Refbook Rumbaugh, Jacobson, Booch UML Reference Manual, 2nd Ed
User Manual:
Open the PDF directly: View PDF
.
Page Count: 742 [warning: Documents this large are best viewed by clicking the View PDF Link!]
- Title
- Contents
- Preface
- Part 1: Background
- Part 2: UML Concepts
- Part 3: Reference
- Dictionary of Terms
- abstract
- abstract class
- abstract operation
- abstraction
- accept action
- access
- action
- action expression
- action sequence
- activation
- active
- active class
- active object
- active state configuration
- activity
- activity diagram
- activity edge
- activity expression
- activity final node
- activity group
- activity node
- activity partition
- activity view
- actor
- actual parameter
- aggregate
- aggregation
- alt
- alternative
- analysis
- analysis time
- ancestor
- any trigger
- application
- apply
- apply function action
- architecture
- argument
- artifact
- assembly connector
- assert
- assertion
- association
- association (binary)
- association (n-ary)
- association class
- association end
- association generalization
- asynchronous action
- atomic
- attribute
- auxiliary
- background information
- bag
- become
- behavior
- behavioral feature
- behavioral state machine
- behavioral view
- binary association
- bind
- binding
- Boolean
- Boolean expression
- bound element
- branch
- break
- broadcast
- buffer
- buildComponent
- call
- call
- call event
- call trigger
- canonical notation
- cardinality
- central buffer node
- change event
- change trigger
- changeability
- child
- choice
- class
- class attribute
- class diagram
- class feature
- class-in-state
- class name
- class operation
- classification action
- classifier
- classifier role
- client
- collaboration
- collaboration diagram
- collaboration occurrence
- collaboration role
- collaboration use
- combined fragment
- comment
- communication
- communication diagram
- communication path
- compartment
- compile time
- complete
- completion transition
- complex port
- complex transition
- component
- component diagram
- composite aggregation
- composite class
- composite object
- composite state
- composite structure
- composite structure diagram
- composition
- compound transition
- concrete
- concurrency
- concurrency kind
- concurrent substate
- conditional
- conditional fragment
- conditional node
- conditional transition
- conflict
- connectable element
- connection point
- connector
- consider
- constraint
- construction
- constructor
- container
- context
- continuation
- control flow
- control node
- copy
- coregion
- create
- create
- create action
- creation
- critical
- critical region
- current event
- data flow
- data store node
- data type
- data value
- decision
- decision node
- default value
- deferrable event
- deferred event
- delegation
- delegation connector
- dependency
- deployment
- deployment (phase)
- deployment diagram
- deployment specification
- deployment view
- derivation
- derive
- derived element
- derived union
- descendant
- descriptor
- design
- design model
- design time
- design view
- destroy
- destroy
- destruction
- determinacy
- development process
- device
- diagram
- direct class
- direct instance
- direct substate
- disjoint
- disjoint substate
- distribution unit
- do activity
- document
- duration
- duration constraint
- duration observation action
- dynamic classification
- dynamic concurrency
- dynamic view
- edge
- effect
- elaboration
- element
- else
- enabled
- entity
- entry activity
- entry point
- enumeration
- enumeration literal
- event
- event occurrence
- exception
- exception handler
- executable
- executable node
- execution
- execution environment
- execution occurrence
- execution specification
- exit activity
- exit point
- expansion region
- export
- expression
- extend
- extension
- extension point
- extent
- facade
- feature
- file
- final node
- final state
- fire
- flag
- flow
- flow final node
- focus
- focus of control
- font usage
- fork
- fork node
- formal argument
- framework
- friend
- full descriptor
- functional view
- gate
- general ordering
- generalizable element
- generalization
- generalization set
- graphic marker
- group transition
- guard condition
- guillemets
- high-level transition
- history state
- hyperlink
- identity
- ignore
- ill formed
- implementation
- implementation
- implementation class
- implementation dependency
- implementation inheritance
- import
- inactive
- inception
- include
- incomplete
- incremental development
- indeterminacy
- indirect instance
- indirect substate
- information flow
- information item
- inheritance
- initial node
- initial state
- initial value
- initialization
- inout parameter
- instance
- instance of
- instance specification
- instantiable
- instantiate
- instantiate
- instantiation
- intent
- interaction
- interaction diagram
- interaction fragment
- interaction occurrence
- interaction operand
- interaction overview diagram
- interaction use
- interaction view
- interface
- interface specifier
- interleaving semantics
- internal activity
- internal structure
- internal transition
- interrupt
- interrupt handler
- interruptible activity edge
- interruptible activity region
- interval
- invariant
- invocation
- isolation flag
- iteration expression
- iterative development
- join
- join node
- junction
- keyword
- label
- language type
- layer
- leaf
- library
- lifeline
- link
- link end
- Liskov substitution principle
- list
- location
- loop
- loop node
- manifestation
- many
- member
- merge
- message
- metaclass
- metametamodel
- metamodel
- metaobject
- metaobject facility
- metarelationship
- method
- model
- model element
- model management view
- modeling time
- modelLibrary
- module
- MOF
- multiobject
- multiple classification
- multiple inheritance
- multiplicity
- multiplicity (of association)
- multiplicity (of attribute)
- multiplicity (of part)
- n-ary association
- name
- namespace
- navigability
- navigable
- navigation
- navigation efficiency
- neg
- negative
- node
- nonorthogonal state
- note
- null
- object
- Object Constraint Language
- object diagram
- object flow
- object flow state
- object lifeline
- Object Management Group
- object node
- object specification
- OCL
- occurrence
- occurrence specification
- OMG
- opaque expression
- operand
- operation
- opt
- optional
- ordering
- orthogonal region
- orthogonal state
- otherwise
- out parameter
- overlapping
- owner scope
- package
- package diagram
- package merge
- package visibility
- packageable element
- par
- parallel
- parameter
- parameter list
- parameter set
- parameterized element
- parent
- part
- participates
- partition
- passive object
- path
- pathname
- pattern
- permission
- persistent object
- Petri net
- pin
- polymorphic
- port
- postcondition
- powertype
- precondition
- presentation element
- primitive function
- primitive type
- private
- procedure
- process
- process
- profile
- profile application
- projection
- property
- property string
- protected
- protocol conformance
- protocol state
- protocol state machine
- protocol transition
- provided interface
- pseudostate
- public
- qualified name
- qualifier
- query
- raise exception action
- read action
- realization
- realization
- realize
- receive
- receive action
- receive event
- receiver
- reception
- record type
- redefinable element
- redefines
- redefinition
- redefinition (behavior)
- redefinition (classifier)
- redefinition (operation)
- redefinition (property)
- redefinition (state machine)
- redefinition (template)
- reference
- refine
- refinement
- region
- reification
- reify
- relationship
- reply action
- repository
- request
- required interface
- requirement
- resolution
- resolve
- responsibility
- responsibility
- return
- return parameter
- reuse
- role
- rolename
- run time
- run-to-completion
- scenario
- scope
- script
- sd
- segment
- self-transition
- semantic variation point
- semantics
- send
- send
- send event
- sender
- seq
- sequence diagram
- sequence number
- service
- shared aggregation
- side effect
- signal
- signal event
- signal trigger
- signature
- simple state
- simple transition
- single classification
- single inheritance
- singleton
- slot
- snapshot
- source
- source scope
- source state
- specialization
- specification
- specification
- stages of modeling
- start owned behavior action
- state
- state invariant
- state machine
- state machine diagram
- state machine view
- statechart diagram
- static classification
- static feature
- static view
- stereotype
- stop
- strict
- strict sequencing
- string
- string value
- structural feature
- structural view
- structure diagram
- structured classifier
- structured part
- subclass
- subject
- submachine
- submachine state
- subsets
- subsetting
- substate
- substitutability principle
- substitution
- subsystem
- subtype
- summarization
- superclass
- supertype
- supplier
- swimlane
- synch state
- synchronous action
- system
- systemModel
- tabular notation
- tag definition
- tagged value
- target scope
- target state
- template
- terminate
- test identity action
- thread
- time action
- time constraint
- time event
- time expression
- time observation action
- time value
- timing diagram
- timing mark
- token
- trace
- trace dependency
- transient link
- transition
- transition phase
- transmission
- trigger
- triggerless transition
- tuple
- type
- type
- type expression
- uninterpreted
- union
- uniqueness
- unlimited natural
- unspecified value
- usage
- use
- use case
- use case diagram
- use case generalization
- use case instance
- use case model
- use case view
- utility
- value
- value specification
- variable
- vertex
- view
- viewpoint
- visibility
- weak
- weak sequencing
- weight
- well formed
- XMI
- xor
- write action
- Part 4: Appendices
- Bibliography
- Index
Advanced Praise for
The Unified Modeling Language
Reference Manual, Second Edition
“If you are a serious user of UML, there is no other book quite like this one. I have
been involved with the UML specification process for some time, but I still found
myself learning things while reading through this book—especially on the changes
and new capabilities that have come with UML 2.0. The intimate involvement of the
author in the creation and continuing evolution of UML, and the encyclopedic
scope of his book, make the work a unique contribution to the UML 2.0 literature,
as the first edition was for UML 1.0.”
—Ed Seidewitz, Chief Architect, InteliData Technologies Corporation
“In addition to the documents of the OMG UML 2.0 Standard, this book is proba-
bly the most important source for the Unified Modeling Language. It is a detailed
reference, covering the mainstream ideas as well as the delicate niches of the lan-
guage. The Dictionary of Terms offers precise, comprehensive and, perhaps most
important, systematic information on all aspects of the UML2.0.”
—Martin Gogolla, Professor for Computer Science, University of Bremen
“Comprehensive and instructive, written by a person with the insights of not only
the technical matters, but also the processes that led to the UML language and its
version 2.0. This book should be a companion for every serious UML modeler.”
—Øystein Haugen, Ericsson Representative in the OMG UML 2.0 Standardization,
Associate Professor, University of Oslo
“This book provides an authoritative and user-oriented account of UML 2.0.”
—Dr. Robert France, Department of Computer Science, Colorado State University.
“This is so far the most comprehensive book on UML 2.0. It gives you what the
specification does not: real introductions to the various parts of UML, annotated
examples, discussions on how to use the new features, and an insight into how and
why the new features entered UML 2.0. As one of the persons who was involved in
the making of UML 2.0, I can tell that the book is faithful to the specification and to
the ideas behind the new features. Read this book instead or as a complement to the
specification.”
—Birger Møller-Pedersen, Professor, University of Oslo

M
L
U
The Unified
Modeling Language
Reference Manual
Second Edition

M
L
U
The Unified
Modeling Language
Reference Manual
Second Edition
James Rumbaugh
Ivar Jacobson
Grady Booch
Boston • San Francisco • New York • Toronto • Montreal
London • Munich • Paris • Madrid
Capetown • Sydney • Tokyo • Singapore • Mexico City
Many of the designations used by manufacturers and sellers to distinguish their products are claimed as
trademarks. Where those designations appear in this book and Addison-Wesley was aware of a trademark
claim, the designations have been printed in initial capital letters or in all capitals.
Unified Modeling Language, UML, and the UML cube logo are trademarks of the Object Management
Group. Some material in this book is derived from the Object Management Group UML Specification
documentation. Copyright © 2004 OMG. Used by permission of the Object Management Group.
The authors and publisher have taken care in the preparation of this book but make no expressed or implied
warranty of any kind and assume no responsibility for errors or omissions. No liability is assumed for
incidental or consequential damages in connection with or arising out of the use of the information or
programs contained herein.
The publisher offers discounts on this book when ordered in quantity for bulk purchases and special sales.
For more information, please contact:
U.S. Corporate and Government Sales
(800) 382-3419
corpsales@pearsontechgroup.com
For sales outside of the U.S., please contact:
International Sales
(317) 581-3793
international@pearsontechgroup.com
Visit Addison-Wesley on the Web: www.awprofessional.com
Library of Congress Cataloging-in-Publication Data
Rumbaugh, James.
The unified modeling language reference manual / James Rumbaugh, Ivar
Jacobson, Grady Booch.-- 2nd ed.
p. cm.
ISBN 0-321-24562-8
1. Computer software--Development. 2. UML (Computer science) I.
Jacobson, Ivar. II. Booch, Grady. III. Title.
QA76.76.D47R86 2004
005.3--dc22
2004012580
Copyright © 2005 by Pearson Education, Inc.
All rights reserved. No part of this publication may be reproduced, stored in a retrieval system, or
transmitted, in any form, or by any means, electronic, mechanical, photocopying, recording, or otherwise,
without the prior consent of the publisher. Printed in the United States of America. Published simultaneously
in Canada.
For information on obtaining permission for use of material from this work, please submit a written request
to:
Pearson Education, Inc.
Rights and Contracts Department
75 Arlington Street, Suite 300
Boston, MA 02116
Fax: (617) 848-7047
ISBN 0-321-24562-8
Text printed on recycled paper.
1 2 3 4 5 6 7 8 9 10—CRW—09 08 07 06 05 04
First printing, July 2004
For Madeline, Nick, and Alex
—Jim

ix
M
L
U
Contents
Preface . . . . . . . . . . . . . . . . . . . . . . . . . . . . . . . . . . . . . . . . . . . . . . . . . . . . . . . . . . . . xiii
Part 1: Background
Chapter 1: UML Overview . . . . . . . . . . . . . . . . . . . . . . . . . . . . . . . . . . . . . . . . . . . 3
Brief Summary of UML . . . . . . . . . . . . . . . . . . . . . . . . . . . . . . . . . . . . . . . . . . . . . . . . . . . .3
UML History . . . . . . . . . . . . . . . . . . . . . . . . . . . . . . . . . . . . . . . . . . . . . . . . . . . . . . . . . . . . .4
Goals of UML . . . . . . . . . . . . . . . . . . . . . . . . . . . . . . . . . . . . . . . . . . . . . . . . . . . . . . . . . . .10
Complexity of UML. . . . . . . . . . . . . . . . . . . . . . . . . . . . . . . . . . . . . . . . . . . . . . . . . . . . . . .10
UML Assessment . . . . . . . . . . . . . . . . . . . . . . . . . . . . . . . . . . . . . . . . . . . . . . . . . . . . . . . . .12
UML Concept Areas . . . . . . . . . . . . . . . . . . . . . . . . . . . . . . . . . . . . . . . . . . . . . . . . . . . . . .12
Chapter 2: The Nature and Purpose of Models . . . . . . . . . . . . . . . . . . . . . . 15
What Is a Model?. . . . . . . . . . . . . . . . . . . . . . . . . . . . . . . . . . . . . . . . . . . . . . . . . . . . . . . . .15
What Are Models For?. . . . . . . . . . . . . . . . . . . . . . . . . . . . . . . . . . . . . . . . . . . . . . . . . . . . .15
Levels of Models . . . . . . . . . . . . . . . . . . . . . . . . . . . . . . . . . . . . . . . . . . . . . . . . . . . . . . . . . .17
What Is in a Model? . . . . . . . . . . . . . . . . . . . . . . . . . . . . . . . . . . . . . . . . . . . . . . . . . . . . . .19
What Does a Model Mean? . . . . . . . . . . . . . . . . . . . . . . . . . . . . . . . . . . . . . . . . . . . . . . . . .21
Part 2: UML Concepts
Chapter 3: UML Walkthrough . . . . . . . . . . . . . . . . . . . . . . . . . . . . . . . . . . . . . . 25
UML Views . . . . . . . . . . . . . . . . . . . . . . . . . . . . . . . . . . . . . . . . . . . . . . . . . . . . . . . . . . . . .25
Static View . . . . . . . . . . . . . . . . . . . . . . . . . . . . . . . . . . . . . . . . . . . . . . . . . . . . . . . . . . . . . .28
Design Views . . . . . . . . . . . . . . . . . . . . . . . . . . . . . . . . . . . . . . . . . . . . . . . . . . . . . . . . . . . .29
Use Case View . . . . . . . . . . . . . . . . . . . . . . . . . . . . . . . . . . . . . . . . . . . . . . . . . . . . . . . . . . .34
State Machine View. . . . . . . . . . . . . . . . . . . . . . . . . . . . . . . . . . . . . . . . . . . . . . . . . . . . . . .35
Activity View . . . . . . . . . . . . . . . . . . . . . . . . . . . . . . . . . . . . . . . . . . . . . . . . . . . . . . . . . . . .37
Interaction View . . . . . . . . . . . . . . . . . . . . . . . . . . . . . . . . . . . . . . . . . . . . . . . . . . . . . . . . .37
Deployment View . . . . . . . . . . . . . . . . . . . . . . . . . . . . . . . . . . . . . . . . . . . . . . . . . . . . . . . .40
Model Management View . . . . . . . . . . . . . . . . . . . . . . . . . . . . . . . . . . . . . . . . . . . . . . . . . .42
Profiles . . . . . . . . . . . . . . . . . . . . . . . . . . . . . . . . . . . . . . . . . . . . . . . . . . . . . . . . . . . . . . . . .43
xContents
Chapter 4: Static View. . . . . . . . . . . . . . . . . . . . . . . . . . . . . . . . . . . . . . . . . . . . . . 47
Overview . . . . . . . . . . . . . . . . . . . . . . . . . . . . . . . . . . . . . . . . . . . . . . . . . . . . . . . . . . . . . . . 47
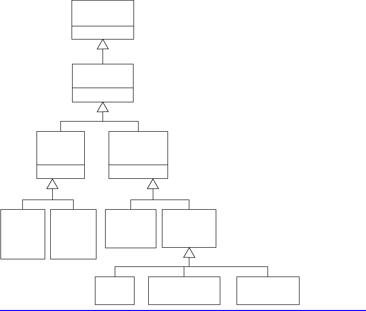
Classifier . . . . . . . . . . . . . . . . . . . . . . . . . . . . . . . . . . . . . . . . . . . . . . . . . . . . . . . . . . . . . . . 48
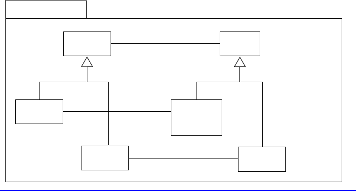
Relationships . . . . . . . . . . . . . . . . . . . . . . . . . . . . . . . . . . . . . . . . . . . . . . . . . . . . . . . . . . . . 52
Association. . . . . . . . . . . . . . . . . . . . . . . . . . . . . . . . . . . . . . . . . . . . . . . . . . . . . . . . . . . . . . 53
Generalization. . . . . . . . . . . . . . . . . . . . . . . . . . . . . . . . . . . . . . . . . . . . . . . . . . . . . . . . . . . 57
Realization . . . . . . . . . . . . . . . . . . . . . . . . . . . . . . . . . . . . . . . . . . . . . . . . . . . . . . . . . . . . . 61
Dependency . . . . . . . . . . . . . . . . . . . . . . . . . . . . . . . . . . . . . . . . . . . . . . . . . . . . . . . . . . . . . 62
Constraint . . . . . . . . . . . . . . . . . . . . . . . . . . . . . . . . . . . . . . . . . . . . . . . . . . . . . . . . . . . . . . 65
Instance . . . . . . . . . . . . . . . . . . . . . . . . . . . . . . . . . . . . . . . . . . . . . . . . . . . . . . . . . . . . . . . . 66
Chapter 5: Design View. . . . . . . . . . . . . . . . . . . . . . . . . . . . . . . . . . . . . . . . . . . . . 69
Overview . . . . . . . . . . . . . . . . . . . . . . . . . . . . . . . . . . . . . . . . . . . . . . . . . . . . . . . . . . . . . . . 69
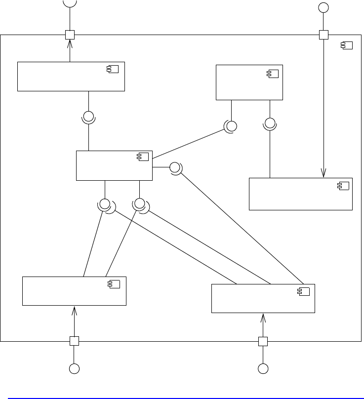
Structured Classifier . . . . . . . . . . . . . . . . . . . . . . . . . . . . . . . . . . . . . . . . . . . . . . . . . . . . . .70
Collaboration . . . . . . . . . . . . . . . . . . . . . . . . . . . . . . . . . . . . . . . . . . . . . . . . . . . . . . . . . . . 71
Patterns . . . . . . . . . . . . . . . . . . . . . . . . . . . . . . . . . . . . . . . . . . . . . . . . . . . . . . . . . . . . . . . . 73
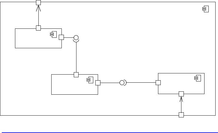
Component . . . . . . . . . . . . . . . . . . . . . . . . . . . . . . . . . . . . . . . . . . . . . . . . . . . . . . . . . . . . . 73
Chapter 6: Use Case View . . . . . . . . . . . . . . . . . . . . . . . . . . . . . . . . . . . . . . . . . . 77
Overview . . . . . . . . . . . . . . . . . . . . . . . . . . . . . . . . . . . . . . . . . . . . . . . . . . . . . . . . . . . . . . . 77
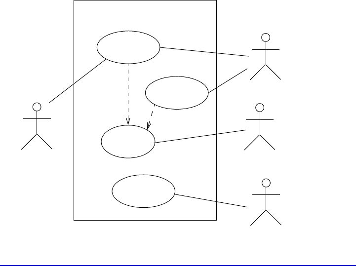
Actor . . . . . . . . . . . . . . . . . . . . . . . . . . . . . . . . . . . . . . . . . . . . . . . . . . . . . . . . . . . . . . . . . . 77
Use Case . . . . . . . . . . . . . . . . . . . . . . . . . . . . . . . . . . . . . . . . . . . . . . . . . . . . . . . . . . . . . . . 78
Chapter 7: State Machine View . . . . . . . . . . . . . . . . . . . . . . . . . . . . . . . . . . . . . 81
Overview . . . . . . . . . . . . . . . . . . . . . . . . . . . . . . . . . . . . . . . . . . . . . . . . . . . . . . . . . . . . . . . 81
State Machine . . . . . . . . . . . . . . . . . . . . . . . . . . . . . . . . . . . . . . . . . . . . . . . . . . . . . . . . . . . 81
Event . . . . . . . . . . . . . . . . . . . . . . . . . . . . . . . . . . . . . . . . . . . . . . . . . . . . . . . . . . . . . . . . . . 82
State. . . . . . . . . . . . . . . . . . . . . . . . . . . . . . . . . . . . . . . . . . . . . . . . . . . . . . . . . . . . . . . . . . . 84
Transition . . . . . . . . . . . . . . . . . . . . . . . . . . . . . . . . . . . . . . . . . . . . . . . . . . . . . . . . . . . . . . 85
Composite State. . . . . . . . . . . . . . . . . . . . . . . . . . . . . . . . . . . . . . . . . . . . . . . . . . . . . . . . . . 89
Chapter 8: Activity View. . . . . . . . . . . . . . . . . . . . . . . . . . . . . . . . . . . . . . . . . . . . 95
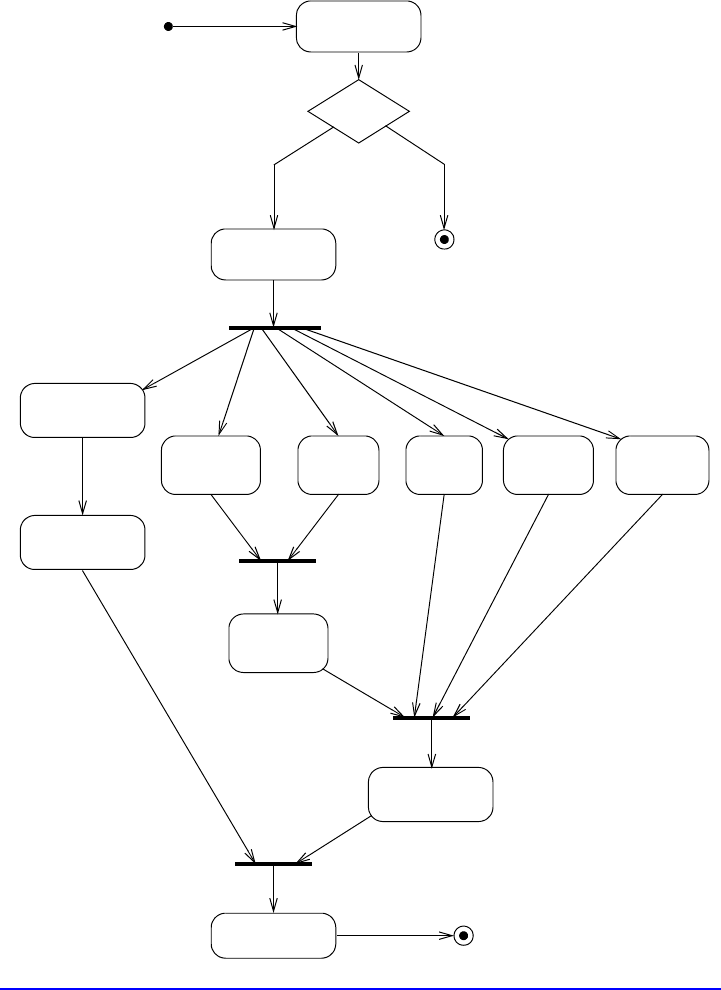
Overview . . . . . . . . . . . . . . . . . . . . . . . . . . . . . . . . . . . . . . . . . . . . . . . . . . . . . . . . . . . . . . . 95
Activity . . . . . . . . . . . . . . . . . . . . . . . . . . . . . . . . . . . . . . . . . . . . . . . . . . . . . . . . . . . . . . . . 96
Activities and Other Views . . . . . . . . . . . . . . . . . . . . . . . . . . . . . . . . . . . . . . . . . . . . . . . . . 98
Action . . . . . . . . . . . . . . . . . . . . . . . . . . . . . . . . . . . . . . . . . . . . . . . . . . . . . . . . . . . . . . . . . 98
Chapter 9: Interaction View . . . . . . . . . . . . . . . . . . . . . . . . . . . . . . . . . . . . . . . 101
Overview . . . . . . . . . . . . . . . . . . . . . . . . . . . . . . . . . . . . . . . . . . . . . . . . . . . . . . . . . . . . . . 101
Interaction. . . . . . . . . . . . . . . . . . . . . . . . . . . . . . . . . . . . . . . . . . . . . . . . . . . . . . . . . . . . . 101
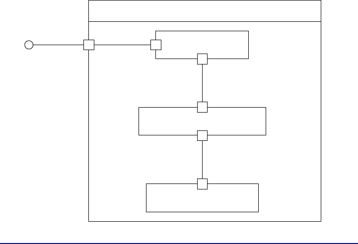
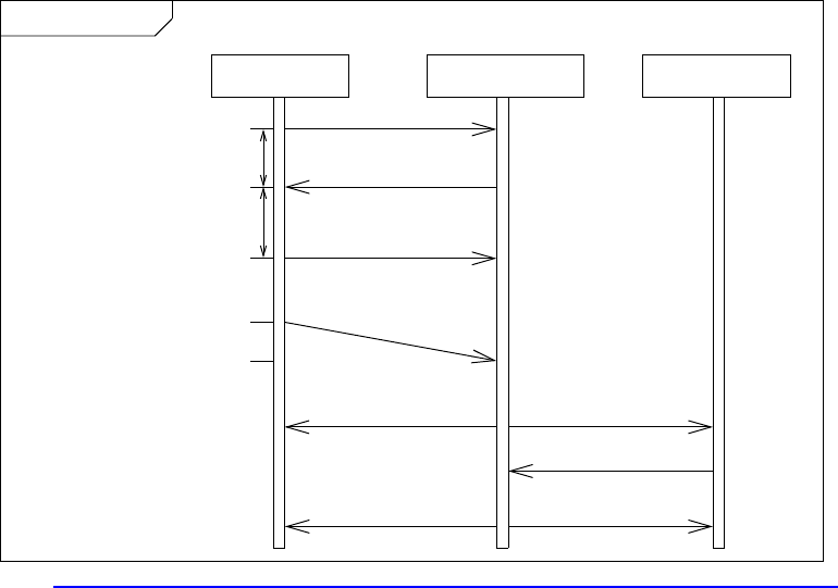
Sequence Diagram . . . . . . . . . . . . . . . . . . . . . . . . . . . . . . . . . . . . . . . . . . . . . . . . . . . . . . 102
Communication Diagram . . . . . . . . . . . . . . . . . . . . . . . . . . . . . . . . . . . . . . . . . . . . . . . . 106
Contents xi
Chapter 10: Deployment View . . . . . . . . . . . . . . . . . . . . . . . . . . . . . . . . . . . . . 109
Overview . . . . . . . . . . . . . . . . . . . . . . . . . . . . . . . . . . . . . . . . . . . . . . . . . . . . . . . . . . . . . .109
Node. . . . . . . . . . . . . . . . . . . . . . . . . . . . . . . . . . . . . . . . . . . . . . . . . . . . . . . . . . . . . . . . . .109
Artifact . . . . . . . . . . . . . . . . . . . . . . . . . . . . . . . . . . . . . . . . . . . . . . . . . . . . . . . . . . . . . . . .109
Chapter 11: Model Management View . . . . . . . . . . . . . . . . . . . . . . . . . . . . . 111
Overview . . . . . . . . . . . . . . . . . . . . . . . . . . . . . . . . . . . . . . . . . . . . . . . . . . . . . . . . . . . . . .111
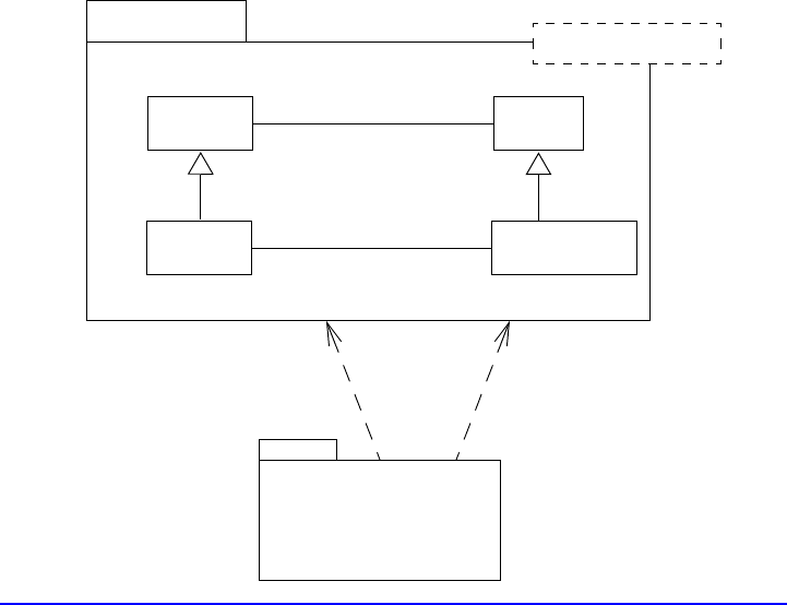
Package . . . . . . . . . . . . . . . . . . . . . . . . . . . . . . . . . . . . . . . . . . . . . . . . . . . . . . . . . . . . . . .111
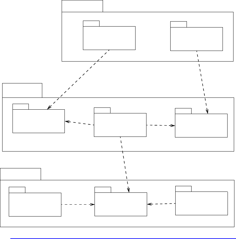
Dependencies on Packages. . . . . . . . . . . . . . . . . . . . . . . . . . . . . . . . . . . . . . . . . . . . . . . . .112
Visibility. . . . . . . . . . . . . . . . . . . . . . . . . . . . . . . . . . . . . . . . . . . . . . . . . . . . . . . . . . . . . . .113
Import . . . . . . . . . . . . . . . . . . . . . . . . . . . . . . . . . . . . . . . . . . . . . . . . . . . . . . . . . . . . . . . .113
Model . . . . . . . . . . . . . . . . . . . . . . . . . . . . . . . . . . . . . . . . . . . . . . . . . . . . . . . . . . . . . . . . .114
Chapter 12: Profiles . . . . . . . . . . . . . . . . . . . . . . . . . . . . . . . . . . . . . . . . . . . . . . . . 115
Overview . . . . . . . . . . . . . . . . . . . . . . . . . . . . . . . . . . . . . . . . . . . . . . . . . . . . . . . . . . . . . .115
Stereotype. . . . . . . . . . . . . . . . . . . . . . . . . . . . . . . . . . . . . . . . . . . . . . . . . . . . . . . . . . . . . .116
Tagged Value . . . . . . . . . . . . . . . . . . . . . . . . . . . . . . . . . . . . . . . . . . . . . . . . . . . . . . . . . . .117
Profile. . . . . . . . . . . . . . . . . . . . . . . . . . . . . . . . . . . . . . . . . . . . . . . . . . . . . . . . . . . . . . . . .118
Chapter 13: UML Environment . . . . . . . . . . . . . . . . . . . . . . . . . . . . . . . . . . . . 121
Overview . . . . . . . . . . . . . . . . . . . . . . . . . . . . . . . . . . . . . . . . . . . . . . . . . . . . . . . . . . . . . .121
Semantics Responsibilities . . . . . . . . . . . . . . . . . . . . . . . . . . . . . . . . . . . . . . . . . . . . . . . . .121
Notation Responsibilities. . . . . . . . . . . . . . . . . . . . . . . . . . . . . . . . . . . . . . . . . . . . . . . . . .122
Programming Language Responsibilities . . . . . . . . . . . . . . . . . . . . . . . . . . . . . . . . . . . . .123
Modeling with Tools . . . . . . . . . . . . . . . . . . . . . . . . . . . . . . . . . . . . . . . . . . . . . . . . . . . . .124
Part 3: Reference
Chapter 14: Dictionary of Terms . . . . . . . . . . . . . . . . . . . . . . . . . . . . . . . . . . . 129
Part 4: Appendices
Appendix A: UML Metamodel . . . . . . . . . . . . . . . . . . . . . . . . . . . . . . . . . . . . . 685
Appendix B: Notation Summary . . . . . . . . . . . . . . . . . . . . . . . . . . . . . . . . . . . 689
Bibliography . . . . . . . . . . . . . . . . . . . . . . . . . . . . . . . . . . . . . . . . . . . . . . . . . . . . . . . 703
Index . . . . . . . . . . . . . . . . . . . . . . . . . . . . . . . . . . . . . . . . . . . . . . . . . . . . . . . . . . . . . . 707

xiii
M
L
U
Preface
Goals
This book is intended to be a complete, useful reference to the Unified Modeling
Language (UML) for the developer, architect, project manager, system engineer,
programmer, analyst, contracting officer, customer, and anyone else who needs to
specify, design, build, or understand complex software systems. It provides a full
reference to the concepts and constructs of UML, including their semantics, nota-
tion, and purpose. It is organized to be a convenient but thorough reference for the
working professional developer. It also attempts to provide additional detail about
issues that may not be clear from the standards documents and to provide a ratio-
nale for many decisions that went into the UML.
This book is not intended as a guide to the UML standards documents or to the
internal structure of the metamodel contained in them. The details of the meta-
model are of interest to methodologists and UML tool builders, but most other
developers have little need for the arcane details of the Object Management Group
(OMG) documents. This book provides all the details of UML that most develop-
ers need; in many cases, it makes information explicit that must otherwise be
sought between the lines of the original documents. For those who wish to consult
the source documents, they are on the OMG web site (www.omg.org).
This book is intended as a reference for those who already have some under-
standing of object-oriented technology. For beginners, the original books by us
and by other authors are listed in the bibliography; although some of the notation
has changed, books such as [Rumbaugh-91], [Jacobson-92], [Booch-94], and
[Meyer-88] provide an introduction to object-oriented concepts that is still valid
and therefore unnecessary to duplicate here. [Blaha-05] updates [Rumbaugh-91]
using UML notation. For a tutorial introduction to UML that shows how to model
a number of common problems, see The Unified Modeling Language User Guide
[Booch-99] or UML Distilled [Fowler-04].

xiv Preface
UML does not require a particular development process. Although UML may
be used with a variety of development processes, it was designed to support an
iterative, incremental, use-case–driven process with a strong architectural focus—
the kind we feel is most suitable for the development of modern, complex systems.
To place UML in its context as a tool for software development, this book defines
the stages of such a process, but they are not part of the UML standard. The Unified
Software Development Process [Jacobson-99] describes in detail the kind of process
we believe complements the UML and best supports software development.
Second Edition and UML Version
This second edition has been extensively modified from the first edition, which
was published in 1999. This edition is based on the OMG “adopted” specification
of UML version 2.0, with anticipated changes to the “available” specification being
prepared by an OMG Finalization Task Force. Corrections to the book due to
changes in the OMG UML specification will be posted on the publisher’s web site
for this book at www.awprofessional.com/titles/0321245628. The information in
the book is accurate as of June 2004.
Original specification documents and up-to-date information about work on
UML and related topics can be found on the OMG web site at www.omg.org.
Reference Manual and OMG Specification
UML is a large modeling language with many features. A reference manual that
just repeats the original specification documents would not help readers much. As
in any dictionary or encyclopedia, we have had to summarize information as
clearly as possible while reducing the amount of material included. We have fre-
quently chosen to emphasize common usages by omitting obscure special cases or
redundant means of representing some concepts. This does not mean that those
capabilities are useless, but most readers should be able to succeed without using
them. The Reference Manual should not be regarded as the final authority on the
UML language, however. As with any standard, the final authority rests with the
official specifications, and these should be consulted to resolve disputes.
We have tried to follow these principles:
• Explain the main intent of a concept without getting lost in the details of the
metamodel representation.
• Avoid discussion of abstract metaclasses. Modelers must ultimately use concrete
metaclasses, which can be described more simply if the internal abstract layers
are collapsed.
• Avoid discussion of the packaging of the metamodel. The packages may be im-
portant to tool builders, but modelers don’t need to know them most of the
time. If you need to know, you need to look at the specification in detail anyway.
Preface xv
• Describe concepts from the complete specification. The OMG specification has
a number of intermediate layers and compliance points that greatly complicate
understanding of UML. We describe UML with all of its features. If your tool
does not implement all of the facilities, then some of the features may be un-
available to you, but it doesn’t usually hurt to know about them.
• Describe concepts from the viewpoint of their normal usage. Often the OMG
specification goes to considerable trouble to express concepts in a general way.
This is proper for a specification, but we feel that readers often understand con-
cepts better if they are presented in a specific context and then generalized. If
you are worried about the application of a concept in a complex, ambiguous sit-
uation and you feel that the Reference Manual explanation may be inadequate,
check the original specification. Unfortunately, however, even the OMG specifi-
cation is sometimes ambiguous in complex situations.
Outline of the Book
The UML Reference Manual is organized into four parts: (1) an overview of UML
history and of modeling, (2) a survey of UML concepts, (3) an alphabetical dictio-
nary of UML terms and concepts, and (4) brief appendices.
The first part is an overview of UML—its history, purposes, and uses—to help
you understand the origin of UML and the need it tries to fill.
The second part is a brief survey of UML concepts so that you can put all the
features into perspective. The survey provides a brief overview of the views UML
supports and shows how the various constructs work together. This part uses an
example that walks through various UML views. It contains one chapter for each
kind of UML view. This survey is not intended as a full tutorial or as a comprehen-
sive description of concepts. It serves mainly to summarize and relate the various
UML concepts, providing starting points for detailed readings in the dictionary.
The third part contains the reference material organized for easy access to each
topic. The bulk of the book is an alphabetical dictionary of all of the concepts and
constructs in UML. Each UML term of any importance has its own entry in the
dictionary. The dictionary is meant to be complete; therefore, everything in the
concept overview in Part 2 is repeated in more detail in the dictionary. The same
or similar information has sometimes been repeated in multiple dictionary articles
so that the reader can conveniently find it. Some common object-oriented terms
that are not official UML concepts are included to provide context in examples
and discussions.
Appendices show the UML metamodel and a summary of UML notation. There
is a brief bibliography of major object-oriented books, but no attempt has been
made to include a comprehensive citation of sources of ideas for UML or other ap-
proaches. Many of the books in the bibliography contain excellent lists of refer-
ences to books and journal articles for those interested in tracking the
development of the ideas.
xvi Preface
Dictionary Entry Formatting Conventions
The dictionary part of the book is organized as an alphabetical list of entries, each
describing one concept in some detail. The articles represent a flat list of UML
concepts at various conceptual levels. A high-level concept typically contains a
summary of its subordinate concepts, each of which is fully described in a separate
article. The articles are highly cross-referenced. The flat dictionary organization
permits the description of each concept to be presented at a fairly uniform level of
detail, without constant shifts in level for the nested descriptions that would be
necessary for a sequential presentation. The hypertext format of the document
should also make it convenient for reference. It should not be necessary to use the
index much; instead, go directly to the main article in the dictionary for any term
of interest and follow cross-references. This format is not necessarily ideal for
learning the language; beginners are advised to read the overview description of
UML found in Part 2 or to read introductory books on UML, such as the UML
User Guide [Booch-99].
Dictionary articles have the following divisions, although not all divisions ap-
pear in all articles.
Headword and brief definition
The name of the concept appears in boldface, set to the left of the body of the arti-
cle. A brief definition follows in normal type. This definition is intended to cap-
ture the main idea of the concept, but it may simplify the concept for concise
presentation. Refer to the main article for precise semantics.
Predefined stereotypes are included as entries. A comment in parentheses fol-
lowing the entry name identifies the modeling element to which they apply.
Semantics
This section contains a detailed description of the meaning of the concept, includ-
ing constraints on its uses and its execution consequences. Notation is not covered
in this section, although examples use the appropriate notation. General semantics
are given first. For concepts with subordinate structural properties, a list of the
properties follows the general semantics, often under the subheading Structure. In
most cases, properties appear as a table in alphabetical order by property name,
with the description of each property on the right. If a property has an enumerated
list of choices, they may be given as an indented sublist. In more complicated cases,
a property is given its own article to avoid excessive nesting. When properties re-
quire more explanation than permitted by a table, they are described in normal
text with run-in headers in boldface italics. In certain cases, the main concept is
best described under several logical subdivisions rather than one list. In such cases,
additional sections follow or replace the Structure subsection. Although several

Preface xvii
entry name Dictionary entry format
A brief description of the concept in one or two sentences.
See also related concept.
Semantics
A description of the semantics in several paragraphs.
Structure
A list of the subordinate concepts within the main concept.
item Description of an item. UML metamodel names are
usually converted into plain English.
enumerated item An enumeration with several values. List of values:
value The meaning of this value of the item.
Another item. More complicated topics are described in separate paragraphs.
Example
An example may be included in semantics, notation, or stand alone.
Notation
Description of the notation, usually including a diagram or syntax.
Presentation options
Describes variant forms of notation, usually optional.
Style guidelines
States recommended practice although not mandatory.
Discussion
The author’s opinions or background explanations beyond UML.
History
Changes from UML version 1.x.
stereotype entry (stereotype of Class)
Description of the meaning of the stereotype.
xviii Preface
organizational mechanisms have been used, their structure should be obvious to
the reader. The names of properties are usually stated in plain language rather than
using internal identifiers from the UML metamodel, but the correspondence is
meant to be obvious.
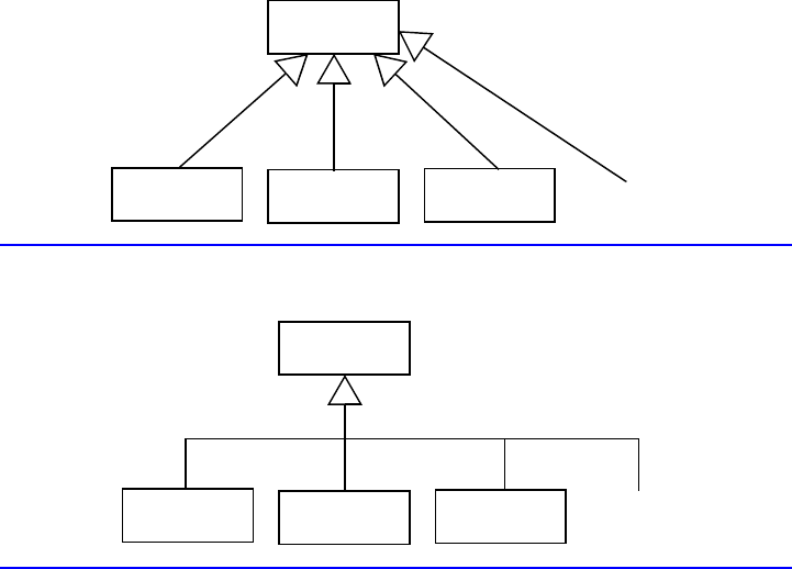
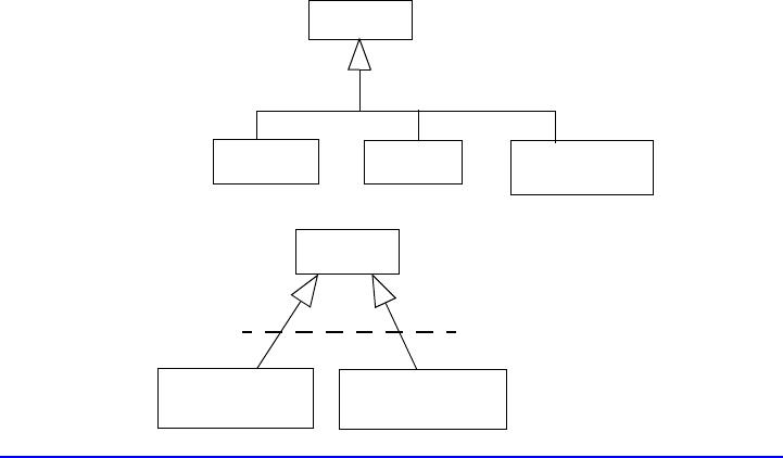
Notation
This section contains a detailed description of the notation for the concept. Usu-
ally, the notation section has a form that parallels the preceding semantics section,
which it references, and it often has the same divisions. The notation section usu-
ally includes one or more diagrams to illustrate the concept. The actual notation is
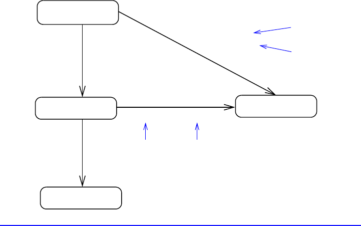
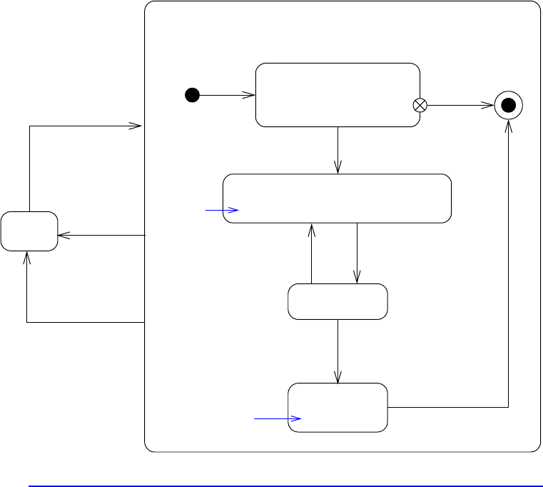
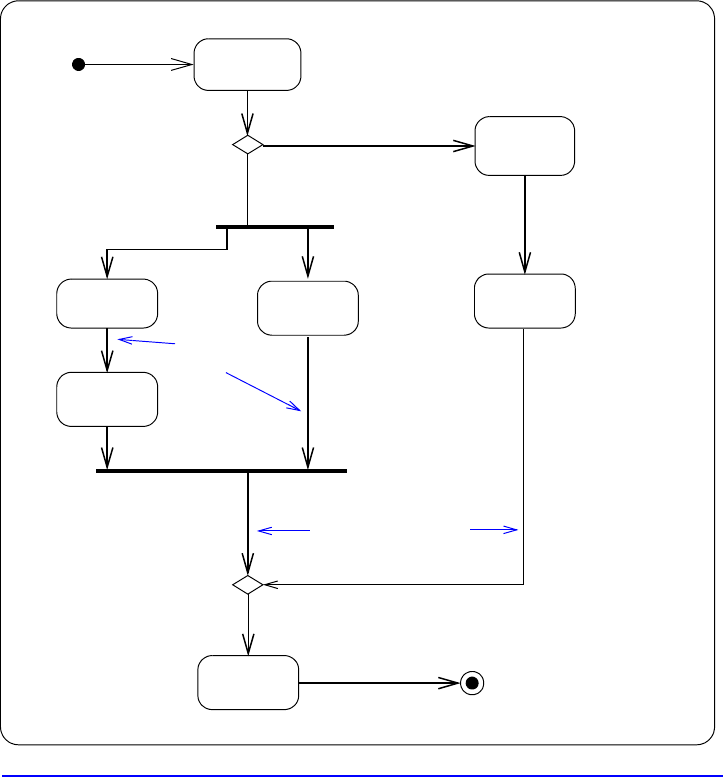
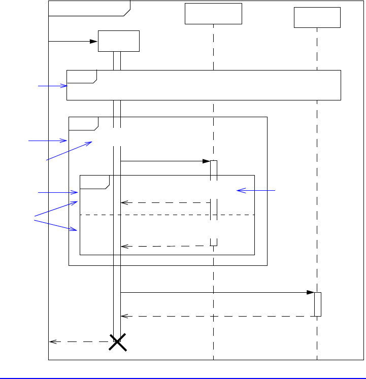
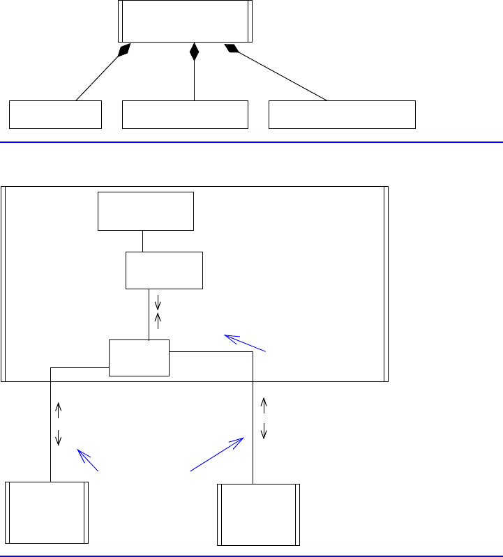
printed in black. To help the reader understand the notation, many diagrams con-
tain annotations in blue. Any material in blue is commentary and is not part of the
actual notation.
Style guidelines
This optional section describes widespread style conventions. They are not man-
datory, but they are followed within the UML specification itself. Recommended
presentation guidelines may also be given in a separate section.
Example
This subsection contains examples of notation or illustrations of the use of the
concept. Frequently, the examples also treat complicated or potentially confusing
situations. If the examples are brief, they may be folded in with another section.
Discussion
This section describes subtle issues, clarifies tricky and frequently confused points,
and contains other details that would otherwise digress from the more descriptive
semantics section. A minority of articles have a discussion section.
This section also explains certain design decisions that were made in the devel-
opment of the UML, particularly those that may appear counterintuitive or that
have provoked strong controversy. Simple differences in taste are generally not
covered.
Sometimes we express an opinion on the value (or lack thereof) of certain con-
cepts. We recognize that others may disagree with these assessments. We have tried
to confine opinions to the discussion section.
History
This section describes changes from UML1 to UML2, sometimes including rea-
sons for the changes. Minor changes are not usually listed. Absence of this section
does not mean that no changes have occurred.
Preface xix
Syntax Conventions
Syntax expressions. Syntax expressions are given in a modified BNF format in a
sans serif font (Myriad). Literal values that appear in the target sentence are
printed in black, and the names of syntax variables and special syntax operators
are printed in blue.
Text printed in black appears literally in the target string.
Punctuation marks (always printed in black) appear literally in the target string.
Any word printed in blue ink represents a variable that must be replaced by an-
other string or another syntax production in the target string. Words may contain
letters and hyphens. If a blue word is italicized or underlined, the actual replace-
ment string must be italicized or underlined.
In code examples, comments are printed in blue to the right of the code text.
Subscripts and L-brackets are used as syntax operators as follows:
expressionopt The expression is optional.
expressionlist, A comma-separated list of the expression may appear. If
there is zero or one repetition, there is no separator. If a
different punctuation mark than a comma appears in the
subscript, then it is the separator.
⎣= expression⎦opt A pair of right angles ties together two or more terms that
are considered a unit for optional or repeated occur-
rences. In this example, the equal sign and the expression
form one unit that may be omitted or included.
Two-level nesting is avoided. Particularly convoluted syntax may be simplified
somewhat for presentation, but use of such convoluted syntax is likely to be con-
fusing for humans anyway and should be avoided.
Literal strings. In running text, language keywords, names of model elements, and
sample strings from models are shown in a sans serif font (Myriad).
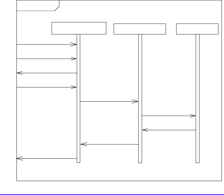
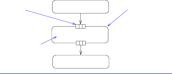
Diagrams. In diagrams, blue text and arrows are annotations, that is, explanations
of the diagram notation that do not appear in an actual diagram. Any text and
symbols in black are actual diagram notation.
CD
This book is accompanied by a CD containing the full text of the book in Adobe®
Reader® (PDF) format. Using Adobe Reader, the viewer can easily search the book
for a word or phrase. The CD version also contains a clickable table of contents, in-
dex, Adobe Reader bookmarks, and extensive hot links (in red) in the bodies of the
articles. Simply click on one of the links to jump to the dictionary article for a
word or phrase. We hope that this CD will be a useful reference aid for readers.
xx Preface
Creators of UML
We wish to thank the many collaborators who built the UML specification
through years of meetings, heated discussions, writing, and implementation of
ideas. The list of contributors has grown significantly since UML1, and the OMG
specification no longer lists the major contributors, who number between twenty
and fifty depending on the threshold for inclusion, and even more if work influ-
encing UML is included. It no longer appears possible to compile a complete list
without overlooking many persons.
Most of all, we want to celebrate the hundreds of persons who contributed to
the community of ideas from which UML was drawn—ideas in object-oriented
technology, software methodology, programming languages, user interfaces, visual
programming, and numerous other areas of computer science. It is impossible to
list them all, or indeed to track even the major chains of influence, without a major
scholarly effort, and this is an engineering book, not a historical review. Many of
them are well known, but many good ideas also came from those who did not have
the good fortune to become widely recognized. The bibliography includes a few of
the lesser-known books that influenced the authors.
Acknowledgments
We would like to acknowledge the reviewers who made this book possible. For the
second edition, they include Conrad Bock, Martin Gogolla, Øystein Haugen, Bir-
ger Møller-Pedersen, and Ed Seidewitz. For the first edition, we received feedback
from Mike Blaha, Conrad Bock, Perry Cole, Bruce Douglass, Martin Fowler, Eran
Gery, Pete McBreen, Gunnar Övergaard, Karin Palmkvist, Guus Ramackers, Tom
Schultz, Ed Seidewitz, and Bran Selic.
On a more personal note, I wish to thank Professor Jack Dennis, who inspired
my work in modeling and the work of many other students more than thirty years
ago. The ideas from his Computations Structures Group at MIT have borne much
fruit, and they are not the least of the sources of UML. I must also thank Mary
Loomis and Ashwin Shah, with whom I developed the original ideas of OMT, and
my former colleagues at GE R&D Center, Mike Blaha, Bill Premerlani, Fred Eddy,
and Bill Lorensen, with whom I wrote the OMT book.
Finally, without the patience of my wife, Madeline, and my sons, Nick and Alex,
there would have been no UML and no book about it.
James Rumbaugh
Cupertino, California
June 2004

M
L
U
Part 1: Background
This part describes general principles underlying UML, including the nature
and purpose of modeling and those aspects of the UML that pervade all functional
areas.

3
M
L
U
1
UML Overview
This chapter is a quick overview of UML and what it is good for.
Brief Summary of UML
The Unified Modeling Language (UML) is a general-purpose visual modeling lan-
guage that is used to specify, visualize, construct, and document the artifacts of a
software system. It captures decisions and understanding about systems that must
be constructed. It is used to understand, design, browse, configure, maintain, and
control information about such systems. It is intended for use with all develop-
ment methods, lifecycle stages, application domains, and media. The modeling
language is intended to unify past experience about modeling techniques and to
incorporate current software best practices into a standard approach. UML in-
cludes semantic concepts, notation, and guidelines. It has static, dynamic, envi-
ronmental, and organizational parts. It is intended to be supported by interactive
visual modeling tools that have code generators and report writers. The UML
specification does not define a standard process but is intended to be useful with
an iterative development process. It is intended to support most existing object-
oriented development processes.
The UML captures information about the static structure and dynamic behav-
ior of a system. A system is modeled as a collection of discrete objects that interact
to perform work that ultimately benefits an outside user. The static structure de-
fines the kinds of objects important to a system and to its implementation, as well
as the relationships among the objects. The dynamic behavior defines the history
of objects over time and the communications among objects to accomplish goals.
Modeling a system from several separate but related viewpoints permits it to be
understood for different purposes.
The UML also contains organizational constructs for arranging models into
packages that permit software teams to partition large systems into workable
pieces, to understand and control dependencies among the packages, and to
4Part 1 • Background
manage the versioning of model units in a complex development environment. It
contains constructs for representing implementation decisions and for organizing
run-time elements into components.
UML is not primarily a programming language. It can be used to write pro-
grams, but it lacks the syntactic and semantic conveniences that most program-
ming languages provide to ease the task of programming. Tools can provide code
generators from UML into a variety of programming languages, as well as con-
struct reverse-engineered models from existing programs. The UML is not a
highly formal language intended for theorem proving. There are a number of such
languages, but they are not easy to understand or to use for most purposes. The
UML is a general-purpose modeling language. For specialized domains, such as
GUI layout, VLSI circuit design, or rule-based artificial intelligence, a more spe-
cialized tool with a special language might be appropriate. UML is a discrete mod-
eling language. It is not intended to model continuous systems such as those found
in engineering and physics. UML is intended to be a universal general-purpose
modeling language for discrete systems such as those made of software, firmware,
or digital logic.
UML History
UML was developed in an effort to simplify and consolidate the large number of
object-oriented development methods that had emerged.
Object-oriented development methods
Development methods for traditional programming languages, such as Cobol and
Fortran, emerged in the 1970s and became widespread in the 1980s. Foremost
among them was Structured Analysis and Structured Design [Yourdon-79] and its
variants, such as Real-Time Structured Design [Ward-85] and others. These meth-
ods, originally developed by Constantine, DeMarco, Mellor, Ward, Yourdon, and
others, achieved some penetration into the large system area, especially for
government-contracted systems in the aerospace and defense fields, in which con-
tracting officers insisted on an organized development process and ample docu-
mentation of the system design and implementation. The results were not always
as good as hoped for—many computer-aided software engineering (CASE)
systems were little more than report generators that extracted designs after the
implementation was complete—but the methods included good ideas that were
occasionally used effectively in the construction of large systems. Commercial
applications were more reluctant to adopt large CASE systems and development
methods. Most businesses developed software internally for their own needs,
without the adversarial relationship between customer and contractors that char-
acterized large government projects. Commercial systems were perceived to be
Chapter 1 • UML Overview 5
simpler, whether or not this was actually true, and there was less need for review
by outside organizations.
The first object-oriented language is generally acknowledged to be Simula-67
[Birtwistle-75], developed in Norway in 1967. This language never had a signifi-
cant following, although it greatly influenced the developers of several of the later
object-oriented languages. The work of Dahl and Nygaard had a profound influ-
ence on the development of object orientation. The object-oriented movement be-
came active with the widespread availability of Smalltalk in the early 1980s,
followed by other object-oriented languages, such as Objective C, C++, Eiffel, and
CLOS. The actual usage of object-oriented languages was limited at first, but
object-orientation attracted a lot of attention. About five years after Smalltalk be-
came widely known, the first object-oriented development methods were pub-
lished by Shlaer/Mellor [Shlaer-88] and Coad/Yourdon [Coad-91], followed soon
thereafter by Booch [Booch-94], Rumbaugh/Blaha/Premerlani/Eddy/Lorensen
[Rumbaugh-91] (updated as [Blaha-05]), and Wirfs-Brock/Wilkerson/Wiener
[Wirfs-Brock-90] (note that copyright years often begin in July of the previous cal-
endar year). These books, added to earlier programming-language design books
by Goldberg/Robson [Goldberg-83], Cox [Cox-86], and Meyer [Meyer-88],
started the field of object-oriented methodology. The first phase was complete by
the end of 1990. The Objectory book [Jacobson-92] was published slightly later,
based on work that had appeared in earlier papers. This book took a somewhat
different approach, with its focus on use cases and the development process.
Over the next five years, a plethora of books on object-oriented methodology
appeared, each with its own set of concepts, definitions, notation, terminology,
and process. Some added useful new concepts, but overall there was a great simi-
larity among the concepts proposed by different authors. Many of the newer books
started from one or more of the existing methods and made extensions or minor
changes. The original authors were not idle either; most of them updated their
original work, often incorporating good ideas from other authors. In general,
there emerged a pool of common core concepts, together with a wide variety of
concepts embraced by one or two authors but not widely used. Even in the core
concepts, there were minor discrepancies among methods that made detailed
comparison somewhat treacherous, especially for the casual reader.
Unification effort
There were some early attempts to unify concepts among methods. A notable
example was Fusion by Coleman and his colleagues [Coleman-94], which in-
cluded concepts from OMT [Rumbaugh-91], Booch [Booch-94], and CRC
[Wirfs-Brock-90]. As it did not involve the original authors, it must be regarded as
another new method rather than as a replacement of several existing methods. The
first successful attempt to combine and replace existing approaches came when
6Part 1 • Background
Rumbaugh joined Booch at Rational Software Corporation in 1994. They began
combining the concepts from the OMT and Booch methods, resulting in a first
proposal in 1995. At that time, Jacobson also joined Rational and began working
with Booch and Rumbaugh. Their joint work was called the Unified Modeling
Language (UML). The momentum gained by having the authors of three of the
top methods working together to unify their approaches shifted the balance in the
object-oriented methodology field, where there had previously been little incen-
tive (or at least little willingness) for methodologists to abandon some of their own
concepts to achieve harmony.
In 1996, the Object Management Group (OMG) issued a request for proposals
for a standard approach to object-oriented modeling. UML authors Booch, Jacob-
son, and Rumbaugh began working with methodologists and developers from
other companies to produce a proposal attractive to the membership of OMG, as
well as a modeling language that would be widely accepted by tool makers, meth-
odologists, and developers who would be the eventual users. Several competing ef-
forts also were started. Eventually, all the proposals coalesced in the final UML
proposal that was submitted to the OMG in September 1997. The final product is a
collaboration among many people. We began the UML effort and contributed a
few good ideas, but the ideas in it are the product of many minds.
Standardization
The Unified Modeling Language was adopted unanimously by the membership of
the OMG as a standard in November 1997 [UML-98]. The OMG assumed respon-
sibility for the further development of the UML standard. Even before final adop-
tion, a number of books were published outlining the highlights of the UML.
Many tool vendors announced support or planned support for the UML, and sev-
eral methodologists announced that they would use UML notation for further
work. UML has now supplanted most, if not all, of the previous modeling nota-
tions in development processes, modeling tools, and articles in the technical litera-
ture. The emergence of the UML appears to have been attractive to the general
computing public because it consolidates the experiences of many authors with an
official status that has reduced gratuitous divergence among tools.
Noteworthy is a series of international research conferences with the title UML
yyyy, where yyyy is a year starting with 1998 and continuing annually [UMLConf].
Also note the yearly [ECOOP] and [OOPSLA] conferences dealing with object-
oriented technology in general.
UML2
After several years of experience using UML, the OMG issued requests for propos-
als to upgrade UML to fix problems uncovered by experience of use and to extend
Chapter 1 • UML Overview 7
it with additional capabilities that were desired in several application domains.
Proposals were developed from November 2000 to July 2003, with a specification
of UML version 2.0 being adopted by the OMG membership shortly thereafter
[UML-04]. The adopted specification underwent the normal OMG finalization
process to fix bugs and problems encountered in initial implementation, with a fi-
nal available specification expected at the end of 2004 or beginning of 2005.
In this book, we use the term UML1 to refer to UML specification versions 1.1
to 1.5 and UML2 to refer to UML specification versions 2.0 and higher.
New features. In general, UML2 is mostly the same as UML1, especially regarding
the most commonly used, central features. Some problem areas have been modi-
fied, a few major enhancements have been added, and many small bugs have been
fixed, but users of UML1 should have little trouble using UML2. The new version
may be considered like a new version of a programming language or an applica-
tion. Some of the most important changes visible to users are:
• Sequence diagram constructs and notation based largely on the ITU Message
Sequence Chart standard, adapted to make it more object-oriented.
• Decoupling of activity modeling concepts from state machines and the use of
notation popular in the business modeling community.
• Unification of activity modeling with the action modeling added in UML ver-
sion 1.5, to provide a more complete procedural model.
• Contextual modeling constructs for the internal composition of classes and col-
laborations. These constructs permit both loose and strict encapsulation and
the wiring of internal structures from smaller parts.
• Repositioning of components as design constructs and artifacts as physical enti-
ties that are deployed.
Internal mechanisms. Other changes affect the internal representation of UML
constructs (the metamodel) and its relationship to other specifications. These
changes will not concern most users directly, but they are important to toolmakers
because they affect interoperability across multiple specifications, therefore they
will affect users indirectly:
• Unification of the core of UML with the conceptual modeling parts of MOF
(Meta-Object Facility). This permits UML models to be handled by generic
MOF tools and repositories.
• Restructuring of the UML metamodel to eliminate redundant constructs and to
permit reuse of well-defined subsets by other specifications.
• Availability of profiles to define domain and technology-specific extensions of
UML.
8Part 1 • Background
Other sources
In addition to the various development methods cited above and a number of oth-
ers that came a bit later, certain UML views show strong influences from particular
non-object-oriented sources.
The static view, with classes connected by various relationships, is strongly in-
fluenced by Peter Chen’s Entity-Relationship (ER) model originally developed in
1976. The influence came into UML through most of the early object-oriented
methods. The ER model also heavily influenced database systems. The program-
ming language world and the database world have unfortunately mostly gone their
separate ways.
State machine models have been used in computer science and electrical engi-
neering for many years. David Harel’s statecharts are an important extension to
classical state machines that add the concept of nested and orthogonal states.
Harel’s ideas were adapted by OMT, and from there into other methods and even-
tually into UML, where they form the basis of the state machine view.
The sequence diagram notation of UML2 is taken from the ITU Message Se-
quence Chart (MSC) standard [ITU-T Z.120], adapted to make it match other
UML concepts better. This standard, which has been widely used in the telecom-
munications industry, replaces the sequence diagram notation of UML1 by adding
a number of structured constructs to overcome problems in the previous UML1
notation. The ITU is considering whether to adopt some or all of the changes into
the ITU standard.
The structured classifier concepts of UML2 were strongly influenced by the real-
time engineering constructs of SDL [ITU-T Z.100], MSC, and the ROOM method
[Selic-94].
The activity diagram notation of UML1, and even more that of UML2, is
heavily influenced by various business process modeling notations. Because no
single business process modeling notation was dominant, the UML notation was
selected from various sources.
There are many other influences of UML, and often the original source of an
idea precedes the person who is famous for popularizing it. About 20 persons were
major contributors to the UML1 specification, with many others participating in a
lesser way. Maybe 30 or so played major roles in the development of UML2, with
scores of others submitting suggestions, reviewing proposals, and writing books. It
is impossible to list everyone who contributed to UML, and the brief references
that we have included undoubtedly overlook some important contributors, for
which we ask understanding.
Chapter 1 • UML Overview 9
What does unified mean?
The word unified has the following relevant meanings for UML.
Across historical methods and notations. The UML combines the commonly ac-
cepted concepts from many object-oriented methods, selecting a clear definition
for each concept, as well as a notation and terminology. The UML can represent
most existing models as well as or better than the original methods can.
Across the development lifecycle. The UML is seamless from requirements to de-
ployment. The same set of concepts and notation can be used in different stages of
development and even mixed within a single model. It is unnecessary to translate
from one stage to another. This seamlessness is critical for iterative, incremental
development.
Across application domains. The UML is intended to model most application do-
mains, including those involving systems that are large, complex, real-time, dis-
tributed, data or computation intensive, among other properties. There may be
specialized areas in which a special-purpose language is more useful, but UML is
intended to be as good as or better than any other general-purpose modeling lan-
guage for most application areas.
Across implementation languages and platforms. The UML is intended to be
usable for systems implemented in various implementation languages and plat-
forms, including programming languages, databases, 4GLs, organization docu-
ments, firmware, and so on. The front-end work should be identical or similar in
all cases, while the back-end work will differ somewhat for each medium.
Across development processes. The UML is a modeling language, not a description
of a detailed development process. It is intended to be usable as the modeling lan-
guage underlying most existing or new development processes, just as a general-
purpose programming language can be used in many styles of programming. It is
particularly intended to support the iterative, incremental style of development
that we recommend.
Across internal concepts. In constructing the UML metamodel, we made a deliber-
ate effort to discover and represent underlying relationships among various con-
cepts, trying to capture modeling concepts in a broad way applicable to many
known and unknown situations. This process led to a better understanding of the
concepts and a more general applicability of them. This was not the original pur-
pose of the unification work, but it was one of the most important results.
10 Part 1 • Background
Goals of UML
There were a number of goals behind the development of UML. First and most
important, UML is a general-purpose modeling language that all modelers can
use. It is nonproprietary and based on common agreement by much of the com-
puting community. It is meant to include the concepts of the leading methods so
that it can be used as their modeling language. At the very least, it was intended to
supersede the models of OMT, Booch, and Objectory, as well as those of other par-
ticipants of the proposal. It was intended to be as familiar as possible; whenever
possible, we used notation from OMT, Booch, Objectory, and other leading meth-
ods. It is meant to support good practices for design, such as encapsulation, sepa-
ration of concerns, and capture of the intent of a model construct. It is intended to
address current software development issues, such as large scale, distribution, con-
currency, patterns, and team development.
UML is not intended to be a complete development method. It does not include
a step-by-step development process. We believe that a good development process
is crucial to the success of a software development effort, and we propose one in a
companion book [Jacobson-99]. It is important to realize that UML and a process
for using UML are two separate things. UML is intended to support all, or at least
most, of the existing development processes. UML includes the concepts that we
believe are necessary to support a modern iterative process based on building a
strong architecture to solve user-case–driven requirements.
A final goal of UML was to be as simple as possible while still being capable of
modeling the full range of practical systems that need to be built. UML needs to be
expressive enough to handle all the concepts that arise in a modern system, such as
concurrency and distribution, as well as software engineering mechanisms, such as
encapsulation and components. It must be a universal language, like any general-
purpose programming language. Unfortunately, that means that it cannot be small
if we want it to handle things other than toy systems. Modern languages and mod-
ern operating systems are more complicated than those of 50 years ago because we
expect much more of them. UML has several kinds of models; it is not something
you can master in one day. It is more complicated than some of its antecedents be-
cause it is intended to be more comprehensive. But you don’t have to learn it all at
once, any more than you would a programming language, an operating system, or
a complex user application, not to mention a natural language or skill.
Complexity of UML
UML is a large and varied modeling language intended for use on many different
levels and at many stages of the development lifecycle. It has been criticized for be-
ing large and complex, but complexity is inherent in any universal application that
is intended for realistic use on real-world problems, such as operating systems,
Chapter 1 • UML Overview 11
programming languages, multimedia editing applications, spreadsheet editors,
and desktop publishing systems. Such applications can be kept small only at the
cost of making them toys, and the developers of UML did not wish it to be a toy.
The complexity of UML must be understood in light of its history:
• UML is a product of consensus of persons with varied goals and interests. It
shares the qualities of the product of a democratic process. It is not as clean or
coherent as the product of a single will. It contains superfluous features (but dif-
ferent persons might disagree about exactly what is superfluous). It contains
overlapping features that are not always well integrated. Most of all, it lacks a
consistent viewpoint. Unlike a programming language, which has a fairly nar-
row usage, it is intended for all kinds of things, from business modeling to
graphical programming. Wide breadth of applicability usually comes at the ex-
pense of specificity.
• It was originally the merger of four or five leading modeling approaches, and
later has been the target for accommodating a number of existing notations,
such as SDL (Specification and Description Language, [ITU-T Z.100]), various
business modeling languages (which themselves had no single standard), action
languages, state machine notations, and so on. The desire to preserve previous
notation often creates inconsistencies across features and includes redundant
notation intended to cater to the familiarities of certain usage groups.
• The official specification documents have been written by teams of uneven abil-
ity. There is a wide variation in style, completeness, precision, and consistency
among various sections of the documents.
• UML is not a precise specification in the manner of a formal language. Al-
though the computer science community holds formality to be a virtue, few
mainstream programming languages are precisely defined, and formal lan-
guages are often inaccessible even to experts. It should also be noted that model-
ing is not the same as coding. In the construction industry, blueprints are
written in an informal style using many conventions that depend on the com-
mon sense of the craftsperson, but buildings are built from them successfully.
• The semantics sections sometimes contain vague statements without adequate
explanation and examples. Terms are introduced in metamodels and not well
distinguished from other terms. There are too many fine distinctions that some-
one thought important but did not explain clearly.
• There is far too much use of generalization at the expense of essential distinc-
tions. The myth that inheritance is always good has been a curse of object-
orientation from its earliest days.
• There is a tension between concepts for conceptual modeling and programming
language representation, with no consistent guidelines.
12 Part 1 • Background
UML Assessment
• UML is messy, imprecise, complex, and sprawling. That is both a fault and a vir-
tue. Anything intended for such widespread usage is going to be messy.
• You don’t have to know or use every feature of UML any more than you need to
know or use every feature of a large software application or programming lan-
guage. There is a small set of central concepts that are widely used. Other fea-
tures can be learned gradually and used when needed.
• UML can be and has been used in many different ways in real-world develop-
ment projects.
• UML is more than a visual notation. UML models can be used to generate code
and test cases. This requires an appropriate UML profile, use of tools matched
to the target platform, and choices among various implementation trade-offs.
• It is unnecessary to listen too much to UML language lawyers. There is no single
right way to use it. It is one of many tools that a good developer uses. It doesn’t
have to be used for everything. You can modify it to suit your own needs pro-
vided you have the cooperation of your colleagues and software tools.
UML Concept Areas
UML concepts and models can be grouped into the following concept areas.
Static structure. Any precise model must first define the universe of discourse, that
is, the key concepts from the application, their internal properties, and their rela-
tionships to each other. This group of constructs is the static view. Application
concepts are modeled as classes, each of which describes discrete objects that hold
information and communicate to implement behavior. The information they hold
is modeled as attributes; the behavior they perform is modeled as operations. Sev-
eral classes can share their common structure using generalization. A child class
adds incremental structure and behavior to the structure and behavior that it ob-
tains by inheritance from the common parent class. Objects also have run-time
connections to other individual objects. Such object-to-object relationships are
modeled as associations among classes. Some relationships among elements are
grouped together as dependency relationships, including relationships among lev-
els of abstraction, binding of template parameters, granting of permission, and us-
age of one element by another. Classes may have interfaces, which describe their
externally-visible behavior. Other relationships are include and extend dependen-
cies of use cases. The static view is notated using class diagrams and its variants.
The static view can be used to generate most data structure declarations in a pro-
gram. There are several other kinds of elements in UML diagrams, such as
interfaces, data types, use cases, and signals. Collectively, these are called classifiers,
Chapter 1 • UML Overview 13
and they behave much like classes with certain additions and restrictions on each
kind of classifier.
Design constructs. UML models are meant for both logical analysis and designs in-
tended for implementation. Certain constructs represent design items. A struc-
tured classifier expands a class into its implementation as a collection of parts held
together by connectors. A class can encapsulate its internal structure behind exter-
nally visible ports. A collaboration models a collection of objects that play roles
within a transient context. A component is a replaceable part of a system that con-
forms to and provides the realization of a set of interfaces. It is intended to be eas-
ily substitutable for other components that meet the same specification.
Deployment constructs. A node is a run-time computing resource that defines a lo-
cation. An artifact is a physical unit of information or behavior description in a
computing system. Artifacts are deployed on nodes. An artifact can be a manifes-
tation, that is, an implementation, of a component. The deployment view de-
scribes the configuration of nodes in a running system and the arrangement of
artifacts on them, including manifestation relationships to components.
Dynamic behavior. There are three ways to model behavior. One is the life history
of one object as it interacts with the rest of the world; another is the communica-
tion patterns of a set of connected objects as they interact to implement behavior;
the third is the evolution of the execution process as it passes through various
activities.
The view of an object in isolation is a state machine—a view of an object as it re-
sponds to events based on its current state, performs actions as part of its response,
and transitions to a new state. State machines are displayed in state machine dia-
grams.
An interaction overlays a structured classifier or collaboration with the flow of
messages between parts. Interactions are shown in sequence diagrams and com-
munication diagrams. Sequence diagrams emphasize time sequences, whereas
communication diagrams emphasize object relationships.
An activity represents the execution of a computation. It is modeled as a set of
activity nodes connected by control flows and data flows. Activities can model
both sequential and concurrent behavior. They include traditional flow-of-control
constructs, such as decisions and loops. Activity diagrams may be used to show
computations as well as workflows in human organizations.
Guiding all the behavior views is a set of use cases, each a description of a slice of
system functionality as visible to an actor, an external user of the system. The use
case view includes both the static structure of the use cases and their actors as well
as the dynamic sequences of messages among actors and system, usually expressed
as sequence diagrams or just text.
14 Part 1 • Background
Model organization. Computers can deal with large flat models, but humans can-
not. In a large system, the modeling information must be divided into coherent
pieces so that teams can work on different parts concurrently. Even on a smaller
system, human understanding requires the organization of model content into
packages of modest size. Packages are general-purpose hierarchical organizational
units of UML models. They can be used for storage, access control, configuration
management, and constructing libraries that contain reusable model fragments. A
dependency between packages summarizes the dependencies among the package
contents. A dependency among packages can be imposed by the overall system ar-
chitecture. Then the contents of the packages must conform to the package depen-
dencies and to the imposed system architecture.
Profiles. No matter how complete the facilities in a language, people will want to
make extensions. UML contains a limited extensibility capability that should ac-
commodate most of the day-to-day needs for extensions, without requiring a
change to the basic language. A stereotype is a new kind of model element with the
same structure as an existing element, but with additional constraints, a different
interpretation and icon, and different treatment by code generators and other
back-end tools. A stereotype defines a set of tagged values. A tagged value is a user-
defined attribute that applies to model elements themselves, rather than objects in
the run-time system. For example, tagged values may indicate project manage-
ment information, code generator guidance, and domain-specific information. A
constraint is a well-formedness condition expressed as a text string in some con-
straint language, such as a programming language, special constraint language, or
natural language. UML includes a constraint language called OCL. A profile is a
set of stereotypes and constraints for a particular purpose that can be applied to
user packages. Profiles can be developed for particular purposes and stored in li-
braries for use in user models. As with any extensibility mechanism, these mecha-
nisms must be used with care because of the risk of producing a private dialect
unintelligible to others. But they can avoid the need for more radical changes.

15
M
L
U
2
The Nature and Purpose of Models
This chapter explains what models are, what they are good for, and how they are
used. It also explains the various grades of models: ideal, partial, and tool-based.
What Is a Model?
A model is a representation in a certain medium of something in the same or an-
other medium. The model captures the important aspects of the thing being mod-
eled from a certain point of view and simplifies or omits the rest. Engineering,
architecture, and many other creative fields use models.
A model is expressed in a medium that is convenient for working. Models of
buildings may be drawings on paper, 3-d figures made of cardboard and papier-
mâché, or finite-element equations in a computer. A construction model of a
building shows the appearance of the building but can also be used to make engi-
neering and cost calculations.
A model of a software system is made in a modeling language, such as UML.
The model has both semantics and notation and can take various forms that in-
clude both pictures and text. The model is intended to be easier to use for certain
purposes than the final system.
What Are Models For?
Models are used for several purposes.
To capture and precisely state requirements and domain knowledge so that all
stakeholders may understand and agree on them. Various models of a building
capture requirements about the appearance, traffic patterns, various kinds of util-
ity services, strength against wind and earthquakes, cost, and many other things.
Stakeholders include the architect, structural engineer, general contractor, various
subcontractors, owner, renters, and the city.
16 Part 1 • Background
Different models of a software system may capture requirements about its appli-
cation domain, the ways users will use it, its breakdown into modules, common
patterns used in its construction, and other things. Stakeholders include the archi-
tect, analysts, programmers, project manager, customers, funders, end users, and
operators. Various kinds of UML models are used.
To think about the design of a system. An architect uses models on paper, on a
computer, or as 3-d constructs to visualize and experiment with possible designs.
The simplicity of creating and modifying small models permits creative thought
and innovation at little cost.
A model of a software system helps developers explore several architectures and
design solutions easily before writing code. A good modeling language allows the
designer to get the overall architecture right before detailed design begins.
To capture design decisions in a mutable form separate from the requirements. One
model of a building shows the external appearance agreed to with the customer.
Another model shows the internal routing of wires, pipes, and ventilation ducts.
There are many ways to implement these services. The final model shows a design
that the architect believes is a good one. The customer may verify this information,
but often customers are not concerned about the details, as long as they work.
One model of a software system can capture the external behavior of a system
and the real-world domain information represented by the system. Another model
shows the internal classes and operations that implement the external behavior.
There are many ways to implement the behavior; the final design model shows one
approach that the designer believes is a good one.
To generate usable work products. A model of a building can be used to generate
various kinds of products. These include a bill of materials, a simulated animated
walkthrough, a table of deflections at various wind speeds, and a visualization of
strain at various points in the frame.
A model of a software system can be used to generate class declarations, proce-
dure bodies, user interfaces, databases, scenarios of legal use, configuration scripts,
and lists of race conditions.
To organize, find, filter, retrieve, examine, and edit information about large sys-
tems. A model of a building organizes information by service: structural, electrical,
plumbing, ventilation, decoration, and so on. Unless the model is on a computer,
however, finding things and modifying them are not so easy. If it is on a computer,
changes can be made and recalled easily, and multiple designs can be easily ex-
plored while sharing some common elements.
A model of a software system organizes information into several views: static
structure, state machines, interactions, requirements, and so on. Each view is a
projection of the information in the complete model as selected for a purpose.
Chapter 2 • The Nature and Purpose of Models 17
Keeping a model of any size accurate is impossible without having an editing tool
that manages the model. An interactive graphical model editor can present infor-
mation in different formats, hide information that is unnecessary for a given pur-
pose and show it again later, group related operations together, make changes to
individual elements, as well as change groups of elements with one command, and
so on.
To explore multiple solutions economically. The advantages and risks of different
design methods for buildings may not be clear at first. For example, different sub-
structures may interact in complicated ways that cannot be evaluated in an engi-
neer’s head. Models can explore the various designs and permit calculations of
costs and risks before the actual building is constructed.
Models of a large software system permit several designs to be proposed and
compared. The models are not constructed in full detail, of course, but even a
rough model can expose many issues the final design must deal with. Modeling
permits several designs to be considered, at a small cost of implementing any one
design.
To master complex systems. An engineering model of a tornado approaching a
building provides understanding that is not possible from a real-world building. A
real tornado cannot be produced on demand, and it would destroy the measuring
instruments, anyway. Many fast, small, or violent physical processes can now be
understood using physical models.
A model of a large software system permits dealing with complexity that is too
difficult to deal with directly. A model can abstract to a level that is comprehensi-
ble to humans, without getting lost in details. A computer can perform compli-
cated analyses on a model in an effort to find possible trouble spots, such as timing
errors and resource overruns. A model can determine the potential impact of a
change before it is made, by exploring dependencies in the system. A model can
also show how to restructure a system to reduce such effects.
Levels of Models
Models take on different forms for various purposes and appear at different levels
of abstraction. The amount of detail in the model must be adapted to one of the
following purposes.
Guides to the thought process. High-level models built early in a project serve to fo-
cus the thought process of the stakeholders and highlight options. They capture
requirements and represent a starting point toward a system design. The early
models help the originators explore possible options before converging on a sys-
tem concept. As design progresses, the early models are replaced by more accurate
models. There is no need to preserve every twist and turn of the early exploratory
18 Part 1 • Background
process. Its purpose is to produce ideas. The final “thinking models” should be
preserved even after the focus shifts to design issues, however. Early models do not
require the detail or precision of an implementation model, and they do not re-
quire a full range of implementation concepts. Such models use a subset of UML
constructs, a more limited subset than later design models.
When an early model is a complete view of a system at a given precision—for
example, an analysis model of what must be done—then it should be preserved
when development shifts to the next stage. There is an important difference be-
tween adding detail (in which case, the chain of reasoning should be preserved)
and the normal random-walk process of exploring many dead ends before arriving
at the right solution. In the latter case, it is usually overwhelming and unnecessary
to save the entire history except in extraordinary situations in which complete
traceability is required.
Abstract specifications of the essential structure of a system. Models in the analysis
or preliminary design stages focus on the key concepts and mechanisms of the
eventual system. They correspond in certain ways with the final system. But details
are missing from the model, which must be added explicitly during the design pro-
cess. The purpose of the abstract models is to get the high-level pervasive issues
correct before tackling the more localized details. These models are intended to be
evolved into the final models by a careful process that guarantees that the final sys-
tem correctly implements the intent of the earlier models. There must be traceabil-
ity from these essential models to the full models; otherwise, there is no assurance
that the final system correctly incorporates the key properties that the essential
model sought to show. Essential models focus on semantic intent. They do not
need the full range of implementation options. Indeed, low-level performance dis-
tinctions often obscure the logical semantics. The path from an essential model to
a complete implementation model must be clear and straightforward, however,
whether it is generated automatically by a code generator or evolved manually by a
designer.
Full specifications of a final system. An implementation model includes enough
information to build the system. It must include not only the logical semantics of
the system and the algorithms, data structures, and mechanisms that ensure
proper performance, but also organizational decisions about the system artifacts
that are necessary for cooperative work by humans and processing by tools. This
kind of model must include constructs for packaging the model for human under-
standing and for computer convenience. These are not properties of the target ap-
plication itself. Rather, they are properties of the construction process.
Exemplars of typical or possible systems. Well-chosen examples can give insight to
humans and can validate system specifications and implementations. Even a large
collection of examples, however, necessarily falls short of a definitive description.
Chapter 2 • The Nature and Purpose of Models 19
Ultimately, we need models that specify the general case; that is what a program is,
after all. Examples of typical data structures, interaction sequences, or object his-
tories can help a human trying to understand a complicated situation, however.
Examples must be used with some care. It is logically impossible to induce the gen-
eral case from a set of examples, but well-chosen prototypes are the way most peo-
ple think. An example model includes instances rather than general descriptors. It
therefore tends to have a different feel than a generic descriptive model. Example
models usually use only a subset of the UML constructs, those that deal with in-
stances. Both descriptive models and exemplar models are useful in modeling a
system.
Complete or partial descriptions of systems. A model can be a complete description
of a single system with no outside references. More often, it is organized as a set of
distinct, discrete units, each of which may be stored and manipulated separately as
a part of the entire description. Such models have “loose ends” that must be bound
to other models in a complete system. Because the pieces have coherence and
meaning, they can be combined with other pieces in various ways to produce
many different systems. Achieving reuse is an important goal of good modeling.
Models evolve over time. Models with greater degrees of detail are derived from
more abstract models, and more concrete models are derived from more logical
models. For example, a model might start as a high-level view of the entire system,
with a few key services in brief detail and no embellishments. Over time, much
more detail is added and variations are introduced. Also over time, the focus shifts
from a front-end, user-centered logical view to a back-end, implementation-
centered physical view. As the developers work with a system and understand it
better, the model must be iterated at all levels to capture that understanding; it is
impossible to understand a large system in a single, linear pass. There is no one
“right” form for a model.
What Is in a Model?
Semantics and presentation. Models have two major aspects: semantic informa-
tion (semantics) and visual presentation (notation).
The semantic aspect captures the meaning of an application as a network of log-
ical constructs, such as classes, associations, states, use cases, and messages. Se-
mantic model elements carry the meaning of the model—that is, they convey the
semantics. The semantic modeling elements are used for code generation, validity
checking, complexity metrics, and so on. The visual appearance is irrelevant to
most tools that process models. The semantic information is often called the
model. A semantic model has a syntactic structure, well-formedness rules, and ex-
ecution dynamics. These aspects are often described separately (as in the UML
definition documents), but they are tightly interrelated parts of a single coherent
model.
20 Part 1 • Background
The visual presentation shows semantic information in a form that can be seen,
browsed, and edited by humans. Presentation elements carry the visual presenta-
tion of the model—that is, they show it in a form directly apprehensible by hu-
mans. They do not add meaning, but they do organize the presentation to
emphasize the arrangement of the model in a usable way. They therefore guide hu-
man understanding of a model. Presentation elements derive their semantics from
semantic model elements. But inasmuch as the layout of the diagrams is supplied
by humans, presentation elements are not completely derivable from logical ele-
ments. The arrangement of presentation elements may convey connotations about
semantic relationships that are too weak or ambiguous to formalize in the seman-
tic model but are nevertheless suggestive to humans.
Context. Models are themselves artifacts in a computer system, and they are used
within a larger context that gives them their full meaning. This context includes
the internal organization of the model, annotations about the use of each model in
the overall development process, a set of defaults and assumptions for element cre-
ation and manipulation, and a relationship to the environment in which they are
used.
Models require an internal organization that permits simultaneous use by mul-
tiple work groups without undue interference. This decomposition is not needed
for semantic reasons—a large monolithic model would be as precise as a set of
models organized into coherent packages, maybe even more precise because the
organizational boundaries complicate the job of defining precise semantics. But
teams of workers could not work effectively on a large monolithic model without
constantly getting in each other’s way. Moreover, a monolithic model has no pieces
that can be reused in other situations. Finally, changes to a large model have conse-
quences that are difficult to determine. Changes to a small, isolated piece of a large
model can be tractable if the model is properly structured into subsystems with
well-defined interfaces. In any case, dividing large systems into a hierarchy of well-
chosen pieces is the most reliable way to design large systems that humans have in-
vented over thousands of years.
Models capture semantic information about an application system, but they
also need to record many kinds of information about the development process it-
self, such as the author of a class, the debug status of a procedure, and who is per-
mitted to edit a diagram. Such information is, at best, peripheral to the semantics
of the system, but it is important to the development process. A model of a system
therefore needs to include both viewpoints. This is most easily achieved by regard-
ing the project management information as annotations to the semantic model—
that is, arbitrary descriptions attached to model elements but whose meaning is
outside the modeling language. In UML these annotations are implemented as text
strings whose usage is defined by optional profiles.
Chapter 2 • The Nature and Purpose of Models 21
The commands used to create and modify a model are not part of the semantics
of the modeling language any more than the commands of a text editor or browser
are part of the semantics of a programming language. Model element properties
do not have default values; in a particular model, they simply have values. For
practical development, however, humans need to build and modify models with-
out having to specify everything in full detail. Default values exist in the boundary
between the modeling language and the editing tool that supports it. They are re-
ally defaults on the tool commands that create a model, although they may tran-
scend an individual tool and become user expectations about the implementation
of the language by tools in general.
Models are not built and used in isolation. They are part of a larger environment
that includes modeling tools, languages and compilers, operating systems, net-
works of computers, implementation constraints, and so on. The information
about a system includes information about all parts of the environment. Some of it
will be stored in a model even though it is not semantic information. Examples in-
clude project management annotations (discussed above), code generation hints
and directives, model packaging, and default command settings for an editor tool.
Other information may be stored separately. Examples include program source
code and operating system configuration commands. Even if some information is
part of a model, the responsibility for interpreting it may lie in various places, in-
cluding the modeling language, the modeling tool, the code generator, the com-
piler, a command language, and so on. This book describes the interpretation of
models that is defined in the UML specification, and which therefore applies to all
uses of UML. But when operating in a physical development environment, other
sources may add additional interpretations beyond that given in the UML specifi-
cation.
What Does a Model Mean?
A model is a generator of potential configurations of systems; the possible systems
are its extent, or values. Ideally, all configurations consistent with the model should
be possible. Sometimes, however, it is not possible to represent all constraints
within a model. A model is also a description of the generic structure and meaning
of a system. The descriptions are its intent, or meaning. A model is always an ab-
straction at some level. It captures the essential aspects of a system and ignores
some of the details. The following aspects must be considered for models.
Abstraction versus detail. A model captures the essential aspects of a system and
ignores others. Which ones are essential is a matter of judgment that depends on
the purpose of the model. This is not a dichotomy; there may be a spectrum of
models of increasing precision. A modeling language is not a programming
language. A modeling language may permit models to be specified at various levels
22 Part 1 • Background
of detail. An early model or a high-level model may not require full detail, because
additional detail may be irrelevant for the purpose at hand. Models at different
levels of precision can be used across the life of a project. A model intended for
code generation requires at least some programming language issues to be ad-
dressed. Typically, models have low precision during early analysis. They gain de-
tail as the development cycle progresses, so the final models have considerable
detail and precision.
Specification versus implementation. A model can tell what something does (spec-
ification) as well as how the function is accomplished (implementation). These as-
pects should be separated in modeling. It is important to get the what correct
before investing much time in the how. Abstracting away from implementation is
an important facet of modeling. There may be a chain of several specification-
implementation relationships, in which each implementation defines the specifi-
cations for the next layer.
Description versus instance. Models are descriptions. The things they describe are
instances, which usually appear in models only as examples. Most instances exist
only as part of the run-time execution. Sometimes, however, run-time instances
are themselves descriptions of other things. We call these hybrid objects metadata.
Looked at more deeply, it is unrealistic to insist that everything is either an in-
stance or a description. Something is an instance or a description not in isolation
but only in relation to something else, and most things can be approached from
multiple viewpoints.
Variations in interpretation. There are many possible interpretations of models in
a modeling language. One can define certain semantic variation points—places at
which different interpretations are possible—and assign each interpretation a
name as a semantic variation so that one can state which variation is being used.
For example, the Self language has a different mechanism for finding methods
than the Smalltalk language; a semantic variation point on the method resolution
mechanism allows either programming language to be supported. Semantic varia-
tion points permit different execution models to be supported.

M
L
U
Part 2: UML Concepts
This part contains an overview of UML concepts to show how they fit together
in modeling a system. This part is not meant to describe concepts in full detail. For
full details about a UML concept, see the encyclopedia section of this book.

25
M
L
U
3
UML Walkthrough
This chapter presents a brief walkthrough of UML concepts and diagrams using a
simple example. The purpose of the chapter is to organize the high-level UML
concepts into a small set of views and diagrams that present the concepts visually.
It shows how the various concepts are used to describe a system and how the views
fit together. This summary is not intended to be comprehensive; many concepts
are omitted. For more details, see the subsequent chapters that outline the UML
semantic views, as well as the detailed reference material in the encyclopedia chap-
ter.
The example used here is a theater box office that has computerized its opera-
tions. This is a contrived example, the purpose of which is to highlight various
UML constructs in a brief space. It is deliberately simplified and is not presented in
full detail. Presentation of a full model from an implemented system would nei-
ther fit in a small space nor highlight a sufficient range of constructs without ex-
cessive repetition.
UML Views
There is no sharp line between the various concepts and constructs in UML, but,
for convenience, we divide them into several views. A view is simply a subset of
UML modeling constructs that represents one aspect of a system. The division into
different views is somewhat arbitrary, but we hope it is intuitive. One or two kinds
of diagrams provide a visual notation for the concepts in each view. The views
used in this book are not part of the UML specification, but we use them as an aid
to organizing and presenting the UML concepts.
At the top level, views can be divided into these areas: structural classification,
dynamic behavior, physical layout, and model management.
Table 3-1 shows the UML views and the diagrams that display them, as well as
the main concepts relevant to each view. This table should not be taken as a rigid
set of rules but merely as a guide to normal usage, as mixing of views is permitted.

26 Part 2 • UML Concepts
Structural classification describes the things in the system and their relation-
ships to other things. The classifier concept models things in a system. Classifiers
include class, use case, actor, node, collaboration, and component.
Classifiers provide the basis on top of which dynamic behavior is built. Struc-
tural views include the static view, design view, and use case view.
Dynamic behavior describes the behavior of a system or other classifier over
time. Behavior can be described as a series of changes to snapshots of the system
drawn from the static view. Dynamic behavior views include the state machine
view, activity view, and interaction view.
Physical layout describes the computational resources in the system and the de-
ployment of artifacts on them. This includes the deployment view.
Model management describes the organization of the models themselves into
hierarchical units. The package is the generic organizational unit for models. A
model is a package hierarchy that provides a semantically complete abstraction of
a system from a particular viewpoint. The model management view crosses the
other views and organizes them for development work and configuration control.
Ta b l e 3 - 1 : UML Views and Diagrams
Major
Area View Diagram Main Concepts
structural static view class diagram association, class, depen-
dency, generalization,
interface, realization
design view internal
structure
connector, interface, part,
port, provided interface,
role, required interface
collaboration
diagram
connector, collaboration,
collaboration use, role
component
diagram
component, dependency,
port, provided interface,
realization, required
interface, subsystem
use case view use case
diagram
actor, association, extend,
include, use case, use case
generalization

Chapter 3 • UML Walkthrough 27
Extensions to UML are organized into profiles. UML profiles declare several
constructs intended to provide a limited but useful extensibility capability. These
constructs include constraints, stereotypes, and tag definitions. Profiles are de-
clared on class diagrams and applied on package diagrams. Stereotypes are usually
applied on class diagrams, although they can appear in other places also. Profiles
may also include libraries of domain-specific classes.
Ta b l e 3 - 1 : UML Views and Diagrams (continued)
Major
Area View Diagram Main Concepts
dynamic state machine
view
state machine
diagram
completion transition,
do activity, effect, event,
region, state, transition,
trigger
activity view activity diagram action, activity,
control flow, control node,
data flow, exception,
expansion region, fork,
join, object node, pin
interaction view sequence
diagram
occurrence specification,
execution specification,
interaction,
interaction fragment,
interaction operand,
lifeline, message, signal
communication
diagram
collaboration,
guard condition, message,
role, sequence number
physical deployment view deployment
diagram
artifact, dependency,
manifestation, node
model
manage-
ment
model
management
view
package
diagram
import, model, package
profile package
diagram
constraint, profile,
stereotype, tagged value

28 Part 2 • UML Concepts
Static View
The static view models concepts in the application domain as well as internal con-
cepts invented as part of the implementation of an application. This view is static
because it does not describe the time-dependent behavior of the system, which is
described in other views. The main constituents of the static view are classes and
their relationships: association, generalization, and various kinds of dependency,
such as realization and usage. A class is the description of a concept from the appli-
cation domain or the application solution. Classes are the center around which the
class view is organized; other elements are owned by or attached to classes. The
static view is displayed in class diagrams, so called because their main focus is the
description of classes.
Figure 3-1. Class diagram
Reservation
Ticket
name: String
owner
purchased
1
∗
Subscription
Series Individual
Reservation
1
3..6
Customer
phone: String
date: Date
series: Integer 0..1
Performance
date: Date
seat: String
1
0..1 {xor}
available:Boolean time: TimeOfDay
Show
1..
∗
1show
performances
name: String
class
sell (c:Customer)
exchange ()
add (name,phone)
association
generalization
qualifier
constraint
attributes
static operation
operations
multiplicities
rolenames
(association end names)
0..1
Chapter 3 • UML Walkthrough 29
Classes are drawn as rectangles. Lists of attributes and operations are shown in
separate compartments. The compartments can be suppressed when full detail is
not needed. A class may appear on several diagrams. The attributes and operations
are often shown on one diagram (the “home” diagram) and suppressed on other
diagrams.
Relationships among classes are drawn as paths connecting class rectangles. The
different kinds of relationships are distinguished by line texture and by adorn-
ments on the paths or their ends.
Figure 3-1 shows a class diagram from the box office application. This diagram
contains part of a ticket-selling domain model. It shows several important classes,
such as Customer, Reservation, Ticket, and Performance. Customers may have
many reservations, but each reservation is made by one customer. Reservations are
of two kinds: subscription series and individual reservations. Both reserve tickets:
in one case, only one ticket; in the other case, several tickets. Every ticket is part of
a subscription series or an individual reservation, but not both. Every performance
has many tickets available, each with a unique seat number. A performance can be
identified by a show, date, and time.
Classes can be described at various levels of precision and concreteness. In the
early stages of design, the model captures the more logical aspects of the problem.
In the later stages, the model also captures design decisions and implementation
details. Most of the views have a similar evolutionary quality.
Design Views
The previous views model the concepts in the application from a logical view-
point. The design views model the design structure of the application itself, such
as its expansion into structured classifiers, the collaborations that provide func-
tionality, and its assembly from components with well-defined interfaces. These
views provide an opportunity to map classes onto implementation components
and expand high-level classes into supporting structure. Implementation diagrams
include the internal structure diagram, the collaboration diagram, and the compo-
nent diagram.
Internal structure diagram
Once the design process begins, classes must be decomposed into collections of
connected parts that may be further decomposed in turn. A structured classifier
models the parts of a class and their contextual connectors. A structured class can
be encapsulated by forcing communications from outside to pass through ports
obeying declared interfaces.
An internal structure diagram shows the decomposition of a class. Figure 3-2
shows a internal structure diagram for the box office in the ticketing system. This

30 Part 2 • UML Concepts
class is decomposed into three parts: a ticket seller interface, a performance guide
that retrieves performances according to date and other criteria, and a set of data-
bases that contain the data on the performances and the tickets. Each part interacts
through a well-defined interface specified by its ports. The entire box office inter-
acts with the outside through a port. Messages on this port are dispatched to the
ticket seller class, but the internal structure of the box office class is hidden from
outside clients.
Collaboration diagram
A collaboration is a contextual relationship among a set of objects that work to-
gether to fulfill some purpose. It contains a collection of roles—contextual slots
within a generic pattern that can be played by, or bound to, individual objects.
There may be connectors providing contextual relationships among the roles.
Figure 3-3 shows a collaboration diagram for the theater sales system. Three
kinds of separate components interact to provide the functionality of the system:
kiosks, sales terminals, and the box office application. These distinct components
are not owned by a single overall class, but they cooperate in well-defined ways to
provide services to the users.
Figure 3-2. Internal structure diagram
seller:TicketSeller
guide:PerformanceGuide
db:PerformanceDB[*]
BoxOffice
1
*
sellTickets

Chapter 3 • UML Walkthrough 31
Component diagram
A component is a kind of structured classifier, so its internal structure may be de-
fined on an internal structure diagram. Figure 3-4 shows the internal structure of
the theater sales system. The theater sales system is defined as a component whose
internal structure contains uses of other components. There are three user
interfaces: one each for customers using a kiosk, clerks using the on-line reserva-
tion system, and supervisors making queries about ticket sales. There is a ticket
seller component that sequentializes requests from both kiosks and clerks, a com-
ponent that processes credit card charges, and the repository containing the ticket
information. The component definition diagram provides the structure of a kind
of component; a particular configuration of the application may use more than
one copy of a component.
A small circle attached to a component or a class is a provided interface—a
coherent set of services made available by a component or class. A small semicircle
attached to a component or a class is a required interface—a statement that the
component or class needs to obtain services from an element that provides them.
For example, subscription sales and group sales are both provided by the ticket
seller component; subscription sales are accessible from both kiosks and clerks,
but group sales are only accessible from a clerk. Nesting a provided interface and a
required interface indicates that one component will call on the other to obtain the
needed services. Note that interfaces may be used on all classifiers, not just com-
ponents.
A component diagram shows the components in a system—that is, the software
units from which the application is constructed—as well as the dependencies
among components so that the impact of a proposed change can be assessed.
Figure 3-5 shows a component diagram for the components used in the credit card
Figure 3-3. Collaboration diagram
kiosk:Kiosk[*] :BoxOffice terminal:SalesTerminal[*]
TheatreSales
** 11

32 Part 2 • UML Concepts
agency component. The dashed dependency lines show compatible provided and
required interfaces, but when the interfaces have the same names the dependency
lines are redundant. In this example, the component diagram adds little to the in-
ternal structure diagram. In a larger example, the component diagram would
combine components used in many different places.
Figure 3-4. Component definition
:TicketSeller
subscriptionSales
:ClerkInterface
:Tickets
:KioskInterface
groupSales
individualSales
:CreditCardCharges
charge purchase
status
:ManagerInterface
CreditCardAgency
required interface
component use
supplier
client
provided interface
required interface
applyCharges
port
delegation connector
manage
provided interface
customerAccess clerkAccess
component definition

Chapter 3 • UML Walkthrough 33
Figure 3-5. Component diagram
TicketSeller
subscription
ClerkInterface
Tickets
KioskInterface
groupSales
CreditCardCharges
charge
purchase
status
ManagerInterface
applyCharges
manage
customerAccess clerkAccess
status
purchase
charge
individual
Sales
individual
Sales subscription
Sales individual
Sales
group
Sales
subscription
Sales Sales
CreditCardAgency
applyCharges
manage customer
clerkAccess
Access component definition
compatible interfaces
provided interface
required interface
port
provided interface on port

34 Part 2 • UML Concepts
Use Case View
The use case view models the functionality of a subject (such as a system) as per-
ceived by outside agents, called actors, that interact with the subject from a partic-
ular viewpoint. A use case is a unit of functionality expressed as a transaction
among actors and the subject. The purpose of the use case view is to list the actors
and use cases and show which actors participate in each use case. The behavior of
use cases is expressed using dynamic views, particularly the interaction view.
Figure 3-6 shows a use case diagram for the box office example. Actors include
the clerk, supervisor, and kiosk. The kiosk is a separate system that accepts orders
from a customer. The box office class is the subject of the use cases, that is, the class
whose behavior they describe. The customer is not an actor in the box office appli-
cation because the customer is not directly connected to the application. Use cases
include buying tickets through the kiosk or the clerk, buying subscriptions (only
through the clerk), and surveying total sales (at the request of the supervisor).
Buying tickets and buying subscriptions include a common fragment—that is,
Figure 3-6. Use case diagram
Kiosk
Supervisor
buy
subscription
survey
sales
buy
tickets
Box Office
make
Credit card service
Clerk
charges
«include»
«include»
subject
actor
use case
relationship

Chapter 3 • UML Walkthrough 35
making charges to the credit card service. (A complete description of a box office
system would involve a number of other use cases, such as exchanging tickets and
checking availability.)
Use cases can also be described at various levels of detail. They can be factored
and described in terms of other, simpler use cases. A use case is implemented as a
collaboration in the interaction view.
State Machine View
A state machine models the possible life histories of an object of a class. A state
machine contains states connected by transitions. Each state models a period of
time during the life of an object during which it satisfies certain conditions. When
an event occurs, it may cause the firing of a transition that takes the object to a new
state. When a transition fires, an effect (action or activity) attached to the transi-
tion may be executed. State machines are shown as state machine diagrams.
Figure 3-7 shows a state machine diagram for the history of a ticket to a perfor-
mance. The initial state of a ticket (shown by the black dot) is the Available state.
Before the season starts, seats for season subscribers are assigned. Individual tick-
ets purchased interactively are first locked while the customer makes a selection.
After that, they are either sold or unlocked if they are rejected. If the customer
takes too long to make a selection, the transaction times out and the seat is un-
locked. Seats sold to season subscribers may be exchanged for other performances,
in which case they become available again.
State machines may be used to describe user interfaces, device controllers, and
other reactive subsystems. They may also be used to describe passive objects that
go through several qualitatively distinct phases during their lifetime, each of which
has its own special behavior.
Figure 3-7. State machine diagram
Available Locked Sold
select/lock() accept/buy()
reject/unlock()
timed out/unlock()
exchange(other)/assign();reset(other)
subscribe/assign()
state
transition
initial state
trigger event event parameter effect

36 Part 2 • UML Concepts
Figure 3-8. Activity diagram
propose show
schedule show
publicize show
sell tickets
hire buy scripts build make design
rehearse
dress rehearsal
perform
artists sets lighting costumesand music
activity
fork
join
completion
transition
decision
activity final node
initial node
produce?
[yes] [no]
Chapter 3 • UML Walkthrough 37
Activity View
An activity shows the flow of control among the computational activities involved
in performing a calculation or a workflow. An action is a primitive computational
step. An activity node is a group of actions or subactivities. An activity describes
both sequential and concurrent computation. Activities are shown on activity
diagrams.
Figure 3-8 shows an activity diagram for the box office. This diagram shows the
activities involved in mounting a show. (Don’t take this example too seriously if
you have theater experience!) Arrows show sequential dependencies. For example,
shows must be picked before they are scheduled. Heavy bars show forks or joins of
control. For example, after the show is scheduled, the theater can begin to publi-
cize it, buy scripts, hire artists, build sets, design lighting, and make costumes, all
concurrently. Before rehearsal can begin, however, the scripts must be ordered and
the artists must be hired.
This example shows an activity diagram the purpose of which is to model the
real-world workflows of a human organization. Such business modeling is a major
purpose of activity diagrams, but activity diagrams can also be used for modeling
software activities. An activity diagram is helpful in understanding the high-level
execution behavior of a system, without getting involved in the internal details of
message passing required by a collaboration diagram.
The input and output parameters of an activity can be shown using flow rela-
tionships connecting the action and object nodes.
Interaction View
The interaction view describes sequences of message exchanges among the parts of
a system. An interaction is based on a structured classifier or a collaboration. A
role is a slot that may be filled by objects in a particular use of an interaction. This
view provides a holistic view of behavior in a system—that is, it shows the flow of
control across many objects. The interaction view is displayed in two diagrams fo-
cused on different aspects: sequence diagrams (Figure 3-9) and communication
diagrams (Figure 3-10).
Sequence diagram
A sequence diagram shows a set of messages arranged in time sequence. Each role
is shown as a lifeline—that is, a vertical line that represents the role over time
through the entire interaction. Messages are shown as arrows between lifelines. A
sequence diagram can show a scenario—that is, an individual history of a transac-
tion. Structured control constructs, such as loops, conditionals, and parallel exe-
cution, are shown as nested rectangles with keywords and one or more regions.

38 Part 2 • UML Concepts
One use of a sequence diagram is to show the behavior sequence of a use case.
When the behavior is implemented, each message on a sequence diagram cor-
responds to an operation on a class or an event trigger on a transition in a state
machine.
Figure 3-9 shows a sequence diagram for the buy tickets use case. The context of
the use case execution is a collaboration involving three roles: one each of types
Kiosk, Box Office, and Credit Card Service. This use case is initiated by the cus-
tomer at the kiosk communicating with the box office. The steps for the make
charges use case are included within the sequence, which involves communication
Figure 3-9. Sequence diagram
kiosk: Kiosk box office: Box Office
request (count, performance)
show availability (seat-list)
select (seats)
insert card (card number)
credit card
charge (card number, cost)
demand payment (cost)
authorized
print tickets (performance, seats)
service: Credit
eject card
lifeline
message
head symbol
sd ticketing
loop
unauthorized
reject
alt
Card Service

Chapter 3 • UML Walkthrough 39
with both the kiosk and the credit card service. Both a successful and an unsuc-
cessful scenario are shown as alternatives. This sequence diagram is at an early
stage of development and does not show the full details of the user interface. For
example, the exact form of the seat list and the mechanism of specifying seats must
still be determined, but the essential communication of the interaction has been
specified by the use case.
Communication diagram
A communication diagram shows roles in an interaction as a geometric arrange-
ment (Figure 3-10). Each rectangle shows a role—more precisely, a lifeline repre-
senting the life of an object over time. The messages among objects playing roles
are shown as arrows attached to connectors. The sequence of messages is indicated
by sequence numbers prepended to message descriptions.
Figure 3-10. Communication diagram
kiosk
ticketSeller db: PerformanceDB[*]
performanceGuide
guide
1: request (count, performance)
2: db := findDB (performance)
3: seat-list := lock (count)
6: claim (seats)
4: offer (seat-list)
5: buy (seats)
7: unlock (seat-list)
8: confirm (seats, cost)
db
role bound to active objects
role bound to passive objects
link
message
connector bound to transient links
guide: DBCluster
connector bound to persistent links
40 Part 2 • UML Concepts
One use of a communication diagram is to show the implementation of an op-
eration. A collaboration shows the parameters and local variables of the operation
as roles, as well as more permanent associations. When the behavior is imple-
mented, the message sequencing on a communication diagram corresponds to the
nested calling structure and signal passing of the program.
Figure 3-10 shows a communication diagram for part of the reserve tickets in-
teraction at a later stage of development. It shows the interaction among internal
objects in the application to reserve tickets. The request arrives from the kiosk and
is used to find the database for the particular performance from the set of all per-
formances. The pointer db that is returned to the ticketSeller object represents a
local transient link to a performance database that is maintained during the inter-
action and then discarded. The ticket seller requests a number of seats to the per-
formance; a selection of seats in various price ranges is found, temporarily locked,
and returned to the kiosk for the customer’s selection. When the customer makes a
selection from the list of seats, the selected seats are claimed and the rest are
unlocked.
Both sequence diagrams and communication diagrams show interactions, but
they emphasize different aspects. A sequence diagram shows time sequence as a
geometric dimension, but the relationships among roles are implicit. A communi-
cation diagram shows the relationships among roles geometrically and relates
messages to the connectors, but time sequences are less clear because they are im-
plied by the sequence numbers. Each diagram should be used when its main aspect
is the focus of attention.
Deployment View
A deployment diagram represents the deployment of run-time artifacts on nodes.
An artifact is a physical implementation unit, such as a file. A node is a run-time
resource, such as a computer, device, or memory. An artifact may be a manifesta-
tion (implementation) of one or more components. This view permits the conse-
quences of distribution and resource allocation to be assessed.
Figure 3-11 shows a descriptor-level deployment diagram for the box office sys-
tem. This diagram shows the kinds of nodes in the system and the kinds of arti-
facts they hold. A node is shown as a cube symbol. An artifact is shown as a
rectangle with a keyword. The manifestation relationship shows which artifacts
implement which components.
An artifact type can be located on different kinds of nodes, and different artifact
types can manifest the same kind of component.

Chapter 3 • UML Walkthrough 41
Figure 3-12 shows an instance-level deployment diagram for the box office sys-
tem. The diagram shows the individual nodes and their links in a particular con-
figuration of the system. The information in this model is consistent with the
descriptor-level information in Figure 3-11.
Figure 3-11. Deployment diagram (descriptor level)
TicketServer
Kiosk
TicketSeller.jar
ClerkInterface.c
«artifact»
TicketDB
CustomerInterface.c
CreditCardCharges.jar
CreditCardAgency
Customer Clerk
ManagerInterface.jar
Manager
SalesTerminal
1
1
∗∗
actor
node
dependency communication
association
artifact
«artifact» «artifact»
«artifact»
«artifact» «artifact»
node
ClerkInterface
«manifest»
KioskInterface
«manifest»
TicketServer

42 Part 2 • UML Concepts
Model Management View
The model management view models the organization of the model itself. A
model comprises a set of packages that hold model elements, such as classes, state
machines, and use cases. Packages may contain other packages: therefore, a model
starts with a root package that indirectly contains all the contents of the model.
Packages are units for manipulating the contents of a model, as well as units for ac-
cess control and configuration control. Every model element is owned by one
package or one other element.
A model is a complete description of a system at a given precision from one
viewpoint. There may be several models of a system from various viewpoints—for
example, an analysis model as well as a design model. A model may be shown as a
special kind of package, but usually it is sufficient to show only the packages.
Model management information is usually shown on package diagrams, which
are a variety of class diagram.
Figure 3-13 shows the breakdown of the entire theater system into packages and
their dependency relationships. The box office package contains packages for the
Figure 3-12. Deployment diagram (instance level)
River St. box office: SalesTerminal
Valley Mall kiosk: Kiosk
telesales office: SalesTerminal
headquarters: TicketServer
Main St. kiosk: Kiosk node instance
node type
node name
communication link

Chapter 3 • UML Walkthrough 43
previous examples in this chapter; the full application also includes theater opera-
tions and planning subsystems. Each subsystem consists of several packages.
Profiles
UML is defined using a metamodel, that is, a model of the modeling language it-
self. The metamodel is complicated and dangerous to change. In addition, many
tools will be built upon the standard metamodel, and they could not operate cor-
rectly with a different metamodel. The profile mechanism permits limited changes
Figure 3-13. Package diagram
Ticket Sales
Payroll
Purchasing Accounting
Publicity
Customer
Records Ticket Records
Scheduling
Planning
Box Office
Operations
dependency
package
package

44 Part 2 • UML Concepts
to UML without modifying the underlying metamodel. Profiles and constraints
permit UML to be tailored to specific domains or platforms while maintaining in-
teroperability across tools.
UML includes three main extensibility constructs: constraints, stereotypes, and
tagged values. A constraint is a textual statement of a semantic relationship ex-
pressed in some formal language or in natural language. A stereotype is a new kind
of model element devised by the modeler and based on an existing kind of model
element. A tagged value is a named piece of information attached to any model el-
ement.
These constructs permit many kinds of extensions to UML without requiring
changes to the basic UML metamodel itself. They may be used to create tailored
versions of the UML for an application area. A coherent set of stereotypes with
their tag definition and constraints is modeled as a profile.
Figure 3-14 shows examples of constraints, stereotypes, and tagged values. The
constraint on class Show ensures that the names of shows are unique. Figure 3-1
shows an xor constraint on two associations; an object can have a link from one of
them at a time. Constraints are useful for making statements that can be expressed
in a text language but which are not directly supported by UML constructs.
The stereotype on component TicketDB indicates that the component is a data-
base, which permits the interfaces supported by the component to be omitted as
they are the interfaces supported by all databases. Modelers can add new stereo-
types to represent special elements. A set of implied constraints, tagged values, or
Figure 3-14. Extensibility constructs
Show
name: String
{names for one season must be unique}
TicketDB
«database»
Scheduling
constraint
stereotype application
tagged values
TicketDB
stereotype icon
«authorship»
author = “Frank Martin”
due = Dec. 31, 2009
«authorship»
Chapter 3 • UML Walkthrough 45
code generation properties can be attached to a stereotype. A modeler can define
an icon for a given stereotype name as a visual aid, as shown in the diagram. The
textual form may always be used, however.
The tagged values on package Scheduling show that Frank Martin is responsible
for finishing it before the end of the decade. This project management information
is defined in the authorship stereotype that has been applied to the Scheduling
class. Tagged values are especially useful for project management information and
for code generation parameters. Most tagged values would be stored as pop-up in-
formation within an editing tool and would not usually be displayed on printed
pictures.
Stereotypes and their tags are defined in profiles. A profile is a package to group
extensions intended to tailor the model toward a particular domain, technology,
or implementation. Profiles will usually be predefined and stored in libraries. Pro-
files can be applied to packages to extend the elements in them.

47
M
L
U
4
Static View
Overview
The static view is the foundation of UML. The elements of the static view of a
model are the concepts that are meaningful in an application, including real-world
concepts, abstract concepts, implementation concepts, computer concepts—all
kinds of concepts found in systems. For example, a ticket system for a theater has
concepts such as tickets, reservations, subscription plans, seat assignment algo-
rithms, interactive web pages for ordering, and archival data for redundancy.
The static view captures object structure. An object-oriented system unifies data
structure and behavioral features into a single object structure. The static view in-
cludes all the traditional data structure concerns, as well as the organization of the
operations on the data. Both data and operations are quantized into classes. In the
object-oriented perspective, data and behavior are closely related. For example, a
Ticket object carries data, such as its price, date of performance, and seat number,
as well as operations on it, such as reserving itself or computing its price with a
special discount.
The static view describes behavioral declarations, such as operations, as discrete
modeling elements, but it does not contain the details of their dynamic behavior. It
treats them as things to be named, owned by classes, and invoked. Their dynamic
execution is described by other views that describe the internal details of their dy-
namics. These other views include the interaction view and the state machine
view. Dynamic views require the static view to describe the things that interact
dynamically—you can’t say how something interacts without first saying what is
interacting. The static view is the foundation on which the other views are built.
Key elements in the static view are classifiers and their relationships. A classifier
is a modeling element that describes things containing values. There are several
kinds of classifiers, including classes, interfaces, and data types. Behavioral things,
such as use cases and signals, are also reified as classifiers. Implementation pur-
poses are behind some classifiers, such as components, collaborations, and nodes.

48 Part 2 • UML Concepts
Large models must be organized into smaller units for human understanding
and reusability. A package is a general-purpose organizational unit for owning and
managing the contents of a model. Every element is owned by some package. A
model is a set of packages that describes a complete view of a system and can be
used more or less independently of other models; it designates a root package that
indirectly owns the packages describing the system.
An object is a discrete unit out from which the modeler understands and con-
structs a system. It is an instance of a class—that is, an individual with identity
whose structure and behavior are described by the class. An object has an identifi-
able piece of state with well-defined behavior that can be invoked.
Relationships among classifiers are association, generalization, and various
kinds of dependency, including realization and usage.
Classifier
A classifier models a discrete concept that describes things (objects) having iden-
tity, state, behavior, relationships, and an optional internal structure. Kinds of
classifiers include class, interface, and data type. Other kinds of classifiers are reifi-
cations of behavioral concepts, things in the environment, or implementation
structures. These classifiers include use case, actor, collaboration, component, and
node, as well as various kinds of behavior. Table 4-1 lists the various kinds of clas-
sifiers and their functions. The metamodel term classifier includes all these con-
cepts, but as class is the most familiar term, we will discuss it first and define the
other concepts by difference from it.
Ta b l e 4 - 1 : Kinds of Classifiers
Classifier Function Notation
actor An outside user of a system
artifact A physical piece of system information
class A concept from the modeled system
Name
«artifact»
Name

Chapter 4 • Static View 49
Ta b l e 4 - 1 : Kinds of Classifiers (continued)
Classifier Function Notation
collaboration A contextual relationship among objects
playing roles
component A modular part of a system with well-
defined interfaces
enumeration A data type with predefined literal values
primitive type A descriptor of a set of primitive values that
lack identity
interface A named set of operations that characterize
behavior
node A computational resource
role An internal part in the context of a collabo-
ration or structured classifier
signal An asynchronous communication among
objects
structured
classifier
A classifier with internal structure
use case A specification of the behavior of an entity
in its interaction with outside agents
Name
Name
Name
«enumeration»
Name
Name
«interface»
role:Name
«signal»
Name

50 Part 2 • UML Concepts
Class. A class represents a discrete concept within the application being modeled
representing things of a particular kind—a physical thing (such as an airplane), a
business thing (such as an order), a logical thing (such as a broadcasting schedule),
an application thing (such as a cancel button), a computer thing (such as a hash
table), or a behavioral thing (such as a task). A class is the descriptor for a set of
objects with similar structure, behavior, and relationships. All attributes and oper-
ations are attached to classes or other classifiers. Classes are the foci around which
object-oriented systems are organized.
An object is a discrete entity with identity, state, and invocable behavior. Objects
are the individual pieces in a run-time system; classes are the individual concepts
by which to understand and describe the multitude of individual objects.
A class defines a set of objects that have state and behavior. State is described by
attributes and associations. Attributes are generally used for pure data values with-
out identity, such as numbers and strings, and associations are used for connec-
tions among objects with identity. Individual pieces of invocable behavior are
described by operations; a method is the implementation of an operation. The
lifetime history of an object is described by a state machine attached to a class. The
notation for a class is a rectangle with compartments for the name of the class, at-
tributes, and operations, as shown in Figure 4-1.
A set of classes may use the generalization relationship and the inheritance
mechanism built on it to share common pieces of state and behavior description.
Generalization relates more specific classes (subclasses) to more general classes
(superclasses) that contain properties common to several subclasses. A class may
have zero or more parents (superclasses) and zero or more children (subclasses). A
class inherits descriptions of state and behavior from its parents and other ances-
tors, and it defines state and behavior descriptions that its children and other de-
scendants inherit.
A class has a unique name within its container, which is usually a package but is
sometimes another class. The class has a visibility with respect to its container; the
visibility specifies how it may be used by other classes outside the container.
Figure 4-1. Class notation
Subscription
series: String
priceCategory: Category
number: Integer
cost (): Money
reserve (series: String, level: SeatLevel)
cancel ()
class name
attributes
operations
Chapter 4 • Static View 51
Interface. An interface is the description of behavior of objects without giving
their implementation or state. One or more classes or components may realize an
interface, and each class implements the operations found in the interface.
Data types. A primitive type is the description of primitive values that lack identity
(independent existence and the possibility of side effects). Primitive types include
numbers and strings. Primitive types are passed by value and are immutable enti-
ties. A primitive type has no attributes but may have operations. Operations do
not modify data values, but they may return data values as results.
User models may also declare enumeration types. An enumeration type declares
a set of enumeration literals that may be used as values.
Levels of meaning. Classes can exist at several levels of meaning in a model, includ-
ing the analysis, design, and implementation levels. When representing real-world
concepts, it is important to capture the real-world state, relationships, and behav-
ior. But implementation concepts, such as information hiding, efficiency, visibility,
and methods, are not relevant real-world concepts. They are relevant design con-
cepts. Many potential properties of a class are simply irrelevant at the analysis
level. An analysis-level class represents a logical concept in the application domain
or in the application itself. The analysis model should be a minimal representation
of the system being modeled, sufficient to capture the essential logic of the system
without getting into issues of performance or construction.
When representing a high-level design, concepts such as localization of state to
particular classes, efficiency of navigating among objects, separation of external
behavior and internal implementation, and specification of the precise operations
are relevant to a class. A design-level class represents the decision to package state
information and the operations on it into a discrete unit. It captures the key design
decision, the localization of information and functionality to objects. Design-level
classes contain both real-world content and computer system content.
Finally, when representing programming-language code, the form of a class
closely matches the chosen programming language, and some abilities of a general
class may be forgone if they have no direct implementation in the language. An
implementation-level class maps directly into programming-language code.
The same system can be modeled from multiple viewpoints, such as a logical
model capturing real-world information and a design model capturing internal
representation decisions. An implementation-oriented class may realize a logical
class in from another model. A logical class captures the attributes and relation-
ships of the real-world information. An implementation class represents the decla-
ration of a class as found in a particular programming language. It captures the
exact form of a class, as needed by the language. In many cases, however, analysis,
design, and implementation information can be nested into a single class.

52 Part 2 • UML Concepts
Relationships
Relationships among classifiers are association, generalization, and various kinds
of dependency, including realization and usage (see Table 4-2).
The association relationship describes semantic connections among individual
objects of given classes. Associations provide the connections with which objects
of different classes can interact. The remaining relationships relate the descriptions
of classifiers themselves, not their instances.
The generalization relationship relates general descriptions of parent classifiers
(superclasses) to more specialized child classifiers (subclasses). Generalization fa-
cilitates the description of classifiers out of incremental declaration pieces, each of
which adds to the description inherited from its ancestors. The inheritance mech-
anism constructs complete descriptions of classifiers from incremental descrip-
tions using generalization relationships. Generalization and inheritance permit
different classifiers to share the attributes, operations, and relationships that they
have in common, without repetition.
The realization relationship relates a specification to an implementation. An
interface is a specification of behavior without implementation; a class includes
Ta b l e 4 - 2 : Kinds of Relationships
Relationship Function Notation
association A description of a connection among
instances of classes
dependency A relationship between two model elements
generalization A relationship between a more specific and
a more general description, used for inher-
itance and polymorphic type declarations
realization Relationship between a specification and its
implementation
usage A situation in which one element requires
another for its correct functioning
«kind»
Chapter 4 • Static View 53
implementation structure. One or more classes may realize an interface, and each
class implements the operations found in the interface.
The dependency relationship relates classes whose behavior or implementation
affects other classes. There are several kinds of dependency in addition to realiza-
tion, including trace dependency (a loose connection among elements in different
models), refinement (a mapping between two levels of meaning), usage (a require-
ment for the presence of another element within a single model), and binding (the
assignment of values to template parameters). Usage dependency is frequently
used to represent implementation relationships, such as code-level relationships.
Dependency is particularly useful when summarized on model organization units,
such as packages, on which it shows the architectural structure of a system. Com-
pilation constraints can be shown by dependencies, for example.
Association
An association describes discrete connections among objects or other instances in
a system. An association relates an ordered list (tuple) of two or more classifiers,
with repetitions permitted. The most common kind of association is a binary asso-
ciation between a pair of classifiers. An instance of an association is a link. A link
comprises a tuple (an ordered list) of objects, each drawn from its corresponding
class. A binary link comprises a pair of objects.
Associations carry information about relationships among objects in a system.
As a system executes, links among objects are created and destroyed. Associations
are the “glue” that ties a system together. Without associations, there are nothing
but isolated classes that don’t work together.
A single object may be associated with itself if the same class appears more than
once in an association. If the same class appears twice in an association, the two in-
stances do not have to be the same object, and usually they are not.
Each connection of an association to a class is called an association end. Most
information about an association is attached to one of its ends. Association ends
can have names (rolenames) and visibility. The most important property they
have is multiplicity—how many instances of one class can be related to one in-
stance of the other class. Multiplicity is most useful for binary associations because
its definition for n-ary associations is complicated. If the multiplicity upper bound
is greater than one, the ordering and uniqueness of associated values may be spec-
ified on an association end.
The notation for a binary association is a line or path connecting the participat-
ing classes. The association name is placed along the line with the rolename and
multiplicity at each end, as shown in Figure 4-2.

54 Part 2 • UML Concepts
An association can also have attributes of its own, in which case it is both an as-
sociation and a class—an association class (see Figure 4-3). If the value of an asso-
ciation attribute is unique within a set of related objects, then it is a qualifier, and
the association is a qualified association (see Figure 4-4). A qualifier is a value that
selects a unique object from the set of related objects across an association.
Lookup tables and arrays may be modeled as qualified associations. Qualifiers are
important for modeling names and identification codes. Qualifiers also model
indexes in a design model.
Figure 4-2. Association notation
Figure 4-3. Association class
Subscription
Reservation
∗
0..1
source
tickets
multiplicity
rolename
binary association
next
previous
reflexive association
0..1
0..1
Priority
association name
participating class
Organization Person
donor
∗∗
DonationLevel
yearAmount: Money
lifeAmount: Money
association class (all one element)
participating class
association attributes

Chapter 4 • Static View 55
During analysis, associations represent logical relationships among objects.
There is no great need to impose direction or to be concerned about how to imple-
ment them. Redundant associations should be avoided because they add no logical
information. During design, associations capture design decisions about data
structure, as well as separation of responsibilities among classes. Directionality of
associations is important, and redundant associations may be included for effi-
ciency of object access, as well as to localize information in a particular class.
Nevertheless, at this stage of modeling, associations should not be equated with
C++ pointers. A navigable association at the design stage represents state informa-
tion available to a class, but it can be mapped into programming-language code in
various ways. The implementation can be a pointer, a container class embedded in
a class, or even a completely separate table object. Other kinds of design properties
include visibility and changeability of links. Figure 4-5 shows some design proper-
ties of associations.
Figure 4-4. Qualified association
Figure 4-5. Design properties of association
Show Ticket
sale
0..1
date: Date
seat: SeatNumber 1
qualifier
Sales
qualified association
participating class
qualifier attributes qualified multiplicity
Person Address
address
1
TransactionEntry
-history
∗ {ordered, readOnly}
1navigability direction
changeability constraintordering property
visibility

56 Part 2 • UML Concepts
Aggregation and composition. An aggregation is an association that represents a
part-whole relationship. It is shown by a hollow-diamond adornment on the end
of the path attached to the aggregate class. A composition is a stronger form of
association in which the composite has sole responsibility for managing its parts,
such as their allocation and deallocation. It is shown by a filled-diamond adorn-
ment on the composite end. An object may belong to at most one composition.
There is a separate association between each class representing a part and the class
representing the whole, but for convenience the paths attached to the whole may
be joined together so that the entire set of associations is drawn as a tree.
Figure 4-6 shows an aggregate and a composite.
Links. An instance of an association is a link. A link is an ordered list (tuple) of ob-
ject references, each of which must be an instance of the corresponding class in the
association or an instance of a descendant of the class. The links in a system consti-
tute part of the system state. Links do not exist independently of objects; they take
their identity from the objects they relate (in database terms, the list of objects is
the key for the link). In the case of bags, there may be multiple links corresponding
to a tuple of objects, however. Conceptually, an association is distinct from the
classes that it relates. In practice, associations are often implemented using point-
ers in the participating classes, but they can be implemented as container objects
separate from the classes they connect.
Bidirectionality. The different ends of an association are distinguishable, even if
two of them involve the same class. This simply means that different objects of the
same class can be related. Because the ends are distinguishable, an association is
not symmetric (except in special cases); the ends cannot be interchanged. In ordi-
nary discourse, this is only common sense; the subject and the object of a verb are
not interchangeable. An association is sometimes said to be bidirectional. This
means that the logical relationships work both ways. This statement is frequently
Figure 4-6. Aggregation and composition
Order
LineItem
CustomerInfo
composite
parts
∗
1
1
Subscription
Performance
∗
∗1
parts
aggregate
Chapter 4 • Static View 57
misunderstood, even by some methodologists. It does not mean that each class
“knows” the other class, or that, in an implementation, it is possible to access each
class from the other. It simply means that any logical relationship has an inverse,
whether or not the inverse is easy to compute. To assert the ability to traverse an
association in one direction but not the other as a design decision, associations can
be marked with navigability.
Why is the basic model relational, rather than the pointer model prevalent in
programming languages? The reason is that a model attempts to capture the intent
behind an implementation. If a relationship between two classes is modeled as a
pair of pointers, the pointers are nevertheless related. The association approach ac-
knowledges that relationships are meaningful in both directions, regardless of how
they are implemented. It is simple to convert an association into a pair of pointers
for implementation, but very difficult to recognize that two pointers are inverses of
each other unless this fact is part of the model.
Generalization
The generalization relationship is a taxonomic relationship between a more gen-
eral description and a more specific description that builds on it and extends it.
The more specific description is fully consistent with the more general one (it has
all its properties, members, and relationships) and may contain additional infor-
mation. For example, a mortgage is a more specific kind of loan. A mortgage keeps
the basic characteristics of a loan but adds additional characteristics, such as a
house as security for the loan. The more general description is called the parent; an
element in the transitive closure is an ancestor. The more specific description is
called the child; an element in the transitive closure is a descendant. In the exam-
ple, Loan is the parent class and Mortgage is the child class. Generalization is used
for classifiers (classes, interfaces, data types, use cases, actors, signals, and so on).
For classes, the terms superclass and subclass are used for parent and child.
A generalization is drawn as an arrow from the child to the parent, with a large
hollow triangle on the end connected to the parent (Figure 4-7). Several generali-
zation relationships can be drawn as a tree with one arrowhead branching into
several lines to the children.
Purpose of generalization. Generalization has two purposes. The first is to define
the conditions under which an instance of one class (or other element) can be used
when a variable (such as a parameter or procedure variable) is declared as holding
values of a given class. This is called the substitutability principle (from Barbara
Liskov). The rule is that an instance of a descendant may be used wherever the an-
cestor is declared. For example, if a variable is declared to hold loans, then a mort-
gage object is a legal value.

58 Part 2 • UML Concepts
Generalization enables polymorphic operations—that is, operations whose im-
plementation (method) is determined by the class of object they are applied to
rather than being explicitly stated by the caller. This works because a parent class
may have many possible children, each of which implements its own variation of
an operation, which is defined across the entire set of classes. For example, com-
puting interest would work differently for a mortgage and an automobile loan, but
each of them is a variation on computing interest on the parent Loan class. A vari-
able is declared to hold the parent class, and then an object of any child class can be
used, any of which has its own particular operations. This is particularly useful be-
cause new classes can be added later, without the need to modify existing poly-
morphic calls. For example, a new kind of loan could be added later, and existing
code that uses the compute interest operation would still work. A polymorphic
operation can be declared without an implementation in a parent class with the
intent that an implementation must be supplied by each descendant class. Such an
incomplete operation is abstract (shown by italicizing its name).
The other purpose of generalization is to permit the incremental description of
an element by sharing the descriptions of its ancestors. This is called inheritance.
Inheritance is the mechanism by which a description of the objects of a class is as-
sembled out of declaration fragments from the class and its ancestors. Inheritance
permits shared parts of the description to be declared once and shared by many
classes, rather than be repeated in each class that uses it. This sharing reduces the
size of a model. More importantly, it reduces the number of changes that must be
made on an update to the model and reduces the chance of accidental inconsis-
tency. Inheritance works in a similar way for other kinds of elements, such as
states, signals, and use cases.
Figure 4-7. Generalization notation
Order
date: Date
confirm()
MailOrder
confirm()
dateFilled: Date
BoxOfficeOrder
confirm()
hold: Boolean
generalization
superclass (parent)
subclass (child)
abstract operation
abstract class
concrete class
Chapter 4 • Static View 59
Inheritance
Each kind of generalizable element has a set of inheritable properties. For any
model element, these include constraints. For classifiers, they also include features
(attributes, operations, and signal reception) and participation in associations. A
child inherits all the inheritable properties of all its ancestors. Its complete set of
properties is the set of inherited properties together with the properties that it de-
clares directly.
For a classifier, no attribute with the same signature may be declared more than
once (directly or inherited). Otherwise, there is a conflict, and the model is ill
formed. In other words, an attribute declared in an ancestor may not be redeclared
in a descendant. An operation may be declared in more than one classifier, pro-
vided the specifications are consistent (same parameters, constraints, and mean-
ing). Additional declarations are simply redundant. A method may be declared by
multiple classes in a hierarchy. A method attached to a descendant supersedes and
replaces (overrides) a method with the same signature declared in any ancestor. If
two or more distinct copies of a method are nevertheless inherited by a class (via
multiple inheritance from different classes), then they conflict and the model is ill
formed. (Some programming languages permit one of the methods to be explicitly
chosen. We find it simpler and safer just to redefine the method in the child class.)
Constraints on an element are the union of the constraints on the element itself
and all its ancestors; if any of them is inconsistent, then the model is ill formed.
In a concrete class, each inherited or declared operation must have a method de-
fined, either directly or by inheritance from an ancestor.
Under some circumstances, a redefinition of an inherited definition may be de-
clared in a subclass. Redefinition can change the name or some of the properties of
a feature, but it can create confusion and should be used sparingly.
Multiple inheritance
If a classifier has more than one parent, it inherits from each one (Figure 4-8). Its
features (attributes, operations, and signals) are the union of those of its parents. If
the same class appears as an ancestor by more than one path, it nevertheless con-
tributes only one copy of each of its members. If a feature with the same signature
is declared by two classes that do not inherit it from a common ancestor (indepen-
dent declarations), then the declarations conflict and the model is ill formed. UML
does not provide a conflict resolution rule for this situation because experience has
shown that the designer should explicitly resolve it. Some languages, such as Eiffel,
permit conflicts to be explicitly resolved by the programmer, which is much safer
than implicit conflict resolution rules, which frequently lead to surprises for the
developer.

60 Part 2 • UML Concepts
Single and multiple classification
Many object-oriented languages assume single classification—an object has only
one direct class. There is no logical necessity that an object have a single class. We
typically look at real-world objects from many angles simultaneously. In the gen-
eral formulation of UML, an object may have one or more direct classes—multiple
classification. The object behaves as if it belonged to an implicit class that was a
child of each of the direct classes—effectively, multiple inheritance without the
need to actually declare the new class.
Static and dynamic classification
In the simplest formulation, an object may not change its class after it is created
(static classification). Again, there is no logical necessity for this restriction. It is
primarily intended to make the implementation of object-oriented programming
languages easier. In the more general formulation, an object may change its direct
class dynamically (dynamic classification). In doing so, it may lose or gain at-
tributes or associations. If it loses them, the information in them is lost and cannot
be recovered later, even if it changes back to the original class. If it gains attributes
or associations, then they must be initialized at the time of the change, in a similar
manner to the initialization of a new object.
When multiple classification is combined with dynamic classification, an object
can add and remove classes to its classification during its life. The dynamic classes
are sometimes called roles or types. One common modeling pattern is to require
Figure 4-8. Multiple inheritance
TimeStampedReservation
Reservation
targetDate: Date TimeStampedTransaction
stamp()
received: Time
number: Integer
confirm()
This class inherits the attributes
and operations of both of
its parents.
No new features are needed by the child.
parent
child
parent

Chapter 4 • Static View 61
that each object have a single static inherent class (one that cannot change during
the life of the object) plus zero or more role classes that may be added or removed
over the lifetime of the object. The inherent class describes its fundamental prop-
erties, and the role classes describe properties that are transient. Although many
programming languages do not support multiple dynamic classification in the
class declaration hierarchy, it is nevertheless a valuable modeling concept that can
be mapped into associations.
Realization
The realization relationship (Figure 4-9) connects a model element, such as a class,
to another model element, such as an interface, that supplies its behavioral specifi-
cation but not its structure or implementation. The client must support (by inher-
itance or by direct declaration) at least all the operations that the supplier has.
Although realization is meant to be used with specification elements, such as inter-
faces, it can also be used with a concrete implementation element to indicate that
its specification (but not its implementation) must be supported. This might be
used to show the relationship of an optimized version of a class to a simpler but
inefficient version, for example.
Both generalization and realization relate a more general description to more
complete versions of it. Generalization relates two elements at the same semantic
level (at the same level of abstraction, for example), usually within the same
model; realization relates two elements at different semantic levels (an analysis
Figure 4-9. Realization relationship
«interface»
ChoiceBlock
PopUpMenu
RadioButtonArray
setDefault (choice: Choice)
getChoice (): Choice
Choice
1..∗ choice
Button
String
setDefault (choice: Button)
getChoice(): Button
1..∗ choice
1..∗choice
setDefault (choice: Button)
getChoice(): Button
realization relationship
specifier implementation

62 Part 2 • UML Concepts
class and a design class, for example, or an interface and a class), often found in
different models. There may be two or more entire class hierarchies at different
stages of development whose elements are related by realization. The two hierar-
chies need not have the same form because the realizing classes may have imple-
mentation dependencies that are not relevant to the specifying classes.
Realization is displayed as a dashed arrow with a closed hollow arrowhead
(Figure 4-9) on the more general class. It is similar to the generalization symbol
with a dashed line, to indicate that it is similar to a kind of inheritance.
An interface realized by a class is called a provided interface, because the class
provides the services of the interface to outside callers. This relationship may be
shown by attaching a small circle to the class rectangle by a line; the circle is labeled
with the name of the interface. An interface that a class uses to implement its inter-
nal behavior is called a required interface. This relationship may be shown by at-
taching a small semicircle to the class rectangle by a line. This notation is not used
to declare interfaces, but rather to show their relationships to classes. See
Figure 4-10.
Dependency
A dependency indicates a semantic relationship between two or more model ele-
ments. It relates the model elements themselves and does not require a set of in-
stances for its meaning. It indicates a situation in which a change to the supplier
element may require a change to or indicate a change in meaning of the client ele-
ment in the dependency.
The association and generalization relationships are dependencies by this defi-
nition, but they have specific semantics with important consequences. Therefore,
they have their own names and detailed semantics. We normally use the word de-
pendency for all the other relationships that don’t fit the sharper categories.
Table 4-3 lists the kinds of dependencies applicable to the static view.
A trace dependency is a conceptual connection among elements in different
models, often models at different stages of development. It lacks detailed seman-
tics. It is typically used to trace system requirements across models and to keep
track of changes made to models that may affect other models.
Figure 4-10. Provided and required interfaces
PrintServer
SubmitJob
CheckStatus
SetPrintProperties
provided interface class
TransmitData
required interface
interface name

Chapter 4 • Static View 63
Ta b l e 4 - 3 : Kinds of Dependencies
Dependency Function Keyword
access A private import of the contents of another
package
access
binding Assignment of values to the parameters of a
template to generate a new model element
bind
call Statement that a method of one class calls
an operation of another class
call
creation Statement that one class creates instances of
another class
create
derivation Statement that one instance can be com-
puted from another instance
derive
instantiation Statement that a method of one class creates
instances of another class
instantiate
permission Permission for an element to use the con-
tents of another element
permit
realization Mapping between a specification and an
implementation of it
realize
refinement Statement that a mapping exists between
elements at two different semantic levels
refine
send Relationship between the sender of a signal
and the receiver of the signal
send
substitution Statement that the source class supports the
interfaces and contracts of the target class
and may be substituted for it
substitute
trace dependency Statement that some connection exists
between elements in different models, but
less precise than a mapping
trace
usage Statement that one element requires the
presence of another element for its correct
functioning (includes call, creation, instan-
tiation, send, and potentially others)
use
64 Part 2 • UML Concepts
A refinement is a relationship between two versions of a concept at different
stages of development or at different levels of abstraction, expressed as two sepa-
rate model elements. The two model elements are not meant to coexist in the final
detailed model. One of them is usually a less finished version of the other. In prin-
ciple, there is a mapping from the less finished model element to the more finished
model element. This does not mean that translation is automatic. Usually, the
more detailed element contains design decisions that have been made by the de-
signer, decisions that might be made in many ways. In principle, changes to one
model could be validated against the other, with deviations flagged. In practice,
tools cannot do all this today, although some simpler mappings can be enforced.
Therefore a refinement is mostly a reminder to the modeler that multiple models
are related in a predictable way.
A derivation dependency indicates that one element can be computed from an-
other element (but the derived element may be explicitly included in the system to
avoid a costly recomputation). Derivation, realization, refinement, and trace are
abstraction dependencies—they relate two versions of the same underlying thing.
A usage dependency is a statement that the behavior or implementation of one
element affects the behavior or implementation of another element. Frequently,
this comes from implementation concerns, such as compiler requirements that the
definition of one class is needed to compile another class. Most usage dependen-
cies can be derived from the code and do not need to be explicitly declared, unless
they are part of a top-down design style that constrains the organization of the sys-
tem (for example, by using predefined components and libraries). The specific
kind of usage dependency can be specified, but this is often omitted because the
purpose of the relationship is to highlight the dependency. The exact details can
often be obtained from the implementation code. Stereotypes of usage include call
and instantiation. The call dependency indicates that a method on one class calls
an operation on another class; instantiation indicates that a method on one class
creates an instance of another class.
Several varieties of dependency add elements to a namespace. The import de-
pendency adds the names within the target namespace contents to the importing
namespace. The access dependency also adds names to a namespace, but the added
names are not visible outside of the namespace to which they are added.
A binding is the assignment of values to the parameters of a template. It is a
highly structured relationship with precise semantics obtained by substituting the
arguments for the parameters in a copy of the template.
Usage and binding dependencies involve strong semantics among elements at
the same semantic level. They must connect elements in the same level of model
(both analysis or both design, and at the same level of abstraction). Trace and
refinement dependencies are vaguer and can connect elements from different
models or levels of abstraction.

Chapter 4 • Static View 65
A dependency is drawn as a dashed arrow from the client to the supplier, with a
stereotype keyword to distinguish its kind, as shown in Figure 4-11.
Constraint
UML supplies a set of concepts and relationships for modeling systems as graphs
of modeling elements. Some things, however, are better expressed linguistically—
that is, using the power of a textual language. A constraint is a Boolean expression
represented as a string to be interpreted in a designated language. Natural lan-
guage, set theoretic notation, constraint languages, or various programming lan-
guages may be used to express constraints. The UML includes the definition of a
constraint language, called OCL, that is convenient for expressing UML con-
straints and is expected to be widely supported. See the entry for OCL and the
book [Warmer-99] for more information on OCL.
Figure 4-12 shows constraints.
Figure 4-11. Dependencies
Figure 4-12. Constraints
BoxOffice SchedulingEngine
«use»
dependency
keyword for
client supplier
dependency type
Person Company
boss
{self.employer =
self.boss.employer}
employer
worker employee
0..1
∗∗0..1 Represents
an incorporated entity.
constraint on a class
comment,
not a constraint
constraint between associations
Account
Person
Corporation
{xor}
personalOwner
corporateOwner
account
account
66 Part 2 • UML Concepts
Constraints can be used to state various nonlocal relationships, such as restric-
tions on paths of associations. In particular, constraints can be used to state exist-
ence properties (there exists an X such that condition C is true) and universal
properties (for all y in Y, condition D must be true).
Some standard constraints are predefined as UML standard elements, including
associations in an exclusive-or relationship and various constraints on the rela-
tionships of subclasses in generalization.
A constraint is shown as a text expression in braces. It may be written in a for-
mal language or natural language. The text string may be placed in a note or at-
tached to a dependency arrow.
Predefined constraints can be expressed in OCL. For example, the xor con-
straint in Figure 4-12 can be written in OCL as:
context Account inv :
personalOwner -> size > 0 xor corporateOwner -> size > 0
Instance
An instance is a run-time entity with identity, that is, something that can be distin-
guished from other run-time entities. It has a value at any moment in time. Over
time the value can change in response to operations on it.
One purpose of a model is to describe the possible states of a system and their
behavior. A model is a statement of potentiality, of the possible collections of ob-
jects that might exist and the possible behavior history that the objects might un-
dergo. The static view defines and constrains the possible configurations of values
that an executing system may assume. The dynamic view defines the ways in which
an executing system may pass from one configuration to another. Together, the
static view and the various dynamic views based on it define the structure and be-
havior of a system.
A particular static configuration of a system at one instant is called a snapshot.
A snapshot comprises objects and other instances, values, and links. An object is
an instance of a class. Each object is a direct instance of the class that completely
describes it and an indirect instance of the ancestors of that class. (If multiple clas-
sification is allowed, then an object may be the direct instance of more than one
class.) Similarly, each link is an instance of an association, and each value is an in-
stance of a data type.
An object has one data value for each attribute in its class. The value of each at-
tribute must be consistent with the data type of the attribute. If the attribute has
optional or multiple multiplicity, then the attribute may hold zero or multiple val-
ues. A link comprises a tuple of values, each of which is a reference to an object of
a given class (or one of its descendants). Objects and links must obey any con-
straints on the classes or associations of which they are instances (including both
explicit constraints and built-in constraints, such as multiplicity).

Chapter 4 • Static View 67
The state of a system is a valid system instance if every instance in it is an instance
of some element in a well-formed system model and if all the constraints imposed
by the model are satisfied by the instances.
The static view defines the set of objects, values, and links that can exist in a sin-
gle snapshot. In principle, any combination of objects and links that is consistent
with a static view is a possible configuration of the model. This does not mean that
every possible snapshot can or will occur. Some snapshots may be legal statically
but may not be dynamically reachable under the dynamic views in the system.
The behavioral parts of UML describe the valid sequences of snapshots that may
occur as a result of both external and internal behavioral effects. The dynamic
views define how the system moves from one snapshot to another.
Object diagram
A diagram of a snapshot is an image of a system at a point in time. Because it con-
tains images of objects, it is called an object diagram. It can be useful as an exam-
ple of the system, for example, to illustrate complicated data structures or to show
behavior through a sequence of snapshots over time (Figure 4-13). An object dia-
gram is not restricted to specific objects. It may also include value specifications of
objects in which some of the values may be incompletely specified, for example, by
indicating a range of values rather than a specific value.
Snapshots are examples of systems, not definitions of systems. The definition of
system structure and behavior is the goal of modeling and design. Examples can
help to clarify meaning to humans, but they are not definitions.
Figure 4-13. Object diagram
triangle: Polygon
point1: Point
x = 0.0
y = 1.0
point2: Point
x = 3.0
y = 1.0
point3: Point
x = 3.0
y = 5.0
object
link
PartOf PartOf PartOf
attribute values
object
object name

69
M
L
U
5
Design View
Overview
Much of a system model is intended to show the logical and design aspects of the
system independent of its final packaging in an implementation medium. The im-
plementation aspects are important, however, for both reusability and perfor-
mance purposes. The design view shows decisions about decomposition of a
system into modular units with encapsulation boundaries and external interfaces.
Although the elements in the design view are more abstract than the final code,
they do require knowledge of implementation trade-offs that will eventually be re-
flected in the code.
Complex systems require multiple levels of structure. During early modeling, a
class is defined by its external properties. During design modeling, the internal de-
sign of a high-level class may be expanded into constituent parts. A structured
classifier is a classifier with internal parts that are connected within the context of
the classifier. A structured classifier may have a loose boundary or a tight bound-
ary where all communications occur over well-defined interaction points called
ports. The types of the internal parts may themselves be structured classifiers;
therefore the decomposition of the system can span several levels.
In a design, independent objects often work together to perform operations and
other behaviors. For a limited time, objects are related by their participation in a
shared context. A collaboration is a description of a group of objects that have a
temporary relationship within the context of performing a behavior. A collabora-
tion is a conceptual relationship, not a concrete object, although there may be ob-
jects in an implementation related to it. The connections among the objects may
include various kinds of transient relationships, such as parameters, variables, and
derived relationships, as well as ordinary associations.
The design view shows the logical organization of the reusable pieces of the sys-
tem into substitutable units, called components. A component has a set of external
interfaces and a hidden, internal implementation. Components interact through

70 Part 2 • UML Concepts
interfaces so that dependencies on specific other components are avoided. During
implementation, any component that supports an interface can be substituted for
it, allowing different parts of a system to be developed without dependency on in-
ternal implementation.
Structured Classifier
A structured classifier is a classifier with internal structure. It contains a set of parts
connected by connectors. An instance of a structured class contains an object or
set of objects corresponding to each part. A part has a type and a multiplicity
within its container. An object that is a part may only belong to one structured ob-
ject. All of the objects in a single structured object are implicitly related by their
containment in the same object. This implicit relationship may be exploited in the
implementation of behavior on the structured class.
A connector is a contextual relationship between two parts in a structured clas-
sifier. It defines a relationship between objects serving as parts of the same struc-
tured object. A connector among two parts of a structured class is different from
an association between two classes that are associated by composition to the same
class. In the association, there is no requirement that the association connects two
objects that are contained in the same composite object. Each association to a sin-
gle class is independent, whereas all the connectors in a single structured class
share a single context at run time. Connectors may be implemented by ordinary
associations or by transient relationships, such as procedure parameters, variables,
global values, or other mechanisms.
Figure 5-1 shows an example of a ticket order that contains parts.
Figure 5-1. Structured class
customer: Person priority: StatusLevel
priority
item: Ticket [1..*]
TicketOrder
0..1
0..1
part
connector
name type
multiplicity
default multiplicity 1

Chapter 5 • Design View 71
Structured classifiers may be tightly encapsulated by forcing all interactions be-
tween the external environment and the internal parts to pass through ports. A
port is an interaction point with a well-defined interface. The port may be con-
nected to internal parts or ports on internal parts, or it may be connected directly
to the main behavior of the structured classifier. Messages received by a port are
automatically forwarded to the part or behavior (or vice versa on output). Each
port has a set of provided interfaces and required interfaces that define its external
interactions. A provided interface specifies the services that a message to the port
may request. A required interface specifies the services that a message from the
port may require from the external environment. External connections to an en-
capsulated classifier may only go to ports. An external connection is legal if the in-
terfaces match. In the case of input requests, the provided interface must support
at least the services requested by the external connection. In the case of output re-
quests, the required interface must request no more than the services provided by
the external connection.
Figure 5-2 shows the ports and interfaces for a camcorder.
Collaboration
A collaboration is a description of a collection of objects that interact to imple-
ment some behavior within a context. It describes a society of cooperating objects
assembled to carry out some purpose. A collaboration contains roles that are filled
by objects at run time. A role represents a description of the objects that can par-
ticipate in an execution of the collaboration. A connector represents a description
of associations among roles of the collaboration. Relationships among roles and
connectors inside a collaboration are only meaningful in that context. Roles and
Figure 5-2. Structured class with ports
TV in
audio out[2]
NTSC TV signal
line level audio
Camcorder
microphone level audio
mic in
digital: IEEE 1394
Firewire in Firewire out
required interface
provided interfaces
external port with mixed interfaces
port type
set of ports
test signal
private (hidden) port

72 Part 2 • UML Concepts
connectors may have types (classifiers and associations) that specify which objects
can be bound to them. The association types are optional, because the relation-
ships in a collaboration may be transient and implemented using other mecha-
nisms, such as parameters. The relationships described by a collaboration apply
only to objects bound to roles within a particular collaboration instance; they do
not apply to the underlying classifiers and associations apart from the collabora-
tion.
The static view describes the inherent properties of a class. For example, a Ticket
has a show and a set associated with it. This relationship applies to all instances of
the class. A collaboration describes the properties that an instance of a class has
when it plays a particular role in a collaboration. For example, a ticket in a Ticket-
Sale collaboration has a seller, something that is not relevant to a Ticket in general
but is an essential part of the ticket sale collaboration.
An object in a system may participate in more than one collaboration. Collabo-
rations in which it appears need not be directly related, although their execution is
connected (perhaps incidentally) through the shared object. For example, one per-
son may be a buyer in one collaboration and a seller in another collaboration.
Somewhat less often, an object may play more than one role in the same collabora-
tion.
A collaboration is a kind of structured classifier.
Figure 5-3 shows a collaboration for a ticket sale.
Figure 5-3. Collaboration definition
TicketSale
seller: Person buyer: Personticket: Ticket
network: TicketingNetwork
collaboration
rolerole name type
connector

Chapter 5 • Design View 73
Patterns
A pattern is a parameterized collaboration, together with guidelines about when to
use it. A parameter can be replaced by different values to produce different collab-
orations. The parameters usually designate slots for classes. When a pattern is in-
stantiated, its parameters are bound to actual classes within a class diagram or to
roles within a larger collaboration.
The use of a pattern is shown as a dashed ellipse connected to each of its classes
by a dashed line that is labeled with the name of the role. For example, Figure 5-4
shows the use of the Observer pattern from [Gamma-95]. In this use of the pat-
tern, CallQueue replaces the Subject role and SlidingBarIcon replaces the Observer
role.
Patterns may appear at the analysis, architecture, detailed design, and imple-
mentation levels. They are a way to capture frequently occurring structures for re-
use. Figure 5-4 shows a use of the Observer pattern.
Component
A component represents a modular piece of a logical or physical system whose ex-
ternally visible behavior can be described much more concisely than its implemen-
tation. Components do not depend directly on other components but on
interfaces that components support. A component in a model can be replaced by
another component that supports the proper interfaces, and a component instance
within a system configuration can be replaced by an instance of any component
that supports the same interfaces.
Figure 5-4. Pattern usage
Observer
SlidingBarIcon
Observer
CallQueue Subject
queue: List of Call
source: Object
waitAlarm: Alarm
reading: Real
color: Color
range: Interval
handler.reading = length (subject.queue)
capacity: Integer
range = (0..capacity)
use of pattern class
pattern rules
Pattern

74 Part 2 • UML Concepts
Components (because they are classes) have interfaces they support (provided
interfaces) and interfaces they require from other components (required inter-
faces). The use of named interfaces permits direct dependencies among compo-
nents to be avoided, facilitating easier substitution of new components. A
component diagram shows the network of dependencies among components. The
component view can appear in two forms. It can show a set of available compo-
nents (a component library) with their dependencies; this is the material out of
which a system can be assembled. It can also show a configured system, with the
selection of components (out of the entire library) used to build it. In this form,
each component is wired to other components whose services it uses; these con-
nections must be consistent with the interfaces of the components.
A component icon is drawn as a rectangle with two small rectangles on its side.
A component is drawn as a rectangle with a small component icon in its upper
right corner. The rectangle contains the name of the component. A provided inter-
faces is drawn as a small circle connected to the component by a line. A required
interface is drawn as a small semicircle connected to the component by a line.
Figure 5-5 shows an example.
Components may have ports. Messages received on different ports are distin-
guishable by the component and may be implemented differently. A port is shown
by a small square on the boundary of a component symbol. Interface symbols may
be attached to a port.
Components may contain other components as their implementation. The
“wiring” of two components in an implementation is shown by nesting the circle
of a provided interface in the semicircle of another required interface in a “ball and
socket” notation (Figure 5-6).
A component is a structured classifier. The semantic distinction between a
structured classifier and a component is not very great. A component is more of a
statement of design intent than a semantic difference.
Figure 5-5. Component with interfaces
Dictionary
spell-check
synonyms
component provided interfaces
required interface
supplement

Chapter 5 • Design View 75
Figure 5-6. Component internal structure
Planner
Scheduler
TripGUI
MakeReservations
UpdatePlans
TravelSystem
Booking
User Console

77
M
L
U
6
Use Case View
Overview
The use case view captures the behavior of a system, subsystem, class, or compo-
nent as it appears to an outside user. It partitions the system functionality into
transactions meaningful to actors—idealized users of a system. The pieces of inter-
active functionality are called use cases. A use case describes an interaction with
actors as a sequence of messages between the system and one or more actors. The
term actor includes humans, as well as other computer systems and processes.
Figure 6-1 shows a use case diagram for a telephone catalog sales application. The
model has been simplified as an example.
Actor
An actor is an idealization of a role played by an external person, process, or thing
interacting with a system, subsystem, or class. An actor characterizes the interac-
tions that a class of outside users may have with the system. At run time, one phys-
ical user may be bound to multiple actors within the system. Different users may
be bound to the same actor and therefore represent multiple instances of the same
actor definition. For example, one person may be a customer and a cashier of a
store at different times.
Each actor participates in one or more use cases. It interacts with the use case
(and therefore with the system or class that owns the use case) by exchanging mes-
sages. The internal implementation of an actor is not relevant in the use case; an
actor may be characterized sufficiently by a set of attributes that define its state.
Actors may be defined in generalization hierarchies, in which an abstract actor
description is shared and augmented by one or more specific actor descriptions.
An actor may be a human, a computer system, or some executable process.
An actor is drawn as a small stick person with the name below it.

78 Part 2 • UML Concepts
Use Case
A use case is a coherent unit of externally visible functionality provided by a classi-
fier (called the subject) and expressed by sequences of messages exchanged by the
subject and one or more actors of the system unit. The purpose of a use case is to
define a piece of coherent behavior without revealing the internal structure of the
subject. The definition of a use case includes all the behavior it entails—the main-
line sequences, different variations on normal behavior, and all the exceptional
conditions that can occur with such behavior, together with the desired response.
From the user’s point of view, these may be abnormal situations. From the system’s
point of view, they are additional variations that must be described and handled.
In the model, the execution of each use case is independent of the others, al-
though an implementation of the use cases may create implicit dependencies
among them due to shared objects. Each use case represents an orthogonal piece of
functionality whose execution can be mixed with the execution of other use cases.
The dynamics of a use case may be specified by UML interactions, shown as
statechart diagrams, sequence diagrams, communication diagrams, or informal
text descriptions. When use cases are implemented, they are realized by collabora-
Figure 6-1. Use case diagram
Customer
Supervisor
Salesperson
place
order
establish
credit
check
status
Telephone Catalog
fill orders
Shipping Clerk
actor
use case
subject boundary
actor-use case
communication
subject name
use case name
subject

Chapter 6 • Use Case View 79
tions among classes in the system. One class may participate in multiple collabora-
tions and therefore in multiple use cases.
At the system level, use cases represent external behavior of the subject as visible
to outside users. A use case is somewhat like an operation, an operation invocable
by an outside user. Unlike an operation, however, a use case can continue to re-
ceive input from its actors during its execution. Use cases can be applied to an en-
tire system and can also be applied internally to smaller units of a system, such as
subsystems and individual classes. An internal use case represents behavior that a
subsystem presents to the rest of the system. For example, a use case for a class rep-
resents a coherent chunk of functionality that a class provides to other classes that
play certain roles within the system. A class can have more than one use case.
A use case is a logical description of a slice of functionality. It is not a manifest
construct in the implementation of a system. Instead, each use case must be
mapped onto the classes that implement a system. The behavior of the use case is
mapped onto the transitions and operations of the classes. Inasmuch as a class can
play multiple roles in the implementation of a system, it may therefore realize por-
tions of multiple use cases. Part of the design task is to find implementation classes
that cleanly combine the proper roles to implement all the use cases, without in-
troducing unnecessary complications. The implementation of a use case can be
modeled as a set of one or more collaborations. A collaboration is a realization of a
use case.
A use case can participate in several relationships, in addition to association
with actors (Table 6-1).
Ta b l e 6 - 1 : Kinds of Use Case Relationships
Relationship Function Notation
association The communication path between an actor
and a use case that it participates in
extend The insertion of additional behavior into a
base use case that does not know about it
include The insertion of additional behavior into a
base use case that explicitly describes the
insertion
use case generali-
zation
A relationship between a general use case
and a more specific use case that inherits
and adds features to it
«extend»
«include»

80 Part 2 • UML Concepts
A use case is drawn as an ellipse with its name inside or below it. It is connected
by solid lines to actors that communicate with it.
The description of a large use case can be factored into other, simpler use cases.
This is similar to the way the description of a class can be defined incrementally
from the description of a superclass. A use case can incorporate the behavior of
other use cases as fragments of its own behavior. This is called an include relation-
ship. The included use case is not a specialization of the original use case and can-
not be substituted for it.
A use case can also be defined as an incremental extension to a base use case.
This is called an extend relationship. There may be several extensions of the same
base use case that may all be applied together. The extensions to a base use case add
to its semantics; it is the base use case that is instantiated, not the extension use
cases.
The include and extend relationships are drawn as dashed arrows with the key-
word «include» or «extend». The include relationship points at the use case to be
included; the extend relationship points at the use case to be extended.
A use case can also be specialized into one or more child use cases. This is use
case generalization. Any child use case may be used in a situation in which the par-
ent use case is expected.
Use case generalization is drawn the same as any generalization, as a line from
the child use case to the parent use case with a large triangular arrowhead on the
parent end. Figure 6-2 shows use case relationships in the catalog sales application.
Figure 6-2. Use case relationships
Place Order
Order
Product
Supply
Customer
Data
Arrange
Payment
«include»
«include»
«include»
Request
Catalog
«extend»
base use case
extension use case
inclusion use cases
Pay
Cash Arrange
Credit
parent use case
child use case

81
M
L
U
7
State Machine View
Overview
The state machine view describes the dynamic behavior of objects over time by
modeling the lifecycles of objects of each class. Each object is treated as an isolated
entity that communicates with the rest of the world by detecting events and re-
sponding to them. Events represent the kinds of changes that an object can
detect—the receipt of calls or explicit signals from one object to another, a change
in certain values, or the passage of time. Anything that can affect an object can be
characterized as an event. Real-world happenings are modeled as signals from the
outside world to the system.
A state is a set of object values for a given class that have the same qualitative re-
sponse to events that occur. In other words, all objects with the same state react in
the same general way to an event, so all objects in a given state execute the same
effect—an action or activity—when they receive the same event. Objects in dif-
ferent states, however, may react differently to the same event, by performing
different effects. A state machine describes a small number of states that an object
may hold. For each state, the state machine specifies the consequences of receiving
each kind of event as an effect and a change to a new state. For example, an auto-
matic teller machine reacts to the cancel button one way when it is processing a
transaction and another way when it is idle.
State machines describe the behavior of classes, but they also describe the
dynamic behavior of use cases, collaborations, and methods. For one of these ob-
jects, a state represents a step in its execution. We talk mostly in terms of classes
and objects in describing state machines, but they can be applied to other elements
in a straightforward way.
State Machine
A state machine is a graph of states and transitions. Usually a state machine is at-
tached to a class and describes the response of an instance of the class to events

82 Part 2 • UML Concepts
that it receives. State machines may also be attached to behaviors, use cases, and
collaborations to describe their execution.
A state machine is a model of all possible life histories of an object of a class. The
object is examined in isolation. Any external influence from the rest of the world is
summarized as an event. When the object detects an event, it responds in a way
that depends on its current state. The response may include the execution of an ef-
fect and a change to a new state. State machines can be structured to share transi-
tions, and they can model concurrency.
A state machine is a localized view of an object, a view that separates it from the
rest of the world and examines its behavior in isolation. It is a reductionist view of
a system. This is a good way to specify behavior precisely, but often it is not a good
way to understand the overall operation of a system. For a better idea of the
system-wide effects of behavior, interaction views are often more useful. State ma-
chines are useful for understanding control mechanisms, however, such as user in-
terfaces and device controllers.
Event
An event is a type of noteworthy occurrence that has a location in time and space.
It occurs at a point in time; it does not have duration. Model something as an
event if its occurrence has consequences. When we use the word event by itself, we
usually mean an event descriptor—that is, a description of all the individual event
occurrences that have the same general form, just as the word class means all the
individual objects that have the same structure. A specific occurrence of an event is
called an occurrence. Events may have parameters that characterize each individ-
ual event occurrence, just as classes have attributes that characterize each object.
Events can be divided into various explicit and implicit kinds: signal events, call
events, change events, and time events. Table 7-1 is a list of event types and their
descriptions.
Ta b l e 7 - 1 : Kinds of Events
Event Type Description Syntax
call event Receipt of an explicit synchronous call
request by an object
op (a:T)
change event A change in value of a Boolean expression when (exp)
signal event Receipt of an explicit, named, asynchro-
nous communication among objects
sname (a:T)
time event The arrival of an absolute time or the pas-
sage of a relative amount of time
after (time)

Chapter 7 • State Machine View 83
Signal. A signal is kind of classifier that is explicitly intended as a communication
vehicle between two objects; the reception of a signal is an event for the receiving
object. The sending object explicitly creates and initializes a signal instance and
sends it to one or a set of explicit objects. Signals embody asynchronous one-way
communication, the most fundamental kind. The sender does not wait for the re-
ceiver to deal with the signal but continues with its own work independently. To
model two-way communication, multiple signals can be used, at least one in each
direction. The sender and the receiver can be the same object.
Signals may be declared in class diagrams as classifiers, using the keyword
«signal»; the parameters of the signal are declared as attributes. As classifiers, sig-
nals can have generalization relationships. Signals may be children of other signals;
they inherit the attributes of their parents, and they trigger transitions that contain
the parent signal type (Figure 7-1).
Figure 7-1. Signal hierarchy
UserInput
device
Mouse
location
Button Keyboard
Character
character
InputEvent
time
Control Graphic
PunctuationAlphanumeric
Space
Mouse Mouse
Button
Down Button
Up
«signal»
«signal»
«signal» «signal»
«signal» «signal» «signal»
«signal» «signal»
«signal»
«signal»
Character Character
abstract signal
concrete signals
84 Part 2 • UML Concepts
Call event. A call event is the reception of a call of an operation by an object. The
receiving class chooses whether an operation will be implemented as a method or
a call event trigger in a state machine (or possibly both). The parameters of the op-
eration are the parameters of the call event. Once the receiving object processes the
call event by taking a transition triggered by the event or failing to take any transi-
tion, control returns to the calling object. Unlike a method, however, a state ma-
chine transition triggered by a call event may continue its own execution in
parallel with the caller.
Change event. A change event is the satisfaction of a Boolean expression that de-
pends on designated attribute values. This is a declarative way to wait until a con-
dition is satisfied, but it must be used with care, because it represents a continuous
and potentially nonlocal computation (action at a distance, because the value or
values tested may be distant). This is both good and bad. It is good because it fo-
cuses the model on the true dependency—an effect that occurs when a given con-
dition is satisfied—rather than on the mechanics of testing the condition. It is bad
because it obscures the cause-and-effect relationship between the action that
changes an underlying value and the eventual effect. The cost of testing a change
event is potentially large, because in principle it is continuous. In practice, how-
ever, there are optimizations that avoid unnecessary computation. Change events
should be used only when a more explicit form of communication is unnatural.
Note the difference between a guard condition and a change event. A guard con-
dition is evaluated once when the trigger event on the transition occurs and the re-
ceiver handles the event. If it is false, the transition does not fire and the condition
is not reevaluated. A change event is evaluated continuously until it becomes true,
at which time the transition fires.
Time event. Time events represent the passage of time. A time event can be speci-
fied either in absolute mode (time of day) or relative mode (time elapsed since a
given event). In a high-level model, time events can be thought of as events from
the universe; in an implementation model, they are caused by signals from some
specific object, either the operating system or an object in the application.
State
A state machine defines a small number of named states. A state can be character-
ized in three complementary ways: as a set of object values that are qualitatively
similar in some respect; as a period of time during which an object waits for some
event or events to occur; or as a period of time during which an object performs
some ongoing do activity. A state may have a name, although often it is anony-
mous and is described simply by its effects and relationships. In effects, states are
the units of control from which state machines are constructed.

Chapter 7 • State Machine View 85
In a state machine, a set of states is connected by transitions. A transition con-
nects two states (or more, if there is a fork or join of control). A transition is pro-
cessed by the state that it leaves. When an object is in a state, it is sensitive to the
trigger events on transitions leaving the state.
A state is shown as a rectangle with rounded corners (Figure 7-2).
Transition
A transition leaving a state defines the response of an object in the state to the oc-
currence of an event. In general, a transition has an event trigger, a guard condi-
tion, an effect, and a target state. Table 7-2 shows kinds of transitions and implicit
effects invoked by transitions.
Figure 7-2. State
Ta b l e 7 - 2 : Kinds of Transitions and Implicit Effects
Transition Kind Description Syntax
entry transition The specification of an entry
activity that is executed when a
state is entered
entry/ activity
exit transition The specification of an exit
activity that is executed when a
state is exited
exit/ activity
external transition A response to an event that
causes a change of state or a
self-transition, together with a
specified effect. It may also
cause the execution of exit and/
or entry activities for states that
are exited or entered.
e(a:T)[guard]/activity
internal transition A response to an event that
causes the execution of an effect
but does not cause a change of
state or execution of exit or
entry activities
e(a:T)[guard]/activity
Confirm Credit

86 Part 2 • UML Concepts
External transition. An external transition is a transition that changes the active
state. This is the most common kind of transition. It is drawn as an arrow from the
source state to the target state, with other properties shown as a text string at-
tached to the arrow (Figure 7-3).
Trigger e vent. The trigger specifies the event that enables a transition. The event
may have parameters, which are available to an effect specified as part of the tran-
sition. If a signal has descendants, receipt of any descendant of the signal enables
the transition. For example, if a transition has signal MouseButton as a trigger (see
Figure 7-1), then receipt of MouseButtonDown will trigger the transition.
An event is not a continuous thing; it occurs at a point in time. When an object
receives an event occurrence, the event occurrence is placed into an event pool for
the object. An object handles one event occurrence at a time. When the object is
free, an event occurrence is removed from the pool. A transition must fire at the
time the object handles the event; the event occurrence is not “remembered” until
later (except in the special case of deferred events, which remain in the event pool
until they trigger a transition or until the object enters a state where they are no
longer deferred). If two events occur simultaneously, they are handled one at a
time. An event occurrence that does not trigger any transition is simply ignored
and lost. This is not an error. It is much easier to ignore unwanted events than to
try to specify all of them.
Figure 7-3. External transitions
Confirm Credit Process Order
Cancel Order
approved/debit account()
rejected
Waiting
receive order
[amount > $25]
receive order
[amount < $25]
action
guard condition
trigger event
transition
trigger
event
transition
transition
transition
Chapter 7 • State Machine View 87
Guard condition. A transition may have a guard condition, which is a Boolean ex-
pression. It may reference attributes of the object that owns the state machine, as
well as parameters of the trigger event. The guard condition is evaluated when the
trigger event occurs. If the expression evaluates as true, then the transition fires—
that is, its effects occur. If the expression evaluates as false, then the transition does
not fire. The guard condition is evaluated only once, at the time the trigger event
occurs. If the condition is false and later becomes true, it is too late to fire the tran-
sition.
The same event can be a trigger for more than one transition leaving a single
state. Each transition with the same event must have a different guard condition. If
the event occurs, a transition triggered by the event may fire if its condition is true.
Often, the set of guard conditions covers all possibilities so that the occurrence of
the event is guaranteed to fire some transition. If all possibilities are not covered
and no transition is enabled, then an event is simply ignored. Only one transition
may fire (within one thread of control) in response to one event occurrence. If an
event enables more than one transition, only one of them fires. A transition on a
nested state takes precedence over a transition on one of its enclosing states. If two
conflicting transitions are enabled at the same time, one of them fires nondeter-
ministically. The choice may be random or it may depend on implementation de-
tails, but the modeler should not count on a predicable result.
If an orthogonal state is active, each region in it is active, meaning that multiple
states (at least one in each region) may be active concurrently. If multiple states are
active, a single event occurrence may trigger a transition in each orthogonal re-
gion. The concurrent transitions are executed concurrently and do not interact,
except possibly indirectly because of effects on shared objects.
Completion transition. A transition that lacks an explicit trigger event is triggered
by the completion of activity in the state that it leaves (this is a completion transi-
tion). A completion transition may have a guard condition, which is evaluated at
the time the activity in the state completes (and not thereafter). Completion tran-
sitions take priority over ordinary events and do not wait for a normal run-to-
completion step.
Effect. When a transition fires, its effect (if any) is executed. An effect may be an
action or an activity. An action is a primitive computation, such as an assignment
statement or simple arithmetic computation. Other actions include sending a sig-
nal to another object, calling an operation, creating or destroying an object, and
getting and setting attribute values. An effect may also be an activity—that is, a list
of simpler actions or activities. An action or activity cannot be terminated or
affected by simultaneous effects. (An advanced profile might add an action that
terminates or interrupts other activities.) Conceptually, one activity is processed at
88 Part 2 • UML Concepts
a time; therefore, a second event cannot be handled during the execution of an ef-
fect.
The overall system can perform multiple activities simultaneously. An imple-
mentation system can process hardware interrupts and time share between several
actions. An activity is noninterruptible within its own thread of control. Once
started, it must complete and it must not interact with other simultaneously active
effects. This is called run-to-completion semantics. But effects should not be used
as a long transaction mechanism. Their duration should be brief compared to the
response time needed for external events. Otherwise, the system might be unable
to respond in a timely manner.
An effect may use parameters of the trigger event and attributes of the owning
object as part of its expression.
Change of state. When the execution of the effect is complete, the target state of the
transition becomes active. This may trigger an exit activity or an entry activity (or
several if the state machine traverses several nested states from the source to the
target state).
Nested states. States may be nested inside other composite states (see following en-
try). A transition leaving an outer state is applicable to all states nested within it.
The transition is eligible to fire whenever any nested state is active. If the transition
fires, the target state of the transition becomes active. Composite states are useful
for expressing exception and error conditions, because transitions on them apply
to all nested states without the need for each nested state to handle the exception
explicitly.
Entry and exit activities. A transition across one or more levels of nesting may exit
and enter states. A state may specify activities that are performed whenever the
state is entered or exited. Entering the target state executes an entry activity at-
tached to the state. If the transition leaves the original state, then its exit activity is
executed before the effect on the transition and the entry activity on the new state.
Entry activities are often used to perform setup needed within a state. Because
an entry activity cannot be evaded, any actions that occur inside the state can as-
sume that the setup has occurred, regardless of how the state is entered. Similarly,
an exit activity is an activity that occurs whenever the state is exited, an opportu-
nity to perform clean up. It is particularly useful when there are high-level transi-
tions that represent error conditions that abort nested states. The exit activity can
clean up such cases so that the state of the object remains consistent. Entry and
exit activities could in principle be attached to incoming and outgoing transitions,
but declaring them as special effects of the state permits the state to be defined in-
dependently of its transitions and therefore encapsulated.

Chapter 7 • State Machine View 89
Internal transition. An internal transition has a source state but no target state.
The firing rules for an internal transition are the same as for a transition that
changes state. An internal transition has no target state, so the active state does not
change as a result of its firing. If an internal transition has an effect, the effect is ex-
ecuted, but no change of state occurs, and therefore no exit or entry activities are
executed. Internal transitions are useful for modeling interrupt situations that do
not change the state (such as counting occurrences of an event or putting up a help
screen).
Entry and exit activities use the same notation as internal transitions, except
they use the reserved words entry and exit in place of the event trigger name, al-
though these effects are triggered by external transitions that enter or leave the
state.
A self-transition invokes exit and entry activities on its state (conceptually, it ex-
its and then reenters the state); therefore, it is not equivalent to an internal transi-
tion. Figure 7-4 shows entry and exit activities as well as internal transitions.
Composite State
A simple state has no substructure, just a set of transitions and possible entry and
exit activities. A composite state is one that has been decomposed into regions,
each of which contains one or more direct substates. Table 7-3 lists the various
kinds of states.
A decomposition of a nonorthogonal state into direct substates is similar to spe-
cialization of a class. An outer state is decomposed into several inner states, each of
which inherits the transitions of the outer state. Only one direct substate per non-
orthogonal state can be active at one time. The outer state represents the condition
of being in any one of the inner states.
Transitions into or out of a composite state invoke any entry activity or exit ac-
tivity of the state. If there are several composite states, a transition across several
levels may invoke multiple entry activities (outermost first) or several exit activi-
ties (innermost first). If there is an effect on the transition itself, the effect is exe-
cuted after any exit activities and before any entry activities are executed.
Figure 7-4. Internal transitions, and entry and exit actions
Enter Password
entry / set echo to star; reset password
exit / set echo to normal
digit / handle character
clear / reset password
help / display help
entry and exit activities
internal transitions
state name

90 Part 2 • UML Concepts
Ta b l e 7 - 3 : Kinds of States
State Kind Description Notation
simple state A state with no substructure
orthogonal state A state that is divided into two or
more regions. One direct substate
from each region is concurrently
active when the composite state is
active.
nonorthogonal
state
A composite state that contains one
or more direct substates, exactly one
of which is active at one time when
the composite state is active
initial state A pseudostate that indicates the
starting state when the enclosing
state is invoked
final state A special state whose activation indi-
cates the enclosing state has com-
pleted activity
terminate A special state whose activation ter-
minates execution of the object own-
ing the state machine
junction A pseudostate that chains transition
segments into a single run-to-
completion transition
choice A pseudostate that performs a
dynamic branch within a single run-
to-completion transition
history state A pseudostate whose activation
restores the previously active state
within a composite state
S
S
S
H

Chapter 7 • State Machine View 91
Each region of a composite state may have an initial state. A transition to the
composite state boundary is implicitly a transition to the initial state. A new object
starts at the initial state of its outermost state. Similarly, a composite state can have
a final state. A transition to the final state triggers a completion transition on the
composite state. If an object reaches the final state of its outermost state, it is de-
stroyed. Initial states, final states, entry activities, and exit activities permit the def-
inition of a state to be encapsulated independent of transitions to and from it.
Figure 7-5 shows a sequential decomposition of a state, including an initial
state. This is the control for a ticket-selling machine.
A decomposition of an orthogonal state into orthogonal regions represents in-
dependent computation. When an orthogonal state is entered, the number of con-
trol threads increases as a direct substate in each orthogonal region becomes
active. When the orthogonal state is exited, the number of control threads de-
creases. Often, concurrency is implemented by a distinct object for each substate,
but orthogonal states can also represent logical concurrency within a single object.
Figure 7-6 shows the concurrent decomposition of taking a university class.
It is often convenient to reuse a fragment of a state machine in other state ma-
chines. A state machine can be given a name and referenced from a state of one or
more other machines. The target state machine is a submachine, and the state ref-
erencing it is called a submachine state. It implies the (conceptual) substitution of
a copy of the referenced state machine at the place of reference, a kind of state ma-
chine subroutine. A submachine can define named entry points and exit points
that connect to internal states. Transitions to a submachine state can use connec-
tion points that reference these entry and exit points, hiding the internal structure
submachine state A state that references a state
machine definition, which conceptu-
ally replaces the submachine state
entry point A externally visible pseudostate
within a state machine that identifies
an internal state as a target
exit point A externally visible pseudostate
within a state machine that identifies
an internal state as a source
Ta b l e 7 - 3 : Kinds of States
State Kind Description Notation
s: M
T
a
Ub

92 Part 2 • UML Concepts
of the submachine from external clients. Instead of a submachine, a state can con-
tain an do activity—that is, a computation or continuous activity that takes time
to complete and that may be interrupted by events. Figure 7-7 shows a subma-
chine reference.
A transition to a submachine state causes activation of the initial state of the
target submachine. To enter a submachine at other states, an entry point can be
referenced. A entry point identifies a state in the submachine without exposing the
contents of the submachine.
Figure 7-5. State machine
identifyUser: Identify
Idle
Selecting
Confirming
Selling
fail
push “buy”
push “resume”
push “confirm”
insert card
push “cancel”
Purchasing
exit / eject card
pick (seat) / add to selection (seat)
entry / sell ()
initial state
final state
completion
transition
outer transition
aborts internal
activity
submachine reference
normal exit
explicit
exit
/reset selection activity
entry
activity
internal
transition
event
completion
transition

Chapter 7 • State Machine View 93
Figure 7-6. State machine with orthogonal composite state
Figure 7-7. Submachine state
Lab1 Lab2
Term
lab done
project done
Incomplete
Project
Final pass
Test
fail
lab
done
Taking Class
orthogonal state
explicit exit
normal
completion
transition
final state of
one region
orthogonal
state machine
initial state
failed
region
final state
(default exit)
exit point
(default entry)
Help
entry / display help screen
exit / remove help screen
quit
query / show answer
help: Help
help command
run: Run
run
command
submachine state
submachine
This submachine can be used many times.
submachine state
main machine
CommandWait

95
M
L
U
8
Activity View
Overview
An activity is a graph of nodes and flows that shows the flow of control (and op-
tionally data) through the steps of a computation. Execution of steps can be both
concurrent and sequential. An activity involves both synchronization and branch-
ing constructs, similar to but more powerful than a traditional flow chart, which
only supports sequential and branching constructs.
An activity definition contains activity nodes. An activity node represents the
execution of a statement in a procedure or the performance of a step in a work-
flow. Nodes are connected by control flows and data flows. An activity node nor-
mally begins execution when there are tokens (indicators of control) on each of its
input flows. An activity node waits for the completion of its computation. When
the execution of the node completes, then execution proceeds to nodes found on
its output flows. Activity flows are like completion transitions—they occur when
execution completes—but actions may be included that wait for specific events.
Activity nodes may be nested. An activity diagram may contain branches, as well
as forking of control into concurrent threads. Concurrent threads represent activi-
ties that can be performed concurrently by different objects or persons in an orga-
nization. Frequently concurrency arises from aggregation, in which each object
has its own concurrent thread. Concurrent activities can be performed simulta-
neously or in any order. An activity graph is like a traditional flow chart except it
permits concurrent control in addition to sequential control—a big difference.
There are also predefined control nodes that support various forms of control,
such as decisions (branches) and merges. Concurrent execution is modeled using
forks and joins. There are also control constructs to support exception handling
and the parallel application of an activity to the elements of a set.
Ultimately the leaves of an activity graph are actions. An action is a basic, pre-
defined activity, such as accessing or modifying attribute or link values, creating or
destroying objects, calling operations, and sending signals.

96 Part 2 • UML Concepts
Activity
An activity definition is shown in an activity diagram (Figure 8-1).
An activity node is shown as a box with rounded corners containing a descrip-
tion of the activity. A control flow is shown as an arrow. Branches are shown as
guard conditions on control flows or as diamonds with multiple labeled exit ar-
rows. A fork or join of control is shown by multiple arrows entering or leaving a
heavy synchronization bar. Figure 8-1 shows an activity diagram for processing an
order by the box office.
Figure 8-1. Activity diagram
assign
seats award
bonus
[subscription]
set up
order
assign
seats
[single order]
debit
account
mail
packet
BoxOffice::ProcessOrder
charge
credit card
concurrent threads
synchronization bar (fork)
synchronization bar ( join)
merge (unbranch)
decision (branch)
guard condition
activity node
alternative threads
end of activity

Chapter 8 • Activity View 97
For those situations in which external events must be included, the receipt of an
event can be shown as an action that denotes waiting for a signal. A similar nota-
tion shows sending a signal.
Partitions. It is often useful to organize the activities in a model according to re-
sponsibility—for example, by grouping together all the activities handled by one
business organization. This kind of assignment can be shown by organizing the ac-
tivities into distinct regions (called partitions) separated by lines in the diagram.
Because of the appearance, a region is sometimes called a swimlane. Figure 8-2
shows partitions.
Figure 8-2. Partitions and object flows
Request Service
Take Order
Fill Order
Collect Order
Customer Sales Stockroom
Pay
Deliver Order
Order
[Entered]
Order
[Filled]
Order
[Delivered]
Order
[Placed]
partition
object flow
(swim lane)

98 Part 2 • UML Concepts
Object flows. An activity diagram can show the flow of object values, as well as the
flow of control. An object flow represents an object that is the input or output of
an activity. For an output value, a solid arrow is drawn from an activity to an ob-
ject flow. For an input value, a solid arrow is drawn from an object flow to an ac-
tivity. If an activity has more than one output value or successor control flow, the
arrows are drawn from a fork symbol. Similarly, multiple inputs are drawn to a
join symbol.
Figure 8-2 shows an activity diagram in which both activities and object flows
have been assigned to swimlanes.
Activities and Other Views
Activity graphs do not show the full detail of a computation. They show the flow of
activities but not the objects that perform the activities. Activity graphs are a start-
ing point for design. To complete a design, each activity must be implemented as
one or more operations, each of which is assigned to a specific class to implement.
Such an assignment results in the design of a collaboration that implements the
activity graph.
Action
UML has a set of primitive actions that model manipulation of objects and links as
well as computation and communication among objects. UML does not define a
syntax for actions because it is expected that most models will use an existing ac-
tion language or programming language. Table 8-1 shows the various kinds of
actions.
Ta b l e 8 - 1 : Kinds of actions
Category Actions Purpose
classification readIsClassifiedObject
reclassifyObject
testIdentity
test classification
change classification
test object identity
communication broadcastSignal
callOperation
reply
(implicit) return
sendObject
sendSignal
broadcast
normal call
reply after explicit accept
implicit action on activity end
send signal as object
send signal as argument list

Chapter 8 • Activity View 99
Ta b l e 8 - 1 : Kinds of actions (continued)
Category Actions Purpose
computation accept call
accept event
addVariableValue
applyFunction
callBehavior
clearVariable
readSelf
readVariable
removeVariableValue
writeVariable
inline wait for call
inline wait for event
add additional value to set
mathematical computation
nested behavior
reset value in procedure
obtain owning object identity
obtain value in procedure
remove value from set
set value in procedure
control startOwnedBehavior explicit control
creation createLinkObject
createObject
create object from association
create normal object
destruction destroyObject destroy object
exception raiseException raise exception in procedure
read readExtent
readLink
readLinkObjectEnd
readLinkObject-
EndQualifier
readStructuralFeature
get all objects
get link value
get value from association class
get qualifier value
get attribute value
time durationObservation
timeObservation
measure time interval
get current time
write addStructuralFeature-
Value
clearAssociation
clearStructuralFeature
createLink
destroyLink
removeStructural-
FeatureValue
set attribute value
clear links
clear attribute value
add a link
remove a link
remove value from set

101
M
L
U
9
Interaction View
Overview
Objects interact to implement behavior. This interaction can be described in two
complementary ways, one of them centered on individual objects and the other on
a collection of cooperating objects.
A state machine is a narrow, deep view of behavior, a reductionist view that
looks at each object individually. A state machine specification is precise and leads
immediately to code. It can be difficult to understand the overall functioning of a
system, however, because a state machine focuses on a single object at a time, and
the effects of many state machines must be combined to determine the behavior of
an entire system. The interaction view provides a more holistic view of the behav-
ior of a set of objects. This view is modeled by interactions acting on structured
classifiers and collaborations.
Interaction
A structured classifier defines a contextual relationship. A structured classifier (in-
cluding a collaboration) may have a set of attached behaviors that apply to a set of
objects bound to a single instance of the context. One kind of behavior description
is a sequence of messages exchanged by the objects bound to the roles. A descrip-
tion of message sequences on a structured class or collaboration is called an inter-
action. A structured class or collaboration can have any number of interactions,
each of which describes a series of messages exchanged among the objects in the
context to perform a goal. Very commonly, interactions describe the execution of
operations. The parameters of the operation serve as the roles of a collaboration
that represents the operation execution.
An interaction is a set of messages within a structured classifier or collaboration
that are exchanged by roles across connectors. An instance of an interaction corre-
sponds to an instance of its context, with objects bound to roles exchanging
102 Part 2 • UML Concepts
message instances across links bound to connectors. An interaction often models
the execution of an operation, use case, or other behavioral entity.
A message is a one-way communication between two objects, a flow of control
with information from a sender to a receiver. A message may have arguments that
convey values from the sender to the receiver. A message can be a signal (an ex-
plicit, named, asynchronous interobject communication) or a call (the synchro-
nous or asynchronous invocation of an operation with a mechanism for later
returning control to the sender of a synchronous call).
The creation of a new object may be modeled as a message sent by the creator
object and received by the class itself. The creation event is available to the new in-
stance as the current event on the transition from the top-level initial state.
Events (including the sending and receipt of messages) on a single role are or-
dered in time. Other events are concurrent unless they are related by a chain of in-
termediate messages or they are explicitly ordered. Two messages are ordered if the
receive event of one precedes the send event of the other. Otherwise they may be
concurrent.
Sequencing of events and messages can be shown in two kinds of diagrams: a
sequence diagram (focusing on the time sequences of the messages) and a
communication diagram (focusing on the relationships among the objects that
exchange the messages).
Sequence Diagram
A sequence diagram displays an interaction as a two-dimensional chart. The verti-
cal dimension is the time axis; time proceeds down the page. The horizontal di-
mension shows the roles that represent individual objects in the collaboration.
Each role is represented by a vertical column containing a head symbol and a verti-
cal line—a lifeline. During the time an object exists, it is shown by a dashed line.
During the time an execution specification of a procedure on the object is active,
the lifeline is drawn as a double line.
In general, a sequence diagram shows only sequences of messages and not exact
time intervals. A timing diagram can be used when metric time is important, but
for understanding the semantics of interactions, sequence diagrams are usually
sufficient.
A message is shown as an arrow from the lifeline of one object to that of an-
other. The arrows are arranged in time sequence down the diagram. An asynchro-
nous message is shown with a stick arrowhead.
Figure 9-1 shows a typical sequence diagram with asynchronous messages.

Chapter 9 • Interaction View 103
Execution Specification
An execution specification (activation) is the execution of a procedure, including
any time it waits for nested procedures to execute. It is shown by a double line re-
placing part of the lifeline in a sequence diagram.
A call is shown by an arrow leading to the top of the execution specification the
call initiates. A synchronous call is shown with a filled triangular arrowhead.
A recursive call occurs when control reenters an operation on an object, but the
second call is a separate execution specification from the first. Recursion or a
nested call to another operation on the same object is shown in a sequence dia-
gram by stacking the activation lines.
Figure 9-1. Sequence diagram
: Kiosk
insertCard (customer)
pickDate (date)
offer (seatChoice)
ticketServer: Server
submit (order)
OK
print (order)
role
lifeline
message
: CreditService
select (seats)
charge (customer,
amount)
authorize
sd buyTickets
gate
(external
message
name
outside
environment
point)

104 Part 2 • UML Concepts
The return of control from a call is shown by a dashed arrow with a stick arrow-
head. In a procedural environment, return arrows may be omitted, because they
are implicit at the end of an execution specification, but it is much clearer to show
them.
Figure 9-2 shows a sequence diagram with procedural flow of control, including
a second call to an object nested in another call and the creation of an object dur-
ing the computation.
An active object is one that holds the root of a stack of executions. Each active
object has its own event-driven thread of control that executes in parallel with
other active objects. An active object is shown by a double line on each side of its
head symbol. This indication is often omitted as it doesn’t really mean much. The
objects that are called by an active object are passive objects; they receive control
only when called, and they yield it up when they return.
Figure 9-2. Sequence diagram with execution specifications
debit (cost)
:Order
:Account
:TicketDB
create()
reserve (date,count)
lifeline
role
message
return
execution
creation
destruction
second call to object
bonus (date,count)
sd processOrder
specification
synchronous call
gate
(external
call)
gate
(external
return) ongoing objects

Chapter 9 • Interaction View 105
Structured Control Constructs
Sequential flow of control is easily shown in a sequence diagram as a sequence of
messages (that’s why it’s called a sequence diagram). More complex flow of control
may be shown using combined fragments. A combined fragment has a keyword
and one or more subfragments (called interaction operands). The number and
meaning of the subfragments depends on the keyword. See Figure 9-3.
An interaction use is a reference to another interaction, which is usually defined
in its own sequence diagram.
Figure 9-3. Structured control constructs
:Order
:Account
:TicketDB
create()
debit (cost)
sd processOrder
[get next item]
loop
reserve (date,count)
alt [available]
[unavailable]
reject
add (seats)
loop
nested
conditional
alternate
branches
loop condition
guard
condition
ref get existing customer status
interaction
use
106 Part 2 • UML Concepts
A loop has one subfragment, which is executed as long as the first guard condi-
tion in the subfragment is true.
A conditional fragment (keyword alt) has two or more subfragments, each hav-
ing an initial guard condition. When the conditional is reached, a subfragment
whose guard condition is true is executed. If more than one is true, one of them is
selected nondeterministically for execution. If none is true, no execution is consis-
tent with the specification. The optional fragment (keyword opt) is a special case
with a single subfragment that is executed if its guard condition is true and omit-
ted if the condition is false.
A parallel fragment (keyword par) has two or more subfragments. When the
fragment is reached, all of the subfragments are executed concurrently. The rela-
tive sequence of messages in different subfragments is indeterminate and the mes-
sages can be interleaved in any possible order. When all subfragments have
completed execution, the concurrent executions join together again into a single
flow.
There are a number of other, more specialized structured constructs.
Figure 9-3 shows a sequence diagram containing a loop with a nested condi-
tional.
Communication Diagram
A communication diagram is based on the context supplied by a structured classi-
fier (including a collaboration). Roles and connectors describe the configuration
of objects and links that may occur when an instance of a the context is executed.
When the context is instantiated, objects are bound to the roles and links are
bound to the connectors. Connectors may also be bound to various kinds of tem-
porary links, such as procedure arguments or local procedure variables. Only ob-
jects that are involved in the context are modeled, although there may be others in
the entire system. In other words, a communication diagram models the objects
and links involved in the implementation of an interaction and ignores the others.
Messages among roles are shown as labeled arrows attached to connectors. Each
message has a sequence number, an optional guard condition, a name and argu-
ment list, and an optional return value name. The sequence number includes the
(optional) name of a thread. All messages in the same thread are sequentially
ordered. Messages in different threads are concurrent unless there is an explicit se-
quencing dependency. Various implementation details may be added, such as a
distinction between asynchronous and synchronous messages.
Figure 9-4 shows a communication diagram.

Chapter 9 • Interaction View 107
Communication and sequence diagrams. Communication diagrams and sequence
diagrams both show interactions, but they emphasize different aspects. Sequence
diagrams show time sequences clearly but do not show object relationships explic-
itly. Communication diagrams show object relationships clearly, but time se-
quences must be obtained from sequence numbers. Sequence diagrams are often
most useful for showing scenarios; communication diagrams are often more use-
ful for showing detailed design of procedures. Once the structure of a procedure is
defined, however, a sequence diagram may be more useful for planning fine details
of control.
Figure 9-4. Communication diagram
:OrderTaker
: CreditBureau
1: checkCredit(customer)
request(order,customer)
:TicketDB
2: cost=reserve(order)
3: debit(customer,cost)
connector
role
sequence number
tickets
credit one-way navigation on
message flow
comm takeOrder
underlying association

109
M
L
U
10
Deployment View
Overview
The deployment view shows the physical arrangement of nodes. A node is a run-
time computational resource, such as a computers or other device. At run time,
nodes can contain artifacts, physical entities such as files. The manifestation rela-
tionship shows the relationship between design elements, such as components,
and the artifacts that embody them in the software system. The deployment view
may highlight performance bottlenecks due to placement of artifacts manifesting
interdependent components on different nodes.
Node
A node models a run-time computational resource, generally having at least a
memory and often processing capability as well. Nodes may have stereotypes to
distinguish different kinds of resources, such as CPUs, devices, and memories.
Nodes may hold artifacts.
A node type is shown as a stylized cube with its name embedded. A node in-
stance is shown as a cube with an underlined name string with a name and node
type (Figure 10-1).
Associations between nodes represent communication paths. The associations
can have stereotypes to distinguish different kinds of paths.
Nodes may have generalization relationships to relate a general description of a
node to a more specific variation.
Artifact
An artifact models a physical entity such as a file. An artifact is shown by a rectan-
gle with the keyword «artifact». The presence of an artifact on a node is shown by
physically nesting the artifact symbol inside the node symbol.

110 Part 2 • UML Concepts
Various kinds of artifacts, such as databases, web pages, executables, or scripts,
can be marked with stereotypes.
If an artifact implements a component or other class, a dashed arrow with the
keyword «manifest» is drawn from the artifact symbol to the symbol of the com-
ponent that it implements. This relationship is called manifestation.
Figure 10-1. Deployment diagram
server:BankServer
client: ATMKiosk
Transaction.jar update
ATM-GUI.jar
«database»
accountDB
artifact
dependency
interface
node
instance
instance
communication link
«artifact»
«artifact»
artifact
instance
Transaction
«manifest»
component
implemented
by artifact

111
M
L
U
11
Model Management View
Overview
Any large system must be divided into smaller units so that humans can work with
a limited amount of information at one time and so that work teams do not inter-
fere with each other’s work. Model management consists of packages (including
special kinds of packages) and dependency relationships among packages.
Package
A package is a piece of a model. Every part of a model must belong to one package.
The modeler may allocate the contents of a model to a set of packages. But to be
workable, the allocation must follow some rational principle, such as common
functionality, tightly coupled implementation, and a common viewpoint. UML
does not impose a rule for composing packages, but a good decomposition into
packages will greatly enhance model maintainability.
Packages contain top-level model elements, such as classes and their relation-
ships, state machines, use case graphs, interactions, and collaborations—anything
not contained in some other element. Elements such as attributes, operations,
states, lifelines, and messages are contained in other elements and do not appear as
direct contents of packages. Every top-level element has one package in which it is
declared. This is its “home” package. It may be referenced in other packages, but
the contents of the element are owned by the home package. In a configuration
control system, a modeler must have access to the home package to modify the
contents of an element. This provides an access control mechanism for working
with large models. Packages are also the units for any versioning mechanisms.
Packages may contain other packages. There is a root package that indirectly
contains the entire model of a system. There are several possible ways to organize
the packages for a system. They may be arranged by view, by functionality, or by
any other basis that the modeler chooses. Packages are general-purpose hierarchi-
cal organizational units of UML models. They can be used for storage, access

112 Part 2 • UML Concepts
control, configuration management, and constructing libraries containing reus-
able model fragments.
If the packages are well chosen, so that the organization structures (packages)
correspond to design structures (components), they reflect the high-level architec-
ture of a system—its decomposition into subsystems and their dependencies.
Packages that cut across subsystems often cause troubles among teams of design-
ers. A dependency among packages summarizes the dependencies among the
package contents.
Dependencies on Packages
Dependencies arise among individual elements, but in a system of any size, they
must be viewed at a higher level. Dependencies among packages summarize de-
pendencies among elements in them—that is, package dependencies are derivable
from the dependencies among individual elements.
The presence of a dependency among packages implies that there exists in a
bottom-up approach (an existence statement), or is permitted to exist later in a
top-down approach (a constraint on future design), at least one relationship ele-
ment of the given kind of dependency among individual elements within the cor-
responding packages. It is an “existence statement” and does not imply that all
elements of the package have the dependency. It is a flag to the modeler that there
exists further information, but the package-level dependency does not contain the
further information itself; it is only a summary.
Figure 11-1 shows the package structure for a ticket-ordering subsystem. It has
dependencies on outside packages.
Figure 11-1. Packages and their relationships
Ordering
Pricing
Seat
selection
Ticketing
package containing packages
dependency
package
packages
outside the
subsystem
dependency
on external
package
Credit Service
package
Seat DB
Chapter 11 • Model Management View 113
The top-down approach reflects the overall system architecture. The bottom-up
approach can be automatically generated from the individual elements. Both ap-
proaches have their place in modeling, even on a single system.
Multiple dependencies of the same kind among individual elements are aggre-
gated to a single package-level dependency among the packages containing the ele-
ments. If the dependencies among individual elements contain stereotypes (such
as different kinds of usage), the stereotype may be omitted in the package-level de-
pendency in order to yield a single high-level dependency.
Packages are drawn as rectangles with tabs on them (desktop “folder” icons).
Dependencies are shown as dashed arrows.
Visibility
A package is a namespace for its elements. It establishes visibility of its elements.
Elements directed owned by packages can have public or private visibility. A pack-
age can see only the elements of other packages that have been given public visibil-
ity by the package containing them. Elements with private visibility are visible only
in the package containing them and any packages nested inside that package.
Visibility also applies to the features of classes (attributes and operations). An
element with public visibility can be seen by other classes within the same package
or within other packages that can see the class and by descendants of the class. A
feature with private visibility can only be seen by its own class. A feature with pro-
tected visibility can be seen by the class or a descendant of a class. A feature with
package visibility can be seen by other classes within the same package, but not by
classes in other packages, even if they can see the class.
A package nested within another package is part of the container and has full ac-
cess to its contents (transitively). A container, however, may not see inside its
nested packages without proper visibility; the contents are encapsulated.
Import
A package may import elements from another package to add their names to its
namespace (Figure 11-2). Importing does not add any modeling power, but it does
simplify text expressions that appear in constraints and eventually code. An ele-
ment can be imported if it is visible to the importing package. A package may also
import an entire package, which is equivalent to importing all the visible elements
within it.
An imported element becomes a visible element of the importing package under
its imported name (which may differ from the original name, although they are
usually the same). The access relationship adds an element to the namespace with-
out making it public in the importing package.

114 Part 2 • UML Concepts
Model
A model is a package that encompasses a complete description of a particular view
of a system. It provides a closed description of a system from one viewpoint. It
does not have strong dependencies on other packages, such as implementation de-
pendencies or inheritance dependencies. The trace relationship is a weak form of
dependency among elements in different models that notes the presence of some
connection without specific semantic implications.
Usually, a model is tree-structured. The root package contains in itself nested
packages that constitute the full detail of the system from the given viewpoint. A
model can be shown as a package with a triangle adornment but usually there is
little point in showing models as symbols.
Figure 11-2. Package import
Ordering Products
Pricing
«import»
«import»

115
M
L
U
12
Profiles
Overview
UML provides several extension mechanisms to allow modelers to make some
common extensions without having to modify the underlying modeling language.
These extension mechanisms have been designed so that tools can store and ma-
nipulate the extensions without understanding their full semantics or purpose. It
is expected that back-end tools and add-ins will be written to process various
kinds of extensions. These tools will define a particular syntax and semantics for
their extensions that only they need understand.
Extensions are organized into profiles. A profile is coherent set of extensions ap-
plicable to a given domain or purpose. By their nature, profiles are not applicable
in all circumstances, and different profiles may or may not be compatible with one
another.
This approach to extensions probably will not meet every need that arises, but it
should accommodate a large portion of the tailoring needed by most modelers in a
simple manner that is easy to implement.
The extensibility mechanisms are stereotype, tagged values, and constraints.
Keep in mind that an extension, by definition, deviates from the standard form
of UML and may therefore lead to interoperability problems. The modeler should
carefully weigh benefits and costs before using extensions, especially when existing
mechanisms will work reasonably well. Typically, extensions are intended for par-
ticular application domains or programming environments, but they result in a
UML dialect, with the advantages and disadvantages of all dialects.

116 Part 2 • UML Concepts
Stereotype
Many modelers wish to tailor a modeling language for a particular application do-
main. This carries some risk, because the tailored language will not be universally
understandable, but people nevertheless attempt to do it.
A stereotype is a kind of model element defined in the model itself. The infor-
mation content and form of a stereotype are the same as those of an existing kind
of base model element, but its meaning and usage is different. For example, mod-
elers in the business modeling area often wish to distinguish business objects and
business processes as special kinds of modeling elements whose usage is distinct
within a given development process. These can be treated as special kinds of
classes—they have attributes and operations, but they have special constraints on
their relationships to other elements and on their usage.
A stereotype is based on an existing model element. The information content of
the stereotyped element is the same as the existing model element. This permits a
tool to store and manipulate the new element the same way it does the existing el-
ement. The stereotyped element may have its own distinct icon—this is easy for a
tool to support. For example, a “business organization” might have an icon that
looks like a group of persons. The stereotype may also have a list of constraints
that apply to its usage. For example, perhaps a “business organization” can be as-
sociated only with another “business organization” and not with any class. Not all
constraints can be automatically verified by a general-purpose tool, but they can
be enforced manually or verified by an add-in tool that understands the stereo-
type.
Stereotypes may define tagged values to store additional properties that are not
supported by the base element.
Stereotypes are shown as text strings surrounded by guillemets (« ») placed in or
near the symbol for the base model element. The modeler may also create an icon
for a particular stereotype, which replaces the base element symbol (Figure 12-1).
Figure 12-1. Stereotypes
Reservations
«database»
Kiosk Server
«ethernet»
JobScheduler
stereotype icon
communication
stereotype

Chapter 12 • Profiles 117
Ta g g e d Va l u e
A tag definition is a definition of an attribute for a modeling element itself, that is,
the definition of a metaatribute. It defines properties of elements in user models,
rather than properties of run-time objects. It has a name and a type. A tag defini-
tion is owned by a stereotype.
When a stereotype is applied to a model element, the model element gains the
tags defined in the stereotype (Figure 12-2). For each tag, the modeler may specify
a tagged value. Tagged values are shown as strings with the tag name, an equal
sign, and the value within notes attached to a model element (Figure 12-2). They
will often be omitted on diagrams but shown on pop-up lists and forms.
In defining a stereotype, each tag is a name of some property the modeler wants
to record, and the value in a model element is the value of that property for the
given element. For example, the tag might be author, and the value might be the
name of the person responsible for the element, such as Charles Babbage.
Tags can be defined to store arbitrary information about elements. They are
particularly useful for storing project management information, such as the cre-
ation date of an element, its development status, due dates, and test status. Any
string may be used as a tag name, except that the names of built-in metamodel at-
tributes should be avoided (because tags and attributes together can be considered
properties of an element and accessed uniformly in a tool), and a number of tag
names are predefined.
Tagged values also provide a way to attach implementation-dependent add-in
information to elements. For example, a code generator may need additional
Figure 12-2. Stereotypes and tagged values
KioskTransaction
author=Mike Pike
requirement=14.52
due=12/31/1999
status=designed
form=standalone
optimize=time
search=random
library=RW
index=both
project management
tagged values
code generation tagged values
«codegen»
«projectMgmt»
«projectMgmt, codegen»
applied stereotypes

118 Part 2 • UML Concepts
information about the kind of code to generate from a model. Often, there are sev-
eral possible ways to correctly implement a model; the modeler must provide
guidance about which choices to make. Certain tags can be used as flags to tell the
code generator which implementation to use. Other tags can be used for other
kinds of add-in tools, such as project planners and report writers.
Profile
A profile is a package that identifies a subset of an existing base metamodel (possi-
bly including all of it) and defines stereotypes and constraints that may be applied
to the selected metamodel subset (Figure 12-3). It is intended to make limited ex-
tensions to UML to tailor it to a specific domain, technology, or implementation.
Figure 12-3. Profile definition
Bean
«stereotype»
Entity
«stereotype»
Session
«stereotype»
state: StateKind
StateKind
«enumeration»
stateless
statefull
Jar
«stereotype»
Interface
«metaclass»
Component
«metaclass»
Remote
«stereotype»
Home
«stereotype»
{required}
Artifact
«metaclass»
{A Bean must
realize exactly
one Home
interface.}
«profile» EJB
constraint
tag value applicable to components
This stereotype must
be applied to components.
type usable
in stereotypes
and user models
This stereotype may
be applied to artifacts.
existing metaclasses
from base metamodel

Chapter 12 • Profiles 119
A profile is made available to a use model by profile application on a package.
The constraints on the profile apply to the elements of the package, and the stereo-
types defined in the profile can be used by model elements in the package.
Figure 12-4 shows the application of profiles to a package.
Figure 12-4. Profile application
Real-time
«profile» «profile»
ProjectTracking
SensorControl
«apply»
«apply»

121
M
L
U
13
UML Environment
Overview
UML models are used within an environment. Most people use modeling as a
means to an end—namely, the development of good systems—and not an end in
itself. The purpose and interpretation of the model are affected by the rest of the
environment. Other facilities in the wider environment include metamodels that
cross many languages, model-editing tools, programming languages, operating
systems and major system components, and the business and engineering world
within which systems are used. The responsibility for giving meaning to a model
and implementing its intent lies with all these facilities, including UML.
Models occur at various levels of concreteness. UML is a general-purpose mod-
eling language that includes semantics and notation but is usable with different
tools and implementation languages. Each level of usage introduces certain mod-
eling considerations that appear in the UML to various degrees.
Semantics Responsibilities
A metamodel is the description of a model. A modeling language describes mod-
els; therefore, it can be described by a metamodel. A metamodel attempts to make
a language precise by defining its semantics, but there is a tension to permit exten-
sions for new situations. The actual form of the metamodel is important to tool
implementation and model interchange but not very important to most users. We
therefore have not covered it in this book. Those who are interested can consult the
original standards documents available on the OMG web site (www.omg.org).
A metamodel and a language must cover a lot of ground and accommodate
many interpretations. Existing systems have differing execution and memory
models. It is impossible to choose one of them as the right interpretation. In fact, it
is probably misleading to even consider such a choice. Instead, one can think of
the different interpretations of execution models as semantic variation points. A
semantic variation point is a point of difference about the detailed semantics of
122 Part 2 • UML Concepts
execution, but one that is orthogonal to other aspects of a system. For example, an
environment may or may not choose to support dynamic classification, the ability
of an object to change class at run time. Today, most programming languages do
not permit it, mainly for programming-language implementation reasons, but
some do. The difference is indistinguishable in the static semantics. The choice of
static classification or dynamic classification can be identified as a semantic varia-
tion point with two options: static classification or dynamic classification. When
such choices exist, people often argue about which is the right interpretation. Real-
ize instead that this is a choice, and give it a name so that either choice can be used.
A metamodel describes the contents of a model that is well formed, just as a
programming language describes a well-formed program. Only a well-formed
model has a meaning and proper semantics; it does not make sense to ask the
meaning of a model that is ill formed. Much of the time, however, models under
development are not well formed. They are incomplete and possibly inconsistent.
But that is what model-editing tools must support—incomplete models, not just
finished models. The UML metamodel describes correct, well-formed models. A
separate metamodel could describe possible model fragments. We leave it to the
tool makers to decide where to draw the line on supporting model fragments and
what kind of semantic support to give to ill-formed models.
UML includes profiles to tailor its use in specialized domains. The profile mech-
anism includes the ability to define stereotypes with tagged values. Profiles can be
used to tailor a UML variant by defining a set of stereotypes and tags and adopting
conventions for their use in order to build a model. For example, variants could be
developed that are focused on the implementation semantics of various program-
ming languages. Adding extensions can be powerful, but it carries some inherent
dangers. Because their semantics are not defined within UML, UML cannot sup-
ply their meaning; the interpretation is up to the modeler. Furthermore, if you are
not careful, some meanings may be ambiguous or even inconsistent. Modeling
tools can provide automated support for stereotypes and tags defined by the tools,
but not for user-defined extensions. Regardless of the support for extensions, any
extension pulls the user away from the common center that the language standard
provides and undercuts the goals of interchangeability of models and of the under-
standability of models. Some profiles may be standardized by OMG or industry
groups, which reduces the danger of incompatibility. Of course, whenever you use
a particular class library, you diverge from the perfect interchangeability of noth-
ingness. So don’t worry about it in the abstract. Use the profiles when they help,
but avoid them when they are not needed.
Notation Responsibilities
Notation does not add meaning to a model, but it does help the user to understand
the meaning in it. Notation does not have semantics, but it often adds connota-
Chapter 13 • UML Environment 123
tions for a user, such as the perceived affinity of two concepts based on their near-
ness in a diagram.
The UML specifications and this book define a canonical UML notation, what
might be called the publication format for models. This is similar to many pro-
gramming languages in which programs within journal articles are printed in an
attractive format with careful layout, reserved words in boldface, and separate fig-
ures for each procedure. Real compilers have to accept messier input. We expect
that editing tools will extend the notation to a screen format, including such things
as the use of fonts and color to highlight items; the ability to easily suppress and
filter items that are not currently of interest, to zoom into a diagram to show
nested elements, to traverse hot links to other models or views; and animation. It
would be hopeless to try to standardize all these possibilities and foolish to try, be-
cause there is no need and it would limit useful innovation. This kind of nota-
tional extension is the responsibility of a tool builder. In an interactive tool, there is
less danger from ambiguity, because the user can always ask for a clarification. This
is probably more useful than insisting on a notation that is totally unambiguous at
first glance. A tool must be able to produce the canonical notation when re-
quested, especially in printed form, but reasonable extensions should be expected
in an interactive tool.
We expect that tools will also permit users to extend notation in limited but use-
ful ways. We have specified that stereotypes can have their own icons. Other kinds
of notational extensions might be permitted, but users need to use some discre-
tion.
Note that notation is more than pictures; it includes information in text-based
forms and the invisible hyperlinks among presentation elements.
Programming Language Responsibilities
UML must work with various implementation languages without incorporating
them explicitly. UML should permit the use of any (or at least many) program-
ming languages, for both specification and target-code generation. The problem is
that each programming language has many semantic issues should not be ab-
sorbed into UML, because they are better handled as programming-language is-
sues, and there is considerable variation in execution semantics. For example, the
semantics of concurrency are handled in diverse ways among the languages (if they
are handled at all). Profiles can be defined for different programming languages.
Primitive data types are not described in detail in UML. This is deliberate to
avoid incorporating the semantics of one programming language in preference to
all others. For most modeling purposes, this is not a problem. Use the semantic
model applicable to your target language. This is an example of a semantic varia-
tion point that can be addressed in a language profile.
124 Part 2 • UML Concepts
The representation of detailed language properties for implementation raises
the problem of capturing information about implementation properties without
building their semantics into UML. One approach is to capture language
properties that go beyond UML’s built-in capabilities by defining profiles contain-
ing stereotypes and tagged values for various programming language properties. A
generic editor need not understand them. Indeed a user could create a model us-
ing a tool that did not support the target language and transfer the final model to
another tool, such as a code generator, for final processing. The code generator
would understand the stereotypes. Of course, if the generic tool does not under-
stand the stereotypes and tags, it cannot check them for consistency. But this is no
worse than normal practice with text editors and compilers.
Code generation and reverse engineering for the foreseeable future will require
input from the designer in addition to a UML model. Directives and hints to the
code generator can be supplied as tagged values and stereotypes. For example, the
modeler could indicate which kind of container class should be used to implement
an association. Of course, this means that code-generation settings in tools might
be incompatible, but we do not believe there currently is sufficient agreement on
the right approach to standardize the language settings. In any case, different tools
will use their code generators as their competitive advantage. Eventually, default
settings may emerge and become ripe for standardization.
Modeling with Tools
Models require tool support for realistic-sized systems. Tools provide interactive
ways to view and edit models. They provide a level of organization that is outside
the scope of the UML itself but that conveys understanding to the user and helps
in accessing information. Tools help to find information in large models by search-
ing and filtering what is presented.
Tool issues
Tools deal with the physical organization and storage of models. These must sup-
port multiple work teams on a single project, as well as reuse across projects. The
following issues are outside the scope of canonical UML, but must be considered
for actual tool usage.
Ambiguities and unspecified information. At early stages, many things are still un-
said. Tools must be able to adjust the precision of a model and not force every
value to be specific. See the following sections “Inconsistent models for work in
progress” and “Null and unspecified values.”
Presentation options. Users do not want to see all the information all the time.
Tools must support filtering and hiding of information that is unwanted at a given
Chapter 13 • UML Environment 125
time. Tools will also add support for alternate visualizations by using the capabili-
ties of the display hardware. This has been covered above in the section “Notation
Responsibilities.”
Model management. Configuration control, access control, and versioning of
model units are outside the scope of UML, but they are crucial to the software en-
gineering process and go on top of the metamodel.
Interfaces to other tools. Models need to be handled by code generators, metrics
calculators, report writers, execution engines, and other back-end tools. Informa-
tion for other tools needs to be included in the models, but it is not UML infor-
mation. Profiles with stereotypes and tagged values are suitable for holding this
information.
Inconsistent models for work in progress
The ultimate goal of modeling is to produce a description of a system at some level
of detail. The final model must satisfy various validity constraints to be meaning-
ful. As in any creative process, however, the result is not necessarily produced in a
linear fashion. Intermediate products will not satisfy all the validity constraints at
every step. In practice, a tool must handle not only semantically valid models,
which satisfy the validity constraints, but also syntactically valid models, which
satisfy certain construction rules but may violate some validity constraints. Se-
mantically invalid models are not directly usable. Instead they may be thought of
as “works in progress” that represent paths to the final result.
Null and unspecified values
A complete model must have values for all the attributes of its elements. In many
cases, null (no value) is one of the possible values, but whether a value may be null
is a part of the type description of the attribute; many types do not have a natural
null value within their range of values. For example, null makes no sense as the up-
per bound on the size of a set. Either the set has a fixed upper size or there is no
bound, in which case its maximum size is unlimited. Nullability is really just an
augmentation to the range of possible values of a data type.
On the other hand, during early stages of design, a developer may not care
about the value of a particular property. It might be a value that is not meaningful
at a particular stage, for example, visibility when making a domain model. Or the
value may be meaningful but the modeler may not have specified it yet, and the
developer needs to remember that it still needs to be chosen. In this case, the value
is unspecified. This indicates that a value will eventually be needed but that it has
not yet been specified. It is not the same as a null value, which may be a legitimate
value in the final model. In many cases, particularly with strings, a null value is a
126 Part 2 • UML Concepts
good way to indicate an unspecified value, but they are not the same. An unspeci-
fied value is not meaningful in a well-formed model. The UML definition does not
handle unspecified values. They are the responsibility of tools that support UML
and are considered part of a “work in progress” model that, by necessity, has no
semantic meaning.

M
L
U
Part 3: Reference

129
M
L
U
14
Dictionary of Terms
abstract s61
A class, use case, signal, or other classifier that cannot be instantiated. Also used to
describe an operation that has no implementation. Antonym: concrete.
See abstract operation, generalizable element.
Semantics
An abstract class is a class that is not instantiable—that is, it may not have direct
instances, either because its description is incomplete (such as lacking methods for
one or more operations) or because it is not intended to be instantiated even
though its description is complete. An abstract class is intended for specialization.
To be useful, an abstract class must have descendants that may have instances; an
abstract leaf class is useless. (It can appear as a leaf in a framework, but eventually,
it must be specialized.)
An operation lacking an implementation (a method) is abstract. A concrete
class may not have any abstract operations (otherwise, it is necessarily abstract),
but an abstract class may have concrete operations. Concrete operations are those
that can be implemented once and used the same across all subclasses. In their im-
plementation, concrete operations may use only features (attributes and opera-
tions) known to the class in which they are declared. One of the purposes of
inheritance is to factor such operations into abstract superclasses so that they can
be shared by all subclasses. A concrete operation may be polymorphic—that is, it
can be overridden by a method in a descendant class—but it need not be polymor-
phic (it may be a leaf operation). A class, all of whose operations are implemented,
may be abstract, but it must be explicitly declared as such. A class with one or
more unimplemented operations is automatically abstract.
Similar semantics apply to use cases. An abstract use case defines a fragment of
behavior that cannot appear by itself, but it can appear in the definition of con-
crete use cases by the generalization, include, or extend relationships. By factoring

130 •abstract Dictionary of Terms
the common behavior into an abstract use case, the model is made smaller and
easier to understand.
Notation
The name of an abstract classifier or an abstract operation is shown in italics. Al-
ternately, the keyword abstract may be placed in a property list below or after the
name, for example, Account {abstract}.
See also class name.
Example
Figure 14-1 shows an abstract class Account with one abstract operation, com-
puteInterest, and one concrete operation, deposit. Two concrete subclasses have
been declared. Because the subclasses are concrete, each of them must implement
the operation computeInterest. Attributes are always concrete.
History
In UML2, generalization has been restricted to classifiers. However, an operation
in a classifier may be considered declared abstract or concrete even though opera-
tions themselves are not generalizable.
Discussion
The distinction between modeling a class as abstract or concrete is not as funda-
mental or clear-cut as it might first appear. It is more a design decision about a
Figure 14-1. Abstract and concrete classes
Account
balance: Money
deposit (amount: Money)
computeInterest()
CheckingAccount
computeInterest()
SavingsAccount
computeInterest()
overdraftLimit: Money
abstract class
concrete class
concrete operation
abstract operation
concrete (overridden) operation
concrete class
Dictionary of Terms abstract •131
model than an inherent property. During the evolution of a design, the status of a
class may change. A concrete class may be modeled as abstract if subclasses that
enumerate all its possibilities are added. An abstract class may be modeled as con-
crete if distinctions among subclasses are found to be unnecessary and removed or
are represented by attribute values instead of distinct subclasses.
One way to simplify the decision is to adopt the design principle that all nonleaf
classes must be abstract (and all leaf classes must of necessity be concrete, except
for an abstract leaf class intended for future specialization). This is not a UML
rule; it is a style that may or may not be adopted. The reason for this “abstract su-
perclasses” rule is that an inheritable method on a superclass and a method on a
concrete class often have different needs that are not well served by a single
method. The method on the superclass is forced to do two things: define the gen-
eral case to be observed by all descendants and implement the general case for the
specific class. These goals frequently conflict. Instead, any nonabstract superclass
can be separated mechanically into an abstract superclass and a concrete leaf sub-
class. The abstract superclass contains all methods intended to be inherited by all
subclasses; the concrete subclass contains methods that are needed for the specific
instantiable class. Following the abstract superclass rule also allows a clean distinc-
tion between a variable or parameter that must hold the specific concrete type and
one that can hold any descendant of the superclass.
In Figure 14-2, consider the declaration of class Letter that does not follow the
abstract superclass rule. This class has an operation, getNextSentence, that re-
turns the text for the next unread sentence, as well as an operation, resetCursor,
that sets the cursor to the beginning. However, the subclass EncryptedLetter repre-
sents a letter that has been encrypted. The operation getNextSentence has been
overridden because the text must be decrypted before it is returned. The imple-
mentation of the operation is completely different. Because Letter is a concrete
superclass, it is impossible to distinguish a parameter that must be an ordinary
Letter (nonoverridable) from one that could be either an ordinary Letter or an
EncryptedLetter.
The abstract superclass approach is to distinguish abstract class Letter (which
might be an encrypted letter or a nonencrypted letter) and to add class NonEn-
cryptedLetter to represent the concrete case, as shown in Figure 14-3. In this case,
getNextSentence is an abstract operation that is implemented by each subclass
and resetCursor is a concrete operation that is the same for all subclasses. The
model is symmetrical.
If the abstract superclass rule is followed, the declaration of abstract classes can
be determined automatically from the class hierarchy and showing it on diagrams
is redundant.
There is an exception to the statement that an abstract leaf class is useless: An
abstract class may be declared in order to be a common namespace for a set of

132 •abstract Dictionary of Terms
global class-scope attributes and operations. This is a relatively minor usage,
mainly for programming convenience when dealing with non-object-oriented lan-
guages, and users are advised to avoid it in most cases. Global values violate the
spirit of object-oriented design by introducing global dependencies. A singleton
class can often provide the same functionality in a more extensible way.
See [Gamma-95], Singleton pattern.
Figure 14-2. Concrete superclass leads to ambiguity
Figure 14-3. Abstract superclass avoids ambiguity
Letter
body: String
EncryptedLetter
encoding: CodeKey
concrete class
concrete class
concrete operation
concrete (overridden) operation
cursor: Integer
getNextSentence (): String
getNextSentence (): String
resetCursor ()
Letter
body: String
EncryptedLetter
encoding: CodeKey
abstract class
concrete class
abstract operation
concrete (nonoverridden) operation
cursor: Integer
getNextSentence (): String
getNextSentence (): String
NonEncryptedLetter
getNextSentence (): String
concrete class
resetCursor () concrete (nonoverridden) operation
Dictionary of Terms abstract operation •133
abstract class s61
A class that may not be instantiated.
See abstract.
Semantics
An abstract class may not have direct instances. It may have indirect instances
through its concrete descendants.
See abstract for a discussion.
abstract operation s61
An operation that lacks an implementation—that is, one that has a specification
but no method. An implementation must be supplied by any concrete descendant
class.
See abstract, generalizable element, inheritance, polymorphic.
Semantics
If an operation is declared as abstract in a class, it lacks an implementation (a
method or a trigger) in the class, and the class itself is necessarily abstract. An im-
plementation must be supplied for the operation by a concrete descendant. If the
class inherits an implementation of the operation but declares the operation as ab-
stract, the abstract declaration invalidates the inherited implementation in the
class. If an operation is declared as concrete in a class, then the class must supply or
inherit an implementation (a method or a trigger) from an ancestor. If an opera-
tion is not declared at all in a class, then it inherits the operation declaration and
implementation (or lack thereof ) from its ancestors.
An operation may be implemented as a method or as a state machine trigger.
Each class may declare its own implementation for an operation or inherit a defi-
nition from an ancestor.
Notation
The name of an abstract operation is shown in italics (Figure 14-4). Alternately,
the keyword abstract may be placed in a property list after the operation signature.
Discussion
The most important use for the concept of inheritance is to support abstract oper-
ations that can be implemented differently by each concrete descendant class. An
abstract operation permits a caller to invoke an operation without knowing
precisely which class of object is the target, provided the target object is known to
support the operation by being an indirect instance of an abstract class that has a

134 •abstraction Dictionary of Terms
declaration of the abstract operation. The significance of such polymorphic opera-
tions is that the responsibility for determining the kind of object is shifted from
the caller to the inheritance mechanism. Not only is the caller freed of the bother
and cost of writing case statements, but the caller need not even be aware of which
possible subclasses of an abstract class exist. This means that additional subclasses
may be added later with new operation implementations. Abstract operations,
polymorphism, and inheritance thereby facilitate updating of systems to add new
kinds of objects and behaviors without having to modify the code that invokes the
generic behavior. This greatly reduces the time needed to update a system and,
even more important, it reduces the possibility of accidental inconsistencies.
abstraction s107
1. The act of identifying the essential characteristics of a thing that distinguish it
from all other kinds of things and omitting details that are unimportant from a
certain viewpoint. Abstraction involves looking for similarities across sets of things
by focusing on their essential common characteristics. An abstraction always in-
volves the perspective and purpose of the viewer; different purposes result in
different abstractions for the same things. All modeling involves abstraction, often
at many levels for various purposes. The higher the level of abstraction, the less de-
tail included.
2. A kind of dependency that relates two elements that represent the same concept
at different abstraction levels.
See derivation, realization, refinement, trace dependency.
Figure 14-4. Abstract operation and class
Shape
center: Point
draw ()
move (delta: Vector)
abstract class
abstract operation
concrete operation
Polygon
draw ()
concrete class
concrete operation
Dictionary of Terms access •135
Semantics
An abstraction dependency is a relationship between two elements at different ab-
straction levels, such as representations in different models, at different levels of
precision, at different levels of concreteness, or at different levels of optimization.
Generally the two representations would not be used simultaneously. Normally
one element is more detailed than the other; the more detailed element is the client
and the less detailed element is the supplier. If there is no clear understanding that
either element is more detailed, then either element can be modeled as the client.
Variations of abstraction dependency are trace dependency, refinement, deriva-
tion, and realization.
Notation
An abstraction dependency is shown as a dashed arrow from the client element to
the supplier element with the keyword «trace», «refine», or «derive». The realiza-
tion dependency has its own special notation as a dashed arrow with a closed tri-
angular arrowhead on the supplier element.
The mapping between elements can be attached to the relationship as a con-
straint symbol.
Discussion
The phrase abstract class follows from the first definition. An abstract class focuses
on a few essential details that apply to a range of concrete classes. Changing the
viewpoint moves one up or down the generalization hierarchy.
accept action s216-219
An action whose execution blocks until a specified kind of event is recognized by
the executing object. A specialized version waits for the receipt of a call of a speci-
fied operation.
See action for details.
History
This action is new to UML2.
access i129 i124 s32 s38
A variation on the import dependency that permits one package to use names
from another namespace to reference elements from that namespace. The im-
ported names are private within the importing package and may not be referenced
or reimported by external packages.
See import for full details.
136 •action Dictionary of Terms
action s280
A primitive activity node whose execution results in a change in the state of the
system or the return of a value.
Semantics
An action is a primitive activity node—that it, it is the smallest computation that
can be expressed in UML. An action is an activity node that does something to the
state of the system or extracts information from it. If a high-level activity is viewed
as a tree of nested activity nodes, the leaves of the tree are actions. Actions include
arithmetic and string functions, manipulations of objects and their values, com-
munications among objects, and similar things. Note that flow-of-control con-
structs, such as conditionals and loops, are not considered actions, because they
are activities that contain smaller parts. Calls of operations, however, are consid-
ered actions. Although the execution of a call may be recursive, the call action itself
is a leaf node within the specification of a particular activity and has no embedded
structure within that activity. A call action references another activity definition,
but that activity definition is distinct from the one containing the call.
Typical actions include assignment of values to attributes, accessing values of at-
tributes or links, creation of new objects or links, simple arithmetic, and sending
signals to other objects. Actions are the discrete steps out of which behavior is
built.
An action has a number of input pins and output pins that model input and
output values. The number and types of pins depends on the kind of action. For
example, a subtract action has two input pins and one output pin, all of numerical
type.
An action may begin execution when input values are available on all its input
pins and control tokens are available on all incoming control edges. When execu-
tion begins, the input values and tokens are consumed so that no other action can
use them. When the execution of an action is complete, output values are pro-
duced on all its output pins and control tokens are placed on all outgoing control
edges.
Actions are usually felt to be “fast” computations that take minimal time to exe-
cute. In particular, with a few exceptions, the execution of an action has no rele-
vant internal structure that can be modeled. If execution of the action is
interrupted before it is complete, it has no effect on the system state; there are no
externally visible intermediate effects. The exception is the call action. After a call
request is transmitted, the execution of this action blocks until a reply is received
from the initiated activity; execution of a call action can take an indefinite length
of time. The execution model might be slightly cleaner if the call action were bro-
ken into two parts, one to issue the call and one to wait for the response, but this
would introduce unnecessary complications.
Dictionary of Terms action •137
The system can execute several actions concurrently, but their execution has no
direct interaction; there may be indirect dependencies through the use of shared
objects, however. The provision for concurrent action execution does not con-
strain the implementation of a model. Concurrency can be implemented by a sin-
gle processor time-sharing among multiple executions or it can be implemented
by multiple execution units.
Some kinds of actions can terminate abnormally and raise exceptions rather
than completing normally. See exception for a discussion of this issue.
Execution of actions may be forcibly terminated by certain mechanisms. See
interrupt for a discussion of this issue.
The full UML specification permits specification of streaming behavior and
non-reentrant action execution. These are advanced features that must be used
with care to avoid ill-formed models. They can be avoided in most logical models.
Structure
An action has a list of input pins and output pins. The number of pins depends on
the specific kind of action. Most kinds of actions have a fixed number of pins hold-
ing values of specified types; a few kinds of actions have a variable number of pins
of arbitrary types. During execution, each input pin holds a value that is an argu-
ment of the action. After execution, each output pin holds a value that is a result of
the action.
Precondition and postcondition. An action may have local preconditions and post-
conditions. A precondition is an assertion by the modeler that a particular condi-
tion is supposed to be true when an action becomes enabled. It is not intended as a
guard condition that may or may not be true. If a precondition is violated, the
model is ill formed. Enforcement of preconditions is a semantic variation point
determined by the implementation environment.
A postcondition is an assertion that a particular condition is supposed to be true
at the completion of execution of an action. Its enforcement is similar to a precon-
dition.
Kinds of actions
Accept call action. This is a variant of the accept event action. The trigger is the re-
ceipt of a call of a specified operation. The call is usually synchronous and the call-
ing execution is blocked waiting for a reply. The output of this action provides an
opaque piece of information that identifies the execution of the action that called
the current object. This information may be copied and passed to other actions,
but it may be used only once in a reply action to transmit a reply to the caller. If the
call was asynchronous, the return information is empty, and a subsequent attempt
to reply to it is a programming error with undefined consequences. (A particular
implementation profile might specify the consequences.)
138 •action Dictionary of Terms
Accept event action. Execution of this action blocks execution of the current exe-
cution thread until the owning object detects a specified kind of event, often the
receipt of a specified signal. The parameters of the event are included in the output
of the action. This action is intended for asynchronous invocations. If it is trig-
gered by a synchronous call with no return parameters, an immediate return is
performed but the execution of the current thread continues. It is a semantic error
if the action is triggered by a synchronous call with return parameters, because the
accept event action is unable to provide them. The accept call action is intended
for that situation.
Apply function action. Execution of this action produces a list of output values as a
a function of a list of input values. There are absolutely no side effects on part of
the system; the only effect is the production of the output values themselves. The
transformation is specified as a primitive function. A primitive function is a math-
ematical function; that is, it defines each output value in terms of the list of input
values without any internal effects or side-effects. The specification of primitive
functions is outside the scope of UML itself; they must be specified using some ex-
ternal language, such as mathematical notation. The intent is that any particular
implementation of a system would have a predefined set of primitive functions
that could be used. It is not the intent to permit user definition of new primitive
functions in a convenient way. Examples of primitive functions include arithmetic
operations, Boolean operations, and string operations. Other examples appropri-
ate for particular systems include operations on time and dates.
The number and types of the input and output values must be compatible with
the specified function. In most cases, a particular primitive function has a fixed
number of input and output pins.
The purpose of providing primitive functions in UML is to avoid selecting cer-
tain primitive operations as “fundamental.” Every programming language selects a
different set of primitive operations.
Primitive functions are intended for specifying the built-in, predefined compu-
tational actions of a system, such as arithmetic, Boolean functions, or basic string
processing, which cannot usefully be reduced to procedure calls. It is expected that
they would be defined by profile builders and not by most modelers. A primitive
function is not meant to be used instead of procedure definition for ordinary algo-
rithmic computation.
Broadcast event action. Execution of this action creates an instance of the specified
signal, using the input values of the action to fill attribute values of the signal, and
transmits a copy of the signal instance to an implementation-dependent set of sys-
tem target objects. Execution of the action is complete when all the signal in-
stances have been transmitted (and possible before they are received by their
targets). Transmission of each signal instance and the subsequent behavior of each
target object all proceed concurrently.
Dictionary of Terms action •139
Call action. There are two varieties: a call operation action and a call behavior
action.
Execution of a call operation action results in the invocation of an operation on
an object. The action specifies an operation. As inputs, it has a list of argument
values and a target object. The input values must be compatible with the operation
parameters and the class that owns the operation. As outputs, the actions has a list
of result values. The action also has a flag stating whether the call is synchronous
or asynchronous.
When the action is executed, the input values and operation kind are formed
into a message that is transmitted to the target object. If the call is asynchronous,
the action is complete and the caller may proceed; if the called operation later at-
tempts to return values, they are ignored. If the call is synchronous, the caller is
blocked during the execution of the operation.
Receipt of the message by the target object causes an effect on the target object,
usually the execution of a method, but other effects can be specified by the model,
such as triggering a state machine transition. The mechanism of determining
which behavior to perform based on an operation and target object is called
resolution.
If the call is synchronous, the system saves information sufficient to eventually
return control to the calling action execution. This return information is opaque
to the user model and may not be manipulated in any way. When the execution of
the called method is complete, the output values of the behavior (usually an activ-
ity) are assembled into a reply message that is transmitted to the action execution
that issued the call.
The call behavior action is a variant that references an activity directly rather
than an operation. This variant is similar to a conventional procedure call in that
there is no method lookup needed; the referenced activity is executed using the
input values of the action as arguments. In other respects, it is similar to the call
operation action.
Classification actions. The classified action determines whether an object is classi-
fied by a given classifier. The reclassify action adds and/or removes classifiers from
a given object. These actions are intended to be used in systems that support
dynamic classification.
Create action. Execution of a create action results in the instantiation of an object
(see creation). The class to be instantiated is a parameter of the action. There are
no input pins. Execution of the action creates a new instance of the class. The iden-
tity of the instance is placed on the output pin of the action. The created object is a
“raw” object that has not been initialized; initialization must be modeled sepa-
rately. However, it is expected that implementation profiles will be defined that
include various initialization protocols.
140 •action Dictionary of Terms
Destroy action. Execution of a destroy action results in the destruction of a target
object. The identity of the object is an input of the action. There are no outputs.
The result of executing the action is the destruction of the object. All links involv-
ing the object are invalid and must be destroyed, but they may or may not be auto-
matically destroyed by an implementation. There is a flag on the action that
indicates that participating links and composite parts of the object (see composi-
tion) are to be destroyed as part of the action; otherwise their destruction must be
modeled explicitly using additional actions. It is expected that implementation
profiles will be defined that include various destruction protocols.
There is also an action that explicitly destroys links and link objects.
Raise exception action. Execution of a raise exception action causes an exception
to occur. The value on the single input pin is an object that becomes the exception
value. Raising of the exception causes the normal execution of the action to be ter-
minated and begins a search of the action and its enclosing activities for an excep-
tion handler whose exception type includes the class of the exception object. See
exception handler for details.
Read action. There is a family of read actions. Execution of a read action reads the
value of a slot and places the value on the output pin of the action. Depending on
the specific kind of action, the slot may be a local variable of the containing activ-
ity, an attribute of an object supplied as in input value, or the value of a link or one
of its attributes. As inputs, the action has an expression for a target variable, object,
or link, as well as the name of a property of the object (if applicable). A navigation
statement is modeled as a read action.
Reply action. A reply action transmits a message in response to the previous re-
ceipt of an accept call action. The output of the accept call action provides the in-
formation needed to decode the sending of the accept call action; that information
may not be used in any other way. The reply action may have a list of reply values,
which are transmitted as part of the reply message. After executing a reply action,
the execution of the current thread proceeds. Meanwhile, the reply message is
transmitted to the execution of the call action that triggered the accept call action
by the current object. Usually this execution belongs to a different object. When
the reply message is received by the caller, it is treated as a normal return from a
called operation and execution of the caller proceeds.
A reply to an accepted call must be made once. An attempt to reply to the same
call twice is a semantic error. If no reply is even made, the caller will hang up for-
ever (assuming that no interrupts occur).
Read extent action. Execution of a read extent action produces a set containing all
the instances of a specified classifier on the single output pin. The set of instances
produced may depend on implementation considerations, and an implementation
may support multiple extents. Some implementations may choose to not support
Dictionary of Terms action •141
it. By its nature, this action is depends on the assumption that the system has a
well-defined boundary within which objects can be retrieved systematically. It is
most appropriate in closed systems in which there is a central record of instances,
such as database systems. It is less likely to be useful in highly distributed systems
with open boundaries.
Return action. There is no explicit action to return from an ordinary call. When
the execution of a called activity is complete, its output values are packaged into a
reply message that is transmitted to the execution that called the activity. Receipt
of that message unblocks the calling execution. Return statements in conventional
programming languages are modeled by using break constructs to return control
to the top level of the activity when it just falls off the end of the activity.
To return from a call that has been captured asynchronously by an accept ac-
tion, use an explicit reply action. In UML, either the receipt of the call and its reply
are both implicit (as in an ordinary activity serving as a method) or they are both
explicit.
Send action. A send action creates a message object and transmits it to a target ob-
ject, where it may trigger behavior. There are two variants: The send object action
has two input pins, one for the target object and one for the message object. A
copy of the object on the message object input is transmitted to the target object.
The send signal action specifies a class as the signal type. The action has an input
pin for the target object plus a list of input pins equal in number to the number of
attributes of the signal type. Execution of this action creates a message object of
the given signal type, using the values of the input pins as attribute values. Other-
wise the two variants behave the same.
A copy of the message object is transmitted to the target object. The identity of
the message object is not preserved by the transmission. The sender execution
keeps its own thread of control and proceeds concurrently with the transmission
of the message and any induced effects; sending a message is asynchronous. If a
synchronous activity is triggered by the receipt of a message, any attempts at reply-
ing or returning control or return values are silently ignored. The sender has no
further connection with the sent signal or its effects.
Start owned behavior action. This action has one input value, the target object. Ex-
ecution of this action causes the owned behavior of the target object to begin.
Owned behavior may be a state machine or an activity. This is a very low-level
action that exposes the implementation engine. Many models will avoid this ac-
tion and simply assume that owned behavior starts automatically when an object
is created. The choice is a semantic variation point. Programming languages have a
wide variety of initialization semantics, therefore no specific high-level initializa-
tion semantic was included in UML.

142 •action Dictionary of Terms
Test identity action. This action compares the identity of two input objects and
outputs a Boolean value telling whether they are the same object.
Time action. There are actions to return the current time and to return the dura-
tion between sending and receiving a message.
Write action. A write action sets the value of a slot to a run-time value received as
input by the action. Depending on the specific kind of action, the slot may corre-
spond to a local variable of the containing activity, an attribute of the class of an
object supplied as in input value, or the value of a link or one of its attributes. As
inputs, the action has an expression for a target variable, object, or link; the name
of a property of the object (if applicable); and a value to be assigned to the slot. An
assignment statement is modeled as a write action. For slots with multiple values,
write actions have variations to add or remove single values and to replace or clear
all values.
Notation
An action is shown as part of an activity diagram. An action is drawn as a rectangle
with rounded corners (Figure 14-5). The name of the action or a text description
of the action appears inside the rounded rectangle. In addition to the predefined
kinds of actions, real-world models and high-level models may use an action to
represent external real-world effects or informal system behavior by just naming
the action in words.
Flow arrows are drawn to and from the boundary of the rectangle. Input and
output pins may be shown as small squares straddling the boundary of the rectan-
gle, in which case the flow arrows connect to the squares representing the pins.
If an implementation uses a particular programming language or action lan-
guage, the actions may be expressed in the syntax of that language, as specified in
an implementation profile. The UML specification does not include a predefined
text syntax for the various kinds of actions.
Figure 14-5. Action
create Order
actioninput control flow output data flow
pin
An empty order object
is created.
postcondition

Dictionary of Terms action •143
Preconditions and postconditions may be shown as note symbols (dog-eared
rectangles) connected to the action symbol by a dashed line.
Some communication actions have special notation. These include accept event
action, accept time event action, and send signal action. Figure 14-6 shows some
of these.
UML does not define notation for the bulk of the actions. The modeler can no-
tate an action using a rounded box, with the action written in the syntax of some
chosen language or pseudolanguage.
History
In UML1, actions included in their structure some flow-of-control mechanisms,
such as a recurrence expression and an object set expression, greatly increasing
their complexity. In UML2, actions have been repositioned as primitive activity
nodes, with the flow-of-control and higher-level mechanisms moved to the activ-
ity model. In UML 1.1 and UML 1.3, all actions were regarded as invocations sent
to objects. A full action model was introduced in UML 1.5, but it was not widely
Figure 14-6. Special notation for communication actions
Detect
train
arrival
Flash
lights
wait
10 s
Lower
gate
accept event action
send signal action
accept time event action
send signal action
144 •action expression Dictionary of Terms
used because it was soon superseded by UML 2.0. In UML2, invocations have been
distinguished from other kinds of actions, simplifying the specification of each
kind of action. UML1.1 and UML 1.3 included a motley selection of actions, with
some curious omissions. UML 1.5 included a more balanced set of actions. UML2
attempts to include a complete base set of actions.
Discussion
All programming languages have different sets of base actions built into their defi-
nitions and style of use, and it is impossible to include them all without clashes in
semantics. The UML specification defines a set of fairly low-level actions sufficient
to describe behavior. High-level semantics of complex effects, such as initializa-
tion, cascading destruction, and reflective control mechanisms, were avoided in
the UML semantics and left for implementation profiles. This decision was a result
of a trade-off between the desire for precision and the need for developers to work
with various target languages, which have a wide range of semantic concepts.
There is much more variation in execution semantics among programming lan-
guages than there is in data structure or in the set of available control constructs.
Subtle differences are difficult to map in a practical way among languages, regard-
less of whether it is possible in theory. The selection of one programming language
as the basis for an action language would, therefore, have the effect of discouraging
the others, which the designers did not want to do. The semantics of actions have
therefore been left low level and free of implementation concerns within UML it-
self. For many practical uses, such as code generation, UML must be augmented
with the action language (often a standard programming language) that is being
used. Some critics have complained that UML is imprecise because of this free-
dom, but it is imprecise only to the degree that the chosen action language is im-
precise. The real defect is that UML does not impose a lingua franca of actions and
other expressions, but this is hardly possible in today’s polyglot world of computa-
tion, regardless of the emotional appeal of such unity.
There is an unevenness in the selection of UML actions. A number of actions,
such as the start owned behavior action, might have been better left to implemen-
tation profiles, as they have an unmistakable implementation flavor.
action expression
An obsolete UML1 term, mostly superseded by behavior and do activity.
action sequence
An obsolete UML1 term. Sequences of actions may now be connected by activity
edges.
Dictionary of Terms active •145
activation
A UML1 term replaced by execution specification.
active s386
A state that has been entered and has not yet been exited; one that is held by an
object.
See also active class, active object.
Semantics
A state becomes active when a transition entering it fires. An active state ceases to
be active when a transition leaving it fires. If an object is active, then at least one
state is active. (In the degenerate case, a class may have only a single state. In that
case, the response to an event is always the same.) If a state is active within the state
machine for an object’s class, the object is said to hold the state.
An object may hold multiple states at one time. The set of active states is called
the active state configuration. If a nested state is active, then all states that contain
it are active. If the object permits concurrency, then more than one orthogonal re-
gion may be active. Each transition affects, at most, a few states in the active state
configuration. On a transition, unaffected active states remain active.
A composite state may be sequential or orthogonal. If it is sequential and active,
then exactly one of its immediate substates is active. If it is orthogonal and active,
then exactly one substate in each of its immediate regions is active. In other words,
a composite state expands into an and-or tree of active substates; at each level,
certain states are active.
A transition across a composite state boundary must be structured to maintain
these concurrency constraints. A transition into a sequential composite state usu-
ally has one source state and one destination state. Firing such a transition does
not change the number of active states. A transition into an orthogonal composite
state usually has one source state and one destination state for each subregion of
the orthogonal composite state. Such a transition is called a fork. If one or more
regions are omitted as destinations, the initial state from each omitted region is
implicitly a destination; if one of the regions lacks an initial state, then the model is
ill formed. Firing such a forked transition increases the number of active states.
The situation is reversed on exit from an orthogonal composite state.
See state machine, which contains a full discussion of the semantics of orthogo-
nal states and complex transitions.
Example
The top of Figure 14-7 shows a sample state machine with both sequential and or-
thogonal composite states. The transitions have been omitted to focus on the

146 •active class Dictionary of Terms
states. The bottom of the figure shows the various configurations of states that can
be active concurrently. In this example, there are four possible configurations of
active states. Only the leaf states are concrete; the higher states are abstract—that
is, an object may not be in one of them without also being in a nested leaf state.
For instance, the object may not be in state Q without being in the substates of Q.
Because Q is orthogonal, both C and D must be active if Q is active. Each leaf state
corresponds to a thread of control. In a larger example, the number of possible
configurations may grow exponentially and it may be impossible to show them all,
hence the advantage of the notation.
active class s386-387
A class whose instances are active objects.
See active object for details.
Semantics
An active class is a class whose instances are active objects.
Figure 14-7. Concurrently active states
A
B
C
D
E
F
A
P
Q R
P
A
P
B
P
Q
P
R
CD EF
possible active state configurations
sequentially active states
state machine with composite states
concurrently active states within orthogonal regions
within a single region

Dictionary of Terms active class •147
Notation
An active class is shown as a rectangle with doubled vertical lines on the left and
right sides. The notation has changed in UML2.
Example
Figure 14-8 shows a class diagram with an active class and its passive parts.
Figure 14-9 shows a collaboration that contains active objects corresponding to
this model.
Figure 14-8. Active class and passive parts
Figure 14-9. Communication diagram with active roles and concurrent control
Factory Manager
TransferJob FactoryScheduler FactoryJobManager
11
1
active class
passive class
job
:Factory
JobMgr
:Factory
Scheduler
currentJob
:TransferJob
1: start(job)
3: completed(job)
:Oven
:Robot
2b.1: start(job)
2a.1: start(job)
2b.2: completed
2a.2: completed
fork of control
(same predecessor
for two threads)
join of control
(two predecessors)
A and B are the names
of two concurrent threads
of control.
:Factory Manager
148 •active object Dictionary of Terms
active object s387
An object that owns a thread of control and can initiate control activity; an in-
stance of an active class.
See also passive object.
Semantics
An active object does not run within another thread, stack frame, or state ma-
chine. It has an independent locus of control within the overall execution of a sys-
tem. In a sense, it is the thread. Each active object is a distinct locus of execution;
active objects are not reentrant, and recursive execution is not possible without the
creation of additional objects.
An active object is the root of an execution stack frame in conventional compu-
tational terms. The creation of an active object initiates a new instance of a state
machine. When the state machine performs a transition, an execution stack frame
is created and continues until the action of the transition runs to its completion
and the object waits for external input. An active object, therefore, does not run in
the scope of another object. It can be created by an action of another object, but
once created, it has an independent existence. The creator may be an active or a
passive object. An active object is driven by events. Operations on it by other ob-
jects should be implemented by the active object as call events.
A passive object may be created as part of an action by another object. It has its
own address space. A passive object has no thread of control. Its operations are
called within the stack frame of an active object. It may be modeled by a state ma-
chine, however, to show the changes in its state caused by operations on it.
A conventional operating system process is best equated with an active object.
An operating system thread may or may not be implemented by an active object.
The active-passive distinction is primarily a design decision and does not con-
strain the semantics of the objects. Both active and passive objects may have state
machines and may exchange events.
Notation
A collaboration role for an active object is shown on a collaboration diagram as a
rectangle with doubled vertical lines at the left and right sides. Frequently, active
object roles are shown as composites with embedded parts.
An active object is also shown as an object symbol with doubled edges, with the
name underlined, but active objects appear only within examples of execution and
therefore are not so common.
The property keyword {active} may also be used to indicate an active object.
Dictionary of Terms activity •149
Example
Figure 14-9 shows three active objects in a factory automation system: a robot; an
oven; and a factory manager, which is a control object. All three objects exist and
execute concurrently. The factory manager initiates a thread of control at step 1,
which then forks into two concurrent threads of control (2a and 2b) that are exe-
cuted by the oven and the robot, respectively. When each has finished its execu-
tion, the threads join at step 3, in the factory manager. Each object remains alive
and preserves its state until the next event arrives for it.
History
The notation has changed in UML2.
active state configuration s481
The set of states that are active at one time within a state machine. The firing of a
transition changes a few states in the set; the others remain unchanged.
See active, complex transition, state machine.
Semantics
In general, a system can have multiple active states concurrently. The entire set of
active states is called the active state configuration. The transition firing rules of
state machines define which states must be active for a transition to fire and what
changes occur to the active state configuration as a result of a transition firing.
A state machine is a tree of states. If a composite state is active, exactly one direct
substate in each of its regions must be active. If a submachine state is active, one
top-level state within its referenced state machine must be active. If a simple state
is active, it has no substructure. Starting with the entire state machines, these rules
may be applied recursively to determine legal active state configurations.
activity s283ff
A specification of executable behavior as the coordinated sequential and concur-
rent execution of subordinate units, including nested activities and ultimately
individual actions connected by flows from outputs of one node to inputs of an-
other. Activities can be invoked by actions and as constituents of other behaviors,
such as state machine transitions. Activities are shown as activity diagrams.
See also state machine.
150 •activity Dictionary of Terms
Semantics
An activity is a behavioral specification that describes the sequential and concur-
rent steps of a computational procedure. Workflows, algorithms, and computer
code are examples of procedures that are often modeled as activities. Activities fo-
cus on the process of computation rather than the objects performing the compu-
tation or the data values involved, although these can be represented as part of an
activity. State machines and activities are similar, in that both describe sequences
of states that occur over time and the conditions that cause changes among the
states. The difference is that a state machine concerns the states of an object per-
forming or undergoing a computation, whereas an activity concerns the states of
the computation itself, possibly across many objects, and explicitly models the
flow of control and information among the activity nodes.
Structure. An activity is modeled as a graph of activity nodes connected by control
and object flows. Activity nodes represent nested activities, actions, data locations,
and control constructs. Actions model effects on the system. The flows among the
nodes model the flow of control and data within the activity. Control construct
nodes provide more complicated ways of specifying flow of control. Flow of con-
trol may be implemented in various ways, including changes of state of objects and
messages transmitted among objects.
An activity has input and output parameters that represent values supplied to
and produced by an execution of it. An activity can be attached to various other
behaviors as a piece of parameterized behavior. For example, an activity may be at-
tached to a state machine transition as an effect; to the entry, exit, or presence in a
state; to an operation as a method; as the implementation of a use case; and as an
invocation within another activity. Each specific construct provides syntax to sup-
ply the input and output arguments that bind to each of the parameters of the ac-
tivity. When one of the constructs that invokes an activity is executed, an execution
of the activity is created and initialized by copies of the input arguments. When ex-
ecution of the activity is complete, the result values from the activity become the
output values of the invoking construct.
An activity may be marked as being read-only. This is an assertion that its exe-
cution will not modify any variables or objects outside the activity itself, except
possibly for temporary variables that disappear before completion of execution.
This kind of assertion may be useful for code generators, but it may be difficult or
impossible to check automatically, so the modeler must be careful.
Execution semantics. The graph structure of activities and their semantics are
loosely based on Petri nets, an important area in the theory of computation since
the 1960s. Each activity is a graph of nodes connected by directed flows. Nodes in-
clude actions, nested activities, data locations, and various control constructs.
Dictionary of Terms activity •151
Flows represent the flow of information within the execution of an activity, includ-
ing the flow of control and the flow of data.
An execution of an activity may be imagined as proceeding on a copy of the ac-
tivity graph containing tokens. A token is a marker indicating the presence of con-
trol or data at the point in the computation represented by a node or flow. Control
tokens have no internal structure. Data tokens contain data values representing in-
termediate results at that point in the computation. The model is similar to a tra-
ditional flow chart, but activity graphs may contain concurrent subcomputations,
therefore they may have multiple tokens at a given time.
The basic computation rule is simple: An action node is enabled to execute if to-
kens are present on its input flows (or on data nodes at the source ends of the in-
put flows). In other words, an input flow indicates a dependency on the
completion of a previous stage of the activity, and a token on the input flow indi-
cates that the previous stage has been completed. When a node is enabled to exe-
cute, it may begin execution. If other nodes involving the same tokens are also
enabled, only one of them will execute; the choice may be nondeterministic. When
a node begins execution, it consumes its input tokens; that is, they are removed
from the input flows and their values become available within the execution. Con-
sumption of tokens prevents another node from executing using the same tokens.
Each kind of node has its own execution rules, described in the glossary entry for
that node. When execution of a node is complete, output tokens are produced and
placed on the output flows of the node. The tokens can then enable the execution
of subsequent nodes.
Actions require tokens on all inputs and produce tokens on all outputs. Other
activity elements provide various flow-of-control behaviors, such as decisions,
loops, forks and joins of control, parallel execution, and so on. In general, an activ-
ity node begins execution when tokens are present on a specified set of its input
nodes, it executes concurrently with other nodes, and it produces tokens on a
specified set of its output nodes. Many kinds of activity nodes require tokens on a
subset of inputs or produce tokens on a subset of outputs. There are also advanced
kinds of actions that allow execution based on a subset of inputs.
The execution rules are fundamentally concurrent. If two activity nodes are en-
abled by different sets of tokens, they can execute concurrently. This means that
there is no inherent execution ordering among the nodes. It does not mean that
the implementation must be parallel or involve multiple computation units, al-
though it can be. It does mean that the implementation may sequence the execu-
tions in any order, including parallel, without altering the correctness of the
computation. Sequential execution is fundamentally deterministic, but concurrent
execution can introduce indeterminacy, which can be an important part of some
models.
152 •activity Dictionary of Terms
Context. An activity executes within a context. The context includes its input pa-
rameter values, the owning object on whose behalf it executes, and its place in the
execution invocation hierarchy. Nodes in the activity have access to the input pa-
rameters and to the attributes and associations of the owning object. If an activity
is attached to a classifier directly, it begins execution when an instance of the classi-
fier is created and ceases when it is destroyed. If an activity is attached to a opera-
tion a method, it begins execution when its operation is invoked.
Exceptions. An exception is a type of occurrence that stops the normal execution
sequence and initiates a search for an exception handler on the currently executing
node or on a node within which it is nested. The execution handler must be de-
clared to handle the type of the exception. The node having the execution handler
is called the protected node. All activity contained within the protected node
ceases, and the execution handler is executed using the exception parameters as in-
put. When the execution handler completes execution, execution resumes as if the
protected node had completed execution. In most cases, the node raising the ex-
ception is nested (at some level) within the protected node.
Interrupts. An interruptible activity region is a region from which one or more in-
terruptible activity edges depart. If an interruptible activity edge passes a token, all
activity within the region is terminated.
Multiple tokens. The simplest and most usual form of activity allows at most a sin-
gle token on any edge. A more complicated variant allows multiple tokens on
edges and in buffers (object nodes that collect and possibly sequence tokens). It is
also possible to distinguish activities in which a single execution handles all invo-
cations from the more usual activities in which each invocation creates an inde-
pendent execution. A single-execution activity is similar to a C-family static
function.
Object flow. Sometimes it is useful to see the relationships between a node and the
objects that are its argument values or results. The input to and the outputs from a
node may be shown as an object flow. This is an edge in the activity graph that rep-
resents the flow of data (including objects) within the computation. The data itself
is modeled as an object node. Various constraints can be placed on the flow of
data; see object flow for details.
Partitions. The activities of an activity graph can be partitioned into groups based
on various criteria. Each group represents some meaningful partition of the re-
sponsibilities for the activities—for example, the business organization responsi-
ble for a given workflow step or the objects that execute nodes within an activity.
Because of their graphical notation, the groups are sometimes called swimlanes.
Dictionary of Terms activity •153
Notation
An activity is notated as an activity diagram. An activity definition is shown as a
large rounded border containing a graph of node symbols and flow arrows repre-
senting the decomposition of the activity into its constituents. The name of the ac-
tivity is usually shown in the upper left corner. Preconditions and postconditions
are shown as text strings preceded by the keywords «precondition» or «postcondi-
tion». Input and output parameter nodes are shown as small rectangles straddling
the border; the name of the parameter may be placed within the rectangle. A pa-
rameter may also be listed under the activity name in the format name: Type.
Activity diagrams include various node symbols: actions, decisions, forks, joins,
merges, and object nodes. An arrow represents both control flow and object flow;
an object flow must connect to an object node at one or both ends, therefore the
distinction is clear from context. The interior of an activity definition may be tiled
into partitions by heavy lines. See these various entries for more details.
See control node for some optional symbols that can be useful in activity dia-
grams.
The keyword «singleExecution» is placed within an activity that has a single
shared execution.
Example
Figure 14-10 shows a workflow of the activities involved in processing an order at a
theater box office. It includes a branch and subsequent merge based on whether
the order is for a subscription or for individual tickets. The fork initiates concur-
rent activities that logically occur at the same time. Their actual execution may or
may not overlap. The concurrency is terminated by a subsequent matching join. If
there is only one person involved, then concurrent activities can be performed in
any order (presuming they cannot be performed simultaneously, which is permit-
ted by the model, but might be difficult in practice). For example, the box office
personnel could assign the seats, then award the bonus, then debit the account; or
they could award the bonus, assign the seats, then debit the account—but they
cannot debit the account until after the seats have been assigned.
Partitions. The activities in an activity graph can be partitioned into regions,
which are called swimlanes from their visual appearance as regions on a diagram
separated by solid lines. A partition is an organizational unit for the contents of an
activity graph. Often, each partition represents an organizational unit within a
real-world organization. Partitions can also be used to specify the classes responsi-
ble for implementing the actions included within each partition.

154 •activity Dictionary of Terms
Example
In Figure 14-11, the activities are divided into three partitions, each one corre-
sponding to a different stakeholder. There is no UML requirement that the parti-
tions correspond to objects, although in this example there are obvious classes that
would fall under each partition, and those classes would be the ones that perform
the operations to implement each activity in the finished model.
The figure also shows the use of object flow symbols. The object flows corre-
spond to different states of an order object as it works its way through a network of
activities. The symbol Order[placed], for example, means that at that place in the
Figure 14-10. Activity diagram
Assign Award
[subscription]
Set up
Assign
[single order]
Debit
Mail
BoxOffice::ReceiveOrder
action
fork of control
join of control
start of
overall activity
end of overall activity
branch
merge
Charge
credit card
member
bonus
seats
seats
order
account
packet

Dictionary of Terms activity •155
computation, an order has been advanced to the placed state in the Request Ser-
vice activity but has not yet been consumed by the Take Order activity. After the
Take Order activity completes, the order is then in the entered state, as shown by
the object flow symbol on the output of the Take Order activity. All the object
flows in this example represent the same object at different times in its life. Be-
cause they represent the same object, they cannot exist at the same time. A sequen-
tial control path can be drawn through all of them, as is apparent in the diagram.
Figure 14-11. Activity diagram with swimlanes
Request service
Fill order
Collect order
Customer Sales Stockroom
Pay
Deliver order
Order
[entered]
Order
[filled]
Order
[delivered]
Order
[placed]
partition
object flow
output
value
input
value
control
flow
activity
partition name
Take order

156 •activity Dictionary of Terms
Object flow. Objects that are input to or output by an action may be shown as ob-
ject symbols. The symbol represents the object at the point in the computation at
which it is suitable as an input or just produced as an output (usually an object
does both). An object flow arrow is drawn from an activity node to an object node
that is one of its outputs, and an object flow arrow is drawn from an object node to
an activity node that uses the object as one of its inputs. The same object may be
(and usually is) the output of one node and the input of one or more subsequent
nodes.
Control flow arrows may be omitted when object flow arrows supply a redun-
dant constraint. In other words, when an action produces an output that is input
by a subsequent action, that object flow relationship implies a control constraint.
Class in state. Frequently, the same object is manipulated by a number of succes-
sive activities that change its state. For greater precision, the object may be dis-
played multiple times on a diagram, each appearance denoting a different state
during its life. To distinguish the various appearances of the same object, the state
of the object at each point may be placed in brackets and appended to the name of
the class—for example, PurchaseOrder[approved].
See also control node for other symbols that can be used in activity diagrams.
Expansion region. An expansion region is the expansion of computation contain-
ing a multiple value into a set of computations executed in parallel (Figure 14-12).
This indicates that multiple copies of the activity occur concurrently. Each input to
the expansion region receives collection value, shown by the segmented-box icon.
If there are multiple inputs, all collections must be the same size. Scalar inputs are
also allowed. One execution of the expansion region is performed for each element
of the collections. For each output position in the expansion region, the output
Figure 14-12. Expansion region
post to search engine
sort results by priority
expansion region
collect query information
parallel
collection input
action executed in parallel
Dictionary of Terms activity edge •157
values from all of the executions are assembled into a single collection value. An
expansion region represents a “forall” construct.
In addition to parallel execution, as shown in the example, execution may be it-
erative (sequential) or streaming (multiple pipelined tokens in a single execution).
History
Activity modeling underwent a major expansion in UML2, with many additional
constructs and many convenience options added motivated by the business mod-
eling community. In UML1, activities had been considered variants of state ma-
chines, which ensured well-formedness but imposed severe constraints on their
form. In UML2, the metamodels were separated and activity semantics were basely
(loosely) on Petri net semantics. Additionally, the syntax of activity composition
was greatly loosened, permitting much freer form but also making it easier to con-
struct ill-formed models.
Discussion
Much of the optional notation added in UML2 is based on notation used in vari-
ous business process modeling approaches (although there is no single standard).
A modeler must understand the target audience of a model before deciding
whether to use this and other optional notation oriented toward a particular com-
munity.
activity diagram s329 s365
A diagram that shows the decomposition of an activity into its constituents.
See activity.
activity edge s293ff
A sequencing relationship between two activity nodes, possibly including data.
Semantics
An activity edge is a sequencing relationship between a source activity node and a
target activity node. The target node cannot execute until the source node has
completed execution and emitted a token onto the activity edge. If a node has mul-
tiple edges of which it is the target, it cannot execute until all of them have tokens,
unless the rules for the particular kind of activity node specify that a subset of in-
put edges may enable execution. An edge may represent simple flow of control
(control flow) or it may represent the flow of data (data flow), including the im-
plicit flow of control that indicates that the data value has been produced.
158 •activity expression Dictionary of Terms
Structure
Guard. A guard is a Boolean expression attached to an edge that determines
whether the edge may enable a target activity node. If the value of the expression is
true, the node may be enabled; otherwise it may not be enabled.
Weight. A weight indicates the number of tokens consumed when a target node
executes. The default is one when no weight is specified. See weight.
Notation
See control flow and data flow for notation.
activity expression
This UML1 term is now obsolete. Activities are now directly modeled as first-class
constructs.
activity final node s298
A node in an activity specification whose execution causes the forced termination
of all flows in the activity and the termination of execution of the activity.
See final node.
Semantics
An activity final node represents the completion of execution of an activity. If there
is any concurrent execution when a token reaches the node, all other execution in
the activity is forcibly terminated and the tokens removed. In the most common
case, the token reaching the node is the only active one.
Outputs of the activity that have previously been generated are released for de-
livery.
If the activity was invoked by another activity, a token is returned to the invok-
ing activity. If the activity represents the life of an object, the object is destroyed.
Notation
An activity final node is shown as a small circle with a smaller black dot inside it (a
bull’s eye symbol).
Example
Figure 14-13 shows a simple activity. Activity begins at the initial node. Activity
ends at the activity final node.

Dictionary of Terms activity node •159
activity group s301
An arbitrary subset of nodes and edges within an activity specification. Partitions
and structured nodes are kinds of activity groups.
activity node s302ff
A kind of element in an activity that can be connected by flows. This is an abstract
element type whose specific varieties include actions, control nodes, object nodes
(including pins and parameter nodes), and structured nodes.
Semantics
An activity decomposition comprises activity nodes connected by flows. The vari-
ous kinds of activity nodes are described under their own entries.
Activity nodes may be grouped into structured nodes and partitions. Structured
nodes provide a hierarchical organization of nodes that includes structured con-
trol constructs.
Nodes may be redefined as part of the specialization of an activity definition.
The mustIsolate flag specifies that actions in a structured node execute without
conflict with actions from other nodes. A conflict is an attempt to access the same
information, such as the attribute slot of an object, when at least one of the ac-
cesses modifies the information, thereby leading to the possibility of indetermi-
nacy. If the possibility of conflict exists, the node must be executed without
interleaving any execution of conflicting nodes. Any implementation technique
that supports this objective is acceptable.
Notation
The notation depends on the specific kind of activity node. Usually it is a rectangle
with rounded corners or some variation of that.
Figure 14-13. Activity final node and initial node
take order fill order
process order
initial node activity final node
160 •activity partition Dictionary of Terms
activity partition s307
A partition on activity graphs for organizing responsibilities for activities. Activity
partitions do not have a fixed meaning, but they often correspond to organiza-
tional units in a business model. They can also be used to specify the class
responsible for implementing a set of tasks. Sometimes called swimlane because of
its notation.
See also activity.
Semantics
The activity nodes within an activity may be organized into partitions, often called
swimlanes because of their notation. Activity partitions are groupings of activity
nodes for organizing an activity graph. Each activity partition represents some
meaningful characteristic of the nodes—for example, the business organization
responsible for a workflow step. Activity partitions may be used in any way that
suits the modeler. If they are present, they partition the nodes of the activity graph
among them.
If a class is attached to a partition, the class is responsible for implementing the
behavior of the nodes contained within the partition.
Each activity partition has a name that is distinct from other partitions.
Notation
An activity diagram may be divided into sections, each separated from its neighbor
by solid lines (Figure 14-14). Although the lines are most often vertical and
straight, they may be horizontal or curved, or they may form a grid. Each section
corresponds to an activity partition. Each partition represents high-level responsi-
bility for part of the overall activity, which may eventually be implemented by one
or more objects. The relative ordering of the activity partitions on a diagram has
no semantic significance but might indicate some real-world relationship. Each ac-
tivity node is assigned to one partition, and its symbol is placed within its section.
Flows may cross lanes; there is no significance to the routing of a flow arrow.
Because activity partitions are arbitrary categories, they may be indicated by
other means if a geometrical arrangement into sections is impractical. Possibilities
include the use of color or simply the use of tagged values to show the partition.
Alternately, activity nodes may be labeled with their partitions.
History
Partitions in UML2 can be two-dimensional, unlike UML1.

Dictionary of Terms activity partition •161
Figure 14-14. Activity partitions on an activity diagram
Request service
Take order
Fill order
Collect order
Customer Sales Stockroom
Pay
Deliver order
another activity partitionan activity partition
This service is
provided by the
stockroom organization.
name of the partition
162 •activity view Dictionary of Terms
activity view
That aspect of the system dealing with the specification of behavior as activities
connected by control flows. This view contains activity specifications and is shown
on activity diagrams. It is loosely grouped with other behavioral views as the
dynamic view.
See activity.
actor s512
A classifier for entities outside a subject that interact directly with the subject. An
actor participates in a use case or coherent set of use cases to accomplish an overall
purpose.
See also use case.
Semantics
An actor is a classifier that characterizes a role played by an outside user or related
set of users with respect to a subject. The subject is also a classifier. An actor is an
idealization with a focused purpose and meaning and might not correspond ex-
actly to physical objects. One physical object may combine disparate purposes and
therefore be characterized by several actors. Different physical objects may include
the same purpose, and that aspect of them would be modeled by the same actor.
The user object may be a human, a computer system, a device, another subsystem,
or another kind of object. For example, actors in a computer network system
might include Operator, System Administrator, Database Administrator, and plain
User. There can also be nonhuman actors, such as RemoteClient, Master-
Sequencer, and NetworkPrinter.
Each actor defines a role that users of a subject may assume when interacting
with the subject. The complete set of actors describes all the ways in which outside
users communicate with the subject. When a system is implemented, the actors are
implemented by physical objects. One physical object can implement more than
one actor if it can fulfill all their roles. For example, one person can be both a sales-
clerk and a customer of a store. These actors are not inherently related, but they
can both be implemented by a person. When the design of a subject is imple-
mented, the various actors inside the system are realized by design classes (see real-
ization).
The various interactions of actors with a subject are quantized into use cases. A
use case is a coherent piece of functionality involving a subject and its actors to ac-
complish something meaningful to the actors. A use case may involve one or more
actors. One actor may participate in one or more use cases. Ultimately, the actors
are determined by the use cases and the roles that actors play in various use cases.
An actor that participates in no use cases would be pointless.

Dictionary of Terms aggregate •163
Actor instances communicate with the system by sending and receiving message
instances (signals and calls) to and from use case instances and, at realization level,
to and from the objects that implement the use case. This is expressed by associa-
tions between the actor and the use case.
An actor is external to its subject and therefore is not owned by or defined
within the subject. An actor is usually defined in the same package as its subjects. It
is inappropriate to show associations among actors in a use case model; actors may
have associations to their subjects and to use cases.
Actors may have associations with use cases, components, and classes.
Generalization
Two or more actors may have similarities; that is, they may communicate with the
same set of use cases in the same way. This similarity is expressed with generaliza-
tion to another (possibly abstract) actor, which models the common aspects of the
actors. The descendant actors inherit the roles and the relationships to use cases
held by the ancestor actor. An instance of a descendant actor can always be used in
cases in which an instance of the ancestor is expected (substitutability principle). A
descendant includes the attributes and operations of its ancestors.
Notation
An actor may be shown as a class symbol (rectangle) with the stereotype «actor».
The standard stereotype icon for an actor is the “stick man” figure, with the name
of the actor below the figure. The actor may have compartments that show at-
tributes and events that it receives, and it may have dependencies to show events
that it sends. These are capabilities of a normal classifier (Figure 14-15).
Special icons may be defined for actors or sets of actors.
The name of an abstract actor is shown using italics.
actual parameter s5
See argument.
aggregate s5
A class that represents the whole in an aggregation (whole-part) association.
Figure 14-15. Actor symbol
Customer
Customer
«actor» actor stereotype
(normal form of display)
stereotyped
class symbol
164 •aggregation Dictionary of Terms
aggregation s80 s83
A form of association that specifies a whole-part relationship between an aggregate
(a whole) and a constituent part. It is also applicable to attributes and parameters.
See also composition.
Semantics
A binary association may be declared an aggregation—that is, a whole-part rela-
tionship. One end of the association is designated the aggregate while the other
end is unmarked. Both ends may not be aggregates (or composites), but both ends
can be unmarked (in which case, it is not an aggregation).
The links instantiated from aggregation associations obey certain rules. The ag-
gregation relationship is transitive and antisymmetric across all aggregation links,
even across those from different aggregation associations. Transitivity means that
it makes sense to say that “B is part of A” if there is a path of aggregation links from
B to A in the direction of traversal (in this example, from part to whole). Antisym-
metry means that there are no cycles in the directed paths of aggregation links.
That is, an object may not be directly or indirectly part of itself. Putting the two
rules together, the graph of aggregation links from all aggregation associations
forms a partial order graph, a graph without cycles (a tree is a special and common
case of a partial order). Figure 14-16 shows an example.
A directed path of links from object B to object A implies that there is a directed
path of aggregation associations from the class of B to the class of A, but the path
of associations may involve cycles in which the same class appears more than once.
A directed path of aggregation associations from a class to itself is a recursive
assembly.
There is a stronger form of aggregation, called composition. A composite is an
aggregate with the additional constraints that an object may be part of only one
composite and that the composite object has responsibility for the disposition of
all its parts—that is, for their creation and destruction. An aggregation that is not
a composition is called a shared aggregation, because parts may be shared among
more than one whole.
See composition for details.
In shared aggregation, a part may belong to more than one aggregate, and it
may exist independently of the aggregate. Often the aggregate “needs” the parts, in
the sense that it may be regarded as a collection of parts. But the parts can exist by
themselves, without being regarded only as parts. For example, a path is little more
than a collection of segments. But a segment can exist by itself whether or not it is
part of a path, and the same segment may appear in different paths.

Dictionary of Terms aggregation •165
Figure 14-16. Aggregations of objects are acyclic
Container
Icon
Item
a: Container
b: Container c: Container
g: Icon
f: Icon
e: Icon h: Icon d: Container
i: Icon
a
bc
i
e
f
g
h
dthe image being modeled
class diagram: recursive assembly using aggregation
This stops This continues
object diagram: no loops among objects
the induction element:
the recursion.
the recursion.
either an icon
or a container
166 •aggregation Dictionary of Terms
Composition is also applicable to attributes and parameters. In this situation,
the object owning the attribute or parameter is the whole, and the values of the at-
tribute or parameter are the parts.
See association and association end for most of the properties of aggregation.
Notation
A shared aggregation is shown as a hollow diamond adornment on the end of an
association line at which it connects to the aggregate class (Figure 14-17). If the ag-
gregation is a composition, then the diamond is filled (Figure 14-82). The ends in
an association may not both have aggregation indicators.
An aggregate class can have multiple parts. The relation between the aggregate
class and each part class is a separate association (Figure 14-18).
If there are two or more aggregation associations to the same aggregate class,
they may be drawn as a tree by combining the aggregation ends into a single seg-
ment (Figure 14-19). This requires that all the adornments on the aggregation
ends be consistent; for example, they must all have the same multiplicity. Drawing
aggregations as a tree is purely a presentation option; there are no additional se-
mantics to it.
To indicate a composite attribute, use the property string {composite} following
the rest of the attribute string. There is no particular notation for a shared aggrega-
tion in an attribute. If the distinction is important, the relationship can be shown
as an association.
Discussion
The distinction between aggregation and association is often a matter of taste
rather than a difference in semantics. Keep in mind that aggregation is association.
Aggregation conveys the thought that the aggregate is inherently the sum of its
parts. In fact, the only real semantics that it adds to association is the constraint
that chains of aggregate links may not form cycles, which is often important to
know, however. Other constraints, such as existence dependency, are specified by
the multiplicity, not the aggregation marker. In spite of the few semantics attached
to aggregation, everybody thinks it is necessary (for different reasons). Think of it
as a modeling placebo.
Several secondary properties are connected with aggregation, but not reliably
enough to make them part of its required definition. These include propagation of
operations from aggregate to parts (such as a move operation) and compact mem-
ory assignment (so that the aggregate and its recursive parts can be efficiently
loaded with one memory transfer). Some authors have distinguished several kinds
of aggregation, but the distinctions are fairly subtle and probably unnecessary for
general modeling.

Dictionary of Terms aggregation •167
Aggregation is a property that transcends a particular association. One can
compose aggregations over different pairs of classes, and the result is an aggrega-
tion. Aggregation imposes a constraint on the instances of all aggregation associa-
tions (including composition associations) that there may be no cycles of
aggregation links, including links from different associations. In a sense, aggrega-
tion is a kind of generalization of association in which constraints and some oper-
ations apply to associations of many specific kinds.
Figure 14-17. Aggregation notation
Figure 14-18. One aggregate with several parts
Figure 14-19. Tree form of notation for multiple aggregations to the same class
Path
segment
Segment
∗ {ordered}
∗aggregate end
part end
Mailitem
Body
∗
1
Address
∗
1
aggregate
parts
The aggregate has
Parts can be shared
among aggregates
(multiplicity many).
a fixed structure
(multiplicity 1).
Mailitem
Body
∗
1
Address
1
equivalent to drawing
two separate lines
168 •alt Dictionary of Terms
Composition has more specific semantics that correspond to physical contain-
ment and various notions of ownership. Composition is appropriate when each
part is owned by one object and when the part does not have an independent life
separate from its owner. It is most useful when parts must be allocated and initial-
ized at the time the owner is created, and the parts do not survive the destruction
of their owner. Attributes of a class are usually assumed to have these properties.
By using composition, the burden of memory management and the danger of dan-
gling pointers or orphaned objects can be avoided. It is also appropriate for situa-
tions in which a bundle of attributes has been isolated into a distinct class for
encapsulation and manipulation reasons, but the attributes really apply to the
main class. Container classes used to implement associations are also obvious can-
didates for composite parts, although normally they should be generated by a code
generator and not modeled explicitly. Note that a composite part, such as a con-
tainer class, may contain references (pointers) to noncomposite parts, but the ref-
erenced objects are not destroyed when the referencing object is destroyed.
The distinction between associations and attributes is also more a matter of
taste or implementation language than semantics. Attributes inherently have a feel
of aggregation about them.
alt s410
Keyword indicating a conditional construct in an interaction, such as a sequence
diagram. See conditional.
alternative s410
A conditional construct in an interaction, such as a sequence diagram. See
conditional.
analysis s5
That stage of system development that captures requirements and the problem
domain. Analysis focuses on what to do; design focuses on how to do it. In an iter-
ative process, the stages need not be performed sequentially. The results of this
stage are represented by analysis-level models, especially the use case view and the
static view. Contrast analysis, design, implementation, and deployment (phase).
See stages of modeling, development process.
Dictionary of Terms apply •169
analysis time s5
A time during which an analysis activity of the software development process is
performed. Do not assume that all the analysis for a system occurs at the same
time or precedes other activities, such as design and implementation. The various
activities are sequential for any single element, but different activities may be
intermixed for the entire system.
See design time, modeling time.
ancestor s63
An element found by following a path of one or more parent relationships.
See generalization, parent.
any trigger s379
A trigger on a state machine transition that is satisfied by the occurrence of any
event that does not trigger another transition on the same state.
Semantics
This is an “else” construct for transitions. It is, of course, incorrect to have multi-
ple any-triggers on the same state.
It is probably allowable to have any-triggers on a state and a containing state,
with the most specific transition taking precedence, but the specification is silent
on this point.
Notation
The keyword all is used for the name of the trigger in place of an event name.
application s
See profile application.
apply s578 s584
Keyword on a dashed arrow between a package and a profile indicating application
of the profile to the package. See profile application.
170 •apply function action Dictionary of Terms
apply function action
An action whose execution evaluates a predefined mathematical function to com-
pute one or more output values. It is a pure function evaluation and has no side
effects or interaction with the state of the system except through the input and
output values.
See action for details.
architecture
The organizational structure of a system, including its decomposition into parts,
their connectivity, interaction mechanisms, and the guiding principles that inform
the design of a system.
See also package.
Semantics
Architecture is the set of significant decisions about the organization of a software
system. It includes the selection of structural elements and the interfaces through
which they are connected, the large-scale organization of structural elements and
the topology of their connection, their behavior as specified in the collaborations
among those elements, the important mechanisms that are available across the
system, and the architectural style that guides their organization. For example, the
decision to construct a system from two layers in which each layer contains a small
number of subsystems that communicate in a particular way is an architectural de-
cision. Software architecture is not only concerned with structure and behavior,
but also with usage, functionality, performance, resilience, reuse, comprehensibil-
ity, economic and technology constraints and trade-offs, and aesthetic concerns.
Discussion
Architectural decisions about the decomposition of a system into parts can be cap-
tured using models, subsystems, packages, and components. The dependencies
among these elements are key indicators of the flexibility of the architecture and
the difficulty of modifying the system in the future.
Another major part of an architecture is the mechanisms that it provides to
build upon. These may be captured with collaborations and patterns.
Nonstructural decisions can be captured using tagged values.
argument s222 s236 s423 s429
A specific value corresponding to a parameter.
See also binding, parameter, substitutability principle.
Dictionary of Terms artifact •171
Semantics
A run-time instance of a parameterized element, such as an operation or an ac-
tion, has a list of argument values, each of which is a value whose type must be
consistent with the declared type of the matching parameter. A value is consistent
if its class or data type is the same or a descendant of the declared type of the pa-
rameter. By the substitutability principle, a value of a descendant may be used any-
where an ancestor type is declared.
An occurrence of a broadcast action, a call action, or a send action requires ar-
guments for the parameters, unless the signal or operation lacks attributes or pa-
rameters.
In a template binding, however, arguments appear within a UML model at
modeling time. Template arguments can include not only ordinary data values,
objects, and expressions, but also classifiers. In the latter case, the corresponding
parameter type must be Classifier or some other metatype. The value of a template
argument must be fixed at modeling time; it may not be used to represent a run-
time argument. Do not use templates if the parameters are not bound at modeling
time.
artifact s184ff
The specification of a physical piece of information that is used or produced by a
software development process, such as an external document or a work product,
or by the deployment and operation of a system. An artifact can be a model, de-
scription, or software.
Semantics
An artifact corresponds to a concrete real-world element. An instance of an arti-
fact is deployed to a node instance. Artifacts often represent files or documents.
They are inherently connected to the implementation of a system. An artifact may
be associated with a component.
Profiles are expected to define various kinds of artifacts suitable for different
implementation environments. Standard stereotypes of artifacts include source
and executable.
Structure
Deployment. An artifact may be deployable on a node. This indicates that in-
stances of the artifact may be deployed on instances of the node.
Nested artifacts. An artifact may contain other artifacts. The nested artifacts are
deployed on the same node instance as the contained artifact or on a contained
node instance.

172 •assembly connector Dictionary of Terms
Manifestation. An artifact may manifest, that is, result from and implement, a set
of model elements. This relationship captures links between design elements and
their physical manifestation. For example, a design class may generate as artifacts a
source file, an executable file, and a documentation file.
Notation
An artifact is shown as a rectangle with the keyword «artifact» above the artifact
name. An artifact instance is shown with its name underlined. The manifestation
relationship is shown by a dashed arrow from the artifact to the elements that it
manifests; the keyword «manifest» is placed next to the arrow. Deployment of an
artifact to a node (or instances of them) is shown by placing the artifact symbol in-
side the boundary of the node symbol.
Figure 14-20 shows an artifact located in a node and manifesting a component.
History
Artifacts in UML2 can manifest any kind of element, not just components as in
UML1. A number of things that were considered components in UML1 have been
reclassified as artifacts.
assembly connector s143-145 s148
A connector between two elements (parts or ports) in the internal implementation
specification of a structured classifier or component.
See connector, delegation connector.
assert s412 s426 s442
Keyword in a sequence diagram indicating an assertion.
Figure 14-20. Artifact notation
OrderServer
PurchaseOrder
«component» «artifact»
PurchaseOrder.jar
«manifest»

Dictionary of Terms assertion •173
assertion s412 s426 s442
A combined fragment in an interaction indicating that the behavior described by
the contents is the only valid behavior at that point in the execution. Any other be-
havior contradicts the meaning.
Semantics
In general, an interaction is a specification of permissible behavior, which does not
include all possible behavior. An assertion is a statement that the specified behav-
ior of the assertion region is the only possible behavior at that point in the execu-
tion. Note, however, that the ignore and consider operators can be used to filter
the behavior under consideration. If certain kinds of events are explicitly ignored,
their occurrence or nonoccurrence will not affect an assertion.
For example, use an assertion fragment containing a conditional fragment to
indicate that the alternatives explicitly provided in the conditional are the only
possible outcomes and that any other outcomes may not happen.
Notation
An assertion is shown as a tagged region in a sequence diagram with the keyword
assert. Figure 14-21 shows an assertion. It states that after the motor receives a
start message from the controller, the next message must be a stop message. The
assertion makes no statement about messages involving any other objects.
Figure 14-21. Assertion
assert
sd motorControl
stop
start
controller motor
174 •association Dictionary of Terms
association s81 s130
The semantic relationship between two or more classifiers that involves connec-
tions among their instances.
See also association class, association end, association generalization, binary as-
sociation, multiplicity (association), n-ary association.
Semantics
An association is a relationship among two or more specified classifiers that de-
scribes connections among their instances. The participating classifiers have
ordered positions within the association. The same class may appear in more than
one position in an association. Each instance of an association (a link) is a tuple
(an ordered list) of references to objects. The extent of the association is a collec-
tion of such links. The collection may be a set (no duplicate entries) or a bag (du-
plicate entries allowed), and the elements may be unordered (set) or ordered (list).
A given object may appear more than once within the set of links, or even more
than once within the same link (in different positions) if the definition of the asso-
ciation permits. Associations are the “glue” that holds together a system model.
Without associations, there is only a set of isolated classes.
Structure
An association has a optional name, but most of its description is found in a list of
association ends, each of which describes the participation of objects of a class in
the association. Note that an association end is simply part of the description of an
association and not a separable semantic or notational concept.
Name. An association has an optional name, a string that must be unique among
associations and classes within the containing package. (An association class is
both an association and a class; therefore, associations and classes share a single
namespace). An association is not required to have a name; rolenames on its ends
provide an alternate way of distinguishing multiple associations among the same
classes. By convention, the name is read in the order that participating classes ap-
pear in the list: WorksFor (Person, Company) = a Person works for a Company;
Sells (Person, Car, Customer) = a Salesman sells a Car to a Customer.
Association ends. An association contains an ordered list of two or more associa-
tion ends. (By ordered, we mean that the ends are distinguishable and are not in-
terchangeable.) Each association end defines the participation of one class at a
given position (role) in the association. The same class may appear in more than
one position; the positions are, in general, not interchangeable. Each association
end specifies properties that apply to the participation of the corresponding ob-
jects, such as how many times a single object may appear in links in the association
Dictionary of Terms association •175
(multiplicity). Certain properties, such as navigability, apply only to binary associ-
ations, but most apply to both binary and n-ary associations.
Association ends and attributes are alternate ways to specify the same underly-
ing relationships. Attributes are slightly more restrictive than associations, and are
always owned by their classes.
See association end for full details.
Derivation. An association may be specified as being derived from other elements,
such as associations, attributes, or constraints.
Specialization. Associations may be specialized. Each link of the more specific as-
sociation must also appear in the more general association.
Associations may also be redefined. See redefinition.
Instantiation
A link is an instance of an association. It contains one slot for each association end.
Each slot contains a reference to an object that is an instance (direct or indirect) of
the class specified as the class of the corresponding association end. A link has no
identity apart from the list of objects in it. The links in the extent of an association
form a collection which can be a set, bag, ordered set, or sequence, depending on
the uniqueness and ordering settings on the multiplicity. The number of appear-
ances of an object in the set of links must be compatible with the multiplicity on
each end of the association. For example, if association SoldTickets connects many
tickets to one performance, then each ticket may appear only once in a link, but
each performance can appear many times, each time with a different ticket. (Pre-
sumably multiple copies of the same identical link can appear in bags or se-
quences. This does not require distinct identity, but the UML specification is
somewhat vague on this.)
Links may be created and destroyed as the execution of a system proceeds, sub-
ject to restrictions on changeability of each end of the association. In some cases, a
link can be created or changed from an object on one end of an association but not
the other end. A link is created from a list of object references. A link has no iden-
tity of its own. It therefore makes no sense to talk about changing its value. It may
be destroyed, and a new link may be created to take its place, however. A link of an
association class does have one or more attribute values in addition to the list of
objects that define its identity, and the attribute values can be modified by opera-
tions while preserving the references to the participating objects.
Notation
A binary association is shown as a solid path connecting the borders of two classes
(Figure 14-22). An n-ary association is shown as a diamond connected by paths to
each of its participant classes (Figure 14-191). (In the binary association, the

176 •association Dictionary of Terms
diamond is suppressed as extraneous.) More than one end of the path may con-
nect to a single class.
A path consists of one or more connected solid segments—usually straight line
segments, but arcs and other curves are allowed, especially to show a self-
association (an association in which one class appears more than once). The indi-
vidual segments have no semantic significance. The choice of a particular set of
line styles is a user choice. See path.
To avoid ambiguity, a line crossing may be drawn using a small semicircle to
pass one line over another line that it crosses (Figure 14-23). This notation is
optional.
The ends of the paths have adornments that describe the participation of a class
in the association. Some adornments are displayed on the end of the path, between
the line segment and the class box. If there are multiple adornments, they are
placed in sequence from the end of the line to the class symbol—navigation arrow,
aggregation/composition diamond, qualifier (Figure 14-24).
Other adornments, such as name labels, are placed near the thing they identify.
Rolenames are placed near an end of the path.
See association end for full details on the notation of adornments.
Figure 14-22. Associations
Figure 14-23. Line crossing notation
Cast
Orchestra Backup
Show
Performer understudy
lead
∗
∗
∗
∗
∗
0..1
implicit crossing explicit crossing

Dictionary of Terms association •177
Association name
A name for the association is placed near the path but far enough from an end so
that there is no danger of confusion. (The danger of confusion is purely visual for a
human. Within a graphic tool, the related symbols can be connected with unam-
biguous internal hyperlinks. It is a tool responsibility to determine how far is far
enough.) The association name can be dragged from segment to segment of a
multisegment association with no semantic impact. The association name may
have a small filled triangle near it to show the ordering of the classes in the list. In-
tuitively, the name arrow shows which way to “read” the name. In Figure 14-25,
the association WorksFor between class Person and class Company would have the
name triangle pointing from Person to Company and would be read “Person
works for Company.” Note that the ordering triangle on the name is purely a nota-
tional device to indicate the ordering of the association ends. In the model itself,
the ends are inherently ordered; therefore, the name in the model does not require
or have an ordering property.
A stereotype on the association is indicated by showing the stereotype name in
guillemets (« ») in front of or instead of the association name. A property string
may be placed after or below the association name.
A derived association is noted by placing a slash (/) in front of its name.
Figure 14-24. Adornment order on association end
Figure 14-25. Association name
qname:Cname
aggregation/
composition
navigability qualifier
association
path
0..∗ rolename
rolenamemultiplicity
ClassBClassA
Person
WorksFor
Company employeeemployer
1..∗
∗

178 •association Dictionary of Terms
Association class
An association class is shown by attaching a class symbol to the association path
with a dashed line. For an n-ary association, the dashed line is connected to the as-
sociation diamond. The class-like properties of the association are shown in the
class symbol, and the association-like properties are shown on the path. Note,
however, that the underlying modeling construct is a single element, even though
the image is drawn using two graphic constructs.
See association class for more details.
Xor constraint
The constraint {xor} connects two or more associations that are connected to a sin-
gle class (the base class) at one end. An instance of the base class may participate in
exactly one association connected by the constraint. The multiplicity of the chosen
association must be observed. If any association multiplicity includes the cardinal-
ity 0, then an instance of the base class might have no link from the association;
otherwise, it must have one.
An xor-constraint is shown as a dashed line connecting two or more associa-
tions, all of which must have a class in common, with the constraint string {xor}
labeling the dashed line (Figure 14-26). The rolenames on the ends away from the
common class must be different.
Generalization
Generalization between associations is shown with a generalization arrow between
the association path lines (large closed arrowhead on the more general end). See
association generalization.
History
In UML1, the extent of an association was always a set, that is, there were no dupli-
cates. This created problems with the normal use of lists, because modelers ex-
pected (and needed) duplicate entries to be possible. UML2 allows duplicate links
to be included. More frequently, models will include sets (unordered with no
Figure 14-26. Xor association
Account
Person
Corporation
{xor}
personalOwner
corporateOwner
account
account
Dictionary of Terms association class •179
duplicates) and lists (ordered with duplicates), but it is also possible to have bags
(unordered with duplicates) and ordered sets (ordered with no duplicates).
The distinction between attributes and association ends has been weakened in
UML2, therefore it is easier to shift viewpoints in a model. Association ends may
be owned by associations or participating classifiers, which permits alternate ways
of packaging.
Discussion
An association need not have a name. Usually, rolenames are more convenient be-
cause they provide names for navigation and code generation and avoid the prob-
lem of which way to read the name. If it has a name, the name must be unique
within its package. If it does not have a name and there is more than one associa-
tion between a pair (or set) of classes, then rolenames must be present to distin-
guish the associations. If there is only one association between a pair of classes,
then the class names are sufficient to identify the association.
An argument can be made that association names are most useful when the
real-world concept has a name, such as Marriage or Job. When an association
name is “directed” by reading in a given direction, it is usually better simply to use
rolenames, which are unambiguous in the way they are read.
See transient link for a discussion of modeling instance relationships that exist
only during procedure execution.
See composition for an example of generalization involving two associations.
association (binary)
See binary association.
association (n-ary)
See n-ary association.
association class s118
An association class is an association that is also a class. An association class has
both association and class properties. Its instances are links that have attribute val-
ues as well as references to other objects. Even though its notation consists of the
symbols for both an association and a class, it is really a single model element.
See also association, class.
Semantics
An association class has the properties of both associations and classes—it con-
nects two or more classes, and it also has attributes and operations. An association
180 •association class Dictionary of Terms
class is useful when each link must have its own attribute values, operations, or ref-
erences to objects. It may be regarded as a class with an extra class reference for
each association end, which is the obvious and normal way to implement it. Each
instance of the association class has object references as well as the attribute values
specified by the class part.
An association class C connecting classes A and B is not the same as a class D
with binary associations to A and B (see the discussion section). Like all links, a
link of an association class such as C takes its identity from the object references in
it. The attribute values are not involved in providing identity. Therefore, two links
of C must not have the same pair of (a, b) objects, even if their attribute values dif-
fer, unless the uniqueness setting on the association ends is nonunique, that is, un-
less the links form a bag. See the discussion.
Association classes may have operations that modify the attributes of the link or
add or remove links to the link itself. Because an association class is a class, it may
participate in associations itself.
An association class may not have itself as one of its participating classes (al-
though someone could undoubtedly find a meaning for this kind of recursive
structure).
Notation
An association class is shown as a class symbol (rectangle) attached by a dashed
line to an association path (Figure 14-27). The name in the class symbol and the
name string attached to the association path are redundant. The association path
may have the usual association end adornments. The class symbol may have at-
tributes and operations, as well as participate in associations of its own as a class.
There are no adornments on the dashed line; it is not a relationship but simply
part of the overall association class symbol.
Style guidelines
The attachment point should not be near enough to either end of the path that it
appears to be attached to the end of the path or to any of the role adornments.
Note that the association path and the association class are a single model ele-
ment and therefore have a single name. The name can be shown on the path or the
class symbol or both. If an association class has only attributes but no operations
or other associations, then the name may be displayed on the association path and
omitted from the association class symbol to emphasize its “association nature.” If
it has operations and other associations, then the name may be omitted from the
path and placed in the class rectangle to emphasize its “class nature.” In neither
case is the actual semantics different.

Dictionary of Terms association class •181
Discussion
Figure 14-27 shows an association class representing employment. The employ-
ment relationship between a company and a person is many-to-many. A person
may have more than one job, but only one job for a given company. The salary is
not an attribute of either the company or the person because the association is
many-to-many. It must be an attribute of the relationship itself.
The boss-worker relationship is not just a relationship between two people. It is
a relationship between a person in one job and a person in another job—it is an
association (Manages) between the association class and itself.
The following example shows the difference between an association class and a
reified relationship modeled as a class. In Figure 14-28, the ownership of stock is
modeled as an association between Person and Company. The association class at-
tribute quantity represents the number of shares held. This relationship is mod-
eled as an association class because there should be only one entry for any pairing
of Person and Company.
Figure 14-27. Association class
Figure 14-28. Association class with attribute
Person
Manages
Company
boss
worker
employee
employer
0..∗
∗
∗
0..1
Job
salary
class part
of association class
association part
of association class
visual tie between parts of
association class
self-association on
the association class
Person
Company owner
∗
∗
Stock
quantity
holding

182 •association class Dictionary of Terms
To model purchases of stock, as shown in Figure 14-29, there can be multiple
purchases with the same Person and Company. Yet they must be distinguished be-
cause each purchase is distinct and has its own date and cost in addition to quan-
tity. The keyword {bag} is placed on each association end to indicate that there
may be multiple links, and therefore multiple link objects, involving the same pairs
of objects. Alternately, as shown in Figure 14-30, the relationship can be reified—
that is, made into distinct objects with their own identity. An ordinary class is the
used to model this case, because each purchase has its own identity, independent
of the Person and Company classes that it relates.Although the models are not
identical, they model the same information. Finally, it can be modeled as a ternary
association, as shown in Figure 14-31. This is an inferior choice, however, because
a lot uniquely determines a tuple from the association and therefore the company
Figure 14-29. Nonunique association class
Figure 14-30. Reified association
Figure 14-31. Ternary association
Person
Company
owner
∗
∗
Purchase
quantity
holding
date
cost
{bag} {bag}
Person
Company
owner
∗
∗Purchase
quantity
holding date
cost
1
1
Person
Company
owner
Lot
quantity
holding
date
cost
Purchase
∗
1
1
Dictionary of Terms association end •183
and person. Ternary associations are usually not useful unless the multiplicity is
many on all ends; otherwise a binary association shows more information about
the multiplicity constraints.
association end s5 s82-84 s89 s239
A part of an association that defines the participation of a class in the association.
One class may be connected to more than one end in the same association. The as-
sociation ends within an association have distinct positions, have names, and, in
general, are not interchangeable. An association end has no independent existence
or meaning apart from its association.
See also association.
Semantics
Structure
An association end holds a reference to a target classifier. It defines the participa-
tion of the classifier in the association. An instance of the association (a link) must
contain an instance of the given classifier or one of its descendants in the given po-
sition. Participation in an association is inherited by children of a classifier.
An attribute is a degenerate association in which one association end is owned
by a classifier that is conceptually at the other, unmodeled end of the association.
In a modeling situation in which all the participant classifiers are of fairly even im-
portance or the relationship may be viewed in more than one direction, an associ-
ation is more appropriate. In a situation in which the relationship is always viewed
in a single direction, an attribute may be more appropriate.
Because of the underlying similarity of association ends and attributes, most of
their modeling properties are combined into a single modeling element, called a
structural property. See property for a full list of modeling settings for both associ-
ation end and attribute.
Notation
See property for most of the notation for association ends. Properties of associa-
tion ends are shown by placing graphical or text adornments on or near the line
ends (Figure 14-32).
If there are multiple adornments on a single association end, they are presented
in the following order, reading from the end of the path attached to the class out-
ward toward the bulk of the path (Figure 14-24):
qualifier
aggregation or composition symbol
navigation arrow

184 •association generalization Dictionary of Terms
End names and multiplicity strings should be placed near the end of the path so
that they are not confused with a different association. They may be placed on ei-
ther side of the line. It is tempting to require that they always be placed on one side
of the line (clockwise or counterclockwise), but this is sometimes overridden by
the need for clarity in a crowded layout. An end name and a multiplicity may be
placed on opposite sides of the same role, or they may be placed together (for ex-
ample, *employee).
Other settings are shown as property strings in braces ({}). Multiple property
strings may be placed in the same pair of braces, separated by commas, or they
may be shown separately. The property string labels should be placed near the
ends of the path so that they do not interfere with end names or multiplicity
strings.
association generalization s66 s83-84 s130
A generalization relationship between two associations.
See also association, generalization.
Semantics
Generalization among associations is permitted, although it is somewhat uncom-
mon. As with any generalization relationship, the child element must add to the
intent (defining rules) of the parent and must subset the extent (set of instances)
of the parent. Adding to the intent means adding additional constraints. A child
association is more constrained than its parent. For example, in Figure 14-33, if
the parent association connects classes Subject and Symbol, then the child associa-
tion may connect classes Order and OrderSymbol, where Order is a child of
Figure 14-32. Various adornments on association ends
Polygon Side
Contains
{ordered}
3..∗
1
GraphicsBundle
color
texture
density
1
–bundle
+sides
composition 1
aggregation
(public)
visibility rolename multiplicity
ordering
navigability
direction
aggregate in
both associations

Dictionary of Terms association generalization •185
Subject and OrderSymbol is a child of Symbol. Subsetting the extent means that
every link of the child association is a link of the parent association, but not the re-
verse. The example obeys this rule. Any link connecting Order and OrderSymbol
will also connect Subject and Symbol, but not all links connecting Subject and
Symbol will connect Order and OrderSymbol.
Notation
A generalization arrow symbol (solid body, triangular hollow arrowhead) con-
nects the child association to the parent association. The arrowhead is on the par-
ent. Because of the lines connecting other lines, association generalization
notation can be confusing and should be used with care.
Example
Figure 14-33 shows two specializations of the general model-view association be-
tween Subject and Symbol: The association between Order and OrderSymbol is a
specialization, as is the association between Customer and CustomerSymbol. Each
of these connects a Subject class to a Symbol class. The general Subject-Symbol
association may be regarded as an abstract association whereas the two child asso-
ciations are concrete.
This pattern of paired class hierarchies connected by associations is fairly
common.
Discussion
The distinction between subsetting and specializing an association is not clearly
described in the UML2 specification.
Figure 14-33. Association generalization
Subject Symbol
Order OrderSymbol
Customer
model view
model view
view
model
association
generalization
CustomerSymbol
186 •asynchronous action Dictionary of Terms
asynchronous action s224-225
A request in which the sending object does not pause to wait for results; a send.
See send, synchronous action.
atomic s363 s411
An action or operation whose execution must be completed as a unit; one that
may not be partially executed or terminated by an external event or interrupt.
Usually, atomic operations are small and simple, such as assignments and simple
arithmetic or string calculations. An atomic computation occurs at a definite point
in the execution sequence.
This is not a precise UML term.
See also action, do activity, run-to-completion.
Semantics
Conceptually, atomic actions that do not access shared resources simply require
concurrent execution. There are many ways to map such actions onto shared pro-
cessor resources as part of an implementation.
If actions access shared resources (memory, devices, or external interactions),
they can hardly be considered atomic. The term is sometimes used to mean nonin-
terleavable on a global basis, but such kinds of global interactions require a more
detailed, implementation-specific model.
attribute s87 s95 s114 s173
An attribute is the description of a named element of a specified type in a class;
each object of the class separately holds a value of the type.
Semantics
An attribute is a named element within a classifier that describes the values that in-
stances of the classifier may hold. Every instance of the classifier or one of its de-
scendants has a slot holding a value of the given type. All the slots are distinct and
independent of each other (except for class-scope attributes, which are described
later). As execution proceeds, the value held by a slot within an instance may be re-
placed by a different value of the type, provided the attribute is changeable.
A classifier forms a namespace for its attributes. Also included in the namespace
are other properties, such as the rolenames of associations leaving the classifier
and internal parts.
An attribute can be redefined. See redefinition (property).
Dictionary of Terms attribute •187
Structure
Attributes and association ends contain the same information and can be inter-
changed relatively easily. An attribute may be regarded as an association end that is
owned by a classifier and is navigable from the classifier to the attribute value. A
piece of information may be modeling as an attribute, an association end, or both.
For a list of the modeling settings for an attribute, see property.
Notation
An attribute is shown as a text string that can be parsed into various properties.
The default syntax is:
⎣«stereotype»⎦opt visibilityopt /opt name ⎣: type⎦opt multiplicityopt
⎣= initial-value⎦opt ⎣{ property-string }⎦opt
Visibility. The visibility is shown as a punctuation mark. Alternately, the visibility
can be shown as a keyword within the property string. The latter form must be
used for user-defined or language-dependent choices. The predefined choices are
+ (public)Any class that can see the class can also see the attribute.
# (protected) The class or any of its descendants can see the attribute.
– (private)Only the class itself can see the attribute.
~ (package) Any class in the same package can see the attribute.
Name. The name is shown as an identifier string.
Type. The type is shown as an expression string denoting a classifier. The name of
a class or a data type is a legitimate expression string indicating that the values of
the attribute must be of the given type. Additional type syntax depends on the lan-
guage of the expression. Each language has syntax for constructing new data types
out of simple ones. For example, C++ has syntax for pointers, arrays, and func-
tions. Ada also has syntax for subranges. The language of the expression is part of
the internal model, but it is not usually shown on a diagram. It is assumed that it is
known for the entire diagram or obvious from its syntax.
The type string may be suppressed (but it still exists in the model).
Multiplicity. The multiplicity is shown as a multiplicity expression (see below) en-
closed in square brackets ([ ]) placed after the type name. If the multiplicity is “ex-
actly one,” then the expression, including the brackets, may be omitted. This
indicates that each object has exactly one slot holding a value of the given type (the
most common case). Otherwise, the multiplicity must be shown. See multiplicity
for a full discussion of its syntax. For example:
colors : Saturation [3] An array of 3 saturations
points : Point [2..*] An array of 2 or more points

188 •attribute Dictionary of Terms
Note that a multiplicity of 0..1 provides for the possibility of null values—the ab-
sence of a value, as opposed to a particular value from the range. A null value is not
a value within the domain of most data types; it extends that domain with an extra
value outside the domain. For pointers, however, the null value is often part of the
implementation (although, even then, it is usually by convention—for example,
the value 0 in C or C++, an artifact of memory addressing conventions). The fol-
lowing declaration permits a distinction between the null value and the empty
string, a distinction supported by C++ and other languages.
name : String [0..1] If the name is missing, it is a null value.
If the upper bound is greater than one, then ordering and uniqueness settings can
be specified as property strings. Keyword choices include ordered, bag, seq,
sequence, and list. See property for details.
Derivation. A derived attribute is indicated by a slash (/) in front of the name.
Initial value. The default initial value is shown as a string. The language of evalua-
tion is usually not shown explicitly (but it is present in the model). If there is no
default value, then both the string and the equal sign are omitted. If the attribute
multiplicity includes the value 0 (that is, optional) and no explicit initial value is
given, then the attribute starts with an empty value (zero repetitions).
Changeability. The property string {readOnly} indicates that the value may not be
changed after initialization. If no choice is given, then the setting is changeable.
Redefinition and subsetting. These settings can be specified by property strings.
See property and redefinition (property) for details.
Ta g g e d v al u e . Zero or more tagged values may be attached to an attribute (as to
any model element). Each tagged value is shown in the form tag = value, where
tag is the name of a tag and value is a literal value. Tagged values are included
with property keywords as a comma-separated property list enclosed in braces.
Static. A static attribute (class scope) is shown by underlining the name and type
expression string; otherwise, the attribute is instance-scope.
static-attribute
Figure 14-34 shows the declaration of some attributes.
+size: Area = (100,100)
#visibility: Boolean = invisible
+default-size: Rectangle
maximum-size: Rectangle
–xptr: XWindowPtr {requirement=4.3}
public, initial value
protected, initial value
public
static
private, tagged value
Figure 14-34. Attributes
Dictionary of Terms background information •189
Presentation options
Programming-language syntax. The syntax of the attribute string can be that of a
programming language, such as C++ or Smalltalk. Specific tagged properties may
be included in the string.
Style guidelines
Attribute names are shown in normal typeface.
Discussion
A similar syntax is used to specify qualifiers, template parameters, operation pa-
rameters, and so on (some of these omit certain terms).
Note that an attribute is semantically equivalent to a composition association.
(There may be some doubt about this. The specification includes a notation for
composition of attributes. The use of attributes in the metamodel included in the
specification, however, indicates that this is not meant to be taken seriously.) How-
ever, the intent and usage of attributes and associations are usually different. Use
attributes for data types—that is, for values with no identity. Use associations for
classes—that is, for values with identity. The reason is that for objects with iden-
tity, it is important to see the relationship in both directions; for data types, the
data type is usually subordinate to the object and has no knowledge of it.
History
Attributes and association ends have been semantically unified in UML2, so that it
is much easier to convert among them in a model.
The multiplicity setting now appears after the type name, rather than after the
attribute name. This makes it possible to treat the multiplicity as part of the overall
type specification. Redefinition and subsetting have been added. The concept of
target scope has been dropped.
auxiliary (stereotype of Class)
A class that supports another, more central focus class, typically by providing con-
trol mechanisms.
See focus.
background information
Each appearance of a symbol for a class on a diagram or on different diagrams may
have its own presentation choices. For example, one symbol for a class may show
the attributes and operations, and another symbol for the same class may suppress
them. Tools may provide style sheets attached to either individual symbols or en-
190 •bag Dictionary of Terms
tire diagrams. Style sheets would specify the presentation choices, and they would
be applicable to most kinds of symbols, not just classes.
Not all modeling information is most usefully presented in a graphical notation.
Some information is best presented in a textual or tabular format. For example,
detailed programming information is often best presented as text lists. UML does
not assume that all the information in a model will be expressed as diagrams; some
of it may be available only as tables. The UML2 Appendix D describes a tabular
format for sequence diagrams, but there is nothing special about either sequence
diagrams or the particular format listed in the appendix that prevents the use of
tables for any modeling information. That is because the underlying information
is adequately described in the UML metamodel, and the responsibility for present-
ing tabular information is a tool responsibility. Hidden links may exist from
graphical items to tabular items within tools.
bag s64 s83
A collection of elements that may have multiple copies of identical elements, as
opposed to a set, in which each element must be unique.
Semantics
Bags may be indicated on multiplicity specifications using the uniqueness flag with
a value of false. In combination with the ordering flag, modelers may specify unor-
dered sets, ordered sets, unordered bags, and ordered bags. Ordered bags are called
sequences or lists. Multiplicity is applicable to attribute values, association ends,
parameters, and other elements.
History
Support for bags on multiplicity is new in UML2.
become
This UML1 dependency has been retired in UML2.
behavior s379
A specification of how the state of a classifier changes over time. Behavior is spe-
cialized into activity, interaction, and state machine. A behavior describes the
dynamics of an entire classifier as a unit. A classifier also owns a set of behavioral
features (such as operations) that may be invoked independently as part of its
overall semantics.
Dictionary of Terms behavior •191
Semantics
Behavior is a generic term for the specification of how the state of an instance of a
classifier changes over time in response to external events and internal computa-
tions. The classifier may be a concrete entity (such as a class) or a collaboration.
Behavior may be specified for the instance as a whole or for individual operations
that may be invoked on an instance. It includes activity, interaction, and state state
machine. Each of these has its own detailed structure, semantics, and usages,
which are described in separate entries.
A behavior may have parameters, which must correspond to the parameters of
an operation it implements. A behavior attached to an operation takes effect when
the operation is invoked and continues until the execution of the operation is
complete. A behavior attached to an entire classifier takes effect when an instance
of the classifier is instantiated and continues while the instance exists.
A behavior may reentrant or non-reentrant. A reentrant behavior may be in-
voked within an existing execution of the same behavior.
A behavior may redefine another behavior. The rules for redefinition are speci-
fied under each kind of behavior.
Preconditions and postconditions may be attached to behaviors. These are con-
straints that must be satisfied when the behavior begins and finishes. These are
meant to be assertions whose failure indicates a modeling or implementation er-
ror, not executable parts of the behavior specification.
A behavior is modeled as a classifier, but most often it describes the execution of
a distinct classifier, which is called the context for the behavior. Messages are not
sent to the behavior directly but to the context. Sometimes, however, a behavior
may serve as its own context. In this situation, an instance of the behavior can di-
rectly receive messages from other instances. A behavior-as-context may be used to
model things such as operating system processes, tasks in a workflow, and other
kinds of reified behavior.
The behavior for a classifier can be redefined. A behavior can be specialized as
with any classifier. See redefinition (behavior).
Execution semantics
On the instantiation of a classifier, an instance is created and initialized according
to default and explicit initialization rules. A behavior attached to the classifier de-
scribes the subsequent execution of the instance. An execution of the behavior cor-
responding to the instance has its own state space for local variables and for the
state of the behavior occurrence itself, unshared with any other behavior occur-
rences. An execution of a behavior has a reference to its context, that is, the in-
stance whose execution it represents. If the behavior execution reaches a terminal
state, the instance of the classifier is destroyed and ceases to exist.
192 •behavioral feature Dictionary of Terms
On the invocation of an operation, an execution of the behavior attached to the
operation is created with copies of the actual arguments to the invocation. The be-
havior execution has its own state space for local variables and its own state, inde-
pendent of any other invocations of the same instance. The execution of each
behavior proceeds independently of other executions, except to the extent that
they explicitly exchange messages or implicitly access data from shared objects.
When the execution of an operation is completed, the behavior execution emits re-
turn values (if the operation is synchronous) and ceases to exist.
behavioral feature s5 s72 s382
A named model element specifying dynamic behavior, such as an operation or
reception, that is part of a classifier. It also has a list of exceptions that might be
raised during the execution of the behavior specified by the feature.
See operation, reception.
Semantics
A behavioral feature has a list of parameters, including zero or more return param-
eters. It may also have a concurrency kind specification that specifies whether con-
current invocations are permitted to the same passive instance. The concurrency
specification on a behavioral feature is ignored for an active instance, which con-
trols its own concurrency.
A behavioral feature is owned by a classifier. A behavior may be attached to a be-
havioral feature as a method within that classifier or any number of its descen-
dants. A method is an implementation of a behavioral feature. The method
declared in a classifier for a behavioral feature is inherited by descendant classifiers
unless it is replaced by a new method.
A behavioral feature may be abstract or concrete with respect to a particular
classifier. If it is abstract, it has no method within the classifier and must not be in-
voked on a direct instance of the classifier. If it is concrete, it must have an imple-
mentation in the classifier or an ancestor class. An abstract behavioral feature in
one classifier becomes concrete in a subclassifier if a method is specified in the
subclass. More rarely, a concrete behavioral feature in one classifier may be de-
clared as abstract in a subclassifier, in which case it cannot be used until a still fur-
ther descendant classifier makes it concrete again by supplying a method.
behavioral state machine s 455 s489
A state machine used to express the behavior of objects of a class (including an en-
tire system), as opposed to the specification of a legal sequence of operation
invocations.
See state machine. Compare with protocol state machine.
Dictionary of Terms binary association •193
Semantics
A behavioral state machine is an executable behavior intended to specify the exe-
cution of objects of a class as triggered by the occurrence of events. A behavioral
state machine must be prepared to accept any sequence of legal events. In contrast,
a protocol state machine is the specification of the legal sequences of invocation of
operations. It is not directly executable and is not intended to handle arbitrary se-
quences of events; rather, it is intended to constrain the overall system to avoid
nonlegal sequences.
Discussion
The mechanism used in UML is based on (but not identical to) the statechart for-
malism invented by computer scientist David Harel. This kind of specification can
be transformed into code in various ways for implementation.
behavioral view
A view of a model that emphasizes the behavior of the instances in a system, in-
cluding their methods, collaborations, and state histories.
binary association s5 s83-85 s90 s245
An association between exactly two classes.
See also association, n-ary association.
Semantics
A binary association is an association with exactly two association ends, by far the
most common kind of association. Because an end in a binary association has a
unique other end, binary associations are particularly useful for specifying naviga-
tion paths from object to object. An association is navigable in a given direction if
it can be traversed in that direction. Some other properties, such as multiplicity,
are defined for n-ary associations, but they are more intuitive and useful for binary
associations.
Notation
A binary association is shown as a solid path connecting two class symbols. Adorn-
ments can be attached to each end, and an association name may be placed near
the line, far enough from either end so that it is not mistaken for a rolename. The
notation for a binary association is the same as the notation for an n-ary associa-
tion except for the suppression of the central diamond symbol. Binary associa-
tions, however, can have adornments that are not applicable to n-ary associations,
such as aggregation. See association for details.
194 •bind Dictionary of Terms
bind s547-548 s554
Keyword for a binding dependency in the notation.
See binding.
binding s547-548 s554
The matching of values to parameters to produce an individual element from a pa-
rameterized element. The binding relationship is a directed relationship between a
model element and a parameter within the context of an invocation or use of a
template.
See also bound element, template.
Semantics
A parameterized definition, such as an operation, signal, or template, defines the
form of an element. A parameterized element cannot be used directly, however,
because its parameters do not have specific values. Binding is a directed relation-
ship that assigns values to parameters to produce a new, usable element. Binding
acts on operations to produce calls, on signals to produce messages, and on tem-
plates to produce new model elements. The first two are bound during execution
to produce run-time entities. These do not usually figure in models except as ex-
amples or simulation results. The argument values are defined within the execu-
tion system.
A template is bound at modeling time, however, to produce new model ele-
ments for use within the model. The argument values can be other model ele-
ments, such as classes, in addition to data values, such as strings and integers. The
binding relationship binds values to a template, producing an actual model ele-
ment that can be used directly within the model.
A binding relationship has a supplier element (the template), a client element
(the newly generated bound element), and a list of values to bind to template
parameters. The bound element is defined by substituting each argument value for
its corresponding parameter within a copy of the template body. The classification
of each argument must be the same as or a descendant of the declared classifica-
tion of its parameter.
A binding does not affect the template itself. Each template can be bound many
times, each time producing a new bound element.
Notation
Template binding is indicated with the keyword «bind» attached to a dashed arrow
that connects the generated element (on the tail of the arrow) to the template (on
the arrowhead). See Figure 14-35. The actual argument values are shown as a

Dictionary of Terms binding •195
comma-separated list of text expressions enclosed in angle brackets following the
«bind» keyword on the arrow:
«bind» <argumentlist,>
where each argument has the form:
parameter-name → value
If the parameters are ordered (as is usual with operations), only the value need
be included. Note that the value can include types, if appropriate for the para-
meter.
An alternative and more compact notation for binding uses name matching to
avoid the need for arrows. To indicate a bound (generated) element, the name of a
template is followed by a comma-separated list of text expressions enclosed in
angle brackets:
template-name <argumentlist,>
In either case, each argument is stated as a text string that is evaluated statically
at model-building time. It is not evaluated dynamically as an operation or signal
argument is.
In Figure 14-35, the explicit form using the arrow declares a new class Address-
List, whose name can be used in models and expressions. The implicit inline form
Farray<T→Point,k→3> declares an “anonymous class” without a name of its own.
The inline syntax may be used in expressions.
Figure 14-35. Template declaration and binding
FArray
FArray<T→Point,k→3>
T,k:IntegerExpression
«bind» <T→Address,k→24>
elements: T[k]
AddressList
template parameters
template
binding
bound templates
explicit binding
name match binding
generates a part
contained
Multiplicity is fixed in
any binding of the template.
A parameter with no type
is implicitly a class.
in the class
196 •Boolean Dictionary of Terms
Additional attributes or operations can be added to the bound class; the inter-
pretation is that an anonymous class is created by the binding and the new class
with the additional features is a subclass of the anonymous class.
History
The notation for binding has changed in UML2.
Discussion
Template parameters and operation parameters are at different semantic levels,
but they represent related semantic concepts, at least conceptually.
The specification uses an arrow composed from a hyphen and a right angle
bracket (->) but that may be regarded as an example of typographical cowardice in
light of the availability modern character sets and the death of the punch card.
The notation for template binding has been changed slightly in UML2, and tem-
plates have been restricted to elements for which they make sense.
Boolean s538
An enumeration whose values are true and false.
Boolean expression
An expression that evaluates to a Boolean value. Useful in guard conditions.
bound element s547
A model element produced by binding argument values to the parameters of a
template.
See also binding, template.
Semantics
A template is a parameterized description of a group of potential elements. To ob-
tain an actual element, the template’s parameters must be bound to actual values.
The actual value for each parameter is an expression supplied by the scope within
which the binding occurs. Most arguments are classes or integers.
If the scope is itself a template, then the parameters of the outer template can be
used as arguments in binding the original template, in effect reparameterizing it.
But parameter names from one template have no meaning outside its body. Pa-
rameters in two templates cannot be assumed to correspond just because they have
the same names, any more than subroutine parameters could be assumed to match
based only on their names.

Dictionary of Terms bound element •197
A bound element is fully specified by its template. As a convenience, additional
attributes can be declared in a bound class. This is equivalent to declaring an
anonymous class that performs the binding, then declaring the bound class as a
subclass of it and adding the new attributes to the bound class. See template for an
example.
Example
Figure 14-36 shows the rebinding of a template. Polygon is a template with a single
parameter—the size n. We want to build it using an existing template FArray,
which has two parameters—the type of element T and the size k. To build it, the
parameter k from the FArray template is bound to the parameter n from the Poly-
gon template. The parameter T from the FArray template is bound to the class
Point. This has the effect of removing one parameter from the original template.
To use the Polygon template to make a Triangle class, the size parameter n is
bound to the value 3. To make a Quadrilateral class, it is bound to the value 4.
Figure 14-36. Rebinding a template
FArray
T,k:IntegerExpression
element: T[k] Polygon
n:IntegerExpression
Triangle
«bind» <T→Point, k→n>
«bind» <n→3>
Shape
Quadrilateral
«bind» <n→4>

198 •bound element Dictionary of Terms
Figure 14-36 also shows the template Polygon as a child of class Shape. This
means that each class bound from Template is a subclass of Shape—Triangle and
Quadrilateral are both subclasses of Shape.
Notation
A bound element can be shown using a dashed arrow from the template to the
bound element; the arrow has the keyword «bind». Alternately, it can be shown us-
ing the text syntax TemplateName<argumentlist,>, using name matching to
identify the template. The text form avoids the need to show the template or to
draw an arrow to it; this form is particularly useful when the bound element is
used as a classifier for an attribute or operation parameter.
See binding for details. Figure 14-35 shows an example.
The attribute and operation compartments are usually suppressed within a
bound class because they must not be modified in a bound element.
A bound element name (either the inline “anonymous” form using angle brack-
ets or the explicit “binding arrow” form) may be used anywhere an element name
of the parameterized kind could be used. For example, a bound class name could
be used as an attribute type or as part of an operation signature within a class sym-
bol on a class diagram. Figure 14-37 shows an example.
Discussion
Classifiers are obvious candidates for parameterization. The types of their at-
tributes, operations, or associated classifiers are common parameters in templates.
Parameterized collaborations are patterns. Operations, in a sense, are inherently
parameterized. Packages can be parameterized. The usefulness of parameteriza-
tion of other elements is not so clear, but uses will likely be found.
Figure 14-37. Use of bound templates in associations
FArray<T→Point,k→3> AddressList
Notebook
1
0..1
TriangularGrid
∗
1
Dictionary of Terms branch •199
branch
A situation in a state machine in which a single trigger leads to more than one pos-
sible outcome, each with its own guard condition. Branches may be static and
dynamic.
A situation in an activity in which an input flow may lead to one of several pos-
sible output flows, each with its own guard condition.
See also choice, decision node, fork, join, junction, merge.
Semantics
State machine. If the same event can have different effects that depend on different
guard conditions, then they can be modeled as separate transitions with the same
event trigger. In practice, however, it is convenient to permit a single trigger to
drive multiple transitions. This is especially true in the common case in which the
guard conditions cover every possibility, so that an occurrence of the event is guar-
anteed to trigger one of the transitions. A branch is a part of a transition that splits
the transition path into two or more segments, each with a separate guard condi-
tion. The event trigger is placed on the first, common segment of the transition.
The output of one branch segment can be connected to the input of another
branch to form a tree. Each path through the tree represents a distinct transition.
The branch can be static or dynamic. In the static case, the branch point is mod-
eled using a junction vertex. The conjunction of all the conditions on a path in a
transition is equivalent to a single condition that is conceptually evaluated before
the transition fires. If there is no path for which all conditions are true, no transi-
tion fires. The chosen path is unaffected by changes to values caused by actions ex-
ecuted during transition. A transition fires in a single step, despite its appearance
as a tree of branches. The tree is merely a modeling convenience. One path leading
from each vertex may be labeled with the pseudocondition else. This path is en-
abled to fire if and only if no other path is enabled.
In the dynamic case, the branch point is modeled using a choice vertex. A choice
vertex represents a temporary state. If all of the conditions on a path leading to a
choice vertex are true, the transition may fire up to the choice vertex. Any effects
on the path are executed and affect conditions in the remainder of the transition
beyond the choice point. Conditions on subsequent segments are then evaluated
and a path is selected to complete the transition. (It may lead to another choice.) If
no path is enabled, the state machine is ill formed. (It is impossible to undo the ef-
fects of the partially executed path.) To avoid this situation, it is recommended that
an else condition be included, unless it is certain that a path will be enabled.
A choice vertex can be considered a “real” state in which an immediate transi-
tion must be enabled to another state, whereas a junction vertex is merely a syntac-
tic convenience in organizing paths that share some conditions.

200 •branch Dictionary of Terms
Activity. Branches are modeled as decision nodes. A decision node has one in-
put flow and several possible output flows, each with its own guard condition. De-
cision nodes are always active. Any effects of a behavior on the input flow may
affect the guard conditions on the output flows. It is important that the guard con-
ditions cover all possibilities, similar to a choice in a state machine, otherwise the
activity is ill formed. An else condition may be used in an activity graph to guaran-
tee that a guard condition will be true.
Notation
State machine. A static branch may be shown by repeating an event trigger on
multiple transition arcs with different guard conditions. This may also be done
with completion transitions, as in an activity diagram.
For greater convenience, however, the head of a transition arrow may be con-
nected to a small black circle, which indicates a junction. The transition arrow is
labeled with the trigger event, if any, but it should not have an action on it. Any ac-
tions go on the final segment of the transition (unless they are shared by all paths).
The effect of a tree of branches is the same as expanding the tree into a separate
transition arc for each path through the tree, all sharing the same trigger event but
each with its own conjunction of guard conditions, action, and target state.
Figure 14-38 shows two ways to draw the same situation. Note that the conditions
may include parameters of the trigger event.
Figure 14-38. Two ways to show a static branch
[item.cost < $50] Charge
customer’s
account
Get
authorization
[item.cost ≥ $50]
Select item
Charge
customer’s
account Get
authorization
selected(item)
separate transitions explicit static branch
selected(item)
[item.cost < $50] [item.cost ≥ $50]
selected(item)
Select item

Dictionary of Terms branch •201
A dynamic branch may be shown by connecting the head of a transition arrow
to a diamond, which indicates a choice. The incoming arrow may have conditions
and actions, which are executed before the choice occurs.
A diamond symbol may have two or more arrows leaving it. Each arrow is la-
beled with a guard condition. The reserved word else can be used as a guard con-
dition. Its value is true if all the other (explicit) guard conditions are false. The
head of each arrow may be connected to another branch or to a state. An arrow
connected to a state may have an action label attached. No arrow leaving a choice
may have an event trigger.
Figure 14-39 shows a variation on the previous example, this time using a
choice. In this case, the priceItem action is performed as part of the transition to
compute the price. Because the price is not known before the initial transition seg-
ment fires, the branch must be dynamic, so a choice vertex is used. It is easy to ver-
ify that the conditions cover all possibilities, therefore an else path is unnecessary.
Activity diagram. Both decisions (dynamic branches) and merges (the inverse of
a branch) can be shown as diamonds, as shown in Figure 14-40. In the case of a
merge, there are two or more input arrows and a single output arrow. No guard
conditions are necessary on a merge.
Figure 14-39. Dynamic branch
[cost < $50]
Get
authorization
[cost ≥ $50]
explicit branch
Select item
selected(item)/priceItem():cost
Charge
customer’s
account

202 •break Dictionary of Terms
break s410
A kind of interaction operator, indicating that the operand subfragment is per-
formed and the rest of the enclosing fragment is not performed.
Semantics
The break operator has an operand subfragment with a guard condition. If the
guard condition is true, the operand is executed and the remainder of the enclos-
ing fragment is omitted. If the guard condition is false, the operand is not executed
and the remainder of the enclosing fragment is executed. This operator may be re-
garded as a shorthand for an alternative operator in which the remainder of the
enclosing fragment need not be an explicit subfragment.
The break operand must cover all lifelines of the enclosing fragment.
Notation
The keyword break appears as the interaction operator label.
Figure 14-41 shows an example of break. If the user presses the cancel button af-
ter receiving an identification request, the remainder of the sequence is ignored
Otherwise, the user presents identification, and the validation sequence proceeds.
Figure 14-40. Decision and merge in activity diagram
Get
[existing customer]
Verify
customer’s
data
Get
order
customer
Obtain
customer’s
data
decision
merge
name
[else]

Dictionary of Terms broadcast •203
broadcast s223
An asynchronous signal sent to an implicit set of target objects associated with the
current system.
See action.
Semantics
A broadcast action has a signal type and a list of arguments as parameters, but no
target object. The signal is sent to all of the objects in a system-dependent implicit
set. The intent is that all objects reachable from the system be sent the signal, but
in practice this is impractical, and a broadcast will usually go to a subset of objects
on the local node.
Discussion
The concept of broadcast is theoretically problematic, because the set of nodes
may be open, so it must be regarded as a fundamentally implementation-specific
action associated with some concept of locality and a closed universe of objects.
Figure 14-41. Break
break
sd validate
cancel
askIdentification
user door
presentIdentification
open door
[identification OK]
On cancel,
control goes
to end
204 •buffer Dictionary of Terms
buffer s311
See central buffer node.
Semantics
Buffering capability is assumed in the handling of messages received by objects,
but the details of this capability depend on the implementation. Careful design of
models can avoid the need for buffers in many common cases, but there are situa-
tions in which it is semantically necessary.
Buffering capability is implicit in the handling of tokens within an activity, par-
ticularly if streaming tokens are included. In many common cases, only one token
at a time can exist at a location, so buffering is not always needed. An explicit,
shared buffer can be modeled using a central buffer node.
buildComponent (stereotype of Component)
A component that defines a set of components for organizational or system-level
development purposes.
call s216 s224 s227 s254 s384 s385 s428 s593
To i nvo ke a n operation or a behavior.
See also action, call trigger.
Semantics
A call is an action that invokes an operation on a target object. A call supplies ac-
tual values for the parameters of the operation. Each value must be compatible
with its corresponding parameter; that is, it must be of the same type or of a
descendant type. If the operation has default parameters, they may be omitted
from the call and the default values will be automatically supplied. The call opera-
tion action has the operation as a static parameter of the action and has run-time
input values for the target object and arguments.
Information about the call, including the argument values and, for a synchro-
nous call, information sufficient to return control to the caller, is transmitted to
the target object. The manner of transmitting the information is not constrained
and may be implementation dependent. In particular, the target object may be on
the same system or a remote system; there is no distinction between local and
remote calls. In the case of concurrent or asynchronous calls, no assumptions
should be made about the order in which different calls are received. System pro-
files are free to constrain some of these possibilities.
The invoked operation is used to cause an effect on the target object, using the
operation resolution rules of the underlying system. For example, an object-
Dictionary of Terms call •205
oriented method lookup rule would examine the class of the target object for a
method attached to the operation; if a method is not found, it would examine an-
cestor classes until a method is found. However, the UML2 specification does not
mandate a specific operation resolution rule. Other kinds of method lookup are
possible, including delegation (as in the self language), before-and-after methods,
various forms of inheritance, and triggering state machine transitions (see below).
Unfortunately, the UML specification does not list or name the various resolution
rules. Most modelers will probably use the object-oriented rules familiar from
Smalltalk and Java, so any other approaches should be clearly stated comments at-
tached to a model.
Activity effect. In this style, methods are modeled as activities. Using the object-
oriented resolution rule, if the operation cannot be resolved to an activity, there is
an error. The UML2 specification does not state whether such an error should be
handled at run time as an exception or whether the model is considered ill formed.
This choice is a semantic variation point that is an implementation choice.
Once a method is determined, an execution of it is created, with the target ob-
ject and argument values supplied to it. Execution of the activity continues until it
terminates. During execution of the activity, any return values that are produced
are preserved.
A call may be asynchronous or synchronous. On an asynchronous call, the exe-
cution of the caller continues immediately after the call is issued, and the execu-
tion of the invoked operation continues concurrently with the execution of the
caller. When the execution of an asynchronous call completes, it simply termi-
nates. If there are any return values, they are ignored. There is no flow of control
back to the caller.
On a synchronous call, the execution of the caller is blocked during the call.
Along with the argument values, sufficient information about the calling execu-
tion is transmitted to enable the caller to be awakened when the execution of the
invoked operation is complete. The form of this return control information is not
specified and an implementation is free to use any approach that works. The re-
turn control information is not explicitly available to the invoked operation. When
the execution of the invoked procedure is complete, the fact of completion to-
gether with any return values generated by the invoked operation are transmitted
to the caller, which is awakened and allowed to continue execution.
Alternate method semantics. The UML2 specification permits the definition of ar-
bitrary semantics for the effect of receiving an operation call, but it does not pro-
vide any formal way to define such semantics, nor does it provide many guidelines
on meaningful rules. The following guidelines seem reasonable but are not in the
specification document. A resolution rule may depend on the target object and the
operation. It should probably not depend on the argument values. In the conven-
tional object-oriented case, the method depends on the type of the object and
206 •call Dictionary of Terms
nothing else about the object. In this case, methods would be attached to classes
and not to objects. In a delegation approach (as used in the Self language), meth-
ods can be attached directly to objects, and method lookup uses delegation point-
ers rather than superclass pointers. For synchronous calls, it is necessary that the
resolved effect reach an explicit return point, at which time control can be re-
turned to the caller, although it is not necessary that the invoked effect cease exe-
cution immediately. Any return values must be specified somehow and available at
the point of return. It is possible for a call to invoke more than one activity. In that
case, the rules must make clear what order the various activities are executed, in-
cluding the possibility of concurrent execution. Also, in a synchronous call, the re-
turn point must be clear, either because it is explicitly in one of the activities or
because it implicitly follows the completion of a designated set of activities. If there
are multiple activities for a synchronous call with return values, it must be clear
how the return values are produced. Probably the simplest approach is to desig-
nate a single activity as the main activity whose termination will supply return val-
ues and cause a return of control to the caller. More complicated return rules are
possible, but they risk semantic meaninglessness as well as unimplementability. In
all likelihood, most modelers will use the traditional object-oriented class-based
single-method resolution semantics for most modeling.
State machine transition effect. The receipt of a call request by an object with an
active state machine may cause the firing of a transition triggered by the operation.
The parameters of the operation are available to any effect attached to the transi-
tion. It is possible for a call to trigger both a method and a transition, if both are
defined for a given class. In that case, the method is executed first. Execution of the
method may affect the state of the object, and the new state will be available to the
state machine in evaluating guard conditions and executing attached activities. If
the call is synchronous, any return values from the method are returned to the
caller at the completion of the method, at which time the caller is unblocked and
continues execution. At that point (or if there is no method), the call may enable
transitions triggered by the operation. Regardless of whether the call was synchro-
nous, execution of state machine transitions is asynchronous and cannot return
values. If there is no method, execution of a synchronous call proceeds immedi-
ately, but any transitions triggered by it may proceed concurrently with subse-
quent execution of the caller.
Explicit acceptance of a call. There is an accept action that explicitly waits for the
receipt of a call on a particular operation. When the owning object receives a call
on the given operation, the receiving action receives a copy of the argument values
of the call. If the call was synchronous, the caller is blocked and the receiving ac-
tion delivers an opaque output value that contains sufficient information to later
return control to the caller. The receiving procedure may not examine or manipu-
late this information in any way, but it may be copied, stored, and passed along.
Dictionary of Terms call •207
When a subsequent action executes a reply action on the same operation, it must
supply a copy of the opaque return information as an argument, together with the
return values specified by the operation. At that time, the return values are trans-
mitted to the caller and the caller is allowed to continue execution. Execution of
the receiving procedure continues after the reply action until it performs another
receive action, terminates, or performs a call of its own. If the call is asynchronous,
the caller continues immediately and no reply action is necessary. If a reply is nev-
ertheless attempted using the return information supplied in the receive action on
the asynchronous call, there is no effect and execution continues without error.
If a class has a method on a given operation, execution of the method will take
precedence over the receive action (which would therefore never get executed). If
two or more receive actions on the same operation are outstanding for a single ob-
ject, it is indeterminate which one will receive the call, but one and only one will
receive the call.
Ports. A call to a structured classifier may include a port on the target object. The
object receiving the call can distinguish which port received the call and use this
information within a method or to choose among methods.
Direct call of a procedure. There is an action to call a behavior directly. Most of the
time the behavior is a procedure (in UML terms, an activity). There is no target
object. The action has input values for the behavior arguments. The call may be
asynchronous or synchronous. If synchronous, it may have return values.
A direct call represents a way to model a non-object-oriented call to a specific
procedure and also a way to structure large activities into manageable pieces.
Dependencies. A call usage dependency models a situation in which an operation
of the client class (or the operation itself) calls an operation of the supplier class
(or the operation itself). It is represented with the «call» stereotype.
Notation
On a sequence diagram or a communication diagram, a call is shown as a text
message directed to a target object or class.
On an activity diagram, a call is shown as a rounded box containing the name of
the operation. An argument list in parentheses may optionally be shown. A call to
a port uses the syntax:
operation-name via port-name
A call dependency is shown as a dashed arrow from the caller to the called class or
operation with the stereotype «call».
Most calls will be represented as part of text procedures in a programming lan-
guage.
208 •call Dictionary of Terms
Discussion
See resolution for a discussion of the various effects that calls may invoke. These
include execution of procedures and enabling of state machine transitions.
Many programming languages treat remote procedure calls differently from lo-
cal procedure calls, primarily for historical reasons of performance and hardware
limitations. There is no longer any reason to distinguish them in models and UML
does not do so. It is not necessary that a called procedure run in the same environ-
ment space as the calling procedure, as long as some control information passes
between the environments.
Note that the apply function action is not a call, but the execution of a primitive
predefined mathematical function, such as a numerical computation.
call (stereotype of Usage dependency)
A stereotyped dependency, the source of which is an operation and the target of
which is an operation. A call dependency specifies that the source invokes the tar-
get operation. A call dependency may connect a source operation to any target
operation that is within scope, including, but not limited to, operations of the en-
closing classifier and operations of other visible classifiers.
See call, usage.
Discussion
This stereotype is badly conceived. Operations do not call operations; methods
(implementations of operations) call operations. An operation is a specification of
behavior and does not imply any particular implementation. This stereotype mis-
takenly conflates specification and implementation. Avoid it.
call event s372 s385
The event of receiving a call for an operation by a target object. It may be imple-
mented by methods on the class of the object, by actions on state machine
transitions, or by other ways as determined by the resolution rule for the target.
See call, call trigger.
call trigger s383 s385 s393
The specification of the effect caused by the reception of a call by an active object.
If an object (through its class) has no trigger for an operation, the receipt of a call
causes an immediate effect. That is, an effect occurs concurrently with any other
effect in the system, in particular, concurrently with any activity by the target ob-
ject itself. The most common immediate effect is the execution of a method in the
thread of control of the caller. Note that many methods may execute concurrently

Dictionary of Terms call trigger •209
on the same target object if they are invoked from independent threads of control.
There is no synchronization of these executions with each other or with any main
activity by the target object.
In contrast, if an active object has a trigger on an operation, a call does not cause
an immediate effect. Instead, a call event is placed in the event pool for the target
object. A trigger implies the synchronization of multiple calls on a single object.
When the object finishes a run-to-completion step and requires another trigger,
the call event may be selected. (UML does not specify any generic ordering rules
for choosing events from the event pool, but it is expected that profiles associated
with particular execution environments may establish such rules, such as first-in
first-out.) Once a call event is selected, it undergoes the resolution process to es-
tablish an effect. This effect may be the execution of a method, the enabling of a
state machine transition, or something else. This is for generality. In the vast ma-
jority of models, resolution will be object oriented. If the trigger is associated with
a method, the method will be executed first and may return values to the caller.
When the method is completed, the caller is free to proceed. If there is no method,
the caller may proceed immediately (even if the call is synchronous) and there are
no return values. If the trigger is associated with a state machine transition, the
transition is enabled (subject to guard conditions) after a possible method exe-
cutes and proceeds concurrently with the subsequent execution of the caller.
Example
Figure 14-42 shows calls to operations that are implemented as triggers on state
machine internal transitions. An account can be Locked and Unlocked. The
deposit operation always adds money to the account, regardless of its state. The
withdraw operation takes all of the money if the account is unlocked or none of
Figure 14-42. Call events
unlock
lock
Locked
deposit (n) / count := count + n
withdraw / return 0
deposit (n) / count := count + n
Unlocked
withdraw / return count; count := 0
account.deposit (10);
. . .
amount := account.withdraw ( )
Get all or nothing
depending on whether
the account is locked.
Account
calling procedure text
210 •canonical notation Dictionary of Terms
the money if it is locked. The withdraw operation is implemented as a call event
that triggers internal transitions in each state. When the call occurs, one or the
other action sequence is executed, depending on the active state. If the system is
locked, zero is returned; if the system is unlocked, all of the money in the account
is returned and the count is reset to zero.
History
The concept of allowing a call to trigger transitions was named call event in UML1,
but it has been broadened and integrated better with signals and other kinds of be-
haviors in UML2 in a major change.
canonical notation
UML defines a canonical notation that uses monochromatic line drawings and
text for displaying any model. This is the standard “publication format” of UML
models and is suitable for printed diagrams.
Graphical editing tools can extend the canonical notation for convenience and
to provide interactive capabilities. For example, a tool might provide the capability
to highlight selected elements on the screen. Other interactive capabilities include
navigation within the model and filtering of the displayed model according to se-
lected properties. This kind of formatting is ephemeral and is not mandated by
UML. With an interactive display, there is little danger of ambiguity as the user can
simply ask for a clarification. Therefore, the focus of the UML standard is the
printed canonical form, which every tool must support, with the understanding
that an interactive tool may and should provide interactive extensions.
cardinality s6
The number of elements in a set. It is a specific number. Contrast with multiplic-
ity, which is the range of possible cardinalities a set may hold.
Discussion
Note that the term cardinality is misused by many authors to mean what we call
multiplicity, but the term cardinality has a long-standing mathematical definition
as a number, not a range of numbers. This is the definition we use.
central buffer node s311
An object node in an activity that accepts inputs from multiple object nodes or
produces outputs into multiple object nodes or both. Flows from central buffer
nodes do not directly connect to actions.

Dictionary of Terms change trigger •211
Semantics
A central buffer node models a traditional buffer that can hold values from various
sources and deliver the values to various destinations. There is no predefined
ordering of values within the node but, as it is a kind of object node, the various
ordering options of object node can be applied.
Notation
It is drawn as the object node symbol (a rectangle) with the «centralBuffer»
keyword (Figure 14-43).
change event s372-373 s385-386
The event of a Boolean expression becoming satisfied because of a change to one
or more of the values it references. A change event attached to a transition is a
change trigger.
See also guard condition.
change trigger s385
A trigger on a state machine transition that becomes enabled if a specified change
event occurs.
Semantics
A change trigger specifies a change event by a Boolean expression. There are no pa-
rameters to the event. The change event occurs when the condition becomes true
(after having been false) because of a change to one or more variables on which the
condition depends. When the event occurs, the change trigger fires and enables its
transition, provided any attached guard condition is true.
A change trigger implies a continuous test for the condition. In practice, how-
ever, by analyzing the times at which the inputs to the condition can change, an
implementation can often perform the test at well-defined, discrete times so that
continuous polling is usually not required.
Figure 14-43. Central buffer node
Receive phone order
Receive Internet order
«centralBuffer»
Order
Order
Order
Process order
Defer order
Or
d
er
Order
212 •change trigger Dictionary of Terms
The event occurs when the value of the expression changes from false to true (a
positive-going state change). The event occurs once when this happens and does
not recur unless the value first becomes false again.
It is a semantic variation point whether a change trigger remains active if the
underlying condition becomes false before the trigger enables a transition.
Note the difference from a guard condition. A guard condition is evaluated once
whenever the event on its transition occurs. If the condition is false, then the tran-
sition does not fire and the event is lost (unless it triggers some other transition). A
change event is implicitly evaluated continuously and occurs once at the time
when the value becomes true. At that time, it may trigger a transition or it may be
ignored. If it is ignored, the change event does not trigger a transition in a subse-
quent state just because the condition is still true. The change event has already oc-
curred and been discarded. The condition must become false and then true again
to cause another change event.
The values in the Boolean expression must be attributes of the object that owns
the state machine containing the transition or values reachable from it.
Notation
Unlike signals, change events do not have names and are not declared. They are
simply used as the triggers of transitions. A change trigger is shown by the key-
word when followed by a Boolean expression in parentheses. For example:
when (self.waitingCustomers > 6)
Discussion
A change trigger is a test for the satisfaction of a condition. It may be expensive to
implement, although there are often techniques to compile it so that it need not be
tested continuously. Nevertheless, it is potentially expensive and also hides the di-
rect cause-and-effect relationship between the change of a value and the effects
that are triggered by it. Sometimes this is desirable because it encapsulates the ef-
fects, but change triggers should be used with caution.
A change trigger is meant to represent the test for values visible to an object. If a
change to an attribute within an object is meant to trigger a change in another ob-
ject that is unaware of the attribute itself, then the situation should be modeled as
a change trigger on the attribute’s owner that triggers an internal transition to send
a signal to the second object.
Note that a change event is not explicitly sent anywhere. If an explicit communi-
cation with another object is intended, a signal should be used instead.
The implementation of a change trigger can be done in various ways, some of
them by making tests within the application itself at appropriate times and some
of them by means of underlying operating system facilities.
Dictionary of Terms child •213
changeability
A property that indicates whether the value of an attribute or link can change.
Semantics
The read-only flag is a Boolean constraint on a property, that is, an association end
or an attribute. If true, the property may not be modified after its initialization. A
read-only association end must be navigable (otherwise there would be no point
to it). If false, the property can be modified (unless otherwise prohibited).
Notation
The keyword {readOnly} is placed on a property that cannot be modified. For clar-
ity, the keyword {unrestricted} may be placed on a property that can be modified,
although usually it is assumed that the absence of {readOnly} implies changeability.
History
In UML1, degrees of changeability could be specified, such as the ability to add el-
ements to a set but not remove or modify them.
Discussion
This concept is imprecisely defined. Clearly, a property must be modifiable ini-
tially while it is initialized, but the concept of initialization is not defined in UML.
Probably a range of values, as in UML1 but with additional choices, would be bet-
ter than a simple Boolean value.
child s6
The more specific element in a generalization relationship. Called subclass for a
class. A chain of one or more child relationships is a descendant. Antonym: parent.
Semantics
A child element inherits the features of its parent (and indirectly those of its ances-
tors) and may declare additional features of its own. It also inherits any associa-
tions and constraints that its ancestors participate in. A child element obeys the
substitutability principle—that is, an instance of a descriptor satisfies any variable
declaration classified as one of the ancestors of the descriptor. An instance of a
child is an indirect instance of the parent.
The descendant relationship is the transitive closure of the child relationship.
An instance of a descendant is an indirect instance of the ancestor.
214 •choice Dictionary of Terms
Discussion
Note that child, parent, ancestor, and descendant are not official UML terms, but we
use them in this book for convenience because UML does not seem to have good
simple terms that cover all the uses of the concepts.
choice s469 s471 s475 s500-501 s507
A node in a state machine at which a dynamic evaluation of subsequent guard con-
ditions is made. See branch.
Semantics
A state machine transition may be structured into several segments using junction
nodes to separate segments. Only one segment may have a trigger, but each seg-
ment may have its own guard condition and effects. Semantically, however, all of
the guard conditions along an entire path are evaluated before the path is chosen
or any effects are executed, so the segmentation is just for convenience. The junc-
tion nodes should not be considered as states in any sense.
A choice node also divides a transition into two segments, the first of which may
have a trigger. In the case of a choice node, however, the first segment is enabled
without regard to any subsequent segments, and any effects on it are executed be-
fore any subsequent guard conditions are evaluated. When the choice node is
reached, the guard conditions of outgoing segments are dynamically evaluated, in-
cluding any changes caused by the execution of the first segment. One of the out-
going segments whose guard condition evaluates true then fires. If no outgoing
segment is true, the model is ill formed. To avoid this possibility, the guard condi-
tion [else] can be applied to one of the segments; it is chosen if all other guard con-
ditions evaluate false.
A choice node may be considered a real state with the restriction that any outgo-
ing transition must be enabled immediately using guard conditions only.
Notation
A choice node is shown as a diamond. Outgoing segments must have guard condi-
tions but no triggers (Figure 14-44).
For the common case in which all of the guard conditions are comparisons to
the same value, the value may be placed inside the diamond and the guard condi-
tions may be written as expressions omitted the shared first value. The saving in
space is unlikely to overcome the loss in clarity, however.
History
Dynamic choices within transitions are new in UML2.

Dictionary of Terms class •215
class
The descriptor for a set of objects that share the same attributes, operations, meth-
ods, relationships, and behavior. A class represents a concept within the system
being modeled. Depending on the kind of model, the concept may be real-world
(for an analysis model), or it may also contain algorithmic and computer imple-
mentation concepts (for a design model). A classifier is a generalization of class
that includes other class-like elements, such as data type, actor, and component.
Semantics
A class is the named description of both the data structure and the behavior of a
set of objects. A class is used to declare variables. An object that is the value of a
variable must have a class that is compatible with the declared class of the vari-
able—that is, it must be the same class as the declared class or a descendant of it. A
class is also used to instantiate objects. A creation operation produces a new object
that is an instance of the given class.
An object instantiated from a class is a direct instance of the class and an indi-
rect instance of the ancestors of the class. The object contains a slot to hold a value
for each attribute; it accepts all the operations and signals of its class, and it may
appear in links of associations involving the class or an ancestor of the class.
Some classes may not be directly instantiated, but instead are used only to de-
scribe structure shared among their descendants; such a class is an abstract class. A
class that may be instantiated is a concrete class.
Figure 14-44. Choice node
[cost < $50]
Get
authorization
[else]
Select item
selected(item)/priceItem():cost
Charge
customer’s
account
[< $50]
Get
authorization
[ ≥ $50]
Select item
selected(item)/priceItem():cost
Charge
customer’s
account
cost
explicit guard conditions shorthand guard conditions

216 •class attribute Dictionary of Terms
A class may also be regarded as a global object. Any class-scope attributes of the
class are attributes of this implicit object. Such attributes have global scope, and
each has a single value across the system. A class-scope operation is one that ap-
plies to the class itself, not to an object. The most common class-scope operations
are creation operations.
In UML, a class is a kind of classifier. Classifier includes a number of class-like
elements, but it finds its fullest expression in class.
class attribute s73
An attribute whose value is shared by all instances of a class. Also called static
feature.
Semantics
A class attribute (or static attribute, for C++ or Java users) is an attribute for which
one slot is shared by all instances of a class (but not part of any one of them specif-
ically). Such an attribute is therefore not a property of an instance at all but rather
a property of the class. Access to a class attribute does not require an instance, al-
though some programming languages provide a syntax that uses an instance for
convenience. For most purposes, a class attribute is a global variable in the
namespace of a class.
A default value for a class attribute represents the value of the attribute when the
class itself is initialized. The time when this happens is not defined by UML.
A class attribute is modeled as an attribute for which the isStatic flag is true.
Notation
A class attribute is shown in the attribute section of a class box using the syntax for
an ordinary attribute with the entire attribute string underlined. See Figure 14-45.
Figure 14-45. Class features
Job
create ( ) { jobID = maxCount++}
maxCount: Integer = 0
jobID: Integer
schedule ( )
class attribute
class operation
instance attribute
instance operation
Dictionary of Terms class-in-state •217
class diagram s6 s131
A class diagram is a graphic presentation of the static view that shows a collection
of declarative (static) model elements, such as classes, types, and their contents
and relationships. A class diagram may show a view of a package and may contain
symbols for nested packages. A class diagram contains certain reified behavioral
elements, such as operations, but their dynamics are expressed in other diagrams,
such as statechart diagrams and communication diagrams.
See also classifier, object diagram.
Notation
A class diagram shows a graphic presentation of the static view. Usually several
class diagrams are required to show an entire static view. Individual class diagrams
do not necessarily indicate divisions in the underlying model, although logical
divisions, such as packages, are natural boundaries for forming diagrams.
Discussion
The UML specification distinguishes among class diagrams and component dia-
grams, collectively called structure diagrams. Most users will likely call them all
class diagrams with no loss of semantics. There is no rigid line between different
kinds of diagrams anyway.
The UML class diagram was heavily influenced by the entity-relationship (E-R)
d i a g r a m o f P. P. C h en , t h r o u g h U M L p r e decessor notations such as Shlaer-Mellor,
Booch, OMT, Coad-Yourdon, and others. It is the most important object model-
ing diagram.
class feature s73
A feature of a class itself, rather than the individual instances. See class attribute
and class operation. Also called static feature.
Notation
A class feature is a text string with the same syntax as the corresponding instance
feature, except the string is underlined. See Figure 14-45.
class-in-state s349 s433
A combination of a class and a state applicable to that class.
See also activity.

218 •class-in-state Dictionary of Terms
Semantics
A class with a state machine has many states, each of which characterizes the be-
havior, values, and constraints of instances that are in the state. In some cases, cer-
tain attributes, associations, or operations are valid only when an object is in a
certain state or set of states. In other cases, an argument to an operation must be
an object in a particular state. Often, these distinctions are simply part of the be-
havioral models. But sometimes, it is useful to treat the combination of class and
state as constraining the value of an object, variable, parameter, or substate. The
combination of class and state, treated as a kind of type, is a class-in-state.
If the state machine of the class has orthogonal states, the state specification may
be a set of substates that an object of the class can hold simultaneously.
Class diagram. A class-in-state is equivalent to a subclass, provided dynamic classi-
fication is allowed. By modeling it as a class, it may be used as the type of a variable
or of a parameter. It may participate in associations that are valid only for objects
in the given state. In Figure 14-46, consider the association Assignment between
SubmittedPaper and ConferenceSession. This association is valid for a Submitted-
Paper in the accepted state (target multiplicity one) but not in the rejected state.
For any SubmittedPaper, the target multiplicity is zero-or-one, because the class
includes both accepted and rejected papers. However, if the association is mod-
eled between SubmittedPaper in state accepted and ConferenceSession, it has tar-
get multiplicity exactly one.
Figure 14-46. Class-in-state
SubmittedPaper
ConferenceSession
0..1
1..*
SubmittedPaper
SubmittedPaper SubmittedPaper
[accepted] [rejected]
Without class-in-state:
multiplicity is not precise.
With class-in-state:
multiplicity is precise.
ConferenceSession
1
1..*

Dictionary of Terms class-in-state •219
Sequence diagram. An assertion, called a state invariant, may be placed at a point
on a lifeline to specify a constraint on the object represented by the lifeline at that
point in the execution. The constraint can specify the state of the object or a Bool-
ean expression on its values. This is an assertion, not an executable action, and the
model is ill formed if the assertion is violated.
Activity diagram. An object node has a type. It can also specify a state, which indi-
cates that the corresponding object must have the given type and state at that point
in the activity.
Notation
Class diagram. A class-in-state can be shown as a class symbol in which the name
of the class is followed by its state name within brackets (Classname[state-
name]). The brackets may also contain a comma-separated list of names of con-
current states to indicate that an object holds several of them. The class should be
shown as a subclass of the plain class. (Note that this is a naming convention, not
official UML notation.) See Figure 14-46.
Sequence diagram. A state invariant is shown as a rounded box on the lifeline with
a Boolean constraint inside the box. If constraint is that the object must be in a
given state, the name of the state may be shown in the box (Figure 14-47). A
comma-separated list of state names may be used if the state of the object involves
multiple concurrent states.
Figure 14-47. State invariants in sequence diagram
:Customer :SalesCenter
SendOrder
processing
waiting
ShipOrder
sd Orders

220 •class name Dictionary of Terms
Activity diagram. An object node is shown as a rectangle containing the name of a
class. The class name may optionally be followed by a state name in brackets
(Classname[statename]). This indicates that the value produced at that point in
the computation must have the given type and be in the given state.
See Figure 14-48.
Discussion
Class-in-state and dynamic classification are two ways to accomplish the same goal
of allowing changes to the structure of an object during its life. Depending on the
implementation environment, one or the other may be the more convenient
mechanism.
The notation suggested for class-in-state in a class diagram is not defined in the
UML specification. Perhaps it would be useful to add this capability to UML, but
modelers who want to show class-in-state can use the suggested naming conven-
tion, with the understanding that it is a convention.
class name s88
Each class (or, in general, classifier) must have a non-null name that is unique
among classifiers within its container (such as a package or containing class). The
scope of a name is its containing package and other packages that can see the con-
taining package.
See name for a full discussion of naming and uniqueness rules.
Notation
The class name is shown in the top compartment of a class rectangle. The name
compartment may also contain a keyword or stereotype name (Figure 14-49).
Figure 14-48. Object node with state constraint
Figure 14-49. Name compartment
Receive phone order
Order[received]
Process order
Order[received]
PenTracker
«controller» stereotype iconstereotype name
(don’t need both
stereotype name and icon)

Dictionary of Terms class operation •221
An optional stereotype keyword may be placed above the class name within
guillemets, and/or a stereotype icon may be placed in the upper-right corner of the
compartment. The stereotype name must not match a predefined keyword, such
as enumeration.
The name of the class appears next. The class name is centered horizontally in
boldface. If the class is abstract, its name appears in italics. But any explicit specifi-
cation of generalization status in braces (such as {abstract} or {concrete}) takes
precedence over the name font.
By default, a class shown within a package is assumed to be defined within that
package. To show a reference to a class defined in another package, use the syntax
Package-name::Class-name
as the name string in the name compartment (Figure 14-50). A full qualified name
can be specified by chaining together package names separated by double colons
(::). The same class name can be used for different classes in different packages,
provided qualified names are used to distinguish them, but this duplication of
names can lead to error and should be used with caution.
References to classes also appear in text expressions, most notably in type speci-
fications for attributes and variables. In text expressions, a reference to a class is in-
dicated simply by using the name of the class itself, including a possible package
name, subject to the syntax rules of the expression.
class operation s73
An operation whose access is tied to a class, rather than to an instance of a class.
See also static feature.
Semantics
A class operation is a global operation in the namespace of a class. It can be in-
voked without an instance of the class. Its methods have access to the features of
the class.
Figure 14-50. Qualified names for classes in other packages
Banking::CheckingAccount
Deposit
time: DateTime::Time
amount: Currency::Cash
qualified name
qualified name as type
222 •classification action Dictionary of Terms
Class operations are typically used to construct new instances of a class. They
are also sometimes used to access class attributes of a class.
A class operation is modeled as an attribute for which the isStatic flag is true.
Notation
A class operation is shown in the operation section of a class box using the syntax
for an ordinary class with the entire operation string underlined. See Figure 14-45.
classification action
An action whose execution determines whether an object is classified by a given
class.
See action.
classifier s61
A model element that describes behavioral and structural features. Kinds of classi-
fiers include actor, association, behavior, class, collaboration, component, data
type, interface, node, signal, subsystem (as a stereotype), and use case. Classes are
the most general kind of classifier. Others can be intuitively understood as similar
to classes, with certain restrictions on content or usage, although each kind of clas-
sifier is represented by its own metamodel class. Most properties of classes apply to
classifiers, in general, with certain restrictions for each kind of classifier.
See also static view.
Semantics
Classifier is an abstraction that includes several kinds of modeling elements that
have structural and behavioral descriptions. A classifier describes a set of instances
and can be the type of a variable or parameter. Classifiers can be organized into
generalization hierarchies.
In UML, a class is a kind of classifier. Classifier includes a number of class-like
elements, but it finds its fullest expression in class.
Some of the contents of a classifier can be redefined in a descendant. See redefi-
nition.
Structure
A classifier has a class name and lists of attributes and operations. A classifier may
participate in association, generalization, dependency, and constraint relation-
ships. A classifier is declared within a namespace, such as a package or another
class, and has various properties within its namespace, such as multiplicity and
Dictionary of Terms classifier •223
visibility. A classifier has various other properties, such as whether it is abstract or
an active class. A classifier may be specified as a leaf, that is, one that may not be
specialized. It may have a state machine that specifies its reactive behavior—that is,
its response to the reception of events. A classifier may declare the set of events (in-
cluding exceptions) that it is prepared to handle. It may provide the realization of
the behavior specified by zero or more interfaces or types by providing an imple-
mentation for the behavior. An interface lists a set of operations that a classifier re-
alizing the interface promises to support.
A classifier contains a list of attributes and a list of operations that each form a
namespace within the classifier. Inherited attributes and inherited operations also
appear within the respective namespaces. The namespace for attributes also in-
cludes other properties, such as rolenames of associations leaving the class and in-
ternal parts. Each name must be declared only once within the classifier and its
ancestors. Otherwise there is a conflict, and the model is ill formed. Operation
names may be reused with different signatures. Otherwise they represent redefini-
tion of the same operation, for example, to declare the operation abstract or con-
crete in a subclass.
A classifier may own behaviors, such as methods and interactions, that imple-
ment or describe its operations. A classifier may optionally have one attached be-
havior, such as a state machine, that describes the overall dynamics of an instance
of the classifier. The attached behavior starts when an instance is created and stops
when it is destroyed. An instance responds to events that it recognizes. If an event
corresponds to a trigger in the attached behavior, it is place in an event pool. For
example, a signal that triggers a state machine transition is a triggered effect.
Events are taken from the pool one at a time and the triggered effects are allowed
to run to completion before another event is selected. In general, selection of
events is unordered, although profiles may define priority ordering. If an event
does not correspond to a trigger in the attached behavior but does correspond to
an operation, the operation resolves to a behavior that is executed immediately
and concurrently with other executions, independently of the attached behavior.
For example, a normal method execution is an immediate effect.
A classifier is also a namespace and establishes the scope for nested classifier
declarations. Nested classifiers are not structural parts of instances of the classifier.
There is no data relationship between objects of a class and objects of nested
classes. A nested class is a declaration of a class that may be used by the methods of
the outer class. Classes declared within a class are private to it and are not accessi-
ble outside the class unless explicitly made visible. There is no visual notation to
show nested class declarations. The expectation is that they will be made accessible
within a tool by hyperlinks. Nested names must be referenced using qualified
names.

224 •classifier Dictionary of Terms
Notation
A classifier is shown as a solid-outline rectangle with three compartments sepa-
rated by horizontal lines. The top compartment holds the class name and other
properties that apply to the entire class. The middle compartment holds a list of
attributes. The bottom compartment contains a list of operations. The middle and
bottom compartments can be suppressed in a class symbol.
Usage. Classes, interfaces, signals, and associations are declared in class diagrams
and used in many other diagrams. Various other kinds of classifiers, such as use
cases and collaborations, appear in special kinds of diagrams, although many of
them can also appear in class diagrams. UML provides a graphical notation for de-
claring and using classifiers, as well as a textual notation for referencing classifiers
within the descriptions of other model elements. The declaration of a classifier in a
class diagram defines the contents of the classifier: its attributes, operations, and
other properties. Other diagrams define additional relationships and attachments
to a classifier.
Figure 14-51 shows a basic class declaration with attributes and operations. This
format is applicable to other kinds of classifiers with the kind of classifier shown in
guillemets above the classifier name, for example, «controller». Certain kinds of
classifier have their own icons. These include associations, collaborations, actors,
and use cases.
Figure 14-52 shows the same class declaration with additional detail, much of it
information of an implementation nature, such as visibility, class-level creation
operations, and implementation-dependent operations.
All internal information about the class is suppressed in Figure 14-53. The in-
formation is still present in the internal model and would usually be shown on at
least one diagram.
Suppressing compartments. Either or both of the attribute and operation compart-
ments may be suppressed (Figure 14-54). A separator line is not drawn for a miss-
ing compartment. If a compartment is suppressed, no inference can be drawn
about the presence or absence of elements in it. Note that an empty compartment
(that is, one with separator lines but no content) implies that there are no elements
Figure 14-51. Basic class declaration
Window
display (location: Point)
size: Area
visibility: Boolean
hide ()
class name
attributes
operations

Dictionary of Terms classifier •225
in the corresponding list. If some kind of filtering is in effect, then there are no ele-
ments that satisfy the filter. For example, if only public operations are visible, then
the presence of an empty operation compartment indicates that there are no pub-
lic operations. No conclusion can be drawn about private operations.
Additional compartments. Additional compartments may be supplied to show
other predefined or user-defined model properties—for example, to show busi-
ness rules, responsibilities, variations, signals handled, exceptions raised, and so
on. An additional compartment is drawn with a compartment name at the top,
shown in a distinctive font to identify its contents (Figure 14-55).
The standard compartments (attribute, operation) do not require compartment
names, although they may have names for emphasis or clarity if only one compart-
ment is visible. Most compartments are simply lists of strings, in which each string
encodes a property. Note that “string” includes the possibility of icons or embed-
ded documents, such as spreadsheets and graphs. More complicated formats are
Figure 14-52. Detailed class declaration with visibilities of features
Figure 14-53. Class symbol with all details suppressed
Figure 14-54. Class declaration with attributes and non-public operations suppressed
Window
+default-size: Rectangle
#maximum-size: Rectangle
+create ()
+display (location: Point)
+size: Area = (100,100)
#visibility: Boolean = invisible
+hide ()
–xptr: XWindow*
–attachXWindow(xwin:Xwindow*)
{author=Joe,
status=tested}
tagged values:
class name
name compartment
attribute compartment
operation compartment
initialization value
class-scope operation
class-wide properties
Window
Window
create ()
display ()
hide ()
class name
name compartment
operation compartment public operations

226 •classifier Dictionary of Terms
possible, but UML does not specify such formats. They are a user and tool respon-
sibility. If the nature of the compartment can be determined from the form of its
contents, then the compartment name may be omitted.
See font usage, string.
Stereotype. A stereotype is shown as a text string in guillemets (« ») above the class
name (Figure 14-56). Instead of the text string, an icon can be placed in the upper
right corner of the name compartment. A class symbol with a stereotype icon may
be “collapsed” to show just the stereotype icon, with the name of the class either
inside or below the icon (Figure 14-262). Other contents of the class are sup-
pressed. See stereotype.
Style guidelines
• Center a stereotype name in normal typeface within guillemets above the class
name.
• Center or left-justify a class name in boldface.
• Left-justify attributes and operations in normal typeface.
• Show the names of abstract classes or the signatures of abstract operations in
italics.
• Show the attribute and operation compartments when needed (at least once in
the diagram set) and suppress them in other contexts or in references. It is useful
to define a “home” location for a class once in a set of diagrams and to give its
full description there. In other locations, the minimal form is used.
Figure 14-55. Class declaration additional named compartment
Figure 14-56. Class with stereotype
Window
create ()
display ()
hide ()
class name
name compartment
operation compartment public operations
offScreen(location: Point)
exceptions exceptions generated by classadditional compartment
Cancel
«signal»
Cancel
«signal»
priority: Integer
full declaration details suppressed
Dictionary of Terms collaboration •227
Discussion
The concept of classifier applies to a range of usages in logical modeling, as well as
implementation. In UML, under certain semantic variation points, an instance
may have multiple types, as well as be able to change its type at run time. Various
more restrictive notions of class found in most programming languages can be
thought of as special kinds of classifiers.
classifier role
This UML1 concept has been superseded by role and connector within structured
classifier. The syntax and semantics have changed considerably.
client s6 s34 s106 s108
An element that requests a service from another element. The term is used to de-
scribe a role within a dependency. In the notation, the client appears at the tail of a
dependency arrow. Antonym: supplier.
See dependency.
collaboration s157-160
A specification of a contextual relationship among instances that interact within a
context to implement a desired functionality.
A collaboration is a description of structure. Collaborations are forms of struc-
tured classifiers. The behavior of a collaboration may be specified by interactions
that show message flows in the collaboration over time.
See also connector, role, interaction, message.
Semantics
Behavior is implemented by groups of objects that exchange messages within a
context to accomplish a purpose. To understand the mechanisms used in a design,
it is important to focus on patterns of collaboration involved in accomplishing a
purpose or a related set of purposes, projected from the larger system within
which they fulfill other purposes as well. An arrangement of objects and links that
work together to accomplish a purpose is called a collaboration; a sequence of
messages within a collaboration that implements behavior is called an interaction.
A collaboration is a description of a “society of objects.” It is a kind of commentary
on a fragment of a class model, explaining how a set of objects work together to
carry out a particular purpose in ways that are unique to the particular situation.
For example, a commercial sale represents an arrangement of objects that have
certain relationships to each other within the transaction. The relationships are
not meaningful outside the transaction. The roles of a sale include buyer, seller,
228 •collaboration Dictionary of Terms
and broker. To perform a specific interaction, such as selling a house, participants
playing the various roles exchange a certain sequence of messages, such as making
an offer or signing a contract.
The message flows within the collaboration may optionally be specified by
interactions, which specify legal behavior sequences. The messages in an interac-
tion are exchanged among roles over connectors within the collaboration.
A collaboration consists of roles. A role is a description of a participant in an in-
teraction. Structurally, it is a slot that may be bound to an instance of a classifier
within an instance of the collaboration. A role may have a type that constrains the
instances that can be bound to it. The same classifier may play different roles in the
same or different collaborations; each would be filled by a different object. (It is
also possible for one object to play multiple roles in one or many collaboration in-
stances.) For example, within a commercial transaction, one party may be the
seller and the other may be the buyer, even though both participants are compa-
nies. The seller and buyer are roles of type Company within the collaboration Sale.
Roles are meaningful only within a collaboration; outside a particular collabora-
tion they have no meaning. Indeed, in another collaboration, the roles may be re-
versed. An object may be a buyer in one instance of collaboration and a seller in
another. The same object may play multiple roles in different collaborations. Con-
trast the restricted scope of a role with an association. An association describes a
relationship that is globally meaningful for a class in all contexts, whether or not
an object actually participates in the association. A collaboration defines relation-
ships that are restricted to a context and that are meaningless outside of that
context.
A connector is a relationship between two roles within a particular collabora-
tion. It is a relationship that exists only within the collaboration. Connectors may
have types, which must be associations that constrain the connector to be imple-
mented as a link of the given association. If no type is given for a connector, it rep-
resents a transient connection within the context of the connection, which might
be implemented by a parameter, local variable, or other mechanism. For example,
in the real estate transaction mentioned previously, the seller and buyer are related
by virtue of their participation in the same sale. They do not have any permanent
relationship outside the real estate collaboration.
A collaboration describes the context for an operation, a use case, or other kinds
of behavior. It describes the context in which the implementation of an operation
or use case executes—that is, the arrangement of objects and links that exist when
the execution begins, and the instances that are created or destroyed during execu-
tion. The behavior sequences may be specified in interactions, shown as sequence
diagrams or communication diagrams.
A collaboration may also describe the implementation of a class. A collabora-
tion for a class is the union of the collaborations for its operations. Different col-
Dictionary of Terms collaboration •229
laborations may be devised for the same class, system, or subsystem; each
collaboration shows the subset of attributes, operators, and related objects that are
relevant to one view of the entity, such as the implementation of a particular oper-
ation.
Patterns. A parameterized collaboration represents a design construct that can be
reused in various designs. Usually the base classifiers are parameters. Such a pa-
rameterized collaboration captures the structure of a pattern.
See template.
A design pattern is instantiated by supplying actual classifiers for the base classi-
fier parameters. Each instantiation yields a collaboration among a specific set of
classifiers in the model. A pattern can be bound more than once to different sets of
classifiers within a model, avoiding the need to define a collaboration for each use.
For example, a model-view pattern defines a general relationship among model el-
ements; it can be bound to many pairs of classes that represent model-view pairs.
Each pair of actual model-view classes represents one binding of the pattern. One
such pair would be a house and a picture of the house, another pair would be a
stock and a graphic showing the current price of the stock.
Note that a pattern also involves guidelines for use and explicit advantages and
disadvantages. These can be put in notes or in separate text documents.
Layers of collaborations. A collaboration may be expressed at various levels of
granularity. A coarse-grained collaboration may be refined to produce another
collaboration that has a finer granularity. This is accomplished by expanding one
or more operations from a high-level collaboration into distinct lower-level col-
laborations, one for each operation.
Collaborations may be nested. A collaboration may be implemented in terms of
subordinate collaborations, each of which implements part of the overall func-
tionality. The subordinate collaborations are indirectly connected by their partici-
pation in the outer collaboration—their definitions are independent but the
output of one is the input of another.
Run-time binding. At run time, objects and links are bound to the roles and con-
nectors of the collaboration. A collaboration instance does not own the instances
bound to its roles (unlike an instance of a structured class, which does own its
parts). It merely references them and establishes a contextual relationship among
the objects bound to its roles for the duration of the collaboration instance. The
objects playing the roles must exist previously. They must be compatible with the
declared types of the roles to which they are bound.
Links corresponding to connectors are often created as part of the creation of a
collaboration instance, especially when the connector does not have an underlying
association.

230 •collaboration Dictionary of Terms
An object can be bound to one or more roles, usually in different collaborations.
If an object is bound to multiple roles, then it represents an “accidental” interac-
tion between the roles—that is, an interaction that is not inherent in the roles
themselves, but only a side effect of their use in a wider context. Often, one object
plays roles in more than one collaboration as part of a larger collaboration. This is
an “inherent” interaction between the roles. Such overlap between collaborations
provides an implicit flow of control and information between them.
Notation
A collaboration definition is shown as a dashed ellipse with two compartments:
the top compartment shows the name of the collaboration and the bottom com-
partment shows its structure as a set of role icons connected by connectors. A role
icon is shown as a rectangle containing the name of the role and its type, in the
form:
name : Type [ multiplicity ]
The multiplicity is optional; if it is omitted, the default is one.
A connector is shown as a solid line or path connecting two role icons. See
Figure 14-57.
An alternate notation may be used when there are no connectors. The collabo-
ration is shown as a dashed ellipse with a single compartment containing the name
of the collaboration definition. For each role, a dashed line is drawn to the class
Figure 14-57. Collaboration notation
RealEstateSale
seller: Person buyer: Personproperty: RealEstate
buyerAgent: RealtorsellerAgent: Realtor
collaboration
role
connector
role name type

Dictionary of Terms collaboration •231
rectangle representing the type. The line is labeled by the name of the role on the
end near the type rectangle. Often a note is attached to the collaboration ellipse to
show constraints. See Figure 14-58.
See sequence diagram for the use of collaborations to establish the lifelines of an
interaction.
History
Although the overall intent is roughly the same as in UML1, the concept of collab-
oration has been considerably rearranged in UML2. There is now a separation be-
tween the static structure, the collaboration, and the dynamic structure, the
interaction. Internally, collaboration is treated as a kind of structured classifier, in
which the parts represent roles, so the parameterization of UML1 is no longer nec-
essary. The terms classifier role, association role, and association end role have been
retired. Concepts such as internal generalizations are no longer necessary either.
Discussion
The UML specification does not use the word instance for collaborations, probably
from a misguided idea that instances must correspond to C++ classes. We use the
word because it is the usual word for the concept, and there is little danger of con-
fusion as long as readers keep in mind that instantiation does not imply a particu-
lar implementation. In most cases, collaborations do not correspond to
implementation classes. They are an emergent concept, but that does not mean
that they do not have instances once the word is properly understood.
Figure 14-58. Alternate collaboration notation
Person Realtor
RealEstate
RealEstateSale
sellerAgent
buyerAgentbuyer
seller
property
Property must be
listed by sellerAgent. constraint
collaboration role type
232 •collaboration diagram Dictionary of Terms
collaboration diagram s178
A diagram showing the definition of a collaboration. In UML2, a collaboration
diagram is a kind of composite structure diagram. Note that collaboration defini-
tions and uses may also be shown on class diagrams.
collaboration occurrence
See collaboration use.
Discussion
The term was used for collaboration use but this confuses the meaning of occur-
rence, which is otherwise used to mean a temporal happening. The word use is
preferable to describe the appearance of a static entity in a context.
collaboration role
A slot for an object or link within a collaboration. It specifies the kind of object or
link that may appear in an instance of the collaboration.
See connector, collaboration.
collaboration use s160
The use of a collaboration as bound to specific parts within a context.
Semantics
A collaboration is the definition of a context involving several roles. A collabora-
tion can be used by binding the roles to classifiers within a particular context, such
as the internal structure of a class or the definition of a larger collaboration. Such a
bound collaboration is called a collaboration use. A collaboration may be used
many times in different collaboration uses.
A classifier bound to a role must be compatible with the type of the role, if any.
A classifier is compatible if it is the same as the type or a descendant of the type. It
must also obey any constraints on the role.
A collaboration use may also occur in an object model. The class of each object
must be compatible with the type of the corresponding role. Such a collaboration
use represents a set of objects that interact to fulfill the purposes of the collabora-
tion. Such a usage is usually within some context, such as the specification of a
procedure, but the context may not always be explicit.
A collaboration use may appear within the definition of a larger collaboration.
In this context, its roles are bound to roles of the larger collaboration, rather than
classifiers. The types of the roles of the larger collaboration must be compatible

Dictionary of Terms collaboration use •233
with the types of the roles of the collaboration used in the use. When the larger
collaboration is bound, an object bound to a role of the larger collaboration is au-
tomatically bound to the matching role of the inner collaboration.
A collaboration use may connect a classifier to a collaboration to indicate that
the collaboration expresses an aspect of the behavior of the collaboration. There
may be many such collaboration uses. A classifier may have one collaboration use
to show the collaboration that represents the main behavior of the entire classifier.
Notation
A collaboration use is shown as a dashed ellipse containing a name string:
useName : Collaboration
where useName identifies the particular use and Collaboration is the name of
the collaboration definition. The useName string may be omitted. For each role
of the collaboration, a dashed line is drawn from the ellipse to the rectangle sym-
bol of the classifier bound to the role. The name of the role is placed by the end of
the line near the classifier symbol.
A collaboration use may be used to attach a collaboration to a classifier for
which it shows an aspect of behavior. This is shown by a dashed arrow from a col-
laboration use to a classifier symbol. If the collaboration represents the overall be-
havior of the classifier (rather than just an aspect of it), the keyword «represents»
is placed on the arrow (). See Figure 14-59.
Example
Figure 14-60 shows the definition of a very general collaboration representing any
sale. It has three roles, a buyer, a seller, and an item. The buyer and sellers must be
agents, which include persons and companies. An interaction could be attached to
the collaboration showing the process of negotiation, payment, and so on.
Figure 14-61 shows the use of this collaboration in an object diagram represent-
ing a particular sale, the Louisiana Purchase. Napoleon and Thomas Jefferson are
of type Executive, which is a kind of Agent. Louisiana is of type Land, which is a
kind of property. The bindings are compatible with the types of the roles.
Figure 14-59. Class behavior represented by collaboration
select : ButtonBehavior
Button «represents»
collaboration name
collaboration use
collaboration use name
class that owns collaboration

234 •collaboration use Dictionary of Terms
Figure 14-60. Collaboration definition
Figure 14-61. Collaboration use in object diagram
Figure 14-62. Nested collaborations
Sale
buyer: Agent seller: Agent
item: Property
role name
role type
role collaboration
collaboration name
Thomas Jefferson: ExecutiveNapoleon: Executive
Louisiana: Land
LouisianaPurchase: Sale
buyer
seller
item
collaboration use
collaboration nameuse name
role name
collaborating object
retailer: Agentwholesaler: Company
product: Property
wholesalePurchase: Sale
buyer
seller
item
customer: Person
retailPurchase: Sale
buyer
item
seller
RetailTrade
collaboration use
collaboration
role of outer collaboration
rolename of
collaboration use
Dictionary of Terms combined fragment •235
Figure 14-62 shows the use of the Sale collaboration within a larger collabora-
tion representing retail trade as a chain of sales. This collaboration has four roles: a
wholesaler, a retailer, a customer, and a product. The relationship between the
wholesaler and the retailer is the same as the relationship between the retailer and
the customer—both of them are uses of the Sale collaboration. Note that the prod-
uct role is bound to the item role in both of the nested collaborations. This collab-
oration shows how a single product passes through the sales chain, so it is
important that both item roles be bound to the same product role.
The wholesaler is of type Company, which is a kind of Agent. The customer is of
type Person, which is also a kind of Agent. Although the Sale collaboration only re-
quires the buyer and seller to be of type Agent, the roles in the RetailTrade collabo-
ration are more specific. The retailer is of type Agent; it has been kept general.
This example shows how large collaborations may be built from smaller ones.
Discussion
The term collaboration occurrence was used, but a cleanup of terminology distin-
guishes occurrence as an instance of an event, that is, something in the temporal
domain, whereas a collaboration use is in the static domain.
combined fragment s409
A construct within an interaction that comprises an operator keyword and one or
more interaction operands, each of which is a fragment of an interaction. It is
shown as a nested region within a sequence diagram.
Semantics
Interactions include a number of constructs for representing contingent behavior,
such as conditionals, loops, and so on. Because many of these constructs share
structural information, they are grouped together as kinds of combined frag-
ments. A combined fragment has a keyword that specifies which construct it is.
Depending on the keyword, there are one or more embedded operands, each of
which is a structured subfragment of the overall interaction.
A combined fragment may also have zero or more gates, which specify the inter-
face between the combined fragment and other parts of the interaction.
The keyword may be one of the following:
alt A conditional has multiple operands. Each operand
has a guard condition. The absence of a guard im-
plies a true condition. The condition else is true if
no other guard evaluates true. Exactly one operand
whose guard evaluates true is executed, unless no
guard is true. If more than one operand evaluates
true, the choice may be nondeterministic.
236 •combined fragment Dictionary of Terms
assert An assertion has one subfragment. If the execution
reaches the beginning of the construct, then the be-
havior of the subfragment must occur. This is often
combined with ignore or consider to assert the be-
havior of a particular kind of message.
break A break construct has one subfragment with a
guard condition. The subfragment is executed if the
guard is true and the remainder of the enclosing in-
teraction fragment is not executed. Otherwise exe-
cution continues normally.
consider A consider construct has one subfragment and a
list of message types. Only the listed message types
are represented within the subfragment. This
means that other types can occur in the actual sys-
tem but the interaction is an abstraction that ig-
nores them. Opposite of the ignore construct.
critical A critical region has one subfragment. A sequence
of events on a single lifeline in the critical region
must not be interleaved with any other events in
other regions. There is no constraint on events on
other lifelines, so this does not preclude concurrent
activity that does not affect the critical region. This
construct overrides a parallel construct that would
otherwise permit interleaving.
ignore An ignore construct has one subfragment and a list
of message types. Only the listed message types are
represented within the subfragment. This means
the declared types can occur in the actual system
but the interaction is an abstraction that ignores
them. For example, any constraints on the types
within the larger activity do not apply to actual ap-
pearances of the types in the ignore fragment, be-
cause the types are invisible for modeling purposes
in the fragment. Opposite of the consider con-
struct.
loop A loop construct has one subfragment with a
guard. The guard may have a minimum and maxi-
mum count as well as a Boolean condition. The
subfragment is executed as long as the guard condi-
Dictionary of Terms combined fragment •237
tion evaluates true, but it is executed at least the
minimum count and no more than the maximum
count. If the guard is absent, it is treated as true and
the loop depends on the repetition count.
neg A negative construct has one subfragment. The
subfragment defines execution sequences that may
not occur. In many cases, the model may not list all
sequences that are forbidden, so it is risky to draw
conclusions about the absence of a negative con-
struct.
opt A optional construct has one subfragment with a
guard condition. The subfragment is executed if the
guard is true and is not executed otherwise. This
construct is equivalent to a conditional with a sin-
gle guarded subfragment and an empty else clause).
par A parallel construct has two or more subfragments
that are executed concurrently. The execution order
of individual elements in parallel subfragments
may interleave in any possible order (unless pro-
hibited by a critical construct). The concurrency is
logical and need not be physical; the concurrent ex-
ecutions may be interleaved on a single execution
path.
seq A weak sequencing construct has two or more sub-
fragments. It is the same as parallel execution, ex-
cept that events on the same lifeline from different
subfragments are ordered in the same order as the
subfragments within the enclosing weak sequenc-
ing fragment. Events on different lifelines that do
not appear in multiple subfragments may inter-
leave in any order.
strict A strict sequencing construct has two or more sub-
fragments. The subfragments are executed in the
order they appear within the construct. Events on
different lifelines are ordered according to the sub-
fragments, unlike the case with a parallel construct.
See each kind of construct for more information and notation.
238 •comment Dictionary of Terms
Notation
The general notation for a combined fragment in a sequence diagram is a rectan-
gle with a small pentagon in the upper left corner containing the keyword for the
construct. If the fragment has more than one subfragment, they are separated by
horizontal dashed lines. The rectangle is nested within its containing fragment or
within the sequence diagram as a whole.
As a shorthand, the pentagon may contain multiple keywords to indicate nested
constructs. The keyword on the left indicates the outermost construct. For exam-
ple, sd strict indicates a sequence diagram containing a strict sequencing con-
struct.
Parameters. A few of the constructs take arguments after the keyword, as follows:
The ignore and consider constructs take a comma-separated list of message names
enclosed in braces, for example:
consider {start, stop}
The loop construct may contain a lower bound and an upper bound in parenthe-
ses, for example:
loop (2, 5)
If the upper bound is omitted, it is the same as the lower bound:
loop (2)
To show an unlimited upper bound, an asterisk (*) may be used:
loop (1,*)
If no bound is shown, then the lower bound is zero and the upper bound is
unlimited.
History
The use of structured constructs such as combined fragment was a major reason
for the replacement of the UML1 sequence diagram notation by the current nota-
tion based largely on MSC (Message Sequence Chart) notation.
comment s28
An annotation attached to an element or a collection of elements. A comment has
no direct semantics, but it may display semantic information or other information
meaningful to the modeler or to a tool, such as a constraint or method body.
See also note.

Dictionary of Terms communication •239
Semantics
A comment contains a text string, but it may also include embedded documents if
a modeling tool permits. A comment may be attached to a model element, a pre-
sentation element, or a set of elements. It provides a text description of arbitrary
information, but it has no semantic impact. Comments provide information to
modelers and may be used to search models.
Notation
Comments are displayed in note symbols, which are shown as rectangles with bent
upper-right corners (“dog ears”) attached by a dashed line or lines to the element
or elements that the comment applies to (Figure 14-63). Modeling tools are free to
provide additional formats for displaying comments and browsing them, such as
pop-ups, special fonts, and so on.
communication s223-226
Objects communicate by transmitting messages to other objects.
Semantics
Communication among objects and execution threads is specified by an abstract
model of message transmission among objects. Communication is initiated by
broadcast, call, send, and reply actions. The target of a transmission may be ex-
plicit (call and send actions), dependent on execution context (reply), or implicit
in the execution environment. On a broadcast, call, or send, the arguments of the
action are copied and formed into a message for transmission to the target or tar-
gets. All transmissions obey copy semantics; that is, an object itself is not
transmitted, and two messages with identical arguments have no individual iden-
tity and are not distinguishable. However, references to objects may be
transmitted. The exact form of the message transmission is not specified by UML
and is not accessible to a user program (except insofar as a profile makes imple-
mentation information accessible). In particular, additional implementation-
dependent information may be included in the transmission for purposes of the
Figure 14-63. Comment
This class has
been discussed
with engineering.
PurchaseOrder comment
240 •communication Dictionary of Terms
execution environment. Furthermore, the encoding of information is not speci-
fied, permitting various implementations. For example, there is no distinction in
UML between a local procedure call and a remote procedure call; if an implemen-
tation requires marshalling and unmarshalling of arguments, that is its own
business and not part of the UML model (or, hopefully, of the programming lan-
guage as technology matures). One piece of information is explicitly required
without specification of a particular implementation: On a synchronous call, suffi-
cient information must be encoded so that a subsequent return or reply action can
transmit the reply information to the correct execution thread. Because this infor-
mation is opaque, the receiving activity cannot manipulate it except by replying.
The encoding of this information is heavily dependent on the execution environ-
ment, yet in a logical sense the encoding is irrelevant.
The speed and transmission path of a message is unspecified in the UML speci-
fication. If there are multiple concurrent messages, no assumptions can be made
about the order of their reception. If synchronization is required, it should be
modeled explicitly. Profiles may make such information explicit, for example, in a
real-time profile.
Ordinary calls behave as procedure calls, in that they do not really require any
action on the part of the target object; an execution is created when the call is re-
ceived. The definition of “received” and the resources within which the execution
is performed are details of implementation, but not part of the logical model. A
send action or a call that triggers a state machine transition, however, must be han-
dled by the execution thread of the target object itself. The execution thread can be
modeled as an ongoing activity with accept actions or as an attached state machine
with transitions. In any case, the messages must be collected somehow and pro-
cessed one at a time. The UML specification mandates some kind of event pool
that collects events, including received messages, but it does not impose any con-
straints on how the events are handled, except that they must be processed one at a
time. A profile can add constraints typical of a reactive system, such as FIFO (first-
in first-out) processing, priorities, or time limits on response.
The basic communications model in UML is meant to be very general and to ac-
commodate a wide range of implementation choices, but it is nevertheless practi-
cal in identifying the essential qualities of communication and forcing models to
explicitly state underlying assumptions about the execution environment.
Notation
Notation is discussed under various topics, such as action, communication dia-
gram, and sequence diagram.
Dictionary of Terms communication diagram •241
communication diagram s444
A diagram that shows interactions organized around the parts of a composite
structure or the roles of a collaboration. Unlike a sequence diagram, a communi-
cation diagram explicitly shows the relationships among the elements. On the
other hand, a communication diagram does not show time as a separate dimen-
sion, so the sequence of messages and the concurrent threads must be determined
using sequence numbers. Sequence diagrams and communication diagrams both
express interactions, but show them in different ways.
See collaboration, pattern, sequence diagram.
Notation
A communication diagram is a structured class or a collaboration together with
messages that form an interaction. It is shown as a graph whose nodes are rectan-
gles representing parts of a structured class or roles of a collaboration. The nodes
correspond to the lifelines in an interaction, but they are shown within their struc-
tural context. Lines between parts show connectors that form communication
paths. The lines may be labeled with their contextual name and/or the name of the
underlying association, if any. Multiplicities may be shown on connectors. Mes-
sages between parts are shown by labeled arrows near connector lines. Typically,
an interaction represents the implementation of an operation or use case.
A communication diagram shows the slots for objects involved as lifelines in an
interaction. The lifelines have the syntax rolename : classname. Either the role-
name or the class name may be omitted, but the colon is required if the rolename
is omitted. A diagram also shows the connectors among the objects. These repre-
sent associations as well as transient links representing procedure arguments, local
variables, and self-links. An arrow next to a line indicates a message flowing in the
given direction over the link. An arrow on a connector represents a communica-
tion path in a single direction (optional notation extrapolated from, but not ex-
plicitly found in, the UML specification).
Implementation of an operation
A communication diagram that shows the implementation of an operation in-
cludes symbols for the target object role and the roles of other objects the target
object uses, directly or indirectly, to perform the operation. Messages on connec-
tors show the flow of control in an interaction. Each message shows a step within
the method for the operation.
A communication diagram describing an operation also includes role symbols
representing arguments of the operation and local variables created during its exe-
cution. Objects created or destroyed during the execution may be labeled by notes.
242 •communication diagram Dictionary of Terms
Objects without a keyword exist when the operation begins and still exist when it
is complete.
The internal messages that implement a method are numbered, starting with
number 1. For a procedural flow of control, the subsequent message numbers use
“dot” sequences nested in accordance with call nesting. For example, the second
top-level step is message 2; the first subordinate step inside that step is message 2.1.
For asynchronous messages exchanged among concurrent objects, all the sequence
numbers are at the same level (that is, they are not nested).
See message for a full description of message syntax including sequencing.
A complete collaboration diagram shows the roles of all the objects and links
used by the operation. If an object is not shown, the assumption is that it is not
used. It is not safe to assume that all the objects on a collaboration diagram are
used by the operation, however.
Example
In Figure 14-64, an operation redisplay is called on a Controller object. At the time
when the operation is called, it already has a link to the Window object, where the
picture will be displayed. It also has a link to a Wire object, the object whose image
will be displayed in the window.
The top-level implementation of the redisplay operation has only one step—the
calling of operation displayPositions on the wire object. This operation has
sequence number 1, because it is the first step in the top-most method. This mes-
sage flow passes along a reference to the Window object that will be needed later.
The displayPositions operation calls the drawSegment operation on the same
wire object. The call, labeled with sequence number 1.1, is dispatched along the
implicit self link. The star indicates an iterative call of the operation; the details are
supplied in the brackets.
Each drawSegment operation accesses two Bead objects, one indexed by quali-
fier value i-1 and one by value i. Although there is only one association from Wire
to Bead within the context of this operation, two links to two Bead objects are
needed. The objects are labeled left and right (which are the classifier roles in the
collaboration). One message is dispatched along each link. The messages are
labeled 1.1.1a and 1.1.1b. This indicates that they are steps of operation 1.1; the
letters at the end indicate that the two messages can be dispatched concurrently. In
a normal implementation, they would probably not be executed in parallel, but
because they are declared as concurrent, they can be executed in any convenient
sequential order.
When both values (r0 and r1) have been returned, the next step following the
operation 1.1 can proceed. Message 1.2 is a create message sent to a Line object.
Actually, it goes to the Line class itself (in principle, at least), which creates a new
Line object linked to the sender.

Dictionary of Terms communication diagram •243
Step 1.3 uses the newly created link to send a display message to the newly cre-
ated Line object. The pointer to the window object is passed along as an argument,
making it accessible to the Line object as a link. Note that the Line object has a link
to the same window object that is associated with the original Controller object;
this is important to the operation and it is shown by the diagram. In the final step
1.3.1, the Window object is requested to create a link to the Line object.
The final state of the system can be observed by mentally erasing all the tempo-
rary links. There is a link from Controller to wire and from wire to its Bead parts,
from Controller to window and from window to its contents. Once the operation
is complete, however, a Line has no access to the Window that contains it. The link
in that direction is transient and disappears when the operation is complete. Simi-
larly, a Wire object no longer has access to the Line objects used to display it.
Discussion
The UML specification is somewhat unclear on what is allowed in communica-
tions diagrams. We have interpreted them to allow overlaying messages on internal
structure, otherwise they would be superfluous.
Figure 14-64. Communication diagram syntax with message flows
:Controller
wire: Wire
1: displayPositions(window)
left: Bead
wire
redisplay()
:Window
i-1 i
right: Bead
1.1.1b: r1:=position()
1.1.1a: r0 := position()
1.1.2: create(r0,r1)
window
{parameter} window
1.1*[i:=1..n]: drawSegment(i) :Line
line
1.1.3: display(window)
1.1.3.1: link(self)
contents
self
invoker of operation
operation being described
message flow
association
self-link for recursive calls
local variable
concurrent thread name
iteration specifier
sequence number
return
value
operation
created
during
operation
comm redisplay
244 •communication path Dictionary of Terms
The specification indicates the tag sd for all diagrams showing interactions. This
seems confusing and useless; either you can tell by looking what kind of diagram it
is, in which case no tag is necessary, or you can’t, in which case a distinction
among diagrams is necessary. Therefore we have used the tag comm on these dia-
grams.
History
This was called a collaboration diagram in UML1, which was confusing because
collaborations were static structures, but the diagram included messages.
communication path s186
A kind of association that allows nodes to exchange signals and messages.
compartment s64 s88 s95-97
A graphical subdivision of a closed symbol, such as a class rectangle divided verti-
cally into smaller rectangles. Each compartment shows properties of the element
that it represents. Compartments come in three kinds: fixed, lists, and regions.
See also class, classifier.
Notation
A fixed compartment has a fixed format of graphical and text parts to represent a
fixed set of properties. The format depends on the kind of element. An example is
a class name compartment, which contains a stereotype symbol and/or name, a
class name, and a property string that shows various class properties. Depending
on the element, some of the information may be suppressible.
A list compartment contains a list of strings that encode constituents of the ele-
ment. An example is an attribute list. The encoding depends on the constituent
type. The list elements may be shown in their natural order within the model, or
they may be sorted by one or more of their properties (in which case, the natural
order will not be visible). For example, a list of attributes could be sorted first on
visibility and then on name. List entries can be displayed or suppressed based on
the properties of the model elements. An attribute compartment, for instance,
might show only public attributes. Stereotypes and keywords may be applied to in-
dividual entries by prepending them to the list entry. A stereotype or keyword may
be applied to all subsequent entries by inserting it as a list entry by itself. They af-
fect all subsequent list entries until the end of the list or another such running dec-
laration. The string «constructor» placed on a separate line in an operation list
would stereotype the subsequent operations as constructors, but the string
«query» further down the list would revoke the first declaration and replace it by
the «query» stereotype.

Dictionary of Terms completion transition •245
A region is an area that contains a graphic subpicture showing substructure of
the element, often potentially recursive. An example is a nested state region. The
nature of the subpicture is peculiar to the model element. Including both regions
and text compartments in a single symbol is legal, but it can be messy. Regions are
often used for recursive elements, and text is used for leaf elements with no recur-
sive substructure.
A class has three predefined compartments: name, a fixed compartment; at-
tributes, a list compartment; and operations, another list compartment. A mod-
eler can add another compartment to the rectangle and place its name at the head
of the compartment, in a distinctive font (for example, small boldface). Names
may be placed on the attribute and operation compartments, if desired.
The graphical syntax depends on the element and the kind of compartment.
Figure 14-65 shows a compartment for signals. Figure 14-242 shows a compart-
ment for responsibilities.
compile time s6
Refers to something that occurs during the compilation of a software module.
See modeling time, run time.
complete
Keyword for a generalization set whose subtypes cover all possible cases of the
supertype.
See generalization set.
completion transition s463 s481 s500
A transition that lacks an explicit trigger event and is triggered by the completion
of activity in the source state.
See also do activity, transition, trigger.
Figure 14-65. Named compartment in a class
TradingRegulator
timeout: Time
limit: Real
suspendTrading(time: Time)
resumeTrading()
signals
marketCrash (amount: Real)
compartment name
list element
user-defined compartment
attribute compartment
operation compartment
246 •complex port Dictionary of Terms
Semantics
A completion transition is represented as a transition that has no explicit trigger
event. The transition is triggered implicitly when its source state (including nested
states) has completed any activity. Completion can be one of the following:
• Termination of an entry action and a contained do activity, if any
• Reaching a final state within a nonorthogonal composite state
• Reaching the final states of all regions of an orthogonal state
• Reaching an unlabeled exit point or final state within a referenced submachine
An exit activity on a state is executed when the completion transition fires, be-
fore any actions of the transition itself.
A completion transition may have a guard condition and an effect. Usually, it is
undesirable to have an isolated guarded completion transition, because if the
guard condition is false, the transition will never fire (because the implicit trigger
occurs only once). Occasionally, this may be useful to represent some kind of fail-
ure, provided a triggered transition eventually pulls the object out of the dead
state. More commonly a set of guarded completion transitions have conditions
that cover all possibilities so that one of them will fire immediately when the state
terminates.
Completion transitions are also used to connect initial states and history states
to their successor states, because these pseudostates may not remain active after
the completion of activity.
A completion event takes precedence over normal events. If a completion event
occurs, an enabled completion transition fires immediately without being placed
in the normal event pool. A completion event may therefore be considered more
of a special kind of control construct rather than a normal event.
Notation
A completion transition is shown by a transition arrow without a trigger event.
The arrow may have a guard condition in square brackets and it may have an effect
expression following a slash (/). Often it has no label at all.
Example
Figure 14-66 shows a state machine fragment of ticket-ordering application. The
Selecting state remains active as long as the customer keeps picking dates. When
the customer presses the “done” button, then the Selecting state reaches its final
state. This triggers the completion transition, which goes to the Selected state.
complex port
A port that has multiple interfaces.

Dictionary of Terms complex port •247
Semantics
A port may have multiple interfaces. These include both provided interfaces and
required interfaces.
Notation
A complex port is shown by connecting multiple interface symbols to the port
symbol. If desired, the port symbol can be drawn an a rectangle rather than a
square, so that the interface symbols may be connected more easily. See
Figure 14-67.
Figure 14-66. Completion transition
Figure 14-67. Complex port
Selecting pick date / add to selection
push “done”/ reset selection
Idle
insert card cancel / eject card
Selected
completion transition
Choose
Classnameinterface-p2
interface-r1
interface-p3
complex port
248 •complex transition Dictionary of Terms
complex transition s470-471
A transition with more than one source state and/or more than one target state. It
represents a response to an event that causes a change in the amount of concur-
rency. It is a sychronization of control, a forking of control, or both, depending on
the number of sources and targets. (This term is presented here for convenience
because no equivalent term is defined in the UML2 specification.)
See also branch, composite state, fork, join, merge, orthogonal region.
Semantics
At a high level, a system passes through a series of states, but the monolithic view
that a system has a single state is too restrictive for large systems with distribution
and concurrency. A system may hold multiple orthogonal states at one time. The
set of active states is called the active state configuration. If a nested state is active,
then all states that contain it are active. If the object permits concurrency, then
more than one orthogonal region may be active.
In many cases, the activity of a system can be modeled as a set of threads of con-
trol that evolve independently of each other or that interact in limited ways. Each
transition affects, at most, a few states in the active state configuration. When a
transition fires, unaffected active states remain active. The progress of the threads
at a moment can be captured as a subset of states within the active state configura-
tion, one subset for each thread. Each set of states evolves independently in re-
sponse to events. If the number of active states is constant, the state model is
nothing but a fixed collection of state machines that interact. In general, however,
the number of states (and therefore the number of threads of control) can vary
over time. A state can transition to two or more concurrent states (a fork of con-
trol), and two or more concurrent states can transition to one state (a join of con-
trol). The number of concurrent states and their evolution is controlled by the
state machine for the system.
A complex transition is a transition into or from an orthogonal state. The verti-
ces in one side of the transition must include one state from each orthogonal re-
gion in the orthogonal state. A complex transition has more than one source state
and/or target state. If it has multiple source states, it represents a join of control. If
it has multiple target states, it represents a fork of control. If it has multiple source
and target states, it represents a synchronization of parallel threads.
If a complex transition has multiple source states, all of them must be active be-
fore the transition is a candidate for triggering. The order in which they become
active is irrelevant. If all the source states are active and the trigger event occurs,
the transition is enabled and may fire if its guard condition is true. Each complex
transition has a single trigger, even if there are multiple source states. The concept
of simultaneous occurrence of events is not supported by UML; each event must
trigger a separate transition and then the resultant states can be followed by a join.

Dictionary of Terms complex transition •249
If a complex transition with multiple source states lacks a trigger event (that is,
if it is a completion transition) then it is triggered when all its explicit source states
become active. If its guard condition is satisfied at that time, it fires.
When a complex transition fires, all the source states and all their peers within
the same composite state cease to be active, and all the target states and all their
peers become active.
In more complicated situations, the guard condition may be expanded to per-
mit firing when some subset of the states is active; this capability can easily lead to
ill-formed models and should be avoided or used with extreme care.
The UML metamodel does not include complex transition as a metaclass. A
complex transition is modeled as a set of single-source, single-target transitions
connected by fork or join pseudostates, but the effect is the same as a complex
transition with multiple sources or targets.
Example
Figure 14-68 shows a typical concurrent composite state with complex transitions
entering and leaving it. Figure 14-69 shows a typical execution history of this ma-
chine (the active states are shown in blue). The history shows the variation in
number of active states over time.
Orthogonal states
Unless a state machine is carefully structured, a set of complex transitions can lead
to inconsistencies, including deadlocks, multiple occupation of a state, and other
problems. The problem has been extensively studied under Petri net theory, and
the usual solution is to impose well-formedness rules on the state machine to
avoid the danger of inconsistencies. These are “structured programming” rules for
state machines. There are a number of approaches, each with advantages and dis-
advantages. The rules adopted by UML require that a state machine decompose
Figure 14-68. Fork and join
Setup Cleanup
A1 A2
B2B1
fork join
orthogonal region
e1
When e1 occurs,
A1 and B1 become active.
When A2 and B2 terminate,
the completion transition
makes Cleanup active.

250 •complex transition Dictionary of Terms
Figure 14-69. History of active states in a state machine with orthogonal regions
Setup Cleanup
A1 A2
B2B1
e1
e1 occurs
A1 completes
B1 completes
A2 and B2 complete
(Active states shown in blue)
Setup Cleanup
A1 A2
B2B1
e1
Setup Cleanup
A1 A2
B2
B1
e1
Setup Cleanup
A1 A2
B2B1
e1
Setup Cleanup
A1 A2
B2B1
e1

Dictionary of Terms complex transition •251
into finer states using an and-or tree. The advantage is that a well-nested structure
is easy to establish, maintain, and understand. The disadvantage is that certain
meaningful configurations are prohibited. On balance, this is similar to the trade-
off in giving up goto’s to get structured programming.
A composite state may be decomposed into a set of mutually exclusive substates
(an “or” decomposition, if it has exactly one region) or into a set of orthogonal re-
gions, each of which contains mutually exclusive substates (an “and” decomposi-
tion followed by an “or” decomposition, if it has more than one region). The
structure is recursive. Generally, “and” layers alternate with “or” layers. An “and”
layer represents orthogonal decomposition—all of the substates are active concur-
rently. An “or” state represents a sequential decomposition—one substate is active
at a time. A legal set of orthogonal states can be obtained by recursively expanding
the nodes in the tree, starting with the root. Replace an “and” state by all of its chil-
dren; replace an “or” state by one of its children. This corresponds to the nested
structure of statecharts.
Example
Figure 14-70 shows an and-or tree of states corresponding to the state machine in
Figure 14-68. A typical set of concurrently active states is colored in blue. This cor-
responds to the third step in Figure 14-69.
Figure 14-70. And-or tree of nested states
or
and
Setup Cleanup
or or
A1 A2 B2B1
(Typical set of active states shown in blue)
252 •complex transition Dictionary of Terms
If a transition enters an orthogonal state (one with more than one region), it en-
ters all the orthogonal subregions. If a transition enters a nonorthogonal state (one
with a single region), it enters exactly one substate. The active state within a non-
orthogonal state or a region can change. With an orthogonal state, a state in each
orthogonal region remains active as long as the orthogonal state is active. A state in
an orthogonal region can be further decomposed.
Therefore, a simple transition (one that has one input and one output) must
connect two states in the same nonorthogonal region or two states separated by
or-levels only. A complex transition must connect all the subregions within an
orthogonal state with a state outside the orthogonal state (we omit more com-
plicated cases, but they must follow the principles above). In other words, a transi-
tion entering an orthogonal state must enter a state in each subregion; a transition
leaving an orthogonal state must leave each subregion.
A shortcut representation is available: If a complex transition enters an orthogo-
nal state but omits explicit transitions to one or more of the subregions, then there
is implicitly a transition to the initial state of each unlisted subregion. If a sub-
region has no initial state, the model is ill formed. If a complex transition leaves an
orthogonal state, there is an implicit transition from each unlisted subregion. If a
complex transition fires, any activity within a subregion is terminated—that is, it
represents a forced exit. A transition can be connected to the enclosing orthogonal
state itself. It implies a transition to the initial state of each subregion—a common
modeling situation. Similarly, a transition from an enclosing orthogonal state im-
plies the forced exit of each subregion (if it has an event trigger) or waiting for each
subregion to complete (if it is triggerless, that is, if it is a completion transition).
The rules on complex transitions ensure that meaningless combinations of
states cannot be active concurrently. A set of orthogonal subregions is a partition
of the enclosing composite state. All of them are active or none of them is active.
Notation
A complex transition is shown as a short heavy bar (a synchronization bar, which
can represent synchronization, forking, or both). The bar may have one or more
solid transition arrows from states to the bar (the states are the source states); the
bar may have one or more solid arrows from the bar to states (the states are the tar-
get states). A transition label may be shown near the bar, describing the trigger
event, guard condition, and actions, as described under transition. Individual ar-
rows do not have their own transition strings; they are merely part of the overall
single transition.
Example
Figure 14-71 shows the state machine from Figure 14-68 with an additional exit
transition. It also shows an implicit fork from state Setup to the initial states in

Dictionary of Terms component •253
each subregion and an implicit join from the final states in each subregion to state
Cleanup.
If event f1 occurs when state B2 is active, then the transition to state Cleanup oc-
curs. This transition is an implicit join; it terminates state A2 as well as state B2.
component s133-149
A modular part of a system design that hides its implementation behind a set of
external interfaces. Within a system, components satisfying the same interfaces
may be substituted freely.
Semantics
A component describes a modular piece of a logical or physical system whose ex-
ternally visible behavior can be described much more concisely than its implemen-
tation. The externally visible behavior is represented as a set of interfaces, possibly
with attached behaviors, such as protocol state machines or use cases, for addi-
tional detail. A system specifies its implementation using slots that hold compo-
nents satisfying specific interfaces. Any component that satisfies the set of
interfaces can be substituted in a slot. The separation between external interfaces
and internal implementation allows the development of systems and their parts to
be cleanly separated, permitting the substitution of different components into a
given system slot and the use of the same component within different systems.
This modularity increases the reusability of both system frameworks and compo-
nents.
Components have two aspects. They define the external face of a piece of a sys-
tem, and they implement the functionality of a system. Components without im-
plementation are an abstract type. They are used to specify the requirements of a
Figure 14-71. Complex transitions (fork, join)
Setup Cleanup
A1 A2
B2
B1
concurrent composite state
Cleanup
f1
e1
initial state
final state
254 •component Dictionary of Terms
given system slot. Components with implementation may be subtypes of an ab-
stract component. Concrete components may substitute for their ancestors. (They
may substitute in any place where they satisfy the interfaces, but a child compo-
nent is guaranteed to satisfy its parent’s interfaces.)
A component may or may not be directly instantiated at run time. An indirectly
instantiated component is implemented, or realized, by a set of classifiers. The
component itself does not appear in the implementation; it serves as a design that
an implementation must follow. The set of realizing classifiers must cover the en-
tire set of operations specified in the provided interface of the component. The
manner of implementing the component is the responsibility of the designer.
A directly instantiated component specifies its own encapsulated implementa-
tion. The implementation of a component may be specified as a structured classi-
fier containing parts and connectors. When the component is instantiated, its
internal structure is instantiated also. The relation between the component and its
implementation is explicit. The parts may themselves be specified by other com-
ponents, so components may form a recursive assembly.
The relationships between components may be specified by dependencies
among their interfaces. The interfaces of a component describe the functionality
that it supports. Interfaces may be provided interfaces or required interfaces. A
provided interface describes the operations that a component guarantees to make
available to other components. Each operation in the interface must eventually
map to an implementation element supported by the component. The component
may supply additional operations, but it must at least supply all the operations in a
provided interface. A required interface describes the functionality that it needs
from other components. The component may not always use all of the listed oper-
ations, but it is guaranteed to work if the components that it uses at least supply all
the listed operations. Behaviors attached to interfaces may specify additional con-
straints on the ordering of messages among components.
For additional precision in specification and interconnection, the interfaces of a
component may be localized into ports. Each port bundles a set of required and
provided interfaces, and optionally includes an attached behavior specifying the
interactions through the port. Messages to a component with ports are directed to
specific ports, and the implementation of the component can determine which
port messages arrive on and depart from.
The internal “wiring” of a component is specified with assembly connectors and
delegation connectors. Within the implementation of a component, assembly con-
nectors connect ports of different subcomponents. (A subcomponent is a part
whose type is a smaller component.) A message sent on a port of one component
is received on a connected port of another component. A set of subcomponents
may be wired together through their ports. A subcomponent need not know any-
thing about other subcomponents, except that they exist and satisfy the constraints
on connected ports. In many frameworks, if the modeler connects components
Dictionary of Terms component •255
correctly, no additional code is needed. Communication among components is
modeled by their ports. The ports might exist in the physical code, or they might
be compiled away.
A delegation connector connects an external port of a component with a port
on one of its internal subcomponents. A message received by the external port is
passed to the port on the internal component; a message sent by the internal port
is passed to the external port and thence to the component connected to it. Assem-
bly connectors permit the assembly of components at one level into a high-level
component. Delegation connectors permit the implementation of high-level oper-
ations by low-level components.
Concrete components may also have artifacts, that is, physical pieces of imple-
mentation, such as code, scripts, hypertext elements, and so on. These are the
physical manifestation of the model on a specific computation platform. Each arti-
fact may manifest one or several model elements.
A component is also a namespace that may be used to organize design elements,
use cases, interactions, and code artifacts.
There are several predefined stereotypes of component, including subsystem,
specification, and realization.
Artifacts. An artifact is a physical unit of the construction of a system. The term
includes software code (source, binary, or executable) or equivalents, such as
scripts or command files. Artifacts exist in the implementation domain—they are
physical units on computers that can be stored, moved, and manipulated. Models
may show dependencies among components and artifacts, such as compiler and
run-time dependencies or information dependencies in a human organization. An
artifact may also be used to show implementation units that exist at run time, in-
cluding their location on node instances. Artifacts may be deployed onto physical
nodes.
Example
For example, a spelling checker may be a component within a text editor, E-mail
system, and other frameworks. The provided interface might consist of an opera-
tion that checks a block of text and an operation that adds words to the exception
dictionary for a document. The required interface might consist of access to a
standard dictionary plus an exception dictionary. Different spelling checkers
might have different user interfaces or performance characteristics, but any of
them could be substituted in any appropriate slot without damaging the contain-
ing application.
Structure
A component has a required interface and a provided interface.
A component may be directly or indirectly implemented.

256 •component Dictionary of Terms
A component has a set of references to classifiers that realize its behavior. This
set may be empty if the component provides a direct implementation.
A component may have operations and attributes, which must cover the specifi-
cation of its provided interfaces.
A component may own a set of elements within its namespace, much like a
package. These elements may include artifacts.
As a structured class, a component may have a set of parts and connectors that
compose its direct implementation. It may also have external ports that organize
its interfaces.
Notation
A component is displayed as a rectangle with the keyword «component». Instead
of or in addition to the keyword, it may contain a component icon in its upper
right corner. This icon is a small rectangle with two smaller rectangles protruding
from its side. The name of the component (as a type) is placed inside the outer
rectangle (Figure 14-72).
Operations and attributes available to outside objects may be shown directly in
compartments of the rectangle. In most cases, however, these are suppressed in fa-
vor of the interfaces of the component.
Interfaces may be listed in a compartment of the rectangle. The keywords «pro-
vided» and «required» may be placed on individual interface names or they may be
placed on lines without interface names, in which case they apply to the following
list of names.
Alternately, interfaces may be shown by attaching interface icons to the bound-
ary of the rectangle. A provided interface is shown as a small circle attached to the
rectangle by a line. A required interface is shown as a small semicircle attached to
the rectangle by a line. See Figure 14-73.
Interfaces may also be shown in a fully explicit form (Figure 14-74): An inter-
face is shown as a rectangle with the keyword «interface». A compartment in the
rectangle holds a list of operations. A component is connected to a provided inter-
face by a dashed line with a triangular arrowhead. A component is connected to a
required interface by a dashed line with an open arrowhead and the keyword
«use».
Figure 14-72. Component notation (alternatives)
Planner
«component»
Planner

Dictionary of Terms component •257
A port is shown as a small rectangle on the boundary of the component rectan-
gle (Figure 14-75). The name of the port is placed near the small rectangle. One or
more interface symbols (provided and/or required) may be attached to the small
rectangle by solid lines.
Classes and artifacts that realize the implementation of a component may be
connected to the component by dependency arrows (a dashed line with an open
arrowhead). Alternately, they may be nested within the component rectangle.
The direct implementation of a component is shown as an internal structure di-
agram of parts and connectors nested within the component rectangle
(Figure 14-76). The types of the parts may be classes or subcomponents.
Figure 14-73. Component interface notation (alternatives)
Figure 14-74. Explicit interface notation
Figure 14-75. Component port notation
Planner
«component»
Planner
«provided»
updatePlans
«required»
makeReservations MakeReservations
UpdatePlans
UpdatePlans
«interface»
Planner
removeEvent()
addEvent()
planTrip()
MakeReservations
«interface»
bookHotel()
bookAirfare()
cancelBooking()
«use»
Planner
MakeReservations
UpdatePlans

258 •component diagram Dictionary of Terms
Subcomponents may be connected by adjoining the half-circle of a required in-
terface to the circle of a compatible provided interface in a “ball and socket” nota-
tion. Delegation connectors are shown by solid arrows with open arrowheads
between a port on the boundary of the overall component and an interface symbol
or port of a subcomponent. The keyword «delegate» may optionally be placed on
the arrow.
History
The focus of components has been redirected away from the physical view of
UML1 toward a more logical concept of a component as a tightly encapsulated
unit. Components have been separated from the physical concept of artifact so
that they can be used in conceptual models. The distinction between a structured
class and a component is somewhat vague and more a matter of intent than firm
semantics.
component diagram
A diagram that shows the definition, internal structure, and dependencies of com-
ponent types. There is no sharp line between component diagrams and general
class diagrams.
See component for examples of component diagrams.
Figure 14-76. Component internal structure
:Planner
:Scheduler
:TripGUI
MakeReservations
UpdatePlans
TravelSystem
Booking
User Console
delegation connector
implementation wiring
part that is a component
Dictionary of Terms composite object •259
composite aggregation
See composition.
composite class
A class that is related to one or more classes by a composition relationship.
See composition, structured classifier.
composite object
An instance of a composite class.
See composition, structured classifier.
Semantics
A composite object has a composition relationship to all of its composite parts.
This means that it is responsible for their creation and destruction, and that no
other object is similarly responsible. In other words, there are no garbage collec-
tion issues with the parts; the composite object can and must destroy them when it
dies, or else it must hand over responsibility for them to another object.
The composition relationship is often implemented by physical containment
within the same data structure as the composite object itself (usually a record).
Physical containment ensures that the lifetime of the parts matches the lifetime of
the composite object.
Notation
A composite object may be connected to each of its parts by a composition link,
that is, a line with a filled diamond on the end attached to the composite object
(Figure 14-77).
An instance of a structured class is shown as a rectangle whose internal objects
and connectors may be nested within a graphic compartment inside the object
symbol. The graphic compartment may be shown as an additional compartment
below the attribute compartment, although usually the attribute compartment is
suppressed.
Example
Figure 14-78 shows a structured object, namely a desktop window, composed of
various parts. It contains multiple instances of the ScrollBar class. Each instance
has its own name and role within the composite object. For example, the
horizontalBar and the verticalBar are both scrollbars, but they behave differently
within the composite. They are labeled by their roles within the structured object.

260 •composite object Dictionary of Terms
Figure 14-77. Composite object
Figure 14-78. Structured object
chapter1: Chapter
myBook: Book
chapter2: Chapter
front: Cover back: Cover index: Index
horizontalBar:ScrollBar
verticalBar:ScrollBar
awindow : Window
surface:Pane
title:TitleBar
moves
moves
structured object
name
nested object
connector
role name and type connector name
Dictionary of Terms composite state •261
composite state s470 s477-478 s481 s483-486 s491
A state that contains one or more regions, each containing one or more direct
substates.
See also complex transition, orthogonal region, orthogonal state, region, simple
state, state.
Semantics
A composite state is a state with substates. A composite state can be decomposed,
using and-relationships, into one or more regions, each of which is decomposed,
using or-relationships, into one or more mutually exclusive direct substates. If a
composite state is active, exactly one direct substate in each of its regions is active.
The net effect is an and-or tree of active states. Each state machine has a top-level
state, which is a composite state.
A composite state with exactly one region is a nonorthogonal state. If it is active,
exactly one direct substate is active. It adds a layer of substructure but does not add
additional concurrency.
A composite state with more than one region is an orthogonal state. Its regions
are called orthogonal regions. If it is active, exactly one direct substate in each
orthogonal region is active. It introduces concurrency equal to the number of or-
thogonal regions, as well as a layer of substructure within each orthogonal region.
A system may hold multiple states at one time. The set of active states is called
the active state configuration. If a nested state is active, then all composite states
that contain it are active. If the object permits concurrency, then more than one
orthogonal state may be active.
See complex transition for a discussion of concurrent execution; Figure 14-70
shows an and-or tree.
A group transition is a transition that directly leaves a composite state. If it is a
completion transition, it is enabled when the final state of each region is reached.
Each region of a composite state may have, at most, one initial state and one
final state. Each region may also have, at most, one shallow history state and one
deep history state.
A newly created object starts in its initial state, which the outermost composite
state must have. The event that creates the object may be used to trigger a transi-
tion from the initial state. The arguments of the creation event are available to this
initial transition. An object that transitions to its outermost final state is destroyed
and ceases to exist.
Notation
A composite state is a state with subordinate detail. It has a name compartment, an
internal transition compartment, and a graphic compartment that contains a

262 •composite state Dictionary of Terms
nested diagram showing the subordinate detail. All of the compartments are op-
tional. For convenience and appearance, the text compartments (name and inter-
nal transitions) may be shrunk as tabs within the graphic region, instead of
spanning it horizontally.
An expansion of an orthogonal composite state into orthogonal regions is
shown by tiling the graphic compartment of the state using dashed lines to divide
it into subregions. A nonorthogonal composite state has a single subregion. Each
subregion may have an optional name and must contain a nested state diagram
with direct substates. The name compartment and other text compartments of the
entire state are separated from the regions by a solid line. Alternately, the name of
the composite state may be placed in a small tab attached to the overall state sym-
bol so that the name compartment does not look like a region.
An initial state is shown as a small, solid-filled circle. In a top-level state ma-
chine, the transition from an initial state may be labeled with the event that creates
the object. Otherwise, it must be unlabeled. If it is unlabeled, it represents any
transition to the enclosing state. The initial transition may have an action. The ini-
tial state is a notational device. An object may not be in such a state but must tran-
sition to an actual state.
A final state is shown as a circle surrounding a small, solid-filled circle (a bull’s
eye). It represents the completion of activity in the enclosing state, and it triggers a
transition on the enclosing state labeled by the implicit activity completion event
(usually displayed as an unlabeled transition).
Example
Figure 14-79 shows a nonorthogonal composite state containing two direct sub-
states, an initial state, and a final state. When the composite state becomes active,
the substate Start (the target of the initial state) is activated first.
Figure 14-79. Nonorthogonal composite state
Start
entry/start dial tone
Partial Dial
entry/number.append(n)
digit(n)
digit(n)
[number.isValid()]
Dialing
exit/stop dial tone

Dictionary of Terms composite state •263
The contents of a composite state may be hidden in a particular view. A hidden
region is shown by a small icon representing two linked state symbols.
Figure 14-80 shows an outer composite region whose decomposition is shown.
The decomposition of its two substates is hidden.
Figure 14-81 shows an orthogonal composite state containing three orthogonal
subregions. Each orthogonal subregion is further decomposed into direct sub-
states. When the composite state Incomplete becomes active, the targets of the ini-
tial states become active. When all three subregions reach the final state, then the
completion transition on the outer composite state Incomplete fires and the
Passed state becomes active. If the fail event occurs while the Incomplete state is
active, then all three orthogonal subregions are terminated and the Failed state be-
comes active.
Figure 14-80. Hidden region in composite state
Figure 14-81. Orthogonal composite state
Verify password Dispense
ATM
hidden region
Lab1 Lab2
Term
lab done
project done
Passed
Incomplete
Project
Final pass
Test
Failed
fail
lab
done
orthogonal region
orthogonal region
orthogonal region
orthogonal composite state
default entry
completion
explicit (forced) exit
transition
264 •composite structure Dictionary of Terms
composite structure s151-180
Composite structure describes the interconnection of objects within a context to
form an entity with an overall purpose. Composite structures include structured
classifiers and collaborations.
See structured classifier, collaboration, connector, structured part, port.
composite structure diagram s178-179
A diagram that shows the internal structure (including parts and connectors) of a
structured classifier or a collaboration. There is no rigid line between a composite
structure diagram and a general class diagram.
composition s80 s82 s89 s130
A strong form of aggregation association with strong ownership of parts by the
composite and coincident lifetime of parts with the composite. A part may belong
to only one composite at a time. Parts with nonfixed multiplicity may be created
after the composite itself. But once created, they live and die with it (that is, they
share lifetimes). Such parts can also be explicitly removed before the death of the
composite. Composition is recursive.
See also aggregation, association, composite object.
Semantics
There is a strong form of aggregation association called composition. A composite
is an aggregate association with the additional constraints that an object may be
part of only one composite at a time and that the composite object has sole re-
sponsibility for the management of all its parts. As a consequence of the first con-
straint, the set of all composition relationships (over all associations with the
composition property) forms a forest of trees made of objects and composition
links. A composite part may not be shared by two composite objects. This accords
with the normal intuition of physical composition of parts—one part cannot be a
direct part of two objects (although it can indirectly be part of multiple objects at
different levels of granularity in the tree).
By having responsibility for the management of its parts, we mean that the
composite is responsible for their creation and destruction. In implementation
terms, it is responsible for their memory allocation. In a logical model, the concept
is less rigidly defined and must be applied when appropriate. During its instantia-
tion, a composite must ensure that all its parts have been instantiated and correctly
Dictionary of Terms composition •265
attached to it. It can create a part itself or it can assume responsibility for an exist-
ing part. But during the life of the composite, no other object may have responsi-
bility for it. This means that the behavior for a composite class can be designed
with the knowledge that no other class will destroy or deallocate the parts. A com-
posite may add additional parts during its life (if the multiplicities permit), pro-
vided it assumes sole responsibility for them. It may remove parts, provided the
multiplicities permit and responsibility for them is assumed by another object. If
the composite is destroyed, it must either destroy all its parts or else give responsi-
bility for them to other objects.
Under some circumstances, a class may permit other objects to create or destroy
composite parts of one of its instances, but it retains ultimate responsibility for
them. In particular, it must create all necessary parts on its initialization and it
must destroy all remaining parts on its destruction.
This definition encompasses most of the common logical and implementation
intuitions of composition. For example, a record containing a list of values is a
common implementation of an object and its attributes. When the record is allo-
cated, memory for the attributes is automatically allocated also, but the values of
the attributes may need to be initialized. While the record exists, no attribute can
be removed from it. When the record is deallocated, the memory for the attributes
is deallocated also. No other object can affect the allocation of a single attribute
within the record. The physical properties of a record enforce the constraints of a
composite.
This definition of composition works well with garbage collection. If the com-
posite itself is destroyed, the only pointer to the part is destroyed and the part be-
comes inaccessible and subject to garbage collection. Recovery of inaccessible parts
is simple even with garbage collection, however, which is one reason for distin-
guishing composition from other aggregation.
Note that a part need not be implemented as a physical part of a single memory
block with the composite. If the part is separate from the composite, then the com-
posite has responsibility for allocating and deallocating memory for the part, as
needed. In C++, for example, constructors and destructors facilitate implementa-
tion of composites.
An object may be part of only one composite object at a time. This does not pre-
clude a class from being a composite part of more than one class at different times
or in different instances, but only one composition link may exist at one time for
one object. In other words, there is an or-constraint among the possible compos-
ites to which a part might belong. Also, one object may be part of different com-
posite objects during its life, but only one at a time.

266 •composition Dictionary of Terms
Structure
The aggregation property on an association end or property may have the follow-
ing values.
none The attached classifier is not an aggregate or composite.
shared The attached classifier is a potentially shared aggregate.
The other end is a part.
composite The attached classifier is a composite.
The other end is a part.
At least one end of an association must have the value none.
Notation
Composition is shown by a solid-filled diamond adornment on the end of an asso-
ciation path attached to the composite element (Figure 14-82). The multiplicity
may be shown in the normal way. It must be 1 or 0..1.
Figure 14-82. Composition notation
Window
scrollbar title body
Header Panel
20..1 1
Slider
1
1
1Composition adornment rolename
composite class
part classes
is often omitted on the composite.
rolenames for multiple parts
Window
scrollbar title body
Header Panel
20..1 1
Slider
1
alternate notation: grouping paths as a tree
composition notation: oblique paths

Dictionary of Terms composition •267
Alternately, composition may be shown by graphically nesting the symbols of
the parts within the symbol of the composite (Figure 14-83). This is the notation
for a structured classifier. A nested element may have a rolename within the struc-
tured class. The name is shown in front of its type in the syntax
rolename : classname
A nested classifier may have a multiplicity within its composite element. The mul-
tiplicity is shown by a multiplicity string in the upper-right corner of the symbol
for the part or by placing the multiplicity in square brackets after the classifier
name. If the multiplicity mark is omitted, the default multiplicity is one.
A line drawn entirely within a border of a structured class is considered to be
part of the composition. Any objects connected by a single link of the association
must belong to the same composite. An association drawn so that its path breaks
the border of the composite is not considered to be part of the composition. It rep-
resents an ordinary association. Any objects on a single link of the association may
belong to the same or different composites (Figure 14-84).
Note that attributes are usually treated as composition relationships between a
class and the classes of its attributes (Figure 14-85). They may represent references
to other classes, that is, associations. In general, however, attributes should be re-
served for primitive data values (such as numbers, strings, and dates) and not ref-
erences to classes, because any other relationships to the referenced classes cannot
be seen in the attribute notation. In cases where a class is widely referenced but
navigation in the reverse directions is unimportant, the use of attributes contain-
ing references may be useful, however.
Figure 14-83. Composition of structured class as graphical nesting
scrollbar:Slider
Window
2
title:Header
0..1
body:Panel 1
composite name
parts
multiplicity of part within composite
structured class
class of part
rolename
of part

268 •composition Dictionary of Terms
Figure 14-84. Association within and among structured class
Figure 14-85. Attributes are a form of composition
Figure 14-86. Multilevel composition
Server
Kiosk
Cluster
Controls
Communicates
1
∗
∗
∗
∗
∗
1
association between cluster objects
connector within a cluster object
structured class
Window
scrollbar [2]: Slider
title [0..1]: Header
body: Panel
Avoid attributes for objects unless
they are unshared and
implementation-based.
1
Company
Division
Department
1
∗
∗
Composition is transitive:
Department is an indirect composite part of Company.

Dictionary of Terms composition •269
Note that the notation for composition resembles the notation for collabora-
tion. A collaboration is a kind of structured classifier in which the parts are related
by the collaboration rather than being physical pieces of it.
Figure 14-86 shows multilevel composition.
Discussion
(See also the discussion under aggregation for guidelines on when aggregation,
composition, and plain association are appropriate.)
Composition and aggregation are metarelationships—they transcend individ-
ual associations to impose constraints in the entire set of associations. Composi-
tion is meaningful across composition relationships. An object may have at most
one composition link (to a composite), although it might potentially come from
more than one composition association. In other words, a class might show more
than one composition association to other classes, but a particular object can be
part of only one other object at a time chosen from one of those classes. The entire
graph of composition and aggregation links and objects must be acyclic, even if
the links come from different associations. Note that these constraints apply to the
instance domain—the aggregation associations themselves often form cycles, and
recursive structures always require cycles of associations.
Consider the model in Figure 14-87. Every Authentication is a composite part of
exactly one Transaction, which can be either a Purchase or a Sale. Every Transac-
tion need not have an Authentication, however. From this fragment, we have
enough information to conclude that an Authentication has no other composition
associations. Every authentication object must be part of a transaction object (the
multiplicity is one); an object can be part of at most one composite (by definition);
it is already part of one composite (as shown); so Authentication may not be part
of any other composition association. There is no danger that an Authentication
may have to manage its own storage. A Transaction is always available to take the
responsibility, although not all Transactions have Authentications that they need
to manage. (Of course, the Authentication can manage itself if the designer wants.)
Figure 14-87. Composition to an abstract composite class
Transaction
Sale
Purchase
1
Authentication
0..1

270 •composition Dictionary of Terms
In Figure 14-88, an Autograph may optionally be part of either a Transaction or
a Letter. It can’t be part of both at one time (by the rules of composition). This
model does not prevent an Autograph from starting as part of a Letter and then
becoming part of a Transaction (at which time it must cease being part of the
Letter). In fact, an Autograph need not be part of anything. Also, from this model
fragment, we cannot preclude the possibility that Autograph is optionally part of
some other class that is not shown on the diagram or that might be added later.
What if it is necessary to state that every Autograph must be part of either a
Letter or a Transaction? Then the model can be reformulated, as in Figure 14-87. A
new abstract superclass over Letter and Transaction can be added (Document) and
the composition association with Autograph moved to it from the original classes.
At the same time, the multiplicity from Autograph to Document is made one.
There is one minor problem with this approach: The multiplicity from Docu-
ment to Autograph must be made optional, which weakens the original manda-
tory inclusion of Autograph within Transaction. The situation can be modeled
using generalization of the composition association itself, as in Figure 14-89. The
composition association between Autograph and Transaction is modeled as a child
of the composition association between Autograph and Document. But its multi-
plicities are clarified for the child. (Note that they remain consistent with the in-
herited ones, so the child is substitutable for the parent.) This situation can be
modeled using redefinition of the parent association by the child association. Al-
ternately, the original model can be used by adding a constraint between the two
compositions that one of them must always hold.
Figure 14-88. Shared part class
Figure 14-89. Generalization of composition association
TransactionLetter 0..1 Autograph
0..1 10..1
Document
Transaction
Letter
1
Autograph
0..1
1
0..1
generalization
of associations
Dictionary of Terms concrete •271
compound transition s500
A transition represented by several segments connected by pseudostates.
Semantics
A compound transition is an implicit transition composed of several segments
connected by join, junction, fork, or choice pseudostates. The transition must be
executed in its entirety. It is not possible to execute some segments and leave one of
the pseudostates active.
A compound transition may involve branches through junctions or choices. If
none of the pseudostates are choice vertices, then all of the guard conditions on all
possible paths through the segments are evaluated before the transition fires, and
the transition fires only if at all of the conditions on at least one path evaluate true.
Any actions performed during execution of the transition do not affect the guard
conditions or alter the selected path. If no valid path exists at the time of evalua-
tion, then the transition does not fire.
If some of the paths involve choice vertices, then the evaluation of guard condi-
tions proceeds only as far as any choice vertices (or to target states on paths that
have no choice vertices). If at least one such path evaluates true, a path is selected
and the transition fires. Any actions on such paths are performed. When a choice
vertex is encountered, the conditions on outgoing paths are reevaluated using the
results of execution up to that point. An outgoing path for which all conditions
evaluate true (up to any subsequent choice vertices) is selected and execution con-
tinues on the selected path, and so forth until a target state is encountered and the
compound transition is complete.
If a choice vertex is encountered and no outgoing path evaluates true, the model
is ill formed. A choice vertex may not remain active. A choice vertex is a guarantee
by the modeler that at least one outgoing path will satisfy its guard conditions. If
the guard conditions cannot easily be examined to ensure that they cover all possi-
bilities, the use of an else condition on one outgoing path will guarantee that a
valid choice always exists.
History
The choice vertex has been added in UML2.
concrete s7
A generalizable element (such as a class) that can be directly instantiated. Of neces-
sity, its implementation must be fully specified. For a class, all its operations must
be implemented (by the class or an ancestor). Antonym: abstract.
See also direct class, instantiation.
272 •concurrency Dictionary of Terms
Semantics
Only concrete classifiers can be instantiated. Therefore, all the leaves of a generali-
zation hierarchy must be concrete. In other words, all abstract operations and
other abstract properties must eventually be implemented in some descendant.
(Of course, an abstract class might have no concrete descendants if the program is
incomplete, such as a framework intended for user extension, but such a class can-
not be used in an implementation until concrete descendants are provided.)
Notation
The name of a concrete element appears in normal type. The name of an abstract
element appears in italic type.
concurrency s286-288
The performance of two or more activities during the same time interval. There is
no implication that the activities are synchronized. In general, they operate inde-
pendently except for explicit synchronization points. Concurrency can be achieved
by interleaving or simultaneously executing two or more threads.
See complex transition, composite state, thread.
Discussion
UML treats concurrency as a normal characteristic that is inherent in computa-
tion, unlike its second-hand status in many programming languages. Objects,
messages, events, and executions are naturally concurrent. Actions and activities
include the possibility of low-level concurrency among different threads of execu-
tion. There is no assumption of a universal clock—synchronization is accom-
plished by exchange of messages. In its treatment of concurrency, UML takes an
Einsteinian view that is consistent with the distributed nature of modern comput-
ers, systems, and networks.
concurrency kind s382 s384
Specification of the ability of an operation to accept simultaneous calls.
Semantics
The execution of each call to a passive operation is independent. Because opera-
tions may access shared resources in an object, however, there is sometimes a need
to prevent multiple operations from executing concurrently. The concurrency
property on an operation can have the following values:
Dictionary of Terms concurrent substate •273
concurrent No restrictions on simultaneous invocation of op-
erations on the same object.
sequential Simultaneous invocation of operations on the same
object may cause problems. The modeler is respon-
sible to ensure that simultaneous invocations do
not occur. If they do occur, the system is ill formed.
guarded Simultaneous invocation of operations on the same
object may occur, but they are dynamically caught
and managed by the execution environment so that
only one invocation at a time may execute. When
an execution completes, a blocked invocation is al-
lowed to proceed, if one exists. There is no guaran-
tee that invocations will be executed in any
particular order (such as the order in which they
were called). The modeler is responsible to ensure
that deadlocks over shared resources do not cause
an invocation to wait indefinitely, preventing other
invocations on the same object from proceeding
(and potentially clearing the blockage).
Discussion
This property appears to be an Ada remnant that mixes logical concepts with im-
plementation concerns, not entirely successfully. The specification is ambiguous
about whether it applies to multiple invocations of the same operation or to invo-
cations of different operations on the same object. The choices do not cover all the
possibilities of a transaction-management system. There are no rollback provi-
sions, for example. To include full transaction processing would be beyond the
scope of a universal model such as UML, in any case. It would probably be better
for modelers to avoid this concept entirely and accomplish serialization using ac-
tive objects, rather than hiding synchronization under a deceptively complicated
property.
concurrent substate
This UML1 term does not appear in UML2. Concurrency is now modeled using
orthogonal regions. See orthogonal region, orthogonal state.
274 •conditional Dictionary of Terms
conditional s410
One of the basic constructs of computation, a dynamic choice among several alter-
natives based on run-time values. Conditionals appear in each of the dynamic
views in UML:
• In an interaction, a combined fragment within an interaction that involves a
run-time choice among several alternatives. See conditional fragment.
• In an activity, a node that involves a run-time choice among several output arcs.
See conditional node.
• In a state machine, a transition with a guard condition and no trigger. See condi-
tional transition.
In each of the views, the basic concept of a conditional is the same, but there are
differences in detailed specification.
conditional fragment s410 s414
A combined fragment in an interaction that represents a dynamic choice among
several operand subfragments. It is called alternative within the interaction
specification.
Semantics
A conditional in an interaction is represented as a combined fragment with the
keyword alt. A conditional has multiple operands, each a subfragment. Each oper-
and has a guard condition. The absence of a guard implies a true condition. The
condition else is true if no other guard evaluates true. Exactly one operand whose
guard evaluates true is executed, unless no guard is true. If more than one operand
evaluates true, the choice may be nondeterministic.
Notation
A conditional is shown as a rectangular region with the tag alt within a small pen-
tagon on the upper left corner (Figure 14-90). The region is divided into sub-
regions by horizontal dashed lines. Each subregion represents one operand of the
conditional. A constraint representing a successful condition may be placed on the
lifeline of the object whose values are being tested, at the top of the subregion.
Usually the conditions for all the regions will be on the same lifeline. In lieu of a
constraint, the pseudoconstraint [else] may be placed on the lifeline to indicate a
branch that is taken if no constraint is true.
History
The conditional fragment notation based on MSC is a major improvement in
power and clarity over the UML1 notation for branching in a sequence diagram.

Dictionary of Terms conditional node •275
conditional node s313
A structured control node in an activity that represents a dynamic choice among
several clauses.
Semantics
A conditional node is a control construct within an activity containing one or
more clauses. Each clause has a test and a body section. When the condition node
is executed, the test sections of the clauses are executed in an unspecified, possibly
concurrent, order. If one or more test sections yield true values, the body section
corresponding to one of the true test sections is executed. If more than one test
section yields a true value, exactly one single body section is executed. The choice
among multiple true tests is nondeterministic.
It is not guaranteed that all test sections will be executed before a choice is se-
lected. It is possible that test sections will be executed concurrently and that some
may be partially complete when a choice is made. Modelers should avoid tests that
create side effects, otherwise there may be additional nondeterminacy resulting
from the indeterminate execution order of tests.
Figure 14-90. Conditional (alt) fragment
reception:Clerk local:Warehouse distributor:Warehouse
alt [in stock]
[else]
order part
ship part
request part
get part
request part
get part
sd orders
operator
tag
separator
second operand
guard condition
conditional fragment
first operand
276 •conditional node Dictionary of Terms
The testing sequence may be controlled by specifying priorities among clauses.
No clause will be tested unless all higher-priority clauses have tested false. There
may be multiple clauses of the same priority, in which case indeterminacy is possi-
ble among them. If the clauses are totally ordered, the potential indeterminacy is
eliminated. Note, however, that indeterminacy can sometimes be a useful thing to
model.
Values created in a test may be used in the corresponding body section. Their
use outside the conditional involves stringent restrictions and is discouraged.
An else clause is executed if none of the other clauses evaluate true. It is modeled
as a clause with a true condition whose priority is lower than all other clauses.
See any trigger, else.
Structure
A conditional node has two subnodes representing the test and the body. An out-
put pin of the test node is designated as the test result.
A clause may have predecessor clauses and successor clauses within the same
conditional. The predecessor-successor relationship defines the evaluation priori-
ties of the tests.
If the body of any clause has output pins, then each clause and the entire condi-
tional itself must have an identical set of output pins (identical in number, type,
and multiplicity). On the completion of execution of the selected body fragment,
the value of each of its output pins is copied to the corresponding output pin of
the entire conditional. The set of pins on each clause must match, otherwise some
output pins of the conditional might lack values after execution of certain clauses.
The assured flag is an assertion by the modeler that at least one test will succeed.
This is necessary if subsequent actions use the outputs of the conditional, for ex-
ample.
The determinate flag is an assertion by the modeler that no more than one test
will succeed concurrently. This may be used to assert deterministic behavior.
The assured and determinate flags are modeling assertions, not executable
statements. They are useful when human intelligence exceeds the capability of the-
orem provers, but if incorrect they may lead to errors.
Notation
No notation is specified in the UML document. It is expected that structured ac-
tivities will often use textual syntax in some action language.
For simple situations, a conditional can be represented by a decision node with
several outcomes. This form does not capture the nested structure of a conditional
fully, but it is satisfactory for simple situations.
Dictionary of Terms conditional transition •277
For most complex situations, a variation on the conditional fragment notation
might be used: Enclose the conditional in a rectangle with an alt tag, divide it into
regions with dashed lines, and begin each region with a test expression in brackets,
with the remainder of the region being an activity graph of the body. Although a
test is also potentially shown as an activity graph, it becomes graphically messy to
show both tests and bodies in graphical form.
conditional transition s501
The use of guards to choose among firing of multiple state machine transitions.
Semantics
A state machine transition includes a guard condition. When a trigger event for a
transition occurs, the guard is evaluated. If it evaluates true, the transition may
fire.
State machine transitions may be used to represent conditionals in the following
ways:
• A set of transitions leaving a source state have completion events as their triggers
and guard conditions that together cover all possibilities. When the source state
becomes active and its entry or do activities are completed, one of the transitions
will be chosen. This situation is very much like a traditional conditional con-
struct in a programming language.
• A set of transitions leaving a source state all have the same trigger event and
guard conditions that together cover all possibilities. When the trigger event oc-
curs, one of the transitions will be chosen. This situation can also be modeled
using junction states to avoid repeating the trigger. A segment from the source
state to the junction state has the trigger event, and a set of transitions leaving
the junction state have guard conditions but no triggers. In both cases, the guard
conditions are evaluated after the event occurs but before a transition is selected.
• A transition segment goes from a source state to a choice pseudostate, and a set
of transition segments leaves the choice pseudostate. Each of them has a guard
condition but no trigger. In this case, an action on the initial transition segment
may affect the values appearing in the guards. The guards are evaluated after the
initial segment fires. One of them must evaluate true or the model is ill formed.
The choice pseudostate is equivalent to an anonymous state followed by a set of
completion transitions.
Notation
See notation for choice, guard condition, transition.
278 •conflict Dictionary of Terms
conflict s35 s102 s302 s384 s482 s492 s579
Most generally, a situation in which some potential ambiguity exists between dif-
ferent elements of a model. Depending on the case, there may be rules to resolve
the conflict or the presence of the conflict may create an ill-formed model.
Semantics
Conflict is a situation of contradictory specifications, for example, when the same-
named attribute or operation is inherited from more than one class, or when the
same event enables more than one transition, or any similar situation in which the
normal rules yield potentially contradictory results. Depending on the semantics
for each kind of model element, a conflict may be resolved by a conflict resolution
rule, it may be legal but yield a nondeterministic result, or it may indicate that the
model is ill formed.
The following kinds of conflict may occur in UML:
• The same name is defined in multiple, different ways in the same namespace, of-
ten because of inheritance or imports.
For example, the same name may be used for elements in different levels of the
same namespace or in different namespaces imported into a third namespace. This
may be resolved by using qualified names. Duplicate names for the same kind of
element defined in the same namespace are prohibited because there is no way to
distinguish them.
Duplicate names among attributes in a classifier are prohibited and make the
model ill formed. Duplication can occur through inheritance. Name duplication
among operations does not cause a conflict if the signatures differ. If the signatures
are the same, a method in a descendant class overrides a method in an ancestor
class, but there are tight restrictions on any changes to the signature of operations
in descendant classes.
• Actions that access the same shared resource (such as a variable or a device) may
execute concurrently.
Concurrency brings with it the possibility of conflicting access to the same re-
sources. If one concurrent thread can modify a resource and one or more others
can read or modify it, the state of the read or the final state of the resource may be
indeterminate. This is not necessarily a problem; sometimes indeterminacy is
harmless or even desirable. If multiple modifications on a resource from different
threads can interleave, the final state of the resource may even be inconsistent or
totally meaningless. Access conflicts can be resolved in various ways: by ensuring
that concurrent actions do not share resources; by isolating a set of actions on a re-
source to ensure that the final result is consistent, if not deterministic; by funneling
all actions on a given resource through a single gatekeeper object; or by removing
Dictionary of Terms connectable element •279
the concurrency. There are a number of elements in UML for performing the vari-
ous resolutions. See concurrency kind, isolation flag.
• Inconsistent specifications apply to two related elements.
Two parts of the model may specify inconsistent things. Sometimes priority
rules are given to resolve the conflict. For example, a substate may defer an event
while a composite state consumes it. This conflict is resolved in accordance with
priorities for triggering transitions. On the other hand, if conflicting constraints
are specified for the same element (often through inheritance), the model is ill
formed.
• Multiple choices are enabled.
The various conditional constructs allow multiple branches to be enabled con-
currently. They also specify that only one branch will execute. If the conflict is not
resolved by priority rules, the choice is nondeterministic. This is not a model error
and may in fact model useful behavior. Similarly, multiple methods may be inher-
ited for an operation. If all the methods are defined in classes that form a single
path through the generalization hierarchy, the overriding rules resolve the conflict.
If, however, two methods for the same operation are inherited from different an-
cestral paths, the methods are in conflict and the model is ill formed.
Discussion
It is possible to avoid conflicts by defining them away with conflict resolution
rules, such as: If the same feature is defined by more than one superclass, use the
definition found in the earlier superclass (this requires that the superclasses be or-
dered). UML does not generally specify rules for resolving conflict on the principle
that it is dangerous to count on such rules. They are easy to overlook and fre-
quently are the symptom of deeper problems with a model. It is better to force the
modeler to be explicit rather than depend on subtle and possibly confusing rules.
In a tool or programming language, such rules have their place, if only to make the
meaning deterministic. But it would be helpful for the tools to provide warnings
when rules are used so that the modeler is aware of the conflict.
connectable element s163 s565
A kind of element that can be part of the implementation of a structured classifier
and can be attached to a connector.
Semantics
This abstract metaclass includes attributes, parameters, parts, ports, and variables.
Because it is so broadly defined, this metaclass does not really limit things very
much.
280 •connection point Dictionary of Terms
A more intuitive definition is: A part may represent an instance or a value in the
context of a structured class or collaboration. The part may be an inherent struc-
tural piece of the whole or it may represent a transient entity, such as a parameter
or a value.
connection point s459 s479 s486 s490
A reference to an entry point or exit point of a state machine, used with a reference
to the state machine by a submachine state within another state machine.
Semantics
A state machine can be defined with the intent that it be referenced from other
state machines as a kind of state machine subroutine. Such a reference is a subma-
chine state. If the submachine is always entered through its initial state and always
exits through its final state, no additional interfaces need be defined. Sometimes,
however, a submachine has multiple entry points or exit points that must be made
visible to state machines within which it is referenced. A entry point is an addi-
tional place at which a state machine may begin execution. An exit point is an ad-
ditional place at which a state machine may terminate execution. Entry and exit
points are pseudostates in the state machine.
A connection point is a reference to an entry point or an entry point of a state
machine when the state machine is used within another state machine. When the
state machine is referenced by a submachine state in another state machine, transi-
tions may connect to named connection points on the submachine state that cor-
respond to the connection points defined in the referenced state machine.
Although connection points represent flow of control, they perform the same kind
of parameterization as parameters and arguments in procedures.
See submachine state.
Notation
An entry point is shown as a small empty circle. An exit point is shown as a small
circle with an ‘X’ inside. The name of the entry point or exit point is placed near
the circle. The entry point or exit point is placed within the outer boundary of the
state machine to which it applies. An entry point can appear wherever an initial
state can appear, and an exit point can appear wherever a final state can appear.
A connection point is shown as a small empty circle or a small circle containing
an ‘X’; it is drawn on the border of the rounded box representing a submachine
state (Figure 14-91). Within the rounded box is the name of the submachine state
and a colon followed by the name of the referenced state machine. Transitions of
the enclosing state machine may connect to the connection points (with an entry
point as a target and an exit point as a source).

Dictionary of Terms connector •281
An alternate notation eliminates the circles and shows the connection point by
placing on the transition arrow a text label of the form:
(via connection-name)
As the circle notation is both clear and intuitive, the alternate notation is best
avoided.
History
UML1 had a concept of stub states to show entries and exits to submachines. The
new connection point notation is clearer and is parallel to a similar notation for
parameters.
connector
The connection of two structured parts within a structured classifier or a collabo-
ration; a specification of a contextual association that applies only in a certain
context, such as the objects within a classifier or objects satisfying a collaboration.
See also association, collaboration, component, delegation connector, struc-
tured classifier.
Semantics
A connector is a contextual association that is meaningful and defined only in the
context described by a structured classifier or a collaboration. It is a relationship
that is part of the context but not an inherent relationship in other situations.
Connectors are the key structural part of collaborations. They permit the descrip-
tions of contextual relationships. They often represent communications paths
among the parts of a structured classifier.
Figure 14-91. Connection points
sub: SubM
in out
exit connection point
entry connection point
default entry
default exit
submachine state

282 •connector Dictionary of Terms
Within a classifier, a structured part denotes an individual appearance of an-
other classifier, distinct from other appearances of that classifier and from the clas-
sifier declaration itself. Similarly, a connector represents an association that is used
in a particular context, sometimes a restricted use of a normal association and
sometimes another mechanism, such as a parameter or a local variable of a proce-
dure. A connector connects two parts. When a structured class is instantiated, its
parts and connectors are created as part of the instantiation.
To establish an instance of a collaboration, objects must be bound to roles (parts
in the collaboration) and links must be bound to the connectors. The links are of-
ten created as part of the instantiation of the collaboration. In many cases, the
links among objects define a collaboration. One object can play (be bound to)
more than one role.
A connector connects two or more parts within a structured classifier or roles
within a collaboration (Figure 14-92). It may include a reference to an association
that specifies the links that implement the connector. If the connector is to be im-
plemented by other mechanisms, such as parameters, local variables, global values,
or implicit relationships between the parts of a single object, the association is
omitted.
Figure 14-92. Connector in a collaboration
Figure 14-93. Connectors in a structured class
main: Server backup: Server
ReliableServer
secondary
primary
collaboration
connector
rolerole
*
multiplicity
:LexicalAnalyzer :Parser :Optimizer
Compiler
assembly connector delegation connector
Dictionary of Terms connector •283
One or both ends of a connector may be connected to ports on internal parts
(Figure 14-93). A connector between two internal ports is an assembly connector.
The ports must be of complementary types. A message sent on one port is received
on the other. One end of a connector may be connected to an external port of the
structured classifier. A connector between an external port and an internal port is
a delegation connector. The ports must be of the same type. A message received on
the external port is received by the internal port; a message sent on the internal
port is sent on the external port.
A connector has a multiplicity on each end indicating how many objects may be
connected to a single object (including any ordering or uniqueness constraints). If
a connector is connected to a port and no multiplicity is specified, the multiplicity
of the connector is the same as the multiplicity of the port.
In some cases, a connector can be regarded as uses of a general association be-
tween the participating classes. In that case, the collaboration shows one way of
using the general association for a particular purpose within the collaboration.
In other cases, the connections among parts or roles have no validity outside the
context of the structured classifier or collaboration. If a connector has no explicit
association, then it defines an implicit (“transient”) association valid only within
the collaboration.
Notation
A connector is displayed in the same way as an association—namely, as a solid line
between two part or role symbols (Figure 14-92 and Figure 14-93). The fact that it
is a connector is clear because it involves parts or roles. It may have a label with the
syntax:
connector-name : Association-name
The association name (including colon) may be omitted if there is no underlying
association, that is, if the connector represents a transient contextual relationship.
An end name and a multiplicity may be placed on an end of a connector.
History
In UML1, contextual relationships had to be modeled as either associations or
links, neither of which was correct in most cases. There was a idea that an aggrega-
tion could own both classes and associations, but that idea was not worked out
correctly. The UML2 concept of a context as the internal structure of a classifier
models contextual relationships explicitly.

284 •consider Dictionary of Terms
consider s412
A combined fragment in an interaction that filters messages so that only those of
specified message types are shown.
Semantics
A consider construct has a list of message types and a subfragment, which is an in-
teraction fragment. Within the subfragment, only messages whose types appear in
the list are represented. This indicates that messages of other types may occur but
they are not represented in the interaction, which is therefore an abstraction of the
actual system. This construct is often combined with assertion to indicate that a
certain message must follow another message.
Notation
A consider construct is shown in a sequence diagram as a region with the keyword
consider followed by a list of message names.
Figure 14-94 shows a consider construct containing an assertion. It states that
only start or stop messages will be considered. The assertion therefore applies to
only start or stop messages. It essentially means that a start message must be fol-
lowed by a stop message and not another start message, but that messages of any
other type can occur because they are ignored by the assertion.
Figure 14-94. Consider combined fragment
consider {start, stop}
sd motorControl
stop
start
controller motor
assert
Dictionary of Terms constraint •285
constraint s54
A semantic condition or restriction represented as text in natural language or a
specified formal language.
Semantics
A constraint is a semantic condition or restriction expressed as a linguistic state-
ment in some textual language.
In general, a constraint can be attached to any model element or list of model el-
ements. It represents semantic information attached to a model element, not just
to a view of it. Each constraint has a body and a language of interpretation. The
body is a string encoding a Boolean expression for the condition in the constraint
language. A constraint applies to an ordered list of one or more model elements.
Note that the specification language may be a formal language or it may be a natu-
ral language. In the latter case, the constraint will be informal and not subject to
automatic enforcement (which is not to say that automatic enforcement is always
practical for all formal languages). UML provides the constraint language OCL
[Warmer-99], but other languages can also be used.
Some common constraints have names to avoid writing a full statement each
time they are needed. For example, the constraint xor between two associations
that share a common class means that a single object of the shared class may be-
long to only one of the associations at one time.
A constraint is an assertion, not an executable mechanism. It indicates a restric-
tion that must be enforced by correct design of the system. How to guarantee a
constraint is a design decision.
Run-time constraints are meant to be evaluated at moments when an instanti-
ated system is “stable”—that is, between the execution of operations and not in the
middle of any atomic transactions. During the execution of an operation, there
may be moments when the constraints are temporarily violated. Since models may
have several levels of granularity, invariants—that is, constraints that are always
true—always have some amount of informality. By contrast, preconditions and
postconditions are constraints that are evaluated at well-determined times, at the
invocation of an operation and at its completion, so they are not subject to con-
cerns about partially completed changes.
A constraint cannot be applied to itself.
An inherited constraint—a constraint on an ancestor model element or on a
stereotype—must be observed even though additional constraints are defined on
descendants. An inherited constraint may not be set aside or superseded. Such a
model is poorly constructed and must be reformulated. An inherited constraint
can be tightened, however, by adding additional restrictions. If constraints inher-
ited by an element conflict, then the model is ill formed.

286 •constraint Dictionary of Terms
Notation
A constraint is shown as a text string enclosed in braces ({ }). The text string is the
encoded body written in a constraint language. If a constraint has a name, the
name is shown as a string followed by a colon, all preceding the constraint text.
Tools are expected to provide one or more languages in which formal con-
straints may be written. One predefined language for writing constraints is OCL.
Depending on the model, a computer language such as C++ may be useful for
some constraints. Otherwise, the constraint may be written in natural language,
with interpretation and enforcement remaining human responsibilities. The lan-
guage of each constraint is part of the constraint itself, although the language is
not generally displayed on the diagram (the tool keeps track of it).
For a list of elements represented by text strings in a compartment (such as the
attributes within a class): A constraint string may appear as an entry in the list
(Figure 14-95). The entry does not represent a model element. It is a running con-
straint that applies to all succeeding elements of the list until another constraint
list element or the end of the list. The running constraint may be replaced by an-
other running constraint later in the list. To clear the running constraint, replace it
by an empty constraint. A constraint attached to an individual list element does
not replace the running constraint but may augment it with additional restric-
tions.
For a single graphical symbol (such as a class or an association path): The con-
straint string may be placed near the symbol, preferably near the name of the sym-
bol, if any.
For two graphical symbols (such as two classes or two associations): The con-
straint is shown as a dashed arrow from one element to the other element labeled
by the constraint string (in braces). The direction of the arrow is relevant informa-
tion within the constraint (Figure 14-96).
For three or more graphical symbols: The constraint string is placed in a note
symbol and attached to each symbol by a dashed line (Figure 14-96). This nota-
tion may also be used for the other cases. For three or more paths of the same kind
(such as generalization paths or association paths), the constraint may be attached
Figure 14-95. Constraints within lists
ATM Transaction
{ value ≥ 0 }
amount: Money { value is multiple of $20 }
balance: Money
running constraint
individual constraint and running constraint
only running constraint applies

Dictionary of Terms constraint •287
to a dashed line crossing all the paths. In case of ambiguity, the various lines may
be numbered or labeled to establish their correspondence to the constraint.
The language of a constraint is usually not shown. It may be shown by placing
the name of the language inside braces, all within the braces for the constraint it-
self and preceding the body of the constraint.
Discussion
A constraint makes a semantic statement about the model itself, whereas a com-
ment is a text statement without semantic force and may be attached to either a
model element or a presentation element. Both constraints and comments may be
displayed using notes. In principle, constraints are enforceable by tools. In prac-
tice, some may be difficult to state formally and may require human enforcement.
In the broad sense of the word, many elements in a model are constraints, but the
word is used to indicate semantic statements that are difficult to express using the
built-in model elements and that must be stated linguistically.
Constraints may be expressed in any suitable language or even in human lan-
guage, although a human-language constraint cannot be verified by a tool. The
OCL language [Warmer-99] is designed for specifying UML constraints, but un-
der some circumstances a programming language may be more appropriate.
Because constraints are expressed as text strings, a generic modeling tool can
enter and maintain them without understanding their meaning. Of course, a tool
Figure 14-96. Constraint notation
Person Company
boss
{self.employer =
self.boss.employer}
employer
worker employee
0..1
∗∗0..1 Represents
an incorporated entity.
constraint in a note:
lines to the affected class
comment,
not a constraint
binary constraint: attached to dashed arrow
Account
Person
Corporation
{xor}
personalOwner
corporateOwner
account
account
288 •construction Dictionary of Terms
or an add-in that verifies or enforces the constraint must understand the syntax
and semantics of the target language.
A list of constraints can be attached to the definition of a stereotype. This indi-
cates that all elements bearing the stereotype are subject to the constraint.
Enforcement. When the model contains constraints, it does not necessarily tell
what to do if they are violated. A model is a declaration of what is supposed to
happen. It is the job of the implementation to make it happen. A program might
well contain assertions and other validation mechanisms, but a failure of a con-
straint must be considered a programming failure. Of course, if a model can help
to produce a program that is correct by construction or can be verified as correct,
then it has served its purpose.
construction
The third phase of a software development process, during which the detailed de-
sign is made and the system is implemented and tested in software, firmware, and
hardware. During this phase, the analysis view and the design view are substan-
tially completed, together with most of the implementation view and some of the
deployment view.
See development process.
constructor s156 s174 s177
An operation that creates and initializes an instance of a class. May be used as an
operation stereotype.
See creation, instantiation.
container
An object that exists to contain other objects, and which provides operations to ac-
cess or iterate over its contents, or a class describing such objects. For example,
arrays, lists, and sets.
See also aggregation, composition.
Discussion
It is usually unnecessary to model containers explicitly. They are most often the
implementation for the “many” end of an association. In most models, a multi-
plicity greater than one is enough to indicate the correct semantics. When a design
model is used to generate code, the container class used to implement the associa-
tion can be specified for a code generator using tagged values.
Dictionary of Terms continuation •289
context s7 s54 s280 s380
A view of a set of modeling elements that are related for a purpose, such as to exe-
cute an operation or form a pattern. A context is a piece of a model that constrains
or provides the environment for its elements. A collaboration provides a context
for its contents.
As a specific term in the metamodel, the word is used for:
• The namespace in which a constraint is evaluated.
• The classifier that directly owns a behavior or that indirectly owns an action
within the behavior.
See structured classifier.
continuation s414-416
A label in an interaction that allows conditionals to be broken into two pieces and
semantically combined.
Semantics
A continuation is a label that may appear as the final element in an operand of a
conditional fragment in a sequence diagram. The same label may appear as the
first element of an operand of a different conditional fragment. Intuitively, if con-
trol reaches the label at the end of the region in the first conditional, it may resume
at the corresponding label at the beginning of the region in the second conditional.
The labels in the two conditionals effectively connect the two conditionals into a
single virtual conditional. The construct is useful if one of the conditionals is em-
bedded in a referenced subdiagram and therefore cannot be combined with the
second conditional.
Notation
A continuation is shown as the same symbol as a state, that is, a rectangle with
rounded corners containing the name of the continuation. A pair of correspond-
ing continuations must cover the same set of lifelines.
Example
Figure 14-97 shows matching continuations at the end and beginning of condi-
tionals. Figure 14-98 expands the example to show an equivalent model that has
the same meaning.

290 •continuation Dictionary of Terms
Figure 14-97. Continuations
Figure 14-98. Interpretation of continuations
:Tech :Tester :Tech :Tester
accept
reject
alt
sd Service
request
sd Test
submit
alt
perform
tests
error report
success
failure
[fail]
[succeed]
good
bad
good
bad
Test
ref
continuation continuation
:Tech :Tester
accept
reject
alt
sd Service
request submit
perform
tests
error report
success
failure
[fail]
[succeed]
Dictionary of Terms control flow •291
control flow s265 s280-281 s315-316
A sequencing constraint on the execution of activity nodes.
See also data flow.
Semantics
An activity is a graph of activity nodes and activity edge. An activity node is a basic
action, an object node, a control node, or a higher-level grouping of nodes. An ac-
tivity edge is a relationship that governs the flow of data and control between two
nodes. A node may have input and output edges. A node may begin execution only
when all the prerequisites specified by its input edges are satisfied.
A control flow is an edge that specifies flow of control rather than data. If a node
has an input control flow, it may begin execution only after the node at the other
end of the edge has completed execution. (Certain kinds of control nodes may be-
gin execution when a designated subset of nodes has tokens.) The control flow is
an outgoing edge of the other node. In other words, when a node completes execu-
tion, a control token is placed on each of its output control flows. If control flow
serves as an input edge of another node, the node becomes enabled after all of its
input edges contain tokens. If a node has several input edges, the node synchro-
nizes execution of all of its input threads. Some kinds control nodes execute when
a subset of their input edges contain tokens; the enabling rules are described for
each kind of control node.
A control flow may be regarded as a degenerate data flow edge without any data,
so the sequencing rules can be expressed in terms of tokens on edges.
Notation
Control flow in an activity diagram is shown as a solid arrow from one node to an-
other. The control flow is an output of the node at the tail of the arrow and an in-
put of the node at the arrowhead.
Example
In Figure 14-99, receive order has two output control flows. When it completes,
ship order and bill customer become enabled because they each have a single input
control flow. These activities may execute concurrently. When both of them com-
plete, send confirmation becomes enabled.
History
Control flow and data flow have been added as part of the greatly expanded activ-
ity model of UML2.

292 •control node Dictionary of Terms
control node
A activity node in an activity whose purpose is to coordinate control flows and
object flows among other nodes; a specific flow-of-control construct.
See also activity.
Semantics
In an activity, simple flow of control from one node to another is modeled using
control flow edges and data flow edges. An action begins execution when it re-
ceives tokens on all its input edges; when it completes execution, it produces to-
kens on all its output edges. More complex forms of control are modeled using
control nodes, some of which do not require or produce tokens on all of their
edges. Control nodes model decisions, concurrent forks, and starting and stopping
an activity. Structured conditionals and loops are modeled using structured activ-
ity nodes. (These are not called control nodes in the UML2 metamodel, but they
also model complex flow of control).
Kinds of control nodes
The following are the kinds of activity nodes that model complex control:
Decision. A decision node has one input edge and multiple output edges. Usually
the output edges have guards. When the input edge is enabled, an output edge
whose guard is true is enabled. Only one output is enabled even if more than one
guard is satisfied. For convenience, one output of the decision may be labeled with
the keyword else. This flow is taken if no other guard is satisfied. If no guard is
true, the model is ill formed.
Figure 14-99. Control flows
Receive order
Ship order Bill customer
Send confirmation
control flow
activity node

Dictionary of Terms control node •293
Usually a decision is paired with a subsequent merge (to form a conditional) or
a previous merge (to form a loop), although decisions and merges may be used to
form patterns of control that are not possible using fully nested control structures.
Care should be taken, however, to avoid meaningless configurations.
A decision is notated as a diamond with one input arrow and two or more out-
put arrows. Each output is labeled with a guard condition (Figure 14-100).
Merge. A merge is a place at which two or more alternate paths of control come to-
gether. It is the inverse of a decision. When any input edge is enabled, the output
edge becomes enabled.
A diamond is the symbol for either a decision or merge. It is a decision if there
are multiple output arrows; it is a merge if there are multiple input arrows
(Figure 14-100).
Fork. A fork node has one input edge and multiple output edges. When the input
edge is enabled, all of the output edges become enabled. In other words, a fork in-
crease the amount of concurrent activity.
Usually a fork is paired with a subsequent join node so that the amount of con-
currency eventually balances, but more complicated situations are possible and
useful. Care should be taken, however, to avoid meaningless situations in which
excess activity tokens are created and not properly joined.
A fork is shown as a heavy line with one input arrow and two or more output
arrows (Figure 14-101).
Figure 14-100. Decision and merge
do/ post charges
[credit account] [cash account]
decision
merge
payment received
entry/ request payment

294 •control node Dictionary of Terms
Join. A join node has two or more input edges and one output edge. When all of
the input edges are enabled, the output edge becomes enabled. In other words, a
join decreases the amount of concurrency.
A join is shown as a heavy line with two or more input arrows and one output
arrow (Figure 14-101).
A join and a fork can be combined by drawing a heavy line with multiple input
arrows and multiple output arrows.
Forks and joins are not necessary in simpler situations, because multiple edges
leaving or entering a node are equivalent to a fork or a join, but using them makes
the concurrency obvious. (Also note that the convention on multiple edges to a
node has changed since UML1, therefore showing explicit forks/joins and deci-
sions/merge avoids any danger of misunderstanding.)
Initial. An initial node has no input edge and one output edge. An initial node
represents the default starting point for a transition to the containing activity.
When the activity is invoked, the output of the initial node becomes enabled.
An initial node is shown as a small filled circle with an arrow leaving it
(Figure 14-102).
Activity final. An activity final node has one or more input edges and no output
edge. If any of the input edges are enabled, the execution of the enclosing activity is
terminated and any active nodes or flows are aborted. Any outputs produced by
Figure 14-101. Fork and join
Receive order
Ship order Bill customer
Send confirmation
fork
join

Dictionary of Terms control node •295
the activity are organized into a return packet. If the activity was invoked by a syn-
chronous call, a return message is transmitted to the caller with any output values.
It is possible to have multiple activity final nodes. The first one enabled termi-
nates all activity.
An activity final is shown as a small hollow circle containing a smaller filled cir-
cle (a bull’s eye or target symbol) with arrows entering it (Figure 14-102).
Flow final. A flow final node has one or more input edges and no output edge. If
any of the input edges are enabled, their tokens are consumed. This provides a way
to eliminate activity on the exit of a stand-alone loop. However, in most cases it is
cleaner to explicitly join the tokens into another node, so this construct should be
used carefully if at all.
A flow final is shown as a small hollow circle with a small X crossing the circle. It
has one or more arrows entering it (Figure 14-103).
Conditional. A conditional node is a structured control construct with one or
more input edges, one or more output edges, and two or more embedded clauses,
which are subordinate activity fragments. When all the input edges are enabled,
the tests of the clauses are evaluated and exactly one clause is selected for execu-
tion. When the clause completes execution, its output values become the output
Figure 14-102. Initial and activity final nodes
Figure 14-103. Flow final node
Fill order Ship order
Ordering
initial node activity final node
Access item Add item to order
[more items in order]
[no more
items in order]
flow final node
stream of tokens
296 •copy Dictionary of Terms
values of the conditional itself, and the output edges of the conditional become en-
abled. For full details, see conditional node.
Loop. A loop node is a structured control construct with one or more input edges,
one or more output edges, and three embedded activity fragments, one each for
setup, testing, and loop body. When all the input edges are enabled, the setup part
is executed, then the body part is executed repeatedly as long as the test part yields
a true output value. When the test is false, the output values from the body become
the output values of the loop itself, and the output edges of the conditional be-
come enabled. See loop node for full details.
Other constructs. In addition to the preceding, some other constructs that are not
considered control nodes perform functions that have control aspects.
See exception handler, expansion region, interruptible activity region.
copy
The copy stereotype from UML1 has been retired.
coregion s413 s437 s439
A notational convenience in which an area of a lifeline may be bracketed to indi-
cate that the order of events in that area is unconstrained.
Semantics
A coregion is equivalent to a parallel construct in which each event on a lifeline be-
longs to a separate concurrent region of the parallel construct.
Notation
A coregion is indicated by a matched pair of square brackets on a lifeline, with the
coregion being the section of the lifeline between the concave sides of the brackets.
Events within the bracketed region may occur in any order, even though they are
ordered along the line itself
Example
Figure 14-104 shows a referee and two players. The referee notifies both players to
get ready. Each player must acknowledge with a ready message. It does not matter
which order the messages are received by the referee. Both messages must be re-
ceived before proceeding. Therefore, the receipt of the ready messages is placed
within a coregion. After both messages are received, the referee instructs the play-
ers to go.

Dictionary of Terms creation •297
create (stereotype of BehavioralFeature)
A behavioral feature that creates an instance of the classifier containing the feature.
See creation, usage.
create (stereotype of Usage Dependency)
A dependency denoting that the client classifier creates instances of the supplier
classifier.
See creation, usage.
create action
An action whose execution creates a new object of a given type. The properties of
the object are not initialized by the action.
See action.
creation s177 s430 s471
The instantiation and initialization of an object or other instance (such as a use
case instance). Antonym: destruction.
See also instantiation.
Semantics
Creation of an object is the result of an action that instantiates the object. Creation
may be modeled at different levels: a raw creation action or a higher-level opera-
tion that invokes the action and then initializes the new object. A creation opera-
tion may have parameters that are used for initialization of the new instance. At
Figure 14-104. Coregion
referee player1 player2
get ready
get ready
ready
ready
go
go
coregion
298 •creation Dictionary of Terms
the conclusion of the creation operation, the new object obeys the constraints of
its class and may receive messages.
A creation operation, or constructor, may be declared as a class-scope opera-
tion. The target of such an operation is (conceptually, at least) the class itself. In a
programming language such as Smalltalk, a class is implemented as an actual run-
time object and creation is therefore implemented as a normal message to such an
object. In a language such as C++, there is no actual run-time object. The opera-
tion may be thought of as a conceptual message that has been optimized away at
run time. The C++ approach precludes the opportunity to compute the class to be
instantiated. Otherwise, each approach can be modeled as a message sent to a
class. (This assumes that a class can be treated as an object, which is a semantic
variation point.)
The initial value expressions for the attributes of a class are (conceptually) eval-
uated at creation, and the results are used to initialize the attributes. The object
creation action does not explicitly evaluate the expressions, but some UML pro-
files automatically invoke them on creation. The code for a creation operation can
explicitly replace these values, so initial value expressions should be regarded as
overridable defaults.
Creation may be treated at two levels: the creation of a raw object with the cor-
rect type and property slots but without initialization of values, and the creation of
a fully formed object that satisfies all constraints. The former may be modeled by a
create action. The latter may be modeled with an operation that includes a create
action as well as actions to initialize the property values of the object. Although
both levels could be included in a model, most models will probably use one level
or the other.
Within a state machine, the parameters of the creation operation that created an
object are available as an implicit current event on the transition leaving the top-
level initial state.
Notation
In a class diagram, a creation operation (constructor) declaration is included as
one of the operations in the operation list of the class. It may have a parameter list,
but the return value is implicitly an instance of the class and may be omitted. As a
class-scope operation, its name string must be underlined (Figure 14-105). If an
instance-scope operation of a class creates an instance of another class, its name
string is not underlined.
A prototype of the created instance may be shown as an object symbol (rectan-
gle with underlined name). A dashed arrow with open arrowhead goes from the
object symbol to the creation operation. The arrow has the stereotype «create».
A creation operation execution within a sequence diagram is shown by drawing
a message arrow, with its open arrowhead on a lifeline top rectangle. Below the

Dictionary of Terms critical region •299
rectangle is the lifeline for the object (dashed line or double solid line, depending
on whether it is active), which continues until the destruction of the object or the
end of the diagram. If a synchronous call creates an object and then transfers con-
trol to it, however, a filled arrowhead is used (Figure 14-106).
See also communication diagram and sequence diagram for notation to show
creation within the implementation of a procedure.
critical s411
Keyword for a critical region construct.
critical region s411
A combined fragment in an interaction whose events may not be interleaved with
events from concurrent regions.
Semantics
A critical region has one subfragment. A sequence of events on a single lifeline in
the critical region must not be interleaved with any other events in other regions.
Figure 14-105. Creation operation
Figure 14-106. Creation sequence diagram
Account
balance: Money = 0
name: String
open (theName: String)
creation operation
initial value
:Account
balance = 0
name = theName
«create»
a: Account
creation, no call
open (name)
lifeline
return
new object
a: Account
activation

300 •critical region Dictionary of Terms
There is no constraint on events on other lifelines, so this does not preclude
concurrent activity that does not affect the critical region. This construct overrides
a parallel construct that would otherwise permit interleaving.
Notation
A critical region is shown as a rectangle with the tag critical in a pentagon in the
upper left corner. Lifelines that traverse the rectangle are covered by the critical re-
gion. All events within the rectangle are part of the noninterruptible sequence
defined by the region. Events on lifelines outside the rectangle are not covered by
the region, therefore their order is not constrained by the critical region.
Example
Figure 14-107 shows part of a DVD player sequence diagram (with much detail
omitted). In the main loop, the player repeatedly displays frames. At any time (be-
cause it is within a parallel construct), the user can send a pause message to the
player. After the user sends a pause message, the user sends a resume message.
Because the pause-resume sequence is within a critical region, no display frame
messages may intervene. The player therefore stops displaying frames until the re-
sume message occurs.
Figure 14-107. Critical region
user dvd
loop displayFrame
par
loop
pause
resume
critical

Dictionary of Terms current event •301
current event s401 s484 s491-492 s500
The event that triggered a run-to-completion step in the execution of a state
machine.
See also run-to-completion, state machine, transition.
Semantics
A state machine may traverse several connected transition segments in response to
an event. All but the final transition segment go to pseudostates—that is, dummy
states whose purpose is to help structure the state machine, but which do not wait
for outside events. In principle, all the segments could be gathered into one transi-
tion, but the separation into multiple segments using pseudostates permits com-
mon subsequences to be shared among multiple transitions.
The execution of a chain of transition segments is part of a single run-to-com-
pletion step that may not be interrupted by an outside event. During the execution
of such a chain of transitions, actions and guard conditions attached to segments
have implicit access to the event that triggered the first segment and to the param-
eters of that event. This event is known as the current event during a transition.
The current event is particularly useful for the initial transition of a new object
to obtain the creation parameters. When a new object is created, the event creating
it becomes the current event and its parameters are available during the initial
transition of the new object’s state machine.
Notation
Parameters of the current event may use the format:
event-name . attribute name
Example
Figure 14-108 shows a transition from the Idle state to the Purchase state triggered
by the request event. The entry action of Purchase calls the setup operation,
which uses the product parameter of the current event.
Figure 14-108. Use of current event
entry / setup (request.product)
Purchase
Idle
request (product)
302 •data flow Dictionary of Terms
data flow
A relationship in an activity between activity nodes that supply and consume data
values and, implicitly, the control sequencing constraint implied by the
relationship.
Semantics
An activity is a graph of activity nodes and activity edges. An activity node is a ba-
sic action or a higher-level group of actions. An activity edge is a relationship that
governs the flow of data and control between two nodes. A node may have input
and output edges. An node may begin execution only when all the prerequisites
specified by its input edges are satisfied, including the presence of all required data
values and all required control tokens. Actions require tokens on all input edges.
Some kinds of control nodes require inputs on a designated subset of input edges.
A object flow edge specifies the flow of data rather than just control. If a node
has an input object flow edge, the data value is an input parameter of the node.
The node may begin execution only after a data value has been produced by the
node at the supplier end of the edge. The object flow edge is an outgoing edge of
the other node. In other words, when a node completes execution, a data token is
placed on each of its output object flow edges. If a successor node uses the object
flow edge as an input parameter, the node becomes enabled after data values are
available on all of its input object flow edges and control tokens are available on all
of its input control flow edges (with the exception of certain kinds of control nodes
that explicitly join flow of control from one of several inputs).
Data values on edges are individual copies that are not shared or stored in a cen-
tral repository. Values may include references to objects, but in that case the object
is separate from the value and not part of the data token. A target of an object flow
edge uses the value by consuming it.
Data flow implies control flow, because a node may not execute until all of its
data input values are available. A control flow may be regarded as a degenerate ob-
ject flow edge without any data, so the sequencing rules can be expressed in terms
of tokens on edges.
Notation
Data flow is shown by a solid arrow with a stick arrowhead between pins on activ-
ity nodes. Alternately, it may also shown by an object node symbol (rectangle)
between two activity nodes, with a solid arrow from the source node to the object
node and another solid arrow from the object node to the target node. See
Figure 14-109.
See object flow, object node, and pin for notation and examples.

Dictionary of Terms data store node •303
History
Control flow and data flow have been added as part of the greatly expanded activ-
ity model of UML2.
data store node s318
A central buffer node for persistent information.
Semantics
A data store node is an object node that can accept input values from various
sources and can send output values to various destinations. Usually the input flows
and the output flows are disconnected. In other words, a value is deposited in the
data store by one thread of control and removed later by a different thread of con-
trol. In a data store, the persistence of the data may exceed the life of the thread
that created the data. If the containing activity terminates or executes an activity fi-
nal node, the tokens in the data store are destroyed.
Notation
A data store node is shown as a rectangle containing the keyword «datastore»
above the name of the data store. Data store instance nodes may also be shown by
underlying the name string of the node.
Example
Figure 14-110 shows a bank account that accepts deposits and withdrawals. The
two actions occur independently in different threads of control in the same activ-
ity. They need not correspond.
Figure 14-109. Data flows
order
Process
Order
prices
Ship Order
Bill Order
Part list
Invoice
explicit pins
object node
Implicit pins on both actions

304 •data type Dictionary of Terms
data type
A descriptor of a set of values that lack identity (independent existence and the
possibility of side effects). Data types include primitive predefined types and user-
definable types. Primitive types include numbers, strings, and Boolean values.
User-definable types are enumerations. Anonymous data types intended for im-
plementation in a programming language may be defined using language types
within profiles.
See also classifier, identity.
Semantics
Data types are the predefined primitives needed as the foundation of user-
definable types. Their semantics are mathematically defined outside the type-
building mechanisms in a language. Numbers are predefined. They include inte-
gers and reals. Strings are also predefined. These data types are not user-definable.
Enumeration types are user-definable finite sets of named elements that have a
defined ordering among themselves but no other computational properties. An
enumeration type has a name and a list of enumeration constants. The enumera-
tion type Boolean is predefined with the enumeration literals false and true.
Operations may be defined on data types, and operations may have data types
as parameters. Because a data type has no identity and is just a pure value, opera-
tions on data types do not modify them; instead, they just return values. It makes
no sense to talk of creating a new data type value, because they lack identity. All
data type values are (conceptually) predefined. An operation on a data type is a
query that may not change the state of the system but may return a value.
A data type may also be described by a language type—a data type expression in
a programming language. Such an expression designates an anonymous data type
in a target programming language. For example, the expression Person* (*) (String)
denotes a type expression in C++ that does not correspond to a simple data type
with a name. Language types are not defined in the UML specification, but they
would have to be added by a profile for a particular language.
Figure 14-110. Data store node
Account
«datastore»
deposit withdraw
Dictionary of Terms decision node •305
data value
An instance of a data type, a value without identity.
See also data type, object.
Semantics
A data value is a member of a mathematical domain—a pure value. Two data val-
ues with the same representation are indistinguishable; data values have no iden-
tity. Data values are passed by value in a programming language. It makes no sense
to pass them by reference. It is meaningless to talk about changing a data value; its
value is fixed permanently. In fact, it is its value. Usually, when one talks of chang-
ing a data value, one means changing a variable that holds a data value so that it
holds a new data value. But data values themselves are invariable.
decision s319
A control node in an activity. See decision node.
decision node s319
A control node in an activity that passes control and data to one of several outputs.
See also branch, merge.
Semantics
A decision node has one input and two or more outputs. The input value is used to
evaluate guard conditions on each of the outputs. If a guard condition evaluates
true, the corresponding output is eligible for selection. Exactly one eligible output
is chosen to receive a copy of the input value. If more than one guard condition
evaluates true, the choice of output is nondeterministic. If no guard condition is
true, the model is ill formed.
One of the guard conditions may have the special condition else. An output
with an else condition is selected if no other condition is true.
A decision input behavior may be attached to the node. This behavior has one
input and one output. The input must be the same type as the input of the deci-
sion node. When the decision node receives a value, the decision input behavior is
invoked with the input value of the decision node as its argument. The output
value of the behavior may be referenced in guard conditions on the outputs of the
decision node. The behavior may be invoked multiple times, therefore it must not
have any side effects.

306 •decision node Dictionary of Terms
Notation
A decision node is shown as a diamond with one input arrow and two or more
output arrows. Usually most of the output arrows have guard conditions in square
brackets. The special guard condition [else] may be placed on one output arrow.
A decision input behavior is shown as a note symbol (dog-eared rectangle) with
the keyword «decisionInput» above a string for the expression for the behavior.
Example
Figure 14-111 shows a decision node operating on the output of a previous activ-
ity. Figure 14-112 shows the same example using a decision input expression to
avoid repeating a calculation in each branch.
Figure 14-111. Decision node
Figure 14-112. Decision node with decision input expression
[account.balance > 0] [account.balance < 0]
find account
[else]
Account
decision node
condition
[ > 0] [< 0]
find account «decisionInput»
account.balance
[= 0]
Account
decision input expression
Dictionary of Terms deferred event •307
default value s74 s89 s90
A value supplied automatically for a parameter if no argument value is provided.
See parameter.
Also used (somewhat misleadingly) to mean an initial value for an attribute of a
newly created object. See initial value.
See also unspecified value.
Notation
A default value for an operation or an attribute is specified by placing an equal
sign (=) followed by an expression string after the specification for the element.
For example:
makeRectangle (center: Point, width: Real, height: Real, angle: Real = 0)
deferrable event s479 s481-482 s492 s503-504
An event whose recognition may be deferred while a state is active.
See deferred event.
deferred event s479 s481-482 s492 s503-504
An event whose occurrence has been deferred because it has been declared to be a
deferrable event in the active state. See also state machine, transition.
Semantics
A state may designate a set of events as deferrable. If an event occurs while an ob-
ject is in a state for which the event is deferrable and the event does not trigger a
transition, the event is deferred: The event has no immediate effect; it is saved until
the object enters a state in which the given event is not deferred. If other events oc-
cur while the state is active, they are handled in the usual way. When the object en-
ters a new state, deferred events that are no longer deferrable then occur one at a
time and may trigger transitions in the new state (the order of occurrence of previ-
ously deferred events is indeterminate, and it is risky to depend on a particular or-
der of occurrence). If no transition in the undeferrable state is triggered by an
event, it is ignored and lost.
Deferrable events should be used with care in ordinary state machines. They can
often be modeled more directly by a concurrent state that responds to them while
the main computation is doing something else. They can be useful to allow com-
putations to be sequentialized without losing asynchronous messages.
If a state has a transition triggered by a deferrable event, then the transition
overrides the deferral and the event triggers the transition, notwithstanding the
deferrable specification.

308 •deferred event Dictionary of Terms
Notation
A deferrable event is indicated by an internal transition on the event with the re-
served word defer in place of the action. The deferral applies to the state and its
nested substates (Figure 14-113).
Figure 14-114 shows steps in making a pot of coffee. The sequence starts when
the machine is turned on. The coffee drinker has to grind the coffee and wait for
the machine to heat up before brewing the coffee. These might complete in either
order. In this model, we treat grinding the coffee as a do activity. In case the ma-
chine is ready before the coffee has been ground, the machine ready event is de-
ferred in the Preparing state. Otherwise the coffee grinding would be interrupted
by the machine ready event. When grinding is complete, the do activity terminates
and the completion transition takes the system to the Waiting state. After grinding
Figure 14-113. Deferrable event
Figure 14-114. Deferrable event example
Wait Process
order ready
order ready / defer
order processed
do / process order
If order ready occurs here,
it is deferred until the transition to Wait.
Machine
Idle
Preparing
machine ready
machine ready / defer
turn on machine
do / grind coffee
Waiting
Brewing
do / brew coffee
If the machine becomes ready now,
we do not want to cancel grinding the coffee.
Therefore, the machine-ready event is deferred.
The machine-ready event acts now
even if it occurred during the previous
state.
Dictionary of Terms delegation connector •309
the coffee, it is necessary to wait until the machine is ready. If the machine ready
event has already occurred during the previous state, it will trigger the machine
ready transition immediately when the Waiting state is entered, otherwise the sys-
tem will remain in the Waiting state until the event occurs.
A deferrable event is a way to model a necessary event that might arrive before
or after another necessary event.
delegation s7
The ability of an object to issue a message to another object in response to a mes-
sage. Delegation can be used as an alternative to inheritance. In some languages
(such as self), it is supported by inheritance mechanisms in the language itself. In
most other languages, such as C++ and Smalltalk, it can be implemented with an
association or aggregation to another object. An operation on the first object in-
vokes an operation on the second object to accomplish its work. Contrast:
inheritance.
Although most models assume a traditional view of inheritance, the UML reso-
lution mechanism that determines the effect of invoking an operation is written in
a general way so that behavior such as delegation can be used if desired. The inclu-
sion of delegation in UML would therefore be a semantic variation point.
See also delegation connector.
delegation connector s138 s143-145
A connector between an external port of a structured classifier or component and
an internal part. Connections to the external port are treated as going to the ele-
ment at the other end of the delegation connector.
Semantics
A delegation connector connects an external port of a component with a port on
one of its internal subcomponents. A message from an external source received by
the external port is passed to the port on the internal component; a message from
an internal source received by an internal port is passed to the external port and
thence to the component connected to it. Delegation connectors permit the imple-
mentation of high-level operations by low-level components.
Delegation connectors must match elements of the same polarity, that is, re-
quired elements to required elements or provided elements to provided elements.
The interface of the element receiving a delegated message must include the mes-
sage types that can be produced by the element producing a delegated message. An
external port may delegate to a set of elements that together cover the element
types of the external port. At run time, the delegated message is delivered to any
and all delegation elements that match the run-time message type.

310 •dependency Dictionary of Terms
Notation
A delegation connector is shown as a line between the external port and the inter-
nal port or component. An arrow may be drawn in the direction of message trans-
mission, that is, from an external provided port to an internal provided element or
from an internal required port or element to an external required port. If a port
represents a complex interface (both required and provided interfaces), a simple
line is used.
Example
Figure 14-115 shows the internal decomposition of a television. It has 3 external
ports: set channel, set volume, and display settings. The external port set channel
delegates to a port on the internal component of type Tuner. The external port set
volume delegates to a port on the internal component of type Amplifier. Internal
ports for display settings on both the Tuner and the Amplifier components dele-
gate to the external port display settings.
dependency s108
A relationship between two elements in which a change to one element (the sup-
plier) may affect or supply information needed by the other element (the client).
This is a term of convenience that groups together several different kinds of mod-
eling relationships.
See relationship (Table 14-3) for a full chart of UML relationships.
Semantics
A dependency is a statement of relationship between two elements in a model or
different models. The term, somewhat arbitrarily, groups together several different
kinds of relationships, much as the biological term invertebrate groups together all
phyla except Ver tebrata.
Figure 14-115. Delegation connectors
:Tuner
:Amplifier
set channel
set volume
display settings
TV
Dictionary of Terms dependency •311
In a case in which the relationship represents an asymmetry of knowledge, the
independent elements are called suppliers and the dependent elements are called
clients.
A dependency may have a name to indicate its role in the model. Usually, how-
ever, the presence of the dependency itself is sufficient to make the meaning clear,
and a name is redundant. A dependency may have a stereotype to establish the
precise nature of the dependency, and it may have a text description to describe it-
self in full detail, albeit informally.
A dependency between two packages indicates the presence of at least one de-
pendency of the given kind between an element in each of the packages (except for
access and import that relate packages directly). For example, a usage dependency
between two classes may be shown as a usage dependency between the packages
that contain them. A dependency among packages does not mean that all elements
in the packages have the dependency—in fact, such a situation would be rare. See
package.
Dependencies are not necessarily transitive.
Note that association and generalization fit within the general definition of de-
pendency, but they have their own model representation and notation and are not
usually considered to be dependencies. Template binding also has its own repre-
sentation. Element import also has its own representation.
Dependency comes in several varieties that represent different kinds of relation-
ships: abstraction, permission, and usage.
Abstraction. An abstraction dependency represents a shift in the level of abstrac-
tion of a concept. Both elements represent the same concept in different ways.
Usually one of the elements is more abstract, and the other is more concrete, al-
though situations are possible when both elements are alternative representations
at the same level of abstraction. From least specific to most specific relationships,
abstraction includes the stereotypes trace dependency, refinement (keyword
refine), realization (which has its own metaclass and special notation), derivation
(keyword derive), and substitution (a special case of realization).
Permission. A permission dependency (keyword permit) relates an element, such
as a package or class, to another element to which it is granted permission to use
the private contents. For example, the C++ friend construct could be modeled as a
permission dependency between an operation and a class.
Usage. A usage dependency (keyword «use») connects a client element to a sup-
plier element, the change of which may require a change to the client element. Us-
age often represents an implementation dependency, in which one element makes
use of the services of another element to implement its behavior. Stereotypes of us-
age include call, creation (keyword create), instantiation (keyword instantiate),
and send. This is an open list. Other kinds of usage dependency may occur in vari-
ous programming languages.

312 •deployment Dictionary of Terms
Notation
A dependency is shown as a dashed arrow between two model elements. The
model element at the tail of the arrow (the client) depends on the model element
at the arrowhead (the supplier). The arrow may be labeled with an optional key-
word, to indicate the kind of dependency, and an optional name (Figure 14-116).
Several other kinds of relationships use a dashed arrow with a keyword, al-
though they do not fit the definition of dependency. These include binding, use
case extend and include, and the attachment of a note or constraint to the model
element that it describes. If a note or constraint is one of the elements, the arrow
may be suppressed because the note or constraint is always the source of the arrow.
deployment s183-200
The assignment of software artifacts to physical nodes during execution.
Semantics
Artifacts model physical entities, such as files, scripts, database tables, text docu-
ments, and web pages. Nodes model computational resources, such as computers
and disk drives. A deployment is the assignment of an artifact or set of artifacts to
a node for execution.
A manifestation dependency relates an artifact to the logical element that it im-
plements.
Device and execution environment are kinds of nodes. The distinction among
kinds of nodes is rather vague and could probably be ignored.
A communication path is an association between nodes allowing them to ex-
change messages and signals. Networks can be modeled as nodes connected by
communication paths.
Figure 14-116. Some dependencies among classes
«permit»
ClassA ClassB
ClassC
«instantiate»
«call»
ClassD
operationZ()
«permit»
dependency from
an operation to a class

Dictionary of Terms deployment •313
For components, a deployment may own a set of deployment specifications,
each of which contains a string specification of a deployment location within the
node and an execution location. This concept is a hook that requires extension in
profiles to be useful.
Notation
Deployment is shown by the graphical nesting of an artifact symbol within a node
symbol Figure 14-117. Alternately, a dashed arrow may be drawn from the artifact
symbol to the node symbol with the keyword «deploy». Deployments may be
shown at the type level or the instance level by the use of classifier or instance spec-
ification symbols (nonunderlined or underlined name strings, respectively).
A deployment specification is shown as a rectangle symbol with the keyword
«deploymentSpec». Values of particular parameters can be listed. A dashed arrow
is drawn from the rectangle to the artifact whose deployment it describes.
History
Deployment has been repositioned in UML2 to apply to artifacts rather than
model elements. The concept of manifestation relates model elements to artifacts.
Figure 14-117. Deployment
centralServer:OrderServer
«artifact»
:PurchaseOrder.jar
«deploymentSpec»
poDeploy.xml
execution = thread
transaction = true
priority = medium
node
artifact
optional
deployment
specification
314 •deployment (phase) Dictionary of Terms
deployment (phase)
That phase of development that describes the configuration of the running system
in a real-world environment. For deployment, decisions must be made about con-
figuration parameters, performance, resource allocation, distribution, and con-
currency. The results of this phase are captured in configuration files as well as the
deployment view. Contrast analysis, design, implementation, and deployment
(phase).
See development process, stages of modeling.
deployment diagram s198-200
A diagram that shows the configuration of run-time processing nodes and the arti-
facts that live on them. A deployment diagram may be at the class level or the
instance level. See deployment.
deployment specification s190
A detailed specification of the parameters of the deployment of an artifact to a
node. See deployment.
deployment view
A view that shows the nodes in a distributed system, the artifacts that are stored on
each node, and the components and other elements that the artifacts manifest.
derivation
A relationship between an element and another element that can be computed
from it. Derivation is modeled as a stereotype of an abstraction dependency with
the keyword derive.
See derived element.
derive (stereotype of Abstraction dependency)
A dependency, the source and target of which are elements, usually, but not neces-
sarily, of the same type. A derive dependency specifies that the source may be
computed from the target. Although the source is logically redundant, it may be
implemented for design reasons, such as efficiency.
See derivation, derived element.
Dictionary of Terms derived element •315
derived element
A element that can be computed from other elements and is included for clarity or
for design purposes even though it adds no semantic information.
See also constraint, dependency.
Semantics
A derived element is logically redundant within a model because it can be com-
puted from one or more other elements. The formula for computing a derived ele-
ment may be given as a constraint.
A derived element may be included in a model for several reasons. At the analy-
sis level, a derived element is semantically unnecessary, but it may be used to pro-
vide a name or a definition for a meaningful concept, as a kind of macro. It is
important to remember that a derived element adds nothing to the semantics of a
model.
In a design-level model, a derived element represents an optimization—an ele-
ment that could be computed from other elements but is physically present in the
model to avoid the cost or trouble of recomputing it. Examples are an intermediate
value of a computation and an index to a set of values. The presence of a derived
element implies the responsibility to update it if the values it depends on change.
Notation
A derived element is shown by placing a slash (/) in front of the name of the de-
rived element, such as an attribute, a rolename, or an association name
(Figure 14-118).
The details of computing a derived element can be specified by a dependency
with the stereotype «derive». Usually, it is convenient in the notation to suppress
the dependency arrow from the constraint to the element and simply place a con-
straint string near the derived element, although the arrow can be included when
it is helpful.
Discussion
Derived associations are probably the most common kind of derived element.
They represent virtual associations that can be computed from two or more fun-
damental associations. In Figure 14-118, for instance, derived association Works-
ForCompany can be computed by composing WorksForDepartment with the
employer composition. An implementation might explicitly include Works-
ForCompany to avoid recomputing it, but it does not represent any additional in-
formation.

316 •derived union Dictionary of Terms
There is a difference with association generalization (Figure 14-33), which rep-
resents two levels of detail for an association. It would not usually be implemented
at both levels. Usually only the child associations would be implemented. Some-
times only the parent association would be implemented, with the child associa-
tions constraining the kinds of objects that can be related.
derived union s83 s86 s90 s92
A property that is specified as the union of all of the other properties that are de-
clared as subsets of it.
Semantics
It is often useful to define an abstract property, such as an association end name, as
the union of a set of specific properties. For example, a family relative could be de-
fined as a sibling, a child, or a spouse. Such a declaration is called a derived union.
It indicates that the derived property is equal to the union of all its explicitly de-
clared subset properties and no more.
A derived union is specified by setting the derived union flag on the abstract
property. Each constituent property is specified with the subset relationship to the
derived union property.
Figure 14-118. Derived attribute and derived association
Person
birthdate
/age
{age = currentDate - birthdate}
Company
Person
Department
WorksForDepartment
/WorksForCompany
{ Person.employer=Person.department.employer }
∗
1
1
1
employer
employer department
∗
∗
This association can
be computed from
two others.
The age attribute can be computed.

Dictionary of Terms descriptor •317
Notation
A derived union property is shown using the property string {union} after its
name. If the property is an association end name, the string may be placed near the
end of the path representing the association. Each subset property is shown using a
property string of the form {subsets uname}, where uname is the name of the
union property.
Example
Figure 14-119 shows the derivation of the relative association from the subset rela-
tionships child-parent, husband-wife, and sibling. Because sibling and relative are
symmetric, we only show one role name; there is no way to declare that an associa-
tion is symmetric. We could build a more complete real world model by adding
additional kinds of relatives, such as cousins.
descendant
A child or an element found by a chain of child relationships; the transitive closure
of the specialization relationship. Antonym: ancestor.
See generalization.
descriptor
A model element that describes the common properties of a set of instances, in-
cluding their structure, relationships, behavior, constraints, purpose, and so on.
Contrast: instance.
Figure 14-119. Derived union
Person
child {subsets relative}
parent {subsets relative}
husband {subsets relative} 0..1
0..1wife {subsets relative} 0..2
0..*
sibling {subsets relative}
0..*
0..* relative {union}
318 •design Dictionary of Terms
Semantics
The word descriptor characterizes model elements that describe sets of individuals,
including instances in the broadest sense. Most of the elements in a model are
descriptors—classes, associations, states, use cases, collaborations, events, and so
on. Sometimes, the word type is used in this meaning, but that word is often used
in a more narrow sense to mean only class-like things. The word descriptor is
meant to include every kind of descriptive element. A descriptor has an intent and
an extent. The structure description and other general rules are the intent. Each
descriptor characterizes a set of instances, which are its extent. There is no as-
sumption that the extent is physically accessible at run time. The major dichotomy
in a model is the descriptor-instance distinction.
An instance model shows elements that are not descriptors.
Notation
The relationship between a descriptor and its instances is usually reflected by using
the same geometric symbol for both, but underlining the name string of an in-
stance. A descriptor has a name, whereas an instance has both an individual name
and a descriptor name, separated by a colon, and the name string is underlined.
design s8
That stage of a system development that describes how the system will be imple-
mented, at a logical level above actual code. For design, strategic and tactical
decisions are made to meet the required functional and quality requirements of a
system. The results of this stage are represented by design-level models, especially
the static view, state machine view, and interaction view. Contrast: analysis, de-
sign, implementation, and deployment (phase).
See stages of modeling, development process.
design model
A model constructed for exploring architecture and implementation choices, as
opposed to understanding domain requirements. Contrast with analysis model,
implementation model. (This is not an official UML term.)
design time s8
Refers to what occurs during a design activity of the software development pro-
cess. Contrast: analysis time.
See modeling time, stages of modeling.
Dictionary of Terms destruction •319
design view
A view of a model that contains a static declaration of the classes, collaboration,
and components in a system, their dependencies, and their internal implementa-
tion at a level above a programming language. The design view is concerned with
issues such as flow of control, data structures, computational complexity, visibility,
and model decomposition for work by multiple teams.
destroy s234-235
To eliminate an object and reclaim its resources. Usually this is an explicit action,
although it may be the consequence of another action, or of a constraint, or of gar-
bage collection. See action, destruction.
destroy (stereotype of BehavioralFeature)
A stereotype denoting that the designated behavioral feature destroys an instance
of the classifier containing the feature.
destruction s234-235
The elimination of an object and the reclaiming of its resources. Conceptually, the
destruction of a composite object leads to the destruction of its composite parts.
Destruction of an object does not automatically destroy objects related by ordi-
nary association or even by aggregation, but any links involving the object are
destroyed with the object.
See also composition, final state, instantiation.
Semantics
Like creation, destruction can be modeled at two levels: a low level action that
destroys the identity and storage for the object, and a higher-level operation that
destroys composite parts owned by the object as well as performing other kinds of
clean up implied by the semantics of a particular class. Both levels can exist within
a model, although most models will probably use one or the other.
Notation
On a sequence diagram, the destruction of an object is shown by a large X on the
lifeline of the object (Figure 14-120). It is placed at the message that causes the ob-
ject to be destroyed or at the point where the object terminates itself. A message
that destroys an object may be shown with the stereotype «destroy».
See sequence diagram (Figure 14-248) for notation to show destruction within
the implementation of a procedure.

320 •determinacy Dictionary of Terms
determinacy
The characteristic of a computation that yields the same value or effect every time
it is executed.
Semantics
Determinacy is often, but not always, a desirable characteristic. In dealing with
real-world interactions, indeterminacy is often an essential part of the semantics.
Even within internal computations, indeterminacy can sometimes be useful, for
example, in producing a game-playing application with unpredictable behavior.
Other times indeterminacy may be harmless because various outcomes may be
equally good and the an indeterminate program may be simpler and faster.
Indeterminacy is related to concurrent behavior in which concurrent threads
share access to the same resource, with at least one thread modifying the resource.
In UML, concurrent behavior can arise from state machines containing orthogo-
nal states, activities with concurrent nodes, or interactions with concurrent life-
lines. Indeterminacy can also arise from overlapping guard conditions on
transitions or conditionals, that is, from a set of guard conditions on a single state
or activity node for which certain values satisfy more than one condition. Accord-
ing to UML semantics, only one branch will be chosen, but the choice is indeter-
minate. The indeterminacy can be removed by ordering the conditions, but
sometimes it does not matter which branch is chosen, and the program is simpler
and often faster if the choice is unconstrained.
Sometimes there is an apparent indeterminacy that cannot occur in practice be-
cause of the actual run-time values. In such cases, the modeler should note the fact
in comments or with assertions so that the intent is clear.
Figure 14-120. Creation and destruction
ob1:C1
«create»
«destroy»
m1()
user
destruction of object
destruction message
creation message creation of object

Dictionary of Terms development process •321
development process s13
A set of guidelines and a partially ordered set of work activities intended to pro-
duce software in a controlled, reproducible manner. The purpose of a software
development process is to ensure the success and quality of a finished system.
See also stages of modeling.
Figure 14-121. Progress after each development phase
Analysis
Design
Implementation
Deployment
Analysis
Design
Implementation
Deployment
Analysis
Design
Implementation
Deployment
Analysis
Design
Implementation
Deployment
Fraction complete Modeling stage
Inception
Elaboration
Construction
Transition
Development phase
322 •device Dictionary of Terms
Discussion
UML is a modeling language, not a process, and its purpose is to describe models
that may be produced by various development processes. For standardization, it is
more important to describe the resultant artifacts of a development than the pro-
cess of producing them. That’s because there are many good ways of building a
model, and a finished model can be used without knowing how it was produced.
Nevertheless, UML is intended to support a wide range of processes.
For details of an iterative, incremental, use-case-driven, architectural-centric
development process that the authors of this book endorse, see [Jacobson-99].
Relationship of modeling stages and development phases
The stages of modeling fit within an iterative development process, which has the
phases inception, elaboration, construction, and transition phase. The phases are
sequential within one release of an application, but each phase includes one or
more iterations. Within an iteration, individual model elements are moved along
the path from analysis toward deployment, each at its own appropriate pace. Al-
though the development phases and the modeling stages are not synchronized,
there is a correlation. In the earlier development phases and the earlier iterations
of a phase, there is more emphasis on the earlier model stages.
Figure 14-121 shows the balance of effort during successive phases and itera-
tions. During inception, the focus is mainly on analysis, with a skeleton of ele-
ments progressing toward design and implementation during elaboration. During
construction and transition, all the elements must eventually be moved to comple-
tion.
device s191-192
A physical computational resource with processing capability upon which artifacts
may be deployed for execution. A device is a kind of node. See node.
Semantics
There is no great difference between a node and a device. Devices are intended to
represent physical computation devices, although the guidelines are vague. The
distinction might be more significant in a profile that defines particular kinds of
devices within a certain execution environment.
Notation
A device is shown as a node symbol (cube image) with the keyword «device» above
the name of the device.
Dictionary of Terms diagram •323
diagram s587-591
A graphical presentation of a collection of model elements, most often rendered as
a connected graph of arcs (relationships) and vertices (other model elements).
UML supports a number of kinds of diagram.
See also background information, font usage, hyperlink, keyword, label, pack-
age, path, presentation element, property string.
Semantics
A diagram is not a semantic element. A diagram shows presentations of semantic
model elements, but their meaning is unaffected by the way they are presented.
Notation
Most UML diagrams and some complex symbols are graphs that contain shapes
connected by paths. The information is mostly in the topology, not in the size or
placement of the symbols (there are some exceptions, such as a timing diagram).
There are three important kinds of visual relationships: connection (usually of
lines to 2-dimensional shapes), containment (of symbols by 2-dimensional closed
shapes), and visual attachment (one symbol being “near” another one on a dia-
gram). These geometric relationships map into connections of nodes in a graph in
the parsed form of the notation.
UML notation is intended to be drawn on 2-d surfaces. Some shapes are 2-d
projections of 3-d shapes, such as cubes, but they are still rendered as icons on a
2-d surface. In the near future, true 3-d layout and navigation may be possible on
desktop machines but it is not currently common.
There are four kinds of graphical constructs used in UML notation: icons, 2-d
symbols, paths, and strings.
An icon is a graphical figure of a fixed size and shape. It does not expand to hold
contents. Icons may appear within area symbols, as terminators on paths, or as
stand-alone symbols that may or may not be connected to paths. For example, the
symbols for aggregation (a diamond), navigability (an arrowhead), final state (a
bull’s eye), and object destruction (a large X) are icons.
Two-dimensional symbols have variable height and width, and they can expand
to hold other things, such as lists of strings or other symbols. Many of them are di-
vided into compartments of similar or different kinds. Paths are connected to 2-d
symbols by terminating the path on the boundary of the symbol. Dragging or de-
leting a 2-d symbol affects its contents and any paths connected to it. For example,
the symbols for class (a rectangle), state (a rounded rectangle), and note (a dog-
eared rectangle) are 2-d symbols.
A path is a sequence of line or curve segments whose endpoints are attached.
Conceptually, a path is a single topological entity, although its segments may be

324 •diagram Dictionary of Terms
manipulated graphically. A segment may not exist apart from its path. Paths are al-
ways attached to other graphic symbols at both ends (no dangling lines). Paths
may have terminators—that is, icons that appear in a sequence on the end of the
path and that qualify the meaning of the path symbol. For example, the symbols
for association (solid lines), generalization (solid lines with a triangle icon), and
dependency (dashed lines) are paths.
Strings present various kinds of information in an “unparsed” form. UML as-
sumes that each usage of a string in the notation has a syntax by which it can be
parsed into underlying model information. For example, syntaxes are given for at-
tributes, operations, and transitions. These syntaxes are subject to extension by
tools as a presentation option. Strings may exist as the content of a compartment,
as elements in lists (in which case the position in the list conveys information), as
labels attached to symbols or paths, or as stand-alone elements on a diagram. For
example, class names, transition labels, multiplicity indications, and constraints
are strings.
A diagram may be presented as a frame containing the graphical contents. The
frame includes the name of the diagram and establishes its extent. A frame is
drawn as a rectangle with a small pentagon (called the name tag) in the upper left
corner. The pentagon contains the type and name of the diagram in the format:
tag name parametersopt
The tag is a word that indicates the kind of diagram. The name is the individual
name of a particular diagram, by which it can be located in a browser. Diagram
names are hierarchical within their package structure. A fully qualified name is
shown as a sequence of names separated by double colons (::), for example:
Acme-Company::Purchasing::OrderEntry.
Certain kinds of diagrams have parameters.
The frame may be omitted when the context is clear and no information is
shown on the boundary. It is an optional presentation capability.
Figure 14-122 shows a package diagram using the frame and tag notation.
Table 14-1 shows UML diagram types and tags.
Figure 14-122. Diagram with frame
package Orders
Order Customer
Item
tag name
frame
contents

Dictionary of Terms direct class •325
Discussion
The UML specification does not consistently describe the tags for each kind of dia-
gram, so we have had to extrapolate. The interactions chapter uses sd for all kinds
of interaction diagrams, which is useless if the different kinds of diagram cannot
be otherwise distinguished and pointless if they can, so we have made adjustments.
direct class
The class that most completely describes an object.
See also class, generalization, inheritance, multiple classification, multiple in-
heritance.
Semantics
An object may be an instance of many classes—if it is an instance of a class, then it
is also an instance of the ancestors of the class. The direct class is the most specific
description of an object, the one that most completely describes it. An object is a
Table 14-1: Diagram tags and diagram types
Tag Na me
activity activity diagram
class class diagram
comm communication diagram
component component diagram
class composite structure diagram
deployment deployment diagram
intover interaction overview diagram
object object diagram
package package diagram
state machine state machine diagram
sd sequence diagram
timing timing diagram
use case use case diagram
326 •direct instance Dictionary of Terms
direct instance of its direct class and an indirect instance of the ancestors of the di-
rect class. An object is not an instance of any descendants of the direct class (by
definition).
If multiple classification is allowed in a system, no single direct class may com-
pletely describe an object. The object may be the combined direct instance of more
than one class. An object is a direct instance of each class that contains part of its
description, provided no descendant also describes the object. In other words,
none of the direct classes of an object have an ancestor relationship to each other.
If a class is instantiated to produce an object, the object is a direct instance of the
class.
direct instance
An instance, such as an object, whose most specific descriptor, such as a class, is a
given class. Used in a phrase like, “Object O is a direct instance of class C.” In this
case, class C is the direct class of object O.
See direct class.
direct substate s478
With respect to a composite state, a state contained by it without being contained
by an intermediate state; a top-level state within a region of a composite state.
See composite state, indirect substate, region, state.
Semantics
A composite state contains one or more regions. Each region directly contains one
or more states. A top-level state of a region is called a direct substate of the compos-
ite state containing the region. The phrase can also be used with respect to a re-
gion. If a composite state is active, exactly one direct substate from each region is
active.
Direct substates themselves may include composite states. Their substates are
called indirect substates of the original composite state. Because some of the direct
or indirect substates may have multiple regions, a state may have multiple active
indirect substates per region.
disjoint
Keyword for a generalization set whose subtypes are incompatible.
See generalization set.
disjoint substate
This UML1 term does not appear in UML2. See direct substate.

Dictionary of Terms do activity •327
distribution unit
A set of objects or components that are allocated to an operating-system process or
a processor as a group. A distribution unit can be represented by a run-time com-
posite or by an aggregate. This is a design concept in the deployment view.
do activity s415 s436-437
Ongoing execution of a behavior that occurs within a state. Contrast: effect, entry
activity, exit activity.
See also completion transition, state.
Semantics
A do-activity is the execution of behavior within a state machine that is based on
holding a given state. The activity starts when the state is entered and continues
until the activity completes on its own or the state is exited. A transition that forces
an exit from the state aborts the do activity. A do-activity is not terminated by the
firing of an internal transition, because there is no change of state. The action of
the internal transition may explicitly terminate it.
A do-activity is an exception to the normal run-to-completion semantics of a
state machine, in that it may continue execution even when the direct execution of
an effect has completed and the state machine handles another event.
Notation
A do activity uses the notation for an internal transition with the reserved word do
in place of the event name:
do / activity-expression
Example
Figure 14-123 shows an alarm system that illustrates the difference between a tran-
sition effect and a do-activity. When the event detect intrusion occurs, the system
fires a transition. As part of the transition firing, the effect summon police occurs.
Figure 14-123. Do-activity
do/ sound alarm
Monitoring detect intrusion / summon police
reset
Sounding
328 •document Dictionary of Terms
No events may be accepted while the action is being executed. After the activity is
performed, the system enters the Sounding state. While the system is in this state,
it performs the sound alarm activity. A do-activity takes time to complete, during
which events might occur that interrupt the do-activity. In this case, the sound
alarm activity does not terminate on its own; it continues as long as the system is
in the Sounding state. When the reset event occurs, the transition fires and takes
the system back to the Monitoring state. When the Sounding state ceases to be ac-
tive, its activity sound alarm is terminated.
document (stereotype of Component)
A component representing a document; a file that is not a source file or an
executable.
See component.
duration s387
A specification of the elapsed time between two events.
duration constraint s387
A constraint on a duration.
Notation
A duration constraint on a sequence diagram may be shown by drawing a vertical
line with open arrowheads at both ends between the vertical position of two
events. An expression for the duration is placed in braces over the center of the ar-
row. The constraint may also be shown as a text expression in braces.
Figure 14-124 shows an example.
duration observation action s387
An action that returns the value of a duration at run time.
Notation
The duration of a message transmission may be shown on a message as:
name = duration
Figure 14-124 shows an example.

Dictionary of Terms dynamic classification •329
Discussion
Although this is stated as an action in the UML specification, in most cases model-
ers would want to make assertions about time without executing run-time actions.
It is probably best to regard this as simply a definition of a name that can be used
in a constraint expression, rather than a real action.
The basic model of interactions make the assumption that time on different life-
lines is independent (an “Einsteinian” assumption). Measuring the duration of a
message transmission requires that the time scales of the two lifelines be the same,
however. In most cases in which issues such as message transmission are a model-
ing issue, some kind of global time scale can be assumed. In cases where the time
skew of different clocks in a real-time system is important, the simple UML time
model is inadequate and a more elaborate time model must be used. It is expected
that real-time profiles will provide various time models.
dynamic classification
A semantic variation of generalization in which an object may change type or role.
Contrast: static classification.
See also multiple classification.
Figure 14-124. Duration constraint
caller: Phone exchange: PBX
lift receiver
dial tone
dial digit r=duration
a = now
b = now
c = now
{<1 sec.}
{<10 sec.}
. . .
d = now
d' = now
route
{d' – d< 5 sec.}
ringing tone
message with duration
duration constraint
time observation
duration constraint
sd conversation
duration constraint
duration observation
{ r < 10 ms }
duration constraint
330 •dynamic concurrency Dictionary of Terms
Semantics
In many programming languages, an object may not change the class from which
it is instantiated. This static classification restriction simplifies implementation
and optimization of compilers, but it is not a logical necessity. For example, under
the static classification assumption, an object instantiated as a circle must remain a
circle; it may not be scaled in the x-dimension, for example. Under the dynamic
classification assumption, a circle that is scaled in one dimension becomes an el-
lipse. This is not regarded as a problem.
Either assumption may be used in a UML model. This is an example of a seman-
tic variation point. The choice affects surprisingly little of a model, although the
differences are important for execution. The same classes must be defined in either
case, but the operations they support may differ in the two cases.
dynamic concurrency s331
This UML1 concept has been replaced by expansion region.
dynamic view
That aspect of a model dealing with the specification and implementation of be-
havior over time, as distinguished from static structure found in the static view.
The dynamic view is a grouping term that includes the use case view, state ma-
chine view, activity view, and interaction view.
edge s293
See activity edge.
effect s454 s498
An action or activity that is executed when a transition fires. The execution has
run-to-completion semantics; that is, no additional events are processed during
the execution.
See transition.
elaboration
The second phase of a software development process, during which the design for
the system is begun and the architecture is developed and tested. During this
phase, most of the analysis view is completed, together with the architectural parts
of the design view. If an executable prototype is constructed, some of the imple-
mentation view is done. See development process.
Dictionary of Terms enabled •331
element
A constituent of a model. This book describes elements that may be used in UML
models—model elements, which express semantic information, and presentation
elements, which provide graphic presentations of model-element information.
Element is the most abstract class in the UML metamodel. An element can own
and be owned by other elements, and it can own comments.
See also diagram, model element.
else s313 s320 s410 s471
A keyword indicating a pseudocondition on a branch that is true if and only if no
other condition is true. It guarantees that a conditional will have at least one valid
choice.
Semantics
The else pseudocondition may be specified on any of the UML branching con-
structs, including: (for activities) conditional node, decision node; (for interac-
tions) conditional fragment; (for state machines) choice node.
Notation
The else pseudocondition is expressed by the string [else].
enabled s281 s492-493
A transition whose prerequisites have been satisfied that is eligible for execution.
Semantics
Before a transition can fire, the owning object must hold the source state of the
transition or one of its descendants and must satisfy the trigger of the transition.
The trigger is satisfied if the object has received and not yet processed an event oc-
currence that matches the trigger. A signal trigger is satisfied by a signal that is a
descendant of the transition trigger. If these conditions occur, the guard condition
of the transition is evaluated in the current context. If the guard condition evalu-
ates true (or if it is absent), the transition is enabled. If the transition has multiple
source states (that is, if it is a join node), the current state configuration must in-
clude all of them.
It may happen that multiple transitions are enabled by the same event. In that
case, one and only one transition will fire. The selection may be nondeterministic.
332 •entity Dictionary of Terms
When a transition is selected for firing, any other enabled transitions cease to be
enabled.
If a transition contains multiple segments that do not include a choice pseu-
dostate, then all triggers and guard conditions on all segments must be satisfied for
the transition to be enabled. The transition does not become enabled one segment
at a time.
A choice pseudostate effectively breaks a transition into two separate transi-
tions. The transition is enabled if the triggers and guard conditions on all segments
before the choice pseudostate are satisfied. The transition remains enabled at the
choice pseudostate. No triggers are allowed past the choice pseudostate. At least
one outgoing segment must satisfy its guard condition so that the transition can
successfully transfer to a target state.
An activity whose prerequisites have been satisfied is also said to be enabled. In
the case of conditional nodes or conflicts over input tokens, multiple activities may
become enabled simultaneously, but only one will be selected for execution unless
their inputs are disjoint.
entity (stereotype of Component)
A persistent information component representing a business concept.
Discussion
This stereotype might have been inspired by the term Entity Bean from the Enter-
prise Java Beans (EJB) community. It is a narrow use of a common word, however,
and conflicts with the use of the word entity in other areas, such as the Entity-
Relationship (ER) model familiar in data bases.
entry activity s479-481
An action performed when a state is entered.
See also exit activity, run-to-completion, state machine, transition.
Semantics
A state may have an optional entry activity attached to it. Whenever the state is en-
tered in any way, the entry activity is executed after any activities attached to outer
states or transitions and before any activities attached to inner states. The entry ac-
tivity may not be evaded by any means. It is guaranteed to have been executed
whenever the owning state or a state nested within it is active.
Execution order. On a transition between two states with exit and entry activity in
which the transition also has an attached activity, the execution order is: Any exit
activities are executed on the source state and its enclosing states out to, but not
Dictionary of Terms entry activity •333
including, the state that encloses both the source and target states. Then the activ-
ity attached to the transition is executed, after which the entry activities are exe-
cuted (outermost first) on the enclosing states inside the common state, down to
and including the target state. Figure 14-170 shows some transitions that have
multiple activities.
Notation
An entry activity is coded using the syntax for an internal transition with the
dummy event name entry (which is therefore a reserved word and may not be used
as an actual event name).
entry / activity
Only one entry activity may be attached to a state, but the activity may be a se-
quence so no generality is lost.
Discussion
Entry and exit activities are not semantically essential (the entry action could be
attached to all incoming transitions) but they facilitate the encapsulation of a state
so that the external use of it can be separated from its internal construction. They
make it possible to define initialization and termination activities, without con-
cern that they might be avoided. They are particularly useful with exceptions, be-
cause they define activities that must be performed even if an exception occurs.
An entry activity is useful for performing an initialization that must be done
when a state is first entered. One use is to initialize variables that capture informa-
tion accumulated during a state. For example, a user interface to allow keypad in-
put of a telephone number or an account number would clear the number on
entry. Resetting an error counter, such as the number of password failures, is an-
other example. Allocating temporary storage needed during the state is another
use for an entry action.
Often, an entry activity and an exit activity are used together. The entry activity
allocates resources, and the exit activity releases them. Even if an external transi-
tion occurs, the resources are released. This is a good way to handle user errors and
exceptions. User-level errors trigger high-level transitions that abort nested states,
but the nested states have an opportunity to clean up before they lose control.
History
This has been renamed from action to activity, with the understanding that its exe-
cution may require time, but otherwise it is not much changed from UML1.

334 •entry point Dictionary of Terms
entry point s459-601 s471-472 s487
Within a state, an externally visible pseudostate that can be the target of an exter-
nal transition. It specifies an internal state within the state that becomes the
effective target state of any such transition.
Semantics
An entry point is an encapsulation mechanism. It allows the definition of alternate
initial states within a state for use by external transitions. They are used when there
is more than one way to enter a state and the default initial substate will not suf-
fice. Each entry point designates an internal state within the owning state. Entry
points have names that are visible externally. An external transition may have an
entry point as its target. A transition connected to an entry point is effectively con-
nected to the designated state as its target, but the external transition need not
know about the internal details of the state in making the connection. This mecha-
nisms is particularly useful with submachines, in which the transition references
the submachine and a direct connection to an inner state would not be possible
without making a recursive copy of the submachine.
Note that the initial substate of a state may be considered equivalent to an entry
point with an empty name.
Regardless of how a state is entered, whether through an entry point, an initial
state, or an explicit transition to an internal substate, the entry activity of the state
is executed before the transfer to the internal state occurs.
Notation
An entry point is shown as a small circle on the boundary of the state symbol. The
name of the entry point is placed near the circle. A solid arrow is drawn from the
circle to the designated internal state within the state symbol.
Figure 14-125. Entry and exit points
chess game
make player white
make player black
play game
playWhite
playBlack
whiteWins
blackWins
draw
entry points
exit points

Dictionary of Terms enumeration •335
Figure 14-125 shows a state representing the playing of a computerized chess
game. Initially the player can choose to play white or black pieces, each of which is
modeled as an entry point. Because of the symmetry, there is no default initial
state. The state also has three exit points, corresponding to a win by white or black
or to a draw.
History
Entry and exit points replace UML1 stubs in a much cleaner UML2 formulation.
enumeration s96-97
A data type whose instances form a list of named literal values. Usually, both the
enumeration name and its literal values are declared.
See also classifier, data type.
Semantics
An enumeration is a user-definable data type. It has a name and an ordered list of
enumeration literal values, each of which is a value in the range of the data type—
that is, it is a predefined instance of the data type.
For example, RGBColor = {red, green, blue}, in which the data type is RGBColor
and its possible values are red, green, and blue. The data type Boolean is a pre-
defined enumeration with the literals false and true.
Enumeration literals can be compared for equality or for relative position in the
list of literals. They are atomic and have no substructure. The enumeration type
may define operations that take literals as arguments and return literals as results.
For example, the various Boolean operations are defined over the values false and
true.
Figure 14-126. Enumeration declaration
Boolean
false
true
and(with:Boolean):Boolean
or(with:Boolean):Boolean
not():Boolean
«enumeration»
enumeration name
enumeration literals, in order
operations on the enumeration (all queries)
unary operation, returns another enumeration value
336 •enumeration literal Dictionary of Terms
Notation
An enumeration is shown as a rectangle with the keyword «enumeration» above
the name of the enumeration type in the upper compartment (Figure 14-126).
The second compartment contains a list of enumeration-literal names. The third
compartment (if present) contains a set of operations on the type. They must all
be queries (which, therefore, do not need to be explicitly declared as such).
enumeration literal s96-97
An instance value of an enumeration type. It has a name and a relative position
within the list of literals of its enumeration type. See enumeration.
event
A type of noteworthy occurrence that has a location in time and space.
See also state machine, transition, trigger.
Semantics
An event is something that happens during execution of a system that is worth
modeling. Within a state machine, an occurrence of an event can trigger a state
transition. An event has a (possibly empty) list of parameters that convey informa-
tion from the creator of the event to its receiver. The time at which the event oc-
curred is implicitly a parameter of every event. Other parameters are part of the
definition of an event.
An occurrence (instance) of an event has an argument (actual value) corre-
sponding to each event parameter. The value of each argument is available to an
action attached to a transition triggered by the event.
Note that events do not explicitly appear in models. A trigger on a state machine
transition specifies an event whose occurrence enables the transition.
There are four kinds of events that can be used in triggers:
call event The receipt of a request to invoke an operation, that is,
the receipt of a call. The expected result is the execution
of the operation by triggering a transition in the receiver.
The trigger specifies the operation. The parameters of the
event are the parameters of the operation and, implicitly,
a return pointer. The caller regains control when the tran-
sition is complete (or immediately if no transition fires).
change event The satisfaction of a Boolean condition specified by an
expression in the event. The trigger specifies a Boolean
condition as an expression. There are no parameters of
Dictionary of Terms event •337
the event. This kind of event implies a continuous test for
the condition. The event occurs when the condition
changes from false to true. In practice, however, the times
at which the condition can be satisfied can often be
restricted to the occurrence of other events, so that poll-
ing is usually not required.
signal event The receipt of a signal, which is an explicit named entity
intended for explicit communication between objects.
The trigger specifies the signal type. The parameters of
the event are the parameters of the signal. A signal is
explicitly sent by an object to another object or set of
objects. A general broadcast of an event can be regarded
as the sending of a signal to the set of all objects, although
in practice, it might be implemented differently for effi-
ciency. The sender explicitly specifies the arguments of
the signal at the time it is sent. A signal sent to a set of
objects may trigger zero or one transition in each of
them.
Signals are explicit means by which objects may com-
municate with each other asynchronously. To perform
synchronous communication, two asynchronous signals
must be used, one in each direction of communication,
or else a synchronous call may be used.
Signals are generalizable. A child signal is derived
from a parent signal; it inherits the parameters of the par-
ent and may add additional parameters of its own. A child
signal satisfies a trigger that specifies one of its ancestors.
time event The satisfaction of a time expression, such as the occur-
rence of an absolute time or the passage of a given
amount of time after an object enters a state. The trigger
specifies the time expression. Note that both absolute
time and elapsed time may be defined with respect to a
real-world clock or a virtual internal clock (in which case,
it may differ for different objects).
There are also various kinds of formal occurrences that might be considered events
from some viewpoints, including initiation of execution, completion of execution,
creation, and destruction.
Notation
See the specific kind of trigger associated with an event for details on notation.
338 •event occurrence Dictionary of Terms
event occurrence
See occurrence, occurrence specification.
Discussion
This term was used for both occurrence and occurrence, which are different. It
may be used as a synonym for occurrence, but the word event is redundant.
exception s72 s76 s96 s225 s227 s242 s281 s305 s322 s352 s357 s367 s395
An indication of an unusual situation raised in response to behavioral faults by the
underlying execution machinery or explicitly raised by an action. The occurrence
of an exception aborts the normal flow of control and causes a search for an excep-
tion handler on an enclosing activity node.
Semantics
An exception is an indication that an abnormal situation has occurred that pre-
vents normal execution from occurring. An exception is usually generated implic-
itly by underlying implementation mechanisms in response to a failure during
execution. For example, an attempt to use an invalid array index to access an array
element may be treated as an exception. An exception can also be explicitly raised
by an action. Such “soft exceptions” can be used to indicate troublesome situations
that are not well handled by the normal processing sequence.
In order that a program can respond correctly to an exception, it is necessary to
know which exception occurred and, in many cases, additional parameters of the
exception. Both of these needs are met by modeling exceptions as objects. The type
of the exception object indicates the nature of the exception. The attributes of the
exception object represent the parameters of the exception. Because different ob-
ject types have different attributes, exceptions can represent exactly as much infor-
mation as needed (unlike mechanisms in some older programming languages in
which exceptions were limited to single values). Because exception types are ordi-
nary classifiers, they can form generalization hierarchies.
Some actions cause exceptions if specified conditions occur during the execu-
tion of the actions. For example, an attempt to access the attribute of a null object
might be specified to raise a “null reference” exception. For each kind of pre-
defined exception type, the conditions that cause it must be specified, together
with an exception type and list of attribute values that are supplied by the execu-
tion machinery if the exception occurs.
There is also an explicit RaiseException action that permits a modeler to raise an
arbitrary exception. The argument to this action is a single object. The type of this
object represents the kind of exception, and its attributes represent the exception
Dictionary of Terms exception •339
parameters. Any class can potentially be used as an exception type, although some
implementations may require that exception types be descended from a designated
root exception class.
When an exception occurs, the execution of the current action is abandoned
without generation of output values. An exception token is created to represent the
parameters of the exception.
A search is performed by the execution machinery to find an exception handler
able to handle the exception. Exception handlers are attached to activity nodes.
Each exception handler designates an exception type that it handles. First, the ac-
tion that raised the exception is examined to see if it has an exception handler. If
so, the body of the exception handler is executed with the exception token as input
value. When the exception handler body completes execution, the output values of
the exception handler replace the (not-yet-generated) output values of the original
action, and execution of the action is considered complete. The exception handler
must have the same number and types of outputs as the action it protects. After
the completion of exception handling, execution of subsequent actions proceeds as
if the original action completed normally.
An exception handler catches an exception whose type is the same as or a de-
scendant of the type designated by the handler. In other words, an exception han-
dler can ignore distinctions among subtypes when it catches exceptions.
If a handler for the exception is not found on the original action, the exception
propagates to the activity node containing the original action, and so on to succes-
sive nested nodes until an activity node is found with an exception handler that
catches the given exception. Each time the exception propagates outward, the exe-
cution of the current activity node is terminated and normal output values are not
generated. If there are concurrent tokens active in an activity node, propagation
cannot occur until they are eliminated. The UML specification does not specify a
mechanism for eliminating concurrent tokens, and several semantically different
mechanisms are compatible with the exception-handling mechanism, including
waiting for concurrent activity to finish, automatically aborting all concurrent ac-
tivity, or providing some kind of interrupt mechanism to allow the model to ter-
minate concurrent activity in a controlled manner. These choices are semantic
variation points in the UML specification. The default assumption is that concur-
rent activity is aborted by the exception.
Once a handler for the exception type is found, its body is executed in the fash-
ion described previously. The outputs of the exception handler replace the original
outputs of the protected activity node, and execution proceeds with successive
nodes (but execution of embedded levels has already been irrevocably aborted).
If an exception propagates to the top level of an activity without being handled,
execution of the entire activity is abandoned. If the activity was invoked asyn-
chronously, no further effects occur and the exception handling is complete. If the

340 •exception Dictionary of Terms
activity was invoked synchronously, the exception is returned to the execution
frame of the caller, where the exception is reraised in the scope of the call action,
where it may be handled or may propagate further.
If an exception propagates to the root of a system, the system architect has prob-
ably done a poor job of design and the system will probably crash.
An operation may declare the exceptions that it might raise (including excep-
tions propagated from other called operations). The exceptions represent part of
its complete signature.
Notation
The occurrence of an exception within an activity can be shown as an output pin
on the boundary of the activity box with a small triangle near it. The output pin
symbol is labeled with the type of the exception (Figure 14-127).
An exception handler attached to an activity node is shown by drawing a jagged
arrow (“lighting bolt”) from the protected node to an input pin symbol on the
boundary of the activity symbol for the handler. The input pin is labeled with the
type of the exception (Figure 14-128).
There does not seem to be a defined notation for the declaration of an exception
potentially raised by an operation.
Example
Figure 14-129 shows a matrix computation protected by two exception handlers. If
exception SingularMatrix occurs, one answer is substituted. If exception Overflow
occurs, another answer is substituted. If no exception occurs, the computed an-
swer is used. In any case, the final result is printed.
Figure 14-127. Exception raised by activity
Figure 14-128. Exception handler on activity
ExceptionType
ActivityName
Protected
node Exception
Handler
ExceptionType

Dictionary of Termsexception handler•341
History
In UML1, a exception was regarded as a kind of signal sent between independent
objects. Although this was a reasonable way to model messaging among concur-
rent objects, it did not match the concept of exception that existed in many pro-
gramming languages for many years, in which exception handling was a
mechanism to break out of the normal flow of control to handle unusual situa-
tions without confusing the main logic of a program. UML2 shifted to the stan-
dard concept of exception found in languages such as C++.
There is still a bit of residual language describing an exception as a signal. This is
likely an oversight by the writers that should be ignored.
exception handler s322
An executable activity node responsible for assuming control if an exception of a
given type occurs during the execution of the activity node attached to the excep-
tion handler.
Semantics
An exception handler is attached to an activity node to protect the node against ex-
ceptions of a given type that might occur during execution of the protected node.
If an exception occurs that is the same as or a descendant of the given type, execu-
tion of the protected node is abandoned and execution of the exception handler
begins. An exception token is created whose attribute values capture the parame-
ters of the exception. The exception handler has one designated input location,
Figure 14-129. Exception handlers on computation
InvertMatrix
MultiplyVector
Print Vectors
Substitute Vector 1
Singularity
Substitute Vector 2
Overflow
exception handlers
protected computation
342 •executable Dictionary of Terms
which receives the exception token as its value. The exception handler shares scope
with the node that it protects and has access to all values and objects that the pro-
tected node could access. An exception handler must have the same number and
types of output pins as the node that it protects. When execution of the handler is
complete, the output values produced by the exception handler substitute for the
original output values of the protected node, and execution of subsequent nodes
proceeds as if the exception had not occurred. The purpose of an exception han-
dler is to produce a situation in which execution can proceed without concern for
whether an exception occurred.
Notation
See exception for details of notation.
executable (stereotype of Artifact)
A program file that can be executed on a computer system.
See artifact, file.
executable node s268 s277 s324
An activity node that can be executed and that can have an exception handler.
Semantics
Executable nodes are those that can have exception handlers that can catch excep-
tions caused by the node or one of the nodes nested within it. Executable nodes in-
clude actions, conditional nodes, loop nodes, and expansion regions.
execution s417-418
The run-time processing of a behavior specification to modify the state of a system
within a particular execution environment.
Semantics
The concept of behavior execution is part of the dynamic semantics of UML, but it
is not part of a UML model, because a UML model describes the specification of
the behavior itself. When the model is executed, the use of the behavior is a behav-
ior execution.
A run-time model can be constructed using interactions. An execution specifi-
cation models the occurrence of a behavior execution during a behavior trace.
Dictionary of Terms execution specification •343
execution environment s192
A kind of deployment node that represents a particular kind of execution plat-
form, such as an operating system, a workstation engine, a database management
system, and so on.
Also (and more commonly) used informally to describe the context within
which execution of a model occurs.
Semantics
An execution environment models a hardware-software environment that supplies
a set of standard services for use by application components. Examples include op-
erating systems, database management systems, workflow engines, and so on.
Components can be deployed on the execution environment. The execution envi-
ronment is usually part of another node that models the computing hardware.
Notation
An execution environment is shown as a node symbol (a cube image) with the
keyword «executionEnvironment».
execution occurrence
See execution specification.
Discussion
The term execution occurrence was used, but it conflicts with the use of occur-
rence to denote an event instance. The term execution specification is consistent
with the use of the terms object specification, occurrence specification, and value
specification to model groups of run-time entities within a context.
execution specification s376
The specification of the execution of an activity, operation, or other behavior unit
within an interaction. An execution (sometimes known as focus of control) repre-
sents the period during which an object performs a behavior either directly or
through a subordinate behavior. It models both the duration of the execution in
time and the control relationship between the execution and its invokers. In a con-
ventional computer and language, the execution itself corresponds to a value of the
stack frame.
See call, sequence diagram.

344 •execution specification Dictionary of Terms
Semantics
An execution specification models the execution of a behavior or operation, in-
cluding the period during which an operation calls other subordinate operations
(see call). An execution specification has two associated events, representing its
start and its completion. Usually the starting event is the target of an invocation
message, and the completion event may be the source of a return message.
Notation
An execution specification is shown on a sequence diagram as a tall, thin rectangle
(a vertical hollow bar), the top of which is aligned with its initiation event and
whose bottom is aligned with its completion event (Figure 14-130). The behavior
being performed is shown by a text label next to the execution specification sym-
bol or in the left margin, depending on style. Alternately, the incoming message
symbol may indicate the behavior. In that case, the label may be omitted on the ex-
ecution specification itself. If the flow of control is procedural, then the top of the
execution specification symbol is at the tip of the incoming message arrow that
initiates the operation execution and the bottom of the symbol is at the tail of a re-
turn message arrow.
Figure 14-130. Execution specifications
compress()
findPattern(t)
compressor:Filter
findPattern(s)
execution specification
stacked execution specification
object whose execution is shown
execution specification for existing object
recursive call
recursive return
creation of object
h: Image
for newly created object
destruction of object
Dictionary of Terms exit activity •345
If there is concurrent activity by multiple objects, then each execution specifica-
tion shows the execution of one concurrent object. Unless the objects communi-
cate, the concurrent executions are independent and their relative execution times
are irrelevant.
In the case of procedural code, an execution specification shows the duration
during which a procedure is active in the object or a subordinate procedure called
by the original procedure is active, possibly in some other object. In other words,
all the active nested procedure execution specifications are shown simultaneously.
This set of simultaneous nested executions corresponds to the stack frame of the
computation in a conventional computer. In the case of a second call to an object
with an existing execution specification, the second execution specification symbol
is drawn slightly to the right of the first one, so that they appear to “stack up” visu-
ally. Stacked calls may be nested to an arbitrary depth. The calls may be to the
same operation (a recursive call) or to different operations on the same object.
It is possible (although often unnecessary) to distinguish the period during
which an execution specification is blocked because it has called a subordinate op-
eration. The rectangle can be colored black when the execution specification rep-
resents direct execution and white when it represents a call to a subordinate
operation. This is not official notation, but the notation does support two colors
for some unstated reason, so modelers could adopt conventions for their use.
Discussion
It was called execution occurrence, but that term conflicts with the general naming
pattern that specification qualifies the name of a run-time entity when it describes
a group of entities within a context.
exit activity
An activity performed when a state is exited.
See also entry activity, run-to-completion, state machine, transition.
Semantics
A state may have an optional exit activity attached to it. Whenever the state is ex-
ited in any way, the exit activity is executed after any activities attached to inner
states or transitions and before any activities attached to outer states. The exit ac-
tivity may not be evaded by any means. It is guaranteed to be executed before con-
trol leaves the owning state.
Entry and exit activities are not semantically essential; the exit activity could be
attached to all outgoing transitions. However, they facilitate the encapsulation of a
state so that the external use of it can be separated from its internal construction.
They make it possible to define initialization and termination activities, without
346 •exit point Dictionary of Terms
concern that they might be avoided. They are particularly useful with exceptions,
because they define effects that must be performed even if an exception occurs.
Notation
An exit activity is coded using the syntax for an internal transition with the
dummy event name exit (which is, therefore, a reserved word and may not be used
as an actual event name).
exit / activity
Only one exit activity may be attached to a state. But the activity may be a se-
quence, so no generality is lost.
Discussion
An exit activity is useful for performing a cleanup that must be done when a state
is exited. The most significant use of exit activities is to release temporary storage
and other resources allocated during execution of the state (usually, a state with
nested detail).
Often, an entry activity and an exit activity are used together. The entry activity
allocates resources, and the exit activity releases them. Even if an exception occurs,
the resources are released.
exit point s459-601 s471-472 s487
Within a state, an externally visible pseudostate that can be the source of an exter-
nal transition. It represents a final state within the state that may be connected to
an external transition.
See also entry point.
Semantics
An exit point is an encapsulation mechanism. It allows the definition of alternate
final states within a state for use by external transitions. They are used when there
is more than one way to complete a state and the default final state will not suffice.
Each exit point represents a named final state within the owning state. Exit points
have names that are visible externally. An external transition may have an exit
point as its source. A transition connected to an exit point is effectively connected
to the designated internal named final state as its source, but the external transi-
tion need not know about the internal details of the state in making the connec-
tion. This mechanism is particularly useful with submachines, in which the
transition references the submachine and a direct connection to an inner state
would not be possible without making a recursive copy of the submachine.
Note that the default final state of a state may be considered equivalent to an exit
point with an empty name.
Dictionary of Terms expansion region •347
Regardless of how a state is exited, whether through an exit point, a default final
state, or an explicit transition to an external state, the exit activity of the state is ex-
ecuted before the transfer to the external state occurs.
Notation
An exit point is shown as a small circle on the boundary of the state symbol. The
name of the exit point is placed near the circle. Transitions from internal states
may be connected to the exit point as target.
Figure 14-125 shows a state representing the playing of a computerized chess
game. Initially the player can choose to play white or black pieces, each of which is
modeled as an entry point. Because of the symmetry, there is no default initial
state. The state also has three exit points, corresponding to a win by white or black
or to a draw.
expansion region s324-331
A structured activity node that executes once for each element within an input
collection.
Semantics
An expansion region is a mechanism to apply a computation repeatedly to each of
the elements within a collection of values. It is a “for all” construct. Outside the re-
gion, inputs and outputs are modeled as tokens whose values are collections, such
as sets, bags, and lists. Inside the region, the collections are expanded into individ-
ual elements, and the region is executed once for each group of elements chosen,
one from each input and output collection. All the input collections must have the
same size and must be of the same kind (set, bag, list, and so on). The output col-
lections are constructed as part of the execution of the expansion region; their size
will be the same as the size of the input collections. The collections need not hold
the same type of element, although each collection will hold elements of a given
type (but they can vary within a collection with polymorphism).
The purpose of an expansion region is to expand each collection into a collec-
tion of individual group of elements, each group containing one element from
each collection. The computation within the expansion region is written in terms
of inputs and outputs that represent individual elements, not collections. Each
group of elements is a “slice” from the overall group of collections. The expansion
region executes once for each slice of values, mapping input elements to output el-
ements. In other words, the expansion region takes apart the collections into slices
of individual values, executes the computation in the region once for each slice of
values, and reassembles the output values into collections.
The collection inputs and outputs of an expansion region are explicitly iden-
tified as expansion nodes. The activity within an expansion region can also read

348 •expansion region Dictionary of Terms
values from the outer context. These inputs that do not pass through expansion
nodes have the same fixed value for each execution of the region. It is not possible
to connect outputs of internal actions outside the region because it would mis-
match a collection of values to a single value. A collection of values must be reas-
sembled through an output expansion node.
Normally an expansion region operates in parallel for all elements. There
should be no conflict among different executions so that the result does not de-
pend on execution order, which is unspecified and may be concurrent. Optionally,
an expansion region may be specified to execute iteratively. If the input collection
is ordered, the elements are delivered for execution in the same order. An iterative
execution makes possible the accumulation of results over the entire collection of
values. Because the executions are sequential, access can be made to shared re-
sources or values. It is also possible to specify that the execution will use streams of
internal values.
Notation
An expansion region is shown as a dashed rounded box. One of the keywords
«parallel», «iterative», or «stream» may be shown to indicate the execution style.
The collection inputs and outputs (expansion nodes) are shown on the boundary
of the box as small rectangles divided into a sequence of smaller compartments
(that is, it is supposed to look like a sequence of slots). An activity graph fragment
may be shown within the box. The fragment may take inputs from the input ex-
pansion node symbols and deliver outputs to the output expansion node symbols.
Within the expansion region, the types of the object flows correspond to individ-
ual elements of the collections. Outside the expansion region, data flow arrows
may be connected to the expansion nodes. The types of these data flows corre-
spond to collections of values.
Figure 14-131. Expansion region
«parallel»
expansion node (input)
expansion region
collection values
scalar values
expansion node (output)
internal scalar action

Dictionary of Terms expansion region •349
As a shorthand, expansion node symbols may be placed directly on an action
symbol to indicate the execution of a single action within an expansion region.
Figure 14-131 shows an expansion region with two collection inputs and one
collection output. It contains two internal actions that take two input values and
produce one output value, which is reassembled into an output collection.
Example
Figure 14-132 shows the FFT (Fast Fourier Transform) algorithm as an expansion
region. This represents one pass through the main loop of the algorithm, which is
executed log(n) times during the entire algorithm. The input to the algorithm is an
Figure 14-132. FFT as expansion region
«parallel»
nxteven = lower+upper nxtodd = (lower–upper)*root
nxteven: Complex nxtodd: Complex
upper: root: lower:
S = shuffle(Sneven,Snodd)
S’: Array<Complex>
Snodd: Array<Complex>Sneven: Array<Complex>
Slower, Supper = cut(S)
S: Array<Complex> V: Array<Complex>
Slower: Array<Complex> Supper:
Complex
Complex
Complex
Array<Complex>
350 •export Dictionary of Terms
array of complex values S. The input array is split into two subarrays by the cut op-
eration, which operates on arrays. Outside the expansion region, it is convenient to
express the algorithm in terms of operations on entire arrays. The two subarrays
and an array of complex roots are the collection inputs to the expansion region.
The inside of the expansion region represents the so-called butterfly operation. It
takes a pair of values, one from each subarray, and a complex root value, and com-
putes two new subarray values for the next pass. The expansion region is executed
once for each slice of input values. The two output values are reassembled into two
output subarrays, which are combined together into a single full-size array using
the shuffle array operation. (It interleaves elements from the two inputs.)
The expansion region allows operations on entire arrays and operations on in-
dividual elements of arrays to be shown together on the same diagram. It allows
two levels of detail to be used together.
History
Expansion regions replace a much clumsier UML1 mechanism for expressing ac-
tions on sets of values.
export s6
In the context of packages, to make an element accessible outside its enclosing
namespace by adjusting its visibility. Contrast with access and import, which make
outside elements accessible within a package.
See also access, import, visibility.
Semantics
A package exports an element by setting its visibility to a level that permits it to be
seen by other packages (public for packages importing it, protected for its own
children).
expression s45-53
A structured tree that denotes a value (possibly a set) when evaluated in an appro-
priate context.
Semantics
An expression is a tree of symbols that evaluates to a (possibly empty) set of in-
stances or values when executed in a context. An expression should not modify the
environment in which it is evaluated. An expression has a type. The result value or
values are of the given type.
Dictionary of Terms extend •351
An expression comprises a symbol and a list of operands, which may be literal
values (such as Boolean values or numbers), instances, or subexpressions. An ex-
pression is therefore a tree whose leaves are literal values, instances, or expression
strings in a specific language.
An operand can also be an opaque expression, that is, a string that is to be eval-
uated in the syntax of a specified language. The language may be a constraint-
specification language, such as OCL; it may be a programming language, such as
C++ or Smalltalk; or it may be a human language. Of course, if an expression is
written in a human language, then it cannot be evaluated automatically by a tool
and it must be purely for human consumption.
Various subclasses of expressions yield different types of values. These include
Boolean expressions, integer expressions, and time expressions.
Expressions appear in actions, constraints, guard conditions, and other places.
Notation
An expression is displayed as a string defined in a language. The syntax of the
string is the responsibility of a tool and a linguistic analyzer for the language. The
assumption is that the analyzer can evaluate strings at run time to yield values of
the appropriate type or can yield semantic structures to capture the meaning of
the expression. For example, a Boolean expression evaluates to a true or false
value. The language itself is known to a modeling tool but is generally implicit on
the diagram under the assumption that the form of the expression makes its pur-
pose clear. The name of the language may be placed in braces before the string.
Example
self.cost < authorization.maxCost
{OCL} i > j and self.size > i
Discussion
The set of operator symbols is not specified in the UML document, therefore the
concept of expression is not completely specified.
extend s515
A relationship from an extension use case to a base (extended) use case, specifying
how the behavior defined for the extension use case can be inserted into the behav-
ior defined for the base use case. The extension use case incrementally modifies the
base use case in a modular way.
See also extension point, include, use case, use case generalization.

352 •extend Dictionary of Terms
Semantics
The extend relationship connects an extension use case to a base use case
(Figure 14-133). The extension use case in this relationship is not necessarily a
separate instantiable classifier. Instead, it consists of one or more segments that de-
scribe additional behavior sequences that incrementally modify the behavior of
the base use case. Each segment in an extension use case may be inserted at a sepa-
rate location in the base use case. The extend relationship has a list of extension
point names, equal in number to the number of segments in the extension use
case. Each extension point must be defined in the base use case. When the execu-
tion of a use case instance reaches a location in the base use case referenced by the
extension point and any condition on the extension is satisfied, then execution of
the instance may transfer to the behavior sequence of the corresponding segment
of the extension use case; when the execution of the extension segment is com-
plete, control returns to the original use case at the referenced point. See
Figure 14-134 for an example of behavior sequences.
Multiple extend relationships may be applied to the same base use case. An in-
stance of a use case may execute more than one extension during its lifetime. If
several use cases extend one base use case at the same extension point, then their
relative order of execution is nondeterministic. There may even be multiple extend
relationships between the same extension and base use cases, provided the exten-
sion is inserted at a different location in the base. Extensions may even extend
other extensions in a nested manner.
Figure 14-133. Extend relationship
ATM session
extension points
transaction possible
receipt details
Query Withdrawal
«extend»
base use case
extension use cases Seize card
request made
extension point definitions
{request withdrawal}
«extend»
condition:
extension points:
transaction possible,
receipt details
condition:
{request query}
extension point:
receipt details
condition:
{suspicious history}
extension point:
request made
multisegment extension

Dictionary of Terms extend •353
An extension use case in an extend relationship may access and modify at-
tributes defined by the base use case. The base use case, however, cannot see the
extensions and may not access their attributes or operations. The base use case de-
fines a modular framework into which extensions can be added, but the base does
not have visibility of the extensions. The extensions implicitly modify the behavior
of the base use case. Note the difference with use case generalization. With exten-
sion, the effects of the extension use case are added to the effects of the base use
case in an instantiation of the base use case. With generalization, the effects of the
child use case are added to the effects of the parent use case in an instantiation of
the child use case, whereas an instantiation of the parent use case does not get the
effects of the child use case.
Figure 14-134. Behavior sequences for use cases
Base use case for ATM session:
show advertisement of the day
include (identify customer) inclusion
include (validate account) inclusion
(extension point references here)<--------- <transaction possible>
print receipt header
(another extension point target) <--------- <receipt details>
log out
Extension use case for query:
segment first segment
receive request query
display query information
segment second segment
print withdrawal information
Extension use case for withdrawal:
segment first segment
receive request withdrawal
specify amount
(another extension point target) <--------- <request made>
segment second segment
disburse cash
Extension use case for seize card:
segment only segment
swallow the card
end the session
354 •extend Dictionary of Terms
An extension use case may extend more than one base use case, and a base use
case may be extended by more than one extension use case. This does not indicate
any relationship among the base use cases.
An extension use case may itself be the base in an extend, include, or generaliza-
tion relationship.
Structure (of extension use case)
An extension use case contains a list of one or more insertion segments, each of
which is a behavior sequence.
Structure (of base use case)
A base use case defines a set of extension points, each of which references a loca-
tion or set of locations in the base use case where additional behavior may be
inserted.
Structure (of extend relationship)
The extend relationship has a list of extension point names, which must be present
in the base use case. The number of names must equal the number of segments in
the extension use case.
The extend relationship may have a condition, an expression in terms of at-
tributes of the base use case or the occurrence of events such as the receipt of a sig-
nal. The condition determines whether the extension use case is performed when
the execution of a use case instance reaches a location referenced by the first exten-
sion point. If the condition is absent, then it is deemed to be always true. If the
condition for an extension use case is satisfied, then execution of the extension use
case proceeds. If the extension point references several locations in the base use
case, the extension use case may be executed at any one of them.
The extension may be performed more than once if the condition remains true.
All segments of the extension use case are executed the same number of times. If
the number of executions must be restricted, the condition should be defined ac-
cordingly.
Execution semantics
When a use case instance performing the base use case reaches a location in the
base use case that is referenced by an extend relationship, then the condition on
the extend relationship is evaluated. If it is true or if it is absent, then the extension
use case is performed. In many cases, the condition includes the occurrence of an
event or the availability of values needed by the extension use case segment itself—
for example, a signal from an actor that begins the extension segment. The condi-
tion may depend on the state of the use case instance, including attribute values of
the base use case. If the event does not occur or the condition is false, the execution

Dictionary of Terms extend •355
of the extension use case does not start. When the performance of an extension
segment is complete, the use case instance resumes performing the base use case at
the location at which it left off.
Additional insertions of the extension use case may be performed immediately
if the condition is satisfied. If the extension point references multiple locations in
the base use case, the condition may be satisfied at any of them. The condition may
become true at any location within the set.
If there is more than one insertion sequence in an extension use case, then the
extension is executed if the condition is true at the first extension point. The con-
dition is not reevaluated for subsequent segments, which are inserted when the use
case instance reaches the corresponding locations within the base use case. The use
case instance resumes execution of the base between insertions at different exten-
sion points. Once started, all the segments must be performed.
Note that, in general, a use case is a nondeterministic state machine (as in a
grammar) rather than an executable procedure. That is because the conditions
may include the occurrence of external events. To realize a use case as a collabora-
tion of classes may require a transformation into explicit control mechanisms, just
as the implementation of a grammar requires a transformation to an executable
form that is efficient but harder to understand.
Note that base and extension are relative terms. An extension can itself serve as a
base for a further extension. This does not present any difficulty, and the previous
rules still apply—the insertions are nested. For example, suppose use case B ex-
tends use case A at extension point x, and suppose use case C extends use case B at
extension point y (Figure 14-135). When an instance of A comes to extension
point x, it begins performing use case B. When the instance then comes to exten-
sion point y within B, it begins performing use case C. When the execution of C is
complete, it resumes performing use case B. When the execution of B is complete,
it resumes performing A. It is similar to nested procedure calls or any other nested
construct.
Figure 14-135. Nested extends
C
B
extension points
y
A
extension points
x«extend» (x)
«extend» (y)

356 •extend Dictionary of Terms
Ta b l e 1 4 - 2 : Comparison of Use Case Relationships
Property Extend Include Generalization
Base behavior Base use case Base use case Parent use case
Added behavior Extension use case Inclusion use case Child use case
Direction of
reference
Extension use case
references the base
use case.
Base use case refer-
ences the inclusion
use case.
Child use case ref-
erences the parent
use case.
Base modified
by the addition?
The extension im-
plicitly modifies the
behavior of the
base. The base must
be well formed
without the exten-
sion, but if the ex-
tension is present,
an instantiation of
the base may exe-
cute the extension.
The inclusion ex-
plicitly modifies
the effect of the
base. The base may
or may not be well
formed without
the inclusion, but
an instantiation of
the base executes
the inclusion.
The effect of exe-
cuting the parent
is unaffected by
the child. To ob-
tain the effects of
the addition, the
child, not the
parent, must be
instantiated.
Is the addition
instantiable?
Extension is not
necessarily instan-
tiable. It may be a
fragment.
Inclusion is not
necessarily instan-
tiable. It may be a
fragment.
Child is not neces-
sarily instantiable.
It may be abstract.
Can the addi-
tion access
attributes of the
base?
The extension may
access and modify
the state of the base.
The inclusion may
access the state of
the base. The base
must provide ap-
propriate attributes
expected by the in-
clusion.
The child may ac-
cess and modify
the state of the
base (by the usual
mechanisms of
inheritance).
Can the base
see the addi-
tion?
The base cannot see
the extension and
must be well
formed in its
absence.
The base sees the
inclusion and may
depend on its ef-
fects, but it may
not access its
attributes.
The parent can-
not see the child
and must be well
formed in its
absence.
Repetition Depends on condi-
tion
Exactly one repeti-
tion
Child controls its
own execution.
Dictionary of Terms extension •357
Notation
A dashed arrow is drawn from the extension use case symbol to the base use case
symbol with a stick arrowhead on the base. The keyword «extend» is placed on the
arrow. A list of extension point names may appear in parentheses after the key-
word.
Figure 14-133shows use cases with extend relationships. There is no official no-
tation for specifying behavior sequences. Figure 14-134 is merely suggestive.
Discussion
The extend, include, and generalization relationships all add behavior to an initial
use case. They have many similarities, but it is convenient to separate them in
practice. Table 14-2 compares the three viewpoints.
Note that segment and location are not precise terms, so they must be consid-
ered semantic variation points subject to implementation.
extension s570
The attachment of a stereotype to a metaclass, thereby extending the definition of
the metaclass to include the stereotype.
Semantics
An extension is a relationship from a stereotype to a UML metaclass (a class in the
definition of the UML model itself, such as Class or Operation). It indicates that
the properties defined in the stereotype may be applied to instances of the meta-
class that bear the stereotype. Note that an instance of a metaclass is an ordinary
class as defined in a user model, so defining an extension to a metaclass means that
a user-model element of the given metaclass has additional modeling-time proper-
ties whose values the modeler can specify. An extension may be optional or re-
quired. If an extension is required, all instances of the metaclass must bear the
extension. If an extension is optional, instances of the metaclass may or may not
bear the extension. Furthermore, an instance of the metaclass can add or remove
the extension during its lifetime.
Notation
An extension is shown by a solid arrow from the stereotype rectangle to the meta-
class rectangle with a filled black arrowhead on the class end of the arrow. The key-
word {required} is used to indicate a required extension; otherwise the extension is
optional. The keyword «metaclass» may be placed in the metaclass rectangle.

358 •extension point Dictionary of Terms
Example
Figure 14-136 shows the extension of the metaclass Class by the Authorship stereo-
type, which defines the properties author and creation date. Extension of Class in-
dicates that a class defined in a user model can bear the stereotype Author. Because
the {required} keyword is absent, the use of the stereotype is optional. The model
defining such a class can then define values for these properties. For example, they
may identify the person who created the class and the date it was created.
Discussion
The word extension is used variously for the extend relationship of use cases, the
extension of classes by stereotypes, and the run-time instances of a class. This
overlap is somewhat confusing because these are not the same concepts.
extension point 516
A named marker that identifies a location or set of locations within the behavioral
sequence for a use case, at which additional behavior can be inserted. An extension
point declaration opens up the use case to the possibility of extension. An inser-
Figure 14-136. Extension of metaclass by stereotype
Class
«metaclass» «stereotype»
Authorship
author
creation date
«profile»
Model Authorship
Order
«authorship» «authorship»
author = Frank
creation date = 1 Dec 2003
«apply»
Order Processing
extension
profile application

Dictionary of Terms extension point •359
tion segment is a behavior sequence in an extension use case (a use case related to
a base use case by an extend relationship). The extend relationship contains a list
of extension point names that indicate where the insertion segments from the ex-
tension use case insert their behavior.
See also extend, use case.
Semantics
An extension point has a name. It references a set of one or more locations within
a use case behavior sequence. The concept of location is not defined within UML,
therefore it is a semantic variation point dependent on implementation.
A location may correspond to a state within a state machine description of a use
case, or the equivalent in a different description—between two statements in a list
of statements or between two messages in an interaction.
An extend relationship contains an optional condition and a list of extension
point references equal in number to the number of insertion segments in the ex-
tension use case. An insertion segment may be performed if the condition is satis-
fied while a use case instance is executing the base use case at any location in the
extension point corresponding to the insertion segment.
The location of an extension point can be changed without affecting its identity.
The use of named extension points separates the specification of extension behav-
ior sequences from the internal details of the base use case. The base use case can
be modified or rearranged without affecting the extensions. Moreover, an exten-
sion point can be moved within the base without affecting the relationship or the
Figure 14-137. Extension point declarations
show advertisement of the day
include (identify customer)
include (validate account)
print receipt header
log out
<abortable>
<receipt details>
<transaction possible>
a region
Extension PointsBehavior sequence for ATM session Bindings
location
ATM session
extension points
transaction possible
receipt details
abortable
360 •extent Dictionary of Terms
extension use case. As with all kinds of modularity, this independence requires a
good choice of extension points and is not guaranteed under all circumstances.
Notation
The extension points for a use case may be listed as strings in a compartment
named extension points (Figure 14-137).
Note that there is no standard text language for behavior sequences, therefore
the syntax for describing extension points or locations is not precisely defined. The
notation in Figure 14-137 is merely suggestive.
extent s243
The set of instances described by a classifier. Also sometimes called extension.
Contrast: intent.
Semantics
A classifier, such as a class or an association, has both a description (its intent) and
a set of instances that it describes (its extent). The purpose of the intent is to spec-
ify the properties of the instances that compose the extent. There is no assumption
that the extent is physically manifest or that it can be obtained at run time. For ex-
ample, a modeler should not assume that the set of objects that are instances of a
class can be obtained even in principle.
facade
The facade stereotype from UML1 has been retired.
feature s73
A property, such as operation or attribute, which is encapsulated as part of a list
within a classifier, such as an interface, a class, or a datatype.
file (stereotype of Artifact)
A physical file in the context of the target system.
See artifact.
final node s331
An abstract kind of node in an activity graph which stops activity. The subtypes of
final node are activity final node, which terminates all activity within the graph,
and flow final node, which terminates the thread of activity containing the node
but does not affect concurrent activity.

Dictionary of Terms final state •361
final state s462
A special state that, when entered, indicates that the execution of the containing
region has been completed. The state containing the region is completed if all
other contained regions (if any) have also completed. When a composite state
completes, a completion transition leaving the composite state is triggered and
may fire if its guard condition is satisfied.
See also do activity, completion transition, destruction.
Semantics
To promote encapsulation, it is desirable to separate the outside view of a compos-
ite state from the inside details as much as possible. From the outside, the state is
viewed as an opaque entity with an internal structure that is hidden. From the out-
side viewpoint, transitions go to and from the state itself. From the inside view-
point, they connect to substates within the state. An initial state or a final state is a
mechanism to support encapsulation of states.
A final state is a special state that indicates that the activity of a region within the
composite state is complete and that a completion transition leaving the compos-
ite state is enabled. If there are multiple regions in the composite state, all of them
must reach completion. A final state is not a pseudostate. A final state may be ac-
tive for a period of time, unlike an initial state that immediately transitions to its
successor. Control may remain within a final state while waiting for the comple-
tion of other orthogonal regions of the composite state—that is, while waiting for
sychronization of multiple threads of control to join together. Outgoing event-
triggered transitions are not allowed from a final state, however (otherwise, it is
just a normal state). A final state may have any number of incoming transitions
from within the enclosing composite state, but no transitions from outside the en-
closing state. The incoming transitions are normal transitions and may have the
full complement of triggers, guard conditions, and actions.
If an object reaches its top-level final state, the state machine terminates and the
object is destroyed.
Figure 14-138. Final state
e
final state
Event e causes the transition to the final state that causes the completion transition.
362 •fire Dictionary of Terms
Notation
A final state is displayed as a bull’s-eye icon—that is, a small, filled black disk sur-
rounded by a small circle. The symbol is placed inside the enclosing composite
state whose completion it represents (Figure 14-138). Only one final state may oc-
cur (directly) within each orthogonal region of a composite state. Additional final
states may occur, however, within nested composite states. For convenience, the fi-
nal state symbol may be repeated within a state, but each copy represents the same
final state.
fire s9 s493 s501
To execute a transition.
See also run-to-completion, trigger.
Semantics
When an event required by a transition occurs, and the guard condition on the
transition is satisfied, the transition performs its action and the active state
changes.
When an object receives an event, the event is saved in a pool if the state ma-
chine is executing a run-to-completion step. When the step is completed, the state
machine handles an event from the pool, if any. A transition is triggered if its event
is handled while the owning object is in the state containing the transition or is in
a substate nested inside the state containing the transition. An event satisfies a trig-
ger event that is an ancestor of the occurring event type. If a complex transition
has multiple source states, all of them must be active for the transition to be en-
abled. A completion transition is enabled when its source state completes activity.
If it is a composite state, it is enabled when all its direct substates have completed
or reached their final states.
When the event is handled, the guard condition (if any) is evaluated. If the Bool-
ean expression in the guard condition evaluates to true, then the transition is said
to fire. The action on the transition is executed, and the state of the object becomes
the target state of the transition (no change of state occurs for an internal transi-
tion, however). During the state change, all exit activity and entry activity effects
on the minimal path from the original state of the object to the target state of the
transition are executed. Note that the original state may be a nested substate of the
source state of the transition.
If the guard condition is not satisfied, nothing happens as a result of this transi-
tion, although some other transition might fire if its condition is satisfied.
Conflicts. If more than one transition is eligible to fire, only one of them will fire. A
transition in a nested state takes precedence over a transition in an enclosing state.
Otherwise, the choice of transitions is undefined and may be nondeterministic.
Dictionary of Terms flow •363
This is often a realistic real-world situation, and nondeterminism may sometimes
be desirable.
As a practical matter, an implementation may provide an ordering of transitions
for firing. This does not change the semantics, as the same effect could be achieved
by organizing the guard conditions so that they do not overlap. But it is often sim-
pler to be able to say, “This transition fires only if no other transition fires.”
Deferred events. If the event or one of its ancestors is marked for deferral in the
state or in an enclosing state, and the event does not trigger a transition, the event
is a deferred event until the object enters a state in which the event is not deferred.
When the object enters a new state, any previously deferred events that are no
longer deferred become pending and they are handled in an indeterminate order.
If the first pending event does not cause a transition to fire, it is discarded and an-
other pending event occurs. If a previously deferred event is marked for deferral in
the new state, it may trigger a transition, but it remains deferred if it fails to trigger
a transition. If the occurrence of an event causes a transition to a new state, any re-
maining pending and deferred events are reevaluated according to the deferral sta-
tus of the new state and a new set of pending events is established.
An implementation might impose stricter rules on the order in which deferred
events are processed or supply operations to manipulate their order.
flag
This term is used in this book to indicate a Boolean value that specifies a structural
constraint on a model element. Depending on the situation, a flag is sometimes
modeled as a true-false statement and sometimes as a two-choice enumeration.
flow
A generic term used to describe among sources and targets of various kinds of in-
formation, including data and locus of execution (control). The activity model
provides concepts and notation to model data flow and control flow explicitly.
Other models provide ways to model flow of information implicitly.
Discussion
UML2 contains a stand-alone information flow model that is meant to add a rudi-
mentary data flow modeling capability which we do not recommend. The activity
model provides a much more complete flow modeling capability that is properly
integrated with the rest of UML.

364 •flow final node Dictionary of Terms
flow final node s333
A node in an activity that destroys all tokens that reach it. It has no other effect on
the execution of the activity.
Semantics
A flow final node will destroy tokens that reach it. This might be useful to termi-
nate a thread of control that can execute independently that has no further effect
on the rest of the activity.
Notation
A flow final node is shown as a circle with an X in it (Figure 14-139).
Discussion
The UML2 document shows an example of a flow final used to terminate a loop
that has been spewing out concurrent executions of a subactivity. This construct
should probably be avoided, if possible, in favor of a structured loop with an ex-
plicit merge of control, as its semantics are suspect.
focus (stereotype of Class)
A class that defines core logic or control in conjunction with one or more auxiliary
classes that support it by providing subordinate mechanisms.
See auxiliary.
focus of control
A symbol on a sequence diagram that shows the period of time during which an
object is performing an action, either directly or through a subordinate procedure.
In UML2, it is now called execution specification.
See execution specification.
Figure 14-139. Flow final node
Access item Add item to order
[more items in order]
[no more
items in order]
flow final node
stream of tokens
Dictionary of Terms fork •365
font usage
Text may be distinguished through the use of different fonts and other graphic
markers.
See also graphic marker.
Discussion
Italics are used to indicate an abstract class, attribute, or operation. Other font dis-
tinctions are primarily for highlighting or to distinguish parts of the notation. It is
recommended that names of classifiers and associations be shown in boldface and
subsidiary elements, such as attributes, operations, rolename, and so on, be shown
in normal type. Compartment names should be shown in a distinctive font, such
as small boldface, but the choice is left to an editing tool. A tool is also free to use
font distinctions for highlighting selected elements, to distinguish reserved words
and keywords, and to encode selected properties of an element, or it may enable
the use of such distinctions under user control. Similar considerations apply to
color, although its use should be optional because many persons are color blind.
All such uses are convenience extensions to the canonical notation described in
this book, which is sufficient to display any model.
fork s272 s471 s474
In a state machine, a complex transition in which one source state is replaced by
two or more target states, resulting in an increase in the number of active states. In
an activity, a node that copies a single input token onto multiple concurrent out-
puts. Antonym: join.
See also complex transition, composite state, join.
Semantics
In a state machine, a fork is a transition with one source state and two or more tar-
get states. (Actually it is a pseudostate, but that is an internal detail that is unim-
portant in most cases.) If the source state is active and the trigger event occurs, the
transition action is executed and all the target states become active. The target
states must be in different regions of a composite state.
In an activity, a fork node is a node with one input and multiple outputs. An in-
put token is copied onto each of the outputs, increasing the amount of concur-
rency. The outputs may have guards, but this usage introduces considerable danger
of ill-formed models; we recommend that decisions and forks be separated.
In both state machines and activities, forks increase the amount of concurrent
threads of execution. A fork is usually matched to a later join that decreases the
amount of concurrency.

366 •fork node Dictionary of Terms
Notation
In a state machine diagram or an activity diagram, a fork is shown as a heavy bar
with one incoming transition arrow and two or more outgoing transition arrows.
It may have a transition label (guard condition, trigger event, and action).
Figure 14-140 shows an explicit fork into a concurrent composite state.
fork node s272
A kind of control node in an activity that copies a single input onto multiple con-
current outputs.
See fork.
formal argument
See parameter.
framework (stereotype of Package)
A generic architecture that provides an extensible template for applications within
a domain. A framework is the starting point for constructing an architecture. Typ-
ically, elements are modified, specialized, and extended to tailor the generic
architecture to a specific problem.
See package.
friend
This UML1 dependency has been removed in UML2.
Figure 14-140. Fork
S
A1 A2
B2B1
fork
concurrent composite state
e1
When e1 occurs,
A1 and B1 become active.
T
Dictionary of Terms gate •367
full descriptor
The complete implicit description of a direct instance. The full descriptor is im-
plicitly assembled by inheritance from all the ancestors.
See also direct class, inheritance, multiple classification.
Semantics
A declaration of a class or other model element is, in fact, only a partial description
of its instances; call it the class segment. In general, an object contains more struc-
ture than described by the class segment of its direct class. The rest of the structure
is obtained by inheritance from the ancestor classes. The complete description of
all its attributes, operations, and associations is called the full descriptor. The full
descriptor is usually not manifest in a model or program. The purpose of inherit-
ance rules is to provide a way to automatically construct the full descriptor from
the segments. In principle, there are various ways to do this, often called meta-
object protocols. UML defines one set of rules for inheritance that cover most pop-
ular programming languages and are also useful for conceptual modeling. Be
aware, however, that other possibilities exist—for example, the CLOS language.
Discussion
The UML specification does not actually define the rules for inheritance. The ac-
tual mapping of an operation to a method is dependent on a resolution mecha-
nism that is not completely defined in the specification. Most modelers (and most
tools) will assume inheritance rules compatible with Smalltalk or Java, but the
specification permits wider definitions of inheritance, such as those found in self
or CLOS.
functional view
A view dealing with the breakdown of a system into functions or operations that
provide its functionality. A functional view is not usually considered object-
oriented and can lead to an architecture that is hard to maintain. In traditional
development methods, the data flow diagram is the heart of the functional view.
UML does not directly support a functional view, although an activity has some
functional characteristics.
gate s417-418 s421
A connection point in an interaction or interaction fragment for a message that
comes from or goes to outside the interaction or fragment.

368 •general ordering Dictionary of Terms
Semantics
A gate is a parameter that represents a message that crosses the boundary of an in-
teraction or interaction fragment. Messages within the interaction can be con-
nected to the gate. If the interaction is referenced within another interaction,
messages may be connected to its gates. When the interaction is executed, mes-
sages connected through gates will be delivered properly.
Notation
In a sequence diagram, a gate is simply a point on the boundary of the sequence
diagram or interaction fragment that is connected to the head or tail of a message
arrow. The name of the connected message arrow is the name of the gate
(Figure 14-141).
general ordering s418
An constraint that the time of one occurrence specification precedes the time of
another occurrence specification in an interaction.
Semantics
Usually occurrence specifications in interactions are ordered by their relative posi-
tions on lifelines and by ordering constraints implied by messages (the source
event of a message occurs before the target event). Occurrence specifications that
are not constrained by lifelines and messages (including indirect constraints from
multiple events) are assumed to be concurrent. Sometimes a modeler wishes to
Figure 14-141. Gates
sd Validate
card inserted
authorize
find card
card valid
controller card DB
input gate
output gate

Dictionary of Terms general ordering •369
specify an ordering constraint among two otherwise unordered occurrence speci-
fications. A general ordering is a constraint that one occurrence specification pre-
cedes the other.
Notation
A general ordering is shown as a dotted line between two occurrence specifications
(usually the intersections between messages and lifelines). The line contains a solid
arrowhead somewhere along its path (not at an end). The arrow points toward the
occurrence specification that occurs later.
Example
Figure 14-142 shows an example in which two users exchange messages with a
server. In the absence of the general ordering, the following ordering constraints
(and their closures) can be assumed:
a < b, c < d, b < d, d < e, e < f, e < g, g < h
By applying multiple constraints, we can infer that c < f, for example. It is not pos-
sible to determine the relative ordering of a and c, because they are unrelated by a
chain of constraints. The addition of the general ordering between a and c explic-
itly specifies that a < c. The relative ordering of b and c is still unspecified, how-
ever. Similarly, the relative ordering of f and g is unspecified.
Figure 14-142. General ordering of occurrence specifications
sd Validate
request
reply
user1 server user2
request
reply
general ordering
a
b
c
d
e
fg
h
370 •generalizable element Dictionary of Terms
Discussion
Explicit ordering constraints should be avoided, if possible. Often they represent
the absence (in the model or in the actual system) of necessary synchronization
messages.
generalizable element s9
This UML1 element has been retired in UML2. Most of its semantics have been
moved into classifier. Classifiers now include associations, so they are generaliz-
able. Behaviors, including interactions and state machines, are also generalizable.
generalization s6 s12 S66 S121
A taxonomic relationship between a more general element and a more specific ele-
ment. The more specific element is fully consistent with the more general element
and contains additional information. An instance of the more specific element is
an indirect instance of the more general element and inherits its characteristics.
See also association generalization, generalization set, inheritance, multiple in-
heritance, substitutability principle, use case generalization.
Semantics
A generalization relationship is a directed relationship between two classifiers of
the same kind, such as classes, use cases, or associations. One element is called the
parent, and the other is called the child. For classes, the parent is called the super-
class and the child is called the subclass. The parent is the description of a set of
(indirect) instances with common properties over all children; the child is a de-
scription of a subset of those instances that have the properties of the parent but
that also have additional properties peculiar to the child.
Generalization is a transitive, antisymmetric relationship. One direction of tra-
versal leads to the parent; the other direction leads to the child. An element related
in the parent direction across one or more generalizations is called an ancestor; an
element related in the child direction across one or more generalizations is called a
descendant. No directed generalization cycles are allowed. A class may not have it-
self for an ancestor or descendant. An instance of a classifier is an indirect instance
of all of the ancestors of the classifier.
In the simplest case, a class (or other generalizable element) has a single parent.
In a more complicated situation, a child may have more than one parent. The child
inherits structure, behavior, and constraints from all its parents. This is called mul-
tiple inheritance (it might better be called multiple generalization). A child ele-
ment references its parent and must have visibility to it.
Dictionary of Terms generalization •371
Behavior elements are classes, therefore they may participate in generalization,
similar to state machines and interactions.
Each kind of classifier has its own generalization semantics. For the application
of generalization to associations, see association generalization. For the applica-
tion of generalization to use cases, see use case generalization. Nodes and compo-
nents are much like classes, and generalization applied to them behaves the same
as it does for classes.
A child inherits the attributes, associations, operations, and constraints of its
parent. By default, they are unchanged, but in some cases they may be redefined in
the child. See redefinition.
Types and substitutability
Normally generalization implies that a child element can be used wherever a par-
ent element is defined, for example, to substitute for a parameter of a given type.
Such a generalization is said to be substitutable. Substitutable generalizations sup-
port polymorphism, because any semantics of the parent element can be guaran-
teed for any child element.
Close modeling of programming language constructs sometimes requires gen-
eralizations that are not substitutable. In other words, it cannot be assumed that a
child element can be used anywhere a parent element is defined. This may occur
because internal constituents are overridden or redefined, for example. UML per-
mits the definition of a generalization as substitutable or nonsubstitutable. While
occasional use of nonsubstitutable generalizations may be convenient for sharing
structure, they defeat the larger purpose of generalization and should be avoided
as much as possible.
Generalization sets
A set of classifiers sharing a common parent may be grouped into a generalization
set. Each generalization set represents a distinct dimension or aspect on which the
supertype can be specialized. See generalization set.
Notation
Generalization between classifiers is shown as a solid-line path from the child ele-
ment (such as a subclass) to the parent element (such as a superclass), with a large
hollow triangle at the end of the path where it meets the more general element
(Figure 14-143). The lines to the parent may be combined to produce a tree
(Figure 14-144).
Generalization may be applied to associations, as well as to classifiers, although
the notation may be messy because of the multiple lines. An association can be
shown as an association class for the purpose of attaching generalization arrows.

372 •generalization Dictionary of Terms
A text label following a colon placed on a generalization line indicates that the
generalization belongs to a generalization set of the given name. If two generaliza-
tions with the same parent have the same name, they are in the same generaliza-
tion set.
Presentation options
A group of generalization paths for a given superclass may be shown as a tree with
a shared segment (including triangle) to the superclass, branching into multiple
paths to each subclass. This is merely a notational device that does not indicate an
n-ary relationship. In the underlying model, there is one generalization for each
subclass-superclass pair. There is no semantic difference if the arcs are drawn sepa-
rately.
If a text label is placed on a generalization triangle shared by several generaliza-
tion paths to subclasses, the label applies to all the paths. In other words, all the
subclasses share the given properties.
Discussion
The parent element in a generalization relationship can be defined without knowl-
edge of the children, but the children must generally know the structure of their
Figure 14-143. Generalization
Figure 14-144. Generalization using tree style
Shape
Spline
Ellipse
Polygon . . .
superclass
subclasses unseen
subclasses
generalizations
Shape
Spline
Ellipse
Polygon . . .
generalization shown as tree
subclasses
Dictionary of Terms generalization set •373
parents in order to work correctly. In many cases, however, the parent is designed
to be extended by children and includes more or less knowledge of the expected
children. One of the glories of generalization, however, is that new children are of-
ten discovered that had not been anticipated by the designer of the parent element,
leading to an expansion in power that is compatible in spirit with the original
intent.
The realization relationship is like a generalization in which only behavior spec-
ification is inherited rather than structure or implementation. If the specification
element is an abstract class with no attributes, no associations, and only abstract
operations, then generalization and realization are roughly equivalent as there is
nothing to inherit but behavior specification. Note that realization does not actu-
ally populate the client, however; therefore, the operations must be in the client or
inherited from some other element.
History
In UML2, generalization is restricted to classifiers, but because most everything is
a classifier, not much is lost.
generalization set s66-69 s120-128
A set of generalizations that compose one dimension or aspect of the specializa-
tion of a given classifier.
See also generalization, powertype.
Semantics
A classifier can often be specialized along multiple dimensions, each representing a
different aspect of the structure and semantics of the concept. Because these di-
mensions are orthogonal ways of viewing a classification hierarchy, it is useful to
partition the children of a classifier according to the aspect of the parent that they
represent. A set of generalizations representing such a dimension is called a gener-
alization set. The parent element of all the generalizations in the set must be the
same.
Usually each dimension characterized by a generalization set represents only
part of the semantics of the original classifier. To obtain a complete child classifier,
it is necessary to combine (using multiple inheritance) one classifier from each or-
thogonal generalization set.
For example, a geometric shape might be specialized according to whether its
edges are straight or curved and according to whether its boundary is intersecting
or nonintersecting. A curved shape could be specialized into conic sections or
splines. A complete subclass would require a choice from each dimension. For ex-
ample, a star is a shape that has straight edges and is intersecting.
374 •generalization set Dictionary of Terms
Each generalization set represents an abstract quality of the parent, a quality
that is specialized by the elements in the set. But a parent with multiple generaliza-
tion sets has multiple dimensions, all of which must be specialized to produce a
concrete element. Therefore, classifiers within a generalization set are inherently
abstract. Each of them is only a partial description of the parent, a description that
emphasizes one quality and ignores the rest. For example, a subclass of geometric
shape that focuses on straightness of edges ignores self-intersections. A concrete
element requires specializing all the dimensions simultaneously. This can occur by
multiple inheritance of the concrete model element from a classifier in each of the
generalization sets, or by multiple classification of an instance by a classifier in
each of the generalization sets. Until all the generalization sets are combined, the
description remains abstract.
For example, consider two generalization sets on a vehicle: means of propulsion
and venue (where it travels). The propulsion generalization set includes wind-
powered, motor-powered, gravity-powered, and muscle-powered vehicles. The
venue generalization set includes land, water, and air vehicles. An actual vehicle
must have a means of propulsion and a venue. A wind-powered water vehicle is a
sailboat. There is no particular name for an animal-powered air vehicle, but in-
stances of the combination exist in fantasy and mythology.
A powertype is a classifier associated with a generalization set. It is a metaclass
whose instances are the classifiers in a generalization set. It represents the quality
that is being selected in the generalization.
Generalization set constraints
A constraint may be applied to the elements in a generalization set. The following
properties can be specified. See powertype.
disjoint The classifiers in the set are mutually exclusive. No
instance may be a direct or indirect instance of more than
one of the elements.
overlapping The classifiers in the set are not mutually exclusive. An
element may be an instance of more than one of the ele-
ments.
complete The classifiers in the set completely cover a dimension of
specialization. Every instance of the supertype must be an
instance of at least one of the classifiers in the set.
incomplete The classifiers in the set do not completely cover a dimen-
sion of specialization. An instance of the supertype may
fail to be an instance of one of the classifiers in the set.

Dictionary of Terms generalization set •375
Notation
A generalization set is shown as a text label following a colon on a generalization
arrow. Figure 14-145 shows a specialization of Employee on two dimensions: em-
ployee status and locality. Each generalization set has a range of possibilities repre-
sented by subclasses. But both dimensions are required to produce an instantiable
subclass. Liaison, for example, is a class that is both a Supervisor and an Expatriate.
Several generalization arrows may be combined into a single tree with one ar-
rowhead. The name of the generalization set may be placed on the arrowhead so
that it need not be repeated on each subclass. Constraints on generalization sets
may be placed on an arrowhead that branches to multiple subclasses, or they may
be placed on a dashed line that crosses a set of generalization arrows that compose
a generalization set. Figure 14-146 shows the declaration of constraints on general-
izations. It illustrates both the “tree style” of notation, in which the generalization
paths are drawn on an orthogonal grid and share a common arrowhead, as well as
the “binary style,” in which each parent-child relationship has its own oblique
arrow.
History
UML2 generalization sets replace UML1 discriminators with roughly equivalent
capability.
Figure 14-145. Generalization sets
Employee
Supervisor Worker Native Expatriate
:locality
:locality
:status
:status
Liaison
Runner
These two arcs and
subclasses form
one generalization set
of Employee.
These two arcs and
subclasses form a separate
generalization set of Employee.
These classes include both the
status and locality generalization set
and are therefore complete.
None of
these classes
is concrete.
They are all
abstract until
the discriminators
are recombined.

376 •graphic marker Dictionary of Terms
graphic marker s101
A notational element such as geometry, texture, fill pattern, font, color, and so on.
See also font usage.
Notation
Symbols for notation are constructed from various graphic markers. No one
graphic marker has semantic significance by itself, but the goal of notation is to use
graphic markers in a consistent and orthogonal way as much as possible.
Some graphic markers are used to construct predefined UML symbols, while
other graphic markers are not used in the canonical notation. For example, no
meaning has been assigned to color because many printers do not render it and
some people cannot distinguish all colors. Unassigned graphic markers, such as
colors, can be used within editing tools for whatever purpose the modeler or tool
wishes. Often such usage is modifiable and carries no fixed meaning. Modelers
should use such capabilities with care if the model may be used in another context
where the graphic marker might be unavailable (such as a monochrome copy).
UML permits limited graphical extension of its notation. A graphic icon or a
graphic marker (such as texture or color) can be associated with a stereotype. The
UML does not specify the form of the graphic specification. But many bitmap and
stroked formats exist and might be used by a graphical editor (although their port-
ability is a difficult problem).
Figure 14-146. Generalization set constraints
Worker
Butcher Baker
{disjoint, incomplete}
Candlestick
:occupation
Athlete
Swimmer Golfer
{overlapping, incomplete}
constraint on tree root:
applies to all the children
constraint applied to
Maker
generalization set name
A worker may have only one occupation.
This is not a complete list of occupations.
An athlete may play more than one sport.
This is not a complete list of athletic pursuits.
explicit set of arcs
Dictionary of Terms guard condition •377
More general forms of icon specification and substitution are conceivable, but
we leave these to the ingenuity of tool builders—with the warning that excessive
use of extensibility capabilities may lead to loss of portability among tools.
group transition s499
A transition whose source is a composite state.
Semantics
A transition whose source is a composite state is called a group transition (or a
high-level transition). It applies whenever the active state configuration includes
one or more substates contained (directly or indirectly) by the composite state. If
the trigger of the group transition is satisfied and no transition on a state nested
within the composite state is satisfied, the firing of the group transition forces the
termination of activity within the composite state. Any terminated threads of ac-
tivity execute their exit activities until all the direct substates of the composite state
reach completion. If the target state is exterior to the composite state, the exit ac-
tivity of the composite state is executed. Then any further activities encountered
on the path to the target state(s) are executed, and the active state configuration is
updated by replacing the terminated states with the new target state or states.
guard condition
A condition that must be satisfied in order to enable an associated transition to
fire.
See also any trigger, branch, junction, transition.
Semantics
A guard condition is a Boolean expression that is part of the specification of a
transition. When a signal is received, it is saved until the state machine has com-
pleted any current run-to-completion step. When any run-to-completion step is
completed, the triggers of transitions leaving the current state (including contain-
ing states) are examined to find those eligible to fire. The guard conditions of eligi-
ble transitions are evaluated, not necessarily in a fixed order. If the condition of at
least one eligible transition is satisfied, the transition is enabled to fire (but if more
than one transition is enabled, only one will fire and the event is consumed, possi-
bly removing satisfaction of other triggers). The test occurs as part of the trigger
evaluation process. If the guard condition evaluates to false when the event is han-
dled, it is not reevaluated unless the trigger event occurs again, even if the condi-
tion later becomes true.
378 •guillemets Dictionary of Terms
A guard condition must be a query—that is, it may not modify the value of the
system or its state; it may not have side effects.
A guard condition may appear on a completion transition. In that case, it selects
one arm of a branch.
Notation
A guard condition is part of the string for a transition. It has the form of a Boolean
expression enclosed in square brackets.
[ boolean-expression ]
Names used within the expression must be available to the transition. They are
either parameters of the trigger event, attributes of the owning object, or property
names reachable by navigation starting from the such names.
guillemets
Small double angle marks (« ») used as quotation marks in French, Italian, Span-
ish, and other languages. In UML notation they are used to enclose keywords and
stereotype names. For example: «bind», «instanceOf». Guillemets are available in
most fonts, so there is really no excuse for not using them, but the typographically
challenged often substitute two angle brackets (<< >>) instead.
See also font usage.
high-level transition s499
See group transition.
history state s469 s471 s481
A pseudostate that indicates that the enclosing composite state remembers its pre-
viously active substate after it exits.
See also composite state, pseudostate, state machine, transition.
Semantics
A history state allows a composite state to remember the last substate that was ac-
tive in it prior to the most recent exit from the composite state. A transition to the
history state causes the former active substate to be made active again after execut-
ing any specified entry activity or activities on the path to the substate. Incoming
transitions may be connected to the history state from outside the composite state
or from the initial state.
A history state may have one outgoing unlabeled transition. This transition in-
dicates the initial default history state. It is used if a transition to the history state

Dictionary of Terms history state •379
occurs when no stored state is present. The history state may not have incoming
transitions from other states within the composite state because it is already active.
A history state may remember shallow history or deep history. A shallow history
state remembers and reactivates a state at the same nesting depth as the history
state itself. If a transition from a nested substate directly exited the composite state,
the enclosing substate at the top level within the composite state is activated, but
not any nested substates. A deep history state remembers a state that may have
been nested at some depth within the composite state. To remember a deep state, a
transition must have taken the deep state directly out of the composite state. If a
transition from a deep state goes to a shallower state, which then transitions out of
the composite state, then the shallower state is the one that is remembered, be-
cause it is the source of the most recent exit. A transition to a deep history state re-
stores the previously active state at any depth. In the process, entry activities are
executed if they are present on inner states containing the remembered state. A
composite state may have both a shallow history state and a deep history state. An
incoming transition must be connected to one or the other.
If a composite state reaches its final state, then it loses its stored history and be-
haves as if it had not been entered for the first time.
Notation
A shallow history state is shown as a small circle containing the letter H, as in
Figure 14-147. A deep history state is shown as a circle containing the letters H*.
Figure 14-147. History state
AC
H
A1
A2
interrupt
resume
This transition does not
This transition invokes the
stored history state.
If it is the first transition into B,
it invokes state A2.
invoke history.
This indicates the stored history state
to use if the composite state
has never been entered.
BThis transition stores a history.
380 •hyperlink Dictionary of Terms
hyperlink s347 s351
An invisible connection between two notation elements that can be traversed by
some command.
See also diagram.
Notation
A notation on a piece of paper contains no hidden information. A notation on a
computer screen, however, may contain additional invisible hyperlinks that are not
apparent in a static view but that can be invoked dynamically to access some other
piece of information, either in a graphical view or in a textual table. Such dynamic
links are as much a part of a dynamic notation as the visible information, but the
UML specification does not prescribe their form. They are a tool responsibility.
The UML specification attempts to define a static notation for UML, with the un-
derstanding that some useful and interesting information may show up poorly or
not at all in such a view. On the other hand, it is not the intent to specify the be-
havior of all dynamic tools nor to stifle innovation in dynamic presentation. Even-
tually, some dynamic notations may become well enough established to
standardize, but more experience is needed.
identity s10 s95 s98 s251 s259
An object’s inherent property of being distinguishable from all other objects.
See also data value, object.
Semantics
Objects are discrete and distinguishable from each other. The identity of an object
is its conceptual handle, the inherent characteristic that allows it to be identified
and referenced by other objects. Conceptually, an object does not need an internal
value to identify itself; such mechanisms should not be included in logical models,
as they can be generated automatically. In an implementation, identity may be im-
plemented by addresses or keys, but they are part of the underlying implementa-
tion infrastructure and need not be explicitly included as attributes in most
models. Pure values, on the other hard, have no identity, and two identical values
are indistinguishable in all respects.
Identity is only meaningful if an object can be modified. Two references to an
object have the same identity if a change to the object using one reference is visible
to the other reference. A read-only object is therefore indistinguishable from a
pure value.
There is a test identity action that determines if two values are the same object.
Dictionary of Terms ill formed •381
ignore s412
A tag on a combined fragment in an interaction that indicates that certain message
types are suppressed in the model within the fragment, regardless of their actual
occurrence during execution. This tag is equivalent to a consider tag that lists all
the other message types. See consider.
Semantics
Certain constraints in interactions are most easily expressed by focusing on a sub-
set of the message types that participate in the constraints. In such cases, it may be
useful to suppress other message types in the model because they are not relevant
to the given constraint or because they are discarded in practice. The ignore tag on
a combined fragment indicates that the listed message types will not be shown
within the fragment and that any constraints should filter them out before being
applied.
For example, an interaction might state that a message of type A is always im-
mediately followed by a message of type B and not another of type A, but messages
of type C might occur independently without regard to messages of type A or B.
This can be modeled by ignoring message type C within the fragment that requires
B to follow A.
Notation
The keyword ignore is followed by a comma-separated list of message type names.
The entire string is placed in the rectangular tab on the boundary of a fragment.
ill formed
Designation of a model that is incorrectly constructed, one that violates one or
more predefined or model-specified rules or constraints. Antonym: well formed.
See also conflict, constraint.
Semantics
A model that violates well-formedness rules and constraints is not a valid model
and therefore has inconsistent semantics. To attempt to use such a model may
yield meaningless results. It is the responsibility of a modeling tool to detect ill-
formed models and prevent their use in situations that might be troublesome. Be-
cause the use of some constructs extends the built-in UML semantics, automatic
verification may not be possible in all cases. Also, automatic checking cannot be
expected to verify consistency of operations, because that would involve solving
the halting problem. Therefore, in practical situations, a combination of automatic
verification and human verification is necessary.
382 •implementation Dictionary of Terms
Although a finished model must be well formed, intermediate versions of a
model will likely be ill formed at times during development because they might be
incomplete fragments of a final model. Editing a valid model to produce another
valid model may require passing through intermediate models that are ill formed.
This is no different from editing computer programs—the final program given to
a compiler must be valid, but working copies in a text editor are often invalid.
Therefore ill-formed models must be editable and storable by support tools.
implementation
1. A definition of how something is constructed or computed. For example, a
method is an implementation of an operation. Contrast: specification. The realiza-
tion relationship relates an implementation to its specification.
See realization.
2. That stage of a system that describes the functioning of the system in an execut-
able medium (such as a programming language, database, or digital hardware).
For implementation, low-level tactical decisions must be made to fit the design to
the particular implementation medium and to work around its limitations (all
languages have some arbitrary limitations). If the design is done well, however, the
implementation decisions will be local and none of them will affect a large portion
of the system. This stage is captured by implementation-level models, especially
the static view and code. Contrast analysis, design, implementation, and deploy-
ment (phase).
See development process, stages of modeling.
implementation (stereotype of Component)
A component that provides the implementation for a separate specification to
which it has a dependency.
See implementation, specification.
implementation class (stereotype of Class)
A class that provides a physical implementation, including attributes, associations
to other classes, and methods for operations. An implementation class is intended
for a traditional object-oriented language with fixed single classification. An object
in such a system must have exactly one implementation class as its direct class.
Contrast with type, a stereotype for a class that permits multiple classification. In a
conventional language, such as Java, an object can have one implementation class.
and many interfaces. The implementation class must be consistent with the inter-
faces.
See type.

Dictionary of Terms import •383
implementation dependency s113 s115
A realization relationship between an interface and a class in which the class con-
forms to the contracts specified by the interface.
Semantics
A provided interface is an interface that describes the externally available opera-
tions that a class makes available. An implementation dependency models the real-
ization relationship between the interface and the class. A class may have multiple
implementation dependencies to multiple interfaces, and multiple classes can im-
plement the same interface.
Notation
A solid line is drawn from a provided interface to the boundary of a class that im-
plements it (Figure 14-148).
implementation inheritance s10
The inheritance of the implementation of a parent element—that is, its structure
(such as attributes and operations) and its code (such as methods). By contrast,
interface inheritance involves inheritance of interface specifications (that is, opera-
tions) but not methods or data structure (attributes and associations).
Implementation inheritance (the normal meaning of generalization in UML) in-
cludes the inheritance of both interface and implementation.
See also generalization, inheritance.
import i120 i124 s9
A directed relationship that adds the names of elements to a namespace.
See access, qualified name, visibility.
Semantics
The names of elements defined within a package (or other namespace) may be
used within textual expressions (such as OCL constraints) found in the package.
Figure 14-148. Implementation dependency
Shellsort
Sort
implementation
dependency
provided interface class
384 •import Dictionary of Terms
Elements from other packages can be referenced using their qualified names, that
is, the sequence of names of the nested namespaces containing the element start-
ing from the system root. In many cases, a modeler wishes to treat an element or
group of element as if they had been defined locally, so that simple names can be
used instead of qualified names. A package (the client) that imports an element
from another package (the supplier) may use the simple name of the imported ele-
ment to refer to it within expressions. Elements may be imported only if they are
visible to the importing package. For example, an element that is private within its
package cannot be imported by another package. The import relationship specifies
the import visibility within the importing package as public or private. If it is pub-
lic, the imported element is visible to any element that can see the importing pack-
age (and the element can therefore be imported by another package). If the
visibility is private, the imported element is not visible outside the importing
package.
An imported element may be given an alias, which is the name by which the im-
ported element may be directly referenced within the importing package. If an
alias is given, the original name of the imported element does not appear in the
importing package.
A package implicitly gains access to all packages imported by any package
within which it is nested (that is, nested packages can see everything that their
containing packages see). If there is a clash of names, a name defined or imported
by an inner package hides a name defined or imported by an outer package. The
name in the outer package must be referenced using its qualified name.
Elements of different kinds, such as an attribute and an operation, do not clash.
Some elements use additional parameters besides the name in determining
whether names clash. For example, operations with distinct signatures do not
clash even if they have identical names.
If the names of two imported elements clash, neither name is added to the
namespace. If the name of an imported element clashes with a name defined
within the importing namespace, the internal name takes precedence and the im-
ported name is not added to the namespace.
An element in a package has access to all elements that are visible within the
package (or other namespace). The visibility rules may be summarized as follows.
• An element defined in a package is visible within the same package.
• If an element is visible within a package, then it is visible within all packages
nested inside the package.
• If a package imports another package with public visibility, then all elements
defined with public visibility in the imported package are visible within the
importing package.
Dictionary of Terms import •385
• If a package is a child of another package, then all elements defined with pub-
lic or protected visibility in the parent package are visible within the child
package. Protected elements are invisible externally to the child package.
• Access and import dependencies are not transitive. If A can see B and B can see
C, it does not necessarily follow that A can see C.
• An element defined in a nonpackage namespace is visible within the nearest
enclosing package, but is invisible externally to that package.
One consequence is that a package cannot see inside its own nested packages un-
less it imports them and unless their contents of the nested packages are public.
The following are some further rules on visibility.
• The contents of a classifier, such as its attributes and operations as well as
nested classes, are visible within the package if they have public visibility in the
classifier.
• The contents of a classifier are visible within a descendant classifier if they have
public or protected visibility in the classifier.
• All contents of a classifier are visible to elements within the classifier, including
within methods or state machines of the classifier.
The normal simple case concerns elements in packages that are peers. In that case,
an element can see all the elements in its own package and all the elements with
public visibility in those packages imported by its package. A class can see the pub-
lic features in other classes that it can see. A class can also see protected features in
its ancestors.
Notation
An import dependency is shown by a dashed arrow, drawn with its tail on the cli-
ent package and its head on the supplier package. The arrow uses the keyword
«import» as a label. If the import is private, the keyword «access» is used instead.
An alias name may be shown before or after the keyword.
Alternately, an import may be shown as a text string within the importing pack-
age using the following syntax:
{ import qualifiedName }
Example
Figure 14-149 shows an example of package import among two peer packages.
Package P imports package Q. Classes K and L in package P can use M as an un-
qualified name to reference public class M in package Q, but they cannot see pri-
vate class N at all. Classes M and N in package Q can use qualified name P::K to
reference public class K in package P, but they cannot see class L at all.

386 •import Dictionary of Terms
Figure 14-150 shows a more complicated case of visibility and access declara-
tions. The symbol in front of an element name represents the visibility of the ele-
ment outside its own container: + for public, – for private (not visible outside).
Class A can see C and E and use their unqualified names because they are in en-
closing packages Y and X.
Classes C and A can see D and use its unqualified name because package Y im-
ports package Z. Class A is nested inside package Y and can therefore see every-
thing Y can see.
Figure 14-149. Package import
Figure 14-150. Access rules
+K +M
«import»
PQ
–L –N
+A +B
+C +D
+E
–F
«import» «import»
«access»
X
YZ
UV
Dictionary of Terms inactive •387
Classes A, C, and E can see B and use its unqualified name because they are
nested in package X, which imports package V containing B. They cannot see F,
however, because it has private visibility within its package V. Class F, therefore,
cannot be seen outside package V.
Class E can see D but must use the qualified name Z::D, because D is in package
Z, which has not been imported by package X. The import of package Z by pack-
age Y has private visibility (keyword access), therefore the import of package Y by
package X does not confer visibility on the contents of package Z.
Class C and class E can see A but must use the qualified name (U::A), because
class A is in package U, which has not been imported by another package. Package
Y has been imported by package X, so class E does not need to include Y in the
qualified name.
Classes B and F can see classes D and E and use their unqualified names, because
they are found in enclosing packages. They can also see C and use its unqualified
name, because C is in package Y, which is imported by enclosing package X, which
ultimately contains B and F. The fact that F is private does not prevent it from see-
ing other classes, but other classes cannot see F.
Classes B and F can see each other and use their names because they are in the
same package. Class F is private to classes in outer packages, not to classes in its
own package.
History
UML1 used access and import dependencies to grant permission to reference ele-
ments from other packages. That overprotective concept has been dropped. Im-
port now only determines the appearance of an imported name in the importing
namespace. If an element can be seen, it can be referenced directly, and its quali-
fied name can always be used within expressions.
Discussion
Note that importing is only about use of names in text expressions. It is not needed
to construct models themselves. An element from another package can always be
explicitly referenced in a diagram, because relationships are direct references not
dependent on names. Also note that the use of the names in namespaces is largely
dependent on extensions to UML by tools.
inactive s480
A state that is not active; one that is not held by an object.
388 •inception Dictionary of Terms
inception
The first phase of a software development process, during which the initial ideas
for a system are conceived and evaluated. During this phase, some of the analysis
view and small portions of other views are developed.
See development process.
include s517
A relationship from a base use case to an inclusion use case, specifying that the be-
havior defined for the inclusion use case is to be inserted into the behavior defined
for the base use case. The base use case can see the inclusion and can depend on
the effects of performing the inclusion, but neither the base nor the inclusion may
access each other’s attributes.
See also extend, use case, use case generalization.
Semantics
The include relationship connects a base use case to an inclusion use case. The in-
clusion use case in this relationship is not a separate instantiable classifier. Instead,
it explicitly describes an additional behavior sequence that is inserted into a use
case instance that is executing the base use case. Multiple include relationships
may be applied to the same base use case. The same inclusion use case may be in-
cluded in multiple base use cases. This does not indicate any relationship among
the base use cases. There may even be multiple include relationships between the
same inclusion base case and base use cases, provided each insertion is at a differ-
ent location in the base.
The inclusion use case may access attributes or operations of the base use case.
The inclusion represents encapsulated behavior that potentially can be reused in
multiple base use cases. The base use case sees the inclusion use case, which may
set attribute values in the base use case. But the base use case must not access the
attributes of the inclusion use case, because the inclusion use case will have termi-
nated when the base use case regains control.
Note that additions (of all kinds) may be nested. An inclusion, therefore, may
serve as the base for a further inclusion, extension, or generalization.
The inclusion is an explicit statement within the behavior sequence of the base
use case. The location is therefore implicit, unlike the situation with the extend re-
lationship.
Notation
A dashed arrow is drawn from the base use case symbol to the inclusion use case
symbol with a stick arrowhead on the inclusion. The keyword «include» is placed

Dictionary of Terms incomplete •389
on the arrow (Figure 14-151). The location can be attached to the arrow as a prop-
erty list in braces, but usually it is referenced as part of the text for the base use case
and need not be shown on the diagram. Figure 14-152 shows the behavior se-
quences for these use cases.
incomplete
Keyword indicating that the subtypes of a generalization set do not cover all cases
of the supertype.
See generalization set.
Figure 14-151. Include relationship
Figure 14-152. Behavior sequences for use cases
ATM session
Validate account
Identify customer
«include»«include»
Base use case for ATM session:
show advertisement of the day behavior step
include identify customer inclusion
include validate account another inclusion
print receipt header behavior step
log out behavior step
Inclusion use case for Identify Customer:
get customer name
include verify identity
if verification failed then abort the session
obtain account numbers for the customer
Inclusion use case for Validate Account:
establish connection with account database
obtain account status and limits
390 •incremental development Dictionary of Terms
incremental development
The development of a model and other artifacts of a system as a series of versions,
each complete to some degree of precision and functionality, but each adding in-
cremental detail to the previous version. The advantage is that each version of the
model can be evaluated and debugged based on the relatively small changes to the
previous version, making it easier to make changes correctly. The term is closely al-
lied with the concept of iterative development.
See development process.
indeterminacy
The property that execution might produce more than one possible outcome.
See determinacy.
indirect instance s9
An entity that is an instance of an element, such as a class, and is also an instance
of a child of the element. That is, it is an instance but not a direct instance.
indirect substate s478
With respect to a composite state, a state contained by it that is also contained by
another substate of the composite state, and which is therefore not a direct sub-
state of the composite state; a nested state at other than the top level.
See composite state, direct substate.
information flow s532
A declaration that information is exchanged between objects of given types.
Semantics
An information flow specifies a source and a target classifier and one or more clas-
sifiers that represent types of information that may be sent from an object of the
source type to an object of the target type.
Notation
It is shown as a dashed arrow (a dependency) with the keyword «flow».
Discussion
The concept of information flow and information item are so vague as to question
their usefulness. A more robust model of control and data flow is found in the
activity model.
Dictionary of Terms inheritance •391
information item s533
An information item represents a type of information that can be exchanged over
information flows.
inheritance
The mechanism by which more specific elements incorporate structure and be-
havior defined by more general elements.
See also full descriptor, generalization, redefinition
Semantics
Inheritance allows a full description of a classifier to be automatically constructed
by assembling declaration fragments from a generalization hierarchy. A generali-
zation hierarchy is a tree (actually, a partial order) of declarations of model ele-
ments, such as classes. Each declaration is not the declaration of a complete, usable
element, however. Instead, each declaration is an incremental declaration describ-
ing what the element declaration adds to the declarations of its ancestors in the
generalization hierarchy. Inheritance is the (implicit) process of combining those
incremental declarations into full descriptors that describe actual instances.
Think of each classifier as having two descriptions, a segment declaration and a
full descriptor. The segment declaration is the incremental list of features that the
element declares in the model—the attributes and operations declared by a class,
for example. The segment declaration is the additional structure that a classifier
declares compared to its parents. The full descriptor of a classifier includes the new
structure as well as the structure of the parents. The full descriptor does not appear
explicitly within the model. It is the full description of an instance of the
element—for example, the complete list of attributes and operations held by an
object of a class. The full descriptor is the union of the contents of the segment
declarations in an element and all its ancestors.
That is inheritance. It is the incremental definition of an element. Other details,
such as method lookup algorithms, vtables, and so on, are merely implementation
mechanisms to make it work in a particular language, not part of the essential def-
inition. Although this description may seem strange at first, it is free of the imple-
mentation entailments found in most other definitions, yet is compatible with
them.
Conflicts
If the same feature appears more than once among the set of inherited segments,
there may be a conflict. Unless it is explicitly redefined, no attribute may be de-
clared more than once in an inherited set. If a multiple definition occurs, the dec-
larations conflict and the model is ill formed. (This restriction is not essential for
392 •initial node Dictionary of Terms
logical reasons. It is present to avoid the certain confusion that would occur if at-
tributes had to be distinguished by pathnames.)
The same operation may be declared more than once, provided the declaration
is exactly the same (the methods may differ, however) or a child declaration
strengthens an inherited declaration (for example, by declaring a child to be a
query or increasing its concurrency status). A method declaration on a child re-
places (overrides) a method declaration on an ancestor. There is no conflict. If dis-
tinct methods are inherited from two different ancestors that are not themselves in
an ancestor relationship, then the methods conflict and the model is ill formed.
Discussion
The words generalization and inheritance are often used interchangeably, but there
are actually two related but distinct concepts. Generalization is a taxonomic rela-
tionship among modeling elements. It describes what an element is. Inheritance is
a mechanism for combining shared incremental descriptions to form a full de-
scription of an element. In most object-oriented systems, inheritance is based on
generalization, but inheritance can be based on other concepts, such as the delega-
tion pointer of the Self language. Basing the inheritance mechanism on the gener-
alization relationship enables factoring and sharing of descriptions and
polymorphic behavior. This is the approach taken by most object-oriented lan-
guages and by UML. But keep in mind that there are other approaches that could
have been taken and that are used by some programming languages.
initial node s315-317 s335-336
A control node indicating the place where execution begins when the activity is
invoked.
Semantics
An initial node is a control node with no inputs and one output. When the activity
containing the initial node is invoked, a control token is placed in the initial node
and the activity is allowed to execute.
An activity may have multiple initial nodes, in which case a control token is
placed in each of them. This would represent a situation with concurrency.
Notation
A initial node is shown as a small solid black circle with no input arrows and one
output arrow. See Figure 14-13.
Dictionary of Terms initial state •393
initial state s470 s499
A pseudostate that indicates the default starting state of the enclosing region. It is
used when a transition targets the boundary of a composite state.
See also composite state, creation, entry activity, entry point, exit point, initial-
ization, junction.
Semantics
To promote encapsulation, it is desirable to separate the outside view of a compos-
ite state from the inside details as much as possible. From the outside, the state is
viewed as an opaque entity with hidden internal structure. From the outside view-
point, transitions go to and from the state itself. From the inside viewpoint, they
connect to substates within the state.
An initial state is a dummy state (pseudostate) that designates the default start-
ing state of the containing region. Rather, it is a syntactic means of indicating
where the control should go. An initial state must have an outgoing triggerless
transition (a transition with no event trigger, therefore automatically enabled as
soon as the initial state is entered). The transition connects to a real state in the
composite state. The transition may have an action on it.
When an external transition to the boundary of the enclosing composite state
fires, the following behavior occurs, in order: Any action on the external transition
is executed; each orthogonal subregion of the composite state is activated; for a
given subregion, any entry activity is executed; the initial state of the subregion is
activated and causes its outgoing transition to be taken; any action on the outgoing
transition is executed; the default starting state of the subregion becomes active;
the execution of the transition is now complete. At the completion of the transi-
tion, one state will be active in each subregion of the composite state.
The entry action of the composite state and the completion transition on the
initial state may access the implicit current event—that is, the event that triggered
the first segment in the transition that ultimately caused the transition to the ini-
tial state.
The transition on an initial state may not have an event trigger. An initial state is
a pseudostate and may not remain active.
Most often the transition from the initial state is unguarded. In that case, it must
be the only transition from the initial state. A set of outgoing transitions may be
provided with guard conditions, but the guard conditions must completely cover
all possible cases (or, more simply, one of them can have the guard condition else).
The point is that control must leave the initial state immediately. It is not a real
state, and some transition must fire.
The initial state in the top-level state of a class represents the creation of a new
instance of the class. When the transition leaving the initial state fires, the implicit

394 •initial state Dictionary of Terms
current event is the creation event of the object and has the argument values
passed by the constructor operation. These values are available within actions on
the outgoing transition.
Object creation
The initial state of the topmost composite state of a class is slightly different. It may
have a trigger with the stereotype «create», together with a named event trigger
with parameters. There may be multiple transitions of this kind with different trig-
gers. The signature of each trigger must match a creation operation on the class.
When a new object of the class is instantiated, the transition corresponding to its
creation operation fires and receives the arguments from the call to the creation
operation.
Notation
An initial state is displayed as a small filled black circle inside the symbol of its
composite state. Outgoing transition arrows may be connected to it. Only one
initial state may occur (directly) within a composite state. However, additional ini-
tial states may occur within nested composite states.
Example
In Figure 14-153, we start in state X. When event e occurs, the transition fires and
action a is performed. The transition goes to state Y. Entry action b is performed,
and the initial state becomes active. The outgoing transition immediately fires,
performing action c and changing to state Z.
Instead, if event f occurs when the system is in state X, then the other transition
fires and action d is performed. This transition goes directly to state Z. The initial
state is not involved. Because control passes into state Y, action b is performed, but
action c is not performed in this case.
Figure 14-153. Initial state
initial state no event trigger allowed actual first state
e / a
owner of the initial state
/ c
entry / b
X
Y
Z
f / d
This is a direct transition to an inner state.
This is a transition
to the initial state.

Dictionary of Terms initial value •395
In Figure 14-154, the initial state has a branch. Again, suppose the system starts
in state X. When event e occurs, actions a is performed, the system changes to state
Y, and the entry action b is performed. Control goes to the initial state. The size at-
tribute of the owning object is tested. If it is 0, control goes to state Z; if it is not 0,
control goes to state W.
initial value
An expression specifying the value that an attribute in an object holds just after it
has been initialized.
See also default value, initialization.
Semantics
An initial value is an expression attached to an attribute. The expression is a text
string that also designates a language for interpreting the expression. When an ob-
ject holding the attribute is instantiated, the expression is evaluated according to
the given language and the current value of the system. The result of the evaluation
is used to initialize the value of the attribute in the new object.
The initial value is optional. If it is absent, then the attribute declaration does
not specify the value held by a new object (but some other part of the overall
model may supply that information).
Note that an explicit initialization procedure for an object (such as a construc-
tor) may supersede an initial value expression and overwrite the attribute value.
The initial value of a class-scope attribute is used to initialize it once at the be-
ginning of execution. UML does not specify the relative order of initialization of
different class-scope attributes.
Figure 14-154. Initial state with branch
initial state branch condition allowed
e / a [self.size = 0]
X
Y
Z
This is a transition
to the initial state.
W
[else]
entry / b
here equivalent to ‘size ≠ 0’
396 •initialization Dictionary of Terms
Notation
An initial value for an attribute is shown as a text expression following an equal
sign (=). See attribute.
Discussion
In UML2, the initial value for an attribute has been confusingly renamed default
value. You will probably be better understood if you ignore this renaming, which is
also used (and makes better sense) for parameters with omitted arguments.
initialization
Setting the value of a newly created object—namely, the values of its attributes,
links of associations that it belongs to, and its control state.
See also instantiation.
Semantics
Conceptually, a new object is created complete in one step. It is easier, however, to
think about the instantiation process in two steps: creation and initialization. First,
a new empty shell object is allocated with the proper structure of attribute slots,
and the new raw object is given identity. Identity can be implemented in various
ways, such as by the address of the memory block containing the object or by an
integer counter. In any case, it is something that is unique across the system and
can be used as a handle to find and access the object. At this point, the object is not
yet legal—it may violate the constraints on its values and relationships. The next
step is initialization. Any declared initial value expressions for attributes are evalu-
ated, and the results are assigned to the attribute slots. The creation method may
explicitly calculate the values for attributes, thereby overriding the default initial
values. The resultant values must satisfy any constraints on the class. The creation
method may also create links containing the new object. They must satisfy the
declared multiplicity of any associations that the class participates in. When the
initialization is complete, the object must be a legal object and must obey any con-
straints on its class. After initialization is complete, attributes or associations
whose changeability property is frozen or addOnly may not be altered until the ob-
ject is destroyed. The entire initialization process is atomic and may not be inter-
rupted or interleaved.
The semantics of initialization depend greatly on the concreteness of the model-
ing view. At a conceptual level, the object simple acquires a value. At a concrete
level close to implementation, the mechanisms available in a particular execution
environment become important. It is not possible to enforce a single view of ini-
tialization across all possible uses.
Dictionary of Terms instance •397
inout parameter s74
A parameter used to supply arguments to the called procedure and also to return
values to the caller using side effects on the parameter itself.
Semantics
A parameter can have a direction, which can include in, out, inout, and return. An
inout parameter is a parameter intended to directly represent parameters in cer-
tain programming languages that both supply argument values and permit assign-
ments to parameter variables within the bodies of procedures, with the assigned
values available to the caller.
Notation
The keyword inout may be placed before the name of an out parameter. Parame-
ters without keywords are in parameters.
See out parameter.
instance s10 s47 s57 s194
An individual entity with its own identity and value. A classifier specifies the form
and behavior of a set of instances with similar properties. An instance has identity
and values that are consistent with the specification in the classifier. Instances ap-
pear in models as instance specifications.
See also classifier, identity, instance specification, link, object.
Semantics
The UML specification document does not include a clear specification of the run-
time environment that models describe. Without such a specification, models lack
meaning. The following discussion probably should have been included in the
specification. It represents the commonly accepted background without which
models make little sense.
An instance is an entity in a run-time system. The purpose of models is to de-
scribe the possible configurations and history of instances. Instances do not appear
in models—instances are “out there” in the actual system. A model contains de-
scriptions of instances. A description may characterize a set of instances without
regard to the individual context of each instance; a classifier is such a description.
A description may describe a individual instance in more or less detail, including
its value, its relationships to other instances, and its history; an instance specifica-
tion is such a description.
An instance has identity. In other words, at different times during the execution
of a system, the instance can be identified with the same instance at other times,
398 •instance Dictionary of Terms
even though the value of the instance changes. At any time, an instance has a value
expressible in terms of data values and references to other instances. A data value is
a degenerate case. Its identity is the same as its value; or considered from a differ-
ent viewpoint, it has no identity. Identity represents a handle with which an in-
stance can be referenced and manipulated. It is distinct from the value of the
instance. It may be implemented using addresses, keys, or other mechanisms, but
it is an abstract concept distinct from its possible implementations.
A value is an immutable entity from some mathematical type. Values cannot be
changed; they simply exist. Operations can be defined on values that yield other
values, but such operations do not change values; only (mutable) instances can be
changed.
In addition to identity and value, each instance has a descriptor that constrains
the values that the instance can have. A descriptor is a model element that de-
scribes instances. This is the descriptor-instance dichotomy. Most modeling con-
cepts in UML have this dual character. The main content of most models is
descriptors of various kinds. The purpose of the model is to describe the possible
values of a system in terms of its instances and their values.
Each kind of descriptor describes one kind of instance. An object is an instance
of a class; a link is an instance of an association. A use case describes possible use
case instances; a parameter describes a possible argument value; and so on. Some
instances do not have familial names and are usually overlooked except in very for-
mal settings, but they nevertheless exist. For example, a state describes possible oc-
currences of the state during an execution trace.
A model describes the possible values of a system and its behavior in progressing
from value to value during execution. The value of a system is the set of all in-
stances in it and their values. The system value is valid if every instance is the in-
stance of some descriptor in the model, and if all the explicit and implicit
constraints in the model are satisfied by the set of instances.
The behavior elements in a model describe how the system and the instances in
it progress from value to value. The concept of identity of instances is essential to
this description. Each behavioral step is the description of the change of the values
of a small number of instances in terms of their previous values. The remainder of
the instances in the system preserve their values unchanged. For example, a local
operation on one object can be described by expressions for the new values of each
attribute of the object without changes to the rest of the system. A nonlocal func-
tion can be decomposed into local functions on several objects.
Note that the instances in an executing system are not model elements. They are
not part of the model at all. Anything in a model is a description of something in
the executing system. An instance specification is a description of an instance or
group of instances. It may be more or less specific—it may describe a single in-
stance with its complete value in a very specific scenario, or it may describe a set of
instances with some ambiguity in a range of possible situations.
Dictionary of Terms instance specification •399
Direct instance. Each object is the direct instance of some class and the indirect in-
stance of the ancestors of the class. This is also the case for instances of other classi-
fiers. An object is a direct instance of a class if the class describes the instance and
no descendant class also describes the object. In the case of multiple classification,
an instance may be a direct instance of more than one classifier, none of which is
an ancestor of any of the others. Under some execution semantics, one of the clas-
sifiers is designated the implementation class and the others are designated types
or roles. The full descriptor is the implicit full description of an instance—all its
attributes, operations, associations, and other properties—whether obtained by an
instance from its direct classifier or from an ancestor classifier by inheritance. In
case of multiple classification, the full descriptor is the union of the properties de-
fined by each direct classifier.
Creation. See instantiation for a description of how instances are created.
Notation
Instances only exist in the “real world”, therefore they do not appear in models. In-
stance specifications appear in models. This is a subtle but important semantic
distinction. When you describe the instances a running system, you are building a
model of it—an instance model. Instance specifications are the elements in such a
model. See instance specification for their notation.
instance of
Relationship between an instance and its descriptor. Modeled in an instance speci-
fication by a set of classifiers.
See instance, instance specification.
instance specification s47 s57 s194
A description in a model of an instance or group of instances. The description may
or may not describe all details of the instance.
Semantics
An instance specification is the description of an individual instance in the context
of its participation in a system and its relationship to other instances. Unlike an in-
stance, which exists as only as a concrete individual in an executing system, an
instance specification can be more or less precise. At one extreme, it can describe a
single object in a single execution of a system in full detail. More often, it describes
some aspects of the run-time instance and omits others that are not of interest in a
certain view. It can also represent multiple objects over many executions of a par-
ticular scenario, so the type of an instance specification may be abstract, even
400 •instance specification Dictionary of Terms
though every run-time object necessarily has a concrete type. Keep in mind that
the instance specification, as a description, can be an abstraction of actual in-
stances.
An instance specification is both like and unlike a classifier. Like a classifier, it
constrains the instances that it describes. Unlike a classifier, it describes an individ-
ual instance and can have a contextual relationship to other instances and to the
system in which it is embedded.
Structure
classifier A classifier or classifiers that characterize the instance.
The type of the instance may be the same or a descendant.
If multiple classifiers are given, the type of the instance
must be a descendant of all of them. The classifiers may
be abstract. The instance may also have classifiers in addi-
tion to those listed, unless this is explicitly proscribed.
specification An optional description of how to compute, derive, or
construct the instance. This may be informal or it may be
in a formal language. It may also be complete or incom-
plete (and therefore abstract). Usually the specification
and values for the slots are mutually exclusive.
slots There may be one slot for each attribute of the classifier
or classifiers, but not every attribute must be included (in
which case the description is abstract). Each slot contains
a value specification for the attribute within the instance.
A value specification may be a literal value, an expression
tree, an expression string, or another instance specifica-
tion.
Notation
Although classifiers and instance specifications are not the same, they share many
properties, including the same form (because the descriptor must describe the
form of the instances). Therefore, it is convenient to choose notation for each clas-
sifier-instance pair so that the correspondence is visually obvious. There are a lim-
ited number of ways to do this, each with its advantages and disadvantages. In
UML, the classifier-instance distinction is shown by using the same graphic sym-
bol for each pair of elements and by underlining the name string of an instance el-
ement. This visual distinction is easily apparent without being overpowering even
when an entire diagram contains instance elements.

Dictionary of Terms instance specification •401
For an instance specification, the classifier name is replaced by an instance name
string of the form:
name : Typelist, ⎣= specification⎦opt
The name is the name of the instance. It may be omitted but the colon must be
present. The name of a classifier or a list of names of classifiers may be present or
omitted. The specification is optional. It is given as an expression. The form of the
expression is implementation dependent. It is usually absent if values are given for
slots. The specification may also be listed on its own line below the name string. In
that case, the equal sign is omitted.
In addition to the name compartment, an instance specification may have an at-
tribute slot compartment corresponding to the attribute compartment of a classi-
fier. One slot may be included for each attribute (included inherited attributes) of
any of the given types. A slot specification has the form:
name ⎣: type⎦opt = value
The name is the name of the attribute. The type of the attribute may be included
for convenience, but it is not needed because it is known from the classifier. The
value is given as a text expression.
The operation compartment is not part of an instance specification, because all
objects of a given type share the same operations specified in the classifier.
Although Figure 14-155 shows object specifications, the underlining convention
can be used for other kinds of instances, such as use case instances, component in-
stances, and node instances.
Figure 14-155. Descriptor and instances
Point
x: Real
y: Real
rotate (angle: Real)
scale (factor: Real)
p1: Point
x = 3.14
y = 2.718
:Point
x = 1
y = 1.414
descriptor (a class)
instances (two objects)
The instances may show values.
No need to show fixed parts, such as operations,
shared by all instances.
Point object named p1
anonymous Point object
bound: Point, Vertex
“farthest vertex
from origin”
object identified by expression

402 •instance specification Dictionary of Terms
Link specifications (association instances) are shown as solid paths connecting
object symbols. It is unnecessary to underline the names because a line connecting
two object symbols is automatically a link specification. A link symbol can have
the same adornments as an association (aggregation, navigability, association end
names). Multiplicity is not appropriate as a link specification connects individual
instance specifications. There can be multiple link symbols with the same associa-
tion name or end name. If the links are ordered, a dashed arrow with the keyword
ordered can be drawn across the link symbols in order; otherwise the link symbols
or the link ends can be numbered. In principle, both ends of an association can be
ordered, but this is tricky to use and difficult to display; use it with reluctance.
Because instances appear in models as instance specifications, usually only de-
tails relevant to a particular example are included. For example, the entire list of
attribute values need not be included; or the entire list of values can be omitted if
the focus is on something else, such as message flow between objects.
Instance of structured class. An instance of a structured class is shown using a rect-
angle with a graphic compartment. To show an instance of a contained part, a
rectangle is drawn. The name string has the syntax:
name ⎣/ role-name⎦list : ⎣Type-name⎦list,
Figure 14-156. Link specification
Henry VII: Man
Henry VIII: Man
parent
child
Catherine of Aragon: Woman
Anne Boleyn: Woman
Jane Seymour: Woman
Anne of Cleves: Woman
Catherine Howard: Woman
Catherine Parr: Woman
wife
wife
wife
wife
wife
wife
ordered

Dictionary of Terms instantiable •403
The various elements are optional (including colon if type is omitted).
A connector is drawn as a solid path between part rectangles. The name of the
connector (if any) is underlined.
Attribute values for a part may be shown in an attribute compartment with the
syntax:
name = value
Figure 14-157 shows an instance of a structured classifier.
History
In UML2, a clear distinction has been made between instance specifications and
instances, a subtle but important difference the lack of which caused endless se-
mantic confusion in UML1.
instantiable
Able to have direct instances. Synonym: concrete.
See also abstract, direct instance, generalizable element.
Semantics
Generalizable elements may be declared as abstract or instantiable. If they are in-
stantiable, then direct instances can be created.
Figure 14-157. Instance of structured class
MarkSmith/customer:Person patron/priority:StatusLevel
name = “Mark Smith”
city = San Francisco
priority
ticket[1]/item:Ticket
date = 10/15/1932
show = “Tosca”
seat = D103
ticket[2]/item:Ticket
date = 6/5/2004
show = “Boheme”
seat = W205
: TicketOrder
404 •instantiate Dictionary of Terms
instantiate
To c reat e a n instance of a descriptor.
See instantiation.
instantiate (stereotype of Usage dependency)
A dependency among classifiers indicating that operations on the client create in-
stances of the supplier.
See instantiation, usage.
instantiation
The creation of new instances of model elements.
See also initialization.
Semantics
Instances are created at run time as a result of primitive create actions or creation
operations. First an identity is created for the new instance; then its data structure
is allocated as prescribed by its descriptor; and then its property values are initial-
ized as prescribed by the descriptor and the creation operator. Conceptually, all of
this happens at once, but it is convenient for modeling and implementation to
break instantiation into several stages.
The instantiation usage dependency shows the relationship between an opera-
tion that creates instances or a class containing such an operation and the class of
objects being instantiated.
Objects. When a new object is instantiated (created), it is created with identity and
memory and it is initialized. The initialization of an object defines the values of its
attribute, its association, and its control state.
Usually, each concrete class has one or more class-scope (static) constructor op-
erations, the purpose of which is to create new objects of the class. Underlying all
the constructor operations is an implicit primitive operation that creates a new
raw instance that is then initialized by the constructor operations. After a raw in-
stance has been created, it has the form prescribed by its descriptor, but its values
have not yet been initialized, so they may be semantically inconsistent. An instance
is therefore not available to the rest of the system until it has been initialized,
which occurs immediately after creation of the raw instance.
Links. Similarly, links are created by creation actions or operations, usually by in-
stance-scope operations attached to one of the participating classes, rather than by
constructor operations on the association element itself (although this is a possible
implementation technique under some circumstances). Again, there is an underly-
ing implicit primitive operation that creates a new link among a specific tuple of
Dictionary of Terms intent •405
objects. This operation has no effect if a link of the same association already exists
among the tuple of objects (unless the association has a bag on one of its ends).
With an ordinary association, there is nothing more to do. A link of an association
class, however, requires initialization of its attribute values.
Use case instances. The instantiation of a use case means that a use case instance is
created, and the use case instance begins executing at the beginning of the use case
controlling it. The use case instance may temporarily follow another use case re-
lated by extend or include relationships before it resumes executing the original
use case. When the use case instance comes to the end of the use case it is follow-
ing, the use case instance terminates.
Other instances. Instances of other descriptors may be created in a similar two-step
process: First perform a raw creation to establish identity and to allocate data
structure, then initialize the values of the new instance so that it obeys all relevant
constraints. For example, an activation is created implicitly as the direct conse-
quence of a call to an operation.
The exact mechanisms of creating instances are the responsibility of the run-
time environment.
Notation
An instantiation dependency is shown as a dashed arrow from the operation or
class performing the instantiation to the class being instantiated; the stereotype
«instantiate» is attached to the arrow.
On a sequence diagram, the instantiation of a new instance is shown by placing
a rectangle at the head of a message arrow. The lifeline for the new instance is
drawn beneath its head rectangle.
Discussion
Instantiation is sometimes used to mean binding a template to produce a bound
element, but binding is more specific for this relationship.
intent
The formal specification of the structural and behavioral properties of a descrip-
tor. Sometimes called intension. Contrast: extent.
See also descriptor.
Semantics
A descriptor, such as a class or an association, has both a description (its intent)
and a set of instances that it describes (its extent). The purpose of the intent is to
specify the structural and behavioral properties of the instances in an executable
manner.
406 •interaction Dictionary of Terms
interaction s419 s403-454
A specification of how messages are exchanged over time between roles within a
context to perform a task. An interaction specifies a pattern of behavior. The con-
text is supplied by a classifier or collaboration. In an instance of an interaction,
objects are bound to its roles and a particular trace of messages among objects
must be consistent with the specification.
Semantics
A reusable arrangement of connected objects can be specified using a structured
classifier or a collaboration. Each object is a part within a well-defined context.
Objects or other instances communicate within a context to accomplish a pur-
pose (such as performing an operation) by exchanging messages. The messages
may include signals and calls, as well as implicit interactions through conditions
and time events. A pattern of message exchanges to accomplish a specific purpose
is called an interaction.
Traces. An interaction describes a set of possible traces. A trace is a particular exe-
cution history. It comprises a partially ordered set of event occurrences, including
the sending or receiving ends of messages. In simple cases, the event occurrences
(and even the messages) are usually totally ordered; in more complicated cases,
there may be overlap.
For example, one trace involving banking might be “insert bank card, supply
password, request withdrawal, receive cash, remove card”. An interaction can de-
scribe multiple traces. For example, another trace for the same interaction might
include “insert bark card, supply password, bank rejects card because of invalid
password”. The semantics of an interaction can be defined by the traces that it al-
lows and those that it prohibits.
Structure
An interaction describes the behavior of a structured classifier or a collaboration.
An interaction contains a set of lifelines. Each lifeline corresponds to an internal
part of a classifier or a role of a collaboration. Each lifeline represents an instance
or set of instances over time. The interaction describes the internal activity of the
parts and the messages they exchange.
An interaction is structured as a tree of nested interactions whose leaves are oc-
currence specifications, execution specifications, and constraints on the state of
the target instance and its parts. Constructs that build larger interactions out of
smaller ones include structured control constructs (loop, conditional, parallel, and
others). The nested nodes of the tree are called interaction fragments. Most of the
syntactic structure of interactions is described within articles about various kinds
of interaction fragments.
Dictionary of Terms interaction •407
Within a primitive interaction, occurrence specifications partition a lifeline into
successive time segments. An occurrence specification is a point on a lifeline that
represents an interesting piece of behavior that impinges on an instance, such as
the sending or receipt of a message or a change of state of the instance.
Messages connect pairs of occurrence specifications on different lifelines (or oc-
casionally, on the same lifeline). A message can be identified by two occurrence
specifications: one that represents sending the message by one instance and one
that represents receiving the message by the other instance. A message also has pa-
rameters that describe the type of message and its argument values.
Execution specifications are regions of a lifeline that represent execution activity
by the instances described by the lifeline. Execution activity includes primitive ac-
tions as well as execution of operations that may span multiple nested layers of
structure.
For further details, see combined fragment, interaction fragment, occurrence
specification, message, execution specification.
Notation
Interactions are shown as sequence diagrams or as communication diagrams.
Sequence diagrams explicitly show sequencing of occurrence specifications,
messages, and representations of method activations. However, sequence diagrams
show only the participating objects and not their relationships to other objects or
their attributes. Therefore, they do not fully show the contextual view of a collabo-
ration.
Communication diagrams show the full context of an interaction, including the
objects and their relationships to other objects within the interaction. Communi-
cations diagrams specify message sequencing by nested tags, so they do not pro-
vide a visual image of the overall time sequences.
Sequence diagrams are often better for understanding user interactions and de-
signing use cases, while communication diagrams are often better for understand-
ing algorithms on circular data structures and also for planning algorithms
involving navigations within object networks.
See interaction diagram.
History
In UML2, interactions were heavily influenced by Message Sequence Charts
(MSC) of the International Telecommunication Union (ITU). They have many
similar constructs but they are not completely identical. The inclusion of these
constructs may influence the ITU standard, and the two sets of constructs may
converge in the future.
The UML2 interactions are a major improvement on the UML1 interactions,
which were weak in building more complicated constructs, such as conditionals,
408 •interaction diagram Dictionary of Terms
loops, and concurrent threads. The combined fragment construct from UML2 in-
teractions (and originally from MSC) handles structured constructs in a clean and
powerful way. The UML1 constructs are obsolete and should not be used.
interaction diagram s435-454
A generic term that applies to several types of diagrams that emphasize object in-
teractions. These include communication diagrams and sequence diagrams.
Closely related are activity diagrams.
More specialized variants include timing diagrams and interaction overview di-
agrams.
See also collaboration, interaction.
Notation
A pattern of interaction among objects is shown on an interaction diagram. Inter-
action diagrams come in various forms all based on the same underlying informa-
tion but each emphasizing one view of it: sequence diagrams, communication
diagrams, and interaction overview diagrams.
A sequence diagram shows an interaction arranged in time sequence. In partic-
ular, it shows the objects participating in the interaction by their lifelines and the
messages they exchange, arranged in time sequence. A sequence diagram does not
show the links among the objects. Sequence diagrams come in several formats in-
tended for different purposes.
A communication diagram shows an interaction arranged around the objects
that perform operations. It is similar to an object diagram that shows the objects
and the links among them needed to implement a higher-level operation.
The time sequence of messages is indicated by sequence numbers on message
flow arrows. Both sequential and concurrent sequences can be shown using appro-
priate syntax. Sequence diagrams show time sequences using the geometric order
of the arrows in the diagram. Therefore, they do not require sequence numbers, al-
though sequence numbers may be included for convenience or to permit switch-
ing to a collaboration diagram.
Sequence diagrams and collaboration diagrams express similar information but
show it in different ways. Sequence diagrams show the explicit sequence of mes-
sages and are better for real-time specifications and for complex scenarios. Collab-
oration diagrams show the relationships among objects and are better for
understanding all the effects on an object and for procedural design.
A timing diagram allows a numerical time axis to be defined rather than just
specifying relative message sequences. They also allow visual representation of
state changes to be shown for each lifeline provided there only a handful of states.
Timing diagrams may be useful for real-time situation, but they are not needed in
most conceptual design.
Dictionary of Terms interaction fragment •409
An interaction overview diagram is a strange mixture of interaction diagrams
and activity diagrams whose usefulness is unclear.
Discussion
Interactions and activities both model behavior, but from different viewpoints. A
sequence diagram shows primarily sequences of events for each role, with mes-
sages connecting the roles. The focus is on the roles and the flow of control be-
tween the roles, not the processing. An activity diagram shows the procedural
steps involved in performing a high-level operation. It shows the flow of control
between procedural steps rather than the flow of control between objects. A num-
ber of constructs in activity diagrams and interaction diagrams are closely related
and sometimes (but not always) use the same icons.
interaction fragment s422
A structural piece of an interaction.
Semantics
An interaction fragment is a piece of an interaction, one of:
combined fragment A structured part of an interaction that may include
one or more operands (subfragments). There are
many kinds of combined fragments with different
syntax and semantics, distinguished by their interac-
tion operation parameter. These include loop, condi-
tional, parallel, and other constructs.
continuation A label that allows conditionals to be broken into two
pieces and semantically combined.
occurrence specification A notable point in the sequence of activity of an
interaction.
execution specification A region of time during which an action or operation
is being executed.
interaction The body of an interaction is a fragment.
interaction use A parameterized reference to an interaction within
another interaction.
interaction operand A constituent piece of a combined fragment.
state invariant A constraint on the state or values of a lifeline.
Notation
See sequence diagram and communication diagram for notation.
410 •interaction occurrence Dictionary of Terms
interaction occurrence
See interaction use.
Discussion
The term was used but it conflicts with the use of occurrence to mean an instance
of an event. The word use appears in other places to mean the reference to a de-
fined element to be used within a particular context. The term interaction reference
might work equally well.
interaction operand s425
A structural piece of a combined fragment; a subfragment.
Semantics
A combined fragment is a structured interaction construct. Each fragment com-
prises one or more interaction operands, each a subfragment of the interaction.
The number of operands depends on the type of combined fragment. For exam-
ple, a loop has one operand (the loop body) and a conditional has one or more op-
erands (the branches of the conditional). An operand is a nested fragment of an
interaction. Each operand covers the lifelines covered by the combined fragment
or a subset of them.
Notation
A combined fragment is shown as a rectangle divided into multiple subfragments
by horizontal lines. In most cases, the ordering of the subfragments in the diagram
does not imply either temporal sequence or order of testing.
See combined fragment.
interaction overview diagram s447-450
A variation on an activity diagram incorporating sequence diagram fragments to-
gether with flow of control constructs.
Notation
An interaction overview diagram contains sequence diagram notation, primarily
references and nested sequence diagrams, with decision and fork notation from
activity diagrams. The control symbols show the high level flow of control among
the nested symbols, which can contain sequences including messages.

Dictionary of Terms interaction overview diagram •411
Figure 14-158 shows an example of a student who has been accepted into a uni-
versity. First the student must accept or decline admission. After accepting, the
student must both register for classes and apply for housing. After both of those
are complete, the student must pay the registrar. If payment is not received in time,
the student is excluded by the registrar.
Figure 14-158. Interaction overview diagram
sd student cashier
pay
sd student housing
apply
sd student registrar
register
accept admission
ref
sd student registrar
exclude
intover
decline admission
ref
fork
join
decision
termination
initiation
decision
interaction use
nested sequence diagram
412 •interaction use Dictionary of Terms
Discussion
This is a strange mixture of concepts from activity diagrams and sequence dia-
grams. It tries to mix the control flow mechanism among activity nodes from ac-
tivity diagrams with the sequence of messages among lifelines from sequence
diagrams. Some critics feel that it adds little new.
The UML specification states that the tag sd is used on all diagrams representing
interactions, but that seems confusing, so we have used the tag intover to indicate
an interaction overview diagram.
interaction use s423
A reference to an interaction within the definition of another interaction.
Semantics
An interaction use is a parameterized reference to an interaction within the body
of another interaction. As with any modular reference, such as procedures, this al-
lows the reuse of a definition in many different contexts. When an interaction use
is executed, the effect is the same as executing the referenced interaction with the
substitution of the arguments supplied as part of the interaction use.
Structure
referent A reference to a target interaction that is executed when
the interaction use is executed.
arguments A list of arguments that are substituted for the parameters
of the target interaction.
gates A list of gates in the enclosing interaction that are
matched to the parameterized gates of the target interac-
tion.
The interaction use must cover all the lifelines that appear within the referenced
interaction and that occur within the original interaction. (The referenced interac-
tion might add lifelines that occur only within itself.)
Notation
An interaction use is shown in a sequence diagram as a rectangle with the tag ref
(for reference). The rectangle covers the lifelines that are included in the refer-
enced interaction. The name of the referenced interaction is placed in the rectan-
gle. Any parameters of the reference are placed in a comma-separated list in
parentheses after the name. Return values (if any) are placed after the parentheses
with a colon (:) before the list of values.

Dictionary of Terms interface •413
The full syntax of the name string is:
⎣return-attribute-name =⎦opt ⎣collaboration-use .⎦opt
interaction-name ⎣( argumentslist, )⎦opt ⎣ : return-value ⎦opt
where return-attribute-name is the name of an attribute that receives the return
value, collaboration-use is the name of a collaboration use within a structured
classifier (rare), interaction-name is the name of the referenced interaction, the ar-
guments are a comma-separated list, and the return-value is assigned to the return
attribute. The full form is not needed in simple examples.
Figure 14-159 shows two interaction uses, one with an argument and one with-
out arguments.
Discussion
It was called interaction occurrence, but this conflicts with the meaning of occur-
rence as an instance of an event.
interaction view
A view of a model that shows the exchange of messages among objects to accom-
plish some purpose. It consists of collaborations and interactions and is shown
using communication diagrams and sequence diagrams.
interface s114-117 s391 s461-462
A declaration of a coherent set of public features and obligations; a contract be-
tween providers and consumers of services.
See also classifier, realization.
Figure 14-159. Interaction uses
Login
ref
OpenPage (product)
ref
:User :Catalog
sd OpenProduct
interaction use
interaction use
414 •interface Dictionary of Terms
Semantics
An interface is a classifier for the externally visible properties, operations, and re-
ceptions of an implementation classifier, without specification of internal struc-
ture. An interface may constrain the way in which its operations are invoked and
may impose pre- and postconditions on its operations. Each interface often speci-
fies only a limited part of the behavior of an actual class. An interface should de-
fine a coherent set of capabilities, whereas an implementation class often combines
several purposes. A class may support many interfaces, either disjoint or overlap-
ping in their effect. An interface has no private aspect; all of its contents are public.
Interfaces may have generalization relationships. A child interface includes all
the contents of its ancestors but may add additional content. An interface is essen-
tially equivalent to an abstract class with no attributes and no methods and only
abstract operations. All the features in an interface have public visibility (other-
wise, there would be no point to including them, as an interface has no “inside”
that could use them).
An interface has no direct instances. An interface represents a contract to be ful-
filled by instances of classifiers that realize the interface. An interface specifying the
behavior made available by a classifier to other, unspecified classifiers is called a
provided interface. An interface specifying behavior requested by a classifier from
other, unspecified classifiers is called a required interface.
A classifier that implements an interface need not have the exact same structure
as the interface; it must simply deliver the same services to external requestors. For
example, an attribute in an interface may be implemented by operations in the im-
plementation or the names of operations in the implementation may be imple-
mentation-specific (but many modelers will expect the exact operation to be
provided by the implementation).
An interface represents a declaration of services made available to or required
from anonymous classifiers. The purpose of interfaces is to decouple direct knowl-
edge of classifiers that must interact to implement behavior. Instances may call on
instances of classifiers that implement required interfaces, without needing direct
associations among the implementing classifiers.
Structure
An interface may have the following structure:
attributes State values to be maintained by the implementing classi-
fier, not necessarily as attribute values.
operations Services that unspecified, anonymous objects can invoke
of an implementing object. An interface may not provide
methods to implement its operations.
Dictionary of Terms interface •415
receptions Signals that anonymous objects can send to an imple-
menting object.
constraints Preconditions, postconditions, or other constraints on
the invocation of services of an implementing object.
nested Nested interfaces that must be supported by classifiers
implementing the interface. The concept is not well
explained in the official UML document.
protocol A protocol state machine specifying the order in which
services of the implementing object may be invoked.
An interface may have associations to other interfaces. This means that a conform-
ing association must exist between instances of classifiers that realize the inter-
faces. Each interface is a provided interface of the other interface.
An interface may have an associations to a classifier. This means that a conform-
ing association must exist between instances of classifiers realizing the interface
and instances of the classifier. The interface is a provided interface of the classifier.
Implementation
If a classifier implements an interface, then it must declare or inherit all the opera-
tions in the interface or provide equivalent behavior. It may contain additional op-
erations (see realization). If the classifier realizes more than one interface, it must
contain each operation found in any of its interfaces. The same operation may ap-
pear in more than one interface. If their signatures match, they must represent the
same operation or they are in conflict and the model is ill formed. (An implemen-
tation may adopt language-specific rules for matching signatures. For example, in
C++, parameter names and return types are ignored.)
Attributes must be implemented in some way in the classifier, but UML is some-
what vague on what constitutes implementation. Presumably an implementation
that implements attributes by some collection of operations is also free to rename
and reshape operations during design. If an interface is regarded as a specification
of the exact operations to be provided by a classifier, then it is best to either avoid
declaring attributes in the interface or to expect them to appear directly in the im-
plementation also.
The UML2 specification defines implementation as a special case of realization,
but the distinction between realization and implementation appears minimal.
Notation
An interface is a classifier and may be shown using the rectangle symbol with the
keyword «interface». A list of attributes and operations defined by the interface is
placed in the attribute or operation compartment. All features are public. Signals
416 •interface Dictionary of Terms
bearing the «signal» keyword may also be included in the operation compartment,
or they may be listed in a separate compartment with the name signals.
The realization (provided interface) relationship is shown by a dashed line with
a solid triangular arrowhead (a “dashed generalization symbol”) from a classifier
rectangle to an interface rectangle. It is also possible to use a dependency arrow (a
dashed line with a stick arrowhead) with the keyword «interface». The classifier
provides the interface to others.
The required relationship is shown by a dependency arrow from a classifier rect-
angle to an interface rectangle. The keyword «use» may optionally be included, but
it is not necessary.
Associations between two interfaces may be shown by a solid association line. If
the association is bidirectional, the line has no arrowheads. If the association is di-
rected, place a stick arrowhead on the end near the target interface.
A more compact notation is available for showing provided and required inter-
faces of classifiers in places where it is unnecessary to show the contents of the in-
terface. To show a provided interface of a classifier, an interface may be displayed
as a small circle attached by a solid line to classifiers that provide the interface. The
name of the interface is placed below (or otherwise near) the circle. The circle no-
tation does not show the list of features that the interface supports. Use the full
rectangle symbol to show the list of features.
To s h ow a required interface of a classifier, an interface may be displayed as a
small half circle attached by a solid line to classifiers that require the interface. The
name of the interface is placed below (or otherwise near) the half circle.
To show that two classifiers share an interface, use the same name. For visual
emphasis, a dependency arrow may be drawn from a required interface to the
matching provided interface.
In the case of external ports on components, a provided or required interface
symbol may be connected directly to the port symbol. A complex port, that is, one
that has both provided and required interfaces, is shown by connecting multiple
interface symbols to a single port symbol.
Example
Figure 14-160 shows a simplified view of financial classes that deal with prices of
securities. The FinancialPlanner is a personal finance application that keeps track
of investments, as well as personal expenses. It needs the ability to update securi-
ties prices. The MutualFundAnalyzer examines mutual funds in detail. It needs the
ability to update the prices of the underlying securities, as well as the prices of the
funds. The ability to update securities prices is shown by the interface Update-
Prices. There are two classes that implement this interface, shown by the solid lines
connecting them to the interface symbol. Class ManualPriceEntry allows a user to
manually enter prices of selected securities. Class QuoteQuery retrieves security
prices from a quote server using a modem or the Internet.

Dictionary of Terms interface •417
Figure 14-161 shows the full notation for an interface as a keyword on a class
symbol. We see that this interface involves two operations—asking the price of a
security and getting a value, and submitting a list of securities and receiving a list
of prices that have changed. In this diagram, the QuoteQuery class is connected to
the interface using a realization arrow and FinancialPlanner is connected by a de-
pendency arrow, but it is the same relationship shown in the previous diagram,
just a more explicit notation.
Figure 14-160. Interface suppliers and clients
Figure 14-161. Full interface notation
FinancialPlanner
MutualFundAnalyzer
ManualPriceEntry
QuoteQuery
UpdatePrices
required
interfaces
provided
interfaces
UpdatePrices
«interface»
UpdatePrices
getPrice(name:String):Money
updateChanges(list:SecurityList)
«interface»
PeriodicUpdatePrices
periodicUpdate(list:SecurityList, period:Time)
QuoteQuery
QuoteServer
FinancialPlanner
provided
interface
required
interface
generalization of interfaces
«interface»
GetQuotes
getQuote(name:String):Money
dependency
provided
required

418 •interface specifier Dictionary of Terms
This diagram also shows a new interface, PeriodicUpdatePrices, which is a child
of the original interface. It inherits the two operations and adds a third operation
that submits a request for a periodic, automatic update of prices. This interface is
realized by the class QuoteServer, a subscription service. It implements the same
two operations as QuoteQuery but in a different way. It does not share the imple-
mentation of QuoteQuery (in this example) and therefore does not inherit imple-
mentation from it.
Figure 14-161 shows the difference between interface inheritance and full inher-
itance. The latter implies the former, but a child interface may be implemented in a
different way than the parent interface. QuoteServer supports the interface that
QuoteQuery implements, namely UpdatePrices, but it does not inherit the imple-
mentation of QuoteQuery. (In general, it is convenient to inherit implementation,
as well as interface, so the two hierarchies are often identical.)
A dependency between a provided and a required interface is shown as a dashed
arrow from the provided to the required interface.
An interface may also contain a list of the signals it handles (Figure 14-162).
Interfaces are used to define the behavior of classes, as well as components,
without restricting the implementation. This permits distinguishing interface in-
heritance, as declared in Java, from implementation inheritance.
interface specifier
This UML1 construct is obsolete in UML2.
interleaving semantics s403
The semantics of interactions that events from different traces may come in any
relative order when the traces are merged, although the events on each trace pre-
serve their ordering in the merge. There is no sense in which unrelated events from
different traces may occur at the “same time”; the concept of “same time” has no
meaning for independent events.
See interaction, trace.
Figure 14-162. Interface with signals
«interface»
DoorOpener
signals
close
open
stop
Dictionary of Terms internal activity •419
internal activity s479
An activity attached to a state that is executed when the state is entered, active, or
exited.
See also internal transition.
Semantics
Internal activities are attached to a state. An internal activity may be an entry activ-
ity, an exit activity, or a do activity. An entry activity is executed when a state is en-
tered. It is executed after any entry activities on enclosing states and before any
entry activities on nested states. An exit activity is executed when a state is exited.
It is executed after any exit activities on nested states and before any exit activities
on enclosing states.
A do activity is executed as long as the state is active. It is initiated when the state
is entered but after any entry activity attached to the state. Unlike other activities
attached to states or transitions, a do activity may continue execution for an ex-
tended time. If a transition causes an exit from the state and the do activity is still
executing, it is forcibly terminated before any exit activity of the state is executed.
If the do activity terminates by itself while the state is still active, the state satisfies
its completion condition and may trigger a completion transition. The do activity
is not restarted unless the state is exited and reentered.
Notation
An internal activity is shown as a text string in a compartment in the state symbol
with the syntax:
keyword / activity-expression
The keyword is entry, exit, or do. The activity expression is implementation de-
pendent, but in many cases the name of a defined activity with a list of arguments
will suffice.
Example
Figure 14-163 shows a state that is entered when a password is requested. The en-
try action is executed when the state is entered; it turns off the typing echo before
password typing begins. The exit action is executed when the state is exited; it re-
stores the typing echo after the password has been typed. The other entry is an in-
ternal transition that is executed if the help function is requested while the state is
active.

420 •internal structure Dictionary of Terms
Discussion
The UML2 document states that internal activities and internal transitions may be
placed in separate compartments, but two compartments are superfluous and in-
consistent with examples in the document.
internal structure s151
The interconnected parts, ports, and connectors that compose the contents of a
structured classifier.
See structured classifier.
internal transition
A transition attached to a state that has an action but does not involve a change of
state.
See also state machine.
Semantics
An internal transition allows an event to trigger an activity without a change of
state. An internal transition has a source state but no target state. If the trigger is
satisfied while the state is active, the transition fires, its activity is executed, but the
state does not change even if the internal transition is attached to and inherited
from an enclosing state of the current state. Therefore, no entry activity or exit ac-
tivity are executed. In this respect, it differs from a self-transition, which causes the
exit of nested states and exit and reentry of the source state, with the execution of
exit and entry activities.
Notation
An internal transition is shown as a text entry within a compartment of a state
symbol. The entry has the same syntax as the text label for an external transition.
Because there is no target state, there is no need to attach it to an arrow.
event-name / activity-expression
Figure 14-163. Internal transition and internal activity syntax
Typing Password
help / display help
entry / set echo invisible
exit / set echo normal
internal transition
entry action
exit action
Dictionary of Terms interrupt •421
The event names entry, exit, and do are reserved words and may not be used as
event names. These reserved words are used to declare an entry activity, an exit ac-
tivity, and the execution of an do activity. For uniformity, these special activities
use internal transition syntax to specify the action. They are not internal transi-
tions, however, and the reserved words are not event names.
Figure 14-163 shows the notation. If the help signal is generated while the state
is active, the display help activity is performed. The Typing Password state remains
active.
Discussion
An internal transition may be thought of as an “interrupt” that causes an action
but does not affect the current state, and therefore does not invoke exit or entry ac-
tions. Attaching an internal transition to a composite state is a good way to model
an action that must occur over a number of states but must not change the active
state—for example, displaying a help message or counting the number of occur-
rences of an event. It is not the right way to model an abort or an exception. These
should be modeled by transitions to a new state, as their occurrence invalidates the
current state.
interrupt s218 s276 s288 s295 s323
The occurrence of an event that terminates a region of execution and initiates exe-
cution intended to deal with the occurrence.
Semantics
Interrupts deal with the situation in which activity cannot always be allowed to
complete execution when certain events occur, such as a time-out, a request to
abort a transaction, or the occurrence of an event that renders a partial computa-
tion irrelevant.
An interruptible activity region is a set of nodes and edges within which activity
can be interrupted by the occurrence of a specified event. The interrupting event
trigger is specified as part of an interruptible activity region. A target activity node,
outside the region, is also specified. This represents the interrupt handler (this is
not an official UML term). If the specified event occurs while there is activity in
the region, all activity in the region is terminated and control is transferred to the
interrupt handler activity node. There is no possibility to resume the original exe-
cution after an interrupt. The interrupt handler replaces the execution of the orig-
inal activity node and can transfer control where it likes when it is complete.
Activity outside the interruptible activity region is unaffected by the interrupt and
continues concurrently with the execution of the interrupt handler.

422 •interrupt handler Dictionary of Terms
Low-level details, such as whether terminated activities have a final opportunity
to clean up before terminating and how details of the interrupting event are com-
municated to the interrupt handler, are unspecified in the UML2 document but
may be added in profiles.
Notation
An interruptible activity region is shown on an activity diagram as a dashed rect-
angle with rounded edges (Figure 14-164). The interrupt handler is shown as an
activity symbol disjoint from the interruptible region. An interrupting edge is
shown as a jagged “lighting bolt” arrow from inside the interruptible region to the
boundary of the interrupt handler. The interrupting event name is placed near the
jagged arrow. Take care to start the arrow within the interruptible region, other-
wise it may be confused with an exception.
Discussion
UML2 has provided rudimentary support for interrupts, but much broader capa-
bility might be expected in the future, perhaps in a profile.
interrupt handler s218 s276 s288 s295 s323
An activity that gains control when an interrupt occurs. (This is not an official
UML term.) See interrupt.
interruptible activity edge s218 s276 s288 s295 s323
The specification of an event whose occurrence terminates all activity within a des-
ignated region and transfer of control to a designated interrupt handler activity.
See interrupt.
Figure 14-164. Interrupt
take
order
process
order
ship
order
cancel
order
cancel
interruptible activity region
interrupting edge
interrupt handler
normal edge
CancelRequest
Dictionary of Terms invariant •423
interruptible activity region s218 s276 s288 s295 s323
A set of activity nodes and edges within which activity is terminated if a designated
event occurs. See interrupt.
interval s391
The range of values between two designated values.
Semantics
Intervals are often used for multiplicities (using integers) and time (using time ex-
pressions).
Notation
An interval is shown as a text string with the minimum value or expression fol-
lowed by a double period (..) followed by the maximum value or expression. For
example:
1..3
31 May 2002..30 June 2002
invariant s71 s434 s479
A constraint that must be true at all times (or at least at all times when no opera-
tion is incomplete), or at least at all times during a specified time interval or when
specified conditions are true.
Semantics
An invariant is a Boolean expression that must be true at all times when specified
conditions are true. It is not expected to be true below a certain granularity, for ex-
ample, during the execution of an operation that updates the values on which the
constraint depends. The exact granularity is often implied rather than stated for-
mally. An invariant is an assertion, not an executable statement. If it fails, the
model is ill formed; it is not intended to specify a corrective action (although bug-
checking software might well take emergency action to avoid system damage in an
implementation). Depending on the exact form of the expression, it might or
might not be possible to verify it automatically in advance.
See also precondition, postcondition.
Structure
An invariant is specified as a constraint. Its usage depends upon its context within
another modeling construct.
424 •invocation Dictionary of Terms
invocation s236
The request to execute a designated parameterized behavior element or behavioral
feature.
Semantics
An invocation request is an action that specifies a behavior element or behaviorally
feature and a list of argument values. For many kinds of invocation, it also desig-
nates a target object. The types of the values in the argument list must match the
corresponding parameters in the behavior element. Depending on the kind of in-
vocation, the request is either asynchronous or synchronous. For an asynchronous
request, the action forms the target object, behavior element designation, and ar-
gument values into a request packet that is transmitted to the target object (or to
the targets implied by the specific action). The invoking thread is then free to con-
tinue without waiting for the completion, or indeed the initiation, of the invoked
execution.
For a synchronous request, the invoking thread is blocked from further execu-
tion while the invocation request is transmitted to the target and the requested ex-
ecution proceeds. The invocation request packet includes sufficient information to
allow a subsequent return action to return control to the invoking thread; this re-
turn information is opaque and inaccessible to the target execution except to per-
form a return. When the invoked execution completes, any return values are
transmitted to the invoking execution, which is unblocked and allowed to con-
tinue execution.
Invocation actions have the following varieties, each with its own parameters:
broadcast Sends a signal to an implicit set of target objects. The
objects are intended to represent all objects within a spec-
ified region of a system. The signal type and argument list
are parameters. Always asynchronous.
call operation Executes a method found by mapping an operation using
system-specific resolution rules. The target object, opera-
tion, argument list, and synchronicity are parameters.
call activity Invokes an activity directly from another activity. The
invoked activity, argument list, and synchronicity are
parameters. Other kinds of behavior, such as state
machines, can also be invoked.
send signal Sends a signal to a target object. The target object, signal
type, and argument list are parameters. Always asyn-
chronous.
send object Sends a signal object to a target object. The target object
and signal object are parameters. Always asynchronous.
Dictionary of Terms iteration expression •425
Notation
There is no defined syntax for actions, but the operation or signal name followed
by a list of arguments in parentheses will work for all informal uses and many for-
mal ones. The keywords broadcast, call, or send will usually clarify ambiguous sit-
uations.
isolation flag s302-303
A flag that ensures that the execution of an activity node will not conflict with the
execution of other nodes that share access to the same objects.
Semantics
Multiple concurrent executions have no sequencing dependencies if the objects
they access are disjoint, because a change in the relative order of their execution
will not change the results. If different activity nodes share access to the same ob-
jects, the relative order of execution may affect the results. Indeterminacy can be
avoided by totally ordering the execution sequence. Sometimes, however, execu-
tion is determinate if each activity node is allowed to execute completely without
interleaving execution of the other activity nodes, regardless of which activity node
executes first. For example, consider two fragments that each increment the value
of a counter. The result is determinate if any one increment is executed in its en-
tirety, but may be faulty if two activities each access the variable simultaneously
and then write back the incremented value.
Setting the isolation flag is an executable statement that an activity node is to be
executed so that no interleaving executions of other executions occur. It is not an
assertion; it has executable effect. It does not require that the executions be se-
quential, provided that the result is not affected by any concurrent execution. In
actual practice, implementing the isolation flag efficiently might involve some pre-
analysis of potential execution sequences to identify sources of conflict and only
sequentializing the potentially conflicting activities.
iteration expression s412-414 s446
A specification within an interaction of the range of number of iterations of a
loop.
Semantics
On a loop within an interaction, the range of iterations can be specified by a mini-
mum and maximum count.

426 •iteration expression Dictionary of Terms
Notation
Sequence diagram. In a sequence diagram, the bounds on the number of iterations
of a loop are included in parentheses as part of the tag after the keyword loop:
loop Minimum = 0, unlimited maximum
loop (repeat)Minimum = maximum = repeat
loop (minimum, maximum)Explicit minimum and maximum bounds
In addition to the bounds, a Boolean expression can be included as a guard on a
lifeline. The loop will continue to iterate if the expression is true, but it will iterate
at least the minimum count and no more than the maximum count, regardless of
the guard expression.
Figure 14-163 shows a loop with bounds and a guard condition.
Communication diagram. An iteration expression may appear after the number or
name that represents a nesting level in the sequence number. The iteration expres-
sion represents conditional or iterative execution. It represents the execution of
zero or more messages depending on the conditions involved. The choices are
* [ iteration-clause ] An iteration
[ condition-clause ] A branch
An iteration represents a sequence of messages. The iteration-clause shows the
details of the iteration variable and test, but it may be omitted (in which case the
iteration conditions are unspecified). The iteration-clause is meant to be ex-
pressed in pseudocode or an actual programming language. UML does not pre-
scribe its format. An example would be
*[i := 1..n]
A condition guards a message whose execution is contingent on the truth of the
condition-clause. The condition-clause is meant to be expressed in pseudocode
or a programming language. UML does not prescribe its format. An example
would be:
[x > y]
Figure 14-165. Iteration bounds in loop
loop(1,n) [x > 0]
update()
iteration bounds guard expression

Dictionary of Terms iteration expression •427
Note that a branch is notated the same as an iteration without a star. You can think
of it as an iteration restricted to a single occurrence.
The iteration notation assumes that the messages in the iteration will be exe-
cuted sequentially. There is also the possibility of executing them concurrently.
That notation is a star followed by a double vertical line, for parallelism (*||). For
example,
*[i:=1..n]|| q[i].calculateScore ()
Note that in a nested control structure, the iteration expression is not repeated at
inner levels of the sequence number. Each level of structure specifies its own itera-
tion within its enclosing context.
Example
For example, a full sequence number might be:
3b.1*[i:=1..n].2
which means:
the third step of the outer procedure
the second concurrent thread within that step
the first step within that thread, which is a loop from 1 to n
the second step within the loop
Figure 14-166 shows a simple communication diagram in which the iterations
of the loop are to be executed concurrently.
Figure 14-166. Interaction expression in communication diagram
master: Module
slave: Module
: Controller
cd starter
1: startup
1.1*|| [i:=1..nslaves] initialize
top-level procedure starts master
concurrent loop within master
starts slaves

428 •iterative development Dictionary of Terms
iterative development
The development of a system by a process broken into a series of steps, or itera-
tions, each of which provides a better approximation to the desired system than
the previous iteration. The result of each step must be an executable system that
can be executed, tested, and debugged. Iterative development is closely allied with
the concept of incremental development. In iterative incremental development,
each iteration adds incremental functionality to the previous iteration. The order
of adding functionality is chosen to balance the size of the iterations and to attack
potential sources of risk early, before the cost of fixing problems is large.
See development process.
join s471
A place in a state machine, activity diagram, or sequence diagram at which two or
more concurrent threads or states combine to yield one thread or state; an and-
join or “unfork.” Antonym: fork. See complex transition, composite state.
Semantics
A join is a pseudostate in a complex transition with two or more source states and
one target state. If all the source states are active and the trigger event occurs, the
transition effect is executed and the target state becomes active. The source states
must be in different orthogonal regions of a composite state.
The individual input edges of the join may not have guard conditions. The over-
all join may have a guard condition.
A transition segment leaving a join may have a trigger provided no previous seg-
ment on any incoming path has a trigger. The trigger must be satisfied before the
transition fires.
Notation
A join is shown as a heavy bar with two or more incoming transition arrows and
one outgoing transition arrow (Figure 14-167). It may have a transition label
(guard condition, trigger event, and action).
Figure 14-167. Join
T
A2A1
B1 B2
join
e1
S

Dictionary of Terms join node •429
Discussion
See merge for discussion.
join node s338-341
A control node in an activity that synchronizes multiple flows.
Semantics
A join node has multiple incoming edges and one outgoing edge. When a token is
available on each input edge, the input tokens are consumed and a token is placed
on the output edge. This has the effect of reducing the number of concurrent to-
kens in the execution.
A join specification may be placed on the node to specify conditions under
which the node may fire without waiting for tokens to be present on all nodes. The
join specification has complicated semantics and introduces a serious danger of
constructing ill-formed models with dangling tokens. The danger can be greatly
reduced by placing the node within an interruptible region and treating the output
of the node as an interrupting edge.
Data tokens are joined by outputting them as a sequence on the output edge.
Notation
A join is shown as a heavy bar with two or more incoming flow arrows and one
outgoing flow arrow (Figure 14-168).
Note that a fork and a join have the same notation but different numbers of in-
puts and outputs. It is possible to combine them into one symbol with multiple in-
put and output arrows.
Figure 14-168. Fork and join nodes
Referee signals Referee starts game
Team A acknowledges
Team B acknowledges
fork join
430 •junction Dictionary of Terms
Discussion
Joining of data values is a controversial area and might be handled in various other
ways. Joining a single data value with one or more control values is straightfor-
ward, although the specification does not explicitly permit it.
junction s471 s473 s520
A pseudostate that is part of a single overall transition in a state machine. It does
not break a single run-to-completion step in the execution of a transition or intro-
duce the possibility of a dynamic choice based on actions executed during the
transition.
See also branch, merge.
Semantics
A transition in a state machine can cross several composite state boundaries from
the source state to the target state. In executing such a transition, one or more en-
try activity or exit activity executions may be invoked. Sometimes, it is necessary to
interleave one or more actions on the transition with the entry activities and exit
activities attached to the nested states. This is not possible with a simple transition,
which has a single action attached.
It is also convenient to allow several triggers to have a single outcome, or to al-
low a single trigger to have several possible outcomes with different guard condi-
tions.
A junction state is a pseudostate that makes it possible to build a single overall
transition from a series of transition fragments. A junction state may have one or
more incoming transition segments and one or more outgoing transition seg-
ments. It may not have an internal do activity, a submachine, or any outgoing
transitions with event triggers. It is a dummy state to structure transitions and not
a state that can be active for any finite time.
A junction state is used to structure a transition from several segments. Only the
first segment in a chain of junction states may have an event trigger, but all of them
may have guard conditions. Subsequent segments must be triggerless. The effec-
tive guard condition is the conjunction of all the individual guard conditions. The
transition does not fire unless the entire set of conditions is met before the transi-
tion fires. In other words, the state machine may not remain at the junction state.
If multiple transitions enter a single junction state, they may each have a differ-
ent trigger or may be triggerless. Each path through a set of junction states repre-
sents a distinct transition.
Dictionary of Terms junction •431
An outgoing transition may have a guard condition. If there are multiple outgo-
ing transitions, each must have a distinct guard condition. This is a branch.
An outgoing transition may have an effect attached. (The junction state may
have an internal action, but this is equivalent to attaching an action to the outgo-
ing transition, which is the preferred form.) The action is executed provided all
guard conditions are satisfied, even those found in subsequent segments. A transi-
tion may not “partially fire” so that it stops at a junction state. It must reach a nor-
mal state.
When an incoming transition fires, the outgoing transition fires immediately.
Any attached action is then executed. The execution of the incoming transition
and the outgoing transition are part of a single atomic step (a run-to-completion
step)—that is, they are not interruptible by an event or other actions.
If a compound transition crosses into a state, any actions on segments outside
the state are executed before the entry activity, and any actions on segments inside
the state are executed after the entry activity. An action on a segment that crosses
the boundary is considered to be outside the state. A similar situation exists for
transitions crossing out of a state.
Note that a choice pseudostate also connects multiple segments into a com-
pound transition, but it has different rules for guard conditions. When a path con-
tains a choice vertex, the guard conditions on the path before the choice vertex are
evaluated before the transition fires. Guard conditions on the path after the choice
vertex are evaluated dynamically after any actions on the initial segments have
been performed. The modeler must guarantee that a valid subsequent path will
then exist. Unless one segment from each choice vertex contains an else condition
or can otherwise be guaranteed to cover all possible results, there is the danger of
an invalid execution scenario. There is no such danger with a junction vertex be-
cause all of the conditions are evaluated in advance before the transition fires.
Junction vertices and choice vertices each have their place.
Notation
A junction pseudostate is shown in a state machine as a small filled circle. It has no
name. It may have incoming and outgoing transition arrows.
Example
Figure 14-169 shows a (somewhat contrived) example illustrating the equivalent
effects of junction pseudostates. The two incoming segments and two outgoing
segments multiply to produce four equivalent complete transitions. Note that in
each case, all of the guard conditions are evaluated before any of the transitions
fire or any actions are executed. If the values of the guard conditions change dur-
ing execution of the actions, it has no effect on the firing of the transition.

432 •keyword Dictionary of Terms
Figure 14-170 shows two complete transitions from state S to state T—a single-seg-
ment transition triggered by event f, and a multisegment transition triggered by
event e, which is structured using two junction states. The annotations show the
interleaving of the transition actions with the exit and entry actions.
Note that the placement of the action label along the transition line has no sig-
nificance. If action d had been placed inside state X, it would nevertheless be exe-
cuted after state X is exited and before state Y is entered. Therefore, it should be
drawn at the outermost location along the transition.
For other examples, see Figure 14-284.
See also control node for other shortcut symbols that may be included in state-
chart diagrams and activity diagrams.
keyword
A keyword is a textual adornment that categorizes a model element that lacks its
own distinct syntax. They are not a semantic category.
See also graphic marker, stereotype.
Figure 14-169. Junction pseudostates with multiple paths
Figure 14-170. Junction pseudostates with multiple actions
P
Q
U
V
g / a
h [m>0] / b
[n=0] / c
[n>0] / d
P g [n=0] / a; c U
P g [n>0] / a; d V
Q h [m>0 and n=0] / b; c U
Q h [m>0 and n>0] / b; d V
Equivalent transitions:
S T
e / a / b / c
f / d
exit / p entry / q
XY
e / a; p; b; q; c
f / p; d; q
effective result
junction states
Dictionary of Terms label •433
Semantics
Keywords are not a semantic category. They are used for stereotype notation, but
they are used for the notation of certain other elements as well.
Notation
Keywords are used for built-in model elements that lack a unique notation, as well
as for user-definable stereotypes. The general notation for the use of a keyword is
to enclose it in guillemets (« »).
«keyword»
When the keyword is part of an area symbol, such as a class rectangle, the keyword
is placed within the symbol boundary.
Some predefined keywords are described in the text of this document and are
treated as reserved words in the notation. Other names are available for users to
employ as stereotype names. The use of a stereotype name that matches a pre-
defined keyword is not allowed.
Discussion
The number of easily distinguishable visual symbols is limited. The UML notation
therefore makes use of text keywords to distinguish variations on a common
theme, including metamodel subclasses of a base class, stereotypes of a metamodel
base class, and groups of list elements. From the user’s perspective, the metamodel
distinction between metamodel subclasses and stereotypes is often unimportant,
although it is, of course, important to tool builders and others who implement the
metamodel.
label
A term for a use of a string on a diagram. It is purely a notational term.
See also diagram.
Notation
A label is a graphic string that is logically attached to another symbol on a dia-
gram. Visually, the attachment is usually a matter of containing the string in a
closed region or placing the string near the symbol. For some symbols the string is
placed in a definite position (such as below a line), but for most symbols the string
must be “near” a line or icon. An editing tool can maintain an explicit internal
graphic linkage between a label and a graphic symbol so that the label remains log-
ically connected to the symbol even if they become separated visually. But the final
appearance of the diagram is a matter of aesthetic judgment and should be made
434 •language type Dictionary of Terms
so that there is no confusion about which symbol a label is attached to. Although
the attachment may not be obvious from a visual inspection of a diagram, the at-
tachment is clear and unambiguous at the graphic structure level (and therefore
poses no ambiguity in the semantic mapping). A tool may visually show the at-
tachment of a label to another symbol using various aids (such as a colored line or
flashing of matched elements) as a convenience.
language type
An anonymous data type defined in the syntax of a programming language.
See also data type.
Semantics
A language type is an construct following syntax rules of a particular program-
ming language, usually expressed as a string. In UML2, it would be a kind of data
type. When modeling programming language constructs closely, it might be used
as the type of an attribute, variable, or parameter.
For example, the C++ data type “Person* (*)(Contract*, int)” could be defined as
a C++ language type.
UML does not contain a generic data type variant suitable for declaring pro-
gramming language data types. If they are needed, they must be added in profiles
for a particular programming language.
layer
An architectural pattern of grouping packages in a model at the same level of ab-
straction. Each layer represents a virtual world at some level of reality.
leaf s70
A generalizable element that has no children in the generalization hierarchy. It
must be concrete (fully implemented) to be of any use.
See also abstract, concrete.
Semantics
The leaf property declares that an element must be a leaf. The model is ill formed if
it declares a child of such an element. The purpose is to guarantee that a class can-
not be modified, for example, because the behavior of the class must be well estab-
lished for reliability. The leaf declaration also permits separate compilation of
parts of a system by ensuring that methods cannot be overridden and facilitating
inlining of method code. An element for which the property is false may indeed be
Dictionary of Terms lifeline •435
a leaf at the moment, but children might be added in the future if the model is
modified. Being a leaf or being constrained to be a leaf are not fundamental se-
mantic properties but rather are software engineering mechanisms to control hu-
man behavior.
library (stereotype of Artifact)
An artifact representing a static or dynamic library.
See artifact.
lifeline s419 s427 s434
A role in an interaction that represents a participant over a period of time and, by
extension, the participant itself. In a sequence diagram, it is shown as a vertical
line, parallel to the time axis, with a head symbol showing its name and type.
Semantics
A lifeline represents a participant in an interaction. An interaction is based on a
context in which objects interact. The context can be a structured classifier or a
collaboration. The parts of the classifier or the roles of a collaboration have rela-
tionships to each other by which they exchange messages. A lifeline represents one
of those parts or roles.
Because a part or role may have multiplicity greater than one, it may represent
multiple objects during execution. A lifeline represents only one of those objects,
therefore one general role may map into multiple lifelines in a particular interac-
tion. If the multiplicity is greater than one, an optional selector expression on each
lifeline specifies which object out of the set it represents.
A lifeline indicates the period during which an object exists. An object is active if
it owns a thread of control—that is, if it is the root of the thread. A passive object is
temporarily active during the time when it has a thread of control passing through
it—that is, during the period of time during which it has a procedure call out-
standing. The latter is called an execution specification (or activation). It includes
the time during which a procedure is calling a lower-level procedure. This distinc-
tion is only useful in considering nested procedure calls; for systems of concurrent
interacting objects that interact asynchronously, all of them may be considered ac-
tive all the time in many cases.
A lifeline contains an ordered list of occurrence specifications, each of which
models the occurrence of an event. The order represents the time sequence in
which the events occur. The relative ordering of occurrence specifications on dif-
ferent lifelines is meaningful only if messages connect them or explicit sequencing
dependencies are inserted, otherwise they are considered concurrent and can ap-
pear in any actual relative order.

436 •lifeline Dictionary of Terms
Notation
In a sequence diagram, a lifeline is shown on as a vertical dashed line. (The line
can be solid but it is usually dashed.) The vertical line represents the existence of
the object over a particular period of time (Figure 14-171).
The creation of the object is shown by a head symbol, that is, a rectangle at the
top of the lifeline at the point at which the object is created. If the rectangle is at
the top of the sequence diagram, then the object is assumed to be created already
when the interaction begins. The name and type of the participant are shown as a
text string in the rectangle, in the following syntax:
nameopt ⎣ [ selector ] ⎦opt ⎣ : Type⎦opt
where name is the name of the individual participant (usually assigned by the
modeler of the interaction for convenience), selector is an expression to identify a
particular object when the role has multiplicity greater than one, and Type is the
type of the object. The name is often omitted when there is only one object of a
given type in an interaction.
The string self can be used to denote the instance of the classifier that owns the
interaction.
Arrows between lifelines indicate messages between objects. The lifeline on the
tail of the arrow is the sending of the message; the lifeline on the head of the arrow
is the receiver of the message (for example, the provider of an operation). The in-
tersection of a message arrow with a lifeline is an occurrence specification, the
Figure 14-171. Lifelines
:User sender[1]:Fax receiver[2]:Fax
send
transmit
acknowledge
done
sd
duration of
unique unnamed role named role with selector
message
time
occurrence
specification
(receive)
frame with tag
occurrence
specification
(send)
lifeline
Dictionary of Terms lifeline •437
sending or receiving of a message. The vertical ordering of occurrence specifica-
tions on a lifeline indicates the relative time order of sending or receiving the mes-
sages. The receipt of a message by the receiver follows its sending by the sender.
There is no ordering among occurrence specifications on different lifelines unless
there is a message path between them. Occurrence specifications that are unrelated
are concurrent and can occur in any relative order during execution.
Other kinds of occurrence specifications include state constraints, creation, de-
struction, and the beginning and ending of execution (although the latter often
corresponds to the receipt of messages).
If the object is created or destroyed during the period of time shown on the dia-
gram, then its lifeline starts or stops at the appropriate point. Otherwise, it goes
from the top to the bottom of the diagram. An object symbol is drawn at the head
of the lifeline. If the object is created during the time shown on the diagram, then
the object symbol is drawn at the head of the message that creates it. Otherwise,
the object symbol is drawn above any message arrows.
If the object is destroyed during the diagram, then its destruction is marked by a
large X, either at the arrowhead of the message that causes the destruction or (in
the case of self-destruction) just below the final return message from the destroyed
object. An object that exists when the transaction starts is shown at the top of the
diagram (above the first arrow). An object that exists when the transaction finishes
has its lifeline continue beyond the final arrow.
The period of time during which an object is permanently or temporarily active
may be shown by a thin rectangle (a solid double line) that hides the lifeline. A sec-
ond double line may be overlaid, slightly shifted, to show recursion. See execution
specification for more details. Showing execution specifications is only useful in
understanding flow of control in procedure calls. Because all object in an asyn-
chronous system are always active, the double lines are usually omitted because
they add no information in such cases.
See Figure 14-130 for an example showing creation, destruction, and recursive
activations.
In a combined fragment, such as a conditional fragment, lifelines may overlap
several operands. In this case, the different operands represent alternate execution
histories, and the relative order of the operands does not represent time sequenc-
ing. The portion of a lifeline within a particular operand, however, does represent
a time sequence of occurrence specifications.
In a conditional or loop construct, a guard condition may be placed at the top of
a lifeline within an operand in a combined fragment. The guard condition deter-
mines whether the given branch is chosen or whether another iteration is per-
formed. The condition is an expression on the object represented by the lifeline. It
is shown as a text expression in square brackets in the form:
[ Boolean-expression ]
438 •link Dictionary of Terms
See Figure 14-90 for an example of a conditional and Figure 14-165 for an ex-
ample of a loop.
A state constraint is a condition that must be true at a particular time during an
interaction. It is shown as a text expression in braces on the lifeline at the relative
point at which it applies. It must be satisfied immediately before the next event on
the lifeline.
A lifeline may be interrupted by a state symbol to show a change of state. An ar-
row may be drawn to the state symbol to indicate the message that caused the
change of state, or the state symbol may simply appear on the line if it represents a
change during an internal computation. See Figure 14-249 for an example.
A coregion indicates a set of events that may occur in any order, regardless of
their actual positioning on a lifeline. See Figure 14-104 for an example.
link s10 s58-60 s81 s131
A tuple of object references that is an instance of an association or of a connector.
Semantics
A link is an individual connection among two or more objects. It is a tuple (or-
dered list) of object references. It is an instance of an association. The objects must
be direct or indirect instances of the classes at corresponding positions in the asso-
ciation. An association may contain duplicate links from the same association—
that is, two identical tuples of object references—only if one of the ends is specified
as a bag (including a list).
A link that is an instance of an association class may have a list of attribute val-
ues in addition to the tuple of object references. Duplicate links with the same tu-
ple object references are not permitted, even if their attribute values are distinct,
unless the association has a bag on one of its ends. The identity of a link comes
from its tuple of object references, which must be unique.
A link may be used for navigation. In other words, an object appearing in one
position in a link may obtain the set of objects appearing in another position. It
may then send them messages (called “sending a message across an association”).
This process is efficient if the association has the navigability property in the target
direction. Access may or may not be possible if the association is nonnavigable, but
it will probably be inefficient. Navigability in opposite directions is specified inde-
pendently.
Within a collaboration, a connector is a contextual, often transient, relationship
between classifiers. An instance of a connector is also a link, but typically one
whose life is limited to the duration of the collaboration. Such a transient associa-
tion is usually not called an association; the word is usually reserved for non-
contextual relationships.

Dictionary of Terms link •439
Notation
Precisely speaking, objects and links appear in the “real world” and not in models
or diagrams. Models of objects and links appear in some (possibly implied con-
text) as instance specifications and connectors. For convenience in this discussion,
we use the words object and link to mean the models of the actual entities, but they
implicitly appear as parts within a context.
A binary link is shown as a path between two objects—that is, one or more con-
nected line segments or arcs. In the case of a reflexive association, the path is a
loop, with both ends on a single object.
See association for details of paths.
A rolename may be shown at each end of a link. An association name may be
shown near the path. It is unnecessary to underline the name to indicate an in-
stance, because a path between two objects must also be an instance. Links do not
have instance names. They take their identity from the objects they relate. Multi-
plicity is not shown for links because instances do not have multiplicity; multiplic-
ity is a property of the association that limits how many instances can exist. To
show multiplicity, simply show multiple links from the same association. (As al-
ways, an instance diagram can never show the general case.) Other association
adornments (aggregation, composition, and navigation) may be shown on the link
roles.
A qualifier may be shown on a link. The value of the qualifier may be shown in
its box. Figure 14-172 shows both ordinary and qualified links.
Other adornments on links can show properties of their associations, including
directionality of navigation, aggregation or composition, implementation stereo-
types, and visibility.
N-ary link. An n-ary link is shown as a diamond with a path to each participating
object. The other adornments on the association and the adornments on the roles
have the same possibilities as the binary link.
Figure 14-172. Links
downhillSkiClub:Club Joe:Person
Jill:Person
Chris:Person
member
member
member
treasurer
officer
president
officer
link object
qualifier value
440 •link end Dictionary of Terms
Discussion
How should a dependency be shown on an object diagram? In general, a depen-
dency represents a relationship among classes, not among objects, and belongs on
a class diagram, not an object diagram. What about procedure arguments, local
variables of procedures, and the caller of an operation? These must exist as actual
data structures, not simply dependencies. Therefore, they can be shown as links.
The caller of a procedure requires a reference to the target object—this is a link.
Some links may be instances of association roles in collaborations, such as most
parameters and local variables. Remaining dependencies are relevant to the class
itself and not its individual objects.
link end s10
An instance of an association end.
Liskov substitution principle
See substitutability principle.
list s40-41 s83
An ordered variable-length collection of model elements owned by and nested
within another model element; an ordered bag.
See also classifier, multiplicity, state.
Semantics
The word list is a shorthand for an ordered bag, that is, an ordering sequence of
values in which the same value may appear more than once (formally, a mapping
from a subset of the positive integers to the elements of a set). It corresponds to
setting the multiplicity properties isUnique=false and isOrdered=true. A set with-
out duplicates whose elements have a relative ordering is called an ordered set. The
word list implies that duplicate values may occur.
A classifier contains several lists of subordinate elements, including attributes,
operations, and methods. A state contains a list of internal transitions. Other kinds
of elements contain lists of other elements. Each kind of list is described individu-
ally. This article describes the properties of embedded lists, in general. In addition
to lists of attributes and operations, optional lists can show other predefined or
user-defined values, such as responsibilities, rules, or modification histories. UML
does not define these optional lists. The manipulation of user-defined lists is tool-
dependent.
An embedded list and the elements in the list belong exclusively to the contain-
ing class or other container element. Ownership is not shared among multiple
Dictionary of Terms list •441
containers. Other classes may be able to access the list elements—for example, by
inheritance or association—but ownership of the contained lists for model editing
belongs to the immediate container. Owned elements are stored, copied, and de-
stroyed along with their containers.
The elements in a list have an order determined by the modeler. The order may
be useful to the modeler—for example, it may be used by a code generator to gen-
erate a list of declarations in a programming language. If the modeler doesn’t care
about the order, maybe because the model is in the analysis stage or because the
language ignores the ordering, then the order still exists in the model but can sim-
ply be ignored as irrelevant.
Notation
As a constituent on a multiplicity specifier, use the word list in braces: {list}, {seq},
or {sequence}.
An embedded list in a classifier rectangle appears within its own compartment
as a list of strings, one string per line for each list element. Each string is the en-
coded representation of a feature, such as an attribute, operation, internal transi-
tion, and so on. The nature of the encoding is described in the article for each kind
of element.
Ordering. The canonical order of the strings is the same as for the list elements
within the model, but the internal ordering may be optionally overridden and the
strings sorted according to some internal property, such as name, visibility, or ste-
reotype. Note, however, that the items maintain their original order in the under-
lying model. The ordering information is merely suppressed in the view.
Ellipsis. An ellipsis ( . . . ) as the final element of a list or the final element of a de-
limited section of a list indicates that there are additional elements in the model
that meet the selection criteria but are not shown in that list. In a different view of
the list, such elements may appear.
Stereotype. A stereotype may be applied to a list element. A stereotype keyword
enclosed in guillemets (« ») precedes the element string.
Property string. A property string may specify a list of properties of an element. A
comma-separated list of properties or constraints, all enclosed in braces ({ }), fol-
lows the element.
Group properties. Stereotypes and other properties may also be applied to groups
of list elements. If a stereotype, keyword, property string, or constraint appears on
a line by itself, then the line does not represent a list element. Instead, the restric-
tions apply to each successive list element as if they had been placed directly on
each line. This default applies until another group property line occurs in the list.
All group properties can be cancelled by inserting a line with an empty keyword
(«»), but it is generally clearer to place all entries that are not subject to group

442 •list Dictionary of Terms
properties at the head of the list. Figure 14-173 shows the application of stereo-
types to multiple list elements.
Note that group properties are merely a notational convenience and that each
model element has its own distinct value for each property.
Compartment name. A compartment may display a name indicating which kind
of compartment it is. The name is displayed in a distinctive font (such as boldface
or in a smaller size) centered at the top of the compartment. This capability is use-
ful if some compartments are omitted or if additional user-defined compartments
are added. For a class, the predefined compartments are named attributes and
operations. An example of a user-defined compartment might be requirements.
The name compartment in a class must always be present and therefore does not
require or permit a compartment name. Figure 14-173 and Figure 14-174 show
named compartments.
Presentation options
Ordering. A tool may present the list elements in a sorted order. In that case, the
inherent ordering of the elements is not visible. A sort is based on some internal
property and does not indicate additional model information. Typical sort rules
include alphabetical order, ordering by stereotype (such as constructors, destruc-
tors, then ordinary methods), ordering by visibility (public, then protected, then
private), and so on.
Figure 14-173. Stereotype keyword applied to groups of list elements
«constructor»
Rectangle(p1:Point, p2:Point)
«query»
area (): Real
aspect (): Real
«update»
move (delta: Point)
scale (ratio: Real)
. . .
. . .
Rectangle
p1: Point
p2: Point
keyword
constructor operations
unshown items exist
constraints
Area must be greater than 0. named compartment
keyword
query operations

Dictionary of Terms location •443
Filtering. The elements in the list may be filtered according to some selection rule.
The specification of selection rules is a tool responsibility. If a filtered list shows no
elements, there are no elements that meet the filter criterion, but the original list
may or may not contain other elements that do not meet the criterion and are
therefore invisible. It is a tool responsibility whether and how to indicate the
presence of either local or global filtering, although a stand-alone diagram should
have some indication of such filtering if it is to be understandable.
If a compartment is suppressed, no inference can be drawn about the presence
or absence of its elements. An empty compartment indicates that no elements
meet the selection filter (if any).
Note that attributes may also be shown by composition (see Figure 14-85).
location s188
The physical placement of an artifact, such as a file, within a distributed environ-
ment. In UML, location is discrete and the units of location are nodes.
See also artifact, node.
Semantics
The concept of location requires the concept of a space within which things can
exist. UML does not model the full complexity of the three-dimensional universe.
Instead, it supports a topological model of spaces connected by communications
paths. A node is a computing resource at which a run-time entity can live. Nodes
are connected by communications paths modeled as associations. Nodes may con-
tain deployments of artifacts, which means that a copy of the artifact is stored on
or executed on the node. Deployment may be specified on a type or instance level.
A type-level model would specify that certain kinds of nodes hold certain kinds of
Figure 14-174. Compartments with names
bill no-shows
Reservation
guarantee()
cancel ()
change (newDate: Date)
responsibilities
match to available rooms
exceptions
invalid credit card
predefined operation compartment
user-defined compartment
compartment name

444 •location Dictionary of Terms
artifacts. An instance-level model would specify that certain node instances hold
certain artifact instances. Deployments are owned by the nodes, and the same arti-
fact can be deployed on many nodes.
Deployment and deployment locations are for physical artifacts. Logical model-
ing elements may be implemented by physical artifacts. This relationship is called
manifestation (see the entry). We might have the following chain of relationships:
A logical modeling element, such as a component, is manifested by an artifact,
such as a program file, which is deployed on a node, such as a computer. There is
no direct relationship between the component and the computer, but there is an
indirect relationship.
Notation
The location of an artifact (such as a file) deployed onto a node may be shown by
nesting the artifact symbol within the node symbol, as shown in Figure 14-175.
Deployment may also be shown by a dependency arrow (dashed line) from the ar-
tifact to the node with the keyword «deploy». The deployment relationship may be
shown at the type level or the instance level by using classifier (no underlining) or
instance specification (underlined name string with name and type) symbols.
Figure 14-175 shows deployment locations at the type level. PostScript files can
live on printers. Figure 14-176 shows an instance version of the previous diagram.
In this example, printer pr1 holds two instances of PostScript files, a header file
and a job file.
History
In UML2, location has been restricted to artifacts, rather than all model elements.
Figure 14-175. Deployment locations at type level
Printer
«deploy»
«artifact»
PostScriptFile
Printer
«artifact»
PostScriptFile
node type
artifact type
alternate deployment notation
node type
artifact type

Dictionary of Terms loop •445
loop s412
A behavioral construct in which a piece of behavior is executed repeatedly while a
specified condition remains true. This article covers loops in interaction models.
See also loop node for loops in activity models.
Semantics
In an interaction, a loop is a variety of combined fragment in which the single
body fragment is executed as long as a guard condition is true. A loop fragment
may have a lower and upper limit on number of repetitions, as well as a Boolean
condition using values from one of the lifelines in the fragment. The body of the
loop is executed repeatedly while the Boolean condition evaluates true at the be-
ginning of each repetition, but it is always executed at least the minimum count
and it is never executed more than the maximum count. If the minimum count is
absent, it is assumed to be zero. If the maximum count is absent, it is assumed to
be unlimited.
Note that a loop fragment in an interaction is somewhat simpler than the loop
node in an activity, which has initialization, update, and body sections.
Notation
A loop is shown as a rectangle with the tag loop in the upper left corner. The key-
word loop may be followed by the bounds on the number of iterations of a loop in
the syntax:
loop Minimum = 0, unlimited maximum
loop (repeat)Minimum = maximum = repeat
loop (minimum, maximum)Explicit minimum and maximum bounds, with
minimum ≤ maximum
In addition to the bounds, a Boolean expression can be included as a guard on a
lifeline. The loop will continue to iterate if the expression is true, but it will iterate
Figure 14-176. Deployment locations at instance level
pr1: Printer
«artifact»
job: PostScriptFile
node instance
artifact instances
«artifact»
header: PostScriptFile

446 •loop node Dictionary of Terms
at least the minimum count and no more than the maximum count, regardless of
the guard expression.
Lifelines that traverse the rectangle are available to the loop. Those that are out-
side the rectangle are inaccessible to it.
Figure 14-177 shows a loop with bounds and a guard condition. This loop must
execute at least once, therefore the condition is not evaluated the first time. The
loop terminates with the first success or after three failures, and the final status is
available as the result.
loop node s341-343
A structured activity node that executes repeatedly while a condition evaluates
true. This entry discusses loops in activity models. See also loop for loops in inter-
action models.
Semantics
In an activity model, a loop node is a kind of structured control node. It has three
parts that are each smaller activity model fragments:
setup A fragment that computes initial values for loop variables
before the first execution of the body.
test A fragment that evaluates a condition for performing
another iteration of the loop before the first execution of
the body (optionally) and before each subsequent execu-
tion. This fragment should not produce side effects. One
Boolean value in the test subactivity is designated as the
test result. The loop node also has a flag indicating
whether the test is to be performed before the first itera-
tion of the body or whether there is at least one iteration
of the body.
body A fragment that performs the main work of the loop on
each iteration. It may have side effects.
Figure 14-177. Loop in sequence diagram
loop(1,3) [password not valid]
enter (password)
valid = verify(password)
Executes 1 to 3 times guard condition
Dictionary of Terms manifestation •447
To permit execution of loops without side effects using a data flow approach, a
loop may also define and update a set of loop variables:
loop variables A set of pins in the loop that hold values that are com-
puted initially, are available within the test and loop body,
and are updated after each iteration of the loop body.
loop inputs A set of values from outside the loop that are used to ini-
tialize the loop variables.
loop updates A set of results from the loop body that are used to update
the values of the loop variables for the next iteration.
Within an iteration, the loop variables do not change
their values. Their new values are computed in the loop
update values but are not placed in the loop variables
until completion of the loop body.
results A set of values from the loop body that represent the out-
put values of the overall loop. They may include loop
variables. If the test is performed before the first iteration
(that is, if the loop might have zero iterations), the output
values can only come from the loop variables, which are
the only loop values that have values initially.
Notation
There is no official graphic notation for a loop node. The feeling of the UML de-
velopers was that this construct is best expressed textually in many cases. Un-
doubtedly various notations will be proposed, and one of them may eventually be
adopted. Until then, a text description can be placed in an activity symbol (rectan-
gle with rounded corners).
manifestation s185 s194
The physical implementation of a model element as an artifact.
Semantics
In software, models are eventually implemented as a set of artifacts, such as files of
various kinds. Artifacts are the entities that are deployed onto physical nodes, such
as computers or storage units. It is important to track the mapping of model ele-
ments to their implementation in artifacts. A manifestation is the relationship be-
tween a model element and the artifact that implements it. This is a many-to-
many relationship. One model element may be implemented by multiple artifacts,
and one artifact may implement multiple elements, although some design ap-
proaches attempt more of a one-to-one mapping (but only for “major” model ele-
ments, however “major” is defined).

448 •many Dictionary of Terms
Notation
A manifestation relationship is shown as a dependency arrow—a dashed line with
a stick arrowhead—from an artifact to a model element. The keyword «manifest»
is placed on the arrow. An artifact may have multiple manifestation arrows leaving
it and a model element may have multiple manifestation arrows entering it.
In Figure 14-178 three classes are manifested by one header file, purchasing.h,
but each class is manifested by its own code file.
many s43
An abbreviation for the multiplicity 0..*—that is, zero or more without limit. In
other words, the cardinality of a collection with this multiplicity can be any non-
negative integer.
See multiplicity.
member s36
Name for a named structural inheritable constituent of a classifier, either an at-
tribute, owned association end, operation, reception, or method. Each classifier
may have a list of zero or more of each kind of member. A list of members of a
given kind is notated as a list of strings within a compartment of the classifier
symbol.
See also list.
Figure 14-178. Manifestation of elements by artifacts
Customer
«header»
purchasing.h
«manifest»
Order
Product
«manifest»
«code»
customer.c
«code»
product.c
«code»
order.c
«manifest»
«manifest»
«manifest»
«manifest»
artifacts
artifact
model elements

Dictionary of Terms merge •449
merge
A place in a state machine or activity diagram where two or more alternate control
paths come together; an “unbranch.” Antonym: branch. See also junction.
Semantics
A merge is simply a situation in which two or more control paths come together. It
does not change the amount of concurrency.
In a state machine, a state may have more than one input transition. No special
model construct is required or provided to indicate a merge. It may be indicated
by a junction if it is part of a single run-to-completion path. If control arrives at a
state through any input transition, the state becomes active.
In an activity, a merge is indicated by a merge node (Figure 14-179). A merge
node has two or more input flows and one output flow. If a token arrives on any
input, it is copied to the output immediately.
Figure 14-179. Merge in activity diagram
Assign
seats
Hold in
will-call
Mail
tickets
decision
merge
Charge
credit card
[today ≥ 7 days before show]
[today < 7 days before show]
Customer
picks up
ticket
Customer
attends
show
450 •message Dictionary of Terms
In an interaction, unstructured flows of control are not supported. A merge
happens implicitly at the end of a conditional fragment.
Notation
A merge may be indicated in an activity diagram by a diamond with two or more
input transitions and a single output transition. No conditions are necessary; a
merge happens automatically when a token appears on any input. Figure 14-179
shows an example.
A diamond is also used for a branch (the inverse of a merge), but a branch is
clearly distinguished because it has one input transition and multiple output tran-
sitions, each with its own guard condition. The use of the same symbols shows the
symmetry between a branch and a merge.
A combination branch and merge is legal but of limited usefulness. It would
have multiple input transitions and multiple, labeled output transitions.
A branch and merge are usually paired in a nested fashion.
In a state machine diagram, a merge is shown by simply drawing multiple tran-
sition arrows that enter the same state. No merge icon is necessary.
Discussion
Be sure to distinguish merge and join. Merge combines two or more alternate
paths of control. In any execution, only one path will be taken at a time. No syn-
chronization is necessary.
Join combines two or more concurrent paths of control. In any execution, all
the paths will be taken, and the join will fire only when all of them have reached
the source states of the join.
message s428
The conveyance of information from one role to another as part of an interaction
within a context; at the instance level, a communication from one object to an-
other. A message may be a signal or the call of an operation. The sending and the
receipt of a message are occurrence specifications.
See also call, collaboration, interaction, operation, send, signal.
Semantics
A message is the transmission of a signal from one object (the sender) to one or
more other objects (the receivers), or it is the call of an operation on one object
(the receiver) by another object (the sender or caller). The implementation of a
message may take various forms, such as a procedure call, explicit raising of events,
Dictionary of Terms message •451
interprocess communication between active threads, and so on. At a logical level,
sending a signal and calling an operation are similar. They both involve a commu-
nication from a sender to a receiver that passes information by value that the re-
ceiver uses to determine what to do. A call can be considered a pattern of signals
that involves a send with an implicit return pointer argument that is later used to
send a return signal to the caller. A call can be modeled as two messages, a call
message and a later return message. At an implementation level, signals and calls
have different properties and detailed behavior, so they are distinguished as UML
elements. A message is owned by an interaction, and the sender and receiver are
lifelines of the interaction.
The receipt of a signal may trigger a state machine transition. The sending of a
signal is asynchronous; the sender continues execution after sending it.
The receipt of an operation call may invoke a procedure or may trigger a state
machine transition or both. A call may be asynchronous or synchronous. If the call
is synchronous, the caller waits until the invoked execution responds. A synchro-
nous operation may return values as part of the response. When execution of the
procedure is complete, then the caller resumes control and receives any return val-
ues.
Note that a direct call of an activity is simply a flow-of-control construct within
the model and does not correspond to a message, because only a single object is in-
volved.
A message represents a single transmission between one sender and one re-
ceiver. A message has a send occurrence specification and a receive occurrence
specification. The broadcast action sends a set of messages, one for each object in
the implicit target set. Other actions send one message, but they can appear in
loops or expansion regions to send sets of messages.
A message has argument values, which must agree in number and types with the
parameters of the specified operation or the attributes of the specified signal. The
return values, if any, must match the return types of the specified signal. Any re-
turn values for an asynchronously called operation are ignored and do not gener-
ate a reply message.
A time constraint is placed on the occurrence specifications that identify a mes-
sage, rather than the message itself. A duration constraint can be placed on the
message.
There is no absolute time scale that relates events on different lifelines. Unless
otherwise constrained, events on different lifelines are concurrent. A message es-
tablishes a temporal ordering among the sending and received events. The events
on a single lifeline are temporally ordered. Any chain of messages that returns to
the same lifeline must finish at a later point than the beginning of the chain (that
is, reverse time travel is prohibited except in science fiction novels).
452 •message Dictionary of Terms
Structure
interaction The interaction that owns the message.
send event The occurrence specification of sending the message. The
lifeline owning this occurrence specification is the sender
of the message.
receive event The occurrence specification of receiving the message.
The lifeline owning the occurrence specification is the
receiver of the message.
signature The signal or operation defining the type of the message.
arguments A list of argument values compatible with the signature.
The arguments must be accessible to the sender; that is,
they must be properties of the sender or the owner of the
interaction, parameters of the interaction invocation,
constants, or values reachable from the preceding items.
connector (optional) The connector over which the message is
transmitted.
synchronicity Either signal (always asynchronous), synchronous call, or
asynchronous call. Must match the signature.
kind Whether the message is complete (default, includes
sender and receiver), lost (no receiver), or found (no
sender). Lost and found messages are used in advanced
modeling situations for noisy systems or systems with
incomplete knowledge. They are unnecessary in most
models.
A message in the model may not cross the boundary of a combined fragment, such
as a conditional branch or loop. To model a message instance that crosses a
boundary, use a gate on the boundary to combine two messages that each remain
within one fragment. During execution, one message instance will correspond to
the chain of messages in the model.
Notation
The notation for sequence diagrams and communication diagrams is different.
Sequence diagrams
On a sequence diagram, a message is shown as a solid arrow from the lifeline of
one object, the sender, to the lifeline of another object, the target (Figure 14-180).
Officially, time scales on different lifelines are independent, so the angle of the ar-
row has no semantic significance. However, some modelers assume a uniform

Dictionary of Terms message •453
time scale across all lifelines, so that an arrow perpendicular to the lifelines implies
instantaneous (or at least fast) message transmission, and a slanted arrow implies
that the duration of transmission is observable. Such assumptions are not reflected
in the semantic model unless timing constraints are inserted. In case of a message
from an object to itself, the arrow may start and finish on the same lifeline. The
message arrows are arranged in sequential order from top to bottom, vertically.
Unless the sending point of one message follows the receiving point of another
message on the same lifeline (or there is a chain of intermediate messages that con-
nect the two), the two messages are concurrent, and their relative order is not sig-
nificant. Messages may have sequence numbers, but because the relative order of
messages in shown visually, the sequence numbers are often omitted. (Also, se-
quence numbers are not useful if there are concurrent messages.)
A message arrow may be labeled with the syntax:
⎣ attribute = ⎦opt name ⎣ ( argumentlist, ) ⎦opt ⎣ : return-value ⎦opt
where name is the name of the signal or operation, and attribute is the optional
name of an attribute (of the lifeline) to store the return value.
Argument values can be replaced by a dash (–), which indicates that any argu-
ment value is compatible with the model. The entire name string can be replaced
by an asterisk (*), which indicates that any message is compatible with the model.
Figure 14-180. Message notation in sequence diagram
asynchronous message
synchronous call
return from call
object creation
object destruction
crossing asynchronous messages
m
p (a)
p (a): b
s(-, d)
r(x=3, y=c)
0..2ns
duration constraint
t..t+1 ms timing constraint
create(): x
454 •message Dictionary of Terms
As an option, a parameter name may be included with an argument value, so an
argument may have one of the following syntaxes:
argument-value
parameter-name = argument-value
–
If parameter names are used and some parameters are missing, any values are
acceptable for the missing parameters.
Synchronicity. An asynchronous message is shown by an open (stick) arrowhead.
A synchronous call is shown by a filled black arrowhead. The return from a syn-
chronous call is shown by a dashed line with an open (stick) arrowhead.
If a diagram contains primarily synchronous calls with activation regions
shown, the return messages may be omitted and the return values shown on the
original call messages. The return is implicit at the end of the called activation re-
gion. This convention reduces the number of arrows in the diagram but causes
more mental effort for the reader, so many modelers choose to always show re-
turns.
A message that creates (or causes the creation of) an object is shown by placing
the header box for a lifeline at the head of the arrow. A message that destroys (or
causes the destruction of) an object is shown by placing a large X on the arrow-
head. The messages may be synchronous or asynchronous.
A lost or found message is shown by placing a small black circle at the end of the
arrow at which the object is not known.
Transmission delay. Usually message arrows are drawn horizontally, indicating the
duration required to send the message is atomic—that is, it is brief compared with
the granularity of the interaction and that nothing else can “happen” during the
message transmission. This is the correct assumption within many computers. If
the message requires some time to deliver, during which something else can occur
(such as a message in the opposite direction), then the message arrow may be
slanted downward so that the arrowhead is below the arrow tail. Unless two mes-
sages cross, however, no actual conclusions can be drawn from slanting messages.
Communication diagrams
On a communication diagram, a message is shown as a small labeled arrow
attached to a path between the sender and the receiver objects. The path is the con-
nector used to access the target object. The arrow points along the path in the di-
rection of the target object. In the case of a message from an object to itself, the
message appears on a path looping back to the same object and the keyword «self»
appears on the target end. More than one message may be attached to one link, in
the same or different directions. The message arrow is labeled with the name of the
message (operation or signal name) and its argument values.
Dictionary of Terms message •455
The relative order of messages is shown by the sequence number portion of the
message label. Unlike sequence diagrams, in which sequencing is shown graphi-
cally, sequence numbers are needed in communication diagrams. A message may
also be labeled with a guard condition.
Synchronicity. The same arrow types may be used as those in sequence diagrams.
Message label. The label has the following syntax:
sequence-expressionopt message
where message is the message syntax described previously under sequence dia-
grams, and the sequence expression combines ordering and conditionality as de-
scribed below.
Sequence expression. The sequence-expression is a dot-separated list of sequence-
terms followed by a colon (‘:’). Each term represents a level of procedural nesting
within the overall interaction. If all the control is asynchronous, then nesting does
not occur and a simple one-level numbering system is used. Each sequence-term
has the following syntax.
label iteration-expressionopt
where label is
integer
or
name
The integer represents the sequential order of the message within the next higher
level of procedural calling. Messages that differ in one integer term are sequentially
related at that level of nesting. An example is: Message 3.1.4 follows message 3.1.3
within activation 3.1.
The name represents a concurrent thread of control. Messages that differ in the
final name are concurrent at that level of nesting. An example is: Message 3.1a and
message 3.1b are concurrent within activation 3.1. All threads of control are equal
within the nesting depth.
The iteration expression represents conditional or iterative execution. This rep-
resents zero or more messages that are executed, depending on the conditions. The
choices are
* [ iteration-clause ] an iteration
[ condition-clause ] a branch
An iteration represents a sequence of messages at the given nesting depth. The
iteration-clause may be omitted (in which case, the iteration conditions are un-
specified).
456 •message Dictionary of Terms
The iteration-clause is meant to be expressed in pseudocode or an actual pro-
gramming language; UML does not prescribe its format. An example would be:
*[i := 1..n].
A condition represents a message whose execution is contingent on the truth of
the condition clause. The condition-clause is meant to be expressed in
pseudocode or an actual programming language; UML does not prescribe its for-
mat. An example would be: [x > y].
Note that a branch is notated the same as an iteration without a star. One might
think of it as an iteration restricted to a single occurrence.
The iteration notation assumes that the messages in the iteration will be exe-
cuted sequentially. There is also the possibility of executing them concurrently.
The notation for this is to follow the star with a double vertical line, for parallelism
(*||).
Note that in a nested control structure, the recurrence symbol is not repeated at
inner levels. Each level of structure specifies its own iteration within the enclosing
context.
Example
The following are samples of control message label syntax.
2: display (x, y) Simple message
1.3.1: p= find(specs):status Nested call with return value
1b.4 [x < 0] : invert (x, color) Conditional within second concurrent thread
3.1*[i:=1..n]: update ( ) Iteration
Activity diagrams
Signal receipt. The receipt of a signal may be shown as a concave pentagon that
looks like a rectangle with a triangular notch in its side (either side). The signature
of the signal is shown inside the symbol. An unlabeled transition arrow is drawn
from the previous action state to the pentagon, and another unlabeled transition
arrow is drawn from the pentagon to the next action state. This symbol replaces
the event label on the transition, which fires when the previous activity is complete
and the event then occurs (Figure 14-181).
Signal sending. The sending of a signal may be shown as a convex pentagon that
looks like a rectangle with a triangular point on one side (either side). The signa-
ture of the signal is shown inside the symbol. An unlabeled transition arrow is
drawn from the previous action state to the pentagon, and another unlabeled
transition arrow is drawn from the pentagon to the next action state. This symbol
replaces the send-signal label on the transition (Figure 14-182).

Dictionary of Terms message •457
Example
In Figure 14-183, EnterCreditCardData and ChargeCard are activities. When they
are completed, processing moves on to the next step. After EnterCreditCardData is
completed, there is a branch on the amount of the request; if it is greater than $25,
authorization must be obtained. A signal request is sent to the credit center. On a
plain state machine, this would be shown as an action attached to the transition
leaving EnterCreditCardData; they mean the same thing. AwaitAuthorization is a
real wait state, however. It is not an activity that completes internally. Instead, it
must wait for an external signal from the credit center (authorize). When the sig-
nal occurs, a normal transition fires and the system goes to the ChargeCard activ-
ity. The trigger event could have been shown as a label on the transition from
AwaitAuthorization to ChargeCard. It is merely a variant notation that means the
same thing.
History
The concept of message has been considerably broadened in UML2. The content
can now be any object. Calls and signal sending have been brought within a com-
mon overall approach.
Figure 14-181. Signal receipt
Figure 14-182. Signal send
button pushed
This is the trigger event
on the transition.
alarm
This is a send action.
It is part of the
overall transition.

458 •metaclass Dictionary of Terms
metaclass (stereotype of Class)
A class whose instances are classes. Metaclasses are typically used to construct
metamodels. A metaclass can be modeled as a stereotype of a class using the key-
word «metaclass». See Figure 14-184.
See powertype, profile, stereotype.
Figure 14-183. Activity diagram showing sending and receiving of signals
Figure 14-184. Metaclass
Enter
Credit Card
Await Authorization
request
authorize
sending a signal
on completion of an
activity
signal reception
that triggers a
transition from
ordinary (wait) state
a wait state
Data
[amount ≤ $25]
[amount > $25]
branch
Charge Card
merge
Interface
«metaclass»
Dictionary of Terms method •459
metametamodel s11
A model that defines the language for expressing a metamodel. The relationship
between a meta-metamodel and a metamodel is analogous to the relationship be-
tween a metamodel and a model. This level of indirection is usually relevant only
to tool builders, database builders, and the like. UML is defined in terms of a meta-
metamodel, called the Meta-Object Facility (MOF).
metamodel (stereotype of Model)
A model that defines the language for expressing other models; an instance of a
metametamodel. The UML metamodel defines the structure of UML models.
Metamodels usually contain metaclasses.
metaobject s11
A generic term for all entities in a metamodeling language. For example,
metatypes, metaclasses, meta-attributes, and meta-associations.
metaobject facility s18 s26
See MOF.
metarelationship s61
A term grouping relationships that connect descriptors to their instances. These
include the instance relationship and the powertype relationship.
method
The implementation of an operation. It specifies the algorithm or procedure that
produces the results of an operation.
See also concrete, operation, realization, resolution.
Semantics
A method is an implementation of an operation. If an operation is not abstract, it
must have a method or trigger a state machine transition, either defined on the
class with the operation or inherited from an ancestor. A method is specified as a
procedural expression, a linguistic string in a designated language (such as C++,
Smalltalk, or a human language) that describes an algorithm. The language must
be matched to the purpose, of course. A human language, for instance, may be ad-
equate for early analysis but not suitable for code generation.

460 •method Dictionary of Terms
An operation declaration implies the presence of a method unless the operation
is declared as abstract. In a generalization hierarchy, each repeated declaration of
the operation implies a new method that overrides any inherited method of the
same operation. Two declarations represent the same operation if their signatures
match.
Note that a method is an executable procedure—an algorithm—not simply a
specification of results. A before-and-after specification is not a method, for exam-
ple. A method is a commitment to implementation and addresses issues of algo-
rithm, computational complexity, and encapsulation.
In some respects, a method may have stricter properties than its operation. A
method can be a query even though the operation is not declared as a query. But if
the operation is a query, then the method must be a query. Similarly, a method
may strengthen the concurrency property. A sequential operation may be imple-
mented as a guarded or concurrent method. In these cases, the method is consis-
tent with the declarations of its operation. It just strengthens the constraints.
Notation
The presence of a method is indicated by an operation declaration that lacks the
abstract property (Figure 14-185). If the operation is inherited, the method can be
shown by repeating the operation declaration in normal (nonitalic) text to show a
concrete operation. The text of the method body may be shown as a note attached
to the operation list entry, but usually method bodies are not shown at all on dia-
grams. They remain hidden for a text editor to show on command.
Figure 14-185. Method on nonabstract operation
Shape
draw ( )
Rectangle
draw ( )
center: Point
height: Real
width: Real
abstract operation
operation with method
generalization
Dictionary of Terms model •461
Discussion
The UML specification does not actually define how operations are mapped into
methods on an operation call. The specification assumes that some resolution
mechanism is present, but the specification does not define the precise mecha-
nism. This allows UML models to be used with a wide range of programming lan-
guages having different forms of method lookup, but it unfortunately leaves a
model somewhat ambiguous. In practice, a specific resolution mechanism will be
assumed for most of the models of a given organization. In many cases, resolution
will be the traditional object-oriented method lookup, in which a search is made
for a method on a given operation starting at the target class and working toward
more general levels of the class hierarchy. Other resolution mechanisms are possi-
ble, however, and may be supported by appropriate tools.
See resolution.
model s535-536
A semantically complete description of a system.
See also package, subsystem.
Semantics
A model is an abstraction of a system from a particular viewpoint. It describes the
system or entity at the chosen level of precision and viewpoint. Different models
provide more-or-less independent viewpoints that can be manipulated separately.
A model may comprise a containment hierarchy of packages in which the top-
level package corresponds to the entire system. The contents of a model are the
transitive closure of its containment (ownership) relationships from top-level
packages to model elements.
A model may also include relevant parts of the system’s environment, repre-
sented, for example, by actors and their interfaces. In particular, the relationship of
the environment to the system elements may be modeled. A system and its envi-
ronment form a larger system at a higher level of scope. Therefore, it is possible to
relate elements at various levels of detail in a smooth way.
Elements in different models do not directly affect each other, but they often
represent the same concepts at different levels of detail or stages of development.
Therefore, relationships among them, such as trace dependency and refinement,
are important to the development process itself and often capture important de-
sign decisions.

462 •model element Dictionary of Terms
Notation
A model can be shown as a package symbol (rectangle with a small rectangular tab
on the upper left) with the keyword «model». Instead of the keyword, a small tri-
angle may be placed in the body of the symbol or in the tab. See Figure 14-186.
There is little notational detail to show about models, however. Tools can show
lists of models, but models have few relationships among themselves. Most useful
is the ability to traverse from a model name to its top package or to a map of its
overall contents.
Discussion
No one view of a system, or indeed no system itself, is ever complete in and of it-
self. There are always connections to the wider world, and a model always falls
short of reality. Therefore, the concept of a closed model is always an approxima-
tion in which arbitrary lines must be drawn for practical work.
A UML model is represented as a package hierarchy that emphasizes one view of
a system. Each model may have its own leveling hierarchy that may be similar or
different to the leveling hierarchy of other views of the system.
model element s29-30
An element that is an abstraction drawn from the system being modeled. Contrast
with presentation element, which is a (generally visual) presentation of one or
more modeling elements for human interaction. In the UML2 specification, how-
ever, only model elements are described, so they are simply called elements.
Semantics
All elements that have semantics are model elements, including real-world con-
cepts and computer-system implementation concepts. Graphic elements whose
purpose is to visualize a model are presentation elements. They are not model ele-
ments, as they do not add semantics to the model. The UML2 specification does
not describe them.
Figure 14-186. Model notation
Design
model
Analysis
model
Purchasing
Dictionary of Terms module •463
Model elements may have names, but the use and constraints on names vary by
kind of model element and are discussed with each kind. Each model element be-
longs to a namespace appropriate to the kind of element. All model elements may
have the following attached properties.
constraint Zero or more constraints may be attached to a model ele-
ment. Constraints are restrictions that are expressed as
linguistic strings in a constraint language.
comment A text string adding information meaningful to the mod-
eler. This is often used to explain the reasons for design
choices.
In addition, model elements may participate in dependency relationships. De-
pending on their specific type, model elements may own other model elements
and may be owned by other model elements. All model elements are indirectly
owned by the root of the system model.
model management view
That aspect of a model dealing with the organization of the model itself into struc-
tured parts—namely, packages and models. The model management view is
sometimes considered to be a part of the static view and is often combined with
the static view on class diagrams.
modeling time
Refers to something that occurs during a modeling activity of the software devel-
opment process. It includes analysis and design. Usage note: When discussing
object systems, it is often important to distinguish between modeling-time and
run time concerns.
See also development process, stages of modeling.
modelLibrary (stereotype of Package)
A package containing model elements intended to be reused by other packages,
but without defining stereotypes to extend the metamodel (as in a profile).
module
A software unit of storage and manipulation. Modules include source code mod-
ules, binary code modules, and executable code modules. The word does not
correspond to a single UML construct, but rather includes several constructs.
See component, package, subsystem.

464 •MOF Dictionary of Terms
MOF s18 s26
The Meta-Object Facility, a specification by the Object Management Group in-
tended for use in specifying modeling languages, such as UML and CWM
(Common Warehouse Metamodel). The MOF has repository mechanisms suitable
for storing and accessing models in various languages. MOF defines a modeling
language that is identical to a subset of UML. A UML user does not need to learn
the MOF to build UML models, because UML concepts are sufficient for UML
use. MOF may be useful to the developer writing tools to exchange models. Ordi-
nary users will simply use such tools and need not understand their internal
formats.
multiobject
This UML1 concept has been eliminated from UML2.
Discussion
A multiobject was intended to allow modeling a set in two complementary ways:
as a single object that can have operations over the entire set and as a set of indi-
vidual objects that have their own operations. The concept can be modeled in
UML2 using a structured class instead of a multiobject. The structured class con-
tains a set of objects. Another class can have associations to both the structured
class and to its parts.
Figure 14-187 shows an example.
To perform an operation on each object in a set of associated objects requires
two messages: an iteration to the cluster (the multiobject) to extract links to the in-
dividual objects, then a message sent to each object using the (temporary) link.
Figure 14-187. Communication diagram with multiobject
servers
:Server[*]
aServer
client
1: aServer:=find(specs)
2*: process(request)
cluster:Cluster
cd
*
1
Dictionary of Terms multiplicity •465
This may be elided on a diagram by combining the messages into one that includes
an iteration and an application to each object. The target rolename takes a many
indicator (∗) to show that many links are implied. Although this may be written as
a single message, in the underlying model (and in any actual code) it requires the
two layers of structure (iteration to find links, message using each link) mentioned
previously.
multiple classification s11
A semantic variation of generalization in which an object may belong directly to
more than one class.
Semantics
This is a semantic variation point under which an object may be a direct instance
of more than one class. When used with dynamic classification, objects may ac-
quire and lose classes during run time. This allows classes to be used to represent
temporary roles an object may play.
Although multiple classification matches logic and everyday discourse well, it
complicates implementation of a programming language and is not supported by
the popular programming languages.
multiple inheritance s11
A semantic variation point of generalization in which an element may have more
than one parent. This is the default assumption within UML and is necessary for
proper modeling of many situations, although modelers may choose to restrict its
use for certain kinds of elements. Some programming languages avoid it or restrict
its use. Contrast: single inheritance.
multiplicity s40-43
A specification of the range of allowable cardinality values—the sizes—that a
collection may assume. Multiplicity specifications may be given for association
ends, attributes, parts within composite classes, repetitions of messages, and other
purposes. In principle, a multiplicity is a (possibly infinite) subset of the non-
negative integers. In practice, it is an integer interval. If multiplicity is greater than
one, it includes an indication of whether the elements are ordered and unique.
Contrast: cardinality.
See also multiplicity (of association), multiplicity (of part).
466 •multiplicity Dictionary of Terms
Semantics
Cardinality range. Multiplicity is a constraint on the cardinality (size) of a collec-
tion. In principle, it is a subset of the nonnegative integers. In practice, it is usually
a single interval with a minimum and a maximum value. Any collection (in UML)
must be finite, but the upper bound on all collections can be finite or unbounded
(an unbounded multiplicity is called “many”). The upper bound must be greater
than zero; or, at any rate, a multiplicity comprising only zero is not very useful, as
it permits only the empty set. Multiplicity is coded as a string.
In UML, the multiplicity range is specified as an integer intervals. An interval is
a set of contiguous integers characterized by its minimum and maximum values.
Some infinite sets cannot be specified this way—for example, the set of even inte-
gers—but usually little is lost by simply including the gaps. For most design pur-
poses, a major purpose of the multiplicity is to bound the amount of storage that
might be needed.
See multiplicity (of association) and multiplicity (of part) for specific details of
using multiplicity with these elements.
Ordering and uniqueness. If the upper bound is greater than one, multiplicity also
includes indicators for ordering and uniqueness. A set is ordered if its elements can
be traversed in a fixed sequence. The elements are unique if no two elements have
the same value; otherwise duplicate elements are allowed. A collection that allows
duplicates is called a bag.
Notation
Multiplicity range is specified by a text expression for an integer interval in the
form
minimum..maximum
where minimum and maximum are integers, or maximum can be a “∗” which
indicates an unbounded upper limit. An expression such as 2..* is read “2 or
more.”
An interval can also have the form
number
where number is an integer representing an interval of a single size. It is equiva-
lent to the expression number..number.
The multiplicity expression consisting of a single star
∗
is equivalent to the expression 0..*—that is, it indicates that the cardinality is unre-
stricted (“zero or more, without limit”). This frequently encountered multiplicity
is read “many.”
Dictionary of Terms multiplicity •467
Ordering and uniqueness are shown by keywords in braces. Ordering can be
ordered or unordered. The default is unordered and need not be shown. Unique-
ness can be unique or nonunique. The default is unique and need not be shown.
The following keywords may be used for the combinations of properties:
set unordered, unique elements (default)
bag unordered, nonunique elements
ordered set ordered, unique elements
list (or sequence) ordered, nonunique elements
Example
0..1 optional value
1exactly one
0..∗any number of elements, unordered, unique
∗ {list} any number of elements, ordered, duplicates
1..∗ {ordered} one or more, ordered, unique
1..6 {bag} between 1 and 6, unordered, duplicates
History
In UML1, ordering was a separate property from multiplicity. Because ordered sets
may not contain duplicates, many UML models of lists were subtly incorrect.
In UML2, it was recognized that ordering and uniqueness are intimately related
to multiplicity, so they were combined into one concept.
Discussion
A multiplicity expression can include variables, but they must resolve to integer
values when the model is complete—that is, they must be parameters or constants.
Multiplicity is not meant to be dynamically evaluated within a run-time scope like
a dynamic array bound. It is meant to specify the possible range of values (worst
case) a set might assume and the application must therefore accommodate in its
data structures and operations. It is a model-time constant. If the bound is vari-
able at run time, then the proper choice of multiplicity is many (0..∗).
The multiplicity may be suppressed on a diagram, but it exists in the underlying
model. In a finished model, there is no meaning to an “unspecified” multiplicity.
Not knowing the multiplicity is no different from saying that it is many, because in
the absence of any knowledge, the cardinality might take any value, which is just
the meaning of many.
See unspecified value.

468 •multiplicity (of association) Dictionary of Terms
multiplicity (of association) s43 s81-86
The multiplicity specified on an association end.
See multiplicity.
Semantics
The multiplicity attached to an association end declares how many objects may fill
the position defined by the association end.
For a binary association, the multiplicity on the target end constrains how many
objects of the target class may be associated with a given single object from the
other (source) end. Multiplicity is typically given as a range of integers. (See multi-
plicity for a more general definition.) Common multiplicities include exactly one;
zero or one; zero or more, without limit; and one or more, without limit. The
phrase “zero or more, without limit” is usually called many. If the multiplicity is
greater than one, it also contains indicators of whether the collection of associated
elements is ordered and whether the elements in the set are unique.
In an n-ary association, the multiplicity is defined with respect to the other n-1
ends. For example, given a ternary association among classes (A, B, C), then the
multiplicity of the C end states how many C objects may appear in association
with a particular pair of A and B objects. If the multiplicity of this association is
(many, many, one), then for each possible (A, B) pair, there is a unique value of C.
For a given (B, C) pair, there may be many A values, however, and many values of
A, B, and C may participate in the association.
See n-ary association for a discussion of n-ary multiplicity.
Notation
The multiplicity is shown by a multiplicity string near the end of the path to which
it applies (Figure 14-188). A range of numbers has the form n1..n2. Keywords in
braces show ordering and uniqueness.
See multiplicity for further details on syntax and more general forms for speci-
fying it (although these are probably more general than needed for most practice).
Figure 14-188. Multiplicity of association
Polygon Point
vertex
shape
3..∗ {list}
∗
number of points
number of polygons
(unlimited) (3 or more)
points are ordered,
may have duplicates

Dictionary of Terms multiplicity (of part) •469
multiplicity (of attribute) s43 s64-65
The possible number of values of an attribute in each object.
Semantics
The multiplicity attached to an attribute declares how many values may be held by
an object having the attribute. If the maximum count is greater than one, it also
indicates whether the elements are ordered and whether their values may be dupli-
cated.
The usual multiplicity is exactly one (1..1), meaning that every object has one
value for the attribute. Other common multiplicities include zero or one (an op-
tional, or “nullable,” value); zero or more, without limit (a set of values); and one
or more, without limit (a nonempty set of values). The phrase “zero or more,
without limit” is usually called many.
Notation
The multiplicity is shown by a multiplicity range string in brackets after the at-
tribute type (Figure 14-189). If there are no brackets, then the multiplicity is ex-
actly one (a scalar value, the default). Keywords indicating ordering and
uniqueness are placed in braces after the brackets.
multiplicity (of part) s172-173
The range of possible cardinalities of the instances within a context—that is, how
many instances may legitimately exist at one time.
Semantics
When applied to a part within a structured classifier or collaboration, multiplicity
declares how many instances of the part may exist within one instance of the con-
tainer. The usual default is one, but other values can be declared.
Figure 14-189. Multiplicity of attributes
Customer
name: Name
phone: String[*]
references: Customer[1..3]
exactly one name
any number of phones
1 to 3 references
preferences: Product [*] {list}

470 •n-ary association Dictionary of Terms
Notation
The multiplicity indicator may be placed in line with the name, using the syntax
for multiplicity (of attribute), or it may be placed in the upper right corner of the
part rectangle (Figure 14-190). The indicator may be omitted if the multiplicity is
exactly one.
n-ary association
An association among three or more classes. Contrast: binary association.
Semantics
Each instance of the association is an n-tuple of values, one from each of the re-
spective classes. A single class may appear in more than one position in the associ-
ation, but the values in the different positions are independent and need not be the
same object. A binary association is a special case with its own simpler notation
and certain additional properties that are meaningless (or at least hopelessly com-
plicated) for an n-ary association.
Multiplicity for n-ary associations may be specified but is less obvious than bi-
nary multiplicity. The multiplicity on an association end represents the potential
number of values at the end, when the values at the other n-1 ends are fixed. Note
that this definition is compatible with binary multiplicity.
Aggregation (including composition) is meaningful only for binary associa-
tions. An n-ary association may not contain the aggregation or composition
marker on any role.
There is no semantic difference between a binary association and an n-ary asso-
ciation with two ends, regardless of representation. An association with two ends is
deemed to be a binary association, and one with more than two ends is deemed to
be an n-ary association.
Notation
An n-ary association is shown as a large diamond (that is, large compared with a
terminator on a path), with a path from the diamond to each participant class. The
name of the association (if any) is shown near the diamond. Adornments may
Figure 14-190. Multiplicity of part
:Server[*]
cluster:Cluster
:Server
cluster:Cluster
*

Dictionary of Terms n-ary association •471
appear on the end of each path as with a binary association. Multiplicity may be
indicated, but qualifiers and aggregation are not permitted.
An association class symbol may be attached to the diamond by a dashed line.
This indicates an n-ary association that has attributes, operations, and/or associa-
tions.
Example
Figure 14-191 shows the record of a team in each season with a particular goal-
keeper. It is assumed that the goalkeeper might be traded during the season and
might have a record with different teams. In a record book, each link would be a
separate line.
Style guidelines
Usually, the lines are drawn from the points on the diamond or from the midpoint
of a side.
Discussion
In an n-ary association, the multiplicity is defined with respect to the other n-1
ends. For example, given a ternary association among classes (A, B, C), the multi-
plicity of the C end states how many C objects may appear in association with a
particular pair of A and B objects. If the multiplicity of this association is (many,
many, one), then for each possible (A, B) pair there is a unique C value. For a given
Figure 14-191. Ternary association that is also an association class
Player
Team
Year
Record
goals for
goals against
wins
losses
goalkeeper
∗
∗
∗
season
team
ties

472 •n-ary association Dictionary of Terms
(B, C) pair, there may be many A values, however, and individually many values of
A, B, and C may participate in the association. In a binary association, this rule re-
duces to the multiplicity of each end defined with respect to the other end.
There is no point in defining multiplicity with respect to one end only (as some
authors have proposed) because the multiplicity would be many for any meaning-
ful n-ary association. If not, the association could be partitioned into a binary as-
sociation between the single class and an association class that includes all the
remaining classes, with a gain in both precision and efficiency of implementation.
In general, it is best to avoid n-ary associations, because binary associations are
simpler to implement and they permit navigation. Generally, n-ary associations
are useful only when all the values are needed to uniquely determine a link. An
n-ary association will almost always be implemented as a class whose attributes in-
clude pointers to the participant objects. The advantage of modeling it as an asso-
ciation is the constraint that there can be no duplicate links within an association.
Consider the example of a student taking a course from a professor during a
term (Figure 14-192). A student will not take the same course from more than one
professor, but a student may take more than one course from a single professor,
and a professor may teach more than one course. The multiplicities are shown in
the diagram. The multiplicity on Professor is optional (0..1); the other multiplici-
ties are many (0..∗).
Each multiplicity value is relative to a pair of objects from other ends. For a
(course, student) pair, there is zero or one professor. For a (student, professor)
pair, there are many courses. For a (course, professor) pair, there are many stu-
dents.
Note that if this association is reified into a class, then it would be possible to
have more than one copy of the same (student, course, professor) combination,
which is not desirable.
Figure 14-192. Multiplicity on n-ary association
Professor
Course
Student
∗
∗
0..1
Registration
Dictionary of Terms name •473
name s34
A string used to identify a model element.
See also namespace.
Semantics
A name is an identifier—a sequence of characters from a finite, predefined alpha-
bet in some defined language. An implementation may impose restrictions on the
form of names, such as the exclusion of certain characters (for example, punctua-
tion marks), restrictions on initial characters, and so on. In particular, it is as-
sumed that names are usable as selectors and search keys within various data sets.
For example, names from the Roman alphabet usually include upper and lower
case letters; numerals; and one or more separators, such as underscore and hy-
phen, while other punctuation marks are implementation-dependent.
Tools and languages may impose reasonable limits on the length of strings and
the character set they use for names, possibly more restrictive than those for arbi-
trary strings, such as comments.
Names are defined within a namespace, such as a package or class. Within a
namespace, a name must be unique within its own semantic group, such as classi-
fiers, states, attributes, and so on, but names of different groups may coincide (al-
though this should be avoided to prevent confusion). Each namespace, except the
entire system, is contained within another namespace. The names of all the nested
namespaces and the final element name are composable into a single qualified
name string.
Note that the absence of a name is not equivalent to an empty string and some-
times implies an anonymous element. Two elements lacking names are not neces-
sarily the same element.
Notation
A name is displayed as a string. A name is usually displayed on a single line and
contains only nonprintable characters. The canonical notation for names includes
alphabetic characters, numerals, and underscores. If additional characters are al-
lowed within a particular implementation, then it is possible that certain charac-
ters may have to be encoded for display to avoid confusion. This is an
implementation responsibility of a tool.
Individual names from a namespace hierarchy separated by double colons may
be composed into a qualified name.
474 •namespace Dictionary of Terms
namespace s35-37
A part of the model in which names may be defined and used. Within a
namespace, each name has a particular meaning.
Semantics
All named elements are declared in a namespace, and their names have scope
within it. The top-level namespaces are packages, containers whose purpose is to
group elements primarily for human access and understandability, and also to or-
ganize models for computer storage and manipulation during development. Pri-
mary model elements, including classes, associations, state machines, and
collaborations, act as namespaces for their contents, such as attributes, association
ends, states, and collaboration roles. The scope of each model element is discussed
as part of its description. Each of these model elements has its own distinct
namespace.
Names defined within a namespace must be unique for a given element type.
Some elements are anonymous and must be found by relationship to named ele-
ments. Namespaces can be nested. It is possible to search inward over a list of
nested namespaces by giving their names.
Within a namespace, there may be multiple groups of elements of the same or
similar types. Names of elements within one group must be unique, but the same
name can be reused in a different group. The formation of the subgroups is some-
what uneven. In any case, the use of repeated names within a single namespace is
dangerous, regardless of whether they can be distinguished by element type.
The concept of uniqueness may vary by type. For example, operations in some
programming languages are identified by their entire signature, including the
name of the operation and the types of their parameters. The signature is the effec-
tive name within the operation namespace.
To gain access to names in other namespaces, a package can access or import an-
other package.
The system itself defines the outermost namespace that provides the base for all
absolute names. It is a package, usually with packages nested within it to several
levels until primitive elements are finally obtained. The list of names from the root
to a particular element is called the qualified name; it identifies a particular ele-
ment.
Notation
The notation for a qualified name, a path over several nested namespaces, is ob-
tained by concatenating the names of the namespaces (such as packages or classes)
separated by pairs of double colons (::).
UserInterface::HelpFacility::HelpScreen
Dictionary of Terms navigability •475
navigability s81-91
Navigability on an association end is a Boolean quality that indicates whether it is
possible to use an association at run time to find the value or values (depending on
the multiplicity of the end) of the type specified by the end, given one value for
each of the other ends. An attribute is always navigable.
See also navigation efficiency.
Semantics
Navigability describes whether it is possible to traverse an association at run time.
At run time, the extent of an association is a set of tuples (links), each tuple con-
taining one value corresponding to each end of the association. Navigability means
that, given values for all but one of the association ends, the tuples containing all of
those values can be obtained; the result is usually stated as the set of values for the
remaining association end. The cardinality of the set of tuples and the equivalent
set of values is constrained by the multiplicity on that association end.
In the case of a binary association, navigability on an end (the target end) means
that it is possible to obtain the set of values for the end associated with a single
value of the type specified on the other end (the source end).
Lack of navigability does not mean that there is no way to traverse the associa-
tion. If it is possible to traverse the association in the other direction, it may be
possible to search all the instances of the other class to find those that lead to an
object, thereby inverting the association. This approach may even be practical in
small cases.
An attribute may or may not also be modeled as an association, and vice versa.
In any case, attributes are always navigable. In other words, given an instance of a
class, it is possible to obtain the value or values specified by the attribute.
Notation
A navigable association direction is shown with an arrowhead on the end of the as-
sociation path attached to the target class. The arrow indicates the direction of tra-
versal (Figure 14-193). The navigability adornment may be suppressed (usually,
on all associations in a diagram). Arrowheads may be attached to zero, one, or
both ends of a binary association or to any number of ends attached to classes in
an n-ary association. Adornments are never placed on line ends attached to the
diamond in an n-ary association.
A nonnavigable association direction can be shown with a small X on the end of
the association attached to the class that cannot be reached.
As a convenience, the arrowheads may be omitted on associations that are navi-
gable in all directions. In theory, this can be confused with an association that is
not navigable in any direction, but such an association is unlikely in practice and
can be explicitly noted if it occurs.

476 •navigability Dictionary of Terms
Alternately a lack of annotation indicates “undecided” navigability, and all navi-
gability must be shown as arrows or Xs. The interpretation of unmarked ends is a
convention that must be agreed to by the modelers and modeling tools.
Figure 14-194 shows the various combinations of navigability markings on bi-
nary associations. The explicit notation requires navigability to be shown explic-
itly. The implicit notation treats a single arrow as one-way navigable and no
arrows as two-way navigable.
Discussion
The phrase “obtain values” is deliberately somewhat vague. Often it implies navi-
gation efficiency (see the entry). Often it also implies that the traversal can be per-
formed using an action (see read action), using syntax in a programming
language, or using an OCL expression (such as object.aname).
Navigability is distinct from the ownership of a property by a class or an associ-
ation. An association end that is owned by a class is an attribute of the class at the
Figure 14-193. Navigability
Figure 14-194. Notations for navigability on binary association
Order Product
line item
∗∗
Each order hasA product does not
store a list of orders. a list of products.
You can find the orders for a product, but you must search for them external to Product.
Navigable:Not navigable:
unspecified navigable both ways
navigable right
unspecified left navigable right only
navigable right only navigable right only
navigable right only
unspecified right
nonnavigable left
navigable both ways navigable both ways
nonnavigable both ways nonnavigable both ways
Explicit notation Implicit notationSymbol
Dictionary of Terms navigation efficiency •477
opposite end of the association, and it can therefore be used in methods of the
class to traverse the association. class. However, the end may be navigable even if it
is not owned by a class. In that case, if the association is not visible from the class
itself, the end would not be visible within the class, and a method of the class
would not be able to traverse the association, but it would be possible to traverse
the association from a method (of some other class) that has visibility to the asso-
ciation.
navigable
An association or link that can be traversed in an expression. Its navigability prop-
erty is true. Such a link is often implemented as a pointer or set of pointers, but it
may be implemented in other ways, such as a database table.
See navigability, navigation efficiency.
navigation
To traverse connections in a graph, especially to traverse links and attributes in an
object model to map an object into a value. In the latter case, the navigation path
can be expressed as a sequence of attribute names or rolenames.
See navigability.
navigation efficiency
Indicates whether it is possible to efficiently traverse an association to obtain the
object or set of objects associated with a value or tuple of values from the other
end or ends. Navigation efficiency is usually implied by navigability but is not its
defining property.
See also navigability.
Semantics
Navigation efficiency can be defined in a general manner so that it is applicable to
abstract design as well as to various programming languages. An association is ef-
ficiently navigable if the average cost of obtaining the set of associated objects is
proportional to the number of objects in the set (not to the upper limit on
multiplicity, which may be unlimited) plus a fixed constant. In computational
complexity terms, the cost is O(n). If the multiplicity is one or zero-one, then the
access cost must be constant, which precludes searching a variable-length list. A
slightly looser definition of navigation efficiency would permit a minimum cost of
log(n).
Although a navigable association of multiplicity one is usually implemented us-
ing a pointer, an external implementation is possible using hash tables, which have
478 •navigation efficiency Dictionary of Terms
a constant average access cost. Thus, an association can be implemented as a look-
up-table object external to the participating classes and can still be considered nav-
igable. (In some real-time situations, the worst-case cost rather than the average
cost must be limited. This doesn’t require a change to the basic definition other
than substituting the worst-case time, but probabilistic algorithms such as hash ta-
bles may be ruled out.)
If an association is not navigable in a given direction, it does not mean that it
cannot be traversed at all but that the cost of traversal may be significant—for ex-
ample, requiring a search through a large list. If access in one direction is infre-
quent, a search may be a reasonable choice. Navigation efficiency is a design
concept that allows a designer to design object access paths with an understanding
of the computational complexity costs. Usually, navigability implies navigational
efficiency.
It is possible (if somewhat rare) to have an association that is not efficiently nav-
igable in any direction. Such an association might be implemented as a list of links
that must be searched to perform a traversal in either direction. It would be possi-
ble but inefficient to traverse it. Nevertheless, the use for such an association is
small.
Note that efficient navigation does not require implementation as pointers. A
database table may implement an association. The association is efficiently naviga-
ble if indexing avoids the need for brute force searches.
Discussion
Navigation efficiency indicates the efficiency of obtaining the set of related objects
to a given object or tuple. When the multiplicity of a binary association is 0..1 or 1,
then the obvious implementation is a pointer in the source object. When the mul-
tiplicity is many, then the usual implementation is a container class containing a
set of pointers. The container class itself may or may not reside within the data
record for an object of the class, depending on whether it can be obtained at con-
stant cost (the usual situation for pointer access). The container class must be effi-
cient to navigate. For example, a simple list of all the links for an association would
not be efficient, because the links for an object would be mixed with many other
uninteresting links and would require a search. A list of links stored with each ob-
ject would be efficient, because no unnecessary search is required.
In a qualified association, a navigable setting in the direction away from the
qualifier usually indicates that it is efficient to obtain the object or set of objects se-
lected by a source object and qualifier value. This is consistent with an implemen-
tation using hash tables or perhaps a binary tree search indexed by the qualifier
value (which is exactly the point of including qualifiers as a modeling concept.
An n-ary association is usually implemented as a standalone object. It might
have indexes on various combinations of ends to permit efficient navigation.
Dictionary of Terms node •479
neg s411
Keyword for negative construct in an interaction.
negative s411
A combined fragment in an interaction that specifies execution sequences that
must not occur.
Semantics
A negative fragment describes sequences that may not occur, that is, those that are
prohibited by the interaction. It is obviously of no use if all permitted sequences
are explicitly described. It is useful if the general description is incomplete but cer-
tain sequences are to be explicitly excluded.
Notation
The keyword neg is placed in the tag of a combined fragment. The body of the
fragment describes the prohibited sequences.
node s195-197
A node is a run-time physical object that represents a computational resource,
which generally has at least a memory and often processing capability. Run-time
artifacts may be deployed on nodes.
The word node is also used (confusingly) to denote a composite control struc-
ture within an activity. See activity node.
See also artifact, deployment, location.
Semantics
Nodes include computing devices but also (in a business model, at least) human
resources or mechanical processing resources. Nodes may be represented as types
and as instances. A node defines a location at which an artifact may reside.
Physical nodes have many additional properties, such as capacity, throughput,
and reliability. UML does not predefine these properties, as there are a great num-
ber of possibilities, but they can be modeled in UML using stereotypes and tagged
values.
Nodes may be connected by associations to show communication paths. The as-
sociations can be given stereotypes to distinguish various kinds of communication
paths or various implementations of them.
A node is inherently part of the implementation view and not the analysis view.
Node instances rather than node types generally appear in deployment models.

480 •node Dictionary of Terms
Although node types are potentially meaningful to show the types of artifacts that
can be deployed, the types of the individual nodes often remain anonymous.
A node is a classifier and may have attributes. Most of the time, node instances
are shown in deployment diagrams. Node types have a more limited use.
There are a number of kinds of nodes but they are all singularly lacking in added
semantics, so distinguishing them can be regarded as little more than comments.
Notation
A node is shown as a figure that looks like an off-center projection of a cube
(Figure 14-195).
A node type has a name as a classifier:
Node-type
where Node-type is a classifier name.
A node instance has a name and a type name. The node may have an underlined
name string in it or below it. The name string has the syntax
name : Node-type
The name is the name of the individual node (if any). The Node-type says
what kind of a node it is. Either or both elements are optional.
Dependency arrows (dashed arrows with the arrowhead on the component)
may be used to show the ability of a node type to support a component type. A
stereotype may be used to state the precise kind of dependency.
Figure 14-195. Nodes and artifacts
fieldServer
mainServer
leads:CustomerDB
buyers:CustomerDB
«artifact »
«artifact»
Dictionary of Terms note •481
Artifact types may be shown within node type symbols. This indicates that arti-
fact instances of the given types may reside on node instances of the given types.
Artifact instances may be shown within node instance symbols. This indicates that
the artifact instances reside on the node instances.
Nodes may be connected by association symbols to other nodes. An association
between two nodes indicates a communication path between them. The associa-
tion may have a stereotype to indicate the nature of the communication path (for
example, the kind of channel or network).
Example
Figure 14-195 shows two connected nodes containing two databases.
nonorthogonal state s482
A composite state with a single region. See composite state.
Semantics
A composite state with a single region is an “and” decomposition into direct sub-
states. When the composite state is active, exactly one of its direct substates is ac-
tive. If a direct final state is reached, the nonorthogonal state containing it is
complete and a completion transition leaving it may be triggered.
note
A symbol for displaying a comment or other textual information, such as a
method body or a constraint.
Notation
A note is a dog-eared rectangle with its upper-right corner bent over. It contains
text or extended text (such as an embedded document) that is not interpreted by
UML. A note can present information from various kinds of model elements, such
as a comment, a constraint, or a method. The note does not usually explicitly indi-
cate the kind of element represented, but that is generally apparent from its form
and usage. Within a modeling tool, the underlying element will be explicit in the
model. A note can be attached with a dashed line to the element that it describes. If
the note describes multiple elements, a dashed line is drawn to each of them.
A note may have a keyword in guillemets to clarify its meaning. The keyword
«constraint» indicates a constraint.
Example
Figure 14-196 shows notes used for several purposes, including a constraint on an
operation, a constraint on a class, and a comment.

482 •null Dictionary of Terms
null s50
The explicit lack of a value, either because none exists or because none is shown.
object s12 s47 s52-60
A discrete entity with a well-defined boundary and identity that encapsulates state
and behavior; an instance of a class.
See also class, identity, instance, object flow.
Semantics
An object is an instance of a class, which describes the set of possible objects that
can exist. An object can be viewed from two related perspectives: as an entity at a
particular point in time with a specific value and as a holder of identity that has
different values over time. Both views can coexist in a model, but not in the same
object or class. The first view is appropriate to a snapshot, which represents a
system at a point in time. An object in a snapshot has values for each of its
attributes. An object is attached to a collection of links that connect it to other ob-
jects.
Each object has its own unique identity and may be referenced by a unique han-
dle that identifies it and provides access to it. The view of an object as an identity is
appropriate to a collaboration instance, in which the object has run-time relation-
ships to other objects that it uses to exchange message instances.
Figure 14-196. Notes
This class has
been discussed
with engineering.
{ return
sqrt (b*b - 4 * a * c) /(2 * a) }
Solver
quadratic
«constraint»
Only one solver
of each kind may
exist at one time.
Dictionary of Terms object •483
An object contains one attribute slot for each attribute in its full descriptor—
that is, for each attribute declared in its direct class and in every ancestor class.
When instantiation and initialization of an object are complete, each slot contains
a value that is an instance of the classifier declared as the attribute type. As the sys-
tem executes, the value in an attribute slot may change unless the attribute change-
ability property forbids it to change. At all times between the execution of
operations, the values in an object must satisfy all implicit and explicit constraints
imposed by the model. During execution of an operation, constraints may be tem-
porarily violated.
If multiple classification is allowed in an execution environment, then an object
may be the direct instance of more than one class. The object contains one at-
tribute slot for each attribute declared in any of its direct classes or any of their an-
cestors. The same attribute may not appear more than once, but if two direct
classes are descendants of a common ancestor, only one copy of each attribute
from the ancestor is inherited, regardless of the multiple paths to it.
If dynamic classification is allowed, an object may change its direct class during
execution. If attributes are gained in the process, then their values must be speci-
fied by the operation that changes the direct class.
If both multiple classification and dynamic classification are allowed, then an
object may gain and lose direct classes during execution. However, the number of
direct classes may never be less than one (it must have some structure, even if it is
transient).
An object may be called to execute any operation that appears in the full de-
scriptor of any direct class—that is, it has both direct and inherited operations.
An object may be used as the value of any variable or parameter whose declared
type is the same class or an ancestor of the direct class of the object. In other
words, an instance of any descendant of a class may appear as the value of a vari-
able whose type is declared to be the class. This is the substitutability principle.
This principle is not a logical necessity but exists to simplify the implementation of
programming languages.
Notation
Object diagrams
An object diagram shows a configuration of objects. An object is an instance of a
class. An object is modeled as an instance specification, which may represent a sin-
gle object or a set of objects satisfying given conditions. The general rule for the
notation for instance specifications is to use the same geometrical symbol as the
descriptor but to underline the name of the instance specification to distinguish it
as an individual. The instance specification may include values or constraints for
attributes, but properties shared by all instances are notated only in the descriptor.

484 •object Dictionary of Terms
Operations, for example, only appear in the class; there is no need to show them
for each object of the class, because all objects share the same operations.
The canonical notation for an object specification is a rectangle with two com-
partments. The top compartment contains the object name and class, and the bot-
tom compartment contains a list of attribute names and values (Figure 14-197).
There is no need to show operations because they are the same for all objects of a
class.
The top compartment shows the name of the object and its class, all underlined,
using the syntax
objectname : classname
The classname can include the full pathname of the enclosing package, if neces-
sary. The package names precede the classname and are separated by double
colons. For example
displayWindow: WindowingSystem::GraphicWindows::Window
A stereotype for the class may be shown textually (in guillemets above the name
string) or as an icon in the upper-right corner. The stereotype for an object must
match the stereotype for its class.
To show multiple classes of which the object is an instance, use a comma-
separated list of classnames. Some of the classes can be transient roles that the ob-
ject plays during a collaboration. For example
aPerson: Professor, Skier
The type of an object specification can be abstract. Any actual object satisfying
the specification must have a concrete class that is a descendant of the abstract
class.
The second compartment shows the attributes for the object and their values as
a list. Each value line has the syntax
attributename : type = value
Figure 14-197. Object notation
triangle: Polygon
center = (0,0)
vertices = ((0,0),(4,0),(4,3))
borderColor = black
fillColor = white
triangle: Polygon
triangle
:Polygon
scheduler
Dictionary of Terms Object Constraint Language •485
The type is redundant with the attribute declaration in the class and may be omit-
ted. The value is specified as a string that represents the value. The attribute names
are not underlined.
The name of the object may be omitted. In this case, the colon should be kept
with the class name. This represents an anonymous object of the class, given iden-
tity by its relationships. Each symbol that contains an anonymous object denotes a
distinct object distinguished by its relationships to other objects.
The class of the object may be suppressed (together with the colon), but it
should be shown when possible to avoid confusion.
The attribute value compartment as a whole may be suppressed.
Attributes whose values are not of interest may be suppressed.
The attribute value may be a constraint, rather than a single value. This means
that the object value must satisfy the constraint. A constraint in a note symbol
(dog-eared rectangle) can be attached to the attribute name by a dashed line.
Sequence diagrams
In a sequence diagram, a lifeline represents an object or a set of objects of a type. A
lifeline is shown as a vertical line or thin rectangle headed by a rectangle contain-
ing the name and type of the object. The header rectangle has the same syntax as
given above under object diagram. See lifeline for syntax. Figure 14-171 shows an
example.
To show the presence of an object in a particular state of a class, a state con-
straint may be placed on the lifeline. This is shown as the name of the state en-
closed in a small rounded rectangle. A comma-separated list of state names may be
used. The constraint is effective at the time when the next event may be received.
Figure 14-47 shows an example.
To show a change of class (dynamic classification), there must be at least two
state constraints on a lifeline, separated by at least one event (such as the receipt of
a message that changes the state).
A constraint may also be placed on the values of attributes. This is shown as a
text string in braces placed on the lifeline. The constraint must be valid when the
next event is received.
Activity diagrams
In an activity diagram, the flow of an object as a value may be shown as an object
flow. This has a different emphasis from objects in object or sequence diagrams, in
which the objects are the subjects of interest. See object flow.
Object Constraint Language
See OCL.
486 •object diagram Dictionary of Terms
object diagram s131
A diagram that shows objects and their relationships at a point in time. An object
diagram may be considered a special case of a class diagram in which instance
specifications, as well as classes, may be shown. Also related is a communication
diagram, which shows roles within a context.
See also diagram.
Notation
Tools need not support a separate format for object diagrams. Class diagrams can
contain object specifications, so a class diagram with objects and no classes is an
“object diagram.” The phrase is useful, however, to characterize a particular usage
achievable in various ways.
Discussion
An object diagram models the objects and links that represent the state of a system
at a particular moment. It contains object specifications, which can show single
objects from a particular execution or prototypical objects with some range of val-
ues. To show a general pattern of objects and relationships that can be instantiated
many times, use a collaboration.
An object diagram does not show the evolution of the system over time. For that
purpose, use a communication diagram or a sequence diagram to represent an in-
teraction.
object flow s344
A kind of activity edge in an activity that represents the flow of values between two
activity nodes.
See also control flow, object node.
Semantics
An object flow is a kind of activity edge connecting two activity nodes, usually an
executable node and an object node. (To be precise, they connect to pins on exe-
cutable nodes, but in effect they connect the nodes.) It represents the production
of a value by a source action or the consumption of a value by the target action. It
can also connect two object nodes. See object node for details.
A multicast connects one object node to multiple activity nodes; a multireceive
connects multiple activity nodes to one object node. These are intended to support
publish-subscribe architectures, but they would appear to be generally usable.
Dictionary of Terms object node •487
Notation
An object flow is shown as a solid arrow connecting two activity nodes. It may
have a guard condition, in which case the flow can occur only if the condition is
satisfied.
The keywords «multicast» and «multireceive» (but not both together) can be
applied to the arrow.
object flow state
This UML1 concept is obsolete in UML2. It has been replaced by object node.
object lifeline s12
See lifeline.
Object Management Group
See OMG.
object node s310-314 s349-351
A kind of activity node that represents the existence of an object produced by one
action in an activity and used by other actions.
See also control flow, object flow.
Semantics
An activity mainly models the flow of control among actions and control con-
structs. It can also model the flow of values among the actions.
An object node represents an object value that exists at a point within a compu-
tation. The object may be the output of one activity node and the input of other
activity nodes. An object node has an input object flow connected to a source ac-
tion (or other activity node). When the source action completes, an object token is
generated and placed on the object node. This represents the creation of on object
of the class or a new object value as a result of a computation. If an object node has
multiple input flows, values can come from any one of them.
An object node has a connection to an output pin on a source action (or other
activity node). A value is placed in the object node whenever the action executes. If
the object node is connected to input pins on multiple actions, they may contend
for values in the object node.
An object node has a type. The absence of a type means that any type is allowed.
The types of objects in the node must be the same or descendants of the node type.
If an object node is the input or output of an action, the types must be identical.
488 •object node Dictionary of Terms
An object node may have an upper bound on the number of values it can hold.
If the node is full, it will not accept additional tokens from input flows, which may
in turn block preceding actions. If no bound is specified, the capacity of the node
is unlimited.
By default, the values in an object node are ordered by their arrival. An object
node may have a selector behavior that determines which value is selected next.
For convenience, the predefined behaviors FIFO (first in-first out) and LIFO (last
in-first out) may be specified, but any ordering may be implemented by an appro-
priated behavior. The selector behavior must be free of side effects.
An object node symbol represents the existence of an object value in a certain
state at a particular point within the execution of an activity. Different object
nodes may represent the same value at different stages of its lifetime. Object nodes
can also represent intermediate values in computations, even those that are never
stored in memory.
Notation
An object node is shown on an activity diagram as a rectangle with object flow ar-
rows as inputs and outputs. The name of the object value type is placed in the rect-
angle. The object may be constrained to be in a specific state or set of orthogonal
states. The name of a state or list of states may be enclosed in square brackets and
placed after or beneath the type name. Additional constraints on the node are
placed in braces, either inside or below the rectangle. The full syntax is:
Classname [Statename] {Constraint}
In addition, the following special forms may be placed outside the rectangle:
{ upperBound = integer }
{ ordering = rule }
where rule may be the name of a user-defined selection behavior or it may be one
of:
FIFO }
LIFO
Unless otherwise specified, an object node is unlimited and FIFO.
Example
Figure 14-198 shows object nodes in an activity diagram. An object value is
created by the completion of an action or invoked activity. For example, a value
with class and state Order[Placed] is created by the completion of invoked activity
Request Service. Because that activity has two successor activities, the object flow
state Order[Placed] is an output of a fork symbol. State Order[Entered], on the
other hand, is the result of completing activity Take Order, which has no other suc-

Dictionary of Terms object node •489
cessor activities, so no fork symbol is required. In this example, all of the object
nodes would likely be mapped into a single object whose value is modified by each
activity invocation.
Figure 14-199 shows a portion of an activity diagram concerned with building a
house. When the frame has been built, the carpenter is free to work on the roof
and the house is ready for the plumbing to be installed. These events are modeled
as signals—Carpenter free and Frame ready—from one activity node to the oth-
ers. The diagram shows the special syntax for a signal. This does not necessarily
imply that the execution processes communicate directly; there may be communi-
cation objects that are not shown in the model. As a result of these signals, the roof
can be built and the plumbing can be installed. Signal notation is only needed to
model communication between distinct objects or the processes running on them.
Figure 14-198. Object nodes in an activity diagram
Request Service
Take Order
Fill Order
Collect Order
Customer Sales Stockroom
Pay
Deliver Order
Order
[Entered]
Order
[Filled]
Order
[Delivered]
Order
[Placed]

490 •object specification Dictionary of Terms
Discussion
An object node represents the data flow view of a computation. Unlike traditional
data flow, however, it exists at a definite point within a flow of control. This places
it squarely into an object-oriented framework. Object orientation unites the data
structure, control flow, and data flow viewpoints into a single model.
object specification
The use of an object of a given type within a context.
Semantics
An object is a unique individual. Therefore, objects can rarely be used directly
within models or programs, which represent reusable patterns applicable to many
objects. A class describes many objects with similar characteristics, but it has no
context. An object specification is the description of the use of an object of a given
type within a particular reusable context. For example, the value of an attribute
may be an object of a certain class. The attribute doesn’t have a fixed object as its
value; each instance containing the attribute has a different object as its value. The
value of the attribute is therefore an object specification; it describes a family of
objects within a specific context, an instance containing the attribute.
An object specification is a kind of value specification.
OCL
Object Constraint Language, a text language for specifying constraints and que-
ries. OCL is not intended for writing actions or executable code.
Semantics
The Object Constraint Language (OCL) is a text language for writing navigation
expressions, Boolean expressions, and other queries. It may be used to construct
expressions for constraints, guard conditions, actions, preconditions and post-
Figure 14-199. Signals in activity diagram
Build frame
Build roof
Install plumbing
Carpenter free
Frame ready
Dictionary of Terms OCL •491
conditions, assertions, and other kinds of UML expressions. The OCL is defined
by the OMG in a companion specification to UML. A complete description of the
OCL syntax and semantics can be found in the specification on the OMG Web site.
A summary can be found in [Warmer-99]. The following selected summary con-
tains the most useful OCL syntax for creating navigation expressions and Boolean
conditions. The full language contains a large number of predefined operators on
collections and on primitive types.
Notation
Syntax for some common navigation expressions is shown below. These forms can
be chained together. The left-most element must be an expression for an object or
a collection of objects. The expressions are meant to work on collections of values
when applicable. For more details and syntax, see the OCL description.
item . selector selector is the name of an attribute in the item or the
name of a role of the target end of a link attached to the
item. The result is the value of the attribute or the related
object(s). The result is a value or a collection of values,
depending on the multiplicities of the item and the asso-
ciation.
item . selector ( argumentlist, )
selector is the name of an operation on the item. The
result is the return value of the operation applied to the
item.
item . selector [ qualifier-value ]
selector designates a qualified association that qualifies
the item. qualifier-value is a value for the qualifier
attribute. The result is the related object or collection
selected by the qualifier. Note that this syntax is applica-
ble to array indexing as a form of qualification.
collection -> collection-property
collection-property is the name of a built-in OCL func-
tion on collections. The result is the property of the col-
lection. Illegal if collection-property is not a predefined
OCL function. Several of the properties are listed below.
collection -> select ( boolean-expression )
boolean-expression is written in terms of objects
within the collection. The result is the subset of objects in
the collection for which the expression is true.
collection -> size The number of elements in the collection.
492 •occurrence Dictionary of Terms
self Denotes the current object (may be omitted if the context
is clear).
operator The usual arithmetic and Boolean operators:
=<><=>=<>+–*/not
Example
flight.pilot.training_hours >= flight.plane.minimum_hours
The collection of pilots who have enough training hours.
company.employees−>select (title = “Boss” and self.reports−>size > 10)
The number of bosses who have more than 10 reports.
occurrence
Something notable that happens during the execution of a system; an instance of
an event. Sometimes called event occurrence, but the word event is redundant.
Semantics
An occurrence is something that happens in space and time, just as an object is
something that exists with a well-defined boundary. For example, “King Louis XIV
died in Versailles on 1 September 1715” is an occurrence. An event is the descrip-
tor of a group of potential occurrences that share common traits, just as a class is
the descriptor of a group of potential objects that share common traits. For exam-
ple, “king dies” is an event that is interesting because of its many consequences and
is therefore worth identifying as a category of occurrences. Objects and occur-
rences are unique run-time entities, whereas classes and events are model elements
that describe run-time entities. An object is an instance of a class, and an occur-
rence is an instance of an event. (Precisely speaking, the word instance applies only
to classifiers, that is, static structure, but the relationship is really the same.) In any
case, we have the relationship:
object is to class as occurrence is to event
Objects and occurrences do not usually appear in models. Histories (traces in
UML terminology) describe unique objects and occurrences, but models are con-
cerned with repeatable patterns that apply to many objects and occurrences. For
example, an occurrence of event “king dies” may trigger consequences such as a
state funeral, potential successors fighting for the job, and the coronation of a new
king. In UML, a state machine could model these consequences; its transitions
would be triggered by events.
An event is a type, that is, a category of occurrences with similar characteristics.
A model often needs to model the occurrence of a given event in a particular con-
text, such as a sequence of events of specific kinds. For example, we might have the
Dictionary of Terms occurrence specification •493
sequence “When an event ‘king dies’ occurs, then the event ‘state funeral’ occurs,
then ‘crown new king’ occurs.” The model is not referring to a particular occur-
rence, such as “Louis XIV dies”, but to any occurrence of the event “king dies”. This
kind of model element is an occurrence specification. It describes many potential
occurrences of a given event within a specific context.
Notation
Individual occurrences rarely appear in models, therefore there is no defined nota-
tion. Usually occurrence specifications appear in models to show event sequences.
occurrence specification s420-421
The specification of the occurrence of an event during the execution of a system.
Semantics
An occurrence specification is a model element representing a set of potential oc-
currences within a specific context. An occurrence is a unique individual, whereas
an occurrence specification represents many occurrences. An occurrence specifica-
tion has a location within a sequence, therefore it is more specific than an event,
which describes all occurrences of a given kind without locating them within a se-
quence. Occurrence specifications are modeled within interactions. A lifeline rep-
resents a sequence of occurrence specifications. The model of the sending or
receipt of a message by an object is an occurrence specification, therefore a mes-
sage connects two occurrence specifications on two lifelines. The execution of an
activity may be modeled by two occurrence specifications (the beginning and end
of execution) on the same lifeline.
Notation
An occurrence specification usually is not explicitly shown as a separate concept. It
is usually shown by the intersection of a message arrow and a lifeline. A stand-
alone occurrence specification on a lifeline can be shown by drawing a small tic on
the lifeline and labeling it with text.
See sequence diagram for examples.
Discussion
Occurrence specification was called event occurrence, but that term does not dis-
tinguish the run-time entity (occurrence) from the model element (specification).
The new terminology has the correspondence:
object : object specification : class :: occurrence : occurrence specification : event.

494 •OMG Dictionary of Terms
OMG
The Object Management Group, Inc., a not-for-profit corporation intended to fa-
cilitate the specification of software technology through open consortiums of
interested companies, universities, associations, and other parties. The OMG is the
owner of the specifications of UML, MOF, OCL, and other related technologies.
Information about the OMG, the official UML specifications, and other work may
be found on the web site www.omg.org.
opaque expression s46
A text string expressed in a specific language that, when evaluated, yields a value.
Semantics
An opaque expression is an escape convention to allow expressions in other lan-
guages to be used in UML where values are needed. Because the other languages
are, by definition, outside of UML, they are opaque with respect to UML. All that
is known is that, when evaluated, they produce values; a type may be optionally
specified for the values.
The UML model includes a text string and the name of the target language. The
OCL language is explicitly permitted; other languages, such as programming lan-
guages, may be used at the discretion of the modeling tool.
An important language (family of languages, really) is natural language. This is
a good way to express higher-level models to be communicated to humans.
Notation
An opaque expression is expressed in the syntax of the target language. Often the
target language is implicit within a particular user’s model, but it can be stated by
placing the name of the language (the official name as expressed in its defining
standard) in braces in front of the text expression. For example, a UML constraint
is often placed in braces, so an example of an OCL constraint might be:
{ {OCL} self.size > 0 and self.size < n }
operand
One of the nested subfragments of a combined fragment in an activity. Each kind
of combined fragment has a specified configuration of operands.
See combined fragment.
Dictionary of Terms operation •495
operation s72 s76 s282
An operation is a specification of a transformation or query that an object may be
called to execute.
See also call, method, resolution.
Semantics
An operation specifies a transformation on the state of the target object (and pos-
sibly the state of the rest of the system reachable from the target object) or a query
that returns a value to the caller of the operation. It has a name and a list of param-
eters, including return parameters. It may impose constraints on parameters or the
target object before or after invocation.
An operation is invoked by a call, which suspends the caller until the execution
of the operation is complete, after which the caller resumes control beyond the
point of the call, receiving a return value if one is supplied by the operation. A call
may be synchronous or asynchronous. Only a synchronous call may receive a re-
turn value.
An operation specifies the result of a behavior, not the behavior itself. A call to
an operation undergoes a resolution step to choose the behavior to be invoked
based on the operation and characteristics of the target object, such as its type. The
behavior can be a method, a state machine transition, or something else.
A method is a procedure that implements an operation. It has an algorithm or
procedure description. A call that resolves to a method causes the execution of the
procedure.
A state machine transition may have an operation as its trigger. A call that re-
solves to a transition causes the firing of the transition.
An operation is declared in a class. The declaration is inherited by the descen-
dants of the class. An operation may be redefined in a descendant class. The redef-
inition must have the same number of argument and result parameters, and their
types must conform (descendants are permitted). If two operations that are not
related by redefinition have matching signatures (including conforming signa-
tures), the declarations conflict and the model is ill formed. Two operations may
have the same name if their signatures do not conform. The definition of con-
formance may vary among systems.
The operation declaration that is the common ancestor of all other declarations
of it is called the origin (after Bertrand Meyer). It represents the governing declara-
tion of the operation that is inherited by the others.
An operation may be abstract or concrete. A concrete operation must resolve to
a behavior (such as method or transition trigger) in the owning class. An abstract
operation need not, and usually will not, have a resolved behavior.
496 •operation Dictionary of Terms
Structure
An operation has the following main constituents.
abstract An operation may be abstract or concrete. A concrete
operation must resolve to a behavior. An abstract opera-
tion must resolve to behaviors in concrete descendants
only.
concurrency The semantics of concurrent calls to the same passive
instance, an enumeration. Possible values are:
sequential Callers must coordinate so that only one call to an
object (on any sequential operation) may execute at
once. If concurrent calls occur, then the semantics
and integrity of the system cannot be guaranteed.
guarded Multiple calls from concurrent threads may occur
simultaneously to one object (on any guarded op-
eration), but only one is allowed to commence at a
time. The others are blocked until the execution of
the first operation is complete. It is the responsibil-
ity of the modeler to ensure that deadlocks do not
occur because of simultaneous blocks. Guarded op-
erations must perform correctly (or block them-
selves) in the case of a simultaneous sequential
operation, or guarded semantics cannot be
claimed.
concurrent Multiple calls from concurrent threads may occur
simultaneously to one object (on concurrent oper-
ations). All of them may proceed concurrently with
correct semantics. Concurrent operations must be
designed so that they perform correctly in the case
of a concurrent, sequential, or guarded operation
on the same object. Otherwise, concurrent seman-
tics cannot be claimed.
constraints Operations may have preconditions, postconditions, and
body conditions. Preconditions must be true when an
operation is called, otherwise the call is in error and the
operation may fail. The caller must ensure that precondi-
tions are met. Postconditions are asserted to be true when
invoked behavior completes execution, otherwise the
Dictionary of Terms operation •497
implementation of the behavior is in error. The imple-
mentor of the behavior must ensure that postconditions
are met. Body conditions are postconditions on return
values. Preconditions and postconditions are inherited by
subclasses and may not be overridden. Body conditions
are inherited by subclasses but they may be overridden in
subclasses.
leaf Whether the operation may be redefined by descendant
classes. If true, the implementation cannot be redefined.
The default is false.
exceptions A list of exceptions that the operation may raise during
execution.
query Whether the execution of the operation leaves the state of
the system unchanged—that is, whether it is a query. If
true, the operation returns a value, but it has no side
effects. If false, it may alter the state of the system, but a
change is not required. The default is false.
name The name of the operation, a string. The name, together
with the list of parameter types (not including parameter
names), is called the matching signature of the operation.
The inclusion of return types varies among implementa-
tions. The matching signature must be unique within the
class and its ancestors. If there is a duplication, it must be
a redefinition of the operation; otherwise the model is ill
formed.
parameter list The list of declarations of the parameters of the opera-
tion. See parameter list.
return results A list of the types of the values returned by a call of the
operation, if any. If the operation does not return values,
then this property has the value null. Note that many lan-
guages do not support multiple return values, but it
remains a valid modeling concept that can be imple-
mented in various ways, such as by treating one or more
of the parameters as output values.
static Whether the operation applies to individual objects
(nonstatic) or to the class itself (static). Static operations
are often used for constructors. The default is nonstatic.
visibility The visibility of the operation by classes other than the
one defining it. See visibility.

498 •operation Dictionary of Terms
A method is a behavior procedure that implements an operation. A method is at-
tached to a class. The operation must be defined in the same class or an ancestor of
the class containing the method. The parameters of the behavior must match the
parameters of the operation it implements. A method may have preconditions and
postconditions. It may weaken the preconditions or strengthen the postconditions
with respect to the operation it implements.
A call trigger is a trigger that enables a transition based on the receipt of a call.
The call trigger is defined for the class owning the state machine declaration. The
call trigger makes available its argument values to any behaviors attached to the
transition. Any return parameters of the operation are ignored by the call trigger.
An operation may be redefined. See redefinition (operation).
Notation
An operation is shown as a text string that can be parsed into properties of the op-
eration. The default syntax is
⎣«stereotype»⎦opt visibilityopt name ( parameter-list ) ⎣: return-type⎦opt
⎣{ property-string }⎦opt
The stereotype, visibility, return-type, and property string are optional (to-
gether with their delimiters). The parameter list may be empty. Figure 14-200
shows some typical operations.
Name. A string that is the name of the operation (not including parameters).
Parameter list. A comma-separated list of parameter declarations, each compris-
ing a direction, name, and type. The entire list is enclosed in parentheses (includ-
ing an empty list). See parameter list and parameter for full details.
Return type. A string containing a comma-separated list of names of classifiers
(classes, data types, or interfaces). The type string follows a colon (:) that follows
the parameter list of the operation. The colon and return-type string are omitted if
the operation does not return any values (e.g., C++ void). Some, but not all, pro-
gramming languages support multiple return values.
Exceptions. Exceptions potentially raised by the operation may be shown as a
property string of the form:
exception namelist,x
Figure 14-200. Operation list with a variety of operations
+display (): Location
+hide ()
«constructor» +create ()
-attachXWindow(xwin:Xwindow*)
Dictionary of Terms operation •499
Visibility. The visibility is shown as one of the punctuation marks ‘+’, ‘#’, ‘–’, or ‘~’
representing public, protected, private, or package. Alternately, visibility can be
shown as a keyword within the property string (for example, {visibility=private}).
This form must be used for user-defined or language-dependent choices.
Abstract. An abstract operation is shown by placing the name in italics. Otherwise
the operation is concrete. Abstract may also be indicated by the property string
abstract.
Query. The choice is shown by a property string of the form isQuery=true or
isQuery=false. The choice true may also be shown by the keyword query. The
absence of an explicit choice indicates the choice false—that is, the operation may
alter the system state (but it does not guarantee to alter it).
Leaf. The choice is shown by a property string of the form isPolymorphic=true
(overridable) or isPolymorphic=false (not overridable). The absence of an explicit
choice indicates the choice true—that is, overridable. The string isPolymorphic
alone indicates a true value.
Static. An instance-scope (nonstatic) operation is indicated by not underlining the
operation string. A class-scope (static) operation is indicated by underlining the
name string. A static operation can alternately be indicated by a property string
static.
Concurrency. The choice is a property string of the form concurrency=value,
where the value is one of the keywords sequential, guarded, or concurrent.
Constraints. A constraint may be shown as a text string in braces within a note
symbol (dog-eared rectangle). The note symbol is connected to the operation
string by a dashed line. The keywords «precondition», «postcondition», and
«bodyCondition» can be used to distinguish the kind of constraint.
Method. There is no specified notation to indicate the presence of a method. The
following convention can be used to indicate the presence of methods: A declara-
tion of a concrete operation necessarily implies the presence of a behavior to im-
plement the behavior. A declaration of an abstract operation implies no behavior.
To show the presence of a concrete behavior on a subclass, redefine the operation
in the subclass as a concrete operation.
Method body. The body of a method may be shown as a string within a note at-
tached to an operation declaration. The keyword «method» may be used to indi-
cate a method declaration.
Signals. To indicate that a class accepts a signal (a reception), the keyword «signal»
is placed in front of an operation declaration within the list of operations. The pa-
rameters are the attributes of the signal. The declaration must not have a return
type. The response of the object to the reception of the signal is shown within a
state machine attached to a class.
Redefinition. See redefinition (operation).

500 •opt Dictionary of Terms
Presentation options
The argument list and return type may be suppressed (together, not separately).
A tool may show the visibility indication in a different way, such as by using a
special icon or by sorting the elements by group.
The syntax of the operation signature string can be that of a particular program-
ming language, such as C++ or Smalltalk. Specific tagged properties may be in-
cluded in the string.
Style guidelines
Operation names typically begin with a lowercase letter.
opt s410 s424 s426 s433
Keyword for optional combined fragment in an interaction.
optional s410 s424 s426 s433
A combined fragment in an interaction that represents a dynamic choice about
whether to execute the operand.
Semantics
A optional construct has one operand with a guard condition. The operand is exe-
cuted if the guard is true and is not executed otherwise. This construct is equiva-
lent to a conditional with an empty else clause.
Notation
An optional fragment is shown as a rectangular region with the tag opt within a
small pentagon on the upper left corner. The region contains the body of the op-
tionally executed operand (Figure 14-201).
Figure 14-201. Optional (opt) fragment
opt [priority>1]
urgent request
guard condition
acknowledge
Dictionary of Terms ordering •501
ordering
A property of a set of values, such as the set of objects related to an object across an
association, stating whether the set is ordered or unordered.
See also association, association end, multiplicity.
Semantics
If the multiplicity upper bound on an attribute or association end is greater than
one, then a set of objects is associated with the attribute slot or the end of an asso-
ciation. The ordering property declares whether the set is ordered or unordered. If
it is unordered, the objects in the set have no explicit order; they form an ordinary
set. If it is ordered, the elements in the set have an explicitly imposed order. The el-
ement order is part of the information represented by the association—that is, it is
additional information beyond the information in the elements themselves. The
elements can be obtained in that order. When a new link is added to the associa-
tion, its position in the sequence must be specified by the operation adding it. The
position may be an argument of the operation or it may be implicit. For example, a
given operation may place a new link at the end of the existing list of links, but the
location of the new link must be specified somehow.
Note that an ordered set is not the same as a set whose elements are sorted by
one or more attributes of the elements. A sorting is totally determined by the val-
ues of the objects in the set. Therefore, it adds no information, although it may
certainly be useful for access purposes. The information in an ordered association,
on the other hand, is additional to the information in the elements themselves.
An ordered relationship may be implemented in various ways, but the imple-
mentation is usually stated as a language-specified code generation property. An
implementation extension might substitute the data structure to hold the elements
for the generic specification ordered.
A sorted set requires a separate specification of the sorting rule itself, which is
best given as a constraint. A sorted set should not be declared as ordered.
Notation
Ordering is specified by a keyword in braces near the end of the path to which it
applies (Figure 14-202). The absence of a keyword indicates unordered. The key-
word {ordered} indicates an ordered set. For design purposes, the keyword {sorted}
may be used to indicate a set arranged by internal values.
For an attribute with multiplicity greater than one, one of the ordering key-
words may be placed after the attribute string, in braces, as part of a property
string.

502 •ordering Dictionary of Terms
If a set is both ordered and may have duplicate values (a bag), the keyword list or
sequence may be used.
If an ordering keyword is omitted, then the set is unordered.
Discussion
An ordered set has information in the ordering, information that is additional to
the entities in the set itself. This is real information. Therefore, it is not derivable
but must be specified when an entity is added. In other words, on any operation
that adds an entity, its position within the list of entities must be specified. Of
course, an operation can be implemented so that the new entity is inserted in an
implicit location, such as the beginning or the end of the list. And just because a
set is ordered does not mean that any ordering of entities will be allowed. These are
decisions that the modeler must make. In general, the position of the new entity
within the list is a parameter of the creation operation.
Note that the ordering of a binary association must be specified independently
for each direction. Ordering is meaningless unless the multiplicity in a direction is
greater than one. An association can be completely unordered, it can be ordered in
one direction and not the other, or it can be ordered in both directions.
Assume an association between classes A and B that is ordered in the B direc-
tion. Then, usually, a new link will be added as an operation on an A object, speci-
fying a B object and a position in the list of existing B objects for the new link.
Frequently, an operation on an A object creates a new B object and also creates a
link between A and B. The list must be added to the list of links maintained by A. It
is possible to create a new link from the B side, but generally the new link is in-
serted at a default position in the A-to-B list, because the position within that list
has little meaning from the B end. Of course, a programmer can implement more
complicated situations if needed.
An association that is ordered in both directions is somewhat unusual, because
it can be awkward to specify the insertion point in both directions. But it is possi-
ble, especially if the new links are added at default locations in either direction.
Note that a sorted set does not contain any extra information beyond the infor-
mation in the set of entities. Sorting saves time in an algorithm, but it does not add
Figure 14-202. Ordered and unordered sets
Performance
Request
1
∗
{ordered}
Reservation
∗
1
The list of requests is ordered. The set of reservations is unordered.
Dictionary of Terms out parameter •503
information. It may be regarded as a design optimization and need not be in-
cluded in an analysis model. It may be specified as a value of the ordering property,
but it does not require that an operation specify a location for a new entity added
to the set. The location of the new entity must be determined automatically by the
method by examining the attributes on which the list is sorted.
orthogonal region s476
A region of an orthogonal state. If an orthogonal state is active, each of its regions
is concurrently active.
See composite state, orthogonal state, region.
orthogonal state s470 s478-482 s486 s493 s501-502
A composite state that contains more than one region. If the composite state is ac-
tive, one substate from each region is active. Concurrently active substates of
different regions are independent of each other.
See complex transition, composite state, orthogonal region, region.
Semantics
A composite state has one or more regions. If a composite state is active, one sub-
state in each region must be active. If there is more than one region, substates from
different regions are concurrently active. For convenience, a composite state with a
single region is called a nonorthogonal state; a composite state with more than one
region is called an orthogonal state. Any complex transition into or out of an or-
thogonal state involves a fork or a join that changes the number of active states in
the active state configuration. Such a transition must (explicitly or implicitly) in-
clude at least one state from each region of an orthogonal state.
History
The concept of regions was added in UML2 to make the decomposition of states
more uniform than in UML1, but with equivalent power.
otherwise s313 s320 s410 s471
See else.
out parameter s74
A parameter that communicates values to the caller using side effects on the pa-
rameter calling mechanism.
See also inout parameter.
504 •overlapping Dictionary of Terms
Semantics
A parameter can have a direction, which can include in, out, inout, and return. An
out parameter is a parameter intended to directly represent parameters in certain
programming languages that permit assignments to parameter variables within
the bodies of procedures, with the assigned values available to the caller. An inout
parameter is a parameter that can be used both for input and output values.
Notation
The keyword out may be placed before the name of an out parameter. The key-
word inout may be placed before the name of an inout parameter. Parameters
without keywords are in parameters.
Discussion
The use of out parameters and inout parameters is present only to provide low-
level compatibility with detailed programming. They has no place in modeling
and should be avoided by all prudent modelers. A clean distinction between in pa-
rameters and return parameters is common to most modern programming lan-
guages with a few unfortunate exceptions.
overlapping
Keyword indicating that the subtypes of a generalization set are compatible; that
is, an object can be an instance of more than one simultaneously.
See generalization set.
owner scope
This UML1 term has been deleted. See static feature for the equivalent capability.
package s99-105
A general-purpose mechanism for organizing elements into groups, establishing
ownership of elements, and providing unique names for referencing elements.
See also access, dependency, import, model, namespace, subsystem.
Semantics
A package is a grouping of model elements and diagrams. Every model element
that is not part of another model element must be declared within exactly one
namespace; the namespace containing the declaration of an element is said to own
the element. A package is a general-purpose namespace that can own any kind of
model element that is not restricted to a particular kind of element. A package may
Dictionary of Terms package •505
contain nested packages and ordinary model elements. Usually there is a single
root package that owns the entire model for a system.
Packages are the basis for configuration control, storage, and access control.
Each element is owned either by another model element or by a single package, so
the ownership hierarchy is a strict tree. Model elements (including packages) can
reference other elements in other packages, so the usage network is a directed
graph rather than a tree.
A model is a kind of package.
Packages may have dependency relationships to other packages. In most cases
these summarize dependencies among the contents of the packages. A usage de-
pendency between two packages means that there exists at least one usage depen-
dency between elements of the two packages (not that every pair of elements has
the dependency).
A package is a namespace for its elements. A named element can be uniquely
determined by its qualified name, which is the series of names of packages or other
namespaces from the root to the particular element. To avoid the need for quali-
fied names, a package can import elements or the contents of another package into
its own namespace. An element within the importing package can then use the
name of the imported element as if it had been defined directly in the package.
A nested package has access to any elements directly contained in outer pack-
ages (to any degree of nesting), without needing to import them. A package must
import its contained packages to add them to its direct namespace, however. A
contained package is, in general, an encapsulation boundary.
A package specifies the visibility of its elements. Visibility indicates whether
other elements can access the element or its contents. When a package imports
elements from other packages, it can further restrict the visibility of the imported
elements to its own clients.
A package defines the visibility of its contained elements as private or public.
Public elements are available to other elements of the owning package or one of its
nested packages and to packages importing the package. Private elements are not
available at all outside the owning package.
Contents of other element types (such as attributes and operations) may also
have the visibility protected or package. Protected elements are available only to
descendants of the classifier owning the feature. Package elements are available to
all elements within the same package as the classifier owning the feature.
Profile application is a relationship between a package and a profile indicating
that the stereotypes defined in the profile may be applied to elements within the
package.
See import for a full description of the visibility rules for elements in various
packages.

506 •package Dictionary of Terms
Notation
A package is shown as a large rectangle with a small rectangle (a “tab”) attached
on one corner (usually, the left top of the large rectangle). It is meant to suggest a
file folder. The contents of the package may be shown within the large rectangle
(Figure 14-203).
If contents of the package are not shown, then the name of the package is placed
within the large rectangle. If contents of the package are shown, then the name of
the package may be placed within the tab.
A keyword string may be placed above the package name. Keywords may in-
clude model. User-defined stereotypes are also notated with keywords, but they
must not conflict with any predefined keywords.
The visibility of a package element outside the package may be indicated by pre-
ceding the name of the element by a visibility symbol (‘+’ for public, ‘–’ for
private).
Dashed arrows may be drawn between package symbols to show relationships
that occur among at least some of the elements in the packages. For example, a de-
pendency with the keyword «use» implies a usage dependency between at least one
element in one package and one element in another package.
Profile application is shown by a dashed arrow from a package to a profile
(package symbol with the keyword «profile»). The arrow has the keyword «apply».
Presentation options
A tool may also show visibility by selectively displaying those elements that meet a
chosen visibility level, for instance, all the public elements only.
A tool may show visibility by a graphic marker, such as color or font.
Figure 14-203. Packages and their relationships
UserInterface
Order
Processing
Storage
Management
Price
Calculator
External
Storage
Ordering
package made of packages
dependency
packages
outside the
system
GUIManager
package

Dictionary of Terms package •507
It is expected that packages with large contents will be shown as simple icons
with names, in which the contents may be dynamically accessed by “zooming” to a
detailed view. Instead of showing the contents of a package as nested icons, a
branching line may be drawn from the package to the icons of its elements. A small
cross in a circle is attached to the line on the package end. See Figure 14-204. (The
same notation can be used for any nested namespace, including classes declared in
the scope of other classes.)
Example
Figure 14-203 shows the package structure of an order-processing subsystem. The
top-level package contains several low-level packages. The dependencies among
the packages are shown by dashed arrows. The figure also shows some external
packages on which the subsystem depends. These may be off-the-shelf compo-
nents or library elements.
Discussion
Packages are primarily intended as access and configuration control mechanisms
to permit developers, particularly in large work groups, to organize large models
and evolve them without getting in each other’s way. Inherently, they mean what
the developers want them to mean. More practically, packages should follow some
kind of semantic boundary if they are to be useful. Because they are intended as
configuration control units, they should contain elements that will likely evolve to-
gether. Packages also group elements that must be compiled together. If a change
to one element forces the recompilation of other elements, then they might also be
placed in one package.
Every model element must be owned by exactly one package or other model ele-
ment. Otherwise, model maintenance, versioning, and configuration control be-
come impossible. The package that owns a model element controls its definition.
It can be referenced and used in other packages, but a change to it requires access
permission and update rights to the package that owns it.
Figure 14-204. External notation for package contents
Purchasing
Order Customer
Product
508 •package diagram Dictionary of Terms
package diagram s590
A structure diagram whose content is primarily packages and their relationships.
There is no rigid line between the different kinds of structure diagrams, so the
name in merely a convenience without semantic significance.
package merge s101
A mechanism for merging the contents of packages, including rules for importing
elements and resolving name conflicts using specialization and redefinition. This
is an advanced modeling feature intended primarily for metamodel builders
forced to reuse the same model for several different, divergent purposes. Its use
can lead to confusion and should be avoided if possible. It is not intended for use
by the ordinary modeler. See the UML2 specification document for the semantics,
which are complex and tricky.
package visibility s39
A visibility value indicating that the given element (usually a feature) is not visible
outside the package containing the classifier owning the element.
packageable element s37
An element that can be owned directly by a package.
Semantics
Packageable elements, including classifiers, dependencies, constraints, instance
specifications, and other packages, can be contained as direct elements of pack-
ages. Other elements cannot appear on their own but must be owned by particular
kinds of elements. For example, attributes and operations are parts of classifiers,
and states and transitions are parts of state machines.
par s410
The keyword indicating a parallel combined fragment in an interaction diagram.
See parallel.
parallel s410
An combined fragment that specifies multiple interaction operands (sub-
fragments) whose behavior is to be executed concurrently (in parallel).

Dictionary of Terms parallel •509
Semantics
A single interaction fragment imposes a linear ordering on the events that occur
on each lifeline. In general, there is no restriction on the ordering of events on dif-
ferent lifelines. Even though sequence diagrams appear to have a vertical time di-
mension, the timelines of different lifelines are not synchronized, and no
conclusion can be drawn from the relative position of two events on different life-
lines. Messages between lifelines do impose an ordering: The events preceding the
sending event on one lifeline precede the events following the receiving event on
the other lifeline.
A parallel construct has two or more operands (subfragments). Within each op-
erand, the events are ordered on lifelines and by messages. Events in parallel oper-
ands, however, have no relative ordering and may be interleaved in any order
consistent with the ordering imposed by each operand separately.
Notation
A parallel combined fragment in a sequence diagram is shown as a rectangular
outline with a small pentagon in the upper left corner containing the tag par
(Figure 14-205). The rectangle covers the lifelines that exchange messages within
the fragment. The rectangle is divided vertically into two or more sections by hor-
izontal dashed lines. Each section contains a sequence diagram fragment contain-
ing messages among lifelines. Within each section, the ordering of events along a
lifeline is significant. The ordering of the sections within the overall rectangle is
not significant, and no ordering is expressed or implied among the events from
different sections.
Figure 14-205. Parallel combined fragment in sequence diagram
server user2
par request
user1
confirm
request
confirm
serve
serve
Messages and servic
e
of user1 and user2
may overlap.
510 •parameter Dictionary of Terms
Example
Figure 14-205 shows an interaction with two users and one server. Each user
makes a request, the server performs the service, and replies to the user. In this ex-
ample, there is no specified ordering among the two interaction sequences. The
first sequence may precede the second, or follow it, or the two sequences may be
interleaved in various ways. For example, the second sequence might start first but
finish last. The processing of the two requests might or might not overlap. No as-
sumptions at all may be made about the two sequences.
If two interaction sequences might occur in either order, but no interleaving of
sequences may occur, the critical region construct may be used together with the
parallel construct.
parameter s73-74
The specification of a variable that can be changed, passed, or returned. A param-
eter may include a name, type, and direction. Parameters are used for operations,
messages, events, and templates. Contrast: argument.
A parameter usage dependency relates an operation having a parameter or a
class containing such an operation to the class of the parameter.
See also argument, binding.
Semantics
A parameter is a placeholder for a value that is bound to it when the enclosing ele-
ment is used. It constrains the values that the argument can take. It has the follow-
ing parts.
default value An expression for a value to be used if no argument is
supplied for the parameter. The expression is evaluated
when the parameter list is bound to arguments.
direction The direction of information flow of the parameter, an
enumeration with the following values:
in An input parameter passed by value. Changes to
the parameter are not available to the caller. This is
the default.
out An output parameter. There is no input value. The
final value is available to the caller.
inout An input parameter that may be modified. The fi-
nal value is available to the caller.
Dictionary of Terms parameter •511
return A return value of a call. The value is available to the
caller. Semantically, no different from an out pa-
rameter, but the result is available for use in an in-
line expression.
The preceding choices may not all be directly available in every programming lan-
guage, but the concept behind each of them makes sense in most languages and
can be mapped into a sensible implementation.
name The name of the parameter. It must be unique within its
parameter list.
type A reference to a classifier (a class, data type, or interface in
most procedures). An argument bound to the parameter
must be an instance of the classifier or one of its descen-
dants.
Notation
Each parameter is shown as a text string that can be parsed into the various prop-
erties of a parameter. The default syntax is
directionopt name : type ⎣multiplicity⎦opt ⎣= default-value⎦opt
Direction. The direction is shown as a keyword preceding the operation name. If
the keyword is absent, then the direction is in. The choices are in, out, inout, and
return. Return parameters are usually shown following a colon in the operation
signature, where they need not be marked for direction.
Name. The name is shown as a string.
Type. The type is notated as a string that is the name of a class, an interface, or a
data type.
Default value. The value is shown as an expression string. The language of the ex-
pression would be known by (and specifiable to) a tool but is not shown in the ca-
nonical format.
Static. A static operation (one that applies to the entire class, rather than a single
object) is indicated by underlining the signature string. If the string is not under-
lined, the operation applies to the target object (the default).
Parameter dependency. A parameter dependency is shown as a dashed arrow from
the operation having the parameter or the class containing the operation to the
class of the parameter; the arrow has the stereotype «parameter» attached.
Example
Matrix::transform (in distance: Vector, in angle: Real = 0): return Matrix
All of the direction labels here may be omitted.
512 •parameter list Dictionary of Terms
parameter list s78-79
A specification of the values that an operation or template receives. A parameter
list is an ordered list of parameter declarations. The list may be empty, in which
case the operation is called with no parameters.
See parameter.
Notation
A parameter list is a comma-separated list of parameter declarations enclosed in
parentheses.
( parameterlist, )
The parentheses are shown even if the list is empty.
( )
parameter set
A complete set of inputs or outputs for a behavior, in alternation with other com-
plete sets of inputs or outputs for the behavior.
Semantics
Usually all of the parameters of a behavior are required by it (for inputs) or pro-
duced by it (for outputs) on any execution. In data flow terms within an activity,
control is a join (an “and”) of inputs and a fork of outputs.
Sometimes, however, a behavior has alternative inputs or outputs. A parameter
set is a complete list of input or output parameters. Each entry is a parameter. A
behavior may have multiple input or output parameter sets. On any one execution
of the behavior, exactly one complete set of inputs and one complete set of outputs
will be produced. On different executions, different parameter sets may be used.
What happens if a behavior receives a complete set of inputs as well as partial in-
puts to other parameter sets is not specified.
Notation
In an activity diagram, a parameter set is shown by enclosed one or more parame-
ter symbols (squares on the boundary of an activity node) within a rectangle. An
activity node may have multiple parameter sets on its boundary.
Figure 14-206 shows an example of parameter sets on an activity node. On any
one execution of the node, either (i1 and i2), or (i3), or (i4, i5, and i6) will have in-
put values. On any one execution, either (o1), or (o2, o3, o4, and o5) will get out-
put values. The choice of output set does not depend on the choice of input set (or,
in any case, we can’t tell from this model).

Dictionary of Terms part •513
Discussion
The notation is a bit unfortunate, because it uses double nesting to change an
“and” situation into an “or” situation. It might have been better to have some kind
of mark that connects the alternative input sets.
parameterized element
See template.
parent s12
The more general element in a generalization relationship. Called superclass for a
class. A chain of one or more parent relationships (that is, the transitive closure) is
an ancestor. The opposite is child.
See generalization.
Discussion
Note that child, parent, ancestor, and descendant are not official UML terms, but we
use them in this book for convenience because UML does not seem to have good
simple terms that cover all the uses of the concepts.
part s173-177
See structured part.
Figure 14-206. Parameter sets
parameter sets
activity node
parameters
i1
i2
i3
i4
i5
i6
o1
o2
o3
o4
o5
input parameters output parameters
514 •participates Dictionary of Terms
participates
Informal term for the attachment of a model element to a relationship or to a rei-
fied relationship. For example, a class participates in an association, and a classifier
role participates in a collaboration.
partition
The division of a set into disjoint subsets. See activity partition for an important
kind of partition used in activities.
passive object s382 s386 s394
An object that does not have its own thread of control. Its operations execute un-
der a control thread anchored in an active object.
See also active class, active object.
Semantics
An active object is one that owns a thread of control and may initiate control activ-
ity. A passive object is one that has a value but does not initiate control. However,
an operation on a passive object may send messages while processing a request that
it has received on an existing thread.
A passive class is a class whose instances are passive objects. A passive class may
not declare receptions because its objects do not receive signals.
Notation
An active class is shown by doubling the left and right sides of the class rectangle. A
passive class is shown by the absence of doubling. The same distinctions may be
shown on object symbols.
In many cases, the presence of active classes is not shown. No conclusions
should be drawn from the symbols unless at least some active classes or objects are
shown.
path
A connected series of graphic segments that connects one symbol to another, usu-
ally used to show a relationship.
Notation
A path is a chain of connected graphical symbols that represents a single semantic
concept. Paths are used in the notation for relationships of various kinds, such as
associations, generalizations, and dependencies. The endpoints of two connected

Dictionary of Terms path •515
segments coincide. A segment may be a straight line segment, an arc, or some
other shape (such as a spline), although many tools support only lines and arcs
(Figure 14-207). Lines can be drawn at any angle, although some modelers or tools
prefer to restrict lines to orthogonal angles and possibly force them onto a regular
grid for appearance and ease of layout.
Generally, the routing of a path has no significance, although paths should avoid
crossing closed regions, because crossing the boundary of a graphic region may
have semantic significance. (For example, an association between two classes in a
collaboration should be drawn within the collaboration region to indicate an asso-
ciation between objects from the same collaboration instance, whereas a path that
made an excursion from the region would indicate an association between objects
from different collaboration instances.) More precisely, a path is topological. Its
exact routing has no semantics, but its connection to and intersection with other
symbols may have significance. The exact layout of paths matters greatly to under-
standability and aesthetics, of course, and may subtly connote the importance of
Figure 14-207. Paths
Figure 14-208. Path crossings
orthogonal lines
oblique lines
arcs
crossing lines explicit crossing lines
Paths a-a and b-b meet at a corner. This is confusing.
Reroute to avoid ambiguity with the crossing case.
a
b
a
ba
b
a
b
a
a
b
b
Avoid overlapping corners!

516 •pathname Dictionary of Terms
relationships and real-world affinities. But such considerations are for humans
and not computers. Tools are expected to support the easy routing and rerouting
of paths.
On most diagrams, the crossing of lines has no significance. To avoid ambiguity
about the identity of crossing lines, a small semicircle or gap can be drawn in one
of them at the crossing point (Figure 14-208). More commonly, modelers just treat
a crossing as two independent lines. Modelers should avoid routings that might be
mistaken as crossings.
In some relationships (such as aggregation and generalization), several paths of
the same kind may connect to a single symbol. If the properties of the various
model elements match, then the line segments connected to the symbol can be
combined into a single symbol with a base and branches. The base, which is con-
nected to the shared symbol, branches as a tree into paths to each symbol
(Figure 14-209). This is purely a graphical presentation option. Conceptually, the
individual paths are distinct. This presentation option may not be used when the
modeling information on the various segments is not identical.
pathname
See qualified name.
Figure 14-209. Paths with shared segment
Shape
Spline
Ellipse
Polygon
Shape
Spline
Ellipse
Polygon
shared common segment
equivalent diagram with separate paths
Dictionary of Terms pattern •517
pattern s159-162 s555
A parameterized collaboration that represents a set of roles for parameterized clas-
sifiers, relationships, and behavior that can be applied to multiple situations by
binding elements from the model (usually classes) to the roles of the pattern. It is a
collaboration template.
Semantics
A pattern represents a parameterized collaboration that can be used multiple times
within one or more systems. To be a pattern, the collaboration must be usable in a
wide range of situations to justify giving it a name. A pattern is a solution that has
been shown to work in a number of situations. It is not necessarily the only solu-
tion to a problem, but it is a solution that has been effective in the past. Most pat-
terns have advantages and disadvantages that depend on various aspects of the
wider system. The modeler must consider these advantages and disadvantages be-
fore making a decision to use a pattern.
A UML parameterized collaboration represents the structural and behavioral
views of certain kinds of patterns. Patterns involve other aspects that are not mod-
eled directly by UML, such as the list of advantages and disadvantages and exam-
ples of previous use. Many of these other aspects can be expressed in words. See
[Gamma-95] for a fuller treatment of patterns, as well as a catalog of some proven
design patterns.
Generating collaborations from patterns. A collaboration can be used to specify
the implementation of design constructs. The same kind of collaboration may be
used many times by parameterizing its constituents. A pattern is a parameterized
collaboration. Generally, the classes of the roles in the collaboration are parame-
ters. A pattern is instantiated as a collaboration by binding values, usually classes,
to its parameters. For the common case of parameterized roles, the template is
bound by specifying a class for each role. Typically, the connectors in a pattern are
not parameterized. When the template is bound, they represent implicit associa-
tions between the classes bound to the collaboration—that is, the binding of the
template to make a collaboration generates additional associations.
Notation
Figure 14-210 shows the Observer pattern from [Gamma-95]. We have modified
the structure shown in the Design Patterns book to specify a pattern as a collabora-
tion to indicate the collaborative nature of most patterns.
The binding of a pattern to produce a collaboration is shown as a dashed ellipse
containing the name of the pattern (Figure 14-211). A dashed line is drawn from
the pattern binding symbol to each of the classes (or other model elements) that
participate in the collaboration. Each line is labeled by the name of the parameter.

518 •pattern Dictionary of Terms
In most cases, the name of a role in the collaboration can be used as a parameter
name. Therefore, a pattern binding symbol can show the use of a design pattern,
together with the actual classes that occur in that use of the pattern. The pattern
binding usually does not show the internal structure of the collaboration that is
generated by the binding. This is implied by the binding symbol.
Figure 14-210. Pattern definition
Figure 14-211. Binding of a pattern to make a collaboration
subject: Subject observer: Observer
ObserverPattern Subject, Observer
notify()
getState()
update()
parameter
parts of the pattern
pattern structure
Observer
SlidingBarIcon
Observer
CallQueue Subject
queue: List of Call
source: Object
waitAlarm: Alarm
reading: Real
color: Color
range: Interval
{ handler.reading = length (subject.queue)
capacity: Integer
range = (0 .. capacity) }
binding of the
The CallQueue class plays
the subject role in the
collaboration.
Observer pattern
The SlidingBarIcon class plays
the observer role.
some constraints
on the pattern
Pattern
notify()
getState()
update()

Dictionary of Terms persistent object •519
permission s109
A kind of dependency that grants the client element permission to use the contents
of the supplier element, regardless of the visibility declarations of the content
elements.
Semantics
Permission is a kind of dependency that makes the internal elements of the sup-
plier accessible to the client, even if they have been declared private. This has the
same effect as the friend construct in C++.
Notation
A permission dependency is shown as a dashed arrow from the client (the element
gaining permission) to the supplier (the element granting permission) with the
keyword «permit» attached to the arrow.
Example
In Figure 14-212, the PrintManager can delete any job and reset the printer, even
though those operations are private.
persistent object s13
An object that exists after the thread that created it has ceased to exist.
See data store node.
Semantics
UML2 does not provide support for declaring persistence as a generic concept.
Persistence is a complicated concept that must be considered in a particular execu-
tion environment. Profiles are expected to provide this kind of capability.
Figure 14-212. Permit dependency
Printer
-jobs
+addJob(file):id
+deleteMyJob(id)
-reset()
PrintManager
-deleteAnyJob(id)
«permit»

520 •Petri net Dictionary of Terms
Petri net s265
A formalism for computation that emphasizes concurrent, distributed, asynchro-
nous computation with explicit synchronization points, rather than the sequential,
monolithic model characteristic of Turing machines and most traditional autom-
ata theory. They were invented by German computer scientist Carl Adam Petri in
his Ph.D. thesis in 1962 and have engendered an entire field of research. The
UML2 activity model is loosely based on Petri nets.
pin s355-361
A connection point on an action for input and output values.
Semantics
A pin is an object node that represents a connection point for input and output
values of an action. There is one input pin for each input parameter and one out-
put pin for each output parameter. The pins of an action are ordered so they can
be matched to parameters. Pins have names and types.
Pins will not usually be implemented as distinct mechanisms. They are just part
of the modeling formalism of actions.
Various special-purpose declarations can be attached to a pin, such as the ability
to accept streams of data and the ability to output exception objects.
Notation
A pin is shown as a small rectangle attached to the outside of the border of an ac-
tion symbol (a rounded box). A name can be placed near the pin symbol, or the
full parameter notation can be used (Figure 14-213).
If a pin accepts data streams, the keyword {stream} is placed near the symbol.
If a pin produces exception objects, a small triangle is placed near the symbol.
If an action is shown disconnected from other actions, small arrows may be
placed inside the pin symbol to distinguish input and output pins.
Numbers (starting with 1) may be placed near the pin symbol to show the or-
dering of pins. Usually the names are sufficient to establish the implicit ordering,
so numbers are rarely used.
Figure 14-213. Pin notation
1
2
a: Matrix
b: Matrix c: Matrix
singularity
Multiply
Matrix
exception pin
normal output pin
input pins

Dictionary of Terms polymorphic •521
Various presentation options are available, but they seem unnecessary and less
intuitive than the normal notation, so we do not encourage their use.
Example
Figure 14-214 shows several activity nodes connected through pins. The inputs to
the activity nodes are object nodes representing data.
polymorphic
Indicates an operation whose implementation (a method or state machine trig-
gered by a call event) may be supplied by a descendant class. An operation that is
not polymorphic is a leaf operation.
See also abstract operation, generalization, inheritance, method.
Semantics
If an operation is polymorphic, then a method may be supplied for it in a descen-
dant class (whether or not a method has already been supplied in the original
class). Otherwise, a method must be available for the operation in the class declar-
ing the operation, and the method cannot be overridden in a descendant class. A
method is available if it is declared by a class or inherited from an ancestor. An ab-
stract operation must be polymorphic (because it has no direct implementation).
An operation is nonpolymorphic if it is declared to be a leaf operation.
If an operation is declared polymorphic in a class—that is, if it is not declared as
a leaf—it may be declared to be a leaf in a descendant class. This prevents it from
being overridden in a further descendant. A leaf operation may not be declared
polymorphic in a descendant class. It may not be overridden at any depth.
UML does not mandate the rules for method combination if a method is de-
clared in a class and overridden in a descendant class. Mechanisms, such as declar-
ing before, after, and around methods, may be handled in a language-specific
manner using tagged values. Actions such as explicitly calling the inherited
method are, of course, dependent on the action language in any case.
Figure 14-214. Nodes connected through pins
order
Order Process
Order
Pricelist prices
Ship Order
Bill Order
part list
invoice
object nodes data flowactivity node activity nodes
522 •polymorphic Dictionary of Terms
Notation
A nonpolymorphic operation is declared using the keyword {leaf}. Otherwise, it is
assumed to be polymorphic.
Discussion
An abstract operation is necessarily polymorphic. Otherwise, it could not be im-
plemented at all. Bertrand Meyer calls this a deferred operation, because its speci-
fication is defined in a class but its implementation is deferred to subclasses. This is
an essential, probably the most essential, use of inheritance in both modeling and
programming. Using inheritance, operations can be applied to sets of objects of
mixed classes. The caller need not know or determine the class of each object. It is
only necessary that all of the objects conform to an ancestor class defining the de-
sired operations. The ancestor class need not implement the operations. It must
simply define their signatures. The caller need not know even the list of possible
subclasses. This means that new subclasses can be added later, without disrupting
polymorphic operations on them. Source code that invokes operations need not
change when new subclasses are added. The ability to add new classes after the
original code is written is one of the key pillars of object-oriented technology.
A more problematic use of polymorphism is the replacement (overriding) of a
method defined in a class by a different method defined in a subclass. This is often
cited as a form of sharing, but it is dangerous. Overriding is not incremental, so
everything in the original method must be reproduced in the child method, even
to make a small change. This kind of repetition is error-prone. In particular, if the
original method is changed later, there is no guarantee that the child method will
be changed also. There are times when a subclass can use a completely different
implementation of an operation, but many experts would discourage such over-
riding because of the inherent danger. In general, methods should be either com-
pletely inherited without overriding or deferred; in the latter case there is no
implementation in the superclass, so there is no danger of redundancy or inconsis-
tency.
To permit a subclass to extend the implementation of an operation without los-
ing the inherited method, most programming languages provide some form of
method combination that uses the inherited method but allows additional code to
be added to it. In C++, an inherited method must be explicitly invoked by class
and operation name, which builds the class hierarchy into the code rigidly—not a
very robust approach. In Smalltalk, a method can invoke an operation on super,
which causes the operation to be handled by the inherited method. If the class hi-
erarchy changes, then the inheritance still works, possibly with a method from a
different class. However, the overriding method must explicitly provide a call to
super. Errors can and do happen, because programmers forget to insert the calls
when a change occurs. Finally, CLOS provides very general and complicated auto-
Dictionary of Terms port •523
matic method combination rules that may invoke several methods during the exe-
cution of a single operation call. The overall operation is implemented from
several fragments rather than being forced to be a single method. This is very gen-
eral but harder to manage for the user.
UML does not force a single method combination approach. The UML2 specifi-
cation assumes that resolution of operations to behavior is specified somehow, but
does not restrict it or provide a uniform way of specifying it. Method combination
is a semantic variation point. Any of these approaches may be used. If the pro-
gramming language is weak on method combination, then a modeling tool may be
able to provide help in generating the appropriate programming-language code or
in warning about possible oversights if method overriding is used.
port s167-171
A structural feature of a classifier that encapsulates interaction between the con-
tents of the classifier and its environment.
See interface, structured classifier, structured part.
Semantics
A port is a connection point between a classifier and its environment. Connections
from the outside world are made to ports according to provided and required in-
terfaces declared on a port. The outside clients of the classifier have no visibility or
direct interaction with the contents or implementation of the classifier. When a
classifier is implemented, ports on internal parts are connected to its external ports
in accordance with the declared interfaces. The use of ports permits the internal
structure of a classifier to be modified without affecting the external clients, pro-
vided the interfaces on the ports are correctly supported. Ports permit encapsu-
lated parts to be “wired together” to form the implementation of a classifier.
The behavior of a port is specified by its provided and required interfaces.
Ports are created as part of the instantiation of their classifier and destroyed with
it. They may not be created or destroyed during the life of an object.
A port may be specified with multiplicity. If the multiplicity is not a single inte-
ger, the cardinality must be specified when the classifier is instantiated. A separate
port instance is created for each value in the multiplicity set. If the multiplicity is
ordered, the ports can be identified by their index positions.
A call to an object may be made using a specific port, if the provided interface
for the port supports the operation. The behavior for the classifier can determine
which port received a call and can use this information in the method or to select a
method to implement the call. If a port is a behavior port, calls are implemented
by the behavior of the classifier. If a port is not a behavior port, calls are forwarded
to the internal part owning the port for implementation.
524 •port Dictionary of Terms
Structure
A classifier may have any number of ports. Each port has a set of provided inter-
faces and a set of required interfaces. A provided interface declares a service that
the classifier is prepared to provide for an anonymous outside client. It is not nec-
essary for the client to have a predefined relationship with the classifier. A required
interface declares a service that the classifier requires from an anonymous outside
provider. Another classifier connected to the port may request the provided ser-
vices from the owner of the port but must also be prepared to supply the required
services to the owner.
Two implementation properties may be declared on ports:
service port If false, the port is used only in the internal implementa-
tion of the classifier and is not required by its environ-
ment, therefore it can be deleted or altered without
affecting the use of the classifier. The default is true (the
port is needed).
behavior port If true, requests on the port are implemented directly by
the declared behavior implementation (such as a state
machine or procedure) of the classifier. If false, the port is
a delegation port that must be connected to a port on an
internal part, and an external request will be transmitted
to the internal part for implementation. Delegation ports
permit larger classifiers to be “wired together” from
smaller parts without additional behavior specification,
but eventually at the innermost nesting level behavior
must implemented directly.
visibility A port may be public, private, or protected.
There is no assumption about how a port is implemented. It might be imple-
mented as an explicit object, or it might merely be a virtual concept that does not
explicitly appear in the implementation.
If several connectors are attached to a port from the inside, it is a semantic vari-
ation point whether requests will be forwarded on all connectors or whether one
connector will somehow be selected for each request.
Notation
Declaring ports on structured classifiers
A port is shown as a small square straddling the boundary of a classifier rectangle.
The name of the port is placed near the square. The square may be placed just in-
side the classifier rectangle to indicate a port with restricted visibility, such as a ser-

Dictionary of Terms port •525
vice port; these should be rare, because the main purpose of ports is to encapsulate
communication with the environment.
The type of a port may be shown following a colon, using the syntax:
name : Type [multiplicity]
The various parts of this syntax are optional. Multiplicity can be used to declare
a set of ports of the same type. All ports of a given type have the same interfaces.
Instead of declaring port types, the interfaces for the port may be shown using
interface symbols. A provided interface is shown by a small circle connected to the
port square by a line. A required interface is shown by a small semicircle connected
to the port square by a line. The name of an interface is placed near the circle,
semicircle, or line. Multiple interfaces of either kind may be attached to the same
port.
Example
Figure 14-215 shows a camcorder declaration with its ports. The camcorder has
two input ports: an TV input and a microphone input. These are shown as pro-
vided interfaces, because the camcorder accepts their inputs and acts on them. The
camcorder has one kind of output port, an audio output, but there are two in-
stances of this port in each camcorder instance. This is shown as a required inter-
face, because the camcorder requires the services of another device (such as an
amplifier or a headphone) to process the outputs.
The camcorder is also shown with one mixed port, the IEEE 1394 (Firewire)
port. This port handles both input and output at the same time. This is shown by
connecting both a provided and required interface to it. (This approach is not re-
ally satisfactory for complex protocols. See discussion for recommendations.)
Figure 14-215. Structured classifier with ports
TV in
audio out[2]
NTSC TV signal
line level audio
Camcorder
microphone level audio
mic in
digital: IEEE 1394
Firewire in Firewire out
required interface
provided interfaces
external port with mixed interfaces
port type
set of ports
test signal
private (hidden) port

526 •port Dictionary of Terms
Using ports within structured classifiers
A classifier with ports may be used as part of another structured classifier. Each use
of the classifier as a part of a structured classifier is shown by a rectangle inside the
declaration of the structured classifier. The internal rectangle has a small square
for each port in the declaration of its type. If one of the ports was declared with
multiplicity, one square is shown for each instance of the port in the particular
part. An index number may be used in brackets to distinguish the multiple in-
stances of the same port declaration:
name [ integer ]
The ports on the internal parts may be connected to ports on other internal parts
or to delegation ports (nonbehavior ports) on the boundary of the structured clas-
sifier. Connectors are shown by solid line paths. A delegation port and an internal
port connected to it must be of the same type, because a request received on one is
also received on the other. Two internal ports connected together must be of com-
plementary types, because a request sent by one is serviced by the other. Two types
are complementary if the required services of each are a subset of the provided ser-
vices of the other. In the simplest case, the provided interfaces of one will be the
same as the required interface of the other.
A behavior port on the structured classifier (one that is implemented directly by
the structured classifier) is shown by a line from the port to a small state symbol (a
rectangle with rounded corners). This is meant to suggest a state machine, al-
though other forms of behavior implementation are also permitted.
Figure 14-216 shows the notation for internal ports and connectors.
A port may be connected by multiple connectors to parts or other ports. The
meaning of multiple connections is a semantic variation point: either a message is
copied to each connector or a message goes to exactly one connector. This capabil-
ity is only useful within an implementation environment that provides support for
the specification.
Figure 14-216. Internal ports in a structured classifier
behavior port
delegation port
delegation port
behavior port
delegation
connector
normal
connector
delegation
connector
behavior
connector
behavior
connector
part part
internal behavior indicator

Dictionary of Terms port •527
Example
Figure 14-217 shows a book formatting program (greatly simplified) built from
smaller modules. It accepts a raw text without a table of contents or index and pro-
duces a formatted book with a table of contents in front and an index in back. The
original input is cloned into 3 copies. One is passed to a component that extracts
the entries for the table of contents, one is passed to a component that extracts in-
dex entries, and the third is passed unchanged to the final combination. The entry
lists are formatted and then passed to the combiner module, which merges them
into a single output text.
History
Ports and structured classifiers in UML2 are a major enhancement that greatly im-
proves the ability to build structured models.
Discussion
The specification of interfaces as either provided or required is a restrictive con-
cept based in traditional programming thinking of interfaces as sets of operations
that are called independently and then reply. While these are adequate in simple
cases, large systems are often constructed from parts that interact according to
well-defined sequences of messages. A well-defined interaction sequence is called a
protocol. Protocols can be specified by grammars, interactions, or protocol state
machines. UML2 does not explicitly support declaration of protocols, but a port
type can be identified with a protocol. To show a protocol as an interface symbol,
the distinction between provided and required interfaces can simply be ignored
(because it is meaningless in complex systems), and the ball-and-socket symbols
can be used to represent the complementary halves of a complex protocol, with no
assumption that the protocol can be reduced to a set of simple operations.
Figure 14-217. Ports and connectors within a structured class
extract TOC
extract index
format
format
combine
raw full
Book formatter
delegation

528 •postcondition Dictionary of Terms
postcondition
A constraint that must be true at the completion of an operation.
Semantics
A postcondition is a Boolean expression that must be true after the execution of an
operation completes. It is an assertion, not an executable statement. Depending on
the exact form of the expression, it might be possible to verify it automatically in
advance. It can be useful to test the postcondition after the operation, but this is in
the nature of debugging a program. The condition is supposed to be true, and any-
thing else is a programming error. A postcondition is a constraint on the imple-
mentor of an operation. If it is not satisfied, then the operation has been
implemented incorrectly.
See also invariant, precondition.
Structure
A postconditions is a constraint that can be attached to an action, an activity, an
operation, a behavior, or a transition in a protocol state machine.
Notation
Action
A postcondition is shown as text in a note with the keyword «localPostcondition».
The note is attached to the action symbol by a dashed line (Figure 14-218).
Activity
A postcondition is shown as a text string within the activity node boundary in the
upper right, preceded by the keyword «Postcondition» (Figure 14-219).
Figure 14-218. Conditions on action
A
«localPostcondition»
{condition2}
«localPrecondition»
{condition1}

Dictionary of Terms postcondition •529
Operation
A postcondition can be shown as text in a note with the keyword «postcondition».
The note is attached to the text string of the operation by a dashed line
(Figure 14-220).
Transition in a protocol state machine
The transition arrow has a text string with the syntax:
[ precondition ] event / [postcondition ]
This syntax applies to protocol state machines, not to behavioral state machines
(Figure 14-221).
Example
Figure 14-222 shows a postcondition on an array sort operation. The new value of
the array (a’) is related to the original value (a). This example is expressed in struc-
tured natural language. Specification in a more formal language is also possible.
Figure 14-219. Conditions on activity
Figure 14-220. Conditions on operation
Figure 14-221. Conditions on protocol state machine transition
«precondition»
condition1
«postcondition»
condition2
activity name
Name
op() «precondition»
{condition1}
«postcondition»
{condition2}
S1 S2
[C1] E / [C2]
precondition postcondition

530 •powertype Dictionary of Terms
powertype s120-128
A metaclass whose instances are subclasses of a given class.
See also generalization, generalization set, metaclass.
Semantics
The subclasses of a given class may themselves be considered instances of a meta-
class. Such a metaclass is called a powertype. For example, class Tree may have sub-
classes Oak, Elm, and Willow. Considered as objects, those subclasses are instances
of metaclass TreeSpecies. TreeSpecies is a powertype that ranges over Tree.
The instances of a powertype are all subclasses of a single superclass, so the set of
generalization relationships constitutes a generalization set. A superclass can have
multiple generalization sets and therefore multiple powertypes. Powertypes and
generalization sets are alternate ways of looking at the same quality. A powertype
adds the ability to declare properties that apply to individual classes in the general-
ization set. These properties apply to the classes themselves, not to the objects that
are instances of the classes. For example, TreeSpecies might have properties such
as geographic distribution and average lifetime.
Notation
A powertype is shown as a class with the keyword «powertype» (Figure 14-223).
The name of a powertype can be used as a label for the generalization set on a gen-
eralization arrow (see generalization set).
Figure 14-222. Postcondition
Figure 14-223. Powertype
{ a’.size = a.size;
any value in a appears the same number of times in a and a’;
for each successive values x and y in a’, x ≤ y }
Array
sort ()
reverse() «postcondition»
Tree
Oak WillowElm
«powertype»
TreeSpecies
species
:TreeSpecies
Dictionary of Terms precondition •531
precondition
A constraint that must be true when an operation is invoked.
See also postcondition.
Semantics
A precondition is a Boolean expression that must be true when an operation is
called. It is the responsibility of the caller to satisfy the condition. The receiver
should not have to check the condition. A precondition is not a guard condition. It
is a condition that must be true, not a way to optionally execute an operation. As
an implementation practice, it can be useful to test the precondition at the begin-
ning of the operation, but this is in the nature of debugging a program. The condi-
tion is supposed to be true, and anything else is a programming error. If the
condition is not satisfied, no statement can be made about the integrity of the op-
eration or the system. It is liable to utter failure. In practice, explicitly checking
preconditions by the receiver may detect many errors.
See also invariant, postcondition.
Structure
A precondition is a constraint that can be attached to an action, an activity, an op-
eration, a behavior, or a transition in a protocol state machine.
Notation
A precondition has the same notation as a postcondition with the appropriate sub-
stitution of keyword. See postcondition for diagrams.
Action
A precondition is shown as text in a note with the keyword «localPrecondition».
The note is attached to the action symbol by a dashed line (Figure 14-218).
Activity
A precondition is shown as a text string preceded by the keyword «Precondition».
The text string is placed within the activity symbol boundary in the upper right
(Figure 14-219).
Operation
A precondition can be shown as text in a note with the keyword «precondition».
The note is attached to the text string of the operation by a dashed line
(Figure 14-220).

532 •presentation element Dictionary of Terms
Transition in a protocol state machine
The transition arrow has a text string with the syntax:
[ precondition ] event / [postcondition ]
This syntax applies to protocol state machines, not to behavioral state machines
(Figure 14-221).
Example
Figure 14-224 shows a precondition on a matrix product operator.
presentation element
A textual or graphical representation of one or more model elements.
See also diagram.
Semantics
Presentation elements (sometimes called view elements, although they include
nongraphical forms of presentation) present the information in a model for hu-
man perception. They are the notation. They show part or all of the semantic in-
formation about a model element. They may also add aesthetic information useful
to humans, for example, by grouping conceptually related elements together. But
the added information has no semantic content. The expectation is that a presen-
tation element is responsible for maintaining itself correctly despite changes to the
underlying model elements, whereas the model elements need not be aware of pre-
sentation elements to operate correctly.
The descriptions of UML notation in this book define the mapping from model
elements to graphical presentations on a screen. The implementation of presenta-
tion elements as objects is the responsibility of a tool implementation.
Figure 14-224. Precondition
{ number of rows of self = number of columns of m1 }
Matrix
product (m1): Matrix
invert (): Matrix
«precondition»
Dictionary of Terms primitive type •533
primitive function s211
The declaration of a mathematical function that accepts a (possibly empty) list of
input values and produces a (nonempty) list of output values without side effects
or access to any objects.
Semantics
UML2 does not have a predefined set of primitive functions, such as arithmetic
functions. This surprises many people, but no two programming languages have
exactly the same set of primitive functions, and there have been many bitter fights
about which are the “correct” set of primitive functions. For example, few lan-
guages implement (even within the limits of memory) integer arithmetic; almost
all implement modulo-arithmetic with various bases. UML2 assumes that a
particular environment will have a predefined set of primitive functions. Because
primitive functions are totally self-contained and may not interact with the envi-
ronment, they do not add any interesting modeling semantics, and failing to enu-
merate a preferred predefined set is no handicap. A profile for a particular
execution environment or programming language should declare a set of primitive
functions as part of its contents.
The apply action applies a primitive function to a set of input values to generate
a set of output values. Because primitive functions are totally self-contained, this
action imposes no constraints whatsoever on implementation and can be totally
concurrent with all other executions in the environment.
It is the intention that primitive functions may not be decomposed or analyzed
within UML itself. They are assumed to be implemented directly by the execution
environment as atomic actions.
primitive type s537
A predefined basic data type, such as an integer, Boolean, or string.
See also enumeration.
Semantics
Instances of primitive types do not have identity. If two instances have the same
representation, then they are indistinguishable and can be passed by value with no
loss of information.
Primitive types include numbers, strings, and possibly other system-dependent
data types, for example, dates and money, whose semantics are predefined outside
UML. Additional primitive types may be added by profiles. Primitive types will
usually correspond closely to those found in the target programming language.
See also enumerations, which are user-definable data types that are not pre-
defined primitive types.
534 •private Dictionary of Terms
private s39
A visibility value indicating that the given element is not visible outside its own
namespace even to descendants of the namespace.
procedure s13
An algorithm expressed in a form that can be executed, usually with parameters
that can be supplied on invocation.
Semantics
Procedure is an informal term for an executable parameterized algorithm, usually
expressed as a list of steps that are executed according to the rules of a given lan-
guage. UML does not restrict the form that procedures can take. A state machine
could be considered a procedure, and any procedure could be modeled by a state
machine, so UML already deals with the semantic issues that procedures have.
UML has the metaclass Behavior, which is somewhat more general than procedure
in that it permits imprecise specifications as well as fully executable ones.
process s13
1. A heavyweight unit of concurrency and execution in an operating system. See
thread, which includes heavyweight and lightweight processes. If necessary, an
implementation distinction can be made using stereotypes.
2. A software development process—the steps and guidelines by which to develop
a system.
3. To execute an algorithm or otherwise handle something dynamically.
process (stereotype of Component)
A transaction-based component.
See active class, process, thread.
profile s575-578
The definition of a set of limited additions to a base metamodel to adapt it to a
specific platform or domain.
Semantics
A profile is a package that identifies a subset of an existing base metamodel (possi-
bly including all of it) and defines stereotypes and constraints that may be applied
to the selected metamodel subset. The purpose is to allow limited modifications of
Dictionary of Terms profile •535
UML metamodels without requiring or permitting arbitrary changes to the meta-
model. If full first-class extensibility is required, a new metamodel can be defined
using MOF, but the result may or may not be much like UML.
A profile may also contain model elements or have a dependency to a package
containing model elements. Such a package in a model library. The elements in the
package become available to an package that applies the profile.
A profile designates a base metamodel (such as the standard UML metamodel)
and selects elements from it using element import or package import. The selected
elements may be a subset that are relevant to a particular platform or domain, so
that tools or modelers need not deal with unwanted UML capabilities.
A profile contains a set of stereotype and constraint declarations. The stereo-
types may be extensions of metamodel elements in the selected set. A stereotype
declaration defines tags—essentially additional metaattributes—of existing meta-
model elements. In a user model, the stereotype can be applied to an element of
the given metatype and the additional metaatributes can be given values by the
modeler. The model values may be used for communication among humans, or
they may be used by tools to generate code. A stereotype may add metaattributes,
but it may not remove existing ones.
A constraint may be applied to a given metaclass. Elements of the metaclass in
user-defined models are subject to the constraint. Constraints may be added in
profiles, but existing constraints may not be removed or weakened. A model with a
profile remains a UML model and must satisfy all of the UML constraints.
A profile is made available to a user model by profile application.
Notation
A profile is shown as a package symbol (rectangle with large tab) with the keyword
«profile» above the name of the package. The package symbol contains metamodel
elements selected into the profile, declared stereotypes with extension arrows to
their base metamodel elements, and constraints that apply to metamodel ele-
ments.
A profile may import type declarations that may be used as the types of stereo-
type tags. Any imported types may also be used in user models, similar to pre-
defined types such as Integer and String.
A profile may have a dependency arrow to a model library, that is, a package
containing model element declarations. The model elements are available to pack-
ages that apply the profile.
Example
Figure 14-225 (from the UML specification document) shows the definition of a
simple profile for an EJB environment.

536 •profile application Dictionary of Terms
profile application s532, s538
The specification that the stereotypes and constraints declared in a given profile
may be applied to model elements within a given package.
Semantics
A profile defines stereotypes and constraints that refer to a designated subset of a
UML base metamodel (by default, the entire UML standard metamodel). Many
different profiles may be defined, possibly with conflicting definitions. Profile ap-
plication makes a given profile available for use within a given package in a user
model.
Figure 14-225. Profile definition
Bean
«stereotype»
Entity
«stereotype»
Session
«stereotype»
state: StateKind
StateKind
«enumeration»
stateless
statefull
Jar
«stereotype»
Interface
«metaclass»
Component
«metaclass»
Remote
«stereotype»
Home
«stereotype»
{A component
cannot be
generalized
or specialized.}
{required}
Artifact
«metaclass»
{A Bean must
realize exactly
one Home
interface.}
«profile» EJB
constraint
tag value applicable to components
This stereotype must
be applied to components.
type usable
in stereotypes
and user models
This stereotype may
be applied to artifacts.
existing metaclasses
from base metamodel

Dictionary of Terms property •537
One or more profiles may be applied to a given package. The constraints from
the profile have effect on model elements of the given metatype within the user
package. Multiple profiles may be applied to the same package provided their con-
straints do not conflict. If an applied profile depends on another profile, both pro-
files must be applied to the user-model package.
Applying a profile to a package makes available the stereotypes declared in the
profile for use within the package on model elements on which the stereotype is
defined. A stereotype must be applied to a model element explicitly. If the stereo-
type bears the {required} constraint, it must be applied to all elements of the given
metatype, but it is still best to be explicit about it.
Notation
Profile application is shown by a dashed dependency arrow with a stick arrowhead
from the user package to the profile symbol. The keyword «apply» is placed on the
arrow. Multiple profiles may be applied to the same package, and the same package
may be applied to multiple packages.
projection s13
A mapping from a set to a subset of it. Most models and diagrams are projections
from the full set of information that is potentially available.
property s65 s89
A structural feature of a classifier. In particular, attributes and association ends are
properties. A structured part in a structured classifier is also a property.
See also association, association end, attribute, redefinition (property).
Figure 14-226. Profile application
Real-time
«profile» «profile»
ProjectTracking
SensorControl
«apply»
«apply»
538 •property Dictionary of Terms
Semantics
The main structural constituent of both associations and classifiers is a description
of values that occur in instances of the elements. In classifiers, structural proper-
ties are called attributes; they represent values that occur in instances of classifiers.
In associations, structural properties are called association ends; they represent
values that are connected by associations. An association is a relationship among
classifiers in which no one classifier is dominant. An attribute is a relationship
among classifiers in which one classifier is the owner and the other appears in the
attribute. It is possible to describe the same relationship as an attribute, an associa-
tion, or both simultaneously.
Structure
A structural property is owned by either a classifier or an association. If it is owned
by a classifier, it is an attribute of the classifier and is navigable from the classifier
to the value held in the attribute. An attribute may additionally be modeled as an
association end that is not owned by the association. If an end is owned by an asso-
ciation, it may or may not be navigable. The semantic difference between an at-
tribute and an association end is small, and a given relationship can be modeled as
an attribute, an association, or both simultaneously. The distinction enables differ-
ent packaging strategies: Attributes must be managed with their owning classifiers,
whereas association ends can be freely added without modifying the participating
classifiers.
A structural property has the following settings. See the individual entries for
more information.
aggregation kind Whether the set of values is an aggregate or composite; an
enumeration with the values {none, shared, composite}.
If the value is not none, the association is called an aggre-
gation. A shared aggregation permits more than one
whole for a given part and does not imply management of
the part by the whole. A composite aggregation (compo-
sition) allows only a single whole for a given part and
implies management of the part by the whole. The default
is none. Only a binary association can be an aggregation
or composition; only one end can be an aggregate of any
kind, and the other end (value of none) marks the parts.
If both ends have value none, the association is not an
aggregation. See aggregation.
changeability Whether the value of the property may change after ini-
tialization. The choice is changeable or read only. The
default is changeable. The definition of initialization is
vague and likely to be implementation-dependent. Only a
navigable property may be read only.
Dictionary of Terms property •539
default value An expression for the initial value of an attribute evalu-
ated and assigned to the attribute when the owning classi-
fier is instantiated. This setting is optional. If it is absent,
no initial value is specified (but some other part of the
model, such as a creation operation, may specify a value).
derived A flag specifying whether the property is computable
from other values and therefore does not represent a
degree of freedom. The computation itself must be speci-
fied as a constraint, if desired. A derived property is often
read only; if it is changeable, semantics of updating its
value are implementation specific (best avoided in most
modeling).
derived union A flag specifying whether the property (and, in an associ-
ation, the association itself) is defined as the union of all
the properties that are specified as subsetting it. If true,
then any instance of an association is necessarily an
instance of one of the subsetting associations. The derived
setting is true for a derived union.
multiplicity The possible number of values of the attribute or associa-
tion end that can exist simultaneously in one object hav-
ing the property. It is specified as an integer range. The
most common value for attributes is “exactly one” denot-
ing a scalar attribute. The value “zero or one” denotes a
property with an optional value. A missing value is distin-
guishable from any value in the domain of the property
type. (In other words, the absence of a value is different
from the value zero or null.) If the upper bound is greater
than one, the ordering and uniqueness settings are rele-
vant. See multiplicity.
name The name of the property, that is, the name of the
attribute or association end, an identifier string. This
name identifies an attribute within a classifier and an
association end within an association (possible both for a
given property). The name must be unique within an
association and also among direct and inherited property
elements (attributes and association ends visible to the
class) of the source class. The same name can be used in
redefinitions within descendant classifiers, but the UML
specification should be consulted for restrictions on
usage.
540 •property Dictionary of Terms
navigability A flag indicating whether it is possible to traverse an asso-
ciation to obtain the object or set of objects at one end
associated with a value or tuple of values from all of the
other ends. The default is true (navigable). An attribute is
always navigable. An association may be navigable even if
its end are not owned by classes.
ordering Whether (and potentially how) the set of related objects is
ordered, an enumeration with the values {unordered,
ordered}. Part of the multiplicity specification.
qualifier A list of attributes used as selectors for choosing objects
within a set of values. If a qualifier is present, then the
multiplicity constrains the cardinality of the set of values
including the qualifier values; the unqualified multiplicity
is assumed to be many unless otherwise specified. See
qualifier.
redefinition An association end may redefine a property defined in an
ancestor classifier or association. The redefined property
may or may not have the same name and visibility. See
redefinition.
rolename The name of the association end, an identifier string. The
term rolename is informal.
static A Boolean setting. If true, the value of the property is
shared by all instances of the classifier; alternately, it may
be considered a property of the classifier itself. If false,
each instance of the classifier has its own value of the
property. The default is false (nonstatic).
subsetting A property may be marked as a subset of another speci-
fied property. The set of values associated with an object
by the property must be the same as or a subset of the set
of values associated with the object by the specified prop-
erty. For example, this allows an association to be defined
and then divided into more specialized associations, such
as an employee association into worker and manager
associations. A subset property may have a more restric-
tive type and multiplicity than the original property. See
subsetting.
type The type of value indicated by the property. As an
attribute, this is the type of the attribute value; as an asso-
ciation end, this is the type of the attached object.
Dictionary of Terms property •541
uniqueness Whether the collection of objects related to a given object
may contain duplicates. If true, no duplicates are allowed
and the collection is a set (if unordered) or an ordered set
(if ordered); if false, duplicates are allowed, and the col-
lection is a bag (if unordered) or a list (if ordered). Part of
the multiplicity specification.
visibility Whether the property is accessible to other classifiers. In
an association, the visibility is placed on the target end,
that is, the end opposite from the classifier owning the
property. Each direction of traversal across an association
has its own visibility value.
Notation
The end of an association path is connected to the edge of the rectangle of the cor-
responding class symbol. Association end properties are shown as adornments on
or near the end of the path at which it attaches to a classifier symbol
(Figure 14-32). See association.
Attribute settings are shown as substrings within the entire attribute string. See
attribute for the full attribute string syntax.
Text properties are shown within braces at the end of an attribute string or near
the association end. Text labels on an association end are placed near the associa-
tion end so that they cannot be confused with labels on the entire association, but
there is no specified relative positioning of multiple text labels. They can be moved
around to make a neat diagram.
The following list is a brief summary of adornments for each modeling setting.
See the individual articles for more details.
aggregation kind A small diamond on the association end representing the
whole, a hollow diamond for a shared aggregate, a filled
diamond for a composition aggregate. No adornment for
a part or a nonaggregation. The string {shared} or {com-
posite} can also be placed near an end or in an attribute
string. There does not appear to be a way to mark an
attribute that represents a part without including an asso-
ciation.
changeability The text property {addOnly} near the target end, usually
omitted for {changeable} but permitted for emphasis.
default value For an attribute, shown as a text string expression follow-
ing an equal sign. A default value is rarely shown for an
association.
542 •property Dictionary of Terms
derived For a derived attribute, shown as a slash (/) in front of the
attribute name. For a derived association, shown as a
slash in front of the association name (a slash by itself is
allowed if there is no association name).
derived union The property string {union} is placed in the attribute
string or near the association end.
multiplicity For an attribute, the multiplicity interval in square brack-
ets after the type name, for example, vertex: Point[3..*]. In
the absence of a string, the default is exactly one. For an
association end, a text label near the end of the path, in
the form min..max (without any brackets). In the
absence of a label, the multiplicity is usually unspecified,
but other conventions are sometimes adopted.
name For an attribute, the name is shown as a text string pre-
ceding the type (if any). If a single name is shown, it is the
attribute name, and the type is unspecified. For an associ-
ation end, the name is shown as a text string near the end
of the association path attached to the target classifier
symbol.
navigability For an attribute, navigability is always true and need not
be shown. For an association end, an arrowhead on the
end of a path shows navigability in that direction. A small
X on the end of a path shows nonnavigability in that
direction. Often the following convention is adopted: An
arrow on one end and no arrow on the other ends indi-
cates nonnavigability on the unmarked ends. If no end
has an arrowhead, the association is navigable in all direc-
tions (because there is little need for associations that are
not navigable in any direction). A different convention is
that unmarked ends have unspecified navigability. In any
case, the same convention should be used for an entire
diagram and, preferably, for all diagrams in a model.
ordering The property string {ordered} on the attribute string or
near the target end indicates an ordered set; the property
{seq}, {sequence}, {list}, or {ordered bag} indicates an
ordered bag, that is, an ordinary list with possible dupli-
cates. The absence of a mark indicates an unordered set.
qualifier A small rectangle between the end of the path and the
source class in a traversal. The rectangle contains one or
more attributes of the association—the qualifiers.
Dictionary of Terms property string •543
redefinition The property string {redefined original} indicates a
redefinition of property original.
rolename A text label near the target end
subsetting The property string {subsets original} indicates a subset-
ting of property original. A comma-separated list of
names is allowed.
type For an attribute, the type is shown as a text string after a
colon (:). For an association, the association path line is
attached to the rectangle symbolizing the type.
uniqueness The property string {bag} in the attribute string or near
the target end indicates a nonunique collection (bag).
The property string {list}, {ordered bag}, {seq}, or
{sequence}, indicates an ordered nonunique collection
(sequence). The absence of a mark indicates a set.
visibility Visibility symbol (+ # − ∼) prefixed to rolename.
Discussion
Note that the term property is also used in a general sense to mean any value at-
tached to a model element.
property string s64
A text syntax for showing a value or value attached to an element, especially tagged
values, but also including built-in attributes of model elements.
Notation
One or more comma-separated property specifications enclosed in braces ({ }).
Each property declaration has the form
property-name = value
or
property-literal
where the property literal is a unique enumerated value whose appearance implies
a unique property name.
Example
{ abstract, author=Joe, visibility=private }
544 •protected Dictionary of Terms
Presentation options
A tool may present property specifications on separate lines with or without the
enclosing braces, provided they are appropriately marked to distinguish them
from other information. For example, properties for a class might be listed under
the class name in a distinctive typeface, such as italics or a different font family.
This is a tool issue.
Note that property strings may be used to display built-in attributes, as well as
tagged values, but such usage should be avoided if the canonical form is simple.
protected s39
A visibility value indicating that the given element is visible outside its own
namespace only to descendants of the namespace.
protocol conformance s464-465
The declaration that a specific state machine conforms to the protocol defined by a
general protocol state machine.
Semantics
A protocol state machine defines rules on the invocation of operations or exchange
of messages that a behavioral state machine or procedure may perform. A protocol
conformance relationship requires that a behavioral state machine or a more spe-
cialized protocol state machine obey every rule imposed by the general protocol
state machine.
protocol state s480
The state of a protocol state machine.
Semantics
A protocol state may not have an entry activity, exit activity, or do activity.
The full range of composite states and submachine states is allowed.
Notation
The notation is the same as a behavioral state, that is, a rounded rectangle contain-
ing the name of the state.
Dictionary of Terms protocol state machine •545
protocol state machine s464-469
A state machine used to specify the legal sequences of operation calls and signals
received by an object.
Semantics
A behavioral state machine is an executable specification that converts events rec-
ognized by an object into a sequence of effects. Any sequence of events produces
an outcome. By contrast, a protocol state machine specifies the legal sequences of
events that may occur within the context of a classifier. It is not responsible for en-
suring that a legal sequence occurs; the responsibility may lie with the caller or
may be distributed over the design of a system. A protocol state machine merely
defines the legal sequences, often to facilitate the design of the overall system that
ensures that valid sequences occur. In language theory terms, a protocol state ma-
chine is an acceptor or a grammar for valid sentences.
A protocol state machine differs from a behavioral state machine as follows:
• Transitions do not have effects. The purpose of a transition is to specify the legal
messages. Effects must be specified elsewhere in the design, possible as opera-
tions on classes or as transitions of a behavioral state machine that might be
constructed later in the design process.
• The transition may have a precondition that must be true if the event occurs.
This is interpreted as a precondition on the associated operation, if any.
• A transition may have a postcondition. The postcondition indicates the state of
the owning object after the transition is complete. Although protocol transitions
do not have effects, the postcondition may impose constraints on the results of
the called operation or on effects that may be needed as part of the eventual im-
plementation.
If a sequence of events (operation calls or signals) leads to a valid path through the
protocol state machine, that sequence of events is legal and must be accepted by
the system design. The postconditions may impose constraints on the implemen-
tation.
If a sequence of events does not lead to a valid path, it may not occur. There are
two possible consequences for the designer: If the creation of the events is under
the control of the rest of the system, the designer must ensure that invalid se-
quences are not generated, but then the target class need not handle such invalid
sequences. Otherwise, the protocol state machine may be an assertion that the in-
valid sequences cannot occur (for whatever reasons) and that the system need not
handle them. (A wise designer will check for invalid sequences anyway and gener-
ate graceful error failures if necessary.)

546 •protocol state machine Dictionary of Terms
Notation
A protocol state machine is shown by the keyword {protocol} after the name of the
state machine.
A protocol transition has the following syntax for its label:
⎣[ precondition ]⎦opt message-name ⎣( parameter-list )⎦opt
⎣[ postcondition ]⎦opt
The message name must be the name of an operation or signal.
Example
Figure 14-227 shows the rules for bidding in contract bridge as a protocol state
machine.
History
In UML2, the previously informal concept of protocol state machine has been
formalized.
Figure 14-227. Protocol state machine for bridge bidding
thinking
to bid
/[South is bidder,
next
bidder
[bid>current bid] bid
/ [bid is current bid, undoubled]
pass
[opponents have current bid, undoubled] double
/ [bid is doubled]
[bidder’s side have current bid, doubled] redouble
[<3 consecutive passes] /
[next player is bidder]
/ [bid is redoubled]
[3 consecutive passes]
BridgeBidding {protocol}
no current bid]

Dictionary of Terms provided interface •547
protocol transition s464-469
A transition in a protocol state machine.
Semantics
Protocol transitions specify legal sequences of events. They do not specify effects.
Notation
See protocol state machine.
provided interface s114-117
An interface that declares the services that a classifier offers to provide to anony-
mous requestors.
See interface, port, required interface.
Semantics
A provided interface is a relationship between an interface and a classifier (rather
than a kind of interface) that declares the class can be invoked to provide the ser-
vices described in the interface. A required interface is the complementary rela-
tionship that a classifier requires the services described in the interface. If one class
declares a provided interface and the other class requires the same interface, the
classes can interact over the interface with no additional structure.
Notation
A provided interface relationship is shown by a small circle attached to a classifier
(or a port on a classifier) by a line (Figure 14-228). The circle is not a separate part
of the symbol, and it does not represent the interface itself. The name of the inter-
face is placed near the circle. Alternately, a provided interface can be shown using
realization notation.
Figure 14-228. Provided interface notation
Name
interface-name
provided interface
class providing services
548 •pseudostate Dictionary of Terms
pseudostate s469
A vertex in a state machine that has the form of a state but has special behavior.
Semantics
A pseudostate is a transient state that structures the details of a transition. When a
pseudostate is active, a state machine has not completed its run-to-completion
step and will not process events. Pseudostates are used to chain transition
segments, and a transition to one implies a further automatic transition to another
state without requiring an event.
Pseudostates include choice, entry point, exit point, fork, history state, initial
state, join, junction, and terminate.
A final state is not a pseudostate. It may remain active when a state machine has
completed its run-to-completion step, but it has restrictions on the transitions that
can depart from it.
Notation
Each kind of pseudostate has its own notation.
public s39
A visibility value indicating that the given element is visible outside its own
namespace.
qualified name s34
A string composed by concatenating the names of the nested namespaces contain-
ing an element, starting from the implicit unnamed namespace that contains the
entire system and ending with the name of the element itself.
Semantics
A qualified name uniquely identifies a model element, such as an attribute or a
state, within a system and may be used within an expression to reference an ele-
ment. Not every kind of element has a name.
Notation
A qualified name is displayed as a list of nested namespace and element names sep-
arated by double colons (::). A namespace is a package or an element with nested
declarations. For example:
Accounting::Personnel::Employee::address
A qualified name references an element in the package named by the path prefix.

Dictionary of Terms qualifier •549
qualifier s90 s93 s238-241 s247
A slot for an attribute or list of attributes on a binary association, in which the val-
ues of the attributes select a unique related object or a set of related objects from
the entire set of objects related to an object by the association. It is an index on the
traversal of an association.
See association class, association end.
Semantics
A binary association maps an object to a set of related objects. Sometimes it is de-
sirable to select an object from the set by supplying a value that distinguishes the
objects in the set. This value could be an attribute of the target class. In general,
however, the selector value may be part of the association itself, an association at-
tribute whose value is supplied by the creator when a new link is added to the asso-
ciation class. Such an attribute on a binary association is called a qualifier. An
object, together with a qualifier value, determines a unique related object or
(somewhat less often) a subset of related objects. The value qualifies the associa-
tion. In an implementation context, such an attribute has been called an index
value.
A qualifier is used to select an object or objects from the set of objects related to
a object (called the qualified object) by an association (Figure 14-229). The object
selected by the qualifier value is called the target object. A qualifier always acts on
an association whose multiplicity is many in the target direction. In the simplest
case, each qualifier value selects a single object from the target set of related ob-
jects. In other words, a qualified object and a qualifier value yield a unique related
target object. Given a qualified object, each qualifier value maps into a unique tar-
get object.
Figure 14-229. Qualified associations
Square
Chessboard
rank:Rank
file:File
Person
Bank
account #
∗
0..1
1
1
qualifier
qualified class
target class
multiplicity after qualification
(bank, account #) → 0 or 1 person
person → many (bank, account #)
(chessboard, rank, file) → 1 square
square → 1 (chessboard, rank, file)
550 •qualifier Dictionary of Terms
Many kinds of names are qualifiers. Such a name within a context maps to a
unique value. The qualified object supplies the context, the qualifier is the name,
and the target object is the result. Any ID or other unique code is a qualifier; its
purpose is to uniquely select a value. An array can be modeled as a qualified asso-
ciation. The array is the qualified object, the array index is the qualifier, and the ar-
ray element is the target object. For an array, the qualifier type is an integer range.
A qualifier may be used in a navigation expression to select a subset of objects
related to an object across an association—namely, those bearing a particular
value for the qualifier attribute value or list of values. The qualifier serves as a se-
lector within the set of objects related by the association. It partitions the set into
subsets by qualifier value. In most cases, the purpose of a qualifier is to select a
unique object from the set of related objects so that a qualified association behaves
like a lookup table.
Structure
Qualifier. A qualifier attribute is an optional part of a binary association end. The
qualifier qualifies the class attached to the association end. An object of the class
and a qualifier value select an object or set of objects from the class at the other
end of the binary association. It is possible for both ends of a binary association to
have qualifiers, but it is rare.
A qualifier is an association attribute or list of attributes. Each attribute has a
name and a type but no initial value, as qualifiers are not freestanding objects, and
each qualifier value must be explicit when a link is added to the association.
Qualifiers are not used with n-ary associations.
Multiplicity. The multiplicity of the qualified relationship is placed on the oppo-
site end of the binary association from the qualifier. (The mnemonic is that the
qualified class and qualifier together form a composite value that is related to the
target class.) In other words, the qualifier is attached to the “near end” of the asso-
ciation, and the multiplicity and rolename are attached to the “far end.”
The multiplicity attached to the target association end denotes how many target
objects might be selected by a (source object, qualifier value) pair. Common mul-
tiplicity values include 0..1 (a unique value may be selected, but every possible
qualifier value does not necessarily select a value), 1 (every possible qualifier value
selects a unique target object, therefore the domain of qualifier values must be fi-
nite), and * (the qualifier value is an index that partitions the target objects into
subsets).
In the majority of cases, the multiplicity is zero-or-one. This choice means that
an object and qualifier value may yield, at most, one related object. A multiplicity
of one means that every possible qualifier value yields exactly one object. This ob-
viously requires the qualifier type to be a finite domain (in a computer implemen-
tation anyway). This multiplicity can be useful for mapping finite enumerated
Dictionary of Terms qualifier •551
types—for example, a Pixel qualified by PrimaryColor (enumeration of red, green,
and blue) would yield the red-green-blue value triplet for each pixel in an image.
The multiplicity of the unqualified association is not stated explicitly. But it is
usually assumed to be many, or at least more than one. Otherwise, there would be
no need for a qualifier.
A multiplicity of many on a qualified association has no significant semantic
impact, because the qualifier does not reduce the multiplicity of the target set.
Such a multiplicity represents a design statement that an index to traverse the asso-
ciation must be provided. In that case, the qualifier partitions the set of target ob-
jects into subsets. Semantically, this adds nothing beyond having an association
attribute, which also (implicitly) partitions the links. The design connotation of a
qualifier in a design model is that the traversal should be efficient—that is, it must
not require a linear search among all the target values. Usually it is implemented
by some kind of lookup table. An index in a database or data structure is properly
modeled as a qualifier.
In the reverse direction across a qualified association (that is, going from the
target class to the qualified object), the multiplicity indicates the number of (qual-
ified object, qualifier) pairs that can relate to a target object, not the number of
qualified objects. In other words, if several (qualified object, qualifier) pairs map
into the same target object, then the reverse multiplicity is many. A reverse multi-
plicity of one from target to qualifier means that there is exactly one pairing of
qualified object and qualifier value that relates to the target object.
Notation
A qualifier is shown as a small rectangle attached to the end of an association path
between the final path segment and the symbol of the qualified class. The qualifier
rectangle is part of the association path, not part of the class. The qualifier is at-
tached to the class that it qualifies—that is, an object of the qualified class, together
with a value of the qualifier, uniquely selects a set of target class objects on the
other end of the association.
Qualifier attributes are listed within the qualifier box. There may be one or
more attributes in the list. Qualifier attributes have the same notation as class at-
tributes, except that initial value expressions are not meaningful.
Presentation options
A qualifier may not be suppressed. It provides essential detail, the omission of
which would modify the inherent character of the relationship.
A tool may use a thinner line for qualifier rectangles than for class rectangles to
distinguish them clearly.
The qualifier rectangle, preferably, should be smaller than the class rectangle to
which it is attached, although this is not always practical.
552 •qualifier Dictionary of Terms
Discussion
The multiplicities on a qualified association are treated as if the qualified object
and the qualifier are a single entity, a composite key. In the forward direction, the
multiplicity on the target end represents the number of objects related to the com-
posite value (qualified object + qualifier value). In the reverse direction, the multi-
plicity describes the number of composite values (qualified object + qualifier)
related to each target object, not the number of qualified objects related to each
target object. This is why the qualifier is placed on the very end of the association
path adjacent to the class symbol—you can think of the association path connect-
ing the composite value to the target class.
There is no provision for specifying the multiplicity of the unqualified relation-
ship. In practice, however, it is usually many in the forward direction. There is no
point to have a qualified association unless many target objects are related to one
qualified object. For logical modeling, the purpose of the qualifier is to reduce the
multiplicity to one by adding the qualifier so that a query can be assured of return-
ing a single value rather than a set of values. The uniqueness of the qualifier value
is frequently a crucial semantic condition that is difficult to capture without quali-
fiers. Almost all applications have many qualified associations. Many names are re-
ally qualifiers. If a name is unique within some context, it is a qualifier, and the
context should be identified and modeled appropriately. Not all names are qualifi-
ers. Names of persons, for example, are not unique. Because personal names are
ambiguous, most data processing applications use some kind of identification
number, such as a customer number, a Social Security number, or an employee
number. If an application requires the lookup of information or the retrieval of
data based on search keys, the model should generally use qualified associations.
Any context in which names or identification codes are defined to select things out
of sets should usually be modeled as a qualified association.
Note that the qualifier value is a property of the link, not of the target object.
Consider a Unix file system, in which each directory is a list of entries whose
names are unique within the directory, although the same names can be used in
other directories. Each entry points to a file, which may be a data file or another
directory. More than one entry can point to the same file. If this happens, the file
has several aliases. The Unix directory system is modeled as a many-to-one associ-
ation in which the directory qualified by the filename yields a file. Note that the
filename is not part of the file; it is part of the relationship between a directory and
a file. A file does not have a single name. It may have many names in many directo-
ries (or even several names in the same directory). The filename is not an attribute
of the file.
A major motivation for qualified associations is the need to model an important
semantic situation that has a natural and important implementation data struc-
ture. In the forward direction, a qualified association is a lookup table—for a qual-
Dictionary of Terms qualifier •553
ified object, each qualifier value yields a single target object (or a null value if the
qualifier value is absent in the set of values). Lookup tables are implementable by
data structures, such as hash tables, b-trees, and sorted lists that provide much
greater efficiency than unsorted lists, which must be searched linearly. In almost all
cases, it is poor design to use a linked list or other unsorted data structure for
searches on names or codes, although, sadly, many programmers use them. Mod-
eling appropriate situations with qualified associations and using efficient data
structures to implement them is crucial to good programming.
For a logical model, there is little point in having a qualified association with a
multiplicity of many in the forward direction, because the qualifier does not add
any semantic information that an association attribute could not show. In a model
intended for the design of algorithms and data structures, however, a qualifier car-
ries an additional connotation—namely, the intent that the selection be efficient.
In other words, a qualified association denotes an indexed data structure opti-
mized for lookup on the qualifier value. In this case, a multiplicity of many can be
useful to represent a set of values that must be accessible together under a common
index value, without having to search other values.
A qualifier attribute should, generally, not be included as an attribute of the tar-
get class, as its presence in the association is sufficient. In case of an index value,
however, it may be necessary to take a value that is inherently an attribute of the
target class and make it a redundant qualifier value. Index values are inherently re-
dundant.
Constraints
Some complicated situations are not straightforward to model with any set of
nonredundant relationships. They are best modeled using qualified associations to
capture the basic access paths with additional constraints stated explicitly. Because
these situations are uncommon, it was felt that trying to include them in a nota-
tion that could capture all possible multiplicity constraints directly was not worth
the added complexity.
For example, consider a directory in which each filename identifies a unique
file. A file may correspond to multiple directory-filename pairs. This is the basic
model we have seen before. This model is shown in Figure 14-230.
Now, however, we wish to add additional constraints. Suppose that each file
must be in just one directory, but within that directory it could have many
names—that is, there is more than one way to name the same file. This can be
modeled with a redundant association between File and Directory, with multiplic-
ity one in the Directory direction (Figure 14-231). The redundancy of the two
associations is indicated by the constraint {same}, which implies that the two ele-
ments are the same but at different levels of detail. Because these associations are
redundant, only the qualified association would be implemented; the other would
be treated as a run-time constraint on its contents.

554 •qualifier Dictionary of Terms
A similar constraint is that each file may appear in multiple directories, but it al-
ways has the same name wherever it appears. Other files can have the same name,
but they must be in different directories. This can be modeled by making filename
an attribute of File but constraining the class attribute and the qualifier to be the
same (Figure 14-232). This pattern occurs frequently as a search index, although
in a general index the multiplicity of the qualified target would be many. This situ-
ation, therefore, has more semantic content than an index, which is an implemen-
tation device.
A third case would allow a file to appear in multiple directories under various
names, but the file could appear only once within a single directory. This could be
Figure 14-230. Simple qualifier
Figure 14-231. File with multiple names in one directory
Figure 14-232. File with same name in all directories
File
Directory
filename: Name
∗
0..1
(directory, filename) → 0 or 1 file
directory → many files
file → many (directory, filename)
file → many directories
file → many filenames
File
Directory
filename: Name
∗
0..1
{same}
(directory, filename) → 0 or 1 file
directory → many files
file → many (directory, filename)
file → 1 directory
file → many filenames
1
∗
File
Directory
filename: Name
∗
0..1 {same}
filename: Name
(directory, filename) → 0 or 1 file
directory → many files
file → many (directory, filename)
file → many directories
file → 1 filename

Dictionary of Terms read action •555
modeled with redundant qualified association and association class that share the
same attribute filename (Figure 14-233).
These examples have been shown with redundant relations to illustrate the na-
ture of the constraints. In practice, however, it is usually satisfactory to state the
constraint textually, with the qualified association shown graphically.
query s77
An operation that returns a value but does not alter the state of the system; an op-
eration without side effects.
Semantics
An operation (but not a reception) may be declared to be a query. A query does
not alter the state of the environment; it only returns a value to the caller. The be-
havior implementing the operation must obey the constraint.
raise exception action
An action whose execution produces an exception of a given type. As a result of the
exception, the execution of the action is terminated and the exception handling
mechanism operates.
See action, exception, exception handler.
read action
A family of actions whole execution outputs the value of an attribute, association
end, qualifier, extent, or other value.
See action.
Figure 14-233. File with at most one name in any directory
File
Directory
filename: Name
∗
0..1
{same} filename: Name
1
∗
(directory, filename) → 0 or 1 file
directory → many files
file → many (directory, filename)
file → many directories
file → many filenames
(file, directory) → 0 or 1 filename
556 •realization Dictionary of Terms
realization s110 s130 s137 s146 s532
The relationship between a specification and its implementation; an indication of
the inheritance of behavior without the inheritance of structure.
See also interface.
Semantics
A specification describes the behavior or structure of something without deter-
mining how the behavior will be implemented. An implementation provides the
details about how to implement behavior in an effectively computable way. The re-
lationship between an element that specifies behavior and one that provides an
implementation is called realization. In general, there are many ways to realize a
specification. Similarly, an element can realize more than one specification. Real-
ization is therefore a many-to-many relationship among elements.
The meaning of realization is that the client element must support all the behav-
ior of the supplier element but need not match its structure or implementation. A
client classifier, for example, must support the operations of the supplier classifier,
and it must support all state machines that specify external behavior of the sup-
plier. But any attributes, associations, methods, or state machines of the supplier
that specify implementation are irrelevant to the client. Note that the client does
not actually inherit the operations from the supplier. It must declare them itself or
inherit them from an ancestor so that all the operations of the supplier are cov-
ered. In other words, the supplier in a realization indicates which operations must
be present in the client, but the client is responsible for providing them. In the
most general sense of realization, the names of the operations need not match,
only their total behavior.
Certain kinds of elements, such as interfaces and use cases, are intended for
specifying behavior, and they contain no implementation information. Other
kinds of elements, such as classes, are intended for implementing behavior. They
contain implementation information, but they can also be used in a more abstract
way as specifiers. Usually, realization relates a specification element, such as a use
case or an interface, to an implementation element, such as a collaboration or a
class. It is possible to use an implementation element, such as a class, for specifica-
tion. It can be placed on the specification side of a realization relationship. In this
case, only the specification parts of the supplier class affect the client. The imple-
mentation parts are irrelevant for the realization relationship. More precisely,
then, realization is a relationship between two elements in which the external be-
havior specification parts of one constrain the implementation of the other. It
might be thought of as inheritance of behavior specification without inheritance
of structure or implementation (and with the need to actually declare the opera-
tions by the client).

Dictionary of Terms realization •557
A component may be realized by a set of classes that together implement the be-
havior specified by the provided and required interfaces of the component.
If the specification element is an abstract class with no attributes, no associa-
tions, and only abstract operations, any specialization of the abstract class implic-
itly realizes the abstract class, as there is nothing to inherit but specification.
The implementing element must support all of the behavior included in the
specifying element. For example, a class must support all the operations of the in-
terfaces that it realizes, with semantics that are consistent with all the specifications
required by the interfaces. The class can implement additional operations, and the
implementation of the operations can do additional things, provided the opera-
tion specifications of the interfaces are not violated.
Notation
The realization relationship is shown by a dashed path with a closed triangular ar-
rowhead on the end adjacent to the element supplying the specification and with
its tail on the element supplying the implementation (Figure 14-234).
Discussion
Another important case is the realization of a use case by a collaboration
(Figure 14-235). A use case specifies externally visible functionality and behavioral
sequences, but it does not supply an implementation. A collaboration describes
the objects that implement the use case behavior and the way that they interact to
do it. Usually, one collaboration implements one use case, but a collaboration can
be implemented using subordinate collaborations, each of which does part of the
job. The objects and classes used to implement a collaboration usually appear in
Figure 14-234. Realization relationship
«interface»
ChoiceBlock
PopUpMenu
RadioButtonArray
setDefault(choice: Choice)
getChoice(): Choice
Choice
1..∗ choices
Button
String
setDefault (choice: Button)
getChoice(): Button
1..∗ choices
1..∗
setDefault (choice: Button)
getChoice(): Button
realization
specification implementation
choices

558 •realization Dictionary of Terms
other collaborations as well. Each class in the collaboration devotes part of its
functionality to the use case being implemented. Therefore, a use case is eventually
implemented by slices through several classes.
realization (stereotype of Classifier)
A classifier that specifies the physical implementation of a domain. Contrast with
specification.
See realization.
realize s110
To provide the implementation for a specification element.
See realization.
receive s370-372 s428
To h a n d l e a message instance passed from a sender object.
See receiver, sender, substitution.
Semantics
The reception of a message by an object is an event. If the message represents a call,
it is a call event; if the message represents a signal send, it is a signal event. If an op-
eration (in the case of a call) or a reception (in the case of a signal) is declared by
the classifier of the owning object, the receipt of the message by an object may re-
solve to an effect, such as the execution of a procedure or the triggering of a transi-
tion. (The declaration of the reception may be implicit if the reception resolves to
a trigger.)
Instead of declaring an effect for a given kind of reception, an object may exe-
cute an accept action, in which case the object waits until an event of a specified
kind is handled by the object.
receive action
See accept action.
Figure 14-235. Realization of use case by collaboration
Fill order Fill order
Dictionary of Terms redefinable element •559
receive event
The receipt of a message (usually a signal) by an object.
See signal event.
receiver s370-372 s428
The object that handles a message instance passed from a sender object. The re-
ceipt of a message is usually intended to cause an effect in the receiver.
reception
A declaration that a classifier is prepared to react to the receipt of a signal. A recep-
tion is a feature of a classifier.
Semantics
A reception is a declaration that an instance of a classifier is prepared to handle
and react to the receipt of an instance of a signal. A reception is similar (in spirit)
to an operation. It declares the signal type that the classifier accepts and specifies
the effect of the receipt of an instance of the signal.
The receipt of a signal may trigger a state machine transition, it may cause the
execution of a procedure, or it may have another effect specified by the resolution
mechanism. If a signal receipt causes the execution of a synchronous procedure,
any attempt to return is ignored.
Notation
A reception may be shown in the operation list of a class or interface using the syn-
tax for an operation with the keyword «signal» in front of the signal name. The pa-
rameters correspond to the attributes of the signal; they must all be in-only
parameters.
Alternately, a list of signal signatures may be placed in its own compartment; the
compartment has the name Signals. Both ways are shown in Figure 14-236.
record type s95-96
A traditional record type may be represented in UML as a data type with
attributes.
redefinable element s70
An element within a classifier whose specification can be redefined within a spe-
cialization of the classifier. See redefinition.

560 •redefines Dictionary of Terms
Semantics
Ordinarily, an element defined within the context of a classifier specification is
simply inherited by descendants of the classifier without modification. This un-
changeability supports polymorphism by ensuring that all the descendants of a
classifier share the same definition of its elements.
Sometimes, however, it is desirable to be able to modify the definition of an ele-
ment by making it more specific or by adding constraints in the new context. In-
variant constraints on the original definition must be respected, however.
The following kinds of elements can be redefined: activity edge, activity node,
classifier, extension point, feature, region, state, transition. The semantics of redef-
inition vary among different kinds of elements.
The leaf flag indicates that a redefinable element cannot be further redefined.
redefines s64 s83
Keyword indicating the redefinition of a feature in a classifier.
See redefinition (operation), redefinition (property).
redefinition s70
A modification of the specification of an element defined within the context of a
classifier specification to a new specification within the context of a descendant
classifier.
Semantics
A redefinable element defined in a classifier can be redefined in a descendant clas-
sifier. The redefinition references the original definition and the classifier within
which it was defined. The redefinition may augment, constrain, or override the
original specification. The substitutability principle may be violated by redefini-
tion, because the redefinition may invalidate a constraint from an ancestor.
Figure 14-236. Two ways to notate signal reception
PrintSpooler
changeSettings(settings)
«signal» print(job:PrintJob)
«signal» printerFree()
PrintSpooler
changeSettings(settings)
print(job:PrintJob)
printerFree()
Signals
Dictionary of Terms redefinition (classifier) •561
Notation
Notation depends on the kind of element being redefined.
See redefinition (behavior), redefinition (classifier), redefinition (operation),
redefinition (property), redefinition (state machine), redefinition (template).
History
Redefinition is a new UML2 concept.
Discussion
Redefinition should be used sparingly and with care, because it can produce ob-
scure models.
redefinition (behavior) s380
Semantics
A behavior may redefine another behavior. The type of behavior may be changed.
For example, a state machine could be replaced by a procedure.
If it implements a behavioral feature, the redefinition replaces the original be-
havior in the specialized classifier.
If it implements a classifier (as a classifier behavior), the redefinition extends the
original definition but does not replace it.
An interaction may be substituted for another interaction in the specialization
of an owning classifier.
Notation
See redefinition (operation), redefinition (state machine).
redefinition (classifier) s61
Semantics
A classifier declared within another classifier can be redefined within a specializa-
tion of the containing classifier. The specification does not seem to indicate what
changes are allowed in the redefined classifier, however. Presumably attributes and
operations can be added; it is unclear whether or how existing attributes and oper-
ations can be modified. Possibly the same kinds of changes permitted in a subclass
are permitted in a redefined classifier.
562 •redefinition (operation) Dictionary of Terms
redefinition (operation) s78
Semantics
An operation may be redefined in a specialization of a class. This redefinition may
specialize the types of the formal parameters or return results, add new precondi-
tions or postconditions, add new raised exceptions, or otherwise refine the specifi-
cation of the operation.
The BodyCondition (a constraint on the return value) may be overridden in a
redefinition. The postcondition can only be strengthened in a redefinition.
Notation
The new operation is included in the subclass with the following string appended:
{ redefines operation-name }
redefinition (property) s64-65 s83 s92
Semantics
A property (attribute or association end) can be redefined in a descendant classi-
fier. Among the characteristics of a property that can be redefined are name, type
(may be specialized), default value, derivation status, visibility, multiplicity, and
constraints on values.
Interaction of association specialization with association end redefinition and
subsetting is undefined.
Notation
A redefinition has the syntax
{ redefines property-name }
where property-name is the name of the attribute or association end that is being
redefined. The string is placed after the attribute string or near the end of an asso-
ciation line with the defining property. The name of the new property may be dif-
ferent from the original property.
Example
Figure 14-237 shows several redefinitions of attributes and association ends.
Discussion
A property with the same name as a property that would have been inherited is as-
sumed to be a redefinition without the need for the redefines keyword. This is a

Dictionary of Terms redefinition (state machine) •563
dangerous rule, as it can easily lead to subtle and gross errors. Don’t use it. Always
be explicit about redefinition, as it is confusing enough on its own.
redefinition (state machine) s476 s481 s493 s497 s505
In specializing a classifier, the behavior state machines specifying the classifier and
its methods may be redefined. (The document uses the word extended in referring
to redefinition of state machines.). When a state machine is redefined, its states, re-
gions, and transitions may be redefined.
States may be redefined. A simple state can become a composite state by adding
a region. A composite state can add regions, vertices, transitions, entry/exit/do ac-
tivities, and transitions to regions inherited from the original state machine. If a
state is part of a region, a redefinition of the state must be part of a redefinition of
the region. A redefinition of a submachine state can replace the submachine refer-
ence, provided it has the same entry and exit points as the original submachine
reference. The new submachine reference may have additional entry and exit
points.
A region may be redefined. The redefinition may add vertices and transitions,
and states and transitions may be redefined.
Figure 14-237. Redefinition of properties
Account
minimum: Money = $100
priority: Integer
balance: Money
PersonalAccount
/priority {redefines priority}
CorporateAccount
minimum = $2500 {redefines minimum}
LegalEntity
name: String
Person
address: Address
Company
owner
agent
1..*
*
trustee {redefines agent}
0..1
owner {redefines owner}
1
signer {redefines agent}
2..5
changes type, name & multiplicity
changes type & multiplicity
changes type, name & multiplicity
changes derivation
changes default value

564 •redefinition (state machine) Dictionary of Terms
A transition may be redefined. A redefined transition may redefine its content
and target state, but not its source state or trigger. A redefined transition must be
uniquely identified by a (source, target, trigger) tuple. This excludes transitions
that differ only in guard condition from being redefined.
If a classifier has multiple parents, the state machine redefinition has an orthog-
onal region corresponding to the state machine of each parent classifier.
Notation
A redefined state machine has the keyword {extended} as part of its name tag.
In a redefined state machine, additions and changes are shown using solid lines.
States, regions, and transitions that are not shown are assumed to be inherited
(unchanged from the original state machine). Inherited states, regions, and transi-
tions may be drawn using dashed lines if they are needed to establish the context
for additions, for example, if they are involved in transitions.
Example
Figure 14-238 shows a state machine for a vending machine. This serves as the
base for a state machine redefinition. Figure 14-239 shows a redefinition of the
state machine for the vending machine.
The dashed lines show states inherited from the base definition, and the solid
lines show states and transitions added in the redefinition. Note that some states,
Figure 14-238. Original state machine for redefinition
Idle
Cash Present
Item Selected
Vending
insert cash
select item
dispensed

Dictionary of Terms redefinition (template) •565
such as the initial state and Idle, are not shown because they have not changed. The
transitions from Idle to Cash Present and from Cash Present to Item Selected are
not shown because they have not changed.
The simple state Item Selected has been extended to be a composite state with
two regions. It has an additional transition to Cash Present triggered by out of
stock. Note that the transition triggered by dispensed is still present, but it is over-
ridden by a transition with the same trigger within the composite state.
redefinition (template) s557
Semantics
A redefined template signature may add additional template parameters.
Presumably the element on which the template is based (such as classifier) may
be specialized in the usual way, with other legal redefinitions.
Notation
None specified.
Figure 14-239. State machine redefinition
Cash Present
Item Selected {extended}
Vending {extended}
dispensed
insert cash eject cash
out of stock
Dispensing
Compute Refund [none]
Refunding
[refund due]
done
inherited state (unchanged)
inherited state (changed)
new state
new transition
566 •reference Dictionary of Terms
Discussion
It is probably a bad idea to actually redefine a template, because too many things
would be happening simultaneously. The experience of C++ shows the danger of
mixing templates, overloading, and inheritance.
reference
A denotation of a model element; often called a pointer, but no implementation
should be assumed, in general.
Semantics
Model elements are connected by two metarelationships: ownership and reference.
Ownership is the relationship between an element and its constituent parts, the
parts that are defined within it and owned by it. The ownership relationship forms
a strict tree. The contained elements are subordinate to the container element.
Ownership, configuration control, and storage of models are based on the con-
tainment hierarchy.
Reference is a relationship between elements at the same level of detail or be-
tween elements in different containers. For example, reference is the relationship
between an association and its participant classes, between an attribute and the
class or data type that is its type property, or between a bound template and its ar-
gument values. For a reference to be possible, the element performing the refer-
ence must have visibility to the element being referenced. This requires that the
element being referenced have a visibility setting that allows it to be seen outside
its package, unless the source of the reference is in the same package.
Note that reference is an internal metamodel relationship, not a user-visible
relationship; it is used to construct the other relationships.
refine (stereotype on Abstraction dependency)
A stereotype on dependency that denotes a refinement relationship.
See refinement.
refinement s14 s107 s595
A relationship that represents a fuller specification of something that has already
been specified at a certain level of detail or at a different semantic level.
See abstraction.
Dictionary of Terms refinement •567
Semantics
A refinement is a historical or computable connection between two elements with
a mapping (not necessarily complete) between them. Often, the two elements are
in different models. For example, a design class may be a refinement of an analysis
class; it has the same logical attributes, but their classes may come from a specific
class library. An element can refine an element in the same model, however. For
example, an optimized version of a class is a refinement of the simple but ineffi-
cient version of the class. The refinement relationship may contain a description of
the mapping, which may be written in a formal language (such as OCL or a pro-
gramming or logic language). Or it may be informal text (which, obviously, pre-
cludes any automatic computation but may be useful in early stages of
development). Refinement may be used to model stepwise development, optimi-
zation, transformation, and framework elaboration.
Structure
Refinement is a kind of abstraction dependency. It relates a client (the element that
is more developed) to a supplier (the element that is the base for the refinement).
Notation
A refinement is indicated by a dependency arrow (a dashed arrow with its head on
the more general element and tail on the more specific element) with the keyword
«refine». The mapping may be attached to the dependency path by a dashed line
connected to a note. Various kinds of refinement have been proposed and can be
indicated by further stereotyping. In many cases, refinement connects elements in
different models and will therefore not be visible graphically.
Example
Optimization is a typical kind of refinement. Figure 14-240 shows a chessboard
that has a simple representation in the analysis model, but it has a much more
elaborate and obscure representation in the design model. The design class is not a
specialization of the analysis class, because it has a totally different form. The class
in the analysis model and the one in the design model have the same name, be-
cause they represent the same concept at two different semantic levels.
Discussion
The distinction between refinement and realization is not clear in the UML speci-
fication, and it may be that refinement is an unnecessary redundancy without pre-
cise semantics.

568 •region Dictionary of Terms
region s476
A direct constituent of a composite state or a state machine, containing vertices
(substates and pseudostates) and transitions forming a nested fragment of a state
machine.
See composite state, state machine, transition, vertex.
Semantics
A region is a nested fragment of a state machine containing a connected set of
states, pseudostates, and transitions. Transitions to and from other regions are also
allowed. Regions are the direct constituents of composite states and state ma-
chines, so they are the structure permitting nested composition of state machines.
The direct substates of a region are mutually exclusive. If a region is active, ex-
actly one direct substate is active. If a region contains (directly or indirectly) com-
posite states, an active region may have multiple active indirect substates at deeper
nesting levels.
If a region is part of a nonorthogonal state, it represents a sequential decompo-
sition of the state. Only one direct substate may be active at once.
If a region is part of an orthogonal state, it represents a concurrent decom-
position of the state. The other regions of the same orthogonal regions are its peer
Figure 14-240. Refinement
Chessboard Chessboard
«refine»
simple
implementation
optimized for
parallel processing
«analysis model»
mapped cells to
bitmap implementation
«design model»
Dictionary of Terms reify •569
orthogonal regions. One direct substate from each orthogonal region is active
when the orthogonal state is active.
Notation
The contents of a region are shown as a connected graph of state symbols and
transition arrows. For a nonorthogonal state, the contents of its single region are
simply nested within its state symbol. For an orthogonal state, its state symbol is
divided into sections by dashed lines and each section shows the contents of a dif-
ferent region. The name of the region may be included in its section. See compos-
ite state for examples of notation.
Discussion
Compared to traditional state automata from computer science, regions provide
the ability to define nested states and nested transitions, greatly reducing the num-
ber of transitions needed in complex systems. This ability was added by David
Harel in his statecharts, which provide the foundation of most of the UML state
machine concepts.
reification
The act of reifying something.
See reify.
reify
To treat as an object something that is not usually regarded as an object.
Discussion
Reification has a long-standing philosophical and literary meaning. It is used to
describe the characterization of abstract concepts as things or persons in mythol-
ogy and poetry. For example, the god Thor was a reification of thunder. Plato’s
theory of ideals turned things around from the prevalent perception. He regarded
pure concepts, such as Beauty, Good, and Courage, as the true eternal reality, and
regarded the physical instantiations as imperfect copies—reification carried to its
ultimate limit.
Reification is one of the most useful ideas for object orientation, and it underlies
almost every aspect of modeling. Building a model in the first place requires the
imposition of objects onto a continuous world. Humans do this naturally in every
sentence they speak—a noun is a reification of a thing and a verb is a reification of
570 •relationship Dictionary of Terms
an action. Reification is particularly useful when applied to things in models or
programs that do not start out treated as objects, such as dynamic behavior. Most
persons think of an operation as an object, but what about the execution (the word
itself is a reification) of an operation? Generally, people think of that as a process.
But reify it and give it a name—call it an activation—and you can suddenly give it
properties, form relationships to other objects, manipulate it, and store it. Reifica-
tion of behavior transforms dynamic processes into data structures that can be
stored and manipulated. This is a powerful concept for modeling and program-
ming.
relationship s30
A reified semantic connection among model elements. This includes association
and various kinds of directed binary relationships.
Semantics
Table 14-3 shows the various kinds of UML relationships. The first column (kind)
shows the groupings under which they are arranged in the metamodel. The second
column (variety) shows the different kinds of relationships. The third column (no-
tation) shows the base notation for each relationship: Association is a solid path,
dependency is a dashed arrow, and generalization is a solid path with triangular
arrowhead. The fourth column (keyword) shows the text keywords and additional
syntax for those relationships that require it.
reply action
An action whose execution passes values and restores control to the execution of a
previous call action.
See action.
repository s14 s587
A storage place for models, interfaces, and implementations; part of an environ-
ment for manipulating development artifacts.
request s255
A data object sent to a target object as a signal.
See send, signal.

Dictionary of Terms request •571
Ta b l e 1 4 - 3 : UML Relationships
Kind Variety Notation Keyword or Symbol
abstraction derivation dependency «derive»
manifestation dependency «manifest»
realization realization
refinement dependency «refine»
trace
dependency dependency «trace»
association association
binding dependency «bind» (parameterlist,)
deployment dependency «deploy» or physical nesting
extend dependency «extend» (extension pointlist,)
extension extension
generalization generalization
import private dependency «access»
public dependency «import»
include dependency «include»
information flow dependency «flow»
package merge dependency «merge»
permission dependency «permit»
protocol
conformance none specified
substitution dependency «substitute»
usage call dependency «call»
creation dependency «create»
instantiation dependency «instantiate»
responsibility dependency «responsibility»
send dependency «send»

572 •required interface Dictionary of Terms
required interface s137 s168
See interface, port, provided interface.
Semantics
A required interface is a relationship between an interface and a classifier that de-
clares the classifier requires the services described in the interface. The services
must be made available by another classifier, usually as one of its provided inter-
faces. Required and provided interfaces are complementary. If one class declares a
provided interface and the other class requires the same interface, the classes can
interact over the interface with no additional structure.
Notation
A required interface relationship is shown by a small half circle attached to a classi-
fier (or a port on a classifier) by a line. The half circle is not a separate symbol, and
it does not represent the interface itself. The name of the interface is placed near
the half circle.
requirement s14
A desired feature, property, or behavior of a system.
Semantics
A text requirement may be modeled as a comment.
Discussion
The term requirement is a natural language word that corresponds to a variety of
UML constructs that are intended to specify the desired characteristics of a system.
Most commonly, requirements corresponding to user-visible transactions will be
captured as use cases. Nonfunctional requirements, such as performance and qual-
ity metrics, may be captured as text statements that eventually trace to elements of
the final design. UML comments and constraints may be used to represent non-
functional requirements.
Figure 14-241. Required interface notation
Name
interface-name
Dictionary of Terms resolution •573
resolution s393-394
The mechanism of determining a behavioral effect for a call based on an operation
and a target object.
Semantics
UML permits a wide range of processes for determining the effect of an event. The
traditional object-oriented inheritance mechanisms of Smalltalk, C++, and Java
are most familiar, but the definition of UML is intended to be broad enough to
support alternate mechanisms, such as the object-based delegation of self or the
multivariate polymorphism of CLOS. This generality is achieved by assuming a
mechanism that converts the call of an operation on a target object into the deter-
mination of a behavior to be executed. This mechanism is called resolution. It is as-
sumed that any specific UML model will provide a resolution mechanism,
although no formal means is provided to define the mechanism within UML itself.
The specific resolution mechanism is a semantic variation point of the modeling
and execution environment.
The UML specification provides the following rules: The receipt of a call or a
signal by an object is an event. The occurrence of an event may enable a transition
of the state machine of the owning object if a trigger for the event appears in a
transition leaving a state in the active state configuration. In addition to or instead
of triggering a transition, an event may cause the execution of a behavior, such as a
procedure. The outcome of the resolution process may produce a behavior that is
to be executed with the parameters of the event.
The UML specification defines the rules of the object-oriented resolution process,
which is the default resolution process and the one that corresponds to traditional
object-oriented languages for calls of operations: The class of the target object is
examined to find a method declaration attached to the called operation. A method
is a behavior. If such a method is found in the class, the behavior is executed with
the arguments of the call. If no method is found corresponding to the operation,
the parent class is examined for a method corresponding to the operation, and so
on upward in the generalization hierarchy until no method is found in the root
class, in which case there is an error unless an accept action is outstanding for the
operation. If any class has multiple parent classes, all of them are examined for
matching methods, and if more than one method is found, there is an error. If the
same method is found by searching along multiple paths due to multiple parents,
however, it is not an error.
If a call both triggers a transition and resolves to a method, the method is exe-
cuted and allowed to return values to the caller, and then the transition is allowed
to fire asynchronously.

574 •resolve Dictionary of Terms
resolve
To u n d e rgo t h e resolution process when an event is handled by an object to pro-
duce a behavioral effect.
See resolution.
responsibility
A contract or obligation of a class or other element.
Semantics
Responsibility is an informal concept. A responsibility can be represented as a
stereotype on a comment. The comment is attached to a class or other element
that has the responsibility. The responsibility is expressed as a text string.
Notation
Responsibilities can be shown in a named compartment within a classifier symbol
rectangle (Figure 14-242).
responsibility (stereotype on Usage)
A dependency expressing a contract or obligation of an element.
See responsibility.
Figure 14-242. Compartment for responsibilities
debit charges
CreditLine
charge (): Boolean
pay ()
adjust (limit: Money, code: String)
responsibilities
credit payments
predefined operation compartment
user-defined responsibility compartment
list of responsibilities
reject over-limit charges
adjust limit with authorization
notify accounting when overdue
keep track of credit limit
keep track of current charges
Dictionary of Terms role •575
return
There is no explicit return action. The return action is implicit. At the termination
of execution of the behavior invoked by a synchronous call, output values of the
behavior execution are assembled into a message that is conveyed to the execution
of the call action, restoring control to it and providing return values.
See action.
return parameter s74
A parameter representing information produced as during the execution of a be-
havior and conveyed to the invoker of the behavior after completion of execution.
Semantics
The default parameter kinds are in (only) and return. Each of these passes infor-
mation in a read-only by-value way.
Discussion
The use of out and inout parameters is a convenience for specific programming
languages and should be avoided in modeling, because it causes tight linkage be-
tween the internal details of a behavior and the calling environment.
reuse s14
The use of a preexisting artifact.
Discussion
Reuse is often claimed to be the purpose of object-oriented technology, but this
claim is overstated. Concepts such as polymorphic operations and encapsulation
of internal structure are actually much more important benefits. Bear in mind that
reuse can occur through other means than inheritance, including copying of code.
One of the great errors in modeling is to force inappropriate generalization in an
attempt to achieve reuse, which instead often causes confusion.
role s173
A constituent element of a structured classifier that represents the appearance of
an instance (or, possibly, set of instances) within the context defined by the struc-
tured classifier.
See collaboration, connector, structured classifier.
576 •rolename Dictionary of Terms
Semantics
A role is the appearance of an individual within the context defined by a structured
classifier. An instance of a collaboration does not own the objects that appear in its
context; it merely references them, and they may appear in multiple collaboration
contexts. An instance of a structured class does own its parts; they exist within its
context and may not be part of another structured class.
A role differs from an association in that a role is tied to a particular classifier,
and all the roles of a single classifier are implicitly related. The implicit relationship
among roles within a given structured classifier may be explicitly modeled using
connectors.
rolename s81
A name for a particular association end within an association.
The UML1 term rolename is not actually used in UML2, but as the official term
association end name is somewhat unwieldy, we will continue to use the UML1
term for convenience, as many users undoubtedly will do.
Semantics
A rolename provides a name to identify an association end within an association,
as well as to navigate from one object to another using the association. Because a
rolename can be used in these two complementary ways, the name must be unique
in two namespaces simultaneously.
All the rolenames in an association must be different. Within a self-association
(an association involving the same class more than once), rolenames are necessary
to disambiguate the ends attached to the same class. If there are multiple unnamed
associations between a pair of classes, rolenames are needed to distinguish the as-
sociations, and they are needed in any case for navigation. Otherwise, rolenames
are optional, because the class names can be used to disambiguate the ends. How-
ever, they are necessary for writing navigation expressions in languages such as
OCL.
A rolename is also used to navigate from an object to neighboring related ob-
jects. Each class “sees” the associations attached to it and can use them to find ob-
jects related to one of its instances. By convention, the rolename on the association
end attached to a neighboring class is used to form a navigation expression to ac-
cess the object or collection of objects related by that association. In Figure 14-243,
consider class B that is associated to class A by a one-to-many association and to
class C by a one-to-one association. Given an object bb of class B, the expression
bb.theA yields a set of objects of class A, and the expression bb.theC yields an ob-
ject of class C. In effect, the rolename on the far side of a navigable association is an

Dictionary of Terms rolename •577
attribute of a class—that is, it may be used as a term in an access expression to
traverse the association.
Because a rolename can be used like an attribute name to extract values, a role-
name enters the namespace of the class on the far side of the association. It goes in
the same namespace as attribute names. Both attribute names and rolenames must
be unique within that namespace. Attributes and association rolenames are inher-
ited, and the attribute names and pseudoattribute names must be unique among
inherited names also. A rolename attached to an ancestor class can be used for
navigation in a descendant. In Figure 14-243, the expression bb.anE is legitimate,
because class B inherits the rolename anE from class D.
Rolenames and association names are optional if each association can be
uniquely identified. Either an association name or the rolenames on its ends can
identify an association. It is not necessary to have both, although it is permitted to
do so. If it is the only association between two classes, both the association name
and the rolenames may be omitted. In principle, a rolename is required for a navi-
gation expression. In practice, a tool may provide a default rule for creating im-
plicit rolenames from the names of the associated classes.
Notation
A rolename is shown by a graphic string placed near the end of an association
path, at which it meets a class box. If it exists, the rolename may not be suppressed.
The rolename may bear a visibility marker—an arrowhead—that indicates
whether the element at the far end of the association can see the element attached
to the rolename.
Figure 14-243. Navigation over associations
B CA
1
theA
∗
theCtheBtheB
1
1
‘bb.theA’ is a set of A’s ‘bb.theC’ is one C
Given bb: B and dd: D
D E
1
anE
∗
‘bb.anE’ is one E ‘dd.theC’ is illegal unless dd is a B
578 •run time Dictionary of Terms
run time s14
The period of time during which a computer program executes. Contrast: model-
ing time.
run-to-completion s491-492
A transition or series of actions that must be completed in its entirety.
See also action, state machine, transition.
Semantics
A state machine conceptually undergoes a series of discrete steps over time in
which it handles one occurrence at a time from a pool of events recognized by the
object that owns the state machine. Occurrences of events recognized by the object
are placed into the event pool. In general, the event occurrences in the pool are un-
ordered, although profiles are free to define execution environments with various
ordering or priority rules. During each step, the state machine selects an event
from the pool (in the general case, nondeterministically) and then carries out the
consequences of handling that event. The execution step may contain substeps, in-
cluding concurrency. During an execution step, no other event is selected from the
pool until the execution of the step in complete. Because one event at a time is pro-
cessed until the effected behavior is complete, the execution step is call a run-to-
completion step. If additional events occur during the run-to-completion step, they
are placed into the event pool but they do not interrupt the execution step.
When a run-to-completion step starts, an event occurrence is selected from the
event pool. In the general case, the occurrence is selected nondeterministically.
The event is matched against states in the active state configuration to enable
transitions to fire. If multiple states are active, up to one transition per direct re-
gion of an orthogonal region may be enabled to fire. If multiple transitions are en-
abled within the same region, one of them is selected (nondeterministically) to
fire.
Multiple transitions from orthogonal regions may fire concurrently. There is no
assumption that they are serialized, and their actions may interleave. Good model-
ing ensures that orthogonal transitions do not interact.
The firing of each transition comprises the following steps:
1. The common enclosing state is the most specific state that contains both the
source state and the target state of the transition. The current state is exited as a
series of substeps until the current state is just inside the common enclosing
state. During each change of state, the exit activity of the state being exited is
executed.
2. Then the effect attached to the transition is executed.
Dictionary of Terms script •579
3. Then states are entered as a series of substeps until the target state is reached.
During each change of state, the entry activity of the state being entered is exe-
cuted.
The transition is now complete.
When all transitions that fire are complete, the run-to-completion step is com-
plete, and another event occurrence may be handled from the event pool.
Transition segments and pseudostates
A transition may be composed of multiple segments arranged as a chain and sepa-
rated by pseudostates. Several chains may merge together or branch apart, so the
overall model may contain a graph of segments separated by pseudostates. Only
one segment in a chain may have a trigger event. The transition is triggered when
the trigger event is handled by the state machine. If the guard conditions on all the
segments are satisfied, the transition is enabled, and it fires, provided no other
transition fires. The actions on the successive segments are executed. Once execu-
tion begins, the actions on all of the segments in the chain must be executed before
the run-to-completion step is complete.
During execution of a run-to-completion transition, the trigger event that initi-
ated the transition is available to actions as the current event. Entry and exit activ-
ities can therefore obtain the arguments of the trigger event. Various events may
cause execution of an entry or exit activity, but an activity can discriminate the
type of the current event.
Because of the run-to-completion semantics of transitions, they should be used
to model assignments, testing flags, simple arithmetic, and other kinds of book-
keeping operations. Long computations should be modeled as interruptible activi-
ties or separate threads.
scenario s14
A sequence of actions that illustrates behavior. A scenario may be used to illustrate
an interaction or the execution of a use case instance.
scope
The UML1 concept of owner scope and target scope has been simplified in UML2.
Owner scope is modeled by the static feature flag on attributes and operations.
Target scope has been abandoned as a concept.
script (stereotype of Artifact)
A file containing text that can be interpreted by a computer system.
See artifact.
580 •sd Dictionary of Terms
sd s436
Tag on a diagram frame indicating a sequence diagram.
segment s471
A transition fragment that may include a pseudostate.
Semantics
A segment is a transition fragment that can include pseudostates. A compound
transition is a transition between two states. It may be composed of a chain of seg-
ments. During execution of a system, a change of state must involve an entire com-
pound transition. It is not possible for a pseudostate to remain active. Segments
are therefore syntactic units to construct compound transitions and are transitions
in name only.
self-transition s500
A transition in which the source state and the target state are the same. It is consid-
ered a state change. When it fires, the source state is exited and reentered, therefore
exit actions and entry actions are invoked. It is not equivalent to an internal transi-
tion, in which no change of state occurs.
semantic variation point s14
A point of variation in the semantics of a metamodel. It provides an intentional
degree of freedom for the interpretation of the metamodel semantics.
Discussion
The same execution semantics are not suitable for all possible applications. Differ-
ent programming languages and different purposes require variations in seman-
tics, some subtle, some gross. A semantic variation point is an issue on which
various modelers or various execution environments disagree about the specific
semantics, often for good reasons. By simply identifying and naming semantic
variation points, arguments about the “right” semantics of a system can be
avoided.
For example, the choice of whether to permit multiple classification or dynamic
classification is a semantic variation point. Each choice is a semantic variation.
Other examples of semantic variation points include whether a call can return
more than one value and whether classes exist at run time as actual objects.
semantics
The formal specification of the meaning and behavior of something.
Dictionary of Terms send •581
send s254-257
To c reate a message containing an object (often a signal) created by a sender object
and to transfer it to a receiver object in order to convey information.
See also action, message, signal.
Semantics
A send action is an action that an object can perform as part of the execution of a
behavior. It specifies a signal to send, a list of arguments or an object for the signal
value, and a target object to receive the signal.
An object sends an object to another object. In many cases, the object is a signal,
but any kind of object can be sent. The sender can embed the send action in a loop
or expansion region to send a message to a set of objects. A broadcast action sends
a message to the set of all objects, although, in practice, the set of target objects
may be implementation dependent and may vary from node to node.
A send action is asynchronous. Once the message is launched toward the target
object, the sender is free to continue execution concurrently with the transmission
and subsequent handling of the message by the target object. There is no return in-
formation as part of a send message, because the sender continues execution and
its state would be unknown. A call action should be used in situations where the
sending object needs to block until a return value is received. The receiver of a
message can later send a message to the original sending object if it has a handle to
the object, but there is no inherent relationship between the two messages.
Messages are sent by value. A send parameter may only be an “in” parameter.
A send usage dependency is a stereotype of a usage dependency from the action
or operation sending the signal to the type of the signal.
Create as send
Creating a new object may be regarded (conceptually) as sending a message to a
factory object, such as a class, which creates the new instance and then passes the
message to it as its “birth event.” This provides a mechanism for a creator to com-
municate with its creation—the birth event may be regarded as going from the
creator to the new object, with the side effect of instantiating the new object along
the way. Figure 14-244 shows creation of an object using both text syntax and
graphical syntax. This is an informal use of the send action and not officially ap-
proved.
This model can be used even if the target language, such as C++, does not sup-
port classes as run-time objects. In that case, the creation action is compiled
(which imposes some restrictions on its generality—for example, the name of the
class must be a literal value) but the underlying intent is the same.

582 •send Dictionary of Terms
Text notation
Within a transition, sending a signal is an action that can be expressed in a specific
expression language. For examples in this book, we use the syntax:
send target-object . signal-name ( argumentlist,)
Example
This internal transition selects an object within a window using the cursor loca-
tion, and then it sends a highlight signal to it. The syntax is informal:
right-mouse-down (location) [location in window]
/ object := pick-object (location) ; send object.highlight ()
Figure 14-244. Creation of new object by sending a message
Trial Account
after(180 days)
create(name,CCnumber)
purchase
Active Account
Inactive Account
cancel after(90 days)
Open account
Manage account
Account
This send action creates an account object
and sends it two arguments.
This is a fragment of an activity diagram for the user interface.
Account.create (name, card number)
This is the state machine for the Account class.

Dictionary of Terms send •583
Diagram notation
There is a graphical syntax to show a send action in a state machine or in an activ-
ity diagram. A convex pentagon containing the name of the signal may be included
as part of a chain of actions connected by transition arrows (Figure 14-245).
In the UML specification, no syntax is given to specify the target object, but in
this book we use the syntax:
target-object . signal-name ( argumentlist,)
Figure 14-245. Send action notation
Figure 14-246. Sending signals between objects
SignalName (arg1, arg2)
Controlling
On
Off
Controlling
Television
Remote Control
“power” button
TV VCR
toggle Power
“VCR”
“TV”
toggle Power
“power” button
On
Off
VCR toggle Power
toggle Power
This signal turns the VCR off or on,
depending on its current state.
Each signal is directed to a specific object.
tv.togglePower vcr.togglePower
Sending this signal
turns the TV off or on. Sending this signal
turns the VCR off or on.
584 •send Dictionary of Terms
There is no official graphical notation to show the target object, but we suggest the
following use of the dependency notation: Sending a message between state ma-
chines may be shown by drawing a dashed dependency arrow from the send action
to the receiving state machine. Figure 14-246 contains state diagrams showing the
sending of signals between three objects.
Note that this notation may also be used on other kinds of diagrams to show the
sending of events between classes or objects.
In a sequence diagram, sending a message is shown by drawing an arrow from
the lifeline of the sending object to the lifeline of the receiving object. The arrow-
head is open. The name and arguments of the signal are placed near the arrow. See
message for examples.
send (stereotype of Usage dependency)
A dependency, the source of which is an operation or a classifier and the target of
which is a signal, specifying that the client sends the signal to some unspecified
target.
See send, signal.
send event
The sending of an event (usually a signal) by an object.
See signal event.
Semantics
Events can represent both the sending and the receipt of messages. Both kinds of
events appear in interactions. As triggers, however, send events are less interesting
than receipt events, because the sender can simply perform necessary actions are
part of sending a message. Explicit implementation of send events might be useful,
however, if behavior is to be triggered automatically without modifying the send-
ing code.
sender
The object passing a message instance to a receiver object.
See call, send.
seq s410
1. Tag for a combined fragment within a sequence diagram representing weak
sequencing.
2. Keyword on a multiplicity specification indicating that the elements of the set
form an ordered sequence.
Dictionary of Terms sequence diagram •585
sequence diagram s435-444
A diagram that shows object interactions arranged in time sequence. In particular,
it shows the objects participating in an interaction and the sequences of messages
exchanged.
See also activation, collaboration, lifeline, message.
Semantics
A sequence diagram represents an interaction—a set of communications among
objects arranged visually in time order. Unlike a communication diagram, a se-
quence diagram shows time sequences explicitly but does not include object rela-
tionships. It can exist in a descriptor form (describing all possible scenarios) and
in an instance form (describing one actual scenario). Sequence diagrams and col-
laboration diagrams express similar (although not identical) information, but they
show it in different ways.
Notation
A sequence diagram is shown in a rectangular frame with the string sd name in a
small pentagon in the upper left corner. The name is the name of the interaction
shown by the diagram. If the interaction has parameters, they are shown as a
comma-separated list in parentheses following the name.
A sequence diagram has two dimensions: the vertical dimension represents
time; the horizontal dimension represents objects participating in the interaction
(Figure 14-247 and Figure 14-248). Generally, time proceeds down the page (the
axes may be reversed if desired). Often, only the sequences of messages are impor-
tant, but in real-time applications, the time axis can be an actual metric. There is
no significance to the horizontal ordering of the objects.
Each participant is shown in a separate column called a lifeline. Each lifeline is a
role within the interaction. During each execution of the interaction, the lifeline
represents an object or set of objects. A rectangle is placed at the top of the dia-
gram (if the object exists when the interaction begins) or at the point during the
interaction where the object is created, at the end of a message arrow for the cre-
ation action. A line is drawn from the object symbol to the point at which the ob-
ject is destroyed (if that happens during the time shown by the diagram). This line
is called the lifeline. A large X is placed at the point at which the object ceases to
exist, either at the head of the arrow for the message that destroys the object or at
the point at which the object destroys itself. For any period during which the ob-
ject is active, the lifeline is broadened to a double solid line. This includes the en-
tire life of an active object or an activation of a passive object—a period during
which an operation of the object is in execution, including the time during which
the operation waits for the return of an operation that it called. If the object calls

586 •sequence diagram Dictionary of Terms
itself recursively, directly or indirectly, then another copy of the double solid line is
overlapped on it to show the double activation (potentially it could be more than
two copies). The relative ordering of objects has no significance, although it is
helpful to arrange them to minimize the distance that message arrows must cover.
A comment about the activation may be placed in the margin near it.
In the rectangle at the top of the lifeline, a string is placed with the syntax:
name ⎣selector⎦opt : Type
Either the name or the type (but not both) may be omitted. The name is the name
of the role within the interaction. The selector is an expression to identify one ele-
ment from a set if the multiplicity is greater than one; it is omitted if the multiplic-
ity is one. The type is the type of the object.
To indicate a lifeline that is decomposed into an interaction, append the string:
ref interaction-name
to the string in the lifeline rectangle.
Each message is shown as a horizontal arrow from the lifeline of the object that
sent the message to the lifeline of the object that received the message. A label may
be placed in the margin opposite an arrow to denote the time at which the message
Figure 14-247. Sequence diagram with asynchronous flow of control
caller: Phone exchange: PBX
lift receiver
dial tone
dial digit
a
b
c
{<1 sec.}
{<10 sec.}
. . .
d
d'
route
{d' – d< 5 sec.}
receiver: Phone
phone ringsringing tone
answer phone
stop ringingstop tone
The call is
routed through
the network.
At this point,
the parties
can talk.
message with duration
message
duration constraint
comment
lifeline
time mark
duration constraint expression
roles
sd conversation
Dictionary of Terms sequence diagram •587
is sent or received. The time label have a horizontal hash mark to show its exact lo-
cation in the diagram.
In many models, messages are assumed to be instantaneous, or at least atomic.
If a message requires some time to reach its destination, then the message arrow
may be drawn diagonally downward so that the receiving end is lower than the
sending time. Both ends can have labels to denote the time the message was sent or
received.
For asynchronous flow of control among active objects, the objects are repre-
sented by double solid lines and the messages are shown as arrows. Two messages
can be sent simultaneously, but two messages cannot be received simultaneously—
there is no way to guarantee simultaneous reception. Figure 14-247 shows an asyn-
chronous sequence diagram.
Figure 14-248 shows procedural flow of control on a sequence diagram. When
modeling procedural flow of control, an object yields control on a call until a sub-
sequent return. A synchronous call is shown with a solid filled arrowhead. The
head of a call arrow may start an activation or a new object. A return is shown with
a dashed line. The tail of a return arrow may finish an activation or an object.
Various flow-of-control constructs, such as conditionals, loops, and concurrent
execution, may be shown by embedding a diagram fragment within the overall di-
agram. The diagram fragment includes a subset of the lifelines. It has an operator
tag to indicate its purpose. Some kinds of fragments, such as conditionals, are di-
vided into subregions by horizontal dashed lines. Each region is a subdiagram, and
the relationship among the subregions is indicated by the fragment tag. For exam-
ple, in a conditional, each branch is shown in a separate region. See combined
fragment for a list of fragment kinds.
A state or condition of the lifeline may be shown as a small state symbol (rectan-
gle with rounded corners) placed on the lifeline. The state or condition must be
true at the time of the next event on the lifeline. Figure 14-249 shows the states
during the life of a theater ticket. A lifeline may be interrupted by a state symbol to
show a change of state. An arrow may be drawn to the state symbol to indicate the
message that caused the change of state.
A state diagram can be parameterized so that it can be referenced from other
state diagrams. A gate is a connection point on a state diagram for messages from
outside. See Figure 14-141 for an example.
An interaction use is a reference to a state diagram within another state dia-
gram. The reference can include a subset of the lifelines in the referencing dia-
gram. See Figure 14-159 for an example. If the referenced state diagram has gates,
the referencing diagram can connect messages to the interaction use symbol.
History
Much of the UML2 sequence diagram notation is drawn directly from the ITU
Message Sequence Chart (MSC) notation, although it has been extended.

588 •sequence diagram Dictionary of Terms
Figure 14-248. Sequence diagram with procedural flow of control
doit(z)
doit(w)
recurse()
ob1:C1
ob2:C2
ob3:C3 ob4:C4
op()
These objects
exist before the
first operation
and continue after
the last.
This object
is created by
the operation.
The object
destroys itself
at this point and
call to the
same object
Object continues to exist.
call
return
This object
is created by
the operation.
create(x)
alt
callC(x)
[x<0]
[x>0]
sd demo
conditional
fragment
guard
condition
first branch
second branch
active
lifeline
returns.
stop
stop
Type
of role
is an
actor

Dictionary of Terms shared aggregation •589
sequence number s446-447
A text part of a message label on a communication diagram that indicates the rela-
tive execution order of the messages in an interaction. A sequence number may
show the location of the message within a nested calling sequence, the name of a
thread of control, and a specification of conditional and iterative execution.
See collaboration, message.
service (stereotype of Component)
A stateless, functional component that returns a value rather than performing a
side effect.
See component.
shared aggregation s80
An aggregation that does not represent ownership.
Figure 14-249. Object states on a sequence diagram
:Scheduler :Ticket
unreleased
available
release()
locked
sold
lock()
buy()
initial state
new state
passive object
590 •side effect Dictionary of Terms
Semantics
One end of a binary association can be marked as being an aggregation, meaning
that an instance of the class connected to the end is considered to be composed of
parts that are instances of the class at the other end. An aggregation can be com-
posite or shared. A composite aggregation conveys the sense of ownership. An
object may be part of at most one composite aggregation. A shared aggregation
does not have this restriction. An object can belong to many shared aggregations.
There are no precise semantics to shared aggregation except for the restriction
that chains of aggregation links may not form a cycle. Modelers use shared aggre-
gation in various ways to represent various semantic concepts.
Notation
Shared aggregation is shown by a hollow diamond on the end of an association
line that is connected to the class representing the aggregate object (as opposed to
its parts).
See association for details.
side effect
A computation that modifies the state or value of a system, as opposed to one that
merely returns a value without making any permanent changes (a query).
signal s395-396
The specification of a block of information to be communicated asynchronously
between objects. Signals have parameters expressed as attributes.
See also event, message, send.
Semantics
A signal is an explicit named classifier intended for explicit communication be-
tween objects. It has attributes that constitute its information. It is explicitly sent
by an object to another object by a send action. A broadcast action sends a signal
to the set of all objects—although, in practice, it would be implemented differently
for efficiency. The sender specifies the attributes of the signal at the time it is sent,
either as an argument list or by supplying a signal object whose attributes have al-
ready been initialized. Once a signal has been sent, the sender resumes execution
concurrently with the transmission of the signal to the target. The receipt of a sig-
nal by its target object is an event that is intended to trigger transitions in the re-
ceiver’s state machine or invoke asynchronous methods. A signal sent to a set of
objects may trigger zero or one transition in each object independently. Signals are
explicit means by which objects may communicate with each other asynchro-
Dictionary of Terms signal •591
nously. To perform synchronous communication, two signals must be used, one in
each direction.
Signals are classifiers. A signal may have a supertype. It inherits the attributes of
the supertype and may add additional attributes of its own. A signal triggers any
transition declared to use one of its ancestor signals.
A signal declaration has scope within the package in which it is declared. It is
not restricted to a single class. Signals are declared independently of classes.
A class or interface may declare the signals it is prepared to handle. Such a decla-
ration is a reception. A reception may specify a method to be executed on receipt
of a signal.
A signal is a classifier and may have operations that may access and modify its
attributes. These operations may be used by the sender to construct the signal ob-
ject and by the receiver to access its value.
Notation
The stereotype keyword «signal» within an operation compartment indicates the
declaration of a reception. The name of the signal may be followed by a list of its
parameters (attributes) in parentheses. The declaration may not have a return
type.
The declaration of a signal type may be expressed as a stereotype of a class sym-
bol. The keyword «signal» appears in a rectangle above the name of the signal. The
signal’s parameters appear as attributes within the attribute compartment. The
operation compartment may contain access operations.
A signal parameter is declared as an attribute that may have an initial value,
which can be overridden during initialization or sending. The initial value is used
if a signal instance is created, initialized, and then sent as an object. If a signal is
sent using operation-calling syntax, the initial values of the signal’s attributes are
default values of the parameters in the call action.
Figure 14-250 shows the use of generalization notation to relate a child signal to
its parent. The child inherits the parameters of its ancestors and may add addi-
tional parameters of its own. For example, the MouseButtonDown signal has the
attributes time, device, and location.
To use a signal as a trigger of a transition, use the syntax
signal-name ( parameterlist, )
A parameter has the syntax
parameter-name : type-expression

592 •signal event Dictionary of Terms
Discussion
A signal is the most fundamental communication among objects, having simpler
and cleaner semantics than do procedure calls. A signal is inherently a one-way
asynchronous communication from one object to another in which all informa-
tion is passed by value. It is a suitable model for communication in distributed,
concurrent systems.
To build synchronous communication, use pairs of signals, one in each direc-
tion. A call may be viewed as a signal with an implicit return pointer parameter, al-
though it embodies a fairly complicated mechanism.
signal event s396
An event that is the receipt by an object of a signal sent to it, which may trigger a
transition in its state machine.
Figure 14-250. Signal declarations
UserInput
device
Mouse
location
Button
Keyboard
Character
character
InputEvent
time
Control Graphic
PunctuationAlphanumericSpace
Mouse Mouse
Button
Down
Button
Up
«signal»
«signal»
«signal» «signal»
«signal» «signal» «signal»
«signal» «signal»
«signal»
«signal»
Character Character
This is the most general event.
In this system, all events have a time value.
These are more specific events.
They trigger any transition marked
with UserInput events.
These events add attributes.
MouseButtonDown
would trigger a
transition declared
with MouseButton.
Dictionary of Terms simple transition •593
Semantics
More precisely, there are receive events and send events. The term signal event is
often used loosely to mean receive event because state machines usually act on the
receipt of messages from other objects. Both kinds of signal event are possible,
however, under certain styles of systems.
signal trigger s396
A trigger whose event is a signal event.
signature s15
The name and parameter properties of a behavioral feature, such as an operation
or signal. A signature may include optional return types (for operations, not for
signals).
Semantics
The signature of an operation is part of its declaration. Some (but not all) of the
signature is used for matching operations and methods to check for conflict or
overriding. The details of what is included for matching and what is excluded may
be language specific. If two signatures match but the remaining properties are in-
consistent (for example, an in parameter corresponds to an out parameter), then
the declarations conflict and the model is ill formed.
simple state s478
A state that has no nested states within it. A set of nested states forms a tree and the
simple states are the leaves. A simple state has no substructure. It may have inter-
nal transitions, an entry activity, an exit activity, and a do activity. Contrast:
composite state, submachine state.
simple transition s500-501
A transition with one source state and one target state. It represents a response to
an event with a change of state within a region of mutually exclusive states. The
amount of concurrency does not change as a result of executing it.
Contrast: complex transition, compound transition.

594 •single classification Dictionary of Terms
single classification
An execution regime in which each object has exactly one direct class. This is the
execution model in most object-oriented programming languages. Whether to al-
low single classification or multiple classification is a semantic variation point.
single inheritance
A semantic variation of generalization in which an element may have only one
parent. Whether to allow single inheritance or multiple inheritance is a semantic
variation point. The default is to allow multiple inheritance.
singleton
A class that has (by declaration) exactly one instance. A singleton is a way to repre-
sent global knowledge in an application, yet keep it within an object-oriented
framework.
Semantics
Every application must have at least one singleton class (often implicitly) to estab-
lish the context for the application. Often, the singleton class equates to the appli-
cation itself and is implemented by the control stack and address space on a
computer.
A singleton must exist within a context declaring its scope, such as a structured
class or component. Often the context is a structured class representing the com-
plete system.
Notation
A singleton is shown as a class symbol with a small ‘1’ in the upper right corner
(Figure 14-251). This value represents the multiplicity of the class within the co-
text. A singleton must exist within a context. The notation can be used within a
class diagram with the understanding that there is an implied execution context.
Figure 14-251. Singleton class
spooler:PrintSpooler
1:Printer
1∗
singleton class
∗
PrintSystem
structured class
Dictionary of Terms specification •595
slot s60
A place in an object or other instance for a value.
snapshot s59
A collection of objects, links, and values that forms the configuration of a system
at an instant during its execution.
source (stereotype of Artifact)
A file containing the text of a program that can be compiled into executable code.
See file.
source scope
This UML1 concept has been replaced by static feature.
source state s498
The state within a state machine from which a transition departs. The transition
applies to the source state. If the active state configuration includes the source state
or a state nested within it, then the transition is a candidate for firing.
specialization s6 s16
To produce a more specific description of a model element by adding features, re-
lationships, constraints, and other items to an original model element. The
opposite relationship is generalization, which is also used as the name of the rela-
tionship between the more specific element and the more general element, as there
is no good term for the relationship that is undirected. A child element is the spe-
cialization of a parent element. Conversely, the parent is the generalization of the
child.
See generalization.
specification s15
A declarative description of what something is or does. For example, a use case or
an interface is a specification. Contrast: implementation.
specification (stereotype of Classifier)
A classifier that describes a domain of objects without providing a physical imple-
mentation. Typically it describes interfaces or constraints on the objects without
listing their features. See realization, specification.
596 •stages of modeling Dictionary of Terms
stages of modeling
Development states an element or a model goes through during the process of de-
signing and building a system.
See also development process.
Discussion
The overall development effort can be divided into activities focused on different
ends. These activities are not performed in sequence; rather, they are performed it-
eratively during the phases of the development process. Analysis deals with captur-
ing requirements and understanding the needs of a system. Design deals with
devising a practical approach to the problem within the constraints of data struc-
tures, algorithms, and existing system pieces. Implementation deals with con-
structing the solution in an executable language or medium (such as a data base or
digital hardware). Deployment deals with putting the solution into practice in a
specific physical environment. These divisions are somewhat arbitrary and not al-
ways clear, but they remain useful guidelines.
These views of development should not be equated with sequential phases of the
development process, however. In the traditional Waterfall Process they were in-
deed treated as distinct phases. In a more modern iterative development process,
however, they are not distinct phases. At a given point in time, development activ-
ities may exist at various levels, and they may best be understood as different tasks
that need to be performed on each element of the system, not all at the same time.
Think of a group of buildings, each with a foundation, walls, and roof; all of
them must be completed for all of the buildings, but not all at the same time. Usu-
ally, the parts of each building are completed more or less in order. Sometimes,
however, the roof can be started before all the walls are complete. Occasionally, the
distinction between walls and roof is lost—consider a dome set on the ground.
UML contains a range of constructs suitable for various stages of development.
Some constructs (such as association and state) are meaningful at all stages. Some
constructs (such as navigability and visibility) are meaningful during design but
represent unnecessary implementation detail during analysis. This does not pre-
clude their definition at an early stage of work. Some constructs (such as specific
programming-language syntax) are meaningful only during implementation and
impair the development process if introduced prematurely.
Models change during development. A UML model takes a different form at
each stage of development, with a varying emphasis on different UML constructs.
Modeling should be performed with the understanding that not all constructs are
useful at all stages.
See development process for a discussion of the relationship of modeling stages
and development phases.
Dictionary of Terms state •597
start owned behavior action
An action whose execution starts execution of the main behavior attached to an
object. See action.
state s477-489
A condition or situation during the life of an object during which it satisfies some
condition, performs some do activity, or waits for some event.
See also action, activity, composite state, do activity, entry activity, exit activity,
final state, internal transition, pseudostate, state machine, submachine state, tran-
sition.
Semantics
An object holds a series of states during its lifetime. When an object satisfies the
condition of a state, the state is said to be active. The active state configuration is
the set of states that are active at any point in time. If it contains more than one
state, there is concurrency within the object. The number of active states can
change during the life of an object due to forks or joins of control.
An object remains in a state for a finite (noninstantaneous) time. Dummy states
may be introduced for convenience, which perform trivial actions and exit. But
these are not the main purpose of states, and dummy states can, in principle, be
eliminated, although they are useful for avoiding duplication.
States are contained in a state machine that describes how the history of an ob-
ject evolves over time in response to events. Each state machine describes the be-
havior of the objects of a class. Each class may have a state machine. A transition
describes the response of an object in a state to the occurrence of a an event: The
object executes an optional activity attached to the transition and changes to a new
state. Each state has its own set of transitions.
An activity may be attached to a transition. When the trigger of the transition is
satisfied, the transition fires and the activity is executed, then the source state is de-
activated and the target state is activated. An activity may contain nested activities,
ultimately being composed of atomic actions.
An ongoing do activity may be associated with a state. The do activity is exe-
cuted as long as the state is active. Alternately, ongoing activity may be modeled by
a pair of actions, an entry activity that starts the do activity on entry to the state,
and an exit activity that terminates the do activity on exit from the state.
A state may be a simple state, a composite state, or a submachine state. A simple
state has no nested substates. A composite state contains one or more regions, each
of which has one or more nested substates. A submachine state has a reference to a
state machine definition, which is conceptually expanded in place of the subma-
chine state.
598 •state Dictionary of Terms
States may be grouped together into composite states. Any transition on a com-
posite state applies to all of the states nested within it, so events that affect many
substates can be modeled by a single transition. A composite state has one or more
regions, each of which contains one or more substates. If a composite state is ac-
tive, each of its regions is active. A composite state can be nonorthogonal or or-
thogonal. A nonorthogonal state has a single region. Only one direct substate of a
nonorthogonal state is active at a time. One direct substate from each region of an
orthogonal state is active concurrently. An orthogonal state models concurrency.
To promote encapsulation, a composite state may contain initial states and final
states. These are pseudostates, the purpose of which is to help structure the state
machine. A transition to the composite state is equivalent to a transition to the ini-
tial state of each of its regions, but the state can be used externally without knowl-
edge of its internal structure.
A transition to a final state of a region of a composite state represents the com-
pletion of activity in the region. In an orthogonal state, each of its regions must
reach their final states for the execution of the entire state to be complete. Comple-
tion of activity in a composite state triggers a completion transition on the enclos-
ing state to fire. A completion transition is a transition with no explicit trigger
event (or, more precisely, one with the completion event as its implicit trigger, al-
though it is not explicitly modeled). Completion of the outermost state of an ob-
ject corresponds to its death.
If a state is an orthogonal state, then all its regions must complete before the
completion event on the composite state occurs. In other words, a completion
transition from a composite concurrent state represents a join of control from all
its concurrent subthreads. It waits for all of them to complete before proceeding.
In a protocol state machine, a state represents the quiescent interval between the
execution of operations. The activity of a state indicates the operations that may
legally be called at that point in the protocol.
Structure
A state has the following parts.
Name. The name of the state, which must be unique within the enclosing state.
The name can be omitted, producing an anonymous state. Any number of distinct
anonymous states can coexist. A nested state can be identified by its qualified
name (if all the enclosing states have names).
Substates. If a state machine has nested substructure, it is called a composite state.
A composite state contains one or more regions, each of which contains one or
more direct substates. A state with no substructure (except possible internal ac-
tions) is a simple state. A state that references another state machine definition is a
submachine state.

Dictionary of Terms state •599
Entry and exit activities. A state may have an entry activity and an exit activity.
The purpose of these activities is to encapsulate the state so that it can be used ex-
ternally without knowledge of its internal structure. An entry activity is executed
when the state is entered, after any activity attached to the incoming transition and
before any internal do activity. An exit action is executed when the state is exited,
after the completion of any internal do activity and before any activity attached to
the outgoing transition. On a transition that crosses several state boundaries, sev-
eral exit and entry actions may be executed in a nested fashion. First, exit activities
are executed, starting with the innermost state and progressing to the outermost
state; then the activity on the transition is executed; and then entry activities are
executed, starting with the outermost and finishing with the innermost.
Figure 14-252 shows the result of firing a transition across state boundaries. Entry
and exit activities may not be evaded by any means, including the occurrence of
exceptions. They provide an encapsulation mechanism for the specification of
state machine behavior, with a guarantee that necessary activities will be per-
formed under all circumstances.
Internal do activity. A state may contain an internal do activity described by an ex-
pression. When the state is entered, the do activity begins after the entry activity is
complete. If the do activity terminates, the state is complete. A completion transi-
tion that departs the state is then triggered. Otherwise, the state waits for a trig-
gered transition to cause a change of state. If a transition fires while the do activity
is being performed, the do activity is terminated and the exit activity on the state is
executed.
Internal transitions. A state may have a list of internal transitions, which are like
normal transitions except that they do not have target states and do not cause a
change of state. If its event occurs while an object is in the state owning the transi-
tion or a nested substate of it, then the action on the internal transition is exe-
cuted, but no change of state occurs nor are entry or exit actions executed. There is
no change of state even if the active state is nested within the state containing the
internal transition.
Figure 14-252. Transition across state boundaries, with exit and entry actions
ST
f / d
exit / p entry / q
XY
effective result: f / p; d; q
600 •state Dictionary of Terms
This differentiates it from a self-transition, modeled as an external transition
from a state to the same state. In this case, if the active state is a substate of the state
with the self-transition, the final state is the target state of the transition, which
forces the execution of each exit activity of the states nested within the state with
the self-transition, the execution of its exit activity, and the execution of its entry
activity. The actions are executed even on a self-transition to the current state,
which is exited and then reentered. If a self-transition on an enclosing state of the
current state fires, then the final state is the enclosing state itself, not the current
state. In other words, a self-transition may force an exit from a nested state, but an
internal transition does not.
Submachine. The body of a state may represent a copy of a separate state machine
referenced by name. The referenced state machine is called a submachine because
it is nested within the larger state machine, and the state making the reference is
called a submachine state. A submachine may be attached to a class that provides
the context for actions within it, such as attributes that may be read and written. A
submachine is intended to be reused in many state machines to avoid repetition of
the same state machine fragment. A submachine is a kind of state machine sub-
routine.
Within the submachine state, the submachine is referenced by name with a pos-
sible argument list. The name must be the name of a state machine that has an ini-
tial and final state or explicit entry point and exit point states. If the submachine
has parameters on its initial transition, then the argument list must have matching
arguments. When the submachine state is entered, its entry action is performed
first, then execution of the submachine begins with its initial state. When the sub-
machine reaches its final state, any exit action in the submachine state is per-
formed. The submachine state is then considered completed and may take a
transition based on implicit completion of activity.
A transition to a submachine state activates the initial state of the target sub-
machine. But sometimes a transition to a different state in the submachine is de-
sired. A entry point is a pseudostate placed within a submachine that identifies a
state within the submachine. Transitions can be connected to a connection point
on the submachine state that matches the entry point in the state machine defini-
tion. The transition actually goes to the internal state identified by the entry point,
but the external transition need know nothing about the internal structure of the
state machine. Similar connections can be made to entry points.
A submachine represents nested, interruptible activity within a state. It is equiv-
alent to replacing the submachine state with a unique copy of the submachine.
Instead of supplying a state machine, a procedural expression can be attached to
the submachine (this is a do activity). A do activity can be regarded as defining a
series of states, one per primitive expression, that is interruptible and can accept
events between any two steps. It is not the same as an effect attached to a transi-
Dictionary of Terms state •601
tion, which has substructure but does not accept events during execution because
it obeys run-to-completion semantics.
Deferrable events. A deferrable event is an event whose recognition in the state is
postponed if it does not trigger a transition, so that it is not lost. This allows a lim-
ited critical region capability, in which certain events can be processed without los-
ing other events. The recognition of a deferred event is postponed as long as the
active state declares it as deferrable. When the active state configuration includes a
state in which the event is not deferred, it is processed. The implementation of
such deferred events would involve an internal queue of events.
Redefined states. States may be defined when defining a state machine for a sub-
class. See redefinition (state machine).
Notation
A state is shown as a rectangle with rounded corners. It may have one or more
compartments. The compartments are optional. The following compartments
may be included.
Name compartment. Holds the (optional) name of the state as a string. States
without names are anonymous and are all distinct. It is undesirable to repeat the
same named state symbol twice in the same diagram, however, as it is confusing.
The name may optionally be placed within a rectangular tab attached to the up-
per side of the state symbol. This notation is particularly useful with composite
states, because the name is clearly distinguished from the names and contents of
the nested regions.
Nested region. Shows a state diagram fragment of a region as composed of subor-
dinate nested states. The state diagram fragment is drawn within the boundary of
the outer state. Transitions may connect directly to nested states, as well as to the
boundary of the outer state. Within a nonorthogonal state, the substates are drawn
directly inside the composite state. In an orthogonal state, the composite state
symbol is divided into regions by dashed lines (that is, it is tiled), and one state
machine fragment is shown within each region.
See composite state for details and examples.
Internal transition compartment. Holds a list of internal actions or activities per-
formed in response to events received while the object is in the state, without
changing state. An internal transition has the format
event-nameopt ⎣( argumentlist, )⎦opt ⎣[ guard-condition ]⎦opt
⎣/ activity-expression⎦opt
Activity expressions may use attributes and links of the owning object and pa-
rameters of incoming transitions (if they appear on all incoming transitions).

602 •state Dictionary of Terms
The argument list (including parentheses) may be omitted if there are no pa-
rameters. The guard condition (including brackets) and the action expression (in-
cluding slash) are optional.
Entry and exit actions have the same form but use reserved words entry and exit
that cannot be used for event names.
entry / activity-expression
exit / activity-expression
Entry and exit activities may not have arguments or guard conditions (because
they are invoked implicitly, not explicitly). To obtain parameters on an entry ac-
tion, the current event may be accessed by an action. This is particularly useful for
obtaining the creation parameters by a new object.
The reserved activity name defer indicates an event that is deferrable in a state
and its substates. The internal transition must not have a guard condition or ac-
tions.
event-name / defer
The reserved word do represents an expression for a nonatomic do activity.
do / activity-expression
Submachine state. The invocation of a nested submachine is shown by a name
string of the following form:
state-name : Machine-name
An entry point connection is shown by a small circle on the boundary of the sub-
machine state symbol (Figure 14-253). A transition can be connected from a state
to the entry point connection. An exit point connection is shown by a small circle
containing an X on the boundary of the state symbol. A transition can be con-
nected from the exit point connection to another state. See connection point.
Figure 14-253. Submachine state
sub: SubM
in out
exit connection point
entry connection point
default entry
default exit
submachine state

Dictionary of Terms state invariant •603
Example
Figure 14-254 shows a state with internal transitions. Figure 14-255 shows the dec-
laration and use of a submachine.
state invariant s405 s433 s437 s459 s479
A condition that must be true when a given state is active.
Semantics
A state invariant is an assertion that a given constraint must be true when a certain
state is active. If it is not true, the model is in error. The constraint may depend on
the object whose state is active, as well as values reachable from the object or global
values.
Figure 14-254. Internal transitions, with entry and exit actions and deferred event
Figure 14-255. Submachine
Enter Password
entry / password.reset()
exit / password.test()
digit / handle character
clear / password.reset()
help / display help
entry and exit activities
internal transitions
print / defer
deferred event
state name
do / suppress echo
internal do activity
Help
entry / display help screen
exit / remove help screen
quit
query / show answer
CommandWait
help: Help
help command
run: Run
run
command
submachine state
submachine definition
Completion transition fires
when submachine completes. This submachine can be used many times.

604 •state machine Dictionary of Terms
A state invariant may also be placed on a lifeline within an interaction. The in-
terval between occurrence specifications is equivalent to a state. In this usage, the
constraint is evaluated at the point when the next event occurs on the lifeline.
Notation
A state invariant on a state may be shown by attaching a comment containing the
text of the constraint to the state symbol by a dashed line.
A state invariant on a lifeline may be shown by superimposing the text of the
constraint (in curly braces) over the lifeline or by placing a state symbol (small
rectangle with rounded corners) containing the name of a state on the lifeline
(Figure 14-256).
state machine s455-510
A specification of the sequences of states that an object or an interaction goes
through in response to events during its life, together with its responsive effects
(action and activity). A state machine is attached to a source class, collaboration,
or method and specifies the behavior of the instances of the source element.
See also action, activity, composite state, event, pseudostate, state, transition.
Semantics
A state machine is a graph of states and transitions that describes the response of
an instance of a classifier to the receipt of events. State machines may be attached
to classifiers, such as classes and use cases, as well as to collaborations and
methods. The element that the state machine is attached to is called the owner of
the state machine.
Figure 14-256. State invariants on lifeline
account: Account
verifying
{balance > 0}
securityDB: Database
state invariant
state invariant
Dictionary of Terms state machine •605
An entire state machine is a composite state that has been decomposed recur-
sively into substates. The innermost simple states have no substates. A state ma-
chine may include a reference to another state machine using a submachine state.
State machines can be redefined. See redefinition (state machine).
State machine execution semantics
The semantics of state machine execution are discussed in the following sections.
There are many ways to implement these semantics, many of which compile away
some of the explicit steps described here. Most of these semantics are described in
other articles, but they are gathered here for convenience.
At any moment, one or more states are active in the active state configuration of
the state machine of an object or other instance. If a state is active, then a transi-
tion leaving the state may fire, causing the execution of an action and the activa-
tion of another state or states in place of the original state. More than one active
leaf state indicates internal concurrency. The structure of the state machine and its
transitions impose constraints on the states that can be active concurrently. Briefly,
if a composite state is active, exactly one direct substate must be active in each re-
gion of the composite state. Because a composite state may have multiple regions,
a number of indirect substates may be active in the nested state machine.
Transition firing and actions
The basic assumption is that a state machine processes one event at a time and fin-
ishes all the consequences of that event before processing another event. In other
words, events do not interact with other events during event processing. This is
known as run-to-completion processing. It does not mean that all computation is
noninterruptible. An ordinary extended computation can be broken into a series
of run-to-completion steps, and the computation can be interrupted by an outside
event between any steps. This is very close to the physical situation within a com-
puter, where interrupts can occur at discrete, but small, steps.
A corollary assumption is that events are asynchronous. Two events never occur
at exactly the same time—or, more precisely, if two events occur at the exact same
time, it is a coincidence and they can be processed as if they had occurred in either
order, with no loss of generality. The results of the different orders of execution
may be different—race conditions are an essential property of concurrent sys-
tems—but you may not assume simultaneity in a distributed world. Any computa-
tion making such an assumption is logically and physically flawed. Concurrent
execution requires independence in a distributed world.
Actions and activities. Conceptually, actions are instantaneous and events are
never simultaneous. In an implementation, execution of actions requires some
time, but the important thing is that actions are (conceptually) atomic and non-
interruptible. An activity may be decomposed into subactivities and ultimately
606 •state machine Dictionary of Terms
actions. Activities attached to transitions are executed using run-to-completion se-
mantics. If an object recognizes an event while it is executing a run-to-completion
step, the event occurrence is placed in an event pool until the execution of the run-
to-completion step is complete. Event occurrences are removed from the event
pool only when no actions are being executed. If the action of an object sends a
signal to another object, then the reception of the signal is not synchronous. It is
placed in the event pool and then handled like any other event, after the comple-
tion of any current run-to-completion activity attached to the current transition.
A call to an operation suspends the caller until the operation has been executed. It
may be implemented, at the choice of the receiver, as a method or as a call event
that triggers the state machine of the receiver. To avoid problems with long periods
during which events cannot be processed, effects attached to transitions should be
brief. Transition activities are not intended for modeling protected regions or long
interruptible computations, which can be modeled as nested do activity states.
This permits event processing and permits nested computations to be interrupted.
If long activities are included in real systems, events may not be processed in a
timely manner. This is a consequence of a bad model. Activities must be short,
compared to the required response time to events that might occur.
When a transition fires, any activity attached to it is executed. An activity may
use the arguments of the triggering event, as well as attributes of the owning object
or values reachable from it. An activity is completed before any additional events
are processed. If a transition has multiple segments, the parameters of the trigger
event are available as the implicit current event.
During the execution of a run-to-completion step, all activities have access to an
implicit current event, which is the event that triggered the first transition in the
run-to-completion sequence. Because there may be more than one event that
could result in the execution of an activity, the activity may need to discriminate
on the type of the current event to extract its values.
Event pool. New event occurrences are placed in an event pool for an object. If an
object is idle and there are no event occurrences in the pool, the object waits until
it receives an event and then handles it. Conceptually, an object handles a single
event occurrence at a time. In an actual implementation, events might be queued
in a definite order. UML semantics, however, do not specify an order of processing
concurrent events, and a modeler should not assume one. If events must be pro-
cessed in a certain order, the state machine should be constructed to enforce the
order. A physical implementation would probably select some simple ordering
rule.
Triggers. For each active state of an object, the outgoing transitions of the state are
candidates to fire. A candidate transition is triggered if an event is handled whose
type is the same as the trigger event on the transition. A signal that is a descendant
of a signal in a transition trigger will trigger the transition. A transition is not trig-
Dictionary of Terms state machine •607
gered by an ancestor signal. When an event is handled and triggers a transition, the
guard condition of the transition is evaluated. If the value of the guard condition is
true, then the transition is enabled. The guard condition Boolean expression may
involve arguments of the trigger event, as well as attributes of the object. Note that
guard expressions must not produce side effects. That is, they may not alter the
state of the object or the rest of the system. Therefore, the order in which they are
evaluated is irrelevant to the outcome. A guard condition is evaluated only when
an event is handled. If the guard condition evaluates to false, it is not reevaluated if
some of its variables change value later. An event may be a candidate to trigger sev-
eral transitions with different guard conditions, but if all the guard conditions fail,
the event is discarded and no transition fires. Another event occurrence is then se-
lected from the event pool.
Pseudostates. To structure complex conditions, a transition may be modeled with
multiple segments. The first segment has a trigger event and is followed by a
branching tree of segments with guard conditions. The intermediate nodes in the
tree are pseudostates, dummy states that are present for structuring the transitions
but that may not remain active at the end of a run-to-completion step. Each possi-
ble path through the tree of segments is regarded as a separate transition and is in-
dependently eligible for execution. An individual segment may not fire alone. All
the guard conditions along a series of segments must be true or the transition (in-
cluding any of its segments) does not fire at all. In practice, guard conditions at a
branch point often partition the possible outcomes.Therefore, an implementation
could process the multisegment transition one step at a time, but not always.
Usually the trigger is placed on the first segment of a path, but it may also follow
a join or a junction pseudostate. A path may have at most one trigger.
There is a slight difference if one of the pseudostates is a choice pseudostate. In
that case, the chain of transition segments is evaluated up to, but not including,
the choice. If the guard conditions are true, the transition fires and the activities
attached to the segments up to the choice pseudostate are executed and may
change the values of objects in the system. The guard conditions on transition seg-
ments departing the choice pseudostate are then evaluated and one of them is se-
lected for firing, based on the values that may include changes made by previous
activities on the transition. One of the transitions must fire; if all the guard condi-
tions are false, the model is ill formed. A choice allows the results of some actions
on the transition to affect later decisions on the same transition, but all possible
outcomes must be covered by the modeler.
Nondeterminism. If no transition is enabled, an event is simply ignored. This is
not an error. If exactly one transition is enabled, it fires. If more than one transi-
tion from a single state is enabled, then only one of them fires. If no constraint is
specified, then the choice is nondeterministic. No assumptions should be made
that the choice will be fair, predictable, or random. An actual implementation may
608 •state machine Dictionary of Terms
provide rules for resolving conflicts, but modelers are advised to make their intent
explicit rather than rely on such rules. Whether or not any transition fires, the
event is consumed.
Transitions on composite states. The transitions leaving an active state are eligible
for firing. In addition, transitions on any composite state containing an active state
are candidates for firing. This may be regarded as similar to the inheritance of
transitions by nested states (although it is not modeled as generalization). A tran-
sition on an outer state is eligible to fire only if no transition on an inner state fires.
Otherwise, it is masked by the inner transition.
Concurrently active states. At the time that an object handles an event, its active
state configuration may contain one or more states. Each state receives a separate
copy of the event and acts on it independently. Transitions in concurrently active
states fire independently. One substate can change without affecting the others, ex-
cept in the case of a complex transition, such as a fork or join (described later).
If an object has concurrent states, then they should not interact through shared
memory. Concurrent states are meant to be independent and should act on differ-
ent sets of values. Any interactions should be explicit by sending signals. If two
concurrent states must access a shared resource, they should explicitly send signals
to the resource, which can then act as an arbiter. An implementation may compile
away such explicit communication, but care must then be taken to ensure that
meaningless or dangerous conflicts do not ensue. If concurrent actions do access
shared values, the result is nondeterministic.
If the active state configuration contains multiple states, the same process may
occur independently for each state. In many cases, however, only one state from
the set may be affected by a given transition.
Entry and exit activities. If a transition crosses the boundary of a composite state,
the entry activity or exit activity on the composite state may be executed. A bound-
ary crossing occurs when the source state and target state on the transition itself
are in different composite states. Note that an internal transition does not cause a
change of state, so it never invokes entry or exit activities.
To determine the exit and entry activities that are executed, find the current ac-
tive state of the object (this might be nested within the composite state that is the
source of the transition) and the target state of the transition. Then find the inner-
most composite state that encloses both the current state and the target state. Call
this the common ancestor. The exit activities of the current state and any enclosing
states up to, but not including, the common ancestor are executed, innermost first.
Then the activity on the transition is executed. After that, the entry activities of the
target state and any enclosing states up to, but not including, the common ances-
tor are executed, outermost first. In other words, states are exited one at a time un-
til the common ancestor is reached, and then states are entered until the target
state is reached. The exit and entry activities on the common ancestor are not exe-
Dictionary of Terms state machine •609
cuted, because it has not changed. This procedure ensures that each state is
strongly encapsulated.
The activity on the transition is executed after any exit activities have been exe-
cuted and before any entry activities are performed.
Note that the firing of a self-transition (a transition from a state to itself) will
cause the exit of any nested states within the source state that may be active (the
transition may have been inherited from an enclosing composite state). It also
causes the execution of the exit activity of the source state followed by the execu-
tion of its entry activity. In other words, the state is exited and then reentered. If
this effect is not desired, then an internal transition in the state should be used in-
stead. This will not cause a change of state, even if the active state is nested within
the state with the transition.
Chains of segments. A transition may be structured with several segments whose
intermediate nodes are junctions. Each segment may have its own activity. The ac-
tivities may be interleaved with entry and exit activity for the overall transition.
With respect to entry and exit activities, each action on a transition segment oc-
curs where it would occur if the segment were a complete transition. See
Figure 14-170 for an example.
Next state. After all the activities are performed, the original current state is inac-
tive (unless it is the target state), the target state of the transition is active, and ad-
ditional events can then be processed.
Internal transitions
An internal transition has a source state but no target state. Its firing does not
cause a change of state, even if the transition that fires is inherited from an enclos-
ing state. Because the state does not change, no exit or entry activities are per-
formed. The only effect of an internal transition is the execution of its activity. The
conditions for firing an internal transition are exactly the same as for an external
transition.
Note that the firing of an internal transition may mask an external transition us-
ing the same event. Therefore, there can be a purpose for defining an internal tran-
sition with no activity. As stated above, only one transition fires per event within a
sequential region, and an inner transition has priority over an outer transition.
Internal transitions are useful for processing events without changing state.
Initial and final states
For encapsulation of states, it is often desirable to separate the inside of a state
from the outside. It is also desirable to connect transitions to a composite state,
without knowing about the internal structure of the state. This can be accom-
plished using initial states and final states within a composite state.
610 •state machine Dictionary of Terms
A state may have an initial and a final state. An initial state is a pseudostate—a
dummy state with the connectivity of normal states—and an object may not re-
main in an initial state. An object may remain in a final state, but a final state may
not have any explicit triggered transitions; its purpose is to enable a completion
transition on an enclosing state. An initial state may not remain active; it must
have an outgoing completion transition. If there is more than one outgoing transi-
tion, then they must all lack triggers and their guard conditions must partition the
possible values. In other words, exactly one outgoing transition must fire when the
initial state is invoked. An object may never remain in the initial state, therefore,
but will immediately transition to a normal state.
If a composite state has an initial state, then transitions may be connected di-
rectly to the composite state as target. Any transition to the composite state is im-
plicitly a transition to the initial state within the composite state. If a composite
state lacks an initial state, then the composite state may not be the target of transi-
tions; they must be connected directly to substates. A state with an initial state may
also have transitions connected directly to inner states, as well as to the composite
state.
If a composite state has a final state, then it may be the source of one or more
outgoing completion transitions, that is, transitions that lack explicit event trig-
gers. A completion transition is really a transition that is implicitly enabled by the
completion of do activity within the state. A transition to a final state is therefore a
statement that execution of the composite state is complete. When an object tran-
sitions to a final state, the completion transitions leaving its enclosing composite
state are enabled to fire if their guard conditions are satisfied.
A composite state may have labeled outgoing transitions—that is, transitions
with explicit event triggers. If an event occurs that causes such a transition to fire,
then any ongoing activity within the state (at any nesting depth) is terminated, the
exit actions of the terminated nested states are executed, and the transition is pro-
cessed. Such transitions are often used to model exceptions and error conditions.
Complex transitions
A transition into an orthogonal state implies a transition into all its orthogonal re-
gions. This can happen in two ways.
A transition may have multiple target states, one within each region of an or-
thogonal state. Note that such a forking transition still has a single trigger event,
guard condition, and activity. This is an explicit transition into an orthogonal state
that specifies each target directly. This represents an explicit fork of control into
concurrent substates.
Alternately, a transition may omit targets within one or more regions of an or-
thogonal state, or it may have the composite state itself as the target. In this case,
each omitted orthogonal region must have an initial state within it to indicate its
Dictionary of Terms state machine •611
default initial state. Otherwise, the state machine is ill formed. If the complex tran-
sition fires, the explicit target substates become active, as do the initial states of the
orthogonal regions without explicit targets. In short, any transition into any or-
thogonal region implies a transition to the initial states of any other peer regions
that do not contain explicit target states. A transition to a composite state itself im-
plies a transition to the initial states of each of its orthogonal regions. If a compos-
ite state is active, a direct substate of each of its subregions is also active.
Similarly, a transition from a state in any orthogonal region implies a transition
from all peer regions. If the occurrence of an event causes such a transition to fire,
the activity in the other orthogonal regions is terminated, the exit activities of the
regions are executed, the activity of the transition itself is executed, and the target
state becomes active, thereby reducing the number of concurrently active states.
The transition to the final state of an orthogonal region does not force the ter-
mination of activity in other peer orthogonal regions (this is not a transition out
of the region). When all the orthogonal regions have reached their final states, the
enclosing composite state is deemed to have completed its activity and any com-
pletion transitions leaving the composite state are enabled to fire.
A complex transition may have multiple source states and multiple target states.
In that case, its behavior is the combination of the fork and join described above.
History state
A composite state may contain a history state, which is a pseudostate. If an inher-
ited transition causes an automatic exit from the composite state, the state “re-
members” the substate that was active when the forced exit occurred. A transition
to the history pseudostate within the composite state indicates that the remem-
bered substate is to be reestablished. An explicit transition to another state or to
the enclosing state itself does not enable the history mechanism, and the usual
transition rules apply. However, the initial state of the composite state can be con-
nected to the history state. In that case, a transition to the composite state does
(indirectly) invoke the history mechanism. The history state may have a single out-
going completion transition without guard condition; the target of this transition
is the default history state. If the state region has never been entered or if it was ex-
ited normally, then a transition to the history state goes to the default history state.
There are two kinds of history state: a shallow history state and a deep history
state. The shallow history state restores states contained directly (depth one) in the
same composite state as the history state. The deep history state restores the state
or states that were active prior to the last explicit transition that caused the enclos-
ing composite state to be exited. It may include states nested within the composite
state to any depth. A composite state can have at most one of each kind of history
state. Each may have its own default history state.

612 •state machine Dictionary of Terms
The history mechanism should be avoided if the situation can be modeled more
directly, as it is complicated and not necessarily a good match to implementation
mechanisms. The deep history mechanism is particularly problematic and should
be avoided in favor of more explicit (and more implementable) mechanisms.
Notation
A state machine diagram shows a state machine or a nested portion of a state ma-
chine. The states are represented by state symbols (rectangles with rounded cor-
ners), and the transitions are represented by arrows connecting the state symbols.
States may also contain subdiagrams by physical containment and tiling. An entire
state machine diagram is placed in a rectangular frame with its name placed in a
small pentagonal tag in the upper left corner. Entry and exit points may be placed
on the boundary. Figure 14-257 shows an example.
Figure 14-257. State diagram
DialTone Dialing
Talking Ringing
Busy
dial digit(n)
connected
callee answers
Idle
busy
lift receiver
caller
hangs up
callee
hangs up
Active
dial digit(n)
do/ play busy
tone
do/ play ringing tone
/enable speech
/disconnect
do/ play dial tone
Pinned
callee
answers
Connecting
dial digit(n)[valid]
Timeout
do/ play message
dial digit(n)[invalid]
/connect
Invalid
do/ play message
[incomplete]
after (15 sec.)
after (15 sec.)
PhoneCall
/get dial tone
composite state
entry
point
install
cancel service
deinstall
exit point
initial state
simple state
name
transition
time event
event
activity
guard
condition
self
transition
Dictionary of Terms state machine •613
The statechart notation was invented by David Harel and incorporates aspects
of Moore machines (actions on entry) and Mealy machines (actions on transi-
tions), as well as adding the concepts of nested states and concurrent states.
For more details, see state, redefinition (state machine), composite state, sub-
machine, pseudostate, entry activity, exit activity, transition, internal transition,
do activity, and redefinition (state machine). See also control node for some op-
tional symbols intended for use within activity diagrams but that may be used in
statechart diagrams.
Discussion
State machines can be used in two ways. Therefore, their meaning can be under-
stood in either way. In one case, the state machine may specify executable behavior
of its master element—typically, a class. In that case, the state machine describes
the response of the master as it receives events from the rest of the universe. The
response is described by transitions, each of which indicates what happens when
the master receives an event while in a given state. The effect is expressed as an ac-
tion and a change of state. Actions can include sending signals to other objects,
which trigger their state machines. State machines provide a reductionist specifica-
tion of the behavior of a system.
In the second case, the state machine may be used as a protocol specification,
showing the legal order in which operations may be invoked on a class or interface.
In such a state machine, transitions are triggered by call events and their actions
invoke the desired operation. This means that a caller is allowed to invoke the op-
eration at that point. The protocol state machine does not include actions to spec-
ify the behavior of the operation itself. It shows which operations can be invoked
in a particular order. Such a state machine specifies valid operation sequences.
This is a use of a state machine as a generator of sequences in a language (from
computer science language theory). Such a machine is meant as a constraint on
the design of the system. It is not directly executable and does not indicate what
happens if an illegal sequence occurs—because it is not supposed to occur. It is the
responsibility of the system designer to ensure that only legal sequences occur.
This second usage is more abstract than the first form, which specifies, in an exe-
cutable form, what happens in all cases. But it is often convenient, especially at a
high level and with procedural coding.
State machines have been a part of computer science theory for many years, but
the state machine model in UML is largely based on the extensions made by David
Harel, who added the concept of nested states and orthogonal regions. This exten-
sion allows state machines to scale up to larger problems without excessive
amounts of duplication that would otherwise be necessary. Harel has developed a
precise, formal theory of his state machines. The UML model is less formal than
Harel’s and contains some modifications intended to enhance the usability of state
machines with object-oriented models.
614 •state machine diagram Dictionary of Terms
state machine diagram s507
A diagram that shows a state machine, including simple states, transitions, and
nested composite states. The original concept was invented by David Harel, who
called them statechart diagrams.
See state machine.
state machine view
That aspect of the system dealing with the specification of the behavior of individ-
ual elements over their lifetimes. This view contains state machines. It is loosely
grouped with other behavioral views in the dynamic view.
statechart diagram
Name used by David Harel for his extension to flat state machine notation that in-
cludes nested states and concurrent states. This notation served as the basis for the
UML state machine notation.
See state machine diagram.
static classification s15
A semantic variation of generalization in which an object may not change type or
may not change role. This is the usual view in more traditional languages such as
C++ or Java. The choice of static classification or dynamic classification is a se-
mantic variation point.
static feature s73
A feature that is shared by an entire class, rather than applying to a single object.
Semantics
The static property indicates whether there is a distinct attribute slot for each
instance of a class (nonstatic) or if there is one slot for the entire class itself (static).
For an operation, the static property indicates whether an operation accesses an
instance (nonstatic) or the class itself, such as a creation operator (static). Some-
times called simply scope. Possible values are
nonstatic Each classifier instance has its own distinct copy of an
attribute slot. Values in one slot are independent of values
in other slots. This is the default.
For an operator, the operator applies to an individual
object.

Dictionary of Terms static feature •615
static The classifier itself has one copy of the attribute slot. All
the instances of the classifier share access to the one slot.
If the language permits classes as real objects, then this is
an attribute of the class itself as an object.
For an operator, the operator applies to the entire class,
such as a creation operator or an operator that returns
statistics about the entire set of instances.
Notation
A static attribute or operator is underlined (Figure 14-258). A nonstatic attribute
or operator is not underlined (default).
History
The UML1 concepts of source scope and target scope have been replaced by the
more familiar concept of static features, probably with little practical loss.
Discussion
Static attributes provide global values for an entire class and should be used with
care or avoided entirely, even though they are provided by most object-oriented
programming languages. The problem is that they imply global information,
which violates the spirit of object-oriented design. Moreover, global information
becomes problematic in a distributed system, as it forces central accesses in a situ-
ation in which objects of a class may be distributed over many machines. Rather
than use a class as an object with state, it is better to introduce explicit objects to
hold any shared information that is needed. Both the model and costs are more
apparent.
Constructors (creation operations, factory operations) are necessarily static be-
cause there is no instance (yet) on which they may operate. This is a necessary and
proper use of static operations. Other kinds of static operations have the same dif-
ficulties as attributes—namely, they imply centralized global information about
the instances of a class, which is impractical in a distributed system.
Figure 14-258. Static attribute and operation
Reservation
date: Date
maxAdvance: Time
create(date: Date)
destroy()
nonstatic attribute
static operation
nonstatic operation
static attribute
616 •static view Dictionary of Terms
static view
A view of the overall model that characterizes the things in a system and their
static relationships to each other. It includes classifiers and their relationships:
association, generalization, dependency, and realization. It is sometimes called
class view.
Semantics
The static view shows the static structure of a system, in particular, the kinds of
things that exist (such as classes and types), their internal structure, and their rela-
tionships to other things. Static views do not show temporal information, al-
though they may contain reified occurrences of things that have or describe
temporal behavior, such as specifications of operations or events.
The top-level constituents of a static view include classifiers (class, interface,
data type), relationships (association, generalization, dependency, realization),
constraints, and comments. It also contains packages and subsystems as organiza-
tional units. Other constituents are subordinate to and contained within the top-
level elements.
Related to the static view and often combined with it on diagrams are the design
view, deployment view, and model management view.
The static view may be contrasted with the dynamic view, which complements it
and builds upon it.
stereotype s580-583
A new kind of model element defined within a profile based on an existing kind of
model element. It is essentially a new metaclass. Stereotypes may extend the se-
mantics but not the structure of preexisting metamodel classes.
See also constraint, tagged value.
Semantics
A stereotype represents a variation of an existing model element with the same
form (such as attributes and relationships) but with a modified intent. Generally, a
stereotype represents a usage distinction. A stereotyped element may have addi-
tional constraints beyond those of the base element, as well as a distinct visual im-
age and additional properties (metaatributes) defined through tag definitions. It is
expected that code generators and other tools may treat stereotyped elements spe-
cially, by generating different code, for example. The intent is that a generic mod-
eling tool, such as a model editor or a repository, should treat a stereotyped
element for most purposes as an ordinary element with some additional text infor-
mation, while differentiating the element for certain semantic operations, such as
Dictionary of Terms stereotype •617
well-formedness checking, code generation, and report writing. Stereotypes repre-
sent one of the built-in extensibility mechanisms of UML.
Stereotypes are defined within profiles. Each stereotype is derived from a base
model element class. All elements bearing the stereotype have the properties of the
base model element class.
A stereotype can also be specialized from another stereotype. The child stereo-
type has the properties of the parent stereotype. Ultimately, each stereotype is
based on some metamodel element class.
A stereotype may define element model-time properties through a list of tag
definitions. A tag definition may have a default value that is used if no explicit
tagged value is supplied. The permitted range of values for each tag may also be
specified. Each element bearing the stereotype must have tagged values with the
listed tags. Tags with default values are automatically implied if they are not ex-
plicit on a stereotyped element.
A tag definition is, essentially, a metaattribute for the metaclass to which the ste-
reotype is applied. A model element bearing the stereotype may have a value for
the tag definition. Note that this is a value of the model element itself, not of the
instance of the model element.
A stereotype may have a list of constraints that add conditions beyond those im-
plied by the base element. Each constraint applies to each model element bearing
the stereotype. Each model element is also subject to the constraints applicable to
the base element.
A stereotype is a kind of virtual metaclass (that is, it is not manifest in the meta-
model) that is added within a model rather than by modifying the predefined
UML metamodel. For that reason, the names of new stereotypes must differ from
existing UML metaclass names or other stereotypes or keywords.
Model elements can have zero, one, or more than one stereotype.
Certain stereotypes are predefined in UML; others may be user defined. Stereo-
types are one of three extensibility mechanisms in UML.
See constraint, tagged value.
Notation
Stereotype declaration. Stereotypes are defined within a profile. In such a diagram,
each stereotype is shown as a class symbol (rectangle) with the «stereotype» key-
word. A stereotype applies to a metaclass from the base metamodel, shown with
the keyword «metaclass». The relationship is an extension relationship, shown by
an arrow from the stereotype to the metaclass with a triangular filled arrowhead
(Figure 14-259). If the stereotype is mandatory on all elements of the metaclass,
the constraint {required} may be placed on the extension arrow. It is possible to ap-
ply more than one stereotype to the same metaclass, and the same stereotype may
be applied to more than one metaclass.

618 •stereotype Dictionary of Terms
A stereotype is declared using a classifier rectangle with the «stereotype» key-
word above the name of the stereotype. The rectangle contains an attribute com-
partment in which tags are defined using attribute syntax. A default value for a tag
may be shown following an equal sign. Stereotypes may show generalization
(Figure 14-260).
Use of stereotype. The general notation for the use of a stereotype is to use the sym-
bol for the base element but to place a keyword string above the name of the ele-
ment (if any). The keyword string is the name of the stereotype within matched
guillemets, which are the quotation mark symbols used in French and some other
languages—for example: «foo». (Note that a guillemet looks like a double angle-
bracket, but it is a single character in most extended fonts. Most computers have a
character map utility in which special symbols can be found. Double angle-
brackets are used by the typographically challenged.) The keyword string is usually
Figure 14-259. Stereotype declaration
Figure 14-260. Stereotype generalization
Authorship
author: String
status: String = “incomplete”
requirement: String
suppress: Boolean = false
«stereotype»
«metaclass»
Element
{required}
base metamodel element
stereotype declaration
optional
constraint
extension
of element
by stereotype
tag definitions
(new metaatributes)
UsageDependency
CallDependency
«stereotype»
«stereotype»
Dependency
extension
generalization
«metaclass»

Dictionary of Terms stereotype •619
placed above or in front of the name of the model element being described. The
keyword string may also be used as an element in a list. In that case, it applies to
subsequent list elements until another stereotype string replaces it or until an
empty stereotype string («») nullifies it. Note that a stereotype name should not be
identical to a predefined keyword applicable to the same element type. (To avoid
confusion, a predefined keyword name should be avoided for any stereotype even
if it applies to separate elements and is distinguishable in principle.) If an element
has multiple stereotypes, their names are included in a comma-separated list. See
Figure 14-261.
The values of tags may be shown in a comment symbol attached to the model
element. The name of the stereotype is placed above a list of tag values. If an ele-
ment has multiple stereotypes, more than one list of values can be shown.
To permit limited graphical extension of the UML notation, a graphic icon or a
graphic marker (such as texture or color) can be associated with a stereotype.
UML does not specify the form of the graphic specification, but many bitmap and
stroked formats exist and might be used by a graphical editor (although their port-
ability is a difficult problem). An icon can be used in two ways. In one case, it may
be used instead of or in addition to the stereotype keyword string within the sym-
bol for the base model element on which the stereotype is based. For example, in a
class rectangle it is placed in the upper-right corner of the name compartment. In
this form, the normal contents of the item can be seen in its symbol. Alternately,
the entire element symbol may be “collapsed” into an icon that contains the ele-
ment name or has the name above or below the icon. Other information contained
by the base model element symbol is suppressed. Figure 14-262 shows various
ways of drawing a stereotyped class.
UML avoids the use of graphic markers, such as color, that present challenges
for certain persons (the color blind) and for important kinds of equipment (such
as printers, copiers, and fax machines). None of the UML symbols require the use
of such graphic markers. Users may use graphic markers freely for their own
purposes (such as for highlighting within a tool) but should be aware of their lim-
itations for interchange, and they should be prepared to use the canonical forms
when necessary.
Figure 14-261. Applying stereotypes to elements
«authorship»
author = “Fred”
status = “tested”
requirement = 3.14159b
suppress = false
«optimization»
compress = maximum
LineItem
«authorship, optimization»
user-model element
applied stereotypes
tag values

620 •stop Dictionary of Terms
stop s434-435
A specification of the termination of the instance represented by a lifeline in an
interaction.
Semantics
A stop indicates the destruction of the modeled instance. No occurrence specifica-
tions may follow the stop.
Notation
A stop is shown by an X on a lifeline. A message may depart from the symbol (if
the object destroyed itself) or terminate on the symbol (if the object was destroyed
by the action of another object).
Figure 14-248 shows examples of the stop.
strict s411 s426
The keyword indicating a strict sequencing combined fragment in an interaction
diagram.
See strict sequencing.
Figure 14-262. Varieties of stereotype notation
PenTracker
«control»
PenTracker
«control»
PenTracker
PenTracker
JobManager Scheduler
«call»
location: Point
enable (Mode)
location: Point
enable (Mode)
location: Point
enable (Mode)
Dictionary of Terms string •621
strict sequencing s411 s426
An operator in a combined fragment of an interaction that indicates strict se-
quencing of the operands. See also weak sequencing.
Semantics
This operator indicates that the top-level operands of the combined fragment are
executed strictly in order, rather than possibly being interleaved.
The distinction is subtle and unlikely to be used by most modelers. See the UML
specification for more details.
string
A sequence of text characters. The details of string representation depend on im-
plementation and may include character sets that support international characters
and graphics.
Semantics
Many semantic properties, especially names, have strings as their values. A string is
a sequence of characters in some suitable character set used to display information
about the model. Character sets may include non-Roman alphabets and charac-
ters. UML does not specify the encoding of a string, but it assumes that the encod-
ing is sufficiently general to permit any reasonable usage. In principle, the length
of a string should be unlimited; any practical limit should be large enough to be
nonrestrictive. Strings should also include the possibility of characters in various
human languages. Identifiers (names) should consist entirely of characters in a
finite character set. Comments and similar kinds of descriptive strings without
direct semantic content might contain other kinds of media elements, such as dia-
grams, graphs, pictures or video clips, and other kinds of embedded documents.
Notation
A graphic string is a primitive notation element with some implementation flexi-
bility. It is assumed to be a linear sequence of characters in some language, with
the possible inclusion of embedded documents of various kinds. It is desirable to
support the use of various human languages, but the details are left to editing tools
to implement. Graphic strings can be one to a line, in lists, or they can be labels at-
tached to other symbols.
622 •string value Dictionary of Terms
Strings are used to display semantic properties that have string values and also
to encode the values of other semantic properties for display. Mapping from se-
mantic strings to notational strings is direct. Mapping of other properties to nota-
tional strings is governed by grammars, described in the articles for various
elements. For example, the display notation for an attribute encodes the name,
type, initial value, visibility, and scope into a single display string.
Noncanonical extensions to the encodings are possible—for example, an attri-
bute might be displayed using C++ notation. Some of these encodings may lose
some model information, however, so a tool should support them as user-
selectable options while maintaining support for the canonical UML notation.
Typeface and font size are graphic markers that are normally independent of the
string itself. They may code for various model properties, some of which are sug-
gested in this document and some of which are left open for the tool or the user.
For example, italics show abstract classes and abstract operations, and underlining
shows static features.
Tools may treat long strings in various ways, such as truncation to a fixed size,
automatic wrapping, and insertion of scroll bars. It is assumed that there is a way
to obtain the full string when desired.
string value s51-53
A value that is a string.
structural feature s75
A static feature of a model element, such as an attribute or an operation.
The distinction from property is a bit too subtle for ordinary use.
structural view
A view of an overall model that emphasizes the structure of the objects in a system,
including their types, classes, relationships, attributes, and operations.
structure diagram s128-131
A diagram that describes the static structure of a system, as opposed to its dynamic
behavior. There is really no rigid line between different kinds of structure dia-
grams, although diagrams may be named according to the major kind of element
they contain, such as class diagram, interface diagram, or package diagram.
Dictionary of Terms structured classifier •623
structured classifier s151-179
A classifier containing parts or roles that form its data structure and realize its
behavior.
Semantics
The internal structure of a classifier can be defined in terms of ports, parts, and
connectors. Each of these kinds of elements is defined within the context provided
by the definition of a structured classifier.
A structured classifier defines the implementation of a classifier. The interfaces
of a classifier describe what a classifier must do. Its internal structure describes
how the work is done.
Structured classifiers provide a clean way to structure the implementation of a
classifier. Because the types of parts within a structure classifier may themselves be
structured, the mechanism extends hierarchically.
Structured class. A structured class is the description of the internal implementa-
tion structure of a class. A structured class owns its ports, parts, and connectors.
The class and its ports may have interfaces (including required interfaces and pro-
vided interfaces) to define its externally visible behavior. When an instance of a
structured class is created, instances of its ports, parts, and connectors are created
too. Messages on external ports can be automatically transferred to ports on inter-
nal parts, so a structure class also provides some of the behavioral description of
the class. Structured classes may be hierarchical on several levels.
Collaboration. A collaboration describes a contextual relationship supporting in-
teraction among a set of participants. A role is the description of a participant. Un-
like a structured class, a collaboration does not own the instances bound to its
roles. The instances of the roles exist prior to establishing an instance of the collab-
oration, but the collaboration brings them together and establishes links for con-
necting them. Collaborations describe data structure patterns.
Ports. A port is a an individual interaction point between a classifier and its envi-
ronment. Messages to objects (calls and signals) may be directed to an instance of a
port on an object rather than to the entire object. Actions within an object can dis-
tinguish which port a call or signal arrived on.
Within a structured classifier, ports can be connected to internal parts or to the
behavior specification of the overall object. The implementation of a port involves
recognizing input events and passing them to the appropriate part or behavior im-
plementation. No further implementation description is necessary when ports are
“wired” properly.
624 •structured classifier Dictionary of Terms
When an instance of a structured class is created, its ports are created with it.
When it is destroyed, its ports are destroyed. Instances of ports are not created or
destroyed during the life of an instance.
Parts. A part is a structural piece of a classifier. A part describes the role that an
instance plays within a instance of the classifier.
A part has a name, a type, and a multiplicity. If the maximum multiplicity of a
part exceeds one, an instance of a classifier may have multiple instances of a part,
but each part instance is separate. If the multiplicity is ordered, the individual in-
stances can be distinguished by the index of their position within the object.
Each part may have a type. The type constrains the type of the objects that may
be bound to a role. The type of an object bound to a role must be the same as or a
descendant of the declared type of the role.
A structured classifier is not a relationship among types, unlike an association.
Each part is a distinct usage of a type in its own unique context. There may be
multiple parts with the same type, each having a different set of relationships to
other parts. A part is not an instance, however, but a description of all the in-
stances that may be bound to the part. Each time the structured classifier is instan-
tiated, a different set of objects and links may play the roles.
In the case of classes, parts are owned by a class. Instances of parts are created
and destroyed along with an instance of the class. The attributes of a class may be
considered parts within the class.
A part in a collaboration represents the use an instance of a type within some
context. Roles instances are not owned or created by an instance of a collaboration.
The instances in a collaboration exist before an instance of the collaboration is cre-
ated. Creating an instance of a collaboration involves binding (referencing) exist-
ing instances to the roles of the collaboration. This creates a transient relationship
among the instances bound to roles. When the collaboration is destroyed, the in-
stances bound to its roles continue to exist but their transient contextual relation-
ship ceases to exist.
The same object may play different roles in different collaborations. A collabo-
ration represents a facet of an object. A single physical object may combine differ-
ent facets, thereby implicitly connecting the collaborations in which it plays roles.
Connectors. A connector is a contextual relationship between the objects or other
instances bound to roles in a structured classifier. It defines a communications
path among the roles. A connector is only meaningful within the context of a
structured classifier. Unlike an association, it is a relationship between roles, not
between the classifiers that are the declared types of the roles. An association valid
between the types of two roles can be bound to a connector. In a structured class, a
connector more often represents a “contextual association,” that is, an association
Dictionary of Terms structured classifier •625
valid only within the structured class. This association may be anonymous; that is,
it may not correspond to a declared association. When a structured class is instan-
tiated, a link is instantiated for each of its connectors, whether or not the connec-
tor is bound to a declared association.
Within a collaboration, a connector often represents a “transient association,”
that is, an association that is manifested only during the duration of the collabora-
tion. A transient association is not usually a declared association. Such connectors
correspond to parameters of a behavior, variables, global values, or the implicit re-
lationship between parts of the same object. They are implicit within procedures
and other kinds of behaviors.
A classifier role has a reference to a classifier (the base) and a multiplicity. The
base classifier constrains the kind of object that can play the classifier role. The ob-
ject’s class can be the same as or a descendant of the base classifier. The multiplicity
indicates how many objects can play the role at one time in one instance of the col-
laboration.
A classifier role may have a name, or it may be anonymous. It may have multiple
base classifiers if multiple classification is intended.
A classifier role can be connected to other classifier roles by connectors.
Creation semantics. When a structured class is instantiated, its ports, parts, and
connectors are instantiated. If a port has variable multiplicity, the cardinality of
the port must be specified on instantiation of the class; ports are not dynamically
created or destroyed during the life of an object. If a part has variable multiplicity,
the minimum number of parts is instantiated as part of the object instantiation. If
a connector has variable multiplicity, the minimum number of connectors consis-
tent with the cardinality of parts is instantiated. If the initial configuration is am-
biguous, the modeler must specify it. The modeler can explicitly specify the initial
configuration on instantiation to override the implicit defaults.
Notation
A part or role is shown by using the symbol for a classifier (a rectangle) containing
string label with the syntax:
rolenameopt ⎣ : Typename⎦opt ⎣[ multiplicity ]⎦opt
The name or typename may be omitted. The multiplicity (including brackets) may
be omitted, in which case the default multiplicity is one. Alternatively, the multi-
plicity may be placed (without brackets) in the upper right of the rectangle.
A reference to an external object (that is, one that is not owned by the enclosing
object) is shown by a dashed rectangle.
Figure 14-263 shows various forms that a role may take.

626 •structured part Dictionary of Terms
Example
Figure 14-264 shows an example of a structured class. An instance of this class is
shown in Figure 14-157.
History
Structured classifiers in UML1 replace semantically dubious attempts in UML1 to
mark associations for local context. They are perhaps the most important added
modeling feature in UML2 because they permit clear expression of multilevel
models.
structured part s12 s173-177
Within a structured classifier, an element that represents an object or set of objects
within a contextual relationship.
See structured classifier.
Figure 14-263. Roles or parts
Figure 14-264. Structured class
buyer: Company
bidder: Company
∗
: Company
named role, multiplicity 1 unnamed role, multiplicity 1
named role, multiplicity many
buyer
named role, multiplicity 1
bidder: Company[*]
named role, multiplicity many
bidder: Company[*]
reference to external objects
customer: Person priority: StatusLevel
priority
item: Ticket [1..*]
TicketOrder
0..1
0..1
Dictionary of Terms submachine state •627
subclass
The child of another class in a generalization relationship—that is, the more spe-
cific description. The child class is called the subclass. The parent class is called the
superclass. See generalization, inheritance.
Semantics
A subclass inherits the structure, relationships, and behavior of its superclass and
may add to it.
subject s519
The classifier whose behavior is described by a use case.
Semantics
The subject is the classifier that realizes the behavior defined by a use case. A use
case need not have a subject (but then it would be a vague description of system
behavior). The subject often, but not always, owns the use case. The use case has
access to the features of its subject.
One classifier may have ma ny use cases. Each use case describes a facet of the
classifier’s overall behavior.
Notation
A subject is shown by a rectangle with its use cases drawn inside. The name of the
subject is shown as a text string. Actors communicating with the use cases are
drawn outside the rectangle. See Figure 14-285 for an example.
submachine s479
A state machine that may be invoked as part of another state machine. It is not at-
tached to a class but instead is a kind of state machine subroutine. It has semantics
as if its contents were duplicated and inserted at the state that references it.
See state, state machine, submachine state.
submachine state s478
A state that references a submachine (another state machine), a copy of which is
implicitly part of the enclosing state machine in place of the submachine reference
state. It is conceptually like a “call” on a state machine “subroutine” (but may be
implemented differently). It may contain references to entry points and exit
points, which identify states in the submachine.
See also state, state machine, entry point, exit point.
628 •submachine state Dictionary of Terms
Semantics
A submachine state is semantically equivalent to inserting a copy of the subma-
chine in place of the reference state. The submachine state itself has no substruc-
ture; all of the semantic structure comes from the referenced state machine.
Notation
A submachine state is drawn as a state symbol with a label of the form
state-name : submachine-name
Transition arrows may be drawn to the submachine boundary. A transition to the
submachine state establishes the initial state of the submachine; if there is no initial
state, transitions to the boundary are not allowed. A transition may also be drawn
to a named connection point on the submachine state boundary. An entry connec-
tion point is shown as a small circle. An exit connection point is shown as a small
circle containing an X. A transition to or from a connection point is equivalent to a
transition to the corresponding entry point or from the corresponding exit point
of the submachine.
Example
Figure 14-265 shows part of a state machine containing a submachine state. The
containing state machine sells tickets to customers with accounts. It must identify
the customer as part of its job. Identifying the customer is a requirement of other
state machines, so it has been made into a separate state machine. Figure 14-266
shows the definition of state machine Identify, which is used as a submachine by
other state machines. The normal entry to the submachine provides for reading
the customer’s card, but there is an explicit entry point that provides for manual
entry of the customer’s name by the box office clerk. If the identification process is
successful, the submachine terminates at its final state. Otherwise, it goes to state
Failure.
In Figure 14-265, the submachine state is shown by a state icon with a local
name and the name of the submachine. Normal entry to the submachine is shown
by an arrow to its boundary. This transition activates the initial state of the sub-
machine. Normal exit is shown by a completion transition from the boundary.
This transition fires if the submachine terminates normally.
Entry at entry point ManualEntry is shown by a transition to a connection point
on the submachine state symbol. The connection point is labeled with the name of
the entry point in the submachine. Similarly, exit from explicit state Failure is
shown by a transition to an exit point.

Dictionary of Terms submachine state •629
Figure 14-265. Submachine state
Figure 14-266. Submachine definition
Idle
Proceed
identifyUser: Identify
failure
Cancel
request
transaction
entry connection point
submachine state
normal exit
default entry
referenced submachine name
manual
[at kiosk]
do/
get clerk data
[at box office]
exit connection point
entry / get card card in
entry / get password
failure
[bad card]
[good card]
password entered
[good password]
[bad password]
Identify
Manual Entry
entered
submachine name
target for entry stub
submachine boundary
default exit
default entry
entry point
manual
exit point
630 •subsets Dictionary of Terms
subsets s64 s90-92
Keyword on an association end or attribute indicating that the collection of objects
that form the value is a subset of the collection of objects forming the value of
another designated association end or attribute.
See also union.
Semantics
Sometimes the same property (an association end or attribute) can be modeled at
more than one level of granularity, a general level covering several cases and a
more specific level divided into more specific cases. If one property is declared as a
subset of another property, the set of values for the first property is a subset of the
values for the second property. A value for the one property will also be found
among the values for the other property. Typically, the more general property is
partitioned into multiple subsets that cover its entire set of values, in which case it
is declared to be a union. This is not always true, however.
Notation
A subsets declaration has the form:
{ subsets other-property-name }
The declaration is placed after the declaration of the property that forms the sub-
set and it references the property that includes the subset.
Figure 14-267 shows an example of the subsets and union declarations on asso-
ciations. The association end steering is declared at a high level between classes Ve-
hicle and SteeringControl. Each of these classes is specialized into several
subclasses. Steering is not fully general among the subclasses, however. A car is
only steered by a steering wheel, a boat is only steered by a tiller, and a horse is only
steered by the reins. (OK, there are other ways to steer these things. It’s just an ex-
ample.) The subsets declaration on each of the specialized associations declares
that they are special cases of the general steering association. The union declara-
tion on the general associations declares that these are the only cases—any in-
stance of the steering association must also be an instance of one of the
associations that subsets it. Therefore, we know that you can’t steer a horse with a
steering wheel, although the general association would otherwise permit it.
This pattern frequently occurs when an association between general classes
needs to be applied to subclasses.
If the union declaration on the general association did not exist, then other
combinations of values might exist besides the explicit subsets.

Dictionary of Terms substate •631
subsetting s64 s90-92
Definition of a property that covers a subset of the instances of another property.
See subsets.
substate s478
A state that is part of a composite state.
See composite state, direct substate, indirect substate, region.
Semantics
A composite state contains one or more regions. Each region contains one or more
states. Each state is a direct substate of the region that owns it and of the composite
state that owns the region. It is an indirect substate of states at a higher level.
The direct substates within a single region are mutually exclusive. If the region is
active, exactly one direct substate is active. If a composite state is active, each re-
gion is active, so exactly one direct substate from each region is active. Substates
form an “and-or” tree of activity—the decomposition of composite states into
multiple regions is an “and” of activity, while the decomposition of regions into
multiple substates is an “or” of activity.
Figure 14-267. Subsets and union
Vehicle Steering
Control
1
/steering
{union}
Car Steering
Wheel
Boat Tiller
Horse Reins
swheel
{subsets steering}
tiller
{subsets steering}
reins
{subsets steering}
1
1
1
632 •substitutability principle Dictionary of Terms
The nested of substates within states is somewhat similar to (but not the same
as) generalization of classifiers. A nested substate responds to all of the transitions
that depart from its containing states if they are not overridden by lower-level
transitions.
Notation
See composite state for notation and examples.
substitutability principle
The principle that, given a declaration of a variable or parameter whose type is de-
clared as X, any instance of an class that is a descendant of X may be used as the ac-
tual value without violating the semantics of the declaration and its use. In other
words, an instance of a descendant element may be substituted for an instance of
an ancestor element. (Attributed to MIT Professor Barbara Liskov.)
See also generalization, implementation inheritance, inheritance, polymorphic,
procedure.
Discussion
The purpose is to ensure that polymorphic operations work freely. The generaliza-
tion relationship supports substitutability provided overriding and redefinition of
concrete features are avoided.
The consequence of the substitutability principle is that a child may not remove
or renounce properties of its parent. Otherwise, the child will not be substitutable
in a situation in which a use of the parent is declared.
This is not a principle of logic but rather a pragmatic rule of programming that
provides a degree of encapsulation. Nontraditional languages based on different
run-time rules, such as dynamic classification, might find the principle less useful.
substitution s110-111
A dependency between classifiers that declares that the source classifier may be
substituted in a place where the target classifier has been declared as a type.
Semantics
Generalization usually implies substitutability (see substitutability principle), but
sometimes a classifier specifies a contract for interactions—interfaces and ports—
without specifying features. Any classifier that implements the same interfaces and
ports can be substituted for the original classifier, even if it does not share any of
the internal structure or implementation. This relationship is expressed by the

Dictionary of Terms subsystem •633
substitution dependency from the implementing classifier to the classifier specify-
ing the contract. It can be used in situations where generalization is inappropriate.
Notation
Substitution is shown as a dependency drawn as a dashed arrow with the keyword
«substitute».
subsystem (stereotype of Component)
A large unit of decomposition for a system. It is modeled in UML as a stereotype of
component.
Semantics
A subsystem is a coherent piece of a system design. It may have its own specifica-
tion and realization portions. Usually a subsystem is instantiated indirectly, that is,
its behavior is realized by other classes.
The system itself constitutes the top-level subsystem. The realization of one sub-
system may be written as a collaboration of lower-level subsystems. In this way, the
entire system may be expanded as a hierarchy of subsystems until the bottom-level
subsystems are defined in terms of ordinary classes.
A subsystem is modeled as a (large) component.
The connotations of subsystems vary widely among modeling approaches.
Notation
A subsystem is notated as a component symbol with the keyword «subsystem»
(Figure 14-268).
Figure 14-268. Subsystems
OrderEntry
«subsystem»
Shipping
«subsystem»
Stockroom
«subsystem»
dependencies
among subsystems
634 •subtype Dictionary of Terms
subtype s16
A type that is a child of another type. The more neutral term child may be used for
any generalizable element.
See generalization.
summarization
To filter, combine, and abstract the properties of a set of elements onto their con-
tainer in order to give a higher level, more abstract view of a system.
See package.
Semantics
Containers, such as packages and classes, can have derived properties and relation-
ships that summarize the properties and relationships of their contents. This per-
mits the modeler to get a better understanding of a system at a higher, less detailed
level that is easier to understand. For example, a dependency between two pack-
ages indicates that the dependency exists between at least one pair of elements
from the two packages. The summary has less detail than the original information.
There may be one or many pairs of individual dependencies represented by
package-level dependencies. In any case, the modeler knows that a change to one
package may affect the other. If more details are needed, the modeler can always
examine the contents in detail once the high-level summary has been noticed.
Similarly, a usage dependency between two classes usually indicates a depen-
dency between their operations, such as a method on one class calling an opera-
tion (not a method!) on another class. Many dependencies at the class level derive
from dependencies among operations or attributes.
In general, relationships that are summarized on a container indicate the exist-
ence of at least one use of the relationship among the contents. They do not usu-
ally indicate that all the contained elements participate in the relationship.
superclass s16
The parent of another class in a generalization relationship—that is, the more gen-
eral element specification. The child class is classed the subclass. The parent class is
called the superclass.
See generalization.
Semantics
A subclass inherits the structure, relationships, and behavior of its superclass and
may add to it.
Dictionary of Terms systemModel •635
supertype s16
Synonym for superclass. The more neutral term parent may be used for any gener-
alizable element.
See generalization.
supplier s108
An element that provides services that can be invoked by others. Contrast: client.
In the notation, the supplier appears at the arrowhead of a dashed dependency
arrow.
See dependency.
swimlane s308-311 s348
See partition.
synch state
This UML1 concept has been removed from UML2. It is no longer needed because
of the loosening of restrictions on activities.
synchronous action
A request in which the sending object pauses to wait for a response; a call.
Contrast: asynchronous action.
system s16
A collection of connected units organized to accomplish a purpose. A system can
be described by one or more models, possibly from different viewpoints. The
“complete model” describes the whole system.
Semantics
The system is modeled by a top-level subsystem that indirectly contains the entire
set of model elements that work together to accomplish a complete real-world
purpose.
systemModel (stereotype of Model)
A high-level model that contains a collection of model describing a physical
system.
See model, subsystem, system.

636 •tabular notation Dictionary of Terms
tabular notation s603
The UML2 specification defines a tabular notation for sequence diagrams.
Discussion
The concept of expressing model information as tables is hardly original and the
exact format given in the specification would be better included in the implemen-
tation of a tool. Its inclusion in the specification is too narrow because it is only
defined for a single UML diagram.
tag definition
A property declared in a stereotype. It represents the name of a property defined at
modeling time.
Semantics
A tag definition is simply an attribute of a stereotype declaration.
Notation
A tag definition is shown as an attribute in the rectangle showing the stereotype
declaration.
Example
Figure 14-269 shows the declaration of stereotype Authorship. It applies to any el-
ement. It declares the tags author, status, requirement, and suppress. The first
three are string values, the last is a Boolean.
tagged value
A tag-value pair attached to a modeling element to hold some piece of
information.
See also constraint, stereotype.
Figure 14-269. Tag definitions in stereotype declaration
Authorship
author: String
status: String
requirement: String
suppress: Boolean
«stereotype»
«metaclass»
Element

Dictionary of Terms tagged value •637
Semantics
A tagged value is a name-value pair that may be attached to a model element that
uses a stereotype containing a tag definition.
Tagged values represent additional modeling information beyond that defined
in the UML metamodel. It is commonly used to store project management infor-
mation, such as the author of an element, the testing status, or the importance of
the element to a final system (the tags might be author, status, and importance).
Tagged values represent a modest extension to the meta-attributes of UML
metaclasses. This is not a fully general extension mechanism but can be used to
add information to existing metaclasses for the benefit of back-end tools, such as
code generators, report writers, and simulators. To avoid confusion, tags should
differ from existing metaattributes of model elements to which they are applied.
This check can be facilitated by a modeling tool.
Certain tags are predefined in the UML; others may be user defined within ste-
reotypes. Tagged values are an extensibility mechanism permitting arbitrary infor-
mation to be attached to models.
Notation
Each tagged value is shown in the form
tag = value
where tag is the name of a tag and value is a literal value. Tagged values may be
included with other property keywords in a comment symbol attached to a classi-
fier rectangle by a dashed line. The classifier must have a stereotype declaring the
tag definition.
A keyword may be declared to stand for a tag with a particular value. In that case
the keyword can be used alone. The absence of the tag is treated as equivalent to
one of the other legal values for the tag.
tag
Figure 14-270 shows the application of the authorship stereotype declared in
Figure 14-269 to the Customer class. The values of each of the tags are specified for
the Customer class.
Figure 14-270. Ta g g e d v a l u e s
Customer
«authorship»
author = “Joe”
status = “tested”
requirement = “3.56”
suppress
638 •target scope Dictionary of Terms
Discussion
Tagged values are a means of attaching nonsemantic project management and
tracking information to models. For example, tag author might hold the author of
an element and tag status might hold the development status, such as incomplete,
tested, buggy, and complete.
Tagged values are also a way to attach implementation-language-dependent
controls to a UML model without building the details of the language into UML.
Code generator flags, hints, and pragmas can be encoded as tagged values without
affecting the underlying model. Multiple sets of tags are possible for various lan-
guages on the same model. Neither a model editor nor a semantic analyzer need
understand the tags—they can be manipulated as strings. A back-end tool, such as
a code generator, can understand and process the tagged values. For example, a
tagged value might name the container class used to override the default imple-
mentation of an association with multiplicity many.
The use of tags, like the use of procedures in programming language libraries,
may require a period of evolution during which there may be conflict among de-
velopers. Over time, some standard uses will develop. UML does not include a
“registry” of tags nor does it offer the expectation that early users of tags may “re-
serve” them to prevent other uses in the future.
target scope
This UML1 concept has been removed from UML2. It was not found to be very
useful, and it has not been replaced.
target state s498
The state machine state that results from the firing of the transition. After an ob-
ject handles an event that causes a transition to fire, the object is in the target state
of the transition (or target states if it is a complex transition with multiple target
states). Not applicable to an internal transition, which does not cause a change of
state.
See transition.
template s541-558
A parameterized model element. To use it, the parameters must be bound (at
model time) to actual values. Synonym: parameterized element.
See also binding, bound element.
Dictionary of Terms template •639
Semantics
A template is the descriptor for an element with one or more unbound formal pa-
rameters. It defines a family of potential elements, each specified by binding the
parameters to actual values. Typically, the parameters are classifiers that represent
attribute types, but they can also be integers or even operations. Subordinate ele-
ments within the template definition are defined in terms of the formal parame-
ters, so they too become bound when the template itself is bound to actual values.
Template parameterization can be applied to classifiers (such as classes and col-
laborations), packages, and operations. Most any kind of element can be a tem-
plate parameter.
Classifiers. A template classifier is a parameterized classifier. The body of a tem-
plate may contain uses of the formal parameters, usually as types of properties but
also in other places. An actual classifier is produced by binding values to the pa-
rameters. Attributes and operations within the template classifier can use the for-
mal parameters, usually as types. The template classifier can be a subtype of a
regular classifier. When the template is bound, the bound classifier is a subtype of
the regular classifier. Associations may be modeled using parts within a structured
classifier.
A template class is not a directly usable class, because it has unbound parame-
ters. Its parameters must be bound to actual values to create a real class. A template
class may be a subclass of an ordinary class, which implies that all classes formed
by binding the template are subclasses of the given class.
Other kinds of classifiers, such as use cases and signals, can be parameterized.
A bound classifier may add elements in addition to those generated by the bind-
ing. This is equivalent to generating an anonymous classifier by the binding, then
making the named bound element a child of it.
A classifier may bind multiple templates at the same time. This is equivalent to
generating an anonymous bound classifier for each binding, then making the
named classifier a subtype of each of them.
A template parameter may be constrained to be a class that is a descendant of a
specific class. A class substituted for the parameter must be a descendant of the
given class. As an alternative, the parameter can be constrained to be a valid substi-
tution for a given class, without needing to be a descendant. This permits the ac-
tual argument to satisfy the interfaces of the given class without having the same
structure.
Templates can be redefined. See redefinition (template).
Collaborations. A collaboration is a classifier and may therefore be a template.
Typically the types of the roles are template parameters. A template collaboration
is a structural pattern. Note that a collaboration use in a class model is not the
640 •template Dictionary of Terms
same as a bound collaboration; the latter is a collaboration (a descriptor), not a
collaboration use (a reference to a collaboration).
Packages. A package may be a template. The elements of the package are often
template parameters. The same package template may be bound multiple times
into the same bound element. This means that the results of each individual bind-
ing are combined (using package merge) into a single resultant package. This is a
way to apply the same pattern multiple times on different sets of classes.
Operations. An operation may be a template. Typically, the types of its parameters
are template parameters. Constraints of the operation may also contain template
parameters.
Well formedness. The contents of a template are not directly subject to the well-
formedness rules of models. This is because they include parameters that do not
have full semantics until they are bound. A template is a kind of second-level
model element—not one that models systems directly, but one that generates
model elements. The contents of a template are therefore outside the semantics of
the system. The results of binding a template are ordinary model elements that are
subject to well-formedness rules and are normal elements in the target system.
Certain well-formedness rules for templates could be derived from the consider-
ations that their bound results must be well formed, but we will not attempt to list
them. In a sense, when a template is bound, its contents are duplicated and the pa-
rameters are replaced by the arguments. The result becomes part of the effective
model as if it had been included directly.
Notation
See Figure 14-271.
Parameters. Parameters have the syntax
name : type = default
where name is an identifier for the parameter, with scope inside the tem-
plate;
type is a string designating a type expression for the parameter;
default is an optional expression for a default value to be used if no actual
value is supplied during a binding.
If the type name is omitted, it is assumed to be a class. Other parameter types
(such as IntegerExpression) must be shown explicitly and must evaluate to valid
type expressions.
A parameter can be constrained to require that the argument be a descendant of
a specific class. This is shown using the syntax
name : type < Class-name

Dictionary of Terms template •641
Classifiers. In a template definition, a small dashed rectangle is superimposed on
the upper-right corner of the classifier rectangle. The dashed rectangle contains a
list of formal parameters for the template. Each parameter has a name and a type
and may include an optional default value, which is used if no actual value is sup-
plied for the parameter in a binding. The list must not be empty (otherwise, there
is no template), although it might be suppressed in the presentation. The name,
attributes, and operations of the parameterized class appear as normal in the class
rectangle, but the names of the formal parameters may be used in them. If the
template is a structured classifier, its parts may be shown within a graphical com-
partment. Often the types of some of the parts are template parameters.
If features are added to the bound classifier in addition to those generated by the
binding, they are shown in a feature compartment within the rectangle represent-
ing the bound classifier.
Figure 14-271 shows a class template with an integer parameter and a class pa-
rameter. The template has an association to one of its parameters.
A template can be a child of another element. This means that each bound ele-
ment generated from it is a child of the given element. For example, in
Figure 14-272, every class generated from Poly is a Polygon. Therefore, Hexagon is
a child of Shape.
Figure 14-273 shows the addition of features to a bound class. It declares a
TopTenList, a list of jokes delivered by a host on a show. The host and show date
are added to the elements generated by the template. The features are shown in
their usual compartment in the bound class. For a structured class, parts could be
added in a graphical compartment.
Figure 14-271. Class template notation
FArray
FArray<T→Point,k→3>
T,k:IntegerExpression=2
«bind» <T→Address,k→4>
element: T[k]
AddressList
template parameters
T has type Classifier
explicit binding
This class has
its own name.
Implicit binding.
This class has an
anonymous name.
The parameters are used
in the template body.
In this template, the
multiplicity of the array
is fixed by the binding.
by default.
If no value for k is bound,
then the array has 2 elements.

642 •template Dictionary of Terms
Figure 14-274 shows the multiple binding of a bound class. Orderlist is both a
VArray and a Buffer. Both the template parameters are bound to class Order. Note
that the names of the parameters have nothing to do with each other, even though
they are both named T.
A parameter can be constrained so that the actual value must be a descendant of
a certain class. Figure 14-275 shows a declaration of the Polyline template class. A
polyline is an ordered list of edges. Some polylines have straight edges, some have
Figure 14-272. Template subclass
Figure 14-273. Adding elements to a bound class
Poly
n:IntegerExpression
Polygon
Hexagon
Polygon
the template definition the implicit result of
the binding
Hexagon:Poly<n→6>
the template binding,
as shown in the modelin the model
vertex: Point[6]
vertex: Point[n]
FArray
T,k:IntegerExpression=2
element: T[k]
TopTenList
«bind» <T→Joke,k→10>
show: Date
host: Person
These attributes are added
to the 10 elements from the template

Dictionary of Terms template •643
curved edges. For any binding of Polyline, the type of edge must be a subclass of
the abstract class Curve. For a Triangle, there are three straight edges.
A collaboration is a classifier and uses the same notation as a template.
Figure 14-276 shows the Sale collaboration as a template that has three roles. The
types Property and Agent are template parameters. RealEstateSale is a bound col-
laboration, in which the property must be of type real estate and the agents must
be realtors.
Figure 14-274. Multiple binding of class
Figure 14-275. Constrained class parameter
Buffer
-value: T
-full: Boolean = false
+insert (T)
-remove () : T
T
VArray
T
element: T[*]
OrderList
«bind» <T→Order> «bind» <T→Order>
Polyline
edge: Edge [n] {ordered}
Edge < Curve, n: IntegerExpression
Triangle
«bind» <Edge→Line>

644 •template Dictionary of Terms
Figure 14-276. Collaboration template
Figure 14-277. Package template
Sale
buyer: Agent seller: Agent
item: Property
Property,Agent
RealEstateSale
«bind» <Property→RealEstate,Agent→Realtor>
Subject View
SV
view {union}
*
1
1*
view {subsets view}
subject-view
S, V
CockpitDisplay
«bind»<S→Time,V→Clock>«bind»<S→Altitude,V→NumericalDisplay>

Dictionary of Terms template •645
Packages. A package template is shown as a package symbol (rectangle with tab)
with a small dashed rectangle superimposed on the upper right corner. The pa-
rameters are listed in the dashed rectangle.
Figure 14-277 shows a template that defines a subject-view paradigm. The Sub-
ject and View classes are not parameters, therefore they are copied into a template
binding without change. Classes S and V are parameters. The classes bound to
them become subclasses of Subject and View. The bound package is bound twice
to the same template. Each binding adds a pair of classes to the package. The Sub-
ject and View classes are the same in both bindings, so they do not occur twice.
Figure 14-278 shows the effective result of the package binding.
Figure 14-279 shows the use of string substitution to model the previous exam-
ple in a slightly different way. A string expression can be placed within dollar signs
($ $) to indicate that it is to be interpreted as a name. Fragments of the string ex-
pression can be template parameters enclosed in angle brackets (< >). This allows
strings to be supplied as binding arguments and concatenated with literal strings
to generate names for the template elements. In this example, the names of the
view elements are generated from the names of the subject elements by appending
the word Display. Another difference from Figure 14-277 is that the arguments are
strings, rather than existing classes, which are required in the previous model. The
classes are generated as part of the template expansion.
Figure 14-278. Result of package binding
Subject View
Altitude Numerical
view {union}
*
1
1*
CockpitDisplay
Display
Clock
1*
view {subsets view}
Time
view
{subsets view}

646 •template Dictionary of Terms
Operations. It is unclear if there is a notation for a parameterized operation. No
example is given in the UML specification. It is probably best to avoid operation
templates in any case, as they are too close to the implementation level, and their
use in most programming languages is usually a mistake.
Discussion
The effective model is the implicit model resulting from binding all templates; it is
the implicit model that describes a system. Template parameters have no meaning
within the effective model itself, because they will have been bound. They may be
used only within the scope of the template body itself. This is adequate to handle
constituent elements contained within the parameterized element, for example,
for attributes or operations within a parameterized class.
The template definition is a model fragment that is not part of the effective
model. When the template is bound, the body is implicitly copied, the parameters
are replaced by arguments, and the copy becomes part of the effective model. Each
instantiation of the template produces an addition to the effective model.
Figure 14-279. String substitution in package template
Subject View
$<S>$ $<S>Display$
view {union}
*
1
1*
$view<S>$
subject-view
S:StringExpression
CockpitDisplay
«bind» <S→“Time”>
«bind» <S→”Altitude”>
{subsets view}
Dictionary of Terms template •647
There is more difficulty with relationships between the template and its param-
eters. For example, a template class might have associations or generalizations to
other classes. If those classes are parameters of the template, they cannot be part of
the class definition itself, because they are not features, yet they are not part of the
model outside the template either. For example, an generalization might exist
from a template parameter to the template element itself. This can (possibly) be
modeled, but there is no notation for it, because the notation assumes that all of
the parameters appear as contents of the template class itself. The template param-
eter cannot be drawn as a separate class outside the template class, so there appears
to be no way to notate it correctly.
In principle, a template definition should include a body that may include ele-
ments outside the bound element. These elements could include associations and
generalizations to template parameters. However, the specification does not define
an explicit body, although a close reading suggests that some template parameters
might be part of the body but not part of the template element itself.
A template usually cannot be a parent of another element. This would mean
that each element generated by binding the template is the parent of the other ele-
ment. Although someone could perhaps assign a meaning to such a situation, it
seems implausible.
Two templates do not have associations to each other simply because they share
the same parameter name. (Trying to do this would mean that every instantiation
of the first template is related to every instantiation of the second template, which
is not what is usually desired. This point has been misunderstood frequently by
authors in the past.) A parameter has scope only inside its own template. Using the
same name for a parameter in two templates does not make it the same parameter.
Generally, if two templates have parameterized elements that must be related, one
of the templates must be instantiated inside the body of the other. (Recall that a
template is implicitly instantiated inside its own body. Therefore, both templates
are effectively instantiated inside the body, and relationships are therefore between
the instantiated elements.) Figure 14-280 shows an incorrect and a correct attempt
to define such a relationship—in this case, with a parameterized “pointer” class
that points to a parameterized array of the same kind.
A similar approach can be used to declare a parameterized class that is a child of
another template class bound with the same parameter. Another approach is to in-
stantiate both templates inside a third template that has a parameter. The parame-
ter is used to bind a copy of each of the other templates. An association may then
be constructed between the instantiated copies of the templates. In most practical
cases, this is not needed because the relationship can be declared in the body of
one of the templates.

648 •terminate Dictionary of Terms
Templates should be used sparingly. In many uses (such as in the C++ lan-
guage), they perform tasks that are better done using polymorphism and generali-
zation, in a misguided zeal for unnecessary efficiency. Because they are generators,
their results are not always apparent.
terminate s471-473
A terminate whose execution terminates the execution of a state machine by the
object that owns it.
Semantics
The execution of a terminate pseudostate terminates the execution of a state ma-
chine. Usually it means that the owning object is destroyed.
Under normal circumstances, a state machine terminates when it reaches a final
state at the top level, therefore the terminate pseudostate is rarely needed.
Notation
A terminate pseudostate is shown as a large X.
Figure 14-280. Associations between templates
VArray
element: T[*]
T
VArrayPtr
T
1
RIGHT! A template must be instantiated to construct an association.
VArray
element: T[*]
TVArrayPtr
U
VArray<T→U>
WRONG! This is meaningless. The T’s are unrelated because they are in different scopes.
T
Dictionary of Terms time constraint •649
test identity action
An action whose execution tests whether two input values have the same identity,
that is, whether they are the same object.
See action.
thread s16
(from thread of control) A single path of execution through a program, dynamic
model, or other representation of control flow. Also a stereotype for the imple-
mentation of an active object as a lightweight process.
See active object, complex transition, composite state, state machine, synch
state.
time action
There are several actions relating to the simple time model provided by UML.
More complicated models of time, such as those used in real-time systems, require
UML profiles.
See action.
time constraint s396-397 s438
A constraint on the time of an occurrence specification expressed as a time
interval.
Semantics
A time constraint can refer to a single occurrence specification or to the time inter-
val between two occurrences. It is expressed as a time interval, but the length of the
interval can be zero to restrict it to a single point in time. The time can be absolute
time or relative to some starting time.
Notation
A constraint on a single occurrence is shown in a sequence diagram by drawing a
horizontal tick mark and placing a time expression in braces next to it.
A constraint on a time interval is shown by drawing a double-headed arrow be-
tween two tick marks and placing a time interval expression next to it.
Example
Figure 14-281 shows several time constraints. The receiver must be lifted between
7am and 7 pm. A dial tone must be received less than one second after the receiver
is lifted. The first digit must then be dialed within ten seconds.

650 •time event Dictionary of Terms
A time constraint can also be shown as a string, as shown in the last constraint,
which says that the routing message must be delivered in less than five seconds.
time event s373
An event that denotes the satisfaction of a time expression, such as the occurrence
of an absolute time or the passage of a given amount of time after an object enters
a state.
Semantics
A time event is an event that depends on the passage of time and therefore on the
existence of a clock. In the real world, the clock is implicit. In a computer, it is a
physical entity, and there may be different clocks in different computers. The time
event is (essentially) a message from the clock to the system. Note that both abso-
lute time and elapsed time may be defined with respect to a real-world clock or to
a virtual internal clock. In the latter case, it may differ for various objects.
Time events may be based on absolute time (the time of day or a clock setting
within a system) or relative time (the elapsed time since the entry to a certain state
or the occurrence of an event).
Figure 14-281. Time constraints
caller: Phone exchange: PBX
lift receiver
dial tone
dial digit
a
b
c
{<1 sec.}
{<10 sec.}
. . .
d
d'
route
ringing tone
stop tone
time duration constraint
time mark
time duration constraint
{7 am < a < 7pm}
time occurrence constraint
{d' – d< 5 sec.}
time constraint expression
t = now
time observation
Dictionary of Terms time expression •651
Notation
Time events are not declared as named events the way signals are. Instead, a time
expression is simply used as the trigger of a transition.
Discussion
In any real implementation, time events do not come from the universe—they
come from some clock object inside or outside the system. As such, they become
almost indistinguishable from signals, especially in real-time and distributed sys-
tems. In such systems, the issue of which clock is used must also be determined—
there is no such thing as the “real time.” (It doesn’t exist in the real universe ei-
ther—just ask Einstein.)
time expression s397
An expression that resolves to an absolute or relative value of time. Used in defin-
ing a time event.
Semantics
Most time expressions are either elapsed time after the entry to a state or the oc-
currence of a particular absolute time. Other time expressions must be defined in
an ad hoc way.
A time expression is defined with a minimum and maximum time. These can be
the same to define a single point in time.
Notation
Elapsed time. An event denoting the passage of some amount of time after entry to
the state containing the transition is notated with the keyword after followed by an
expression that evaluates (at modeling time) to an amount of time.
after (10 seconds)
after (10 seconds since exit from state A)
If no starting point is specified, then it is the elapsed time since entry to the state
containing the transition.
Absolute time. An event denoting the occurrence of an absolute time is notated
with the keyword when, followed by a parenthetical Boolean expression involving
time.
when (date = Jan. 1, 2000)
652 •time observation action Dictionary of Terms
time observation action
An action that returns the current time.
Semantics
The action returns the current time.
Notation
The following syntax may be used in a sequence diagram:
name = now
Figure 14-281 shows an example.
Discussion
Unlike the duration observation action, the time observation action makes sense
as an action that might be implemented and used in programs. In the UML speci-
fication, however, it is formulated in a manner inconsistent with other actions, in
that it includes both an time observation and an assignment action. It is probably
best for implementors to regard this as a mistake and have it merely output a value
that can be assigned using the normal write actions.
In a simple system, all clocks can be regarded as identical. In a more realistic
real-time system, clocks will differ and a time observation must contain the iden-
tity of the clock that is used. For modeling such systems, the simple UML time
model is inadequate and a more robust real-time model must be used.
The UML specification does not define a time observation for modeling pur-
poses, that is, one that is not meant to be executed by a user program but is meant
to be used to make assertions by the modeler. We recommend the use of timing
marks to attach names to times at which events occur. These are not part of the of-
ficial UML specification, but they should be.
History
The UML2 timing model has lost some capability from the UML1 model, such as
timing marks. Hopefully this capability will be restored in the future.
time value s397
A value representing an absolute or relative moment in time.
See time expression.

Dictionary of Terms timing diagram •653
timing diagram s450-454
An alternate way of displaying a sequence diagram that explicitly shows changes in
state on a lifeline and metric time (time units). They may be useful in real-time
applications.
Notation
A timing diagram (Figure 14-282) is a special form of a sequence diagram with the
following differences:
• The axes are usually reversed so that time increases from left to right.
• Lifelines are shown in separate compartments arranged vertically.
Figure 14-282. Timing diagram
sd doorControl
locked
waiting
open
idle
verifying
enabled
unlocked lockedlocked
door processor scanner
verify
unlock
lock
lifeline
lifeline
lifeline
states
message
state change
statestate state
line showing state
timing diagram
time ticks
0510
654 •timing mark Dictionary of Terms
• The lifeline jogs up and down to show changes in state. Each vertical position
represents a different state. The ordering of states may or may not have any sig-
nificance.
• Alternately, a lifeline can follow a single line with different states or values dis-
played on the line.
• A metric time axis may be shown. Tick marks indicate time intervals, sometimes
discrete times at which changes happen.
• The times on different lifelines are synchronized.
• The value held by an object may be shown.
timing mark s399
A denotation for the time at which an event occurs. Timing marks may be used in
constraints.
Semantics
A timing mark is the time at which an event occurs.
Notation
A timing mark is shown as a tick mark (a short horizontal line) even with an event
on a sequence diagram. The name of the timing mark is placed next to the tick
mark and may be used in timing expressions. See Figure 14-281 for an example.
Discussion
Note that a time observation action is not a satisfactory substitute for a timing
mark. Although timing marks are not part of the official UML2 specification, we
recommend their use because the capability is otherwise lacking.
token s286-288
The presence of a locus of control, including possible data values, during the exe-
cution of an activity.
Semantics
The execution semantics of activities are based on the concept of tokens as markers
of activities. The concept originally comes for Petri net theory. A token is a run-
time marker of the presence of a locus of control. A token may also include data
values that are implied by the locus of control. An activity graph may have multi-
ple tokens, indicating concurrent execution.
Dictionary of Terms trace •655
The execution rules of actions and activity nodes are based on tokens. In gen-
eral, an action may begin execution when tokens are present on all its input pins.
When it begins execution, it removes the tokens from the input pins and internal-
izes their data values. When an action completes execution, it produces tokens on
each of its output pins. The tokens contain data values appropriate for the various
outputs. These tokens may then enable the execution of other actions.
Activities are control constructs that include actions. Each kind of activity node
has its own enabling rules. Some activities require tokens on all input pins, while
some (such as merges) may be enabled by tokens on a subset of input pins. In any
case, the enabling tokens are consumed before the activity begins execution, and
new tokens are produced on some or all of the output pins when the activity com-
pletes execution.
The key to tokens is that they are consumed when they enable the execution of
an action or activity. If two activity nodes contend for the same tokens, only one
node will execute, although the selection may be nondeterministic. Because tokens
combine control and data, they avoid the “action-at-a-distance” problems inher-
ent in separating control and data. They model concurrency in an effective but
natural way.
trace s281 s379 s403 s420
A sequence of event occurrences within the execution of an interaction.
See also trace dependency for an unrelated use of the word trace.
Semantics
A trace is a sequence of event occurrences as the result of a particular execution of
an interaction. The semantics of interactions is defined in terms of traces. An in-
teraction defines a set of allowed traces and a set of forbidden traces. All the traces
in the allowed set are definitely consistent with the interaction definition. All the
traces in the forbidden set are definitely inconsistent with the interaction defini-
tion. Any other traces may or may not be consistent with the definition. It may be
necessary to look at other parts of the model to determine their validity.
Several interaction constructs (such as parallel) define multiple, independent
subtraces for their parts. Unless otherwise restricted, the event occurrences for
each subtrace can be interleaved arbitrarily to make a single overall trace. This is
the meaning of concurrency within interactions.
Two interactions are equivalent if they define the same sets of traces.
Notation
Traces are primarily a semantic concept for defining the meaning of interaction
models. They represent the results of an actual execution. A sequence diagram, by
656 •trace dependency Dictionary of Terms
contrast, is a model of an interaction definition. The sequences of event specifica-
tions in the sequence diagram are not the actual traces; rather, they are models
from which traces may be derived. The best way to actually show a trace is to show
a list of event occurrences in text form, but this is not often useful except as a theo-
retical exercise.
trace dependency (stereotype of Abstraction)
An abstraction dependency that indicates a historical development process or
other extra-model relationship between two elements that represent the same con-
cept without specific rules for deriving one from the other. This is the least specific
kind of dependency, and it has minimal semantics. It is mostly of use as a reminder
for human thought during development. It is intended to permit traceability of re-
quirements across development.
See abstraction, dependency, model.
Semantics
A trace is a variety of dependency that indicates a connection between two ele-
ments that represent the same concept at different levels of meaning. It does not
represent semantics within a model. Rather, it represents connections between ele-
ments with different semantics—that is, between elements from different models
on different planes of meaning. There is no explicit mapping between the ele-
ments. Often, it represents a connection between two ways of capturing a concept
at different stages of development. For example, two elements that are variations
of the same theme might be related by a trace. A trace does not represent a rela-
tionship between run-time instances. Rather, it is a dependency between model el-
ements themselves.
A major use of trace is for tracking requirements that have been changed
throughout the development of a system. The trace dependencies may relate ele-
ments in two kinds of models (such as a use case model and a design model) or in
two versions of the same kind of model.
Notation
A trace is indicated by a dependency arrow (a dashed arrow with its tail on the
newer element and its head on the older element) with the keyword «trace». Usu-
ally, however, the elements are in different models that are not displayed simulta-
neously, so in practice, the relationship would most often be implemented in a tool
as a hyperlink.
Dictionary of Terms transition •657
transient link
A link that exists for a limited duration, such as for the execution of an operation.
See also association, collaboration, usage.
Semantics
During execution, some links exist for a limited duration. Of course, almost any
object or link has a limited lifespan, if the time period is great enough. Some links,
however, exist only in certain limited contexts, such as during the execution of a
method. Procedure arguments and local variables can be represented by transient
links. It is possible to model all such links as associations, but then the conditions
on the associations must be stated very broadly, and they lose much of their preci-
sion in constraining combinations of objects. Such situations can instead be mod-
eled using collaborations, which are configurations of objects and links that exist
within special contexts.
A connector from a collaboration can be regarded as a transient link that exists
only within the execution of a behavioral entity, such as a procedure. It appears
within a class model as a usage dependency. For full details, it is necessary to con-
sult the behavioral model.
Notation
A transient link may be shown as a connector within a collaboration representing
the execution of a behavior.
transition s498-507 s509
A relationship within a state machine between two states indicating that an object
in the first state, when a specified event occurs and specified guard conditions are
satisfied, will perform specified effects (action or activity) and enter the second
state. On such a change of state, the transition is said to fire. A simple transition
has a single source state and a single target state. A complex transition has more
than one source state and/or more than one target state. It represents a change in
the number of concurrently active states, or a fork or join of control. An internal
transition has a source state but no target state. It represents a response to an event
without a change of state. States and transitions are the vertices and nodes of state
machines.
See also protocol state machine, state machine.
658 •transition Dictionary of Terms
Semantics
Transitions represent the potential paths among the states in the life history of an
object, as well as the actions performed in changing state. A transition indicates
the way an object in a state responds to the occurrence of an event. States and tran-
sitions are the vertices and arcs of a state machine that describes the possible life
histories of the instances of a classifier.
Structure
A transition has a source state, an event trigger, a guard condition, an action, and a
target state. Some of these may be absent in a particular transition.
Source state. The source state is the state that is affected by the transition. If an ob-
ject is in the source state, an outgoing transition of the state may fire if the object
receives the trigger event of the transition and the guard condition (if any) is satis-
fied. The source state becomes inactive after the transition fires.
Ta r g e t s ta t e . The target state is the state that becomes active after the completion of
the transition. It is the state to which the master object changes. The target state is
not used in an internal transition, which does not perform a change of state.
Event trigger. The event trigger is the event whose reception by the object in the
source state makes the transition eligible to fire, provided its guard condition is
satisfied. If the event has parameters, their values are available to the transition and
may be used in expressions for the guard condition and effects. The event trigger-
ing a transition becomes the current event and may be accessed by subsequent ac-
tions that are part of the run-to-completion step initiated by the event.
A transition without an explicit trigger event is called a completion transition
(or a triggerless transition) and is implicitly triggered on the completion of any in-
ternal do activity in the state. A composite state indicates its completion by reach-
ing the final state of each of its regions. If a state has no internal activity or nested
states, then a completion transition is triggered immediately when the state is en-
tered after any entry activity is executed. Note that a completion transition must
satisfy its guard condition to fire. If the guard condition is false when the comple-
tion occurs, then the implicit completion event is consumed and the transition
will not fire later even if the guard condition becomes true. (This kind of behavior
can be modeled instead with a change event.)
Note that all appearances of an event within a state machine must have the same
signature.
Guard condition. The guard condition is a Boolean expression that is evaluated
when a transition is triggered by the handling of an event, including an implicit
completion event on a completion transition. If the state machine is performing a
run-to-completion step when an event occurs, the event is placed in the event poll
for the object owning the state machine until the step is complete and the state
Dictionary of Terms transition •659
machine is quiescent; otherwise the event is handled immediately. If the guard ex-
pression evaluates to true, the transition is eligible to fire. If the expression evalu-
ates to false, then the transition does not fire. If an event is handled but no
transition becomes eligible to fire, the event is discarded. This is not an error. Mul-
tiple transitions having different guard conditions may be triggered by the same
event. If the event occurs, all the guard conditions are tested. If more than one
guard condition is true, only one transition will fire. The choice of transition to
fire is nondeterministic if no priority rule is given.
Note that the guard condition is evaluated only once, at the time when the event
is handled. If the condition evaluates to false and later becomes true, the transition
will not fire unless another event occurs and the condition is true at that time.
Note that a guard condition is not the appropriate way to continuously monitor a
value. A change event should be used for such a situation.
If a transition has no guard condition, then the guard condition is treated as
true and the transition is enabled if its trigger event occurs. If several transitions
are enabled, only one will fire. The choice may be nondeterministic.
For convenience, a guard condition can be broken into a series of simpler guard
conditions. In fact, several guard conditions may branch from a single trigger
event or guard condition. Each path through the tree represents a single transition
triggered by the (single) trigger event with a different effective guard condition
that is the conjunction (“and”) of the guard conditions along its path. All the ex-
pressions along such a path are evaluated before a transition is chosen to fire. A
transition cannot partially fire. In effect, a set of independent transitions may
share part of their description. Figure 14-283 shows an example.
Note that trees of guard conditions and the ability to order transitions for eligi-
bility are merely conveniences, as the same effect could be achieved by a set of in-
dependent transitions, each with its own disjoint guard condition (but see choice
vertex below).
Effect. A transition may contain an effect, that is, an action or activity that is exe-
cuted when the transition fires. This behavior may access and modify the object
that owns the state machine (and, indirectly, other objects that it can reach). The
effect may use parameters of the trigger event, as well as attributes and associations
of the owning object. The trigger event is available as the current event during the
entire run-to-completion step initiated by the event, including later triggerless seg-
ments and entry and exit actions.
An effect is intended to be finite and should usually be fairly short, because the
state machine cannot process additional events until its execution is complete. Any
behavior that is intended to continue for an extended time should be modeled as a
do activity attached to a state rather than a transition.
Branches. For convenience, several transitions that share the same trigger event
but have different guard conditions can be grouped together in the model and
660 •transition Dictionary of Terms
notation to avoid duplication of the trigger or the common part of the guard con-
dition. This is merely a representational convenience and does not affect the se-
mantics of transitions.
See branch for details of representation and notation.
Choice vertex. A choice vertex permits a dynamic branch to depend on actions ex-
ecuted earlier in the same transition. A transition may be enabled to fire if all the
guard conditions up to the choice vertex are satisfied. Guard conditions on transi-
tion segments after the choice vertex are not evaluated to determine firing. If the
transition fires, its effects are executed on segments up to the choice vertex. Then
the guard conditions on segments leaving the choice vertex are evaluated, includ-
ing the results of the effects that have just been executed. This permits an action to
affect the results of the branch. The modeler must ensure that at least one outgoing
transition segment from the choice vertex will be enabled, however, or the state
machine will fail. A choice vertex is a pseudostate and may not remain active. A
simple way to ensure success is to include an else condition among the outgoing
segments. Figure 14-284 shows an example in which the branch depends on the
result of the selection operation earlier in the transition.
Completion transition. A transition that lacks an event is called a completion tran-
sition. It is triggered by the completion of activity in its source state. If the source
state is a simple state, it is complete when the entry activity and do activity in the
state have finished. If it is a composite state, it is complete when each of its regions
have reached their final states. Although completion is called a completion event,
it does not go into the event pool but is processed immediately as part of the run-
to-completion step whenever it applies.
See also complex transition, fork, join, for transitions with multiple source or
target states.
Notation
A transition is shown as a solid arrow from one state (the source state) to another
state (the target state), labeled by a transition string. Figure 14-284 shows a transi-
tion between two states and one split into segments.
A transition has a text label of the form:
⎣name :⎦opt event-nameopt ⎣( parameter-list )⎦opt ⎣[ guard-condition ]⎦opt
⎣/ effect-list⎦opt
The name may be used to reference the transition in expressions, particularly for
forming timing marks. It is followed by a colon.

Dictionary of Terms transition •661
The event-name names an event and is followed by its parameters. The parame-
ter list may be omitted if there are no parameters. The event name and parameter
list are omitted for a completion transition. The parameter-list has the format:
⎣name : type⎦list,
The guard-condition is a Boolean expression written in terms of parameters of
the triggering event and attributes and links of the object described by the state
machine. The guard condition may also involve tests of the status of concurrent
Figure 14-283. Tree of guard conditions
Figure 14-284. Transitions
[balance < 0 ]
[balance = 0 ]
[balance < 1000 ]
withdraw (amount)
[else]
[else]
[else]
junction
trigger guard condition
source state
target states
SelectMode SelectMode
double-click [self.selection exists] / launch (self.selection)
[nothing selected]
[something selected]
SelectMode
click (point) / select (point)
choice pseudostate
branch condition
trigger effect
trigger guard condition effect
source state
target state
branch condition
target state
target state
662 •transition phase Dictionary of Terms
states of the current machine or explicitly designated states of some reachable
object—[in State1] and [not in State2] are examples. State names may be fully
qualified by the nested states that contain them, yielding pathnames of the form
State1::State2::State3. This may be used if the same state name occurs in different
composite state regions of the overall machine.
The effect-list is a procedural expression that is executed if and when the transi-
tion fires. It may be written in terms of operations, attributes, and links of the
owning object and the parameters of the triggering event. Actions may include
call, send, and other kinds of actions. The effect-list may contain more than one
action. The syntax of the expression is implementation dependent.
Internal transition. An internal transition is shown as a transition string inside a
state symbol.
Branches. A transition may include a segment with a trigger event followed by a
tree of junctions, drawn as small circles. This is equivalent to a set of individual
transitions, one for each path through the tree, whose guard condition is the “and”
of all the conditions along the path. Only the final segment of any path may have
an action.
Choices. A transition may include a segment with a trigger event followed by a tree
of choices, drawn as small diamonds. Any segment may have an action. The guard
conditions on the segments following the choice are evaluated after any preceding
effects have been executed.
Complex transitions. See complex transition for notation for transitions with mul-
tiple source or target states.
Protocol transition. See protocol state machine for notation.
Discussion
A transition represents an atomic change from one state to another, possibly ac-
companied by an atomic action. A transition is noninterruptible. The actions on a
transition should be short, usually trivial, computations, such as assignment state-
ments and simple arithmetic calculations.
transition phase
The fourth phase of a software development process, during which the imple-
mented system is configured for execution in a real-world context. During this
phase, the deployment view is completed, together with any of the remaining
views that were not completed in previous phases.
See development process.
Dictionary of Terms trigger •663
transmission s370-372
The transfer of control and information among objects by messages.
Semantics
A message is created as the result of a call action or send action. A message has a
type (an operation or a signal) and a list of argument values. Each message is di-
rected at a particular object. The encoding of a message and the manner of its
transmission to the target object are not relevant to the UML semantics and are
not visible to objects or their behaviors. The UML execution model covers a wide
range of implementation possibilities, including synchronous execution within a
single processor, synchronous transmission, and asynchronous transmission. In
the basic UML execution model, the transmission time and sequencing relative to
other messages is unknowable. Profiles aimed at particular execution environ-
ments can add this kind of information, if desired.
Asynchronous messages (from signal send actions or asynchronous calls) do not
require any information about the sender. Their transmission and subsequent re-
ception is concurrent with the ongoing execution of the object that created the
message. Synchronous messages (from synchronous calls) cause the blocking of
execution of the caller. They include sufficient information to identify the calling
execution and to permit it to be awakened in the future and provided with return
values. The encoding of this return information is explicitly opaque in the UML
model; no object or action can access it, except in the act of returning control and
values to the caller. This permits a wide range of implementations without biasing
the form of the implementation technology. Again, profiles intended for various
implementation environments may choose to specify the form of this information
and make it available to user actions.
trigger s400-401 s498
The specification of an event whose occurrence causes the execution of behavior,
such as making a transition eligible to fire. The word may be used as a noun (for
the event itself) or as a verb (for the occurrence of the event). It is used to describe
the association of the event with the transition.
See also completion transition, transition.
Semantics
Each transition (except a completion transition that fires on the completion of in-
ternal activity) has a reference to an event as part of its structure. If the event oc-
curs when an object is in a state containing an outgoing transition whose trigger is
the event or an ancestor of the event, then the guard condition on the transition is
tested. If the condition is satisfied, then the transition is enabled to fire. If the
664 •triggerless transition Dictionary of Terms
guard condition is absent, then it is deemed to be satisfied. If more than one tran-
sition is eligible to fire, only one will actually fire. The choice may be nondeter-
ministic. (If the object has more than one concurrent state, one transition from
each state may fire. But at most one transition from each state may fire.)
Note that the guard condition is tested once, at the moment when the triggering
event occurs (including an implicit completion event). If no transition is enabled
to fire by the occurrence of an event, the event is simply ignored. This is not an
error.
The parameters of the trigger event are available for use in a guard condition or
an effect attached to the transition or to an entry activity on the target state.
Throughout the execution of a run-to-completion step after a transition, the
trigger event remains available to the actions of the substeps of the transition as the
current event. The exact type of this event may be unknown in an entry action or
in a later segment in a multiple-segment transition. Therefore, the type of event
may be discriminated in an action using a polymorphic operation or a case state-
ment. Once the exact event type is known, its parameters can be used.
The trigger event may be the reception of a signal, the reception of a call, a
change event, or a time event. The completion of activity is a pseudotrigger.
Notation
The name and signature of the trigger event are part of the label on a transition.
See transition.
triggerless transition
A transition without an explicit event trigger. A triggerless transition that departs a
normal state represents a completion transition, that is, a transition that is trig-
gered by the completion of activity in the state rather than by an explicit event.
When it leaves a pseudostate, it represents a transition segment that is automati-
cally traversed when the preceding segment has completed its action. Triggerless
transitions are used to connect initial states and history states to their target states.
tuple
An ordered list of values. Generally, the term implies that there is a set of such lists
of similar form. (This is a standard mathematical term.)
type s43-44
A declaration of a classifier that constrains the value of an attribute, parameter, re-
sult of an operation, or variable. The actual value must be an instance of the type
or one of its descendants.
Dictionary of Terms union •665
type (stereotype of Class)
A specification of the general structure and behavior of a domain of objects with-
out providing a physical implementation.
See class, implementation class, type.
Discussion
Much ink has been spilled over the distinction between type and class, mostly to
justify intuitive feelings about the use of the words or programming language dis-
tinctions without a sound mathematical basis or practical need.
type expression s17 s79
An expression that evaluates to a reference to one or more data types. For example,
an attribute type declaration in a typical programming language is a type expres-
sion. The syntax of type expressions is unspecified in UML.
Example
In C++ the following are type expressions:
Person*
Order[24]
Boolean (*) (String, int)
uninterpreted
A placeholder for a type or types whose implementation is not specified by the
UML. Every uninterpreted value has a corresponding string representation. In any
physical implementation, such as a model editor, the implementation would have
to be complete, so there would be no uninterpreted values.
union s90-92
A declaration that a property is defined as the union of a number of explicitly
specified other properties.
See also subsets.
Semantics
Sometimes the same property (an association end or attribute) can be modeled at
more than one level of granularity, where a general level covers several cases and a
more specific level expands each of those cases into several more specific cases. If
the high-level description is simply the union of a set of specific cases, it is called a
derived union. The high-level description provides a way to make statements about

666 •uniqueness Dictionary of Terms
all the specific cases, but every instance of the union must be an instance of one of
the specific cases.
The high-level property is labeled with the union property. Each of its specific
cases must be labeled as subsets of the high-level property. The union property is
therefore defined an the union of all the properties that explicitly subset it.
Notation
A property that is a derived union is labeled by the string {union}. If the property is
an association end, the label is placed near the end of the association line. If the
property is an attribute, the label is placed after the attribute string.
See Figure 14-267 for an example.
uniqueness s41
An indicator of whether the values in a collection of multiplicity greater than one
may contain duplicate values. A collection whose elements are not unique is a bag
or a list.
Semantics
Uniqueness is part of the multiplicity specification. It is a Boolean flag stating
whether the values of a collection must be unique. If they are unique, the collec-
tion is a set. If they are not unique, the collection is a bag. The default is unique
(the collection is a set).
Notation
A multiplicity indicator may contain the following keywords:
set The values must be unique. This is the default and the
keyword may be (and usually is) omitted.
bag The values need not be unique. Duplicates are permitted.
Uniqueness and ordering may be combined in the following ways:
unique not unique
unordered set (default) bag
ordered ordered (set) sequence or seq or list
Dictionary of Terms usage •667
unlimited natural s540-541
A cardinality specification that may be a nonnegative integer or the specification
“many” indicating no upper bound (but still finite). Used in the specification of
multiplicity.
unspecified value
A value that has not yet been specified by the modeler.
Discussion
An unspecified value is not a value at all in the proper sense and cannot appear
within a complete model except for properties whose value is unnecessary or irrel-
evant. For example, multiplicity cannot be unknown; it must have some value. A
lack of any knowledge is tantamount to a multiplicity of many. The semantics of
UML therefore do not allow or deal with the absence of values or unspecified
values.
There is another sense in which “unspecified” is a useful part of an unfinished
model. It has the meaning: “I have not yet thought about this value, and I have
made a note of it so that I will remember to give it a value later.” It is an explicit
statement that the model is incomplete. This is a useful capability and one that
tools may support. By its very nature, such a value cannot appear in a finished
model, and it makes no sense to define its semantics. A tool can automatically sup-
ply a default value for an unspecified value when a value is needed—for example,
during code generation—but this is simply a convenience and not part of the se-
mantics. Unspecified values are outside the semantics of UML.
Similarly, there is no semantic meaning to a default value for a property. A prop-
erty in the model simply has a value. A tool may automatically supply values for
properties of newly created elements. But again, this is just an operational conve-
nience within the tool, not part of UML semantics. Semantically complete UML
models do not have default or unspecified values; they simply have values.
usage s106 s111-112
A dependency in which one element (the client) requires the presence of another
element (the supplier) for its correct functioning or implementation—generally,
for implementation reasons.
See also collaboration, dependency, transient link.
668 •use Dictionary of Terms
Semantics
A usage dependency is a situation in which one element requires the presence of
another element for its correct implementation or functioning. All the elements
must exist at the same level of meaning—that is, they do not involve a shift in the
level of abstraction or realization (such as a mapping between an analysis-level
class and an implementation-level class). Frequently, a usage dependency involves
implementation-level elements, such as a C++ include file, for which it implies
compiler consequences. A usage may be stereotyped further to indicate the exact
nature of the dependency, such as calling an operation of another class or instanti-
ating an object of another class.
Notation
A usage is indicated by a dashed arrow (dependency) with the keyword «use». The
arrowhead is on the supplier (independent) element, and the tail is on the client
(dependent) element.
Discussion
A usage usually corresponds to a transient link—that is, a connection between in-
stances of classes that is not meaningful or present all the time, but only in some
context, such as the execution of a subroutine procedure. The dependency con-
struct does not model the full information in this situation, only the fact of its
existence. The collaboration construct provides the capability to model such rela-
tionships in full detail.
use s112
Keyword for the usage dependency in the notation.
use case s511-527
The specification of sequences of actions, including variant sequences and error
sequences, that a system, subsystem, or class can perform by interacting with out-
side objects to provide a service of value.
See also actor, classifier, subject.
Semantics
A use case is a coherent unit of functionality provided by a classifier (a system,
subsystem, or class) as manifested by sequences of messages exchanged among the
system and one or more outside users (represented as actors), together with ac-
tions performed by the system.
Dictionary of Terms use case •669
The purpose of a use case is to define a piece of behavior of a classifier (includ-
ing a subsystem or the entire system), without revealing the internal structure of
the classifier. The classifier whose behavior is described is called the subject. Each
use case specifies a service the subject provides to its users—that is, a specific way
of using the classifier that is visible from the outside. It describes a complete se-
quence initiated by an object (as modeled by an actor) in terms of the interaction
between users and subject, as well as the responses performed by the subject. The
interaction includes only the communications between the subject and the actors.
The internal behavior or implementation is hidden.
The entire set of use cases of a classifier or system cover its behavior and parti-
tion it into pieces meaningful to users. Each use case represents a meaningful
quantized piece of functionality available to users. Note that user includes humans,
as well as computers and other objects. An actor is an idealization of the purpose
of a user, not a representation of a physical user. One physical user can map to
many actors, and an actor can represent the same aspect of multiple physical users.
See actor.
A use case includes normal mainline behavior in response to a user request, as
well as possible variants of the normal sequence, such as alternate sequences, ex-
ceptional behavior, and error handling. The goal is to describe a piece of coherent
functionality in all its variations, including all the error conditions. The complete
set of use cases for a classifier specifies all the different ways to use the classifier.
Use cases can be grouped into packages for convenience.
A use case is a classifier; it describes potential behavior. An execution of a use
case is a use case instance. The behavior of a use case can be specified in various
ways: by an attached state machine, an activity specification, by an interaction de-
scribing legal sequences, or by pre- and postconditions. It can also be described by
an informal text description. Behavior can be illustrated, but not formally speci-
fied, by a set of scenarios. But at early stages of development, this may be sufficient.
A use case instance is an execution of a use case, initiated by a message from an
instance of an actor. As a response to the message, the use case instance executes a
sequence of actions specified by the use case, such as sending messages to actor in-
stances, not necessarily only to the initiating actor. The actor instances may send
messages to the use case instance, and the interaction continues until the instance
has responded to all input. When it does not expect any more input, it ends.
A use case is a specification of the behavior of a system (or other classifier) as a
whole in its interactions with outside actors. The internal interactions among in-
ternal objects in a system that implements the behavior may be described by a col-
laboration that realizes a use case.
670 •use case Dictionary of Terms
Structure
A use case is usually, but not always, owned by its subject classifier. A use case may
have classifier features and relationships.
Features. A use case is a classifier and therefore has attributes and operations. The
attributes are used to represent the state of the use case—that is, the progress of ex-
ecuting it. An operation represents a piece of work the use case can perform. A use
case operation is not directly callable from the outside, but may be used to de-
scribe the effect of the use case on the system. The execution of an operation may
be associated with the receipt of a message from an actor. The operations act on
the attributes of the use case and indirectly on the subject classifier to which the
use case is attached.
Associations to actors. An association between an actor and a use case indicates
that the actor instance communicates with the subject instance to effect some re-
sult that is of interest to the actor. Actors model external users of a subject. Thus, if
the subject is a system, its actors are the external users of the system. Actors of
lower-level subsystems may be other classes within the overall system.
The actor end of the association may have a multiplicity that indicates how
many instances of the actor may participate in a single execution of the use case.
The default multiplicity is one.
One actor may communicate with several use cases—that is, the actor may re-
quest several different services of the subject—and one use case may communicate
with one or more actors when providing its service. Note that two use cases that
specify the same subject do not communicate with each other because each of
them individually describes a complete usage of the system. They may interact in-
directly through shared actors.
The use case end of the association may have a multiplicity indicating how
many use case executions an instance of the actor can participate in. Participation
in multiple use cases may be simultaneous or sequential.
The interaction between actors and use cases can be defined with interfaces. An
interface defines the operations an actor or a use case may support or use. Differ-
ent interfaces offered by the same use case need not be disjoint.
Use cases are related to other use cases by generalization, extend, and include rela-
tionships.
Generalization. A generalization relationship relates a specialized use case to the
more general use case. The child inherits the attributes, operations, and behavior
sequences of the parent and may add additional attributes and operations of its
own. The child use case adds incremental behavior to the parent use case by insert-
ing additional action sequences into the parent sequence at arbitrary points. It
may also modify some inherited operations and sequences, but this must be done
with care so that the intent of the parent is preserved. Any include or extend rela-
Dictionary of Terms use case •671
tionships to the child use case also effectively modify the behavior inherited from
the parent use case.
Extend. An extend relationship is a kind of dependency. The client use case adds
incremental behavior to the base use case by inserting additional action sequences
into the base sequence. The client use case contains one or more separate behavior
sequence segments. The extend relationship contains a list of extension point
names from the base use case, equal in number to the number of segments in the
client use case. An extension point represents a location or set of locations in the
base use case at which the extension could be inserted. An extend relationship may
also have a condition on it, which may use attributes from the parent use case.
When an instance of the parent use case reaches a location referenced by an exten-
sion point in an extend relationship, the condition is evaluated; if the condition is
true, the corresponding behavior segment of the child use case is performed. If
there is no condition, it is deemed to be always true. If the extend relationship has
more than one extension point, the condition is evaluated only at the first exten-
sion point prior to execution of the first segment.
An extend relationship does not create a new instantiable use case. Instead, it
implicitly adds behavior to the original base use case. The base use case implicitly
includes the extended behavior. The nonextended original base use case is not
available in its unaltered form. In other words, if you extend a use case, you cannot
explicitly instantiate the base use case without the possibility of extensions. A use
case may have multiple extensions that all apply to the same base use case and can
be inserted into one use case instance if their separate conditions are satisfied. On
the other hand, an extension use case may extend several base use cases (or the
same one at different extension points), each at its own proper extension point (or
list of extension points). If there are several extensions at the same extension point,
their relative execution order is nondeterministic.
Note that the extension use case is not to be instantiated, the base use case must
be instantiated to obtain the combined base-plus-extensions behavior. The exten-
sion use case may or may not be instantiable, but in any case it does not include
the base use case behavior.
Include. An include relationship denotes the inclusion of the behavior sequence of
the supplier use case into the interaction sequence of a client use case, under the
control of the client use case at a location the client specifies in its description. This
is a dependency, not a generalization, because the supplier use case cannot be sub-
stituted in places at which the client use case appears. The client may access the at-
tributes of the base to obtain values and communicate results. The use case
instance is executing the client use case. When it reaches the inclusion point, it be-
gins executing the supplier use case until it is complete. Then it resumes executing
the client use case beyond the inclusion location. The attributes of the supplier use
case do not have values that persist between executions.
672 •use case Dictionary of Terms
A use case may be abstract, which means that it cannot be directly instantiated
in a system execution. It defines a fragment of behavior that is specialized by or in-
cluded in concrete use cases, or it may be an extension of a base use case. It may
also be concrete if it can be instantiated by itself.
Behavior. The behavior sequence of a use case can be described using a state ma-
chine, activity graph, interaction, or text code in some executable language. The
actions of the state machine or the statements of the code may call on the internal
operations of the use case to specify the effects of execution. The actions may also
indicate sending messages to actors.
A use case may be described informally using scenarios or plain text, but such
descriptions are imprecise and meant for human interpretation only.
The actions of a use case may be specified in terms of calls to operations of the
classifier that the use case describes. One operation may be called by more than
one use case.
Realization. The realization of a use case may be specified by a set of collabora-
tions. A collaboration describes the implementation of the use case by objects in
the classifier the use case describes. Each collaboration describes the context
among the constituents of the system within which one or more interaction se-
quences occur. Collaborations and their interactions define how objects within the
system interact to achieve the specified external behavior of the use case.
A system can be specified with use cases at various levels of abstraction. A use
case specifying a system, for example, may be refined into a set of subordinate use
cases, each specifying a service of a subsystem. The functionality specified by the
superordinate (higher-level) use case is completely traceable to the functionality of
the subordinate (lower-level) use cases. A superordinate use case and a set of sub-
ordinate use cases specify the same behavior at two levels of abstraction. The sub-
ordinate use cases cooperate to provide the behavior of the superordinate use case.
The cooperation of the subordinate use cases is specified by collaborations of the
superordinate use case and may be presented in collaboration diagrams. The ac-
tors of a superordinate use case appear as actors of the subordinate use cases.
Moreover, the subordinate use cases are actors of each other. This layered realiza-
tion results in a nested set of use cases and collaborations that implement the en-
tire system.
Notation
A use case is shown as an ellipse with the name of the use case inside or below the
ellipse. If attributes or operations of the use case must be shown, the use case can
be drawn as a classifier rectangle with the keyword «use case». Figure 14-285
shows a use case diagram. The subject is represented by a rectangle containing the
use cases. The actors are placed outside the rectangle to show that they are exter-
nal. Lines connect actors to the use cases they participate in.

Dictionary of Terms use case •673
An extension point is a named entity within a use case that describes locations
at which action sequences from other use cases may be inserted. It provides a level
of indirection between the extensions and the behavior sequence text. An exten-
sion point references a location or set of locations within the behavior sequence of
the use case. The reference can be changed independently of extend relationships
that use the extension point. Each extension point must have a unique name
within a use case. Extension points may be listed in a compartment of the use case
with the heading extension points (Figure 14-286).
A relationship between a use case and an actor is shown using an association
symbol—a solid path between the use case and the actor symbols. Generally, no
name or role names are placed on the line, as the actor and the use case define the
relationship uniquely.
A generalization relationship is shown by a generalization arrow—a solid path
from the child use case to the parent use case, with a closed triangular arrowhead
on the parent use case.
An extend relationship or an include relationship is shown by a dependency ar-
row with the keyword «extend» or «include»—a dashed line with a stick arrow-
head on the client use case. An extend relationship also has a comment box
containing a condition (on which the extension is executed) and an extension
point or list of extension point names. The comment box is may be suppressed in
the diagram.
Figure 14-285. Use cases, subject, and actors
Customer
Supervisor
Salesperson
place
order
establish
credit
check
status
Telephone Catalog
fill orders
Shipping Clerk
actor
subject
use case
actor-use case
communication

674 •use case diagram Dictionary of Terms
Figure 14-286 shows various kinds of use case relationships.
Behavior specification. The relationship between a use case and its external inter-
action sequences is usually represented by a hyperlink to sequence diagrams. The
hyperlink is invisible but it can be traversed in an editor. The behavior may also be
specified by a state machine or by programming language text attached to the use
case. Natural language text may be used as an informal specification.
See extend for a sample of some behavior sequences.
The relationship between a use case and its implementation may be shown as a
realization relationship from a use case to a collaboration. But because these are
often in separate models, it is usually represented as an invisible hyperlink. The ex-
pectation is that a tool will support the ability to “zoom into” a use case to see its
scenarios and/or implementation as a collaboration.
use case diagram s523-524
A diagram that shows the relationships among actors and use cases within a
system.
See actor, use case.
Figure 14-286. Use case relationships
Place Order
more requests
Order
Product
Supply
Customer
Data
Arrange
Payment
«include»«include»«include»
Request
Catalog
«extend»
extension points
Cash
Payment
Credit
Payment
These insertions
are explicit
in Place Order.
Request Catalog
knows where it goes
in Place Order, but Place Order
These use cases
are varieties of
Arrange Payment.
doesn’t know about it.
Place Order has
one extension point
for insertions.
generalization
condition: {user requests catalog}
extension point: more requests

Dictionary of Terms use case generalization •675
Notation
A use case diagram is a graph of actors, a set of use cases enclosed by a subject
boundary (a rectangle), associations between the actors and the use cases, relation-
ships among the use cases, and generalization among the actors. Use case diagrams
show elements from the use case model (use cases, actors).
use case generalization s519-520
A taxonomic relationship between a use case (the child) and the use case (the par-
ent) that describes the characteristics the child shares with other use cases that
have the same parent. This is generalization as applicable to use cases.
Semantics
A parent use case may be specialized into one or more child use cases that repre-
sent more specific forms of the parent (Figure 14-287). A child inherits all the at-
tributes, operations, and relationships of its parent, because a use case is a
classifier. The implementation of an inherited operation may be overridden by a
collaboration that realizes a child use case.
The child inherits the behavior sequence of the parent and may insert additional
behavior into it (Figure 14-288). The parent and the child are potentially instantia-
ble (if they are not abstract), and different specializations of the same parent are
independent, unlike an extend relationship, in which multiple extends all implic-
itly modify the same base use case. Behavior may be added to the child use case by
adding steps into the behavior sequence inherited from the parent, as well as by
declaring extend and include relationships to the child. If the parent is abstract, its
behavior sequence may have sections that are explicitly incomplete in the parent
and must be provided by the child. The child may modify steps inherited from the
parent, but as with the overriding of methods, this capability must be used with
care because the intent of the parent must be preserved.
Figure 14-287. Use case generalization
Verify identity
Retinal scan
Check password

676 •use case instance Dictionary of Terms
The generalization relationship connects a child use case to a parent use case. A
child use case may access and modify attributes defined by the parent use case.
Substitutability for use cases means that the behavior sequence of a child use
case must include the behavior sequence of its parent. The steps in the parent’s se-
quence need not be contiguous, however; the child can interleave additional steps
among the steps of the behavior sequence inherited from the parent.
The use of multiple inheritance with use cases requires an explicit specification
of how the behavior sequences of the parents are interleaved to make the sequence
for the child.
Use case generalization may use procedure to share the implementation of a
base use case without full substitutability, but this capability should be used spar-
ingly.
Notation
The normal generalization symbol is used—a solid line from the child to the par-
ent with a hollow triangular arrowhead on the line touching the parent symbol.
Example
Figure 14-287 shows abstract use case Verify identity and its specialization as two
concrete use cases, whose behavior is shown in Figure 14-288.
use case instance s520
The execution of a sequence of actions specified in a use case. An instance of a use
case. See use case.
Figure 14-288. Behavior sequences for parent and child use cases
Use case behavior for parent Verify Identity:
The parent is abstract, there is no behavior sequence.
A concrete descendant must supply the behavior as shown below.
Use case behavior for child Check Password:
Obtain password from master database
Ask user for password
User supplies password
Check password against user entry
Use case behavior for child Retinal Scan
Obtain retinal signature from master database
Scan user’s retina and obtain signature
Compare master signature against scanned signature
Dictionary of Terms value specification •677
use case model
A model that describes the functional requirements of a system or other classifier
in terms of use cases.
See actor, use case.
Semantics
The use case model represents functionality of a system or other classifier as mani-
fested to external interactors with the system. A use case model is shown on a use
case diagram.
use case view
That aspect of the system concerned with specifying behavior in terms of use cases.
A use case model is a model focused on this view. The use case view is part of the
set of modeling concepts loosely grouped together as the dynamic view.
utility (stereotype of Class)
A stereotyped class that has no instances. It describes a named collection of non-
member attributes and operations, all of which are class scope.
Discussion
More of a programming technique than a modeling concept.
value
See data value.
value specification s52-53
The specification of a value in a model.
Semantics
A value specification is not a value, but the model of a value. Unlike an actual
value, which must be concrete and specific, a value specification can be more or
less precise. It may specify a specific value, but it may also specify a range of values
or even values of different types.
Value specifications take various forms in UML, including text expressions.
678 •variable Dictionary of Terms
variable s178 s363-364
A location that may hold and change values during the execution of a behavior.
Variables may appear in activities and other procedural specifications.
vertex s505
A source or a target for a transition in a state machine. A vertex can be either a
state or a pseudostate.
view
A projection of a model, which is seen from one perspective or vantage point and
omits entities that are not relevant to this perspective. The word is not used here to
denote a presentation element. Instead, it includes projections in both the seman-
tic model and the visual notation.
viewpoint
A perspective from which a view is seen.
Discussion
UML incorporates a number of viewpoints, including real-world modeling, appli-
cation analysis, high-level design, implementation modeling, and visual program-
ming of existing languages. (The last is an unfortunate use of UML by many users
who do not appreciate the power of abstraction and modeling.) The multiple
viewpoints sometimes cause confusion because the same concepts may be used in
different ways to accomplish different purposes. It is unfortunate that UML itself
does not contain good ways to declare the viewpoint that a model expresses, but
modelers should take care to separate different viewpoints into different models
and to label each model with the viewpoint that it expresses.
visibility s39
An enumeration whose value (public, protected, private, or package) denotes
whether the model element to which it refers may be seen outside its enclosing
namespace.
See also import for a discussion of visibility rules applied to interpackage refer-
ences.
Dictionary of Terms visibility •679
Semantics
Visibility declares the ability of a modeling element to reference an element that is
in a different namespace from the referencing element. Visibility is part of the rela-
tionship between an element and the container that holds it. The container may be
a package, class, or some other namespace. There are three predefined visibilities.
public Any element that can see the container can also see the
indicated element.
protected Only an element within the container or a descendant of
the container can see the indicated element. Other ele-
ments may not reference it or otherwise use it.
private Only an element within the container can see the ele-
ment. Other elements, including elements in descendants
of the container, may not reference it or otherwise use it.
package This applies to elements that cannot exist freely within
packages, such as features of classifiers. Only an element
declared in the same package can see the element.
Additional kinds of visibility might be defined for some programming languages,
such as C++ implementation visibility. (Actually, all forms of nonpublic visibility
are language-dependent.) The use of additional choices must be by convention be-
tween the user and any modeling tools and code generators.
Notation
Visibility can be shown by a property keyword or by a punctuation mark placed in
front of the name of a model element.
public +
protected #
private –
package ~
The visibility marker may be suppressed. The absence of a visibility marker indi-
cates that the visibility is not shown, not that it is undefined or public. A tool
should assign visibilities to new elements even if the visibility is not shown. The
visibility marker is shorthand for a visibility property specification string.
Visibility may also be specified by keywords (public, protected, private). This
form is often used as an inline list element that applies to an entire block of at-
tributes or other list elements.
Any language-specific or user-defined visibility choices must be specified by a
property string or by a tool-specific convention.
680 •weak Dictionary of Terms
Classes. In a class, the visibility marker is placed on list elements, such as attributes
and operations. It shows whether another class can access the elements.
Associations. In an association, the visibility marker is placed on the rolename of
the target class (the end that would be accessed using the visibility setting). It
shows whether the class at the far end can traverse the association toward the end
with the visibility marker.
Packages. In a package, the visibility marker is placed on elements contained di-
rectly within the package, such as classes, associations, and nested packages. It
shows whether another package that accesses or imports the first package can see
the elements.
weak s410-411
The keyword indicating a weak sequencing combined fragment in an interaction
diagram.
See weak sequencing.
weak sequencing s410-411
An operator in a combined fragment of an interaction that indicates weak se-
quencing of the subfragments. See also strict sequencing.
Semantics
This operator indicates that occurrence specifications on the same lifeline in dif-
ferent nested operands are ordered, but that occurrence specifications on different
lifelines can be interleaved.
The distinction for strict sequencing is subtle and unlikely to be used by most
modelers. See the UML specification for more details.
weight
The number of tokens consumed from a particular activity edge by the execution
of an activity node.
Semantics
In the basic activity model, one token is consumed from an incoming edge by each
execution of an activity node. In the advanced model, a weight may be placed on
an edge to allow multiple tokens to be consumed by a single execution.
The weight is a positive integer attached to an edge that specifies the minimum
number of tokens to be consumed from the edge. It may also have the special value
Dictionary of Terms write action •681
all, which indicates that all available tokens on the edge are to be consumed when-
ever the node begins execution.
Notation
Weight is shown by placing a string on an activity edge with the format:
{ weight = value }
where value is a positive integer or the string all, which indicates that all available
tokens are consumed.
well formed
Designates a model that is correctly constructed, one that satisfies all the pre-
defined and model-specified rules and constraints. Such a model has meaningful
semantics. A model that is not well formed is called ill formed.
XMI s609
An external format for serializing and exchanging models across platforms and
systems. It is the standard interchange format for UML. It is based on the XML
language.
xor s54-56
A constraint applied to a set of associations that share a connection to one class,
specifying that any object of the shared class will have links from only one of the
associations. It is an exclusive-or (not inclusive-or) constraint.
See association.
write action
There is a family of actions that modify the values of various slots, including
attributes, association ends, qualifiers, and variables.
See action.

M
L
U
Part 4: Appendices

685
M
L
U
Appendix A
UML Metamodel
UML Definition Documents
The UML is defined by a set of documents published by the Object Management
Group [UML-04]. These documents may be found on the OMG web site
(www.omg.org). They may be updated from time to time by the OMG. This chap-
ter explains the structure of the UML semantic model described in the documents.
The UML is formally defined using a metamodel—that is, a model of the con-
structs in UML. The metamodel itself is expressed in UML. This is an example of a
metacircular interpreter—that is, a language defined in terms of itself. Things are
not completely circular. Only a small subset of UML is used to define the meta-
model. In principle, this fixed point of the definition could be bootstrapped from a
more basic definition. In practice, going to such lengths is unnecessary.
Each section of the semantic document contains a class diagram showing a por-
tion of the metamodel; a text description of the metamodel classes defined in that
section, with their attributes and relationships; a list of constraints on elements ex-
pressed in natural language and in OCL; and a text description of the dynamic se-
mantics of the UML constructs defined in the section. The dynamic semantics are
therefore informal, but a fully formal description would be both impractical and
unreadable by most.
Notation is described in a separate chapter that references the semantics chapter
and maps symbols to metamodel classes.
Specification Document Structure
The UML is defined in two complementary specifications, the UML 2.0 Infrastruc-
ture and the UML 2.0 Superstructure. The infrastructure is intended to define
foundational concepts that can be used in part or entirely by other specifications,
for example, by the Meta-Object Specification (MOF) and Common Warehouse
Metadata (CWM). It contains only the basic static concepts from UML and is ori-
ented toward data structure description.
686 Part 4 • Appendices
The UML superstructure defines the complete UML as experienced by users.
There is a subset of the superstructure, called the Kernel, that incorporates in the
superstructure document all the relevant parts of the infrastructure. The super-
structure specification is therefore self-contained, and readers usually will not have
to read the infrastructure specification unless they are concerned about configur-
ing other specifications in parallel to UML.
The rest of this chapter describes the organization of the UML superstructure
specification.
Metamodel Structure
The metamodel is divided into two main packages, structure and behavior, with
two supporting packages, auxiliary elements and profiles (Figure A-1).
• The structure package defines the static structure of the UML. Within the
structural package, the classes package is the foundation for everything else
in UML.
• The behavior package defines the dynamic structure of the UML. Within this
package, the common behavior package is not directly usable in models, but it
defines the constructs shared by the other behavior subpackages.
• The auxiliary elements package defines concepts such as data types.
• The profiles package provides the ability to tailor UML
Each package is described by a chapter in the superstructure specification docu-
ment. The views that we described in the overview to this book correspond
roughly to the specification chapters.

Appendix A • UML Metamodel 687
Figure A-1. Package structure of the UML metamodel
Common
Behavior
Use
Cases
Interactions State
Machines
Behavior
Auxiliary
Elements
Classes
Structure
Composite
Structures
Components
Activities
Deployments
Profiles
Actions

689
M
L
U
Appendix B
Notation Summary
This chapter contains a brief visual summary of notation. The major notational
elements are included, but not every variation or option is shown. For full details,
see the dictionary entry for each element.

690 Part 4 • Appendices
Figure B-1. Icons on class, component, deployment, and collaboration diagrams
Cname
attr: Atype
op (par: Type): Rtype
Cname
Cname
Cname
Nname
text
Pname
«kind»
Aname
oname: Class[Role]
name: Class
Tname
p:Type
{ expression }
class
active class
role or part
note
object
association
generalization
realization
dependency
component
node
constraint
template
collaboration
provided
interface
package
template
parameter
iname
required
interface
iname
name: Type port
name1: Type
connector
part
structured classifier

Appendix B • Notation Summary 691
Figure B-2. Class contents
Figure B-3. Association adornments within a class diagram
«stereotypeName»
Cname
+ attrName: Cname = expression
# attrName: Cname
– attrName: Cname [*]
+ opName (p:C1,q:C2): C3
Responsibilities
text description
«constructor»
opName (v:Cname=value)
visibility
stereotype icon
class
class name (italics for abstract)
stereotype name
optional named
compartment
public attribute with initial value
protected attribute
private attribute with multiplicity many
public concrete operation with return type
stereotype on subsequent operations
abstract operation with default value
compartment name
compartment list element
«stereotypeName»
tagName = value tagged value
stereotype application
qname:Cname
0.1 name
{ordered} ∗ oname
Aname
name
direction
∗
1
ACname
class
ordering multiplicity rolename
qualifier
aggregation
association name
composition
association path
association class
(all one element)
class
association

692 Part 4 • Appendices
Figure B-4. Generalization
Figure B-5. Internal structure: parts and connectors
Figure B-6. Internal structure: interfaces, ports, and internal wiring
direct style tree style
parent superclass
child subclass
generalizations
role1: Type1[0..1] role2: Type2 *
1
Sclass
ref3: Type3
external reference
structured classifier
part
connector
Sclass
structured classifier
delegation
connector
part
behavior port
classifier behavior
interface connector
behavior connector
provided
interface
required
interface
part component
delegation
port

Appendix B • Notation Summary 693
Figure B-7. Realization of an interface
Figure B-8. Collaboration definition—alternate notations
Figure B-9. Collaboration use
«call»
«interface»
Iname
Iname
explicit
style
implicit
style
usage
supplier dependency client
provided
interface
required
interface
Iname
realization
role1: Type1 role2: Type2
CollaborationName
Type1 Type2
CollaborationName
role1 role2
collaboration definition collaboration definition
rolerole
class
role
connector
name type role name
object2: Type2object1: Type1
name: CollaborationName
buyer
seller
collaboration use name
role name
participating object
collaboration name
collaboration use
role type

694 Part 4 • Appendices
Figure B-10. Te mplate
Figure B-11. Package notation
FArray
FArray<T→Point,k→3>
T,k:IntegerExpression
«bind» <T→Address,k→24>
AddressList
T has type Classifier by default.
This class has
its own name.
This class has an
anonymous name.
The parameters are used
in the template body.
In this template, the
multiplicity of the array
is fixed by the binding.
template
explicit binding
template parameters
implicit binding
elements: T[k]
template name
+A –B
+C +D
+C
«import»
«access»
YZ
U
–G
+E
+F
X
The package Y adds public contents of package Z to Y’s namespace privately.
The package Z adds public contents of package X to Z’s namespace.
The class G is private and accessible only inside package X.
package with nested subpackage and class

Appendix B • Notation Summary 695
Figure B-12. Icons on use case diagrams
Figure B-13. Use case diagram notation
«include»
«extend»
subject boundary
communication
path
generalization
extend
include
use case
actor
«extend»(ep1)
«include»
ActorA
SystemB
UCBase UCExt
UCVar1 UCVar2
UCIncl
subject boundary
ActorB
abstract parent use case abstract extension use case
extension point
generalization
concrete inclusion use case
actors
extension points
ep1
extend
include
association
subject

696 Part 4 • Appendices
Figure B-14. Icons on state machine diagrams
Sname
Sname
fork or join choice
transition
shallow history state
final state
initial state
orthogonal
state
state
H* deep history state
H
junction
name: submachinename
submachine state
entry point exit point
Sname
nonorthogonal
state
single region
composite state
terminate
substate
orthogonal
region

Appendix B • Notation Summary 697
Figure B-15. State machine notation
StateA StateB
StateC
e1 (p:C) [cond] / action1; action2
entry / action3
exit / action4
e1 / action5
e2
StateD
e3
guard
condition
transition
event
parameters
event name effects
internal transition
exit activity
entry activity
completion transition
fires on completion of activity
final state
initial state substate
orthogonal state
explicit transition
(aborts nested activity)
region
state
do / activity1 do activity
nonorthogonal state

698 Part 4 • Appendices
Figure B-16. Icons on activity diagrams
Figure B-17. Activity groups and icons
Ename
Ename
name
fork or join
branch or merge
send signal action
accept action
flow
activity final node
initial node
activity or action
name: Type object node
accept time action
pin
name: Type
output pin
input pin
exception handler
interruptible activity region
interruptible activity edge
expansion region
expansion node
collection values
name: Type
name: Type
ExType
exception pin

Appendix B • Notation Summary 699
Figure B-18. Activity diagram notation
activity
[choice1]
[choice2]
Cname::Operationname
initial node
join (unbranch)
merge of control
(unfork)
fork of control
action
guard condition
branch
activity final node
action
activity
activity
activity
activity
activity
(control node)
(control node)
(control node)
control flow
output pin
input pin
activity node
data flow

700 Part 4 • Appendices
Figure B-19. Sequence diagram notation
doit(z)
doit(w)
recurse()
ob1:C1
ob2:C2
ob3:C3 ob4:C4
op()
create(x)
alt
callC(x)
[x<0]
[x>0]
sd demo
sequence diagram (interaction)
guard
condition
combined
fragment
lifeline
stop
(destruction)
creation
role
call
execution
specification
diagram name
return
operand
operand
asynchronous message
active object
didit(y)
didit(v)
busy
free
state
busy
free
ref Setup
interaction use
execution
specification
call
return

Appendix B • Notation Summary 701
Figure B-20. Communication diagram notation
Figure B-21. Message notation
Figure B-22. Node and artifact notation
:OrderTaker
: CreditBureau
1: checkCredit(customer)
request(order,customer)
:TicketDB
2: cost=reserve(order)
3: debit(customer,cost)
requestor
tickets
credit
sequence number
message flow
one-way navigability
connector
role
operation
asynchronous message
synchronous call
return message
server:BankServer
client: ATMKiosk
Transaction.jar update
ATM-GUI.jar
«database»
accountDB
«artifact»
«artifact»
Transaction
«manifest»
node instance
artifact instance interface
dependency
communication path
component
implemented by
artifact
artifact stereotype

703
M
L
U
Bibliography
[Birtwistle-75] G.M. Birtwistle, O-J. Dahl, B. Myhrhaug, K. Nygaard. Simula Begin. Petrocelli/
Charter, New York, 1975.
[Blaha-98] Michael Blaha, William Premerlani. Object-Oriented Modeling and Design for Database
Applications. Prentice Hall, Upper Saddle River, N.J., 1998.
[Blaha-05] Michael Blaha, James Rumbaugh. Object-Oriented Modeling and Design with UML, 2nd
edition. Prentice Hall, Upper Saddle River, N.J., 2005.
[Booch-94] Grady Booch. Object-Oriented Analysis and Design with Applications, 2nd ed.
Benjamin/Cummings, Redwood City, Calif., 1994.
[Booch-99] Grady Booch, James Rumbaugh, Ivar Jacobson. The Unified Modeling Language User
Guide. Addison-Wesley, Reading, Mass., 1999.
[Buschmann-96] Frank Buschmann, Regine Meunier, Hans Rohnert, Peter Sommerlad, Michael
Stal. Pattern-Oriented Software Architecture: A System of Patterns. Wiley, Chichester, U.K., 1996.
[Coad-91] Peter Coad, Edward Yourdon. Object-Oriented Analysis, 2nd ed. Yourdon Press,
Englewood Cliffs, N.J., 1991.
[Coleman-94] Derek Coleman, Patrick Arnold, Stephanie Bodoff, Chris Dollin, Helena Gilchrist,
Fiona Hayes, Paul Jeremaes. Object-Oriented Development: The Fusion Method. Prentice Hall,
Englewood Cliffs, N.J., 1994.
[Cox-86] Brad J. Cox. Object-Oriented Programming: An Evolutionary Approach. Addison-Wesley,
Reading, Mass., 1986.
[ECOOP] ECOOP yyyy, European Conference on Object-Oriented Programming: Systems,
Languages, and Applications (where yyy=1987 and following). A series of conferences on
object-oriented technology in Europe. The proceedings are published by Springer Verlag.
[Embley-92] Brian W. Embley, Barry D. Kurtz, Scott N. Woodfield. Object-Oriented Systems
Analysis: A Model-Driven Approach. Yourdon Press, Englewood Cliffs, N.J., 1992.
[Fowler-04] Martin Fowler. UML Distilled, 3rd ed. Addison-Wesley, Boston, 2004.
[Gamma-95] Erich Gamma, Richard Helm, Ralph Johnson, John Vlissides. Design Patterns:
Elements of Reusable Object-Oriented Software. Addison-Wesley, Reading, Mass., 1995.
704 Bibliography
[Goldberg-83] Adele Goldberg, David Robson. Smalltalk-80: The Language and Its Implementation.
Addison-Wesley, Reading, Mass., 1983.
[Harel-98] David Harel, Michal Politi. Modeling Reactive Systems With Statecharts: The
STATEMATE Approach. McGraw-Hill, New York, N.Y., 1998.
[ITU-T Z.100] International Telecommunication Union. Specification and Description Language
(SDL). ITU-T Recommendation Z.100. Geneva, 1999.
[ITU-T Z.120] International Telecommunication Union. Message Sequence Charts. ITU-T
Recommendation Z.120. Geneva, 1999.
[Jacobson-92] Ivar Jacobson, Magnus Christerson, Patrik Jonsson, Gunnar Övergaard. Object-
Oriented Software Engineering: A Use Case Driven Approach. Addison-Wesley, Wokingham,
England, 1992.
[Jacobson-99] Ivar Jacobson, Grady Booch, James Rumbaugh. The Unified Software Development
Process. Addison-Wesley, Reading, Mass., 1999.
[Martin-92] James Martin, James Odell. Object-Oriented Analysis and Design. Prentice Hall,
Englewood Cliffs, N.J., 1992.
[Meyer-88] Bertrand Meyer. Object-Oriented Software Construction. Prentice Hall, New York, N.Y.,
1988.
[OOPSLA] OOPSLA yyyy, Conference on Object-Oriented Programming: Systems, Languages, and
Applications (where yyy=1986 and following). A series of ACM conferences on object-oriented
technology. The proceedings are published as special issues of ACM Sigplan Notices.
[Rumbaugh-91] James Rumbaugh, Michael Blaha, William Premerlani, Frederick Eddy, William
Lorensen. Object-Oriented Modeling and Design. Prentice Hall, Englewood Cliffs, N.J., 1991.
[Rumbaugh-96] James Rumbaugh. OMT Insights: Perspectives on Modeling from the Journal of
Object-Oriented Technology. SIGS Books, New York, N.Y., 1996.
[Rumbaugh-99] James Rumbaugh, Ivar Jacobson, Grady Booch. The Unified Modeling Language
Reference Manual. Addison-Wesley, Reading, Mass., 1999. First edition of this book.
[Selic-94] Bran Selic, Garth Gullekson, Paul T. Ward. Real-Time Object-Oriented Modeling. Wiley,
New York, N.Y., 1994.
[Shlaer-88] Sally Shlaer, Stephen J. Mellor. Object-Oriented Systems Analysis: Modeling the World in
Data. Yourdon Press, Englewood Cliffs, N.J., 1988.
[Shlaer-92] Sally Shlaer, Stephen J. Mellor. Object Lifecycles: Modeling the World in States. Yourdon
Press, Englewood Cliffs, N.J., 1992.
[UML-98] Unified Modeling Language Specification, Version 1.1. Object Management Group,
Framingham, Mass., 1998. Internet: www.omg.org.
[UML-04] Unified Modeling Language Specification, Version 2.0. Object Management Group,
Framingham, Mass., 2004. Internet: www.omg.org.
[UMLConf] The x International Conference on the Unified Modeling Language, UML yyyy (where
x=an ordinal and yyyy=1998 and following). A series of conferences reporting research on
UML. The proceedings are published by Springer-Verlag.
Bibliography 705
[Ward-85] Paul Ward, Stephen J. Mellor. Structured Development for Real-Time Systems:
Introduction and Tools. Yourdon Press, Englewood Cliffs, N.J., 1985.
[Warmer-99] Jos B. Warmer, Anneke G. Kleppe. The Object Constraint Language: Precise Modeling
with UML. Addison-Wesley, Reading, Mass., 1999.
[Wirfs-Brock-90] Rebecca Wirfs-Brock, Brian Wilkerson, Lauren Wiener. Designing Object-
Oriented Software. Prentice Hall, Englewood Cliffs, N.J., 1990.
[Yourdon-79] Edward Yourdon, Larry L. Constantine. Structured Design: Fundamentals of a
Discipline of Computer Program and Systems Design. Yourdon Press, Englewood Cliffs, N.J.,
1979.

707
M
L
U
Index
A
absolute time 651
abstract 129
class 133
notation 221
operation 133
superclasses rule 131
abstraction 134
accept
action 135
call action 137
event action 138
access 694
action 87, 136
expression 144
implicit 85
language 144
sequence 144
table of 98
activation 104, 105, 145, 343
active 145
class 146
object 39, 148
state configuration 145, 149, 608
activity 36, 87, 96, 149
diagram 36, 96, 96, 97, 157, 698, 698,
699
do 327
edge 157
entry 332
expression 158
final
node 36, 158
node 159
partition 160
view 37, 95, 162
actor 34, 77–78, 162
actual parameter, see argument
aggregate 163
aggregation 56, 164
composition 264
shared 589
Main entries are in boldface; secondary entries are in roman type; references to figures are in italics.
708 Index
allocation
of memory 319
responsibility for 264
alt 168
alternative 168
analysis 168
time 169
ancestor 169
any trigger 169
apply 169
function action 138, 170
architecture 170
argument 170
Arnold, Patrick 703
artifact 41, 109, 110, 171, 701
assembly connector 172
assert 172
assertion 173, 423, 528, 531
assignment 142
association 53, 54, 55, 174, 691
class 54, 179
to class in state 218
end 183
generalization 184
n-ary 470
navigation efficiency 478
qualified 549
asynchronous
action 186
control 587
event 605
atomic 186
attribute 50, 186
as composite part 265, 267
auxiliary
stereotype 189
B
background information 189
bag 190
base use case 352, 388
become 190
behavior 190
sequence 672
specification 674
behavior port 524
behavioral
feature 192
state machine 192
view 193
bidirectionality 56
binary association 193
bind 194
binding 64, 194, 694
birth event 581
Birtwistle, G.M. 703
Blaha, Michael 5, 703–704
Bodoff, Stephanie 703
Booch, Grady 5–6, 703–704
Booch Method 5, 10
books, object-oriented 5
Boolean 196
expression 196
bound element 196
branch 199, 427, 431, 661
statechart notation 659
break 202
broadcast 203
event action 138
buffer 204
buildComponent
stereotype 204
Buschmann, Frank 703
business organization as swimlane 160
Index 709
C
C++ 5, 187–189, 265, 286, 298, 304, 309,
351, 415, 459, 498, 500, 522, 581,
622, 665, 668, 679
data type syntax 434
call 204, 344
action 139
event 84, 208, 336
stereotype 208
trigger 208
as two signals 592
canonical notation 123, 210
cardinality 210
central buffer node 210
change
event 84, 211, 336
trigger 211
changeability 213
Chen, Peter 8
child 213
choice 214
Christerson, Magnus 704
class 50, 50, 215, 691
attribute 216
diagram 28, 217, 690
feature 217
in state 156, 217
name 220, 220
operation 221
supported by component 255
classification
action 139, 222
single and multiple 60
static and dynamic 60
classifier 48, 222
role 227
structured 623
table of 48
client 227
clock 650
CLOS 5, 367, 522
Coad, Peter 5, 703
Cobol 4
code 382
in component 255
generation 124
Coleman, Derek 5, 703
collaboration 31, 71, 227
definition 72
diagram 30, 31, 232
and sequence diagram 107
occurrence 232
realization of use case 79
role 232
use 73, 232
combined fragment 38, 235
comment 238
communication 239
diagram 39, 39, 106, 107, 241, 701
path 244
compartment 244
additional 225
named 442, 574
suppressing 224
compile time 245
complete 245
constraint 374
completion transition 87, 245
complex
port 246
transition 248
execution semantics 610
component 33, 73, 74, 110, 253, 701
diagram 31, 32, 33, 258
internal structure 75
710 Index
composite
aggregation 259
class 259
key 550
object 259
state 89, 261
history state in 378
structure 264
diagram 264
composition 56, 264
compound transition 271
concrete 271
concurrency 272
concurrent substates 248
kind 272
property 496, 499
rules on transitions 145
concurrent
keyword 496
substate 261, 273
execution semantics 610
independent of others 608
thread message syntax 455
conditional 105, 274
fragment 274
node 275
thread 456
transition 277
configuration control 507
conflict 278, 391
connectable element 279
connection point 280
connector 70, 281
consider 284
Constantine, Larry 4, 705
constraint 65, 65, 285
language 65, 286, 351, 490
construction phase 288
constructor 288, 298
for composite 265
container 288
context 289, 550
continuation 289
control
flow 291
node 292
copy 296
coregion 296
Cox, Brad 5, 703
CRC 5
create
action 139, 297
stereotype 297
creation 104, 105, 297, 396, 404
event 393, 581
critical 299
region 299
crossing lines notation 516
current event 301, 393, 664
execution semantics 606
D
Dahl, Ole-Johan 5, 703
data
flow 302
store node 303
type 304
value 305
data type 51
decision 305
node 305
default value 21, 307, 510
deferrable event 307
deferred
event 307, 363
operation 522
delegation 309
connector 309
DeMarco, Tom 4
dependency 62, 65, 310
among packages 112
table of 63, 571
Index 711
deployment
diagram 40, 41, 42, 110, 314
phase 314
specification 314
view 13, 40, 109, 314
derivation 64, 314
derive
stereotype 314
derived
element 315
union 316
descendant 317
descriptor 317, 398
full 367
design 318
model 318
pattern 517
time 318
view 13, 29, 69, 319
destroy 319
action 140
stereotype 319
destruction 104, 105, 319
determinacy 320
development
methods
object-oriented 5
traditional 4
process 321
device 322
diagram 323
table of 325
diamond symbol
aggregation 166
branch 201
composition 266
n-ary association 470
direct
class 325
instance 326, 399
substate 326
direction of parameter 510
disjoint
constraint on generalization 374
keyword 326
substate 326
distribution unit 327
do activity 327
document
stereotype 328
Dollin, Chris 703
duration 328
constraint 328
observation action 328
dynamic
classification 60, 122, 329, 483, 580
concurrency 330
view 13, 67, 330
E
ECOOP 703
Eddy, Frederick 5, 704
edge, see activity edge
effect 87, 330
effective model 646
Eiffel 5
elaboration phase 330
elapsed time 651
element 331
list 440
ellipsis in lists 441
else 331
embedded document 621
Embley, Brian 703
Entity-Relationship model 8
entry
action 599
semantics 608
activity 88, 89, 332
point 334
enumeration 335
literal 336
environment 121
712 Index
ER Model 8
event 82, 336
occurrence 338, 492
table of 82
exception 338
handler 341
raise action 140
executable
node 342
stereotype 342
execution 342
environment 343
occurrence 343
semantics 605
specification 103, 104, 105, 343
exit
action 599
semantics 608
activity 88, 89, 345
point 92, 93, 346
expansion region 156, 347
export 350
expression 350
extend 80, 351, 671
condition 354
extensibility mechanisms 43, 115
extension 357
point 358
extent 21, 360
read action 140
external transition 86
F
facade 360
feature 360
file
stereotype 360
filtering of lists 443
final 360
node 360
state 93, 361
tate
semantics 609
fire 362
flag 363
flow 363
final node 364
focus
of control 364
stereotype 364
font usage 365
fork 36, 96, 248, 365
node 366
formal argument, see parameter
Fortran 4
Fowler, Martin 703
framework
stereotype 366
friend 366
full descriptor 367, 391, 399, 483
functional view 367
Fusion 5
G
Gamma, Erich 703
garbage collection 265
gate 103, 104, 367
generalizable element 370
generalization 57, 58, 60, 370, 692
compared to realization 61
set 373
use case 670, 675
generator state machine 613
Gilchrist, Helena 703
Goldberg, Adele 5, 704
graphic marker 376, 619
group
property in list 441
transition 377
Index 713
guard condition 87, 377, 658
guarded (keyword) 496
guillemets 378
Gullekson, Garth 704
H
Harel, David 613–614, 704
hash table 553
Hayes, Fiona 703
Helm, Richard 703
high-level transition, see group
transition
history state 378
execution semantics 611
hyperlink 380
I
identity 304, 380, 397, 482, 533
ignore 381
ill-formed model 122, 381
implementation 382
class stereotype 382
dependency 383
inheritance 383
stereotype 382
view 69
import 113, 383, 694
in parameter 510
inactive 387
inception phase 388
include 80, 388, 671
incomplete 389
constraint 374
model 382
inconsistent model 125
incremental development 390
indeterminacy 390
index value 549
indirect
instance 390, 399
substate 390
information
flow 390
item 391
inheritance 58–59, 391
polymorphic operation 522
initial
node 392
state 93, 393
semantics 609
value 395
evaluation 298
initialization 141, 396
inout (keyword) 510
inout parameter 397
instance 66, 397
direct 325
relationship 399
specification 399
instantiable 403
instantiate 404
stereotype 404
instantiation 404
of model 66
intent 21, 405
interaction 101, 406
diagram 408
fragment 409
occurrence 410
operand 410
overview diagram 410
use 105, 412
view 37, 101, 413
interface 32, 33, 51, 62, 71, 74, 413, 689,
693
provided 62, 547
required 62, 572
specifier 418
interleaving semantics 418
714 Index
internal
activity 419
structure 75, 420, 623
diagram 29, 30, 32
transition 89, 89, 420, 599
semantics 609
internal transition
syntax 662
International Telecommunication
Union 8, 11
interruptible activity
edge 422
region 423
interval 423
invariant 423
invocation 424
isolation flag 425
iteration
expression 425
iterative development 321, 322, 428
ITU 8, 11
J
Jacobson, Ivar 5–6, 703–704
Jeremaes, Paul 703
Johnson, Ralph 703
join 36, 96, 248, 428
node 429
Jonsson, Patrik 704
junction 430
K
keyword 432
in note 481
Kleppe, Anneke 705
Kurtz, Barry 703
L
label 433
language
object-oriented 5
type 434
layer 434
leaf 434
operation 521
library
stereotype 435
lifeline 38, 103, 104, 105, 435
link 56, 438
creation 404
end 440
transient 657
Liskov, Barbara 57, 632
substitutability principle 632
list 440
compartment 244
elements 286
location 443
lookup table 550, 552
loop 105, 445
node 446
Lorensen, William 5, 704
M
manifestation 41, 110, 447, 701
many 448
Martin, James 704
Mealy machine 613
Mellor, Stephen 4–5, 704–705
member 448
memory allocation 319
by composite 264
merge 449
message 38, 39, 103, 107, 450, 701
Message Sequence Chart 8
metaclass 458
metametamodel 459
Index 715
metamodel 121, 459
UML 687
metaobject 459
facility, see MOF
metarelationship 459
method 459
combination 521, 523
Meunier, Regine 703
Meyer, Bertrand 5, 522, 704
model 114, 461
contents 19
definition 15
element 462
inconsistent 122, 125
levels of 17
management
view 14, 42, 111, 463
meaning 21
purpose 15
modeling
overview 15
time 463
tool 124
modelLibrary stereotype 463
module 463
MOF 464
Moore machine 613
MSC 8, 704
multiobject 464
multiple
classification 60, 326, 465, 483, 580
inheritance 59, 60, 370, 465
multiplicity 465
association 468
attribute 469
n-ary association 471
part 469
qualified association 550, 552
N
n-ary association 470
name 473
as qualifier 552
namespace 473, 474
navigability 475
navigable 477
navigation 477
efficiency 477, 553
expression 179, 490–491, 550, 576–
577, 577
using links 438
neg 479
nesting for composition 267
node 41, 109, 110, 479, 701
control 292
nonorthogonal state 481
notation
canonical 123
considerations 122
summary 689
note 481
null 125, 482
Nygaard, Kristen 5, 703
O
object 482
creation 404
diagram 67, 67, 486
flow 152, 156, 486
state 487
lifeline, see lifeline
node 487
playing multiple roles 230
specification 490
Object Constraint Language, see OCL
Object Management Group, see OMG
object-oriented, history of 5
Objective C 5
Objectory 5, 10
716 Index
occurrence 492
specification 493
OCL 65, 286, 351, 490, 567, 685
Odell, James 704
OMG 6, 494, 685, 704
OMT 5, 10
OOPSLA 704
opaque expression 494
operand 494
operation 50, 495
realization by collaboration 241
opt 500
optimization as refinement 567
optional combined fragment 500
ordering 501, 501
of lists 441
orthogonal
composite state 93
region 93, 503
state 503
substate
rules for 249
otherwise, see else
out parameter 503, 510
Övergaard, Gunnar 704
overlapping 374, 504
overriding operations 522
owner scope 504
ownership 504
P
package 43, 111, 112, 114, 504, 694
dependency 112, 311
diagram 43, 508
merge 508
packageable element 508
par 508
parallel combined fragment 508
parameter 510
list 512
set 512
parameterized element, see template
parent 513
part 30, 70, 71, 626
composite 264
participates 514
partition 97, 97, 152–153, 160
passive object 514
path 514
pathname, see qualified name
pattern 73, 73, 517
parameterized collaboration 229
permission 519
persistent object 519
Petri net 520
pin 520
Plato 569
Politi, Michal 704
polymorphic 58, 134, 521
port 30, 32, 33, 71, 523
postcondition 528
powertype 530
precondition 531
Premerlani, William 5, 703–704
presentation element 532
primitive
function 533
type 533
private 534
port 71
visibility 508
procedural
control 587
procedure 534
process 534
stereotype 534
Index 717
profile 14, 43, 115, 118, 534
application 119, 536
definition 118
programming language
considerations 123
projection 537
property 183, 537
string 441, 543
protected 544
protocol
conformance 544
state 544
machine 545
transition 547
provided interface 62, 71, 74, 547
pseudostate 548
public 548
Q
qualified
association 55, 478, 549
name 473, 548
notation 221
qualifier 55, 549
query 497, 555
attribute property 499
query action 140
R
raise exception action 140, 555
Rational Software Corporation 6
read
action 140, 555
extent action 140
Real-Time Structured Design 4
realization 61, 62, 556, 689, 693
compared to generalization 61
stereotype 558
of use case 557, 672
realize 558
receive 558
action, see accept action
event 559
receiver 559
reception 559
of signal 591
reclassification action 139
record
composite 265
type 559
redefinable element 559
redefines 560
redefinition 560
behavior 561
classifier 561
operation 562
property 562
state machine 563
template 565
reference 566
notation for 221
refine
stereotype 566
refinement 64, 566
region 568
reification 569
of association 182
reify 569
relationship 52, 570
table of 52, 571
reply action 140, 570
repository 570
request 570
required interface 62, 71, 74, 572
requirement 572
tracking 656
718 Index
resolution 573
resolve 574
responsibility 572, 574
stereotype 574
return 575
action 140–141
keyword 511
parameter 575
type 497
reuse 575
reverse engineering 124
risk
minimizing 428
Robson, David 5, 704
Rohnert, Hans 703
role 103, 105, 575
rolename 576
ROOM method 8
Rumbaugh, James 5–6, 703–704
run time 578
run to completion 578
current event 301
S
scenario 579
scope 579
script
stereotype 579
sd 580
SDL 8, 11
segment 580
self
language 309
transition 580
execution semantics 609
Selic, Bran 704
semantic
levels 51
variation point 22, 121–123, 580
semantics 580
send 581
action 141
event 584
notation 456
stereotype 584
sender 584
seq 584
sequence
diagram 37, 38, 102, 103, 104, 105, 700
and collaboration diagram 107
number 107, 589
sequencing
weak 680
sequential concurrency 496
service (stereotype) 589
service port 524
shared aggregation 589
Shlaer, Sally 5, 704
side effect 590
signal 83, 590
declaration 83
event 337, 592
notation 456
trigger 593
signature 593
simple
state 593
transition 593
Simula-67 5
single
classification 60, 594
inheritance 594
singleton 594
slot 595
Smalltalk 5, 189, 298, 309, 351, 459, 500,
522
snapshot 66, 482, 595
society of cooperating objects 71
Sommerlad, Peter 703
source
scope 595
state 595
stereotype 595
Index 719
specialization 595
specification 595
stereotype 595
Specification and Description
Language 11
stages of modeling 596
Stal, Michael 703
start owned behavior action 141, 597
state 35, 84, 92, 93, 597
composite 89
invariant 603
machine 81, 92, 93, 604
diagram 35, 614, 696, 697
semantics 605
specifying behavior of class 613
specifying execution order 613
view 35, 81, 614
nonorthogonal 481
simple 593
table of 90
statechart 614
static
classification 60, 122, 614
feature 614
view 12, 28, 47, 67, 616
stereotype 44, 116, 116, 124, 616
icon 226
notation in list 441
stop 620
strict 620
sequencing 621
string 621
value 622
structural
feature 622
view 622
structure
composite 264
diagram 622
structured
class 70, 71
classifier 70, 623
control 105, 105
Structured Analysis 4
Structured Design 4
structured part 626
subclass 627
subfragment 494
subject 34, 78, 627
submachine 93, 600, 627
state 627
subsets 630
subsetting 631
substate 631
substitutability principle 57, 171, 632
substitution 632
subsystem
stereotype 633
subtype 634
summarization 634
superclass 634
supertype 635
supplier 635
swimlane 97, 152, 635
synch
bar 252
state 635
synchronization 248
bar 252
synchronous
action 635
control 587, 592
system 635
systemModel (stereotype) 635
720 Index
T
table
action 98
classifiers 48
dependencies 63, 571
diagram 325
events 82
relationships 52, 571
states 90
transitions 85
use case relationships 79, 356
views and diagrams 26–27
tabular notation 636
tag 117, 117, 636
tagged value 44, 117, 117, 124, 636
target
scope 638
state 638
template 194, 638, 694
instantiated 196
terminate 648
test identity action 142, 649
thread 649
time
action 142, 649
constraint 649
event 84, 337, 650, 651
observation action 652
value 652
timing
mark 654
token 654
tool for modeling 124
trace (dependency) 62, 656
trace (execution) 655
transient
link 438, 657
transition 35, 85, 86, 92, 93, 657, 661
complex 248
concurrency rules 145
firing rules 605
internal 599
phase 662
segment 607, 609
simple 593
table of 85
transmission 663
delay 454
tree notation
aggregation 166
composition 267
for generalization 372
trigger 658, 663
event 86
triggerless transition 664
tuple 664
type 318, 664
expression 187, 665
stereotype 665
U
UML
annual conference 6, 704
assessment 12
complexity 10
concept areas 12
definition 3
environment 121
goals 10
history 4
metamodel 685, 687
notation summary 689
specification xiv, 685
documents 685
standardization 6
version xiv, 6
views 25
table of 26–27
Index 721
unbranch, see merge
unfork, see join
unified, definition of 9
Unified Modeling Language, see UML
uninterpreted 665
union 665
uniqueness 666
unlimited natural 667
unspecified value 125, 667
usage 64
dependency 667
use case 34, 78, 668
creation 405
diagram 34, 78, 674, 695, 695
generalization 675
instance 676
model 677
relationships 80
table of 79, 356
view 34, 77, 677
utility
stereotype 677
V
valid system instance 67
value
specification 677
variable 678
vertex 678
view 678
summary 25
table of 26–27
viewpoint 678
visibility 113, 678
Vlissides, John 703
W
Ward, Paul 4, 704–705
Warmer, Jos 705
weak sequencing 680
weight 680
well formed 67, 122, 126, 249, 381, 617,
640, 681
Wiener, Lauren 5, 705
Wilkerson, Brian 5, 705
Wirfs-Brock, Rebecca 5, 705
Woodfield, Scott 703
work in progress 125
write action 142, 681, 681
X
XMI 681
xor constraint 178, 681
Y
Yourdon, Edward 4–5, 703, 705
Z
zero or more (multiplicity) 466
zero or one (multiplicity) 467