc and abcc:
| ?- s_n(T,[a,a,b,c],[]).
T = S->AB(A->aA(A->a),B->bc) ;
no
| ?- s_n([a,b,c,c],[]).
T = S->DC(D->ab,C->cC(C->c)) ;
no
Both input strings are handled correctly. They indeed involve applications of both
A--->a and A--->aA in the first and of both C--->c and C--->cC in the second example.
These runs demonstrates that we can use Definite Clause Grammars quite well
for recognizing sentences, and to a lesser extent also for generating sentences.
Cohen and Hickey [26] discuss this and other applications of Prolog in parsers in
more detail.
6.8 Cancellation Parsing
We have pointed out repeatedly that top-down parsing cannot handle left recursion.
This problem is shared by other tasks one would like to perform recursively, for
example graph searching, where cycles in the graph can cause infinite loops. The
standard solution there is to keep a set Bof nodes that one is already visiting and back
off when a node in Bis about to be visited again. The set B(for “Busy”) represents
the subproblems already under examination, and starting to examine a subproblem
(with the same parameters) while already examining it would lead to an infinite loop.
6.8.1 Cancellation Sets
The idea of “busy” sets can be used to make DCG parsing of left-recursive grammars
possible (Nederhof [105]). Each Prolog predicate for a non-terminal Ais given a
third logic argument, CancellationSet, in addition to the original Sentence
and Remainder.Thecancellation set contains the names of the non-terminals that
are already being investigated left-recursively, and plays the role of the “busy” set in
graph handling. Using these sets results in cancellation parsing.
The first thing the rules for a non-terminal Ado is to test whether Ais in the can-
cellation set and back off if it is. This prevents looping on left recursion effectively,
but as a result the rules for Awill no longer recognize any terminal production of A
6.8 Cancellation Parsing 193
that involves left recursion. More precisely, they recognize only subtrees produced
by Ain which Afigures nowhere on the “left spine” except at the top. Such subtrees
must exist, or Aproduces nothing. So special measures must be taken to recognize
parse trees in which Adoes occur more than once on the left spine. (The left spine of
a tree is the sequence of nodes and arcs visited by starting at the top and following
the leftmost branch at each node. Left spines are discussed in more detail in Section
10.1.1.1.)
The solution to this problem is simple but ingenious: as soon as a subtree Twith
Aat the top is recognized, it is wrapped up to look like a newly defined terminal
symbol, ¯
A, and this terminal is pushed back into the input stream. In effect we scoop
up a terminal production of Afrom the input, reduced it to a node A,andleaveitin
the input represented by the ¯
A. Now the rest of the parser has to be adapted to the
new situation. How this is done is explained in the next section.
6.8.2 The Transformation Scheme
We assume that the Prolog DCG system has the possibility to intersperse the DCG
rules with “normal” Prolog text by putting it between curly braces, and that the under-
lying Prolog system has a definition for a predicate member(E,L) which succeeds
when Eis a member of the list L. The transformation scheme for a non-terminal A
to a set of DCG cancellation rules then consists of three patterns, one for rules of the
form A→Bα, one for rules of the form A→tα, and one specific pattern to handle
the ¯
A:
A(C) --> {not member(A,C)}, B(A|C),
transformation of α, untoken(bar(A)), A(C).
A(C) --> {not member(A,C)}, [t],
transformation of α, untoken(bar(A)), A(C).
A(C) --> [bar(A)].
For the moment we assume that αis not empty; the complications with A→εare
treated in the next section.
This transformation scheme packs quite a few subtleties. The logic argument Cis
the cancellation set and the goal not member(A,C) implements the test whether
Ais already in the cancellation set. The transformation of the right-hand side follows
the CF-DCG conversion shown in Section 6.7.2, except that all calls of non-terminals
get a cancellation set as an argument. If the right-hand side starts with a non-terminal,
that non-terminal gets a cancellation set equal to the old one extended with A;all
other non-terminals get empty cancellation sets.
The DCG form untoken(bar(A)) pushes back a copy of ¯
Ainto the input
stream. It works as follows: the Prolog predicate untoken is defined as
untoken(T,S,[T|S]).
and the DCG processor will develop the DCG application untoken(a)
into the Prolog goal untoken(a,Sentence,Remainder). As a result,
a call of untoken(a,Sentence,Remainder) will set Remainder to
[a|Sentence], thus prepending ato the rest of the input.
194 6 General Directional Top-Down Parsing
At this point in the pattern for A(C) we have recognized a Bαor a tα, reduced
it and pushed it back as ¯
A; so in terms of input we have not made any progress and
still have an Ato parse, since that is what the caller of A(C) expects. This parsing
process must be able to absorb the ¯
Afrom the input and incorporate it in the parse
tree. There are two candidates for this ¯
A: a left-recursive rule for A, and the caller
of A(C).InthefirstcaseanewAnode will be constructed on the left spine; in the
second the left spine of Anodes ends here. The Prolog system must consider both
possibilities. This can be achieved by introducing a predicate Axwhich is defined
both as all left-recursive rules of Aand as ¯
A. Also, to allow the new left-recursive
rules to be activated, Axmust be called without the indication that Ais already being
investigated. So the transformation scheme we have now is
Al(C) --> {not member(A,C)}, B(A|C),
transformation of α, untoken(bar(A)), Ax(C).
An(C) --> {not member(A,C)}, B(A|C),
transformation of α, untoken(bar(A)), Ax(C).
An(C) --> {not member(A,C)}, [t],
transformation of α, untoken(bar(A)), Ax(C).
Ax(C) --> Al(C).
Ax(C) --> [bar(A)].
where Alstands for all left-recursive rules for Aand Anfor all its non-left-recursive
ones.
As long as there is an ¯
Aprepended to the input the only rules that can make
progress are those that can absorb the ¯
A. One candidate is Ax(C)-->Al(C) and the
other is the Bin the first pattern. This Bwill usually be equal to A, but it need not be,
if Ais indirectly left-recursive; in that case a call of Bwill eventually lead to a call
of an Al.IftheBis actually an A, its replacement in the transformation must be able
to absorb an ¯
A, and must still be able to parse a non-left-recursive instance of A.So
we need yet another predicate here, Ab, defined by
Ab(C) --> An(C).
Ab(C) --> [bar(A)].
The fog that is beginning to surround us can be dispelled by a simple observation:
we can add the non-left-recursive rules of Ato Axand the left-recursive ones to Ab,
both without affecting the working of the parser, for the following reasons. The non-
left-recursive rules of Acan never absorb the ¯
A, so adding them to Axcan at most
cause failed calls; and calls to the left-recursive rules of Awill be blocked by the
left-recursion check preceding the Ab. So both Axand Abturn into a predicate At
defined by
At(C) --> A(C).
At(C) --> [bar(A)].
In addition to simplifying the transformation scheme, this also removes the need to
determine which rules are left-recursive.
This simplification leaves only occurrences of Aand Atin the transformation,
where the As can occur only in non-first position in right-hand sides. In those po-
sitions they can be replaced by Ats with impunity, since the only difference is that
6.8 Cancellation Parsing 195
Atwould accept a ¯
A,but ¯
As do not occur spontaneously in the input. So in the end
there are only Ats left in the transformation patterns, which means that they can be
renamed to A. This brings us to the transformation scheme at the beginning of the
section.
Figure 6.17 shows the resulting cancellation parser for the gram-
mar for simple arithmetic expressions of Figure 4.1. Notice that in
expr(C) --> {not member(expr,C)},
expr([expr|C]), [’+’], term([]),
{print(’expr->expr+term’), nl},
untoken(bar(expr)), expr(C).
expr(C) --> {not member(expr,C)},
term([expr|C]),
{print(’expr->term’), nl},
untoken(bar(expr)), expr(C).
term(C) --> {not member(term,C)},
term([term|C]), [’×’], factor([]),
{print(’term->term×factor’), nl},
untoken(bar(term)), term(C).
term(C) --> {not member(term,C)},
factor([term|C]),
{print(’term->factor’), nl},
untoken(bar(term)), term(C).
factor(C) --> {not member(factor,C)},
[i],
{print(’factor->i’), nl},
untoken(bar(factor)), factor(C).
factor(C) --> {not member(factor,C)},
[’(’], expr([]), [’)’],
{print(’factor->(expr)’), nl},
untoken(bar(factor)), factor(C).
expr(C) --> [bar(expr)].
term(C) --> [bar(term)].
factor(C) --> [bar(factor)].
Fig. 6.17. Cancellation parser in DCG notation for the grammar of Figure 4.1
expr([expr|C]), [’+’], term([]), the first expr is the name of
a DCG predicate and the second is just a constant, to be added to the cancellation
set.
Rather than building up the parse tree in a logic variable we produce it here
using print statements; since these are placed at the end of the recognition, the
tree is produced in bottom-up order. Running this DCG cancellation parser with
the query expr([],[i,’×’,i,’+’,i,’×’,i],[]) yields the following re-
versed rightmost derivation:
196 6 General Directional Top-Down Parsing
factor->i
term->factor
factor->i
term->term×factor
expr->term
factor->i
term->factor
factor->i
term->term×factor
expr->expr+term
6.8.3 Cancellation Parsing with ε-Rules
Recognizing left-corner subtrees first has introduced a bottom-up component in our
algorithm. We know that bottom-up techniques can have problems with ε-rules, and
indeed, the naive transformation of a rule A→ε,
A(C) --> {not member(A,C)}, untoken(bar(A)), A(C).
A(C) --> [bar(A)].
causes an infinite number of bar(A)tokens to be inserted in the input stream. As we
wrote in Section 3.4.3.2, a bottom-up parser “will continue to find empty productions
all over the place”.
The technical reason for this failure is that the simplification applied above does
not hold for ε-rules. An ε-rule is a non-left-recursive rule and although it cannot
absorb the ¯
A, it can succeed, and so provides a way for the ¯
Ato stay in the input.
This immediately suggests a solution: block the recognition of empty productions
when there is already a barred token as first token of the rest of the input. To check
this condition, we need a predicate not_barred, the Prolog form of which can be
defined as
not_barred(S,S):- not(S = [bar(X)|T]).
It succeeds unless Scan be decomposed in some barred head Xand some tail T; note
that the eventual values of Xand Tare immaterial.
The technique is applied in the following DCG cancellation parser for the gram-
mar S--->Sa|ε:
s_n(C) --> {not member(s_n,C)},
s_n([s_n|C]), [a],
untoken(bar(s_n)), s_n(C).
s_n(C) --> {not member(s_n,C)},
not_barred,
untoken(bar(s_n)), s_n(C).
s_n(C) --> [bar(s_n)].
6.9 Conclusion 197
6.9 Conclusion
General directional top-down parsing is quite powerful, but has a severe problem
with left-recursive grammars. Although the recursive descent parsing method is ele-
gant, the naive version is wrong and exhaustive backtracking recursive descent pars-
ing requires some trickery.
Cancellation parsing allows for left-recursive grammars, and with some addi-
tional trickery will handle ε-rules as well.
General directional top-down parsers can easily be written in languages with
good support for recursion, maintaining a close relationship between grammar and
program code.
Problems
Problem 6.1: Prove that the grammar of Figure 6.1 produces only sentences with
equal numbers of asandbs, and that it produces all such sentences.
Problem 6.2: Non-deterministic PDAs like the ones in Figures 6.3 and 6.4 look
somewhat like FSAs. Section 5.3.1 demonstrated how non-deterministic FSAs can be
made deterministic, using the subset algorithm, but the fact that some transitions in
PDAs stack more than one non-terminal prevents direct application of this technique.
However, some stack only one non-terminal, and these could be made deterministic,
resulting in sets of non-terminals on the prediction stack. Investigate this line of
thought and compare it to the ideas of Sections 10.1.3 and 10.2.4.
Problem 6.3:Research Project in Formal Languages:Hygiene in Pushdown
Automata: Find an algorithm that removes useless transitions from a given PDA.
Several definitions of “useless transition” are possible; two reasonable ones are: a
transition is useless if it cannot be used in any recognition of a correct input to the
PDA; and: a transition is useless if it need not be used in any recognition of a correct
input to the PDA. In both cases the removal of the transition does not affect the
language recognized by the PDA.
Problem 6.4: Design a way to express the fully backtracking recursive descent
parser from Figures 6.13 and 6.14 in an imperative or object-oriented language that
does not allow local procedure declarations, for example ANSI C.
Problem 6.5: For the grammar of Figure 6.6, write a GRDP parser that keeps
track of its actions so that it can produce parse trees, run it on the test input aabc and
compare the results with Figure 6.11. Also run it on the test input abc, and confirm
that it has two parses.
Problem 6.6:Project: The GRDP parser of Section 6.6.3 cannot handle left
recursion, but it seems reasonable that that can be remedied as follows. Upon calling
the routine for a non-terminal Lwe first suppress all left recursion; this gives us the
set of lengths of segments (if present) that match Lnon-recursively. Then we call the
routine for Lagain, now feeding it these lengths to use for the left-recursive call, so
it can collect more; etc. In the end no more new matches are found, and the collected
lengths can be returned. Turn this into a complete algorithm.
198 6 General Directional Top-Down Parsing
Problem 6.7: Run the DCG grammar of Figure 6.16 on a Prolog system and
experiment with various correct and incorrect input.
Problem 6.8:(a) Modify the cancellation parser from Figure 6.17 to produce
the parse tree in a logic variable rather than through print statements. (b)Make
the grammar ambiguous by removing the precedence difference between +and ×,
using the rule expr--->expr[+|×]expr, and experiment with it.

7
General Directional Bottom-Up Parsing
As explained in Section 3.2.2, directional bottom-up parsing is conceptually very
simple. At all times we are in the possession of a sentential form that derives from
the input text through a series of leftmost reductions. These leftmost reductions dur-
ing parsing correspond to rightmost productions that produced the input text: the
first leftmost reduction corresponds to the last rightmost production, the second cor-
responds to the one but last, etc.
There is a cut somewhere in this sentential form which separates the already
reduced part (on the left) from the yet unexamined part (on the right). See Figure 7.1.
The part on the left is called the “stack” and the part on the right “rest of input”. The
tgNftetdNcNbtat1t2t3··
Cut
Stack Rest of input
terminals
and
non-terminals
terminals
only
partial parse
trees
Fig. 7.1. The structure of a bottom-up parse
latter contains terminal symbols only, since it is an unprocessed part of the original
sentence, while the stack contains a mixture of terminals and non-terminals, resulting
from recognized right-hand sides. We can complete the picture by keeping the partial
parse trees created by the reductions attached to their non-terminals. Now all the
terminal symbols of the original input are still there; the terminals in the stack are
one part of them, another part is semi-hidden in the partial parse trees and the rest
is untouched in the rest of the input. No information is lost, but structure has been
added. When the bottom-up parser has reached the situation where the rest of the

200 7 General Directional Bottom-Up Parsing
input is empty and the stack contains only the start symbol, we have achieved a
parsing and the parse tree will be dangling from the start symbol. This view clearly
exposes the idea that parsing is nothing but structuring the input.
The cut between stack and rest of input is often drawn as a gap, for clarity and
since in actual implementations the two are often represented by quite different data
structures in the parser. Note that the stack part corresponds to the open part of the
sentential form when doing rightmost derivation, as discussed in Section 5.1.1.
Our non-deterministic bottom-up automaton can make only two moves: shift and
reduce; see Figures 7.2 and 7.3. During a shift, a (terminal) symbol is shifted from
the rest of input to the stack; t1is shifted in Figure 7.2. During a reduce move, a
tgNftetdNcNbtat1t2t3··
tgNftetdNcNbtat1t2t3··
shifting t1
Fig. 7.2. A shift move in a bottom-up automaton
number of symbols from the right end of the stack, which form the right-hand side
of a rule for a non-terminal, are replaced by that non-terminal and are attached to
that non-terminal as the partial parse tree. NcNbtais reduced to Rin Figure 7.3. We
tgNftetdNcNbtat1t2t3··
tgNftetdR t1t2t3··
NcNbta
reducing NcNbtato R
Fig. 7.3. A reduce move in a bottom-up automaton
7.1 Parsing by Searching 201
see that the original NcNbtaare still present inside the partial parse tree. There is,
in principle, no harm in performing the instructions backwards, an unshift and an
unreduce, although they would seem to move us away from our goal, which is to
obtain a parse tree. We shall see that we need them to do backtracking.
At any point in time the machine can either shift (if there is an input symbol left)
or not, or it can do one or more reductions, depending on how many right-hand sides
can be recognized. If it cannot do either, it will have to resort to the backtrack moves,
to find other possibilities. And if it cannot even do that, the parsing is finished, and
the machine has found all (zero or more) parses.
We see that a parent node in the parse tree is identified after all its children have
been identified: the parent Ris not identified until each of its children Nc,Nb,andta
have been recognized and put on the stack. This order of creating and visiting a tree
is called “post-order”.
7.1 Parsing by Searching
The only problem left is how to guide the automaton through all of the possibilities.
This is easily recognized as a search problem, which can be handled by a depth-first
or a breadth-first method. We shall now see how the machinery operates for both
search methods. Since the effects are exponential in size, even the smallest example
gets quite big and we shall use the unrealistic grammar of Figure 7.4. The test input
is aaaab.
1. Ss--->aSb
2. S--->Sab
3. S--->aaa
Fig. 7.4. A simple grammar for demonstration purposes
7.1.1 Depth-First (Backtracking) Parsing
Refer to Figure 7.5, where the gap for a shift is shown as and that for an unshift
as . At first the gap is to the left of the entire input (frame a) and shifting is the
only alternative; likewise with frame band c. In frame dwe have a choice, either to
shift, or to reduce using rule 3. We shift, but remember the possible reduction(s); the
rule numbers of these are shown as subscripts to the symbols in the stack. The same
happens in frame e. In frame fwe have reached a position in which the shift fails, the
reduce fails (there are no right-hand sides b,ab,aab,aaab,oraaaab)andthere
are no stored alternatives on the b. So we start backtracking by unshifting (g). Here
we find a stored alternative, “reduce by 3”, which we apply (h), deleting the index for
the stored alternative in the process. Now we can shift again (i). No more shifts are
possible, but a reduce by rule 1 gives us a parsing (j), indicated by a . After having

202 7 General Directional Bottom-Up Parsing
(a)aaaab
(b)aaaab
(c)aaaab
(d)aaa3ab
(e)aaa3a3b
(f)aaa3a3b
(g)aaa3a3b
(h)aSb
aa3a
(i)aSb1
aa3a
(j)S
aSb
aa3a
(k)aSb
aa3a
(l) aSb
aa3a
(m) aaa3ab
(n) aaa3ab
(o) Sab
aaa
(p) Sab
aaa
(q) Sab2
aaa
(r) S
Sab
aaa
(s) Sab
aaa
(t) Sab
aaa
(u) Sab
aaa
(v) aaaab
(w) aaaab
(x) aaaab
(y) aaaab
Fig. 7.5. Stages for the depth-first parsing of aaaab
enjoyed our success we unreduce (k); note that frame konly differs from frame iin
that the stored alternative 1 has been consumed. Unshifting, unreducing and again
unshifting brings us to frame nwhere we find a stored alternative, “reduce by 3”.
After reducing (o) we can shift again, twice (p,q). A “reduce by 2” produces the
second parsing (r). The rest of the road is barren: unreduce, unshift, unshift, unreduce
(v) and three unshifts bring the automaton to a halt, with the input reconstructed (y).
7.1.2 Breadth-First (On-Line) Parsing
Breadth-first bottom-up parsing is simpler than depth-first, at the expense of a far
larger memory requirement. Since the input symbols will be brought in one by one
(each causing a shift, possibly followed by some reduces), our representation of a
partial parse will consist of the stack only, together with its attached partial parse
trees. We shall never need to do an unshift or unreduce. Refer to Figure 7.6, where
the gap is indicated by a (non-directional) |.
We start our solution set with only one empty stack (a1). Each parse step consists
of two phases. In phase one the next input symbol is appended to the right of all
stacks in the solution set; in phase two all stacks are examined and if they allow
one or more reductions, one or more copies are made of it, to which the reductions
are applied. This way we will never miss a solution. The first and second aare just
appended (b1,c1), but the third allows a reduction (d2). The fourth causes one more

7.1 Parsing by Searching 203
(a1) initial|aaaab
(b1) shifted from a1a|aaab
(c1) shifted from b1aa|aab
(d1) shifted from c1aaa|ab
(d2) reduced from d1S|ab
aaa
(e1) shifted from d1aaaa|b
(e2) shifted from d2Sa|b
aaa
(e3) reduced from e1aS|b
aaa
(f1) shifted from e1aaaab|
(f2) shifted from e2Sab|
aaa
(f3) shifted from e3aSb|
aaa
(f4) reduced from f2 S|
Sab
aaa
(f5) reduced from f3 S|
aSb
aaa
Fig. 7.6. Stages for the breadth-first parsing of aaaab
reduction (e3) and the fifth gives rise to two reductions, each of which produces a
parsing (f4 and f5).
7.1.3 A Combined Representation
The configurations of the depth-first parser can be combined into a single graph;
seeFigure7.7(a) where numbers indicate the order in which the various shifts and
reduces are performed. Shifts are represented by lines to the right and reduces by
aaaab
1 2 3 4 5
S
6b
7
S
8
S
9ab
10 11
S
12
(a)
aaaab
1 2 3 5 8
S
7b
9
S
11
S
4ab
610
S
12
(b)
Fig. 7.7. The configurations of the parsers combined
upward arrows. Since a reduce often combines a number of symbols, the additional
symbols are brought in by arrows that start upwards from the symbols and then turn
right to reach the resulting non-terminal. These arrows constitute at the same time

204 7 General Directional Bottom-Up Parsing
the partial parse tree for that non-terminal. Start symbols in the rightmost column
with partial parse trees that span the whole input head complete parse trees.
If we complete the stacks in the solution sets in our breadth-first parser by ap-
pending the rest of the input to them, we can also combine them into a graph, and,
what is more, into the same graph; only the action order as indicated by the numbers
is different, as shown in Figure 7.7(b). This is not surprising, since both represent
the total set of possible shifts and reduces: depth-first and breadth-first are just two
different ways to visit all nodes of this graph. Figure 7.7(b) was drawn in the same
form as Figure 7.7(a). If we had drawn the parts of the picture in the order in which
they are executed by the breadth-first search, many more lines would have crossed.
The picture would have been equivalent to (b) but much more complicated.
7.1.4 A Slightly More Realistic Example
The above algorithms are relatively easy to understand and implement; see, for ex-
ample, Hext and Roberts [15] for Dömölki’s method to find all possible reductions
simultaneously. Although they require exponential time in general, they behave rea-
sonably well on a number of grammars. Sometimes, however, they will burst out in
a frenzy of senseless activity, even with an innocuous-looking grammar (especially
with an innocuous-looking grammar!). The grammar of Figure 7.8 produces alge-
braic expressions in one variable, a, and two operators, +and -.Qis used for the
Ss--->E
E--->EQF
E--->F
F--->a
Q--->+
Q--->-
Fig. 7.8. A grammar for expressions in one variable
operators, since O(oh) looks too much like 0(zero). This grammar is unambiguous
and for a-a+a it has the correct production tree
+
- a
a a
which restricts the minus to the following arather than to a+a. Figure 7.9 shows
the graph searched while parsing a-a+a. It contains 109 shift lines and 265 reduce
arrows and would fit on the page only thanks to the exceedingly fine print the photo-
typesetter is capable of. This is exponential explosion.

7.1 Parsing by Searching 205
a - a + a FES
QaFES
F+ a FES
QaFES
E+ a FES
QaFES
E
S + a FES
QaFES
Qa + a FES
QaFES
F+ a FES
QaFES
E+ a FES
QaFES
E
S + a FES
QaFES
F- a + a FES
QaFES
F+ a FES
QaFES
E+ a FES
QaFES
E
S+ a FES
QaFES
Qa + a FES
QaFES
F+ a FES
QaFES
E+ a FES
QaFES
E
S + a FES
QaFES
E- a + a FES
QaFES
F+ a FES
QaFES
E+ a FES
QaFES
E
S + a FES
QaFES
Qa + a FES
QaFES
F+ a FES
QaFES
E+ a FES
QaFES
E
S + a FES
QaFES
EE
S - a + a FES
QaFES
F+ a FES
QaFES
E+ a FES
QaFES
E
S + a FES
QaFES
Qa + a FES
QaFES
F+ a FES
QaFES
E+ a FES
QaFES
E
S + a FES
QaFES
Fig. 7.9. The graph searched while parsing a-a+a
206 7 General Directional Bottom-Up Parsing
7.2 The Earley Parser
In spite of their occasionally vicious behavior, breadth-first bottom-up parsers are
attractive since they work on-line, can handle left recursion without any problem
and can generally be doctored to handle ε-rules and loops. So the question remains
how to curb their needless activity. Many methods have been invented to restrict the
search breadth to at most 1, at the expense of the generality of the grammars these
methods can handle; see Chapter 9. A method that restricts the fan-out to reasonable
proportions while still retaining full generality was developed by Earley [14].
7.2.1 The Basic Earley Parser
When we take a closer look at Figure 7.9, we see after some thought that many
reductions are totally pointless. It is not meaningful to reduce the third ato Eor S
since these can only occur at the end if they represent the entire input; likewise the
reduction of a-a to Sis absurd, since Scan only occur at the end. Earley noticed
that what was wrong with these spurious reductions was that they were incompatible
with a top-down parsing, that is: they could never derive from the start symbol. He
then gave a method to restrict our reductions only to those that derive from the start
symbol; the method is now known as Earley parsing. We shall see that the resulting
parser takes at most n3units of time for input of length nrather than Cnfor some
constant C.
Earley’s parser can also be described as a breadth-first top-down parser with
bottom-up recognition, which is how it is explained by the author [14]. Since it can,
however, handle left recursion directly but needs special measures to handle ε-rules,
we prefer to treat it as a bottom-up method with a top-down component.
We shall again use the grammar from Figure 7.8 and parse the input a-a+a.Just
as in the non-restricted algorithm from Section 7.1.1, we have at all times a set of
partial solutions which is modified by each symbol we read. We shall write the sets
between the input symbols as we go; we have to keep earlier sets, since they will
still be used by the algorithm. Unlike the non-restricted algorithm, in which the sets
contained stacks, the sets consist of what is technically known as items,orEarley
items to be more precise. An “item” is a grammar rule with a gap in its right-hand
side; the part of the right-hand side to the left of the gap (which may be empty)
has already been recognized, the part to the right of the gap is predicted. The gap
is traditionally shown as a fat dot:•. Examples of items are: E--->•EQF,E--->E•QF,
E--->EQ•F,E--->EQF•,F--->a•, etc. It is unfortunate that such a vague every-day
term as “item” has become endowed with a very specific technical meaning, but the
expression has taken hold, so it will have to do.
Items have quite different properties depending on exactly where the dot is, and
the following types can be distinguished.
• An item with the dot at the end is called a reduce item, since the dot at the end
means that the whole right-hand side has been recognized and can be reduced.
• An item with the dot at the beginning (just after the arrow) is known as a predicted
item, since it results from a prediction, as we shall see below.
7.2 The Earley Parser 207
• An item with the dot in front of a terminal is called a shift item, since it allows a
shift of the terminal.
• An item with the dot in front of a non-terminal does not have a standard name;
we shall call it a prediction item, since it gives rise to predictions.
• An item with the dot not at the beginning is sometimes referred to as a kernel
item, since at least part of it has been confirmed.
Although all items fall in at least one of the above classes, some fall in more than
one: the types in this classification are not mutually exclusive. For example, the item
F--->•ais both a predicted and a shift item.
An Earley item is an item as defined above, with an indication of the position of
the symbol at which the recognition of the recognized part started, its origin position.
Notations vary, but we shall write @nafter the item (read: “at n”).Ifthesetattheend
of position 7 contains the item E--->E•QF@3, we have recognized an Ein positions 3
through 7 and are looking forward to recognizing QF.
The sets of items contain exactly those items 1) of which the part before the dot
has been recognized so far and 2) of which we are certain that we shall be able to use
the result when they will happen to be recognized in full (but we cannot, of course, be
certain that that will happen). For example, if a set contains the item E--->E•QF@3,
we can be sure that when we will have recognized the whole right-hand side EQF,
we can go back to the set at the beginning of symbol number 3 and find there an
item that was looking forward to recognizing an E, i.e., that had an Ewith a dot in
front of it. Since that is true recursively, no recognition will be useless; of course, the
recognized Eis part of a right-hand side under construction and the full recognition
of that right-hand side may eventually fail.
7.2.1.1 The Scanner, Completer and Predictor
The construction of an item set from the previous item set proceeds in three phases.
The first two correspond to those of the non-restricted algorithm from Section 7.1.1,
where they were called “shift” and “reduce”; here they are called “Scanner” and
“Completer”. The third is new and is related to the top-down component; it is called
“Predictor”.
The Scanner, Completer and Predictor operate on a number of interrelated sets
of items for each token in the input. Refer to Figure 7.10, where the input symbol
σpat position pis surrounded by several sets: itemsetp, which contains the items
available just before σp;completedp+1, the set of items that have become completed
due to σp;activep+1, which contains the non-completed items that passed σp;and
predictedp+1, the set of newly predicted items. The sets activep+1and predictedp+1
together form itemsetp+1. Initially, itemsetpis filled (as a result of processing σp−1)
and the other sets are empty; itemset1is filled from the start symbol.
The Scanner looks at σp, goes through itemsetpand makes copies of all items that
contain •σ; all other items are ignored. In the copied items, the part before the dot
was already recognized and now σis recognized; consequently, the Scanner changes
•σinto σ•. If the dot is now at the end, the Scanner has found a reduce item and stores
it in the set completedp+1; otherwise it stores it in the set activep+1.

208 7 General Directional Bottom-Up Parsing
items
after
previous
symbol
itemsetp
σp
items
completed
by σp
completedp+1
Scanner
Completer
itemsetm
Scanner in
Completer
active
items
after σp
activep+1
predicted
items from
activep+1
predictedp+1
Predictor
items
after
σp
itemsetp+1
Fig. 7.10. The Earley item sets and their processes for one input symbol
Next the Completer inspects completedp+1, which contains the items that have
just been recognized completely and can now be reduced as follows. For each item
of the form R→···•@mthe Completer goes to itemsetm, and calls the Scanner in
a special way as follows. The Scanner, which was used to working before on the
terminal σpfound in the input and itemsetp, is now directed to work on the non-
terminal Rrecognized by the Completer and itemsetm. Just as for a terminal it copies
all items in itemsetmfeaturing a •R, replaces the •Rby R•and stores them in either
completedp+1or activep+1, as appropriate. This can add new recognized items to the
set completedp+1, which just means more work for the Completer. After a while, all
completed items have been reduced, and the Predictor’s turn has come.
The Predictor goes through the sets activep+1, which was filled by the Scanner,
and predictedp+1, which is empty initially, and considers all items in which the dot
is followed by a non-terminal. We expect to see these non-terminals in the input, and
the Predictor predicts them as follows. For each such non-terminal Nand for each
rule for that non-terminal N→P···, the Predictor adds an item N→•P···@p+1to
the set predictedp+1. This may introduce new predicted non-terminals (for example
P)inpredictedp+1which cause more predicted items. After a while, this too will
stop.
The sets activep+1and predictedp+1together form the new itemsetp+1.Ifthe
completed set after the last symbol in the input contains an item S→···•@1, that
is, an item spanning the entire input and reducing to the start symbol, we have found
a parsing.

7.2 The Earley Parser 209
Now refer to Figure 7.11, which shows the item sets of the Earley parser working
on a-a+a with the grammar from Figure 7.8. In this and following drawings, the
S--->•E @1
E--->•EQF@1
E--->•F @1
F--->•a @1
act/pred1
=itemset1
a1
F--->a•@1
E--->F•@1
S--->E•@1
E--->E•QF@1
Q--->•+ @2
Q--->•- @2
completed2
act/pred2
=itemset2
-2
Q--->-•@2
E--->EQ•F@1
F--->•a @3
completed3
act/pred3
=itemset3
a3
F--->a• @3
E--->EQF•@1
S--->E• @1
E--->E•QF@1
Q--->•+ @4
Q--->•- @4
completed4
act/pred4
=itemset4
+4
Q--->+•@4
E--->EQ•F@1
F--->•a @5
completed5
act/pred5
=itemset5
a5
F--->a• @5
E--->EQF•@1
S--->E• @1
E--->E•QF@1
completed6
active6
=itemset6
Fig. 7.11. Item sets of the Earley parser working on a-a+a
sets activep,predictedp,anditemsetphave been combined into one set; the internal
division between activepand predictedpis indicated in the drawings by a dotted line.
The initial active item set active1is {S--->•E@1}, indicating that this is the
only item that can derive directly from the start symbol. The Predictor first predicts
E--->•EQF@1, from this E--->•EQF@1 and E--->•F@1 (but the first one is in the set
already) and from the last one F--->•a@1.Thisgivesitemset1.
The Scanner working on itemset1and scanning for an a, only catches F--->•a@1,
turns it into F--->a•@1, and stores it in completed2. This means not only that we have
recognized and reduced an F, but also that we have a buyer for it. The Completer goes
to the set itemset1and copies all items that have •F. Result: one item, E--->•F@1,
which turns into E--->F•@1 and is again stored in completed2. More work for the
Completer, which will now copy items containing •E. Result: two items, S--->•E@1
which becomes S--->E•@1 and goes to the completed set, and E--->•EQF@1 which
becomes E--->E•QF@1, and which becomes the first and only member of active2.
The completion of Syields no new information.
The Predictor working on active2has an easy job: •Qcauses two items for Q, both
with @2, since that is where recognition will have started, if it occurs at all. Nothing
spectacular happens until the Scanner processes the second a; from itemset3it ex-
tracts F--->•a@3 which gives F--->a•@3, which is passed to the Completer (through
completed4). The latter sees the reduction of ato Fstarting at position 3, goes to
itemset3to see who ordered an F, and finds E--->EQ•F@1.GiventheF, this turns
into E--->EQF•@1, which in its turn signals the reduction to Eof the substring from
1 to 3 (again through completed4). The Completer checks itemset1and finds two
210 7 General Directional Bottom-Up Parsing
clients there for the E:S--->•E@1 and E--->•EQF@1; the first ends up as S--->E•@1
in completed4, the second as E--->E•QF@1 in active4.
After the last symbol has been processed by the Scanner, we still run the Com-
pleter to do the final reductions, but running the Predictor is useless, since there is
nothing to predict any more. Note that the parsing started by calling the Predictor
on the initial active set and that there is one Predictor/Scanner/Completer action for
each symbol. Since completed6indeed contains an item S--->E•@1, there is at least
one parsing.
7.2.1.2 Constructing a Parse Tree
All this does not directly give us a parse tree. As is often the case in parser construc-
tion (see, for example, Section 4.1), we have set out to build a parser and have ended
up building a recognizer. The intermediate sets, however, contain enough informa-
tion about fragments and their relations to construct a parse tree easily. As with the
CYK parser, a simple top-down Unger-type parser can serve for this purpose, since
the Unger parser is very interested in the lengths of the various components of the
parse tree and that is exactly what the sets in the Earley parser provide. In his 1970
article, Earley gives a method of constructing the parse tree(s) while parsing, by
keeping with each item a pointer back to the item that caused it to be present. Tomita
[162, p. 74-77] has, however, shown that this method will produce incorrect parse
trees on certain ambiguous grammars.
The set completed6in Figure 7.11, which is the first we inspect after having
finished the set construction, shows us that there is a parse possible with Sfor a root
and extending over symbols 1 to 5; we designate the parse root as S1-5 in Figure
7.12. Given the completed item S--->E•@1 in completed6there must be a parse node
E1-5, which is completed at 5. Since all items completed after 5 are contained in
completed6, we scan this set to find a completed Ewith origin position 1; we find
E--->EQF•@1. This gives us the parse tree in frame a, where the values at the question
marks are still to be seen. Since items are recognized at their right ends, we start by
finding a parse for the F?-5, to be found in completed6. We find F--->a•@5,giving
us the parse tree in frame b. It suggests that we find a parse for Q?-4 completed after
4; in completed5we find Q--->+•@4. Consequently Q?-4 is Q4-4 and the E1-? in frame
bmust be E1-3. This makes us look in completed4for an E--->···@1, where we find
E--->EQF•@1.Wenowhaveaparsetree(c), and, using the same techniques, we
easily complete it (d).
7.2.1.3 Space and Time Requirements
It is interesting to have a look at the space and time needed for the construction of
the sets. First we compute the maximum size of the sets just after symbol number p.
There is only a fixed number of different items, I, limited by the size of the grammar;
for our grammar it is I=14. However, each item can occur with any of the origin
positions @1 to @p+1, of which there are p+1. So the number of items in the sets
just after symbol number pis limited to I×(p+1). The exact computation of the

7.2 The Earley Parser 211
S1-5
E1-5
E1-? Q?-? F?-5
(a)
S1-5
E1-5
E1-? Q?-4 F5-5
a5
(b)
S1-5
E1-5
E1-3 Q4-4 F5-5
E1-? Q?-? F?-3 +4a5
(c)
S1-5
E1-5
E1-3 Q4-4 F5-5
E1-1 Q2-2 F3-3 +4a5
F1-1 -2a3
a1(d)
Fig. 7.12. Construction of the parse trees
maximum number of items in each of the sets is complicated by the fact that different
rules apply to the first, last and middle items. Disregarding these complications, we
find that the maximum number of items in all sets up to pis roughly I×p2/2. So, for
an input of length n, the memory requirement is O(n2), as with the CYK algorithm.
In actual practice, the amount of memory used is often far less than this theoretical
maximum. In our case all sets together could conceivably contain about 14×52/2=
175 items, with which the actual number of 4+3+3+1+2+3+3+1+2+3+1=
26 items compares very favorably.
Although a set at position pcan contain a maximum of O(p)items,itmayrequire
an amount of work proportional to p2to construct that set, since each item could, in
principle, be inserted by the Completer once from each preceding position. Under the
same simplifying assumptions as above, we find that the maximum number of actions
needed to construct all sets up to pis roughly I×p3/6. So the total amount of work
212 7 General Directional Bottom-Up Parsing
involved in parsing a sentence of length nwith the Earley algorithm is O(n3),asit
is with the CYK algorithm. Again, in practice it is much better: on many grammars,
including the one from Figure 7.8, it will work in linear time (O(n)) and on any
unambiguous grammar it will work in O(n2). In our example, a maximum of about
14 ×53/6300 actions might be required, compared to the actual number of 28
(both items for Ein predicted1were inserted twice).
It should be noted that once the computation of the sets is finished, only the
completed sets are consulted. The active and predicted sets can be thrown away to
make room for the parse tree(s).
The practical efficiency of this and the CYK algorithms is not really surprising,
since in normal usage most arbitrary fragments of the input will not derive from
any non-terminal. The sentence fragment “letter into the upper leftmost” does not
represent any part of speech, nor does any fragment of size larger than one. The
O(n2)and O(n3)bounds only materialize for grammars in which almost all non-
terminals produce almost all substrings in almost all combinatorially possible ways,
as for example in the grammar S--->SS,S--->x.
7.2.2 The Relation between the Earley and CYK Algorithms
The similarity in the time and space requirement between the Earley and the CYK
algorithm suggest a deeper relation between the two and indeed there is: the Ear-
ley sets can be accommodated in a CYK-like grid, as shown in Figure 7.13. The
horizontal axis of the CYK matrix represents the position where recognition started;
its vertical level represents the length of what has been recognized. So an Earley
item of the form A→α•β@qin itemsetpgoes to column q, since that is where its
recognition started, and to level p−qsince that is the length it has recognized. So
the contents of an Earley set is distributed over a diagonal of the CYK matrix, slant-
ing from north-west to south-east. Completed items are drawn in the top left corner
of a box, active and predicted items in the bottom right corner. But since predicted
items have not yet recognized anything they occur in the bottom layer only. When
the reader turns Figure 7.13 clockwise over 45°, the Earley set can be recognized by
stacking the boxes along the arrows at the bottom.
When we compare this picture to that produced by the CYK parser (Figure 7.14)
we see correspondences and differences. Rather than having items, the boxes contain
non-terminals only. All active and predicted items are absent. The left-hand sides of
the completed items also occur in the CYK picture, but that parser features more
recognized non-terminals; from the Earley picture we know that these will never
play a role in any parse tree. The costs and the effects of the top-down restriction are
clearly shown.
The correspondence between the Earley and CYK algorithms has been analysed
by Graham and Harrison [19]. This has resulted in a combined algorithm described
by Graham, Harrison and Ruzzo [23]. For a third, and very efficient representation
of the CYK/Earley data structure see Kruseman Aretz [29].
There is another relationship between the Earley and CYK algorithms, which
comes to light when the Earley data structure is expressed in tabular form (Section

7.2 The Earley Parser 213
E--->EQF•
S--->E•
E--->E•QF
E--->EQ•F
E--->EQF•
S--->E•
E--->E•QF
E--->EQ•F
F--->a•
E--->F•
S--->E•
E--->E•QF
S--->•E
E--->•EQF
E--->•F;F--->•a
Q--->-•
Q--->•+
Q--->•-
F--->a•
F--->•a
Q--->+•
Q--->•+
Q--->•-
F--->a•
F--->•a
predict-
ions
0
1
2
3
4
5
length
recognized
@1
@2
@3
@4
@5
a1
itemset1
-2
itemset2
a3
itemset3
+4
itemset4
a5
itemset5itemset6
part of
comple−
tedppart of
activep
itemsetp
Fig. 7.13. The Earley sets represented in CYK fashion
4.3). The table is shown in Figure 7.15, where the vertical axis enumerates the items
and the entries contain the lengths recognized for each item. We see that the entry for
item S--->E•at position 1 holds a 5 (among other lengths) indicating that the whole
input can be parsed using rule S--->E from position 1.
When we compare this table to the one in Figure 4.21, we see that the items
take the positions of non-terminals, which suggests that they can be viewed as non-
terminals in a grammar. And indeed they can. The grammar is shown in Figure 7.16;
the items enclosed in {and }are names of new non-terminals, in spite of their looks.
We see that the grammar contains three kinds of rule. Those of the form
A→{A→•α}|{A→•β}|··· predict items for Aand correspond to the Predictor.
Those of the form {A→···•X···} → X{A→···X•···} correspond to the Scanner

214 7 General Directional Bottom-Up Parsing
E
S
E
S
F
E
S
Q
E
S
F
E
S
Q
F
E
S
1
2
3
4
5
length
recognized @1
@2
@3
@4
@5
a1-2a3+4a5
Fig. 7.14. CYK sets for the parsing of Figure 7.11
when Xis a terminal and to the special Scanner inside the Completer when Xis a
non-terminal. And those of the form {A→···•} → εcorrespond to the Completer.
The most important point, however, is that no right-hand side in such an item
grammar contains more than two non-terminals. As we have seen (page 116), the
CYK parser has O(n3)(cubic) time requirements only when operated with a gram-
mar with at most two non-terminals in any right-hand side. (Since such grammars
give rise to binary trees as parse trees, they are said to be in binary form.) But the
Earley parser has cubic time requirements for any grammar,andwenowseewhy:
the Completer/Scanner mechanism chops up the longer right-hand side into steps of
1, in a process similar to that in Section 4.2.3.4, thus creating a binary form grammar
on the fly!
7.2.3 Handling ε-Rules
Like most parsers, the above parser cannot handle ε-rules without special measures.
ε-rules show up first as an anomaly in the work of the Predictor. While predicting
items of the form A→•··· @pas a consequence of having a •Ain an item in
activepor predictedp, it may happen to create an empty prediction A→•@p.This
means that the non-terminal Ahas been completed just after symbol number pand
this completed item should be added to the set completedp, which up to now only
contained items with origin position p−1 at most. So we find that there was more
work for the Completer after all. But that is not the end of the story. If we now run
the Completer again, it will draw the consequences of the newly completed item(s)

7.2 The Earley Parser 215
S--->•E 0
S--->E• 1,3,5
E--->•EQF 0
E--->E•QF 1,3,5
E--->EQ•F 2,4
E--->EQF• 3,5
E--->•F 0
E--->F• 1
F--->•a 000
F--->a• 111
Q--->•+ 0 0
Q--->+• 1
Q--->•- 0 0
Q--->-• 1
a
1
-
2
a
3
+
4
a
5
Fig. 7.15. The Earley data structure in tabular form
{S--->•E} ---> E {S--->E•} F ---> {F--->•a}
{S--->E•} ---> ε{F--->•a} ---> a {F--->a•}
{F--->a•} ---> ε
E---> {E--->•EQF} | {E--->•F}
{E--->•EQF} ---> E {E--->E•QF} Q ---> {Q--->•+} | {Q--->•-}
{E--->E•QF} ---> Q {E--->EQ•F} {Q--->•+} ---> + {Q--->+•}
{E--->EQ•F} ---> F {E---
>EQF•} {Q--->+•} ---> ε
{E--->EQF•} ---> ε{Q--->•-} ---> - {Q--->-•}
{E--->•F} ---> F {E--->F•} {Q--->-•} ---> ε
{E--->F•} ---> ε
Fig. 7.16. A grammar for Earley items
at origin position p. So it will consult itemsetp, which is, however, incomplete since
items are still being added to its constituents, activepand predictedp. If it finds items
with occurrences of •Athere, it will add copies with A•instead. Part of these may
require new predictions to be made (if the dot lands in front of another non-terminal),
and part of them may be completed items, which will have to go into completedpand
which will mean more work for the Completer. The items in this set can have starting
points lower than p, which bring in items from further back, to be added to itemsetp.

216 7 General Directional Bottom-Up Parsing
And of course these may or may not now be completed through this action or through
empty completed items. Etc.
7.2.3.1 The Completer/Predictor Loop
The easiest way to handle this mare’s nest is to stay calm and keep running the
Predictor and Completer in turn until neither has anything more to add. Since the
number of items is finite this will happen eventually, and in practice it happens sooner
rather than later. (This is again a closure algorithm.)
The Completer and Predictor loop has to be viewed as a single operation called
“X” by Graham, Harrison and Ruzzo [23]. Just like the Predictor it has to be applied
to the initial state, to honor empty productions before the first symbol; just like the
Completer it has to be applied to the final state, to honor empty productions after the
last symbol.
Part of the effects are demonstrated by the grammar of Figure 7.17 which is based
on a grammar similar to that of Figure 7.8. Rather than addition and subtraction, this
Ss--->E
E---> EQF|F
F--->a
Q--->×|/|ε
Fig. 7.17. A grammar with an ε-rule
one handles multiplication and division, with the possibility to omit the multiplica-
tion sign: aa means a×a.
The parsing is given in Figure 7.18. The items pointed at by a have been
S--->•E @1
E--->•EQF@1
E--->•F @1
F--->•a @1
act/pred1
=itemset1
a1
F--->a• @1
E--->F• @1
S--->E• @1
Q--->• @2
E--->E•QF@1
E--->EQ•F@1
Q--->•× @2
Q--->•/ @2
F--->•a @2
completed2
act/pred2
=itemset2
a2
F--->a• @2
E--->EQF•@1
S--->E• @1
Q--->• @3
E--->E•QF@1
E--->EQ•F@1
Q--->•× @3
Q--->•/ @3
F--->•a @3
completed3
act/pred3
=itemset3
/3
Q--->/• @3
E--->EQ•F@1
F--->•a @4
completed4
act/pred4
=itemset4
a4
F--->a• @4
E--->EQF•@1
S--->E• @1
Q--->• @5
E--->E•QF@1
E--->EQ•F@1
Q--->•× @5
Q--->•/ @5
F--->•a @5
completed5
act/pred5
=itemset5
Fig. 7.18. Recognition of empty productions in an Earley parser
added by a second pass of the Completer/Predictor. The Q--->•@2,insertedbythe
Predictor into completed2as a consequence of E--->E•QF@1 in active2,ispickedup
by the second pass of the Completer, and is used to clone E--->E•QF@1 in active2
7.2 The Earley Parser 217
into E--->EQ•F@1. This in turn is found by the Predictor which predicts the item
F--->•a@2 from it.
Note that we now do have to create the full active/predicted set after the last
symbol, since its processing by the Completer/Predictor may insert an item of the
form S--->···@1 in the last completed set, indicating a parsing.
7.2.3.2 Modifying the Predictor
Aycock and Horspool [38] show a way to avoid the Completer/Predictor loop. Before
parsing we determine which non-terminals can produce the empty string, in other
words, which non-terminals are nullable; we will see below in Section 7.2.3.3 how
to do this. The processing of items during parsing is then arranged as follows:
• The items at a position pare put in a list, listp. This list is initialized with the
items produced by the Scanner moving items from listp−1over token σp−1.
• The items in the list are treated one by one by a Driver, in the order they appear
in the list. If the item has the dot in front of a terminal, the Driver offers it to
the Scanner; if the item has the dot in front of a non-terminal, the Driver offers
it to the Predictor; otherwise the item has the dot at the end and is offered to the
Completer. Any item resulting from this that must be inserted into the present
list is added at the end, in order, unless it is already in the list, in which case it is
discarded.
• The Predictor is modified as follows. When presented with an item A→···•B···
it predicts all items of the form B→•··· as usual, but if Bis nullable it also
predicts the item A→···B•···.
It is clear that the loop has gone: each item gets treated exactly once. It is less obvious
that this arrangement produces exactly the item sets that would have resulted from
the Completer/Predictor loop.
When working on listp, the Driver examines the items in turn and distributes
them over the Scanner, the Predictor and the Completer. There is a fundamental
difference between the Scanner and the Predictor on the one hand and the Completer
on the other: the Scanner and the Predictor use only the item they are given (plus
the next input token for the Scanner and the grammar rules for the Predictor), but
the Completer combines it with other items from far-away and near-by places. The
Completer takes one item of the form A→···•@qfrom listp, goes to listq, finds all
items of the form B→···•A···@rin that list and puts corresponding items B→
···A•···@rin listp. Now that is fine as long as q<p, since then listqis already
finished, and the scan will find all items. But when q=p,listq, the list that is scanned,
and listp, the list under construction, are the same, and the Completer scan may miss
items for the simple reason that they have not been appended yet.
The shortest grammar in which this problem occurs is
Ss--->AAx
A---> ε

218 7 General Directional Bottom-Up Parsing
which produces only one string: x. Let us assume for the moment that we are still
using the original Earley Predictor. The starting list list1is initialized with the item
S--->•AAx@1. The Driver examines it and passes it to the Predictor, which predicts
the item A--->•@1 from it, which is appended to list1. The Driver immediately picks
it up, and offers it to the Completer, which scans list1, combines the item with
S--->•AAx@1 and produces S--->A•Ax@1. The list list1now looks as follows:
S--->•AAx@1
A--->•@1
S--->A•Ax@1
Next the Driver turns to S--->A•Ax@1, and gives it to the Predictor. Again the pre-
dicted item A--->•@1 results, but since it is already in the list, it is not appended again.
So the Driver does not find a new item, and stops.
We see that the resulting state does not accept the input token x. So it is wrong,
but we are not surprised: the original algorithm would have gone on processing items
until nothing changed any more. Soon it would have passed the item A--->•@1 to the
Completer again, which would then have produced the item S--->AA•x@1,andall
would be well. In particular we see that one inference from the completed ε-item
A--->•@1 is drawn, but later inferences are not, because each item is treated only
once.
This is where the modified Predictor comes in: by predicting an item A→
···B•···@pfrom A→···B•···@pwhen Bis nullable, it provides the inference
from B→•(or any other item that causes Bto produce ε) even when the item is out
of sight because it has already been processed. Applied to the item S--->A•Ax@1 it
produces two predictions: A--->•@1, which is not appended, and S--->AA•x@1,which
is. This yields the correct list1:
S--->•AAx@1
A--->•@1
S--->A•Ax@1
S--->AA•x@1
Aycock and Horspool [38] give a formal proof of the correctness of their algo-
rithm. Figure 7.19 shows the lists for the same parsing as in Figure 7.18.
S--->•E @1
E--->•EQF@1
E--->•F @1
F--->•a @1
list1
a1
F--->a• @1
E--->F• @1
S--->E• @1
E--->E•QF@1
Q--->•× @2
Q--->•/ @2
Q--->• @2
E--->EQ•F@1
F--->•a @2
list2
a2
F--->a• @2
E--->EQF•@1
S--->E• @1
E--->E•QF@1
Q--->•× @3
Q--->•/ @3
Q--->• @3
E--->EQ•F@1
F--->•a @3
list3
/3
Q--->/• @3
E--->EQ•F@1
F--->•a @4
list4
a4
F--->a• @4
E--->EQF•@1
S--->E• @1
E--->E•QF@1
Q--->•× @5
Q--->•/ @5
Q--->• @5
E--->EQ•F@1
F--->•a @5
list5
Fig. 7.19. Recognition of empty productions with a modified Predictor
7.2 The Earley Parser 219
Another way of avoiding the Completer/Predictor loop is to do ε-elimination on
the grammar, as described in Section 4.2.3.1, but that would make the subsequent
construction of the parse tree(s) much harder.
7.2.3.3 Determining Nullability
A simple closure algorithm allows us to find out which non-terminals in a grammar
can produce the empty string (are nullable). First we scan the grammar and any
time we find a rule of the form A→εwe mark Aas nullable. Next we scan the
grammar again and whenever we find a rule P→Q1···Qnwhere Q1···Qnare all
marked nullable, we mark Pas nullable. Now we repeat the last step until no more
non-terminals get marked. Then all nullable non-terminals have been marked.
7.2.4 Exploiting Look-Ahead
In the following paragraphs we shall describe a series of increasingly complicated
(and more efficient) parsers of the Earley type. Somewhere along the line we will
also meet a parser that is (almost) identical to the one described by Earley in his
paper.
7.2.4.1 Prediction Look-Ahead
When we go back to Figure 7.11 and examine the actions of the Predictor, we see that
it sometimes predicts items that it could know were useless if it could look ahead at
the next symbol. When the next symbol is a -, it is kind of foolish to proudly predict
Q--->•+@2. The Predictor can of course easily be modified to check such simple
cases, but it is possible to have a Predictor that will never predict anything obviously
erroneous: all its predicted items will be either completed or active in the next set.
Of course the predictions may fail on the symbol after that; after all, it is a Predictor,
not an Oracle.
To see how we can obtain such a improved Predictor we need a different example,
since after removing Q--->•+@2 and Q--->•-@4 from Figure 7.11 all predictions there
come true, so nothing can be gained any more.
The artificial grammar of Figure 7.20 produces only the three sentences p,q
and pq, and does so in a straightforward way. The root is S’ rather than S,which
is a convenient way to have a grammar with only one rule for the root. This is not
necessary but it simplifies the following somewhat, and it is common practice.
The parsing of the sentence qis given in Figures 7.21(a)and(b). Since we are
now using look-ahead, we have appended an end-of-input marker #to the input, as
explained on page 94. Starting from the initial item, the Predictor predicts a list of 7
items (frame a). Looking at the next symbol, q, the Predictor could easily avoid the
prediction C--->•p@1, but several of the other predictions are also false, for example,
A--->•C@1. The Predictor could avoid the first since it sees that it cannot begin with
q. If it knew that Ccannot begin with a q, it could also avoid A--->•C@1. (Note by the
way that itemset2is empty, indicating that there is no way for the input to continue.)

220 7 General Directional Bottom-Up Parsing
S’
s--->S
S---> A|AB|B FIRST(S)={p,q}
FIRST(AB)={p}
A--->C FIRST(A)={p}
B--->D FIRST(B)={q}
C--->p FIRST(C)={p}
D--->q FIRST(D)={q}
Fig. 7.20. A grammar for demonstrating prediction look-ahead and its FIRST sets
S’--->•S @1
S--->•A @1
S--->•AB @1
S--->•B @1
A--->•C @1
B--->•D @1
C--->•p @1
D--->•q @1
act/pred1
=itemset1
q1
D--->q• @1
B--->D• @1
S--->B• @1
S’--->S• @1
completed2
act/pred2
=itemset2
#2
(a)
S’--->•S @1
S--->•B @1
B--->•D @1
D--->•q @1
act/pred1
=itemset1
q1
D--->q• @1
B--->D• @1
S--->B• @1
S’--->S• @1
completed2
act/pred2
=itemset2
#2
(b)
Fig. 7.21. Parsing the sentence qwithout look-ahead (a) and with look-ahead (b)
The required knowledge can be obtained by computing the FIRST sets of all non-
terminals and their alternatives in the grammar. The FIRST set of a non-terminal A
is the set of all tokens a terminal production of Acan start with. Likewise, the FIRST
set of an alternative αis the set of all tokens a terminal production of αcan start
with. These FIRST sets and a method of computing them are explained in Sections
8.2.1.1 and 8.2.2.1.
The FIRST sets of our grammar are shown in Figure 7.20. Since Shas three
alternatives, we need FIRST sets for each of them, to see which alternative(s) we
must predict. FIRST(A) and FIRST(B) are already available as the FIRST sets of the
non-terminals, but that of AB must be determined separately.
The use of the FIRST sets is very effective (frame b). The Predictor again starts
from the initial item, but since it knows that qis not in FIRST(A)orFIRST(AB), it
will avoid predicting S--->•A@1 and S--->•AB@1, and just predict S--->•B@1.Items
like A--->•C@1 do not even have to be avoided, since their generation will never be
contemplated in the first place. The item S--->•B@1 results in three predictions, all
of them to the point.
As usual, ε-rules have a big impact. If we add a rule C--->εto our grammar
(Figure 7.22), the entire picture changes. Starting from the initial item S’--->•S@1
(Figure 7.23), the Predictor will still not predict S--->•A@1 since FIRST(A) does
not contain q,butitwill predict S--->•AB@1 since FIRST(AB) does contain a q.
Next A--->•C@1 is predicted, followed by C--->•@1, but that is a completed item and
goes into completed1. When the Completer starts, it finds C--->•@1,appliesitto
A--->•C@1 and produces A--->C•@1, likewise completed. The latter is then applied to
S--->•AB@1 to produce the active item S--->A•B@1. This causes another run of the
Predictor, to follow the new •B, but all those items have already been added.

7.2 The Earley Parser 221
S’
s--->S
S--->A|AB|B FIRST(S)={ε,p,q}
FIRST(AB)={p,q}
A--->C FIRST(A)={ε,p}
B--->D FIRST(B)={q}
C--->p|εFIRST(C)={ε,p}
D--->q FIRST(D)={q}
Fig. 7.22. A grammar with an ε-rule and its FIRST sets
C--->• @1
A--->C• @1
S’--->•S @1
S--->•AB @1
S--->•B @1
A--->•C @1
B--->•D @1
D--->•q @1
S--->A•B @1
completed1
act/pred1
=itemset1
q1
D--->q• @1
B--->D• @1
S--->B• @1
S--->AB• @1
S’--->S• @1
completed2
act/pred2
=itemset2
#2
Fig. 7.23. Parsing the sentence qwith the grammar of Figure 7.22
An interesting problem occurs when we try to parse the empty sentence, or ac-
tually the sentence #, since an end marker is appended. If we follow the above al-
gorithm, we find that the look-ahead token #is not in any of the FIRST sets, for
the simple reason that it is not part of the grammar, so no rule gets predicted, and
the input is rejected. One way to solve the problem is to decide to predict an item
only when the look-ahead does not contradict it, rather than when the look-ahead
confirms it. A FIRST set containing εdoes not contradict the look-ahead #(in fact
it does not contradict any look-ahead), so the rules S--->A,A--->C,andC--->εget pre-
dicted. The resulting parsing is shown in Figure 7.24; we see that completed1con-
C--->• @1
A--->C• @1
S--->A• @1
S’--->S• @1
S’--->•S @1
S--->•A @1
A--->•C @1
completed1
act/pred1
=itemset1
#1
Fig. 7.24. Parsing the empty sentence with the grammar of Figure 7.22
222 7 General Directional Bottom-Up Parsing
tains S--->A•@1, so the input is recognized, as expected. The next section shows a
way to improve this algorithm and indeed predict only what the look-ahead confirms.
7.2.4.2 Reduction Look-Ahead
Once we have gone through the trouble of computing the FIRST sets, we can use
them for a second type of look-ahead: reduction look-ahead. Prediction look-ahead
reduces the number of predicted items, reduction look-ahead reduces the number of
completed items. Referring back to Figure 7.11, which depicted the actions of an Ear-
ley parser without look-ahead, we see that it does two silly completions: S--->E•@1
in completed2,andS--->E•@1 in completed4. The redundancy of these completed
items stems from the fact that they are only meaningful at the end of the input. Now
this may seem a very special case, not worth testing for, but the phenomenon can
be viewed in a more general way: if we introduce an explicit symbol for end-of-file
(for example, #), we can say that the above items are redundant because they are
followedbyasymbol(-and +, respectively) which is not in the set of symbols that
may follow the item on completion.
The idea is to keep, together with each item, a set of symbols which follow af-
ter that item, the reduction look-ahead set; if the item is a reduce item but the next
symbol is not in this set, the item is not completed but discarded. The rules for con-
structing the look-ahead set for an item are straightforward, but unlike the prediction
look-ahead it cannot be computed in advance; it must be constructed as we go. (A
limited and less effective set could be computed statically, using the FOLLOW sets
explained in Section 8.2.2.2.)
The initial item starts with a look-ahead set of [#] (look-ahead sets will be
shown between square brackets at the end of items). When the dot advances in an
item, its look-ahead set remains the same, since what happens inside an item does
not affect what may come after it; only when a new item is created by the Predictor,
a new look-ahead set must be composed. Suppose the parent item is
P→A•BCD[abc]@n
and predicted items for Bmust be created. We now ask ourselves what symbols may
follow the occurrence of Bin this item. It is easy to see that they are:
• any symbol Ccan start with,
•ifCcan produce the empty string, any symbol Dcan start with,
•ifDcan also produce the empty string, any of the symbols a,band c.
Given the FIRST sets for all non-terminals, which can also tell us if a non-terminal
can produce empty, the resulting new reduction look-ahead set is easily computed.
It is also written as FIRST(CD [abc]), which is of course the set of first symbols of
anything produced by CDa|CDb|CDc.
The Earley sets with reduction look-ahead for our example a-a+a are given
in Figure 7.25. The computation of the sets follows the above rules. The look-
ahead of the item E--->•EQF[#+-]@1 in predicted1results from its being inserted
twice. Initially it is inserted by the Predictor from S--->•E[#]@1, which contributes

7.2 The Earley Parser 223
S--->•E [#] @1
E--->•EQF[#+-]@1
E--->•F [#+-]@1
F--->•a [#+-]@1
act/pred1
=itemset1
a1
F--->a•@1
E--->F•@1
E--->E•QF[#+-]@1
Q--->•+ [a] @2
Q--->•- [a] @2
completed2
act/pred2
=itemset2
-2
Q--->-•@2
E--->EQ•F[#+-]@1
F--->•a [#+-]@3
completed3
act/pred3
=itemset3
a3
F--->a• @3
E--->EQF•@1
E--->E•QF[#+-]@1
Q--->•+ [a] @4
Q--->•- [a] @4
completed4
act/pred4
=itemset4
+4
Q--->+•@4
E--->EQ•F[#+-]@1
F--->•a [#+-]@5
completed5
act/pred5
=itemset5
a5
F--->a• @5
E--->EQF•@1
S--->E• @1
E--->E•QF[#+-]@1
Q--->•+ [a] @6
Q--->•- [a] @6
completed6
act/pred6
=itemset6
#6
Fig. 7.25. Item sets with reduction look-ahead
the look-ahead #, and which results in the item E--->•EQF[#]@1. When the Pre-
dictor processes this item, it predicts items for the •Ein it, with a look-ahead
of FIRST(QF[#]); this contributes +-. These items include E--->•EQF[+-]@1,
which together with the item from S--->•E[#]@1 results in the first item we see
in predicted1.
Note that the item S--->E•[#]@1 is not placed in completed2, since the actual
symbol ahead (-2) is not in the item’s look-ahead set; something similar occurs in
completed4, but not in completed6.
Now that we have reduction look-ahead sets available in each item, we can use
them to restrict our predictions to those confirmed by the look-ahead. Refer again
to the grammar of Figure 7.22 and the parsing in Figure 7.24. The initial item is
S’
s--->•S[#], which gives rise to three potential items: S--->•A[#],S--->•AB[#],
and S--->•B[#]. Now we get FIRST(A[#])={#,p}, FIRST(AB[#])={p,q}, and
FIRST(B[#])={q}. And since the look-ahead is #, only the first item survives.
This improvement does not affect our example in Figure 7.24, but in general this use
of the reduction look-ahead set in the prediction of items creates fewer items, and is
thus more efficient.
7.2.4.3 Discussion
As with prediction look-ahead, the gain of reduction look-ahead in our example is
meager, but that is mainly due to the unnatural simplicity of our example. The effec-
tiveness of look-aheads in Earley parsers in the general case is not easily determined.
Bouckaert, Pirotte and Snelling [17], who have analysed variants of the Earley
parsers for two different look-ahead regimes, show that prediction look-ahead re-
duces the number of items by 20 to 50% or even more on “practical” grammars.

224 7 General Directional Bottom-Up Parsing
Earley recommends the reduction look-ahead, but does not take into account the
effort required to compute and maintain the look-ahead sets. Bouckaert, Pirotte and
Snelling definitely condemn the reduction look-ahead, on the grounds that it may
easily double the number of items to be carried around, but they count, for example,
E--->•F[+-]@1 as two items. All in all, since the gain from reduction look-ahead
cannot be large and its implementation cost and overhead are probably considerable,
it is likely to be counterproductive in practice.
The well-tuned Earley/CYK parser by Graham, Harrison and Ruzzo [23] features
no look-ahead at all, claiming that more speed can be gained by efficient data struc-
tures and that carrying around look-ahead information would interfere with doing
so.
McLean and Horspool [35] describe an optimized Earley parser, grouping the
Earley items into subsets corresponding to LR states.
7.2.5 Left and Right Recursion
It is interesting to see how the Earley parser reacts to left-recursive and right-
recursive grammars. As examples we will use the simple grammars S--->Sa|ε(left-
recursive) and S--->aS|ε(right-recursive) on the input aaaa.... The Earley parser
handles left recursion extremely well:
S--->•@1
S--->•Sa @1
S--->S•a@1
completed1
act/pred1
=itemset1
a1
S--->Sa•@1
S--->S•a@1
completed2
act/pred2
=itemset2
a2
S--->Sa•@1
S--->S•a@1
completed3
act/pred3
=itemset3
a3
S--->Sa•@1
S--->S•a@1
completed4
act/pred4
=itemset4
a4
S--->Sa•@1
S--->S•a@1
completed5
act/pred5
=itemset5
We see that the result is dull but very efficient: each next item set is constructed with
a constant number of actions, so the parser takes linear time. (Note by the way that
after the single prediction in itemset1no further predictions occur; so all items have
origin position 1.)
The behavior on the right-recursive grammar is quite different:
S--->•@1
S--->•aS @1
completed1
act/pred1
=itemset1
a1
S--->•@2
S--->aS•@1
S--->a•S@1
S--->•aS @2
completed3
act/pred3
=itemset3
a2
S--->•@3
S--->aS•@2
S--->aS•@1
S--->a•S@2
S--->•aS @3
completed3
act/pred3
=itemset3
a3
S--->•@4
S--->aS•@3
S--->aS•@2
S--->aS•@1
S--->a•S@3
S--->•aS @4
completed4
act/pred4
=itemset4
a4
S--->•@5
S--->aS•@4
S--->aS•@3
S--->aS•@2
S--->aS•@1
S--->a•S@4
S--->•aS @5
completed5
act/pred5
=itemset5
The number of completed items grows linearly because the parser recognizes nSsin
position n:a(a(a(a...))). This means that the parser has to perform 1+2+3+

7.2 The Earley Parser 225
4+···+n=n(n+1)/2 actions; so the time requirements are quadratic. Although
this is much better than the O(n3)from the general case, it is much worse than linear,
and somehow it seems wasteful.
When we follow the algorithm through this example, we see that it collects and
keeps a lot of information it never uses again. Let us look at position 4 where we have
just shifted over a3, which caused the S--->•aS@3 in itemset3to be transformed into
S--->a•S@3 andtobeinsertedinactive4. The Predictor predicts from it the items
S--->•aS@4 (into predicted4)andS--->•@4 (into completed4). The Completer takes
the latter item, “reaches out” into itemset4to find items with the dot in front of
an S, and finds S--->a•S@3, which is transformed into S--->aS•@3,againacom-
pleted item. The process then repeats itself two more times, bringing in the items
S--->aS•@2 and S--->aS•@1.
The point to observe here is that, except for the final one all these completed items
were temporary results, which cannot be used again by any other action of the parser,
and we might as well not store them. This suggests that when a completed item pops
up, we should do all the further completions that result from it, and keep only the final
results. But there is a snag here: in the above example each completed item led to
just one other item, but in the general case a completed item for say a non-terminal
Amay find more than one item with the dot in front of A, and soon we would be
bringing in more and more items. So we restrict our eager completion to completed
items whose processing by the Completer results in only one new item; we can then
safely discard the original completed item. We keep, however, the original item if it
was produced by the Predictor rather than by eager completion, since we will need
these items later to construct the parse tree(s). Such a chain of eager completions can
stop in one of three ways: 1. the result is a non-completed item; 2. proceeding further
would result in more than one item; 3. we cannot proceed further. The last situation
can only occur when we have reached the initial item set.
With this space-saving optimization, our parsing looks like:
S--->•@1
S--->•aS @1
completed1
act/pred1
=itemset1
a1
S--->•@2
S--->aS•@1
S--->a•S@1
S--->•aS @2
completed3
act/pred3
=itemset3
a2
S--->•@3
S--->aS•@1
S--->a•S@2
S--->•aS @3
completed3
act/pred3
=itemset3
a3
S--->•@4
S--->aS•@1
S--->a•S@3
S--->•aS @4
completed4
act/pred4
=itemset4
a4
S--->•@5
S--->aS•@1
S--->a•S@4
S--->•aS @5
completed5
act/pred5
=itemset5
and indeed the process now requires linear space. Unfortunately it still requires
quadratic time: the subsequent Scanner action over a4will produce S--->a•S@4,
which produces S--->•@5, which will make the Completer visit item sets 4 through
1, so the time requirements are still quadratic. The point to notice here is that in
doing so the Completer repeated the work it did before on item sets 3 through 1.
Once an Shas been completed in itemset4, the actions described above will be re-
peated, with the same result: the production of the item S--->aS•@1, discarding all
in-between items. More generally, once an Ahas been completed with origin posi-
tion i, the eager completion that follows will always yield the same result. So we can

226 7 General Directional Bottom-Up Parsing
avoid this waste of effort by recording at each position a list of so called transitive
items. A transitive item B:A→α•β@jin position imeans that if a non-terminal B
is recognized in position i, eager completion will yield the item A→α•β@j.
With this new item type in place, the Completer completing a Bin position i
will first check if there is a transitive item for Bin that position, and if so, use it.
Otherwise it proceeds as described above, doing completion possibly followed by
eager completion. If the eager completion results in exactly one item, that item is
stored as a transitive item in position i, with the label B. In short, we memoize the
result of eager completion provided it is unique. This avoids all duplication of work,
and the parser requires linear time on the above and similar grammars:
S--->•@1
S:S--->•@1
S--->•aS @1
compl/trans1
act/pred1
=itemset1
a1
S--->•@2
S--->aS•@1
S:S--->•@1
S--->a•S@1
S--->•aS @2
compl/trans3
act/pred3
=itemset3
a2
S--->•@3
S--->aS•@1
S:S--->•@1
S--->a•S@2
S--->•aS @3
compl/trans3
act/pred3
=itemset3
a3
S--->•@4
S--->aS•@1
S:S--->•@1
S--->a•S@3
S--->•aS @4
compl/trans4
act/pred4
=itemset4
a4
S--->•@5
S--->aS•@1
S:S--->•@1
S--->a•S@4
S--->•aS @5
compl/trans5
act/pred5
=itemset5
This improvement was invented by Leo [32], and is much better than one would
expect. It can be proved that the modified Earley parser runs in linear time on a very
large class of grammars, including the LR(k) grammars for any k(Section 9.4), and
even the LR-regular grammars (Section 9.13.2). It should be pointed out, however,
that the modified Earley parser has much more overhead than a made-to-measure
LR(k) or LR-regular parser. On the other hand, it will avoid duplicate work even on
grammars outside these classes, which is of course where its real usefulness lies.
In our zeal to remove items that cannot play a role in recognition, we have also
eliminated some items needed for constructing the parse tree. Leo’s paper [32] shows
how to modify that part of the Earley parser to cope with the deficiencies. It also
describes how to handle hidden right recursion.
7.3 Chart Parsing
Chart parsing is not an algorithm but rather a framework in which to develop and
experiment with parsers. It can be seen as an abstraction of Earley and CYK parsers,
and produces a wide variety of parsers similar to these. It is used extensively in
natural language processing, where its flexibility and easy implementability in Prolog
are appreciated.
The main data structure in chart parsing is the chart, a set of Earley items in our
terminology but traditionally interpreted and represented as labeled edges in a graph.
This graph has nodes (vertices) between the input tokens (and before and after them);
each edge (arc) runs from one vertex to another somewhere on the right of it, or to the
same vertex. The nodes are numbered from 1 to n+1. Edges are labeled with dotted
items; an edge running from node ito node jlabeled with a dotted item A→α•β

7.3 Chart Parsing 227
means that the segment between nodes iand jcan be parsed as αand that we hope to
be able to extend the edge with a β. We shall write such an edge as (i,A→α•β,j).
Although there are different ways to treat terminal symbols in chart parsing, it is
convenient to make them single productions of non-terminals. A word like “cat” in
a position kis then represented by an edge (k,Noun--->’cat’•,k+1). As a result
the algorithms need to handle non-terminals only. This approach also abstracts from
the precise value of Noun in an early stage.
An edge labeled with an item with the dot in front of a symbol is called an active
edge, and one with the dot at the end is called an inactive item;thetermspassive
item and completed item are also used for the latter. Figure 7.26 shows a chart with
•
tk
•
tk+1
•
tk+2
•
tk+3
•
tk+4
•
tk+5
•
tk+6
•
B--->...• C--->• D--->...•
A--->BCD•E
Fig. 7.26. A chart with four edges, three inactive and one active
one active edge, representing the hypothesis A--->BCD•E, and three inactive ones,
representing the fact that B,C,andDhave been found. Chappens to produce ε.The
dashed arrow to the right symbolizes the activity of the active edge, looking for an E.
7.3.1 Inference Rules
In its most abstract form a chart parsing algorithm is specified by three sets of infer-
ence rules, where an inference rule is of the form
If the chart contains edges E1,E2,··· it must also contain an edge E.
One can say that edge Eis required by edges E1,E2,···; the edges E1,E2,··· are
called the “conditions” and Ethe “inference”.
One set of rules is for completion, another is for steering the parsing process;
it can specify top-down, bottom-up, or left-corner parsing, or yet another parsing
regime. A third set of inference rules is for initializing the chart. The complete pars-
ing is then defined as the transitive closure of the rules over the chart; for transitive
closure see Section 3.9. Since the rules in these three sets can easily be changed
almost independently, this setup allows great flexibility.
7.3.2 A Transitive Closure Algorithm
The inference mechanism and the transitive closure algorithm are easy to program,
but a naive implementation is prone to looping on problematic grammars (those with

228 7 General Directional Bottom-Up Parsing
loops, left recursion, infinite ambiguity, etc.) We will therefore present a robust im-
plementation of the transitive closure algorithm for chart parsing. In addition to the
chart it uses a list of newly discovered edges, the agenda; the order in which the
edges are kept and retrieved is to be specified later. The basic idea is that at all times
the following invariant holds:
If some edges in the chart and some inference rule require the existence of
an edge E,thenEis present in the chart and/or the agenda.
This immediately implies that when the agenda is empty, all edges required by edges
in the chart are in the chart, and the transitive closure is complete. Also we will
have to initialize the chart and agenda so that the invariant already holds. The agenda
mechanism is summarized pictorially in Figure 7.27, where the normal arrows indi-
cate information flow and the fat ones represent actions that move edges.
Grammar strategy
completion
Inference rules
Inference
Machine
Agenda
input
Chart
Fig. 7.27. The agenda in chart parsing
The transitive closure algorithm is very simple:
until the agenda is empty do:
extract an edge
E
from the agenda;
if
E
is already in the chart: discard it;
otherwise:
apply all inference rules to
E
and possibly one or more
edges from the chart, and put the resulting edges,
if any, in the agenda;
put
E
in the chart;
Several things should be noted here. First, the algorithm does not specify the order
in which edges are obtained from the agenda: the agenda can work as a stack, a first-
in-first-out queue, a priority queue, etc. Second, if Eis already in the chart, it can
7.3 Chart Parsing 229
indeed be discarded: all inferences from it and the chart have already been made.
Third, the algorithm does not specify the order in which the inference rules are to be
applied; the order is immaterial, since the results go into the agenda and do not affect
the chart or each other. Fourth, the edge Eis put in the chart only after all inferences
have been drawn from it and put in the agenda, to avoid violating the invariant given
above. Fifth, no edge will be placed more than once in the chart; edges may occur
multiple times in the agenda, though.
The last, and probably most important thing to note is that the algorithm will
always terminate. We can see this as follows. Each cycle of the transitive closure
algorithm can do one of two things. It can either remove one edge from the agenda
or add a new edge to the chart and possibly add edges to the agenda. Now there are
only a finite number of edges possible, so the otherwise branch can be taken only
a finite number of times. That means that only a finite number of edges can be added
to the agenda, and they will eventually all be cleared out by the first action in the
loop body. For an example see Section 7.3.6.
7.3.3 Completion
The set of inference rules for completion is the same in almost all chart parsing
algorithms, and usually contains only one rule, called the “Fundamental Rule of
Chart Parsing”; it says:
If there is an active edge (i,A→α•Bβ,j)and an inactive edge (j,B→γ•,k),
there must be an edge (i,A→αB•β,k).
Like the Completer in the Earley parser this rule shifts the dot over the Bin the item
A→α•Bβwhen we have a completed B.
7.3.4 Bottom-Up (Actually Left-Corner)
We are now in a position to specify a complete chart parsing algorithm. The simplest
is probably the algorithm that is usually called “bottom-up chart parsing” but which
is actually left-corner. (Pure bottom-up chart parsing is possible but unusual; see
Problem 7.6.) It uses only one inference rule:
If the new edge Ehas the form (i,A→α•,j)(is inactive), add an edge
(i,P→A•β,j)for each rule P→Aβin the grammar.
In other words, upon discovering an Atry all rules that have an Aas their left corner.
For initialization, we leave the chart empty and for all input tokens tkput (k,Tk→
tk•,k+1)in the agenda. If the grammar has ε-rules, we put edges (k,P→•,k)for
each rule P→εin the agenda, for all 1 ≤k≤n+1. The parser is now ready to run.
7.3.5 The Agenda
The moment we try to run the parser we find that it is underspecified. Which edge
should we extract from the agenda first? The simple answer is that it does not matter;

230 7 General Directional Bottom-Up Parsing
we can extract them in any order and the parser will work. But doing so will recog-
nize the input in a very haphazard way, and if we want a more controlled parsing, we
need a more controlled agenda regime.
Suppose that we use the left-corner inference rule; that there are no ε-rules in
the grammar; that the agenda acts as a stack; and that the input edges are stacked in
reverse order, so the edge for the leftmost token, (1,T1→t1•,2)ends up on top. First
the edge for T1is retrieved. There are no edges in the chart yet, so the Fundamental
Rule does nothing; but the new edge is an inactive edge, so the left-corner rule finds
grammar rules that have T1for its left corner. In a grammar without ε-rules there must
be at least one such rule; otherwise there would be no way to produce a sentence
starting with T1. An edge (1,Ai→T1•αi,2)is made for each such rule and pushed
on the agenda stack. The edge for T1is put in the chart. See Figure 7.28.
•
t1
•
t2
•
t3
•
t4
•
T1→t1
A→T1•α
T2→t2
B→T1T2•
C→B•γ
Fig. 7.28. The first few steps in constructing a chart under the left-corner inference rule
In the next cycle the topmost edge of the agenda is retrieved; we will assume it
is (1,A→T1•α,2). Since it is not completed, it is put in the chart, and no new edges
are generated. Now the edge for t2is on top and is retrieved. It can either activate
the Fundamental Rule and combine with the edge for Ainto a new edge for, say, B,
which now spans 2 tokens, or create left-corner edges for itself by the left-corner
inference rule, or both. If we assume the edge for Bis completed, the left-corner rule
will create at least one new edge for it, perhaps for C, starting at position 1. So slowly
a left spine is being constructed, as in a left-corner parser.
If there are ε-rules, then, at initialization, edges for them must be put in the
agenda stack before the edges for each token, and at the end.
There are many possibilities for the agenda regime. We have seen the stack
regime in operation above; it leads to depth-first search, and if the edges for the
input tokens are stacked in order, a left-to-right parser results. A queue regime is
also possible, resulting in breadth-first search: first all inferences from all tokens are
drawn; next all inferences from these inferences are drawn, etc. We already see that
this allows left-corner parsing to be used with depth-first search (the usual order) and
breadth-first search (very unusual).
Another possibility is to assign a priority to each edge and run the agenda as a
priority queue. Not all words in a sentence are equally important, and sometimes it
7.3 Chart Parsing 231
is wise to start our parsing with the most significant word, which in many languages
is the finite — i.e. the conjugated — verb. As a result, the first edge created may
already determine the structure of the sentence. Additional inference rules are then
required to steer the parsing process so as to obtain edges for the components of this
first edge. This is highly useful in head-corner parsing, for which see Section 10.3. A
head-corner parser using this technique is described by Proudian and Pollard [198].
7.3.6 Top-Down
A top-down parser tries to predict the next production rule by inspecting the predic-
tion stack. This stack consists of the remainders of right-hand sides that have already
been recognized. In our chart parser, if the edge retrieved from the agenda is of the
form (i,A→α•Bβ,j)(it is an active edge), the prediction it holds is Bβ. This leads
to the traditional top-down inference rule:
If the new edge Ehas the form (i,A→α•Bβ,j)(is active), add an edge
(j,B→•γ,j)for each rule B→γin the grammar.
In a practical parser this rule will have additional conditions based on look-ahead,
but the parser will also work without them. The parser can be initialized by putting
an edge for the start symbol running from 1 to 1 and edges for the input tokens on
the agenda stack, in that order.
We know that we have to be careful about left recursion in top-down parsers
(Section 6.3.2), but it is easy to see that our transitive closure algorithm avoids
the problem, as already claimed in Section 7.3.2. Suppose we have a left-
recursive non-terminal with the rules L--->La,L--->Lb,andL--->c, and an edge
(i,P--->...•L...,j)comes up. This causes edges for all three rules for Lto be
pushed in some order, say (j,L--->•La,j),(j,L--->•c,j),(j,L--->•Lb,j); see Figure
7.29(a). In this figure we have shown only the items, to fit it on the page; the start
Agenda (stacking upwards):
L--->•Lb L--->•Lb
L--->•c L--->•c L--->•c
L--->•Lb L--->•La L--->•La L--->•La L--->•La
L--->•c L--->•c L--->•c L--->•c L--->•c
L--->•La L--->•La L--->•La L--->•La L--->•La
··· ··· ··· ··· ··· ···
Chart (adding downwards):
L--->•Lb L--->•Lb L--->•Lb L--->•Lb L--->•Lb
L--->•c L--->•c L--->•c
L--->•La L--->•La
(a)(b)(c)(d)(e)(f)
Fig. 7.29. Left recursion: the agenda and the chart

232 7 General Directional Bottom-Up Parsing
and stop positions are jand jin all cases. Next the edge (j,L--->•Lb,j)is popped,
and causes all three rules for Lto be pushed again; that done, it is put in the chart
(b). Now a (j,L--->•Lb,j)gets popped again, but is discarded since it is already in
the chart (c). Next an edge (j,L--->•c,j)is popped, and handed over to the inference
mechanism. It may introduce other edges but these are not concerned with the non-
terminal L; eventually the edge itself is put in the chart (d). The edge (j,L--->•La,j)
is popped, and is replaced by another set of three edges for L; the edge itself again
goes to the chart (e). Finally the remaining items are popped one by one, and since
all of them are already in the chart, they are all discarded, so the displayed part of
the agenda disappears (f).
7.3.7 Conclusion
Chart parsing is a very versatile framework for creating and tailoring general context-
free parsers, and the present description can only hint at the possibilities. For exam-
ple, a chart parser will happily accept more than one interpretation of the same token
in the input, which is very convenient for natural language parsing. An ambiguous
word like “saw” at position kcan be entered as two edges, (k,Noun--->’saw’•,k+
1)and (k,VerbPastTense--->’saw’•,k+1). Chart parsing shares with Earley
parsing its O(n3)time requirements.
Chart parsing was invented by Kay in the early 1970s [16]. Many sophisticated
inference rules have been published, for example by Kilbury [24] and Kay [25]. For a
comparison of these see Wirén [27]. The agenda mechanism was introduced by Kay
[25]. The literature references in (Web)Section 18.1.2 contain many other examples.
There are several Prolog implementations of chart parsing on the Internet.
Probably the most extensive application of transitive closure and inference rules
to parsing is by Sikkel [158].
Figure 7.30 shows the recognition table of Figure 4.16 in chart format.
32.5e+1
••••••••
Digit
Integer
Number
Digit
Integer
Number
T1 Digit
Integer
Number
T2 Sign Digit
Integer
Number
Integer
Number
Fraction N2
N1
Number
Scale’
N1
Number
Number
Number
Fig. 7.30. The recognition table of Figure 4.16 in chart format
7.4 Conclusion 233
7.4 Conclusion
General bottom-up parsing methods are powerful because they start from the raw ma-
terial, the input string, and recognize everything that can be recognized; they leave no
stone unturned. Just because of this thoroughness they easily fall prey to exponential
explosion. To remedy this, a top-down component is added, resulting in the Earley
algorithm. The tabular implementation of this algorithm, chart parsing, allows fine
control over the top-down, bottom-up, and prediction content of the parser.
Problems
Problem 7.1: Redesign the depth-first and breadth-first parsing algorithms of
Sections 7.1.1 and 7.1.2 so they yield parse-forest grammars (Section 3.7.4) rather
than sequences of parse trees.
Problem 7.2: The naive parsing algorithms of Sections 7.1.1 and 7.1.2 do not
work for grammars with ε-rules, but intuitively this defect is easily remedied: just
recognize εat all positions and backtrack if the recognition does not lead anywhere.
Explain why this plan does not work.
Problem 7.3: Suppose all terminal symbols in a given grammar are different.
Can that property be exploited in parser design?
Problem 7.4: The Earley sets from position 1 to a position kcontain all predic-
tion stacks possible at k. We can see this as follows. An item A→α•β@mcontains
the beginning of a prediction, β. The next segment of the prediction can be found as
the δin the item X→γ•Aδin the item set at position m. Such an item must exist, but
there may be more than one, in which case the prediction forks, and we get a predic-
tion tree. a) Construct this prediction tree for position 3 in the parsing in Figure 7.11.
b) Describe the complete algorithm for constructing the prediction tree at a position
k.
Problem 7.5: The transitive items in position iin the improved Earley parser
from Section 7.2.5 can be computed right away when itemsetiis constructed, or
the computation can be postponed until a Completer comes along for the first time.
Comment on the difference.
Problem 7.6: Pure bottom-up chart parsing uses no additional rules besides the
Fundamental Rule. Find an initialization that will make this parser work.
Problem 7.7: Show that the left-corner chart parser in this chapter will not loop
on grammars with loops in them.
8
Deterministic Top-Down Parsing
In Chapter 6 we discussed two general top-down methods: one using breadth-first
search and one using depth-first search. These methods have in common the need to
search to find derivations, and thus are not efficient. In this chapter and the next we
will concentrate on parsers that do not have to search: there will always be only one
possibility to choose from. Parsers with this property are called deterministic. Deter-
ministic parsers have several advantages over non-deterministic ones: they are much
faster; they produce only one parse tree, so ambiguity is no longer a problem; and this
parse tree can be constructed on the fly rather than having to be retrieved afterwards.
But there is a penalty: the class of grammars that the deterministic parsing methods
are suitable for, while depending on the method chosen, is more restricted than that
of the grammars suitable for non-deterministic parsing methods. In particular, only
non-ambiguous grammars can be used.
In this chapter we will focus on deterministic top-down methods. As has been
explained in Section 3.5.5, there is only one such method, this in contrast with the
deterministic bottom-up methods, which will be discussed in the next chapter. From
Chapters 3 and 6 we know that in a top-down parser we have a prediction for the rest
of the input, and that this prediction has either a terminal symbol in front, in which
case we “match”, or a non-terminal, in which case we “predict”.
It is the predict step that, until now, has caused us so much trouble. The predict
step consists of replacing a non-terminal by one of its right-hand sides, and if we
have no means to decide which right-hand side to select, we have to try them all. One
restriction we could impose on the grammar, one that immediately comes to mind,
is limiting the number of alternatives for each non-terminal to one. Then we would
need no search, because no selection would be needed. However, such a restriction
is far too severe, as it would leave us only with languages that consist of one word.
So, limiting the number of right-hand sides per non-terminal to one is not a solution.
There are two sources of information that could help us in selecting the right
right-hand side. First there is the partial derivation as it has been constructed so far.
However, apart from the prediction this does not give us any information about the
rest of the input. The other source of information is the rest of the input. We will
236 8 Deterministic Top-Down Parsing
see that looking ahead at the next symbol or the next few symbols will, for certain
grammars, tell us which choice to make.
8.1 Replacing Search by Table Look-Up
As a first step we will consider a simple form of grammars which make it partic-
ularly easy to limit the search, grammars in which each right-hand side starts with
a terminal symbol. In this case, a predict step is always immediately followed by a
match step, matching the next input symbol with the symbol starting the right-hand
side selected in the prediction. This match step can only succeed for right-hand sides
that start with this input symbol. The other right-hand sides will immediately lead to
a match step that will fail. We can use this fact to limit the number of predictions as
follows: only the right-hand sides that start with a terminal symbol that is equal to
the next input symbol will be considered. For example, consider the grammar of Fig-
ure 6.1, repeated in Figure 8.1, and the input sentence aabb. Using the breadth-first
Ss---> aB|bA
A---> a | aS | bAA
B---> b | bS | aBB
Fig. 8.1. A grammar producing sentences with an equal number of asandbs
top-down method of Chapter 6, extended with the observation described above, re-
sults in the steps of Figure 8.2: Frame apresents the start of the automaton; we have
appended the #end marker both to the initial prediction and the input. Only one
right-hand side of Sstarts with an a, so this is the only applicable right-hand side;
this leads to frame b. Next, a match step leads to c. The next input symbol is again
an a, so only one right-hand side of Bis applicable, resulting in frame d.Frameeis
the result of a match step; this time, the next input symbol is a b, so two right-hand
sides of Bare applicable; this leads to f.Framegis the result of a match step; again,
the next input symbol is a b, so two right-hand sides of Band one right-hand side
of Sare applicable; this leads to frame h. This again calls for a match step, leading
to i. Now there are no applicable right-hand sides for Sand A, because there are no
right-hand sides starting with a #; thus, these predictions are dead ends. This leaves
a match step for the only remaining prediction, leading to frame j.
We could enhance the efficiency of this method even further by precomputing the
applicable right-hand sides for each non-terminal/terminal combination, and enter
these in a table. For the grammar of Figure 8.1, this would result in the table of
Figure 8.3. Such a table is called a parse table or a parsing table.
Despite its title, most of this chapter concerns the construction of these parse
tables. Once such a parse table is obtained, the actions of the parser are obvious.
The parser does not need the grammar any more. Instead, every time a predict step
is called for, the parser uses the next input symbol and the non-terminal at hand as

8.1 Replacing Search by Table Look-Up 237
(a)aabb#
S# →(b)aabb#
S1aB# →
(c)aabb#
S1aB# →(d)aabb#
S1aB3aBB# →
(e)
aa bb#
S1aB3aBB# →(f)
aa bb#
S1aB3aB1bB#
S1aB3aB2bSB# →
(g)
aab b#
S1aB3aB1bB#
S1aB3aB2bSB# →(h)
aab b#
S1aB3aB1bB1b#
S1aB3aB1bB2bS#
S1aB3aB2bS2bAB#
→
(i)
aabb #
S1aB3aB1bB1b #
S1aB3aB1bB2bS#
S1aB3aB2bS2bAB#
→(j)
aabb#
S1aB3aB1bB1b#
Fig. 8.2. The limited breadth-first parsing of the sentence aabb
a b #
S S1--->aB S2--->bA
A A1--->a A3--->bAA
A2--->aS
B B3--->aBB B1--->b
B2--->bS
Fig. 8.3. The parse table for the grammar of Figure 8.1
indices in the parse table. The corresponding table entry contains the right-hand sides
that have to be considered. For example, in Figure 8.2(e), the parser would use input
symbol band non-terminal Bto determine that it has to consider the right-hand sides
B1and B2. If the corresponding table entry is empty, we have found an error in the
input and the input sentence cannot be derived from the grammar. Using the parse
table of Figure 8.3 instead of the grammar of Figure 8.1 for parsing the sentence
aabb will again lead to Figure 8.2. The advantage of using a parse table is that we
do not have to check all right-hand sides of a non-terminal any more to see if they
start with the right terminal symbol.
We still have a search process, albeit a more limited one than we had before.
Given a prediction Aand an input token a, the search is now confined to the elements
of the parse table entry for [A,a]. This means that we now only need a search because
of the [A,a]andthe[B,b] entries of the table. These entries have more than one
element, so we need the search to determine which one results in a derivation of the
input sentence.

238 8 Deterministic Top-Down Parsing
This last observation is an important one: it immediately leads to a restriction
that we could impose on the grammar, to make the parsing deterministic: we could
require that each parse table entry contain at most one element. In terms of the gram-
mar, this means that all right-hand sides of a non-terminal start with a different ter-
minal symbol. A grammar which fulfills this requirement is called a simple LL(1)
grammar (SLL(1)),orans-grammar. “LL(1)” means that the grammar allows a de-
terministic parser that operates from Left to right, produces a Left-most derivation,
using a look-ahead of one (1) symbol.
Consider for example the grammar of Figure 8.4. This grammar generates all
Ss--->aB
B---> b | aBb
Fig. 8.4. An example SLL(1) grammar
sentences starting with a number of as, followed by an equal number of bs. The
grammar is clearly SLL(1). It leads to the parse table of Figure 8.5. The parsing
a b #
S S1--->aB
B B2--->aBb B1--->b
Fig. 8.5. The parse table for the grammar of Figure 8.4
of the sentence aabb is presented in Figure 8.6. Again we have added the #end
marker to signal termination. As expected, there is always only one prediction, so
aabb#
S#
(1)
aabb#
S1aB#
(2)
a abb#
S1aB#
(3)
a abb#
S1aB2aBb#
(4)
aa bb#
S1aB2a Bb#
(5)
aa bb#
S1aB2aB1bb#
(6)
aab b#
S1aB2aB1bb#
(7)
aabb #
S1aB2aB1bb #
(8)
aabb#
S1aB2aB1bb#
(9)
Fig. 8.6. The SLL(1) parsing of the sentence aabb
no search is needed. Thus, the process is deterministic, and therefore very efficient.
The efficiency could be enhanced even further by combining the predict step with
the match step that always follows the predict step.
8.2 LL(1) Parsing 239
So, SLL(1) grammars lead to simple and very efficient parsers. However, the re-
strictions that we have placed on the grammar are severe. Not many practical gram-
mars are SLL(1), although many can be transformed into SLL(1) form. In the next
section, we will consider a more general class of grammars that still allows the same
kind of parser.
8.2 LL(1) Parsing
For the deterministic top-down parser described in the previous section, the crucial
restriction placed on the grammar is that all right-hand sides of a non-terminal start
with a different terminal symbol. This ensures that each parse table entry contains at
most one element. In this section, we will drop the requirement that right-hand sides
start with a terminal symbol. We will see that we can still construct a parse table in
that case. Later on, we will see that we can even construct a parse table for grammars
with ε-rules.
8.2.1 LL(1) Parsing without ε-Rules
If a grammar has no ε-rules, there are no non-terminals that derive the empty string.
In other words, each non-terminal ultimately derives strings of terminal symbols of
length at least one, and this also holds for each right-hand side. The terminal symbols
that start these strings are the ones that we are interested in. Once we know for each
right-hand side which terminal symbols can start a string derived from this right-
hand side, we can construct a parse table, just as we did in the previous section. So,
we have to compute this set of terminal symbols for each right-hand side.
8.2.1.1 FIRST1Sets
These sets of terminal symbols are called the “FIRST1sets”: if we have a non-empty
sentential form x, then FIRST1(x) is the set of terminal symbols that can start a
sentential form derived from xin zero or more production steps. The subscript 1in-
dicates that the set contains single terminal symbols only. Later, we will see FIRSTk
sets, consisting of strings of terminal symbols of length at most k. For now, we will
drop the subscript 1: we will use FIRST instead of FIRST1.Ifxstarts with a terminal
symbol, then FIRST(x) is a set that has this symbol as its only member. If xstarts
with a non-terminal A, then FIRST(x) is equal to FIRST(A), because Acannot pro-
duce ε. So, if we can compute the FIRST set for any non-terminal A, we can compute
it for any sentential form x.However,FIRST(A) depends on the right-hand sides of
the A-rules: it is the union of the FIRST sets of these right-hand sides. These FIRST
sets may again depend on the FIRST set of some non-terminal. This could even be A
itself, if the rule is directly or indirectly left-recursive. This observation suggests the
iterative process described below to compute the FIRST sets of all non-terminals:
• We first initialize the FIRST sets to the empty set.
240 8 Deterministic Top-Down Parsing
• Then we process each grammar rule in the following way: if the right-hand side
starts with a terminal symbol, we add this symbol to the FIRST set of the left-
hand side, since it can be the first symbol of a sentential form derived from the
left-hand side. If the right-hand side starts with a non-terminal symbol, we add
all symbols of the present FIRST set of this non-terminal to the FIRST set of the
left-hand side. These are all symbols that can be the first terminal symbol of a
sentential form derived from the left-hand side.
• The previous step is repeated until no more new symbols are added to any of the
FIRST sets.
Eventually, no more new symbols can be added, because the maximum number of
elements in a FIRST set is the number of symbols, and the number of FIRST sets is
equal to the number of non-terminals. Therefore, the total number of times that a new
symbol can be added to any FIRST set is limited by the product of the number of
symbols and the number of non-terminals. This is an example of a transitive closure
algorithm.
8.2.1.2 Producing the Parse Table
With the help of these FIRST sets, we can now construct a parse table for the gram-
mar. We process each grammar rule A→αin the following way: if αstarts with a
terminal symbol a, we add the right-hand side αto the (A,a) entry of the parse table;
if αstarts with a non-terminal, we add αto the (A,a) entry of the parse table for all
symbols ain FIRST(α). This parse table can then be used for parsing as described in
Section 8.1.
Now let us compute the parse table for the example grammar of Figure 8.7. This
Sessions---> Fact Session
Sessions---> Question
Sessions---> ( Session ) Session
Fact ---> ! STRING
Question ---> ? STRING
Fig. 8.7. An example grammar
grammar describes a simple language that could be used as the input language for a
rudimentary consulting system: the user enters some facts, and then asks a question.
There is also a facility for sub-sessions. The contents of the facts and questions are
of no concern here. They are represented by the word STRING, which is regarded as
a terminal symbol.
We first compute the FIRST sets. Initially, the FIRST sets are all empty.
Then, we process all grammar rules in the order of Figure 8.7. The grammar rule
Session ---> Fact Session results in adding the symbols from FIRST(Fact)
to FIRST(Session), but FIRST(Fact) is still empty. The grammar rule
Session--->Question results in adding the symbols from FIRST(Question)

8.2 LL(1) Parsing 241
to FIRST(Session), but FIRST(Question) is still empty too. The gram-
mar rule Session ---> ( Session ) Session results in adding (to
FIRST(Session). The grammar rule Fact ---> ! STRING results in adding !to
FIRST(Fact), and the grammar rule Question ---> ? STRING results in adding
?to FIRST(Question). So, after processing all right-hand sides once, we have the
following:
FIRST(Session)FIRST(Fact)FIRST(Question)
( ! ?
Next, we process all grammar rules again. This time, the grammar rule
Session ---> Fact Session will result in adding !(from FIRST(Fact)) to
FIRST(Session), the grammar rule Session ---> Question will result in
adding ?to FIRST(Session), and no other changes will take place. So now we
get:
FIRST(Session)FIRST(Fact)FIRST(Question)
(!? ! ?
There were some changes, so we have to repeat this process once more. This time,
there are no changes, so the table above presents the FIRST sets of the non-terminals.
Now we have all the information we need to create the parse table. We have
to add Fact Session to the [Session,a] entry for all terminal symbols ain
FIRST(Fact Session). The only terminal symbol in FIRST(Fact Session)
is !,soweaddFact Session to the [Session,!] entry. Likewise, we add
Question to the [Session,?]entry.Nextweadd( Session ) Session
to the [Session,(]entry,! STRING to the [Fact,!] entry, and ? STRING to
the [Question,?] entry. This results in the parse table of Figure 8.8, where we
show just the right-hand sides of the predicted rules in the entries, since the left-hand
sides are already shown as the indexes on the left. All parse table entries have at
! ? ( ) STRING #
Session Fact Session Question ( Session ) Session
Question ? STRING
Fact ! STRING
Fig. 8.8. The parse table for the grammar of Figure 8.7
most one right-hand side, so the parser is deterministic. A grammar without ε-rules
is called LL(1) if all entries of the parse table, as constructed above, have at most
one element, or, in other words, if for every non-terminal Athe FIRST sets of Aare
pairwise disjoint (no symbol occurs in more than one). If two or more such FIRST
sets contain the same symbol, we have a FIRST/FIRST conflict and the grammar is
not LL(1).
We have lost the S (simplicity) of SLL(1), but the parser is still as simple as
before. Producing the parse table has become more difficult, but we have gained
242 8 Deterministic Top-Down Parsing
a lot: many practical grammars are LL(1), or are easily transformed into an LL(1)
grammar.
8.2.2 LL(1) Parsing with ε-Rules
Not allowing ε-rules is, however, still a major drawback. Certain language constructs
are difficult, if not impossible, to describe with an LL(1) grammar without ε-rules.
For example, non-terminals that describe lists of terminals or non-terminals are dif-
ficult to express without ε-rules. Of course, we could write
A--->aA|a
for a list of as, but this is not LL(1). Compare also the grammar of Figure 8.7 with
the one of Figure 8.9. They describe the same language, but the one of Figure 8.9 is
much clearer.
Sessions---> Facts Question | ( Session ) Session
Facts ---> Fact Facts | ε
Fact ---> ! STRING
Question ---> ? STRING
Fig. 8.9. The grammar of Figure 8.7 rewritten
8.2.2.1 Extending the FIRST Sets
The main problem with allowing ε-rules is that the FIRST sets, as we have discussed
them in the previous section, are not sufficient any more. For example, the Facts
non-terminal in the grammar of Figure 8.9 has an ε-rule. The FIRST set for this
right-hand side is empty, so it does not tell us on which look-ahead symbols we
should choose this right-hand side. Also, in the presence of ε-rules, the computation
of the FIRST sets itself needs some revision. For example, if we compute the FIRST
set of the first right-hand side of Session using the method of the previous section,
?will not be a member, but it should, because Facts can derive ε(it is transparent),
and then ?starts a sentential form that can be derived from Session.
Let us first extend the FIRST definition to also deal with ε-rules. This time, in
addition to terminal symbols, εwill also be allowed as a member of a FIRST set. We
will now also have to deal with empty sentential forms, so we will sometimes need
the FIRST(ε) set; we will define it as the set containing only the empty string ε.We
will also add εto the FIRST set of a sentential form if this sentential form derives ε.
These may seem minor changes, but the presence of ε-rules affects the computa-
tion of the FIRST sets. FIRST(u1u2···un), which was simply equal to FIRST(u1), is
now computed as follows. We take FIRST(u1), examine if it contains ε,andifso,we
remove the εand replace it by FIRST(u2··· un). Apart from this, the computation of
the revised FIRST sets proceeds in exactly the same way as before, using the same
transitive closure technique.

8.2 LL(1) Parsing 243
The treatment of εis easy to understand: if FIRST(u1) contains ε, it is transparent,
sothetokensinFIRST(u2··· un) show up through it, and the original εdisappears
in the process. Of course the same algorithm is used to compute FIRST(u2··· un),
etc. This chain of events ends at the first uiwhose FIRST(ui) does not contain ε.
If all of the FIRST(u1), FIRST(u2), . . . FIRST(un) contain ε, the last step is the
addition of FIRST(ε)toFIRST(u1u2···un), thus showing that the whole alternative
is transparent.
For some algorithms we need to know whether a non-terminal Aderives ε.Al-
though we could compute this information separately, using the method described in
Section 4.2.1, we can more easily see if εis a member of the FIRST(A) set as com-
puted. This method uses the fact that if a non-terminal derives ε,εwill ultimately be
a member of its FIRST set.
Now let us compute the FIRST sets for the grammar of Figure 8.9. They
are first initialized to the empty set. Then, we process each grammar rule:
the rule Session ---> Facts Question results in adding the terminal sym-
bols from FIRST(Facts)toFIRST(Session). However, FIRST(Facts)is
still empty. The rule Session ---> ( Session ) Session results in adding
(to FIRST(Session). Then, the rule Facts ---> Fact Facts results in
adding the symbols from FIRST(Fact) (still empty) to FIRST(Facts), and
the rule Facts ---> εresults in adding εto FIRST(Facts). Then, the rule
Fact ---> ! STRING results in adding !to FIRST(Fact), and the rule
Question ---> ? STRING adds ?to FIRST(Question). This completes the
first pass over the grammar rules, resulting in:
FIRST(Session)FIRST(Facts)FIRST(Fact)FIRST(Question)
(ε! ?
The second pass is more interesting: this time, we know that Facts
derives ε, and therefore the rule Session ---> Facts Question adds
the symbols from FIRST(Question)(?)toFIRST(Session). The rule
Facts ---> Fact Facts adds !to FIRST(Facts). So we get:
FIRST(Session)FIRST(Facts)FIRST(Fact)FIRST(Question)
(? ε! ! ?
In the third pass, the only change is the addition of !to FIRST(Session),
because it is now a member of FIRST(Facts). So we have:
FIRST(Session)FIRST(Facts)FIRST(Fact)FIRST(Question)
(?! ε! ! ?
The fourth pass does not result in any new additions.
The question remains how to decide when an εright-hand side or, for that matter,
a right-hand side which derives εis to be predicted. Suppose that we have a grammar
rule
A→α1|α2|···|αn
where αmis or derives ε. Now suppose we find Aat the front of a prediction, as in

244 8 Deterministic Top-Down Parsing
··· a···#
··· Ax#
where we again have added the #end marker. A breadth-first parser would have to
investigate the following predictions:
··· a···#
··· α1x#
··· .
··· .
··· αnx#
We know how to compute the FIRST sets of these predictions, and we know that
none of them contains ε, because of the end marker (#). If the next input symbol
is not a member of any of these FIRST sets, either the prediction we started with
(Ax#) is wrong, or there is an error in the input sentence. Otherwise, the next input
symbol is a member of one or more of these FIRST sets, and we can strike out the
predictions that do not have the symbol in their FIRST set. Now, if none of these
FIRST sets have a symbol in common with any of the other FIRST sets, the next
input symbol can only be a member of at most one of these FIRST sets, so at most
one prediction remains, and the parser is deterministic at this point.
A context-free grammar is called LL(1) if this is always the case. In other words,
a grammar is LL(1) if for any prediction Ax#, with Aa non-terminal with right-
hand sides α1,...,αn, the sets FIRST(α1x#),...,FIRST(αnx#) are pairwise disjoint
(no symbol is a member of more than one set). This definition of LL(1) does not
conflict with the one that we gave on page 241 for grammars without ε-rules. In that
case FIRST(αix#) is equal to FIRST(αi)sinceα1is not transparent, so the above
definition reduces to the requirement that all FIRST(α1),...,FIRST(αn)bepairwise
disjoint.
The above is the official definition of an LL(1) grammar (possibly with ε-rules),
but since it requires dynamic computation of FIRST sets, it is usually replaced in
practice by a simplified form which allows precomputation at parser generation time.
This version is described in the next section. Unfortunately it is often also called
“LL(1)”, although the official term is “strong-LL(1)”; to avoid confusion we will
often use the term “full LL(1)” for the dynamic version described above. Section
8.2.4 gives a reasonably efficient implementation of full LL(1), which allows a large
degree of precomputation.
8.2.2.2 The Need for FOLLOW Sets
With the above building blocks we can in principle construct a deterministic parser
for any LL(1) grammar. This parser operates by starting with the prediction S#,and
its prediction steps consist of replacing the non-terminal at hand with each of its
right-hand sides, computing the FIRST sets of the resulting predictions, and checking
whether the next input symbol is a member of any of these sets. We then continue
with the predictions for which this is the case. If there is more than one prediction,
the parser announces that the grammar is not LL(1) and stops.
8.2 LL(1) Parsing 245
Although this is a deterministic parser, it is far from ideal. First, it does not use
a parse table like the one in Figure 8.8, and it does not check the LL(1) property of
the grammar until parsing time; we would like to check that property during parser
generation time, while computing the parse tables. Second, it is not very efficient,
because it has to compute several FIRST sets at each prediction step. We cannot
precompute these FIRST sets, because in the presence of ε-rules such a FIRST set
depends on all of the predictions (of which there are infinitely many), not just on the
first non-terminal. So we still do not know whether, and if so, how we can construct a
parse table for an LL(1) grammar with ε-rules, nor do we have a method to determine
if such a grammar is LL(1).
Now suppose we have a prediction Ax#andaruleA→α,andαis or derives
ε. The input symbols that lead to the selection of A→αare the symbols in the set
FIRST(αx#), and as we have seen this set is formed by the symbols in FIRST(α),
extended with the symbols in FIRST(x#), because of the transparency of α.Theset
FIRST(x#) is the problem: we cannot compute it at parser generation time. What we
can precompute, though, is the union of all FIRST(x#)setssuchthatx#can follow
Ain any prediction. This is just the set of all terminal symbols that can follow Ain
any sentential form derivable from S#(not just the present prediction) and is called,
quite reasonably, the FOLLOW set of A, FOLLOW(A).
It would seem that such a gross approximation would seriously weaken the parser
or even make it incorrect, but this is not so. Suppose that this set contains a symbol
athat is not a member of FIRST(x#), and ais the next input symbol. If ais not a
member of FIRST(A), we will predict A→α, and we will ultimately end up with
a failing match, because αx#does not derive a string starting with an a.Sothe
input string will (correctly) be rejected, although the error will be detected a bit later
than before, because the parser may make some ε-predictions before finding out that
something is wrong. If ais a member of FIRST(A) then we may have a problem if
ais a member of one of the FIRST sets of the other right-hand sides of A. We will
worry about this a bit later.
The good thing about FOLLOW sets is that we can compute them at parser gen-
eration time. Each non-terminal has a FOLLOW set, and they can be computed as
follows:
• as with the computation of the FIRST sets, we start with the FOLLOW sets all
empty.
• Next we process all right-hand sides, including the S#one. Whenever a right-
hand side contains a non-terminal, as in A→···By, we add all symbols from
FIRST(y) to FOLLOW(B), since these symbols can follow a B. In addition, if y
derives ε, we add all symbols from FOLLOW(A) to FOLLOW(B).
• The previous step is repeated until no more new symbols can be added to any of
the FOLLOW sets.
This is again an example of a transitive closure algorithm.
Now let us go back to our example and compute the FOLLOW sets. Start-
ing with Session #,#is added to FOLLOW(Session). Next, the sym-
bols of FIRST(Question)(?) are added to FOLLOW(Facts), because of

246 8 Deterministic Top-Down Parsing
the rule Session ---> Facts Question. This rule also adds all symbols of
FOLLOW(Session)(#) to FOLLOW(Question).
The rule Session ---> ( Session ) Session results in adding the
)symbol to FOLLOW(Session) and in a spurious addition of all symbols
of FOLLOW(Session) to FOLLOW(Session).Thenextruleistherule
Facts ---> Fact Facts. All symbols from FIRST(Facts)(!) are added
to FOLLOW(Fact), and since Facts produces empty, all symbols from
FOLLOW(Facts)(?) are added to FOLLOW(Fact). The other rules do not re-
sult in any additions. So, after the first pass we have:
FOLLOW(Session) FOLLOW(Facts) FOLLOW(Fact) FOLLOW(Question)
#) ?!? #
In the second pass, )is added to FOLLOW(Question), because
it is now a member of FOLLOW(Session), and all members of
FOLLOW(Session) become a member of FOLLOW(Question) because
of the rule Session ---> Facts Question.
In the third pass no changes take place. The resulting FOLLOW sets are pre-
sented below:
FOLLOW(Session) FOLLOW(Facts) FOLLOW(Fact) FOLLOW(Question)
#) ?!? #)
8.2.2.3 Using the FOLLOW Sets to Produce a Parse Table
Once we know the FOLLOW set for each non-terminal that derives ε, we can con-
struct a parse table. First we compute the FIRST set of each non-terminal. This also
tells us which non-terminals derive ε. Next, we compute the FOLLOW set of each
non-terminal. Then, starting with an empty parse table, we process each grammar
rule A→αas follows: we add the right-hand side αto the [A,a] entry of the parse
table for all terminal symbols ain FIRST(α), as we did before. This time however,
we also add αto the [A,a] entry of the parse table for all terminal symbols ain
FOLLOW(A)whenαis or derives ε(when FIRST(α) contains ε). A shorter way of
saying this is that we add αto the [A,a] entry of the parse table for all terminal sym-
bols ain FIRST(αFOLLOW(A)). This last set consists of the union of the FIRST
sets of the sentential forms αbfor all symbols bin FOLLOW(A).
If a token in a FOLLOW set causes the addition of a right-hand side to an entry
that already contains a right-hand side due to a token in a FIRST set, we have a
FIRST/FOLLOW conflict, and the grammar is not LL(1). It is even possible to have
aFOLLOW/FOLLOW conflict: an entry receives two right-hand sides, both brought
in by tokens from FOLLOW sets. This happens if more than one alternative of a
non-terminal can produce ε.
Now let us produce a parse table for our example. The
Session ---> Facts Question rule does not derive ε, because Question
does not. Therefore, only the terminal symbols in FIRST(Facts Question) lead
to addition of this rule to the table. FIRST(Facts Question) contains !from

8.2 LL(1) Parsing 247
FIRST(Facts)and?from FIRST(Question) because Facts derives ε.Sothe
right-hand side Facts Question must be entered in the entries [Session,!]
and [Session,?]; the right-hand side ( Session ) Session should be added
to entry [Session,(].
FIRST(Fact Facts)is{!}, so this right-hand side is entered in [Facts,!].
Since the right-hand side of Facts--->εproduces εbut has an otherwise empty
FIRST set, its look-ahead set is FOLLOW(Facts), which contains just ?;sothe
right-hand side εis entered in entry [Facts,?].
Similarly, all other rules are added, resulting in the parse table presented in Figure
8.10.
( ) # ! ? STRING
Session ( Session ) Facts Facts
Session Question Question
Facts Fact Facts ε
Fact ! STRING
Question ? STRING
Fig. 8.10. The parse table for the grammar of Figure 8.9
8.2.3 LL(1) versus Strong-LL(1)
If all entries of the resulting parse table have at most one element, the parser is
again deterministic. In this case, the grammar is called strong-LL(1) and the parser
is called a strong-LL(1) parser. In the literature, strong-LL(1) is often referred to
as “strong LL(1)”, without a hyphen between the words “strong” and “LL”. This is
misleading because it indicates that “strong” belongs to “grammar” rather than to
“LL(1)”, which in turn suggests that the class of strong-LL(1) grammars is more
powerful than the class of LL(1) grammars. This is not the case: every strong-LL(1)
grammar is LL(1).
It is perhaps more surprising that every LL(1) grammar is strong-LL(1). In other
words, every grammar that is not strong-LL(1) is not LL(1), and this is demonstrated
with the following argument: if a grammar is not strong-LL(1), there is a parse table
entry, say (A,a), with at least two elements, say αand β. This means that ais a
member of both FIRST(αFOLLOW(A)) and FIRST(βFOLLOW(A)). Now there
are three possibilities:
•ais a member of both FIRST(α) and FIRST(β). In this case, the grammar cannot
be LL(1), because for any prediction Ax#,ais a member of both FIRST(αx#)
and FIRST(βx#).
•ais a member of either FIRST(α)orFIRST(β), but not both. Let us assume,
without loss of generality, that ais a member of FIRST(α). In this case, ais still
a member of FIRST(βFOLLOW(A)), so there is a prediction Ax#, such that ais
a member of FIRST(βx#). However, ais also a member of FIRST(αx#), so the

248 8 Deterministic Top-Down Parsing
grammar is not LL(1). In other words, in this case there is a prediction in which
an LL(1) parser cannot decide which right-hand side to choose either.
•ais neither a member of FIRST(α), nor a member of FIRST(β). In this case α
and βmust derive εand amust be a member of FOLLOW(A). This means that
there is a prediction Ax#such that ais a member of FIRST(x#) and thus ais a
member of both FIRST(αx#) and FIRST(βx#), so the grammar is not LL(1). This
means that in an LL(1) grammar at most one right-hand side of any non-terminal
derives ε.
8.2.4 Full LL(1) Parsing
We already mentioned briefly that an important difference between LL(1) pars-
ing and strong-LL(1) parsing is that the strong-LL(1) parser sometimes makes ε-
predictions before detecting an error. Consider for example the following grammar:
Ss---> aAb|bAa
A--->cS|ε
The strong-LL(1) parse table of this grammar is:
a b c #
SaAb bAa
Aε ε cS
Now, on input sentence aacabb, the strong-LL(1) parser makes the following
moves:
aacabb#
S#
(1)
aacabb#
S1aAb#
(2)
a acabb#
S1a Ab#
(3)
a acabb#
S1aA2b#
(4)
The problem here is that the prediction is destroyed by the time the error is de-
tected. In contrast, a full-LL(1) parser would not do the last step, because neither
FIRST(b#), nor FIRST(cSb#) contain a, so the full-LL(1) parser would detect the
error before choosing a right-hand side for A. A full-LL(1) parser has the immediate
error detection property, which means that an error is detected as soon as the erro-
neous symbol is first examined, whereas a strong-LL(1) parser only has the correct-
prefix property, which means that the parser detects an error as soon as an attempt is
made to match (or shift) the erroneous symbol. In Chapter 16, we will see that the
immediate error detection property will help improve error recovery.
Given a prediction A···#, a full-LL(1) parser bases its parsing decisions on
FIRST(A···#) rather than on the approximation FIRST(AFOLLOW(A)); this avoids
any parsing decisions on erroneous input symbols (which can never occur in

8.2 LL(1) Parsing 249
FIRST(A···#) but may occur in FIRST(AFOLLOW(A))). So, if we have predic-
tion A···#and input symbol a, we first have to determine if ais a member of
FIRST(A···#), before consulting the parse table to choose a right-hand side for A.
The penalty for this is in efficiency: every time that parse table has to be consulted, a
FIRST set has to be computed and a check made that the input symbol is a member.
Fortunately, we can do better than this. A first step to improvement is the follow-
ing: suppose that we maintain between all symbols in the prediction a set of terminal
symbols that are correct at this point, like this:
XY Z#
①②③④
Here, ①is the set of symbols that are legal at this point; this is just the FIRST set
of the remaining part of the prediction: FIRST(#); likewise, ②is FIRST(Z#), ③
is FIRST(YZ#), and ④is FIRST(XYZ#). These sets can easily be computed, from
right to left. For example, ③consists of the symbols in FIRST(Y), with the symbols
from ②added if Yderives ε(if εis a member of FIRST(Y)). When a non-terminal is
replaced by one of its right-hand sides, the set behind this right-hand side is available,
and we can use this to compute the sets within this right-hand side and in front of
it. Since none of these sets contain ε, they give an immediate answer to the question
which prediction to choose.
Now let us see how this works for our example. As the reader can easily verify,
FIRST(S)={a,b}, and
FIRST(A)={c,ε}.
The parser starts with the prediction S#. We have to find a starting point for the sets:
it makes sense to start with an empty one to the right of the #, because no symbols
are correct after the #. So the parser starts in the following state:
aacabb#
S#
a,b #
The first input symbol is a member of the current FIRST set, so it is correct. The (S,
a) entry of the parse table contains aAb, so we get parser state
aacabb#
S1aAb#
???#
Computing the sets marked with a question mark from right to left results in the
following parser state:

250 8 Deterministic Top-Down Parsing
aacabb#
S1aAb#
a b,c b #
Note that bnow is a member of the set in front of A,butais not, although it is a
member of FOLLOW(A). After the match step, the parser is in the following state:
a acabb#
S1aAb#
b,c b #
The next input symbol is not a member of the current FIRST set, so an error is
detected, and no right-hand side of Ais chosen. Instead, the prediction is left intact,
so error recovery can profit from it.
It is not clear that all this is more efficient than computing the FIRST set of a
prediction to determine the correctness of an input symbol before choosing a right-
hand side. However, it does suggest that we can do this at parser generation time, by
combining non-terminals with the FIRST sets that can follow it in a prediction. For
our example, we always start with non-terminal Sand the set {#}. We will indicate
this with the pair [S,{#}]. Starting with this pair, we will try to make rules for the
behavior of each pair that turns up, for each valid look-ahead. We know from the
FIRST sets of the alternatives for Sthat on look-ahead symbol a,[S,{#}] results in
right-hand side aAb. Now the only symbol that can follow Ahere is a b.Soinfact,
we have:
on look-ahead symbol a,[S,{#}] results in right-hand side a[A,{b}] b.
Similarly we find:
on look-ahead symbol b,[S,{#}] results in right-hand side b[A,{a}] a.
We have now obtained pairs for Afollowed by a b,andAfollowed by an a.Sowe
have to make rules for them: We know that on look-ahead symbol c,[A,{b}] results
in right-hand side cS. Because Acan only be followed by a bin this context, the
same holds for this S.Thisgives:
on look-ahead symbol c,[A,{b}] results in right-hand side c[S,{b}].
Likewise, we get the following rules:
on look-ahead symbol b,[A,{b}] results in right-hand side ε;
on look-ahead symbol c,[A,{a}] results in right-hand side c[S,{a}];
on look-ahead symbol a,[A,{a}] results in right-hand side ε.
Now we have to make rules for the pairs Sfollowedbyana,andSfollowed by a b:
on look-ahead symbol a,[S,{a}] results in right-hand side a[A,{b}] b;
on look-ahead symbol b,[S,{a}] results in right-hand side b[A,{a}] a;

8.2 LL(1) Parsing 251
on look-ahead symbol a,[S,{b}] results in right-hand side a[A,{b}] b;
on look-ahead symbol b,[S,{b}] results in right-hand side b[A,{a}] a.
In fact, we find that we have rewritten the grammar, using the (non-terminal,
followed-by set) pairs as non-terminals, into the following form:
[S,{#}] ---> a [A,{b}] b | b [A,{a}] a
[S,{a}] ---> a [A,{b}] b | b [A,{a}] a
[S,{b}] ---> a [A,{b}] b | b [A,{a}] a
[A,{a}] ---> c [S,{a}] | ε
[A,{b}] ---> c [S,{b}] | ε
For this grammar, the following parse table can be produced:
a b c #
[S,{#}] a [A,{b}] b b [A,{a}] a
[S,{a}] a [A,{b}] b b [A,{a}] a
[S,{b}] a [A,{b}] b b [A,{a}] a
[A,{a}] εc [S,{a}]
[A,{b}] εc [S,{b}]
The entries for the different [S,...] rules are identical so we can merge them.
After that, the only change with respect to the original parse table is the duplication
of the A-rule: now there is one copy for each context in which Ahas a different set
behind it in a prediction.
Now, after accepting the first aof aacabb, the prediction is [A,{b}]b#;since
the parse table entry ([A,{b}], a) is empty, parsing will stop here and now.
The resulting parser is exactly the same as the strong-LL(1) one. Only the parse
table is different. Often, the LL(1) table is much larger than the strong-LL(1) one.
As the benefit of having an LL(1) parser only lies in that it detects some errors a bit
earlier, this usually is not considered worth the extra cost, and thus most parsers that
are advertised as LL(1) parsers are actually strong-LL(1) parsers.
In summary, confronted with a prediction stack Aαand a grammar rule A→β,
• a (full) LL(1) parser bases its decisions on the FIRST set of βα and the first token
of the input;
• a strong-LL(1) parser bases its decisions on the FIRST set of β, the FOLLOW
set of Awhen βproduces ε, and the first token of the input;
• a simple-LL(1) parser bases its decisions on the first token of βand the first token
of the input.
8.2.5 Solving LL(1) Conflicts
If a parse table entry has more than one element, we have an “LL(1) conflict”. In
this section, we will discuss how to deal with them. We have already seen one way
to deal with conflicts: use a depth-first or a breadth-first parser with a one sym-
bol look-ahead. This, however, has several disadvantages: the resulting parser is not
deterministic any more, it is less efficient (often to such an extent that it becomes
252 8 Deterministic Top-Down Parsing
unacceptable), and it still does not work for left-recursive grammars. Therefore, we
want to try and eliminate these conflicts, so we can use an ordinary LL(1) parser.
Two techniques that can help us here are left recursion elimination and left-
factoring. These can be performed by hand relatively easily and are described in the
next two sections. Grammars for which these two techniques are sufficient are called
“kind grammars”; see Žemliˇ
cka and Král [106, 107, 108] for their precise definition
and processing.
8.2.5.1 Left-Recursion Elimination
The first step to take is the elimination of left recursion. Left-recursive grammars
always lead to LL(1) conflicts, because the right-hand side causing the left recursion
has a FIRST set that contains all symbols from the FIRST set of the non-terminal.
Therefore, it also contains all terminal symbols of the FIRST sets of the other right-
hand sides of the non-terminal. Eliminating left recursion has already been discussed
in Section 6.4.
8.2.5.2 Left-Factoring
A further technique for removing LL(1) conflicts is left-factoring. Left-factoring of
grammar rules is like factoring arithmetic expressions:
a×b+a×c=a×(b+c).
The grammatical equivalent to this is a rule
A→xy |xz
which clearly has an LL(1) conflict on the terminal symbols in FIRST(x). We replace
this grammar rule with the two rules
A→xN
N→y|z
where Nis a new non-terminal. There have been some attempts to automate this
process; see Foster [405], Hammer [406], and Rosenkrantz and Hunt [408].
8.2.5.3 Conflict Resolvers
Sometimes, these techniques do not help much. We could for example be dealing
with a language for which no LL(1) grammar exists. In fact, many languages can be
described by a context-free grammar, but not by an LL(1) grammar. Another method
of handling conflicts is to resolve them by so-called disambiguating rules. An ex-
ample of such a disambiguating rule is: “on a conflict, the textually first of the con-
flicting right-hand sides is chosen”. With this disambiguating rule, the order of the
right-hand sides within a grammar rule becomes crucial, and unexpected results may
occur if the grammar-processing program does not clearly indicate where conflicts
occur and how they are resolved.
8.2 LL(1) Parsing 253
A better method is to have the grammar writer specify explicitly how each con-
flict must be resolved, using so-called conflict resolvers. One option is to resolve
conflicts at parser generation time. Parser generators that allow this kind of conflict
resolver usually have a mechanism that enables the user to indicate (at parser gener-
ation time) which right-hand side must be chosen on a conflict. Another, much more
flexible method is to have conflicts resolved at parse time. When the parser meets
a conflict, it calls a user-specified conflict resolver. Such a conflict resolver has the
complete left-context at its disposal, so it could base its choice on this left context. It
is also possible to have the parser look further ahead in the input, and then resolve the
conflict based on the symbols found. See Milton, Kirchhoff and Rowland [337] and
Grune and Jacobs [362], for similar approaches using attribute grammars. (Attribute
grammars are discussed in Section 15.3.1.)
8.2.6 LL(1) and Recursive Descent
Most hand-written parsers are LL(1) parsers. They usually are written in the form of
a non-backtracking compiled recursive-descent parser (see Section 6.6). In fact, this
is a very simple way to implement a strong-LL(1) parser. For a non-terminal Awith
grammar rule
A→α1| ··· |αn
the parsing routine has the following structure:
procedure A;
if look_ahead ∈FIRST(α1FOLLOW(A)) then
code for α1...
else if look_ahead ∈FIRST(α2FOLLOW(A)) then
code for α2...
.
.
.
else if look_ahead ∈FIRST(αnFOLLOW(A)) then
code for αn...
else ERROR;
end A;
The look-ahead symbol always resides in a variable called “look_ahead”. The pro-
cedure ERROR announces an error and stops the parser.
The code for a right-hand side consists of the code for the symbols of the right-
hand side. A non-terminal symbol results in a call to the parsing routine for this
non-terminal, and a terminal symbol results in a call to a MATCH routine with this
symbol as parameter. This MATCH routine has the following structure:
procedure MATCH(sym);
if look_ahead = sym then
look_ahead := NEXTSYM
else ERROR;
end MATCH;
254 8 Deterministic Top-Down Parsing
The NEXTSYM procedure reads the next symbol from the input.
Several LL(1) parser generators produce a recursive descent parser instead of a
parse table that is to be interpreted by a grammar-independent parser. The advantages
of generating a recursive descent parser are numerous:
• Semantic actions are easily embedded in the parsing routines.
• A parameter mechanism or attribute mechanism comes virtually for free: the
parser generator can use the parameter mechanism of the implementation lan-
guage.
• Non-backtracking recursive descent parsers are quite efficient, often more effi-
cient than the table-driven ones.
• Dynamic conflict resolvers are implemented easily.
The most important disadvantage of generating a recursive descent parser is the
size of the parser. A recursive descent parser is usually larger than a table-driven one
(including the table). With present computer memories this is no longer a problem,
however.
8.3 Increasing the Power of Deterministic LL Parsing
There are many situations in which a look-ahead of one token is not enough. A prime
example is the definition of an element of an expression in a programming language:
elementS---> idf | idf ( parameters ) | idf [ indexes ]
where idf produces identifiers. This grammar fragment defines expression elements
like x,sin(0.41),andT[3,1], each of which starts with an identifier; only the
second token allows us to distinguish between the alternatives.
There are several ways to increase the power of deterministic LL parsing, and we
have already seen one above: conflict resolvers. This section concentrates on extend-
ing the look-ahead, first to a bounded number of tokens and then to an unbounded
number. In between we treat an efficient compromise.
8.3.1 LL(k) Grammars
It is possible and occasionally useful to have a look-ahead of ksymbols with k>1,
leading to LL(k) grammars. To achieve this, we need a definition of FIRSTksets: if
xis a sentential form, then FIRSTk(x) is the set of terminal strings wsuch that |w|
(the length of w)islessthankand x*
→w,or|w| is equal to k,andx*
→wy,forsome
sentential form y.Fork= 1 this definition coincides with the definition of the FIRST
sets as we have seen it before.
We now have the instruments needed to define LL(k): a grammar is LL(k) if for
any prediction Ax#k, with Aa non-terminal with right-hand sides α1, ..., αn,the
sets FIRSTk(α1x#k),...,FIRST
k(αnx#k) are pairwise disjoint. (Here #krepresents a
sequence of k#s; they are required to supply enough look-ahead tokens for checking
near the end of the input string.) Obviously, for any k,thesetofLL(k) grammars is
8.3 Increasing the Power of Deterministic LL Parsing 255
a subset of the set of LL(k+1) grammars, and in fact, for any kthere are LL(k+1)
grammars that are not LL(k). A trivial example of this is given in Figure 8.11. Less
Ss--->a
kb|a
ka
Fig. 8.11. An LL(k+1) grammar that is not LL(k)
obvious is that for any kthere are languages that are LL(k+1), but not LL(k). An
example of such a language is given in Figure 8.12. See Kurki-Suonio [42] for more
Ss---> aSA | ε
A--->a
kbS | c
Fig. 8.12. A grammar defining an LL(k+1) language that is not LL(k)
details.
With LL(k) grammars we have the same problem as with the LL(1) grammars:
producing a parse table is difficult. In the LL(1) case, we solved this problem with
the aid of the FOLLOW sets, obtaining strong-LL(1) parsers. We can try the same
with LL(k) grammars using FOLLOWksets. For any non-terminal A,FOLLOWk(A)
is now defined as the union of the sets FIRSTk(x#k), for any prediction Ax#k.
Once we have the FIRSTksets and the FOLLOWksets, we can produce a parse
table for the grammar. Like the LL(1) parse table, this parse table will be indexed
with pairs consisting of a non-terminal and a terminal string of length equal to k.
Every grammar rule A→αis processed as follows: αis added to the (A,w)entry
of the table for every win FIRSTk(αFOLLOWk(A)) (as we have seen before, this
last set denotes the union of several FIRSTksets: it is the union of all FIRSTk(αv)
sets with van element of FOLLOWk(A)). All this is just an extension to klook-ahead
symbols of what we did earlier with one look-ahead symbol.
If this results in a parse table where all entries have at most one element, the
grammar is strong-LL(k). Unlike the LL(1) case however, for k> 1 there are gram-
mars that are LL(k), but not strong-LL(k). An example of such a grammar is given
in Figure 8.13.
Ss---> aAaa | bAba
A--->b|ε
Fig. 8.13. An LL(2) grammar that is not strong-LL(2)
This raises an interesting question, one that has kept the authors busy for quite a
while: why is it different for k= 1? If we try to repeat our proof from Section 8.2.3
for a look-ahead k> 1, we see that we fail at the very last step: let us examine a
strong-LL(k) conflict: suppose that the right-hand sides αand βboth end up in the

256 8 Deterministic Top-Down Parsing
(A,w) entry of the parse table. This means that wis a member of both FIRSTk(α
FOLLOWk(A)) and FIRSTk(βFOLLOWk(A)). Now there are three cases:
•wis a member of both FIRSTk(α) and FIRSTk(β). In this case, the grammar
cannot be LL(k), because for any prediction Ax#k,wis a member of both
FIRSTk(αx#k) and FIRSTk(βx#k).
•wis a member of either FIRSTk(α)orFIRST
k(β), but not both. Let us say that
wis a member of FIRSTk(α). In this case, wstill is a member of FIRSTk(β
FOLLOWk(A)) so there is a prediction Ax#k, such that wis a member of
FIRSTk(βx#k). However, wis also a member of FIRSTk(αx#k), so the gram-
mar is not LL(k). In other words, in this case there is a prediction in which an
LL(k) parser cannot decide which right-hand side to choose either.
•wis neither a member of FIRSTk(α) nor a member of FIRSTk(β). Here, we have
to deviate from the reasoning we used in the LL(1) case. As wis an element of
FIRSTk(αFOLLOWk(A)), wcan now be split into two parts w1.1and w1.2,such
that w1.1is an element of FIRSTk(α)andw1.2is a non-empty start of an element
of FOLLOWk(A). Likewise, wcan be split into two parts w2.1and w2.2such that
w2.1is an element of FIRSTk(β)andw2.2is a non-empty start of an element of
FOLLOWk(A). So we have the following situation:
w
w1.1w1.2
w2.1w2.2
Now, if w1.1=w2.1,w1.1is a member of FIRSTk(α), as well as FIRSTk(β), and
there is a prediction Ax#ksuch that x#k*
---> w1.2···.SoFIRST
k(αx#k) contains w
and so does FIRSTk(βx#k), and therefore, the grammar is not LL(k). So the only
case left is that w1.1=w2.1. Neither w1.2nor w2.2are ε, and this is just impossible
if |w|=1.
Strong-LL(k) parsers with k> 1 are seldom used in practice, partly because the
gain is marginal and the same effect can often be obtained by using conflict resolvers,
and partly because the parse tables can be large. That problem may, however, have
been exaggerated in the literature, since the table entries are mostly empty and the
tables lend themselves very well to table compression.
To obtain a full-LL(k) parser, the method that we used to obtain a full-LL(1)
parser can be extended to deal with pairs (A,L), where Lis a FIRSTkset of x#kin
some prediction Ax#k. This extension is straightforward and will not be discussed
further.
8.3.2 Linear-Approximate LL(k)
The large LL(k) tables and their heavy construction mechanism can often be avoided
by a simple trick: in addition to FIRST sets of non-terminals and alternatives, we
introduce SECOND sets: the set of tokens that can occur in second position in the
8.3 Increasing the Power of Deterministic LL Parsing 257
terminals productions of a non-terminal or alternative. We then choose an alterna-
tive Aif the first token of the input is in FIRST(A) and the second token of the
input is in SECOND(A). Rather than a table of size O(t2),wheretis the number
of terminals in the grammar, this technique needs two tables of size O(t); also, the
tables are easier to generate. This gives us a poor man’s version of LL(2), called
“linear-approximate LL(2)”, and, with the introduction of THIRD, FOURTH, etc.
sets, linear-approximate LL(k).
If the first non-terminal in an alternative produces only one token, its FOLLOW
set must be called upon to create the correct SECOND set for that alternative. With
this provision, it is easy to see that linear-approximate LL(2) efficiently and cheaply
handles the grammar fragment for expression elements at the beginning of Section
8.3 on page 254.
In principle linear-approximate LL(2) is weaker than LL(2), because it breaks
the relationships between the two tokens in the look-ahead sets. If two alternatives
in an LL(2) parser have look-ahead sets of {ab,cd}and {ad,cb}respectively, they
are disjoint; but under linear-approximate LL(2) both have a FIRST set of ac and
a SECOND set of bd, so they are no longer disjoint. In practice this effect is rare,
though.
Linear-approximate LL was first described by Parr and Quong [51], who also
give implementation details.
8.3.3 LL-Regular
LL(k) provides bounded look-ahead, but grammar rules like A--->Bb|Bc with Bpro-
ducing for example a*show that bounded look-ahead will not always suffice: the
discriminating token can be arbitrarily far away.
This suggests unbounded look-ahead, but that is easier said than done. Un-
bounded look-ahead is much more important and has been investigated much more
extensively in LR parsing, and is treated in depth in Section 9.13.2. We will give here
just an outline of the LL version; for details see Jarzabek and Krawczyk [44], Nijholt
[45], Poplawski [47], and Nijholt [48].
If bounded look-ahead is not enough, we need a way to describe the set of un-
bounded look-ahead sequences, which suggests a grammar. And indeed it turns out
that each alternative defines its own context-free look-ahead grammar. But this has
two problems: it solves the parsing problem by almost doing the same parsing, and
we cannot decide if the look-ahead grammars of two alternatives are disjoint. To
solve both problems we approximate the CF grammars by regular grammars (hence
the term “LL-regular”): disjointness of regular expressions can be decided, and there
is a trick to do regular analysis of the input only once for the entire parsing.
There is no hard and fast algorithm for the approximation of the CF grammars
with regular grammars, but there are many heuristics.
LL-regular is probably of theoretical interest only; if a parser writer goes through
that much trouble, the effort is more wisely spent on LR-regular. Still, it offers many
interesting insights, and the parser landscape would be incomplete without it.

258 8 Deterministic Top-Down Parsing
8.4 Getting a Parse Tree Grammar from LL(1) Parsing
Getting a parse tree grammar from LL(1) parsing is straightforward. The basic idea is
to create a new grammar rule for each prediction; the non-terminals in the right-hand
side are numbered using an increasing global counter, and the resulting right-hand
side is also inserted in the prediction stack. This produces numbered non-terminals in
the prediction stack, which then lead to the creation of more newly numbered rules.
The created rules then form the parse tree grammar. Since the parser is deterministic,
there is only one parse, and we obtain a parse tree grammar rather than a parse forest
grammar.
To see how it works in some more detail we refer to the grammar in Figure
8.9 and parse table 8.10. We start with a prediction stack Session_1 #, a look-
ahead !and a global counter which now stands at 2. For non-terminal Session
and look-ahead !the table predicts Session ---> Facts Question.Sowe
generate the parse tree grammar rule Session_1 ---> Facts_2 Question_3
where Session_1 obtains its number from the prediction and the Facts_2
and Question_3 obtain their numbers from the global counter. Next we
turn the prediction stack into Facts_2 Question_3 #.ForFacts and
!the parse table yields the prediction Facts ---> Fact Facts which
gives us the parse tree grammar rule Facts_2 ---> Fact_4 Facts_5
and a stack Fact_4 Facts_5 Question_3 #. The next step is simi-
lar and produces the grammar rule Fact_4 ---> ! STRING and a stack
! STRING Facts_5 Question_3 #. Now we are ready to match the !.
This process generates successive layers of the parse tree, using non-terminal
names like Question_3 and Facts_5 as forward pointers. See Figure 8.14,
where the leaves of the tree spell the absorbed input followed by the prediction stack.
When the parsing is finished, the leaves spell the input string.
Session_1
Facts_2 Question_3
Fact_4 Facts_5
!STRING
Fig. 8.14. Partial parse tree/grammar for input starting with ! STRING ...
There is no need to clean the resulting grammar. It cannot have undefined non-
terminals: each non-terminal created in a right-hand side is also put on the prediction
stack and a subsequent prediction will create a rule for it. It cannot have unreachable
8.5 Extended LL(1) Grammars 259
non-terminals either: rules are only created for non-terminals in the prediction stack,
and these all derive from predictions that ultimately derive from the start symbol.
8.5 Extended LL(1) Grammars
Several parser generators accept an extended context-free grammar instead of an or-
dinary one. See for example Lewi et al. [46], Heckmann [49], and Grune and Jacobs
[362]. Extended context-free grammars have been discussed in Chapter 2. To check
that an extended context-free grammar is LL(1), we have to transform the extended
context-free grammar into an ordinary one, in a way that will avoid introducing LL(1)
conflicts. For example, the transformation for Something+given in Chapter 2:
Something+---> Something | Something Something+
will not do, because it will result in an LL(1) conflict on the symbols in
FIRST(Something). Instead, we will use the following transformations:
Something*---> ε| Something Something*
Something+---> Something Something*
Something?---> ε| Something
If the resulting grammar is LL(1), the original extended context-free grammar was
ELL(1) (Extended LL(1)). This is the recursive interpretation of Chapter 2. Parser
generation usually proceeds as follows: first transform the grammar to an ordinary
context-free grammar, and then produce a parse table for it.
Extended LL(1) grammars allow a more efficient implementation in recursive
descent parsers. In this case, Something?can be implemented as an if statement:
if look_ahead ∈FIRST(Something)then
code for Something ...
else if look_ahead /∈FOLLOW(Something?)then
ERROR;
Something*can be implemented as a while loop:
while look_ahead ∈FIRST(Something)do
code for Something ...
if look_ahead /∈FOLLOW(Something*)then
ERROR;
and Something+can be implemented as a repeat loop:
repeat
if look_ahead /∈FIRST(Something)then
ERROR;
code for Something ...
until look_ahead ∈FOLLOW(Something+);
Here procedure calls have been replaced by much more efficient repetitive constructs.
260 8 Deterministic Top-Down Parsing
8.6 Conclusion
LL(1) parsing is a method with a strong intuitive appeal: the parser reads the input
from left to right, making decisions on its next step based on its expectation (predic-
tion stack) and the next token in the input. In some sense it “just follows the signs”.
The process can be implemented conveniently as a set of mutually recursive routines,
one for each non-terminal. If there were no ε-rules, that would be about the whole
story.
An ε-rule does not produce tokens, so it does not provide signs to follow. Instead
it is transparent, which makes us consider the set of tokens that can occur after it. This
set is dynamic, and it cannot be precomputed, but derives from the prediction. It can,
however, be approximated from above, by using the FOLLOW set; a precomputable
linear-time parser results.
The power of deterministic LL parsing can be increased by extending the look-
ahead, to bounded length, resulting in LL(k) parsing, or to unbounded length, in
LL-regular parsing. Linear-approximate LL(2) is a convenient and simplified form
of LL(2) parsing.
Problems
Problem 8.1: Under what conditions is a grammar LL(0)? What can be said
about the language it produces?
Problem 8.2: An LL(1) grammar is converted to CNF, as in Section 4.2.3. Is it
still LL(1)?
Problem 8.3: In an LL(1) grammar all non-terminals that have only one alter-
native are substituted out. Is the resulting grammar still LL(1)?
Problem 8.4: What does it mean when a column for a token tin an LL(1) parse
table is completely empty (for example #in Figure 8.5)?
Problem 8.5:a. Is the following grammar LL(1)?
SS---> Ab|Ac
A---> ε
Check with your local LL(1) parser generator. b. Same question for
SS---> Ab|Ac
A--->a|ε
c. Same question for
SS--->A
A--->aA
Problem 8.6: In Section 8.2.5.1 we give a simple argument showing that no
left-recursive grammar can be LL(1): the union of the FIRST sets of the non-left-
recursive alternatives would be equal the FIRST set of the left-recursive alternative,
thus causing massive FIRST/FIRST conflicts. But what about the grammar
8.6 Conclusion 261
SS--->SB|ε
B---> ε
which is left-recursive, obviously not LL(1), but the FIRST sets of both alternatives
contain only ε?
Problem 8.7: Devise an algorithm to check if a given parse table could have
originated from an LL(1) grammar through the LL(1) parse table construction pro-
cess.
Problem 8.8: Devise an efficient table structure for an LL(k) parser where kis
fairly large, say between 5 and 20. (Such grammars may arise in grammatical data
compression, Section 17.5.1.)
9
Deterministic Bottom-Up Parsing
There is a great variety of deterministic bottom-up parsing methods. The first de-
terministic parsers (Wolpe [110], Adams and Schlesinger [109]) were bottom-up
parsers and interest has only increased since. The full bibliography of this book on its
web site contains about 280 entries on deterministic bottom-up parsing against some
85 on deterministic top-down parsing. These figures may not directly reflect the rel-
ative importance of the methods, but they are certainly indicative of the fascination
and complexity of the subject of this chapter.
There are two families of deterministic bottom-up parsers:
• Pure bottom-up parsers. This family comprises the precedence and bounded-
(right)-context techniques, and are treated in Sections 9.1 to 9.3.
• Bottom-up parsers with an additional top-down component. This family, which
is both more powerful and more complicated than the pure bottom-up parsers,
consists of the LR techniques and is treated in Sections 9.4 to 9.10.
There are two main ways in which deterministic bottom-up methods are extended to
allow more grammars to be handled:
• Remaining non-determinism is resolved by breadth-first search. This leads to
Generalized LR parsing, which is covered in Section 11.1.
• The requirement that the bottom-up parser does the reductions in reverse right-
most production order (see below and Section 3.4.3.2) is dropped. This leads to
non-canonical parsing, which is covered in Chapter 10.
The proper setting for the subject at hand can best be obtained by summarizing a
number of relevant facts from previous chapters.
• A rightmost production expands the rightmost non-terminal in a sentential form,
by replacing it by one of its right-hand sides, as explained in Section 2.4.3. A
sentence is then produced by repeated rightmost production until no non-terminal
remains. See Figure 9.1(a), where the sentential forms are right-aligned to show
how the production process creeps to the left, where it terminates. The grammar
used is that of Figure 7.8.

264 9 Deterministic Bottom-Up Parsing
S
E
EQF
EQ a
E+a
EQF +a
EQ a+a
E -a+a
F -a+a
a-a+a
(a)
a-a+a
F -a+a
E -a+a
EQ a+a
EQF +a
E+a
EQ a
EQF
E
S
(b)
Fig. 9.1. Rightmost production (a) and rightmost reduction (b)
• Each step of a bottom-up parser, working on a sentential form, identifies the latest
rightmost production in it and undoes it by reducing a segment of the input to the
non-terminal it derived from. The identified segment and the production rule are
called the “handle” (Section 3.4.3.2).
Since the parser starts with the final sentential form of the production process
(that is, the input) it finds its first reduction somewhere near to the left end, which
is convenient for stream-based input. A bottom-up parser identifies rightmost
productions in reverse order. See Figure 9.1(b) where the handles are left-aligned
to show how the reduction process condenses the input.
• To obtain an efficient parser we need an efficient method to identify handles,
without considering alternative choices. So the handle search must either yield
one handle, in which case it must be the proper one, or no handle, in which case
we have found an error in the input.
Although this chapter is called “Deterministic Bottom-Up Parsing”, it is almost
exclusively concerned with methods for finding handles. Once the handle is found,
parsing is (almost always) trivial. The exceptions will be treated separately.
Unlike top-down parsing, which identifies productions before any of its con-
stituents have been identified, bottom-up parsing identifies a production only at its
very end, when all its constituents have already been identified. A top-down parser
allows semantic actions to be performed at the beginning of a production and these
actions can help in determining the semantics of the constituents. In a bottom-up
parser, semantic actions are only performed during a reduction, which occurs at the
end of a production, and the semantics of the constituents have to be determined
without the benefit of knowing in which production they occur. We see that the in-
creased power of bottom-up parsing compared to top-down parsing comes at a price:
since the decision what production applies is postponed to the last moment, that de-
cision can be based upon the fullest possible information, but it also means that the
actions that depend on this decision come very late.

9.1 Simple Handle-Finding Techniques 265
9.1 Simple Handle-Finding Techniques
There is a situation in daily life in which the average citizen is called upon to identify
a handle. If one sees a formula like
4+5×6+8
one immediately identifies the handle and evaluates it:
4+5×6+8
4+30 +8
The next handle is
4+30 +8
34 +8
and then
34 +8
42
If we look closely, we can discern shifts and reduces in this process. People doing
the arithmetic shift symbols until they reach the situation
4+5×6+8
in which the control mechanism in their heads tells them that this is the right moment
to do a reduce. If asked why, they might answer something like: “Ah, well, I was
taught in school that multiplication comes before addition”. Before we formalize
this notion and turn it into a parsing method, we consider an even simpler case.
Meanwhile we note that formulas like the one above are called “arithmetic ex-
pressions” and are produced by the grammar of Figure 9.2. Sis the start symbol, E
Ss--->E
E--->E+T
E--->T
T--->T×F
T--->F
F--->n
F--->(E)
Fig. 9.2. A grammar for simple arithmetic expressions
stands for “expression”, Tfor “term”, Ffor “factor” and nfor any number. Having
nrather than an explicit number causes no problems, since the exact value is imma-
terial to the parsing process. We have demarcated the beginning and the end of the

266 9 Deterministic Bottom-Up Parsing
expression with #marks; the blank space that normally surrounds a formula is not
good enough for automatic processing. The parser accepts the input as correct and
stops when the input has been reduced to #Ss#.
An arithmetic expression is fully parenthesized if each operator together with its
operands has parentheses around it:
Ss--->E
E---> (E+T)
E--->T
T---> (T×F)
T--->F
F--->n
Our example expression would have the form
#((4+(5×6))+8)#
Now finding the handle is trivial: go to the first closing parenthesis and then back to
the nearest opening parenthesis. The segment between and including the parentheses
is the handle and the operator identifies the production rule. Reduce it and repeat the
process as often as required. Note that after the reduction there is no need to start
all over again, looking for the first closing parenthesis: there cannot be any closing
parenthesis on the left of the reduction spot. So we can start searching right where
we are. In the above example we find the next right parenthesis immediately and do
the next reduction:
#((4+30)+8)#
9.2 Precedence Parsing
Of course, grammars normally do not have these convenient begin- and end markers
to each compound right-hand side, and the above parsing method has little practical
value (as far as we know it does not even have a name). Yet, suppose we had a method
for inserting the proper parentheses into an expression that was lacking them. At a
first glance this seems trivial to do: when we see +n× we know we can replace this
by +(n× and we can replace ×n+ by ×n)+. There is a slight problem with +n+,but
since the first +has to be performed first, we replace this by +n)+.The#s are easy;
we can replace #n by #(n and n# by n)#. For our example we get:
#(4+(5×6)+8)#
This is, however, not quite correct — it should have been #((4+(5×6))+8)# —
and for 4+5×6 we get the obviously incorrect form #(4+(5×6)#.

9.2 Precedence Parsing 267
9.2.1 Parenthesis Generators
The problem is that we do not know how many parentheses to insert in, for ex-
ample, +n×:in4+5×6 we should replace it by +(n× to obtain #(4+(5×6))#,
but 4+5×6×76×8 would require it to be replaced by +(((n×, etc. We solve this
problem by inserting parenthesis generators rather than parentheses. A generator for
open parentheses is traditionally written as , one for closing parentheses as ;we
shall also use a “non-parenthesis”, .
=. These symbols look confusingly like <,>and
=, to which they are only remotely related. Now our tentatively inserted parentheses
become firmly inserted parenthesis generators; see Figure 9.3. We have left out the
+× ⇒+×
×+ ⇒×+
++ ⇒++
#··· ⇒ #···
··· #⇒ ··· #
Fig. 9.3. Preliminary table of precedence relations
nsince the parenthesis generator is dependent on the left and right operators only.
The table in Figure 9.3 is incomplete: the pattern ××is missing, as are all pat-
terns involving parentheses. In principle there should be a pattern for each combi-
nation of two operators (where we count the genuine parentheses as operators), and
only the generator to be inserted is relevant for each combination. This generator is
called the precedence relation between the two operators. It is convenient to collect
all combinations of operators in a table, the precedence table. The precedence table
for the grammar of Figure 9.2 is given in Figure 9.4; the leftmost column contains
the left-hand symbols and the top-most row the right-hand symbols.
#+×()
#.
=
+
×
( .
=
)
Fig. 9.4. Operator-precedence table to the grammar of Figure 9.2
There are three remarks to be made about this precedence table. First, we have
added a number of and tokens not covered above (for example, ××). Second,
there is #.
=#and (.
=)—butthereisno).
=(! We shall shortly see what they mean.
And third, there are three empty entries. When we find these combinations in the
input, it contains an error.
Such a table is called a precedence table because for symbols that are normally
regarded as operators it gives their relative precedence. An entry like +×indicates

268 9 Deterministic Bottom-Up Parsing
that in the combination +×,the×has a higher precedence than the +. We shall first
show how the precedence table is used in parsing and then how such a precedence
table can be constructed systematically for a given grammar, if the grammar allows
it.
The stack in an operator-precedence parser differs from the normal bottom-up
parser stack in that it contains “important” symbols, the operators, between which
relations are defined, and “unimportant” symbols, the numbers, which are only con-
sulted to determine the value of a handle and which do not influence the parsing.
Moreover, we need locations on the stack to hold the parenthesis generators between
the operators (although one could, in principle, do without these locations, by reeval-
uating the parenthesis generators again whenever necessary). Since there is a paren-
thesis generator between each pair of operators and there is also (almost) always a
value between such a pair, we shall indicate both in the same position on the stack,
with the parenthesis generator in line and the value below it; see Figure 9.5.
Stack rest of input
# 4+5×6+8#(a)
#+×+8#
45 6
(b)
#++8#
4×
56
(c)
#+#
+
4×
5 6
8
(d)
#.
=#
+
+
4 ×
5 6
8
(e)
Fig. 9.5. Operator-precedence parsing of 4+5×6+8
To show that, contrary to what is sometimes thought, operator-precedence can
do more than just compute a value (and since we have seen too often now that
4+5×6+8=42), we shall have the parser construct the parse tree rather than the
value. The stack starts with a #. Values and operators are shifted onto it, interspersed
with parenthesis generators, until a generator is met; the following operator is not

9.2 Precedence Parsing 269
shifted and is left in the input (Figure 9.5(b)). It is now easy to identify the handle
segment, which is demarcated by a dotted rectangle in the figure. The operator ×
identifies the type of node to be created, and the handle is now reduced to a tree; see
(c), in which also the next has already appeared between the +on the stack and the
+in the input. We see that the tree and the new generator have come in the position of
the of the handle. A further reduction brings us to (d)inwhichthe+and the 8have
already been shifted, and then to the final state of the operator-precedence parser, in
which the stack holds #.
=#and the parse tree dangles from the value position.
We see that the stack only holds markers and values, plus a on the top each
time a handle is found. The meaning of the .
=becomes clearer when we parse an
input text which includes parentheses, like 4×(5+6); see Figure 9.6. We see that the
Stack rest of input
# 4×(5+6)#(a)
#×(+)#
456
(b)
#×(.
=)#
411
(c)
#×#
411
(d)
#.
=#
44
(e)
Fig. 9.6. An operator-precedence parsing involving .
=
.
=is used to build handles consisting of more than one operator and two operands;
the handle in (c) has two operators, the (and the )and one operand, the 11.Where
the generates open parentheses and the generates close parentheses, both of
which cause level differences in the parse tree, the .
=generates no parentheses and
allows the operands to exist on the same level in the parse tree.
As already indicated on page 200, the set of stack configurations of a bottom-up
parser can be described by a regular expression. For precedence parsers the expres-
sion is easy to see:
#|#q([.
=]q)*?|#
.
=#
where qis any operator; the first alternative is the start situation and the third al-
ternative is the end situation. (Section 9.12.2 will show more complicated regular
expressions for other bottom-up parsers.)
9.2.2 Constructing the Operator-Precedence Table
The above hinges on the difference between operators, which are terminal symbols
and between which precedence relations are defined, and operands, which are non-
270 9 Deterministic Bottom-Up Parsing
terminals. This distinction is captured in the following definition of an operator gram-
mar:
A CF grammar is an operator grammar if (and only if) each right-hand
side contains at least one terminal or non-terminal and no right-hand side
contains two consecutive non-terminals.
So each pair of non-terminals is separated by at least one terminal; all the terminals
except those carrying values (nin our case) are called operators.
For such grammars, setting up the precedence table is relatively easy. First we
compute for each non-terminal Athe set FIRSTOP(A), which is the set of all operators
that can occur as the first operator in sentential forms deriving from A. Note that such
a first operator can be preceded by at most one non-terminal in an operator grammar.
The FIRSTOPs of all non-terminals are constructed simultaneously as follows:
1. For each non-terminal A, find all right-hand sides of all rules for A; now for each
right-hand side Rwe insert the first operator in R(if any) into FIRSTOP(A). This
gives us the initial values of all FIRSTOPs.
2. For each non-terminal A, find all right-hand sides of all rules for A; now for each
right-hand side Rthat starts with a non-terminal, say B, we add the elements of
FIRSTOP(B)toFIRST
OP(A). This is reasonable, since a sentential form of Amay
start with B, so all operators in FIRSTOP(B) should also be in FIRSTOP(A).
3. Repeat step 2 above until no FIRSTOP changes any more. We have now found
the FIRSTOP of all non-terminals.
We will also need the set LASTOP(A), which is defined similarly, and a similar
algorithm, using the last operator in Rinstep1andaBwhich ends A in step 2
provides it. The sets for the grammar of Figure 9.2 are shown in Figure 9.7.
FIRSTOP(S)={#}LAST
OP(S)={#}
FIRSTOP(E)={+,×,(}LAST
OP(E)={+,×,)}
FIRSTOP(T)={×,(}LAST
OP(T)={×,)}
FIRSTOP(F)={(}LAST
OP(F)={)}
Fig. 9.7. FIRSTOP and LASTOP sets for the grammar of Figure 9.2
Now we can fill the precedence table using the following rules, in which q,q1
and q2are operators and Ais a non-terminal.
• For each occurrence in a right-hand side of the form q1q2or q1Aq
2,setq1.
=q2.
This keeps operators from the same handle together.
• For each occurrence q1A,setq1q2for each q2in FIRSTOP(A). This demar-
cates the left end of a handle.
• For each occurrence Aq1,setq2q1for each q2in LASTOP(A). This demarcates
the right end of a handle.
If we obtain a table without conflicts this way, that is, if we never find two differ-
ent relations between two operators, then we call the grammar operator-precedence.
9.2 Precedence Parsing 271
It will now be clear why (.
=)and not ).
=(in our grammar of Figure 9.2, and why
++: because E+ occurs in E--->E+T and +is in LASTOP(E).
In this way, the table can be derived from the grammar by a program and be
passed on to the operator-precedence parser. A very efficient linear-time parser re-
sults. There is, however, one small problem we have glossed over: Although the
method properly identifies the handle segment, it often does not identify the non-
terminal to which to reduce it. Also, it does not show any unit rule reductions;
nowhere in the examples did we see reductions of the form E--->T or T--->F. In short,
operator-precedence parsing generates only skeleton parse trees.
Operator-precedence parsers are very easy to construct (often even by hand) and
very efficient to use; operator-precedence is the method of choice for all parsing
problems that are simple enough to allow it. That only a skeleton parse tree is ob-
tained, is often not an obstacle, since operator grammars often have the property
that the semantics is attached to the operators rather than to the right-hand sides; the
operators are identified correctly.
It is surprising how many grammars are (almost) operator-precedence. Almost all
formula-like computer input is operator-precedence. Also, large parts of the gram-
mars of many computer languages are operator-precedence. An example is a con-
struction like CONST total = head + tail; from a Pascal-like language,
which is easily rendered as:
Stack rest of input
#CONST =+
total head tail
;#
Ignoring the non-terminals has other bad consequences besides producing a
skeleton parse tree. Since non-terminals are ignored, a missing non-terminal is not
noticed. As a result, the parser will accept incorrect input without warning and will
produce an incomplete parse tree for it. A parser using the table of Figure 9.4 will
blithely accept the empty string, since it immediately leads to the stack configuration
#.
=#. It produces a parse tree consisting of one empty node.
The theoretical analysis of this phenomenon turns out to be inordinately difficult;
see Levy [125], Williams [128, 129, 131] and many others in (Web)Section 18.1.6.
In practice it is less of a problem than one would expect; it is easy to check for the
presence of required non-terminals, either while the parse tree is being constructed
or afterwards — but such a check would not follow from the parsing technique.
9.2.3 Precedence Functions
Although precedence tables require room for only a modest |VT|2entries, where
|VT|is the number of terminals in the grammar, they can often be represented much
more frugally by so-called precedence functions, and it is usual to do so. The idea is
the following. Rather than having a table T such that for any two operators q1and
q2,T[q1,q2]yields the relation between q1and q2, we have two integer functions
fand gsuch that f(q1)<g(q2)means that q1q2,f(q1)=g(q2)means q1.
=q2

272 9 Deterministic Bottom-Up Parsing
and f(q1)>g(q2)means q1q2.f(q)is called the left priority of q,g(q)the right
priority; they would probably be better indicated by land r, but the use of fand g
is traditional. It will be clear that two functions are required: with just one function
one cannot express, for example, ++. Precedence functions take much less room
than precedence tables: 2|VT|entries versus |VT|2for the table. Not all tables allow a
representation with two precedence functions, but many do.
Finding the proper fand gfor a given table seems simple enough and can indeed
often be done by hand. The fact, however, that there are two functions rather than one,
the size of the tables and the occurrence of the .
=complicate things. An algorithm
to construct the two functions was given by Bell [120]. There is always a way to
represent a precedence table with more than two functions; Bertsch [127] shows
how to construct such functions.
Finding two precedence functions is equivalent to reordering the rows and
columns of the precedence table so that the latter can be divided into three regions:
aregion on the lower left, a region on the upper right and a .
=border between
them; see Figure 9.8. The process is similar but not equivalent to doing a topological
#)+×(
#.
=
(.
=
+
×
)
Fig. 9.8. The precedence table of Figure 9.4 reordered
sort on fqand gq.
Precedence parsing recognizes that many languages have tokens that define the
structure and tokens that carry the information; the first are the operators, the second
the operands. That raises the question whether that difference can be formalized; see
Gray and Harrison [124] for a partial answer, but usually the question is left to the
user.
Some operators are actually composite; the C and Java programming language
conditional expression, which is formed by two parts: x>0?x:0 yields xif xis
greater than 0; otherwise it yields 0. Such distributed operators are called distfix op-
erators. They can be handled by precedence-like techniques; see, for example Peyton
Jones [132] and Aasa [133].
9.2.4 Further Precedence Methods
Operator precedence structures the input in terms of operators only: it yields skeleton
parse trees — correctly structured trees with the terminals as leaves but with unla-
beled nodes — rather than parse trees. As such it is quite powerful, and serves in
many useful programs to this day. In some sense it is even stronger than the more
9.2 Precedence Parsing 273
famous LR techniques: operator precedence can easily handle ambiguous grammars,
as long as the ambiguity remains restricted to the labeling of the tree. We could add a
rule E--->n to the grammar of Figure 9.2 and it would be ambiguous but still operator-
precedence. It achieves its partial superiority over LR by not fulfilling the complete
task of parsing: getting a completely labeled parse tree.
There is a series of more advanced precedence parsers, which do properly label
the parse tree with non-terminals. They were very useful at the time they were in-
vented, but today their usefulness has been eclipsed by the LALR and LR parsers,
which we will treat further on in this chapter (Sections 9.4 through 9.14). We will
therefore only briefly touch upon them here, and refer the reader to the many publi-
cations in (Web)Section 18.1.6.
The most direct way to bring back the non-terminals in the parse tree is to involve
them like the terminals in the precedence relations. This idea leads to simple prece-
dence parsing (Wirth and Weber [118]). A grammar is simple precedence if and only
if:
• it has a conflict-free precedence table over all its symbols, terminals and non-
terminals alike;
• none of its right-hand sides is ε;
• all of its right-hand sides are different.
For example, we immediately have the precedence relations (.
=Eand E.
=)from the
rule F--->(E).
The construction of the simple-precedence table is again based upon two sets,
FIRSTALL(A) and LASTALL(A).FIRST
ALL(A) is similar to the set FIRST(A) from
Section 8.2.1.1, and differs from it in that it also contains all non-terminals that can
start a sentential form derived from A, whereas FIRST(A) contains terminals only. A
similar definition applies to LASTALL(A).
Unfortunately almost no grammar is simple-precedence, not even the simple
grammar of Figure 9.2, since we have (Ein addition to (.
=E, due to the occur-
rence of (E in F--->(E),andEbeing in FIRSTALL(E) from E--->E+T.Afewother
conflicts also occur. On the bright side, this kind of conflict can often be solved by
inserting extra levels around the troublesome non-terminals, as done in Figure 9.9,
but this brings us farther away from our goal, producing a correct parse tree.
It turns out that most of the simple-precedence conflicts are /.
=conflicts. Now
the difference between and .
=is in a sense less important than that between either
of them and .Bothand .
=result in a shift and only asks for a reduce. Only
when a reduce is found will the difference between and .
=become significant for
finding the left end of the handle. Now suppose we drop the difference between
and .
=and combine them into _; then we need a different means of identifying the
handle segment. This can be done by requiring not only that all right-hand sides be
different, but also that no right-hand side be equal to the tail of another right-hand
side. A grammar that conforms to this and has a conflict-free _/precedence table
is called weak precedence (Ichbiah and Morse [121]).

274 9 Deterministic Bottom-Up Parsing
Ss--->E’
E’ --->E
E--->E+T’
E--->T’
T’ --->T
T--->T×F
T--->F
F--->n
F--->(E)
FIRSTALL(E’)={E,T’,T,F,n,(}LAST
ALL(E’)={T’,T,F,n,)}
FIRSTALL(E)={E,T’,T,F,n,(}LAST
ALL(E)={T,F,n,)}
FIRSTALL(T’)={T,F,n,(}LAST
ALL(T’)={F,n,)}
FIRSTALL(T)={T,F,n,(}LAST
ALL(T)={F,n,)}
FIRSTALL(F)={n,(}LAST
ALL(F)={n,)}
#E’ ET’ TFn+×()
#.
=
E’ .
=
E.
=.
=
T’
T .
=
F
n
+.
=
×.
=
(.
=
)
Fig. 9.9. Modifying the grammar from Figure 9.2, to obtain a conflict-free simple-precedence
table
Unfortunately the simple grammar of Figure 9.2 is not weak-precedence either.
Theright-handsideofE--->T is the tail of the right-hand side of E--->E+T, and upon
finding the stack
··· _E.
=+_T
we do not know whether to reduce with E--->T or with E--->E+T. Several tricks are
possible: taking the longest reduce, looking deeper on the stack, etc.
The above methods determine the precedence relations by looking at 1 symbol
on the stack and 1 token in the input. Once this has been said, the idea suggests itself
to generalize this and to determine the precedence relations from the topmost m
symbols on the stack and the first ntokens in the input. This is called (m,n)-extended
precedence (Wirth and Weber [118]). For many entries in the table checking the full
length on the stack and in the input is overkill, and ways have been found to use just

9.3 Bounded-Right-Context Parsing 275
enough information, thus greatly reducing the table sizes. This technique is called
mixed-strategy precedence (McKeeman [123]).
9.3 Bounded-Right-Context Parsing
There is a different way to solve the annoying problem of the identification of the
right-hand side: let the identity of the rule be part of the precedence relation. This
means that for each combination of, say, msymbols on the stack and ntokens in the
input there should be a unique parsing decision which is either “shift” ( _)or“reduce
using rule X”(X), as obtained by a variant of the rules for extended precedence.
The parser is then a form of bounded-right-context. Figure 9.10 gives such tables
for m=2andn=1 for the grammar of Figure 9.2; these tables were constructed
by hand. The rows correspond to stack symbol pairs; the entry Accept means that
#+×n()
#S Accept
#E S--->E _Error
#T E--->T E--->T _Error
#F T--->F T--->F T--->F Error
#n F--->n F--->n F--->n Error Error Error
#( Error Error Error __Error
E+ Error Error Error __Error
E) F--->(E) F--->(E) F--->(E) Error Error F--->(E)
T× Error Error Error __Error
+T E--->E+T E--->E+T _
E--->E+T
+F T--->F T--->F T--->F T--->F
+n F--->n F--->n F--->n Error Error F--->n
+( Error Error Error __Error
×F T--->T×F T--->T×F T--->T×F T--->T×F
×n F--->n F--->n F--->n Error Error F--->n
×( Error Error Error __Error
(E Error __
(T Error E--->T _
E--->T
(F Error T--->F T--->F T--->F
(n Error F--->n F--->n Error Error F--->n
(( Error Error Error __Error
Fig. 9.10. BC(2,1) table for the grammar of Figure 9.2
the input has been parsed and Error means that a syntax error has been found. Blank
entries will never be accessed; all-blank rows have been left out. See, for example,
Loeckx [122] for an algorithm for the construction of such tables.
276 9 Deterministic Bottom-Up Parsing
9.3.1 Bounded-Context Techniques
The table of Figure 9.10 represents a variant of bounded-context, or more precisely,
a particular implementation of bounded-right-context. To understand the bounded-
context idea we have to go back to the basic bottom-up parsing algorithm explained
in Section 3.2.2: find a right-hand side anywhere in the sentential form and reduce it.
But we have already seen that often such a reduction creates a node that is not a node
of the final parse tree, and backtracking is needed. For example, when we reduce the
second nin #n×n# to Fwe have created a node that belongs to the parse tree. We
obtain #n×F#, but if we now reduce the Fto T, obtaining #n×T#, we have gone one
step too far, and will no longer get a parsing. So why is the first reduction OK, and
the second is not?
In bounded-context parsing the proposed reductions are restricted by context con-
ditions. A right-hand side αof a rule A→αfound in a sentential form can only be
reduced to Aif it appears in the right context, β1αβ2.Hereβ1is the left context, β2
the right one. Both contexts must be of bounded length, hence “bounded context”;
either or both can be ε.
Using these contexts, it is easy to see from the grammar that nin the context
×···#can be reduced to F,butFin the context ×···#cannot be reduced to T,al-
though in the context +···#it could. Turning this intuition into an algorithm is very
difficult. A grammar is bounded-context if no segment β1αβ2that results from a
production A→αin a sentential form can result in any other way. If that condition
holds, we can, upon seeing the context pattern β1αβ2, safely reduce to β1Aβ2.Ifthe
maximum length of β1is mand that of β2is n, the grammar is BC(m,n).
Finding sufficient and non-conflicting contexts is a difficult affair, which is
sketched by Floyd [117]. Because of this difficulty, bounded-context is of no con-
sequence as a parsing method; but bounded-context grammars are important in er-
ror recovery (Richter [313], Ruckert [324]) and substring parsing (Cormack [211],
Ruckert [217]), since they allow parsing to be resumed in arbitrary positions. This
property is treated in Section 16.5.2.
If all right contexts in a bounded-context grammar contain terminals only, the
grammar and its parser are bounded-right-context,orBRC(m,n). Much more is
known about bounded-right-context than about general bounded-context, and exten-
sive table construction algorithms are given by Eickel et al. [115] and Loeckx [122].
Table construction is marginally easier for BRC than for BC, but it can handle fewer
grammars.
The implementation of BRC parsing as sketched above is awkward: to try a re-
duction A→αin the context β1···β2the top of the stack must be tested for the
presence of α, which is of variable length, and then β1on the stack and β2in the in-
put must be verified; repeat for all rules and all contexts. It is much more convenient
to represent all triplets (β1αβ2)as pairs (β1α,β2)in a matrix, like the one in Figure
9.10; in this way β1αand β2are basically the left and right contexts of the parsing
decision at the gap between stack and rest of input:

9.3 Bounded-Right-Context Parsing 277
αβ1β2
left context of
prospective rhs
right context of
prospective rhs
left context of
parsing decision
right context of
parsing decision
As a final step the left contexts are cut to equal lengths, in such a way that enough
information remains. This is usually easily done; see Figure 9.10. This brings BRC
parsing in line with the other table-driven bottom-up parsing algorithms.
Although some publications do not allow it, BC and BRC parsers can handle
nullable non-terminals. If we add the rule E--->εto the grammar of Figure 9.2, the
context (,)is strong enough to conclude that reducing with E--->εis correct.
Bounded-right-context is much more prominent than bounded-context, but since
it is more difficult to pronounce, it is often just called “bounded-context”; this some-
times leads to considerable confusion. BRC(2,1) is quite powerful and was once
very popular, usually under the name “BC(2,1)”, but has been superseded almost
completely by LALR(1) (Section 9.7).
It should be pointed out that bounded-context can identify reductions in non-
canonical order, since a context reduction may be applied anywhere in the sentential
form. Such a reduction can then result in a non-terminal which is part of the right
context of another reduction pattern. So bounded context actually belongs in Chapter
10, but is easier to understand here.
If in bounded-right-context we repeatedly apply the first context reduction we
find in a left-to-right sweep, we identify the reductions in canonical order, since the
right context is free from non-terminals all the time, so no non-canonical reductions
are needed.
If during table construction for a bounded-context parser we find that a segment
β1αβ2produced from β1Aβ2can also be produced otherwise, we can do two things:
we can decide that the grammar is not BC and give up, or we can decide not to
include the segment in our table of reduction contexts and continue. In doing so we
now run the risk of losing some parsings, unless we can prove that for any sentential
form there is at least one reduction context left. If that is the case, the grammar is
bounded-context parsable or BCP. Constructing parse tables for BCP(m,n)iseven
more difficult than for BC or BRC, but the method can handle substantially more
grammars than either; Williams [193] has the details.
Note that the parsing method is the same for BRC, BC and BCP; just the parse
table construction methods differ.
9.3.2 Floyd Productions
Bounded-context parsing steps can be summarized conveniently by using Floyd pro-
ductions. Floyd productions are rules for rewriting a string that contains a marker, ∆,
on which the rules focus. A Floyd production has the form α∆β =>γ∆δ and means
278 9 Deterministic Bottom-Up Parsing
that if the marker in the string is preceded by αandisfollowedbyβ, the construction
must be replaced by γ∆δ. The rules are tried in order starting from the top and the
first one to match is applied; processing then resumes on the resulting string, starting
from the top of the list, and the process is repeated until no rule matches.
Although Floyd productions were not primarily designed as a parsing tool but
rather as a general string manipulation language, the identification of the ∆in the
string with the gap in a bottom-up parser suggests itself and was already made in
Floyd’s original article [113]. Floyd productions for the grammar of Figure 9.2 are
given in Figure 9.11. The parser is started with the ∆at the left of the input.
∆n=>n∆
∆(=>(∆
n∆=> F ∆
T∆×=> T×∆
T×F∆=> T ∆
F∆=> T ∆
E+T ∆=> E ∆
T∆=> E ∆
(E) ∆=> F ∆
∆+=>+∆
∆)=>)∆
∆#=>#∆
#E# ∆=> S ∆
Fig. 9.11. Floyd productions for the grammar of Figure 9.2
The apparent convenience and conciseness of Floyd productions makes it very
tempting to write parsers in them by hand, but Floyd productions are very sensitive
to the order in which the rules are listed and a small inaccuracy in the order can have
a devastating effect.
9.4 LR Methods
The LR methods are based on the combination of two ideas that have already been
touched upon in previous sections. To reiterate, the problem is to find the handle in a
sentential form as efficiently as possible, for as large a class of grammars as possible.
Such a handle is searched for from left to right. Now, from Section 5.10 we recall
that a very efficient way to find a string in a left-to-right search is by constructing a
finite-state automaton. Just doing this is, however, not good enough. It is quite easy
to construct an FS automaton that would recognize any of the right-hand sides in
the grammar efficiently, but it would just find the leftmost reducible substring in the
sentential form. This substring, however, often does not identify the correct handle.
The idea can be made practical by applying the same trick that was used in the
Earley parser to drastically reduce the fan-out of the breadth-first search (see Sec-
tion 7.2): start the automaton with the start rule of the grammar and only consider,

9.4 LR Methods 279
in any position, right-hand sides that could be derived from the start symbol. This
top-down restriction device served in the Earley parser to reduce the cost to O(n3),
here we require the grammar to be such that it reduces the cost to O(n). The result-
ing automaton is started in its initial state at the left end of the sentential form and
allowed to run to the right. It has the property that it stops at the right end of the
handle segment and that its accepting state tells us how to reduce the handle; if it
ends in an error state the sentential form was incorrect. Note that this accepting state
is an accepting state of the handle-finding automaton, not of the LR parser; the latter
accepts the input only when it has been completely reduced to the start symbol.
Once we have found the handle, we follow the standard procedure for bottom-up
parsers: we reduce the handle to its parent non-terminal as described at the beginning
of Chapter 7. This gives us a new “improved” sentential form, which, in principle
should be scanned anew by the automaton from the left, to find the next handle. But
since nothing has changed in the sentential form between its left end and the point of
reduction, the automaton will go through the same movements as before, and we can
save it the trouble by remembering its states and storing them between the tokens
on the stack. This leads us to the standard setup for an LR parser, shown in Figure
9.12 (compare Figure 7.1). Here s1is the initial state, sg···sbare the states from
s1tgsgNfsftesetdsdNcscNbsbtasat1t2t3··
Cut
Stack Rest of input
states, terminals
and non-terminals
terminals
only
partial parse
trees
Fig. 9.12. The structure of an LR parse
previous scans, and sais the top, deciding, state.
By far the most important component in an LR parser is the handle-finding au-
tomaton, and there are many methods to construct one. The most basic one is LR(0)
(Section 9.5); the most powerful one is LR(1) (Section 9.6); and the most practical
one is LALR(1) (Section 9.7). In its decision process the LR automaton makes a very
modest use of the rest of the input (none at all for LR(0) and a one-token look-ahead
for LR(1) and LALR(1)); several extensions of LR parsing exist that involve the rest
of the input to a much larger extent (Sections 9.13.2 and 10.2).
Deterministic handle-finding automata can be constructed for any CF grammar,
which sounds promising, but the problem is that an accepting state may allow the
automaton to continue searching in addition to identifying a handle (in which case
we have a shift/reduce conflict), or identify more than one handle (and we have a
reduce/reduce conflict). (Both types of conflicts are explained in Section 9.5.3.) In
280 9 Deterministic Bottom-Up Parsing
other words, the automaton is deterministic; the attached semantics is not. If that
happens the LR method used is not strong enough for the grammar. It is easy to
see that there are grammars for which no LR method will be strong enough; the
grammar of Figure 9.13 produces strings consisting of an odd number of as, the
middle of which is the handle. But finding the middle of a string is not a feature of
Ss--->aSa|a
Fig. 9.13. An unambiguous non-deterministic grammar
LR parsers, not even of the extended and improved versions.
As with the Earley parser, LR parsers can be improved by using look-ahead, and
almost all of them are. An LR parser with a look-ahead of ktokens is called LR(k).
Just as the Earley parser, it requires kend-of-input markers to be appended to the
input; this implies that an LR(0) parser does not need end-of-input markers.
9.5 LR(0)
Since practical handle-finding FS automata easily get so big that their states cannot
be displayed on a single page of a book, we shall use the grammar of Figure 9.14 for
our examples. It describes very simple arithmetic expressions, terminated with a $.
1. Ss--->E$
2. E--->E-T
3. E--->T
4. T--->n
5. T--->(E)
Fig. 9.14. A very simple grammar for differences of numbers
An example of a string in the language is n-(n-n)$;thenstands for any number.
The only arithmetic operator in the grammar is the -; it serves to remind us that the
proper parse tree must be derived, since (n-n)-n$ is not the same as n-(n-n)$.
9.5.1 The LR(0) Automaton
We set out to construct a top-down-restricted handle-recognizing FS automaton for
the grammar of Figure 9.14, and start by constructing a non-deterministic version.
We recall that a non-deterministic automaton can be drawn as a set of states con-
nected by arrows (transitions), each marked with one symbol or with ε. Each state
will contain one item. Like in the Earley parser an item consists of a grammar rule
with a dot •embedded in its right-hand side. An item X→···Y•Z··· in a state

9.5 LR(0) 281
means that the NFA bets on X→···YZ··· being the handle and that it has already
recognized ···Y. Unlike the Earley parser there are no back-pointers.
To simplify the explanation of the transitions involved, we introduce a second
kind of state, which we call a station.Ithasonlyε-arrows incoming and outgoing,
contains something of the form •Xand is drawn in a rectangle rather than in an
ellipse. When the automaton is in such a station at some point in the sentential form,
it assumes that at this point a handle starts which reduces to X. Consequently each
•Xstation has ε-transitions to items for all rules for X, each with the dot at the
left end, since no part of the rule has yet been recognized; see Figure 9.15. Equally
reasonably, each state holding an item X→···•Z··· has an ε-transition to the station
•Z, since the bet on an Xmay be over-optimistic and the automaton may have to
settle for a Z. The third and last source of arrows in the NFA is straightforward. From
each state containing X→···•P··· there is a P-transition to the state containing
X→···P•···,forPa terminal or a non-terminal. This corresponds to the move the
automaton makes when it really meets a P. Note that the sentential form may contain
non-terminals, so transitions on non-terminals should also be defined.
With this knowledge we refer to Figure 9.15. The stations for S,Eand Tare
•S
S--->•E$
E
S--->E•$
$
S--->E$•
ε
•E
E--->•E-T
E
E--->E•-T
-
E--->E-•T
T
E--->E-T•
ε
E--->•T
T
E--->T•
ε
•T
T--->•n
n
T--->n•
ε
T--->•(E)
(
T--->(•E)
E
T--->(E•)
)
T--->(E)•
ε
εεε
ε
ε
Fig. 9.15. A non-deterministic handle recognizer for the grammar of Figure 9.14
drawn at the top of the picture, to show how they lead to all possible items for S,E
and T, respectively. From each station ε-arrows fan out to all states containing items
with the dot at the left, one for each rule for the non-terminal in that station; from
each such state non-ε-arrows lead down to further states. Now the picture is almost

282 9 Deterministic Bottom-Up Parsing
complete. All that needs to be done is to scan the items for a dot followed by a non-
terminal (readily discernible from the outgoing arrow marked with it) and to connect
each such item to the corresponding station through an ε-arrow. This completes the
picture.
There are three things to be noted about this picture. First, for each grammar
rule with a right-hand side of length lthere are l+1 items and they are easily found
in the picture. Moreover, for a grammar with rdifferent non-terminals, there are r
stations. So the number of states is roughly proportional to the size of the grammar,
which assures us that the automaton will have a modest number of states. For the
average grammar of a hundred rules something like 300 states is usual. The second
thing to note is that all states have outgoing arrows except the ones which contain a
reduce item, an item with the dot at the right end. These are accepting states of the
automaton and indicate that a handle has been found; the item in the state tells us
how to reduce the handle. The third thing to note about Figure 9.15 is its similarity
to the recursive transition network representation of Section 2.8.
We shall now run this NFA on the sentential form E-n-n$, to see how it works.
As in the FS case we can do so if we are willing to go through the trouble of re-
solving the non-determinism on the fly. The automaton starts at the station •Sand
can immediately make ε-moves to S--->•E$,•E,E--->•E-T,E--->•T,•T,T--->•nand
T--->•(E). Moving over the Ereduces the set of items to S--->E•$and E--->E•-T;
moving over the next -brings us at E--->E-•Tfrom which ε-moves lead to •T,
T--->•nand T--->•(E). Now the move over nleaves only one item: T--->n•.Since
this is a reduce item, we have found a handle segment, n, and we should reduce it
to Tusing T--->n. See Figure 9.16. This reduction gives us a new sentential form,
E-T-n$, on which we can repeat the process.
•S
S--->•E$
•E
E--->•E-T
E--->•T
•T
T--->•n
T--->•(E)
ES--->E•$
E--->E•-T -
E--->E-•T
•T
T--->•n
T--->•(E)
nT--->n• - n $
Fig. 9.16. The sets of NFA states while analysing E-n-n$
We see that there are two ways in which new items are produced: through ε-
moves and through moving over a symbol. The first way yields items of the form
A→•α, and such an item derives from an item of the form X→β•Aγin the same
state. The second way yields items of the form A→ασ•βwhere σis the token we
moved over; such an item derives from an item of the form A→α•σβ in the parent
state.

9.5 LR(0) 283
Just as in the FS case (page 144) we have described an interpreter for the non-
deterministic handle recognizer, and the first thing we need to do is to make the NFA
deterministic, if we are to use this parsing method in earnest. We use the subset con-
struction of Section 5.3.1 to construct a deterministic automaton with the sets of the
items of Figure 9.15 as its states. The result is shown in Figure 9.17, where we have
S--->•E$
E--->•E-T
E--->•T
T--->•n
T--->•(E)
1
TE--->T•
2
T
T--->(•E)
E--->•E-T
E--->•T
T--->•n
T--->•(E)
6
T--->n•
3
n n
S--->E•$
E--->E•-T
4
-E--->E-•T
T--->•n
T--->•(E) 7
-T--->(E•)
E--->E•-T
9
S--->E$•
5
$
E--->E-T•
8
T
T--->(E)•
10
)
E
n
(E
(
(
Fig. 9.17. The corresponding deterministic handle recognizer
left out the stations to avoid clutter and because they are evident from the other items.
We see that the deterministic automaton looks a lot less understandable than Figure
9.15; this is the price one has to pay for having determinism. Yet we see that the
subset construction has correctly identified the subsets we had already constructed
by hand in Figure 9.16. This type of automaton is called an LR(0) automaton.
9.5.2 Using the LR(0) Automaton
It is customary to number the states of the deterministic automaton, as has already
been done in Figure 9.17 (the order of the numbers is arbitrary; they serve identifica-
tion purposes only). Now it has become much easier to represent the sentential form
with its state information, both in a program and in a drawing:
①E④-⑦n③-n$
The sequence ①④⑦③can be read from Figure 9.17 using the path E-n.Westart
with state ①on the stack and shift in symbols from the sentential form, all the while
assessing the new states. As soon as an accepting state shows up on the top of the
stack (and it cannot show up elsewhere on the stack) the shifting stops and a reduce
is called for; the accepting state indicates how to reduce. Accepting state ③calls for
a reduction T--->n, so our new sentential form will be E-T-n$.
284 9 Deterministic Bottom-Up Parsing
Repeating the handle-finding process on this new form we obtain the configura-
tion
①E④-⑦T⑧-n$
which shows us two things. First, the automaton has landed in state ⑧and thus
identified a new reduction, E--->E-T, which is correct. Second, we see here the effect
already hinted at in Figure 9.12: by restarting the automaton at the beginning of the
sentential form we have done superfluous work. Up to state ⑦,thatis,uptotheleft
end of the handle T--->n, nothing had changed, so we could have saved work if we
had remembered the old states ①,④,and⑦between the symbols in the sentential
form.
This leads to the following LR(0) parsing algorithm:
1. Consult the state son top of the stack; it is either an accepting state specifying a
reduction X→αor it is a non-accepting state.
a) If sis an accepting state, unstack |α|pairs of symbols and states from the
stack, where |α|is the length of the right-hand side α. The unstacked sym-
bols constitute the children in the parse tree for X; see Figure 9.12. Next we
push Xonto the stack. We have now reduced αto X.
b) If sis a non-accepting state, shift the next token from the input onto the
stack.
2. The top of the stack is now a non-terminal (1a.) or terminal (1b.) symbol T, with
a state uunder it. Find state uin the LR(0) automaton and follow the path marked
Tstarting from that state.
a) If this leads to a state v, push vonto the stack.
b) Otherwise the input is erroneous.
Two things are important about this algorithm. The first is that if we start with a
consistent stack configuration (each triple of state, symbol, and state on the stack
corresponds to a transition in the LR(0) automaton) the stack configuration will again
be consistent afterwards. And the second is that it does the proper reductions, and
thus does the parsing we were looking for.
Note that the state uexposed after a reduction can never call for another reduc-
tion: if it did, that reduction would already have been performed earlier.
We see that LR(0) parsing is performed in two steps: 1. the top state indicates
an action, shift or reduce with a given rule, which is then performed; 2. a new top
state is computed by going from one state through a transition to another state. It
is convenient to represent an LR(0) automaton in an ACTION table and a GOTO
table, both indexed by states. The GOTO table has columns indexed by symbols; the
ACTION table has just one column. In step 1 we consult the ACTION table based
on the state; in step 2 we index the GOTO table with a given symbol and a given
state to find the new state. The LR(0) ACTION and GOTO tables for the automaton
of Figure 9.17 are given in Figure 9.18.
Suppose we find state 6 on top of the stack and the next input token is n.The
ACTION table tells us to shift, and then the GOTO table, at the intersection of 6 and
n, tells us to stack the state 3. And the ACTION table for state 3 tells us to reduce

9.5 LR(0) 285
ACTION
1shift
2E--->T
3T--->n
4shift
5S--->E$
6shift
7shift
8E--->E-T
9shift
10 T--->(E)
GOTO
n-( )$ET
13e6 ee42
2
3
4e7e e5
5
63e6 ee92
73e6 ee 8
8
9e7e10e
10
Fig. 9.18. LR(0) ACTION and GOTO tables for the grammar of Figure 9.14
using T--->n. An entry “e” means that an error has been found: the corresponding
symbol cannot legally appear in that position. A blank entry will never even be con-
sulted: either the state calls for a reduction or the corresponding symbol will never at
all appear in that position, regardless of the form of the input. In state 4, for example,
we will never meet an E:theEwould have originated from a previous reduction, but
no reduction would do that in that position. Since non-terminals are only put on the
stack in legal places no empty entry on a non-terminal will ever be consulted.
In practice the ACTION entries for reductions do not directly refer to the rules to
be used, but to the numbers of these rules. These numbers are then used to index an
array of routines that have built-in knowledge of the rules, that know how many en-
tries to unstack and that perform the semantic actions associated with the recognition
of the rule in question. Parts of these routines will be generated by a parser generator.
Also, the reduce and shift information is combined in one table, the ACTION/GOTO
table, with entries of the forms “sN”, “rN” or “e”. An entry “sN” means “shift the
input symbol onto the stack and go to state N”, which is often abbreviated to “shift
to N”. An entry “rN” means “reduce by rule number N”; the shift over the resulting
non-terminal has to be performed afterwards. And “e” means error, as above. The
ACTION/GOTO table for the automaton of Figure 9.17 is given in Figure 9.19.
Tables like in Figures 9.18 and 9.19 contain much empty space and are also quite
repetitious. As grammars get bigger, the parsing tables get larger and they contain
progressively more empty space and redundancy. Both can be exploited by data com-
pression techniques and it is not uncommon that a table can be reduced to 15% of
its original size by the appropriate compression technique. See, for example, Al-
Hussaini and Stone [67] and Dencker, Dürre and Heuft [338].
The advantages of LR(0) over precedence and bounded-right-context are clear.
Unlike precedence, LR(0) immediately identifies the rule to be used for reduction,
and unlike bounded-right-context, LR(0) bases its conclusions on the entire left con-
text rather than on the last msymbols of it. In fact, LR(0) can be seen as a clever
implementation of BRC(∞,0), i.e., bounded-right-context with unrestricted left con-
text and zero right context.

286 9 Deterministic Bottom-Up Parsing
n-( ) $ET
1s3es6 e es4s2
2r3 r3 r3 r3 r3 r3 r3
3r4 r4 r4 r4 r4 r4 r4
4es7e e s5
5r1 r1 r1 r1 r1 r1 r1
6s3es6 e es9s2
7s3 e s6 e e s8
8r2 r2 r2 r2 r2 r2 r2
9es7es10e
10 r5 r5 r5 r5 r5 r5 r5
Fig. 9.19. The ACTION/GOTO table for the grammar of Figure 9.14
9.5.3 LR(0) Conflicts
By now the reader may have the vague impression that something is wrong. On
the one hand we claim that there is no known method to make a linear-time parser
for an arbitrary grammar; on the other we have demonstrated above a method that
seems to work for an arbitrary grammar. An NFA as in Figure 9.15 can certainly be
constructed for any grammar, and the subset construction will certainly turn it into
a deterministic one, which will definitely not require more than linear time. Voilà, a
linear-time parser.
The problem lies in the accepting states of the deterministic automaton. An ac-
cepting state may still have an outgoing arrow, say on a symbol +, and if the next
symbol is indeed a +, the state calls for both a reduction and for a shift: the combina-
tion of automaton and interpretation of the accepting states is not really deterministic
after all. Or an accepting state may be an honest accepting state but call for two dif-
ferent reductions. The first problem is called a shift/reduce conflict and the second
areduce/reduce conflict. Figure 9.20 shows examples (which derive from a slightly
different grammar than in Figure 9.14).
E--->T•+E
E--->T•
+
shift/reduce conflict
(on +)
E--->E-T•
E--->T•
reduce/reduce conflict
(always)
Fig. 9.20. Two types of conflict
Note that there cannot be a shift/shift conflict. A shift/shift conflict would imply
that two different arrows leaving the same state would carry the same symbol. This
is, however, prevented by the subset algorithm (which would have made into one the
two states the arrows point to).
9.5 LR(0) 287
A state that contains a conflict is called an inadequate state. A grammar that
leads to a deterministic LR(0) automaton with no inadequate states is called LR(0).
The absence of inadequate states in Figure 9.17 proves that the grammar of Figure
9.14 is LR(0).
9.5.4 ε-LR(0) Parsing
Many grammars would be LR(0) if they did not have ε-rules. The reason is that a
grammar with a rule A→εcannot be LR(0): from any station P→···•A··· an ε-
arrow leads to a state A→•in the non-deterministic automaton, which causes a DFA
state containing both the shift item P→···•A··· and the reduce item A→•.And
this state is inadequate, since it exhibits a shift/reduce conflict. We shall now look at
a partial solution to this obstacle: ε-LR(0) parsing.
Theideaistodotheε-reductions required by the reduce part of the shift/reduce
conflict already while constructing the DFA. Normally reduces cannot be precom-
puted since they require the first few top elements of the parsing stack, but obviously
that problem does not exist for ε-reductions.
The grammar of Figure 9.21, a variant of the one in Figure 7.17, contains an ε-
rule and hence is not LR(0). (The ε-rule is intended to represent multiplication.) The
Ss--->E$
E--->EQF
E--->F
F--->a
Q--->/
Q---> ε
Fig. 9.21. An ε-LR(0) grammar
start item S--->•E$ leads to E--->•EQF by an ε-move, and from there to E--->E•QF
by a move over E. This item has two ε-moves, to Q--->•/and to Q--->•; the second
causes a shift/reduce conflict. Following the above plan, we apply the offending rule
to the item E--->E•QF, but the resulting item cannot be E--->EQ•F, for two reasons.
First, the same item would result from finding a /in the input; and second, there is
no corresponding Qontheparsingstack.SowemarktheQin the new item with a
stroke on top: ¯
Q, to indicate that it does not correspond to a Qon the parse stack, a
kind of non-Q.
We can now remove the item Q--->•since it has played its part; the shift/reduce
conflict is gone, and a deterministic handle recognizer results. This means that the
grammar is ε-LR(0); the deterministic handle recognizer is shown in Figure 9.22.
The endangered state is state 4; the state that would result in “normal” LR(0) parsing
is also shown, marked 4✘. We see that the immediate reduction Q--->εand the sub-
sequent shift over Qhave resulted in an item F--->•athat is not present in the pure
LR(0) state 4✘.

288 9 Deterministic Bottom-Up Parsing
S--->•E$
E--->•EQF
E--->•F
F--->•a
1
E--->F•
2
F
S--->E•$
E--->E•QF
Q--->•/
E--->E ¯
Q•F
F--->•a
4
E
F--->a•
3
aa
E--->EQ•F
F--->•a
5
Q
a
E--->E ¯
QF•
E--->EQF•
6
F
F
Q--->/•
7
/
S--->E$•
8
$S--->E•$
E--->E•QF
Q--->•/
Q--->•
4✘
Fig. 9.22. Deterministic ε-LR(0) automaton for the grammar of Figure 9.21
In addition to the ε-reductions during parser table construction, ε-LR(0) parsing
has another feature: when constructing the states of the deterministic handle recog-
nizer, items that differ only in the presence or absence of bars over non-terminals are
considered equal. So while the transition over Ffrom state 4 yields an item E--->E ¯
QF•
and that from state 5 yields E--->EQF•, both transitions lead to state 6, which contains
both items.
This feature has two advantages and one problem. The first advantage is that with
this feature more grammars are ε-LR(0) than without it, although this plays no role
in our example. The second is that the semantics of a single rule, the E--->EQF in our
example, is not split up over several items.
The problem is of course that we now have a reduce/reduce conflict. This problem
is solved dynamically — during parsing — by checking the parse stack. If it contains
①E④Q⑤F⑥···
we know the Qwas there; we unstack 6 elements, perform the semantics of E--->EQF,
and push an E. If the parse stack contains
①E④F⑥···
we know the Qwas not there; we unstack 2 elements, create a node for Q--->ε, unstack
2 more elements, perform the semantics of E--->EQF, and push an E. Note that this
modifies the basic behavior of the LR automaton, and it could thus be argued that
ε-LR(0) parsing actually is not an LR technique.
Besides allowing grammars to be handled that would otherwise require much
more complicated methods, ε-LR(0) parsing has the property that the non-terminals
on the stack all correspond to non-empty segments of the input. This is obviously
good for efficiency, but also very important in some more advanced parsing methods,
for example generalized LR parsing (Section 11.1.4).
For more details on ε-LR(0) parsing and the related subject of hidden left recur-
sion see Nederhof [156, Chapter 4], and Nederhof and Sarbo [94]. These also supply
examples of grammars for which combining items with different bar properties is
beneficial.
9.5 LR(0) 289
9.5.5 Practical LR Parse Table Construction
Above we explained the construction of the deterministic LR automaton (for exam-
ple Figure 9.17) as an application of the subset algorithm to the non-deterministic
LR automaton (Figure 9.15), but most LR parser generators (and many textbooks
and papers) follow more closely the process indicated in Figure 9.16. This process
combines the creation of the non-deterministic automaton with the subset algorithm:
each step of the algorithm creates a transition ut
→v,whereuis an existing state
and vis a new or old state. For example, the first step in Figure 9.16 created the
transition ①E
→④. In addition the algorithm must do some bookkeeping to catch du-
plicate states. The LR(0) version works as follows; other LR parse table construction
algorithms differ only in details.
The algorithm maintains a data structure representing the deterministic LR han-
dle recognizer. Several implementations are possible, for example a graph like the
one in Figure 9.17. Here we will assume it to consist of a list of pairs of states (item
sets) and numbers, called S, and a set of transitions T.Srepresents the bubbles in
the graph, with their contents and numbers; Trepresents the arrows. The algorithm
also maintains a list Uof numbers of new, unprocessed LR states. Since there is a
one-to-one correspondence between states and state numbers we will use them inter-
changeably.
The algorithm starts off by creating a station •A,whereAis the start symbol of
the grammar. This station is expanded, the resulting items are wrapped into a state
numbered 1, the state is inserted into S, and its number is inserted in U. An item or a
station Iis expanded as follows:
1. If the dot is in front of a non-terminal Ain I, create items of the form A→•···
for all grammar rules A→···; then expand these items recursively until no more
new items are created. The result of expanding Iis the resulting item set; note
that this is a set, so there are no duplicates. (This implements the ε-transitions in
the non-deterministic LR automaton.)
2. If the dot is not in front of a non-terminal in I, the result of expanding Iis just I.
The LR automaton construction algorithm repeatedly removes a state ufrom the
list Uand processes it by performing the following actions on it for all symbols
(terminals and non-terminals) tin the grammar:
1. An empty item set vis created.
2. The algorithm finds items of the form A→α•tβin u. For each such item a new
item A→αt•βis created, the kernel items. (This implements the vertical tran-
sitions in the non-deterministic LR automaton.) The created items are expanded
as described above and the resulting items are inserted in v.
3. If state vis not already present in S, it is new and the algorithm adds it to U.
Then vis added to Sand the transition ut
→vis added to T.Hereuwas already
present in S; the transition is certainly new to T;andvmay or may not be new
to S. Note that vmay be empty; it is then the error state.

290 9 Deterministic Bottom-Up Parsing
Since the above algorithm constructs all transitions, even those to error states, it
builds a complete automaton (page 152).
The algorithm terminates because the work to be done is extracted from the list
U, but only states not processed before are inserted in U. Since there are only a finite
number of states, there must come a moment that there are no new states any more,
after which the list Uwill become empty. And since the algorithm only creates states
that are reachable and since only a very small fraction of all states are reachable, that
moment usually arrives very soon.
9.6 LR(1)
Our initial enthusiasm about the clever and efficient LR(0) parsing technique will
soon be damped considerably when we find out that very few grammars are in fact
LR(0). If we drop the $from rule 1 in the grammar of Figure 9.14 since it does not
really belong in arithmetic expressions, we find that the grammar is no longer LR(0).
The new grammar is given in Figure 9.23, the non-deterministic automaton in Figure
9.24, and the deterministic one in Figure 9.25. State 5 has disappeared, since it was
reached by a transition on $, but we have left the state numbering intact to facilitate
comparison; a parser generator would of course number the states consecutively.
1. S--->E
2. E--->E-T
3. E--->T
4. T--->n
5. T--->(E)
Fig. 9.23. A non-LR(0) grammar for differences of numbers
When we inspect the new LR(0) automaton, we observe to our dismay that state 4
(marked ✘) is now inadequate, exhibiting a shift/reduce conflict on -,andthegram-
mar is not LR(0). This is all the more vexing as this is a rather stupid inadequacy:
S--->E•can never occur in front of a -but only in front of a #, the end-of-input
marker, so there is no real problem at all. If we had developed the parser by hand, we
could easily test in state 4 if the symbol ahead was a -or a #and act accordingly (or
else there was an error in the input). Since, however, practical parsers have hundreds
of states, such manual intervention is not acceptable and we have to find algorithmic
ways to look at the symbol ahead.
Taking our cue from the explanation of the Earley parser,1we attach to each
dotted item a look-ahead symbol. We shall separate the look-ahead symbol from the
item by a space rather than enclose it between []s as we did before, to avoid visual
1Actually LR parsing was invented (Knuth [52, 1965]) before Earley parsing (Earley [14,
1970]).

9.6 LR(1) 291
•S
S--->•E
E
S--->E•
ε
•E
E--->•E-T
E
E--->E•-T
-
E--->E-•T
T
E--->E-T•
ε
E--->•T
T
E--->T•
ε
•T
T--->•n
n
T--->n•
ε
T--->•(E)
(
T--->(•E)
E
T--->(E•)
)
T--->(E)•
ε
εεε
ε
ε
Fig. 9.24. NFA for the grammar in Figure 9.23
S--->•E
E--->•E-T
E--->•T
T--->•n
T--->•(E)
1
TE--->T•
2
T
T--->(•E)
E--->•E-T
E--->•T
T--->•n
T--->•(E)
6
T--->n•
3
n n
S--->E•
E--->E•-T
4✘
-E--->E-•T
T--->•n
T--->•(E) 7
-T--->(E•)
E--->E•-T
9
E--->E-T•
8
T
T--->(E)•
10
)
E
n
(E
(
(
Fig. 9.25. Inadequate LR(0) automaton for the grammar in Figure 9.23
clutter. The construction of a non-deterministic handle-finding automaton using this
kind of item, and the subsequent subset construction yield an LR(1) parser.
We shall now examine Figure 9.26, the NFA. Like the items, the stations have
to carry a look-ahead symbol too. Actually, a look-ahead symbol in a station is more
natural than that in an item: a station like •E#just means hoping to see an Efol-
lowed by a #. The parser starts at station •S#, which has the end marker #as
its look-ahead. From it we have ε-moves to all production rules for S,ofwhich

292 9 Deterministic Bottom-Up Parsing
•S #
S--->•E #
E
S--->E• #
ε
•E #
E--->•E-T #
E
E--->E•-T #
-
E--->E-•T #
T
E--->E-T• #
ε
E--->•T #
T
E--->T• #
ε
•T #
T--->•n #
n
T--->n• #
ε
T--->•(E) #
(
T--->(•E) #
E
T--->(E•) #
)
T--->(E)• #
ε
•E -
E--->•E-T -
E
E--->E•-T -
-
E--->E-•T -
T
E--->E-T• -
ε
E--->•T -
T
E--->T• -
ε
•T -
T--->•n -
n
T--->n• -
ε
T--->•(E) -
(
T--->(•E) -
E
T--->(E•) -
)
T--->(E)• -
ε
•E )
E--->•E-T )
E
E--->E•-T )
-
E--->E-•T )
T
E--->E-T• )
ε
E--->•T )
T
E--->T• )
ε
•T )
T--->•n )
n
T--->n• )
ε
T--->•(E) )
(
T--->(•E) )
E
T--->(E•) )
)
T--->(E)• )
ε
ε
ε
ε
ε
ε
εε
ε
ε
ε
ε
ε
ε
Fig. 9.26. Non-deterministic LR(1) automaton for the grammar in Figure 9.23
there is only one; this yields the item S--->•E#. This item necessitates the sta-
tion •E#; note that we do not automatically construct all possible stations as we
did for the LR(0) automaton, but only those to which there are actual moves from
elsewhere in the automaton. The station •E#produces two items by ε-transitions,
E--->•E-T # and E--->•E#. It is easy to see how the look-ahead propagates. The
item E--->•E-T # in turn necessitates the station •E-, since now the automaton
can be in the state “hoping to find an Efollowedbya-”. The rest of the automaton
will hold no surprises.

9.6 LR(1) 293
Look-aheads of items are directly copied from the items or stations they derive
from; Figure 9.26 holds many examples. The look-ahead of a station derives either
from the symbol following the originating non-terminal:
the item E--->•E-T leads to station •E -
or from the previous look-ahead if the originating non-terminal is the last symbol in
the item:
the item S--->•E # leads to station •E #
There is a complication which does not occur in our example. When a non-terminal
is followed by another non-terminal:
P→•QR
there will be ε-moves from this item to all stations •Qy, where for ywe have to fill in
all terminals in FIRST(R). This is reasonable since all these and only these symbols
can follow Qin this particular item. It will be clear that this is a rich source of
stations. More complications arise when the grammar contains ε-rules, for example
when Rcan produce ε; these are treated in Section 9.6.1.
The next step is to run the subset algorithm of page 145 on this automaton to
obtain the deterministic automaton; if the automaton has no inadequate states, the
grammar was LR(1) and we have obtained an LR(1) parser. The result is given in
Figure 9.27. As was to be expected, it contains many more states than the LR(0)
S--->•E#
E--->•E-T #
E--->•E-T -
E--->•T-
T--->•n-
T--->•(E) -
E--->•T#
T--->•n#
T--->•(E) #
1
T E--->T•-
E--->T•#
2
T--->(•E) -
T--->(•E) #
E--->•E-T )
E--->•T)
T--->•n)
T--->•(E) )
E--->•E-T -
E--->•T-
T--->•n-
T--->•(E) -
6
T--->n•-
T--->n•#
3
n
S--->E•#
E--->E•-T #
E--->E•-T -
4
-
E--->E-•T#
E--->E-•T-
T--->•n#
T--->•(E) #
T--->•n-
T--->•(E) -
7
T--->(E•)-
T--->(E•)#
E--->E•-T )
E--->E•-T -
11
E--->E-T•#
E--->E-T•-
8
T
T--->(E)•-
T--->(E)•#
12
)
En
(
(
T E--->T•-
E--->T•)
9
T
T--->(•E) -
T--->(•E) )
E--->•E-T )
E--->•T)
T--->•n)
T--->•(E) )
E--->•E-T -
E--->•T-
T--->•n-
T--->•(E) -
13
T--->n•-
T--->n•)
10
n n
-
E--->E-•T)
E--->E-•T-
T--->•n)
T--->•(E) )
T--->•n-
T--->•(E) -
14
-T--->(E•)-
T--->(E•))
E--->E•-T )
E--->E•-T -
16
-
E--->E-T•)
E--->E-T•-
15
T
T--->(E)•-
T--->(E)•)
17
)
En
(E
(
(
Fig. 9.27. Deterministic LR(1) automaton for the grammar in Figure 9.23
automaton although the 60% increase is very modest, due to the simplicity of the
grammar. An increase of a factor of 10 or more is more likely in practice. (Although
Figure 9.27 was constructed by hand, LR automata are normally created by a parser
generator exclusively.)

294 9 Deterministic Bottom-Up Parsing
We are glad but not really surprised to see that the problem of state 4 in Figure
9.25 has been resolved in Figure 9.27: on #reduce using S--->E,on-shift to state 7
and on any other symbol give an error message.
It is again useful to represent the LR(1) automaton in an ACTION and a GOTO
table; they are shown in Figure 9.28 (state 5 is missing, as explained on page 290).
The combined ACTION/GOTO table can be obtained by superimposing both tables;
this results in the LR(1) parsing table as it is used in practice.
ACTION
n-()#
1sesee
2er3e er3
3er4e er4
4eseer1
6sesee
7sesee
8er2e er2
9er3er3e
10 er4er4e
11 esese
12 er5e er5
13 sesee
14 sesee
15 er2er2e
16 esese
17 er5er5e
GOTO
n-()# S ET
13 6 accept 4 2
2
3
4 7
610 13 11 9
736 8
8
9
10
11 14 12
12
13 10 13 16 9
14 10 13 15
15
16 14 17
17
Fig. 9.28. LR(1) ACTION and GOTO tables for the grammar of Figure 9.23
The sentential form E-n-n# leads to the following configuration:
①E④-⑦n③-n#
and since the look-ahead is -, the correct reduction T--->n is indicated.
All stages of the LR(1) parsing of the string n-n-n are given in Figure 9.29.
Note that state ④in hcauses a shift (look-ahead -) while in lit causes a reduce
(look-ahead #).
When we compare the ACTION and GOTO tables in Figures 9.28 and 9.18, we
find two striking differences. First, the ACTION table now has several columns and
is indexed with the look-ahead token in addition to the state; this is as expected. What
is less expected is that, second, all the error entries have moved to the ACTION table.
The reason is simple. Since the look-ahead was taken into account when constructing
the ACTION table, that table orders a shift only when the shift can indeed be per-
formed, and the GOTO step of the LR parsing algorithm does not need to do checks
any more: the blank entries in the GOTO table will never be accessed.
9.6 LR(1) 295
a①n-n-n# shift
b①n③-n-n# reduce 4
c①T②-n-n# reduce 3
d①E④-n-n# shift
e①E④-⑦n-n# shift
f①E④-⑦n③-n# reduce 4
g①E④-⑦T⑧-n# reduce 2
h①E④-n# shift
i①E④-⑦n# shift
j①E④-⑦n③#reduce 4
k①E④-⑦T⑧#reduce 2
l①E④#reduce 1
m①S#accept
Fig. 9.29. LR(1) parsing of the string n-n-n
It is instructive to see how the LR(0) and LR(1) parsers react to incorrect input,
for example E-nn···. The LR(1) parser of Figure 9.28 finds the error as soon as the
second nappears as a look-ahead:
①E④-⑦n③n···
since the pair (3,n) in the ACTION table yields “e”; the GOTO table is not even
consulted. The LR(0) parser of Figure 9.18 behaves differently. After reading E-n it
is in the configuration
①E④-⑦n③n···
where entry 3 in the ACTION table tells it to reduce by T--->n:
①E④-⑦T⑧n···
and now entry 8 in the ACTION table tells it to reduce again, by E--->E-T this time:
①E④n···
Only now is the error found, since the pair (4,n) in the GOTO table in Figure 9.18
yields “e”.
Since the LR(0) automaton has fewer states than the LR(1) automaton, it retains
less information about the input to the left of the handle; since it does not use look-
ahead it uses less information about the input to the right of the handle. So it is not
surprising that the LR(0) automaton is less alert than the LR(1) automaton.
9.6.1 LR(1) with ε-Rules
In Section 3.2.2 we have seen that one has to be careful with ε-rules in bottom-up
parsers: they are hard to recognize bottom-up. Fortunately LR(1) parsers are strong
enough to handle them without problems. In the NFA, an ε-rule is nothing special;
it is just an exceptionally short list of moves starting from a station (see station •Bc
in Figure 9.31(a)). In the deterministic automaton, the ε-reduction is possible in all

296 9 Deterministic Bottom-Up Parsing
states of which the ε-rule is a member, but hopefully its look-ahead sets it apart
from all other rules in those states. Otherwise a shift/reduce or reduce/reduce conflict
results, and indeed the presence of ε-rules in a grammar raises the risks of such
conflicts and reduces the likelihood of the grammar being LR(1).
S--->ABc
A--->a
B--->b
B---> ε
Fig. 9.30. A simple grammar with an ε-rule
•S #
S--->•ABc #
A
S--->A•Bc #
B
S--->AB•c #
c
S--->ABc• #
ε
•A b
A--->•a b
a
A--->a• b
ε
•A c
A--->•a c
a
A--->a• c
ε
•B c
B--->ε•c
ε
B--->•b c
b
B--->b• c
ε
ε
ε
ε
(a)
S--->•ABc #
A--->•a c
A--->•a b
1
A--->a• c
A--->a• b
2
a
S--->A•Bc #
B--->ε•c
B--->•b c 3
A
BS--->AB•c #
5
c
S--->ABc• #
6
B--->b• c
4
b
(b)
Fig. 9.31. Non-deterministic and deterministic LR(1) automata for Figure 9.30
To avoid page-filling drawings, we demonstrate the effect using the trivial gram-
mar of Figure 9.30. Figure 9.31(a) shows the non-deterministic automaton, Figure
9.31(b) the resulting deterministic one. Note that no special actions were necessary
to handle the rule B--->ε.
9.6 LR(1) 297
The only complication occurs again in determining the look-ahead sets in rules
in which a non-terminal is followed by another non-terminal; here we meet the same
phenomenon as in an LL(1) parser (Section 8.2.2.1). Given an item, for example,
P→•ABC d where dis the look-ahead, we are required to produce the look-ahead
set for the station •A···.IfBhad been a terminal, it would have been the look-ahead.
Now we take the FIRST set of B,andifBproduces ε(is nullable) we add the FIRST
set of Csince Bcan be transparent and allow us to see the first token of C.IfCis
also nullable, we may even see d,sointhatcasewealsoadddto the look-ahead set.
The result of these operations can be written as FIRST(BCd). The new look-ahead
set cannot turn out to be empty: the sequence of symbols from which it is derived
(the BCd above) always ends in the original look-ahead set, and that was not empty.
9.6.2 LR(k>1) Parsing
Instead of a one-token look-ahead ktokens can be used, with k>1. Surprisingly, this
is not a straightforward extension of LR(1). The reason is that for k>1wealsoneed
to compute look-ahead sets for shift items. That this is so can be seen from the LR(2)
grammar of Figure 9.32. It is clear that the grammar is not LR(1): the input must start
1. Ss---> Aa | Bb | Cec | Ded
2. A--->qE
3. B--->qE
4. C--->q
5. D--->q
6. E--->e
Fig. 9.32. An LR(2) Grammar
with a qbut the parser cannot see if it should reduce by C--->q (look-ahead e), reduce
by D--->q (look-ahead e), or shift over e. But each choice has a different two-token
look-ahead set (ec,ed and {ea,eb}, respectively), so LR(2) should work.
The initial state, state 1, in the LR(2) parser for this grammar is
S--->•Aa ##
S--->•Bb ##
S--->•Cec ##
S--->•Ded ##
A--->•qE a#
B--->•qE b#
C--->•q ec
D--->•q ed
which calls for a shift over the q. After this shift the parser reaches a state
298 9 Deterministic Bottom-Up Parsing
A--->q•E a#
B--->q•E b#
C--->q• ec
D--->q• ed
E--->•e a#
E--->•e b#
where we still have the same shift/reduce conflict: there are two reduce items, C--->q•
and D--->q•with look-aheads ec and ed, and one shift item, E--->•e, which shifts
on an e.
The conflict goes away when we realize that for each item Itwo kinds of look-
aheads are involved: the item look-ahead, the set of strings that can follow the end of
I;andthedot look-ahead, the set of strings that can follow the dot in I. For parsing
decisions it is the dot look-ahead that counts, since the dot position corresponds with
the gap in an LR parser, so the dot look-ahead corresponds to the first ktokens of
the rest of the input. Note that for reductions the item look-ahead seems to be the
deciding factor, but since the dot is at the end in reduce items, the item look-ahead
coincides with the dot look-ahead. In an LR(1) parser the dot look-ahead of a shift
item Icoincides with the set of tokens on which there is a shift from the state Iresides
in, so there is no need to compute it separately, but as we have seen above, this is not
true for an LR(2) parser.
So we compute the full two-token dot look-aheads for the shift items to obtain
state 2:
item with dot look-
item look-ahead ahead
A--->q•E a# ea
B--->q•E b# eb
C--->q• ec ec
D--->q• ed ed
E--->•e a# ea
E--->•e b# eb
Now the conflict is resolved since the two reduce actions and the shift action all have
different dot look-aheads: shift on ea and eb, reduce to Con ec, and reduce to Don
ed.
More in general, the dot look-ahead of an item A→α•βγ,whereγis the item
look-ahead, can be computed as FIRSTk(βγ).
Parts of the ACTION and GOTO tables for the LR(2) parser for the grammar in
Figure 9.32 are given in Figure 9.33. The ACTION table is now indexed by look-
ahead strings of length 2 rather than by single tokens, but the GOTO table is still
indexed by single symbols, since each entry in a GOTO table represents a transi-
tion in the handle-finding automaton, and transitions consume just one symbol. As
a result, superimposing the two tables into one ACTION/GOTO table is no longer
possible; combined ACTION/GOTO tables are a feature of LR(1) parsing only (and,
with some handwaving, of LR(0)). Again all the error detection is done in the AC-
TION table.

9.6 LR(1) 299
ACTION
qe ea eb ec ed ···
1seeee···
2essr4r5···
3···
4···
.
.
..
.
.
GOTO
qabcdeE···
1 2 ···
234···
3···
4···
.
.
..
.
.
Fig. 9.33. Partial LR(2) ACTION and GOTO tables for the grammar of Figure 9.32
It is interesting to compare this to LR(0), where there is no look-ahead at all.
There the ACTION table offers no protection against impossible shifts, and the
GOTO table has to contain error entries. So we see that the LR(0), LR(1), and
LR(k>1) table construction algorithms differ in more than just the value of k: LR(0)
needs a check upon shift; LR(k>1) needs the computation of dot look-ahead; and
LR(1) needs either but not both. It is of course possible to design a combined algo-
rithm, but for all values of kpart of it would not be activated.
However interesting LR(k>1) parsing may be, its practical value is quite limited:
the required tables can assume gargantuan size (see, e.g., Ukkonen [66]), and it does
not really help much. Although an LR(2) parser is more powerful than an LR(1)
parser, in that it can handle some grammars that the other cannot, the emphasis is on
“some”. If a common-or-garden variety grammar is not LR(1), chances are minimal
that it is LR(2) or higher.
9.6.3 Some Properties of LR(k) Parsing
Some theoretically interesting properties of varying practical significance are briefly
mentioned here. It can be proved that any LR(k)grammarwithk>1 can be trans-
formed into an LR(k−1) grammar (and so to LR(1), but not always to LR(0)), often
at the expense of an enormous increase in size; see for example Mickunas, et al.
[407]. It can be proved that if a language allows parsing with a pushdown automaton
as described in Section 3.3, it has an LR(1) grammar; such languages are called de-
terministic languages. It can be proved that if a grammar can be handled by any of
the deterministic methods of Chapters 8 and 9, it can be handled by an LR(k) parser
(that is, all deterministic methods are weaker than or equally strong as LR(k)). It
can be proved that any LR(k) language can be obtained as a regular expression, the
elements of which are LR(0) languages; see Bertsch and Nederhof [96].
LR(k≥1) parsers have the immediate error detection property: they will stop at
the first incorrect token in the input and not even perform another shift or reduce. This
is important because this early error detection property allows a maximum amount
of context to be preserved for error recovery; see Section 16.2.6. We have seen that
LR(0) parsers do not have this property.
In summary, LR(k) parsers are the strongest deterministic parsers possible and
they are the strongest linear-time parsers known, with the exception of some non-
300 9 Deterministic Bottom-Up Parsing
canonical parsers; see Section 10. They react to errors immediately, are paragons of
virtue and beyond compare, but even after 40 years they are not widely used.
9.7 LALR(1)
The reader will have sensed that our journey has not yet come to an end; the goal of a
practical, powerful, linear-time parser has still not been attained completely. At their
inception by Knuth in 1965 [52], it was realized that LR(1) parsers would be imprac-
tical in that the space required for their deterministic automata would be prohibitive.
A modest grammar might already require hundreds of thousands or even millions of
states, numbers that were totally incompatible with the computer memories of those
days.
In the face of this difficulty, development of this line of parsers came to a stand-
still, partially interrupted by Korenjak’s invention of a method to partition the gram-
mar, build LR(1) parsers for each of the parts and combine these into a single over-all
parser (Korenjak [53]). This helped, but not much, in view of the added complexity.
The problem was finally solved by using an unlikely and discouraging-looking
method. Consider the LR(1) automaton in Figure 9.27 and imagine boldly discarding
all look-ahead information from it. Then we see that each state in the LR(1) automa-
ton reverts to a specific state in the LR(0) automaton; for example, LR(1) states 6
and 13 collapse into LR(0) state 6 and LR(1) states 2 and 9 collapse into LR(0) state
2. We say that LR(1) states 6 and 13 have the same core, the items in the LR(0) state
6, and similarly for LR(1) states 2 and 9.
There is not a single state in the LR(1) automaton that was not already present
in a rudimentary form in the LR(0) automaton. Also, the transitions remain intact
during the collapse: both LR(1) states 6 and 13 have a transition to state 9 on T,but
so has LR(0) state 6 to 2. By striking out the look-ahead information from an LR(1)
automaton, it collapses into an LR(0) automaton for the same grammar, with a great
gain as to memory requirements but also at the expense of the look-ahead power.
This will probably not surprise the reader too much, although a formal proof of this
phenomenon is not trivial.
The idea is now to collapse the automaton but to keep the look-ahead informa-
tion, as follows. The LR(1) state 2 (Figure 9.27) contains the items
E--->T• -
E--->T• #
and LR(1) state 9 contains
E--->T• -
E--->T• )
where the LR(0) core is
E--->T•
E--->T•

9.7 LALR(1) 301
They collapse into an LALR(1) state which corresponds to the LR(0) state 2 in Figure
9.25, but now with look-ahead:
E--->T• #
E--->T• -
E--->T• )
The surprising thing is that this procedure preserves almost all the original look-
ahead power and still saves an enormous amount of memory. The resulting automa-
ton is called an LALR(1) automaton, for “Look Ahead LR(0) with a look-ahead of 1
token.”
The LALR(1) automaton for our grammar of Figure 9.23 is given in Figure 9.34.
The look-aheads are sets now and are shown between [and ],sostate2isrepre-
S--->•E[#]
E--->•E-T[#-]
E--->•T[#-]
T--->•n[#-]
T--->•(E)[#-]
1
TE--->T•[#-)]
2
T
T--->(•E)[#-)]
E--->•E-T[#-)]
E--->•T[#-)]
T--->•n[#-)]
T--->•(E)[#-)]
6
T--->n•[#-)]
3
n n
S--->E•[#]
E--->E•-T[#-]
4
-E--->E-•T[#-)]
T--->•n[#-)]
T--->•(E)[#-)]7
-T--->(E•)[#-)]
E--->E•-T[-)]
9
E--->E-T•[#-)]
8
T
T--->(E)•[#-)]
10
)
E
n
(E
(
(
Fig. 9.34. The LALR(1) automaton for the grammar of Figure 9.23
sented as E--->T•[#-)]. We see that the original conflict in state 4 is indeed still
resolved, as it was in the LR(1) automaton, but that its size is equal to that of the
LR(0) automaton. Now that is a very fortunate state of affairs!
We have finally reached our goal. LALR(1) parsers are powerful, almost as
powerful as LR(1) parsers, they have fairly modest memory requirements, only
slightly inferior to (= larger than) those of LR(0) parsers,2and they are time-efficient.
LALR(1) parsing may very well be the most-used parsing method in the world today.
Probably the most famous LALR(1) parser generators are yacc and its GNU version
bison.
LALR(k) also exists and is LR(0) with an add-on look-ahead of ktokens.
LALR(k) combines LR(0) information about the left context (in the LR(0) automa-
2Since the LALR(1) tables contain more information than the LR(0) tables (although they
have the same size), they lend themselves slightly less well to data compression. So practi-
cal LALR(1) parsers will be bigger than LR(0) parsers.
302 9 Deterministic Bottom-Up Parsing
ton) with LR(k) information about the right context (in the klook-aheads). Actually
there is a complete family of LA(k)LR( j) parsers out there, which combines LR( j)
information about the left context with LR(k) information about the right context.
Like LALR(1), they can be derived from LR( j+k) parsers in which all states with
identical cores and identical first ktokens of the j+k-token look-ahead have coin-
cided. So LALR(1) is actually LA(1)LR(0), Look-ahead Augmented (1) LR (0). See
Anderson [55].
9.7.1 Constructing the LALR(1) Parsing Tables
When we have sufficiently drunk in the beauty of the vista that spreads before us on
these heights, and start thinking about returning home and actually building such a
parser, it will come to us that there is a small but annoying problem left. We have
understood how the desired parser should look and also seen how to construct it, but
during that construction we used the unacceptably large LR(1) parser as an interme-
diate step.
So the problem is to find a shortcut by which we can produce the LALR(1)
parse table without having to construct the one for LR(1). This particular prob-
lem has fascinated scores of computer scientists for many years (see the references
in (Web)Section 18.1.4), and several good (and some very clever) algorithms are
known. On the other hand, several deficient algorithms have appeared in publica-
tions, as DeRemer and Pennello [63] and Kannapinn [99] have pointed out. (These
algorithms are deficient in the sense that they do not work for some grammars for
which the straightforward LR(1) collapsing algorithm does work, rather than in the
sense that they would lead to incorrect parsers.)
Since LALR(1) is clearly a difficult concept; since we hope that each new LALR
algorithm contributes to its understandability; and since we think some algorithms
are just too interesting to skip, we have allowed ourselves to discuss four LALR(1)
parsing table construction algorithms, in addition to the one above. We present 1. a
very simple algorithm, which shows that constructing an LALR(1) parsing table is
not so difficult after all; 2. the algorithm used in the well-known parser generator
yacc; 3. an algorithm which creates LALR(1) by upgrading LR(0); and 4. one that
does it by converting the grammar to SLR(1). This is also the order in which the
algorithms were discovered.
9.7.1.1 A Simple LALR(1) Algorithm
The easiest way to keep the LALR(1) parse table small is to never let it get big.
We achieve this by collapsing the states the moment they are created, rather than
first creating all states and then collapsing them. We start as if we are making a full
LR(1) parser, propagating look-aheads as described in Section 9.6, and we use the
table building technique of Section 9.5.5. In this technique we create new states by
performing transitions from existing unprocessed states obtained from a list U,andif
the created state vis not already present in the list of processed states S, the algorithm
adds it to Uso it can be the source of new transitions.
9.7 LALR(1) 303
For our LALR(1) algorithm we refine this step as follows. We check vto see if
there is already a state win Swith the same core. If so, we merge vinto w;ifthis
modifies w, we put wback in Uas an unprocessed state: since it has changed, it may
lead to new and different states. If wwas not modified, no new information has come
to light and we can just extract the next unprocessed state from U;vitself is discarded
in both cases. The state wkeeps its number and its transitions; it is important to note
that when wis processed again, its transitions are guaranteed to lead to states whose
cores are already present in Sand T.
The merging makes sure that the cores of all states in Sare always different, as
they should be in an LALR(1) parser; so never during the process will the table be
larger than the final LALR(1) table. And by putting all modified states back into
the list to be processed we have ensured that all states with their proper LALR(1)
look-aheads will be found eventually. This surprisingly simple algorithm was first
described by Anderson et al. [56] in 1973.
The algorithm is not ideal. Although it solves the main problem of LALR(1)
parse table generation, excessive memory use, it still generates almost all LR(1)
states, of which there are many more than LALR(1) states. The only situation in
which we gain time over LR(1) parse table generation is when merging the created
state vinto an existing state wdoes not modify w. But usually vwill bring new look-
aheads, so usually wwill change and will then be reprocessed. Computer scientists,
especially compiler writers, felt the need for a faster LALR(1) algorithm, which led
to the techniques described in the following three sections.
9.7.1.2 The Channel Algorithm
The well-known parser generator yacc uses an algorithm that is both intuitively rel-
atively clear and reasonably efficient (Johnson [361]); it is described in more detail
by Aho, Sethi and Ullman in [340]. The algorithm does not seem to have a name; we
shall call it the channel algorithm.
We again use the grammar of Figure 9.23, which we now know is LALR(1) (but
not LR(0)). Since we want to do look-ahead but do not yet know what to look for,
we use LR(0) items extended with a yet unknown look-ahead field, indicated by an
empty square; an example of an item would be A--->bC•De . Using such items,
we construct the non-deterministic LR(0) automaton in the usual fashion; see Figure
9.35. Now suppose that we were told by some oracle what the look-ahead set of the
item S--->•Eis (first column, second row in Figure 9.35); call this look-ahead set
L. Then we could draw a number of conclusions. The first is that the item S--->E•
also has L. The next is that the look-ahead set of the station •Eis also L, and from
there Lspreads to E--->•E-T,E--->E•-T,E--->E-•T,E--->E-T•,E--->•Tand E--->T•.
From E--->E-•Tand E--->•Tit flows to the station •Tand from there it again spreads
on.
The flow possibilities of look-ahead information from item to item once it is
known constitute “channels” which connect items. Each channel connects two items
and is one-directional. There are two kinds of channels. From each station channels
run down to each item that derives from it; these channels propagate input from

304 9 Deterministic Bottom-Up Parsing
•S
S--->•E
E
S--->E•
ε
•E
E--->•E-T
E
E--->E•-T
-
E--->E-•T
T
E--->E-T•
ε
E--->•T
T
E--->T•
ε
•T
T--->•n
n
T--->n•
ε
T--->•(E)
(
T--->(•E)
E
T--->(E•)
)
T--->(E)•
ε
εεε
ε
ε
[#]
[-]
[)]
[)]
Fig. 9.35. Non-deterministic automaton with channels
elsewhere. From each item that has the dot in front of a non-terminal A, a channel
runs parallel to the ε-arrow to the station •A.IfAis the last symbol in the right-
hand side, the channel propagates the look-ahead of the item it starts from. If Ais
not the last symbol, but is followed by, for example, CDe (so the entire item would
be something like P→B•ACDe ), the input to the channel is FIRST(CDe); such
input is said to be “generated spontaneously”, as opposed to “propagated” input.
Figure 9.35 shows the full set of channels: those carrying propagated input as
dotted lines, and those carrying spontaneous input as dashed lines, with their sponta-
neous input sets. A channel from outside introduces the spontaneous look-ahead #,
the end-of-input marker, to the station(s) of the start symbol. The channel set can be
represented in a computer as a list of input and output ends of channels:
Input end leads to output end Remarks
[#] ==> •Sspontaneous
•S==> S--->•E propagated
S--->•E ==> S--->E• propagated
S--->•E ==> •E propagated
···
[-] ==> •E spontaneous
···
Next we run the subset algorithm on this (channeled) NFA in slow motion and
watch carefully where the channels go. This procedure severely taxes the human
9.7 LALR(1) 305
brain; a more practical way is to just construct the deterministic automaton without
concern for channels and then use the above list (in its complete form) to re-establish
the channels. This is easily done by finding the input and output end items and sta-
tions in the states of the deterministic automaton and constructing the corresponding
channels. Note that a single channel in the NFA can occur many times in the deter-
ministic automaton, since items can (and will) be duplicated by the subset construc-
tion. The result can best be likened to a bowl of mixed spaghetti and tagliatelli (the
channels and the transitions) with occasional chunks of ham (the item sets) and will
not be printed in this book.
Now we are close to home. For each channel we pump its input to the channel’s
end. First this will only have effect for channels that have spontaneous input: a #
will flow in state 1 from item S--->•E[]to station •E[], which will then read
•E[#];a-from E--->•E-T[]flows to the •E[], which changes to •E[-];
etc. We go on pumping until all look-ahead sets are stable and nothing changes any
more. We have now obtained the LALR(1) automaton and can discard the channels;
of course we keep the transitions. This is an example of a transitive closure algorithm.
It is interesting to look more closely at state 4 (see Figure 9.34) and to see how
S--->E•[#] gets its look-ahead which excludes the -, although the -is present in
the look-ahead set of E--->E•-T[#-] in state 4. To this end, a magnified view of
the top left corner of the full channeled LALR(1) automaton is presented in Figure
9.36; it comprises the states 1 to 4. Again channels with propagated input are dotted,
those with spontaneous input are dashed and transitions are drawn. We can now see
more clearly that S--->E•[#] derives its look-ahead from S--->•E[#] in 1, while
E--->E•-T[#-] derives its look-ahead (indirectly) from •E[-] in state 1. This item
has a look-ahead -generated spontaneously in E--->•E-T[]in state 1. The chan-
nel from S--->•E[#] to •E[#-] only works “downstream”, which prevents the -
from flowing back. LALR(1) parsers often give one the feeling that they succeed by
a narrow margin!
If the grammar contains ε-rules, the same complications arise as in Section 9.6.1
in the determination of the FIRST set of the rest of the right-hand side: when a non-
terminal is nullable we have to also include the FIRST set of what comes after it, and
so on. We meet a special complication if the entire rest of the right-hand side can be
empty: then we may see the look-ahead , which we do not know yet. In fact this
creates a third kind of channel that has to be watched in the subset algorithm. We
shall not be so hypocritical as to suggest the construction of the LALR(1) automaton
for the grammar of Figure 9.30 as an exercise to the reader, but we hope the general
principles are clear. Let a parser generator do the rest.
9.7.1.3 LALR(1) by Upgrading LR(0)
The above techniques basically start from an LR(1) parse table, explicit or implicit,
and then shrink it until the items are LR(0): they downgrade the LR(1) automaton to
LALR(1). It is also possible to start from the LR(0) automaton, find the conflicts in
it, and upgrade from there. This leads to a complicated but very efficient algorithm,

306 9 Deterministic Bottom-Up Parsing
•S [#]
S--->•E [#]
•E [#-]
E--->•E-T [#-]
E--->•T [#-]
•T [#-]
T--->•n [#-]
T--->•(E) [#-]
1
E--->T•[#-)]
2
T
T--->n•[#-)]
3
n
S--->E•[#]
E--->E•-T [#-]
4
E
-
n
S
(
[#]
[-]
Fig. 9.36. Part of the deterministic automaton with channels (magnified cut)
designed by DeRemer and Pennello [63]. Again it has no name; we shall call it the
relations algorithm, for reasons that will become clear.
Upgrading the inadequate LR(0) automaton in Figure 9.25 is not too difficult. We
need to find the look-ahead(s) we are looking at in the input when we are in state 4
and reducing by S--->E is the correct action. That means that the stack must look like
··· E④
Looking back through the automaton, we can see that we can have come from one
state only: state 1:
①E④
Now we do the reduction because we want to see what happens when that is the
correct action:
①S

9.7 LALR(1) 307
and we see that we have reduced to S, which has only one look-ahead, #, the end-
of-input token. So the reduce look-ahead of the item S--->E•in state 4 is #,which
differs from the shift look-ahead -for E--->E•-T, so the conflict is resolved.
This is an example of a more general technique: to find the look-ahead(s) of an
inadequate reduce item in an LR(0) automaton, we take the following steps:
• we assume that the implied reduction Ris the proper action and simulate its
effects on an imaginary stack;
• we simulate all possible further movements of the LR(0) automaton until the
automaton is about to shift in the next token, t;
•weaddtto the look-ahead set, since it has the property that it will be shifted and
accepted if we do the reduction Rwhen we see it as the next token in the input.
It will be clear that this is a very reasonable method of collecting good look-ahead
sets. It is much less clear that it produces the same LALR look-ahead sets as the
LALR algorithms above, and for a proof of that fact we refer the reader to DeRemer
and Pennello’s paper.
Turning the above ideas into an algorithm requires some serious effort. We will
follow DeRemer and Pennello’s explanation closely, using the same formalism and
terminology as much as is convenient. The explanation uses an unspecified grammar
of which only two rules are important: A→ωand B→βAγ, for some, possibly
empty sequences of non-terminals and terminals ω,β,andγ. Refer to Figure 9.37.
···
···
A→ω•
···
···
q
···
B→β•Aγ
···
p
ω
A···
B→βA•γ
···
r
only if γ=C1...Cn*
→ε
C1···
B→βAC1•C2···Cn
···
rC1
C2···Cn···
B→βAγ•
···
rCn
···
···•B···
···
p
β
B···
···
r
···
···
p
B···
r
Fig. 9.37. Hunting for LALR(1) look-aheads in an LR(0) automaton —
the lookback and includes relations
Suppose the LR(0) automaton has an inadequate state qwith a reduce item A→
ω•, and we want to know the LALR look-ahead of this item. If state qis on the top
of the stack, there must be a path through the LR(0) automaton from the start state
1toq(or we would not have ended up in q), and the last part of this path spells ω
(or we would not be able to reduce by A→ω). We can follow this path back to the
308 9 Deterministic Bottom-Up Parsing
beginning of ω; this leads us to the state p, where the present item A→ω•originated.
There are two things to note here: there may be several different paths back that spell
ω, leading to several different ps; and ωmay be ε, in which case pis equal to q.For
simplicity Figure 9.37 shows one ponly.
We have now established that the top segment of the stack is pω1··· ωnq,
where pis one of the ps identified above and ω1···ωnare the components of ω.We
can now do the simulated reduction, as we did above. This shortens the stack to pA,
andwehavetoshiftovertheA, arriving at a state r.
More formally, a reduce item A→ω•in an LR(0) state qidentifies a set of
transitions {p1A
→r1,...,pn
A
→rn}, where for all piwe have pi
ω
→q. This defines
the so-called lookback relation between a pair (state, reduce item) and a transition.
One writes (q,A→ω•)lookback (pi
A
→ri)for1≤i≤n. This is step 1 of the
simulation. Note that this is a relation, not an algorithm to compute the transition(s);
it just says that given a pair (state, reduce item) and a transition, we can check if the
“lookback” relation holds between them. (DeRemer and Pennello write a transition
(pi
A
→ri)as(pi,A), since the rfollows directly from the LR(0) automaton, which is
deterministic.)
The shift from pover Ais guaranteed to succeed, basically because the presence
of an item A→ω•in qcombined with the existence of a path ωfrom qleading back
to pproves that pcontains an item that has a dot in front of an A.That•Acauses both
the ωpath and the transition pA
→r(except when Ais the start symbol, in which case
we are done and the look-ahead is #). The general form of such an item is B→β•Aγ,
as shown in Figure 9.37. Here we have the first opportunity to see some look-ahead
tokens: any terminal in FIRST(γ) will be an LALR look-ahead token for the reduce
item A→ω•in state q. But the simulation is not finished yet, since γmay be or
produce ε, in which case we will also have to look past the item B→βA•γ.
If γproduces ε, it has to consist of a sequence of non-terminals C1···Cn, each
capable of producing ε. This means that state rcontains an item C1→•,whichis
immediately a reduce item; see a similar phenomenon in state 3 in Figure 9.31. Its
presence will certainly make ran inadequate state, but, if the grammar is LALR(1),
that problem will be solved when the algorithm treats the item C1→•in r.For
the moment we assume the problem is solved; we do the reduction, push C1on the
simulated stack, and shift over it to state rC1. We repeat this process until we have
processed all C1···Cn, and by doing so reach a state rCnwhich contains a reduce item
B→βAγ•.
Now it is tempting to say that any look-ahead of this item will also figure in the
look-ahead that we are looking for, but that is not true. At this point in our simulation
the stack contains pArC
1rC1··· CnrCn, so we see only the look-aheads of those
items B→βAγ•in state rCnthat have reached that state through p! State rCnmay
be reachable through other paths, which may quite well bring in other look-aheads
for the reduce item B→βAγ•which do not belong in the look-ahead set of A→ω.
So to simulate the reduction B→βAγwe walk the path γback through the LR(0)
automaton to state p, all the while removing Cis (components of γ) from the stack.
Then from state pbackwards we can freely find all paths that spell β, to reach all

9.7 LALR(1) 309
states p
ithat contain the item B→•βAγ. Each of these states phas a transition on
B, for the same reasons phad a transition on A(again except when Bis the start
symbol). The transition over Bleads to a state r, which brings us back to a situation
similar to the one at p.
This process defines the so-called includes relation: (pA
→r)includes (pB
→r)
if and only if the grammar contains a rule B→βAγ,andγ*
→ε,andpβ
→p. Note that
one (pA
→r) can include several (pB
→r)s, when several paths βare possible.
To simulate all possible movements of the LR(0) automaton and find all the tran-
sitions that lead to states that contribute to the look-ahead of A→ω•in state q,we
have to repeat the step from pto pfor successive p,p,...,untilwefindnonew
ones any more or until we are stopped by reaching a reduction of the start symbol.
This is step 2 of the simulation.
Any token tthat can be shifted over in any of the states r,r, . . . thus reached,
belongs in the look-ahead of A→ω•in state q, since we have just shown that after
the reduction A→ωand possibly several other reductions, we arrive at a state in
which a shift over tis possible. And no other tokens belong in the look-ahead set,
since they will not allow a subsequent shift, and would get the parser stuck.
So we are interested in the terminal transitions of the states r,r,....Todescribe
them in a framework similar to the one used so far, we define a relation directly-
reads as follows; refer to Figure 9.38. A transition (pA
→r)directly-reads tif rhas
···
B→β•Aγ
···
p
ω
A···•C···
B→βA•γ
···•t···
r
···
···t•···
···
t
···C•···
···•u···
s
C
only if C*
→εu···u•···
β
Fig. 9.38. Hunting for LALR(1) look-aheads in an LR(0) automaton —
the directly-reads and reads relations
an outgoing arrow on the terminal symbol t. Actually, neither pnor Ais used in this
definition, but we start from the transition pA
→rrather than from the state rbecause
the lookback and includes relations use transitions rather than states.
Again nullable non-terminals complicate the situation. If rhappens to have an
outgoing arrow marked with a non-terminal Cthat produces ε, we can reduce εto C
in our simulation, stack it, shift over it and reach another state, say s. Then anything
we are looking at after the transition rC
→smust also be added to the look-ahead
set of A→ω•. Note that this Cneed not be the C1in Figure 9.38; it can be any
310 9 Deterministic Bottom-Up Parsing
nullable non-terminal marking an outgoing arrow from state r. This defines the reads
relation: (pA
→r)reads (rC
→s) if and only if both transitions exist and C*
→ε.And
then all tokens uthat fulfill (rC
→s)directly-reads ubelong in the look-ahead set
of A→ω•in state q. Of course state scan again have transitions on nullable non-
terminals, which necessitate repeated application of the “reads and directly-reads”
operation. This is step 3 of the simulation.
We are now in a position to formulate the LALR look-ahead construction algo-
rithm in one single formula. It uses the final relation in our explanation, in-LALR-
lookahead, which ties together a reduce item in a state and a token: tin-LALR-
lookahead (q,A→ω•), with the obvious meaning. The relations algorithm can now
be written as:
tin-LALR-lookahead (q,A→ω•)=
(q,A→ω•)lookback (pA
→r)includes (pB
→r)···
··· includes (p B
→r)reads (r C
→s)···
··· reads (r C
→s)directly-reads t
This is not a formula in the arithmetic sense of the word: one cannot put in parenthe-
ses to show the precedences, as one can in a+b×c; it is rather a linked sequence of
relations, comparable to a<b≤c<d, in which each pair of values must obey the
relational operator between them. It means that a token tis in the LALR lookahead
set of reduce item A→ω•in state qif and only if we can find values for p,p,...,
B,B,...,r,r,...,C,C,...,ands,s,...,sothatalltherelationsareobeyed.
In summary, when you do a reduction using a reduce item, the resulting non-
terminal either is at the end of another item, in which case you have to include that
item in your computations, or it has something in front of it, in which case your look-
ahead set contains everything you can read from there, directly or through nullable
non-terminals.
The question remains how to utilize the sequence of relations to actually compute
the LALR look-ahead sets. Two techniques suggest themselves. We can start from
the pair (q,A→ω•), follow the definitions of the relations until we reach a token t,
record it, backtrack and exhaustively search all possibilities: the top-down approach.
We can also make a database of relation triples, insert the initially known triples and
apply the relation definitions until nothing changes any more: the transitive closure
approach. Both have their problems. The top-down method has to be careful to pre-
vent being caught in loops, and will often recompute relations. The transitive closure
sweep will have to be performed an indefinite number of times, and will compute
triples that do not contribute to the solution.
Fortunately there is a better way. It is not immediately evident, but the above
algorithm has a remarkable property: it only uses the grammar and the LR(0) tran-
sitions over non-terminals (except for both ends of the relation sequence); it never
looks inside the LR(0) states. The reasonings that show the validity of the various
definitions use the presence of certain items, but the final definitions do not. This
makes it particularly easy to express the relations as arcs in a directed graph in which
the non-terminal transitions are the nodes.

9.7 LALR(1) 311
The relations graph corresponding to Figures 9.37 and 9.38 is shown in Figure
9.39. We see that it is quite different from the transition graphs in Figures 9.37 and
(q,A→ω•)
pA
→r
lookback
t
directly-reads
rC
→s
reads
u
directly-reads
pβ
→p
includes
p ···
→p
includes
Fig. 9.39. Hunting for LALR(1) look-aheads in an LR(0) automaton —
the relations graph
9.38: the transition arcs in those graphs have become nodes in the new graph, and
the relations, not present in the old graphs, are the arcs in the new one. To emphasize
this fact, the transition nodes in Figure 9.39 have been drawn in the same relative
positions as the corresponding arcs in Figures 9.37 and 9.38; this is the cause of the
strange proportions of Figure 9.39.
The LALR look-ahead sets can now be found by doing a transitive closure on this
graph, to find all leaves connected to the (q,A→ω•) node. The point is that there
exists a very efficient algorithm for doing transitive closure on a graph, the “SCCs
algorithm”. This algorithm successively isolates and condenses “strongly connected
components” of the graph; hence its name. The algorithm was invented by Tarjan
[334] in 1972, and is discussed extensively in books on algorithms and on the Inter-
net.
DeRemer and Pennello describe the details required to cast the sequence of re-
lations into a graph suitable for the SCCs algorithm. This leads to one of the most
efficient LALR parse table construction algorithms known. It is linear in the number
of relations involved in the computation, and in practice it is linear in the number of
non-terminal transitions in the LR(0) automaton. It is several times faster than the
channel algorithm used in yacc. Several optimizations can be found (Web)Section
18.1.4. Bermudez and Schimpf [76] extend the algorithm to LALR(k).
When reaching state rCnin Figure 9.37 we properly backtracked over all compo-
nents of γback to state p, to make sure that all look-aheads found could indeed be
shifted when we perform the reduction A→ω. If we omit this step and just accept
any look-ahead at rCnas look-ahead of A→ω, we obtain an NQLALR(1) parser, for
“Not Quite LALR(1)”. NQLALR(1) grammars are strange in that they do not fit in
the usual hierarchy ((Bermudez and Schimpf [75]); but then, that can be expected
from an incorrect algorithm.
312 9 Deterministic Bottom-Up Parsing
9.7.1.4 LALR(1) by Converting to SLR(1)
When we look at the non-LR(0) automaton in Figure 9.25 with an eye to upgrading it
to LALR(1), we realize that, for example, the Ealong the arrow from state 1 to state
4isinfactadifferentEfrom that along the arrow from state 6 to state 9, in that it
arises from a different station •E, the one in state 1, and it is the station that gets the
look-ahead. So to distinguish it we can call it ①E④, so now the item S--->•Ereads
S--->•①E④,where①E④is just a non-terminal name, in spite of its appearance. This
leads to the creation of a station •①E④(not shown) which produces two items based
on the two rules E--->T and E--->E-T. We can even give the non-terminals in these
rules more specific names:
①E④---> ①T②
①E④---> ①E④④-⑦⑦T⑧
where we obtained the other state numbers by following the rules through the LR(0)
automaton.
Continuing this way we can construct an “LR(0)-enhanced” version of the gram-
mar of Figure 9.23; it is shown in Figure 9.40. A grammar rule A→BcD is trans-
①S♦---> ①E④
①E④---> ①E④④-⑦⑦T⑧|①T②
⑥E⑨---> ⑥E⑨⑨-⑦⑦T⑧|⑥T②
①T②---> ①n③
⑥T②---> ⑥(⑥⑥E⑨⑨)⑩|⑥n③
⑦T⑧---> ⑦(⑥⑥E⑨⑨)⑩|⑦n③
Fig. 9.40. An LR(0)-enhanced version of the grammar of Figure 9.23
formed into a new grammar rule (s1)A(sx)→(s1)B(s2)(s2)c(s3)(s3)D(s4),where
(sx)is the state shifted to by the non-terminal, and (s1)···(s4)is the sequence of
states met when traveling down the right-hand side of the rule in the LR(0) automa-
ton.
We see that the rules for Ehave been split into two versions, one starting at ①
and the other at ⑥, and likewise the rules for T. It is clear that the look-aheads of
the station •①E④all end up in the look-ahead set of the item E--->E-T•reached at
the end of the sequence ①E④④-⑦⑦T⑧, so it is interesting to find out what the
look-ahead set of the •①E④in state 1 is, or rather just what the look-ahead set of
•①E④is, since there is only one •①E④and it is in state 1.
Bermudez and Logothetis [79] have given a surprisingly simple answer to that
question: the look-ahead set of •①E④is the FOLLOW set of ①E④in the LR(0)-
enhanced grammar, and likewise for all the other LR(0)-enhanced non-terminals.
Normally FOLLOW sets are not very fine tools, since they combine the tokens that
can follow a non-terminal Nfrom all over the grammar, regardless of the context in
which the production Noccurs. But here the LR(0) enhancement takes care of the
context, and makes sure that terminal productions of •Ein state 1 are recognized
9.7 LALR(1) 313
only if they really derive from ①E④. That all this leads precisely to an LALR(1)
parser is less clear; for a proof see the above paper.
To resolve the inadequacy of the automaton in Figure 9.25 we want to know the
look-ahead set of the item S--->E•in state 4, which is the FOLLOW set of ①S♦.The
FOLLOW sets of the non-terminals in the LR(0)-enhanced grammar are as follows:
FOLLOW(①S♦)=[#]
FOLLOW(①E④)=[#-]
FOLLOW(⑥E⑨)=[-)]
FOLLOW(①T②)=[#-]
FOLLOW(⑥T②)=[-)]
FOLLOW(⑦T⑧)=[#-)]
so the desired LALR look-ahead set is #, in conformance with the “real” LALR
automaton in Figure 9.34. Since state 4 was the only inadequate state, no more look-
aheads sets need to be computed.
Actually, the reasoning in the previous paragraph is an oversimplification: a re-
duce item in a state may derive from more than one station and import look-aheads
from each of them. To demonstrate this we compute the look-aheads of E--->E-T•in
state 8. The sequence ends in state 8, so we select from the LR(0)-enhanced grammar
those rules of the form E--->E-T that end in state 8:
①E④---> ①E④④-⑦⑦T⑧
⑥E⑨---> ⑥E⑨⑨-⑦⑦T⑧
We see that the look-aheads of both stations •①E④and •⑥E⑨endupinstate8,and
so the LALR look-ahead set of E--->E-T•in that state is
FOLLOW(①E④)∪FOLLOW(⑥E⑨)=[#-] ∪[-)] =[#-)]
Since this is the same way as look-aheads are computed in an SLR parser for a normal
— not LR(0)-enhanced — grammar (Section 9.8), the technique is often referred to
as “converting to SLR”.
The LALR-by-SLR technique is algorithmically very simple:
• deriving the LR(0)-enhanced grammar from the original grammar and the LR(0)
automaton is straightforward;
• computing the FOLLOW sets is done by a standard algorithm;
• selecting the appropriate rules from the LR(0)-enhanced grammar is simple;
• uniting the results is trivial.
And, as said before, only the look-ahead sets of reduce items in inadequate states
need to be computed.
9.7.1.5 Discussion
LALR(1) tables can be computed by at least five techniques: collapsing and down-
grading the LR(1) tables; Anderson’s simple algorithm; the channel algorithm; by
upgrading the LR(0) automaton; and by converting to SLR(1). Of these, Ander-
son’s algorithm [56] (Section 9.7.1.1) is probably the easiest to program, and its
314 9 Deterministic Bottom-Up Parsing
non-optimal efficiency should only seldom be a problem on present-day machines.
DeRemer and Pennello [63]’s relations algorithm (Section 9.7.1.3) and its relatives
discussed in (Web)Section 18.1.4 are among the fastest. Much technical and experi-
mental data on several LALR algorithms is given by Charles [88].
Vilares Ferro and Alonso Pardo [372] describe a remarkable implementation of
an LALR parser in Prolog.
9.7.2 Identifying LALR(1) Conflicts
When a grammar is not LR(1), the constructed LR(1) automaton will have conflicts,
and the user of the parser generator will have to be notified. Such notification often
takes such forms as:
Reduce/reduce conflict
in state 213 on look-ahead ‘;’
S--->E versus A--->T+E
This may seem cryptic but the user soon learns to interpret such messages and to
reach the conclusion that indeed “the computer can’t see this”. This is because LR(1)
parsers can handle all deterministic grammars and our idea of “what a computer can
see” coincides reasonably well with what is deterministic.
The situation is worse for those (relatively rare) grammars that are LR(1) but not
LALR(1). The user never really understands what is wrong with the grammar: the
computer should be able to make the right parsing decisions, but it complains that it
cannot. Of course there is nothing wrong with the grammar; the LALR(1) method is
just marginally too weak to handle it.
To alleviate the problem, some research has gone into methods to elicit from the
faulty automaton a possible input string that would bring it into the conflict state.
See DeRemer and Pennello [63, Sect. 7]. The parser generator can then display such
input with its multiple partial parse trees.
9.8 SLR(1)
There is a simpler way to proceed with the NFA of Figure 9.35 than using the chan-
nel algorithm: first pump around the look-ahead sets until they are all known and
then apply the subset algorithm, rather than vice versa. This gives us the so called
SLR(1) automaton (for Simple LR(1)); see DeRemer [54]. The same automaton can
be obtained without using channels at all: construct the LR(0) automaton and then
add to each item A→··· a look-ahead set that is equal to FOLLOW(A). Pumping
around the look-ahead sets in the NFA effectively computes the FOLLOW sets of
each non-terminal and spreads these over each item derived from it.
The SLR(1) automaton is shown in Figure 9.41. Since FOLLOW(S)={#},
FOLLOW(E)={#,-,)} and FOLLOW(T)={#,-,)}, only states 1 and 4 differ from
those in the LALR(1) automaton of Figure 9.34. The increased look-ahead sets do
not spoil the adequateness of any states: the grammar is also SLR(1).

9.9 Conflict Resolvers 315
S--->•E[$]
E--->•E-T[$-)]
E--->•T[$-)]
T--->•n[$-)]
T--->•(E)[$-)]
1
TE--->T•[$-)]
2
T
T--->(•E)[$-)]
E--->•E-T[$-)]
E--->•T[$-)]
T--->•n[$-)]
T--->•(E)[$-)]
6
T--->n•[$-)]
3
n n
S--->E•[$]
E--->E•-T[$-)]
4
-E--->E-•T[$-)]
T--->•n[$-)]
T--->•(E)[$-)]
7
-T--->(E•)[$-)]
E--->E•-T[$-)]
9
E--->E-T•[$-)]
8
T
T--->(E)•[$-)]
10
)
E
n
(E
(
(
Fig. 9.41. SLR(1) automaton for the grammar of Figure 9.23
SLR(1) parsers are intermediate in power between LR(0) and LALR(1). Since
SLR(1) parsers have the same size as LALR(1) parsers but are considerably less
powerful, LALR(1) parsers are generally preferred.
FOLLOWksets with k>1 can also be used, leading to SLR(k >1)parsers. As
with LA(k)LR( j), an LR( j) parser can be extended with additional FOLLOWklook-
ahead, leading to S(k)LR( j) parsers. So SLR(1) is actually S(1)LR(0), and is just the
most prominent member of the S(k)LR( j) parser family. To top things off, Bermudez
and Schimpf [76] show that there exist NQSLR(k>1) parsers, thereby proving that
“Simple LR” parsers are not really that simple for k>1.
9.9 Conflict Resolvers
When states in an automaton have conflicts and no stronger method is available,
the automaton can still be useful, provided we can find other ways to resolve the
conflicts. Most LR parser generators have built-in conflict resolvers that will make
sure that a deterministic automaton results, whatever properties the input grammar
may have. Such a system will just enumerate the problems it has encountered and
indicate how it has solved them.
Two useful and popular rules of thumb to solve LR conflicts are:
• on a shift/reduce conflict, shift (only on those look-aheads for which the conflict
occurs);
• on a reduce/reduce conflict, reduce using the longest rule.
Both rules implement the same idea: take the largest bite possible. If you find that
there is a production of Asomewhere, make it as long as possible, including as much
material on both sides as possible. This is very often what the grammar writer wants.
316 9 Deterministic Bottom-Up Parsing
Systems with built-in conflict resolvers are a mixed blessing. On the one hand
they allow very weak or even ambiguous grammars to be used (see for example,
Aho, Johnson and Ullman [335]). This can be a great help in formulating gram-
mars for difficult and complex analysis jobs; see, for example, Kernighan and Cherry
[364], who make profitable use of automatic conflict resolution for the specification
of typesetter input.
On the other hand a system with built-in conflict resolvers may impose a struc-
ture on the input where there is none. Such a system no longer corresponds to any
grammar-like sentence-generating mechanism, and it may be very difficult to specify
exactly what strings will be accepted and with what structure. How severe a draw-
back this is depends on the application and of course on the capabilities of the parser
generator user.
It is to a limited extent possible to have dynamic (parse-time) conflict resolvers,
as in the LL case (Section 8.2.5.3). Such a conflict resolver is called in a context that
is still under construction, which complicates its use, but in simple cases its working
can be understood and predicted. McKenzie [86] describes an extension of yacc that
supports dynamic conflict resolvers, among other things.
Some experiments have been made with interactive conflict resolvers, which con-
sult the user of the parser when a conflict actually arises: a large chunk of text around
the conflict point is displayed and the user is asked to resolve the conflict. This is use-
ful in, for example, document conversion; see Share [365].
9.10 Further Developments of LR Methods
Although the LALR(1) method as explained in Section 9.7 is quite satisfactory for
most applications, a number of extensions to and improvements of the LR methods
have been studied. The most important of these will be briefly explained in this sec-
tion; for details see the literature, (Web)Section 18.1.4 and the original references.
For methods to speed up LR parsing by producing executable parser code see
Section 17.2.2.
9.10.1 Elimination of Unit Rules
Many rules in practical grammars are of the form A→B; examples can be found
in Figures 2.10, 4.6, 5.3, 7.8, 8.7, 9.42 and many others. Such rules are called unit
Metre ---> Iambic | Trochaic | Dactylic | Anapestic
Fig. 9.42. A (multiple) unit rule
rules, single rules, or chain rules. They generally serve naming purposes only and
have no semantics attached to them. Consequently, their reduction is a matter of
stack manipulation and state transition only, to no visible purpose for the user. Such
9.10 Further Developments of LR Methods 317
“administrative reductions” can take a considerable part of the parsing time (50% is
not unusual). Simple methods to short-cut such reductions are easily found (for ex-
ample, removal by systematic substitution) but may result in an exponential increase
in table size. Better methods were found but turned out to be complicated and to im-
pair the error detection properties of the parser. That problem can again be corrected,
at the expense of more complication. See Heilbrunner [64] for a thorough treatment
and Chapman [71] for much practical information.
Note that the term “elimination of unit rules” in this case is actually a misnomer:
the unit rules themselves are not removed from the grammar, but rather their effect
from the parser tables. Compare this to the actual elimination of unit rules in Section
4.2.3.2.
Actually unit rule elimination is a special case of stack activity reduction, which
is discussed in the next section. But it was recognized earlier, and a separate body of
literature exists for it.
9.10.2 Reducing the Stack Activity
Consider the stack of an LR parser, and call the state on top of the stack st.Nowwe
continue the parser one step with proper input and we suppose this step stacks a token
Xand another state su, and we suppose that su=st, as will normally happen. Now,
rather than being satisfied with the usual top stack segment stXs
u, we collapse this
into one new state, st+su, which now replaces the original st. This means two things.
First, we have lost the symbol X, and with it the possibility to construct a parse tree,
so we are back to constructing a recognizer. But second, and more importantly, we
have replaced an expensive stacking operation by a cheap state transition.
We can repeat this process of appending new states to the top state until one
of two things happens: a state already in it is appended for the second time, or the
original state stgets popped and we are left with an empty state. Only at that moment
do we resume the normal stacking and unstacking operation of an LR parser.
When doing so for all acceptable inputs, we meet all kinds of compound states, all
with ston the left, and many pairs are connected by transitions on symbols, terminal
and non-terminal ones. Together they form a finite-state automaton. When we are
forced to resume normal LR operation, it is very likely that we will find a state
different from ston top, say sx. We can then repeat the process for sxand obtain
another FSA.
Continuing this way we obtain a set of FSAs connected by stacking and unstack-
ing LR operations. Using these FSAs instead of doing all the stack manipulation
hidden in them greatly reduces the stack activity of the parser. Such a parser is called
reduction-incorporated (RI).
In a traditional LR parser the gain in speed will almost certainly be outweighed
by the disadvantage of not being able to construct a parse tree. Its great advantage
lies in situations in which stack activity is expensive. Examples are the use of an LR
parser as a subparser in a GLR parser (Chapter 11), where stack activity involves
graph manipulation, and in parallel parsing (Chapter 14), where stack activity may
require process communication.
318 9 Deterministic Bottom-Up Parsing
The details of the algorithm are pretty complicated; descriptions are given by
Aycock and Horspool [176] and Scott and Johnstone [100]. The resulting tables can
be very large, even for every-day grammars.
9.10.3 Regular Right Part Grammars
As shown in Section 2.3.2.4, there are two interpretations of a regular right-hand side
of a rule: the recursive and the iterative interpretation. The recursive interpretation
is no problem: for a form like A+anonymous non-terminals are introduced, the re-
duction of which entails no semantic actions. The burden of constructing a list of the
recognized As lies entirely on the semantic routines attached to the As.
The iterative interpretation causes more problems. When an A+has been recog-
nized and is about to be reduced, the stack holds an indeterminate number of As:
···A···AAA |
The right end of the handle has been found, but the left end is doubtful. Scooping up
all As from the right may be incorrect since some may belong to another rule; after
all, the top of the stack may derive from a rule P→QAAA+. A possible solution is
to have for each reducing state and look-ahead a FS automaton which scans the stack
backwards while examining states in the stack to determine the left end and the actual
rule to reduce to. The part to be reduced (the handle) can then be shown to a semantic
routine which can, for example, construct a list of As, thereby relieving the As from
a task that is not structurally theirs. The resulting tables can be enormous and clever
algorithms have been designed for their construction and reduction. See for example,
LaLonde [62], Nakata and Sassa [69, 74], Shin and Choe [90], Fortes Gálvez, [91],
and Morimoto and Sassa [97]. Kannapinn [99] has given a critical analysis of many
algorithms for LR and LALR parse table creation for EBNF grammars (in German).
9.10.4 Incremental Parsing
In incremental parsing, the structured input (a program text, a structured document,
etc.) is kept in linear form together with a parse tree. When the input is (incremen-
tally) modified by the user, for example by typing or deleting a character, it is the
task of the incremental parser to update the corresponding parse tree, preferably at
minimum cost. This requires serious measures inside the parser, to quickly determine
the extent of the damage done to the parse tree, localize its effect, and take remedial
steps. Formal requirements for the grammar to make this easier have been found. See
for example, Degano, Mannucci and Mojana [330] and many others in (Web)Section
18.2.8.
9.10.5 Incremental Parser Generation
In incremental parser generation, the parser generator keeps the grammar together
with its parsing table(s) and has to respond quickly to user-made changes in the
grammar, by updating and checking the tables. See Horspool [80], Heering, Klint
and Rekers [83], Horspool [84] and Rekers [347].
9.11 Getting a Parse Tree Grammar from LR Parsing 319
9.10.6 Recursive Ascent
In Sections 8.2.6 and 8.5 we have seen that an LL parser can be implemented con-
veniently using recursive descent. Analogously, an LR parser can be implemented
using recursive ascent, but the required technique is not nearly as obvious as in the
LL case. The key idea is to have the recursion stack mimic the LR parsing stack.
To this end there is a procedure for each state; when a token is to be shifted to the
stack, the procedure corresponding to the resulting state is called instead. This indeed
constructs the correct recursion stack, but causes problems when a reduction has to
take place: a dynamically determined number of procedures has to return in order to
unstack the right-hand side. A simple technique to achieve this is to have two global
variables, one, Nt, holding the non-terminal recognized and the second, l, holding
the length of the right-hand side. All procedures will check land if it is non-zero,
they will decrease lby one and return immediately. Once lis zero, the procedure that
finds that situation will call the appropriate state procedure based on Nt. For details
see Roberts [78, 81, 87] and Kruseman Aretz [77]. The advantage of recursive ascent
over table-driven is its potential for high-speed parsing.
9.10.7 Regular Expressions of LR Languages
In Section 9.6.3 we mentioned that any LR(k) language can be obtained as a reg-
ular expression, the elements of which are LR(0) languages. The opposite is even
stronger: regular expressions over LR(0) languages can describe more than the LR(k)
languages. An immediate example is the inherently ambiguous language ambncn∪
apbpcqdiscussed on page 64. It is produced by the regular expression
L∗
aLbc|LabL∗
c
where the language Lais produced by the simplest grammar in this book, S--->a,
Lbc by S--->bSc|ε, and similarly for Lab and Lc. It is easy to see that each of
these grammars is LR(0).
Bertsch and Nederhof [96] show that a linear-time parser can be constructed for
regular expressions over LR(k) languages. Unfortunately the algorithm is based on
descriptions of the languages by pushdown automata rather than CF grammars, and
a transformation back to CF grammars would be very complicated. Some details
are provided in Section 12.3.3.2, where a similar technique is used for linear-time
substring parsing of LR languages.
9.11 Getting a Parse Tree Grammar from LR Parsing
Getting a parse tree grammar from LR parsing is similar to getting one from LL pars-
ing (Section 8.4): each time one makes a “serious” decision (prediction, reduction)
one generates a grammar rule for it. As in the LL case, LR parsing produces a parse
tree grammar rather than a parse forest grammar.
320 9 Deterministic Bottom-Up Parsing
We consider parsing n-n with the table of Figure 9.18. All non-terminals are
numbered using the same increasing counter. After a single shift we have the config-
uration
①n③-n$
The moment we reduce nto T, we produce a rule T_1--->n, and push T_1 on the
stack:
①T_1 ②-n$
The next step reduces the Tto E; this produces a rule E_2--->T_1 and the configura-
tion
①E_2 ②-n$
Continuing this process we obtain the parse tree grammar
T_1 --->n
E_2 ---> T_1
T_3 --->n
E_4 ---> E_2 - T_3
S_5 ---> E_4 $
and the final datum yielded by the parsing process is that S_5 is the start symbol of
the parse tree grammar.
Note that it is possible to number the input tokens with their positions and to
follow where they go in the parse tree grammar:
T_1 --->n
1
E_2 ---> T_1
T_3 --->n
3
E_4 ---> E_2 -2T_3
S_5 ---> E_4 $4
This is useful when semantics is attached to the input tokens.
Again the grammar is clean. It has no undefined non-terminals: each non-
terminal included in a right-hand side during a reduction comes from the stack, and
was defined in a previous reduction. It has no unreachable non-terminals either: each
left-hand side non-terminal created in a reduction is put on the stack, and will later
be included in some right-hand side during a subsequent reduction, except for the
start symbol, which is reachable by definition.
9.12 Left and Right Contexts of Parsing Decisions
At the beginning of Chapter 7 we indicated that stacks in bottom-up parsing can
be described by regular grammars, and we are now in a position to examine this
phenomenon in more detail, by considering two non-obvious properties of an LR
automaton: the left context of a state and the right context of an item.
9.12 Left and Right Contexts of Parsing Decisions 321
9.12.1 The Left Context of a State
The left context of a state is easy to understand: it is the set of all sequences of
symbols, terminals and non-terminals, that lead to that state. Although this set is
usually infinitely large, it can be represented by a regular expression. It is easy to
see that, for example, the left context of state 4 in the LR automaton in Figure 9.17
is E, but more work is needed to obtain the left context of, say, state 9. To find all
paths that end in state 9 we proceed as follows. We can create the path to state 9 if
we know the path(s) to state 6 and then append an E. This gives us one rule in a left-
regular grammar: P_9--->P_6 E,whereP_6 and P_9 are the paths to states 6 and
9, respectively. Now there are three ways to get to state 6: from 1, from 6 and from 7,
all through a (. This gives us three rules: P_6--->P_1(,P_6--->P_6(,P_6--->P_7(.
Continuing in this way we can construct the entire left-context grammar of the LR
automaton in Figure 9.17. It is shown in Figure 9.43, and we see that it is left-regular.
P_1 ---> εP_4 ---> P_1 E P_7 ---> P_4 -
P_2 ---> P_1 T P_5 ---> P_4 $ P_7 ---> P_9 -
P_2 ---> P_6 T P_6 ---> P_1 ( P_8 ---> P_7 T
P_3 ---> P_1 n P_6 ---> P_6 ( P_9 ---> P_6 E
P_3 ---> P_6 n P_6 ---> P_7 ( P_10 ---> P_9 )
P_3 ---> P_7 n
Fig. 9.43. Left-context grammar for the LR(0) automaton in Figure 9.17
We can now apply the transformations shown in Section 5.4.2 and Section 5.6 to
obtain regular expressions for the non-terminals. This way we find that indeed the
left context of state 4 is Eand that that of state 9 is [(|E-(][(|E-(]*E.This
expression simplifies to [(|E-(]+E, which makes sense: it describes a sequence of
one or more (or E-(, followed by an E. The first (or E-( brings us to state 6, any
subsequent (sandE-(s bring us back to state 6, and the final Ebrings us to state 9.
Now the connection with the stack in an LR parser becomes clear. Such a stack
can only consist of a sequence which leads to a state in the LR automaton; for ex-
ample, it could not be (-, since that leads nowhere in Figure 9.17, though it could
be (E- (which leads to state 7). In short, the union of all left contexts of all states
describes the complete set of stack configurations of the LR parser.
All stack configurations in a given P_send in state sand thus lead to the same
parsing decision. LR(1) automata have more states than LR(0) automata, and thus
more left context sets. For example, the LR(1) automaton in Figure 9.27 remembers
whether it is working on the outermost expression (in which case a #may follow) or
on a nested expression; the LR(0) automaton in Figure 9.17 does not. But the set of
all stack configurations P_∗is the same for LR(0) and LR(1), because they represent
all open parts in a rightmost production, as explained in Section 5.1.1.
322 9 Deterministic Bottom-Up Parsing
9.12.2 The Right Context of an Item
The right context of a state is less easy to understand: intuitively it is the set of all
strings that are acceptable to an LR parser in that state, but that set differs consider-
ably from the left context sketched above.
First it is a context-free language rather than a regular one. This is easy to see
when we consider an LR parser for a CF language: any string in that language is
acceptable as the right context of the initial state.
Second, it contains terminals only; there are no non-terminals in the rest of the
input, to the right of the gap. Yet it is clear that the right context of an item is not
just an unrestricted set of strings, but follows precisely from the CF grammar C
and the state S, and we would like to capture these restrictions in a grammar. This
is achieved by constructing a regular grammar GSfor the right context which still
contains undeveloped non-terminals from C, similar to the left context grammar.
The set of terminal strings acceptable after a state is then obtained by replacing these
non-terminals by their terminal productions in C; this introduces the CF component.
More precisely: each (regular) terminal production TSof the grammar GSis a start
sentential form for grammar C; each combination of TSand Cproduces a (CF) set of
strings that can figure as rest of input at S.
There is another, perhaps more surprising, difference between left and right con-
texts: although the left contexts of all items in an LR state are the same, their right
contexts can differ. The reason is that the same LR state can be reached by quite
different paths through the grammar. Each such path can result in a different item in
that state and can carry a different prediction of what will happen on the other side
of the item. A trivial example occurs in the grammar
Ss--->aBc
S--->aDe
B---> ε
D---> ε
The state reached after shifting over an acontains
S--->a•Bc
S--->a•De
B--->•
D--->•
and it is clear that the right context of the item B--->•is cand that of D--->•is e.
This example already alerts us to the relationship between right contexts and look-
ahead symbols. Like the latter (Section 9.6.2) right contexts exist in an item and a dot
variety. The item right context of S--->a•Bc is ε; its dot right context is Bc. Item right
contexts are easier to compute but dot right contexts are more important in parsing.
We shall start by constructing the regular grammar for item right contexts for the
automaton in Figure 9.17, and then derive dot right contexts from it. Since the right
contexts are item-specific we include the names of the items in the names of the non-
terminals that describe them. We use names of the form F_s{I}for the set of strings
that can follow item Iin state sin sentential forms during rightmost derivation.
9.13 Exploiting the Left and Right Contexts 323
As we have seen in Section 9.5, items can derive from items in the same state or
from a parent state. An example of the first type is E--->•E-T in state 6. It derives
through the ε-moves T--->(•E) ε
→•Eε
→E--->•E-T and E--->•E-T ε
→•Eε
→E--->•E-T
in the non-deterministic automaton of Figure 9.15 from both T--->(•E) and
E--->•E-T in state 6. An example of the second type is T--->(•E) in state 6, de-
riving in three ways from the T--->•(E) in states 1, 6 and 7, through the transition
T--->•(E) (
→T--->(•E) in Figure 9.15.
If the item E--->•E-T originates from T--->(•E), its right context consists of the
)which follows the Ein T--->(•E); this gives one rule for F_6{E--->•E-T}:
F_6{E--->•E-T} ---> ) F_6{T--->(•E)}
If the item originates from T--->•E-T, its right context consists of the -T which
follows the Ein T--->•E-T; this gives the second rule for F_6{E--->•E-T}:
F_6{E--->•E-T} ---> -T F_6{E--->•E-T}
The general rule is: F_s{A→•α}---> γF_s{X→β•Aγ}for an ε-transition
{X→β•Aγ}ε
→{•A}ε
→{A→•α}, for each state sin which the item {X→β•Aγ}
occurs.
A shift over a token does not change the right context of an item: during a shift
over a (from state 1 to state 6, the item T--->•(E) changes into T--->(•E), but its
right context remains unaffected. This is expressed in the rule
F_6{T--->(•E)} ---> F_1{T--->•(E)}
The general rule is: F_r{A→αt•β}--->F_s{A→α•tβ}for a transition {A→
α•tβ}t
→{A→αt•β}.
Repeating this procedure for all ε-moves and shifts in Figure 9.17 gives us the
(right-regular) grammar for the right contexts; it is shown in Figure 9.44. Note that
the two ways of propagating right context correspond with the two ways of propa-
gating the one-token look-ahead in LR(1) parsing, as explained on page 293.
Again applying the transformations from Section 5.4.2 we can obtain regular
expressions for the non-terminals. For example, the item right context of E--->•E-T
in state 6 is [)*[-T|)]]*)*)[-T]*$which simplifies to [-T|)]*)[-T]*$.
Again this makes sense: the prediction after that item is a sequence of -Tsand)s,
with at least one ), since to arrive at state 6, the input had to contain at least one (.
Finding dot right contexts is now simple: the dot right context of E--->•E-T in
state 6, D_6{E--->•E-T}, is of course just E-T F_6{E--->•E-T}. The general rule
is: D_s{A→α•β}---> βF_s{A→α•β}for all items.
For a thorough and formal analysis of right contexts see Seyfarth and Bermudez
[93].
9.13 Exploiting the Left and Right Contexts
There are many ways to exploit the left and right contexts as determined above. We
will discuss here three techniques. The first, DR(k) parsing, uses knowledge of the
324 9 Deterministic Bottom-Up Parsing
F_1{S--->•E$} ---> εF_6{E--->•E-T} ---> ) F_6{T--->(•E)}
F_1{E--->•E-T} ---> -T F_1{E--->•E-T} F_6{E--->•E-T} ---> -T F_6{E--->•E-T}
F_1{E--->•E-T} ---> $ F_1{S--->•E$} F_6{E--->•T} ---> -T F_6{E--->•E-T}
F_1{E--->•T} ---> -T F_1{E--->•E-T} F_6{E--->•T} ---> ) F_6{T--->(•E)}
F_1{E--->•T} ---> $ F_1{S--->•E$} F_6{T--->(•E)} ---> F_1{T--->•(E)}
F_1{T--->•(E)} ---> F_1{E--->•T} F_6{T--->(•E)} ---> F_6{T--->•(E)}
F_1{T--->•n} ---> F_1{E--->•T} F_6{T--->(•E)} ---> F_7{T--->•(E)}
F_2{E--->T•} ---> F_1{E--->•T} F_6{T--->•(E)} ---> F_6{E--->•T}
F_2{E--->T•} ---> F_6{E--->•T} F_6{T--->•n} ---> F_6{E--->•T}
F_3{T--->n•} ---> F_1{T--->•n} F_7{E--->E-•T} ---> F_4{E--->E•-T}
F_3{T--->n•} ---> F_6{T--->•n} F_7{E--->E-•T} ---> F_9{E--->E•-T}
F_3{T--->n•} ---> F_7{T--->•n} F_7{T--->•(E)} ---> F_7{E--->E-•T}
F_4{S--->E•$} ---> F_1{S--->•E$} F_7{T--->•n} ---> F_7{E--->E-•T}
F_4{E--->E•-T} ---> F_1{E--->•E-T} F_8{E--->E-T•} ---> F_7{E--->E-•T}
F_5{S--->E$•} ---> F_4{S--->E•$} F_9{E--->E•-T} ---> F_6{E--->•E-T}
F_9{T--->(E•)} ---> F_6{T--->(•E)}
F_10{T--->(E)•} ---> F_9{T---
>(E•)}
Fig. 9.44. Right-regular right-context grammar for the LR(0) automaton in Figure 9.17
left context to reduce the required table size drastically, while preserving full LR(k)
parsing power. The second, LR-regular, uses the full right context to provide optimal
parsing power, but the technique does not lead to an algorithm, and its implemen-
tation requires heuristics and/or handwaving. The third, LAR(k) parsing, is a tamed
version of LR-regular, which yields good parsers for a large class of unambiguous
grammars. An even more extensive application of the contexts is found in the chapter
on non-canonical parsing, Chapter 10, where the right context is explicitly improved
by doing reductions in it. And there is no reason to assume that this exhausts the
possibilities.
9.13.1 Discriminating-Reverse (DR) Parsing
As Figure 9.12 shows, an LR parser keeps states alternatingly between the stacked
symbols. Actually, this is an optimization; we could omit the states, but that would
force us to rescan the stack after each parse action, to reestablish the top state, which
would be inefficient. Or would it? Consider the sample parser configuration on page
283, which was based on the grammar of Figure 9.14 and the handle recognizer of
Figure 9.17, and which we repeat here without the states:
#E-n❍-n$
We have also added a bottom-of-stack marker, #, which can be thought of as caused
by stacking the beginning of the input. There can be no confusion with the end-of-
input marker #, since the latter will never be put on the stack.
When we look at the above configuration, we find it quite easy to guess what the
top state, indicated by ❍, must be. The last shift was over an n, and although there
are three arrows marked nin Figure 9.17, they all point to the same state, ③,sowe
can be certain we are looking at
9.13 Exploiting the Left and Right Contexts 325
#E-n③-n$
Since ③is a reduce state, we can confidently reduce the nto T. So the loss of the left
context did not do any harm here; but, as the reader might expect, that is not going
to last.
After the reduction we have the configuration
#E-T❍-n$
and now we have a problem. There are again three arrows marked Tin Figure 9.17,
but they do not all point to the same state; two point to ②and one points to ⑧,sowe
seem none the wiser. But we know how to handle situations in which there are only a
finite number of possibilities: we put them all in a state, and progress with that state
as our knowledge. The state is
①:②
⑥:②
⑦:⑧
and it represents our knowledge between the -and the Tin the configuration; it says:
if we are now in LR state ①or ⑥, the top state was ②, and if we are now in state
⑦, the top state was ⑧. Such a state is called a DR state, for Discriminating Reverse
state (Fortes Gálvez [89]).
When we now look backwards on the stack, we see a -; the LR states ①and ⑥
do not have incoming arrows marked -, so we cannot be in one of these, but state ⑦
has, coming from ④and ⑨. So our DR state between the Eand the -is
④:⑧
⑨:⑧
which says if we are now in LR state ④, the top state was ⑧, and if we are now in
state ⑨, the top state was ⑧. Here something surprising has happened: even though
we do not know in which LR state we are, we now know that the top of the stack was
⑧, which is the answer we were looking for! This gives us the configuration
#E-T⑧-n$
in which we reduced the E-T to E. We have now reproduced the parsing example of
page 283 without states on the stack and without rescanning the entire stack for each
parsing action. Whether that is something worth striving for is less than clear for the
moment, but we will see that the technique has other benefits.
More generally, suppose we are in a DR state d
l1:t1
···
lk:tk
where l1···lkare LR states and the t1···tkare the top-of-stack states implied by
them, and suppose we have the stack symbol son our left. Now we want to compute
the DR state to the left of s, one step back on the stack. To do so we go through all
transitions of the form p1s
→p2in the LR handle recognizer, and for each transition

326 9 Deterministic Bottom-Up Parsing
that has an p2equal to an lj,weinserttheformp1:tjinanewDRstatee.Thisis
reasonable because if we were in LR state p1to the left of the s, then moving over
the swould bring us in LR state p2, and that would imply that the top of the stack is
tj. In this way we obtain a transition in a DR automaton:ds
→e, or more graphically,
es
←d. This transition carries our knowledge about the top of the stack in our present
position over the symbol sto the left.
We can compute the complete DR automaton by performing this step for all
possible stack symbols, starting from the initial state of the DR automaton
t1:t1
···
tk:tk
which of course says that if we are in LR state tjon the top of the stack, then the top-
of-stack state is tj. It is always good to see a difficult concept reduced to a triviality.
States in which all t1···tkare equal are final states, since they unequivocally tell
us the top-of-stack state. The DR automaton generation process is guaranteed to
terminate because there are only a finite number of DR states possible. The DR
automaton for the LR automaton of Figure 9.17 is shown in Figure 9.45.
①:①
②:②
③:③
④:④
⑤:⑤
⑥:⑥
⑦:⑦
⑧:⑧
⑨:⑨
⑩:⑩
①:①
$
①:③
⑥:③
⑦:③
n
①:②
⑥:②
⑦:⑧
T
①:④
⑥:⑨
E
①:⑥
⑥:⑥
⑦:⑥
(
④:⑦
⑨:⑦
-
⑨:⑩
)
④:⑤
$
①:②
$
①:②
⑥:②
⑦:②
(
④:⑧
⑨:⑧
-
①:④
$
①:⑨
⑥:⑨
⑦:⑨
(
Fig. 9.45. DR automaton for the LR automaton of Figure 9.17
9.13 Exploiting the Left and Right Contexts 327
One thing we immediately notice when looking at the graph in Figure 9.45 is that
it has no loops: at most two steps backwards suffice to find out which parsing action
is called for. We have just shown that the grammar of Figure 9.14 is BRC(2,0)!
But there are more important things to notice: now that we have the transition
diagram in Figure 9.45 we can discard the GOTO table of the LR parser (but of
course we have to keep the ACTION table). That looks like a meager advantage: the
DR automaton has 14 states and the LR(0) automaton only 10. But DR automata
have an interesting property, already showing up in Figure 9.45: the first fan-out is
equal to the number of symbols, the second fan-out is usually a modest number, the
third fan-out a very modest number and in many DR tables there is no fourth fan-out.
This is understandable, since each step to the left tends to reduce the uncertainty. Of
course it is possible that some DR parser will occasionally dig unboundedly deep
back in the stack, but such operations are usually controlled by a simple loop in the
DR automaton (see Problem 9.21), involving only a few DR states.
Compared to GOTO tables the DR automata are very compact, and, even better,
that property holds more or less independently of the type of LR table used: going
from LR(0) to LR(1) to LR(2) tables, each one or more orders of magnitude larger
than the previous, the corresponding DR automaton only grows minimally. So we
can afford to use full LR(k) tables and still get a very small replacement for the
GOTO table! We still need to worry a bit about the ACTION table, but almost all of
its entries are “shift” or “error”, and it yields readily to table compression techniques.
DR parsing has been used to create LR(1) parsers that are substantially smaller than
the corresponding LALR(1) tables. The price paid for these smaller tables is an in-
creased parse time caused by the stack scanning, but the increase is very moderate.
The reader may have noticed that we have swept two problems under the rug in
the above explanation: we needed the large LR table to obtain the small DR table, a
problem similar to the construction of LALR(1) parsers without generating the full
LR(1) tables; and we ignored look-aheads. Solving these problems is the mainstay
of DR parser generation; detailed solutions are described by Fortes Gálvez [92, 95].
The author also proves that parse time is linear in the length of the input, even if
the parser sometimes has to scan the entire stack [95, Section 7.5.1], but the proof
is daunting. A generalized version of DR parsing is reported by Fortes Gálvez et al.
[179] and a non-canonical version by Farré and Fortes Gálvez [207, 209].
Kannapinn [99] describes a similar system, which produces even more compact
parsers by first reducing the information contents of the LR(1) parser, using various
techniques. This reduction is, however, at the expense of the expressive power, and
for stronger reductions the technique produces smaller parsers but can handle fewer
grammars, thus defining a number of subclasses of LR(1).
9.13.2 LR-Regular
The right context can be viewed as a kind of super-look-ahead, which suggests that
it could be a great help in resolving inadequate states; but it is not particularly easy
to make this plan work. The basic idea is simple enough: whenever we meet an
inadequate state in the parse table construction process, compute the right contexts of
328 9 Deterministic Bottom-Up Parsing
the offending items as described in the previous section. If the two contexts describe
disjunct sets, they can serve to resolve the conflict at parse time by finding out to
which of the two sets the rest of the input belongs. If the two contexts do not exclude
each other, the plan does not work for the given grammar. (See Figure 9.13 for a
simple unambiguous grammar for which this technique clearly will not work.)
This requires us to solve two problems: deciding whether the two dot right con-
texts are disjunct, and checking the rest of the input against both contexts. Both are
serious problems, since the right contexts are CF languages. It can be proved that it
is undecidable whether two CF languages have a terminal production in common,
so finding out if the two right contexts really are sufficient to distinguish between
the two items seems impossible (but see Problem 9.29). And checking the rest of the
input against a CF language amounts to parsing it, the very problem we are trying to
solve.
Both problems are solved by the same trick: we replace the CF grammars of the
right contexts by regular grammars. As we have seen in Section 5.5 we can check
if two regular languages are disjunct (take the intersection of the automata of both
languages and see if the resulting automaton still accepts some string; if it does, the
automata are not disjunct). And it is simple to test the rest of the input against both
regular languages; below we will show that we can even do that efficiently. But this
solution brings in a new problem: how to replace CF grammars by regular ones.
Of course a regular grammar Rcannot be equivalent to a CF grammar C,so
replacing one by the other involves an approximation “from above”: Rshould at
least produce all strings Cproduces or it will fail to identify an item as applicable
when it is. But the overproduction should be minimal, or the set of string may no
longer be disjunct from that of the other item, and the parser construction would fail
unnecessarily. So Rwill have to envelop C as tightly as possible. If mutually disjunct
regular envelopes for all right contexts in inadequate states exist, the grammar Gis
LR-regular (ˇ
Culik, II and Cohen [57]), but we can make a parser for Gonly if we
can also actually find the envelopes.
It is actually not necessary to find regular envelopes of the right contexts of each
of the items in an inadequate state. It suffices to find regular envelopes for the non-
terminals of the grammar; these can then be substituted into the regular expressions
for the right contexts.
Finding regular envelopes of non-terminals in a context-free grammar requires
heuristics. It is possible to approximate non-terminals better and better with increas-
ingly more complicated regular grammars, but it is undecidable if there exist regu-
lar envelopes for the right contexts that are good enough for a given grammar. So
when we find that our approximations (regular envelopes) are not disjunct, we can-
not know if better heuristics would help. We shall therefore restrict ourselves to the
simple heuristic demonstrated in Section 9.13.2.3.
9.13.2.1 LR-Regular Parse Tables
Consider the grammar in Figure 9.46(a), which produces d*aand d*b. It could, for
example, represent a language of integer numbers, with the ds standing for digits,
9.13 Exploiting the Left and Right Contexts 329
Ss--->Aa
S--->Bb
A--->AC
A--->C
C--->d
B--->BD
B--->D
D--->d
(a)
S--->•Aa
S--->•Bb
A--->•AC
A--->•C
C--->•d
B--->•BD
B--->•D
D--->•d
(b)
C--->d•
D--->d•
(c)
Fig. 9.46. An LR-regular grammar (a), with initial state 1 (b) and inadequate state 2 (c)
and the aand bfor indications of the numeric base; examples could then be 123a
for a decimal number, and 123b for a hexadecimal one. For another motivation of
this grammar see Section 10.2.2 and Figure 10.12.
It is easy to see that the grammar of Figure 9.46(a) is not LR(k): to get past the
first d, it has to be reduced to either Cor D, but no fixed amount of look-ahead can
reach the deciding aof bat the end of the input. The figure also shows the initial
state 1 of an LR parser for the grammar, and the state reached by shifting over a d,
the one that has the reduce/reduce conflict. The full LR automaton is shown in Figure
9.49.
To resolve that conflict we construct the right contexts of both items,
F_2{C--->d•}and F_2{D--->d•}. The regular grammar for F_2{C--->d•}is
F_1{S--->•Aa} --->#
F_1{A--->•AC} ---> a F_1{S--->•Aa}
F_1{A--->•C} ---> a F_1{S--->•Aa}
F_1{A--->•AC} ---> C F_1{A--->•AC}
F_1{A--->•C} ---> C F_1{A--->•AC}
F_1{C--->•d} ---> F_1{A--->•C}
F_2{C--->d•} ---> F_1{C--->•d}
Unsurprisingly this resolves into C*a#. A similar reasoning gives D*b# for
F_2{D--->d•}. Next we have to replace the CF non-terminals Cand Dby their regu-
lar envelopes. In our example this is trivial, since both are already regular; so the two
LR-regular contexts are d*a# and d*b#. And indeed the two sets are disjunct: the
grammar of Figure 9.46(a) is LR-regular, and the LR-regular contexts can be used as
LR-regular look-aheads. Right contexts always end in a #symbol, since each item
eventually derives from the start symbol, and it has a look-ahead #.
So the entry for a state pin the ACTION table of an LR-regular parser can contain
one of five things: “shift”, “reduce”, “error”, “accept”, or a pointer to an LR-regular
look-ahead automaton; the latter occurs when the LR state corresponding to pwas
inadequate. The GOTO table of an LR-regular parser in identical to that of the LR
parser it derives from.

330 9 Deterministic Bottom-Up Parsing
9.13.2.2 Efficient LR-Regular Parsing
We now turn to the actual parsing, where we meet our second problem: how to de-
termine which of the right contexts the rest of the input is in. The naive way is to just
construct an FSA for each LR-regular look-ahead and send it off into the input to see
if it stops in an accepting state. This has two drawbacks: 1. the input is rescanned by
each FSA F, and there can be many of them; 2. the whole process is repeated after
each shift, which may cause the parsing to require O(n2)time.
The second drawback can be removed by replacing the FSA Fby a new FSA ←−
F,
which accepts the reverse of the strings that Faccepts; basically such an FSA can be
made by reversing all arrows, swapping the initial and accepting states, and making
the result deterministic again. We start ←−
Fat the right of the added end-of input token
#, and run it backwards over the input. It marks each position in which it is in an
accepting state with a marker F1, the start state of the original, forward, automaton
F. This costs O(n)steps. Now, when during parsing we want to know if the rest of
the input conforms to F, we can just check if the present position is marked F1,at
constant cost.
We can of course repeat the backward scan of the input for every reversed look-
ahead FSA, but it is much more efficient to combine all of them in one big FSA ←−
F
by creating a new start state with ε-transitions to the start states of all reversed
automata for the dot right contexts, as shown in Figure 9.47. The clouds represent
···
ε
②D_...
ε
⑤D_... ε
⑨D_...
ε
···
ε
Fig. 9.47. Combined backwards-scanning automaton ←−
Ffor LR-regular parsing
the various reversed automata, with their accepting states ②,⑤,⑨, etc. Using this
combined automaton we need now scan backwards only once:
tn
②
③
⑧
tn−1
③·········
④
⑤
t2
⑨t1
③
⑧
9.13 Exploiting the Left and Right Contexts 331
The backwards scan marks each position with the accepting states of all reversed
FSAs in ←−
Fthat apply at that position. These are the start states of the forward au-
tomata. A left-to-right LR parsing scan can then use these states as summaries of the
look-aheads. This removes the first drawback mentioned above.
We have now achieved a linear-time algorithm: we first read the entire input (at
cost O(n)); then we scan backwards, using one single FSA recording start states of
right contexts (again O(n)); and finally we run the LR-regular parser forward, using
the recorded states rather than the tokens as look-aheads (also O(n)).
9.13.2.3 Finding a Regular Envelope of a Context-Free Grammar
The fundamental difference between regular and context-free is the ability to nest.
This nesting is implemented using a stack, both during production and parsing, for
LL, LR and pushdown automaton alike. This observation immediately leads to a
heuristic for “reducing” a CF language to regular: limit the stack depth. A stack of
fixed depth can assume only a finite number of values, which then correspond to the
states of a finite state automaton. The idea can be applied naturally to an LR parser
with a stack limited to the top state only (but several other variations are possible).
The heuristic can best be explained using a non-deterministic LR automaton, for
example the one in Figure 9.15. Assume the input is n($. Initially we work the
system as an interpreter of the NFA, as in Figure 9.16, so we start in the leftmost
state in that figure. Shifting over the nbrings us to a state that contains only T--->n•
(actually state 2 in Figure 9.17), and since we remember only the top of the stack,
we forget the initial state. State 2 orders us to reduce, but since we have lost the n
and the initial state, we know that we have to shift over a Tbutwehavenoideafrom
what state to shift. We solve this by introducing a state containing all possible items,
thus acknowledging our total ignorance; we then shift over Tfrom that state. The
result is the item set:
E--->E-T•
E--->T•
Note that this item set is not present in the deterministic LR(0) automaton, and cannot
occur as a state in the CF parsing. The item set tells us to reduce to E, but again
without any previous information. We act as above, now obtaining the item set
S--->E•$
E--->E•-T
T--->(E•)
which is again not an LR(0) state. This item set allows shifts on $,-and ), but not on
(; so the input n($ is rejected, even by the regular envelope constructed here. Note
that the input n)$ is accepted; indeed it does not contain blatant impossibilities.
A closer look at the above discussion makes it clear what happens when we have
to reduce to a non-terminal A: we continue with all items of the form P→αA•β.
These items can be found in the non-deterministic LR automaton as the items that
have an incoming arrow on A. This gives us a way to convert such an automaton

332 9 Deterministic Bottom-Up Parsing
into an FSA for a regular envelope: we connect by ε-transitions all reduce states for
each non-terminal Ato all states with incoming arrows marked A; next we remove
all arrows marked with non-terminals.
This procedure converts the non-deterministic LR(0) automaton of Figure 9.15
into the non-deterministic finite-state automaton of Figure 9.48, in which the un-
marked arrows represent ε-transitions, and the accepting state is again marked with
a♦. Rather than connecting all reduce items of a non-terminal Ato all items of the
•S
S--->•E$
S--->E•$
$
S--->E$•
S•
♦
•E
E--->•E-T
E--->E•-T
-
E--->E-•T
E--->E-T•
E--->•T
E--->T•
E•
•T
T--->•n
n
T--->n•
T--->•(E)
(
T--->(•E)
T--->(E•)
)
T--->(E)•
T•
Fig. 9.48. A possible regular envelope for the grammar of Figure 9.14
form P→αA•β, we first connect the reduce items to a “terminal station”, which
is the dual to the “departure” station shown in Figure 9.15, and connect from there
to the destination states. Although Figure 9.48 could be drawn neater and without
crossing lines, we have kept it as close as possible to Figure 9.15 to show the rela-
tionship.
A specific deterministic finite-state automaton for a given non-terminal Pcan
be derived from it by marking the station of Pas the start state, and making the
automaton deterministic using the subset algorithm. This FSA — or rather the regular
expression it corresponds to — can then be used in the expressions derived for item
and dot right contexts in Section 9.12.2. See Problem 9.27.
If the resulting regular sets are too coarse and do not sufficiently separate the
actions on various items, a better approximation could be obtained by remembering
kstates rather than 1, but the algorithm to do so is quite complicated. It is usually
much easier to duplicate part of the grammar, for example as follows:

9.13 Exploiting the Left and Right Contexts 333
S--->E$
E--->E-T’|T
T---> n|(E)
T’ ---> n|(E)
This trick increases the number of states in the FSA and so the tightness of the fit.
But finding exactly which part to duplicate will always remain an art, since the basic
problem is unsolvable.
The grammar of Figure 9.46(a) shows that LR-regular parsing can handle some
non-deterministic grammars. ˇ
Culik, II and Cohen [57] prove that the same is true for
languages: LR-regular can handle some languages for which there are no determin-
istic grammars. For the dismal error detection properties of LR-regular, see Problem
9.28.
The above approximation algorithm is from Nederhof [402]. There are many
other algorithms for approximating the right context, for example Farré and Fortes
Gálvez [98]. See also Yli-Jyrä [403], Pereira and Wright [404], and other papers
from (Web)Section 18.4.2. Nederhof’s paper [401] includes a survey of regular ap-
proximating algorithms.
9.13.3 LAR(m) Parsing
Bermudez and Schimpf [82] show a rather different way of exploring and exploiting
the right context. At first sight their method seems less than promising: when faced
with two possible decisions in an inadequate state, parse ahead with both options and
see which one survives. But it is easy to show that, at least occasionally, the method
works quite well.
We apply the idea to the grammar of Figure 9.46. Its LR(0) automaton is shown
in Figure 9.49; indeed state ②is inadequate, has a reduce/reduce conflict. Suppose
the input is dddb, which almost immediately lands us in the inadequate state. Rather
than first trying the reduction C--->d•and seeing where it gets us, and then D--->d•,
we try both of them simultaneously, one step at a time. In both cases the parser starts
in state ①,adis stacked, and state ②is stacked on top, as in frame a:
①d②
①d②
C--->d•
D--->d•
①C
①D
GOTO
GOTO
①C③
①D⑦
A--->C•
B--->D•
①A
①B
GOTO
GOTO
①A④
①B⑧
(a)(b)(c)(d)(e)
The top level in the bubble is reduced using C--->d•and the bottom level with D--->d•,
as shown in frame b. GOTOs over the resulting Cand Dgive frame c. The new states
③and ⑦are OK and ask for more reductions, leading to frame d. Two more GOTOs
put the states ④and ⑧on top; both require shifts, so our simultaneous parser is
now ready for the next input token. The way we have drawn the combined simulated
stacks in transition bubbles already shows that we intend to use them as states in a
look-ahead automaton, the LAR automaton.
When we now process the next din the input:

334 9 Deterministic Bottom-Up Parsing
S--->•Aa
S--->•Bb
A--->•AC
A--->•C
C--->•d
B--->•BD
B--->•D
D--->•d
1
dC--->d•
D--->d•
2
A--->C•
3
C
S--->A•a
A--->A•C
C--->•d
4
A
A--->AC•
6
C
C--->d•
5
d
S--->Aa•
11
a
B--->D•
7
D
S--->B•b
B--->B•D
D--->•d
8
B
B--->BD•
10
D
D--->d•
9
d
S--->Bb•
12
b
Fig. 9.49. The LR(0) automaton of the grammar of Figure 9.46
①A④d⑤
①B⑧d⑨
C--->d•
D--->d•
①A④C
①B⑧D
GOTO
GOTO
①A④C⑥
①B⑧D⑩
A--->AC•
B--->BD•
①A
①B
GOTO
GOTO
①A④
①B⑧
(a)(b)(c)(d)(e)
we are pleasantly surprised: the LAR state after the second dis the same as after the
first one! This means that any further number of ds will just bring us back to this
same state; we can skip explaining these and immediately proceed to the final b.We
stack the band immediately see that one of the GOTOs fails ((b)):
①A④b
①B⑧b
GOTO
GOTO
①A④b✘
①B⑧b12
(a)(b)
That is all we need to know: as soon as there is only one choice left we can stop our
search since we know which decision to take in the inadequate state.

9.13 Exploiting the Left and Right Contexts 335
It would be inconvenient to repeat this simulation every time the inadequate state
occurs during parsing, so we want to derive from it a finite-state look-ahead automa-
ton that can be computed during parser generation time and can be consulted during
parsing. To this end we perform the simulated look-ahead process during parser gen-
eration, for all input tokens. This results in a complete FS look-ahead automaton for
the given inadequate state. Figure 9.50 shows the LAR automaton for the inadequate
state ②, as derived above. Note that it is exactly the FS automaton a programmer
①A④
①B⑧
d
①A④a
C--->d•
11
a
①B⑧bD--->d•
12
b
Fig. 9.50. The LAR automaton for the inadequate state ②in Figure 9.49
would have written for the problem: skip ds until you find the answer.
The above example allowed us to demonstrate the basic principles and the power
of LAR parsing, but not its fine points, of which there are three. The inadequate
state can have more than one conflict; we can run into more inadequate states while
constructing the LAR automaton; and one or more simulated stacks may grow in-
definitely, so the FS look-ahead automaton construction process may not terminate,
generating more and more states.
The first two problems are easily solved. If the inadequate LR state has more
than one conflict, we start a separate level in our initial LAR state for each possible
action. Again states in which all levels but one are empty are terminal states (of the
LAR automaton). And if we encounter an inadequate state pxin the simulated stack
of level l, we just copy that stack for all actions that pxallows, keeping all copies in
level l. Again states in which all levels but one are empty are terminal states; we do
not need to find out which of the stacks in that level is the correct one.
The problem of the unbounded stack growth is more interesting. Consider the
grammar of Figure 9.51; it produces the same language as that of Figure 9.46, but is
right-recursive rather than left. The pertinent part of the LR(0) automaton is shown
in Figure 9.52.
We process the first two ds just as above:

336 9 Deterministic Bottom-Up Parsing
Ss--->A|B
A--->CA|a
C--->d
B--->DB|b
D--->d
Fig. 9.51. An LAR(1) grammar
S--->•A
S--->•B
A--->•CA
A--->•a
C--->•d
B--->•DB
B--->•b
D--->•d
1
d
C--->d•
D--->d•
2
C
A--->C•A
A--->•CA
A--->•a
C--->•d
3
C
C--->d•
4
d
A--->a•
5
a
D
B--->D•B
B--->•DB
B--->•b
D--->•d 3
D
D--->d•
4
d
B--->b•
5b
Fig. 9.52. Part of the LR(0) automaton for the grammar of Figure 9.51
①d②
①d②
C--->d•
D--->d•
①C
①D
GOTO
GOTO
①C③
①D⑥
shift d
GOTO
shift d
GOTO
①C③d④
①D⑥d⑦
C--->d•
GOTO
D--->d•
GOTO
①C③C③
①D⑥D⑥
(a)(b)(c)(d)(e)
but to our dismay we see that the miracle of the identical states does not repeat it-
self. In fact, it is easy to see that for each subsequent dthe stacks will grow longer,
creating more and more different LAR states, preventing us from constructing a fi-
nite-state look-ahead automaton at parser generation time. Bermudez and Schimpf’s
solution to this problem is simple: keep the top-most msymbols of the stack only.
This leads to LAR(m) parsing. Note that, although we are constructing look-ahead
automata, the mis not the length of the look-ahead, but rather the amount of left
context maintained while doing the look-ahead. If the resulting LAR automaton has
loops in it, the look-ahead itself is unbounded, unrelated to the value of m.
Using this technique with m=1 truncates the stacks of frame eabove to those in
frame abelow:

9.13 Exploiting the Left and Right Contexts 337
③C③
⑥D⑥
shift d
GOTO
shift d
GOTO
③C③d④
⑥D⑥d⑦
C--->d•
GOTO
D--->d•
GOTO
③C③C③
⑥D⑥D⑥
trunc-
ate
③C③
⑥D⑥
(a)(b)(c)(d)
Proceeding as before, we shift in the ds, perform reductions and GOTOs, and finally
truncate again to m=1, and we are happy to see that this leads us back to the previous
state. Since there are only a finite number of stacks of maximum length m,thereare
only a finite number of possible states in our LAR automaton, so the construction
process is guaranteed to terminate. The result for our grammar is shown in Figure
9.53.
①C③
①D⑥
d③C③
⑥D⑥
d
③a⑤
C--->d•
a a
⑥b⑦
D--->d•
b b
Fig. 9.53. The LAR(1) automaton for the inadequate state 2 in Figure 9.52
This technique seems a sure-fire way to resolve any problems with inadequate
states, but of course it isn’t. The snag is that when reducing a simulated stack we
may have to reduce more symbols than are available on that stack. If that happens, the
grammar is not LAR(m) — so the fact that our above attempt with m=1 succeeded
proved that the grammar of Figure 9.51 is LAR(1). Making mlarger than the length
of the longest right-hand side does not always help since successive reduces may still
shorten the stack too much.
The above procedure can be summarized as follows:
• For each inadequate state pxwe construct an LAR look-ahead automaton, which
starts in a provisional LAR state, which has as many levels as there are possible
actions in px.
• In each provisional state we continue to perform reduce and GOTO actions until
each stack has an LR state which allows shifting on top, all the while truncating
the stack to msymbols.
– If we run into an inadequate state pyin this process, we duplicate the stack
inside the level and continue with all actions pyallows.
338 9 Deterministic Bottom-Up Parsing
– If we have to reduce more symbols from a stack than it contains, the grammar
is not LAR(m).
– If we shift over the end marker #in this process, the grammar is ambiguous
and is not LAR(m).
If there is now only one non-empty level left in the LAR state, it is a terminal
LAR state. Otherwise the result is either a new LAR state, which we process, or
a known LAR state.
• For each new LAR state pwe create transitions pt
→ptfor all tokens tthat p
allows, where the ptare new provisional states.
• We continue the above process until there are no more new LAR states or we find
that the grammar is not LAR(m).
We regret to say that we have again left a couple of complications out of the dis-
cussion. When working with m>1, the initial LAR state for an inadequate LR state
must contain stacks that derive from the left context of that state. And the number of
LAR automata can be reduced by taking traditional LALR look-ahead into account.
These complications and more are discussed by Bermudez and Schimpf [82], who
also provide advice about obtaining reasonable values for m.
9.14 LR(k)asanAmbiguityTest
It is often important to be sure that a grammar is not ambiguous, but unfortunately
that property is undecidable: it can be proved that there cannot be an algorithm that
can, for every CF grammar, decide whether it is ambiguous or unambiguous. This
is comparable to the situation described in Section 3.4.2, where the fundamental
impossibility of a recognizer for Type 0 grammars was discussed. (See Hopcroft
and Ullman [391, p. 200]). The most effective ambiguity test for a CF grammar
we have at present is the construction of the corresponding LR(k) automaton, but
it is not a perfect test: if the construction succeeds, the grammar is guaranteed to
be unambiguous; if it fails, in principle nothing is known. In practice, however, the
reported conflicts will often point to genuine ambiguities.
The construction of an LR-regular parser (Section 9.13.2) is an even stronger,
but more complicated test; see Heilbrunner [392] for a precise algorithm. Schmitz
and Farré [398] describe a different very strong ambiguity test that can be made
arbitrarily strong at arbitrary expense, but it is experimental.
9.15 Conclusion
The basis of bottom-up parsing is reducing the input, through a series of sentential
forms, to the start symbol, all the while constructing the parse tree(s). The basis of
deterministic bottom-up parsing is finding, with certainty, in each sentential form a
segment αequal to the right-hand side of a rule A→αsuch that the reduction using
that rule will create a node Athat is guaranteed to be part of the parse tree. The basis
9.15 Conclusion 339
of left-to-right deterministic bottom-up parsing is finding, preferably efficiently, the
leftmost segment with that property, the handle.
Many plans have been devised to find the handle. Precedence parsing inserts
three types of marker in the sentential form: for the left end of a handle; .
=for
use in the middle of a handle; and for the right end of the handle. The decision
which marker to place in a given position depends on one or a few tokens on the left
and on the right of the position. Bounded context identifies the handle by a left and
right context, each a few tokens long. LR summarizes the entire left context into a
single state of an FSA, which state then identifies the reduction rule, in combination
with zero, one, or a few tokens of the right context. LR-regular summarizes the entire
right context into a single state of a second FSA, which state in combination with the
left context state then identifies the reduction rule. Many different FSAs have been
proposed for this purpose.
Problems
Problem 9.1: Arguably the simplest deterministic bottom-up parser is one in
which the shortest leftmost substring in the sentential form that matches a right-hand
side in the grammar is the handle. Determine conditions for which this parser works.
See also Problem 10.9.
Problem 9.2: Precedence parsing was explained as “inserting parenthesis gener-
ators”. Sheridan [111] sketches an algorithm that inserts sufficient numbers of paren-
theses. Determine conditions for which this works.
Problem 9.3: There is an easy approach to LR(0) automata with shift/reduce
conflicts only: shift if you can, reduce otherwise. Work out the consequences.
Problem 9.4: Extend the tables in Figure 9.18 for the case that the input consists
of sentential forms containing both terminal and non-terminal symbols rather than
strings of terminals. Same question for Figure 9.28.
Problem 9.5: Complete the LR(2) ACTION and GOTO tables of Figure 9.33.
Problem 9.6: Design the combined LR(k=0,1,> 1) algorithm hinted at on
page 299.
Problem 9.7: Devise an efficient table structure for an LR(k) parser where kis
fairly large, say between 5 and 20. (Such grammars may arise in grammatical data
compression, Section 17.5.1.)
Problem 9.8: An LR(1) grammar is converted to CNF, as in Section 4.2.3. Is it
still LR(1)?
Problem 9.9: In an LR(1) grammar in CNF all non-terminals that are used only
once in the grammar are substituted out. Is the resulting grammar still LR(1)?
Problem 9.10: Is it possible for two items in the LALR(1) channel algorithm to
be connected both by propagation channels and by spontaneous channels?
Problem 9.11: Apply the algorithm of Section 9.7.1.3 to the grammar of Figure
9.30.
340 9 Deterministic Bottom-Up Parsing
Problem 9.12:Thereads and directly-reads relations in Section 9.7.1.3 seem
to compute the FIRST sets of some tails of right-hand sides. Explore the exact rela-
tionship between reads and directly-reads and FIRST sets.
Problem 9.13:Project for Prolog fans: The relations in the algorithm of Section
9.7.1.3 immediately suggest Prolog. Program the algorithm in Prolog, keeping the
single-formula formulation of page 310 as a single Prolog clause, if possible.
Problem 9.14: Although the LALR-by-SLR algorithm as described by
Bermudez and Logothetis [79] can compute look-ahead sets of reduce items only,
a very simple modification allows it to compute the LALR look-aheads of any item.
Use it to compute the LALR look-ahead sets of E--->E•-T in states 4 and 9 of Figure
9.25.
Problem 9.15:Project: The channels in the channel algorithm in Section 9.7.1.2
and the relations in the relations algorithm in Section 9.7.1.3 bear some resemblance.
Work out this resemblance and construct a unified algorithm, if possible.
Problem 9.16:Project: It is not obvious that starting the FSA construction pro-
cess in Section 9.10.2 from state s0yields the best possible set, either in size or in
amount of stack activity saved. Research the possibility that a different order pro-
duces a better set of FSAs, or even that a different or better set exists that does not
derive from some order.
Problem 9.17: Derive left-context regular expressions for the states in Figure
9.17 as explained in Section 9.12.
Problem 9.18: Write a program to construct the regular grammar for the left
contexts of a given grammar.
Problem 9.19: Write a program to construct the regular grammar for the right
contexts of a given grammar.
Problem 9.20: It seems reasonable to assume that when the dot right contexts in
a given inadequate state have a non-empty intersection even on the regular expression
level, the grammar must be ambiguous: there is at least one continuation that will
satisfy both choices, right up to the end of the input, and thus lead to two successful
parses. The grammar S--->aSa|a, which is unambiguous, proves that this is not true:
D_2S--->•a=aaa*$and D_2S--->a•=aa*$, and they have any string in aaa*$in
common. What is wrong with the reasoning?
Problem 9.21: Construct a grammar that has a DR automaton with a loop in it.
Problem 9.22: Since the regular envelope in LR-regular parsing is too wide, it
can happen that the rest of the input is inside the regular envelope but outside the CF
right context grammar it envelopes. What happens in this case?
Problem 9.23: Show that the naive implementation of the LR-regular parser in
Section 9.13.2 indeed has a time requirement of O(n2).
Problem 9.24: Work out the details of building a reverse FSA ←−
Ffrom a given
FSA F, both when Fis non-deterministic and when it is already deterministic. (←−
F
should recognize the reverse of the strings Frecognizes.)
Problem 9.25: Derive a deterministic automaton (or a regular expression) for T
from the automaton in Figure 9.48.
9.15 Conclusion 341
Problem 9.26: Devise a way to do the transformation to a regular envelope on
the deterministic LR(0) automaton (for example Figure 9.17) rather than on the non-
deterministic one.
Problem 9.27: 1. Make the NFA in Figure 9.48 deterministic for T.2.Derivea
regular expression for Tand use it in the expression [-T|)]*)[-T]*$derived for
the item right context of E--->•E-T in state 6 in Section 9.12.2.
Problem 9.28:Project: Design reasonable error reporting for an LR-regular
parser. (Background: If the backward scan of an LR-regular parser is performed on
incorrect input, chances are that the automaton gets stuck somewhere, say at a posi-
tion P, which means that no look-aheads will be attached to any positions left of P,
which in turn means that parsing cannot even start. Giving an error message about
position Pis unattractive because 1) it may not be the leftmost error, which is awk-
ward if there is more than one error, and 2) no reasonable error message can be given
since there is finite-state information only.)
Problem 9.29:Project Formal Languages: The argument on page 328 suggest-
ing that it is undecidable whether a grammar is LR-regular or not works the wrong
way: it reduces our problem to an undecidable problem, but it should reduce an un-
decidable problem to ours. Correct.
Problem 9.30: On page 337 we write that the grammar is not LAR(m) if during
reducing a simulated stack we have to reduce more symbols than are available on
that stack. But why is that a problem? We know which reduction to do, so we could
just do it. Or can we?
10
Non-Canonical Parsers
Top-down parsers make their predictions in pre-order, in which the parent nodes are
identified before any of their children, and which imitates leftmost derivations (see
Section 6.1); bottom-up parsers perform their reductions in post-order, in which the
parent nodes are identified after all of their children have been identified, and which
imitates rightmost derivation (see the introduction in Chapter 7). These two orders of
producing and visiting trees are called “canonical”, and so are the parsing techniques
that follow them.
Non-canonical parsing methods take liberties with these traditional orders, and
sometimes postpone the decisions that would be required to create parse trees in pure
pre- or post-order. This allows them to use a larger set of grammars, but on the other
hand these methods create fragments of parse trees, which have to be combined at
later moments.
Like their canonical counterparts, non-canonical methods can be classified as
top-down (Section 10.1) and bottom-up (Section 10.2) methods, based on whether
they primarily use pre-order or post-order. There are deterministic and general non-
canonical methods. The deterministic methods allow parsing in linear-time; as with
LL and LR methods, they can be generalized by applying a limited breadth-first
search. Altogether the non-canonical methods form a large and diverse field that has
by no means been completely explored yet.
Figure 10.1 shows the relation between non-canonical parsing and the corre-
sponding non-canonical production process, as Figure 3.9 did for canonical parsing.
In this case just the node for qhas been identified. Again the dotted line represents
the sentential form.
The most important property of deterministic non-canonical parsing is that it al-
lows a larger class of grammars to be used without modification while retaining linear
time requirements. Since it has simultaneously aspects of top-down and bottom-up
parsing it can also provide further insight in parsing; see, for example, Demers [103],
who describes a parsing technique on a gliding scale between LL(1) and SLR(1).
On the down side there is an increased complexity and difficulty, both for the
implementer and the user. Postponing decisions does not come free, so non-canonical
parsing algorithms are more complex and require more ingenuity than their canonical

344 10 Non-Canonical Parsers
S
PQR
pqr
a
S
PQR
pqr
b
Q
pqr
c
Fig. 10.1. Full parse tree (a), non-canonical top-down (b), non-canonical bottom-up (c)
counterparts; this makes them less attractive for implementers. And where LL and
LR parser generators can leave the construction of the parse tree to the user, the non-
canonical methods identify parse tree nodes in an often unintuitive order, making it
next to impossible for users to construct a parse tree on their own. Consequently we
find non-canonical methods primarily in systems that offer the user a finished parse
tree.
Creating a node in a parse tree is actually a two-step process: first the node is
created and then it is identified, i.e., labeled with a non-terminal. In almost all parsers
these two steps coincide, but that does not have to be. Some non-canonical parsers
create the nodes, together with their identifications, in non-canonical order; others
create the nodes in canonical order, but identify them later, in some different order.
Examples of the latter are PLL(1) and Partitioned LR. There should probably be
different names for these approaches but there are not, to our knowledge. Note that
operator-precedence creates the nodes in canonical order but identifies them later, or
not at all, and therefore borders on the non-canonical.
10.1 Top-Down Non-Canonical Parsing
Top-down non-canonical parsers postpone parse tree construction decisions, but not
as far as canonical bottom-up parsers. As a result they are less powerful but often al-
low earlier decisions than LR parsers. This is important when early semantics actions
are desired.
We will discuss here three deterministic top-down non-canonical methods: left-
corner parsing, cancellation parsing, and Partitioned LL. The first two allow top-
down parsing with left-recursive grammars, while the third allows grammars for lan-
guages that would require unbounded look-ahead in traditional top-down parsing.
10.1.1 Left-Corner Parsing
As we have seen in Section 6.3.2, a standard top-down parser cannot deal with left-
recursive grammars, since it has no way of knowing how many rounds of left re-
cursion it should predict. Suppose we postpone that decision and concentrate on
predicting a suitable subtree; once we have found that, we may be able to decide
10.1 Top-Down Non-Canonical Parsing 345
whether another round of left recursion is needed. This leads to a technique called
“left-corner parsing”.
10.1.1.1 Left Spines
Consider the grammar for simple arithmetic expressions in Figure 10.2 copied from
Figure 9.2, and the input string n+n×n#,where#is the usual end marker.
Ss--->E
E--->E+T
E--->T
T--->T×F
T--->F
F--->n
F--->(E)
Fig. 10.2. A grammar for simple arithmetic expressions
We start with the prediction S# and the first token of the input, n. A traditional
LL parser would want to produce the complete left spine of the parse tree before the
nis matched. It would use something like the following reasoning: the pair (S,n)
predicts an E; the pair (E,n) either predicts E+T, which brings us back to E,oraT;
the pair (T,n)predictsT×F, which brings us back to Tor an F;andtheFfinally
predicts the n. Only then can matching take place. But the LL parser cannot do so
deterministically, since it cannot decide how many E+TsandT×Fs it should predict,
as shown in Figure 10.3(a).
Aleft-corner parser postpones these decisions, finds that the left-corner predic-
tion F--->n is a decision that can be made with certainty, and is satisfied with that. The
predicted Fis then parsed recursively (see below). By the same reasoning, the result-
ing Fcan only derive from a prediction T--->F, which allows the Fto be matched.
This allows us to look behind the T, where we see a +.This+tells us that the parse
tree node starting with the Tcannot have been T×F, but must have derived from
E--->T.SowepredictE--->T, match the Tand look behind the E,wherethe+tells us
to predict E-
-->E+T. The predicted +and the +from the input are now matched, and
the left-corner parser starts parsing n×n with Tas the prediction.
Several points must be made here. The first is that in some weird way we have
been making predictions from hindsight; we will return to this point further on. The
second is that the above process fixed the left spine of the parse tree to some extent,
but not completely; see Figure 10.3(b). The reason is of course that the parser cannot
know yet if more nodes E+T will be required; they would be if the input were, for
example, n+n×n+n+n. The third is that the F(and the Tand the E) must be parsed
recursively, since they may match large portions of the input string. If the input had
been (n+n×n+n)+n, the whole sub-expression between parentheses would have to
be absorbed by the parsing of the F, to allow us to look behind it. And the fourth, and

346 10 Non-Canonical Parsers
S
E
E+T
n≥0
T
T×F
m≥0
F
n
(a)
S
E
E+T
n≥0
E+T
T
F
n
(b)
Fig. 10.3. Left spines: initially (a) and after some nodes have been recognized (b)
probably most important point is that the above sketch is not yet a usable algorithm
and needs more detail.
10.1.1.2 The Production Chain Automaton
Figure 10.3(a) provides more information than we have given it credit for:
it shows clearly that the left spine is described by a regular expression:
SE(E+T)*T(T×F)*Fn. This regular expression corresponds to a finite-state au-
tomaton, which is depicted in Figure 10.4(a), and which also shows the second al-
ternative for F,(E). The nodes are the predicted non-terminals that participate in
the left-corner process, and the arrows are labeled with the rules involved in the pre-
dictions. The automaton describes all leftmost production chains from S;suchan
automaton is called a production chain automaton for S(Lomet [102]).
In the sketch of the algorithm in the previous section we were interested in the
token that became visible behind the first non-terminal in a prediction; they form the
look-ahead sets of the predictions and are also shown in the picture of the automaton.
The non-terminal Sstarts of with a look-ahead set of [#], and the production S--->E
passes it on to the E. So along the S-to-Earc the look-ahead set is [#]. The production
rule E--->E+T adds a +to this set, so when the production rule E--->T is taken, the
look-ahead set has grown to [#+]. In the same way T--->T×F adds a ×, so when the
production rule T--->F is taken, the look-ahead set is [#+×]. The final predictions

10.1 Top-Down Non-Canonical Parsing 347
S
E
S--->E [#]
[+] E--->E+T
T
E--->T [#+]
[×] T--->T×F
F
T--->F [#+×]
n
F--->n
(E)
F--->(E)
(a)
S
E
S--->E [#]
[+] E--->E+T
T
E--->T [#+]
[×] T--->T×F
F
T--->F [#+×]
n
F--->n
(E)
F--->(E)
(b)
Fig. 10.4. Left spine finite-state automata, predictive (a) and reversed (b)
F--->n and F--->(E) do not have look-ahead sets, since these rules start with the
terminal symbols and are identified by these.
The automaton as depicted in Figure 10.4(a) generates the predictions from S
to the first terminal symbol non-deterministically, since there is nothing to guide
the automaton into determinacy. But in our sketch of the algorithm we used the
look-ahead tokens discovered after the first non-terminal of a rule to find our way
backwards through the automaton. This means that if we reverse the arrows in the
production automaton, we can let ourselves be guided by the look-ahead tokens to
find the next (actually the previous!) prediction. When the reversed automaton of
each non-terminal in a grammar Gis deterministic, we have a deterministic parser,
and Gis of type LC(1).
We see in Figure 10.4(b) that the reverse production chain automaton for our
grammar is indeed deterministic. The working of the parser on n+n×n is now more
easily followed. Starting at the bottom, the initial nof the input gives us the predic-
tion F--->n and absorbing the Freveals the +after it. This +leads us to the prediction
T--->F, where the path splits in a path labeled [#+] and one labeled [×]. Since the
input symbol is a +, we follow the first path and predict a parse tree node E--->T.
At the automaton node Ethe path splits again, into one labeled [#] and one labeled
[+]. Since the input symbol is still the +, we take the second path and predict a parse
tree node E--->E+T.Nowthe+can be matched, and the parser recursively recognizes
the n×n with prediction T, as described below. When that is done, we are back at the
Enode in the FSA, but now the input symbol is #.SowepredictS--->E, create a
parse tree node S, match the E, and the parsing is finished.
If the input had been the erroneous string n), the automaton would have got
stuck at the Fsince the input symbol )is not in the look-ahead set of the prediction
T--->F, and the parser would have reported an error.
348 10 Non-Canonical Parsers
To parse the remaining n×n recursively with prediction T, a production chain
automaton for Tis created, using the same technique as above. Since it starts with a
look-ahead set of [#+] just as the Tin Figure 10.4(b), this automaton is identical to
the lower part of that figure, so no new automaton is needed. But that is not always
the case, as the following example shows.
Suppose the input is (n). Then we enter the automaton for Sat the (at the
bottom, and predict F--->(E). The open parenthesis is matched, and we now want
to parse n)# with the prediction E. But this Eis followed by a ), unlike the one in
Figure 10.4(b), which is followed by a #. There are two ways to deal with this.
The first is to indeed create a new automaton for E[)]; this automaton is similar
to the automaton in Figure 10.4(b) from the Enode down, except that the token #
in the look-ahead sets is replaced by ). More in general, we create a new automaton
for each combination of non-terminal and look-ahead set. This approach produces a
full-LC(1) parser, comparable to the full-LL(1) parser explained in Section 8.2.3.
The second is to add the closing parenthesis to the look-ahead set of the Enode
in Figure 10.4(b) and update the automaton. If we do this for all non-terminals in
the grammar, there will be only one node in the production chain automaton for
each non-terminal and the look-ahead sets become equal to the FOLLOW sets. This
course of action leads to a strong-LC(1) parser, comparable to a strong-LL(1) parser.
Like the latter, it has smaller tables and weaker error detection properties than its full-
LC(1) counterpart. For example, the erroneous input n) will fool it into predicting
F--->n,T--->F and E--->T, and only then will the automaton get stuck on an input
symbol )and a look-ahead set [#].
10.1.1.3 Combining the Chain Automaton and the Parse Stack
The actions of a left-corner parser can be implemented conveniently as a top-down
parser, using a stack and a parse table. The table is indexed by the first token of the
prediction if it is a non-terminal, and the first token of the rest of the input, the look-
ahead. We start with the prediction S#; see Figure 10.5. We have seen above that the
non-terminal Sand the look-ahead nlead to the prediction F1--->n, so we stack the n
and add the F1to the analysis (we have appended the subscript 1to identify the first
rule for F). But that cannot be all: this way we lose the part of the prediction between
the Fand the Sin the automaton of Figure 10.4(b). So we also stack a new-made
symbol S\F, to serve as a source for predictions for the left spine from Sto F.Asa
stack symbol, S\Fmatches the rest of Safter we have matched an F; in other words,
any string produced by FS\Fis a terminal production of S.
Next we match the n, adding it to the analysis. Now we need a prediction for
S\F, with look-ahead +, and the automaton tells us to predict T2--->F.WeaddtheT2
to the analysis, but we have parsed the Falready, so we do not stack it; it is in fact the
left operand of the T2in the analysis. We do, however, stack a symbol S\T, to cover
the rest of the left spine. The symbol S\Tdesignates the position Tin the automaton
for S, the look-ahead is still +, so the automaton wants us to predict E2--->T.Like
before, we have already parsed the entire right-hand side of the prediction, so we
only stack the symbol S\E, which brings us to the fifth frame in Figure 10.5. Now

10.1 Top-Down Non-Canonical Parsing 349
n+n×n#
S#
(1)
n+n×n#
F1nS\F#
(2)
n+n×n#
F1nS\F#
(3)
n+n×n#
F1nT2S\T#
(4)
n+n×n#
F1nT2E2S\E#
(5)
n+n×n#
F1nT2E2E1+TS\E#
(6)
n+ n×n#
F1nT2E2E1+TS\E#
(7)
n+ n×n#
F1nT2E2E1+F1nT\FS\E#
(8)
n+n ×n#
F1nT2E2E1+F1nT\FS\E#
(9)
n+n ×n#
F1nT2E2E1+F1nT2T\TS\E#
(10)
n+n ×n#
F1nT2E2E1+F1nT2T1×F T\TS\E#
(11)
n+n× n#
F1nT2E2E1+F1nT2T1×FT\TS\E#
(12)
n+n× n#
F1nT2E2E1+F1nT2T1×F1nF\FT\TS\E#
(13)
n+n×n #
F1nT2E2E1+F1nT2T1×F1nF\FT\TS\E#
(14)
n+n×n #
F1nT2E2E1+F1nT2T1×F1nT\TS\E#
(15)
n+n×n #
F1nT2E2E1+F1nT2T1×F1nS\E#
(16)
n+n×n #
F1nT2E2E1+F1nT2T1×F1nS\S#
(17)
n+n×n #
F1nT2E2E1+F1nT2T1×F1nS1#
(18)
Fig. 10.5. Left-corner parsing of the input n+n×n
the automaton tells us to predict E1--->E+T, of which we have already recognized the
left corner E.Sowestackthe+T, and of course our reminder, again S\E,afterwhich
the +is matched.
Now we have again a “normal” non-terminal on top of the prediction stack: T.
In principle we would now need a new automaton for T, but since Toccurs in the
automaton for S, that occurrence will serve. The recognition of the nas a F1and
the Fas a T2mimic the sequence of events above, but now something happens that
requires our attention: after having recognized a Twhile looking for a T, we cannot
just pack up and be satisfied with it, but we have to acknowledge the possibility that
we have to stay in the automaton for Tfor another round, that there may be more of

350 10 Non-Canonical Parsers
Tafter this T. We do this by stacking the symbol for “the rest of Tafter T”, T\T.
This symbol allows two predictions: leave the automaton, and stay in it.
We see immediately how necessary it was to stack the T\Tsymbol, since we do
have to stay in the automaton for T, to parse the subsequent ×n (frames 10 through
15). Only in frame 15 can we decide that we have seen the whole Twe were looking
for, due to the look-ahead #, and leave the Tautomaton.
Something similar happens in frame 17, where we stop at the top of the automa-
ton for Son the symbol S\S, considering whether to continue looking for more Sor
to stop here. But since there is no way to stay in the automaton in the state S\S,the
transition to frame 18 is automatic, and the parsing is finished.
We can collect our decisions in a parse table. The complete table is given in
Figure 10.6; since we did not construct separate automata for E,T,andFfor different
look-aheads, it represents a strong-LC(1) parser for the grammar of Figure 10.2.
n × + ( ) #
SnS\F(E)S\F
S\F S\T S\T S\T
S\T×FS\T S\E S\E
S\E+TS\E S\S
S\Sε
EnE\F(E)E\F
E\F E\T E\T E\T E\T
E\T×FE\T E\E E\E E\E
E\E+TE\Eε ε
TnT\F(E)T\F
T\F T\T T\T T\T
T\T×FT\Tε ε ε
FnF\F(E)F\F
F\Fε ε ε ε
Fig. 10.6. LC parse table for the grammar of Figure 10.2
10.1.1.4 Obtaining A Parse Tree
The last frame of Figure 10.5 shows the left-corner analysis of n+n×n to be
F1nT2E2E1+F1nT2T1×F1nS1but that is less helpful than one would hope. The rea-
son is of course that non-canonical methods identify the nodes in the parse tree in an
unusual order, in this case in infix order. As explained in Section 3.1.3, infix order
requires parentheses to be unambiguous, but the presented analysis does not include
them (see Problem 10.3). So the analysis has to be analysed further to yield a parse
tree.
To properly parenthesize the analysis, we need to identify the left and right chil-
dren of each node.
10.1 Top-Down Non-Canonical Parsing 351
• A grammar rule whose right-hand side starts with a terminal or is empty is rec-
ognized before all of its children. For example, a node for the second rule for F,
F--->(E), has zero left children and 3 right children; we will represent the node
as F2[0+3].
• A grammar rule whose right-hand side starts with a non-terminal is recognized
after its first child and before the rest of its children. For example, a node for the
first rule for T,T--->T×F, has one left child and 2 right children; we will represent
the node as T1[1+2].
Using these rules we can parenthesize the left-corner analysis of n+n×n as shown in
Figure 10.7.
(
(((F1[0+1] n) T2[1+0]) E2[1+0])
E1[1+2]
+
(
((F1[0+1] n) T2[1+0])
T1[1+2]
×
(F1[0+1] n)
)
S1[1+0]
)
Fig. 10.7. The fully parenthesized infix left-corner analysis of n+n×n
Now having to “analyse the analysis” may raise eyebrows, but actually the prob-
lem is caused by the linear format of the analysis shown in diagrams like Figure 10.5.
Left-corner parser generators of course never linearize the parse tree in this way but
rather construct it on the fly, using built-in code that gathers the children of nodes as
itemized above, so the problem does not materialize in practice.
10.1.1.5 From LC(1) to LL(1)
The recognizing part of the left-corner parser presented above is indistinguishable
from that of an LL(1) parser. Its stack, parse table, and mode of operation are iden-
tical to those of an LL(1) parser; only the construction of the parse table from the
grammar and the construction of the analysis differ. This suggests that there is an
LL(1) grammar that gives the same language as the LC(1) grammar, and in fact there
is.
An LL(1) grammar for the language produced by an LC(1) grammar can always
be obtained by the following technique, for which we need the notion of “left-spine
child”. A non-terminal Bis a left-spine child of A(written B∠A) if there is a grammar
rule A→Bαfor some possibly empty αor if there is a rule A→Cβand B∠C.SoB
is a left-spine child of Aif Bcan occur on a left spine starting at A. We shall also need
352 10 Non-Canonical Parsers
to define that Ais a left-spine child of itself: A∠A. More in particular, in our example
we have S∠S∠E∠E∠T∠T∠F∠F.The∠is also called the left-corner relation.
To construct the LL(1) grammar, we start from the root non-terminal of the LC(1)
grammar, Sin our example, and we are going to need one or more rules for it in the
LL(1) grammar. To find rules for a non-terminal Ain the LL(1) grammar, we look
for rules in the LC(1) grammar with a left-hand side Bthat is a left-spine child of A
and whose right-hand side starts with a terminal or is empty. Such rules are of the
form B→β,whereβstarts with a terminal or is ε.Thisβcan be a left-corner for
A, after which we still have to parse the part of Aafter B,thatis,A\B. So for each
such B→βwe add a rule A→βA\Bto the LL(1) grammar. For our start symbol S
therearetwosuchrules,F--->n and F--->(E), which give us two rules for the LL(1)
grammar: S--->nS\Fand S--->(E)S\F.
So now we need one or more rules for S\Fin the LL(1) grammar. We obtain
these in a similar but slightly different way. To find rules for a non-terminal A\Bin
the LL(1) grammar, we look for rules in the LC(1) grammar with a left-hand side C
that is a left-spine child of Aand whose right-hand side starts with the non-terminal
B. Such rules are of the form C→Bγ,whereγmay be empty. Since we have already
parsed the Bprefix of A,andCis a left-corner child of A, we can try to continue by
parsing γ, and if we succeed, we will have parsed a prefix of Aproduced by C,which
leaves A\Cto be parsed. So for each such C→BγweaddaruleA\B→γA\Cto the
LL(1) grammar. For S\Fthere is only one such rule, T--->F, which causes us to add
S\F--->S\Tto the LL(1) grammar.
For S\T, however, there are two such rules in the LC(1) grammar, T--->T×F
and E--->T, resulting in two rules in the LL(1) grammar, S\T--->× F S\Tand
S\T--->S\E. A similar step lets us create two rules for S\E:S\E--->+FS\Eand
S\E--->S\S. The latter, deriving from Ss--->E, requires a rule for S\S. Rules of the
form A\A→εcan always be created for any Awhen required, so we add a rule
S\S--->εto the LL(1) grammar.
The above new rules have introduced the non-terminals E,T,andFinto the LL(1)
grammar, and rules for these must also be created, using the same patterns. Figure
10.8 shows the final result. We see that in addition to the trivial rule E\E--->εthere
is another rule for E\E, reflecting the fact that Eis directly left-recursive. The same
applies to T\T.
The above transformation can be performed on any CF grammar. If the result is
an LL(1) grammar the original grammar was LC(1). If we offer the grammar to a
strong-LL(1) parser generator, we obtain a strong-LC(1) parser; using a full-LL(1)
parser generator yields a full-LC(1) parser.
Deterministic left-corner parsing was first described extensively in 1970 by
Rosenkrantz and Lewis, II [101]. A non-deterministic version was already used im-
plicitly by Irons in 1961 [2]. It seems a good candidate for a model of human natural
language parsing (see, for example Chester [377], Abney and Johnson [383], and
Resnik [384]).
10.1 Top-Down Non-Canonical Parsing 353
S--->nS\F|(E)S\F
S\F--->S\T
S\T--->S\E|×FS\T
S\E--->+TS\E|S\S
S\S---> ε
E--->nE\F|(E)E\F
E\F--->E\T
E\T--->E\E|×FE\T
E\E--->+TE\E|ε
T--->nT\F|(E)T\F
T\F--->T\T
T\T--->×FT
\T|ε
F--->nF\F|(E)F\F
F\F---> ε
Fig. 10.8. LL(1) grammar corresponding to the LC(1) grammar of Figure 10.2
10.1.2 Deterministic Cancellation Parsing
The non-deterministic version of cancellation parsing described in Section 6.8 can,
as usual, be made deterministic by equipping it with look-ahead information.
As with left-corner parsing, the look-ahead set of a non-terminal Aconsists of
two components: the FIRST sets of the non-left-recursive alternatives of A,andthe
set of tokens that can follow A. As with LL(1) and LC(1) techniques, there are two
possibilities to compute the follow part of the look-ahead set: it can be computed
separately for each occurrence of A, or it can be replaced by the FOLLOW set of
A. But in cancellation parsing there is another influence on the look-ahead sets: the
set of alternatives of A, since that set is not constant but depends on A’s cancellation
set; so the FIRST sets also fluctuate. There are again two possibilities here. We can
compute these “first” look-ahead sets separately for each combination of Aand its
possible cancellation sets, or we can compute it for Ain general, disregarding the
influence of the cancellation set.
So in total there are four combinations. Nederhof [105] calls the deterministic
parsers resulting from separate computation of the look-ahead sets for each occur-
rence of each combination of a non-terminal with one of its possible cancellation sets
C(k) parsers; using FOLLOW sets but keeping the differences in cancellation sets
gives strong-C(k) parsers; also disregarding the cancellation sets gives the severe-
C(k) parsers. The fourth combination, ignoring the cancellation sets but distinguish-
ing different occurrences of the same non-terminal, is not described in the paper
because it is identical to full-LL.
Since the construction of deterministic cancellation parsers is quite compli-
cated; since such parsers are less powerful than left-corner parsers; and since non-
354 10 Non-Canonical Parsers
deterministic cancellation parsers are much more useful than their deterministic ver-
sions, we will not discuss their construction here further.
10.1.3 Partitioned LL
LL(1) parsing requires us to choose between the alternatives of a non-terminal right
at the start. Partitioned LL(1) (or PLL(1)) tries to postpone this decision as long
as possible, but requires that the decision will be taken before or at the end of the
alternatives. This assures that the deterministic nature of the parser is preserved.
Partitioned LL(k) parsing was designed by Friede [196, 195].
10.1.3.1 Postponing the Predictions by Using Partitions
We will demonstrate the technique using the grammar from Figure 10.9, which pro-
Ss--->A|B
A---> aAb | ab
B---> aBc | ac
Fig. 10.9. A difficult grammar for top-down parsing
duces the language anbn∪ancn. Sample strings are ab,aacc,andaaabbb; note
that “mixed” strings like aaabbc are forbidden.
Trying to get a top-down parser for this grammar is quite interesting since the
language it generates is the standard example of a language for which there cannot
be a deterministic top-down parser. The reason for the inherent impossibility of such
a parser for this language is that a top-down parser requires us to make a prediction
for a bor a cin the second half of the sentence for each awe read. But the point
where we can decide which of them to predict can be arbitrarily far away; and just
predicting [bc] will not do, since that would allow “mixed” sentences like the one
above.
To postpone the decision between two alternatives of a non-terminal A, we first
look for a common prefix. Suppose the first alternative is A→αβ and the second
is A→αγ. We can then parse the common prefix αfirst although we will have to
predict both βand γ; we will see below how we can implement this. The moment
we reach the point where the two alternatives start to differ, we try an LL(1)-like
test to find out if we can see which one applies. To do this, we compute the sets
FIRST(βFOLLOW(A)) and FIRST(γFOLLOW(A)). If these are disjoint, we can
base our decision on them, as we did in LL(1) parsing; we can then also discard one
of the predictions.
If this were all, Partitioned LL(1) would just be LL(1) with automatic left-
factoring (Section 8.2.5.2). But Partitioned LL(1) goes one step further. Suppose
the LL(1) test fails and it so happens that βand γboth start with a non-terminal, say
Pand Q;soβ=Pβand γ=Qγ. Partitioned LL(1) then puts Pand Qtogether in a
10.1 Top-Down Non-Canonical Parsing 355
“partition”, which is actually a set: {P,Q}, and tries to postpone and still achieve the
decision by parsing with the partition {P,Q}as prediction. An essential requirement
for this to work is of course that parsing with a partition tells in the end which mem-
ber of the partition was found. We can then proceed with the proper choice of βand
γ, just as we could with βor γafter a successful LL(1) test.
At first sight this does not seem like a very bright plan, since rather than having
to distinguish between the alternatives of Pand Qseparately, we now have to distin-
guish between the union of them, which will certainly not be easier. Also, when P
or Qhappen to be A, we get the same problem back that we had with Ain the first
place. But that is not true! If we now try to distinguish between the alternatives of A
and run into Pin one alternative and Qin the other, we can simply continue with the
partition {P,Q}— provided the rest of the problems with the parser for {P,Q}can
be solved.
10.1.3.2 A Top-Down Implementation
When we try to distinguish between the two alternatives of Sin Figure 10.9, we find
that they have no common prefix. Next we try the LL(1) test on Aand B, but since
both start with an a, it fails. So we combine Aand Binto A_or_B. The recognizing
routine for A_or_B is shown in Figure 10.10. It requires us to handle the following
set of alternatives simultaneously:
aAb:A
ab:A
aBc:B
ac:B
where the result of the recognition is given after the colon.
We see that they have a common prefix a, for which we construct recognizing
code (token(’a’);). The alternatives are now reduced to
Ab:A
b:A
Bc:B
c:B
But Aand Bhave been replaced by A_or_B followed by tests whether a Aor B
resulted. This gives the following alternatives to deal with:
A_or_B ( A? b :A|B?c:B)
b:A
c:B
where the test for the result is indicated by a question mark. Now the LL(1) test
succeeds: FIRST(A_or_B)isa, which sets it off from the two other alternatives,
which start with band c, respectively. All this results in the parser of Figures 10.10
and 10.11, where we have added print statements to produce the parse tree. A
sample run with input aaaccc yields the output
356 10 Non-Canonical Parsers
char A_or_B(void) {
/* common prefix */
token(’a’);
/* decision point */
switch (dot) {
case ’b’: token(’b’); print("A->ab"); return ’A’;
case ’c’: token(’c’); print("B->ac"); return ’B’;
case ’a’:
switch (A_or_B()) {
case ’A’: token(’b’); print("A->aAb"); return ’A’;
case ’B’: token(’c’); print("B->aBc"); return ’B’;
}
default: return error("abc");
}
}
Fig. 10.10. C code for the routine A_or_B
char S(void) {
/* common prefix */
/* decision point */
switch (dot) {
case ’a’:
switch (A_or_B()) {
case ’A’: print("S->A"); return ’S’;
case ’B’: print("S->B"); return ’S’;
}
default: return error("a");
}
}
Fig. 10.11. C code for the routine S
B--->ac
B--->aBc
B--->aBc
S--->B
The recursive descent routines in a canonical LL parser just return true or
false, indicating whether or not a terminal production of the predicted non-
terminal was found. We see that this set of return values is extended with the identity
of the non-terminal in the PLL code, and it is this small extension that makes the
parser more powerful.
10.1.3.3 PLL(0) or SPLL(1)?
The original definition of PLL(k) (Friede [196]) splits the PLL(k) test into two parts:
two right-hand sides αβ and αγ of rules for Aare distinguishable if after skipping the
common prefix αat least one of the following conditions holds.
10.2 Bottom-Up Non-Canonical Parsing 357
•Bothβand γstart with a terminal symbol and those symbols are different.
•FIRST
k(βFOLLOWk(A)) and FIRSTk(γFOLLOWk(A)) have nothing in com-
mon, where FIRSTkand FOLLOWkare the FIRST and FOLLOW sets of length
k.
This split allows the definition of PLL(0), PLL(k) with k=0: the second test will
always fail, but the first one remains meaningful, and saves the technique. In fact,
the SLL(1) grammar from Figure 8.4 is PLL(0) under this definition — but if we
replace the rule for Bby B--->ab|aaBb it is no longer SLL(1) while still being
PLL(0), because PLL skips the common prefix. PLL(0) grammars have some the-
oretical significance since they are exactly the strict deterministic grammars (again
Friede [196]), but their theory is simpler.
Still, k=0 suggests that no look-ahead is involved, as in LR(0), where the deci-
sion about a rule can be taken on the last symbol of its production. But that is not the
case here: to decide between B--->b and B--->aBb we need to look at the first symbol
of the input. Now we could also modify the definition of LL(k), by splitting the LL(k)
test as above. Then non-trivial LL(0) grammars would exist, and they would be the
SLL(1) or s-grammars. So it would perhaps be more reasonable to call the PLL(0)
grammars SPLL(1) grammars or partitioned s-grammars. (For LL(0) grammars un-
der the normal LL(k) definition, see Problem 8.1.)
10.1.4 Discussion
The main advantages of canonical top-down parsing are the fact that semantic ac-
tions can be performed early in the parsing process, and the simplicity of the parser.
Non-canonical top-down parsers work for more grammars, retain much of the first
advantage but lose on the second.
10.2 Bottom-Up Non-Canonical Parsing
Non-canonical parsers derive their increased power from postponing some of the
decisions that canonical parsers have to take. For bottom-up parsers, this immediately
leads to two questions.
The first is that bottom-up parsers already postpone the recognition of a sub-
tree (handle) to the last possible moment, after all the terminals of the handle have
been read, possibly plus a number of look-ahead tokens. So what more is there to
postpone? The answer is that non-canonical bottom-up methods abandon rather than
postpone the hunt for the (leftmost) handle, and start looking for a subtree further on
in the input. Whether this subtree can again be called a handle is a matter of defini-
tion. We will still call it a handle, although many authors reserve that term for the
leftmost fully recognized subtree, and use words like “phrase” for the non-leftmost
ones.
The second question is: Why is it profitable to reduce a non-leftmost handle? Af-
ter all, when a non-leftmost handle has been found and the corresponding reduction

358 10 Non-Canonical Parsers
performed, the leftmost handle will still have to be found or we will never get a parse
tree. Here the answer is that reducing segments further on in the input improves the
look-ahead. A single token in the look-ahead may not give sufficient information to
decide whether and how to reduce, but knowing that it is part of a non-terminal Aor
Bmight, and if that is the case, the grammar is amenable to non-canonical bottom-
up parsing. This shows that look-aheads are essential to non-canonical bottom-up
parsing, and that we will need to allow non-terminals in the look-ahead.
The non-canonical bottom-up parsing methods differ in the way they resume their
search for a handle. We will show here three methods, total precedence, NSLR(1),
and LR(k,∞); the bibliography in (Web)Section 18.2.2 shows several examples of
other techniques.
Farré and Fortes Gálvez [209] describe a non-canonical DR(k) parser; unlike the
other parsers in this chapter it can require O(n2)time to parse its input.
For the — non-canonical — BC and BPC methods see Section 9.3.1.
10.2.1 Total Precedence
Knuth [52] was the first to hint at the possibility of non-canonical bottom-up parsing,
but the first practical proposal came from Colmerauer [191], who modified prece-
dence parsing to recognize non-leftmost handles.
We shall use Colmerauer’s grammar G2for the explanation:
Ss--->a
S---> aSB
S---> bSB
B--->b
This grammar produces the language [ab]nabn, a number of asorbs, next an a,
and then an equal number of bs. An example is ababb. It is tricky to make a left-
to-right parser for this language, since all as before the last acome from the rule
S--->aSB,butthelastacomes from S--->a, and we cannot know what is the last a
until we have seen the end of the input, after nbs.
The grammar is not simple precedence (it is not LR(1) either, as is easily shown
by considering the LR(1) state after the input string aa). Its simple-precedence table
can be computed using the procedure sketched in Section 9.2.4; the result is
# S B a b
#
S.
=
B
a.
= /
b.
= /
This table has two /conflicts, a/band b/b. The first should be resolved
as abwhen the ais the last abut as abwhen it is not; and the second as bb
when it occurs before the last aand as bbafter the last a. These are fundamental

10.2 Bottom-Up Non-Canonical Parsing 359
conflicts, which cannot be resolved by traditional conflict resolvers (Section 9.9) or
by resorting to other precedence methods.
In a total precedence parser we want to read on past the conflict and try to find
another handle further on that will shed light on the present problem. The rela-
tions in the conflicting entries prevents us from doing so, so we remove these; it is
clear that that will have repercussion elsewhere, but for the moment it allows us to
continue. Since now all combinations of aand bhave the relation , we will shift
all asandbs until we reach the end of the string, where we are stopped by the in
b#:
#ababb#
This leads us to reduce the handle bto B, and this reduction turns out to be a
great help.
Now that the subtree Bhas been recognized, it can be considered a newly defined
terminal symbol, just as we did in cancellation parsing in Section 6.8. Going back to
the simple-precedence table construction procedure sketched in Section 9.2.4, we see
that the juxtaposition of Sand Bin the right-hand sides of S--->aSB and S--->bSB
requires a relation between all symbols in LASTALL(S)andB,ifBis a termi-
nal. Since LASTALL(S)={a,b,B}, we get aB,bB,andBB, which gives us the
following total precedence table:
# S B a b
#
S.
=
B
a.
=
b.
=
With this new table the parsing of the string ababbb is straightforward:
#ababb#
#ababB#
#abaBB#
#ab.
=S.
=BB#
#a.
=S.
=B#
#.
=S.
=#
The above total precedence table was constructed by ad hoc reasoning and hand-
waving, but we need an algorithm to implement this technique on a computer. It
turns out that a grammar can have zero, one or several total precedence tables, and
the problem is how to find one if it exists. Colmerauer [191] gives a set of equations
a total precedence table for a given grammar has to obey, and provides several meth-
ods to solve these equations, including one that can reasonably be done by hand. But
the procedures are lengthy and we refer the interested reader to Colmerauer’s paper.
10.2.2 NSLR(1)
Postponing decisions in a total precedence parser was easy: just ignore the problem,
read on and come back later to repair the damage. It is not that easy in an LR parser;
360 10 Non-Canonical Parsers
the reason is that an LR parser bets so heavily on the first handle that it finds it diffi-
cult to switch to an alternative set of hypotheses when the first set leads to problems.
A good example is supplied by the structure of declarations in some (Pascal-like)
programming languages:
VAR i, j, k: INT;
VAR x, y, z: REAL;
which can be described by the grammar
declarations---> VAR intvar_list ’:’ INT ’;’
| VAR realvar_list ’:’ REAL ’;’
intvar_list ---> intvar ’,’ intvar_list | intvar
intvar ---> variable_name
realvar_list ---> realvar ’,’ realvar_list | realvar
realvar ---> variable_name
The reason we want exactly this grammar is that it allows us to attach semantics to
the rules intvar--->variable_name and realvar--->variable_name that
identifies the variable name with its proper type. But the Pascal-like syntax does not
supply that information until the end of the declarations, which is why canonical LR
techniques are not enough.
Since the long names in the above grammar are unwieldy in items and some of
the tokens serve only to improve program readability, we shall use the abbreviated
and abstracted grammar from Figure 10.12. The above declarations then correspond
to vvvi and vvvr.
Ss--->Ii
S--->Rr
I--->VI
I--->V
V--->v
R--->WR
R--->W
W--->v
Fig. 10.12. An abstract grammar of variable declarations
We will now show how to construct a new set of hypotheses for an SLR(1) parser
when we have to abandon the original search for the first handle (Tai [197]). The
initial state 1 of the SLR(1) parser for this grammar is
S--->•Ii
S--->•Rr
I--->•VI
I--->•V
V--->•v
R--->•WR
R--->•W
W--->•v
10.2 Bottom-Up Non-Canonical Parsing 361
and the moment we shift over the first vwe run into a reduce/reduce conflict in state
2 when we add the FOLLOW sets of Vand Was look-aheads to the reduce items, in
accordance with the recipe for SLR(1) parsers (Section 9.8):
V--->v• [vi]
W--->v• [vr]
The rest of the SLR(1) automaton is free of conflicts, but this reduce/reduce conflict
is bad enough, since it reflects our inability to do the proper reduction of vuntil we
have seen either the ior the r. But that token can be arbitrarily far away.
10.2.2.1 Creating New Look-Aheads
Clearly the present look-aheads are inadequate, so two questions arise: what look-
ahead symbols do we use instead, and how do we obtain them. The look-aheads
in SLR parsing derive from FOLLOW sets, which normally contain terminals only,
since whatever comes after the end of the handle is the untouched input. In non-
canonical SLR(1) (NSLR(1)) we try to obtain a 1-symbol (terminal or non-terminal)
look-ahead by fully reducing a segment of the input that follows the item immedi-
ately. To determine what symbols qualify for this task, we need to know what fully
reduced symbols can follow a given non-terminal A. This is easier than it sounds,
since fully reduced symbols are exactly the symbols as they appear in the grammar.
The set of fully reduced symbols that can follow a given non-terminal Ais called
FOLLOWLM(A), since it is the same set of symbols which can follow Ain sentential
forms during leftmost production; hence the subscript LM.
The FOLLOWLM set can be obtained by running a variant of the FOLLOW set
construction algorithm of page 245, in which the second step is replaced by (and
simplified to!)
• We process all right-hand sides, including the S#one. Whenever a right-hand
side contains a non-terminal, as in A→···BX ···,whereXis a terminal or a
non-terminal, we add Xto FOLLOWLM(B). In addition, if X··· derives ε,we
add all symbols from FOLLOWLM(A) to FOLLOWLM(B).
This fills FOLLOWLM(A) with all unexpanded (= fully reduced) symbols that can
follow A.ForVthis yields {I,i}, where the Icomes directly from I--->VI,andthe
icomes from I--->V and S--->Ii through the εclause in the algorithm. Likewise,
FOLLOWLM(W)={R,r}. Note that FOLLOWLM is in general neither a subset nor a
superset of FOLLOW.
Now that we have determined the new look-aheads we can turn to the problem of
obtaining them from the rest of the input. Actually the new non-terminal look-aheads
can be seen as new hypotheses for finding the handle; only now the handle will be
found (if possible) in the first segment of the rest of the input. So we add the items
for •Iand •Rto state 2, plus all the prediction items that are brought in by these:
362 10 Non-Canonical Parsers
V--->v• [Ii]
W--->v• [Rr]
I--->•VI
I--->•V
V--->•v
R--->•WR
R--->•W
W--->•v
If the state still has a conflict even when using FOLLOWLM rather than FOLLOW,
the grammar is not suitable for this technique (but see the next section).
The new items may cause transitions to new, non-canonical states that were not
present in the original SLR(1) parser. These states are used by the parser when it
hunts for a non-first handle. Of course these non-canonical states can again have
conflicts, and if they cannot be solved by the same technique, the grammar is again
not NSLR(1).
10.2.2.2 Finding Minimum Look-Ahead Sets
The above state is not yet a proper NSLR(1) state but rather a LSLR(1) state, for
Leftmost SLR(1), since it is based on FOLLOWLM. The LSLR technique will work
for the grammar of Figure 10.12, but it can be shown that the requirement for “fully
reduced” items is overly strong. Quite often a less reduced look-ahead will do, and
by using such a look-ahead we can occasionally avoid a non-canonical state which
would have had a conflict.
The minimum set of look-ahead symbols can be found as follows (Tai [197]).
We first determine the first symbols each look-ahead non-terminal Xof a reduce
item A→···[···X···]goes through on its way to being fully reduced. These are
easily found, since they are the symbols right after the dot in the prediction items
resulting from X.ForIthey are {V,v}andforRwe get {W,v}. We tentatively add
these to the reduce look-aheads, resulting in
V--->v• [IVvi]
W--->v• [RWvr]
We see that we have now created a reduce/reduce conflict, but that does not surprise
us since we knew already that we had to reduce the vto something, so we remove
the v. The whole state 2 now becomes
V--->v• [IVi]
W--->v• [RWr]
I--->•VI
I--->•V
V--->•v
R--->•WR
R--->•W
W--->•v
but this still has shift/reduce conflicts. Remarkably, these are easily removed: when
we have a choice between using, say, Vto resolve the conflict between the first two
10.2 Bottom-Up Non-Canonical Parsing 363
items and shifting over Vto find another non-terminal, I, which will then just later
serve to resolve the same conflict, we of course choose to reduce and not to shift. So
we can remove the shift items that cause shift/reduce conflicts (but only those that
were added to resolve the original conflict)! Note that this differs from the traditional
preference for a shift on a shift/reduce conflict presented in Section 9.9. The item set
has become a lot smaller now:
V--->v• [IVi]
W--->v• [RWr]
V--->•v
W--->•v
And since Iand Rno longer appear on the left-hand side of any item, they will not
pop up as look-aheads and can be removed:
V--->v• [Vi]
W--->v• [Wr]
V--->•v
W--->•v
This is the final form of the NSLR(1) state 2.
Tai [197] proves that applying this procedure to a conflict-free LSLR(1) state
cannot cause the resulting NSLR(1) state to have conflicts, but the proof is lengthy.
In other words, there are no LSLR(1) grammars that are not also NSLR(1). There
exist, however, grammars that are NSLR(1) but not LSLR(1); this is caused by states
in the LSLR(1) parser that are absent from the NSLR(1) parser. For examples see
Tai’s paper.
The complete NSLR(1) automaton is shown in Figure 10.13. The other reduce
states (5, 6, 7, 10, 11, 12) have not been subjected to the SLR-to-NSLR transforma-
tion, since they are already adequate SLR(1) states.
10.2.2.3 A Complete NSLR(1) Parsing Example
The input string vvi is now parsed as follows:
①vvi#
①v②vi#
①v②v②i# reduce by V--->v
①v②Vi#
Here a new look-ahead Vis obtained in state ②, which causes a further reduce; one
way of understanding this is by pushing the Vback into the input stream:
①v②Vi# reduce by V--->v
①VVi#
and push back again, followed by two shifts:
①VVi#
①V③Vi#
①V③V③i#

364 10 Non-Canonical Parsers
S--->•Ii
S--->•Rr
I--->•VI
I--->•V
V--->•v
R--->•WR
R--->•W
W--->•v
1
v
V--->v•[Vi]
W--->v•[Wr]
V--->•v
W--->•v
2
v
I--->V•I
I--->V•[i]
I--->•VI
I--->•V
V--->•v
3
V
V
S--->I•i
4
I
I--->VI•[i]
5
I
V--->v•[vi]
6
v
S--->Ii•[#]
7
i
R--->W•R
R--->W•[r]
R--->•WR
R--->•W
W--->•v
8
W
W
S--->R•r
9
R
R--->WR•[r]
10
R
W--->v•[vr]
11
v
S--->Rr•[#]
12
r
Fig. 10.13. NSLR(1) automaton for the grammar in Figure 10.12
The look-ahead iin state ③asks for a reduce by I--->V,thenbyI--->VI in state ⑤,
and then on to the start symbol S:
①V③Ii#
①V③I⑤i#
①Ii#
①I④i#
①I④i⑦#
①S#
It is interesting to note that states 6 and 11 cannot be reached. . .
Salomon and Cormack [200] give an explicit algorithm for NSLR(1), and apply
it to complicated problems in programming language parsing.
10.2.3 LR(k,∞)
As we have seen in Sections 9.6 and 9.8, the essential difference between SLR(1)
parsing and LR(1) parsing is that an SLR(1) parser uses the FOLLOW set of a non-
terminal Aas the look-ahead set of an item A→···, whereas an LR(1) parser con-
10.2 Bottom-Up Non-Canonical Parsing 365
structs the look-ahead set precisely, based on the look-ahead(s) of the item or items
A→··· derives from.
When in a non-canonical SLR(1) parser the necessity arises to create new items
because we abandoned a reduce item A→α•, we can do so relatively easily by
expanding the non-terminals in FOLLOWLM(A) and then do some clean-up. And
when we then are forced to abandon these new items, we can again turn to the
FOLLOWLM(A) set to obtain new non-terminals and from them new items. This
is because the look-ahead of an item in an SLR(1) parser does not depend on its
origin, but only on A.
In a non-canonical LR parser we have to collect much more information about
the set of tokens that can follow a given item Iin a given item set (state). First its
construction should follow the principles of LR parsing, which means that it should
derive from the look-ahead information of the items Iderives from. And second, the
information should cover the entire rest of the input, since we do not know how often
and until what point we need to postpone our decisions. Non-canonical LR parsing
was first proposed by Knuth [52], but it was Szymanski [194] who gave an algorithm
for its construction. The algorithm yields an LR(k,∞)parser, where kis the length
of the look-ahead and ∞(infinity) is roughly the number of times a decision can be
postponed (see Section 10.2.3.4 for more on this subject).
The regular right context grammar explained in Section 9.12.2 suggests itself
as a good representation of the look-ahead information required by a non-canonical
LR parser, but it is not good enough. The regular grammar describes all possible
right contexts of an item Ithat can occur, over all paths along which a state can be
reached, but in an actual parsing we know that path precisely. It is easy to see that
in the grammar S--->(S)|a the regular right context of the item S--->a•is )*,but
when in a parsing we have seen the first part of the input ((((a we know that the
exact right context is )))). And it is this kind of exact right context that we want
to use as a look-ahead in LR(k,∞) parsing; it is a subset of the regular right context
grammar and has to be constructed during parsing.
So for the moment we have two problems: how to derive the LR(k,∞) right con-
texts and how to use them during parsing.
10.2.3.1 An LR(1,∞) Parsing Example
We will again use the abstract grammar for declarations in Figure 10.12 on page 360
we used in explaining NSLR(1) parsing and stick to one-token look-ahead, so k=1.
Since we want to see exactly what happens to the look-aheads, we will build up the
states very careful. The kernel items of the initial state, 1kof the LR(1,∞) parser are
S--->•Ii #
S--->•Rr #
Expanding the non-terminals after the dot yields the expanded initial state, 1e,
366 10 Non-Canonical Parsers
S--->•Ii #
S--->•Rr #
I--->•VI i#
I--->•V i#
V--->•v Ii#
V--->•v i#
R--->•WR r#
R--->•W r#
W--->•v Rr#
W--->•v r#
which differs from the initial state of the NSLR(1) parser (page 360) only in that the
full right context is kept with each item. For example, the right context of I--->•VI
is i# because the item derives from S--->•Ii #.
Suppose the input is vvi. As all LR parsers, the LR(1,∞) parser starts with an
empty stack and the input concatenated with the end marker as “rest of input” (Figure
9.12, page 279). We will write this configuration as •vvi#,where•is the gap. The
look-ahead in this configuration is a v. Rather than examining each item to see how
it reacts to this look-ahead, we first simplify the state by removing all items that do
not have vas their dot look-ahead and then see what the rest says. The filtered state
1fis
V--->•v Ii#
V--->•v i#
W--->•v Rr#
W--->•v r#
All items agree on the action: shift, which yields state 2k:
V--->v• Ii#
V--->v• i#
W--->v• Rr#
W--->v• r#
and the configuration changes to v•vi#. The state suggests two different reduce
operations, so we need look-ahead, which we obtain by expanding the dot look-
aheads (Iand R). In canonical LR parsing they are replaced by their FIRST sets
(FIRST(Ii#) and FIRST(Rr#), respectively) but here we want their FIRST sets
plus their expansions since one of these may be the basis for a non-canonical reduce
operation further on. This causes dotted items in the look-ahead parts of other items,
a strange but useful construction. Szymanski does not give them a name, but we will
call them “dotted look-aheads”; and we will call the non-look-ahead item the “active
item”.
When we expand the Iin V--->v•Ii# to VI, we obtain the item
V--->v• [I--->•VI]i#
where V--->v•is the active item, [I--->•VI] is a dotted look-ahead representing the
first part of the right context, and i# is the rest of that context. This indicates that
the complete right context is VIi#, with the understanding that when the VI gets
10.2 Bottom-Up Non-Canonical Parsing 367
recognized, it must be reduced to I. Szymanski uses the notation ]5VI]3i# for this
item, where the subscripted bracket ]nmeans: “when you get here you can reduce
by rule number n”. This is more compact and more efficient algorithm-wise but less
informative. Note that for k>1 there can be more than one dotted look-ahead in an
item.
Applying this expansion to all items in state 2kwe obtain state 2e:
V--->v• Ii#
V--->v• i#
W--->v• Rr#
W--->v• r#
V--->v• [I--->•VI]i#
V--->v• [I--->•V]i#
V--->v• [V--->•v]Ii#
V--->v• [V--->•v]i#
W--->v• [R--->•WR]r#
W--->v• [R--->•W]r#
W--->v• [W--->•v]Rr#
W--->v• [W--->•v]r#
Now we can filter out the items that are compatible with the look-ahead v, yielding
state 2f:
V--->v• [V--->•v]Ii#
V--->v• [V--->•v]i#
W--->v• [W--->•v]Rr#
W--->v• [W--->•v]r#
We see that there is still no agreement among the items, so we give up on the hypoth-
esized reduces V--->v•and W--->v•, and promote the dotted look-aheads to active
items:
V--->•v Ii#
V--->•v i#
W--->•v Rr#
W--->•v r#
Now we shift; this shift is certain to succeed, since we have just made sure all items
had a vas a the dot look-ahead. The result is
V--->v• Ii#
V--->v• i#
W--->v• Rr#
W--->v• r#
which brings us back to state 2kand changes the configuration to vv•i#.Itmay
seem natural that we come back to state 2khere, because we have read just another
v, but it isn’t. If the rule I--->VI had been I--->VIx, the first item in state 2khad been
V--->v•Ixi# and that of the above state V--->v•Ixxi#. This shows the profound
effect of keeping the exact entire right context.
Expanding state 2kyields again state 2e, but now the look-ahead is i! Filtering it
with this look-ahead yields the state
368 10 Non-Canonical Parsers
V--->v• i#
and now a unanimous decision can be taken. We reduce vto Vand the configuration
becomes v•Vi#. After the first vthe parser was in the state 2e, and this state must
now be filtered with look-ahead V. This yields another reduce state:
V--->v• [I--->•VI]i#
V--->v• [I--->•V]i#
We reduce the first vto V, with the new configuration •VVi#, which provides a
look-ahead V, with which we filter state 1e, etc. The rest of the parsing proceeds
similarly.
10.2.3.2 The LR(k,∞) Algorithm
The basic loop of a non-canonical LR(k,∞) parser is different and more complicated
than that of a canonical LR parser:
• Consider the item set pkon the top of the stack.
• Expand the look-aheads in each of the items if they are non-terminals; they then
yield dotted look-aheads. This results in a state pe.
• Filter from pethe items that have the actual look-ahead as their dot look-ahead.
This results in a state pf.
• See if the items in pflead to a decision. Five decisions are possible: reduce; ac-
cept; reject the input; reject the grammar as not LR(k,∞); and reject the grammar
as ambiguous. They are covered in detail below.
• If the items in pfdo not lead to a decision, shift, as described below. The shifted
token and the new item set resulting from the shift are stacked.
We shall now examine the five possible decisions in more detail.
• Since it is the purpose of LR parsers to produce one single parse tree, each re-
duction we do must be correct, so we reduce only if all items in pfappoint the
same reduction.
• We accept the input when it has been reduced to the start symbol. The look-ahead
together with the end marker make sure that this can only happen at the end of
the input.
• We reject the input as erroneous when there are no items left in the top state.
When that happens there are no possibilities left for the right context, so no fur-
ther input can ever complete the parse tree.
• If we have abandoned the active item it is possible that there is no dotted look-
ahead left to eventually turn into an active item. Now we created dotted look-
aheads hoping that after a while one of them would be recognized and reduced to
a single non-terminal, which would be used as a look-ahead to resolve an earlier
LR conflict — but if there is no dotted look-ahead that will never happen, and the
LR(k,∞) method is not strong enough to handle the grammar.
10.2 Bottom-Up Non-Canonical Parsing 369
• It is possible that when we reach the end of the input we still have more than
one item left, which means that we still have not been able to make a decision,
and still more than one completion of the parse tree is possible. So the input is
ambiguous, the grammar is ambiguous, and the grammar is not LR(k,∞).
Normally in an LR parser, when we shift we move the dot one place to the right
in the (active) item, and when the dot happens to be at the end of the item we would
not shift but rather reduce or have a conflict. Here we may need to shift even if the
active item is a reduce item, and we have seen above how we do that: we abandon
the active reduce item. If there is a dotted look-ahead at the front of the right context
now, it is promoted to active item with the dot at the beginning. And if there is not,
the item will continue for a while without active item, until a dotted look-ahead is
finally shifted to the front. This can only happen for k>1.
LR(k,∞) parsing is much more powerful than LR(k) parsing, but this power
comes at a price. It is undecidable whether a grammar is LR(k,∞),andwehave
seen above that even during parsing we can find that the grammar is not LR(k,∞)or
is even ambiguous. So we can successfully parse millions of strings with a grammar
and only then find out that it was not LR(k,∞) and the parser was unsound. Also,
the method has several serious implementation problems (see next section), but then
again, it is the strongest linear-time parsing technique for unambiguous grammars
known.
10.2.3.3 Problems with and Fixes for the LR(k,∞)Parser
We just claimed that LR(k,∞) parsers have linear time requirements, but the signs are
not favorable. Suppose we have a grammar S--->aSb|aSc|εand an input aaaa···.
Then we meet the following kernel item sets:
S--->•aSb #
S--->•aSc #
S--->•#
1k
aS--->a•Sb #
S--->a•Sb #
2k
a
S--->a•Sb b#
S--->a•Sc b#
S--->a•Sb c#
S--->a•Sc c#
3k
a
S--->a•Sb bb#
S--->a•Sc bb#
S--->a•Sb cb#
S--->a•Sc cb#
S--->a•Sb bc#
S--->a•Sc bc#
S--->a•Sb cc#
S--->a•Sc cc#
4k
···
etc., so we see that the size of the item set grows exponentially. And when we try
the algorithm on the left-recursive grammar of Figure 9.14, even the initial state is
infinitely large because it contains infinite sequences like
370 10 Non-Canonical Parsers
E--->•E-T $#
E--->•E-T -T$#
E--->•E-T -T-T$#
E--->•E-T -T-T-T$#
E--->•E-T -T-T-T-T$#
E--->•E-T -T-T-T-T-T$#
E--->•E-T -T-T-T-T-T-T$#
.
.
.
The cause of these problems is that right contexts are finite-state (Type 3) lan-
guages and the above algorithm constructs finite-choice (Type 4) expressions for
them. The ever-growing states 2k,3
k, . . . above actually contain only two items re-
gardless of the number of as read; for example, state 4kis actually
S--->a•Sb [bc][bc]#
S--->a•Sc [bc][bc]#
and the infinite sequence can be condensed into a single regular expression:
E--->•E-T (-T)*$#
So the expansion step in the LR(k,∞) algorithm must be extended with grammar-to-
expression transformations like those in Figure 5.19. Unfortunately the details of this
step have not been published, as far as we know.
With these transformations the item sets no longer grow infinitely or exponen-
tially, but they still grow, linearly. After having processed seven as from the input
the two-item state is
S--->a•Sb [bc][bc][bc][bc][bc][bc]#
S--->a•Sc [bc][bc][bc][bc][bc][bc]#
This cannot be condensed to
S--->a•Sb [bc]*#
S--->a•Sc [bc]*#
because only exactly seven bsorcare acceptable, one from the active item and six
from the look-aheads. Since the look-ahead sets are copied from item to item, a linear
growth in look-ahead size translates into a quadratic time requirement. Fortunately
there is a simple way to fix this problem. New look-aheads are created only when
a non-terminal is expanded; during this expansion an item A→α•Bβγcauses an
item B→•δβγto be created, so the look-ahead changes from γto βγ: the addition is
always at the front of the old look-ahead. So we can implement the item B→•δβγas
B→•δβ
Pwhere Pis a pointer to γ, the look-ahead of the parent item. This reduces
the copying of an item to constant costs, and the overall parse time requirements to
linear in the length of the input. (The dotted look-aheads complicate the algorithm
somewhat but can be handled in basically the same way.)
LR(k,∞) parsing is the most powerful linear-time parsing algorithm known today.
It can handle many more grammars than LR(k) but it cannot handle all unambiguous
grammars; an example of an unambiguous non-LR(k,∞)grammarisS→aSa|ε.Itis
10.2 Bottom-Up Non-Canonical Parsing 371
undecidable whether a grammar is LR(k,∞), and the parser discovers its own insuf-
ficiency only while parsing a string that hits one of its weak spots. LR(k,∞)isalso
called NLR(k), for Non-canonical LR(k).
10.2.3.4 LR(k,t)
LR(k,∞) parsing may be the most powerful linear-time parsing algorithm known
today, but it has one problem: decidability. Not only does the undecidability surround
it with a blanket of uncertainty, it also prevents the creation of a table-driven version.
Section 9.5 has shown us how much less convenient and efficient the interpretive
parser in Figure 9.16 is compared to a table-driven one based on the deterministic
automaton of Figure 9.17, and we would like to “upgrade” our LR(k,∞)parserina
similar way. One reason why we cannot is that the LR(k,∞) parser has an infinite
number of states, as the examples in the previous sections show. If it had a finite
number of states, we could construct them all, and thus achieve decidability and a
table-driven version at the same time.
So it becomes interesting to see why there are infinitely many states. There are
only a finite number of dotted items, and a much larger but still finite number of
combinations of them, but it is the unbounded length of the right contexts that causes
the number of states to be infinite. This raises the question why we need unbounded
length right contexts, especially if we use a finite look-ahead of ktokens only. The
answer is that the segment of the right context after the first ktokens serves one
important purpose: to create dotted look-aheads which turn into active items when
the original active item is abandoned. So intuitively it should help if we restricted the
number of times the active item in a given item can be abandoned to say t; this leads
to LR(k,t) parsing. (This notation also explains the name LR(k,∞).)
To understand that this works we go back to the explicit, finite choice imple-
mentation of right contexts, where a right context is just a string of terminals and
non-terminals. Now suppose we have an LR(1,2) item P--->p•RSTuv# resulting
from a shift over pin a grammar which contains the rules P--->p,R--->r,S--->s,and
T--->t, among many others, and we follow this item through the shift and expand
actions performed on it. We will assume that at each decision point there are other,
conflicting, items in the same state which force us to abandon the active item; this
assumption causes the maximum utilization of the right context.
Since t=2, we can abandon the active item only twice, and to keep track of
this we record the number of abandons with the item; see Figure 10.14. In step 2 of
the table we expand the look-ahead Rto a dotted look-ahead, which turns into an
active item in step 3, due to giving up on P--->p•. Also the counter rises to 1. Similar
actions bring us to step 6 where the counter has risen to 2, and no further “abandon
and shift” is possible.
Exhausting the number of abandons allowed means two things. The first is that
when the exhausted item occurs during parsing and we still cannot make a decision,
the grammar is not LR(1,2) and the parsing fails. The second is more important for
our purposes: we see that the trailing uv# never played a role, so we can remove
them from the original item P--->p•RSTuv#, truncating it to P--->p•RST.

372 10 Non-Canonical Parsers
Step Action Resulting item
1 shift over pP--->p• RSTuv# 0
2 expand P--->p• [R--->•r]STuv# 0
3 abandon and shift over rR--->r• STuv# 1
4 expand R--->r• [S--->•s]Tuv# 1
5 abandon and shift over sS--->s• Tuv# 2
6 expand S--->s• [T--->•t]uv# 2
7 stop
Fig. 10.14. Development of an LR(1,2) item until exhausted
In this way we can for each item find out how much of its right context is needed
to allow at most tabandons. This keeps the right contexts limited in length and keeps
the number of possible LR(k,t) states finite, so we can construct a table-driven parser.
Also, we do not have to wait until parse time to find conflicts; they reveal themselves
during table generation, as with LR parsers: we have achieved decidability! Szyman-
ski [194] gives details.
Just as the power of LR(k,∞) came at a price, decidability, the decidability of
LR(k,t) comes at a price: power. Although LR(k,t) can handle many more grammars
than LR(k), it cannot handle more languages.
10.2.3.5 Discussion
LR(k,∞) parsing is the strongest linear-time parsing algorithm known today, both
with respect to grammars and to languages. Suitability of a given grammar cannot
be checked in advance, so the parser may reject the grammar while parsing. The full
algorithm is quite complicated and carries a heavy performance penalty, as states,
look-aheads and right contexts are constructed on the fly.
LR(k,t) parsing is the strongest decidable linear-time parsing algorithm known
today, with respect to grammars. It handles many more grammars than LR(k), but can
handle deterministic languages only. Its table-driven implementation is as efficient as
LALR(1) parsing, but the table construction algorithm is very complex and the tables
can be large.
Hutton [202] describes non-canonical LALR(k) (NLALR(k)) and (NLALR(k,t)),
also called LALR(k,t). It turns out that it is undecidable if a grammar is NLALR(k),
but it is decidable if a grammar is NLALR(k,t), just as with LR(k,∞) and LR(k,t).
As Szymanski [194] and Farré and Fortes Gálvez [207] point out, non-canonical
LR parsing does LR parsing with context-free look-ahead. It could with some justi-
fication be called LR-context-free, in analogy to LR-regular.
10.2.4 Partitioned LR
When an LL(1) parser is confronted with two alternatives, both starting with the
same token, as in

10.2 Bottom-Up Non-Canonical Parsing 373
A--->P|Q
P--->a
Q--->a
it has a FIRST-FIRST conflict; but an LR parser merrily shifts the aand accepts
both alternatives, leading to a state {P--->a•,Q--->a•} (which is why there is no such
thing as a shift-shift conflict). When an LR parser is confronted with two possible
reduction rules, as in the state {P--->a•,Q--->a•}, it has a reduce/reduce conflict; but
aPartitioned LR parser merrily reduces the ato both non-terminals, resulting in a
set {P,Q}. This is of course only possible when all right-hand sides in the reduction
have the same length.
10.2.4.1 Sets of Non-Terminals as LR Stack Entries
In a Partitioned LR parser, the LR stack can contain sets of non-terminals in addition
to the usual non-terminals. The uncertainty that that implies can often be resolved by
later reductions, as the following example shows. Suppose the top few elements of
the stack are
... s2Ps
3{Q,R} s4{S,T} s5{U,V,W} s6|
where the non-terminal sets are linked to partial parse trees as the non-terminals did
in Figure 9.12; so {U,V,W} points to a tree that can represent a terminal production of
aU,aVor a W, and similarly for the other sets. Now suppose the top state s6, possibly
with help from some look-ahead, indicates that the parser should reduce using the
rules A--->QSU and B--->RSV. Then the top three non-terminal sets get scooped up
from the stack and linked to a single node for {A,B}:
... s2Ps
3{A,B} s7|
{A,B}
{Q,R} S{U,V}
We see that the set {U,V,W} has been narrowed down to {U,V} in the process, and
that the second member of the right-hand side has been fixed to S, since the Wand

374 10 Non-Canonical Parsers
the Tare not compatible with the right-hand sides of the reduction rules A--->QSU
and B--->RSV.
We also note that, unlike canonical LR states, Partitioned LR states can contain
reduce items with unrelated right-hand sides. In a canonical LR state each right-hand
side must be a suffix of another right-hand side or vice versa, for example F--->AbC•
and G--->bC•, since both must match the top of the stack ···AbC•. Actually the same
is true in Partitioned LR parsers, but since the stack contains sets of non-terminals,
the right-hand sides of rules in a state have much more leeway, and indeed the reduce
items A--->QSU•and B--->RSV•both match the top of the stack above. If they did not
they would not have survived the shifts over {Q,R}, {S,T}and{U,V,W}.
Now suppose state s7tells us to reduce with the rule C--->PB. The reduction
refines the {A,B} to a single B. This information then propagates into the tree for
{A,B}, fixing {Q,R}toRand {U,V}toV, resolving all uncertainties:
... s2Cs
8|
C
P B
R S V
We see that a reduce action in a Partitioned LR parser entails updating the parse
tree in addition to the usual task of creating a new parse tree node. Actually one can
distinguish these two tasks even in a canonical LR parser: first the node is created
with its children, and then the node is labeled with the proper non-terminal. Similarly,
we have seen in Section 9.2.2 that operator-precedence parsers construct skeleton
parse trees: nodes are just constructed; they never get labeled. Node construction
and node labeling are two fairly independent actions; only in canonical LR parsing
do they occur simultaneously.
10.2.4.2 A Partitioned LR Parsing Example
It is relatively easy to construct a Partitioned LR handle-finding automaton, and we
even have the choice between LR(0), SLR(1), etc. for the look-ahead. We first con-
struct the canonical LR automaton, of the desired kind. When it has no conflicts, we
are of course done and do not need to resort to non-canonical techniques. When it

10.2 Bottom-Up Non-Canonical Parsing 375
has shift/reduce conflicts or reduce/reduce conflicts with rules of unequal lengths,
the Partitioned LR technique cannot help us (but see Problem 10.17). But when there
is a state with a reduce/reduce conflict with rules of equal lengths, we mark the state
for reduce with all these rules for the appropriate look-aheads. This creates a set of
non-terminals A={A1,A2,...,An}as a potential stack entry. We examine each state
that contains at least one item B→···•Ak··· and see how it reacts to shifting over
the set A. This may create new states, and so on, but the process will eventually ter-
minate. If this removes all conflicts, the grammar is Partitioned LR of the desired
kind.
Figure 10.15 shows part of the Partitioned SLR(1) automaton for the grammar of
Figure 10.12, and we will use it to demonstrate the parsing of the input vvvi.The
S--->•Ii
S--->•Rr
I--->•VI
I--->•V
V--->•v
R--->•WR
R--->•W
W--->•v
1
vV--->v•[vi]
W--->v•[vr]
2
I--->V•I
I--->V•[i]
I--->•VI
I--->•V
V--->•v
R--->W•R
R--->W•[r]
R--->•WR
R--->•W
W--->•v
3
{V,W}
{V,W}
v
S--->I•i
4
I
I--->VI•[i]
5
I
I--->V•I
I--->V•[i]
6
V
S--->Ii•[#]
7
i···
W
···
R
Fig. 10.15. Part of a Partitioned SLR(1) automaton for the grammar of Figure 10.12
initial state ①is that of an SLR(1) parser, as it was in Figure 10.13. Shifting over the
vbrings us to state ②, which under a look-ahead of vasks for a reduce to {V,W}:
①v②vvi# reduce {V,W}--->v
Next, we shift over the {V,W} and the second v:
①{V,W} ③v②vi# reduce {V,W}--->v

376 10 Non-Canonical Parsers
and history repeats itself. But after the third vis shifted, state ②finds a look-ahead
iand can now authorize a reduce to V:
①{V,W} ③{V,W} ③v②i# reduce V--->v
Shifting over the Vbrings us to state ⑥, which reduces the Vto an I, which results
in state ⑤on the top of the stack. This causes the reduction of {V,W}Ito I,which
requires fixing the {V,W}toV. From there the road to the end state is clear:
①{V,W} ③{V,W} ③V⑥i# reduce I--->V
①{V,W} ③{V,W} ③I⑤i# reduce I--->VI,
refining {V,W} to V
①{V,W} ③I⑤i# reduce I--->VI,
refining {V,W} to V
①I④i⑦#reduce S--->Ii
There are striking similarities but also considerable differences between this Par-
titioned LR example and the NSLR(1) parsing example on page 363. In Partitioned
LR non-terminals do not figure as look-ahead, and the shift and reduce actions are
more similar to those of an LR parser than of an NSLR parser. On the other hand an
NSLR parser does not need to update the parse tree.
10.2.4.3 Discussion
A restricted parser based on the above principles was described by Madhavan et
al. [206]. The described parser is used as a structuring tool in compiler design in
a technique called Graham–Glanville code generation.1It requires grammars to use
only two types of rules, A→B1···Bntand A→B, with the restriction that if the
terminal toccurs in more than one rule, all these rules must have the same value for n.
This requirement ensures that the grammar is Partitioned LR(0), but makes the parser
impossible to use in a more general setting. No other publication on Partitioned LR
is known to us.
One practical advantage of Partitioned LR is that it delivers a partially resolved
parse tree, which can then be disambiguated on the fly or off-line by grammatical or
external means. This is exploited by Madhavan et al. by incorporating a cost func-
tion in the parser; this cost function cooperates with the parser to find the optimal
structuring of the input as to costs. For details see Madhavan et al. [206].
It is easy to see that the class of Partitioned LR grammars and that of NSLR
grammars are incommensurable. NSLR can handle grammars with reduce-reduce
conflicts with rules of unequal length (for example, the grammar of Figure 10.12 with
W--->v replaced by W--->vv) which Partitioned LR cannot. Partitioned LR can handle
some ambiguous grammars (for example, the grammar of Figure 10.12 with S--->Rr
replaced by S--->Ri), which NSLR cannot. In fact, the ability to handle ambiguous
1In Graham–Glanville code generation a bottom-up parser is used to structure the stream
of intermediate machine instructions originating from the intermediate code generator in
a compiler into final machine instructions, which are specified to the parser as grammar
rules.

10.3 General Non-Canonical Parsing 377
grammars is one of the strong points of Partitioned LR, since it allows the efficient
construction of ambiguous parse trees, which can then be disambiguated on external
criteria.
It is clear that Partitioned LR parsing needs more research.
10.3 General Non-Canonical Parsing
In a sentence like “The neighbors invited us to a barbecue party”, the word that
carries the most syntactic and semantic information is “invited”. It tells us many
things: the action is in the past; it is a transitive verb so we should be looking for two
noun phrases, one for the subject and one for the object; and if we have a good data
base entry for “to invite” we know that the subject and object are very likely human,
and that there might be a preposition phrase starting with “to”. With this knowledge
we can identify the noun phrase “the neighbors” as the subject, “us” as the object,
both duly human, and “to a barbecue party” as the preposition phrase. In the noun
phrase “the neighbors”, the most significant word is “neighbors”; in “to a barbecue
party” it is “party”; etc. And we already see a parse tree emerging.
When we want to develop this idea into a parsing technique, we meet two prob-
lems: how do we tell the computer what is the most important component of a phrase;
and how does the computer find that component in the input. The answers are “head
grammars” and “head-corner parsing,” respectively. A head grammar is a CF gram-
mar in which one member in each right-hand side is marked as the “head” of that
right-hand side. The top level of a very simple head grammar of English could look
like this:
Ss--->NPVP NP PP | ···
NP ---> ART?NOUN | PRON | ···
NOUN ---> ··· | ’neighbors’ | ···
PRON ---> ··· | ’us’ | ···
ART ---> ’the’ | ’a’
VP ---> ··· | ’invited’ | ···
PP ---> ··· | ’to’ NP | ···
Here NP stands for “noun phrase”, VP stands for “verb phrase”, and PP for “prepo-
sition phrase”. We use a bar over a symbol to indicate that it is the head; if there is
only one symbol in a right hand side it is the head automatically. Head grammars
were first discussed by Proudian and Pollard [198], and made popular by Kay [199].
Several algorithms have been published to exploit the head information and to
lead the parser to the proper heads of the phrases. These are called head-corner
parsers, for reasons to be explained below. They include modified chart parsers (for
example Proudian and Pollard [198], or Kay [199]) or modified Earley parsers (for
example Satta and Stock [201], or Nederhof and Satta [203]).
An intuitively appealing version of a head-corner chart parser is given by Sikkel
and op den Akker [204]. We start from the start symbol S. In each of its right-hand
sides we expand the symbol marked “head”, unless it is a terminal, and at the same
378 10 Non-Canonical Parsers
time construct the corresponding partial parse tree. We then continue expanding non-
terminals marked “head” in these partial parse trees, producing more and more partial
parse trees, until in each of them we reach a terminal marked “head.” This process
yields a set of spines similar to the ones produced in left-corner parsing in Section
10.1.1.1 and Figure 10.3. Whereas left spines are constructed by systematically ex-
panding the leftmost symbol until we meet a terminal, head spines are constructed
by systematically expanding the head symbol until we meet a terminal. Like the left
spines in Figure 10.4, head spines can contain cycles. In fact, if the head in every
right-hand side in the grammar is the leftmost symbol, head-corner parsing turns
into left-corner parsing. This is how head-corner parsing got its name, in spite of the
fact that no corner is involved.
This preparatory step, which is independent of the input, yields a large number of
head spines, each connecting Sto some terminal tAthrough a rule S→α¯
Aβ,where
tAis eventually produced by Athrough a chain of head non-terminals. For each tA
found in the input at position p, a partial parse tree Pis now constructed from Sto
tA. For such a parse tree Pto be correct, αhas to produce the segment 1...p−1of
the input and βthe segment p+1...n.
Now suppose αis actually BC. We then construct all head spines for Band C,
and for all head spine terminals tBproduced by Band tCproduced by Cthat occur
in that order in the input segment 1...p−1 we connect their spines to P.Nextwe
do the same for βand the segment p+1...n. If the required spines cannot be found
Pis discarded. We continue this process recursively on both sides, until all input
tokens are accounted for. We have then constructed all possible parse trees. Sikkel
and op den Akker [204] use chart parsing arcs to do the administration, and give
many details in their paper.
The above explanation actually missed the point of head-corner parsing, which is
that semantic considerations can be introduced to great profit at an early stage. When
we have a head spine S→··· ¯
A···,A→··· ¯
F···,F→···¯
G···,G→···¯
tA···,we
can take all the semantic information attached to tA— its “attributes” — propagate
them up the spine and use them to restrict possible head spines to be attached to the
dots on the left and the right of the spine. Suppose, for example, that tAis a verb form
identifying a feminine plural subject, and suppose the dots to the left of ¯
Fin the rule
for Ainclude a possible subject, then only head spines ending in a terminal which
identifies a feminine plural form need to be considered for that position. This tends
to quickly reduce the search space.
An in-depth description of a head-corner parser implemented in Prolog is given
by van Noord [205].
We see that head-corner parsing identifies the nodes in the parse tree in a char-
acteristic non-standard way. That and its close relationship to left-corner parsing has
led the authors to classify it as a general (non-deterministic) non-canonical method
and to cover it in this chapter; but we agree that the taxonomy is strained here.
10.4 Conclusion 379
10.4 Conclusion
Non-canonical parsing is based on postponing some decisions needed in canonical
parsing, but postponement is something that is open to interpretation, of which there
are many. Almost all decisions can be postponed in more than one way; a whole
range of parsing techniques result, and the field is by no means exhausted.
The advantage of non-canonical parsing techniques is their power; LR(k,∞)is
the most powerful linear parsing technique we have. Their main disadvantage is their
sometimes inordinate complexity.
Problems
Problem 10.1: What conclusion can be drawn when a production chain automa-
ton (like the one in Section 10.1.1.2(a)) happens to be deterministic?
Problem 10.2: Analyse the movements of the strong-LC(1) parser from Figure
10.6 on the incorrect input string n). What nodes did it predict before detecting the
error?
Problem 10.3: Why is it impossible for a left-corner parser to produce the anal-
ysis shown in Figure 10.7 immediately, including the proper parentheses?
Problem 10.4: Construct the full-LC(1) parse table corresponding to the strong-
LC(1) one in Figure 10.6.
Problem 10.5: Rosenkrantz and Lewis, II [101] and Soisalon-Soininen and
Ukkonen [104] use slightly different and incompatible definitions of LC(k). Map
the differences.
Problem 10.6:Project: Implement an LC(1) parser for the example in Section
10.1.1 using an LL(1) parser generator and add code to produce a correct parse tree.
Problem 10.7:Project: The treatment of left-corner parsing is marred by an
asymmetry between rules with right-hand sides that start with a terminal and those
that start with a non-terminal. This nuisance can, in principle, be remedied by in-
troducing a non-terminal Ewhich produces only ε, and putting an Ein front of all
right-hand sides that start with a terminal symbol. Rethink the examples and algo-
rithms of Section 10.1.1 for a thus modified grammar.
Problem 10.8: By definition non-canonical parsers take their parsing decisions
in non-standard order. The parsers from Figures 6.17 and 10.10 print the rules in-
volved in the parse tree in standard postfix order, just as any LR parser would. Is
there a contradiction?
Problem 10.9: Arguably the simplest non-canonical bottom-up parser is one
in which any substring in the sentential form that matches a right-hand side in the
grammar is a handle. Determine conditions for which this parser works. See also
Problem 9.1.
Problem 10.10: On page 361 we wrote that FOLLOWLM is in general neither a
subset nor a superset of FOLLOW; explain.
380 10 Non-Canonical Parsers
Problem 10.11:Project: As we saw on page 364, the NSLR table generation
process can produce unreachable states. Design an algorithm to find and remove
them, or an algorithm that does not create them in the first place.
Problem 10.12: Since the FOLLOWLM set can contain symbols that cannot
actually follow a given item in a given set, it is possible that the NSLR(1) parser in-
troduces an item for a look-ahead non-terminal, which, when it is finally recognized
in an incorrect input string, does not allow being shifted over, giving rise to an error
message of the type “Syntactic entity Xcannot appear here”. Construct a grammar
and input string that shows this behavior.
Problem 10.13: When we abandon an active item in an LR(k,∞) parser and find
that there is no dotted look-ahead to be promoted to active item, all is not lost. We
could: 1. scan the look-ahead to find the first non-terminal, which will be at position
k1>k, and try parsing again, this time as LR(k1,∞); 2. hope that the rest of the
input matches one of the other items in the state, so we can at least parse this input.
Develop and evaluate both ideas.
Problem 10.14: Suppose we reach the end of the input in an LR(k,∞) parser
and we still have more than one item left. Design an algorithm that constructs the
multiple parse trees from the state of the parser at that moment.
Problem 10.15:Project: Design and implement a complete, linear-time,
LR(k,∞) parser.
Problem 10.16: Complete the Partitioned LR automaton of Figure 10.15.
Problem 10.17: Suppose there is a shift/reduce conflict in a Partitioned LR
parser. Design a way to adapt the grammar to Partitioned LR parsing.
Problem 10.18:Project: As with the NSLR table generation process, the Par-
titioned LR table generation process as described in Section 10.2.4.2 can produce
unreachable states. Design an algorithm to find and remove them, or an algorithm
that does not create them in the first place.
Problem 10.19:Project: Design and implement a complete Partitioned LR
parser.
Problem 10.20:Project: Since head-corner parsers require the nodes of the parse
tree to be constructed in non-canonical order, it seems an ideal candidate for non-
canonical parsing. Design a non-canonical LR parsing algorithm that postpones the
reduction until it can reduce the head of a rule.
11
Generalized Deterministic Parsers
Generalized deterministic parsers are general breadth-first context-free parsers that
gain efficiency by exploiting the methods and tables used by deterministic parsers,
even if these tables have conflicts (inadequate states) in them. Viewed alternatively,
generalized deterministic parsers are deterministic parsers extended with a breadth-
first search mechanism so they will be able to operate with tables with some multiple,
conflicting entries. The latter view is usually more to the point.
Before going into the algorithms, we have to spend a few words on the question
what exactly constitutes a “generalized deterministic parser”. Usually the term is
taken to mean “a parser obtained by strengthening an almost-deterministic parser by
doing limited breadth-first search”, and initially the technique was applied only to
parsers with LR tables with just a few inadequate states. Later research has shown
that “generalized parsing” can also be used profitably with tables with large amounts
of inadequate states, and even without tables (actually with trivial tables; see next
paragraph). We will therefore cover under this heading any breadth-first CF parser
with some, even the weakest, table support.
Trivial parse tables are interesting in themselves, since they are a low extreme
all other tables can be measured against: they form the bottom element if one wishes
to order parse tables in a lattice. The trivial bottom-up table has one state, which
says: both shift the next input token onto the top of the stack and reduce with all
rules whose right-hand sides match the top of the stack. The trivial top-down table
has one state, which says: either match the next input token to the top of the stack or
predict with all rules whose left-hand sides match the top of the stack. Since states
are used to make a distinction and since just one state cannot make a distinction, one
can also leave it out.
As said above, the first generalized parsing algorithms that were designed were
based on almost-LR parse tables, and much more is known about generalized LR
parsing than about the other variants. We shall therefore treat generalized LR parsing
first, and then those based on other tables.
Merrill [171] has shown that it is also possible to do generalized LR parsing by
strengthening an almost-deterministic LR parser by doing depth-first search.
382 11 Generalized Deterministic Parsers
11.1 Generalized LR Parsing
Section 9.4 has shown how we can make very powerful and efficient parsers for LR
grammars. But although most languages of practical interest are LR (deterministic)
most grammars of practical interest are not. And if we try to design an LR grammar
for one of these LR languages we find that such a grammar is hard to construct, or
does not provide the proper structuring needed for the semantics, or — usually —
both. This limits the practical usefulness of LR parsing.
On the bright side, most practically useful grammars are almost LR, which means
that their LR automata have only a few inadequate states. So we become interested
in ways to exploit such almost-LR automata, and the answer lies in reintroducing a
little bit of breadth-first search (Section 7.1.2). Research in this direction has resulted
in “generalized LR parsing”.
Generalized LR parsing (GLR parsing) can be characterized as left-to-right
bottom-up breadth-first parsing in which the breadth-first search is limited by in-
formation from an LR handle-recognizing automaton; the LR automaton is allowed
to have inadequate states (conflicts) in it.
GLR parsing was first described by Lang [159] in 1974 but unfortunately the
publication was not noticed by the world. The idea was rediscovered in 1984 by
Tomita [160, 161], who wrote a 200-page book about it [162]. This time the world
took notice and the technique became known as Tomita parsing. Over the years it was
increasingly found that this naming was not ideal, and the technique is now almost
universally referred to as “GLR parsing”.
11.1.1 The Basic GLR Parsing Algorithm
The GLR method does breadth-first search exactly over those parsing decisions that
are not solved by the LR automaton (which can be LR(1), LALR(1), SLR(1), LR(0),
precedence or even simpler), while at the same time keeping the partial parse trees in
a form akin to the common representation of Section 7.1.3. More precisely, whenever
an inadequate state is encountered on the top of the stack, the following steps are
taken:
1. For each possible reduce in the state, a copy of the stack is made and the reduce
is applied to it. This removes part of the right end of the stack and replaces it with
a non-terminal; using this non-terminal as a move in the automaton, we find a
new state to put on the top of the stack. If this state again allows reductions,
this copy step is repeated until all reduces have been treated, resulting in equally
many stack copies.
2. Stacks that have a rightmost state that does not allow a shift on the next input
token are discarded (since they resulted from incorrect guesses). Copies of the
next input token are shifted onto the remaining stacks.
There are a number of things to be noted here. First, if the automaton uses look-
ahead, this is of course taken into account in deciding which reduces are possible
in step 1; ignoring this information would not be incorrect but would cause more

11.1 Generalized LR Parsing 383
stacks to be copied and subsequently discarded. Second, the process in step 1 may
not terminate. If a grammar contains non-terminals that can produce themselves, for
example A*
→A(loops), Awill continuously be reduced to A. And grammars with
hidden left recursion turn out to cause infinite numbers of ε-reductions. These two
problems will be dealt with in Section 11.1.3. Third, if all stacks are discarded in step
2 the input was in error, at that specific point. Fourth, if the table is weak, especially
if it is not produced by an LR process, it may suggest reductions with rules whose
right-hand sides are not present on the stack; such reductions are then to be ignored.
11.1.2 Necessary Optimizations
The above steps form the basic mechanism of the GLR parser. Since simple stack du-
plication may cause a proliferation of stacks and is apt to duplicate much more data
than necessary, two optimizations are used in the practical form of the parser: com-
bining equal stack suffixes and combining equal stack prefixes. We shall demonstrate
all three techniques using the grammar of Figure 11.1 as an example. The grammar
Ss--->E$
E--->E+E
E--->d
Fig. 11.1. A moderately ambiguous grammar
is a variant of that of Figure 3.1 and is moderately ambiguous. Its LR(0) automa-
S--->•E$
E--->•E+E
E--->•d
1
ES--->E•$
E--->E•+E
3
+E--->E+•E
E--->•E+E
E--->•d
4
d
E--->d•
2
d
S--->E$•
6
$
E
E--->E+E•
E--->E•+E
5✘
+
Fig. 11.2. LR(0) automaton to the grammar of Figure 11.1
ton is shown in Figure 11.2; it has one inadequate state, ⑤. Since the grammar is
ambiguous, there is no point in using a stronger LR method. For more (and larger!)
examples see Tomita [162] and several of the publications in (Web)Section 18.2.1.
384 11 Generalized Deterministic Parsers
11.1.2.1 Stack Duplication
Refer to Figure 11.3, in which we assume the input d+d+d$. The automaton starts
a①d+d+d$ shift
b①d②+d+d$ reduce, shift, shift
c①E③+④d②+d$ reduce
d①E③+④E⑤+d$ duplicate to e1 and
e2; reduce e1
e1 ①E③+d$ shift, shift, to f1
e2 ①E③+④E⑤+d$ shift, shift, to f2
f1 ①E③+④d②$reduce, to g1
f2 ①E③+④E⑤+④d②$reduce, to g2
g1 ①E③+④E⑤$duplicate to h1.1 and
h1.2; reduce h1.1
g2 ①E③+④E⑤+④E⑤$duplicate to h2.1 and
h2.2; reduce h2.1
h1.1 ①E③$shift, to i1.1
h1.2 ①E③+④E⑤$discard
h2.1 ①E③+④E⑤$reduce again, to h2.1a
h2.2 ①E③+④E⑤+④E⑤$discard
h2.1a ①E③$shift, to i2.1a
i1.1 ①E③$⑥reduce, to j1.1
i2.1a ①E③$⑥reduce, to j2.1a
j1.1 ①Saccept
j2.1a ①Saccept
Fig. 11.3. Sequence of stack configurations while parsing d+d+d$
in state ①(frame a). The steps shift (b), reduce, shift, shift (c) and reduce (d)are
problem-free and bring us to state ⑤. The last state, however, is inadequate, allowing
a reduce and a shift. True to the breadth-first search method and in accordance with
step 1 above, the stack is now duplicated and the top of one of the copies is reduced
(e1) while the other one is left available for a subsequent shift (e2). Note that no
further reduction is possible and that both stacks now have a different top state. Both
states allow a shift and then another (f1,f2) and then a reduce (g1,g2). Now both
stacks carry an inadequate state on top and need to be duplicated, after which opera-
tion one of the copies undergoes a reduction (h1.1,h1.2,h2.1,h2.2). It now turns out
that the stack in h2.1 again features an inadequate state ⑤after the reduction; it will
again have to be duplicated and have one copy reduced. This gives the stack in h2.1a.
Now all possible reductions have been done and it is time for a shift again. Only state
③allows a shift on $, so the other stacks are discarded and we are left with i1.1 and
i2.1a. Both require a reduction, yielding j1.1 and j2.1a, which are accepting states.
The parser stops and has found two parsings.
In order to save space and to avoid cluttering up the pictures, we have not shown
the partial parse trees that resulted from the various reductions that have taken place.

11.1 Generalized LR Parsing 385
If we had done so, we would have found the two Ssinj.1.1 and j.2.1a holding the
parse trees of Figure 11.4.
S
E $
E+E
E+Ed
d d
S
E $
E+E
dE+E
d d
Fig. 11.4. Parse trees in the accepting states of Figure 11.3
11.1.2.2 Combining Equal Stack Suffixes
Examining Figure 11.3 f1 and f2, we see that once both stacks have the same state
on top, further actions on both stacks will be identical, and the idea suggests itself to
combine the two stacks to avoid duplicate work. This approach is depicted in Figure
11.5(f) (Figure 11.5(a)to(e) are identical to those of Figure 11.3 and are not shown).
Note that we have not only combined the two ②s on top, but also the two ④s one
token back; this is possible because they are both connected by the same token, d.In
fact, we are combining equal stack suffixes.
Combining equal stack suffixes is, however, not entirely without problems, as
becomes evident as soon as we need to do a reduce that spans the merge point. This
happens in (g), which also features an inadequate state. Now a number of things hap-
pen. First, since the state is inadequate, the whole set of combined stacks connected
to it are duplicated. One copy (g”) is intended for the shift in step 2, but there is no
shift from ⑤over $, so the whole copy is discarded. The other (g’) is subjected to the
reduce. This reduce, however, spans the merge point (state ④) and extends up both
stacks, comprising a different leftmost Ein the two branches. To perform it properly,
the stack combination that gave rise to (f) is undone, resulting in (g’.1)and(g’.2).
The reduces are then applied to both stacks, resulting in (h1)and(h2). The reduce
in (h2) again puts the inadequate state ⑤on top, which necessitates another copy
operation, to (h2.1) for the reduce, and to (h2.2) for the shift. The reduce on (h2.1)
results in the stack ①E③, which has a ③on top. But we already have a stack with a
③on top: (h1), so we must combine their tops. We then see that the combined top is
connected by two Estotwo①s, so we can combine these two, which combines the
whole stacks: the result of the reduction of (h2.1)is(h1). This shifts to (i) and from
there the road is clear. This is the parser described in Tomita’s first publication [160].
Although in this example the stack combinations are undone almost as fast as
they are performed, stack combination greatly contributes to the parser’s efficiency
in the general case. It is essential in preventing exponential growth.
386 11 Generalized Deterministic Parsers
f①E③+④d②$reduce, to g
①E③+④E⑤+
g①E③+④E⑤$duplicate to g’, g”
①E③+④E⑤+
g’ ①E③+④E⑤$for reduce; undo the
①E③+④E⑤+combination: g’.1, g’.2
g” ①E③+④E⑤$for shift; discard
①E③+④E⑤+
g’.1 ①E③+④E⑤$reduce, to h1
g’.2 ①E③+④E⑤+④E⑤$reduce, to h2
h1 ①E③$shift, to i
h2 ①E③+④E⑤$duplicate to h2.1 and
h2.2; reduce h2.1,toh1
h2.2 ①E③+④E⑤$discard
i①E③$⑥reduce, to j
j①Saccept
Fig. 11.5. Stack configurations with equal-suffix combination
In the process of combining stack suffixes we have lost the power to construct
the parse trees on the fly: we have combined Es that represent different parse trees.
This might actually be a good thing. After all, in GLR parsing many stacks will be
discarded, and the work spent in constructing the parse trees in them is wasted. And
the parse trees can be retrieved afterwards, in the same way as explained for the
Earley parser (Section 7.2.1.2). More semantic information may be available then,
which will reduce the number of parse trees. It is of course also possible to continue
assembling parse tree information, but then fewer opportunities to combine equal
suffixes will be available.
11.1.2.3 Combining Equal Stack Prefixes
When step 1 above calls for the stack to be copied, there is actually no need to copy
the entire stack; just copying the top states suffices. When we duplicate the stack of
Figure 11.3(d), we have one forked stack for (e1)and(e2):
⑤
e①E③+④E +d$ shift/reduce
⑤

11.1 Generalized LR Parsing 387
Now the reduce is applied to one top state ⑤and only so much of the stack is copied
as is subject to the reduce:
E③shift
e’ ①+d$
E③+④E⑤shift
In our example almost the entire stack gets copied, but if the stack is somewhat larger,
considerable savings can result. This is the parser described in Tomita’s second pub-
lication [161].
The title of this section is in fact incorrect: in practice no equal stack prefixes are
combined, they are never created in the first place. The pseudo-need for combination
arises from our wish to explain first the simpler but impractical form of the algorithm
in Section 11.1.1. A better name for the technique would be “common stack prefix
preservation”.
11.1.2.4 The Graph-Structured Stack
The stack in the GLR algorithm and its optimizations has the form of a “dag”, a
directed acyclic graph. It is called a graph-structured stack, often abbreviated to
GSS. Since stacks are processed from the top downwards in most algorithms, the
edges of nodes in them point to their predecessors, although a bidirectional graph
representation is occasionally useful. The GSS corresponding to the sample parsing
in the previous sections is shown in Figure 11.6.
1 3
E
2
d
4
+2
d
3
E
5
E
4
+
+
2
d
3
E
5
E
E
6
$
d1
1
+2
2
d3
3
+4
4
d5
5
$6
67
Fig. 11.6. Graph-structured stack for the parsing of d+d+d$
11.1.3 Hidden Left Recursion and Loops
Two grammar features threaten the correctness of the GLR parser: hidden left recur-
sion and loops. Both features can cause infinite reduce loops and thus cause step 1 of
the GLR algorithm not to terminate. That grammar loops cause reduce loops is easy
to see: with rules A→Band B→Aand having found a B, we can reduce the Bto A

388 11 Generalized Deterministic Parsers
using the first rule and then reduce the Ato Bby the second, getting our original B
back. Note that the stack does not grow in this process.
The problem with hidden left recursion is less obvious, all the more since visible
left recursion is OK. Suppose the grammar has a rule A→αAβ,whereαproduces
ε. Then some state scontains the item A→α•Aβ(item i1), and so it also contains
A→•αAβ(item i2). When we start parsing in state s.anαwill be recognized, which
moves the dot over it in item i2, which makes it equal to item i1, and we are back
where we were. If αwas recognized as matching ε, we are still in the same place
in the input and the parser is again poised to recognize an α. Nothing has changed
except that the stack now shows a recognized α. So a loop results. We note two
things: with hidden left recursion the stack grows; and visible left recursion is no
problem because no reduction is involved: item i2is the same as item i1in state s.
By a stroke of good luck the optimizations from Sections 11.1.2.2 and 11.1.2.3
help a great deal in solving both problems. To show how this works we use the
grammar
Ss--->ASc
S--->b
A---> ε
It produces the language εnbcn. This is of course bcn, since the leading εsarein-
visible, which is exactly the point. Its LR(0) automaton is in Figure 11.7; states ①
and ②contain conflicts. We now see clearly the root of the trouble: the transition
•S
S--->•ASc
S--->•b
A--->ε•
1
A
S--->A•Sc
S--->•ASc
S--->•b
A--->ε•
2A
S--->b•
3
bb
S--->AS•c
4
S
S--->ASc•
5
c
S•
6
S
Fig. 11.7. LR(0) automaton of a grammar with hidden left recursion
diagram has a cycle the edges of which consist only of nullable non-terminals (As
in our case), and traveling those edges can bring us back to the same state without
consuming input. Or, in other words, the automaton cannot know how many Asto
stack to match the coming sequence of cs.
We use the GLR parser based on this automaton to parse the input bccc;the
resulting GSS is in Figure 11.8. Most of the interesting things happen already before
the bis shifted, in position 1; the four columns 2...5 only serve to show that any

11.1 Generalized LR Parsing 389
2
A
1
A3
b
b
4
S
6
S
5
c
4
S
6
S
5
c
4
S
6
S
5
c
4
S
6
S
b1
1
c2
2
c3
3
c4
45
Fig. 11.8. Graph-structured stack for parsing with a grammar with hidden left recursion
number of cs can be accepted. The GLR parser starts in state ①, which calls for
a reduction, A--->ε, leading to a ②in the same position. State ②also calls for a
reduction, A--->ε, again leading to a ②. But we already have a ②in this position, so we
combine them. Note that this creates a cycle in the GSS, a feature it did not possess
before; in fact, the stack can be represented by a regular expression: ①A(②A)*.
There is another stack segment starting with Afrom ②but it ends in ①so we cannot
combine it with our new stack segment.
The next round of step 1 of the GLR algorithm yields another stack segment from
②over Ato ②, so now it combines with the previous one, and no modification to the
GSS is made. This means that if we go on doing reduces, nothing will change any
more and step 1 will just loop. So we modify step 1 by replacing the condition “until
all reduces have been treated” by “until no reduce modifies the GSS any more”. This
introduces a transitive closure component.
Step 2 shifts over the bto position 2 and introduces the stack segments ①b③
and ②b③; our stack is now represented by ①b③|①A(②A)*b③. State ③is a reduce
state, yielding an S, which gets shifted. The one starting at ①leads to ⑥; the one
starting at ②to ④. A shift over the first cgives a ⑤in position 3, which is again
a reduce state which wants to reduce ASc to A. Working back from the ⑤, we find
two paths ASc back, one leading to ①and the other to ②, the latter going through
the Aloop once. Of course both states allow a shift on the Sfrom the reduction, the
first yielding a ⑥and the second a ④, both in position 3. The ④allows the next c,
c3to be shifted, and the resulting ⑤causes the two-path reduction to be done again.
After shifting the last cand doing the reductions, an accepting state ⑥remains, so
the input is recognized. We see that the (②A)*in position 1 can produce any desired
number of As needed by cfurther on in the input. This is an application of the left
context (Section 9.12.1).
Nozohoor-Farshi [167] notes that the cyclic structures resulting from ε-
reductions in hidden left recursion can be precomputed and need not be computed
repeatedly at parse time.
390 11 Generalized Deterministic Parsers
A different way of handling hidden left recursion and loops is to employ the ε-LR
automaton of Nederhof and Sarbo [94] (Section 9.5.4) as the underlying automaton.
Since each stack entry in this parser corresponds to a non-empty segment of the
input, a reduce loop in step 1 of the GLR algorithm cannot occur. As said in that
section, it complicates the reduce action itself, though.
11.1.4 Extensions and Improvements
The basic GLR parser has exponential time requirements, but the standard GLR
parser, which includes equal stack prefix and suffix combination, is O(nk+1),where
kis the length of the longest right-hand side in the grammar. To limit this to O(n3),
Kipps [165] stores distance information in the GSS so all the starting points of a
reduce of length kcan be found quickly. The same effect is achieved by Scott et
al. [182] by using an automaton that does reductions of length 2 only. Remarkably,
Alonso Pardo et al. [175] derive an O(n3)GLR parser from an Earley parser.
Most other speed improvements are based on improving the underlying LR
parser. Nullable non-terminals at the beginning of a rule cause problems when they
hide left recursion; those at the end cause inefficiencies because they postpone sim-
plifying reductions. Algorithms to incorporate both kinds of ε-moves in the automa-
ton are reported by Scott et al. [177], Aycock et al. [178], Johnstone and Scott [180].
The resulting parser, called a RNGLR parser, for “Right-Nullable GLR”, is very ef-
ficient on a wide variety of grammar; for an extensive description see Scott and
Johnstone [188].
The number of stack operations — the most expensive operations in a GLR parser
— can be reduced considerably by using the stack for recursion only; all other stack
operations can be incorporated in the LR automaton, as described in Section 9.10.2.
Algorithms to this effect are discussed by Aycock and Horspool [176], Johnstone
and Scott [181] and Scott and Johnstone [183, 186].
The applicability of this optimization is hindered by the very large size of the
tables that result for grammars for every-day programming languages like C++, but
it turns out that table size can sometimes be reduced spectacularly by allowing a
little bit more stack activity than needed. Trade-offs are can mapped by Johnstone
and Scott [185].
Johnstone et al. [187] gives an overview of the various speed-up techniques.
There has been some speculation about what strength of LR table to use: LR(0),
SLR(1), LALR(1) or LR(1); most authors and practitioners settle for LR(0), because
it is the easiest table to construct. In a low-availability paper, Lankhorst [166] reports
experiments which show that LALR(1) is best, but LR(0) is only 5-10% worse. LR(1)
especially does much worse; its large number of states causes the GSS to be very
frayed, causing much overhead. More specialized LR automata are considered by
Johnstone et al. [184], with RNGLR a likely winner.
An incremental GLR parser is described by Vilares Ferro and Dion [331]. In
[179] Fortes Gálvez et al. show the construction of a generalized DR parser (Section
9.13.1). It required rethinking the DR parsing process.
11.2 Generalized LL Parsing 391
Piastra and Bolognesi [168] outline a way to efficiently perform semantic actions
during GLR parsing.
11.2 Generalized LL Parsing
For a long time it was thought that generalized LL parsing could not exist: an LL
parser in which the conflicts were caused by left recursion could never work since
it would always loop, regardless of how much breadth-first search one would do.
However, in 1993 van Deudekom and Kooiman [170] reported a top-down general-
ized LL parser, in a report on the implementation of non-correcting error recovery
according to Richter [313].
The algorithm we describe here is a simplification of theirs, the reason being that
their parser is integrated with the creation of a suffix grammar and is adapted to the
idiosyncrasies of LLgen, the LL(1) parser generator in which it is embedded. Those
aspects are discussed in annotation [320].
11.2.1 Simple Generalized LL Parsing
The generalized LL parser is very loosely based on Greibach’s 1964 “directed pro-
duction analyser” [7], which is actually a breadth-first predictive parser:
• As long as the top of the prediction stack is a non-terminal, we predict a right-
hand side for it, based on the LL parse table; this is the prediction phase. Then
we match the input symbol to the top of the stack; this is the matching phase.
• If the LL(1) table presents more than one right-hand side for a non-terminal A,
the prediction stack forks, resulting in more than one top and making the node
for Athe parent of more than one substack. We apply the above to all tops.
• This leads to a prediction tree rather than a prediction stack; technically it is a
reversed tree, “reversed” because the parent pointers point from the leaves to the
root. The leaves together are kept in a “top list”.
• If we are about to make a prediction for a non-terminal Awhich has already been
expanded before in the same branch of the prediction tree in the same prediction
session, we replace the prediction by back pointer, forming a loop in the tree.
• This leads to a prediction tree with loops; note that this is still less general than
an arbitrary graph.
Greibach’s parser as described in [7] works only for grammars in Greibach Normal
Form (Section 6.2), thus avoiding the use of an LL(1) table and problems with left
recursion. The admission of left recursion and its treatment as suggested above is
relatively simple, but it turns out that its combination with ε-rules causes a host of
problems.
In the absence of left recursion and ε-rules, things are straightforward. Given the
grammar

392 11 Generalized Deterministic Parsers
SS--->AB
A--->a|X
B--->b
X--->a
and the input ab, we get the predictions shown in Figure 11.9. The LL(1) table (not
S(a)
BA (b)
B
a
X
(c)
B
a
top
a
top
(d)
B(e)
Fig. 11.9. Top-down predictions as reversed trees
given here) predicts S--->AB for (S,a) (Figure 11.9(b)), and both A--->a and A--->X for
(A,a)(c); next Xis expanded (d, where the top list is marked by the dotted box). The
input amatches both tops, after which only the prediction Bremains (e); it predicts
B--->b, after which the input bis matched. If we keep the grammar rules used, we
obtain two parse trees.
There are two ways to perform the predictions: depth-first and breadth-first. Sup-
pose we are about to predict expansions for a non-terminal A, and the LL(1) table
indicates the alternatives A1... An. In depth-first prediction we first stack A1and if
its top is another non-terminal B, we predict and expand Brecursively, until all new
branches have terminal symbols on top, which we then enter into the top list, or until
we are stopped by left recursion. We then expand A2in the same way as the second
prong of the fork, etc. In breadth-first prediction we stack the alternative A1... An,
one next to another in fork fashion, and append the top of each stack to the top list.
Each of these tops will then get the rest of their treatment when their turn comes in
the processing of the top list.
It does not make much difference which method we use, since eventually the
same actions are performed, and a very similar data structure results. The action are,
however, performed in a different order, and it is good to keep that in mind for the rest
of the algorithm. Van Deudekom and Kooiman use depth-first prediction; breadth-
first prediction makes its easier to handle infinite ambiguity (Section 11.2.3).

11.2 Generalized LL Parsing 393
11.2.2 Generalized LL Parsing with Left-Recursion
When we introduce left recursion this simple data structure begins to shows its short-
comings. Given the grammar
SS--->AB
A--->a|S
B--->b
and the input abb, we get the predictions aB and SB, sharing the B(Figure 11.10(a)).
But when we want to expand the left-recursive Sby making a loop in the prediction
tree as suggested above, two questions arise: how do we know that this is the left-
recursive expansion and not the initial expansion, and where is the node to which we
should connect the loop? Both questions are answered by the same device: we keep
a non-terminal node after its expansion, properly marked as “expanded”, as shown
in Figure 11.10(b) where square brackets around a non-terminal indicate that it has
B
a
S
(a)
[S]B[A]
a
S
(b)
[S]B[A]
a
top (c)
Fig. 11.10. Prediction trees without expanded nodes (a), with expanded nodes (b), and with a
loop (c)
already been expanded.
We have to modify our parsing algorithm to accommodate the expanded nodes,
as follows. When such an expanded node for a non-terminal Aappears in the top list
during parsing, it means that a terminal production of Ahas been recognized. The
expanded node is skipped, and the node or nodes pointed to by its outgoing pointers
are included in the top list in its place.
With this data structure we can check the top Sfor being a left-recursive occur-
rence by following the parent pointers down the stack to see if Shas been expanded
before in this prediction phase; and the expanded node can act as the starting point
of the loop (c). The test requires us to know if a non-terminal was expanded dur-
ing the present prediction phase; we can achieve this, for example, by keeping a set
of all non-terminals expanded in the present prediction phase, or by numbering the
prediction phases increasingly and recording the prediction phase number in each
expanded node.
Note the direction of the back pointer: like all other pointers in the reversed tree
it runs from the predicted node “back” to the predicting node. Note also that parent

394 11 Generalized Deterministic Parsers
pointers and back pointers are treated differently: during parsing we follow both, but
during left-recursion checking we only follow the parent pointer.
It is clear that the nodes in the loop in Figure 11.10(c) may be used more than
once. This requires us to be more careful with them during prediction: rather than
just marking the node “expanded”, we need to make a copy of it, and mark the copy;
we then base our prediction on that copy.
We can see this mechanism in action when we continue the parsing of abb.We
start from Figure 11.11(a), which is a copy of Figure 11.10(c) except that the original
[S]
S
B[A]
A
a
top (a)
[S]
S
B
top
[A]
A
(b)
[S]
S
B
[B]
b
top
[A]
A
(c)
top
[S]
S
B[A]
top
A
(d)
Fig. 11.11. Prediction trees with copied expanded nodes
nodes for Sand Aare still visible. Note that these are not in the top list; they play no
direct role in the algorithm any more, but it is good to remember they are there. The
first matching phase matches the a, which makes the expanded node [A] the only
member of the next top list. The [A] node has already been expanded (an A--->a
was recognized), we follow its pointer, and bring node Binto the top list (b). Non-
terminal Band look-ahead bcommand the prediction B--->b, so a marked copy is
made of the node and the prediction bis based on it and its first component, the b,is
now in the top list (c).
The bis matched, the expanded [B] is skipped, and we arrive at the node [S].
This node, unlike the nodes we have seen up to now, has more than one outgoing
pointer. The parent pointer points to the bottom of the stack, indicating that the input
could be finished here (indeed ab is produced by the grammar), and the back pointer
leads to [A]. We follow both, so the bottom of the stack and the [A] node together

11.2 Generalized LL Parsing 395
form the next top list (d). The LL(1) parsing table immediately rejects the bottom of
the stack, and the [A] is skipped because it has already been expanded (a A--->S has
been recognized). Now node Bis the only member of the new top list; this brings us
back to Figure 11.11(b), and the system is ready to match the next b.
This technique can handle the ultimate in left recursion, a loop in the grammar,
but only with some difficulty. Prediction for the grammar S--->S,S--->a and input a
ties the parser in an infinite loop if we do not take measures. The initial step predicts
[S]
S
a
top
S
(a)
top
[S]
top
S
S
(b)
[S]
top
S
S
(c)
Fig. 11.12. Predictions with a non-εgrammar loop
both rules for S; the first one is left-recursive and causes a loop in the prediction
tree. The result is shown in Figure 11.12(a). Matching the acauses the [S] node
to become the only member of the top list; its processing follows parent and back
pointers, and appends the bottom of the stack and the node [S] itself again to the
top list (b). The node [S] is then processed again, etc., resulting in a parser loop, as
shown in Figure 11.12(c).
This is not actually a fault of the algorithm. The algorithm tries faithfully to find
all possible parsings, but the grammar is infinitely ambiguous, and the algorithm is
just building the data structure for a infinite number of parsings. The problem can
be solved crudely by not appending a node to the top list if it is already there. This
does, however, ruin the property that the parser finds all possible parsings; the next
section gives a much sharper criterion for the suppression of top nodes, which also
solves the grammar loop problem.
11.2.3 Generalized LL Parsing with ε-Rules
The introduction of ε-rules to the parser described above causes hardly any problems
as long as no left-recursion is involved. When the LL(1) parse table indicates an ε-
rule A→εas the prediction for an Aon the top of the stack, its empty right-hand
side is stacked on the expanded [A]node, which causes this node to be appended to
the top list. When its turn comes, it is skipped and its parent and back pointer nodes
are appended to the top list. This is exactly what should happen with a nullable non-
terminal.
The situation is more complicated for a left-recursive nullable non-terminal. Sup-
pose Ais such a non-terminal. As above, a node [A]is appended to the top list when
the system discovers that the node for Aproduces ε. Later it is then skipped and its
parent and back pointer nodes are appended to the top list; but the problem is that
its list of back pointers may be incomplete. After all that list is still under construc-
396 11 Generalized Deterministic Parsers
tion, and it may happen that there is a left-recursion loop that is discovered after the
nullable [A]node has been processed. This can make us miss parsings.
There are several ways to solve this problem. Van Deudekom and Kooiman de-
rive nullability information from the LL(1) parser generator, and if a left-recursion
back pointer is constructed for a nullable node [A]pointing to a node B, that node is
appended to the top list right away. This makes sure that no back pointers are missed.
Also, when an expanded nullable node created in the present prediction phase comes
up for prediction its back pointers are not followed to avoid spurious parsings. (Note
that if such a node has back pointers it must be left-recursive.) For a second way of
solving this see Problem 11.3.
A much more severe problem arises when there is a loop in the grammar involv-
ing a nullable non-terminal. Complicated cases like
SS--->STU
T--->TUS
U--->UST
S---> ε
T---> ε
U---> ε
S--->a
form convoluted, ever-growing prediction graphs, full of predicted productions of
length 0. Van Deudekom and Kooiman [170] do not address this problem; we shall
sketch a solution here, under the assumption that prediction is performed breadth-
first.
The grammar is infinitely ambiguous in many ways, which causes the algorithm
to produce infinitely many parsings. These infinitely many parsings originate from
the second, third, etc., appearance of a node in the top list. As said before, bluntly
refusing to take more than one copy of a node in the top list damages the ability
to produce the correct number of parsings in non-pathological cases. So we need a
better criterion for deciding to admit an expanded node Nto the top list.
To this end we follow the parent and back pointers from Nand put them in a set
εN, the set of nodes reachable from Nby ε-transitions. So far it is the set of nodes that
will be added to the top list when node Nwill be processed. Now for each nullable
or expanded node Min the set we put the parent and back pointers of Min εNand
we continue doing so until no more nodes are to be added (this is another example
of a transitive closure algorithm).
The set εNthus obtained is the set of nodes that would be predicted by Nwithout
predicting an intervening token, if Nis appended to the top list. Nodes that cause a
prediction which includes at least one token or non-nullable non-terminal cannot give
rise to prediction loops, since they cannot lead to the recognition of a non-terminal
expanded in the present prediction phase; so the set εNcontains the nodes that are
not safe.
Two tests can be made on this set. If the original node Nis not in εN, node Ncan
safely be appended to the top list; there is no prediction loop involving Nand thus
no parser loop needs to be feared from N. If node Nisin εN, there is a prediction
loop from Nto itself; appending Nis unsafe, but not appending it may make us lose
11.2 Generalized LL Parsing 397
parsings. With this information the decision is easy: if εNcontains a node Mfor the
same non-terminal as node N,andMis already in the top list, then we can afford not
to append node Nto the top list. The reason is that the predictions for Mare the same
as for N, and appending Nwould just produce them a second time. If there is no such
node M,Nmust be appended to the top list; next time it will produce a similar εN
set with different nodes, but now Nis in the top list and Nwill not be appended a
second time, thus quenching the loop.
A number of remarks can be made about this algorithm. The first is that it is
immaterial whether the node Mis in the top list before or after the node being pro-
cessed. If it is before, it has already been expanded; if it is after, it will be expanded;
in both cases parsings due to Mwill not be lost. The second is that the algorithm
works with breadth-first prediction only. The top list in depth-first prediction con-
tains terminals and symbols revealed by matching rather than the in-between results
of predictions, and an additional data structure is needed to make the algorithm work
with depth-first prediction.
The third is that we do not need to actually construct the set εN. While scanning
the prediction graph by following nullable and expanded nodes, we can record the
answers to our two questions: do we meet node N, and do we find a node Mwith
the properties described above. Unless both answers are affirmative, we append the
node for Nto the top list.
And last but not least, it is a bit worrying that the algorithm was designed by
repairing the shortcomings of a simple approach; also, no correctness proof of the
algorithm has been published to our knowledge. It is probably fair to say that this is
the least researched and least well-founded algorithm in the book.
Van Deudekom and Kooiman [170] describe various optimizations in their report,
including combining identical nodes in the top list. This turns their data structure
into what could be called “a directed acyclic graph with restricted cycles” and they
describe a specialized garbage collector for it.
11.2.4 Generalized Cancellation and LC Parsing
Similar data structures are used by Nederhof to implement generalized cancellation
parsing [105] and left-corner parsing [172].
Cancellation parsing (Section 6.8) can handle direct left recursion, but it cannot
handle indirect (hidden) left recursion, so loops in the prediction tree will still occur.
In addition to allowing all CF grammars, generalized cancellation parsing has the
advantage over deterministic cancellation parsing that it can work with a simplified
parse table that derives directly from the grammar. This allows a very simple and
light-weight implementation in Prolog, for which see [105].
The LC version uses the left-corner relation ∠(Section 10.1.1.5) rather than the
actual LC parse table. It lends itself well for serious optimization, including such
things as precomputation of ε-generating parse forests. It is all described in [172].
398 11 Generalized Deterministic Parsers
11.3 Conclusion
The generalized non-deterministic parsing algorithms extend the powerful determin-
istic LR and LL techniques to general CF grammars. For grammars with limited
non-determinism, which includes most practical grammars, they are very efficient
and vastly outperform CYK and Earley parsers, usually achieving almost linear time
dependency.
Their basic tool is the forked stack, a forked reduction stack for GLR and a
forked prediction stack for GLL. Simple optimizations convert these forked stacks to
directed acyclic graphs, or DAGs. Infinitely ambiguous grammars cause these DAGs
to degenerate into full-fledged graphs and come with a host of parsing problems (Sec-
tions 11.1.3 and 11.2.3). Given the limited usefulness of infinite ambiguity, rejecting
such infinitely ambiguous input grammars is a serious option.
To our knowledge, nothing has been published on generalized non-canonical
parsing.
Problems
Problem 11.1: Since the LR automaton of Figure 11.2 is already inadequate
anyway, we can just as well leave out the terminator $; then state 6 disappears and
state 3 becomes inadequate too. How does this affect the parsing in Figure 11.3?
Problem 11.2: Modify the GLR algorithm so it produces a parse forest grammar
rather than a parse forest. Does the resulting grammar need cleaning?
Problem 11.3: Design a way to allow nullable left-recursive non-terminals in a
GLL parser without requiring nullability information from the LL parser generator
(Section 11.2.3).
Problem 11.4:Research project: Give a formal proof of the GLL parsing algo-
rithm of van Deudekom and Kooiman (Section 11.2) or a provable version of it.
Problem 11.5:Project: Investigate how generalized parsing can be done with
less usual bottom-up methods: LR-regular, non-canonical. How about using a non-
deterministic handle recognizer (as, for example, in Figure 9.15)?
12
Substring Parsing
In Chapter 2 grammars were explained as finite devices for generating infinite sets of
strings, and parsing was explained as the mechanism for determining whether a given
string — a sentence — belongs to the set of strings — the language — generated by
the grammar. As a bonus parsing also reveals the syntactic structure of that sentence.
But sometimes the sentence is not completely known. Parts of it may be missing
due to transmission errors, lost in milliseconds in an electronic network or in mil-
lennia on clay tablets. It may be syntactically almost but not quite correct, in which
case it will consist of a sequence of syntactically correct fragments, “substrings”. Or
we may have missed its beginning and picked up only somewhere in the middle, in
which case we obtain a “suffix” of a correct sentence. In each of these cases we want
to do the best syntax analysis possible; so it is useful to be able to do substring and
suffix recognition and/or parsing.
In principle we have to distinguish between a substring — a section from a sen-
tence — and a suffix — the tail of a sentence —, but in practice the difference is not
that big. Most suffix parsing algorithms are directional, which means that if the suf-
fix happens to be a substring, the algorithm just stops prematurely on end-of-input.
In fact, all “substring parsers” mentioned in (Web)Section 18.2.3 are actually suffix
parsers.
We do, however, have to distinguish between recognition and parsing. As usual
recognition is easier than parsing, and all known algorithms start by recognizing;
additional work is then needed to obtain a — necessarily incomplete — parse tree.
Suppose we try to parse the string -n) as a suffix with the grammar for arithmetic
expressions from Figure 9.23, which we repeat here in Figure 12.1. Then a recognizer
S--->E
E--->E-T
E--->T
T--->n
T--->(E)
Fig. 12.1. The grammar for differences of numbers, copied from Figure 9.23

400 12 Substring Parsing
will just say “Yes”; additionally it will probably provide an incomplete parse tree like
the one in Figure 12.2(a), but this incomplete tree can be completed in arbitrary ways,
each corresponding to a different missing prefix.
S
E
T
(
✔
E
E
✔
T
-n)
(b)
T
-n)
(a)
Fig. 12.2. Two kinds of parse structures for the suffix -n)
There are two useful data structures that can (usually) be obtained from suffix
parsing: a maximally supported parse forest, and a minimally completed parse tree.
The maximally supported parse forest is the maximal set of supported parse sub-
trees, where a supported parse subtree is a node with its subtree all of whose leaves
are tokens in the suffix. The maximally supported parse forest is the maximal set of
nodes for which there is direct evidence in the input, and for which synthesized at-
tributes can be computed in those cases where semantics must be retrieved (Section
15.3.1). An example is shown in Figure 12.2(a), where only the node for Tis fully
supported.
Aminimally completed parse tree is the smallest tree with a top node labeled
with the start symbol of the grammar that includes all subtrees of the maximally
supported parse tree plus all input tokens not included in these. It is the smallest tree
that gives a complete account of all tokens in the suffix, but it will probably contain
non-terminals as leaves. These belong to the prefix, and allow hypotheses about that
prefix to be formulated. An example is shown in Figure 12.2(b), where the nodes
marked with a ✔are terminals and non-terminals for the prefix that are inferred
from the suffix.
It is surprisingly simple to create a grammar for the suffixes of a language L,
given a CF grammar for L. Substring parsing based on such grammars has been
known for a long time; it is treated in Section 12.1. More efficient techniques for
12.1 The Suffix Grammar 401
general substring parsing emerged in the late 1980 and have been extended since
(Section 12.2). Techniques for deterministic substring parsing followed 5 to 10 years
later (Section 12.3). Most of these parsing algorithms are actually recognizers. A
few authors report research on constructing completed parse trees; see Lang [210]
and Nederhof and Bertsch [216, Section 3].
12.1 The Suffix Grammar
We define the suffix language of a language Las the set of strings obtained by re-
moving one of more tokens from the front of sentences in L. In general this suffix
language of Lcontains some strings that also occur in the language Litself. For ex-
ample, deleting the prefix n- from the string n-n in the language from Figure 12.1
yields another correct string in that language: n. In other words, a string in the suffix
language of Lis not automatically an erroneous string for L, even tough it is a proper
suffix.
The suffix language of a context-free language is again a context-free language,
andagrammarGScan be constructed given the grammar Gof the original language.
Such a grammar is called a suffix grammar, and it can be constructed as follows:
for every non-terminal Ain G, we introduce a new non-terminal Awhich derives a
suffix of a sentence generated by A.IfGcontains a rule
A→X1X2···Xn
the suffix grammar GSwill also contain this rule and in addition it will contain the
following series of rules deriving suffixes of what Acan derive:
A→X
1X2···Xn
A→X
2···Xn
··· ··· ···
A→X
n
Acan be thought of as a “damaged” A, where the damage has been restricted to the
front. So if Xiis a terminal symbol, X
iis the empty string, since that is the result
of damaging a terminal symbol. No rule is generated for A→ε; see Problem 12.2
for a small complication. If Sis the start symbol of the original grammar, the suffix
grammar has start symbol S.
All new non-terminals Aproduce the empty string, which is also a suffix, albeit
a degenerate one. We can see this as follows. The last rule created for Ais A→X
n.
Suppose Xnis a terminal; then X
nis empty and Aproduces empty. Otherwise Xnis
a non-terminal, and we consider the last rules created for all production rules of X
n,
etc. Somewhere along this chase we must find a Zlast which is a terminal; otherwise
all right-hand sides would contain non-terminals, and the grammar would be non-
productive (Section 2.9.3). So the corresponding Z
last is empty and by following the
way back we see that all the other non-terminals we met produce empty, including
X
nand A.
402 12 Substring Parsing
An important consequence of this is that we do not need rules like A→X2···Xn
to represent a missing X1. A missing X1is represented by X
1producing empty: the
X1is completely “damaged away”.
When we apply this construction to the grammar of Figure 12.1, we obtain the
suffix grammar shown in Figure 12.3. Note that the rule E’--->T is actually the rule
S’
s--->E’
E---> E-T|T
E’ ---> E’-T|T|T’
T---> n|(E)
T’ --->E)|E’)|ε
Fig. 12.3. Suffix grammar for the grammar of Figure 12.1
E’--->-’T where -’ (a minus sign with the first symbol removed) is empty; some-
thing similar occurs in the rules E’--->E) due to a deleted (,andinT’--->εdue to a
deleted n.
Some rules may be produced more than once in this process. For example, the
rule E’--->T’ derives both directly from E--->T and from E--->E-T by leaving only a
suffix of T. But since production rules form a set, only one copy is retained.
We see that the suffix grammar is ambiguous. For example, the
string n) can be produced by S’
s--->E’--->T’--->E)--->T)--->n) and by
S’
s--->E’--->T’--->E’)--->T)--->n). In the first case it could stem from a dam-
aged (n) and in the second case from (n-n). This suggests that it will not be easy
to construct an efficient parser for it.
More generally it turns out that suffix grammars almost never have any redeem-
ing properties, and that they can only be handled by general CF parsing. In principle
this does solve the suffix parsing problem: construct the suffix grammar and use any
general CF parsing algorithm. But the solution is unsatisfying: it is inefficient and
does not gives us any insight in the nature of suffix parsing.
More efficient and interesting methods have been found, which use the original
grammar (mostly). Some of these have linear time requirements, which makes them
very useful for error recovery, and even the non-linear ones are more efficient and
less brute-force than the use of suffix grammars.
12.2 General (Non-Linear) Methods
General CF recognizers come in two varieties, non-directional and directional, and
so do general suffix recognizers that use the original grammar. The non-directional
one is bottom-up and CYK-like; it is described immediately below. The directional
one is top-down and is a variation of the Earley algorithm; it is treated in Section
12.2.2.
There is no report in the literature on an Unger-like top-down suffix parser, and
it is indeed difficult to imagine how its try-and-divide concept could be exploited for

12.2 General (Non-Linear) Methods 403
suffix parsing. But then, some approaches that were thought impossible in the late
1980s have now yielded interesting algorithms, so who knows.
12.2.1 A Non-Directional Method
When we apply the CYK algorithm (Section 4.2) to a suffix rather than to a complete
sentence, it will of course fail to identify the start symbol in position (1,n)ofthe
recognition table, but it will still identify all substrings that are complete productions
of non-terminals. See, for example, Figure 12.4, where we show the result of running
CYK on the suffix n-n). The recognition table (R) is in tabular format as described
1,3 1
1,3 1R
1 1
S
E
T
n
1
-
2
n
3
)
4
Fig. 12.4. Tabular recognition of the suffix n-n)
in Section 4.3, where the vertical axis names the non-terminals and an entry Ri,N
contains the set of lengths of substrings recognized for Nstarting at i.
We see that the entry (1,S) does not contain the length 4 since n-n) is not a
correct sentence for the grammar. But all fragments that could be completed have
been identified, and can be combined to give various interpretations of the string.
Combinations are for example S),sinceScancover tokens1...3 and the )covers
token 4; E-S),sinceEand Scan cover the tokens 1 and 3 respectively, and the
terminal symbols cover themselves; and E), in a way similar to S).
The question arises as to how we can find out if one of these combinations cor-
responds to a suffix of the grammar. So rather than a sentence start symbol, the pres-
ence of which can be checked with a simple test, we need one or more suffix start
sequences, which we have to match with combinations of entries in the recognition
table.
We will first discuss a way to obtain the suffix start sequences and then how to
perform the matching.
12.2.1.1 The Root Set
The suffix start sequences of a grammar Gform a language Lsuffix, but it is an unusual
language in that the non-terminals in Goccur as terminals in it. For our example
grammar it contains strings like E),-T)))) and ε. Now we have already got a suffix
grammar for it, the one in Figure 12.3, but it produces the suffix language expressed
in terminal symbols as they appear in the input string rather than in the symbols that
appear in the CYK recognition table. This suffix grammar can, however, be adapted
404 12 Substring Parsing
to our needs by removing the rules of the original grammar from it, leaving only
the rules for “damaged” non-terminals. S’ becomes the start symbol and the non-
terminals of the original grammar, Eand T, become terminals. The result is shown
in Figure 12.5.
S’ --->E’
E’ --->E’-T
E’ --->T
E’ --->T’
T’ --->E)
T’ --->E’)
T’ ---> ε
Fig. 12.5. Root set grammar for the grammar of Figure 12.1
It produces the suffix start sequences E),-T)))),εand many others. Since
the start symbol is also called the “root” of a grammar, the language of suffix start
sequences is called the root set, and its grammar a root set grammar.
When we look at the root set grammar, we see something remarkable: the non-
terminals occur only in the first position in the right-hand sides, so it is a regular
grammar! Actually, the root set grammar of any CF grammar is (left-)regular. The
reason is that suffix grammar rules for “damaged” non-terminals are defined so that
the damage occurs only in the first position, never further on in the rule. (Sometimes
the damage is not directly visible, as in the rule T’--->E), where the damage done
to the leading open parenthesis made it disappear.) This left-regularity makes the
matching with the recognition table entries much easier; in fact, it is what makes the
algorithm work. If the root set grammar had been a CF grammar, we would have to
do CF parsing on the entries in the recognition table. But the finite-state nature of the
root set grammar allows matching to be performed efficiently.
12.2.1.2 The Root Automaton
The matching algorithm is based on a deterministic finite-state automaton for the root
set grammar. A non-deterministic FSA for our root set is given in Figure 12.6(a). We
could have constructed it from the root set grammar of Figure 12.5 using the general
techniques from Section 5.6, but it is more instructive to derive it directly from the
original grammar shown in Figure 12.1. A rule A→αin the original grammar is
represented in the NFA as a sequence of transitions labeled by the symbols in α,
starting in an inaccessible state ✘and ending in a state Affor “Afinished”. This is
reasonable since if we have followed some transitions ending up in a state Afwithout
starting at the beginning, we have seen a suffix of A.
The transition sequences can be entered from state εfafter any transition on a
terminal; this represents the situation that the suffix starts right after that terminal.
It can also be entered from a state X
fafter a transition on the non-terminal X;this

12.2 General (Non-Linear) Methods 405
✘E
ε
E’
f
S’
f
ε
✘E
ε
E’
f
-
ε
εf
T
ε
T’
f
E’
f
ε
✘T
ε
T’
f
E’
f
ε
✘n
ε
εf
T’
f
ε
✘(
ε
εf
E
ε
E’
f
)
ε
εf
T’
f
ε
(a)
1♦
2
3
4♦
- T
E )
),T
-
)
(b)
Fig. 12.6. NFA (a)andDFA(b) for the root set of the grammar in Figure 12.1
happens when the suffix starts with a damaged X. The start state of the automaton
is εfas it is in any left-regular non-deterministic automaton, and its end state is Sf,
where Sis the start symbol of the original grammar.
Applying the subset construction (page 145) turns this root NFA into the
root DFA shown in Figure 12.6(b). Here state 1 is {εf,S’
f,E’
f,T’
f}andstate4is
{S’
f,E’
f,T’
f}; states 2 and 3 were nameless in the NFA. State 1 is the start state since
it contains εf, and 1 and 4 are end states since they contain S’
f. It is remarkable that
nand (do not figure in the DFA. The reason is that ncan always be reduced to T,
suffix or no suffix; and (can only occur in the undamaged right-hand side (E).
12.2.1.3 Matching the Root Set in the Recognition Table
It is easy to see that the root DFA of Figure 12.6(b) accepts the combination E)
available in the recognition table Rof Figure 12.4 but not S) or E-S), which are
also allowed by the table; this is just as we expected.
The algorithm to match members of the root set to the combinations in Rcan be
explained as follows; refer to Figure 12.7, where we record in a table Tthe states

406 12 Substring Parsing
of the root DFA between the input tokens. This Thas n+1 elements, numbered
1,3 1
1,3 1
1 1
S
E
T
n
1
-
2
n
3
)
4
13,4 3,4 4
(a)
1
1R
1
S
E
T
-
1
n
2
)
3
1244T
(b)
Fig. 12.7. Tabular recognition and root DFA tables for the suffixes n-n) and -n)
1...n+1. So Ticontains the state set just before the i-th token.
Our root DFA is in state 1 before the first position in the input. From this position
it can shift over -,),T,andE. Of these, only Tand Eare available in R; let us do
R1,
E
first. The entry tells us that Es of lengths 1 and 3 can start in position 1. First we
shift the automaton over the Eof length 1. It then lands in state 3 between the first
and the second token, and we record this in T2. Then we return to the E, shift now
over its length 3, and see that the DFA lands in state 3 in T4. Likewise, a shift over
the Tof length 1, available from R1,
T
, moves the DFA to state 4 right after the first
n,inT2.
So shifts from all root DFA states in front of a given column of Rover all gram-
mar symbols and all lengths in that column cause the DFA to jump to various states
in various positions between input tokens. Shifts over terminal symbols are also pos-
sible; this happens after the second n, where the root DFA moves from state 3 over
the )tostate4inT5.
It is clear that we can repeat these actions for all entries of R.Inthiswaywe
obtain sets of states the root DFA can be in after each token. If the state set right after
the last token contains an end state of the root DFA, the input string is a suffix in the
language.
The last state set, Tn+1, contains the state 4, which is an end state of the root DFA,
confirming again that n-n) is a suffix. We also see that there are more state sets that
contain end states: T1at the beginning and T2after the first n. This means that ε
and nare also suffixes, but since the input continues after them, they are actually
substrings. T3does not contain an end state, so n- is not recognized as a suffix;
indeed it is not. Figure 12.7(b) shows that something completely different happens
for the suffix -n).
There are a few details we have to look at in this process. The first is that if a
length set in an entry of Rincludes 0, the new DFA state will land in the same entry
of Tthat we are processing. If the resulting state is already there, nothing needs to
be done, but if it is not, we need to make sure that it will be processed. Second, we
note that since the Rentries do not include negative numbers, new states will never
12.2 General (Non-Linear) Methods 407
be added to positions in Tto the left of where we are working. So if we process the
elements of Tfrom left to right, all DFA states will be available when we need them.
The algorithm has quadratic time requirements with respect to the length of the
input. This can be seen as follows. There are O(n)entries in Tto process. Each
can hold |D|states, where |D|is the number of states of the root DFA. For each
state we have to process |VN|non-terminals, each with possibly nlengths (and |VT|
terminals of length 1, but they are negligible). Together this is O(|D||VN|n2). Filling
the CYK recognition table already costs at least O(n3), so the additional O(n2)for
suffix matching is negligible.
It is evident that the recognition table Rand the matching table Ttogether contain
much information for the construction of one or more completed parse trees.
The root set and the matching algorithm are from Bertsch [215].
12.2.2 A Directional Method
Running a CYK parser on a suffix was easy; being a bottom-up parser, it immediately
started recognizing fragments without the need for any modification to the algorithm.
The hard part was figuring out what to do with the fragments.
Running an Earley parser on a suffix is less easy since the first thing it needs is
an initial item set. As we have seen (Section 7.2), the initial item set is computed
from the start symbol by the Predictor. This computation is part of the top-down
component of the Earley parser, which ensures that all items in all item sets are
derivable from the start symbol. But a suffix has no start symbol (unless we use a
suffix grammar); a suffix in a language begins at a moment when the start symbol
has already been lost.
The easiest way to solve this problem is to just include all possible items in the
initial item set; a prophet who predicts everything is never wrong. This immediately
raises the question from which position these items originate, what should be filled
in for the iin an item like A→α•β@i. We would like to put all possible (non-
positive) numbers here, and we do that by writing the joker symbol *.Thisgivesthe
suffix start set of the grammar. For the grammar of Figure 12.1 it contains 14 items;
example are S--->•E@*,E--->E•-T@*and E--->T•@*.Thesetisshownasactive1in
Figure 12.8. Running the Predictor on active1yields predicted1.
Since the standard Earley algorithm does not do computations on the origins of
items and uses them only in the Completer, it needs remarkably little modification
from here on. The shift over the -is standard, resulting in zero completed, one active
and two predicted items: itemset2. We see that items appear that have known points
of origin, for example E--->•T@1 and T--->•n@2. The shift over the nis survived by
only one item, T--->•n@2, which turns into T--->n•@2 and lands in completed3.The
Completer goes to the position of origin, 2, finds there all items that have the dot in
front of a T, of which there is only one, E--->E-•T@*,andturnsitintoE--->E-T•@*.
Finding an item E--->E-T•@*in completed3means that an Ehas been recog-
nized starting somewhere before the left end of the suffix and ending here. Now the
Completer cannot go to an itemset∗because it would be situated before the begin-
ning of the suffix. This is solved in the same way as the creation of the initial item

408 12 Substring Parsing
S--->•E @*
S--->E• @*
E--->•E-T@*
E--->E•-T@*
E--->E-•T@*
E--->E-T•@*
E--->•T @*
E--->T• @*
T--->•n @*
T--->n• @*
T--->•(E)@*
T--->(•E)@*
T--->(E•)@*
T--->(E)•@*
S--->•E @1
E--->•E-T@1
E--->•T @1
T--->•n @1
T--->•(E)@1
act/pred1
=itemset1
-1E--->E-•T@*
T--->•n @2
T--->•(E)@2
completed2
act/pred2
=itemset2
n2
T--->n• @2
E--->E-T•@*
S--->E• @*
E--->E•-T@*
T--->(E•)@*
completed3
act/pred3
=itemset3
)3
T--->(E)•@*
E--->E-T•@*
E--->T• @*
S--->E• @*
E--->E•-T@*
T--->(E•)@*
completed4
act/pred4
=itemset4
Fig. 12.8. Earley suffix parsing of -n)
set: assume that itemset∗contains all possible items; so it is actually equal to active1.
This is another modification that needs to be made to the original Earley parser to
turn it into an Earley suffix parser.
Filtering the items from there that have the dot in front of an Eyields
S--->E•@*(which goes to completed3)andE--->E•-T@*and T--->(E•)@*(which
go to active3). There is nothing to predict here. Similar considerations allow us to
construct itemset4.
A lot of information can be gathered from inspecting the items sets at the end
of the input. Since itemset4contains the item S--->E•@*, we have found that -n) is
indeed a suffix, but we can also see that it is not a complete sentence. If it were, we
would also have found an item S--->E•@1. Additionally, since itemset3contains the
item S--->E•@*too, -n is a suffix as well. The itemset4shows that the input could
continue with a -, leading to another -T, or with a )deriving from another (E in the
missing prefix.
The time requirements of the Earley suffix parser are the same as those of the
standard Earley parser: O(n3); the size of the initial item set has no influence. The
Earley suffix parser is described in more detail by Nederhof and Bertsch [216, Sec-
tion 3].
Rekers and Koorn [212] have described a GLR parser modified to do substring
parsing.
12.3 Linear-Time Methods for LL and LR Grammars
It had been known since the mid-1960s that LL and LR languages could be parsed
in linear time, but for decades there was no way to do the same for LL or LR suffix
12.3 Linear-Time Methods for LL and LR Grammars 409
languages. The suffix grammar of an LL(1) grammar is definitely not LL(k), and the
same is true for LR grammars; also, neither seemed to have any other exploitable
qualities. So the only way to do LL or LR suffix parsing was through general, cubic-
time, parsing. This was bothersome, especially in error recovery, where suffix lan-
guages are important (Section 16.7).
A beginning of a break-through occurred when in 1993 van Deudekom and
Kooiman [170] implemented a generalized deterministic top-down parser, applied
it to suffix grammars of LL(1) grammars, and found to their amazement that they
could not make the parser require cubic time even if they tried. What apparently
happened was that already after a few tokens the parser had constructed so much of
a prediction stack that it could run in linear time for quite a distance, and only at
increasingly wider intervals did it have to resort to wild guessing.
The real break-through came one year later, when the situation was analysed by
Bertsch, who reported a provably linear-time LL(1) suffix parser [215]. Several other
linear-time suffix parsing methods for LL and LR languages were then discovered.
They come in two varieties: linear versions of general methods (Section 12.3.1 and
12.3.2) and tabular methods (Section 12.3.3).
An algorithm for linear-time LR suffix parsing was developed independently by
Bates and Lavie [214] in 1980 but was not published until in 1994; it is covered in
Section 12.3.2.
A linear-time suffix parsing algorithm for BC(1,1) grammars was reported by
Cormack [211] in 1989.
12.3.1 Linear-Time Suffix Parsing for LL(1) Grammars
Surprisingly, and perhaps disappointingly, we do not need a new algorithm to do
linear-time suffix parsing for LL(1) grammars. It turns out that an Earley suffix parser
with a 1-token look-ahead works in linear time when used with an LL(1) grammar.
We shall first show that this property holds for the standard Earley parser and then
that it also hold for the Earley suffix parser.
12.3.1.1 The Earley-on-LL(1) Parser
Intuitively it is probably not too amazing that an Earley-on-LL(1) parser has better
than cubic time requirements, but showing that it works in linear time in the length of
the input is not easy. Before we embark on that, we show a run of an Earley parser on
an LL(1) grammar. For this we use an LL(1) version of the grammar for differences
of numbers used above. It was constructed by removing the left recursion from the
original grammar in Figure 12.1 using the technique from Section 6.4 and touching
up the result a bit by hand. It is shown in Figure 12.9; Etstands for Etails.
To allow the Earley parser the full benefit of the LL(1) parse table we modify it
so its Predictor will base its decisions on that table rather than on FIRST sets as it did
in Section 7.2.4.1. So when predicting the items for an item A→···•B···@iwhere
the next input token is t,itusestheentry(B,t) of the LL(1) parse table to predict an
item B→•···@j. The parse table is

410 12 Substring Parsing
E--->TE
t
Et--->-TE
t
Et---> ε
T--->(E)
T--->n
Fig. 12.9. LL(1) grammar for differences of numbers
n - ( ) #
ETEtTEt
Et-TEtε ε
T n (E)
wherewehaveusedFOLLOW(Et)={),#} to get the correct predictions for the rule
Et--->ε.
We now use this parser to parse the string (n-n). The process and the item sets
are shown in Figure 12.10. Since we are dealing with a parser which uses a one-token
•E @1
E--->•TEt@1
T--->•(E)@1
act/pred1
=itemset1
(1T--->(•E)@1
E--->•TEt@2
T--->•n @2
completed2
act/pred2
=itemset2
n2
T--->n• @2
E--->T•Et@2
Et--->•-TEt@3
completed3
act/pred3
=itemset3
-3Et--->-•TEt@3
T--->•n @4
completed4
act/pred4
=itemset4
n4
T--->n• @4
Et--->ε•@5
Et--->-TEt•@3
E--->TEt•@2
T--->(E•) @1
completed5
act/pred5
=itemset5
)5
T--->(E)• @1
Et--->ε•@6
E--->TEt•@1
E• @1
completed6
act/pred6
=itemset6
#6
Fig. 12.10. Earley-on-LL(1) parsing of the string (n-n)
look-ahead we have extended the input with one #. We have taken the station •Eas
the start item; consequently we observe that the whole string has been recognized by
finding the item E•@1 in itemset6. Note that using the LL(1) parse table and having
the end-of-input token #together prevent any further predictions from being made.
12.3.1.2 Properties of the Earley-on-LL(1) Parser
We shall first prove two properties which hold for a slightly modified Earley on LL(1)
parser, use these properties to show linearity, and then show that the modification
12.3 Linear-Time Methods for LL and LR Grammars 411
makes no difference to the linearity. We will discuss the modification when we need
it. The properties are:
P1. The set activeiholds exactly 1 item for all 1 ≤i≤n.
P2. The set itemsetiholds at most 1 item of the form A→···•X···@jfor any
terminal or non-terminal X.
Property P1 certainly holds for active1: the one active item is the start item. If the
dot in the active item is in front of a terminal, the Predictor does not add anything,
and P2 holds for itemset1. If the dot is in front of a non-terminal, say A, the Predictor
looks at the first token in the input, t1, and consults the entry (A,t1) of the LL(1) parse
table. Since the grammar is LL(1) it will find there at most one rule; suppose that
rule is A→B···. It then turns this rule into the item A→•B···@1 and inserts it in
predicted1. It is important to note that Bcannot be the same as A, since otherwise
Awould be directly left-recursive and the grammar would not be LL(1). If Bis a
non-terminal, the Predictor now repeats the process for B, resulting in an item like
B→•C···@1. Here Cmust be different from Aand B, or the grammar would be
left-recursive. The process is repeated until an item appears in which the dot is in
front of a terminal. All non-terminals after the dot are different and there is exactly
one item with a terminal symbol after the dot. So property P2 holds for itemset1.For
the moment we assume that there are no ε-rules in the grammar.
Next the Scanner moves the item(s) that contain •t1over the token t1,andwe
know from P2 that there is only one such item. If it is not a completed item, it is
entered into active2; so property P1 holds at position 2. Then the Predictor does its
work as above, establishing P2.Ifitis a completed item, it is entered into completed2,
and the Completer goes to work. Say the completed item is P→···•@1. The Com-
pleter then goes to itemset1, and finds the item(s) in it that contain •P. Since this is
an Earley parser there will be at least one such item, and since P2 holds at position
1, there is at most one such item, so there will be exactly one such item. The Scanner
in the Completer turns the •Pinto P•. The resulting item can again be completed
or not completed, and the process is repeated until a non-completed item is obtained
(unless Pis the start symbol; see below), which then duly goes into active2.Soagain
property P1 holds. And again the Predictor establishes P2.
The argument given above for position 2 can be repeated for all further positions,
since for each position ithe argument only assumes that the properties P1 and P2
hold for all positions < i. So we can conclude that P1 and P2 hold for 1 ≤i≤n.
There are two complications here. A minor one is that the Completer/Scanner
loop does not come up with a non-completed item just after the last input token; there
the last obtained item is the completed start symbol, which goes into completedn+1.
So P1 does not hold for position n+1, as we can see in Figure 12.10.
The second complication concerns ε-rules. When the Predictor in position ipre-
dicts an ε-item, say C→•@i, from an active item, say A→B•CDE@j, the predicted
item is immediately processed by the Completer, which combines it with the item
A→B•CDE@jto produce A→BC•DE@j, again an active item. So now there are
two items in activei, violating property P1. But a little thought reveals that once the
item A→BC•DE@jhas been introduced, the old item A→B•CDE@jhas become
412 12 Substring Parsing
useless. The reason is that only one item of the form C→•···@ihas been gener-
ated for the •Cdue to the LL(1) property, and it has been consumed immediately.
No other item of the form C→•···@iwill ever exist, and the item A→B•CDE@j
will never be used again. So we modify the Earley-on-LL(1) parser to discard such
items. Although the process may repeat itself for E, etc, once it stops, it yields either
an active item that does not predict an ε-item, in which case P1 holds, or a completed
item, which is then again processed normally. So, although a lot may happen in the
Completer/Scanner/Predictor loop, in the end P1 and P2 hold. Note that this situa-
tion does not occur in Figure 12.10, since all ε-item processing results in completed
items.
12.3.1.3 The Linearity of the Earley-on-LL(1) Parser
We will now show that the thus modified Earley-on-LL(1) parser runs in linear time,
and we will do this by showing that at each position the Scanner and the Predictor use
an amount of time independent of the length of the input, n, and that the Completers
in all positions together do an amount of work proportional to n.
Since there is only one item with •tiin itemseti, the Scanner has to process and
produce one item only. The Predictor starts from exactly one item (property P2). It
may produce more than one item, but since all the non-terminals following the dot
are different (property P2) their number is limited by the number of non-terminals in
the grammar.
The Completer may often do nothing, but when it is called it may do lots of
consecutive reductions. When it is asked to process a completed item B→···•@j
in position i,itgoestoitemset j, selects the one item with •B(property P2), say
A→···•B···@k, and completes it to A→···B•···@k. This new item may again be
a completed item, etc., and it is difficult to assess the total cost. But it is interesting
to see how the item B→···•@jended up in position i. It came from one item
B→···•·@jin an earlier position, which came from an item B→·•···@jin an
even earlier position, etc., which finally came from an item B→•···@jin position
j. So there is a one-on-one unbroken chain from the item B→•···@jin position j
to the item B→···•@jin position i. This means that now that the item B→•···@j
in position jhas been used, the Completer will never use it again, for lack of further
clients for that item. And since the Completer will touch each item in all itemsets only
once, and since we have just seen that there are only O(n)of these, all Completers
together do an amount of work proportional to n.
This shows that the modified Earley-on-LL(1) parser works in linear time. But
the modification is not essential to the linear-time argument, which we can see as fol-
lows. Suppose we leave the used-up items of the form A→B•CDE@jin. Then they
will never be touched again by the parser and cannot influence its time dependency;
so we might as well leave them in. This shows that the unmodified Earley-on-LL(1)
parser also runs in linear time.

12.3 Linear-Time Methods for LL and LR Grammars 413
12.3.1.4 The Earley-on-LL(1) Suffix Parser
It is quite simple to use this Earley-on-LL(1) parser to implement a linear-time
Earley-on-LL(1) suffix parser. It is sufficient to just take each item in the suffix start
set of the grammar, and run an Earley-on-LL(1) parser with that item as the only
item in active1. If one of these parsers succeeds, the input is a suffix. Each parser is
linear, and since the number of parsers depends only on the grammar and not on the
length of the input, the combined, sequential, parser runs in linear time. This sounds
wasteful, but it may not be: most parsers will fail immediately or after a few tokens.
But the overhead is high and we agree that it is not elegant, so a better approach is
needed: process all items in the suffix start set simultaneously by entering all of them
in active1, just as in the Earley suffix parser in Section 12.2.2.
Figure 12.11 shows such a parser at work on the suffix -n). The struck out items
E--->•TEt@*
E--->T•Et@*
E--->TEt•@
*
Et--->•-TEt@*
Et--->-•TEt@*
Et--->-T•Et@*
Et--->-TEt•@*
Et--->• @*
T--->•(E) @*
T--->(•E) @*
T--->(E•) @*
T--->(E)• @*
T--->•n @*
T--->n• @*
E--->•TEt@1
Et--->•-TEt@1
Et--->• @1
T--->•(E) @1
T--->•n @1
act/pred1
=itemset1
-1Et--->-•TEt@*
Et--->-•TEt@1
T--->•n @2
completed2
act/pred2
=itemset2
n2
T--->n• @2
Et--->• @3
Et--->-TEt•@*
Et--->-TEt•@1
E--->TEt•@
*
Et--->-T•Et@*
Et--->-T•Et@1
T--->(E•) @*
completed3
act/pred3
=itemset3
)3
T--->(E)• @*
Et--->• @4
E--->TEt•@
*
Et--->-TEt•@*
E--->T•Et@*
Et--->-T•Et@*
T--->(E•) @*
completed4
act/pred4
=itemset4
#4
Fig. 12.11. Earley-on-LL(1) suffix parsing of -n)
in active3and active4are items that were, or could be, discarded as being no longer
useful because an ε-prediction (Et--->ε) was made from them.
We will now look at the time requirements of this parser. Initially the only dif-
ference is that there are more items in the active sets, and property P1 does not hold.
This is no problem for the Scanner and the Predictor themselves. If there are kitems
they just do ktimes as much work, and provided kis limited by a constant and does
not grow with n, linearity is not threatened. But as a result of their work, several
items with the same symbol after the dot can arise in the same item set, so property
P2 no longer holds either. This then causes problems with the Completer, when it
processes a completed item P→···•@i. It can now find several items in itemseti
that have •P, so several items will be added to the present sets, and it is difficult to
see if they are limited to a constant number.
414 12 Substring Parsing
The Completer can introduce two forms of items, with @∗and with @ jfor some
number j. Neither can threaten the linearity of the parser; we can see this as follows.
The number of items with @∗is limited by the grammar, so the number added by
the Completer is also limited, and items with @∗cannot destroy the linearity. An
item iwith @ jfor some jderives from some item predicted earlier in the parser. But
the same item must have been predicted in one of the sequential parsers described
in the previous section. So whatever happens further on with Ialso happened to its
counterpart in the sequential parser. That parser was linear, so all its subprocesses
were linear or less, so the processing of item Iwill be linear or less, and cannot
destroy the linearity of our parser.
Remarkably, showing that the Earley-on-LL(1) algorithm runs in linear time has
been more work than explaining the algorithm itself. A formal (and much more com-
pact!) proof can be found in the paper by Nederhof and Bertsch [216, Section 3].
12.3.2 Linear-Time Suffix Parsing for LR(1) Grammars
Nature is symmetrical; kind of, that is. Just as the Earley parser, modified to do
suffix parsing and using an LL(1) parse table runs in linear time, the GLR parser,
modified to do suffix parsing and using an LR(1) parse table runs in linear time.
But the symmetry is not perfect. Showing that the standard Earley parser runs in
linear time when it uses an LL(1) grammar is not simple. But a GLR parser using an
LR(1) table is obviously linear: it is just a normal LR(1) parser in which the stack in
implemented as a graph, which then degenerates into a linked list.
12.3.2.1 GLR Suffix Parsing
To better see the implications of using an deterministic LR(1) parse table for GLR
parsing we consider a graph-structured stack like the one in Figure 11.6 on page
387. If we use an LR(1) automaton with no inadequate states, each state leads to a
unique decision, and there will be no forks. This means that if we start from the start
state, there is only one path to any point in the input; an example is shown in Figure
12.12(a). Note that the forks in the decision process show up as joins or reverse forks
in the diagram, since the arrows point in the direction of the reductions rather than
the decisions.
We can simulate what happens when we try suffix parsing by cutting off the left
end of the picture in Figure 11.6, and then remove all reverse forks. A possible result
is shown in Figure 12.12(b); we see that the graph-structured stack simplifies to a
forest of tree-structured stacks. And that is indeed the data structure employed by the
GLR suffix parser designed by Bates and Lavie [214]. (A similar structure was used
much earlier by Lindstrom [329].)
Figure 12.13 shows the GLR suffix parser in action. We use the grammar from
Figure 12.1; the LR(1) parse table is shown in Figure 9.28 on page 294. The input is
again -n), extended with one #.

12.3 Linear-Time Methods for LL and LR Grammars 415
1
3
E
4
+
2
d
d1
1
+2
2
d3
3
+4
4
d5
56
(a)
3
5
4
+
+
2
d
3
+4
4
d5
56
(b)
Fig. 12.12. Graph-structured stacks when using an LR(1) parse table
Initially we know nothing about the stacks and as usual we express that lack
of knowledge by allowing all possibilities. This gives a forest of 16 empty tree-
structured stacks, of which only the roots with states 1 to 4 and 6 to 17 1exist; see
Figure 12.13(a), where the input -n) is shown on the right of the frame. One can
imagine that to the left of each root with state sthere are all possible stacks that have
state son top, but since there are infinitely many of these, we cannot draw them there.
This image is occasionally useful for understanding some optimizations Bates and
Lavie describe.
Now we consult the ACTION table to see how each of these states reacts to the
look-ahead -. Five states, 1, 6, 7, 13, and 14, are erroneous with this look-ahead, so
their trees are discarded. Eight states, 2, 3, 8–10, 12, 15, and 17, require a reduction,
but there is nothing to reduce yet, so these are also discarded. The other three states
4, 11, and 16, order a shift, which we can do; see frame b.
The standard GLR parser combines equal stack suffixes (Section 11.1.2.2), and
so does the suffix parser. This combines the two top states 14, leading to our first
forest, in frame c. The actions prescribed by the ACTION table for look-ahead n
are shown below the top states: shift and shift. Frame dshows the results of the
shifts. Since state 3 does not allow a look-ahead ), one tree is discarded; state 10
requires a reduction with T--->n, which saves the other tree (e). Here state 15 requires
a reduction with E--->E-T, which causes a problem, since only the tail of the right-
hand side, -T, is available. This is to be expected in a suffix parser, and we do the
reduction anyway. So we land in the cloud of all possible states to the left of the
trees, and from there only select those states that have a transition on E, the result of
our reduction. This is comparable to the selection process going on between frames
aand b. Such a reduction is called a long reduction. The result is shown in frame f.
Two trees from frame fsurvive the look-ahead test and undergo shifting (g).
Here one tree survives and the top state 12 with look-ahead #requires reduction
with T--->(E). Since only E) is available, this is again a long reduction. There are
1State 5 is missing from the table, as explained on page 290.

416 12 Substring Parsing
1
.
.
.
4
6
.
.
.
17
-n)#
(a)
4 7
-
11 14
-
16 14
-
n)#
(b)
4 7
-
shift
11
14
-
16
14
-
shift
n)#
(c)
4 7
-3
n
✘
11
14
-
16
14
-10
n
T--->n
)#
(d)
11
14
-
16
14
-15
T
E--->E-T
)#
(e)
1 4
E
✘
611
E
shift
13 16
E
shift
)#
(f)
611
E12
)
T--->(E)
13 16
E17
)
✘
#
(g)
1 2
T
E--->T
6
9
T
13
9
T
✘
7 8
T
E--->E-T
14 15
T
✘
#
(h)
1 4
E
S--->E
611
E
✘
13 16
E
✘
#
(i)
1✔
S
accept
#
(j)
Fig. 12.13. Snapshots of the GLR suffix parser in action on the input -n)
more states that have a transition on Tthan on E, and four trees result (h). The first
tree needs a reduction with E--->T, which is possible and which yields the first tree
in frame i. The third tree in frame hagain causes a long reduction, plus a shift on E.
This results in the same three trees as in frame fand these are introduced into frame
i. This means that the tree ①E④occurs twice; just as in the standard GLR parser,
first the top states ④are merged, and then further branches are merged. Since both
trees are equal only one remains (frame i). A simple step then leads to frame j,where
we see that the suffix -n) is accepted.
The GLR suffix parser differs only in two points from the standard GLR parser: it
starts in all states of the parse table, and when a stack in a tree causes a long reduction
A→···, the subsequent shift over Astarts from all states.
12.3 Linear-Time Methods for LL and LR Grammars 417
12.3.2.2 The Linearity of GLR Suffix Parsing
We will now turn to the time requirements of the GLR suffix parser. First we notice
that there can never be more than Ntrees, where Nis the number of states of the
LR(1) automaton. The tree-combining part of the algorithm makes sure of that, since
all trees with the same state on top are combined into one tree. Next we will show
that the parser, during its work at a given position i, cannot add more than a constant
number cof branches to the trees, where cdepends on the grammar only. (It can re-
move any number of branches though.) We then use these properties of the algorithm
to show that it runs in linear time.
Working at position iwhere there are ptrees (p≤N), the algorithm can do at
most pshifts, which can add at most pbranches. As usual, the reduce part is more
complicated, as we need to distinguish two kinds of reduce actions: ε-reductions
and non-ε-reductions. The first kind adds branches, the second does not, so we can
forget about the non-ε-reductions here. Sequences of consecutive ε-reductions can
occur, but all have to be different, or the original LR(1) parser would have looped.
And since there are only a fixed number qof ε-rules in a grammar, there can only
be qconsecutive ε-reductions, adding qbranches. This can happen at most to all p
trees, together adding at most p×qbranches, which still is a grammar-determined
constant. The subsequent tree-combining step does not add branches (on the contrary,
usually it removes some).
Since the work at each position adds at most cbranches, we can conclude that
the number of branches in the tree forest cannot be more than c×iwhen we are done
with position i. So our data will grow at most linearly with the length of the input.
We now consider the time used per position by each of the components of the
algorithm. Shifting can cost at most pactions, which is constant. For the reduce part
we need to distinguish three kinds of reduce actions: ε-reductions, unit reductions,
and “proper” reductions, reductions that actually reduce the number of branches.
We have seen that there can be at most a fixed number of ε-reductions per position,
costing a fixed number of actions. Unit reductions in a sequence have to be unique
too, or there would be a loop in reductions; so the same applies to them. Proper
reductions are different. They can occur in unbounded sequences, possibly up to the
beginning of the input, and cost a constant amount per branch; they do, however,
remove that branch while processing it. The tree combining step stops as soon as
it sees two branches it cannot combine, so its cost is proportional to the number
of branches removed. In total each step costs a constant amount plus an amount
proportional to the number of branches it removes.
When we reach the end of the input of length n,atmostC×nbranches have
been added to the tree forest, where Cis the cumulative constant of all the constant
additions. The nsteps have cost F×n,whereFis the fixed amount per step, plus
an amount proportional to the number of branches removed by reducing and tree
combining. But that number is limited to C×n, since there were at most that many
branches. This adds up to (F+C)×n, which shows that the GLR suffix parser re-
quires linear time.

418 12 Substring Parsing
The GLR suffix parser is a practical and efficient algorithm, which has been
applied in real-world software. It works with any kind of deterministic bottom-up
table: LALR(1), SLR(1), LR(0), precedence, etc. Full algorithms and correctness
proofs are given by Bates and Lavie [214]. Goeman [218] supplies rigorous proof of
linearity.
12.3.3 Tabular Methods
The root matching algorithm of Section 12.2.1.3 has quadratic time requirements.
The reason is that an entry RA,iin a recognition table (for example Figure 12.4) can
contain the lengths 0...n−i+1, so the amount of work per position depends (lin-
early) on n. If this were not so and each entry contained only at most a fixed number
of lengths, the root matching algorithm would require linear time. This suggests that
if the language is such that each entry contains at most a fixed number of lengths
and if we can fill in the recognition table in linear time, we have obtained a linear-
time suffix parsing algorithm. This line of thought has been pursued by Bertsch and
Nederhof in two papers [215, 216] concerning the LL(1) and LR(1) languages.
12.3.3.1 Filling the Recognition Table for an LL(1) Language
The LL(1) languages are good candidates for filling in the recognition table in lin-
ear time. It is not difficult to see that the entries in a recognition table filled in for
an LL(1) language contain at most one length each, as follows. One way to fill in
the entry RA,iin such a table would be to start an LL(1) parser in position iwith a
prediction stack which just holds A. This parser will then recognize either one ter-
minal production of Ain the segment i··· or none. Since it is deterministic it cannot
recognize more than one occurrence, so at most one length will be entered in RA,i.
Although this would work, starting an LL(1) parser for each entry in the recognition
table would be inefficient, and a linear-time algorithm is needed.
We will again use the LL(1) grammar from Figure 12.9, and the suffix n-n).
The recognition table is shown in Figure 12.14. It has three rows, for E,Etand T,
and five columns, four for the input tokens and one for the appended look-ahead #.
The idea is to fill in the table from right to left and from top to bottom, guided by the
3 1E
2 0 0Et
1 1T
n
1
-
2
n
3
)
4
#
1423,4 4
Fig. 12.14. Tabular LL(1) recognition and root DFA table for the suffix n-n)
12.3 Linear-Time Methods for LL and LR Grammars 419
LL(1) parse table and resolving subproblems in top-down fashion; we will see that
this approach is advantageous.
Starting at entry R
E
,5,weareaskedtoidentifyanEwith a look-ahead of #;the
parse table on page 410 shows us that there is none. For entry R
E
t,5we find the
prediction Et--->ε, so we can identify an Etof length 0 here. Entry R
T
,5again remains
empty.
Column 4 has )as look-ahead, and since the predictions for look-ahead )are
the same as those for #(see parse table) we get the same entries in column 4 as in
column 5.
Turning to column 3 and entry R
E
,3we find the prediction E--->TEtfor look-ahead
n. This brings us to a subproblem, since the entry R
T
,3, being lower in the tables, has
not been computed yet. So we stack the computation of R
E
,3in top-down fashion,
and proceed with R
T
,3, for which we find a prediction T--->n and thus a length of 1.
Now we can complete R
E
,3as R
T
,3+R
E
t,4=1+0=1. Continuing this way we can
complete the entire table. For example, R
E
t,2yields the prediction Et--->-TEtand is
computed as R
E
t,2=1+R
T
,3+R
E
t,4=1+1+0=2, where the first 1 is the length
of the -.
Two things have to be noted here. The first is that to prevent recomputation of
entries like R
T
,3which are later in the table but have already been evaluated as sub-
problems, we need to mark entries as “done”, even if they do not contain a length.
The second is that we can now see more clearly why each entry contains at most
one length: 1. the LL(1) property guarantees that there will be at most one prediction
for the entry; 2. the components of the right-hand side of a prediction correspond to
entries in the recognition table that have already been computed, and if each entry
contains at most one length, the resulting entry will also contain at most one length;
3. the lengths that are not computed from components result from εand unit rules,
which identify exactly one length; So we can conclude that all entries will contain at
most one length.
The work done per column is determined by the lengths of the right-hand sides
of the predictions only and does not depend on the length of the input, so the total
task has linear time requirements.
To complete the algorithm we have to run the root automaton, to see if an element
of the root set can be recognized in the table. Rather than constructing the root DFA
for the grammar of Figure 12.9 as a parser would, we take a short-cut here, and realize
that Figures 12.1 and 12.9 describe the same language and that all non-terminals from
12.1 appear unharmed in 12.9. This allows us to just use the root DFA of the original
grammar shown in Figure 12.6. So the root set matching table Tin Figure 12.14 is
filled in on the basis of this automaton. We see that T5contains the end state 4, so the
suffix n-n) is recognized.
The algorithm and its optimizations are described in detail by Bertsch [215].
12.3.3.2 Tabular Suffix Recognition for an LR Language
The technique used for LL(1) languages cannot be adapted easily to LR languages,
unfortunately. A working algorithm is easily obtained — it just reverts to general
420 12 Substring Parsing
tabular parsing as explained in Section 4.3 — but it has at least quadratic time re-
quirements. This is caused by several factors. The first is that LR parsers do not start
“with a prediction” but “in a state”. This can be overcome by indexing the table by
states rather than by non-terminals, but the root matching automaton still wants to
see non-terminals.
What is worse, two or more subtrees for the same non-terminal can start in the
same position in an LR language. For example, the suffix n-n) contains two occur-
rences of Ein position 1, one of length 1 and one of length 3 (again using the by now
slightly overworked grammar of Figure 12.1 on page 399). And an input n-n
k)
will contain k+1 occurrences of Ein position 1; so the number of lengths in an en-
try in the recognition table depends linearly on the length of the input, which causes
quadratic behavior.
Equally badly, filling the table from right to left no longer works. Suppose we
have a grammar L--->La|a, which produces a+, and a parse tree P3for the last 3
tokens in aaaa. Now we take one step to the left and want to create a parser tree
P4for the full aaaa. Then we see that the P4does not reuse any of the nodes of P3,
because all nodes hinge on the position in which the parse tree starts. So having P3
does not make getting P4any cheaper, and the linearity of Section 12.3.3.1, based
on that phenomenon, is lost. Working from left to right solves this case but then a
grammar like L--->aL|a causes problems.
In their groundbreaking paper, Nederhof and Bertsch give an algorithm for linear-
time LR(1) suffix parsing [216, Section 4], but it is presented in a framework of push-
down automata (PDAs, Section 6.2) rather than of context-free grammars. Although
PDAs are fundamentally equivalent to CF grammars, the relationship is so remote
that proofs and algorithms from one framework cannot be easily translated into the
other framework.
Nederhof and Bertsch’s algorithm can be summarized as follows.
• The language to be used is specified by a deterministic PDA (which is a recogni-
tion device) rather than by a CF grammar (which is a generative device). The set
of transitions allowed in this PDA is restricted. There are three forms: qa
→qq1,
which pushes an aon the stack, packed as state q1;qε
→qq1, which pushes a new
state q1on top of q;andq1q2ε
→q3, which reduces the state pair q1q2to q3.Itis
possible to obtain such a restricted deterministic PDA (RDPDA) from an LR(1)
grammar; see below.
• This RDPDA still suffers from the same non-linearity problems mentioned
above. The problem is identified to arise from “loops” in the RDPDA, and a
transformation τon the RDPDA instructions is defined. It introduces hierarchies
of stack symbols, which are used to cut the loops.
• An interpreter similar to the one used in the previous section for the LL(1) suffix
recognizer is defined. It combines the filling of the recognition table with the root
matching automaton and is proved to have linear time requirements.
• The recognition table is then analysed to retrieve a parse forest [216, Section 6].
Nederhof and Satta [174] explain how to obtain an RDPDA for a given LR(0)
grammar. For each LR(0) shift q1aq2we have a transition q1a
→q1q2, and for each
12.4 Conclusion 421
LR(0) reduce qAq1B···qk, which identifies a reduction using P→AB··· in state qk
and where a shift of qover the resulting Pyields the state qp, we have a transition
qq1···qk
ε
→qqp. The grammar symbols are not stored on the PDA stack.
The transitions created for the reduce actions of the LR(0) parser do not fulfill
the requirements for an RDPDA since some of them remove more than two states
from the stack. For each such transition a series of transitions is introduced that
removes the states piecemeal from the stack, using new states to keep track on where
the process is, in a technique similar to the creation of Chomsky Normal Form in
Section 4.2.2.
Nederhof and Satta [174] do not explain how to obtain an RDPDA for an LR(1)
grammar, that is, how to handle the look-ahead token. One way to do this is by
incorporating the look-ahead symbol in the top state, so one more token of the input
has been consumed than would intuitively be assumed. A problem with this is that
when states get pushed deeper into the stack, the look-aheads they contain become
obsolete, and more transitions are needed to update the look-ahead when these states
resurface.
When all these transformations are combined, a very efficient LR(1) suffix parser
of great sophistication and complexity results. But it needs a lot of work to make it
applicable (see, however, Problem 12.9).
Bertsch and Nederhof [96] use related techniques to obtain a linear-time parser
for regular sequences of LR(0) languages.
12.3.4 Discussion
Two linear-time LL(1) suffix parsers have been presented, one based on Earley’s al-
gorithm and one based on tabular parsing. Neither is particularly easy to implement;
the Earley one uses the LL(1) table only, but the tabular one requires an additional
root matching automaton, not related to the LL(1)-ness of the grammar. The Earley
suffix parser has another advantage. Most so-called LL(1) grammars are not com-
pletely LL(1) in practice, where their defects are handled by some conflict resolver.
The Earley suffix parser meets these defects by smoothly reverting to general suffix
parsing, as described in Section 12.2.2.
Given the complexity of the Nederhof and Bertsch algorithm there is effectively
only one linear-time LR suffix parser, the one discussed in Section 12.3.2. It is rel-
atively easy to implement, makes good use of the LR(1) parse table, and is one of
the few suffix parsing algorithms that have been used in real-world software. It can
probably be relatively easily doctored to handle generalized LR(1) grammars; it then
reverts to GLR suffix parsing.
12.4 Conclusion
Two efficient general suffix recognizers are available, one based on CYK and one
based on Earley. Linear-time suffix recognition for LR(1) grammars can be achieved
422 12 Substring Parsing
by a simple adaptation of GLR parsing. A modified Earley parser or a tabular al-
gorithm is required to obtain a linear-time LL(1) suffix recognizers. Algorithms for
producing parse trees from the results of these recognizers are sorely underreported.
Next to substring parsing it is useful to consider subsequence parsing, where we
have a subsequence from a sentence in our the language and want to extract as much
information as possible from it. Such subsequences result from transmissions with
gaps in them, from partially damaged ancient texts, etc. Likewise it is interesting
to look at superstring parsing and supersequence parsing, where the input contains
one or more embedded sentences or fragments of a sentence in our language. Su-
persequences result among other things from noisy transmissions. Haines [387] has
proved that both problems reduce to parsing a regular language, but we know of
no research that explains how to apply Haines’ results to parsing with a given CF
grammar.
It should also be pointed out that both problems can, in principle, be solved
through parsing by intersection (Chapter 13), but it is likely that more specific algo-
rithms exist. Lavie and Tomita [173] adapt GLR parsing to do supersequence parsing,
but the algorithm has exponential time requirement unless the search is limited by
setting a heuristic parameter.
Problems
Problem 12.1: It is tempting to trivialize suffix parsing away by reversing both
the grammar and the suffix. The suffix then becomes a prefix, and prefix parsing is
well known. Comment.
Problem 12.2: In Section 12.1 we produce no “damaged” rule for A→ε,but
what happens if that is the only rule for A?
Problem 12.3: Extend any of the above suffix/substring parsers with a mecha-
nism to create a completed parse tree.
Problem 12.4: Rather than remedying the lack of a start symbol in an Earley
suffix parser (Section 12.2.2) by predicting all items, we could use the start symbol
of the root set to start the sentential forms (Section 2.6). Elaborate.
Problem 12.5: The fact that we needed to modify the Earley-on-LL(1) parser to
prove property P1 and then could undo the modification without affecting the result
shows that property P1 is too strong. Devise the exact property needed.
Problem 12.6: In Section 12.3.3 we require each entry to contain a bounded
number of lengths, but actually it is enough to require that the number of lengths in
all entries together be bounded by a linear function in n. Can this additional leeway
be exploited?
Problem 12.7: In the first paragraph of Section 12.3.3.1 we claim that starting
an LL(1) parser for each entry in the recognition table is inefficient. Show that this is
not true when memoization is used.
Problem 12.8:Project: Write a detailed algorithm to convert an LR(1) table into
a restricted deterministic PDA (RDPDA) (page 420).
12.4 Conclusion 423
Problem 12.9:Research problem: It is conceivable that an algorithm for LR(1)
suffix recognition can be fashioned along the lines of Section 12.3.3.1 as follows.
Replace a left-recursive rule like L→Lα|βby the languages produced by αand β,
Lαand Lβ, and a regular expression L=βα∗;ifαor βare still left-recursive, repeat.
Now all sublanguages are free of left recursion, and their non-terminals have at most
a bounded number of lengths in each position. Make recognition tables for all these
languages, and incorporate the regular expressions in the regular expression of the
root matching automaton. Investigate this plan.
Problem 12.10:Research problem: There is considerable similarity but no
obvious relationship between Nederhof and Bertsch’s algorithm (Section 12.3.3.2)
and Cook’s linear-time simulation of a deterministic 2-way push-down automaton
(2DPDA) [388]. Explore the similarity, for example by investigating the hypothesis
“If a language is recognized by a DPDA, it is relatively simple to construct a 2DPDA
that recognizes substrings in that language”.
Problem 12.11:Project: Design a good algorithm for one of the three underre-
searched problems mentioned in the Conclusion to this chapter, using Haines’s result
[387] or otherwise.
13
Parsing as Intersection
In 1961 Bar-Hillel, Perles and Shamir [219] proved that “the intersection of a
context-free language with a regular language is again a context-free language”. On
the face of it, this means that when we take the set of strings that constitute a given
CF language and remove from it all strings that do not occur in a given FS language,
we get a set of strings for which a CF grammar exists. Actually, it means quite a bit
more.
It would be quite conceivable that the intersection of CF and FS were stronger
than CF. Consider the two CF languages L1=anbncmand L2=ambncn, whose CF
grammars are in Figure 13.1. When we take a string that occurs in both languages, it
L1s--->AP
A--->aAb|ε
P--->cP|ε
L2s--->QC
C--->bCc|ε
Q--->aQ|ε
Fig. 13.1. CF grammars for anbncmand ambncn
will have the form apaqar,wherep=qbecause of L1and q=rbecause of L2.So
the intersection language consists of strings of the form anbncn, and we know that
that language is not context-free (Section 2.7.1). But Bar-Hillel et al.’s proof shows
that that cannot happen with a CF language and a FS language. On the other hand
one could well imagine that intersecting with a regular language would kill all CF
power of description; again Bar-Hillel’s proof shows that that is not the case.
Sometimes proofs of such theorems are non-constructive: one shows, for exam-
ple, that if the theorem were not true one could solve a problem of which it has been
proven that it is unsolvable, like full Type 0 parsing. Bar-Hillel et al.’s proof is much
better than that: it is constructive, and demonstrates how to obtain the CF grammar
of the intersection language, starting from the original CF grammar and the FS au-
426 13 Parsing as Intersection
tomaton that describes the regular language. And what is more, the process is quite
simple and has polynomial (non-exponential) time requirements.
It was not realized until the 1990s that this has something to do with parsing. It
is simple to see that an input string can be considered as a very simple, even linear,
FSA with the positions between the tokens as the states. When, subsequently, parse
forest grammars were recognized as a convenient way to represent the output of the
parsing process (Billot and Lang [164]), the pieces began to fall together.
Parsing by intersection is based on three ideas:
• the input to the parsing process can be described by a finite-state automaton;
• the output of the parsing process can be described by a CF grammar;
• there is a practical process for obtaining the grammar for the intersection of a CF
grammar with a finite-state automaton.
13.1 The Intersection Algorithm
Since even small examples will soon yield large data structures, we shall start with
an almost microscopic grammar:
Ss--->aS
S--->b
but we will also do examples with larger grammars further on. The input will be ab.
As a finite-state automaton this defines 2 transitions and 3 states:
1a2b3
where 1 is the initial state and 3 the accepting state.
The intersection algorithm is unexpected but surprisingly simple. We start by cre-
ating a tentative non-terminal A_n_mfor each non-terminal Ain the original gram-
mar Gorig, with the meaning that A_n_mproduces everything that Aproduces and at
the same time is recognized by the FS automaton between the states nand m.Next
we derive rules from our grammar for all the A_n_m; how we do that is shown in the
next section. This set of rules form the CF part of the intersection grammar; we will
call it Irules.
Two properties prevent Irules from being a complete grammar: it has no start
symbol and the treatment of terminal symbols is incomplete. To start with the latter,
the rules in Irules involve terminals of the form t_p_q, which describe those terminals
tthat provide a transition between states pand q. Now for each terminal tin the FSA
that indeed provides a transition between states pand q, we construct a rule t_p_q→
t. And we declare all non-terminals S_n_mto be start symbols of the intersection
grammar, where Sis the start symbol of Gorig,nis the initial state of the FSA and
mis an accepting state of the FSA. (Note that this may assign more than one start
symbol to the intersection grammar.) Together with Irules these constitute the rough
form of the intersection grammar, Irough.
And finally we clean Irough using the algorithm from Section 2.9.5, which gives
us the clean intersection grammar I. That’s all. We will first see that it works and
then why it works.
13.1 The Intersection Algorithm 427
13.1.1 The Rule Sets Irules,Irough, and I
The tentative non-terminals from our demo grammar are
S_1_1,S_1_2,S_1_3
S_2_1,S_2_2,S_2_3
S_3_1,S_3_2,S_3_3
Suppose we want to create rules in Irules for S_1_3. This non-terminal spans
the FSA between the states 1 and 3, so its right-hand must span these two
states too. There are two rules for S:S--->b and S--->aS. The first immediately
yields a rule: S_1_3--->b_1_3; but the second one involves an unknown state X:
S_1_3--->a_1_XS_X_3.Heretheright-handsidespans1...3providedbothoc-
currences of Xare replaced by the same state, but that state is unknown. This is
“solved” by brute force: we copy the rule for all states in the FSA:
S_1_3 ---> a_1_1 S_1_3
S_1_3 ---> a_1_2 S_2_3
S_1_3 ---> a_1_3 S_3_3
We do this for all tentative non-terminals. This results in the rule set Irules.
As usual, we have to pay some attention to ε-rules and ε-transitions. Our present
example contains neither, but if the original CF grammar has a rule of the form A→ε,
aruleA_p_p→εshould be added to the intersection grammar Irules, for each state
p. Such rules represent the idea that an ε-producing Acan occur in the parse tree
without any consequence for the FSA. The intersection algorithm as published by
Bar-Hillel et al. cannot handle ε-transitions in the FSA, but it is not very difficult to
add this feature. See Problem 13.2.
Next we add the rules for the transitions in the FSA: a_1_2--->a and
b_2_3--->b. To complete the intersection grammar, we appoint S_1_3 as the start
symbol. Since the initial state of the FSA is 1 and the accepting state is 3, S_1_3
is going to produce whatever the FSA recognizes between its initial and accepting
states.
All this amounts to 27 rules from S--->aS, 9 rules from S--->b, and 2 rules for
the terminal symbols, for a total of 38 rules. They are collected in Figure 13.2, and
together they form Irough.
The last step consists of cleaning the intersection grammar. Removing the non-
productive rules and unreachable non-terminals yields the clean intersection gram-
mar I; it is shown in Figure 13.3. It is important to note that it is at the same time a
parse-forest grammar, and, since the parsing is unambiguous, it is a parse-tree gram-
mar. The corresponding parse tree is shown in Figure 13.4.
The parse forest above has been obtained in an almost shockingly simple way.
The algorithm does not seem to need all the tricks and cleverness that we have met
in previous algorithms. The parse forest grammar just somehow “develops” out of
the original grammar, the way a photograph develops out of the latent image in pho-
tographic paper.

428 13 Parsing as Intersection
S_1_1 ---> a_1_1 S_1_1 S_2_1 ---> a_2_1 S_1_1 S_3_1 ---> a_3_1 S_1_1
S_1_1 ---> a_1_2 S_2_1 S_2_1 ---> a_2_2 S_2_1 S_3_1 ---> a_3_2 S_2_1
S_1_1 ---> a_1_3 S_3_1 S_2_1 ---> a_2_3 S_3_1 S_3_1 ---> a_3_3 S_3_1
S_1_2 ---> a_1_1 S_1_2 S_2_2 ---> a_2_1 S_1_2 S_3_2 ---> a_3_1 S_1_2
S_1_2 ---> a_1_2 S_2_2 S_2_2 ---> a_2_2 S_2_2 S_3_2 ---> a_3_2 S_2_2
S_1_2 ---> a_1_3 S_3_2 S_2_2 ---> a_2_3 S_3_2 S_3_2 ---> a_3_3 S_3_2
S_1_3s---> a_1_1 S_1_3 S_2_3 ---> a_2_1 S_1_3 S_3_3 ---> a_3_1 S_1_3
S_1_3s---> a_1_2 S_2_3 S_2_3 ---> a_2_2 S_2_3 S_3_3 ---> a_3_2 S_2_3
S_1_3s---> a_1_3 S_3_3 S_2_3 ---> a_2_3 S_3_3 S_3_3 ---> a_3_3 S_3_3
S_1_1 ---> b_1_1 S_2_1 ---> b_2_1 S_3_1 ---> b_3_1
S_1_2 ---> b_1_2 S_2_2 ---> b_2_2 S_3_2 ---> b_3_2
S_1_3s---> b_1_3 S_2_3 ---> b_2_3 S_3_3 ---> b_3_3
a_1_2 ---> a b_2_3 --->b
Fig. 13.2. Fully expanded intersection grammar
S_1_3s---> a_1_2 S_2_3
S_2_3 ---> b_2_3
a_1_2 --->a
b_2_3 --->b
Fig. 13.3. Cleaned-up intersection grammar and parse forest grammar
S
S_1_3
a_1_2 S_2_3
ab_2_3
b
Fig. 13.4. Parse tree for the intersection grammar of Figure 13.3
13.1 The Intersection Algorithm 429
13.1.2 The Languages of Irules,Irough, and I
To understand better how and why the algorithm works, we will consider the lan-
guages that are produced by the three successive versions of the intersection gram-
mar, Irules,Irough,andI.
First we consider a grammar Grules that has the set Irules as its rules. As start sym-
bols we accept all tentative non-terminals that derive from the original start symbol,
S_1_1 through S_3_3, and accept all FSA transitions a_p_qand b_p_qas its
terminal symbols. With these provisions, Grules produces all sequences of transitions
[a|b]_p_qsuch that the sequence of asandbs conform to the grammar Gorig and
the psandqs correctly link each transition to the next. A sample of the possible
productions is
b_1_1
a_1_2 b_2_3
a_2_2 b_2_1
a_3_2 b_2_3
a_3_2 a_2_2 b_2_1
a_2_2 a_2_2 a_2_2 b_2_2
a_1_3 a_3_2 a_2_3 a_3_3 b_3_3
a_2_3 a_3_1 a_1_2 a_2_3 a_3_3 b_3_1
Restricting the start symbol to the only one that correctly specifies the initial
and accepting states of the FSA, S_1_3, restricts the language produced to those
sequences of transitions that start with [a|b]_1_xand end with [a|b]_y_3,for
any state xand y. This restricted set contains sequences like
b_1_3
a_1_1 b_1_3
a_1_2 b_2_3
a_1_3 b_3_3
a_1_1 a_1_1 b_1_3
a_1_1 a_1_2 b_2_3
a_1_2 a_2_1 b_1_3
a_1_3 a_3_2 a_2_3 a_3_3 b_3_3
When we now restrict the transitions to those that are permitted by the FSA,
a_1_2 and b_2_3, only one sequence remains, a_1_2 b_2_3, which corre-
sponds to our input string.
When we look carefully at the grammar cleaning process used to obtain Ifrom
Irough, we see that it mirrors the above restriction process, except that it works on
the grammar — which is finite — rather than on the produced language — which
is infinite. Removing non-productive rules corresponds to removing non-permissible
transitions, and removing unreachable symbols corresponds to removing start sym-
bols that do not conform to the initial and accepting states of the FSA.
430 13 Parsing as Intersection
13.1.3 An Example: Parsing Arithmetic Expressions
We will now turn to a larger example, the parsing problem used in Section 4.1. We
want to parse the sentence (i+i)×i with the grammar of Figure 4.1, here repeated
in Figure 13.5. The input sentence corresponds to the FSA
Exprs---> Expr + Term | Term
Term ---> Term × Factor | Factor
Factor ---> ( Expr ) | i
Fig. 13.5. A grammar describing simple arithmetic expressions
1(2i3+4i5)6×7i8
which is a convenient short-hand for the seven rules
(_1_2 --->(
···
i_7_8 --->i
Since the rough intersection grammar Irough has 12487 rules, it is not possible
to demonstrate the complete process here, and the reader will have to believe us
when we say that the resulting cleaned grammar Iis shown in Figure 13.6. When we
Expr_2_5 ---> Expr_2_3 +_3_4 Term_4_5
Expr_1_8s---> Term_1_8
Expr_2_3 ---> Term_2_3
Term_1_8 ---> Term_1_6 ×_6_7 Factor_7_8
Term_1_6 ---> Factor_1_6
Term_2_3 ---> Factor_2_3
Term_4_5 ---> Factor_4_5
Factor_1_6 ---> (_1_2 Expr_2_5 )_5_6
Factor_2_3 ---> i_2_3
Factor_4_5 ---> i_4_5
Factor_7_8 ---> i_7_8
Fig. 13.6. Intersection grammar for the sentence (i+i)×i
compare this grammar to the parse forest grammar obtained from the Unger parser
in Figure 4.5, we see that the two are almost identical, and that the differences are
minor. In Unger parsing a grammar symbol is marked with the start position and
length of the segment it spans, whereas in intersection parsing it is marked with the
states of the FSA. A slightly more characteristic difference is that the rules in the
Unger parse forest grammar are produced in top-down order, whereas those in the
intersection grammar appear in a seemingly arbitrary order, determined by the order
of the rules in the original grammar and the details of the cleaning algorithm.
13.2 The Parsing of FSAs 431
13.2 The Parsing of FSAs
Until now we have only used linear FSAs, thereby restricting ourselves to tasks that
could be performed equally well or even better by traditional parsing. We will now
consider intersection with more general FSAs: FSAs for arithmetic expressions with
one or more unknown tokens in them, FSAs for substrings of arithmetic expressions,
and the FSA for ?*,where?is any token in the grammar.
13.2.1 Unknown Tokens
We start with the regular expression (i?i)×i; it represents an input sentence of
which the third token is unknown. In terms of the FSA this means that where we had
the rule +_3_4--->+ in Section 13.1.3, we now have the rules
i_3_4 --->i
+_3_4 --->+
×_3_4 --->×
(_3_4 --->(
)_3_4 --->)
Two new rules appear in the parse forest grammar, compared to Figure 13.6:
Expr_2_5 ---> Term_2_5
Term_2_5 ---> Term_2_3 ×_3_4 Factor_4_5
These supply a new alternative for Expr_2_5, and show that the algorithm has
recognized that (i×i)×i is a terminal production of Expr too, but since the × is in
a different place in the grammar, an additional step through Term_2_5 is required.
Note that we now have a parse forest since there are two alternatives for Expr_2_5.
Something completely different happens when we try the regular expression
(i??i)×i, since we end up with an empty grammar: the cleaning process removes
even the start symbol. This is correct: no terminal production of Expr matches
(i??i)×i.
Again a different effect is obtained from the regular expression (i???i)×i.
A fairly long (30 rules), fairly uninformative grammar results, which contains sev-
eral non-terminals with multiple alternatives, and which produces the following six
sentences:
(i×i×i)×i
(i)×(i)×i
(i+i×i)×i
(i×i+i)×i
(i)+(i)×i
(i+i+i)×i
13.2.2 Substring Parsing by Intersection
Intersection parsing can also be used to do substring parsing. For example, to parse
the substring +i), the FSA corresponding to ?*+i)?*is offered to the intersection
process. This FSA is represented by the rules
432 13 Parsing as Intersection
?_1_1 --->?
+_1_2 --->+
i_2_3 --->i
)_3_4 --->)
?_4_4 --->?
where the question mark is an abbreviation for all terminals in the grammar.
The intersection process results in the parse forest grammar of Figure 13.7. This
Expr_1_1 ---> Expr_1_1 +_1_1 Term_1_1 | Term_1_1
Expr_1_3 ---> Expr_1_1 +_1_2 Term_2_3
Expr_1_4s---> Expr_1_1 +_1_1 Term_1_4 |
Expr_1_4 +_4_4 Term_4_4 | Term_1_4
Expr_4_4 ---> Expr_4_4 +_4_4 Term_4_4 | Term_4_4
Term_1_1 ---> Term_1_1 ×_1_1 Factor_1_1 | Factor_1_1
Term_1_4 ---> Term_1_1 ×_1_1 Factor_1_4 |
Term_1_4 ×_4_4 Factor_4_4 | Factor_1_4
Term_4_4 ---> Term_4_4 ×_4_4 Factor_4_4 | Factor_4_4
Term_2_3 ---> Factor_2_3
Factor_1_1 ---> (_1_1 Expr_1_1 )_1_1 | i_1_1
Factor_1_4 ---> (_1_1 Expr_1_3 )_3_4 | (_1_1 Expr_1_4 )_4_4
Factor_4_4 ---> (_4_4 Expr_4_4 )_4_4 | i_4_4
Factor_2_3 ---> i_2_3
Fig. 13.7. Parse forest grammar for the substring +i)
Expr_1_4s---> Expr_1_4 + Term | Expr + Term_1_4 | Term_1_4
Term_1_4 ---> Term_1_4 × Factor | Term × Factor_1_4 |
Factor_1_4
Factor_1_4 ---> ( Expr_1_3 )_3_4 | ( Expr_1_4 )
Expr_1_3 ---> Expr +_1_2 Term_2_3
Term_2_3 ---> Factor_2_3
Factor_2_3 ---> i_2_3
Expr ---> Expr + Term | Term
Term ---> Term × Factor | Factor
Factor ---> ( Expr ) | i
Fig. 13.8. A manually simplified version of the grammar of Figure 13.7
grammar produces all sentences produced by the original grammar in Figure 13.5
that contain a substring +i). With its 12 rules it is remarkably simple, certainly for
a grammar that was produced automatically, for what at first sight would not seem
to be a simple problem. It is even reasonably easy to see what it does: the non-
terminals marked _1_1 and _4_4 produce expressions to the left and the right of
the substring, and only those with “mixed” markings are concerned with fitting them
around the substring.

13.2 The Parsing of FSAs 433
This is even more visible in a manually simplified version of the same gram-
mar, shown in Figure 13.8. The non-terminals marked _1_1 and _4_4 have been
simplified into one copy of the original grammar for Expr; terminal productions of
this grammar are not guaranteed to contain the substring; note that this Expr is not
the start symbol. The non-terminals marked _1_4, on the other hand, are obliged to
contain the substring; Expr_1_4 and Term_1_4 parcel out this obligation to their
left child, their right child or their only child. Factor_1_4 is the first rule that can
actually form part of the substring by producing the )_3_4. The remaining obliga-
tiontospanthestates1and3ispassedtoExpr_1_3, from where it trickles down.
Note that none of the above considerations are present in the intersection algorithm;
the algorithm just expands and cleans.
An attempt to draw the corresponding parse forest is shown in Figure 13.9.
Several simplifications have been applied: the unmarked Expr,Term,andFactor
Expr_1_4
23 1
Expr +Term_1_4 Term_1_4=Expr_1_4 +Term
23 1
Term ×Factor_1_4 Factor_1_4=Term_1_4 ×Factor
12
(Expr_1_3 )_3_4 (Expr_1_4 )
Expr +_1_2 Term_2_3
Factor_2_3
+_2_3
?*+ i ) ?*
Fig. 13.9. Simplified parse forest for the grammar of Figure 13.8
have not been expanded; (marked) non-terminals that occur more than once have
been expanded only once; and OR-nodes are not shown when there are no alterna-
tives. The numbers in the other OR-nodes are the numbers of the alternatives in the
rule for the parent in Figure 13.8.
434 13 Parsing as Intersection
Another interesting regular expression is ?(?*, which describes all sentences
that have an open parenthesis as their second symbol. The intersection grammar is
again simplicity itself: Figure 13.10. It is quite remarkable that the only symbol with
marking _1_2 is an open parenthesis: the intersection process has “discovered” that
if the second symbol of an expression is an open parenthesis, the first symbol must be
an open parenthesis too! Manual simplification yields the grammar of Figure 13.11;
we have left out the original grammar for Expr.
We started this chapter with Bar-Hillel’s theorem that “the intersection of a
context-free language with a regular language is again a context-free language”, but
until now we have created and discussed just the CF grammars of those languages.
The grammars in Figures 13.10 and 13.11 give us the opportunity to view them as
grammars which produce “new” languages, rather than as parse forest grammars
which represent parsings. The difference between the two is a matter of degree.
Expr_1_3s---> Expr_1_3 +_3_3 Term_3_3 | Term_1_3
Expr_2_3 ---> Expr_2_3 +_3_3 Term_3_3 | Term_2_3
Expr_3_3 ---> Expr_3_3 +_3_3 Term_3_3 | Term_3_3
Term_1_3 ---> Term_1_3 ×_3_3 Factor_3_3 | Factor_1_3
Term_2_3 ---> Term_2_3 ×_3_3 Factor_3_3 | Factor_2_3
Term_3_3 ---> Term_3_3 ×_3_3 Factor_3_3 | Factor_3_3
Factor_1_3 ---> (_1_2 Expr_2_3 )_3_3
Factor_2_3 ---> (_2_3 Expr_3_3 )_3_3
Factor_3_3 ---> (_3_3 Expr_3_3 )_3_3 | i_3_3
Fig. 13.10. A grammar for all arithmetic expressions that have a (for their second symbol
Expr_1_3s---> Expr_1_3 + Term | Term_1_3
Expr_2_3 ---> Expr_2_3 + Term | Term_2_3
Term_1_3 ---> Term_1_3 × Factor | Factor_1_3
Term_2_3 ---> Term_2_3 × Factor | Factor_2_3
Factor_1_3 ---> (_1_2 Expr_2_3 )
Factor_2_3 ---> (_2_3 Expr )
Fig. 13.11. A manually simplified version of the essential part of the grammar in Figure 13.10
At one extreme, a parse tree can be viewed as a grammar that produces exactly one
sentence; at the other, a grammar as in Figure 13.5 can be viewed as a parse forest
for all arithmetic expressions. We will see more evidence for this view in the next
paragraph and in Section 13.2.3.
It is also interesting to see the result of intersecting with the FSA that accepts any
sequence, the FSA for ?*. This FSA has one state, 1, and all tokens have transitions
from 1 to 1. The intersection is so simple in this case that it can be performed by hand.
The outcome is in Figure 13.12, and, except for the markings _1_1,itisidenticalto
13.2 The Parsing of FSAs 435
Expr_1_1s---> Expr_1_1 +_1_1 Term_1_1 | Term_1_1
Term_1_1 ---> Term_1_1 ×_1_1 Factor_1_1 | Factor_1_1
Factor_1_1 ---> (_1_1 Expr_1_1 )_1_1 | i_1_1
Fig. 13.12. The grammar from Figure 13.5 filtered through an FSA that accepts any sequence
the original grammar. This is of course as it should be, but it is still satisfying to see
that it is.
13.2.3 Filtering
Since both the input and the output of the intersection process are grammars, inter-
section can be used as a filter: the result of intersection with an FSA can again be
intersected with another FSA. We shall use this technique to construct a grammar
for the language apbqcr,p,q,r≥1, by filtering a grammar for arbitrary sequences
of as, bs, and cs through an FSA which disallows bsbeforeas and then through an
FSA which disallows csbeforebs.
We start from the obvious grammar for [abc]*
Ss--->aS
S--->bS
S--->cS
S--->
and filter it through [ac]*a[bc]*. This regular expression describes a sequence of
asandcs with at least one afollowed by a sequence of bsandcs; that is, it forces
all as to come before all bs, without affecting the cs. The result of the intersection is
S_1_2s---> a S_1_2
S_1_2 ---> a S_2_2
S_2_2 ---> b S_2_2
S_1_2 ---> c S_1_2
S_2_2 ---> c S_2_2
S_2_2 --->
where we have replaced the marked terminals a_1_1 etc. by their unmarked coun-
terparts, since we are interested in the resulting grammar rather than in the parsing
of the FSA for [ac]*a[bc]*.
Filtering this grammar through the regular expression [ab]*b[ac]*,whichre-
quires at least one band forces all bs to come before all cs, yields the grammar
S_1_2_1_2s---> a S_1_2_1_2
S_1_2_1_2 ---> a S_2_2_1_2
S_2_2_1_2 ---> b S_2_2_1_2
S_2_2_1_2 ---> b S_2_2_2_2
S_2_2_2_2 ---> c S_2_2_2_2
S_2_2_2_2 --->
Now the only thing left is to require at least one cand we do this by filtering through
the regular expression [abc]*c. The resulting grammar is
436 13 Parsing as Intersection
S_1_2_1_2_1_2 ---> a S_1_2_1_2_1_2
S_1_2_1_2_1_2 ---> a S_2_2_1_2_1_2
S_2_2_1_2_1_2 ---> b S_2_2_1_2_1_2
S_2_2_1_2_1_2 ---> b S_2_2_2_2_1_2
S_2_2_2_2_1_2 ---> c S_2_2_2_2_1_2
S_2_2_2_2_1_2 ---> c S_2_2_2_2_2_2
S_2_2_2_2_2_2 --->
We see again that the grammar does not become unduly large, but it does look for-
bidding, until we realize that it contains only four non-terminals, S_1_2_1_2_1_2,
S_2_2_1_2_1_2,S_2_2_2_2_1_2,andS_2_2_2_2_2_2. If we rename
them to S,T,U,andV, we obtain the grammar
S--->aS
S--->aT
T--->bT
T--->bU
U--->cU
U--->cV
V--->
which is one of the simplest grammars for the language apbqcr,p,q,r≥1.
Note that this grammar was derived without applying any human intelligence.
The final rewrite was only cosmetic and served just to make the result more readable.
13.3 Time and Space Requirements
The reader will already have noticed that the grammars resulting from intersection
parsing are of modest sizes; twenty to thirty rules for an input of say ten tokens.
This is not really surprising, since the grammars represent parse trees, which for
unambiguous input have sizes ranging from linear (O(n))toO(nlnn)to O(n2)for
the worst case.
But appearances are deceptive in this case, since the intersection process is one
of expansion and clean-up, and the intermediate data structures are much larger. We
have seen that the fully expanded grammar for the parsing of (i+i)×i with the
grammar of Figure 13.5 contains 12487 rules. This number is easily verified: There
are 8 states. Each rule with a right-hand side of length 1 A→Bexpands into 8 ×8
rules A_n_m→B_n_m,forall8valuesofnand m; and there are 3 of these. Each
rule with a right-hand side of length 3 A→BCD expands into 8 ×8×8×8rules
A_n_p→B_n_mC_m_oD_o_p,forall8valuesofn,m,oand p; and there are again
3 of these. This gives (3×82=3×64 =192)+(3×84=3×4096 =12288)=12480
rules, plus 7 for the terminals makes 12487. More in general, a rule with a right-hand
side of length kexpands into nk+1rules, where nis the number of states in the FSA.
For a linear FSA with nstates, representing a string of length n−1, and a grammar
in CNF, this reduces to n3, exactly the space requirement of the traditional general
CF parsing algorithms.
13.4 Reducing the Intermediate Size: Earley’s Algorithm on FSAs 437
13.4 Reducing the Intermediate Size: Earley’s Algorithm on
FSAs
We have seen that the size of the intermediate grammar may be a problem. One
immediate idea to address this problem is to suppress the generation of all rules
that contain non-existent marked tokens: when we are about to generate a rule like
Expr_1_1--->Expr_1_1 +_1_1 Term_1_1 and know there is no +_1_1,we
refrain from doing so. This optimization reduces the number of rules in Irough from
12487 to 260 (of which 11 remain after clean-up).
Another approach is trying to be as frugal as we can in creating rules, as follows.
To keep the size of the example manageable, we consider the grammar
Ss--->aSb
S---> ε
which produces the language anbn, and which we are going to intersect with the
FSA for a*bb, represented by the grammar rules
a_1_1 --->a
b_1_2 --->b
b_2_3 --->b
Here 1 is the initial state and 3 is the accepting state.
We certainly need rules that start with the start symbol of the grammar, in the
initial state of the FSA: S_1_X--->a_1_YSband S_1_1--->ε_1_1.Bothstart
in FSA state 1. The first rule ends in an as yet unknown state X. Its right-hand side
starts with an astarting in FSA state 1 and ending in another as yet unknown state
Y. There are also other unknown states connecting ato Sand Sto b, so the full form
of the rule is S_1_X---> a_1_YS_Y_Zb_Z_X; note that the end state of bis
X, the end state of the left-hand side. We do not know yet what the states are, but
we know that they are equal. The second rule also starts in state 1, which makes the
εstart in state 1, which of course ends in state 1, which in its turn makes the Send
in state 1. For convenience the rules generated by the algorithm are brought together
in Figure 13.13. It starts with the rules for the terminal symbols since these will be
1. a_1_1 --->a from the FSA
2. b_1_2 --->b from the FSA
3. b_2_3 --->b from the FSA
4. S_1_X---> a_1_YS_Y_Zb_Z_Xfrom the start symbol and from 6
5. S_1_1 ---> ε_1_1 from the start symbol and from 6
6. S_1_X---> a_1_1 S_1_Zb_Z_Xfrom 4 and 1
7. S_1_X---> a_1_1 S_1_1 b_1_Xfrom 6 and 5
8. S_1_2 ---> a_1_1 S_1_1 b_1_2 from 7 and 2
9. S_1_X---> a_1_1 S_1_2 b_2_Xfrom 6 and 8
10. S_1_3 ---> a_1_1 S_1_2 b_2_3 from 9 and 3
11. S_1_X---> a_1_1 S_1_3 b_3_Xfrom 6 and 10; dead end
Fig. 13.13. The rules generated by the Earley-like intersection algorithm
438 13 Parsing as Intersection
needed in any case.
To complete the intersection grammar we need to find instantiations of the unin-
stantiated variables in them. The first rule with an uninstantiated variable is rule 4.
We can instantiate Xonly once we have identified the bat the end, so we try to find
a value for the Y. The only way to do this is to go to the rules that have already
been generated and find there a rule with a left-hand side a_1_kwhere kis instan-
tiated; there is only one such rule, rule 1. (We are using upper case letters (X,Y,
etc.) for uninstantiated variables and lower case letters (k,p, etc.) for variables that
have values.) Instantiating the Yto 1 yields rule 6, where the next position in need of
instantiation has moved to the Sin the right-hand side.
Now there are two ways to use rule 6. One is to consult again the already gener-
ated rules and find a rule with a left-hand side S_1_kwhere kis instantiated. There
is one such rule in Figure 13.13, rule 5; combining it with rules 6 yields rule 7, in
which only Xis still unknown. But since Sis a non-terminal, there is another way:
to consult the original grammar and instantiate new rules for S_1_Z. The two rules
for Sin the grammar yield rules that are identical to rules 4 and 5, so this step creates
no new rules.
Rule 7 requires a b_1_kwhich is provided by rule 2. Here Xfinally receives
a value, 2, from the b_1_2.ThismeansthatanewS_1_kwith kinstantiated has
been created, S_1_2. This allows a new possibility to derive a rule from rule 6: rule
9. The missing Xin b_2_Xis provided by rule 3, instantiating Xto 3; this results in
rule 10. So again a new S_1_khas been created, S_1_3, which again yields a new
rule from rule 6: rule 11. But since there is no rule that supplies a b_3_k,thisisa
dead end, and since no more new rules can be derived from the existing ones and the
grammar, the algorithm stops here.
As a final step we clean the grammar by removing all rules that contain unin-
stantiated variables, mark S_1_3 as the start symbol and thus obtain the intersection
grammar
a_1_1 --->a
b_1_2 --->b
b_2_3 --->b
S_1_1 ---> ε_1_1
S_1_2 ---> a_1_1 S_1_1 b_1_2
S_1_3s---> a_1_1 S_1_2 b_2_3
This grammar indeed produces aabb with the proper parse tree.
The reader will have noticed (if it were only from the title of this section) that
the algorithm we have shown above is a variant of the Earley algorithm described in
Section 7.2. The relationship can be summed up as follows.
• A tentative rule of the form A_p_X→B_p_···C_q_Y···corresponds to an item
A→B···C•···@pin itemsetqin the traditional Earley parser. The correspon-
dence is not exact, though. If the Earley parser has an item A→BC•···@pin
itemsetqand there are two ways in which BC can produce the input segment from
pto qwith different lengths for the BsandCs, the intersection Earley parser has
two tentative rules, A_p_X→B_p_iC_i_q··· and A_p_X→B_p_jC_j_q···,
13.5 Error Handling Using Intersection Parsing 439
with i=j. This is because the intersection Earley parser constructs the parse for-
est on the fly and does not need a second scan (Section 7.2.1.2) to construct the
parse forest.
• Creating new rules from a tentative rule A_p_X→B_p_···V_q_Y··· by finding
symbols of the form V_q_rin Grough,whereVis a terminal or a non-terminal,
corresponds to the actions of the Scanner.
• Creating new rules from a tentative rule A_p_X→B_p_···C_q_Y··· by finding
rules of the form C→··· in Gorig corresponds to the actions of the Predictor.
• Completing a tentative rule of the form A_p_X→B_p_···E_q_rto A_p_r→
B_p_···E_q_rand then offering it to the Scanner corresponds to the action of
the Completer.
This discussion of the intersection Earley parser is based on Section 5 of Albro’s
paper [222], which has the intersection and the Earley part, but not the parse forest
grammar part.
One wonders if the LL(1) and LR(1) methods can also be extended to parse
finite-state automata, but to our knowledge no such research has been reported. See
Problem 13.7 for some thoughts.
13.5 Error Handling Using Intersection Parsing
We have seen (page 431) that if we intersect a grammar with an incorrect input se-
quence (or actually with its FSA) an empty grammar results. From the viewpoint of
the algorithm nothing is wrong. The algorithm has dutifully computed the intersec-
tion and the intersection happened to be empty.
We have also seen that intersection parsing can be used to do substring parsing,
and the idea suggests itself to use this capability to do error handling. This does not
work either since unless we first identify a correct substring in the incorrect input
(and how could we do that) the intersection algorithm will again produce an empty
result.
When we follow the algorithm in what it does on its way to rejecting all rules of
the intersection grammar, we see that it collects valuable information bottom-up, but
that all that information is deleted because it is not reachable from the start symbol.
This is easy to understand: error information can only be collected bottom-up, since
the bottom-up process collects correct building blocks; top-down the answer to any
incorrect situation is always “No”. So the idea suggests itself to stop the cleaning
phase before unreachable rules are removed, and extract the error information from
that stage. We will call the grammar at that stage GBU for “Bottom-Up”.
As an example, we will try to parse the erroneous string (i+i)+×i using the
grammar from Figure 13.5; this is the same string as we used in Section 13.1.3 with
a spurious +inserted. The FSA corresponding to the input string is
1(2i3+4i5)6+7×8i9
and the resulting GBU is shown in Figure 13.14. Two useful bits of information can
440 13 Parsing as Intersection
Expr_2_5 ---> Expr_2_3 +_3_4 Term_4_5
Expr_1_6 ---> Term_1_6
Expr_2_3 ---> Term_2_3
Expr_4_5 ---> Term_4_5
Expr_8_9 ---> Term_8_9
Term_1_6 ---> Factor_1_6
Term_2_3 ---> Factor_2_3
Term_4_5 ---> Factor_4_5
Term_8_9 ---> Factor_8_9
Factor_1_6 ---> (_1_2 Expr_2_5 )_5_6
Factor_2_3 ---> i_2_3
Factor_4_5 ---> i_4_5
Factor_8_9 ---> i_8_9
Fig. 13.14. Bottom-up part of the intersection grammar
be derived immediately from this grammar. The first is that the grammar contains all
terminals except +_6_7 and ×_7_8, so these tokens are implicated in the error. The
second is that Expr_1_6, spanning 5 tokens, is the longest identified node in the
parsing.
The non-terminal Expr_1_6 describes the largest correct subtree over the input;
it explains the segment (i+i). When we isolate it from the grammar, we can find
the next largest, etc. The next one we find is headed by Expr_8_9; it explains the
final i. No further subtrees can be found; the remaining non-terminal Expr_4_5
does not lead anywhere. The subtrees are shown in Figure 13.15. It is not immedi-
Largest subtree:
Expr_1_6 ---> Term_1_6
Term_1_6 ---> Factor_1_6
Factor_1_6 ---> (_1_2 Expr_2_5 )_5_6
Expr_2_5 ---> Expr_2_3 +_3_4 Term_4_5
Expr_2_3 ---> Term_2_3
Term_2_3 ---> Factor_2_3
Factor_2_3 ---> i_2_3
Term_4_5 ---> Factor_4_5
Factor_4_5 ---> i_4_5
One but largest subtree:
Expr_8_9 ---> Term_8_9
Term_8_9 ---> Factor_8_9
Factor_8_9 ---> i_8_9
Fig. 13.15. Two subtrees identified by the bottom-up part of the intersection process
ately clear how this information can be converted into helpful error messages; one
possibility is telling the user that the input can be reduced to Expr + × Expr but
not further.
13.6 Conclusion 441
Two things can be noticed here. The first is that a directional parser would have
accepted the last +in (i+i)+×i, and declared the ×to be the culprit. But from a
non-directional point of view — and intersection parsing is a non-directional method
— there is nothing that says that the ×is more in error than the +. See also Problem
13.8.
The second is that the above technique allows us to identify subsections of FSAs
that match subsections of CF grammars. It is not clear what that means, or how or
where that can be used.
13.6 Conclusion
Parsing as intersection immediately provides polynomial-time algorithms for tasks
that would seem problematic otherwise, including substring parsing, managing am-
biguity, and large-scale error recovery, all without imposing restrictions on the CF
grammar used in the parsing. Although its basic component is old, it is a relatively
new and little-studied subject; (Web)Section 18.2.4 holds only 6 references.
In spite of its title, two subjects have been introduced in this chapter: intersection
parsing and parsing of finite-state automata. The combination is fortunate, but each
is also valuable on its own accord. Intersection parsing allows new insights in and
representations of ambiguous parsings, and may play a role in the unification of the
present plethora of parsing algorithms. The ease with which the Earley algorithm
was derived (Section 13.4) bodes well in this respect. The parsing of FSAs allows
the analysis of damaged or incorrect input in a natural way; extension of LL, LR and
generalized LR techniques to FSAs would be very useful. Not enough research has
been done to fully appreciate the possibilities of Bar-Hillel’s long-neglected algo-
rithm.
The results in this chapter have been obtained in an unexpected and surprising
way. Especially the determination by the algorithm that the first token in a sim-
ple arithmetic expression of which the second one is an open parenthesis (Section
13.2.2) must also be an open parenthesis is astonishing. One wonders where the
cleverness and the intelligence is that seemed so necessary in all our previous pars-
ing algorithms. Part of the answer seems to lie in the use of names of non-terminals
as multi-way pointers, but it may be too early to find a satisfactory answer to this
question.
Problems
Problem 13.1: The use of logic variables in Section 13.1.1 suggests that the
intersection of FSAs and CF grammars can be implemented conveniently in Prolog,
which has logic variables as a built-in feature. Explore such an implementation.
Problem 13.2: Extend Bar-Hillel’s intersection algorithm so it can handle ε-
transitions in the FSA.
442 13 Parsing as Intersection
Problem 13.3:Project To be honest, the three regular expressions used in Sec-
tion 13.2.3 to create a CF grammar for the language apbqcrwere chosen carefully
to produce a nice grammar. Unfortunately, most other regular expressions one could
use for this purpose, for example [ac]*[bc]*, produce less attractive results. In-
vestigate this phenomenon.
Problem 13.4: Turn the sketch of the intersection Earley parser in Section 13.4
into a complete algorithm.
Problem 13.5: We could refuse to produce rule 11 in Figure 13.13 on the
grounds that there is no b_3_k. This corresponds to prediction look-ahead in the
Earley parser, as described in Section 7.2.4.1. Incorporate this optimization in the
result of Problem 13.4.
Problem 13.6:Project: The Earley intersection parser creates (as frugally as
possible) the rules from the top down, but one could also create them bottom-up.
Start with all terminals of the form t_p_q, find all rules that contain t,andinstan-
tiate as many positions in the non-terminals as possible. On the basis of these half-
constructed rules, create more rules. etc. Turn this into an algorithm.
Problem 13.7:Research Project: (a) How can the LL(1) parsing method be
adapted to parse finite-state automata rather than strings? Hint: The big question is
of course what to do about the prediction stack. It seems possible to construct, for
each state pof the FSA Fto be parsed, an FSA Gpwhich describes all the prediction
stacks that any string produced by Fcould encounter in state p, either by specializ-
ing the general FSA for the prediction stack (Section 5.1.1) or by propagation and
transitive closure. (b) Same question for LR(1). (c) Same question for Generalized
LR.
Problem 13.8: Error detection traditionally requires the determination of the
longest grammatically acceptable prefix of the input string. Consider an algorithm
that determines that prefix by binary search, using the intersection algorithm as a test
of acceptability. What is the complexity of this algorithm? Once the prefix has been
removed, can a similar algorithm be used to determine further correct substrings?
14
Parallel Parsing
There are two main reasons for doing parallel programming: the problem has in-
herent parallelism, in which case the parallel programming comes naturally; and the
problem is inherently sequential but we need the speed-up promised by parallel pro-
cessing, in which case the parallel programming is often a struggle.
Parsing does not fall in either of these categories. It has no obvious or inherent
parallelism and on present-day machines and using state-of-the-art techniques it is
already very fast. A 250-line module in a computer program and a 25-word sentence
in a natural language can both be parsed in a fraction of a second. In parallel parsing
processing is performed on multiple processors, which either have a shared memory
or are interconnected by means of a (high speed) network. Given the communication
overhead in the most common parallel systems, little speed-up can be expected for
the average parsing task.
14.1 The Reasons for Parallel Parsing
From a practical point of view, parallel parsing is interesting only for problems big
enough to require considerably more time than a fraction of a second on a single
processor. There are three ways in which a parsing problem can be this big: the input
is very long (millions of tokens); the grammar is very large (millions of rules); or
there are millions of inputs to be parsed. The last problem can be solved trivially by
distributing the inputs over multiple processors, where each processor processes a
different input and runs an ordinary, sequential, parser.
Examples of very long inputs requiring parsing are hard to find. All very long
parsable sequences occurring in practice are likely to be regular: generating very long
CF sequences would require a place to store the nesting information during sentence
generation. The boundaries are not very clear, though, since a novel can be con-
sidered a very long parsable sequence of words. Upon a closer look, this sequence,
however, is either regular — just a list of chapters which are lists of paragraphs which
are lists of sentences, which in themselves are CF — or it is context-sensitive — a
coherent sequence of words, punctuation, etc., with strong context dependencies, for
444 14 Parallel Parsing
example keeping track of the color of the heroine’s eyes. This suggests that parallel
context-sensitive parsing might be useful, but no research on the subject is known.
The situation is different for parsing with very large grammars. These are found
most often in linguistics. They are especially bothersome there since most linguistic
applications require general CF parsing techniques, the speed of which depends on
the grammar size. This dependency is quadratic (O(|G|2),where|G|is the size of
the grammar), or, for more advanced algorithms, linear (O(|G|)). General CF parsing
has a practical upper bound of O(n3),wherenis the length of the sentence, but if the
grammar is very large and the sentence to be parsed is short, grammar size may be
much more significant then input length. Little explicit research on parsing with very
large grammars is known, but many parallel parsing techniques can be exploited to
allow very large grammars, as we shall see.
This brings us to two further reasons to study parallelism: scientific curiosity
and theoretical investigations. It is well known that trying to parallelize an other-
wise sequential program often leads to deeper insight, clever techniques, and some-
times to improved infrastructure. The theoretical investigations are concerned with
the inherent complexity of parsing: Can parsing be done in linear time (O(n))? (Yes,
easily, using O(n3)processors; see Section 14.4.2.1.) Can parsing be done in log-
arithmic time (O(lnn))? (Yes, with difficulty, using O(n6)processors; see Sections
14.4.3.1 and 14.4.3.3.) Can parsing be done in double-logarithmic time (O(lnlnn))?
(We don’t know.)
It is because of these considerations and questions that researchers have given
parallel parsing a lot of attention, so much so that it is impossible to describe all
this research in a single chapter. Rather, we will describe some of the directions this
research has taken.
Three main methods of parallelizing the parsing process have been developed:
multiple serial parsers, process-configuration parsers, and connectionist parsers.
These correspond closely to three main streams in the use of multiple processors: par-
allel programming, in which most of the processors perform the same program with
different data sets; distributed programming, in which most of the processors per-
form autonomous cooperating programs; and hardware parallelism, in which large
numbers of processors consisting of special hardware perform simple actions.
In this chapter we will discuss an example of each of the parsing methods.
14.2 Multiple Serial Parsers
A multiple serial parsers is a parallel parser in which each processor runs a sequential
parser on a part of the input, which is split up and divided among the processors.
A typical example of a multiple serial parser is Fischer’s algorithm [223]. Fischer
developed a mechanism that can be applied to several sequential parsing techniques.
We will discuss the LR(0) version here.
Each Fischer parser has a number of incomplete LR(0) stacks, each incomplete
stack being the head (top segment) of a possible actual stack. Nsuch parsers are
started at Nessentially arbitrary points in the input sequence (which must be known

14.2 Multiple Serial Parsers 445
in its entirety); one parser starts at the beginning. The latter starts with one stack head,
containing the initial state, so it certainly starts with a correct and complete LR(0)
stack. The stack head sets of the other parsers are determined by the first token they
look at. If a certain parser looks at a token a, it gets one stack head for each state in
the LR(0) table that allows a shift on a, and that stack head contains that state. Each
parser proceeds as follows: It considers each active state in the stack head set; some
will indicate a shift, some a reduce and some will indicate an error. The stack heads
indicating an error are discarded. Now, five cases are distinguished:
• All active states (the states on top of the stack heads) indicate a shift: the action
is done for each stack head and the parser proceeds.
• All active states indicate a reduction for which the corresponding stack head is
deep enough: the action is done for each stack head and the parser proceeds. Note
that the stack head of the first parser will always be deep enough.
• All active states indicate a reduction, but none of the stack heads are deep enough
to allow the reduction. In this case, the parser suspends itself, it has to wait for
its left neighbor.
• There are no stack heads left; all stack heads were discarded because they indi-
cated an error. In this case, there actually was an error.
• If none of the above applies, the parser splits the stack head set up in such a way
that one of the above cases applies to each part. Next, a number of further parsers
are started, so that there is a parser for each of these parts of the stack head set.
When a parser Pruns into a token that has already been processed by a subse-
quent parser Q,Pwaits until Qgets suspended (or finishes); it then combines the
results. If Qwas split, Pmust wait until all parsers that resulted from this split (and
further splits) are either finished or suspended. We will discuss this combination of
results in more detail in the example below. Parser Pmay then be able to continue, or
it may have to wait again or be suspended. The first parser will never get suspended
(though it may have to wait) and will ultimately finish the job.
Now let us examine how this works with the example of Figure 9.18, with input
n-n-(n-n)$. Let us assume that we cut the input in two pieces of equal length:
n-n-( and n-n)$. Figure 14.1 presents the steps that the first parser takes. It starts
①n-n-( shift to ③
①n③-n-( reduce T--->n
①T②-n-( reduce E--->T
①E④-n-( shift to ⑦
①E④-⑦n-( shift to ③
①E④-⑦n③-( reduce T--->n
①E④-⑦T⑧-( reduce E---> E-T
①E④-( shift to ⑦
①E④-⑦(shift to ⑥
①E④-⑦(⑥wait
Fig. 14.1. Fischer parsing of the substring n-n-(

446 14 Parallel Parsing
with one stack head containing the initial state, state ①. It ends up waiting for the
second parser, in state ⑥.
To determine the stack heads of the second parser, we have to consider the first
token: n. There are three states that have a shift on n: states ①,⑥,and⑦, so our set
of stack heads consists of these states. The first few steps of the second parser are
presented below.
{①,⑥,⑦} n-n)$ shift to ③
{①,⑥,⑦}n③-n)$ reduce T--->n
{①,⑥}T②-n)$ reduce E--->T
⑦T⑧-n)$ reduce E---> E-T
The first two steps above actually represent three stack heads but are combined into
one line. This is possible as long as the only difference is the state on the bottom of
the stacks. Now, state ②requires a reduction for which its stack head is deep enough,
but state ⑧requires a reduction for which it is not, so a split is required. The second
part of the split is suspended immediately, so we will now examine what happens
with the first part.
{①,⑥}T②-n)$ reduce E--->T
①E④-n)$ shift to ⑦
⑥E⑨-n)$ shift to ⑦
①E④-⑦n)$ shift to ③
⑥E⑨-⑦n)$ shift to ③
①E④-⑦n③)$ reduce T--->n
⑥E⑨-⑦n③)$ reduce T--->n
①E④-⑦T⑧)$ reduce E---> E-T
⑥E⑨-⑦T⑧)$ reduce E---> E-T
①E④)$ error on ). Discarded
⑥E⑨)$ shift to ⑩
⑥E⑨)⑩$reduce T---> (E)
So, now all splits are either suspended or finished (because of an error), and the
suspended stack heads are:
⑥E⑨)⑩$reduce T---> (E)
⑦T⑧-n)$ reduce E---> E-T
These results can now be combined with the result of the first Fischer parser. The
state set at the top of the stack of the first Fischer parser (⑥) has no states in common
with the bottom state of the second suspended parser (⑦). Therefore, this is a dead
end, and is discarded. Combining the result of the first suspended parser with the
result of the first Fischer parser, we get:
①E④-⑦(⑥E⑨)⑩$reduce T---> (E)
①E④-⑦T⑧$reduce E---> E-T
①E④$shift to ⑤
①E④$⑤reduce S--->E$
accept
14.3 Process-Configuration Parsers 447
As we can see from this example, the second part of the input results in a lot of
work that later turns out to be without merit, but at least the second part could mostly
be processed independently of the first part. However, unfortunate splits are possible.
For instance, if an expression is split up right in front of a ), the parser processing
the part that starts with a )can only shift it and then suspend, leaving all the work
to its left neighbor, and making the process virtually sequential. So, it is important to
split the input in suitable places. There are two ways in which this may be achieved:
• We may split up at terminal symbols that have only a few states with a shift on
that symbol. This keeps the number of stack heads small. This may not always
be a good heuristic though, see our example of the ), for which only state ⑨has
ashift.
• We may also split up in such a way that it is unlikely that the parser will have
to suspend itself because it meets a reduce for which its stack is insufficient. For
instance, a split right in front of a (might be a good heuristic, because the parser
processing that part can then at least process its input up until the corresponding
closing parenthesis. Parallel bracket matching techniques can be used to find
suitable places to split up. See, for instance, Bar-On and Vishkin [225] or Srikant
[230].
The time we have to wait for the answer consists of two components: the time
required by the Nparsers, each working in parallel on n/Nof the input (O(n/N))
andthetimerequiredbytheNprocesses to communicate their findings (O(N));
together this is O(n/N)+O(N). This shows that when nis large with respect to N,
adding processors helps, but also that after a certain number of processors the O(N)
terms will start to dominate and adding further processors will be detrimental. Since
the grammar is incorporated in the LR(0) table the speed does not depend on the
grammar, but the technique works for LR(0) languages only.
It is interesting to note that the behavior the start-up phase of each parser except
the first one is very similar to that of the GLR suffix parser of Bates and Lavie [214]
discussed in Section 12.3.2.1. In fact, the Fischer parser parses 1 prefix and N−1
substrings, and combines the result.
A (simpler) finite-state variant of Fischer’s method can also be used to construct a
parallel lexical analyser: each of the Nfinite-state automata starts in all states, except
the first one, which starts in the initial state. Only a few of these states will survive
until the end of the chunk that is processed by each automaton. Only these survivors
are available for combination into the complete list of resulting tokens.
14.3 Process-Configuration Parsers
Aprocess-configuration parser assigns an agent, a process, to each task in the parser.
They are also known as agent parsers. Agents are autonomous processes whose ac-
tions are triggered by messages: when an agent receives a message, this triggers
some computation, after which the agent may send messages to other agents. In an

448 14 Parallel Parsing
LR parser, for instance, an agent could process a particular state in the LR automa-
ton. State transitions are modeled as messages from one agent to another, so that a
message contains enough information for the agent to continue. See, for instance,
Hendrickson [235].
14.3.1 A Parallel Bottom-up GLR Parser
An interesting example of a process-configuration parser is presented by Sikkel and
Lankhorst [233]. Their “PBT” (Parallel Bottom-up Tomita) parser allocates an agent
to each position in the input, one in front of each input symbol, and one at the end.
Each agent yields the constituents that start at its own position. The algorithm works
with any CF grammar, including ones with ε-rules (hence the agent at the end of the
input). The left-to-right restriction of GLR is abandoned, which allows each agent
to start parsing at its own word, in parallel. For convenience, an end marker (#)is
added at the end of the input, so that the last agent has a symbol to work with as well.
We will use the grammar of Figure 7.8 and input a-a+a# as a running example,
where we have added a rule S’--->S# to the grammar, and the end marker to the
input. As parsing proceeds, an agent Pkwill send items that it has found to its left
neighbor Pk−1. It will also send any items it receives from its right neighbor on to its
left neighbor. These items all have the form (i,X,j),whereXis either a terminal or
a non-terminal, and which indicates that X*
→ai···aj−1.
For the example, the agents are driven by the parse table of Figure 14.2. Its con-
struction will be discussed later. This example table has a shift/reduce conflict in state
2, but conflicts are allowed. The agent tries all possibilities. All agents are started in
state 1.
action goto
a + - S E F Q #
1 6 7 8 9 2 5
2reduce S--->E 3
3 4
4reduce E--->EQF
5reduce E--->F
6reduce F--->a
7reduce Q--->+
8reduce Q--->-
8reduce S--->E
9accept
Fig. 14.2. The PBT parse table for the grammar of Figure 7.8
Let us consider agent P5, the one dealing with position 5 in the input, in detail.
It sees the symbol a, so it sends the item (5,a,6) to its left neighbor, P4. Then,
it consults the parse table to determine what to do next. The parse table tells it to

14.3 Process-Configuration Parsers 449
shift to state 6, which prescribes a reduce using rule F--->a.ThismeansthatanFis
recognized, so the agent sends the item (5,F,6) to P4. When applying a reduce,
the parser keeps the old stack around, because it may still be needed. It uses stack
duplication, with combined prefixes, as described in Section 11.1.2.3. After the re-
duce, the parser is back in state 1, and sees an F. The parse table instructs the parser
to shift to state 5, which again prescribes a reduce, now using rule E--->F. So, an E
is recognized, and the item (5,E,6) is sent to P4. Another shift, another reduce, a
new item (5,S,6) sent to P4, and another shift bring P5into state 9. Somewhere
along the way, agent P6has discovered the #and sent the item (6,#,7) to P5.
Agent P5now forwards this item to P4, and also determines that the sentence starting
at position 5 is accepted. The final stack of P5is depicted in Figure 14.3.
a-a+a#
1 6(5,a,6)
5(5,F,6)
2(5,E,6)
9(5,S,6)
Fig. 14.3. The stack of agent P5
The reader is invited to verify that P4derives the item (4,Q,5). It also sends
the items found by P5through to P3. Now, let us look at P3in more detail. After
its local processing of its own symbol, its stack looks very much like the one from
Figure 14.3, with some positional differences. Next, it receives the (4,Q,5) item
from P4.P3has a stack at position 4, in state 2, in which a Qcan be shifted. The
resulting stack is shown in Figure 14.4.
a-a+a#
1 6(3,a,4)
5(3,F,4)
2(3,E,4)
9
(3,S,4)
3(4,Q,5)
Fig. 14.4. The stack of agent P3after shifting Q
Next, it receives the item (5,F,6) and this Fcan now be shifted. There is a
subtle issue here concerning the order of the messages: before passing on items that
start at a position k, an agent must send all items that end right in front of this position
and that pass through this agent. Shifting the Fhas brought P3into state 4, which
prescribes a reduce using rule E--->EQF. So, P3has discovered the item (3,E,6).

450 14 Parallel Parsing
Continuing, it also discovers (3,S,6) and also discovers that the sentence starting
at position 3 is accepted. The final stack of P3is shown in Figure 14.5.
a-a+a#
1 6(3,a,4)
5(3,F,4)
2(3,E,4)
9(3,S,4)
3(4,Q,5) 4(5,F,6)
(3,E,6) 2
(3,S,6) 9
Fig. 14.5. The final stack of agent P3
Like agent P4, agent P2only derives the item (2,Q,3), so we finally turn our
attention to P1. Initially, P1develops its stack quite similarly to P3.However,where
P3finishes, P1can continue. It has a stack head in state 2 after processing 3 symbols.
When it receives the item (4,Q,5) from P2, shifting the Qbrings it into state 3,
and when it then receives (5,F,6), shifting the Fbrings it into state 4, which, as
we know by now, prescribes a reduce using rule E--->EQF. So, P1has discovered the
item (1,E,6).Italsodiscovers(1,S,6), ends up in state 9, where (6,#,7)
causes P1to accept the sentence. See Figure 14.6.
a-a+a#
1 6(1,a,2)
5(1,F,2)
2(1,E,2)
9(1,S,2)
3(2,Q,3) 4(3,F,4)
(1,E,4) 2(4,Q,5) 3(5,F,6) 4
(1,S,4) 9
(1,E,6) 2
(1,S,6) 9
Fig. 14.6. The final stack of agent P1
Some observations should be made here:
• All states on the stack are active, not just the ones on top of a stack head. Each
state can start a branch when an item arrives that can be shifted in this state.

14.3 Process-Configuration Parsers 451
• The order in which the items are sent is important. When an agent Pitries to fit an
item (j,X,k)on any one of the states on its stack, all items (l,Y,m)with i≤l≤
m≤jmust have been processed, which is a bit of a problem when l=m=j=k.
Nullable symbols have to be retried.
• Although the stack of each agent is in fact tree structured, with common pre-
fixes, the complete conceptual picture of the stack is graph structured: every state
transition labeled (i,X,j)implicitly refers to agent Piwhich has the details for
(i,X,j).
• The number of items sent from one agent to another can be reduced considerably.
For instance, if a symbol (either terminal or non-terminal) Xonly occurs as a first
symbol in the right-hand sides of the productions, and agent Pihas discovered the
item (i,X,j), this is only useful information for agent Pi. Also, if Pidiscovers (i+
1,Y,j), then this information is only useful for other agents if the combination
aiYoccurs in a right-hand side but not at the beginning, or a combination AY
occurs in a right-hand side and produces a string ending with ai.
Generation of the parse table is particularly easy. It is similar to the LR(0) parse
table generation, but there are some differences: since each agent is initially ready to
recognize any non-terminal, the initial state contains all items A→•αfor all gram-
mar rules A→αin the grammar. Next, for each symbol Xafter a dot, a new state
is defined with the items that have the dot after the X. The resulting automaton is
deterministic by the way it is constructed (but it may contain shift/reduce conflicts).
For our example, the automaton is shown in Figure 14.7.
S’--->•S#
S--->•E
E--->•EQF
E--->•F
F--->•a
Q--->•+
Q--->•-
1
F--->a•
6
a
E--->F•
5
F
S--->E•
E--->E•QF
2
QE--->EQ•F
3FE--->EQF•
4
E
Q--->+•
7
+
Q--->-•
8
-
S’--->S•#
9
S
#accept
Fig. 14.7. The PBT automaton for the grammar of Figure 7.8
To obtain a parse-forest grammar, each agent must make a grammar rule for
each reduction it finds. For instance, when agent Pifinds that it can reduce (i,Y,j)
and (j,Z,k)to (i,X,k), it adds a rule X_i_k→Y_i_jZ_j_k. It can be sure that if Y
is a non-terminal, it has rules for Y_i_j, because it has made a reduction to it at
some time. Likewise, if Zis a non-terminal, agent Pjhas made a reduction to Z_j_k

452 14 Parallel Parsing
and thus has one or more grammar rules for it. At the end of the parsing process,
we have a parse-forest grammar, but it is distributed over the agents. One way of
dealing with this is to send the parse-forest grammar rules with the items. This has
the disadvantage that items may now have to be sent several times (with different
grammar rules).
Sikkel and Lankhorst [233] do not give a theoretical derivation of time and
communication requirements of their algorithm. Rather, they did a practical per-
formance evaluation that showed that for large sentences, their algorithm actually
gave a speedup of about O(√n)when using nprocessors with respect to a sequential
Tomita parser.
14.3.2 Some Other Process-Configuration Parsers
Yonezawa and Ohsawa [229] describe an agent parser where there is one agent for
each grammar rule. The agent for the rule N→ABC receives messages from all
agents that manage rules for A,Band Cand sends messages to all agents for rules of
the form P→αNβ. Each message is a parse tree for a chunk of the input, including
its position in the input and its length. The agent waits for chunks of the right non-
terminal and of the right position and length, combines them into a new parse tree
and sends it to the interested agents. In the end, the agent processing the start symbol
delivers all parse trees. The parser does not allow ε-rules or circularities.
Ra and Kim [236] describe what they call an Earley-based parser, which looks
like an Earley parser without the top-down component, i.e., a bottom-up Earley
parser, but which is actually a bottom-up left-corner parser (see Section 7.3.4 and
Sikkel [158]). Their parser too does not allow ε-rules or circularities. It bears resem-
blance to the PBT parser of Section 14.3.1 in that it has an agent for each position in
the input, and sends the completed items that it finds to its left neighbor. However, it
does not use a parse table. Instead, each agent maintains a set of dotted items, which
have the format (i,A→α•β,j); this means that we have recognized an αin positions
iup to (but not including) jand are looking forward to recognizing a βstarting at
position j. Each agent Piinitializes its item set with all items (i,A→•α,i)for all
grammar rules A→α. Next, each agent Piperforms the following steps, repeatedly.
• A “scanner” step: if the agent has an item (i,A→α•aβ,j)and a=aj, it adds the
item (i,A→αa•β,j+1).
• A “starter” step: for each item (i,A→α•,j)(with the dot at the end of the rule,
which means that the rule has been recognized completely) and each grammar
rule B→Aβ, the item (i,B→A•β,j)is added. This corresponds to the left-corner
inference rule of Section 7.3.4. As βcan be ε, in which case a new completely
recognized item has been found, this step has to be performed repeatedly until
no new items are added.
• An “extender” step: if the agent has an item (i,A→α•Bβ,r)for some rand a re-
ceived message contains the item (r,B,j), the agent adds the item (i,A→αB•β,j)
to its item set.
14.4 Connectionist Parsers 453
Initially, the agents process their own itemset, until no new items can be added. Then,
each received item may trigger new additions. Each new addition that represents a
completed item is passed on to the left neighbor, as are all items that are received
from the right neighbor. Conceptually, the process can be divided into stages: after
stage k(in which agent Picomputes “its” items of length k), Pi+1sends its own
completed items of length k, the completed items from Pi+2of length k−1, the
completed items from Pi+3of length k−2, et cetera. So, messages may become
bigger with k, but the number of messages decreases: after the initialization, agent
Pnwill never receive messages, agent Pn−1will only receive one message, et cetera.
In the end, when agent P1has processed n−1 messages, it has computed its items of
length n. If this item set now contains the item (1,S→α•,n+1),whereSis the start
symbol of the grammar, the sentence is recognized.
Ra and Kim [236] present a time requirement analysis, and conclude that the
worst-case performance is O(n3/p)on pprocessors. It should be noted, however,
that there is also a dependency on the size of the grammar that is at least quadratic.
We can see that the above algorithms are all parallel ways of filling the items
table of Figure 7.13.
14.4 Connectionist Parsers
A connectionist parser is a parser that runs on a connectionist network. In general, a
connectionist network is a network of nodes connected by unidirectional lines which
each carry a value, the level of activation, which is determined by the node the line
emanates from. Each node continually examines the activity levels on its input lines
and computes from them the activity level on its output line(s).
To allow for reasoning about time, we split time up into discrete steps, and as-
sume that it takes one time step to compute the activity level on the output lines from
the activity levels on the input lines. In other words, the activity level on the output
lines at time tis computed from the activity level on the input lines at time t−1.
14.4.1 Boolean Circuits
The simplest connectionist network is a Boolean circuit, which is a directed graph
where the nodes of the graph correspond to the nodes in the connectionist network,
and the (directed) edges of the graph correspond to the connections in the network. In
a Boolean circuit, there are only two activation levels: “on” and “off”, and there are
only two types of nodes: “OR-nodes” and “AND-nodes”. Each node has an arbitrary
number of inputs and an arbitrary number of outputs (the outputs all carry the same
value). An OR-node determines its output value as follows: if any of its input values
is “on”, its output value will be “on”, otherwise it will be “off”. An AND-node
determines its output value as follows: if any of its input values is “off”, its output
value will be “off”, otherwise it will be “on”. We say that a node is “off” when its
output value is “off”, and it is “on” when its output value is “on”. Usually, Boolean
circuits may have NOT-nodes as well. A NOT-node is a node with a single input

454 14 Parallel Parsing
and a single output, where if the input is “on”, the output is “off”, and vice versa.
However, we do not need NOT-nodes for the discussion below.
The circuit is started by setting the initial activation level for some of the nodes
to “on”. At each time step, the outputs of a node are computed as the result of the
node computation with the input values of the previous time step. This means that if
there are no changes in a single time step, the input values of the next time step are
the same, and thus the output values are too, so the system is stabilized. This happens
after a number of time steps, because once a node is “on”, it will never be “off” again.
When the circuit has no cycles, the number of time steps required to propagate the
initial values through the whole graph is equal to the number of connections in the
longest path from any initial node.
a
b
c
d
Fig. 14.8. A circuit representing d=(aAND b)OR c
Figure 14.8 presents a small example of a Boolean circuit, with an AND-node
computing the result of aAND b, and an OR-node with inputs from the AND-node
and c. The result dis “on” if either cis “on” or both aand bare “on”. The circuit takes
two timesteps to stabilize. When a Boolean circuit has NOT-nodes, it is possible for
such a circuit to never stabilize.
14.4.2 A CYK Recognizer on a Boolean Circuit
A CYK recognizer is particularly easy to implement with a Boolean circuit, as long
as we limit the length of the sentence to some upperbound. Suppose we want to build
a CYK recognizer for a grammar Gand input sentences with length at most N.As
we did in Section 4.2.2, we assume that the grammar is in Chomsky Normal Form. 1
The idea is that we assign a node to every possible hypothesis “non-terminal A
derives substring si,l, starting at position iand with length l”. We will call this node
Ai,l. If this hypothesis is realized, Ais a member of the set Ri,l, as discussed in Section
4.2.2. So, each set Ri,lhas a node for every non-terminal, and its output is “on” if
the non-terminal is a member of the set, and “off” otherwise. Note that in total there
are O(n2|VN|)of these hypotheses (and nodes), where |VN|stands for the number of
non-terminals.
Next, we will determine what kind of nodes these are, and what their inputs are.
For a non-terminal Ato derive a substring si,l, there must be at least one rule A→BC
that derives this substring.
For a rule A→BC to derive a substring si,l, the right-hand side BC must derive
this substring. This means that for some k,Bmust derive si,kand Cmust derive
1The Boolean circuit implementation presented here is by Sikkel [158].
14.4 Connectionist Parsers 455
si+k,l−k. So, if we have a node Bi,kthat represents the hypothesis that Bderives si,k
and we have a node Ci+k,l−kthat represents the hypothesis that Cderives si+k,l−k,
the combined hypothesis can be represented by an AND-node A→BCi,k,lwith two
inputs: the outputs of nodes Bi,kand Ci+k,l−k. For every length kbetween 1 and l−1
we create such a node. Now, we see that node Ai,lwill be an OR-node with inputs
from all nodes A→BCi,k,l.
This tells us how to deal with rules of type A→BC, and describes the main
engine, but we still have to initialize and start it. For that purpose, we have AND-
nodes aifor all terminals a, for all positions i. These nodes have two inputs, one
that is used to start the circuit (when it is turned “on” by a switch or so), and one
that is “on” if, in fact, si,1is a. We also have AND-nodes A→aifor all production
rules A→a, for all positions i, which get their one input from the AND-node ai.
This node is turned on when the symbol in position iis, in fact, a. Finally, we also
have OR-nodes Ai,1for all non-terminals Aand all positions i. These nodes represent
the hypotheses that the non-terminal Aderives the substring si,1. Their inputs are the
outputs of all nodes A→ai.
In the end, when the circuit is stabilized, we look at the node representing the
hypothesis S1,n, that is, the hypothesis that the start symbol Sderives the input sen-
tence s1,n. When this node is “on”, the sentence is recognized, when it is “off”, it
is not. With the circuit constructed above we also can recognize sentences of length
less than the maximum length N. Like we saw with a CYK parser, where a sentence
s1,kis recognized when Sis a member of R1,k, in the Boolean circuit, the node S1,k
will be turned “on”.
Time for an example! We will use grammar 14.9 as an example to build a Boolean
circuit from. We will build a recognizer for this language for strings with length at
most 3, because things get out of hand rather quickly.
Ss--->DB
Ss--->AS
Ss--->c
D--->AS
A--->a
B--->b
Fig. 14.9. An example grammar to build a Boolean circuit
Figure 14.10 presents the Boolean circuit recognizer for the grammar of Figure
14.9. The circuit is started by flipping the switch at the bottom right hand side of
the picture. The arrows leaving the picture at the left are the lines to check when the
circuit is stabilized. When S1,1is “on”, a sentence of length 1 is recognized, et cetera.
The elements of the CYK recognition table Ri,jare represented by the dotted boxes.
We will follow the time steps on recognizing the input sentence acb,whichis
represented by setting the left inputs of nodes a1,c2,andb3to “on”. Now, when
we flip the switch, the right inputs of nodes a1,c2,andb3are also “on”. Therefore,
one timestep after flipping the switch, the inputs of A→a1,S→c2,andB→b3

456 14 Parallel Parsing
a1b1c1a2b2c2a3b3c3
A→a1B→b1S→c1A→a2B→b2S→c2A→a3B→b3S→c3
A1,1B1,1D1,1S1,1A2,1B2,1D2,1S2,1A3,1B3,1D3,1S3,1
D→
AS1,1,2
S→
AS1,1,2
S→
DB1,1,2
D→
AS2,1,2
S→
AS2,1,2
S→
DB2,1,2
A1,2B1,2D1,2S1,2A2,2B2,2D2,2S2,2
D→
AS1,1,3
D→
AS1,2,3
S→
AS1,1,3
S→
AS1,2,3
S→
DB1,1,3
S→
DB1,2,3
A1,3B1,3D1,3S1,3
Fig. 14.10. A recognizer for the grammar of Figure 14.9
are “on”, and one timestep later the inputs of A1,1,S2,1,andB3,1are “on”. After the
third timestep, the inputs of S→AS1,1,2and D→AS1,1,2are “on”. This, in turn,
will set the inputs of D1,2and S1,2“on” at the next timestep. So, the sentence ac is
recognized, but we are not done yet. Both inputs of S→DB1,2,3are now “on”, so its
output will be “on” at the next timestep, and S1,3will be “on” next, which means that
the sentence is recognized.
As can be seen from Figure 14.10, the circuit as constructed above contains many
nodes that can never be activated. Its size can be reduced using metaparsing:welet
the circuit try and recognize any input sentence of length ≤Nby turning on all nodes
ai. Any node not turned “on”eventually by this input can be discarded, because if it
is not turned “on” now, it will not be turned on, ever. This results in the recognizer
as presented in Figure 14.11.
Next we mark all nodes reachable by a reversed scan, starting with nodes S1,k
and following all connections in the reversed direction. Any intermediate node not
marked in this way can be removed, because there is no path from such a node to a
node S1,k, see Figure 14.12.
14.4.2.1 Time and Node Requirements
Now let us examine the time requirements for such a Boolean circuit, i.e., how many
time steps it takes for the circuit to stabilize. From the description above, it appears

14.4 Connectionist Parsers 457
a1b1c1a2b2c2a3b3c3
A→a1B→b1S→c1A→a2B→b2S→c2A→a3B→b3S→c3
A1,1B1,1S1,1A2,1B2,1S2,1A3,1B3,1S3,1
D→
AS1,1,2
S→
AS1,1,2
D→
AS2,1,2
S→
AS2,1,2
D1,2S1,2D2,2S2,2
D→
AS1,1,3
S→
AS1,1,3
S→
DB1,2,3
D1,3S1,3
Fig. 14.11. The recognizer of Figure 14.10 after metaparsing
that there are no cycles in the resulting circuit, and getting from nodes associated with
length lto nodes associated with length l+1 takes two time steps; so getting from
nodes associated with length 1 to nodes associated with length ntakes 2ntime steps.
In other words, we need O(n)time steps for the system to stabilize; note that this time
is independent of the grammar size. This is a major improvement over the O(n3)that
we saw in Section 4.2.2. However, this improvement comes with considerable costs:
the number of nodes needed.
Obviously, the number of nodes needed depends on the maximum length of the
input sentence. There are n(n+1)/2setsRi,l, and for each of these sets, we need:
• an OR-node for each non-terminal. The number of such nodes within one Ri,lset
thus depends linearly on the number of non-terminals |VN|in the grammar;
• AND-nodes C→ABi,k,lfor all rules C→AB in the grammar and for all 1 ≤k<l
(when l>1), or AND-nodes A→aifor all grammar rules A→awhen l=1.
The number of such nodes depends not only linearly on the number of rules |P|
in the grammar, but also linearly on l, so ultimately also on the maximum length
of the input sentence.
Thus, considering the number of non-terminals, the number of grammar rules,
and the number of terminals constant, the number of nodes needed for a single set
Ri,lis O(n|G|)where |G|is the size of the grammar, so the total number of nodes
needed for Ris O(n3|G|). In addition, we need n|Σ|AND-nodes, where |Σ|stands for

458 14 Parallel Parsing
a1b1c1a2b2c2a3b3c3
A→a1S→c1A→a2S→c2B→b3S→c3
A1,1S1,1A2,1S2,1B3,1S3,1
D→
AS1,1,2
S→
AS1,1,2
S→
AS2,1,2
D1,2S1,2S2,2
S→
AS1,1,3
S→
DB1,2,3
S1,3
Fig. 14.12. The recognizer of Figure 14.11 after a reversed scan
the number of different terminals (Σis the set of terminal symbols). This number is
O(n|G|), so the total number of nodes needed is O(n3|G|)for parsing in time O(n).
We see that although the time requirement is independent of |G|,|G|reappears in
the node requirements. Unlike Fischer’s parser, adding more processors to a connec-
tionist parser to speed it up is not an option: Gand ntogether determine exactly the
number of processors the parser needs.
Chang, Ibarra and Palis [228] show that a linear-time CYK parser can be imple-
mented on O(n2)processors, a two-dimensional array of finite-state machines.
It is interesting that the above connectionist parser can be seen as a process-
configuration parser in which the connections are hard-wired.
14.4.2.2 Creating a Parse Forest
One might think that the circuit as presented above, once it is stabilized, represents
a parse forest, but in general this is not the case: outputs and nodes can be turned
“on” but not participate in a valid parsing. This corresponds to the introduction of
non-reachable rules when getting a parse-forest grammar from a CYK recognition
table, as we have seen in Section 4.2.8. There, we had to remove non-reachable rules
from the parse-forest grammar. In Boolean circuit terms, this means that we have to
make sure that a node that is turned “on” contributes to the ultimate turning “on” of
S1,N.

14.4 Connectionist Parsers 459
On the other hand, all nodes that are left in the circuit after the reversed scan
could represent nodes in a parse forest. The problem is that we need a top-down
scan to determine which nodes should actually be turned “on”. This requires the
value of node S1,Nas input, which means that we have to build additional circuitry
for the parse forest. We basically need additional circuitry that determines which
nodes actually are part of the parse forest, and which nodes are non-reachable for the
input at hand. The additional circuitry will have a node Xfor every node Xin the
recognizing circuit. Xwill be an OR-node if Xis, and an AND-node if Xis. Xwill
be turned “on” if, and only if, it is part of the parse forest. The difference with the
recognizing circuitry lies in the wiring (the connections), so we will now concentrate
on that.
a1a2c2b3c3
A→a1A→a2S→c2B→b3S→c3
A1,1A2,1S2,1B3,1S3,1
D→
AS1,1,2
S→
AS2,1,2
D1,2S2,2
S→
AS1,1,3
S→
DB1,2,3
S1,3
S
1,3
S→
AS
1,1,3
S→
DB
1,2,3
D
1,2
S
2,2
D→
AS
1,1,2
S→
AS
2,1,2
A
1,1
A
2,1
S
2,1
B
3,1
S
3,1
A→a
1
A→a
2
S→c
2
B→b
3
S→c
3
Fig. 14.13. The recognizer/parse-forest circuit for the grammar of Figure 14.9
Starting with the top level, as we would do when marking the reachable rules in
the parse-forest grammar, where we would mark S_1_Nreachable, the node S
1,N,an
460 14 Parallel Parsing
OR-node, gets a single input: the output of S1,N. This can be considered a switch to
turn on the parse-forest circuitry. Next, we turn our attention to all nodes C→ABi,j,k
which determine the inputs of node Ci,k. Node C→AB
i,j,kshould be part of the parse
forest if C→ABi,j,kis “on” (obviously), and C
i,kis “on” (which makes sure that it is
actually part of the parse forest). So, C→AB
i,j,kis an AND-node with two inputs:
C→ABi,j,kand C
i,k. It has two outputs: one to node A
i,jand one to B
i+j,k−j.This
corresponds to marking A_i_jand B_i+j_k−jreachable when C_i_kis and the
rule is applicable for the input at hand (see Section 4.2.8).
In addition, for nodes A
i,1we add an output to node A→a
i, which is an AND-
node with two inputs, for all rules A→a. The second input to node A→a
icomes
from the output of node A→ai.
The complete circuit for our example grammar and strings of length 3 is pre-
sented in Figure 14.13. To keep the figure readable, we have removed the nodes that
do not contribute to the recognizing of strings of length 3 (again, using a reversed
scan).
14.4.3 Rytter’s Algorithm
Many problems that require linear or more time on a sequential processor can be
solved in O(log n)time on a parallel machine, so the question arises if parallel pars-
ing in O(log n)is possible. Rytter [226, 227] invented a clever recognition algorithm
that can be executed in O(log n)time. We will first describe the building blocks
of the algorithm, then describe the algorithm itself, and then show how to build a
Boolean circuit for it. We will use the grammar of Figure 14.9 as a running example,
with input sentence aacb. Virtually the same algorithm was invented by Brent and
Goldschlager [224]. In fact, their paper was published earlier.
In this discussion, we will use the version of Brent and Goldschlager, but call the
algorithm Rytter’s algorithm, for that is the name it goes by.
Like the CYK algorithm, Rytter’s algorithm requires the grammar to be in Chom-
sky Normal Form. Also like CYK, Rytter’s algorithm maintains a set of hypotheses
that have been realized. Like CYK, this set is initialized with all hypotheses of the
form “non-terminal Aderives substring si,1”, where A→si,1is a rule of the grammar,
and s=s1···snis the input sentence, and si,1is the substring starting at position i,of
length 1. We will denote CYK hypotheses with a triple (A,i,j), meaning that the hy-
pothesis is: “non-terminal Aderives substring si+1···sj”. Note that we have switched
from length to index, which is more convenient for the following description. We will
call the set of realized CYK hypotheses SCY K .
For our example, initially, SCY K consists of the following elements:
(A,0,1) (A,1,2) (S,2,3) (B,3,4)
Now, in the CYK algorithm, if there is a grammar rule C→AB, and we have two re-
alized CYK hypotheses “(A,i,j)”and“(B,j,k)”, the CYK hypothesis “(C,i,k)” will
be realized. In this way, the CYK algorithm maintains a set of realized CYK hypothe-
ses. The Rytter algorithm, in addition, maintains a set of what we will call Rytter

14.4 Connectionist Parsers 461
proposals. The general form of a Rytter proposal consists of two CYK hypotheses,
denoted as follows: (A,i,j;B,o,p), and it is realizable if A*
→si+1···soBsp+1···sj.
We will call a Rytter proposal realized if we have determined that it is, in fact, real-
izable.
A
B
iop j
In fact, a Rytter proposal looks like a CYK hypothesis with a gap. The gap is
speculative: if this Rytter proposal is realized, and the CYK hypothesis (B,o,p)is
realized, then (A,i,j)will be realized. This is just logic: if Uimplies V,andUis
true, then Vis true.
The first building block of the algorithm is what we call the “propose phase”.
Based on the grammar rules and the current set of CYK hypotheses, a Rytter proposal
is constructed as follows: if we have a grammar rule C→AB and SCY K contains a
hypothesis (A,i,j), then we know that if the CYK hypothesis (B,j,k)is realized,
the hypothesis (C,i,k)will also be realized. We can formulate this as a speculation:
(C,i,k)could be realized, in the case that (B,j,k)turns out to be realized. This is
the Rytter proposal (C,i,k;B,j,k), which now turns out to be realized. It is depicted
below, where the speculative part is indicated by dashed lines. Such a speculation
can be made for any ksuch that j<k≤n.
A
ij
andC→AB gives
C
B
ijk
Likewise, with the same grammar rule, if SCY K contains a hypothesis (B,j,k),
then we know that if the CYK hypothesis (A,i,j)turns out to be realized, the hy-
pothesis (C,i,k)will also be realized. Again we can formulate this as a speculation:
(C,i,k)could be realized, in the case that (A,i,j)turns out to be realized, and we can
denote this as follows: (C,i,k;A,i,j). This speculation can be made for any isuch
that 0 ≤i<j.

462 14 Parallel Parsing
B
jk
andC→AB gives
C
A
ijk
This completes the propose phase. In general, there are many possible Rytter pro-
posals. For instance, the hypotheses in the initial SCY K set give rise to the following
realized Rytter proposals:
(D,0,2;S,1,2) (D,0,3;A,0,2) (D,0,3;S,1,3)
(D,0,4;S,1,4) (D,1,3;A,1,2) (D,1,3;S,2,3)
(D,1,4;S,2,4) (S,0,2;S,1,2) (S,0,3;A,0,2)
(S,0,3;S,1,3) (S,0,4;D,0,3) (S,0,4;S,1,4)
(S,1,3;A,1,2) (S,1,3;S,2,3) (S,1,4;D,1,3)
(S,1,4;S,2,4) (S,2,4;D,2,3)
We will call the set of realized Rytter proposals SRytter.
The clever thing about Rytter proposals is that they can be combined, with CYK
hypotheses, but also with other Rytter proposals. Brent and Goldschlager [224] com-
bine Rytter proposals with CYK hypotheses to construct new Rytter proposals: if
there is a grammar rule C→DE and both the Rytter proposal (D,i,j;B,o,p)and the
CYK hypothesis (E,j,k)are realized, then (C,i,k;B,o,p)will be realized.
D
B
io p j
and
E
jk
and C→DE gives
C
DE
B
io p j k
Likewise, with the same grammar rule, if both (E,j,k;B,o,p)and (D,i,j)are real-
ized, (C,i,k;B,o,p)will be realized.
E
B
jo pk
and
D
ij
and C→DE gives
C
DE
B
ijopk

14.4 Connectionist Parsers 463
In our example, this gives the following realized Rytter proposals:
(D,0,3;A,1,2) (D,0,3;S,2,3) (D,0,4;D,1,3)
(D,0,4;S,2,4) (D,1,4;D,2,3) (S,0,3;A,1,2)
(S,0,3;S,2,3) (S,0,4;A,0,2) (S,0,4;D,1,3)
(S,0,4;S,1,3) (S,0,4;S,2,4) (S,1,4;A,1,2)
(S,1,4;D,2,3) (S,1,4;S,2,3)
Rytter proposals can be combined too, as follows: If we have two realized Rytter
proposals (D,i,j;E,k,l)and (F,o,p;D,i,j), we can construct a new Rytter proposal
(F,o,p;E,k,l), which is then realized. Again, this is just logic: if Aimplies B,and
Bimplies C,thenAimplies C,soif(E,k,l)implies (D,i,j),and(D,i,j)implies
(F,o,p),then(E,k,l)implies (F,o,p).
F
D
oi jp
and
D
E
ik l j
gives
F
E
oklp
In Rytter’s description, only Rytter proposals are combined.
This combination of Rytter proposals (also with CYK hypotheses) is the second
building block, and we call it the “combine phase”. This phase computes a new
set of realized Rytter proposals, by first trying all possible combinations of Rytter
proposals in SRytter with CYK hypotheses in SCY K , adding the result to SRytter,and
then trying all possible combinations of Rytter proposals in SRytter. In the end, this
set too is added to SRytter.
In our example (D,0,4;D,1,3) (which was found above) and
(D,1,3;A,1,2) (which was found in the propose phase) can, for instance,
be combined to (D,0,4;A,1,2). To the set of realized Rytter proposals above
the following combinations can be added:
(D, 0, 4; A, 1, 2) (D, 0, 4; D, 2, 3) (D, 0, 4; S, 2, 3)
(S, 0, 4; A, 1, 2) (S, 0, 4; D, 2, 3) (S, 0, 4; S, 2, 3)
Brent and Goldschlager [224] include a third stage in the combine phase: a CYK
combine step on SCY K set, as we saw earlier Section 14.4.2. Rytter does not include
such a phase. In our example, this stage results in the addition of the following CYK
hypotheses to SCY K :
(D,1,3) (S,1,3)
Perhaps not surprisingly, the third building block consists of the combination
of Rytter proposals with CYK hypotheses. If we have a realized Rytter proposal
(A,i,j;B,o,p)and the CYK hypothesis (B,o,p)turns out to be realized, then the
CYK hypothesis (A,i,j)will also be realized.

464 14 Parallel Parsing
A
B
io p j
and
B
op
gives
A
ij
All combinations of Rytter proposals in SRytter and CYK hypotheses in SCY K are
tried. In the end, all CYK hypotheses that turn out to be realized are added to SCY K .
This is called the “recognition phase”.
In our example, the presence of (D,0,3;A,1,2) in SRytter and (A,1,2) in
SCY K results in the CYK hypothesis (D,0,3) turning out to be realized. From the
initial SCY K , and all proposals in SRytter, we can now determine that the following
CYK hypotheses turn out to be realized:
(D,0,3) (D,0,4) (S,0,3) (S,0,4) (S,1,4)
Now that we have the building blocks, we are ready to describe the algorithm
itself. After initialization of the SCY K set, as described above, the following sequence
of phases is performed repeatedly:
• the proposal phase, which takes the current SCY K and adds the Rytter proposals
that can be derived from it to SRytter;
• the combine phase, which tries all possible combinations of proposals in SRytter
and hypotheses in SCY K , adds the newly found proposals to SRytter, and then tries
all possible combinations of proposals in SRytter, and again adds the newly found
proposals to SRytter; also, realized CYK hypotheses are combined to find new
realized CYK hypotheses, which are in the end placed in SCY K .
• and the recognition phase, which combines hypotheses in SCY K with proposals
in SRytter to find new realized CYK hypotheses, which are in the end placed in
SCY K .
Now the question arises when to stop this repetition. The answer to that is easy:
when a sequence of phases does not deliver any new realized Rytter proposals and
no new CYK hypotheses, the next sequence will not deliver any new items either.
This will happen at some point, because the number of CYK hypotheses and Ryt-
ter proposals is finite. So, the system stabilizes at some point, which can easily be
detected.
In the end, when SCY K contains (S,0,n)where Sis the start symbol of the gram-
mar and nis the length of the input sentence, the sentence is recognized. In fact,
this may also be an added stop criterion: we can also stop the repetition when SCY K
contains (S,0,n). In this case, the sentence is recognized. This may suffice when a
recognizer is all that is needed. For a parser, however, this is not a good stop-criterion,
because some parsings may be missed.
Pursuing the example above, we see that the sentence is already recognized after
one iteration, but the system is not quite stabilized yet: the propose phase of the
second iteration adds the following Rytter proposals:
14.4 Connectionist Parsers 465
(D, 0, 3; A, 0, 1) (D, 0, 4; A, 0, 1) (S, 0, 3; A, 0, 1)
(S, 0, 4; A, 0, 1) (S, 0, 4; B, 3, 4) (S, 1, 4; B, 3, 4)
The combine phase adds the single proposal
(D, 0, 4; B, 3, 4)
after which the system is stable.
14.4.3.1 Time Requirements of the Rytter Recognizer
The reader may by now be wondering what is gained by all this. After all, if we
compare this to CYK, we only seem to do extra work. A CYK derivation step
that combines (A,i,j)with (B,j,k)to (C,i,k)if we have a rule C→AB seems to
have been split in two: (A,i,j)leads to (C,i,k;B,j,k)(from the propose phase), and
(C,i,k;B,j,k)and (B,j,k)together lead to (C,i,k)(from the recognition phase).
Indeed, without the combining of Rytter proposals we would not have gained any-
thing. However, from our example above we learned that after one iteration of the
algorithm, there already are realized CYK hypotheses of length 4. In fact, the sen-
tence has been recognized after a single iteration. The algorithm is so powerful that
sentences of length 2ncan be recognized in O(n)iterations, in other words, sentences
of length ncan be recognized in O(2log n)iterations. To see why this is so, we first
need to introduce some terminology.
We define the size of a CYK hypothesis (A,i,j)as (j−i), the length of the
substring covered by the hypothesis. We also define the size of a Rytter proposal
(A,i,j;B,o,p)as size(A,i,j)−size(B,o,p), which is the length of the covered sub-
string minus the length of the gap. So, the size is the length of the recognized part.
In the remainder of this section, we will show that
IkIf (A,i,j)is a realizable CYK hypothesis with size ≤2k, it will be realized (be a
member of SCY K ) after at most kiterations of the algorithm.
IIkIf (A,i,j;B,o,p)is a realizable Rytter proposal with size ≤2k−1,itwillbereal-
ized (be a member of SRytter) after at most kiterations of the algorithm.
We will do so by showing that IIkand Ik,together,implyIIk+1and Ik+1.
For a complete proof, we also need I0and II0but these are trivial.
First, we will show that IIkand Ikimply IIk+1. Suppose that (A,i,j;B,o,p)is
a realizable Rytter proposal with 2k−1<size(A,i,j;B,o,p)≤2k.Wethenhaveto
show that it is a member of SRytter after k+1 iterations. Since (A,i,j;B,o,p)is real-
izable, there exists a (partial) parse tree with root Afor the substring si+1···sj,and
somewhere in this tree there is a leaf node Bwhich is supposed to fill the gap. As
there is a path from Ato every leaf in this tree, there is also a path to node B.The
list of non-terminals on this path is denoted C, with C0=A,...,Cl=B, and each Cq
on this path derives a substring smq+1···snqthat contains the substring derived from
Cq+1:smq+1+1···snq+1(all with a gap for non-terminal B). This means that all Rytter
proposals (Cr,mr,nr;Cq,mq,nq)with 0 ≤r<q≤lare realizable. Such a list of CYK
hypotheses (Cq,mq,nq)is called a hypothesis path for the realizable Rytter proposal
(A,i,j;B,o,p). See Figure 14.14, where we only show the non-terminals in the path.

466 14 Parallel Parsing
A=C0
B=Cl
C1
C2
···
Cl−2
Cl−1
iop j
Fig. 14.14. A hypothesis path for the realizable Rytter proposal (A,i,j;B,o,p)
A step from rto r−1 in this hypothesis path is called a critical step if
size(A,i,j;Cr−1,mr−1,nr−1)≤2k−1and size(Cr,mr,nr;B,o,p)≤2k−1. We will now
first show that any hypothesis path of every realizable Rytter proposal has a criti-
cal step. The size of the Rytter proposals (A,i,j;Cq,mq,nq)is increasing monoton-
ically with q, because the gap is shrinking. In the limits, size(A,i,j;C0,m0,n0)=
size(A,i,j;A,i,j)=0, and 2(k−1)<size(A,i,j;B,o,p)=size(A,i,j;Cl,ml,nl)≤
2k. This means that there exists an rsuch that size(A,i,j;Cr−1,mr−1,nr−1)≤2k−1
and 2k−1<size(A,i,j;Cr,mr,nr)≤2k. Now, we have the following:
•since2
k−1<size(A,i,j;Cr,mr,nr)≤2k,thismeansthat2
k−1<(j−i)−(nr−
mr)≤2k;
•since2
k−1<size(A,i,j;B,o,p)≤2k,thismeansthat2
k−1<(j−i)−(p−o)≤
2k.
•nr−mr≥p−o.
So, 2k−1<(j−i)−(nr−mr)≤(j−i)−(p−o)≤2k, and thus 2k−1<(j−i)−
(nr−mr)≤(j−i)−(nr−mr)+(nr−mr)−(p−o)≤2k. This also means that
2k−1+(nr−mr)−(p−o)≤2k,sothat(nr−mr)−(p−o)≤2k−2k−1=2×2k−1−
2k−1=2k−1. This proves that size(Cr,mr,nr;B,o,p)=(nr−mr)−(p−o)≤2k−1.
This means that the step from rto r−1 is a critical step.
Now suppose rto r−1 is a critical step in the hypothesis path (Cq,mq,nq)for
the realizable Rytter proposal (A,i,j;B,o,p). Then there is either a realizable CYK
hypothesis (D,mr−1,mr)that combines with (Cr,mr,nr)to form (Cr−1,mr−1,nr)
(in which case nr−1=nrand there is a grammar rule Cr−1→DCr), or there is
a realizable CYK hypothesis (D,nr,nr−1)that combines with (Cr,mr,nr)to form
(Cr−1,mr,nr−1)(in which case mr−1=mrand there is a grammar rule Cr−1→CrD).
In either case, we call the CYK hypothesis with non-terminal Dhyp
D.
Figure 14.15 illustrates a hypothesis path with its critical step; some con-
sequences are shown to the right of the figure. Since Drepresents the filled

14.4 Connectionist Parsers 467
A=C0
B=Cl
C1
C2
···
Cr−1
Cr
D
···
Cl−1
size(A,i,j;Cq,mq,nq)≤2k−1for q<r
size(hypD)=
size(Cr−1,mr−1,nr−1;Cr,mr,nr)≤2k
size(Cq,mq,nq;B,o,p)≤2k−1for q≥r
Fig. 14.15. A critical step in a hypothesis path
part in the Rytter proposal (Cr−1,mr−1,nr−1;Cr,mr,nr),wehavesize(hypD)=
size(Cr−1,mr−1,nr−1;Cr,mr,nr),sothatsize(hypD)≤2k. Therefore, we know from
Ikthat hypDis a member of SCY K after kiterations. Also, from IIkwe know that
both (A,i,j;Cr−1,mr−1,nr−1)and (Cr,mr,nr;B,o,p)are a member of SRytter after k
iterations.
Now let us consider the steps of iteration k+1. The presence of hypDin SCY K and
(Cr,mr,nr;B,o,p)in SRytter prompts the first part of the combine phase to propose,
among others, the Rytter proposal (Cr−1,mr−1,nr−1;B,o,p). Next, the second stage
of the combine phase of this iteration kicks in and combines this proposal with the
proposal (A,i,j;Cr−1,mr−1,nr−1), which was already a member of SRytter, to produce
the Rytter proposal (A,i,j;B,o,p). This proves that IIkand Ikimply IIk+1.
Now, we have to show that Ikand IIk+1imply Ik+1. Again, we look more closely
at how a CYK hypothesis (A,i,j), with 2k−1<size(A,i,j)≤2kends up in SCY K :
except for the initialization hypotheses, it must have come from a recognize step:
some Rytter proposal (A,i,j;B,o,p)must be a member of SRytter,and(B,o,p)a
member of SCY K . The hypothesis (B,o,p)is called a critical hypothesis for (A,i,j)if
2k−1<size(B,o,p)≤2k, and there is a grammar rule B→CE and there are realizable
CYK hypotheses (C,o,l)and (E,l,p), both with size less than or equal to 2k−1.Of
course, (A,i,j)can also be its own critical hypothesis. In Problem 14.7 the reader
is invited to prove that every realizable CYK hypothesis with size ≥2 has a critical
hypothesis. Also, if (A,i,j;B,o,p)is a realizable Rytter proposal, and (B,o,p)is a
critical hypothesis to (A,i,j),and2
k−1<size(A,i,j)≤2k,thensize(A,i,j;B,o,p)≤
2k−1.
Now, suppose (A,i,j)is a realizable CYK hypothesis with 2k<size(A,i,j)≤
2k+1,and(B,o,p)is a critical hypothesis for (A,i,j). This means that there exist two
realizable CYK hypotheses (C,o,l)and (E,l,p), each of size ≤2kand there is a
grammar rule B→CE.
468 14 Parallel Parsing
Let us first assume that (A,i,j)=(B,o,p).size(A,i,j;B,o,p)≤2k.Aswehave
seen above, this means that it gets proposed at the latest in the combine phase of
iteration k+1.
Since SCY K contains (C,o,l)and (E,l,p), the CYK combination in the combine
phase of iteration k+1 adds (B,o,p)to SCY K . Next, the recognize phase of the same
iteration combines this with (A,i,j;B,o,p)to produce (A,i,j).
The case that (A,i,j)=(B,o,p)is left as an exercise to the reader, as is the case
that (A,i,j)did not end up in SCY K as the result of a recognize step combining a
Rytter proposal with a CYK hypothesis, but was the result of combining two CYK
hypotheses.
Since Rytter [226, 227] does not combine CYK hypotheses, and also does not
combine Rytter proposals with CYK hypotheses to produce new Rytter proposals,
Rytter’s version of the algorithm actually needs more than 2logn, but still O(logn)
iterations. Sikkel [158] proves that if you change the order of the steps in the iteration
to “recognize, propose, combine, combine” (do the combine twice), the algorithm
needs at most 2logniterations. This order, however, seems less intuitive.
All in all, we now have seen that the algorithm needs O(log(n)) iterations to
determine if (SS,0,n)is a member of SCY K . What remains to be determined is that
each iteration can be executed in constant time, given enough processors. In the next
section, we will show how to build a Boolean circuit that will do just that.
14.4.3.2 A Rytter Recognizer on a Boolean Circuit
We will now examine how each phase of the Rytter algorithm translates into a part
of a Boolean circuit, but first we need to clear up some notation. Instead of using Ai,l,
as we did earlier for denoting a node that represents the hypothesis that non-terminal
Arecognizes a string of length l, starting at index i, we now use the indices as used
in the description of the Rytter algorithm, so the notation would be Ai−1,i+l−1for the
same substring.
In the following, we switch to Rytter’s description of the algorithm, because it is
a bit simpler: it does not have an explicit combine of CYK hypotheses, and no com-
bination of Rytter proposals and CYK hypotheses to produce a new Rytter proposal.
As in the CYK circuit, for each non-terminal and substring si+1···sjwe
have an OR-node Ai,j. We also have OR-nodes for all possible Rytter proposals
(A,i,j;B,o,p). We will denote these nodes as Ai,j\Bo,p.
Let us first look at the inputs of a node Ai,j. We know that the CYK hypothesis
(A,i,j)is realizable if a Rytter proposal (A,i,j;B,o,p)is realizable and (B,o,p)is
realizable as well. So, an input of Ai,jis the output of an AND-node with inputs
from both Ai,j\Bo,pand Bo,p. This means that we have AND-nodes for each Rytter
proposal Ai,j\Bo,pand CYK hypothesis Bo,p. This completes the recognize phase of
the Rytter algorithm.
Now we turn our attention to the inputs of a node Ai,j\Bo,p. A Rytter proposal
can be realized in two ways: the proposal phase of the Rytter algorithm can propose
it, or it can be constructed in the combine phase. Rytter proposals that are the result
of the proposal phase have either the form (A,i,j;B,p,j)or (A,i,j;B,i,o).Inthe
14.4 Connectionist Parsers 469
first case, there is a grammar rule A→CB and the “origin” of the proposal is a CYK
hypothesis (C,i,p), so the output of Ci,pmust be an input of Ai,j\Bp,j. In the second
case, there is a grammar rule A→BC and the “origin” of the proposal is a CYK
hypothesis (C,o,j), so the output of Co,jmust be an input of Ai,j\Bi,o.
The combine phase combines two Rytter proposals to one of a larger size. The
outputs of the two Rytter proposals go to an AND-node, whose output serves as
input for the result proposal: if both Ai,j\Bo,pand Bo,p\Ck,lare “on”, both inputs of
an AND-node, tentatively named Ai,j\Bo,p\Ck,lare “on”, so its output will be “on”
in the next time step, turning node Ai,j\Ck,lon in the time step after that. We will call
such a node a Rytter combine node.
This completes the building blocks of the Rytter recognizing circuit. As was the
case with the CYK recognizing circuit, when the circuit is stabilized, the output of
node S0,ndetermines whether a sentence s1···snhas been recognized or not.
We will not work out a practical example here. The next section will show the
reader why not.
14.4.3.3 Node Requirements for the Rytter Recognizer Circuit
In the previous section, we have seen the kinds of nodes that are needed for the Rytter
recognizer circuit. There are
• OR-nodes for each CYK hypothesis (A,i,j), so for each non-terminal Aand each
iand jsuch that 0 ≤i<j≤n. The number of these nodes is O(n2).
• OR-nodes for each Rytter proposal (A,i,j;B,o,p), so for all non-terminals Aand
Band each i,j,o,andp, such that 0 ≤i≤o<p≤j≤n. So, there are O(|VN|2n4)
such nodes, where VNis the set of non-terminals.
• AND-nodes that we tentatively named Ai,j\Bo,p\Ck,l, the Rytter combine nodes.
There are many of those, for each non-terminal A,B,C,andi,j,o,p,k,lsuch that
0≤i≤o≤k<l≤p≤j≤n,soasmanyas|VN|3n6nodes.
• AND-nodes for the recognize phase, there is one for each Rytter proposal.
• and finally, the nodes that are needed to initialize the circuit, exactly as with the
CYK recognizing circuit. This are O(n)nodes.
So, the total number of nodes is dominated by the AND-nodes that are needed
for the combine phase, and thus the total number of nodes is O(n6|VN|3).Again,
although the time requirement is independent of |VN|, the number of nodes needed
depends on it, even more heavily than in the simple CYK recognizer.
The number of nodes required is considerable. Even a very small example, with
an input of length 3, and a grammar like the one from Figure 14.9, with 4 non-
terminals, would need the following nodes (where C(k,n)is the number of combi-
nations of i1...ikthat fulfill 0 ≤i1≤... ≤ik≤n): 4 ×C(2,3)OR-nodes for the
CYK hypotheses, + 42×C(4,3)OR-nodes for the Rytter proposals, + 43×C(6,3)
AND-nodes for the combination phase, + 42×C(4,3)AND-nodes for the recogni-
tion phase, + 41initialization nodes = 4×10+16×35+64×84+16×35+4=6540
nodes. So a detailed picture like the one in Figure 14.13 is out of the question, and
it would not be very interesting for the reader! Note, however, that it is less than 1/7
470 14 Parallel Parsing
of the number suggested by the order-of-magnitude formula above: 43×36=46656
nodes. An Application-Specific Integrated Circuit (ASIC) for parsing a sentence of
length 10 with a grammar with 10 non-terminals would have O(109)gates.
The data structures of the Rytter algorithm show interesting similarities to those
used in the parser for tree-adjoining grammars in Section 15.4.2.
14.4.3.4 Turning the Rytter Recognizer into a Parser
When the recognizer algorithm is finished (no more items are added during a com-
plete iteration of the algorithm), the set of CYK hypotheses generally contains many
hypotheses that did not contribute to the recognizing of the sentence. So, let us filter
out the CYK hypotheses that should be part of the parse forest. These hypotheses
are particularly easy to find: they are exactly the members (A,i,j)of SCY K for which
(S,0,n;A,i,j)is a realized Rytter proposal. On the one hand, if both (S,0,n;A,i,j)
and (A,i,j)are realized, (S,0,n)will be realized, so the realizability of (A,i,j)con-
tributes to the recognition of the input. On the other hand, if (A,i,j)contributes to
the recognition of the input, this means two things:
• non-terminal Aderives substring si+1···sj,so(A,i,j)will be realized at some
stage of the algorithm;
•Sderives the sentential form s1···siAsj+1···sn,so(S,0,n;A,i,j)will be realized
at some stage of the algorithm.
So, this gives us all nodes in the parse forest, which is, strictly speaking, together
with the grammar rules, enough to build the actual parse forest.
In our Boolean circuit for sentences of length n, we add an AND-node A
i,jfor
each node Ai,j, with two inputs: one from node Ai,jand one from S0,n\Ai,j. Perhaps
amazingly, it only takes one time-step extra (over just recognizing) to determine all
CYK hypotheses that are part of the parse forest. If this result is not quite satisfactory,
for instance because it does not represent a “real” parse forest, the reader is referred
to exercise 14.8.
14.5 Conclusion
We have discussed three methods of parallelizing the parsing process: multiple serial
parsers, process-configuration parsers, and connectionist parsers. We have also seen
examples of each. The boundaries between the three parallelizing methods are not
always that clear, however; the difference between process-configuration and con-
nectionist is more a matter of scale than anything else. The CYK parser, and even the
Rytter parser, both presented here as connectionist parsers, could also be considered
process-configuration parsers, albeit with extremely simple agents, and a large num-
ber of them. The literature references in (Web)Section 18.2.5 contain more examples,
as do the references in the parallel parsing bibliography by Alblas et al. [234].
The parallelizing techniques presented here are quite parse-method specific.
Janssen et al. [232] and Sikkel [158] describe the “primordial soup algorithm”, a

14.5 Conclusion 471
mechanism that allows for the specification of various parallel parsing algorithms
without specifying flow control or data structures. This gives an abstract, elegant,
and compact mathematical basis for the design of a parallel implementation.
Problems
Problem 14.1: What should a Fischer parser do when it accepts its part as a
complete sentence (in the example of Section 14.2: reduces its part to S)?
Problem 14.2: Apply the Fischer parser on the LR(0) example of Figure 9.18,
on two processors, the sentence n-(n-n)-(n)$, using two different splits: 1.
n-(n-n and )-(n)$ (equal length split), and 2. n-(n-n) and -(n)$.Com-
ment.
Problem 14.3: Read the paper by Bar-On and Vishkin [225] and write a program
implementing their algorithm.
Problem 14.4:Project: Analyze the performance of the Sikkel and Lankhorst
algorithm of Section 14.3.1. In your analysis, also consider the dependency on the
size of the grammar.
Problem 14.5: Refer to Section 14.4.2.2. Explain why metaparsing and a re-
versed scan does not in general result in a circuit that represents a parse forest.
Problem 14.6: Proving something by calling it trivial is sometimes called “proof
by intimidation”. 2In Section 14.4.3.1 we called I0and II0trivial. The reader is
invited to check.
Problem 14.7: Refer to Section 14.4.3.1. Why does every realizable CYK hy-
pothesis (A,i,j)of size 2kwith k≥1 always have a critical hypothesis?
Problem 14.8: Refer to Section 14.4.3.4, where a Boolean circuit is discussed
that determines the CYK hypotheses that are actually nodes in the parse forest. Show
how to extend this circuit so that it also reflects which grammar rules are used, along
the lines of Figure 14.13. However, the circuit must still stabilize in O(2logn)time
steps.
2A math professor did this while teaching, and was asked why the proof was trivial. He
then left the room, to come back 15 minutes later and say: “Indeed, it is trivial”, and then
proceeded, without further clarification.
15
Non-Chomsky Grammars and Their Parsers
Just as the existence of non-stick pans points to user dissatisfaction with “sticky”
pans, the existence of non-Chomsky grammars points to user dissatisfaction with the
traditional Chomsky hierarchy. In both cases ease of use is the issue.
As we have seen in Section 2.3, the Chomsky hierarchy consists of five levels:
• phrase structure (PS),
• context-sensitive (CS),
• context-free (CF),
• regular (finite-state, FS) and
• finite-choice (FC).
Although each of the boundaries between the types is clear-cut, some boundaries
are more important than others. Two boundaries specifically stand out: that between
context-sensitive and context-free and that between regular (finite-state) and finite-
choice. The significance of the latter is trivial, being the difference between produc-
tive and non-productive, but the former is profound.
The border between CS and CF is that between global correlation and local in-
dependence. Once a non-terminal has been produced in a sentential form in a CF
grammar, its further development is independent of the rest of the sentential form,
but a non-terminal in a sentential form of a CS grammar has to look at its neighbors
on the left and on the right, to see what production rules are allowed for it. The local
production independence in CF grammars means that certain long-range correlations
cannot be expressed by them. Such correlations are, however, often very interesting,
since they embody fundamental properties of the input text, like the consistent use
of variables in a program or the recurrence of a theme in a musical composition.
15.1 The Unsuitability of Context-Sensitive Grammars
The obvious approach would be using a CS grammar to express the correlations
(= the context-sensitivity) but here we find our way obstructed by three practical
474 15 Non-Chomsky Grammars and Their Parsers
rather than fundamental problem areas: understandability, parsability, and semantic
suitability.
15.1.1 Understanding Context-Sensitive Grammars
CS grammars can express the proper correlations but not in a way a human can un-
derstand. It is in this respect instructive to compare the CF grammars in Section 2.3.2
to the one CS grammar we have seen that really expresses a context-dependency, the
grammar for anbncnfrom Figure 2.7, repeated here in Figure 15.1. The grammar for
Ss---> abc | aSQ
bQc ---> bbcc
cQ --->Qc
Fig. 15.1. Context-sensitive grammar for anbncn
the contents of a book (Figure 2.10) immediately suggests the form of the book, but
the grammar of Figure 15.1 hardly suggests anything, even if we can still remem-
ber how it was constructed and how it works. This is not caused by the use of short
names like Q: a version with more informative names (Figure 15.2) is still puzzling.
Ss---> a b c | a S bc_pack
b bc_pack c --->bbcc
c bc_pack ---> bc_pack c
Fig. 15.2. Context-sensitive grammar for anbncnwith more informative names
Also, one would expect that, having constructed a grammar for anbncn,making
one for anbncndnwould be straightforward. That is not the case; a grammar for
anbncndnrequires rethinking of the problem (see Problem 15.1).
The cause of this misery is that CS and PS grammars derive their power to en-
force global relationships from “just slightly more than local dependency”. Theo-
retically, just looking at the neighbors can be proved to be enough to express any
global relation, but the enforcement of a long-range relation through this mechanism
causes information to flow through the sentential form over long distances. In the
production process of, for example a4b4c4,weseeseveralbc_packs wind their
way through the sentential form, and in any serious CS grammar, many messengers
run up and down the sentential form to convey information about developments in
far-away places. However interesting this imagery may be, it requires almost all rules
to know something about almost all other rules; this makes the grammar absurdly
complex.
15.1 The Unsuitability of Context-Sensitive Grammars 475
15.1.2 Parsing with Context-Sensitive Grammars
Parsing speed is also an issue. FS parsing can always be done in linear time; many CF
grammars automatically lead to linear-time parsers; CF parsing needs never be more
expensive than O(n3)and is usually much better; but no efficient parsing algorithms
for CS or PS grammars are known. CS parsing is basically exponential in general —
although (Web)Section 18.1.1 reports some remarkable efforts — and PS parsing is
not even solvable in theory.
Still, many CS languages can be recognized in linear time, using standard CF
parsing techniques almost exclusively. The language anbncnis a good example. We
have already observed (at the beginning of Chapter 13) that it is the intersection of
two CF languages, anbncmand ambncn: the first language forces the numbers of as
and bs to be equal, the second does the same for the bsandthecs. We can eas-
ily create linear-time recognizers for both languages, for example by writing LL(1)
grammars for them. We can then test the string with both recognizers, and if they
both recognize the string, it belongs to the language anbncn; otherwise it is rejected.
This test can be done in linear time. So it is not totally unreasonable to demand good
recognition speed for at least some non-CF languages. Constructing a parse tree de-
pends on the exact form of the grammar and may be much more expensive; the result
may not even be a tree but a dag, as it was in Figure 2.8.
15.1.3 Expressing Semantics in Context-Sensitive Grammars
A third problem concerns the semantic suitability. Although this book has not em-
phasized the semantic aspect of language processing (see Section 2.11), that aspect
is of course important for anybody who is interested in the results of a parsing. In FS
systems, semantic actions can be attached to regular expressions or transitions (see
Section 5.9). CF grammars are very convenient for expressing semantics: to each
production rule A→A1A2···Akcode can be attached that composes the semantics
of Afrom that of its children A1,A2, ..., Ak. But it is less than clear where we can
find or attach semantics in a CS rule like b bc_pack c --->bbcc.
15.1.4 Error Handling in Context-Sensitive Grammars
Less important than the above but still an issue in practice is the behavior of a parsing
technique on incorrect input: error detection (“Is there an error?”), error reporting
(“Where exactly is the error and what is it?”) and error repair (“Can we repair and
continue?”). As we shall see in Chapter 16, error handling with CF grammars is
a difficult area in which only moderately good answers are known. Error handling
with non-CF grammars can be a nightmare. Already error detection can be a serious
problem, since the parser is easily tempted to try an infinite number of increasingly
complex hypotheses to explain the unexplainable: incorrect input then leads to non-
termination. And given a non-Chomsky parser for the language ww,wherewis an
arbitrary string of asandbs, and the input aabbaabbab, where exactly is the error,
and what would be a sensible error message?
476 15 Non-Chomsky Grammars and Their Parsers
15.1.5 Alternatives
Many grammar forms have been put forward to mitigate the above problems and
make long-range relationships more easily expressible. We shall look at several of
them, with a special eye to understandability, parsability, semantic suitability, and
error handling. More in particular we will look at VW grammars, attribute gram-
mars, affix grammars, tree-adjoining grammars, coupled grammars, ordered gram-
mars, recognition systems, Boolean grammars, and §-calculus. Of these, the recog-
nition systems and to a certain extent §-calculus are particularly interesting since
they question the wisdom of describing sets by generative means at all. Given the
large variety of non-Chomsky systems, the relative immaturity of most of them, and
the limited space, our descriptions of these systems will be shorter than those in the
rest of this book. The bibliography in (Web)Section 18.2.6 contains explanations of
several other non-Chomsky systems.
One interesting possibility not explored here is to modify the CF grammar under
the influence of parser actions. This leads to dynamic grammars, also called modifi-
able grammars,oradaptable grammars. As the names show, the field is still in flux.
See Rußmann [280] for theory and practice of LL(1) parsing of dynamic grammars.
(Web)Section 18.2.6 contains many more references on the subject.
Each of the non-Chomsky systems should come with a paradigm, telling the
user how to look at his problem so as to profit best from it. For a CF grammar this
paradigm is fairly obvious, but even for a CS grammar it is not, as the grammar of
Figure 15.1 amply shows. With the exception of VW grammars and attribute gram-
mars, not enough experience has been gathered to date with any of the non-Chomsky
systems for a paradigm to emerge. Also, VW grammars and attribute grammars are
the only ones of the methods discussed here that can more or less conveniently de-
scribe large real-world context-sensitive systems, as the ALGOL 68 report [244] and
several compilers based on attribute grammars attest.
There is one example of a non-Chomsky grammar type for CF languages: Floyd
productions; they were already discussed in Section 9.3.2. Push-down automata
(Section 6.2) could be considered another.
15.2 Two-Level Grammars
It is not quite true that CF grammars cannot express long-range relations; they can
only express a finite number of them. If we have a language the strings of which
consist of a begin,amiddle and an end and suppose there are three types of
beginsandends, then the CF grammar of Figure 15.3 will enforce that the type
of the end will properly match that of the begin, independent of the length of
middle.
We can think of (and )for begin1 and end1,[and ]for begin2 and end2
and {and }for begin3 and end3; the CF grammar will then ensure that each
closing parenthesis will match the corresponding open parenthesis.
15.2 Two-Level Grammars 477
texts---> begin1 middle end1
| begin2 middle end2
| begin3 middle end3
Fig. 15.3. A long-range relation-enforcing CF grammar
By making the CF grammar larger and larger, we can express more and more
long-range relations; if we make it infinitely large, we can express any number of
long-range relations and have achieved full context-sensitivity. Now we come to the
fundamental idea behind two-level grammars. The rules of the infinite-size CF gram-
mar form an infinite set of strings; in other words, it is a language, which can in turn
be described by a grammar. This explains the name two-level grammar.
The type of two-level grammar described in this section was invented by
van Wijngaarden [244] and is often called a VW grammar. There are other kinds
of two-level grammars, for example those by Krulee [270]; and some ordered gram-
mars (Section 15.6) also use two grammars.
15.2.1 VW Grammars
To introduce the concepts and techniques we shall give here an informal construction
of a VW grammar for the language L=anbncnfor n≥1 from the previous section.
We shall use the VW notation as explained in Section 2.3.2.3: the names of terminal
symbols end in symbol and their representations are given separately; rules are
terminated by a dot (.); alternatives are separated by semicolons (;); members inside
alternatives are separated by commas, allowing us to have spaces in the names of
non-terminals; and a colon (:) is used instead of an arrow to separate left- and right-
hand side.
Using this notation, we could describe the language Lthrough a context-free
grammar if grammars of infinite size were allowed:
texts: a symbol, b symbol, c symbol;
a symbol, a symbol,
b symbol, b symbol,
c symbol, c symbol;
a symbol, a symbol, a symbol,
b symbol, b symbol, b symbol,
c symbol, c symbol, c symbol;
··· ···
We shall now try to master this infinity by constructing a grammar which allows us
to produce the above grammar as far as needed. We first introduce an infinite number
of names of non-terminals:
texts: ai, bi, ci;
aii, bii, cii;
aiii, biii, ciii;
··· ···
together with three infinite groups of rules for these non-terminals:
478 15 Non-Chomsky Grammars and Their Parsers
ai: a symbol.
aii: a symbol, ai.
aiii: a symbol, aii.
··· ···
bi: b symbol.
bii: b symbol, bi.
biii: b symbol, bii.
··· ···
ci: c symbol.
cii: c symbol, ci.
ciii: c symbol, cii.
··· ···
Here the icharacters count the number of as, bsandcs. Next we introduce a
special kind of name called a metanotion. Rather than being capable of producing
(part of) a sentence in the language, it is capable of producing (part of) a name in a
grammar rule. In our example we want to catch the repetitions of isinametanotion
N, for which we give a context-free production rule (a metarule):
N:: i;iN.
Note that we use a slightly different notation for metarules: left-hand side and right-
hand side are separated by a double colon (::) rather than by a single colon and
members are separated by a blank ( ) rather than by a comma; also, the metanotion
names consist of upper case letters only (but see the note on numbered metanotions in
Section 15.2.2). The set of metarules in a VW grammar is called the metagrammar.
The metanotion Nproduces the segments i,ii,iii, etc., which are exactly the
parts of the non-terminal names we need.
We can use the production rules of Nto collapse the four infinite groups of rules
into four finite rule templates called hyperrules, as shown in Figure 15.4.
N:: i;iN.
texts: aN,bN,cN.
a i: a symbol.
a i N: a symbol, a N.
b i: b symbol.
b i N: b symbol, b N.
c i: c symbol.
c i N: c symbol, c N.
Fig. 15.4. A VW grammar for the language anbncn
15.2 Two-Level Grammars 479
Each original rule can be obtained from one of the hyperrules by substituting
a production of Nfrom the metarules for each occurrence of Nin that hyperrule,
provided that the same production of Nis used consistently throughout; this form of
substitution is called consistent substitution. To distinguish them from normal names,
these half-finished combinations of lower case letters and metanotions (like aNor
biN) are called hypernotions. Substituting, for example, N=iii in the hyperrule
b i N: b symbol, b N.
yields the CF rule for the CF non-terminal biiii:
biiii: b symbol, biii.
We can also use this technique to condense the finite partsofagrammarbyhaving
a metarule Afor the symbols a,band c.(“A” stands for “alphabetic”.) Again the
rules of the game require that the metanotion Abe replaced consistently. The final
result is shown in Figure 15.5. We see that even the names of the terminal symbols
N:: i;iN.
A:: a;b;c.
texts: aN,bN,cN.
A i: A symbol.
A i N: A symbol, A N.
Fig. 15.5. The final VW grammar for the language anbncn
are generated by the grammar; this feature is exploited further in Section 15.2.5.
This grammar gives a clear indication of the language it describes: once the
“value” of the metanotion Nis chosen, production is straightforward. It is now triv-
ial to extend the grammar to anbncndn. It is also clear how long-range relations
are established without having confusing messengers in the sentential form: they are
established before they become long-range, through consistent substitution of metan-
otions in simple right-hand sides. The “consistent substitution rule” for metanotions
is essential to the two-level mechanism; without it, VW grammars would be equiva-
lent to CF grammars (Meersman and Rozenberg [253]).
A very good and detailed explanation of VW grammars has been written by
Cleaveland and Uzgalis [252], who also show many applications. Sintzoff [241] has
proved that VW grammars are as powerful as PS grammars, which also shows that
adding a third level to the building cannot increase its powers. van Wijngaarden [249]
has shown that the metagrammar need only be regular (although simpler grammars
maybepossibleifitisallowedtobeCF).
When the metagrammar is restricted to a finite-choice grammar, that is, each
metanotion just generates a finite list of words, the generation of the CF grammar
rules from the hyperrules can be performed completely, and the result is a (much
larger) set of CF rules. Conversely, the use of a finite metalevel can often reduce
considerably the number of rules in a grammar; we used this in the grammar of
480 15 Non-Chomsky Grammars and Their Parsers
Figure 15.5 when we condensed the a,band cinto a metanotion A. In linguistics,
the attributes of words are very often finite:
GENDER :: masculine ; feminine ; neuter .
NUMBER :: singular ; plural .
MODE :: indicative ; subjunctive ; optative .
...
and using them as (finite-choice) metanotions can help reduce the complexity of the
grammar.
15.2.2 Expressing Semantics in a VW Grammar
Now that we have seen that the understandability of VW grammars is excellent, we
will turn to the semantic suitability. Here we are in for a pleasant surprise: van Wijn-
gaarden [257] has shown that VW grammars can produce the semantics of a program
together with that program. In short, we do not have to leave the formalism to express
the semantics.
For an almost trivial example, let us assume the semantics of a string aibiciis the
string “OK”ifi>5and“KO” otherwise. The grammar in Figure 15.6 then produces
strings of the form
aaa...bbb...ccc...=>[OK|KO]
with the proper “OK”or“KO”.
1. N:: i;iN.
2. A:: a;b;c.
3. texts: a N, b N, c N,
result symbol, semantics N.
4. A i: A symbol.
5. A i N: A symbol, A N.
6. semantics iiiii N: ok symbol.
7. semantics N: where N N1 equals iiiiii, ko symbol.
8. where N equals N: .
Fig. 15.6. VW grammar for anbncn=> [OK|KO]
Rule number 6 in the grammar of Figure 15.6 says that if the original Ncan be
split up in five is(theiiiii) and a sequence of at least one more i(the N), then the
semantics is “OK”. Rule number 7 uses a so-called predicate, a rule that controls the
production process by either producing nothing (success) or getting stuck (failure).
The hypernotion where N N1 equals iiiiii succeeds only when N1 can be
chosen so that NN1forms iiiiii, that is, when there is a number N1 larger than
zero that can be added to Nto form 6, that is, when Nis less than 6. Any senten-
tial form that includes a notion like where i equals ii is a blind alley since
15.2 Two-Level Grammars 481
no hyperrule will produce a CF rule with where i equals ii as its left-hand
side. The methods and techniques used here belong to the two-level programming
paradigm; the ALGOL 68 report [244] is full of them.
The above paragraph uses another standard feature of VW grammars, the creation
of independent copies of a metanotion by appending a number to its name. The N1
in the above hypernotion is an independent copy of the metanotion Nand is different
from the Nthat occurs in the same rule. All Ns must be substituted consistently, and
so must all N1s, etc., as far as applicable.
If we consider the VW grammar to be a grammar for a programming language,
the above technique produces sentences consisting of programs (sequences anbncn
in the above example) with their semantics. We can carry the semantic expression
process one step further, leave out the program at all and just produce the result from
a formulation of the problem in a VW grammar. The following small VW grammar
produces the result of the multiplication N1×N2, given the above definition of N
(note the similarity to definitions from mathematics and functional programming):
produce N1 times N2 i: produce N1 times N2, write N1.
produce N1 times i: write N1.
write N i: write N, i symbol.
write i: i symbol.
Given the start symbol produce iii times iiii, this grammar produces
one string: iiiiiiiiiiii. So rather than having a grammar that we use to pro-
duce a program that we run to obtain a result, we have a grammar that we run to
obtain a result. This explains the title Languageless programming of the paper in
which van Wijngaarden [257] describes this technique. Małuszy´
nski [261] devel-
ops the idea further. Grune [260] describes a sentence producing program for VW
grammars; the above examples run correctly on this program. The first 8 lines of the
output for the grammar from Figure 15.6 are given in Figure 15.7.
abc=>KO.
aabbcc=>KO.
aaabbbccc=>KO.
aaaabbbbcccc=>KO.
aaaaabbbbbccccc=>KO.
aaaaaabbbbbbcccccc=>OK.
aaaaaaabbbbbbbccccccc=>OK.
aaaaaaaabbbbbbbbcccccccc=>OK.
Fig. 15.7. The first 8 lines of output for the grammar from Figure 15.6
These examples are almost trivial, but they do show an outline of what can be
done: it is a paradigm in its infancy. If VW programming ever becomes a full-fledged
paradigm, we will no doubt find the style presented here as archaic as we find today
machine code of the 1950s.
482 15 Non-Chomsky Grammars and Their Parsers
15.2.3 Parsing with VW Grammars
Parsing with VW grammars is an interesting subject. On the down side it cannot
be done: it can be proved that there cannot be a general parser/processor for VW
grammars. On the up side, with some reasonable restrictions, a lot can be done.
There are several known techniques; we mention here the CF-skeleton technique,
the definite clause/Prolog technique, and LL(1) parsing, but the literature references
in (Web)Section 18.2.6 contain additional descriptions. The Definite Clause/Prolog
technique is the most convenient, and we will discuss it here in some depth. We
will also briefly introduce the CF-skeleton technique. The LL(1) parsing technique
is very interesting, very complicated and quite powerful; we refer the reader to the
papers by Gerevich [258] and Fisher [263, 273].
In the CF-skeleton technique a skeleton grammar is extracted from the VW
grammar by ignoring the metanotions, so the hypernotions reduce to simple CF
non-terminals. An essential ingredient for this is an algorithm for finding out
whether a given hypernotion, occurring in the right-hand side of a hyperrule,
can ever match a given hyperrule. For example, for the above grammar the
algorithm should be able to find out that the write N1 from the hyperrule
produce N1 times i: write N1 can be expanded into something that can
be matched by the hyperrule write N i: write N, i symbol. One says
that the algorithm should solve the cross-reference problem. This seems easy enough
for our examples, but it can be proved that no such algorithm can exist: the cross-
reference problem for VW grammars is unsolvable. But, as usual, with some inge-
nuity one can construct an approximation algorithm, or one can impose restrictions
on the grammar.
When we apply the CF-skeleton transformation to the grammar from Figure 15.5
it vanishes almost completely (which immediately shows that such techniques do
not work for every VW grammar), so we turn to the less “vehemently two-level”
grammar from Figure 15.4 for an example. A likely result would be the skeleton
grammar (in CF notation)
texts:ABC.
A: a. A: a A.
B: b. B: b B.
C: c. C: c C.
The input is then parsed using this CF grammar and any suitable CF parsing
method; a CF parse forest results in which segments of the input are identified as
produced by the CF remainders of the hypernotions. Various techniques are used
to extract information about the metanotions from this structure (see for example
Dembi´
nski and Małuszy´
nski [254]). This information is then checked, used to reduce
the number of trees in the parse forest, and correlated with the resulting tree(s) to
yield the semantics.
The Prolog approach also uses a CF skeleton grammar and converts it to a Prolog
program using the Definite Clause technique, as explained in Section 6.7. In the VW
version of the Definite Clause technique, a Prolog rule is defined for each hyperrule.
Its structure derives from the skeleton grammar and the names of the goals in it
15.2 Two-Level Grammars 483
correspond to the non-terminals in that grammar. The metanotions in the hyperrule
are added as logic variables, in addition to the Sand Rresulting from the conversion
to definite clauses.
This narrows down the “suitable CF parsing method” mentioned above to full
backtracking top-down parsing, and the “checking and correlating” to unification of
logic variables. Both features are built-in in Prolog, and are well studied and well
understood.
For many VW grammars, the result is a reasonably understandable Prolog pro-
gram which is a reasonably effective parser for the VW grammar. The translation of
our grammar for anbncnshown in Figure 15.8 is a good example. To avoid clutter
text(S,N,R):- a_n(S,N,R1), b_n(R1,N,R2), c_n(R2,N,R).
a_n(S,[i],R):- symbol(S,a,R).
a_n(S,[i|N],R):- symbol(S,a,R1), a_n(R1,N,R).
b_n(S,[i],R):- symbol(S,b,R).
b_n(S,[i|N],R):- symbol(S,b,R1), b_n(R1,N,R).
c_n(S,[i],R):- symbol(S,c,R).
c_n(S,[i|N],R):- symbol(S,c,R1), c_n(R1,N,R).
symbol([A|R],A,R).
Fig. 15.8. A recognizer for anbncnin Prolog
we have abbreviated Sentence to Sand Remainder to R, and we have replaced
clause names that start with a capital letter like Aby a form like a_n, as we did in
Section 6.7. Presented with the query
| ?- text([a,a,a,b,b,b,c,c,c], N, []).
the system answers
N = [i,i,i]
and to the query text([a,a,a,b,b,c,c,c], N, []) it answers no.
Surprisingly, even the VW grammar from Figure 15.5, which had a CF skeleton
grammar with only one, nameless, non-terminal, leads to a Definite Clause program
that works, as Figure 15.9 shows. We have named the corresponding Prolog rule x.
(There are the usual real-world problems with this approach; for example the rule
name cin Figure 15.8 must be changed before running the program because cis a
system predicate in Cprolog and cannot be redefined.)
Parsing time requirements are exponential in principle, or even infinite, but for
many grammars the parser runs in linear time. As usual in all top-down parsers, left
recursion causes problems; see the section on cancellation parsing (Section 6.8) for
possible solutions.
484 15 Non-Chomsky Grammars and Their Parsers
text(S,N,R):- x(S,a,N,R1), x(R1,b,N,R2), x(R2,c,N,R).
x(S,A,[i],R):- symbol(S,A,R).
x(S,A,[i|N],R):- symbol(S,A,R1), x(R1,A,N,R).
symbol([A|R],A,R).
Fig. 15.9. An even shorter recognizer for anbncnin Prolog
Edupuganty and Bryant [262] implement a similar parser that is independent of
Prolog or DCGs.
15.2.4 Error Handling in VW Grammars
Error handling is a problem. As with any backtracking system, when a Definite
Clause parser cannot find what it is looking for, it backtracks, and when whatever
it is looking for is not there, it backtracks all the way: it returns to the initial position
and proudly announces “No!”; see Section 7.1 and especially Figure 7.5. This is not
very helpful in debugging the grammar or in finding an error in the input. It is not
even possible to add a logic variable to obtain the longest prefix of Sentence that
the system has managed to match: the successive failures will uninstantiate this vari-
able again and again, and it will not be set when the parser fails. In the end the trace
facility of the Prolog system will have to come to the rescue, an often effective but
always unelegant solution.
15.2.5 Infinite Symbol Sets
In a sense, VW grammars are even more powerful than PS grammars: since the name
of a symbol can be generated by the grammar, they can easily handle infinite symbol
sets. Of course this just shifts the problem: there must be a (finite) mapping from
symbol names to symbols somewhere. The VW grammar of Figure 15.10 generates
sentences consisting of arbitrary numbers of equal-length stretches of equal symbols,
for example, s1s1s1s2s2s2or s1s1s2s2s3s3s4s4s5s5,wheresnis the representation of
the insymbol. See Grune [274] for more details.
N:: nN;ε.
C:: i;iC.
texts: N i tail.
N C tail: ε; N C, N C i tail.
N n C : C symbol, N C.
C: ε.
Fig. 15.10. A grammar handling an infinite alphabet
15.3 Attribute and Affix Grammars 485
15.3 Attribute and Affix Grammars
The desire to bridge the gap between VW grammars — very powerful but next to
unparsable — and CF grammars — annoyingly lacking in power but quite parsable
— gave rise to two developments, one down from VW grammars and one up from CF
grammars. The first yielded affix grammars (Koster and Meertens [237]), the second
attribute grammars (Knuth [243]). They meet in the middle in the EAGs, (Watt and
Madsen [259]) which may stand for Extended Attribute Grammars or Extended Affix
Grammars.
Although a comparison of attribute and affix grammars finds far more similarities
than differences (Koster [269]), their provenance, history and realm of application
differ so much that it is useful to treat them in separate sections.
15.3.1 Attribute Grammars
An attribute grammar is a context-free grammar extended with two features. First,
the non-terminals, and usually also the terminals, in the grammar have values from
some programming language Pattached to them; these values are called “attributes”.
And second, each grammar rule has attached to it a piece of code in the language P,
its attribute evaluation rule, for establishing these values.
15.3.1.1 Attributes and Evaluation Rules
All rules for a non-terminal Nspecify the same set of attributes; each grammar rule R
for Nspecifies its own evaluation rule. We will see later on why this has to be so. The
attributes and their evaluation rules have to be supplied by the grammar writer. There
are two forms of evaluation rules: functions and checks. An evaluation rule for a rule
Rfor a non-terminal Ncan express some attribute Aof Nor of one of its children in
Ras functions of some other attributes, thus expressing a part of the semantics of the
rule R:
A:=funcA,R(Ap,...,Aq);
where funcA,Ris the function in rule Rresponsible for the evaluation of attribute A.
The evaluation code can also check some attributes of Nin order to impose context-
sensitive restrictions:
checkR(Ap,...,Aq);
In some systems, the evaluation rules can also steer the parsing; their use is then
similar to that of the conflict resolvers from Section 8.2.5.3.
We see that again two levels are involved, a CF level to express the syntax and an
attribute evaluation rule level to express the context dependencies; as in VW gram-
mars, the second level can at the same time express the semantics. We will now look
in more detail at the use of the attributes and their evaluation rules.
Although the grammar rules for a non-terminal Nare written only once in the
grammar, many nodes for N, possibly stemming from different rules for N, can be
486 15 Non-Chomsky Grammars and Their Parsers
present in the parse tree. Each of these nodes has room for the same set of attributes;
their values can, and usually will, differ from node to node. These values can be
anything the programming language allows: numbers, strings, etc. For a given node
for N, the attribute evaluation rules compute the values of some attributes of Nand
of some attributes of N’s children, using other attribute values of Nand its children.
So the rules provide local communication between the attributes of Nandthoseof
its children; and since Nhas a parent unless it is the root, and N’s children have
again children unless they are terminal symbols, this scheme allows the computation
of relationships all throughout the parse tree, between the terminal symbols and the
root. As we have seen, these relationships can be used to implement context-sensitive
conditions, and to compose semantics.
If the attribute evaluation rules of a grammar rule Rfor Ncompute an attribute
of the left-hand side of R, that attribute is a synthesized attribute of N; all evaluation
rules for Nmust have functions for the computation of all synthesized attributes
of N. (Synthesized attributes are also known as derived attributes.) If the attribute
evaluation rules compute an attribute of one of the non-terminals Ain the right-
hand side of R, then that attribute is an inherited attribute of A,andallgrammar
rules that have Ain their right-hand side must have functions for the computation
of all inherited attributes of A. Terminal symbols have their own built-in synthesized
attributes; for example, a token 3could have a string-valued synthesized attribute
with value "3" or an integer-valued synthesized attribute with value 3 or 51 (its
ASCII code). This way there is a function for the computation of each attribute in
each node in the parse tree. The synthesized attributes of the root can be viewed as
the semantics of the entire input string.
Figure 15.11 shows an attribute grammar for anbncn, where the attribute evalu-
ation rules are given in curly brackets, and syn and inh indicate the modes of the
attributes. The notation used is ad hoc, but sufficient for our purposes; existing sys-
texts(syn int n): A(na) B(nb) C(nc) {nb:=na; nc:=na; n:=na}.
A(syn int n): ’a’ {n:=1;}.
A(syn int n): ’a’ A(na) {n:=na+1;}.
B(inh int n): ’b’ {check(n==1);}.
B(inh int n): ’b’ B(nb) {check(n>1); nb:=n-1;}.
C(inh int n): ’c’ {check(n==1);}.
C(inh int n): ’c’ C(nc) {check(n>1); nc:=n-1;}.
Fig. 15.11. Attribute grammar for the language anbncn
tems have much more elaborate notations. Rather than letting the rules for A,B,and
Csynthesize the number of letters they collect and then check the equality of these
numbers at the top level, we let Ado the synthesizing, pass the resulting value to B

15.3 Attribute and Affix Grammars 487
and Cas inherited attributes, and let these two check when they recognize their last
token. This has the advantage of giving an error message on the first possible token.
15.3.1.2 Parsing and Attribute Evaluation
Parsing can be done using any suitable CF method; for the above attribute gram-
mar LL(1) could be used. There are three ways to evaluate the attributes: bottom-
up (data-driven), top-down (demand-driven), and very clever (“ordered”). We will
briefly discuss the first two methods, using the input string aabbcc. The CF parse
tree is given in Figure 15.12.
text
A
a A
a
B
b B
b
C
c C
c
Fig. 15.12. The not yet attributed CF parse tree for aabbcc
In the bottom-up method, only the attributes for the leaves are known initially,
but as soon as sufficient attributes in a right-hand side of a grammar rule are known,
we can use its attribute evaluation rule to compute an attribute of its left-hand side
or of a child. Initially only the attribute nof the node A(n):’a’ is known. This
allows us to compute the nin A(n):’a’A(na), which in turn gives us the at-
tributes of n,na and nb of text(n):A(na)B(nb)C(nc). Since the nb is the
inherited attribute nof B(n):’b’B(nb), the next bottom-up scan will be able to
compute the attribute nb of that rule. This way the attribute values (semantics) spread
over the tree, finally reach the start symbol and provide us with the semantics of the
whole sentence. If there are inherited attributes, repeated scans will be needed, so
this method is primarily indicated for attribute grammars with synthesized attributes
only.
In the top-down method, we demand to know the value of the attribute nof
the root text. Since this is computed by n:=na and we do not know na yet, we
have to descend into the tree for A, meeting assignments of the form n:=na+1 and
postponing them, until we finally reach the assignment n:=1. We can then do all the
postponed assignments, and finally come up with the value of nin text. So, as far
as semantics is concerned, we are finished now, but if we want to do checking, we
have to evaluate (top-down) the arguments of the checks. (The large discrepancy
between checking and semantics here is an artifact of the highly redundant input.)

488 15 Non-Chomsky Grammars and Their Parsers
These two methods are characterized by a fixed and grammar-independent eval-
uation order of the attribute code. For ordered attribute grammars (Kastens [255]) an
optimal evaluation order can be derived from the grammar, which allows very effi-
cient attribute evaluation. Constructing such evaluation orders is outside the scope of
this book; see, for example, Grune et al. [414, Ch. 3].
The fully attributed tree is shown in Figure 15.13. The arrows show the directions
in which the information has flowed; the checks are not shown.
text
n=2
A
n=2
a
n=1
A
n=1
a
n=1
B
n=2
b
n=1
B
n=1
b
n=1
C
n=2
c
n=1
C
n=1
c
n=1
Fig. 15.13. The fully attributed parse tree for input aabbcc
The error handling in attribute grammars can be divided in two parts, the syn-
tactic error handling, which comes with the CF parsing method, and the context-
sensitive error handling. The latter is implemented in the checks in the attribute
evaluation rules attached to the rules, and is therefore fully the responsibility of the
programmer. This division of responsibilities, between automation and user inter-
vention, is characteristic of attribute grammars.
We have seen that attribute grammars are a successful mix of CF parsing, a pro-
gramming language, context-dependencies, establishing semantics, and conflict re-
solvers. What can be automated is automated (CF parsing and the order in which
the attribute evaluation rules are performed), and for the rest the grammar writer has
almost the full power of a programming language.
Attribute grammars constitute a very powerful method of handling the CF as-
pect, the context-sensitive aspect and the semantics of a language, and are at present
probably the most convenient means to do so. It is doubtful, however, that they are
generative grammars, since it is next to impossible to use them as a sentence produc-
tion mechanism; they should rather be classified as recognition systems.
15.3.2 Affix Grammars
Like attribute grammars, affix grammars (Koster [245, 269]) endow the non-
terminals with parameters, called affixes here; and like attributes these are divided
into synthesized, called “derived” here, and inherited. But where attribute grammars
15.3 Attribute and Affix Grammars 489
have evaluation rules which express checks and semantics and which have no di-
rect grammatical significance, affix grammars have predicates, which are a special
kind of non-terminals which can only produce {ε}, the set containing only the empty
string, or the empty set {}, which contains nothing. This allows affix grammars to be
used as generative grammars.
15.3.2.1 Producing with an Affix Grammar
During the production process, a non-terminal can be replaced by any of the strings
that are in the set of its terminal productions, and the same applies to predicates. If
a predicate Phas {ε} as the set of its terminal productions, that set contains only
one item, ε,soPgets replaced by it, disappears, and the production process contin-
ues. But if Phas {} as the set of its terminal productions, Pcannot be replaced by
anything, and the production process halts. Note that this hinges on the difference
between the empty set and a set containing one element, the empty string.
Figure 15.14 shows how this mechanism controls the production process. The
start(δint n): A(n) B(n) C(n).
A(δint n): n = 1, ’a’.
A(δint n): ’a’, A(na), n = na+1.
B(ιint n): n = 1, ’b’.
B(ιint n): n > 1, ’b’, nb = n-1, B(nb).
C(ιint n): n = 1, ’c’.
C(ιint n): n > 1, ’c’, nc = n-1, C(nc).
Fig. 15.14. Affix grammar for the language anbncn
forms n=1,nb=n-1, etc. are predicates; they produce εwhen the affixes obey the
test, and the empty set otherwise. In this figure δindicates a derived affix and ι
an inherited one, but the difference plays no role during production. To produce
aaabbbccc we begin with start(3).ThisleadstoA(3), but the first rule for A
fails since the predicate n=1 produces nothing. The second rule produces afollowed
by na as, but production can only continue if we choose na to be 2, to pass the
predicate n=na+1. Related considerations apply to the production of the segments
bbb and ccc.
The predicates n>1 are not really necessary: entering the rule for Bwith nequal
to1wouldcausenb to be forced to 0, and attempts to produce from B(0) would
lead to an infinite dead end. We have blocked these infinite dead ends for esthetic
reasons.
490 15 Non-Chomsky Grammars and Their Parsers
15.3.2.2 Parsing with an Affix Grammar
Although the language anbncnis symmetrical in a,b,andc, the grammar in Fig-
ure 15.14 is not. The reason is that it is a well-formed affix grammar, which means
that the form of the predicates, their positions, and the δand ιinformation together
allow the affixes to be evaluated during parsing. The precise requirements for well-
formedness are given by Koster [245], but effectively they are the same as for at-
tribute evaluation in attribute grammars.
All the usual general parsing techniques are possible, and they handle a failing
predicate just as bumping into an unexpected token. A simple top-down parser with
aaabbbccc as input would first try the first rule for A,derivenequal to 1 from it,
continue with B(1), find there is no b, backtrack, try the second rule for A,tryna
equal to 1, fail, backtrack, etc., until all 3 aare consumed. The derived value of n
of the top-level Ais then 3, which is passed as inherited affix to Band C. The rest is
straightforward.
Watt and Madsen [259] have extended the affix grammars with a transduction
mechanism, resulting in the EAGs. These can be viewed as attribute grammars with
generative power, or as affix grammars with semantics.
15.3.2.3 Affix Grammars over a Finite Lattice
Affixes can be of any type, but an especially useful kind of affix grammar, the AGFL,
is created by restricting the affixes to finite lattices (Koster [268]). A lattice is a set of
values that can be compared for rank; we shall use as the ranking operator. If xand
yare compared for rank, the answer may be “smaller”, “larger”, or “not ordered”; it
may also be “equal” but then xand yare the same value. An important condition is
that there cannot be a value xfor which we have x···x. A lattice corresponds to
a directed acyclic graph, a “dag”. A formal definition of AGFLs is given by Nederhof
and Sarbo [349].
Such lattices are very useful for encoding attributes of linguistic forms, like gen-
der, tense, active/passive, etc. A simple example is gender in, for example, German,
Russian, and several other languages:
GENDER :: masculine; feminine; neuter.
Here GENDER masculine,GENDER feminine,andGENDER neuter.
But the usefulness of lattices is demonstrated better in a language that has a more
complicated gender structure. One such language is Burushaski, which has four gen-
ders (Figure 15.15), hm (human masculine), hf (human feminine), x(countable
non-human) and y(non-countable); examples of non-countable are “salt”, “love”,
etc. This structure is shown in the first group of affix rules for GENDER;hm,hf,x,
and yare affix terminals; the upper case words are affix non-terminals; and the ::
identifies the rules as affix rules.
But some parts of the Burushaski grammar treat feminine nouns quite differently
from the rest, so a division in feminine and non-feminine is also appropriate; see
the second group of affix rules. The dag for this affix type is shown in Figure 15.16

15.3 Attribute and Affix Grammars 491
GENDER :: COUNTABLE; UNCOUNTABLE.
COUNTABLE :: HUMAN ; x.
HUMAN :: hm ; hf.
UNCOUNTABLE :: y.
GENDER :: FEMININE; NONFEMININE.
FEMININE :: hf.
NONFEMININE :: hm; x; y.
Fig. 15.15. Finite Lattice affix rules for gender in the Burushaski language
in traditional lattice representation: if v1is higher than v2and connected by lines,
then v1v2; the mathematical definition of lattices requires a top element ()anda
bottom element (⊥). It will be clear why lattices are called lattices.
GENDER
COUNTABLE UNCOUNTABLE FEMININE NONFEMININE
HUMAN
hm hf x y
⊥
Fig. 15.16. Lattice of the FL affix notion GENDER of Figure 15.15
The following (very naive) grammar fragment shows the use of the affixes:
noun phrase (GENDER) :
[article (GENDER)], noun (GENDER), infix (GENDER).
···
noun (HUMAN) : family member (HUMAN).
···
infix (hf) : "mu" .
infix (NONFEMININE) : .
···
The first rule says that gender in a noun phrase distributes over an optional article,
the noun, and the infix. As in VW grammars, the affix variable must be substituted
consistently. If the actual gender is in the subset HUMAN, the noun may be a family
member of the same gender. If the gender is hf, the infix must be mu, but if it is in
the subset NONFEMININE it must be left out.
Since a lattice does not contain cycles, a grammar which is a lattice can produce
only a finite number of terminal productions: it is a Type 4 grammar (page 33). This
492 15 Non-Chomsky Grammars and Their Parsers
means that one could substitute out all affixes in an AGFL and obtain a context-
free grammar, but such a grammar would be much larger and less convenient. So an
AGFL is much weaker than an general affix grammar, but its strength lies in its ease
of use for linguistic purposes and in its compactness.
AGFLs can be parsed by any CF method. The problem lies in managing the
affixes: naive methods cause an explosive growth of the data structures. An efficient
solution is given by Nederhof and Sarbo [349].
15.4 Tree-Adjoining Grammars
As languages go, English is a rather context-free language in that it exhibits few
long-range relationships. Verbs do correlate with the subject (“I walk” versus “he
walks”), but the subject is seldom far away. It has composite verbs (for example “to
throw away”), but the two parts usually stay close together: “She finally threw the
old towels, which she had inherited from her grandmother and which over the years
had assumed paler and paler shades of gray, away” is awkward English. “The brush
I painted the garage door green with ..” (where “with” relates back to “brush”) is
better,butmanyspeakerswouldprefer“Thebrushwithwhich...”.
This is not true for many other languages. Verbs may agree with subjects, direct
and indirect objects simultaneously in complicated ways (as in Georgian and many
American Indian languages), and even languages closely related to English have
composite verbs and other composite word classes, the parts of which can and of-
ten must move arbitrarily far away from each other. Examples are Dutch and Swiss
German, and to a lesser degree Standard German. Especially the first two exhibit
so-called cross-dependencies, situations in which the lines that connect parts of the
same unit cross. Such relationships do not correspond to a tree, and CF grammars
cannot produce them. Cross-dependencies have long worried linguists, and if lin-
guistics want to explain such languages in a generative way, an alternative system is
needed. Tree Adjoining Grammars (or TAGs) is one such system; it was developed
by Joshi [250]. Yngve [375] describes a simpler and much earlier system.
15.4.1 Cross-Dependencies
As an example of a cross-dependency we will take the Dutch sentence
Daar doe ik niet aan mee.
This is a completely normal everyday Dutch sentence, but its structure is com-
plex. It contains the words ik =“I”,niet = “not”, meedoen = “participate”, and
daaraan = “to that”, and it means “I do not participate in that”, or more idiomati-
cally “I will have no part in that”. (Since English has no cross-dependencies, Dutch
sentences that use it have no literal translation in English.) We see that the words
daaraan and meedoen have split up, and the dependencies connecting the parts
cross:

15.4 Tree-Adjoining Grammars 493
Daar doe ik niet aan mee
It is clear that there cannot be a CF grammar which produces this sentence so that
daar and aan derive from one non-terminal and doe and mee derive from another.
(We will not go into the fact that there is more than one kind of cross-dependency,
nor into their linguistic relevancy here.)
TAGs were designed to solve this problem. We shall first explain the principles
and then see how to create a TAG that will produce the above sentence in a satis-
factory way. Where a CF grammar has rules, a TAG has trees. A CF rule names a
non-terminal and expresses it in terminals and other non-terminals, and a TAG tree
names a node and expresses it in terminals and other nodes. The top node of a tree
is labeled with the name of the tree, and all the internal nodes are labeled with non-
terminals; the leaves are usually terminals but can occasionally be labeled with a
non-terminal. If a tree has terminal leaves only, it is a terminal tree, and it represents
a string in the language generated by the TAG; that string is the sequence of terminals
spelled by the leaves. An example of such a terminal tree will be shown in Figure
15.19.
Whereas a CF grammar has one start symbol, a TAG has several start trees called
elementary trees. They usually represent the basic sentence types of a language: ac-
tive sentences, passive sentences, questions, etc., which is why they are also called
sentential trees. All the leaves of an elementary tree are terminals, so an elementary
tree might look like this:
S-
X Y
a b
and it represents the string ab. (The meaning of the -marker next to the Swill
be explained below.) The other trees in the grammar (called auxiliary trees)have
the same structure as elementary trees, except that one leaf is not a terminal but is
labeled with the name of the tree:
X-
Y
p q
X-
Y-
X
r s
Y-
This leaf is called the “foot” of the tree. Note that there is exactly one path from the
top of the tree to its foot.

494 15 Non-Chomsky Grammars and Their Parsers
Auxiliary trees do not represent strings in the language, but serve to expand nodes
in elementary trees in a process called adjoining, as follows. Suppose we want to
expand the node Xin the elementary tree Sby using the tree for X. We first cut the
node Xin Sin two to detach its subtree from S:
S-
X Y
b
X
a
Next we put the tree for Xin between and connect the top to the open Xnode in S
and the foot to the detached subtree:
S-
X-Y
bY
p q
X-
a
Since tops and feet are labeled identically, this does not disrupt the structure of the
tree. The result represents the string paqb. Since the .a.b come from one tree and
the p.q. come from another, we have already created our first cross-dependency!
And we can also see how it works: the tree X“spreads its wings” to the left and the
right of the a, thus creating a (moderately) long-range correlation between its left
wing and its right wing.
Some nodes in the above pictures are marked with a -marker; this marker in-
dicates that the marked node cannot be expanded. We shall also meet nodes marked
with a +; such nodes must be expanded for a tree to count as a terminal tree. Other
varieties of TAGs may define other types of markers with their requirements.
We now turn to the sample sentence “daar doe ik niet aan mee”, and
start by creating a tree for daar ... aan. Sentences that do not start with the
subject have the form of an “inverted sentence”, one in which the verb precedes the
subject; we will make a tree called INV_S for these. So the sentence consists of four
pieces:
S = daar INV_Slaan INV_Sr

15.4 Tree-Adjoining Grammars 495
where INV_Slis the left wing of INV_S and INV_Sris its right wing. What is
missing to turn this into an auxiliary tree is the position of the foot S. To determine
that position, we need information about the language. In Dutch, no words can be
inserted between aan and INV_Sr,butINV_Sland aan can be separated by words.
So that gives us the proper place for the foot:
S = daar INV_SlSfoot aan INV_Sr
This leads to the middle tree in Figure 15.17, where the -markers show that after
adjoining the two nodes Scannot be adjoined again, and the +shows that INV_S
must be adjoined to obtain a sentence. Figure 15.17 also shows the elementary tree
Sto start the process and the result of adjoining the tree for Sto it.
S+
ε
S-
daar INV_S+
S-aan
+
S-
daar INV_S+
S-aan
ε
⇒
Fig. 15.17. Elementary tree, tree for Sand result of adjoining
In a real grammar there will be many trees for INV_S; we construct one here
for a negative inverted sentence. It contains an inverted verb part INV_VP.Sothe
remainder of the sentence
INV_S = doe ik niet INV_Sfoot mee
corresponds to
INV_S = INV_VPlniet INV_Sfoot INV_VPr
The tree is shown in Figure 15.18(a). This leaves
INV_S-
INV_VP+
niet INV_S-
(a)
INV_VP-
doe ◦
ik ◦
INV_VP-mee
(b)
Fig. 15.18. Trees for INV_S and INV_VP

496 15 Non-Chomsky Grammars and Their Parsers
doe ik INV_VPfoot mee
for INV_VP. The three words in it are strongly interdependent, so for simplicity
we will accept this segment as a single tree. The tree is shown in Figure 15.18(b)
and shows two anonymous nodes; if a particular formalism does not allow this,
dummy names could be assigned to them. Figure 15.19 shows the complete tree;
we see that it contains no nodes marked with a +, and that its outer rim spells
S-
daar INV_S-
INV_VP-
doe ◦
ik ◦
INV_VP-mee
niet INV_S-
S-aan
ε
Fig. 15.19. The complete tree for the Dutch sentence with cross-dependency
“daar doe ik niet aan mee”.
In a real-world system the tree for doe ik ... mee would be split up into
one for a subject ik and one for a conjugated verb doe ... mee, but since the
verb agrees with the subject (doe ik ... mee versus doet hij ... mee,
etc.) another type of correlation must be established. In many systems, the trees and
the nodes in them are provided with attributes, often called features in linguistics,
that are required to agree for adjoining to be allowed. Since these attributes have
only a finite (and usually very small) number of values, all the trees with all their
values could in principle be written out, and the attributes are a means to complexity
reduction only, just as a finite-choice metagrammar is to a VW grammar.
The TAG design process shows clearly how each detail of Dutch syntax is ex-
pressed in a particular auxiliary tree. There is a large TAG for the English language
available on the Internet from the University of Pennsylvania.
TAGs are (somewhat) stronger than CF grammars, since they can produce the
language anbncn, which is not CF, but they are (much) weaker than CS grammars.

15.4 Tree-Adjoining Grammars 497
They cannot, for example, produce the language anbncndnen. Remarkably, TAGs can
create only 4 copies of the same number.
The semantics of a Tree Adjoining Grammar is attached to the trees, and compo-
sition of the semantics is straightforward from the adjoining process.
15.4.2 Parsing with TAGs
Input described by a TAG can be parsed in polynomial time, using a bottom-up al-
gorithm described by Vijay-Shankar and Joshi [264]. The algorithm, which is very
similar to CYK (Section 4.2), is not difficult, but since TAGs are more complicated
than CF grammars there are many more details, and we will just sketch the algo-
rithm here. We assume that no node in any elementary or auxiliary tree has more
than two children; it is easy to get a TAG into this “2-form” by splitting nodes where
necessary.
Rather than having a two-dimensional recognition table Ri,lthe entries of which
contain non-terminals that produce ti..i+l−1where t1..nis the input string, we have a
four-dimensional recognition table Ai,j,k,lthe entries of which contain tree nodes X
in trees for Ythat produce the segments ti.. jand tk..l,wherethegaptj+1,k−1between
them is to be produced by the tree hanging from the foot node of Y. Note that in the
description of CYK we used starting position and length to describe a segment; here
it is more convenient to use the start and end positions of both segments.
The meaning of the entry Ai,j,k,lis shown in Figure 15.20; the drawn lines de-
Y−
X+
Y−
ijkl
Fig. 15.20. Recognized footed tree for the node Xin a tree for Y
marcate the recognized region, the broken lines show the region that must still be
recognized to fully recognize a node of type Y. Note that it is the lower part of rule
Ythat has been recognized, in accordance with the bottom-up nature of the CYK al-
gorithm. It is a fully recognized subtree, except that one of its leaves is the foot of Y;
we shall call such subtrees “footed trees”. The whole input string t1..nis recognized
when at least one of the entries A1,j−1,j,ncontains the root of an elementary tree, for

498 15 Non-Chomsky Grammars and Their Parsers
any value of j. Once the table has been filled in, we can find parse trees by working
from the contents of the A1,j−1,j,ndownwards, in a way similar to that of Section
4.2.5.
The actual contents of the entries in the table Aare paths of the form Y···X,
where Yis the top of a tree from the grammar, and Xis the node carrying the footed
tree. Such a path can, for example, be implemented by giving the start node Yand a
string of left-right-left directives that tell how to reach the right Xfrom Y. Including
Yis necessary to allow us to adjoin a completed tree to the foot of the part recognized
by X, and including the explicit path is necessary because Ymay contain more than
one occurrence of X.
The essential step in the CYK algorithm is the combination of two recognized
regions into a third, larger region. Doing these steps in the right order allows one to
fill the table Ain one sweep, visiting and filling the entries by combining the contents
of entries that have already been filled. The table has n4entries, so filing it costs n4
times the cost of the actions for one entry.
In TAGs there are two fundamental combination steps, one side-ways and one
upwards. There are several other combination steps, but they are the mirror images
of the fundamental ones, are special cases for elementary trees, or are trivial.
The most characteristic combination step for TAGs is the upwards combination,
shown in Figure 15.21. It extends a footed tree for the path Y···Xwith a completely
Y−
X+
Y−
m+1jkp−1
X−
X−
im p l
Y−
→X−
X−
im p l
Y−
m+1jkp−1
Fig. 15.21. The upwards-combination step for Tree Adjoining Grammars
recognized auxiliary tree for X, to form a new, larger, footed tree for the path Y···X.
The completely recognized tree for Xcovers the sections ti..mand tp..l; we can find
out that a tree is completely recognized from its entry in the table A, which has the
form X···X, that is, the length of the path is 0. The footed tree for Y···Xmust then
start at position m+1andendatp−1. Suppose its foot spans a gap from jto k;then
the combined footed tree, still identified by Y···X, can be inserted in Ai,j,k,l. So, to
fill the entry Ai,j,k,lwith all results of the upwards combination step, we must search

15.4 Tree-Adjoining Grammars 499
for values for mand psuch that the conditions of Figure 15.21 are fulfilled. There
can be at most O(n)such values for each of the two variables, so this step costs at
most O(n2)actions per entry.
The sideways combination increases the size of a not completely recognized tree,
as shown in Figure 15.22. It concentrates on those nodes Zin trees Ythat have one
already recognized child which a Y-footed tree Y···X, and a second recognized child
Y···W, whose leftmost recognized token is next to the rightmost token ofY···X;this
happens at the p,p+1 junction in Figure 15.22. These two children can then combine
Y−
Z
X
Y−
ijkp
W
p+1qq+1l
Fig. 15.22. The sideways-combination step for Tree Adjoining Grammars
sideways into a footed tree for Y···Z. Of course Y···Wcannot be a footed tree, since
the auxiliary tree Yhas only one foot. So, to fill the entry Ai,j,k,lwith all results of the
sideways combination, we must search for values for pand qsuch that the conditions
of Figure 15.22 are fulfilled. In principle there can again be at most O(n)such values,
so this step could cost O(n2)per entry. The value of q, however, is fairly arbitrary
and can be taken out of the game by keeping a separate two-dimensional table Bi,l,
containing copies of the nodes in Ai,p,p+1,lfor all values of p. All suitable nodes
Y···Wcan now be found in O(n)actions. The table also helps in finding top-level
recognitions of the form Ein A1,p,p+1,n,whereEis the root of an elementary tree.
Although this will speed up our algorithm, in does not help for the overall complexity
since the upwards combination step already takes O(n2).
We still have to answer the question where the initial values in the table Acome
from. They come from two sources, terminal symbols and empty footed trees. Each
terminal symbol tdirectly attached to a node Xin a tree for Ygivesrisetoanentry
Y···Xin Ai,i,i+1,ifor each position iin the input where tis found; that is, the token
is absorbed in the left wing of the footed tree and the right wing is empty. And
empty footed trees Y···Yfor all auxiliary rules Yare entered in all Ai,i−1,j,j−1for
all 1≤i≤j≤n; that is, footed trees for foot nodes with empty wings are recognized
everywhere. At first they will grow sideways, using the finished subtrees originating
from the terminal symbols.

500 15 Non-Chomsky Grammars and Their Parsers
We have now seen a general CYK-like parsing algorithm for TAGs in “2-form”;
its time complexity is O(n6), because it has to fill in n4entries at a cost of at most
O(n2)each. Satta [276] proves that if we can do general TAG parsing in O(np),we
can do Boolean matrix multiplication in O(n2+p/6); note that for p=6 this amounts
to the standard complexities for both processes. Since Boolean matrix multiplication
in time less than O(n3)is very difficult, it is probable that general tree parsing in time
less than O(n6)is also very difficult.
Very little is known about error recovery for TAGs. Perhaps the techniques avail-
able for the CYK algorithm could be adapted.
CYK parsing is not the only possibility for TAGs. Schabes and Joshi [271] de-
scribe an Earley parser for TAGs, and Nederhof [281] and Prolo [282] explore LR
parsers for TAGs, with their problems.
15.5 Coupled Grammars
Coupled grammars establish long-range relations by creating all parties to the rela-
tion simultaneously and keeping track of them as they go their separate ways. The
non-terminals in a coupled grammar consist of fragments called components.During
the production process, all the components of a non-terminal Nmust be replaced at
the same time, using the same alternative for N. Suppose we have the sentential form
... N1... N2... N3...
where N1,N2,andN3are components that were created simultaneously, and the fol-
lowing grammar rule for N:
N1,N
2,N
3--->aP
1b,cd,eP
2f|Q
1R1R2,R
3,Q
2R4Q3
where Pconsists of 2, Qof 3, and Rof 4 components. Then two new sentential forms
result from the simultaneous substitution process:
...aP
1b ... c d ... e P2f ...
... Q1R1R2... R3... Q2R4Q3...
Th requirement that “N1,N2,andN3were created simultaneously” is essential, since
other occurrences of N1,N2,andN3may be present in the sentential form, unrelated to
the ones shown, and of course they are completely free in their substitution (as long
as they obey their own consistent substitution) restriction. A better representation of
the original sentential form would therefore be
... N[1] ... N[2] ... N[3] ...
and this is indeed how such a form must be implemented in a program.
Coupled grammars can easily express non-CF languages like anbncn:
Ss--->A
1A2A3
A1,A
2,A
3--->aA
1,bA
2,cA
3|ε,ε,ε

15.5 Coupled Grammars 501
and a coupled grammar for the language ww,wherewis an arbitrary string of asand
bs, is trivial. They can also provide finite-choice abbreviations in other grammars,
for example:
COND1, COND2, COND3, COND4---> if, then, else, fi
| (,|,|,)
| si, alors, sinon, fsi
which allows the rule
conditional statement ---> COND1Boolean expression
COND2statement sequence
COND3statement sequence COND4
to produce various forms of the conditional statement in a programming language
(but only the consistent ones!).
The power of coupled grammars depends on the number of components that one
allows. It can be proved that for large numbers of components the power of coupled
grammars approaches that of the CS grammars. There is little reason to put a hard
limit on the number of components, so the attainable power is just under that of CS
grammars.
15.5.1 Parsing with Coupled Grammars
Full backtracking top-down parsing works almost without modification for non-left-
recursive coupled grammars. A sample parsing for the string aabbcc using the
above grammar for anbncnis shown in Figure 15.23 in a format similar to that
of Figure 6.11. Note that the subscripts in the recognized (left) part of each snap-
aabbcc#
S#
(1)
aabbcc#
S1A1A2A3#
(2)
aabbcc#
S1A1aA1bA2cA3#
(3)
a abbcc#
S1A1aA
1bA2cA3#
(4)
a acabb#
S1A1aA1aA1bbA2ccA3#
(5)
aa bbcc#
S1A1aA1aA
1bbA2ccA3#
(6)
aa bbcc#
S1A1aA1aA2bbcc#
(7)
aabbcc #
S1A1aA1aA2bbcc #
(8)
Fig. 15.23. Coupled-grammar parsing for the string aabbcc
shot represent the numbers of the chosen alternatives as they did in Figure 6.11,
and those in the unrecognized (right) part represent numbers of components, as they
do in a coupled grammar. So A2on the left in the last snapshot identifies the rule
A1,A2,A3--->ε,ε,εand A2on the right in other snapshots identifies the second com-
ponent of A. In the present case the backtracking is not activated (except for finding

502 15 Non-Chomsky Grammars and Their Parsers
out that there is no alternative parsing), but see Problem 15.10 for a parsing problem
that requires backtracking.
The resulting parse tree, shown in Figure 15.24, is exactly the way one wants it,
and semantics is attached easily.
S
A1
a A1
a A1
ε
A2
b A2
b A2
ε
A3
c A3
c A3
ε
Fig. 15.24. The parse tree for the parsing of Figure 15.23
Pitsch [275, 277] gives algorithms for LL(1) and LR(1) parsing of coupled gram-
mars, and Seki presents a general bottom-up parser based on CYK.
Coupled grammars were invented by Hotz in 1967 (Hotz [240, 278]) but received
little publicity until the mid 1990s. They seem to be a convenient means of expressing
mild context sensitivity, their main problem today being the lack of experience in
their use.
15.6 Ordered Grammars
Ordered grammars produce non-CF languages by restricting the CF production pro-
cess rather than by establishing long-range relationships. It is not clear whether this
is a good idea in practice, but the ideas involved are certainly interesting, which is
why we will discuss briefly two types of ordered grammars here.
15.6.1 Rule Ordering by Control Grammar
When using a CF grammar to produce a sentence, one is free to apply any production
rule at any time, provided the required non-terminal is present in the sentential form.
One type of ordered grammars restrict this freedom by requiring that the sequence
of applied rules must obey a second grammar, the control grammar. Here, the rules
in the original CF grammar are considered tokens in the control grammar, and a
sequence of rules produced by the control grammar is called a control sequence.
15.6 Ordered Grammars 503
It suffices to give just the control grammar, since the rules of the CF grammar are
included in it.
Figure 15.25 gives an ordered grammar for the language anbncnin an EBNF
notation. It produces, among many others, the control sequence
controls=> [texts--->ABC]
([A ---> aA] [B ---> bB] [C ---> cC])*
[A ---> ε][B---> ε][C---> ε]
Fig. 15.25. An ordered grammar for the language anbncn
[texts--->ABC]
[A ---> aA] [B ---> bB] [C ---> cC]
[A ---> aA] [B ---> bB] [C ---> cC]
[A ---> ε][B---> ε][C---> ε]
which in turn produces the final string aabbcc. Extension of the grammar to more
than 3 tokens is trivial, and many other non-CF languages are also easily expressed.
Usually a regular grammar is sufficient for the control grammar, as it was above.
The production process with ordered grammars can get stuck, even in more than
one way. A control sequence could specify a CF rule for a non-terminal Athat is not
present in the CF sentential form. And when the control sequence is exhausted, the
sentential form may still contain non-terminals. In both cases the attempted produc-
tion was a blind alley.
15.6.2 Parsing with Rule-Ordered Grammars
Full backtracking top-down parsing, similar to the one explained for coupled gram-
mars in Section 15.5.1, is sometimes possible for ordered grammars too. The basic
action consists of making a prediction choice in the control grammar, which results
in a rule to apply to the prediction for the rest of the input. If the rule cannot be
applied or when the result contradicts the input, we backtrack over this choice and
take the next one. If we can continue, we may get stuck further on, in which case we
backtrack; or we may find a parsing based on this choice, and then if we need only
one parsing we are done, but if we want all parsings we again backtrack.
The problem with this technique is that, just as in Definite Clause parsing, the
process may not terminate. One reason is left recursion, but it can also happen that
none of the prediction choices in the control grammar ever expands the leftmost non-
terminal in the prediction, so the choices are never contradicted by the input, but the
process does not get stuck either.
Since the input is recognized by the CF grammar, a normal parse tree results, to
which semantics can be attached as to any CF parse tree.
For more information about this type of ordered grammars, see Friš [242] and
Lepistö [247].
504 15 Non-Chomsky Grammars and Their Parsers
15.6.3 Marked Ordered Grammars
Although the “token” in the control sequence dictates what kind of non-terminal, for
example A, is going to be substituted next during the production process, the system
does not specify exactly which Ais meant, in case there is more than one. This gives
a certain non-determinism to the production process that seems to be alien to it: the
control sequence does not really control it all. This is remedied in a variant described
by Kulkarni [279], as follows. In a marked ordered grammar one member in the
right-hand side of each CF rule is marked as the next one to be substituted. The
control sequence must then provide the proper rule, and must end exactly when we
find a marked terminal or a marked ε; otherwise the production is a blind alley.
Now the control grammar is in full control, but it is fairly clear that this cannot be
the whole story: what about the other, non-marked non-terminals that may appear in
right-hand sides and therefore in sentential forms? The answer is that a new control
sequence is started for each of them.
Figure 15.26 gives a marked ordered grammar for the language anb3ncn,where
the marked members are between square brackets; rather than including the rules
CF grammar:
0: Ss---> a[S]
1: S ---> [T]
2: T ---> B[T]c
3: T --->[ε]
4: B ---> b [B]
5: B ---> [b]
control grammar
controls=> A3|445
A=>1|0A2
Fig. 15.26. A marked ordered grammar for the language anb3ncn
in the control grammar, we have named them 0to 5and refer to them by those
names in the control grammar. For demonstration purposes the stretches of 3 bsare
produced by a second control sequence. The start symbol controlsgenerates two
sets of control sequences, 0n12n3and 445. The sentential form starts as S,which
is unmarked and so starts a new control sequence; 445 works on Bonly and would
lead to a blind alley, so let us choose 001223. This produces
aaBBεcc
We see that the nesting in the control grammar rule A=>0A2 forces equal num-
bers of as, Bsandcstobeproduced.Next,theBs are developed, using new
control sequences. The control sequence 445 applies twice, and the end result is
aabbbbbbcc, as expected.

15.6 Ordered Grammars 505
There is a different way in which the CS restriction on the language can be
viewed: the CF grammar produces strings with parse trees, but a parse tree is only ac-
ceptable when the path following marked nodes downwards from each non-marked
node spells a word in the control language. This view is depicted in Figure 15.27,
where the thicker lines represent the paths that have to obey the control grammar.
We see that the long middle path correlates the left part of the tree with the right
Fig. 15.27. Marked ordered grammar restrictions on a parse tree
part. The shorter paths arrange correlations in the subtrees only, and the subtrees of
these are controlled by still shorter paths, and so on, so that control is distributed in
an almost fractal way. The main path can, for example, correlate the subject, verb
and object in a sentences; shorter paths can then correlate the adjectives in the sub-
ject with the noun in the subject, and the adjectives in the object with the noun in
the object, as is needed, for example in French: “Les éléphants asiatiques ont des
petites oreilles.” where “asiatiques” (masculine plural of “asiatique”, “asian”) cor-
relates with “éléphants (masculine plural), and “petites” (feminine plural of “petit”,
“small”) correlates with “oreilles” (feminine plural, “ears”).
15.6.4 Parsing with Marked Ordered Grammars
Parsing with marked ordered grammars is easier than with “normal” ordered gram-
mars, since here it is possible to always expand the leftmost non-terminal in the
prediction for the rest of the input, and thus produce a leftmost derivation. We start
with the CF start symbol as the initial prediction; we start a control string predictor
based on the control grammar, and try to develop the prediction to match the input.
If the leftmost non-terminal in the prediction is marked, we continue its production
guided by the control string we predict from the control grammar. If the leftmost
non-terminal is not marked, we stack the control string predictor for the leftmost
marked non-terminal and start a new one, as we did for the start symbol. So the data
structure in our parser will be a stack of control string predictors (in addition to the
prediction), where each control string predictor consists of a prediction for the rest
of the control tokens plus some backtrack administration.
We will now demonstrate the parsing of the input string aabbbbbbcc with
the grammar from Figure 15.26. Depicting the full two-level parsing process would
require a figure in the style of Figure 4.3, but it would be very big and less than

506 15 Non-Chomsky Grammars and Their Parsers
useful, since all branches but one would be dead ends. We will therefore show only
the successful choices for the control string; these are indicated by a double arrow
(⇒). All other moves — the application of the CF grammar rule, the matching of
the correctly predicted input symbol, the creation of a new control string predictor
— are forced, and will be indicated by single arrows (--->), without comment. The
predicted control stack is shown in curly braces {} right after the non-terminal to
which it pertains.
We start with the prediction S--->S{control}, since it is not marked; we then
get:
S{control} ⇒S{A3} ⇒S{0A23} ---> a[S]{A23} --->
[S]{A23} ⇒[S]{0A223} ---> a[S]{A223} --->
[S]{A223} ⇒[S]{1223} ---> [T]{223} ---> B[T]{23}c --->
B{control}[T]{23}c ⇒B{445}[T]{23}c --->
b[B]{45}[T]{23}c ---> [B]{45}[T]{23}c ---> b[B]{5}[T]{23}c
---> [B]{5}[T]{23}c ---> [b]{}[T]{23}c ---> b[T]{23}c --->
[T]{23}c ---> B[T]{3}cc --->
B{control}[T]{3}cc ⇒B{445}[T]{3}cc ---> b[B]{45}[T]{3}cc
---> [B]{45}[T]{3}cc ---> b[B]{5}[T]{3}cc ---> [B]{5}[T]{3}cc
---> [b]{}[T]{3}cc ---> b[T]{3}cc ---> [T]{3}cc --->[ε]{}cc --->
cc --
->c---> ε
We see that there are two more points where a new control string predictor is started.
As with the “normal” ordered grammars, the input is recognized by the CF gram-
mar and a normal parse tree results, so semantics can be attached in the usual way.
Kulkarni and Shankar [279] give very efficient LL(1) and LR(1) parsers for
marked ordered grammars.
15.7 Recognition Systems
As said before, non-Chomsky grammars find their origin in user objections to Type 0
and Type 1 grammars. Proponents of recognition systems take the criticism one step
further and ask: “Why do we cling to a generative mechanism for the description of
our languages, from which we then laboriously derive recognizers,1when almost all
we ever do is recognizing text? Why don’t we specify our languages directly by a
recognizer?” Some people answer these two questions by “We shouldn’t” and “We
should”, respectively.
Several recognition systems have been described over the years; examples are
the analytic grammars by Gilbert [239], the TMGs by Birman and Ullman [246],
and S/SL (Syntax/Semantics Language) by Barnard and Cordy [265, 50] (used in
compiler construction). More modern, much more extensive recognition systems
are PEGs (Parsing Expression Grammars) by Ford [286] and §-calculus by Jackson
[291].
1People even write — and read — books about it.
15.7 Recognition Systems 507
15.7.1 Properties of a Recognition System
Basically a recognition system is a program for recognizing and possibly structuring
a string. It can in principle be written in any programming language, but is in practice
always written in a very specialized programming language, designed expressly for
the purpose. Programs in such a programming language look like grammars, but their
interpretation is profoundly different.
A very simple recognition expression is a, which recognizes the token aand
passes over it; this means that it moves the read pointer in the input, which was
in front of the a,tobehindthea. If the expression is the entire program and a
is the entire input, the program terminates successfully; what that means depends
on the system, but it would be reasonable to assume that a data structure is made
available, representing the recognized input, to which semantic operations can be
applied. Likewise, the expression ab(or simply ab) recognizes ab, but if the input
is ac it will fail and leave the read pointer before the a.
A more interesting expression is
a&ε
It recognizes an abut does not pass over it, so the read pointer remains where it was;
the expression then continues to recognize the empty expression after the &,which
of course succeeds. So the expression a&εsucceeds, but the end of the input is not
reached, so if this is the entire program, it fails. More generally, an expression of the
form
e1&··· &en
succeeds if all expressions e1,···,enare recognized starting from the present read
pointer, and it leaves the read pointer where enleft it. If one of the expressions e1,
···,enfails, the whole expression fails and the read pointer is not moved.
In addition to these AND expressions there are OR expressions, which look like
normal grammar alternatives, but behave differently. The expression
a/b/c
recognizes an a,abor a c, but unlike its counterpart in a grammar it is “prioritized”:
the choices are tried in order and the first one to succeed wins. We shall see that
this difference in interpretation with context-free grammars has several far-reaching
consequences.
The expression ab/a will preferably recognize ab but will settle for aif there is
no ab. On the other hand the expression a/ab will only recognize an a; if the input
is ab, the first alternative still takes priority. This means that the second alternative in
a/ab is useless, but unlike context-free grammars there is no algorithm to clean up
a recognition program: it can be proved (Ford [286]) that it is in general undecidable
whether an expression is useful (that is, whether it will ever match anything).
Another consequence of the “first matching alternative wins” principle is that a
given expression Estarting at a given position in the input recognizes and passes over
exactly one segment of the input (or fails): there is no ambiguity and the matching
508 15 Non-Chomsky Grammars and Their Parsers
is unique. The recognition algorithm is fully deterministic. We shall see that this is a
great help in designing an efficient (in fact linear-time) recognition algorithm.
Recognition expressions can be named, and the names can be used in other ex-
pressions or even in the same expression:
P<--- (P)/[P]/ε
defines an expression Pwhich recognizes correctly nested sequences of round and
square parentheses. Pcan then be used in another recognition expression, for exam-
ple
(&P
which recognizes the same strings as Pexcept that the strings have to start with a
(. This is a restriction that would be hard to express in a context-free grammar; see
Problem 15.14.
A further consequence of the unique matching is that left-recursive rules are use-
less. For a rule like A←Aαto recognize a segment of the input both Aand Aα
would have to match that segment. Since Acan match only one segment due to the
unique matching, this means that αmust be ε, which turns the rule into A←A,which
just says that we have recognized an Awhen we have recognized an A. The recog-
nition system PEG, for example, forbids left-recursive rules; unlike usefulness, left
recursion can be tested.
As in EBNF, entities can be repeated by following them by a superscript asterisk:
the expression a*recognizes zero or more as. Actually, it does more than that: since
it is equivalent to a call of Awhere Ais defined by
A<---aA/ε
it recognizes the longest possible sequence of as. The reason is that the first alterna-
tive of Acontinues to succeed as long as there are as left. As with the alternatives
above, repetitions like a*will match only one segment of the input: the longest one.
A consequence of this is that the expression a*adoes not match any string: the a*
moves over all as present and at the end there will be no aleft to match the trailing
ain the expression.
Many recognition systems, including PEG, feature negation: the expression !P
fails and recognizes nothing if Psucceeds at this input position, and it succeeds and
recognizes nothing if Pfails at this point. Negation is generally useful but especially
so in writing lexical analyzers:
\n/\t/!\\ .
recognizes \n,\tand any character except the backslash. (In a convention taken
from lexical analyzers, the dot (.) at the end of the expression matches any charac-
ter.)
Some programming languages have complicated conventions for comments. An
example is the nesting comment in Pascal. In its basic form it consists of an opener,
(*,sometext,andacloser,*). This construct is already non-trivial to recognize
15.7 Recognition Systems 509
since the text may contain *sand)s, just not the sequence *). The matter is compli-
cated, however, by the fact that the text may again contain comments; this is useful
for commenting out code segments that already contain comments. So
(*i := -1; (*should actually start at 0 *)*)
is a correct comment in Pascal. Such comments are recognized by the expression
Comment <---(
*CommentElement**)
CommentElement <--- Comment / !*).
which matches fairly well the description in the Pascal Manual. The idea is that a
CommentElement is either a complete Comment or any character (.) provided
we are not looking at the string *). Ford [286] shows that PEG is quite suitable for
integrating lexical analysis and parsing.
At the beginning of this chapter (page 475) we pointed out that the language
anbncnis the intersection of two CF languages, anbncmand ambncn, and we exploit
that fact in the recognition program in Figure 15.28. A call of Sfirst recognizes
S<---Ac
*!. & a*C
A<---aAb/ε
C<---bCc/ε
Fig. 15.28. A recognition program for anbncn
the string anbncm, makes sure there are no left-over characters, backtracks over the
string, and then recognizes ambncn, which only succeeds if m=n. This shows that
recognition systems can handle languages that are not CF.
15.7.2 Implementing a Recognition System
One of the best and most surprising features of recognition systems is that they can be
converted relatively easily into linear-time recognizers. The first step is to identify all
subexpressions in the recognition program. What is exactly a subexpression depends
on the details of the algorithm, but for the recognition program in Figure 15.28 we
can identify the following 12 subexpressions:
S,Ac*!.,a*C,A,C,a*,c*,a,b,c,.,andε
Slightly different algorithms might also require subexpressions like Ac*or c*!.,
but for our explanation the above set suffices.
We now construct a recognition table T, very similar to the one in tabular parsing
explained in Section 4.3. The horizontal axis is labeled with the terminal symbols
in the input string and the vertical axis is labeled with the subexpressions identified
above. The entry Te,icontains the length of the input segment the subexpression e
recognizes at position i; since an expression can recognize only one segment in a
given position, we can be sure that an entry of Tcan never contain more than one

510 15 Non-Chomsky Grammars and Their Parsers
length. This makes the process of filling the table much easier. If the subexpression
edoes not recognize a segment in position i,theentryTe,iis empty.
As in Section 4.3 there are two ways to fill in the recognition table: top-down
and bottom-up. In the top-down approach we start by trying to find out what length
of input is recognized by Sfrom position 1. This test is implemented as a call of
aroutineforSwith 1 as the position parameter. By the time the length has been
determined and the call returns, the answer is stored in T
S
,1; it is either one integer
or “no”. In addition, all intermediate answers obtained in computing T
S
,1are stored
as well, so no entry is computed more than once.
Since recognition systems cannot contain left-recursive rules, we are safe from
loops caused by the computation of TA,kresulting in another call of TA,k,andsothe
sequence of calls will terminate properly.
The result of recognizing the string aaabbbccc with the program of Figure
15.28 is shown in Figure 15.29. For example, the entry T
a
*
C
,1has a 9 because T
a
*,1
S9
Ac*!. 9
a*C9
A6420
C6420
a*3210
c*3210
a1 1 1 -
b1 1 1 -
c1 1 1 -
.-
ε000
Input:
Position:
a
1
a
2
a
3
b
4
b
5
b
6
c
7
c
8
c
9
#
10
Fig. 15.29. Packrat parsing of the string aaabbbccc
has a 3 and T
C
,4has a 6. The entries marked -are entries where the recursive de-
scent has found the absence of a match; the empty entries are never touched by the
algorithm. This algorithm is called packrat parsing by Ford [284], because, like a
packrat, it stores and remembers everything it has ever seen.
In the bottom-up method, the entries are filled starting at the bottom right corner,
working upwards through the columns and working leftwards from column to col-
umn (Birman and Ullman [246]). The top left element is the last to be filled in, and

15.7 Recognition Systems 511
concludes the recognition of the input string. See Figure 15.30, which shows that the
bottom-up method computes many more values.
Subexpressions that have parts which recognize the empty string are handled
correctly, since the empty string recognition is available as an entry with value 0. For
example, an a*Cof length 6 is recognized correctly in position 4 because an a*of
length 0 was recognized in position 4.
The order in which the subexpressions appear in the first index of Trequires some
care in the bottom-up method, since it would be wrong, for example, to compute T
a
*,k
before T
a
,1. In fact the subexpressions must be ordered so that the first member of a
subexpression comes lower in the table than the subexpression itself. For example,
Ac*!. must come higher up in the table than A, as indeed it does in Figure 15.30.
Since the values in the columns are computed from the bottom upwards, this causes
S9--------0
Ac*!. 9--------0
a*C9876420000
A6420000000
C0006420000
a*3210000000
c*0000003210
a111-------
b- - - 1 1 1 - - - -
c- - - - - - 1 1 1 -
.111111111-
ε0000000000
Input:
Position:
a
1
a
2
a
3
b
4
b
5
b
6
c
7
c
8
c
9
#
10
Fig. 15.30. Bottom-up tabular parsing of the string aaabbbccc
T
A
,kto be computed before T
Ac
*
!.
,k. Such an ordering is always possible since the
expressions cannot be left-recursive. Determining a correct order is pretty tedious
and the top-down method is more efficient anyway; but see Problem 15.15.
It is interesting to note that the recognition system works without modification
for input sequences that contain non-terminals, for example resulting from previous
parsings.
512 15 Non-Chomsky Grammars and Their Parsers
15.7.3 Parsing with Recognition Systems
Although recognition systems are definitely non-Chomskian, top-down parsing with
them results in recognition tables very similar to those in CYK parsing, and the tech-
niques presented in Chapter 4 to extract parsings from them can be applied almost
unchanged. We will discuss here the conversion to a parse-forest grammar. A few
details have to be considered. Recognition systems usually have at least two con-
structs not occurring in CF grammars: the AND separator &and the negation !;also,
the interpretation of the OR separator /differs slightly from that of the alternatives
separator |in CF grammars.
The AND separator, for example in P<---A&B, means that Pis established by two
parsings, both starting at the same input position, where the length of Pis determined
by the length of the last subexpression. Parse forest grammars have little trouble
expressing this:
P_k_l<---A_k_m&B_k_l
A_k_m<--- ···
B_k_l<--- ···
where mmay be smaller than, equal to, or larger than l.
The negation !A succeeds at an input position kwhen Acannot be recognized
there; it produces the rule
!A_k_0 <--- ε
It fails when Ais recognized, and then no rule for it is produced. As a side effect,
however, rules have been produced for the recognition of A. These rules are now
unreachable and can be cleaned out in the usual way (Section 2.9.5).
The same side effect occurs in OR separators. Suppose we have a rule
R<---AB/CD/EF, and suppose Ais found, Bis not found and Cand Dare found.
Then Ris parsed as CD; this results in the rule R_k_l<---C_k_mD_(k+m)_(l−m).
But in the process a rule A_k_p<---··· has been created, which is now unreachable.
Since the result of a recognition system is unambiguous, the process yields a
parse-tree grammar rather than a parse forest grammar. The parse tree grammar re-
sulting from the table in Figure 15.29 does not require clean-up. It is given in Figure
15.31.
15.7.4 Expressing Semantics in Recognition Systems
Since an almost normal parse tree results, semantics can be attached to it in the usual
way. The two constructs that make it different from a CF parse tree are the repetition
expression and the AND expression. Handling the semantics of the AND expression
is straightforward:
P<--- Q & R {P.attr := func(Q.attr, R.attr);}
The semantics of the repetition allows two interpretations, as in Section 2.3.2.4, but
the iterative one is the most natural here. A*could yield an attribute which is an array
of the attributes of the separate As.
15.7 Recognition Systems 513
S_1_9 <---Ac
*!._1_9 & a*C_1_9
Ac*!._1_9 <--- A_1_6 c*_7_3 !._10_0
a*C_1_9 <---a
*_1_3 C_4_6
A_1_6 <--- a_1_1 A_2_4 b_6_1
A_2_4 <--- a_2_1 A_3_2 b_5_1
A_3_2 <--- a_3_1 A_4_0 b_4_1
A_4_0 <--- ε
C_4_6 <--- b_4_1 C_5_4 c_9_1
C_5_4 <--- b_5_1 C_6_2 c_8_1
C_6_2 <--- b_6_1 C_7_0 c_7_1
C_7_0 <--- ε
a*_1_3 <--- a_1_1 a*_2_2
a*_2_2 <--- a_2_1 a*_3_1
a*_3_1 <--- a_3_1 a*_4_0
a*_4_0 <--- ε
c*_7_3 <--- c_7_1 c*_8_2
c*_8_2 <--- c_8_1 c*_9_1
c*_9_1 <--- c_9_1 c*_10_0
c*_10_0 <--- ε
!._10_0 <--- ε
Fig. 15.31. Parse tree grammar from the packrat parsing in Figure 15.29
15.7.5 Error Handling in Recognition Systems
Without special measures, a recognition system behaves as badly on incorrect input
as any backtracking top-down system: it rejects all hypotheses it generated, back-
tracks to the beginning of the input and says: “No”. Special measures are, however,
possible in this case. The idea is to have a failing attempt to recognize an expression
return the reason why it failed, just as a successful attempt returns the length of the
recognized segment (Grimm [287]). This is demonstrated in Figure 15.32, where the
input has been changed to aaabbccc. The attempt to recognize Sin position 1 re-
sults in a call to Ac*, which leads to a call of Ain position 1. The ais recognized,
and so is the Aof length 4 in position 2, but the attempt to combine these into an Aat
position 1 fails, because there is no bin position 6. This information is made into the
result of the call to Aand is passed upwards, to S, where an error message is derived
from it.
There is one situation in which error information needs to be merged: when an
OR expression fails. Suppose we have an expression
trailing_Z_option <---Z/!.
which recognizes a Zor end-of-file; suppose trailing_Z_option is called at
input position k;andaZis present at position kbut contains a syntax error. Then Z
will return with error information about a position l>k, and next !. will fail with
error information about position k. Since the first is more informative, we should
then let trailing_Z_option fail with Z’s error information about position l.

514 15 Non-Chomsky Grammars and Their Parsers
Sno b
at pos. 6
Ac*!. no b
at pos. 6
a*C
Ano b
at pos. 6 420
C
a*
c*
a111no a
at pos. 4
b1 1 no b
at pos. 6
c
.
ε
Input:
Position:
a
1
a
2
a
3
b
4
b
5
c
6
c
7
c
8
#
9
Fig. 15.32. Bottom-up tabular parsing of the string aaabbbccc
15.8 Boolean Grammars
One way to obtain more than context-free power and not stray too much from
context-free grammars is to extend them with the Boolean combination operators
negation (¬A, all strings not produced by A)andintersection (A∩B, all strings pro-
duced both by Aand B). This yields the Boolean grammars or Boolean closure gram-
mars.
This approach was pioneered by Schuler [248] who in 1974 gave a Turing ma-
chine recognizing languages described by Boolean formulas over CF languages and
showed how to use it to define a context-sensitive fragment of ALGOL 60. In 1991
Heilbrunner and Schmitz [267] gave an O(n3)recognizer for Boolean grammars,
based on an adapted Earley parser. Recently (2004-2005), Okhotin [288, 290, 289]
has described properties of Boolean grammars and given several parsers for them.
Even better, the author [290] shows how to use them to enforce the context condi-
tions in a simple C-like programming language, including checks for use of unde-
fined identifiers, multiple definitions, and calling a function with the wrong number
of parameters, all of that in about 4 pages.
15.8.1 Expressing Context Checks in Boolean Grammars
The principle of the paradigm is “A correct program is the intersection of a syntacti-
cally correct program with one or more context-enforcing languages.” This requires
15.8 Boolean Grammars 515
building context-enforcing languages; their nature depends on the kind of context
conditions that need to be checked.
To demonstrate the paradigm we will use an abstract form of a very, very simple
programming language. Programs consist of an open brace, a set of definitions con-
taining one or more different identifiers, a semicolon, zero or more applications of
the defined identifiers, and a close brace. Identifiers are one letter long. An example
of a “program” is {ij;ijiiij}, which could be an abstract of the C-like block
{int i,j;i=4;j=i*i;print i,j;}.
The context conditions are: no multiple identifiers in the definitions section, and
no undefined identifiers after the semicolon. The main tool for checking context con-
ditions on identifiers is a language that matches pairs of identifiers: the set {wcw},
where the two ws are the same identifier, and cis any sequence of tokens. An ex-
ample is j;ijiiij. A Boolean grammar for this demo language is given in Figure
15.33.
Programs---> ’(’ Body ’)’
Body ---> Definitions ’;’ Idf_Seq_Opt & No_Undefined_Idfs
Definitions ---> Idf_Seq & No_Multiple_Idfs
No_Undefined_Idfs --->
Idf_Seq ’;’ |
No_Undefined_Idfs Idf & Last_Idf_Is_Defined
Last_Idf_Is_Defined --->
Head_and_Tail_Idfs_Match |
Idf Last_Idf_Is_Defined
No_Multiple_Idfs ---> ¬Multiple_Idfs
Multiple_Idfs --->
Idf_Seq_Opt Head_and_Tail_Idfs_Match Idf_Seq_Opt
Any_Letter ---> ’a’ | ... | ’z’
Any_Char ---> Any_Letter | ’;’
Any_Seq ---> Any_Seq Any_Char | ε
Idf ---> Any_Letter
Idf_Seq ---> Idf | Idf_Seq Idf
Idf_Seq_Opt ---> Idf_Seq | ε
Head_and_Tail_Idfs_Match --->
’a’ Any_Seq ’a’ | ... | ’z’ Any_Seq ’z’
Fig. 15.33. A Boolean grammar for the context-checked specification of a very, very simple
programming language
The first rule specifies the syntactic shape of a program. A Body has the form
Definitions ’;’ Idf_Seq_Opt and has no undefined applied identifiers. A
body with no undefined applied identifiers No_Undefined_Idfs is either a body
with no applied identifiers at all, or an already checked body followed by an identifier
and that last identifier is also defined. The last identifier of a string Idf ···;··· Idf
(which is what we are looking at by now) is defined if the head and tail identifiers
516 15 Non-Chomsky Grammars and Their Parsers
match (because the first Idf is in the definition section), or we take away the first
identifier and then a string in which the last identifier is defined remains. This makes
sure all identifiers are defined.
Next, Definitions is a sequence of identifiers with no multiple copies in
it. No_Multiple_Idfs is of course the negation of Multiple_Idfs.Anda
sequence of identifiers with multiple copies is any sequence which contains a sub-
sequence the head and tail items of which match. Elementary, my dear Watson. . .
The last few rules complete the full context-checked specification of the very simple
programming language. Okhotin [290] gives a much more extensive example, based
on similar principles.
When we compare our exposition to the above paper, we see that we have not
only restricted ourselves to a simplification of a simplification of a programming
language, but that we have also cut an enormous corner. Specifying the language
Head_and_Tail_Idfs_Match for identifiers of unrestricted length is much
more complicated than for identifiers of length 1, and requires substantial trickery,
which is explained in Okhotin [283].
It should also be noted that negation in a production system has weird properties,
and soon leads to paradoxes. The simple rule S--->¬Sdescribes the set of strings that
it does not contain; in other words, a string is in Sif it is not in S. Only slightly better
is the grammar S--->¬T; T--->T.SinceTproduces nothing, Sproduces all strings,
i.e. Σ∗.AndS--->0|1|¬S[0|1] contains any string Zover [0|1]*provided it
does not contain the string obtained by removing the last token from Z; it is unclear
what that means. For ways to catch and/or tame these paradoxes see Heilbrunner and
Schmitz [267] and Okhotin [288].
15.8.2 Parsing with Boolean Grammars
Boolean grammars can be parsed using tabular parsing, in a way similar to recog-
nition systems in Section 15.7.3; see Heilbrunner and Schmitz [267] and Okhotin
[288]. Generalized LR and LL parsing is also possible (Okhotin [289]).
15.8.3 §-Calculus
§-calculus (Jackson [285, 291]) adds another feature to the non-Chomsky arsenal of
Boolean grammars: the possibility to assign a recognized segment of the input plus
its parse tree to a variable of type non-terminal and to use that variable further on in
the rule.
For one thing, the definition of head_and_tail_idfs_match becomes
trivial with this facility:
grammar head_and_tail_idfs_match {
S ::= $x(Idf) Any_Sequence x;
};
Here the first identifier is read and assigned to the local variable x. Its value is re-
trieved at the end of the rule and used to parse the last identifier; that parsing of
course only succeeds if the two identifiers are identical.
15.9 Conclusion 517
It is interesting to see how this feature is implemented. Conceptually, the moment
the assignment is made, a new grammar rule is created in which the non-terminal
variable is substituted out. For example, once the arg2 has been recognized in the
input segment arg2){print(arg1+arg2, a new rule
S ::= "arg2" Any_Sequence "arg2";
is created, which then enforces the head-tail match. Note that this makes non-
terminal variable assignment in §-calculus similar to logic variable binding in Prolog.
In addition to local variables there are global variables, and functions to manipu-
late and use them. This opens up a gamut of possibilities that could fill a book, which
is exactly what the inventor did [291], and we refer the reader to it.
For completeness, the §-grammar for anbncnis:
grammar AnBnCn {
S ::= ((’[abc]+’)<A>)<B>;
A ::= X ’c+’;
X ::= "a" [X] "b";
B ::= ’a+’ Y;
Y ::= "b" [Y] "c";
};
Although §-grammars are defined as generating devices, they can equally well
be seen as recognition devices. Jackson [291] describes a parser for them based on
a push-down automaton the stack elements of which are a restricted form of trees;
this implements the variable substitution mechanism. In addition, it uses many opti-
mizations. The time complexity is unknown; in practice it is almost always less than
O(n2)and always less than O(n3).
15.9 Conclusion
Three non-Chomsky systems stand out in the landscape at the moment: attribute
grammars, as the most practical; VW grammars, as the most elegant and mathemati-
cally satisfying; and Boolean systems like PEG, Boolean grammars, and §-calculus,
as the most promising. Coupled grammars are an interesting fourth.
Parsing of the non-Chomsky systems is generally based on top-down depth-first
search, sometimes with some guidance against left recursion. Only TAGs are habit-
ually parsed with a bottom-up method, and recognition systems can be conveniently
handled with both methods.
Problems
Problem 15.1: Design a systematic way to write CS grammars for languages
tn
1tn
2···tn
kfor any set of ksymbols.
518 15 Non-Chomsky Grammars and Their Parsers
Problem 15.2:a. Write a VW grammar for the language ww where wis any
string of asandbs. b. Convert it to a working Prolog program. What is its time
dependency?
Problem 15.3: How is negation (where M not equals N) expressed in a
VW grammar? How about where X symbol not equals Y symbol?
Problem 15.4: Refer to the grammar in Figure 15.10. a. Explain how it produces
i symbol,i symbol,i symbol,ii symbol,ii symbol,ii symbol,
iii symbol,iii symbol,iii symbol.b.IfNis chosen to be εin the right
hand side of the rule for texts, what does the grammar produce?
Problem 15.5: Design a TAG for the language anbncndn. Hint: create an aux-
iliary tree that inserts ab between the aand the bin the elementary tree and at the
same time inserts cd between the cand the d.
Problem 15.6: Design a TAG for the language ww where wis any string of as
and bs. Hint: It’s all cross-dependencies.
Problem 15.7: If your native language is not Dutch or Swiss German, try to
find examples of cross-dependencies in your native language. If you are Dutch or
Swiss German, try to find examples of multiple cross-dependencies, for example of
the type A1A2A3B1B2B3.
Problem 15.8: Expand the parsing algorithm sketched in Section 15.4.2 into
a complete algorithm, and compare the result to Vijay-Shankar and Joshi’s version
[264].
Problem 15.9: Research Project: Devise a reasonable error reporting and recov-
ery technique for TAGs.
Problem 15.10: Using the obvious coupled grammar for the language ww where
wis any string of asandbs, simulate the top-down parsing of the input string
aaaaaa. Why does the system backtrack even on obvious parsings like abbabb?
Problem 15.11: The official definition of coupled grammars demands that when
a grammar rule uses one component of a non-terminal, it has to use all components,
and use them in the right order. There seems to be little reason to demand this. The
full backtracking top-down parsing algorithm is not affected by it, for example. On
the other hand, the gain from dropping it is not obvious either. Examine the conse-
quences of lifting this restriction.
Problem 15.12: Take the rhetorical questions at the beginning of Section 15.7
at face value and give reasons why we should prefer grammars over recognition
systems.
Problem 15.13:a. At the end of Section 15.7.1 we use the expression !.
to check for the absence of spurious characters. Construct a string apbqcrnot in
anbncnthat would be recognized by Sif we had left the check out. b.Giveasimpler
recognition expression for S.
Problem 15.14: Given a CF grammar Gwith a rule Pand a token a,devisea
technique to obtain a grammar rule Qin Gwhich produces a&P, that is, all the strings
which Pproduces that start with an a.
Problem 15.15:a. Draw up the precise criteria for the order of subexpressions in
bottom-up PEG recognition. b. Design an algorithm for obtaining the desired order.
15.9 Conclusion 519
Problem 15.16: Design a way to derive a root set (Section 12.2.1.1) for a recog-
nition system like PEG, and use it to a create the corresponding suffix parser.
Problem 15.17:History of Recognition Systems: Birman and Ullman [246, p.
21] give a very clever recognition program for the language an2, sequences of as
whose lengths are square numbers. The program is specified in a formalism that
differs considerably from the one discussed here. Rewrite the program in a more
PEG-like formalism, and convince yourself that it works.
16
Error Handling
Until now, we have discussed parsing techniques while largely ignoring what hap-
pens when the input contains errors. In practice, however, the input often contains
errors, the most common being typing errors and misconceptions, but we could also
be dealing with a grammar that only roughly, not precisely, describes the input, for
example in pattern matching. So the question arises how to deal with errors. A con-
siderable amount of research has been done on this subject, far too much to discuss in
one chapter. We will therefore limit our discussion to some of the more well-known
error handling methods, and not pretend to cover the field; see (Web)Section 18.2.7
for references to more in-depth information.
16.1 Detection versus Recovery versus Correction
Usually, the least that is required of a parser is that it detects the occurrence of one
or more errors in the input, that is, we require error detection. The least informa-
tive version of this is that the parser announces: “input contains syntax error(s)”. We
say that the input contains a syntax error when the input is not a sentence of the
language described by the grammar. All parsers discussed in the previous chapters
(except operator-precedence) are capable of detecting this situation without exten-
sive modification. However, there are few circumstances in which this behavior is
acceptable: when we have just typed a long sentence, or a complete computer pro-
gram, and the parser only tells us that there is a syntax error somewhere, we will not
be pleased at all, not only about the syntax error, but also about the quality of the
parser or lack thereof.
The question as to where the error occurs is much more difficult to answer; in fact
it is almost impossible. Although some parsers have the “correct-prefix property”,
which means that they detect an error at the first symbol in the input that results in a
prefix that cannot start a sentence of the language, we cannot be sure that this indeed
is the place in which the error occurs. It could very well be that there is an error
somewhere before this symbol but that this is not a syntax error at that point. Thus
there is a difference in the perception of an error between the parser and the user. In
522 16 Error Handling
the rest of this chapter, when we talk about errors, we mean syntax errors, as detected
by the parser.
So what happens when input containing errors is offered to a parser with a good
error detection capability? The parser might say: “Look, there is a syntax error at po-
sition so-and-so in the input, so I give up”. For some applications, especially highly
interactive ones, this may be satisfactory. For many, though, it is not: often, one
would like to know about all syntax errors in the input, not just about the first one.
If the parser is to detect further syntax errors in the input, it must be able to continue
parsing (or at least recognizing) after the first error. It is probably not good enough
to just throw away the offending symbol and continue. Somehow, the internal state
of the parser must be adapted so that the parser can process the rest of the input. This
adaptation of the internal state is called error recovery.
The purpose of error recovery can be summarized as follows:
• an attempt must be made to detect all syntax errors in the input;
• equally important, an attempt must be made to avoid spurious error messages.
These are messages about errors that are not real errors in the input, but result
from the continuation of the parser after an error with improper adaptation of its
internal state.
Usually, a parser with an error recovery method can no longer deliver a parse
tree if the input contains errors. This is sometimes a source of considerable trouble.
In the presence of errors, the adaptation of the internal state can cause semantic ac-
tions associated with grammar rules to be executed in an order that is impossible for
syntactically correct input, which sometimes leads to unexpected results. A simple
solution to this problem is to ignore semantic actions as soon as a syntax error is
detected, but this is not optimal and may not be acceptable. A better option is the use
of a particular kind of error recovery method, an error correction method.
Error correction methods modify the input as read by the parser so that it becomes
syntactically correct, usually by deleting, inserting, or changing symbols. Error cor-
rection methods will not always change the input into the input actually intended by
the user, and they do not pretend that they can. Therefore, some authors prefer to call
these methods error repair methods rather than error correction methods. The main
advantage of error correction over other types of error recovery is that the parser still
can produce a parse tree and that the semantic actions associated with the grammar
rules are executed in an order that could also occur for some syntactically correct
input. In fact, the actions only see syntactically correct input, sometimes produced
by the user and sometimes by the error corrector.
In summary, error detection, error recovery, and error correction require increas-
ing levels of heuristics. Error detection itself requires no heuristics: a parser detects
an error, or it does not. Determining the place where the error occurs may require
heuristics, however. Error recovery requires heuristics to adapt the internal parser
state so that it can continue, and error correction requires heuristics to repair the
input.
With error handling comes the obligation to provide good error messages. Unfor-
tunately there is little research on this subject, and most of the pertinent publications
16.2 Parsing Techniques and Error Detection 523
are of a reflective nature, for example Horning [296], Dwyer [307] and Brown [312].
Explicit algorithmic support is rare (Kantorowitz and Laor [316]). The only attempt
at automating the production of error messages we know of is Jeffery [328] who sup-
plies the parser generator with a long list of erroneous constructs with desired error
messages. The parser can then associate each error message with the state into which
the erroneous construct brings the parser.
16.2 Parsing Techniques and Error Detection
Let us first examine how good the parsing techniques discussed in this book are at
detecting an error. We will see that some parsing techniques have the correct-prefix
property while other parsing techniques only detect that the input contains an error
but give no indication where the error occurs.
16.2.1 Error Detection in Non-Directional Parsing Methods
In Section 4.1 we saw that Unger’s parsing method tries to find a partition of the
input sentence that matches one of the right-hand sides of the start symbol. The only
thing that we can be sure of in the case of one or more syntax errors is that we will
find no such partition. For example, suppose we have the grammar of Figure 4.1,
repeated in Figure 16.1, and input ×+. Fitting the first right-hand side of Expr with
Exprs---> Expr + Term | Term
Term ---> Term × Factor | Factor
Factor ---> ( Expr ) | i
Fig. 16.1. A grammar describing simple arithmetic expressions
the input will not work, because the input only has two symbols. We will have to
try the second right-hand side of Expr. Likewise, we will have to try the second
right-hand side of Term, and then we will find that we cannot find an applicable
right-hand side of Factor, because the first one requires at least three symbols, and
the second one only one. So we know that there are one or more errors, but we do not
know how many errors there are, nor where they occur. In a way, Unger’s method is
too well prepared for dealing with failures, because it expects any partition to fail.
For the CYK parser, the situation is similar. We will find that if the input contains
errors, the start symbol will not be a member of the top element of the recognition
table.
So, the unmodified non-directional parsing methods behave poorly on errors in
the input. A method to improve that behavior by using dynamic programming is
shown in Section 16.4.

524 16 Error Handling
16.2.2 Error Detection in Finite-State Automata
Finite-state automata are very good at detecting errors. Consider for example the
deterministic automaton of Figure 5.12, repeated in Figure 16.2.
SAB
BC
AC
♦♦
a
b
c
a
a
cb
Fig. 16.2. Deterministic automaton for the grammar of Figure 5.6
When this automaton is offered the input abcca, it will detect an error when it
is in state AC, on the second cin the input.
Finite-state automata have the correct-prefix property. In fact, they have the im-
mediate error detection property, which we discussed in Chapter 8 and which means
that an error is detected as soon as the erroneous symbol is first examined.
16.2.3 Error Detection in General Directional Top-Down Parsers
The breadth-first general directional top-down parser also has the correct-prefix prop-
erty. It stops as soon as there are no predictions left to work with. Predictions are only
dropped by failing match steps, and as long as there are predictions, the part of the
input parsed so far is a prefix of some sentence of the language.
The depth-first general directional top-down parser does not have this property.
It will backtrack until all right-hand sides of the start symbol have failed. However, it
can easily be doctored so that it does have the correct-prefix property: the only thing
that we must remember is the furthest point in the input that the parser has reached,
a kind of high-water mark. The first error is found right after this point.
16.2.4 Error Detection in General Directional Bottom-Up Parsers
The picture is quite different for the general directional bottom-up parsers. They will
just find that they cannot reduce the input to the start symbol. This is only to be
expected because, in contrast to the top-down parsers, there is no test before an input
symbol is shifted.
As soon as a top-down component is added, such as in Earley’s parser, the parser
regains the correct-prefix property. For example, if we use the Earley parser with the
grammar from Figure 7.8 and input a-+a, we get the item sets of Figure 16.3 (com-
pare this with Figure 7.11). We see that itemset3is empty, and the error is detected.

16.2 Parsing Techniques and Error Detection 525
S--->•E @1
E--->•EQF@1
E--->•F @1
F--->•a @1
act/pred1
=itemset1
a1
F--->a•@1
E--->F•@1
S--->E•@1
E--->E•QF@1
Q--->•+ @2
Q--->•- @2
completed2
act/pred2
=itemset2
-2
Q--->-•@2
E--->EQ•F@1
F--->•a @3
completed3
act/pred3
=itemset3
+3
completed4
act/pred4
=itemset4
Fig. 16.3. Items set of the Earley parser working on a-+a
16.2.5 Error Detection in Deterministic Top-Down Parsers
In Sections 8.2.3 and 8.2.4 we have seen that strong-LL(1) parsers have the correct-
prefix property but not the immediate error detection property, because in some cir-
cumstances they may make some ε-moves before detecting an error, and that full-
LL(1) parsers have the immediate error detection property.
16.2.6 Error Detection in Deterministic Bottom-Up Parsers
Let us first examine the error detection capabilities of precedence parsers. We saw in
Section 9.2.2 that operator-precedence parsers fail to detect some errors. When they
do detect an error, it is because there is no precedence relation between the symbol
on top of the parse stack and the next input symbol. This is called a character-pair
error.
The other precedence parsers (simple, weak, extended, and bounded-right-
context) have three error situations:
• there is no precedence relation between the symbol on top of the parse stack and
the next input symbol (a character-pair error).
• the precedence relations indicate that a handle segment has been found and that
a reduction must be applied, but there is no non-terminal with a right-hand side
that matches the handle segment. This is called a reduction error.
• after a reduction has been made, there is no precedence relation between the
symbol at the top of the stack (the symbol that was underneath the )andthe
left-hand side to be pushed. This is called a stackability error or stacking error.
Reduction errors can be detected at an early stage by continuously checking that
the symbols between the last and the top of the stack form the prefix of some right-
hand side. Graham and Rhodes [295] show that this can be done quite efficiently.
In Section 9.6.3 we saw that an LR(1) parser has the immediate error detection
property. LALR(1) and SLR(1) parsers do not have this property, but they do have
the correct-prefix property. Error detection in GLR parsers depends on the underlying
parsing technique.
526 16 Error Handling
16.3 Recovering from Errors
Error handling methods fall in different classes, depending on what level they ap-
proach the error. The general parsers usually apply an error handling method that
considers the complete input. These methods use global context, and are therefore
called global error handling methods. The Unger and CYK parsers need such a
method, because they have no idea where the error occurred. These methods are
very effective, but the penalty for this effectiveness is paid for in efficiency: they
are very time consuming, requiring at least cubic time. As the general parsing meth-
ods already are time consuming anyway, this is usually deemed acceptable. We will
discuss such a method in Section 16.4.
On the other hand, efficient parsers are used because they are efficient. For them,
error handling methods are required that are less expensive. We will discuss the best
known of these methods. They have the following information at their disposal:
• in the case of a bottom-up parser: the parse stack; in the case of a top-down
parser: the prediction stack;
• the input string, and the point where the error was detected.
There are four classes of these methods: the regional error handling methods,
which use some (regional) context around the point of error detection to determine
how to proceed; the local error handling methods only use the parser state and the
input symbol (local context) to determine what happens next; the suffix methods,
which use zero context; and the ad hoc methods, which do not really form a class.
Examples of these methods will be discussed in Sections 16.5, 16.6, 16.7 and 16.8.
In our discussions, we will use the terms error detection point, indicating the
point where the parser detects the error, and error symbol, which indicates the input
symbol on which the error is detected.
16.4 Global Error Handling
The most popular global error handling method is the least-error correction method.
The purpose of this method is to derive a syntactically correct input from the sup-
plied one using as few corrections as possible. Usually, a symbol deletion, a symbol
insertion, and a symbol change all count as one correction (one edit operation).
It is important to realize that the number of corrections needed can easily be
limited to a maximum: first, we compute the shortest sentence that can be generated
from the grammar. Let us say it has length m. If the input has length n, we can
change this input into the shortest sentence with a number of edit operations that is
the maximum of mand n: change the first symbol of the input into the first symbol
of the shortest sentence, etc. If the input is shorter than the shortest sentence, this
results in a maximum of nchanges, and we have to insert the last m−nsymbols
of the shortest sentence. If the input is longer than the shortest sentence, we have
to delete the last n−msymbols of the input. This is not a very tight and useful
maximum, but at least it shows the problem is finite. Also, when searching for a

16.4 Global Error Handling 527
least-error correction, if we already know that we can do it with, say, kcorrections,
we do not have to investigate possibilities known to require more.
With this in mind, let us see how such an error correction method works when
incorporated in an Unger parser (Section 4.1). We will again use the grammar of
Figure 16.1 as an example, again with input sentence ×+. This is a very short sentence
indeed, to limit the amount of work. The shortest sentence that can be generated
from the grammar is i, of length one. The observation above limits the number of
corrections needed to a maximum of two.
Now the first rule to be tried is Expr--->Expr+Term. This leads to the following
partitions:
Expr max:2
Expr +Term
? 1 ×+ ?
?×1+?
?×+ 1 ?
×? 1 +?
×?+0 ?
×+ ? 1 ? cut-off
When we compare this table to tables like Figure 4.2, we note that it includes the
number of corrections needed for each part of a partition in the right of the column;
a question mark indicates that the number of corrections is yet unknown. The total
number of corrections needed for a certain partition is the sum of the number of cor-
rections needed for each of the parts. The top of the table also contains the maximum
number of corrections allowed for the rule. For the parts matching a terminal, we
can decide how many corrections are needed, which results in the column below the
+. Also notice that we have to consider empty parts, although the grammar does not
have ε-rules. The empty parts stand for insertions. The cut-off comes from the Unger
parser detecting that the same problem is already being examined.
Now that it has this list of partitions, the Unger parser concentrates on the first
partition in it, which requires it to derive εfrom Expr. The partition already requires
one correction, so the maximum number of corrections allowed is now one. The rule
Expr--->Expr+Term immediately results in a cut-off:
Expr max:1
Expr +Term
? 1 ? cut-off
So we will have to try the other rule for Expr:Expr--->Term. Likewise,
Term--->Term×Factor will result in a cut-off, so we will have to use
Term--->Factor.TheruleFactor--->(Expr) will again result in a cut-off, so
Factor--->i will be used:

528 16 Error Handling
Expr max:1
Term max:1
Factor max:1
imax:1
1
So we find, not surprisingly, that input part εcan be corrected to i, requiring one
correction (inserting i) to make it derivable from Expr (and Term and Factor).
To complete our work on the first partition of ×+ over the right-hand side
Expr+Term, we have to examine if, and how, Term derives ×+. We already need
two corrections for this partition, so no more corrections are allowed because of the
maximum of two. For the rule Term--->Term×Factor we get the following parti-
tions (in which we cheated a bit: we used some information computed earlier):
Term max:0
Term ×Factor
1 1 ×+ ?toomanycorrections
1×0+?toomanycorrections
1×+ 1 1 toomanycorrections
×? 1 +?toomanycorrections
×?+1 1 toomanycorrections
×+ ? 1 1 cut-off
Each of these fails, so we try Term--->Factor.TheruleFactor--->(Expr) then
results in the following partitions:
Term max:0
Factor max:0
(Expr )
1 1 ×+ 2too many corrections
1×?+1too many corrections
1×+ ? 1 cut-off
×1 1 +1too many corrections
×1+? 1 too many corrections
×+ 2 1 1 too many corrections
This does not work either. The rule Factor--->i results in the following:
Term max:0
Factor max:0
imax:0
×+ 2too many corrections
So we get either a cut-off or too many corrections (or both). This means that the
partition that we started with is the wrong one.
The other partitions are tried in a similar way, resulting in the following partition
table, with completed error correction counts:

16.4 Global Error Handling 529
Expr max:2
Expr +Term
1 1 ×+ >0 too many corrections
1×1+1too many corrections
1×+ 1 1 too many corrections
×1 1 +1too many corrections
×1+0 1
×+ ? 1 1 cut-off
So, provided that we do not find better corrections later on, using the rule
Expr--->Expr+Term we find the corrected sentence i+i, by replacing the ×with
an i, and inserting an iat the end of the input.
Now the Unger parser proceeds by trying the rule Expr--->Term. Continuing
this process, we will find two more possibilities using two corrections: the input can
be corrected to i×i by inserting an iin front of the input and replacing the +with
another i, or the input can be corrected by replacing ×with an iand deleting +(or
deleting ×and replacing +with an i).
This results in three possible corrections for the input, all three requiring two
edit operations. Choosing between these corrections is up to the parser writer. If the
parser is written to handle ambiguous input anyway, the parser might deliver three
parse trees for the three different corrections. If the parser must deliver only one parse
tree, it could just pick the first one found. Even in this case, however, the parser has
to continue searching until it has exhausted all possibilities or it has found a correct
parsing, because it is not until then that the parser knows if the input in fact did
contain any errors.
As is probably clear by now, least-error correction does not come cheap, and it is
therefore usually only applied in general parsers, because these do not come cheap
anyway.
Lyon [294] has added least-error correction to the CYK parser and the Earley
parser, although his CYK parser only handles replacement errors. In his version of
the CYK parser, the non-terminals in the recognition table have an error count asso-
ciated with it. In the bottom row, which is the one for the non-terminals deriving a
single terminal symbol, all entries contain all non-terminals that derive a single ter-
minal symbol. If the non-terminal derives the corresponding terminal symbol it has
error count 0, otherwise it has error count 1 (a replacement). Now, when we find that
a non-terminal Awith rule A→BC is applicable, it is entered in the recognition table
with an error count equal to the sum of that of Band C, but only if it is not already a
member of the same recognition table entry, but with a lower error count.
Aho and Peterson [292] also added least-error correction to the Earley parser
by extending the grammar with error productions, so that it produces any string of
terminal symbols, with an error count. As in Lyon’s method, the Earley items are
extended with an error count indicating how many corrections were needed to create
the item. An item is only added to an item set if it does not contain one like it which
has a lower error count.
530 16 Error Handling
Tanaka and Fu [301] extended this method to context-sensitive parsers, in one of
the few examples of error correction in systems stronger than context-free.
A completely different form of global error recovery is based on parsing by inter-
section and is treated in Section 13.5. It can give surprising results but there is hardly
any research on it available yet.
16.5 Regional Error Handling
Regional error handling collects some context around the error detection point, con-
sisting of a segment of the top of the stack and some prefix of the input, and reduces
that part (including the error) to a left-hand side. Since it tries to collect a “phrase”,
which is a technical term for a terminal production of a non-terminal, this class of
error handling methods is also often called phrase level error handling. Since the
technique requires a reduction stack to participate in the desired reduction, it is ap-
plied exclusively to bottom-up parsers.
16.5.1 Backward/Forward Move Error Recovery
A well-known example of regional error handling in bottom-up parsers is the back-
ward/forward move error recovery method, presented by Graham and Rhodes [295].
It consists of two stages: the first stage condenses the context around the error as
much as possible. This is called the condensation phase. Then the second stage, the
correction phase, changes the parsing stack and/or the input so that parsing can con-
tinue. The method is best applicable to simple precedence parsers, and we will use
such a parser as an example.
Our example comes from the grammar and precedence table of Figure 9.9. Sup-
pose that we have input #n×+n#. The simple precedence parser has the following
parse stacks at the end of each step, up to the error detection point:
#n×+n# shift n
#n×+n# reduce n
#F×+n# reduce F
#T.
=×+n# shift ×
#T.
=× +n# stuck
No precedence relation is found to exist between the ×and the +, resulting in an
error message that +is not expected.
Let us now examine the condensation phase in some detail. As said before, the
purpose of this phase is to condense the context around the error as much as possible.
The left-context is condensed by a so-called backward move:assumingarelation
between the top of the parse stack and the symbol on which the error is detected
(that is, assuming that the parse stack built so far has the end of a handle as its top
element), perform all possible reductions. In our example, no reductions are possible.
Now assume a .
=or a between the top of the stack and the next symbol. This
enables us to continue parsing a bit. This step is the so-called forward move: first we
shift the next symbol, resulting in the following parse stack:

16.5 Regional Error Handling 531
#T.
=×.
=/+n#still stuck
Next, we disable the check that the top of the stack should represent a prefix of
a right-hand side. Then, we continue parsing until either another error occurs or
a reduction is called for that spans the error detection point. This gives us some
right-context to work with, which can be condensed by a second backward move, if
needed. For our example, this results in the following steps:
#T.
=×.
=/+n# shift n
#T.
=×.
=/+n#reduce n
#T.
=×.
=/+F#reduce F
#T.
=×.
=/+T#reduce T
#T.
=×.
=/+.
=T’ #proposed reduction
includes error point
So now we have the situation depicted in Figure 16.4. This is where the correction
··· ··· ···
nearest to the left of
the error detection point
error detection
point
top of
stack
① ②
③
Fig. 16.4. Situation after the backward/forward moves
phase starts. The correction phase considers three parts of the stack for replacement
with some right-hand side. These parts are indicated with ①,②and ③in Figure
16.4. Part ①is considered because the precedence at the error detection point could
be ,part②is considered because the precedence at the error detection point could
be , and part ③is considered because this precedence could be .
=. Another option
is to just delete one of these parts. This results in a fairly large number of possible
changes, which now must be limited by making sure that the parser can continue
after reducing the right-hand side to its corresponding left-hand side.
In the example, we have the following situation:
T.
=×?+.
=T’
① ②
③
The left-hand sides that could replace part ①are: E,T’,T,andF. These are the
non-terminals that have a precedence relation with the next symbol: the +. The only
left-hand side that could replace part ②is F.Part③could be replaced by E,T’,T,
and F. This still leaves a lot of choices, but some “corrections” are clearly better than
others. Let us now see how we can discriminate between them.
532 16 Error Handling
Replacing part of the parse stack by a right-hand side can be seen as an edit
operation on the stack. The cost of this edit operation can be assessed as follows.
With every symbol, we can associate a certain insertion cost Iand a certain deletion
cost D. The cost for changing for example T× to Fwould then be D(T)+D(×)+I(F).
These costs are determined by the parser writer. The cheapest parse stack correction
is then chosen. If there is more than one with the same lowest cost, we just pick one.
Assigning identical costs to all edit operations, in our example, we end up with
two possibilities, both replacing part ①:T(deleting the ×), or T×F (inserting an F).
Assigning higher costs to editing a non-terminal, which is not unreasonable, would
only leave the first of these. Parsing then proceeds as follows:
#T.
=×.
=/+.
=T’ #error situation
#T.
=×.
=/+.
=T’ #correct error by deleting ×
#T+.
=T’ #reduce T
#T’ +.
=T’ #reduce T’
#E.
=+.
=T’ #reduce E+T’
#E#reduce E
#E’ #reduce E’
#S#done
The principles of this method have also been applied in LR parsers. There, how-
ever, the backward move is omitted, because in an LR parser the state on top of
the stack, together with the next input symbol, determine the reduction that can be
applied. If the input symbol is erroneous, we have no way of knowing which reduc-
tions can be applied. For further details, see Pennello and DeRemer [300] and also
Mickunas and Modry [299].
An interesting form of regional error handling is reported by Burke and Fisher
[317]. Two parsers are used simultaneously, with one being several tokens ahead of
the other; the input text between them is the region. This allows modifications to
be made to the region when the first parser finds a syntax error. Several types of
modifications can be applied, in such a way that the second parser never sees an
error; see [317] for details. Charles [319] extends this technique with an impressive
array of features, resulting in a robust error-correcting LALR parser.
16.5.2 Error Recovery with Bounded-Context Grammars
Error recovery, which is usually the most difficult part of error handling, is particu-
larly easy when we use a bounded-context grammar (Section 9.3.1). The reason is
that the bounded context allows the parser to get back on track quickly after an error,
since little information is needed to start making correct decisions again.
A BRC parser using the grammar from Figure 9.2, the corresponding BC(2,1)
parse table from Figure 9.10, and the input #n×+n#, performs the steps
#nF--->n ×+n#
#FT--->F ×+n#
#T×+n#
#T×Error +n# stuck
16.6 Local Error Handling 533
and finds that there is an Error relation between T× and +. Now, rather than trying to
repair the situation at the gap, the parser tries to find the next context in which it can
take a decision. To this end it has to shift at least 2 tokens; in this case that is enough
to continue parsing:
#T×Error +nF--->n #
#T×Error +FT--->F #
#T×Error +TE--->E+T #stuck
The parser detects that it cannot perform the indicated reduction, because rather than
aEit finds a ×on the stack. So seen from left to right the +is the error symbol and
seen from right to left the ×is the error symbol. The parser can now either delete a
token or insert a token. If it deletes the ×we get the context (#T,+) which is defined.
If it deletes the +we get the context (#T,×) which shifts the ×which leads to the
context (T×,T) which is not defined. If it inserts, it can insert an nor a (. The first
leads to a correct recovery, the second to failure. Assuming that the parser deletes
the ×,
#T +TE--->E+T #delete ×
it continues as follows:
#TE--->T +TE--->E+T #
#E+TE--->E+T #
#E+TE--->E+T #
#ES--->E #
#SAccept #
Ruckert [322] describes the underlying algorithm; this integrated form of parsing
and error recovery technique is called “robust parsing” in the paper, because the
parser is not easily thrown off course. In [324] Ruckert shows that for the method to
work the grammar must be a continuous grammar. A grammar is “continuous” if a
small change in the input does not correspond to a discontinuous change in the parse
tree, under a certain metric. It is shown that all BC grammars are continuous, but not
vice versa, and that all continuous grammars are BCP but not vice versa. So we have
for the grammars: BC ⊂continuous ⊂BCP.
16.6 Local Error Handling
All local error recovery techniques are so-called acceptable-set error recovery tech-
niques. These techniques work as follows: when a parser detects an error, a certain
set called the acceptable-set is computed from the parser state. Next, symbols from
the input are skipped until a symbol is found that is a member of the acceptable-set.
Then, the parser state is adapted so that the symbol that is not skipped becomes ac-
ceptable. There is a family of such techniques; the members of this family differ in
the way they determine the acceptable-set, and in the way in which the parser state
is adapted. We will now discuss several members of this family.

534 16 Error Handling
16.6.1 Panic Mode
Panic mode is probably the simplest error recovery method that is still somewhat
effective. In this method, the acceptable-set is determined by the parser writer, and is
fixed for the whole parsing process. The symbols in this set usually indicate the end
of a syntactic construct, for example a statement in a programming language. For the
programming language Pascal, this set could contain the symbols ;and end.When
an error is detected, symbols are skipped until a symbol is found that is a member
of this set. Then, the parser must be brought into a state that makes this symbol
acceptable. In an LL parser, this might require deleting the first few symbols of the
prediction, in an LR parser this might involve popping states from the parse stack
until a state is uncovered in which the symbol is acceptable.
The recovery capability of panic mode is often quite good, but many errors can
go undetected, because sometimes large parts of the input are skipped. The method
has the advantage that it is very easy to implement.
16.6.2 FOLLOW-Set Error Recovery
Another early acceptable-set recovery method is the FOLLOW-set error recovery
method. The idea is applicable in an LL parser, and works as follows: when we are
parsing a part of the input, and the top of the prediction stack results most recently
from a prediction for the non-terminal A, and we detect an error, we skip symbols
until we find a symbol that is a member of FOLLOW(A). Next, we remove the un-
processed part of the current right-hand side of Afrom the prediction, and continue
parsing. As we cannot be sure that the current input symbol can follow Ain the
present context and is thus acceptable, this is not such a good idea. A better idea is
to use that part of FOLLOW(A) that can follow Ain this particular context, making
sure that the symbol that is not skipped will be accepted, but this is not trivial to do.
The existence of this method is probably the reason that the family of acceptable-
set error recovery methods is often called “FOLLOW-set error recovery”. However,
for most members of this family this is a confusing name.
A variant of this method that has become very popular in recursive descent
parsers is based on the observation that at any point during the parsing process, there
are a number of active non-terminals (for which we are now trying to match a right-
hand side), and in general this number is larger than one. Therefore, we should use
the union of the FOLLOW sets of these non-terminals, rather than the FOLLOW
set of just the most recent of them. A better variant uses the union of those parts of
the FOLLOW sets that can follow the non-terminals in this particular context. An
expansion of this idea is the following: suppose the parser is in the following state
when it detects an error:
··· a···
··· X1··· Xn#
16.6 Local Error Handling 535
We can then have the acceptable-set contain the symbols in FIRST(X1), FIRST(X2),
···,and#, and recover by skipping symbols until we meet a symbol of this
acceptable-set, and then removing symbols from the prediction until the input sym-
bol becomes acceptable.
Many variations of this technique exist; see for example Pemberton [304] and
Stirling [314].
16.6.3 Acceptable-Sets Derived from Continuations
A very interesting and effective member of the acceptable-set recovery method fam-
ily is the one discussed by Röhrich [305]. The idea is as follows. Suppose that a
parser with the correct-prefix property detects an error in the input after having pro-
cessed a prefix u. Because of the correct-prefix property, we know that this prefix uis
the start of some sentence in the language. Therefore, there must be a continuation,
which is a terminal string w, such that uw is a sentence of the language. Now suppose
we can compute such a continuation. We can then correct the error as follows:
• Determine a continuation wof u.
• For all prefixes wof w, compute the set of terminal symbols that would be ac-
cepted by the parser after it has parsed w, and take the union of these sets. If ais
a member of this set, uwais a prefix of some sentence in the language. This set
is our acceptable-set. Note that it includes all terminal symbols in w, including
the end marker.
• Skip symbols from the input until we find a symbol that is a member of this set.
Note that as a result of this, everything up to the end marker may be skipped.
• Insert the shortest prefix of wthat makes this symbol acceptable in front of this
symbol. If everything up to the end marker was skipped, insert witself.
• Produce an error message telling the user which symbols were skipped and which
symbols were inserted.
• Restart the parser in the state where the error was detected and continue parsing,
starting with the inserted symbols. Now the error is corrected, and the parser
continues as if nothing has happened.
16.6.3.1 Continuation Grammars
Deriving acceptable sets from continuations requires a solution for two problems:
how to determine the continuation and how to compute the acceptable-set without
going through all possible parsings. Let us regard a grammar as a generating device.
Suppose we are generating a sentence from a grammar, and have obtained a certain
sentential form. Now, we want to produce a sentence from it as quickly as possible,
using the fewest possible production steps. We can do this if we know for each non-
terminal which right-hand side is the quickest “exit”, that is, which right-hand side
leads to a terminal production in as few production steps as possible.
We can compute these “quickest” right-hand sides in advance. To this end, we
compute for each symbol the minimum number of production steps needed to obtain
536 16 Error Handling
a terminal derivation from it. We call this number the step count. Terminal symbols
have step count 0; non-terminal symbols have an as yet unknown step count, which
we set to infinity. Next, we examine each right-hand side in turn. If we already have
a step count for each of the members of a right-hand side, the right-hand side itself
needs the sum of these step counts, and the left-hand side needs one more if it uses
this right-hand side. If this is less than we had for this non-terminal, we update its
step count. We repeat this process until none of the step counts changes, as in a
transitive closure algorithm.
If we started from a proper grammar, all of the step counts will now be finite.
Now all we have to do is for each left-hand side to mark the right-hand side with
the lowest step count. The grammar rules thus obtained are called a continuation
grammar.
Let us see how this works with an example. Consider the grammar of Figure 8.9,
repeated in Figure 16.5 for reference. The first pass over the right-hand sides shows
Sessions---> Facts Question | ( Session ) Session
Facts ---> Fact Facts | ε
Fact ---> ! STRING
Question ---> ? STRING
Fig. 16.5. An example grammar
us that Facts,Fact,andQuestion each have step count 1. In the next pass,
we find that Session has step count 3: its first alternative has two members with
step count 1 each, plus 1 for the rule itself. The resulting continuation grammar is
presented in Figure 16.6.
Sessions---> Facts Question
Facts ---> ε
Fact ---> ! STRING
Question ---> ? STRING
Fig. 16.6. The continuation grammar of the grammar of Figure 16.5
16.6.3.2 Continuation in an LL Parser
In an LL parser, it now is easy to compute a continuation when an error occurs. We
take the prediction, and derive a terminal string from it using only rules from the con-
tinuation grammar, processing the prediction from left to right. Each terminal that we
meet ends up in the acceptable-set; in addition, every time a non-terminal is replaced
by its right-hand side from the continuation grammar, we add to the acceptable-set
the terminal symbols from the FIRST set of the current sentential form starting with
this non-terminal.

16.6 Local Error Handling 537
Let us demonstrate this with an example. Suppose that we have the input
( ? STRING ? STRING for the LL(1) parser of Figure 8.10. When the parser
detects an error, it is in the following state:
( ? STRING ? STRING #
··· ) Session #
Now a continuation will be computed, starting with the sentential form
) Session #, using the continuation grammar. During this computation, when
the prediction starts with a non-terminal, the FIRST set of the prediction will be
computed and the non-terminal will be replaced by its right-hand side in the contin-
uation grammar. The FIRST set is shown in square brackets below the line:
) Session # --->
)[(!?]Facts Question # --->
)[(!?][!?]εQuestion # --->
)[(!?][!?][?]? STRING #
Consequently, the continuation is ) ? STRING # and the acceptable-set contains
(,),!,?,STRING and #. We see that we should keep the ?and insert the first
symbol of the continuation, ). So the parser is restarted in the following state:
( ? STRING ) ? STRING #
··· ) Session #
and proceeds as usual.
16.6.3.3 Continuation in an LR Parser
Unlike an LL parser, an LR parser does not feature a sentential form which repre-
sents the rest of the input. It is therefore more difficult to compute a continuation.
Röhrich [305] demonstrates that an LR parser can be generated that has a terminal
symbol associated with each state of the handle recognizer so that we can obtain a
continuation by pretending that the parser has this symbol as input when it is in the
corresponding state. The sequence of states that the parser goes through when these
symbols are given as input then determines the continuation. The acceptable-set con-
sists of the terminal symbols on which a shift or reduce can take place (i.e. which are
acceptable) in any of these states.
16.6.4 Insertion-Only Error Correction
Fischer, Milton and Quiring [303] propose an error correction method for LL(1)
parsers using only insertions. This method has become known as the FMQ error cor-
rection method. In this method, the acceptable-set is the set of all terminal symbols.

538 16 Error Handling
Fischer, Milton and Quiring argue that the advantage of using only insertions (and
thus no deletions or replacements) is that a syntactically correct input is built around
the input supplied by the user, so none of the symbols supplied by the user are deleted
or changed.
Not all languages allow insertion-only error correction. If, for example, all strings
start with the token program and that token cannot occur anywhere else in the
input, then an input with two program tokens in it cannot be corrected by insertion
only. However, many languages allow insertion-only, and other languages are easily
modified so that they do.
Let us investigate which properties a language must have for every error to be
correctable by insertions only. Suppose we have an input xa··· such that the start
symbol does derive a sentence starting with x, but not a sentence starting with xa;
so xis a correct prefix, but xa is not. Now, if this error is to be corrected by an
insertion y,xya must again be a correct prefix. This leads to the notion of insert-
correctable grammars: a grammar is said to be insert-correctable if for every prefix
xof a sentence and every symbol ain the language there is a continuation of x
that includes a(so an insertion can always be found). Fischer, Milton and Quiring
demonstrate that it is decidable whether an LL(1) grammar is insert-correctable.
So, the FMQ error correction method is applicable in an LL(1) parser built from
an insert-correctable grammar. In addition, the LL(1) parser must have the immediate
error detection property. As we have seen in Section 8.2.4, the usual (strong-)LL(1)
parser does not have this property, but the full-LL(1) parser does. Fischer, Tai and
Milton [302] show that for the class of LL(1) grammars in which every non-terminal
that derives εdoes so explicitly through an ε-rule, the immediate error detection
property can be retained while using strong-LL(1) tables.
Now, how does the error corrector work? Suppose that an error is detected on
input symbol a, and the current prediction is X1···Xn#. The state of the parser is
then:
··· a···
··· X1··· Xn#
As ais an error, we know that it is not a member of FIRST(X1···Xn#). We also
know that the grammar is insert-correctable, so X1···Xn#must derive a terminal
string containing a. The error corrector now determines the cheapest insertion after
which ais acceptable. Again, every symbol has associated with it a certain insertion
cost, determined by the parser writer; the cost of an insertion is the sum of the costs
of the symbols in the insertion.
To compute the cheapest insertion, the error corrector uses some tables that are
precomputed for the grammar at hand (by the parser generator). First, there is a table
that we will call cheapest_derivation, giving the cheapest terminal derivation
for each symbol (for a terminal, this is of course the terminal itself). Second, there is
a table that we will call cheapest_insertion giving for each symbol/terminal
combination (X,a) the cheapest insertion ysuch that X*
→ya···,ifitexists,oran
16.6 Local Error Handling 539
indication that it does not exist. Note that in any prediction X1···Xn#there must be
at least one symbol Xsuch that the (X,a) entry of the cheapest_insertion
table contains an insertion (or else the grammar was not insert-correctable).
Going back to our parser, we can now compute the cheapest insertion zsuch that
abecomes acceptable. Consulting cheapest_insertion(X1,a), we can distin-
guish two cases:
•cheapest_insertion(X1,a) contains an insertion y1; in this case, we have
found an insertion.
•cheapest_insertion(X1,a) does not contains an insertion. In this
case, we use cheapest_derivation(X1) as the first part of the in-
sertion, and continue with X2in exactly the same way as we did with
X1. In the end, this will result in an insertion y1···yi,wherey1,...,yi−1
come from the cheapest_derivation table, and yicomes from the
cheapest_insertion table.
The most serious disadvantage of the FMQ error corrector is that it behaves rather
poorly on those errors that are better corrected by a deletion. Advantages are that it
always works, can be generated automatically, and is simple.
Anderson and Backhouse [310] present a significant improvement of the im-
plementation described above, which is based on the observation that it is suffi-
cient to only compute the first symbol of the insertion: if we detect an error sym-
bol aafter having read prefix u,andw=w1w2···wnis a cheapest insertion,
then w2···wnis a cheapest insertion for the error aafter having read uw1.Sothe
cheapest_derivation and cheapest_insertion tables are not needed.
Instead, tables are needed that are indexed similarly, but only contain the first sym-
bol of the insertion. Such tables are much smaller, and easier to compute.
16.6.5 Locally Least-Cost Error Recovery
Like the FMQ error correction method, locally least-cost error recovery (see Back-
house [153] and Anderson et al. [311]) is a technique for recovering from syntax
errors by editing the input string at the error detection point. The FMQ method cor-
rects the error by inserting terminal symbols; the locally least-cost method corrects
the error by either deleting the error symbol, or inserting a sequence of terminal or
non-terminal symbols after which the error symbol becomes correct, or changing
the error symbol. Unlike the least-error analysis discussed in Section 16.4, which
considers the complete input string in determining the corrections to be made, the
locally least-cost method only considers the error symbol itself and the symbol after
that. The correction is determined by its cost: every symbol has a certain insertion
cost, every terminal symbol has a certain deletion cost, and every replacement also
has a certain cost. All these costs are determined by the parser writer. When consid-
ering if the error symbol is to be deleted, the cost of an insertion that would make the
next input symbol acceptable is taken into account. The cheapest correction is then
chosen.
540 16 Error Handling
This principle does not rely on a particular parsing method, although the im-
plementation does. The method has successfully been implemented in LL, LR, and
Earley parsers; see Backhouse [153], Anderson and Backhouse [306], Anderson et
al. [311], and Choe and Chang [315] for details.
McKenzie et al. [321] extend this method by doing a breadth-first search over an
ever deepening set of combinations of insertions and deletions. The correcting com-
binations are then “validated” in the order of cost, by applying them provisionally
to the input and running the parser. If the parser accepts a predetermined number
of tokens the correction is accepted; otherwise the original input is restored and the
system proceeds to the next proposed correction.
Cerecke [325] limits the breadth-first search by analysing the LR automaton. Kim
and Choe [326] incorporate the search for validations in the LR parse table.
Corchuelo et al. [327] take a very systematic approach to the problem. The op-
erators “insert”, “delete” and “validate” (called “forward move” in the paper) are
introduced in the LR parsing mechanism on an equal footing with the usual “shift”
and “reduce”, in such a way that the original LR parse tables still suffice. This allows
very pliable error recovery and easy implementation in an existing parser.
16.7 Non-Correcting Error Recovery
Although the error correction and error recovery methods discussed above have their
good and bad points, they all have the following problems in common:
• On an error, they change the input and/or the parser state, using heuristics to
choose one of the many possibilities. We can, however, never be sure that we
picked the right change.
• Selecting the wrong change can cause an avalanche of spurious error messages.
Only the least-error analysis of Section 16.4 does not have this problem.
A quite different approach to error recovery is that of Richter [313]. He proposes
a method that does not have the problems mentioned above, but has some problems
of its own. The author argues that we should not try to repair an error, because we
cannot be sure that we get it right. Neither should we try to change parser state and/or
input. The only thing that we can assume is that the rest of the input is a suffix (tail)
of a sentence of the language. This is an assumption made in several error recovery
methods, but the difference is that most error recovery methods assume more than
that, in that they use (some of) the parser state information built so far.
16.7.1 Detection and Recovery
The error recovery method now works as follows: parsing starts with a parser for the
original language, preferably one with the correct-prefix property. When an error is
detected, it is reported, and the present parsing effort is abandoned. To analyze the
remaining suffix, a parser derived from the suffix grammar, a so-called suffix parser,
is started on it. The detected error symbol is not discarded: it could very well be a
16.7 Non-Correcting Error Recovery 541
correct beginning of a suffix, for example when the only actual error is a missing
symbol.
If during the suffix scan another syntax error is detected, it is again reported, and
the suffix parser is reset to its starting state, ready to accept another suffix. This guar-
antees that each reported error is a genuine syntax error, since the situation is found
to be incompatible with the input from the previous error onwards, regardless of what
came before. It is also different from and not caused by the previous error, since all
information from before the previous one has been discarded. For the same reason
no error is reported more than once. This maintains a high level of user confidence
in the error messages, which is a great advantage. A possible disadvantage is, that in
the presence of errors the parser is unable to deliver a meaningful parse tree.
Since the method does not correct existing input, it is called a non-correcting
error recovery method.
When the method was first invented in 1985, it was hard to apply it in real-world
parsers. It was easy enough to construct the suffix grammar (see Section 12.1), but
that grammar was not amenable to the usual LL or LR methods, and general CF
methods were too expensive — or at least deemed to be so. That changed with the
invention of efficient, and sometimes even linear-time suffix parsers (Chapter 12).
Another way of solving the problem is to use an efficient GLR or GLL parser (Chap-
ter 11) and have it generate the suffix grammar implicitly on the fly. An example of
this technique is described by van Deudekom and Kooiman [170]. Given the com-
plexity of writing a linear suffix parser or an efficient GLR or GLL parser, the sim-
plicity of a general CF parser, and the speed of present-day processors, it might be
easier to use a general CF parser to do the suffix analysis; that approach has addi-
tional advantages, as we shall see in the next section.
16.7.2 Locating the Error
Although non-correcting error recovery cannot give spurious error messages, it can
miss errors, even arbitrarily many of them. If our input is described by the grammar
S--->(S),S--->[S],S--->ε, which produces properly nested sequences of open and
close parentheses and brackets, and the input is ((((]]]], the first ]is detected as
illegal and ends the correct prefix. But the rest, ]]]] is a perfectly legal suffix, so
only one error is reported. This is probably not a big disadvantage in an interactive
environment.
When a directional parser finds a syntax error, the only thing we can say is that
the error must have been somewhere in the input read so far. It can even be arbitrarily
far back, at the start of the input. Suppose our input language consists of arithmetic
expressions, and the input is E)**3,whereEis a long, correct arithmetic expression
and ** is the exponentiation operator. The obvious error is that a left parenthesis was
missing at the beginning: (E)**3.
In a non-correcting parser that uses a general CF parser for the suffix analysis
we can do better. We can use the CF parser to scan the input text backwards, using
the reverse grammar of the input language; that grammar probably has no redeeming
542 16 Error Handling
properties, but a general CF parser can handle it. If there is only one error, the back-
ward scan will find an error at or to the left of the position of the forward error; the
region between the two errors is called the error interval. In the example above the
error is found at the start of the input, and the resulting error message
Syntax error:
unexpected ) at position Nand
unexpected beginning of input at position 0
will give the user a good idea of where to look.
If there is more than one error, a similar scheme can be used to locate more errors,
but care is required since error intervals may overlap. Richter [313] give the details.
16.8 Ad Hoc Methods
The ad hoc error recovery methods are called ad hoc because they cannot be au-
tomatically generated from the grammar. These methods are as good as the parser
writer makes them, which in turn depends on how good the parser writer is in antic-
ipating possible syntax errors. We will discuss three of these ad hoc methods: error
productions, empty table slots and error tokens.
16.8.1 Error Productions
Error productions are grammar rules, added by the grammar writer so that antic-
ipated syntax errors become part of the language (and thus are no longer syntax
errors). These error productions usually have a semantic action associated with them
that reports the error; this action is triggered when the error production is used. An
example where an error production could be useful is the Pascal if-statement, which
has the following syntax:
if-statement ---> IF boolean-expression
THEN statement else-part
else-part ---> ELSE statement | ε
A common error is that an if-statement has an else-part, but the statement
in front of the else-part is terminated by a semicolon. In Pascal, a semicolon
is a statement separator rather than a statement terminator and is not allowed in
front of an ELSE. This situation could be detected by changing the grammar rule for
else-part into
else-part ---> ELSE statement | ε| ; ELSE statement
where the last right-hand side is the error production.
The most important disadvantages of error productions are:
• only anticipated errors can be handled;
• the modified grammar might (no longer) be suitable for the parsing method used,
because conflicts could be introduced by the added rules.
16.9 Conclusion 543
The advantage is that a very adequate error message can be given. Error productions
can be used profitably in conjunction with another error handling method, to handle
some frequent errors on which the other method does not perform well.
16.8.2 Empty Table Slots
In most of the efficient parsing methods, the parser consults one or more parse tables
and bases its next parsing decision on the result. These parsing tables have error
entries (represented as the empty slots), and if one of these is consulted, an error is
detected. In this error handling method, the empty table slots are used to refer to error
handling routines. Each empty slot has its own error handling routine, which is called
when the corresponding slot is consulted. The error handling routines themselves are
written by the parser writer. By very careful design of these error handling routines,
very good results can be obtained; see for example Conway and Wilcox [293]. In
order to achieve good results, however, the parser writer must invest considerable
effort. Usually, this is not considered worth the gain, in particular because good error
handling can be generated automatically.
16.8.3 Error Tokens
Another popular error recovery method uses error tokens. An error token is a special
token that is inserted in front of the error detection point. The parser will pop states
from the parse stack until this token becomes valid, and then skip symbols from the
input until an acceptable symbol is found. The parser writer extends the grammar
with rules using this error token. An example of this is the following grammar:
input ---> input input_line | ε
input_line ---> ERROR_TOKEN NEWLINE | STRING NEWLINE
This kind of grammar is often seen in interactive applications, where the input is line
by line. Here, ERROR_TOKEN denotes the error token, and NEWLINE denotes an
end of line marker. When an error occurs, states are popped until ERROR_TOKEN
becomes acceptable, and then symbols are skipped until a NEWLINE is encountered.
This method can be quite effective, provided that care is taken in designing the
rules using the error token.
16.9 Conclusion
In principle error handling is a hopeless task, in that the goal of having a computer
handle errors properly in any intuitive meaning of the word is out of reach. In practice
the far less lofty goal of not looping and not crashing is often already difficult to
achieve. The techniques described in this chapter walk a middle ground: they define
a metric for the corrections, thus creating an objective goal, and insert a token only
when it can be proven that no looping can occur.
The techniques are very parse-method specific but often involve a search for the
“best” correction; sometimes the results of this search can be precomputed.
544 16 Error Handling
Problems
Problem 16.1: 1. Can the error message learning system of Jeffery [328] (Sec-
tion 16.1) be implemented in an strong-LL(1) parser? 2. Implement it in your favorite
parser generator.
Problem 16.2:Project: The globally least-error correction method explained in
Section 16.4 can give spectacularly wrong results; for example, if the input is text
in a computer programming language and contains more than 2 errors, the input can
sometimes be “corrected” by putting comment symbols around the entire text. This
suggests that “most-recognized correction”, in which the number of accepted tokens
is maximized, may be preferred over “least-error correction”. Apply this idea to an
Unger, CYK or Earley parser and investigate.
Problem 16.3:Research project: Research error handling by intersection pars-
ing.
Problem 16.4: In Section 16.5 we claim that regional error handling is applicable
to bottom-up parsers only. Why can we not just apply the top-down counterparts of
its actions to a top-down parser: predict as much as we can, and then try to match
with insertions and deletions?
Problem 16.5: Give an intuitive argument why BC and BRC grammars allow
the method of Section 16.5.2 to be applied, and BCP grammars do not, as stated at
the end of that section.
Problem 16.6: In Section 16.6.3.2 the implementation of acceptable-set error
recovery with continuations is described using a scan over the prediction, but if we
are dealing with a recursive descent parser there is no explicit prediction. When
the conceptual prediction is X1···Xn#, we are in the routine for X1and the other
elements of the prediction are hidden in the calling stack. Devise a way to obtain the
acceptable-set when needed without explicitly constructing the prediction.
Problem 16.7: In Section 16.6.4 the implementation of insertion-only error cor-
rection is described using a scan over the prediction, but if we are dealing with a
recursive descent parser there is no explicit prediction, as in Problem 16.6. Devise a
way to obtain the cheapest insertion when needed without explicitly constructing the
prediction.
17
Practical Parser Writing and Usage
Practical parsing is concerned almost exclusively with context-free (Type 2) and
regular (Type 3) grammars. Unrestricted (Type 0) and context-sensitive (Type 1)
grammars are hardly used since, first, they are user-unfriendly in that it is next to
impossible to construct a clear and readable Type 0 or Type 1 grammar and, sec-
ond, all known parsers for them have exponential time requirements. Chapter 15 de-
scribes a number of polynomial-time and even linear-time parsers for non-Chomsky
systems, but few have seen practical application. For more experimental results see
(Web)Section 18.2.6.
Regular grammars are used mainly to describe patterns that have to be found in
surrounding text. For this application a recognizer suffices. There is only one such
recognizer: the finite-state automaton described in Section 5.3. Actual parsing with
a regular grammar, when required, is generally done using techniques for CF gram-
mars.
In view of the above we shall restrict ourselves to CF grammars in the rest of
this chapter. We start with a comparative survey of the available parsing techniques
(Section 17.1). Parsers can be interpretive, table-driven or compiled; the techniques
are covered in Section 17.2.1. Section 17.3 presents a simple general context-free
parser in Java, both for experimentation purposes and to show the nitty-gritty details
of a complete parser. Parsers, both interpretive and compiled, must be written in
a programming language; the influence of the programming language paradigm is
discussed in Section 17.4. Finally, Section 17.5 exhibits a few unusual applications
of the pattern recognition inherent in parsing.
17.1 A Comparative Survey
17.1.1 Considerations
The initial demands on a CF parsing technique are obvious: it should be general (i.e.,
able to handle all CF grammars), it should be fast (i.e., have linear time requirements)
and preferably it should be easy to program. Practically the only way to obtain linear
546 17 Practical Parser Writing and Usage
time requirement is to use a deterministic method; there are non-deterministic meth-
ods which work in linear time (for example Bertsch and Nederhof [96]) but there is
little practical experience with them.
There are two serious obstacles to this naive approach to choosing a parser. The
first is that the automatic generation of a deterministic parser is possible only for
a subset of the CF grammars. The second is that, although this subset is often de-
scribed as “very large” (especially for LR(1) and LALR(1)), experience shows that a
grammar that is designed to best describe the language without concern for parsing is
virtually never in this set. It is true that for most reasonable grammars a slightly dif-
ferent grammar can be found that generates the same language and that does allow
linear-time parsing, but here are two problems with this. Finding such a grammar
almost always requires human intervention and cannot be automated. And using a
modified grammar has the disadvantage that the resulting parse trees will differ to
a certain extent from the ones implied by the original grammar. Furthermore, it is
important to notice that no deterministic method can handle ambiguous grammars.
An immediate consequence of the above observations is that the stability of the
grammar is an important datum. If the grammar is subject to continual revision, it
is impossible or at least highly inconvenient to adapt each version by hand to the
requirements of a deterministic method, and we have no choice but to use a general
method. Likewise, if the grammar is ambiguous, we should use a general method.
If one has the luxury of being in a position to design the grammar oneself, the
choice is simple: design the grammar to be LL(1) and use a predictive recursive de-
scent parser. It can be generated automatically, with good error recovery, and allows
semantic routines to be included in-line. This can be summarized as: parsing is a
problem only if someone else is in charge of the grammar.
17.1.2 General Parsers
There are three general methods that should be considered: Unger’s, Earley’s and
GLR.
17.1.2.1 Unger
An Unger parser (Section 4.1) is easy to program, especially the form given in Sec-
tion 17.3.2, but its exponential time requirements limit its applicability to occasional
use. The relatively small effort of adding a well-formed substring table (Section
17.3.4) can improve its efficiency dramatically, and in this form it can be very use-
ful, especially if the average input string is limited to some tens of tokens. The thus
modified Unger parser requires in principle a time proportional to nN+1,wherenis
the number of tokens in the input and Nis the maximum number of non-terminals in
any right-hand side in the grammar, but in practice it is often much faster. An addi-
tional advantage of the Unger parser is that it can usually be readily understood by
all participants in a project, which is something that can be said of almost no other
parser.
17.1 A Comparative Survey 547
17.1.2.2 Earley
A simple, robust and efficient version of the Earley parser has been presented by Gra-
ham, Harrison and Ruzzo [23]. It requires a time proportional to n3for ambiguous
grammars (plus the time needed to enumerate the parse trees), at most n2for un-
ambiguous grammars and nfor grammars for which a deterministic method would
work; in this sense the Earley parser is self-adapting. Since it does not require pre-
processing on the grammar, it is possible to have one grammar-independent Earley
parser and to supply it with the grammar and the input whenever a parsing is needed.
If this is convenient, the Earley parser is preferable to GLR.
17.1.2.3 Generalized LR
At the expense of considerably more programming and some loss of convenience in
use, a GLR parser (Section 11.1) will provide a parsing in slightly more than linear
time for all but the most ambiguous grammars. Since it requires preprocessing on
the grammar, it is convenient to generate a separate parser for each grammar (using a
parser generator); if the grammar is, however, very unstable, the preprocessing can be
done each time the parser is called. The GLR parser is presently the parser of choice
for serious parsing in situations where a deterministic method cannot be applied and
the grammar is reasonably stable.
As explained in Section 11.1, a GLR parser uses a table to restrict the breadth-
first search and the question arises what type of table would be optimal. Lankhorst
[166] determined experimentally that LR(0) and SLR(1) are about equally efficient,
and that LALR(1) is about 5-10% faster; LR(1) is definitely worse. So, unless a
speed-up of a few percent matters, the simple LR(0) is the recommended parse table.
17.1.2.4 Notes
It should be noted that if any of the general parsers performs in linear time, it may
still be a factor of ten or so slower than a deterministic method, due to the much
heavier administration they need.
None of the general parsers identifies with certainty a part of the parse tree before
the whole parse tree is completed. Consequently, if semantic actions are connected
to the grammar rules, none of these actions can be performed until the whole parse
is finished. The actions certainly cannot influence the parsing process. They can,
however, reject certain parse trees afterwards; this is useful to implement context
conditions in a context-free parser.
17.1.3 General Substring Parsers
Although general substring parsing does not differ fundamentally from general full
parsing (construct a substring grammar as explained in Section12.1 and use one of
the above general CF parsers) a specific substring parser will be much more efficient.
Rekers and Koorn [212] and Rekers [213, Chapter 4] describe the details of such a
parser.

548 17 Practical Parser Writing and Usage
17.1.4 Linear-Time Parsers
Among the grammars that allow linear-time parsing, the operator-precedence gram-
mars (see Section 9.2.2) occupy a special place, in that they can be ambiguous. They
escape the general rule that ambiguous grammars cannot be parsed in linear time by
virtue of the fact that they do not provide a full parse tree but rather a parse skeleton.
If every sentence in the generated language has only one parse skeleton, the gram-
mar can be operator-precedence. Operator-precedence is by far the simplest practical
method; if the parsing problem can be brought into a form that allows an operator-
precedence grammar (and that is possible for almost all formula-like inputs), a parser
can be constructed by hand in a very short time.
17.1.4.1 Requirements
Now we come to the full linear-time methods. As mentioned above, grammars are
not normally in a form that allows deterministic parsing and have to be modified
by hand to be so. This implies that for the use of a deterministic parser at least the
following conditions must be fulfilled:
• the grammar must be relatively stable, so that the modification process will not
have to be repeated too often;
• the user must be willing to accept a slightly different parse tree than would cor-
respond to the original grammar.
Speed is not an issue: any not inordinately long input parses in a fraction of a second
with a deterministic parser on a modern machine.
It should again be pointed out that the transformation of the grammar cannot, in
general, be performed by a program (if it could, we would have a stronger parsing
method).
Leo’s improvement of the Earley parser [32] may be a viable alternative. It re-
quires linear time on all deterministic and many other grammars, and does not re-
quire preprocessing. Since it is interpreted, we expect it to lose perhaps two orders
of magnitude in speed over a table-driven LR parser, but that might not be a problem
on present-day machines. Experience with this type of parser is lacking, though.
17.1.4.2 Strong-LL(1) versus LALR(1)
For two deterministic methods, “strong-LL(1)”1(Section 8.2.2) and LALR(1) (Sec-
tion 9.7), parser generators are readily available, both as commercial products and
in the public domain. Using one of them will in almost all cases be more practical
and efficient than writing your own; for one thing, while writing a parser genera-
tor may be (is!) interesting, doing a reasonable job on the error recovery is a pro-
tracted affair, not to be taken on lightly. So the choice is between (strong-)LL(1) and
1What is advertised as an “LL(1) parser generator” is almost always actually a strong-LL(1)
parser generator.
17.1 A Comparative Survey 549
LALR(1). Full-LL(1) or LR(1) are occasionally preferable, and some parser genera-
tors for these are available if needed. The main differences between (strong-)LL(1)
and LALR(1) can be summarized as follows:
• LL(1) usually requires larger modifications to be made to the grammar than
LALR(1).
• LL(1) allows semantic actions to be performed even before the start of an alter-
native; LALR(1) performs semantic actions only at the end of an alternative.
• LL(1) parsers are often easier to understand and modify.
• If an LL(1) parser is implemented as a recursive-descent parser, the semantic
actions can use named variables and attributes, much as in a programming lan-
guage. No such use is possible in a table-driven parser.
• Both methods are roughly equivalent as to speed and memory requirements; a
good implementation of either will outperform a mediocre implementation of
the other.
The difference between the two methods disappears largely when the parser yields a
complete parse tree and the semantic actions are deferred to a later stage. In such a
setup LALR(1) is obviously to be preferred.
People evaluate the difference in power between LL(1) and LALR(1) differently;
for some the requirements made by LL(1) are totally unacceptable, others consider
them a minor inconvenience, largely offset by the advantages of the method.
If one is in a position to design the grammar along with the parser, there is little
doubt that LL(1) is to be preferred: not only will parsing and performing semantic
actions be easier, text that conforms to an LL(1) grammar is also clearer to the hu-
man reader. A good example is the design of Modula-2 by Wirth (see Programming
in Modula-2 (Third, corrected edition) by Niklaus Wirth, Springer-Verlag, Berlin,
1985).
17.1.4.3 Table Size
The table size of a deterministic parser is moderate, from 10K to 100K bytes for the
deterministic parsers to megabytes for the non-canonical ones, and will be a problem
in very few applications. The strongest linear-time method with negligible table size
is weak precedence with precedence functions.
17.1.5 Linear-Time Substring Parsers
On the subject of practical linear-time substring parsers there is little difficulty; Bates
and Lavie’s [214] is the prime candidate. It is powerful, efficient and not too difficult
to implement.
17.1.6 Obtaining and Using a Parser Generator
The approach is simple: search the Internet. There are a surprising number of parser
generators out there, including some for general CF parsing, based both on Earley
550 17 Practical Parser Writing and Usage
and on GLR. We shall not give names or URLs here, since, as we said in the Preface,
such information is ephemeral and the best URL is a few well-chosen search terms
submitted to a good Web search engine.
For advanced handling of the parse tree there are a number of parse tree processor
generator tools and prettyprinters for parse trees. Converting the parse tree to XML
and using a Web browser to view it is a simple but viable alternative for the latter.
17.2 Parser Construction
Parsing starts with a grammar and an input string (A) supplied by the user and ends
with the result (B) desired by the user. Even disregarding the actual parsing technique
used, there are several ways to get from A to B. Also, actually there is more than
one destination B: generally the user will want a structuring of the input, in the
form of a parse tree or a parse grammar, to be processed further, but sometimes it
is the semantics of the input that is desired immediately. An example is a parser for
arithmetic expressions like 4+5*6+8 which is expected to produce the answer 42
directly. Another is a PostScript or HTML interpreter, where most of the input file
is executed while it is being parsed. See Clark [355] for more about the difference
between building a parse tree and having immediate semantics.
17.2.1 Interpretive, Table-Based, and Compiled Parsers
Just as a program in a programming language like C or Java can either be inter-
preted or compiled into a binary executable, a grammar can either be interpreted or
compiled into a parser. But we have to be careful of what we mean by these words.
Actually it is the combination of program and input which is interpreted, and it is
the program only that is compiled into executable code. Likewise the combination
of grammar and input can be interpreted (as shown in Figure 17.1), and the grammar
on its own can be compiled into a parser by a parser generator (Figure 17.2). In both
pictures the boxes marked with a ’U’ in the top left corner represent files supplied
by the parser user; those with ’P’ are created by the parser writer; those with a ×are
executable programs; and unmarked boxes represent generated files.
Figure 17.1 is simple: the source code of the interpreter is fed through a com-
piler, which produces the actual interpreter. It is then given both the user grammar
and ditto input, and does its work. Interpreters read the grammar every time a new
input is offered; this has the advantage that always the most up-to-date version of
the grammar is used. They are also often easier to write than parser generators. Inter-
preters have the disadvantage of being slow, both because of the overhead inherent in
interpreting, and because the grammar is processed time and again. It is sometimes
convenient to incorporate the grammar as static data in the interpreter, thus creating
a parser specific to that grammar.
Figure 17.2, concerning compiled parsers, is more complicated. First the code of
the parser generator is compiled into the parser generator proper; this happens out of
sight of the user. The user then supplies the grammar to the parser generator, which

17.2 Parser Construction 551
interpreter
source code
P
compiler
×
i
n
t
e
r
p
r
e
t
e
r
×
parse
tree
immediate
semantics
grammar
U
input
U
Fig. 17.1. Use of an interpreting parser (U = user-supplied; P = parser writer supplied)
turns it either into parse tables or into parser code, depending on the nature of the
parser generator. The result is then compiled into the parser proper; if the parser is
table-driven, a driver is added. The parser can then be used with different inputs as
often as needed.
There is unfortunately no standard terminology to distinguish the three types; we
shall call them “interpreters” (or “interpreting parsers”), “table-driven parsers”, and
“compiled parsers”, respectively.
17.2.2 Parsing Methods and Implementations
If the parser is complicated it is usually easier to write it as an interpreter rather than
to generate code for it. So most of the general CF parsers are programmed as inter-
preters and the situation in Figure 17.1 applies. Since general CF parsing is usually
done in fairly experimental circumstances, in which the grammar is equally likely to
change as the input, this has the additional advantage that one is not penalized for
changing the grammar.
Compiling a general CF parser into code is not impossible, however; Aycock and
Horspool [37] present a compiled Earley parser.
LL(1) parsers come in two varieties: compiled, using recursive descent (Section
8.2.6), in which a procedure is created for each non-terminal; and table-driven, using
a table like the one in Figure 8.10 and a pushdown automaton as described in Section
6.2. The recursive descent version is probably more usual.

552 17 Practical Parser Writing and Usage
parser
generator
source code
P
compiler
×
parser
generator
×
grammar
U
or
parse
tables
parser
code
compiler
×
driver
P
or
table-driven
parser
×compiled
parser
×
input 2
U
input 1
U
input 3
U
.
.
.
immediate
semantics 2
parse
tree 1
parse
tree 3
.
.
.
Fig. 17.2. Use of a compiled parser
Almost all LR parsers are table-driven, using tables like the one in Figure 9.28,
and a pushdown automaton. Examples of compiled LR parsers are discussed by Pen-
nello [70], Horspool and Whitney [85] and Bhamidipaty and Proebsting [354]. The
recursive ascent parsers (Section 9.10.6) also lead to compiled LR parsers.
There is ample evidence that compiled parsers are faster than table-driven
parsers, in addition to having the advantage that semantic routines can be included
conveniently; see, for example, Waite and Carter [339], and the above papers. At
least two causes for this phenomenon have been identified: we avoid the time re-
17.3 A Simple General Context-Free Parser 553
quired to identify the action to be performed and to prepare for calling it; and the
often superb optimization done by present-day compilers.
An interesting possibility is to start the parser as an interpreter but to memoize
the table information from every parsing decision made and reuse it when the same
decision comes up again. This is known as lazy table construction. It is especially
effective for lexical analysers, but can also help in modularizing the parsing process
(Koskimies [342]). It has the possible disadvantage that only the activated part of the
grammar gets checked.
For finite-state automata table-driven implementations are the norm. But see
Jones [146] for compiled FS automata.
17.3 A Simple General Context-Free Parser
Although LL(1) and LALR(1) parsers are easy to come by, they are of limited use
outside the restricted field of programming language processing. General CF parsers
are available, but are often complicated, both to understand and to use. We will there-
fore present here in full detail a simple general parser that will yield all parsings of
a sentence according to a CF grammar, with no restriction imposed on the gram-
mar. It is small, written in Java, and enables the reader to experiment directly with
a general CF parser that is under his or her full control. The parser described in the
Sections 17.3.1 to 17.3.3 takes exponential time in the worst case; a memoization
feature which reduces the time requirement to polynomial is discussed in Section
17.3.4. The interested reader who has access to a Prolog interpreter may wish to look
into DCGs (“Definite Clause Grammars”, Section 6.7). These may be more useful
than the parser in this chapter since they allow context conditions to be applied, but
they cannot handle left recursion unless special measures are taken, as for example
those in Section 6.8).
17.3.1 Principles of the Parser
The parser, presented as a set of Java classes in Sections 17.3.2 to 17.3.4, is the
simplest we can think of that puts no restrictions on the grammar. Since it searches a
forest of possible parse trees to find the applicable ones, it is not completely trivial,
though. The parser is an Unger parser in that it does a top-down analysis, dividing
the input into segments that are to be matched to symbols in the pertinent right-
hand sides. A depth-first search, using recursive descent, is used to enumerate all
possibilities.
To avoid clutter, not all class declarations are shown in the printings of class
declarations, and many declarations of administrative methods (straightforward con-
structors, toString(), etc.) are suppressed; the full working parser can be down-
loaded from this book’s web site.

554 17 Practical Parser Writing and Usage
17.3.2 The Program
The central objects in the parser are Goals, RuleGoals, and DottedGoals; they
form a small linear hierarchy. A Goal contains a non-terminal lhs, a position in the
input pos, and a length length; it represents an attempt to derive the indicated seg-
ment of the input from the non-terminal. RuleGoal is a subclass of Goal,inwhich
the non-terminal has been narrowed down to a specific rule, rule.ADottedGoal
is a RuleGoal with dots in the right hand side and the input segment; the posi-
tions of the dots are given as two integer fields rhsUsed,andinputUsed.A
DottedGoal succeeds when it can match the remainder of the right-hand side to
the remainder of the input segment.
The recursion in Java is used to search the space of all alternatives of non-
terminals and of all possible segment lengths. The DottedGoals generated by this
search are put on a stack called DottedGoalStack.TheDottedGoalStack
starts off with a DottedGoal containing the start symbol and the entire input;
whenever the stack becomes empty, a parsing has been found. To print a listing of
the rules that led to the parsing, newly tried rules are stacked on a RuleStack,and
removed from it when no more matchings for them can be found.2
The DottedGoalStack contains the active nodes in the parse tree, which is
only a fraction of the nodes of the parse tree as already recognized (Figure 6.2). The
leftmost derivation of the parse tree as far as recognized can be found on the stack
RuleStack. When the DottedGoalStack becomes empty, a complete parsing
has been found, recorded in the RuleStack.
The main class of the parser, shown in Figure 17.3 just loads the grammar from
public class TopDownParser {
public static void main(String[] args) {
String userGrammarName = "UserGrammar4";
Grammar.load(userGrammarName);
Grammar.parse();
}
}
Fig. 17.3. The driver
a user class and parses the offered strings. The demo grammar file UserGrammar4
specifies the grammar
S---> LSR | ε
L--->(|ε
R--->)
2Somebody who would suggest that we are implementing a Prolog interpreter in disguise
would be right.
17.3 A Simple General Context-Free Parser 555
This grammar forces the parser to match either an opening parenthesis or εto each
closing parenthesis, which makes most inputs very ambiguous. The demo applies it
to the strings ()) and ((())))).
The class Grammar (Figure 17.4) uses a call to
import java.util.ArrayList;
public class Grammar {
private static ArrayList<Rule> ruleList = new ArrayList<Rule>();
public static Symbol startSym = null;
public static Rule getRule(int n) {return ruleList.get(n);}
public static void load(String filename) {
ReadGrammar.readGrammar(filename);
}
public static void parse() {
Input s;
while ((s = ReadInput.readInput()) != null) TD.parse(s);
}
}
Fig. 17.4. The class Grammar
ReadGrammar.readGrammar(String filename) (not shown) to read the
grammar from a file and store its start symbol in startSym and its rules in the
array list ruleList. The rules are objects of class Rule (not shown), each of
which has two public fields, lhs and rhs. The tokens in the grammar and the input
are objects of a class Symbol (not shown); this allows any lexical analyser to be
plugged in independently.
The class Grammar also supplies the method parse() used above in
TopDownParser. It reads a sequence of input strings and calls the top-down parser
in class TD for each of them.
This brings us to the class TD (Figure 17.5), which supplies the methods
parse(Input) and parsingFound(), and counts the number of derivations.
The method parse(Input) starts by doing some initializations, which include
creating a new RuleStack (not shown) and a new DottedGoalStack (not
shown), and clearing the derivation count; for knownRuleGoals see the next
paragraph. Next it prints the input in a message. Then the real parsing starts:
parse(Input) creates a Goal consisting of the start symbol of the grammar,
the start position 0, and the length of the input, and activates it by calling its method
doWork(). When the activation returns, all parsings have been counted and re-
ported. The method parsingFound() counts each parsing and reports it by print-
ing the rule stack.
To prepare the way for a system to memoize known parsings, calls to methods
in an object of class knownRuleGoals have already been placed in the presented
code. We shall ignore them until Section 17.3.4.
The method doWork() in the class Goal (Figure 17.6) runs down the list
556 17 Practical Parser Writing and Usage
public class TD {
static Input input;
static RuleStack ruleStack;
static DottedGoalStack dottedGoalStack;
static KnownRuleGoals knownRuleGoals;
private static int countDerivations;
public static void parse(Input input) {
TD.input = input;
ruleStack = new RuleStack();
dottedGoalStack = new DottedGoalStack();
knownRuleGoals = new KnownRuleGoals();
countDerivations = 0;
System.out.println("Parsing \"" + input
+ "\" of length " + input.length());
(new Goal(Grammar.startSym, 0, input.length())).doWork();
System.out.println(countDerivations + " derivation"
+ (countDerivations ==1?"":"s")
+ " found for string \"" + input + "\"\n");
}
public static void parsingFound() {
countDerivations++;
System.out.println("Parsing found:\n" + ruleStack.toString());
}
}
Fig. 17.5. The class TD
public class Goal {
Symbol lhs; int pos; int length;
public void doWork() {
for (int n = 0; n < Grammar.size(); n++) {
Rule r = Grammar.getRule(n);
if (r.lhs.equals(lhs))
(new RuleGoal(this, r)).doWork();
}
}
}
Fig. 17.6. The class Goal
17.3 A Simple General Context-Free Parser 557
of grammar rules and for each rule rfor the desired non-terminal it creates a
RuleGoal containing the Goal and r, and activates it.
The method doWork() in the class RuleGoal (Figure 17.7)
contains three calls to methods in TD.knownRuleGoals,whichweig-
public class RuleGoal extends Goal {
Rule rule;
public void doWork() {
// avoid left recursion:
if (TD.dottedGoalStack.contains(this)) return;
// try to avoid rebuilding known parses:
if (TD.knownRuleGoals.knownRuleGoalTable.containsKey(this)) {
TD.knownRuleGoals.doWork(this); return;
}
TD.knownRuleGoals.startNewParsing(this);
System.out.println("Trying rule goal " + toString());
(new DottedGoal(this, 0, 0)).doWork();
}
public void doWorkAfterDone() {
if (TD.dottedGoalStack.empty()) TD.parsingFound();
else TD.dottedGoalStack.top().doWorkAfterMatch(length);
}
}
Fig. 17.7. The class RuleGoal
nore until Section 17.3.4. For the moment we also ignore the call to
TD.dottedGoalStack.contains(this), which serves as a protection
against problems with left recursion; it will be discussed in Section 17.3.3. So there
is only one thing left to do for RuleGoal.doWork(): create a DottedGoal
with both dots at the left end, and activate it. The method doWorkAfterDone()
will be discussed later on.
The class DottedGoal (Figure 17.8) is the second-most complicated
class of the parser, after the still mysterious class KnownRuleGoals.Its
doWork() method is the first to show real action: it puts itself on the pars-
ing stack TD.dottedGoalStack, puts the rule it contains on the rule stack
TD.ruleStack, and leaves the upcoming intricate decisions to the private method
doAsTopOfStack().
This method has to distinguish between several situations. If the right-hand side
of the rule is exhausted, there are two possibilities: the input segment is also ex-
hausted, in which case the left-hand side of the dotted goal has been fully recognized;
or it is not, in which case the dotted goal has failed and nothing needs to be done. If
the left-hand side in this dotted goal has been fully recognized, we first signal this
fact to TD.knownRuleGoals to be remembered for future use. Next we temporar-
ily pop it off the dotted-goal stack. Since the fields rhsUsed and inputUsed are
558 17 Practical Parser Writing and Usage
public class DottedGoal extends RuleGoal {
private int rhsUsed, inputUsed; // positions of dot in rhs and input
public void doWork() {
TD.dottedGoalStack.push(this);
TD.ruleStack.push(rule);
doAsTopOfStack();
TD.ruleStack.pop();
TD.dottedGoalStack.pop();
}
public void doWorkAfterMatch(int matchedLength) {
// advance the dotted goal over matched non-terminal and input
rhsUsed += 1; inputUsed += matchedLength;
doAsTopOfStack();
// retract the dotted goal
rhsUsed -= 1; inputUsed -= matchedLength;
}
private void doAsTopOfStack() { // ’this’ is top of parsing stack
int activePos = pos + inputUsed;
int leftoverLength = length - inputUsed;
if (rule.rhs.length == rhsUsed) { // rule exhausted
if (leftoverLength == 0) { // input exhausted
TD.knownRuleGoals.recordParsing(this);
TD.dottedGoalStack.pop();
((RuleGoal)this).doWorkAfterDone();
TD.dottedGoalStack.push(this);
}
} else {
Symbol rhsAtDot = rule.rhs[rhsUsed];
if (leftoverLength > 0) {
Symbol inputAtDot = TD.input.symbolAt(activePos);
if (rhsAtDot.equals(inputAtDot)) doWorkAfterMatch(1);
}
for (int len = 0; len <= leftoverLength; len++)
(new Goal(rhsAtDot, activePos, len)).doWork();
}
}
}
Fig. 17.8. The class DottedGoal
now meaningless, the dotted goal reverts to being a rule goal, and a recognized one
at that, and we continue our search by applying doWorkAfterDone() to it. (The
qualifier ((RuleGoal)this) in front of doWorkAfterDone() is actually su-
perfluous, but serves to emphasize that we are now back dealing with a rule goal.)
When done, we restore the old situation by pushing the present dotted goal back on
the stack.
17.3 A Simple General Context-Free Parser 559
This method RuleGoal.doWorkAfterDone() (page 557) checks if the
stack is empty. If it is, the start symbol, which was the lhs of the goal that was the
first to be stacked, has been matched to the entire input, so a parsing has been found.
If it is not, doWorkAfterDone() obtains the dotted goal on top of the stack, and
calls its doWorkAfterMatch(int matchedLength) method. This method
bumps the top of the stack over the matched length, and continues the search by
calling doAsTopOfStack(), as before.
In this way both the flow of control and our explanation return to DottedGoal,
where we were discussing doAsTopOfStack().Ifweentertheelse branch of
the if-statement, the right-hand side of the rule is not exhausted, and there is a symbol
rhsDot after the dot in it. Now there are several possibilities. The symbol rhsDot
may be a terminal, in which case we want to check it against the input symbol.
We first check if there is more input, and then compare it to the input symbol at
activePos. If they match we call doWorkAfterMatch(1) to bump the top of
the stack over one token, and continue searching; if they do not the goal has failed.
If rhsDot is a non-terminal, it is tried against increasingly longer chunks of what
remains of the input segment, by creating a new Goal for each chunk. This brings
us back to the level of Goals, and a new cycle in the top-down search can start.
Since the presented parser does not distinguish between terminals
and non-terminals, we have a problem here: we cannot know if we
should try the if (rhsAtDot··· statement (for a terminal) or the
for (int len = 0; len <=··· statement (for a non-terminal). But since
they are part of a search process we can solve this by just trying them both. One
consequence of this is that we cannot prevent new Goals from being created for
a terminal symbol; since there is no syntax rule for a terminal, the for-loop in
Goal.doWork() will find no match. Another consequence is that the program
can also handle input in which some non-terminal productions have already been
recognized.
We see that the methods doWork(),doWorkAfterMatch(int),andthe
if-branch in doAsTopOfStack() are similar in structure: they all start with a
modification of the situation, perform a recursive search, and then carefully restore
the original situation when the recursive search returns. This technique allows all
parsings to be found.
Note that besides the parse stack and the rule stack, there is also a search stack.
Whereas the first two are explicit, the third is implicit and is contained in the Java
recursion stack.
17.3.3 Handling Left Recursion
As explained in Section 6.3.1, a top-down parser will loop on a left-recursive
grammar and the problem can be avoided by making sure that no new goal is
accepted when that same goal is already being pursued. This is achieved by the
test TD.dottedGoalStack.contains(this) in RuleGoal.doWork().
When a new goal is about to be put on the parse stack, RuleGoal.doWork()
560 17 Practical Parser Writing and Usage
tests if the DottedGoalStack already contains the goal this. If it does, the goal
is not tried for the second time, and RuleGoal.doWork() returns immediately.
The above program was optimized for brevity and, hopefully, for clarity. With
an empty implementation of the methods in the class KnownRuleGoals,however,
it may require an amount of time that is exponential in the length of the input. The
optimization in the following section remedies that.
17.3.4 Parsing in Polynomial Time
An effective and relatively simple way to avoid exponential time requirement in a
context-free parser is to equip it with a well-formed substring table, often abbreviated
to WFST. A WFST is a table which holds all partial parse trees for each substring
(segment) of the input string; it is very similar to the table generated by the CYK
algorithm. It is can be shown that the amount of work needed to construct the table
cannot exceed O(nk+1)where nis the length of the input string and kis the maximum
number of non-terminals in any right-hand side. This takes the exponential sting out
of the depth-first search.
The WFST can be constructed in advance (which is what the CYK algorithm
does), or while parsing proceeds (“on the fly”). We shall do the latter here. Also,
rather than using a WFST as defined above, we shall use a known-parsing table,
which holds the partial parse trees for each RuleGoal, i.e., each combination of
a grammar rule and a substring of the input. These two design decisions have to
do with the order in which the relevant information becomes available in the parser
described above.
An implementation of the known-parsing table is shown in Figure 17.9. The class
KnownRuleGoals supplies the methods startNewParsing(RuleGoal),
recordParsing(RuleGoal) and doWork(RuleGoal).
The parser interacts with the known-parsing table TD.knownRuleGoals only
in a few places. The first place is in RuleGoal.doWork(), where a call is made
to knownRuleGoalTable.containsKey(this). This method accesses the
known-parsing table to find out if the rule goal this has been pursued before.
When called for the very first time, it will yield false since there are no known
parsings yet. So we skip the statements controlled by the if, and land at the call of
startNewParsing(this). This prepares the table for the recording of the zero
or more parsings that will be found for this. Once the parsings have been found and
the test is made a second time, it succeeds, and, rather than trying the rule goal again,
a call to TD.knownRuleGoals.doWork(this) is made, which produces the
zero or more parsings from the known-parsing table. The last interaction between the
parser and the known-parsing table is in DottedGoal.doAsTopOfStack(),
where a call of recordParsing() is used to enter the discovered parsing.
The rule goals are recorded in a three-level data structure. The first level is the
hash table knownRuleGoalTable, indexed by RuleGoals; its elements are ob-
jectsofclassKnownRuleGoal.AKnownRuleGoal has ruleGoal field and a
knownParsingSet field, which is a vector of objects of class KnownParsing
and which forms the second level. Each KnownParsingSet contains a parse tree
17.3 A Simple General Context-Free Parser 561
import java.util.ArrayList;
import java.util.Hashtable;
public class KnownRuleGoals {
Hashtable<RuleGoal,KnownRuleGoal> knownRuleGoalTable
= new Hashtable<RuleGoal,KnownRuleGoal>();
Hashtable<RuleGoal, Integer> startParsingTable
= new Hashtable<RuleGoal, Integer>();
public void startNewParsing(RuleGoal ruleGoal) {
startParsingTable.put(ruleGoal, new Integer(TD.ruleStack.size()));
knownRuleGoalTable.put(ruleGoal, new KnownRuleGoal(ruleGoal));
}
public void recordParsing(RuleGoal ruleGoal) {
knownRuleGoalTable.get(ruleGoal).record();
}
public void doWork(RuleGoal ruleGoal) {
knownRuleGoalTable.get(ruleGoal).doWork();
}
private class KnownRuleGoal {
RuleGoal ruleGoal;
ArrayList<KnownParsing> knownParsingSet =
new ArrayList<KnownParsing>();
void record() {
knownParsingSet.add(new KnownParsing());
}
void doWork() {
for (int i = 0; i < knownParsingSet.size(); i++) {
knownParsingSet.get(i).doWork();
}
}
private class KnownParsing {
Rule [] knownParsing;
KnownParsing() {
int stackSizeAtStart =
startParsingTable.get(ruleGoal).intValue();
int stackSize = TD.ruleStack.size();
knownParsing = new Rule[stackSize - stackSizeAtStart];
for (int i = stackSizeAtStart, j = 0; i < stackSize; i++, j++) {
knownParsing[j] = TD.ruleStack.elementAt(i);
}
}
void doWork() {
int oldStackSize = TD.ruleStack.size();
for (int i = 0; i < knownParsing.length; i++) {
TD.ruleStack.push(knownParsing[i]);
}
ruleGoal.doWorkAfterDone();
TD.ruleStack.setSize(oldStackSize); // pop all
}
}
}
}
Fig. 17.9. Implementation of the known-parsing table
562 17 Practical Parser Writing and Usage
for the described goal, represented as an array of Rules called knownParsing;
this is the third level.
There is also a hash table startParsingTable, indexed with RuleGoals,
which holds the level of the rule stack at the time when work on the RuleGoal was
started.
With this knowledge of the data structure we can easily understand the methods
in KnownRuleGoals. The method startNewParsing(RuleGoal) records
the size of the rule stack in the hash table startParsingTable, with the rule
goal as an index. The idea is that when a complete parsing is found for the rule goal,
the segment of the rule stack between the recorded size and the actual size contains
that parsing. It also puts an empty KnownRuleGoal in the known-parsing table; if
no parsings are found for the rule goal, this empty entry serves to record that fact.
When the main mechanism of the parser has found a parsing for the rule goal
(in DottedGoal.doAsTopOfStack()) it calls recordParsing().This
method is very simple: it retrieves the KnownRuleGoal for the rule goal, and ap-
plies its record() to it.
The method record() in KnownRuleGoal creates a new KnownParsing
and adds it to the knownParsingSet. The constructor for the KnownParsing
retrieves from the hash table startParsingTable the rule stack size at the time
the parsing for this rule goal started and the present rule stack size, creates the ar-
ray knownParsing[] and copies the parsing into it from the segment of the rule
stack between the present stack size and stackSizeAtStart. The parsing is now
safely stored in the array in the vector in the hash table.
Note that as long as the rule goal is under construction, it is also
on the parse stack. This means that the left-recursion protection test
TD.dottedGoalStack.contains(this) in RuleGoal cannot yield
false until after the rule goal has been rebmoved from the parse stack, i.e., after all
its parsings have been found. So when TD.knownRuleGoals.doWork(this)
is called eventually, we can be sure that it can reproduce all possible parsings.
This brings us to the method doWork(RuleGoal) in KnownRuleGoals;
it retrieves the KnownRuleGoal for the rule goal, and applies its doWork() to
it. This method steps through the knownParsingSet and applies doWork()
to each KnownParsing in it. The method KnownParsing.doWork() is
the first in the known-parsing class that directly contributes to the pars-
ing activity. It copies the parsing stored in knownParsing to the rule
stack as if it had been performed normally, signals to the rule goal that
the rule goal has been recognized, and removes the copied parsing. The
net result of the call to TD.knownRuleGoals.doWork(this) is that
RuleGoal.doWorkAfterDone() is called exactly as many times and in the
same situations as if the rule goal were parsed without the use of the known-parsing
table, only much faster.
It will be obvious that copying a ready-made solution is much more efficient than
reconstructing that solution. That it makes the difference between exponential and
polynomial behavior is less obvious, but true nevertheless. When applied to the input
strings ()) and ((())))), the parser without the known-parsing table tries 41624
17.4 Programming Language Paradigms 563
rules for the UserGrammar4 example, the parser with it only 203. A parser that
does not use the known-parsing table can be obtained simply by putting false &&
in front of the test of containsKey in RuleGoal.doWork() (page 557).
17.4 Programming Language Paradigms
A programming paradigm is a mind set for formulating and solving programming
problems. A paradigm is characterized by a single principle, a finite set of con-
cepts to support the principle, an infinite set of methods to apply the concepts to
solve the problem, and, hopefully, a user-community-cum-culture, with books, user
groups, etc., to spread the word. There are four major programming paradigms: im-
perative (“do this, then do that”); object-oriented (“everything is an object, with but-
tons (methods) on the outside”); functional (“everything is a function from input to
output”); and logic (“everything is a set of relations held together by Horn clauses”).
There is also parallel and distributed programming, but that is rather a — hope-
fully beneficial — restriction than a programming paradigm, in that it affects the
nature of the algorithms expressible in it. It is covered in Chapter 14.
Although in principle anything programmable can be programmed in any
paradigm, some combinations are much more convenient than others, and it is in-
teresting to see how the different paradigms relate to the various programs arising in
parser writing. Figures 17.1 and 17.2 show the four kinds of programs that are likely
to be produced by a parser writer: the interpreting parser, the parser generator, the
generated table-driven parser, and the compiled parser.
Interpreters and parser generators are just programs, no different in their nature
than any other programs; they can be written in any language in any paradigm the
programmer finds convenient. An example of an interpreter in Java was given in
Section 17.3.
Table-driven parsers do not contain much in the way of programming: just a sim-
ple loop accessing a table. The imperative paradigm is no doubt the best for this;
there are no obvious objects, and functional and logic languages are not very good
at handling large matrices. On the other hand, table-driven parsers often contain se-
mantic routines, and these may dictate the programming language and the paradigm.
We now turn to compiled parsers, parsers for which code in some programming
language must be generated. One powerful method for creating parser code is to
generate a parsing routine for each non-terminal, as in recursive descent (Sections
6.6 and 8.2.6). The idea was first suggested in the beginning of 1961 by Grau [332],
but he could not implement the idea because he had no compiler capable of handling
recursive routines. The first explicit description is by Lucas [41] later that year. The
idea was formalized by Knuth [43] in 1971. In the next few sections we discuss the
generation of recursive descent parsers in the four major paradigms.
17.4.1 Imperative and Object-Oriented Programming
Constructing a deterministic (LL(1)) parser by compiled recursive descent is very
simple in an imperative language, once the look-ahead sets have been computed;
564 17 Practical Parser Writing and Usage
Section 8.2 describes the technique. Doing the same in an object-oriented language
while respecting the object-oriented paradigm is much harder. The reason is that one
would like to encapsule all information about a non-terminal Ain a single object,
parse_A, but the problem is that the look-ahead sets of the alternatives of Abelong
to Abut depend on many other non-terminals. One can of course program around
this but the resulting code is awkward.
Two possible solutions to this problem have been suggested. The first is by
Koskimies [342], who lets each parse_Astart with empty look-ahead sets. The
first time Ais called and has to decide between its alternatives, it calls them one by
one. The routines for the alternatives then report back their look-ahead sets, and A
assembles its from theirs. The second is by Metsker [357], who hides the details in a
toolkit which defines the classes Repetition,Sequence,Alternation and
Word. A parser can then be constructed in object-oriented fashion from these.
17.4.2 Functional Programming
Although functional languages are less than great for deterministic, table-driven
parsers (but see Leermakers et al. [346]), they are very convenient for backtracking
recursive descent parsers. The three mechanisms in a CF grammar are concatenation,
choice and identification, as explained on page 24. The idea is to have the first two of
these mechanisms as higher-order functions in our parser; the identification comes
free of charge through the programming language.
A higher-order function is a function that takes functions as its parameters; in
our parser these parameters will be functions that parse given non-terminals, and the
two higher-order functions, called combinators, coordinate the parsing. Combinator
parsing was first described by Frost [344] and Hutton [345], but we shall follow here
Frost and Szydlowski [353], who give the following short, self-contained example.
The code for a parser for the grammar S--->aSS|εin the functional language
Haskell using combinators is
s = (a ‘and_then‘ s ‘and_then‘ s) ‘or_also‘ empty
a = term ’a’
We see that the translation is immediate (with concatenation represented by
‘and_then‘ and choice by ‘or_also‘), but it does require a lot of explana-
tion.
The Haskell function for parsing a non-terminal Aaccepts one parameter as input,
a list of strings. It picks up each string from the list in succession and tries to find
one or more prefixes in it that correspond to A. If it finds any, it adds the strings
that remain after the prefixes have been removed to the output list; otherwise it adds
nothing to the list.
Suppose Aproduces [a|b]*band we call its parsing function with a list of
three strings ["aab","aa","abbaba"], then the output is a list of four strings:
["","a","aba","baba"]. The first, empty string results from "aab", from
which the full aab has been removed as a prefix; the second input string has no pre-
fix that matches A, so it does not feature in the output; and the last three strings result
17.4 Programming Language Paradigms 565
from "abbaba", from which abbab,abb,andab have been removed as prefixes
successively. (Actually the Haskell system produces the strings in a different order,
due to its particular search order.)
There are two things to be noted here. The first is that a completed parsing results
in an empty string to be appended to the list of strings, and vice versa an empty string
indicated a successful parsing; this is the way we shall interpret the final result. The
second is that the output list of strings may be shorter or longer or equally long as the
input list, depending on how many parsings fail, deleting strings, and how many are
locally ambiguous, producing more than one string. The strings themselves can only
get shorter, or keep the same length. So, although the routine for Aseems to act as a
filter, letting only those strings pass whose prefixes match A, it differs from a filter in
that it can duplicate the things passing through it.
Now we must implement the combinators ‘and_then‘ and ‘or_also‘;
the backquotes around the names indicate to the Haskell system that they are in-
fix functions. The other two functions, term and empty, will be defined later. The
‘or_also‘ combinator is simple:
(p ‘or_also‘ q) inputs = (p inputs) ++ (q inputs)
which says that the function (p ‘or_also‘ q) is applied to the parameter
inputs by applying the function pto it, then applying qto it, and concatenat-
ing (++) the two resulting lists. Note that the input list gets copied here: both pand
qstart with the same lists of inputs and their contributions are combined.
The combinator ‘and_then‘ is more complicated (see Problem 17.5):
(p ‘and_then‘ q) inputs | (r == []) = []
|(r/=[])=(qr)
where
r = (p inputs)
It features a local variable r, which is computed first, by applying pto the list of
strings. So ris the list of strings that remain after a prefix matching phas been
removed from them. If that list is empty (that is, no string had a prefix matching
p), we return the empty list; if it is not, we apply qto it and return the result. Any
string in that result corresponds to a string in inputs that had prefixes matching p
followed by qremoved from it.
Remarkably, the function that parses a terminal symbol (that is, removes it as a
prefix) looks even more forbidding:
term c [] = []
term c (s:ts) = (term_c s) ++ (term c ts)
where
term_c "" = []
term_c (c1:s) | (c1 == c) = [s]
| (c1 /= c) = []
but that is because it has to take the list apart and then the strings in it, to get at
the first tokens of these strings, and then reassemble the lot. The first definition of
term c inputs says that if the input is the empty list, so is the output. The second
566 17 Practical Parser Writing and Usage
says that if the input can be split into a string sand the rest of the strings ts,then
the output is composed by applying an auxiliary function term_c to the string s
and concatenating the result with the result of the original function working on the
rest of the strings, ts.
The definition of the function term_c follows in the where section. The first
line says that if its parameter is the empty string, the result is the empty list. The
next two lines test for the first token of the parameter: if it is c,thetokenwewantto
match, we return the rest of the string packed in a list, otherwise we return the empty
list.
Note how both the empty string and the non-matching string are turned into the
empty list. The empty list is then concatenated with the rest of the list, which makes
it disappear from the game: the empty list indicates failure. On the other hand, a call
of term c s where sis "c" results in a list of one element, the empty string,
[""]. This empty string is just a new element of the output list; it stays in the game,
and can in the end signal success. “Emptiness” is a subtle thing. . .
The function representing εis very simple:
empty inputs = inputs
It just copies the input list.
We now have a complete program, and can call the parsing routine for Son an
input string, say aaa.Todothis,wewrite
s ["aaa"]
and the system responds with
["","","","a","","","a","aa","aaa"]
This reports five successful parsings and four failures. This technique can handle any
non-left-recursive CF grammar.
Some of the above functions can be written much more compactly and elegantly
in Haskell, but we have chosen the forms shown here because they require the least
knowledge of Haskell.
The above describes the bare bones of functional parsing, and many additions
and improvements need to be made. We will mention a few here, but recent literature
supplies many more. A filter is needed to clean out failed attempts. A semantics
mechanism must be added, since the “parser” we constructed above is actually a
recognizer; Hutton [345] describes how to do that. The naive parser has exponential
time complexity, which can be reduced to cubic by memoization; see for example
Frost [350] or Johnson [351]. Even more efficiency can be gained by doing partial
evaluation, as explained by Sperber and Thiemann [356].
Ljunglöf [358] describes extensively how to program parsers in Haskell, and in-
cludes detailed code for Earley and chart parsers. Several books on functional pro-
gramming have a section on parser writing, for example Thompson [413, Sect. 17.5].
The functional paradigm has also made great contributions to the field of natural
language parsing, in the form of the many natural language parsers written in Lisp.
17.5 Alternative Uses of Parsing 567
17.4.3 Logic Programming
If functional languages are a good vehicle for compiled parsers, logic languages,
more in particular Prolog, are an even better fit. The examples in this book (Definite
Clause Grammars in Section 6.7, Cancellation Parsing in Section 6.8, and parsing
VW grammars in Section 15.2.3), and the many papers listed in the sections on non-
Chomsky systems ((Web)Section 18.2.6), natural language parsing (18.3.5), parser
writing (18.3.1), and parsing as deduction (18.3.4), are ample proof of that. Prolog
also plays a considerable role in natural language parsing.
Prolog has two major advantages over most other paradigms: the search mech-
anism is built-in, handling the context-free part; and the semantics can be manip-
ulated conveniently with logic variables, handling the context-sensitive part. Logic
variables are subject to unification, a very powerful data-manipulation mechanism
not easily programmed in the other paradigms.
Only the constraint programming paradigm is more powerful, but it is experi-
mental, and no complete implementation technique for it is known or perhaps even
possible. Still, progress is being made on it, and it finds its way into parsing; see, for
example, Morawietz [373] or Erk and Kruijff [374].
17.5 Alternative Uses of Parsing
Parsing is the structuring of text according to a grammar, no more, no less. In that
sense there cannot be alternative uses of parsing. Still, some applications of parsing
are unusual and perhaps surprising. We will cover three of them here: data compres-
sion, machine instruction generation in compilers, and support of logic languages. In
the first two, text structuring is still prominent, but the third may qualify as “alterna-
tive use of parsing techniques”.
17.5.1 Data Compression
Files can be compressed only if they contain redundancy, but most files people use
have some. Usually this redundancy is internal: if we find that a file contains the word
aardvark many times, we can replace it by @23 provided @23 does not occur oth-
erwise. This is the kind of redundancy that is exploited by various zip programs. But
redundancy can also be external: if both the sender and the receiver know that a file
contains a tax declaration, only the numbers with the names of the boxes they go into
have to be stored in the file, not all the surrounding text. This kind of redundancy is
exploited by data bases. In both cases the important point is that we know something
about the file, either by inspection or as advance knowledge.
Knowing that a file conforms to a CF grammar amounts to a lot of information,
and over the last decade progress has been made to utilize that knowledge. Java
applets that have to be sent over the Internet have been especially interesting targets
for the technique. Such programs are transmitted in source or byte code, so they can
568 17 Practical Parser Writing and Usage
be subjected to user security checks before they are run on the receiver’s computer
(Evans [366]).
The idea is to store the sequence of rule numbers that produced the file — its
leftmost derivation, see Section 3.1.3 — rather than the file itself, in what is called
grammar-based compression. In terms of Java this means that, given that rule 75 of
the grammar is
ForStatement ---> for ( ForInitOption ; ExpressionOption ;
ForUpdateOption ) Statement()
it is cheaper to store 75,1 for non-terminal 75, alternative 1, than the produced text
for ( ... ; ... ; ... ).The75,1 can be stored in 11 bits: 7 for the non-
terminal number since there are fewer than 128 non-terminals in the Java grammar,
and 4 bits for the alternative number since there are at most 16 alternatives to any
non-terminal. The produced text form would cost 7 bytes, = 56 bits, so in this case
storing the leftmost derivation saves 45 bits, which is 80.4%.
Actually it is better than that: leftmost derivation implies leftmost production at
the receivers end, and in leftmost production we know at any moment which non-
terminal we are going to expand: the leftmost one in the sentential form. So we do
not have to store the non-terminal number at all, and 4 bits for the alternative number
suffice, raising our savings to 52 bits, 92.9%. Even better, since the non-terminal
ForStatement has only one alternative, we do not need to store the alternative
number at all, bringing us an untoppable savings of 100%! Of course, in a sense this
is cheating since the information that the next non-terminal is ForStatement was
supplied by the preceding Statement, at a cost of 4 bits since it has 16 alternatives.
Still, savings can be considerable, as we will see.
This juggling of alternative numbers, bits, and compression rates soon gets messy
and a more systematic approach is needed. Also, we want to compare the perfor-
mance of grammar-based compression to the standard Lempel–Ziv compression.
As a highly simplified example we will use files conforming to the grammar
1. Ss--->aSa
2. |bSb
3. |c
We start with a random file obeying the above grammar, 1 000 001 bytes long, and
starting with bababba.... Since the file contains only three different tokens, and
one of them only once, we expect the file to compress well under traditional tech-
niques and indeed gzip reduces its size to 159 107 bytes (84.1%) (see the table in
Figure 17.10).
The compressed version is now constructed as follows. LL(1) parsing of the file
immediately reveals that the top-most rule of the parse tree is S--->bSb, which is rule
number 2. There are three rules to S, so specifying the alternative will require 2 bits.
Since there is no rule 0, the three rules can be specified by the 2-bit integers 0, 1,
and 2. So for the first byte of the file, the two bits 01 are output. The next byte is an
a, which is produced by rule 1, so 00 is appended. The next two bytes yield 0100,
which completes one byte of the compressed file: 01000100. This process is repeated
until after 500 000 bytes we reach the c; in the meantime we have output 500 000/4

17.5 Alternative Uses of Parsing 569
Size Compres-
Object in bytes sion rate
Demo file 1 000 001 0%
Demo file, zipped 159 107 84.1%
With naive parsing 125 001 87.5%
With naive parsing, zipped 71 909 92.8%
Parsed with 1 expanded rule 93 793 90.6%
Parsed with 1 expanded rule, zipped 67 496 93.3%
Parsed with 253 expanded rules 62 684 93.7%
Parsed with 253 expanded rules, zipped 62 717 93.7%
Fig. 17.10. The effects of various stages of grammar-based compression
= 125 000 bytes in the compressed file. The cis parsed by rule 3, so we output the
bits 10. Now the second half of the input file has already been completely predicted
by the LL(1) parser, so no more rule numbers are produced. We fill up the last byte
with arbitrary bits, and we are done. The resulting size is 125 001 bytes (87.5%),
which is already better than gzip did.
The receiving program starts with Sas the initial form of the reconstructed file. It
then reads the first byte of the compressed file, 01000100, extracts the first two bits,
concludes that it needs to apply rule number 2 of non-terminal S, and replaces the
reconstructed form by bSb. The next 2 bits turn it into baSab, etc. When the code
10 is found, it identifies rule number 3, and the Sgets replaced by c.Nowthereis
no non-terminal left in the reconstructed form, so the process stops, the last few bits
in the input are ignored and the reconstructed form is written to file.
Since Lempel–Ziv compression is completely different from grammar-based
compression, it is tempting to apply it to the compressed file. Indeed the size reduces
further, to 71 909 bytes, and it is easy to see why. The two-bit integers we were
writing to the compressed file can only have the values 00, 01, and 10, and the last
value occurs only once; so we are using only 50+ε% of the capacity. This suggests
that we would have done better with a rule with 4 alternatives rather than 3. That can
be arranged, by substituting one non-terminal Ain the right-hand side of some rule
Bbyaright-handsideofA. We can, for example substitute S--->aSa into S--->bSb,
resulting in S--->baSab; this will be our rule number 4. The results are shown in the
third section of Figure 17.10, and we see that it helps considerably; but additional
zipping still works, so there is still redundancy left. (Another way to remedy the bad
fit is by using adaptive arithmetic coding, as reported by Evans [366].)
If four alternatives are better than three, more might be even better; and it is.
Evans [367] shows that it is efficient to substitute out non-terminals until they all have
256 alternatives. Then each alternative number fits in exactly one byte, which speeds
up processing in both the compressing and the decompressing side, and no space is
lost. This immediately raises the question which non-terminals to substitute in which
570 17 Practical Parser Writing and Usage
right-hand sides. Evans gives heuristics, possibly involving analyzing the input file
in advance, but since we want to keep it simple in our example, we substitute the
rules S--->aSa and S--->bSb in each other until we have rules that start with all
combinations of 8 asandbs. That yields 256 rules, and because we still need our
first three rules, we just discard the last three rules. This means that our grammar
now looks as follows:
1. Ss--->aSa
2. |bSb
3. |c
4. | aaaaaaaaSaaaaaaaa
5. | aaaaaaabSbaaaaaaa
···
255. | bbbbbabbSbbabbbbb
256. | bbbbbbaaSaabbbbbb
When the input starts with one of the discarded combinations, for example
bbbbbbab,orwhenthecis among them, rules 1 or 2 take over. Using this gram-
mar reduces the size to 62 684 bytes (93.7%), which is very close to the theoretical
minimum of 62 501 (1 bit for each aor bin the first half, + 1 bit for the c). It is
gratifying to see that we have finally reached a compression that cannot be improved
by an additional application of gzip.
In the above explanation we have swept an important problem under the rug: af-
ter the substitutions the grammar is no longer LL(1); it is even ambiguous. There are
several ways to solve this. We observe that the above grammar is LL(8), provided
dynamic conflict resolvers are attached to rules 1 and 2 to avoid these rules when
possible. It is not inconceivable that such an adaptation can be automated; see Prob-
lem 17.6. Evans [367] shows how to rig an Earley parser so it always recognizes the
longest possible sequence. And even in the absence of such solutions, spending con-
siderable time compressing a file is worth while, when the result is used sufficiently
often.
Two notes: Many papers on data compression use the term “parsing” in the sense
of repeated string recognition, and as such these techniques do not qualify as “ap-
plications of parsing”. And for readers who read Russian, some papers on grammar-
based data compression are in Russian, for example Kurapova and Ryabko [352].
17.5.2 Machine Code Generation
A large part of program code in imperative languages consists of arithmetic expres-
sions. The compiler analyses these expressions and makes all implicit actions in them
explicit; examples are indirection, subscripting, and field selection. These explicit ex-
pressions, which are part of the intermediate code (IC) in the compiler, very quickly
get more complicated than one would expect. For example, the integer expression
a[b] is converted to something like M[a+4×b]:thevalueofbmust be multiplied
by 4 since integers are 4 bytes long, the address of the array amust be added to it,
and the memory location at that address must be read.

17.5 Alternative Uses of Parsing 571
In the end such intermediate code expressions must be converted to machine
instructions, which can also be seen as expressions. For example, most machines
have an add constant instruction, which adds a constant to a machine register. It
could be written ADDC Rn,c and be represented by the expression Rn:=c+Rn.
One way to translate from intermediate code to machine code is to generate the
IC expressions according to an IC grammar and to reparse this stream according to
a machine code grammar. That is exactly what Glanville and Graham [336] do; they
use a modified SLR(1) parser for the process. The technique is variously referred to
as Glanville–Graham and Graham–Glanville, which again goes to show that tech-
niques should not be named after people. We will call it expression-rewriting code
generation, in line with the better known tree-rewriting code generation.
Intermediate and machine code grammars are large and repetitive: the SLR(1)
parser for the very simple example in Glanville and Graham’s paper already has 42
states. We shall therefore give here a totally unrealistic example and just sketch the
process; for more details we refer to the above paper and to literature on the Internet.
Suppose we have a machine with the following six machine instructions:
Name Rule Assembler Cost
Add constant c R[n] ---> + c R[n] ADDC Rn,c 1
Multiply by R[n] ---> ×c R[n] MULSC Rn,c 2
−128 ≤c≤127
Multiply by R[n] ---> ×c R[n] MULC Rn,c 3
constant c
Load address of R[n] --->A
vLA Rn,v 1
variable v
Load address of an R[n] --->+A
a×c R[i] LAAE Rn,a,[Ri]3
element of array a
(c2=4)
Load value R[n] ---> @ R[i] LD Rn,M[Ri]3
from memory
The expressions are presented in prefix form: the Rn:=c+Rnabove shows up as
R[n]--->+cR[n]. There are two instructions for multiplication, one with a small
(one-byte) constant, and another with any constant. The LAAE instruction Loads the
Address of an Array Element. The LD instruction loads one register with the value of
the memory location at (@) another register. The column marked “Assembler” shows
the machine instructions to be generated for each rule. “Cost” specifies the cost in
arbitrary units. The grammar contains two kinds of context or semantic conditions.
The first is that the register numbers must be substituted consistently: the first line is
actually an abbreviation for
Add constant R[1] ---> + c R[1] ADDC R1,c 1
Add constant R[2] ---> + c R[2] ADDC R2,c 1
···
The second is the condition −128 ≤c≤127 on the MULSC instruction and the c2=4
in LAAE.
The grammar is ambiguous and certainly not SLR(1). There are many ways
to resolve the conflicts; we will resolve shift-reduce conflicts by shifting and re-

572 17 Practical Parser Writing and Usage
duce/reduce conflicts by reducing with the longest reduce with the lowest cost which
is compatible with the semantic restrictions.
We now return to our source code expression a[b], which translates into the
intermediate code expression @+Aa×4@Ab.HereAais a constant, equal to the ma-
chine address of the first word of the array a,andAbis the address of the variable
bin memory. When this expression is parsed, the parser goes through a number of
shift/reduce conflicts, and shifts it completely onto the stack.
The further actions are shown in Figure 17.11. Initially only one reduction can
Stack Action Machine instruction Cost
@+A
a×4@A
breduce, Load addr. of var. LA R1,b 1
@+A
a×4@R
1reduce, Load value from mem. LD R2,M[R1]3
@+A
a×4R
2reduce, Load addr. of ar. elem. LAAE R3,a[R2]3
@R
3reduce, Load value from mem. LD R4,M[R3]3
R4result left in R410
Fig. 17.11. Parser actions during expression-rewriting code generation
be done, using the rule for loading the address of a variable. It replaces the Abon the
stack by R1, while at the same time issuing the instruction LA R1,b. We see that
reducing the top segment Tof the stack to a register Rcorresponds to code which at
run time puts the value of the expression corresponding to Tinto R: the combined
action leaves the semantics unaltered — the basic tenet of code generation.
The second reduction is also forced: load value (that of b) from memory; to sim-
plify matters we use a very simple register allocation scheme here: just assign a new
register every time. The next stack configuration, however, has a triple reduce/reduce
conflict: it can be reduced with the instructions MULSC,MULC,andLAAE. The first
matches because the constant (4) is small, the second has no restrictions and the
third matches because the constant is in range. The criterion to take the cheapest of
the longest reductions that fit the restrictions leads us to use LAAE. The last step is
again forced, and leaves the result of the expression a[b] in register 4, at a total cost
of 10 units.
Now suppose the source expression had been &a+5×b,where&a is the address
of ain a C-like notation. This would have resulted in an intermediate code expression
+Aa×5@Ab. The first two steps in the reduction sequence remain the same, but in
the resulting stack configuration +A
a×5R
2the constant is not 4, and LAAE no
longer fulfills the restrictions. The other two reductions do, however, and the cheapest
is chosen:
+A
a×5R
2reduce, Multiply by small const. MULSC R3,5 2
+A
aR3reduce, Add constant ADDC R3,a 1
R3result left in R39
We see that the algorithm automatically adapts to a small change in the intermedi-
ate code expression by generating quite different code. Combined with the possibility
to impose context restrictions and assign costs, expression-rewriting code generation
17.6 Conclusion 573
is a versatile tool for generating good code for expressions. (More recently it has
been superseded by BURS-techniques, which rewrite trees rather than expressions.)
There are several problems with the above approach; they are all concerned with
the fact that we are using an ambiguous grammar to do parsing. So we run the risk of
making a decision that will turn out to block progress further on. See Glanville and
Graham’s paper [336] for solutions.
17.5.3 Support of Logic Languages
In Sections 6.7 and 17.4.3 we have seen how a logic language, in this case DCG-
extended Prolog, can be used to implement parsing. This works both ways: it is also
possible to use parsing to support the inference process involved in logic languages.
Normally logic languages use a built-in top-down depth-first search, as do many
parsing algorithms, but many of the latter also incorporate some breadth-first and/or
bottom-up component. The idea is to use the well-balanced search techniques from
the parsing scene to guide the inference process in the logic language. This usually
requires imposing some restrictions on the logic languages.
Rosenblueth [370] uses chart parsers as inference systems for logic programs
in which the arguments of the logic predicates can be classified as either input or
output, a restriction reminiscent of that on the attributes in attribute grammars. In
[371] Rosenblueth and Peralta do the same using SLR parsing. Vilain [369] exploits
tabular Earley parsing to implement deduction recognition in a frame language.
17.6 Conclusion
Broadly speaking, general CF parsing is best done with a GLR(0) parser, and the
same goes for general CF substring parsing. For linear-time parsing strong-LL(1)
and LALR(1) are still good choices. For linear-time substring parsing Bates and
Lavie’s technique [214] is the prime candidate.
Parsers can perform the semantics of their input immediately, or can create parse
tree(s) to be processed further. In a parser, the grammar can be interpreted, compiled
into a table or compiled into program code, in that order of efficiency.
Recursive-descent parsers can be implemented efficiently in all four paradigms,
imperative, object-oriented, functional, and logic, with especially the latter having
remarkable properties.
Parsing can be used outside the traditional setting of matching a string to a gram-
mar; examples are data compression, machine code generation and the support of
logic languages.
Problems
Problem 17.1: How does the parser from Section 17.3 handle infinite ambigu-
ity?
574 17 Practical Parser Writing and Usage
Problem 17.2: Modify the parser from Section 17.3 so it delivers a parse for-
est rather than a sequence of parsings. This would allow infinite ambiguity to be
represented better.
Problem 17.3: The explicit dotted-goal stack in the parser from Section 17.3 can
be avoided by linking each dotted goal to its parent. Modify the code in that sense.
Problem 17.4:History: Determine the parsing technique used by Grau in his
1961 paper [332]. That is, design an algorithm that produces Grau’s table or some-
thing close, making reasonable assumptions about the grammar used.
Problem 17.5: Why can we not just define (p ‘and_then‘ q) inputs
as q (p inputs), which is exactly what ‘and_then‘ seems to mean?
Problem 17.6:Project: Given an LL or LR grammar, redesign the corresponding
linear-time parser so it is still linear-time when rules are substituted, as described in
Section 17.5.1.
Problem 17.7:Project: Expression-rewriting code generation uses ambiguous
grammars and bottom-up parsing, and requires that no grammar-conforming input
be rejected, regardless of how reduce/reduce conflicts are resolved. Glanville and
Graham [336] give conditions on the grammar to achieve this, but these conditions,
although adequate for their purpose, seem overly restrictive. Try to find more lenient
conditions and still accept any correct input, under two regimes: 1. shift/reduce con-
flicts are always resolved by shifting; 2. shift/reduce conflicts can be resolved any
way the code generator sees fit.
The purpose of this annotated bibliography is to supply the reader with more material
and with more detail than was possible in the preceding chapters, rather than to just
list the works referenced in the text. The annotations cover a considerable number of
subjects that have not been treated in the rest of the book.
The printed version of this book includes only those literature references and their
summaries that are actually referred to in it. The full literature list with summaries as
far as available can be found on the web site of this book; it includes its own authors
index and subject index.
This annotated bibliography differs in several respects from the habitual literature
list.
• The annotated bibliography consists of four sections:
– Main parsing material — papers about the main parsing techniques.
– Further parsing material — papers about extensions of and refinements to the
main parsing techniques, non-Chomsky systems, error recovery, etc.
– Parser writing and application — both in computer science and in natural
languages.
– Support material — books and papers useful to the study of parsers.
• The entries in each section have been grouped into more detailed categories;
for example, the main section contains categories for general CF parsing, LR
parsing, precedence parsing, etc. For details see the Table of Contents at the
beginning of this book.
Most publications in parsing can easily be assigned a single category. Some that
span two categories have been placed in one, with a reference in the other.
• The majority of the entries are annotated. This annotation is not a copy of the ab-
stract provided with the paper (which generally says something about the results
obtained) but is rather the result of an attempt to summarize the technical content
in terms of what has been explained elsewhere in this book.
• The entries are ordered chronologically rather than alphabetically. This arrange-
ment has the advantage that it is much more meaningful than a single alphabetic
list, ordered on author names. Each section can be read as the history of research
Annotated Bibliography
576 18 Annotated Bibliography
on that particular aspect of parsing, related material is found closely together
and recent material is easily separated from older publications. A disadvantage is
that it is now difficult to locate entries by author; to remedy this, an author index
(starting on page 651) has been supplied.
18.1 Major Parsing Subjects
18.1.1 Unrestricted PS and CS Grammars
1. Tanaka, Eiichi and Fu, King-Sun. Error-correcting parsers for formal languages. IEEE
Trans. Comput., C-27(7):605–616, July 1978. In addition to the error correction algorithms
referred to in the title (for which see [301]) a version of the CYK algorithm for context-sensitive
grammars is described. It requires the grammar to be in 2-form: no rule has a right-hand size longer
than 2, and no rule has a left-hand size longer than its right-hand size. This limits the number of
possible rule forms to 4: A→a,A→BC,AB →CB (right context), and BA →BC (left context).
The algorithm is largely straightforward; for example, for rule AB →CB,ifCand Bhave been
recognized adjacently, an Ais recognized in the position of the C. Care has to be taken, however, to
avoid recognizing a context for the application of a production rule when the context is not there at
the right moment; a non-trivial condition is given for this, without explanation or proof.
18.1.2 General Context-Free Parsing
2. Irons, E. T. A syntax-directed compiler for ALGOL 60. Commun. ACM, 4(1):51–55,
Jan. 1961. The first to describe a full parser. It is essentially a full backtracking recursive descent
left-corner parser. The published program is corrected in a Letter to the Editor by B.H. Mayoh,
Commun. ACM, 4(6):284, June 1961.
3. Hays, David G. Automatic language-data processing. In H. Borko, editor, Computer
Applications in the Behavioral Sciences, pages 394–423. Prentice-Hall, 1962. Actually
about machine translation of natural language. Contains descriptions of two parsing algorithms.
The first is attributed to John Cocke of IBM Research, and is actually a CYK parser. All terminals
have already been reduced to sets of non-terminals. The algorithm works by combining segments
of the input (“phrases”) corresponding to non-terminals, according to rules X−Y=Zwhich are
supplied in a list. The program iterates on the length of the phrases, and produces a list of numbered
triples, consisting of a phrase and the numbers of its two direct constituents. The list is then scanned
backwards to produce all parse trees. It is suggested that the parser might be modified to handle
discontinuous phrases, phrases in which Xand Yare not adjacent.
The second algorithm, “Dependency-Structure Determination”, seems akin to chart parsing. The
input sentence is scanned repeatedly and during each scan reductions appropriate at that scan are
performed: first the reductions that bind tightest, for example the nouns modified by nouns (as in
“computer screen”), then such entities modified by adjectives, then the articles, etc. The precise
algorithm and precedence table seem to be constructed ad hoc.
4. Kuno, S. and Oettinger, A. G. Multiple-path syntactic analyzer. In Information Pro-
cessing 1962, pages 306–312, Amsterdam, 1962. North-Holland. A pool of predictions
is maintained during parsing. If the next input token and a prediction allows more than one new
prediction, the prediction is duplicated as often as needed, and multiple new predictions result. If a
prediction fails it is discarded. This is top-down breadth-first parsing.
5. Sakai, Itiroo. Syntax in universal translation. In 1961 International Conference on
Machine Translation of Languages and Applied Language Analysis, pages 593–608,
London, 1962. Her Majesty’s Stationery Office. Using a formalism that seems equivalent
18.1 Major Parsing Subjects 577
to a CF grammar in Chomsky Normal Form and a parser that is essentially a CYK parser, the
author describes a translation mechanism in which the source language sentence is transformed
into a binary tree (by the CYK parser). Each production rule carries a mark telling if the order
of the two constituents should be reversed in the target language. The target language sentence is
then produced by following this new order and by replacing words. A simple Japanese-to-English
example is provided.
6. Greibach,S.A.Inverses of Phrase Structure Generators. PhD thesis, Technical Report
NSF-11, Harvard U., Cambridge, Mass., 1963.
7. Greibach, Sheila A. Formal parsing systems. Commun. ACM, 7(8):499–504, Aug. 1964.
“A formal parsing system G=(V,µ,T,R)consists of two finite disjoint vocabularies, Vand T,a
many-to-many map, µ, from Vonto T, and a recursive set Rof strings in Tcalled syntactic sentence
classes” (verbatim). This is intended to solve an additional problem in parsing, which occurs often
in natural languages: a symbol found in the input does not always uniquely identify a terminal
symbol from the language (for example, will (verb) versus will (noun)). On this level, the language
is given as the entire set R, but in practice it is given through a “context-free phrase structure
generator”, i.e. a grammar. To allow parsing, this grammar is brought into what is now known as
Greibach Normal Form: each rule is of the form Z→aY1···Ym,whereais a terminal symbol and
Zand Y1···Ymare non-terminals. Now a directed production analyser is defined which consists of
an unlimited set of pushdown stores and an input stream, the entries of which are sets of terminal
symbols (in T), derived through µfrom the lexical symbols (in V). For each consecutive input entry,
the machine scans the stores for a top non-terminal Zfor which there is a rule Z→aY1···Ymwith a
in the input set. A new store is filled with a copy of the old store and the top Zis replaced by Y1···Ym;
if the resulting store is longer than the input, it is discarded. Stores will contain non-terminals only.
For each store that is empty when the input is exhausted, a parsing has been found. This is in
effect non-deterministic top-down parsing with a one-symbol look-ahead. This is probably the first
description of a parser that will work for any CF grammar.
A large part of the paper is dedicated to undoing the damage done by converting to Greibach Normal
Form.
8. Greibach, S. A. A new normal form theorem for context-free phrase structure
grammars. J. ACM, 12:42–52, Jan. 1965. A CF grammar is in “Greibach Normal Form” when
the right-hand sides of the rules all consist of a terminal followed by zero or more non-terminals.
For such a grammar a parser can be constructed that consumes (matches) one token in each step; in
fact it does a breadth-first search on stack configurations. An algorithm is given to convert any CF
grammar into Greibach Normal Form. It basically develops the first non-terminal in each rule that
violates the above condition, but much care has to be taken in that process.
9. Griffiths, T. V. and Petrick, S. R. On the relative efficiencies of context-free grammar
recognizers. Commun. ACM, 8(5):289–300, May 1965. To achieve a unified view of the
parsing techniques known at that time, the authors define a non-deterministic two-stack machine
whose only type of instruction is the replacement of two given strings on the tops of both stacks
by two other strings; the machine is started with the input on one stack and the start symbol on
the other and it “recognizes” the input if both stacks get empty simultaneously. For each parsing
technique considered, a simple mapping from the grammar to the machine instructions is given;
the techniques covered are top-down (called top-down), left-corner (called bottom-up) and bottom-
up (called direct-substitution). Next, look-ahead techniques are incorporated to attempt to make
the machine deterministic. The authors identify left recursion as a trouble-spot. All grammars are
required to be ε-free. The procedures for the three parsing methods are given in a Letter to the
Editor, Commun. ACM, 8(10):594, Oct 1965.
10. Younger, Daniel H. Recognition and parsing of context-free languages in time n3.
Inform. Control, 10(2):189–208, Feb. 1967. A Boolean recognition matrix Ris constructed
in a bottom-up fashion, in which R[i,l,p]indicates that the segment of the input string starting at
position iwith length lis a production of non-terminal p. This matrix can be filled in O(n3)ac-
tions, where nis the length of the input string. If R[0,n,0]is set, the whole string is a production of
non-terminal 0. Many of the bits in the matrix can never be used in any actual parsing; these can
578 18 Annotated Bibliography
be removed by doing a top-down scan starting from R[0,n,0]and removing all bits not reached this
way. If the matrix contains integer rather than Boolean elements, it is easy to fill it with the number
of ways a given segment can be produced by a given non-terminal; this yields the ambiguity rate.
11. Dömölki, Bálint. A universal compiler system based on production rules. BIT, 8(4):262–
275, Oct. 1968. The heart of the compiler system described here is a production system consisting
of an ordered set of production rules, which are the inverses of the grammar rules; note that the no-
tions “left-hand side” (lhs) and “right-hand side” (rhs) are reversed from their normal meanings in
this abstract. The system attempts to derive the start symbol, by always applying the first applicable
production rule (first in two respects: from the left in the string processed, and in the ordered set
of production rules). This resolves shift/reduce conflicts in favor of reduce, and reduce/reduce con-
flicts by length and by the order of the production rules. When a reduction is found, the lhs of the
reducing rule is offered for semantic processing and the rhs is pushed back into the input stream, to
be reread. Since the length of the rhs is not restricted, the method can handle non-CF grammars.
The so-called “Syntactic Filter” uses a bitvector technique to determine if, and if so which, produc-
tion rule is applicable: for every symbol iin the alphabet, there is a bitvector B[i], with one bit for
each of the positions in each lhs; this bit set to 1 if this position contains symbol i. There is also a
bitvector Umarking the first symbol of each lhs, and a bitvector Vmarking the last symbol of each
lhs. Now, a stack of bitvectors Qtis maintained, with Q0=0andQt=((Qt−1>> 1)∨U)∧B[it],
where itis the t-th input symbol. Qtcontains the answer to the question whether the last jsymbols
received are the first jsymbols of some lhs, for any lhs and j. A 1 “walks” through an lhs part of
the Qvector, as this lhs is recognized. An occurrence of an lhs is found if Qt∧V=0. After doing
a replacement, tis set back kplaces, where kis the length of the applied lhs, so a stack of Qt-s must
be maintained. If some Qt=0, we have an error. An interesting implementation of the Dömölki
algorithm is given by Hext and Roberts [15].
12. Unger, S. H. A global parser for context-free phrase structure grammars. Commun.
ACM, 11(4):240–247, April 1968. The Unger parser (as described in Section 4.1) is extended
with a series of tests to avoid partitionings that could never lead to success. For example, a section of
the input is never matched against a non-terminal if it begins with a token no production of the non-
terminal could begin with. Several such tests are described and ways are given to statically derive
the necessary information (FIRST sets, LAST sets, EXCLUDE sets) from the grammar. Although
none of this changes the exponential character of the algorithm, the tests do result in a considerable
speed-up in practice. (An essential correction to one of the flowcharts is given in Commun. ACM,
11(6):427, June 1968.)
13. Kasami, T. and Torii, K. A syntax-analysis procedure for unambiguous context-free
grammars. J. ACM, 16(3):423–431, July 1969. A rather complicated presentation of a vari-
ant of the CYK algorithm, including the derivation of a O(n2log n)time bound for unambiguous
Chomsky Normal Form grammars.
14. Earley, J. An efficient context-free parsing algorithm. Commun. ACM, 13(2):94–102,
Feb. 1970. This famous paper gives an informal description of the Earley algorithm. The algorithm
is compared both theoretically and experimentally with some general search techniques and with
the CYK algorithm. It easily beats the general search techniques. Although the CYK algorithm has
the same worst-case efficiency as Earley’s, it requires O(n3)on any grammar, whereas Earley’s
requires O(n2)on unambiguous grammars and O(n)on bounded-state grammars. The algorithm is
easily modified to handle Extended CF grammars. Tomita [161] has pointed out that the parse tree
representation is incorrect: it combines rules rather than non-terminals (see Section 3.7.3.1).
15. Hext, J. B. and Roberts, P. S. Syntax analysis by Dömölki’s algorithm. Computer J.,
13(3):263–271, Aug. 1970. Dömölki’s algorithm [11] is a bottom-up parser in which the item
sets are represented as bitvectors. A backtracking version is presented which can handle any gram-
mar. To reduce the need for backtracking a 1-character look-ahead is introduced and an algorithm
for determining the actions on the look-ahead is given. Since the internal state is recomputed by
vector operations for each input character, the parse table is much smaller than usual and its entries
are one bit each. This, and the fact that it is all bitvector operations, makes the algorithm suitable
for implementation in hardware.

18.1 Major Parsing Subjects 579
16. Kay,M. TheMINDsystem. InR.Rustin,editor,Natural Language Processing, pages
155–188. Algorithmic Press, New York, 1973. The MIND system consists of the following
components: morphological analyser, syntactic processor, disambiguator, semantic processor, and
output component. The information placed in the labels of the arcs of the chart is used to pass on
information from one component to another.
17. Bouckaert, M., Pirotte, A., and Snelling, M. Efficient parsing algorithms for general
context-free parsers. Inform. Sci., 8(1):1–26, Jan. 1975. The authors observe that the Pre-
dictor in an Earley parser will often predict items that start with symbols that can never match the
first few symbols of the present input; such items will never bear fruit and could as well be left out.
To accomplish this, they extend the k-symbol reduction look-ahead Earley parser with a t-symbol
prediction mechanism; this results in very general Mt
kparsing machines, the properties of which
are studied, in much formal detail. Three important conclusions can be drawn. Values of kor t
larger than one lose much more on processing than they will normally gain on better prediction and
sharper reduction; such parsers are better only for asymptotically long input strings. The Earley
parser without look-ahead (M0
0) performs better than the parser with 1 symbol look-ahead; Earley’s
recommendation to use always 1 symbol look-ahead is unsound. The best parser is M1
0;i.e.usea
one symbol predictive look-ahead and no reduction look-ahead.
18. Valiant, Leslie G. General context-free recognition in less than cubic time. J. Comput.
Syst. Sci., 10:308–315, 1975. Reduces CF recognition to bit matrix multiplication in three
steps, as follows. For an input string of length n,ann×nmatrix is constructed, the elements of
which are sets of non-terminals from a grammar Gin Chomsky Normal form; the diagonal just
next to the main diagonal is prefilled based on the input string. Applying transitive closure to this
matrix is equivalent to the CYK algorithm, but, just like transitive closure, that is O(n3). Next, the
author shows how transitive closure can be reduced by divide-and-conquer to a sequence of matrix
multiplications that can together be done in a time that is not more than a constant factor larger
than required for one matrix multiplication. The third step involves decomposing the matrices of
sets into sets of hBoolean matrices, where his the number of non-terminals in G. To multiply
two matrices, each of their hBoolean counterparts must be multiplied with all hothers, requiring
h×hmatrix multiplications. The fourth step, doing these matrix multiplications in time O(n2.81)
by applying Strassen’s1algorithm, is not described in the paper.
19. Graham, Susan L. and Harrison, Michael A. Parsing of general context-free languages.
In Advances in Computing, Vol. 14, pages 77–185, New York, 1976. Academic Press.
The 109 page article describes three algorithms in a more or less unified manner: CYK, Earley’s,
and Valiant’s. The main body of the paper is concerned with bounds for time and space require-
ments. Sharper bounds than usual are derived for special grammars, for example, for linear gram-
mars.
20. Sheil, B. Observations on context-free parsing. Statistical Methods in Linguistics, pages
71–109, 1976. The author proves that any CF backtracking parser will have a polynomial time
dependency if provided with a “well-formed substring table” (WFST), which holds the well-formed
substrings recognized so far and which is consulted before each attempt to recognize a substring.
The time requirements of the parser is O(nc+1)where cis the maximum number of non-terminals
in any right-hand side. A 2-form grammar is a CF grammar such that no production rule in the
grammar has more than two non-terminals on the right-hand side; nearly all practical grammars are
already 2-form. 2-form grammars, of which Chomsky Normal Form grammars are a subset, can be
parsed in O(n3). An algorithm for a dividing top-down parser with a WFST is supplied. Required
reading for anybody who wants to write or use a general CF grammar. Many practical hints and
opinions (controversial and otherwise) are given.
1Volker Strassen, “Gaussian elimination is not optimal”, Numerische Mathematik, 13:354-
356, 1969. Shows how to multiply two 2×2 matrices using 7 multiplications rather than 8
and extends the principle to larger matrices.
580 18 Annotated Bibliography
21. Deussen, P. A unified approach to the generation and acception of formal languages.
Acta Inform., 9(4):377–390, 1978. Generation and recognition of formal languages are seen
as special cases of Semi-Thue rewriting systems, which essentially rewrite a string uto a string
v. By filling in the start symbol for uor vone obtains generation and recognition. To control the
movements of the rewriting system, states are introduced, combined with left- or right-preference
and length restrictions. This immediately leads to a 4 ×4 table of generators and recognizers. The
rest of the paper examines and proves properties of these.
22. Deussen, Peter. One abstract accepting algorithm for all kinds of parsers. In Hermann A.
Maurer, editor, Automata, Languages and Programming, volume 71 of Lecture Notes in
Computer Science, pages 203–217. Springer-Verlag, Berlin, 1979. CF parsing is viewed
as an abstract search problem, for which a high-level algorithm is given. The selection predicate
involved is narrowed down to give known linear parsing methods.
23. Graham, S. L., Harrison, M. A., and Ruzzo, W. L. An improved context-free recognizer.
ACM Trans. Prog. Lang. Syst., 2(3):415–462, July 1980. The well-formed substring table
of the CYK parser is filled with dotted items as in an LR parser rather than with the usual non-
terminals. This allows the number of objects in each table entry to be reduced considerably. Special
operators are defined to handle ε- and unit rules.
The authors do not employ any look-ahead in their parser; they claim that constructing the recog-
nition table is pretty fast already and that probably more time will be spent in enumerating and
analysing the resulting parse trees. They speed up the latter process by removing all useless entries
before starting to generate parse trees. To this end, a top-down sweep through the triangle is per-
formed, similar to the scheme to find all parse trees, which just marks all reachable entries without
following up any of them twice. The non-marked entries are then removed (p. 443).
Much attention is paid to efficient implementation, using ingenious data structures.
24. Kilbury, James. Chart parsing and the Earley algorithm. In Ursula Klenk, editor,
Kontextfreie Syntaxen und verwandte Systeme, volume 155 of Linguistische Arbeiten,
pages 76–89. Max Niemeyer Verlag, Tübingen, Oct. 1984. The paper concentrates on the
various forms items in parsing may assume. The items as proposed by Earley [14] and Shieber
[379] derive part of their meaning from the sets they are found in. In traditional chart, Earley and
LR parsing these sets are placed between the tokens of the input. The author inserts nodes between
the tokens of the input instead, and then introduces a more general, position-independent item,
(i,j,A,α,β), with the meaning that the sequence of categories (linguistic term for non-terminals)
αspans (=generates) the tokens between nodes iand j, and that if a sequence of categories βis
recognized between jand some node k, a category Ahas been recognized between iand k. An item
with β=εis called “inactive” in this paper; the terms “passive” and “complete” are used elsewhere.
These Kilbury items can be interpreted both as edges in chart parsing and as items in Earley pars-
ing. The effectiveness of these items is then demonstrated by giving a very elegant formulation of
the Earley algorithm.
The various versions of chart parsing and Earley parsing differ in their inference rules only. Tra-
ditional chart parsing generates far too many items, due to the absence of a top-down selection
mechanism which restricts the items to those that can lead back to the start symbol. The paper
shows that Earley parsing also generates too many items, since its (top-down) predictor generates
many items that can never match the input. The author then proposes a new predictor, which op-
erates bottom-up, and predicts only items that can start with the next token in the input or with
a non-terminal that has just resulted from a reduction. The algorithm is restricted to ε-free gram-
mars only, so the completer and predictor need not be repeated. Consequently, the non-terminals
introduced by the predictor do not enter the predictor again, and so the predictor predicts the non-
terminal of the next-higher level only. Basically it refrains from generating items that would be
rejected by the next input token anyway. This reduces the number of generated items considerably
(but now we are missing the top-down restriction). Again a very elegant algorithm results.
25. Kay, Martin. Algorithm schemata and data structures in syntactic processing. In
B.J. Grosz, K. Sparck Jones, and B.L. Webber, editors, Readings in Natural Language
Processing, pages 35–70. Morgan Kaufmann, 1986. In this reprint of 1980 Xerox PARC
18.1 Major Parsing Subjects 581
Technical Report CSL-80-12, the author develops a general CF text generation and parsing theory
for linguistics, based (implicitly) on unfinished parse trees in which there is an “upper symbol” (top
category, predicted non-terminal) αand a “lower symbol” β, the first text symbol corresponding to
α; and (explicitly) on a rule selection table Sin which the entry Sα,βcontains (some) rules A→γ
such that A∈FIRST
ALL(α)and β∈FIRST(γ), i.e., the rules that can connect αto β. The table can
be used in production and parsing; top-down, bottom-up and middle-out; and with or without look-
ahead (called “directed” and “undirected” in this paper). By pruning rules from this table, specific
parsing techniques can be selected.
To avoid duplication of effort, the parsing process is implemented using charts (Kay [16]). The
actions on the chart can be performed in any order consistent with available data, and are managed
in a queue called the “agenda”. Breadth-first and depth-first processing orders are considered.
26. Cohen, Jacques and Hickey, Timothy J. Parsing and compiling using Prolog.
ACM Trans. Prog. Lang. Syst., 9(2):125–164, April 1987. Several methods are
given to convert grammar rules into Prolog clauses. In the bottom-up method, a rule
E--->E+T corresponds to a clause reduce([n(t),t(+),n(e)|X],[n(e)|X]) where
the parameters represent the stack before and after the reduction. In the top-down method,
aruleT’--->×FT’ corresponds to a clause rule(n(t’),[t(*),n(f),n(t’)]).
A recursive descent parser is obtained by representing a rule S→aSb by the clause
s(ASB) :- append(A,SB,ASB), append(S,B,SB), a(A), s(S), b(B). which
attempts to cut the input list ASB into three pieces A,Sand B, which can each be recognized
as an a,ansand a b, respectively. A fourth type of parser results if ranges in the input list are
used as parameters: s(X1,X4):−link(X1,a,X2),s(X2,X3),link(X3,b,X4)in which link(P,x,Q)
describes that the input contains the token xbetween positions Pand Q. For each of these methods,
ways are given to limit non-determinism and backtracking, resulting among others in LL(1)
parsers.
By supplying additional parameters to clauses, context conditions can be constructed and carried
around, much as in a VW grammar (although this term is not used). It should be noted that the
resulting Prolog programs are actually not parsers at all: they are just logic systems that connect
input strings to parsings. Consequently they can be driven both ways: supply a string and it will
produce the parsing; supply a parsing and it will produce the string; supply nothing and it will
produce all strings with their parsings in the language.
See also same paper [341].
27. Wirén, Mats. A comparison of rule-invocation strategies in context-free chart parsing.
In Third Conference of the European Chapter of the Association for Computational
Linguistics, pages 226–233, April 1987. Eight chart parsing predictors are discussed and
their effects measured and analysed, 2 top-down predictors and 6 bottom-up (actually left-corner)
ones. The general top-down predictor acts when an active edge for a non-terminal Ais added at a
certain node; it then adds empty active edges for all first non-terminals in the right-hand sides of A,
avoiding duplicates. The general left-corner predictor acts when an inactive (completed) edge for
a non-terminal Ais added at a certain node; it then adds empty active edges for non-terminals that
have Aas their first non-terminal in their right-hand sides.
Both can be improved by 1. making sure that the added edge has a chance of leading to completion
(selectivity); 2. incorporating immediately the non-terminal just recognized (Kilbury); 3. filtering
in top-down information. In all tests the selective top-down-filtered Kilbury left-corner predictor
clearly outperformed the others.
28. Rus, Teodor. Parsing languages by pattern matching. IEEE Trans. Softw. Eng.,
14(4):498–511, April 1988. Considers “algebraic grammars” only: there is at least one terminal
between each pair of non-terminals in any right-hand side. The rules of the grammar are ordered
in “layers”, each layer containing only rules whose right-hand sides contain only non-terminals de-
fined in the same or lower layers. On the basis of these layers, very simple contexts are computed
for each right-hand side, resulting in an ordered set of patterns. The input is then parsed by repeated
application of the patterns in each layer, starting with the bottom one, using fast string matching.
All this is embedded in a system that simultaneously manages abstract semantics. Difficult to read
due to unusual terminology.
582 18 Annotated Bibliography
29. Kruseman Aretz, F. E. J. A new approach to Earley’s parsing algorithm. Sci. Comput.
Progr., 12(2):105–121, July 1989. Starting point is a CYK table filled with Earley items, i.e.,
a tabular implementation of the Earley algorithm. Rather than implementing the table, two arrays
are used, both indexed with the position iin the input. The elements of the first array, Di, are the
mappings from a non-terminal Xto the set of all Earley items that have the dot in front of Xat
position i. The elements of the second array, Ei, are the sets of all reduce items at i. Considerable
math is used to derive recurrence relations between the two, leading to a very efficient evaluation
order. The data structures are then extended to produce parse trees. Full implementations are given.
30. Voisin, Frédéric. and Raoult, Jean-Claude. A new, bottom-up, general parsing algorithm.
BIGRE Bulletin, 70:221–235, Sept. 1990. Modifies Earley’s algorithm by 1. maintaining
items of the form αrather than A→αB•β, which eliminates the top-down component and thus the
predictive power, and 2. restoring some of that predictive power by predicting items αfor each rule
in the grammar A→αβ for which the input token is in FIRST(A). This is useful for the special
application the authors have, a parser for a language with extensive user-definable operators.
31. Lang, Bernard. Towards a uniform formal framework for parsing. In Masaru Tomita,
editor, Current Issues in Parsing Technology, pages 153–171. Kluwer Academic Publ.,
Boston, 1991. The paper consists of two disjoint papers. The first concerns the equivalence of
grammars and parse forests; the second presents a Logical PushDown Automaton.
In tree-sharing parsers, parsing an (ambiguous) sentence Syields a parse forest. If we label each
node in this forest with a unique name, we can consider each node to be a rule in a CF grammar. The
node labeled Ndescribes one alternative for the non-terminal Nand if poutgoing arrows leave the
node, Nhas palternatives. This grammar produces exactly one sentence, S.IfScontains wild-card
tokens, the grammar will produce all sentences in the original grammar that match S. In fact, if we
parse the sentence Σ∗in which Σmatches any token, we get a parse forest that is equivalent to the
original grammar. Parsing of unambiguous, ambiguous and incomplete sentences alike is viewed as
constructing a grammar that produces exactly the singleton, multi-set and infinite set of derivations
that produce the members of the input set. No such parsing algorithm is given, but the reader of the
paper is referred to Billot and Lang [164], and to Lang [210].
Prolog-like programs can be seen as grammars the non-terminals of which are predicates with argu-
ments, i.e. Horn clauses. Such programs are written as Definite Clause programs. To operate these
programs as solution-producing grammars, a Logical PushDown Automaton LPDA is introduced,
which uses Earley deduction in a technique similar to that of Pereira and Warren [368]. In this
way, a deduction mechanism is obtained that is shown to terminate on a Definite Clause Grammar
on which simple depth-first resolution would loop. The conversion from DC program to a set of
Floyd-like productions for the LPDA is described in full, and so is the LPDA itself.
32. Leo, Joop M. I. M. A general context-free parsing algorithm running in linear time
on every LR(k) grammar without using lookahead. Theoret. Comput. Sci., 82:165–176,
1991. Earley parsing of right-recursive LR(k) grammars will need time and space of O(n2), for the
build-up of the final reductions. This build-up is prevented through the introduction of “transitive
items”, which store right-recursion information. A proof is given that the resulting algorithm is
linear in time and space for every LR-regular grammar. The algorithm also defends itself against
hidden right recursion.
33. Nederhof, M.-J. An optimal tabular parsing algorithm. In 32nd Annual Meeting of
the Association for Computational Linguistics, pages 117–124, June 1994. Like chart
parsing, the various LR parsing methods can be characterized by the way they infer new items from
old ones. In this paper, four such characterizations are given: for LC parsing, for predictive LR, for
regular right part grammars, called “extended LR (ELR) grammars here, and for “Common-Prefix”
parsing. For Common-Prefix see Voisin and Raoult [30]. Each of these is then expressed as a tabular
parsing algorithm, and their properties are compared. ELR appears the best compromise for power
and efficiency.
34. Rytter, W. Context-free recognition via shortest-path computation: A version of
Valiant’s algorithm. Theoret. Comput. Sci., 143(2):343–352, 1995. The multiplication
18.1 Major Parsing Subjects 583
and addition in the formula for distance in a weighted graph are redefined so that a shortest dis-
tance through a specific weighted lattice derived from the grammar and the input corresponds to a
parsing. This allows advances in shortest-path computation (e.g. parallelization) to be exploited for
parsing. The paper includes a proof that the algorithm is formally equivalent to Valiant’s.
35. McLean, Philippe and Horspool, R. Nigel. A faster Earley parser. In Tibor Gyimóthy,
editor, Compiler Construction: 6th International Conference, CC’96, volume 1060 of
Lecture Notes in Computer Science, pages 281–293, New York, 1996. Springer-Verlag.
The items in an Earley set can be grouped into subsets, such that each subset corresponds to an LR
state. This is utilized to speed up the Earley algorithm. Speed-up factors of 10 to 15 are obtained,
and memory usage is reduced by half.
36. Johnstone, Adrian and Scott, Elizabeth. Generalized recursive-descent parsing and
follow-determinism. In Kai Koskimies, editor, Compiler Construction (CC’98), volume
1383 of Lecture Notes in Computer Science, pages 16–30, Lisbon, 1998. Springer. The
routine generated for a non-terminal Areturns a set of lengths of input segments starting at the
current position and matching A, rather than just a Boolean saying match or no match. This gives
a parser that is efficient on LL(1) and non-left-recursive LR(1). Next it is made more efficient by
using FIRST sets. This parser is implemented under the name GRDP, for “Generalised Recur-
sive Descent Parser”. It yields all parses; but can be asked to act deterministically. It then uses
FOLLOW-determinism, in which the length is chosen whose segment is followed by a token from
FOLLOW1(A); the grammar must be such that only one length qualifies.
37. Aycock, John and Horspool, R. Nigel. Directly-executable Earley parsing. In Compiler
Construction, volume 2027 of Lecture Notes in Computer Science, pages 229–243,
2001. Code segments are generated for all actions possible on each possible Earley item, and
these segments are linked together into an Earley parser using a threaded-code technique, but par-
ent pointer manipulations are cumbersome. To remedy this, the items are grouped in the states of
a split LR(0) automaton, in which each traditional LR(0) state is split in two states, one containing
the items in which the dot is at the beginning (the “non-kernel” state), and one which contains the
rest. The parent pointers of the non-kernel states are all equal, which simplifies implementation.
The resulting parser is 2 to 3 times faster than a standard implementation of the Earley parser.
38. Aycock, John and Horspool, R. Nigel. Practical Earley parsing. Computer J., 45(6):620–
630, 2002. Empty productions are the reason for the Predictor/Completer loop in an Earley parser,
but the loop can be avoided by having the Predictor also predict items of the form A→αB•βfor
•Bif Bis nullable. Effectively the εis propagated by the Predictor. The nullable non-terminals are
found by preprocessing the grammar. The Earley item sets are collected in an “LR(0)ε” automaton.
The states of this automaton are then split as described by Aycock and Horspool [37]. A third
transformation is required to allow convenient reconstruction of the parse trees.
39. Lee, Lillian. Fast context-free grammar parsing requires fast Boolean matrix
multiplication. J. ACM, 49(1):1–15, 2002. The author proves that if we can do parsing in
O(n3−ε), we can do Boolean matrix multiplication in O(n3−ε/3). To convert a given matrix multi-
plication of Aand Binto a parsing problem we start with a string wof a length that depends only
on the size of the matrices; all tokens in ware different. For each non-zero element of Awe create
a new non-terminal Ai,j→wpWw
q,wherewpand wqare judiciously chosen tokens from wand W
produces any non-empty string of tokens from w; likewise for B. The resulting matrix Cis gram-
maticalized by rules Cp,q→Ap,rBr,q, which implements the (Boolean) multiplication. Occurrences
of Cp,qare now attempted to be recognized in wby having start symbol rules S→WCp,qW.The
resulting grammar is highly ambiguous, and when we parse wwith it, we obtain a parse forest. If
the node for Cp,qis present in it, the bit Cp,qin the resulting matrix is on.
40. Nederhof, Mark-Jan and Satta, Giorgio. Tabular parsing. In Formal Languages and
Applications, volume 148 of Studies in Fuzziness and Soft Computing, pages 529–549.
Springer, April 2004. Tutorial on tabular parsing for push-down automata, Earley parsers, CYK
and non-deterministic LR parsing. The construction of parse trees is also covered.
584 18 Annotated Bibliography
18.1.3 LL Parsing
41. Lucas, P. Die Strukturanalyse von Formelnübersetzern / analysis of the structure of
formula translators. Elektronische Rechenanlagen, 3(11.4):159–167, 1961, (in German).
Carefully reasoned derivation of a parser and translator from the corresponding grammar. Two types
of “syntactic variable definitions” (= grammar rules) are distinguished: “enumerating definitions”,
of the form N→A1|A2|···, and “concatenating definitions”, of the form N→A1A2···; here Nis a
non-terminal and the Aiare all terminals or non-terminals. Additionally “combined definitions” are
allowed, but they are tacitly decomposed into enumerating and concatenating definitions when the
need arises. Each “syntactic variable” (= non-terminal) can be “explicitly defined”, in which case
the definition does not refer to itself, or “recursively defined”, in which case it does.
For each non-terminal Ntwo pieces of code are created: an identification routine and a translation
routine. The identification routine tests if the next input token can start a terminal production of
N, and the translation routine parses and translates it. The identification routines are produced
by inspecting the grammar; the translation routines are created from templates, as follows. The
translation routine for an enumerating definition is
if can.start.A1 then translate.A1 else
if can.start.A2 then translate.A2 else
. . . else report.error
The translation routine for a concatenating definition is
if can.start.A1 then translate.A1 else report.error;
if can.start.A2 then translate.A2 else report.error;
...
Each translation routine can have local variables and produces an output parameter, which can be
used for code generation by the caller; all these variables are allocated statically (as global memory
locations). These routines are given by flowcharts, although the author recognizes that they could
be expressed in ALGOL 60.
The flowcharts are connected into one big flow chart, except that a translation routine for a recursive
non-terminal starts with code that stores its previous return address and local variables on a stack,
and ends with code that restores them. Since the number of local variables vary from routine to
routine, the stack entries are of unequal size; such stack entries are called “drawers”. No hint is
given that the recursion of ALGOL 60 could be used for these purposes. Special flowchart templates
are given for directly left- and right-recursive non-terminals, which transform the recursion into
iteration.
For the system to work the grammar must obey requirements that are similar to LL(1), although
the special treatment of direct left recursion alleviates them somewhat. These requirements are
mentioned but not analysed. Nothing is said about nullable non-terminals.
The method is compared to the PDA technique of Samelson and Bauer, [112]. The two methods are
recognized as equivalent, but the method presented here lends itself better for hand optimization
and code insertion.
This is probably the first description of recursive descent parsing. The author states that four papers
explaining similar techniques appeared after the paper was written but before it was printed. That
depends on the exact definition of recursive descent: of the four only Grau [332] shows how to
generate code for the routines, i.e., to use compiled recursive descent. The others interpret the
grammar.
42. Kurki-Suonio, R. Notes on top-down languages. BIT, 9:225–238, 1969. Gives several
variants of the LL(k) condition. Also demonstrates the existence of an LL(k) language which is not
LL(k−1).
43. Knuth, Donald E. Top-down syntax analysis. Acta Inform., 1:79–110, 1971. AParsing
Machine (PM) is defined, which is effectively a set of mutually recursive Boolean functions which
absorb input if they succeed and absorb nothing if they fail. Properties of the languages accepted by
PMs are examined. This leads to CF grammars, dependency graphs, the null string problem, back-
up, LL(k), follow function, LL(1), s-languages and a comparison of top-down versus bottom-up
parsing. The author is one of the few scientists who provides insight in their thinking process.
18.1 Major Parsing Subjects 585
44. Jarzabek, S. and Krawczyk, T. LL-regular grammars. Inform. Process. Lett., 4(2):31–
37, 1975. Introduces LL-regular (LLR) grammars: for every rule A→α1|···|αn, a partition
(R1,...,Rn) of disjoint regular sets must be given such that the rest of the input sentence is a mem-
ber of exactly one of these sets. A parser can then be constructed by creating finite-state automata
for these sets, and letting these finite state automata determine the next prediction.
45. Nijholt, A. On the parsing of LL-regular grammars. In A. Mazurkiewicz, editor,
Mathematical Foundations of Computer Science, volume 45 of Lecture Notes in Com-
puter Science, pages 446–452. Springer-Verlag, Berlin, 1976. Derives a parsing algorithm
for LL-regular grammars with a regular pre-scan from right to left that leaves markers, and a sub-
sequent scan which consists of an LL(1)-like parser.
46. Lewi, J., Vlaminck, K. de, Huens, J., and Huybrechts, M. The ELL(1) parser generator
and the error-recovery mechanism. Acta Inform., 10:209–228, 1978. See same paper [298].
47. Poplawski, D. A. On LL-regular grammars. J. Comput. Syst. Sci., 18:218–227, 1979.
Presents proof that, given a regular partition, it is decidable whether a grammar is LL-regular with
respect to this partition; it is undecidable whether or not such a regular partition exists. The paper
then discusses a two-pass parser; the first pass works from right to left, marking each terminal with
an indication of the partition that the rest of the sentence belongs to. The second pass then uses
these indications for its predictions.
48. Nijholt, A. LL-regular grammars. Intern. J. Comput. Math., A8:303–318, 1980. This pa-
per discusses strong-LL-regular grammars, which are a subset of the LL-regular grammars, exactly
as the strong-LL(k) grammars are a subset of the LL(k) grammars, and derives some properties.
49. Heckmann, Reinhold. An efficient ELL(1)-parser generator. Acta Inform., 23:127–
148, 1986. The problem of parsing with an ELL(1) grammar is reduced to finding various FIRST
and FOLLOW sets. Theorems about these sets are derived and very efficient algorithms for their
computation are supplied.
50. Barnard, David T. and Cordy, James R. Automatically generating SL parsers from
LL(1) grammars. Comput. Lang., 14(2):93–98, 1989. For SL see Barnard and Cordy [265].
SL seems ideally suited for implementing LL(1) parsers, were it not that the choice action absorbs
the input token on which the choice is made. This effectively prevents look-ahead, and means that
when a routine for a non-terminal Ais called, its first token has already been absorbed. A scheme is
suggested that will replace the routine for parsing Aby a routine for parsing Aminus its first token.
So the technique converts the grammar to simple LL(1).
51. Parr, Terence J. and Quong, Russell W. LL and LR translators need k>1 lookahead.
ACM SIGPLAN Notices, 31(2):27–34, Feb. 1996. Gives realistic examples of frequent pro-
gramming language constructs in which k=1 fails. Since k>1 is very expensive, the authors
introduce linear-approximate LL(k) with k>1, in which for each look-ahead situation Ssepa-
rate values FIRST(S), SECOND(S), ..., are computed, which needs t×kspace for tequal to the
number of different tokens, rather than FIRSTk(S), which requires tk. This may weaken the parser
since originally differing look-ahead sets like ab,cd and ad,cb both collapse to [ac][bd], but usually
works out OK.
18.1.4 LR Parsing
52. Knuth, D. E. On the translation of languages from left to right. Inform. Control, 8:607–
639, 1965. This is the original paper on LR(k). It defines the notion as an abstract property of a
grammar and gives two tests for LR(k). The first works by constructing for the grammar a regular
grammar which generates all possible already reduced parts (= stacks) plus their look-aheads; if
this grammar has the property that none of its words is a prefix to another of its words, the original
grammar was LR(k). The second consists of implicitly constructing all possible item sets (= states)
586 18 Annotated Bibliography
and testing for conflicts. Since none of this is intended to yield a reasonable parsing algorithm, no-
tation and terminology differs from that in later papers on the subject. Several theorems concerning
LR(k) grammars are given and proved.
53. Korenjak, A. J. A practical method for constructing LR(k) processors. Commun. ACM,
12(11):613–623, Nov. 1969. The huge LR(1) parsing table is partitioned as follows. A non-
terminal Zis chosen judiciously from the grammar, and two grammars are constructed, G0,in
which Zis considered to be a terminal symbol, and G1, which is the grammar for Z(i.e. which
has Zas the start symbol). If both grammars are LR(1) and moreover a master LR(1) parser can be
constructed that controls the switching back and forth between G0and G1, the parser construction
succeeds (and the original grammar was LR(1) too). The three resulting tables together are much
smaller than the LR(1) table for the original grammar. It is also possible to chose a set of non-
terminals Z1···Znand apply a variant of the above technique.
54. DeRemer, Franklin L. Simple LR(k) grammars. Commun. ACM, 14(7):453–460, July
1971. SLR(k) explained by its inventor. Several suggestions are made on how to modify the
method; use a possibly different kfor each state; use possibly different lengths for each look-ahead
string. The relation to Korenjak’s approach [53] is also discussed.
55. Anderson,T. Syntactic Analysis of LR(k) Languages. PhD thesis, Technical report,
University of Newcastle upon Tyne, Newcastle upon Tyne, 1972. [Note: This is one of
the few papers we have not been able to access; the following is the author’s abstract.] A method
of syntactic analysis, termed LA(m)LR(k), is discussed theoretically. Knuth’s LR(k) algorithm [52]
is included as the special case m=k. A simpler variant, SLA(m)LR(k), is also described, which
in the case SLA(k)LR(0) is equivalent to the SLR(k) algorithm as defined by DeRemer [54]. Both
variants have the LR(k) property of immediate detection of syntactic errors.
The case m=1,k=0 is examined in detail, when the methods provide a practical parsing technique
of greater generality than precedence methods in current use. A formal comparison is made with
the weak precedence algorithm.
The implementation of an SLA(1)LR(0) parser (SLR) is described, involving numerous space and
time optimizations. Of importance is a technique for bypassing unnecessary steps in a syntactic
derivation. Direct comparisons are made, primarily with the simple precedence parser of the highly
efficient Stanford ALGOL W compiler, and confirm the practical feasibility of the SLR parser.
56. Anderson, T., Eve, J., and Horning, J. J. Efficient LR(1) parsers. Acta Inform., 2:12–39,
1973. Coherent explanation of SLR(1), LALR(1), elimination of unit rules and table compression,
with good advice.
57. ˇ
Culik, II, Karel and Cohen, Rina. LR-regular grammars: An extension of LR(k)
grammars. J. Comput. Syst. Sci., 7:66–96, 1973. The input is scanned from right to left
by a FS automaton which records its state at each position. Next this sequence of states is parsed
from left to right using an LR(0) parser. If such a FS automaton and LR(0) parser exist, the grammar
is LR-regular. The authors conjecture, however, that it is unsolvable to construct this automaton and
parser. Examples are given of cases in which the problem can be solved.
58. LaLonde, Wilf R. Regular right part grammars and their parsers. Commun. ACM,
20(10):731–741, Oct. 1977. The notion of regular right part grammars and its advantages are
described in detail. A parser is proposed that does LR(k) parsing to find the right end of the handle
and then, using different parts of the same table, scans the stack backwards using a look-ahead (to
the left!) of msymbols to find the left end; this is called LR(m,k). The corresponding parse table
construction algorithm is given by LaLonde [59].
59. LaLonde, W. R. Constructing LR parsers for regular right part grammars. Acta Inform.,
11:177–193, 1979. Describes the algorithms for the regular right part parsing technique explained
by LaLonde [58]. The back scan is performed using so-called read-back tables. Compression tech-
niques for these tables are given.
60. Baker, Theodore P. Extending look-ahead for LR parsers. J. Comput. Syst. Sci.,
22(2):243–259, 1981. A FS automaton is derived from the LR automaton as follows: upon a
18.1 Major Parsing Subjects 587
reduce to Athe automaton moves to all states that have an incoming arc marked A. This automaton
is used for analysing the look-ahead as in an LR-regular parser ( ˇ
Culik, II and Cohen [57]).
61. Kristensen, Bent Bruun and Madsen, Ole Lehrmann. Methods for computing LALR(k)
lookahead. ACM Trans. Prog. Lang. Syst., 3(1):60–82, Jan. 1981. The LALR(k) look-
ahead sets are seen as the solution to a set of equations, which are solved by recursive traversal of
the LR(0) automaton. Full algorithms plus proofs are given.
62. LaLonde, Wilf R. The construction of stack-controlling LR parsers for regular right
part grammars. ACM Trans. Prog. Lang. Syst., 3(2):168–206, April 1981. Traditional LR
parsers shift each input token onto the stack; often, this shift could be replaced by a state transition,
indicating that the shift has taken place. Such a parser is called a stack-controlling LR parser,and
will do finite-state recognition without stack manipulation whenever possible. Algorithms for the
construction of stack-controlling LR parse tables are given. The paper is complicated by the fact
that the new feature is introduced not in a traditional LR parser, but in an LR parser for regular right
parts (for which see LaLonde [58]).
63. DeRemer, Frank L. and Pennello, Thomas J. Efficient computation of LALR(1) look-
ahead sets. ACM Trans. Prog. Lang. Syst., 4(4):615–649, Oct. 1982. Rather than starting
from an LR(1) automaton and collapsing it to obtain an LALR(1) automaton, the authors start from
an LR(0) automaton and compute the LALR(1) look-aheads from there, taking into account that
look-aheads are meaningful for reduce items only. For each reduce item A→α•we search back
in the LR(0) automaton to find all places Pwhere it could originate from, for each of these places
we find the places Qthat can be reached by a shift over Afrom P, and from each of these places
we look forward in the LR(0) automaton to determine what the next token in the input could be.
The set of all these tokens is the LALR(1) look-ahead set of the original reduce item. The process
is complicated by the presence of ε-productions.
The computation is performed by four linear sweeps over the LR(0) automaton, set up so that they
can be implemented by transitive closure algorithms based on strongly connected components,
which are very efficient.
Care must be taken to perform the above computations in the right order; otherwise look-ahead sets
may be combined too early resulting in “Not Quite LALR(1)”, NQLALR(1), which is shown to be
inadequate.
The debugging of non-LALR(1) grammars is also treated.
64. Heilbrunner, S. Truly prefix-correct chain-free LR(1) parsers. Acta Inform., 22(5):499–
536, 1985. A unit-free LR(1) parser generator algorithm, rigorously proven correct.
65. Park, Joseph C. H., Choe, K.-M., and Chang, C.-H. A new analysis of LALR
formalisms. ACM Trans. Prog. Lang. Syst., 7(1):159–175, Jan. 1985. The recursive closure
operator CLOSURE of Kristensen and Madsen [61] is abstracted to an iterative δ-operator such that
CLOSURE ≡δ∗. This operator allows the formal derivation of four algorithms for the construction
of LALR look-ahead sets, including an improved version of the relations algorithm of DeRemer
and Pennello [63]. See Park and Choe [73] for an update.
66. Ukkonen, Esko. Upper bounds on the size of LR(k)parsers. Inform. Process. Lett.,
20(2):99–105, Feb. 1985. Upper bounds for the number of states of an LR(k)parseraregiven
for several types of grammars.
67. Al-Hussaini, A. M. M. and Stone, R. G. Yet another storage technique for LR pars-
ing tables. Softw. Pract. Exper., 16(4):389–401, 1986. Excellent introduction to LR table
compression in general. The submatrix technique introduced in this paper partitions the rows into a
number of submatrices, the rows of each of which are similar enough to allow drastic compressing.
The access cost is O(1). A heuristic partitioning algorithm is given.
68. Ives, Fred. Unifying view of recent LALR(1) lookahead set algorithms. ACM SIGPLAN
Notices, 21(7):131–135, July 1986. A common formalism is given in which the LALR(1)
look-ahead set construction algorithms of DeRemer and Pennello [63], Park, Choe and Chang [65]
and the author can be expressed. See also Park and Choe [73].
588 18 Annotated Bibliography
69. Nakata, Ikuo and Sassa, Masataka. Generation of efficient LALR parsers for regular
right part grammars. Acta Inform., 23:149–162, 1986. The stack of an LALR(1) parser is
augmented with a set of special markers that indicate the start of a right-hand side; adding such
a marker during the shift is called a stack shift. Consequently there can now be a shift/stack-shift
conflict, abbreviated to stacking conflict. The stack-shift is given preference and any superfluous
markers are eliminated during the reduction. Full algorithms are given.
70. Pennello, Thomas J. Very fast LR parsing. ACM SIGPLAN Notices, 21(7):145–151,
July 1986. The tables and driver of a traditional LALR(1) parser are replaced by assembler code
performing linear search for small fan-out, binary search for medium and a computed jump for
large fan-out. This modification gained a factor of 6 in speed at the expense of a factor 2 in size.
71. Chapman,NigelP.LR Parsing: Theory and Practice. Cambridge University Press, New
York, NY, 1987. Detailed treatment of the title subject. Highly recommended for anybody who
wants to acquire in-depth knowledge about LR parsing. Good on size of parse tables and attribute
grammars.
72. Ives, Fred. Response to remarks on recent algorithms for LALR lookahead sets. ACM
SIGPLAN Notices, 22(8):99–104, Aug. 1987. Remarks by Park and Choe [73] are refuted
and a new algorithm is presented that is significantly better than that of Park, Choe and Chang [65]
and that previously presented by Ives [68].
73. Park, Joseph C. H. and Choe, Kwang-Moo. Remarks on recent algorithms for LALR
lookahead sets. ACM SIGPLAN Notices, 22(4):30–32, April 1987. Careful analysis of the
differences between the algorithms of Park, Choe and Chang [65] and Ives [68]. See also Ives [72].
74. Sassa, Masataka and Nakata, Ikuo. A simple realization of LR-parsers for regular right
part grammars. Inform. Process. Lett., 24(2):113–120, Jan. 1987. For each item in each
state on the parse stack of an LR parser, a counter is kept indicating how many preceding symbols
on the stack are covered by the recognized part in the item. Upon reduction, the counter of the
reducing item tells us how many symbols to unstack. The manipulation rules for the counters are
simple. The counters are stored in short arrays, one array for each state on the stack.
75. Bermudez, Manuel E. and Schimpf, Karl M. On the (non-)relationship between SLR(1)
and NQLALR(1) grammars. ACM Trans. Prog. Lang. Syst., 10(2):338–342, April 1988.
Shows a grammar that is SLR(1) but not NQLALR(1).
76. Bermudez, Manuel E. and Schimpf, Karl M. A general model for fixed look-ahead
LR parsers. Intern. J. Comput. Math., 24(3+4):237–271, 1988. Extends the DeRemer
and Pennello [63] algorithm to LALR(k), NQLALR(k)andSLR(k). Also defines NQSLR(k), Not-
Quite SLR, in which a too simple definition of FOLLOWkis used. The difference only shows up for
k≥2, and is similar to the difference in look-ahead between full-LL(k) and strong-LL(k). Suppose
for k=2 we have the grammar S--->ApBq,S--->Br,A--->a,B--->ε, and we compute FOLLOW2(A).
Then the NQSLR algorithm computes it as FIRST1(B) plus FOLLOW1(B)ifBproduces ε. Since
FOLLOW1(B)={q,r}, this yields the set {pq,pr}; but the sequence pr cannot occur in any input.
The authors give an example where such an unjustified look-ahead prevents parser construction.
77. Kruseman Aretz,F.E.J. Onarecursiveascentparser. Inform. Process. Lett.,
29(4):201–206, Nov. 1988. Each state in an LR automaton is implemented as a subroutine.
A shift calls that subroutine. A reduce to Xis effected as follows. Xand its length nare stored in
global variables; all subroutines are rigged to decrement nand return as long as n>0, and to call
the proper GOTO state of Xwhen nhits 0. This avoids the explicit stack manipulation of Roberts
[78].
78. Roberts, George H. Recursive ascent: An LR analog to recursive descent. ACM SIG-
PLAN Notices, 23(8):23–29, Aug. 1988. Each LR state is represented by a subroutine. The
shift is implemented as a subroutine call; the reduction is followed by a subroutine return possibly
preceded by a return stack adjustment. The latter prevents the generation of genuine subroutines
18.1 Major Parsing Subjects 589
since it requires explicit return stack manipulation. A small and more or less readable LR(0) parser
is shown, in which conflicts are resolved by means of the order in which certain tests are done, like
in a recursive descent parser.
79. Bermudez, Manuel E. and Logothetis, George. Simple computation of LALR(1) look-
ahead sets. Inform. Process. Lett., 31(5):233–238, 1989. The original LALR(1) grammar
is replaced by a not much bigger grammar that has been made to incorporate the necessary state
splitting through a simple transformation. The SLR(1) automaton of this grammar is the LALR(1)
automaton of the original grammar.
80. Horspool, R. Nigel. ILALR: An incremental generator of LALR(1) parsers. In
D. Hammer, editor, Compiler Compilers and High-Speed Compilation, volume 371
of Lecture Notes in Computer Science, pages 128–136. Springer-Verlag, Berlin, 1989.
Grammar rules are checked as they are typed in. To this end, LALR(1) parse tables are kept and
continually updated. When the user interactively adds a new rule, the sets FIRST and NULLABLE
are recomputed and algorithms are given to distribute the consequences of possible changes over the
LR(0) and look-ahead sets. Some serious problems are reported and practical solutions are given.
81. Roberts, George H. Another note on recursive ascent. Inform. Process. Lett., 32(5):263–
266, 1989. The fast parsing methods of Pennello [70], Kruseman Aretz [77] and Roberts [78] are
compared. A special-purpose optimizing compiler can select the appropriate technique for each
state.
82. Bermudez, Manuel E. and Schimpf, Karl M. Practical arbitrary lookahead LR parsing.
J. Comput. Syst. Sci., 41(2):230–250, Oct. 1990. Refines the extended-LR parser of Baker
[60] by constructing a FS automaton for each conflict state qas follows. Starting from qand look-
ing backwards in the LR(0) automaton, all top-of-stack segments of length mare constructed that
have qon the top. These segments define a regular language Rwhich is a superset of the possible
continuations of the input (which are determined by the entire stack). Also each decision made by
the LR(0) automaton to resolve the conflict in qdefines a regular language, each a subset of R.If
these languages are disjunct, we can decide which decision to take by scanning ahead. Scanning
ahead is done using an automaton derived from qand the LR(0) automaton. Grammars for which
parsers can be constructed by this technique are called LAR(m). The technique can handle some
non-LR(k) grammars.
83. Heering, J., Klint, P., and Rekers, J. Incremental generation of parsers. IEEE Trans.
Softw. Eng., 16(12):1344–1351, 1990. In a very unconventional approach to parser generation,
the initial information for an LR(0) parser consists of the grammar only. As parsing progresses,
more and more entries of the LR(0) table (actually a graph) become required and are constructed
on the fly. LR(0) inadequacies are resolved using GLR parsing. All this greatly facilitates handling
(dynamic) changes to the grammar.
84. Horspool, R. N. Incremental generation of LR parsers. Comput. Lang., 15(4):205–
233, 1990. The principles and usefulness of incremental parser generation are argued. The LR
parse table construction process is started with initial items SS→•#NN#Nfor each non-terminal
Nin the grammar, where the #NsareN-specific delimiters. The result is a parse table in which
any non-terminal can be the start symbol. When Nis modified, the item SS→•#NN#Nis followed
throughout the parser, updates are made, and the table is cleaned of unreachable items. Deletion is
handled similarly. The algorithms are outlined.
A proof is given that modifying a single rule in a grammar of nrules can cause O(2n)items to
be modified, so the process is fundamentally exponential. In practice, it turns out that incremental
recomputing is in the order of 10 times cheaper than complete recomputing.
85. Horspool, R. Nigel and Whitney, Michael. Even faster LR parsing. Softw. Pract. Exper.,
20(6):515–535, June 1990. Generates directly executable code. Starts from naive code and then
applies a series of optimizations: 1. Push non-terminals only; this causes some trouble in deciding
what to pop upon and reduce and it may even introduce a pop-count conflict. 2. Combine the reduce
590 18 Annotated Bibliography
and the subsequent goto into one optimized piece of code. 3. Turn right recursion into left recursion
to avoid stacking and generate code to undo the damage. 4. Eliminate unit rules.
86. McKenzie, B. J. LR parsing of CFGs with restrictions. Softw. Pract. Exper., 20(8):823–
832, Aug. 1990. It is often useful to specify semantic restrictions at certain points in the right-hand
sides of grammar rules; these restrictions can serve to check the semantic correctness of the input
and/or to disambiguate the grammar. Conceptually these restrictions are associated with marker
non-terminals, which produce εand upon reduction test the restriction. This causes lots of conflicts
in the LR parser; rather than have the LR parser generator solve them in the usual fashion, they are
solved at parse time by calling the restriction-testing routines. If no test routine succeeds, there is an
error in the input; if one succeeds, the parser knows what to do; and if more than one succeeds, there
is a grammar error, which can be dealt with by having a default (use the textually first restriction,
for example), or by giving an error message. Many examples, no explicit code. It would seem the
system can also be used to implement dynamic conflict resolvers.
87. Roberts, George H. From recursive ascent to recursive descent: via compiler
optimizations. ACM SIGPLAN Notices, 25(4):83–89, April 1990. Shows a number of
code transformations that will turn an LR(1) recursive ascent parser (see Roberts [78, 81]) for an
LL(1) grammar into a recursive descent parser.
88. Charles, Phillippe. A Practical Method for Constructing Efficient LALR(k) Parsers with
Automatic Error Recovery. PhD thesis, Technical report, NYU, Feb. 1991. Addresses
various issues in LALR parsing: 1. Gives an in-depth overview of LALR parsing algorithms. 2.
Modifies DeRemer and Pennello’s algorithm [63] to adapt the length of the lookaheads to the needs
of the states. 3. Gives an improved version of Burke and Fisher’ automatic LR error recovery
mechanism [317], for which see [319]. 4. Existing table compression methods are tuned to LALR
tables. Explicit algorithms are given.
89. Fortes Gálvez, José. Generating LR(1) parsers of small size. In U. Kastens and
P. Pfahler, editors, Compiler Construction, 4th International Conference, CC’92, volume
641 of Lecture Notes in Computer Science, pages 16–29. Springer-Verlag, Oct. 1992. Ac-
tually, reverse LR(1) parsers are constructed, as follows. The stack is the same as for the normal
LR(1) parser, except that no states are recorded, so the stack consists of non-terminals and terminals
only. When faced with the problem of whether to shift or to reduce, the stack is analysed from the
top downward, rather than from the bottom upward. Since the top region of the stack contains more
immediately relevant information than the bottom region, the above analysis will usually come up
with an answer pretty quickly.
The analysis can be done using an FSA, starting with the look-ahead token. An algorithm to con-
struct this FSA is described informally, and a proof is given that it has the full LR(1) parsing power.
The resulting automaton is about 1/3 the size of the yacc automaton, so it is even smaller than the
LALR(1) automaton.
90. Shin, Heung-Chul and Choe, Kwang-Moo. An improved LALR(k) parser generation
for regular right part grammars. Inform. Process. Lett., 47(3):123–129, 1993. Improves
the algorithm of Nakata and Sassa [69] by restricting the algorithm to kernel items only.
91. Fortes Gálvez, José. A note on a proposed LALR parser for extended context-free
grammars. Inform. Process. Lett., 50(6):303–305, June 1994. Shows that the algorithm of
Shin and Choe [90] is incorrect by giving a counterexample.
92. Fortes Gálvez, José. A practical small LR parser with action decision through min-
imal stack suffix scanning. In Developments in Language Theory II, pages 460–465,
Singapore, 1995. World Scientific. Theory of and explicit algorithms for DR parsing.
93. Seyfarth, Benjamin R. and Bermudez, Manuel E. Suffix languages in LR parsing.
Intern. J. Comput. Math., A-55(3-4):135–154, 1995. An in-depth analysis of the set of
strings that can follow a state in a non-deterministic LR(0) automation (= an item in the deter-
18.1 Major Parsing Subjects 591
ministic one) is given and used to derive all known LR parsing algorithms. Based on first author’s
thesis.
94. Nederhof, Mark-Jan and Sarbo, Janos J. Increasing the applicability of LR parsing. In
Harry Bunt and Masaru Tomita, editors, Recent Advances in Parsing Technology, pages
35–58. Kluwer Academic Publishers, Dordrecht, 1996. ε-reductions are incorporated in the
LR items, resulting in ε-LR parsing. Now the stack contains only non-terminals that correspond to
non-empty segments of the input; it may be necessary to examine the stack to find out exactly which
reduction to do. ε-LR parsing has two advantages: more grammars are ε-LR than LR; and non-
deterministic ε-LR tables will never make the original Tomita algorithm [162] loop, thus providing
an alternative way to do GLR parsing on arbitrary CF grammars, in addition to Nozohoor-Farshi’s
method [167].
95. Fortes Gálvez,José. A Discriminating-Reverse Approach To LR(k) Parsing.PhDthe-
sis, Technical report, Univesité de Nice-Sophia Antipolis, Nice, France, 1998. Existing
parsing techniques are explained and evaluated for convenience and memory use. Several avail-
able implementations are also discussed. The convenience of full LR(1), LR(2), etc. parsing with
minimal memory use is obtained with DR parsing. The DR(0) and DR(1) versions are discussed
in detail, and measurements are provided; theory of DR(k) is given. Algorithms for ambiguous
grammars are also presented.
96. Bertsch, Eberhard and Nederhof, Mark-Jan. Regular closure of deterministic languages.
SIAM J. Computing, 29(1):81–102, 1999. Ameta-deterministic language is a language ex-
pressed by a regular expression the elements of which are LR(0) languages. Every LR(k) language
is meta-deterministic, i.e., can be formed as a regular sequence of LR(0) languages. Using a refined
form of the technique of Bertsch [215], in which the above regular expression plays the role of the
root set grammar, the authors show that meta-deterministic languages can be recognized and parsed
in linear time. Many proofs, much theory.
97. Morimoto, Shin-Ichi and Sassa, Masataka. Yet another generation of LALR parsers for
regular right part grammars. Acta Inform., 37(9):671–697, 2000. To allow determining the
extent of the handle of a reduce, markers are pushed on the stack whenever a production could start.
For most LALR(1) grammars these allow unique identification of the handle segment at reduce
time. For other LALR(1) grammars counters are included in the stack. Complicated theory, but
extensive examples given.
98. Farré, Jacques and Fortes Gálvez, José. A bounded graph-connect construction for LR-
regular parsers. In Compiler Construction: 10th International Conference, CC 2001,
volume 2027 of Lecture Notes in Computer Science, pages 244–258. Springer-Verlag,
2001. Detailed description of the constructing of a practical LR-regular parser, consisting of both
algorithms and heuristic rules for the development of the look-ahead automata. As an example,
such a parser is constructed for a difficult subset of HTML.
99. Kannapinn, Sönke. Eine Rekonstruktion der LR-Theorie zur Elimination von Redun-
danzen mit Anwendung auf den Bau von ELR-Parsern. PhD thesis, Technical report,
Technische Universität Berlin, Berlin, July 2001, (in German). The thesis consists of two
fairly disjunct parts; the first part (100 pages) concerns redundancy in LR parsers, the second (60
pages) designs an LR parser for EBNF, after finding errors in existing publications.
The states in an LR parser hold a lot of redundancy: for example, the top state on the stack is not at
all independent of the rest of the stack. This is good for time efficiency but bad for space efficiency.
The states in an LR parser serve to answer three questions: 1. whether to shift or to reduce; if to
reduce, 2. what rule to use; 3. to what new state to go to after the reduce. In each of these a look-
ahead can be taken into account. Any scheme that provides these answers works.
The author proposes various ways to reduce the amount of information carried in the dotted items,
and the LR, LALR and SLR states. In each of these cases, the ability to determine the reduce rule
suffers, and further stack examination is required to answer question 2 above; this stack exam-
ination must be of bounded size, or else the parser is no longer linear-time. Under some of the
592 18 Annotated Bibliography
modifications, the original power remains, but other classes of grammars also appear: algemeines
LR, translated by Joachim Durchholz by Compact LR, since the literal translation “general LR” is
too much like “generalized LR”, and ILALR.
In Compact LR, an item A→α•Xβ,tin a state of the LR(1) automaton is reduced to X|uwhere X
can be terminal or non-terminal, and uis the immediate look-ahead of X, i.e. the first token of βif it
exists, or tif βis absent. The resulting CLR(1) automaton collapses considerably; for example, all
reduce-only states are now empty (since Xis absent) and can be combined. This automaton has the
same shift behavior as the LR(1) automaton, but when a reduce is called for, no further information
is available from the automaton, and stack examination is required. If the stack examination is of
bounded size, the grammar was CLR(1).
The design of the LR state automata is given in great detail, with examples, but the stack exam-
ination algorithms are not given explicitly, and no examples are provided. No complete parsing
example is given.
Should have been in English.
100. Scott, Elizabeth and Johnstone, Adrian. Reducing non-determinism in reduction-
modified LR(1) parsers. Technical Report CSD-TR-02-04, Royal Holloway, University
of London, Jan. 2002. Theory of the reduction-modified LR(1) parser used in GRMLR parsing
(Scott [177]), plus some improvements.
18.1.5 Left-Corner Parsing
This section also covers a number of related top-down non-canonical techniques:
production chain, LLP(k), PLR(k), etc. The bottom-up non-canonical techniques are
collected in (Web)Section 18.2.2.
101. Rosenkrantz, D. J. and Lewis, II, P. M. Deterministic left-corner parsing. In IEEE Con-
ference Record 11th Annual Symposium on Switching and Automata Theory, volume 11,
pages 139–152, 1970. An LC(k) parser decides the applicability of a rule when it has seen the
initial non-terminal of the rule if it has one, plus a look-ahead of ksymbols. Identifying the initial
non-terminal is done by bottom-up parsing, the rest of the rule is recognized top-down. A canonical
LC pushdown machine can be constructed in which the essential entries on the pushdown stack
are pairs of non-terminals, one telling what non-terminal has been recognized bottom-up and the
other what non-terminal is predicted top-down. As with LL, there is a difference between LC and
strong-LC. There is a simple algorithm to convert an LC(k) grammar into LL(k) form; the resulting
grammar may be large, though.
102. Lomet, David B. Automatic generation of multiple exit parsing subroutines. In
J. Loeckx, editor, Automata, Languages and Programming, volume 14 of Lecture Notes
in Computer Science, pages 214–231. Springer-Verlag, Berlin, 1974. Aproduction chain
is a chain of production steps X0→X1α1,X1→X2α2, ..., Xn−1→tαn, with X0...Xn−1non-
terminals and ta terminal. If the input is known to derive from X0and starts with t, each produc-
tion chain from X0to tis a possible explanation of how twas produced. The set of all production
chains connecting X0to tis called a production expression. An efficient algorithm for the con-
struction and compression of production expressions is given. Each production expression is then
implemented as a subroutine which contains the production expression as a FS automaton.
103. Demers, Alan J. Generalized left corner parsing. In Fourth ACM Symposium on Princi-
ples of Programming Languages, pages 170–182, New York, 1977. ACM. The right-hand
side of each rule is required to contain a marker. The part on the left of the marker is the left corner;
it is recognized by SLR(1) techniques, the rest by LL(1) techniques. An algorithm is given to deter-
mine the first admissible position in each right-hand side for the marker. Note that this is unrelated
to the Generalized Left-Corner Parsing of Nederhof [172].
18.1 Major Parsing Subjects 593
104. Soisalon-Soininen, Eljas and Ukkonen, Esko. A method for transforming grammars into
LL(k) form. Acta Inform., 12:339–369, 1979. Introduces a subclass of the LR(k) grammars
called predictive LR(k)(PLR(k)). The deterministic LC(k) grammars are strictly included in this
class, and a grammatical transformation is presented to transform a PLR(k) into an LL(k) grammar.
PLR(k) grammars can therefore be parsed with the LL(k)parserofthetransformedgrammar.A
consequence is that the classes of LL(k), LC(k), and PLR(k) languages are identical.
105. Nederhof, M.-J. A new top-down parsing algorithm for left-recursive DCGs. In
5th International Symposium on Programming Language Implementation and Logic
Programming, volume 714 of Lecture Notes in Computer Science, pages 108–122.
Springer-Verlag, Aug. 1993. “Cancellation parsing” predicts alternatives for leftmost non-
terminals, just as any top-down parser does, but keeps a set of non-terminals that have already been
predicted as left corners, and when a duplicate turns up, the process stops. This basically parses
the largest left-corner tree with all different non-terminals on the left spine. The original prediction
then has to be restarted to see if there is a still larger tree.
It is shown that this is the minimal extension of top-down parsing that can handle left recursion. The
parser can be made deterministic by using look-ahead and three increasingly demanding definitions
are given, leading to C(k), strong C(k)and severe C(k). It is shown that LL(k)⊂C(k)⊂LC(k)and
likewise for the strong variant. Cancellation parsing cannot handle hidden left recursion.
The non-deterministic case is presented as definition-clause grammars, and an algorithm is given
to use attributes to aid in handling hidden left recursion. The generation of a non-deterministic can-
cellation parser requires no analysis of the grammar: each rule can be translated in isolation.
See also Chapter 5 of Nederhof’s thesis [156].
106. Žemliˇ
cka, Michal and Král, Jaroslav. Run-time extensible deterministic top-down
parsing. Grammars, 2(3):283–293, 1999. Easy introduction to “kind” grammars. Basically a
grammar is kind if it is LL(1) after left-factoring and eliminating left recursion. The paper explains
how to perform these processes automatically during parser generation, which results in traditional-
looking and easily modifiable recursive descent parsers. The corresponding pushdown automaton
is also described.
107. Žemliˇ
cka, Michal. Parsing with oracle. In Text, Speech and Dialogue, volume 4188
of Lecture Notes in Computer Science, pages 309–316. Springer, 2006. Summary of
the definitions of the oracle-enhanced parsing automata from [108]; no examples, no applications.
“Oracle” is not a language, as the title suggests, but just “an oracle”.
108. Žemliˇ
cka, Michal. Principles of Kind Parsing. PhD thesis, Technical report, Charles
University, Prague, June 2006. Theory, practice, applications, and a parser for kind grammars
[106], extensively explained. The parser is based on an oracle-enhanced PDA. To this end the
notion of look-ahead is extended to that of an oracle, which allows great freedom of adaptation and
modification. The automated construction of oracles for complicated look-ahead sets is discussed
and examples are given.
18.1.6 Precedence and Bounded-Right-Context Parsing
Papers on bounded-context (BC) and bounded-context parsable (BCP), which are
non-canonical, can be found in (Web)Section 18.2.2.
109. Adams, Eldridge S. and Schlesinger, Stewart I. Simple automatic coding systems.
Commun. ACM, 1(7):5–9, July 1958. Describes a simple parser for arithmetic expressions:
read the entire expression, start at the end, find the first open parenthesis, from there find the first
closing parenthesis to the right, translate the isolated parentheses-free expression, replace by result,
and repeat until all parentheses are gone. A parentheses-free expression is parsed by distinguishing
between one-factor terms and more-than-one-factor terms, but the algorithm is not made explicit.
594 18 Annotated Bibliography
110. Wolpe, Harold. Algorithm for analyzing logical statements to produce a truth function
table. Commun. ACM, 1(3):4–13, March 1958. The paper describes an algorithm to convert
a Boolean expression into a decision table. The expression is first fully parenthesized through a
number of substitution rules that represent the priorities of the operators. Parsing is then done by
counting parentheses. Further steps construct a decision table.
111. Sheridan, P. B. The arithmetic translator-compiler of the IBM FORTRAN automatic
coding system. Commun. ACM, 2:9–21, Feb. 1959. Amazingly compact description of a
optimizing Fortran compiler; this digest covers only the translation of arithmetic expressions.
The expression is first turned into a fully parenthesized one, through a precedence-like scheme (+
is turned into )))+(((, etc.). This leads to a list of triples (node number, operator, operand). This
list is then reduced in several sweeps to eliminate copy operations and common subexpressions;
these optimizations are machine-independent. Next several machine-dependent (for the IBM 704)
optimizations are performed.
112. Samelson, K. and Bauer, F. L. Sequential formula translation. Commun. ACM, 3(2):76–
83, Feb. 1960. (Parsing part only.) When translating a dyadic formula from left to right, the
translation of an operator often has to be postponed because a later operator has a higher precedence.
It is convenient to put such operators aside in a pushdown cellar (which later became known as a
“stack”); the same applies to operands, for which an “address cellar” is introduced.
All parsing decisions can then be based on the most recent operator ξin the cellar and the next
input symbol α(sometimes called χin the paper). If αis an operand, it is stacked on the address
cellar and a new input symbol is read; otherwise a matrix is indexed with ξand α, resulting in an
action to be performed. This leads to a variant of operator precedence parsing.
The matrix (given in Table 1) was produced by hand from a non-existing grammar. It contains 5
different actions, two of which (1 and 3) are shifts (there is a separate shift to fill the empty stack).
Action 5 is the general reduction for a dyadic operator, popping both the operator cellar and the
address cellar. Action 4 handles one parentheses pair by discarding both ξ(()andα()). Action 2
is a specialized dyadic reduction, which incorporates the subsequent shift; it is used when such a
shift is guaranteed, as in two successive operators of the same precedence, and works by overwriting
the top element in the cellar.
113. Floyd, Robert W. A descriptive language for symbol manipulation. J. ACM, 8:579–584,
Oct. 1961. Original paper describing Floyd productions. See Section 9.3.2.
114. Paul, M. A general processor for certain formal languages. In Symposium on Symbolic
Languages in Data Processing, pages 65–74, New York, 1962. Gordon and Breach. Early
paper about the BRC(2,1) parser explained further in Eickel et al. [115]. Gives precise criteria under
which the BRC(2,1) parser is deterministic, without explaining the parser itself.
115. Eickel, J., Paul, M., Bauer, F. L., and Samelson, K. A syntax-controlled generator of
formal language processors. Commun. ACM, 6(8):451–455, Aug. 1963. In this paper, the
authors develop and describe the BRC(2,1) parser already introduced by Paul [114]. The reduction
rules in the grammar must have the form U←Vor R←ST . A set of 5 intuitively reasonable
parse table construction rules are given, which assign to each combination Xn−1Xn,tkone of the
actions U←Xn,R←Xn−1Xn,shift or report error.HereXnis the top element of the stack and
Xn−1the one just below it; tkis the next input token.
An example of such a parse table construction rule is: if Xncan be reduced to a Usuch that Xn−1U
can be reduced to an Rsuch that Rcan be followed by token tk, then the table entry for Xn−1Xn,tk,
should contain U←···←Xn. Note that chains of unit reductions are performed in one operation.
The table is required to have no multiple entries. The terminology in the paper differs considerably
from today’s.
116. Floyd, Robert W. Syntactic analysis and operator precedence. J. ACM, 10(3):316–333,
July 1963. Operator-precedence explained and applied to an ALGOL 60 compiler.
117. Floyd, Robert W. Bounded context syntax analysis. Commun. ACM, 7(2):62–67, Feb.
1964. For each right-hand side of a rule A→αin the grammar, enough left and/or right context
18.1 Major Parsing Subjects 595
is constructed (by hand) so that when αis found obeying that context in a sentential form in a left-
to-right scan in a bottom-up parser, it can safely be assumed to be the handle. If you succeed, the
grammar is bounded-context; if in addition the right hand contexts do not contain non-terminals,
the grammar is bounded-right-context; analogously for bounded-left-context. A detailed example
is given; it is BRC(2,1). The paper ends with a report of the discussion that ensued after the presen-
tation of the paper.
118. Wirth, Niklaus and Weber, Helmut. EULER: A generalization of ALGOL and its formal
definition, Part 1/2. Commun. ACM, 9(1/2):13–25/89–99, Jan. 1966. Detailed description
of simple and extended precedence. A table generation algorithm is given. Part 2 contains the
complete precedence table plus functions for the language EULER.
119. Colmerauer,A.Précedence, analyse syntactique et languages de programmation.PhD
thesis, Technical report, Université de Grenoble, Grenoble, 1967, (in French). Defines two
precedence schemes: total precedence, which is non-canonical, and left-to-right precedence, which
is like normal precedence, except that some non-terminals are treated as if they were terminals.
Some other variants are also covered, and an inclusion graph of the language types they define is
shown, which includes some terra incognita.
120. Bell, James R. A new method for determining linear precedence functions for prece-
dence grammars. Commun. ACM, 12(10):567–569, Oct. 1969. The precedence relations
are used to set up a connectivity matrix. Take the transitive closure and count 1s in each row. Check
for correctness of the result.
121. Ichbiah, J. and Morse, S. A technique for generating almost optimal Floyd-Evans pro-
ductions of precedence grammars. Commun. ACM, 13(8):501–508, Aug. 1970. The
notion of “weak precedence” is defined in the introduction. The body of the article is concerned
with efficiently producing good Floyd-Evans productions from a given weak precedence grammar.
The algorithm leads to production set sizes that are within 20% of the theoretical minimum.
122. Loeckx, Jacques. An algorithm for the construction of bounded-context parsers.
Commun. ACM, 13(5):297–307, May 1970. The algorithm systematically generates all
bounded-right-context (BRC) states the parser may encounter. Since BRCness is undecidable, the
parser generator loops if the grammar is not BRC(m,n) for any value of mand n.
123. McKeeman, William M., Horning, James J., and Wortman, David B. A Compiler
Generator. Prentice Hall, Englewood Cliffs, N.J., 1970. Good explanation of precedence
and mixed-strategy parsing. Full application to the XPL compiler.
124. Gray, James N. and Harrison, Michael A. Canonical precedence schemes. J. ACM,
20(2):214–234, April 1973. The theory behind precedence parsing, unifying the schemes of
Floyd [116], Wirth and Weber [118], and the canonical parser from Colmerauer [190]. Basically
extends simple precedence by appointing some non-terminals as honorary terminals, the strong
operator set; different strong operator sets lead to different parsers, and even to relationships with
LR(k). Lots of math, lots of information. The paper emphasizes the importance of parse tree nodes
being created in a clear and predictable order, in short “canonical”.
125. Levy, M. R. Complete operator precedence. Inform. Process. Lett., 4(2):38–40, Nov.
1975. Establishes conditions under which operator-precedence works properly.
126. Henderson, D. S. and Levy, M. R. An extended operator precedence parsing algorithm.
Computer J., 19(3):229–233, 1976. The relation is split into 1and 2.a1bmeans that
amay occur next to b,a2bmeans that a non-terminal has to occur between them. Likewise for
.
=and . This is extended operator-precedence.
127. Bertsch, Eberhard. The storage requirement in precedence parsing. Commun. ACM,
20(3):192–194, March 1977. Suppose for a given grammar there exists a precedence matrix but
the precedence functions fand gdo not exist. There always exist sets of precedence functions fiand
gjsuch that for two symbols aand b, comparison of fc(b)(a)and gd(a)(b)yields the precedence
596 18 Annotated Bibliography
relation between aand b,wherecand dare selection functions which select the fiand gjto be
compared. An algorithm is given to construct such a system of functions.
128. Williams, M. H. Complete operator precedence conditions. Inform. Process. Lett.,
6(2):60–62, April 1977. Revision of the criteria of Levy [125].
129. Williams, M. H. Conditions for extended operator precedence parsing. Computer J.,
22(2):164–168, 1979. Tighter analysis of extended operator-precedence than Henderson and
Levy [126].
130. Gonser, Peter. Behandlung syntaktischer Fehler unter Verwendung kurzer, fehlerein-
schließender Intervalle. PhD thesis, Technical report, Technische Universität München,
München, July 21 1981, (in German). The author’s investigations on error treatment (see
[308]) show that the precedence parsing algorithm has good error reporting properties because it
allows the interval of the error to be securely determined. Since the existing precedence techniques
are too weak, several new precedence grammars are proposed, often using existing terms and sym-
bols ( _, etc.) with new meanings.
1. An operator precedence grammar in which, for example, abmeans that bcan be the beginning
of a non-terminal that can follow a,anda_bmeans that bcan be the first terminal in a right-hand
side of a non-terminal that can follow a.
2. An extended operator precedence grammar in which two stack symbols, which must be a termi-
nals, and a non-terminal form a precedence relation with the next input token.
3. An indexed operator precedence grammar, a grammar in which all terminal symbols are dif-
ferent. This virtually assures all kinds of good precedence properties; but hardly any grammar is
indexed-operator. Starting from an LR(0) grammar it is, however, possible to construct a parsing
algorithm that can disambiguate tokens on the fly during parsing, just in time for the precedence
algorithm, by attaching LR state numbers to them. This distinguishes for example the (in function
call f(3) from the (in the expression x×(y+z). The proof of this theorem takes 19 pages; the
algorithm itself another 5.
Each of these techniques comes with a set of rules for error correction.
131. Williams, M. H. A systematic test for extended operator precedence. Inform. Process.
Lett., 13(4-5):187–190, 1981. The criteria of Williams [129] in algorithmic form.
132. Peyton Jones, Simon L. Parsing distfix operators. Commun. ACM, 29(2):118–122,
Feb. 1986. A distfix operator is an operator which is distributed over its operands; examples
are if . then . else . fi and rewrite . as . using . end. It is useful to al-
low users to declare such operators, especially in functional languages.
Such distfix operators are introduced in a functional language using two devices. First the key-
words of a distfix operator are given different representations depending on their positions: prefix
keywords are written with a trailing dot, infix ones with a leading and a trailing dot, and postfix ones
with a leading dot; so the user is required to write rewrite. x .as. y .using. z .end.
These forms are recognized by the lexical analyzer, and given the token classes PRE.TOKEN,
IN.TOKEN,andEND.TOKEN. Second, generic rules are written in yacc to parse such structures.
133. Aasa, Annika. Precedences in specifications and implementations of programming
languages. Theoret. Comput. Sci., 142(1):3–26, May 1995. Fairly complicated but clearly
explained algorithm for parsing expressions containing infix, prefix, postfix and distfix operators
with externally given precedences. Even finding a sensible definition of the “correct” parsing is
already difficult with those possibilities.
18.1.7 Finite-State Automata
134. Mealy, George H. A method for synthesizing sequential circuits. Bell System Techni-
cal J., 34(5):1045–1079, 1955. Very readable paper on “sequential circuits” aka finite-state
automata, except that the automata are built from relays connected by wires. The circuits consist
18.1 Major Parsing Subjects 597
of AND, OR, and NOT gates, and delay units; the latter allow delayed feedback of signals from
somewhere in the circuit to somewhere else. Starting from the circuit diagram, a set of input, out-
put, excitation and state variables are defined, where the excitation variables describe the input to
the delay units and the states their output. The delay units provide the finite-state memory. Since
only the output variables are observable in response to the inputs, this leads naturally to attaching
semantics to the transitions rather than to the (unobservable) states.
The relationships between the variables are recorded in “truth tables”. These are shown to be equiv-
alent to Moore’s sequential machines. Moore’s minimization procedure is then transformed so as
to be applicable to truth tables. These then lead to minimal-size sequential circuits.
The rest of the paper dwells on the difficulties of asynchronous circuits, in which unknown delays
may cause race conditions. The truth table method is reasonably good at handling them.
135. Kleene, S. C. Representation of events in nerve nets and finite automata. In C. E.
Shannon and J. McCarthy, editors, Automata Studies, pages 3–42. Princeton University
Press, Princeton, N.J., 1956. Introduces the Kleene star, but its meaning differs from the present
one. An event is a k×lmatrix, defining the kstimuli to kneurons over a time span of length l;a
stimulus has the value 0 or 1. Events can be concatenated by just writing them one after another:
EF means first there was an event Eand then an event F; the final event Fis in the present, and
the train can then be applied to the set of neurons. Events can be repeated: EF,EEF,EEEEF,
... EnF. Increasing the nintroduces more and more events Ein a more and more remote past, and
since we do not usually know exactly what happened a long time ago, we are interested in the set
E0F,E1F,E2F,E3F, ... EnFfor n→∞. This set is written as E∗F, with a binary operator ∗
(not raised), and means “An occurrence of Fpreceded by any number of Es”. The unary raised star
does not occur in the paper, so its origin must be elsewhere.
136. Moore, E. F. Gedanken-experiments on sequential machines. In Automata Studies,
number 34 in Annals of Mathematics Studies, pages 129–153. Princeton University
Press, Princeton, NJ, 1956. A finite-state automaton is endowed with an output function, to
allow experiments with the machine; the machine is considered a black box. The output at a given
moment is equal to the state of the FSA at that moment. Many, sometimes philosophical, conclu-
sions are drawn from this model, culminating in the theorem that there is a sequence of at most
nnm+2pn/n! input symbols that distinguishes an FSA with nstates, mdifferent input symbols, and
pdifferent output symbols from any other such FSA.
137. McNaughton, R. and Yamada, H. Regular expressions and state graphs for automata.
IRE Transactions Computers, EC-9(1):39–47, March 1960. Sets of sequences of input-
output transitions are described by regular expressions, which are like regular expressions in CS
except that intersection and negation are allowed. The output is generated the moment the automa-
ton enters a state. A subset-like algorithm for converting regular expressions without intersection,
negation, and ε-rules into FSAs is rigorously derived. The trouble-makers are introduced by re-
peatedly converting the innermost one into a well-behaved regular expression, using one of three
conversion theorems. Note that the authors use φfor the empty sequence (string) and Λfor the
empty set of strings (language).
138. Brzozowski, J. A. Canonical regular expressions and minimal state graphs for definite
events. In Symp. on Math. Theory of Automata, pages 529–561, Brooklyn. N.Y., 1963.
Brooklyn Politechnic. Getting unique minimal regular expressions from FSAs is difficult. The
author defines a definite event as a regular set described by an expression of the form E|Σ∗F,where
Eand Fare finite sets of finite-length strings. Using Brzozowski derivatives, the author gives an
algorithm that will construct a definite event expression for any FSA that allows it.
139. Brzozowski, Janusz A. Derivatives of regular expressions. J. ACM, 11(4):481–494,
1964. The author starts from regular expressions over [0,1] that use concatenation and Kleene star
only, and then adds union, intersection, complement and exclusive-or. Next the derivative Ds(R)
of the regular language Rwith respect to sis defined as anything that can follow a prefix sin a
sequence in R. Many theorems about these derivatives are proved, for example: “A sequence sis
in Rif and only if Ds(R)=ε. More importantly, it is shown that there are only a finite number of
598 18 Annotated Bibliography
different derivatives of a given R; these correspond to the states in the DFA. This is exploited to
construct that DFA for regular expressions featuring the extended set of operations. Many examples.
For an application of Brzozowski derivatives to XML validation see Sperberg-McQueen [359].
140. Thompson, Ken. Regular expression search algorithm. Commun. ACM, 11(6):419–422,
June 1968. The regular expression is turned into a transition diagram, which is then interpreted in
parallel. Remarkably, each step generates (IBM 7094) machine code to execute the next step.
141. Aho, Alfred V. and Corasick, Margaret J. Efficient string matching: an aid to biblio-
graphic search. Commun. ACM, 18(6):333–340, June 1975. A given string embedded in a
longer text is found by a very efficient FS automaton derived from that string.
142. Krzemie´
n, Roman and Łukasiewicz, Andrzej. Automatic generation of lexical analyzers
in a compiler-compiler. Inform. Process. Lett., 4(6):165–168, March 1976. A grammar is
quasi-regular if it features left or right recursion only; such grammars generate regular languages.
A straightforward bottom-up algorithm is given to identify all quasi-regular subgrammars in a CF
grammar, thus identifying its “lexical part”, the part that can be handled by a lexical analyser in a
compiler.
143. Boyer, Robert S. and Moore, J. Strother. A fast string searching algorithm. Commun.
ACM, 20(10):762–772, 1977. We want to find a string Sof length lin a text Tand start by
positioning S[1]at T[1]. Now suppose that T[l]does not occur in S; then we can shift Sto T[l+1]
without missing a match, and thus increase the speed of the search process. This principle can be
extended to blocks of more characters.
144. Ostrand, Thomas J., Paull, Marvin C., and Weyuker, Elaine J. Parsing regular grammars
with finite lookahead. Acta Inform., 16:125–138, 1981. Every regular (Type 3) language can
be recognized by a finite-state automaton without look-ahead, but such a device is not sufficient to
do parsing. For parsing, look-ahead is needed; if a regular grammar needs a look-ahead of ktokens,
it is called FL(k). FS grammars are either FL(k), FL(∞) or ambiguous; a decision algorithm is
described, which also determines the value of k, if appropriate.
A simple parsing algorithm is a FS automaton governed by a look-up table for each state, mapping
look-aheads to new states. A second algorithm avoids these large tables by constructing the relevant
look-ahead sets on the fly.
145. Karp, Richard M. and Rabin, Michael O. Efficient randomized pattern-matching
algorithms. IBM J. Research and Development, 31(2):249–260, 1987. We want to find a
string Sof length lin a text T. First we choose a hash function Hthat assigns a large integer to any
string of length land compute H(S)and H(T[1···l]). If they are equal, we compare Sand T[1···l].
If either fails we compute H(T[2···l+1]) and repeat the process. The trick is to choose Hso that
H(T[p+1···p+l]) can be computed cheaply from H(T[p···p+l−1]). Note that this is not a FS
algorithm but achieves a similar result.
146. Jones, Douglas W. How (not) to code a finite-state machine. ACM SIGPLAN Notices,
23(8):19–22, Aug. 1988. Small, well-structured and efficient code can be generated for a FS ma-
chine by deriving a single deterministic regular expression from the FS machine and implementing
this expression directly using while and repeat constructions.
147. Aho, A. V. Algorithms for finding patterns in strings. In J. van Leeuwen, editor,
Handbook of Theoretical Computer Science - Algorithms and Complexity, Vol. A, pages
255–300. Elsevier, Amsterdam, The Netherlands, 1990. Chapter 5 of the handbook. Ency-
clopedic article on the subject, covering the state of the art in:
single string matching:
brute-force
Karp-Rabin, caterpillar hash function
Knuth-Morris-Pratt, automaton, forward
Boyer-Moore, backward
multiple string matching:
18.1 Major Parsing Subjects 599
Aho-Corasick
Commentz-Walter, best description around
regular expression matching:
Thompson NFSA construction
regular expression matching with variables:
proved NP-complete
longest common substring location:
longest path in matrix
McCreight suffix trees
giving a very readable account of each of them, often with proof and complexity analysis. Draws
amazing conclusions from Cook’s Theorem: “Every 2-way deterministic pushdown automaton
(2DPDA) language can be recognized in linear time on a random-access machine”.
The paper ends with 139 literature references.
148. Roche, Emmanuel. Factorization of finite-state transducers. Technical Report TR-
95-2, Mitsubishi Electric Research Laboratories, Cambridge, MA., Feb. 1995. A non-
deterministic FSA Fis decomposed into two deterministic ones by constructing a new graph on the
states of F, in which arcs are present between each pair of states that can be reached by the same
input string. This graph is then colored and the colors are considered new states. Two new automata
are constructed, one which leads from the states of Fto colors and one which leads from colors to
states of F; they are constructed in such a way that they are deterministic. The concatenation Cof
these automata is equivalent to F. Often Cis smaller than the traditional minimized deterministic
equivalent of F, but of course it takes twice the time to do a transition.
149. Watson, Bruce W. A new regular grammar pattern matching algorithm. In Josep Díaz
and Maria Serna, editors, Algorithms: ESA ’96, Fourth Annual European Symposium,
volume 1136 of Lecture Notes in Computer Science, pages 364–377, Barcelona, Spain,
Sept. 1996. Springer. Careful derivation of an algorithm, which applies the Boyer-Moore token-
skipping technique [143] to regular expression matching.
150. Brüggemann-Klein, Anne and Wood, Derick. The validation of SGML content models.
Math. Comp. Modelling, 25(4):73–84, 1997. The checking of an SGML file requires the
construction of a FS automaton based on the document grammar. The paper gives criteria such that
the automaton can be constructed in linear time.
151. Laurikari, Ville. Efficient submatch addressing for regular expressions. Master’s thesis,
Helsinki University of Technology, Helsinki, Nov. 2001. Gives a linear-time algorithm for
unambiguous substring parsing with a regular grammar, i.e., the algorithm returns a structured
match for a regular expression matching a segment of the input. Unambiguity is enforced by three
rules: longest possible match; longest possible subexpression match; and last possible match, in
this order. Each transition in the NFA is augmented with a “tag”, a variable which is set to the
current input position when the transition is taken. A series of increasingly efficient but complicated
algorithms for simulating tagged NFAs is given. Next it is shown how the gathered information can
be used for creating a parse tree or to do approximate regular expression matching.
Chapters 4 and 5 report on the conversion of the tagged NFA to a tagged DFA, and on speed and
memory usage tests, in which the tagged DFA performs between reasonably and spectacularly well.
Excellent description and analysis of previous papers on finite-state parsing.
18.1.8 General Books and Papers on Parsing
152. Aho,AlfredV.andUllman,JeffreyD.The Theory of Parsing, Translation and Compil-
ing: Volume I: Parsing. Prentice Hall, Englewood Cliffs, N.J., 1972. The book describes
the parts of formal languages and automata theory relevant to parsing in a strict mathematical fash-
ion. Since a considerable part of the pertinent theory of parsing had already been developed in 1972,
the book is still reasonably up to date and is a veritable trove of definitions, theorems, lemmata and
600 18 Annotated Bibliography
proofs.
The required mathematical apparatus is first introduced, followed by a survey of compiler construc-
tion and by properties of formal languages. The rest of the book confines itself to CF and regular
languages.
General parsing methods are treated in full: backtracking top-down and bottom-up, CYK and Ear-
ley. Directional non-backtracking methods are explained in detail, including general LL(k), LC(k)
and LR(k), precedence parsing and various other approaches. A last chapter treats several non-
grammatical methods for language specification and parsing.
Many practical matters concerning parser construction are treated in volume II, where the theoreti-
cal aspects of practical parser construction are covered; recursive descent is not mentioned, though.
153. Backhouse,RolandC. Syntax of Programming Languages. Prentice Hall, London,
1979. Grammars are considered in depth, as far as they are relevant to programming languages.
FS automata and the parsing techniques LL and LR are treated in detail, and supported by lots of
well-explained math. Often complete and efficient algorithms are given in Pascal. Much attention
is paid to error recovery and repair, especially to least-cost repairs and locally optimal repairs.
Definitely recommended for further reading.
154. Nijholt, Anton. Parsing strategies: A concise survey. In J. Gruska and M. Chytil, ed-
itors, Mathematical Foundations of Computer Science, volume 118 of Lecture Notes in
Computer Science, pages 103–120. Springer-Verlag, Berlin, 1981. The context-free parser
and language field is surveyed in terse prose. Highly informative to the connoisseur.
155. Leermakers,R. The Functional Treatment of Parsing. Kluwer Academic Publishers,
1993. Parsing for the mathematically inclined, based on a formalism of the author’s own creation.
In fact the author proposes what seems to be a calculus for parsers: basic parsing problems are cast
in the formalism, computations are performed on these formulas, and we arrive at new formulas
that translate back into actual parsers, for example Earley or recursive ascent LR. These parsers
have the form of functional programs.
The book contains a two-chapter introduction to the formalism, followed by chapters on applica-
tions to recursive descent, recursive ascent, parse forests, LR parsing, grammar transformations and
attribute grammars. Some philosophical notes on these and other subjects end the book. The text
is written in a deceptively simple but very clear prose, interleaved with considerable stretches of
formulas.
The formalism has a high threshold, and requires considerable mathematical sophistication (Lam-
bek types, etc.); but it has the clear and redeeming advantage that it is functional (excuse the pun):
it allows actual computations to be performed and is not just an exposition aid.
For a review, see Schabes [157]. For an implementation see Sperber and Thiemann [356].
156. Nederhof,M.-J. Linguistic Parsing and Program Transformation. PhD thesis, Techni-
cal report, Katholieke Universiteit Nijmegen, Nijmegen, 1994. Contains in coherent chapter
form versions of the following papers: “Generalized left-corner parsing” [172], “An Optimal Tab-
ular Parsing Algorithm” [33], “Increasing the Applicability of LR Parsing” [94], and “Top-Down
Parsing for Left-Recursive Grammars” [105], preceded by an introduction to parsing, and followed
by a chapter on attribute propagation, and one on a grammar workbench.
157. Schabes, Yves. The functional treatment of parsing: Book review. Computational
Linguistics, 21(1):112–115, 1995. Review of Leermakers [155]. Praises the approach and
the courage. Criticizes the unusual formalism and some of the complexity analysis.
158. Sikkel,K. Parsing Schemata. Springer Verlag, 1996. Describes the primordial soup algo-
rithm: the soup initially contains all grammar rules and all rules of the form A→tifor all tiin the
input; both are in effect parse tree fragments. During stewing fragments are combined according
to obvious rules, until all possible combinations have been formed. Then the complete parse trees
float to the surface.
The rules of this algorithm, which is actually a transitive closure algorithm, are then formalized
into sets of inference rules geared to parsing, called parsing schemata. These are then specialized to
form many existing parsing methods and some new ones, including predictive head-corner parsing
18.2 Advanced Parsing Subjects 601
[204]) and a parallel bottom-up GLR parser [233]. All this is supported by great mathematical rigor,
but enough diagrams and examples are given to keep it readable.
18.2 Advanced Parsing Subjects
18.2.1 Generalized Deterministic Parsing
159. Lang, Bernard. Deterministic techniques for efficient non-deterministic parsers. In
J. Loeckx, editor, Automata, Languages and Programming, volume 14 of Lecture Notes
in Computer Science, pages 255–269. Springer-Verlag, Berlin, 1974. Explores the the-
oretical properties of doing breadth-first search to resolve the non-determinism in a bottom-up
automaton with conflicts. See Tomita [160, 161, 162] for a practical realization.
160. Tomita, Masaru. LR parsers for natural languages. In 10th International Conference
on Computational Linguistics, pages 354–357. ACL, 1984. Two detailed examples of GLR
parsing, on two English sentences. The parser features equal state combination, but no equal stack
combination.
161. Tomita, Masaru. An efficient context-free parsing algorithm for natural languages. In
International Joint Conference on Artificial Intelligence, pages 756–764, 1985. Explains
GLR parsing in three steps: using stack lists, in which each concurrent LR parser has its own
private stack; using tree-structured stacks, in which equal top states are combined yielding a forest
of trees; and using the full graph-structured stacks. Also points out the defect in Earley’s parse
forest representation (Earley [14]), and shows that repairing it causes the algorithm to require more
than O(n3)space on highly ambiguous grammars.
162. Tomita, Masaru. Efficient Parsing for Natural Language. Kluwer Academic Publishers,
Boston, 1986. Tomita describes an efficient parsing algorithm to be used in a “natural-language
setting”: input strings of some tens of words and considerable but not pathological ambiguity. The
algorithm is essentially LR, starting parallel parses when an ambiguity is found in the LR-table.
Full examples are given of handling ambiguities, lexical elements with multiple meanings and un-
known lexical elements.
The algorithm is compared extensively to Earley’s algorithm by measurement and it is found to be
consistently five to ten times faster than the latter, in the domain for which it is intended. Earley’s
algorithm is better in pathological cases; Tomita’s fails on unbounded ambiguity. No time bounds
are given explicitly, but graphs show a behavior better than O(n3). Bouckaert, Pirotte and Snelling’s
algorithm [17]) is shown to be between Earley’s and Tomita’s in speed.
MacLisp programs of the various algorithms are given and the application in the Nishida and
Doshita Machine Translation System is described.
For a review see Ba´
nko [163].
163. Ba´
nko, Mirosław. Efficient parsing for natural language: Book review. Computational
Linguistics, 14(2):80–81, 1988. Two-column summary of Tomita’s book [162].
164. Billot, Sylvie and Lang, Bernard. The structure of shared forests in ambiguous parsing.
In 27th Annual Meeting of the Association for Computational Linguistics, pages 143–
151, June 1989. A parse forest resulting from parsing can be represented very conveniently
by a grammar; subtrees are shared because they are represented by the same non-terminal. If the
grammar is in 2-form (Sheil [20]), its size is O(n3), which is satisfactory.
To investigate this representation with various parsing schemes, the PDT interpreter of Lang [210]
is implemented and LR(0), LR(1), LALR(1), LALR(2), weak precedence, and LL(0) transducers
for some simple grammars are compared using it. A general observation is that parsers with great
resolution power perform worse than weak precedence, because the overspecificness of the context
prevents useful sharing of subtrees.
602 18 Annotated Bibliography
165. Kipps, James R. GLR parsing in time O(n3). In M. Tomita, editor, Generalized LR
Parsing, pages 43–59. Kluwer Academic Publishers, Boston, 1991. Proves that the original
GLR algorithm costs O(nk+1)for grammars with rules of maximum length k. Identifies as cause of
this complexity the searching of the graph-structured stack(GSS) during reduces. This process can
take O(il)actions at position ifor a reduce of length l; worst case it has to be done for each input
position, hence the O(nk+1). The paper describes a memoization technique that stores for each node
in the GSS and each distance 1 ≤p≤kall nodes at distance pin an ancestors table ; this makes
reduction O(1), and when done cleverly the ancestors table can fully replace the GSS. Building
the ancestors table costs O(i2)regardless of the grammar, hence the overall O(n3). For almost all
grammars, however, the original algorithm is faster.
Contains explicit code for the original and the improved GLR algorithm.
166. Lankhorst, Marc. An empirical comparison of generalized LR tables. In R. Heemels,
A. Nijholt, and K. Sikkel, editors, Tomita’s Algorithm: Extensions and Applications
(TWLT1), number 91-68 in Memoranda Informatica in Twente Workshops on Language
Technology, pages 87–93, Enschede, the Netherlands, 1991. Unversity of Twente. Lots
of bar graphs, showing that as far as speed is concerned, LALR(1) wins by perhaps 5-10% over
LR(0) and SLR(1), but that LR(1) is definitely worse. The reason is the large number of states,
which reduces the number of common stack suffixes to be combined. In the end, the much simpler
LR(0) is only a few percent sub-optimal.
167. Nozohoor-Farshi, R. GLR parsing for ε-grammars. In M. Tomita, editor, Generalized
LR Parsing, pages 61–75. Kluwer Academic Publishers, Boston, 1991. Shows that
Tomita’s algorithm [162] loops on grammars with hidden left recursion where the left recursion
can be hidden by unbounded many εs. Remedies this by constructing and pushing on the stack an
FSA representing the unbounded string of εs, with its proper syntactic structure. This also happens
to make the parser impervious to loops in the grammar, thus achieving full coverage of the CF
grammars.
168. Piastra, Marco and Bolognesi, Roberto. An efficient context-free parsing algorithm
with semantic actions. In Trends in Artificial Intelligence, volume 549 of Lecture Notes
in Artificial Intelligence, pages 271–280. Springer-Verlag, Oct. 1991. A simple condition
is imposed on the unit and ε-rules of a grammar, which controls the reductions in a reduce/reduce
conflict in a GLR parser. The result is that the reductions can be done so that multiple values result
for locally ambiguous segments of the input, and common stack suffixes can still be combined as
usual.
169. Rekers, J. Generalized LR parsing for general context-free grammars. Technical Report
CS-R9153, CWI, Amsterdam, 1991. Extensive pictorial explanation of the GLR algorithm,
including parse forest construction, with full algorithms in a clear pseudo-code. The GLR parser
in compiled LeLisp is 3 times slower than yacc on Pascal programs; the Earley parser drowned in
garbage collection. On the other hand, Earley wins over GLR on highly ambiguous grammars.
170. Deudekom, A. van and Kooiman, P. Top-down non-correcting error recovery in LLgen.
Technical Report IR 338, Vrije Universiteit, Faculteit Wiskunde en Informatica, Amster-
dam, Oct. 1993. Describes the implementation of a Richter-style [313] error recovery mechanism
in LLgen, an LL(1) parser generator, using a Generalized LL parser. The parser uses a reversed tree
with loops as the data structure to store the predictions.
The error-recovering parser is an add-on feature and is activated only when an error has been found.
It has to work with a grammar for suffixes of the original language, for which the LL(1) parser
generator has no parse tables. So the parser uses the FIRST and FOLLOW sets only. Full algorithms
are described.
A specialized garbage collector for the particular data structure was designed by Wattel and is
described in the report. Its activation costs about 10% computing time, but saves large amounts of
memory. Efficiency measurements are provided.
See [320] for the error-handling part.
18.2 Advanced Parsing Subjects 603
171. Merrill, G. H. Parsing non-LR(k) grammars with yacc. Softw. Pract. Exper., 23(8):829–
850, 1993. This is generalized LR by depth-first rather than breadth-first search. LR conflicts in the
Berkeley LALR(1) parser byacc are solved by recursively starting a subparser for each possibility.
These parsers run in “trial mode”, which means that all semantic actions except those specifically
marked for trial are suppressed. Once the right path has been found, normal parsing continues along
it. The design process and the required modifications to byacc, the lexical analyser, and the input
grammar are described in detail.
172. Nederhof, Mark-Jan. Generalized left-corner parsing. In Sixth Conference of the Eu-
ropean Chapter of the Association for Computational Linguistics, pages 305–314, April
1993. A non-deterministic LC parser is extended to generalized parsing. This requires three prob-
lems to be solved to avoid non-termination: cycles, hidden left recursion, and ε-subtrees, subtrees
that just produce ε. The hidden left recursion problem is solved by performing LC actions for any
rule A→µBβwhen µ*
→ε; cycles are handled by creating loops in the parse tree under construction;
and all empty subtrees are computed in advance. A special packing of the parse forest brings down
the time and space complexity from O(np+1)where pis the length of the longest RHS to O(n3).
Note that this technique is unrelated to the Generalized Left-Corner Parsing of Demers [103].
See also Chapter 2 of Nederhof’s thesis [156].
173. Lavie, Aaron and Tomita, Masaru. GLR*: An efficient noise-skipping parsing algorithm
for context-free grammars. In Harry Bunt and Masaru Tomita, editors, Recent Advances
in Parsing Technology, pages 183–200. Kluwer Academic Publishers, Dordrecht, 1996.
The GLR*parser finds the longest subsequence of the input that is in the language; it does su-
persequence parsing. At each input token shifts are performed from all states that allow it; this
implements skipping arbitrary segments of the input. A grading function is then used to weed out
unwanted parsings. The algorithm has exponential complexity; to counteract this, the number of
skipping shifts per token can be limited; a limit of 5 to 10 gives good results.
174. Nederhof, M.-J. and Satta, G. Efficient tabular LR parsing. In 34th Annual Meeting of
the Association for Computational Linguistics, pages 239–246. Association for Compu-
tational Linguistics, 1996. Replaces the graph-structured stack of GLR parsing by the triangular
table of CYK parsing, thus gaining efficiency and simplicity. The algorithm requires the grammar
to be in “binary” form, which is Chomsky Normal form plus ε-rules. Explains how the very simple
PDA used, among others, by Lang [210] can be obtained from the LR(0) table.
175. Alonso Pardo, M. A., Cabrero Souto, D., and Vilares Ferro, M. Construction of effi-
cient generalized LR parsers. In Derick Wood and Sheng Yu, editors, Second Interna-
tional Workshop on Implementing Automata, volume 1436 of Lecture Notes in Computer
Science, pages 7–24, Berlin, 1998. Springer-Verlag. Systematic derivation of an O(n3)GLR
parsing algorithm from the Earley parser. First the Earley parser is rewritten as a dynamic pro-
gramming algorithm. Next the Earley sets are compiled into sets of LR(0) states. Then look-ahead
is introduced leading to LR(1) states, which are then combined into LALR(1) states. And finally
implicit binarization is used to achieve the O(n3)complexity. The resulting parser consists of a
considerable number of set definitions. It is about 5 times faster than the GLR parser from Rekers
[169].
176. Aycock, John and Horspool, R. Nigel. Faster generalized LR parsing. In Compiler
Construction: 8th International Conference, CC’99, volume 1575 of Lecture Notes in
Computer Science, pages 32–46, Berlin, 1999. Springer Verlag. The stack is needed only
for non-left recursion in an LR parser; everything else can be done by a DFA on the top of the stack.
Recursion points (called “limit points” in the paper) are identified in the grammar using a heuristic
form of the feedback arc set (FAS) algorithm. The grammar is broken at those points; this yields a
regular grammar for which a DFA is constructed. Only when the DFA reaches a limit point, stack
actions are initiated. The resulting very fast LR parser is used as a basis for a GLR parser. See also
Aycock et al. [178].
604 18 Annotated Bibliography
177. Scott, Elizabeth, Johnstone, Adrian, and Hussain, Shamsa Sadaf. Tomita-style gener-
alised LR parsers. Technical report, Royal Holloway, University of London, London,
Dec. 2000. GLR parsers are bothered by nullable non-terminals at the beginning and end of a
rule; those at the beginning cause errors when they hide left recursion; those at the end cause gross
inefficiencies. The Generalized Reduction-Modified LR parser GRMLR solves the first problem by
using an improved version of Nozohoor-Farshi’s solution [167]. It solves the second problem by
using an item A→α•βas a reduce item when βis nullable; a rule A→αβ with βnullable is called
right-nullable.
For grammars that exhibit these problems a gain of roughly 30% is obtained. Full algorithm and
correctness proof given.
178. Aycock, John, Horspool, R. Nigel, Janoušek, Jan, and Melichar, Boˇ
rivoj. Even faster
generalized LR parsing. Acta Inform., 37(9):633–651, 2001. Actions on the graph-
structured stack are the most expensive items in generalized LR parsing and the fewer are required
the better. For grammars without right recursion or hidden left recursion the stack actions between
two shifts can be combined into two batches, a pop sequence and a push sequence. The optimization
saves between 70% (for an unambiguous grammar) and 90% (for a highly ambiguous grammar) on
processing time.
179. Fortes Gálvez, José, Farré, Jacques, and Aguiar, Miguel Ángel Pérez. Practical nonde-
terministic DR(k) parsing on graph-structured stack. In Computational Linguistics and
Intelligent Text Processing, volume 2004 of Lecture Notes in Computer Science, pages
411–422. Springer Verlag, 2001. Generalized DR parsing. Applying the LR-to-DR table con-
version of [95] does not work if the LR table has multiple entries, so a direct DR table construction
algorithm is presented, which is capable of producing a non-deterministic DR table. A GSS algo-
rithm using this table is described. Explicit algorithms are given.
180. Johnstone, Adrian and Scott, Elizabeth. Generalised reduction modified LR parsing
for domain specific language prototyping. In 35th Hawaii International Conference on
System Sciences, page 282. IEEE, 2002. Summary of Scott et al. [177].
181. Johnstone, Adrian and Scott, Elizabeth. Generalised regular parsers. In Compiler Con-
struction: 12th International Conference, CC’03, volume 2622 of Lecture Notes in Com-
puter Science, pages 232–246. Springer Verlag, 2003. The grammar is decomposed into a
regular grammar and a set of recursive grammars as follows. All derivations of the form A*
→αAβ
with αand βnot empty are blocked by replacing the Ain the right-hand side of a rule involved in
this derivation by a special symbol A⊥. This yields the regular grammar; it is transformed into an
NFA whose arcs are labeled with terminals, left- or right-recursive rule numbers Rn,orε;thisisa
Reduction Incorporated Automaton (RIA). Next a Recursive Call Automaton (RCA) is constructed
for each thus suppressed A. Each such automaton is then connected to the NFA by transitions
marked with push(A)and pop, in a way similar to that of ATNs. Finally the εs are removed using
the subset algorithm; any other non-determinism remains. The resulting automaton is grafted on a
graph-structured stack in GLR fashion. When the automaton meets a push(A)transition, return info
is stacked and the automaton proceeds to recognize an A; upon pop it returns.
The resulting parser operates with a minimum of stack operations, and with zero stack operations
for almost all CF grammars that define a regular language. For proofs, etc. see Scott and Johnstone
[183].
182. Scott, E., Johnstone, A., and Economopoulos, G. R. BRN-table based GLR parsers.
Technical Report CSD-TR-03-06, CS Dept., Royal Holloway, University of London,
London, July 2003. After a detailed informal and formal description of the GRMLR parser
[177], called “RNGLR” for “right-nullable GLR” here, the notion “binary right-nullable”, or BRN,
is introduced, for the purpose of making the GLR parser run in O(n3)on all grammars. In BRN the
LR(1) table is modified so that each reduction grabs at most 2 stack elements. This makes the GLR
parser react as if the longest right-hand side is at most 2 long, and since GLR parsing is O(nk+1),
where kis the length of the longest right-hand side, O(n3)complexity results.
18.2 Advanced Parsing Subjects 605
Many examples, many pictures, much explicit code, many proofs, extensive complexity results,
many of them in closed formula forms, etc. With so many goodies it lacks an index.
183. Scott, Elizabeth and Johnstone, Adrian. Table based parsers with reduced stack activity.
Technical Report CSD-TR-02-08, CS Dept., Royal Holloway, University of London,
London, May 2003. Proofs, examples and background information for Johnstone and Scott
[181].
184. Johnstone, Adrian, Scott, Elizabeth, and Economopoulos, Giorgios R. Generalised
parsing: Some costs. In Compiler Construction: 13th International Conf. CC’2004,
volume 2985 of Lecture Notes in Computer Science, pages 89–103, Berlin, 2004.
Springer-Verlag. Several GLR techniques are compared experimentally and the effects found
are discussed. The answers depend on many factors, including available memory size; for present-
day grammars and machines RNGLR is a good choice.
185. Johnstone, Adrian and Scott, Elizabeth. Recursion engineering for reduction incor-
porated parsers. Electr. Notes Theor. Comput. Sci., 141(4):143–160, 2005. Reduction-
incorporated parsers require the grammar to be split in a regular part and a set of recursive non-
terminals, where we want the regular part to be large and the recursive part to be small. We can
make the regular part larger and larger by substituting out more and more non-terminals. The ta-
bles that correspond to optimum parsing speed can be enormous, and trade-offs have to be made.
Heuristics, profiling, and manual intervention are considered, the latter based on the visualization
tool VCG.
186. Scott, Elizabeth and Johnstone, Adrian. Generalised bottom up parsers with reduced
stack activity. Computer J., 48(5):565–587, 2005. The Reduction Incorporated (RI) tech-
nique from Johnstone and Scott [181] and Scott and Johnstone [183] is incorporated in a table-
driven bottom-up parser, yielding a “shared packed parse forest” (SPPF). Run-time data structures
can be an order of magnitude or more smaller than those of a GSS implementation. Extensive
implementation code, proofs of correctness, efficiency analyses.
187. Johnstone, Adrian, Scott, Elizabeth, and Economopoulos, Giorgios R. Evaluating GLR
parsing algorithms. Sci. Comput. Progr., 61(3):228–244, 2006. A clear exposition of two
improvements of Nozohoor-Farshi’s modification [167] to Tomita’s algorithm, the Right Nulled
GLR (RNGLR) algorithm [182], and the Binary Right Nulled GLR (BRNGLR) algorithm [182] is
followed by an extensive comparison of these methods, using LR(0), SLR(1) and LR(1) tables for
grammars for C, Pascal and Cobol. The conclusion is that Right Nulled GLR (RNGLR) with an
SLR(1) table performs adequately except in bizarre cases.
188. Scott, Elizabeth and Johnstone, Adrian. Right nulled GLR parsers. ACM Trans. Prog.
Lang. Syst., 28(4):577–618, 2006. After a 9 page(!) history of parsing since the time that
the parsing problem was considered solved (mid-1970s), the principles of GLR parsing and right-
nulled LR(1) (RN) parsing (Scott [100, 177]) are explained and combined in the RNGLR algorithm.
The resulting recognizer is then extended to produce parse trees. Depending on the nature of the
grammar, using right-nulled LR(1) can help considerably: on one grammar RNGLR visits only
25% of the edges visited by the standard GLR algorithm. Extensive implementation code, proofs
of correctness, efficiency analyses.
18.2.2 Non-Canonical Parsing
This section covers the bottom-up non-canonical methods; the top-down ones (LC,
etc.) are collected in (Web)Section 18.1.5.
189. Floyd, Robert W. Bounded context syntax analysis. Commun. ACM, 7(2):62–67, Feb.
1964. For each right-hand side of a rule A→αin the grammar, enough left and/or right context
606 18 Annotated Bibliography
is constructed (by hand) so that when αis found obeying that context in a sentential form in a left-
to-right scan in a bottom-up parser, it can safely be assumed to be the handle. If you succeed, the
grammar is bounded-context. A complicated set of rules is given to check if you have succeeded.
See [117] for the bounded-right-context part.
190. Colmerauer, Alain. Précedence, analyse syntactique et languages de programmation.
PhD thesis, Technical report, Université de Grenoble, Grenoble, 1967, (in French). De-
fines total precedence and left-to-right precedence. See [119].
191. Colmerauer, Alain. Total precedence relations. J. ACM, 17(1):14–30, Jan. 1970. The
non-terminal resulting from a reduction is not put on the stack but pushed back into the input
stream; this leaves room for more reductions on the stack. This causes precedence relations that
differ considerably from simple precedence.
192. Szymanski,T.G.Generalized Bottom-up Parsing. PhD thesis, Technical Report TR73-
168, Cornell University, Ithaca, N.Y., 1973. For convenience derivation trees are linearized
by, for each node, writing down its linearized children followed by a token ]n,wherenis the num-
ber of the production rule. For a given grammar Gall its sentential forms form a language in this
notation: G’s description language. Define a “phrase” as a node that has only leaves as children.
Now suppose we delete from derivation trees all nodes that are not phrases, and linearize these.
This results in the phrase language of G. The point is that phrases can be reduced immediately, and
consequently the phrase language contains all possibilities for immediate reduces.
Phrase languages are a very general model for bottom-up parsing. Consider a phrase Pin a phrase
language. We can then compute the left and right contexts of P, which turn out to be CF languages.
The construct consisting of the left context of P,P, and right context of Pis a parsing pattern for P.
A complete set of mutually exclusive parsing patterns Gis a parsing scheme for G. It is undecidable
if there is a parsing scheme for a given grammar.
The problem can be made manageable by putting restrictions on the parsing patterns. Known spe-
cializations are bounded-right-context (Floyd [117]), LR(k) (Knuth [52]), LR-regular ( ˇ
Culik, II and
Cohen [57]), and bounded-context parsable (Williams [193]). New specializations discussed in this
thesis are FPFAP(k), where regular left and right contexts are maintained and used in a left-to-right
scan with a k-token look-ahead; LR(k,∞)andLR(k,t), in which the left context is restricted to that
constructed by LR parsing; and RPP,Regular Pattern Parsable, which is basically FPFAP(∞).
The rest (two-thirds) of the thesis explores these new methods in detail. LR(k)andSLR(k)arede-
rived as representations of inexact-context parsing. A section on the comparison of these methods
as to grammars and languages and a section on open problems conclude the thesis.
193. Williams, John H. Bounded-context parsable grammars. Inform. Control, 28(4):314–
334, Aug. 1975. The bounded-context parser without restrictions on left and right context,
hinted at by Floyd [189], is worked out in detail; grammars allowing it are called bounded-context
parsable, often abbreviated to BCP. All LR languages are BCP languages but not all LR gram-
mars are BCP grammars. BCP grammars allow, among others, the parsing in linear time of some
non-deterministic languages. Although a parser could be constructed, it would not be practical.
194. Szymanski, Thomas G. and Williams, John H. Non-canonical extensions of bottom-
up parsing techniques. SIAM J. Computing, 5(2):231–250, June 1976. Theory of non-
canonical versions of several bottom-up parsing techniques, with good informal introduction. Con-
densation of Szymanski’s thesis [192].
195. Friede, Dietmar. Transition diagrams and strict deterministic grammars. In Klaus
Weihrauch, editor, 4th GI-Conference, volume 67 of Lecture Notes in Computer Science,
pages 113–123, Berlin, 1978. Springer-Verlag. Explores the possibilities to parse strict deter-
ministic grammars (a large subset of LR(0)) using transition diagrams, which are top-down. This
leads to PLL(k) grammars, which are further described in Friede [196].
196. Friede, Dietmar. Partitioned LL(k) grammars. In H.A. Maurer, editor, Automata, Lan-
guages and Programming, volume 71 of Lecture Notes in Computer Science, pages 245–
255. Springer-Verlag, Berlin, 1979. The left factorization, usually performed by hand, which
18.2 Advanced Parsing Subjects 607
turns a rule like A→PQ|PR into A→PZ;Z→Q|R, is incorporated into the parsing algorithm
in a very general and recursive way. This results in the PLL(k) grammars and their languages. The
resulting grammars are more like LC and LR grammars than like LL grammars. Many theorems,
some surprising, about these grammars and languages are proved; examples are: 1. the PLL(1)
grammars include the LL(1) grammars. 2. the PLL(0) grammars are exactly the strict deterministic
grammars.3.theclassesofPLL(k) languages are all equal for k>0. 4. the PLL(0) languages form
a proper subset of the PLL(1) languages. Theorems (2), (3) and (4) also hold for LR, but a PLL
parser is much simpler to construct.
197. Tai, Kuo-Chung. Noncanonical SLR(1) grammars. ACM Trans. Prog. Lang. Syst.,
1(2):295–320, Oct. 1979. An attempt is made to solve reduce/reduce conflicts by postponing the
decision, as follows. Suppose two reduce items A→α•and B→β•with overlapping look-aheads
in an item set I. The look-ahead for the Aitem is replaced by LM_FOLLOW(A), the set of non-
terminals that can follow Ain any leftmost derivation, same for the look-ahead of B, and all initial
items for these non-terminals are added to I.NowIwill continue to try to recognize the above
non-terminals, which, once found can be used as look-ahead non-terminals to resolve the original
reduce/reduce conflict. This leads to two non-canonical parsing methods LSLR(1) and NSLR(1),
which differ in details.
198. Proudian, Derek and Pollard, Carl J. Parsing head-driven phrase structure grammar. In
23rd Annual Meeting of the Association for Computational Linguistics, pages 167–171,
1985. The desirability of starting analysis with the “head” of a phrase is argued on linguistic
grounds. Passing of features between parents and children is automatic, allowing a large part of
English to be represented by 16 rules only. Parsing is chart parsing, in which the order in which
edges are added is not left-to-right, but rather controlled by head information and the unification of
features of children.
199. Kay, Martin. Head-driven parsing. In International Workshop on Parsing Technologies,
pages 52–62, 1989. Since the complements of a non-terminal (= the structures it governs in
linguistic terms) are often more important than textual adjacency, it is logical and profitable to
parse first the section that supplies the most information. This is realized by appointing one of the
members in each RHS as the “head”. Parsing then starts by finding the head of the head etc. of the
start symbol; usually it is a verb form which then gives information about its subject, object(s), etc.
Finding the head is awkward, since it may be anywhere in the sentence. A non-directional chart
parser is extended with three new types of arcs, pending, current and seek, which assist in the
search. Also, a Prolog implementation of an Unger parser is given which works on a grammar in
2-form: if the head is in the first member of an alternative, searching starts from the left, otherwise
from the right. The advantages of head-driven parsing are conceptual; the author expects no speed-
up.
200. Salomon, Daniel J. and Cormack, Gordon V. Scannerless NSLR(1) parsing of program-
ming languages. ACM SIGPLAN Notices, 24(7):170–178, July 1989. The traditional CF
syntax is extended with two rule types: an exclusion rule AB, which means that any sentential
form in which Agenerates a terminal production of B(with Bregular) is illegal; and an adjacency
restriction A/—Bwhich means that any sentential form in which terminal productions of Aand B
are adjacent, is illegal. The authors show that the addition of these two types of rules allows one to
incorporate the lexical phase of a compiler into the parser. The system uses a non-canonical SLR(1)
parser.
201. Satta, Giorgio and Stock, Oliviero. Head-driven bidirectional parsing: A tabular method.
In International Workshop on Parsing Technologies, pages 43–51, 1989. The Earley al-
gorithm is adapted to head grammars, as follows. A second dot is placed in each Earley item for a
section wm,nof the input, not coinciding with the first dot, with the meaning that the part between
the dots produces wm,n. Parsing no longer proceeds from left to right but according to an action
pool, which is prefilled upon initialization, and which is processed until empty.
The initialization creates all items that describe terminal symbols in the input that are heads in any
production rule. Processing takes one item from the action pool, and tries to perform five actions
on it, in arbitrary order: extend the left dot in an uncompleted item to the left, likewise to the right,
608 18 Annotated Bibliography
use the result of the completed item to extend a left dot to the left, likewise to the right, and use a
completed item to identify a new head in some production rule.
The presented algorithm contains an optimization to prevent subtrees to be recognized twice, by
extending left then right, and by extending right then left.
202. Hutton, Michael D. Noncanonical extensions of LR parsing methods. Technical report,
University of Waterloo, Waterloo, Aug. 1990. After a good survey of existing non-canonical
methods, the author sets out to create a non-canonical LALR(k)(NLALR(k)) parser, analogous
to Tai’s NSLR(1) from SLR(1), but finds that it is undecidable if a grammar is NLALR(k). The
problem is solved by restricting the number of postponements to a fixed number t, resulting in
NLALR(k,t), also called LALR(k,t).
203. Nederhof, M.-J. and Satta, G. An extended theory of head-driven parsing. In 32nd
Annual Meeting of the Association for Computational Linguistics, pages 210–217, June
1994. The traditional Earley item [A→α•β,i]in column jis replaced by a position-independent
double-dotted item [i,k,A→α•γ•β,m,p]with the meaning that a parsing of the string ai+1···ap
by A→αγβ is sought, where γalready produces ak+1···am. This collapses into Earley by setting
α=ε,k=i,p=nwhere nis the length of the input string, and putting the item in column m;the
end of the string sought in Earley parsing is not known, so p=ncan be omitted.
Using these double-dotted items, Earley-like algorithms are produced basing the predictors on top-
down parsing, head-corner parsing (derived from left-corner), predictive head-infix (HI) parsing
(derived from predictive LR), extended HI parsing (derived from extended LR), and HI parsing
(extended from LR), all in a very compact but still understandable style. Since head parsing is by
nature partially bottom-up, ε-rules are a problem, and the presented algorithms do not allow them.
Next, head grammars are generalized by requiring that the left and right parts around the head again
have sub-heads, and so on recursively. A parenthesized notation is given: S→((c)A(b))s, in which
sis the head, Athe sub-head of the left part, etc. The above parsing algorithm is extended to these
generalized head grammars. Correctness proofs are sketched.
204. Sikkel, K. and Akker, R. op den. Predictive head-corner chart parsing. In Harry Bunt
and Masaru Tomita, editors, Recent Advances in Parsing Technology, pages 113–132.
Kluwer Academic Publishers, Dordrecht, 1996. Starting from the start symbol, the heads
are followed down the grammar until a terminal tis reached; this results in a “head spine”. This
terminal is then looked up in the input, and head spines are constructed to each position piat which
toccurs. Left and right arcs are then predicted from each spine to pi, and the process is repeated
recursively for the head of the left arc over the segment 1..pi−1 and for the head of the right arc
over the segment pi+1..n.
205. Noord, Gertjan van. An efficient implementation of the head-corner parser.
Computational Linguistics, 23(3):425–456, 1997. Very carefully reasoned and detailed ac-
count of the construction of a head-corner parser in Prolog, ultimately intended for speech recogni-
tion. Shows data from real-world experiments. The author points out that memoization is efficient
for large chunks of input only.
206. Madhavan, Maya, Shankar, Priti, Rai, Siddharta, and Ramakrishna, U. Extending
Graham-Glanville techniques for optimal code generation. ACM Trans. Prog. Lang.
Syst., 22(6):973–1001, Nov. 2000. (Parsing part only.) Classical Graham–Glanville code gen-
eration is riddled by ambiguities that have to be resolved too early, resulting in sub-optimal code.
This paper describes a parsing method which the authors do not seem to name, and which allows
ambiguities in an LR-like parser to remain unresolved arbitrarily long.
The method is applicable to grammars that have the following property; no technical name for such
grammars is given. All rules are either “unit rules” in which the right-hand side consists of exactly
one non-terminal, or “operator rules” in which the right-hand side consists of N(≥0) non-terminals
followed by a terminal, the “operator”. As usual with operators, the operator has an arity, which has
to be equal to N.
In such a grammar, each shift of a terminal is immediately followed by a reduce, and the arity of the
terminal shifted determines the number of items on the stack that are replaced by one non-terminal.
18.2 Advanced Parsing Subjects 609
This allows us to do the reduction, even if multiple reductions are possible, without keeping multi-
ple stacks as is done in a GLR parser: all reduces take away the same number of stack items. Note
that all the items on the stack are non-terminals. Such a reduction results in a set of non-terminals to
be pushed on the stack, each with a different, possibly ambiguous parse tree attached to them. This
set may then be extended by other non-terminals, introduced by unit reductions using unit rules;
only when no further reduces are possible is the next terminal (= operator) shifted in.
A new automaton is constructed from the existing LR(0) automaton, based on the above parsing al-
gorithm; the unit reductions have been incorporated completely into the automaton. The algorithm
to do so is described extensively.
The parser is used to parse the intermediate code stream in a compiler and to isolate in it operator
trees that correspond to machine instructions, the grammar rules. A cost is attached to each rule,
and the costs are used to disambiguate the parse tree and so decide on the machine code to be
generated.
207. Farré, Jacques and Fortes Gálvez, José. A basis for looping extensions to
discriminating-reverse parsing. In 5th Internat. Conf. Implementation and Applications
of Automata, CIAA 2000, volume 2088 of Lecture Notes in Computer Science, pages
122–134, 2001. Since DR parsers require only a small top segment of the stack, they can easily
build up enough left context after a DR conflict to do non-canonical DR (NDR). When a conflict
occurs, a state-specific marker is pushed on the stack, and input symbols are shifted until enough
context is assembled. Then DR parsing can resume normally on the segment above the marker. The
shift strategy is guided by a mirror image of the original DR graph. This requires serious needle-
work to the graphs, but complete algorithms are given. This technique shows especially clearly that
non-canonical parsing is actually doing a CF look-ahead.
208. Farré, Jacques and Fortes Gálvez, José. Bounded-graph construction for noncanonical
discriminating-reverse parsers. In 6th Internat. Conf. Implementation and Applications
of Automata, CIAA 2001, volume 2494 of Lecture Notes in Computer Science, pages
101–114. Springer Verlag, 2002. Improvements to the graphs construction algorithm in [207].
209. Farré, Jacques and Fortes Gálvez, J. Bounded-connect noncanonical discriminating-
reverse parsers. Theoret. Comput. Sci., 313(1):73–91, 2004. Improvements to [208]. More
theory of non-canonical DR parsers, defining BC(h)DR(0).
18.2.3 Substring Parsing
210. Lang, Bernard. Parsing incomplete sentences. In D. Vargha, editor, 12th International
Conf. on Comput. Linguistics COLING’88, pages 365–371. Association for Computa-
tional Linguistics, 1988. An incomplete sentence is a sentence containing one or more unknown
symbols (represented by ?) and/or unknown symbol sequences (represented by *). General left-to-
right CF parsers can handle these inputs as follows. Upon seeing ?make transitions on all possible
input symbols while moving to the next position; upon seeing *make transitions on all possible
input symbols while staying at the same position. The latter process requires transitive closure.
These features are incorporated into an all-paths non-deterministic interpreter of pushdown trans-
ducers. This PDT interpreter accepts transitions of the form (pAa →qBu),wherepand qare
states, Aand Bstack symbols, ais an input token, and uis an output token, usually a number of a
production rule. A,B,aand/or umay be missing, and the input may contain wild cards. Note that
these transitions can push and pop only one stack symbol at a time; transitions pushing or popping
more than one symbol have to be decomposed. The interpretation is performed by constructing sets
of Earley-like items between successive input tokens; these items then form the non-terminals of
the output grammar. Given the form of the allowed transitions, the output grammar is automatically
in 2-form, but may contain useless and unreachable non-terminals. The grammar produces the in-
put string as many times as there are ambiguities, interlaced with output tokens which tell how the
preceding symbols must be reduced, thus creating a genuine parse tree.
610 18 Annotated Bibliography
Note that the “variation of Earley’s algorithm” from the paper is not closely related to Earley, but is
rather a formalization of generalized LR parsing. Likewise, the items in the paper are only remotely
related to Earley items. The above transitions on ?and *are, however, applicable independent of
this.
211. Cormack, Gordon V. An LR substring parser for noncorrecting syntax error recovery.
ACM SIGPLAN Notices, 24(7):161–169, July 1989. The LR(1) parser generation method is
modified to include suffix items of the form A→···•β, which mean that there exists a production
rule A→αβ in the grammar and that it can be the handle, provided we now recognize β. The parser
generation starts from a state containing all possible suffix items, and proceeds in LR fashion from
there, using fairly obvious shift and reduce rules. If this yields a deterministic parser, the grammar
was BC-LR(1,1); it does so for any bounded-context(1,1) grammar, thereby confirming Richter’s
[313] conjecture that linear-time suffix parsers are possible for BC grammars. The resulting parser
is about twice as large as an ordinary LR parser. A computationally simpler BC-SLR(1,1) variant
is also explained. For the error recovery aspects see the same paper [318].
212. Rekers, Jan and Koorn, Wilco. Substring parsing for arbitrary context-free grammars.
ACM SIGPLAN Notices, 26(5):59–66, May 1991. A GLR parser is modified to parse sub-
strings, as follows. The parser is started in all LR states that result from shifting over the first input
symbol. Shifts are handled as usual, and so are reduces that find all their children on the stack. A
reduce to A→α,whereAcontains more symbols than the stack can provide, adds all states that
can be reached by a shift over A. A technique is given to produce trees for the completion of the
substring, to be used, for example, in an incremental editor.
213. Rekers,J. Parser Generation for Interactive Environments. PhD thesis, Technical re-
port, Leiden University, Leiden, 1992. Same as [347]. Chapter 4 discusses the substring parser
from [212].
214. Bates, Joseph and Lavie, Alon. Recognizing substrings of LR(k) languages in linear
time. ACM Trans. Prog. Lang. Syst., 16(3):1051–1077, 1994. Reporting on work done in
the late 1970s, the authors show how a GLR parser can be modified to run in linear time when using
a conflict-free LR table. Basically, the algorithm starts with a GLR stack configuration consisting
of all possible states, and maintains as large a right hand chunk of the GLR stack configuration
as possible. This results in a forest of GLR stack configurations, each with a different state at the
root; each path from the root is a top segment of a possible LR stack, with the root as top of stack.
For each token, a number of reduces is performed on all trees in the forest, followed by a shift, if
possible. Then all trees with equal root states are merged. If a reduce A→αreduces more stack
than is available, new trees result, each consisting of a state that allows a shift on A. When two paths
are merged, the shorter path wins, since the absence of the rest of a path implies all possible paths,
which subsumes the longer path. Explicit algorithm and proofs are given. See Goeman [218] for an
improved version.
215. Bertsch, Eberhard. An asymptotically optimal algorithm for non-correcting LL(1) error
recovery. Technical Report 176, Ruhr-Universität Bochum, Bochun, Germany, April
1994. First a suffix grammar GSis created from the LL(1) grammar G.NextGSis turned into
a left-regular grammar Lby assuming its CF non-terminals to be terminals; this regular grammar
generates the “root set” of G. Then a linear method is shown to fill in the recognition table in linear
time, by doing tabular LL(1) parsing using grammar G. Now all recognizable non-terminals in the
substring are effectively terminals, but of varying size. Next a second tabular parser is explained
to parse the non-terminals according to the left-recursive grammar L; it is again linear. Finally the
resulting suffix parser is used to do non-correcting error recovery.
216. Nederhof, Mark-Jan and Bertsch, Eberhard. Linear-time suffix parsing for deterministic
languages. J. ACM, 43(3):524–554, May 1996. Shows that an Earley parser working with
a conflict-free LL(1) parse table runs in linear time. Next extends this result to suffix parsing with
an Earley parser. The LR case is more complicated. The language is assumed to be described by a
very restricted pushdown automaton, rather than by a CF grammar. Using this automaton in suffix
parsing with an Earley parser rather than an LL(1) parse table results in an O(n2)algorithm. To
18.2 Advanced Parsing Subjects 611
avoid this the automaton is refined so it consumes a token on every move. The Earley suffix parser
using this automaton is then proven to be linear. Several extensions and implementation ideas are
discussed. See Section 12.3.3.2.
217. Ruckert, Martin. Generating efficient substring parsers for BRC grammars. Technical
Report 98-105, State University of New York at New Paltz, New Paltz, NY 12561, July
1998. All BRC(m,n) parsing patterns are generated and subjected to Floyd’s [117] tests; BRC(m,n)
(bounded-right-context) is BCP(m,n) with the right context restricted to terminals. If a complete set
remains, then for every correct sentential form there is at least one pattern which identifies a handle;
this handle is not necessarily the leftmost one, so the parser is non-canonical – but it is linear. Since
this setup can start parsing anew wherever it wants to, it identifies correct substrings in a natural
way, if the sentential form is not correct. Heuristics are given to improve the set of parsing patterns.
The paper is written in a context of error recovery.
218. Goeman, Heiko. On parsing and condensing substrings of LR languages in linear time.
Theoret. Comput. Sci., 267(1-2):61–82, 2001. Tidied-up version of Bates and Lavie’s algo-
rithm [214], with better code and better proofs. The algorithm is extended with memoization, which
condenses the input string as it is being parsed, thus increasing reparsing speed.
18.2.4 Parsing as Intersection
219. Bar-Hillel, Y., Perles, M., and Shamir, E. On formal properties of sim-
ple phrase structure grammars. Zeitschrift für Phonetik, Sprachwissenschaft und
Kommunikationsforschung, 14:143–172, 1961. The intersection of a CF grammar and a FS
automaton is constructed in a time O(nd+1),wherenis the number of states in the automaton, and
dis the maximum length of the RHSs in the grammar. For more aspects of the paper see [386].
220. Lang, Bernard. A generative view of ill-formed input processing. In ATR Symposium
on Basic Research for Telephone Interpretation, Dec. 1989. Proposes weighted grammars
(à la Lyon [294]) for the treatment of various ill or problematically formed input, among which
word lattices. A word lattice is a restricted form of FSA, but even general FSAs may appear as
input when sequences of words are missing or partially identified. The author notes in passing that
“the parsing of an FSA Aaccording to a CF grammar Gcan produce a new grammar Tfor the
intersection of the languages L(A)and L(G), giving to all sentences in that intersection the same
structure as the original grammar G”.
221. Noord, Gertjan van. The intersection of Finite State Automata and Definite Clause
Grammars. In 33rd Annual Meeting of the Association for Computational Linguistics,
pages 159–165, June 1995. Mainly about DCGs, but contains a short but useful introduction to
parsing as intersection.
222. Albro, Daniel M. Taking primitive optimality theory beyond the finite state. Technical
report, Linguistics Department UCLA, 2000. Primitive optimality theory concerns the cre-
ation of a set of acceptable surface representations from an infinite source of underlying represen-
tations; acceptability is defined by a series of constraints. The set of representations is implemented
as an FS machine, the constraints as weighted FS machines. The representation Mgenerated by the
infinite source is passed through each of the constraint machines and the weights are the penalties
it incurs. After each constraint machine, all non-optimal paths are removed from M. All this can be
done very efficiently, since FS machines can be intersected easily.
The paper proposes to increase the power of this system by allowing CF and multiple context-free
grammars (Seki et al. [272]) as the representation; intersection with the constraining FS machines
is still possible. It is trivial to extend an Earley parser to do this intersection job, but it just yields a
set of sets of items, and a 50-lines algorithm to retrieve the new intersection grammar from these
data is required and given in the paper. Further extensions of the intersecting Earley parser include
the handling of the weights and the adaptation to MCF grammars. Fairly simple techniques suffice
in all three cases.
612 18 Annotated Bibliography
18.2.5 Parallel Parsing Techniques
223. Fischer, Charles N. On parsing context-free languages in parallel environments. Tech-
nical Report 75-237, Cornell University, Ithaca, New York, April 1975. Introduces the
parallel parsing technique discussed in Section 14.2. Similar techniques are applied for LR parsing
and precedence parsing, with much theoretical detail.
224. Brent, R. P. and Goldschlager, L. M. A parallel algorithm for context-free parsing.
Australian Comput. Sci. Commun., 6(7):7.1–7.10, 1984. Is almost exactly the algorithm
by Rytter [226], except that its recognize phase also does a plain CYK combine step, and their
propose step is a bit more complex. Also proves 2lognefficiency on O(n6)nodes. Suggests that it
can be done on O(n4.9911)nodes, depending on Boolean matrix multiplication of matrices of size
O(n2)×O(n2).
225. Bar-On, Ilan and Vishkin, Uzi. Optimal parallel generation of a computation tree form.
ACM Trans. Prog. Lang. Syst., 7(2):348–357, April 1985. Describes an optimal parallel
algorithm to find a computation tree form from a general arithmetic expression. The heart of this
algorithm consists of a parentheses-matching phase which solves this problem in time O(log n)
using n/log nprocessors, where nis the number of symbols in the expression. First, the expression
is split up into n/log nsuccessive segments of length log n, and each segment is assigned to a
processor. Each processor then finds the pairs of matching parentheses in its own segment using
a stack. This takes O(log n)time. Next, a binary tree is used to compute the nesting level of the
left-over parentheses, and this tree is used to quickly find matching parentheses.
226. Rytter, Wojciech. On the recognition of context-free languages. In Andrzej Skowron,
editor, Computation Theory, volume 208 of Lecture Notes in Computer Science, pages
318–325. Springer Verlag, Berlin, 1985. Describes the Rytter chevrons, which are represented
as a pair of parse trees: the pair ((A,i,j),(B,k,l)) is “realizable” if A*
→w[i...k]Bw[l...j],where
w[1...n]is the input. The author then shows that using these chevrons, one can do CFL recognition
in O(log2n)time on certain parallel machines using O(n6)processors; the dependence on the gram-
mar size is not indicated. The paper also shows that the algorithm can be simulated on a multihead
2-way deterministic pushdown automaton in polynomial time.
227. Rytter, Wojciech. Parallel time O(logn)recognition of unambiguous CFLs. In
Fundamentals of Computation Theory, volume 199 of Lecture Notes in Computer
Science, pages 380–389. Springer Verlag, Berlin, 1985. Uses the Rytter chevrons as also
described in [226] and shows that the resulting recognition algorithm can be executed in O(logn)
time on a parallel W-RAM, which is a parallel random access machine which allows simultaneous
reads and also simultaneous writes provided that the same value is written.
228. Chang, J. H., Ibarra, O. H., and Palis, M. A. Parallel parsing on a one-way array of
finite-state machines. IEEE Trans. Comput., 36:64–75, 1987. Presents a very detailed
description of an implementation of the CYK algorithm on a one-way two-dimensional array of
finite-state machines, or rather a 2-DSM, in linear time.
229. Yonezawa, Akinori and Ohsawa, Ichiro. Object-oriented parallel parsing for context-
free grammars. In COLING-88: 12th International Conference on Computational
Linguistics, pages 773–778, Aug. 1988. The algorithm is distributed bottom-up. For each
rule A→BC, there is an agent (object) which receives messages containing parse trees for Bsand
Cs which have just been discovered, and, if the right end of Band the left end of Care adjacent,
constructs a parse tree for Aand sends it to every agent who manages a rule that has Aas its RHS.
ε-rules and circularities are forbidden.
230. Srikant, Y. N. Parallel parsing of arithmetic expressions. IEEE Trans. Comput.,
39(1):130–132, 1990. This short paper presents a parallel parsing algorithm for arithmetic ex-
pressions and analyzes its performance on different types of models of parallel computation. The
parsing algorithm works in 4 steps:

18.2 Advanced Parsing Subjects 613
1. Parenthesize the given expression fully.
2. Delete redundant parameters.
3. Separate the sub-expressions at each level of parenthesis nesting and determine the root of the
tree form of each sub-expression in parallel.
4. Separate the sub-expressions at each level of parenthesis nesting and determine the children
of each operator in the tree form of each sub-expression in parallel.
The algorithm takes O(√n)on a mesh-connected computer, and O(log2n)on other computation
models.
231. Alblas, Henk, Nijholt, Anton, Akker, Rieks op den, Oude Luttighuis, Paul, and Sikkel,
Klaas. An annotated bibliography on parallel parsing. Technical Report INF 92-84,
University of Twente, Enschede, The Netherlands, Dec. 1992. Introduction to parallel
parsing covering: lexical analysis, parsing, grammar decomposition, string decomposition, bracket
matching, miscellaneous methods, natural languages, complexity, and parallel compilation; fol-
lowed by an annotated bibliography of about 200 entries.
232. Janssen, W., Poel, M., Sikkel, K., and Zwiers, J. The primordial soup algorithm: A
systematic approach to the specification of parallel parsers. In Fifteenth International
Conference on Computational Linguistics, pages 373–379, Aug. 1992. Presents a gen-
eral framework for specifying parallel parsers. The soup consists of partial parse trees that can
be arbitrarily combined. Parsing algorithms can be described by specifying constraints in the way
trees can be combined. The paper describes the mechanism for a.o. CYK and bottom-up Earley
(BUE), which is Earley parsing without the top-down filter. Leaving out the top-down filter allows
for parallel bottom-up, rather than left-to-right processing. The mechanism allows the specification
of parsing algorithms without specifying flow control or data structures, which gives an abstract,
compact, and elegant basis for the design of a parallel implementation.
233. Sikkel, Klaas and Lankhorst, Marc. A parallel bottom-up Tomita parser. In Günther
Görz, editor, 1. Konferenz “Verarbeitung Natürlicher Sprache” - KONVENS’92, Infor-
matik Aktuell, pages 238–247. Springer-Verlag, Oct. 1992. Presents a parallel bottom-up
GLR parser that can handle any CF grammar. Removes the left-to-right restriction and introduces
processes that parse the sentence, starting at every position in the input, in parallel. Each process
yields the parts that start with its own word. The processes are organized in a pipeline. Each pro-
cess sends the completed parts that it finds and the parts that it receives from his right neighbor
to his left neighbor, who combines the parts that it receives with the parts that it already found to
create new parts. It uses a simple pre-computed parsing table and a graph-structured stack (actu-
ally tree-structured) in which (partially) recognized parts are stored. Empirical results indicate that
parallelization pays off for sufficiently long sentences, where “sufficiently long” depends on the
grammar. A sequential Tomita parser is faster for short sentences. The algorithm is discussed in
Section 14.3.1.
234. Alblas, Henk, Akker, Rieks op den, Oude Luttighuis, Paul, and Sikkel, Klaas. A bibli-
ography on parallel parsing. ACM SIGPLAN Notices, 29(1):54–65, 1994. A modified and
compacted version of the bibliography by Alblas et al. [231].
235. Hendrickson, Kenneth J. A new parallel LR parsing algorithm. In ACM Symposium
on Applied Computing, pages 277–281. ACM, 1995. Discusses the use of a marker-passing
computational paradigm for LR parsing. Each state in the LR parsing table is modeled as a node
with links to other nodes, where the links represent state transitions. All words in the input sentences
are broadcast to all nodes in the graph, acting as activation markers. In addition, each node has a
data marker specifying which inputs are legal for shifting a token and/or which reduction to use.
The parsing process is then started by placing an initial prediction marker for each sentence on the
start node. When a prediction marker arrives at a node, it will collide with the activation markers at
that node, provided they are at the same position in the same sentence. The result of such a collision
is determined by the data marker at that node which may specify reductions and/or shifts, which are
handled sequentially, resulting in new prediction markers which are sent to their destination node.

614 18 Annotated Bibliography
236. Ra, Dong-Yul and Kim, Jong-Hyun. A parallel parsing algorithm for arbitrary context-
free grammars. Inform. Process. Lett., 58(2):87–96, 1996. A parallel parsing algorithm
based on Earley’s algorithm is proposed. The Earley items construction phase is parallelized by
assigning a processor to each position in the input string. Each processor ithen performs nstages:
stage kconsists of the computation of all Earley items of “length” kwhich start at position i. After
each stage, the processors are synchronized, and items are transferred. It turns out that this only
requires data transfer from processor i+1 to processor i. Any items that processor ineeds from
processor i+mare obtained by processor i+1 at stage m−1. When not enough processors are
available (p<n), a stage is divided into n/pphases, such that processor icomputes all items
starting at positions i,i+p,i+2p, et cetera. If in the end processor 0 found an item S--->α•,0,n,
the input string is recognized.
To find a parse, each processor processes requests to find a parse for completed items (i.e. the dot is
at the end of the right hand side) that it created. In processing such a request, the processor generates
requests to other processors. Now processor 0 is asked S--->α•,0,n.
A very detailed performance analysis is given, which shows that the worst case performance of the
algorithm is O(n3/p)on pprocessors.
18.2.6 Non-Chomsky Systems
237. Koster, Cornelis H. A. and Meertens, Lambert G. L. T. Basic English, a generative
grammar for a part of English. Technical report, Euratom Seminar “Machine en Talen”
of E.W. Beth, University of Amsterdam, 1962. 2
238. McClure, R. M. TMG: A syntax-directed compiler. In 20th National Conference, pages
262–274. ACM, 1965. A transformational grammar system in which the syntax is described by
a sequence of parsing routines, which can succeed, and then may absorb input and produce output,
or fail, and then nothing has happened; this requires backtracking. Each routine consists of a list
of possibly labeled calls to other parsing routines of the form <routine_name/failure_label>. If
the called routine succeeds, the next call in the list is performed; if it fails, control continues at
the failure_label. An idiom for handling left recursion is given. This allows concise formulation
of many types of input. Rumor has it that TMG stands for “transmogrify”, but “transformational
grammar” is equally probable.
239. Gilbert, Philip. On the syntax of algorithmic languages. J. ACM, 13(1):90–107, Jan.
1966. Unlike Chomsky grammars, which are production devices, an “analytic grammar” is a
recognition device: membership of the language is decided by an algorithm based on the analytic
grammar. An analytic grammar is a set of reduction rules, which are Chomsky Type 1 production
rules in reverse, plus a scan function S. An example of a reduction rule is abcde--->aGe, which
reduces bcd to Gin the context a···e.
A string belongs to the language if it can be reduced to the start symbol by applying reduction
rules, such that the position of each reduction in the sentential form is allowed by the scan function.
Reduction can never increase the length of the sentential form, so if we avoid duplicate sentential
forms, this process always terminates. So an analytic grammar recognizes a recursive set. The
author also proves that for every recursive set there is analytic grammar which recognizes it; this
may require complicated scan functions.
Two examples are given: Hollerith constants, and declaration and use of identifiers. There seem to
be no further publications on analytic grammars.
240. Hotz, G. Erzeugung formaler Sprachen durch gekoppelte Ersetzungen. In F.L. Bauer
and K. Samelson, editors, Kolloquium über Automatentheorie und formale Sprachen,
pages 62–73. TU Munich, 1967, (in German). Terse and cryptic paper in which the compo-
nents of Chomsky’s grammars and its mechanism are generalized into an X-category, consisting of
2It is to be feared that this paper is lost. Any information to the contrary would be most
welcome.
18.2 Advanced Parsing Subjects 615
an infinite set of sentential forms, a set of functions that perform substitutions, a set of sources (left-
hand sides of any non-zero length), a set of targets (right-hand sides of any length), an inference
operator (for linking two substitutions), and a concatenation operator. By choosing special forms
for the functions and the operators and introducing a number of homomorphisms this mechanism
is used to define coupled production. Using theorems about X-categories it is easy to prove that the
resulting languages are closed under union, intersection and negation. Many terms not explained;
no examples given.
241. Sintzoff, M. Existence of a van Wijngaarden syntax for every recursively enumerable
set. Annales de la Société Scientifique de Bruxelles, 81(II):115–118, 1967. A relatively
simple proof of the theorem that for every semi-Thue system we can construct a VW grammar that
produces the same set.
242. Friš, Ivan. Grammars with partial ordering of the rules. Inform. Control, 12:415–425,
1968. The CF grammars are extended with restrictions on the production rules that may be applied
in a given production step.
One restriction is to have a partial order on the production rules and disallow the application of a
production rule if a smaller (under the partial ordering) rule could also be applied. This yields a
language class in between CF and CS which includes anbncn, but the author uses 26(!) rules and 15
orderings to pull this off.
Another restriction is to require the control word of the derivation to belong to a given regular
language. This yields exactly the CS languages. A formal proof is given, but no example.
For errata see “Inform. Control”, 15(5):452-453, Nov. 1969.
(The control word of a derivation Dis the sequence of the numbers of the production rules used in
D, in the order of their application. The term is not used in this paper and is by Salomaa.)
243. Knuth, Donald E. Semantics of context-free languages. Math. Syst. Theory, 2(2):127–
145, 1968. Introduces inherited attributes after acknowledging that synthesized attributes were
already used by Irons in 1961. Shows how inherited attributes may simplify language description,
mainly by localizing global effects. Gives a formal definition of attribute grammars and shows that
they can express any expressible computation on the parse tree, by carrying around an attribute that
represents the entire tree.
With having both synthesized and inherited attributes comes the danger of circularity of the attribute
rules. An algorithm is given to determine that situation statically (corrected by the author in Math.
Syst. Theory,5, 1, 1971, pp. 95-96.)
Next a simple but non-trivial language for programming a Turing machine called Turingol is defined
using an attribute grammar. The full definition fits on one printed page. A comparison with other
systems (Vienna Definition Language, etc.) concludes the paper.
244. Wijngaarden, A. van et al. Report on the algorithmic language ALGOL 68. Numer.
Math., 14:79–218, 1969. VW grammars found their widest application to date in the definition
of ALGOL 68. Section 1.1.3 of the ALGOL 68 Revised Report contains a very carefully worded
description of the two-level mechanism. The report contains many interesting applications.
See also [251].
245. Koster,C.H.A. Affixgrammars. InJ.E.L.Peck,editor,ALGOL 68 Implementation,
pages 95–109. North-Holland Publ. Co., Amsterdam, 1971. Where attribute grammars have
attributes, affix grammars have affixes, and where attribute grammars have evaluation functions
affix grammars have them too, but the checks in an affix grammar are part of the grammar rather
than of the evaluation rules. They take the form of primitive predicates, pseudo-non-terminals with
affixes similar to the where... predicates in a VW grammar, which produce εwhen they succeed,
but block the production process when they fail. Unlike attribute grammars, affix grammars are
production systems. If the affix grammar is “well-formed”, a parser for it can be constructed.
246. Birman, Alexander and Ullman, Jeffrey D. Parsing algorithms with backtrack. Inform.
Control, 23(1):1–34, 1973. Whereas a Chomsky grammar is a mechanisms for generating lan-
guages, which can, with considerable difficulty, be transformed into a parsing mechanism, a TS
(TMG recognition Scheme), (McClure [238]) is a top-down parsing technique, which can, with far
616 18 Annotated Bibliography
less difficulty, be transformed into a language generation mechanism. Strings that are accepted by
a given TS belong to the language of that TS.
A TS is a set of recursive routines, each of which has the same structure: A=ifrecognize B
andif recognize C then succeed else recognize D fi, where each routine does backtracking
when it returns failure; this models backtracking top-down parsing. This routine corresponds to the
TS rule A→BC/D.
The paper also introduces generalized TS (gTS), which has rules of the form A→B(C,D), meaning
A=ifrecognize B then recognize C else recognize D fi. This formalism allows negation:
return if recognize Aithen fail else succeed fi.
TS and gTS input strings can be recognized in one way only, since the parsing algorithm is just a
deterministic program. TS and gTS languages can be recognized in linear time, as follows. There
are |V|routines, and each can be called in n+1 positions, where Vis the set of non-terminals and
nis the length of the input string. Since the results of the recognition routines depend only on the
position at which they are started, their results can be precomputed and stored in a |V|×nmatrix.
A technique is shown by which this matrix can be computed from the last column to the first.
Since CF languages probably cannot be parsed in linear time, there are probably CF languages
which are not TS or gTS, but none are known. [g]TS languages are closed under intersection (rec-
ognize by one TS, fail, and then recognize by the other TS), so there are non-CF languages which
are [g]TS; anbncnis an example. Many more such properties are derived and proved in a heavy
formalism.
247. Lepistö, Timo. On ordered context-free grammars. Inform. Control, 22(1):56–68, Feb.
1973. More properties of ordered context-free grammars (see Friš [242]) are given.
248. Schuler, P. F. Weakly context-sensitive languages as model for programming languages.
Acta Inform., 3(2):155–170, 1974. Weakly context-sensitive languages are defined in two steps.
First some CF languages are defined traditionally. Second a formula is given involving the CF
sets, Boolean operators, quantifiers, and substitutions; this formula defines the words in the WCS
language. An example is the language L0=anbnan. We define the CF languages S1=anbnand
S2=ak.ThenL0={w|∃x∈S1∃y∈S2|xy =w∧∃z|ybz=x}. It is shown that this is stronger than
CF but weaker than CS. WCS languages are closed under union, intersection, complementation and
concatenation, but not under unbounded concatenation (Kleene star). A Turing machine parser is
sketched, which recognizes strings in O(nk)where kdepends on the complexity of the formula. A
WCS grammar is given, which checks definition and application of variables and labels in ALGOL
60. The unusual formalism and obscure text make the paper a difficult read.
249. Wijngaarden, A. van. The generative power of two-level grammars. In J. Loeckx, ed-
itor, Automata, Languages and Programming, volume 14 of Lecture Notes in Computer
Science, pages 9–16. Springer-Verlag, Berlin, 1974. The generative power of VW grammars
is illustrated by creating a VW grammar that simulates a Turing machine; the VW grammar uses
only one metanotion, thus proving that one metanotion suffices.
250. Joshi, Aravind K., Levy, Leon S., and Takahashi, Masako. Tree adjunct grammars. J.
Comput. Syst. Sci., 10(1):136–163, 1975. See Section 15.4.
The authors start by giving a very unintuitive and difficult definition of trees and tree grammars,
which fortunately is not used in the rest of the paper. A hierarchy of tree adjunct grammars is
constructed, initially based on the maximum depth of the adjunct trees. This hierarchy does not
coincide with Chomsky’s:
L(TA(1)) ⊂L(CF)⊂L(TA(2)) ⊂L(TA(3)) ⊂···⊂L(CS)
A “simultaneous tree adjunct grammar” (STA grammar) also consists of a set of elementary trees
and a set of adjunct trees, but the adjunct trees are divided into a number of groups. In each adjunc-
tion step one group is selected, and all adjunct trees in a group must be applied simultaneously. It
is shown that:
L(CF)⊂L(TA(n)) ⊂L(STA)⊂L(CS)
251. Wijngaarden, A. van et al. Revised report on the algorithmic language ALGOL 68.
Acta Inform., 5:1–236, 1975. See van Wijngaarden et al. [244].
18.2 Advanced Parsing Subjects 617
252. Cleaveland, J. Craig and Uzgalis, Robert C. Grammars for Programming Languages.
Elsevier, New York, 1977. In spite of its title, the book is a highly readable explanation of two-
level grammars, also known as van Wijngaarden grammars or VW grammars. After an introductory
treatment of formal languages, the Chomsky hierarchy and parse trees, it is shown to what extent
CF languages can be used to define a programming language. These are shown to fail to define a
language completely and the inadequacy of CS grammars is demonstrated. VW grammars are then
explained and the remainder of the book consists of increasingly complex and impressive examples
of what a VW grammar can do. These examples include keeping a name list, doing type checking
and handling block structure in the definition of a programming language. Recommended reading.
253. Meersman, R. and Rozenberg, G. Two-level meta-controlled substitution grammars.
Acta Inform., 10:323–339, 1978. The authors prove that the uniform substitution rule is es-
sential for two-level grammars; without it, they would just generate the CF languages. This highly
technical paper examines a number of variants of the mechanisms involved.
254. Dembi´
nski, Piotr and Małuszy´
nski, Jan. Two-level grammars: CF grammars with equa-
tion schemes. In Hermann A. Maurer, editor, Automata, Languages and Programming,
volume 71 of Lecture Notes in Computer Science, pages 171–187. Springer-Verlag,
Berlin, 1979. The authors address a restricted form of VW grammars in which each metanotion
produces a regular language and no metanotion occurs more than once in a hypernotion; such gram-
mars still have full Type 0 power. A context-free skeleton grammar is derived from such a grammar
by brute force: each hypernotion in the grammar is supposed to produce each other hypernotion,
through added renaming hyperrules. Now the context-free structure of the input is handled by the
skeleton grammar whereas the context conditions show up as equations derived trivially from the
renaming rules.
The equations are string equations with variables with regular domains. To solve these equations,
first all variables are expressed in a number of new variables, each with the domain Σ∗. Then each
original variable is restricted to its domain. Algorithms in broad terms are given for both phases.
Any general context-free parser is used to produce all parse trees and for each parse tree we try
to solve the set of equations corresponding to it. If the attempt succeeds, we have a parsing. This
process will terminate if the skeleton grammar identifies a finite number of parse trees, but in the
general case the skeleton grammar is infinitely ambiguous and we have no algorithm.
255. Kastens, Uwe. Ordered attribute grammars. Acta Inform., 13(3):229–256, 1980. Avisit
to a node is a sequence of instructions of two forms: evaluate attribute mof child nor of the parent,
and perform visit kof child n. A node may require more than one visit, hence the “visit k”. If a
sequence of visits exists for all nodes so that all attributes are evaluated properly, which is almost
always the case, the attribute grammar is ordered.
256. Wegner, Lutz Michael. On parsing two-level grammars. Acta Inform., 14:175–193,
1980. The article starts by defining a number of properties a VW grammar may exhibit; among
these are “left-bound”, “right-bound”, “free of hidden empty notions”, “uniquely assignable” and
“locally unambiguous”. Most of these properties are undecidable, but sub-optimal tests can be de-
vised. For each VW grammar GVW ,aCFskeleton grammar GSK is defined by considering all
hypernotions in the VW grammar as non-terminals of GSK and adding the cross-references of the
VW grammar as production rules to GSK .GSK generates a superset of GVW . The cross-reference
problem for VW grammars is unsolvable but again any sub-optimal algorithm (or manual inter-
vention) will do. Parsing is now done by parsing with GSK and then reconstructing and testing the
metanotions. A long list of conditions necessary for the above to work are given; these conditions
are in terms of the properties defined at the beginning.
257. Wijngaarden, A. van. Languageless programming. In IFIP/TC2/WG2.1 Work-
ing Conference on the Relations Between Numerical Computation and Programming
Languages, pages 361–371. North-Holland Publ. Comp., 1981. Forbidding-looking paper
which presents an interpreter for a stack machine expressed in a VW grammar. The paper is more
accessible than it would seem: the interpreter “reads” — if the term applies — as a cross between
Forth and assembler language. A simple but non-trivial program, actually one hyperrule, is given,
618 18 Annotated Bibliography
which computes the n-th prime, subtracts 25 and “outputs” the answer in decimal notation. The
interpreter and the program run correctly on Grune’s interpreter [260].
258. Gerevich, László. A parsing method based on van Wijngaarden grammars.
Computational Linguistics and Computer Languages, 15:133–156, 1982. In consistent
substitution, a metanotion is replaced consistently by one of its terminal productions; in extended
consistent substitution, a metanotion is replaced consistently by one of the sentential forms it can
produce. The author proves that VW grammars with extended consistent substitution are equivalent
to those with just consistent substitution; this allows “lazy” evaluation of the metanotions during
parsing. Next an example of a top-down parser using the lazy metanotions as logic variables (called
here “grammar-type variables”) is shown and demonstrated extensively. The third part is a reason-
ably intuitive list of conditions under which this parser type works, presented without proof. The
fourth part shows how little the VW grammar for a small ALGOL 68-like language needs to be
changed to obey these conditions.
259. Watt, D. A. and Madsen, O. L. Extended attribute grammars. Computer J., 26(2):142–
149, 1983. The assignment rules Ai:=fi(Aj,...,Ak)of Knuth’s [243] are incorporated into the
grammar by substituting fi(Aj,...,Ak)for Ai. This allows the grammar to be used as a production
device: production fails if any call is undefined. The grammar is then extended with a transduc-
tion component; this restores the semantics expressing capability of attribute grammars. Several
examples from compiler construction given.
260. Grune, Dick. How to produce all sentences from a two-level grammar. Inform. Process.
Lett., 19:181–185, Nov. 1984. All terminal productions are derived systematically in breadth-
first order. The author identifies pitfalls in this process and describes remedies. A parser is used to
identify the hyperrules involved in a given sentential form. This parser is a general CF recursive
descent parser to which a consistency check for the metanotions has been added; it is not described
in detail.
261. Małuszy´
nski, J. Towards a programming language based on the notion of two-level
grammar. Theoret. Comput. Sci., 28:13–43, 1984. In order to use VW grammars as a
programming language, the cross-reference problem is made solvable by requiring the hypernotions
to have a tree structure rather than be a linear sequence of elements. It turns out that the hyperrules
are then a generalization of the Horn clauses, thus providing a link with DCGs.
262. Edupuganty, Balanjaninath and Bryant, Barrett R. Two-level grammars for automatic
interpretation. In 1985 ACM Annual Conference, pages 417–423. ACM, 1985. First
the program is parsed without regard to the predicate hyperrules; this yields both instantiated and
uninstantiated metanotions. Using unification-like techniques, these metanotions are then checked
in the predicates and a set of interpreting hyperrules is used to construct the output metanotion. All
this is similar to attribute evaluation. No exact criteria are given for the validity of this procedure,
but a substantial example is given.
The terminal symbols are not identified separately but figure in the hypernotions as protonotions;
this is not fundamental but does make the two-level grammar more readable.
263. Fisher, A. J. Practical LL(1)-based parsing of van Wijngaarden grammars. Acta Inform.,
21:559–584, 1985. Fisher’s parser is based on the idea that the input string was generated using
only a small, finite, part of the infinite strict grammar that can be generated from the VW grammar.
The parser tries to reconstruct this part of the strict grammar on the fly while parsing the input.
The actual parsing is done by a top-down interpretative LL(1) parser, called the terminal parser.
It is driven by a fragment of the strict grammar and any time the definition of a non-terminal
is found missing by the terminal parser, it asks another module, the strict syntax generator,to
try to construct it from the VW grammar. For this technique to work, the VW grammar has to
satisfy three conditions: the defining CF grammar of each hyperrule is unambiguous, there are no
free metanotions, and the skeleton grammar (as defined by Wegner [256]) is LL(1). The parser
system is organized as a set of concurrent processes (written in occam), with both parsers, all
hyperrule matchers and several other modules as separate processes. The author claims that “this
concurrent organization .. . is strictly a property of the algorithm, not of the implementation”, but
18.2 Advanced Parsing Subjects 619
a sequential, albeit slower, implementation seems quite possible. The paper gives heuristics for the
automatic generation of the cross-reference needed for the skeleton grammar; gives a method to
handle general hyperrules, hyperrules that fit all hypernotions, efficiently; and pays much attention
to the use of angle brackets in VW grammars.
264. Vijay-Shankar, K. and Joshi, Aravind K. Some computational properties of tree adjoin-
ing grammars. In 23rd Annual Meeting of the ACL, pages 82–93, University of Chicago,
Chicago, IL, July 1985. Parsing: the CYK algorithm is extended to TAGs as follows. Rather
than having a two-dimensional array Ai,jthe elements of which contain non-terminals that span ti.. j
where tis the input string, we have a four-dimensional array Ai,j,k,lthe elements of which contain
tree nodes Xthat span ti.. j..tk..l, where the gap tj+1,k−1is spanned by the tree hanging from the foot
node of X. The time complexity is O(n6)for TAGs that are in “two form” .
Properties: informal proofs are given that TAGs are closed under union, concatenation, Kleene star,
and intersection with regular languages.
265. Barnard, D. T. and Cordy, J. R. SL parses the LR languages. Comput. Lang., 13(2):65–
74, July 1988. SL (Syntax Language) is a special-purpose language for specifying recursive
input-output transducers. An SL program consists of a set of recursive parameterless routines. The
code of a routine can call other routines, check the presence of an input token, produce an output
token, and perform an n-way switch on the next input token, which gets absorbed in the process.
Blocks can be repeated until an exit statement is switched to. The input and output streams are
implicit and are the only variables.
266. Schabes, Yves and Vijay-Shankar, K. Deterministic left to right parsing of tree adjoining
languages. In 28th Meeting of the Association for Computational Linguistics, pages
276–283. Association for Computational Linguistics, 1990. Since production using a TAG
can be based on a stack of stacks (see Vijay-Shankar and Joshi [264]), the same model is used to
graft LR parsing on. Basically, the stacks on the stack represent the reductions of the portion left
of the foot in each adjoined tree; the stack itself represents the spine of the entire tree recognized
so far. Dotted trees replace the usual dotted items; stack manipulation during the “Resume Right”
operation, basically a shift over a reduced tree root, is very complicated. See Nederhof [281].
267. Heilbrunner, S. and Schmitz, L. An efficient recognizer for the Boolean closure of
context-free languages. Theoret. Comput. Sci., 80:53–75, 1991. The CF grammars are
extended with two operators: negation (anything not produced by A) and intersection (anything
produced by both Aand B). The non-terminals in the grammar have to obey a hierarchical order,
to prevent paradoxes: A→ Awould define an Awhich produces anything not produced by A.An
Earley parser in CYK formulation (Graham et al. [23]) is extended with inference (dot-movement)
rules for these operators, and a special computation order for the sets is introduced. This leads to
a“naive” (well...) algorithm, to which various optimizations are applied, resulting in an efficient
O(n3)algorithm. A 10-page formal proof concludes the paper.
268. Koster, C. H. A. Affix grammars for natural languages. In Henk Alblas and
Bo˘
rivoj Melichar, editors, Attribute Grammars, Applications and Systems, volume 545
of Lecture Notes in Computer Science, pages 469–484, New York, 1991. Springer
Verlag. The domains of the affixes are restricted to finite lattices, on the grounds that this is
convenient in linguistics; lattices are explained in the text. This formally reduces the grammar to a
CF one, but the size can be spectacularly smaller. Inheritance and subsetting of the affixes is dis-
cussed, as are parsing and left recursion. An example for English is given. Highly amusing account
of the interaction between linguist and computer scientist.
269. Koster, C. H. A. Affix grammars for programming languages. In Henk Alblas and
Bo˘
rivoj Melichar, editors, Attribute Grammars, Applications and Systems, volume 545
of Lecture Notes in Computer Science, pages 358–373. Springer-Verlag, New York,
1991. After a historical introduction, the three formalisms VW Grammar, Extended Attribute/Affix
Grammar, and Attribute Grammar are compared by implementing a very simple language consist-
ing of declarations and assignments in them. The comparison includes Prolog. The conclusion finds
620 18 Annotated Bibliography
far more similarities than differences; VW Grammars are the most descriptional, Attribute Gram-
mars the most operational, with EAGs in between.
270. Krulee, Gilbert K. Computer Processing of Natural Language. Prentice-Hall, 1991.
Concentrates on those classes of grammars and features that are as applicable to English as to
Pascal (paraphrase of page 1). No overly soft linguistic talk, no overly harsh formalisms.
The book is based strongly on two-level grammars, but these are not the Van Wijngaarden type in
that no new non-terminals are produced. The metanotions produce strings of terminals and non-
terminals of the CF grammar rather than segments of names of non-terminals. When this is done,
the applied occurrences of metanotions in the CF grammar must be substituted using some uniform
substitution rule. An Earley parser for this kind of two-level grammars is sketched. Parsers for ATN
systems are also covered.
271. Schabes, Yves and Joshi, Aravind K. Parsing with lexicalized tree adjoining grammars.
In Masaru Tomita, editor, Current Issues in Parsing Technology, pages 25–47. Kluwer
Academic Publ., Boston, 1991. A grammar is “lexicalized” if each right-hand side in it contains
at least one terminal, called its “anchor”. Such grammars cannot be infinitely ambiguous. In parsing
a sentence from a lexicalized grammar, one can first select the rules that can play a role in parsing,
based on the terminals they contain, and restrict the parser to these. In very large grammars this
helps.
Various parser variants for this structure are described: CYK, top-down, Earley and even LR.
Feature-based tree adjoining grammars are tree adjoining grammars with attributes and unification
rules attached to each node. Although recognition for feature-based tree adjoining grammars is
undecidable, an adapted Earley algorithm is given that will parse a restricted set of feature-based
lexicalized tree adjoining grammars.
272. Seki, Hiroyuki, Matsumura, Takashi, Fuji, Mamoru, and Kasami, Tadao. On multiple
context-free grammars. Theoret. Comput. Sci., 88:191–229, 1991. Each non-terminal in
amultiple context-free grammar (MCFG) produces a fixed number of strings rather than just one
string; so it has a fixed number of right-hand sides. Each right-hand side is composed of terminals
and components of other non-terminals, under the condition that if a component of a non-terminal
Aoccurs in the right-hand side of a non-terminal Ball components of Amust be used. Several
varieties are covered in the paper, each with slightly different restrictions.
MCFGs are stronger than CFGs: for example, S→(aS1,bS2,cS3)|(ε,ε,ε),whereS1,S2,andS3are
the components of S, produces the language anbncn. But even the strongest variety is weaker than
CS.
Properties of this type of grammars are derived and proved; the grammars themselves are written in
a mathematical notation. An O(ne)recognition algorithm is given, where eis a grammar-dependent
constant. The algorithm is a variant of CYK, in that it constructs bottom-up sets of components of
increasing length, until that length is equal to the length of the input. Parsing (the recovery of the
derivation tree) is not discussed.
273. Fisher, Anthony J. A “yo-yo” parsing algorithm for a large class of van Wijngaarden
grammars. Acta Inform., 29(5):461–481, 1992. High-content paper describing a top-down
parser which tries to reconstruct the production process that led to the input string, using an Earley-
style parser to construct metanotions bottom-up where needed; it does not involve a skeleton gram-
mar. It can handle a class of VW grammars characterized roughly by the following conditions:
the cross-reference problem must be solvable by LL(1) parsing of the hypernotions; certain mixes
of “left-bound” and “right-bound” (see Wegner [256]) do not occur; and the VW grammar is not
left-recursive. The time requirement is O(n3f3(n)),where f(n)depends on the growth rate of the
fully developed hypernotions (“protonotions”) as a function of the length of the input. For “decent”
grammars, f(n)=n, and the time complexity is O(n6).
274. Grune, Dick. Two-level grammars are more expressive than Type 0 grammars — or
are they?. ACM SIGPLAN Notices, 28(8):43–45, Aug. 1993. VW grammars can construct
names of non-terminals, but they can equally easily construct names of terminals, thus allowing the
grammar to create new terminal symbols. This feat cannot be imitated by Type 0 grammars, so in a
18.2 Advanced Parsing Subjects 621
sense VW grammars are more powerful. The paper gives two views of this situation, one in which
the statement in the title is true, and one in which it is undefined.
275. Pitsch, Gisela. LL(k)parsing of coupled context-free grammars. Computational
Intelligence, 10(4):563–578, 1994. LL parsing requires the prediction of a production A→
A1,A2,...,An, based on look-ahead, and in CCFG we need the look-ahead at npositions in the
input. Although we know which position in the input corresponds to A1, we do not know which
positions match A2, ..., An, and we cannot obtain the required look-aheads. We therefore restrict
ourselves to strong LL, based on the FIRST set of A1and the FOLLOW sets of A1,...,An. Produc-
ing the parse tables is complex, but parsing itself is simple, and linear-time.
276. Satta, Giorgio. Tree adjoining grammar parsing and boolean matrix multiplication.
Computational Linguistics, 20(2):173–192, 1994. Proves that if we can do tree parsing in
O(np), we can do Boolean matrix multiplication in O(n2+p/6), which for p=6 amounts to the
standard complexities for both processes. Since Boolean matrix multiplication under O(n3)is very
difficult, it is probable that tree parsing under O(n6)is also very difficult.
277. Pitsch, Gisela. LR(k)-coupled-context-free grammars. Inform. Process. Lett.,
55(6):349–358, Sept. 1995. The coupling between the components of the coupled non-terminals
is implemented by adding information about the reduction of a component X1to a list called “fu-
ture”, which runs parallel to the reduction stack. This list is used to control the LR automaton so
that only proper reduces of the further components Xnof Xwill occur.
278. Hotz, Günter and Pitsch, Gisela. On parsing coupled-context-free languages. Theoret.
Comput. Sci., 161(1-2):205–233, 1996. General parsing with CCF grammars, mainly based
on the CYK algorithm. Full algorithms, extensive examples.
279. Kulkarni, Sulekha R. and Shankar, Priti. Linear time parsers for classes of non con-
text free languages. Theoret. Comput. Sci., 165(2):355–390, 1996. The non-context-free
languages are generated by two-level grammars as follows. The rules of the base grammar are num-
bered and one member of each RHS is marked as distinguished; the start symbol is unmarked. So
from each unmarked non-terminal in the parse tree one can follow a path downward by following
marked non-terminals, until one reaches a terminal symbol. A parse tree is acceptable only if the
sequence of numbers of the rules on each such path is generated by the control grammar.
LL(1) and LR(1) parsers for such grammars, using stacks of stacks, are described extensively.
280. Rußmann, A. Dynamic LL(k) parsing. Acta Inform., 34(4):267–290, 1997. Theory of
LL(1) parsing of dynamic grammars.
281. Nederhof, Mark-Jan. An alternative LR algorithm for TAGs. In 36th Annual Meeting
of the Association for Computational Linguistics, pages 946–952. ACL, 1998. The tradi-
tional LR parsing algorithm is extended in a fairly straightforward way to parsing TAGs. It uses the
traditional LR stack containing states and symbols alternately, although the symbols are sometimes
more complicated. The author shows that Schabes and Vijay-Shankar’s algorithm [266] is incor-
rect, and recognizes incorrect strings.
Upon implementation, it turned out that the LR transition tables were “prohibitively large” (46MB)
for a reasonable TAG for English. But the author represents the table as a set of Prolog clauses (!)
and does not consider table compression.
282. Prolo, Carlos A. An efficient LR parser generator for tree adjoining grammars. In 6th
Int. Workshop on Parsing Technologies (IWPT 2000), pages 207–218, 2000. Well-argued
exposition of the problems inherent in LR parsing of TAGs. Presents an LR parser generator which
produces tables that are one or two orders of magnitude smaller than Nederhof’s [281], making LR
parsing of tree adjoining grammars more feasible.
283. Okhotin, Alexander. Conjunctive grammars. J. Automata, Languages and
Combinatorics, 6(4):519–535, 2001. A conjunctive grammar is a CF grammar with an ad-
ditional intersection operation. Many properties of conjunctive grammars are shown and proven,
622 18 Annotated Bibliography
and many examples are provided. For example, the conjunctive grammars are stronger than the in-
tersection of a finite number of CF languages. They lead to parse dags. Tabular parsing is possible
in time O(n3).
284. Ford, Bryan. Packrat parsing: Simple, powerful, lazy, linear time. ACM SIGPLAN
Notices, 37(9):36–47, Sept. 2002. A straightforward backtracking top-down parser in Haskell
is supplied with memoization (see Section 17.3.4), which removes the need for repeated backtrack-
ing and achieves unbounded look-ahead. Linear-time parsing is achieved by always matching the
largest possible segment; this makes the result of a recognition unique, and the parsing unambigu-
ous. Left recursion has to be removed by the user, but code is supplied to produce the correct parse
tree nevertheless. Since the memoized functions remember only one result and then stick to that,
Packrat parsing cannot handle all CF languages; a delineation of the set of suitable languages is not
given. See, however, Ford [286]. Implementation of the parser using monads is discussed.
285. Jackson, Quinn Tyler. Efficient formalism-only parsing of XML/HTML using the §-
calculus. ACM SIGPLAN Notices, 38(2):29–35, Feb. 2003. The §-calculus is a CF grammar
in which new values can be dynamically assigned to non-terminals in the grammar during parsing.
Such values can be the value of a generic terminal (identifiers, etc.) found in the input or a new
CF production rule, somewhat similar to the Prolog assert feature. This allows context-sensitive
restrictions to be incorporated in the grammar. This system is used to write a concise grammar
capable of handling both XML and HTML documents. It is then run on Meta-S, a backtracking
LL(k) recursive descent parser for the §-calculus.
286. Ford, Bryan. Parsing expression grammars: A recognition-based syntactic foundation.
In 31st ACM SIGACT/SIGPLAN Symposium on Principles of Programming Languages,
pages 111–122. ACM, Jan. 2004. APEG (Parsing Expression Grammar) describes a language
by being a recognition algorithm. It is basically an EBNF grammar whose meaning is determined
by a top-down interpreter, similar to those described by Birman and Ullman [246]. The interpreter
works left-to-right top-to-bottom and always consumes the longest possible input: an expression
e1e2···/e3··· means if e1andif e2andif ··· then succeed else e3andif ··· fi.Ifan
expression succeeds it consumes what it has recognized; if an expression fails, it consumes nothing,
even if subsections of it have recognized some input. This requires backtracking. PEGs have two
additional operators, &A, which tests for the presence of an Abut consumes nothing, and !A, which
tests for the absence of an Aand consumes nothing. PEGs have to be “well-formed”, which basically
means “not left-recursive”.
PEGs have several advantages over CF grammars: PEGs are unambiguous; PEG languages are
closed under intersection and negation; PEGs can recognize some non-CF languages; and parsing
with PEGs can be done in linear time.
These and several other properties — static analysis, well-formedness, algebraic equalities, relation
to Birman and Ullman’s TS and gTS — are proved in the paper, with short common-sense proofs.
287. Grimm, Robert. Practical packrat parsing. Technical Report TR2004-854, Dept. of
Computer Science, New York University, New York, March 2004. Describes an object-
oriented implementation of Packrat parsing in Java, called Rats"!. It allows the attachment of se-
mantics to rules.
288. Okhotin, Alexander. Boolean grammars. Information and Computation, 194(1):19–
48, 2004. Boolean grammars are CF grammars extended with intersection and negation. The
languages they define are not described by a substitution mechanism, but in one of two ways: as
the solution of a set of equations, and as the partial fixed point of a function. It is not necessary for
both of them to exist, but it is shown that if both exist, they define the same language. If neither
solution exists, the grammar is not well-formed. Many properties of Boolean grammars are shown
and proven; a binary form is defined; and the corresponding CYK algorithm is presented, yielding
a parse dag. This allows parsing in O(n3). Remarkably they can be recognized in O(n)space, but
that takes some doing.
Linear Boolean grammars are Boolean grammars in which each conjunct contains at most one
non-terminal. They are proven to be equivalent to trellis automata. Useful tables of comparisons of
grammars and languages complete the paper.
18.2 Advanced Parsing Subjects 623
289. Okhotin, Alexander. LR parsing for boolean grammars. In International Conference on
Developments in Language Theory (DLT), volume 9, pages 362–373, 2005. GLR parsing
is extended with two operations, a “conjunctive reduce”, which is almost the same as the traditional
reduce, except that for X→ABC&DEF it reduces only if both ABC and DEF are present, and an
invalidate, which removes clusters of branches from the GSS in response to finding an Xwhere the
grammar calls for ¬X. Complete algorithms are given. The time complexity is O(n4), which can be
reduced to O(n3)by further memoization. A short sketch of an LL(1) parser for Boolean grammars
is also given.
290. Okhotin, Alexander. On the existence of a Boolean grammar for a simple procedu-
ral language. In 11th International Conference on Automata and Formal Languages:
AFL’05, 2005. A paradigm for using Boolean grammars for the formal specification of pro-
gramming languages is being developed. The method involves a sublanguage C=IΣ∗I, where both
occurrences of Irepresent the same identifier and Σ∗can be anything as long as it sets itself off
against the two identifiers. The CF part of the Boolean grammar is then used to assure CF compli-
ance of the program text, and repeated intersection with Cis used to insure that all identifiers are
declared and intersection with ¬Cto catch multiple declarations. Once Chas been defined the rest
of the Boolean grammar is quite readable; it completely specifies and checks all context conditions.
Experiments show that the time complexity is about O(n2). A critical analysis closes the paper.
291. Jackson, Quinn Tyler. Adapting to Babel: Adaptivity and Context-Sensitivity in Parsing.
In Press, 2006. The §-calculus (pronounced “meta-ess calculus”) (Jackson [285]) is extended
with a notation A-BNF, “Adaptive BNF”, which is BNF extended with several grammar and
set manipulation functions, including intersection with a set generated by a subgrammar. This
allows full Turing power. A very simple example is a §-grammar (A-BNF) for palindromes:
S ::= $x(’[a-zA-Z]’) [S] x; this means: to accept an S, accept one token from the input
if it intersects with the set of letters and assign it to the variable x, optionally accept an S,and
finally accept the token in variable x.
The implementation uses a pushdown automaton augmented with name-indexed tries (PDA-T)
reminiscent of a nested stack automaton, and zillions of optimizations. The time complexity is
unknown; in practice it is almost always less than O(n2)and always less than O(n3). Although
§-grammars may be seen as generating devices, the author makes a strong point for seeing them as
recognition devices.
All facets of the system are described extensively, with many examples.
18.2.7 Error Handling
292. Aho, A. V. and Peterson, T. G. A minimum-distance error-correcting parser for context-
free languages. SIAM J. Computing, 1(4):305–312, 1972. A CF grammar is extended with
error productions so that it will produce Σ∗; this is effected by replacing each occurrence of a
terminal in a rule by a non-terminal that produces said terminal “with 0 errors” and any amount of
garbage, including ε, “with 1 or more errors”. The items in an Earley parser are extended with a
count, indicating how many errors were needed to create the item. An item with error count kis
added only if no similar item with a lower error count is present already.
293. Conway, R. W. and Wilcox, T. R. Design and implementation of a diagnostic compiler
for PL/I. Commun. ACM, 16(3):169–179, 1973. Describes a diagnostic PL/C compiler, using
a systematic method for finding places where repair is required, but the repair strategy for each of
these places is chosen by the implementor. The parser uses a separable transition diagram technique
(see Conway [333]). The error messages detail the error found and the repair chosen.
294. Lyon, G. Syntax-directed least-errors analysis for context-free languages: a practical
approach. Commun. ACM, 17(1):3–14, Jan. 1974. Discusses a least-error analyser, based
on Earley’s parser without look-ahead. The Earley items are extended with an error count, and the
parser is started with items for the start of each rule, in each state set. Earley’s scanner is extended
624 18 Annotated Bibliography
as follows: for all items with the dot in front of a terminal, the item is added to the same state set
with an incremented error count and the dot after the terminal (this represents an insertion of the
terminal); if the terminal is not equal to the input symbol associated with the state set, add the item
to the next state set with an incremented error count and the dot after the terminal (this represents
a replacement); add the item as it is to the next state set, with an incremented error count (this
represents a deletion). The completer does its work as in the Earley parser, but also updates error
counts. Items with the lowest error counts are processed first, and when a state set contains an item,
the same item is only added if it has a lower error count.
295. Graham, Susan L. and Rhodes, Steven P. Practical syntactic error recovery. Commun.
ACM, 18(11):639–650, Nov. 1975. See Section 16.5 for a discussion of this error recovery
method.
296. Horning, James J. What the compiler should tell the user. In Friedrich L. Bauer and
Jürgen Eickel, editors, Compiler Construction, An Advanced Course, 2nd ed, volume 21
of Lecture Notes in Computer Science, pages 525–548. Springer, 1976. Lots of good
advice on the subject, in narrative form. Covers the entire process, from lexical to run-time errors,
considering detection, reporting and possible correction. No implementation hints.
297. Hartmann, Alfred C. A Concurrent Pascal Compiler for Minicomputers, volume 50 of
Lecture Notes in Computer Science. Springer, 1977. [Parsing / error recovery part only:]
Each grammar rule is represented as a small graph; each graph is converted into a subroutine doing
top-down recursive descent. To aid error recovery, a set of “key” tokens is passed on, consisting of
the union of the FIRST sets (called “handles” in the text) of the symbols on the prediction stack,
the intuition being that each of these tokens could, in principle, start a prediction if all the previous
ones failed. This set is constructed and updated during parsing. Before predicting the alternative for
a non-terminal A, all input tokens not in the key set at this place are skipped, if any. If that does not
bring up a token from A’s FIRST set — and thus allow an alternative to be chosen — Ais discarded
and the next prediction is tried.
298. Lewi, J., Vlaminck, K. de, Huens, J., and Huybrechts, M. The ELL(1) parser generator
and the error-recovery mechanism. Acta Inform., 10:209–228, 1978. Presents a detailed
recursive descent parser generation scheme for ELL(1) grammars, and also presents an error recov-
ery method based on so-called synchronization triplets (a,b,A). ais a terminal from FIRST(A), b
is a terminal from LAST(A). The parser operates either in parsing mode or in error mode. It starts
in parsing mode, and proceeds until an error occurs. Then, in error mode, symbols are skipped
until either an end marker bis found where ais the last encountered corresponding begin-marker,
in which case parsing mode resumes, or a begin-marker ais found, in which case Ais invoked in
parsing mode. As soon as Ais accepted, error-mode is resumed. The success of the method depends
on careful selection of synchronization triplets.
299. Mickunas, M. Dennis and Modry, John A. Automatic error recovery for LR parsers.
Commun. ACM, 21(6):459–465, June 1978. When an error is encountered, a set of provisional
parsings of the beginning of the rest of the input (so-called condensations) are constructed: for each
state a parsing is attempted and those that survive according to certain criteria are accepted. This
yields a set of target states. Now the stack is “frayed” by partly or completely undoing any reduces;
this yields a set of source states. Attempts are made to connect a source state to a target state by
inserting or deleting tokens. Careful rules are given.
300. Pennello, Thomas J. and DeRemer, Frank L. A forward move algorithm for LR error
recovery. In Fifth ACM Symposium on Principles of Programming Languages, pages
241–254, Jan. 1978. Refer to Graham and Rhodes [295]. Backward moves are found to be
detrimental to error recovery. The extent of the forward move is determined as follows. At the error,
an LALR(1) parser is started in a state including all possible items. The thus extended automaton
is run until it wants to reduce past the error detection point. The resulting right context is used in
error correction. An algorithm for the construction of a reasonably sized extended LALR(1) table
is given.
18.2 Advanced Parsing Subjects 625
301. Tanaka, Eiichi and Fu, King-Sun. Error-correcting parsers for formal languages. IEEE
Trans. Comput., C-27(7):605–616, July 1978. Starts from a CF CYK parser based on a 2-
form grammar. The entry for a recognized symbol Ain the matrix contains 0, 1 or 2 pointers to its
children, plus an error weight; the entry with the lowest error weight is retained. Next, the same
error-correction mechanism is introduced in a context-sensitive CYK parser, for which see [1]. Full
algorithms are given. Finally some theorems are proven concerning these parsers, the main one
being that the error-correcting properties under these algorithms depend on the language only, not
on the grammar used. High-threshold, notationally heavy paper, with extensive examples though.
302. Fischer, C. N., Tai, K.-C., and Milton, D. R. Immediate error detection in strong LL(1)
parsers. Inform. Process. Lett., 8(5):261–266, June 1979. A strong-LL(1) parser will some-
times perform some incorrect parsing actions, connected with ε-matches, when confronted with
an erroneous input symbol, before signalling an error; this impedes subsequent error correction. A
subset of the LL(1) grammars is defined, the nullable LL(1) grammars, in which rules can only
produce εdirectly, not indirectly. A special routine, called before an ε-match is done, hunts down
the stack to see if the input symbol will be matched or predicted by something deeper on the stack;
if not, an error is signaled immediately. An algorithm to convert any strong-LL(1) grammar into a
non-nullable strong-LL(1) grammar is given. (See also Mauney and Fischer [309]).
303. Fischer, C. N., Milton, D. R., and Quiring, S. B. Efficient LL(1) error correction and
recovery using only insertions. Acta Inform., 13(2):141–154, 1980. See Section 16.6.4 for
a discussion of this error recovery method.
304. Pemberton, Steven. Comments on an error-recovery scheme by Hartmann. Softw. Pract.
Exper., 10(3):231–240, 1980. Extension of Hartmann’s error recovery scheme [297]. Error re-
covery in a recursive descent parser is done by passing to each parsing routine a set of “acceptable”
symbols. Upon encountering an error, the parsing routine will insert any directly required terminals
and then skip input until an acceptable symbol is found. Rules are given and refined on what should
be in the acceptable set for certain constructs in the grammar.
305. Röhrich, Johannes. Methods for the automatic construction of error correcting parsers.
Acta Inform., 13(2):115–139, Feb. 1980. See Section 16.6.3 for a discussion of this error
recovery method. The paper also discusses implementation of this method in LL(k)andLR(k)
parsers, using so-called deterministic continuable stack automata.
306. Anderson, Stuart O. and Backhouse, Roland C. Locally least-cost error recovery in Ear-
ley’s algorithm. ACM Trans. Prog. Lang. Syst., 3(3):318–347, July 1981. Parsing and error
recovery are unified so that error-free parsing is zero-cost error recovery. The information already
present in the Earley items is utilized cleverly to determine possible continuations. From these and
from the input, the locally least-cost error recovery can be computed, albeit at considerable expense.
Detailed algorithms are given.
307. Dwyer, Barry. A user-friendly algorithm. Commun. ACM, 24(9):556–561, Sept. 1981.
Skinner’s theory of operant conditioning applied to man/machine interaction: tell the user not what
is wrong but help him how to do better. In syntax errors this means showing what the parser under-
stood and what the pertinent syntax rules are.
308. Gonser, Peter. Behandlung syntaktischer Fehler unter Verwendung kurzer, fehlerein-
schließender Intervalle. PhD thesis, Technical report, Technische Universität München,
München, July 21 1981, (in German). Defines a syntax error as a minimal substring of the
input that cannot be a substring of any correct input; if there are nsuch substrings, there are (at
least) nerrors. Finding such substrings is too expensive, but if we are doing simple precedence
parsing and have a stack configuration bA1A2···Akand a next input token c,whereis
either or .
=and there is no precedence relation between Akand c, then the substring from which
bA1A2···Akcwas reduced must contain at least one error. The reason is that precedence informa-
tion does not travel over terminals; only non-terminals can transmit information from left to right
through the stack, by the choice of the non-terminal. So if the ccannot be understood, the cause
cannot lie to the left of the b. This gives us an interval that is guaranteed to contain an error.
626 18 Annotated Bibliography
Several rules are given on how to turn the substring into an acceptable one; doing this successively
for all error intervals turns the input into a syntactically correct one. Since hardly any grammar is
simple precedence, several other precedence-like grammar forms are developed which are stronger
and in the end cover the deterministic languages. See [130] for these.
309. Mauney, Jon and Fischer, Charles N. An improvement to immediate error detection
in strong LL(1) parsers. Inform. Process. Lett., 12(5):211–212, 1981. The technique of
Fischer, Tai and Milton [302] is extended to all LL(1) grammars by having the special routine which
is called before an ε-match is done do conversion to non-nullable on the fly. Linear time dependency
is preserved by setting a flag when the test succeeds, clearing it when a symbol is matched and by
not performing the test if the flag is set: this way the test will be done at most once for each symbol.
310. Anderson, S. O. and Backhouse, R. C. An alternative implementation of an insertion-
only recovery technique. Acta Inform., 18:289–298, 1982. Argues that the FMQ error
corrector of Fischer, Milton and Quiring [303] does not have to compute a complete insertion. It is
sufficient to compute the first symbol. If w=w1w2···wnis an optimal insertion for the error a
following prefix u,thenw2···wnis an optimal insertion for the error afollowing prefix uw1.Also,
immediate error detection is not necessary. Instead, the error corrector is called for every symbol,
and returns an empty insertion if the symbol is correct.
311. Anderson, S. O., Backhouse, R. C., Bugge, E. H., and Stirling, C. P. An assessment of
locally least-cost error recovery. Computer J., 26(1):15–24, 1983. Locally least-cost error
recovery consists of a mechanism for editing the next input symbol at least cost, where the cost
of each edit operation is determined by the parser developer. The method is compared to Wirth’s
followset method (see Stirling [314]) and compares favorably.
312. Brown, P. J. Error messages: The neglected area of the man/machine interface?.
Commun. ACM, 26(4):246–249, 1983. After showing some appalling examples of error mes-
sages, the author suggests several improvements: 1. the use of windows to display the program text,
mark the error, and show the pertinent manual page; 2. the use of a syntax-directed editor to write
the program; 3. have the parser suggest corrections, rather than just error messages. Unfortunately
1 and 3 seem to require information of a quality that parsers that produce appalling error messages
just cannot provide.
313. Richter, Helmut. Noncorrecting syntax error recovery. ACM Trans. Prog. Lang. Syst.,
7(3):478–489, July 1985. Extends Gonser’s method [308] by using suffix grammars and a
reverse scan, which yields provable properties of the error interval. See Section 16.7 for a discussion
of this method. Bounded-context grammars are conjectured to yield deterministic suffix grammars.
314. Stirling, Colin P. Follow set error recovery. Softw. Pract. Exper., 15(3):239–257, March
1985. Describes the followset technique for error recovery: at all times there is a set of symbols that
depends on the parse stack and that will not be skipped, called the followset. When an error occurs,
symbols are skipped until one is found that is a member of this set. Then, symbols are inserted
and/or the parser state is adapted until this symbol is legal. In fact there is a family of error recovery
(correction) methods that differ in the way the followset is determined. The paper compares several
of these methods.
315. Choe, Kwang-Moo and Chang, Chun-Hyon. Efficient computation of the locally least-
cost insertion string for the LR error repair. Inform. Process. Lett., 23(6):311–316, 1986.
Refer to Anderson et al. [311] for locally least-cost error correction. The paper presents an efficient
implementation in LR parsers, using a formalism described by Park, Choe and Chang [65].
316. Kantorowitz, E. and Laor, H. Automatic generation of useful syntax error messages.
Softw. Pract. Exper., 16(7):627–640, July 1986. Rules for useful syntax error messages: 1.
Indicate a correction only if it is the only possibility. 2. Otherwise show the full list of legal tokens
in the error position. 3. Mark skipped text.
To implement this the grammar is required to be LL(1) and each rule is represented internally
by a syntax diagram. In case 1 the recovery is easy: perform the correction. Case 2 relies on an
18.2 Advanced Parsing Subjects 627
“acceptable set”, computed in two steps. First all paths in the present syntax diagram starting from
the error point are searched for terminals that do not occur in the FIRST sets of non-terminals in
the same syntax diagram. If that set is not empty it is the acceptable set. Otherwise the FOLLOW
set is constructed by consulting the stack, and used as the acceptable set. Explicit algorithms given.
317. Burke, Michael G. and Fisher, Gerald A. A practical method for LL and LR syntactic
error diagnosis and recovery. ACM Trans. Prog. Lang. Syst., 9(2):164–197, April 1987.
Traditional error recovery assumes that all tokens up to the error symbol are correct. The article
investigates the option of allowing earlier tokens to be modified. To this end, parsing is done with
two parsers, one of which is a number of tokens ahead of the other. The first parser does no actions
and keeps enough administration to be rolled back, and the second performs the semantic actions;
the first parser will modify the input stream or stack so that the second parser will never see an error.
This device is combined with three error repair strategies: single token recovery, scope recovery and
secondary recovery. In single token recovery, the parser is rolled back and single tokens are deleted,
inserted or replaced by tokens specified by the parser writer. In scope recovery, closers as specified
by the parser writer are inserted before the error symbol. In secondary recovery, sequences of tokens
around the error symbol are discarded. In each case, a recovery is accepted if it allows the parser
to advance a specified number of tokens beyond the error symbol. It is reported that this technique
corrects three quarters of the normal errors in Pascal programs in the same way a knowledgeable
human would. The effects of fine-tuning are discussed.
318. Cormack, Gordon V. An LR substring parser for noncorrecting syntax error recovery.
ACM SIGPLAN Notices, 24(7):161–169, June 1989. Using the BC-SLR(1,1) substring parser
from the same paper ([211]) the author gives examples of interval analysis on incorrect Pascal
programs.
319. Charles, Philippe. An LR(k) error diagnosis and recovery method. In Second Interna-
tional Workshop on Parsing Technologies, pages 89–99, Feb. 1991. Massive approach to
syntax error recovery, extending the work of Burke and Fisher [317], in four steps. 1. No informa-
tion is lost in illegal reductions, as follows. During each reduction sequence, the reduce actions are
stored temporarily, and actually applied only when a successful shift action follows. Otherwise the
original stack is passed to the recovery module. 2. Primary (local) recovery: include merging the
error token with its successor; deleting the error token; inserting an appropriate terminal in front
of the error token; replacing the error token by a suitable terminal; inserting an appropriate non-
terminal in front of the error token; replacing the error token by a suitable non-terminal. All this is
controlled by weights, penalties and number of tokens that can be accepted after the modification.
3. Secondary (phrase-level) recovery: for a sequence of “important non-terminals” the unfinished
phrase is removed from the stack and a synchronization is made, until a good one is found. Criteria
for “important non-terminals” are given. 4. Scope recovery, in which nesting errors are repaired:
For each self-embedding rule A, nesting information is precomputed, in the form of a scope prefix,
a scope suffix, a look-ahead token, and a set of states. Upon error, these scopes are tested to bridge
a possible gap over missing closing elements. The system provided excellent error recovery in a
very large part of the cases tried.
Complete algorithms are given.
320. Deudekom, A. van and Kooiman, P. Top-down non-correcting error recovery in LLgen.
Technical Report IR 338, Vrije Universiteit, Faculteit Wiskunde en Informatica, Ams-
terdam, Oct. 1993. Describes the addition of a Richter-style [313] error recovery mechanism
to LLgen, an LL(1) parser generator, using a Generalized LL parser. The suffix grammar used by
the mechanism is generated on the fly, and pitfalls concerning left recursion (a general problem in
LL parsing), right recursion (a specific problem in error recovery), and ε-rules are pointed out and
solved.
LLgen allows liberties with the LL(1) concept; these may interfere with automated error recovery.
The conflict resolvers turned out to be no problem, but LLgen allows subparsers to be called from
semantic actions, thus extending the accepted language, and syntax error messages to be given from
semantic actions, thus restricting the accepted language. The error recovery grammar, however, has
to represent the accepted language precisely; this necessitated two new parser generator directives.
628 18 Annotated Bibliography
Examples of error recovery and efficiency measurements are provided.
See also [170] for the Generalized LL parsing part.
321. McKenzie, Bruce J., Yeatman, Corey, and De Vere, Lorraine. Error repair in shift-
reduce parsers. ACM Trans. Prog. Lang. Syst., 17(4):672–689, July 1995. The two-stage
technique described uses breadth-first search to obtain a series of feasible repairs, each of which is
then validated. The first feasible validated repair is accepted.
To obtain feasible repairs, a priority queue of parser states each containing a stack, a representation
of the rest of the input, a string of insert tokens, a string of deleted tokens and a cost is created in
breadth-first fashion, ordered by cost. The top parser state in the queue is considered, a new state is
created for each possible shift, with its implied inserted token, and a new state for the deletion of
one token from the input, each of them with its cost. If one of these new states allows the parser to
continue, it is deemed feasible and examined for validity.
The repair is valid if it allows the parser to accept the next Ninput tokens. If it is invalid, more
parser states are created in the priority queue. If the queue gets exhausted, no error recovery is
possible.
The paper contains much sound advice about implementing such a scheme. To reduce the number
of parser states that have to be examined, a very effective pruning heuristic is given, which reduces
the number by two or three orders of magnitude. In rare cases, however, the heuristic causes some
cheaper repairs to be missed. See also Bertsch and Nederhof [323].
322. Ruckert, Martin. Generating efficient substring parsers for BRC grammars. Technical
Report 98-105, State University of New York at New Paltz, New Paltz, NY 12561, July
1998. Error reporting and recovery using a BRC-based substring parser. For the parser see [217].
323. Bertsch, Eberhard and Nederhof, Mark-Jan. On failure of the pruning technique in
“error repair in shift-reduce parsers”. ACM Trans. Prog. Lang. Syst., 21(1):1–10, Jan.
1999. The authors analyse the pruning heuristic presented in McKenzie et al. [321], and show
that it can even cause the repair process to fail. A safe pruning heuristic is given, but it is so weak,
and the failing cases are so rare, that the authors recommend to use the original but slightly faulty
heuristic anyway.
324. Ruckert, Martin. Continuous grammars. In 26th ACM SIGPLAN-SIGACT Symposium
on Principles of Programming Languages, pages 303–310. ACM, 1999. Gives an example
of a situation in which an error in the first token of the input can only be detected almost at the end
of the input, invalidating almost all parsing done so far. To avoid such disasters, the author defines
“continuous grammars”, in which changing one token in the input can effect only limited changes
in the parse tree: the mapping from string to parse tree is “continuous” rather than “discontinuous”.
This goal is achieved by imposing a metric for the distance between two nodes on a BCP grammar,
and requiring that this distance is bounded by a constant for any single-token change in the input.
It turns out that all bounded-context grammars are continuous; those bounded-context parsable are
not, but can often be doctored.
325. Cerecke, Carl. Repairing syntax errors in LR-based parsers. New Zealand J. Computing,
8(3):3–13, June 2001. Improves McKenzie et al.’s algorithm [321] by limiting the lengths of
circular search paths in the LR automaton. Left-recursive rules do not create cycles; right-recursive
rules create cycles that have to be followed only once; and self-embedding rules create cycles that
have to be followed until lsymbols have been inserted, where lis the verification length. The
improved parser solved 25% of the errors not solved by the original algorithm.
326. Kim, I.-S. and Choe, K.-M. Error repair with validation in LR-based parsing. ACM
Trans. Prog. Lang. Syst., 23(4):451–471, 2001. The combinations explored dynamically
in McKenzie et al.’s algorithm [321] are computed statically during LR table generation, using a
shortest-path search through the right-context graph.
327. Corchuelo, Rafael, Pérez, José A., Ruiz, Antonio, and Toro, Miguel. Repairing syntax
errors in LR parsers. ACM Trans. Prog. Lang. Syst., 24(6):698–710, Nov. 2002. The four
LR parse action shift, reduce, accept, and reject are formalized as operators on a pair (stack, rest
18.2 Advanced Parsing Subjects 629
of input). The error repair actions of an LR parser, insert, delete and forward move are described
in the same formalism. (“Forward move” performs a limited number of LR parse actions, to see if
there is another error ahead.)
The three error repair operators generate a search space, which is bounded by the depth of the
forward move (N), the number of input tokens considered (Nt), and the maximum number of inser-
tions (Ni) and deletions (Nd). The search space is searched breadth-first, with or without an error
cost function; if the search space is found not to contain a solution, the system reverts to panic
mode. The breadth-first search is implemented by a queue.
The system produces quite good but not superb error repair, is fast, and can easily be added to
existing parsers, since it does not require additional tables and uses existing parsing actions only.
With N=3, Nt=10, Ni=4, and Nd=3, the system almost always finds a solution; the solution
is acceptable in about 85% of the cases. These results are compared to an extensive array of other
error repair techniques.
328. Jeffery, Clinton L. Generating LR syntax error messages from examples. ACM Trans.
Prog. Lang. Syst., 25(5):631–640, Sept. 2003. The parser generator is provided with a list
of error situations (pieces of incorrect code) with their desired error messages. The system then
generates a provisional LR parser, runs it on each of the error situations, records in which state the
parser ends up on which input token, and notes the triple (LR state, error token, error message)
in a list. This list is then incorporated in the definitive parser, which will produce the proper error
message belonging to the state and the input token, when it detects an error.
18.2.8 Incremental Parsing
329. Lindstrom, Gary. The design of parsers for incremental language processors. In Second
Annual ACM Symposium on Theory of Computing, pages 81–91. ACM, 1970. The input
is conceptually divided into “fragments” (substrings) by appointing by hand a set Cof terminals
that act as fragment terminators. Good candidates are separators like end,else,and;.Nowfor
each non-terminal Ain the grammar we create three new non-terminals: <−A, which produces all
prefixes of L(A)that end in a token in C,A>−for all suffixes, and <−A>−for all infixes; rules for
these are constructed. The input is then parsed by an LR parsing using these rules. The resulting
fragments are saved and reused when the input is modified.
The parser does not know its starting state, and works essentially like the substring parser of Bates
and Lavie [214], but the paper does not discuss the time complexity.
330. Degano, Pierpaolo, Mannucci, Stefano, and Mojana, Bruno. Efficient incremental LR
parsing for syntax-directed editors. ACM Trans. Prog. Lang. Syst., 10(3):345–373, July
1988. The non-terminals of a grammar are partitioned by hand into sets of “incrementally compat-
ible” non-terminals, meaning that replacement of one non-terminal by an incrementally compatible
one is considered a minor structural change. Like in Korenjak’s method [53], for a partitioning in
nsets n+1 parse tables are constructed, one for each set and one for the grammar that represents
the connection between the sets. The parser user is allowed interactively to move or copy the string
produced by a given non-terminal to a position where an incrementally compatible one is required.
This approach keeps the text (i.e. the program text) reasonably correct most of the time and uses
rather small tables.
331. Vilares Ferro, M. and Dion, B. A. Efficient incremental parsing for context-free
languages. In 1994 International Conference on Computer Languages, pages 241–252.
IEEE Computer Society Press, May 1994. Suppose the GSS of a GLR parsing for a string wis
available, and a substring wi···jis replaced by a string u, possibly of different length. Two algorithms
are supplied to update the GSS. In “total recovery” the smallest position k≥jis found such that
all arcs (pops) from kreach back over i; the section i···kis then reparsed. Much technical detail is
needed to make this work. “Partial recovery” preserves only those arcs that are completely to the
right of the affected region. Extensive examples are given and many experimental results reported.
630 18 Annotated Bibliography
18.3 Parsers and Applications
18.3.1 Parser Writing
332. Grau, A. A. Recursive processes and ALGOL translation. Commun. ACM, 4(1):10–15,
Jan. 1961. Describes the principles of a compiler for ALGOL 60, in which each entity in the
language corresponds to a subroutine. Since ALGOL 60 is recursive in that blocks may contain
blocks, etc., the compiler routines must be recursive (called “self-enslaving” in the paper); but the
author has no compiler that supports recursive subroutines, so code segments for its implementation
(routine entry, exit, stack manipulation, etc.) are provided. Which routine is called when is deter-
mined by the combination of the next input symbol and a state which is maintained by the parser.
This suggests that the method is a variant of recursive ascent rather than of recursive descent.
The technique is demonstrated for a representative subset of ALGOL. In this demo version there
are 13 states, determined by hand, and 17 token classes. The complete 13 ×17 matrix is provided;
the contents of each entry is designed by considering exactly what must be done in that particular
case.
333. Conway, Melvin E. Design of a separable transition-diagram compiler. Commun. ACM,
6(7):396–408, July 1963. The first to introduce coroutines and to apply them to structure a
compiler. The parser is Irons’ [2], made deterministic by a No-Loop Condition and a No-Backup
Condition. It follows transition diagrams rather than grammar rules.
334. Tarjan, R. E. Depth first search and linear graph algorithms. SIAM J. Computing,
1(2):146–160, 1972. The power of depth-first search is demonstrated by two linear graph algo-
rithms: a biconnectivity test and finding strongly connected components.
An undirected graph is biconnected if for any three nodes p,q,andr, you can go from pto qwhile
avoiding r. The depth-first search on the undirected graph imposes a numbering on the nodes, which
gives rise to beautiful palm trees.
Astrongly connected component is a subset of the nodes of a directed graph such that for any three
nodes p,q,andrin that subset, you can go from pto qwhile going through r.
335. Aho, A. V., Johnson, S. C., and Ullman, J. D. Deterministic parsing of ambiguous
grammars. Commun. ACM, 18(8):441–452, 1975. Demonstrates how LL and LR parsers can
be constructed for certain classes of ambiguous grammars, using simple disambiguating rules, such
as operator-precedence.
336. Glanville, R. Steven and Graham, Susan L. A new method for compiler code generation
(extended abstract). In Fifth Annual ACM Symposium on Principles of Programming
Languages, pages 231–240, 1978. SLR(1) parsing is used to structure the intermediate code
instruction stream originating from a compiler front end. The templates of the target machine in-
structions form the grammar for the structuring; this grammar is almost always ambiguous and
certainly not SLR(1). The parser actions are accompanied by actions that record semantic restric-
tions and costs. SLR(1) conflicts are resolved in 2 ways: upon shift/reduce conflicts the parser shifts;
upon reduce/reduce conflicts the reduction with the longest reduce with the lowest cost which is
compatible with the semantic restrictions is used. The parser cannot get stuck provided the grammar
is “uniform”. Conditions for a uniform grammar are given and full algorithms are supplied.
337. Milton, D. R., Kirchhoff, L. W., and Rowland, B. R. An ALL(1) compiler generator.
ACM SIGPLAN Notices, 14(8):152–157, Aug. 1979. Presents an LL(1) parser generator
and attribute evaluator which allows LL(1) conflicts to be solved by examining attribute values; the
generated parsers use the error correction algorithm of Fischer, Milton and Quiring [303].
338. Dencker, Peter, Dürre, Karl, and Heuft, Johannes. Optimization of parser tables for
portable compilers. ACM Trans. Prog. Lang. Syst., 6(4):546–572, Oct. 1984. Given an
n×mparser table, an n×mbit table is used to indicate which entries are error entries; this table
is significantly smaller than the original table and the remaining table is now sparse (typically 90-
98% don’t-care entries). The remaining table is compressed row-wise (column-wise) by setting up
18.3 Parsers and Applications 631
an interference graph in which each node corresponds to a row (column) and in which there is an
edge between any two nodes the rows (columns) of which occupy an element in the same position.
A (pseudo-)optimal partitioning is found by a minimal graph-coloring heuristic.
339. Waite, W. M. and Carter, L. R. The cost of a generated parser. Softw. Pract. Exper.,
15(3):221–237, 1985. Supports with measurements the common belief that compilers employ-
ing table-driven parsers suffer performance degradation with respect to hand-written recursive de-
scent compilers. Reasons: interpretation of parse tables versus direct execution, attribute storage
allocation and the mechanism to determine which action(s) to perform. Then, a parser interface
is proposed that simplifies integration of the parser; implementation of this interface in assembly
language results in generated parsers that cost the same as recursive descent ones. The paper does
not consider generated recursive descent parsers.
340. Aho,A.V.,Sethi,R.,andUllman,J.D. Compilers: Principles, Techniques and Tools.
Addison-Wesley, Reading, Mass., 1986. The “Red Dragon Book”. Excellent, UNIX-oriented
treatment of compiler construction. Even treatment of the various aspects.
341. Cohen, Jacques and Hickey, Timothy J. Parsing and compiling using Prolog. ACM
Trans. Prog. Lang. Syst., 9(2):125–164, April 1987. See same paper [26] for parsing tech-
niques in Prolog. Shows that Prolog is an effective language to do grammar manipulation in: com-
putation of FIRST and FOLLOW sets, etc.
342. Koskimies, Kai. Lazy recursive descent parsing for modular language implementation.
Softw. Pract. Exper., 20(8):749–772, Aug. 1990. Actually, it is lazy predictive recursive de-
scent parsing for LL(1) grammars done such that each grammar rule translates into an independent
module which knows nothing of the other rules. But prediction requires tables and tables are not
modular. So the module for a rule Aprovides a routine STA(A) for creating at parse time the “start
tree” of A; this is a tree with Aat the top and the tokens in FIRST(A) as leaves (but of course
FIRST(A) is unknown). STA(A) may call STA routines for other non-terminals to complete the
tree, but in an LL(1) grammar this process will terminate; special actions are required if any of
these non-terminals produces ε.
When during parsing Ais predicted and ais the input token, ais looked up in the leaves of the start
tree of A, and the path from that leaf to the top is used to expand A(and possibly its children) to
produce A. This technique is in between non-predictive recursive descent and LL(1). Full code and
several optimization are given.
343. Norvig, P. Techniques for automatic memoization with applications to context-free
parsing. Computational Linguistics, 17(1):91–98, March 1991. Shows a general top-down
parser in Common Lisp, which is based on a function which accepts a non-terminal Nand a se-
quence of tokens Ias inputs and produces a list of the suffixes of Ithat remain after prefixes that are
produced by Nhave been removed. The resulting parser has exponential complexity, and the au-
thor shows that by memoizing the function (and some others) the normal O(n3)complexity can be
achieved, supplying working examples. But the generation process loops on left-recursive grammar
rules.
344. Frost, Richard A. Constructing programs as executable attribute grammars. Computer
J., 35(4):376–389, 1992. Introduces 4 combinators for parsing and processing of input described
by an attribute grammar. Emphasis is on attribute evaluation rather than on parsing.
345. Hutton, Graham. Higher-order functions for parsing. J. Functional Programming,
2(3):323–343, 1992. By having the concatenation (invisible) and the alternation (vertical bar)
from the standard grammar notation as higher-order functions, parsers can be written that are very
close to the original grammar. Such higher-order functions — functions that take functions as pa-
rameters — are called combinators. The paper explains in detail how to define and use them, with
many examples The resulting parser does breadth-first recursive descent CF parsing, provided the
grammar is not left-recursive. The semantics of a recognized node is passed on as an additional
parameter.
The ideas are then used to implement a simple pocket calculator language. The tiny system consists
632 18 Annotated Bibliography
of a layout analyser, a lexical analyser, a scanner, and a syntax analyser, each only a few lines long;
these are then combined into a parser in one line. Methods to restrict the search are discussed.
346. Leermakers, René, Augusteijn, Lex, and Kruseman Aretz, Frans E. J. A functional LR
parser. Theoret. Comput. Sci., 104:313–323, 1992. An efficient formulation of an LR parser
in the functional paradigm is given, with proof of correctness. It can do LR(0), LALR(1) and GLR.
347. Rekers,J. Parser Generation for Interactive Environments. PhD thesis, Technical re-
port, Leiden University, Leiden, 1992. Discusses several aspects of incremental parser genera-
tion, GLR parsing, grammar modularity, substring parsing, and SDF. Algorithms in Lisp provided.
348. Bod, R. Using an annotated language corpus as a virtual stochastic grammar. In
Proceedings of the 11th National Conference on Artificial Intelligence, pages 778–783,
Washington, DC, 1993. AAAI Press. A CF language is specified by a (large) set of annotated
parse trees rather than by a CF grammar; this is realistic in many situations, including natural lan-
guage learning. Probabilities are then derived from the set of trees, and parsing of new input strings
is performed by weighted tree matching.
349. Nederhof, M.-J. and Sarbo, J. J. Efficient decoration of parse forests. In H. Trost, ed-
itor, Feature Formalisms and Linguistic Ambiguity, pages 53–78. Ellis Horwood, 1993.
Concerns affix computation in AGFLs, of which the authors give a solid formal definition. Any CF
method is used to obtain a parse forest. Each node in the forest gets a set of tuples, each tuple corre-
sponding with one possible value set for its affixes. Expanding these sets of tuples would generate
huge parse forests, so we keep the original parse forest and set up propagation equations. Sections
(“cells”) of the parse forest are isolated somewhat similar to basic blocks. Inside these cells, the
equations are equalities; between the cells they are inclusions, somewhat similar to the dataflow
equations between basic blocks. Additional user information may be needed to achieve uniqueness.
Efficient implementations of the data structures are given.
350. Frost, R. A. Using memoization to achieve polynomial complexity of purely func-
tional executable specifications of non-deterministic top-down parsers. ACM SIGPLAN
Notices, 29(4):23–30, April 1994. The idea of obtaining a polynomial-time parser by memoiz-
ing a general one (see Norvig [343]) is combined with a technique to memoize functional-language
functions, to obtain a polynomial-time parser in a functional language. A full example of the tech-
nique is given.
351. Johnson, Mark. Memoization in top-down parsing. Computational Linguistics,
21(3):405–418, 1995. Avoids the problem of non-termination of the creation of a list of suf-
fixes in Norvig [343] by replacing the list by a function (a “continuation”) which will produce the
list when the times comes. Next the memoization is extended to the effect that a memo entry is
prepared before the computation is made rather than after it. The author shows that in this setup left
recursion is no longer a problem. Provides very clear code examples in Scheme.
352. Kurapova, E. W. and Ryabko, B. Y. Using formal grammars for source coding.
Problems of Information Transmission, 31(1):28–32, 1995, (in Russian). The input to
be compressed is parsed using a hand-written grammar and codes indicating the positions visited
in the grammar are output; this stream is then compressed using Huffman coding. The process is
reversed for decompression. Application to texts of known and unknown statistics is described,
and the compression of a library of Basic programs using an LL(10) (!) character-level grammar
is reported. The achieved results show a 10-30% improvement over existing systems. No explicit
algorithms.
353. Frost, Richard A. and Szydlowski, Barbara. Memoizing purely functional top-down
backtracking language processors. Sci. Comput. Progr., 27(3):263–288, Nov. 1996. Us-
ing Hutton’s combinators [345] yields a parser with exponential time requirements. This can be
remedied by using memoization, bringing back the time requirement to the usual O(n3).
18.3 Parsers and Applications 633
354. Bhamidipaty, A. and Proebsting, T. A. Very fast YACC-compatible parsers (for very
little effort). Softw. Pract. Exper., 28(2):181–190, 1998. Generate straightforward ANSI C
code for each state of the LALR(1) parse table using switch statements, and let the C compiler
worry over optimizations. The result is a yacc-compatible parser that is at most 30% larger, and
about 4 times faster.
355. Clark,C. Buildatree—saveaparse. ACM SIGPLAN Notices, 34(4):19–24, April
1999. Explains the difference between processing the nodes recognized during parsing on the
fly and storing them as a tree. Obvious, but experience has shown that this has to be explained
repeatedly.
356. Sperber, Michael and Thiemann, Peter. Generation of LR parsers by partial evaluation.
ACM Trans. Prog. Lang. Syst., 22(2):224–264, 2000. The techniques of Leermakers [155] are
used to implement a recursive-ascent LR parser in Scheme. Constant propagation on the program
text is then used to obtain a partial evaluation, yielding efficiencies that are comparable to those of
bison.
357. Metsker, Steven John. Building Parsers with Java. Addison Wesley, 2001. Actually
on how to implement “little languages” by using the toolkit package sjm.parse, supplied by
the author. The terminology is quite different from that used in parsing circles. Grammars and
non-terminals are hardly mentioned, but terminals are important. Each non-terminal corresponds
to a parsing object, called a “parser”, which is constructed from objects of class Repetition,
Sequence,Alternation and Word; these classes (and many more) are supplied in the toolkit
package. They represent the rule types A→B∗,A→BC ···,A→B|C|···,andA→t, resp. Since
each of these is implemented by calling the constructor of its components, B,C, . . . cannot call A
or a “parser class loop” would ensue; a special construction is required to avoid this problem (p.
105-106). But most little languages are not self-embedding anyway, except for the expression part,
which is covered in depth.
The match method of a parser for Aaccepts a set of objects of class Assembly. An “assembly”
contains a configuration (input string, position, and stack), plus an object representing the seman-
tics of the part already processed. The match method of Aproduces another set of assemblies, those
that appear after Ahas been matched and its semantics processed; the classes in the toolkit package
just serve to lead these sets from one parser to the next. Assemblies that cannot be matched drop
out; if there are FIRST/FIRST conflicts or FIRST/FOLLOW conflicts, assemblies are duplicated
for each possibility. If at the end more than one assembly remains an error message is given; if
none remains another error message is given. This implements top-down breadth-first parsing. It is
interesting to see that this is an implementation of the 1962 “Multiple-Path Syntactic Analyzer” of
Kuno and Oettinger [4].
The embedding in a programming language allows the match methods to have parameters, so very
sophisticated context-sensitive matches can be programmed.
Chapters 1-9 explain how to build and test a parser; chapter 10 discusses some of the internal work-
ings of the supplied classes; chapters 11-16 give detailed examples of implemented little languages,
including a Prolog-like one, complete with unification; and chapter 17 gives further directions.
Tons of practical advice at a very manageable pace, allowing the user to quickly construct flexible
parsers for little languages.
358. Ljunglöf, Peter. Pure Functional Parsing: An Advanced Tutorial. PhD thesis, Technical
Report 6L, Chalmers University of Technology, Göteborg, April 2002. Consulted for its
description of the Kilbury Chart Parser in Haskell. Assume the grammar to be in Chomsky Normal
Form. Kilbury (chart) parsing proceeds from left to right, building up arcs marked with zero or more
non-terminals A, which mean that Acan produce the substring under the arc, and zero or more non-
terminal pairs B|C, which mean that if this arc is connected on the right to an arc spanning C, both
arcs together span a terminal production of B. For each token t, three actions are performed: Scan,
Predict and Combine. Scan adds an arc spanning t, marked with all non-terminals that produce t.
For each arc ending at and including tand marked A, Predict adds a mark B|Cto that arc for each
rule B→AC in the grammar. For each arc ending at and including t, starting at position p,and
marked A, Combine checks if there is an arc ending at pand marked B|A, and if so, adds an arc
marked B, spanning both arcs.
634 18 Annotated Bibliography
The technique can be extended for arbitrary CF grammars. Basically, the markers are items, with
the item A→α•βcorresponding to the marker A|β.
359. Sperberg-McQueen, C. M. Applications of Brzozowski derivatives to XML schema
processing. In Extreme Markup Languages 2005, page 26, Internet, 2005. IDEAlliance.
Document descriptions in XML are based on “content models,” which are very similar to regular
expressions. It is important to find out if a content model C1“subsumes” a content model C2,i.e.,if
there is a mapping such that the language of C2is included in the language of C1. The paper shows
how Brzozowski derivatives [138] can be used profitably for answering this and related questions.
18.3.2 Parser-Generating Systems
360. Lesk, M. E. and Schmidt, E. Lex: A Lexical Analyzer Generator. In UNIX Manuals,
page 13. Bell Laboratories, Murray Hill, New Jersey, 1975. The regular grammar is spec-
ified as a list of regular expressions, each associated with a semantic action, which can access the
segment of the input that matches the expression. Substantial look-ahead is performed if necessary.
lex is a well-known and often-used lexical-analyser generator.
361. Johnson, Stephen C. YACC: Yet Another Compiler-Compiler. Technical report, Bell
Laboratories, Murray Hill, New Jersey 07974, 1978. In spite of its title, yacc is one of the
most widely used parser generators. It generates LALR(1) parsers from a grammar with embedded
semantic actions and features a number of disambiguating and conflict-resolving mechanisms.
362. Grune, Dick and Jacobs, Ceriel J. H. A programmer-friendly LL(1) parser generator.
Softw. Pract. Exper., 18(1):29–38, Jan. 1988. Presents a practical ELL(1) parser generator,
called LLgen, which generates fast error correcting recursive descent parsers. In addition to the error
correction, LLgen features static as well as dynamic conflict resolvers and a separate compilation
facility. The grammar can be viewed as a program, allowing for a natural positioning of semantic
actions.
363. Johnstone, Adrian and Scott, Elizabeth. rdp: An iterator-based recursive descent parser
generator with tree promotion operators. ACM SIGPLAN Notices, 33(9):87–94, Sept.
1998. Recursive descent parser generator with many add-ons: 1. A generalized BNF grammar
structure (expression )low @high separator, which produces minimally low and maximally high
productions of expression, separated by separators. 2. Inlined extended ANSI-C code demarcated
by [*and *]. 3. Inherited attributes as input parameters to grammar rules, and 1 synthetic attribute
per grammar rule. This requires a rule to return two values: the Boolean success or failure value,
and the synthetic attribute. An extended-code statement is provided for this. 4. Libraries for symbol
tables, graph handling, scanning, etc. 5. Parse tree constructors, which allow the result of a sub-
parse action to be attached to the parse tree in various places.
The parser is generalized recursive descent, for which see Johnstone and Scott [36].
18.3.3 Applications
364. Kernighan, B. W. and Cherry, L. L. A system for typesetting mathematics. Commun.
ACM, 18(3):151–157, March 1975. A good example of the use of an ambiguous grammar to
specify the preferred analysis of special cases.
365. Share, Michael. Resolving ambiguities in the parsing of translation grammars. ACM
SIGPLAN Notices, 23(8):103–109, Aug. 1988. The UNIX LALR parser generator yacc is
extended to accept LALR conflicts and to produce a parser that requests an interactive user decision
when a conflict occurs while parsing. The system is used in document conversion.
18.3 Parsers and Applications 635
366. Evans, William S. Compression via guided parsing. In Data Compression Conference
1998, pages 544–553. IEEE, 1998. To transmit text that conforms to a given grammar, the
movements of the parser are sent rather than the text itself. For a top-down parser they are the
rule numbers of the predicted rules; for bottom-up parsers they are the state transitions of the LR
automaton. The packing problem is solved by adaptive arithmetic coding. The results are roughly
20% better than gzip.
367. Evans, William S. and Fraser, Christopher W. Bytecode compression via profiled gram-
mar rewriting. ACM SIGPLAN Notices, 36(5):148–155, May 2001. The paper concerns the
situation in which compressed bytecode is interpreted by on-the-fly decompression. The bytecode
compression/decompression technique is based on the following observations.
1. Bytecode is repetitive and conforms to a grammar, so it can be represented advantageously as
a parse tree in prefix form. Whenever the interpreter reaches a node representation, it knows the
non-terminal (N) the node conforms to, exactly as with expressions in prefix form. The first byte
of the node representation serves as a guiding byte and indicates which of the alternatives of the
grammar rule Napplies. This allows the interpreter again to know which non-terminal the next
node conforms to, as required above.
2. Since non-terminals usually have few alternatives, most of the bits in the guiding bytes are
wasted, and it would be better if all non-terminals had exactly 256 alternatives. One way to
achieve this is to substitute some alternatives of some non-terminals in the alternatives of other
non-terminals, thereby creating alternatives of alternatives, etc. This increases the number of alter-
natives per non-terminals and allows a more efficient representation of those subtrees of the parse
tree that contain these alternatives of alternatives.
3. By choosing the substitutions so that the most frequent alternatives of alternatives are present in
the grammar, a — heuristically — optimal compression can be achieved. The heuristic algorithm
is simple: repeatedly substitute the most frequent non-terminal pair, unless the target non-terminal
would get more than 256 alternatives in the process.
A few minor problems still have to be solved. The resulting grammar (expanded specifically for
a given program) is ambiguous; an Earley parser is used to obtain the simplest — and most com-
pact — parsing. Labels are dealt with as follows. All non-terminals that are ever a destination of a
jump are made alternatives of the start non-terminal and parsing starts anew at each label. Special
arrangements are made for linked-in code.
In one sample, the bytecode size was reduced from 199kB to 58kB, whereas the interpreter grew
by 11kB, due to a larger grammar.
18.3.4 Parsing and Deduction
368. Pereira, Fernando C. N. and Warren, David H. D. Parsing as deduction. In 21st Annual
Meeting of the Association for Computational Linguistics, pages 137–144, Cambridge,
Mass., 1983. The Prolog deduction mechanism is top-down depth-first. It can be exploited to
do parsing, using Definite Clause grammars. Parsing can be done more efficiently with Earley’s
technique. The corresponding Earley deduction mechanism is derived and analysed.
369. Vilain, Marc. Deduction as parsing: Tractable classification in the KL-ONE framework.
In National Conf. on Artificial Intelligence (AAAI-91), Vol. 1, pages 464–470, 1991. The
terms in the frame language KL-ONE are restricted as follows. The number of possible instances
of each logic variable must be finite, and the free (existential) terms must obey a partial ordering. A
tabular Earley parser is then sketched, which solves the “deductive recognition” in O(κ3α),where
κis the number of constants in ground rules, and αis the maximum number of terms in a rule.
370. Rosenblueth, David A. Chart parsers as inference systems for fixed-mode logic
programs. New Generation Computing, 14(4):429–458, 1996. Careful reasoning shows
that chart parsing can be used to implement fixed-mode logic programs, logic programs in which
the parameters can be divided into synthesized and inherited ones, as in attribute grammars. Good
explanation of chart parsers. See also Rosenblueth [371].
636 18 Annotated Bibliography
371. Rosenblueth, David A. and Peralta, Julio C. SLR inference: an inference system for
fixed-mode logic programs based on SLR parsing. J. Logic Programming, 34(3):227–
259, 1998. Uses parsing to implement a better Prolog. When a logic language clause is written in
the form of a difference list a(X0,Xn):-b1(X0,X1),b2(X1,X2),...,bn(Xn−1,Xn), it can be related to a
grammar rule A→B1B2···Bn, and SLR(1) techniques can be used to guide the search process. De-
tailed explanation of how to do this, with proofs. Lots of literature references. See also Rosenblueth
[370].
372. Vilares Ferro, Manuel and Alonso Pardo, Miguel A. An LALR extension for DCGs
in dynamic programming. In Carlos Martín Vide, editor, Mathematical and Computa-
tional Analysis of Natural Language, volume 45 of Studies in Functional and Structural
Linguistics, pages 267–278. John Benjamins, 1998. First a PDA is implemented in a logic
notation. Next a control structure based on dynamic programming is imposed on it, resulting in a
DCG implementation. The context-free backbone of this DCG is isolated, and an LALR(1) table
for it is constructed. This LALR(1) automaton is made to run simultaneously with the DCG inter-
preter, which it helps by pruning off paths. An explanation of the possible moves of the resulting
machine is provided.
373. Morawietz, Frank. Chart parsing and constraint programming. In 18th International
Conference on Computational Linguistics: COLING 2000, pages 551–557, Internet,
2000. ACL. The straight-forward application of constraint programming to chart parsing has
the inference rules of the latter as constraints. This results in a very obviously correct parser, but is
inefficient. Specific constraints for specific grammars are discussed.
374. Erk, Katrin and Kruijff, Geert-Jan M. A constraint-programming approach to pars-
ing with resource-sensitive categorial grammar. In Natural Language Understanding
and Logic Programming (NLULP’02), pages 69–86, Roskilde, Denmark, July 2002.
Computer Science Department, Roskilde University. The parsing problem is reformulated
as a set of constraints over a set of trees, and an existing constraint resolver is used to effectuate the
parsing.
18.3.5 Parsing Issues in Natural Language Handling
375. Yngve, Victor H. A model and an hypothesis for language structure. Proceedings of
the American Philosophical Society, 104(5):444–466, Oct. 1960. To accommodate discon-
tinuous constituents in natural languages, the Chomsky CF grammar is extended and the language
generation mechanism is modified as follows. 1. Rules can have the form A→α···β,wherethe···
is part of the notation. 2. Derivations are restricted to leftmost only. 3. A sentential form φ1•AXφ2,
where •indicates the position of the derivation front, leads to φ1A•αXβφ2; in other words, the right-
hand side surrounds the next symbol in the sentential form. 4. The Ain 3 remains in the sentential
form, to the left of the dot, so the result is a derivation tree in prefix form rather than a sentence.
5. The length of the part of the sentential form after the dot is recorded in the derivation tree with
each non-terminal; it is relevant since it represents the amount of information the speaker needs to
remember in order to create the sentence, the “depth” of the sentence. Linguistic properties of this
new device are examined.
The hypothesis is then that languages tend to use means to keep the depths of sentence to a mini-
mum. Several linguistic phenomena are examined and found to support this hypothesis.
376. Dewar, Hamish P., Bratley, Paul, and Thorne, James P. A program for the syntactic
analysis of English sentences. Commun. ACM, 12(8):476–479, 1969. The authors argue
that the English language can be described by a regular grammar: most rules are regular already and
the others describe concatenations of regular sublanguages. The finite-state parser used constructs
the state subsets on the fly, to avoid large tables. Features (attributes) are used to check consistency
and to weed out the state subsets.
18.3 Parsers and Applications 637
377. Chester, Daniel. A parsing algorithm that extends phrases. Am. J. Computational
Linguistics, 6(2):87–96, April 1980. A variant of a backtracking left-corner parser is described
that is particularly convenient for handling continuing phrases like: “the cat that caught the rat that
stole the cheese”.
378. Woods, William A. Cascaded ATN grammars. Am. J. Computational Linguistics,
6(1):1–12, Jan. 1980. The grammar (of a natural language) is decomposed into a number of
grammars, which are then cascaded; that is, the parser for grammar Gnobtains as input the lin-
earized parse tree produced by the parser for Gn−1. Each grammar can then represent a linguistic
hypothesis. Such a system is called an “Augmented Transition Network” (ATN). An efficient im-
plementation is given.
379. Shieber, Stuart M. Direct parsing of ID/LP grammars. Linguistics and Philosophy,
7:135–154, 1984. In this very readable paper, the Earley parsing technique is extended in a
straightforward way to ID/LP grammars (Gazdar et al. [381]). The items are still of the form A→
α•β,i, the main difference being that the βin an item is understood as the set of LP-acceptable
permutations of the elements of the βin the grammar rule. Practical algorithms are given.
380. Blank, Glenn D. A new kind of finite-state automaton: Register vector grammar. In
Ninth International Conference on Artificial Intelligence, pages 749–756. UCLA, Aug.
1985. In FS grammars, emphasis is on the states: for each state it is specified which tokens it
accepts and to which new state each token leads. In Register-Vector grammars (RV grammars)
emphasis is on the tokens: for each token it is specified which state it maps onto which new state(s).
The mapping is done through a special kind of function, as follows. The state is a (global) vector
(array) of registers (features, attributes). Each register can be on or off. For each token there is a
condition vector with elements which can be on,off or mask (= ignore); if the condition matches
the state, the token is allowed. For each token there is a result vector with elements which can be
on,off or mask (= copy); if the token is applied, the result-vector elements specify how to construct
the new state. ε-moves are incorporated by having tokens (called labels) which have εfor their
representation. Termination has to be programmed as a separate register.
RV grammars are claimed to be compact and efficient for describing the FS component of natural
languages. Examples are given. Embedding is handled by having a finite number of levels inside
the state.
381. Gazdar, Gerald, Klein, Ewan, Pullum, Geoffrey, and Sag, Ivan. Generalized Phrase
Structure Grammar. Basil Blackwell Publisher, Ltd., Oxford, UK, 1985. The phrase
structure of natural languages is more easily and compactly described using Generalized Phrase
Structure Grammars (GPSGs)orImmediate Dominance/Linear Precedence grammars than using
conventional CF grammars. Theoretical foundations of these grammars are given and the results are
used extensively in linguistic syntactic theory. GPSGs are not to be confused with general phrase
structure grammars, aka Chomsky Type 0 grammars, which are called “unrestricted” phrase struc-
ture grammars in this book.
The difference between GPSGs, ID/LP grammars and CF grammars is explained clearly. A GPSG
is a CF grammar, the non-terminals of which are not unstructured names but sets of features with
their values; such compound non-terminals are called categories. An example of a feature is NOUN,
which can have the values +or -;<NOUN,+> will be a constituent of the categories “noun phrase”,
“noun”, “noun subject”, etc.
ID/LP grammars differ from GPSGs in that the right-hand sides of production rules consist of mul-
tisets of categories rather than of ordered sequences. Thus, production rules (Immediate Dominance
rules) define vertical order in the production tree only. Horizontal order in each node is restricted
through (but not necessarily completely defined by) Linear Precedence rules. Each LP rule is con-
sidered to apply to every node; this is called the Exhaustive Constant Partial Ordering property.
382. Blank, Glenn D. A finite and real-time processor for natural language. Commun. ACM,
32(10):1174–1189, Oct. 1989. Several aspects of the register-vector grammars of Blank
[380] are treated and extended: notation, center-embedding (3 levels), non-determinism through
boundary-backtracking, efficient implementation.
638 18 Annotated Bibliography
383. Abney, Steven P. and Johnson, Mark. Memory requirements and local ambiguities of
parsing strategies. J. Psycholing. Res., 20(3):233–250, 1991. Based on the fact that parse
stack space in the human brain is severely limited and that left-corner parsing requires exactly 2
stack entries for left-branching constructs and exactly 3 for right-branching, the authors conclude
that neither top-down nor bottom-up parsing can be involved, but left-corner can.
384. Resnik, Philip. Left-corner parsing and psychological plausibility. In 14th Interna-
tional Conference on Computational Linguistics, pages 191–197. Association for Com-
putational Linguistics, 1992. Argues that the moment of composition of semantics is more
important than the parsing technique; also in this respect a form of left-corner parsing is compatible
with human language processing.
18.4 Support Material
18.4.1 Formal Languages
385. Chomsky, Noam. On certain formal properties of grammars. Inform. Control, 2:137–
167, 1959. This article discusses what later became known as the Chomsky hierarchy. Chomsky
defines type 1 grammars in the “context-sensitive” way. His motivation for this is that it permits the
construction of a tree as a structural description. Type 2 grammars exclude ε-rules, so in Chomsky’s
system, type 2 grammars are a subset of type 1 grammars.
Next, the so called counter languages are discussed. A counter language is a language recognized
by a finite automaton, extended with a finite number of counters, each of which can assume in-
finitely many values. L1={anbn|n>0} is a counter language, L2={xy|x,y∈{a,b}∗,yis the
mirror image of x} is not, so there are type 2 languages that are not counter languages. The reverse
is not investigated.
The Chomsky Normal Form is introduced, but not under that name, and a bit different: Chomsky
calls a type 2 grammar regular if production rules have the form A→aor A→BC, with B=C,
and if A→αAβand A→γAηthen α=γand β=η. A grammar is self-embedding if there is a
derivation A*
→αAβwith α=εand β=ε. The bulk of the paper is dedicated to the theorem that the
extra power of type 2 grammars over type 3 grammars lies in this self-embedding property.
386. Bar-Hillel, Y., Perles, M., and Shamir, E. On formal properties of sim-
ple phrase structure grammars. Zeitschrift für Phonetik, Sprachwissenschaft und
Kommunikationsforschung, 14:143–172, 1961. (Reprinted in Y. Bar-Hillel, Language and
Information: Selected Essays on their Theory and Application, Addison-Wesley, 1964, pp. 116-
150.) Densely-packed paper on properties of context-free grammars, called simple phrase structure
grammars, or SPGs here (this paper was written in 1961, two years after the introduction of the
Chomsky hierarchy). All proofs are constructive, which makes the paper very important to imple-
menters.
The main subjects are: any finite (one- and two-tape) automaton can be converted into a CF gram-
mar; CF grammars are closed under reflection, union, product, and closure; CF grammars are not
closed under intersection or complementation; almost any CF grammar can be made ε-free; almost
any CF grammar can be made free of unit rules; it is decidable if a given CF grammar produces
a given (sub)string; it is undecidable if the intersection of two CF grammars is a CF grammar; it
is undecidable if the complement of a CF grammar is a CF grammar; it is undecidable if one CF
grammar produces a sublanguage of another CF grammar; it is undecidable if one CF grammar
produces the same language as another CF grammar; it is undecidable if a CF grammar produces a
regular language; a non-self-embedding CF grammar produces a regular language; the intersection
of a CF grammar and a FS automaton is a CF grammar.
Some of the “algorithms” described in this paper are impractical. For example, the decidability of
parsing is proved by systematically producing all terminal productions up to the lengths of the input
string, which is an exponential process. On the other hand, the intersection of a CF grammar and a
18.4 Support Material 639
FS automaton is constructed in a time O(nd+1),wherenis the number of states in the automaton,
and dis the maximum length of the RHSs in the grammar. This is the normal time complexity of
general CF parsing. See also the same paper [219].
387. Haines, Leonard H. On free monoids partially ordered by embedding. J. Combinato-
rial Theory, 6:94–98, 1969. Proves that for any (infinite) set of words L(= subset of Σ∗)the
following holds: 1. any language consisting of all subsequences of words in Lis regular; 2. any
language consisting of all words that contain subsequences of words in Lis regular. This means
that subsequence and supersequence parsing reduce to regular parsing.
388. Cook, Steven A. Linear time simulation of deterministic two-way pushdown automata.
In IFIP Congress (1), pages 75–80, 1971. Source of “Cook’s Theorem”: “Every 2-way deter-
ministic pushdown automaton (2DPDA) language can be recognized in linear time on a random-
access machine”. A “proper arc” is a sequence of transitions of the 2DPDA for the given input that
starts by pushing a stack symbol X, ends by popping the same X, and none of the in-between tran-
sitions pops the X. A “flat arc” is a single transition for the given input that neither pushes nor pops.
Arcs are an efficient way to move the head over long distances without depending on or disturbing
the stack underneath.
The algorithm starts by constructing all flat arcs, and from there builds all other arcs, until one
connects the initial state to one of the final states. Since |S|arcs can start at any point of the input,
where |S|is the number of transitions in the 2DPDA, and since each such arc has only one end point
because the automaton is deterministic, there are only |S|narcs. The algorithm computes them so
that no arc gets computed twice, so the algorithm is linear.
The theorem has many unexpected applications; see for example Aho’s survey of algorithms for
finding patterns in strings [147].
389. Greibach, Sheila A. The hardest context-free language. SIAM J. Computing, 2(4):304–
310, Dec. 1973. The grammar is brought in Greibach Normal Form (Greibach [7]. Each rule
A→aBCD is converted into a mapping a⇒¯
ADCB, which should be read as: “acan be replaced
by a cancellation of prediction A, followed by the predictions D,C,andB, that is, in back-to-front
order.”
These mappings are used as follows. Suppose we have a grammar S--->aBC; B--->b; C--->c,
which yields the maps a⇒¯
SCB,b⇒¯
B,andc⇒¯
C. Now the input abc maps to ¯
SCB¯
B¯
C, which
is prefixed with the initial prediction Sto form S¯
SCB¯
B¯
C. We see that when we view Aand ¯
Aas
matching parentheses, we have obtained a well-balanced parenthesis string (wbps), and in fact the
mapping of any correct input will be well balanced.
This makes parsing seem trivial, but in practice there will be more than one mapping for each ter-
minal, and we have to chose the right one to get a wbps. The alternatives for each terminal are
worked into the mapping by demarcating them with markers and separators, such that the mapping
of any correct input maps to a conditionally well-balanced parenthesis string (cwbps), the condition
being that the right segments are matched. These cwbpses form a CF language which depends on
the symbols of the grammar only; the rules have been relegated to the mapping. (It is not shown
that the cwbpses are a CF set.)
The dependency on the symbols of the grammar is removed by expressing them in unary notation:
B, being the second non-terminal, is represented as [xx[,and ¯
Bas ]¯
x¯
x], etc. With this represen-
tation, the cwbpses are not dependent on any grammar any more and any parsing problem can be
transformed into them in linear time. So if we can parse cwbpses in time O(nx), we can parse any
CF language in time O(nx), which makes cwbpses the hardest context-free language.
390. Liu, Leonard Y. and Weiner, Peter. An infinite hierarchy of intersections of context-
free languages. Math. Syst. Theory, 7(2):185–192, May 1973. It is easy to see that the
language ambncp···ambncp··· where there are kdifferent a,b,c···s, can be generated as the inter-
section of kCF languages: take for the first language amb∗c∗···amb∗c∗···, for the second language
a∗bnc∗···a∗bnc∗···, etc. The authors then give a 6-page proof showing that the same cannot be
achieved with k−1 languages; this proves the existence of the subject in the title.
391. Hopcroft, John E. and Ullman, Jeffrey D. Introduction to Automata Theory, Languages,
and Computation. Addison-Wesley, Reading, Massachussetts, 1979. No-frills account of
640 18 Annotated Bibliography
formal language theory and computational (im)possibilities. Covers CYK and LR parsers, but as
recognizers only.
392. Heilbrunner, Stephan. Tests for the LR-, LL-, and LC-regular conditions. J. Comput.
Syst. Sci., 27(1):1–13, 1983. Careful analysis shows that the LR-regular test in ˇ
Culik, II and
Cohen’s paper [57] is not correct. The repair leads to item grammars, which are right-regular gram-
mars in which items are non-terminals. This mechanism is then used for very precise tests for LR-,
LL-, and LC-regular-ness. Some proofs are given, but others are referred to a technical report.
393. Rayward-Smith,V.J. A First Course in Formal Languages. Blackwell Scientific,
Oxford, 1983. Very useful intermediate between Révész [394] and Hopcroft and Ullman [391].
Quite readable (the subject permitting); simple examples; broad coverage. No treatment of LALR,
no bibliography.
394. Révész, György E. Introduction to Formal Languages. McGraw-Hill, Singapore, 1985.
This nifty little book contains many results and elementary proofs of formal languages, without
being “difficult”. It gives a description of the ins and outs of the Chomsky hierarchy, automata,
decidability and complexity of context-free language recognition, including the hardest context-
free language. Parsing is discussed, with descriptions of the Earley, LL(k) and LR(k) algorithms,
each in a few pages.
395. Geffert, Viliam. A representation of recursively enumerable languages by two homo-
morphisms and a quotient. Theoret. Comput. Sci., 62:235–249, 1988. Imagine the fol-
lowing mechanism to generate strings. The mechanism uses two homomorphisms h1and h2(a
homomorphism is a translation table from tokens to strings of zero or more tokens) and an alphabet
Σ; the tokens in the translation tables may or may not be in Σ. Now take an arbitrary string α,and
construct the two translations h1(α)and h2(α). If it now so happens that h2(α)=h1(α)w(so h1(α)
is the head of h2(α)and wis the tail), and wconsists of tokens that all happen to be in the alphabet
Σ, then we keep w; otherwise αleads nowhere.
The author shows that this mechanism is equivalent to a Chomsky Type 0 grammar, and that the
grammar defines the two homomorphisms and vice versa. The details are complicated, but basically
h1and h2are such that as αgrows, h2grows faster than h1. The consequence is that if we want to
extend αby a few tokens δ, the translation of δthrough h1must match tokens already produced
long ago by h2(α)or αwill be rejected; so very soon our hand is forced. This effect is used to
enforce the long-range relationships characteristic of general phrase-structure grammars. In fact, α
is some encoding of the derivation of w.
396. Billington, David. Using the context-free pumping lemma. Commun. ACM, 36(4):21,
81, April 1993. Short note showing a somewhat sharper lemma, better suited for proving that a
language is not CF.
397. Sudkamp, Thomas A. Languages and Machines. Addison-Wesley, second edition,
1997. Carefully reasoned, very readable, but sometimes dull introduction to formal languages,
with serious attention to grammars and parsing. FSA minimization, grammar manipulation, proof
techniques for the equivalence of a grammar and a language, same for non-existence of a grammar
for a language, etc. Many fully worked out examples.
Consists of five parts: CF grammars and parsing; automata and languages; decidability and compu-
tation; computational complexity; deterministic parsing.
398. Schmitz, Sylvain. Conservative ambiguity detection in context-free grammars. Techni-
cal Report RR-2006-30-FR, Université de Nice, Nice, 2006. A grammar Gis represented
in a way similar to Figure 9.48. On the basis of this representation an infinite graph is defined in
which each node represents a rightmost sentential form of G.Gis ambiguous of there is more than
one path from a given node to another node in this graph. The infinite graph is rendered finite by
defining equivalence relations between nodes that preserve the multiple paths if they exist. Testing
the finite graph for multiple paths is simple. A lattice of possible equivalence relations is presented.
The time complexity is O(|G|2|T|4k),where|G|is the size of the grammar, |T|is the number of
terminals, and kdepends on the equivalence relation.
18.4 Support Material 641
18.4.2 Approximation Techniques
399. Pereira, Fernando C. N. and Wright, Rebecca N. Finite-state approximation of phrase-
structure grammars. In 29th Annual Meeting of the Association for Computational
Linguistics, pages 246–255. Association for Computational Linguistics, 1991. The idea
is to “flatten” the LR(0) automaton of a grammar Ginto an FSA that will accept any string from G,
and not very much more. But the LR(0) automaton stops at reduce states, whereas the FSA has to
continue. For any state swhich contains an item A→α•, all paths are searched backwards to states
twhere the item started. (Cf. the lookback relation from Section 9.7.1.3.) Each tihas a transition
on Ato a state ui.Nowε-transitions are added from sto each ui.
This is the version that keeps no stack at all. It can be improved by keeping finite simplifications of
the stack, and several variants are examined in great detail and with full theoretical support. For all
left-linear and right-linear grammars and some CF grammars the approximation is exact.
400. Pereira, Fernando C. N. and Wright, Rebecca N. Finite-state approximation of phrase-
structure grammars. In Emmanuel Roche and Yves Schabes, editors, Finite-State Lan-
guage Processing, pages 149–173. MIT Press, 1997. The LR(0) automaton of a grammar
is “flattened” by ignoring the stack and replacing any reduction to Aby an ε-transition to all states
with incoming arrows marked A. This yields too coarse automata, even for regular and finite gram-
mars. Rather than ignoring the stack, stack configurations are simulated and truncated as soon as
they begin to repeat. This yields unwieldy automata. To remedy this the grammar is first decom-
posed into subgrammars by isolating strongly connected components in the grammar graph. Full
algorithms and proofs are given. Sometimes the grammar needs to be modified (left-factored) to
avoid exponential blow-up. See also [399, 404].
401. Nederhof, Mark-Jan. Regular approximations of CFLs: A grammatical view. In H. Bunt
and A. Nijholt, editors, Advances in Probabilistic and Other Parsing Technologies, pages
221–241. Kluwer Academic Publishers, 2000. A regular envelope of a CF grammar is con-
structed by finding the self-embedding rules in it and splitting them in a left-recursive and a right-
recursive persona. Many other regular approximating algorithms are discussed and compared.
402. Nederhof, Mark-Jan. Practical experiments with regular approximation of context-free
languages. Computational Linguistics, 26(1):17–44, 2000. A regular envelope of a CF
grammar is constructed by assigning a start state and a stop state to each non-terminal and m+1in-
termediate states to each rule A→X1···Xm. These states are then connected by transitions, to form
a transition network for the entire grammar. Properties of this approximation are investigated, and
the algorithm is refined. It is compared empirically to other algorithms, where it proves effective,
especially for large grammars.
403. Yli-Jyrä, Anssi. Regular approximations through labeled bracketing. In Fo r m al
Grammar 2003, pages 189–201. European Summer School in Logic Language and
Information, 2003. A CF language consists of a nesting component, described by a grammar for
nesting brackets (i.e. the sections of text that are forced to nest), and a regular component, which
describes the shapes of these brackets. The nesting part can be decomposed in separate grammars
for each nesting set of brackets. By judiciously restricting the various components, good and com-
pact approximations to CF languages can be obtained. Properties of the various possibilities are
examined.
404. Pereira, Fernando C. N. and Wright, Rebecca N. Finite-state approximation of phrase-
structure grammars. Technical report, AT&T Reseach, Murray Hill, NJ, March 2005.
Revised and extended version of Pereira and Wright [399, 400].
18.4.3 Transformations on Grammars
405. Foster, J. M. A syntax-improving program. Computer J., 11(1):31–34, May 1968. The
parser generator SID (Syntax Improving Device) attempts to remove LL(1) conflicts by eliminat-
642 18 Annotated Bibliography
ing left recursion, and then left-factoring, combined with inline substitution. If this succeeds, SID
generates a parser in machine language.
406. Hammer, Michael. A new grammatical transformation into LL(k) form. In Sixth Annual
ACM Symposium on Theory of Computing, pages 266–275, 1974. First an LR(k) automaton
is constructed for the grammar. For each state that predicts only one non-terminal, say A,anew
LR(k) automaton is constructed with Aas start symbol, etc. This process splits up the automaton
into many smaller ones, each using a separate stack, hence the name “multi-stack machine”. For
all LL(k) grammars this multi-stack machine is cycle-free, and for many others it can be made so,
using some heuristics. In that case the multi-stack machine can be converted to an LL(k) grammar.
This works for all LC(k) grammar and more. An algorithm for repairing the damage to the parse
tree is given. No examples.
407. Mickunas, M. D., Lancaster, R. L., and Schneider, V. B. Transforming LR(k) grammars
to LR(1), SLR(1) and (1,1) bounded right-context grammars. J. ACM, 23(3):511–533,
July 1976. The required look-ahead of ktokens is reduced to k−1 by incorporating the first
token of the look-ahead into the non-terminal; this requires considerable care. The process can be
repeated until k=1 for all LR(k) grammars and even until k=0 for some grammars.
408. Rosenkrantz, D. J. and Hunt, H. B. Efficient algorithms for automatic construction and
compactification of parsing grammars. ACM Trans. Prog. Lang. Syst., 9(4):543–566,
Oct. 1987. Many grammar types are defined by the absence of certain conflicts: LL(1), LR(1),
operator-precedence, etc. A simple algorithm is given to modify a given grammar to avoid such
conflicts. Modification is restricted to the merging of non-terminals and possibly the merging of
terminals; semantic ambiguity thus introduced will have to be cleared up by later inspection. Proofs
of correctness and applicability of the algorithm are given. The maximal merging of terminals while
avoiding conflicts is also used to reduce grammar size.
18.4.4 Miscellaneous Literature
This section contains support material that is not directly concerned with parsers or
formal languages.
409. Warshall, Stephen. A theorem on boolean matrices. J. ACM, 9(1):11–12, 1962. De-
scribes how to obtain B∗,whereBis an n×nBoolean matrix, in O(n3)actions, using a very simple
3-level loop.
410. Michie, D. “memo” functions and machine learning. Nature, 218(5136):19–22, April
6 1968. Recognizes that a computer function should behave like a mathematical function: the
input determines the output, and how the calculation is done is immaterial, or at least behind the
screens. This idea frees the way for alternative implementations of a given function, in this case by
memoization.
A function implementation consists of a rote part and a rule part. The rote part contains the input-
to-output mappings the function has already learned by rote, and the rule provides the answer if the
input is new. New results are added to the rote part and the data is ordered in order of decreasing
frequency by using a self-organizing list. This way the function “learns” answers by rote as it is
being used. The list is fixed-size and if it overflows, the least popular element is discarded. Several
examples of applications are given.
411. Bhate, Saroja and Kak, Subhash. P¯
an
.ini’s grammar and computer science. Annals of the
Bhandarkar Oriental Research Institute, 72:79–94, 1993. In the As
.t
.¯
adhy¯
ay¯
ı, the Sanskrit
scholar P¯
an
.ini (probably c. 520-460 B.C.) gives a complete account of the Sanskrit morphology in
3,959 rules. The rules are context-free substitution rules with simple context conditions, and can
be interpreted mechanically. The basic form is A→B(C), which means that Amust be replaced by
Bif condition Capplies; in the Sanskrit text, the separators →,(and )are expressed through case
endings. Macros are defined for many ordered sets. For example, the rule iko yan
.aci means: i,u,
18.4 Support Material 643
r
.,andl
.must be replaced by y,v,rand lrespectively, when a vowel follows. All three words are
macros: ikah
.stands for the ordered set iur
.l
.;yan
.stands for yvrl;andac stands for all vowels. The
rules literally means “of-ikah
.[must come] yan
.at-ac”.
The rules differ from that of a CF grammar: 1. they have context conditions; 2. replacement is from
a member of an ordered set to the corresponding member of the other ordered set; 3. the rules are
applied in the order they appear in the grammar; 4. rule application is obligatory. Because of this
P¯
an
.ini’s rules are more similar to a Unix sed script.
The authors explain several other features, all in computer science terms, and consider further
implications for computer science and linguistics.
412. Nuutila, Esko. An efficient transitive closure algorithm for cyclic digraphs. Inform.
Process. Lett., 52(4):207–213, Nov. 1994. Very careful redesign of the top-down transitive
closure algorithm using strongly connected components, named COMP_TC. Extensive experimen-
tal analysis, depicted in 3D graphs.
413. Thompson, Simon. Haskell: The Craft of Functional Programming. Addison Wesley,
Harlow, England, 2nd edition, March 1999. Functional programming in Haskell and how to
apply it. Section 17.5 describes a straightforward top-down parser; it is formulated as a monad on
page 405.
414. Grune, Dick, Bal, Henri E., Jacobs, Ceriel J. H., and Langendoen, Koen G. Modern
Compiler Design. John Wiley, Chichester, UK, 2000. Describes, among other things, LL(1),
LR(0) and LR(1) parsers and attribute grammar evaluators in a compiler-design setting.
415. Cormen, Thomas H., Leiserson, Charles E., Rivest, Ronald L., and Stein, Clifford.
Introduction to Algorithms. MIT Press, 2nd edition, 2001. Extensive treatment of very
many subjects in algorithms, breadth-first search, depth-first search, dynamic programming, on
which it contains a large section, topological sort, etc., etc.
416. Goodrich, Michael T. and Tamassia, Roberto. Algorithm Design: Foundations, Anal-
ysis, and Internet Examples. John Wiley and Sons, 2nd edition, 2002. Low-threshold
but extensive and in-depth coverage of algorithms and their efficiency, including search techniques,
dynamic programming, topological sort.
417. Sedgewick, Robert. Algorithms in C/C++/Java: Fundamentals, Data Structures, Sort-
ing, Searching, and Graph Algorithms. Addison-Wesley, Reading, Mass., 2001/2002.
Comprehensive, understandable treatment of many algorithms, beautifully done. Available for C,
C++ and Java.
Answer to Problem 2.1:The description is not really finite: it depends on all descriptions
in the list, of which there are infinitely many.
Answer to Problem 2.2:Any function that maps the integers onto unique integers will do
(an injective function), for example nnor the n-th prime.
Answer to Problem 2.3:Hint: use a special (non-terminal) marker for each block the tur-
tle is located to the east of its starting point.
Answer to Problem 2.4:The terminal production cannot contain S, and the only way to
get rid of it is to apply S--->aSQ k≥0 times followed by S--->abc. This yields a sentential form
akabcQk. The part bcQkcannot produce any as, so all the as in the result come from aka,so
all strings an···can be produced, for n=k+1≥1. We now need to prove that bcQkproduces
exactly bncn. The only way to get rid of the Qis through bQc--->bbcc, which requires the Qto
be adjacent to the b. The only way to get it there is through repeated application of cQ--->Qc.
This does not affect the number of each token. After japplication of bQc--->bbcc we have
bbjcjcQk−j, and after kapplications we have bbkckc, which equals bncn.
Answer to Problem 2.5:Assume the alphabet is {(,[}. First create a nesting string
of (,),[,and], with a marker in the center and another marker at the end:
([[...[([X])]...]])Z. Give the center marker the ability to “ignite” the )or ]on its
right: ([[...[([X]*)]...]])Z. Make the ignited parenthesis move right until it bumps
into the end marker: ([[...[([X)]...]])]*Z. Move it over the end marker and turn it
into its (normal) partner: ([[...[([X)]...]])]Z[. This moves the character in the first
position after the center marker to the first position after the end marker; repeat for the next
character: ([[...[([X]...]])]Z([. This reverses the string between the markers while
at the same time translating it: ([[...[([XZ([[...[([. Now the markers can annihilate
each other.
Answer to Problem 2.11:We have to carve up aibiinto u,v,andw,suchthatuvnwis
again in aibi,foralln. The problem is to find v:1.vcannot lie entirely in ai,sinceuvnw
would produce ai+nbi.2.vcannot straddle the a-bboundary in aibi, since even vv would
contain a bfollowed by an a.3.vcannot lie entirely in bieither, for the same reason as under
1.
Hints and Solutions to Selected Problems
646 A Hints and Solutions to Selected Problems
Answer to Problem 2.12:It depends. In Ss--->A;S--->B;A--->a;B--->a the rules involving
Bcan be removed without changing the language produced, but if one does so, the grammar
is suddenly no longer ambiguous. Is that what we want?
Answer to Problem 3.1:Not necessarily. Although there is no ambiguity in the prove-
nance of each terminal in the input, in that each can come from only one rule identifying one
non-terminal, the composition of the non-terminals into the start symbol can still be ambigu-
ous: S--->A|B;A--->C;B--->C;C--->a. See also Problem 7.3.
Answer to Problem 3.3:In a deterministic top-down parser the internal administration
resides in the stack and the partial parse tree in the calls to semantic routines.
Answer to Problem 3.5:Ss--->aS|b with the input ak−1b.
Answer to Problem 3.8:See Tomita [161].
Answer to Problem 3.12:1b. Compute how many t2sontheleftandhowmanyt1sonthe
right each right-hand side contributes, using matching in between, and see if it comes out to 0
and 0 for the start symbol. 2. Assume the opposite. Then there is a (u1,u2)-demarcated string
Uwhich is not balanced for (t1,t2). Suppose Ucontains an unmatched t1. Since the entire
string is balanced for (t1,t2), the corresponding t2must be somewhere outside U. Together
with the t1it forms a string Twhich must be balanced for (u1,u2).However,Tdoes either
not contain the u1or the u2boundary token of U, which means that it contains either an
unbalanced u1or an unbalanced u2. 3. Exhaustive search seems the only option. 4. Trivial, but
potentially useful.
Answer to Problem 4.2:A simple solution can be obtained by replacing each terminal ti
in the original grammar by a non-terminal Ti,andaddaruleTi→t1|εto the grammar. Now
the standard Unger and CYK parser will recognize subsequences. Incorporating the recovery
of the deleted tokens in the parser itself is much more difficult.
Answer to Problem 4.3:What does your algorithm do on S--->AAA,A--->ε(multiple nul-
lable right-hand side symbols)? On S--->AS|x,A--->AS|B,B--->ε(infinite ambiguity)?
Answer to Problem 4.4:No rule and no non-terminal remains, which supports the claim
in Section 2.6 that ({}, {}, {}, {}) is the proper representation for grammars which produce
the empty set.
Answer to Problem 4.7:For each rule of the form A→BC, for each length lin Ti,B,for
each length min Ti+l,C,Ti,Ahas to contain a length l+m.
Answer to Problem 5.2:1. Yes: create a new accepting state ♦and add ε-transitions to it
from all original accepting states. 2. Yes: split off new transitions to ♦just before you enter an
accepting state. 3. No: an ε-free automaton deterministically recognizing just aand ab must
have at least two different accepting states.
Answer to Problem 5.3:It is sufficient to show that removing non-productive rules from a
regular grammar with no unreachable non-terminals will not result in a grammar with unreach-
able non-terminals. Now, suppose that a non-terminal Ubecomes unreachable when removing
non-productive rules. This means that Uoccurs in some right-hand side that is removed be-
cause it is non-productive. But, as the grammar is regular, Uis the only non-terminal occurring
in this right-hand side, which means that Uis non-productive and will be removed.
Answer to Problem 5.4:1. Find all ε-loops and combine all nodes on each of them into a
single node. 2. As long as there is an ε-transition Si
ε
→Sjdo: for each transition Sh
a
→Siadd
a transition Sh
a
→Sj,foraterminal or ε. Then remove the transition Si
ε
→Sj.
A Hints and Solutions to Selected Problems 647
Answer to Problem 6.4:1. Define a stack of procedure pointers S. In the procedure for
A→BCD, stack CD, call B, and unstack. In the procedure for A→a, pop the top-of-stack
procedure, call it if the tokens match, and push it back. The stack represents the prediction
stack. 2. Define a record Las a link in a chain of pointers to procedures. In the procedure for
A→BCD, which has one parameter, a pointer
prev
to L, declare an L
this
, link it to
prev
,
insert a pointer to CD, and call Bwith a pointer to
this
as parameter. In the procedure for
A→a, call the procedure in
prev
with the backlink in it as a parameter, if the tokens match.
The linked list represents the prediction stack.
Answer to Problem 6.6:Hint: mind the ε-rules.
Answer to Problem 6.8:(a) See Nederhof [105].
Answer to Problem 7.2:The plan does not tell how many εs should be recognized at a
given position and in which order. In particular, for infinitely ambiguous grammars infinitely
many εs would have to be recognized.
Answer to Problem 7.3:No. Any grammar can be trivially brought in that form by intro-
ducing non-terminals for all terminals. See also Problem 3.1.
Answer to Problem 7.5:Lazy evaluation (+ memoization) is useful only when there is
a good chance that the answer will not be needed. Since the Completer will come and visit
anyway, it is not useful here. The required data structures would only slow the parser down.
Answer to Problem 7.6:Put edges for all rules from each node to itself in the chart. This
fulfills the invariant. Put edges for the input tokens on the stack. The parser now makes roughly
the same movements as a CYK parser.
Answer to Problem 7.7:Essentially the same arguments as in Section 7.3.6.
Answer to Problem 8.1:Each rule has only one alternative, so no decision is required,
and the language produced contains exactly one string.
Answer to Problem 8.2:No. The first step in converting to CNF is ε-rule removal,
which in general will not leave an LL(1) grammar. For example: A--->a|ε,B--->cA results in
B--->cA’|c,A’--->a, which is not LL(1).
Answer to Problem 8.3:Yes, these substitutions do not change the FIRST and FOLLOW
sets of the right-hand sides.
Answer to Problem 8.4:The token tis not in any FIRST set and either the grammar has
no rules producing εor tis not in any FOLLOW set either. (Question: How can a token not be
in any FIRST nor in any FOLLOW set?)
Answer to Problem 8.5:a. Yes. The terminal productions of both alternatives of Sstart
with different terminals in spite of the fact that the alternatives themselves start with the same
non-terminal, the latter producing only ε.b.No.NowAcan also produce a, which allows
both alternatives to start with a, thus causing a FIRST/FIRST conflict. c. It depends on your
precise definition. Pro: 1. There are no conflicts. 2. A naively generated parser would properly
reject all finite strings, and would loop on a∞. Con: The grammar is not practical, and it seems
reasonable to require the grammar to be cleaned; but even Aho and Ullman [152, pg. 336] do
not explicitly make this requirement.
Answer to Problem 8.6:To choose between the alternatives which produce ε, we need
to include the FOLLOW sets. Both alternatives have FOLLOW(S), so we get a (rare) FOL-
LOW/FOLLOW conflict.
648 A Hints and Solutions to Selected Problems
Answer to Problem 9.3:If the grammar happens to be LR(1) your parser will be relatively
OK; it will just give late error messages. If the grammar happens not to be LR(1) (for example
Figure 9.13) your parser may reject correct input.
Answer to Problem 9.8:Not necessarily, since the converted grammar may require earlier
identification of handles.
Answer to Problem 9.9:Yes; substitution can only result in later identification of handles.
Answer to Problem 9.10:Yes. If in an item A→B•Cthe non-terminal Cproduces ε,
its channels will propagate and spontaneously generate FIRST(C) to the station •C.
Answer to Problem 9.12:See Charles [88, page 28].
Answer to Problem 9.17:P_1--->ε;P_2--->T|P_6T;P_3--->n|P_6n|E-n|P_6E-n;
P_4--->E;P_5--->E$;P_6--->[(|E-(][(|E-(]*;P_7--->E-|P_6E-;
P_8--->E-T|P_6E-T;P_9--->P_6E;P_10--->P_6E)
Answer to Problem 9.20:For a parsing to be successful, the right context must match
in number that which is on the stack; more in particular, the item S--->a• is applicable only
when there are just as many as on the stack as there are in the rest of the input. The regular
expressions cannot enforce this.
Answer to Problem 9.21:See Fortes Gálvez [95, Figure 6.3]
Answer to Problem 9.22:Since the input is not in the right context of the item, and since
the regular envelopes are disjunct, it is not in any of the right contexts of other items either, so
the input must be incorrect. The item will be chosen incorrectly, but the error will be detected
later, so we only lose some early error detection.
Answer to Problem 9.30:There would be no LR state left to start the subsequent GOTO
from.
Answer to Problem 10.1:The grammar is LL(1).
Answer to Problem 10.3:The number of openers depends on the length of the left spine,
which is unknown even after the first node has been identified.
Answer to Problem 10.8:No. We put in the print statements so they would. Had we put
them at the first possible place, just after the decision was taken, non-canonical orders would
have resulted.
Answer to Problem 10.10:FOLLOWLM(A) is not a subset of FOLLOW(A) since it con-
tains non-terminals. FOLLOWLM(A) is not a superset of FOLLOW(A) since it contains the
tokens in FIRST(β) for any rule B→αAβ.
Answer to Problem 10.12:S--->aAC|aBD|bAE;A--->x;B--->x;C--->yC|c;D--->yD|d;
E--->yE|e, with input axyyyye. We end up with the reduced sentential form a[A|B]E,where
neither aAE nor aBE is possible. So “Syntactic entity Ecannot appear here”.
Answer to Problem 10.17:If the right-hand side of the reduce rule is a substring Sof the
right-hand side of the shift rule, turn Sinto a rule R→S. Now it is a reduce/reduce conflict
between rules of equal length. It does imply more patching up of the parse tree.
Answer to Problem 11.3:The moment you discover the node is nullable (becomes rec-
ognized in the present prediction phase) append the parent node and back pointer nodes to
the top list, and mark the node that this has happened. Upon connecting a new back pointer
to a node marked this way, append the node pointed to to the top list. This discovers nullable
left-recursive non-terminals dynamically.
Answer to Problem 11.5:Hint: The problem is insuring termination of step 1 in Section
11.1.1 in the face of left recursion and grammar loops. Most bottom-up tables protect against
A Hints and Solutions to Selected Problems 649
left recursion (but not against hidden left recursion) and most do not protect against grammar
loops.
Answer to Problem 12.1:a. The reversed grammar usually has much worse properties
than the original. b. It does not solve substring parsing.
Answer to Problem 12.2:The grammar will contain an undefined non-terminal Aand
will need to be cleaned up.
Answer to Problem 12.4:It would not help much; you end up doing general CF parsing
using the suffix grammar.
Answer to Problem 12.8:Nederhof and Satta [174] explain how to obtain an RDPDA for
a given LR(0) grammar, but in doing the same for LR(1) one soon gets bogged down in details.
A principled approach is needed.
Answer to Problem 13.1:See van Noord [221].
Answer to Problem 13.2:For each terminal tcreate rules t→tφ,whereφis some token
not already occurring in the system. For each transition nε
→mcreate a token φ_n_m.Now
run the intersection algorithm as usual. Remove all occurrences of φ. This leaves a number of
rules of the form t_p_m→t_p_n; the occurrence of a t_p_min a right-hand side means the
occurrence of a transition pt
→nfollowed by a transition nε
→m.Project: extend this algorithm
to handle ε-transitions from the start states.
Answer to Problem 13.8:The complexity is O(n3logn).
Answer to Problem 14.1:Discard, as this result cannot be combined with the result of the
left neighbor.
Answer to Problem 14.7:Since (A,i,j)is realizable, there must be realizable CYK hy-
potheses (C,i,l)and (D,l,j)with A→CD. Clearly, size(C,i,l)≤2kand size(D,l,j)≤2k.
Now, if size(C,i,l)≤2k−1and size(D,l,j)≤2k−1)then (A,i,j)is its own critical hypothesis.
Else, if size(C,i,l)>2k−1,size(D,l,j)<2k−1(or else size(A,i,j)would be >2k), and vice
versa. Now suppose size(C,i,l)>2k−1. The reasoning is identical for size(D,l,j)>2k−1.
We can now recurse, and use the same reasoning to find the critical hypothesis for (C,i,l),
which will then also be the critical hypothesis for (A,i,j). This process will stop, because
size(C,i,l)<size(A,i,j).
Answer to Problem 14.8:Hint: add nodes A→BC
i,j,kfor all grammar rules A→BC and
all 0 ≤i<j<k≤n. Are these AND-nodes or OR-nodes? Where do they get their input from?
Answer to Problem 15.1:Start with S→At1t2···tkY.LetAproduce tn−1
1Xn−1where the
Xs act as “sparks”. The sparks can move to the right, produce a tion each (ti,ti+1)boundary,
and are extinguished by the Y, producing the final tk.
Answer to Problem 15.3:See [244].
Answer to Problem 15.7:See, for example, J. Higginbotham, English is not a Context-
Free Language, Linguistic Inquiry, 15, 2, (1984), pp. 225-234. Or: J. Bresnan et al., Cross-
Serial Dependencies in Dutch, in W. J. Savitch et al., “The Formal Complexity of Natural
Language”, pp. 286-319, (1987).
Answer to Problem 15.11:Without the restriction it is trivial to give a coupled grammar
for the language an2:S--->Q1;Q1,Q2--->Q1Q2Q2a,Q2a|a,a. Can this also be done with the re-
striction?
Answer to Problem 15.12:For example: 1. Grammars embody declarative specification,
in the functional paradigm; recognizers embody algorithmic specification, in the impera-
tive paradigm. It is generally acknowledged that the functional paradigm is “higher”, more
650 A Hints and Solutions to Selected Problems
“evolved” than the imperative one. 2. Nobody knows what exactly the recognition power of
recognition systems is; 3. There is 50 years of knowledge on grammars.
Answer to Problem 15.13:a.abbcc, or simply bc.b.S<---A!b&a*C.
Answer to Problem 15.14:Basically, develop Pby substitution, and discard an alternative
Awhen FIRST(A) does not contain a. For the ensuing complications with left recursion and
empty productions see Greibach [7].
Answer to Problem 15.15:b. 1. Determine which subexpressions recognize the empty
string, for example by propagating this property bottom-up. 2. Construct a directed graph G
in which the subexpressions are the nodes and arrows point from each node to the nodes
it depends on directly. For a subexpression αAβwhere αrecognizes ε, this is A.3.Doa
topological sort on G.
Answer to Problem 15.17:S<---a!./aaaa!./aaaBaS B<---S&ε/aBa
Answer to Problem 16.1:1. Yes, but a full LL(1) parser would be better, since it remem-
bers more left context.
Answer to Problem 16.4:Reducing as much as possible usually enlarges the set of ac-
ceptable tokens, thus making it more likely to find a correction. Predicting as much possible
only reduces that set.
Answer to Problem 16.5:BRC and BC grammars allow parsing to be resumed at any
subtree that has only terminals as leaves; there are many of these in a text of any length. With
BCP grammars there may be only one such subtree to continue the parsing; if precisely that
subtree is damaged by the error, there is no way to resume parsing.
Answer to Problem 16.6:Actually we do not need the prediction; we only need the set of
symbols in it. We implement this set as an array of counters indexed by symbols. Upon entry
to an alternative in a routine Riwe increment the counters for the symbols that that alternative
would stack, and upon leaving we decrement the counters. If a counter for a symbol Xjis
not zero, Xjwould be in the prediction if it existed, and its FIRST set can be added to the
acceptable set.
Answer to Problem 16.7:We compute the first insertion y1, either as
cheapest_insertion(X1,a)ifitexistsorascheapest_derivation(X1);
this may or may not make aacceptable. We insert y1and restart the parser. If the insertion y1
did not make aacceptable, the parser again gets stuck, on X2this time. We repeat the process.
Answer to Problem 17.1:It blocks any repeated parsing of the same string with the same
grammar rule, so it does not see or report it.
Answer to Problem 17.5:The function qwouldbecalledevenifpfailed, which would
cause the parser to loop on any recursion, rather than on left recursion alone!
Page numbers in bold refer to pages where a definition of the indicated term can be
found.
l
→,38
l
*
→,38
r
→,38
r
*
→,38
*
→,38
ℵ0,12
ℵ1,12
∩,52
∪,52
¬,52
, 607
/—, 607
§-calculus, 160, 506, 516, 622, 623
_,273
.
=,267
,267
,267
ε-LR, 591
ε-LR(0), 287
ε-closure, 148
ε-free, 27,40
ε-move, 147, 293, 525
ε-rule, 27, 104, 147, 182, 221, 242, 295
ε-transition, 147, 163, 281
2-form, 497
2-form grammar, 579
2DPDA, 423, 639
4-tuple, 14
A-BNF, 623
acceptable set, 627
acceptable-set, 533
acceptable-set error recovery, 533
accepting state, 142, 168
accessible non-terminal, 51
ACTION table, 284
ACTION/GOTO table, 285
active edge, 227
ad hoc error recovery, 542
adaptable grammars, see dynamic grammars
adjacency restriction, 607
adjoining, 494
affix, 488, 619
affix grammar, 485, 488, 615
agenda, 228, 581
agent parsers, 447
AGFL, 490, 632
Aho and Corasick bibliographic search algorithm, 162,
598
algemeines LR, 592
ALGOL 60, 27, 514, 576, 594
ALGOL 68, 476, 615
alphabet, 6, 578
alternative, 15
ambiguity, 63, 144, 316, 599, 630, 634
ambiguity rate, 578
ambiguity test, 63, 338
American Indian languages, 492
amusing, 619
analysis stack, 170
analytic grammar, 506, 614
ancestors table, 602
AND-node, 88
AND-OR tree, 88
AND/OR form, 135
angle brackets, 27, 619
ATN, 56, 604, 620, 637
attribute, 54, 254, 485, 549, 630, 631
attribute evaluation rule, 485
attribute grammar, 485, 485, 588, 615, 643
Augmented Transition Network, see ATN
auxiliary tree, 493
backreference, 159
backslash, 508
backtracking, 78, 176, 182, 201, 579, 600, 614
backtracking recursive descent, 576
Backus-Naur Form, see BNF
backward move, 530, 624
backward/forward move, 530
BC(h)DR(0), 609
Index
656 Subject Index
BC(m,n), 276
BC(1,1), 409
BCP, 277, 606, 628
BCP(m,n), 611
biconnected, 630
binary form, 214, 603
binary right-nullable, 604
binary tree, 62, 214, 577, 612
bison, 301, 633
bitvector, 578
blind alley, 17, 35, 480
BMM, see Boolean matrix multiplication
BNF, 27
Boolean circuit, 453
Boolean closure grammar, 514
Boolean grammar, 514, 619, 622, 623
Boolean matrix multiplication, 97, 98, 500, 583
bottom-up, 581
bottom-up parsing, 66
bounded-context, 276, 532, 595, 606, 610, 628
bounded-context parsable, 277, 533, 606, 628
bounded-left-context, 595
bounded-right-context, 85, 276, 525, 532, 593, 595, 606,
611, 642
BRC(m,n), 276, 611
breadth-first production, 35, 618
breadth-first search, 77, 170, 204, 235, 278, 382, 547, 601,
643
BRNGLR, 605
Brzozowski derivative, 597
built-in conflict resolver, 315
Burushaski, 490
byacc, 603
C(k), 353
cancellation parsing, 85, 192, 353, 483, 593
cancellation set, 192, 353
Cantor, 12
cascaded grammar, 637
category (GPSG), 637
cellar, 594
chain rule, 113, 316
channel algorithm, 303
character-pair error, 525
chart, 226, 581
chart parser, 635
chart parsing, 85, 226
Chomsky hierarchy, 19, 40, 617, 638
Chomsky Normal Form, 116, 454, 460, 577, 638
closed part, 137, 138
closure, 587
closure algorithm, 50, 95, 114
CLR(1), 592
CNF, see Chomsky Normal Form
Cocke-Younger-Kasami, see CYK parser
combinator, 564, 631, 632
combinator parsing, 564
Common-Prefix, 582
Compact LR, 592
compiled recursive descent, 185, 253, 563, 584
complement, 52, 152
complete automaton, 152, 290
completed item, see inactive item
compound value (Prolog), 189
concatenation, 24
condensation phase, 530, 624
configuration, 633
conflict resolver, 253, 254, 315, 421, 485, 590, 627, 634
conjunctive grammar, 621
connectionist network, 453, 453
connectionist parser, 453
consistent substitution, 479, 618
constraint programming paradigm, 567
context-free grammar, 23
context-sensitive, 20
context-sensitive grammar, 20, 23, 73, 545, 638
continuation
error recovery, 535
functional programming, 183
continuation grammar, 536
continuous grammar, 533, 628
control grammar, 502, 621
control mechanism, 69, 81, 265
control sequence, 502
control word, 615
Cook’s Theorem, 639
core of an LR state, 300
coroutine, 86, 630
correct-prefix property, 248, 521, 524, 540
correction phase, 530
counter language, 638
coupled grammar, 500
critical hypothesis, 467
critical step, 466
cross-dependencies, 492
cross-reference problem, 482, 617–620
cubic space dependency, 87
cubic time dependency, 71, 80, 526, 547, 577
cycle, 16
CYK parser, 70, 85, 112, 212, 576, 577, 600
dag, 16, 34, 88, 387, 475, 490
data-oriented parsing, 100, 632
DCG, 85, 189, 193, 553, 573, 618
De Morgan’s Law, 53, 153
decomposition of an FSA, 154
deficient LALR algorithms, 302
definite clause, 188, 189, 482, 635
Definite Clause Grammar, see DCG
definite event, 597
depth-first search, 77, 105, 170, 235, 553, 630, 643
derivation tree, 38
derivative, 597
derived attribute, 55, 486
derived information, 54
description language, 606
deterministic automaton, 82, 283, 293, 524
deterministic cancellation parsing, 85, 353
deterministic finite-state automaton, see DFA
deterministic grammar, 333
deterministic language, 299
deterministic parser, 235, 238, 247, 299, 525
DFA, 145
DFA minimization algorithm, 157
difference list, 636
directed graph, 16
directed production analyser, 391, 577
directional parser, 93
directional parsing method, 76
directly-reads,309
disambiguating rule, 252, 630, 634
discontinuous constituents, 636
Discriminating Reverse, see DR
distfix operator, 272, 596
Subject Index 657
document conversion, 316, 634
don’t-care entry, 630
dot, 180, 206, 280, 624
dot look-ahead, 298, 366
dot right context, 322, 323
dotted look-ahead, 366
double-dotted item, 608
DR, 85, 325, 390, 604, 609
DR automaton, 326
DR parsing, 327, 590
DR(k), 358, 590
Dutch, 140, 492
dynamic grammars, 476, 621
dynamic programming, 643
EAG, 485, 490, 620
eager completion, 225
Earley deduction, 635
Earley item, 206, 207, 280, 529, 623
Earley parser, 70, 85, 206, 290, 407, 452, 529, 546, 547,
600, 625
bottom-up, 452
Earley set, 212
Earley suffix parser, 408
Earley-on-LL(1) parser, 409
early error detection, 299
EBNF, 28, 318, 591
edge, 16
elementary tree, 493
eliminating ε-rules, 119, 175
eliminating left recursion, 174, 593, 641
eliminating unit rules, 119, 125, 175, 316
ELR, 582
empty language, 41
empty string, 41
empty word, 9
end marker, 13, 172, 236, 266, 535
end-of-input, 94, 219, 324
envelop, 328
erasable symbols, 53
error correction, 522, 630, 634
error detection, 475, 521
error detection point, 526, 526, 624
error handling, 475, 488
error interval, 542
error production, 529, 542, 623
error recovery, 500, 521, 522, 540, 600
error repair, 475, 522, 600, 627
error reporting, 475
error symbol, 526, 627
error token, 542, 543
essential ambiguity, 63
EULER, 595
evaluation rule, see attribute evaluation rule
event, 597
EXCLUDE set, 578
exclusion rule, 607
Exhaustive Constant Partial Ordering property, 637
expanding an item, 289
exponential explosion, 204
exponential time dependency, 71, 110, 116
expression-rewriting code generation, 571
Extended BNF, see EBNF
extended consistent substitution, 618, 618
extended context-free grammar, 28, 28, 259, 578
extended LL(1), 259, 585, 624, 634
extended operator-precedence, 595
extended precedence, 274, 525
factorization of an FSA, 154
fast string search, 161, 598, 599
feature, 496, 637
feedback arc set, 603
FILO list, see stack
finite lattice, 490
finite-choice, 370, 496
finite-choice grammar, 33, 473, 479
finite-state automaton, 137, 142, 278, 330, 332, 426, 524,
585, 586
finite-state grammar, 30, 473
FIRST set, 220, 239, 239, 242, 621
FIRSTkset, 239, 254, 254, 255, 256
FIRSTALL set, 273
FIRSTOP set, 270, 270
FIRST/FIRST conflict, 241, 633
FIRST/FOLLOW conflict, 246, 633
fixed-mode logic, 635
FL(k), 598
flattening (LR(0) automaton), 641
Floyd production, 277, 277, 594
FMQ error correction, 537, 538, 625
FOLLOW set, 244, 245, 312, 353, 534, 621
FOLLOWkset, 255, 255, 256
FOLLOWLM set, 361, 361
FOLLOW-determinism, 583
FOLLOW-set error recovery, 534, 534
FOLLOW/FOLLOW conflict, 246, 647
forest of tree-structured stacks, 414
forward move, 530
FPFAP(k), 606
frame language, 573, 635
free of hidden empty notions, 617
French, 505
FSA, see finite-state automaton
full backtracking top-down parsing, 501
full-LC(1), 348
full-LL(k), 256
full-LL(1), 248, 348, 525, 549
fully parenthesized expression, 266, 594
functional programming, 481
gap, 200, 278, 366
general hyperrule, 619
Generalized cancellation, 85, 397
Generalized LC, 85, 397
Generalized LL, 85, 391, 602, 627
Generalized LR, 85, 263
generalized non-canonical parsing, 398
Generalized Phrase Structure Grammar, 637
Generalized Recursive Descent Parsing, 185
generalized TS, see gTS
generative grammar, 7, 489, 616
Georgian, 492
German, 140
global error handling, 526
GLR parser, 70, 382, 448, 546, 547, 601
GLR suffix parser, 414, 447
GNF, see Greibach Normal Form
GNU C, 184
goal
Prolog, 188
top-down, 73
GOTO table, 284, 329
658 Subject Index
GPSG, see Generalized Phrase Structure Grammar
Graham–Glanville code generation, 376
grammar-based compression, 568
grammar-type variable, 618
grammatical inference, 1
graph, 16
graph-structured stack, 387, 451, 601, 604
GRDP, 583
Greibach Normal Form, 168, 391, 577, 639
GRMLR, 604
GSS, see graph-structured stack
gTS, 616
gzip, 568–570, 635
handle, 74, 264
handle segment, 74, 146, 269, 525
handle-finding automaton, 279, 291, 298, 374
hardest context-free language, 100, 639, 640
Haskell, 564, 566, 633, 643
head grammar, 377
head spine, 608
head-corner, 608
head-corner parsing, 231, 377
hidden indirect left recursion, 174
hidden left recursion, 174, 288, 593, 603
high-water mark, 159
homomorphism, 640
human natural language parsing, 352
Hungarian, 5
hypernotion, 479, 617
hyperrule, 478
hypothesis path, 465
ID/LP grammar, 637
identification mechanism, 24
Immediate Dominance/Linear Precedence grammar, 637
immediate error detection property, 248, 299, 524, 525,
625, 626
immediate left recursion, 174
immediate semantics, 550
in-LALR-lookahead,310
inactive item, 227
inadequate state, 287, 328, 381
includes,309
incremental parser generation, 318, 589, 632
incremental parsing, 318, 629
indexed operator precedence, 596
indirect left recursion, 174
inference, 188
inference rule, 51, 95, 96, 227
infinite ambiguity, 49, 86, 121, 395, 398
infinite symbol set, 484
infix notation, 65
infix order, 350
inherently ambiguous, 64
inherited attribute, 55, 486
inherited information, 54
initialization, 50
insert-correctable, 538
instantaneous description, 170
instantiation, 188
interpreted recursive descent, 185
interpreter, 144, 283
intersection, 52, 152, 425, 530
interval analysis, 627
invalidate, 623
item, 206, 290
item grammar, 640
item look-ahead, 298
item right context, 322
Japanese, 577
Java, 553
kernel item, 207, 289, 365, 590
keyword, see reserved word
kind grammar, 252, 593, 593
KL-ONE, 635
Kleene star, 28, 149, 164, 597
known-parsing table, 560
LA(k)LR( j), 302
LA(m)LR(k), 586
LALR, 590
LALR(k), 85, 301, 587
LALR(k,t), 372, 608
LALR(1), 587, 634
LALR(1) automaton, 301, 589
LALR-by-SLR, 313
LAR automaton, 333
LAR parsing, 335
LAR(m), 85
LAR(m) parsing, 336, 589
LAST set, 578
LASTALL set, 273
LASTOP set, 270
lattice, 100, 381, 611, 619
lazy table construction, 553, 631
LC, 582
LC(k), 85, 592, 593, 600
LC(1), 347
least-error correction, 526, 529, 544, 623
left context, 320, 321
left priority, 272
left recursion, 24, 133, 173, 174, 192, 352, 553, 577
left recursion elimination, 252
left spine, 193, 345
left-associative, 90
left-bound, 617
left-context, 253, 530
left-corner, 95
left-corner derivation, 65
left-corner parser, 345
bottom-up, 452
left-corner parsing, 345, 576, 637
left-corner relation, 352
left-factoring, 252, 252, 593, 642
left-hand side, 13
left-regular, 404
left-regular grammar, 30, 75, 154, 321, 610
left-spine child, 351
left-to-right precedence, 595
leftmost derivation, 37, 65, 124, 137, 165, 238, 343, 568
leftmost reduction, 199
lex, 32, 41, 149, 634
lineage, 42
linear Boolean grammar, 622
linear grammar, 30, 579
linear time dependency, 71, 81, 475, 626
linear time requirements, 327, 369
linear-approximate LL(k), 257, 585
linearized parse tree, 65, 637
Subject Index 659
Lisp, 566
list, 34
Prolog, 189
LL(k), 85, 254, 254, 592, 593, 600, 625
LL(1), 238, 354, 409, 482, 537, 549, 581, 592, 618
LL(1) conflict, 251, 641
LL(2), 255
LL-regular, 85, 585
LLgen, 391, 602, 627, 634
LLP(k), 592
LLR, see LL-regular
local error recovery, 533
locally least-cost error recovery, 539, 600, 625
locally unambiguous, 617
logic variable, 188, 190, 441, 483, 567
long reduction, 415
longest prefix, 94
look-ahead, 82, 322, 348
lookback, 641
lookback,308
loop, 48, 104, 127, 139, 174, 383
hidden, 49
indirect, 48
LPDA, 582
LR, 582
LR item, 280
LR parse table construction algorithm, 289
LR state, 322
LR(k), 85, 280, 299, 585, 600, 642
LR(k) language, 299, 319
LR(k,∞), 85, 365, 365, 606
LR(k,t), 371, 606
LR(k>1), 299
LR(k≥1), 299
LR(m,k), 586
LR(0), 279, 285, 287, 299, 301, 315, 382, 451, 586, 589
LR(0) automaton, 283, 293, 300, 314, 383
LR(1), 83, 291, 293, 364, 382, 586
LR(1) automaton, 291, 294, 300
LR(1) parsing table, 294
LR(1,∞), 365
LR(2), 299
LR-context-free, 372
LR-regular, 85, 226, 327, 328, 586
LR-regular look-ahead, 329
LSLR(1), 362, 607
Manhattan turtle, 18
marked ordered grammar, 504
match, 73
maximally supported parse forest, 400
maze, 78, 82, 143
MCFG, 620
Mealy semantics, 160
memoization, 133, 422, 553, 566, 602, 608, 611, 622, 623,
632, 642, 647
memory requirements, 154
meta-deterministic language, 591
metagrammar, 478
metanotion, 478, 616, 617
metaparsing, 456
metarule, 478
middle-out, 581
minimally completed parse tree, 400
minimized DFA, 158
minimum distance error handling, 623
mixed-strategy precedence, 275, 595
modifiable grammars, see dynamic grammars
modifying the grammar, 81
Modula-2, 549
monad, 622, 643
Moore semantics, 160
morphology, 7
multi-way pointer, 92, 441
multiple context-free grammar, 611, 620
NDA, see non-deterministic automaton
NDR, 609
negation, 52, 53, 152
nested stack automaton, 623
NFA, 142, 161, 281, 291, 304
NLALR(k), 372, 608
NLALR(k,t), 372, 608
NLR(k), 371
node, 16
non-canonical, 83, 263, 277, 611
non-canonical LR, 365
non-canonical SLR(1), 361
non-Chomsky grammar, 473
non-correcting error recovery, 541
non-deterministic automaton, 69, 69, 142, 200, 280, 296
non-directional parser, 93
non-directional parsing method, 76, 103, 523
non-productive grammar, 48
non-productive non-terminal, 48, 120, 122
non-productive rule, 48, 427
non-terminal, 13
NQLALR(k), 588
NQLALR(1), 311, 587
NQSLR(k), 588
NQSLR(k>1), 315
NSLR(k), 85
NSLR(1), 361, 607
nullable, 24, 89, 217, 219, 297, 451
nullable LL(1) grammar, 625
nullable non-terminal
in BC and BRC, 277
occam, 618
open part, 137, 139, 165, 200, 321
operator grammar, 270
operator-precedence, 268, 270, 344, 548, 630
operator-precedence parser, 374
OR-node, 88
oracle, 593
ordered attribute grammar, 488, 617
ordered grammar, 502, 503
origin position, 207
original symbol, 42,43
Packrat, 622
packrat parsing, 510
palm tree, 630
panic mode, 534, 534
P¯
an
.ini, 642
parse dag, 88, 622
parse forest, 87, 482, 583
parse graph, 89
parse table, 236, 254, 256, 448, 549, 578, 631
parse tree, 62, 621
parse-forest grammar, 49, 91, 110, 427, 451, 458, 512
parse-tree grammar, 427, 512
parser generator, 70, 254, 285, 303, 538, 547, 630, 634
660 Subject Index
Parsing Expression Grammar, see PEG
parsing pattern, 606
parsing schema, 600
parsing scheme, 606
parsing table, 236
partial evaluation, 566
partition, 157, 355
Partitioned LL(k), 85
Partitioned LL(1), 354
Partitioned LR, 344, 373
Partitioned LR(k), 85
partitioned s-grammar, 357
Pascal, 360, 542, 600
passive item, see inactive item
PDA, see pushdown automaton
PEG, 506, 509, 622
phrase, 357
phrase language, 606
phrase level error handling, 530
phrase structure grammar, 15, 637
PL/C, 623
PLL(0), 357
PLL(1)
Partitioned LL, 344, 354
PLR(k), 592, 593
polynomial time dependency, 71, 110, 497, 560, 579
post-order, 65, 201, 343
postfix notation, 65
pre-order, 65, 167, 343
precedence, 593
precedence functions, 271, 549, 595
precedence parser, 85, 269, 525
precedence relation, 267, 267, 525, 606
precedence table, 267
predicate, 189, 489
ALGOL 68, 480
Prolog, 188
predict, 73
predicted item, 206
prediction item, 207
prediction stack, 167, 176, 534
prefix, 93
prefix notation, 65
prefix-free, 182
prettyprinter, 550
primitive predicate, 615
primordial soup algorithm, 470, 600
process-configuration parser, 447
production, 581
production chain, 31, 592, 592
production chain automaton, 346
production expression, 592
production graph, 16
production rule, 16
production step, 16, 67, 239, 535, 592
production tree, 23, 39, 54, 61, 65, 204, 637
Prolog, 80, 188, 314, 340, 482, 553, 567, 573, 608, 631,
636
Prolog clause, 188, 581
propagated input, 305
propagated look-ahead, 304
proper grammar, 49, 536
PS grammar, 15
pumping lemma for context-free languages, 44
pumping lemma for regular languages, 45
pushdown automaton, 167, 319, 331, 420, 551, 592, 593,
610
quadratic time dependency, 71, 211, 407
quasi-regular grammar, 139, 598
Rats!, 622
RCA, 604
RDPDA, 420, 422
reachable non-terminal, 51, 51, 122, 148
read-back tables, 586
reads,310
real-time parser, 71, 637
recognition system, 488, 506, 507
recognition table, 112, 117, 126, 523, 610
recursion, 24
recursive ascent, 319, 552, 588–590, 630, 633
Recursive Call Automaton, 604
recursive descent, 80, 85, 179, 181, 254, 319, 553, 563,
584
recursive set, 36
recursive transition network, 46,56
recursive-ascent, 633
recursively enumerable, 35
reduce, 74
reduce item, 206, 282, 332, 361, 369, 582, 587, 607
reduce/reduce conflict, 279, 286, 578, 607, 630
reduction error, 525
Reduction Incorporated, 605
Reduction Incorporated Automaton, 604
reduction look-ahead, 222, 579
reduction-incorporated, 317
regional error handling, 530
register-vector grammar, 637, 637
regular envelope, 328, 641
regular expression, 28, 33, 147, 149, 269, 598, 634
regular grammar, 30, 148
regular language, 45, 53, 139, 600, 636
Regular Pattern Parsable, 606
regular right part grammar, 28, 318, 582, 586, 588
relations algorithm, 306, 587
reserved word, 33, 76
reverse finite-state automaton, 330
reversed scan, 456
reversed tree, 391
RI, see reduction-incorporated, 605
RIA, 604
right context, 320, 322, 329, 628
right priority, 272
right recursion, 24, 582
right-associative, 101
right-bound, 617
right-hand side, 13
right-nullable, 604
right-nulled LR(1), 605
right-regular grammar, 30, 75, 139
rightmost derivation, 37, 65, 124, 137, 199, 200, 343
rightmost production, 199, 264
RL(1), 83
RN, 605
RNGLR, 390, 604, 605
robust parsing, 533
root set, 404, 610
root set grammar, 404
RPP, 606
RR(1), 83
RRP grammar, see regular right part grammar
rule selection table, 581
RV grammar, see register-vector grammar
Rytter combine node, 469
Subject Index 661
Rytter proposal, 460
S(k)LR( j), 315
s-grammar, 238, 357
s-language, 584
S/SL, 506
Sanskrit, 642
SCCs, 311
SDF, 632
SECOND set, 256
sed, 643
self-embedding, 25, 627, 628, 633, 638, 641
semantic action, 55, 254, 264, 634
semantic clause, 54
Semi-Thue rewriting system, 580
sentence, 16
sentential form, 16
sentential tree, 493
sequence, 6
set, 6
severe-C(k), 353
SGML, 141, 599
shared packed parse forest, 605
shift, 74
shift item, 207, 298, 363
shift/reduce conflict, 279, 286, 578, 630
simple LR(1), 314
simple precedence, 273, 525, 530, 606, 625
simultaneous tree adjunct grammar, 616
single rule, 113, 316
skeleton, 548
skeleton grammar, 482, 617
skeleton parse tree, 271, 272, 374
SL, 619
SLA(m)LR(k), 586
SLL(1), 357
SLL(1) (simple LL(1)), 238
SLR, 573
SLR(k), 85, 586
SLR(k>1), 315
SLR(1), 314, 364, 382, 571, 588, 592, 607
space requirements, 210, 285, 301, 579
SPLL(1) grammar, 357
spontaneous input, 305
spontaneously generated look-ahead, 304
SPPF, 605
spurious ambiguity, 63
spurious error message, 522, 540, 541
STA grammar, 616
stack, 167
stack activity reduction, 317
stack alphabet, 167
stack duplication, 384
stack of stacks, 619
stack shift, 588
stack-controlling LR parser, 587
stackability error, 525
stacking conflict, 588
stacking error, see stackability error
start sentential form, 322
start symbol, 13
state, 141
state transition, 142, 316
station, 281, 305, 332, 410
strict grammar, 618
strict syntax generator, 618
strong operator set, 595
strong-C(k), 353
strong-LC(1), 348
strong-LL(k), 255, 585
strong-LL(1), 247, 247, 348, 525, 548
strong-LL-regular grammars, 585
strongly connected component, 97, 311, 587, 630, 641
Subject-Verb-Object language, 139
submatrix technique, 587
subsequence, 134
subsequence parsing, 422
subset, 604
subset algorithm, 289, 597
subset construction, 145, 283, 291, 405
substring parsing, 632
successful production, 47
suffix grammar, 401, 540, 626
suffix item, 610
suffix language, 401
suffix parser, 540, 540
suffix start set, 407
supersequence, 134
supersequence parsing, 422, 603
superstring parsing, 422
superstring recognition, 162
Swiss German, 492
synchronization triplet, 624
syntactic category, 13
syntactic graph, see production graph
syntax, 7, 576, 607, 615
syntax error, 521, 541
Syntax Language, see SL
syntaxis, see syntax
synthesized attribute, 55, 486
table compression, 146, 256, 285, 586, 590, 592, 630
table-driven, 70, 254, 371, 549
tabular parsing, 129, 131, 509
TAG, 470, 492
tagged NFA, 599
terminal, 13,33
terminal parser, 618
terminal symbol, 13
terminal tree, 493
thread, 86
time complexity, 71, 500
time requirements, 71, 579
TMG, 506
TMG recognition Scheme, see TS
token, see terminal symbol
Tomita parsing, 382, 601
top-down, 581
top-down parsing, 66
topological sort, 272, 643
total precedence, 85, 359, 595, 606
transduction grammar, 55
transformational grammar, 614
transformations on grammars, 40, 119, 128, 169, 174, 299,
589, 593
transition, 298
transition diagram, 142, 598, 623, 630
transition graph, 45
transition network, 641
transitive closure, 96, 227, 240, 305, 389, 396, 536, 579,
587, 595, 600, 609
transitive item, 226, 233, 582
tree, 23,34
Tree Adjoining Grammars, see TAG
662 Subject Index
trellis automaton, 622
trivial bottom-up table, 381
trivial top-down table, 381
TS, 615
two-level grammar, 73, 477, 620
Type 0, 19
Type 1 context-sensitive, 20
Type 1 monotonic, 20
Type 2.5, 30
Type 3, 30
Type 4, 19, 491
typesetting, 316, 634
undecidable, 36, 328, 585, 617, 638
undefined non-terminal, 48, 111
undefined terminal, 48, 111
undirected graph, 16
Unger parser, 85, 104, 127, 430, 523, 527, 546, 553, 578
union, 52, 152
uniquely assignable, 617
unit rule, 112, 121, 147, 316
unreachable non-terminal, 48, 51, 120, 129, 427
unreduce, 201
unshift, 201
unsolvable, 36, 72, 333, 482
unused non-terminal, 48
useless non-terminal, 48
useless rule, 47,48
useless transition, 197
uvw theorem, 45, 59
uvwxy theorem, 42
Valiant parser, 579
Valiant’s algorithm, 98
validation, 540
van Wijngaarden grammars, see VW grammars
variable, 13
VCG, 605
visit, 617
VW grammar, 477, 581, 615, 617
weak precedence, 273, 525, 549, 595
weakly context-sensitive language, 616
well-formed, 615, 622
well-formed affix grammar, 490
well-formed substring table, 117, 546, 580
well-tuned Earley/CYK parser, 224
word, 6
X-category, 614
XML, 141, 550, 634
XML validation, 148, 598
yacc, 41, 301–303, 311, 316, 633, 634
zero as a number, 41
zip, 567