SIMSCRIPT III Reference Manual SIMSCRIPTIII Ref
User Manual:
Open the PDF directly: View PDF
.
Page Count: 250 [warning: Documents this large are best viewed by clicking the View PDF Link!]

Since
SIMSCRIPT III®
Reference Manual
CACI Products Company
ii
SIMSCRIPT III Reference Manual, Version 1, contains parts from the book:
―SIMSCRIPT III‖
by Stephen V. Rice, Ana K. Marjanski, Harry M. Markowitz, and Stephen M. Bailey
Manuscript in progress.
Copyright © 2008 CACI Products Company.
All rights reserved. No part of this publication may be reproduced by any means without written
permission from CACI.
For product information or technical support contact:
CACI Products Company
1455 Frazee Road, Suite 700
San Diego, CA 92108
Phone: (619) 881-5806
Email: simscript@caci.com
The information in this publication is believed to be accurate in all respects. However, CACI cannot
assume the responsibility for any consequences resulting from the use thereof. The information contained
herein is subject to change. Revisions to this publication or new editions of it may be issued to incorporate
such change.
iii
Table of Contents
PREFACE ............................................................................................................. 7
1 Introduction .................................................................................................... 9
2 Language Reference ................................................................................... 11
2.01 MainModule .................................................................................................................. 12
2.02 Subsystem .................................................................................................................... 13
2.03 AccumulateTally ........................................................................................................... 15
2.04 AddSubtract .................................................................................................................. 17
2.05 BeforeAfter ................................................................................................................... 18
2.06 BeginClass ................................................................................................................... 21
2.07 Belongs ........................................................................................................................ 22
2.08 BreakTies ..................................................................................................................... 23
2.09 Call ............................................................................................................................... 24
2.10 Cancel .......................................................................................................................... 27
2.11 Close ............................................................................................................................ 29
2.12 Comma ......................................................................................................................... 30
2.13 Compute ....................................................................................................................... 31
2.14 CreateDestroy .............................................................................................................. 35
2.15 Cycle ............................................................................................................................ 40
2.16 DefineConstant ............................................................................................................. 42
2.17 DefineMethod ............................................................................................................... 43
2.18 DefineRoutine ............................................................................................................... 44
2.19 DefineRoutineArguments ............................................................................................. 46
2.20 DefineSet ...................................................................................................................... 48
2.21 DefineToMean .............................................................................................................. 50
2.22 DefineVariable .............................................................................................................. 51
2.23 Digit .............................................................................................................................. 54
2.24 Enter ............................................................................................................................. 55
2.25 Every ............................................................................................................................ 56
2.26 Expression .................................................................................................................... 59
2.27 External ........................................................................................................................ 62
2.28 File ................................................................................................................................ 64
2.29 Find .............................................................................................................................. 68
2.30 For ................................................................................................................................ 70
2.31 GoTo ............................................................................................................................ 77
2.32 Has ............................................................................................................................... 79
2.33 Histogram ..................................................................................................................... 83
2.34 If.................................................................................................................................... 85
2.35 Implementation ............................................................................................................. 88
2.36 Integer .......................................................................................................................... 90
2.37 InterruptResume........................................................................................................... 91
2.38 Jump ............................................................................................................................. 93
2.39 Label ............................................................................................................................. 94
2.40 Leave ............................................................................................................................ 97
2.41 Let ................................................................................................................................ 99
2.42 Letter .......................................................................................................................... 101
2.43 List .............................................................................................................................. 102
2.44 LogicalComparison..................................................................................................... 104
2.45 LogicalExpression ...................................................................................................... 107
2.46 LogicalPhrase1........................................................................................................... 110
2.47 LogicalPhrase2........................................................................................................... 114
iv
2.48 Loop ........................................................................................................................... 116
2.49 MethodsHeading ........................................................................................................ 124
2.50 Mode .......................................................................................................................... 125
2.51 Move ........................................................................................................................... 126
2.52 Name .......................................................................................................................... 129
2.53 NameUnqualified ........................................................................................................ 131
2.54 Normally ..................................................................................................................... 133
2.55 Number ....................................................................................................................... 135
2.56 Open ........................................................................................................................... 136
2.57 Owns .......................................................................................................................... 139
2.58 PermanentEntities ...................................................................................................... 141
2.59 PreambleStatement ................................................................................................... 142
2.60 Print ............................................................................................................................ 143
2.61 Priority ........................................................................................................................ 146
2.62 Processes ................................................................................................................... 147
2.63 ReadWrite .................................................................................................................. 148
2.64 ReadWriteFormat ....................................................................................................... 154
2.65 Release ...................................................................................................................... 164
2.66 Relinquish ................................................................................................................... 167
2.67 Remove ...................................................................................................................... 168
2.68 Request ...................................................................................................................... 171
2.69 Reserve ...................................................................................................................... 172
2.70 Reset .......................................................................................................................... 177
2.71 Resources .................................................................................................................. 178
2.72 Return ......................................................................................................................... 180
2.73 Routine ....................................................................................................................... 183
2.74 RoutineStatement....................................................................................................... 186
2.75 Schedule .................................................................................................................... 187
2.76 Select ......................................................................................................................... 194
2.77 SignedNumber ........................................................................................................... 197
2.78 Skip ............................................................................................................................ 198
2.79 SpecialSymbol ............................................................................................................ 200
2.80 StartNew ..................................................................................................................... 201
2.81 StartSimulation ........................................................................................................... 203
2.82 Stop ............................................................................................................................ 204
2.83 String .......................................................................................................................... 205
2.84 SubprogramLiteral ...................................................................................................... 206
2.85 Substitute ................................................................................................................... 207
2.86 SuppressResume ....................................................................................................... 208
2.87 Suspend ..................................................................................................................... 209
2.88 TemporaryEntities ...................................................................................................... 210
2.89 TheClass .................................................................................................................... 211
2.90 TheSystem ................................................................................................................. 212
2.91 Trace .......................................................................................................................... 213
2.92 Unit ............................................................................................................................. 214
2.93 Use ............................................................................................................................. 215
2.94 Variable ...................................................................................................................... 216
2.95 Wait ............................................................................................................................ 220
2.96 While .......................................................................................................................... 222
2.97 With ............................................................................................................................ 223
3 Library.m .................................................................................................... 225
3.01 Mode Conversion ....................................................................................................... 226
Numeric Operations ................................................................................................................ 229
3.02 Text Operations .......................................................................................................... 234
3.03 Input/Output ................................................................................................................ 236
v
3.04 Random-Number Generation ..................................................................................... 240
3.05 Simulation ................................................................................................................... 244
3.06 Miscellaneous ............................................................................................................. 249

7
PREFACE
This document contains information on CACI's new SIMSCRIPT III, Modular Object-
Oriented Simulation Language, designed as a superset of the widely used SIMSCRIPT II.5
system for building high-fidelity simulation models.
CACI publishes a series of manuals that describe the SIMSCRIPT III Programming
Language, SIMSCRIPT III Graphics and SIMSCRIPT III SimStudio. All documentation is
available on SIMSCRIPT WEB site http://www.caciasl.com/products/simscript.cfm
• SIMSCRIPT III Reference Manual – this manual is a complete description of the
SIMSCRIPT III programming language constructs in alphabetic order. Graphics
constructs are described in the SIMSCRIPT III Graphics Manual.
• SIMSCRIPT III Programming Manual – A short description of the programming
language and a set of programming examples.
• SIMSCRIPT III User’s Manual – is a detailed description of the SIMSCRIPT III
development environment: usage of SIMSCRIPT III Compiler and the symbolic
debugger from the SIMSCRIPT Development studio - Simstudio, and from the
Command-line interface.
• SIMSCRIPT III Graphics Manual — A detailed description of the GUI dialog
boxes, presentation graphics and animation environment for SIMSCRIPT III
Since SIMSCRIPT III is a superset of SIMSCRIPT II.5, a series of manuals and text books
for SIMSCRIPT II.5 language, Simulation Graphics, Development environment, Data Base
connectivity, Combined Discrete-Continuous Simulation, can be used for additional
information:
• SIMSCRIPT II.5 Simulation Graphics User’s Manual — A detailed description of
the presentation graphics and animation environment for SIMSCRIPT II.5
• SIMSCRIPT II.5 Data Base Connectivity (SDBC) User’s Manual — A description
of the SIMSCRIPT II.5 API for Data Base connectivity using ODBC
• SIMSCRIPT II.5 Operating System Interface — A description of the SIMSCRIPT
II.5 APIs for Operating System Services
• Introduction to Combined Discrete-Continuous Simulation using SIMSCRIPT II.5
— A description of SIMSCRIPT II.5 unique capability to model combined discrete-
continuous simulations.
• SIMSCRIPT II.5 Programming Language — A description of the programming
techniques used in SIMSCRIPT II.5.
8
• SIMSCRIPT II.5 Reference Handbook — A complete description of the
SIMSCRIPT II.5 programming language, without graphics constructs.
• Introduction to Simulation using SIMSCRIPT II.5 — A book: An introduction to
simulation with several simple SIMSCRIPT II.5 examples.
• Building Simulation Models with SIMSCRIPT II.5 —A book: An introduction to
building simulation models with SIMSCRIPT II.5 with examples.
The SIMSCRIPT language and its implementations are proprietary program products of the
CACI Products Company. Distribution, maintenance, and documentation of the SIMSCRIPT
language and compilers are available exclusively from CACI.
Free Trial Offer
SIMSCRIPT III is available on a free trial basis. We provide everything needed for a
complete evaluation on your computer. There is no risk to you.
Training Courses
Training courses in SIMSCRIPT III are scheduled on a recurring basis in the following
locations:
San Diego, California
Washington, D.C.
On-site instruction is available. Contact CACI for details.
For information on free trials or training, please contact the following:
CACI Products Company
1455 Frazee Road, suite 700
San Diego, California 92108
Telephone: (619) 881-5806
www.caciasl.com
9
1 Introduction
The SIMSCRIPT III programming language is a superset of SIMSCRIPT II.5 with
significant new features to support modular, object-oriented simulation programming.
It preserves existing world-view and the powerful data structures: entities, attributes and
sets, process and event-oriented discrete simulation of SIMSCRIPT II.5, and adds the
new, more elaborated data structures and concepts like classes, methods, objects,
multiple inheritance and process-methods, to support object-view and object-oriented
process and event discrete simulation. Object types are defined with the classes which
can be instantiated, they may have methods which describe object behavior, and may
contain special process-methods with time elapsing capabilities which can be scheduled
for execution in defined instances of time. Both, world-view and object-view can exist
in the same model, or a modeler may decide to use entirely object-view or a world-view
only.
SIMSCRIPT III supports model decomposition into subsystems. Modules and packages
are synonyms for subsystems. A model can consist only of main module (preamble and
implementation), but larger models should be designed with modularity in mind, as a
main module with a set of subsystems. This facilitates code reuse and model development
in a team-work environment. Subsystem may contain public and private declarations and
implementation. Public data and function/method declaration defines subsystem’s
interface with the system and other subsystems while private data and method
declarations hide implementation details.
Modularity can be easily added to an existing SIMSCRIPT II.5 model, defining it as a
main module (system) and adding new subordinate modules (subsystems/packages).
SIMSCRIPT III compiler checks data scope of the subsystems and performs name
resolution.
SIMSCRIPT III includes all standard language elements and can be used as a general-
purpose object-oriented programming language with English-like syntax. In addition, it
includes powerful support for building simulation models with interactive GUI,
presentation graphics and animation. Building SIMSCRIPT III graphical models is
explained in the SIMSCRIPT III Graphics Manual.
The SIMSCRIPT III models are developed inside ―Simstudio‖, an Integrated
Development Environment (IDE) which incorporates automatic project builder, syntax
colored text editors and graphical editors for GUI elements: dialog boxes, menus,
palettes, icons, graphs. Building SIMSCRIPT III projects using Simstudio is described in
SIMSCRIPT III User’s Manual.
Language statements and concepts are described in SIMSCRIPT III Programming
Manual. It describes basic language elements and related enhancements like support for
Latin character set, named constants, argument type checking, multiple-line comments,
10
and reference modes. It also contains description of classes, objects, multiple
inheritance, object and class methods for support of object-oriented programming.
Object-oriented simulation is facilitated by process-methods which can be used for
process and event-based discrete simulation. Accumulate and tally statements are very
convenient and effective tools for statistics collection.
SIMSCRIPT III example programs given in Programming Manual are rewritten from
SIMSCRIPT II.5. Original programs are from the book: Building Simulation Models
with SIMSCRIPT II.5. These examples illustrate use of classes, objects, inheritance,
subsystems. They illustrate how to create simulations with process-methods and how to
collect statistics on object attributes.
The lists the ―system‖ routines, variables, and constants, which are defined by
SIMSCRIPT III’s standard, system library.m subsystem and are implicitly imported into
every module, are given in Chapter 3 of this Reference Manual. Other system modules
like GUI.m, SDBC.m, Continuous.m are imported on demand and described in
specialized manuals.
This manual contains detailed description of all SIMSCRIPT III Language elements in
alphabetic order. All language elements of SIMSCRIPT II.5 which are fully supported in
SIMSCRIPT III are described, while deprecated statements and language elements are
omitted.

11
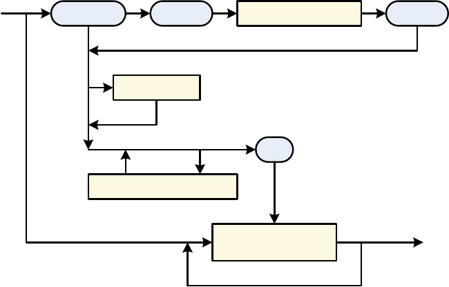
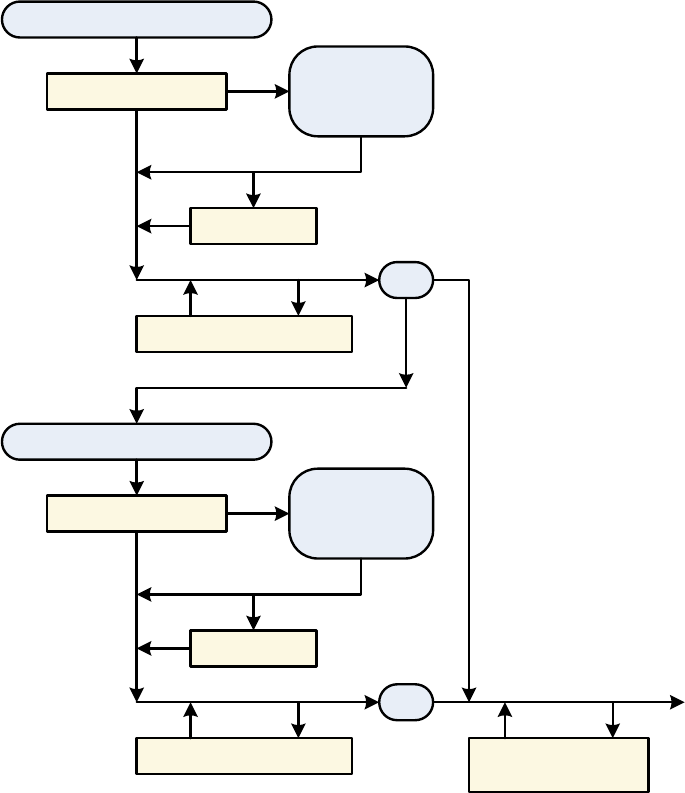
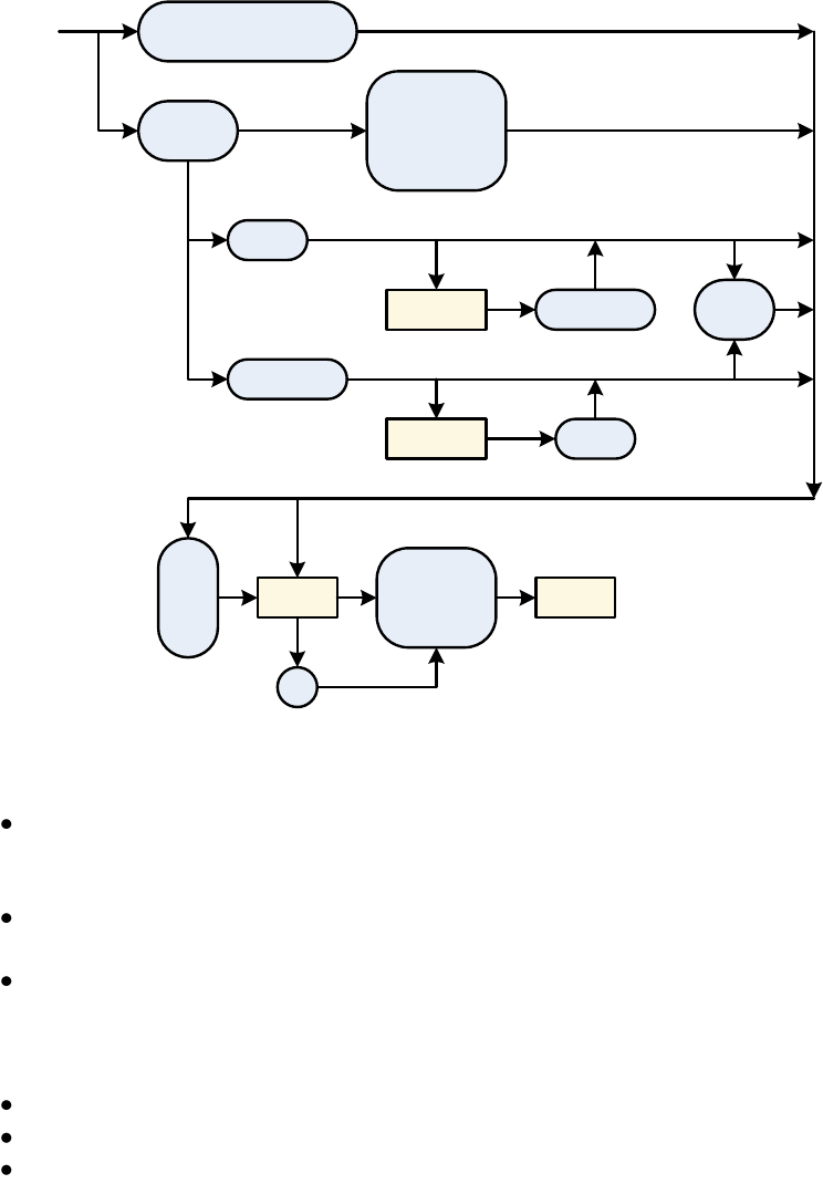
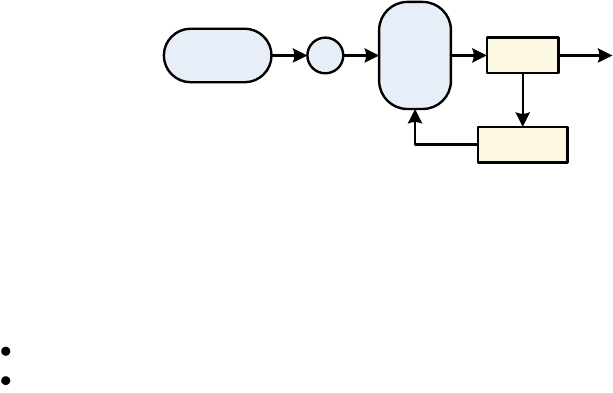
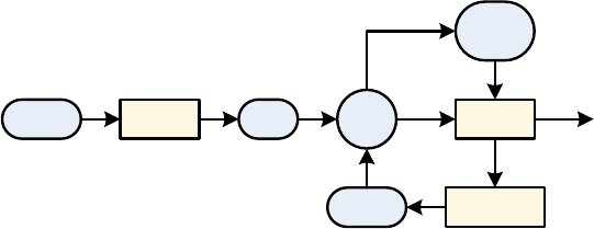
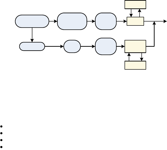
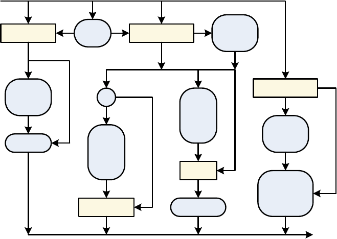
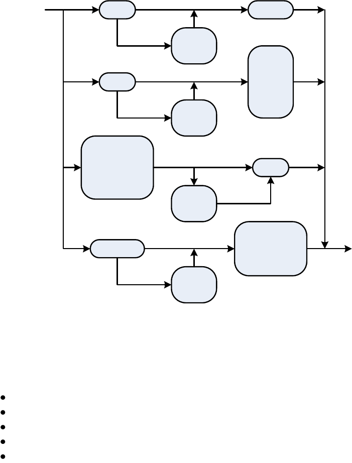
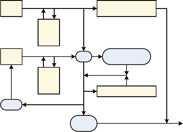
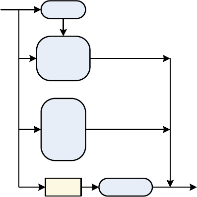
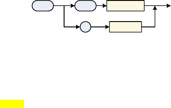
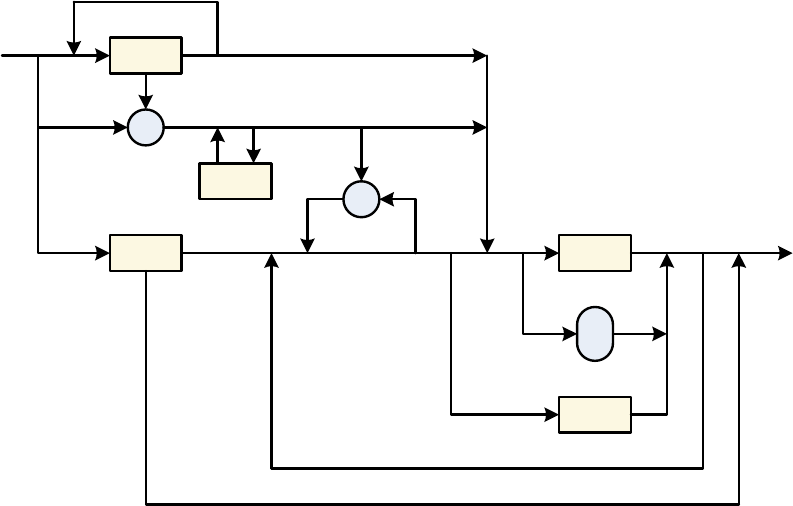
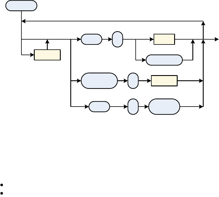
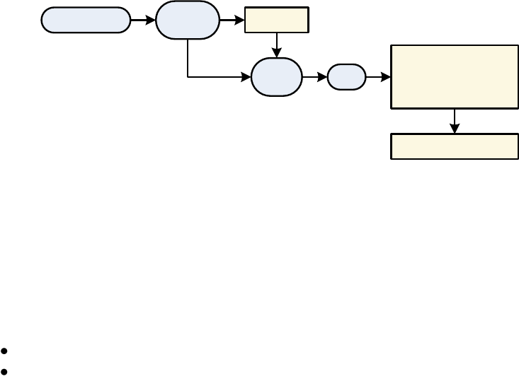
2 Language Reference
Each section of this chapter describes an element of the SIMSCRIPT III language and
includes a syntax diagram for the element at the beginning of the section. In a syntax
diagram, arrows connect rectangles to indicate permitted sequences of language elements.
A rectangle with square corners specifies the name of a required language element, or
gives a vertical list of names from which one element must be chosen. A rectangle with
rounded corners specifies a required keyword, phrase or symbol, or provides a vertical
list of these from which one must be selected. For example:
Expression
The language element named Expression is required.
Name
Number
SpecialSymbol
String
Either a Name, Number, SpecialSymbol, or String must be provided.
every
The keyword every is required.
thus
as follows
like this
Either thus, as follows, or like this must be specified.
A SIMSCRIPT III program consists of a main module and zero or more subordinate
modules called ―subsystems.‖ The first two sections of this chapter describe a
MainModule and a Subsystem. The remaining sections describe language elements in
alphabetical order.

12
2.01 MainModule
preamble for the system
Routine
MethodsHeading
PreambleStatement
end
NameUnqualified
Importing
A main module consists of an optional preamble followed by one or more routines and
methods headings. One of the routines must be named main.
Preamble for the X system
importing the A subsystem
end
methods for the X system
main
end
Rout1
end
Preamble contains definitions of data structures used in the program like: classes, entities,
global variables, constants and sets. All statements in a preamble are non-executable. A
main module can be given a name and can import subsystems.
SIMSCRIPT III compiler supports flexible source code organization so that main module
may span multiple files. However, preamble or a routine may not span multiple files.
Program execution begins by executing each subsystem "initialize" routine once, in an
indeterminate order, and then by executing the main module's "main" routine.

13
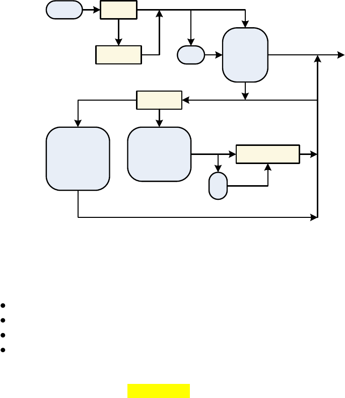
2.02 Subsystem
subsystem
module
package
public preamble for the
Routine
MethodsHeading
Importing
PreambleStatement
end
NameUnqualified
subsystem
module
package
private preamble for the
Importing
PreambleStatement
end
NameUnqualified
A subsystem begins with a public preamble and is followed by an optional private
preamble and zero or more routines and methods headings. One of the routines may be
named initialize. The declarations in the public preamble are visible to the private
preamble and routines of the subsystem, and to every module that imports this subsystem.
The declarations in the private preamble are visible only to the routines of the subsystem.
The keywords subsystem, module, and package are synonymous.
A subsystem must be given a name and both its public and private preambles can import
other subsystems.
14
Separate compilation of modules is supported. If a subsystem's private preamble or
routines are modified, only the subsystem needs to be recompiled. However, each
program that uses the subsystem must be re-linked.
It is easier to develop and maintain a large program that has been divided into meaningful
units called ―modules.‖ Subsystems promote better source code organization and
facilitate the reuse of code. The public preamble of a subsystem defines the interface to
the subsystem, and the implementation is hidden in the private preamble and routines of
the subsystem. A module may import any number of subsystems, and a subsystem may
be imported by any number of modules.
A subsystem may be distributed as a source file containing only the public preamble, and
one or more binary object files obtained by compiling the subsystem. The source file
documents the subsystem interface and is read by the compiler when compiling a module
that imports the subsystem. An executable program is built by linking the binary object
files that were produced by compiling the main module and each of its subsystems.
SIMSCRIPT III compiler supports source code organization in which subsystem may
span multiple files; however, a preamble or routine may not span multiple files.
Program execution begins by executing each subsystem "initialize" routine once, in an
indeterminate order, and then by executing the main module's "main" routine.

15
2.03 AccumulateTally
accumulate
tally
Name
number
num
sum
average
avg
mean
sum.of.squares
ssq
mean.square
msq
variance
var
std.dev
std
maximum
max
minimum
min
Comma
NameUnqualified
of Name
the
as
=
Histogram
An accumulate or tally statement specifies one or more statistics to collect on the values
assigned to an attribute or global variable. The statistics are weighted by simulation time
for an accumulate statement and are un-weighted for a tally statement. These statements
may appear in a preamble.
The keyword the is optional for readability. The following are synonymous:
as and =;
number and num;
average, avg, and mean;
sum.of.squares and ssq;
mean.square and msq;
variance and var;
std.dev and std;
maximum and max;
minimum and min.
Accumulate and tally cannot be declared for the same variable. The programmer must
decide whether a variable is time-dependent or not, normally a simple task.
16
There is no difference between accumulating and tallying each of the following: number,
maximum, minimum.
Accumulating a sum means the sum of each (value times the amount of time that value
was held). The mean is the accumulated sum divided by the total elapsed time.
The collection of statistics may be reinitialized by executing a "reset" statement. The
reset statement makes possible the preparation of reports on a cumulative or periodic
basis. When both periodic and cumulative statistics are required, qualifiers can be
specified. The qualifiers permit multiple sets of the same statistic to be gathered
simultaneously, but the statistics can be reset at different times. These qualifiers allow
some statistics to be reset while others are not. The names of qualifiers may not be
qualified!
The variable upon which statistics are collected must be numeric (mode integer, integer2,
integer4, alpha, double, real); it cannot be pointer, text, reference, or subprogram. This
variable may have any dimensionality and may be monitored. It may be explicitly
defined or implicitly defined, such as the n.set attribute. It may not be a function
attribute, random variable, or a statistic collected by another accumulate/tally statement.
If the accumulate/tally statement appears inside a begin class block, the variable upon
which statistics are collected must be an object attribute or class attribute defined by the
class, or an object attribute inherited from a base class. If the variable is an object
attribute, each statistic is defined as an object attribute, whereas if the variable is a class
attribute, each statistic is defined as a class attribute. If the variable is defined in a public
preamble and the accumulate/tally statement appears in the private preamble, the variable
must be an object attribute; that is, private statistics cannot be collected on a public class
attribute.
If the accumulate/tally statement appears outside a begin class block, the variable upon
which statistics are collected must be defined in the same preamble. The variable may be
defined as a global variable or as an attribute of a temporary entity, process notice,
permanent entity, resource, compound entity, or the system. If the variable is a global
variable or system attribute, then each statistic is correspondingly defined as a global
variable or system attribute. If the variable is an attribute of an entity type, each statistic
is defined as an attribute of that entity type.
Each statistic has the same dimensionality as the variable upon which it is collected,
except each histogram, which has dimensionality one greater than the variable.

17
2.04 AddSubtract
add
subtract Expression to
from Variable
An add statement adds the value of the Expression to the Variable. A subtract statement
subtracts the value of the Expression from the Variable. These statements may be used in
any routine. The keywords to and from are synonymous.
The statement, add Expression to Variable, is interpreted as
let Variable = Variable + (Expression)
The statement, subtract Expression from Variable, is interpreted as
let Variable = Variable – (Expression)
For example:
add M * N to Total ' ' means Total = Total + (M * N)
subtract 100 from A(J) ' ' means A(J) = A(J) – (100)
The addition and subtraction operators require operands of numeric mode: double, real,
integer, integer4, integer2, or alpha. However, in an add statement, if the mode of
Expression is text or alpha and the mode of Variable is text or alpha, then concatenation is
performed instead of addition. In this case, Variable should be text, not alpha, to hold the
result of the concatenation.
define T as a text variable
T = "abc"
add "def" to T ' ' means T = T + ("def")
' ' T now contains "abcdef"
Beware of Variable having side effects since it is evaluated twice. For example, consider
the following statement:
add 1 to Table(randi.f(1, 10, 1))
This statement is interpreted as
let Table(randi.f(1, 10, 1)) = Table(randi.f(1, 10, 1)) + 1
The library.m function randi.f will be called twice and return two different results.

18
2.05 BeforeAfter
before destroying
after creating
Name
before
after
filing
removing
Comma
Comma removing
filing
from
in
a
an
any
the
call
now
perform Name
scheduling
causing
canceling
cancelling
,
A before or after statement specifies a routine to call immediately:
after each object of the named class, or each temporary entity or process notice of
the named entity type, is created by a create statement, or before each is destroyed
by a destroy statement;
before or after each schedule or cancel operation is performed for the named
process method or process type;
before or after each file and/or remove operation is performed on the named set.
Before and after statements may appear in a preamble. The keywords a, an, any, from, in,
and the are optional for readability. The following are synonymous:
scheduling and causing;
canceling and cancelling;
call, now, and perform.
Inside a "begin class" block, an "after creating" or "before destroying" statement names
the class or an object method. Outside a "begin class" block, it names a temporary entity
type or process type and a routine. The method or routine will be called automatically
19
after an object or entity is created and before an object or entity is destroyed. Whereas
the method must have no explicit arguments (the reference value of the object is passed
implicitly), the routine is given one argument which is the reference value of the entity.
Inside a "begin class" block, a "before/after scheduling/canceling" statement names an
object process method and an object method, or a class process method and a class
method. Outside a "begin class" block, it names a process type and a routine. The
method or routine will be called automatically when a process method or process is
scheduled or canceled. For "before/after scheduling," the method or routine accepts two
given arguments; for "before/after canceling," it accepts one given argument. For both,
the first argument is the reference value of the process notice representing the scheduled
process method or process routine. The second argument for "before/after scheduling" is
a double value representing the scheduled time of invocation.
Inside a "begin class" block, a "before/after filing/removing" statement names a set
owned by an object and an object method, or a set owned by "the class" and a class
method. Outside a "begin class" block, it names a set owned by a temporary entity,
process notice, permanent entity, resource, compound entity, or "the system," and names
a routine. The first argument to the method or routine identifies the member that is being
filed or removed. This is a reference value of an object, temporary entity, or process
notice, or the integer index of a permanent entity or resource. (The value is zero for a
"remove first" or "remove last" statement.) If the set is owned by an object, "the class,"
or "the system," and the set is an array of sets, then the remaining arguments are set
subscripts. If the set is owned by a temporary entity, process notice, permanent entity, or
resource, then one remaining argument identifies the owner. If the set is owned by a
compound entity, then two or more remaining arguments identify the owner. Note that
no argument is passed to identify the preceding member in a "file after" statement or the
succeeding member in a "file before" statement.
Inside a "begin class" block, the method to be called must have been defined by the class
or inherited by the class. If defined by the class, the method need only appear in a "has ...
method" phrase and need not be declared in a "define method" statement. Likewise,
outside a "begin class" block, the routine to be called must have been defined by the
module or imported by the module. If defined by the module, the routine need not be
declared in a "define routine" statement. The number and modes of arguments of the
method or routine are inferred by the compiler based on its appearance in a "before/after"
statement. If the modes of arguments are specified by a "define method" or "define
routine" statement, or by "define variable" statements within the method or routine, they
must be consistent with the inferred modes.
The method or routine to be called is normally a subroutine with no yielded arguments.
However, it may be a function, and if so, the function result is discarded. The method
may also be a process method, and the routine may be a function attribute if it has the
correct arguments.
20
The "before/after scheduling" method or routine is called for a "resume" statement. The
"before/after canceling" method or routine is called for an "interrupt" statement.
If both "after creating" and "before/after scheduling" are specified for a process type, the
"after creating" routine is called before the "before/after scheduling" routine when a
"schedule a" statement is executed for the process type.
When an object of a derived class is created, its "after creating" method is called after any
"after creating" methods of the base classes. When an object of a derived class is
destroyed, its "before destroying" method is called before any "before destroying"
methods of the base classes.
The object methods specified in "before/after" statements for a base class can be
overridden by a derived class.
"Before/after" methods and routines can be called directly like any other methods and
routines, not just due to "before/after" actions.

21
2.06 BeginClass
begin class Name
AccumulateTally
BeforeAfter
DefineConstant
DefineMethod
DefineSet
DefineToMean
DefineVariable
Every
Normally
Priority
Substitute
SuppressResume
TheClass
end
A begin class block declares a class. This block may appear in a preamble.
For each declared class, a reference mode is implicitly defined, its mode is "classname
reference". Use of the reference mode may precede the declaration of the class.
A class is private to the main module if declared within the preamble of the main module.
A class is private to a subsystem if declared only within the private preamble of the
subsystem. A private class is visible only to the defining module. A class is public if it is
declared within the public preamble of a subsystem.
Declaration of a class may be done partially, some parts can be private, some may be
public. Private attributes, methods, sets, and base classes of the public class may be
declared in the private preamble of the subsystem. Public attributes, methods, and sets
are accessible to importing modules. Typically attributes of a public class are defined
within the private preamble and methods defined in the public preamble provide the
interface to the class.
Each class may access the attributes, methods, and sets of the other classes defined within
the same module.

22
2.07 Belongs
Name
a
an
some
the
Comma
belongs
belong to
A belongs phrase is part of an every statement. Inside a begin class block, it declares
sets in which an object may be a member. Outside of a begin class block, it declares sets
in which an entity may be a member.
The following are synonymous:
belongs and belong;
a, an, some, and the.
Inside a "begin class" block, a "belongs" phrase causes member attributes p.set_name,
s.set_name, and m.set_name to be implicitly defined as 0-dimensional object attributes.
The mode of p.set_name and s.set_name is the class reference mode.
Outside a "begin class" block, p.set_name, s.set_name, and m.set_name are implicitly
defined as attributes of the temporary entity, process notice, permanent entity, or resource
named in the "every" statement. If p.set_name and s.set_name are attributes of a
temporary entity or process notice, they have the entity reference mode.
m.set_name keeps set membership information. It is zero when object instance or entity
is not in a set. It is nonzero when the object or entity is in the named set. The nonzero
value is an integer index or reference value identifying the owner of the set.
A set may have objects as members, temporary entities and/or process notices as
members, or permanent entities and/or resources as members, but not a mixture of these.
A set named in a belongs phrase need not be mentioned in an owns phrase.
A set named in a belongs phrase defaults to fifo but this may be changed by a "define set"
statement.
The name of a set of entities is global to the defining module, whereas the name of a set
objects is local to the defining class.
A set of objects may contain objects of the defining class and objects of classes derived
from the defining class. A derived class inherits the set attributes and the ability to be a
member of each set defined by a base class.
An object or entity may belong to any number of sets.

23
2.08 BreakTies
break Name ties by
on
high
low
Name
Commathen
This statement refers to internal processes. Two or more invocations of a particular
process routine may be scheduled for the same simulation time. A different ordering may
be specified for an internal process type using a "break ties" statement. Only one "break
ties" statement is permitted for each internal process type and it must follow the
declaration of the process type in the same preamble. For the named process type, a break
ties statement identifies one or more attributes of the process notice whose values will be
used to determine the order of processes scheduled for the same simulation time. This
statement should appear in a preamble. The keywords by and on are synonymous. If
neither "high" nor "low" is specified, "high" is assumed. Ranking attributes cannot be a
subprogram or reference variable.
A "schedule" statement places a new member into a ranked set according to the values of
its ranking attributes: first time.a and then break ties attributes, if any. If those values
need to be changed, the program should remove the member from the set (cancel),
change the values, and then file the member back into the set (reschedule) so that it will
be placed into the event set with correct rank ordering.
Several process methods can be scheduled for the same simulation time, and they will
occur in the order in which they were scheduled, that is, first scheduled, first occurs. A
"break ties" statement may not be specified for a process method, this means that this
statement can not be used in a begin class block. A "shadow" process type can be used
to break ties for process methods.
Break ties statement can not be used for a process type that is declared as "external."

24
2.09 Call
call
now
perform
given
giving
the
this
Variable
Expression
Comma
(Expression )
yielding
Variable
Comma,
This statement invokes a routine, passing zero or more given arguments as inputs, and
receiving zero or more yielded arguments as outputs. A routine may invoke another
routine and may invoke itself recursively. The following are synonymous:
call, now, and perform;
given, giving, the, and this.
For example, suppose Compute_Ellipse_Properties is a subroutine with two given
arguments, the length of the major and minor axes of an ellipse, and two yielded
arguments, the area and circumference of the ellipse.
subroutine Compute_Ellipse_Properties
given Major, Minor yielding Area, Circumference
Area = pi.c * Major * Minor / 4
Circumference = pi.c * sqrt.f((Major**2 + Minor**2) / 2)
end
The following statement invokes this subroutine. Upon entry to the subroutine, the
values of X and Y are copied to Major and Minor, and upon return from the subroutine, the
values of Area and Circumference are copied to A and C.
call Compute_Ellipse_Properties given X and Y yielding A and C
25
The given phrase may be replaced by a parenthesized list of given arguments. The above
statement is equivalent to:
call Compute_Ellipse_Properties(X, Y) yielding A and C
Neither the given phrase nor the parenthesized list is specified when invoking a routine
that has no given arguments. Likewise, the yielding phrase is omitted when invoking a
routine that has no yielded arguments. For example:
call Write_Results ' ' 0 given and 0 yielded arguments
call Check(N – M + 1) ' ' 1 given and 0 yielded arguments
call Setup yielding First, Last ' ' 0 given and 2 yielded arguments
The caller provides input values to a routine through given arguments and receives output
values through yielded arguments. A variable specified as both a given argument and a
yielded argument is used for both input and output. Upon entry to the routine, its value is
provided to the routine. Upon exit from the routine, it is assigned a value provided by the
routine. For example:
call Update given Count yielding Count
Suppose Drive is an object method of a class named Vehicle, and this method accepts two
given arguments, the distance to travel and the average speed, and yields one argument,
the duration of the trip. The following statement sends the Vehicle object identified by a
reference variable named Chevy on a 200-mile trip with an average speed of 50 miles per
hour:
call Drive(Chevy) given 200, 50 yielding Trip1_Duration
In the next example, we send the Chevy on a second trip, this time a 600-mile journey at
an average speed of 60 miles per hour. The given arguments are expressed in
parentheses.
call Drive(Chevy)(600, 60) yielding Trip2_Duration
Chevy, reference value, is passed as an implicit argument to an object method. Upon
entry to the method, it is assigned to the implicitly-defined local reference variable which
has the same name as the class. This reference value argument is not one of the method’s
given arguments. In this example, the value of Chevy is assigned to the implicitly-
defined local reference variable named Vehicle upon entry to the Drive method.
Now suppose the Drive method is called within an object method of the Vehicle class. In
this case, the reference value expression may be omitted and the implicitly-defined
reference variable is implied. That is, these statements,
call Drive given 200, 50 yielding Trip1_Duration
call Drive(600, 60) yielding Trip2_Duration
26
are interpreted as:
call Drive(Vehicle) given 200, 50 yielding Trip1_Duration
call Drive(Vehicle)(600, 60) yielding Trip2_Duration
The caller must specify the correct number of given and yielded arguments. The modes
of the caller’s arguments must be compatible with the modes of the routine’s arguments.
A given Expression specified by the caller is assigned to the corresponding given
argument within the routine. A yielded argument within the routine is assigned to the
corresponding yielded Variable specified by the caller .
If a given or yielded argument is an array, only the array pointer is copied, not the entire
array. If an array pointer is passed as a given argument, the elements of the array may be
modified by the routine. Thus, a given array provides input to and may receive output
from a routine.
A Call statement may invoke any subroutine or a method, including process methods. It
may also invoke the right implementation of a function, provided it is not a right-
monitoring function; however, the function’s return value is discarded. The call statement
can not invoke process routine, which can only be scheduled.
A Call statement may indirectly invoke a non-method routine using a subprogram
variable. No argument checking is performed by the compiler in this case. The
following code indirectly calls Compute_Ellipse_Properties:
define Get_Properties as a subprogram variable
let Get_Properties = 'Compute_Ellipse_Properties'
call Get_Properties(X, Y) yielding A and C
Here, it is not possible to specify array subscripts after the name of the subprogram
variable because a parenthesized list of expressions is assumed to contain given
arguments to the routine. Hence, a subprogram variable must be scalar (i.e., 0-
dimensional) to be used in a Call statement.

27
2.10 Cancel
cancel
the
the above
this Variable
calledVariable
This statement, which may be used in any routine, removes a process notice from the
event set to cancel the pending execution of a process method or process routine. It has
two forms. The keywords the, the above, and this are optional for readability.
1. Cancel Variable. The process notice, whose reference value is in Variable, is
removed from the event set. The mode of Variable must be pointer or the
reference mode of a process type. In the following example, Voyage(Ship) is an
object process method, and the object attribute of the same name holds the
reference value of the process notice:
cancel Voyage(Ship)
2. Cancel Variable2 called Variable. As in Form 1, the process notice, whose
reference value is in Variable, is removed from the event set, and the mode of
Variable must be pointer, or the reference mode of a process type. Variable2 names
a process method or process type is used for runtime error checking. Variable
must identify a process notice associated with the named method or type. In the
following example, Rescue holds the reference value of the process notice, which
must be associated with the process method, Voyage(Ship):
cancel Voyage(Ship) called Rescue
The event set ev.s is an array of sets. Each process method and process type has a unique
event set index. When a process notice is allocated, its ipc.a attribute is automatically
initialized to the event set index of its process method or process type. When scheduled,
the process notice is inserted into the event set at this index (see the Schedule statement).
Upon removal, the number of elements in this set, is decremented by one, and zero is
assigned to m.ev.s(P) to indicate that the process notice is no longer a member of the
event set.
A process notice removed from the event set is not destroyed; the program may destroy
it explicitly. It is an error to destroy a process notice that is a member of the event set;
therefore, it must be removed from the event set before it is destroyed. For example:
cancel Rescue ' ' remove the process notice from the event set
destroy Rescue ' ' destroy the process notice
28
It is an error to cancel a process notice that is not scheduled. Before canceling a process
notice, the program can verify that it is a member of the event set. For example:
if Rescue is in ev.s
cancel Rescue
always
A ―before canceling‖ routine and an ―after canceling‖ routine, if defined, are called
automatically before and after each process notice is removed from the event set. These
routines accept one argument, which is the reference value of the process notice. See
BeforeAfter for more information.

29
2.11 Close
close Unit
This statement, which may be used in any routine, closes the specified I/O unit. The file
associated with the unit is closed and is disassociated from the unit. For example, the
following statement closes unit 12:
close 12
The unit number must be in the range 1 to 99, but may not be one of the special units: 5
(standard input), 6 (standard output), 98 (standard error), and 99 (the buffer). It is an
error to close a unit that is not open. If the current input unit is closed, unit 5 becomes the
current input unit; if the current output unit is closed, unit 6 becomes the current output
unit.
After a unit has been closed and disassociated from a file, it may be reopened and re-
associated with the file or associated with a different file. When a program terminates,
all open units are automatically closed, including the special units: standard input
standard output, standard error, and the buffer.

30
2.12 Comma
,
and
, and
This language element is used in many statements to separate consecutive elements in a
sequence or list. The three choices are synonymous.
In some cases, use of a Comma is required, for example, to separate variable names in a
DefineVariable statement. These statements are equivalent:
define X, Y, Z as double variables
define X, Y, and Z as double variables
define X and Y and Z as double variables
define X, and Y, Z as double variables
In other cases, a Comma is optional and is used to enhance the readability of a statement.
These statements are equivalent:
define Count as an integer 1–dimensional saved array
define Count as an integer, 1–dimensional, saved array

31
2.13 Compute
Comma
of Expression
compute
Variable
maximum
max
minimum
min
number
num
sum
average
avg
mean
sum.of.squares
ssq
mean.square
msq
variance
var
std.dev
std
( )Expression
as
=the
This statement may be specified in the body of a loop. Each time it is executed, the
Expression following the of keyword is evaluated. One or more statistics are computed
based on the values obtained. Each statistic is assigned to a Variable upon termination of
the loop.
The keyword the is optional for readability. The following are synonymous:
as and =;
number and num;
average, avg, and mean;
sum.of.squares and ssq;
mean.square and msq;
variance and var;
std.dev and std;
maximum and max;
minimum and min.
32
In the following example, the average years of experience is computed for the sergeants
in a platoon. Each time the Compute statement is executed, the expression
Experience(Soldier) is evaluated. Upon termination of the loop, the average of these
values is assigned to the variable named Sgt_Experience.
for each Soldier in Staff(Platoon)
with Rank(Soldier) = Sergeant
compute Sgt_Experience = average of Experience(Soldier)
When loops are nested and end at the same location, the statistics are computed after
termination of the outermost loop. In the following example, the average experience of
all sergeants in the company is assigned to Sgt_Experience:
for each Platoon in Company
for each Soldier in Staff(Platoon)
with Rank(Soldier) = Sergeant
compute Sgt_Experience = average of Experience(Soldier)
The above loop is equivalent to each of the following. Here the loop keyword marks the
common end of the inner and outer loops.
for each Platoon in Company
for each Soldier in Staff(Platoon)
with Rank(Soldier) = Sergeant
do
compute Sgt_Experience = average of Experience(Soldier)
loop
for each Platoon in Company
do
also for each Soldier in Staff(Platoon)
with Rank(Soldier) = Sergeant
do
compute Sgt_Experience = average of Experience(Soldier)
loop
However, in the following example, the inner and outer loops have different endpoints.
The average is assigned to Sgt_Experience each time the inner loop is terminated. This
allows a separate average to be computed for each platoon.
for each Platoon in Company
do
for each Soldier in Staff(Platoon)
with Rank(Soldier) = Sergeant
compute Sgt_Experience = average of Experience(Soldier)
write Number(Platoon), Sgt_Experience as "The sergeants in platoon #", i *,
" have an average of ", d(4,1), " years of experience", /
loop

33
Let n represent the number of times the Compute statement is executed, and let
1
x
,
2
x
,
…,
n
x
denote the n values of the Expression. The following statistics can be computed:
number equals n
sum equals
n
i
i
x
1
average equals
number
sum
sum.of.squares equals
n
i
i
x
1
2
mean.square equals
number
squaresofsum ..
variance equals
2
.averagesquaremean
std.dev (standard deviation) equals
variance
In the following example, we compute all seven of these statistics for the sergeants in a
platoon. The statistics may appear in any order in the Compute statement.
for each Soldier in Staff(Platoon)
with Rank(Soldier) = Sergeant
compute Number_of_Sergeants = number, Total_Experience = sum,
Avg_Experience = average, SSQ_Experience = sum.of.squares,
MSQ_Experience = mean.square, Var_Experience = variance, and
SD_Experience = std.dev
of Experience(Soldier)
If there are no sergeants in the platoon (i.e., n = 0), a value of zero is assigned to
Number_of_Sergeants, Total_Experience, and SSQ_Experience. However, no value is
assigned to the other variables because average, mean square, variance, and standard
deviation are undefined.
In addition to these seven statistics, it is possible to compute the maximum and minimum
of
1
x
,
2
x
, …,
n
x
. Here we find the maximum and minimum experience of sergeants in a
platoon:
for each Soldier in Staff(Platoon)
with Rank(Soldier) = Sergeant
compute Most_Experience = maximum and Least_Experience = minimum
of Experience(Soldier)
If there are no sergeants in the platoon, no value is assigned to Most_Experience and
Least_Experience.
34
A parenthesized expression may follow the maximum or minimum keyword, as in:
compute Variable = maximum(Expression2) of Expression
In this case, it is the value of Expression2 when Expression is maximum that is assigned
to Variable. Normally Expression2 names a loop control variable. With this form, we
can obtain the reference values of the sergeant with the most experience and the sergeant
with the least experience, rather than their number of years of experience.
for each Soldier in Staff(Platoon)
with Rank(Soldier) = Sergeant
compute Most_Experienced = maximum(Soldier)
and Least_Experienced = minimum(Soldier)
of Experience(Soldier)
If two or more sergeants are tied for the most or least experience, the first sergeant
encountered by the loop is the one that is identified. If there are no sergeants in the
platoon, no value is assigned to Most_Experienced and Least_Experienced.
The mode of Variable and Expression must be numeric: double, real, integer, integer4,
integer2, or alpha. However, if Expression2 is specified, the mode of Variable and
Expression2 may be numeric, pointer, or reference.
The body of a loop may contain more than one Compute statement and specify
conditional logic that causes one Compute statement to be executed more often than
another. In the following example, we compute the average experience of sergeants,
corporals, and privates, and the average experience of the entire platoon. Sergeant,
Corporal, and Private are constants.
for each Soldier in Staff(Platoon)
do
select case Rank(Soldier)
case Sergeant
compute Sgt_Experience = average of Experience(Soldier)
case Corporal
compute Cpl_Experience = average of Experience(Soldier)
case Private
compute Pvt_Experience = average of Experience(Soldier)
default
endselect
compute Platoon_Experience = average of Experience(Soldier)
loop
If a loop is terminated by executing a GoTo statement that transfers control out of the
loop, no values are assigned to the variables named in Compute statements.

35
2.14 CreateDestroy
create
destroy
a
an
the
this
Variable
called
all
each
every
Comma
Variable
Comma
Name
Expression( )
This statement, which may be used in any routine, allocates or de-allocates storage for
one or more objects, temporary entities, process notices, permanent entities, and/or
resources. Upon allocation, each attribute of an object or entity is initialized to zero,
except text attributes which are initialized to the null string (""). Attributes can be
accessed after allocation and can not be accessed after de-allocation. The keywords a,
an, the, and this are optional for readability. The keywords all, each, and every are
synonymous.
This statement has seven forms:
1. Create Variable. An object, temporary entity, or process notice is allocated and its
reference value is assigned to Variable. It is a new instance of the class,
temporary entity type, or process type that is identified by the reference mode of
Variable. For example, suppose Vehicle is a class. The following create statement
allocates a Vehicle type object and assigns its reference value to a variable named
Chevy:
define Chevy as a Vehicle reference variable
create Chevy
Normally, Variable has a reference mode. However, its mode may be a pointer if
it is a local variable with the same name as a class, temporary entity type, or
process type.
36
2. Create Variable2 called Variable. An object, temporary entity, or process notice is
allocated and its reference value is assigned to Variable. It is a new instance of the
class, temporary entity type, or process type that is named by Variable2. If
Variable2 names a class, the mode of Variable must be pointer, the reference mode
of the named class, or the reference mode of a base class. If Variable2 names a
temporary entity type or process type, the mode of Variable must be pointer, or the
reference mode of the named type. For example, the following create statement
allocates a Vehicle object and assigns its reference value to a pointer variable
named Buick:
define Buick as a pointer variable
create Vehicle called Buick
3. Destroy Variable. The object, temporary entity, or process notice, whose
reference value is in Variable, is de-allocated. The mode of Variable must be
pointer, or a reference mode. For example, suppose a variable named Chevy
contains the reference value of a Vehicle object. The following statement de-
allocates this object:
destroy Chevy
4. Destroy Variable2 called Variable. As in Form 3, the object, temporary entity, or
process notice, whose reference value is in Variable, is de-allocated, and the mode
of Variable must be pointer or a reference mode. Variable2 names a class,
temporary entity type, process type, or process method, which is used for runtime
error checking. If Variable2 names a class, then Variable must identify an object
of the named class or of a derived class. If Variable2 names a temporary entity
type, then Variable must identify a temporary entity of the named type. If
Variable2 names a process type or process method, then Variable must identify a
process notice associated with the named type or method. In the following
example, a variable named Buick identifies the instance to de-allocate. A runtime
error occurs if this instance is neither an object of the Vehicle class nor an object
of a class that is derived from Vehicle.
destroy Vehicle called Buick
5. Create each Name. All entities of the named permanent entity type or resource
type are allocated. The number of entities is given by the current value of the
global variable n.Name, which must be positive. For example, suppose City is a
permanent entity type. The following sequence allocates 200 entities of this type:
let n.City = 200
create each City
Creating permanent entities and resources means allocating the arrays used to
hold their attribute values. Suppose Population is an attribute of City. After the
create each statement is executed, Population is an allocated array that is indexed
37
by an entity number ranging from 1 to 200. For example, the population of the
fourth city is stored in Population(4).
6. Create each Name(Expression). All entities of the named permanent entity type or
resource type are allocated. The number of entities is given by the value of
Expression, which must be positive. This value is implicitly assigned to the
global variable n.Name. The mode of Expression must be numeric, i.e., double,
real, integer, integer4, integer2, or alpha. If it is double or real, it is implicitly
rounded to integer. The sequence shown above for Form 5 is equivalently
expressed by this single statement:
create each City(200)
7. Destroy each Name. All entities of the named permanent entity type or resource
type are de-allocated. For example:
destroy each City
Destroying permanent entities and resources means de-allocating the arrays used
to hold their attribute values.
Forms 1 and 2 may be combined within the same statement. For example:
define Chevy as a Vehicle reference variable
define Buick as a pointer variable
create a Chevy and a Vehicle called Buick
Likewise, Forms 3 and 4 may be combined within the same statement. For example:
destroy the Chevy and the Vehicle called Buick
If Variable contains zero in Forms 3 or 4, it is an error; otherwise, the identified instance
is de-allocated and then zero is assigned to Variable.
It is an error to destroy an object or entity that is a member of a set or is owner of a non-
empty set.
When an object or temporary entity is no longer needed, an explicit destroy statement
(Form 3 or 4) must be executed to reclaim its storage. It is important to retain its
reference value so that its storage may be freed. When an object or entity is allocated by
a create statement (Form 1 or 2), the reference value of the new instance is assigned to
the named variable, which overwrites any existing reference value stored in the variable.
Therefore, if the existing value has not been saved in another variable, and a destroy
statement has not been executed using this value, then access to the instance is lost and
the memory it occupies is unavailable to the program. This is known as a ―memory
leak.‖
38
Forms 1 and 2 may be used to allocate a process notice for a process type. Upon
allocation, the ipc.a attribute of the process notice is automatically initialized to the event
set index of the process type. This process notice may then be scheduled by a schedule
the statement. Alternatively, the process notice may be allocated and scheduled in one
step by a schedule a statement. Forms 1 and 2 may not be used to allocate a process
notice associated with a process method, which must be allocated and scheduled at the
same time by a schedule a statement. See Schedule for more information.
When a process routine or process method called by the timing routine has completed,
the current process notice is implicitly destroyed. However, when a process is
suspended, the process notice persists. If the program decides not to complete the
suspended process, then an explicit destroy statement (Form 3 or 4) identifying the
process notice must be executed to reclaim the storage used by the suspended process. If
a process notice is currently scheduled, i.e., it is a member of the event set, a Cancel
statement must be executed to remove the process notice from the event set before the
destroy statement is executed.
An ―after creating‖ routine, if defined, is called automatically for each object, temporary
entity, and process notice created using Forms 1 or 2. This routine is called after the
instance has been allocated and after its attributes have been initialized to zero or the null
string. A ―before destroying‖ routine, if defined, is called automatically for each object,
temporary entity, and process notice destroyed using Forms 3 or 4. This routine is called
before the instance has been de-allocated. ―After creating‖ and ―before destroying‖
routines may not be defined for permanent entity types and resource types, and so they
are not applicable to Forms 5, 6, and 7. See BeforeAfter for more information.
Forms 5 and 6 may be combined within the same statement. The following sequence
creates 200 City entities and 1000 Taxi entities:
let n.City = 200
create each City and Taxi(1000)
More than one permanent entity type and resource type may be specified in Form 7. For
example:
destroy each City and Taxi
It is an error to execute a create each statement for a permanent entity type or resource
type that is already allocated. A destroy each statement has no effect on an entity type
that is unallocated.
39
After entities have been allocated by a create each statement, changing the value of
n.Name does not change the number of entities. It is necessary to first de-allocate the
existing entities and then execute a create each statement with the new value of n.Name.
For example:
' ' not enough taxis
destroy each Taxi
let n.Taxi = 2 * n.Taxi ' ' double the number of taxis
create each Taxi
Creating compound entities means allocating the multi-dimensional arrays used to hold
their attribute values. They are created implicitly after all constituent permanent entities
and resources have been created. For example, suppose Rate is an attribute of a
compound entity which has City and Taxi as its constituent entities:
every City, Taxi has a Rate
After the following statement is executed,
create each City(25) and Taxi(80)
a 25 × 80 array is implicitly allocated for each attribute of the compound entity. The rate
charged by the third taxi in the second city is stored in Rate(2, 3).
Destroying compound entities means de-allocating the multi-dimensional arrays used to
hold their attribute values. They are destroyed implicitly once any of its constituent
entities is destroyed. The following statement destroys all Taxi entities and all compound
entities in which Taxi is a constituent entity. It does not destroy the City entities.
destroy each Taxi

40
2.15 Cycle
cycle
next
This statement may be specified in the body of a loop and terminates the current iteration
of the loop, and the loop continues. The keywords cycle and next are synonymous.
For example, the following loop reads N positive values and stores them in an array
named Parameter. For each zero or negative value that is entered, an error message is
displayed and the value is ignored.
let J = 1
while J <= N
do
write J as "Enter parameter ", i *, ": ", +
read Value
if Value <= 0
write as "The value must be positive. Please re–enter.", /
cycle
otherwise
let Parameter(J) = Value
add 1 to J
loop
A Cycle statement behaves like a branch to a hidden label that immediately precedes the
loop keyword. The above example can be rephrased as follows:
let J = 1
while J <= N
do
write J as "Enter parameter ", i *, ": ", +
read Value
if Value <= 0
write as "The value must be positive. Please re–enter.", /
go to Hidden_Label
otherwise
let Parameter(J) = Value
add 1 to J
'Hidden_Label'
loop
41
When used within the body of nested loops, a Cycle statement terminates the current
iteration of the innermost loop. For example, the following loop writes the name of each
soldier in each platoon and does some additional processing for sergeants. After the
Cycle statement is executed, the innermost control variable (Soldier) is assigned its next
value (the reference value stored in s.Staff(Soldier)).
for each Platoon in Company
for each Soldier in Staff(Platoon)
do
write Name(Soldier) as t *, /
if Rank(Soldier) <> Sergeant
cycle ' ' nothing more to do for this soldier
otherwise
' ' additional processing for sergeants
add 1 to Number_of_Sergeants
…
loop

42
2.16 DefineConstant
define
Name
Comma
as
a
an
constant
constants
=
SignedNumber
String
SubprogramLiteral
A define constant statement declares one or more named constants. This statement may
appear in a preamble or routine. The keywords a and an are optional for readability. The
keywords constant and constants are synonymous.
If the value of a named constant is unspecified, it is assigned the integer value that is one
greater than the value of the preceding integer constant in the statement, or assigned a
value of one if there is no preceding integer constant.
In the following example, the constants named F, D, C, B, and A represent letter grades
and are assigned values zero through four:
define F = 0, D, C, B, A as constants
Constants Idle, Busy, and Terminated are given values one to three:
define Idle, Busy, and Terminated as constants
Named constants declared in the preamble are global, i.e., they are accessible to every
routine in the module. Named constants declared in a public preamble of a module are
accessible to importing modules. Named constants declared in a routine are local, i.e.,
they are accessible only within the declaring routine.

43
2.17 DefineMethod
define Name
Comma
as
a
an
given
giving
with DefineRoutineArguments
yielding
Comma
DefineRoutineArguments
Mode
process method
methods
A define method statement describes the given and yielded arguments for one or more
methods. If the methods are functions, the mode of the functions must also be specified
and yielded arguments are not permitted. This statement may appear in a begin class
block.
The keywords a and an are optional for readability. The following are synonymous:
method and methods;
given, giving, and with.
This statement must be in the same begin class block as the "has ... method" phrase. If
omitted, the method is assumed to be a subroutine with no arguments.
If a function result mode is not specified, the method is a subroutine.
A "define method" statement may be specified for an inherited overridden method.
Covariant return mode and yielded arguments and covariant given arguments are
supported.

44
2.18 DefineRoutine
Mode
Comma
fortran
nonsimscript
routine
routines
subroutine
subroutines
function
functions
define Name
Comma
as
a
an
given
giving
with DefineRoutineArguments
yielding
Comma
DefineRoutineArguments
A define routine statement describes the given and yielded arguments for one or more
routines that are not methods. If the routines are functions, the mode of the functions
may also be specified and yielded arguments are not permitted. This statement may
appear in a preamble, but may not appear in a begin class block. A routine can be defined
in only one "define routine" statement.
The keywords a and an are optional for readability. The following are synonymous:
routine, routines, subroutine, subroutines, function, and functions;
given, giving, and with.
Each function must be declared in a preamble. A public subroutine must be declared in a
public preamble; otherwise, subroutines need not be declared in a preamble, but it is
recommended to declare them.
A function that returns an array must be declared as pointer.
45
If a mode of the routine is unspecified and the background mode is not undefined, then
the routine is a function having the background mode. If the mode is unspecified and the
background mode is undefined, the routine is a subroutine.
A subsystem routine is private unless it is declared in the subsystem's public preamble by
a "define routine" statement. A private subroutine may optionally be declared by a
"define routine" statement in the private preamble.

46
2.19 DefineRoutineArguments
Mode
a
an
Integer
Integer dimensional
dim
–
subprogram
argument
arguments
value
values
Comma
Integer
argument
arguments
value
values
Comma
This language element is used to specify the number, mode, and dimensionality of given
and yielded arguments in a define method or define routine statement.
The keywords a and an are optional for readability. The following are synonymous:
dimensional and dim;
argument, arguments, value, and values.
It is not possible to define a routine with a variable number of arguments.
If the number of arguments is not specified, then no argument checking is done for calls
of non-method routines. For methods, if the number of arguments is not specified, it is
assumed to be zero.
If a routine is defined with only given arguments, it is assumed to have no yielded
arguments. If a routine is defined with only yielded arguments, it is assumed to have no
given arguments.
Given and yielded arguments can be arrays. A pointer to the array, and not the array
elements, is passed. A given argument that is an array can have its elements changed by
the routine.
No argument checking is performed for calls using a subprogram variable.
47
Arguments declared as real are treated as double.
The order of arguments is important in the declaration.
In some cases, the mode of arguments can be inferred by the compiler, such as the mode
of arguments to function attributes, monitoring routines, and before/after routines.
When the mode and dimensionality of a routine's arguments have been declared in a
"define routine" or "define method" statement, it is not necessary to define the mode and
dimensionality of the arguments within the routine implementation. If they are defined
within the routine implementation, their definitions must agree with the definitions in the
"define routine" or "define method" statement.
When overriding inherited methods, a class may define the reference modes of return
values and yielded arguments to be subclasses of the original reference modes, and may
define the reference modes of given arguments to be super-classes of the original
reference modes.

48
2.20 DefineSet
fifo
lifo
set
sets
ranked
define Name
Comma
as a
an
by
on high
low Name
Commathen
A define set statement specifies the order of members in one or more sets to be fifo (first-
in first-out, which is the default), lifo (last-in first-out), or ranked based on the values of
one or more member attributes. The specified order determines the position of a new
member added to the set by a file statement. For a fifo set, a file statement is treated as file
last; for a lifo set, a file statement is interpreted as file first; and for a ranked set, a file
statement inserts the new member in rank order. A define set statement may appear in a
preamble.
The keywords a and an are optional for readability. The following are synonymous:
set and sets;
by and on.
A set is fifo if no "define set" statement is specified for it.
In a ranked set, "high" is assumed if neither "low" nor "high" is specified. A function
attribute can be used for ranking. If two or more members are tied on all ranking
attributes, they are filed in first-in first-out order.
A "define set" statement may be specified in a "begin class" block and must refer to a set
named in a "belongs" phrase in the same block.
49
In a ranked set of objects, the ranking attributes may be defined or inherited by the
member class. The ranking attributes can be any 0-dim object attributes and object
function methods with no arguments.
If a set of entities has common members, then each member type must have each of the
ranking attributes.

50
2.21 DefineToMean
define NameUnqualified
Number
SpecialSymbol to mean rest of line
A define to mean statement declares a source code substitution. Each occurrence of the
unqualified name, number, or special symbol that follows in the source code will be
replaced by the characters that appear after to mean on the current source line. This
statement may appear in a preamble or routine.
If "define X to mean Y" is used, only standalone occurrences of X will be replaced. It
will not replace "XRAY" with "YRAY‖.
The scope of a "define to mean" depends on where it was used. If it appears in a preamble
it has global scope and applies after its definition in the preamble and then to every
routine. If it appears in the routine it has local scope, i.e. it applies after its definition in a
routine and only until the end of the routine. If it appears in the ―begin class‖ block it
has local class scope, it applies after its definition in a "begin class" block and only until
the end of the block.
To change a substitution, "suppress substitution; define Word to mean NewThing;
resume substitution".
Substitutions can be used to change the vocabulary of the language. Care must be taken
with statements of the form "define A to mean X" since "A" is used in the syntax of
various statements.
A single word can be substituted by one or more statements.
Substitutions declared in a public preamble affect the interpretation of the public
preamble source code but are not imported. Substitutions in effect at the end of the
public preamble are in effect at the beginning of the private preamble, and those in effect
at the end of the private preamble apply to the routines of the subsystem.
A "define to mean" can be used to define an equivalent unqualified name for a long
qualified name.

51
2.22 DefineVariable
variable
variables
array
arrays
Mode
Integer dimensional
dim
–
continuous
subprogram
recursive
saved
stream Integer
Name
Comma
monitored on the
left
right
define Name
Comma
as
a
an
Comma
A define variable statement may be specified in a preamble to declare one or more
attributes and global variables and in a routine to declare one or more local variables and
arguments.
The keywords a, an, and the are optional for readability. The following are synonymous:
dimensional and dim;
variable, variables, array, and arrays.
Each variable is initialized to zero, except text variables which are assigned the null
string "". A recursive local variable is initialized to zero for each call of the routine,
52
whereas a saved local variable is initialized to zero at the beginning of the program and
retains its value from one call of the routine to the next. All recursive instantiations of a
routine share the same group of saved local variables, but have separate recursive local
variables. Arguments are recursive local variables and may not be declared as saved.
The variable holding the pointer to a local array is treated as saved or recursive.
It is necessary to define the mode of a variable if it differs from the background mode or
if the background mode is set to "undefined".
It is necessary to define the dimensionality of a variable if it differs from the background
dimensionality.
It is necessary to define the type (recursive or saved) of a local variable if it differs from
the background type.
An array is dynamic structure which elements can be accessed using indexes. They can
be 1-dim, 2-dim, etc. All elements of an array have the same mode.
Each array has a pointer to the array as it is structured in memory. This pointer is
accessed by simply using the name of the array, as in X, or X(*), or X(*,*), etc.
A variable should be defined by one define variable statement.
A global variable is defined in a preamble; a local variable is defined in a routine. The
names of local variables within a routine have local scope and must be unique; however,
the same names can be used for local variables in different routines and refer to different
variables. A local variable can be defined with the same name as a global variable;
however, the global variable is accessible using its qualified name.
The "define variable" statement may appear anywhere in a routine, and may even appear
within a do...loop block.
A monitored variable has both a storage location and a function associated with it having
the same name and mode, with left and/or right implementations. The function has as
many integer arguments as the dimension of the monitored variable. A monitored
variable defined as "real" is treated as "double." Local variables cannot be monitored. A
function object method is defined for a monitored object attribute, and a function class
method is defined for a monitored class attribute.
A subprogram variable holds the address of a non-method subroutine or right function, or
contains zero (the initial value) to indicate that it does not refer to any routine. It may
refer to routines in library.m. A 0-dim subprogram variable may be called using a Call
statement.
A random variable uses stream 1 unless a different stream is specified in a "define
variable" statement. A stream variable may be specified in the "define variable"
53
statement. It must be a 0-dim system/subsystem attribute, global variable, or class
attribute, or integer function or class method with no arguments? A random variable
declared as real is treated as double. An array of random variables can be declared,
except in temporary entities. A random variable cannot be declared as monitored. A
stream number can be given by a named constant.
An attribute of a temporary entity cannot be declared as an array. However, it may be
declared as pointer, to which an array pointer may be assigned.
If a variable is not declared by a "define variable" statement, and there is no implicit
definition of the background mode, the compiler will report an error. It is suggested that
every variable be defined and the background mode be undefined. This can be achieved
with ―normally mode is undefined‖ statement in the preamble.
A "define variable" statement must follow "every" and "the system" statements whenever
the "define variable" statement includes attributes named in either statement.
A "define variable" may be specified in a "begin class" block and must follow the
declaration of an object (class) attribute in an "every" ("the class") statement.
An object attribute or class attribute can be declared as random variable.
When the mode and dimensionality of a routine's arguments have been declared in a
"define routine" or "define method" statement, it is not necessary to define the mode and
dimensionality of the arguments within the routine implementation. If they are defined
within the routine implementation, their definitions must agree with the definitions in the
"define routine" or "define method" statement.
A 0-dim variable that has a reference mode is called a "reference variable." It can hold
the "reference value" or address of an entity or object. A value of zero means it does not
refer to any entity or object. Reference variables are automatically initialized to zero.
Except for local variables, any double variable can be declared as "continuous", including
arrays and monitored variables.

54
2.23 Digit
0
1
2
3
4
5
6
7
8
9
This language element is a decimal digit. It may appear in an Integer, Name, Number, or
String, and in a comment or keyword (e.g., integer2).

55
2.24 Enter
enter with Variable
This language element is a special kind of assignment statement that may appear only
with the left implementation of a function. A left implementation is invoked when a
value is assigned to a function or to a variable or attribute that is monitored on the left.
An Enter statement is used to set this assigned value.
For example, suppose Duration is an object method of a class named Job:
begin class Job
every Job has a Duration method
define Duration as a double method
end
If Duration has a left implementation, then a value can be assigned to it:
define Repair as a Job reference variable
create Repair
let Duration(Repair) = 3.75
The left implementation shown below uses an Enter statement to set the assigned value,
3.75 to the local variable named Hours.
left method Job'Duration
define Hours as a double variable
enter with Hours ' ' set assigned value
…
end
Normally a left implementation specifies an Enter statement as the first executable
statement of the routine; however, this is not a requirement. It may contain one or more
Enter statements appearing anywhere within the routine. It may contain zero Enter
statements if the value assigned to the function is to be ignored.
An Enter statement in a left monitoring function is typically followed by a move from
statement which stores a value in the monitored variable or attribute. See page 126 for
more information.

56
2.25 Every
every Name
Comma
is
be
overrides
override
Comma can
may
Has
Owns
Belongs
a
an
some
the
Name
Comma
An every statement appearing in a begin class block may specify the following for an
object of the class:
attributes and methods (Has);
sets owned by the object (Owns);
sets in which the object may be a member (Belongs);
base classes (is);
inherited attributes and methods overridden by the class (overrides).
An every statement appearing in a preamble, but not in a begin class block, declares an
entity type, which may be a temporary entity, process, permanent entity, resource, or
compound entity. This statement may specify the following for an entity of this type:
attributes (Has);
sets owned by the entity (Owns);
sets in which the entity may be a member (Belongs).
The keywords can and may are optional for readability. The following are synonymous:
is and be;
overrides and override;
a, an, some, and the.

57
For every entity type, and a class there is an implicit definition of global variable with
same name as the entity type. Its mode is "entityname reference" for temporary entities;
its mode is integer for permanent entities. Also implicit definition of n.entity global
variable for permanent entities. "i.entity" is a global variable generated for process types.
A compound entity is indicated by two or more entity/class names specified after the
"every" keyword. A compound entity may be declared only outside a "begin class"
block. There can be no "belongs" phrases, but there may be "has" and "owns" phrases
which describe attributes of and sets owned by the compound entity. The constituent
entities of a compound entity must be defined in the same module as the compound
entity.
An every statement cannot be specified privately for a public entity.
Base classes are specified by "is a" phrases within a "begin class" block. Inheritance
conforms to the following rules:
Each object of the derived class has its own copy of each object attribute of each
base class.
A method of the derived class may refer to each class attribute of each base class;
however, there is only one copy of each class attribute in the program.
Each object method of each base class may be invoked on behalf of an object of
the derived class.
Each class method of each base class may be invoked by a method of the derived
class without qualification of the class method name.
Each set of objects of a base class may contain objects of the derived class.
Each object of the derived class owns each set that is owned by an object of a
base class.
A derived class cannot alter the definition of an inherited attribute, method, or set.
Cyclic inheritance is not permitted, as in "every A is a B; every B is a C; every C
is an A".
A derived class may override an inherited object method (or monitored object attribute or
unmonitored numeric object attribute) and supply its own implementation(s) of the object
method. Invoking the method using a base class reference variable that contains a
derived class reference value invokes the derived class's implementation of the method.
The derived class's implementation may invoke the base class's implementation to modify
or extend its behavior. A derived class that overrides an inherited monitored object
attribute may provide left, right, or both implementations of the monitoring method. A
derived class may provide a left monitoring method to override an inherited unmonitored
numeric attribute.
A derived class may override an inherited object process method. If the execution of the
method is scheduled using a base class reference variable that contains a derived class
reference value, the derived class's implementation is scheduled for execution. It may in
turn call or schedule the execution of the base class's implementation.
58
All inherited programmer-defined object methods may be overridden. Inherited class
methods cannot be overridden. It is not possible to override a private inherited object
method.
Suppose class D is derived from base classes B and C, and that class A is a base class of
both B and C. That is, "every D is a B and a C", "every B is an A", and "every C is an
A". This is the well-known "diamond-shaped" inheritance. There is only one occurrence
of A's object attributes in a D object. If both B and C override an object method named
M inherited from A, then D must override M.
The name of an inherited attribute, method, or set in a derived class is the same as its
name in the base class. However, if the name is inherited from more than one base class,
it must be qualified by the name of the base class. If the derived class defines a name that
it has inherited, then this definition is distinct from any inherited definitions of the name
and the unqualified name refers to the derived class's definition.
If outside a "begin class" block, an "every" statement defines a temporary entity, process,
permanent entity, resource, or compound entity based on the preceding heading. If no
preceding heading, temporary entities is assumed.
In single inheritance, a class is derived from one base class. In multiple inheritance, a
class is derived from two or more base classes. If "every Z is a Y" and "every Y is a X",
then it is optional to declare that "every Z is a X".
A derived class inherits the object attributes of each of its base classes. This means that
an object of a derived class has a copy of each object attribute defined or inherited by its
base classes. In addition, the derived class may define object attributes of its own. If the
name is inherited from more than one base class, it must be qualified by the name of the
base class. If the derived class defines a name that it has inherited, then this definition is
distinct from any inherited definitions of the name and the unqualified name refers to the
derived class's definition.
A derived class inherits the object methods of each of its base classes. This means that
each object method defined or inherited by its base classes may be invoked on behalf of
an object of the derived class. In addition, the derived class may define object methods
of its own.
A derived class cannot alter the definition of an inherited object attribute or object
method. A derived class may define an attribute or method having the same name as an
inherited attribute or method, but it does not replace or change the inherited attribute or
method. The result is that the derived class has two definitions of the name, one defined
by the class and the other inherited from a base class. When a name has been inherited
from two or more base classes, or has been defined by the derived class and inherited
from one or more base classes, each inherited definition must be accessed using its
qualified name.

59
2.26 Expression
+
–
Variable$
Variable
Number
String
SubprogramLiteral
Expression( )
**
*
/
This language element appears in many executable statements. It is evaluated when a
statement is executed. The resulting value is then used in the statement.
If an Expression is a single Variable, Number, or String, then its value is the current value
of the named variable or attribute, the value returned by a function, or the value indicated
by a constant. For example:
Cost ' ' Variable
16.25 ' ' Number
"Yes" ' ' String
If two such elements are joined by an operator, the result of the operation becomes the
value of the Expression. The following operators are permitted:
Precedence
Level
Operator
Result Mode
Usage
3
exponentiation **
double
X ** Y
2
multiplication *
integer or double
X * Y
real division /
double
X / Y
1
concatenation +
text
X + Y
addition +
integer or double
X + Y
subtraction –
integer or double
X – Y
unary +
integer or double
+X
unary –
integer or double
–X
The concatenation operator produces a text result by concatenating the values of one text
or alpha operand with another. For example, if a text variable T is equal to "State", then
the value of T + "s" is "States". The expression T + "s" is shorthand for concat.f(T, "s").
If an integer variable N is equal to 3,

60
the value of 2 ** N is 8.0;
the value of N * N is 9;
the value of 7.5 / N is 2.5;
the value of N + 7 is 10;
the value of 0.5 – N is –2.5;
the value of +N is 3; and
the value of –N is –3.
These arithmetic operators require operands of numeric mode: double, real, integer,
integer4, integer2, or alpha. For the exponentiation and real division operators, the mode
of the result is double. For the other operators, the mode of the result depends on the
modes of the operands. If one or both of the operands are double or real, then the mode
of the result is double; otherwise, the mode of the result is integer. If both operands of +
are alpha, concatenation is performed, not addition.
Integer division and modulus operators are available in library.m. Given integers X and Y,
div.f(X, Y) returns the integer quotient of X divided by Y, and mod.f(X, Y) returns the
integer remainder. For example, div.f(26, 6) returns 4 and mod.f(26, 6) returns 2.
Multiple operators may be combined in an Expression. For example:
Basic_Fare + 0.62 * Miles – Discount / 10
a * x ** 2 + b * x + c
Such expressions are evaluated according to the operator precedence rules.
Exponentiation operators have the highest precedence and are evaluated first.
Multiplication and real division operators are evaluated next, followed by the others.
When operators have equal precedence, they are evaluated from left to right. The above
statements are therefore evaluated as if they included the following parentheses, with the
innermost parentheses evaluated first:
(Basic_Fare + (0.62 * Miles)) – (Discount / 10)
((a * (x ** 2)) + (b * x)) + c
These parentheses are optional and may be used to enhance readability. However, if the
default order of evaluation is not desired, parentheses must be specified to indicate the
desired order. For example:
(Basic_Fare + 0.62) * (Miles – Discount) / 10
(a * x) ** ((2 + b) * (x + c))
No two operators can appear consecutively. The expressions A + (–B) and A – B are valid,
but A + –B is not. The two asterisks of the exponentiation operator ** must be consecutive
with no intervening space.
An Expression may be a SubprogramLiteral representing a routine, and may be assigned
to a subprogram variable which can be used to call the routine indirectly. To call a
61
function using this variable, it is necessary for the variable and function to have the same
mode. Suppose Area is a double function that accepts two arguments. A subprogram
variable named Solve can refer to this function:
define Solve as a double subprogram variable
define Result as a double variable
let Solve = 'Area'
let Result = $Solve(X, Y)
The expression $Solve(X, Y) is an indirect call of function Area with given arguments X
and Y. The value returned by the function is the value of the expression.
Note that Solve must be a scalar (0-dimensional) subprogram variable in this context
because the parenthesized expressions are interpreted as given arguments to the function
and not as subscripts in a subprogram array. If the address of the Area function is stored
in the third element of a subprogram array named Measure, this element must be assigned
to a scalar subprogram variable which can be used to call the function.
define Measure as a 1–dimensional double subprogram array
let Measure(3) = 'Area'
…
let Solve = Measure(3)
write $Solve(X, Y) as "The solution is ", d(8, 2), /
No argument checking is performed by the compiler on the arguments passed in a
subprogram variable call. The programmer must verify that the number and mode of
arguments match the routine’s argument definitions.

62
2.27 External
external
exogenous process
processes
are
include
is
process unit
units
are
include
is
Name
Comma
Integer
Name
Comma
An external statement declares one or more process types to be external or declares one
or more input units from which external processes are to be read during a simulation.
This statement may appear in a preamble, but may not appear in a begin class block.
The following are synonymous:
external and exogenous;
process and processes;
unit and units;
are, include, and is.
A common validation technique used in simulation modeling is to exercise a model using
event data derived from a record of events occurring in the system under study. This is
termed trace-driven simulation. Alternatively, a collection of projected event times
may be used to study the behavior of the modeled system.
To support this technique, Simscript provides a mechanism by which, rather than
scheduling events using statements within a program, they may be scheduled directly
from event times presented as an input data stream.
It is possible for processes to belong to one or both of two categories: internal or
endogenous, and external or exogenous. Processes may be triggered from external input
data by declaring them to be external processes. A process type cannot appear in more
than one "external processes" statement.
For each process type declared as external, provision is made to create a process notice
each time a data record containing the process type name appears on an external process
unit. The process notice attribute named "eunit.a" contains the number of the external
unit from which the external process was read. If a suspended process was external, its
63
eunit.a is changed automatically to zero so that when it is awakened, its eunit.a is zero
indicating an internally scheduled resumption.
If no "external process units" statements are specified, the standard input unit is assumed
to be a source of external process data. If "external process units" statements are
specified and the standard input unit is intended to be one of them, then the standard
input unit must be specified in one of the statements. External process units may not
contain binary data. Any external process may be triggered by data read from any of the
external process units. External process units may not be shared among modules.
External processes are read in chronological order (i.e., increasing time.a) from external
process units. Records for different process types may be interspersed. Each record
contains the name of a process type, the time at which it is to occur, and optional data
which can be continued on subsequent lines. The data is terminated by an occurrence of
the mark.v character (asterisk by default). The name and time are read by free-form read
statements. Optional data may be in any programmer-defined character format. For each
record, a process notice is created of the named type, time.a is set to the specified time,
and eunit.a is set to the number of the external unit. The process notice is filed in the
event set. Internally and externally generated process notices are filed together. They are
distinguished by their eunit.a values.
The time at which an external process is to occur can be specified in three formats:
(i) a single floating-point value expressing an absolute time (e.g., 7.56)
(ii) three integer values specify the day, hour, and minute (e.g., 2 22 51);
the value "0 0 0" represents the start of simulation; hours are numbered
from 0 to 23 and minutes from 0 to 59 (affected by hours.v and
minutes.v?)
(iii) a calendar day followed by hour and minute as integers (e.g., 1/15/97 5
35 or 1/15/1997 5 35)
Before the calendar date can be used, origin.r must be called to established the origin
date, before "start simulation" is executed.
Only one process notice is scheduled for initial invocation from each external process
unit. Only after that process notice is removed from the event set and the process routine
executed will the next process be read from the external unit and scheduled for initial
invocation.
All process methods are internal and may not be scheduled externally; however, an
external process may call or schedule a process method.
External units can be given by named constants.

64
2.28 File
file
the
this
VariableExpression
before
after Expression
first
last
in
the
this
This statement, which may be used in any routine, inserts an object or entity into a set. It
has five forms. In each form, an Expression identifies an object or entity to be inserted
into the set named by Variable. The keywords the and this are optional for readability.
1. File Expression in Variable. Each set has a defined ordering specified by a
DefineSet statement (see page 48). The ordering is either first-in-first-out (FIFO),
last-in-first-out (LIFO), or ranked according to the values of one or more member
attributes (called ―ranking attributes‖). If no DefineSet statement is specified for
the set, its ordering defaults to FIFO. This form of the File statement positions a
member according to the defined ordering of the set. If the ordering is FIFO, the
member is inserted last in the set. If the ordering is LIFO, the member is inserted
first in the set. If the ordering is ranked, the member is positioned in rank order
according to the values of its ranking attributes.
For example, suppose Job is a class where each Job object has a Priority attribute
and may belong to a set named Queue, i.e.,
every Job has a Priority and belongs to a Queue
Suppose J is a Job reference variable. Here we create a Job object and initialize
its Priority to 7:
create J
let Priority(J) = 7
Now consider the effect of the following statement:
file J in Queue
65
If Queue is FIFO, then the Job object identified by J is inserted last in Queue. If
Queue is LIFO, then the object is inserted first in Queue. If Queue is a ranked set
with Priority as its sole ranking attribute, i.e.,
define Queue as a set ranked by high Priority
then the object is inserted in rank order. It is placed after all members that have
Priority >= 7, and before all members with Priority < 7. Members with identical
rank values (e.g., Priority = 7) are ranked on a first-in-first-out basis.
A member of a ranked set is placed into the set based on the values of its ranking
attributes at the time of its insertion. If after insertion, the value of a member’s
ranking attribute is modified, the member is not automatically repositioned within
the set based on the new value. In fact, it is an error to change the value of a
ranking attribute because it breaks the ordering of the set. The correct procedure
is first to remove the member from the set, change the attribute value, and then re-
insert the member into the set. Upon re-insertion, the member is positioned
correctly within the set using the new value. In our example, we must first
remove the object identified by J before changing its Priority, and then place the
object back into the Queue:
remove J from Queue
add 2 to Priority(J)
file J in Queue
2. File Expression first in Variable. The object or entity identified by Expression is
filed first in the set named by Variable. For example:
file Tanker first in Awaiting(Tug)
3. File Expression last in Variable. The object or entity identified by Expression is
filed last in the set named by Variable. For example:
file Tanker last in Awaiting(Tug)
4. File Expression before Expression2 in Variable. The object or entity identified by
Expression is placed in the set named by Variable immediately before the member
identified by Expression2. In the following example, the object identified by
Tanker immediately precedes the member identified by Freighter in the set,
Awaiting(Tug):
file Tanker before Freighter in Awaiting(Tug)

66
5. File Expression after Expression2 in Variable. The object or entity identified by
Expression is placed in the set named by Variable immediately after the member
identified by Expression2. For example:
file Tanker after Freighter in Awaiting(Tug)
Any of the five forms may be used for FIFO and LIFO sets. However, only the first form
is permitted for ranked sets; the other forms are disallowed because they break the rank
ordering.
The set attributes of the new member, and of the set owner, are automatically updated
when a File statement is executed. For example, when this statement is executed,
file Tanker first in Awaiting(Tug)
the following modifications are made to the set attributes:
' ' the new member has no predecessor because it is first in the set
let p.Awaiting(Tanker) = 0
' ' the successor of the new member is the member that was previously
' ' first in the set
let s.Awaiting(Tanker) = f.Awaiting(Tug)
' ' the "m." attribute is set to a nonzero value to indicate that the object or entity
' ' is a member of the set; the nonzero value identifies the owner of the set
let m.Awaiting(Tanker) = Tug
' ' the set has a new first member
let f.Awaiting(Tug) = Tanker
' ' if this is the only member of the set, then the set has a new last member
if l.Awaiting(Tug) = 0
let l.Awaiting(Tug) = Tanker
always
' ' increment the number of members in the set
add 1 to n.Awaiting(Tug)
If the owner of the set can be identified by a single value, then that value is assigned to
m.set_name. Otherwise, a value of 1 is assigned to m.set_name. The owner of a set can
be identified by a single value if
the set is 0-dimensional and owned by an object (the identification is the reference
value of the object);
the set is 1-dimensional and owned by a class or by the system or subsystem (the
identification is the set subscript);
the set is owned by a temporary entity or process notice (the identification is the
reference value of the entity); or
the set is owned by a permanent entity or resource (the identification is the entity
number).
67
The object or entity identified by Expression must not already be a member of a set with
the specified name, i.e., its m.set_name attribute must be zero before the File statement is
executed. On the other hand, in Forms 4 and 5, Expression2 must identify an object or
entity that is currently a member of the set (its m.set_name attribute must be nonzero).
These conditions may be verified before executing a File statement. For example:
if Tanker is not in Awaiting and Freighter is in Awaiting(Tug)
file Tanker after Freighter in Awaiting(Tug)
always
For a set of objects, the mode of Expression and Expression2 must be integer, pointer, the
reference mode of the member class, or the reference mode of a class that is derived from
the member class.
For a set of temporary entities or process notices, the mode of Expression and
Expression2 must be integer, pointer, or the reference mode of the entity type.
For a set of permanent entities or resources, a member is identified by an entity number;
therefore, the mode of Expression and Expression2 must be numeric: double, real,
integer, integer4, integer2, or alpha. If it is double or real, it is implicitly rounded to
integer.
A ―before filing‖ routine and an ―after filing‖ routine, if defined, are called automatically
before and after each object or entity is inserted into the set. The first argument to these
routines is the value of Expression. Additional arguments are supplied as needed to
identify the owner of the set. The value of Expression2 in Forms 4 and 5 is not passed to
these routines. See BeforeAfter on page 18 for more information.

68
2.29 Find
find first
the first case ,
then if
,
rest of If
found
none
The find first phrase may appear as the body of a loop. The first time the body of the loop
is executed, the loop terminates with found equal to true and none equal to false. If the
loop terminates without ever executing the body of the loop, then found is false and none
is true. This condition may be tested by an If statement that begins with if found or if
none, which must immediately follow the find first phrase with no intervening statements.
The phrases find first and find the first case are synonymous. The commas are optional
for readability.
Although the find first phrase may appear as the body of any loop, it is normally preceded
by one or more For phrases and a With phrase. Here we check an array X to see if it
contains any negative values. If it does, the loop terminates with the control variable J
containing the index of the first negative value.
for J = 1 to dim.f(X)
with X(J) < 0
find first
if found
write X(J), J as "A negative value ", i *, " is stored at index ", i *, /
else
write as "All elements of the array are positive or zero", /
always
This If statement may be written equivalently as:
if none
write as "All elements of the array are positive or zero", /
else
write X(J), J as "A negative value ", i *, " is stored at index ", i *, /
always
69
In the next example, we read the name of a sergeant and then search each platoon of the
company to locate the sergeant. The loop terminates once the sergeant is found; the
control variable Soldier contains the reference value of the sergeant, and the control
variable Platoon refers to the sergeant’s platoon.
read Sergeant_Name
for each Platoon in Company
for each Soldier in Staff(Platoon)
with Rank(Soldier) = Sergeant and Name(Soldier) = Sergeant_Name
find the first case
if found
write as "The sergeant has been located", /
write Name(Soldier), Number(Platoon)
as "Sergeant ", t *, " is in platoon #", i *, /
always
The If statement may be preceded by a then keyword when nested within another If
statement. See If on page 85 for more information.
The If statement may be omitted. Upon termination of the loop, control passes to the
statement that follows the loop.

70
2.30 For
all
each
every
called
from
after
Expression
at
in
of
on
the
this
Variable
in reverse order ,
for
=
back from
Expression
Expression
Expression
to
by
Variable Variable
Variable
This loop control phrase is part of a Loop statement and causes the body of the loop to be
executed once for each value assigned to a control variable. The assigned values may
range from a starting value to an ending value or may refer to consecutive members of a
set.
The comma, and the keywords the and this, are optional for readability. The following
are synonymous:
all, each, and every;
at, in, of, and on.
71
This phrase has 12 forms:
1. for Variable = Expression1 to Expression2. The body of the loop is executed once
for each value of the control variable from Expression1 to Expression2. This
form is equivalent to:
let Variable = Expression1
while Variable <= Expression2
do
' ' execute body of loop
…
add 1 to Variable
loop
For example, the following phrase executes the body of the loop ten times, as the
control variable J takes on the values 1, 2, …, 10.
for J = 1 to 10
2. for Variable = Expression1 to Expression2 by Expression3. The body of the loop
is executed once for each value of the control variable from Expression1 to
Expression2, where the control variable is incremented by Expression3 after each
iteration. This form is equivalent to:
let Variable = Expression1
while Variable <= Expression2
do
' ' execute body of loop
…
add Expression3 to Variable
loop
For example, the following phrase executes the body of the loop five times, as the
control variable J takes on the values 1, 3, 5, 7, and 9.
for J = 1 to 10 by 2
In the next example, a double variable K takes on the values –1.0, –0.5, 0.0, 0.5,
and 1.0.
for K = –1 to 1 by 0.5
72
3. for Variable back from Expression1 to Expression2. The body of the loop is
executed once for each value of the control variable from Expression1 down to
Expression2. This form is equivalent to:
let Variable = Expression1
while Variable >= Expression2
do
' ' execute body of loop
…
subtract 1 from Variable
loop
For example, the following phrase executes the body of the loop ten times, as the
control variable J takes on the values 10, 9, …, 2, 1.
for J back from 10 to 1
4. for Variable back from Expression1 to Expression2 by Expression3. The body of
the loop is executed once for each value of the control variable from Expression1
down to Expression2, where the control variable is decremented by Expression3
after each iteration. This form is equivalent to:
let Variable = Expression1
while Variable >= Expression2
do
' ' execute body of loop
…
subtract Expression3 from Variable
loop
For example, the following phrase executes the body of the loop five times, as the
control variable J takes on the values 10, 8, 6, 4, and 2.
for J back from 10 to 1 by 2
5. for each Variable. The body of the loop is executed once for each entity number
from 1 to the number of entities of the named permanent entity type or resource
type. The control variable is the local or global variable with the same name as
the entity type. This form is equivalent to the following Form 1 phrase:
for Variable = 1 to n.Variable
73
For example, if City is a permanent entity type, the phrase,
for each City
is equivalent to
for City = 1 to n.City
6. for each Variable called Variable2. The body of the loop is executed once for each
entity number from 1 to the number of entities of the permanent entity type or
resource type specified by Variable. The control variable is Variable2. This form
is equivalent to the following Form 1 phrase:
for Variable2 = 1 to n.Variable
For example, the phrase,
for each City called C
is equivalent to
for C = 1 to n.City
7. for each Variable in Variable2. The body of the loop is executed once for each
member of the set identified by Variable2, from the first member of the set to the
last member. The reference value or entity number of each member is assigned to
the control variable Variable. This form is equivalent to the following code
sequence, where Successor is an implicitly-defined local variable:
let Variable = f.Variable2 ' ' start with the first member in the set
while Variable <> 0 ' ' while we have not reached the end of the set
do
let Successor = s.set(Variable)
' ' execute body of loop
…
let Variable = Successor
loop
For example, the following phrase executes the body of the loop for each member
of the set named Fleet. In each iteration, the control variable Ship refers to a
different member of the set. The successor of the current member is stored in
s.Fleet(Ship).
for each Ship in Fleet
74
8. for each Variable from Expression in Variable2. This form is identical to Form 7
except that the body of the loop is executed starting with the member identified by
Expression and continuing to the last member of the set. For example, the
following phrase begins with the member identified by Tanker:
for each Ship from Tanker in Fleet
9. for each Variable after Expression in Variable2. This form is identical to Form 7
except that the body of the loop is executed starting with the successor of the
member identified by Expression and continuing to the last member of the set.
For example, the following phrase begins with the ship that comes after the
member identified by Tanker:
for each Ship after Tanker in Fleet
10. for each Variable in Variable2 in reverse order. The body of the loop is executed
once for each member of the set identified by Variable2, from the last member of
the set to the first member. The reference value or entity number of each member
is assigned to the control variable Variable. This form is equivalent to the
following code sequence, where Predecessor is an implicitly-defined local
variable:
let Variable = l.Variable2 ' ' start with the last member in the set
while Variable <> 0 ' ' while we have not reached the beginning of the set
do
let Predecessor = p.set(Variable)
' ' execute body of loop
…
let Variable = Predecessor
loop
For example, the following phrase executes the body of the loop for each member
of the set named Fleet, starting with the last member and moving backward
through the set to the first member. In each iteration, the control variable Ship
refers to a different member of the set. The predecessor of the current member is
stored in p.Fleet(Ship).
for each Ship in Fleet in reverse order
11. for each Variable from Expression in Variable2 in reverse order. This form is
identical to Form 10 except that the body of the loop is executed starting with the
member identified by Expression and continuing backward to the first member of
the set. For example, the following phrase begins with the member identified by
Tanker:
for each Ship from Tanker in Fleet in reverse order
75
12. for each Variable after Expression in Variable2 in reverse order. This form is
identical to Form 10 except that the body of the loop is executed starting with the
predecessor of the member identified by Expression and continuing backward to
the first member of the set. For example, the following phrase begins with the
ship that precedes the member identified by Tanker:
for each Ship after Tanker in Fleet in reverse order
It is possible that the body of the loop will not be executed at all. In the following
example, if First_Position is greater than Last_Position, the body of the loop is never
executed:
for Index = First_Position to Last_Position
Likewise, if the set named Repair_Queue is empty, then the body of this loop is never
executed:
for each Car in Repair_Queue(Shop)
Normally the value of the control variable is accessed within the body of the loop. A
value may be assigned to the control variable within the body of the loop, but this is not
recommended.
The control variable retains its value after the loop has terminated. The mode of the
control variable must be numeric (i.e., double, real, integer, integer4, integer2, or alpha)
unless traversing a set of objects, temporary entities, or process notices. For a set of
objects, the mode of the control variable must be the reference mode of the member class.
In the above example, if Repair_Queue is a set of Vehicle objects (i.e., every Vehicle
belongs to a Repair_Queue), then Car must be a Vehicle reference variable. For a set of
temporary entities and/or process notices, the mode of the control variable must be
integer, pointer, or the reference mode of a member type.
In Forms 1 through 4, the mode of each Expression must be numeric. Note that
Expression2 and Expression3 are re-evaluated each iteration of the loop. The body of the
loop may change the value of a variable used in these expressions, thereby changing the
loop termination condition or control variable increment. However, such a loop is not
recommended because it is complex and difficult to read. The value of Expression3 may
be zero or negative, but this is not recommended and may cause an infinite loop.
The Expression in the from phrase of Forms 8 and 11 must identify a member of the set
or be zero; if it is zero, the body of the loop is never executed. The Expression in the
after phrase of Forms 9 and 12 must identify a member of the set; however, if the first
member is identified in Form 12, or the last member is identified in Form 9, then there is
no predecessor or successor, and the body of the loop is never executed. For a set of
objects, the mode of Expression must be the reference mode of the member class or the
reference mode of a class that is derived from the member class; however, in Forms 8 and
11, the mode may also be integer or pointer. For a set of temporary entities and/or

76
process notices, the mode of Expression must be integer, pointer, or the reference mode
of a member type. For a set of permanent entities or resources, the mode of Expression
must be numeric; if it is double or real, it is implicitly rounded to integer.
If the control variable is already correctly initialized when a For phrase is encountered, its
name may be specified as the starting Expression. For example:
for Index = Index to Last_Position
…
for each Car from Car in Repair_Queue(Shop)
…
When traversing a set using Forms 7 to 12, the body of the loop may alter the
membership of the set. The control variable identifies the current member of the set.
When moving forward through the set (Forms 7 to 9), the body of the loop may remove
any member from the set except the successor of the current member. When moving
backward through the set (Forms 10 to 12), any member may be removed except the
predecessor of the current member. It is possible to empty an entire set by removing the
current member at each iteration. For example:
for each Car in Repair_Queue(Shop)
remove Car from Repair_Queue(Shop)
Any member inserted after the successor of the current member when moving forward
(Forms 7 to 9), or before the predecessor of the current member when moving backward
(Forms 10 to 12), will be visited by the loop.
For phrases may be nested and qualified by While and With phrases. See Loop on page
116 for more information.

77
2.31 GoTo
go to
‘
Expression( )
Expression
,
or
per
‘
‘ ‘
NameUnqualified
Number
NameUnqualified
Number
This statement may be used in any routine and specifies an unconditional transfer of
control to a label within the routine. It has three forms. The keyword to is optional for
readability.
1. If an unsubscripted label is specified, control is transferred to the label. For
example:
'Home'
…
go to Exit ' ' jump to the label below
…
go Home ' ' jump to the label above
…
'Exit'
…
78
2. If a subscripted label is specified, the subscript Expression is evaluated and
control is transferred to the label with this subscript. In the following example,
control is transferred to Procedure(1) if N is equal to 1, and to Procedure(2) if N is
equal to 2:
go to Procedure(N)
…
'Procedure(1)'
…
'Procedure(2)'
…
3. If a list of two or more unsubscripted labels is specified, an Expression is
evaluated. If its value is 1, control is transferred to the first label in the list; if its
value is 2, control is transferred to the second label in the list; and so on. It is an
error if its value is less than 1 or greater than the number of labels in the list. A
label may appear more than once in the list. Labels are separated in the list by a
comma or the keyword or, which are synonymous. In the following example,
control is transferred to Basic_Step if Indicator is equal to 1 or 3, and to
Special_Case if Indicator is equal to 2:
'Basic_Step'
…
'Special_Case'
…
go to Basic_Step, Special_Case or Basic_Step per Indicator
It is an error for a GoTo statement to refer to a label that does not exist. The Expression
must have a numeric mode: double, real, integer, integer4, integer2, or alpha. If it is
double or real, it is implicitly rounded to integer.
A label specified in a GoTo statement may optionally be enclosed in apostrophes.
However, a space must separate the first apostrophe from the preceding keyword. For
example:
go to'Generate' ' ' invalid
go to 'Generate' ' ' valid
The use of GoTo statements should be minimized. Overuse leads to unreadable
―spaghetti code‖ with complicated control flows.

79
2.32 Has
Name
a
an
some
the
Comma
method
process method
function
random linear variable
rlv
random step variable
rsv
random variable
rv
has
have
This language element is part of an Every, TheClass, or TheSystem statement and
specifies the names of attributes and methods. Inside a begin class block, it names object
attributes and methods as part of an Every statement, or class attributes and methods as
part of TheClass statement. Outside a begin class block, it names attributes of temporary
entities, process notices, permanent entities, resources, or compound entities as part of an
Every statement, or attributes of the system or subsystem as part of TheSystem statement.
The following are synonymous:
has and have;
a, an, some, and the;
random linear variable and rlv;
random step variable and rsv;
random variable and rv.
After naming an object attribute or class attribute in a Has phrase, a DefineVariable
statement follows within the begin class block and specifies the mode and dimensionality
of the attribute. In the following example, object attributes named Odometer and
Trip_Meter, and a class attribute named Num_Vehicles, are defined for a class named
Vehicle.
80
begin class Vehicle
every Vehicle has an Odometer and a Trip_Meter
define Odometer as a real variable
define Trip_Meter as a 1-dim real array
the class has a Num_Vehicles
define Num_Vehicles as an integer variable
end
Likewise, after naming an object method or class method in a Has phrase, a DefineMethod
statement follows within the begin class block and defines the method arguments and
return mode, if any. If a DefineMethod statement is not specified, the method is assumed
to be a subroutine with no arguments. In the next example, Travel is an object process
method given one argument, Reset_Trip_Meter is an object subroutine method with no
arguments, Count is a class function method with no arguments, and Direct is a class
process method given three arguments and yielding two arguments. The implementation
of these methods must appear within the same module as the begin class block that
defines them.
begin class Vehicle
every Vehicle has a Travel process method and a Reset_Trip_Meter method
define Travel as a process method given a double argument
the class has a Count method and a Direct process method
define Count as an integer method
define Direct as a process method
given a text argument and 2 real arguments
yielding an integer argument and a double argument
end
Consider the following statements appearing outside a begin class block:
every T has an X
define X as an integer variable
every U, V has a Y
define Y as a double variable
the system has a Z
define Z as a 1-dim text array
In this case, T is the name of a temporary entity type, process type, permanent entity type,
or resource type, and X is declared to be an integer attribute of each entity of type T.
Also, Y is defined as a double attribute of a compound entity, where U and V are
permanent entity types or resource types, and Z is declared as a 1-dimensional text
attribute of the system. Note that DefineVariable statements follow Every and TheSystem
statements within the preamble and specify the mode of the attributes. The
81
dimensionality may be specified for Z but not for X and Y because the number of
subscripts is determined by the number of entity types appearing in the Every statement,
i.e., X has one subscript and Y has two subscripts.
It is an error if no DefineVariable statement is provided that specifies the mode of an
attribute unless a background mode has been established before the Has phrase by a
Normally statement. In this case, the mode of the attribute is the background mode. Here
both Odometer and Trip_Meter are defined as real:
begin class Vehicle
normally mode is real
every Vehicle has an Odometer and a Trip_Meter
define Trip_Meter as a 1-dim array
end
Likewise, the background dimensionality is used if an attribute’s dimensionality is
unspecified. In this example, Table is defined as a 2-dimensional integer array:
normally mode is integer and dimension is 2
the subsystem has a Table
The above statements are equivalent to:
the subsystem has a Table
define Table as a 2-dim integer array
An object (class) attribute is implicitly defined and named for each object (class) process
method. It is of mode pointer and used to hold a reference value of a process notice when
scheduling the invocation of the process method. An integer class attribute named i.name
is implicitly defined for each process method to hold the index of the corresponding
process type in the event set.
Common attributes can be specified both publicly and privately within a single
subsystem. They cannot be declared across modules. Attributes are treated as common
attributes only if they have the same qualified name. Permanent entities cannot have
common attributes. Names defined outside a "begin class" block are global and must be
unique among global names (unless common attributes or sets are intended). Names
defined inside a "begin class" block are local to the class and must be unique within the
class. These names may also be defined at the global scope or local to another class,
including within a base class. However, the definitions are independent and do not define
common attributes.
Function attributes - A temporary entity, permanent entity, or "the system" can have a
function attribute. A function with the same name and mode as the attribute must be
provided. This function must accept a number of given arguments that matches the
attribute's dimensionality. There is no storage space allocated for function attributes.
82
Random attributes - A random variable is sampled using a table of possible numerical
values and their associated probabilities. It selects a sample value by generating a
random number (using random.f(1), unless an alternative stream is specified in a "define
variable" statement) and matching it against the probability values. (See discussion on p.
317 of 1973 book.) Random step variables can be integer or double. Random linear
variables must be double.
If the programmer requires a type of sampling other than step or linear, he must omit the
words "step" and "linear" and declare a "random variable", and provide his own sampling
function. istep.f(table, stream) and rstep.f(table, stream) return a value for an integer and
real random step variable, respectively. lin.f(table, stream) returns a value for a random
linear variable. Accessing a random variable on the right generates a random value. (It
can also be used as the name of a set.) It can be accessed on the left only when reading it.
A random variable is read as follows. Pairs of free-form data values are read until a
mark.v character appears. The first of each pair is assumed to be a probability. The
second is assumed to be a sample value. A "random.e" entity is created for each pair.
The probability value is assigned to the "prob.a" attribute of the entity. The sample value
is assigned to the "ivalue.a" attribute if the random variable is integer, or to the "rvalue.a"
attribute if the random variable is real or double. The entities are filed in a set having the
same name as the random variable (so we can say "for each random.e in random_var").
Each "random.e" entity has a set attribute "s.random_var" which refers to the successor
"random.e" in the set. "f.random_var" occupies the space declared for the random
variable and refers to the first "random.e" in the set. Input probabilities can be read as
cumulative or individual; if cumulative, the last probability must be 1.0; if individual,
they must sum to 1.0. However, the probabilities are stored cumulatively in the "prob.a"
attributes of "random.e" entities. If the last probablity read is 1.0, the probabilites are
assumed to be cumulative; otherwise, they are treated as individual and summed and the
last probability is set to 1.0. It is an error is any probability read is less than zero or
greater than one. Instead of reading a random variable, a random variable "set" can be
constructed by the program by creating "random.e" entities, settings their attributes, and
filing them in the set ("file random.e in random_var"). "If random_var is empty" is
interpreted as "if f.random_var = 0".

83
2.33 Histogram
SignedNumber
Name SignedNumber
Name
SignedNumber
Name
( to
by)
histogram
as
=the
NameUnqualified
This language element appears in an accumulate or tally statement and specifies a
histogram to collect on the values assigned to an attribute or global variable. The
histogram is weighted by simulation time for an accumulate statement and is unweighted
for a tally statement.
The keyword the is optional for readability. The keyword as and the equal sign are
synonymous.
(Min to Max by Inc) declares a histogram array with (((Max - Min) / Inc) + 1) elements.
If a sample falls is less than (Min + Inc), element 1 of the array is used. If a sample is
greater than or equal to (Min + Inc) but less than (Min + 2*Inc), element 2 is used. If the
sample is greater than or equal to (Max - Inc) but less than Max, the second to the last
element is used. If a sample is greater than or equal to Max, the last element is used. For
tally, the element is incremented. For accumulate, the amount of time that the sample
held its current value is added to the element. A histogram array is accessed like any
other array; dim.f can be used to get the number of elements in the array. The histogram
array subscript is the last (rightmost) subscript.
If the range specifications (Min, Max, and Inc) for a histogram are variables, they must
be assigned meaningful values before the monitored variable is first referenced and
should only be altered following a reset statement and before any subsequent reference to
the monitored variable.
The histogram has dimensionality one greater than the variable. Because temporary
entities and process notices cannot have array attributes, it is not possible to collect a
histogram on an attribute of a temporary entity or process notice.
The Min, Max, and Inc values for a histogram must be numeric constants or 0-
dimensional numeric variables. Inside a begin class block, the constants may be class
84
constants and the variables must be class attributes. Outside a begin class block, the
constants may be global constants and the variables must be global variables or system
attributes. The variables may be monitored and may not be function attributes or random
variables. Min, Max, and Inc can be named constants.

85
2.34 If
if
then if
always
endif
regardless
else
LogicalExpression
,RoutineStatement
RoutineStatement
otherwise
RoutineStatement
LogicalExpression
,
This language element chooses a sequence of statements to execute depending on
whether a LogicalExpression is true or false. It may be used in any routine. The comma
after the LogicalExpression is optional for readability. The following are synonymous:
else and otherwise;
always, endif, and regardless.
For example:
if X > 0
add 1 to J
let A(J) = X
always
In this example, if the value of the LogicalExpression, X > 0, is true, the sequence of
statements following the LogicalExpression is executed; otherwise, this sequence is
bypassed. In both cases, execution continues with the statement that follows the always
keyword.
86
A second sequence of statements may be specified after an else keyword. If the
LogicalExpression is true, only the first sequence of statements is executed. If the
LogicalExpression is false, only the second sequence is executed. In both cases,
execution continues with the statement that follows the always keyword.
if X > 0
' ' these statements are executed if X > 0
add 1 to J
let A(J) = X
else
' ' these statements are executed if X <= 0
write as "Unexpected value", /
list X
always
If the last executable statement in the first sequence is an unconditional transfer of control
(i.e., a Cycle, GoTo, Jump, Leave, Return, or Stop statement), then the first sequence is
followed by an else or always keyword but not both. This keyword terminates the
statement. By convention, the otherwise synonym of else is used in this context. For
example:
if X > 0
add 1 to J
let A(J) = X
return
otherwise ' ' this marks the end of the if statement
' ' arrive here only when X <= 0
write as "Unexpected value", /
list X
A sequence of statements within an If statement is any sequence of zero or more
statements and may include ―nested‖ If statements. For example:
if X > 0
add 1 to J
let A(J) = X
if X > Limit
add 1 to N
let Outlier(N) = X
if N = dim.f(Outlier)
write as "Maximum number of outliers reached", /
always
always
always
87
A special form is permitted when nested If statements with no else keywords are
terminated at the same location, as in the above example. Rather than specify a series of
always keywords, one for each If statement, each nested If statement is preceded by then
and a single always keyword terminates the entire group. Using this form, the above
example can be rewritten as follows:
if X > 0
add 1 to J
let A(J) = X
then if X > Limit
add 1 to N
let Outlier(N) = X
then if N = dim.f(Outlier)
write as "Maximum number of outliers reached", /
always

88
2.35 Implementation
subsystem
module
package
Implementation for the
NameUnqualified
The purpose of this heading is to identify the implementation code for subsequent
routines and methods as belonging to the given subsystem. This statement must appear
as the first line of executable code in the file. (The heading should not be provided is if
preceded by a public or private preamble heading in the same file.) The heading is used
for subsystems only. When this heading is omitted, the implementation code within the
file is assumed to be part of the ―main‖ module.

89
Importing
importing
including
Comma
subsystems
subsystem
modules
module
packages
package
the NameUnqualified
An importing phrase specifies one or more subsystems to import. It is optionally
appended to a preamble heading.
The following are synonymous:
importing and including;
subsystems, subsystem, modules, module, packages, and package.
A module that imports a subsystem may refer to any name defined within the public
preamble of the subsystem. However, if the name is ambiguous within the importing
module, it must be qualified.
Importing a subsystem imports not only the names defined in the subsystem's public
preamble, but automatically imports each subsystem imported by this public preamble.
Subsystems imported by a private preamble are not automatically known/imported.
The compiler finds the file containing the public preamble for an imported subsystem
based on the name of the subsystem. For platforms with case-sensitive filenames, the
name of the subsystem in an "importing" phrase is case sensitive.
A module that imports a subsystem does not import, nor is affected by, the substitutions
and settings (normally, suppress/resume) defined in the subsystem's public preamble.

90
2.36 Integer
Digit
This language element is a sequence of one or more decimal digits representing a
nonnegative integer. It appears in many contexts. Leading zeros are ignored. The
following are examples:
0 5 007 21 102 20000

91
2.37 InterruptResume
interrupt
resume
the
the above
this Variable
calledVariable
An interrupt statement removes a process notice from the event set, thereby canceling the
pending execution of a process method or process routine, and the amount of time until
the execution would have occurred is saved in the time.a attribute of the process notice.
A resume statement inserts the process notice back into the event set, scheduling the
process method or process routine to be executed after the time indicated by time.a has
elapsed. These statements may be used in any routine. The keywords the, the above, and
this are optional for readability.
1. Interrupt Variable. This form is equivalent to the following sequence of
statements:
cancel Variable
subtract time.v from time.a(Variable)
2. Interrupt Variable2 called Variable. This form is equivalent to the following
sequence of statements:
cancel Variable2 called Variable
subtract time.v from time.a(Variable)
3. Resume Variable. This form is equivalent to the following statement:
schedule the Variable in time.a(Variable) units
4. Resume Variable2 called Variable. This form is equivalent to the following
statement:
schedule the Variable2 called Variable in time.a(Variable) units
These statements are often used in conjunction with a Wait statement (see page 220).
Suppose a machine is performing a task. A process executes a Wait statement to model
the time taken to perform the task. The process is suspended and awakens once the task
has completed. However, suppose the machine fails during the task and must be repaired
before work can continue. This may be modeled by another process interrupting the task.
When the repair is finished, the task may be resumed.
92
For example, suppose that at time 100, a machine begins a task that requires 20 time units
to complete. The following statement suspends the current process and schedules it to
awaken at time 120:
work 20 units ' ' the machine is working
' ' arrive here when the machine has finished the task
Suppose Task is a variable that holds the reference value of the process notice of this
suspended process, and suppose that the following statement is executed at time 105
because the machine has failed. The pending resumption of the process, scheduled for
time 120, is canceled, and the number of time units remaining, 15, is saved in
time.a(Task).
interrupt Task
Now suppose at time 155, the machine has been repaired and is ready to continue the
task. The following statement schedules the process to be awakened in time.a(Task) = 15
units, i.e., at time 170, when the task has been completed, assuming no further
interruptions.
resume Task
See the Schedule statement on page 187 and the Cancel statement on page 27 for more
information.

93
2.38 Jump
jump ahead
back
This statement may be used in any routine and specifies an unconditional transfer of
control to a here label within the routine. It has two forms:
1. A jump ahead statement transfers control to the nearest here label that follows the
statement. It is an error if no here label follows the statement. For example:
if Job_Status = Complete
jump ahead
otherwise
…
here ' ' arrive here when Job_Status = Complete
call Write_Job_Summary
2. A jump back statement transfers control to the nearest here label that precedes the
statement. It is an error if no here label precedes the statement. For example:
here ' ' arrive here when Job_Status = Incomplete
call Perform_Task
…
if Job_Status = Incomplete
jump back
otherwise

94
2.39 Label
Integer( )
‘ ‘
here
NameUnqualified
Number
This language element identifies a location within a routine which may be the destination
of an unconditional transfer of control. If it is a name or number enclosed in apostrophes,
it may be the target of GoTo statements within the routine. If it is the here keyword, it
may be the target of Jump statements.
For example:
' ' this statement transfers control to the label below
go to Handle_Error
…
'Handle_Error'
' ' take care of the error here
close unit 12
write as "Unexpected error condition", /
A label may be the target of zero, one, or more than one GoTo statements. It may precede
or follow a GoTo statement that refers to it.
A label may be a Number. In this example, 1.1, 1.2, and 2 are labels:
'1.1' read X; go to 2
'1.2' read X and Y; add Y to X; go to 2
…
'2' add X to Sum
A statement may be preceded by two or more labels, which may appear on the same line.
In the following example, the statements, go to Wrap_up and go to Finish, transfer control
to the same location.
'Wrap_up' 'Finish'
call Free_Arrays
…
95
The same name may appear in more than one label if each occurrence is followed by a
different integer subscript. Only one subscript may be specified and it must be between 1
and 3000. These ―subscripted labels‖ need not start with subscript 1 or be consecutively
numbered, and they are not required to be placed in numerical sequence. They are the
targets of subscripted GoTo statements. For example:
'Step(2)' /~ arrive here if K = 2 ~/
…
'Step(5)' /~ arrive here if K = 5 ~/
…
'Step(3)' /~ arrive here if K = 3 ~/
…
go to Step(K)
In this example, if K has a value other than 2, 3, or 5 when the GoTo statement is
executed, the program aborts with a runtime error because the destination does not exist.
Having used Step as a subscripted label, it is an error to also use Step as an unsubscripted
label within the routine. It is neither necessary nor permitted to execute a Reserve or
Release statement for subscripted labels.
A jump ahead statement transfers control to the nearest here keyword that follows the
statement. A jump back statement transfers control to the nearest here keyword that
precedes the statement. A here label may be the target of zero, one, or more than one
Jump statements, and several here labels may appear within a routine. For example:
here ' ' Point A
…
jump back ' ' go to Point A
…
jump ahead ' ' go to Point B
…
here ' ' Point B
…
jump ahead ' ' go to Point C
…
jump back ' ' go to Point B
…
here ' ' Point C
…
96
Except for a here label, this language element must be enclosed in apostrophes. Each
apostrophe may be separated from the label by one or more spaces. If a name or keyword
immediately precedes the first apostrophe on the same line, or immediately follows the
second apostrophe, the name or keyword must be separated from the apostrophe by at
least one space.
A label is local to its routine. Two routines may use the same label name without
conflict. It is not possible for a GoTo or Jump statement in one routine to transfer control
to another routine. A label may have the same name as a variable without conflict.
A label may appear anywhere within a routine. However, placing labels within If, Loop,
and Select statements is discouraged. A transfer of control from outside a loop to a label
within the body of the loop may result in unpredictable behavior.

97
2.40 Leave
leave
This statement may be specified in the body of a loop and terminates the loop.
For example, the following loop reads up to N positive values and stores them in an array
named Parameter. If a zero or negative value is entered, the loop is terminated.
let J = 1
while J <= N
do
write J as "Enter parameter ", i *, ": ", +
read Value
if Value <= 0
leave
otherwise
let Parameter(J) = Value
add 1 to J
loop
A Leave statement behaves like a branch to a hidden label that immediately follows the
loop keyword. The above example can be rephrased as follows:
let J = 1
while J <= N
do
write J as "Enter parameter ", i *, ": ", +
read Value
if Value <= 0
go to Hidden_Label
otherwise
let Parameter(J) = Value
add 1 to J
loop
'Hidden_Label'
98
If the loop keyword that follows the Leave statement marks the end of two or more nested
loops, then the Leave statement terminates the outermost of these nested loops.
Example 1:
for I = 1 to N ' ' outer loop
for J = 1 to N ' ' inner loop
do
…
leave ' ' terminates the outer loop
…
loop
' ' control is transferred here
Example 2:
for I = 1 to N ' ' outer loop
do
for J = 1 to N ' ' inner loop
do
…
leave ' ' terminates the inner loop
…
loop
' ' control is transferred here
loop
Example 3:
for I = 1 to N ' ' outer loop
do
also for J = 1 to N ' ' inner loop
do
…
leave ' ' terminates the outer loop
…
loop
' ' control is transferred here

99
2.41 Let
let Variable Expression=
When this statement is executed, the Expression on the right-hand side of the equal sign
is evaluated and its value is assigned to the Variable on the left-hand side of the equal
sign. This statement may be used in any routine. The keyword let is optional for
readability.
The Expression on the right-hand side is the ―source‖ of the assigned value and the
Variable on the left-hand side is the ―destination‖ of the assigned value. The source and
destination must be compatible. The following assignments are permitted.
1. The modes of the source and destination can be any combination of numeric
modes: double, real, integer, integer4, integer2, and alpha. These modes are listed
in order from ―largest‖ to ―smallest.‖ Loss of precision can occur if the mode of
the source is ―larger‖ than the mode of the destination. An implicit call of
library.m function int.f rounds a double or real source to the nearest integer when
assigning to an integer, integer4, integer2, or alpha destination. In the following
example, a double source, 17.5, is rounded to 18 and then assigned to the integer
destination N:
define N as an integer variable
let N = 17.5
2. The modes of the source and destination can be any combination of text and
alpha. Library.m function ttoa.f is called implicitly when assigning a text source
to an alpha destination, and atot.f is called implicitly when assigning an alpha
source to a text destination. In the following example, the alpha destination A is
assigned the value "H", which is the first character of the text source T:
define A as an alpha variable
define T as a text variable
T = "Hello"
A = T
3. The modes of the source and destination can be any combination of pointer,
integer, and reference modes, except that if both are reference modes, they must
be the same reference mode or the destination reference mode must be a base
class of the source reference mode. In the following example, assume that class
Freighter is derived from class Ship. A Freighter reference variable can be
assigned to a Ship reference variable:
100
define S as a Ship reference variable
define F as a Freighter reference variable
create F
let S = F ' ' allowed because every Freighter is a Ship
let F = S ' ' not allowed
4. The source and destination can be any combination of pointer mode, integer
mode, and array pointer, except that if both are array pointers, they must be
compatible. A source array is compatible with a destination array if they have the
same dimensionality and compatible modes, or if the mode of the destination
array is pointer and its dimensionality is less than the dimensionality of the source
array. For example:
define X and Y as 2–dim double arrays
define A as a 2–dim alpha array
define D as a 1–dim double array
define P as a 1–dim pointer array
define PTR as a pointer variable
reserve X as 20 by 30
Y = X ' ' allowed
A = X ' ' not allowed
D = X ' ' not allowed
D = X(1) ' ' allowed
P = X ' ' allowed
PTR = X ' ' allowed
5. If the destination is a subprogram variable, the source can be a subprogram
variable, a subprogram literal, or 0 (zero). In the following example, assume that
Load is the name of a subroutine:
define Job as a subprogram variable
Job = 'Load'
perform Job ' ' calls Load
Note that a variable can appear on the both the left-hand and right-hand side of the equal
sign, and may appear more than once on the right-hand side. The following statement
obtains the value of variable X, squares it, and assigns the result to X:
let X = X * X
If X is monitored on the right, then the right implementation of function X is called twice,
once for each occurrence of X on the right-hand side. If X is monitored on the left, then
the left implementation of function X is called once with the assigned value.

101
2.42 Letter
A
B
C
D
E
F
G
H
I
J
K
L
M
a
b
c
d
e
f
g
h
i
j
k
l
m
N
O
P
Q
R
S
T
U
V
W
X
Y
Z
n
o
p
q
r
s
t
u
v
w
x
y
z
À
Á
Â
Ã
Ä
Å
Æ
Ç
È
É
Ê
Ë
Ì
Í
Î
Ï
à
á
â
ã
ä
å
æ
ç
è
é
ê
ë
ì
í
î
ï
Ð
Ñ
Ò
Ó
Ô
Õ
Ö
Ø
Ù
Ú
Û
Ü
Ý
Þ
ß
ð
ñ
ò
ó
ô
õ
ö
ø
ù
ú
û
ü
ý
þ
ÿ
This language element is an uppercase or lowercase alphabetic Latin1 character, which
may appear in a Name or String, and in a comment or keyword.

102
2.43 List
list Expression
Comma
attributes of
called
using
Variable Unit
ExpressionName
This statement, which may be used in any routine, writes the values of one or more
program variables to an output unit using a standard format. It is helpful when debugging
a program. It has three forms.
1. List Expression. One or more expressions may be specified of any mode and the
value of each expression is displayed. For example, if J and K are integer
variables containing the values 23 and 17, respectively, then this statement,
list J, K, J + K – 2
writes the following lines to the current output unit:
J = 23
K = 17
J + K – 2 = 38
If the name of an array is specified (i.e., a variable with nonzero dimensionality),
then each element of the array is displayed. For example, if Vector is a one-
dimensional double array with four elements, then this statement,
list Vector
writes the value of each array element to the current output unit:
Vector(1) = 4.5218540000
Vector(2) = 2.8975000000
Vector(3) = 1.2193333333
Vector(4) = 9.0371250000
2. List attributes of Variable. In this form, Variable must be 0-dimensional (scalar),
have a reference mode, and contain the reference value of an object, temporary
entity, or process notice; or Variable must be a 0-dimensional global or local
integer variable with the same name as a permanent entity type or resource type,
103
and must contain an entity number. The attributes of the identified object or
entity are displayed. For example, suppose Point is the name of a class with three
object attributes named X, Y, and Z, and suppose that Center is a Point reference
variable. This statement,
list attributes of Center
writes the reference value stored in Center followed by the value of each object
attribute, X(Center), Y(Center), and Z(Center):
ATTRIBUTES OF CENTER
CENTER = 003E5ED8 (hex)
X = 7.8546345000
Y = 1.0485044232
Z = 2.3530684841
3. List attributes of Name called Expression. This form is the same as Form 2 except
that Name specifies the class or entity type and Expression provides the reference
value or entity number. If Name specifies a class, temporary entity type, or
process type, then the mode of Expression must be reference, integer, or pointer.
If Name specifies a permanent entity type or resource type, then the mode of
Expression must be numeric, i.e., double, real, integer, integer4, integer2, or
alpha. If it is double or real, it is implicitly rounded to integer. The following
statement produces the same output as above:
list attributes of Point called Center
Suppose Point_Set is a set of Point objects. The following loop writes the attributes of
each object in the set:
define P as a Point reference variable
for each P in Point_Set
list attributes of P
If a Unit is specified, output is written to the indicated unit. For example, the following
statement writes the value of Waiting_Time to unit 14:
list Waiting_Time using 14

104
2.44 LogicalComparison
Expression
is
Expression
=
eq
equal to
equals
<>
ne
not equal to
<
ls
lt
less than
>
gr
gt
greater than
<=
le
no greater than
not greater than
>=
ge
no less than
not less than
This language element, which is part of a LogicalExpression, compares the values of two
or more expressions and produces a value of true or false.
There are six comparison operators: equals (=), not equals (<>), less than (<), greater than
(>), less than or equals (<=), and greater than or equals (>=). The keyword is is optional
for readability. The following are synonymous:
=, eq, equal to, and equals;
<>, ne, and not equal to;
<, ls, lt, and less than;
>, gr, gt, and greater than;
<=, le, no greater than, and not greater than;
>=, ge, no less than, and not less than.
The two operands of a comparison operator must be compatible. If the operands are
assignment compatible according to the rules on page 99, then they may be compared
using any of the comparison operators with the following exception: only the = and <>
operators may be used if an operand is pointer mode, reference mode, an array pointer, or
a subprogram variable.
105
If one operand is double (or real) and the other operand is integer (or integer4, integer2,
or alpha), then the value of the integer operand is implicitly converted to double before it
is compared with the double operand. If an integer comparison is desired, the double
operand must be explicitly converted to integer. For example:
define X as a double variable
define N as an integer variable
X = 2.25
N = 2
' ' the following performs a double comparison and evaluates to false
if X = N … ' ' interpreted as: if X = real.f(N) …
' ' the following performs an integer comparison and evaluates to true
if int.f(X) = N …
A comparison of text operands uses the Latin1 collating sequence and is case sensitive.
If the value of one text operand has fewer characters than the value of the other text
operand, and the shorter value is not the null string, then blanks are implicitly appended
to the shorter value to match the length of the longer value. The null string compares less
than all other text values. For example:
define T as a text variable
T = "abc" ' ' assign "abc" to T
if T = "abc" … ' ' evaluates to true
if T < "about" … ' ' evaluates to true ("c" < "o" in the collating sequence)
if T = "ABC" … ' ' evaluates to false (case–sensitive comparison)
if T = "abc " … ' ' evaluates to true (blanks are appended to the value of T)
if T > "ab" … ' ' evaluates to true ("c" > blank in the collating sequence)
if "" < " " … ' ' evaluates to true (blanks not appended to a null string)
If one operand is text and the other operand is alpha, the value of the alpha operand is
implicitly converted to text before it is compared with the text operand. If an alpha
comparison is desired, the text operand must be explicitly converted to alpha. For
example:
define T as a text variable
define A as an alpha variable
T = "hello"
A = "h"
' ' the following performs a text comparison and evaluates to false
if T = A … ' ' interpreted as: if T = atot.f(A) …
' ' the following performs an alpha comparison and evaluates to true
if ttoa.f(T) = A …
106
More than two expressions may be connected using more than one comparison operator.
For example, the phrase,
if Min <= A(J) <= Max
is interpreted as:
if Min <= A(J) and A(J) <= Max
Many expressions may be so connected. For example, the phrase,
if N <> M > C / 2 = K <= (L – 1) ** 2
is equivalent to:
if (N <> M) and (M > C / 2) and (C / 2 = K) and (K <= (L – 1) ** 2)

107
2.45 LogicalExpression
and
or
is false
is true
( )LogicalExpression
LogicalComparison
LogicalPhrase1
LogicalPhrase2
This language element appears in an If, While, or With phrase and evaluates to true or
false. Logical and and or operators may be used, and logical negation is specified by the
is false phrase.
For example, the expression X < Y evaluates to true if the value of X is less than the value
of Y. The expression may be enclosed in parentheses but it is not a requirement. The
following are equivalent:
if X < Y …
if (X < Y) …
Two expressions may be operands of a logical and operator. The result is true if both
operands are true. The following expression is true if X is less than Y and Y is less than Z:
if X < Y and Y < Z …
A shorter form of this expression has an implied and operation:
if X < Y < Z …
Two expressions may be operands of a logical or operator. The result is true if one or
both operands are true. This is known as an ―inclusive or.‖ The following expression is
true if the value of N is equal to zero or greater than 100:
if N = 0 or N > 100 …
―Short-circuit‖ evaluation is used for and and or operators. If the first operand of and is
false, the result is false and the second operand is not evaluated. Likewise, if the first
operand of or is true, the result is true and the second operand is not evaluated.
108
It is an error to access an attribute using a zero reference value. Because of short-circuit
evaluation, the following expressions access attributes only when the Tanker reference
variable holds a nonzero value:
if Tanker <> 0 and Current_Capacity(Tanker) <= Max_Capacity(Tanker) …
if Tanker = 0 or Current_Capacity(Tanker) > Max_Capacity(Tanker) …
The operands of consecutive and operators are evaluated from left to right. The first false
operand terminates the evaluation with a result of false. All operands must evaluate to
true for the result to be true. For example:
if I > 0 and J > 0 and K > 0 and Count <> 0 and Table(I, J, K) > Sum / Count …
Likewise, the operands of consecutive or operators are evaluated from left to right. The
first true operand terminates the evaluation with a result of true. All operands must
evaluate to false for the result to be false. For example:
if I <= 0 or J <= 0 or K <= 0 or Count = 0 or Table(I, J, K) <= Sum / Count …
In these examples, the values of I, J, and K are guaranteed to be positive before they are
used as array subscripts, and division by zero is prevented.
When and and or operators appear together, the and operators are evaluated first. Thus,
the expression,
if J > 1 and K = 0 or K = 1 and Queue(J – K) is not empty …
is interpreted as:
if (J > 1 and K = 0) or (K = 1 and Queue(J – K) is not empty) …
Parentheses are required to specify a different order of evaluation. For example, the or
operator is evaluated before the and operators in the following expression:
if J > 1 and (K = 0 or K = 1) and Queue(J – K) is not empty …
An is false phrase negates the preceding expression. For example, the expression,
if Demand <= Supply is false …
is equivalent to:
if Demand > Supply …
109
To negate an expression that contains one or more and and or operators, the expression
must be enclosed in parentheses. For example:
if (Back_Orders > 0 and Inventory < Minimum_Level) is false …
An is true phrase is optional for readability. These expressions are equivalent:
if X < Y …
if X < Y is true …

110
2.46 LogicalPhrase1
positive
zero
negative
Expression
is
not
is not
Variable
is
not
is not
empty
the
this Expression is
not
is not
a
an
some
the
a
an
some
the
reference
in
Name
Variable
This language element, which is part of a LogicalExpression, produces a value of true or
false. It has four forms. The keyword not can be used in each form and negates the
logical value. The keywords a, an, is, some, the, and this are optional for readability.
1. Variable is empty. Variable must name a set. This condition evaluates to true if
the set has no members. This condition is evaluated by checking whether the
pointer to the first member of the set, f.Variable, is equal to zero. For example,
if List is empty …
is interpreted as
if f.List = 0 …
It is an error to attempt to remove a member from an empty set. A check can be
placed in the code to verify that the set is non-empty before executing a remove
statement:
if List is not empty
remove first Item from List
always
111
If an array of sets is named, then explicit or implicit subscripts are required. For
example, if Port is a one-dimensional array of sets, then the following condition
evaluates to true if the third set in the array is empty:
if Port(3) is empty …
2. Expression is in Variable. Expression must be nonzero and identify an object or
entity. Variable must name a set in which the object or entity may be a member,
and the set name may be followed by zero or one subscript. This condition
evaluates to true if the identified object or entity is currently a member of the
named set. For example, suppose every Customer belongs to a Queue and every
Teller owns a Customer'Queue. Here we create a Customer object and two Teller
objects and file the Customer object in the Queue owned by the first Teller object:
define C as a Customer reference variable
define T1 and T2 as Teller reference variables
create C, T1, T2
file C in Queue(T1)
When this file statement is executed, the reference value in T1 is assigned to the
set attribute m.Queue(C). Now the following phrase, with no subscript after the
set name, evaluates to true because m.Queue(C) is nonzero:
if C is in Queue …
This phrase evaluates to true if the object identified by C is currently a member of
any Queue set, regardless of who is the owner. A subscript may be specified after
the set name for a more exacting test. This subscript identifies the owner of the
set. In our example, the following phrase evaluates to true,
if C is in Queue(T1) …
because m.Queue(C) = T1. However, the next phrase evaluates to false because
the Customer object is not a member of the Queue owned by the second Teller
object:
if C is in Queue(T2) …
It is an error to file an object or entity into a set if it is already a member of some
set with that name. A check can be placed in the code to verify this before
executing a file statement. For example:
' ' make sure C is not in any Queue before filing it into a specific Queue
if C is not in Queue
file C in Queue(T1)
always
112
It is an error to remove an object or entity from a set if it is not currently a
member of that specific set. A check can be placed in the code to verify set
membership before executing a remove statement:
' ' make sure C is in Queue(T1) before attempting to remove it
if C is in Queue(T1)
remove C from Queue(T1)
always
The owner of a set can be identified by a single value if
o the set is 0-dimensional and owned by an object (the identification is the
reference value of the object);
o the set is 1-dimensional and owned by a class or by the system or
subsystem (the identification is the set subscript);
o the set is owned by a temporary entity or process notice (the identification
is the reference value of the entity); or
o the set is owned by a permanent entity or resource (the identification is the
entity number).
If the owner of a set cannot be identified by a single value, then the m.set_name
attribute of an object or entity is assigned a value of 1 when the object or entity is
filed into the set. In this case, the owner cannot be identified by a subscript
following the set name and it is not possible to test for membership in a specific
set.
3. Expression is a Name reference. This phrase is used to determine the type of the
object or entity identified by Expression. The mode of Expression must be
integer, pointer, or any reference mode. Name must be the name of a class,
temporary entity type, or process type. If Name specifies a class, this condition
evaluates to true if the value of Expression is the reference value of an object of
the specified class, or an object of a class that is derived from the specified class.
If Name specifies a temporary entity type or process type, this condition evaluates
to true if the value of Expression is the reference value of an entity of the
specified type.
One use of this phrase is to safely assign a reference value from an integer or
pointer variable to a reference variable. For example, suppose P is a pointer
variable which may contain the reference value of a Customer object. The
following code safely assigns its value to a Customer reference variable named C:
if P is a Customer reference
let C = P
always
In SIMSCRIPT II.5 programs, the reference value of a temporary entity is stored
in an integer or pointer variable. This phrase can be used to verify that the
variable holds the reference value of a temporary entity before accessing one of
113
its attributes. For example, suppose Duration is an attribute of a temporary entity
type named Task, and P is a pointer variable.
if P is not a Task reference
destroy P
create a Task called P
always
let Duration(P) = 2.5
4. Determining whether an Expression is positive, zero, or negative:
Expression is positive is equivalent to Expression > 0
Expression is not positive is equivalent to Expression <= 0
Expression is zero is equivalent to Expression = 0
Expression is not zero is equivalent to Expression <> 0
Expression is negative is equivalent to Expression < 0
Expression is not negative is equivalent to Expression >= 0
For example, the phrase,
if J is positive and Count(J) is not negative
is interpreted as
if J > 0 and Count(J) >= 0

114
2.47 LogicalPhrase2
external
exogenous
internal
endogenous
is
not
is not
mode
data
integer
double
real
text
alpha
ended
new
is
not
is not
is
not
is not
is
not
is not
input line
input record
record
input card
card
process
This language element, which is part of a LogicalExpression, produces a value of true or
false. It has four forms. The keyword not can be used in each form and negates the
logical value. The keyword is is optional for readability. The following are
synonymous:
double and real;
text and alpha;
input line, input record, record, input card, and card;
external and exogenous;
internal and endogenous.
1. Data is ended. This condition evaluates to true if there are no more values (i.e.,
non-blank characters) to be read from the current input unit. It indicates whether
end-of-file has been reached when performing free-form read operations and may
be used only for character (non-binary) input units. For example:
until data is ended ' ' while not at end–of–file
do
read Value
…
loop
115
2. Mode is … This condition determines the mode of the next value to be read from
the current input unit: mode is integer is true if the next value is an integer; mode
is double is true if the next value is a real number; and mode is text is true
otherwise, i.e., the next value is not integer or real, or there are no more values to
be read (data is ended). This condition may be used only for character (non-
binary) input units. The following loop reads integer values from the current
input unit until a non-integer value is encountered or end-of-file is reached:
while mode is integer ' ' while the next value is integer
do
read Value
…
loop
3. Input line is new. This condition evaluates to false if the next value to be read
from the current input unit appears on the current input line. It evaluates to true if
there is no current input line (no lines have been read from the current input unit
or end-of-file has been reached), or if all remaining unread characters on the
current input line are blank (hence, the next value to be read appears on a ―new‖
input line). This condition may be used only for character (non-binary) input
units. The following loop reads all remaining values on the current input line:
until input line is new ' ' while the next value is on the current line
do
read Value
…
loop
Suppose the next value to be read appears on a new input line (input line is new is
true). Evaluating a data is … or mode is … condition advances the current input
line to this new line (i.e., the new line becomes the current input line). This
causes subsequent evaluation of input line is new to be false.
4. Process is … The condition, process is external, evaluates to true if the currently-
executing process was scheduled by reading an external process record from an
external process unit. Otherwise, this condition evaluates to false and process is
internal evaluates to true. (An external process that is suspended is considered
internal upon resumption because the resumption was scheduled internally.) This
condition is typically used in the process routine for a process type that can be
scheduled both externally and internally. The given arguments of the routine are
assigned values upon entry to the routine if the process was initiated internally;
otherwise, their values can be read from the external process record. For
example:
process Target given X, Y ' ' values assigned to X, Y if process is internal
if process is external
read X, Y ' ' read values from the external process record
always

116
2.48 Loop
this
the following
For
While
For
While
With
RoutineStatement
Find
RoutineStatement
loop
repeat
also
do
For
While
For
While
With
This language element specifies a loop and may appear in any routine. It is a sequence of
one or more For, While, and With loop control phrases, followed by the ―body‖ of the
loop, which is a single statement standing alone, or a sequence of zero or more statements
between the keywords do and loop. The keywords this and the following are optional for
readability. The keywords loop and repeat are synonymous.
The first loop control phrase must be a For or While phrase. A For phrase executes the
body of the loop for each value assigned to a control variable. The loop in the following
example initializes each element of array A to –1. The assignment statement is the body
of the loop, which is executed once for each value of the control variable J, from 1 to the
number of elements in the array.
for J = 1 to dim.f(A)
let A(J) = –1
In the next example, the body of the loop is the sequence of statements enclosed within
do and loop. It is executed for each member of the set named Inventory. The control
variable Product refers to a different member of the set in each iteration. This loop
reduces the price of each product by 20% and writes a message to indicate the new price.
for each Product in Inventory
do
let Price(Product) = 0.8 * Price(Product)
write Name(Product), Price(Product)
as t *, " marked down to $", d(6, 2), /
loop
117
The For phrase has 12 different forms; we have illustrated two of the forms above. A For
phrase represents the following logic. See For on page 70 for more information.
assign the initial value to the control variable
'Loop_Begin'
check the value of the control variable;
if the terminating condition has been reached, go to 'Loop_End'
execute the body of the loop
assign the next value to the control variable
go to 'Loop_Begin'
'Loop_End'
The first control phrase of a loop may be a While phrase, which executes the body of the
loop until a terminating condition has been reached. If the while keyword is used in the
phrase, the loop terminates when the specified LogicalExpression becomes false; if the
until keyword is used, the loop terminates when the LogicalExpression becomes true. For
example:
while Num_Requested <= Num_Available
do
subtract Num_Requested from Num_Available
read Num_Requested
loop
This loop may be equivalently expressed using the until keyword:
until Num_Requested > Num_Available
do
subtract Num_Requested from Num_Available
read Num_Requested
loop
An initial While phrase represents the following logic. See While on page 222 for more
information.
'Loop_Begin'
if the terminating condition has been reached, go to 'Loop_End'
execute the body of the loop
go to 'Loop_Begin'
'Loop_End'
The initial For or While phrase may be qualified by a With phrase that follows it. The
With phrase indicates which executions of the body of the loop are to take place and
which are to be skipped or bypassed. It specifies a LogicalExpression that is evaluated
118
after the loop terminating condition has been tested (and the terminating condition has
not been reached), but before the body of the loop is executed. If the with keyword is
used in the phrase and the LogicalExpression is false, or if the unless keyword is used
and the LogicalExpression is true, the body of the loop is bypassed for this iteration.
However, the loop is not terminated and continues on.
A With phrase that follows a For phrase typically specifies a LogicalExpression that refers
to the control variable named in the For phrase. In the following example, prices are
marked down only on products whose actual sales are less than forecasted sales.
for each Product in Inventory
with Sales(Product) < Sales_Forecast(Product)
do
let Price(Product) = 0.8 * Price(Product)
…
loop
This loop may be equivalently expressed using the unless keyword:
for each Product in Inventory
unless Sales(Product) >= Sales_Forecast(Product)
do
let Price(Product) = 0.8 * Price(Product)
…
loop
This loop may be expressed in other, less succinct, ways. For example:
for each Product in Inventory
do
if Sales(Product) < Sales_Forecast(Product)
let Price(Product) = 0.8 * Price(Product)
…
always
loop
for each Product in Inventory
do
if Sales(Product) >= Sales_Forecast(Product)
cycle
otherwise
let Price(Product) = 0.8 * Price(Product)
…
loop
The Cycle statement terminates the current iteration of the loop. See Cycle on page 40 for
more information.
A While phrase appended to a For phrase does not indicate a ―nested‖ loop (i.e., a loop
within a loop). Instead it specifies a second terminating condition for the loop. In the
119
following example, each platoon receives one new soldier from the reserves. The loop
terminates when there are no more platoons or no more soldiers in the reserves.
for each Platoon in Company
while Reserves are not empty
do
remove first Soldier from Reserves
file Soldier in Staff(Platoon)
loop
This loop is expressed equivalently by:
for each Platoon in Company
do
if Reserves are empty
leave
otherwise
remove first Soldier from Reserves
file Soldier in Staff(Platoon)
loop
The Leave statement terminates the loop. See Leave on page 97 for more information.
A For-While combination represents the following logic:
assign the initial value to the control variable
'Loop_Begin'
if the For terminating condition has been reached, go to 'Loop_End'
if the While terminating condition has been reached, go to 'Loop_End'
execute the body of the loop
assign the next value to the control variable
go to 'Loop_Begin'
'Loop_End'
Note that the following example does indicate an inner loop nested within an outer loop
and has an entirely different behavior. In this case, all of the soldiers in the reserves are
assigned to the first platoon.
for each Platoon in Company
do
while Reserves are not empty
do
remove first Soldier from Reserves
file Soldier in Staff(Platoon)
loop
loop
120
A special form is permitted when loops end at the same location. Rather than specify a
series of loop keywords, one for each loop, each nested loop is preceded by also and a
single loop keyword marks the end of all of the loops. Using this form, the above
example can be rewritten as follows:
for each Platoon in Company
do
also while Reserves are not empty
do
remove first Soldier from Reserves
file Soldier in Staff(Platoon)
loop
Now suppose there is a limit on the number of soldiers in a platoon. The following
example illustrates a For-While-With combination. Each platoon receives one new soldier
from the reserves, but only if the platoon is not already at its staffing limit. As before, the
loop terminates when there are no more platoons or no more soldiers in the reserves.
for each Platoon in Company
while Reserves are not empty
with n.Staff(Platoon) < Staff_Limit
do
remove first Soldier from Reserves
file Soldier in Staff(Platoon)
loop
A For-While-With combination represents the following logic:
assign the initial value to the control variable
'Loop_Begin'
if the For terminating condition has been reached, go to 'Loop_End'
if the While terminating condition has been reached, go to 'Loop_End'
if the With condition indicates to skip the current iteration, go to 'After_Body'
execute the body of the loop
'After_Body'
assign the next value to the control variable
go to 'Loop_Begin'
'Loop_End'
If the With phrase precedes the While phrase (i.e., a For-With-While combination), the
order of the second and third if statements is reversed.
121
The initial For or While phrase marks the beginning of an outer loop and each subsequent
For phrase marks the beginning of an inner, nested loop. Here we sum the elements in a
three-dimensional array named X:
let Sum = 0
for I = 1 to dim.f(X)
for J = 1 to dim.f(X(I))
for K = 1 to dim.f(X(I, J))
add X(I, J, K) to Sum
Here we write the name of each soldier in each platoon:
for each Platoon in Company
for each Soldier in Staff(Platoon)
write Name(Soldier) as t *, /
Each For phrase may be qualified by a While phrase and a With phrase. Suppose we wish
to write only the names of sergeants in platoons stationed locally:
for each Platoon in Company
with Location(Platoon) = Local
for each Soldier in Staff(Platoon)
with Rank(Soldier) = Sergeant
write Name(Soldier) as t *, /
Note that a While phrase appended to a nested For phrase is evaluated for each iteration of
the inner loop but terminates the execution of the outer loop. In the next example, the
While phrase terminates the entire loop once an array of soldier names has been filled.
let Count = 0
for each Platoon in Company
for each Soldier in Staff(Platoon)
while Count < dim.f(List)
do
add 1 to Count
let List(Count) = Name(Soldier)
loop
If this example were written as either of the following, the While phrase terminates only
the inner loop:
for each Platoon in Company
do
for each Soldier in Staff(Platoon)
while Count < dim.f(List)
do
…
loop
loop
122
for each Platoon in Company
do
also for each Soldier in Staff(Platoon)
while Count < dim.f(List)
do
…
loop
A For-While-With-For-While-With combination represents the following logic:
assign the initial value to the outer control variable
'Outer_Loop_Begin'
if the outer For terminating condition has been reached, go to 'Outer_Loop_End'
if the outer While terminating condition has been reached, go to 'Outer_Loop_End'
if the outer With condition indicates to skip the current iteration, go to 'Inner_Loop_End'
assign the initial value to the inner control variable
'Inner_Loop_Begin'
if the inner For terminating condition has been reached, go to 'Inner_Loop_End'
if the inner While terminating condition has been reached, go to 'Outer_Loop_End'
if the inner With condition indicates to skip the current iteration, go to 'After_Body'
execute the body of the loop
'After_Body'
assign the next value to the inner control variable
go to 'Inner_Loop_Begin'
'Inner_Loop_End'
assign the next value to the outer control variable
go to 'Outer_Loop_Begin'
'Outer_Loop_End'
A single For phrase may be qualified by more than one While phrase and by more than
one With phrase. After the For terminating condition has been tested, the While and With
conditions are evaluated in the order in which they appear.
Any RoutineStatement may appear within the body of a loop. Find, Compute, Cycle, and
Leave statements must appear within the body of a loop. When specified inside a loop, If,
Select, Cycle, and Leave statements must be enclosed within a do … loop block. A Find
statement must stand alone as the only statement of the body of a loop, without do and
loop keywords. See Find on page 68 for more information.
Each of the following definitional statements may appear in the body of a loop, provided
they are enclosed within a do … loop block: DefineConstant, DefineToMean,
DefineVariable, Normally, Substitute, and SuppressResume. The definitions and settings
established by these statements affect the source code that follows within the routine,
including source code beyond the end of the loop. A constant, variable, or substitution
123
defined within a loop may be accessed by the statements that follow the definition, inside
and outside of the loop.
A Suspend or Wait statement may appear within the body of a loop and suspends
execution of the routine. Upon resumption of the routine, the loop continues.
A GoTo or Jump statement may appear within the body of a loop and transfer control to a
Label inside or outside of the loop. It is permitted, but ill defined, to transfer control from
outside of a loop to a Label inside the loop.

124
2.49 MethodsHeading
methods for the Name class
A methods heading identifies the class for each method implementation that follows in
which the name of the method is not qualified by a class name. This heading may appear
after the preamble(s); however, it may not appear within a routine.
A methods heading identifies the class of the method implementations with unqualified
names that follow it, up to the next methods heading in the source file or to the end of the
source file, whichever comes first. The scope of a methods heading does not span source
files.

125
2.50 Mode
signed
Name
integer
integer2
integer4
alpha
double
pointer
real
text
reference
This language element specifies a data type for attributes and variables declared by a
define variable statement and for routine arguments and functions declared by a define
method or define routine statement. It also specifies the background mode in a normally
statement.
Integers represent whole numbers. Real numbers can be whole numbers or have
fractional parts.
An alpha variable holds one character. A text variable holds a sequence of zero or more
characters.
For each declared class, temporary entity type, and process type, a reference mode is
implicitly defined. Use of the reference mode may precede the declaration of the class,
temporary entity type, or process type.

126
2.51 Move
from
Variable
Expression
to
move
This language element is a special kind of assignment statement that may appear only
within a monitoring function. A move from statement is used in a left monitoring
function to assign the value of the Expression (the ―source‖) to the monitored variable
(the ―destination‖). A move to statement is used in a right monitoring function to assign
the value of the monitored variable (the ―source‖) to the Variable (the ―destination‖). The
source must be compatible with the destination according to the assignment compatibility
rules on page 99.
Suppose a class named Road has a Name attribute and a monitored Length attribute:
begin class Road
every Road has a Name and a Length
define Name as a text variable
define Length as a double variable monitored on the left and right
end
A left monitoring function is called each time a value is assigned to a variable or attribute
that is monitored on the left. It can be used to validate the assigned value before it is
stored and to change the units of measurement if desired. The following method is called
whenever a value is assigned to the Length attribute of a Road object. It verifies that the
assigned value is nonnegative, converts it from miles to kilometers, and stores the result
in the attribute.
left method Road'Length
define Miles as a double variable
enter with Miles ' ' get the assigned value
let Miles = max.f(0, Miles) ' ' replace a negative value with zero
move from Miles / 0.62137 ' ' store the value in kilometers
end
127
The following statements create a Road object and assign values to its attributes:
define MyStreet as a Road reference variable
create MyStreet
let Name(MyStreet) = "Jefferson Avenue"
' ' the following assignment invokes left method Road'Length
let Length(MyStreet) = 7.5 ' ' miles
When a value of 7.5 miles is assigned to the Length attribute, the left method is invoked
and the enter with statement assigns 7.5 to the local variable named Miles. The move
from statement stores in the Length attribute a value of 12.07 kilometers.
A right monitoring function is called each time the value is retrieved from a variable or
attribute that is monitored on the right. The following method is called whenever the
value is retrieved from the Length attribute of a Road object. The move to statement
copies the stored value of the attribute to a local variable named Kilometers. This value is
then converted to miles and returned.
right method Road'Length
define Kilometers as a double variable
move to Kilometers ' ' get the stored value
return with Kilometers * 0.62137 ' ' convert to miles
end
Although the value stored in Length(MyStreet) is 12.07, the right method returns 7.5.
This method is invoked in this statement,
write Name(MyStreet), Length(MyStreet)
as "The length of ", t *, " is ", d(4,1), " miles.", /
which produces the following output:
The length of Jefferson Avenue is 7.5 miles.
Note that a left monitoring function uses enter with and move from statements, whereas a
right monitoring function uses move to and return with statements.
It is possible for a derived class to override the monitoring method for an inherited object
attribute. Suppose class Highway is derived from class Road and overrides the Length
attribute:
begin class Highway
every Highway is a Road and overrides the Length
end
128
The overrides phrase allows the Highway class to provide a left method and/or a right
method for Length. Suppose a Highway object has a minimum length of 10 miles. This
can be enforced by the following left method:
left method Highway'Length
define Miles as a double variable
enter with Miles ' ' get the assigned value
let Miles = max.f(10, Miles) ' ' minimum length is 10 miles
move from Miles / 0.62137 ' ' store the value in kilometers
end
However, this duplicates the logic in left method Road'Length for converting the value
from miles to kilometers. In the following implementation, the inherited method is called
to perform the conversion and store the result in the attribute:
left method Highway'Length
define Miles as a double variable
enter with Miles ' ' get the assigned value
let Miles = max.f(10, Miles) ' ' minimum length is 10 miles
' ' invoke the inherited left method to store the value in kilometers
let Road'Length = Miles
end
Name qualification is required here. If the last statement were replaced by
let Length = Miles
it is interpreted as
let Highway'Length = Miles
which causes the left method Highway'Length to invoke itself in an infinite recursion.
If Length were not monitored on the left by class Road, then the following statement in
left method Highway'Length,
let Road'Length = Miles
is equivalent to
move from Miles

129
2.52 Name
NameUnqualified :‘
NameUnqualified
NameUnqualified
This language element is a name that may be qualified by a module name and/or a class
name. This element is used in many contexts.
The qualified name M:X identifies an X that is defined in module M to be one of the
following:
a class
a routine that is not a method
a global variable
a global constant
a temporary entity type or process type
a permanent entity type or resource type
an attribute of, or set owned by:
o the system or subsystem
o one or more temporary entity types and process types
o a permanent entity type, resource type, or compound entity type
a set of:
o temporary entities and/or process notices
o permanent entities or resources
The qualified name X'Y identifies a Y that is defined or inherited by class X, where Y is
one of the following:
an object attribute
an object method
a class attribute
a class method
a class constant
a set of objects
a set owned by an object or class
The fully-qualified name M:X'Y identifies a Y defined or inherited by class X, where class
X is defined in module M.
Name qualification is required only when the unqualified name identifies more than one
definition. The qualification indicates which definition to use. When it is not required,
name qualification may be used for readability.

130
If a name imported from a subsystem is the same as a name defined by the importing
module, or if the same name is imported from two or more subsystems, then it is
necessary to qualify the imported name within the importing module.
If a name inherited from a base class is the same as a name defined by the derived class,
or if the same name is inherited from two or more base classes, then it is necessary to
qualify the inherited name within the derived class.
If Harbor_Queue is a set owned by the Shipping subsystem, its qualified name is
Shipping:Harbor_Queue. If Number_At_Sea is an attribute of the Freighter class, which is
defined within the Shipping subsystem, the fully-qualified name of the attribute is
Shipping:Freighter'Number_At_Sea. Within the Shipping subsystem, it suffices to refer to
Harbor_Queue and Freighter'Number_At_Sea. Within a method of the Freighter class (or
within a method of a class derived from Freighter), Number_At_Sea may be unqualified.
Spaces are not permitted before or after the colon and apostrophe characters used for
name qualification. Periods at the end of a name are ignored. These names are
equivalent:
Shipping:Freighter'Number_At_Sea
Shipping:Freighter'Number_At_Sea.
Shipping:Freighter'Number_At_Sea..
Shipping:Freighter'Number_At_Sea...
Names of the following are never qualified:
modules
local variables and arguments
local constants
labels
accumulate/tally intervals
substitutions

131
2.53 NameUnqualified
Digit
.
.
Digit
Letter Letter
$
_
Digit
This language element is a simple name without qualification consisting of a sequence of
letters, digits, periods, dollar signs, and underscores. The first character is normally a
letter. However, it may be a digit or a period provided that the name is not all periods
and is distinguishable from a Number. Although these names are unusual, they are all
valid:
u L kV Y1 T$ g_ .Z .$ ._ 2w 5$
PbZ v.S R.2 d._ .$$ .B5 ..4 78Q 9_9 1.2.3 4..1
Names are typically chosen that are longer and more meaningful:
Ship Distance_in_km dock.ID Average.Cost
capacity NumberOfSteps TOTAL$ FAVORITE_CAFÉ
Queue .max.queue.length Table2 Straße_des_17
Names are case insensitive; therefore, each of these refers to the same name:
FAVORITE_CAFÉ Favorite_Café favorite_café
FAVORITE_café favorite_CAFÉ FaVORiTe_caFÉ
Except for the keyword and, language keywords may be used as names:
set Mean FILE list Print array HISTOGRAM
132
To avoid conflicts with implicitly-defined names, do not choose names that begin with a
letter followed by a period, or end with a period followed by a letter:
N.QUEUE i.Travel random.f pi.c
There is no limit to the length of a name. These are valid names:
periodic_sum_of_downtime_resulting_from_mechanical_failure
Average.Number.of.Unexpected.Customer.Arrivals.per.Week
A name may not be split across lines.

133
2.54 Normally
Mode
is
=
Integer
dimension
dim
Comma
normally
mode
undefined
is
=
is
=
type recursive
saved
A normally statement sets the ―background‖ or default mode, dimensionality, and/or the
type of local variables (recursive or saved). This statement may appear in a preamble or
routine.
The following are synonymous:
is and =;
dimension and dim.
A normally statement may have one, two, or three phrases in any order. Can phrases be
duplicated in the same statement?
By default, tt the beginning of a preamble, normally mode is undefined, dimension is
zero, type is recursive.
Setting the background mode means that all variables and attributes have the background
mode unless otherwise specified.
The settings at the end of a routine do not carry over to other routines.
There can be more than one normally statement in a preamble and in a routine. Each
normally statement sets one or more background conditions that hold until overridden.
"mode is undefined" will produce a diagnostic for every undefined variable. This is
strongly recommended to guard against inadvertent background definition is misspelled
variables.
134
At the beginning of a begin class block or method, normally mode is undefined,
dimension is 0 and type is recursive. These settings may be changed by a normally
statement within a begin class block or method but the settings are no longer in effect
when the end of the begin class block or method is reached.
A normally statement appearing in a subsystem's public preamble affects the
interpretation of the subsystem's source code but does not affect importing modules.
"Normally type is ..." is not allowed in a "begin class" block.
At the beginning of every preamble, every "begin class" block, and every routine, the
background settings are mode is undefined, dimension is 0, and type is recursive. There
is no carryover of settings from a preamble to routines, or from a public preamble to a
private preamble. "Normally type is" may not be specified in a preamble.

135
2.55 Number
Digit
.
.
Digit
Digit
+
–
E
e
This language element represents a nonnegative integer or double value. It appears in
many contexts. The following are examples:
0 0.0 .025 .5 0.5
4 04 4. 4.00 0004.00000
1024 1024.0 001024.
4289.1750 3173214.1 20000000
A double value may be specified using scientific notation. In the exponent, the characters
E and e are synonymous. If no sign is given, plus is assumed. Each of the following
represents the value 8125:
8125 81250.0E–1
81.250e+02 0812500000e–5
8.125E3 .000000008125000e12
Leading zeros are ignored. If no decimal point or exponent is specified, the mode of the
Number is integer; otherwise, it is double. Thus, 8125 is integer but 8125. and 8125e0 are
double.

136
2.56 Open
open
Expression
Comma for
input
in
output
out
Comma
is
=
file name
name
record size
recordsize
append
binary
character
formatted
noerror
Unit
This statement, which may be used in any routine, opens the specified I/O unit. A file is
associated with the unit. The keywords for, file, and is, the equal sign, and the Comma
after Unit, are optional for readability. The following are synonymous:
input and in;
output and out;
character and formatted;
record size and recordsize.
This statement indicates whether the I/O unit will be used for input or output. It may be
followed by a Use statement (see page 215) which designates the unit as the current input
unit or current output unit, or the unit may be specified in the using phrase of an I/O
statement. It is an error to use the unit for output if it has been opened for input or to use
the unit for input if it has been opened for output. For example:
open 12 for input
use 12 for input
open Report_Unit for output
write Report_Title as t *, / using Report_Unit
The unit number specified in an Open statement must be in the range 1 to 99, but may not
be one of the special units: 5 (standard input), 6 (standard output), 98 (standard error),
and 99 (the buffer). At the beginning of program execution, these units are opened
automatically. It is an error to open a unit that is already open.
137
Several options may be specified in any order after the input or output keyword. If
character is specified, the associated file contains zero or more lines of varying length.
Each line is a sequence of zero or more ASCII or Latin1 characters and is terminated by
an end-of-line or ―newline‖ character. The default record size for character files is 132,
which means each line may contain up to 132 characters, not counting the end-of-line
character. If a line is read or written that is longer than the record size, it is implicitly
divided into multiple lines. A record size may be specified, for example:
open 12 for input, character, record size = 256
If binary is specified, the associated file contains zero or more fixed-length records of
binary data. Each record contains the number of bytes indicated by the record size,
which defaults to 128. For example:
open 20 for output, binary, record size = 1024
It is an error to specify both character and binary. If neither character nor binary is
specified, character is assumed. The record size Expression must have a positive value
and a numeric mode, i.e., double, real, integer, integer4, integer2, or alpha. If it is double
or real, it is implicitly rounded to integer.
The name of the associated file may be specified by a text or alpha Expression. For
example:
open 3 for input, binary, name = "input.dat" ' ' binary input file
open 4 for output, name = Report_File_Name ' ' character output file
If the name of the file is unspecified, it defaults to ―SIMUnn‖ where nn is the two-digit
unit number. For example:
open 51 for output ' ' unit 51 is associated with the file named "SIMU51"
open 2 for input ' ' unit 2 is associated with the file named "SIMU02"
The first time a unit is used (i.e., specified in a Use statement or using phrase), the
associated file is accessed. If the file cannot be accessed (e.g., an input file does not exist
or an output file cannot be created), the program is terminated with a runtime error unless
noerror is specified in the Open statement. If noerror is specified, a library.m variable,
ropenerr.v for an input unit or wopenerr.v for an output unit, is set to zero if the file is
accessible or set to a nonzero value if the file is inaccessible. For example:
138
write as "Enter input file name: ", +
read Input_File_Name
open 7 for input, noerror, name = Input_File_Name
use 7 for input ' ' try to access the input file
if ropenerr.v = 0 ' ' the input file is accessible
' ' we can now read from the input file using unit 7
…
else ' ' failure
close 7 ' ' disassociate unit 7 from the inaccessible file
write Input_File_Name as t *, " cannot be accessed", /
always
Normally when opening an output file, if a file already exists with the specified name,
that file is deleted and a new empty file is created. However, if append is specified in the
Open statement, the existing file is retained and any data written to the output unit is
appended to the file. For example:
open 1 for output, name = "qlength.txt", append
use 1 for output
write Queue_Length as d(5,1), / ' ' this line is appended to "qlength.txt"

139
2.57 Owns
Name
a
an
some
the
Comma
owns
own
An owns phrase that appears in an every statement within a begin class block declares
sets of objects and sets of entities that are owned by an object of the class. An owns
phrase that appears in the class statement declares sets of objects and sets of entities that
are owned by the class.
An owns phrase that appears in an every statement outside a begin class block declares
sets of objects and sets of entities that are owned by a temporary entity, process notice,
permanent entity, resource, or compound entity. An owns phrase that appears in the
system or the subsystem statements declares sets of objects and sets of entities that are
owned by the system or subsystem.
The following are synonymous:
owns and own;
a, an, some, and the.
The set has the background dimensionality for sets owns by "the system/subsystem/class"
and sets owns by an object.
An entity or object of one type can own a set of entities or objects of that type.
A set of objects may be owned by an object, class, temporary entity, process notice,
permanent entity, resource, compound entity, the system, or the subsystem.
An object or class may own a set of objects; a set of temporary entities and/or process
notices; or a set of permanent entities and/or resources.
An owns phrase refers to a set named in a belongs phrase. If it is a set of objects of
another class that is owned, the name of the set must be qualified by the name of the
other class; however, the set is known by its unqualified name within the owner's class.
The unqualified set name is prefixed by f., l., and n. for owner attributes. As a result, it is
not possible to declare "every X owns a Y'QUEUE and a Z'QUEUE" because it would
define two sets named X'QUEUE and two trios of set attributes, f.QUEUE, l.QUEUE,
140
and n.QUEUE. It is, however, permitted to declare "every belongs to a QUEUE and
owns a Y'QUEUE". In a preamble, X'QUEUE refers to the set of X objects, whereas in
executable code, X'QUEUE refers to a set of Y objects owned by an X object.
The same problem occurs if a temporary entity, permanent entity, compound entity, or
the system/subsystem wishes to own two or more sets named QUEUE (without defining
an array of sets).
An object, the class, an entity, and the system/subsystem may own any number of sets
and arrays of sets.
An object of a derived class inherits the ability (and needed set attributes) to own the sets
owned by objects of its base classes.

141
2.58 PermanentEntities
Name
Comma
are
include
is
permanent entities
A permanent entities statement declares the names in the statement, and the entity types
declared by subsequent every statements, as permanent entity types. This statement may
appear in a preamble, but may not appear in a begin class block. The keywords are,
include, and is are synonymous.
Global variable with same name as the entity type is implicitly defined, as well as global
variable n.entity.

142
2.59 PreambleStatement
AccumulateTally
BeforeAfter
BeginClass
BreakTies
DefineConstant
DefineRoutine
DefineSet
DefineToMean
DefineVariable
Every
External
Normally
PermanentEntities
Priority
Processes
Resources
Substitute
SuppressResume
TemporaryEntities
TheSystem
A preamble contains statements from this list.

143
2.60 Print
print
Integer line
lines with Expression
Comma
using
thus
as follows
like this
next line or lines
Unit
This statement, which may be used in any routine, writes one or more source code lines
verbatim to an output unit, including the formatted values of zero or more expressions.
The following are synonymous:
line and lines;
thus, as follows, and like this.
The Integer specifies the number of source lines to write. These lines must immediately
follow the line on which thus (or one of its synonyms) appears. For example, the
statement,
print 2 lines thus
Simulation Output Report for Run # 37
Duration of Run = 120.0 hours
writes these two lines verbatim to the current output unit:
Simulation Output Report for Run # 37
Duration of Run = 120.0 hours
The values of expressions may be inserted into the output. Asterisks placed within the
source lines indicate the location and format of these values. The following statement
produces the same output as above, but obtains the run number and duration from
variables Run_Num and End_Time, respectively.
144
print 2 lines with Run_Num, End_Time thus
Simulation Output Report for Run # **
Duration of Run = ***.* hours
The value of the first Expression (from Run_Num) is placed in the first field (**), and the
value of the second Expression (from End_Time) is formatted in the second field (***.*).
One field must be specified for each Expression.
The Print statement is convenient for producing tabular reports. In the following
example, each Customer object has attributes Name (text), Priority (integer), and
Arrival_Time (double). We first write the title and column headings. Note that a blank
source line writes a blank output line.
print 3 lines thus
Customers in the Queue
Customer Name Priority Time of Arrival
Now we write one line for each customer in the queue.
for each Customer in the Queue
print 1 line with Name(Customer), Priority(Customer),
Arrival_Time(Customer) thus
************* ** *.**
The output from these statements may look like this:
Customers in the Queue
Customer Name Priority Time of Arrival
Robinson 10 143.57
Smith 8 97.01
Jackson 8 147.92
Williams 5 117.81
The value of an integer or double Expression is right-justified within a field. A period
may appear among the asterisks and indicates the column of the decimal point. A double
value is rounded to the least significant digit that is displayed. If the integer or double
value is too large to fit in the field, blank columns to the left of the field are used.
The value of a text or alpha Expression is left-justified within a field. If the length of the
text value exceeds the number of asterisks, the text value is truncated on the right.
A vertical bar (|) may be used in place of the first asterisk of a field to specify contiguous
fields. For example, two contiguous three-column fields are specified by ***|**. The
sequence **||** specifies a two-column field (**) followed by a one-column field (|) and a
three-column field (|**). Each vertical bar represents the first column of a new field.
145
A sequence of eight or more consecutive periods defines a field in which an integer or
double value is written using scientific notation. For example, if X is a double variable
containing the value 83026.75, then the statement,
print 2 lines with X thus
The value is .............
at the end of the simulation.
writes these lines:
The value is +8.30268E+004
at the end of the simulation.
If the current output line is not a new line, then the first line written by a Print statement
is appended to the current line; however, each subsequent line is written as a new line.
For example, the following statements produce the same output as above.
write as "The value is "
print 2 lines with X thus
.............
at the end of the simulation.
If a Unit is specified, lines are written to the indicated unit. For example, the following
statement writes a line to unit 18:
print 1 line with X, Y using 18 thus
X = *****.*** Y = *****.***

146
2.61 Priority
priority order is Name
Comma
A priority statement specifies the order in which process methods and/or processes are to
be executed when they are scheduled to occur at the same simulation time. This
statement may appear in a preamble.
Process methods and processes not mentioned in a priority statement are given lower
priority than those that are listed, and are ranked among themselves in the order in which
they first appear in preamble declarations, with first appearance given higher priority.
Both internal and external processes may be specified. It is not possible to give priority
to external process units.
The first process method or process named is given the highest priority.
A priority statement must follow statements defining the process types, such as
"processes" and "external processes".
A priority statement specified outside of a begin class block may refer to process
methods.
A priority statement inside a "begin class" block specifies the priority order of the process
methods of the class . A priority statement outside a "begin class" block may specify the
priority order of process methods in different classes, and the priority order of processes.

147
2.62 Processes
Name
Comma
are
include
is
processes
A processes statement declares the names in the statement, and the entity types declared
by subsequent every statements, as process types. This statement may appear in a
preamble, but may not appear in a begin class block. The keywords are, include, and is
are synonymous.
Global variable with same name as the entity type and i.entity global variable are
implicitly defined.
For each declared process type, a reference mode is implicitly defined. Use of the
reference mode may precede the declaration of the process type.
A "process notice" is a temporary entity that represents a process and has N special
attributes (placed in the first N words):
time.a: the simulated time at which the process is to be executed
eunit.a: indicates whether the processes was scheduled internally or externally;
if external, this attribute contains the number of the external unit;
if internal, value is zero
p.ev.s: predecessor in the event set when the process is scheduled
s.ev.s: successor in the event set when the process is scheduled
m.ev.s: nonzero when the process is scheduled
Also these attributes:
sta.a: integer equal to Passive (0), Active (1), Suspended (2), or Interrupted (3)
rsa.a: pointer to the recursive storage area
(destroyed automatically when the process notice is destroyed)
ipc.a: contains the value of i.process;
it is initialized when the process notice is created
f.rs.s: pointer to first qc.e for resources acquired by this process
Additional attributes are declared by "every" statements. Processes can own and belong
to sets.
Process notices are created and destroyed like temporary entities.
Each process type must have a process routine.

148
2.63 ReadWrite
read Variable
Comma
as double
real
half
(
)
Expression
Comma
using
Unit
write Expression
Comma
ReadWriteFormat
binary
read
write as
This statement, which may be used in any routine, reads values from an input unit and
assigns each value to a Variable, or writes the value of each Expression to an output unit.
There are five forms of this statement: formatted read, formatted write, free-form read,
binary read, and binary write.
1. Formatted read: read Variable as ReadWriteFormat
See ReadWriteFormat on page 154 for a description of this form.
2. Formatted write: write Expression as ReadWriteFormat
See ReadWriteFormat on page 154 for a description of this form.
3. Free-form read: read Variable
Free-form read statements may be used to read from character (non-binary) input
units. All blank input characters are skipped and lines are read, as needed, until a
non-blank character is found. The value that is read and assigned to Variable
begins with this non-blank character. (If a non-blank character cannot be located,
then the logical condition, data is ended, is true; see LogicalPhrase2 on page 114
for more information.)
149
If the mode of Variable is integer, integer4, integer2, or pointer, then an integer
value is read and assigned to Variable. This value is expressed in the input as a
sequence of one or more decimal digits with an optional leading sign (+ or –). (In
this case, read Variable is synonymous with read Variable as i *.)
If the mode of Variable is alpha, then a single non-blank character is read and
assigned to Variable. (In this case, read Variable is synonymous with read
Variable as a *.)
If the mode of Variable is double or real, then a floating-point value is read and
assigned to Variable. This value is expressed in the input as a sequence of non-
blank characters consisting of decimal digits and an optional leading sign. If a
period appears in the sequence, it represents a decimal point. The value may be
expressed in scientific notation, with an exponent following the least significant
digit. The exponent is specified by E or e, an optional sign, and one or more
digits. It may also be specified as a sign and one or more digits, without the E or
e.
If the mode of Variable is text, then a text value is read and assigned to Variable.
This value is expressed in the input as a sequence of non-blank characters. (A
formatted read statement must be used to read a text value that contains blanks.)
Suppose the input contains the following values on one or more lines, separated
by spaces: –42 y 3.51 High
If A is integer, B is alpha, C is double, and D is text, then the following statement
assigns –42 to A, "y" to B, 3.51 to C, and "High" to D:
read A, B, C, D
Because variables are processed from left to right, it is possible to read an integer
value and use it as a subscript in the same statement:
read J, Vector(J)
If Variable is an array (or attribute of a permanent or compound entity), then
specifying its name in a free-form read statement causes the entire array to be
read. A free-form read is performed implicitly for each element of the array. If X
is a 1-dimensional array, then
read X
is equivalent to
for J = 1 to dim.f(X)
read X(J)
150
If Y is a 2-dimensional array, then
read Y
is equivalent to
for J = 1 to dim.f(Y)
for K = 1 to dim.f(Y(J))
read Y(J, K)
and
read Y(3)
is equivalent to
for J = 1 to dim.f(Y(3))
read Y(3, J)
4. Binary read: read Variable as binary
Binary read statements are used to read data from binary input units.
A full-word signed integer value is read and assigned to Variable if as binary is
specified and the mode of Variable is integer, integer4, integer2, alpha, pointer, or
reference. (A loss of precision may occur if the mode of Variable is integer4,
integer2, or alpha.) For example:
read Count as binary
A half-word unsigned integer value is read and assigned to Variable if as half
binary is specified and the mode of Variable is numeric, i.e., double, real, integer,
integer4, integer2, or alpha. (A loss of precision may occur if the mode of
Variable is alpha.) For example:
read Count as half binary
A double-precision floating-point value is read and assigned to Variable if as
double binary is specified and the mode of Variable is numeric. (A loss of
precision may occur if the mode of Variable is not double.) For example:
read Mean as double binary
A single-precision floating-point value is read and assigned to Variable if as real
binary is specified and the mode of Variable is numeric, or if as binary is specified
and the mode of Variable is double or real. (A loss of precision may occur if the
mode of Variable is not double or real.) For example:
151
read Mean as real binary
A text value is read and assigned to Variable if the mode of Variable is text. For
example:
read Name as binary
5. Binary write: write Expression as binary
Binary write statements are used to write data to binary output units.
An Expression is written as a full-word signed integer value if as binary is
specified and the mode of Expression is integer, integer4, integer2, alpha, pointer,
or reference. For example:
write N + 1 as binary
An Expression is written as a half-word unsigned integer value if as half binary is
specified and the mode of Expression is numeric. (A loss of precision may occur
if the mode of Expression is not integer2 or alpha.) For example:
write N + 1 as half binary
An Expression is written as a double-precision floating-point value if as double
binary is specified and the mode of Expression is numeric. For example:
write Mean as double binary
An Expression is written as a single-precision floating-point value if as real
binary is specified and the mode of Expression is numeric, or if as binary is
specified and the mode of Expression is double or real. (A loss of precision may
occur if the mode of Expression is double.) For example:
write Mean as real binary
An Expression is written as a text value if the mode of Expression is text. For
example:
write First_Name + " " + Last_Name as binary
If a Unit is specified, data is read from or written to the indicated unit; otherwise, data is
read from the current input unit and written to the current output unit. For example:
read X, Y, Z using 12
write as "Simulation run completed", / using standard output
152
It is not permitted to write to an input unit or read from an output unit. However, ―the
buffer‖ (unit 99) is a special unit that may be used for both input and output. ―The
buffer‖ is a single line containing character (non-binary) data. The number of characters
in the line is given by the library.m variable buffer.v and defaults to 132. Data may be
alternately written to the line and then read from the line. This is useful for various data
conversions. In the following example, a floating-point value and a text value are written
to the buffer and then read back as text and integer values, respectively.
define Amount as a double variable
define ID_String, Dollar_Amount as text variables
define ID_Number as an integer variable
Amount = 23.785
ID_String = "5164"
' ' the following statement writes to the buffer: $23.79 5164
write Amount, ID_String as "$", d(5,2), " ", t * using the buffer
' ' the next statement assigns "$23.79" to Dollar_Amount and 5164 to ID_Number
read Dollar_Amount, ID_Number using the buffer
Successive write statements append values to the single line of the buffer. The first read
statement after writing to the buffer reads from the beginning of the line, and successive
read statements read successive values from the line. The first write statement after
reading from the buffer clears the buffer (stores all blanks) and writes to the beginning of
the line. Write as / also clears the buffer and the next write statement writes to the
beginning of the line.
An attribute declared as a random variable is read by a special free-form read operation.
Suppose Customer_Order is a class with an object attribute named Num_Units and a class
attribute named Quantity, where Quantity is declared to be an integer random step
variable.
begin class Customer_Order
every Customer_Order has a Num_Units
the class has a Quantity random step variable
define Num_Units, Quantity as integer variables
end
The number of units ordered by each customer is randomly generated according to the
random variable. After creating a Customer_Order object, we generate a random value
and assign it to the Num_Units attribute of the object:
define Order as a Customer_Order reference variable
create Order
Num_Units(Order) = Customer_Order'Quantity
153
However, the random variable must be read before it can be used. When a random
variable is read, consecutive pairs of numbers are implicitly read by free-form read
operations. The first number of a pair is a probability, which must be a floating-point
value in the range 0.0 to 1.0. The second number is the value of the random variable
which will occur with the specified probability. (This value must be integer if the mode
of the random variable is integer; otherwise, it may be a floating-point value.) The
sequence of pairs is terminated by the character stored in the library.m variable mark.v,
which is an asterisk (*) by default.
Suppose that a customer orders one unit 60% of the time, two units 30% of the time, and
three units 10% of the time. The input data to represent this random variable consists of
three pairs of numbers followed by an asterisk:
0.6 1 0.3 2 0.1 3 *
This data is read by the following statement:
read Customer_Order'Quantity ' ' read random variable
The data may be read from any input unit. However, it is convenient to use the buffer:
write as "0.6 1 0.3 2 0.1 3 *" using the buffer
read Customer_Order'Quantity using the buffer
The sum of the probabilities must be equal to one (0.6 + 0.3 + 0.1 = 1.0). Alternatively,
cumulative probabilities may be specified. In this case, each probability must be less
than or equal to the next, and the last probability must be equal to one. The following
data expresses cumulative probabilities and is equivalent to the data shown above:
0.6 1 0.9 2 1.0 3 *
The above rules apply to attributes declared as random step variable or random variable.
For an attribute declared as random linear variable, however, cumulative probabilities
must be specified and the first probability must be equal to zero.
For an array of random variables (or a random attribute of a permanent or compound
entity), it is necessary to read each element of the array explicitly. For example, the
following loop initializes a 1-dimensional array of random variables named R. The
abbreviated form, read R, is not permitted.
for J = 1 to dim.f(R)
read R(J)

154
2.64 ReadWriteFormat
/
+
*
String
b
s
Expression
Integer
*
(*)
d
e(
Expression
Expression
,
Expression
)
a
c
i
t
This language element specifies a format descriptor in a ReadWrite statement. There are
six kinds of format descriptors: integer (i), floating-point (d, e), character (t, a, String),
hexadecimal (c), column (b, s), and line (/, +, *).
1. Integer descriptor: i
Read Variable as i n. An integer value is read from the next n columns of the
current input line and is assigned to Variable. The columns may contain only
decimal digits, blanks, and an optional leading sign (+ or –). Blanks are
interpreted as zeros.
Read Variable as i *. An integer value is read, starting with the next non-blank
character read from the input unit, and is assigned to Variable. (One or more lines
are read as needed to locate this character. If end-of-file is reached without
finding a non-blank character, then zero is assigned to Variable.) The input value
must be a sequence of one or more decimal digits, with an optional leading sign
and no intervening spaces.
Suppose X and Y are integer variables, and the next seven input columns contain
_–8_63_ (space, hyphen, eight, space, six, three, space). The statement,
155
read X, Y as i 5, i 2
assigns –806 to X and 30 to Y. Given the same input, the statement,
read X, Y as i *, i *
assigns –8 to X and 63 to Y.
Write Expression as i n. The integer value of Expression is written to the next n
columns of the current output line. If fewer than n characters are needed to
represent the value, the value is right-justified with leading blanks. If more than n
characters are needed to represent the value, a series of n asterisks is written to
indicate that the value cannot be represented in n columns.
Write Expression as i *. The integer value of Expression is written to the current
output line using the minimum number of columns needed to represent the value.
Suppose X is equal to –806 and Y is equal to 30. The statement,
write X, Y, X – Y as i 3, i 3, i 6
writes ***_30_ _–836, where each _ represents a space. The value –806 cannot
be represented in three columns and so appears as three asterisks. The other
values are right-justified. By contrast, the statement,
write X, Y, X – Y as i *, i *, i *
writes the three values as –80630–836, with no intervening spaces. Using the
String descriptor, however, a space can be inserted between values. The
statement,
write X, Y, X – Y as i *, " ", i *, " ", i *
writes the three values as –806_30_–836.
When using an integer descriptor, the mode of Variable and Expression is numeric
(i.e., double, real, integer, integer4, integer2, or alpha), and the value of a double
or real Expression is implicitly rounded. However, if the mode is pointer or
reference, or Variable or Expression is an array pointer, then an integer address is
read or written.
2. Floating-point descriptors: d, e
Read Variable as d(n, m). A floating-point value is read from the next n columns
of the current input line and is assigned to Variable. The columns may contain
decimal digits, blanks, and an optional leading sign (+ or –). Blanks are
interpreted as zeros. If a period appears in the input, it represents a decimal point

156
and the value of m is disregarded; otherwise, a decimal point is implied before the
m rightmost (least significant) digits, where 0 m n.
An input value may also be expressed in scientific notation, with an exponent
following the least significant digit. The exponent is specified by E or e, an
optional sign, and one or more digits. It may also be specified as a sign and one
or more digits, without the E or e.
Suppose W is a double variable, and the next ten input columns contain
_ _ _ _–70254, where each _ denotes a blank. The statement,
read W as d(10, 2)
assigns –702.54 to W. Note the implied decimal point before the two rightmost
digits. Each of the following inputs assigns this same value to W:
_–702.540_ –.70254e+3 _–702540–1
–70.254E01 –0.70254e3 –702540E–1
–7.0254E_2 –.7_254+03 –702540_–2
Read Variable as e(n, m). This form is synonymous with Read Variable as d(n, m).
Write Expression as d(n, m). The floating-point value of Expression is written
using standard notation to the next n columns of the current output line. The
value is right-justified with leading blanks. m digits are displayed to the right of
the decimal point, where 0 m < n. The value is rounded to the least significant
digit that is displayed. If the magnitude of the value is too large to be represented
in n columns, the value is written using scientific notation as described in the next
paragraph.
Write Expression as e(n, m). The floating-point value of Expression is written
using scientific notation to the next n columns of the current output line. The
value is right-justified with leading blanks. m digits are displayed to the right of
the decimal point, where 0 m < n. The value is rounded to the least significant
digit that is displayed. It is necessary for n to be greater than (m + 7) to allow
room for all m digits, the sign, decimal point, and exponent.
Suppose W is equal to –702.54. The statement,
write W as d(10,2)
writes _ _ _–702.54, where each _ represents a space. The statement,
write W as e(10,2)
writes –7.03E+002.
157
When using a floating-point descriptor, the mode of Variable and Expression must
be numeric. The value assigned to an integer Variable is implicitly rounded.
3. Character descriptors: t, a, String
Read Variable as t n. A text value is read, containing the sequence of characters
found in the next n columns of the current input line, and is assigned to Variable.
Read Variable as t *. A delimited text value is read from the input unit and is
assigned to Variable. First, a non-blank character is located in the input. One or
more lines are read as needed to find it. This character serves as the delimiter and
can be any non-blank character. Then a second occurrence of this delimiter is
located in the input. Again, one or more lines are read as needed to find it. The
text value that is read contains all of the characters between the two occurrences
of the delimiter, excluding the delimiters and any end-of-line characters. If end-
of-file is reached before locating the first delimiter, a null string ("") is assigned to
Variable. If the first delimiter is located but end-of-file is reached before finding
the second delimiter, the second delimiter is implied at end-of-file.
Suppose S is a text variable, and the next 11 input columns contain
_/John_Doe/, where each _ denotes a blank. The statement,
read S as t 4
assigns the text value of length four, " /Jo", to S. Given the same input, the
statement,
read S as t *
assigns the text value, "John Doe", to S. Here the slash character (/) is used as
the delimiter.
Write Expression as t n. The value of Expression is written to the next n columns
of the current output line. If fewer than n characters are needed to represent the
value, the value is left-justified with trailing blanks. If more than n characters are
needed to represent the value, only the first n characters of the value are written.
Write Expression as t *. The value of Expression is written to the output unit
using the exact number of columns needed to represent the value. The number of
columns is equal to the length of the value. If the value does not fit in its entirety
on the current output line, the value is begun on the current output line and
completed on one or more subsequent lines.
Suppose S is equal to "John Doe". The statement,
write S as t 6
158
writes only the first six characters, John_D, whereas the statement,
write S as t 10
writes ten columns: John_Doe_ _. The statement,
write S as t *
writes John_Doe using the exact number of columns (eight).
When using a t descriptor, the mode of Variable and Expression must be text or
alpha; however, an alpha Variable saves only the first character of the text value
that is read.
Read Variable as a n. A character is read from the next column of the current
input line and is assigned to Variable. If n > 1, the next (n – 1) columns are
skipped.
Read Variable as a *. The next non-blank character is located in the input and is
assigned to Variable. (One or more lines are read as needed to locate this
character. If end-of-file is reached without finding a non-blank character, then a
blank is assigned to Variable.)
Suppose T, U, and V are alpha variables, and the next eight input columns contain
John_Doe. The statement,
read T, U, V as a 1, a 3, a *
assigns "J" to T, "o" to U (hn is skipped in the input), and "D" to V (the preceding
blank is skipped).
Write Expression as a n. The character given by Expression is written to the next
column of the current output line. If n > 1, then (n – 1) trailing blanks are written
following the character. That is, the character is left-justified in n columns.
Write Expression as a *. This form is synonymous with Write Expression as a 1.
Write as String. The String is written verbatim to the output unit. It is
synonymous with Write String as t *.
Suppose T is equal to "J". The statement,
write T as "The first initial is ", a 1, "."
writes the following: The_first_initial_is_J.
159
When using an a descriptor, the mode of Variable and Expression must be
numeric or text. A numeric Expression specifies the Latin1 code of the character
to be written. The value of a double or real Expression is implicitly rounded.
Only the first character of a text Expression is written; however, if the text
Expression is the null string (""), a blank is written.
4. Hexadecimal descriptor: c
Read Variable as c n. A hexadecimal value is read from the next n columns of the
current input line and is assigned to Variable. The columns may contain only
hexadecimal digits (0 to 9, A to F, a to f), and blanks which are interpreted as
zeros.
Read Variable as c *. A hexadecimal value is read, starting with the next non-
blank character read from the input unit, and is assigned to Variable. (One or
more lines are read as needed to locate this character. If end-of-file is reached
without finding a non-blank character, then zero is assigned to Variable.) The
input value must be a sequence of one or more hexadecimal digits without
intervening spaces.
Suppose X and Y are integer variables, and the next 12 input columns contain
_5FE_ _ _3ac9_. The statement,
read X, Y as c 4, c *
assigns 1,534 (hex 05FE) to X and assigns 15,049 (hex 3AC9) to Y (the three
preceding blanks are skipped).
Write Expression as c n. The hexadecimal representation of the value of
Expression is written to the next n columns of the current output line. If fewer
than n characters are needed to represent the value, the value is right-justified with
leading zeros. If more than n characters are needed to represent the value, the n
rightmost (least significant) hexadecimal digits are written.
Write Expression as c *. The hexadecimal representation of the value of
Expression is written to the current output line using the minimum number of
columns needed to represent the value.
Suppose X is equal to 1,534 and Y is equal to 15,049. The statement,
write X, Y as "X=", c 8, ",Y=", c *
writes X=000005FE,Y=3AC9.
When using a hexadecimal descriptor, the mode of Variable and Expression may
be numeric, pointer, or reference. It is also permitted for Variable and Expression
to be an array pointer, and for Expression to be a subprogram variable.
160
5. Column descriptors: b, s
Read as b n. This form does not read any columns, but specifies that column
number n is the next column to read.
Write as b n. This form does not write any columns, but specifies that column
number n is the next column to write.
This statement reads a floating-point value starting at column 24 of the current
input line:
read W as b 24, d(8,3)
This statement writes a text value starting at column 5 of the current output line:
write S as b 5, t *
Multiple b descriptors may be specified in any order and can move the current
column backwards, allowing values to be read or written more than once. This
statement reads two integer values (starting at columns 12 and 30) and then
rereads the first as a text value:
read X, Y, S as b 12, i 8, b 30, i 6, b 12, t 8
Read as s n. This form does not read any columns, but skips n input columns.
The next column to read is now n columns to the right.
Write as s n. This form does not write any columns, but skips n output columns.
The next column to write is now n columns to the right. The characters in the
skipped columns are unchanged. Each output line is implicitly initialized to all
blanks; therefore, if no characters have been explicitly written to the skipped
columns, they contain blanks by default.
This statement reads a floating-point value in columns 8 to 17, skips 12 columns,
and then reads an integer value starting at column 30:
read W, X as b 8, d(10,4), s 12, i 4
This statement skips three columns, writes an integer value, skips seven more
columns, and then writes a text value:
write X, S as s 3, i *, s 7, t *
6. Line descriptors: /, +, *
Read as /. This form is equivalent to the statement, start new input line. It
finishes the current input line; any unread characters on the current line are
161
skipped. It then reads the next input line. When reading from a character (non-
binary) input unit, each tab character in the new line is automatically replaced by
blanks, assuming tab stops at columns 9, 17, 25, 33, etc. Blanks are then
automatically appended to the line so that its length is equal to the record size of
the input unit. The number of input characters in the line is assigned to rreclen.v;
the number is determined after tabs are replaced but before blanks are appended.
Note that if end-of-file is reached when trying to read the next line of input, the
value of eof.v is consulted. If eof.v is equal to zero, a runtime error occurs.
Otherwise, the program has set eof.v to a nonzero value (typically 1) and wishes
to be notified when end-of-file has been reached. The value of eof.v is set to 2 to
provide this notification. Each input unit has its own eof.v so it is necessary to
use the unit (i.e., make it the current input unit) before assigning a value to eof.v.
For example:
use 8 for input
eof.v = 1
read as /
if eof.v = 2
write as "End–of–file reached! No more input data!", /
always
The following statement reads an integer value from the current input line, starts a
new input line, and reads a double value starting at column 1 of the new line:
read X, W as i 3, /, d(7,2)
Write as /. This form is equivalent to the statement, start new output line. It
finishes the current output line and writes it to the output unit. For a character
(non-binary) output unit, an end-of-line character is also written.
This statement writes the value of X and finishes the current line, skips a line (i.e.,
writes a blank line), and then writes the value of Y to a third line:
write X, Y as "X = ", i *, /, /, "Y = ", i *, /
Write as +. This form is equivalent to write as / except the line is written without
the end-of-line character. It is useful when prompting for user input. The user’s
entry appears on the same line as the prompt. For example:
write as "Enter the number of servers: ", +
read Number_of_Servers
Write as *. This form is equivalent to the statement, start new page, and is ignored
unless pagination is enabled (lines.v is greater than zero). Write as / is performed
implicitly to finish the current output line and a form feed character (Latin1
decimal 12) is written before the next output line so that it will be the first line on
a new page.
162
This statement writes a heading on the first line of a new page:
write as *, "Simulation Results", /
All format descriptors may be used only with character I/O units, except the / and +
descriptors which may be used for character or binary I/O.
Note that n is an Expression and its mode must be numeric. The value of a double or real
Expression is implicitly rounded. Because n need not be a constant, it is possible to
determine a starting column or field width at runtime. In the following example, the
variable Col indicates the starting column and the variable Width specifies the field width
for displaying the text value in S:
write S as b Col, t Width
The value of n must be nonnegative. Except for the b descriptor, it is not an error for n to
be zero; such a descriptor has no effect and nothing is read or written. However, in a
read statement, a default value is assigned to the Variable associated with the descriptor: a
null string ("") is assigned for a t descriptor, a blank (" ") is assigned for an a descriptor,
and a zero is assigned otherwise.
The value of n must not exceed the record size of the I/O unit. It is permitted to read the
blanks appended to the rreclen.v characters of an input line (see the discussion above
regarding read as /), but it is an error to read column positions greater than the record
size. However, it is not an error to write to a column position greater than the record size.
In this case, write as / is performed implicitly to start a new output line and the write
operation is performed at the beginning of the new line.
A positive integer constant may precede an a, c, d, e, i, or t descriptor and indicates the
number of times to repeat the descriptor. This constant may not appear within
parentheses and at least one blank must separate it from the descriptor letter. The
statement,
read T, U, V, W, X, Y as a 1, a 1, a 1, d(9, 3), i 6, i 6
is equivalent to:
read T, U, V, W, X, Y as 3 a 1, 1 d(9, 3), 2 i 6
For readability, the asterisk in an a, c, i, or t descriptor, and the Expression given for n,
may be parenthesized. The statement,
write X, Y, S as i *, b 12, i 8, s 10, t *, /
is equivalent to:
write X, Y, S as i(*), b(12), i(8), s(10), t(*), /
163
Without the parentheses, the Expression given for n must be separated from the
descriptor letter by at least one blank. That is, i 8 is permitted, but not i8. However, it is
permitted to specify i* with no intervening space.
A single parenthesized Expression may precede the entire list of format descriptors in a
read or write statement and specifies the frequency of implicit read as / or write as /
operations. However, the statement must be the sole statement of the body of a loop and
must not be enclosed within do and loop keywords. The mode of Expression must be
numeric, i.e., double, real, integer, integer4, integer2, or alpha; if it is double or real, it is
implicitly rounded to integer. The value of Expression must be nonzero; if it is negative,
the absolute value is used.
In the following example, five integer values are read per line from columns 1 to 20 and
assigned to consecutive elements of an array named Z. The remaining columns on each
line are ignored because a read as / operation is performed implicitly after every fifth
value is read. If the number of elements in Z is not a multiple of five, then fewer than
five values are read from the final line, and a read as / operation is performed implicitly
after the last value is read.
for J = 1 to dim.f(Z)
read Z(J) as (5) i 4
In the following loop, the array elements are displayed in three columns. A write as /
operation is performed implicitly after every third value and after the last value.
for J = 1 to dim.f(Z)
write J, Z(J) as (3) "Z(", i 2, ") = ", i 4, s 5
Suppose Z has 14 elements and the input is:
1281 781-902 4321332these columns are ignored
761 -8717122314 902these columns are ignored
374 911 512 21these columns are ignored
Then the output is:
Z( 1) = 1281 Z( 2) = 781 Z( 3) = -902
Z( 4) = 432 Z( 5) = 1332 Z( 6) = 761
Z( 7) = -87 Z( 8) = 1712 Z( 9) = 2314
Z(10) = 902 Z(11) = 374 Z(12) = 911
Z(13) = 512 Z(14) = 21

164
2.65 Release
release Variable
Comma
This statement, which may be used in any routine, de-allocates the storage for one or
more arrays. The elements of these arrays are no longer accessible.
The following statements de-allocate the storage for one-dimensional arrays named X and
Y and a two-dimensional array named Table:
release X
release Y
release Table
These statements may be combined into one:
release X, Y, and Table
Each Variable must have dimensionality greater than zero, or its mode must be integer or
pointer. Given a Variable that contains zero, the statement has no effect. Given a
Variable that contains a nonzero pointer to an allocated array, the array is de-allocated and
zero is assigned to the Variable. Given a Variable that contains some other nonzero value,
it is an error.
A Variable may name a local or global array, an array attribute of an object or class, or an
array attribute of the system or subsystem. It may also name an array of sets owned by
an object or class, or owned by the system or subsystem. For example, suppose Group is
a one-dimensional set owned by the system. The following statement,
release Group
de-allocates the storage for this array of sets. Each set in the array must be empty before
executing this statement. Storage is de-allocated implicitly for three arrays of set
attributes. The above statement is equivalent to:
release f.Group, l.Group, n.Group
A Variable may also name an attribute, or set owned by, a permanent entity or compound
entity. However, it is recommended to use destroy each statements to de-allocate these
arrays; see the CreateDestroy statement on page 35 for more information.

165
An array may be ―partially‖ de-allocated. Suppose the Table array has been defined and
allocated by the following statements:
define Table as a 2–dimensional double array
reserve Table as 3 by 4
Each of the three rows of the two-dimensional array contains four elements. The
following statements de-allocate the second row and re-allocate it to have eight elements:
release Table(2)
reserve Table(2) as 8
When an allocated array is no longer needed, a Release statement must be executed to
reclaim the storage used by the array. It is important to retain at least one pointer to each
allocated array, so that its storage may be freed by a Release statement. When an array is
allocated using a local recursive variable, the only pointer to the array is stored in this
variable, yet this variable will be discarded upon return from the routine. Therefore, the
array must be de-allocated before returning from the routine, or the array pointer must be
copied to another location. For example:
subroutine Calculate given Size yielding Result
' ' define local array
define Vector as a 1–dim double array
reserve Vector as Size
…
' ' free the array before returning
release Vector
return
end
Instead of de-allocating the array in this example, the array pointer might be passed back
to the caller as a yielded argument:
let Result = Vector
return
If an object has array attributes, it is necessary to explicitly de-allocate each array before
the object is destroyed. To guarantee the de-allocation of these arrays, Release
statements may be specified in a ―before destroying‖ method, which is called
automatically before an object is destroyed. See below for an example and BeforeAfter
on page 18 for more information.
166
begin class Widget
every Widget has an A, a B, a C, and a Cleanup method
define A, B, and C as 1–dim double arrays
before destroying a Widget, call Cleanup
end
…
method Widget'Cleanup
' ' free the arrays before destroying the object
release A, B, and C
end
…
define W as a Widget reference variable
create W
reserve A(W), B(W), and C(W) as 30
…
destroy W ' ' Cleanup is called implicitly

167
2.66 Relinquish
relinquish
Variable
Expression unit
units
of
A relinquish statement frees one or more units of the specified resource. This statement
may be used in any routine. The keywords of, unit, and units are optional for readability.
A process that has requested some units of a resource may relinquish some or all of them.
The number of units of the resource being relinquished is added to the total quantity
available. If any processes are queued awaiting the resource, they are scanned from the
front of the queue. Each is reactivated with a corresponding reduction in the quantity of
available units of resource, until one is found whose request cannot be satisfied.
The process relinquishing the resource continues execution at the statement immediately
following the relinquish statement.
A positive integer number of units must be relinquished.

168
2.67 Remove
remove
VariableExpression from
the
this
above
this
the
first
last Variable
This statement, which may be used in any routine, removes an object or entity from a set.
It has three forms. The keywords above, the, and this are optional for readability.
1. Remove Expression from Variable. The specific object or entity identified by
Expression is removed from the set named by Variable, regardless of its position
in the set. In the following example, the object identified by Tanker is removed
from the set, Awaiting(Tug):
remove Tanker from Awaiting(Tug)
2. Remove first Variable2 from Variable. The first object or entity in the set named
by Variable is removed and its reference value or entity number is assigned to
Variable2. In the following example, the first object in the set named
Awaiting(Tug) is removed and its reference value is assigned to the variable named
Ship:
remove first Ship from Awaiting(Tug)
3. Remove last Variable2 from Variable. The last object or entity in the set named by
Variable is removed and its reference value or entity number is assigned to
Variable2. For example:
remove last Ship from Awaiting(Tug)
169
The set attributes of the removed object or entity, and the set attributes of the set owner,
are automatically updated when a Remove statement is executed. For example, when this
statement is executed,
remove first Ship from Awaiting(Tug)
the following modifications are made to the set attributes:
' ' the reference value of the first member is assigned to Ship and its "m."
' ' attribute is set to zero to indicate that it is no longer a member of the set
let Ship = f.Awaiting(Tug)
let m.Awaiting(Ship) = 0
' ' the set has a new first member
let f.Awaiting(Tug) = s.Awaiting(Ship)
' ' if the set is now empty, there is no first or last member
if f.Awaiting(Tug) = 0
let l.Awaiting(Tug) = 0
always
' ' decrement the number of members in the set
subtract 1 from n.Awaiting(Tug)
In Form 1, it is an error if the object or entity identified by Expression is not a member of
the specified set. However, the program may verify membership before executing the
Remove statement. For example:
if Tanker is in Awaiting(Tug)
remove Tanker from Awaiting(Tug)
always
It is an error to execute a Remove statement if the specified set is empty. It is good
practice to verify beforehand that the set is non-empty. For example:
if Awaiting(Tug) is not empty
remove first Ship from Awaiting(Tug)
always
An object or entity that has been removed from a set is not destroyed; however, the
program may destroy it explicitly. It is an error to destroy an object or entity that is a
member of a set; therefore, it must be removed from all sets before it is destroyed. For
example:
remove Tanker from Awaiting(Tug)
destroy Tanker

170
For a set of objects, the mode of Expression and Variable2 must be integer, pointer, or the
reference mode of the member class. The mode of Expression may also be the reference
mode of a class that is derived from the member class. The mode of Variable2 may also
be the reference mode of a base class of the member class.
For a set of temporary entities or process notices, the mode of Expression and Variable2
must be integer, pointer, or the reference mode of the entity type.
For a set of permanent entities or resources, a member is identified by an entity number;
therefore, the mode of Expression and Variable2 must be numeric: double, real, integer,
integer4, integer2, or alpha. If the mode of Expression is double or real, it is implicitly
rounded to integer.
A ―before removing‖ routine and an ―after removing‖ routine, if defined, are called
automatically before and after each object or entity is removed from the set. The first
argument to these routines is the value of Expression in Form 1, and is zero in Forms 2
and 3. Additional arguments are supplied as needed to identify the owner of the set. See
BeforeAfter on page 18 for more information.

171
2.68 Request
, with priority Expression
request
Variable
Expression unit
units
of
A request statement acquires one or more units of the specified resource. This statement
may be used in any routine. The keywords of, unit, and units are optional for readability.
If the requested quantity is available, it is given to the process, and the process continues
execution at the statement following the request statement. If the requested quantity is
not available, the process is filed in the queue of processes waiting for the particular
resource and suspended awaiting availability of the request number of units. The queue
is ranked on high priority, which may be positive, negative, or zero. If the "with priority"
phrase is omitted, the priority is zero.
The resource is a permanent entity and must be subscripted explicitly or by an implicit
subscript the variable with the same name as the resource; this variable is initialized to
one at resource creation; or on some implementations, the implicit subscript is one
The request statement can only appear in a process routine. A request statement can be
executed only if process.v is nonzero.
A positive integer number of units must be requested.
Resources are requested and owned by the process notice associated with a process
method.
The "u.resource" attribute of the resource must be set to a nonzero value before any
resource units can be requested.

172
2.69 Reserve
reserve Variable
Comma
as Expression
Comma
by by *
This statement, which may be used in any routine, allocates storage for one or more
arrays. The number of elements in each array is specified. An array must be allocated
before its elements are accessed.
The following statements define and allocate storage for one-dimensional arrays named X
and Y and a two-dimensional array named Table:
define X as a 1–dimensional integer array
define Y as a 1–dimensional text array
define Table as a 2–dimensional double array
reserve X as 100
reserve Y as 100
reserve Table as 3 by 4
These Reserve statements may be combined into one:
reserve X and Y as 100, and Table as 3 by 4
When an array is allocated, each element is initialized to zero, except each element of a
text array is initialized to the null string (""). In our example, each element of X is an
integer variable initialized to zero; the first element is X(1) and the last element is X(100).
Each element of Y is a text variable initialized to the null string; the first element is Y(1)
and the last element is Y(100). Each element of Table is a double variable initialized to
zero; there are 12 elements in all: Table(1,1), Table(1,2), Table(1,3), Table(1,4), Table(2,1),
Table(2,2), Table(2,3), Table(2,4), Table(3,1), Table(3,2), Table(3,3), and Table(3,4). A two-
dimensional array can be viewed as a one-dimensional array in which each element is a
one-dimensional array. Thus, Table(1), Table(2), and Table(3) are each one-dimensional
arrays containing four elements.
The library.m function dim.f can be used to obtain the number of elements in an array. In
our example, dim.f(X) and dim.f(Y) are both equal to 100. Dim.f(Table) returns the number
of elements in the first dimension of the Table array, which is 3. Dim.f(Table(1)),
dim.f(Table(2)), and dim.f(Table(3)) each return the number of elements in the second
dimension, which is 4.
173
Each Expression indicates the number of elements in one dimension of the array. Its
mode must be numeric (i.e., double, real, integer, integer4, integer2, or alpha), and its
value must be positive. If it is double or real, it is implicitly rounded to integer.
Each Variable must have dimensionality greater than zero. It may name a local or global
array, an array attribute of an object or class, or an array attribute of the system or
subsystem. It may also name an array of sets owned by an object or class, or owned by
the system or subsystem. For example, suppose Group is a one-dimensional set owned
by the system. The following statement,
reserve Group as 20
allocates storage for this array of sets. Storage is allocated implicitly for three arrays of
set attributes. The above statement is equivalent to:
reserve f.Group, l.Group, n.Group as 20
The number of elements in an array of sets may be obtained by calling dim.f. In our
example, dim.f(Group) returns 20.
A Variable may also name an attribute, or set owned by, a permanent entity or compound
entity. However, it is recommended to use create each statements to allocate these
arrays; see the CreateDestroy statement on page 35 for more information.
When a one-dimensional array is allocated, the address of a block of contiguous elements
is stored in the named array variable. When the name is subsequently used without
subscripts in an Expression, its value is this address, which we call an ―array pointer.‖
This value may be assigned to a variable of mode integer or pointer. For example, after
the following statements are executed, variables A and P point to the same array:
define A as a 1–dimensional integer array
define P as a pointer variable
reserve A as 25
let P = A
The integer or pointer variable (P in our example) may not be subscripted directly. Its
value must first be assigned to a one-dimensional variable, which may be subscripted:
define B as a 1–dimensional integer array
let B = P
write B(1) as "The value of the first element is ", i *, /
Although it is not possible to define an array attribute of a temporary entity or process
notice, an integer or pointer attribute can be used to store an array pointer.

174
Normally, one Expression is supplied for each dimension of the Variable. It is an error to
specify more Expressions than dimensions. However, it is permitted to provide fewer
Expressions than dimensions. In this case, the array is ―partially‖ allocated.
If only one Expression is specified when allocating a two-dimensional array, then a one-
dimensional array is allocated, where each element is an array pointer initialized to zero.
Each element can point to a one-dimensional array representing one row of the two-
dimensional array. These ―row‖ arrays are allocated by subsequent Reserve statements to
complete the allocation of the two-dimensional array. They are not required to have the
same number of elements. We refer to a two-dimensional array with rows of unequal
length as a ―ragged array.‖
To illustrate, consider a square matrix W in which all entries above the main diagonal are
zero. This is called a ―lower triangular‖ matrix. For example:
)4,4()3,4()2,4()1,4(
0)3,3()2,3()1,3(
00)2,2()1,2(
000)1,1(
WWWW
WWW
WW
W
Rather than store the zero elements, a ragged array can be constructed that contains only
the lower triangle. The first row contains one element, the second row contains two
elements, the third row contains three elements, and the fourth row contains four
elements.
Suppose W is an N × N lower triangular matrix. First we allocate the first dimension of
the array:
define W as a 2–dimensional double array
reserve W as N
An optional by * phrase may be added for readability, to make clear that the two-
dimensional array is only partially allocated:
reserve W as N by *
At this point, W points to a one-dimensional array of array pointers, where each array
pointer, W(1), W(2), …, W(N), is initialized to zero. Dim.f(W) returns N, the number of
elements in the first dimension. We now allocate the second dimension, varying the
number of elements in each row from 1 to N:
for Row = 1 to N
reserve W(Row) as Row
175
Now W(1) points to an array of one element, W(2) points to an array of two elements, …,
and W(N) points to an array of N elements. Dim.f(W(1)) returns 1, dim.f(W(2)) returns 2, …,
and dim.f(W(N)) returns N.
The elements of the array may be summed by the following loop:
let Sum = 0
for Row = 1 to N
for Column = 1 to Row
add W(Row, Column) to Sum
Note that it is an error to refer to W(Row, Row + 1) because this element does not exist.
An element of an array is safely accessed by first verifying that the subscript values are in
bounds. For example:
if 1 <= Row <= dim.f(W) and 1 <= Column <= dim.f(W(Row))
' ' Row and Column are in bounds; W(Row, Column) may be accessed
…
always
All of the elements of an array are safely accessed by this loop:
for Row = 1 to dim.f(W)
for Column = 1 to dim.f(W(Row))
do
' ' access W(Row, Column)
…
loop
An array may have more than two dimensions. For example:
define Name as a 3–dimensional text array
reserve Name as 20 by 10 by N–1
let Name(I, J, K) = "Santa Monica"
define Q as a 4–dimensional real array
reserve Q as 8 by 4 by 2 by 8 ' ' allocates 8*4*2*8=512 elements
let Q(7,1,2,4) = 0.25
These arrays can be partially allocated as well:
reserve Name as 20 by 10 ' ' still need to allocate 200 one–dimensional arrays
reserve Q as 8 by 4 by * ' ' still need to allocate 32 two–dimensional arrays
When an allocated array is no longer needed, a Release statement must be executed to
reclaim the storage used by the array (see page 164 for details). It is important to retain
at least one pointer to each allocated array, so that its storage may be freed by a Release
statement. When an array is allocated by a Reserve statement, a pointer to the newly-
allocated array is assigned to the named variable, which overwrites any existing pointer
176
stored in the variable. Therefore, if the existing pointer has not been saved in another
variable, and a Release statement has not been executed using this pointer, then access to
the array is lost and the memory it occupies is unavailable to the program. This is known
as a ―memory leak.‖ In the following example, without the assignment to P, access to the
first array is lost when the second array is allocated:
define A as a 1–dimensional integer array
define P as a pointer variable
reserve A as 25 ' ' allocate first array
let P = A ' ' save pointer to first array
reserve A as 40 ' ' allocate second array

177
2.70 Reset
reset
the
totals of
Variable
Comma
Comma
NameUnqualified
A reset statement initializes the collection of statistics on the values assigned to one or
more attributes and global variables. This statement may be used in any routine. The
keyword the is optional for readability.
The reset statement makes possible the preparation of reports on a cumulative or periodic
basis. When both periodic and cumulative statistics are required, qualifiers can be
specified. The qualifiers permit multiple sets of the same statistic to be gathered
simultaneously, but the statistics can be reset at different times.
The appearance of one or more qualifiers in a reset statement specifies that only the
indicated counters are to be reset. If no qualifiers are given in the reset statement, all
counters associated with the variable(s) are initialized.

178
2.71 Resources
Name
Comma
are
include
is
resources
A resources statement declares the names in the statement, and the entity types declared
by subsequent every statements, as resource types. This statement may appear in a
preamble, but may not appear in a begin class block. The keywords are, include, and is
are synonymous.
Global variable with same name as the entity type, and also n.resource global variable
are implicitly defined.
A resource is a permanent entity with predefined attributes:
u.resource: specifies the integer number of units of this resource currently
available
q.resource: set of processes currently waiting (queued) for this resource
n.q.resource: number of processes currently waiting for this resource
x.resource: set of processes currently using (executing with) this resource
n.x.resource: number of processes currently using this resource
Additional programmer-defined attributes must be specified by one or more "every"
statements.
A "create each" statement is needed to create resources. The n.entity global variable
contains the number of "resource types", whereas u.resource(i) contains the number of
units of resource type "i". If only one type of resource is needed, then n.entity should be
set to one.
Each unit of a resource is identical. A single queue waits for them. Each resource type
has its own queue.
A "qc.e" entity is created for each "request" for a resource. It is these "qc.e" entities that
are filed both in the set of resource associated with this process, rs.s(process), and also in
either of the sets q.resource or x.resource, depending on whether the request has been
satisfied. Each "qc.e" entity has the following attributes:
179
who.a: pointer to the process notice of the process that made the request
qty.a: integer number of resource units requested
pty.a: integer priority of request
p.rs.s: pointer to predecessor qc.e in rs.s(process)
s.rs.s: pointer to successor qc.e in rs.s(process)
p.q.resource/p.x.resource (equivalenced): pointer to predecessor qc.e waiting for
or using the resource
s.q.resource/s.x.resource (equivalenced): pointer to successor qc.e waiting for or
using the resource
The q.resource set is ranked by high pty.a.
If "u.resource" is explicitly incremented, will waiting processes be awakened?
Fractions of units may not be allocated.

180
2.72 Return
return ( Expression )
with Expression
from simulation
This statement terminates the execution of a routine and returns control to the calling
routine. There are three forms of this statement.
1. A return with statement is executed by the right implementation of a function and
provides the result of the function. The statements, return with Expression and
return (Expression), are synonymous. The Expression is evaluated and its value
(the ―source‖) is assigned to a hidden variable (the ―destination‖) which has the
same mode as the function. The value of the function call is taken from this
variable and used by the calling routine. The source must be compatible with the
destination according to the assignment compatibility rules on page 99.
For example, the following double function named Square returns the square of
its argument. When a routine calls Square(2.5), control passes to the Square
function with argument X equal to 2.5. The expression X * X is evaluated and
control is returned back to the caller with the result of this expression. The value
of Square(2.5) in the calling routine is 6.25.
function Square(X)
return with X * X
end
… ' ' in the calling routine
let Answer = Square(2.5) ' ' 6.25 is assigned to Answer
181
2. A return statement is executed by a subroutine or by the left implementation of a
function. No Expression may be specified. Control returns to the caller. Results
of the subroutine, if any, are provided in yielded arguments. The following is a
subroutine version of Square.
subroutine Square given X yielding X2
let X2 = X * X
return
end
… ' ' in the calling routine
call Square given 2.5 yielding Answer ' ' 6.25 is assigned to Answer
A return statement is implied at the end of a routine. This subroutine can
therefore be rewritten as:
subroutine Square given X yielding X2
let X2 = X * X
end ' ' implied return occurs here
If the subroutine is a process method or process routine called by the timing
routine during a simulation, then an explicit or implied return statement
terminates the currently-executing process, destroys its process notice, and returns
control to the timing routine. The subroutine’s yielded values, if any, are
discarded.
An explicit or implied return statement in the right implementation of a function
is interpreted as return with 0 (return zero), or for a text function, return with ""
(return a null string).
3. A return from simulation statement is executed by a subroutine during a
simulation. The currently-executing process is terminated, its process notice is
destroyed, and control passes to the statement that follows the start simulation
statement. The subroutine’s yielded values, if any, are discarded. For example:
process method Sim'Terminate
return from simulation
end
…
schedule a Sim'Terminate at End_Time
start simulation
' ' arrive here when time.v = End_Time
182
If no simulation is running, a return from simulation statement acts as a return
statement.
A routine may contain more than one Return statement and more than one form of Return
statement.

183
2.73 Routine
main
initialize
method
routine
subroutine
function
for
to
Name
yielding
RoutineStatement
end
left
right
given
giving
the
this (
)
process method
process
Comma
NameUnqualified
Comma
NameUnqualified
Comma
NameUnqualified
A routine begins with a heading, which names the routine and its arguments, and ends
with an end keyword. Between the heading and end are zero or more routine statements.
A routine that is a method is specified as method or process method, and a process
routine begins with the keyword process; otherwise, the routine is declared as routine,
subroutine, or function. A left function must be declared as left, whereas a right function
may optionally be declared as right. A main module must include a main routine, and
each subsystem may have an initialize routine.
The keywords for and to are optional for readability. The following are synonymous:
routine, subroutine, and function;
given, giving, the, and this.
Cannot have "routine for/to". Must be "routine for/to for/to".
Explain difference between given and yielded arguments. Given arguments may appear
in parentheses or after the "given" keyword. Given arguments as passed by value.
184
Yielded arguments are initialized to zero. A function cannot have yielded arguments but
returns a function result value to the caller.
If the mode of arguments is unknown, it is assumed to be the background mode, provided
it is not "undefined". The mode of arguments, if specified, must agree with the
declaration of arguments in a "define routine/method" statement or inferred by the
compiler. In some cases, the mode of arguments can be inferred by the compiler, such as
the mode of arguments to function attributes, monitoring routines, and before/after
routines. The mode of process routine arguments is determined by the modes of
programmer-defined attributes in process notices.
Arguments are treated like local recursive variables.
A left and/or right implementation can be provided for each function. The "right"
keyword is optional for a right implementation. The "left" keyword is required for a left
implementation. If a variable is monitored on the right, a right-hand monitoring function
must be supplied. If a variable is monitored on the left, a left-hand monitoring function
must be supplied. A monitoring function has as many integer arguments as the
dimension of the monitored variable. A function object method is defined for a
monitored object attribute, and a function class method is defined for a monitored class
attribute.
Process routines cannot be called. Their execution must be scheduled. Process routines
cannot have yielded arguments and cannot be functions. A return statement (or reaching
the "end") in a process routine returns control to the timing routine. A process routine
can be suspended and thereby elapse simulation time. Ways in which the process routine
can be suspended are: wait/work, request, suspend.
Upon entry to a process routine, time.v is set to the time.a of the process notice (i.e., the
simulation clock has been updated), and the global variable with the same name as the
process refers to the process notice. Attributes of the process notice are available via this
global variable. Process.v also holds the reference value for a process notice, or is zero if
no process is executing. A process notice is automatically destroyed when a process
routine returns.
Upon entry to a process routine that is invoked for an external process, the current input
unit is set to the external unit (its number is stored in eunit.a of the process notice). The
routine may perform free-form or formatted read statements to read data from the
external unit. (rcolumn.v is postioned at the last column of the time value.) It is not
necessary to read all of the data; any data that is unread will be skipped up to the mark.v
character. It is an error to read too much data, consuming the mark.v character and
beyond. Upon returning from a process routine called for an external process, data on the
external unit is read until a mark.v character is found, and the data following the mark.v
character is read and used to schedule the next external process for this external unit. The
current input unit is set to the standard input unit. Control is then passed to the timing
routine.
185
Upon entry to a process routine that is invoked for an internal process, programmer-
defined attributes are copied from the process notice to the given arguments of the
routine. These arguments are not set for an external process and should be read from the
external unit, which is the current input unit. It is an error to specify more given
arguments than there are programmer-defined attributes. What is the mode of the given
arguments differs from the mode of the process notice attributes? Note that upon
resumption of a process routine, the given arguments contain the values they possessed
when the process routine was suspended; so awakening a process routine does not copy
process notice attributes to the given arguments of the routine.
Program execution begins by executing each subsystem "initialize" routine once, in an
indeterminate order, and then by executing the main module's "main" routine. An
"initialize" routine can be used to initialize subsystem attributes, global variables, and
class attributes defined by the subsystem.
Within the implementation of an object method, the reference value is stored in an
implicitly-defined local reference variable with the same name as the class. This
reference value is not defined within the implementation of a class method.
Method implementations for a class must appear within the module in which the class is
defined.
The given arguments to a process method must be specified in the method
implementation and are initialized by process notice attributes for a scheduled invocation
and by actual arguments for a direct invocation (i.e., a call).

186
2.74 RoutineStatement
AddSubtract
Call
Cancel
Close
Compute
CreateDestroy
Cycle
DefineConstant
DefineToMean
DefineVariable
Enter
File
GoTo
If
InterruptResume
Jump
Label
Leave
Let
List
Loop
Move
Normally
Open
Print
ReadWrite
Release
Relinquish
Remove
Request
Reserve
Reset
Return
Rewind
Schedule
Select
Skip
StartNew
StartSimulation
Stop
Substitute
SuppressResume
Suspend
Trace
Use
Wait
A routine contains statements from this list.

187
2.75 Schedule
schedule
reschedule
activate
reactivate
cause
unit
units
day
days
hour
hours
minute
minutes
a
an
the
the above
this
Variable
called
at
Expression
after
in Expression
Variable
given
giving
the
this
Expression
Comma
(Expression )
,
This statement, which may be used in any routine, inserts a new or existing process
notice into the event set to schedule the execution of a process method or process routine.
The following are synonymous:
schedule, reschedule, activate, reactivate, and cause;
a and an;
the, the above, and this;
given, giving, the, and this;
after and in;
unit, units, day, and days;
hour and hours;
minute and minutes.
188
This statement has four forms:
1. Schedule a Variable … A process notice is allocated and inserted into the event
set to schedule the execution of a process method or process routine. The
reference value of the new process notice is assigned to Variable. To schedule a
process method, Variable must name the process method, and the reference value
is assigned to the attribute with the same name as the process method. To
schedule a process routine, the mode of Variable must be the reference mode of
the process type; however, its mode may be pointer or integer if it is a local
variable with the same name as the process type.
2. Schedule a Variable2 called Variable … A process notice is allocated and inserted
into the event set to schedule the execution of a process method or process
routine. The reference value of the new process notice is assigned to Variable. To
schedule a process method, Variable2 must name the process method, and the
mode of Variable must be pointer or integer. To schedule a process routine,
Variable2 must name the process type, and the mode of Variable must be pointer,
integer, or the reference mode of the process type.
3. Schedule the Variable … An existing process notice, whose reference value is in
Variable, is inserted into the event set to schedule the execution of a process
method or process routine. The mode of Variable must be pointer, integer, or the
reference mode of a process type.
4. Schedule the Variable2 called Variable … As in Form 3, an existing process
notice, whose reference value is in Variable, is inserted into the event set to
schedule the execution of a process method or process routine, and the mode of
Variable must be pointer, integer, or the reference mode of a process type.
However, in addition, Variable2 names a process method or process type, which is
used for runtime error checking. Variable must identify a process notice
associated with the named method or type.
A Form 1 or Form 2 statement is called a schedule a statement. A Form 3 or Form 4
statement is called a schedule the statement. If the schedule keyword is followed by a
Variable with no intervening keyword, the is assumed. That is, schedule Variable is
synonymous with schedule the Variable.
A schedule a statement schedules the initial invocation of a process method or process
routine. A schedule the statement schedules the initial invocation of a process method or
process routine, or schedules the resumption of a suspended process method or process
routine.
If a process method scheduled using Form 1 or 2 accepts one or more given arguments,
then the correct number of Expressions must be specified after a given keyword, or
within parentheses, to supply the argument values. The modes of these Expressions must
be compatible with the modes of the process method’s given arguments. The value of
189
each Expression (the ―source‖) is assigned to the corresponding given argument within
the process method (the ―destination‖) upon entry to the method. The source must be
compatible with the destination according to the assignment compatibility rules on page
99. If an Expression is an array, only the array pointer is copied, not the entire array.
Any values yielded by the process method are discarded.
For example, suppose Drive is an object process method of a class named Vehicle, and
this method accepts two given arguments, the distance to travel and the average speed,
and yields one argument, the duration of the trip. The following statement schedules the
execution of this process method to occur after three days of simulation time have
elapsed. At that time, the Vehicle object identified by a reference variable named Chevy
will commence a 200-mile trip at an average speed of 50 miles per hour.
schedule a Drive(Chevy) given 200, 50 in 3 days ' ' Form 1 example
The given arguments may also be specified in parentheses:
schedule a Drive(Chevy)(200, 50) in 3 days ' ' Form 1 example
A reference value is passed as an implicit argument to an object process method. Upon
entry to the method, it is assigned to the implicitly-defined local reference variable which
has the same name as the class. This reference value argument is not one of the method’s
given arguments. In this example, the value of Chevy is assigned to the implicitly-
defined local reference variable named Vehicle upon entry to the Drive method.
In the schedule a statements shown above, the reference value of a newly-allocated
process notice is stored in the object attribute named Drive(Chevy). The mode of this
attribute is pointer. The scheduled execution may be canceled by a Cancel statement that
refers to this process notice. For example:
cancel the Drive(Chevy)
Execution of the process method may be rescheduled by a schedule the statement.
However, given arguments may not be specified. Here we reschedule the 200-mile trip:
schedule the Drive(Chevy) in 7 days ' ' Form 3 example
If the distance or average speed must be changed, then the process notice must be
destroyed and then recreated using Form 1 or 2. For example:
cancel the Drive(Chevy)
destroy the Drive(Chevy)
schedule a Drive(Chevy) given 325, 55 in 7 days ' ' Form 1 example
190
Any pointer or integer variable may be used to save the reference value of the process
notice. For example:
define Trip as a pointer variable
schedule a Drive(Chevy) called Trip given 200, 50 in 3 days ' ' Form 2 example
Here we access the process notice through the Trip variable:
cancel the Drive(Chevy) called Trip
schedule the Drive(Chevy) called Trip in 7 days ' ' Form 4 example
Or simply:
cancel the Trip
schedule the Trip in 7 days ' ' Form 3 example
Suppose the Drive method is scheduled within an object method of the Vehicle class. In
this case, the reference value expression may be omitted and the implicitly-defined
reference variable is implied. That is, these statements,
schedule a Drive given 200, 50 in 0 days
schedule a Drive(600, 60) in 12.5 days
are interpreted as:
schedule a Drive(Vehicle) given 200, 50 in 0 days
schedule a Drive(Vehicle)(600, 60) in 12.5 days
After executing a Schedule statement, a routine continues on without waiting for the
scheduled process method to begin. When the process method completes, there is no one
waiting to receive the values yielded by the method, and so they are discarded. For
example:
schedule a Drive(Chevy) given 400, 50 in 0 days
' ' execution reaches here before the trip has begun
By executing a Call statement instead of a Schedule statement, a routine can invoke a
process method immediately, wait for its completion, and obtain the yielded values. For
example:
call Drive(Chevy) given 400, 50 yielding Drive_Duration
' ' execution reaches here after the trip has completed;
' ' Drive_Duration contains the duration of the trip
For process methods, as illustrated above, each Schedule statement has a corresponding
Call statement. Because a derived class may override an inherited object process method,
there may be more than one implementation of an object process method. A Schedule
statement schedules for execution the same implementation invoked by the matching Call
statement. That is, polymorphism is used in scheduling.
191
For example, suppose that the All_Terrain_Vehicle class is derived from the Vehicle class
and overrides the Drive method. Then there are two implementations of the method,
namely Vehicle'Drive and All_Terrain_Vehicle'Drive. (Presumably, the latter includes
logic for ―off-road‖ driving.) If Chevy contains the reference value of a Vehicle object,
then call Drive(Chevy) invokes Vehicle'Drive, and schedule a Drive(Chevy) schedules the
execution of Vehicle'Drive. On the other hand, if Chevy contains the reference value of an
All_Terrain_Vehicle object, then call Drive(Chevy) invokes All_Terrain_Vehicle'Drive, and
schedule a Drive(Chevy) schedules the execution of All_Terrain_Vehicle'Drive.
When scheduling a process routine using Form 1 or 2, one or more Expressions may be
specified after a given keyword or within parentheses. Each Expression (the ―source‖) is
assigned to an explicitly-defined attribute of the process notice (the ―destination‖), in the
order in which the attributes are defined in Every statements. The modes of these
Expressions must be compatible with the modes of the attributes. Each source must be
compatible with its destination according to the assignment compatibility rules on page
99. It is an error to specify more Expressions than attributes. If fewer Expressions are
specified than attributes, the Expressions initialize the attributes that are defined first, and
the remaining attributes are initialized to zero (or the null string for text attributes).
For example, suppose Customer is a process type with process notice attributes Name and
ID:
processes
every Customer has a Name and an ID
define Name as a text variable
define ID as an integer variable
After executing the following Schedule statement, a Customer process notice has been
allocated and scheduled, and its reference value has been assigned to a reference variable
named NewCust. The attributes of this process notice have been initialized as follows:
Name(NewCust) = "Johnson" and ID(NewCust) = 2415.
define NewCust as a Customer reference variable
schedule a NewCust given "Johnson" and 2415 in 5 units
The above Schedule statement is equivalent to the following sequence of statements:
create a NewCust
let Name(NewCust) = "Johnson"
let ID(NewCust) = 2415
schedule the NewCust in 5 units
The statement,
schedule a NewCust given "Johnson" in 5 units
initializes the Name attribute to "Johnson" and the ID attribute to zero.

192
The statement,
schedule a NewCust in 5 units
initializes the Name attribute to the null string and the ID attribute to zero.
For a process type, the program may define attributes of the process notice using Every
statements and may allocate process notices using Create statements or schedule a
statements. However, for a process method, attributes of the process notice may not be
defined and schedule a statements must be used to allocate process notices.
The at phrase specifies an ―absolute‖ simulation time. The process method or process
routine will be executed at the specified time. In the following example, the trip will
commence when the simulation clock (i.e., the value of time.v) reaches 31.0:
schedule a Drive(Chevy) given 200, 50 at 31.0
The in phrase specifies a ―relative‖ simulation time. The process method or process
routine will be executed after the specified amount of time has elapsed. Here we
schedule a customer arrival to occur when the simulation clock has advanced 8.5 time
units. Thus, if the current value of time.v is 6.5, the arrival will occur when the
simulation clock reaches 15.0.
schedule a NewCust given "Smith" in 8.5 units
By default, one unit of simulation time is interpreted as one day, each day consists of
hours.v hours, and each hour consists of minutes.v minutes, where hours.v defaults to 24
and minutes.v defaults to 60. However, the program may interpret time units differently,
and may change the values of hours.v and minutes.v as needed. For example, a value of
8 may be assigned to hours.v to simulate eight-hour workdays.
The following table shows how the time phrases determine the time at which the process
method or process routine is scheduled for execution:
Time Phrase
Scheduled Time of Execution
schedule ... at Expression
Expression
schedule ... in Expression units
time.v + Expression
schedule ... in Expression days
time.v + Expression
schedule ... in Expression hours
time.v + Expression / hours.v
schedule ... in Expression minutes
time.v + Expression / (hours.v * minutes.v)
The Expression must have a numeric mode: double, real, integer, integer4, integer2, or
alpha. The scheduled time of execution is assigned to the time.a attribute of the process
notice. Time cannot go backwards; hence, the scheduled time must be greater than or
equal to the current value of time.v.
The event set ev.s is an array of sets. Each process method and process type has a unique
event set index. When a process notice is allocated, its ipc.a attribute is automatically

193
initialized to the event set index of its process method or process type. The process
notice is inserted into the event set at this index. Thus, if P contains the reference value
of a process notice, then this process notice is inserted into ev.s(ipc.a(P)). Upon insertion,
the number of elements in this set, namely n.ev.s(ipc.a(P)), is incremented by one, and
m.ev.s(P) is assigned a nonzero value (the event set index in ipc.a(P)) to indicate that the
process notice is a member of the event set.
The process notices in ev.s(i) are ranked in increasing order of their time.a attributes. If
two or more process notices in ev.s(i) have the same time.a value, they are ranked on a
first-in-first-out basis. However, if index i is associated with a process type for which a
BreakTies statement has been specified, then process notices in ev.s(i) with the same
time.a value are ranked using the values of the BreakTies attributes. When a process
notice is a member of the event set, it is an error to change the value of its time.a
attribute, or the value of a BreakTies attribute, because it breaks the ordering of the set.
See BreakTies on page 23 for more information.
It is an error to schedule a process notice that is already scheduled. Before scheduling a
process notice, the program can verify that it is not already a member of the event set.
For example:
if the Drive(Chevy) is not in ev.s
schedule the Drive(Chevy) in 2 hours
always
A ―before scheduling‖ routine and an ―after scheduling‖ routine, if defined, are called
automatically before and after each process notice is inserted into the event set. The first
argument to these routines is the reference value of the process notice. The second
argument is the scheduled time. See BeforeAfter on page 18 for more information.
When scheduling a process routine using Form 1 or 2, the following steps are taken:
a. A process notice is allocated.
b. An ―after creating‖ routine, if defined, is called.
c. The given Expressions, if any, are assigned to consecutive attributes of the
process notice.
d. A ―before scheduling‖ routine, if defined, is called.
e. The scheduled time is assigned to the time.a attribute of the process notice.
f. The process notice is inserted into the event set.
g. An ―after scheduling‖ routine, if defined, is called.

194
2.76 Select
select case
Expression
case
SubprogramLiteral
Comma
RoutineStatement
default
RoutineStatement
endselect
SignedNumber
String
Name
SignedNumber
String
Name
to
This language element chooses a sequence of statements to execute depending on the
value of an Expression. It may be used in any routine. For example:
select case Letter_Grade
case "A"
Points = 4
case "B"
Points = 3
case "C"
Points = 2
case "D"
Points = 1
case "F"
Points = 0
endselect
195
In this example, if the value of an alpha variable named Letter_Grade is equal to "A", then
an integer variable named Points is assigned a value of 4; if Letter_Grade is equal to "B",
then Points is assigned a value of 3; and so on. If Letter_Grade is "A", "B", "C", "D", or
"F", a value is assigned to Points and execution continues with the statement that follows
the endselect keyword. However, if Letter_Grade contains some other value, the
program aborts with a runtime error because no default case was provided.
A range of values may be specified for a case. In the next example, we assign values to
Letter_Grade and Points based on the value of Score. If Score is greater than or equal to
90 and less than or equal to 100, "A" is assigned to Letter_Grade and 4 is assigned to
Points. The default case is provided and handles a failing grade; it will be reached if
Score is less than 60 (or Score is greater than 100). The semicolons are optional and are
used for readability.
select case Score
case 90 to 100
Letter_Grade = "A"; Points = 4
case 80 to 90
Letter_Grade = "B"; Points = 3
case 70 to 80
Letter_Grade = "C"; Points = 2
case 60 to 70
Letter_Grade = "D"; Points = 1
default
Letter_Grade = "F"; Points = 0
endselect
If the value of the Expression matches more than one case, the first matching case is
selected. If Score is equal to 80 in this example, it matches two cases, 80 to 90 and 70 to
80; however, the 80 to 90 case is chosen because it appears first in the statement.
A case may specify any combination of individual values and ranges of values. If the
value of the Expression matches any of the individual values or falls within any of the
ranges, the case will be selected. Suppose N is an integer variable. In the following
example, the first case is chosen if N is equal to 4 or 6, or is between 11 and 14, or
between 21 and 24. The second case is selected if N is equal to 7, 8, 9, or 17. The third
case is chosen for all other values of N between 1 and 25. Finally, the default case
handles all values of N less than 1 and greater than 25.
select case N
case 4, 6, 11 to 14, 21 to 24
write as "This is the first case"
case 7 to 9, 17
write as "This is the second case"
case 1 to 25
write as "This is the third case"
default
write as "This is the default case"
endselect
196
All case values must be constants and may be named constants. For example:
define Machine_Status as an integer variable
define Out_of_Service, Available, and Busy as constants
define Message as a text variable
…
select case Machine_Status
case Out_of_Service let Message = "Needs repair"
case Available let Message = "Idle and ready"
case Busy let Message = "In use"
endselect
The sequence of statements specified for a case is any sequence of zero or more
statements and may include ―nested‖ Select statements. For example:
write as "Would you like to see a report? ", +
read User_Response
select case lower.f(User_Response)
case "yes", "y"
write as "Enter 1 for a detailed report or 2 for a summary: ", +
read User_Choice
select case User_Choice
case 1 call Write_Detailed_Report
case 2 call Write_Summary
default write as "Invalid entry", /
endselect
case "no", "n"
' ' nothing to do
default
write as "Unknown response", /
endselect
The Expression must be compatible with the constants specified for each case. The
following rules apply:
1. If the mode of the Expression is numeric (i.e., double, real, integer, integer4,
integer2, or alpha), the mode of the constants must be numeric. However, text
constants may be specified for an alpha Expression.
2. If the mode of the Expression is text, the mode of the constants must be text or
alpha.
3. If the mode of the Expression is pointer or reference, or the Expression is an array
pointer, the only valid constant is 0 (zero).
4. If the Expression is a subprogram variable, each constant must be a
SubprogramLiteral or 0 (zero).

197
2.77 SignedNumber
+
–
Number
This language element is a Number with an optional sign. If no sign is given, plus is
assumed. For example:
50 +50
–.0094 –9.4E–3

198
2.78 Skip
skip Expression
line
lines
record
records
card
cards
input
output
using Unit
value
values
field
fields
input
This statement, which may be used in any routine, skips input values, input lines, or
output lines. The following are synonymous:
value, values, field, and fields;
line and lines;
record, records, card, and cards.
The following statements are equivalent. Each statement bypasses the next N values read
from the current input unit, where a value is any sequence of one or more non-blank
characters.
skip N values
skip N input values
If a Unit is specified, the values are bypassed on the indicated input unit, which must be a
character (non-binary) input unit. For example:
skip N values using standard input
The following statements are equivalent. Each statement bypasses the remainder of the
current line, and skips all of the next (N – 1) lines, on the current input unit.
skip N input lines
skip N input records
skip N records
Each of the above statements is equivalent to the following loop:
for J = 1 to N
read as /

199
If a Unit is specified, the lines are bypassed on the indicated input unit. For example:
skip N input lines using 12
The following statements are equivalent. Each statement finishes the current line, and
writes (N – 1) blank lines, on the current output unit.
skip N lines
skip N output lines
skip N output records
Each of the above statements is equivalent to the following loop:
for J = 1 to N
write as /
If a Unit is specified, the lines are written to the indicated output unit. For example:
skip N lines using Report_Unit
If pagination is enabled (lines.v is greater than zero), then the number of blank lines
written is limited to the number of lines needed to finish the current page.
In all cases, the mode of Expression must be numeric, i.e., double, real, integer, integer4,
integer2, or alpha. If it is double or real, it is implicitly rounded to integer. If the value
of Expression is zero, the statement has no effect. It is an error if the value of Expression
is negative.
Skip 1 input line is equivalent to start new input line, and skip 1 output line is equivalent to
start new output line. See StartNew on page 201 for more information. See
ReadWriteFormat on page 154 for detailed information about the / format descriptor.

200
2.79 SpecialSymbol
!
#
$
%
&
'
(
)
*
+
,
–
/
:
;
<
=
>
?
@
[
\
]
^
_
`
{
|
}
~
¡
¢
£
¤
¥
¦
§
¨
©
ª
«
¬
®
¯
°
±
²
³
´
µ
¶
•
¸
¹
º
»
¼
½
¾
¿
×
÷
This language element is a Latin1 special character. Any of these characters may appear
in a String or comment, or may identify a substitution declared by a DefineToMean or
Substitute statement.

201
2.80 StartNew
start new
line
lines
record
records
card
cards
input
output
page
using Unit
output
This statement, which may be used in any routine, starts a new input line, a new output
line, or a new output page. The following are synonymous:
line and lines;
record, records, card, and cards.
The following statements are equivalent. Each statement starts a new line on the current
input unit.
start new input line
start new input record
start new record
read as /
If a Unit is specified, a new line is started on the indicated input unit. For example:
start new input line using 16
The following statements are equivalent. Each statement starts a new line on the current
output unit.
start new line
start new output line
start new output record
write as /
If a Unit is specified, a new line is started on the indicated output unit. For example:
start new line using standard output
The following statements are equivalent. Each statement starts a new page on the current
output unit.
start new page
start new output page
write as *

203
2.81 StartSimulation
start simulation
This statement calls the timing routine to run a simulation. It may appear in any routine
but must be executed when a simulation is not running. Upon return from the timing
routine, the statement that follows the start simulation statement is executed. For
example:
start simulation ' ' call the timing routine
' ' arrive here upon return from the timing routine
The timing routine returns when there are no scheduled process methods or process
routines (the event set is empty), or when a return from simulation statement is executed
(see Return on page 180). At least one process method or process routine must be
scheduled before executing a start simulation statement, or the timing routine will
immediately return.
Upon return from the timing routine, a simulation is not running. However, if the timing
routine returned with a non-empty event set, because a return from simulation statement
was executed, the simulation may be considered to be ―paused.‖ Executing a start
simulation statement calls the timing routine to continue the simulation.

204
2.82 Stop
stop
This statement terminates the program. It may appear in any routine. For example:
if Number_of_Runs <= 0
write as "Invalid number of runs", /
stop
otherwise
The execution of a program can terminate in four ways:
1. Executing a Stop statement.
2. Returning from the program’s main routine.
3. Calling exit.r.
4. Performing an invalid operation, which aborts the program with a runtime error.
There may be more than one Stop statement in a program.

205
2.83 String
Letter
Digit
SpecialSymbol
“ “
““
.
space
This language element is a sequence of zero or more characters enclosed in quotation
marks. It may appear in an Expression or ReadWriteFormat, or in a DefineConstant or
Select statement.
A quotation mark within the sequence is specified by two consecutive quotation marks.
If the sequence contains exactly one character, it is a constant of mode alpha; otherwise,
its mode is text. The sequence containing no characters, "", is called the ―null string.‖
The following are examples of alpha constants:
"x" "G" "." "4" "&" "è" """"
The following are examples of text constants:
"" "California" "San Diego, CA 92108"
"% UTILIZATION" "Please enter ""Yes"" or ""No"":"
"Quale è il vostro caffè favorito?"

206
2.84 SubprogramLiteral
‘ ‘Name
This language element represents the address of the named routine, which may be any
routine except a method or process routine. This element may be assigned to a
subprogram variable which can be used to call the routine indirectly. This element may
appear in an Expression or in a DefineConstant or Select statement.
The routine name is enclosed in apostrophes. Each apostrophe may be separated from
the routine name by one or more spaces. If a name or keyword immediately precedes the
first apostrophe on the same line, or immediately follows the second apostrophe, the
name or keyword must be separated from the apostrophe by at least one space.
If this language element names a function, it represents the right implementation of the
function. It is not possible to represent and call indirectly the left implementation of a
function.
Suppose Setup is a subroutine given one argument and yielding one argument. Then
'Setup' is a subprogram literal representing this subroutine which may be assigned to a
subprogram variable:
define Init as a subprogram variable
Init = 'Setup'
call Init given Size yielding Count ' ' calls Setup
Suppose Inverse is a double function imported from a module named Geometry, and that
this function has a right implementation and accepts two given arguments. Then
'Geometry:Inverse' is a subprogram literal representing this function. (Name qualification
is not required if the unqualified name Inverse is unambiguous within the importing
module.) This subprogram literal may be assigned to a double subprogram variable:
define Calculate as a double subprogram variable
define Result as a double variable
Calculate = 'Geometry:Inverse'
Result = $Calculate(X, Y) ' ' calls Geometry:Inverse

207
2.85 Substitute
substitute
for
next line or lines
this
these Integer
line
lines
NameUnqualified
Number
SpecialSymbol
A substitute statement declares a source code substitution. Each occurrence of the
unqualified name, number, or special symbol that follows in the source code will be
replaced by the characters appearing on the next line or lines. This statement may appear
in a preamble or routine.
The following are synonymous:
this and these;
line and lines.
The "substitute" statement is similar to a "define to mean" statement.
The scope of a "substitute". It applies after its definition in a preamble and then to every
routine, or it applies after its definition in a routine and then only until the end of the
routine. Also, it applies after its definition in a "begin class" block and then only until the
end of the block.
To change a substitution, "suppress substitution; define Word to mean NewThing;
resume substitution".
Substitution will not take place if the word is embedded in non-blank characters.
A "substitute" statement may appear within a begin class block and has effect only within
that block.
Substitutions are not imported.
Substitutions in effect at the end of the public preamble are in effect at the beginning of
the private preamble, and those in effect at the end of the private preamble apply to the
routines of the subsystem.

208
2.86 SuppressResume
suppress
resume substitution
implicit subscripts
All source code substitutions defined by define to mean and substitute statements are not
performed if they follow a suppress substitution statement; however, they are reinstated
following a resume substitution statement. A warning message is issued by the compiler
for each occurrence of an implicit subscript that appears after a suppress implicit
subscripts statement; the warnings are discontinued following a resume implicit
subscripts statement. These statements may appear in a preamble or routine.
Substitutions will not be suppressed if on the same line following a suppress substitution
statement. Substitutions will not be reinstated if on the same line following a resume
substitution statement.
To suppress substitutions for a particular word, "suppress substitution; define Word to
mean Word; resume substitution".
"Suppress" and "resume" statements may appear in a begin class block and have effect
only within the block.
If "suppress" and "resume" statements are specified in a public preamble, it affects the
interpretation of the public preamble source code, but does not affect importing modules.

209
2.87 Suspend
suspend
process
This statement suspends the execution of the currently-executing process and returns
control to the timing routine. It may appear in any routine but must be executed when a
simulation is running. The process keyword is optional for readability.
A schedule the statement referring to the process notice of the suspended process is used
to schedule the resumption of the process (see Schedule on page 187). Hence, the
reference value of the current process notice must be saved before executing a Suspend
statement. Upon resumption of the process, execution begins with the statement that
follows the Suspend statement. For example:
let P = process.v ' ' save the reference value of the current process notice
suspend ' ' suspend execution of the current process
' ' arrive here upon resumption of the process
Another process schedules the suspended process to awaken now,
schedule the P in 0 units
or to awaken at some future time:
schedule the P in 10 units
If a suspended process will not be awakened, then its process notice must be explicitly
destroyed. For example:
destroy P

210
2.88 TemporaryEntities
Name
Comma
are
include
is
temporary entities
A temporary entities statement declares the names in the statement, and the entity types
declared by subsequent every statements, as temporary entity types. This statement may
appear in a preamble, but may not appear in a begin class block. The keywords are,
include, and is are synonymous.
Global variable with same name as the entity type is implicitly defined.
For each declared temporary entity, a reference mode is implicitly defined. Use of the
reference mode may precede the declaration of the temporary entity.

211
2.89 TheClass
the class
Comma
can
may
Has
Owns
The class statements may appear in a begin class block to declare class attributes and
class methods (Has), and sets owned by the class (Owns). The keywords can and may are
optional for readability.

212
2.90 TheSystem
system
subsystem
module
package
the
Comma
can
may
Has
Owns
The system and the subsystem statements declare attributes of the module (Has) and sets
owned by the module (Owns). The system statement may be specified in the preamble of
a main module, whereas the subsystem statement may be used in a preamble of a
subsystem. These statements may not appear in a begin class block.
The keywords can and may are optional for readability. The keywords subsystem,
module, and package are synonymous.
"The system" can be thought of as an entity and it can have attributes and own sets.
Attributes of "the system" are like global variables.
A preamble can have more than one "the system" statement.

213
2.91 Trace
trace
using Unit
This statement, which may be used in any routine, writes information in a standard
format about the current routine, the caller of the current routine, the caller of the caller,
and so on. It is useful for debugging. If a Unit is specified, the information is written to
the indicated output unit; otherwise, the information is written to the current output unit.
For example:
trace ' ' write to the current output unit
trace using 15 ' ' write to unit 15
trace using standard error ' ' write to the standard error unit

214
2.92 Unit
unit
tape
Expression
the buffer
standard
std
input
output
error
This language element, which appears in I/O statements, specifies the I/O unit to use.
The keywords unit and tape are optional for readability. The keywords standard and std
are synonymous.
There are 99 I/O units, numbered from 1 to 99. Four of these units have special
characteristics:
Unit
Number
Synonym
May Be Used For
5
standard input
input only
6
standard output
output only
98
standard error
output only
99
the buffer
input and output
The number of the I/O unit is given by an Expression and must be in the range 1 to 99. If
the unit number is 5, 6, 98, or 99, then a synonymous phrase may be used instead:
standard input, standard output, standard error, or the buffer.
The mode of Expression must be numeric, i.e., double, real, integer, integer4, integer2, or
alpha. If it is double or real, it is implicitly rounded to integer.

215
2.93 Use
use
for input
output
Unit
This statement, which may be used in any routine, sets the current input unit or current
output unit to the specified unit.
The unit number of the current input unit is stored in the library.m variable read.v. The
following two statements are equivalent; each sets the current input unit to N.
use N for input
let read.v = N
The unit number of the current output unit is stored in the library.m variable write.v. The
following two statements are equivalent; each sets the current output unit to N.
use N for output
let write.v = N
When a program begins executing, the current input unit is 5 (standard input) and the
current output unit is 6 (standard output).
The for phrase may be omitted if Unit is one of these phrases: standard input, standard
output, or standard error. For input is implied if Unit is standard input, and for output is
implied if Unit is standard output or standard error. For example:
use standard input ' ' same as: use standard input for input
use standard output ' ' same as: use standard output for output
use standard error ' ' same as: use standard error for output
If an unopened unit is specified in a Use statement or using phrase, the unit is implicitly
opened. Use N for input implicitly executes open N for input, and use N for output
implicitly performs open N for output. The unit contains character data and has the
default record size (132) and default file name (―SIMUnn‖ where nn is the two-digit unit
number). See Open on page 136 for more information.
The record size of unit 99 (the buffer) is taken from the library.m variable buffer.v the
first time this unit is used. The default value is 132. To specify a different record size,
set the value of buffer.v before the first use of the buffer. For example:
let buffer.v = 1000
use the buffer for output

216
2.94 Variable
Name
ExpressionExpression (( ))
*
,
,
This language element is a name with optional subscripts. It appears in many executable
statements and identifies a variable, attribute, routine, set, or constant. The rules for
subscripts depend on what is named.
1. Object attribute, object method, or set owned by an object. The name is followed
by a parenthesized reference value expression identifying the object. The name
must have been defined or inherited by the class indicated by the reference mode
of the expression. The object must be an instance of this class or of a derived
class. If the parenthesized expression is omitted within an object method of a
class, the implicitly-defined local reference variable with the same name as the
class is used to identify the object. After the name and parenthesized expression,
a separate parenthesized list specifies array subscript expressions (if the attribute
or set is an array) or supplies given arguments to an object method (if the method
has given arguments).
For example, suppose Vehicle is a class, Odometer is a scalar (0-dimensional)
attribute of a Vehicle object, and Tire_Pressure is a one-dimensional array
attribute of a Vehicle object. If MyCar is a Vehicle reference variable, then
Odometer(MyCar) refers to the scalar attribute of the object identified by MyCar,
and Tire_Pressure(MyCar)(2) refers to the second element of the array attribute.
The reference value expression may be omitted within an object method of the
Vehicle class. In this case, Odometer and Tire_Pressure(2) are interpreted as
Odometer(Vehicle) and Tire_Pressure(Vehicle)(2), and is convenient shorthand for
accessing attributes of the object for which the method was invoked.
2. Attribute of, or set owned by, a temporary entity or process notice. The name is
followed by a parenthesized expression identifying the temporary entity or
process notice. The mode of this expression must be pointer, integer, or the
reference mode of the temporary entity type or process type. Unless the name
refers to a common attribute of, or set owned by, two or more temporary entity

217
types and/or process types, the parenthesized expression may be omitted. In this
case, the variable with the same name as the temporary entity type or process type
is used to identify the temporary entity or process notice. This variable is either
an explicitly-defined local variable, or if none, is the global variable implicitly
defined for this type.
For example, suppose Ship is a temporary entity type and Location is one of its
attributes. If Tanker is a Ship reference variable, then Location(Tanker) refers to
the location of the temporary entity identified by Tanker. If Location is not a
common attribute, the parenthesized expression may be omitted. In this case,
Location is interpreted as Location(Ship).
3. Attribute of, or set owned by, a permanent entity or resource. The name is
followed by a parenthesized array subscript expression identifying the permanent
entity or resource. If this parenthesized expression is omitted, the variable with
the same name as the permanent entity type or resource type is used to identify
the permanent entity or resource. This variable is either an explicitly-defined
local variable, or if none, is the global variable implicitly defined for this type.
For example, suppose Server is a permanent entity type and Throughput is one of
its attributes. Then Throughput(3) refers to the throughput of the third Server
entity. The parenthesized expression may be omitted; in this case, Throughput is
interpreted as Throughput(Server).
4. Attribute of, or set owned by, a compound entity. The name is followed by a
parenthesized list of
2n
array subscript expressions, where n is the number of
constituent entity types composing the compound entity type. If this
parenthesized list is omitted or contains fewer than n expressions, the missing
subscripts are taken from the variables with the same name as the unrepresented
constituent entity types. These variables are either explicitly-defined local
variables or are the global variables implicitly defined for the constituent types.
For example, suppose Mechanic and Machine_Type are resource types, and
Experience is an attribute of the compound entity type composed of Mechanic and
Machine_Type (in that order). That is, every Mechanic and Machine_Type have an
Experience. Then Experience(4, 2) indicates the amount of experience that the
fourth mechanic has working on machines of the second type. One or more
subscripts may be omitted; Experience is interpreted as Experience(Mechanic,
Machine_Type), and Experience(Chief) is interpreted as Experience(Chief,
Machine_Type).
5. Constant. Subscripts may not be specified for a named constant.
6. For all other arrays, a parenthesized list of array subscript expressions may follow
the array name. For all other routines, a parenthesized list of given arguments
may follow the routine name if the routine has given arguments. For a monitored

218
array, the expressions in the parenthesized list are both array subscripts and given
arguments to a monitoring function.
It is an error to access elements of an array that has not first been allocated storage by
executing a Reserve statement. For an n-dimensional array, it is an error to specify more
than n array subscripts. Exactly n array subscript expressions must be specified to access
an element of an allocated array. However, an array pointer may be accessed by
specifying fewer than n array subscript expressions.
Suppose X is a three-dimensional array with 10 elements in the first dimension, 5
elements in the second dimension, and 8 elements in the third dimension. This array may
be allocated by the following Reserve statement:
reserve X as 10 by 5 by 8
Specifying X by itself refers to the entire three-dimensional array containing 10 × 5 × 8 =
400 elements. Because multi-dimensional arrays in SIMSCRIPT III are implemented as
arrays of arrays, X(I) may be specified and identifies a two-dimensional array of 40
elements, and X(I, J) identifies a one-dimensional array of 8 elements. Three subscript
expressions, as in X(I, J, K), are required to access an individual element of a three-
dimensional array.
For readability, one or more asterisks may be specified as placeholders for missing
subscript expressions. X(I, J, *) is equivalent to X(I, J). X(I, *, *) and X(I, *) are equivalent to
X(I). X(*, *, *), X(*, *), and X(*) are equivalent to X. The asterisks make clear that an array
pointer, not an array element, is being accessed. Their use is optional except in the
following case. Because variables are used implicitly in place of missing subscript
expressions when accessing an attribute of a permanent entity, resource, or compound
entity, asterisks are required in this case to access the attribute’s array pointers.
A subscript expression can have any numeric mode: double, real, integer, integer4,
integer2, and alpha. A double or real expression is implicitly rounded to integer. The
first element of an array is stored at subscript 1; therefore, an integer subscript must not
be less than one. The integer subscript must not be greater than the number of elements
in the array. In our example, dim.f(X) returns the number of elements in the first
dimension of X. Therefore, the variable I must satisfy the following logical condition:
1 <= I <= dim.f(X) to be used as a valid subscript of the first dimension. The number of
elements in the second dimension is given by dim.f(X(I)); therefore, the variable J must
satisfy: 1 <= J <= dim.f(X(I)). Likewise, the number of elements in the third dimension is
given by dim.f(X(I, J)) and the variable K must satisfy: 1 <= K <= dim.f(X(I, J)). Note that
dim.f(X(N)) may not be equal to dim.f(X(N + 1)) if X has been allocated as a ―ragged array.‖
See the Reserve statement on page 172 for details.
The compiler will issue a warning message for each implicit subscript if implicit
subscripts are ―suppressed.‖ See the SuppressResume statement on page 208 for
information.

219
The value of a given argument expression (the ―source‖) is copied to the corresponding
routine argument (the ―destination‖). The source must be compatible with the destination
according to the assignment compatibility rules on page 99. If a given argument
expression is an array pointer, only the pointer value is copied, not the entire array.
If the name specified for this language element is undefined, the compiler checks the
background mode. If the background mode is undefined (i.e., normally mode is
undefined), then the compiler issues an error message. Otherwise, the compiler implicitly
defines the name to be a local variable with the background mode and background type
(recursive or saved). However, the background dimensionality is not applied. Instead the
dimensionality of the variable is determined based on the number of subscripts that
follow the first appearance of the name in the routine.

220
2.95 Wait
wait
work Expression
unit
units
day
days
hour
hours
minute
minutes
This statement suspends the execution of the currently-executing process and schedules
its resumption after the specified amount of time has elapsed. This statement may appear
in any routine but must be executed when a simulation is running. The Expression must
have a numeric mode (i.e., double, real, integer, integer4, integer2, or alpha) and a
nonnegative value. Upon resumption of the process, execution begins with the statement
that follows the Wait statement.
The following are synonymous:
wait and work;
unit, units, day, and days;
hour and hours;
minute and minutes.
For example:
work 12 units ' ' suspend execution
' ' arrive here after 12 time units have elapsed
The library.m global variable, process.v, contains the reference value of the process
notice for the currently-executing process. The above statement is equivalent to the
following sequence of statements:
schedule the process.v in 12 units
suspend
Likewise, the statement,
wait Delay hours
is equivalent to the following sequence of statements:
schedule the process.v in Delay hours
suspend
221
However, a ―before scheduling‖ routine and an ―after scheduling‖ routine, if defined, are
not called for a Wait statement. See Schedule on page 187 and Suspend on page 209 for
more information.
A Cancel or Interrupt statement referring to the process notice is used to cancel the
scheduled resumption of the suspended process (see Cancel on page 27 and
InterruptResume on page 91). The reference value of the process notice must therefore
be saved before executing the Wait statement. For example:
let P = process.v ' ' save the reference value of the current process notice
wait 6 days
Another process may then execute cancel P or interrupt P.

222
2.96 While
while
until LogicalExpression
,
This loop control phrase is part of a Loop statement and specifies a terminating condition
for the loop. It has two forms. The comma is optional for readability.
1. while LogicalExpression. The loop terminates when the LogicalExpression is
false.
2. until LogicalExpression. The loop terminates when the LogicalExpression is true.
For example:
while Num > 0
do
add Num to Total
read Num
loop
Or equivalently:
until Num <= 0
do
add Num to Total
read Num
loop
This logic may be written equivalently, but less elegantly, using GoTo statements:
'L1' if Num <= 0 go to L2 otherwise
add Num to Total
read Num
go to L1
'L2'
Note that if Num is initially zero or negative, the body of the loop is never executed.
A While phrase may be qualified by a With phrase and may itself qualify a For phrase.
See Loop on page 116 for more information.

223
2.97 With
with
when
unless
except when
LogicalExpression
,
This loop control phrase is part of a Loop statement and specifies a condition for skipping
or bypassing the current iteration of the loop. The comma is optional for readability. The
following are synonymous:
with and when;
unless and except when.
This phrase has two forms:
1. with LogicalExpression. The current iteration of the loop is skipped when the
LogicalExpression is false.
2. unless LogicalExpression. The current iteration of the loop is skipped when the
LogicalExpression is true.
In the following example, all elements of a square matrix are summed except the
elements on the main diagonal.
let N = dim.f(Matrix)
let Sum = 0
for I = 1 to N
for J = 1 to N
with I <> J
add Matrix(I, J) to Sum
This loop may be written equivalently as:
for I = 1 to N
for J = 1 to N
unless I = J
add Matrix(I, J) to Sum

225
3 Library.m
Library.m is a special module that is implicitly imported by every preamble. This module
defines routines, variables, and constants which are accessible to every module. These
definitions may be accessed without qualification (for example, time.v) or with
qualification (for example, library.m:time.v). The library.m definitions are described in
the sections of this chapter:
3.01 Mode Conversion
3.02 Numeric Operations
3.03 Text Operations
3.04 Input/Output
3.05 Random-Number Generation
3.06 Simulation
3.07 Miscellaneous
226
3.01 Mode Conversion
________________________________________________________________________
atot.f ( alpha_arg )
A text function that returns a text value of length one containing alpha_arg as its only
character. For example, atot.f("B") converts an alpha "B" to a text "B".
________________________________________________________________________
int.f ( double_arg )
An integer function that returns the value obtained by rounding double_arg to the nearest
integer. If the argument is positive, the rounded value is computed by adding 0.5 to the
argument and truncating the result. If the argument is negative, the value is obtained by
subtracting 0.5 from the argument and truncating. For example, int.f(3.5) returns 4 and
int.f(–3.5) returns –4.
________________________________________________________________________
itoa.f ( integer_arg )
An alpha function that returns the character representation of integer_arg. The argument
must be in the range 0 to 9. The return value is in the range "0" to "9".
________________________________________________________________________
itot.f ( integer_arg )
A text function that returns the text representation of integer_arg. For example, itot.f(100)
returns "100" and itot.f(–5) returns "–5".
________________________________________________________________________
real.f ( integer_arg )
A double function that returns the floating-point representation of integer_arg. For
example, real.f(3) returns 3.0.
________________________________________________________________________
rtot.f ( double_arg, total_width, fractional_width, use_exponential )
A text function that returns the floating-point representation of double_arg. The total
width in places of the resulting text string is given as the second argument. That is
followed by the number of places to the right the decimal and followed by a flag to use
exponential notation (0 or 1). For example, rtot.f(3.0008, 5, 3, 0) returns 3.001.
________________________________________________________________________
227
trunc.f ( double_arg )
An integer function that returns the value obtained by truncating double_arg to remove its
fractional part. For example, trunc.f(3.5) returns 3 and trunc.f(–3.5) returns –3.
________________________________________________________________________
228
________________________________________________________________________
ttoa.f ( text_arg )
An alpha function that returns the first character of text_arg or returns a blank if text_arg
is the null string. For example, ttoa.f("yes") returns "y" and ttoa.f("") returns " ".
________________________________________________________________________
ttoi.f ( text_arg )
Converts the text representation of an integer to its integer value and returns it. If the text
cannot be converted, zero is returned.
________________________________________________________________________
ttor.f ( text_arg )
Converts the text representation of a floating point number to its double value and returns
it. If the text cannot be converted, zero is returned.
________________________________________________________________________

229
Numeric Operations
________________________________________________________________________
abs.f ( numeric_arg )
A function that returns the absolute value of an integer or double argument. If the
argument is integer, the function returns an integer result. If the argument is double, the
function returns a double result. For example, abs.f(–5) returns 5 and abs.f(12.3) returns
12.3.
________________________________________________________________________
and.f ( integer_arg1, integer_arg2 )
An integer function that returns the value obtained by performing a bitwise AND of
integer_arg1 and integer_arg2. For example, and.f(23, 51) returns 19 because the bitwise
AND of binary 010111 (23) and binary 110011 (51) is binary 010011 (19).
________________________________________________________________________
arccos.f ( double_arg )
A double function that returns the arc cosine of double_arg in radians. The argument
must be in the range –1 to +1. The return value is in the range zero to .
________________________________________________________________________
arcsin.f ( double_arg )
A double function that returns the arc sine of double_arg in radians. The argument must
be in the range –1 to +1. The return value is in the range
2
to
2
.
________________________________________________________________________
arctan.f ( double_argY, double_argX )
A double function that returns the arc tangent of ( double_argY / double_argX ) in radians.
Either argument may be zero but not both. If double_argY is positive, the return value is
in the range zero to . If double_argY is negative, the return value is in the range to
zero. If double_argY is zero and double_argX is positive, the return value is zero. If
double_argY is zero and double_argX is negative, the return value is .
________________________________________________________________________
cos.f ( double_arg )
A double function that returns the cosine of double_arg. The argument is specified in
radians. The return value is in the range –1 to +1.
________________________________________________________________________

230
________________________________________________________________________
dim.f ( array_arg )
An integer function that returns the number of elements in array_arg. The argument is
normally an array pointer. However, if the argument names an array of sets, then the
f.set array pointer is implicitly passed in its place. If the argument is zero, then zero is
returned.
________________________________________________________________________
div.f ( integer_arg1, integer_arg2 )
An integer function that returns the truncated result of ( integer_arg1 / integer_arg2 ).
Integer_arg2 must be nonzero. For example, div.f(17, 5) returns 3 and div.f(–12, 8) returns
–1.
________________________________________________________________________
exp.c
A double constant equal to the value of e, 2.718281828459045.
________________________________________________________________________
exp.f ( double_arg )
A double function that returns the value of
x
e
where double_arg is the exponent.
________________________________________________________________________
frac.f ( double_arg )
A double function that returns the fractional part of double_arg. It is computed by
subtracting the truncated value of the argument from the original value. If the argument
is positive, the return value is positive. If the argument is negative, the return value is
negative. For example, frac.f(3.45) returns 0.45 and frac.f(–3.45) returns –0.45.
________________________________________________________________________
inf.c
An integer constant equal to the largest integer value. On 32-bit computers, this value is
647,483,147,21231
. The smallest integer value is –inf.c–1.
________________________________________________________________________
log.e.f ( double_arg )
A double function that returns the natural logarithm (i.e., the base e logarithm) of
double_arg. The argument must be positive.
________________________________________________________________________

231
________________________________________________________________________
log.10.f ( double_arg )
A double function that returns the base 10 logarithm of double_arg. The argument must
be positive.
________________________________________________________________________
max.f ( numeric_arg1, numeric_arg2, … )
A function that returns the maximum value of two or more integer or double arguments.
If every argument is integer, the function returns an integer result; otherwise, the function
returns a double result.
________________________________________________________________________
min.f ( numeric_arg1, numeric_arg2, … )
A function that returns the minimum value of two or more integer or double arguments.
If every argument is integer, the function returns an integer result; otherwise, the function
returns a double result.
________________________________________________________________________
mod.f ( numeric_arg1, numeric_arg2 )
A function that computes numeric_arg1 divided by numeric_arg2 and returns the
remainder. If both arguments are integer, the function returns an integer result;
otherwise, the function returns a double result. Numeric_arg2 must be nonzero. If
numeric_arg1 is positive, the return value is positive. If numeric_arg1 is negative, the
return value is negative. For example, mod.f(14.5, 3) returns 2.5 and mod.f(–14.5, 3)
returns –2.5.
________________________________________________________________________
or.f ( integer_arg1, integer_arg2 )
An integer function that returns the value obtained by performing a bitwise inclusive OR
of integer_arg1 and integer_arg2. For example, or.f(23, 51) returns 55 because the bitwise
inclusive OR of binary 010111 (23) and binary 110011 (51) is binary 110111 (55).
________________________________________________________________________
pi.c
A double constant equal to the value of , 3.141592653589793.
________________________________________________________________________

232
________________________________________________________________________
radian.c
A double constant equal to the number of degrees per radian, which is
180
or
57.29577951308232.
________________________________________________________________________
rinf.c
A double constant equal to the largest real value. On 32-bit computers, this value is
approximately
38
104.3
; however, a double value may be as large as
308
10
. The smallest
real value is –rinf.c.
________________________________________________________________________
shl.f ( integer_arg1, integer_arg2 )
An integer function that returns the value of integer_arg1 shifted left by integer_arg2 bit
positions. For example, shl.f(23, 2) returns 92 because binary 00010111 (23) shifted left
two positions is binary 01011100 (92). The value of integer_arg1 is returned if
integer_arg2 is zero. The result is undefined if integer_arg2 is negative.
________________________________________________________________________
shr.f ( integer_arg1, integer_arg2 )
An integer function that returns the value of integer_arg1 shifted right by integer_arg2 bit
positions. For example, shr.f(23, 2) returns 5 because binary 010111 (23) shifted right
two positions is binary 000101 (5). An arithmetic shift is performed with the sign bit
copied to the most significant bit positions. The value of integer_arg1 is returned if
integer_arg2 is zero. The result is undefined if integer_arg2 is negative.
________________________________________________________________________
sign.f ( double_arg )
An integer function that returns the sign of double_arg: +1 if the argument is positive, –1
if the argument is negative, and zero if the argument is zero.
________________________________________________________________________
sin.f ( double_arg )
A double function that returns the sine of double_arg. The argument is specified in
radians. The return value is in the range –1 to +1.
________________________________________________________________________
233
________________________________________________________________________
sqrt.f ( double_arg )
A double function that returns the square root of double_arg. The argument must be
nonnegative.
________________________________________________________________________
tan.f ( double_arg )
A double function that returns the tangent of double_arg. The argument is specified in
radians.
________________________________________________________________________
xor.f ( integer_arg1, integer_arg2 )
An integer function that returns the value obtained by performing a bitwise exclusive OR
of integer_arg1 and integer_arg2. For example, xor.f(23, 51) returns 36 because the
bitwise exclusive OR of binary 010111 (23) and binary 110011 (51) is binary 100100
(36).
________________________________________________________________________
234
3.02 Text Operations
________________________________________________________________________
concat.f ( text_arg1, text_arg2, … )
A text function that returns the concatenation of two or more text arguments. For
example, concat.f("Phi", "ladelp", "hia") returns "Philadelphia".
________________________________________________________________________
fixed.f ( text_arg, integer_arg )
A text function that returns the value obtained after appending space characters to, or
removing trailing characters from, the value of text_arg to make its length equal the value
of integer_arg. For example, fixed.f("abcd", 2) returns "ab" and fixed.f("abcd", 5) returns
"abcd ". Integer_arg must be nonnegative; if it is zero, a null string is returned.
________________________________________________________________________
length.f ( text_arg )
An integer function that returns the number of characters in text_arg. For example,
length.f("Chicago") returns 7 and length.f("") returns zero.
________________________________________________________________________
lower.f ( text_arg )
A text function that returns the value of text_arg with each uppercase letter converted to
lowercase. All other characters are unchanged. For example, lower.f("Chicago") returns
"chicago" and lower.f("CAFÉ") returns "café".
________________________________________________________________________
match.f ( text_arg1, text_arg2, integer_arg )
An integer function that returns the position of the first occurrence of text_arg2 in
text_arg1 excluding the first integer_arg characters of text_arg1, or returns zero if there is
no such occurrence. Zero is returned if text_arg1 or text_arg2 is the null string.
Integer_arg must be nonnegative. For example, match.f("Philadelphia", "hi", 2) returns 10
and match.f("Chicago", "hi", 2) returns zero.
________________________________________________________________________
repeat.f ( text_arg, integer_arg )
A text function that returns the concatenation of integer_arg copies of text_arg. For
example, repeat.f("AB", 3) returns "ABABAB". Integer_arg must be nonnegative. A null
string is returned if text_arg is a null string or integer_arg is zero.
________________________________________________________________________
235
________________________________________________________________________
substr.f ( text_arg, integer_arg1, integer_arg2 )
A text function that returns a substring of text_arg when called as a right function, or
modifies a substring of text_arg when called as a left function. The substring begins with
the character at position integer_arg1 and continues until the substring is integer_arg2
characters long or until the end of text_arg is reached. (The first character of text_arg is
at position 1.) For example, the statement,
T = substr.f("Philadelphia", 6, 5)
assigns "delph" to T. When called as a left function, the text value assigned to the
function replaces the specified substring of text_arg, which must be an unmonitored text
variable. The following assignment changes the value of T from "delph" to "delta":
substr.f(T, 4, 2) = "ta"
If the value assigned to the substring is not the same length as the substring, then space
characters are appended to, or trailing characters are removed from, the assigned value.
Integer_arg1 must be positive and integer_arg2 must be nonnegative. If integer_arg1 is
greater than the length of text_arg, or integer_arg2 is zero, then a null string is returned
when substr.f is called as a right function, and no modification is made to text_arg when
substr.f is called as a left function.
________________________________________________________________________
trim.f ( text_arg, integer_arg )
A text function that returns the value obtained by removing leading and/or trailing blanks,
if any, from the value of text_arg. If integer_arg is zero, leading and trailing blanks are
removed; if integer_arg is negative, only leading blanks are removed; and if integer_arg
is positive, only trailing blanks are removed. If text_arg is the null string or contains all
blanks, then a null string is returned. For example, trim.f(" Hello ", 0) returns "Hello".
________________________________________________________________________
upper.f ( text_arg )
A text function that returns the value of text_arg with each lowercase letter converted to
uppercase. All other characters are unchanged. For example, upper.f("Chicago") returns
"CHICAGO" and upper.f("café") returns "CAFÉ".
________________________________________________________________________
236
3.03 Input/Output
________________________________________________________________________
buffer.v
An integer variable that specifies the length of ―the buffer‖ when the first use the buffer
statement is executed. Its default value is 132.
________________________________________________________________________
efield.f
An integer function that returns the ending column number of the next value to be read by
a free-form read statement using the current input unit, or returns zero if there are no
more input values.
________________________________________________________________________
eof.v
An integer variable that specifies the action to take when an attempt is made to read data
from the current input unit beyond the end of file. If the value of the variable is zero
(which is the default), the program is terminated with a runtime error. However, if the
value of the variable is nonzero (typically the program sets it to 1), the variable is
assigned a value of 2 to indicate that end-of-file has been reached. Each input unit has its
own copy of this variable.
________________________________________________________________________
heading.v
A subprogram variable that specifies a routine to be called for each new page written to
the current output unit when pagination is enabled (lines.v is greater than zero), or
contains zero (which is the default) if no routine is to be called. The routine typically
writes a page heading but may perform other tasks. Each output unit has its own copy of
this variable.
________________________________________________________________________
line.v
An integer variable that contains the number of the current line for the current output
unit. It is initialized to 1. If pagination is enabled (lines.v is greater than zero), then the
first line of each page is number 1. Each output unit has its own copy of this variable.
________________________________________________________________________
237
________________________________________________________________________
lines.v
An integer variable that enables pagination for the current output unit if containing a
positive value indicating the maximum number of lines per page, or disables pagination if
zero (which is the default) or negative. Each output unit has its own copy of this
variable.
________________________________________________________________________
mark.v
An alpha variable that specifies the character that marks the end of input data describing
an external process or random variable. Its default value is "*" (asterisk).
________________________________________________________________________
out.f ( integer_arg )
An alpha function that returns (when called as a right function), or modifies (when called
as a left function), the specified character of the current output line. Integer_arg is the
column number of the character, which must be between 1 and the record size. For
example, the statement, A = out.f(4), assigns the character in column four to the variable
A. The statement, out.f(4) = "s", changes the character in column four to "s". This
function may not be used if the current output unit has been opened for writing binary
data.
________________________________________________________________________
page.v
An integer variable that contains the number of the current page for the current output
unit. It is initialized to 1 and is incremented for each new page when pagination is
enabled (lines.v is greater than zero). Each output unit has its own copy of this variable.
________________________________________________________________________
pagecol.v
An integer variable that specifies for the current output unit, a positive starting column
number at which the word ―Page,‖ followed by the current page number, will be written
as the first line of each page (preceding lines written by a heading.v routine) when
pagination is enabled (lines.v is greater than zero); or the variable is zero (which is the
default) or negative to disable this feature. Each output unit has its own copy of this
variable.
________________________________________________________________________
238
________________________________________________________________________
rcolumn.v
An integer variable that contains the column number of the last character read from the
current input line, or zero if no character has been read. Each input unit has its own copy
of this variable.
________________________________________________________________________
read.v
An integer variable that contains the unit number of the current input unit. Its initial
value is 5 because unit 5 (standard input) is the current input unit when a program begins
execution. The assignment, read.v = N, changes the current input unit and has the same
effect as the statement, use N for input.
________________________________________________________________________
record.v ( integer_arg )
An integer function that returns the number of lines read from, or written to, the specified
I/O unit. Integer_arg must be a valid unit number.
________________________________________________________________________
ropenerr.v
An integer variable that equals 1 to indicate that an error occurred when opening the file
associated with the current input unit, or equals zero if no error occurred. If the Open
statement for the unit specifies the noerror keyword, then the program can check the
value of this variable after a use statement to determine whether an error occurred when
opening the file; otherwise, such an error causes the program to terminate. Each input
unit has its own copy of this variable.
________________________________________________________________________
rreclen.v
An integer variable that contains the number of characters read in the current input line,
excluding the end-of-line character. Each input unit has its own copy of this variable.
________________________________________________________________________
rrecord.v
An integer variable that contains the number of lines read from the current input unit.
Each input unit has its own copy of this variable.
________________________________________________________________________
239
________________________________________________________________________
sfield.f
An integer function that returns the starting column number of the next value to be read
by a free-form read statement using the current input unit, or returns zero if there are no
more input values.
________________________________________________________________________
wcolumn.v
An integer variable that contains the column number of the last character written to the
current output line, or zero if no character has been written. Each output unit has its own
copy of this variable.
________________________________________________________________________
wopenerr.v
An integer variable that equals 1 to indicate that an error occurred when opening the file
associated with the current output unit, or equals zero if no error occurred. If the Open
statement for the unit specifies the noerror keyword, then the program can check the
value of this variable after a use statement to determine whether an error occurred when
opening the file; otherwise, such an error causes the program to terminate. Each output
unit has its own copy of this variable.
________________________________________________________________________
wrecord.v
An integer variable that contains the number of lines written to the current output unit.
Each output unit has its own copy of this variable.
________________________________________________________________________
write.v
An integer variable that contains the unit number of the current output unit. Its initial
value is 6 because unit 6 (standard output) is the current output unit when a program
begins execution. The assignment, write.v = N, changes the current output unit and has
the same effect as the statement, use N for output.
________________________________________________________________________

240
3.04 Random-Number Generation
________________________________________________________________________
beta.f ( double_arg1, double_arg2, integer_arg )
A double function that returns a random number in the range zero to one from the beta
distribution having shape parameters
1
equal to double_arg1 and
2
equal to
double_arg2, and mean equal to
21
1
, where
0
1
and
0
2
. Integer_arg must
specify a random number stream between 1 and dim.f(seed.v), or a negative stream
number to generate the antithetic variate.
________________________________________________________________________
binomial.f ( integer_arg1, double_arg, integer_arg2 )
An integer function that returns a random number in the range zero to n from the
binomial distribution having parameters n equal to integer_arg1 and p equal to
double_arg, and mean equal to np, where
0n
and
0p
. The return value
represents a random number of successes in n independent trials where p is the
probability of success for each trial. Integer_arg2 must specify a random number stream
between 1 and dim.f(seed.v), or a negative stream number to generate the antithetic
variate.
If n equals 1, the binomial distribution is the same as the Bernoulli distribution.
________________________________________________________________________
erlang.f ( double_arg, integer_arg1, integer_arg2 )
A double function that returns a nonnegative random number from the Erlang distribution
having mean equal to double_arg, shape parameter equal to integer_arg1, and scale
parameter equal to , where
0
and
0
. Integer_arg2 must specify a random
number stream between 1 and dim.f(seed.v), or a negative stream number to generate the
antithetic variate.
________________________________________________________________________
exponential.f ( double_arg, integer_arg )
A double function that returns a nonnegative random number from the exponential
distribution having mean equal to double_arg, where
0
. Integer_arg must specify
a random number stream between 1 and dim.f(seed.v), or a negative stream number to
generate the antithetic variate.
________________________________________________________________________

241
________________________________________________________________________
gamma.f ( double_arg1, double_arg2, integer_arg )
A double function that returns a nonnegative random number from the gamma
distribution having mean equal to double_arg1, shape parameter equal to
double_arg2, and scale parameter equal to , where
0
and
0
. Integer_arg
must specify a random number stream between 1 and dim.f(seed.v), or a negative stream
number to generate the antithetic variate.
If equals 1, the gamma distribution is the same as the exponential distribution. If is
an integer, the gamma distribution is the same as the Erlang distribution. If is an
integer and equals
2
, the gamma distribution is the same as the chi-square
distribution with degrees of freedom.
________________________________________________________________________
log.normal.f ( double_arg1, double_arg2, integer_arg )
A double function that returns a nonnegative random number from the lognormal
distribution having mean equal to double_arg1 and standard deviation equal to
double_arg2, where
0
and
0
. Integer_arg must specify a random number stream
between 1 and dim.f(seed.v), or a negative stream number to generate the antithetic
variate.
________________________________________________________________________
normal.f ( double_arg1, double_arg2, integer_arg )
A double function that returns a random number from the normal distribution having
mean equal to double_arg1 and standard deviation equal to double_arg2, where
0
. Integer_arg must specify a random number stream between 1 and dim.f(seed.v),
or a negative stream number to generate the antithetic variate.
________________________________________________________________________
poisson.f ( double_arg, integer_arg )
An integer function that returns a nonnegative random number from the Poisson
distribution having mean equal to double_arg, where
0
. Integer_arg must specify
a random number stream between 1 and dim.f(seed.v), or a negative stream number to
generate the antithetic variate.
________________________________________________________________________

242
________________________________________________________________________
randi.f ( integer_arg1, integer_arg2, integer_arg3 )
An integer function that returns a random number in the range m to n from the discrete
uniform distribution having parameters m equal to integer_arg1 and n equal to
integer_arg2, and mean equal to
2
nm
, where
nm
. Integer_arg3 must specify a
random number stream between 1 and dim.f(seed.v), or a negative stream number to
generate the antithetic variate.
________________________________________________________________________
random.f ( integer_arg )
A double function that returns a uniform random number in the range 0 to 1. Integer_arg
must specify a random number stream between 1 and dim.f(seed.v), or a negative stream
number to generate the antithetic variate equal to 1 – random.f(–integer_arg).
________________________________________________________________________
seed.v
A one-dimensional integer array that contains the current seed value for each random
number stream. A stream number is used as an index into the array. The number of array
elements returned by dim.f(seed.v) is the number of streams and is initially 10; however,
the program may release the array and reserve it to change the number of streams.
________________________________________________________________________
triang.f ( double_arg1, double_arg2, double_arg3, integer_arg )
A double function that returns a random number in the range m to n from the triangular
distribution having parameters m equal to double_arg1, peak k (the mode) equal to
double_arg2, and n equal to double_arg3, and mean equal to
3
nkm
, where
nkm
. Integer_arg must specify a random number stream between 1 and
dim.f(seed.v), or a negative stream number to generate the antithetic variate.
________________________________________________________________________

243
________________________________________________________________________
uniform.f ( double_arg1, double_arg2, integer_arg )
A double function that returns a random number in the range m to n from the continuous
uniform distribution having parameters m equal to double_arg1 and n equal to
double_arg2, and mean equal to
2
nm
, where
nm
. Integer_arg must specify a
random number stream between 1 and dim.f(seed.v), or a negative stream number to
generate the antithetic variate.
________________________________________________________________________
weibull.f ( double_arg1, double_arg2, integer_arg )
A double function that returns a nonnegative random number from the Weibull
distribution having shape parameter equal to double_arg1 and scale parameter
equal to double_arg2, where
0
and
0
. Integer_arg must specify a random
number stream between 1 and dim.f(seed.v), or a negative stream number to generate the
antithetic variate.
If equals 1, the Weibull distribution is the same as the exponential distribution. If
equals 2, the Weibull distribution is the same as the Rayleigh distribution.
________________________________________________________________________

244
3.05 Simulation
________________________________________________________________________
between.v
A subprogram variable that specifies a routine to be called by the timing routine before
each process method or process routine is executed, or contains zero (which is the
default) if none is to be called. The process notice is removed from the event set (ev.s),
and the simulation time (time.v) and event set index (event.v) are updated, before this
routine is called; however, the pointer to the process notice (process.v) is not yet
assigned.
________________________________________________________________________
clearevents.r
This routine is a utility that can be called to remove and destroy all remaining process
notices in the event set(s).
________________________________________________________________________
date.f ( integer_arg1, integer_arg2, integer_arg3 )
An integer function that returns the number of days from the origin date (established by a
prior call of origin.r) to the specified date, where month m equals integer_arg1, day d
equals integer_arg2, and year y equals integer_arg3. The arguments must satisfy
121m
,
311d
, and
100y
.
________________________________________________________________________
day.f ( double_arg )
An integer function that returns the day of the month in the range 1 to 31 for the date that
is double_arg days after the origin date (established by a prior call of origin.r). The
argument must be nonnegative.
________________________________________________________________________
ev.s
A one-dimensional array of sets called the ―event set.‖ Each process method and process
type in the program is assigned a unique index into this array. A smaller index value
gives higher priority to the process method or process type. The set at an index contains
a process notice for each scheduled invocation of the process method or process type
associated with the index. The process notices are ranked within the set by increasing
245
time of occurrence (time.a). The number of elements in this array is contained in
events.v.
________________________________________________________________________
event.v
An integer variable that contains the event set index, in the range 1 to events.v, of the
current process method or process type during a simulation.
________________________________________________________________________
246
________________________________________________________________________
events.v
An integer variable that contains the largest event set index, which is equal to the total
number of process methods and process types defined by the program.
________________________________________________________________________
f.ev.s
A one-dimensional pointer array that contains in each element the reference value of the
process notice for the most imminent invocation (smallest time.a) of a process method or
process type, or is zero if there are no scheduled invocations. The number of elements in
this array is contained in events.v.
________________________________________________________________________
hour.f ( double_arg )
An integer function that returns the hour part, in the range 0 to hours.v–1, of the number
of days specified by double_arg, which must be nonnegative.
________________________________________________________________________
hours.v
A double variable that specifies the number of hours per day. Its default value is 24.0.
________________________________________________________________________
l.ev.s
A one-dimensional pointer array that contains in each element the reference value of the
process notice for the least imminent invocation (largest time.a) of a process method or
process type, or is zero if there are no scheduled invocations. The number of elements in
this array is contained in events.v.
________________________________________________________________________
minute.f ( double_arg )
An integer function that returns the minute part, in the range 0 to minutes.v–1, of the
number of days specified by double_arg, which must be nonnegative.
________________________________________________________________________
minutes.v
A double variable that specifies the number of minutes per hour. Its default value is 60.0.
________________________________________________________________________

247
________________________________________________________________________
month.f ( double_arg )
An integer function that returns the month in the range 1 to 12 for the date that is
double_arg days after the origin date (established by a prior call of origin.r). The
argument must be nonnegative.
________________________________________________________________________
n.ev.s ( integer_arg )
An integer function that returns the number of process notices in ev.s(integer_arg). The
argument must be in the range 1 to events.v.
________________________________________________________________________
nday.f ( double_arg )
An integer function that returns the day part of the number of days specified by
double_arg, which must be nonnegative.
________________________________________________________________________
origin.r ( integer_arg1, integer_arg2, integer_arg3 )
A subroutine that establishes the specified date as the origin, where month m equals
integer_arg1, day d equals integer_arg2, and year y equals integer_arg3. The arguments
must satisfy
121m
,
311d
, and
100y
.
________________________________________________________________________
process.v
A pointer variable that contains the reference value of the process notice for the current
process method or process routine during a simulation, or zero if no process method or
process routine is active.
________________________________________________________________________
time.v
A double variable that contains the current simulation time. Its initial value is zero,
which corresponds to the start of the day of origin.
________________________________________________________________________
248
________________________________________________________________________
weekday.f ( double_arg )
An integer function that returns the weekday, in the range 1 to 7 representing Sunday
through Saturday, for the date that is double_arg days after the origin date. If no origin
date has been established by a prior call of origin.r, the origin is assumed to be a Sunday.
The argument must be nonnegative.
________________________________________________________________________
year.f ( double_arg )
An integer function that returns the year for the date that is double_arg days after the
origin date (established by a prior call of origin.r). The argument must be nonnegative.
________________________________________________________________________
249
3.06 Miscellaneous
________________________________________________________________________
batchtrace.v
An integer variable that specifies the action to take when a runtime error occurs. The
debugger is invoked unless the value of the variable is 1 or 2. If the value is 1, a
traceback is written to a file named ―simerr.trc‖ and snap.r is called. If the value is 2, the
program exits without a traceback or snap.r invocation. The default value is zero, which
invokes the debugger.
________________________________________________________________________
date.r yielding text_arg1, text_arg2
A subroutine that returns the current date in the form MM/DD/YYYY in text_arg1 and the
current time in the form HH:MM:SS in text_arg2.
________________________________________________________________________
err.message.f
A left function that can be assigned a text string in the event of an error detected while
running the program. The error message will be printed and the debugger will be
invoked.
________________________________________________________________________
exit.r ( integer_arg )
A subroutine that terminates the program with an exit status of integer_arg.
________________________________________________________________________
high.f
Returns the upper index boundary of an array. ―DIM.F‖ will be returned unless the array
is reserved using the reserve statement in conjunction with to keyword. I.e. ―reserve
ARR(*) as –10 to 10”
________________________________________________________________________
low.f
250
Returns the lower index boundary of an array. ―1‖ will be returned unless the array is
reserved using the reserve statement in conjunction with to keyword. I.e. ―reserve
ARR(*) as –10 to 10”
________________________________________________________________________
parm.v
A one-dimensional text array that contains the command-line arguments given to the
program when it was invoked. Dim.f(parm.v) is the number of command-line arguments
and is zero if no arguments were provided.
________________________________________________________________________
snap.r
A subroutine that may be provided by the program which is invoked when a runtime
error occurs and the value of batchtrace.v is 1. The subroutine may write to the file
named ―simerr.trc‖ by writing to the current output unit.
________________________________________________________________________
wordsize.f
Returns 64 for 64-bit simscript and 32 for 32-bit simscript
________________________________________________________________________

