TDS3000B Series Digital Phosphor Oscilloscopes User Manual TDS 3012B
User Manual:
Open the PDF directly: View PDF
.
Page Count: 256 [warning: Documents this large are best viewed by clicking the View PDF Link!]
- Title Page
- Warranty 16
- Table of Contents
- General Safety Summary
- Environmental Considerations
- Preface
- Getting Started
- Application Examples
- Introduction to Reference
- Appendix A: Specifications
- Appendix B: Factory Setup
- Appendix C: Accessories
- Appendix D: Probe Basics
- Appendix E: Performance Verification
- Appendix F: General Care and Cleaning
- Appendix G: Ethernet Setup
- Your Ethernet Network Information
- Entering the Ethernet Network Settings
- Entering the Network Printer Settings
- Testing Your Ethernet Connection
- Troubleshooting Your Ethernet Connection
- The Instrument Setup Screen
- The Printer Configuration Screen
- The Add Printer Screen
- Ethernet Error Messages
- Ethernet Settings Form
- Glossary
- Index

User Manual
TDS3000B Series
Digital Phosphor Oscilloscopes
071-0957-04
This document supports firmware version 3.00
and above.
www.tektronix.com
Copyright ©Tektronix. All rights reserved. Licensed software products are
owned by Tektronix or its subsidiaries or suppliers, and are protected by
national copyright laws and international treaty provisions.
Tektronix products are covered by U.S. and foreign patents, issued and
pending. Information in this publication supercedes that in all previously
published material. Specifications and price change privileges reserved.
TEKTRONIX, TEK, TEKPROBE, and Tek Secure are registered trademarks
of Tektronix, Inc.
DPX, WaveAlert, OpenChoice, and e*Scope are trademarks of Tektronix, Inc.
Contacting Tektronix
Tektronix, Inc.
14200 SW Karl Braun Drive
P.O. Box 500
Beaverton, OR 97077
USA
For product information, sales, service, and technical support:
HIn North America, call 1-800-833-9200.
HWorldwide, visit www.tektronix.com to find contacts in your area.
Warranty 16
Tektronix warrants that the product will be free from defects in materials and workmanship
for a period of three (3) years from the date of original purchase from an authorized
Tektronix distributor. If the product proves defective during this warranty period,
Tektronix, at its option, either will repair the defective product without charge for parts and
labor, or will provide a replacement in exchange for the defective product. Batteries are
excluded from this warranty. Parts, modules and replacement products used by Tektronix
for warranty work may be new or reconditioned to like new performance. All replaced
parts, modules and products become the property of Tektronix.
In order to obtain service under this warranty, Customer must notify Tektronix of the
defect before the expiration of the warranty period and make suitable arrangements for the
performance of service. Customer shall be responsible for packaging and shipping the
defective product to the service center designated by Tektronix, shipping charges prepaid,
and with a copy of customer proof of purchase. Tektronix shall pay for the return of the
product to Customer if the shipment is to a location within the country in which the
Tektronix service center is located. Customer shall be responsible for paying all shipping
charges, duties, taxes, and any other charges for products returned to any other locations.
This warranty shall not apply to any defect, failure or damage caused by improper use or
improper or inadequate maintenance and care. Tektronix shall not be obligated to furnish
service under this warranty a) to repair damage resulting from attempts by personnel other
than Tektronix representatives to install, repair or service the product; b) to repair damage
resulting from improper use or connection to incompatible equipment; c) to repair any
damage or malfunction caused by the use of non-Tektronix supplies; or d) to service a
product that has been modified or integrated with other products when the effect of such
modification or integration increases the time or difficulty of servicing the product.
THIS WARRANTY IS GIVEN BY TEKTRONIX WITH RESPECT TO THE
PRODUCT IN LIEU OF ANY OTHER WARRANTIES, EXPRESS OR IMPLIED.
TEKTRONIX AND ITS VENDORS DISCLAIM ANY IMPLIED WARRANTIES OF
MERCHANTABILITY OR FITNESS FOR A PARTICULAR PURPOSE.
TEKTRONIX’ RESPONSIBILITY TO REPAIR OR REPLACE DEFECTIVE
PRODUCTS IS THE SOLE AND EXCLUSIVE REMEDY PROVIDED TO THE
CUSTOMER FOR BREACH OF THIS WARRANTY. TEKTRONIX AND ITS
VENDORS WILL NOT BE LIABLE FOR ANY INDIRECT, SPECIAL, INCIDENTAL,
OR CONSEQUENTIAL DAMAGES IRRESPECTIVE OF WHETHER TEKTRONIX
OR THE VENDOR HAS ADVANCE NOTICE OF THE POSSIBILITY OF SUCH
DAMAGES.

TDS3000B Series User Manual i
Table of Contents
General Safety Summary v............................
Preface ix............................................
Contacting Tektronix x.................................
Getting Started
Initial Setup 1--1........................................
Functional Check 1--2.................................
Probe Compensation 1--3..............................
Signal Path Compensation (SPC) 1--4....................
Adjusting the Oscilloscope Time and Date 1--4.............
Product and Feature Description 1--5........................
Acquisition Features 1--5..............................
Signal Processing Features 1--6.........................
Display Features 1--7..................................
Measurement Features 1--7.............................
Trigger Features 1--8..................................
Convenience Features 1--8.............................
Optional Features 1--9.................................
Transporting the Oscilloscope 1--10..........................
Operating Positions 1--11..................................
Connecting Power 1--11...................................
Using Battery Power 1--12..............................
Operating Safely with Battery Power 1--13.................
Installing the Battery 1--14..............................
Maximizing Operating Time 1--15........................
Charging the Battery 1--16..............................
Installing an Application Module 1--17.......................
Installing a Communication Module 1--18.....................

Table of Contents
ii TDS3000B Series User Manual
Front-Panel Menus and Controls 1--19........................
Using the Menu System 1--19............................
Using the Menu Buttons 1--22...........................
Using the Dedicated Controls 1--24.......................
Identifying Items in the Display 1--27.....................
Using QuickMenus 1--29................................
Front-Panel Connectors 1--31...............................
Rear-Panel Connectors 1--32...............................
Communication Module Connectors 1--34.....................
Application Examples
Taking Simple Measurements 2--2..........................
Using Autoset 2--2....................................
Selecting Automatic Measurements 2--3..................
Measuring Two Signals 2--4............................
Customizing Your Measurements 2--6....................
Analyzing Signal Detail 2--9..............................
Looking at a Noisy Signal 2--10..........................
Separating the Signal from Noise 2--11....................
Taking Cursor Measurements 2--12.......................
Using Delay 2--13.....................................
Measuring Jitter 2--15..................................
Triggering on a Video Signal 2--16...........................
Capturing a Single-Shot Signal 2--20.........................
Optimizing the Acquisition 2--21.........................
Using the Horizontal Zoom Function 2--22.................
Saving Data to the Floppy Disk Drive 2--23...................
Saving Screen Images 2--24.............................
Saving Waveform Data 2--27............................

Table of Contents
TDS3000B Series User Manual iii
Reference
Introduction to Reference 3--1.............................
Acquisition Controls 3--2.................................
Cursor 3--16.............................................
YT Cursor Menu 3--16.................................
XY Cursor Menu 3--21.................................
Display 3--23............................................
Hard Copy 3--27.........................................
Horizontal Controls 3--31..................................
Measure 3--39...........................................
QuickMenu 3--47........................................
Save/Recall 3--48........................................
Trigger Controls 3--58.....................................
Utility 3--70.............................................
Vertical Controls 3--80....................................
e*ScopeE Web-based Remote Control 3--88...................
Appendices
Appendix A: Specifications A--1...........................
Appendix B: Factory Setup B--1...........................
Appendix C: Accessories C--1.............................
Appendix D: Probe Basics D--1............................
Probe Descriptions D--1...................................
Probe Compensation D--2.................................
TekProbe Interface D--2...................................
Probe Guard D--3........................................
Ground Leads D--3.......................................
P3010 High-Frequency Compensation D--4...................
P3010 Replaceable Parts and Accessories D--6................
P6139A Replaceable Parts and Accessories D--8...............
Using Other Probes D--10..................................
Supported Active Probes and Adapters D--11...................
Unsupported Probes D--12..................................
Appendix E: Performance Verification E--1.................
Test Record E--2........................................
Performance Verification Procedures E--5....................
Appendix F: General Care and Cleaning F--1...............
General Care F--1.......................................
Cleaning F--1...........................................

Table of Contents
iv TDS3000B Series User Manual
Appendix G: Ethernet Setup G--1.........................
Your Ethernet Network Information G--1.....................
Entering the Ethernet Network Settings G--2..................
Networks That Support DHCP and BOOTP G--2............
Networks That Do Not Support DHCP and BOOTP G--3......
Entering the Network Printer Settings G--4....................
Testing Your Ethernet Connection G--5......................
Testing the Oscilloscope Connection G--5..................
Testing Network Printing G--5...........................
Testing e*Scope G--6..................................
Troubleshooting Your Ethernet Connection G--7...............
The Instrument Setup Screen G--8...........................
The Printer Configuration Screen G--10.......................
The Add Printer Screen G--11...............................
Other Network Printer Settings G--13......................
Testing Network Printers G--13...........................
Ethernet Error Messages G--14..............................
Ethernet Settings Form G--15...............................
Glossary
Index

TDS3000B Series User Manual v
General Safety Summary
Review the following safety precautions to avoid injury and prevent
damage to this product or any products connected to it. To avoid
potential hazards, use this product only as specified.
To Avoid Fire or Personal Injury
Use Proper Power Cord. Use only the power cord specified for this
product and certified for the country of use.
Connect and Disconnect Properly. Connect the probe output to the
measurement instrument before connecting the probe to the circuit
under test. Disconnect the probe input and the probe ground from the
circuit under test before disconnecting the probe from the measure-
ment instrument.
Ground the Product. When operating with AC power, this product is
grounded through the grounding conductor of the power cord. To
avoid electric shock, the grounding conductor must be connected to
earth ground. Before making connections to the input or output
terminals of the product, ensure that the product is properly
grounded.
When operating with battery power, this product must still be
grounded. To prevent electric shock, always connect a grounding
wire between the ground terminal on the rear panel and earth ground.
Observe All Terminal Ratings. To avoid fire or shock hazard, observe all
ratings and markings on the product. Consult the product manual for
further ratings information before making connections to the product.
Connect the ground lead of the probe to earth ground only.

General Safety Summary
vi TDS3000B Series User Manual
Replace Batteries Properly. Replace batteries only with the proper type
and rating specified.
Recharge Batteries Properly. Recharge batteries for the recommended
charge cycle only.
Do Not Operate Without Covers. Do not operate this product with
covers or panels removed.
Avoid Exposed Circuitry. Do not touch exposed connections and
components when power is present.
Do Not Operate With Suspected Failures. If you suspect there is damage
to this product, have it inspected by qualified service personnel.
Do Not Operate in Wet/Damp Conditions.
Do Not Operate in an Explosive Atmosphere.
Keep Product Surfaces Clean and Dry.
Provide Proper Ventilation. Refer to the manual’s installation
instructions for details on installing the product so it has proper
ventilation.
Transportation and Lithium-Ion Batteries
Each TDS3BATB lithium--ion battery pack contains less than 8
grams of lithium, with individual cells each containing less than 1.5
grams of lithium, as measured by International Civil Aviation
Organization (ICAO) standards. Consult your air carrier for
applicability and determination of any special lithium--ion battery
transportation requirements.
Mercury Notification
This oscilloscope uses an LCD backlight lamp that contains mercury.
Disposal may be regulated due to environmental considerations.
Please contact your local authorities or the Electronics Industries
Alliance (www.eiae.org) for disposal or recycling information.

General Safety Summary
TDS3000B Series User Manual vii
Safety Terms and Symbols
Terms in This Manual. These terms may appear in this manual:
WARNING. Warning statements identify conditions or practices that
could result in injury or loss of life.
CAUTION. Caution statements identify conditions or practices that
could result in damage to this product or other property.
Terms on the Product. These terms may appear on the product:
DANGER indicates an injury hazard immediately accessible as you
read the marking.
WARNING indicates an injury hazard not immediately accessible as
you read the marking.
CAUTION indicates a hazard to property including the product.
Symbols on the Product. These symbols may appear on the product:
Protective Ground
(Earth) Terminal
CAUTION
Refer to Manual
WARNING
High Voltage
Battery
Information
Ethernet Port Chassis Ground

General Safety Summary
viii TDS3000B Series User Manual
Preventing Electrostatic Damage
CAUTION. Electrostatic discharge (ESD) can damage components in
the oscilloscope and its accessories. To prevent ESD, observe these
precautions when directed to do so.
Use a Ground Strap. Wear a grounded antistatic wrist strap to
discharge the static voltage from your body while installing or
removing sensitive components.
UseaSafeWorkArea.Do not use any devices capable of generating or
holding a static charge in the work area where you install or remove
sensitive components. Avoid handling sensitive components in areas
that have a floor or benchtop surface capable of generating a static
charge.
Handle Components Carefully. Do not slide sensitive components over
any surface. Do not touch exposed connector pins. Handle sensitive
components as little as possible.
Transport and Store Carefully. Transport and store sensitive components
in a static-protected bag or container.
Battery Recycling
This product may contain optional Lithium ion (Li--ion) batteries
which must be recycled or disposed of properly at the end of product
life. There may be specific legal requirements for battery collection-
and disposal in your community. Contact your local electronics
recycler, relevant legal authority, or your Tektronix representative for
assistance in recycling batteries.

TDS3000B Series User Manual viii- A
Environmental Considerations
This section provides information about the environmental impact of
the product.
Product End-of-Life Handling
Observe the following guidelines when recycling an instrument or
component:
Equipment Recycling. Production of this equipment required the
extraction and use of natural resources. The equipment may contain
substances that could be harmful to the environment or human health
if improperly handled at the product’s end of life. In order to avoid
release of such substances into the environment and to reduce the use
of natural resources, we encourage you to recycle this product in an
appropriate system that will ensure that most of the materials are
reused or recycled appropriately.
The symbol shown to the left indicates that this
product complies with the European Union’s
requirements according to Directive 2002/96/EC
on waste electrical and electronic equipment
(WEEE). For information about recycling
options, check the Support/Service section of the
Tektronix Web site (www.tektronix.com).
Battery Recycling. This product may contain a Nickel Cadmium
(NiCd) or lithium ion (Li--ion) rechargeable battery, which must be
recycled or disposed of properly. Please properly dispose of or
recycle the battery according to local government regulations.
Mercury Notification. This product uses an LCD backlight lamp that
contains mercury. Disposal may be regulated due to environmental
considerations. Please contact your local authorities or, within the
United States, the Electronics Industries Alliance (www.eiae.org) for
disposal or recycling information.

Environmental Considerations
viii- B TDS3000B Series User Manual
Transporting Batteries
The lithium ion rechargeable battery pack in this product contains
less than 8 grams of equivalent lithium content, with individual cells
containing less than 1.5 grams of equivalent lithium, as measured by
International Civil Aviation Organization (ICAO) standards. Consult
your air carrier for applicability and determination of any special
lithium ion battery transportation requirements.
Restriction of Hazardous Substances
This product has been classified as Monitoring and Control
equipment, and is outside the scope of the 2002/95/EC RoHS
Directive. This product is known to contain lead, cadmium, mercury,
and hexavalent chromium.

TDS3000B Series User Manual ix
Preface
This User Manual describes the capabilities, operation, and
applications of the TDS3000B Series Digital Phosphor Oscillo-
scopes. The following table shows you where to find information in
this manual.
If you are looking for: Turn to:
Product overview Product and Feature Description on
page 1--5
Installation information Connect Power on page 1--12
Basic operating instructions Front Panel Controls on page 1--19
Details about a product feature Reference on page 3--1
Look up the front-panel button for the
feature
Application examples Application Examples on page 2--1
Information about selecting a
language
Configure System on page 3--71
Information about battery operation Using Battery Power on page 1--12
Information about making a hard copy Hard Copy on page 3--27
Information about probes and probe-
power limitations
Probe Basics on page D--1
Technical specifications Specifications on page A--1
Recommended accessories Accessories on page C--1

Preface
xTDS3000B Series User Manual
Contacting Tektronix
Tektronix, Inc.
14200 SW Karl Braun Drive
P.O. Box 500
Beaverton, OR 97077
USA
For product information, sales, service, and technical support:
HIn North America, call 1-800-833-9200.
HWorldwide, visit www.tektronix.com to find contacts in your
area.

Getting Started

TDS3000B Series User Manual 1-1
Getting Started
In addition to a product and feature description, this chapter covers
the following topics:
HHow to perform a quick functional check, install and compensate
passive probes, compensate the signal path, and set the time and
date.
HHow to install the power cord, battery pack, and operate the
oscilloscope safely with battery power
HHow to install application modules and communication modules
HHowtousethemenusystem
HHow to identify the oscilloscope controls and connectors
Initial Setup
The following procedures describe how to quickly verify that the
oscilloscope is powering up and functioning correctly, compensate
passive probes using the built-in compensation signal, run the signal
path compensation (SPC) routine for maximum signal accuracy, and
set the time and date.
HYou should perform all initial setup procedures the first time you
use the oscilloscope.
HYou should perform the probe compensation procedure whenever
you attach a passive probe for the first time to any input channel.
HYou should run the signal path compensation routine whenever
the ambient temperature changes by 10_Cormore.

Getting Started
1-2 TDS3000B Series User Manual
Functional Check
Perform this quick functional check to verify that your oscilloscope
is operating correctly.
1. Connect the oscilloscope power
cable (refer to page 1--11).
2. Turn on the oscilloscope.
Wait for the confirmation that
all self tests have passed.
PASSE
D
On/Standby
button
3. Connect the oscilloscope probe
to channel 1. Attach the probe
tip and reference lead to the
PROBE COMP connectors.
CH 1
PROBE COMP
4. Push the AUTOSET button.
You should see a square wave in
the display (approximately 5 V
at 1 kHz).

Getting Started
TDS3000B Series User Manual 1-3
Probe Compensation
Perform this adjustment to match your probe to the input channel.
This should be done whenever you attach a passive probe for the first
time to any input channel.
1. Connect the oscilloscope probe
to channel 1. Attach the probe
tip and reference lead to the
PROBE COMP connectors,
then push AUTOSET.
If using the probe hook-tip,
ensure a proper connection by
firmly twisting the tip onto the
probe.
CH 1
PROBE COMP
A
UTOSET
button
2. Check the shape of the displayed
waveform. Overcompensated
Compensated correctly
Undercompensated
3. If necessary, adjust your probe.
Repeat as necessary. L
P3010 P6139A
NOTE.SeeAppendix D: Probe Basics for more information about the
probes provided with your oscilloscope.

Getting Started
1-4 TDS3000B Series User Manual
Signal Path Compensation (SPC)
The signal path compensation (SPC) routine optimizes the
oscilloscope signal path for maximum measurement accuracy. You
can run the routine anytime but you should always run the routine if
the ambient temperature changes by 10_Cormore.
To compensate the signal path, do the following steps:
1. Disconnect any probes or cables from the channel input
connectors.
2. Push the UTILITY button.
3. Push the System screen button to select Cal.
4. Push the Signal Path screen button.
5. Push OK Compensate Signal Path. This procedure takes several
minutes to complete.
NOTE. The signal path compensation does not include calibration to
the probe tip.
Adjusting the Oscilloscope Time and Date
To set your oscilloscope to the current date and time, do the
following steps:
1. Push the UTILITY button.
2. Push the System menu button to select Config.
3. Push the Set Date & Time menu button. Use the side menu
buttons to set the date and time values.
4. Push the OK Enter Date/Time menu button to set the instrument
date and time.

Getting Started
TDS3000B Series User Manual 1-5
Product and Feature Description
The TDS3000B Series Digital Phosphor Oscilloscope family consists
of the models in the table below.
Model Bandwidth
Maximum
sample rate
TDS3012B (2 Ch), TDS3014B (4 Ch) 100 MHz 1.25 GS/s
TDS3024B (4 Ch) 200 MHz 2.5 GS/s
TDS3032B (2 Ch), TDS3034B (4 Ch) 300 MHz 2.5 GS/s
TDS3044B (4 Ch) 400 MHz 5GS/s
TDS3052B (2 Ch), TDS3054B (4 Ch) 500 MHz 5GS/s
TDS3064B (4 Ch) 600 MHz 5GS/s
Acquisition Features
WaveAlerttWaveform Anomaly Detection. Automatically detects
anomalous waveforms by comparing the current waveform to the
previous waveform. Sets how the oscilloscope responds: stop on
anomaly, beep on anomaly, and save anomalous waveform to disk.
Useful for capturing signal glitches and intermittent waveform
errors. See page 3--13.
Separate Digitizers. Ensure accurate timing measurements with
separate digitizers for each channel. Each digitizer can sample at up
to the maximum sample rate; acquisition on all channels is always
concurrent to provide full single-shot bandwidth on each channel.

Getting Started
1-6 TDS3000B Series User Manual
Normal Acquisition. Acquire 10,000 point waveforms to capture
horizontal detail and then use the zoom function to analyze the
detail. See page 3--12.
Fast Trigger Acquisition. Acquire up to 3,600 waveforms per second
(300 MHz -- 600 MHz models, 500 point mode) to see rapidly
changing signals or intermittent signal irregularities. See page 3--12.
Pretrigger. You can capture signals that occur before the trigger point.
You can position the trigger point at the beginning of the acquisition,
at the end, or at any location in between. See page 3--31.
Delay. You can also delay the acquisition so that it starts after the
trigger point. Use delay when you want to acquire the signal at a
specific time after the trigger point. See page 3--33.
Peak Detect. See pulses as narrow as 1 ns even at the slower time base
settings. Peak Detect helps you see noise and glitches in your signal.
Seepage3--9.
Signal Processing Features
Average. Apply averaging to your signal to remove uncorrelated noise
and improve measurement accuracy. See page 3--10.
Envelope. Use envelope to capture and display the maximum
variation of a signal. See page 3--10.
Waveform Math. Use waveform math to add, subtract, multiply, or
divide waveforms. For example, you can use math to analyze
differential signals or calculate a power waveform. See page 3--84.

Getting Started
TDS3000B Series User Manual 1-7
Display Features
Color LCD Display. Identify and differentiate waveforms easily with
color coding. Waveforms, readouts, and buttons are color matched to
increase productivity and reduce operating errors. See page 3--25.
Digital Phosphor. A Digital Phosphor Oscilloscope can clearly display
intensity modulation in your signals. The oscilloscope automatically
overlays subsequent acquisitions and then decays them to simulate
the writing and decay of the phosphor in an analog oscilloscope
CRT. This feature results in an intensity-graded waveform display
that shows the information contained in the intensity modulation.
Seepage3--5.
Signal Preview. Use the preview feature to optimize the control
settings when setting up a single-shot acquisition. As you adjust the
controls, the adjustments modify the current acquisition to show a
preview of how the next acquisition should appear. See page 3--8.
Measurement Features
Cursors. Use cursors to take simple voltage, time, and frequency
measurements. See page 3--16.
Automatic Measurements. Choose from a list of automatic waveform
measurements. You can customize the measurements by changing
reference levels or by adding measurement gating. See page 3--39.
XY Waveform Cursors. Use cursors to take measurements on XY
waveforms. See page 3--21.

Getting Started
1-8 TDS3000B Series User Manual
Trigger Features
Dual Triggers. Use the main (A) trigger system alone or add the B
trigger to capture more complex events. You can use the A and B
triggers together to set up a wait-for-time or wait-for-events trigger.
Seepage3--59.
Video Trigger. Trigger on video fields or lines to see a stable display of
standard video signals. See page 3--69.
Alternating Trigger. Sequentially use each active channel as a trigger
source, from the lowest-numbered active channel to the highest-
numbered active channel. See page 3--67.
External Triggering on Four-Channel Instruments. All models have an
external trigger input. Four-channel models have the external trigger
connector on the back of the instrument. Two-channel models have
the external trigger conenctor on the front panel.
Convenience Features
e*Scope™Web-based Remote Control. Access your TDS3000B through
the Internet, from across a room to across the world. See page 3--88.
Built-in Ethernet. Connect your TDS3000B Series oscilloscope to the
Internet using the built-in 10BaseT Ethernet port, for e*Scope access
or printing screen images to network printers. See page G--1.
Autoset. Use Autoset to quickly set up the vertical, horizontal, and
trigger controls for a usable display. See page 3--4.
Scope QuickMenu. Use the built-in Scope QuickMenu for simplified
oscilloscope operation. See page 1--29.

Getting Started
TDS3000B Series User Manual 1-9
Single Sequence. One button sets the trigger parameters to the correct
settings for a single-shot acquisition (or single-sequence acquisition).
Seepage3--3.
Floppy Disk. Use the built-in floppy disk to store and recall wave-
forms and setups, as well as upgrade the oscilloscope firmware and
install new features. See page 3--52.
Probe Support. Use the standard probes or choose an optional probe
for a specific application. See page D--1 for information and
limitations.
Multilingual User Interface. On-screen menus and messages are in
11 languages. See page 3--71.
Optional Features
Application Modules. Install powerful application modules to add new
test and measurement features. See page C--2.
Communication Modules. Install a communication module to add
RS-232, GPIB, or VGA ports for remote programmability or
displaying the oscilloscope screen on a monitor. See page 1--18.
Battery Power. Install a rechargeable Lithium-Ion battery pack
(TDS3BATB) to use the oscilloscope without line power. See
page 1--12.
Plug-in Thermal Printer. Install instrument-powered thermal printer
TDS3PRT to print monochrome hard copy of your TDS3000B
screens. See page C--4.

Getting Started
1-10 TDS3000B Series User Manual
Transporting the Oscilloscope
When transporting the oscilloscope, wrap the cord around the handle
as shown below. Use the supplied cord retainer if the power plug
does not have a molded-in retainer. The oscilloscope front cover has
a convenient place to store the Reference Manual.
If you are not using a battery, use the accessory tray in the battery
compartment to store probes and other accessories.
CAUTION. To avoid damage to the disk drive, do not transport the
oscilloscope with a floppy disk in the disk drive.

Getting Started
TDS3000B Series User Manual 1-11
Operating Positions
Use the handle and feet to place the oscilloscope in a convenient
operating position.
Connecting Power
To connect a power cord, do these steps:
1. Open the strain relief and slip it over the power cord.
2. Snap the strain relief into its hole in the rear panel of the
oscilloscope.
3. Connect the power cord to the power input connector.
You can operate the oscilloscope from a grounded mains supply with
line voltage between 90 VAC and 250 VAC and frequency between
47 Hz and 440 Hz. The oscilloscope is grounded through the power
cord. The line fuse is internal and is not user replaceable.

Getting Started
1-12 TDS3000B Series User Manual
Using Battery Power
You can operate the oscilloscope continuously for approximately
three hours from the optional rechargeable TDS3BATB battery pack.
A triangle icon in the display ( ) shows when the battery is in use,
a power-plug icon ( ) shows when line power is connected, and a
gauge icon ( ) shows the charge level in the battery. The
oscilloscope turns off automatically when the battery runs low; the
screen may turn white a few minutes before the automatic shutdown.
Refer to the General Safety Summary for information about proper
battery disposal.

Getting Started
TDS3000B Series User Manual 1-13
Operating Safely with Battery Power
WARNING. To avoid electric shock, connect the rear-panel ground
terminal to earth ground when operating the instrument from battery
power.
For safe operation, the oscilloscope chassis should always remain at
earth ground potential. Without a connection between the chassis and
earth ground, you can receive a shock from exposed metal on the
chassis if you connect an input to a hazardous voltage (>30 VRMS,
>42 Vpk). Protection against this condition is provided when you
attach the Tektronix-supplied grounding wire from the terminal on
the rear panel to earth ground. If you use a different grounding wire,
it must be at least 18 gauge.
If you choose not to attach the grounding wire, you are not protected
against electric shock if you connect the oscilloscope to a hazardous
voltage. You can still use the oscilloscope if you do not connect a
signal greater than 30 VRMS (42 Vpk) to the probe tip, the BNC
connector center, or the common lead. Ensure that all probe common
leads are connected to the same voltage. Also, do not connect a
grounded device, such as a printer or computer, to the oscilloscope.
WARNING. Hazardous voltages may exist in unexpected places due to
faulty circuitry in the device under test.

Getting Started
1-14 TDS3000B Series User Manual
Installing the Battery
To install the optional battery pack, do these steps:
1. Open the battery compartment door on the rear panel.
2. Remove the accessory tray.
Battery door
(Opened)
3. Slide the battery into the compartment and press it in from both
sides until you hear the latches click.
4. Press on both sides of the battery compartment door to snap it
closed.

Getting Started
TDS3000B Series User Manual 1-15
To remove the battery, do these steps:
1. Open the battery compartment door.
2. Raise the handles on each side of the battery and use them to pull
the battery out of the oscilloscope.
Maximizing Operating Time
To maximize the time that the oscilloscope can operate from a full
battery charge, consider doing these things:
HReduce the display backlight intensity (see page 3--23)
HDisconnect unused active probes
HOnly use passive probes

Getting Started
1-16 TDS3000B Series User Manual
Charging the Battery
The battery charges automatically when the oscilloscope is
connected to line power. You can also charge the battery with the
optional external charger (TDS3CHG).
Configuration Typical charging time
Battery charging in oscilloscope with
oscilloscope turned on or off
30 hours
Battery charging with TDS3CHG
external charger
5 hours
NOTE. Charge the battery before using it for the first time or after
prolonged storage.

Getting Started
TDS3000B Series User Manual 1-17
Installing an Application Module
CAUTION. To avoid damage to the oscilloscope or application
module, observe the ESD precautions described on page viii.
Optional application packages are available to extend the capability
of your oscilloscope. You can install up to four application modules
at one time. Application modules can go into the two slots with
windows in the upper right corner of the front panel. Two additional
slots are directly behind the two you can see.
Refer to the TDS3000 & TDS3000B Series Application Module
Installation Instructions that came with your application module for
instructions on installing and testing an application module.
NOTE. If you remove an application module, the features provided by
the application module become unavailable. You can reinstall the
module to restore the features.

Getting Started
1-18 TDS3000B Series User Manual
Installing a Communication Module
CAUTION. To avoid damage to the oscilloscope or communication
module, observe the ESD precautions described on page viii.
To install one of the optional communications modules, do these
steps:
1. Turn the oscilloscope power off.
2. Press down on the latching tab to remove the blank cover.
3. Slide the communication module into the compartment until the
internal connectors are seated and the latching tab locks.
4. Turn power on. The communication module is now ready for
your use.
To remove a communication module, do these steps:
1. Turn the oscilloscope power off.
2. Press down on the latching tab and then use a small screwdriver
to alternately pry out the sides of the communication module.
3. Slide out the communication module and store it in an ESD-
shielded bag. Install the blank cover if no other communication
module is to be installed.
Communication module port For more information, see
GPIB Hard Copy on page 3--27 of this
manual and the TDS3000 &
RS-232
m
a
n
u
a
l
a
n
d
t
h
e
T
D
S
3
0
0
0
&
TDS3000B Series Programmer
Manual
VGA Page A--9 in this manual

Getting Started
TDS3000B Series User Manual 1-19
Latching tab
Front-Panel Menus and Controls
The front panel has buttons and controls for the functions you use
most often. The front panel has menus to access more specialized
functions.
Using the Menu System
To use the menu system, follow the steps shown on the next two
pages.

Getting Started
1-20 TDS3000B Series User Manual
1. Push a dark-colored front-panel menu button to display the menu
you want to use.
UTILITYDISPLAYCURSOR
MEASURE SAVE/RECALL QUICKMENU
VERTICAL HORIZONTAL TRIGGER ACQUIRE
2. Push a bottom screen button to select a menu item. If a pop-up
menu appears, continue to push the screen button to select an
item from the pop-up menu.

Getting Started
TDS3000B Series User Manual 1-21
3. Push a side screen button to choose a menu item. If the menu
item contains more than one choice, push the side screen button
again to make the choice.
4. Certain menu choices require you to set a numerical value to
complete the setup. Use the general purpose knob to adjust the
parameter value. Push the COARSE button to make larger
adjustments.
POSITION
COARSE
SELECT
VERTICAL

Getting Started
1-22 TDS3000B Series User Manual
Using the Menu Buttons
You can use the menu buttons to perform many functions in the
oscilloscope.
21 4365
UTILITYDISPLAYCURSOR
MEASURE SAVE/RECALL QUICKMENUSELECT
COARSE
1. MEASURE. Performs automated measurements of waveforms.
2. CURSOR. Activates the cursors.
3. SAVE/RECALL. Saves and recalls setups and waveforms to
memory or a floppy disk.
4. DISPLAY. Changes the appearance of waveforms and the display
screen.
5. QUICKMENU. Activates QuickMenus such as the built-in Scope
QuickMenu.
6. UTILITY. Activates the system utility functions, such as
selecting a language.

Getting Started
TDS3000B Series User Manual 1-23
WAVEFORM
INTENSITY
SCALE SCALE
POSITION POSITION LEVEL
VERTICAL HORIZONTAL TRIGGER ACQUIRE
987
7. Vertical MENU. Adjusts the scale, position, and offset of
waveforms. Sets the input parameters.
8. Trigger MENU. Adjusts the trigger functions.
9. Acquire MENU. Sets the acquisition modes and horizontal
resolution, and resets the delay time.

Getting Started
1-24 TDS3000B Series User Manual
Using the Dedicated Controls
These dedicated buttons and controls generally control waveforms
and cursors without the use of menus.
WAVEFORM
INTENSITY
SCALE SCALE
POSITION POSITION LEVEL
COARSE UTILITYDISPLAYCURSOR
1
2
34 5 6
7
8
13
10
12
11
9
14151618 17
19
SELECT MEASURE SAVE/RECALL QUICKMENU
VERTICAL HORIZONTAL TRIGGER ACQUIRE

Getting Started
TDS3000B Series User Manual 1-25
1. COARSE. Causes the general purpose knob and position knobs to
make adjustments more quickly.
2. SELECT. Toggles between the two cursors to select the active
cursor.
3. General purpose knob. Moves the cursors. Sets numerical
parameter values for some menu items. Push COARSE to make
adjustments quickly.
4. Vertical POSITION. Adjusts the vertical position of the selected
waveform. Push COARSE to make adjustments more quickly.
5. Horizontal POSITION. Adjusts the trigger point location relative
to the acquired waveforms. Push COARSE to make adjustments
quickly.
6. Trigger LEVEL. Adjusts the trigger level.
7. RUN/STOP. Stops and restarts acquisition.
8. SINGLE SEQ. Sets acquisition, display, and trigger parameters
for a single-shot (single-sequence) acquisition.
9. SET TO 50%. Sets the trigger level to the midpoint of the
waveform.
10. AUTOSET. Automatically sets the vertical, horizontal, and
trigger controls for a usable display.
11. FORCE TRIG. Forces an immediate trigger event.
12. WAVEFORM INTENSITY. Controls waveform intensity.
13. B TRIG. Activates the B trigger. Changes the trigger menu to set
the B-trigger parameters.
14. DELAY. Enables delayed acquisition relative to the trigger event.
Use horizontal POSITION to set the amount of delay.

Getting Started
1-26 TDS3000B Series User Manual
15. Horizontal SCALE. Adjusts the horizontal scale factor.
16. Horizontal zoom. Splits the screen and magnifies the current
acquisition horizontally.
17. Waveform OFF. Removes selected waveform from the display.
18. Vertical SCALE. Adjusts selected waveform vertical scale factor.
19. CH1, CH2, (CH3, CH4,) MATH. Displays a waveform and
chooses the selected waveform. REF shows the reference
waveform menu.
20 2321 22
20. Hard copy. Initiates a hard copy using the port selected in the
Utility menu.
21. Power switch. Turns power to on or standby. Power-up time
varies from about 15 seconds to 45 seconds, depending on the
oscilloscope internal calibration process.
22. Wrist-strap ground. Connect a wrist strap when working with
ESD-sensitive circuits. This connector is not a safety ground.
23. MENU OFF. Clears menu from the display.

Getting Started
TDS3000B Series User Manual 1-27
Identifying Items in the Display
The following items may appear in the display; not all items are
visible at any given time. Some readouts move outside the graticule
area when menus are turned off.
1
8
7
11
2 3 4 5
9
10
13
12
6
1. Waveform baseline icons show the zero-volt level of the
waveforms (ignoring the effect of offset). The icon colors
correspond to the waveform colors.
2. Acquisition readout shows when acquisition is running, stopped,
or when acquisition preview is in effect.
3. Trigger position icon shows the trigger location in the wave-
forms.
4. Expansion point icon shows the point that the horizontal scale
expands and compresses around.

Getting Started
1-28 TDS3000B Series User Manual
5. Waveform record icon shows the trigger location relative to the
waveform record. The line color corresponds to the selected
waveform color.
6. Trigger status readout show trigger status.
7. Trigger level icon shows the trigger level on the waveform. The
icon color corresponds to the trigger source channel color.
8. Cursor and measurement readouts show results and messages.
9. Trigger readouts show the trigger sources, slopes, and levels, and
position.
10. Readout shows the delay setting or the trigger location within the
record.
11. Horizontal readout shows the main or zoom time/division.
12. Auxiliary waveform readouts show the vertical and horizontal
scale factors of the math or reference waveforms.
13. Channel readouts show the channel scale factor, coupling, input
resistance, bandwidth limit, and invert status.
14 15
14. Triangle icon with the battery icon indicates a battery is installed
and battery power is in use. The battery icon shows the
approximate charge level of the battery. See page 1--13 for
important safety information.
15. Power-plug icon with the battery icon indicates a battery is
installed but line power is in use. The battery may be charging.
The battery icon shows the approximate charge level.

Getting Started
TDS3000B Series User Manual 1-29
Using QuickMenus
The QuickMenu feature simplifies the use of the oscilloscope. When
you push the QUICKMENU button, a set of frequently used menu
functions show on the display. Then, push the screen buttons around
the display to operate the QuickMenu. See page 3--47 for general
instructions to operate QuickMenus.
Using the Scope QuickMenu. Scope is one type of QuickMenu that you
can use to control the basic oscilloscope functions. You can perform
many tasks without using the regular menu system. If you need to
use a function that is not contained in the Scope QuickMenu, push
the button you would normally push to access that function. For
example, if you want to add an automatic measurement, push the
MEASURE button to set up the measurement. Then, push the
QUICKMENU button to return to the Scope QuickMenu with the
measurement also in the display.
1 2
5437
6

Getting Started
1-30 TDS3000B Series User Manual
1. Edge Trigger controls. Push these screen buttons to set trigger
parameters for edge trigger.
2. Trigger controls if either B trigger or video trigger is selected.
3. Cursor control. Push this screen button to turn on cursors and
select the cursor type. Push the SELECT button to toggle
between the two cursors to select the active cursor. Use the
general purpose knob to move the active cursor.
4. Acquisition controls. Push these screen buttons to set acquisition
parameters.
5. Channel vertical controls. Push these screen buttons to set
vertical controls for the selected channel. Use the CH1, CH2,
CH3, CH4, MATH, and REF buttons to select the channel you
want to control.
6. Vertical controls if either the math waveform or a reference
waveform is selected.
7. Menu. Push this screen button to select a specific QuickMenu
display if more than one is available.
NOTE. Items in the Scope QuickMenu not mentioned above are also
contained in the regular display. Those items are described on
page 1--27.
Other QuickMenus. Some optional application packages include a
custom QuickMenu display. Those QuickMenus contain specific
features that are important for the application.

Getting Started
TDS3000B Series User Manual 1-31
Front-Panel Connectors
≈5V ⊓
1
2
CH 4CH 3
CH 2CH 1
1MΩ, 13pF ≤150 VRMS CATl
PROBE COMP
3
PROBE COMP
≈5V ⊓
2
1
EXT TRIG
50Ω
≤5VRMS
50Ω
≤5VRMS
1MΩ, 13pF ≤150 VRMS CATl
1MΩ, 13pF ≤150 VRMS CATl
CH 2CH 1
50Ω
≤5VRMS
1MΩ, 17pF ≤150 VRMS CATl
1. PROBE COMP. Square wave signal source to compensate
probes.
2. CH 1, CH 2, (CH 3, CH 4). Channel inputs with TekProbe
interface.
3. EXT TRIG. External trigger input with TekProbe interface
(two-channel models only).

Getting Started
1-32 TDS3000B Series User Manual
Rear-Panel Connectors
1
5
4
2
6+14.2 V DC
≤400 mA
3
7
8

Getting Started
TDS3000B Series User Manual 1-33
1. Power input. Attach to an AC power line with integral safety
ground.
2. Parallel printer port. Connect to a printer to make hard copies.
3. Communication Module compartment. Install optional
communication modules or the thermal printer.
4. Ethernet port. Connects the oscilloscope to a 10Base-T local area
network. Available on all models.
5. External Trigger input (four-channel models only). See page A--6
for input specifications.
6. DC power output. Provides ~15 V DC power to accessories or to
the plug-in TDS3PRT thermal printer.
7. Ground terminal. Connect to earth ground when using battery
power. See page 1--13 for important safety information.
8. CAL switch. For use by authorized service personnel only.

Getting Started
1-34 TDS3000B Series User Manual
Communication Module Connectors
12
TDS3GV
3
1. GPIB port. Connect to a controller for remote programmability.
2. RS-232 port. Connect to a controller or terminal for remote
programmability or printing.
3. VGA port. Connect to a VGA monitor to display the
screen image.

Application Examples

TDS3000B Series User Manual 2-1
Application Examples
This section presents five common oscilloscope applications:
HTaking simple measurements
HAnalyzing signal detail
HTriggering on a video signal
HCapturing a single-shot signal
HUsing the disk drive
Each application example highlights different features of the
oscilloscope and gives you ideas about using the oscilloscope to
solve test problems.

Application Examples
2-2 TDS3000B Series User Manual
Taking Simple Measurements
You need to see a signal in a circuit, but you do not know the signal
amplitude or frequency. Connect the oscilloscope to quickly display
the signal and then measure its frequency and peak-to-peak
amplitude.
Ch 1
Using Autoset
To quickly display a signal, do these steps:
1. Connect the channel 1 probe to the signal.
2. Push the AUTOSET button.
The oscilloscope sets vertical, horizontal, and trigger controls
automatically. You can manually adjust any of these controls if you
need to optimize the display of the waveform.
When you are using more than one channel, the autoset function sets
the vertical controls for each channel and uses the lowest-numbered
active channel to set the horizontal and trigger controls.

Application Examples
TDS3000B Series User Manual 2-3
Selecting Automatic Measurements
The oscilloscope can take automatic measurements of most
displayed signals. To measure signal frequency and peak-to-peak
amplitude, do these steps:
1. Push the MEASURE button to see the measurement menu.
2. Push the CH 1 button and then push the Select Measurement for
Ch1 screen button.
3. Select the Frequency measurement.
4. Push the more screen button until you can select the Pk-Pk
measurement.
5. Push the MENU OFF button.
The measurements show on the screen and update as the signal
changes.

Application Examples
2-4 TDS3000B Series User Manual
Measuring Two Signals
You are testing a piece of equipment and need to measure the gain of
its audio amplifier. You have an audio generator that can inject a test
signal at the amplifier input. Connect two oscilloscope channels to
the amplifier input and output as shown. Measure both signal levels
and use these measurements to calculate the gain.
Ch 1 Ch 2
To display the signals connected to channels 1 and 2, do these steps:
1. Push the CH 1 and CH 2 buttons to activate both channels.
2. Push the AUTOSET button.

Application Examples
TDS3000B Series User Manual 2-5
To select measurements for the two channels, do these steps:
1. Push the MEASURE button to see the measurement menu.
2. Push the CH 1 button and then push the Select Measurement for
Ch1 screen button.
3. Select the Amplitude measurement.
4. Push the CH 2 button and then push the Select Measurement for
Ch2 screen button.
5. Select the Amplitude measurement.
6. Calculate the amplifier gain using the following equations:
Gain =output amplitude
input amplitude =3.155 V
130.0 mV =24.27
Gain (dB)=20 ×log(24.27) =27.7 dB

Application Examples
2-6 TDS3000B Series User Manual
Customizing Your Measurements
In this example you want to verify that the incoming signal to a
piece of digital equipment meets its specifications. Specifically, the
transition time from a low logic level (0.8 V) to a high logic level
(2.0 V) must be 10 ns or less.
2.0 V
≤10 ns
0.8 V
To select the rise time measurement, do these steps:
1. Push the MEASURE button to see the measurement menu.
2. Push the CH 1 button and then the Select Measurement for Ch1
screen button.
3. Select the Rise Time measurement.
Rise time is typically measured between the 10% and 90% amplitude
levels of a signal; these are the default reference levels the
oscilloscope uses for rise time measurements. However, in this
example you need to measure the time the signal takes to pass
between the 0.8 V and 2.0 V levels.
You can customize the rise time measurement to measure the signal
transition time between any two reference levels. You can set each of
those reference levels to a specific percent of the signal amplitude or
to a specific level in vertical units (such as volts or amperes).

Application Examples
TDS3000B Series User Manual 2-7
Setting Reference Levels. To set the reference levels to specific
voltages, do these steps:
1. Push the Reference Levels screen button.
2. Push the Set Levels in screen button to select units.
3. Push the High Ref screen button.
4. Use the general purpose knob to select 2.0 V.
5. Push the Low Ref screen button.
6. Use the general purpose knob to select 800 mV.
The measurement verifies that the transition time (3.842 ns) meets
the specification (≤10 ns).
Measuring Specific Events. Next you want to see the pulses in the
incoming digital signal, but the pulse widths vary so it is hard to
establish a stable trigger. To look at a snapshot of the digital signal,
do this step:
1. Push the SINGLE SEQ button to capture a single acquisition.

Application Examples
2-8 TDS3000B Series User Manual
Now you want to measure the width of each displayed pulse. You
can use measurement gating to select a specific pulse to measure. To
measure the second pulse, for example, do these steps:
1. Push the MEASURE button.
2. Push the CH 1 button and then push the Select Measurement for
Ch1 screen button.
3. Select the Positive Width measurement.
4. Push the Gating screen button.
5. Select Gate With V Bar Cursors to choose measurement gating
using cursors.
6. Place one cursor to the left and one cursor to the right of the
second pulse.
The oscilloscope shows the width measurement (160 ns) for the
second pulse.

Application Examples
TDS3000B Series User Manual 2-9
Analyzing Signal Detail
You have a noisy signal displayed on the oscilloscope and you need
to know more about it. You suspect that the signal contains much
more detail than you can now see in the display.

Application Examples
2-10 TDS3000B Series User Manual
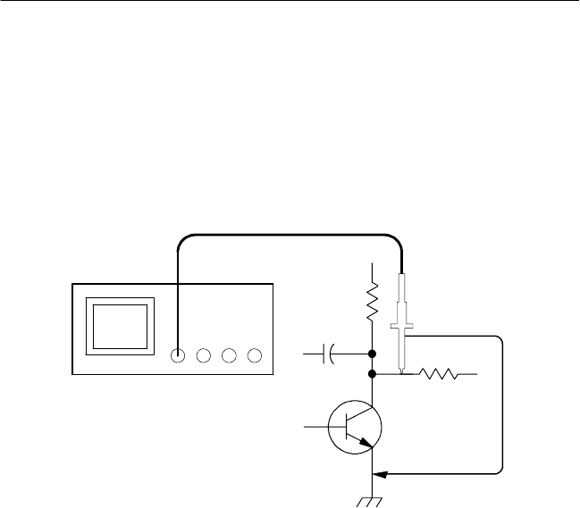
Looking at a Noisy Signal
The signal appears noisy and you suspect that noise is causing
problems in your circuit. To better analyze the noise, do these steps:
1. Push the acquire MENU button.
2. Select the Peak Detect acquisition mode.
3. Increase the WAVEFORM INTENSITY control to see the noise
more easily.
Peak detect emphasizes noise spikes and glitches in your signal as
narrow as 1 ns, even when the time base is set to a slow setting.
Refer to page 3--9 for more information about peak-detect and the
other acquisition modes.

Application Examples
TDS3000B Series User Manual 2-11
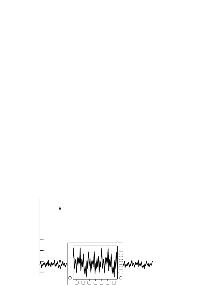
Separating the Signal from Noise
Now you want to analyze the signal shape and ignore the noise. To
reduce random noise in the oscilloscope display, do these steps:
1. Push the acquire MENU button.
2. Push the Mode bottom button.
3. Select the Average acquisition mode.
Averaging reduces random noise and makes it easier to see detail in
a signal. In the example below, a ring shows on the rising and falling
edges of the signal when the noise is removed.

Application Examples
2-12 TDS3000B Series User Manual
Taking Cursor Measurements
You can use the cursors to take quick measurements on a waveform.
To measure the ring frequency at the rising edge of the signal, do
these steps:
1. Push the CURSOR button.
2. Push the Function screen button.
3. Select V Bars cursors.
4. Push the V Bar Units screen button.
5. Select 1/seconds (Hz).
6. Place one cursor on the first peak of the ring using the general
purpose knob.
7. Push the SELECT button.
8. Place the other cursor on the next peak of the ring.
The cursor Δreadout shows the measured ring frequency is 227 kHz.

Application Examples
TDS3000B Series User Manual 2-13
Using Delay
You are analyzing a pulse waveform and use the + Width measure-
ment to measure the waveform pulse width. You notice that the
measurement is not stable, which implies that there is jitter in the
pulse width.
To use delay to see the jitter, do these steps:
1. Push the DELAY button.
2. Adjust the horizontal POSITION control to set the delay close to
to the nominal pulse width (210 ms). Push the COARSE button to
make delay adjustments more quickly. Push COARSE again to
fine tune the delay time.
The falling edge of the pulse is now near the center of the screen.
When delay is on, the horizontal expansion point separates from the
trigger point and remains in the center of the screen.

Application Examples
2-14 TDS3000B Series User Manual
3. Adjust the horizontal SCALE to a faster time base setting and
increase the WAVEFORM INTENSITY to see the jitter in the
pulse width.
NOTE. You can toggle the delay function on and off to view signal
details at two different areas of interest.

Application Examples
TDS3000B Series User Manual 2-15
Measuring Jitter
To measure the peak-to-peak jitter, do these steps:
1. Push the CURSOR button.
2. Push the Function screen button.
3. Select the V Bars cursors.
4. Push the Bring Both Cursors On Screen screen button to
quickly locate the cursors.
5. Place one cursor at the first falling edge and place the other
cursor at the last falling edge.
6. Read the peak-to-peak jitter in the Δreadout (1.40 ms).
You can also measure the minimum and maximum pulse widths.
When you select the first cursor, the @ readout displays the
minimum pulse width (210 ms). When you select the second cursor,
the @ readout displays the maximum pulse width (211 ms).

Application Examples
2-16 TDS3000B Series User Manual
Triggering on a Video Signal
You are testing the video circuit in a piece of medical equipment and
need to display the video output signal. The video output is an NTSC
standard signal. Use the video trigger to obtain a stable display.
Ch 1
To trigger on the video fields, do these steps:
1. Push the trigger MENU button.
2. Push the Type screen button to select Video.
3. Push the Standard screen button to select 525/NTSC.

Application Examples
TDS3000B Series User Manual 2-17
4. Push the Trigger On screen button.
5. Select Odd.
6. Adjust the horizontal SCALE to see a complete field across the
screen.
7. Push the acquire MENU button.
8. Push the Resolution screen button.
9. Select Normal acquisition resolution.
Normal acquisition resolution is the best choice to acquire a video
field signal because the signal contains a great amount of horizontal
detail.
If the signal had been noninterlaced, you could choose to trigger on
All Fields.

Application Examples
2-18 TDS3000B Series User Manual
Triggering on Lines. You can also look at the video lines in the field.
To trigger on the lines, do these steps:
1. Push the Trigger On screen button.
2. Select All Lines.
3. Adjust the horizontal SCALE to see a complete video line across
the screen.
NOTE. The optional TDS3VID and TDS3SDI application modules
add new video functions such as a video QuickMenu, video Autoset,
trigger on custom scan rates, trigger on specific video lines,
vectorscope (vectorscope supports component video only), video
picture, trigger on analog HDTV signals, and view 601 digital video
signals (TSD3SDI only).

Application Examples
TDS3000B Series User Manual 2-19
Looking at Modulation. A dedicated video waveform monitor clearly
shows the modulation in a video signal. To see a similar modulation
display on the oscilloscope screen, do these steps:
1. Start with triggered display of the video lines.
2. Push the acquire MENU button.
3. Push the Resolution screen button.
4. Select Fast Trigger acquisition resolution.
5. Adjust the WAVEFORM INTENSITY control for the amount of
modulation you want to see.
The oscilloscope now shows signal modulation in shades of intensity
and appears similar to the display of a video waveform monitor or an
analog oscilloscope. Fast trigger acquisition resolution is the best
choice to acquire a video line signal with a rapidly changing shape.

Application Examples
2-20 TDS3000B Series User Manual
Capturing a Single-Shot Signal
The reliability of a reed relay in a piece of equipment has been poor
and you need to investigate the problem. You suspect that the relay
contacts arc when the relay opens. The fastest you can open and
close the relay is about once per minute so you need to capture the
voltage across the relay as a single-shot acquisition.
To set up for a single-shot acquisition, do these steps:
1. Adjust the vertical SCALE and horizontal SCALE to appropriate
ranges for the signal you expect to see.
2. Push the acquire MENU button.
3. Push the Resolution screen button.
4. Select Normal acquisition resolution.
5. Push the SINGLE SEQ (single sequence) button.
The SINGLE SEQ button sets trigger parameters to the correct
settings for a single-shot acquisition.

Application Examples
TDS3000B Series User Manual 2-21
Optimizing the Acquisition
The initial acquisition shows the relay contact beginning to open at
the trigger point. This is followed by a large spikes that indicate
contact bounce and inductance in the circuit. The inductance can
cause contact arcing and premature relay failure.
Before you take the next acquisition, you can adjust the vertical and
horizontal controls to give you a preview of how the next acquisition
might appear. As you adjust these controls, the current acquisition is
repositioned, expanded, or compressed. This preview is useful to
optimize the settings before the next single-shot event is captured.
When next acquisition is captured with the new vertical and
horizontal settings, you can see more detail about the relay contact
opening. You can now see that the contact bounces several times as
it opens.

Application Examples
2-22 TDS3000B Series User Manual
Using the Horizontal Zoom Function
If you want to take a close look at a particular spot on the acquired
waveform, use the horizontal zoom function. To look closely at the
point where the relay contact first begins to open, do these steps:
1. Push the zoom button .
2. Use the horizontal POSITION to place the expansion point close
to where the relay contact begins to open.
3. Adjust the horizontal SCALE to magnify the waveform around
the expansion point.
The ragged waveform and the inductive load in the circuit suggest
that the relay contact may be arcing as it opens.
The zoom function works equally well when acquisition is running
or is stopped. Horizontal position and scale changes affect only the
display, not the next acquisition.

Application Examples
TDS3000B Series User Manual 2-23
Saving Data to the Floppy Disk Drive
You need to do some work inside a remote site. You expect to use
the oscilloscope to look at signal waveforms and then bring
waveform information back to the office to complete a report and
perform additional analysis. To do this, take along an IBM-compat-
ible floppy disk.
Remote site
When you need to capture screen images, it may be most convenient
to first save them to disk. Once on the disk, you can load the screen
images into a PC, print hard copies with a printer attached to the
oscilloscope or your PC, or import the screen images into desktop
publishing software to produce a report.
You can also save waveform data on the disk. From the disk, you can
recall waveforms to the oscilloscope display or you can import the
data into spreadsheet and Mathcad software to perform additional
analysis.
If you have oscilloscope setups that you want to use again, you also
can store them on the disk. See Save/Recall on page 3--48 for more
information on this capability. For information about remote control
and network printing accessories, see Appendix C: Accessories.

Application Examples
2-24 TDS3000B Series User Manual
Saving Screen Images
While working at the remote site you discover a control signal that
you want to capture periodically to show its long-term variation. You
want to include these waveforms in a report you are preparing back
at the office.
Your desktop publishing software can import BMP graphics, so you
decide to use this format for the screen images. To setup this
configuration, do these steps:
1. Insert a floppy disk into the disk drive.
2. Push the UTILITY button.
3. Push the System screen button to select Hard Copy.
4. Push the Format screen button.
5. Select BMP Windows mono image file format (you may need
to push the -- m o r e -- screen button several times before you see
this choice).
6. Push the Port screen button.
7. Select File to send hard copies to disk.
8. Push the hard copy button to save the image.
The oscilloscope reads the disk directory and displays its contents.
Naming Files. It is good practice to give disk files descriptive names
so you can recognize them when you get back to the office. You will
be saving images of the control signal so you decide CNTRL is a
logical target file name to use.

Application Examples
TDS3000B Series User Manual 2-25
The oscilloscope can append an automatic sequence number to the
target file name. This feature is convenient because you want to
capture a screen image of the same control signal every five minutes.
To set up the target file name and automatic sequence, do these
steps:
1. Push the File Utilities screen button.
2. Use the general purpose knob to highlight the file
TEK?????.BMP.
3. Select the Rename screen button.
4. Use the screen buttons to clear the existing file name and enter
the new file name CNTRL???.BMP. The question marks are
placeholders for an automatic number sequence from 000 to 999.
5. Push the OK Accept screen button to setup the target base file
name.
6. Push MENU OFF to remove the file list from the display.

Application Examples
2-26 TDS3000B Series User Manual
Running the Test. To capture the control signal every few minutes, do
these steps:
1. Display the signal, measurements, and menus as you want them
to appear in the screen images.
2. Push the hardcopy button .
3. Repeat step 2 every few minutes until you are finished with the
test.
4. When you are finished, push UTILITY to see the list of
sequential files that have been saved.
The files are labeled with their sequential names as well as the time
and date each was created. You can save up to four BMP images or
approximately 35 TIFF images on a single 1.44 MB floppy disk. You
can also enable file compression (UTILITY > System: Hard Copy
> Options) to compress files in zip format so that more files can fit
on a floppy disk.

Application Examples
TDS3000B Series User Manual 2-27
Saving Waveform Data
You find another signal that you want to analyze with a spreadsheet
program back at the office. To save the waveform data on a disk, do
these steps:
1. Display the signal on the oscilloscope screen.
2. Push the SAVE/RECALL button.
3. Push the Save Wfm screen button.
4. Select To File.
5. Select Spreadsheet File Format. The default target file,
TEK?????.CSV, is now automatically highlighted.
6. Push the Save To Selected File screen button to save the
waveform.
7. Push the File Utilities screen button to see the saved waveform
file TEK00000.CSV in the disk directory.

Application Examples
2-28 TDS3000B Series User Manual

Reference

TDS3000B Series User Manual 3-1
Introduction to Reference
This chapter contains detailed information about the operation of the
oscilloscope. The topics in this chapter are arranged by front-panel
button or control group name.
Reference topic Page
Acquire 3--2
Cursor 3--16
Display 3--23
Hard copy 3--27
Horizontal controls 3--31
Measure 3--39
QuickMenu 3--47
Save/Recall 3--48
Trigger controls 3--58
Utility 3--70
Vertical controls 3--80
e*Scope 3--88

Acquisition Controls
3-2 TDS3000B Series User Manual
Acquisition Controls
Run/Stop Button
Push the RUN/STOP button to stop and start waveform acquisition.
Also push RUN/STOP when you want to resume continuous
acquisition after a single-sequence acquisition. Readout in the top
left corner of the display shows the status of the acquisition.
Acquisition status readout Description
Run: Acquisition is running.
Roll: A roll-mode acquisition is running.
Stop: Acquisition is stopped.
PreVu: Previewing; waiting for trigger.
While acquisition is running or stopped, you can use these controls
to examine the waveforms:
HChannel buttons to select a channel
HZoom button with horizontal POSITION and SCALE to
magnify waveforms (does not affect the actual time base or
trigger position settings)
HWAVEFORM INTENSITY to adjust gray-scale level
HCURSOR button to activate cursors to measure waveforms
HMEASURE button to select automatic measurements of
waveforms
HHard copy button to print a hard copy
While acquisition is stopped, you can change the vertical and
horizontal controls to use in the next acquisition. See page 3--8 for
more information about this function.

Acquisition Controls
TDS3000B Series User Manual 3-3
Single Sequence Button
Push the SINGLE SEQ button to execute a single-shot acquisition.
The function of the SINGLE SEQ button depends on the acquisition
mode.
Acquisition mode SINGLE SEQ function
Sample or Peak Detect One acquisition of each displayed
channel is acquired, concurrently
Envelope N or Average N N acquisitions of each displayed
channel are acquired (N is user
adjustable with the general purpose
knob)
When you push the SINGLE SEQ button, the oscilloscope does the
following things:
HThe trigger mode is set to Normal
HThe trigger system arms and the light next to the SINGLE SEQ
button turns on
After the single-sequence acquisition is complete, acquisition stops
and the light next to the SINGLE SEQ button turns off.
Push the SINGLE SEQ button again to acquire a new sequence, or
push the RUN/STOP button to restart continuous acquisition.

Acquisition Controls
3-4 TDS3000B Series User Manual
Autoset Button
Push the AUTOSET button to automatically adjust the vertical,
horizontal, and trigger controls for a usable display. You can
manually adjust any of these controls if you need to optimize the
display.
When you are using more than one channel, the autoset function sets
the vertical scale for each channel and positions the channels to
prevent overlapping. The autoset function selects the lowest-num-
bered channel in use and then uses that channel to set the horizontal
and trigger controls.
The autoset function also changes the following oscilloscope
settings:
HAcquisition mode is set to Sample
HBandwidth limits are set to Full
HZoom is turned off
HTrigger is set to Auto mode and minimum holdoff
HTrigger is set to Edge type, DC coupling, and rising slope
HB trigger is turned off
HXY display format is turned off
HChannel 1 is turned on and selected if no active channels are
in use
If you push the AUTOSET button by accident, you can undo it with
these steps:
1. Push the Acquire MENU button.
2. Push the Autoset screen button and then push the Undo Autoset
screen button.

Acquisition Controls
TDS3000B Series User Manual 3-5
Waveform Intensity
The WAVEFORM INTENSITY adjusts the intensity of the
waveforms in the display.
The term Digital Phosphor represents the way this control simulates
the intensity control of an analog oscilloscope. At maximum
intensity, all waveform points are displayed at full brightness. As you
decrease the intensity, you can see intensity grading in the wave-
forms. The brightest parts of the waveform are the points most
frequently acquired; the dimmer parts represent less frequently
acquired points. All points decay in intensity over time unless the
display persistence is set to infinite.
Use a medium intensity setting to get an analog-oscilloscope view of
time-varying signals and those containing modulation. Use the
maximum intensity setting to view the signals the way most digital
oscilloscopes display them.
You can turn on display persistence to slow or prevent the decay of
the waveform points. With persistence on, you can simulate the
function of an analog storage oscilloscope. See page 3--23 for more
information about display persistence.
NOTE. The waveform intensity may change when you change
oscilloscope acquisition modes or horizontal scale settings. Use the
INTENSITY knob to readjust waveform intensity.

Acquisition Controls
3-6 TDS3000B Series User Manual
Acquire Menu
Push the Acquire MENU button to show the acquire menu.
Bottom Side Description
Mode Sample Use for normal acquisition.
Peak Detect Detects glitches and reduces the
possibility of aliasing.
Envelope N Captures variations of a signal over a
period of time. (Adjust N with the
general purpose knob.)
Average N Reduces random or uncorrelated noise
in the signal display. (Adjust N with the
general purpose knob.)
Horizontal
Resolution
Fast Trigger
(500 points)
Acquires 500 point waveforms at a fast
repetition rate.
Normal
(10k points)
Acquires 10,000 point waveforms with
more horizontal detail.
Reset Horizontal
Delay
Setto0s Resets the horizontal delay time to zero.
Autoset Normal Autoset Executes the autoset function. (Optional
application modules may add choices to
execute specialized autoset functions.)
Undo Autoset Reverts to the settings before the last
autoset.

Acquisition Controls
TDS3000B Series User Manual 3-7
Bottom DescriptionSide
WaveAlert Wfm Anomaly
Detection
On Off
Enables or disables the WaveAlert
function. See page 3--13 for an explana-
tion of WaveAlert.
Sensitivity
nn.n%
Sets the WaveAlert sensitivity. Use the
general purpose knob to set sensitivity
from 0% (least sensitive) to 100% (most
sensitive).
Beep On
Anomaly
On Off
When On, the oscilloscope beeps when
it detects a waveform anomaly on any
active channel.
Stop On
Anomaly
On Off
When On, the oscilloscope stops
waveform acquisition when there is a
waveform anomaly on any channel. The
input waveforms and anomalies remain
displayed on the screen.
Hard Copy
On Anomaly
On Off
When On, the oscilloscope sends an
image of the screen to the hard copy
device or floppy file when there is a
waveform anomaly on any channel.
Wfms to Disk
On Anomaly
On Off
When On, the oscilloscope saves the
anomalous waveform(s) data to a file on
the floppy disk drive.
Highlight
Entire Wfm
Highlights the entire anomalous wave-
form.
Highlight
Anomalies
Highlights just the anomalous data in a
waveform.

Acquisition Controls
3-8 TDS3000B Series User Manual
Key Points
Vertical and Horizontal Preview. The vertical and horizontal preview
functions let you change the vertical and horizontal controls while
acquisition is stopped or while it is waiting for the next trigger. The
oscilloscope rescales and repositions the current acquisition in
response to the new control settings, and then uses the new settings
for the next acquisition.
Preview helps you optimize these control settings before the next
acquisition; this makes it easier to work with signals that are
single-shot or have a low repetition rate.
HFor more information about vertical preview, see page 3--83.
HFor more information about horizontal preview, see page 3--36.
While acquisition is stopped you can make changes to other controls,
but those changes will only take affect with the next acquisition.
There is no preview for control changes other than the vertical and
horizontal controls.
The preview functions also do not affect automatic measurements,
cursor measurements, or the Math waveform. This data for these
functions is always based on the current acquisition. If you rescale or
reposition a channel waveform horizontally, it may not appear
time-correlated to the automatic measurements, cursor measure-
ments, or the Math waveform.
Acquisition Modes. You can choose one of four acquisition modes:
Sample, Peak Detect, Envelope, or Average. The next two pages
describe these acquisition modes in detail.

Acquisition Controls
TDS3000B Series User Manual 3-9
Samples acquired in four
acquisition intervals
Displayed record points (at
maximum horizontal magnification)
Acquisition
mode
Sample mode acquires one sample in each interval.
Peak Detect
Interval 1 2 3 4 Interval 1 2 3 4
Peak Detect mode uses the lowest and highest amplitudes from two consecutive intervals.
Sample
Sample. Use Sample acquisition mode for the fastest acquisition at
any SEC/DIV setting. Sample mode is the default mode.
Peak Detect. Use Peak Detect acquisition mode to limit the possibility
of aliasing. Also, use Peak Detect for glitch detection. You can see
glitches as narrow as 1 ns.
Peak Detect is only functional for sample rates up to 125 MS/s. For
250 MS/s and faster sample rates, the oscilloscope reverts to Sample
acquisition mode, where the narrowest detectable pulse width is
1/(sample rate).

Acquisition Controls
3-10 TDS3000B Series User Manual
Calculates average value
for each record point over
many acquisitions
Envelope
Average
Acquisition 1 2 3
Three acquisitions from one source Acquisition mode
Envelope uses Peak Detect mode
for each individual acquisition.
Average uses Sample mode for
each individual acquisition.
Finds highest and
lowest record points over
many acquisitions
Envelope. Use Envelope acquisition mode to capture the minimum
and maximum extremes of a signal over a specified number of
acquisitions (N). The enveloped waveform data acquisition clears
and then starts over after each N acquisitions. If you push the
SINGLE SEQ button, envelope acquisition stops after N acquisi-
tions. Use the general purpose knob to set the number of acquisi-
tions.
Average. Use Average acquisition mode to reduce random or
uncorrelated noise in the signal you want to display. The averaged
waveform is a running average over a specified number of
acquisitions (N). If you push the SINGLE SEQ button, average
acquisition stops after N acquisitions. Use the general purpose knob
to set the number of acquisitions.

Acquisition Controls
TDS3000B Series User Manual 3-11
If you probe a noisy square wave signal that contains intermittent,
narrow glitches, the waveform displayed will vary depending on the
acquisition mode you choose.
Sample Peak Detect
Envelope Average

Acquisition Controls
3-12 TDS3000B Series User Manual
Acquisition Resolution. You can choose either Normal or Fast Trigger
acquisition resolution. This setting determines the record length that
is acquired and affects the other factors shown in the table below.
Factor Normal Fast trigger
Record length 10,000 points 500 points
Maximum acquisition rate:
300 MHz -- 600 MHz models
100 MHz -- 200 MHz models
700 waveforms/s
400 waveforms/s
3,600 waveforms/s
3,600 waveforms/s
Maximum horizontal zoom factor 200X 10X
Choose Normal or Fast Trigger acquisition resolution based on the
characteristics of the signal you want to acquire.
Signal characteristic Better choice
Large amount of horizontal detail Normal
Shape is stable or changes relatively slowly Normal
Single shot Normal
High trigger repetition rate Fast Trigger
Shape changes rapidly Fast Trigger
Contains modulation Fast Trigger

Acquisition Controls
TDS3000B Series User Manual 3-13
WaveAlerttWaveform Anomaly Detection. WaveAlert provides a way to
detect when a waveform deviates from a steady-state condition.
WaveAlert monitors the current waveform acquisition and compares
it to the previous DPO waveform acquisitions, using a sensitivity
value to adjust the comparision tolerance. If the current acquisition
exceeds the comparison tolerance, the oscilloscope considers the
current acquisition as an anomaly.
Anomaly
The oscilloscope can respond to an anomalous waveform by
stopping acquisitions, emitting a beep, saving the anomalous
waveform to a disk file, printing the screen image to a hard copy
device, or any combination of the above. You can also select to
highlight just the anomalous data in a waveform, or the entire
anomalous waveform.

Acquisition Controls
3-14 TDS3000B Series User Manual
To use WaveAlert, do the following steps:
1. Display the waveform or waveforms on the screen.
2. Push the Acquire MENU front-panel button.
3. Push the WaveAlert bottom menu button.
4. Push the Wfm Anomaly Detection side button to select On.
5. Push the Highlight Anomalies side button to select On.
6. Use the general purpose knob to set the comparison sensitivity
value. As signal noise and intensity levels affect the displayed
waveform, you will need to experiment with the sensitivity
setting to reduce the number of false anomalies due to signal
noise.
7. Use the WAVEFORM INTENSITY front-panel button to adjust
the persistance of the anomaly waveform.
8. Once you have set the sensitivity value to reduce or eliminate
false anomalies, push one or more side menu buttons to select the
actions to perform when the oscilloscope detects an anomaly.
9. To restart WaveAlert while in Stop On Anomaly, push the
Acquire RUN/STOP front panel button.

Acquisition Controls
TDS3000B Series User Manual 3-15
WaveAlert Key Points.
HYou can use WaveAlert to monitor up to four waveforms or DPO
Math waveforms. However, adjacent waveforms can not touch or
overlap on the screen.
HTo increase your chances of capturing an anomaly by acquiring
the maximum number of waveforms per second, set
ACQUIRE > Horizontal Resolution to Fast Trigger
(500 points).
HWhen WaveAlert is on, the front-panel WAVEFORM INTENSI-
TY knob controls the persistance of the anomalous waveform
instead of waveform intensity.
HTo capture a very random event (minutes to hours), enable the
Wfms to Disk on Anomaly function to write anomalous
waveform data to a disk file in .isf format. The number of files
you can save depends on the waveform record length. You can
determine when the anomaly occured by checking the file create
date and time.
HYou can use WaveAlert on DPO math waveforms.
HChanging the vertical or horizontal oscilloscope settings does not
affect the sensitivity setting. The sensitivity is calculated from
the new waveform data after changing the oscilloscope settings.

Cursor
3-16 TDS3000B Series User Manual
Cursor
Cursors are on-screen markers that you positon to take waveform
measurements. There are two cursor types: YT cursors and XY
cursors. The following section describes the YT cursors. Refer to
page 3--21 for information on XY cursors.
YT Cursor Menu
The following YT cursor menu items are available while you are in
YT display mode (DISPLAY > XY Display > Off(YT)). Push the
CURSOR button to show the cursor menu.
Bottom Side Description
Function Off Turns cursors off.
HBars Use to make vertical measurements.
VBars Use to make both vertical and
horizontal measurements.
Bring Selected
Cursor to Center
Screen
Moves the active cursor to center
screen.
BringBothCur-
sors On Screen
Moves any off-screen cursor onto the
screen.
Mode Independent Sets cursors to move independently.
Tracking Sets cursors to move together when
cursor 1 is selected.
CURSOR

Cursor
TDS3000B Series User Manual 3-17
Bottom DescriptionSide
VBarUnits Sec (s) /
1/sec (Hz)
Sets horizontal units to seconds or
frequency (Hz).
Ratio (%) Sets V Bar measurement units to
percent.
Phase (°)Sets V Bar measurement units to
degrees.
Use Cursor Posi-
tions as %/°
Sets the V Bar measurement scale so
that 0% or 0°is the current position of
the left V Bar cursor and 100% or
360°is the current position of the right
V Bar cursor.
Use5divsas%/°Sets the V Bar measurement scale so
that 5 screen major divisions is 100%
or 360°, where 0% or 0°is --2.5
divisions and 100% or 360°is +2.5
divisions from center vertical graticule.

Cursor
3-18 TDS3000B Series User Manual
Bottom DescriptionSide
HBarUnits Base Sets the H Bar units to be the same as
the selected waveform’s vertical
measurement units (volts, IRE, dB,
and so on).
Ratio (%) Sets H Bar units to percent.
Use Cursor Posi-
tions as 100%
Sets the H Bar measurement scale so
that 0% is the current position of the
lowest H Bar cursor and 100% is the
current position of the highest H Bar
cursor.
Use5divsas
100%
Sets H Bar measurement scale so that
5 screen major divisions is 100%,
where 0% is --2.5 divisions and 100%
is +2.5 divisions from the center
horizontal graticule.
Key Points
Cursor Movement. Use the general purpose knob to move the active
cursor. Push the SELECT button to change which cursor is active.
The active cursor is the solid line.
Faster Cursor Movement. Push COARSE to set the general purpose
knob to make faster cursor movement.
Finding Cursors. When using zoom, delay, or the fastest time base
settings, the cursors can go off screen. If you want to find them, use
the Bring Both Cursors On Screen function to move them onto the
screen.
Fine Cursor Movement. When you magnify the waveform with the
zoom function, you can easily set the cursor to any point on the
waveform.

Cursor
TDS3000B Series User Manual 3-19
Horizontal Bar cursors
Vertical Bar cursors
Δ4.16 V
@--1.78V
Δ6.32 V
@3.16V
Δ5.86 ms
@1.06ms
ΔReadout. The Δreadouts indicate the difference between the cursor
positions.
@ Readout. For H Bar or V Bar cursors, the voltage readout after the
@ symbol indicates the location of the active cursor relative to
zero volts. For V Bar cursors, the time readout after the @ symbol
indicates the location of the active cursor relative to the trigger point.
Cursor Interaction with Preview. If you change a vertical or horizontal
control setting while acquisition is stopped or it is waiting for trigger,
the cursors move with the waveforms and cursor measurements
remain valid.
Taking Gray-Scale Measurements. Using cursors is often the best way to
take simple measurements on waveforms that contain significant
gray-scale information. The automatic measurements operate only
on the latest acquisition, not on the previous acquisitions that are
displayed in gray scale. However, you can set the cursors to surround
and measure the gray-scale area of the waveform.

Cursor
3-20 TDS3000B Series User Manual
Cursors at Same Position. If both cursors are at the same position, and
H Bars or V Bars are set to Ratio or Phase, both cursors are set to 0%
(or 0°). 100%/360°is set to one pixel width away from the cursor
position.
V Bars and FFT. When the selected waveform is an FFT waveform,
selecting V Bars and Phase sets the measurement to percent.
Tracking Mode. In cursor tracking mode, both cursors move together
when cursor 1 is selected. Enabling tracking mode automatically
selects cursor 1 as the active cursor. If cursor 2 is selected while in
tracking mode, only cursor 2 will move.

Cursor
TDS3000B Series User Manual 3-21
XY Cursor Menu
The following XY cursor menu items are available while you are in
XY display mode (DISPLAY > XY Display > Triggered XY). Push
the CURSOR button to show the cursor menu.
Bottom Side Description
Function Off Turns cursors off.
Waveform Turns waveform cursors on and
displays measurements in rectangular
format (X and Y values). Use the
front-panel SELECT button to select
whichcursortomove(theactive
cursor). Use the general purpose knob
to move the active cursor.
Mode Independent Sets cursors to move independently.
Tracking Sets cursors to move together when
the reference cursor is selected.
NOTE. The Advanced Analysis application module (TDS3AAM) adds
more XY cursor features, including graticule cursors and polar
readouts.
Key Points
XY Waveform Cursors.
To turn off the XY waveform cursor measurement, push the front
panel CURSOR button, then push the Cursor Function Off side
menu button.
CURSOR

Cursor
3-22 TDS3000B Series User Manual
Measurements. The XY waveform cursor measurements show
difference (n) and absolute (@) values for the X axis, the Y axis,
and the time of the active cursor.
nX: 1.43V @X: --140mV
nY: 2.14V @Y: 480mV
nt: --660ns @t: 1.61ms
There are two waveform cursors; a reference cursor ( ), and a delta
cursor (). All difference (n) measurements are measured from the
reference cursor to the delta cursor. A negative nX measurement
means that the delta cursor is positioned earlier in the waveform
record than the reference cursor. A negative nY measurement means
that the delta cursor is positioned at a lower Y waveform signal level
than the reference cursor.
All absolute (@) measurements are referenced to the XY waveform’s
0, 0 origin, and show the value of the active cursor.
0, 0 Origin. The XY waveform origin is the 0 volt point of each source
waveform. Positioning both source waveform 0 volt points on the
vertical center graticule places the origin in the center of the screen.
Switching Between XY and YT. You can switch between XY and YT
display mode to see the location of the cursors in the YT waveform.
The waveform record icon at the top of the graticule also shows the
relative cursor positions in the waveform record.
Waveform Sources. You can use XY cursors on active acquisitions,
single sequence acquisitions, and reference waveforms. You need to
store both XY source waveforms in order to recreate an XY
waveform. The X axis waveform must be stored in Ref1.

Display
TDS3000B Series User Manual 3-23
Display
Push the DISPLAY button to show the display menu.
Bottom Side Description
Waveform
Display
Dots Only Set to on to see dots only. Set to off to
see dots and vectors.
Persist Time Sets persist time.
Set to Auto Sets the WAVEFORM INTENSITY
knob to control the persistence time.
Clear Persistence Clears any displayed persistence.
Backlight Intensity High Use for bright ambient conditions.
Medium Use for dim ambient conditions.
Low Use to extend battery-operation time.
Graticule Full, Grid, Cross
Hair, Frame
Sets the graticule type.
DISPLAY

Display
3-24 TDS3000B Series User Manual
Bottom DescriptionSide
XY Display Off (YT) Turns off an XY display.
Triggered XY Turns on triggered XY display.
Gated XYZ Turns on gated XY display. Displays
XY signals when Z-channel signal is
above a set level. Only available on
4-channel instruments.
Ch1 (X) Versus Sets Ch2, Ch3, or Ch4 as the Y
channel versus Ch1 as X.
Ref1 (X) Versus
or
Sets Ref2, Ref3, or Ref4 as the Y
channel versus Ref1 as X.
Gated By Sets Ch2, Ch3, or Ch4 as the Z-chan-
nel gate source, and sets the gating
channel threshold level.
Color Palette Normal Selects the color display.
Monochrome Sets all waveforms to high-contrast
black and white.
Key Points
Waveform Dots and Vectors. With Dots Only set to off, the vectors
between samples can be filled; increase the WAVEFORM INTENSI-
TY control to increase the amount of vector fill between samples.
The vector fill is most visible on fast signal edges or when horizontal
zoom is turned on.
Turn Dots Only on if you want to see just the actual samples.

Display
TDS3000B Series User Manual 3-25
Waveform Persistence. Turn on waveform persistence to slow the
decay of waveform points. You can set the persistence to a specific
time or to infinite. Infinite persistence keeps all waveform points in
the display until you change a control setting that erases the display.
Display Colors. The channel buttons, waveforms, icons, and readouts
are color-coded to help you identify them easily. The colors are
preset and cannot be adjusted. However, you can select the
Monochrome Color Palette if you prefer to see all the waveforms in
high-contrast black and white.
XY Waveform Triggering. The XY waveform is triggered so you can
synchronize periodic input signals to the XY waveform. This feature
is useful when only one part of the period contains valid information
that you want to see in the XY format. Set the time base and trigger
location to acquire just that part of the period.
When you want to see the complete period of the signals regardless
of the time base setting, set the trigger source to an unused channel
and the trigger mode to Auto.
XY Waveform Scale and Position. If you want to display channel 1 in
the horizontal axis versus channel 3 in the vertical axis, for example,
use these controls to scale and position the XY waveform:
HPush the CH 1 button and use the vertical SCALE and POSI-
TION controls to set the horizontal scale and position of the XY
waveform.
HPush the CH 3 button and use the vertical SCALE and POSI-
TION controls to set the vertical scale and position of the XY
waveform.

Display
3-26 TDS3000B Series User Manual
XY Waveform Restrictions. The math waveform, zoom, and autoset
functions do not work in the XY display format. All reference
waveforms displayed in XY format must have the same record
length (500 or 10,000 points).
Gated XYZ. Displays XY signals only when the Z (gating) channel is
true. Gated XYZ is similar to analog oscilloscope modulated XYZ
mode except that the displayed XY signal is either on or off; there is
no intensity modulation. Gated XYZ is useful for showing
constellation diagrams.
Push the Gated By screen button to select the Z (gate) source
channel.
The general purpose knob sets the Z-channel threshold level.
Z-channel signals above the set threshold are true and open the XY
signal gate; Z-channel signals below the set threshold are false and
close the XY signal gate. The gating channel is always a high-true
logic; to emulate a low-true gating logic, use the vertical menu to
invert the Z-channel signal.
XY and XYZ Cursors. Refer to page 3--21 for information on XY and
XYZ cursor readouts.

Hard Copy
TDS3000B Series User Manual 3-27
Hard Copy
Push the hard copy button at the left of the display to make a hard
copy. You can also store hard-copy images on a floppy disk (in
normal or compressed format) and then transfer them later to a PC
for printing or use in a report.
Connecting a Printer
Use the rear-panel RS-232 or GPIB (available on optional commu-
nication modules), Centronics, or Ethernet port to connect your
oscilloscope to a printer.
Setting Up to Print
Follow these steps to set up the oscilloscope to print a hard copy:
1. Push the UTILITY menu button.
2. Push the System screen button to select Hard Copy.
3. Push the Format screen button and then choose the printer
format appropriate for your application.
4. Push the Options screen button to select the image orientation
(portrait or landscape) as well as turn on or off hard copy file
compression.
5. Push the Ink Saver screen button and select On for most
applications. If you want the hard copy colors to be the same as
the screen colors, you can select Off (see page 3--29).
6. Push the Port screen button and select the port that your printer
is connected to, or select File to save the hard copy on a floppy
disk (see page 3--52).
7. Push the hard copy button .

Hard Copy
3-28 TDS3000B Series User Manual
Key Points
Printer Formats. The oscilloscope supports the following printers and
file formats.
Format Description
TDS3PRT Tektronix plug-in thermal printer
Thinkjet HP monochrome ink-jet printer
Deskjet mono HP monochrome ink-jet printer
Deskjet color HP color inkjet printer
Laserjet HP monochrome laser printer
Epson Epson 9-pin and 24-pin dot matrix printers, C60 and
C80 inkjet printers
Interleaf *.img Interleaf image object file format
TIFF *.tif Tag image file format
RLE color Windows color image file format
PCX mono PC Paintbrush monochrome image file format
PCX color PC Paintbrush color image file format
BMP mono Windows monochrome image file format
BMP color Windows color image file format
EPS mono Encapsulated PostScript monochrome image
EPS color Encapsulated PostScript color image
Bubble Jet Canon BJC-50, BJC-80 color printers
DPU-3445 Seiko DPU-3445 thermal printer
PNG color Portable Network Graphics color image

Hard Copy
TDS3000B Series User Manual 3-29
Hard Copy File Compression. When compression is set to on, the
oscilloscope compresses the hard copy data, using the current printer
format, into a gnuzip file format, with the extension .gz. Compres-
sing hard copy files lets you store more screen captures on a floppy
disk. Centronics output is never compressed. .gz files can be
decompressed using PKZIP™or WinZip™programs.
Color and Gray-Scale Printing. You can print a color hard copy that uses
the display colors. Gray-scale waveform information is printed as
shades of color. If you have a Deskjet or Laserjet monochrome
printer, gray-scale waveform information is printed as a dithered
image.
Ink Saver and Preview. As an alternative to printing the display colors,
turn on the Ink Saver function to print a hard copy with a white
background. This function saves printer ink while it preserves the
color coding of the waveforms and readouts, except for channel 1.
Because yellow ink is hard to see on white paper, Ink Saver prints
channel 1 using a dark blue ink. Ink saver also works with the
monochrome print formats.
Push and hold the Preview screen button to show how the colors will
appear on the paper.
Clear Spool. You can push the Clear Spool screen button to empty the
print spooler to stop a hard copy operation in progress, if the hard
copy port connection is not made due to incompatible settings (such
as baud rate), or if you lose the hard copy port connection before the
hard copy is complete.

Hard Copy
3-30 TDS3000B Series User Manual
Date and Time Stamp. To print the current date and time on your hard
copies, do these steps:
1. Push the UTILITY button.
2. Push the System screen button to select Config.
3. Push the Set Date & Time screen button.
4. Set the Display Date/Time to On to add the current date and
time to the display screen.
5. Push the Menu Off button.
6. Push the hard copy button .
Printer Error Message. To avoid printer errors, always power on the
printer and allow it to complete its initialization process before
powering on the oscilloscope. If you see a ’Hard copy device not
responding’ error message, power the oscilloscope off and then back
on, and then try printing again. If the printer still does not work,
check that the printer is online, you have selected the correct printer
format on the oscilloscope, there are no paper jams, and that the
printer cable is firmly connected to the printer and oscilloscope.

Horizontal Controls
TDS3000B Series User Manual 3-31
Horizontal Controls
Use the horizontal controls to adjust the time base, adjust the trigger
location, and to examine waveform details more closely.
Horizontal Position Control
When delay is off, the horizontal POSITION control moves the
trigger point within the acquired waveforms. You can select
full pretrigger, full posttrigger, or any point in between.
Use a pretrigger setting (trigger position near 100% of the record) to
acquire waveforms leading up to a trigger event. For example, if you
can trigger on an error condition, the waveforms leading up to the
error condition might tell you why the error occurred.
Use a posttrigger setting (trigger position near 0% of the record)
when you want to acquire waveforms that follow a trigger event. Use
a mid-screen setting when you are interested in information both
before and after the trigger event.
Trigger
point
Acquired
waveform
T
Acquired
waveform
T
Pretrigger Posttrigger
See Delay Button on page 3--33 and Zoom Button on page 3--35 for
information about how the horizontal POSITION control operates
when these functions are active.

Horizontal Controls
3-32 TDS3000B Series User Manual
The trigger position is marked with the letter T at the top of the
graticule and also in the waveform record icon at the top of the
screen.
Trigger marker and
horizontal expansion point Waveform record icon
The small inverted triangle is the horizontal expansion point. When
you change the horizontal SCALE setting, the waveforms contract or
expand about this point. When delay is off, the horizontal expansion
point is the same as the trigger point.

Horizontal Controls
TDS3000B Series User Manual 3-33
Delay Button
Push the DELAY button when you want to delay the acquisition
relative to the trigger event. Turn the horizontal POSITION control
counterclockwise to increase the delay; the trigger point moves to
the left and ultimately outside of the acquired waveform. Then, you
can adjust the horizontal SCALE to acquire more detail around the
area of interest (center of the screen).
When delay is on, the trigger point separates from the horizontal
expansion point. The horizontal expansion point stays at the center
of the screen. The trigger point can move off the screen; when this
happens, the trigger marker turns to point in the direction of the
trigger point.
Delay time
Trigger point
Acquired waveform
Expansion point
T
Use the delay feature when you want to acquire waveform detail that
is separated from the trigger event by a significant interval of time.
For example, you can trigger on a sync pulse that occurs once every
10 ms and then look at high-speed signal characteristics that occur
6 ms after the sync pulse.

Horizontal Controls
3-34 TDS3000B Series User Manual
In the screen example below, the trigger markers show that the
trigger point is before the acquired waveform. The delay time,
shown in the readout, is the time from the trigger point to the
expansion point (center screen).
Delay time readout
The interaction between delay and other functions is summarized in
the table below.
Function Delay off Delay on
Trigger point Any point within the
acquired waveform
Can occur prior to the
acquired waveform
Expansion point Same as the trigger
point
Always center screen
Horizontal SCALE Sets time base Sets time base
Horizontal POSITION Sets trigger position in
the acquired waveform
Sets delay time

Horizontal Controls
TDS3000B Series User Manual 3-35
Horizontal Scale Control
Use the horizontal SCALE control to adjust the time base. When
delay is off, the scale expands or contracts around the trigger point.
When delay is on, the scale expands or contracts around the center of
the screen (see Delay Interactions on page 3--38 for possible
exceptions).
When the zoom function is active, use the horizontal SCALE control
to adjust the amount of horizontal magnification (the actual
time-base setting remains unchanged). The magnified waveforms
always expand or contract around the center of the screen.
Zoom Button
Push the zoom button to magnify the current acquisition along the
horizontal axis so you can see more detail. Use the horizontal
SCALE control to adjust the amount of magnification. Use the
horizontal POSITION control to select the portion of the waveform
you want to magnify. When zoom is on, changes you make to these
controls do not affect the actual time base or trigger position settings.
The split screen shows the entire selected waveform in the upper
window to give you a point of reference as you examine the details
in the lower window.
Actual time base
Zoom time base
Zoom position

Horizontal Controls
3-36 TDS3000B Series User Manual
Key Points
Maximum Zoom Magnification Factor. If you are using Normal
acquisition resolution, the maximum horizontal magnification factor
is 200X; in Fast-trigger the maximum is 10X.
Horizontal Zoom and Preview. There are two ways you can magnify a
stopped acquisition, horizontal zoom or preview. The differences in
how horizontal zoom and preview interact with other functions are
shown below.
Function Horizontal zoom Horizontal preview
Horizontal SCALE Sets magnification factor Changes time base for
the next acquisition
Horizontal POSITION Selects portion of wave-
form to magnify
Changes trigger position
or delay time for the next
acquisition
DELAY button Turns delay on and off Turns delay on and off
Math waveform Remains valid; magnifies
and positions with other
waveforms
Remains fixed; does not
track changes to channel
waveforms
Cursors and automatic
measurements
Remain functional with
valid readouts
Remain locked to chan-
nel waveforms
Gray-scale Gray-scale information
may be temporarily re-
duced
Gray-scale information is
lost

Horizontal Controls
TDS3000B Series User Manual 3-37
Slow Horizontal Settings. At horizontal SCALE settings of 40 ms/div
or slower, the oscilloscope may display waveforms in roll mode. As
the rolling waveform fills the screen, the waveform intensity and
vector fill appears to decrease. The oscilloscope automatically
reduces the number of displayed points in order to maintain a high
acquisition rate: this does not represent a loss of acquired data.
When you stop the acquisition, the original waveform intensity and
vector fill returns to the display.
Using Zoom and Delay Together. You can use both zoom and delay at
the same time to magnify a delayed acquisition.
Fast Time-Base Settings. At the fastest time-base settings, only a
portion of the waveform shows in the display. The waveform record
icon indicates that portion with brackets. Push the zoom button
and then use the horizontal POSITION control to scroll through the
entire waveform to see any portion you want. The affected time-base
settings are shown below.
Acquisition resolution Affected time-base settings
Normal 100 ns/div to 1 ns/div
Fast Trigger 4ns/divto1ns/div
At the fastest time-base settings, the maximum zoom magnification
factor is also reduced.

Horizontal Controls
3-38 TDS3000B Series User Manual
Delay Interactions. The maximum delay setting is a function of the
time-base setting and acquisition resolution. If you set a large
positive or negative delay, that amount of delay might be automati-
cally reduced if you make the following additional control changes:
HChange to a faster time-base setting
HChange from Fast Trigger to Normal acquisition resolution
If the delay reduction occurs, it may cause the waveform horizontal
position to shift.
Negative Delay. You can select up to ten divisions of negative delay.
At the fastest time base settings, you can use negative delay to see
more of the waveform that occurs before the trigger point.
Roll Mode Display. To obtain a rolling display similar to a strip-chart
recorder, turn off zoom and delay, select the Auto trigger mode, and
set the horizontal SCALE control to 40 ms/div or slower. Subsequent
changes to the horizontal SCALE cause the roll-mode display to
erase and restart.

Measure
TDS3000B Series User Manual 3-39
Measure
Push the MEASURE button to show the measure menu.
Bottom Side Description
Select
Measurement
See table on page 3--44 for a descrip-
tion of the automatic measurements.
Remove
Measurement
Measurement 1
Measurement 2
Measurement 3
Measurement 4
Removes a specific measurement.
All Measurements Removes all measurements.
Gating Off Use to take measurements on the full
waveform record.
Screen Use to take measurements on the
portion of the waveform on screen.
Cursors Use to take measurements on the
portion of the waveform between the
V Bar cursors.
Bring Selected
Cursor to Center
Screen
Moves the active cursor to center
screen.
BringBothCur-
sors On Screen
Moves any off-screen cursor onto the
screen.
MEASURE

Measure
3-40 TDS3000B Series User Manual
Bottom DescriptionSide
High-Low Setup Auto Select Automatically uses the best measure-
ment method depending on the signal
characteristics.
Histogram Use to measure pulses.
Min-Max Use to measure other wave shapes.
Reference Levels Set Levels in %
or units
Use to choose custom reference
levels in relative or absolute units.
High Reference Sets custom high reference level.
Mid Reference Sets custom mid reference level.
Mid2Ref Sets the custom mid reference level
for the Delay and Phase measurement
second waveform.
Low Reference Sets custom low reference level.
Set to Defaults Sets reference levels to default values.
Indicators Measurement 1--
Measurement 4
Selects the measurement for which to
display markers that show the portion
of the waveform used to calculate the
measurement value.
Off Turns measurement indicators off.

Measure
TDS3000B Series User Manual 3-41
Key Points
Choosing Measurements. You can perform up to four automatic
measurements and display them along the right side of the graticule.
All four measurements can apply to a single channel or you can
spread the measurements over several channels. You can also take
measurements on math and reference waveforms.
First push a channel, MATH, or REF button to select the waveform
you want to measure and then select a measurement. The table
beginning on page 3--44 describes the measurements in detail.
Measurement Interaction with Preview. If you change a vertical or
horizontal control setting while acquisition is stopped or is waiting
for trigger, measurements track the changes and remain valid.
Taking Gray-Scale Measurements. Using cursors is often the best way to
take simple measurements on waveforms that contain significant
gray-scale information. The automatic measurements operate only
on the latest acquisition, not on the previous acquisitions that are
displayed in gray scale. However, you can set the cursors to surround
and measure the gray-scale area of the waveform.

Measure
3-42 TDS3000B Series User Manual
High-Low Setup. The oscilloscope determines the 10%, 50%, or 90%
levels of the waveform and then uses them to calculate the
measurements. You can choose the method used to determine these
levels:
HHistogram sets the values statistically; it finds the most common
value either above or below the midpoint (depending on whether
it is defining the high or low reference level). Since this
statistical approach ignores short-term aberrations (overshoot,
ringing, noise), histogram is the best method for measuring
digital waveforms and pulses.
HMin-max uses the highest and lowest values of the waveform
record. This method is best for measuring waveforms that have
no large, flat portions at a common value, such as sine waves and
triangle waves.
HAuto Select chooses one of the above methods automatically
depending on the signal characteristics. Auto Select chooses the
histogram method if the histogram contains prominent peaks. If
not, Auto Select chooses the min-max method.
Measurement Gating. You can use the gating feature to limit
measurements to the portion of the waveform that is on the screen or
between the cursors.
When you turn Screen gating on, the oscilloscope only uses the
waveform points on screen in its measurements. This function is
useful at the fastest time base settings or when you want to take
measurements on a magnified waveform (when zoom is on).
When you turn Cursor gating on, the oscilloscope displays vertical
bar cursors. Use the general purpose knob and SELECT button to
place the cursors around the area of interest.

Measure
TDS3000B Series User Manual 3-43
In the example below, the cursors surround the second positive-going
pulse so the oscilloscope can measure the width of that pulse.
When gating is off, the oscilloscope takes measurements over the
entire waveform record.
Using Measurement Gating with Cursors. If V Bar cursors are already on
when you select Cursor gating, the cursors do both functions at the
same time. The cursor readouts are displayed at the same time that
the cursors gate the automatic measurements.
If H Bar cursors are on when you select cursor gating, the H Bar
cursors are turned off.

Measure
3-44 TDS3000B Series User Manual
Measurement name Definition
Amplitude Measured over the entire waveform.
Amplitude = High (100%) -- Low (0%)
Burst
Width
The duration of a burst. Measured over the entire
waveform.
Cycle
Mean
The arithmetic mean over the first cycle in the
waveform.
Cycle
RMS
The true Root Mean Square voltage over the first
cycle in the waveform.
Delay Timing measurement. The time between the MidRef
crossings of two different waveforms or the gated
region of the waveforms.
Fall Time Time that the falling edge of the first pulse in the
waveform takes to fall from 90% to 10% of its
amplitude.
Freq-
uency
Reciprocal of the period of the first cycle in the
waveform. Measured in Hertz (Hz).
High The value used as 100%. Calculated using either
the min/max or the histogram method. Measured
over the entire waveform.

Measure
TDS3000B Series User Manual 3-45
Measurement name Definition
Low The value used as 0%. Calculated using either the
min/max or the histogram method. Measured over
the entire waveform.
Max The maximum amplitude. The most positive peak
voltage measured over the entire waveform.
Mean The arithmetic mean over the entire waveform.
Min The minimum amplitude. The most negative peak
voltage measured over the entire waveform.
Negative
Duty
Cycle
Measurement of the first cycle in
the waveform.
Negative Duty Cycle =Negative Width
Period ×100%
Negative
Overshoot
Measured over the entire waveform.
Negative Overshoot =Low–Min
Amplitude ×100%
Negative
Width
Measurement of the first negative pulse in the
waveform. The time between the 50% amplitude
points.
Pk--Pk Measured over the entire waveform.
Peak-to-peak = Max -- Min
Period Time it takes for the first complete signal cycle to
complete in the waveform. Measured in seconds.
Phase Timing measurement. The amount one waveform
leads or lags another in time. Expressed in degrees,
where 360_comprise one waveform cycle.

Measure
3-46 TDS3000B Series User Manual
Measurement name Definition
Positive
Duty
Cycle
Measurement of the first cycle in the waveform.
Positive Duty Cycle =Positive Width
Period ×100%
Positive
Overshoot
Measured over the entire waveform.
Positive Overshoot =Max–High
Amplitude ×100%
Positive
Width
Measurement of the first positive pulse in the
waveform. The time between the 50% amplitude
points.
Rise Time Time that the leading edge of the first pulse in the
waveform takes to rise from 10% to 90% of its
amplitude.
RMS The true Root Mean Square voltage over the entire
waveform.
Snapshot All
Measurements
Displays all measurement values (except two-chan-
nel measurements) at the time you pushed the
Snapshot All Measurements button, for the
selected waveform. Push the Snapshot All
Measurements button to update the list values.
Push the MENU OFF button to clear the list from
the screen.

QuickMenu
TDS3000B Series User Manual 3-47
QuickMenu
Push the QUICKMENU button to see a set of frequently used menu
functions on the display. QuickMenus simplify oscilloscope
operation and can increase your productivity.
Scope is a standard QuickMenu for general purpose oscilloscope use.
Some optional application modules also include a custom QuickMe-
nu display. See page 1--29 for an example of the Scope QuickMenu.
Key Points
Using the QuickMenus. To use a QuickMenu, push the screen button
that corresponds to the control you need to set. Push the screen
button repeatedly to choose one of the settings. The small arrow icon
indicates that there are additional settings available that are not
shown.
You can use most of the front-panel controls at the same time you
are using a QuickMenu. For example, if you push a channel button
to select a different channel, the QuickMenu changes to show
information about that channel.
Using Other Menus. You can still use the regular menus. For example,
if you push the MEASURE button, you can set up and take
automatic waveform measurements in the usual way. If you return to
the QuickMenu, the measurement is still displayed on the screen.
Selecting Between QuickMenus. You may have optional application
modules installed that also have QuickMenu displays. To select the
QuickMenu you want to use, push the MENU screen button. This
menu item is shown only if application modules that contain a
QuickMenu are installed.
QUIC
K
MENU

Save/Recall
3-48 TDS3000B Series User Manual
Save/Recall
Push the SAVE/RECALL button to show the save/recall menu.
Bottom Side Description
Save Current
S
e
t
u
p
To File Saves a setup to disk.
Setup To Setup 1
...
To Setup 10
Saves a setup to nonvolatile memory.
Recall Saved Set-
u
p
From File Recalls a setup from disk.
up Recall Setup 1
...
Recall Setup 10
Recalls a setup from nonvolatile
memory.
Recall Factory
Setup
OK Confirm
Factory Init
Initializes the setup.
Save Wfm To File Saves one or more waveforms to a
file. Selecting this menu item changes
the side menu contents. See
page 3--50.
To Ref1
...
To Ref4
Saves the selected waveform to
nonvolatile memory. See page 3--51.
Recall Wfm From File
Recall Ref1
...
Recall Ref4
Recalls a waveform from disk and
displays it as a reference waveform.
S
A
V
E
/
RE-
CALL

Save/Recall
TDS3000B Series User Manual 3-49
Bottom DescriptionSide
File Utilities Accesses floppy disk file utilities. Refer to description on
page 3--52.
Labels Lets you assign unique labels to reference waveforms and
instrument setups stored in nonvolatile memory. Refer to
page 3--54 for a description of how to edit label text.
Key Points
Saving Setups. To save the current setup to nonvolatile memory, push
the Save Current Setup screen button and then select one of the ten
storage locations. Then, push the OK Overwrite Saved Setup screen
button to complete the operation or the MENU OFF button to cancel
the operation.
Recalling Setups. To recall a setup from nonvolatile memory, push the
Recall Setup screen button and then select one of the ten storage
locations.
Recalling the Factory Setup. Recall the factory setup to initialize the
oscilloscope to a known setup. Appendix B describes the Factory
Setup in detail.
To recall the factory setup, push the Recall Factory Setup screen
button. Then, push the OK Recall Factory Setup screen button to
complete the operation.

Save/Recall
3-50 TDS3000B Series User Manual
Saving a Waveform to File. When you push the To File side menu
button, the oscilloscope changes the side menu contents. The
following table describes these side menu items for saving data to a
disk file.
Side menu button Description
Internal File Format Sets the oscilloscope to save waveform data to disk
in internal waveform save file (.isf) format. This
format is the fastest to write and creates the
smallest-sized files. Use the internal waveform
format if you intend to recall a waveform and store it
into reference memory for viewing or measuring.
Spreadsheet File Format Sets the oscilloscope to save waveform data to disk
as a comma-separated data file compatible with
most spreadsheet programs.
Mathcad File Format Sets the oscilloscope to save waveform data to disk
in Mathcad format. Use this format if you intend to
import the waveform data into Mathcad software.
Save Active Waveforms
to Consecutive Files
Immediately saves all active waveforms to
consecutively-numbered files in internal save file
(.isf) format. This menu item is only available when
the Internal File Format is selected.
Save Active Waveforms
to Selected File
Immediately saves all active waveforms to a single
spreadsheet or Mathcad format file. This menu item
is only available when either spreadsheet orMath-
cad file format is selected.
Save <wfm> to selected
file
Immediately saves the selected active waveform,
math waveform, or reference waveform data to disk
using the selected file format.

Save/Recall
TDS3000B Series User Manual 3-51
Saving a Waveform to Reference Memory. To save a waveform to
nonvolatile memory, first select the waveform you want to save.
Push the Save Wfm screen button and then select one of the four
reference waveform locations. See page 3--86 for an alternate
method you can use to save waveforms.
Saved waveforms contain only the most current acquisition;
gray-scale information, if any, is not saved.
Displaying a Reference Waveform. To display a waveform stored in
nonvolatile memory, push the REF button and then push the Ref1,
Ref2, Ref3, or Ref4 screen button.
When a reference waveform is selected, it appears brighter than
other reference waveforms. Reference waveforms do not contain
gray-scale information.

Save/Recall
3-52 TDS3000B Series User Manual
Removing a Reference Waveform from the Display. To remove a
reference waveform from the display, push the REF button and then
the Ref1, Ref2, Ref3, or Ref4 screen button to select a reference
waveform. Push the waveform off button. The reference
waveform is still in nonvolatile memory and can be displayed again.
Erasing All Setups and Waveforms. See Tek Secure on page 3--73 for
instructions on how to erase all setups and waveforms saved in
nonvolatile memory.
Using the Floppy Disk Drive
This section describes how to use the disk drive. The File Utilities
submenu is shown below.
Bottom Side Description
File Utilities Delete Deletes a file.
Rename Renames a file.
Copy Copies a file to another directory.
Print Prints a file to a printer connected to
one of the hard copy ports.
Create Directory Creates a new directory.
Confirm Delete Turns On or Off a confirmation
message before files are deleted.
Overwrite Lock SetsfileoverwriteprotectiontoOnor
Off.
Format Formats a disk (erases all files).
SAVE/RE-
CALL

Save/Recall
TDS3000B Series User Manual 3-53
Key Points
Upgrading Firmware. You can use the disk drive to upgrade the
oscilloscope firmware or install new application packages. See the
documentation provided with these packages for instructions.
Navigating the File System. When you insert an IBM-formatted disk
and push the File Utilities screen button, the oscilloscope shows a list
of directories and files on the disk.
Use the general purpose knob to select a directory or file. To change
the working directory, select the directory and then push the
SELECT button. To move up one directory level, select .. and then
push the SELECT button.
Automatic File Numbering. The oscilloscope gives all files created by
the oscilloscope the default name TEK?????, where the question
marks are placeholders for an automatic number sequence from
00000 to 99999.
You can change the TEK????? file to a new name with up to eight
characters. If you use fewer than eight characters and include trailing
question marks, the oscilloscope numbers the files sequentially if
more than one are saved with the same base name.
For example, if you rename the TEK?????.ISF file to TEST??.ISF
for a series of saved waveforms, the oscilloscope saves the first one
as TEST00.ISF, the second one as TEST01.ISF, up to the last one as
TEST99.ISF.

Save/Recall
3-54 TDS3000B Series User Manual
Editing File, Directory, Reference Waveform, or Instrument Setup Names.
You can edit file names,directory names, reference waveform and
instrument setup labels, and Ethernet parameters (TDS3EM only).
Use the general purpose knob to select an alphanumeric character.
Use the screen buttons described below to edit and enter the new
name.
Screen button Function
Enter Char Enters the selected character into the field.
←and →Moves the cursor to a different character in the field.
Back Space Deletes the character before the cursor location.
Delete Deletes the character at the cursor location.
Clear Erases the current field value.
↑and ↓Selects the field that you want to edit.
OK Accept Applies all field values.
MENU OFF Exits the menu without applying field values.

Save/Recall
TDS3000B Series User Manual 3-55
Deleting Files. To delete a file, select the file with the general purpose
knob, push the Delete screen button, and then push the OK Delete
screen button when you see the confirmation screen.
If you do not want to see a confirmation screen each time you delete
a file, push the Confirm Delete screen button to set it to Off.
Renaming Files. To rename a file, select the file with the general
purpose knob, push the Rename screen button, and then follow the
instructions on page 3--54.
Once a directory is created, you cannot rename it. However, you can
delete the directory and create a new one with a new name.
Copying Files and Directories. To copy a file or directory, select the file
or directory with the general purpose knob and push the Copy screen
button. Now use the general purpose knob and SELECT button to
select a destination directory. Push the copy confirmation screen
button to complete the operation.
Printing Files. You can print files through any installed printer port to
your printer. This function is especially useful if you want to print
hard copy files that you have stored on a disk.
To print a file, select the file with the general purpose knob. Push the
Print screen button and then select the port to which your printer is
connected. Make sure that the oscilloscope is set to send the correct
file format to your printer.
Creating a Directory. To create a directory, use the general purpose
knob and SELECT button to select the working directory where you
want the new directory to reside. Push the Create Directory screen
button and then follow the instructions on page 3--54.

Save/Recall
3-56 TDS3000B Series User Manual
Formatting a Disk. The oscilloscope can format 1.44 MB IBM-compat-
ible disks. To format a disk, insert it into the disk drive. Push the
Format screen button and then push the OK Confirm Format screen
button to confirm the operation. If you decide not to format the disk,
push the MENU OFF button to stop the format operation.
CAUTION. To avoid loss of data, do not format disks that already
contain important data. When you format a disk, all files and
directories will be erased and can never be recovered.
Setting Protections. The oscilloscope provides two protections to help
you prevent accidental loss of data:
HConfirm Delete shows a confirmation message each time you try
to delete a file. You can turn Confirm Delete off if you do not
want to see the message.
HOverwrite Lock prevents the oscilloscope from writing over
existing files. You can turn Overwrite Lock off if you want to be
able to write over existing files.

Save/Recall
TDS3000B Series User Manual 3-57
File Extensions. Files written by the oscilloscope have the following
extensions. The oscilloscope can only read files with the SET, MSK,
and ISF extensions.
File extension File type
*.SET Saved setup file
*.ISF Saved waveform file, Internal format
*.CSV Saved waveform file, Spreadsheet format
*.DAT Saved waveform file, Mathcad format
*.TJ Hard copy file, Thinkjet format
*.DJ Hard copy file, Deskjet format
*.LJ Hard copy file, Laserjet format
*.IBM Hard copy file, Epson format
*.IMG Hard copy file, Interleaf format
*.TIF Hard copy file, TIFF format
*.RLE Hard copy file, RLE format
*.PCX Hard copy file, PCX format
*.BMP Hard copy file, BMP format
*.EPS Hard copy file, EPS format
*.BJC Hard copy file, Bubble Jet format
*.DPU Hard copy file, Seiko DPU-3445 format
*.GZ Gnuzip-compressed hard copy file
*.MSK Mask geometry file (requires TDS3TMT module)
*.PNG Hard copy file, Portable Network Graphics format
*.PRT Hard copy file, TDS3PRT thermal printer format
*.C60, *.C80 Hard Copy file, Epson C60 or C80 inkjet format

Trigger Controls
3-58 TDS3000B Series User Manual
Trigger Controls
Push the trigger MENU button to show the trigger menu and then
push the Type screen button to select Edge or Video. See pages 3--64
and 3--69 for descriptions of Edge and Video trigger.
See the TDS3TRG Advanced Trigger user manual, or (if installed)
the TDS3VID Extended Video application module user manual, for
more information.
Trigger Level
Use the trigger LEVEL control to adjust the trigger level. When you
change the trigger level, a horizontal line temporarily appears to
show you the level on screen. After the line disappears, the trigger
level is marked with a small arrow.
Trigger level
marker
Trigger level
readout
Set to 50%
Push the SET TO 50% button to set the trigger level to the 50%
amplitude level of the trigger source waveform.

Trigger Controls
TDS3000B Series User Manual 3-59
Force Trigger
Push the FORCE TRIG button to force an immediate trigger event,
even in the absence of a signal. This function is useful in these
situations:
HIf you do not see a waveform on the screen when using Normal
trigger mode, push FORCE TRIG to acquire the signal baseline
to verify that it is on the screen.
HAfter you push the SINGLE SEQ button to set up for a single
shot acquisition, you can push the FORCE TRIG button to do a
practice acquisition to verify the control settings.
B Trigger
To use the B trigger, the A trigger type must be Edge. Push the
trigger MENU and B TRIG buttons to show the B-trigger menu and
to activate triggering using both the A and B triggers. The light next
to the B TRIG button indicates B trigger is active. Push the B TRIG
button again to return to the single A trigger.

Trigger Controls
3-60 TDS3000B Series User Manual
Bottom Side Description
B Trigger After A B Trigger After A
Time
Sets the oscilloscope to trigger on the
next B-trigger event that occurs after a
specified period of time from the A
trigger. Use the general purpose knob
to set the time value.
Set to Delay Time
(B→W) then Set
(B→W)to0s
Sets the B Trigger After A Time value
to the horizontal B→Wvalue, then
sets B→Wto zero seconds. B→Wis
the delay time from the B trigger point
to the expansion point (center screen).
Set to Min Sets B Trigger After A time to 26.4 ns.
B Events Sets the oscilloscope to trigger on the
nth B-trigger event after the A trigger.
Use the general purpose knob to set
the event value.
Set to Min Sets the B events count to 1.
Source Sets Source, coupling, slope, and
l
e
v
e
l
f
o
r
t
h
e
B
t
r
i
g
g
e
r
T
h
e
s
e
s
e
t
t
i
n
g
s
Coupling level
f
or the B trigger. These settings
are inde
p
endent o
f
similar settin
g
s
f
or
Slope
a
r
e
i
n
d
e
p
e
n
d
e
n
t
o
f
s
i
m
i
l
a
r
s
e
t
t
i
n
g
s
f
o
r
the A trigger. See page 3--64 for
d
e
s
c
r
i
p
t
i
o
n
s
o
f
t
h
e
s
e
m
e
n
u
i
t
e
m
s
Level
d
escr
i
p
t
i
ons o
f
t
h
ese menu
i
t
ems.
The trigger wait time is the minimum time between the A and B
triggers. The trigger wait time is not the same as the horizontal delay
time. You can use the horizontal delay function to delay acquisition
relative to any trigger event, whether it is from the A trigger alone or
from a trigger setup that involves both the A and B triggers.

Trigger Controls
TDS3000B Series User Manual 3-61
The following figures show wait-for-time and wait-for-events
triggering and how they relate to the horizontal delay time.
Pretrigger record Posttrigger record
Trigger
source A
Trigger
source B
acquired waveform record
Trigger point A
trigger wait time
delay time
Trigger point B
Wait for time
T
waiting for nth event
(where n=5)
Pretrigger record Posttrigger record
Wait for events
Trigger
source A
Trigger
source B
acquired waveform record
delay time
Trigger point A Trigger point B T

Trigger Controls
3-62 TDS3000B Series User Manual
After the A trigger event is recognized, the oscilloscope begins
counting B trigger events. However, for the first B event to be
counted, that event must consist of both an opposite-polarity edge
and the edge that is counted. The opposite-polarity edge must occur
≥5 ns after the A trigger arming event. If this condition is not met,
the oscilloscope does not count the first event, which results in a
trigger on the n+1st event. Refer to the following figure, where n=3
and A and B trigger slopes are set to rising edge.
Arming
event A
Trigger
event B
(for n=3) 123
Arming
event A
Trigger
event B
(for n=3)
Trigger point
1234 (n+1)
≥5ns
T
T
Opposite-polarity edge
Trigger point

Trigger Controls
TDS3000B Series User Manual 3-63
Trigger Status
The readout at the top of the screen shows you the current trigger
status. The table below explains the trigger status indicators.
Trigger status Explanation
Auto The oscilloscope is acquiring using auto trigger. Valid
trigger events, if any, are infrequent.
Trig’d The oscilloscope is acquiring using valid trigger events
that are frequent enough to avoid auto triggering.
PrTrig The oscilloscope is acquiring the pretrigger part of the
waveforms. This status is shown only at the slowest
time/division settings.
Trig? The oscilloscope has acquired the pretrigger part of the
waveforms and is waiting for a valid trigger event.
BTrig? The A trigger event has occurred. The oscilloscope is
armed and waiting for a valid B trigger event.

Trigger Controls
3-64 TDS3000B Series User Manual
Edge Trigger
Use Edge triggering to trigger on the rising or falling edge of the
input signal at the trigger threshold.
Bottom Side Description
Type = Edge
Source Ch1 - Ch4 Sets the trigger source to a specific
channel.
AC Line Sets the trigger source to use the AC line
signal (not available when operating with
batteries).
Ext Sets the oscilloscope to trigger on the
external trigger source. Ext/10 attenuates
Ext/10
e
t
e
a
t
g
g
e
s
o
u
c
e
t
/
0
a
t
t
e
u
a
t
e
s
the external trigger signal by a factor of
10. See page 3--67.
Ext Probe
nnX
Voltage / Current
(4-channel only)
Set this value to match the attenuation
factor and the type of probe (voltage or
current) that is attached to the external
trigger connector. Push the menu button
to select the probe type. Use the general
purpose knob to set the attenuation
factor. The default values are 1x and
voltage.
Vert Sets the trigger source to the lowest-
numbered active channel in the display.

Trigger Controls
TDS3000B Series User Manual 3-65
Bottom DescriptionSide
Source
(cont.)
Alternating
(all active chan-
nels)
Sequentially uses each active channel as
a trigger source, from the lowest-num-
bered active channel to the highest-num-
bered active channel. See page 3--67.
Coupling DC Selects DC coupling.
HF Reject Rejects frequencies above 30 kHz in the
trigger signal.
LF Reject Rejects frequencies below 1 kHz in the
trigger signal.
Noise Reject DC coupling with low sensitivity to reject
noise in the trigger signal.
Slope / (rising edge) Triggers on the rising edge of a signal.
\ (falling edge) Triggers on the falling edge of a signal.
Level Level Use to set the trigger level with the
general purpose knob.
Set to TTL Sets the trigger level to +1.4 V for TTL
logic.
Set to ECL Sets the trigger level to --1.3 V for ECL
logic (Vee =--5.2V).
Set to 50% Sets the trigger level to the 50% ampli-
tude level of the signal.

Trigger Controls
3-66 TDS3000B Series User Manual
Bottom DescriptionSide
Mode & Hold-
off
Auto (untriggered
roll)
Enables free-running and roll-mode
acquisitions.
Normal Triggers only on valid trigger events.
Holdoff (time) Sets holdoff to a specific time.
Holdoff(%ofre-
cord)
Sets holdoff to a percent of the record
duration.
Set to Min Sets holdoff to the minimum value.
Key Points
Displaying the Trigger Source. You do not have to display a channel to
use it as a trigger source.
Normal and Auto Mode. Use Normal trigger mode when you want to
trigger only on a valid event. Use Auto trigger mode when you want
the acquisition to occur, even when there is not a valid trigger event.
Also choose Auto when you want a rolling waveform, with no
trigger, at the slower time base settings. See page 3--38 for more
information about roll mode.

Trigger Controls
TDS3000B Series User Manual 3-67
External Trigger. The trigger level range for the EXT setting is --0.8 V
to +0.8 V. The trigger level range for the EXT/10 setting is --8 V to
+8 V.
For best external trigger performance, apply a square-wave signal
with amplitude greater than the specified minimum level range and
with well-defined transitions.
Alternating Trigger. Alternating trigger sequentially uses each active
channel as a trigger source, from the lowest-numbered active
channel to the highest-numbered active channel. Alternating trigger
is available in all trigger menus except for logic triggers.
Alternating trigger uses the current trigger settings to trigger on all
active channels; there is not a separate trigger setup for each
channel. Therefore, the trigger settings must be able to trigger on all
active signals in order to produce a stable triggered display. If one or
more of the source signals do not meet the trigger settings, the
oscilloscope either waits for that source channel to trigger (Normal
trigger mode) or autotriggers (Auto trigger mode).
Due to image persistence, all alternating trigger active channels may
appear to be synchronized. However, this does not mean that the
displayed signals are synchronized. Also, alternating trigger does not
use EXT, EXT/10, or Line signals as trigger sources.

Trigger Controls
3-68 TDS3000B Series User Manual
Holdoff. You can use holdoff to help stabilize the display of complex
waveforms. After you press the Mode & Holdoff screen button, use
the general purpose knob to set the holdoff time as an absolute value
or as a percent of the record duration.
Holdoff begins when the oscilloscope recognizes a trigger event and
disables the trigger system until acquisition is complete. The trigger
system remains disabled during the holdoff time.
Holdoff Holdoff
Indicates
trigger points
Trigger level
Holdoff
Acquisition
interval
Acquisition
interval
New triggers are not recognized during the holdoff time.
NOTE. For best results, choose Normal trigger mode when using long
holdoff settings (10 ms or greater).

Trigger Controls
TDS3000B Series User Manual 3-69
Video Trigger
Choose video triggering to trigger on the odd fields, even fields, or
on all the lines of an NTSC, PAL, or SECAM video signal. See the
TDS3VID Extended Video or TDS3SDI 601 Digital Video
application module manual for more information if that module is
installed.
Bottom Side Description
Type Video
Standard 525/NTSC Triggers on a NTSC signal.
625/PAL Triggers on a PAL signal.
SECAM Triggers on a SECAM signal.
Source See page 3--64 for descriptions of
these menu items.
Trigger On Odd Triggers on odd or even fields in an
i
n
t
e
r
l
a
c
e
d
s
i
g
n
a
l
Even interlaced signal.
All Fields Triggers on any field in an interlaced
or noninterlaced signal.
All Lines Triggers on all lines.
Mode & Holdoff See page 3--66 for descriptions of
these menu items.
Key Points
Displaying the Trigger Source. You do not have to display a channel to
use it as a trigger source.
Sync Pulses. When you choose Video, the trigger always occurs on
negative-going sync pulses. If your video signal has positive-going
sync pulses, invert the signal using the Vertical menu. See page 3--81
for information about inverting a signal.

Utility
3-70 TDS3000B Series User Manual
Utility
The following are examples of what you can do with each of the six
branches in the Utility menu:
HUse Config to select a language or set the time and date.
HUse Apps if an installed application module places items in this
menu. See the documentation provided with your application
packages for more information.
HUse I/O to set up the communication ports.
HUse Hard Copy to set up hard copy parameters. Refer to Hard
Copy on page 3--27 for information about setting up and printing
a hard copy.
HUse Cal to compensate the signal path.
HUse Diags to run internal diagnostic routines.
Push the UTILITY button to show the utility menu. Then, push the
System screen button to choose the branch. The remaining items in
the utility menu change depending on the branch you choose.

Utility
TDS3000B Series User Manual 3-71
Configure System
Use the System Config branch to access these functions.
Bottom Side Description
System Config
Language English Use to choose your native language.
M
o
s
t
o
n
s
c
r
e
e
n
t
e
x
t
a
p
p
e
a
r
s
i
n
t
h
e
Français Most on-screen text appears in the
lan
g
ua
g
e
y
ou choose.
Deutsch
l
a
n
g
u
a
g
e
y
o
u
c
h
o
o
s
e
.
Italiano
Español
Português
(Russian)
(Japanese)
(Korean)
(Simplified
Chinese)
(Traditional
Chinese)
Set Date & Time Display Date/
Time
Use to turn the date/time display On or
Off.
Hour Min Use to set the internal clock with the
current hour and minute.
Month Day Use to set the internal clock with the
current month and day.
Year Use to set the internal clock with the
current year.
OK Enter Date/
Time
Sets the date and time of the internal
clock.
UTILITY

Utility
3-72 TDS3000B Series User Manual
Bottom DescriptionSide
Battery Time-
Outs
Power Off Time-
Out
Use to set the time before an automat-
ic shut down.
Backlight Time-
Out
Use to set the time before the back-
light automatically turns off.
Tek Secure Erase
Memory
Erases all nonvolatile waveform and
setup memory.
Version Use to see the firmware version.
Key Points
Setting the Date and Time. To set the internal clock with the current
date and time, push the Set Date & Time screen button. Use the
general purpose knob to set the values after you push the screen
buttons for the year, day and month, hour and minute. Push the OK
Enter Date/Time screen button to complete the operation.
Power Off Time-Out. Use this feature to automatically turn the
oscilloscope to standby if it is not being used. Use the general
purpose knob to set the power off time-out delay to a fixed time or
to ∞(time-out off). Cycle the power switch to turn the oscilloscope
back on after an automatic shut down.
Power off time-out operates only when you use battery power.

Utility
TDS3000B Series User Manual 3-73
Backlight Time-Out. Press this button to adjust the backlight time-out
delay. This feature automatically turns the backlight off after a
period of time if the oscilloscope is not being used. Use the general
purpose knob to set the backlight time-out delay to a fixed time or to
∞(time-out off). Push any button to turn the backlight back on after
an automatic time-out.
Backlight time-out operates only when you use battery power.
Tek Secure. If you have acquired confidential data on your oscillo-
scope, you may want to execute the Tek Secure function before you
return the oscilloscope to general use. The Tek Secure function does
the following tasks:
HReplaces all waveforms in all reference memories with null
sample values
HReplaces the current front-panel setup and all stored setups with
the factory setup
HCalculates the checksums of all waveform memory and setup
memory locations to verify successful completion of waveform
and setup erasure
HDisplays a confirmation or warning message if the checksum
calculation is successful or unsuccessful
After you execute the Tek Secure function, you must turn off the
oscilloscope power and then turn the power back on to complete the
process.

Utility
3-74 TDS3000B Series User Manual
I/O System
Use the System I/O branch to access these functions.
Bottom Side Description
System I/O
GPIB
(TDS3GV)
Talk/Listen Ad-
dress
Sets the GPIB address.
Hard Copy (Talk
Only)
Sets the GPIB port to talk only for
making hard copies.
Off Bus Disables the GPIB port.
Debug Enables and disables a message
window to help you debug GPIB
problems.
RS-232
(TDS3GV)
Baud Rate Sets the baud rate in steps from 1200
to 38400.
Flagging Use to enable hard flagging (RTS/
CTS) or turn flagging off.
EOL Selects end-of-line terminator.
Debug Enables and disables a message
window to help you debug RS-232
problems.
Set RS-232 Pa-
rameters to De-
fault Values
Sets baud rate = 9600, hard flagging =
on, and EOL = LF.
UTILITY

Utility
TDS3000B Series User Manual 3-75
Bottom DescriptionSide
Ethernet Network
Settings
Change Instru-
ment Settings
Displays a list of fields in which you set
oscilloscope Ethernet parameters
such as address, instrument name,
domain name, and so on. See Appen-
DHCP/BOOTP
d
o
m
a
i
n
n
a
m
e
,
a
n
d
s
o
o
n
.
S
e
e
A
p
p
e
n
dix G, Ethernet Setup, for information
on setting the oscilloscope Ethernet
network parameters.
Debug Enables and disables a message
window to help you debug Ethernet
problems.
Test Connection Tests the oscilloscope’s Ethernet
connection.
Ethernet Printer
Settings
Add Printer Adds, renames, or deletes an Ethernet
network printer
f
rom the oscilloscope
S
e
t
t
i
n
g
s
Rename Printer
n
e
t
w
o
r
k
p
r
i
n
t
e
r
f
r
o
m
t
h
e
o
s
c
i
l
l
o
s
c
o
p
e
printer list. See Appendix G, Ethernet
Setup, for information on setting the
i
l
l
E
t
h
t
t
k
i
t
Delete Printer
p
g
oscilloscope Ethernet network printer
parameters.
Confirm Delete Enables or disables displaying a
confirmation message before deleting
a printer from the oscilloscope printer
list.
Key Points
More Information. Refer to the TDS3000 & TDS3000B Series Digital
Phosphor Oscilloscope Programmer Manual for more information
about using the Ethernet, RS-232 and GPIB ports.

Utility
3-76 TDS3000B Series User Manual
RS-232 Troubleshooting. If you are having difficulties with RS-232
communication, try the following remedies:
HVerify that you are using the correct RS-232 cable and adapters.
Most computers require a null-modem connection to the
oscilloscope. Most printers require a straight-through connection
to the oscilloscope.
HVerify that the RS-232 cable is connected to the correct port on
your computer or hard copy device.
HReset the RS-232 parameters to defaults and then set the baud
rate to match the computer or hard copy device. The default
settings (except baud rate) are standard on most computers and
hard copy devices.
HEnable the debug window to see the RS-232 status, errors, data
transmitted, and data received.
GPIB Guidelines. Follow these guidelines when you connect your
oscilloscope to a GPIB network:
HTurn off the oscilloscope and all external devices before
connecting the oscilloscope to the GPIB network.
HAssign a unique device address to the oscilloscope. Two devices
cannot share the same device address.
HTurn on at least two-thirds of the GPIB devices while using the
network.

Utility
TDS3000B Series User Manual 3-77
Calibration System
Use the System Cal branch to access these functions.
Bottom Side Description
System Cal
Signal Path Compensates the signal paths to
obtain best measurement accuracy.
Factory Cal Used to calibrate the oscilloscope.
This is a service function only.
Cal Due Control Notify After Hours
of Operation
Sets the number of hours of operation
before notifying you that a calibration
is due.
Notify After Years
of Elapsed Time
Sets the number of years before
notifying you that a calibration is due.
Key Points
Signal Path Compensation. For maximum accuracy at any time, run the
signal path compensation routine just before taking critical
measurements. To meet accuracy specifications, run the routine if
the ambient temperature changes by 10°Cormore.
Before running the routine, disconnect any probes or cables from the
channel inputs. Then, push the Signal Path and OK Compensate
Signal Path screen buttons to confirm that you are ready to proceed.
The routine takes several minutes to complete.
UTILITY

Utility
3-78 TDS3000B Series User Manual
Factory Cal. Service personnel use these functions to calibrate the
oscilloscope internal voltage references using external sources. Refer
to your Tektronix field office or representative for assistance with
these processes.
Cal Due Control. The calibration due notification occurs only in the
power-on screen. Set the controls to ∞if you do not want to be
notified when calibration is due.
Diagnostic System
Use the System Diag branch to access these functions.
Bottom Side Description
System Diags
Execute Starts diagnostics.
Loop Once Executes the diagnostic loop once.
Always Executes the diagnostic loop continu-
ously.
Until Fail Executes until a failure occurs.
Error Log Page Up Use to see the previous error log
page.
Page Down Use to see the next error log page.
Key Points
Starting Diagnostics. To execute the built-in diagnostic routines,
disconnect all cables or probes from the oscilloscope inputs, and then
push the OK Run Test screen button.
UTILITY

Utility
TDS3000B Series User Manual 3-79
Stopping Diagnostics. Choose how you want the diagnostic routines to
execute:
HLoop Once runs all diagnostic routines one time and then stops.
HLoop Always runs the diagnostic routines continuously. Push the
RUN/STOP and then the MENU OFF buttons to resume normal
operation.
HLoop Until Fail runs the diagnostic routines until the oscilloscope
fails a test or until you cycle the power.
Error Log. The error log contains summary data gathered over the life
of the oscilloscope. The error log lists the last 100 errors encoun-
tered. The last error in the list is the most recent.
Under normal circumstances, the error log should be empty. Any
entry in the error log may indicate a hardware failure or firmware
fault. If you can repeatedly cause an entry to be added to the error
log, please contact a Tektronix service representative for assistance.

Vertical Controls
3-80 TDS3000B Series User Manual
Vertical Controls
You can use the vertical controls to select waveforms, adjust the
waveform vertical position and scale, and set input parameters. All
vertical operations affect the selected waveform. Push a channel
button (CH 1, CH 2, CH 3, or CH 4), the MATH button, or the REF
button to select a waveform.
Vertical Position Control
Use the vertical POSITION control to locate the selected waveform
in the display. When you change the vertical position, a horizontal
line temporarily appears to show you the ground reference level on
the screen. After the line disappears, the ground reference level is
marked at the left of the graticule.
If acquisition is stopped you can still reposition waveforms for
analysis. The new position setting is used when acquisition resumes.
Waveform Off
Push the waveform OFF button to remove the selected waveform
from the display. You can still use the channel as a trigger source.
Vertical Scale Control
Use the vertical SCALE control to set the vertical scale factor of the
selected waveform in 1-2-5 increments. If acquisition is stopped you
can still rescale waveforms for analysis. The new scale setting is
used when acquisition resumes.
You can also make fine adjustments to the vertical scale. See
Channel Buttons on page 3--81 for more information.

Vertical Controls
TDS3000B Series User Manual 3-81
Vertical Menu
Push the vertical MENU button to show the vertical menu of the
selected waveform. See these pages for more information about the
specific vertical menus:
HChannel Buttons below
HMath Button on page 3--84
HRef Button on page 3--86
Channel Buttons
Push a channel button (CH 1, CH 2, CH 3, or CH 4) to select a
channel. Each channel button also displays the channel if it is not
already displayed. Push the vertical MENU button to show the
vertical menu of the selected channel. All vertical operations below
affect only the selected waveform.
Bottom Side Description
Coupling DC Sets input coupling to DC.
AC Sets input coupling to AC.
GND Provides a 0 V signal reference. The
preamplifier disconnects from the input
BNC. Input termination remains
connected to the input BNC.
ΩSets input resistance to 50 Ω
or 1 MΩ, for DC or AC coupling.
Invert Invert Off Use for normal operation.
Invert On Inverts the polarity of the signal in the
preamplifier.

Vertical Controls
3-82 TDS3000B Series User Manual
Bottom DescriptionSide
Bandwidth Full Bandwidth Sets bandwidth to the full oscilloscope
bandwidth.
150 MHz Sets the bandwidth to 150 MHz (not
available on some models).
20 MHz Sets the bandwidth to 20 MHz.
Fine Scale Fine Scale Enables fine scale adjustment with the
general purpose knob.
Position Vertical Position Enables numerical vertical position
adjustment.
Setto0divs Sets vertical position to center screen.
Offset Vertical Offset Enables vertical offset adjustment with
the general purpose knob.
Setto0V Sets vertical offset to 0 V.
Probe Setup Voltage Probe Use to set probe gain or attenuation
f
o
r
p
r
o
b
e
s
t
h
a
t
d
o
n
o
t
h
a
v
e
t
h
e
Current Probe
f
or pro
b
es
t
h
a
t
d
ono
t
h
ave
t
h
e
TekProbe II interface.
Deskew Use to adjust the time skew correction
for each probe.
Set to 0 Use to set probe skew correction to
zero.
Key Points
Using Probes with the TekProbe II Interface. When you attach a probe
with the TekProbe II interface, the oscilloscope sets the channel
sensitivity, coupling, and termination resistance automatically to
match the probe requirements.

Vertical Controls
TDS3000B Series User Manual 3-83
Vertical Preview. When you change the vertical POSITION or SCALE
controls while the acquisition is stopped or it is waiting for the next
trigger, the oscilloscope rescales and repositions the selected
waveform in response to the new vertical control settings. You may
see a clipped waveform if the original acquisition went off the
screen. The oscilloscope then uses the new settings for the next
acquisition.
In contrast to horizontal preview, the math waveform, cursors, and
automatic measurements remain active and valid when using vertical
preview.
The Difference Between Vertical Position and Offset. Vertical position is a
display function. Adjust the vertical position to place the waveforms
where you want to see them. The waveform baseline locations track
adjustments made to their positions.
When you adjust vertical offset you see a similar effect, but it is
actually quite different. Vertical offset is applied before the
oscilloscope preamplifier and can be used to increase the effective
dynamic range of the inputs. For example, you can use vertical offset
to look at small variations in a large DC voltage. Set the vertical
offset to match the nominal DC voltage and the signal appears in the
center of the screen.
0V
-- 1 V
-- 2 V
-- 3 V
-- 4 V
-- 5 V
-- 6 V
Offset = --5.2 V

Vertical Controls
3-84 TDS3000B Series User Manual
50 ΩProtection. If you select the 50 Ωtermination resistance, the
maximum vertical scale factor is limited to 1 V/div. If you apply
excessive input voltage, the oscilloscope automatically switches to
1MΩtermination resistance to protect the internal 50 Ωtermination.
Math Button
Push the MATH button to define the math waveform using the math
menu. Also push the MATH button to display or select the math
waveform. The bottom menu may show other menu items depending
on which application module you have installed.
Bottom Side Description
Dual Wfm Math Set 1st Source to Selects the first source waveform.
Set Operator to Selects the math operator: +, --, ×,
or ÷
Set 2nd Source to Selects the second source waveform.
Key Points
Dual-Waveform Math. For the dual-waveform math operations, the two
source waveforms interact with the math operators in the sequence
shown below.
Operation Expression of math waveform
+Source 1 + Source 2
-- Source 1 -- Source 2
×Source 1 ×Source 2
÷Source 1 ÷Source 2

Vertical Controls
TDS3000B Series User Manual 3-85
Scaling and Positioning the Math Waveform To position or scale a math
waveform, select the math waveform and then adjust it with a
vertical POSITION or SCALE control. You can do this whether
acquisition is running or is stopped.
Math Interaction with Preview. If you select a channel waveform and
then adjust the vertical POSITION or SCALE control while the
acquisition is stopped, the math waveform remains fixed. It does not
track the changes you see to the channel waveform. The same is true
if you adjust the horizontal POSITION or SCALE control under
these conditions.
Gray-Scale Restriction. Math waveforms are always based on the most
current acquisitions and do not contain any gray-scale information.
Source Waveform Screen Position. When displaying dual-waveform
math waveforms, make sure that the source waveforms do not extend
beyond the top or bottom edge of the screen. If part of the source
waveform is positioned outside the screen, the math waveform may
not display correctly.

Vertical Controls
3-86 TDS3000B Series User Manual
Ref Button
Push the REF button to show the reference menu. Push one of the
submenus to display a reference waveform or make it the selected
reference waveform.
Bottom Side Description
Ref 1 SaveCh1toRef1 Saves channel 1 to Ref 1.
SaveCh2toRef1 Saves channel 2 to Ref 1.
SaveCh3toRef1 Saves channel 3 to Ref 1.
SaveCh4toRef1 Saves channel 4 to Ref 1.
Save Math to
Ref1
Saves the math waveform to Ref 1.
Ref 2
Ref 3
Ref 4
Identical settings for the reference waveforms Ref 2, Ref 3,
and Ref 4.
Key Points
Selecting and Displaying Reference Waveforms. You can display all four
reference waveforms at the same time. Push the submenu button to
select a particular reference waveform. The selected waveform
appears brighter than other displayed reference waveforms.
Removing Reference Waveforms from the Display. To remove a reference
waveform from the display, select that reference waveform and then
push the waveform OFF button .

Vertical Controls
TDS3000B Series User Manual 3-87
Scaling and Positioning a Reference Waveform You can position and
scale a reference waveform independenty from all other displayed
waveforms. Select the reference waveform and then adjust it with a
vertical or horizontal POSITION or SCALE control. You can do this
whether acquisition is running or is stopped.
If a reference waveform is selected, scaling and repositioning of the
reference waveform operates the same way whether zoom is turned
on or off.
Gray-Scale Restriction. Reference waveforms are always saved from
the most current acquisition and do not contain any gray-scale
information.
NOTE. The TDS3AAM Advanced Analysis application module adds
new math features, including arbitrary math expressions, DPO
(grayscale) math waveforms, and FFT analysis.

e*Scope
3-88 TDS3000B Series User Manual
e*Scope™Web-based Remote Control
e*Scope introduces the next generation of oscilloscope functionality.
With e*Scope you can access any Internet-connected TDS3000B
Series oscilloscope from a browser on your work station, PC, or
laptop computer. No matter where you are, your TDS3000B is as
close as the nearest browser!
There are two levels to e*Scope: basic and advanced. The basic
level, which is hosted on the oscilloscope, lets you view a screen
image of the current acquisition, save or load waveform and setup
files, and send textual control and query commands to the oscillo-
scope.
The advanced level, which is hosted on your system, provides a
graphical user interface to view automatically updated screen images
and remotely control the oscilloscope. To obtain the advanced level
software, go to the Tektronix TDS3000B website and download the
free e*Scope Web-based Remote Control software.
Configuring Your Oscilloscope Ethernet Settings
Before using the e*Scope feature, you must set your oscilloscope
Ethernet network settings. Appendix G, Ethernet Setup, describes
how to enter the Ethernet network parameters for your oscilloscope.

e*Scope
TDS3000B Series User Manual 3-89
Accessing e*Scope
After your instrument is set up with the correct ethernet settings, you
are ready to access that instrument over the internet. To access the
oscilloscope e*Scope server, do the following steps:
1. On a PC or work station, open your preferred browser program.
2. In the Location or Address field (where you normally enter a
URL), type in the IP address of the TDS3000B instrument to
which you want to connect. For example, 188.121.212.107. Do
not precede the IP address with any characters. Then press the
Return key.
3. The browser program loads the instrument’s e*Scope home page,
which is an image of the screen contents when your browser
accessed the instrument. The e*Scope home page will look
something like the following image:

e*Scope
3-90 TDS3000B Series User Manual
4. If you do not see the e*Scope home page after just a few
moments, try the following:
a. Verify that the oscilloscope is physically connected to the
network.
b. Verify that the oscilloscope network settings are correct.
c. Push the Test Connection side menu button in the
Ethernet Network Settings menu to verify that the
instrument is electronically connected to the network.
Basic e*Scope Menu Functions
The menu at the top of the page provides the following functions:
Home. Home displays the oscilloscope screen.
Applications. Applications takes you to the application URL specified
in the Configure tab.
Configure. Configure lets you specify URLs for the advanced
Web-based Control HTML pages (accessed from the Control menu)

e*Scope
TDS3000B Series User Manual 3-91
Data. Data provides the basic level of e*Scope control. It lets you
upload or download waveform data files and oscilloscope settings, as
well as remotely control the oscilloscope using oscilloscope
programing commands listed in the TDS3000 & TDS3000B Digital
Phosphor Oscilloscope Programmer Manual.
Status. Status displays the version screen, which shows the firmware
version and lists installed application modules.
Control. Control displays the advanced e*Scope Web-based Remote
Control screen that lets you remotely control the oscilloscope using a
graphical user interface that includes on-screen interactive menus
and selectable controls for all front-panel buttons and knobs. You
must download the free advanced e*Scope software from the
tektronix web site.
Help. Help takes you to the TDS3000B frequently asked questions
site at www.tektronix.com.
NOTE. You can create your own local Applications and Help files and
access them by changing the Application and Help field in the
Configure menu to point to your local web site containing your files.

e*Scope
3-92 TDS3000B Series User Manual
Application Examples
The following are some possible e*Scope usage examples:
Prototype Development. An engineering lab contains prototype boards
that need evaluation. An engineer in the building can use e*Scope to
access and remotely control a TDS3000B series oscilloscope to
capture and download waveform data to a PC for analysis and
inclusion in development reports.
Field Service Support. A company’s central engineering department
needs to support many field service technicians who maintain and
repair installed systems located throughout the world. The field
technicians can connect their TDS3000B series oscilloscopes to the
systems, and the engineers can then use e*Scope to help the field
technicians diagnose difficult problems.
Remote Line Down Troubleshooting. A production line is down in
Korea. The chief engineer in the United States can use e*Scope to
remotely control a TDS3000B series oscilloscope and view the
waveforms to troubleshoot the problem, while having a technician at
the production site probe the instrument.

e*Scope
TDS3000B Series User Manual 3-93
Remote Broadcast Transmitter Monitoring. A television station needs to
monitor various voltages and waveforms at a remote transmitter site.
An engineer at the transmitter can connect the TDS3000B series
oscilloscope to the station’s LAN and then connect the oscilloscope
to the appropriate test points. The television station engineer can
then use e*Scope to remotely monitor the voltages and waveforms.
Remote Development. Several engineers on a project need to access
waveform and measurement data from a number of remote sites.
Using e*Scope, the engineers can capture screen hard copies and
waveform data from these remote sites and store the information in a
central database.

e*Scope
3-94 TDS3000B Series User Manual

Appendices

TDS3000B Series User Manual A-1
Appendix A: Specifications
This appendix contains specifications for the TDS3000B Series
oscilloscopes. All specifications are guaranteed unless noted as
“typical.” Typical specifications are provided for your convenience
but are not guaranteed. Specifications that are marked with the
nsymbol are checked in Appendix E: Performance Verification.
All specifications apply to all TDS3000B Series models unless noted
otherwise. To meet specifications, two conditions must first be met:
HThe oscilloscope must have been operating continuously for
twenty minutes within the operating temperature range specified.
HYou must perform the Compensate Signal Path operation
described on page 1--4. If the operating temperature changes by
more than 10°C, you must perform the Compensate Signal Path
operation again.
Specifications
Acquisition
Acquisition modes Sample (Normal), Peak detect, Envelope, and Average
Single Sequence Acquisition mode Acquisition stops after
g
q
Sample, Peak Detect One acquisition, all channels
simultaneously
Average, Envelope N acquisitions, all channels
simultaneously, N is settable
from 2 to 256 (or ∞for Enve-
lope)

Appendix A: Specifications
A-2 TDS3000B Series User Manual
Specifications (cont.)
Inputs
Input coupling DC, AC, or GND
Channel input remains terminated when using GND coupling.
Input impedance,
DC coupled
1MΩ±1% in parallel with 13 pF ±2 pF, TekProbe compatible
50 Ω±1%; VSWR ≤1.5:1 from DC to 500 MHz, typical
Maximum voltage at
i
B
N
C
(
M
Ω
)
Overvoltage category Maximum voltage
g
input BNC (1 MΩ)CAT I Environment (refer to
page A--14)
150 VRMS (400 Vpk)
CAT II Environment (refer to
page A--14)
100 VRMS (400 Vpk)
For steady-state sinusoidal waveforms, derate at 20 dB/decade
above 200 kHz to 13 Vpk at 3 MHz and above.
Maximum voltage at
input BNC (50 Ω)
5V
RMS with peaks ≤±30 V
Maximum floating
voltage
0 V from chassis (BNC) ground to earth ground, or
30 VRMS (42 Vpk) only under these conditions: no signal voltages
>30 VRMS (>42 Vpk), all common leads connected to the same
voltage, no grounded peripherals attached
Channel-to-channel
crosstalk, typical
Measured on one channel, with test signal applied to another
channel, and with the same scale and coupling settings on each
channel
Frequency range Crosstalk
≤100 MHz ≥100:1
≤200 MHz ≥50:1
≤300 MHz ≥50:1
≤400 MHz ≥30:1
≤500 MHz ≥30:1
≤600 MHz ≥30:1

Appendix A: Specifications
TDS3000B Series User Manual A-3
Specifications (cont.)
Inputs
Differential delay,
typical
100 ps between any two channels with the same scale and
coupling settings
Vertical
Number of channels TDS30x2B TDS30x4B
2 plus external trigger input 4 plus external trigger input
Digitizers 9-bit resolution, separate digitizers for each channel, sampled
simultaneously
SCALE Range
(
B
N
C
)
1MΩ50 Ω
g
(at BNC) 1mV/divto10V/div 1mV/div to 1 V/div
Fine SCALE Adjustable with ≥1% resolution
Polarity Normal and Invert
Position range ±5 divisions
nAnalog bandwidth,
50 Ω
Bandwidth limit set to Full, operating ambient ≤30 °C,
derate 1% / °C above 30 °C
(also typical at 1 MΩ
with standard probe) Scale range 5mV/divto
1V/div
2mV/divto
4.98 mV/div
1mV/divto
1.99 mV/div
TDS301xB 100 MHz 100 MHz 90 MHz
TDS302xB 200 MHz 200 MHz 150 MHz
TDS303xB 300 MHz 250 MHz 150 MHz
TDS304xB 400 MHz 250 MHz 150 MHz
TDS305xB 500 MHz1300 MHz1175 MHz1
TDS306xB 600 MHz1,2 300 MHz1175 MHz1
Calculated rise time,
i
l
TDS301xB, TDS302xB 3.5 ns
,
typical TDS303xB, TDS304xB 1.2 ns
TDS305xB, TDS306xB 0.7 ns
1Values typical for 1 mV/div through 9.98 mV/div.
2500 MHz at 5 mV/div to 9.98 mV/div; 600 MHz at 10 mV/div and greater.

Appendix A: Specifications
A-4 TDS3000B Series User Manual
Specifications (cont.)
Vertical
Analog bandwidth limit,
typical
Selectable between 20 MHz, 150 MHz (not available on
TDS3012B or TDS3014B), or Full
Lower frequency limit,
AC coupled, typical
7Hzfor1MΩ, reduced by a factor of ten when using a 10X
passive probe; 140 kHz for 50 Ω
Peak detect or
Envelope pulse re-
i
l
Minimum width of pulse with amplitude of ≥2 div to capture 50%
or greater amplitude
p
p
sponse, typical Sample rates ≤125 MS/s Sample rates ≥250 MS/s
1ns 1/sample rate
DC gain accuracy ±2%, derated at 0.025%/°C for temperatures below +18°C and
above +30°C, in Sample or Average acquisition mode
DC measurement
accuracy
Measurement type DC Accuracy (in volts)
Sample acquisition
mode, typical
Absolute measurement of any
waveform point
±[0.022¢| reading -- (offset
-- position) | + offset accuracy
+0.15div+0.6mV]
Delta voltage between any two
points on a waveform
±[0.022¢| reading | +
0.15 div + 1.2 mV]
nAverage
acquisition mode
(≥16 averages)
Absolute measurement of any
waveform point
±[0.022¢| reading -- (offset
-- position) | + offset accuracy
+0.1div]
(
g
)
Delta voltage between any two
points on a waveform
±[0.022¢| reading | +
0.05 div]
20.02 term (gain component) derated at 0.00025/˚C above 30˚C

Appendix A: Specifications
TDS3000B Series User Manual A-5
Specifications (cont.)
Vertical
Offset range Scale range Offset range
g
1mV/divto9.95mV/div ±100 mV
10 mV/div to 99.5 mV/div ±1V
100 mV/div to 995 mV/div ±10 V
1 V/div to 10 V/div ±100 V
Offset Accuracy, all
ranges
±[0.005 ¢| offset -- position | +0.1 div]
Note: Convert both the constant offset and position terms to volts
by multiplying by the volts/div setting.
Horizontal
Acquisition (horizontal)
resolution
Normal
(10,000 point record)
Fast trigger
(500 point record)
Maximum
acq rate, typical
TDS301xB,
TDS302xB
TDS303xB--
TDS306xB
TDS301xB,
TDS302xB
TDS303xB--
TDS306xB
400 wfms/s 700 wfms/s 3,600 wfms/s 3,600 wfms/s
Sample rate range
TDS301xB
TDS302xB,
TDS303xB
TDS304xB--
TDS306xB
Normal 100 S/s to
1.25 GS/s
100 S/s to
2.5 GS/s
100 S/s to
5GS/s
Fast trigger 5 S/s to
1.25 GS/s
5 S/s to
2.5 GS/s
5 S/s to
5GS/s
Seconds/division
range
4ns/divto
10 s/div
2ns/divto
10 s/div
1ns/divto
10 s/div

Appendix A: Specifications
A-6 TDS3000B Series User Manual
Specifications (cont.)
Horizontal
nSample rate and
delay time accuracy
±20 ppm over any ≥1 ms time interval
Trigger
External trigger input,
typical
TDS30x2B:
1MΩin parallel with 17 pF, TekProbe compatible
TDS30x4B:
1MΩin parallel with 52 pF, not Tekprobe compatible
External trigger
i
l
Overvoltage category Maximum voltage
g
g
maximum voltage CAT I Environment (refer to
page A--14)
150 VRMS (400 Vpk)
CAT II Environment (refer to
page A--14)
100 VRMS (400 Vpk)
For steady-state sinusoidal waveforms, derate at 20 dB/decade
above 200 kHz to 13 Vpk at 3 MHz and above.
External trigger maxi-
mum floating voltage
0 V from chassis (BNC) ground to earth ground, or
30 VRMS (42 Vpk) only under these conditions: no signal voltages
>30 VRMS (>42 Vpk), all common leads connected to the same
voltage, no grounded peripherals attached
nEdge trigger
i
i
i
Source Sensitivity
g
g
g
sensitivity Any channel, DC coupled ≤0.6 div from DC to 50 MHz,
increasing to 1 div at oscillo-
scope bandwidth
Edge trigger sensitivity,
typical
External trigger 200 mV from DC to 50 MHz,
increasing to 750 mV at
300 MHz
External/10 trigger 500 mV from DC to 50 MHz,
increasing to 3 V at 300 MHz
Any channel, NOISE REJ
coupled
3.5 times the DC-coupled limits

Appendix A: Specifications
TDS3000B Series User Manual A-7
Specifications (cont.)
Trigger
Edge trigger sensitivity,
typical
Any channel, HF REJ coupled 1.5 times the DC-coupled limit
from DC to 30 kHz, attenuates
signals above 30 kHz
Any channel, LF REJ coupled 1.5 times the DC-coupled limits
for frequencies above 80 kHz,
attenuates signals below
80 kHz
Trigger level range Source Sensitivity
g
g
g
Any channel ±8 divisions from center of
screen, ±8 divisions from 0 V if
LF REJ trigger coupled
External trigger ±800 mV
External/10 trigger ±8V
Line Fixed at the midlevel of the AC
line
SET LEVEL TO 50%,
typical
Operates with input signals ≥45 Hz
Trigger level accuracy,
i
l
Source Sensitivity
g
g
y
,
typical Any channel ±0.2 divisions
External trigger ±20 mV
External/10 trigger ±200 mV
Line N/A
Trigger holdoff range 250.8 ns to 10 s

Appendix A: Specifications
A-8 TDS3000B Series User Manual
Specifications (cont.)
Trigger
Video trigger sensitivity,
i
l
Triggers on negative sync of NTSC, PAL, or SECAM signal
g
g
y
,
typical Source Sensitivity
Any channel 0.6 to 2.5 divisions of video
sync tip
External trigger 150 mV to 625 mV of video
sync tip
External/10 trigger 1.5 V to 6.25 V of video sync
tip
B Trigger Trigger After Time Trigger After B Events
Range 13.2 ns to 50 s 1 event to 9,999,999 events
Minimum time
between arm and
trigger, typical
5ns from the end of the time
period and the B trigger event
5 ns between the A trigger
event and the first B trigger
event
Minimum Pulse
Width, typical
—B event width, 2 ns
Maximum Fre-
quency, typical
—B event frequency, 250 MHz

Appendix A: Specifications
TDS3000B Series User Manual A-9
Specifications (cont.)
Display
Display screen 6.5 in (165 mm) diagonal color liquid crystal
Display resolution 640 horizontal by 480 vertical pixels
Backlight intensity,
typical
200 cd/m2
Display color Up to 16 colors, fixed palette
External display filter Scratch-resistant tempered glass
I/O ports
Ethernet port 10BaseT RJ-45 female connector (all models)
Parallel printer port Centronics compatible, DB-25 female connector
GPIB interface Available in optional accessory TDS3GV
RS-232 interface DB-9 male connector, available in optional accessory TDS3GV
VGA signal output DB-15 female connector, 31.6 kHz sync rate, EIA RS-343A
compliant, available in optional accessory TDS3GV
Probe compensator
output, typical
5.0 V into ≥1MΩload,
frequency = 1 kHz
Miscellaneous
Nonvolatile memory Typical retention time ≥5 years for front-panel settings, unlimited
for saved waveforms and setups
Floppy disk 3.5 in, DOS format, 720 KB or 1.44 MB compatible
Internal clock Provides date/time stamp for stored data and the current time
and date to the front panel, if enabled.

Appendix A: Specifications
A-10 TDS3000B Series User Manual
Specifications (cont.)
Power sources
AC line power Operates the oscilloscope and charges the optional internal
battery
Source voltage 90 VRMS to 250 VRMS, continuous range
Source frequency 47 Hz to 440 Hz
Power consumption 75 W maximum
Battery power Optional accessory TDS3BATB, rechargeable Li-Ion battery pack
Operating time,
typical
3 hours, depending on operating conditions
Battery charge time,
typical
30 hours in the oscilloscope, 5 hours in the optional external
charger TDS3CHG
Line fuse Internal, not user replaceable
Environmental
Temperature Operating range (no disk installed): +5 °Cto+50°C
Nonoperating range (no disk installed): --20 °Cto+60°C
Typical operating range for floppy disks: +10 °Cto+50°C
Humidity Operating range (no disk installed): 20% to 80% RH below
32 °C, derate upper limit to 21% RH at 50 °C
Nonoperating range (no disk installed): 5% to 90% RH below
41 °C, derate upper limit to 30% RH at 60 °C
Typical operating range for floppy disks: 20% to 80% RH below
32 °C, derate upper limit to 21% RH at 50 °C
Pollution Degree Pollution Degree 2: Typical home or office environment

Appendix A: Specifications
TDS3000B Series User Manual A-11
Specifications (cont.)
Environmental
Altitude Operating limit: 3000 m
Nonoperating limit: 15,000 m
Random vibration Operating: 0.31 gRMS from 5 Hz to 500 Hz, 10 minutes on each
axis
Nonoperating: 2.46 gRMS from 5 Hz to 500 Hz, 10 minutes on
each axis
Drop resistance, typical Survives a 152 mm (6 in) drop onto concrete with only cosmetic
damage
Mechanical
Size Height: 176 mm (6.9 in), 229 mm (9.0 in) including handle
Width: 375 mm (14.75 in)
Depth: 149 mm (5.9 in)
Weight Oscilloscope only: 3.2 kg (7.0 lbs)
With accessories and carry case: 4.1 kg (9.0 lbs)
When packaged for domestic shipment: 5.5 kg (12.0 lbs)
Optional TDS3BATB battery pack: 0.85 kg (1.9 lbs)

Appendix A: Specifications
A-12 TDS3000B Series User Manual
Specifications (cont.)
EMC certifications and compliances
EMC Compliance:
European Union
Meets the intent of Directive 89/336/EEC for Electromagnetic
Compatibility. Compliance was demonstrated to the following
specifications as listed in the Official Journal of the European
Communities:
EN 61326
EMC requirements for Class A electrical equipment for
measurement, control, and laboratory use 1,2
IEC 61000-4-2
Electrostatic discharge immunity (Performance criterion B)
IEC 61000-4-3
RF electromagnetic field immunity (Performance
criterion B)3
IEC 61000-4-4
Electrical fast transient/burst immunity (Performance
criterion B)
IEC 61000-4-5
Power line surge immunity (Performance criterion B)
IEC 61000-4-6
Conducted RF immunity (Performance criterion B)4
IEC 61000-4-11
Voltage dips and interruptions immunity (Performance
criterion B)
EN 61000-3-2
AC power line harmonic emissions
EN 61000-3-3
Voltage changes, fluctuations and flicker

Appendix A: Specifications
TDS3000B Series User Manual A-13
Specifications (cont.)
EMC certifications and compliances
EMC Compliance:
Australia/New Zealand
Meets the intent of Australian EMC Framework as demonstrated
to the following specification:
AS/NZS 2064.1/2
EMC Compliance:
Russia
This product was certified by the GOST ministry of Russia to be
in compliance with all applicable EMC regulations.
FCC Compliance:
U.S.A.
Emissions comply with FCC Code of Federal Regulations 47,
Part 15, Subpart B, Class A Limits
1Emissions that exceed the levels required by this standard may occur when this
equipment is connected to a test object.
2To ensure compliance to the standards listed above, attach only high quality
shielded cables to this instrument. High quality shielded cables typically are braid
and foil types that have low impedance connections to shielded connectors at
both ends.
3The increase in trace noise while subjected to a test field (3 V/m over the
frequency range 80 MHz to 1 GHz, with 80% amplitude modulation at 1 kHz) is
not to exceed 8 major divisions peak-to-peak. Ambient conducted fields may
induce triggering when the trigger threshold is offset less than 4 major divisions
from ground reference.
4The increase in trace noise while subjected to a test field (3 V/m over the
frequency range 150 kHz to 80 MHz, with 80% amplitude modulation at
1 kHz) is not to exceed 2 major divisions peak-to-peak. Ambient conducted fields
may induce triggering when the trigger threshold is offset less than
1 major divisions from ground reference.

Appendix A: Specifications
A-14 TDS3000B Series User Manual
Specifications (cont.)
Safety certifications and compliances
EC Declaration of
Conformity -- Low
Voltage
Compliance was demonstrated to the following specification as
listed in the Official Journal of the European Communities:
Low Voltage Directive 73/23/EEC as ammended by 93/68/EEC
(TDS3000B Series,
P3010, and
P6139A)
EN 61010-1/A2:1995
Safety requirements for electrical equipment for
measurement, control, and laboratory use
(P3010 and
P6139A)
EN 61010-2-031:1995
Particular requirements for hand-held probe assemblies
for electrical measurement and test equipment
Approvals
(TDS3000B Series,
P3010, and
P6139A)
UL3111-1 -- Standard for electrical measuring and test equipment
CAN/CSA C22.2 No. 1010.1 -- Safety requirements for electrical
equipment for measurement, control and laboratory use
(P3010 and
P6139A)
EN 61010-2-031:1995 -- Particular requirements for hand-held
probe assemblies for electrical measurement and test equipment
Installation Category
Descriptions
Terminals on this product may have different installation category
designations. The installation categories are:
CAT III Distribution-level mains (usually permanently
connected). Equipment at this level is typically in a
fixed industrial location
CAT II Local-level mains (wall sockets). Equipment at this
level includes appliances, portable tools, and similar
products. Equipment is usually cord-connected
CAT I Secondary (signal level) or battery operated circuits of
electronic equipment

TDS3000B Series User Manual B-1
Appendix B: Factory Setup
The table below lists the state of the oscilloscope after you recall the
Factory Setup.
Control Changed by factory setup to
Acquire horizontal resolution Normal (10,000 points)
Acquire mode Sample
Acquire number of averages 16
Acquire number of envelopes 16
Acquire run/stop Run
Acquire single sequence Off
Acquire WaveAlert actionsall Off
Acquire WaveAlert sensitivity 50%
Acquire WaveAlert state Off
Acquire WaveAlert type Highlight entire waveform
Channel selection Channel 1 on, all others off
Coarse No change
Confirm delete No change
Cursor function Off
Cursor H Bar 1 position --3.2 divisions from the center
Cursor H Bar 2 position +3.2 divisions from the center
Cursor H Bar units Base

Appendix B: Factory Setup
B-2 TDS3000B Series User Manual
Control Changed by factory setup to
Cursor V Bar 1 position 10% of record
Cursor V Bar 2 position 90% of record
Cursor V Bar units Seconds
Cursor tracking Independent
Delay measure from waveform edge Rising
Delay measure to edge occurrence First
Delay measure to waveform Ch 1
Delay measure to waveform edge Rising
Display graticule type Full
Display backlight High
Display color palette Normal
Display dots only Off
Display persist time Auto
Dual waveform math function Ch1+Ch2
Edge trigger coupling DC
Edge trigger level 0.0 V
Edge trigger slope Rising
Edge trigger source Channel 1
External trigger probe setup
(four-channel models only)
Voltage, 1X
Horizontal delay On

Appendix B: Factory Setup
TDS3000B Series User Manual B-3
Control Changed by factory setup to
Horizontal delay time 0ns
Horizontal trigger position 10%
Horizontal time/div 400 ms/div
Horizontal zoom Off
Horizontal zoom position 50%
Horizontal zoom time/div 400 ms/div
Math type Dual waveform
Measure gating Off (Full Record)
Measure high-low setup Auto
Measure high reference 90% and 0 V
Measure indicators Off
Measure low reference 10% and 0 V
Measure mid reference 50% and 0 V
Measure mid2 reference 50% and 0 V
Measure statistics Off
Overwrite lock No change
Phase measure to waveform Ch 1
Reference waveforms No change
Saved setups No change
Trigger holdoff 250.8 ns
Trigger mode Auto
Trigger type Edge

Appendix B: Factory Setup
B-4 TDS3000B Series User Manual
Control Changed by factory setup to
Utility language No change
Utility date/time display On
Utility I/O No change
Utility hard copy No change
Vertical bandwidth Full
Vertical coupling DC 1 MΩ
Vertical invert Off
Vertical offset 0V
Vertical position 0div
Vertical probe setup Voltage, 1 X (unless non-1 X probe
attached)
Vertical volts/div 100 mV/div
Video trigger standard 525/NTSC
Video trigger on All lines
Waveform file format No change
XY display Off

TDS3000B Series User Manual C-1
Appendix C: Accessories
Standard Accessories
P3010 10X passive probes (TDS301xB)
The P3010 10X passive probes have 100 MHz bandwidth and a
CAT II voltage rating of 300 VRMS.
P6139A 10X passive probes (TDS302xB -- TDS306xB)
The P6139A 10X passive probes have 300 MHz or 500 MHz
bandwidth and a CAT II voltage rating of 300 VRMS.
Front cover
The front cover (200-4416-00) snaps onto the front of the
oscilloscope to protect it during transit. The front cover contains a
convenient location to store the Reference manual.
Accessory tray
The accessory tray (436-0371-00) fits in the battery compartment
when you do not have a battery installed. You can use the tray to
store probes and other accessories.

Appendix C: Accessories
C-2 TDS3000B Series User Manual
Standard Accessories (cont.)
Manuals
The oscilloscope includes a printed User and Reference manual.
All TDS3000B product and optional accessory user manuals, in all
supported languages, are available to download from the
www.tektronix.com web site.
Optional Accessories
TDS3VID Extended Video application package
The extended video application package adds video trigger, video
picture, vectorscope (vectorscope supports component video
only), analog HDTV triggering, and measurement capabilities to
your oscilloscope. Application packages can be installed by the
user.
TDS3TMT Telecom Mask Test application package
The telecom mask test application package adds ITU--T G.703,
ANSI T1.102 (up to DS3 data rates), and custom mask testing
capabilities to your oscilloscope. Application packages can be
installed by the user.

Appendix C: Accessories
TDS3000B Series User Manual C-3
Optional Accessories (cont.)
TDS3SDI 601 Digital Video application package
This application package adds 601 serial digital video to analog
video conversion, video picture, vectorscope, and analog HDTV
triggering capabilities to your oscilloscope. Application packages
can be installed by the user.
TDS3AAM Advanced Analysis application package
The Advanced Analysis application package adds advanced math
capabilities to your oscilloscope, including DPO math, arbitrary
math expression waveforms, new measurements and
measurement statistics, and FFT waveform analysis. Application
packages can be installed by the user.
TDS3LIM Limit Test application package
The Limit Test application module adds custom waveform limit
testing capabilities to your oscilloscope. Application packages can
be installed by the user.
TDS3GV GPIB/RS-232/VGA communication module
This communication module adds GPIB, RS-232, and VGA video
ports to your oscilloscope. You can attach a printer to the GPIB or
RS-232 ports, or use the ports for remote programmability. You
can attach a monitor to the VGA port to enhance viewing the
screen from a distance. Communication modules can be installed
by the user and include a programmer manual.
NOTE: This module replaces the TDS3GM and TDS3VM
modules, which are no longer manufactured. The TDS3GM and
TDS3VM communication modules will operate in the TDS3000B
Series oscilloscopes.

Appendix C: Accessories
C-4 TDS3000B Series User Manual
Optional Accessories (cont.)
TDS3CHG external battery charger
The battery charger recharges the oscilloscope battery pack in
approximately 5 hours.
TDS3BATB rechargeable battery pack
A rechargeable battery pack that provides up to three hours of
portable operation.
TDS3PRT Thermal Printer
The TDS3PRT Thermal Printer is a plug-in oscilloscope-powered
monochrome thermal printer that lets you print screen images.

Appendix C: Accessories
TDS3000B Series User Manual C-5
Optional Accessories (cont.)
AC3000 soft case
The soft case protects the oscilloscope when not in use. The soft
case provides compartments for probes, one spare battery,
battery charger, and the User Manual.
RM3000 rack mount kit
The rack mount kit contains all the hardware necessary to mount
your oscilloscope in a standard rack. The kit requires 7 inches of
vertical space in the rack.
WSTRO WaveStar Software for Oscilloscopes
WaveStar is a Microsoft Office 97-compatible application that
connects your oscilloscope to your PC. You can upload and
download waveforms and setups. You can drag and drop
acquired data into spreadsheets for further analysis, into word
processors to integrate with your documentation, or to printers
and plotters to make hard copies.
TDSPCS1 OpenChoice Solutions Software
OpenChoice solutions deliver simple, seamless integration
between your oscilloscope and your PC to easily capture, transfer,
document, and analyze measurement results using popular
PC-based applications.

Appendix C: Accessories
C-6 TDS3000B Series User Manual
Optional Accessories (cont.)
Manuals
The service manual (071-0972-XX) provides information about
maintenence and module-level repair.
The programmer manual (071--0381--XX) provides information
and a list of the oscilloscope control and query commands.

TDS3000B Series User Manual D-1
Appendix D: Probe Basics
This chapter contains basic information about the P3010 or P6139A
probes provided with your oscilloscope. It also contains information
about other probes you can use with your oscilloscope and their
limitations.
Probe Descriptions
The P3010 and P6139A are high-impedance passive probes with the
following general characteristics.
Characteristic P3010 P6139A
Cable length 2m 1.3 m
Compatibility 100 MHz oscilloscope
models
200 MHz -- 600 MHz
oscilloscope models
Bandwidth 100 MHz 500 MHz
Attenuation 10X 10X
Nominal input
impedance
10 MΩin parallel with
13.3 pF
10 MΩin parallel with
8pF
Maximum working
voltage
300 V, CAT II, derated at
20 dB/decade to 50 V
above 2.5 MHz
300 V, CAT II, derated at
20 dB/decade to 50 V
above 2.5 MHz
Altitude 3,000 m 2,000 m
Temperature Range
Operating -- 1 5 °Cto+55°C-- 1 5 °Cto+65°C
Non Operating -- 6 2 °Cto+85°C-- 6 2 °Cto+85°C
Pollution Degree 2, Indoor use only 2, Indoor use only

Appendix D: Probe Basics
D-2 TDS3000B Series User Manual
Probe Compensation
You should compensate a probe to an oscilloscope input whenever
you attach a probe for the first time to any input channel. See
page 1--3 for instructions to compensate probes.
When compensating the P3010, only adjust the trimmer marked L.
L
TekProbe Interface
Probes with the TekProbe interface automatically communicate with
the oscilloscope to set the probe type and attenuation factor. If you
use a probe without the TekProbe interface, you can set these
parameters in the Vertical menu for the channel that the probe is
connected to.

Appendix D: Probe Basics
TDS3000B Series User Manual D-3
Probe Guard
A guard around the probe body provides a finger barrier for
protection from electric shock.
Guard
WARNING. To avoid electric shock when using the probe, keep fingers
behind the guard on the probe body.
To avoid electric shock when using the probe, do not touch metallic
portions of the probe head while connected to a voltage source.
Ground Leads
Always use a ground lead when you probe a circuit to minimize
noise pickup and signal aberrations. Connecting the ground lead to a
point near the signal source usually provides the best results.
Long ground leads can cause false ringing and aberrations in the
acquired waveform that are not in the actual signal. To see the best
signal fidelity, use the shortest possible ground lead.
Long Ground Lead
Short Ground Lead

Appendix D: Probe Basics
D-4 TDS3000B Series User Manual
P3010 High-Frequency Compensation
The P3010 high-frequency compensation should seldom require
adjustment; however, your probe may require high-frequency
adjustment if either of the following are true:
Hthe probe has high-frequency aberrations
Hthe probe does not perform at the rated bandwidth
To perform the high-frequency compensation adjustment you will
need a signal source that has all of the following characteristics:
1MHz
tr<1 ns
90%
10%
>1 Vp-p
Hsquare-wave output at 1 MHz
Hfast rise output with rise time less than 1 ns
Houtput properly terminated

Appendix D: Probe Basics
TDS3000B Series User Manual D-5
Connect the P3010 to the signal source to display a 1 MHz test signal
on your oscilloscope. Use the BNC-to-probe tip adapter
(013-0277-00) to make the connection. (The display should be
similar to that shown below).
(a) Area Of Waveform Affected By
Adjustment
(b) Location of Adjustment
10 ns
H
H
Adjust trimmer H until the waveform is flat on top and has a square
leading edge.

Appendix D: Probe Basics
D-6 TDS3000B Series User Manual
P3010 Replaceable Parts and Accessories
Optional Accessories
Standard Accessories
1
2
34 5 6
789

Appendix D: Probe Basics
TDS3000B Series User Manual D-7
P3010 replaceable parts and accessories
Index
number Description
Part
number
1Retractable hook tip 013-0107-08
2Probe tip 131-4997-01
3Ground lead, 6 in 196-3120-01
4Marker set (four colors, two each) 016-0633-00
5Adjustment tool 003-1433-01
6BNC-to-probe tip adapter 013-0277-00
7Ground lead, 28 in 196-3120-21
8Ground lead, 12 in 196-3121-01
9IC test tip, package of 10 015-0201-07

Appendix D: Probe Basics
D-8 TDS3000B Series User Manual
P6139A Replaceable Parts and Accessories
1
2
3
4
5
6
7
8
9
10
11
12
13
Optional Accessories
Standard Accessories
14
15
16 17 18 19

Appendix D: Probe Basics
TDS3000B Series User Manual D-9
P6139A replaceable parts and accessories
Index
number Description
Part
number
1Compensation box assembly 206-0440-00
2BNC connector 131-3219-00
3Cable cover nipple 200-3018-00
4Cable assembly 174-0978-00
5Ground collar 343-1003-01
6Ground lead, 6 in 196-3113-02
7Ground lead, 2.3 in 195-4240-00
8Marker set (four colors, two each) 016-0633-00
9IC Klipchip grabber, package of 20 206-0364-00
01 Adjustment tool 003-1433-01
11 Ground lead with clip, 6 in 196-3305-00
12 Probe tip assembly 206-0441-00
13 Probe tip cover 204-1049-00
14 Retractable hook tip 013-0107-06
15 Ground lead, 3 in 196-3113-03
16 Probe to connector pin adapter 015-0325-00
17 50 ΩBNC-to-probe tip termination and
adapter
013-0227-00
18 Ground contact kit (two each of five lengths)
with cover shell
016-1077-00
19 Grounding probe tip 013-0085-00

Appendix D: Probe Basics
D-10 TDS3000B Series User Manual
Using Other Probes
Optional probes can add capabilities to your oscilloscope that are
useful in many applications.
Passive Probes
You can use the following passive probes without any limitations.
Passive probe Recommended usage
P6561A SMT probe, 200 MHz, 10X
P6562A SMT probe, 350 MHz, 10X
P6563A SMT probe, 500 MHz, 20X
P5100 High-voltage probe, 2500 Vpk CAT II, 250 MHz, 100X
P6015A High-voltage probe, 20 kV DC, 75 MHz, 1000X
P6021 Current probe, 15 A, 120 Hz to 60 MHz
P6022 Current probe, 6 A, 935 Hz to 120 MHz

Appendix D: Probe Basics
TDS3000B Series User Manual D-11
Supported Active Probes and Adapters
The oscilloscope supplies power to active probes. You can use the
following active probes as long as the total power required by the
probes does not exceed the capacity of the oscilloscope. To
determine the total probe load, add the load factors for all probes you
want to use. The oscilloscope can supply power to this combination
if the sum of the load factors equals 10 or less. All passive probes
have a load factor of zero.
Active probe Recommended usage Load factor
P6205 FET probe, 750 MHz, 10X 0
P6243 SMT probe, 1 GHz, 10X 0
P5205 High-voltage differential probe,
1300 V, 100 MHz, 50X or 500X
6
P5210 High-voltage differential probe,
5600 V, 50 MHz, 100X or 1000X
6
ADA400A Differential preamplifier, 10mV sensitiv-
ity, DC to 10 kHz
5
AFTDS Telecom differential 50 Ωadapter 0
AMT75 Telecom 75 Ωadapter 0
TCP202 Current probe, 15 A, DC to 50 MHz 4
013-0278-00 Video display clamp 5
CAUTION. To avoid a measurement error, do not connect active
probes with a combined load factor that is greater than 10. The
signal distortion caused by such an overload can be subtle (reduced
gain, dynamic range, or slew rate).

Appendix D: Probe Basics
D-12 TDS3000B Series User Manual
Unsupported Probes
The TDS3000B Series only supports the probes listed in this section
of the manual. The oscilloscope may not display a message when
you connect an unsupported probe, so make sure that any probe you
connect to the TDS3000B is supported.

TDS3000B Series User Manual E-1
Appendix E: Performance Verification
Please refer to the TDS3000B Digital Phosphor Oscilloscope Service
Manual (Tektronix part number 071--0972--XX) for performance
verification procedures. You can download this manual from the
Tektronix web site, www.tektronix.com.

Appendix E: Performance Verification
E-2 TDS3000B Series User Manual

TDS3000B Series User Manual F-1
Appendix F: General Care and Cleaning
General Care
Protect the oscillscope from adverse weather conditions. The
oscilloscope is not water resistant.
Do not store or leave the oscilloscope where the LCD display will be
exposed to direct sunlight for long periods of time.
CAUTION. To avoid damage to the oscilloscope, do not expose it to
sprays, liquids, or solvents.
Cleaning
Inspect the oscillosope as often as operating conditions require. To
clean the oscilloscope exterior, perform the following steps:
1. Remove loose dust on the outside of the oscilloscope with a
lint-free cloth. Use care to avoid scratching the glass display
filter.
2. Use a soft cloth or paper towel dampened with water to clean the
oscilloscope. You can use a 75% isopropyl alcohol solution for
more efficient cleaning.
CAUTION. To avoid damage to the surface of the oscilloscope, do not
use any abrasive or chemical cleaning agents.

Appendix F: General Care and Cleaning
F-2 TDS3000B Series User Manual

TDS3000B Series User Manual G-1
Appendix G: Ethernet Setup
The following sections describe how to set up the TDS3000B Series
oscilloscope for network hard copy printing and remote programma-
bility or access. The TDS3000B requires a straight-through 10BaseT
cable with RJ-45 connector to connect to a LAN, or a crossover
cable to connect to a PC equipped with an Ethernet card.
Your Ethernet Network Information
To connect the oscilloscope to the network, you must first obtain
information from your network administrator. For your convenience,
use the form on page G--15.
Make two photocopies of the form and send them to your network
administrator to fill in. If you require remote access to the oscillo-
scope for programming or e*Scope access, then have the network
administrator fill in section 1. If you require your oscilloscope to
print screen hard copies to a network printer, then have the network
administrator fill in sections 1 and 2. The administrator can then
return one copy to you and keep the other copy.
NOTE. If the DHCP/BOOTP server assigns a dynamic IP address,
then the value in the Instrument IP Address field may be different
each time you power on the oscilloscope. This is not a problem if you
are mostly sending hard copy to a network printer.

Appendix G: Ethernet Setup
G-2 TDS3000B Series User Manual
However, if you intend to remotely control or access the oscilloscope,
have the system administrator assign a static IP address so that the
oscilloscope IP address does not change. A static IP address makes it
easier for remote devices to access a specific oscilloscope.
Entering the Ethernet Network Settings
The procedure for entering the oscilloscope Ethernet network
parameters depends on your network configuration. If your network
supports DHCP or BOOTP, then use the following procedure. If your
network does not support DHCP or BOOTP, then use the procedure
on page G--3.
Networks That Support DHCP and BOOTP
If your network supports DHCP/BOOTP, do these steps:
1. Push the UTILITY front panel button.
2. Push the System menu button to select I/O.
3. Push the Ethernet Network Settings screen button.
4. Push the DHCP/BOOTP side button to select On. The screen
displays the clock icon while it is talking with the network to
obtain an IP address for the oscilloscope. This step should only
take a few moments, but the actual time will vary depending on
your network. The clock icon disappears when the task is
finished.

Appendix G: Ethernet Setup
TDS3000B Series User Manual G-3
5. To verify that the network assigned an IP address to the
oscilloscope, push the Change Instrument Settings side button
to display the oscilloscope ethernet settings. The instrument IP
address field should now be filled in.
If the instrument IP address field is blank, then the oscilloscope
was not able to obtain an IP address from the network. Contact
your network administrator for help, or use the procedure on page
G--3 to manually enter the Ethernet settings.
Networks That Do Not Support DHCP and BOOTP
If your network does not support DHCP or BOOTP protocols, you
will need to manually enter the oscilloscope network settings. To
enter the Ethernet network settings information from section 1 of the
form, do the following steps:
1. Push the UTILITY front panel button.
2. Push the System bottom button to select I/O.
3. Push the Ethernet Network Settings bottom button.
4. Push the Change Instrument Settings side button. The
oscilloscope displays the Instrument Setup screen.
5. Use the Instrument Setup screen menu items and controls to enter
the network settings information from section 1 of the form. See
page G--8 for a description of the Instrument Setup screen.
6. If the form shows that DHCP or BOOTP are supported on your
network, push the DCHP/BOOTP side button to select On.
7. When you are done entering the Ethernet network settings, push
the OK Accept side button to store the settings in your
instrument.

Appendix G: Ethernet Setup
G-4 TDS3000B Series User Manual
Entering the Network Printer Settings
To enter the Ethernet printer settings information from section 2 of
the form into your oscilloscope, do the following steps:
1. Push the UTILITY front panel button.
2. Push the System bottom button to select I/O.
3. Push the Ethernet Printer Settings bottom button. The
oscilloscope displays the Printer Configuration screen, which lists
all network printers loaded into the oscilloscope.
4. Push the Add Printer side button. The oscilloscope displays the
Add Printer screen.
5. Use the Add Printer screen menu items and controls to enter the
network printer information from section 2 of the form. See page
G--11 for a description of the Add Printer screen.
NOTE. If you have set the domain name and DNS IP address in the
Ethernet Network Settings menu, then all you need to enter is the
network printer’s server name or the printer’s server IP address in
the Add Printer screen. The DNS server will look up the missing
information.
6. When you are done entering the Ethernet printer settings, push
the OK Accept side button to store the settings in your
instrument. The oscilloscope returns you to the Printer Configura-
tion screen, which lists the printer information you just entered.
You can enter and store multiple network printer parameters.

Appendix G: Ethernet Setup
TDS3000B Series User Manual G-5
Testing Your Ethernet Connection
The following text describes how to test the Ethernet connection,
network printing, and the e*Scope feature. You must already have
entered the oscilloscope Ethernet network and printer settings before
doing these tests.
Testing the Oscilloscope Connection
To test your oscilloscope’s Ethernet connection, do the following
steps:
1. Push the UTILITY front panel button.
2. Push the System bottom button to select I/O.
3. Push the Ethernet Network Settings bottom button to display
the Network Configuration side menu.
4. Push the Test Connection side button. If the connection is good,
the side menu displays OK. If you do not see OK,gotopage
G--7 for troubleshooting suggestions.
Testing Network Printing
To test sending screen hard copy images to an Ethernet network
printer, do the following steps:
1. On the oscilloscope, push UTILITY > System : I/O > Ethernet
Printer Settings.
2. Select a network printer from the list.
3. Push the System bottom button to select Hardcopy.

Appendix G: Ethernet Setup
G-6 TDS3000B Series User Manual
4. Push the appropriate bottom and side menu buttons to select the
correct settings for your network printer.
5. Push MENU OFF to clear the screen.
6. Push the Hard Copy button. The oscilloscope sends a hard copy
screen image to the selected network printer. If the printer does
not print the oscilloscope screen, go to page G--7 for trouble-
shooting suggestions.
Testing e*Scope
To use the e*Scope feature to test your oscilloscope’s Ethernet
connection, do the following steps:
1. On a PC or work station, open your preferred browser program.
2. In the Location or Address field (where you normally enter a
URL), type in the IP address of the TDS3000B Series instrument
to which you want to connect. For example,
http://188.121.212.107. Do not precede the IP address with any
characters (such as www).
3. Press the Return key. The browser program loads the instrument’s
e*Scope home page. If the e*Scope home page does not display,
refer to page G--7 for troubleshooting suggestions.

Appendix G: Ethernet Setup
TDS3000B Series User Manual G-7
Troubleshooting Your Ethernet Connection
If you are not able to remotely access the oscilloscope using e*Scope
or programming commands, work with your system administrator to
verify that:
HYour oscilloscope is physically connected to the network.
HYour oscilloscope network settings are correct.
HYour system administrator can “ping” the oscilloscope to verify
that the instrument is electronically connected to the network.
If you are not able to send a hard copy to a network printer, work
with your system administrator to verify that:
HYou have set the oscilloscope to send hard copy output to the
Ethernet port.
HYou have set the hard copy file format to the correct format for
your network printer.
HYou have selected the correct printer in the Printer Configuration
screen.
HThe selected network printer is connected to the network and is
online.
HThe selected network printer server is running.

Appendix G: Ethernet Setup
G-8 TDS3000B Series User Manual
The Instrument Setup Screen
The following figure shows the Instrument Setup screen. The text
that follows describes the screen menu items and controls for
entering Ethernet network settings.
HTTP Port
The HTTP Port field sets the network http socket value for the
oscilloscope. This field lets you set up the oscilloscope as an
e*Scope web server on a port other than the default port 80. This is
useful for avoiding conflicts with existing web servers that use the
same IP address through a router. The default value is 80.

Appendix G: Ethernet Setup
TDS3000B Series User Manual G-9
Instrument Setup
Control Description
General purpose knob Selects (highlights) an alphanumeric character in
the list.
Enter Character Adds the selected alphanumeric character to the
current network parameter field. You can also use
the front panel SELECT button. The list of
available characters changes depending on which
field is selected.
←and →Moves the cursor left or right in the current field.
Back Space Erases the character to the left of the cursor.
Delete Erases the character at the cursor position.
Clear Clears (erases) the current field.
↑and ↓Selects a field to edit.
OK Accept Closes the Instrument Setup screen and applies
the network settings.
MENU OFF Closes the Instrument Setup screen and returns
you to the previous screen without applying
changes.

Appendix G: Ethernet Setup
G-10 TDS3000B Series User Manual
The Printer Configuration Screen
The following figure shows the Printer Configuration screen.
To select a network printer to which to send hard copy, use the
general purpose knob to select (highlight) a printer. The oscilloscope
uses the selected printer until you select a different printer.
To add a new printer, push the Add Printer side button. The
oscilloscope displays the Add Printer screen, which is described on
page G--11.
To rename an existing printer, select a printer and push the Rename
Printer side button.
To delete a printer, select a printer and push the Delete Printer side
button. If the Confirm Delete button is On, the oscilloscope asks you
for confirmation before deleting the printer.

Appendix G: Ethernet Setup
TDS3000B Series User Manual G-11
The Add Printer Screen
The following figure shows the Add Printer screen. The text that
follows describes the screen menu items and controls for entering
printer configuration settings.

Appendix G: Ethernet Setup
G-12 TDS3000B Series User Manual
Add Printer Control Description
General purpose knob Selects (highlights) an alphanumeric character in
the list.
Enter Character Adds the selected alphanumeric character to the
current printer setting field. You can also use the
front panel SELECT button. The list of available
characters changes depending on which field is
selected.
←and →Moves the cursor left or right in the current field.
Back Space Erases the character to the left of the cursor.
Delete Erases the character at the cursor position.
Clear Clears (erases) the current field.
↑and ↓Selects a field to edit.
OK Accept Closes the Add Printer screen and applies the
printer settings. You can use the new printer
immediately.
MENU OFF Closes the Add Printer screen and returns you to
the previous screen without applying changes.

Appendix G: Ethernet Setup
TDS3000B Series User Manual G-13
Other Network Printer Settings
To verify that your oscilloscope is set to print to a network printer, do
the following steps.
1. Select a network printer in the Ethernet printer list. You select a
printer by using the general purpose knob to highlight a printer
name in the list.
2. Push the MENU OFF button to exit from the System I/O menus.
3. Push UTILITY >System to select Hard Copy.
4. Push the Format bottom button and select the side button that is
correct for your network printer.
5. Push the Port bottom button and select the Ethernet side button.
6. Set Inksaver to ON to print the oscilloscope screen as a black on
white background image.
7. Push the MENU OFF button to exit from the System Hard Copy
menus.
Testing Network Printers
To test that your oscilloscope is set to print to a network printer,
push the Hard copy button. The printer should print the current
screen to the selected network printer. If the printer does not print the
screen, refer to page to page G--7 for troubleshooting suggestions.

Appendix G: Ethernet Setup
G-14 TDS3000B Series User Manual
Ethernet Error Messages
The following error messages can occur when you are having
network problems. Read the text that follows to help rectify the
problem.
Print Server Not Responding. This notifier displays when the
oscilloscope attempts to send data to the selected network printer but
the network refuses the connection to the network printer. This
usually means that the network printer server is offline or the print
server IP address is incorrect.
If DNS is available then you can verify the network print server data
by entering the printer name and either (but not both) the print server
name or the IP address. The DNS protocol will fill in the missing
data if the user-supplied data is correct.
If DNS is not available, then contact your network administrator for
help.
Printer Not Responding. This notifier displays when the oscilloscope
attempts to send data to the selected network printer but the print
server is unable to forward the data to the network printer. This
usually means that the network printer is offline or the printer name
is incorrect. Contact your network administrator to obtain the correct
printer queue name.
DNS Server Not responding. This notifier displays when either the
Domain information (Domain name or IP address) is not correct, or
the print server name or printer server IP address is not validated (via
the Domain Name Server).

Appendix G: Ethernet Setup
TDS3000B Series User Manual G-15
Ethernet Settings Form
TDS3000B Ethernet Setup Form for_______________________________________
TDS3000B Ethernet Hardware address : ::::
(User: copy this address from the UTILITY > System: I/O > Ethernet Network
Settings > Change Instrument Setup screen before sending this form to the network
administrator)
Type of IP address requested: Dynamic (DHCP/BOOTP) -Static -
(User: See page G--1 for information on dynamic and static IP addresses)
1IP address settings (from network admin.):
Instrument Name___________________
Instrument (IP) Address______.______.______.______
Domain Name: __________________________
DNS IP Address: ______.______.______.______
Gateway IP Address: ______.______.______.______
Subnet mask ______.______.______.______
HTTP Port:________
(User: Enter these values on the UTILITY > I/O > Ethernet Network
Settings > Change Instrument Settings screen)
2Network Administrator: Please provide network information about the
following printer:
Printer Location: ____________________________________________
Printer Make: _________________ Model: ______________________
(User: fill in above printer information before sending form)
Printer Network Name: ______________
Printer Server Name: ________________
Print Server IP Address: _____._____._____._____
(User: Enter above information on the UTILITY > I/O >
Ethernet Printer Settings > Add Printer screen.

Appendix G: Ethernet Setup
G-16 TDS3000B Series User Manual

Glossary

TDS3000B Series User Manual Glossary- 1
Glossary
AC Coupling
A mode that blocks the DC component of a signal but passes the
dynamic (AC) component of the signal. Useful for observing an
AC signal that is normally riding on a DC signal.
Acquisition
The process of sampling signals from input channels, digitizing
the samples, processing the results into data points, and
assembling the data points into a waveform record. The
waveform record is stored in memory.
Active Cursor
The cursor that moves when you adjust the general purpose
knob. The @ readout on the display shows the position of the
active cursor.
Aliasing
A false representation of a signal due to insufficient sampling of
high frequencies or fast transitions. A condition that occurs
when an oscilloscope digitizes at an effective sampling rate that
is too slow to reproduce the input signal. The waveform
displayed on the oscilloscope may have a lower frequency than
the actual input signal.
Application Module
A small module that you plug in to the front panel to add
capabilities to your oscilloscope. You can use up to four
application modules at one time.
Application Package
An optional package that may include an application module, a
firmware upgrade, and manuals that add capabilities to your
oscilloscope.

Glossary
Glossary- 2 TDS3000B Series User Manual
Attenuation
The degree the amplitude of a signal is reduced when it passes
through an attenuating device such as a probe or attenuator (the
ratio of the input measure to the output measure). For example,
a 10X probe attenuates, or reduces, the input voltage of a signal
by a factor of 10.
Auto Trigger Mode
A trigger mode that causes the oscilloscope to automatically
acquire if it does not detect a valid trigger event.
Autoset
A feature that automatically sets the vertical, horizontal, and
trigger controls to provide a usable display.
Average Acquisition Mode
A mode in which the oscilloscope acquires and displays a
waveform that is the averaged result of several acquisitions.
The oscilloscope acquires data as in the sample mode and then
averages it according to a specified number of averages.
Averaging reduces uncorrelated noise in the displayed signal.
Backlight
The illumination behind the liquid-crystal display.
B Trigger
A second trigger system that works with the main (A) trigger to
capture more complex events. You can use the dual A and B
triggers to trigger after a given wait time or number of events.
Cursors
Paired markers that you can use to make measurements between
two waveform locations. The oscilloscope displays the values
(expressed in volts, time, or frequency) of the position of the
active cursor and the distance between the two cursors.

Glossary
TDS3000B Series User Manual Glossary- 3
DC Coupling
A mode that passes both AC and DC signal components to the
circuit. Available for both the trigger system and the vertical
system.
Communication Module
An optional module that adds I/O ports to the oscilloscope.
Delay
A means to delay the acquisition to start long after the trigger
event has occurred. The trigger point does not have to be within
the waveform record when delay is on.
Digital Phosphor
A term that describes the way the digitizing oscilloscope can
simulate the acquisition behavior of an analog oscilloscope.
Displayed points vary in intensity depending on the frequency of
their acquisition and then decay as if the oscilloscope had an
analog CRT (cathode ray tube).
Digital Real Time Digitizing
A digitizing technique that samples the input signal with a
sample frequency of four to five times the oscilloscope
bandwidth. Combined with (sinx)/x interpolation, all frequency
components of the input up to the bandwidth are accurately
displayed.
Digitizing
The process of converting a continuous analog signal such as a
waveform to a set of discrete numbers representing the
amplitude of the signal at specific points in time.

Glossary
Glossary- 4 TDS3000B Series User Manual
e*Scope™Web-based Remote Control
A feature that lets you remotely access and control a TDS3000B
Series oscilloscope over the Internet.
Edge Trigger
Triggering that occurs when the oscilloscope detects the source
passing through a specified voltage level in a specified direction
(the trigger slope).
Envelope Acquisition Mode
A mode in which the oscilloscope acquires and displays a
waveform that shows the variation extremes of several
acquisitions.
External Trigger
Triggering that occurs when the oscilloscope detects the external
input signal passing through a specified voltage level in a
specified direction (the trigger slope).
Floating Measurements
Voltage measurements where the reference voltage is not earth
ground.
General Purpose Knob
A knob on the front panel that you can use to set parameters, for
example, cursor position. The specific parameter assigned to the
general purpose knob depends on other selections.
Gray Scale
The waveform display capable of showing points at different
intensities, depending on the frequency of their occurrence.
Color “gray scale” consists of light and dark shades of the color.

Glossary
TDS3000B Series User Manual Glossary- 5
Ground (GND) Coupling
Coupling option that disconnects the input signal from the
vertical system.
Ground Lead
The reference lead for an oscilloscope probe.
Ground Wire
A wire that must be connected between the ground terminal and
earth ground when using the oscilloscope with battery power.
Hard Copy
An electronic copy of the display in a format useable by a
printer or plotter.
Holdoff
A specified amount of time that must elapse after a trigger
signal before the trigger circuit will accept another trigger
signal. Holdoff helps ensure a stable display.
Horizontal Bar Cursors
The two horizontal bars that you position to measure the voltage
parameters of a waveform. The oscilloscope displays the value
of the active (moveable) cursor with respect to ground and the
voltage value between the bars.
Menu
A set of labels shown in the display to identify the functions of
the bezel buttons. The specific menu contents depend on the
menu button you press.

Glossary
Glossary- 6 TDS3000B Series User Manual
Normal Trigger Mode
A mode where the oscilloscope does not acquire a waveform
record unless a valid trigger event occurs. It waits for a valid
trigger event before acquiring waveform data.
Peak Detect
An acquisition mode that captures spikes and glitches that may
occur between normal sample points.
Persistence
The decay of waveform points. With persistence turned off, the
points decay quickly. With persistence on, the points decay more
slowly or not at all, depending on the setting.
Pixel
A visible point on the display. The display is 640 pixels wide by
480 pixels high.
Pretrigger
The specified portion of the waveform record that contains data
acquired before the trigger event.
Preview
The oscilloscope capability to show you what the next
acquisition might look like if you change control settings while
acquisition is stopped or waiting for the next trigger. The new
control settings take effect for the next acquisition. Both
horizontal and vertical preview are available.
QuickMenu
An alternate display presentation that lets you control the most
commonly used functions with the screen buttons. Optional
application packages may have an available QuickMenu display.
Record Length
The specified number of samples in a waveform.
Reference Waveform
A saved waveform selected for display. You can save and
display up to four reference waveforms.

Glossary
TDS3000B Series User Manual Glossary- 7
Roll Mode
An acquisition mode useful at slow horizontal scale settings.
Roll mode allows you to view the waveform as it is acquired
point-by-point. The waveform appears to roll across the display.
RS-232
The serial communication port used to connect to a hard-copy
device, computer, controller, or terminal.
Sample Acquisition Mode
A mode in which the oscilloscope creates a record point by
saving the first sample during each acquisition interval. This is
the default mode of the acquisition system.
Sample Interval
The time interval between successive samples in a time base.
For real-time digitizers, the sample interval is the reciprocal of
the sample rate.
Sampling
The process of capturing an analog input, such as a voltage, at a
discrete point in time and holding it constant so that it can be
quantized.
Scope QuickMenu
A built-in QuickMenu that places the most commonly used
oscilloscope controls around the screen. With the Scope
QuickMenu, you may not need to use the main menu system to
operate the oscilloscope.

Glossary
Glossary- 8 TDS3000B Series User Manual
Screen Buttons
The rows of buttons below and to the right of the display that
select items in the menus.
Selected Waveform
The waveform on which all measurements are performed and
which is affected by vertical position and scale adjustments.
Signal Path Compensation (SPC)
The ability of the oscilloscope to minimize the electrical offsets
in the vertical, horizontal, and trigger amplifiers caused by
ambient temperature changes and component aging. You should
run SPC when the ambient temperature varies more than 5_C
from the last SPC or before performing critical measurements.
Single Sequence
A single shot acquisition if Sample or Peak-detect acquisition
mode is selected. A series of N acquisitions if Average or
Envelope acquisition mode is selected (N is the number of
averages or envelopes).
Standby (STBY)
The off-like state when the instrument in not in use. Some
circuits are active even while the instrument is in the standby
state.
TekProbe Interface
An interface that communicates information between a probe
and the oscilloscope, such as the probe type and its attenuation
factor. The interface also supplies power to active probes.

Glossary
TDS3000B Series User Manual Glossary- 9
Tek Secure
A feature that erases all waveform and setup memory locations
(setup memories are replaced with the factory setup). Then it
checks each location to verify erasure. This feature is useful
where the oscilloscope is used to gather security-sensitive data.
Time Base
The set of parameters that let you define the time and horizontal
axis attributes of a waveform record. The time base determines
when and how long to acquire record points.
Vertical Bar Cursors
The two vertical bars you position to measure the time
parameter of a waveform record. The oscilloscope displays the
value of the active (moveable) cursor with respect to trigger and
the time value between the bars.
Video Trigger
Triggering on the sync pulse of a composite video signal.
WaveAlert™Waveform Anomaly Detection
A feature that lets you monitor steady--state waveforms and
notify you when the oscilloscope detects a waveform anomaly.
An anomaly is any waveform that differs significantly from the
previously-acquired waveform.

Glossary
Glossary- 10 TDS3000B Series User Manual
XY Format
A display format that compares the voltage level of two
waveform records point by point. It is useful for studying phase
relationships between two waveforms.
YT Format
The conventional oscilloscope display format. It shows the
voltage of a waveform record (on the vertical axis) as it varies
over time (on the horizontal axis).
Zoom
The horizontal magnification capability of the oscilloscope.
Zoom is a display function; adjusting zoom does not affect the
acquired waveform.

Index

TDS3000B Series User Manual Index- 1
Index
A
accessories, C--1
acquisition
menu, 3--6
modes, 3--8
overview, 1--5
rate, 3--12
resolution, 3--12
single shot, 2--20, 3--3
status, 3--2
stopped, 3--2
waiting for trigger, 3--2
active cursor, 3--18
Address, Tektronix, xi
adjusting probes, 1--3
advanced analysis application
module, C--3
alternating trigger, 3--67
amplitude measurement, 3--44
application modules
descriptions, C--2, C--3
installing, 1--17
applications
autoset, 2--2
averaging, 2--11
cursors, 2--12
custom measurements, 2--6
delay, 2--13
examples, 2--1
gray scale, 2--19
measurements, 2--3, 2--5
measuring jitter, 2--15
peak detect, 2--10
video, 2--16
zoom, 2--22
AUTOSET
button, 3--4
undo, 3--4
averaging, 3--8
B
B TRIG button, 3--59
B trigger, how to use, 3--59
backlight
intensity, 3--23
timeout, 3--73
bandwidth selection, 3--82
battery
charging, 1--16, C--4
installation, 1--14
power, 1--12
recycling, viii
safety, 1--13
burst width measurement, 3--44
C
calibration, 1--4, 3--77
cleaning, F--1
clear spool, 3--29
COARSE button, 3--18
color
display, 3--25
printing, 3--29
communication modules
description, C--2, C--3
installing, 1--19
compressing hard copy files, 3--29
constellation diagram, 3--26
Contacting Tektronix, xi

Index
Index- 2 TDS3000B Series User Manual
cursors
application example, 2--12
gating, 2--8, 3--42
interactions, 3--43
locating, 3--18, 3--22
measurements, 2--12
measurements when cursors at
same position, 3--20
readouts, 3--19
tracking mode, 3--20
V Bars and FFT measurements,
3--20
XY cursor menu, 3--21
YT cursor menu, 3--16
cycle mean measurement, 3--44
cycle RMS measurement, 3--44
D
date, setting, 1--4
date/time, how to use, 3--72
delay
example application, 2--13
how to use, 3--33
interactions, 3--34, 3--37, 3--38
DELAY button, 3--33
delay measurement, 3--44
deskew, probe, 3--82
diagnostics, 3--78
digital phosphor, 3--5
disk drive
application example, 2--23
how to use, 3--52
display
colors, 3--25
identifying items in, 1--27
menu, 3--23
overview, 1--7
persistence, 3--25
roll mode, 3--38
slow horiz. settings, 3--37
E
e*Scope, 3--88
edge trigger, 3--64
envelope, 3--8
error log, 3--79
ESD handling precautions, viii
Ethernet, setup, G--1
external trigger, 3--67
F
factory calibration, 3--78
factory setup, detailed description,
B--1
fall time measurement, 3--44
fast trigger, 3--12
file compression, hard copy, 3--29
file system
application example, 2--23
extensions, 3--57
formatting a disk, 3--56
how to use, 3--52
protections, 3--56
waveform data formats, 3--50
firmware upgrade, 3--53
FORCE TRIG button, 3--59
frequency measurement, 3--44

Index
TDS3000B Series User Manual Index- 3
front panel
identifying connectors, 1--31
identifying controls, 1--22
functional check, 1--2
G
gated xyz, 3--26
GPIB, 3--76
communication module, C--2,
C--3
gray scale
application example, 2--19
controlling, 3--5
losing information, 3--36
measurements, 3--19
restrictions, 3--85, 3--87
H
hard copy. See printing
hard copy file compression, 3--29
high level measurement, 3--44
holdoff, 3--68
horizontal
expansion marker, 3--32
position, 3--31
resolution, 3--12
scale, 3--35
horizontal preview
application example, 2--21
interactions, 3--36
horizontal zoom
application example, 2--22
how to use, 3--35
interactions, 3--36
maximum, 3--36
I
I/O ports, 3--74
initial setup, 1--1
ink saver, 3--29
L
language, how to select, 3--71
limit test application module, C--3
M
magnify. See zoom
math
preview, 3--85
source waveform screen position,
3--85
math waveform, 3--84
max measurement, 3--45
mean measurement, 3--45
measurements
cursor, 2--12
gating, 2--8, 3--42
interactions, 3--41
menu, 3--39
reference levels, 2--7
V Bars and FFT, 3--20
menus, how to use, 1--19
min measurement, 3--45

Index
Index- 4 TDS3000B Series User Manual
N
negative measurement
duty cycle, 3--45
overshoot, 3--45
width, 3--45
P
peak detect, 3--8
peak-to-peak measurement, 3--45
performance verification, E--1
period measurement, 3--45
persistence, 3--25
phase measurement, 3--45
Phone number, Tektronix, xi
positive duty cycle measurement,
3--46
positive overshoot measurement,
3--46
positive width measurement, 3--46
power
AC line, 1--11
battery, 1--12
probe, D--11
power cord, 1--11
power off timeout, 3--72
pretrigger, 3--31
preview
application example, 2--21
horizontal, 3--36
vertical, 3--83
printing
color, 3--29
connections, 3--27
date/time stamp, 3--30
error message, 3--30
hard copy file compression, 3--29
ink saver, 3--29
preview, 3--29
printer compatibility, 3--28
spooler, 3--29
probe compensation, 1--3
probe deskew, 3--82
probes
compensating, 1--3
general information, D--1
power limitations, D--11
safety information, D--3
product description
accessories, C--1
models, 1--5
overview, 1--5
probes, D--10
Product support, contact informa-
tion, xi
Q
QuickMenu, 1--29
how to use, 3--47
identifying menu items, 1--29
R
readouts, cursors, 3--19
rear panel, identifying connectors,
1--32
record length, 3--12
reference
scale and position, 3--85, 3--87
waveforms, 3--86
remote control, e*Scope, 3--88
removing waveforms, 3--80

Index
TDS3000B Series User Manual Index- 5
rise time measurement, 3--46
RMS measurement, 3--46
roll mode, 3--38
RS-232
communication module, C--2,
C--3
troubleshooting, 3--76
RUN/STOP button, 3--2
S
safety, battery operation, 1--13
sample, 3--8
save/recall
menu, 3--48
setups, 3--49
waveforms, 3--86
waveforms to file, 3--50
waveforms to ref memory, 3--51
saved waveforms
naming, 3--53
printing, 3--55
SELECT button, 3--18
self test, 3--78
Service support, contact informa-
tion, xi
SET TO 50% button, 3--58
signal path compensation, 1--4,
3--77
signal processing, overview, 1--6
SINGLE SEQ button, 3--3
single shot, 3--3
application example, 2--20
slow roll mode, 3--37
snapshot all measurements, 3--46
specifications, A--1
status
acquisition, 3--2
trigger, 3--63
stopped acquisition, 3--2
T
Technical support, contact informa-
tion, xi
Tek Secure, how to use, 3--73
TekProbe interface, 3--82, D--2
Tektronix, contacting, xi
time base
controlling, 3--35
fast settings, 3--37
time, setting, 1--4
time-out, 3--72
trigger
alternating, 3--67
auto, 3--66
edge, 3--64
external, 3--67
holdoff, 3--68
level, 3--58
menu, 3--58
normal, 3--66
position marker, 3--32
status, 3--63
video, 3--69
XY waveforms, 3--25
U
undo autoset, 3--4
URL, Tektronix, xi
utility menus, 3--70

Index
Index- 6 TDS3000B Series User Manual
V
vertical
menu, 3--81, 3--84, 3--86
offset, 3--83
position, 3--80
preview, 3--83
scale, 3--80
video modulation, application
example, 2--19
video trigger, 3--69
application example, 2--16
sync pulse, 3--69
W
WaveAlert, 3--13
waveform, record icon, 1--28
WAVEFORM INTENSITY, 3--5
waveform off, 3--80
waveforms
file formats, 3--57
saving to file, 3--50
saving to reference memory, 3--50
Web site address, Tektronix, xi
web-based remote control, 3--88
X
XY waveform
controlling, 3--25
gated xyz, 3--26
restrictions, 3--26
triggering, 3--25
XY, XYZ cursors, 3--21
Y
YT cursors, 3--16
Z
zoom
application example, 2--22
how to use, 3--35
interactions, 3--36
maximum, 3--36