(Wiley Finance) Wesley R. Gray, Jack Vogel Quantitative Momentum A Practitioner’s Guide To
(Wiley%20Finance)%20Wesley%20R.%20Gray%2C%20Jack%20R.%20Vogel-Quantitative%20Momentum_%20A%20Practitioner%E2%80%99s%20Guide%20to
User Manual:
Open the PDF directly: View PDF .
Page Count: 206 [warning: Documents this large are best viewed by clicking the View PDF Link!]
- Cover
- Title Page
- Copyright
- Contents
- Preface
- Acknowledgments
- About the Authors
- Part 1: Understanding Momentum
- Part 2: Building a Momentum-Based Stock Selection Model
- Appendix A: Investigating Alternative Momentum Concepts
- Appendix B: Performance Statistics Definitions
- About the Companion Website
- Index
- EULA


❦
❦ ❦
❦
Quantitative
Momentum
❦
❦ ❦
❦
Founded in 1807, John Wiley & Sons is the oldest independent publishing
company in the United States. With ofces in North America, Europe, Aus-
tralia and Asia, Wiley is globally committed to developing and marketing
print and electronic products and services for our customers’ professional
and personal knowledge and understanding.
The Wiley Finance series contains books written specically for nance
and investment professionals, as well as sophisticated individual investors
and their nancial advisers. Book topics range from portfolio management
to e-commerce, risk management, nancial engineering, valuation and nan-
cial instrument analysis, as well as much more.
For a list of available titles, visit our website at www.WileyFinance.com.

❦
❦ ❦
❦
Quantitative
Momentum
A Practitioner’s Guide to Building a
Momentum-Based Stock
Selection System
WESLEY R. GRAY
JACK R. VOGEL
❦
❦ ❦
❦
Copyright © 2016 by Wesley R. Gray and Jack R. Vogel. All rights reserved.
Published by John Wiley & Sons, Inc., Hoboken, New Jersey.
Published simultaneously in Canada.
No part of this publication may be reproduced, stored in a retrieval system, or transmitted in
any form or by any means, electronic, mechanical, photocopying, recording, scanning, or
otherwise, except as permitted under Section 107 or 108 of the 1976 United States Copyright
Act, without either the prior written permission of the Publisher, or authorization through
payment of the appropriate per-copy fee to the Copyright Clearance Center, Inc., 222
Rosewood Drive, Danvers, MA 01923, (978) 750-8400, fax (978) 646-8600, or on the Web
at www.copyright.com. Requests to the Publisher for permission should be addressed to the
Permissions Department, John Wiley & Sons, Inc., 111 River Street, Hoboken, NJ 07030,
(201) 748-6011, fax (201) 748-6008, or online at http://www.wiley.com/go/permissions.
Limit of Liability/Disclaimer of Warranty: While the publisher and author have used their best
efforts in preparing this book, they make no representations or warranties with respect to the
accuracy or completeness of the contents of this book and specically disclaim any implied
warranties of merchantability or tness for a particular purpose. No warranty may be created
or extended by sales representatives or written sales materials. The advice and strategies
contained herein may not be suitable for your situation. You should consult with a
professional where appropriate. Neither the publisher nor author shall be liable for any loss
of protoranyothercommercialdamages,includingbutnotlimitedtospecial,incidental,
consequential, or other damages.
For general information on our other products and services or for technical support, please
contact our Customer Care Department within the United States at (800) 762-2974, outside
the United States at (317) 572-3993 or fax (317) 572-4002.
Wiley publishes in a variety of print and electronic formats and by print-on-demand. Some
material included with standard print versions of this book may not be included in e-books or
in print-on-demand. If this book refers to media such as a CD or DVD that is not included in
the version you purchased, you may download this material at http://booksupport.wiley.com.
For more information about Wiley products, visit www.wiley.com.
Library of Congress Cataloging-in-Publication Data:
Names: Gray, Wesley R., author. |Vogel, Jack R., 1983- author.
Title: Quantitative momentum : a practitioner’s guide to building a
momentum-based stock selection system / Wesley R. Gray, Jack R. Vogel.
Description: Hoboken, New Jersey : John Wiley & Sons, Inc., [2016] |Series:
Wiley nance series |Includes index.
Identiers: LCCN 2016023789 (print) |LCCN 2016035370 (ebook) |ISBN
9781119237198 (cloth) |ISBN 9781119237266 (pdf) |ISBN 9781119237259
(epub)
Subjects: LCSH: Stocks. |Investments. |Technical analysis (Investment
analysis)
Classication: LCC HG4661 .G676 2016 (print) |LCC HG4661 (ebook) |DDC
332.63/2042—dc23
LC record available at https://lccn.loc.gov/2016023789
Cover image: Wiley
Cover design: © Frank Rohde/Shutterstock
Printed in the United States of America
10987654321
❦
❦ ❦
❦
Buy cheap; buy strong; hold ’em long.
—Wes and Jack
❦
❦ ❦
❦

❦
❦ ❦
❦
Contents
Preface ix
Acknowledgments xi
About the Authors xiii
PART ONE
Understanding Momentum 1
CHAPTER 1
Less Religion; More Reason 3
CHAPTER 2
Why Can Active Investment Strategies Work? 14
CHAPTER 3
Momentum Investing Is Not Growth Investing 43
CHAPTER 4
Why All Value Investors Need Momentum 62
PART TWO
Building a Momentum-Based Stock Selection Model 77
CHAPTER 5
The Basics of Building a Momentum Strategy 79
CHAPTER 6
Maximizing Momentum: The Path Matters 93
vii

❦
❦ ❦
❦
viii CONTENTS
CHAPTER 7
Momentum Investors Need to Know Their Seasons 107
CHAPTER 8
Quantitative Momentum Beats the Market 120
CHAPTER 9
Making Momentum Work in Practice 144
APPENDIX A
Investigating Alternative Momentum Concepts 155
APPENDIX B
Performance Statistics Definitions 175
About the Companion Website 176
Index 177

❦
❦ ❦
❦
Preface
The efcient market hypothesis suggests that past prices cannot predict
future success. But there is a problem: past prices do predict future
expected performance and this problem is generically labeled “mo-
mentum.” Momentum is the epitome of a simple strategy even your
grandmother would understand—buy winners. And momentum is an open
secret. The track record associated with buying past winners now extends
over 200 years and has become the ultimate black eye for the efcient
market hypothesis (EMH). So why isn’t everyone a momentum investor?
We believe there are two reasons: hard-wired behavioral biases cause many
investors to be anti-momentum traders, and for the professional, who wants
to exploit momentum, marketplace constraints make this a challenging
enterprise.
As long as human beings suffer from systematic expectation errors,
prices have the potential to deviate from fundamentals. In the context
of value investing, this expectation error seems to be an overreaction
to negative news, on average; for momentum, the expectation error is
surprisingly tied to an underreaction to positive news (some argue it is an
overreaction, which cannot be ruled out, but the collective evidence is more
supportive of the undereaction hypothesis). So investors that believe that
behavioral bias drives the long-term excess returns associated with value
investing already believe in the key mechanism that drives the long-term
sustainability of momentum. In short, value and momentum represent the
two sides of the same behavioral bias coin.
But why aren’t momentum strategies exploited by more investors and
arbitraged away? As we will discuss, the speed at which mispricing oppor-
tunities are eliminated depends on the cost of exploitation. Putting aside an
array of transaction and information acquisition costs, which are nonzero,
the biggest cost to exploiting long-lasting mispricing opportunities are career
risk concerns on behalf of delegated asset managers. The career risk aspect
develops because investors often delegate to a professional to manage their
capital on their behalf. Unfortunately, the investors that delegate their capital
to the professional fund managers often assess the performance of their hired
manager based on their short-term relative performance to a benchmark. But
this creates a warped incentive for the professional fund manager. On the one
hand, fund managers want to exploit mispricing opportunities because of
ix

❦
❦ ❦
❦
xPREFACE
the high expected long-term performance, but on the other hand, they can
do so only to the extent to which exploiting the mispricing opportunities
doesn’t cause their expected performance to deviate too far—and/or for
too long—from a standard benchmark. In summary, strategies like momen-
tum presumably work because they sometimes fail spectacularly relative to
passive benchmarks, creating a “career risk” premium. And if we follow
this line of reasoning, we only need to assume the following to believe that
a momentum strategy, or really any anomaly strategy, can be sustainable in
the future:
■Investors will continue to suffer behavioral bias.
■Investors who delegate will be short-sighted performance chasers.
We think we can rely on these two assumptions for the foreseeable
future. And because of our faith in these assumptions, we believe there will
always be opportunities for process-driven, long-term focused, disciplined
investors.
Assuming we are prepared to be a momentum investor and we’ve
internalized the reality that the journey has to be painful in order to be
sustainable, we need to address a simple question: How do we build
an effective momentum strategy? In this book we outline the multiyear
research journey we undertook to build our stock selection momentum
strategy. The conclusion of our adventure is the quantitative momentum
strategy, which can be summarized as a strategy that seeks to buy stocks
with the highest quality momentum. And to be clear up front, we do not
claim to have the “best” momentum strategy, or a momentum strategy
that is “guaranteed” to work, but we do think our process is reasonable,
evidence-based, and ties back to behavioral nance in a coherent and
logical way. We also provide radical transparency into how and why we’ve
developed the process. We want readers to question our assumptions,
reverse engineer the results, and tell us if they think our process can be
improved. You can always reach us at AlphaArchitect.com and we’ll be
happy to address your questions.
We hope you enjoy the story of quantitative momentum.

❦
❦ ❦
❦
Acknowledgments
We have had enormous support from many colleagues, friends, and
family in making this book a reality. We thank our wives, Katie Gray
and Meg Vogel, for their continual support and for managing our chaotic
kids so we could write our manuscript. We’d also like to thank the entire
team at Alpha Architect, for dealing with the two of us while we drafted
the initial manuscript. David Foulke provided invaluable comments and
read the manuscript so many times his head is still spinning. Walter Haynes
also played a pivotal role in making the manuscript a lot better. Yang Xu
was immensely helpful on the research front, grinding numbers into the late
hours of the night. Finally, to the rest of the Alpha Architect team—Tian
Yao, Yang Xu, Tao Wang, Pat Cleary, Carl Kanner, and Xin Song — we
are forever indebted! We’d also like to thank outside readers for their
early comments and incredible insights. Andrew Miller, Larry Dunn, Matt
Martelli, Pat O’Shaughnessy, Gary Antonacci, and a handful of anonymous
readers made the book so much better than it would have been had we been
working alone. Finally, we think our editor Julie Kerr for her invaluable
feedback.
xi
❦
❦ ❦
❦

❦
❦ ❦
❦
About the Authors
Wesley R. Gray, PhD After serving as a Captain in the United States Marine
Corps, Dr. Gray received a PhD, and was a nance professor at Drexel Uni-
versity. Dr. Gray’s interest in entrepreneurship and behavioral nance led
him to found Alpha Architect, an asset management rm that delivers afford-
able active exposures for tax-sensitive investors. Dr. Gray has published
four books and multiple academic articles. Wes is a regular contributor to
the Wall Street Journal, Forbes, and the CFA Institute. Dr. Gray earned an
MBA and a PhD in nance from the University of Chicago and graduated
magna cum laude with a BS from The Wharton School of the University of
Pennsylvania.
John (Jack) R. Vogel, PhD Dr. Vogel conducts research in empirical asset
pricing and behavioral nance, and has published two books and multi-
ple academic articles. His academic background includes experience as an
instructor and research assistant at Drexel University in both the Finance
and Mathematics departments, as well as a Finance instructor at Villanova
University. Dr. Vogel is currently a Managing Member of Alpha Architect, an
SEC-Registered Investment Advisor, where he serves as the Chief Financial
Ofcer and Co-Chief Investment Ofcer. He has a PhD in Finance and a MS
in Mathematics from Drexel University, and graduated summa cum laude
with a BS in Mathematics and Education from the University of Scranton.
xiii
❦
❦ ❦
❦

❦
❦ ❦
❦
Quantitative
Momentum
❦
❦ ❦
❦

❦
❦ ❦
❦
PART
One
Understanding
Momentum
This book is organized into two parts. Part One sets out the rationale
for using momentum as a systematic stock selection tool. In Chapter 1,
“Less Religion; More Reason,” we provide a discussion of the two dom-
inant investment religions: fundamental and technical. We propose that
evidence-based investors consider both approaches. Next, in Chapter 2,
“Why Can Active Investment Strategies Work?” we outline our sustainable
active investing framework, which helps us identify why a strategy will
work over the long haul (i.e., the “edge”). In Chapter 3, “Momentum
Investing is Not Growth Investing,” we propose that momentum investing,
like value investing, is arguably a sustainable anomaly. Finally, we end
Part One with Chapter 4, “Why All Value Investors Need Momentum,” a
discussion of the evidence related to momentum investing, which suggests
that most investors should at least consider momentum investing when
constructing their diversied investment portfolio.
1
❦
❦ ❦
❦

❦
❦ ❦
❦
CHAPTER 1
Less Religion; More Reason
Child: “Dad, are you sure Santa brought the presents?”
Father: “Yes, Santa carried them on his sleigh.”
Child: “I guess that makes sense. He did eat the cookies and milk
we left by the replace.”
—Typical adult/child chat on Christmas Day
TECHNICAL ANALYSIS: THE MARKET’S OLDEST RELIGION
During the 1600s, the Dutch had a large merchant eet and the port city
of Amsterdam was a dominant commercial hub for trade from around the
world. Based on the growing inuence of the Dutch Republic, in 1602 the
Dutch East India Company was founded, and its evolution into the rst pub-
licly traded global corporation drove a number of nancial innovations to
the Amsterdam Stock Exchange, including the subsequent listing of addi-
tional companies and even short selling.
In 1688, Joseph de la Vega, a successful Dutch merchant, wrote Confu-
sion De Confusiones,oneoftheearliestknownbookstodescribeastock
exchange and stock trading. Some researchers today argue that he should be
considered the father of behavioral nance. De la Vega vividly described
excessive trading, overreaction, underreaction, and the disposition effect
well before they were documented by modern nance journals.1
In his book, de la Vega describes the day-to-day business of the Exchange
and alludes to how prices are set:
When a bull enters such a coffee-house during the Exchange hours,
he is asked the price of the shares by the people present. He adds one
to two per cent to the price of the day and he produces a notebook
3

❦
❦ ❦
❦
4QUANTITATIVE MOMENTUM
in which he pretends to put down orders. The desire to buy shares
increases; and this enhances also the apprehension that there may
be a further rise (for on this point we are all alike: when the prices
rise, we think that they yuphighand,whentheyhaverisenhigh,
that they will run away from us).2
De la Vega seems to be describing how rising prices themselves can beget
continued price increases. Put another way, in the words of Wes’s graduate
school roommate who managed a market making desk at a large Wall Street
bank, “High prices attract buyers, low prices attract sellers.”3
De la Vega continues:
The fall of prices need not have a limit, and there are also unlimited
possibilities for the rise ...Therefore the excessively high values need
not alarm you ...there will always be buyers who will free you from
anxiety ...the bulls are optimistic with joy over the state of business
affairs, which is steadily favorable to them; and their attitude is so
full of [unthinking] condence that even less favorable news does
not impress them and causes no anxiety ...[It seems] incompati-
ble with philosophy that bears should sell after the reason for their
sales has ceased to exist, since the philosophers teach that when the
cause ceases, the effect ceases also. But if the bears obstinately go
on selling, there is an effect even after the cause had disappeared.4
Here de la Vega explicitly discusses how bulls can continue buying,
and bears can continue selling, even when there is no direct reason or
cause for them to do so, other than the price action itself. So here we see
how, even in seventeenth-century Europe, price changes—independent of
fundamentals—can affect future market prices.
While early technical analysis was evolving in stock trading in Europe,
an even more fascinating nancial experiment was taking place in Japan.
During the 1600s, the peasant class, who made up the majority of the
Japanese population, was forced into farming, thus supplying a tax base that
could support the ruling military class, who, in turn, provided protection
for agricultural land. Rice was the largest crop at that time, accounting for
as much as 90 percent of government revenues, and became a staple of the
Japanese economy.
The important role of rice in Japan led to the establishment of a formal
exchange in 1697, and eventually to the emergence of what many believe
to be the rst futures market, the Dojima Rice Market. That market grew
to include a network of warehouses, with established credit and clearing
mechanisms.5

❦
❦ ❦
❦
Less Religion; More Reason 5
The rapidly evolving rice market in Japan was the fertile nancial envi-
ronment in which a young rice merchant, Munehisa Homma (1724–1803),
found himself during the mid-1700s. Homma began trading rice futures and
used a private communications network to trade advantageously. Homma
also used the history of prices to make predictions about the direction of
future prices. But his key insight involved the psychology of the markets.
In 1755, Homma wrote, The Fountain of Gold—The Three Monkey
Record of Money,whichdescribedtheroleofemotionsandhowthese
could affect rice prices. Homma observed, “The psychological aspect of the
market was critical to [one’s] trading success,” and “studying the emotions
of the market ...could help in predicting prices.” Thus, Homma, like de la
Vega, was perhaps one of the earliest documented practitioners of behav-
ioral nance. His book was among the earliest writings covering markets
and investor psychology.6
Homma invested on the long and the short side, and was thus an
antecedent to today’s hedge funds. He was so successful and became so
wealthy that he inspired the adage: “I will never become a Homma, but I
would settle to be a local lord.” He eventually became an adviser to the
government, and to Japan’s rst sovereign wealth fund.7
On the other side of the globe, nancial markets were also evolving. The
late nineteenth and early twentieth centuries marked a time of increasing
stock market participation in the United States. Among the most famous
equity investors of that era was a man named Jesse Livermore. He began
trading at the age of 14, and over his lifetime, he gained and lost several
fortunes.
An American author named Edwin Lefevre wrote the biography Remi-
niscences of a Stock Operator.ThebiographyisanaccountofLivermore’slife
and experiences in the early years of 1900s. The book describes Livermore’s
success using technical trading rules. Lefevre also described Livermore’s over-
arching philosophy on the market:
You watch the market ...with one object: to determine the
direction—that is the price tendency ...Nobody should be puzzled
as to whether a market is a bull or a bear market after it fairly starts.
The trend is evident to a man who has an open mind and reasonably
clear sight ...8
We gain more insight into Livermore’s investment philosophy when
we examine comments regarding his buy and sell decisions. We would
recognize these decisions today as modern “momentum” strategies: “It is
surprising how many experienced traders there are who look incredulous
when I tell them that when I buy stocks for a rise I like to pay top prices
and when I sell I must sell low or not at all.”

❦
❦ ❦
❦
6QUANTITATIVE MOMENTUM
Clearly, the ideas that investors are not completely rational, and
prices are related to future prices are not new ideas. Collectively, the
investors discussed above—Joseph de la Vega, Munehisa Homma, and
Jesse Livermore—highlight how great investors across history have rec-
ognized the role of psychology in the markets, and that historical prices
can help predict future prices—in other words, technical analysis works.
But fast forward to the early twentieth century, when some investors began
to question whether technical analysis represented a sensible approach to
investing. Many thought analysis of a company’s fundamentals might be
a more reasonable technique. Investors began to investigate fundamental
analysis, involving a careful review of a company’s nancial statements,
in hopes that such analysis might provide a better rationale for making
investment decisions. In particular, a new investing philosophy began to
gain notoriety: value investing, which involves buying stocks trading at a
low price versus various fundamentals, such as earnings or cash ow.
A NEW RELIGION EMERGES: FUNDAMENTAL ANALYSIS
Benjamin Graham is commonly known as the father of the value investing
movement. Graham believed that if investors bought stocks at prices con-
sistently below their intrinsic value, as determined by fundamental analysis,
those investors could earn superior risk-adjusted returns. Graham outlined
his value-investing framework in two of the most famous investing books of
all time, Security Analysis and The Intelligent Investor.
Graham realized that there were many adherents to the technical analysis
approach, but he was clear in expressing what he thought of the discipline:
bogus witchcraft. A quote from The Intelligent Investor summarizes his views:
The one principle that applies to nearly all these so-called “technical
approaches” is that one should buy because a stock or the market
has gone up and one should sell because it has declined. This is the
exact opposite of sound business sense everywhere else, and it is most
unlikely that it can lead to lasting success on Wall Street.9
Graham’s early criticism of technical analysis has been reinforced over
time by other adamant adherents of the fundamental analysis religion.
Graham’s most famous protégé, Warren Buffett, took the boxing gloves
from Graham and continued to beat on the technical analysis crowd. A
statement attributed to him demonstrates his views: “I realized technical
analysis didn’t work when I turned the charts upside down and didn’t get
a different answer.” A more recent quote by Burt Malkiel, who penned the
popular book ARandomWalkDownWallStreet, brings the disdain for

❦
❦ ❦
❦
Less Religion; More Reason 7
technical methods front and center: “The central proposition of charting is
absolutely false ...”10
One can almost hear the laughter from the fundamental analysts. They
believe they are better informed and ultimately more rational than technical
investors. Another statement attributed to Buffett is, “If past history was
all there was to the game, the richest people would be librarians.” It’s pretty
obvious that, in Buffett’s view, only obscure and harebrained librarians turn-
ing their charts around and around would ever consider technical analysis
to be a legitimate discipline. And perhaps the religious adherents of the fun-
damental approach thought that the use of humor and ridicule would make
their arguments more compelling.
More recently, Seth Klarman, the billionaire founder of the Baupost
Group hedge fund, has also denigrated technical analysis. In his cult-classic
value investing book Margin of Safety: Risk-Averse Value Investing Strate-
gies for the Thoughtful Investor,Klarmanisclearabouthisviews:
11
Speculators ...buy and sell securities based on the whether they
believe those securities will next rise or fall in price. Their judgment
regarding future price movements is based, not on fundamentals,
but on a prediction of the behavior of others ...They buy securities
because they “act” well and sell when they don’t ...Many specu-
lators attempt to predict the market direction by using technical
analysis—past stock price uctuations—as a guide. Technical
analysis is based on the presumption that past share prices mean-
derings, rather than underlying business value, hold the key to
future stock prices. In reality, no one knows what the market will
do; trying to predict it is a waste of time, and investing based on
that prediction is a speculative undertaking ...speculators ...are
likely to lose money over time.
It is illuminating that Klarman views underlying fundamentals as the
only justiable signal for insight into future stock prices. Price action is
“meandering” and meaningless, and efforts to predict the behavior of others
are in vain. But Klarman doesn’t stop here. He goes on to reject any system-
atic means of predicting future stock prices:
Some investment formulas involve technical analysis, in which
past stock-price movements are considered predictive of future
prices. Other formulas incorporate investment fundamentals such
as price-to-earnings (P/E) ratios, price-to-book-value ratios, sales
or prots growth rates, dividend yields, and the prevailing level of
interest rates. Despite the enormous effort that has been put into
devising such formulas, none has been proven to work.

❦
❦ ❦
❦
8QUANTITATIVE MOMENTUM
It is perhaps surprising that Graham, Malkiel, Buffett, and Klarman
would be so dismissive of technical analysis, given what seems to be a rich
vein of successful historical practitioners and a stack of academic research
that is arguably higher than the research that supports the merits of a fun-
damental, or value investing, approach. Nevertheless, these fundamental
investors’ views are reective of those of many in the value investing commu-
nity and of fundamental practitioners in general. The value investing religion
is alive and well.
THE AGE OF EVIDENCE-BASED INVESTING
“Avo i d ex t r eme ly inte n s e ide o l ogy becaus e i t r ui n s you r m i nd. ”
—Charlie Munger, Vice Chairman, Berkshire Hathaway12
Why did Ben Graham, a data-driven nancial economist at heart,
have a knee-jerk distrust for technical methods? Perhaps some of this
doubt relates to how technical analysis differs from fundamental anal-
ysis. For value investors, fundamentals lead, and prices follow, albeit
noisily. However, for technical investors, prices lead, and perhaps even
drive fundamentals, but fundamentals are not the core driver of stock
movements. Moreover, the technician label captures a larger group of the
investing public, with a much larger distribution of skills, ranging from
the peon to the preeminent. This wider distribution means the average
technician tends to be more subjective, less professional, and generally less
sophisticated than the average fundamental investor. Thus, one criticism of
technical analysis might be that investors are seeking out patterns where
no patterns really exist—a reasonable concern, given what we know about
human behavior.
Contrast the technical analyst with the fundamental analyst. The funda-
mental analyst is looking at concrete data—nancial statements—that are
based on established conventions. For example, positive net income ratios,
ample free cash ow, and low levels of debt can be considered fairly objec-
tive measures of good nancial health. Additionally, the fundamental analyst
must do a lot of hard work to conduct her security analysis: after all, she is
trying to identify the present value of all future cash ows from a business
and discount them to the present time.
The fundamental analyst is thus arguably engaged in a more thoughtful
and intellectually rigorous pursuit. In this sense, she is perhaps more credi-
ble. Buying based on fundamentals seems more reasonable than examining
recent price charts with a Ouija board. The technical analyst is assumed to
have a simpler job because one can reasonably argue that a history of prices

❦
❦ ❦
❦
Less Religion; More Reason 9
is a limited and simplistic signal, whereas for the fundamental analyst, there
is a much wider and deeper array of nancial information to digest and
consider.
But in the end, does effort and sophistication really matter? Taking a step
back, the mission for long-term active investors is to beat the market. Active
investors should focus on the scientic method to address a basic question:
What works? Warren Buffett obviously showed that value investing, irre-
spective of technical considerations, can work. But Stanley Druckenmiller,
George Soros, and Paul Tudor Jones also showed that technical analysis can
work just as well. An ever-growing body of academic research formalizes
the evidence that fundamental strategies (e.g., value and quality) and tech-
nical strategies (e.g., momentum and trend-following) both seem to work.13
Many dogmatic investors, however, looking to conrm what they already
believe, selectively adopt the research evidence that ts their investing reli-
gion. In contrast, an evidence-based investor will conclude that fundamental
and technical analysis strategies can work because they are two sides of
the same coin. They are cousins—because they share the common objec-
tive of exploiting the poor decisions of market participants inuenced by
biased decision making. As Andrew Lo, an inuential and forward-looking
nancial economist at MIT, correctly observes about the debate between
fundamental and technical traders, “In the end we all have the same goal,
which is to forecast uncertain market prices. We should be able to learn from
each other.”
We Agree: Less Religion, More Reason
The debate outlined above is merely the tip of the analysis iceberg and
is meant to demonstrate the contentious debates that surround different
investment philosophies. And as people become devoted to a particular
philosophy, their beliefs often become more rmly established. Thus, while
ascertaining the winner in these debates is impossible, one thing is certain:
Once an investment strategy has gained a convert, it is nearly impossible
to “ip” that convert to another investment religion. But why do these
debates necessarily need to be so contentious? Why should value and
momentum approaches be mutually exclusive? Indeed, a key aspect of the
scientic method is to preserve the freedom to doubt, for without doubt
we would cease to explore new ideas. We argue in Chapter 2 that there is
an overarching framework for understanding why certain strategies work.
We call our framework the sustainable active investing framework.This
framework does not seek to identify the best investment strategy, but aims
to identify the necessary conditions for any investment strategy to succeed
in the future.

❦
❦ ❦
❦
10 QUANTITATIVE MOMENTUM
DON’T WORRY: THIS BOOK IS ABOUT
STOCK-SELECTION MOMENTUM
In this introductory chapter, we’ve already discussed technical analysis, fun-
damental analysis, and psychology. A lot of topics in short order and no men-
tion of how to build a momentum strategy—and we will continue to explore
these important topics in the next few chapters. But we want to be clear: this
book is about stock-selection momentum. But in order to really understand
how to build any active investing strategy, we need context to understand
how and why this strategy will presumably work in the future. This dis-
cussion will be covered in Chapters 2 through 4. If you are an advanced
practitioner, we recommend you skip ahead to Chapter 5 for the cookbook
details on how to create what we consider to be an effective active momen-
tum strategy; however, if you want to understand and be successful with
the momentum strategy proposed, you will want to read the chapters in the
order we present them. Also, we must emphasize that the strategy we out-
line is not for everyone,primarilybecauseitrequiresdisciplinetofollow,
but more explicitly because the math doesn’t add up. From an equilibrium
perspective, not everyone can follow our strategy because for every stock we
buy, there is a seller on the other side of the trade.
With that disclaimer out of the way, let’s outline what we mean by
stock-selection momentum. There is sometimes confusion associated with
so-called momentum strategies—we want to clear the muddy waters. We
break momentum into two categories to differentiate between the different
approaches to measure momentum:
1. Time-series momentum: Sometimes referred to as absolute momentum,
time-series momentum is calculated based on a stock’s own past return,
considered independently from the returns of other stocks.14
2. Cross-sectional momentum: Originally referred to as relative strength,
before academics developed a more jargon-like term, cross-sectional
momentum is a measure of a stock’s performance, relative to other
stocks.15
A simple example will illustrate the difference. Consider a hypotheti-
cal scenario where we have two stocks in our universe: Apple and Google.
Twelve months ago, Apple was $25 per share and Google was also $25 per
share. Today, Apple is $100 per share and Google is $50 per share.
Next, we examine a simple time-series momentum rule and a simple
cross-sectional momentum rule.
The time-series rule will buy a stock that has positive performance
over the past 12 months, and will sell a stock if the stock has negative

❦
❦ ❦
❦
Less Religion; More Reason 11
performance. Here is how our time-series momentum-trading rule would
treat this scenario:
■Time-series momentum: Long Apple and long Google because both
stocks have strong absolute momentum.
Our cross-sectional rule will buy a stock if the stock’s past performance
over the past 12 months is relatively stronger than the past performance of
other stocks in the universe (and will sell a stock if it has poor relative perfor-
mance to other stocks). Here is how our cross-sectional momentum-trading
rule would treat this scenario:
■Cross-sectional momentum: Long Apple and short Google because
Apple is relatively stronger performing than Google.
Note that even though both stocks have increased in price (we are long
both from a time-series momentum perspective), Apple’s price has gone up
much more than Google’s price; thus, Apple has stronger momentum in the
cross-section (suggesting long Apple and short Google from a cross-sectional
momentum perspective).
One could use elements of both types of momentum to develop a
momentum strategy. For example, we could consider both momentum
elements and invest based on both the time series rule and the cross-sectional
rules. Using our example above, we would go long Apple, because the
time-series rule says buy and the cross-sectional rule also says buy, but
we might take no position in Google because one of the rules (i.e.,
cross-sectional momentum) says to sell.16
As outlined above, the various forms of momentum can be used
to develop a stock selection methodology. We want to highlight that
time-series and cross-sectional momentum are often used in a market-timing
or asset-class selection context. Let us be clear: This book is not focused
on market-timing or asset class selection—we are trying to understand
how different elements of momentum might be useful in the context of
individual stock selection.Thisbookisastockpickingbook,notanasset
allocation book.
SUMMARY
In this chapter, we outline the long-running debate between technical and
fundamental investors. Many readers are certainly familiar with both
faiths, and there are certainly zealots to be found in each camp. In many

❦
❦ ❦
❦
12 QUANTITATIVE MOMENTUM
circumstances the debate between technical and fundamental investing
tactics isn’t a debate—it is a yelling match. We want to stop the yelling and
start the research. To circumvent the yelling match, in the next chapter we
will describe the sustainable active investing framework. This framework
will help us better understand why certain strategies work and why others
do not, independent of the dogma. Through this lens we can form testable
hypotheses and have a constructive discussion. Our framework is decidedly
not perfect, but we do our best to contextualize the debate. Because, let’s
be honest, the mission of active investing is not to argue about which
investment philosophy is better—who cares—we just want to beat the
market over the long term! Also, to reiterate, if you are an advanced prac-
titioner looking to learn about the details of our proposed stock-selection
momentum strategy, feel free to skip to Chapter 5.
NOTES
1. Teresa Corzo, Margarita Prat, and Esther Vaquero, “Behavioral Finance In
Joseph de la Vega’s Confusion de Confusiones,” The Journal of Behavioral
Finance 15 (2014): 341–350.
2. Joseph de la Vega, Confusion de Confusiones. An English translation of Con-
fusion de Confusiones, 1688, is available via babel.hathitrust.org/cgi/pt?id=uc1
.32106019504239, accessed 2/15/2015.
3. Attributed to Jared Hullick.
4. De la Vega.
5. www.ndl.go.jp/scenery/kansai/e/column/markets_in_osaka.html, accessed
February 15, 2015.
6. Jasmina Hasanhodzic, “Technical Analysis: Neural network based pattern
recognition of technical trading indicators, statistical evaluation of their
predictive value and a historical overview of the eld,” MIT Master’s Thesis
(1979). Accessible at hdl.handle.net/1721.1/28725.
7. Steve Nison, Japanese Candlestick Charting Techniques (New York: Prentice
Hall Press, 2001).
8. Edwin Lefevre and Roger Lowenstein, Reminiscences of a Stock Operator
(Hoboken, NJ: John Wiley & Sons, 2006).
9. Benjamin Graham, The Intelligent Investor (New York: Harper, 1949).
10. Burt Malkiel, A Random Walk Down Wall Street (New York: W. W. Norton &
Company, 1996).
11. Seth Klarman, Margin of Safety (New York: Harper Collins, 1991).
12. Charlie Munger USC Law Commencement Speech, May 2007. www.youtube
.com/watch?v=NkLHxMWAZgQ, accessed February 28, 2016.
13. See Wesley Gray and Tobias Carlisle, Quantitative Value: A Practitioner’s
Guide to Automating Intelligent Investment and Eliminating Behavioral Errors
(Hoboken, NJ: John Wiley & Sons, 2012), and Chris Geczy and Mikhail

❦
❦ ❦
❦
Less Religion; More Reason 13
Samonov, “Two Centuries of Price Return Momentum,” Financial Analysts
Journal (2016).
14. See Gary Antonacci, Dual Momentum Investing: An Innovative Strategy for
Higher Returns with Lower Risk (New York: McGraw-Hill, 2014), and Tobias
Moskowitz, Yao Ooi, and Lasse Pedersen, “Time Series Momentum,” Journal
of Financial Economics 104 (2012): 228–250.
15. See Andreas Clenow, “Stocks on the Move: Beating the Market with Hedge Fund
Momentum Strategies,” self-published, 2015, for a practitioner perspective, and
see Narasimhan Jegadeesh and Sheridan Titman, “Returns to Buying Winners
and Selling Losers: Implications for Stock Market Efciency,” The Journal of
Finance 48 (1993): 65–91, for an academic discussion.
16. See Antonacci’s Dual Momentum book for a discussion of dual momentum in an
asset allocation context, which is different than our context of individual stock
selection. It conveys the idea of using both types of momentum in an investment
system.

❦
❦ ❦
❦
CHAPTER 2
Why Can Active Investment
Strategies Work?
“The worst thing I can be is the same as everybody else.”
—Attributed to Arnold Schwarzenegger
The debate over active investing versus passive investing is akin to other
classic conicts, such as Philadelphia Eagles versus Dallas Cowboys or
Coke versus Pepsi. In short, once our preference for one style over the other
is established, it often becomes a proven fact or incontrovertible reality in
our minds. Psychology research describes the notion of “conrmation bias,”
in which people prefer evidence that supports their earlier conclusions, and
ignore disconrming evidence.
The following discussion is not meant to convert a passive investor
into an active investor; however, we do explain why we believe some active
investing approaches, given certain characteristics, might logically beat
other investment strategies over a reasonably long time horizon. In other
words, what drove the success of Munehisa Homma, Jesse Livermore, and
Ben Graham, when all three active investors had dramatically different
investment philosophies? Perhaps it is all just luck, but we believe there
might have been something more.
Akeythemethatseemstounderliealloftheirapproachesisthe
exploitation of irrational investor behaviors. But if understanding behavior
were the Holy Grail, why aren’t psychologists running the capital markets?
Or perhaps Homma, Livermore, and Graham were just smarter than
everyone else? Being smarter does not seem to be the correct answer either,
since investors with the highest IQs do not control the market. Perhaps
the most famous case is that of Sir Isaac Newton—the genius who devel-
oped modern physics. The great physicist and mathematician famously
went broke trading the stock of the South Sea Company in the early
eighteenth century.
14

❦
❦ ❦
❦
Why Can Active Investment Strategies Work? 15
Thus far there does not seem to be a “silver bullet” explanation to
describe how active investors beat the market. Being smart, understanding
behavioral bias, or amassing an army of PhDs to crunch data is only half
the battle. Even with those tools, an active investor is still only one shark
in a tank lled with other sharks. All sharks are smart and all sharks know
how to analyze a company and how to read and understand nancial
charts. Maintaining an edge in these shark-infested waters is no small feat,
and one that only a handful of investors have consistently accomplished.
So what’s the answer? We still aren’t sure, and we are always learning. Our
best working theory is that there are two components that drive sustainable
success for active investors:
■A keen understanding of human psychology, and
■A thorough grasp of “smart money” incentives.
INTO THE LION’S DEN
Wes entered the University of Chicago Finance PhD program in 2002. It
was the beginning of a painful, but highly enlightening journey into the
world of advanced nance. For context, the University of Chicago nance
department maintains a rich legacy associated with having established, and
successfully defended, the Efcient Market Hypothesis (EMH). PhD stu-
dents in the department spend their rst two years in grueling, graduate-level
nance courses infused with highly technical mathematics and statistics. The
nal two to four years are dedicated to dissertation research. The best way
to describe the scene is as follows: sweatshop factory meets international
mathematics competition. In short, the program is tough.
After surviving his rst two years of intellectual waterboarding, Wes
needed a break. He took a unique “sabbatical,” and decided to join the
United States Marine Corps for four years. To make a long story short: He
wanted to serve, and he wasn’t getting any younger. Wes returned to the
PhD program in 2008 to nish his dissertation. His time in the Marines
taught him a lot of things, but one lesson stood out from the rest: “Make
Bold Moves.”1And of course, what is the boldest move one can do at the
University of Chicago?
Focus on research that questions the efcient market hypothesis.
Inefficient Market Mavericks: Value Investors
Wes wanted to determine if fundamental investors, or “value” investors,
could beat the market. He had been religiously following a value investing
strategy with his own account for over 10 years. He was a tried-and-true
believer in the Ben Graham fundamentals-focused value investing religion

❦
❦ ❦
❦
16 QUANTITATIVE MOMENTUM
(he still considered technical trading ideas to be heresy). The story that active
value investing could beat the market was compelling, but much of the
rhetoric in academic circles, and the research published in top-tier academic
journals, suggested otherwise.
The value debate was reinvigorated by a highly cited Eugene Fama and
Ken French paper titled “The Cross-Section of Expected Stock Returns.”2
The paper sparked a debate over whether or not the so-called value premium,
or the large spread in historical returns between cheap stocks and expensive
stocks, was due to extra risk or to mispricing. Were the excess returns of
value stocks a reward for added economic risk factors borne by shareholders,
or were these stocks simply mispriced? For Eugene Fama and Ken French, the
answer was clear: The value premium must be attributed to higher risk if the
market was efcient. The risk-based argument for the value premium seemed
far-fetched to Wes, who was a Ben Graham acionado. Graham and his dis-
ciple Warren Buffett were famous for beating the market over long periods
of time by buying cheap stocks. Their claim was that “Mr. Market,” who
represented the broad market, was characterized as a manic-depressive per-
son with deep psychological problems: Mr. Market would sometimes offer
stocks for prices below their fundamental value (e.g., the trough of the 2008
nancial crisis) or above their fundamental value (e.g., during the Internet
bubble of the late 1990s). And if a value investor purchased cheap, eventually
Mr. Market would agree. But could it be the case that the stocks these value
investors bought had high returns, not because they outsmarted Mr. Market,
but because they were buying more risk and got lucky? Wes began digging.
Wes started collecting data on nearly 4,000 investment picks submitted
by top fund experts, asset managers, and value enthusiasts to Joel Green-
blatt’s website, ValueInvestorsClub.com. This club wasn’t just any club.
This club was highly selective, with members screened for quality, and was
regarded as one of the best sites on the web for market ideas. Members
tended to be heavy hitters in the value investing arena.
After a year of toil and anguish, Wes compiled all the members’ stock
recommendations into a database so he could conduct a thorough analysis.
The results were extremely compelling—there was strong evidence that these
“varsity value investors” exhibited signicant stock-picking skills.
Excited to share his new ndings, Wes eagerly drafted a paper, which
included the following sentence at the end of the abstract:
Analyzing buy-and-hold abnormal returns and calendar-time port-
folio regressions, I conclude that value investors have stock- picking
skills.

❦
❦ ❦
❦
Why Can Active Investment Strategies Work? 17
Pleased with his work, Wes sent his draft dissertation to his adviser, Dr.
Eugene Fama, who by then was widely recognized as the “father of mod-
ern nance,” and was closely identied with the efcient market hypothesis
(“EMH”). Dr. Fama would go on to win the 2013 Nobel Prize in Eco-
nomics. Dr. Fama was a strong—perhaps the strongest—supporter of EMH.
Because Dr. Fama reviewed the results of Wes’s research personally, Wes’s
draft was sure to be rigorously scrutinized. The response Wes received was
less than ideal:
“Your conclusion has to be false ...”
Wes sped down to Dr. Fama’s ofce to get some clarication. The last
thing Wes wanted was a year’s worth of blood, sweat, and tears to get
tossed out the window. Wes’s evidence seemed solid. Was Dr. Fama simply
being dogmatic? Wes had to know exactly why Dr. Fama disagreed. Sweat-
ing profusely, with the prospect of the PhD degree slowly slipping away, he
asked one of the world’s most famous nancial economists for clarication.
Fama responded that the data and analysis were sound, but that Wes simply
couldn’t say that value investors had stock-picking skills. Always a stickler
for detail, Dr. Fama insisted that Wes qualify the abstract by adding two
clarifying words to the concluding statement from the paper: “The sample.”
So instead of saying that “value investors have stock picking skills” the nal
sentence needed to say that “the sample of value investors have stock-picking
skills.”3
Wes sat back, relieved, and relearned what he had been taught by his
mother as a young child: words matter. The eminent Fama was, not surpris-
ingly, correct: Wes’s ndings did not suggest that all value investors have
skill, merely that the sample he was investigating had skill—a subtle, yet
important distinction. Crisis averted.
Wes graduated the following year, with his research afrming, at least for
him, if not for Dr. Fama, that markets were not perfectly efcient and value
investors had an edge. Soon thereafter, Wes took a job as a nance professor
at Drexel University and met Jack Vogel, who was a nance PhD student at
the time. Jack would go on to publish his dissertation, which suggested the
extra returns associated with value stocks were likely driven by mispricing
and not additional risk.
But nagging questions abounded: What gives a certain investor “edge”?
What characteristics drive alpha? Why can one active investor (the winner)
systematically take money from other investors (the losers)?

❦
❦ ❦
❦
18 QUANTITATIVE MOMENTUM
Enter Behavioral Finance
“[Behavioral nance] has two building blocks: limits to
arbitrage ...and psychology.”
—Nick Barberis and Richard Thaler4
As Wes plowed through thousands of stock-picking proposals, one key
takeaway became clear. These analysts were good.Collectively,theyhad
skill. They were smart. They all made compelling cases that statistically
outperformed in the aggregate. But Jack’s dissertation research also found
that harnessing the power of a computer to buy generically cheap stocks
with strong fundamentals performed about equally well as the fundamental
stock pickers that Wes had investigated in his dissertation. Value investing,
whether driven by a human or a computer, beat the market. But why?
As mentioned, many in the market are smart and capable—intellect
alone cannot be the driver of superior returns. What enabled value investors
to buy low and sell high, and why was the efcient market hypothesis not
stopping them?
John Maynard Keynes was a groundbreaking early-twentieth-century
economist. He also spent many years as a professional investor, and may
have had the answer. Keynes was a shrewd observer of nancial markets and
a successful investor in his time. But even Keynes struggled as an investor. At
one point, Keynes was nearly wiped out while speculating on leveraged cur-
rencies (despite otherwise being a highly successful investor). His downfall
led him to share one of the greatest investing mantras of all time:5
“Markets can remain irrational longer than you can remain
solvent.”
Keynes’s quip highlights two key elements of real world markets that
the efcient market hypothesis (EMH) doesn’t consider: Investors can be
irrational and the attempt to exploit market mispricing, or arbitrage, is
risky. We can break Keynes’s quote into academic parlance: First, the phrase
“... longer than you can remain solvent” speaks to the fact that arbitrage
is risky and is referred to by academics as “limits to arbitrage.” Second,
the “Markets can remain irrational ...” component speaks to investor
psychology, which is an area of research that has been well developed
by professional psychologists. These two elements—limits to arbitrage
and investor psychology—are the building blocks for so-called behavioral
nance (depicted in Figure 2.1).
Limits to Arbitrage The efcient market hypothesis predicts that prices
reect fundamental value. Why? Smart investors are greedy and any
mispricing in the market is an opportunity to make a quick prot. As the

❦
❦ ❦
❦
Why Can Active Investment Strategies Work? 19
Behavioral Finance
Limits
to
Arbitrage
Investor
Psychology
FIGURE 2.1 The Two Pillars of
Behavioral Finance
logic goes, price dislocations are ephemeral because they are immediately
rectied by the proverbial “smart money.” In the real world, true arbitrage
opportunities—where prots are earned with zero risk after all possible
costs—rarely, if ever, exist. Most “arbitrage” is really risk arbitrage that
involves some form of cost that doesn’t exist in a theoretical pricing model.
Let’s look at a simple example of exploiting mispricing opportunities in the
orange market. Our basic assumptions are listed below:
■Oranges in Florida sell for $1 each.
■Oranges in California sell for $2 each.
■The fundamental value of an orange is $1.
The EMH suggests arbitrageurs will buy oranges in Florida and imme-
diately sell oranges in California until California orange prices are driven
to their fundamental value, which is $1. In a vacuum, the situation above
is an arbitrage. However, there are obvious costs to conduct this arbitrage.
For example, what if it costs $1 to ship oranges from Florida to Califor-
nia? Prices are decidedly not correct—the fundamental value of an orange
is $1—but there is no free lunch, since the shipping costs are a limit to arbi-
trage. Savvy arbitrageurs will be prevented from exploiting the opportunity
(in this case, due to “frictional” shipping costs).
Investor Psychology News ash: Human beings are not rational 100 per-
cent of the time. To anyone who has driven without wearing a seat belt, or
hit the snooze button on an alarm clock, this should be pretty clear. The
literature from top psychologists is overwhelming for the remaining naysay-
ers. Daniel Kahneman, the Nobel-prize winning psychologist and author of
the New York Times bestseller Thinking, Fast and Slow, tells a story of two
modes of thinking: System 1 and System 2.6System 1 is the “think fast,
survive in the jungle” portion of the human brain. When we start to run

❦
❦ ❦
❦
20 QUANTITATIVE MOMENTUM
away from a poisonous snake, even if later on, it turns out to be a stick, we
are relying on our trusty System 1. System 2 is the analytic and calculating
portion of the brain that is slower, but always rational. When we are com-
paring the costs and benets of renancing a mortgage, we are likely using
System 2.
System 1 keeps us alive in the jungle; System 2 helps us make rational
decisions for long-term benet. Both serve their purpose; however, some-
times one system can muscle onto the turf of the other. When System 1 starts
making System 2 decisions, we can get in a lot of trouble. For example, do
any of these sound familiar?
■“That diamond bracelet was so beautiful; I just had to buy it.”
■“Dessert comes free with dinner; of course I had to have some.”
■“Home prices never seem to go down; we’ve got to buy!”
Unfortunately, the efciency of System 1 comes with drawbacks—what
keeps us alive in the jungle isn’t necessarily what saves us from ourselves in
nancial markets.
Now, let’s combine our irrational investors (System 1 types) with the
limits of arbitrage, or market frictions, that we discussed above. We’re in a
situation where smart investors can’t take advantage of the System 1 types
for some reason. Combining bad investor behaviors with the frictions that
smart people run into, could create compelling investment opportunities for
uniquely situated investors.
For example, consider the concept of “noise traders:” think day traders
that ignore fundamentals and trade on “gut”—classic System 1 types. These
irrational noise traders can dislocate prices from fundamentals, but because
these traders are irrational, arbitrageurs have a hard time pinning down the
timing and duration of these irrational trades. Thus, going back to the idea
that markets can remain irrational longer than you can remain solvent, an
element of risk arises when an arbitrageur tries to exploit a noise trader. Sure,
noise traders are irrational now, but perhaps they will be even more irra-
tional tomorrow? Brad DeLong, Andrei Shleifer, Larry Summers, and Robert
Waldmann described this phenomenon in “Noise Trader Risk in Financial
Markets,” in the Journal of Political Economy in 1990.7Here is an abridged
abstract from the paper:
The unpredictability of noise traders’ beliefs creates a risk in the
price of the asset that deters rational arbitragers from aggressively
betting against them. As a result, prices can diverge signicantly
from fundamental values even in the absence of fundamental risk ...
Let’s translate this into English: Day traders mess up prices, and
although these people are idiots, you don’t know the extent of their idiocy,

❦
❦ ❦
❦
Why Can Active Investment Strategies Work? 21
and you can’t really time the strategy of an idiot anyway, so most smart
people don’t even try to take advantage of them. Consequently, prices move
around a lot more than they should because no one is stopping the idiots. It’s
too risky! Moreover, since prices move around a lot more, the returns can
be higher, so some lucky idiots may think they are actually good at timing
markets, which incentivizes more idiots to do more idiotic things. This com-
bination of bad behavior and market frictions describes what behavioral
nance is all about: Behavioral bias +Market frictions =Mispriced assets.
And while this working denition of behavioral nance may seem sim-
ple, the debate surrounding behavioral nance is far from settled. In one
corner, the efcient market clergy claims that behavioral nance is heresy,
reserved for those economists who have lost their way and diverted from the
“truth.” In their view, prices always reect fundamental value. Some in the
efcient market camp point to the evidence that active managers can’t beat
the market in the aggregate and incorrectly conclude that prices are always
efcient as a result. In the other corner, practitioners that leverage “behav-
ioral bias” suggest that they have an edge because they exploit investors with
behavioral bias. Yet, practitioners who make these claims often have terrible
performance.8
So where is the disconnect?
The disconnect lies in the fact that both sides of the argument fail to
assess mispricing opportunities and the limits to arbitrage, simultaneously.
The efcient market believers correctly identify that practitioners often lose
to the market, but fail to consider the limits to arbitrage, which suggest
that prices can deviate from fundamentals, but still not be protable for
active managers. Practitioners acknowledge mispricing opportunities, but
they ignore the limits of arbitrage, which make mispricing opportunities too
costly to protably exploit. In other words, behavioral nance is a possi-
ble answer to everyone’s problems. Behavioral nance can explain why we
observe inefcient market prices and why we observe that most active man-
agers can’t beat the market.9
GOOD INVESTING IS LIKE GOOD POKER:
PICK THE RIGHT TABLE
Behavioral nance hints at a framework for being a successful active
investor:
1. Identify market situations where behavioral bias is driving prices from
fundamentals (e.g., identify market opportunity).
2. Identify the actions/incentives of the smartest market participants and
understand their arbitrage costs.

❦
❦ ❦
❦
22 QUANTITATIVE MOMENTUM
3. Find situations where mispricing is high and arbitrage costs are high
for the majority of arbitrage capital, but the costs are low for an active
investor with low arbitrage costs.
One can think of the situation outlined above as analogous to a poker
player seeking to nd a winnable poker game. And in the context of poker,
picking the right table is critical for success:
1. Know the sh at the table (opportunity is high).
2. Know the sharks at the table (opportunity is low).
3. Find a table with a lot of sh and few sharks.
Following the poker analogy, in Figure 2.2, the graphic outlines the ques-
tions we must ask as an active investor in the marketplace:
1. Who is the worst player at the table?
2. Who is the best player at the table?
To be successful over the long haul, an active investor needs to be good
at identifying market opportunities created by poor investors, but also
skilled at identifying situations where savvy market participants are unable
or unwilling to act because their arbitrage costs are too high.
Behavioral Bias
Market Frictions
Opportunity
Who is the worst poker player at the table?
Who is the best poker player at the table?
FIGURE 2.2 Identifying Opportunity in the Market

❦
❦ ❦
❦
Why Can Active Investment Strategies Work? 23
Understanding the Worst Players
All human beings suffer from behavioral bias, and these biases are magnied
in stressful situations. After all, we’re only human.
We laundry list a plethora of biases that can affect investment decisions
on the nancial battleeld:
■Overcondence (“I’ve been right before ...”)
■Optimism (“Markets always go up.”)
■Self-attribution bias (“I called that stock price increase ...”)
■Endowment effect (“I have worked with this manager for 25 years; he
has to be good.”)
■Anchoring (“The market was up 50 percent last year; I think it will
return between 45 and 55 percent this year.”)
■Availability (“You see the terrible results last quarter? This stock is a
total dog!”)
■Framing (“Do you prefer a bond that has a 99 percent chance of paying
its promised yield or one with a 1 percent chance of default?”—hint,
it’s the same bond.)
The psychology research is clear: humans are awed decision makers,
especially under duress. But even if we identify poor investor behavior, that
identication does not necessarily imply that an exploitable market oppor-
tunity exists. As discussed previously, other smarter investors will surely be
privy to the mispricing situation before we are aware of the opportunity.
They will attempt immediately to exploit the opportunity, eliminating our
ability to protably take advantage of mispricing caused by biased market
participants. We want to avoid competition, but to avoid competition we
need to understand the competition.
Understanding the Best Poker Players
In the context of nancial markets, the best pokers players are often those
investors managing the largest amounts of money. These market participants
are exemplied by the hedge funds with all-star managers or institutional
titans running massive fund complexes. The resources available to these
investors are remarkable and vast. One can rarely overpower this sort of
opponent. Thankfully, overwhelming strength isn’t the only way to slay
Goliath. One can outmaneuver these titans because many top players are
hamstrung by perverse economic incentives.
Before we dive into the incentives of these savvy players, let’s quickly
review the concept of arbitrage. The textbook denition of arbitrage involves
acostlessinvestmentthatgeneratesrisklessprots, by taking advantage

❦
❦ ❦
❦
24 QUANTITATIVE MOMENTUM
of mispricings across different instruments representing the same security
(think back to our orange example). In reality, arbitrage entails costs as well
as the assumption of risk, and for these reasons there are limits to the effec-
tiveness of arbitrage. There is ample evidence for such limits to arbitrage.
Examples include the following:
Fundamental Risk. Arbitragers may identify a mispricing of a security
that does not have a perfect substitute that enables riskless arbi-
trage. If a piece of bad news affects the substitute security involved
in hedging, the arbitrager may be subject to unanticipated losses.
An example would be Ford and GM—similar stocks, but they are
not the same company.
Noise Trader Risk. Once a position is taken, noise traders may drive
prices farther from fundamental value, and the arbitrageur may be
forced to invest additional capital, which may not be available, forc-
ing an early liquidation of the position.
Implementation Costs. Short selling is often used in the arbitrage pro-
cess, although it can be expensive because of the “short rebate,”
which represents the costs to borrow the stock to be sold short.
In some cases, such borrowing costs may exceed potential prots.
For example, if short rebate fees are 10 percent and the expected
arbitrage prots are 9 percent, there is no way to protfromthe
mispricing.
The three market frictions mentioned are important. There are poten-
tially many others, but the biggest risk for most smart players is the balance
they must strike between long-term expected performance and career risk.
An explanation is in order. The biggest short-circuit to the arbitrage pro-
cess are the limits imposed on smart fund managers that face short-term
focused performance assessments. Consider the pressures produced by track-
ing error, or the tendency of returns to deviate from a standard benchmark.
Say a professional investor has a job investing the pensions of 100,000 re-
men. They have a choice of investment strategies. They can invest in the
following options:
■Strategy A: A strategy that they know (by some magical means) will beat
the market by 1 percent per year over 25 years. But, they also know that
this strategy will never underperform the index by more than 1 percent
in a given year; or
■Strategy B: An arbitrage strategy that the investor knows (again, by some
magical means) will outperform the market, on average, by 5 percent per
year over the next 25 years. The catch is that the investor also knows
that they will have a 5-year period where they underperform by 5 percent
per year.

❦
❦ ❦
❦
Why Can Active Investment Strategies Work? 25
Which strategy does the investment professional choose? If they are
being hired on behalf of 100,000 remen, the choice is often obvious, despite
being sub-optimal for their investors: choose Strategy A and avoid getting
red!
Why choose A? This strategy is a bad long-term strategy relative to B.
The incentives of an investment manager are complex. Fund managers are
not the owners of the capital, but work on behalf of someone who does.
Financial mercenaries, if you will. These managers sometimes make deci-
sions that increase the odds of them keeping their job, but will not necessar-
ily maximize risk-adjusted returns for their investors. For these managers,
relative performance is everything and tracking error is dangerous. In the
example above, the tracking error on Strategy B is just too painful to digest.
Those remen are going to start screaming bloody murder during the ve
years of underperformance, and the manager will not be around long enough
to see the rebound when it occurs after year 5. But if the manager follows
Strategy A, he can avoid career risk and the reman’s pension will not endure
the stress of a prolonged downturn.
Over long time frames, a mispricing opportunity may be a mile
wide—you could drive a proverbial truck through it. But this agency
problem—the fact that the owners of the capital can, in the short-term, begin
to doubt the abilities of the arbitrageur and pull their capital—precludes
smart managers from taking advantage of the long-term mispricing
opportunities that are highly volatile.
The threat of short-term tracking-error is very real. Consider the com-
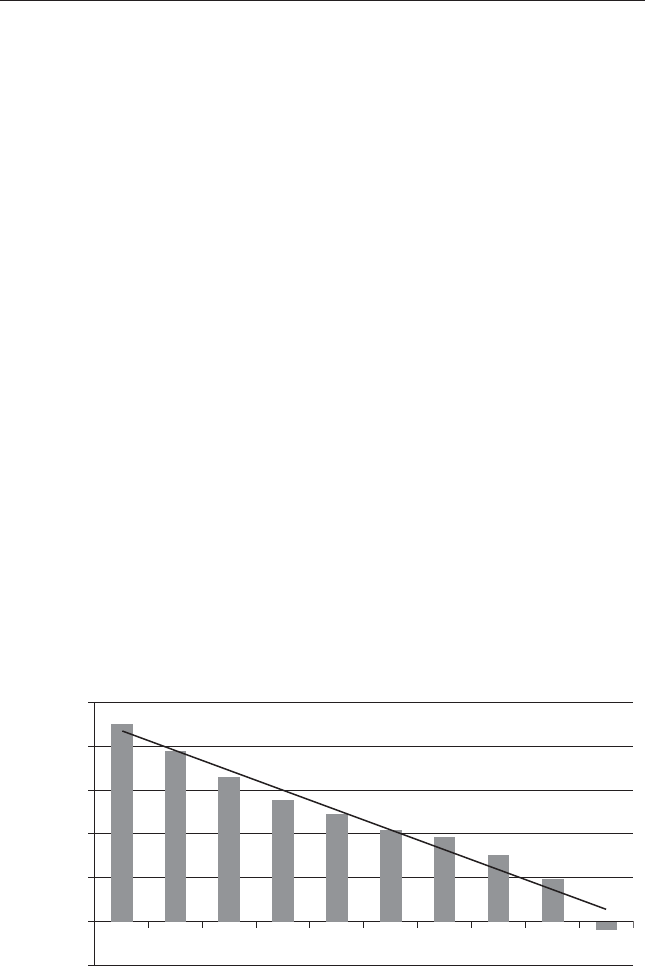
monly cited example of Ken Heebner’s CGM Focus Fund.10 AWall Street
Journal (WSJ) article offers some facts relating to Ken’s fund performance:
“Ken Heebner’s $3.7 billion CGM Focus Fund, rose more than 18%
annually and outpaced its closest rival by more than three percent-
age points.”
Next, the WSJ lays out additional facts relating to the performance of
investors in Ken’s fund:
“Too bad investors weren’t around to enjoy much of those gains.
The typical CGM Focus shareholder lost 11% annually in the
10 years ending Nov. 30 ...”
Ken’s fund compounded at 18 percent a year, and yet, the investors in the
fund lost 11 percent a year, a reection of the typical investor’s inability to
time effectively in and out of Ken’s fund (see Figure 2.3).11 When Ken’s fund
was underperforming (and the opportunity was high), they pulled capital;
when his fund was outperforming (and opportunity was low), they invested

❦
❦ ❦
❦
26 QUANTITATIVE MOMENTUM
20.00%
15.00%
10.00%
5.00%
18.00%
–11.00%
0.00%
–5.00%
–10.00%
–15.00%
Theoretical Buy and Hold Investor Actual Investor Performance
FIGURE 2.3 CGM Focus Fund from 1999 to 2009
more capital. On net, Ken looks like a genius, but few investors actually
beneted from Ken’s ability—a lose-lose proposition.
Ken’s Heebner’s experience highlights this conict of interest problem
for asset managers. The dynamics of this problem are explored in an illumi-
nating 1997 Journal of Finance paper by Andrei Shleifer and Robert Vishny,
appropriately called “The Limits of Arbitrage.”12 The takeaway from Ken
Heebner’s experience and Shleifer and Vishny’s insights is as follows: Smart
managers avoid long-term market opportunities if their investors are focused
on short-term performance.
And can you blame the managers? If their careers depend on their rel-
ative performance over a month, a year, or even every ve years, then asset
managers will clearly care more about short-term relative performance than
about long-term expected risk-adjusted returns. Whether they are proac-
tively protecting their jobs or the clients are actively driving the conversation
around near-sighted metrics, the end result is the same. Fund investors lose,
and prices are not always efcient.
Keys to Long-Term Active Management Success
“There are a lot of smart people ...so it’s not easy to win.”
—Charlie Munger, Vice Chairman Berkshire Hathaway13

❦
❦ ❦
❦
Why Can Active Investment Strategies Work? 27
Sustainable
Alpha
Sustainable
Investors
Long-Term
Performance
FIGURE 2.4 The Long-Term Performance Equation
We’ve outlined a few elements of the marketplace. First, some investors
are probably making poor investment decisions, and second, some managers
are unable to exploit genuine market opportunities due to incentives. We
encapsulate these elements in a simple equation for sustainable long-term
performance in Figure 2.4.
The long-term performance equation has two core elements:
■Sustainable alpha
■Sustainable investors
Sustainable alpha refers to an active stock selection process that system-
atically exploits mispricings caused by behavioral bias in the marketplace
(i.e., nds the worst poker players). In order for this “edge” to be sustain-
able, it cannot be arbitraged away in the long run. Typically, sustainable
edges are driven by strategies that require a long-horizon and indifference to
short-term relative performance in order to be successful. That requirement
brings us to our second element of the long-term performance equation: sus-
tainable investors. Sustainable investors cannot fall victim to the siren song
of short-term underperformance. If they do fall prey to short-termism, these
unsustainable investors will greatly enhance the arbitrage costs for their del-
egated asset manager, and will thus prevent the investors from protably
exploiting mispricing opportunities.
Based on the equation, if one can identify a process with an established
edge (i.e., sustainable alpha) that requires long-term discipline to exploit
(i.e., requires sustainable investors), it is likely that this process will serve as
a promising long-term strategy that will beat the market over time.
Moving from Theory to Practice Much of this discussion outlines an intel-
lectual framework for successful active investing. There is no discussion of
whether value investing is better than growth investing, or if high-frequency
trading is better than investing in pork belly futures. However, the building
blocks to identify sustainable performance are simple to follow:
■Identify a sustainable alpha process that can exploit bad players.
■Understand the limitations of good players.
■Exploit the opportunity by pairing a good process with sustainable
capital.

❦
❦ ❦
❦
28 QUANTITATIVE MOMENTUM
To put a little bit of meat on the bone, we provide an example of how
this construct works in the “value versus growth” debate, which is a familiar
discussion for most readers. To keep things simple and in line with academic
research practices, we consider value investing to be approximated roughly
by the practice of purchasing portfolios of rms with low prices to some fun-
damental price metric (e.g., a high book-to-market or B/M ratio). Growth
investing is the opposite approach—purchase rms with high prices relative
to fundamentals, with the expectation that fundamentals will grow rapidly.
Using Ken French’s data,14 we examine the returns from January 1, 1927, to
December 31, 2014, for a value portfolio (high B/M decile, value-weighted
returns), a growth portfolio (low B/M decile, value-weighted returns), and
the S&P 500 total return index. By value-weight, we mean that each stock is
given its weight in the portfolio, depending on the size of the rm. Results are
shown in Table 2.1. All returns are total returns and include the reinvestment
of distributions (e.g., dividends). Results are gross of fees.
The historical evidence is clear: value stocks from 1927 to 2014
have outperformed growth stocks—by a wide margin. The portfolio of
value stocks earns a compound annual growth rate of 12.41 percent
per year, whereas, the growth stock portfolio earns 8.70 percent per
year—approximately a 4 percent annual spread in performance. This
historical spread in returns, which has been repeatedly and consistently
observed over time, has been labeled the value anomaly by academic
researchers. Of course, academics argue over the reasons why the spread
is large (e.g., value investing might earn higher returns because it is simply
more risky or because of mispricing, as discussed earlier). This debate is
best captured by a 2008 interview with Eugene Fama where he describes
apersonalconversationwithAndreiShleiferoveraglassofwine.
15 Fama
highlights that Andrei believes the value premium is due to mispricing,
whereas Fama attributes the value premium to higher risk. Bottom line:
TABLE 2.1 Value versus Growth (1927 to 2014)
Value Growth SP500
CAGR 12.41% 8.70% 9.95%
Standard Deviation 31.92% 19.95% 19.09%
Downside Deviation 21.34% 14.41% 14.22%
Sharpe Ratio 0.41 0.35 0.41
Sortino Ratio (MAR =5%) 0.54 0.37 0.45
Worst Drawdown –91.67% –85.01% –84.59%
Worst Month Return –43.98% –30.65% –28.73%
Best Month Return 98.65% 42.16% 41.65%
Protable Months 60.51% 59.09% 61.74%

❦
❦ ❦
❦
Why Can Active Investment Strategies Work? 29
Great minds can disagree on the explanation, but nobody can dispute the
empirical fact that value stocks have outperformed growth stocks by a wide
margin over time.
We Have the Facts. Next Step: Identify Bad Players The data highlight that
value investing has higher expected returns than growth investing. But to
better understand whether value will beat growth in the future we need to
look through the sustainable active investing prism and identify if the spread
is due to risk (the efcient market explanation) or mispricing (the behavioral
nance explanation). For a valid mispricing argument, we need to identify
if there are market participants making systematically poor decisions with
respect to the purchase of value and growth stocks.
Lakonishok, Shleifer, and Vishny (LSV) explore this question in their
paper “Contrarian Investment, Extrapolation, and Risk.”16 LSV hypothe-
size that investors suffer from representative bias, a situation where investors
naively extrapolate past growth rates too far into the future. Figure 2.5 high-
lights the concept from the LSV paper using updated data from Dechow and
Sloan’s 1997 paper, “Returns to Contrarian Investment Strategies: Tests of
Naive Expectations Hypothesis.”17 The horizontal axis represents cheapness
and sorts securities into buckets, from left to right, based on whether stocks
are expensive (low book-to-market ratios) or cheap (high book-to-market
ratios). The vertical axis represents past ve-year earnings growth rates for
the respective valuation buckets. Stocks in Bucket 10 are the cheapest, and
they exhibited (on average) a negative 1percentearningsgrowthoverthe
preceding ve years.
Growth
Past Earnings Growth Rates
25.0%
20.0%
15.0%
10.0%
5.0%
0.0%
–5.0%
23456789Value
B/M Deciles
Past Earnings Growth Rates and Valuations
FIGURE 2.5 Investors Extrapolate Past Growth Rates into the Future

❦
❦ ❦
❦
30 QUANTITATIVE MOMENTUM
The relationship is almost perfectly linear. Cheap stocks have terrible
past earnings growth, whereas expensive stocks have had wonderful earn-
ings growth over the past ve years. No real surprise there, but it is interest-
ing to see how well the data ts this relationship.
Figure 2.5 underscores the general market expectation that past earn-
ings growth rates will continue into the future. Growth rms are expensive
because market participants believe past growth rates will continue. Oth-
erwise, why would they pay so much for these stocks? Meanwhile, value
stocks are cheap for what seems like a good a reason—the market believes
their poor past growth rates will continue as well.
But does this really happen? Do cheap stocks have poor realized future
earnings growth and do expensive stocks have strong realized future earn-
ings growth? This is an empirical question that can be tested with an exper-
iment. Do growth rms continue to grow faster, on average, or is there a
systematic aw in market expectations?
In Figure 2.6, we look at what happens to earnings growth over the
next ve years. Specically, did the value stocks continue to exhibit terrible
earnings growth as predicted? Did growth stocks maintain their terricearn-
ings growth?
No, they did not. The chart is evidence of systematically poor poker
playing. The realized earnings growth (dark bars) systematically reverts
to the average growth rate across the universe. Value stocks outperform
earnings growth expectations and growth stocks underperform their expec-
tations, systematically. Take a moment to study this profound observation.
18.0%
16.0%
14.0%
12.0%
10.0%
Future Earnings Growth Rates
8.0%
6.0%
4.0%
2.0%
0.0%
Growth 2 3 4 5 6
B/M Deciles
Future Earnings Growth Rates and Valuations
7 8 9 Value
FIGURE 2.6 Realized Growth Rates Systematically Mean-Revert

❦
❦ ❦
❦
Why Can Active Investment Strategies Work? 31
This unexpected deviation from expectations leads to price movements
that are favorable for cheap “value” stocks, and unfavorable for expensive
“growth” stocks. This deviation explains, at least in part, why expensive
stock investors underperform, cheap stock investors outperform, and
passive investors receive something in between.
To summarize: Markets, on average, throw value stocks under the bus
and clamor for growth stocks. From a poker playing perspective, buying
growth stocks and selling value stocks is an example of a systematically poor
strategy. Assuming that a great hand from the last round equals a winning
hand in the next round is a losing approach. But what are the best poker play-
ers doing about this value anomaly situation, and can these poker players
easily exploit the poor poker players?
Next Step: Identify the Actions of the Best Players It is unlikely that we will
ever be the smartest investors in the world. For example, George Soros,
Julian Robertson, Leon Cooperman, and Paul Tudor Jones will always be
smarter than we are. But if we aren’t going to be the best player at the invest-
ing table, how can we win against these high-powered investors? We can win
by nding those market opportunities where the smartest investors are reluc-
tant to participate. But why would a smart investor not want to participate in
a straightforward way to beat the market, such as through value investing?
As mentioned previously, smart investors often get endowed with large
amounts of capital from a large group of diverse investors (again, think
George Soros, Julian Robertson, Paul Tudor Jones, but also large institu-
tions such as BlackRock, Fidelity, and so forth). This makes sense on many
levels—investors want to give their money to smart people. The challenge
is that the really smart investors are often managing money on behalf of
investors that suffer from behavioral biases (System 1 thinkers). Shleifer
and Vishny highlight, and the Ken Heebner example conrms, that many
smart market participants are hamstrung by the short-term performance
measures imposed on them by their investors. “How did you perform against
the benchmark this quarter? What do your results look like year to date?
What macroeconomic trends are you exploiting this month?” All of these
questions are commonplace in the market. The threat of being red and
replaced with a passive portfolio of Vanguard funds is an implied threat.
When job security and client expectations trump long-term value creation,
funny things happen.
AremarkablepaperbyMarkusBrunnermeierandStefanNagel,“Hedge
Funds and the Technology Bubble,” highlights the warped incentives faced
by the smartest investors who deal with other people’s money.18 Contrary to
all textbook teachings related to efcient price formation, the smart money
sometimes can be incentivized to enhance mispricing, not trade against it!

❦
❦ ❦
❦
32 QUANTITATIVE MOMENTUM
Brunnermeier and Nagel nd that many hedge fund managers didn’t try to
capitalize on the mispricing between value and growth stocks in the Internet
Bubble of the late 1990s—they actually bought growth stocks and sold value
stocks. This action enabled them to more closely track the index—for a time.
Meanwhile, the poor hedge funds that stuck to their value investing guns,
for example, Julian Robertson of Tiger Funds, ended up with no assets under
management and a busted business model.
But Julian Robertson wasn’t the only famous value investor to lose his
proverbial shirt during the 1994 to 1999 time period. Around this time,
Barron’s famously stated the following regarding Warren Buffett’s relative
performance:19
“Warren Buffett may be losing his magic touch.”
Barron’s observation was, in many respects, fully warranted. Value
investors as a group were destroyed by the market in the late 1990s. Generic
value investing (shown in Figure 2.7) underperformed the broader market
by a large margin for six long years!
Obviously, being a value investor requires a patience and faith that few
investors possess. In theory, value investing is easy—buy and hold cheap
stocks for the long haul—but in practice, true value investing is almost
impossible.
$400
$350
$300
$250
$200
$150
$100
$50
1/1/1994
5/1/1994
9/1/1994
1/1/1995
5/1/1995
9/1/1995
1/1/1996
5/1/1996
9/1/1996
1/1/1997
5/1/1997
9/1/1997
1/1/1998
5/1/1998
9/1/1998
1/1/1999
5/1/1999
9/1/1999
Value of $100 Invested
Value Stocks SP500
FIGURE 2.7 Value Investing Can Underperform

❦
❦ ❦
❦
Why Can Active Investment Strategies Work? 33
Using Ken French’s data, we examined just how painful it was to
be a value investor in the late 1990s. We examine the returns from
January 1, 1994, to December 31, 1999, for a value portfolio (high
book-to-market decile, value-weighted portfolio returns), a growth portfo-
lio (low book-to-market decile, value-weighted portfolio returns), the S&P
500 total return index (SP500), and the Russell 2000 total return index
(R2K), a small-cap index. Results are shown in Table 2.2. All returns are
total returns and include the reinvestment of distributions (e.g., dividends).
Results are gross of fees.
The returns to the value portfolio were not bad on an absolute basis, but
on a relative basis, value was horric. Looking at the annual returns (shown
in Table 2.3), value investing lost almost every year to a simple passive mar-
ket allocation!
Aplain-vanillaindexfund(SP500)outperformsvalueve out of six
years in a row, sometimes by double-digit gures! To simulate what these
value managers went through, ask yourself this question:
If your asset managers underperformed a benchmark for ve out of
six years, at times by double digits, would you re them?
TABLE 2.2 Value Investing Can Underperform (1994–1999)
Value Growth SP500 R2K
CAGR 18.35% 27.71% 23.84% 13.39%
Standard Deviation 11.79% 16.53% 13.63% 16.96%
Downside Deviation 7.59% 11.25% 10.50% 14.27%
Sharpe Ratio 1.09 1.28 1.30 0.55
Sortino Ratio (MAR =5%) 1.66 1.87 1.67 0.64
Worst Drawdown –11.58% –16.33% –15.18% –29.78%
Worst Month Return –8.62% –14.92% –14.31% –19.42%
Best Month Return 8.05% 10.69% 8.04% 11.32%
Protable Months 68.06% 70.83% 73.61% 66.67%
TABLE 2.3 Annual Returns
Value Growth SP500 R2K
1994 –2.83% 2.53% 1.35% –1.82%
1995 36.47% 35.47% 37.64% 28.45%
1996 14.22% 23.20% 23.23% 16.49%
1997 32.52% 31.15% 33.60% 22.36%
1998 29.75% 44.23% 29.32% –2.55%
1999 5.45% 33.90% 21.35% 21.26%

❦
❦ ❦
❦
34 QUANTITATIVE MOMENTUM
For 99.9 percent of investors, that answer would be a resounding,
“Yes!” (and giving someone a six-year trial period is probably out of the
question to begin with). Most—if not all—professional asset managers
would be red, given this underperformance. Asset managers know this
evidence intuitively, and internalize the results by avoiding purist value
investing endeavors that could make them look like fools in the short run.
After viewing the six-year value investing pain train, we can identify two
key takeaways:
1. For a long-term investor, a six-year stretch of pain is a truly great thing.
Why? Because this will limit competition from the best pokers players,
for whom career risks trump performance considerations, and the weak
hands will be shaken out of the competition.
2. Sustainable active investing requires special investors. It requires that
investors be disciplined, have a long-term horizon, and be indifferent
to short-term relative performance. These unique investors are what we
had previously labeled sustainable investors in Figure 2.4.
Now, suspend reality for a moment and let’s imagine that an active value
manager had clients that didn’t run for the exits in 1999. What would their
hypothetical returns look like over the long run? As one can see in Table 2.4,
value quickly recovers and handily outperforms over the entire time period
thereafter. Table 2.4 shows the returns to the same portfolios from January
1, 2000, to December 31, 2014, the 15 years following the six-year period
of underperformance.
Sticking with the value strategy, although painful, was richly rewarded
with almost a 5 percent edge—per year—over the market benchmark (S&P
500) from 2000 to 2014.
TABLE 2.4 Summary Statistics (2000–2014)
Value Growth SP500 R2K
CAGR 9.12% 2.75% 4.45% 7.38%
Standard Deviation 24.05% 16.90% 15.22% 20.42%
Downside Deviation 17.73% 12.50% 11.42% 13.77%
Sharpe Ratio 0.41 0.14 0.24 0.36
Sortino Ratio (MAR =5%) 0.37 –0.07 0.05 0.31
Worst Drawdown –64.47% –58.21% –50.21% –52.89%
Worst Month Return –28.07% –16.13% –16.70% –20.80%
Best Month Return 36.64% 11.21% 10.93% 16.51%
Protable Months 58.89% 56.67% 60.56% 58.89%

❦
❦ ❦
❦
Why Can Active Investment Strategies Work? 35
TABLE 2.5 Summary Statistics (1994–2014)
Value Growth SP500 R2K
CAGR 11.68% 9.33% 9.65% 9.06%
Standard Deviation 21.27% 17.00% 14.92% 19.48%
Downside Deviation 16.23% 12.25% 11.19% 13.97%
Sharpe Ratio 0.50 0.45 0.51 0.41
Sortino Ratio (MAR =5%) 0.51 0.44 0.48 0.40
Worst Drawdown –64.47% –58.21% –50.21% –52.89%
Worst Month Return –28.07% –16.13% –16.70% –20.80%
Best Month Return 36.64% 11.21% 10.93% 16.51%
Protable Months 61.51% 60.71% 64.29% 61.11%
Over the entire cycle, patient and disciplined investors were rewarded.
Table 2.5 shows the results over the entire time period, measured from
January 1, 1994, to December 31, 2014.
What’s the bottom line? For a long-term investor, value investing was the
optimal decision relative to growth investing, but for many of the smartest
asset managers in the world, including the great Julian Robertson, value
investing was simply not feasible as a business model. These professionals
were often forced via the threat of investor redemptions to “diworsify” their
portfolios with overpriced growth stocks during the Internet Bubble. They
needed to keep up with the market and did so by doing what everyone else
was doing. This decision helped them keep their jobs, but prevented their
investors from maximizing their chances for success, even if some truly did
have a long-horizon, and discipline.
Putting It All Together
We’ve used value and growth investing as a laboratory to highlight how the
sustainable active investing framework can identify long-term winning strate-
gies. Value investing ts nicely in this paradigm, but has serious warts, notably
stretches of horrendous underperformance. The lesson from value investing
is that successful active investing is simple, but not easy. If active investing
were easy, everyone would do it, and if everyone were doing it, it probably
would not generate outsized risk-adjusted returns over the long haul.
In summary, our long-term performance equation from Figure 2.4 high-
lights two required elements for sustainable performance:
1. The sustainable process exploits systematic investor expectation errors.
2. The sustainable investor has a long horizon and a willingness to be
different.

❦
❦ ❦
❦
36 QUANTITATIVE MOMENTUM
These two pieces of the puzzle map back to the classic lessons of poker:
1. Identify the worst poker player at the table.
2. Identify the best poker players at the table.
And these classic lessons map into the two pillars of behavioral nance:
1. Understand behavioral bias and how investors form expectations.
2. Understand market frictions and how they affect market participants.
So the next time you hear a market participant suggest that one strat-
egy is better than another strategy, simply ask two basic questions: (1) Why
are the securities selected by this process mispriced? and (2) Why aren’t
other smart investors already exploiting the mispricing opportunity? With-
out solid answers to both questions, it is unlikely that the investment process
is sustainable.
GROWTH INVESTING STINKS, SO WHY DO IT?
We talked in the last section about how value stocks outperform growth
stocks, and showed that buying and holding growth stocks is a bad relative
bet. And yet, most fund complexes divide the investable universe into value
and growth stocks. To highlight the prevalence of the value/growth mindset
in the marketplace, Figure 2.8 is an example of the classic three-by-three
diagram, which splits the stock universe into nine buckets. The two axes are
size (vertical axis from large to small) and value (horizontal axis from value
to growth).
Figure 2.8, or some derivation of it, is used by almost every major invest-
ment rm in the United States. But if growth is a suboptimal investment
approach, why bother with a framework that suggests we consider growth
stocks as part of a portfolio? One answer to this question is likely related to
Size
Blend GrowthValue
Large
Medium
Small
Style
FIGURE 2.8 Value and Growth Chart

❦
❦ ❦
❦
Why Can Active Investment Strategies Work? 37
the fact that growth stocks provide some diversication benets for a portfo-
lio, even though they provide poor relative returns. We explicitly investigate
the diversication benets of growth in Table 2.6, in the context of the late
1990s (a period we examined in Table 2.2), which was a time when value
underperformed versus growth. We examine the performance of a monthly
rebalanced portfolio that invests half of the portfolio in the value portfolio
and half in the growth portfolio over the 1994 to 1999 time period.
At a high level, being a combo investor (value and growth) was a much
smarter career move over this period in the 1990s than being a pure value
investor. The combo investor did not achieve the performance of the pure
growth portfolio, but the results were closer to the broader market and the
probability of getting red was muted. The annual return gures in Table 2.7
bring this point home.
Unlike the pure value portfolio, which was a guaranteed ticket to the
unemployment line in 1999, the combo portfolio, while underwhelming rel-
ative to the market, would have been at least a salvageable situation in a
TABLE 2.6 Combining Value and Growth Lowers Volatility (1994–1999)
Value Growth
50% Value,
50% Growth SP500
CAGR 18.35% 27.71% 23.19% 23.84%
Standard Deviation 11.79% 16.53% 12.86% 13.63%
Downside Deviation 7.59% 11.25% 9.49% 10.50%
Sharpe Ratio 1.09 1.28 1.32 1.30
Sortino Ratio (MAR =5%) 1.66 1.87 1.78 1.67
Worst Drawdown –11.58% –16.33% –13.93% –15.18%
Worst Month Return –8.62% –14.92% –11.77% –14.31%
Best Month Return 8.05% 10.69% 7.97% 8.04%
Protable Months 68.06% 70.83% 70.83% 73.61%
TABLE 2.7 Annual Returns for Combo Portfolio
Value Growth
50% Value,
50% Growth SP500
1994 –2.83% 2.53% –0.09% 1.35%
1995 36.47% 35.47% 36.07% 37.64%
1996 14.22% 23.20% 18.77% 23.23%
1997 32.52% 31.15% 32.08% 33.60%
1998 29.75% 44.23% 37.15% 29.32%
1999 5.45% 33.90% 19.37% 21.35%

❦
❦ ❦
❦
38 QUANTITATIVE MOMENTUM
client meeting. Of course, we already know how this story ends. The benets
of combining the growth strategy with the value strategy over this unique
time period offered a great benet: diversication. The combo reduced the
pain versus a pure value approach.
Likewise, as seen in Table 2.8, the combo portfolio served an investment
manager well over the longer 1994 to 2014 period (examined previously in
Table 2.5), delivering higher risk-adjusted returns than the S&P 500 bench-
mark. For the period 1994 to 2014, the combo portfolio reduced the pain
versus a pure growth approach.
The other benet for these active managers is that they maintained their
careers through the tech bubble. Of course, the downside of this approach
was lower absolute returns due to the inclusion of the growth component,
which diluted the performance of an active value strategy throughout
the cycle.
But Can We Identify a Better Diversifier?
As outlined above, investors and professional fund managers appreciate the
benets of including growth in a portfolio—especially during the period
under discussion—because value and growth had relatively low correla-
tions and thus created a portfolio with less benchmark drift and manageable
volatility. However, the inclusion of growth, while providing portfolio diver-
sication benets, has costs in the form of lower expected portfolio returns.
Growth investing is not a sustainable active strategy. In fact, it is just the
opposite—a sustainably poor strategy. But what is an investor to do? Ide-
ally, one could capture the diversication benets of a growth portfolio,
but accomplish the diversication benets with an active stock selection
TABLE 2.8 Combining Value and Growth Lowers Volatility (1994–2014)
Value Growth
50% Value,
50% Growth SP500
CAGR 11.68% 9.33% 10.86% 9.65%
Standard Deviation 21.27% 17.00% 17.42% 14.92%
Downside Deviation 16.23% 12.25% 12.87% 11.19%
Sharpe Ratio 0.50 0.45 0.53 0.51
Sortino Ratio (MAR =5%) 0.51 0.44 0.53 0.48
Worst Drawdown –64.47% –58.21% –56.63% –50.21%
Worst Month Return –28.07% –16.13% –22.10% –16.70%
Best Month Return 36.64% 11.21% 23.28% 10.93%
Protable Months 61.51% 60.71% 62.30% 64.29%

❦
❦ ❦
❦
Why Can Active Investment Strategies Work? 39
methodology that had characteristics that were more in line with the sus-
tainable active framework.
Fortunately, there is a potential solution to this problem: momentum
investing. In the early 1990s, academics such as Narasimhan Jegadeesh and
Sheridan Titman, in their 1993 paper “Returns to Buying Winners and Sell-
ing Losers: Implications for Market Efciency,” began to refocus on the old
concept of momentum, which refers to a general class of strategies in which
past returns can predict future returns.20 That is, if a stock has performed
relatively well over the past year, it will continue to perform relatively well
in the future. Researchers have done follow-on studies that nd the momen-
tum effect persists even when controlling for company size and value factors.
And the effect appears to hold over a 200-year time sample,21 and across
multiple asset classes, such as commodities, currencies, and even bonds.22
Moreover, researchers nd that momentum is relatively uncorrelated with
value, thus providing diversication benets. In short, it appears the evidence
for momentum is pervasive and provides similar diversication benets to
growth investing.
And while momentum investment strategies are well established in
the academic literature, these strategies are not commonly used in actively
managed funds, especially when compared with the large number of
“growth” funds found in the market. In fact, the immediate gut reaction
of most people to “momentum,” is that momentum investing IS growth
investing. Unfortunately, this reaction reects a misconception in the
market. Momentum and growth, while sometimes related, are certainly not
the same. Moreover, we believe that momentum, unlike growth, ts nicely
in the sustainable active framework, thus making it a much better diversier
alongside value, which is another sustainable strategy. The goal of the next
chapter is to explain why momentum investing, which is purely focused
on prices, is a better alternative to growth investing, which considers both
fundamentals and prices. Our mission is to convince the reader that the
evidence supports a move to a new style-box paradigm (Figure 2.9) that
replaces “growth” with “momentum.”
Blend MomentumValue
Large
Medium
Small
Size
Style
FIGURE 2.9 New Style Box Paradigm

❦
❦ ❦
❦
40 QUANTITATIVE MOMENTUM
SUMMARY
In order to assess the sustainability of an active strategy, we outlined the
sustainable active investing framework to better understand why certain
strategies work and why others do not. We then reviewed the classic value
versus growth debate, but viewed this argument through the lens of the sus-
tainable active framework. We discussed that value investing works, not
because Ben Graham said it would work, but because (1) it systematically
captures a mispricing in the market associated with poor expectations, and
(2) taking advantage of the mispricing is difcult.
Next, we addressed the question of why investors would ever rationally
invest in growth, given the long-term evidence of growth’s historical under-
performance. We highlighted a unique time period in the markets—the
Internet Bubble—where growth investing outperformed value and pre-
vented many professional investment managers from losing their jobs.
Next, there was a brief discussion of the benets (diversication) and
the costs (poor long-term performance) associated with growth investing.
Finally, we ended the chapter by proposing that investors replace growth
portfolios with momentum portfolios. The hope is that momentum can
provide similar diversication benets to a value-focused portfolio as a
growth portfolio does, and that momentum does so without hurting the
long-term expected performance of the portfolio. In the next chapter, we
describe momentum investing, highlight how it is different from growth
investing, and then describe why momentum may be a better complement
to value than growth.
NOTES
1. Wesley Gray, Embedded: A Marine Corps Advisor Inside the Iraqi Army, Naval
Institute Press, Annapolis, 2008.
2. Eugene F. Fama and Kenneth R. French, “The Cross Section of Expected Stock
Returns,” The Journal of Finance 47 (1992): 427–465.
3. Steven S. Crawford, Wesley R. Gray, and Andrew E. Kern, “Why Do Fund Man-
agers Identify and Share Protable Ideas,” Journal of Financial and Quantitative
Analysis, Forthcoming.
4. Nick Barberis and Richard Thaler, “A Survey of Behavioral Finance,” in:
G. M. Constantinides & M. Harris & R. M. Stulz (ed.), Handbook of the
Economics of Finance,1sted.,volume1,(NorthHolland:Elsevier,2003),
chapter 18, pp. 1053–1128.
5. Although widely attributed to Keynes, there is little evidence he actually made
this statement. See Jason Zweig, “Keynes: He Didn’t Say Half of What He

❦
❦ ❦
❦
Why Can Active Investment Strategies Work? 41
Said. Or Did He?” Wall Street Journal (February 11, 2011), blogs.wsj.com
/marketbeat/2011/02/11/keynes-he-didnt-say-half-of-what-he-said-or-did-he/,
accessed 2/28/2016.
6. Daniel Kahneman, Thinking, Fast and Slow (New York: Farrar, Straus and
Giroux, 2011).
7. J. Bradford DeLong, Andrei Shleifer, Lawrence Summers, and Robert Wald-
mann, “Noise Trader Risk in Financial Markets,” Journal of Political Economy
98 (1990): 703–738.
8. Larry Swedroe, “Behavioral Finance Falls Short,” April 24, 2015, ETF.com
.www.etf.com/sections/index-investor-corner/swedroe-behavioral-nance-falls
-short?nopaging=1, accessed 2/28/2016.
9. Barberis and Thaler. Of course, Bill Sharpe’s argument regarding the arithmetic
of active management also plays a role in explaining why active managers, as a
whole, can’t beat the market.
10. E. Laise, “Best Stock Fund of the Decade: CGM Focus,” Wall Street Journal
(December 31, 2009), www.wsj.com/articles/SB1000142405274870487680457
4628561609012716, accessed 12/29/2015.
11. Some of the spread in returns between dollar-weight returns and buy-and-hold
returns could be attributable to the return sequence experienced by the
CGM Focus Fund. See Michael Kitces’s October 3, 2012, piece on “Does the
DALBAR Study Grossly Overstate the Behavior Gap” for more information.
https://www.kitces.com/blog/does-the-dalbar-study-grossly-overstate-the
-behavior-gap-guest-post/, accessed 2/28/2016.
12. Andrei Shleifer and Robert W. Vishny, “The Limits of Arbitrage,” The Journal
of Finance 52 (1997): 35–55.
13. Charlie Munger, May 4, 2005, Wesco Financial Annual Meeting. Based on
notes from Whitney Tilson. www.tilsonfunds.com/wscmtg05notes.pdf, accessed
2/28/2016.
14. mba.tuck.dartmouth.edu/pages/faculty/ken.french/data_library.html, accessed
12/30/2015.
15. Eugene Fama Interview, 2008, American Finance Association. www.afajof.org
/details/video/2870921/Eugene-Fama-Interview.html, accessed 12/29/2015
16. Josef Lakonishok, Andrei Shleifer, and Robert W. Vishny, “Contrarian
Investment, Extraploation, and Risk,” The Journal of Finance 49(5) (1994):
1541–1578.
17. Patricia M. Dechow and Rishard G. Sloan, “Returns to Contrarian Investment
Strategies: Tests of the Naïve Expectations Hypothesis,” Journal of Financial
Economics 43 (1997): 3–27. As an aside, Dechow and Sloan 1997 argue that
the value anomaly is not driven by naive extrapolation by irrational investors
as LSV 1994 suggested, but rather, the outperformance of value stocks is driven
by market participants’ awed faith in analysts’ forecasts, which are systemat-
ically overoptimistic. We also note that the data associated with the valuation
metric used in Figure 2.5 is book-to-market. Other valuation metrics, such as
price-to-earnings, don’t paint a similarly compelling picture, but deeper analysis
into alternative valuation metrics still suggests that the value anomaly is partially

❦
❦ ❦
❦
42 QUANTITATIVE MOMENTUM
driven by mispricing caused by investor expectation errors and cannot be fully
explained by additional risk.
18. Markus Brunnermeier and Stefan Nagel, “Hedge Funds and the Technology
Bubble,” The Journal of Finance 59 (1993): 2013–2040.
19. Andrew Bary, 1999, “What’s Wrong, Warren?” Barron’s (1999), www.barrons
.com/articles/SB945992010127068546, accessed 12/29/2015.
20. Narasimhan Jegadeesh and Sheridan Titman, “Returns to Buying Winners and
Selling Losers: Implications for Stock Market Efciency,” The Journal of Finance
48 (1993), 65–91.
21. Chris Geczy and Mikhail Samonov, “Two Centuries of Price Return Momen-
tum,” Financial Analysts Journal (2016).
22. Clifford S. Asness, Tobias J. Moskowitz, and Lasse H. Pedersen, “Value and
Momentum Everywhere,” The Journal of Finance 68(3) (2013): 929–985.

❦
❦ ❦
❦
CHAPTER 3
Momentum Investing Is Not
Growth Investing
“The dumbest reason in the world to buy a stock is because it’s
going up.”
—Attributed to Warren Buffett1
We use the term momentum to mean a continuation of past relative
returns—past winners tend to be future winners, while past losers
tend to be future losers. Practitioners often refer to this class of strategies
as relative strength strategies, which have been around for a long time. In
fact, Robert Levy published a paper in 1967 called “Relative Strength as
a Criterion for Investment Selection.” Mr. Levy outlines his conclusion:
“The prots attainable by purchasing the historically strongest stocks are
superior to the prots from random selection.”2Oddly enough, research
on relative strength strategies went dormant following Levy’s contribution.
What happened? The efcient market hypothesis happened.
THE EFFICIENT MARKET MAFIA KILLS
RELATIVE STRENGTH
As we alluded to in Chapter 2, the efcient market hypothesis (EMH) was
developed at the University of Chicago in the 1960s and 1970s. The EMH
hypothesis subsequently ourished across academia. Under the semi-strong
form interpretation of the EMH, asset prices reect all publicly available
information so that there is no way for investors to consistently outperform
arandomlyselectedbasketofsecuritiesaftercontrollingforrisk.OrasEMH
proponent Burton Malkiel so eloquently put it in his 1973 classic, ARan-
dom Walk Down Wall Street: “A blindfolded monkey throwing darts at a
43

❦
❦ ❦
❦
44 QUANTITATIVE MOMENTUM
newspaper’s nancial pages could select a portfolio that would do just as
well as one carefully selected by experts.”3Thus, from an EMH perspective,
for all intents and purposes, Levy’s evidence on the performance of relative
strength strategies was an impossibility.
It seems that practitioners like Levy (who worked in the private sector
at the time his paper was published), were overtaken by the cult of aca-
demics focused on pursuing the efcient market hypothesis. Practitioners
were essentially banned from publishing in top-tier academic nance jour-
nals and academics pursuing research interests that went counter to the
EMH idea were driven from the emerging EMH temple.4The subsequent
25 years of published academic research entered a dark age, and discus-
sions of relative strength strategies were effectively banned, since space was
primarily reserved for EMH cheerleaders.
Yet, all was not well in the ivory tower. Anomalies that were inconsistent
with EMH began to emerge in the literature in the 1970s. For example, as
previously mentioned, Ben Graham, among others, had shown that buying
a basket of cheap stocks tended to outperform the market, and academics
began to formally examine the value effect. Evidence related to value and
other so-called anomalies began to accumulate, hinting that there might be
kinks in the EMH armor, but EMH proponents remained condent. How-
ever, around the same time that many EMH supporters were basking in
glory, Daniel Kahneman, working with Amos Tversky, started exploring
how human biases affected nancial decision making. Kahneman and Tver-
sky established some of the earliest connections between investors’ internal
behavioral biases and many of the observed anomalies that were being iden-
tied in the academic nance literature.
“MOMENTUM” RISES FROM THE ASHES
Finally, in the early 1990s, Narasimhan Jegadeesh and Sheridan Titman revi-
talized the ndings from Levy’s 1967 paper in their pioneering 1993 article
“Returns to Buying Winners and Selling Losers: Implications for Market
Efciency.” This paper essentially replicated the spirit of the analysis con-
ducted by Levy in 1967, but with the benetofmoredata,computational
power, and willingness on behalf of the establishment to publish research
that questioned EMH. By now, the cracks in the EMH armor were get-
ting bigger.
Interestingly enough, Jegadeesh and Titman never mention the word
momentum in their original paper, even though their paper is considered
by many to be the seminal work on modern-era stock selection momentum
strategies. We posit that the term momentum was adopted after Mark

❦
❦ ❦
❦
Momentum Investing Is Not Growth Investing 45
Carhart published his University of Chicago dissertation in The Journal of
Finance.Inthispaper,Carhartcreatesamomentum factor, which essentially
reected the relative strength of the stock selection strategies outlined in
Jegadeesh and Titman’s paper.5Soon after Carhart’s paper, momentum
became the new academic term for the age-old relative strength strategy.
With the oodgates open, researchers published a urry of papers on
momentum strategies. The evidence was so overwhelming that the anomaly
was crowned the “premier anomaly” by none other than Eugene Fama—an
original architect of the EMH theory.6
Remarkably, while modern-day academics refocused on the concepts of
stock selection momentum, many practitioners continued to be stuck in a
time warp. The reasons for this regressive behavior are likely related to the
practitioner training pipeline. The academics, who train all the MBAs that
go on to manage portfolios, were still being taught portfolio mathematics
so they could solve asset allocation decisions. Stock picking training was a
waste of time because it was a sucker’s game under a strict interpretation
of the EMH. And of course, for the MBA “rebels,” there was always the
value anomaly to pursue, which had been popularized by the intense suc-
cess of Warren Buffett, the folksy investment hero from Omaha, Nebraska.
Unlike value, however, there were no vibrant champions for momentum
investing—no Ben Graham, no Warren Buffett. To make matters worse, the
heroes associated with the value investing school of thought were, ironi-
cally, agreeing with the EMH academics when it came to momentum. Their
value investing approach was perfectly reasonable, but momentum invest-
ing was deemed a black art, a kind of voodoo magic, only practiced by fools
and heretics. Of course, all of this ew in the face of the actual evidence,
which suggests that momentum investing is an even better anomaly than
value investing.7
EMH enjoyed great success for many years, with reams of academic
papers showcasing how efcient markets had become. In many respects,
EMH had won the argument—prices are generally efcient. But this price
efciency is why the evidence on momentum investing was so disheartening
to the EMH school of thought. The value anomaly was one thing—perhaps
investors could beat the market if they used their intellect, did their in-depth
homework, and understood the nancial statements better than the next
investor. But the momentum anomaly was saying something completely dif-
ferent: Price momentum had nothing to do with fundamentals, so even a
halfwit could pursue a successful strategy focused solely on relative price
performance, since this simple metric seemed to predict future prices. This
nding conicted with even the weakest form of EMH. Houston we have a
problem.

❦
❦ ❦
❦
46 QUANTITATIVE MOMENTUM
BEHAVIORAL FINANCE THEORISTS EXPLAIN MOMENTUM
To the credit of academic researchers, the nancial economics eld moved
forward and the behavioral nance paradigm arose, phoenix-like, from the
ashes of EMH. This new paradigm held tightly to the EMH as a baseline
hypothesis, but relaxed assumptions regarding investor rationality and fric-
tionless markets, in order to understand and explain how and why prices
might deviate from their efcient levels. This framework laid the foundation
for the sustainable active investing concepts outlined in Chapter 2.
Hard-core value investors have a different kind of angst regarding
momentum, a kind of anxiety that is grounded in clouded reasoning and
areligiouszeal,asisevidencedbyquotationsfromvalueinvestingbooks
and personas. For example, Warren Buffett is reported to have said, “The
dumbest reason in the world to buy a stock is because it’s going up.” As a
rule of thumb, Buffett’s advice isn’t a bad rule, and Warren Buffett is clearly
an extraordinary investor whose insights are worthy of investigation. But
rules of thumb don’t always capture the nuance of a situation. Higher prices
may not always be an unreliable signal. For example, what if the intrinsic
value of a stock is higher than the new, higher price—is that not still a
value investment? Or perhaps there is a genuine positive feedback loop
associated with higher prices that in turn increases the intrinsic value of the
rm? High price movements may lower the cost of capital for a rm, allow
them to attract better human capital, or even generate free advertising, thus
increasing fundamental value, albeit in a reexive way. In short, growth
stocks, dened as stocks with high prices to fundamentals, are generally a
bad thing, but higher prices, per se, aren’t always a bad thing. In fact, they
are generally a positive development, all else equal.
Consider the following hypothetical scenario:
■Facebook has gone up 100 percent the past year and has a price to
earnings ratio of 15.
■Google has gone down 50 percent and has a price to earnings ratio of 15.
Which is the better buy? For a classic value investor, these stocks are
arguably the same from a valuation perspective since they both have the same
price to earnings ratio of 15. However, based on psychology, some investors
will “feel” like Google is a better opportunity, since value stocks are often
those that have declined in price. What value investor wants to buy a stock
that is up 100 percent? True value investors are genetically programmed to
be suspicious of strong upward price moves—we know because we are value
investors by nature! Strong upward price movements are typically a bad sig-
nal when it comes to a traditional value or distressed investing opportunity.

❦
❦ ❦
❦
Momentum Investing Is Not Growth Investing 47
Upward moves suggest things are not as cheap as they were before, and are
more expensive now, at least comparatively. But this feeling of disgust that is
associated with buying a high-ying stock is not specictovalueinvestors;
this distrust is also felt more generally by all investors—nobody wants to
be the sucker that bought after the price moved higher. In fact, people can
feel a contrary urge. If you own a stock that has gone up in value, you may
seek to realize the gain by selling it—after all, it feels good to realize a gain.
This effect is often termed the disposition effect.Thereisstrongempirical
evidence to support the theory that the disposition effect is related to the
momentum anomaly.8
Consider a stock that is at a 52-week high—many investors interpret
this to mean the stock is overvalued and unlikely to go higher, even if it
may still be cheap on a fundamental basis. The mainstream interpretation
is patently false: 52-week-high stocks greatly outperform 52-week-low
stocks.9But if many market participants have these kinds of biases, a
reasonable hypothesis is that there will be price pressure—unrelated to
fundamentals—that may prevent a security from reaching its true funda-
mental value because market participants perceive that, for some gut-based
reason, “the stock has already gone up too much.” This situation would
be a case where momentum investing is essentially a cousin, not an enemy,
of value investing. How so? Value investing’s edge is often characterized
as pessimism in the presence of poor short-term fundamentals, which
causes stocks to become too cheap relative to future expectations. Perhaps
momentum investing’s edge could be characterized as pessimism in the
presence of strong short-term fundamentals, which causes stocks to remain
too cheap to future expectations.
WAIT A MINUTE: MOMENTUM INVESTING IS JUST
GROWTH INVESTING, WHICH DOESN’T WORK!
Hold on, if we are arguing that stocks can be cheap due to pessimism related
to strong short-term fundamentals, isn’t that ... growth investing?
No.
But before clarifying, let’s review the psychology behind value versus
growth. In our prior discussion of value and growth, the evidence showed
that value beats growth. The reason for this spread is partly attributable to
mispricing from behavioral bias in the market. For example, the original
Lakonishok, Shleifer, and Vishny study mentioned in Chapter 2 showed
that price to fundamental ratios serve as a proxy for expectation errors
exhibited in the market. Recall that investors thought high past earn-
ings growth rates would continue for growth stocks, and low past earnings

❦
❦ ❦
❦
48 QUANTITATIVE MOMENTUM
growth rates would continue for value stocks. The evidence showed this
expected result did not in fact occur. Follow-on studies debate this core result
from Lakonishok, Vishny, and Shleifer’s original ndings,10 but these papers
fail to address more recent work, including Daniel and Titman’s 1997 paper
on value characteristics and stock returns, Piotroski and So’s 2012 paper
on the interaction between value investing returns and fundamentals, and
Jack’s 117-page dissertation, which is a deep-dive into the concepts outlined
in Piotroski and So’s work. These more recent papers conrm that the
value anomaly, while volatile and costly to exploit, is likely driven, in part,
by mispricing.11
Thus, on average, investors seem to over-extrapolate good news from
growth rms (rms with high price to fundamentals), driving them above
intrinsic value, and do the opposite with value rms (rms with low price to
fundamentals), driving them below intrinsic value. So in the value-investing
framework, growth investors seem to be too optimistic,givenstrongfun-
damentals. But are we now saying that momentum investors are too pes-
simistic, given strong prices? These positions seem to be in conict, but we
will explain.
Let us be clear: Momentum investing is not growth investing. Growth
investing, in accordance with the studies mentioned, is characterized
by securities that have high prices relative to past fundamentals (e.g.,
price-to-earnings ratio). We acknowledge that there are many alternative
ways to dene growth investing in practice (e.g., growth at a reasonable
price), but we will stick with the academic convention for the purposes of
our argument. In contrast to growth, we characterize momentum investing
as securities that have strong relative performance to all other securities,
independent of fundamentals. For example, a momentum strategy might
consider the cumulative returns of prices over the last 12 months relative to
other stocks, but earnings, or any other fundamental metric, would play no
part in the analysis. With momentum, prices aren’t everything; they are the
only thing.
We will argue that strong momentum signals, similar to low price to
fundamental ratios (i.e., value measures), are a proxy for investor expec-
tation errors, and help an informed investor systematically identify situa-
tions where behavioral bias is preventing securities, on average, from reach-
ing perceived fundamental value. Think back to the poor poker players in
the sustainable active investing framework in Chapter 2. As a rst step in
identifying sustainable active strategies, we need some market participants
to be less than rational in order to create a mispricing opportunity. We
will come back to “poor poker players” and the mechanics of how and
why momentum works later. However, this point regarding the difference
between the signal that characterizes momentum (i.e., price-only) versus

❦
❦ ❦
❦
Momentum Investing Is Not Growth Investing 49
growth (i.e., price relative to some fundamental) is extremely important to
understand to ensure that readers are not confused and think that growth
investing is the same thing as momentum investing.
The best way to make the point clear is with data. We examine the
overlap between a portfolio of mid-to-large market capitalization rms
selected on a generic momentum signal (top decile of rms with relative
strongest 12-month performance, skipping the previous month) and a
portfolio of rms selected based on a generic price to fundamental signal
(top decile of rms with the highest price-to-book ratio—or alternatively,
the book-to-market ratio, otherwise known as growth rms) for the period
between 1963 and 2013. Surprisingly, there is only a 21 percent overlap
between the names in the high momentum portfolios and the names in the
growth portfolio. Thus, many momentum stocks are not growth stocks, and
many growth stocks are not momentum stocks. In fact, a high momentum
stock can be a value stock, a growth stock, or anything in between.
DIGGING DEEPER INTO GROWTH VERSUS MOMENTUM
In the following analysis we dig a little deeper into the characteristics of
growth rms and high momentum rms. Our data sample includes all
rms on the New York Stock Exchange (NYSE), American Stock Exchange
(AMEX), and NASDAQ with the required data on CRSP and Compustat,
which are the academic gold standard for nancial data analysis. We only
examine rms with ordinary common equity on CRSP and eliminate all
REITS, ADRS, closed-end funds, utilities, and nancial rms. We incorpo-
rate CRSP delisting return data using the technique of Beaver, McNichols,
and Price.12 To be included in the sample, all rms must have a non-zero
market value of equity as of June 30 of year t.Weusebooktomarket(B/M)
as our annual indicator of “valuation” based on academic convention. Book
is computed on June 30 each year using the methodology from Fama and
French13 and the market capitalization on June 30. All rms with negative
book values are eliminated from the sample. We consider “growth” rms to
be those with the most expensive B/M ratios (i.e., lower is more expensive).
We calculate generic momentum by ranking all stocks monthly on their
cumulative 12-month returns, skipping the most recent month, similar to
Fama and French.
The tests are focused on all mid- and large-cap stocks, dened as stocks
with a market capitalization above the NYSE 40th percentile for market capi-
talization. This approach seeks to determine if the empirical results are appli-
cable to the broader universe of stocks and are robust to size and liquidity
effects over time. Our choice to focus on more liquid rms means that our
conclusions may not be applicable to small illiquid rms.

❦
❦ ❦
❦
50 QUANTITATIVE MOMENTUM
We follow a simulation approach that works as follows:
■Each month we randomly draw 30 “growth stocks” and 30 “momen-
tum” stocks from our top decile of growth stocks and high momentum
stocks.
■Repeat every month from 1963 to 2013 to create a monthly rebalance
portfolio of “growth” stocks and a monthly rebalanced portfolio of
“momentum” stocks.
■Calculate performance statistics on the growth strategy and the momen-
tum strategy from 1963 to 2013.
■Repeat the above steps 1,000 times.
The experiment above is equivalent to having a monkey, focused on
growth stocks, throw 30 darts at the growth stock dartboard every month
for 50 years, and another monkey, focused on momentum stocks, which will
throw 30 darts at the momentum stock dartboard every month for 50 years.
We’ll then have both the growth and the momentum monkey do this exercise
1,000 times, so at the end we will have a sample of 1,000 separate portfolio
manager monkeys from each camp.
Now some monkeys will perform well, and others will perform poorly,
simply based on luck. But recall that momentum monkeys always make their
picks the top momentum stock decile, and growth monkeys always make
their picks from the top growth stock decile.
First, Figure 3.1 shows the distribution of compound annual growth
rates for the growth monkeys and the momentum monkeys.
Relative to their monkey peers, some of the luckiest growth monkeys
did well, averaging approximately 14 percent over the period, and some
very unlucky momentum monkeys did poorly, averaging approximately
17 percent over the period. However, incredibly, over the 50-year period
there isn’t a single dart-throwing growth monkey who outperformed any
dart-throwing momentum monkey. This result is stunning. Typically, when
one runs a thousand simulations, one identies some overlap in the “tails,”
or extreme ends of the distribution. Clearly, from a compound return
perspective, momentum is different from growth.
Next, let’s look at a comparison of the volatility of the growth monkey
portfolios and the volatility of the momentum monkey portfolios. Perhaps
the return outperformance of momentum versus growth is compensation for
extra risk associated with a generic momentum strategy.
Figure 3.2 highlights little difference in annualized volatility for the port-
folios created using either a growth monkey or a momentum monkey to pick
stocks. The distribution is narrow.

❦
❦ ❦
❦
Momentum Investing Is Not Growth Investing 51
350 Growth Momentum
300
250
200
Frequency (n=1000)
Compound Annual Growth Rate
150
100
50
4.00%
5.00%
6.00%
7.00%
8.00%
9.00%
10.00%
11.00%
12.00%
13.00%
14.00%
15.00%
16.00%
17.00%
18.00%
19.00%
20.00%
21.00%
22.00%
23.00%
24.00%
more
0
FIGURE 3.1 CAGR: Growth Monkeys versus Momentum Monkeys
900
800
700
600
500
400
Frequency (n =1000)
Standard Deviation
300
200
100
15.00%
16.00%
17.00%
18.00%
19.00%
20.00%
21.00%
22.00%
23.00%
24.00%
25.00%
26.00%
27.00%
28.00%
29.00%
30.00%
31.00%
32.00%
33.00%
34.00%
35.00%
more
0
Growth Momentum
FIGURE 3.2 Volatility: Growth Monkeys versus Momentum Monkeys

❦
❦ ❦
❦
52 QUANTITATIVE MOMENTUM
But perhaps volatility doesn’t capture the true risk of the momentum
strategy relative to the growth portfolios? We examine the worst draw-
downs, or the worst peak-to-trough performance during the 50-year time
period, as an extreme tail event. Figure 3.3 tabulates the extreme loss sce-
narios across the thousand simulations for both the growth and momentum
strategies.
Note that higher drawdowns are reected on the left side of Figure 3.3,
while lower drawdowns are reected on the right. Because the light gray
bars are clustered on the left, the tail risk for growth, on average, is actu-
ally higher than for momentum, which is clustered on the right. There is
some overlap—some simulation runs where momentum has larger draw-
downs than growth—but these instances are few and far between. The over-
whelming number of observations shows higher drawdowns for the growth
monkeys than for the momentum monkeys.
To summarize, growth investing, as measured by high price to funda-
mentals, is not the same as momentum investing, as measured by strong past
relative performance. This conclusion is clearly seen in the historical char-
acteristics associated with each of these strategies, which shows that growth
and momentum are different animals.
300
250
200
150
Frequency (n=1000)
Maximum Drawdown
100
50
0
–97.00%
–94.50%
–92.00%
–89.50%
–87.00%
–84.00%
–82.00%
–79.00%
–77.00%
–74.00%
–72.00%
–69.00%
–67.00%
–64.00%
–62.00%
–59.00%
–57.00%
–54.00%
–52.00%
–49.50%
–47.00%
more
Growth Momentum
FIGURE 3.3 Drawdown: Growth Monkeys versus Momentum Monkeys

❦
❦ ❦
❦
Momentum Investing Is Not Growth Investing 53
BUT WHY DOES MOMENTUM WORK?
“We discovered the world wasn’t at before we understood and
agreed why.”
—Cliff Asness et al.14
Cliff Asness’s quote highlights that sometimes you can understand that
something is true before you fully understand why it is true, and agree with
others why it is true. So it goes with momentum investing, where the data
are clear that it works, but we lack clarity on exactly “why.” We attempt
to address this conundrum, but knowingly embrace the humility that our
thoughts can only hope to be directionally correct, at best. Value investing,
in contrast to momentum investing, is intuitive. The value approach is
intuitive because it is assumed that market prices drift around a so-called
intrinsic value, which is informed by fundamentals. Classic value investors
claim to earn their paycheck by timing the difference between fundamentals
and market prices. But what if the market decides to never update their
expectation about the intrinsic value of a rm (also known as a value trap)?
Assuming free cash ow distributions are distributed in the distant future,
avalueinvestorwon’twininthissituation.Thevalueinvestor,likeall
investors, needs market expectations to change in their favor for the strategy
to work. Value investing doesn’t work simply because the investor buys
cheap. Value investing works because cheap price-to-fundamental ratios, the
proxy for a systematic market expectation error, mean revert in favor of the
value investor, on average. The core argument behind momentum investing
works along the exact same lines. Momentum investing works because
the relative strength indicator is a proxy for a systematic expectation error
in the market that predictably reverts in the momentum investor’s favor,
on average.
To understand why momentum works, we leverage our sustainable
active framework to determine if a strategy will be successful over the
long term. The building blocks to identify sustainable performance were as
follows: (1) identify bad poker players, (2) understand the limitations of
the best poker players to exploit the bad poker players, and (3) exploit the
opportunity that presents itself. We showed that value, which has a strong
historical track record, has characteristics that suggest the past track record
could plausibly continue in the future.
Our analysis of the value anomaly through the lens of the sustainable
active investing framework raises a natural question: Is momentum, like
value, a sustainable investment approach? With our sustainable active
framework in hand, we can tackle this difcult question. But rst, we
should establish beyond any doubt that momentum—which isn’t the same
as growth investing—has worked, historically. To keep things simple and

❦
❦ ❦
❦
54 QUANTITATIVE MOMENTUM
in line with previous analysis, we consider “momentum investing” to be
roughly approximated by the practice of purchasing portfolios of rms
with strong relative performance over the past year. Using the momentum
portfolio data from Ken French’s website,15 we examine the returns from
January 1, 1927, to December 31, 2014, for a high momentum portfolio
(high momentum decile, value-weight returns), a value portfolio (high
B/M decile, value-weight returns), a growth portfolio (low B/M decile,
value-weight returns), and the S&P 500 total return index (SP500). Results
are shown in Table 3.1. All returns are total returns and include the
reinvestment of distributions (e.g., dividends). Results are gross of fees.
Momentum stocks have outperformed value stocks, growth stocks, and
the broader market by a large margin. The portfolio of momentum stocks
earns a compound annual growth rate of 16.85 percent per year, whereas,
the growth stock portfolio earns 8.70 percent per year—an 8 percent annual
spread in performance. This historical spread in returns is why momentum
has been deemed the premier anomaly by academic researchers. There are
obviously important considerations we avoid at this stage of our discussion,
such as transaction costs, but one fact is clear—momentum is the perfor-
mance king. Next question, is this performance sustainable?
Are Bad Players Creating the Momentum Anomaly?
With value, the core behavioral bias described was representative bias, which
drove a price overreaction to poor fundamentals that mean-revert over time.
This description is, of course, an oversimplication of the psychological
factors at work, but the collective academic evidence generally seems to
support the core thesis that the excess returns earned by value stocks are
not solely driven by additional risk—mispricing plays some role in describ-
ing the excess returns. With momentum, the collective evidence points in
TABLE 3.1 Momentum Performance (1927–2014)
Momentum Value Growth SP500
CAGR 16.85% 12.41% 8.70% 9.95%
Standard Deviation 22.61% 31.92% 19.95% 19.09%
Downside Deviation 16.71% 21.34% 14.41% 14.22%
Sharpe Ratio 0.66 0.41 0.35 0.41
Sortino Ratio (MAR =5%) 0.79 0.54 0.37 0.45
Worst Drawdown –76.95% –91.67% –85.01% –84.59%
Worst Month Return –28.52% –43.98% –30.65% –28.73%
Best Month Return 28.88% 98.65% 42.16% 41.65%
Protable Months 63.16% 60.51% 59.09% 61.74%

❦
❦ ❦
❦
Momentum Investing Is Not Growth Investing 55
the same direction as value—risk certainly plays some role in explaining the
excess returns, but mispricing plays a role as well. The behavioral premise
for momentum is that investors seem to underreact to positive news reected
in the strong relative performance. On the face of it, the behavior driving
value and momentum appear to contradict one another: Value is driven by
an overreaction problem, while momentum is driven by an underreaction
problem. What gives?
Avalidcritiqueofbehavioralnance researchers is that they want to
have their cake and eat it, too. In one instance we can lean on underre-
action bias and in the next instance we can lean on the overreaction bias.
The behavioral formula is too easy: (1) Grab a psychology textbook, and
(2) identify behavioral biases that tthedata.EugeneFamaissuedachal-
lenge to so-called behavioral nance researchers in his 1998 paper “Market
Efciency, Long-Term Returns, and Behavioral Finance:”16
Following the standard scienticrule,marketefciency can only be
replaced by a better model ...The alternative has a daunting task. It
must specify what it is about investor psychology that causes simul-
taneous underreaction to some types of events and overreaction to
others ...
Three sets of authors in three different papers17 – 19 immediately took
on the challenge. Daniel et al. and Barberis et al. focus on models driven
by documented psychological biases to derive predictions that hypothesize
excess returns for both value and momentum strategies. Hong and Stein also
tackle the problem, but from a slightly different angle. Whereas Daniel et al.
and Barberis et al. focus on investor psychology issues for individual market
participants, Hong and Stein focus on the interaction of different market par-
ticipants, which are assumed to either be fundamental or technical investors,
but few investors are both fundamental and technical. We recommend that
interested readers explore all of these papers since all three theories probably
play some role in explaining momentum, but we pay particular attention to
the Barberis et al. paper because it is arguably the approach with the most
empirical support.20
Barberis et al. conclude that value and momentum are driven by biases
that mirror one another. Value, as discussed previously, is driven by an over-
reaction problem, in which humans are too quick to draw conclusions from a
small amount of recent data. In contrast, momentum is driven by an under-
reaction issue, which is the opposite of overreaction. With underreaction,
humans are slow to update their views based on new evidence, which could
be due to a systematic behavior bias and/or due to the fact human beings
simply have limited cognitive power (i.e., “limited attention” as it is called

❦
❦ ❦
❦
56 QUANTITATIVE MOMENTUM
in academic literature). But what drives overreaction in one circumstance
and underreaction in another?
The challenge with any behavioral theory is in understanding what
triggers overreaction and what triggers underreaction; in other words, why
do market participants engage in behavioral “regime-shifting,” and can we
understand how and why they do this? Barberis et al. rely on Grifnand
Tversky’s work,21 which leads them to assume that good earnings news,
presented outside of, or in isolation from, a long sequence of good earnings
news, leads to an underreaction (i.e., conservatism) and that good earn-
ings news, presented inside of, or as part of, a long sequences of good
earnings news, lead to an overreaction (i.e., representativeness). Experimen-
tal evidence strongly supports the Barberis et al. theories. In 2002, Robert
Bloomeld and Jeffrey Hales conducted controlled trading experiments with
Cornell MBA students and found that business students engage in behavioral
regime-shifting, depending on how they perceive new information.22
Let’s put this issue in concrete, practical terms. Take a company with
alongstringofpositiveearningsannouncements.Whathappenswhen
investors see another strong positive earnings announcement? Investors
will predict the trend will continue, since this conclusion is representative
of the ongoing earnings trend observed. But investors overreact. They
become overly optimistic and bullish, and because they expect this strong
earnings growth to continue to occur in the future, they bid up the stock
to excessively high levels that become disconnected from fundamentals. At
this point, if there is a negative earnings event, investors are stunned since
this event is inconsistent with their optimism, and they sell, causing prices
to decline. This behavior is growth investing.
Now take a company with a more uneven recent earnings history. What
happens in this scenario when investors see a positive earnings surprise?
They are skeptical, conservative, and slow to update their beliefs. They are
hesitant to be bullish. After all, what if this is just a proverbial blip on the
radar, and future earnings will not be similarly strong? In this case, investors
can be said to underreact to strong earnings and underweight the informa-
tion content of the recent earnings. They are overly pessimistic and will not
bid the stock price higher, even though the news may still suggest it is under-
valued. Only over time do prices increase to fully reect the new fundamental
information. This behavior is momentum investing.
The conclusion by Barberis et al. is that both value and momentum
effects are plausible under a wide variety of parameter values (i.e., either
underreaction or overreaction clearly seems to prevail depending on recent
trends of historical earnings over several periods).

❦
❦ ❦
❦
Momentum Investing Is Not Growth Investing 57
Frankly, there is no denitive conclusion on the behavioral biases that
drive both value and momentum, and maybe there never will be. There does,
however, seem to be a general consensus that both of these anomalies are
driven, in part, by mispricing due to behavioral bias. Value and momentum
signals are simply a proxy for behavioral biases that drive systematic investor
expectation errors. The empirical evidence strongly supports this hypothe-
sis and is codied in the title of a 2013 paper by Asness, Moskowitz, and
Pedersen, “Value and Momentum Everywhere.”23
In a way, maybe we shouldn’t be too concerned with the specicmech-
anism that causes the poor players to contribute to an anomaly like value
or momentum. Maybe it doesn’t matter that we all understand and agree
on why momentum or value work. As investors we just care that it works.
And since momentum seems to work well, and we have covered how poor
players contribute to its cause, now we must address a basic question: Why
hasn’t the smart money already arbitraged the anomaly away?
What Do the Best Players Think about Momentum?
Similar to value investing, momentum investing requires a level of discipline
that few investors possess. Momentum does not work all the time and can
fail spectacularly. This harsh reality prevents many large pools of capital
from dipping their toe too far into the momentum pool. Momentum is sim-
ply too dangerous.
To make the point that momentum can sometimes be hazardous to
your wealth, we examine the pain of momentum investing during the
2008 nancial crisis and the follow-on period. We examine the returns
from January 1, 2008, to December 31, 2009, for a momentum portfolio
(high momentum decile, value-weight returns), a growth portfolio (low
B/M decile, value-weight returns), a value portfolio (high B/M decile,
value-weight returns), and the S&P 500 total return index (SP500). Results
are shown in Table 3.2. All returns are total returns and include the
reinvestment of distributions (e.g., dividends). Results are gross of fees.
On a relative basis, momentum underperformed by a substantial
amount. When we look at risk-adjusted statistics the performance is even
worse. Clearly, following an active momentum strategy involves strong
elements of investment advisor career risk, akin to active value strategies.
But it gets worse ...
In Table 3.3 we examine returns over the nancial crisis period and
we include the follow-on period: January 1, 2008, to December 31, 2014.
Results are gross of fees. Simple passive index funds outperform momentum
over a seven-year period!24

❦
❦ ❦
❦
58 QUANTITATIVE MOMENTUM
TABLE 3.2 Momentum Investing Can Underperform (2008–2009)
Momentum Growth Value SP500
CAGR –17.65% –8.52% –6.69% –10.36%
Standard Deviation 26.03% 23.45% 45.60% 23.24%
Downside Deviation 20.67% 17.38% 23.06% 17.37%
Sharpe Ratio –0.64 –0.30 0.05 -0.39
Sortino Ratio (MAR =5%) –1.01 –0.64 –0.09 -0.76
Worst Drawdown –51.25% –46.72% –61.04% –47.75%
Worst Month Return –15.19% –16.13% –28.07% –16.70%
Best Month Return 11.09% 9.92% 36.64% 9.42%
Protable Months 50.00% 54.17% 62.50% 54.17%
TABLE 3.3 Momentum Investing Can Underperform (2008–2014)
Momentum Growth Value SP500
CAGR 6.55% 8.69% 8.45% 7.44%
Standard Deviation 22.24% 17.13% 29.73% 16.75%
Downside Deviation 17.03% 12.92% 20.78% 13.30%
Sharpe Ratio 0.39 0.56 0.41 0.50
Sortino Ratio (MAR =5%) 0.23 0.37 0.36 0.27
Worst Drawdown –51.25% –46.72% –61.04% –47.75%
Worst Month Return –15.91% –16.13% –28.07% –16.70%
Best Month Return 14.93% 11.21% 36.64% 10.93%
Protable Months 61.90% 61.90% 59.52% 63.10%
Ask yourself the same question we posed with the results from a
hypothetical value investor from 1994 to 1999:
If your asset manager underperformed a benchmark for seven years,
at times by double digits, would you re them?
The answer is a resounding “Yes!” for most investors, which translates
into a resounding, “No way, Jose!” for professional asset managers con-
cerned about their careers. But the market frictions associated with exploit-
ing a momentum strategy extend beyond career risk. Unlike value, which is
a strategy that works when traded relatively infrequently (e.g., annual rebal-
anced portfolios have excess risk-adjusted returns), momentum is a strategy
that requires a higher degree of trading frequency to be effective (e.g., quar-
terly rebalanced portfolios have excess risk-adjusted returns, but annually
rebalanced portfolios do not). This trading frequency increases transaction

❦
❦ ❦
❦
Momentum Investing Is Not Growth Investing 59
costs, which can be prohibitive and limit the protability of the strategy, net
of trading costs. While a plausible limit of arbitrage, Frazzini et al. address
this question directly using data from over a trillion dollars in live trans-
actions from AQR Capital Management and nd that transaction costs for
efcient institutional investors cannot “explain away” their unwillingness to
pursue momentum strategies.25
Momentum Is Similar to Value, Not Growth
Momentum investing turns out to be more similar to value than to growth
from a performance perspective and from the viewpoint of our sustain-
able active investing framework. On the performance front, both value and
momentum have strong historical risk-adjusted returns and have been exten-
sively tested by academic researchers across different markets, asset classes,
and time periods. To explain this anomalous performance, the academic con-
sensus suggests that value and momentum premiums are driven by some
combination of hidden systematic risk-factors (a justied reason for higher
expected returns) and elements of mispricing (an unwarranted reason for
higher expected returns). On the mispricing front, value and momentum
metrics serve as signals to identify stocks suffering from market expecta-
tions that eventually move in favor of the value or momentum investor. This
mispricing aspect is paired with the harsh reality that there is a limited abil-
ity for large pools of smart money to arbitrage away value or momentum.
Many of these capital pools are conicted by the high volatility and extreme
career risk associated with pursuing active value and momentum strategies.
Presumably, value and momentum premiums will continue to have staying
power, under the assumptions that (1) value and momentum are fundamen-
tally riskier strategies, (2) investors continue to suffer from behavioral bias,
and (3) large-scale arbitrage is costly and difcult.26
SUMMARY
In this chapter, we explored the history of momentum research from its early
days as a respectable approach, through the dark ages following the golden
age of the EMH, and the more recent resurgence in academic interest. We
then explore the common misperception that growth investing, as dened
as buying stocks with high prices to fundamentals, is the same as momen-
tum investing, which is buying stocks with strong relative returns. Nothing
could be further from the truth. Buying expensive stocks is not the same as
buying stocks with strong relative performance: one strategy performs, the
other does not. Next, we investigated momentum through the lens of sus-
tainable active investing. Momentum strategy excess expected returns are

❦
❦ ❦
❦
60 QUANTITATIVE MOMENTUM
plausibly driven by investor behavioral errors, combined with limits of arbi-
trage, and thus reasonably support an argument for long-term sustainable
performance. Assuming we have convinced you that momentum, like value,
is arguably a sustainable anomaly, we now explore why these two particular
anomalies are really interesting when used together. In the next chapter, we
will explore why all portfolios should consider combining value and momen-
tum systems.
NOTES
1. Robert Bloch, The Warren Buffett Bible (New York: Skyhorse Publishing, 2015).
2. Robert Levy, “Relative Strength as a Criterion for Investment Selection,” The
Journal of Finance 22 (1967): 595–610.
3. Burton G. Malkiel, A Random Walk Down Wall Street (New York: Norton,
1973).
4. Jensen and Bennington take Levy’s work to task in “Random Walks and Tech-
nical Theories: Some Additional Evidence,” The Journal of Finance 25 (1970):
469–482.
5. Mark Carhart, “On Persistence in Mutual Fund Performance,” The Journal of
Finance 52 (1997): 57–82.
6. Eugene F. Fama and Kenneth R. French, “Dissecting Anomalies,” Journal of
Financial Economics 63 (2008): 1653–1678.
7. Ibid.
8. Justin Birru, “Confusion of Confusions: A Test of the Disposition Effect and
Momentum,” The Review of Financial Studies 28 (2015): 1849–1873.
9. Thomas George and Chuan-Yang Hwang, “The 52-Week High and Momentum
Investing,” The Journal of Finance 59 (2004): 2145–2176.
10. See James Davis, “The Cross-Section of Realized Stock Returns: The
Pre-COMPUSTAT Evidence,” The Journal of Finance 49 (1994), 1579–1593,
and Eugene F. Fama and Kenneth R. French, “Size and Book-to-Market Factors
in Earnings and Returns,” The Journal of Finance 50 (1995): 131–155.
11. See Kent Daniel and Sheridan Titman, “Evidence on the Characteristics of Cross
Sectional Variation in Stock Returns,” The Journal of Finance 52 (1997), 1–33,
Joseph Piotroski and Eric So, “Identifying Expectation Errors in Value/Glamour
Strategies: A Fundamental Analysis Approach,” The Review of Financial Studies
25 (2012), 2841–2875, and Jack Vogel, “Essays on Empirical Asset Pricing,”
dissertation Drexel University, 2014.
12. Beaver, William, Maureen McNichols, and Richard Price, “Delisting Returns
and Their Effect on Accounting-based Market Anomalies,” Journal of Account-
ing and Economics 43 (2007): 341–368.
13. Fama and French.
14. Cliff Asness, Andrea Frazzini, Ron Israel, and Toby Moskowitz, “Fact, Fiction,
and Momentum Investing,” The Journal of Portfolio Management 40 (2014):
75–92.

❦
❦ ❦
❦
Momentum Investing Is Not Growth Investing 61
15. mba.tuck.dartmouth.edu/pages/faculty/ken.french/data_library.html, accessed
12/30/2015.
16. Eugene F. Fama, “Market Efciency, Long-Term Returns, and Behavioral
Finance,” Journal of Financial Economics 49 (1998): 283–306.
17. Nicholas Barberis, Andrei Shleifer, and Robert Vishny, “A Model of Investor
Sentiment,” Journal of Financial Economics 49 (1998): 307–343.
18. Harrison Hong and Jeremy Stein, “A Unied Theory of Underreaction, Momen-
tum Trading, and Overreaction in Asset Markets,” The Journal of Finance 54
(1999): 2143–2184.
19. Kent Daniel, David Hirshleifer, and Avanidhar Subrahmanyam, “A The-
ory of Overcondence, Self-Attribution, and Security Market Under- and
Over-Reactions,” The Journal of Finance 53 (1998): 1839–1885.
20. Although, there is research that goes against the Barberis et al. theory. For
example, Alexander Hillert, Heiko Jacobs, and Sebastian Muller, “Media
Makes Momentum,” The Review of Financial Studies 27 (2014): 3467–3501.
The reality is that all of these theories probably play some role in explaining
the insurmountable evidence related to momentum, and momentum is clearly
created by some sort of behavioral bias, even if it doesn’t take the form of the
version outlined in Barberis et al.
21. Dale Grifn and Amos Tversky, “The Weighing of Evidence and the Determi-
nants of Condence,” Cognitive Psychology 24 (1992): 411–435.
22. Robert Bloomeld and Jeffrey Hales, “Predicting the Next Step of a Random
Walk: Experimental Evidence of Regime-Shifting Beliefs,” Journal of Financial
Economics 65 (2002): 397–414.
23. Cliff Asness, Toby Moskowitz, and Lasse Pedersen, “Value and Momentum
Everywhere,” The Journal of Finance 68 (2013): 929–985.
24. To make matters even more interesting, over the 2008 to 2014 period, growth
investing, ironically, was the best performer.
25. Andrea Frazzini, Ronen Israel, and Toby Moskowitz, “Trading Costs of Asset
Pricing Anomalies,” AQR working paper, 2014.
26. Assuming that some element of both the value and momentum premiums is due
to risk, we could see swings in these premiums in the future if risk preferences
change.

❦
❦ ❦
❦
CHAPTER 4
Why All Value Investors
Need Momentum
“[Momentum] happens around the world, except Japan.”
—Eugene Fama, 2008 American Finance Association
Interview1
“We nd that momentum in Japan is actually a success.”
—Cliff Asness, 2011 Journal of Portfolio Management2
Despite its simplicity, as a stand-alone investment strategy generic
momentum works well, but some might say it does not work everywhere.
One example of a “failure” of momentum is in Japanese equities ...more
on this in a moment. But the broad consensus from academic researchers,
who are arguably biased in favor of ndings that support the efcient
market hypothesis (EMH), is that the evidence supports the notion that
momentum-based stock picking strategies have beaten the market, even
after controlling for risk. In short, there is something special about momen-
tum. Even Eugene Fama, famous for his incredible empirical work on
efcient markets, suggested that momentum is the biggest embarrassment
to the efcient market theory, or in his own words, momentum is the
“premier anomaly.”3
MOMENTUM IS A MYTH
Nonetheless, the myth that momentum is “not real” continues to be widely
disseminated. For example, in a classic 2008 interview at the American
Finance Association, Richard Roll, a premier nancial economist in his own
right, interviewed Eugene Fama, the king of nancial economists. Roll and
62

❦
❦ ❦
❦
Why All Value Investors Need Momentum 63
Fama had a spirited discussion on the so-called value premium, which ended
in a stalemate over whether the extra return associated with cheap stocks
was compensation for extra risk or mispricing. Professor Roll then asked
the “gotcha” question, about the momentum premium. Fama responded,
begrudgingly, that momentum effects are pervasive in world stock markets,
but he was quick to point out that Japanese stocks seemed to be immune to
momentum effects. Roll responded in kind, and quipped that perhaps the
Japanese investors were “more rational.” Fama, tongue in cheek, chuckled,
and stated that he hoped that the poor results of momentum-based stock
selection in Japan were the rule when it came to momentum results, and he
hoped that the exceptions to the rule were simply a result of data dredging.4
ASNESS SEPARATES FACT FROM FICTION
But not everyone was happy with the high-level chatter among Roll and
Fama. Cliff Asness, the founder of AQR, a University of Chicago nance
PhD, and a former Fama student, was not interested in toeing the EMH party
line. Perhaps Asness watched the interview between Fama and Roll, because
a few years later in 2011, he published a paper in The Journal of Portfo-
lio Management deantly titled, “Momentum in Japan: The Exception that
Proves the Rule.”
Asness’s paper highlights a simple but sophisticated point related to
momentum. On the one hand, if one looks at a generic Japanese momen-
tum strategy in isolation, momentum appears ineffective. Asness, however,
aptly points out that strategies need to be assessed in the context of a port-
folio, so one can ascertain not only their stand-alone investment value, but
also understand their potential diversication benets for a portfolio. For
example, if one assessed a strategy of continuously purchasing three-month
put options on the stock market, the conclusion would be that the strat-
egy has negative returns and a ton of volatility. These results, however, do
not imply that put options are inefciently priced, but this conclusion only
becomes clear when we assess how put options act in the context of a portfo-
lio. Viewed through a portfolio lens, put options provide incredible diversi-
cation benets (i.e., insurance), and it becomes obvious why investors will
gladly accept negative expected returns for a put buying strategy.
In contrast to puts, momentum-based stock selection strategies won’t
provide extreme insurance-like diversication benets, but momentum
strategies can pack a punch as it relates to overall diversication. For
example, long-only momentum strategies are not perfectly correlated to
the broad equity market, and they have low correlations with classic value
strategies. These features make momentum strategies highly desirable in a
portfolio context when they are pooled with value strategies.

❦
❦ ❦
❦
64 QUANTITATIVE MOMENTUM
Moving along this line of reasoning, Asness shows that Japanese
investors, concerned about maximizing their portfolio’s expected
risk-adjusted return, would always invest a substantial amount of
their portfolio in a momentum strategy. This demonstrates a great insight,
and the paper makes the point clear. But the entire premise of the Asness
paper is that we need to try hard to highlight how valuable momentum
can be in Japan. A deeper investigation of the Asness results shows that
his analysis focuses on Japanese long/short portfolios, which are not the
typical sort of portfolio that many long-term investors would deploy.
These long/short portfolios suffer because the short side of the momentum
portfolio eats at the performance of the long-only momentum portfolio.
Asness doesn’t focus on long-only results, but we replicate and extend
his analysis using more traditional long-only portfolios in Table 4.1. We
show the results for the long-only Japanese momentum portfolio using
AQR’s data for this analysis.5The Japanese index is represented by the
MSCI Japan Total Return Index. The returns are from January 1, 1982,
through December 31, 2014. All returns are total returns and include the
reinvestment of distributions (e.g., dividends). Results are gross of fees.
A long-only momentum portfolio clearly works, outperforming the
index by a wide margin. This result is not entirely surprising, since momen-
tum works in just about every context where researchers can get access
to a reasonably long dataset. We understand why Asness focused on the
long/short momentum portfolio for his research purposes, but this focus con-
fuses investment audiences and muddies the issues. The reality is that generic
long-only momentum does work in Japan. And yes, Asness brings up a great
point that even in his context, investors should love long/short momentum
exposures, especially when pooled with long/short value exposures.
We explore Asness’s idea of combining value and momentum exposures
in more depth throughout the rest of this chapter (with an emphasis on
TABLE 4.1 Japanese Equity Market Performance (1982–2014)
Japan Momentum Japan Index
CAGR 5.82% 3.81%
Standard Deviation 23.10% 19.37%
Downside Deviation 13.57% 12.84%
Sharpe Ratio 0.18 0.08
Sortino Ratio (MAR =5%) 0.24 0.05
Worst Drawdown –65.95% –68.83%
Worst Month Return –21.88% –21.06%
Best Month Return 22.99% 19.97%
Protable Months 55.05% 53.54%

❦
❦ ❦
❦
Why All Value Investors Need Momentum 65
long-only results, not long/short). After being barraged with the facts, we
think reasoned investors will agree: Investors benet from momentum, and
value investors, the investors least likely to accept momentum, stand to really
benetfrommomentum.AndasthetitleofAsness’sjournalarticlehigh-
lights, a deeper analysis of momentum in Japan doesn’t put a damper on
momentum, it merely highlights its effectiveness.
EXPANDING YOUR HORIZONS WITH MOMENTUM
Modern portfolio theory, which outlines how an investor can mathemati-
cally compile a portfolio that will maximize expected returns for a given
level of risk, and the most famous spinoff from the theory, the Capital Asset
Pricing Model (i.e., CAPM), is best described by Fischer Black in the fol-
lowing way: “The [theory] is right. It just doesn’t work.”6The feel-good
construct, which we teach to our nance students each year, is a great learn-
ing tool. Simply input a vector of expected returns and a covariance matrix
associated with a set of assets or securities into your computer, and voilà, you
have the so-called optimal portfolio weights that maximize one’s expected
return for a given level of risk. Like all things viewed with the benetof
hindsight, the lessons from modern portfolio theory seem simple. However,
the underlying analysis behind the theory earned Harry Markowitz a Nobel
Prize for his original paper on optimal portfolio selection.
Even though some academics and practitioners—including us—often
rant about why one should be skeptical of complex portfolio optimization
theories, the core ideas that underlie modern portfolio theory are critical for
building successful investment programs. And that includes knowing when
to adopt—and when to discard—certain ideas. The punch line, or core
proposition, from modern portfolio theory is the so-called mean-variance
(MV) frontier, often called the efcient frontier. The MV frontier takes the
ingredients available—expected returns and the covariance matrixes across
assets—and maps out all the best expected combinations of risk and reward
an investor can achieve by shifting the weights among the assets under
investigation. Think of the MV frontier as the best recipes available for an
investor to maximize return and minimize risk, given the set of ingredients
available.
As an illustration of modern portfolio theory put into practice,
Figure 4.1 includes the historical returns and standard deviations associated
with four portfolios from 1927 to 2014 using Ken French data for the value
and momentum portfolios.7These portfolios are described below:
■SP500 =SP500 Total Return Index
■VALUE =Top decile value-weight portfolio formed on book-to-market

❦
❦ ❦
❦
66 QUANTITATIVE MOMENTUM
■MOM =Top decile value-weight portfolio formed on 2-12 momentum
■LTR =Merrill Lynch 7–10 year Government Bond Index, spliced with
data from Ibbotson’s Stocks, Bonds, Bills, and Ination Yearbook.
We map out the efcient frontier using historical values for expected
returns and the covariance matrix. The results are gross of management
fee and transaction costs and all returns are total returns and include the
reinvestment of distributions (e.g., dividends). We impose short selling con-
straints such that no asset weights can be negative. For MV frontier pur-
poses, in Figure 4.1 we only allow the optimizer to invest in the S&P 500
Index and Treasury bonds.
Over the 1927 to 2014 period, domestic equities (SP500) have relatively
high expected returns and standard deviations, whereas domestic value equi-
ties (VALUE) and momentum equities (MOM) have high expected returns,
but extremely high volatility. Long-term bonds (LTR) have the lowest stan-
dard deviation, but have relatively lower expected returns.
Modern portfolio “works” in the sense that an investor can combine
generic stocks and bonds in a smart way and exploit the benets of diversi-
cation. We can visualize this nding via the mean variance (MV) frontier
20.0%
SP500 LTR MV Frontier VALUE MOM
15.0%
10.0%
5.0%
Expected Portfolio Return
Standard Deviation of the Portfolio
0.0%
0.0%
5.0%
10.0%
15.0%
20.0%
25.0%
30.0%
35.0%
–5.0%
FIGURE 4.1 Modern Portfolio Theory Chart

❦
❦ ❦
❦
Why All Value Investors Need Momentum 67
(i.e., the dotted line), which highlights a “curve” in the line in the section
between the long-bond-only portfolio and the S&P 500-only. This curve rep-
resents the benetofdiversication, which allows a portfolio to achieve a
lower standard deviation for a given expected return.
In an ideal world, we could nd portfolios that would expand the MV
frontier and create opportunities with higher expected returns for a given
level of risk. Perhaps counter-intuitively, adding highly volatile assets such
as value and momentum, can expand the MV frontier, if the volatility asso-
ciated with the portfolio being added is unrelated to the other assets already
included in the portfolio.
We explore this concept further by allowing the mean variance opti-
mizer to allocate across not only the S&P 500 and bonds, but also our two
additional equity portfolios: value and momentum. Table 4.2 outlines the
stand-alone characteristics of the passive and the generic value and momen-
tum equity strategies from 1927 to 2014.
Do the returns associated with value and momentum provide enough
benettooffsettheirextremevolatility?Toanswerthisquestion,Figure4.2
shows how the MV frontier changes after adding momentum and adding
value.
The results are surprising. When we allow the optimizer to allocate to
value portfolios, we can expand the MV frontier. For a given level of risk,
as measured by standard deviation on the x-axis, a portfolio that includes
value offers a higher return. But if we also allocate to momentum, the fron-
tier is greatly expanded. Note, again, that for a given standard deviation, the
expected return is dramatically higher for portfolios that include both value
and momentum. Notably, in this case the optimizer recommends a zero per-
cent allocation to the passive index, highlighting that a portfolio with access
to bonds and long-only value and momentum equity exposures captures all
the benets of a portfolio—and then some—that only has access to a passive
TABLE 4.2 Asset Class Historical Results
SP 500 Value Mom LTR
CAGR 9.95% 12.41% 16.85% 5.45%
Standard Deviation 19.09% 31.92% 22.61% 6.92%
Downside Deviation 14.22% 21.34% 16.71% 4.43%
Sharpe Ratio 0.41 0.41 0.66 0.31
Sortino Ratio (MAR =5%) 0.45 0.54 0.79 0.12
Worst Drawdown –84.59% –91.67% –76.95% –20.97%
Worst Month Return –28.73% –43.98% –28.52% –8.41%
Best Month Return 41.65% 98.65% 28.88% 15.23%
Protable Months 61.74% 60.51% 63.16% 63.35%

❦
❦ ❦
❦
68 QUANTITATIVE MOMENTUM
20.0%
25.0%
30.0%
15.0%
10.0%
Expected Portfolio Return
Standard Deviation of the Portfolio
5.0%
0.0%
–5.0%
–10.0%
0.0%
5.0%
10.0%
15.0%
20.0%
25.0%
30.0%
35.0%
SP500 LTR MV Frontier VALUE MOM MV Frontier (Add VALUE) MV Frontier (Add VALUE + MOM)
FIGURE 4.2 Modern Portfolio Theory with Momentum
equity index portfolio (e.g., S&P 500). Momentum and value greatly expand
the investment opportunity set at every level of risk (as measured by standard
deviation). This evidence suggests that investors, regardless of their risk tol-
erance, can increase their expected risk and reward trade-offs by replacing
generic equity allocations with active momentum and value allocations.
MARRYING VALUE AND MOMENTUM
“... value and momentum are negatively correlated with each
other, both within and across asset classes.”
—Asness, Moskowitz, and Pedersen8
Cliff Asness, Toby Moskowitz, and Lasse Pedersen published a
remarkable paper in 2013 appropriately titled “Value and Momentum
Everywhere.” The research highlights an interesting, but not entirely
surprising, phenomenon— namely, that value and momentum premiums
are literally everywhere:
■US stocks
■UK stocks

❦
❦ ❦
❦
Why All Value Investors Need Momentum 69
■European stocks
■Japanese stocks
■Currencies
■Fixed income
■Commodities
We update the analysis from the original research paper using their
data and compile the results in Tables 4.3 and 4.4.9We examine long
only portfolio results for the four biggest equity markets—United States,
United Kingdom, Europe, and Japan—from 1982 through 2014. Data are
available for earlier periods on some markets, but for an apples-to-apples
comparison, we conduct the analysis over the period when data are
available for all markets.
First, the momentum results are tabulated in Table 4.3.
TABLE 4.3 Momentum Performance (1982–2014)
US
Momentum
UK
Momentum
Europe
Momentum
Japan
Momentum
CAGR 13.75% 13.69% 14.88% 5.82%
Standard Deviation 17.14% 19.84% 19.13% 23.10%
Downside Deviation 13.02% 14.11% 13.93% 13.57%
Sharpe Ratio 0.60 0.54 0.61 0.18
Sortino Ratio (MAR =5%) 0.73 0.70 0.77 0.24
Worst Drawdown –48.31% –60.71% –54.92% –65.95%
Worst Month Return –23.89% –27.16% –18.95% –21.88%
Best Month Return 17.65% 16.44% 18.56% 22.99%
Protable Months 65.66% 60.35% 64.90% 55.05%
TABLE 4.4 Value Performance (1982–2014)
US Value UK Value Europe Value Japan Value
CAGR 12.79% 12.59% 15.09% 11.11%
Standard Deviation 15.55% 20.02% 19.27% 21.67%
Downside Deviation 11.88% 12.87% 14.06% 11.91%
Sharpe Ratio 0.59 0.49 0.62 0.40
Sortino Ratio (MAR =5%) 0.70 0.69 0.78 0.66
Worst Drawdown –49.80% –54.65% –55.30% –41.35%
Worst Month Return –18.45% –21.02% –21.78% –15.34%
Best Month Return 15.40% 19.22% 18.04% 28.88%
Protable Months 66.16% 58.08% 64.65% 55.05%

❦
❦ ❦
❦
70 QUANTITATIVE MOMENTUM
Next, the value results are tabulated in Table 4.4.
For some context, over the same time period the US stock index (S&P
500 Total Return Index) earned a CAGR of 11.96 percent, the UK stock
index earned a CAGR of 9.60 percent, and the Japanese stock index returned
aCAGRof3.81percent.
10
When people observe something they cannot explain, they say, “It must
be something in the water;” clearly, these results also suggest there is some-
thing in the water, when it comes to value and momentum. Value shows up in
every equity market and momentum has strong performance in all markets.
We think this nding is partially explained by increased risk, but it is also
a manifestation of the sustainable active investing framework highlighted at
the beginning of this book. Some of the excess returns associated with value
and momentum are attributed to marketplace participants who are aficted
by behavioral bias, which creates mispricing opportunities. Those mispricing
opportunities continue to exist in the data because the investment opportu-
nities created by these strategies are hard to exploit via riskless arbitrage
trading activity.
But the evidence that value and momentum work across a wide variety
of assets and time periods is not entirely novel. What makes the Asness et al.
paper unique, and what we alluded to via our quick modern portfolio theory
lesson in the prior section, is that they explore the remarkable performance
of using value and momentum together, as a system.
In Table 4.5 we look at why value and momentum work well as a system.
The correlation matrix across global value and momentum equity portfolios
is low for long-only portfolios.
To highlight how the value and momentum system works, we look at
combination portfolios that invest 50 percent in value and 50 percent in
momentum, and rebalance the allocation monthly. The summary statistics
for the value and momentum portfolios for the period 1982 to 2014 are
tabulated in Table 4.6.
Risk-adjusted statistics are marginally improved across the board and
the global value and momentum (designated as Global V/M) delivers. But
summary statistics don’t capture the extent to which one could “stick with
TABLE 4.5 Correlation of Value and Momentum
US
Momentum
UK
Momentum
Europe
Momentum
Japan
Momentum
US Value 71% 56% 57% 26%
UK Value 53% 79% 63% 33%
Europe Value 55% 65% 84% 41%
Japan Value 29% 40% 41% 75%

❦
❦ ❦
❦
Why All Value Investors Need Momentum 71
TABLE 4.6 Value and Momentum Combination Portfolios
US UK Europe Japan Global V/M
CAGR 13.49% 13.37% 15.15% 8.76% 13.29%
Standard Deviation 15.14% 18.86% 18.43% 20.95% 15.08%
Downside Deviation 11.60% 12.93% 13.72% 11.88% 11.20%
Sharpe Ratio 0.64 0.54 0.64 0.31 0.63
Sortino Ratio (MAR =5%) 0.77 0.73 0.79 0.47 0.78
Worst Drawdown –48.95% –57.66% –55.04% –47.36% –49.72%
Worst Month Return –20.88% –24.09% –20.13% –18.44% –17.75%
Best Month Return 13.32% 16.74% 15.62% 25.24% 11.83%
Protable Months 64.90% 61.87% 64.14% 54.29% 63.64%
the program.” For example, value investing looks great over the long haul,
and there are some investors with the intestinal fortitude to hang on to a
deep value strategy through a ve-year stretch of underperformance, but
this fortitude is unrealistic for most investors. And the same goes for momen-
tum portfolios, which can sustain stomach-churning underperformance over
extended time periods. Thankfully, we can combine value and momentum
to reduce the torture associated with each of the strategies as a stand-alone
investment approach.
To assess the ability of combination value and momentum portfolios
to smooth the pain on the path to long-term expected performance, we
examine the spread between 5-year compound annual growth rates for a spe-
cicstrategyrelativetoitspassivebenchmark.Weexaminethecombination
portfolio, the momentum-only portfolio, and the value-only portfolio. The
results are in Figures 4.3 through 4.7.
First, let’s look at the United States (see Figure 4.3). These results are
over the 1982 to 2014 time period and use the value and momentum port-
folios identied in the Asness et al. paper. Value and momentum each have
multiple stretches where they underperform the benchmark over ve-year
cycles. The combination portfolio suffers periods when it underperforms
over a ve-year cycle, but grinds a long-term edge most of the time.
Next we look at the United Kingdom over the same period as the US
analysis (Figure 4.4). Value and momentum can underperform the bench-
mark over ve-year cycles. However, the combination portfolio minimizes
the pain along the way.
We look at Europe in Figure 4.5, which runs from 1999 to 2014, due to
data limitations on the passive index. Similar to prior analysis, value and
momentum combinations give the investor a smoother success rate over
ve-year cycles—especially in the most recent period analyzed.

❦
❦ ❦
❦
72 QUANTITATIVE MOMENTUM
15.00%
10.00%
5-Year Rolling CAGR Relative to the Index
Combo Spread Momentum Spread Value Spread
5.00%
0.00%
12/1/1986
1/1/1989
2/1/1991
3/1/1993
4/1/1995
5/1/1997
6/1/1999
7/1/2001
8/1/2003
9/1/2005
10/1/2007
11/1/2009
12/1/2011
1/1/2014
–5.00%
–10.00%
–15.00%
FIGURE 4.3 US Rolling Five-Year Spreads
15.00%
20.00%
25.00%
10.00%
5.00%
0.00%
–5.00%
–10.00%
5-Year Rolling CAGR Relative to the Index
Combo Spread Momentum Spread Value Spread
12/1/1986
1/1/1989
2/1/1991
3/1/1993
4/1/1995
5/1/1997
6/1/1999
7/1/2001
8/1/2003
9/1/2005
10/1/2007
11/1/2009
12/1/2011
1/1/2014
FIGURE 4.4 UK Rolling Five-Year Spreads

❦
❦ ❦
❦
Why All Value Investors Need Momentum 73
15.00%
20.00%
25.00%
10.00%
5.00%
0.00%
–5.00%
–10.00%
5-Year Rolling CAGR Relative to the Index
Combo Spread Momentum Spread Value Spread
12/1/2003
10/1/2004
8/1/2005
6/1/2006
4/1/2007
2/1/2008
12/1/2008
10/1/2009
8/1/2010
6/1/2011
4/1/2012
2/1/2013
12/1/2013
10/1/2014
FIGURE 4.5 Europe Rolling Five-Year Spreads
We end with Japan (Figure 4.6), which runs from 1982 to 2014, where
value investing is king and momentum investing plays second ddle. Even
in Japan, the combination portfolio exploits the natural yin and yang rela-
tionship between value and momentum to create a robust long-term active
allocation.
Finally, we assess a global value and momentum portfolio and compare
this portfolio to a global value portfolio, a global momentum portfolio, and
aglobalindexportfolio(Figure4.7).Theanalysisrunsfrom1982to2014
and really highlights why value and momentum—working as a system—can
give active investors a reasonable way to consistently beat passive bench-
marks over longer horizons.11
The evidence suggests that a blended strategy, which combines both
value and momentum into a single portfolio, may prevent a value-only
investor or a momentum-only investor from suffering through extended,
long-term stretches of poor performance. Of course, not all pain can be
erased, and investors must always be aware that they will be required to
endure sustained stretches of volatility and underperformance, even with a
globally diversied value and momentum equity portfolio.

❦
❦ ❦
❦
74 QUANTITATIVE MOMENTUM
15.00%
20.00%
25.00%
10.00%
5.00%
0.00%
–5.00%
–10.00%
5-Year Rolling CAGR Relative to the Index
Combo Spread Momentum Spread Value Spread
1/1/1989
12/1/1986
2/1/1991
3/1/1993
4/1/1995
5/1/1997
6/1/1999
7/1/2001
8/1/2003
9/1/2005
10/1/2007
11/1/2009
12/1/2011
1/1/2014
FIGURE 4.6 Japan Rolling Five-Year Spreads
15.00%
10.00%
5.00%
0.00%
–5.00%
–10.00%
12/1/1986
1/1/1989
2/1/1991
3/1/1993
4/1/1995
5/1/1997
6/1/1999
7/1/2001
8/1/2003
9/1/2005
10/1/2007
11/1/2009
12/1/2011
1/1/2014
5-Year Rolling CAGR Relative to the Index
Combo Spread Momentum Spread Value Spread
FIGURE 4.7 Global Rolling Five-Year Spreads

❦
❦ ❦
❦
Why All Value Investors Need Momentum 75
SUMMARY
In this chapter, we describe the benets of marrying the value religion and
the momentum religion. Each has its merits, but combining the two systems
into a unied portfolio really highlights the benets of value and momen-
tum. We showed that value and momentum tend to have a low correlation
across the globe and that creating a global value and momentum portfolio
seems to provide a potential solution for long-term active investors to beat
passive market-capitalization weighted indices over long periods of time.
All of the analysis to date has been done with generic value and generic
momentum exposures that are well established and understood in the aca-
demic literature. In the next section of the book, we’ll carefully investigate
how one might logically and empirically improve on the generic momentum
strategy.
NOTES
1. Eugene Fama Interview, American Finance Association, 2008. www.afajof.org
/details/video/2870921/Eugene-Fama-Interview.html, accessed 2/15/2016.
2. Cliff Asness, “Momentum in Japan: The Exception that Proves the Rule,” The
Journal of Portfolio Management 37 (2011): 67–75.
3. Eugene F. Fama and Kenneth R. French, “Dissecting Anomalies,” Journal of
Financial Economics 63 (2008): 1653–1678.
4. Simple improvements to a generic momentum strategy actually highlight that
momentum works in Japan. For example, see Denis Chaves, 2012, “Eureka!
A Momentum Strategy that also Works in Japan,” SSRN Working paper.
papers.ssrn.com/sol3/papers.cfm?abstract_id=1982100, accessed, 2/15/2016.
5. “Value and Momentum Everywhere: Portfolios, Monthly,” AQR (January
31, 2016), www.aqr.com/library/data-sets/value-and-momentum-everywhere
-portfolios-monthly, accessed 2/15/2016.
6. Fama interview.
7. Kenneth French, “Current Research Returns,” mba.tuck.dartmouth.edu/pages
/faculty/ken.french/data_library.html, accessed 2/15/2016. MOM is the top
decile value-weight portfolio formed on 2-12 momentum; VALUE is the
top decile value-weight portfolio formed on book-to-market.
8. Cliff Asness, Toby Moskowitz, and Lasse Pedersen, “Value and Momentum
Everywhere,” The Journal of Finance 68 (2013): 929–985.
9. “Value and Momentum Everywhere: Portfolios, Monthly.”
10. For the passive benchmark we examine MSCI Total Return Index data for the
respective market unless stated otherwise. Our European Index data begins in
1999, so we do not list its return from 1982 to 2014. Over the 1999–2014

❦
❦ ❦
❦
76 QUANTITATIVE MOMENTUM
time period, the European Value portfolio returned a CAGR of 9.17 percent,
the European Momentum portfolio returned a CAGR of 8.93 percent, and the
European Index returned a CAGR of 4.13 percent.
11. The global value portfolio is an equal-weight portfolio of the US, UK, European,
and Japanese value portfolios. The global momentum portfolio’s construction is
similar. The global value and momentum portfolio is an equal-weight portfolio
of the global value and the global momentum portfolio.

❦
❦ ❦
❦
PART
Two
Building a
Momentum-Based Stock
Selection Model
Part One explained why momentum is potentially a sustainable stock
selection method. The results discussed use a generic momentum strat-
egy that focuses on forming a portfolio of stocks that are the relatively
strongest based on their past 12 months of returns (skipping the last, or
most recent month). And while generic momentum works, as the label
implies, this form of momentum is rudimentary. In Part Two, we dig
further into the research on stock selection momentum and describe how
to build quantitative momentum, which is an effective and efcient way to
capture the momentum premium. Chapter 5, “The Basics of Building a
Momentum Strategy,” outlines the basics of generic momentum investing.
Chapter 6, “Maximizing Momentum: The Path Matters,” explains how
one can differentiate the generic momentum strategy by analyzing path
dependency. Chapter 7, “Momentum Investors Need to Know Their
Seasons,” discusses the seasonality component of momentum investing. In
Chapter 8, “Quantitative Momentum Beats the Market,” we synthesize the
previous ndings, detail the Quantitative Momentum strategy, and conduct
adetailedanalysisofthehistoricalresults.Finally,inChapter9,“Making
Momentum Work in Practice,” we examine how one can make momentum
investing work in practice.
77
❦
❦ ❦
❦

❦
❦ ❦
❦
CHAPTER 5
The Basics of Building a
Momentum Strategy
“I contend that nancial markets are always wrong ...”
—George Soros, The Alchemy of Finance1
Part One of this book leaves us with a central message: Momentum should
be considered by all investors. And the great paradox is that faithful
value investors—those who are probably the least likely to actually imple-
ment a momentum approach—stand to gain the most by complementing
their value portfolio with a momentum strategy. Perhaps this is for the best,
and is a reason why value and momentum in combination—operating as
a system—will continue to provide expected long-term portfolio benets:
Each investment religion is too strict, and thus slow to embrace noncon-
forming ideas. But assuming we have moved past the religious debate
between value and momentum, or at least raised the curiosity level of
dyed-in-the-wool value investors, it is now time to get our hands dirty and
build a momentum approach that can be used in practice. We tackle this
subject by breaking this chapter into the following components:
■How to calculate generic momentum
■Describe how look-back windows affect momentum
■Describe how portfolio construction affects momentum
The remainder of this chapter is dedicated to outlining each of these
steps in greater detail.
79

❦
❦ ❦
❦
80 QUANTITATIVE MOMENTUM
HOW TO CALCULATE GENERIC MOMENTUM
How do we measure the “momentum” of a stock? The simple method is to
calculate the total return (including dividends) of a stock over some partic-
ular look-back period (e.g., the past 12 months).
Aquickexamplewilldemonstratetheconcept,usingthetotalreturnof
Apple’s stock in 2014. Here we calculate the cumulative return to Apple over
the past 12 months (the “look-back” period). To calculate the cumulative
return over the past 12 months, we take the net return streams from each
month and turn them into gross returns by adding 1. Thus, if Apple’s net
returns for January are –10.77 percent, Apple’s gross returns for January
are 0.8923 (–0.1077 +1).
Then, we multiply all the gross return series (i.e., months) and subtract
1tond the cumulative 12-month net return. For example, based on the
data from Apple in 2014, the cumulative returns in December (momentum
score; see Table 5.1) are calculated as follows:
(0.8923)(1.0575)(1.0200)(1.0994)(1.0787)(1.0277)(1.0287)(1.0775)
(0.9829)(1.0720)(1.1060)(0.9281)–1=40.62%
Clearly, Apple had a good year in 2014! For reference, the broad market
was up 13.46 percent in 2014. A similar exercise could be done over a differ-
ent look-back period, such as the past month, where the total return would
be –7.19 percent (i.e., the return over the past month). Other calculations
could be done over any look-back period we wanted to examine, such as
TABLE 5.1 Simple 12-Month Momentum Example for Apple
Stock Returns 1+Return Momentum
1/31/2014 –10.77% 0.8923
2/28/2014 5.75% 1.0575
3/31/2014 2.00% 1.0200
4/30/2014 9.94% 1.0994
5/30/2014 7.87% 1.0787
6/30/2014 2.77% 1.0277
7/31/2014 2.87% 1.0287
8/29/2014 7.75% 1.0775
9/30/2014 –1.71% 0.9829
10/31/2014 7.20% 1.0720
11/28/2014 10.60% 1.1060
12/31/2014 –7.19% 0.9281 40.62%

❦
❦ ❦
❦
The Basics of Building a Momentum Strategy 81
the past 3 months, 36 months, or even the past 5 years (60 months). This
calculation can be completed for any stock with a price return stream.
Now that we understand how to calculate generic momentum over a
particular time period, we can review some key results associated with dif-
ferent look-back windows.
THREE TYPES OF MOMENTUM
In this section, we examine how returns are inuenced by the look-back
period we use to calculate momentum. Academic researchers have already
thoroughly reviewed this topic and we summarize the main ndings associ-
ated with three key look-back windows:
1. Short-term momentum (e.g., 1-month look-back)
2. Long-term momentum (e.g., 5 years, or 60-month look-back)
3. Intermediate-term momentum (e.g., 12-month look-back)
We deliberately end the section with intermediate-term momentum, as
this is the momentum we plan to focus on for the rest of the book.
Short-Term Momentum
We dene short-term momentum as any momentum score that is measured
over a time period of (at most) one month. Two academic papers written in
1990 specically examine the topic of short-term momentum.
In the rst paper, Bruce Lehman investigates how stock returns using a
one-week look-back affect the next week’s returns over his sample period
from 1962 to 1986. His paper, titled “Fads, Martingales, and Market
Efciency,”2nds that portfolios of securities that had positive returns
(winners) in the prior week typically had negative returns in the next week
(–0.35% to –0.55% per week on average). Those stocks with negative
returns (losers) in the prior week typically had positive returns in the next
week (0.86% to 1.24% per week on average). This short-term reversal in
returns is difcult to reconcile with the efcient market hypothesis.
Asecondpaper,writtenbyNarasimhanJegadeesh,examinesthereturns
of stocks from month to month sample period between 1934 and 1987. His
paper, titled “Evidence of Predictable Behavior of Security Returns,”3nds a
similar reversal in returns: Last month’s winners are next month’s losers, and
vice versa. And the effect is large and signicant. The prior month’s winners
have an average future return (next month) return of –1.38 percent, while
the prior month’s losers have an average future return (next month) of 1.11

❦
❦ ❦
❦
82 QUANTITATIVE MOMENTUM
percent. This 2.49 percent spread in the two portfolios is difcult to reconcile
with the efcient market hypothesis.
Using data provided by Dartmouth Professor Ken French,4we examine
monthly returns from January 1, 1927, to December 31, 2014, for the
Short-Term Loser portfolio (low short-term return decile, value-weight
returns), the Short-Term Winner portfolio (high short-term return decile,
value-weight returns), the SP500 total return index, and the risk-free rate
of return (90-day T-bills). The short-term past performance is measured
over the previous month. Results are shown in Table 5.2. All returns are
total returns and include the reinvestment of distributions (e.g., dividends).
Results are gross of fees.
The data validates the theory: Short-term reversals are alive and well
across a long swath of history! Looking at the results in Table 5.2, we notice
the reversal in returns from month to month—the returns to the monthly
rebalanced portfolio of stocks with the worst returns from last month
(“Short-Term Loser”) generate a CAGR of 13.46 percent from 1927 to
2014, while the returns to the monthly rebalanced portfolio of stocks with
the best returns from last month (“Short-Term Winner”) earn a measly 3.21
percent. The returns to past-months’ winners are even less than the returns to
the risk-free rate of return. Figure 5.1 graphically depicts the outperformance
of the short-term loser portfolio relative to the short-term winner portfolio.
But the evidence doesn’t end there: In addition to these two earlier
papers, more recent research investigates more complex and nuanced
versions of the same idea.5The key takeaway is the same: Short-term
winners are losers in the near-term future, and short-term losers are winners
in the near-term future. Overall, when measuring momentum over a short
time horizon, one can expect to see a reversal in short-term future returns.
TABLE 5.2 Short-Term Momentum Portfolio Returns (1927–2014)
Short-Term
Loser
Short-Term
Winner SP500 Risk Free
CAGR 13.46% 3.21% 9.95% 3.46%
Standard Deviation 29.60% 24.18% 19.09% 0.88%
Downside Deviation 20.36% 16.83% 14.22% 0.48%
Sharpe Ratio 0.46 0.11 0.41 0.00
Sortino Ratio (MAR =5%) 0.59 0.06 0.45 –3.34
Worst Drawdown –81.48% –94.31% –84.59% –0.09%
Worst Month Return –32.66% –31.27% –28.73% –0.06%
Best Month Return 55.85% 63.65% 41.65% 1.35%
Protable Months 60.13% 56.06% 61.74% 98.01%

❦
❦ ❦
❦
The Basics of Building a Momentum Strategy 83
$1
$10
$100
$1,000
$10,000
Value of $ 100 Invested (Log Scale)
Short-Term Loser Short-Term Winner SP500 RF
$100,000
$1,000,000
$10,000,000
1/1/1927
12/1/1931
11/1/1936
10/1/1941
9/1/1946
8/1/1951
7/1/1956
6/1/1961
5/1/1966
4/1/1971
3/1/1976
2/1/1981
1/1/1986
12/1/1990
11/1/1995
10/1/2000
9/1/2005
8/1/2010
FIGURE 5.1 Short-Term Momentum Portfolio Returns
Long-Term Momentum
An alternative way to measure momentum is to use a look-back period
over a much longer time period and assess performance. Werner DeBondt
and Richard Thaler investigate this concept in their paper titled “Does the
Stock Market Overreact?”6The paper examines the future returns to past
long-term winners and long-term losers, where the winners and losers are
measured using look-back windows that range from three to ve years. Their
rst tests run from 1933 to 1980, and they track the performance of the past
winners and losers portfolios formed on a 36-month look-back. The results
show that “losers” outperform “winners” by 24.6 percent over the next
three years. This spread in performance is remarkable.
Asimilaranalysisisdonewhenmeasuringwinnersandlosersoverthe
past ve years. When examining the future returns, past losers outperform
past winners by 31.9 percent over the next ve years. Clearly, past losers
(when using a long-term momentum measure) outperform past winners.
Leveraging the same database that we used to examine short-term
reversals, we examined the returns from January 1, 1931, to December
31, 2014, for the Long-Term Loser portfolio (low long-term return decile,
value-weight returns), the Long-Term Winner portfolio (high long-term
return decile, value-weight returns), the SP500 total return index, and the
risk-free rate of return (90 day T-bills). The long-term past performance
is measured over the previous ve years (60 months), and the start date

❦
❦ ❦
❦
84 QUANTITATIVE MOMENTUM
TABLE 5.3 Long-Term Momentum Portfolio Returns (1931–2014)
Long-Term
Loser
Long-Term
Winner SP500 Risk Free
CAGR 14.30% 8.59% 10.13% 3.46%
Standard Deviation 30.37% 21.95% 18.92% 0.90%
Downside Deviation 17.98% 16.23% 13.91% 0.47%
Sharpe Ratio 0.47 0.33 0.43 0.00
Sortino Ratio (MAR =5%) 0.70 0.35 0.46 3.35
Worst Drawdown –71.24% –72.80% –74.48% –0.09%
Worst Month Return –40.77% –34.10% –28.73% –0.06%
Best Month Return 91.98% 30.74% 41.65% 1.35%
Protable Months 58.04% 58.83% 61.71% 97.92%
changes from 1927 to 1931 due to the necessary data requirement of
ve years of individual stock returns. Results are shown in Table 5.3. All
returns are total returns and include the reinvestment of distributions (e.g.,
dividends). Results are gross of fees.
Looking at the results in Table 5.3, we notice the reversal in long-term
returns—the returns to the monthly rebalanced portfolio of stocks with
the worst returns over the last ve years earns a CAGR of 14.30 percent
from 1931 to 2014, while the returns to the monthly rebalanced portfolio
of stocks with the best returns over the past ve years earns a CAGR of 8.59
percent. Figure 5.2 graphically depicts the outperformance of the long-term
loser portfolio relative to the long-term winner portfolio.
The literature and our updated results highlight that long-term momen-
tum, similar to short-term momentum, leads to return reversals in the
future. Why long-term reversal occurs is puzzling, and academic researchers
argue whether the cause is due to behavioral bias, additional risk, or market
frictions (e.g., capital gain taxes).7Next, we examine intermediate-term
momentum, which is the form of momentum that trends in the future and
isn’t reversed.
Intermediate-Term Momentum
In order to examine intermediate-term momentum, we form portfo-
lios based on a 6- to 12-month look-back. The results are different
from both short-term (e.g., a 1-month look-back) and long-term (e.g.,
60-month look-back) momentum, which exhibit return reversals. With
intermediate-term momentum, winners keep winning and losers keep
losing. The most well-known paper on this subject is the 1993 Narasimhan
Jegadeesh and Sheridan Titman paper “Returns to Buying Winners and

❦
❦ ❦
❦
The Basics of Building a Momentum Strategy 85
$1
$10
$100
$1,000
$10,000
Value of $100 Invested (Log Scale)
$100,000
$1,000,000
$10,000,000
12/1/1930
9/1/1935
6/1/1940
3/1/1945
12/1/1949
9/1/1954
6/1/1959
3/1/1964
12/1/1968
9/1/1973
6/1/1978
3/1/1983
12/1/1987
9/1/1992
6/1/1997
3/1/2002
12/1/2006
9/1/2011
Long-Term Winner Long-Term Loser SP500 RF
FIGURE 5.2 Long-Term Momentum Portfolio Returns
Selling Losers: Implications for Stock Market Efciency.”8In other words,
if a stock has done relatively well in the past, it will continue to do well in
the future.
The authors demonstrate that a momentum strategy (buying past “win-
ners” and selling past “losers”) performs well for an intermediate-term hori-
zon (3 to 12 months). They test this effect by constructing J-month/K-month
strategies: select stocks based on past Jmonths’ total returns and hold the
position for Kmonths (J=3,6,9,12;K=3,6,9,12).
Their main nding is that there is a continuation in returns when using
intermediate-term momentum. The best strategy (in their paper) is selecting
stocks based on past 12 months’ performance and holding the position
for 3 months. The average monthly spread in returns between the past
winners and past losers over the next 3 months is 1.31 percent, or almost
16 percent per year. However, they nd that the excess returns associated
with intermediate-term momentum portfolios are not long-lasting. For
example, the momentum premium dissipates for portfolios that hold
the same stocks for longer than 12 months after the initial formation
date. These results suggest that momentum portfolios calculated based
on intermediate-term look-backs and held as a long-term buy-and-hold
portfolio suffer a long-term reversal, which is similar to the results we
discussed earlier. Jegadeesh and Titman argue that the intermediate-term
momentum effect may occur if the market underreacts to information

❦
❦ ❦
❦
86 QUANTITATIVE MOMENTUM
about the short-term prospects (such as earning announcement) of rms,
but eventually overreacts to information about the long-term prospects.
With the data that we used to examine both short-term and long-term
reversals, we examine the returns from January 1, 1927, to December 31,
2014, for the Intermediate-Term Winner portfolio (high intermediate-term
return decile, value-weight returns), the Intermediate-Term Loser portfolio
(low intermediate-term return decile, value-weight returns), the SP500
total return index, and the risk-free rate of return (90-day T-bills). The
intermediate-term past performance is measured over the previous year,
ignoring last month’s return. So if we are forming a portfolio to trade on the
close of December 31, 2015, we would compute the total return from
the close of December 31, 2014, until the close of November 30, 2015, thus
ignoring December 2015 returns (due to short-term momentum reversal).
Results are shown in Table 5.4. All returns are total returns and include the
reinvestment of distributions (e.g., dividends). Results are gross of fees.
The tabulated results in Table 5.4 suggest strong evidence for a continu-
ation in intermediate-term returns—the returns to the monthly-rebalanced
portfolio of stocks with the best returns over the last year (ignoring last
month) returns a CAGR of 16.86 percent from 1927 to 2014. In contrast, the
returns to the monthly rebalanced portfolio of stocks with the worst returns
over the last year (ignoring last month) returns a CAGR of –1.48 percent.
The returns to past years’ losers (ignoring last month) are not only less than
the returns to the risk-free rate of return, they are negative! Figure 5.3 graph-
ically depicts the outperformance of the intermediate-term loser portfolio
relative to the intermediate-term winner portfolio.
Our results highlight that portfolios formed on intermediate-term
momentum exhibit a continuation of returns. Firms that have done well in
TABLE 5.4 Intermediate-Term Momentum Portfolio Returns (1927–2014)
Intermediate-Term
Winner
Intermediate-Term
Loser SP500 Risk Free
CAGR 16.86% –1.48% 9.95% 3.46%
Standard Deviation 22.61% 33.92% 19.09% 0.88%
Downside Deviation 16.71% 21.97% 14.22% 0.48%
Sharpe Ratio 0.66 0.02 0.41 0.00
Sortino Ratio
(MAR =5%)
0.79 –0.05 0.45 –3.34
Worst Drawdown –76.95% –96.95% –84.59% –0.09%
Worst Month Return –28.52% –42.26% –28.73% –0.06%
Best Month Return 28.88% 93.98% 41.65% 1.35%
Protable Months 63.16% 51.42% 61.74% 98.01%

❦
❦ ❦
❦
The Basics of Building a Momentum Strategy 87
$1
$10
$100
$1,000
$10,000
Value of $ 100 Invested (Log Scale)
$100,000
$1,000,000
$10,000,000
1/1/1927
12/1/1931
11/1/1936
10/1/1941
9/1/1946
8/1/1951
7/1/1956
6/1/1961
5/1/1966
4/1/1971
3/1/1976
2/1/1981
1/1/1986
12/1/1990
11/1/1995
10/1/2000
9/1/2005
8/1/2010
Intermediate-Term Loser Intermediate-Term Winner SP500 RF
FIGURE 5.3 Intermediate-Term Momentum Portfolio Returns
the intermediate past will continue to do well in the future, while rms that
have done poorly will continue to perform poorly. However, as we discussed
earlier, this “continuation” effect does not work if we just buy-and-hold
intermediate-term momentum stocks. We must form the portfolio so that
the rebalance frequency can capture the abnormal returns associated with
the approach. In the next section, we examine how portfolio construction,
such as rebalance frequency and portfolio size, affects intermediate-term
momentum strategies.
WHY MOMENTUM PORTFOLIO CONSTRUCTION
MATTERS
The results in the original Jegadeesh and Titman paper highlight the impor-
tance of portfolio construction in the context of the momentum anomaly.
The authors identify that the holding period, or the rebalance frequency,
dramatically affects a momentum portfolio’s performance. As a general
rule, and putting transaction costs aside, the more frequent a portfolio is
rebalanced, the better the performance. In this section, we drill down on
exactly how portfolio construction affects intermediate-term momentum.
Intermediate-term momentum is the focus of our analysis throughout the
remainder of this book because this form of momentum is what researchers
consider to be the most anomalous and intriguing.

❦
❦ ❦
❦
88 QUANTITATIVE MOMENTUM
Let’s set up the experiment to assess how portfolio construction affects
performance. We examine the 500 largest rms each month from 1927
to 2014. We calculate the monthly momentum variable as the cumulative
returns over the past 12 months, ignoring the past month. This specic
intermediate-term momentum calculation method is the same approach
used by Ken French, the source of the data we used earlier. The last month
is ignored in our intermediate term momentum calculation to account for
the short-term reversal effect previously documented. If we included the
most recent month in the momentum metric we would increase the noise of
the metric and decrease the benets of the signal.
Looking back to our Apple momentum example (referring back to
Table 5.1), we construct our momentum variable (excluding the most recent
month) as the following:
(0.8923)(1.0575)(1.0200)(1.0994)(1.0787)(1.0277)(1.0287)(1.0775)
(0.9829)(1.0720)(1.1060)–1=51.51%
The key difference between this calculation and the one provided in
Table 5.1 is that we ignore the last month’s return (in this example, the
December returns). It should be pointed out that including the last month’s
return, which is more reasonable from both an empirical and theoretical per-
spective, does not signicantly alter the results—one could include the most
recent month in all momentum calculations and generate similar results.
Regardless, for the rest of the book, we focus on momentum calculations that
ignore the most recent month’s return when calculating intermediate-term
momentum.
In the following tests, we allow the portfolio construction to vary across
two dimensions. First, we examine the returns by varying the number of
rms in the portfolio. We allow the portfolio size to vary from 50 to 300
stocks. Second, we examine the returns by varying the holding periods after
portfolio formation. We allow the holding periods to vary from 1 month to
12 months.
We select the top Nnumber of rms ranked on momentum, every
month. Here, the number of stocks Ncan be 50, 100, 150, 200, 250, or
300. These rms are held in the portfolio for Tmonths. The holding period
(number of months) Tvaries from 1 to 12.
Portfolios with holding periods over 1 month are formed by creating
overlapping portfolios. Overlapping portfolios can be explained with an
example that uses a three-month holding period. On December 31, 2014, we
use one-third of our capital to buy high momentum stocks. These stocks stay
in the portfolio until March 31, 2015. On January 31, 2015, we use another
one-third of our capital to buy high momentum stocks. These stocks stay in

❦
❦ ❦
❦
The Basics of Building a Momentum Strategy 89
the portfolio until April 30, 2015. On February 28, 2015, we use another
one-third of our capital to buy high-momentum stocks. These stocks stay
in the portfolio until May 31, 2015. This process repeats every month. So
the return to the portfolio from February 28, 2015, to March 31, 2015, is
the returns to the stocks in the portfolio originally formed on December 31,
2014, January 31, 2015, and February 28, 2015. Overlapping portfolios are
formed to minimize seasonal effects. Unless otherwise stated, we use over-
lapping portfolios throughout the analysis in the remainder of the book for
holding periods of longer than one month. And similar to the robustness
of the results when we decide to include or exclude the most recent month
when calculating momentum measures, the use of the fancier overlapping
portfolio methodology versus a more generic standard “buy and rebalance
portfolio” does not signicantly drive results in one direction of the other.
Our analysis runs from January 1, 1927, to December 31, 2014.
All results are gross of fees. All returns are total returns and include the
reinvestment of distributions (e.g., dividends). Table 5.5 provides the CAGR
to the value-weighted portfolios. By value weighting, we mean that each
stock is given its “weight” in the portfolio, depending on the size of the
rm. Value weighting gives more weight to larger stocks and less weight to
smaller stocks. It is worth mentioning, however, that we focus our results
on the largest 500 US stocks, to minimize the effects that micro-cap stocks
would have on the portfolios.
TABLE 5.5 Momentum Portfolio Returns: Varying Holding Period and Number of
Firms in the Portfolio (1927–2014)
50-
Stock
Portfolio
100-
Stock
Portfolio
150-
Stock
Portfolio
200-
Stock
Portfolio
250-
Stock
Portfolio
300-
Stock
Portfolio
Universe
(500 Firms)
1-month hold 17.02% 14.40% 13.55% 12.69% 12.07% 11.50% 9.77%
2-month hold 16.05% 14.17% 13.23% 12.59% 11.98% 11.43% 9.77%
3-month hold 15.15% 13.81% 12.93% 12.25% 11.74% 11.23% 9.77%
4-month hold 14.54% 13.53% 12.78% 12.11% 11.63% 11.21% 9.77%
5-month hold 14.37% 13.31% 12.62% 12.04% 11.57% 11.17% 9.77%
6-month hold 13.93% 13.05% 12.37% 11.88% 11.46% 11.10% 9.77%
7-month hold 13.68% 12.80% 12.11% 11.66% 11.33% 10.99% 9.77%
8-month hold 13.38% 12.58% 11.89% 11.48% 11.19% 10.90% 9.77%
9-month hold 12.94% 12.24% 11.60% 11.23% 11.01% 10.77% 9.77%
10-month hold 12.62% 11.93% 11.37% 11.03% 10.85% 10.66% 9.77%
11-month hold 12.21% 11.61% 11.12% 10.81% 10.68% 10.52% 9.77%
12-month hold 11.78% 11.27% 10.83% 10.58% 10.48% 10.36% 9.77%

❦
❦ ❦
❦
90 QUANTITATIVE MOMENTUM
Acleartrendemerges—holdingfewerstocksandrebalancingmore
frequently leads to higher compound annual growth rates (CAGRs). The
ideal portfolio is highly concentrated (e.g., 50 stocks) and rebalanced
monthly (e.g., holding period equals one month). Of course, one must
consider trading costs, which have the potential to greatly affect returns.
To address the question of trading costs, we can examine a concentrated
momentum portfolio (e.g., 50 stocks) that is rebalanced every quarter
instead of every month—so we could form a portfolio that trades 4 times
a year, instead of 12 times a year (overlapping portfolios are not necessary
in real-world trading). This concentrated, but lower frequency rebalanced
portfolio has a CAGR of 15.15 percent over the 1927 to 2014 time frame.
The portfolio gives up a substantial amount of return, but comes with
alotlesstrading.Dependingontransactioncosts(discussedlater),one
could assess the trade-off between the benetofhigherexpectedreturns
associated with the monthly rebalanced against the lower transaction costs
of the quarterly rebalanced portfolio.
In the absence of granular detail on trading costs, when it comes to
monthly versus quarterly rebalancing, the winner is unclear. However, if we
compare any of these portfolios to the gross performance of a semiannually
rebalanced diversied 200-stock portfolio, the horse race among portfolio
constructs becomes more obvious. The CAGR for this low-frequency, “di-
worsied” portfolio is only 11.88 percent. The spread between this portfolio
construct and the other, more concentrated and more frequently balanced
portfolios is over 3 percent a year. If a momentum strategy annually rebal-
ances and holds heavily diluted portfolios (e.g., 300 stocks), the relative
performance is even worse.
If we assume the “all-in” rebalance costs are 0.50 percent per rebalance
for these momentum strategies, the CAGR on the 50-stock, quarterly rebal-
anced portfolio would fall from 15.15 percent to 13.15 percent (four trades
times 0.50 percent). Similarly, the 200-stock, semiannually rebalanced port-
folio’s CAGR would fall from 11.88 percent to 10.88 percent (two trades
times 0.50 percent). There is still a 2.27 percent edge to the higher concen-
trated, more frequently rebalanced portfolio.
The implementation of transaction costs in the previous analysis is sim-
ple in nature and meant to highlight the point that rebalance frequency
and portfolio concentration benets need to be considered in the context
of projected trading costs. For further discussion on this subject, there is a
paper by Lesmond, Schill, and Zhou in 2004, which claims that momentum
prots are illusory based on ad-hoc assumptions regarding trading costs.9
Korajczyk and Sadka also examine the issue, but consider market impact
costs. These authors estimate that momentum strategies have limited capac-
ity, estimated at roughly $5 billion.10 However, in response to this paper

❦
❦ ❦
❦
The Basics of Building a Momentum Strategy 91
and others, Andrea Frazzini, Ron Israel, and Toby Moskowitz published
research that leverages over a trillion dollars of live trading data from the
large institutional money manager AQR.11 Frazzini et al. nd that momen-
tum prots are robust to transaction costs and that the estimated transaction
costs used in prior research were possibly 10 times higher than real-world
transaction costs. Following the Frazzini et al. transaction cost analysis is
apaperin2015byFisher,Shah,andTitmanthatusesestimatedbid/ask
spreads from 2000–2013 to assess the trading costs associated with momen-
tum strategies.12 Their conclusions are that their “estimates of trading costs
... are generally much larger than those reported in Frazzini, Israel, and
Moskowitz, and somewhat smaller than those described in Lesmond, Schill,
and Zhou and Korajczyk and Sadka.” In short, the debate over transac-
tion costs is heated, but the consensus from the research seems to be that
momentum exists net of transaction costs, but the scalability is limited.
Clearly, there is a relationship between the number of rms, the holding
period, and returns. The results are almost identical when equal-weighting
the portfolios (higher CAGRs, similar pattern). And, of course, transaction
costs are always an important element to consider when implementing any
active strategy. Regardless, there are two important takeaways:
■Rebalance frequency: Holding the number of rms constant, the shorter
the holding period, i.e., the more frequently the portfolio is rebalanced,
the higher the CAGR.
■Avoid diworsication: Keeping the holding period constant, the fewer
rms in the portfolio, the higher the CAGR.
For a large, multibillion dollar asset manager, the results above are not
inspiring, since the manager’s scale alone prohibits them from pursuing the
more effective momentum strategies, which require higher turnover. How-
ever, for this same reason, the requirement that momentum be rebalanced
frequently and held in concentrated portfolios is great news when viewed
through the sustainable active framework. These characteristics make arbi-
trage costly for large pools of capital, thus ensuring a long expected life for
the higher frequency rebalanced versions of the momentum anomaly.
SUMMARY
This chapter details how to calculate a generic momentum metric. First,
we describe the three types of momentum strategies most commonly
examined: short-term look-back momentum, intermediate-term look-back
momentum, and long-term look-back momentum. Both short-term and

❦
❦ ❦
❦
92 QUANTITATIVE MOMENTUM
long-term momentum portfolios generate return reversals. However, port-
folios formed using intermediate-term look-back momentum calculations
generate a continuation of returns. This form of momentum is the most
compelling and robust as an investment approach. Finally, we highlight that
portfolio construction plays are large role in determining the effectiveness
of an intermediate-term momentum portfolio. We identify that momen-
tum portfolios should be reasonably concentrated and require frequent
rebalancing to maximize their effectiveness. In the chapters that follow, we
describe ways in which the generic intermediate-term momentum measure
can be improved.
NOTES
1. George Soros, The Alchemy of Finance (Hoboken, NJ: John Wiley & Sons,
2003), p. 5.
2. Bruce N. Lehmann, “Fads, Martingales, and Market Efciency,” The Quarterly
Journal of Economics 105 (1990): 1–28.
3. Narasimhan Jegadeesh, “Evidence of Predictable Behavior of Security Returns,”
The Journal of Finance 45 (1990): 881–898.
4. mba.tuck.dartmouth.edu/pages/faculty/ken.french/data_library.html, accessed
2/22/2016.
5. Zhi Da, Qianqui Liu, and Erst Schaumburg, “A Closer Look at the Short-Term
Return Reversal,” Management Science 60 (2014): 658–674.
6. Werner F. M. DeBondt and Richard Thaler, “Does the Stock Market Overre-
act?,” The Journal of Finance 40 (1985): 193–805.
7. Thomas George and Chuan-Yang Hwang, “Long-Term Return Reversals: Over-
reaction or Taxes?” The Journal of Finance 62 (2007): 2865–2896.
8. Narasimhan Jegadeesh and Sheridan Titman, “Return to Buying Winners and
Selling Losers: Implications for Stock Market Efciency,” The Journal of Finance
48 (1993): 65–91.
9. David A. Lesmond, Michael J. Schill, and Chunsheng Zhou, “The Illusory
Nature of Momentum Prots,” Journal of Financial Economics 71 (2004):
349–380.
10. Robert Korajczyk and Ronnie Sadka, “Are Momentum Prots Robust to Trad-
ing Costs?” The Journal of Finance 59 (2004): 1039–1082.
11. Andrea Frazzini, Ronen Israel, and Tobias J. Moskowitz, “Trading Costs of
Asset Pricing Anomalies,”working paper, 2015.
12. Gregg Fisher, Ronnie Shah, and Sheridan Titman, “Combining Value and
Momentum,” Journal of Investment Management, forthcoming.

❦
❦ ❦
❦
CHAPTER 6
Maximizing Momentum: The Path
Matters
“...as the formation period return accumulates gradually over
many days, the ow of information is continuous.”1
—Z. Da et al., The Review of Financial Studies
Chapter 5 highlighted that stocks with strong intermediate-term momen-
tum signals, generically calculated as the past 12-month cumulative
returns (skipping the most recent month), exhibit a strong continuation in
returns. The evidence is pervasive across multiple time periods and asset
classes. Given this empirical fact, a natural question arises: Can we do better
than the generic intermediate-term momentum indicator? Figuring out a
way to accomplish this goal can be difcult, especially when the risk of
optimization and data mining is high. However, academic researchers have
been studying this question for a while and have developed solutions that
improve on the generic momentum algorithm, while simultaneously show-
ing how the improvement relates to the theoretical behavioral foundations
for momentum’s existence. In other words, momentum improvements are
evidence-based enhancements developed through the lens of the sustainable
active framework, and not data mining run amok.
For over a year, we examined every respectable research piece on
momentum stock selection strategies we could nd and came to the general
conclusion that one of the core ways to improve on a generic momentum
strategy is to focus on the time-series characteristics of a momentum stock.
In other words, we need to look at the path through which a momentum
stock actually became classied as a momentum stock (see Appendix A
for information on some of the top competing ideas we examined and our
analysis).
93

❦
❦ ❦
❦
94 QUANTITATIVE MOMENTUM
An example can highlight the importance of the path dependency of
a momentum stock. Consider the so-called “Internet bubble,” which grew
during the late 1990s and eventually burst in 2000. There were many rms
with absurdly high generic momentum signals, as investors could not resist
buying Internet stocks at sky-high valuations. We chose to examine two
high-momentum stocks as of March 31, 2000 (this was near the end of the
bubble).
The rst rm we selected was Alliance Pharmaceutical Corp, a biotech
company. This biotech company was hoping to provide the market with
anewproduct,Oxygent,tohelpsupplyoxygentotissuesduringsurgery.
The second rm we examined was International Rectier Corp, a company
founded in 1947 that produced power management semiconductors. As of
March 31, 2000, both stocks were classied as high-momentum stocks.
Figure 6.1 plots the total cumulative returns over the past 12 months,
as of March 31, 2000. Two points to note: First, there is a vertical line on
$8.00
$7.00
$6.00
$5.00
$4.00
Total Cummulative Return
$3.00
$2.00
International Rectifier Corp Return Alliance Pharmaceutical Corp Return
$1.00
$0.00
4/30/1999
3/31/1999
5/31/1999
6/30/1999
7/31/1999
8/31/1999
9/30/1999
10/31/1999
11/30/1999
12/31/1999
1/31/2000
2/29/2000
3/31/2000
FIGURE 6.1 Alliance and International Rectier Past Performance

❦
❦ ❦
❦
Maximizing Momentum: The Path Matters 95
February 29, 2000. To calculate intermediate-term momentum we measure
up until February 29, 2000, because generic momentum calculations exclude
the most recent month. As of February 29, 2000, Alliance Pharmaceutical
was up 554 percent over the past year, while International Rectier Corp
was up 498 percent. Both stocks reect a value investor’s worst nightmare,
but a momentum investor’s dream.
The second point is that the two stock charts follow a different path.
Eyeballing the charts, we see that International Rectier Corp follows a
smoother path to high momentum, whereas Alliance Pharmaceutical Corp
has a more jumpy path. Tossing aside our ad-hoc eyeballing of the charts,
we can objectively quantify this observation. Assuming two stocks achieve
roughly the same momentum, one way to measure “jumpy versus smooth”
is to compute the percentage of days that have a positive return relative to
the percentage of days that have a negative return. We would expect rms
with a “smoother” momentum to have a higher percentage of positive return
days and a lower percentage of negative return days. We see this expectation
in the current situation: Measured over a year, Alliance Pharmaceutical had
a positive return 49 percent of the trading days and a negative return on
43 percent of the trading days, whereas International Rectier Corp had a
positive return on 55 percent of the trading days and a negative return on 40
percent of the trading days (total days don’t add up to 100 percent because
there is a percentage of days with no movement).
In the situation outlined above, we can see both visually and quan-
titatively that International Rectier had a smoother return stream. But
does the “smoother” high-momentum stock outperform the “jumpier”
high-momentum stock? We see the results of this cherry-picked example in
Figure 6.2.
Figure 6.2 documents the future three-month returns for both rms.
International Rectier Corp gains 46.9 percent and outperforms Alliance
Pharmaceutical, which loses 24.7 percent over the next 3 months. Of
course, we have cherry-picked this example to highlight that “smooth”
high-momentum stocks tend to perform better relative to “choppy”
high-momentum stocks. However, by the end of this chapter, we hope
to convince the reader that momentum path dependency matters. This
time-series aspect of momentum captures important information about
market participant behavior that can be systematically exploited to improve
upon a generic momentum strategy. To understand why, we examine the
performance of “lottery-like” stocks, which have return characteristics that
are similar to “jumpy” high-momentum stocks and placate the peculiar
demand for “lottery” payoffs by many market participants.

❦
❦ ❦
❦
96 QUANTITATIVE MOMENTUM
$8.00
$7.00
$6.00
$5.00
$4.00
Total Cumulative Return
$3.00
$2.00
$1.00
$0.00
3/31/1999
4/30/1999
5/31/1999
6/30/1999
7/31/1999
8/31/1999
9/30/1999
10/31/1999
11/30/1999
12/31/1999
1/31/2000
2/29/2000
3/31/2000
4/30/2000
5/31/2000
6/30/2000
$9.00
International Rectifier Corp Return Alliance Pharmaceutical Corp Return
FIGURE 6.2 Alliance and International Rectier Future Performance
THE PERFORMANCE OF LOTTERY STOCKS
Everyone loves a gamble, especially a long shot. And it’s not just retirees
who enjoy smoking cigarettes and pounding rum and cokes in front of the
slot machine—no, sir. Heck, we’ve personally lost money gambling in Vegas
and Atlantic City—and we’re supposed to know better!
So what gives?
Nick Barberis, in his theory paper “A Model of Casino Gambling,”
specically addresses why people go to casinos and how they behave once
they get there.2Setting aside the known expected utility benets of gam-
bling (i.e., “it’s fun”), the key assumption behind Barberis’s theory is that
there is something additional at play: Human beings suffer from an inabil-
ity to properly weigh their chances of success for low-probability events. In
other words, humans predictably overestimate their chances of winning the
lottery.
But when we step outside of the casino and take a small leap over to
the stock market, human behavior does not change. “Maxing Out: Stocks
as Lotteries and the Cross-Section of Expected Returns” by Turan G. Bali,

❦
❦ ❦
❦
Maximizing Momentum: The Path Matters 97
Nusret Cakici, and Robert F. Whitelaw examines how lottery-like stocks
perform.3Their central hypothesis is that investors irrationally overpay for
lottery-like gambles, assume their odds are higher than they are in reality,
and, thus, stocks with lottery-like characteristics will underperform on a
risk-adjusted basis.
To test this hypothesis, Bali et al. rst classify a subsample of stocks as
“lottery” stocks if these stocks had extreme market movements in the recent
past. Next, they examine the future performance of these lottery-like stocks.
The underlying assumption is that investors identify stocks with extreme
returns in the recent past as “lottery stocks” and bid these assets past funda-
mental value. The specicmeasuretheauthorslookattoidentifyalottery
stock is to rank stocks based on the maximum daily return over the previous
month (“MAX”).
An example can shed light on how the authors classify a stock as having
lottery-like characteristics. Pretend it is January 31, 2017, and our universe
consists of two stocks, Fast Money Inc. and Boring Money Inc. (Tickers:
FAST and SLOW, respectively). We form a long/short portfolio on Febru-
ary 1 that exploits the fact that investors overpay for lotteries. We identify
that FAST has a maximum daily return of 50 percent in the past month
and SLOW has a maximum daily return of 1 percent. Therefore, our port-
folio on February 1 will be short FAST (a lottery stock) and long SLOW (a
non-lottery stock).
Table 6.1 summarizes the results from their paper highlighting the aver-
age monthly returns of 10 portfolios ranked on their MAX ranking, which is
TABLE 6.1 Lottery Stock Results
Avg. Monthly
Return
(VW Portfolio)
4-Factor
Alpha (VW
Portfolio)
Average
MAX
Boring (1) 1.01% 0.05 1.30
21.00% 0.00 2.47
31.00% 0.04 3.26
41.11% 0.16 4.06
51.02% 0.09 4.93
61.16% 0.15 5.97
71.00% 0.03 7.27
80.86% –0.21 9.07
90.52% –0.49 12.09
Lottery (10) –0.02% –1.13 23.60
Long/Short (1–10) 1.03% 1.18

❦
❦ ❦
❦
98 QUANTITATIVE MOMENTUM
the maximum daily return over the past month. The top decile (“10”) rep-
resents “lottery” stocks and the bottom decile (“1”) reects the “boring”
stocks.
Not too shabby! A portfolio that buys boring stocks and shorts lottery
stocks generates a raw return of 1.03 percent a month, or roughly 12 percent
a year. Moreover, the four-factor alpha (which controls for market exposure,
as well as known return drivers such as size, value, and momentum) is 1.18
percent a month, or 14.4 percent a year. We have not included the costs of
implementation in these results, because that is beside the point. We are not
trying to suggest this strategy as a practical approach to forming a portfolio,
but merely to emphasize that market participants seem to misprice stocks
with lottery-like characteristics.
Lottery bias may also help explain the so-called beta anomaly.Academic
research has documented that low beta stocks tend to outperform high beta
stocks.4This nding is remarkable and is considered anomalous because a
central prediction of theoretical asset pricing models is that stocks exposed
to more market risk (i.e., high beta) should have higher expected returns
than stocks with lower market risk (i.e., low beta). A working paper by Bali
et al.5examines the relationship between beta and lottery demand. Specif-
ically, they try and understand how investor preferences for lotteries may
explain the beta anomaly. We summarize some data from the Bali et al. paper
and present the results in Table 6.2.
Table 6.2 tabulates results associated with portfolios that sort stocks
into 10 deciles based on beta, and then within each decile, sorts the portfolios
TABLE 6.2 Average Monthly Returns Sorting Stocks on Beta and the “Lottery”
Ranking
Low BetaDecile High BetaDecile
Boring (1) 0.35% 1.04%
20.75% 0.86%
30.73% 0.82%
40.85% 0.77%
50.95% 0.69%
60.97% 0.46%
71.03% 0.15%
80.91% 0.06%
90.46% –0.31%
Lottery (10) –0.01% –1.07%
Long/Short (1–10) –0.36% –2.11
Long/Short Alpha (4-factor) –0.83% –2.14%

❦
❦ ❦
❦
Maximizing Momentum: The Path Matters 99
based on their “lottery” ranking. We show the results to the top and bot-
tom beta deciles for expositional purposes. On average, high beta stocks
underperform relative to low beta stocks, which reects the so-called “low
beta anomaly.” But this average result is inconsistent across lottery rank-
ing. Low beta boring stocks earn less than high beta boring stocks, which
is in line with nance theory that suggests high beta stocks are riskier than
low beta stocks and should therefore earn higher expected returns. The real
anomalous results associated with the low beta effect are driven by stocks
with lottery characteristics. The lottery characteristic is especially powerful
among high beta stocks. For example, within the high beta decile, there is
a monotonically decreasing relationship on the average returns as the “lot-
tery” ranking increases. The authors explore this issue further and conduct
testing to determine if lottery demand can explain why high beta stocks
perform so poorly relative to low beta stocks. What they nd is not too
surprising, given what we know about the human mind: The lottery charac-
teristic associated with high beta stocks is a key driver of these stocks’ poor
performance. (Lottery bias also goes a long way towards explaining the low
beta anomaly, but this is a discussion for another day.)
But back to momentum strategies and why the research on lottery-like
stocks is important. Based on the evidence discussed in the original “Maxing
Out” paper, it appears investors are better off avoiding stocks with lottery
characteristics. We should incorporate this knowledge into our algorithm
when deciding which high-momentum stocks we want to purchase.6And
almost by design, high-momentum stocks with smoother momentum paths
will be less prone to lottery bias mispricing than stocks with jumpier paths.
We should also consider the research, which relates lottery stocks to high
beta stocks. As previously discussed, avoiding lottery-type stocks is a good
idea, but what about the concept of avoiding high-beta stocks as well? To
address that question we rst need a quick refresher on beta. Beta is simply
a measure of volatility, or systematic risk. And by design, high-momentum
stocks with smoother price paths will generally have lower betas, while
high-momentum stocks with choppier price paths will generally have higher
betas. So to some degree, by focusing on momentum stocks with smoother
price paths, we are avoiding an element of lottery bias, which aficts many
high ying generic momentum stocks.
What’s the bottom line? Lottery bias plays a role in market mispricing.
Stocks that are perceived as lotteries tend to do poorly because investors bid
them past fundamental value. One can measure lottery bias by a variety of
proxy metrics. We’ve discussed the MAX calculation and beta, and both of
these measures are helpful in identifying stocks we should avoid. One could
surely come up with many other permutations and nd similar results. But
when we step back and think about the big picture, really what we are trying

❦
❦ ❦
❦
100 QUANTITATIVE MOMENTUM
to do is identify the nature of a stock’s price path to glean information about
market participant behaviors. We will see in the following section that the
path to momentum prots is ... the path.
THE PATH TO MOMENTUM PROFITS
Consider the story of putting a frog in water. If the frog is placed in a pot
of boiling water, not surprisingly, the frog will immediately jump out. How-
ever, if the frog is placed in a pot of room temperature water, and this water
is gradually heated to the boiling point, the frog will sit in the water until it
is fully cooked. As least for our hypothetical frog, the path of water temper-
ature changes clearly matters for the eventual outcome.
Interestingly enough, research has found that the frog’s reaction to grad-
ual water temperature changes is analogous to how investors react to gradual
stock price changes. For example, if a stock has an immediate 100 percent
gain (i.e., dropping the frog in a pot of boiling water), the strong price
reaction immediately attracts investor attention, and the new stock price
will typically reect approximately fair value. However, if a stock gradu-
ally grinds along and achieves a 100 percent return (i.e., the water slowly
heats up over time), investors will pay less attention to the gradual stock
price movement and the security will likely be priced at less than fundamen-
tal value. In psychology terms, both the frog and human investors suffer
from “limited attention,” which simply reects the idea that our cognitive
resources are limited and our brains will focus on processing the information
that is most relevant at a given point in time. Determining what is “most rele-
vant” turns out to be a challenging question. Psychology research, however,
has found that dramatic changes in an environment, as opposed to small
changes, attract more cognitive resources, all else being equal.7
In 2014, Zhi Da, Umit Gurun, and Mitch Warachka8investigated the
limited attention of investors to gradual-information diffusion. The authors
hypothesize that there might be a relationship with the momentum anomaly.
They describe their frog-in-the-pan hypothesis:
Aseriesoffrequentgradualchangesattractslessattentionthan
infrequent dramatic changes. Investors therefore underreact to
continuous information.
Their conclusions after conducting a battery of empirical analysis are
fascinating: Momentum strategies that focus on the path-dependency of
momentum generate a much stronger momentum effect. In other words,
the evidence strongly supports the frog-in-the-pan hypothesis, and broadly
supports the theoretical behavioral arguments outlined in the Barberis et al.

❦
❦ ❦
❦
Maximizing Momentum: The Path Matters 101
1998 paper, which suggests that the momentum anomaly is driven by an
underreaction to positive news.9
Da, Gurun, and Warachka construct a proxy for information discrete-
ness (ID) that measures the relative frequency of small signals. A large ID
means more discrete information, and a small ID denotes continuous infor-
mation. For past winners with a high past return, a high percentage of pos-
itive returns (% positive >% negative) implies there are a large number of
small positive returns. The exact measure is described by the equation:
ID =sign(Past Return)∗[%negative −%positive]
To test their hypothesis Da et al. sequentially double-sort portfolios rst
on a 12-month formation-period returns, or what we refer to as “generic
momentum” in previous chapters and further described in Jegadeesh and
Titman.10 Next, they sort the stocks within these momentum portfolios on
their information discreteness variable over the 1927 to 2007 sample period.
We tabulate the most relevant results from the paper in Table 6.3, which
examine the six-month holding period returns to portfolios that are long
high momentum stocks and short low momentum stocks, while varying the
information discreteness measure.
The results are astonishing. Over a six-month holding period, long-short
momentum portfolios decrease monotonically from 5.94 percent for stocks
with continuous information to negative 2.07 percent for stocks with dis-
crete information. The three-factor alpha to long/short portfolios decreases
from 8.77 percent for long/short portfolios with continuous information to
negative 2.01 percent for long/short portfolios with discrete information—a
spread of 10.78 percent (over 20 percent on an annualized basis) with a
highly signicant t-stat.
We know from prior analysis in Chapter 5 that higher frequency rebal-
ancing translates into better performance for momentum strategies. The
authors examine this question in their paper. Figure 6.3 shows the monthly
TABLE 6.3 Frog-in-the-pan Results to Long/Short Momentum Portfolios
Return 3-Factor Alpha
Discrete –2.07% –2.01%
20.64% 3.53%
33.12% 5.05%
44.36% 6.71%
Continuous 5.94% 8.77%
Continuous–Discrete 8.01% 10.78%

❦
❦ ❦
❦
102 QUANTITATIVE MOMENTUM
3.00%
Three-factor Alpha
2.50%
2.00%
1.50%
1.00%
0.50%
0.00%
–0.50%
12345678910
–1.00%
Continuous Discrete
FIGURE 6.3 Frog-in-the-Pan Portfolio Alphas
alpha estimates to the long/short momentum portfolios (for both continu-
ous and discrete information) from 1 to 10 months after portfolio formation.
The results are consistent with the frog-in-the-pan hypothesis—continuous
momentum seems to account for the bulk of the momentum effect. A few
key points:
1. Higher prots: Long/short momentum portfolios with continuous infor-
mation have higher three-factor alphas than long/short momentum port-
folios with discrete information.
2. Longer persistence: Long/short momentum prots following continu-
ous information persist longer (the holding period can be extended with
limited decay), while long/short momentum prots following discrete
information are less persistent and more transitory.
Remarkably, by simply quantifying the nature of the path by which the
high momentum status is achieved, the momentum anomaly can be vastly
improved and focused on exploiting limited attention. Although this con-
clusion is not mentioned in the frog-in-the-pan paper, we also believe that
the performance bonus of path-focused momentum algorithms is because of
an indirect exploitation of the behavioral bias associated with lottery pref-
erences by market participants (discussed in the previous section).
And while the authors do a meticulous job of documenting why limited
attention may be a key insight in understanding the momentum anomaly,
they are not the only authors to empirically investigate this concept.
For example, a paper in 2000 by Hong, Lim, and Stein11 documents
that momentum prots are larger for stocks with low analyst coverage

❦
❦ ❦
❦
Maximizing Momentum: The Path Matters 103
and for small stocks. The authors argue that low analyst coverage and
small-cap stock characteristics serve as a proxy for stocks that attract less
attention, and therefore, are predicted to have higher momentum prots.
The disposition effect, or the tendency to hold onto losing stocks too long
and sell winning stocks too quickly, may also play a role in underreaction.
This theory is described in 1985 by Shefrin and Statman12 and has been
veried and explored in numerous empirical papers.13, 14
In addition, in our own tests we have found that splitting high momen-
tum portfolios on other measures of attention, such as trading volume15
(more trading volume should cause more attention), yield similar results.
Next we examine the results when incorporating the information discrete-
ness measure for our universe of stocks.
THE RESULTS
In Chapter 5 we highlighted that generic momentum premiums decay over
time, thus requiring a higher frequency rebalance (e.g., monthly rebalanced
portfolios beat annually rebalanced portfolios). However, more rebalancing
increases frictional costs. As a compromise, in this section we examine the
results associated with quarterly rebalanced portfolios. We focus our anal-
ysis on overlapping quarterly rebalanced portfolios as described in Chapter
5. We only examine mid-cap and large-cap rms.16 Portfolios are formed by
value-weighting the rms and the returns run from January 1, 1927, through
December 31, 2014.17
In Table 6.4, we sort stocks based on their cumulative 12-month past
returns (ignoring the most recent month), and buy a value-weighted basket
of stocks from the top decile (“Generic Momentum” in column 3). We
then split the portfolio of high generic momentum stocks into high-quality
momentum (in column 1) and low-quality momentum (column 2). The
momentum “quality” measure is the information discreteness measure, or
frog-in-the-pan measure, described earlier in the Da, Gurun, and Waracha
paper. Firms with higher-quality momentum are those with continuous
information, while rms with lower-quality momentum are those with
discrete information—to be perfectly clear, the portfolio of stocks in
columns 3 is split in half by our information discreteness measure to create
the portfolios in columns 1 and 2. The returns in Table 6.4 are gross of fees.
Using our own laboratory conditions, we replicate the nature of the
ndings from the Da, Gurun, and Waracha paper: Among high momentum
stocks, those with higher quality, or “smooth,” momentum (measured
via continuous information), show very strong relative performance. By
contrast, low quality, or “jumpy,” momentum stocks still outperform
the broad market, but show weaker performance. These results suggest

❦
❦ ❦
❦
104 QUANTITATIVE MOMENTUM
TABLE 6.4 Quality of Momentum Portfolio Annual Results
High-Quality
Momentum
Low-Quality
Momentum
Generic
Momentum SP500
CAGR 17.14% 13.02% 15.56% 9.95%
Standard Deviation 23.45% 25.16% 23.61% 19.09%
Downside Deviation 16.98% 18.71% 17.42% 14.22%
Sharpe Ratio 0.65 0.48 0.59 0.41
Sortino Ratio (MAR =5%) 0.81 0.56 0.71 0.45
Worst Drawdown –74.60% –77.44% –73.90% –84.59%
Worst Month Return –29.23% –34.71% –30.00% –28.73%
Best Month Return 30.63% 37.15% 33.88% 41.65%
Protable Months 62.50% 61.08% 61.84% 61.74%
$1,000,000,000
$100,000,000
Value of $100 Invested (Log Scale)
$10,000,000
$1,000,000
$100,000
$10,000
$1,000
$100
$10
$1
1/1/1927
2/1/1931
11/1/1936
10/1/1941
9/1/1946
8/1/1951
7/1/1956
6/1/1961
5/1/1966
4/1/1971
3/1/1976
2/1/1981
1/1/1986
12/1/1990
11/1/1995
10/1/2000
9/1/2005
8/1/2010
High-Quality Momentum Low-Quality Momentum Generic Momentum SP500
FIGURE 6.4 Quality of Momentum Portfolio Returns
that the generic momentum effect is driven by high-quality momentum
and diluted by low-quality momentum. The spread between high-quality
and low-quality momentum is large: over a multidecade time period
(1927–2014) the spread between the high (column 1) and low (column 2)
quality momentum portfolios is over 4 percent a year! This spread can be
seen visually in Figure 6.4. The high-quality momentum portfolio also has
better risk-adjusted returns (Sharpe and Sortino ratios) as well as lower
drawdowns. While all the momentum strategies outperform the S&P 500

❦
❦ ❦
❦
Maximizing Momentum: The Path Matters 105
(before fees), our key takeaway is that an effective momentum strategy
must consider the path by which stocks get their momentum.
SUMMARY
The chapter began with a simple example of the performance of two stocks
that were high “generic” momentum stocks during the Internet bubble. In
our anecdote, we noticed that the rm with a “smoother” path toward
high momentum status performed better in the future than the high momen-
tum stock with “jumpy” momentum. Next, we explored two reasons why
this anecdote may reect a more systematic effect in the market. First, we
examined how investors irrationally prefer lottery-like stocks, which have
“jumpy” historical price paths. The evidence suggests that we should avoid
these stocks because they tend to be overpriced. Second, we examined the
“frog-in-the-pan” limited attention hypothesis presented by the authors, Da
et al., which suggests that investors underreact to continuous information.
To conrm their hypothesis, the authors provide evidence that high momen-
tum stocks with smoother price paths to high momentum outperformed high
momentum stocks with more volatile paths to high momentum. Our inde-
pendent analysis of the Da et al. research corroborates their ndings. The
conclusion from the analysis is that the path by which momentum is achieved
determines the effectiveness of the strategy—smoother paths are preferable
to more volatile paths. This nding, that identifying “quality” momentum
can help separate good high momentum stocks from bad high momentum
stocks, can be explained via behavioral psychology:
■Avoid mispricing associated with lottery-like stocks.
■Exploit limited attention, which leads to systematic underreaction.
NOTES
1. Zhi Da, Umit G. Gurun, and Mitch Warachka, “Frog in the Pan: Continu-
ous Information and Momentum,” The Review of Financial Studies 27 (2014):
2171–2218.
2. Nicholas Barberis, “A Model of Casino Gambling,” Management Science 58
(2012): 35–51.
3. Turan G. Bali, Nustret Cakici, and Robert F. Whitelaw, “Maxing Out: Stocks
as Lotteries and the Cross-section of Expected Returns,” Journal of Financial
Economics 99 (2011): 427–446.
4. Andrea Frazzini and Lasse Heje Pedersen, “Betting Against Beta,” Journal of
Financial Economics 111 (2014): 1–25.

❦
❦ ❦
❦
106 QUANTITATIVE MOMENTUM
5. Turan G. Bali, Stephen Brown, Scott Murry, and Yi Tang, “Betting Against Beta
or Demand for Lottery?” Working paper, 2016.
6. Heiko Jacobs, Tobias Regele, and Martin Weber, “Expected Skewness and
Momentum” Working paper,2015.
7. Francesca Gina and Max H. Bazerman, “When Misconduct Goes Unnoticed:
The Acceptability of Gradual Erosion in Others’ Ethical Behavior,” Journal of
Experimental Social Psychology 45 (2009): 708–719.
8. Da, Gurun, Warachka.
9. Nicholas Barberis, Andrei Shleifer, and Robert Vishny, “A Model of Investor
Sentiment,” Journal of Financial Economics 49 (1998): 307–343.
10. Narasimhan Jegadeesh and Sheridan Titman, “Return to Buying Winners and
Selling Losers: Implications for Stock Market Efciency,” The Journal of Finance
48 (1993): 65–91.
11. Harrison Hong, Terence Lim, and Jeremy C. Stein, “Bad News Travels Slowly:
Size, Analyst Coverage, and the Protability of Momentum Strategies,” The
Journal of Finance 55 (2000): 265–295.
12. Hersh Shefrin and Meir Statman, “The Disposition to Sell Winners Too Early
and Ride Losers Too Long: Theory and Evidence,” The Journal of Finance 40
(1985): 777–790.
13. Justin Birru, “Confusion of Confusions: A Test of the Disposition Effect and
Momentum,” The Review of Financial Studies 28 (2015): 1849–1873.
14. Andrea Frazzini, “The Disposition Effect and Underreaction to News,” The
Journal of Finance 61 (2006): 2017–2046.
15. Charles M.C. Lee and Bhaskaran Swaminathan, “Price Momentum and Trading
Volume,” The Journal of Finance 55 (2000): 2017–2069.
16. To determine mid/large cap classications we use the 40th percentile for market
capitalization based on the sample of NYSE listed rms.
17. Portfolios formed by equal-weighting yield even stronger conclusions.

❦
❦ ❦
❦
CHAPTER 7
Momentum Investors Need to
Know Their Seasons
“... planetary aspects and sunspot activity have signicant power
predicting anomalies’ returns.”
—Robert Novy-Marx, Journal of Financial Economics1
Seasonality, broadly dened in the context of stock market research,
refers to the idea of building timing signals based on the calendar.
Turn on any nancial news outlet and there typically is a discussion about
seasonality. One of the more popular concepts is, “Sell in May and Go
Away,” which suggests that investors go to cash before June and get
back in to the market in November. However, a 2014 Novy-Marx paper
titled “Predicting Anomaly Performance with Politics, the Weather, Global
Warming, Sunspots, and the Stars,”2highlights an important point: One
needs to be skeptical of seasonality-type claims. Moreover, Cherry Zhang
and Ben Jacobsen review over 300 years of UK stock market data and con-
clude that documented seasonality effects should be digested with a healthy
dose of skepticism.3That said, a recent paper by Matti Keloharju, Juhani
Linnainmaa, and Peter Nyberg using the latest data and research techniques
shows that stock market return seasonalities exist in almost every asset
class, are remarkably persistent over time, and are extremely large.4At a
high level, seasonality makes sense: Institutional and behavioral incentives
plausibly can drive supply and demand shocks that create robust seasonality
effects. We consider the effects of window dressing and tax incentives in
this chapter.
But why are we even talking about seasonality and how is this
related to momentum investing? Let us explain. Five years ago, we started
working on what we considered a “unique” idea that related seasonality
to momentum investing. Our hypothesis was that window dressing and
107

❦
❦ ❦
❦
108 QUANTITATIVE MOMENTUM
tax-loss selling could be exploited to maximize the benets of a traditional
seasonality-agnostic momentum strategy. We conducted a battery of
empirical tests and summarized all our data. The results were stunning.
What was even more exciting was that fact that our idea had never been
published in what is considered a top-tier academic nance journal, a
descriptor that is typically reserved for The Journal of Finance,Journal
of Financial Economics,andtheReview of Financial Studies.Ofcourse,
as a last-minute check, we reviewed what academic researchers consider
to be the “nonserious research” journals, also referred to as the practi-
tioner journals (e.g., Financial Analyst Journal or The Journal of Portfolio
Management). Turns out, it was good we reviewed these journals. Richard
Sias had already published our results in a Financial Analyst Journal issue
in 2007.5Our initial reaction was disappointment, because as academic
researchers we had hoped we could publish a new idea, but at the same
time we were happy because our independent analysis of seasonality in
the context of momentum was conrmed—and already discovered—by
an independent party. So to make a long story short, Sias got to the front
of the line before we could get there. We like his idea, obviously, but to
really understand the results from Sias’s paper, we need to dig into some
marketplace incentives. We rst analyze the motivations behind window
dressing and tax-loss selling and then explore why they are important for
momentum investing in the sections that follow.
WINDOW DRESSING
In the retail business, window dressing refers to the practice of arranging
merchandise in a store window to make it appear as attractive as possible.
Window dressing works because it brings customers into the store, even if
the merchandise is not as good as it looks in the window. In the nancial
services industry, fund managers leverage the same concept.
The concept of window dressing goes back—literally—to the beginning
of formal economic research. Window dressing in economics, for readers
unfamiliar with the term, is a behavior exhibited by nance professionals to
mislead and cater to the whims of less sophisticated clients. The American
Economic Review, which is considered one of the oldest and most respected
scholarly journals in economics, was established in 1911. And in its initial
publication, Edwin Kemmerer,6an established economics professor and
advisor to foreign governments, mentions the term window dressing to
describe the New York money market near the end of the year.
Here is how window dressing works in practice: Fund managers know
they must report their holdings on quarterly statements, which will get

❦
❦ ❦
❦
Momentum Investors Need to Know Their Seasons 109
mailed to their clients. But the last thing poor-performing managers want
their clients to see is their loser stocks that underperformed the market.
In other words, they don’t want investors seeing loser stocks in their
“window,” which people will be viewing. To manage around this scenario,
just before the statement reporting date the manager will sell their loser
stocks and buy all the recent winning stocks so they look good on the
statement, which is analogous to a “window” for a bricks and mortar
retailer. Voila! The window now looks much more enticing.
Obviously, window dressing is not going to be a cure for bad perfor-
mance and this tactic is not going to trick sophisticated clients, but the fund
manager’s hope is that window dressing activity will at least make them
appear to have been doing something smart, and reduce client questions
when they receive their statements. For example, consider the two scenarios
between a client and a fund manager in 2002, following the bursting of the
Internet Bubble:
■Scenario 1: “Geez, you underperformed by 10 percent. And wow, you
owned Pets.com, which is down a lot? ... Why do you own that horrible
stock? You really must be an idiot!”
■Scenario 2: “Geez, you underperformed by 10 percent. But it looks like
you own Berkshire Hathaway—that is a stable value stock that has done
well. You probably had an unlucky stretch, but you seem like a good
manager.”
Clearly, the manager would much rather face the reaction in scenario 2
as opposed to the one in scenario 1.
Of course, this scenario sounds like a great story, but what is the evidence
that sneaky mutual fund managers actually engage in window dressing?
Some authors think window dressing represents an anecdotal story, but not
reality. For example, Gang Hu, David McLean, Jeff Pontiff, and Qinghai
Wang nd little evidence of window dressing by institutional investors.7Oth-
ers disagree. Consider Marcin Kacperczyk, Clemens Sialm, and Lu Zheng’s
paper “Unobserved Actions of Mutual Fund Managers.”8They create a tool
for addressing the window dressing hypothesis by creating a return gap mea-
sure. The return gap measure examines the difference between the realized
returns to the mutual fund and the returns to the buy-and-hold portfolio that
is most recently disclosed on the quarterly statement. The goal of the return
gap measure is to identify, as is aptly put in the title, the unobserved actions
of the mutual fund manager. The data suggests that some unobserved actions
may create value (e.g., manager stock-picking skill), while other unobserved
actions may destroy value (e.g., window dressing tactics). And the creation
and destruction of value appears to be persistent across time for each fund.

❦
❦ ❦
❦
110 QUANTITATIVE MOMENTUM
Unfortunately, the return gap is a relatively crude measure, and because there
are too many variables to control for in the environment, a better experiment
is needed to pinpoint window dressing.
David Solomon, Eugene Soltes, and Denis Sosyura9identify a better lab-
oratory to examine window dressing effects. Specically, they examine how
the media spotlight affects fund ows and window dressing. Their main nd-
ing is the following: “Investors reward funds that hold stocks with high past
returns, but only if these stocks recently received media coverage.” So funds
holding stocks with high-visibility winners attract more capital ows than
similar funds holding less visible winners. Any mutual fund manager armed
with this information has economic incentives to window dress—the data
shows it leads to more assets under management!
Window-dressing is a perplexing practice, and one would hope
that it is not that widespread. However, a 2004 study by Jia He, Lilian
Ng, and Qinghai Wang examines window-dressing behavior across a
variety of institutions.10 Their ndings support the window-dressing
hypothesis—institutions that act as external money managers (e.g., banks,
life insurance companies, mutual funds, and investment advisers) are more
likely to window dress their portfolios compared to institutions that act
as internal money managers (e.g., pension funds, colleges, universities,
and endowments). Not to beat a dead horse, but a more recent 2014
paper by Vikas Agarwal, Gerald Gay, and Leng Ling11 nds the following:
“Window dressing is associated with managers who are less skilled and
who perform poorly ... we nd that window dressing is value-destroying
and is associated, on average, with lower future performance.”
The collective evidence and incentives of fund managers suggest that
window dressing is likely part of the mutual fund landscape. Studies show
that this window dressing may lead to increased assets under management,
which explains why mutual fund managers partake in the activity. We’ll
explore why this window-dressing may matter for momentum investing, but
rst we turn our attention to the research on tax-motivated trading.
TAX-MOTIVATED TRADING
Sidney B. Wachtel published a paper in 1942 discussing how tax considera-
tions can lead to seasonality in stock returns from December to January.12
Michael S. Rozeff and William R. Kinney, Jr., published a more comprehen-
sive empirical investigation of Wachtel’s initial ideas in 1976.13 Rozeff and
Kinney examined stock returns from 1904 to 1974. Their main nding is one
that stands to this day—the “January” effect, or “turn of the year” effect
in stock markets. The turn of the year effect is the empirical observation

❦
❦ ❦
❦
Momentum Investors Need to Know Their Seasons 111
that stock prices increase during the month of January, and this increase is
statistically higher than the other months of the year. The core hypothesis for
the effect is related to tax incentives at year-end. End-of-year tax-loss selling
pressure is intuitive—one might expect to see a negative supply shock from
taxable individuals looking to book losses at the end of the year, which is
reversed in the new year. Although the “tax hypothesis” is intuitively appeal-
ing, research following Wachtel and Rozeff and Kinney argues that the effect
is complex and has all but disappeared since the early 1990s.14
Early skeptics of tax-induced seasonality include Richard Roll,15 Don
Keim,16 and Marc Reinganum,17 all of whom published papers in 1983.
Their work collectively found that the larger January returns are mainly
found in smaller rms and, therefore, may not be as pervasive as previously
thought. More recent studies, however, both published in 2004, leverage
smarter empirical techniques to tease out a robust relationship between
taxes and the turn of the year effect. These works include a paper by
Honghui Chen and Vijay Singal18 and another by Mark Grinblatt and
Tobias J. Moskowitz.19
But which investors drive tax-loss selling? Jay Ritter dug a bit further
into this question and examined the buying and selling of individual
investors near the turn of the year.20 By measuring the ratio of buys and
sells of individual investors, he found that individual investors sell more
near the end of the year, and buy more in the beginning of the year—so a
seasonal pattern exists for individual investors, who tend to hold smaller
stocks. James Poterba and Scott Weisbenner21 also found that tax-loss
selling is driven by individual investors, not institutions. This nding makes
sense, as many institutional investors do not pay taxes, and therefore make
buying and selling decisions without worrying about tax consequences
(wouldn’t that be nice!). Similarly, in 1997, Richard Sias and Laura Starks22
examined turn-of-the-year returns of stocks. They found that returns
of stocks with a higher level of individual interest underperform in late
December and outperform in early January relative to stocks with higher
levels of institutional interest. So it appears tax-loss selling (by individuals
as opposed to institutions) is behind the seasonality of returns for certain
stocks.
But not all research nds that tax-loss selling causes the turn-of-the-year
effect. For example, in 1983, Philip Brown, Donald Keim, Allan Kleidon,
and Terry Marsh23 examined the returns in the Australian equity markets. At
the time, Australia had similar tax laws to the United States, but a June–July
tax year. They found that Australian equity returns had a predicted effect on
July returns, but they also found the same January effect documented in US
markets. The authors’ ndings muddy the waters on the causal relationship
between tax-loss selling and the turn of the year effect and suggest that there

❦
❦ ❦
❦
112 QUANTITATIVE MOMENTUM
may be something else going on that explains the turn of the year effect. On
net, the research suggests that there is likely some connection between tax
incentives and seasonal stock returns at year-end, but researchers still don’t
fully understand the exact relationship.
GREAT THEORIES: BUT WHY DO WE CARE?
The window dressing and tax-related seasonality effects previously outlined
are interesting academic exercises. We now try to understand how these
incentives may drive seasonal effects that can improve momentum strategies.
As discussed previously, institutional investors have window dressing incen-
tives to buy winners before the quarter ends and sell losers. This behavior
leads us to our rst hypothesis:
■Hypothesis #1: Momentum prots are highest in quarter-ending
months, as window-dressing may cause institutional demand ows into
high momentum stocks and out of low momentum stocks.
Another hypothesis related to seasonality and momentum is that taxable
investors will want to sell losers and let winners ride at year-end to minimize
tax burdens. This leads us to our second hypothesis:
■Hypothesis #2: Tax incentives lead to strong momentum prots in
December as winners are unlikely to experience selling pressure and
losers are likely to suffer from selling pressure. However, these tax-
related ows will be reversed at the beginning of the year.
If we combine both the window-dressing and tax-minimization hypothe-
ses, we should see strong momentum prots in the months prior to a quarter
end (March, June, September, and December) and an especially protable
month prior to year-end (i.e., December). We should also see poor momen-
tum prots in January, when the tax incentives from the months prior retreat
and the demand for losing and winning stocks reverts to normal levels (e.g.,
losing stocks get a positive demand shock and winning stocks get a negative
demand shock).
Richard Sias tests all of the concepts outlined above. He nds strong evi-
dence to support the notion that momentum is a highly seasonal anomaly.24
To assess momentum prots, Sias forms long/short portfolios that are long
the top decile of stocks with the strongest past six-month holding period and
short the decile of stocks with the weakest past six-month holding periods.
Figure 7.1 showcases his long/short portfolio results.

❦
❦ ❦
❦
Momentum Investors Need to Know Their Seasons 113
3.50%
3.00%
2.50%
2.00%
1.50%
1.00%
0.50%
0.00%
Average Monthly Momentum Profits 1984 to 2004
All Months
All Months ex January
Non-Quarter-Ending Months ex January
Quarter-Ending Months
FIGURE 7.1 Momentum Seasonality from 1984 to 2004
Across all months, the average monthly prot from 1984 to 2004 is 0.45
percent per month, or roughly 5.4 percent a year. If one excludes January (“ex
January,” in Figure 7.1), the portfolio earns 1.50 percent a month, or approx-
imately 18 percent a year. January clearly matters, but so do quarter ending
months. Momentum prots for quarter ending months average 3.10 per-
cent a month, whereas non-quarter-ending months (excluding January) are
0.59 percent a month—a ve-fold difference! And the pattern was stronger
for stocks with high levels of institutional trading (where window-dressing
incentives are highest) and was particularly strong in December (where tax
incentives are strongest). The evidence is illuminating: Anyone devising a
momentum strategy should incorporate aspects of seasonality into their algo-
rithm. The results to long/short momentum portfolios in Figure 7.1 are in line
with the window dressing and tax minimization hypotheses—near the end of
aquarter,managerswindowdresstheirportfolios,sowinningstocksdowell
(because they are being bought) while losing stocks do poorly (because they
are being sold), and December has the strongest momentum returns across
all months with an average monthly protof5.52percent(reecting both
window dressing and tax pressures).

❦
❦ ❦
❦
114 QUANTITATIVE MOMENTUM
The evidence suggests that seasonality plays an important role in
momentum-based stock selection strategies. We will leave the nal com-
ments on the subject to Sias, who says it best: “Investors attempting to
exploit return momentum should focus their efforts on quarter-ending
months ...” In the next section we take Sias’s advice and examine how to
leverage seasonality to build a better stock selection momentum system.
MOMENTUM SEASONALITY: THE RESULTS
We start this section with a replication and extension of the results originally
found in the Sias 2007 paper. We examine all mid- and large-capitalization
stocks from January 1927 to December 2014. We examine the value-weight
returns to quarterly rebalanced momentum portfolios using similar
techniques from Chapters 5 and 6. The average monthly returns to the
high momentum and low momentum (decile) portfolios are tabulated in
Table 7.1.
The takeaways from our analysis are similar to the original Sias
paper. Examining the “Spread” column, January is a large “negative”
month for momentum as low momentum outperforms high momentum.
Quarter-ending months generally have the highest returns when comparing
the low and high momentum portfolios. March has a positive momentum
prot, but the outperformance compared to other months in the same
quarter, are muted relative to June, September, and December. But as Sias
points out in his original paper, the March result supports the window
TABLE 7.1 Average Returns by Month
Low Momentum High Momentum Spread (High – Low)
January 2.91% 1.19% –1.72%
February –0.24% 1.65% 1.89%
March 0.13% 1.86% 1.73%
April 1.33% 1.85% 0.53%
May 0.09% 0.82% 0.73%
June 0.01% 1.56% 1.55%
July 1.77% 1.21% –0.56%
August 1.96% 1.34% –0.62%
September –1.63% –0.20% 1.44%
October –0.54% 0.75% 1.28%
November 0.67% 2.39% 1.71%
December 0.19% 2.95% 2.76%

❦
❦ ❦
❦
Momentum Investors Need to Know Their Seasons 115
dressing hypothesis because institutions have a low incentive to window
dress until later in the calendar year.
We can more easily visualize the spread between the high momentum
average monthly returns and the low momentum average monthly returns
in Figure 7.2. The results are quantitatively and directly similar to those
found by Sias.
Our replication and extended analysis of the Sias results give us con-
dence in the robustness of the original results (we conduct our tests on
international data and come to similar conclusions). Now we need to identify
how we can take this knowledge and leverage it for a momentum strat-
egy. On one hand, we know that January is a large “negative” month for
momentum and should be avoided, but do we really want to sell all our high
momentum stocks at the end of December, buy all the low momentum stocks
before January, and then rebalance back into high momentum before Febru-
ary? In theory, this activity would make sense, but in practice this activity
would likely be difcult due to market liquidity and frictional costs.
Our own analysis of frictional costs and market liquidity suggest that
exploiting the December to January momentum effects are unrealistic for
areasonablysizedportfolio,sowe’llpuntonthisidea,butwecanstill
exploit momentum seasonality. We can build our system to take advan-
tage of quarter-ending window dressing as well as tax-induced incentives at
3.00%
Spread (High Momentum - Low Momentum)
2.50%
2.00%
1.50%
1.00%
0.50%
0.00%
–0.50%
January
February
March
April
May
June
July
August
September
October
November
December
–1.00%
–1.50%
–2.50%
FIGURE 7.2 Momentum Spread from 1974 to 2014

❦
❦ ❦
❦
116 QUANTITATIVE MOMENTUM
year-end. But how do we exploit this knowledge? Because momentum prof-
its are largest in quarter-ending months, and this is likely driven by managers
who are window dressing their portfolio, we hypothesize that rebalancing
before these quarter-ending months will yield the highest returns.
We test our hypothesis that smart rebalancing that exploits seasonal-
ity effects can improve a momentum strategy. Recall from Chapters 5 and
6 that we examine the results to momentum portfolios using overlapping
portfolios with a three-month holding period. To remind the reader, over-
lapping portfolios work as follows: We are standing at the end of the month
on December 31, 2014. We calculate a generic momentum metric and use
one-third of our capital to buy high-momentum stocks. These stocks stay in
the portfolio until March 31, 2015. On January 31, 2015, a month later, we
use another one-third of our capital to buy high-momentum stocks based on
momentum rankings on January 31, 2015. These stocks stay in the portfolio
until April 30, 2015. On February 28, 2015, a month later, we use another
one-third of our capital to buy high momentum stocks. These stocks stay
in the portfolio until May 31, 2015. This process repeats every month and
creates the overlapping portfolio effect. And the returns to the overlapping
portfolios reect a blend of the underlying portfolios being managed with
the overlapping portfolio, which minimizes seasonal effects.
Of course, in a test for seasonality and momentum, creating overlap-
ping portfolios—which are formed to minimize seasonal effects—is not the
correct approach. If we are deliberately trying to take advantage of seasonal
effects, we can examine quarterly nonoverlapping portfolios formed before
quarter-ending months. This portfolio formation is more intuitive to many
outside of academic research and has the ability to exploit quarterly momen-
tum effects. Specically, we assume we trade the nonoverlapping seasonal
momentum portfolio at the end of February, May, August, and November to
exploit the known momentum prots associated with March, June, Septem-
ber, and December. We hold this nonoverlapping portfolio for three months,
which means there are four rebalances per year. We compare the perfor-
mance of this portfolio against other nonoverlapping portfolios that do not
rebalance before quarter end months. Our hypothesis is that the nonover-
lapping quarterly rebalanced portfolio that exploits momentum seasonality
benets will perform better than the other portfolio constructs that are sea-
sonality agnostic.
Like prior tests, we only examine mid- and large-capitalization stocks
and portfolios are formed by value-weighting the rms. The analysis is from
March 1, 1927, through December 31, 2014.25 We follow the process from
Chapter 5, which is to (1) sort stocks based on their cumulative 12-month
past returns (ignoring the most recent month) and (2) examine the top decile
based on their past returns.

❦
❦ ❦
❦
Momentum Investors Need to Know Their Seasons 117
TABLE 7.2 Seasonality of Momentum Portfolio Annual Results
Smart
Rebalance
Average
Rebalance
Dumb
Rebalance
Agnostic
Rebalance
CAGR 15.97% 15.65% 15.06% 15.49%
Standard Deviation 23.99% 23.96% 23.90% 23.62%
Downside Deviation 17.93% 17.56% 17.70% 17.43%
Sharpe Ratio 0.60 0.59 0.57 0.59
Sortino Ratio (MAR =5%) 0.72 0.71 0.68 0.71
Worst Drawdown –74.19% –73.35% –77.43% –73.90%
Worst Month Return –30.09% –31.01% –30.45% –30.00%
Best Month Return 32.35% 39.53% 31.15% 33.88%
Protable Months 62.71% 62.14% 62.14% 61.86%
In Table 7.2, we examine the results to the strategy outlined above, by
varying the rebalance period, using these four portfolios:
■Smart Rebalance: The smartest seasonality rebalanced portfolio. This
portfolio is rebalanced on the close of trading in February, May, August,
and November.
■Average Rebalance: This portfolio is rebalanced on the close of trading
in January, April, July, and October.
■Dumb Rebalance: The least seasonality smart portfolio. This portfolio
is rebalanced on the close of trading in December, March, June, and
September.
■Agnostic Rebalance: The seasonality agnostic portfolio. This portfolio
is an overlapping portfolio rebalanced every month and held for three
months.
All the portfolio returns shown below are value-weighted. Table 7.2
shows the results.
The results in Table 7.2 conrm our hypothesis that momentum sea-
sonality can be exploited via smarter rebalancing, at the margin. If we look
at equal-weight portfolio results (not shown) the effects are magnied. The
smart rebalance portfolio exploits both window dressing and tax incentive
effects that drive momentum prots and thus performs the best among all
the portfolio constructs. The worst-performing portfolio is the portfolio that
systematically rebalances at the worst time from a momentum seasonality
perspective. Finally, the agnostic rebalanced portfolio and the average rebal-
ance portfolio have results that are in the middle between the smart and
dumb rebalanced portfolios. The lesson learned is simple: Focus on season-
ality when building momentum systems.

❦
❦ ❦
❦
118 QUANTITATIVE MOMENTUM
SUMMARY
In this chapter, we explore two institutional behaviors that potentially drive
seasonality effects in the stock market: window dressing and tax minimiza-
tion. Next, we highlight research that maps these two incentives to the prof-
itability of momentum. Finally, we conduct our own analysis of seasonality
and momentum prots. We end with an analysis of different rebalancing
techniques and how they affect the protability of generic momentum strate-
gies. Our key takeaway is that an investor can exploit the seasonality of
momentum prots by developing a rebalance program that is designed to
maximize performance.
NOTES
1. Robert Novy-Marx, “Predicting Anomaly Performance Politics, the Weather,
Global Warming, Sunspots, and the Stars,” Journal of Financial Economics 112
(2014): 137–146.
2. Ibid.
3. Cherry Zhang and Ben Jacobsen, “Are Monthly Seasonals Real? A Three Cen-
tury Perspective,” Review of Finance 17 (2013): 1743–1785.
4. Matti Keloharju, Juhani Linnainmaa, and Peter Nyberg, 2016, “Return Season-
alities,” The Journal of Finance, 71 (2016): 1557–1590.
5. Richard Sias, “Causes and Seasonality of Momentum Prots,” Financial Ana-
lysts Journal 63 (2007): 48–54.
6. Edwin W. Kemmerer, “Seasonal Variations in the New York Money Market,”
American Economic Review 1 (1911): 33–49.
7. Gang Hu, David McLean, Jeff Pontiff, and Qinghai Wang, “The Year-End
Trading Activities of Institutional Investors: Evidence from Daily Trades,” The
Review of Financial Studies 27 (2014): 1593–1614.
8. Marcin Kacperczyk, Clemens Sialm and Lu Zheng, “Unobserved Actions of
Mutual Funds,” The Review of Financial Studies 21 (2008): 2379–2416.
9. David H. Solomon, Eugene Soltes, and Denis Sosyura, “Winners in the Spotlight:
Media Coverage of Fund Holdings as a Driver of Flows,” Journal of Financial
Economics 113 (2014): 53–72.
10. Jia He, Lilian Ng, and Qinghai Wang, “Quarterly Trading Patterns of Financial
Institutions,” The Journal of Business 77 (2004): 493–509.
11. Vikas Agarwal, Gerald Gay, and Leng Ling, “Window Dressing in Mutual
Funds,” The Review of Financial Studies 27 (2014): 3133–3170.
12. Sidney B. Wachtel, “Certain Observations on Seasonal Movements in Stock
Prices,” The Journal of Business of the University of Chicago 15 (1942):
184–193.
13. Michael S. Rozeff and William R. Kinney, Jr., “Capital Market Seasonality: The
Case of Stock Returns,” Journal of Financial Economics 3 (1976): 379–402.

❦
❦ ❦
❦
Momentum Investors Need to Know Their Seasons 119
14. Andrew Szakmary and Dean Kiefer, “The Disappearing January/Turn of the
Year Effect: Evidence form Stock Index Futures and Cash Markets,” Journal
of Futures Markets 24 (2004): 755–784.
15. Richard Roll, “Vas Ist Das?,” The Journal of Portfolio Management 9 (1983):
18–28.
16. Donald B. Keim, “Size-related Anomalies and Stock Return Seasonality,” Jour-
nal of Financial Economics 12 (1983): 13–32.
17. Marc Reinganum, “The Anomalous Stock Market Behavior of Small Firms in
January,” Journal of Financial Economics 12 (1983): 89–104.
18. Honghui Chen and Vijay Singal, “All Things Considered, Taxes Drive the Jan-
uary Effect,” The Journal of Financial Research 27 (2004): 351–372.
19. Mark Grinblatt and Tobias J. Moskowitz, “Predicting Stock Price Movements
from Past Returns: The Role of Consistency and Tax-Loss Selling,” Journal of
Financial Economics 71 (2004): 541–579.
20. Jay R. Ritter, “The Buying and Selling Behavior of Individual Investors at the
Turn of the Year,” The Journal of Finance 43 (1988): 701–717.
21. James Poterba and Scott Weisbenner, “Capital Gains Tax Rules, Tax-Loss
Trading, and Turn-of-the-Year Returns,” The Journal of Finance 56 (2001):
353–368.
22. Richard Sias and Laura Starks, “Institutions and Individuals at the
Turn-of-the-Year,” The Journal of Finance 52 (1997): 1543–1562.
23. Philip Brown, Donald Keim, Allan Kleidon and Terry Marsh, 1983, “Stock
Return Seasonalities and the Tax-Loss Selling Hypothesis,” Journal of Financial
Economics 12 (2001): 105–127.
24. Richard Sias, 48–54.
25. In order to facilitate the “Smart Rebalance” portfolio, we lose January and
February of 1927, so the start date changes from January 1, 1927, to March
1, 1927.

❦
❦ ❦
❦
CHAPTER 8
Quantitative Momentum Beats
the Market
“... we slavishly follow the model. You do whatever it says no
matter how smart or dumb you think it is.”
– Jim Simons, Renaissance Technologies
1
The components and knowledge required to understand the quantitative
momentum system are outlined in Chapters 5 through 7. In Chapter 5,
we outline the generic relative strength momentum indicator commonly used
in academic research. Generic momentum is a starting point in the quantita-
tive momentum system. We calculate the generic momentum measure as the
total return (including dividends) of a stock over some particular look-back
period (e.g., the past 12 months) and skip the most recent month. We calcu-
late this measure for all stocks in our investment universe.
The next aspect of the quantitative momentum system relates to how we
differentiate among generic momentum stocks. If you recall, in Chapter 6 we
speak to the evidence on two aspects of investor behavior: (1) a preference
for lottery-like assets and (2) limited attention. We rst show the evidence
that holding stocks with large short-term “spikes” in performance gener-
ally underperform. This underperformance is the result of mispricing caused
by biased investors who overpay for lottery-like stock characteristics. Next,
we examine the so-called frog-in-the-pan momentum algorithm (FIP), which
attempts to quantify the path of a high momentum stock. The calculation
for the measure is described as follows:
FIP =sign(Past return)∗[%negative−% positive]
The FIP measure looks at the past 252 trading days for all high-
momentum stocks and tabulates the percentage of trading days with negative
returns and the percentage of trading days that are positive. These two
120

❦
❦ ❦
❦
Quantitative Momentum Beats the Market 121
calculation components are subtracted from one another and multiplied by
the sign of the generic momentum signal (i.e., 12-month total return, skipping
the rst month). For example, say stock ABC has a generic momentum
calculation of 50 percent. If 35 percent of the past 252 trading days are
negative, 1 percent of trading days are at, and 64 percent are positive,
then ABC’s FIP =+1∗[.35 – .64]=–0.29. The more negative the FIP, the
better. The FIP algorithm separates high momentum stocks into those that
have more continuous price paths (i.e., smooth, with a slow diffusion of
gradual information elements) versus those high momentum stocks that
have more discrete price paths (i.e., jumpy, with immediate information
elements). The FIP algorithm serves as a 2-for-1 benet, as it systematically
minimizes exposure to lottery-like stock characteristics and focuses on those
high momentum stocks that are most likely to be suffering from the core
reason why momentum stocks outperform: investors are systematically
underreacting to positive news.
Finally, in Chapter 7, we investigate seasonality and how it relates to
momentum strategies. The core nding from this chapter is that window
dressing and tax minimization incentives likely play a role in the time series
dynamics of the protability of momentum strategies. We discuss the dif-
culty of exploiting this seasonality evidence due to real-world concerns
related to frictional costs and trading complexity. However, we highlight
that this information can be indirectly leveraged by incorporating season-
ality knowledge into the rebalance program of a momentum strategy. Our
research highlights that timing momentum strategy rebalances, such that the
strategy trades ahead of window dressers and tax motivated investors, deliv-
ers a positive contribution to expected performance.
In the end, we boiled down our momentum process into ve sequential
steps (depicted in Figure 8.1):
1. Identify Investable Universe: Our universe generally consists of mid- to
large-capitalization U.S. exchange-traded stocks.
2. Generic Momentum Screen: We rank stocks within our universe based
on their past 12-month returns, ignoring the last month.
3. Momentum Quality Screen: We screen high-momentum stocks on the
“quality” of their momentum, which we measure via the FIP algorithm.
4. Momentum Seasonality Screen: We take advantage of seasonal aspects
applicable to momentum investing, which determines the timing of our
rebalance. We rebalance quarterly before quarter ending months.
5. Invest with Conviction: We seek to invest in a concentrated portfolio
of stocks with the highest quality momentum. This form of investing
requires disciplined commitment, as well as a willingness to deviate from
standard benchmarks.

❦
❦ ❦
❦
122 QUANTITATIVE MOMENTUM
1) Identify Investable Universe
2) Generic Momentum Screen
3) Momentum Quality Screen
4) Momentum Seasonality Screen
5) Invest with Conviction
We Seek to Buy Stocks with the Highest Quality Momentum
FIGURE 8.1 Quantitative Momentum Process
Ahypotheticalportfolioconstructionscenariowouldworkinthe
following way. Consider a universe of 1,000 stocks identied in step 1.
In step 2, we calculate generic momentum scores for each of the 1,000
securities and identify the top 10 percent, or 100 highest generic momentum
stocks. For step 3, we calculate the FIP score for the 100 high-momentum
names identied in step 2 and rank these 100 stocks on FIP, where lower
is better. We identify the top half, or 50 high-momentum stocks with the
smoothest momentum. In step 4, we determine the model portfolio and
conduct our rebalance at the end of February, May, August, and November
to exploit seasonality effects. Finally, in step 5, we implement the roughly
50-stock portfolio strategy with an equal-weight construction (to minimize
stock specicrisk)andprepareforhighrelativeperformancevolatilityand
the blessing (and curse) of long periods of relative outperformance (and
underperformance).
TRANSACTION COSTS
Transaction costs are commonly discussed as a core reason why momentum
is a failed investment practice left to the hypothetical day trading technical

❦
❦ ❦
❦
Quantitative Momentum Beats the Market 123
analysis heretics who lack brains. We covered some of the academic
research on the subject of momentum prots net of transaction costs in
Chapter 5. And while the academic research consensus is that transaction
costs matter for momentum strategies, as they do for any active investment
strategy, the myth of momentum strategies as being too expensive to exploit
is probably too strong. This “myth” is often preached by those who are
(1) unfamiliar with the research on the subject and (2) have never had
experience trading momentum strategies in practice. Cliff Asness et al.
attack this issue head on in their appropriately titled paper “Facts, Fiction,
and Momentum Investing.” Asness states succinctly that “you don’t have to
do much math to realize that momentum can easily survive trading costs.”2
We encourage interested readers to explore and compare the analysis of
momentum transaction costs presented in Frazzini, Israel, and Moskowitz,3
who analyze realized transaction costs data from AQR capital over a
sustained period of time, and Lesmond, Schill, and Zhou, who estimate
trading costs from daily and intra-day analysis via an academic exercise
that does not consider that professional investors have much lower trading
costs and implement strategies to minimize rebalance costs.4Of course,
extrapolating Asness’s research too far would also be foolish. Common
sense suggests that one cannot jam billions upon billions of dollars into
momentum strategies without recourse. If more disciplined capital is
deployed into momentum strategies over time, without a corresponding
decrease in transaction costs, the net benet to a momentum strategy may
become muted.
When testing the quantitative momentum algorithm, we must decide
at the outset of the investment simulation how we incorporate transaction
costs into our backtests. For simplicity, we incorporate a 1 percent manage-
ment fee, under the assumption that most investors would need to hire a
professional to implement a robust momentum strategy, and a 0.20 percent
rebalancing cost. Our 0.20 rebalance cost is assessed four times per year
for a quarterly rebalanced strategy, and this translates into a 0.80 percent
annual trading cost. The total management fee and trading costs sum up to
1.80 percent per year, which is what we use for all the analysis we present
in this chapter, unless stated otherwise.
Now, before the reader suffers a knee-jerk reaction that the fees should
be much higher or much lower, consider the fact that we already know this
estimate is unlikely to be the true estimate and will vary wildly. In prac-
tice, different investors will have different cost structures, tax situations, and
trading and execution skills. Cost assumptions for one group of investors
can be a degree of magnitude larger (or smaller) for another set of investors.

❦
❦ ❦
❦
124 QUANTITATIVE MOMENTUM
We are merely establishing a baseline cost estimate to take into account
the fact that costs will have some effect on the nal outcome. In our own
live trading of the quantitative momentum strategy, we have experienced
much lower trading costs than those assumed, but historically the trading
costs would have been much higher than those assumed. We hope that our
estimate is a “goldilocks” estimate—not too cold; not too hot; and perhaps
just right. We don’t claim to have the perfect answers and we encourage all
investors to gauge the expected costs of running these systems and adjust the
results accordingly.
THE PARAMETERS OF THE UNIVERSE
To ensure other researchers have enough information to replicate and inde-
pendently verify our results, we outline the details of the stock universe we
explore and the assumptions we make to conduct our analysis in Table 8.1.
Our universe is liquid and investable, requiring a minimum market capital-
ization at each rebalance period that is greater than the NYSE 40 percent
market capitalization breakpoint at the time of the rebalance. Our analysis
runs from March 1, 1927, through December 31, 2014,5and our data come
from the academic research gold standard for return data: CRSP (The Center
for Research in Security Prices).
TABLE 8.1 Universe Selection Parameters
Item Item Description
Market Capitalization NYSE 40% Breakpoint
Exchanges NYSE/AMEX/NASDAQ
Included Security Types Ordinary Common Shares
Excluded Industries None
Return Data Prices adjusted for dividends, splits, and
corporate actions
Delisting Algorithm “Delisting Returns and their Effect on
Accounting-Based Market Anomalies,” by
William Beaver, Maureen McNichols, and
Richard Price6
Portfolio Weights Market-capitalization weighted (VW, or
value-weight)

❦
❦ ❦
❦
Quantitative Momentum Beats the Market 125
QUANTITATIVE MOMENTUM ANALYSIS
We do a deep dive into the historical performance of the quantitative
momentum system. Our analysis is organized as follows:
■Summary statistics
■Reward analysis
■Risk analysis
■Robustness analysis
Summary Statistics
Table 8.2 sets out the standard statistical analyses of the quantitative
momentum strategy’s performance and risk prole, comparing it to the
generic momentum strategy (no seasonality, no FIP), and the Standard &
Poor’s 500 Total Return Index (S&P 500 TR Index). The returns shown
in Table 8.2 are net of 1.80 percent in fees for all three of the momentum
strategies, and the S&P 500 Index is gross of fees. We give the passive
index an unrealistic cost advantage (i.e., free) to ensure we are conservative
in our assessment of the results. All results are value-weight (sometimes
referred to as market-cap weight) to maintain consistency. An alternative
weighting scheme is to equal-weight the portfolio holdings. This alternative
equal-weighting scheme is benecial in two ways:
1. Diversication—You allocate the same percentage of capital to each
stock, so no one stock has a large weight in the portfolio.
2. Small-cap Effect—On average, the returns to smaller stocks has been
larger in the past, and for our portfolio, this means higher expected
returns.
Table 8.2 shows that the quantitative momentum strategy generated
acompoundannualgrowthrate(CAGR)of15.80percent,signicantly
outperforming the generic momentum performance of 13.45 percent. The
Quantitative Momentum strategy also outperformed the S&P 500, which
returned 9.92 percent.
The quantitative momentum portfolio achieved this return with a much
higher volatility than the benchmark portfolio, which is to be expected
because the portfolio is more concentrated than the passive benchmark (i.e.,
averages 43.9 stocks over the time period) and the strategy is designed to

❦
❦ ❦
❦
126 QUANTITATIVE MOMENTUM
TABLE 8.2 VW Quantitative Momentum Performance (1927–2014)
Quantitative
Momentum (Net)
Generic
Momentum
(Net)
S&P 500
Index
CAGR 15.80% 13.45% 9.92%
Standard Deviation 23.89% 23.62% 19.11%
Downside Deviation 17.56% 17.44% 14.22%
Sharpe Ratio 0.60 0.51 0.41
Sortino Ratio (MAR =5%) 0.72 0.60 0.44
Worst Drawdown –76.97% –75.81% –84.59%
Worst Month Return –31.91% –30.15% –28.73%
Best Month Return 31.70% 33.73% 41.65%
Protable Months 63.00% 61.39% 61.76%
be difcult to follow. Quantitative momentum had a standard deviation of
23.89 percent against the passive S&P 500 benchmark volatility measure of
19.11 percent. Despite the enhanced volatility, the risk-adjusted parameters
are still favorable for the quantitative momentum strategy. The strategy has
aSharperatioof0.60,considerablybetterthantheS&P500Sharperatio
of 0.41. The strategy also has a higher downside volatility, with downside
deviation at 17.56 percent to the benchmark’s 14.22 percent. However, the
higher returns compensate for the higher downside volatility, leading to an
exceptional Sortino ratio of 0.72 for the quantitative momentum strategy,
against 0.44 for the benchmark.
If we look at the worst drawdowns, which represent the worst possible
peak-to-trough returns associated with the various strategies, the quantita-
tive momentum strategy showcases that the strategy can be extraordinar-
ily painful! The worst drawdown suffered by the quantitative momentum
portfolio is –76.97 percent, which is the Great Depression drawdown (the
benchmark drawdown was an even worse –84.59 percent).
We must emphatically emphasize that investors need to be prepared
for the enhanced volatility and drawdown risks associated with momentum
strategies—that is a primary reason why this system is expected to work in
the future—but this enhanced risk is more than offset by additional expected
returns, which is what makes momentum anomalous.
Rewards Analysis
Consider Figure 8.2, which shows the cumulative performance of the quan-
titative momentum portfolio compared to the other strategies.

❦
❦ ❦
❦
Quantitative Momentum Beats the Market 127
$100,000,000
$10,000,000
$1,000,000
$100,000
$10,000
$1,000
$100
$10
$1
2/1/1927
1/1/1932
12/1/1936
11/1/1941
10/1/1946
9/1/1951
8/1/1956
7/1/1961
6/1/1966
5/1/1971
4/1/1976
3/1/1981
2/1/1986
1/1/1991
12/1/1995
11/1/2000
10/1/2005
9/1/2010
Value of $100 Invested (Log Scale)
Quantitative Momentum (Net) Generic Momentum (Net) SP500
FIGURE 8.2 Cumulative Value for Quantitative Momentum (1927–2014)
TABLE 8.3 CAGR Across Different Decades
Quantitative
Momentum (Net)
Generic
Momentum (Net)
S&P 500
Index
1930–1939 3.08% 1.64% –1.34%
1940–1949 11.01% 11.85% 9.15%
1950–1959 24.98% 21.31% 19.42%
1960–1969 20.50% 18.26% 7.84%
1970–1979 13.93% 13.21% 5.83%
1980–1989 24.48% 17.38% 17.61%
1990–1999 36.48% 30.21% 18.37%
2000–2009 –3.58% –4.88% –0.68%
Figure 8.2 illustrates the effects of compounding an edge over a long
period of time. The quantitative momentum portfolio’s small advantage
leads to a jaw-dropping spread relative to the passive benchmark.
Table 8.3 shows the compound annual growth rates (CAGR) of the
quantitative momentum portfolio and the competition over different
decades. The intent of this test is to examine the robustness of performance
across time.

❦
❦ ❦
❦
128 QUANTITATIVE MOMENTUM
Over eight full decades, the quantitative momentum portfolio
outperformed in seven of the eight. A concern some may have is that
the quantitative momentum portfolio lost in the most recent decade.
Perhaps momentum is dead because the smart arbitrageurs eliminated the
momentum premium? We can never eliminate this possibility; however, a
decade of underperformance is not unexpected. Geczy and Samonov nd
that long periods of poor relative performance occur on multiple occasions
in out-of-sample testing over the 1801 to 1926 time period.7Moreover,
as we explained earlier in the book, sticking to the algorithm is difcult
because of the high volatility and career risk. Second, if one examines the
net of fee results of the equal-weighted quantitative momentum portfolio
(not shown), this portfolio actually outperformed on a CAGR basis over
the 2000–2009 decade. Nonetheless, no sustainable system can work all
the time. And while Figure 8.2 makes quantitative momentum seem like a
“no-brainer,” a deeper dive into shorter windows highlights the fact that
there are periods of extreme relative underperformance over the 1927 to
2014 period. Momentum investing is simple, but not easy.
Here we look at a variety of measures to assess the performance across
rolling periods. Figures 8.3a and 8.3b show the rolling 5- and 10-year
CAGRs for the strategy. These gures show the relevant holding period
return at different points in time. A robust strategy will show consistent
outperformance regardless of timing; a “lucky” strategy may have extreme
outperformance in one time period but ounder in others.
Figures 8.3a and 8.3b illustrate how consistently the strategy beats the
Generic momentum portfolio and the S&P 500 on rolling 5- and 10-year
bases. Only rarely, and for brief periods, was it better to have been invested
in the others. Two periods of long-term underperformance include the Great
Depression period and the most recent period following the 2008 nancial
crisis. This underperformance is to be expected, and appreciated, because
these periods “shake out” weak hands. Over the long haul, a sustainable
process wins out.
Risk Analysis
As the previous analysis emphasizes, the power of momentum is an ability
to generate outsize returns that dwarf returns associated with passive
benchmarks. Unfortunately, outsized expected returns deliver enhanced
risks. The risk and reward trade-off for momentum is still favorable, but not
acknowledging the increased risk would be intellectually dishonest and set
up a prospective momentum investor with the improper expectations. We
examine the risks associated with quantitative momentum in the analysis
that follows.

❦
❦ ❦
❦
129
70.00%
60.00%
50.00%
40.00%
30.00%
20.00%
10.00%
0.00%
2/1/1932
2/1/1932
5/1/1935
5/1/1935
8/1/1938
8/1/1938
11/1/1941
11/1/1941
2/1/1945
2/1/1945
5/1/1948
5/1/1948
8/1/1951
8/1/1951
11/1/1954
11/1/1954
2/1/1958
2/1/1958
5/1/1961
5/1/1961
8/1/1964
8/1/1964
11/1/1967
11/1/1967
2/1/1971
2/1/1971
5/1/1974
5/1/1974
8/1/1977
8/1/1977
11/1/1980
11/1/1980
2/1/1984
2/1/1984
5/1/1987
5/1/1987
8/1/1990
8/1/1990
11/1/1993
11/1/1993
2/1/1997
2/1/1997
5/1/2000
5/1/2000
8/1/2003
8/1/2003
11/1/2006
11/1/2006
2/1/2010
2/1/2010
5/1/2013
5/1/2013
2/1/1932
5/1/1935
8/1/1938
11/1/1941
2/1/1945
5/1/1948
8/1/1951
11/1/1954
2/1/1958
5/1/1961
8/1/1964
11/1/1967
2/1/1971
5/1/1974
8/1/1977
11/1/1980
2/1/1984
5/1/1987
8/1/1990
11/1/1993
2/1/1997
5/1/2000
8/1/2003
11/1/2006
2/1/2010
5/1/2013
–10.00%
–20.00%
–30.00%
5-Year Rolling CAGRs
Quantitative Momentum (Net) Generic Momentum SP500
FIGURE 8.3a Five-Year Rolling CAGR for Quantitative Momentum

❦
❦ ❦
❦
130
50.00%
40.00%
30.00%
20.00%
10.00%
0.00%
–10.00%
10-Year Rolling CAGRs
Quantitative Momentum (Net) Generic Momentum (Net) SP500
2/1/1937
2/1/1937
2/1/1910
2/1/1910
2/1/1943
2/1/1943
2/1/1946
2/1/1946
2/1/1949
2/1/1949
2/1/1952
2/1/1952
2/1/1955
2/1/1955
2/1/1958
2/1/1958
2/1/1961
2/1/1961
2/1/1964
2/1/1964
2/1/1967
2/1/1967
2/1/1970
2/1/1970
2/1/1973
2/1/1973
2/1/1976
2/1/1976
2/1/1979
2/1/1979
2/1/1982
2/1/1982
2/1/1985
2/1/1985
2/1/1988
2/1/1988
2/1/1991
2/1/1991
2/1/1994
2/1/1994
2/1/1997
2/1/1997
2/1/2000
2/1/2000
2/1/2003
2/1/2003
2/1/2006
2/1/2006
2/1/2009
2/1/2009
2/1/2012
2/1/2012
2/1/1937
2/1/1910
2/1/1943
2/1/1946
2/1/1949
2/1/1952
2/1/1955
2/1/1958
2/1/1961
2/1/1964
2/1/1967
2/1/1970
2/1/1973
2/1/1976
2/1/1979
2/1/1982
2/1/1985
2/1/1988
2/1/1991
2/1/1994
2/1/1997
2/1/2000
2/1/2003
2/1/2006
2/1/2009
2/1/2012
FIGURE 8.3b Ten-Year Rolling CAGR for Quantitative Momentum

❦
❦ ❦
❦
Quantitative Momentum Beats the Market 131
Our risk analysis focuses on maximum drawdowns. The maximum
drawdown is dened as the maximum peak to trough loss associated with a
time series. Maximum drawdown captures the worst possible performance
scenario experienced by a buy and hold investor dedicated to a specic
strategy. The intuition behind maximum drawdown is simple: How much
can I lose?
Figure 8.4 shows the summary drawdown performance of quantitative
momentum across commonly assessed horizons of one month, one year, and
three years.
The quantitative momentum strategy protects capital better than the
competition based on the results in Figure 8.4. The strategy’s single-worst
drawdown was worse than the generic momentum strategy, but beat the
S&P 500. However, quantitative momentum did lose over rolling 1- and
12-month periods to the competition. The worst-case scenario for the strat-
egy over a 3-year period was again slightly better than the S&P 500. To be
clear—our portfolio is a long-only strategy, so it is expected to have similar
drawdowns when compared to the market.
Figures 8.5a and 8.5b show the rolling 5- and 10-year maximum draw-
downs for the strategy. These gures help researchers identify the frequency
and intensity of a strategy’s maximum drawdowns over a designated time
horizon (e.g., 5 years or 10 years). But why are rolling drawdowns a use-
ful analytical tool? Consider two strategies with similar worst drawdowns.
If one strategy experiences big drawdowns several times through history,
while the other experiences big drawdowns only once, this analysis helps us
identify this higher frequency of large drawdowns.
MaxDD
Monthly
12-Month
36-Month
Quantitative Momentum (Net) Generic Momentum (Net)
Drawdown Analysis
SP500
0%
–10%
–20%
–30%
–40%
–50%
–60%
–70%
–80%
–90%
FIGURE 8.4 Summary Drawdown Analysis

❦
❦ ❦
❦
132
0.00%
–10.00%
–20.00%
–30.00%
–40.00%
–50.00%
–60.00%
–70.00%
–80.00%
–90.00%
2/1/1932
5/1/1935
8/1/1938
11/1/1941
2/1/1945
5/1/1948
8/1/1951
11/1/1954
2/1/1958
5/1/1961
8/1/1964
11/1/1967
2/1/1971
5/1/1974
8/1/1977
11/1/1980
2/1/1984
5/1/1987
8/1/1990
11/1/1993
2/1/1997
5/1/2000
8/1/2003
11/1/2006
2/1/2010
5/1/2013
5-Year Rolling MAXDD
Quantitative Momentum (Net) Generic Momentum (Net) SP500
FIGURE 8.5a Five-Year Rolling Max Drawdown for Quantitative Momentum

❦
❦ ❦
❦
133
2/1/1937
2/1/1940
2/1/1943
2/1/1946
2/1/1949
2/1/1952
2/1/1955
2/1/1958
2/1/1961
2/1/1964
2/1/1967
2/1/1970
2/1/1973
2/1/1976
2/1/1979
2/1/1982
2/1/1985
2/1/1988
2/1/1991
2/1/1994
2/1/1997
2/1/2000
2/1/2003
2/1/2006
2/1/2009
2/1/2012
10-Year Rolling MAXDD
Quantitative Momentum (Net) Generic Momentum (Net) SP500
0.00%
–10.00%
–20.00%
–30.00%
–40.00%
–50.00%
–60.00%
–70.00%
–80.00%
–90.00%
FIGURE 8.5b Ten-Year Rolling Max Drawdown for Quantitative Momentum

❦
❦ ❦
❦
134 QUANTITATIVE MOMENTUM
The rolling drawdown analysis shows that the strategy suffers draw-
downs that can be larger than the competition. For example, in the after-
math of the Internet bubble, quantitative momentum took it on the chin,
especially compared to the broad index. Similarly, in the 2008 nancial
crisis, the quantitative momentum portfolio was hit a bit harder than the
broad index.
Finally, we end our analysis with an assessment of the relative
performance of quantitative momentum during the strategy’s worst 10
drawdowns. We compare the quantitative momentum drawdowns to the
performance of the passive index over the same time period. This analy-
sis gives us insight into the tail-risk correlations between the quantitative
momentum strategy and the passive market. Table 8.4 highlights two points:
First, quantitative momentum is a long-only equity strategy with huge
drawdowns. Second, the drawdowns are correlated with general market
drawdowns. Overall, the quantitative momentum portfolio will have large
drawdowns and periods of underperformance, and one should expect this at
the outset.
Robustness Analysis
In this section, we examine a variety of tests that look at a strategy from
different angles so that we can gain insight into the big picture and ascer-
tain that the summary statistics reect a broad reality that is not driven by
extreme outliers.
We rst analyze market cycle performance of the quantitative momen-
tum strategy compared to the other strategies over a variety of bull and bear
markets since 1927. Table 8.5 shows the dates used to calculate market cycle
returns.
TABLE 8.4 Top 10 Drawdown Analysis
Rank Date Start Date End Quantitative Momentum S&P 500TR Index
1 1/31/1929 5/31/1932 –76.97% –80.67%
2 2/29/2000 2/28/2003 –68.14% –35.14%
3 6/30/2008 2/28/2009 –62.12% –40.82%
4 3/31/1937 3/31/1938 –52.99% –51.11%
5 12/31/1972 9/30/1974 –38.68% –42.73%
6 11/30/1961 6/30/1962 –34.57% –21.97%
7 5/31/1946 6/30/1949 –31.69% –13.77%
8 9/30/1987 11/30/1987 –30.88% –28.00%
9 4/30/1940 4/30/1942 –30.81% –26.52%
10 11/30/1968 6/30/1970 –27.23% –29.23%

❦
❦ ❦
❦
Quantitative Momentum Beats the Market 135
TABLE 8.5 Market Cycle Denitions
Month Begin Month End
Bear September-29 July-32
Bull June-62 February-66
Bear November-68 May-70
Bull May-70 December-72
Bear January-73 September-74
Bull June-82 December-84
Bear July-87 December-87
Bull December-87 June-90
Bear March-00 September-01
Bull October-01 July-07
Bear August-08 February-09
Bull March-09 December-14
Market Cycle Performance
Quantitative Momentum (Net) Generic Momentum (Net) SP500 250%
200%
150%
100%
50%
0%
–50%
–100%
Bear: 9/1929–7/1932
Bull: 6/1962–2/1966
Bear: 11/1968–5/1970
Bull: 5/1970–12/1972
Bear: 1/1973–9/1974
Bull: 6/1982–12/1984
Bear: 7/1987–12/1987
Bull: 12/1987–6/1990
Bear: 3/2000–9/2001
Bull: 10/2001–7/2007
Bear: 8/2008–2/2009
Bull: 3/2009–12/2014
FIGURE 8.6 Market Cycle Performance for Quantitative Momentum
Figure 8.6 demonstrates that, on average, the strategy performed similar
to the S&P 500 in bear markets and outperformed the S&P 500 in bull
markets. Again, relative losses to the S&P 500 appear in the most recent bear
and bull markets. There are surely commentators that claim “momentum is
dead.” Great, we hope this commentary continues. While the strategy may
occasionally struggle for short—or even long—periods of time, momentum
systems provide a high chance of expected outperformance through a full
market cycle.

❦
❦ ❦
❦
136 QUANTITATIVE MOMENTUM
200%
Short-Term Event Stress Tests
150%
100%
50%
0%
–50%
–100%
Credit Crunch (Sep '08 - Feb '09)
NASDAQ Melt Down (Apr '00 - Sep '01)
NASDAQ Run Up (Jan '99 - Mar '00)
LTCM/Russian Default (Aug '98)
Asian Crisis (Aug '97 - Aug '98)
October 187 Crash
Quantitative Momentum (Net) Generic Momentum (Net) SP500
FIGURE 8.7 Short-Term Stress Event Tests for Quantitative Momentum
Figure 8.7 shows the relative performances during recent short-term
stress events of the quantitative momentum strategy and the other strate-
gies. This analysis examines how a strategy tends to perform through
extraordinary short-term market events. The model shows strong per-
formance compared to the other S&P 500 during the NASDAQ run-up,
but underperformance in the NASDAQ crash in 1998 and the 2008
nancial crisis.
Figures 8.8a and 8.8b show the rolling 5- and 10-year alpha for the
strategy. Alpha analysis is typically found in quantitative research articles
published in academic journals. The procedures researchers use to estimate
alpha can be complicated, but the idea is simple: How much average excess
return does a strategy create after controlling for a variety of risk factors?
To assess robustness, we estimate alpha using several different
asset-pricing models. We control for general market risk using the capital
asset pricing model;8we adjust for market, size, and value exposures with
the Fama and French three-factor model,9and we account for momentum
using the four-factor model.10,11 All of these factors can be found at Ken
French’s website.12
Figures 8.8a and 8.8b conrm that the quantitative momentum strategy
generates relatively consistent alpha estimates on a rolling 5- and 10-year
basis, regardless of the asset pricing model we choose. Not surprisingly,
the four-factor alpha is the smallest, as this model controls for exposure to
generic momentum. On a rolling 5-year basis there are only a few instances
where the strategy’s performance does not add value after controlling

❦
❦ ❦
❦
137
CAPM FF 4-Factor
2/1/1932
2/1/1932
5/1/1935
5/1/1935
8/1/1938
8/1/1938
11/1/1941
11/1/1941
2/1/1945
2/1/1945
5/1/1948
5/1/1948
8/1/1951
8/1/1951
11/1/1954
11/1/1954
2/1/1958
2/1/1958
5/1/1961
5/1/1961
8/1/1964
8/1/1964
11/1/1967
11/1/1967
2/1/1971
2/1/1971
5/1/1974
5/1/1974
8/1/1977
8/1/1977
11/1/1980
11/1/1980
2/1/1984
2/1/1984
5/1/1987
5/1/1987
8/1/1990
8/1/1990
11/1/1993
11/1/1993
2/1/1997
2/1/1997
5/1/2000
5/1/2000
8/1/2003
8/1/2003
11/1/2006
11/1/2006
2/1/2010
2/1/2010
5/1/2013
5/1/2013
2/1/1932
5/1/1935
8/1/1938
11/1/1941
2/1/1945
5/1/1948
8/1/1951
11/1/1954
2/1/1958
5/1/1961
8/1/1964
11/1/1967
2/1/1971
5/1/1974
8/1/1977
11/1/1980
2/1/1984
5/1/1987
8/1/1990
11/1/1993
2/1/1997
5/1/2000
8/1/2003
11/1/2006
2/1/2010
5/1/2013
5-Year Rolling Alphas
30.00%
20.00%
–20.00%
25.00%
–25.00%
15.00%
–15.00%
10.00%
–10.00%
5.00%
–5.00%
0.00%
FIGURE 8.8a
Five-Year Rolling Alpha for Quantitative Momentum

❦
❦ ❦
❦
138
2/1/1937
2/1/1937
2/1/1940
2/1/1940
2/1/1943
2/1/1943
2/1/1946
2/1/1946
2/1/1949
2/1/1949
2/1/1952
2/1/1952
2/1/1955
2/1/1955
2/1/1958
2/1/1958
2/1/1961
2/1/1961
2/1/1964
2/1/1964
2/1/1967
2/1/1967
2/1/1970
2/1/1970
2/1/1973
2/1/1973
2/1/1976
2/1/1976
2/1/1979
2/1/1979
2/1/1982
2/1/1982
2/1/1985
2/1/1985
2/1/1988
2/1/1988
2/1/1991
2/1/1991
2/1/1994
2/1/1994
2/1/1997
2/1/1997
2/1/2000
2/1/2000
2/1/2003
2/1/2003
2/1/2006
2/1/2006
2/1/2009
2/1/2009
2/1/2012
2/1/2012
2/1/1937
2/1/1940
2/1/1943
2/1/1946
2/1/1949
2/1/1952
2/1/1955
2/1/1958
2/1/1961
2/1/1964
2/1/1967
2/1/1970
2/1/1973
2/1/1976
2/1/1979
2/1/1982
2/1/1985
2/1/1988
2/1/1991
2/1/1994
2/1/1997
2/1/2000
2/1/2003
2/1/2006
2/1/2009
2/1/2012
20.00%
15.00%
10.00%
5.00%
0.00%
–5.00%
–10.00%
10-Year Rolling Alphas
CAPM FF 4-Factor
FIGURE 8.8b Ten-Year Rolling Alpha for Quantitative Momentum

❦
❦ ❦
❦
Quantitative Momentum Beats the Market 139
TABLE 8.6 Asset Pricing Coefcient Estimates for Quantitative Momentum
Annual Alpha MKT-RF SMB HML MOM
CAPM 6.30% 1.02 —— —
Three-Factor 7.44% 1.05 0.17 –0.41 —
Four-Factor 0.85% 1.17 0.21 –0.16 0.55
for risk. The 10-year rolling chart tells the story vividly: Over the long-term,
quantitative momentum has generally added value for investor portfolios.
In this section, we calculate the formal beta estimates and alpha
estimates associated with our kitchen sink of asset pricing models. Table 8.6
shows the full sample coefcient estimates for the four asset-pricing
models. MKT-RF represents the excess return on the market-weight
returns of all New York Stock Exchange (NYSE)/American Stock Exchange
(AMEX)/NASDAQ stocks. SMB is a long/short factor portfolio that
captures exposures to small capitalization stocks. HML is a long/short
factor portfolio that controls for exposure to high book value-to-market
capitalization stocks. MOM is a long/short factor portfolio that controls
for exposure to stocks that have had great performance over the recent year.
The results are tabulated in Table 8.6 and coefcient estimates that are
signicant at the 5 percent condence level (two-tailed tests) are bolded.
Table 8.6 suggests that quantitative momentum generates between
approximately 6 or 7 percent per year in “alpha,” or performance not
explained by exposures to known expected return factors such as the
market, size, and value. When including the generic momentum factor,
the quantitative momentum portfolio does not provide any signicant
alpha, but does load positively on the momentum factor (MOM). The
alpha analysis suggests that the quantitative momentum strategies stronger
performance is related to higher beta exposure than the broader market
(MKT-RF beta slightly above 1), the system tends to be exposed to smaller
stocks (0.17 and 0.21 on the SMB factor), and very importantly, is not
value (HML is –0.41 and –0.16). If we compare the alpha statistics against
the generic momentum strategy, the relationship between HML is less
negative (i.e., diversication benets are not as high). Overall, from a factor
analysis perspective, quantitative momentum is no better or worse than
generic momentum, the strategy is simply different: The strategy delivers
ahigherbetaversionofthegenericmomentumstrategythatalsohasa
stronger diversication benetwhencoupledwithvaluestrategies.While
factor analysis is important, we believe this assessment should be coupled
with the results presented in Table 8.2, which reect more customary—and
intuitive—analytics.

❦
❦ ❦
❦
140 QUANTITATIVE MOMENTUM
A PEEK INSIDE THE BLACK BOX
Quantitative methods are often considered black box, and thus, shunned
by many in the investment community. Quants generally have earned the
negative assessment. Traditional “quants” make things too complex and
too opaque, when communication can be simple and radically transparent.
The logic portrayed is that by keeping strategies “proprietary,” the quants
can keep their intellectual property from being exploited and their investors
will be better off. In the context of unsustainable, always changing, trading
strategies, this result is certainly true. However, when discussing sustainable,
highly active long-term investment strategies, opacity and a general lack of
understanding lead to investor failure. At the pinnacle point of pain, when
the most disciplined and hardened active investors earn their keep, the active
investor with a clear mind, thorough understanding, and a strong conviction
for their process will win. Those who do not fully understand why a process
works are more likely to provide the active alpha to the clairvoyant investor
who can hold on to an active portfolio like grim death.
Table 8.7 lists the top 10 stocks selected by the model on November
30, 2014. This date would be the last rebalance of the portfolio in our
tests, which takes advantage of the seasonality by rebalancing at the end
of November 2014—since we hold the portfolio for three months, this ends
up being the portfolio as of December 31, 2014, as well. Table 8.7 also high-
lights the important summary statistics, such as the rm’s momentum score
(total return over the past twelve months ignoring the recent month), and
the percentage of positive days minus the percentage of negative return days
(remember, this is used to create the frog-in-the-pan variable).
Many of the names listed are well established, but they aren’t neces-
sarily the most exciting high-momentum names in the universe. A lot of
TABLE 8.7 December 31, 2014, Quantitative Momentum Portfolio Holdings
Stock Name Ticker Momentum (% Positive) – (% Negative)
International Rectier Corp. IRF 66.1% 24.3%
Marriott International Inc. MAR 62.6% 22.3%
N X P Semiconductors N V NXPI 61.6% 21.5%
Sandisk Corp SNDK 39.8% 21.1%
Dr. Pepper Snapple Group Inc. DPS 47.7% 20.3%
Southwest Airlines Co. LUV 87.0% 19.1%
Dynegy Inc. DYN 42.5% 18.3%
Pilgrims Pride Corp New PPC 73.4% 18.3%
Windstream Holdings Inc. WIN 44.7% 17.9%
Mallinckrodt Plc. MNK 77.4% 17.9%

❦
❦ ❦
❦
Quantitative Momentum Beats the Market 141
these rms are somewhat boring, but their price signals are highlighting that
there is a sustained amount of positive news driving their momentum. This
group of rms is in contrast to some of the higher prole momentum names
that do not make the cut: these include Tesla Motors, Monster Beverage,
Amgen, Green Mountain Coffee, and Solarwinds. All of these rms have
high momentum, but their path to momentum is more discrete and has come
via large short-term spikes in performance.
BEATING THE MARKET WITH QUANTITATIVE MOMENTUM
Momentum is clearly robust and has been studied and documented for many
years. The epitome of this sort of research was completed by Chris Geczy
and Mikhail Samonov, who conrm momentum’s historical track record via
an individual stock dataset that is over 200 years in length, stating “that
the momentum effect is not a product of data-mining.”13 In this chapter,
we present the results of our quantitative momentum system, which is a
reection of the research and concepts outlined in this book. Our solution
does not claim to be the “best” or the most “optimized,” but we do think
our process is reasonable and ties back to behavioral nance in a coherent
and logical way.14 But will the process work in the future? Nobody knows,
but recall in the rst four chapters of the book that we outlined a frame-
work for determining whether a historically strong strategy is sustainable
into the future. How can we be sure momentum is sustainable? We support
this proposition using the same arguments we use to understand why value
investing works. Namely, sustainable active investment strategies require the
following ingredients:
■A mispricing component
■A costly arbitrage component
As far as mispricing is concerned, as long as human beings suffer from
systematic expectation errors, prices will sometimes deviate from fundamen-
tals. In the context of value, this expectation error seems to be an overre-
action to negative news, on average; for momentum, the expectation error
is likely tied to an underreaction to positive news and predictable seasonal
effects. Value and momentum are really two sides of the same behavioral
bias coin.
But why aren’t momentum strategies (or value strategies) exploited
by all smart investors and arbitraged away? As we discussed, the speed
at which these mispricing opportunities are eliminated depends on the
cost of exploitation. Putting aside an array of transaction and information

❦
❦ ❦
❦
142 QUANTITATIVE MOMENTUM
acquisition costs (which are nonzero, but we will assume don’t matter for
the purpose of this argument), the biggest cost to exploiting long-lasting
mispricing opportunities are agency costs, or career risk concerns. The
career risk aspect is created because investors delegate a professional to
manage their capital on their behalf. Unfortunately, the investors that
delegate their capital to the professional fund managers often assess
the performance of their hired manager based on their short-term relative
performance to a benchmark. But this creates a warped incentive for
the professional fund manager. On the one hand, the fund manager wants
to exploit mispricing opportunities because of the high expected long-term
performance, but on the other hand, they can do so only to the extent to
which exploiting the mispricing opportunities does not cause their expected
performance to deviate too far—and/or for too long—from a standard
benchmark. In summary, strategies like value and momentum presumably
will continue to work because they sometimes fail spectacularly relative to
passive benchmarks. And if we follow along this line of reasoning, we only
need to assume the following to believe that momentum strategies, like
value strategies, are sustainable:
■Investors will continue to suffer behavioral bias.
■Investors who delegate will be short-sighted performance chasers.
We think these are two assumptions we can rely on for the foreseeable
future. And because of our faith in these assumptions, we believe there will
always be opportunities for process-driven, long-term focused, disciplined
investors. If we can internalize the lessons from the sustainable active frame-
work, our belief in this framework will grant us the discipline to stick with
strategies that many investors nd extremely uncomfortable. The ability to
stay disciplined to a process is arguably the most important aspect of being
a successful investor. How one actually invests is almost a secondary issue.
But as is highlighted in a quote attributed to Warren Buffett, “Investing is
simple, but not easy.”
NOTES
1. James Simmons, “Mathematics, Common Sense, and Good Luck: My Life and
Career,” MIT Seminar, January 24, 2011.
2. Cliff Asness, Andrea Frazzini, Ron Israel, and Toby Moskowitz, “Fact, Fiction,
and Momentum Investing,” The Journal of Portfolio Management 40 (2014):
75–92.
3. Andrea Frazzini, Ronen Israel, and Toby Moskowitz, “Trading Costs of Asset
Pricing Anomalies,”AQR working paper, 2014.

❦
❦ ❦
❦
Quantitative Momentum Beats the Market 143
4. David A. Lesmond, Michael J. Schill, and Chunsheng Zhou, “The Illusory
Nature of Momentum Prots,” Journal of Financial Economics 71 (2004):
349–380.
5. Similar to the end of Chapter 7, our analysis start date changes slightly from
January 1, 1927, to March 1, 1927, to facilitate the seasonal rebalance.
6. William Beaver, Maureen McNichols, and Richard Price, “Delisting Returns and
Their Effect on Accounting-based Market Anomalies,” Journal of Accounting
and Economics 43 (2007): 341–368.
7. Chris Geczy and Mikhail Samonov, “Two Centuries of Price Return Momen-
tum,” Financial Analysts Journal (2016).
8. William F. Sharpe, “Capital Asset Prices: A Theory of Market Equilibrium under
Conditions of Risk,” Journal of Finance 19(3) (1964): 425–442.
9. Eugene Fama and Kenneth French, “Common Risk Factors in the Returns on
Stocks and bonds,” Journal of Financial Economics 33 (1993): 3–56.
10. Mark Carhart, “On Persistence in Mutual Fund Performance,” Journal of
Finance 52 (1997): 57–82.
11. We also conduct analysis using the Fama and French ve-factor model, which
includes protability and investment factors. Since these factors are only avail-
able after 1963, we do not show these results in our calculations. In out-of-
sample tests (1963–2014), we include the 5-factor model and nd qualitatively
similar results.
12. mba.tuck.dartmouth.edu/pages/faculty/ken.french/data_library.html, accessed
3/1/2016.
13. Chris Geczy and Mikhail Samonov.
14. We have conducted many additional tests and analysis not mentioned in this
chapter. Please contact the authors at www.alphaarchitect.com/contact for addi-
tional results (e.g., annual returns).

❦
❦ ❦
❦
CHAPTER 9
Making Momentum Work in
Practice
“Everyone has a plan until they get punched in the mouth.”
—Attributed to “Iron” Mike Tyson
In the real world, going all-in on quantitative momentum is sure to try the
patience of even the most dedicated investor. Nobody has the discipline
to stick with the program—including us. We don’t even invest our own
capital this way. But we aren’t recommending that investors replace their
entire equity portfolio with a high-conviction momentum strategy. Momen-
tum is merely a component of a diversied equity portfolio. And as alluded
to in Chapter 4, momentum portfolios are best used in combination with
high-conviction value portfolios. The value and momentum combination
portfolio shortens stretches of multiyear relative underperformance associ-
ated with both stand-alone strategies and allows an investor to stick with an
equity investment program. Dedicating oneself to pure value investing or to
pure momentum investing is akin to sitting on a one-legged stool. So why not
sit on a stool with multiple legs? Identify a great value investment approach;
identify a promising momentum investment approach; and combine the two
efforts to serve as your all-weather equity portfolio.
A TWO-LEGGED STOOL: VALUE +MOMENTUM
To make the value and momentum combination portfolio more tangible,
we examine the approach we use for our own investment capital. We
combine the quantitative momentum algorithm outlined in this book with
an equally rigorously tested value strategy outlined in Wes’s book on the
subject of building systematic value strategies: Quantitative Value.1Put
144

❦
❦ ❦
❦
Making Momentum Work in Practice 145
simply, the quantitative value algorithm seeks to buy cheap, high-quality
value stocks. Each strategy typically holds around 40 momentum stocks
and 40 value stocks, leaving the investor with a high-conviction—but
diversied—portfolio of approximately 80 stocks. One could expand to
international markets to increase the portfolio size and enhance diversi-
cation, but we shelve that discussion to keep the analysis short and to
the point.
To assess performance of our quantitative value and momentum port-
folio, we examine a mid- to large-cap US traded universe and we focus
our analysis on the long-only portfolios. The portfolios are quarterly rebal-
anced and equal-weighted—here we deviate from the value-weight portfo-
lios shown in Chapter 8. We examine the returns from January 1, 1974,
to December 31, 2014, which is the time period when the historical data
available for the quantitative momentum and quantitative value algorithm
overlap. The combination portfolio weights are annually rebalanced on Jan-
uary 1 each year and equally allocated across value and momentum (a more
sophisticated investor could volatility-weight the exposures). All returns are
net of 2 percent in total annual fees, which is a rough estimate of manage-
ment fees, commissions, and market impact costs associated with rebalanc-
ing within and across the strategies.2
The results of the combination portfolio are presented in Table 9.1.
The combination portfolio has higher returns than either the stand-alone
value or momentum portfolios. On a risk-adjusted basis, the combination
portfolio is essentially equivalent to the quantitative value strategy. How-
ever, the summary statistics do not capture the survivability of a strategy.
To assess survivability, which we loosely dene as the degree to which an
TABLE 9.1 Combining Quantitative Value and Quantitative Momentum
Combination
Portfolio (Net)
Quantitative
Momentum
(Net)
Quantitative
Value
(Net)
S&P 500
TR Index
CAGR 18.10% 17.38% 16.98% 11.16%
Standard Deviation 21.38% 25.59% 18.58% 15.45%
Downside Deviation 14.96% 18.09% 12.71% 11.05%
Sharpe Ratio 0.66 0.57 0.68 0.45
Sortino Ratio (MAR =5%) 0.94 0.80 0.98 0.62
Worst Drawdown –60.16% –67.72% –51.91% –50.21%
Worst Month Return –26.56% –30.33% –25.62% –21.58%
Best Month Return 28.69% 34.67% 25.36% 16.81%
Protable Months 61.18% 61.79% 62.60% 61.59%

❦
❦ ❦
❦
146 QUANTITATIVE MOMENTUM
investor could hold onto a portfolio without “giving up,” we review the
rolling ve-year CAGRs relative to the passive S&P 500 total return index.
This analysis gives us a sense for how holding value and momentum can
minimize the frequency of long periods of underperformance associated with
stand-alone value or momentum.
Figure 9.1 highlights the benetofcombiningvalueandmomentumto
minimize the length and depth of ve-year relative underperformance peri-
ods. For example, quantitative value endures a deep and extended period of
poor relative performance in the late 1990s during the Internet bubble. On
the ip side, post–nancial crisis, quantitative momentum has had a long
bout of severe underperformance. To be clear, quantitative momentum, on a
standalone basis, had a period of underperforming by about 15 percent on a
CAGR basis over ve years (occurs in June 2013, so the 2008–2009 nancial
crisis is in this ve-year previous period). Imagine having that conversation
with your clients!
However, by combining the two strategies (represented by the solid
black line in Figure 9.1), an investor is able to shorten the length and depth
of long-term underperformance to a level that is more digestible to the
average investor. Another way to look at this problem is via a histogram
analysis. Figure 9.2 shows the histogram of ve-year relative performance
measured by CAGR for the pure momentum strategy and the combination
portfolio. There is a relatively frequent probability of losing to the index
over a ve-year window when invested in a pure momentum strategy;
however, the combination portfolio substantially limits the chance for a
long-winded underperformance streak.
For the long-horizon investor, replacing a passive equity portfolio with
ahigh-convictionvalueandmomentumsystemseemslikeareasonable
approach that can deliver strong expected returns relative to a passive
index. We leave the reader with an easy to remember rule of thumb:
Buy ’em cheap; buy ’em strong; and hold ’em long.
An Important Note on Portfolio Construction
The road to success with active value and momentum will obviously be
hair-raising, primarily because the possibility of poor long-term relative per-
formance prevents large pools of capital from exploiting the opportunity.
With that truth in hand, we must emphasize that the expected benets out-
lined are associated with high-conviction value and momentum portfolios,
because these high-conviction portfolios drive the relative performance risk.
And if there is no extreme relative performance pain, there is no extreme
expected performance gain. So-called “smart beta” funds, which hold large

❦
❦ ❦
❦
147
5-Year Rolling CAGR Relative to the Index
Combo (net) Quant Mom (net) Quant Value (net)
35.00%
30.00%
25.00%
0.00%
12/1/1978
12/1/1978
5/1/1980
5/1/1980
10/1/1981
10/1/1981
3/1/1983
3/1/1983
8/1/1984
8/1/1984
1/1/1986
1/1/1986
6/1/1987
6/1/1987
11/1/1988
11/1/1988
4/1/1990
4/1/1990
9/1/1991
9/1/1991
2/1/1993
2/1/1993
7/1/1994
7/1/1994
12/1/1995
12/1/1995
5/1/1997
5/1/1997
10/1/1998
10/1/1998
3/1/2000
3/1/2000
8/1/2001
8/1/2001
1/1/2003
1/1/2003
6/1/2004
6/1/2004
11/1/2005
11/1/2005
4/1/2007
4/1/2007
9/1/2008
9/1/2008
2/1/2010
2/1/2010
7/1/2011
7/1/2011
12/1/2012
12/1/2012
5/1/2014
5/1/2014
12/1/1978
5/1/1980
10/1/1981
3/1/1983
8/1/1984
1/1/1986
6/1/1987
11/1/1988
4/1/1990
9/1/1991
2/1/1993
7/1/1994
12/1/1995
5/1/1997
10/1/1998
3/1/2000
8/1/2001
1/1/2003
6/1/2004
11/1/2005
4/1/2007
9/1/2008
2/1/2010
7/1/2011
12/1/2012
5/1/2014
–5.00%
–10.00%
–15.00%
5.00%
10.00%
15.00%
20.00%
FIGURE 9.1 Rolling Five-Year Spreads

❦
❦ ❦
❦
148 QUANTITATIVE MOMENTUM
5-Year Rolling CAGR Relative to Index
Frequency (percentage)
9.00%
8.00%
7.00%
6.00%
5.00%
4.00%
3.00%
2.00%
1.00%
0.00%
–13.75%
–12.50%
–11.25%
–10.00%
–8.75%
–7.50%
–6.25%
–5.00%
–3.75%
–2.50%
–1.25%
0.00%
1.25%
1.50%
3.75%
5.00%
6.25%
7.50%
8.75%
10.00%
11.25%
13.75%
13.75%
15.00%
16.25%
17.50%
18.75%
20.00%
–21.25%
more
Combo (net) Quant Mom (net)
FIGURE 9.2 Histogram of Five-Year Spreads
diversied portfolios that tilt towards a characteristic like value or momen-
tum, are unlikely to deliver on their promise to achieve outperformance after
fees. These funds are nothing more than closet indexing structures that don’t
deliver enough active exposure benets to outweigh their expected costs.
But why avoid closet-indexing? Recall that the academic research and
internal analysis we’ve conducted throughout this book are associated with
portfolios that are concentrated on stocks with a desirable characteristic
(e.g., high momentum). The portfolios we analyze are typically designed to
hold less than 50 stocks to minimize “diworsication,” which occurs when
aportfolioisconstructedtobehavemorelikeapassiveindexandlesslike
aconcentratedcharacteristic-centricportfolio.Wehighlightedthenegative
effects of diworsication in Chapter 5 when we examined how portfolio
construction parameters, such as the number of holdings and rebalance
frequency, affect expected performance. The results from that analysis were
clear for those who wanted to capture the expected returns associated
with active momentum strategies: buy concentrated frequently rebalanced
portfolios.
So why don’t we see more truly active funds in the market? Unfortu-
nately, the interests of fund sponsors are not aligned with fund investors.
Above a certain fund size, additional fund assets erode performance as port-
folios move towards closet-indexing formations, but also grow manager fees.
This creates a conict of interest between investors, who want to maximize
performance, and managers, who just want more assets, even when this

❦
❦ ❦
❦
Making Momentum Work in Practice 149
hurts their performance.Closet-indexersareeasytospot—theirportfolios
typically have over 100 holdings, have market-cap weighted construction,
and have low frequency rebalancing. These portfolios constructs accommo-
date scale and facilitate asset collection efforts on behalf of the fund sponsor,
but they are unlikely to deliver the higher expected returns documented
throughout this book. The implicatons for active investors are clear: If one
is going to deviate from a passive index, and pay extra management fees,
embrace active risk and pay up for concentration, not closet-indexing.
A THREE-LEGGED STOOL: COMBO +TREND
But wait a minute: Even a two-legged stool isn’t completely stable! The quan-
titative value and momentum portfolio still suffer large drawdowns that go
hand-in-hand with buy-and-hold equity investments. For many investors,
with a long-horizon and a preference for simplicity, holding the combina-
tion value and momentum portfolio is a great equity solution. But for those
investors concerned about massive drawdowns, a buy-and-hold value and
momentum approach may not be appropriate. And to be clear, the large
drawdowns identied in the value and momentum approach outlined above
are not unique to this particular portfolio—the drawdown issue is associated
with all long-only stock portfolios.
To address the drawdown issue we discuss a basic way in which an
investor can create a more stable stool via a third leg—trend following. The
simplest trend-following rule is the long-term simple moving average rule.
To give the reader a taste for how this can work, consider the following rule:
■Moving average (12) =Average 12 month prices
■If S&P 500 TR Index – 12-month moving average (S&P 500 TR Index)
>0, go long the combination portfolio. Otherwise, go long safety
(T-bills).
The results of applying a simple trend-following risk management
overlay to the quantitative value and momentum portfolio are tabulated in
Table 9.2.
The trend-following overlay doesn’t enhance the risk-adjusted metrics
of the combination portfolio, but this analysis misses the dramatic shift
in the tail-risk prole of the combination system. The trend overlay limits
the exposure of the equity portfolio to large drawdowns. For example, the
maximum drawdown goes from 60.16 percent to 26.18 percent. Of course,
there are no free lunches—the trend-following investor gives up 1.5 per-
cent per year in compounded annual returns and the chance of enduring a

❦
❦ ❦
❦
150 QUANTITATIVE MOMENTUM
TABLE 9.2 Combining Quantitative Value and Quantitative Momentum
Combination
w/Trend (Net)
Combination
(Net)
S&P 500
TR Index
CAGR 16.57% 18.10% 11.16%
Standard Deviation 17.97% 21.38% 15.45%
Downside Deviation 13.31% 14.96% 11.05%
Sharpe Ratio 0.67 0.66 0.45
Sortino Ratio (MAR =5%) 0.90 0.94 0.62
Worst Drawdown –26.18% –60.16% –50.21%
Worst Month Return –25.45% –26.56% –21.58%
Best Month Return 28.69% 28.69% 16.81%
Protable Months 70.93% 61.18% 61.59%
5-Year Rolling CAGR Relative to Index
Frequency (percentage)
8.00%
10.00%
12.00%
6.00%
4.00%
2.00%
0.00%
–13.75%
–12.50%
–11.25%
–10.00%
–8.75%
–7.50%
–6.25%
–5.00%
–3.75%
–2.50%
–1.25%
0.00%
1.25%
1.50%
3.75%
5.00%
6.25%
7.50%
8.75%
10.00%
11.25%
13.75%
13.75%
15.00%
16.25%
17.50%
18.75%
20.00%
–21.25%
more
Combo w/Trend (net) Combo (net)
FIGURE 9.3 Histogram of 5-Year Spreads
bout of poor relative underperformance is enhanced with a trend-following
approach. Figure 9.3 shows the histogram of ve-year spreads between the
combination portfolio with trend following and the buy-and-hold combina-
tion portfolio.
Figure 9.3 highlights the “relative performance risk” of trend following.
On one hand, trend following protects against large tail-risk events, but the
system also enhances the tracking error relative to the index, which increases
the chances that an investor will not be able to stick to the investment pro-
gram over the long haul.

❦
❦ ❦
❦
Making Momentum Work in Practice 151
While not the focus of this book, we encourage investors concerned
about large equity drawdowns to read more about trend following. We can
also augment our rule of thumb to accommodate trend following:
Buy ’em cheap; buy ’em strong; and hold ’em long ...
but only when the trend is your friend.
CAREER RISK CONSIDERATIONS
Trend following, which serves to minimize the expected impact of
massive drawdowns, makes the potential for relative pain more likely.
Downside-protected strategies can underperform over ve-year periods on
acompoundreturnbasiswithhigherfrequencyandwithmoredepththan
buy-and-hold approaches. So while there are huge potential benets of
trend following, there are associated career risk considerations. In the end,
how much an investor dedicates to more active exposures really depends on
the willingness of an investor to eat periods of relative underperformance.
For some, relative performance is irrelevant; for others facing career risk
concerns, relative performance rules the day. The irony of this discussion is
that the efcient market hypothesis is right—there are no free lunches—but
the explanation is wrong (i.e., stock prices always reect fundamentals).
We’ve already highlighted that strategies like value and momentum are
areection of a world with mispricing. However, there is still no free
lunch. Markets are extremely competitive, and many investment risks, to
include things like “relative performance risk,” are priced risks in the real
world. Financial economic models might consider the relative risk premium
“alpha,” but to many market participants, relative performance risk is a
real, quantiable risk that marginal price setters will pay someone to take
off their hands.
Risk, it seems, is in the eyes of the beholder.
WHAT IF I CAN’T HANDLE POOR RELATIVE
PERFORMANCE?
Figure 9.1 highlights that even a concentrated value and momentum portfo-
lio can sustain ve-year periods of underperformance (e.g., Internet bubble
period and the post-2008 nancial crisis era). For many investors, this is
simply too much pain to endure, and any excess expected returns associated
with a willingness to bear that sort of “relative pain” are fairly earned by
those who have the stomach to deal with it. And a trend-following overlay

❦
❦ ❦
❦
152 QUANTITATIVE MOMENTUM
only makes the chance of enduring a long-stretch of relative pain even worse!
The ultimate solution is to eliminate barriers and accept relative performance
pain, but as we’ve discussed throughout this book, career risk concerns and
psychology problems prevent many investors from fully exploiting sustain-
able active strategies. After all, this is the reason certain active strategies
work in the rst place—they’re tough to follow!
We recognize that the high-conviction solution can never be deployed
by a large swath of the investing public. Nonetheless, not all is lost,
as investors have varying tolerances for relative performance pain. A
majority of investors can’t hold high conviction value and momentum,
but some investors can add a small piece of high conviction value and
momentum and bolt it on their passive allocation to the market. For
example, consider a nancial adviser who has a fairly sophisticated client
base, but these clients have limited assessment horizons and cling to
benchmarks. Large deviations from a benchmark—even with smarter
clients—can create angry clients very quickly: “Hey Mr. Adviser, why
are we losing by 10 percentage points relative to the S&P 500 index
this quarter? You’re red!” But maybe a smaller deviation (e.g., 2 per-
centage points off the S&P 500) is less of an issue? Perhaps the adviser
can survive the client performance meeting and explain why the risk of
underperformance is the cost of admission to longer-term expected outper-
formance. For investors in this situation, a core-satellite approach may be
warranted.
The core-satellite approach works as follows: The approach dedicates
alargechunkofcapitaltoapassivebenchmarkstrategy(the“core”)and
only adds a small component of an active strategy around the edges (the
“satellite”). By construction, a core-satellite approach will never deviate
too far from a benchmark. For example, in Figure 9.4 we create a port-
folio that is 80 percent allocated to the S&P 500 and 20 percent allocated
to the quantitative value and momentum portfolio described in the prior
section.
The gure shows that the core-satellite approach cannot eliminate rela-
tive pain. The core-satellite investor would still need to endure pain during
the Internet bubble period and the post-2008 nancial crisis period, but the
pain is more tolerable. Of course, the downside of the core-satellite approach
is a much lower long-term expected compounding rate than an undiluted
combination approach (see the “Combination (Net)” column relative to the
“Core-Satellite (Net)” column in Table 9.3, which outlines the summary
statistics from 1974 to 2014).

❦
❦ ❦
❦
153
35.00%
30.00%
25.00%
0.00%
12/1/1978
12/1/1978
5/1/1980
5/1/1980
10/1/1981
10/1/1981
3/1/1983
3/1/1983
8/1/1984
8/1/1984
1/1/1986
1/1/1986
6/1/1987
6/1/1987
11/1/1988
11/1/1988
4/1/1990
4/1/1990
9/1/1991
9/1/1991
2/1/1993
2/1/1993
7/1/1994
7/1/1994
12/1/1995
12/1/1995
5/1/1997
5/1/1997
10/1/1998
10/1/1998
3/1/2000
3/1/2000
8/1/2001
8/1/2001
1/1/2003
1/1/2003
6/1/2004
6/1/2004
11/1/2005
11/1/2005
4/1/2007
4/1/2007
9/1/2008
9/1/2008
2/1/2010
2/1/2010
7/1/2011
7/1/2011
12/1/2012
12/1/2012
5/1/2014
5/1/2014
12/1/1978
5/1/1980
10/1/1981
3/1/1983
8/1/1984
1/1/1986
6/1/1987
11/1/1988
4/1/1990
9/1/1991
2/1/1993
7/1/1994
12/1/1995
5/1/1997
10/1/1998
3/1/2000
8/1/2001
1/1/2003
6/1/2004
11/1/2005
4/1/2007
9/1/2008
2/1/2010
7/1/2011
12/1/2012
5/1/2014
–5.00%
–10.00%
–15.00%
5.00%
10.00%
15.00%
20.00%
5-Year Rolling CAGR Relative to the Index
Combo (net) Quant Mom (net) Quant Value (net)
FIGURE 9.4 Histogram of Five-Year Spreads

❦
❦ ❦
❦
154 QUANTITATIVE MOMENTUM
TABLE 9.3 Core-Satellite Returns
Core-Satellite
(Net)
Combination
(Net)
Quantitative
Momentum
(Net)
S&P 500
TR Index
CAGR 12.66% 18.10% 17.38% 11.16%
Standard Deviation 16.04% 21.38% 25.59% 15.45%
Downside Deviation 11.48% 14.96% 18.09% 11.05%
Sharpe Ratio 0.52 0.66 0.57 0.45
Sortino Ratio (MAR =5%) 0.72 0.94 0.80 0.62
Worst Drawdown –51.86% –60.16% –67.72% –50.21%
Worst Month Return –22.35% –26.56% –30.33% –21.58%
Best Month Return 16.52% 28.69% 34.67% 16.81%
Protable Months 61.79% 61.18% 61.79% 61.59%
NOTES
1. Wesley Gray and Tobias Carlisle, Quantitative Value: A Practitioner’s Guide
to Automating Intelligent Investment and Eliminating Behavioral Errors,
(Hoboken, NJ: John Wiley & Sons, 2012).
2. We increase the total fee from 1.80 percent in Chapter 8 to 2.00 percent in
Chapter 9 to account for higher transaction costs associated with running an
equal-weight portfolio, as well as annually rebalancing between the quantitative
momentum and quantitative value portfolios.

❦
❦ ❦
❦
APPENDIX A
Investigating Alternative
Momentum Concepts
We’ve spent multiple years trying to understand how to capture a
sustainable long-term momentum premium. Although this book is
essentially a summary of our efforts, it is not meant to be a literature review
of momentum. If we went down that route, the book would be over a
thousand pages long and the reader would still be left with the question we
try to answer in this book: What is the “best” momentum strategy? Indeed,
anyone who takes the time to review the entire literature on momentum
might reasonably arrive at different conclusions. Nonetheless, because we
read every research paper we could nd on momentum, we thought we
should share the most interesting ideas, and why we chose to not include
them in our quantitative momentum process. We hope this will assist our
readers to better understand why we think our approach makes the most
sense as compared with the variations we discuss below. All of the results
presented use the same universe of stocks used through the book and the
focus is on long-only strategies.
The ideas presented and analyzed are as follows:
■How is momentum related to fundamentals?
■Is the 52-week high a better momentum signal?
■Can absolute strength improve relative strength momentum?
■Can the volatility of momentum be constrained?
■Do we even need stock selection momentum?
While there are many other interesting and promising ideas associated
with momentum, these appear to be the core areas that we identied that
were the most reasonable and compelling. We also hope to explain why, at
the margin, we think our approach is superior to these alternatives.
155

❦
❦ ❦
❦
156 INVESTIGATING ALTERNATIVE MOMENTUM CONCEPTS
HOW IS MOMENTUM RELATED TO FUNDAMENTALS?
In 1998, Nicholas Barberis, Andrei Shleifer, and Robert Vishny1published
atheoreticalmodeloninvestorsentiment,whichdescribedthepossibility
that behavioral biases drive underreaction and overreaction, which lead to
value and momentum effects. Value is essentially an overreaction to bad
news; momentum is an underreaction to good news. In a 1996 empirical
paper, Louis Chan, Narisimhan Jegadeesh, and Josef Lakonishok2nd that
the momentum anomaly is arguably driven, in part, by a sluggish response
to past news. In their own words, “Security analysts’ earnings forecasts ...
respond sluggishly to past news, especially in the case of stocks with the
worst past performance. The results suggest a market that responds only
gradually to new information.” Sometimes such new information is reected
in fundamentals.
Robert Novy-Marx takes the relationship between fundamentals
and momentum a bit further. In a working paper titled, “Fundamentally,
Momentum Is Fundamental Momentum,”3Novy-Marx tries to understand
why momentum strategies have historically outperformed. He nds that
price momentum is a manifestation of the earnings momentum anomaly.
In other words, the momentum anomaly works because investors system-
atically underreact to earnings surprises. Novy-Marx then shows that after
controlling for earnings momentum, price-based momentum is no longer
“anomalous.”
We investigate the results presented by Novy-Marx and discuss them
below. Let’s rst review the concept of price and earnings momentum, and
how portfolios based on these two strategies are formed:
■Price momentum: Stocks with the strongest past price performance tend
to outperform those with the weakest past price performance. Portfolios
are formed based on the past 12 months’ performance, while ignoring
the most recent month to avoid short-term reversals. This strategy is
what we recommend as the baseline “momentum” screen in our book
and is the typical way academic researchers describe momentum.
■Earnings momentum: Stocks with strong past earnings surprises out-
perform those with weak past earnings surprises. Earnings momentum
portfolios are formed based on past earnings surprises. Earnings surprise
is measured via two ways in the Novy-Marx paper:
1. Standardized unexpected earnings (SUE): SUE is dened as the
most recent year-over-year change in earnings per share, scaled by
the standard deviation of the earnings changes over the last eight
announcements.

❦
❦ ❦
❦
Investigating Alternative Momentum Concepts 157
2. Cumulative three-day abnormal returns (CAR3): CAR3 is dened as
the cumulative return in excess of the market over the three days
starting the day before the most recent earnings announcement and
ending at the end of the day following the announcement.
Using the portfolio construction outlined, Novy-Marx examines
cross-sectional (Fama-MacBeth) regressions of a rms’ returns on both
past performance and earnings surprises. The results suggest that price
momentum can be largely explained by earnings momentum.
Next, Novy-Marx looks at three long/short factor portfolios:
■UMD =long high-price momentum and short low-price momentum
stocks
■SUE =long high SUE and short low SUE stocks
■CAR3 =long high CAR3 and short low CAR3 stocks
To compare across the strategies, the long/short portfolios are all set to
have the same volatility (we scale them to match UMD) using our universe
of mid/large cap stocks. Mechanically, this means that leverage is deployed
to enhance the volatility of strategies with lower natural leverage (e.g., SUE
and CAR3) to match the natural volatility of the long/short price momentum
$10,000,000
Value of $100 Invested (Log Scale)
$1,000,000
$100,000
$10,000
$1,000
$100
$10
$1
12/1/1974
3/1/1977
6/1/1979
9/1/1981
12/1/1983
3/1/1986
6/1/1988
9/1/1990
12/1/1992
3/1/1995
6/1/1997
9/1/1999
12/1/2001
3/1/2004
6/1/2006
9/1/2008
12/1/2010
3/1/2013
MOM EW L/S SUE EW Vol-matched CAR3 EW Vol-matched SP500
FIGURE A1.1 Fundamental Momentum Returns

❦
❦ ❦
❦
158 INVESTIGATING ALTERNATIVE MOMENTUM CONCEPTS
portfolio.4Figure A1.1 shows the performance of these three portfolios from
January 1, 1975, to December 31, 2014 (all portfolios are long/short portfo-
lios). We can see that both of the earnings momentum strategies dramatically
outperform the price momentum strategy.
Table 2 in the Novy-Marx paper shows the results of time-series regres-
sions: Panel A shows that UMD loads heavily on both SUE and CAR3. A few
key ndings: First, after controlling for earnings momentum and various
risk factors (e.g., market exposure, size exposure, and value exposure), price
momentum no longer produces alpha. Panels B and C of Table 2 show that
the alphas associated with SUE and CAR3 are highly signicant. Novy-Marx
concludes that earnings momentum “subsumes” price momentum, since it
seems to explain the entire effect.
But the paper’s assault on price momentum goes further. There are two
additional ndings in the paper:
1. Excluding the price momentum factor from earnings momentum factors
improves the earnings momentum performance, while excluding earn-
ings momentum from price momentum worsens the price momentum
performance. This is in the context of a long/short strategy run at a
scaled volatility of 10 percent.
2. Controlling for price momentum when constructing earnings momen-
tum strategies can help reduce volatility and eliminate crashes to a large
extent. (The price momentum strategy is known for being sensitive to
market cycles5and is more volatile in poor market environments.6)
In summary, Novy-Marx’s ndings highlight what has been known for
a while in academic research, namely, that the anomalous returns associated
with a price momentum strategy seem to be associated with an underreac-
tion to earnings news. However, Novy-Marx points out that price momen-
tum is not the right proxy to capture this underreaction effect, instead we
should be focused on earnings momentum metrics and the underreaction
to unexpected earnings surprises. According to Novy-Marx’s analysis, price
momentum doesn’t matter—earnings momentum does. However, this evi-
dence directly contradicts the analysis from Chan, Jegadeesh, and Lakon-
ishok, who show that both earnings momentum and price momentum play
aroleinidentifyinganomalousreturns.
Because the results of price momentum and earnings momentum are
mixed, we did our own investigation of this research under our own
research conditions. We focus on the universe of stocks we’ve used through-
out this book: mid- and large-cap US traded common stocks. We create the
portfolios described in Novy-Marx and examine the top and bottom decile
portfolios created from our universe based on price momentum, SUE, and

❦
❦ ❦
❦
Investigating Alternative Momentum Concepts 159
CAR3. Monthly rebalanced portfolios are formed by equal-weighting the
rms and the returns run from January 1, 1975, through December 31,
2014. Returns are shown gross of any fees.
Table A1.1 shows the top decile (long portfolio) for the measures, while
Table A1.2 shows the bottom decile (short portfolio) for the measures.
The price momentum and the SUE portfolio have the best top decile
performance (long leg in a long/short strategy), while price momentum has
the worst bottom performance (short leg in a long/short strategy). At rst
glance, one might assume that the best long/short portfolio would be asso-
ciated with the price momentum strategy, since the spread between the long
and the short portfolio is greatest. That assumption is wrong. We examine
the performance of monthly rebalanced long/short portfolios that go long
the top decile portfolio and short the bottom decile portfolio. The results
are tabulated in Table A1.3.
The results in Table A1.3 show that the price momentum long/short
portfolio has the highest compound annual growth rate (CAGR); however,
this strategy has the highest risk. On balance, the performance is relatively
weak on a risk-adjusted basis. In contrast, the SUE and CAR long/short port-
folios’ Sharpe and Sortino ratios are almost double that for the price momen-
tum long/short portfolio. To make matters worse, the drawdown for the
price momentum long/short portfolio (71.36%) is close to double that of the
TABLE A1.1 Top Decile Portfolio Summary Statistics
Price Momentum SUE CAR3 SP500
CAGR 19.81% 19.64% 16.79% 12.31%
Standard Deviation 25.73% 18.85% 22.28% 15.10%
Downside Deviation 18.21% 14.28% 15.40% 10.95%
Sharpe Ratio 0.65 0.80 0.60 0.53
Sortino Ratio (MAR =5%) 0.91 1.04 0.85 0.71
Worst Drawdown –58.59% –56.08% –59.05% –50.21%
TABLE A1.2 Bottom Decile Portfolio Summary Statistics
Price Momentum SUE CAR3 SP500
CAGR 6.07% 11.31% 8.12% 12.31%
Standard Deviation 26.48% 19.39% 23.06% 15.10%
Downside Deviation 18.00% 13.85% 16.44% 10.95%
Sharpe Ratio 0.17 0.40 0.25 0.53
Sortino Ratio (MAR =5%) 0.24 0.55 0.34 0.71
Worst Drawdown –80.96% –62.18% –69.51% –50.21%

❦
❦ ❦
❦
160 INVESTIGATING ALTERNATIVE MOMENTUM CONCEPTS
TABLE A1.3 Long/Short Momentum Portfolio Annual Returns
Price
Momentum
(L/S)
SUE
(L/S)
CAR3
(L/S) SP500
CAGR 14.59% 12.38% 12.83% 12.31%
Standard Deviation 25.28% 8.30% 8.04% 15.10%
Downside Deviation 21.94% 6.29% 6.13% 10.95%
Sharpe Ratio 0.48 0.87 0.95 0.53
Sortino Ratio (MAR =5%) 0.55 1.13 1.22 0.71
Worst Drawdown –71.36% –37.93% –29.26% –50.21%
SUE (37.93%) and CAR3 (29.26%) long/short portfolios. To summarize,
the long/short SUE and CAR3 portfolios look better than the price momen-
tum portfolio and this is the core evidence that Novy-Marx rests on to
highlight that price momentum is inferior to—and subsumed by—earnings
momentum.
Thus far, we have identied that long-only price momentum is a promis-
ing strategy, but long/short SUE and CAR3 are much better long/short
concepts. However, as we learned in Chapter 4, the stand-alone perfor-
mance of a strategy, while relevant, does not always tell us the complete
story. For example, in Chapter 4, we look at the performance of long/short
price momentum in Japan, which is a market where momentum is arguably
a poor performer on stand-alone basis. But this compartmentalized focus
on momentum ignores the fact that combining long/short momentum with
along/shortvalueapproachactuallyallowsaninvestortocreatethemost
robust portfolio market neutral portfolio. Why? Because long/short value
and momentum share an incredible attribute: they are strongly negatively
correlated. This means that the two strategies tend to work well at different
times. And this diversication benetassociatedwithmomentumcannotbe
captured by a Sharpe ratio. Sounds great, but how can we quantify this bene-
t? We take a simple factor analysis approach to ascertain how the three var-
ious long/short momentum strategies load on common risk factors related to
market risk, size risk, and value risk.7The results are shown in Table A1.4.
The factor analysis shows that all three strategies have alpha—which
has already been identied by previous research. However, we focus on the
value factor (HML), which identies the statistical relationship between a
given strategy and a generic long/short value portfolio. The price momen-
tum strategy has a highly signicant loading of –0.67, making it a prime
candidate for pairing with a value strategy. However, the earnings momen-
tum strategies, SUE and CAR3, have value loadings that are closer to zero.

❦
❦ ❦
❦
Investigating Alternative Momentum Concepts 161
TABLE A1.4 Long/Short Momentum Portfolio Factor Loadings
Price Momentum (L/S) SUE (L/S) CAR3 (L/S)
Alpha (annual) 0.16 0.08 0.09
p-value 0.0001 0.0000 0.0000
RM-RF –0.28 –0.03 –0.10
p-value 0.0128 0.4421 0.0024
SMB 0.45 –0.06 0.08
p-value 0.0377 0.2141 0.1644
HML –0.67 –0.10 –0.13
p-value 0.0013 0.1195 0.0160
The data suggest that these strategies may not be as useful, from a portfolio
perspective, for pooling with a value-centric portfolio.
To get a better feel for the practical implications of the analysis above,
we conduct an empirical test. Over the January 1, 1975, to December 31,
2014, sample period, we form four portfolios that allocate 50 percent to
value and 50 percent to momentum every month. The value portfolio is
represented by a portfolio that is long the top decile of rms ranked on
EBIT/TEV (Earnings before Interest and Taxes/Total Enterprise Value) and
rebalanced annually. The value portfolio is combined with the price momen-
tum strategy, the SUE strategy, the CAR3 strategy, and the frog-in-the pan
momentum portfolio (the four momentum-related strategies are all monthly
rebalanced). In Chapters 5 through 8, we recommend a quarterly rebalanced
portfolio, but here we use the monthly rebalanced portfolio to facilitate
afaircomparison.Chapters5to8alsoshowreturnsfrom1974–2014,
here we show returns from 1975–2014 due to data constraints on the SUE
portfolios. All return streams are shown gross of any fees or transaction
costs. Results are in Table A1.5.
TABLE A1.5 Value and Momentum Portfolio Annual Returns
50% Frog
Momentum/
50% Value
50% Price
Momentum/
50% Value
50% SUE/
50% Value
50% CAR/
50% Value
CAGR 20.54% 19.72% 19.25% 17.92%
Standard Deviation 19.55% 19.84% 17.62% 19.05%
Downside Deviation 14.36% 14.50% 13.48% 13.64%
Sharpe Ratio 0.81 0.77 0.82 0.71
Sortino Ratio (MAR =5%) 1.10 1.04 1.06 0.98
Worst Drawdown –52.55% –50.29% –50.06% –49.11%

❦
❦ ❦
❦
162 INVESTIGATING ALTERNATIVE MOMENTUM CONCEPTS
The combination portfolio of the frog-in-the-pan momentum portfolio
and the value portfolio produce the highest CAGR and Sortino ratios. The
SUE portfolio is also strong, with marginally weaker results. In short, while
the results Novy-Marx presents on SUE are intriguing, and certainly worth
consideration, when viewed through the practitioner lens, we believe this is
a much ado about nothing situation. The results aren’t powerful enough to
suggest that price momentum is dead.8
IS THE 52-WEEK HIGH A BETTER MOMENTUM SIGNAL?
The 52-week high metric is widely reported and readily available to
investors. But do investors respond rationally to this piece of information?
Investors may react irrationally to 52-week high signals because of anchor-
ing and framing biases. For example, irrational investors may take the
52-week high metric as a signal to sell without considering the fact that the
current price may undervalue the security on a fundamental basis.
Apaperwrittenin2012byMalcomBaker,XinPan,andJeffrey
Wurgler9examines the effect of reference points in mergers and acquisi-
tions. The ndings are quite astonishing—here is a summary taken from
the abstract:
Prior stock price peaks of targets affect several aspects of merger
and acquisition activity. Offer prices are biased toward recent peak
prices although they are economically unremarkable. An offer’s
probability of acceptance jumps discontinuously when it exceeds a
peak price.
So the peak price (52-week high) actually inuences the unconditional
probability of merger completion—that certainly wasn’t part of the efcient
market hypothesis textbooks we were reading in graduate school! Clearly,
the 52-week high affects merger and acquisition activity, but what about
using the metric for stock selection? Intuitively, the 52-week high will
be related to relative strength momentum measures that we’ve discussed
throughout the book. But is it a better measure than traditional momentum
calculations? In 2004, Thomas J. George and Chuan-Yang Hwang10 set out
to write a paper to address this question.
George and Hwang’s paper titled “The 52 Week High and Momentum
Investing,” nds that the 52-week-high strategy is better than traditional
momentum strategies. The conclusion of the paper is bold: “Returns
associated with winners and losers identied by the 52-week high strategy
are about twice as large as those associated with the other [momentum]
strategies.”

❦
❦ ❦
❦
Investigating Alternative Momentum Concepts 163
The authors explain their result by suggesting that when good news has
pushed a stock’s price near a 52-week high, investors are reluctant to bid
the price of the stock higher, even if the information warrants it. Essentially,
the weird feeling of buying a stock when the chart is at a peak prevents
stocks from reaching fundamentals. Fundamental information eventually is
incorporated into the stock price and the price moves up, resulting in a
“momentum-like” effect. Similarly, when bad news pushes a stock’s price
far from its 52-week high, traders are initially unwilling to sell the stock at
prices that are perceived to be “too low.” However, fundamental news is
eventually reected in the stock price, prices drop, and anomalous returns
are earned by shorting stocks near their 52-week lows.
What are we to make of these results? We spent the bulk of this book
explaining that a momentum strategy should be built using only the past
returns, while this paper claims that the prots can be doubled if one uses
a 52-week-high indicator. To better understand the strategy we replicate the
results from this paper and run them through our laboratory tests.
We rst examine the results from the original paper. The paper compares
three momentum strategies using a sample of all US traded stocks from 1963
to 2001:
1. Price momentum: The price momentum portfolio takes long (short)
positions in the 30 percent top (bottom) performing stocks based on
their past six months’ returns and is rebalanced every six months.11
2. Industry momentum:In1999,TobyMoskowitzandMarkGrinblatt
12
develop an industry momentum screen. The universe of stocks is split
into 20 industries, and a value-weight return is computed for each indus-
try. The industry momentum portfolio takes long (short) position in
stocks in the 30 percent top (bottom) performing industries.
3. 52-week-high momentum: The 52-week-high portfolio takes long (short)
positions in stocks whose current price is close to (far from) the 52-week
high. The distance from the 52-week high is measured by the price of
the stock one month ago divided by the 52-week high in the previous
year. So if we are standing on December 31, 2015, we divide the price on
November 30, 2015, by the 52-week high November 30, 2014–2015.
For the three strategies listed above, the stocks within the long and short
portfolios are equally weighted, held for six months, and reconstituted every
month (to create overlapping portfolios). In Table 2 of the original paper,
the authors nd that the prots to the three long/short momentum strategies
listed above are the highest (when excluding January) using the 52-week high
screen. The paper also investigates which strategy is most effective, after
controlling for various factors and market microstructure considerations.

❦
❦ ❦
❦
164 INVESTIGATING ALTERNATIVE MOMENTUM CONCEPTS
Regression results from Table 5 in the original paper show that 52-week
high winner/loser dummy is a good predictor of future return—better than
the past stock returns or industry factors.
The collective results suggest the 52-week high is a better trading signal
than price momentum. But what do the results look like using our uni-
verse of stocks? It should be pointed out that the George and Hwang paper
uses all stocks, and thus includes small-cap stocks, which can greatly skew
results. In contrast, we stick to a mid- and large-cap universe that is rela-
tively liquid and where the data are more robust. We form portfolios using
the 52-week-high screening variable, and place stocks into deciles based on
the ranking. Portfolios are reconstituted monthly, and are held for either
one month, three months, or six months. For the portfolios with three- and
six-month holding periods, overlapping portfolios are used. Portfolios are
formed by equal-weighting the rms, and the returns run from January 1,
1974, through December 31, 2014. Returns are shown gross of any fees. For
each decile, we plot the CAGR in Figure A1.2.
The results in Figure A1.2 document a few important ndings. First,
we notice that for the three- and six-month holding periods, there is a near
6-month hold 3-month hold 1-month hold
16.00%
14.00%
12.00%
10.00%
8.00%
6.00%
4.00%
2.00%
0.00%
Decile 1
(Furthest
Away
from 52-week
High)
Decile 2 Decile 3 Decile 4 Decile 5 Decile 6 Decile 7 Decile 8 Decile 9 Decile 10
(Closest
to 52-
week High)
FIGURE A1.2 Decile Returns to 52-Week High Screen

❦
❦ ❦
❦
Investigating Alternative Momentum Concepts 165
monotonic increase in the CAGR as one moves from decile 1 (furthest away
from 52-week high) up to decile 10 (closest to the 52-week high). This should
be expected as the paper goes long the top three deciles and shorts the bottom
three deciles to form the 52-week-high L/S portfolio discussed in the paper.
The paper also focuses their discussion around the portfolios that are held
for six months, which, not surprisingly, have the best performance. However,
for the monthly rebalanced version of the 52-week-high strategy, the results
break down dramatically. In other words, they fail a simple robustness test.
When results are fragile to reasonable changes in portfolio construction, we
get queasy that data mining may explain the analysis.
To make matters worse for the 52-week-high strategy, a basic long strat-
egy that buys the portfolio of stocks based on nearness to the 52-week
high isn’t that compelling. For example, the top decile 52-week-high port-
folio, held for 3 months, earns a 14.15 percent CAGR. Not bad, relative
to the market before transaction costs, but this CAGR is much lower than
the simple price momentum top decile portfolio (discussed in Chapter 5)
held for three months, which earned a 17.10 percent CAGR over the same
period.
Overall, we are impressed with the story behind the 52-week-high
concept, but we feel there is no robust evidence that the strategy is more
effective than relative strength price momentum strategies. Nevertheless,
the 52-week-high evidence does point in the general direction of the price
momentum anomaly and serves as another data point, which highlights
that momentum strategies likely exploit mispricing caused by marketwide
underreaction to news.
CAN ABSOLUTE STRENGTH IMPROVE RELATIVE
STRENGTH MOMENTUM?
“Absolute Strength: Exploring Momentum in Stock Returns,” by Huseyin
Gulen and Relitsa Petkova,13 has an interesting twist on standard relative
strength momentum strategies. As we’ve discussed throughout this book,
the academic research community captures the generic momentum strategy
by ranking rms on their past 12-month momentum (ignoring last month’s
return). Portfolios are then formed on these rankings. Most research papers
long the winners and short the losers. However, the classication of a “win-
ner” stock and a “loser” stock changes over time. During the Internet bub-
ble, to be classied as a “winner” a rm needed to have a past momentum
score of around 250 percent (near the peak). During the 2008 nancial crisis,
a “winner” stock would be any stock with a return above negative 5 percent.
Clearly, relative strength winners can have wide-ranging returns (the same
wide-ranging result is seen on relative strength losers).

❦
❦ ❦
❦
166 INVESTIGATING ALTERNATIVE MOMENTUM CONCEPTS
The authors explore the idea that perhaps a momentum strategy can
be improved by focusing on the “absolute” strength score. The idea is to
look back each month at the historical cutoffs for winners and losers, while
using all available returns to create the cutoffs. An example will illustrate the
methodology more clearly. Imagine it is January 31, 1965, and we examine
all the momentum scores (past 12-month momentum, skipping the most
recent month) for all stocks measured in January, using every year available
prior to 1965. This would be all the momentum scores on January 31, 1927,
January 31, 1928 ... , and January 31, 1965. From this sample set, identify
the 10th and 90th percentile values and use these as the “absolute” momen-
tum cutoffs. The cutoff analysis is completed each month, so the percentile
values are dynamic over time.
The absolute momentum cutoffs ensure that the denition of a winning
and a losing stock are more consistent over time. Using results from the paper,
the “winning” stock cutoff is near 60 percent, while the “losing” stock cutoff
is around negative 35 percent. Portfolios are formed using stocks that meet
the cutoff points. And while this approach has intuitive appeal, the portfolio
strategy will create stock portfolios with differing numbers of stock holdings.
In some cases, the number of stock holdings can be extreme. For example, a
gure from the original paper shows that during the 2008 nancial crisis, the
number of winners drops close to zero, while the number of losers goes above
1,500. A relative strength momentum rule on the other hand, will always buy
the top 10 percent and sell the bottom 10 percent of the universe. So if there
are 5,000 rms in the universe, the relative strength portfolio would buy 500
stocks and sell 500 stocks, keeping the portfolio size in balance.
Construction issues aside, how does this absolute momentum portfolio
perform? The author’s strategy that buys absolute strength winners and sells
absolute strength losers delivers a risk-adjusted return of 2.42 percent per
month from 1965 to 2014 and 1.55 percent per month from 2000 to 2014.
The baseline results to the long/short portfolios are impressive.
We’re a bit skeptical of the results based on the universe used by the
authors. Their universe includes microcaps stocks, which make up around
60 percent of the names in the CRSP universe, but only about 3 percent of
the market cap according to Fama and French 2008.14 Imagine trying to
long or short hundreds of microcap stocks!
To assess the validity of the absolute momentum results we decided to
perform the same analysis on a universe of mid- and large-cap US stocks.
We reconstruct the absolute momentum signal every month according the
cookbook outlined in the original paper. Figure A1.3 plots the breakpoints
over time. The return breakpoints are similar to those in the paper: the “win-
ning” stock cutoff is around 60 percent, while the “losing” stock cutoff is
around –35 percent. We only include stocks in the winner portfolio if they

❦
❦ ❦
❦
Investigating Alternative Momentum Concepts 167
80.0%
60.0%
40.0%
20.0%
0.0%
12/1/1964
2/1/1966
4/1/1967
6/1/1968
8/1/1969
10/1/1970
12/1/1971
2/1/1973
4/1/1974
6/1/1975
8/1/1976
10/1/1977
12/1/1978
2/1/1980
4/1/1981
6/1/1982
8/1/1983
10/1/1984
12/1/1985
2/1/1987
4/1/1988
6/1/1989
8/1/1990
10/1/1991
12/1/1992
2/1/1994
4/1/1995
6/1/1996
8/1/1997
10/1/1998
12/1/1999
2/1/2001
4/1/2002
6/1/2003
8/1/2004
10/1/2005
12/1/2006
2/1/2008
4/1/2009
6/1/2010
8/1/2011
10/1/2012
12/1/2013
–20.0%
–40.0%
Absolute Momentum Breakpoints
10th Percentile 90th Percentile
FIGURE A1.3 Absolute Momentum Breakpoints
are above the winner cutoff and only include stocks in the loser portfolio
if they are below the loser cutoff. As mentioned previously, this approach
introduces an odd portfolio construction element. Figure A1.4 highlights the
number of rms in the high and low absolute momentum portfolios across
time and compares these portfolio sizes to the standard price momentum
approach that buys the top 10 percent relative strength stocks and shorts
the bottom 10 percent relative strength stocks.
Similar to the original paper, there are extreme variations in portfolio
sizes. During the nancial crisis the absolute momentum portfolio is long
one rm in January 2009, while the absolute momentum portfolio is short
over 800 stocks.
We next assess the performance of the absolute momentum long/short
strategy. We examine long/short returns to the equal-weighted monthly
rebalanced portfolios from January 1965 to December 2014. All returns
shown are total returns but are gross of any fees and transaction costs. The
results are shown in Table A1.6.
The results are similar to the paper: the absolute momentum long/short
portfolio outperforms the relative strength portfolio on a variety of metrics.
To dig a bit deeper into the absolute momentum concept, we look at the
performance of the long and short portfolios, separately.

❦
❦ ❦
❦
168 INVESTIGATING ALTERNATIVE MOMENTUM CONCEPTS
800
600
200
400
0
–200
–400
–600
–800
–1000
Number of Firms in the Portfolio Each Month
Abs. Str. Winners N Abs. Str. Losers N Rel. Str. Losers N Rel. Str. Winners N
1/1/1965
3/1/1966
5/1/1967
7/1/1968
9/1/1969
11/1/1970
1/1/1972
3/1/1973
5/1/1974
7/1/1975
9/1/1976
11/1/1977
1/1/1979
3/1/1980
5/1/1981
7/1/1982
9/1/1983
11/1/1984
1/1/1986
3/1/1987
5/1/1988
7/1/1989
9/1/1990
11/1/1991
1/1/1993
3/1/1994
5/1/1995
7/1/1996
9/1/1997
11/1/1998
1/1/2000
3/1/2001
5/1/2002
7/1/2003
9/1/2004
11/1/2005
1/1/2007
3/1/2008
5/1/2009
7/1/2010
9/1/2011
1/1/2014
11/1/2012
FIGURE A1.4 Absolute Momentum Number of Firms
TABLE A1.6 Absolute Momentum Long/Short Returns
Absolute
Strength (L/S)
Relative
Strength (L/S) SP500
CAGR 25.28% 17.97% 10.01%
Standard Deviation 23.26% 24.02% 15.04%
Downside Deviation 17.57% 20.58% 10.64%
Sharpe Ratio 0.88 0.61 0.38
Sortino Ratio (MAR =5%) 1.17 0.71 0.54
Worst Drawdown –68.27% –70.86% –50.21%
Table A1.7 shows the results to the four portfolios (Absolute Strength
Winners and Losers; Relative Strength Winners and Losers). Portfolios are
equal-weighted and rebalanced monthly from January 1965 to December
2014. All returns shown are total returns but are gross of any fees and trans-
action costs.
Examining the results, the long-only “winner” portfolios are similar and
there is little marginal benet of an absolute momentum strategy relative to

❦
❦ ❦
❦
Investigating Alternative Momentum Concepts 169
TABLE A1.7 Absolute Momentum Long-Only Portfolio Returns
Absolute
Momentum
Winner
Portfolio
Relative
Momentum
Winner
Portfolio
Absolute
Momentum
Loser
Portfolio
Relative
Momentum
Loser
Portfolio
CAGR 18.91% 18.74% –3.42% 2.40%
Standard Deviation 24.85% 25.11% 26.17% 26.20%
Downside Deviation 17.06% 17.41% 17.09% 17.39%
Sharpe Ratio 0.63 0.62 –0.19 0.03
Sortino Ratio (MAR =5%) 0.91 0.89 –0.29 0.04
Worst Drawdown –65.09% –58.40% –94.10% –82.01%
a classic price momentum strategy. The absolute momentum loser portfolio,
however, is much worse than the relative momentum loser portfolio.
These results suggest that the short leg drives the performance difference
between the long/short absolute momentum strategy and the long/short
relative momentum strategy.
Another potential issue is that the absolute momentum rule can create
portfolios with varying sizes from month to month. Alternatively, the rela-
tive strength signal creates a highly consistent Nin the portfolio from month
to month. Indirectly, the absolute momentum rule opens an investor up to a
lot of risk that may not be captured in a backtest. For example, in January
2009, the absolute momentum portfolio is long a single stock and the abso-
lute momentum portfolio is short over 800 stocks. We don’t know many
investors who would consider it prudent to hold a single stock portfolio.
Obviously, this didn’t have a huge effect historically, but out of sample this
could create serious consequences.
CAN THE VOLATILITY OF MOMENTUM
BE CONSTRAINED?
Anegativeaspecttomomentuminvestingisthefactthatahigh-momentum
portfolio tends to have large drawdowns and gut-wrenching volatility. On
the one hand, this is a terrible characteristic, but on the other hand, this is
why momentum is sustainable—it is not easy to “arbitrage.” But perhaps
there is a better way to manage the volatility of momentum strategies. Yufeng
Han, Guofu Zhou, and Yingzi Zhu make a good attempt in their paper,
“Taming Momentum Crashes: A Simple Stop-Loss Strategy.” The authors
apply a simple stop-loss rule to the classic long/short momentum portfolio.15

❦
❦ ❦
❦
170 INVESTIGATING ALTERNATIVE MOMENTUM CONCEPTS
The results are impressive. Using a 10 percent stop-loss rule, the authors drop
the maximum monthly loss from negative 49.79 percent to negative 11.36
percent and the Sharpe ratios are more than doubled.
The specics of the trading strategy can be summarized in three rules:
1. Rebalance the long and short book monthly by sorting stocks on their
past returns (the paper uses the last seven months’ returns, excluding the
most recent month).
2. Monitor the long portfolio daily: If a long position declines by Xpercent
(e.g., 10), sell the position and invest it in the risk-free rate until the end
of the month.
3. Monitor the short portfolio daily: If a short position rises by Xpercent
(e.g., 10), cover the position and invest any proceeds in the risk-free rate
until the end of the month.
Table A1.8 shows the original gures from the paper.
Not only does the portfolio have smaller monthly drawdowns, but
the average returns increase with the use of the stop-loss rules! If we
examine the winners minus losers (WML) long/short portfolio the average
monthly returns are highest using the 5 percent rule. Any strategy that can
lower drawdowns and increase returns is pretty compelling and worth a
second look.
TABLE A1.8 Equal-Weighted Stop-Loss Momentum Monthly Returns
Variable Avg Ret (%) Minimum (%)
Panel A: Original Momentum
Market 0.65 –29.10
Losers 0.24 –39.50
Winners 1.24 –33.06
WML 0.99 –49.79
Panel B: Stop Loss at 10%
Losers –0.42 –39.27
Winners 1.27 –12.87
WML 1.69 –11.36
Panel C: Stop Loss at 5%
Losers –0.83 –36.34
Winners 1.53 –8.48
WML 2.35 –8.94

❦
❦ ❦
❦
Investigating Alternative Momentum Concepts 171
Of course, nothing in nancial markets is ever easy, although sometimes
it looks that way. A downside of the stop-loss approach is that the strat-
egy requires daily analysis of every stock position, which may be quite
difcult—not to mention costly—for many investors to implement. Also,
from the perspective of a long-only investor, which is the focus of our book,
the benets to a stop-loss strategy are muted. For example, a momentum
strategy with a 10 percent stop-loss rule has a 1.27 percent average monthly
return, which is similar to a long-only buy and hold momentum strategy,
which earns a 1.24 percent average monthly return. That said, there is a
risk management benettoastop-lossapproach,whichwewillexaminein
more detail.
Similar to our prior analysis, we examine the stop-loss strategy under
our own research conditions. We examine a mid- to large-cap US traded
universe and we focus our analysis on the long-only portfolios. All returns
are gross, and no management fee or transaction costs are applied. We exam-
ine the returns from January 1, 1927, to December 31, 2013, to cover the
same sample period analyzed in the paper. We examine the following four
portfolios:
1. High momentum:Top10percentofrms ranked on their past momen-
tum (total return over the past 12 months ignoring last month). Portfolio
is monthly rebalanced and equal weighted.
2. High momentum with 10 percent stop-loss rule:Top10percentof
rms ranked on their past momentum (total return over the past 12
months ignoring last month). Portfolio is monthly rebalanced and equal
weighted. If during the month any individual stock position is down 10
percent, sell the security and remain in cash until the end of the month,
at which time the portfolio is rebalanced into the top 10 percent of
momentum rms.
3. High momentum with 5 percent stop-loss rule:Top10percentof
rms ranked on their past momentum (total return over the past 12
months ignoring last month). Portfolio is monthly rebalanced and equal
weighted. If during the month any individual stock position is down 5
percent, sell the security and remain in cash until the end of the month,
at which time the portfolio is rebalanced into the top 10 percent of
momentum rms.
4. SP500:TotalreturnoftheS&P500Index.
The results of the analysis are presented in Table A1.9.
The long-only generic momentum portfolio generates a much higher
CAGR than the risk-managed portfolios; however, the risk prole is arguably

❦
❦ ❦
❦
172 INVESTIGATING ALTERNATIVE MOMENTUM CONCEPTS
TABLE A1.9 Momentum Stop-Loss Performance
High
Momentum
High
Momentum
10% Stop-Loss
High
Momentum
5% Stop-Loss SP500
CAGR 19.34% 15.47% 15.29% 9.91%
Standard Deviation 24.78% 22.19% 18.31% 19.18%
Downside Deviation 18.26% 12.73% 8.36% 14.26%
Sharpe Ratio 0.70 0.61 0.68 0.41
Sortino Ratio (MAR =5%) 0.87 0.93 1.31 0.44
Worst Drawdown –71.73% –64.02% –48.11% –84.59%
better for the stop-loss systems. However, the risk prole is highly dependent
on the stop-loss rule examined, which hints toward a robustness issue. Rel-
ative to the 10 percent stop-loss rule, generic momentum is a better strategy,
but relative to a 5 percent stop-loss rule, generic momentum is worse on a
risk-adjusted basis.
On net, the stop-loss rule is interesting; however, risk management
via stop-loss is not the only option. One can apply a simple long-term
trend-following rule16 and/or a time-series momentum rule17 on a long-only
momentum strategy and avoid the complexity and operational commitment
required for a daily-assessed momentum portfolio. For example, consider
a simple time-series momentum trading rule that is long the momentum
portfolio if the past 12 month return on the S&P 500 is above the risk-free
rate, otherwise, the portfolio is investing in risk-free bonds.
Here are the four portfolios we test:
1. High momentum w/TSMOM:Top10percentofrms ranked on
their past momentum (total return over the past 12 months ignoring
last month). Portfolio is monthly rebalanced and equal weighted.
A 12-month time-series momentum-trading rule is applied each month.
2. High momentum: Top 10 percent of rms ranked on their past
momentum (total return over the past 12 months, ignoring last month).
Portfolio is monthly rebalanced and equal weighted.
3. High momentum with 10 percent stop-loss rule:Top10percentof
rms ranked on their past momentum (total return over the past
12 months ignoring last month). Portfolio is monthly rebalanced and
equal weighted. If during the month any individual stock position is
down 10 percent, sell the security and remain in cash until the end of

❦
❦ ❦
❦
Investigating Alternative Momentum Concepts 173
the month, at which time the portfolio is rebalanced into the top 10
percent of momentum rms.
4. High momentum with 5 percent stop-loss rule:Top10percentof
rms ranked on their past momentum (total return over the past
12 months ignoring last month). Portfolio is monthly rebalanced and
equal weighted. If during the month any individual stock position is
down 5 percent, sell the security and remain in cash until the end of the
month, at which time the portfolio is rebalanced into the top 5 percent
of momentum rms.
The returns run from January 1, 1928, to December 31, 2013 (we don’t
include 1927 because we need to use 12 months of data to get the TSMOM
rule). Results are gross of fees. All returns are total returns and include the
reinvestment of distributions (e.g., dividends).
The results from Table A1.10 highlight that a simple monthly reviewed
risk management rule applied at the portfolio level can achieve the same
level of risk control, but with a lot less complication, than daily-assessed
stop-loss rules.
If investors are interested in managing the volatility of their portfolio, we
recommend that investors rst focus on achieving the best possible long-only
momentum portfolio and combine it with the best possible long-only value
portfolio. Once that is achieved, and the investor is capturing the highest
expected equity premium on a risk-adjusted basis, the investor can deploy
risk-management rules at the portfolio level. Although a detailed discus-
sion of this approach is beyond the scope of this book, we recommend that
TABLE A1.10 Time-Series Momentum Performance
High
Momentum
TSMOM
High
Momentum
High
Momentum
10% Stop-Loss
High
Momentum
10% Stop-Loss
CAGR 16.57% 18.93% 15.06% 14.88%
Standard Deviation 20.97% 24.84% 22.23% 18.32%
Downside Deviation 16.80% 18.31% 12.75% 8.36%
Sharpe Ratio 0.68 0.69 0.59 0.66
Sortino Ratio
(MAR =5%) 0.75 0.85 0.91 1.26
Worst Drawdown –50.99% –71.73% –64.02% –48.11%

❦
❦ ❦
❦
174 INVESTIGATING ALTERNATIVE MOMENTUM CONCEPTS
investors focus on simple trend-following and time-series momentum type
rules to facilitate portfolio-level risk management.
NOTES
1. Nicholas Barberis, Andrei Shleifer, and Robert Vishny, “A Model of Investor
Sentiment,” Journal of Financial Economics 49 (1998): 307–343.
2. Louis Chan, Narisimhan Jegadeesh, and Josef Lakonishok, “Momentum Strate-
gies,” The Journal of Finance 51 (1996): 1681–1713.
3. Robert Novy-Marx, “Fundamentally, Momentum Is Fundamental Momen-
tum,” NBER Working Paper No. 20984.
4. For our universe of mid/large cap stocks, to match the volatility of the fundamen-
tal momentum portfolios (SUE and CAR3) with the price momentum (UMD)
portfolios, the fundamental momentum portfolios (SUE and CAR3) are required
to be three times long and three times short.
5. Tarun Chordia and Lakshmanan Shivakumar, “Earnings and Price Momen-
tum,” AFA 2003 Washington, DC Meetings.
6. Kent Daniel and Tobias Moskowitz. “Momentum Crashes,” Columbia Business
School Research Paper No. 14–36.
7. Eugene F. Fama and Kenneth R. French, “Common Risk Factors in the Returns
on Stocks and Bonds,” Journal of Financial Economics 33 (1993): 3–56.
8. Readers interested in more complex long/short portfolios should explore earn-
ings momentum strategies in more detail.
9. Malcolm Baker, Xin Pan, and Jeffrey Wurgler, “The Effect of Reference Point
Prices on Mergers and Acquisitions,” Journal of Financial Economics 106
(2012): 49–71.
10. Thomas J. George and Chuan-Yang Hwang, “The 52-Week High and Momen-
tum Investing,” The Journal of Finance 59 (2004): 1957–2444.
11. Narasimhan Jegadeesh and Sheridan Titman, “Returns to Buying Winners and
Selling Losers: Implications for Stock Market Efciency,” The Journal of Finance
48 (1993): 65–91.
12. Tobias J. Moskowitz and Mark Grinblatt, “Do Industries Explain Momentum?”
The Journal of Finance 54 (1999): 1249–1290.
13. Huseyin Gulen and Ralitsa Petkova, “Absolute Strength: Exploring Momentum
in Stock Returns,” working paper, accessed 1/31/2016.
14. Eugene F. Fama and Kenneth R. French, “Dissecting Anomalies,” The Journal
of Finance 63 (2008): 1653–1678.
15. Yufeng Han, Guofu Zhou, and Yingzi Zhu, “Taming Momentum Crashes: A
Simple Stop-Loss Strategy,” working paper, accessed 1/31/2016.
16. See Meb Faber, “A Quantitative Approach to Tactical Asset Allocation,” The
Journal of Wealth Management 9 (2007): 69–79.
17. Gary Antonacci, Dual Momentum Investing: An Innovative Strategy for Higher
Returns with Lower Risk (New York: McGraw-Hill, 2014).

❦
❦ ❦
❦
APPENDIX B
Performance Statistics
Definitions
Table A2.1 provides a denition of the performance statistics used through-
out the text.
TABLE A2.1 Performance Statistics Denitions
Statistics Description
CAGR Compound annual growth rate
Standard Deviation Sample standard deviation (annualized by square
root of 12)
Downside Deviation Sample standard deviation of all negative
observations (annualized by square root of 12)
Sharpe Ratio Monthly return minus risk-free rate divided by
standard deviation (annualized by square root of
12)
Sortino Ratio (MAR =5%) Monthly return minus minimum acceptable return
(MAR/12) divided by downside deviation
(annualized by square root of 12)
Worst Drawdown Worst peak-to-trough performance
Worst Month Return Worst monthly performance
Best Month Return Best monthly performance
Protable Months Proportion of monthly performances that have a
positive return
175

❦
❦ ❦
❦
About the Companion Website
This book includes a companion website, which can be found at www
.alphaarchitect.com. This website includes the following:
■A screening tool to nd momentum stocks described in the book
■Additional research on momentum investing
■A continually updated blog on developments in quantitative investing
■And much, much, more
176

❦
❦ ❦
❦
Index
Absolute momentum
breakpoints, 167
calculation of, 10
cutoff points, 166
nancial crisis and, 167
rms, number of, 168
long-only portfolio returns, 169
long/short returns, 168
portfolio performance, 166
rule, 169
validity of, 166
Absolute strength, 165–169
Agarwal, Vikas, 110
Alliance Pharmaceutical Corp.,
94–96
Alpha
relative risk premium, 154
sustainable, 27
Alpha analysis, quantitative
momentum and, 136–139
Alternative momentum concepts,
155–172
52-week high, 162–165
absolute strength improving
relative strength, 165–169
fundamentals and, 156–162
volatility of momentum,
169–174
American Finance Association, 62
American Stock Exchange (AMEX),
49, 139
Apple, 88, 90
AQR Capital Management, 59, 64,
91, 123
Arbitrage
dened, 23–24
investment strategy example, 24
limits to, 18, 24
quantitative momentum and,
141, 142
Asness, Cliff, 53, 57, 68, 70, 123
Asset class historical results, 67
Asset-class selection, trading rules
and, 11
Australian equity markets, 111
Baker, Malcom, 162
Bali, Turan G., 96–97
Barberis, Nicholas, 55, 56, 96,
100–101, 156
Barron’s,32
Baupost Group hedge fund, 7
Beaver, William, 49
Behavioral bias
identication of, 48
indirect exploitation of, 102
mispricing due to, 57
pillars of, 36
value, momentum and, 141
Behavioral errors, 60
Behavioral nance, 18–20
essence of, 21
investor psychology, 19–20
market mispricing and, 21
momentum and, 46–47
pillars of, 19, 36
poker comparison (see Poker
comparison)
177

❦
❦ ❦
❦
178 INDEX
Behavioral psychology, 100, 105
Behavioral theories, challenging, 56
Benchmark, passive, 70
Benchmark drift, 38
Benchmark portfolio, 125
Beta
dened, 99
“lottery-like” stocks and, 98–99
Beta anomaly, 98
Bias, EMH and, 62
Black, Fischer, 65
Black box, 140–141
Blended strategy, 73
Bloomeld, Robert, 56
B/M (book to market) ratios, 49
Brown, Philip, 111
Brunnermeier, Markus, 31, 32
Buffett, Warren, 6, 7, 8, 9, 16, 32,
45, 46, 142
CAGR (Compound Annual
Growth Rate)
52-week high screen and,
164–165
across different decades, 127
equal-weighting scheme and, 125
growth vs. momentum
monkeys, 51
intermediate-term returns and, 86
quantitative momentum and,
128, 129, 130
rebalancing and, 90
rolling ve-year, 146
value-weighted portfolios and, 88
Cakici, Nusret, 97
Capital Asset Pricing Model
(CAPM), 65, 136
Career risk
market frictions and, 58
momentum and, 59
quantitative momentum and,
152–154
Carhart, Mark, 44–45
CGM Focus Fund, 25–26
CGR, 70
Chan, Louis, 156
Chen, Honghui, 111
Closet indexing structures,
148–149
Combo portfolio, 68–74
annual returns for, 37–38
plus trend, 149–151
rolling 5-year spreads, 71–74
volatility and, 38
Compound Annual Growth Rate.
See CAGR (Compound Annual
Growth Rate)
Compustat, 49
Confusion De Confusions,3
“Continuation” effect, 86–87
Continuous information, 101, 103
Cooperman, Leon, 31
Core-satellite approach, 152
Costs
“all in”, 90
assumptions/estimates, 123–124
frictional, 103, 115
implementation, 24
mispricing opportunities and, 142
transaction (see Transaction
costs)
Cross-sectional momentum
about, 10
example using, 11
CRSP (Center for Research
in Security Prices), 49, 124
Cumulative three-day abnormal
returns (CAR3), 156–162
Cutoff analysis, 166
Da, Zhi, 100–101, 103, 105
Daniel, Kent, 48, 55
Data mining, 93, 141
DeBondt, Werner, 83

❦
❦ ❦
❦
Index 179
de la Vega, Joseph, 3–4, 6
De Long, Brad, 20
Discrete information, 101, 103
Disposition effect, 47, 103
Distributions, reinvestment of, 88
Diversication
equal-weighting scheme and, 125
stock selection strategies and, 63
Diversier, identication of, 38–39
Dividends, 88
“Diworsication”
avoidance of, 91
Internet bubble and, 35
minimization of, 148
Dojima Rice Market, 4–5
Downside-protected strategies, 151
Drawdown(s)
Great Depression, 126
growth vs. momentum
monkeys, 52
maximum, 131
rolling analysis of, 131–134
top 10 analysis, 134
Drawdown analysis, summary, 131
Druckenmiller, Stanley, 9
Dutch East India Company, 3
Earnings momentum, 156
EBIT/TEV (Earnings before Interest
and Taxes/Total Enterprise
Value), 161
Efcient Market Hypothesis
(EMH)
arbitrage and, 18–19, 21
bias and, 62
career risk and, 152, 154
establishment of, 15
momentum and, 45
real world markets and, 18
relative strength and, 43–44
strongest supporter of, 17
Equal-weighting portfolios, 91,
117, 125
Equation
information discreteness, 101
long-term performance, 27, 35
Equity markets, biggest, 69
Europe, rolling 5-year spreads,
71, 73
Evidence-based enhancements, 93
Evidence-based investing, age of,
8–9
Expectation error, 141
Facebook, 46
Fama, Eugene, 16, 17, 49, 55,
62–63, 136, 166
Fama-MacBeth, 157
52-week high, 162–165
Financial Analyst Journal,108
Financial crisis of 2008
absolute momentum and, 167
absolute momentum portfolio
and, 167
momentum and, 57, 58
post-2008 and, 151, 152
quantitative momentum and, 136
trough of, 16
“winner stocks” and, 165
Fisher, Gregg, 91
Fountain of Gold—The Three
Monkey Record of Money,
The,5
Four-factor alpha, 98, 136
Four-factor model, 136
Frazzini, Andrea, 59, 91, 123
French, Ken, 16, 33, 49, 54, 65, 88,
136, 166
Frictional costs, 103, 115
Frog-in-the-pan (FIP)
algorithm, 120–123, 140
hypothesis, 100–102
portfolio alphas, 102
results to long/short momentum
portfolios, 101

❦
❦ ❦
❦
180 INDEX
Fundamental analysis, emergence
of, 6–8
Fundamental investors, 15–17
Fundamental momentum
returns, 157
Fundamental risk, 24
Fundamentals, momentum and,
156–162
Gay, Gerald, 110
Gecay, Chris, 128, 141
Generic momentum
12-month momentum and, 165
calculation of, 80–81
dened, 101
quantitative momentum and, 120
Generic momentum effect, drivers
of, 104
George, Thomas J., 162, 164
Global rolling 5-year spreads,
73, 74
Google, 46
Graham, Benjamin, 6, 8, 14, 16, 40,
44, 45
Great Depression drawdown,
126
Greenblat, Joel, 16
Grifn, Dale, 56
Grinblatt, Mark, 111, 163
Growth
value and, 40 (see also Combo
portfolio)
value of, 36–38
“Growth” funds, momentum
compared to, 39
Growth investing
characterized, 48
vs. momentum investing, 49–52
momentum investing compared
to, 47–49
monkeys throwing darts and,
50–52
rationale for, 36–39
sustainable performance and,
35, 38
Gulen, Huseyin, 165
Gurun, Umit, 100–101, 103
Hales, Jeffrey, 56
Han, Yufeng, 168
He, Jia, 110
Heebner, Ken, 25–26, 31
High beta stocks, 98–99
High-conviction value, 146
High momentum portfolios,
stop-loss rule and, 172–173
High-momentum stocks, 94–96
Holding period, 87, 88, 89
Homma, Munehisa, 5, 6, 14
Hong, Harrison, 55, 102
Hu, Gang, 109
Hwang, Chuan-Yang, 162, 164
Implementation costs, 24
Index fund, plain-vanilla, 33
Indexing, closet, 148–149
Industry momentum, 163
Information
continuous, 101, 103
discrete, 101, 103
Information discreteness (ID),
101, 103
Intelligent Investor,The,6
Intermediate-term momentum,
84–88
International Rectier Corp.,
94–96
Internet Bubble
“diworsication” and, 35
growth investing and, 40
mispricing and, 32
overpriced growth stocks and, 35
path dependency and, 94–96
quantitative value and, 146

❦
❦ ❦
❦
Index 181
underperformance and, 151, 152
window dressing and, 109
“winner stocks” and, 165
Intrinsic value, 53
Investment formulas, 7
Investment strategies, long-term,
24–25
Investors, sustainable, 27
IQ/intelligence, 14–15
Israel, Ronen, 91, 123
Jacobsen, Ben, 107
“January” effect, 110–111
Japan
combination portfolio and,
73, 74
long/short price momentum
in, 160
momentum strategy and,
63–65
Japanese economy, Dojima Rice
Market, 4–5
Japanese equity market
performance, 64
Jegadeesh, Narasimhan, 39, 44, 45,
81, 84–87, 156
Jones, Paul Tudor, 31
Journal of Finance,26,45,108
Journal of Financial Economics,
108
Journal of Political Economy,20
Journal of Portfolio Management,
The,63,108
Kacperczyk, Marcin, 109
Kahneman, Daniel, 19, 44
Keim, Donald, 111
Keloharju, Matti, 107
Kemmerer, Edwin, 108
Keynes, John Maynard, 18
Kinney, William R., Jr., 110, 111
Klarman, Seth, 7, 8
Kleidon, Allan, 111
Korajczyk, Robert, 90, 91
Lakonishok, Josef, 47, 48, 156
Lefevre, Edwin, 5
Lehman, Bruce, 81
Lesmond, David A., 90, 91, 123
Levy, Robert, 43, 44
Lim, Terence, 102
“Limited attention”, 100, 105
Ling, Leng, 110
Linnainmaa, Juhani, 107
Livermore, Jesse, 5, 6, 14
Lo, Andrew, 9
Long/short momentum portfolio
factor loadings, 161
Long-term active management
success
bad players, identication of,
29–31
best players, actions of, 31–35
keys to, 26–35
theory to practice, 27–29
Long-term investor, six-year
investing pain train, 34
Long-term market opportunities,
short-term performance
and, 26
Long-term momentum, 83–84
Long-term performance equation,
27, 35
“Look-back” period, 90
Look-backs, intermediate-term, 85
Look-back windows, 83
Lottery bias, 98, 99
“Lottery-like” stocks
path dependency and, 95
performance of, 96–100
results, MAX ranking and, 97–98
Low beat stocks, 98–99
Malkiel, Burt, 6–8, 43–44
Margin of Safety,7

❦
❦ ❦
❦
182 INDEX
Market cycle
denitions, 135
performance, quantitative
momentum and, 135
Market exposure, 98
Market frictions, 24, 36
Market liquidity, 115
Market mispricing
behavioral nance and, 21
costs and, 142
Efcient Market Hypothesis
and, 18
enhancing, 31–32
long time frames and, 25
opportunities, 70
quantitative momentum and,
141–142
Market-timing, trading rules
and, 11
Markowitz, Harry, 65
Marsh, Terry, 111
MBA “rebels”, 45
McLean, David, 109
McNichols, Maureen, 49
Mean-variance (MV) frontier,
65–68
Mispricing. See Market mispricing
Modern portfolio theory, 65–68
chart, 66
with momentum, 68
Momentum
absolute (see Absolute
momentum)
adoption of term, 44–45
behavioral nance theorists on,
46–47
best players and, 57–59
concepts, alternative (see
Alternative momentum
concepts)
cross-sectional, 10, 11
dened, 39, 43
expanding horizons with, 65–68
generic (see Generic momentum)
growth compared to, 39
industry, 163
intermediate-term, 84–87
investing (see Momentum
investing)
long-term, 83–84
as “myth”, 62–63
as performance king, 54
performance of, 69
as “premier anomaly”, 62
revitalization of, 44–45
short-term, 81–83
time series, 10, 11
trading frequency and, 58–59
types of, 81–87
underperformance and, 57, 58
underreaction issue and, 55–56
value and, as system, 79
value and, correlation of, 70
value compared to, 59
value married to, 68–75
value plus, 144–149
why it works, 53–59
Momentum anomaly, 54–57, 102
Momentum effect, persistence
of, 39
Momentum factor (MOM), 139
Momentum investing
characterized, 48
vs.growthinvesting,49–52
growth investing compared
to, 47–49
monkeys throwing darts and,
50–52
pessimism and, 47
why it works, 53
“Momentum-like effect”, 163
Momentum performance,
1927–2014, 54

❦
❦ ❦
❦
Index 183
Momentum portfolio construction.
See Portfolio construction
Momentum portfolio returns
intermediate-term, 86–87
long-term, 84, 85
short-term, 82–83
Momentum portfolio(s), 146–149
annual results, quality of, 104
returns, quality of, 104
Momentum premium, 85
Momentum prots, 113
Momentum seasonality
from 1984–2004, 113
benets, 116
results, 114–117
Momentum spread, 115
Momentum stocks
outperformance and, 54
path dependency and, 94
time-series characteristics of, 93
Momentum stop-loss performance,
172
Momentum strategies
building, basics, 79–82
categories, 10
commonly examined, 91–92
excess expected returns, 59–60
intermediate-term horizon
and, 85
path dependency and, 105
seasonality and, 113
Monkeys throwing darts, 50–52
Moskowitz, Toby, 57, 68, 91, 111,
123, 163
MSCI Japan Total Return Index, 64
Nagel, Stefan, 31, 32
NASDAQ, 49
NASDAQ crash, 136
Newton, Sir Isaac, 14
New York Stock Exchange (NYSE),
49, 124, 139
Ng, Lilian, 110
Noise trader risk, 24
Noise traders, 20
Non-overlapping seasonal
momentum portfolio, 116
Novy-Marx, Robert, 107, 156,
157, 158, 162
Nyberg, Peter, 107
Opportunity in market, identifying,
22
Optimal portfolio weights, 65
Overlapping portfolio effect, 116
Overlapping portfolios, 88–89, 116
Overreaction triggers for, 56
Pan, Xin, 162
Paradigm, style box, 39
Passive benchmark, 70, 142
Path, 93–105
momentum prots and, 100–103
Path dependency
Internet Bubble and, 94–96
momentum stocks and, 94
Path-focused momentum
algorithms, 102
Pederson, Lasse, 57, 68
Performance
poor relative, quantitative
momentum and, 151–152
sustainable (see Sustainable
performance)
value investing and, 35
Performance statistics, 175
Petkova, Relitsa, 165
Plain-vanilla index fund, 33
Poker comparison, 21–26
arbitrage and, 23–24
best players and, 23–26
opportunity, identifying, 22
sustainable performance and, 36
worst players and, 23

❦
❦ ❦
❦
184 INDEX
Pontiff, Jeff, 109
Portfolio construction, 87–91
quantitative momentum and,
146–149
trend emergence, 90
value weighting and, 89
Positive news, underreaction
to, 121
Poterba, James, 111
Price, Richard, 49
Price momentum, 156, 163
Price momentum factor, 158
Protability, momentum and, 118
Prots
momentum, 113
momentum, path to, 100–103
Psychology, investor, 19–20
Put options, 63
“Quality” momentum, 105
Quantitative momentum, 120–142
alpha analysis, 136–139
analysis, 125–139
asset pricing coefcient estimates
for, 139
beating the market with,
141–142
black box and, 140–141
career risk and, 152–154
cumulative value for, 127
FIP algorithm and, 120–123, 140
generic momentum and, 120
parameters of universe and, 124
poor relative performance and,
151–152
portfolio construction, 146–149
portfolio holdings, 140
process, steps in, 121–122
quantitative value and, 145, 150
rewards analysis, 126–128
risk analysis, 128–134
robustness analysis, 134–139
rolling drawdown analysis,
131–134
short-term stress event tests
for, 136
summary statistics, 125–126
transaction costs and, 122–124
Quantitative value, 145, 150
Quantitative Value,144
Quantitative value algorithm,
145
“Quants”, 140
R2K, 33
Random Walk Down Wall Street,
A,6,43–44
Rebalancing
“all in” costs, 90
frequency of, 87, 91
frictional costs and, 103
portfolios and, 117
smart, 116
window dressing and, 116
Reinganum, Marc, 111
Reinvestment of distributions, 88
“Relative pain”, 151
“Relative performance risk”,
150, 154
Relative strength
absolute strength improving,
165–169
dened, 10
momentum rule, 166
Relative strength strategy, 45
Reminiscences of a Stock
Operator,5
Return gap measure, 109
Returns, core-satellite, 152, 154
Reversal in returns, 82
Review of Financial Studies,108
Risk
career (see Career risk)
fundamental, 24

❦
❦ ❦
❦
Index 185
noise trader, 24
“relative performance risk”,
150, 154
Risk arbitrage, 19, 24
Risk-factors. hidden systemic, 59
Ritter, Jay, 111
Robertson, Julian, 31, 32
Roll, Richard, 62–63, 111
Rolling 5-year spreads
Europe, 71, 73
global, 73, 74
Japan, 73, 74
United Kingdom (UK), 71, 72
United States (US), 71, 72
Rolling drawdown analysis,
131–134
Rozeff, Michael S., 110, 111
Russell 200 total return index.
See R2K
S&P 500
poor relative performance
and, 152
quantitative momentum and,
135, 136
S&P 500 Index, 66
S&P 500 Sharpe ratio, 126
S&P 500 total return index (S&P
500 TR Index), 57, 58, 70, 125
Sadka, Ronnie, 90, 91
Samonov, Mikhail, 128, 141
Schill, Michael J., 90, 91, 123
Scientic method, key aspect of, 9
Seasonal effects, minimization
of, 116
Seasonality, 107–118
building momentum systems
and, 117
great theories and, 112–114
momentum (see Momentum
seasonality)
momentum portfolio annual
results and, 117
tax-motivated trading, 110–112
window dressing, 108–110
Security Analysis,6
Shah, Ronnie, 91
Sharpe ratio, 104, 126, 159,
160, 170
Shefrin, Hersh, 103
Shipping costs, “frictional”, 19
Shleifer, Andrei, 20, 26, 31, 47,
48, 156
“Short rebate”, 24
Short selling, implementation costs
and, 24
Short-term momentum, 81–83
Short-term performance, long-term
market opportunities and, 26
Short-term reversal, 81
Sialm, Clemens, 109
Sias, Richard, 108, 111, 112,
114, 115
Singal, Vijay, 111
Small-cap effect, 125
“Smart beta” funds, 146
“Smart money”, 19
Smart rebalancing, 116, 117
So, Eric, 48
Soloman, David, 110
Soltes, Eugene, 110
Soros, George, 9, 31
Sortino ratio, 104, 126, 159
Sosyura, Denis, 110
South Sea Company, 14
SP500, 33
Speculators, 7
Standardized unexpected earnings
(SUE), 156–162
Starks, Laura, 111
Statistics, performance, 175
Statman, Meir, 103
Stein, Jeremy, 55
Stein, Jeremy C., 102
Stock picking training, 45

❦
❦ ❦
❦
186 INDEX
Stop-loss rule, 169–170
Stop-loss strategy, 169–174
equal-weighted stop-loss
momentum monthly returns,
170
momentum performance
and, 172
portfolios for, 171
time-series momentum
performance, 173
Style box paradigm, 39
Summers, Larry, 20
Survivability, 145
Sustainable active investing
framework
growth investing and, 35
momentum and, 39
overarching framework and,
9, 12
six-year investing pain train, 34
value and, 70
value investing and, 35
Sustainable alpha, 27
Sustainable investors, 27, 34
Sustainable performance
building blocks, 53
growth investing and, 35, 38
long-term equation and, 35
poker comparison and, 36
Tail-risk correlations, 134
“Tax hypothesis”, 111
Tax-induced seasonality, 111
Tax-loss selling, 108, 111
Tax-motivated trading, 110–112
smart rebalance portfolio
and, 117
theories and, 112–114
Technical analysis, history of, 3–6
Thaler, Richard, 83
Thinking, Fast and Slow,19
Three-factor model, 136
Time-series momentum
about, 10
example using, 11
Titman, Sheridan, 39, 44, 45, 48,
84–87, 91
Tracking error
long time frames and, 24, 25
short-term, 25
trend following and, 150
Trading frequency, momentum
and, 58–59
Transaction costs
quantitative momentum,
122–124
rebalancing and, 90
trading frequency and, 58–59
Trend, combo plus, 149 – 151
Trend-following
“relative performance risk”
of, 150
rule, 149, 151
Trend overlay, 149
Tudor Jones, Paul, 9
“Turn of the year” effect, 110–112
Turnover, 91
Tversky, Amos, 44, 56
Underperformance
momentum and, 57, 58
stretches of, 73
value investing and, 32–33
Underreaction
positive news and, 121
triggers for, 56
United Kingdom (UK), rolling
5-year spreads, 71, 72
United States (US), rolling 5-year
spreads, 71, 72
Universe selection parameters,
123

❦
❦ ❦
❦
Index 187
Value
equity markets and, 70
growth and, 36–38, 40 (see also
Combo portfolio)
high-conviction, 146
intrinsic, 53
momentum and, as system, 79
momentum and, correlation
of, 70
momentum compared to, 59
momentum married to, 68–75
overreaction problem and, 55
performance of, 69
plus momentum, 144–149
quantitative, 145
Value and momentum portfolio
annual returns, 161
Value anomaly, 53
Value debate, 16
Value effect, study of, 44
Value factor (HML), 160
Value investing
as intuitive, 53
pessimism and, 47
six-year investing pain train,
34–35
sustainable performance and, 35
underperformance and, 32–33
upward price moves and, 46–47
“Value” investors, 15–17
Value premium, 16
Value trap, 53
Value weighting, 88, 116
Vishny, Robert, 26, 31, 47, 48, 156
Vogel, Jack, 17, 18
Volatility
growth vs. momentum monkeys,
51–52
momentum and, 169–174
stretches of, 73
value, growth and, 37
value and growth combo, 38
VW quantitative momentum
performance, 126
Wachtel, Sidney B., 110, 111
Waldmann, Robert, 20
Wall Street Journal (WSJ), 25
Wang, Qinghai, 109, 110
Warachka, Mitch, 100–101, 103
Website
companion, 176
ValueInvestorsClub.com, 16
Weisbbennar, Scott, 111
Whitelaw, Robert F., 97
Window dressing
about, 108–110
smart rebalance portfolio
and, 117
theories and, 112–114
Winners minus losers (WMI), 170
Wurgler, Jeffrey, 162
Zhang, Cherry, 107
Zheng, Lu, 109
Zhou, Chunsheng, 90, 91, 123
Zhou, Guofu, 168
Zhu, Yingzi, 168