OS MasterMap Site Layer User Guide Transformations And OSGM15
Transformations_and_OSGM15_User_Guide
User Manual:
Open the PDF directly: View PDF
.
Page Count: 30

TRANSFORMATIONS AND OSGM15
User Guide

Transformations and OSGM15 user guide [v.1.1] – March 2018 © Ordnance Survey Limited 2018 Page 2 of 30
Transformations and OSGM15
User guide
Contents
Section
Preface ................................................................................................................................. 3
Contact details .............................................................................................................................................. 3
Use of the transformation models .............................................................................................................. 4
Disclaimer ...................................................................................................................................................... 4
Copyright in this guide ................................................................................................................................. 5
Data copyright and other intellectual property rights ............................................................................. 5
Trademarks ................................................................................................................................................... 5
Using this guide ............................................................................................................................................. 5
Chapter 1 Introduction ............................................................................................................... 6
Coordinate transformations and the Geoid model................................................................................... 6
OSTN15 .......................................................................................................................................................... 6
OSi/LPS polynomial transformation .......................................................................................................... 7
Ordnance Survey Geoid model: OSGM15 ................................................................................................... 7
ETRS89 explained ......................................................................................................................................... 8
Benefits .......................................................................................................................................................... 8
Applications ................................................................................................................................................... 8
Software for OSTN15, OSGM15 and OSi/LPS polynomial transformation ............................................. 8
Chapter 2 Data Overview ............................................................................................................ 9
Basic principles ............................................................................................................................................. 9
Data structure ............................................................................................................................................. 10
OSTN15/OSGM15 within Great Britain – format and layout of the data .............................................. 10
OSGM15 within Ireland and Northern Ireland – format and layout of the data .................................. 11
Map of transformation extents .................................................................................................................. 12
Chapter 3 Ordnance Survey transformations and OSGM15 explained .............................................. 13
OSTN15 and OSGM15 in Great Britain ...................................................................................................... 13
Transforming ETRS89 coordinates to OSGB36 National Grid and orthometric heights in GB
overview ....................................................................................................................................................... 13
Calculating which data record to use ....................................................................................................... 13
Procedure for transforming ETRS89 to OSGB36 coordinates and orthometric height ...................... 13
Inverse transformation (OSGB36 to ETRS89) .......................................................................................... 16
The OSi/LPS polynomial transformation ................................................................................................. 16
Table of coefficients for OSi/LPS polynomial transformation ............................................................... 17
OSGM15 in Ireland and Northern Ireland ................................................................................................. 17
Chapter 4 Quality statement ...................................................................................................... 19
Coverage ...................................................................................................................................................... 19
Accuracy of Ordnance Survey transformations....................................................................................... 19
Accuracy of OSGM15 ................................................................................................................................... 19
Annexe A Transforming ETRS89 GNSS coordinates to OSGB36 and orthometric height ...................... 21
Inverse transformation: OSGB36 to ETRS89 ............................................................................................ 23
Annexe B Converting latitude and longitude to easting and northing .............................................. 24
Annexe C Converting easting and northing to latitude and longitude .............................................. 27
Annexe D Glossary ................................................................................................................... 29
[v.1.1] – March 2018

Transformations and OSGM15 user guide [v.1.1] – March 2018 © Ordnance Survey Limited 2018 Page 3 of 30
Preface
This user guide is designed to provide an overview of the Ordnance Survey grid transformations in Great Britain
(OSTN15™), Northern Ireland and Ireland, and the Ordnance Survey Geoid model (OSGM15™). It gives guidelines
and advice to help users understand the information contained in the data, as well as providing detailed technical
information and the data format specification. It assumes that users have an understanding of coordinate systems
and datums. If you find an error or omission in this user guide, or otherwise wish to make a comment or suggestion
as to how we can improve the user guide, please contact us at the address shown below under contact details.
We reserve the right to change the information in this user guide at any time without notice.
Contact details
For users in Great Britain and the Isle of Man, our Customer Service Centre will be pleased to deal with your
enquiries:
Customer Service Centre
Ordnance Survey
Adanac Drive
Southampton
SO16 0AS
General enquiries: +44 (0)3456 050505
Welsh language helpline: 03456 050504
Textphone: +44 (0)2380 056146
customerservices@os.uk
www.os.uk
For users in Northern Ireland:
Land & Property Services
Lanyon Plaza
7 Lanyon Place
Town Parks
Belfast
BT1 3LP
geodetic.survey@finance-ni.gov.uk
www.finance-ni.gov.uk/lps
For users in the Republic of Ireland:
Ordnance Survey Ireland
Phoenix Park
Dublin 8
Ireland
control@osi.ie
www.osi.ie

Transformations and OSGM15 user guide [v.1.1] – March 2018 © Ordnance Survey Limited 2018 Page 4 of 30
This document has been screened in accordance with the requirements set out in Ordnance Survey's
Equality scheme. If you have difficulty reading this information in its current format and would like to find out how
to access it in a different format (Braille, large print, computer disk or in another language), please contact us on:
+44 (0)3456 050505.
Use of the transformation models
Within Great Britain coordinates are transformed using the Ordnance Survey National Grid Transformation model
(OSTN15). Within the Republic of Ireland and Northern Ireland, the OSi/LPS Polynomial Transformation is used.
OSGM15 is used to transform heights throughout the UK and Ireland.
The OSTN15, OSGM15 and OSi/LPS Polynomial transformation models have been created by a consortium
comprising Ordnance Survey Great Britain, Ordnance Survey Ireland (OSi), and Land & Property Services (LPS).
These organisations are responsible for the official, definitive topographic mapping of their respective countries.
All three transformation models are licensed to users pursuant to the terms of the Open Source Initiative BSD
Licence (see http://opensource.org/licenses/bsd-license.php).
If the transformations are incorporated into other software, the copyright notice must be attached to the software
under the terms of the BSD licence is as follows:
'© Copyright and database rights Ordnance Survey Limited 2016, © Crown copyright and database rights Land &
Property Services 2016 and/or © Ordnance Survey Ireland, 2016. All rights reserved.’
Disclaimer
This user guide is provided for guidance only and it does not constitute any warranty, representation, undertaking,
commitment or obligation (express or implied) about the grid transformation models or their suitability for any
particular or intended purpose. It is your responsibility to ensure that the models are suitable for your intended
purpose. We do not accept responsibility for the content of any third party websites referenced or accessed in or
through this user guide, on the Ordnance Survey website and/or in any other documentation.
The OSTN15, OSGM15 and OSi/LPS Polynomial transformation models are provided ‘as is’ and any express or
implied warranties, including, but not limited to, the implied warranties of merchantability and fitness for a
particular purpose are disclaimed.
In no event shall Ordnance Survey Limited Great Britain, Ordnance Survey Ireland (OSi), or Land & Property
Services (LPS) be liable for any direct, indirect, incidental, special, exemplary or consequential damages (including,
but not limited to procurement of substitute goods or services, loss of use, data or profits, or business interruption)
however, caused and on any theory of liability, whether in contract, strict liability, or tort (including negligence or
otherwise) arising in any way out of the use of the OSTN15, OSGM15 and OSi/LPS Polynomial transformation
models, and/or this user guide, even if advised of the possibility of such damage.

Transformations and OSGM15 user guide [v.1.1] – March 2018 © Ordnance Survey Limited 2018 Page 5 of 30
Copyright in this guide
This user guide has been created by Ordnance Survey Limited, Great Britain’s mapping agency and is © Ordnance
Survey Limited 2016. All rights reserved.
Any part of this guide may be copied for use internally in your organisation or business so that you can use the
product for the purpose for which it is licensed to your organisation or business (but not otherwise).
No part of this guide may be reproduced or transmitted in any form or by any means (including electronically) for
commercial exploitation without the prior written consent of Ordnance Survey Limited.
No part of this guide may be copied or incorporated in products, services or publications that you generate for
onward sale, or as free promotional or support materials, without the prior written consent of Ordnance Survey
Limited.
Data copyright and other intellectual property rights
The copyright and database rights in OSTN15 data is owned by Ordnance Survey Limited.
The copyright and database rights in the OSGM15 data are owned by Ordnance Survey Limited and Ordnance
Survey Ireland. The IP provided by LPS in OSGM15 is protected by Crown copyright and database rights.
Trademarks
Ordnance Survey, the OS logos and OSGB36 are registered trademarks and OSTN15 is a trademark of Ordnance
Survey, Britain’s mapping agency. OSGM15 is a trademark of Ordnance Survey, Land & Property Services and
Ordnance Survey Ireland. Land and Property Services is the official mapping organisation of Northern Ireland. The
LPS logo, Ordnance Survey Northern Ireland, OSNI and the OSNI Symbol are registered trademarks of the
Department of Finance NI. The OSi Symbol is a registered trademark of Ordnance Survey Ireland. Ordnance Survey
Ireland and OSi are trademarks of Ordnance Survey Ireland.
Adobe and Reader are registered trademarks of Adobe Systems Incorporated.
Linux is a registered trademark of MSX Licensing Corporation.
OSX is a registered trademark of Apple Inc.
Windows is a registered trademark of Microsoft Corporation.
Using this guide
The documentation is supplied in portable document format (PDF) only. Free Adobe® Reader® software, which
displays the specification, incorporates search and zoom facilities and allows you to navigate within. Hyperlinks are
used to navigate between associated parts of the specification and to relevant internet resources by clicking on the
blue hyperlinks and the table of contents.

Transformations and OSGM15 user guide [v.1.1] – March 2018 © Ordnance Survey Limited 2018 Page 6 of 30
Chapter 1 Introduction
Coordinate transformations and the Geoid model
All Ordnance Survey mapping relates to a coordinate reference system. In Great Britain Ordnance Survey
coordinates relate to OSGB36® (the National Grid); within Northern Ireland and the Republic of Ireland the
coordinate reference system is either the Irish Grid or the Irish Transverse Mercator (ITM). These reference systems
were traditionally realised on the Earth’s surface by monumented triangulation stations. The users of mapping
products, in both the public and private sectors, have invested in geographical information systems (GIS) and asset
management systems based on these grid systems, which have been accepted as de facto national standards.
The National Grid and the Irish Grid are capable of supporting surveying and mapping in UK and Ireland to meet all
the requirements of users both now and in the future; however, an increasing number of spatial datasets are
available in GNSS (Global Navigation Satellite System, e.g. GPS) compatible coordinate systems, such as ITM. When
two or more coordinate datasets are to be integrated, it is essential that each relates to the same coordinate
reference system, irrespective of accuracy issues.
In order to relate GNSS-derived positions to Ordnance Survey’s mapping, GNSS coordinates need to be converted
to Irish Grid or to National Grid, which requires a specialised datum transformation. For this reason Land & Property
Services and Ordnance Survey Ireland have developed a polynomial transformation, which is the standard datum
transformation for use with the Irish Grid throughout Ireland. Ordnance Survey of Great Britain has developed
OSTN15, the standard datum transformation for Great Britain. OSTN15 replaces the previous model OSTN02™.
Ordnance Survey mapping also includes height information that relates to a regional vertical datum. Height
information in Great Britain refers to Ordnance Datum Newlyn (ODN), which is established from mean sea level.
Although ODN is the national height datum used across mainland Great Britain there are a number of additional
datums that are used on the surrounding islands, for example: Lerwick on the Shetland Islands; Stornoway15 on
the Outer Hebrides; Douglas02 on the Isle of Man and St Marys on the Scilly Isles. Land & Property Services relates
heights within Northern Ireland to Belfast Lough datum, and Ordnance Survey Ireland relates heights within the
Republic of Ireland to the Malin Head datum.
Orthometric heights in these systems have in the past been realised via a network of bench marks (BMs). These
traditional levelling networks cover the whole of Great Britain, Northern Ireland and the Republic of Ireland.
However, heights from precise GNSS surveying are relative to a reference ellipsoid that approximates to the shape
of the Earth, but does not coincide with mean sea level. To enable GNSS to be used to determine orthometric
heights, the Ordnance Surveys and LPS have jointly developed a model to establish the precise relationship
between the two vertical reference surfaces. The resulting geoid model OSGM15 incorporates all the above vertical
datums.
OSTN15
Ordnance Survey of Great Britain has developed the horizontal transformation OSTN15. This transformation
consists of a 700km by 1,250km grid of translation vectors at 1km resolution. This provides a fit between the GNSS
coordinate system European Terrestrial Reference System 1989 (ETRS89) and the OSGB36 National Grid. OSTN15 is
in agreement with major triangulation stations at the level of 0.1m root mean square error (RMSE).
OSTN15 has been developed from the national primary, secondary and tertiary triangulation station network. It
contains over 3,200 points directly observed by GNSS and more than 1,000 from the original retriangulation
observations adjusted on the ETRS89 datum.
Within Great Britain OSTN15, in conjunction with the ETRS89 positions of the OS Net® permanent GNSS stations, is
now the official definition of OSGB36 National Grid coordinate system. This means that using OSTN15 with the OS
Net Network, surveyors using GNSS have no need to occupy triangulation stations in order to relate GNSS
coordinates to National Grid coordinates.

Transformations and OSGM15 user guide [v.1.1] – March 2018 © Ordnance Survey Limited 2018 Page 7 of 30
OSi/LPS polynomial transformation
Ordnance Survey Ireland and Land & Property Services recommend the OSi/LPS polynomial transformation for all
horizontal transformations in the Republic of Ireland and Northern Ireland. This transformation has been
developed in association with the Institute of Engineering Surveying and Space Geodesy, University of Nottingham.
The transformation is based on 183 points evenly distributed throughout Ireland and Northern Ireland. The precise
ETRS89 and Irish Grid coordinates of these points are determined by GNSS and terrestrial survey methods, and a
one dimensional 3rd order polynomial individually fitted to the latitude and the longitude. The resulting
polynomial allows calculation of the coordinate differences at additional points. The polynomial transformation
has an accuracy of 0.4 m (95% data).
Ordnance Survey Geoid model: OSGM15
To provide the third dimension of the transformation, the Ordnance Surveys and LPS have, with others, developed
the Geoid model OSGM15. The model is derived from precise gravity surveys across UK, Ireland, and surrounding
waters; additionally, the model includes data from the global geopotential model (EGM96) and the GRACE gravity
mission (GGM02). Alignment to each regional vertical datum is based on precise GNSS observations at bench
marks. Within Great Britain these include the Ordnance Survey fundamental bench mark (FBM) network.
The OSGM15 model can be used with GNSS determined positions to establish height above mean sea level, as
defined by the respective vertical datums, to the accuracies shown in the table below. The Ordnance Surveys and
LPS recommend the use of the Geoid model OSGM15 and the national CORS networks (OS Net in GB) to produce
orthometric height compatible with Ordnance Survey mapping. The standard error of the main datums are:
OSGM15 region
Standard error
(m)
Great Britain
0.01
Republic of Ireland
0.02
Northern Ireland
0.01
Orkney
0.02
Shetland
0.02
Outer Hebrides
0.01
Isle of Man
0.03
St Marys (Scilly Isles)
0.01
Statistics (rms, m) of the changes in the various datums (OSGM15-OSGM02):
Great Britain
0.026
Republic of Ireland
0.093
Northern Ireland
0.018
Orkney
0.021
Shetland
0.013
Outer Hebrides
0.175
Isle of Man
(no change)
St Marys (Scilly Isles)
0.365

Transformations and OSGM15 user guide [v.1.1] – March 2018 © Ordnance Survey Limited 2018 Page 8 of 30
Ordnance Survey Great Britain intend that OSGM15 is the official definition of the relationship between GNSS
ellipsoid heights and orthometric height in Great Britain. In the way that GNSS and the transformation model
OSTN15 define the horizontal coordinate system, precise GNSS surveying using the Ordnance Survey Great Britain
OS Net Network in conjunction with the Geoid model will become the standard method of determining orthometric
height.
ETRS89 explained
The Ordnance Survey transformations and OSGM15 link the Ordnance Survey coordinate reference systems and
vertical datums to the GNSS-compatible coordinate system ETRS89. In Europe, ETRS89 is a precise version of the
better known WGS84 reference system optimised for use in Europe; however, for most purposes it can be
considered equivalent to WGS84.
Specifically, the motion of the European continental plate is not apparent in ETRS89, which allows a fixed
relationship to be established between this system and Ordnance Survey mapping coordinate systems.
Additional precise versions of WGS84 are currently in use, notably ITRS (International Terrestrial Reference System);
these are not equivalent to ETRS89. The difference between ITRS and ETRS89 is in the order of 0.25 m (in 1999), and
growing by 0.025 m per year in UK and Ireland. This effect is only relevant in international scientific applications.
For all navigation, mapping, GIS, and engineering applications within the tectonically stable parts of Europe
(including UK and Ireland), the term ETRS89 should be taken as synonymous with WGS84.
Benefits
Together, the Ordnance Survey transformations and OSGM15 provide the complete solution to relating GNSS
(WGS84) datasets to Ordnance Survey mapping in three dimensions. Used with the OS Net GNSS network, they
allow GNSS surveying within the National Grid or the Irish Grid, and to the appropriate vertical datum, without the
need to visit any Ordnance Survey traditional control points. OSGM15 additionally brings improvements over the
previous model (OSGM02) in particular conformity with the latest coordinate realisation of the National GNSS
networks, and local improvements in the Outer Hebrides, Scilly Isles and the west coast of Scotland.
The Outer Hebrides are now represented with a single homogenous datum (Stornoway15) aligned to the
Stornoway Tide Gauge Bench Mark. This means that archive orthometric heights of benchmarks on North Uist,
Benbecula, South Uist and Barra will no longer be realised by OSGM15 and should not be used unless there is a
need to directly compare with previous surveys.
The Scilly Isles datum, St Marys, is now better realised by OSGM15, however, results from the previous model
(OSGM02) will show a large discrepancy when compared to OSGM15.
Applications
The Ordnance Survey transformations and OSGM15 are of interest to:
• GNSS surveyors who need to relate their survey to the National Grid or the Irish Grid and/or OD orthometric
heights – used with the national CORS networks (OS Net in GB), these products remove the need to visit
traditional Ordnance Survey horizontal and vertical control points; and
• GIS, GPS, CAD and navigation system developers who need to integrate GNSS (WGS84) datasets with
Ordnance Survey mapping – these products provide the complete solution to these users at all Ordnance
Survey mapping scales.
Software for OSTN15, OSGM15 and OSi/LPS polynomial transformation
All the transformations have been coded into a software application – “Grid InQuest II”. The software allows for
individual coordinate input and output via a GUI and also batch input/output via text files. A command line
interface and dll, along with examples of their use in a variety of programming languages, are also included. Users
wishing to incorporate the pre-prepared .dll into other applications should refer to the Grid InQuest II user guide.
Grid InQuest II download packages for Windows® (32 bit and 64 bit), Linux® (32 bit and 64 bit) and OSX® are
available from https://bitbucket.org/PaulFMichell/gridinquestii

Transformations and OSGM15 user guide [v.1.1] – March 2018 © Ordnance Survey Limited 2018 Page 9 of 30
Chapter 2 Data Overview
Basic principles
Specifications of OSTN15 horizontal transformation
Transformation: horizontal datum transformation between ETRS89 and OSGB36
Transformation type: interpolated square grids of easting and northing shifts
Estimation method: Delaunay triangulation
Grid resolution: 1km
Grid interpolation: bilinear
Accuracy: 0.1m (RMS) with respect to OSGB36 primary, secondary and tertiary triangulation
monuments
Extent: 700km east by 1,250km north
Specifications of OSi/LPS polynomial transformation
Transformation: datum transformation between Irish Grid and ETRS89
Transformation type: 3rd order polynomial
Accuracy: 0.4 m (95% of data)
Extent: Republic of Ireland and Northern Ireland
Specifications of OSGM15 Geoid model in Great Britain
Transformation: vertical, ETRS89 ellipsoid to orthometric height
Transformation type: interpolated square grid of geoid heights above ETRS89 ellipsoid
Estimation method: Spherical Fast Fourier transformation with modified Stokes kernels
Grid resolution: 1km (same grid as OSTN15)
Grid interpolation: bilinear
Accuracy: Area specific: Mainland GB 1cm rms
Orkney 2cm rms
Shetland 2cm rms
Outer Hebrides 1cm rms
Isle of Man 3cm rms
Scilly Isles 1cm rms
Specifications of OSGM15 Geoid model in Ireland / Northern Ireland
Transformation: vertical, ETRS89 ellipsoid to orthometric height
Transformation type: interpolated latitude/longitude graticule of geoid heights above ETRS89 ellipsoid
Estimation method: Spherical Fast Fourier transformation with modified Stokes kernels
Grid resolution: 0.013333° Lat by 0.02° Long
Grid interpolation: bilinear
Accuracy: Republic of Ireland 2.3cm standard error,
Northern Ireland 1.4cm standard error

Transformations and OSGM15 user guide [v.1.1] – March 2018 © Ordnance Survey Limited 2018 Page 10 of 30
Data structure
OSTN15/OSGM15 within Great Britain – format and layout of the data
Within Great Britain OSTN15 and OSGM15 are released as a combined data file using the same 1km grid. This grid
covers an area 700km east–west and 1,250km north–south, the origin being the origin of the projected ETRS89
coordinates (see annexe B).
In Great Britain the entire OSTN15 transformation grid is fully populated so as to avoid a transformation “cliff” at
the 10km boundary that was part of the previous transformation (OSTN02). HOWEVER – great caution should be
exercised to avoid using OSTN15 in areas where OSGB36 National Grid is not practical or required.
Each record occupies a separate line with the south-west corner of the grid being the first record in the file. The
format of each record is indicated by the following table:
Where:
1 The record number is a sequential number starting at 1 for the origin point (0,0) and finishing at 876 951 for
the north-east corner (700 000, 1 250 000).
2 ETRS89, National Grid projection, grid intersection easting coordinate in metres.
3 ETRS89, National Grid projection, grid intersection northing coordinate in metres.
4 The shift in eastings, at the intersection, between ETRS89 and OSGB36 National Grid, that is:
ETRS89 east + OSTN15 east shift = OSGB36 National Grid easting.
5 The shift in northings, at the intersection, between ETRS89 and OSGB36 National Grid, that is:
ETRS89 north + OSTN15 north shift = OSGB36 National Grid northing.
6 The height of the Geoid above the ETRS89 ellipsoid, in metres, at the intersection, that is:
ETRS89 height – OSGM15 Geoid height = orthometric height above mean sea level.
7 The Geoid datum flag is a number representing the local height datum or area of applicability of the
transformation. See the table below for details of the datum flag references.
Record no1
ETRS89
easting2 (m)
ETRS89
northing3
(m)
OSTN15 east
shift4(m)
OSTN15
north
shift5(m)
OSGM15
Geoid Ht6
(m)
Geoid datum
flag7
1
0
0
2
1,000
0
3
2,000
0
and so on
and so on
and so on
701
700,000
0
702
0
1,000
703
1,000
1,000
and so on
and so on
and so on
876 948
697,000
1,250,000
876 949
698,000
1,250,000
876 950
699,000
1,250,000
876 951
700,000
1,250,000

Transformations and OSGM15 user guide [v.1.1] – March 2018 © Ordnance Survey Limited 2018 Page 11 of 30
Table 1
Geoid datum flag
Datum name
Region
1
Newlyn
UK mainland
2
St Marys
Scilly Isles
3
Douglas02
Isle of Man
4
Stornoway15
Outer Hebrides
6
Lerwick
Shetland Isles
7
Newlyn (Orkney)
Orkney Isles
15
Newlyn Offshore
Offshore (from 2km offshore up to
transformation boundary)
16
Outside transformation area
Outside transformation area
OSGM15 within Ireland and Northern Ireland – format and layout of the data
Within Ireland and Northern Ireland OSGM15 is released as two data files – one for Ireland relating to the Malin
Head datum and another for Northern Ireland relating to the Belfast datum.
The corrector surfaces are supplied in a standard ASCII ‘grid file’ format.
Each file begins with a header in the format Φ
min, Φ
max, λmin, λmax, σΦ, σλ (where Φ represents latitude and λ
represents longitude).
The data is arranged in paired blocks; a block of 240 data points (30 rows, 8 columns) followed by a block of 86 data
points (10 rows, 8 columns + 1 row, 6 columns). Each pair of blocks (240+86 points) gives a line of 326 points along a
particular parallel of latitude, at a longitude spacing of 0.02o (σλ), starting from the west (λmin) and running
eastwards (with the last point at λmax).
Each line of points is separated by a latitude spacing of 0.013333o (σΦ). The first line is at latitude Φ
max and the last
line in the file at latitude Φ
min.
All heights are expressed in metres above the GRS80 ellipsoid. The post spacing in the grid file is of the order of a
data point every 1.5 km in both north-south and east-west directions.

Transformations and OSGM15 user guide [v.1.1] – March 2018 © Ordnance Survey Limited 2018 Page 12 of 30
Map of transformation extents
= Extent of OSGM15 Irish grids
= Extent of OSTN15/OSGM15 grid
= Extent of OSGM15 “Newlyn Offshore” datum (flag 15)
= Extents of Great Britain OSGM15 land based datums: Newlyn, St Marys, Douglas02, Stornoway15,
Lerwick, Newlyn (Orkney)

Transformations and OSGM15 user guide [v.1.1] – March 2018 © Ordnance Survey Limited 2018 Page 13 of 30
Chapter 3 Ordnance Survey transformations and OSGM15
explained
This chapter explains the algorithms that must be coded to implement the Ordnance Survey transformations
(OSTN15 and the OSi/LPS polynomial) and OSGM15.
OSTN15 and OSGM15 in Great Britain
Transforming ETRS89 coordinates to OSGB36 National Grid and orthometric heights in GB
overview
To transform a 3D ETRS89 coordinate to OSGB36 plane coordinates and an orthometric height, the ETRS89 easting
and northing is first obtained using the algorithm, GRS80 ellipsoid parameters and National Grid projection
parameters in annexe B. Within the kilometre square where the point falls, a bilinear interpolation is used to obtain
the exact transformation value for the point from the values at the four corners of the kilometre square. These
values are added to the ETRS89 easting and northing to obtain the OSGB36 values and subtracted from the ETRS89
height to obtain an orthometric height. The inverse transformation (OSGB36 to ETRS89) is accomplished by an
iterative procedure.
Calculating which data record to use
To find the record number corresponding to a given ETRS89 easting and northing, use the following algorithm:
east_index = integer_part_of (easting/1,000)
north_index = integer_part_of (northing/1,000)
record_number = east_index + (north_index x 701) + 1
For example, to find the record for (2,000E, 1,000N):
east_index = integer_part_of (2,000/1,000)
= 2
north_index = integer_part_of (1,000/1,000)
= 1
record_number = east_index + (north_index x 701) + 1
= 2 + 1 x 701 + 1
= 704
Procedure for transforming ETRS89 to OSGB36 coordinates and orthometric height
To convert an ETRS89 easting and northing (x, y) obtained using annexe B to a National Grid easting and northing
(e, n), the easting and northing shifts from the data file should be added to the x and y coordinates, respectively.
The ETRS89 height is transformed to orthometric by subtracting the geoid shift.
The point to be transformed is unlikely to lie exactly on one of the nodes of the grid, so to calculate the shifts at any
other points an interpolation is required.

Transformations and OSGM15 user guide [v.1.1] – March 2018 © Ordnance Survey Limited 2018 Page 14 of 30
The first stage in the transformation is to identify in which grid cell the ETRS89 point lies. This simply requires an
integer division of the (x, y) coordinates, where x and y are in metres:
east_index = integer_part_of (x/1,000)
north_index = integer_part_of (y/1,000)
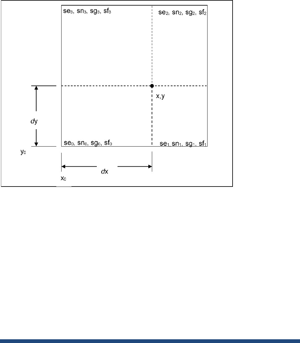
Having located the correct cell, find the values of the shifts and datum flags at the four corners of the cell:
se0 se1, se2, se3 for the shifts in eastings,
sn0, sn1, sn2, sn3 for the shifts in northings,
sg0, sg1, sg2, sg3 for the shifts in height
sf0, sf1, sf2, sf3 for the datum flags
and the offsets of the point x, y from the bottom left corner of the cell (x0, y0) – shown in figure 1 below.
Figure 1 Calculating the OSTN15 se and sn horizontal shifts and the sg vertical shifts for OSGM15.

Transformations and OSGM15 user guide [v.1.1] – March 2018 © Ordnance Survey Limited 2018 Page 15 of 30
Shifts for x, y are:
se0 = east_shift(east_index, north_index)
NOTE: recall that the record number in the data file will be (east_index+(north_index x 701) + 1)
se1 = east_shift(east_index + 1, north_index)
se2 = east_shift(east_index + 1, north_index + 1)
se3 = east_shift(east_index, north_index + 1)
sn0 = north_shift(east_index, north_index)
sn1 = north_shift(east_index + 1, north_index)
sn2 = north_shift(east_index + 1, north_index + 1)
sn3 = north_shift(east_index, north_index + 1)
sg0 = height_shift(east_index, north_index)
sg1 = height_shift(east_index + 1, north_index)
sg2 = height_shift(east_index + 1, north_index + 1)
sg3 = height_shift(east_index, north_index + 1)
Offsets are:
dx = x – x0
dy = y – y0
The value of the east shift (se), north shift (sn) and height shift at the point x, y is given by the following formulae:
t =dx /1 000
u =dy /1 000
se =(1 – t)(1 – u) se0 + (t)(1 – u) se1 + (t) (u)se2 + (1 – t)(u) se3
sn =(1 – t)(1 – u) sn0 + (t)(1 – u) sn1 + (t) (u)sn2 + (1 – t)(u) sn3
sg =(1 – t)(1 – u) sg0 + (t)(1 – u) sg1 + (t) (u)sg2 + (1 – t)(u) sg3
These shifts must then be added to the point x, y to give the National Grid position (e, n):
e = x + se
n = y + sn
The orthometric height is calculated by subtracting the height shift from the ETRS89 height:
h = H - sg
To determine the appropriate datum flag to apply to the point use the following algorithm:
if (sf0 = sf1) and (sf1 = sf2) and (sf2 = sf3) # all flags are equal
then DatumFlag = sf0
else if (t <= 0.5) and (u <= 0.5) # point is in SW quadrant (or dead centre)
then DatumFlag = sf0
else if (t > 0.5) and (u <= 0.5) # point is in SE quadrant
then DatumFlag = sf1
else if (t > 0.5) and (u > 0.5) # point is in NE quadrant
then DatumFlag = sf2
else # if none of the above are true point must be in NW quadrant
then DatumFlag = sf3

Transformations and OSGM15 user guide [v.1.1] – March 2018 © Ordnance Survey Limited 2018 Page 16 of 30
Inverse transformation (OSGB36 to ETRS89)
To compute ETRS89 eastings and northings from OSGB36 coordinates, an iterative procedure is required:
Step 1
To start the iteration, compute the ETRS89 to OSGB36 easting, northing and height shifts at the OSGB36 point,
using the OSGB36 easting and northing and the method described above.
Subtract these shifts from the OSGB36 coordinates to obtain the first estimate of the ETRS89 easting and northing
and height.
Step 2
Use this estimate of the ETRS89 easting and northing to obtain improved values for the easting and northing and
height shifts, and subtract these from the OSGB36 coordinates to obtain improved values of the ETRS89 easting
and northing and height.
Step 3
If the difference between the first shift value and second shift value is more than 0.0001 metres in either easting or
northing, repeat step 2 until this is not the case.
Step 4
If ETRS89 latitude and longitude coordinates are required, obtain these from the ETRS89 easting and northing by
the procedure described in annexe C.
The OSi/LPS polynomial transformation
To some extent distortions within traditional triangulation networks are inevitable. Within the triangulation
network of the Republic of Ireland and Northern Ireland these distortions are not generally significant; however,
regional distortions do occur. A third order polynomial transformation has been developed to model these
distortions.
A polynomial expression was fitted to the coordinate differences of a number of points in the different coordinate
reference systems. This is a one-dimensional fitting method that is applied to the geographical coordinate,
requiring independent parameters to be computed for both latitude and longitude.
In general, the polynomial model can be expressed as:
=∑∑ Aij(
–
m)i
-
-
mj
=∑∑ Bij(
–
m)i
-
-
mj
The fully expanded forms of the 3rd order polynomial are as follows:
= [A00 + A10U + A01V + A11UV + A20U2 + A02V2 + A21U2V + A12UV2 + A22U2V2 + A30U3 + A03V3 + A31U3V + A13UV3 +
A32U3V2 + A23U2V3 + A33U3V3] / 3600
-
= [B00 + B10U + B01V + B11UV + B20U2 + B02V2 + B21U2V + B12UV2 + B22U2V2+ A30U3 + B03V3 + B31U3V + B13UV3 +
B32U3V2 + B23U2V3 + B33U3V3] / 3600
Where Aij and Bij are the computed parameters, and U and V are the normalised coordinates calculated as follows:
U = k0 (
-
m) and V = k0 (
-
-
-
m)
Where
m and
-
m are the coordinates of the approximate centre of the region. The parameters Aij, Bij, K0 ,
m and
-
m are given in table 2 below. The transformed geographical coordinates are then obtained as follows:
-
ETRS =
-
IG +
-
and
ETRS =
IG +

Transformations and OSGM15 user guide [v.1.1] – March 2018 © Ordnance Survey Limited 2018 Page 17 of 30
The reverse transformation from ETRS89 to Irish Grid cannot be calculated directly and requires iteration.
Conversions between geographical and grid coordinates are computed using standard Transverse Mercator
projection formulae in association with the published Irish Grid parameters.
Table of coefficients for OSi/LPS polynomial transformation
Other parameters
m = 53.5
-
m = -7.7 K0 = 0.1
OSGM15 in Ireland and Northern Ireland
Orthometric height () in the the British Isles can be found by the formula:
Where is the GRS80 ellipsoidal height, and is the geoid undulation (geoid-ellipsoid separation).
Please note: some publications use the notations of and the other way round.
The Ireland and Northern Ireland grid files are in geodetic format and when projected to ITM they have a post
spacing of the order of a data point every 1.5km in both north-south and east-west directions. (See the ‘OSGM15
within Ireland and Northern Ireland’ section of Chapter 2).
A 1km ITM grid needs to be produced via interpolation from the original 1.5km grid before following the
steps below. Similar to the Ordnance Survey (Great Britain) OSTN15 transformation, the first stage in calculating
the geoid undulation is to identify in which grid cell the ETRS89 point lies.
To identify the appropriate grid cell in the Northern Ireland dataset, use the following formulae:
Coefficient i, j
Latitude (Ai, j)
Longitude (Bi, j)
0, 0
0.763
-2.810
0, 1
0.123
-4.680
0, 2
0.183
0.170
0, 3
-0.374
2.163
1, 0
-4.487
-0.341
1, 1
-0.515
-0.119
1, 2
0.414
3.913
1, 3
13.110
18.867
2, 0
0.215
1.196
2, 1
-0.570
4.877
2, 2
5.703
-27.795
2, 3
113.743
-284.294
3, 0
-0.265
-0.887
3, 1
2.852
-46.666
3, 2
-61.678
-95.377
3, 3
-265.898
-853.950

Transformations and OSGM15 user guide [v.1.1] – March 2018 © Ordnance Survey Limited 2018 Page 18 of 30
To identify the appropriate grid cell and record numbers in the Republic of Ireland dataset, use:
For both Irish datasets the ETRS89 eastings and ETRS89 northings must be computed using the GRS80
ellipsoid and ITM projection (see Annexe B).
Having located the correct cell, find the values of the geoid undulations at the four corners of the cell
and the offsets of the point from the bottom left corner of the cell
The value of the geoid undulation at point is given as follows:
Where:
and
The resulting geoid undulation is subtracted from the ellipsoidal height () to give orthometric height ().

Transformations and OSGM15 user guide [v.1.1] – March 2018 © Ordnance Survey Limited 2018 Page 19 of 30
Chapter 4 Quality statement
Coverage
OSTN15 covers Great Britain and the Isle of Man. The OSi/LPS polynomial transformation covers the Republic of
Ireland and Northern Ireland. It should be noted that the Irish Grid and the National Grid are two independent
coordinate reference systems, and that Irish Grid coordinates are not directly compatible with OSGB36 coordinates.
OSGM15 covers all of Great Britain, Isle of Man, Republic of Ireland, and Northern Ireland. The OSGM15 model in GB
contains datum flags in order to relate to mean sea level as defined by the specific vertical datum for each region.
The datum flag that forms part of each data record specifies to which datum the geoid-ellipsoid separation value
relates. For Ireland and Northern Ireland there are separate OSGM15 files for the Malin Head and Belfast datums.
Accuracy of Ordnance Survey transformations
Within Great Britain, OSTN15 is the definitive OSGB36/ETRS89 transformation. OSTN15 in combination with the
ETRS89 coordinates of the OS Net GNSS network stations, rather than the fixed triangulation network, now define
the National Grid. This means that, for example, the National Grid coordinates of an existing OSGB36 point, refixed
using GNSS from OS Net and OSTN15, will be the correct ones. The original archived OSGB36 National Grid
coordinates of the point (if different) will no longer be true OSGB36, by definition, but the two coordinates (new and
archived) will agree on average to better than 0.1 m, (68% probability).
Within the Republic of Ireland and Northern Ireland the OSi/LPS polynomial transformation is recommended for
coordinate transformations between Irish Grid and ETRS89. Transformed ETRS89 coordinates will agree with Irish
Grid coordinates derived from traditional survey control to within 0.4 m (95% data).
Accuracy of OSGM15
The heights output by precise GPS positioning in the ETRS89 coordinate system are geometric distance above the
WGS84 (GRS80) reference ellipsoid. Note that GNSS heights are typically two to three times less precise than
horizontal positions. OSGM15 converts GNSS ellipsoid heights to orthometric heights above mean sea level.
In mainland Great Britain, the datum (origin point) representing mean sea level is Ordnance Datum Newlyn, defined
at Newlyn in Cornwall. In the Republic of Ireland, Northern Ireland, and the islands surrounding Great Britain, mean
sea level is defined by specific independent vertical datums that are all incorporated in OSGM15 and hence OSGM15
is compatible with the products from each of the Ordnance Surveys and LPS. Other geoid models may give mean
sea level heights that are incompatible with the Ordnance Surveys’ and LPS’s products.
The estimated accuracies of OSGM15 for each regional vertical datum are included in the table below. The figures
quoted assume precise ellipsoidal heights are used; for lower quality GNSS observations additional error budget
must be included.
Regional datum
Standard error (m)
Great Britain
0.01
Republic of Ireland
0.02
Northern Ireland
0.01
Orkney
0.02
Shetland
0.02
Outer Hebrides
0.01
Isle of Man
0.03
Scilly Isles
0.01

Transformations and OSGM15 user guide [v.1.1] – March 2018 © Ordnance Survey Limited 2018 Page 20 of 30
Any discrepancy found between an Ordnance Survey levelled bench mark and a OSGM15 computed orthometric
height is likely to be due to bench mark subsidence or uplift and, assuming precise GNSS survey has been carefully
carried out, the orthometric height given by OSGM15 should be considered correct in preference to archive bench
mark heights.

Transformations and OSGM15 user guide [v.1.1] – March 2018 © Ordnance Survey Limited 2018 Page 21 of 30
Annexe A Transforming ETRS89 GNSS coordinates to OSGB36
and orthometric height
Worked example
To convert the coordinates of Caister Water Tower, at position given by ETRS89 geographical coordinates
52° 39' 28.8282" N, 1° 42' 57.8663" E, 108.05 m, to OSGB36 and orthometric height.
Step 1: Compute ETRS89 eastings and northings – see annexe B
Latitude = 52 39' 28.8282" N
= 52.658007833°
Longitude = 1 42' 57.8663" E
= 1.716073972°
The parameters for the GRS80 ellipsoid are:
a = 6 378 137.0000
b = 6 356 752.3141
Following the procedure in annexe B, the calculation steps yield the following:
e2 = 6.69438004e–03
v = 6.38912542e+06
p = 6.37332179e+06
2 = 2.47965409e-03
M = 4.06772557e+05
P = 6.48577261e–02
I = 3.06772557e+05
II = 1.54055171e+06
III = 1.56081387e+05
IIIA = –2.06739447e+04
IV = 3.87545974e+06
V = –1.70023086e+05
VI = –1.01356325e+05
eastings = 651 307.0030
northings = 313 255.6859
The ETRS89 eastings and northings (to the nearest mm) are therefore:
x = 651 307.003
y = 313 255.686
Step 2: Transform ETRS89 eastings and northings to OSGB36 and ETRS89 height to orthometric height
First calculate the grid cell in which the point lies:
east_index = integer_part_of (x/1,000)
= 651
north_index = integer_part_of (y/1,000)
= 313
The eastings and northings of the south-west corner of the cell are therefore:
x0, y0 = (651 000, 313 000)
The easting, northing and geoid shifts for the four corners of the cell are given by:
(se0, sn0, sg0) = shifts (east_index, north_index)
= shifts (651,313)
= record (651 + (313 x 701) +1)
= record (220 065)
= (102.787, -78.242, 44.236)

Transformations and OSGM15 user guide [v.1.1] – March 2018 © Ordnance Survey Limited 2018 Page 22 of 30
(se1, sn1, sg1) = shifts (652, 313)
= record (220 066)
= (102.825, -78.244, 44.221)
(se2, sn2, sg2) = shifts (652, 314)
= record (220 767)
= (102.834, -78.225, 44.210)
(se3, sn3, sg3) = shifts (651, 314)
= record (220 766)
= (102.795, -78.213, 44.224)
The offset values are given by:
dx = x – x0
= 307.003
dy = y – y0
= 255.686
t = dx/1 000
= 0.3070032
u = dy/1 000
= 0.2556860
The shifts are therefore:
se = (1 – t)(1 – u) se0 + (t)(1 – u) se1 + (t)( u) se2 + (1 – t)(u) se3
= 102.801
sn = (1 – t)(1 – u) sn0 + (t)(1 – u) sn1 + (t)(u) sn2 + (1 – t)(u) sn3
= -78.236
sg = (1 – t)(1 – u) sg0 + (t)(1 – u) sg1 + (t)(u) sg2 + (1 – t)(u) sg3
= 44.228
And finally, the National Grid (OSGB36) eastings and northings coordinates are given by:
e = x + se
= 651 409.804
n = y + sn
= 313 177.450
The orthometric height h is given by
h = 108.05 – sg
= 108.05 – 44.228
= 63.822
So Caister Water Tower has National Grid (OSGB36) coordinates (651 409.804, 313 177.450) and orthometric height
63.822 m relative to the vertical datum as indicated by the datum flag field – which in this case = 1, indicating
Ordnance Survey Datum Newlyn.
Using the procedure in annexe C, these coordinates can be converted to latitude and longitude. A worked example
of this step is given in annexe C.

Transformations and OSGM15 user guide [v.1.1] – March 2018 © Ordnance Survey Limited 2018 Page 23 of 30
Inverse transformation: OSGB36 to ETRS89
Worked example
Taking the OSGB36 coordinates and height from the example above, that is 651 409.804, 313 177.450, 63.822 the
procedure for the inverse transformation (OSGB36 to ETRS89) gives the following iterative solution:
Iteration No.
Se
Sn
Sg
ETRSEast
ETRSNorth
ETRSHeight
1
102.8041
-78.2384
44.2278
651306.9999
313255.6884
108.0498
2
102.8008
-78.2360
44.2284
651307.0032
313255.6860
108.0504
3
102.8008
-78.2360
44.2284
651307.0032
313255.6860
108.0504
Since the second and third iterations show convergence at the required level, the calculation is stopped.
Using the procedure in annexe C, to convert the ETRS89East and ETRS89North coordinates to latitude and
longitude gives:
52.658007833, 1.716073972

Transformations and OSGM15 user guide [v.1.1] – March 2018 © Ordnance Survey Limited 2018 Page 24 of 30
Annexe B Converting latitude and longitude to easting and
northing
The formulae in this annexe and annexe C require ellipsoid constants and projection constants, given in the tables
below.
Important note: When converting OSGB36 coordinates between (easting, northing) and (latitude, longitude) in
either direction, use the Airy 1830 ellipsoid constants. When converting ETRS89 coordinates between (easting,
northing) and (latitude, longitude) in either direction, use the GRS80 ellipsoid constants. Use the same National
Grid projection constants for both ETRS89 and OSGB36 coordinates.
The ITM (Irish Transverse Mercator) projection is required to obtain ETRS89 eastings and ETRS89 northings for use
with the OSGM15 Geoid model data files for Northern Ireland and the Republic of Ireland. The iTM projection should
only be used with the GRS80 ellipsoid.
Ellipsoid constants
Ellipsoid
Semi-major axis a
(metres)
Semi-minor axis b
(metres)
Used for the following
coordinate system
Airy 1830
6 377 563.396
6 356 256.9091
OSGB36
National Grid
GRS80‡
6 378 137.000
6 356 752.3141
ETRS89
(WGS84)
‡ Also known as the WGS84 ellipsoid.
The ellipsoid squared eccentricity constant e2 is computed from a and b by:
(B1)
Projection constants
Projection
Scale factor
on central meridian (F0)
True origin
(
0 and
-
0)
Map coordinates
of true origin (m)
(E0 and N0)
National Grid
0.9996012717
lat 49° N
long 2° W
E 400 000
N -100 000
ITM
0.99982
lat 53o 30’ N
long 8o W
E 600 000
N 750 000
1
For a long time, in previous versions of this publication and other Ordnance Survey publications, the Airy 1830 value for b was quoted as
6356256.910. Research (Empire Survey Review, Vol. XI, No.84, 1952) shows the correct rounding is actually .909. The original dimensions for the
Airy 1830 ellipsoid are quoted as a = 20,923,713 feet and b = 20,853,810 feet. The conversion of these values to metres is derived from the length
of a standard bar (‘O1’). This bar was the length standard for the principal triangulation and the retriangulation. The defined conversion to
metric is:
This results in a metric value for the axis given in tenths of a nanometre. An easier way to express the conversion to metres is to multiply the axis
length in feet by:
Both methods result in the 3–decimal place values in the table above. The resulting difference in eastings and northings when using the .909 or
.910 values for b is approximately 0.016mm and is therefore insignificant.
2
22
2–
a
ba
e
)48401603.9)((log
10 axis
10
10 48401603.0

Transformations and OSGM15 user guide [v.1.1] – March 2018 © Ordnance Survey Limited 2018 Page 25 of 30
To convert a position from the graticule of latitude and longitude coordinates (
-
) to a grid of easting and
northing coordinates (E, N) using a transverse mercator projection, for example OSGB36 National Grid, ITM or UTM
(Universal Transverse Mercator), compute the following formulae. Remember to express all angles in radians. You
will need the ellipsoid constants a, b and e2 and the projection constants listed below:
N0 – northing of true origin;
E0 – easting of true origin;
F0 – scale factor on central meridian;
0 – latitude of true origin; and
-
0 – longitude of true origin and central meridian.
(B2)
(B3)
(B4)
(B5)
(B6)
(B7)
(B8)
ba
ba
n
)sin(1 0.522
0
φeaFν
51222
0sin11 .
φ) e)(e(aFρ
1
2 ρ
ν
))(3cos())(3sin(
24
35
))(2cos())(2sin(
8
15
8
15
)cos()sin(
8
21
33)(
4
5
4
5
1
00
3
00
32
00
32
0
32
0
nnn
nnnnnn
FbM
0
INM
cossin
2
II
)9tan5(cossin
24
III 223
)tantan5861(cossin
720
IIIA 425
cosIV
23 tancos
6
V
222425 tan5814tantan185cos
120
VI
6
0
4
0
2
0)(IIIA)III()(III
------
N
5
0
3
000 )(VI)(V)(IV
------
EE

Transformations and OSGM15 user guide [v.1.1] – March 2018 © Ordnance Survey Limited 2018 Page 26 of 30
Worked example using the Airy 1830 ellipsoid and National Grid
Intermediate values are shown here to 10 decimal places. Compute all values using double-precision arithmetic.
52 39 27.2531 N
-
1 43 4.5177 E
6.3885023339E+06
6.3727564398E+06
2 2.4708137334E-03
M 4.0668829595E+05
I 3.0668829595E+05
II 1.5404079094E+06
III 1.5606875430E+05
IIIA -2.0671123013E+04
IV 3.8751205752E+06
V -1.7000078207E+05
VI -1.0134470437E+05
E 651409.903 m
N 313177.270 m

Transformations and OSGM15 user guide [v.1.1] – March 2018 © Ordnance Survey Limited 2018 Page 27 of 30
Annexe C Converting easting and northing to latitude and
longitude
Obtaining (
-
,
) from (E, N) is an iterative procedure. You need values for the ellipsoid and projection constants a, b,
e2, N0, E0, F0,
0 and
-
0 given in annexe B. Remember to express all angles in radians.
First compute:
(C1)
and M from equation (B6) in annexe B, substituting for .
If the absolute value of (N – N0 – M) 0.01 mm, obtain a new value for using:
(C2)
and recompute M substituting for .
Iterate until the absolute value of (N – N0 – M) < 0.01 mm, then compute
,
and
2 using equations (B3, B4 and B5)
in annexe B and compute:
(C3)
(C4)
0
0
0
aF
NN
0
0
aF
MNN
new
2
tan
VII
2222
3tan9tan35
24
tan
VIII
42
5tan45tan9061
720
tan
IX
sec
X
2
3tan2
6
sec
=XI p
v
42
5tan24tan285
120
sec
=XII
642
7tan720tan1320tan66261
5040
sec
=XIIA
6
0
4
0
2
0)(IX)(VIII)(VII EEEEEE
7
0
5
0
3
000 )(XIIA)(XII)()( EEEEEEXIEEX
--

Transformations and OSGM15 user guide [v.1.1] – March 2018 © Ordnance Survey Limited 2018 Page 28 of 30
Worked example using Airy 1830 ellipsoid and National Grid
Intermediate values are shown here to 10 decimal places. Compute all values using double precision arithmetic.
E 651 409.903 m
N 313 177.270 m
#1 9.2002324604E-01 rad
M #1 4.1290347143E+05
N-N0-M#1 2.7379857228E+02
#2 9.2006619470E-01 rad
M #2 4.1317717541E+05
N-N0-M#2 9.4594338385E-02
#3 9.2006620954E-01 rad
M #3 4.1317726997E+05
N-N0-M#3 3.2661366276E-05
#4 9.2006620954E-01 rad
M #4 4.1317727000E+05
N-N0-M#4 1.1350493878E-08
final
9.2006620954E-01 rad
6.3885233415E+06
6.3728193094E+06
2 2.4642206357E-03
VII 1.6130562489E-14
VIII 3.3395547427E-28
IX 9.4198561675E-42
X 2.5840062507E-07
XI 4.6985969956E-21
XII 1.6124316614E-34
XIIA 6.6577316285E-48
52° 39' 27.2531" N
-
1° 43' 4.5177" E

Transformations and OSGM15 user guide [v.1.1] – March 2018 © Ordnance Survey Limited 2018 Page 29 of 30
Annexe D Glossary
The following is a list of technical terms used in this user guide, together with a fuller definition.
datum
A point, line, surface or set of these, with respect to which positions of objects can be stated as unique sets of
coordinates.
de facto national standard
A national standard by adoption rather than legally enforced.
ellipsoid (biaxial)
The 3D geometric figure obtained by rotating an ellipse about its minor axis. Used in geodesy to approximate the
shape of the earth.
ETRF89
European Terrestrial Reference Frame 1989 – the Europe-fixed realisation of WGS84. Governed by EUREF as a
standard reference frame for Europe.
ETRS89
European Terrestrial Reference System 1989 – a coordinate system that is the Europe-fixed precise version of
WGS84. Governed by EUREF as the standard fixed reference system for Europe. ETRS89 is related to the state-of-
the-art WGS84-consistent system ITRS2000 by a six-parameter kinematic transformation published by IERS.
EUREF
EUREF (European Reference Frame): a sub-commission of the International Association of Geodesy, Commission X.
geocentric datum
A reference system that uses the centre of mass of the earth as its origin; the popularity of these systems today
derives from their usefulness in describing satellite orbits.
Geoid model
A model of the level surface which is closest to mean sea level over the oceans. This surface is continued under land
as the fundamental reference surface for height measurement.
GNSS
Global Navigation Satellite System – generic term for one or more satellite navigation systems including (but not
limited to) GPS (USA), GLONASS (Russia), Galileo (Europe), Beidou (China).
GPS
Global Positioning System – an outdoor positioning technique using a constellation of US Department of Defense
satellites and a portable receiver to dynamically determine coordinates. For high precision, several receivers are
used and their relative positions are determined.
GRS80
A global reference ellipsoid used in the WGS84 coordinate system. Also known as the WGS84 ellipsoid.
IERS
International Earth Rotation Service.
ITRF
International Terrestrial Reference Frame – the state-of-the-art global realisation of the WGS84 reference system,
using observations from worldwide networks of active geodetic stations of the VLBI, SLR, GPS and DORIS
techniques.
ODN
Ordnance Datum Newlyn – the levelling-based vertical reference frame for most of the British Isles, with a single
tide gauge constraint in Newlyn in Cornwall.

Transformations and OSGM15 user guide [v.1.1] – March 2018 © Ordnance Survey Limited 2018 Page 30 of 30
OSGB36
Ordnance Survey Great Britain 1936 – the British horizontal mapping datum, observed by triangulation from 1936
and traditionally realised on the ground by triangulation stations. With the release of the definitive transformation,
OSTN02, OSGB36 is now realised by the ETRS89 coordinates of the National GPS Network in conjunction with the
OSTN02 transformation.
OSGM02
Ordnance Survey National Geoid Model 2002 – now superceded, a gravimetric Geoid model that is aligned with the
national height datums of Great Britain, Northern Ireland and Ireland. Replaced by OSGM15.
OSGM15
Ordnance Survey National Geoid Model 2015 – a gravimetric Geoid model that is aligned with the national height
datums of Great Britain, Northern Ireland and Ireland.
OSTN15
Ordnance Survey National Grid Transformation 2015 – a grid shift type horizontal transformation between the
ETRS89 datum and OSGB36 National Grid.
realisation
A spatial reference system made real on the ground by monumented points with estimated coordinates and errors.
transformation
A procedure to change from one coordinate system to another.
WGS84
World Geodetic System 1984 – the global geodetic reference system used to describe the position of GPS satellites
and ground stations.