ASTRO Digital XTL 5000 VHF/UHF Range 1/700 800 MHz Mobile Radio Basic Service Manual XPR Series/XPR7000 Series 68009498001 A XPR7000
User Manual: -XPR Series/XPR7000 Series Basic service manual 68009498001-A
Open the PDF directly: View PDF
.
Page Count: 114 [warning: Documents this large are best viewed by clicking the View PDF Link!]
- XPR™ Series
- Foreword
- Document History
- Table of Contents
- Foreword iii
- Commercial Warranty xv
- Battery and Charger Warranty xviii
- Chapter 1 Introduction 1-1
- Chapter 2 Test Equipment and Service Aids 2-1
- Chapter 3 Transceiver Performance Testing 3-1
- Chapter 4 Radio Programming and Tuning 4-1
- Chapter 5 Disassembly/Reassembly Procedures 5-1
- Chapter 6 Basic Troubleshooting 6-1
- Chapter 7 Accessories 7-1
- Appendix A Replacement Parts Ordering A-1
- Appendix B Motorola Service Centers B-1
- Appendix C Limited Level 3 Servicing C-1
- Glossary Glossary-1
- List of Figures
- List of Tables
- Commercial Warranty
- Battery and Charger Warranty
- Chapter 1 Introduction
- Chapter 2 Test Equipment and Service Aids
- Chapter 3 Transceiver Performance Testing
- Chapter 4 Radio Programming and Tuning
- Chapter 5 Disassembly/Reassembly Procedures
- 5.1 Introduction
- 5.2 Preventive Maintenance
- 5.3 Safe Handling of CMOS and LDMOS Devices
- 5.4 Repair Procedures and Techniques – General
- 5.5 Disassembling and Reassembling the Radio — General
- 5.6 Radio Disassembly – Detailed
- 5.7 Radio Reassembly - Detailed
- 5.8 Ensuring Radio Immersibility
- 5.9 Radio Exploded Mechanical Views and Parts Lists
- Chapter 6 Basic Troubleshooting
- Chapter 7 Accessories
- Appendix A Replacement Parts Ordering
- Appendix B Motorola Service Centers
- Appendix C Limited Level 3 Servicing
- Glossary

PROFESSIONAL DIGITAL TWO-WAY RADIO
MOTOTRBO™
XPR™ 7000 SERIES
BASIC SERVICE MANUAL

iii
Foreword
This manual covers all models of the XPR™ series Portable Radios, unless otherwise specified. It includes all the
information necessary to maintain peak product performance and maximum working time, using levels 1 and 2
maintenance procedures. This level of service goes down to the board replacement level and is typical of some local
service centers, self-maintained customers, and distributors.
Product Safety and RF Exposure Compliance
ATTENTION!
This radio is restricted to occupational use only to satisfy FCC RF energy exposure requirements.
Before using this product, read the RF energy awareness information and operating instructions in the
Product Safety and RF Exposure booklet enclosed with your radio (Motorola Publication part number
6881095C98) to ensure compliance with RF energy exposure limits.
For a list of Motorola-approved antennas, batteries, and other accessories, visit the following web site:
http://www.motorolasolutions.com/governmentandenterprise
Computer Software Copyrights
The Motorola products described in this manual may include copyrighted Motorola computer programs stored in
semiconductor memories or other media. Laws in the United States and other countries preserve for Motorola certain
exclusive rights for copyrighted computer programs, including, but not limited to, the exclusive right to copy or reproduce in
any form the copyrighted computer program. Accordingly, any copyrighted Motorola computer programs contained in the
Motorola products described in this manual may not be copied, reproduced, modified, reverse-engineered, or distributed in
any manner without the express written permission of Motorola. Furthermore, the purchase of Motorola products shall not
be deemed to grant either directly or by implication, estoppel, or otherwise, any license under the copyrights, patents or
patent applications of Motorola, except for the normal non-exclusive license to use that arises by operation of law in the
sale of a product.
Document Copyrights
No duplication or distribution of this document or any portion thereof shall take place without the express written permission
of Motorola. No part of this manual may be reproduced, distributed, or transmitted in any form or by any means, electronic
or mechanical, for any purpose without the express written permission of Motorola.
Disclaimer
The information in this document is carefully examined, and is believed to be entirely reliable. However, no responsibility is
assumed for inaccuracies. Furthermore, Motorola reserves the right to make changes to any products herein to improve
readability, function, or design. Motorola does not assume any liability arising out of the applications or use of any product
or circuit described herein; nor does it cover any license under its patent rights nor the rights of others.
Trademarks
MOTOROLA, MOTO, MOTOROLA SOLUTIONS and the Stylized M logo are trademarks or registered trademarks of
Motorola Trademark Holdings, LLC and are used under license. All other trademarks are the property of their respective
owners.
© 2012 Motorola Solutions, Inc.
All rights reserved.
Before using this product, read the operating instructions
for safe usage contained in the Product Safety and RF
Exposure booklet enclosed with your radio.
!
C a u t i o n
Notes

v
Document History
The following major changes have been implemented in this manual since the previous edition:
Edition Description Date
68009498001-A Initial Release May 2012

vi
Notes

Table of Contents vii
Table of Contents
Foreword........................................................................................................iii
Product Safety and RF Exposure Compliance...........................................................................................iii
Computer Software Copyrights .................................................................................................................. iii
Document Copyrights................................................................................................................................. iii
Disclaimer...................................................................................................................................................iii
Trademarks ................................................................................................................................................ iii
Document History ......................................................................................... v
Commercial Warranty ..................................................................................xv
Limited Warranty .......................................................................................................................................xv
MOTOROLA COMMUNICATION PRODUCTS.............................................................................xv
I. What This Warranty Covers And For How Long ....................................................................xv
II. General Provisions ...............................................................................................................xvi
III. State Law Rights ................................................................................................................xvi
IV. How To Get Warranty Service ............................................................................................ xvi
V. What This Warranty Does Not Cover................................................................................... xvi
VI. Patent And Software Provisions ........................................................................................ xvii
VII. Governing Law.................................................................................................................. xvii
Battery and Charger Warranty .................................................................xviii
Workmanship Warranty .......................................................................................................................... xviii
Capacity Warranty.................................................................................................................................. xviii
Chapter 1 Introduction ......................................................................... 1-1
1.1 Notations Used in This Manual.................................................................................................... 1-1
1.2 Radio Description ........................................................................................................................ 1-1
1.2.1 Full Display Model ........................................................................................................... 1-2
1.2.2 Non-Display Model ..........................................................................................................1-4
1.3 Portable Radio Model Numbering Scheme ................................................................................. 1-5
1.4 Model Charts ............................................................................................................................... 1-6
1.4.1 VHF Model Chart............................................................................................................. 1-6
1.4.2 UHF Model Chart............................................................................................................. 1-7
1.5 Specifications............................................................................................................................... 1-8
Chapter 2 Test Equipment and Service Aids ..................................... 2-1
2.1 Recommended Test Equipment .................................................................................................. 2-1
2.2 Service Aids................................................................................................................................. 2-2
2.3 Programming, Testing and Alignment Cable ............................................................................... 2-3

viii Table of Contents
Chapter 3 Transceiver Performance Testing ..................................... 3-1
3.1 General ........................................................................................................................................ 3-1
3.2 Setup............................................................................................................................................ 3-1
3.3 Display Model Test Mode ............................................................................................................ 3-3
3.3.1 Entering Display Radio Test Mode .................................................................................. 3-3
3.3.2 RF Test Mode.................................................................................................................. 3-3
3.3.3 LED Test Mode................................................................................................................3-7
3.3.4 Backlight Test Mode ........................................................................................................3-7
3.3.5 Speaker Tone Test Mode ................................................................................................ 3-7
3.3.6 Earpiece Tone Test Mode ............................................................................................... 3-7
3.3.7 Audio Loopback Earpiece Test Mode.............................................................................. 3-7
3.3.8 Battery Check Test Mode ................................................................................................ 3-8
3.3.9 Button/Knob/PTT Test Mode ........................................................................................... 3-8
3.4 Display Model Test Mode ............................................................................................................ 3-9
3.4.1 Monochrome Display Test............................................................................................... 3-9
3.4.2 Color Display Test ...........................................................................................................3-9
3.5 Non-Display Model Test Mode...................................................................................................3-10
3.5.1 Entering Non-Display Radio Test Mode ........................................................................ 3-10
3.5.2 RF Test Mode................................................................................................................ 3-10
3.5.3 LED Test Mode..............................................................................................................3-10
3.5.4 Speaker Tone Test Mode .............................................................................................. 3-10
3.5.5 Earpiece Tone Test Mode ............................................................................................. 3-11
3.5.6 Audio Loopback Earpiece Test Mode............................................................................ 3-11
3.5.7 Battery Check Test Mode .............................................................................................. 3-11
3.5.8 Button/Knob/PTT Test Mode ......................................................................................... 3-11
Chapter 4 Radio Programming and Tuning ....................................... 4-1
4.1 Introduction .................................................................................................................................. 4-1
4.2 Customer Programming Software Setup ..................................................................................... 4-1
4.3 AirTracer Application Tool............................................................................................................ 4-1
4.4 Radio Tuning Setup ..................................................................................................................... 4-2
Chapter 5 Disassembly/Reassembly Procedures ............................. 5-1
5.1 Introduction .................................................................................................................................. 5-1
5.2 Preventive Maintenance .............................................................................................................. 5-1
5.2.1 Inspection ........................................................................................................................ 5-1
5.2.2 Cleaning Procedures ....................................................................................................... 5-1
5.3 Safe Handling of CMOS and LDMOS Devices ............................................................................ 5-2
5.4 Repair Procedures and Techniques – General............................................................................ 5-4
5.5 Disassembling and Reassembling the Radio — General ............................................................ 5-5
5.6 Radio Disassembly – Detailed .....................................................................................................5-6
5.6.1 Front Cover from Chassis Disassembly .......................................................................... 5-6
5.6.2 Chassis Disassembly..................................................................................................... 5-10
5.6.3 Keypad, Display, and Keypad Board Disassembly........................................................ 5-12
5.6.4 Speaker, Microphone, and Universal Connector Flex Disassembly.............................. 5-13
5.6.5 Emergency Button Assembly Dissassembly ................................................................. 5-15
5.7 Radio Reassembly - Detailed .................................................................................................... 5-17
5.7.1 Emergency Button and Speaker Reassembly............................................................... 5-17
5.7.2 Keypad, Display and Keypad Board Reassembly ......................................................... 5-20

Table of Contents ix
5.7.3 Chassis Reassembly ..................................................................................................... 5-21
5.7.4 Chassis and Front Cover Reassembly.......................................................................... 5-24
5.7.5 Bluetooth Antenna Kit Disassembly/Reassembly.......................................................... 5-25
5.7.5.1 Bluetooth Antenna Kit Disassembly ............................................................... 5-25
5.7.5.2 Bluetooth Antenna Kit Reassembly ................................................................ 5-26
5.7.6 GOB Installation ............................................................................................................ 5-27
5.8 Ensuring Radio Immersibility ..................................................................................................... 5-29
5.8.1 Servicing........................................................................................................................ 5-29
5.8.2 Accidental Immersion .................................................................................................... 5-29
5.8.3 Specialized Test Equipment .......................................................................................... 5-29
5.8.4 Vacuum Pump Kit NLN9839.......................................................................................... 5-29
5.8.5 Pressure Pump Kit NTN4265 ........................................................................................ 5-30
5.8.6 Miscellaneous Hardware ............................................................................................... 5-30
5.8.7 Vacuum Test ................................................................................................................. 5-30
5.8.8 Pressure Test ................................................................................................................ 5-31
5.8.9 Troubleshooting Leak Areas.......................................................................................... 5-32
5.8.9.1 Front Housing ................................................................................................. 5-32
5.8.9.2 Chassis (Main Seal O-ring) ............................................................................ 5-32
5.8.9.3 Battery Contact Seal....................................................................................... 5-33
5.8.9.4 Breathing Vent Membrane and Breathing Vent Label .................................... 5-34
5.8.9.5 Battery Maintenance....................................................................................... 5-34
5.8.10 Troubleshooting Charts ................................................................................................. 5-35
5.9 Radio Exploded Mechanical Views and Parts Lists................................................................... 5-38
5.9.1 Full Keypad Model Exploded View and Parts List......................................................... 5-38
5.9.2 Non Keypad Model Exploded View and Parts List ........................................................ 5-41
5.9.3 Torque Chart ................................................................................................................. 5-44
Chapter 6 Basic Troubleshooting ....................................................... 6-1
6.1 Introduction .................................................................................................................................. 6-1
6.2 Replacement Back Cover Kit Procedures ................................................................................... 6-1
6.3 Power-Up Error Codes (Display Model only)............................................................................... 6-2
6.4 Operational Error Codes.............................................................................................................. 6-4
Chapter 7 Accessories......................................................................... 7-1
7.1 Introduction .................................................................................................................................. 7-1
7.1.1 Batteries .......................................................................................................................... 7-1
7.1.2 Antennas ......................................................................................................................... 7-1
7.1.3 Carry Devices .................................................................................................................. 7-1
7.1.4 Service/Replacement Parts ............................................................................................. 7-2
7.1.5 CPS ................................................................................................................................. 7-2
7.1.6 Miscellaneous Accesories ............................................................................................... 7-2
Appendix A Replacement Parts Ordering..............................................A-1
A.1 Basic Ordering Information ..........................................................................................................A-1
A.2 Motorola Online ...........................................................................................................................A-1
A.3 Mail Orders ..................................................................................................................................A-1
A.4 Telephone Orders........................................................................................................................A-1
A.5 Fax Orders...................................................................................................................................A-1

xTable of Contents
A.6 Parts Identification .......................................................................................................................A-2
A.7 Product Customer Service ...........................................................................................................A-2
Appendix B Motorola Service Centers...................................................B-1
B.1 Servicing Information ...................................................................................................................B-1
B.2 Motorola Service Center ..............................................................................................................B-1
B.3 Motorola Canadian Technical Logistics Center ...........................................................................B-1
B.4 Motorola Federal Technical Center..............................................................................................B-1
Appendix C Limited Level 3 Servicing ...................................................C-1
C.1 Maintenance ............................................................................................................................... C-1
C.2 Chip Components ....................................................................................................................... C-1
C.3 Component and Parts list............................................................................................................ C-2
Glossary......................................................................................... Glossary-1

List of Figures xi
List of Figures
Figure 1-1. Display Model ...................................................................................................................... 1-2
Figure 1-2. Non-Display Model............................................................................................................... 1-4
Figure 1-3. Portable Radio Model Numbering Scheme.......................................................................... 1-5
Figure 2-1. Programming, Testing and Alignment Cable........................................................................ 2-3
Figure 2-2. Pin Layout of Side Connector .............................................................................................. 2-4
Figure 3-1. Battery Check Test Mode Display ........................................................................................ 3-8
Figure 4-1. CPS Programming Setup..................................................................................................... 4-1
Figure 4-2. Radio Tuning Equipment Setup ........................................................................................... 4-2
Figure 5-1. Antenna and Battery removal. ............................................................................................. 5-6
Figure 5-2. Channel Selector and Volume Knob removal. ..................................................................... 5-7
Figure 5-3. Shroud removal.................................................................................................................... 5-8
Figure 5-4. Chassis removal .................................................................................................................. 5-8
Figure 5-5. Disconnecting the chassis ................................................................................................... 5-9
Figure 5-6. Chassis disassembly.......................................................................................................... 5-10
Figure 5-7. O-ring removal ................................................................................................................... 5-11
Figure 5-8. Keypad, Display, and Keypad Board disassembly for Full Keypad.................................... 5-12
Figure 5-9. Speaker removal for Full Keypad....................................................................................... 5-13
Figure 5-10. Speaker removal for Non-Keypad......................................................................................5-14
Figure 5-11. Emergency Button disassembly for Full Keypad Model..................................................... 5-15
Figure 5-12. Emergency Button disassembly for Non Keypad Model .................................................... 5-16
Figure 5-13. Emergency Button reassembly for Full Keypad................................................................. 5-17
Figure 5-14. Emergency Button reassembly for Non Keypad ................................................................ 5-18
Figure 5-15. Speaker reassembly for Full Keypad ................................................................................. 5-18
Figure 5-16. Speaker reassembly for Non Keypad................................................................................. 5-19
Figure 5-17. Keypad, Display, and Keypad Board reassembly for Full Keypad ..................................... 5-20
Figure 5-18. O-ring reassembly.............................................................................................................. 5-21
Figure 5-19. Chassis reassembly........................................................................................................... 5-22
Figure 5-20. GOB reassembly................................................................................................................ 5-23
Figure 5-21. Chassis reassembly........................................................................................................... 5-24
Figure 5-22. Bluetooth removal for Full Keypad..................................................................................... 5-25
Figure 5-23. Bluetooth removal for Non Keypad ....................................................................................5-25
Figure 5-24. Bluetooth reassembly for Full Keypad ............................................................................... 5-26
Figure 5-25. Bluetooth reassembly for Non Keypad............................................................................... 5-26
Figure 5-26. Connector Fitting - Fitting Seal Pump Connector............................................................... 5-29
Figure 5-27. Full Keypad Model Exploded View.....................................................................................5-38
Figure C-1. PCB Top View ......................................................................................................................C-2
Figure C-2. PCB Bottom View.................................................................................................................C-2

xii Related Publications
List of Tables
Table 1-1. Radio Frequency Ranges and Power Levels....................................................................... 1-1
Table 2-1. Recommended Test Equipment ...........................................................................................2-1
Table 2-2. Service Aids ......................................................................................................................... 2-2
Table 2-3. Pin Configuration of Side Connector....................................................................................2-4
Table 3-1. Initial Equipment Control Settings ........................................................................................ 3-1
Table 3-2. Front Panel Access Test Mode Displays..............................................................................3-3
Table 3-3. Test Environments................................................................................................................ 3-4
Table 3-4. Test Frequencies..................................................................................................................3-4
Table 3-5. Transmitter Performance Checks......................................................................................... 3-5
Table 3-6. Receiver Performance Checks ............................................................................................ 3-6
Table 4-1. Software Installation Kits Radio Tuning Setup ..................................................................... 4-1
Table 5-1. Lead Free Solder Wire Part Number List .............................................................................5-4
Table 5-2. Lead Free Solder Paste Part Number List ........................................................................... 5-4
Table 5-3. Full Keypad Model Exploded View Parts List.....................................................................5-39
Table 5-4. Non-Display Model Exploded View Parts List ....................................................................5-42
Table 5-5. Additional Part List information .......................................................................................... 5-43
Table 5-6. Torque Specifications for Screws ....................................................................................... 5-44
Table 6-1. Power-Up Error Codes.........................................................................................................6-2
Table 6-2. Operational Error Codes ......................................................................................................6-4

List of Tables xiii
Related Publications
IMPRES Adaptive Single-Unit Charger User Manual ..................................................................6816787H01
IMPRES Adaptive Multi-Unit Charger User Manual ....................................................................6816789H01
IMPRES Adaptive Multi-Unit Charger Service Manual ................................................................ 6871357L01
Remote Speaker Microphone User Manual................................................................................. 6871003L01
IMPRES Remote Speaker Microphone User Manual .................................................................. 6871004L01
Factory Mutual Approval Manual ................................................................................................. 6871532L01
Product Safety and RF Exposure ............................................................................................... 6881095C98
l........................................................................................................................................................................
XPR 7350 Portable Non-Display User Guide English ............................................................... 68009500001
XPR 7350 Portable Non-Display User Guide French ............................................................... 68009499001
MOTOTRBO™ User Guide CD ....................................................................................................HKLN4344_

xiv Related Publications

Commercial Warranty xv
Commercial Warranty
Limited Warranty
MOTOROLA COMMUNICATION PRODUCTS
I. What This Warranty Covers And For How Long
MOTOROLA INC. (“MOTOROLA”) warrants the MOTOROLA manufactured Communication
Products listed below (“Product”) against defects in material and workmanship under normal use and
service for a period of time from the date of purchase as scheduled below:
The portables additionally ship with a standard 1-year Repair Service Advantage (RSA) (for U.S.
customers) or 1-year Extended Warranty (for Canada customers). However, at the time of order, you
may choose to omit these warranties. For more RSA or Extended Warranty information, please refer
to the portable price pages or Motorola Online (https://businessonline.motorola.com) > Resource
Center > Services > Service Product Offerings > Repair Service Advantage or Extended Warranty.
Motorola, at its option, will at no charge either repair the Product (with new or reconditioned parts),
replace it (with a new or reconditioned Product), or refund the purchase price of the Product during
the warranty period provided it is returned in accordance with the terms of this warranty. Replaced
parts or boards are warranted for the balance of the original applicable warranty period. All replaced
parts of Product shall become the property of MOTOROLA.
This express limited warranty is extended by MOTOROLA to the original end user purchaser only
and is not assignable or transferable to any other party. This is the complete warranty for the Product
manufactured by MOTOROLA. MOTOROLA assumes no obligations or liability for additions or
modifications to this warranty unless made in writing and signed by an officer of MOTOROLA.
Unless made in a separate agreement between MOTOROLA and the original end user purchaser,
MOTOROLA does not warrant the installation, maintenance or service of the Product.
MOTOROLA cannot be responsible in any way for any ancillary equipment not furnished by
MOTOROLA which is attached to or used in connection with the Product, or for operation of the
Product with any ancillary equipment, and all such equipment is expressly excluded from this
warranty. Because each system which may use the Product is unique, MOTOROLA disclaims
liability for range, coverage, or operation of the system as a whole under this warranty.
XPR Series Digital Portable Radios Three (3) Years
Product Accessories (Excluding Batteries and Chargers) One (1) Year

xvi Commercial Warranty
II. General Provisions
This warranty sets forth the full extent of MOTOROLA'S responsibilities regarding the Product.
Repair, replacement or refund of the purchase price, at MOTOROLA's option, is the exclusive
remedy. THIS WARRANTY IS GIVEN IN LIEU OF ALL OTHER EXPRESS WARRANTIES. IMPLIED
WARRANTIES, INCLUDING WITHOUT LIMITATION, IMPLIED WARRANTIES OF
MERCHANTABILITY AND FITNESS FOR A PARTICULAR PURPOSE, ARE LIMITED TO THE
DURATION OF THIS LIMITED WARRANTY. IN NO EVENT SHALL MOTOROLA BE LIABLE FOR
DAMAGES IN EXCESS OF THE PURCHASE PRICE OF THE PRODUCT, FOR ANY LOSS OF
USE, LOSS OF TIME, INCONVENIENCE, COMMERCIAL LOSS, LOST PROFITS OR SAVINGS
OR OTHER INCIDENTAL, SPECIAL OR CONSEQUENTIAL DAMAGES ARISING OUT OF THE
USE OR INABILITY TO USE SUCH PRODUCT, TO THE FULL EXTENT SUCH MAY BE
DISCLAIMED BY LAW.
III. State Law Rights
SOME STATES DO NOT ALLOW THE EXCLUSION OR LIMITATION OF INCIDENTAL OR
CONSEQUENTIAL DAMAGES OR LIMITATION ON HOW LONG AN IMPLIED WARRANTY
LASTS, SO THE ABOVE LIMITATION OR EXCLUSIONS MAY NOT APPLY.
This warranty gives specific legal rights, and there may be other rights which may vary from state to
state.
IV. How To Get Warranty Service
You must provide proof of purchase (bearing the date of purchase and Product item serial number)
in order to receive warranty service and, also, deliver or send the Product item, transportation and
insurance prepaid, to an authorized warranty service location. Warranty service will be provided by
Motorola through one of its authorized warranty service locations. If you first contact the company
which sold you the Product, it can facilitate your obtaining warranty service. You can also call
Motorola at 1-800-927-2744 US/Canada.
V. What This Warranty Does Not Cover
A. Defects or damage resulting from use of the Product in other than its normal and customary
manner.
B. Defects or damage from misuse, accident, water, or neglect.
C. Defects or damage from improper testing, operation, maintenance, installation, alteration,
modification, or adjustment.
D. Breakage or damage to antennas unless caused directly by defects in material workmanship.
E. A Product subjected to unauthorized Product modifications, disassemblies or repairs (includ-
ing, without limitation, the addition to the Product of non-Motorola supplied equipment) which
adversely affect performance of the Product or interfere with Motorola's normal warranty
inspection and testing of the Product to verify any warranty claim.
F. Product which has had the serial number removed or made illegible.
G. Rechargeable batteries if:
- any of the seals on the battery enclosure of cells are broken or show evidence of tamper-
ing.
- the damage or defect is caused by charging or using the battery in equipment or service
other than the Product for which it is specified.
H. Freight costs to the repair depot.

Commercial Warranty xvii
I. A Product which, due to illegal or unauthorized alteration of the software/firmware in the Prod-
uct, does not function in accordance with MOTOROLA’s published specifications or the FCC
type acceptance labeling in effect for the Product at the time the Product was initially distrib-
uted from MOTOROLA.
J. Scratches or other cosmetic damage to Product surfaces that does not affect the operation of
the Product.
K. Normal and customary wear and tear.
VI. Patent And Software Provisions
MOTOROLA will defend, at its own expense, any suit brought against the end user purchaser to the
extent that it is based on a claim that the Product or parts infringe a United States patent, and
MOTOROLA will pay those costs and damages finally awarded against the end user purchaser in
any such suit which are attributable to any such claim, but such defense and payments are
conditioned on the following:
A. that MOTOROLA will be notified promptly in writing by such purchaser of any notice of such
claim;
B. that MOTOROLA will have sole control of the defense of such suit and all negotiations for its
settlement or compromise; and
C. should the Product or parts become, or in MOTOROLA's opinion be likely to become, the
subject of a claim of infringement of a United States patent, that such purchaser will permit
MOTOROLA, at its option and expense, either to procure for such purchaser the right to con-
tinue using the Product or parts or to replace or modify the same so that it becomes nonin-
fringing or to grant such purchaser a credit for the Product or parts as depreciated and accept
its return. The depreciation will be an equal amount per year over the lifetime of the Product
or parts as established by MOTOROLA.
MOTOROLA will have no liability with respect to any claim of patent infringement which is based
upon the combination of the Product or parts furnished hereunder with software, apparatus or
devices not furnished by MOTOROLA, nor will MOTOROLA have any liability for the use of ancillary
equipment or software not furnished by MOTOROLA which is attached to or used in connection with
the Product. The foregoing states the entire liability of MOTOROLA with respect to infringement of
patents by the Product or any parts thereof.
Laws in the United States and other countries preserve for MOTOROLA certain exclusive rights for
copyrighted MOTOROLA software such as the exclusive rights to reproduce in copies and distribute
copies of such Motorola software. MOTOROLA software may be used in only the Product in which
the software was originally embodied and such software in such Product may not be replaced,
copied, distributed, modified in any way, or used to produce any derivative thereof. No other use
including, without limitation, alteration, modification, reproduction, distribution, or reverse
engineering of such MOTOROLA software or exercise of rights in such MOTOROLA software is
permitted. No license is granted by implication, estoppel or otherwise under MOTOROLA patent
rights or copyrights.
VII. Governing Law
This Warranty is governed by the laws of the State of Illinois, USA.

xviii Battery and Charger Warranty
Battery and Charger Warranty
Workmanship Warranty
The workmanship warranty guarantees against defects in workmanship under normal use and
service.
Capacity Warranty
The capacity warranty guarantees 80% of the rated capacity for the warranty duration.
All MOTOTRBO Batteries Two (2) Years
IMPRES Chargers (Single-Unit and Multi-Unit, Non-Display) Two (2) Years
IMPRES Chargers (Multi-Unit with Display) One (1) Year
Core Chargers (Single-Unit and Multi-Unit, Non-Display) Two (2) Years
Nickel Metal-Hydride (NiMH) or Lithium-Ion (Li-lon) Batteries 12 Months
IMPRES Batteries, When Used Exclusively with IMPRES
Chargers
18 Months

Introduction: Notations Used in This Manual 1-1
Chapter 1 Introduction
1.1 Notations Used in This Manual
Throughout the text in this publication, you will notice the use of note and caution notations. These
notations are used to emphasize that safety hazards exist, and due care must be taken and
observed.
1.2 Radio Description
The XPR series portable radios are available in the following frequency ranges and power levels.
These digital radios are among the most sophisticated two-way radios available. They have a robust
design for radio users who need high performance, quality, and reliability in their daily
communications. This architecture provides the capability of supporting a multitude of legacy and
advanced features resulting in a more cost-effective two-way radio communications solution.
NOTE An operational procedure, practice, or condition that is essential to emphasize.
CAUTION indicates a potentially hazardous situation which, if
not avoided, might result in equipment damage.
WARNING indicates a potentially hazardous situation
which, if not avoided, could result in death or injury.
Table 1-1. Radio Frequency Ranges and Power Levels
Frequency Band Bandwidth Power Level
VHF 136–174 MHz 1 Watt or 5 Watt
UHF 403–512 MHz 1 Watt or 4 Watt
!
C a u t i o n

1-2 Introduction: Radio Description
1.2.1 Full Display Model
Figure 1-1. Display Model
• ON/OFF/VOLUME KNOB – Rotate clockwise until click is heard to turn on radio; rotate counter-
clockwise until click is heard to turn off radio. Rotate clockwise to increase volume level; rotate
counter-clockwise to decrease volume level.
• LED INDICATORS – Red, green and orange light-emitting diodes indicate operating status.
• LCD (Liquid Crystal Display):
- 132x90 highly transflective color display provides visual information about many radio
features.
• MENU NAVIGATION KEYS – Five keys to provide menu navigation and selection interface.
• KEYPAD – Twelve keys that allows the user to input characters for various text based
operations. (For color display only)
• FRONT BUTTONS and SIDE BUTTONS – These five buttons are field programmable using the
CPS.
• CHANNEL SELECTOR KNOB – Rotate clockwise to increment and counter clockwise to
decrement the channel.
• PUSH-TO-TALK (PTT) – Press to execute voice operations (e.g. Group call and Private Call).
• ANTENNA – Provides the needed RF amplification when transmitting or receiving.
• MICROPHONE – Allows the voice to be sent when PTT or voice operations are activated.
• UNIVERSAL CONNECTOR FOR ACCESSORIES – Interface point for all accessories to be
used with the radio. It has twelve points to which specific accessories will connect and be
activated.
• EMERGENCY BUTTON – Turns on and off the Emergency Operations.

Introduction: Radio Description 1-3
• SPEAKER – Outputs all tones and audio that are generated by the radio (e.g. features like
keypad tones and voice audio).

1-4 Introduction: Radio Description
1.2.2 Non-Display Model
Figure 1-2. Non-Display Model
• ON/OFF/VOLUME KNOB – Rotate clockwise until click is heard to turn on radio; rotate counter-
clockwise until click is heard to turn off radio. Rotate clockwise to increase volume level; rotate
counter-clockwise to decrease volume level.
• LED INDICATORS – Red, green and orange light-emitting diodes indicate operating status.
• SIDE BUTTONS – These 3 buttons are field programmable using the CPS.
• CHANNEL SELECTOR KNOB – Rotate clockwise to increment and counter clockwise to
decrement the channel.
• PUSH-TO-TALK (PTT) – Press to execute voice operations (e.g. Group call and Private Call).
• ANTENNA – Provides the needed RF amplification when transmitting or receiving.
• MICROPHONE – Allows the voice to be sent when PTT or voice operations are activated.
• UNIVERSAL CONNECTOR FOR ACCESSORIES – Interface point for all accessories to be
used with the radio. It has twelve points to which specific accessories will connect to and be
activated.
• EMERGENCY BUTTON – Turns on and off the Emergency Operations.
• SPEAKER – Outputs all tones and audio that are generated by the radio (e.g. features like
keypad tones and voice audio).

Introduction: Portable Radio Model Numbering Scheme 1-5
1.3 Portable Radio Model Numbering Scheme
Figure 1-3. Portable Radio Model Numbering Scheme
Model No.Example : AZ H 5 5 Q D H 9 L A 1 A N
Position : 1 2 3 4 5 6 7 8 9 10 11 12
Unique Variation
N: Standard Package
Version Letter
Feature Level
1: Standard w/ FM
2. Non-FM
3. CSA IE CEx ATEX
4. CQST
Primary System Type
A: Conventional
B: Trunking
C: Analog Only
Primary Operation
Channel Information
8: Variable/Programmable Channel Spacing
w/ unique # of channels
9: Variable/Programmable Channel Spacing
Power Level
C: 1.0,2.0,2.5 or 3.5 Watt
D: 4.0-5.0 Watt
Band
J: 136-174 MHz
R: 403-527 MHz
Physical Packages
C: Low Tier (Plain)
H: Mid Tier (Monochrome Display FKP
Monochrome Display LKP)
N: HIgh Tier (Color Display FKP)
J: 3 Button MOR
T: No Display - Limited Tier
H: Portable
A
Z: Asia/Australia
LA: Latin America
A
A: North America
MD: Europe/Middle East/Africa
J
K
L
M
N
:
:
:
:
:
Basic (No GPS, no Bluetooth, no
embedded GOB)
GPS and Bluetooth
GPS Only
Bluetooth Only
Bluetooth w/ embedded GOB
XPR 7000 Model Series: 56
XPR 3000 Model Series: 02

1-6 Introduction: Model Charts
1.4 Model Charts
1.4.1 VHF Model Chart
XPR 7000 Series, VHF, 136–174 MHz
Model Description
AAH56JDN9KA1AN 136–174 MHz, 5W, MOTOTRBO Full Keypad Portable with
GPS and BT
AAH56JDC9KA1AN 136–174 MHz, 5W, MOTOTRBO Non Keypad Portable with
GPS and BT
Item Description
X PMLD4480_S BC Kit, 136–174 MHz, 5W, MOTOTRBO Full Keypad
Portable with GPS and BT
XPMLD4486_ S BC Kit, 136–174 MHz, 5W, MOTOTRBO Non Keypad
Portable with GPS and BT
X PMLN6116_ Front Cover Kit, Full Keypad Portable with Bluetooth
(English)
XPMLN6111_ Front Cover Kit, Non Keypad Portable with Bluetooth
X X PMLN5718_S Option Board Kit
XXPMAD4117_ VHF Helical antenna (136–155 MHz)
X X PMAD4116_ VHF Helical antenna (144–165 MHz)
XXPMAD4118_ VHF Helical antenna (152–174 MHz)
X X PMAD4119_ VHF stubby antenna (136–148 MHz)
XXPMAD4120_ VHF stubby antenna (146–160 MHz)
X X PMAD4121_ VHF stubby antenna (160–174 MHz)

Introduction: Model Charts 1-7
1.4.2 UHF Model Chart
XPR 7000 Series, UHF, 403–512MHz
Model Description
AAH56RDN9KA1AN 403–512 MHz, 4W, MOTOTRBO Full Keypad Portable with
GPS and BT
AAH56RDC9KA1AN 403–512 MHz, 4W, MOTOTRBO Non Keypad Portable with
GPS and BT
Item Description
X PMLE4689_S BC Kit 403–512MHz, 4W, Full Keypad Portable with GPS
and BT
XPMLE4695_S BC Kit 403–512MHz, 4W, Non Keypad Portable with GPS
and BT
X PMLN6116_ Front Cover Kit, Full Keypad Portable with Bluetooth
(English)
XPMLN6111_ Front Cover Kit, Non Keypad Portable with Bluetooth
X X PMLN5718_S Option Board Kit
XXPMAE4069_ UHF Stubby Antenna 403–450 MHz
X X PMAE4070_ UHF Stubby Antenna 440–490 MHz
XXPMAE4071_ UHF Stubby Antenna 470–512 MHz
X X PMAE4079_ UHF Slim Whip Antenna 403–512 MHz

1-8 Introduction: Specifications
1.5 Specifications
Factory Mutual Approval
MOTOTRBO XPR 7000 Series portable radios have been certified by FM in accordance with U.S.
Codes as intrinsically safe for use in Class I, II, III, Division 1, Groups C, D, E, F, G, when properly
equipped with a Motorola FM approved battery option. They are also approved for use in Class I,
Division 2, Groups A, B, C, D.
General Display
XPR 7550 Non-Display
XPR 7350
Channel Capacity 1000 32
Frequency VHF: 136 – 174 MHz
UHF: 403 – 512 MHz
Dimensions (HxWxT) w/ NiMH battery 130.3 x 55.2 x 38.7 mm 130.3 x 55.15 x 37.2 mm
Weight (with CoreNiMH battery)
(with Hi-Cap Li-Ion non-FM battery)
(with Li-Ion Slim battery)
(with Core Slim Li-Ion battery)
(with IMPRES Hi-Cap Li-ion FM
battery)
425.5 g
355.5 g
335.5 g
335.5 g
365.5 g
393 g
323 g
303 g
303 g
333 g
Power Supply 7.5V nominal
FCC Description VHF: ABZ99FT3085
UHF: ABZ99FT4086
IC Description VHF: 109AB-99FT3085
UHF: 109AB-99FT4086
Average battery life at 5/5/90 duty cycle with battery saver enabled in carrier squelch and
transmitter in high power.
Core NiMH (1300mAh) battery Analog: 6.7 hrs
Digital: 9.8 hrs Analog: 7 hrs
Digital: 10.2 hrs
Core Slim Li-Ion (1500 mAH) battery Analog: 7.7 hrs
Digital: 11.3 hrs Analog: 8 hrs
Digital: 11.8 hrs
IMPRES Li-ion Slim (1500mAH)
battery Analog: 7.7 hrs
Digital: 11.3 hrs Analog: 8 hrs
Digital: 11.8 hrs
IMPRES Hi-Cap Li-ion Non-FM (2150
mAH) battery Analog: 11.1 hrs
Digital: 16.2 hrs Analog: 11.5 hrs
Digital: 17 hrs
IMPRES Hi-Cap Li-ion FM (2300
mAH) battery Analog: 11.9 hrs
Digital: 17.3 hrs Analog: 12.3 hrs
Digital: 18.1 hrs
NOTE Weight can have 5% margin of error

Introduction: Specifications 1-9
Receiver Display
XPR 7550 Non-Display
XPR 7350
Frequencies VHF: 136 – 174 MHz
UHF: 403 – 512MHz
Channel Spacing 12.5 kHz/ 20 kHz /25 kHz
Frequency Stability (-30°C to +60°C) +/-0.5 ppm
Analog Sensitivity (12 dB SINAD) 0.3 µV
Digital Sensitivity (5% BER) 0.25µV
0.19µV (typical)
Intermodulation (TIA603D) 70 dB
Adjacent Channel Selectivity
TIA603A -1T
TIA603D - 2T 60 dB @ 12.5 kHz, 70 dB @ 20/25 kHz
45 dB @ 12.5 kHz, 70 dB @ 20/25 kHz
Spurious Rejection (TIA603D) 70 dB
Rated Audio 0.5 W
Audio Distortion @ Rated Audio 5% (typical)
Hum and Noise -40 dB @ 12.5 kHz
-45 dB @ 20/25 kHz
Audio Response TIA603D
Conducted Spurious Emission
(TIA603D) -57 dBm

1-10 Introduction: Specifications
Transmitter Display
XPR 7550 Non-Display
XPR 7350
Frequencies VHF: 136 – 174 MHz
UHF: 403 – 512 MHz
Channel Spacing 12.5 kHz/ 20 kHz /25 kHz
Frequency Stability (-30°C to +60°C) +/-0.5 ppm
Power Output (Low Power) 1 W
Power Output (High Power) VHF: 5 W
UHF1/UHF2: 4 W
Modulation Limiting +/-2.5 kHz @ 12.5 kHz
+/-4.0kHz @ 20 kHz
+/-5.0 kHz @ 25 kHz
FM Hum and Noise -40 dB @ 12.5 kHz
-45 dB @ 20/25 kHz
Conducted / Radiated Emission -36 dBm < 1GHz
-30 dBm > 1GHz
Adjacent Channel Power 60 dB @ 12.5 kHz
70 dB @ 20/25 kHz
Audio Response TIA603D
Audio Distortion 3%
FM Modulation 12.5 kHz: 11K0F3E
25 kHz: 16K0F3E
4FSK Digital Modulation 12.5kHz Data: 7K60F1D & 7K60FXD
12.5kHz Voice: 7K60F1E & 7K60FXE
Combination of 12.5kHz Voice and Data: 7K60F1W
Digital Vocoder Type AMBE+2™
Digital Protocol ETSI TS 102 361 -1,-2,-3

Introduction: Specifications 1-11
VHF Self-Quieter Frequencies
with GOB w/out GOB
139.2 +/- 10kHz
141.6 +/- 10kHz
143.36 +/- 10kHz –
148.48 +/- 10kHz
148.8 +/- 10kHz
149.025 +/- 10kHz –
150.525 +/- 10kHz –
151 +/- 10kHz –
151.74 +/- 10kHz
152.575 +/- 10kHz –
153.6 +/- 10kHz
154.625 +/- 10kHz –
156.675 +/- 10kHz –
158.4 +/- 10kHz
158.72 +/- 10kHz
163.2 +/- 10kHz
168 +/- 10kHz
172.8 +/- 10kHz
UHF Self-Quieter Frequencies
with GOB w/out GOB
403.200
408.000 ± 10kHz
412.800
422.400
431.615 –
432.000 ± 10kHz
441.600
444.000 ± 10kHz –
449.550 ± 5kHz
451.200
456.000 ± 10kHz
460.800
468.735 –
470.400
480.000 ± 10kHz
494.400
499.200
504.000 ± 10kHz
508.800

1-12 Introduction: Specifications
GPS Display
XPR 7550 Non-Display
XPR 7350
TTFF (Time To First Fix) Cold
Start @ -130dBm (95%) < 60 seconds
TTFF (Time To First Fix) Hot Start
@ -130dBm (95%) < 10 seconds
Horizontal Accuracy (2D
Accuracy) Cold Start < 5 meters
Accuracy specs are for long-term tracking (95th percentile values > 5 satellites visible at a
nominal -130 dBm signal strength)
Bluetooth®Display
XPR 7550 Non-Display
XPR 7350
Version Supports Bluetooth 2.1+ EDR Specification
Range Class 2, 10 meters

Introduction: Specifications 1-13
Military Standards
Applicable
MIL–STD 810C 810D 810E 810F 810G*
Methods Procedures Method
s Procedures Methods Procedures Methods Procedures Methods Prodecures
Low Pressure 500.1 I 500.2 II 500.3 II 500.4 II 500.5 II
High
Temperature 501.1 I, II 501.2 I/A1,II/
A1 501.3 I-A1, II/
A1 501.4 I/Hot, II/
Hot 501.5 I/A1, II
Low
Temperature 502.1 I 502.2 I/C3, II/
C1 502.3 I-C3, II/
C1 502.4 I-C3, II/
C1 502.5 I, II
Temperature
Shock 503.1 - 503.2 I/A1/C3 503.3 I/A1/C3 503.4 I 503.5 I-C
Solar
Radiation 505.1 II 505.2 I 505.3 I 505.4 I 505.5 I-A1
Rain 506.1 I, II 506.2 I, II 506.3 I,II 506.4 I, III 506.5 I, III
Humidity 507.1 II 507.2 II 507.3 II 507.4 – 507.5 II
Salt fog 509.1 - 509.2 - 509.3 – 509.4 – 509.5 –
Dust 510.1 I 510.2 I 510.3 I 510.4 I 510.5 I
Vibration 514.2 VIII/F,
Curve-
W
514.3 I/10, II/3 514.4 I/10, II/3 514.5 I/24 514.6 II/5
Shock 516.2 I, II 516.3 I, IV 516.4 I, IV 516.5 I, IV 516.6 I, IV, VI
NOTE *Tested to MIL standard G which supersedes previous version

1-14 Introduction: Specifications
* Operating temperature specification with LiIon battery is -10 °C to +60 °C.
Operating temperature specification with NiMH battery is -20 °C to +60 °C.
Environmental Specifications
*Operating Temperature -30 °C to +60 °C
Storage Temperature -40 °C to +85 °C
Thermal Shock Per MIL-STD
Humidity Per MIL-STD
ESD IEC 61000-4-2 Level 3
Water Intrusion IEC 60529 -IP57
Packaging Test MIL-STD 810D and E

Chapter 2 Test Equipment and Service Aids
2.1 Recommended Test Equipment
The list of equipment contained in Table 2-1 includes most of the standard test equipment required
for servicing Motorola portable radios.
Table 2-1. Recommended Test Equipment
Equipment Characteristics Example Application
Service
Monitor
Can be used as a
substitute for items
marked with an asterisk
(*)
Aeroflex 3920
(www.aeroflex.com),
Frequency/deviation meter and
signal generator for wide-range
troubleshooting and alignment
Digital RMS
Multimeter *
100 µV to 300 V
5 Hz to 1 MHz
10 Mega Ohm Impedance
Fluke 179 or equivalent
(www.fluke.com)
AC/DC voltage and
current measurements. Audio
voltage measurements
RF Signal
Generator *
100 MHz to 1 GHz
-130 dBm to +10 dBm
FM Modulation 0 kHz to
10 kHz
Audio Frequency 100 Hz
to 10 kHz
Agilent N5181A
(www.agilent.com),
Ramsey RSG1000B
(www.ramseyelectronics.com), or
equivalent
Receiver measurements
Oscilloscope * 2 Channel
50 MHz Bandwidth
5 mV/div to 20 V/div
Leader LS8050
(www.leaderusa.com),
Tektronix TDS1001b
(www.tektronix.com),
or equivalent
Waveform measurements
Power Meter
and Sensor *
5% Accuracy
100 MHz to 500 MHz
50 Watts
Bird 43 Thruline Watt Meter
(www.bird-electronic.com) or
equivalent
Transmitter power output
measurements
RF Millivolt
Meter
100 mV to 3 V RF
10 kHz to 1 GHz
Boonton 92EA
(www.boonton.com) or equivalent
RF level measurements
Power Supply 0 V to 32 V
0 A to 20 A
B&K Precision 1790
(www.bkprecision.com)
or equivalent
Voltage supply

2-2 Test Equipment and Service Aids: Service Aids
2.2 Service Aids
Table 2-2 lists the service aids recommended for working on the radio. While all of these items are
available from Motorola, most are standard workshop equipment items, and any equivalent item
capable of the same performance may be substituted for the item listed.
* Earlier versions of programming cables will not work with the radio.
Table 2-2. Service Aids
Motorola
Part No. Description Application
RLN4460_ Portable Test Set Enables connection to the audio/accessory jack.
Allows switching for radio testing.
RVN5115_ Customer Programming
Software on CD-ROM
Allows servicer to program radio parameters, tune
and troubleshoot radios.
PMKN4012B* Portable Programming Cable This cable connects the radio to a USB port for radio
programming and data applications.
PMKN4013C* Portable Programming, Testing &
Alignment Cable
This cable connects the radio to a USB port for radio
programming, testing and alignment.
PMNN4428_ 7.5V Universal Battery Eliminator Connects to radio via battery eliminator cable.
PMLN6154_ RF Adaptor Adapts radio’s antenna port to BNC cabling of test
equipment.
PMLN6208_ Chassis and Knob Opener Enables the removal of chassis from radio housing.
PMLN6155_ RF Adaptor Holder Holds RF connector to radio.
NLN9839_ Vacuum Pump Kit Allows servicer to test for leakages.
NTN4265_ Pressure Pump Kit Allows servicer to locate leakages.
5871134M01 Connector Fitting This connector allows the vacuum hose to be
connected to the radio chassis.
3271133M01 Fitting Seal This seal secures the connector fitting to the radio
chassis.

Test Equipment and Service Aids: Programming, Testing and Alignment Cable 2-3
2.3 Programming, Testing and Alignment Cable
Figure 2-1. Programming, Testing and Alignment Cable
#1
#14
#25
#13
#4
#1
#2
#12
#11
#1
P1
P2
P3

2-4 Test Equipment and Service Aids: Programming, Testing and Alignment Cable
Figure 2-2. Pin Layout of Side Connector
Table 2-3. Pin Configuration of Side Connector
CONNECTION
P1 P2 P3
Pin Pin Pin Function
1 GROUND
1 3 VCC (5V)
34DATA+
25DATA-
16 4 6 GROUND
1 & 5 7 EXTERNAL SPEAKER+
2 & 7 8 EXTERNAL SPEAKER-
20 9 EXTERNAL PTT
17 10 EXTERNAL MIC+
16 11 EXTERNAL MIC-
slot for accessory
connector hook
1
2
3
4
5
6
7
8
9
10
11
12
GPIO_0
Spkr +
Spkr -
Mic +
Mic -
GPIO_3
GPIO_4
1-Wire
Vbus
D+
D-
GND

Chapter 3 Transceiver Performance Testing
3.1 General
These radios meet published specifications through their manufacturing process by utilizing high-
accuracy laboratory-quality test equipment. The recommended field service equipment approaches
the accuracy of the manufacturing equipment with few exceptions. This accuracy must be
maintained in compliance with the manufacturer’s recommended calibration schedule.
Although these radios function in digital and analog modes, all testing is done in analog mode.
3.2 Setup
Supply voltage is provided using a 7.5 VDC power supply. The equipment required for alignment
procedures is connected as shown in the Radio Tuning Equipment Setup Diagram, Figure 4-2.
Initial equipment control settings should be as indicated in Table 3-1. The remaining tables in this
chapter contain the following related technical data:
Do NOT use any form of connector, e.g. wires, crocodile
clips, and probes, to supply voltage to the radio, other
than the Motorola approved battery eliminator.
Table Number Title
3-2 Front Panel Access Test Mode Displays
3-3 Test Environments
3-4 Test Frequencies
3-5 Transmitter Performance Checks
3-6 Receiver Performance Checks
Table 3-1. Initial Equipment Control Settings
Service Monitor Power Supply Test Set
Monitor Mode: Power Monitor Voltage: 7.5Vdc Speaker set: A
RF Attn: -70 DC on/standby:
Standby
Speaker/load:
Speaker
AM, CW, FM: FM Volt Range: 10V PTT: OFF

3-2 Transceiver Performance Testing Setup
Oscilloscope Source: Mod
Oscilloscope Horizontal: 10mSec/Div
Oscilloscope Vertical: 2.5kHz/Div
Oscilloscope Trigger: Auto
Monitor Image: Hi
Monitor Bandwidth: Narrow
Monitor Squelch: Middle setting
Monitor Vol: 1/4 setting
Current: 2.5A
Table 3-1. Initial Equipment Control Settings
Service Monitor Power Supply Test Set

Transceiver Performance Testing Display Model Test Mode 3-3
3.3 Display Model Test Mode
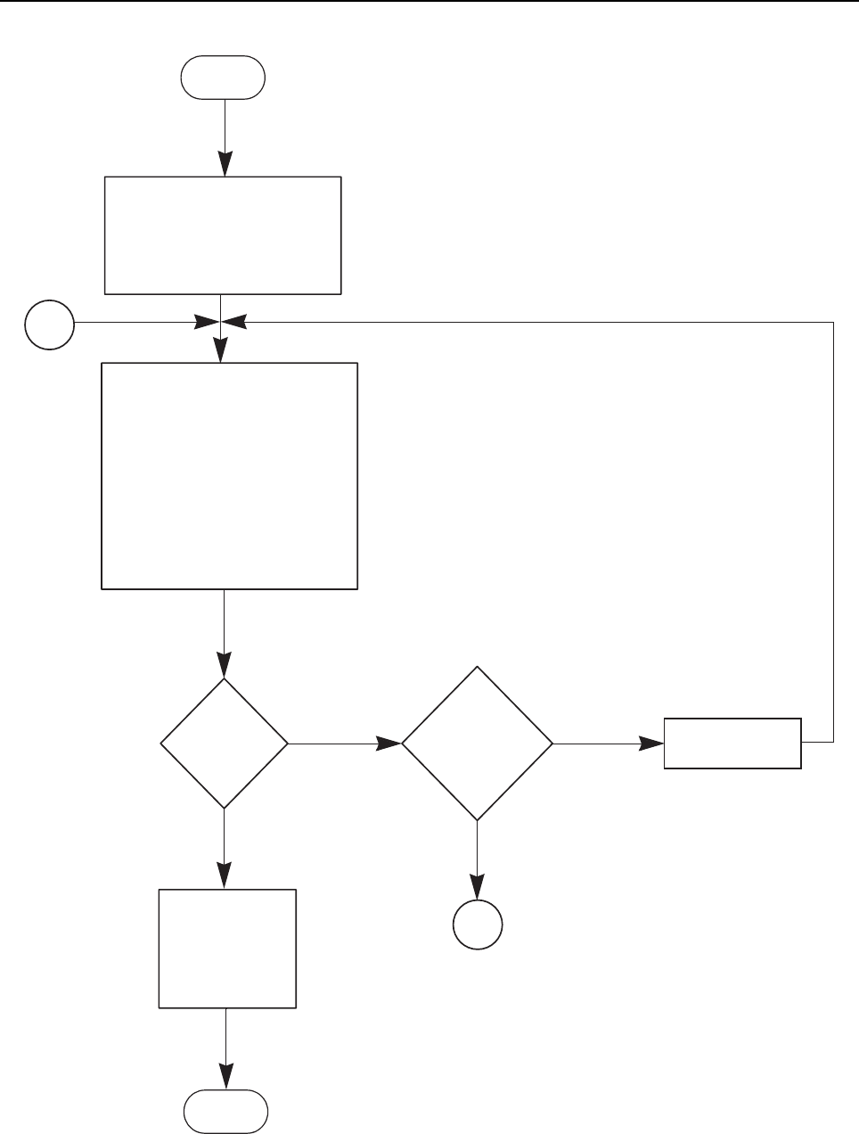
3.3.1 Entering Display Radio Test Mode
1. Turn the radio on.
2. Within 10 seconds after Self Test is complete, press Side Button 2 five times in succession
3. The radio beeps and will show a series of displays that will give information regarding various
version numbers and subscriber specific information. The displays are described in Table 3-2.
3.3.2 RF Test Mode
When the radio is operating in its normal environment, the radio's microcontroller controls the RF
channel selection, transmitter key-up, and receiver muting, according to the customer codeplug
configuration. However, when the unit is on the bench for testing, alignment, or repair, it must be
removed from its normal environment via a special routine, called TEST MODE or air test.
In RF Test Mode, the display upon the first line is “RF Test”, together with the power level icon at the
right end of the first line. The display upon the second line is the test environment, the channel
number and channel spacing. The default test environment is CSQ.
1. Each short press of Side Button 2 changes the test environment (CSQ->TPL->DIG->USQ
->CSQ). The radio beeps once when radio toggles to CSQ, beeps twice for TPL, beeps three
times for DIG and beeps four times for USQ.
Table 3-2. Front Panel Access Test Mode Displays
Name of Display Description Appears
Service Mode The literal string indicates the radio has entered test mode. Always
Host Version The version of host firmware. Always
DSP Version The version of DSP firmware. Always
Model Number The radio’s model number as programmed in the codeplug. Always
MSN The radio’s serial number as programmed in the codeplug. Always
FLASHCODE The FLASH codes as programmed in the codeplug. Always
RF Band The radio’s band. Always
NOTE The radio stops at each display for 2 seconds before moving to the next information display.
If the information cannot fit into 1 line, the radio display scrolls automatically character by
character after 1 second to view the whole information. If the Left Navigation Key (W) is
pressed before the last information display, the radio shall suspend the information display
until the user presses Right Navigation Key (X) to resume the information display. The
radio beeps for each button press. After the last display, RF Test Mode will be displayed.
NOTE DIG is digital mode and other test environments are analog mode as described in Table 3-3.

3-4 Transceiver Performance Testing Display Model Test Mode
2. Each short press of Side Button 1 toggles the channel spacing between 25 kHz, 12.5 kHz
and 20 kHz as. The radio beeps once when radio toggles to 20kHz, beeps twice for 25 kHz
and beeps three times for 12.5 kHz.
3. Turning of the Channel Knob changes the test channel from 1 to 14 as described in
Table 3-4. The radio beeps in each position.
Table 3-3. Test Environments
No. of
Beeps Description Function
1Carrier Squelch
(CSQ)
RX: if carrier detected
TX: mic audio
2 Tone Private-Line
(TPL)
RX: unsquelch if carrier and tone detected
TX: mic audio + tone
3Digital Mode
(DIG)
RX: if carrier detected
TX: mic audio
4 Unsquelch
(USQ)
RX: constant unsquelch
TX: mic audio
Table 3-4. Test Frequencies
Channel
Selector
Switch
Position
Test
Channel UHF VHF
1 Low Power
9 High Power
TX#1 or #9
RX#1 or #9
403.15
403.15
136.075
136.075
2 Low Power
10 High Power
TX#2 or #10
RX#2 or #10
423.25
423.25
142.575
142.575
3 Low Power
11 High Power
TX#3 or #11
RX#3 or #11
444.35
444.35
146.575
146.575
4 Low Power
12 High Power
TX#4 or #12
RX#4 or #12
465.45
465.45
155.575
155.575
5 Low Power
13 High Power
TX#5 or #13
RX#5 or #13
485.55
485.55
161.575
161.575
6 Low Power
14 High Power
TX#6 or #14
RX#6 or #14
506.65
506.65
167.575
167.575
7 Low Power
15 High Power
TX#7 or #15
RX#7 or #15
526.75
526.75
173.975
173.975
8 Low Power
16 High Power
TX#8 or #16
RX#8 or #16
527.00
527.00
174.000
174.000

Transceiver Performance Testing Display Model Test Mode 3-5
* See Table 3-4
Table 3-5. Transmitter Performance Checks
Test Name Communications
Analyzer Radio Test Set Comments
Reference
Frequency
Mode: PWR MON
4th channel test
frequency*
Monitor: Frequency
error
Input at RF In/Out
TEST MODE,
Test Channel 4
carrier squelch
PTT to
continuously
transmit
(during the
performance
check)
Frequency error to be
±604Hz for UHF
±204Hz for VHF
Power RF As above As above As above Low Power:
1.0 – 1.6W (VHF/
UHF)
High Power:
4.0 – 4.8W (UHF)
High Power:
5.0 – 6.0W (VHF)
Voice
Modulation
Mode: PWR MON
4th channel test
frequency*
atten to -70, input to RF
In/Out
Monitor: DVM: AC Volts
Set 1kHz Mod Out level
for 0.025Vrms at test
set,
80mVrms at AC/DC
test set jack
As above As above, meter
selector to mic
Deviation:
≥ 4.0 kHz but ≤ 5.0
kHz (25 kHz Ch Sp).
Voice
Modulation
(internal)
Mode: PWR MON
4th channel test
frequency*
atten to -70, input to RF
In/Out
TEST MODE,
Test Channel 4
carrier squelch
output at
antenna
Remove
modulation input
Press PTT switch on
radio. Say “four”
loudly into the radio
mic. Measure
deviation:
≥ 4.0 kHz but ≤ 5.0
kHz (25 kHz Ch Sp)
TPL
Modulation
As above
4th channel test
frequency*
BW to narrow
TEST MODE,
Test Channel 4
TPL
As above Deviation:
≥500Hz but ≤1000Hz
(25 kHz Ch Sp).

3-6 Transceiver Performance Testing Display Model Test Mode
* See Table 3-4
Table 3-6. Receiver Performance Checks
Test Name Communications
Analyzer Radio Test Set Comments
Reference
Frequency
Mode: PWR MON
4th channel test
frequency*
Monitor: Frequency error
Input at RF In/Out
TEST MODE,
Test Channel 4
carrier squelch
output at
antenna
PTT to
continuously
transmit
(during the
performance
check)
Frequency error to be
±604Hz for UHF
±204Hz for VHF
Rated Audio Mode: GEN
Output level: 1.0mV RF
6th channel test
frequency*
Mod: 1kHz tone at
3kHz deviation
Monitor: DVM: AC Volts
TEST MODE
Test Channel 6
carrier squelch
PTT to OFF
(center), meter
selector to Audio
PA
Set volume
control to 2.83 Vrms
Set volume control to
3.16 Vrms (IECEx/
CSA 800/900)
Distortion As above, except to
distortion
As above As above Distortion <3.0%
Sensitivity
(SINAD)
As above, except SINAD,
lower the RF level for
12dB SINAD.
As above PTT to OFF
(center)
RF input to be
<0.35μV
Noise
Squelch
Threshold
(only radios
with
conventional
system need
to be tested)
RF level set to 1mV RF As above PTT to OFF
(center), meter
selection to
Audio PA,
speaker/load to
speaker
Set volume
control to 2.83Vrms
Set volume control to
3.16 Vrms (IECEx/
CSA 800/900)
As above, except change
frequency to a
conventional system.
Raise RF level from zero
until radio unsquelches.
Out of TEST
MODE; select
a conventional
system
As above Unsquelch to occur at
<0.25μV.
Preferred SINAD = 9
– 10dB

Transceiver Performance Testing Display Model Test Mode 3-7
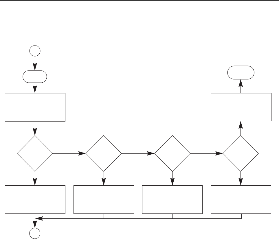
3.3.3 LED Test Mode
1. Press and hold Side Button 1 after Display Test Mode. The radio beeps once and displays
“LED Test Mode”.
2. Upon any button/key press, the radio lights the red LED and displays “Red LED On”.
3. Consequently, upon any button/key press, the red LED is turned off and the radio lights the
green LED and displays “Green LED On”.
4. Upon any successive button/key press, the green LED is turned off, and the radio shall light
both LEDs up while displaying “Both LEDs On”. Since there is only one LED on the portable,
the LED color will be orange when the radio lights both LEDs.
3.3.4 Backlight Test Mode
1. Press and hold Side Button 1 after LED Test Mode. The radio beeps once and displays
“Backlight Test Mode”.
2. The radio turns on both LCD and keypad backlight together.
3.3.5 Speaker Tone Test Mode
1. Press and hold Side Button 1 after Backlight Test Mode. The radio beeps once and displays
“Speaker Tone Test Mode”.
2. The radio generates a 1 KHz tone with the internal speaker.
3.3.6 Earpiece Tone Test Mode
1. Press and hold Side Button 1 after Speaker Tone Test Mode. The radio beeps once and
displays “Earpiece Tone Test Mode”.
2. The radio generates a 1 KHz tone with the earpiece.
3.3.7 Audio Loopback Earpiece Test Mode
1. Press and hold Side Button 1 after Earpiece Tone Test Mode. The radio beeps once and
displays “Audio Loopback Earpiece Test Mode”.
2. The radio shall route any audio on the external mic to the earpiece.

3-8 Transceiver Performance Testing Display Model Test Mode
3.3.8 Battery Check Test Mode
1. Press and hold Side Button 1 after Audio Loopback Earpiece Test Mode. The radio beeps
once and momentarily displays “Battery Check Test Mode”.
2. The radio will display the following:
Figure 3-1. Battery Check Test Mode Display
3.3.9 Button/Knob/PTT Test Mode
1. Press and hold Side Button 1 after Battery Check Test Mode. The radio beeps once and
displays “Button Test”(line 1).
2. Rotate the Volume Knob; “2/1” through “2/255” appears. The radio beeps at each position.
3. Rotate the Channel Knob; When rotate the channel knob in clockwise, “4/1” appear. When
rotate the channel knob in counter clockwise, “4/-1” appear. The radio beeps at each position.
4. Press Side Button 1; “96/1” appears & radio beeps; release, “96/0” appears & radio beeps.
5. Press Side Button 2; “97/1”appears & radio beeps; release, “97/0” appears & radio beeps.
6. Press Side Button 3; “98/1”appears & radio beeps; release, “98/0” appears & radio beeps.
7. Press the PTT Switch; “1/1” appears & radio beeps; release, “1/0” appears & radio beeps.
8. Press Top Button; “148/1” appears & radio beeps; release, “148/0” appears & radio beeps.
9. Keypad Checks:
-Press 0, “48/1” appears & radio beeps; release, “48/0” appears & radio beeps.
-Press 1, “49/1” appears & radio beeps; release, “49/0” appears & radio beeps.
-Press 2, “50/1” appears & radio beeps; release, “50/0” appears & radio beeps.
-Press 3, “51/1” appears & radio beeps; release, “51/0” appears & radio beeps.
-Press 4, “52/1” appears & radio beeps; release, “52/0” appears & radio beeps.
-Press 5, “53/1” appears & radio beeps; release, “53/0” appears & radio beeps.
-Press 6, “54/1” appears & radio beeps; release, “54/0” appears & radio beeps.
-Press 7, “55/1” appears & radio beeps; release, “55/0” appears & radio beeps.
-Press 8, “56/1” appears & radio beeps; release, “56/0” appears & radio beeps.
-Press 9, “57/1” appears & radio beeps; release, “57/0” appears & radio beeps.
-Press *, “58/1” appears & radio beeps; release, “58/0” appears & radio beeps.
- Press #, “59/1” appears & radio beeps; release, “59/0” appears & radio beeps.
-Press P1, “160/1” appears & radio beeps; release, “160/0” appears & radio beeps.
-Press P2, “161/1” appears & radio beeps; release, “161/0” appears & radio beeps.
-Press MENU, “85/1” appears & radio beeps; release, “85/0” appears & radio beeps.
Rem. Capacity100%

Transceiver Performance Testing Display Model Test Mode 3-9
- Press BACK, “129/1” appears & radio beeps; release, “129/0” appears & radio beeps.
- Press W, “128/1” appears & radio beeps; release, “128/0” appears & radio beeps.
- Press X, “130/1” appears & radio beeps; release, “130/0” appears & radio beeps.
- Press ▲, "135/1" appears & radio beeps; release, "135/0" appears & radio beeps.
- Press ▼, "136/1" appears & radio beeps; release, "136/0" appears & radio beeps.
3.4 Display Model Test Mode
3.4.1 Monochrome Display Test
1. Press any button to test the LCD display, press button ">" until the display are fixed. Then,
press and hold the first side button until the screen change.
2. Upon any button/key press, the LCD shall display the growing horizontal bars. Press button
X until the LCD display full screen in Black and change to vertical bars.
3. Press button X until the LCD display full screen Black and change to icon display.
4. The LCD shall display RSSI icon (with full bar), monitor icon, high power level icon (H), tone
disabled icon, priority-two channel scan icon, option board icon, unread message icon,
emergency icon, talkaround icon, and battery strength indicator icon (with full bar).
5. The LCD shall clear the screen and display the rest of the icons (low power level icon (L),
companding icon, and secure operation icon) upon any button/key press.
6. Then, press and hold the first side button until the screen change.
3.4.2 Color Display Test
1. Press any button to test the LCD display, press button X until the display are fixed. Then,
press and hold the first side button until the screen change.
2. Upon key Xpress, the housing shall display a White screen with 2 pixels wide of a black
border inset from the edge by 2 pixels and the text "Display Test Mode" in black.
3. Upon key Xpress, the housing shall display a Black screen with 2 pixels wide of a White
boarder inset from the edge by 2 pixels and the text "Display Test Mode" in White.
4. Upon key Xpress, the housing shall display a full screen in Red.
5. Upon key Xpress, the housing shall display a full screen in Green.
6. Upon key Xpress, the housing shall display a full screen in Blue.
7. Upon key Xpress, the housing shall display the growing horizontal bars with a cyclic color of
Red>Green>Blue>Black>Red>Green>Blue>Black>Red (Full Screen).
8. Upon key Xpress, the housing shall display the growing vertical bars with a cyclic color of
Red>Green>Blue>Black>Red>Black (Full Screen).
9. Upon key “>”press, until all icons in color show. The housing shall display RSSI icon (with full
bar), monitor icon, high power level icon (H), tone disabled icon, priority-two channel scan
icon, option board icon, unread message icon, emergency icon, talkaround icon, and battery
strength indicator icon (with full bar).
10. The housing shall clear the screen and display the rest of the icons in color, (low power level
icon (L), companding icon, and secure operation icon) upon key “>”press. Then, press and
hold the first side button until the screen change.

3-10 Transceiver Performance Testing Non-Display Model Test Mode
3.5 Non-Display Model Test Mode
3.5.1 Entering Non-Display Radio Test Mode
1. Turn the radio on.
2. Within 10 seconds after “Self Test” is complete, press Side Button 2 five times in succession.
3. The radio beeps.
3.5.2 RF Test Mode
When the radio is operating in its normal environment, the radio's microcontroller controls the RF
channel selection, transmitter key-up, and receiver muting, according to the customer codeplug
configuration. However, when the unit is on the bench for testing, alignment, or repair, it must be
removed from its normal environment via a special routine, called TEST MODE or “air test”.
1. Each short press of Side Button 2 changes the test environment (CSQ->TPL->DIG->USQ
->CSQ). The radio beeps once when radio toggles to CSQ, beeps twice for TPL, beeps three
times for DIG and beeps four times for USQ.
2. Each short press of Side Button 1 toggles the channel spacing between 25 KHz, 12.5 KHz
and 20 KHz as. The radio beeps once when radio toggles to 20KHz, beeps twice for 25KHz
and beeps three times for 12.5KHz.
3. Turning of the Channel Knob changes the test channel from 1 to 14 as described in
Table 3-4. The radio beeps in each position.
3.5.3 LED Test Mode
1. Press and hold Side Button 1 in RF Test Mode. The radio beeps once.
2. Upon any button/key press, the radio lights up the red LED.
3. Consequently, upon any button/key press, the red LED is turned off and the radio turns on the
green LED.
4. Consequently, upon any button/key press, the green LED is turned off the radio shall turn on
both LEDs.
3.5.4 Speaker Tone Test Mode
1. Press and hold Side Button 1 after LED Test Mode. The radio beeps once.
2. The radio generates a 1 KHz tone with the internal speaker.
NOTE DIG is digital mode and other test environments are analog mode as described in Table 3-3.

Transceiver Performance Testing Non-Display Model Test Mode 3-11
3.5.5 Earpiece Tone Test Mode
1. Press and hold Side Button 1 after Speaker Tone Test Mode. The radio beeps once.
2. The radio generates a 1 KHz tone with the earpiece.
3.5.6 Audio Loopback Earpiece Test Mode
1. Press and hold Side Button 1 after Earpiece Tone Test Mode. The radio beeps once.
2. The radio shall route any audio on the external mic to the earpiece.
3.5.7 Battery Check Test Mode
1. Press and hold Side Button 1 after Audio Loopback Earpiece Test Mode. The radio beeps
once.
2. The radio LED lights up accordingly; green LED for High Battery Level, orange LED for Mid
Battery Level and blinking red LED for Low Battery Level.
3.5.8 Button/Knob/PTT Test Mode
1. Press and hold Side Button 1 after Battery Check Test Mode. The radio beeps once.
2. Rotate the Volume Knob; the radio beeps at each position.
3. Rotate the Channel Knob; the radio beeps at each position.
4. Press Side Button 1; the radio beeps; release, the radio beeps.
5. Press Side Button 2; the radio beeps; release, the radio beeps.
6. Press Side Button 3; the radio beeps; release, the radio beeps.
7. Press the PTT Switch; the radio beeps; release, the radio beeps.
8. Press Top Button; the radio beeps; release, the radio beeps.

Notes
3-12 Transceiver Performance Testing Non-Display Model Test Mode

Chapter 4 Radio Programming and Tuning
4.1 Introduction
This chapter provides an overview of the MOTOTRBO Customer Programming Software (CPS), as
well as the Tuner and AirTracer applications, which are all designed for use in a Windows 2000/XP/
Windows 7 environment. These programs are available in one kit as listed in Table 4-1. An
Installation Guide is also included with the kit.
4.2 Customer Programming Software Setup
The CPS programming setup, shown in Figure 4-1 is used to program the radio.
Figure 4-1. CPS Programming Setup
4.3 AirTracer Application Tool
The MOTOTRBO AirTracer application tool has the ability to capture over-the-air digital radio traffic
and save the captured data into a file. The AirTracer application tool can also retrieve and save
NOTE Refer to the appropriate program on-line help files for the programming procedures.
Table 4-1. Software Installation Kits Radio Tuning Setup
Description Part Number
MOTOTRBO CPS, Tuner and AirTracer Applications CD
NOTE Refer to appropriate program on-line help files for the programming procedures.
Computer USB ports can be sensitive to Electrostatic Discharge. Do not touch
exposed contacts on cable when connected to a computer.
!
C a u t i o n
Radio
Battery
Programming, Testing
& Alignment Cable
PMKN4012B
PMKN4013C or later.

4-2 Radio Programming and Tuning: Radio Tuning Setup
internal error logs from MOTOTRBO radios. The saved files can be analyzed by trained Motorola
personnel to suggest improvements in system configurations or to help isolate problems.
4.4 Radio Tuning Setup
A personal computer (PC), Windows 2000/XP/Windows 7and a tuner program are required to tune
the radio. To perform the tuning procedures, the radio must be connected to the PC, radio interface
box (RIB), and test equipment setup as shown in Figure 4-2.
Figure 4-2. Radio Tuning Equipment Setup
Wattmeter
Audio Generator
Sinad Meter
AC Voltmeter
10 dB Pad
Power
Supply
Audio In Tx
Rx
Receive
Transmit
RF Generator
RF Adaptor
RLN4460_
Test Box
Radio
Programming, Testing &
Alignment Cable
PMKN4013C or later
Service Monitor
or Counter
+12VDC
Battery
Eliminator
7.5V Reg.

Disassembly/Reassembly Procedures: Introduction 5-1
Chapter 5 Disassembly/Reassembly Procedures
5.1 Introduction
This chapter provides details about the following:
• Preventive maintenance (inspection and cleaning).
• Safe handling of CMOS and LDMOS devices.
• Disassembly and reassembly of the radio.
• Repair procedures and techniques.
5.2 Preventive Maintenance
Periodic visual inspection and cleaning is recommended.
5.2.1 Inspection
Check that the external surfaces of the radio are clean, and that all external controls and switches
are functional. It is not recommended to inspect the interior electronic circuitry.
5.2.2 Cleaning Procedures
The following procedures describe the recommended cleaning agents and the methods to be used
when cleaning the external and internal surfaces of the radio. External surfaces include the front
cover, housing assembly and battery case. These surfaces should be cleaned whenever a periodic
visual inspection reveals the presence of smudges, grease, and/or grime.
The only recommended agent for cleaning the external radio surfaces is a 0.5% solution of a mild
dishwashing detergent in water. The only factory recommended liquid for cleaning the printed circuit
boards and their components is isopropyl alcohol (100% by volume).
NOTE Internal surfaces should be cleaned only when the radio is disassembled for service or
repair.
The effects of certain chemicals and their vapors can have harmful results on
certain plastics. Avoid using aerosol sprays, tuner cleaners and other
chemicals.
!
C a u t i o n

5-2 Disassembly/Reassembly Procedures: Safe Handling of CMOS and LDMOS Devices
Cleaning External Plastic Surfaces
Apply the 0.5% detergent-water solution sparingly with a stiff, non-metallic, short-bristled brush to
work all loose dirt away from the radio. Use a soft, absorbent, lintless cloth or tissue to remove the
solution and dry the radio. Make sure that no water remains entrapped near the connectors, cracks,
or crevices.
Cleaning Internal Circuit Boards and Components
Isopropyl alcohol (100%) may be applied with a stiff, non-metallic, short-bristled brush to dislodge
embedded or caked materials located in hard-to-reach areas. The brush stroke should direct the
dislodged material out and away from the inside of the radio. Make sure that controls or tunable
components are not soaked with alcohol. Do not use high-pressure air to hasten the drying process
since this could cause the liquid to collect in unwanted places. After completing of the cleaning
process, use a soft, absorbent, lintless cloth to dry the area. Do not brush or apply any isopropyl
alcohol to the frame, front cover or back cover.
5.3 Safe Handling of CMOS and LDMOS Devices
Complementary metal-oxide semiconductor (CMOS) devices are used in this family of radios, and
are susceptible to damage by electrostatic or high voltage charges. Damage can be latent, resulting
in failures occurring weeks or months later. Therefore, special precautions must be taken to prevent
device damage during disassembly, troubleshooting, and repair.
Handling precautions are mandatory for CMOS circuits and are especially important in low humidity
conditions. DO NOT attempt to disassemble the radio without first referring to the CMOS CAUTION
paragraph in the Disassembly and Reassembly section of the manual.
NOTE Always use a fresh supply of alcohol and a clean container to prevent contamination by
dissolved material (from previous usage).
Use all chemicals as prescribed by the manufacturer. Be sure
to follow all safety precautions as defined on the label or
material safety data sheet.
!
C a u t i o n

Disassembly/Reassembly Procedures: Safe Handling of CMOS and LDMOS Devices 5-3
DO NOT attempt to disassemble the radio without first referring to the following CAUTION
statement.
This radio contains static-sensitive devices. Do not open the radio unless you are
properly grounded. Take the following precautions when working on this unit:
• Store and transport all CMOS/LDMOS devices in conductive
material so that all exposed leads are shorted together. Do not insert
CMOS/LDMOS devices into conventional plastic “snow” trays used
for storage and transportation of other semiconductor devices.
• Ground the working surface of the service bench to protect the
CMOS/LDMOS device. We recommend using the Motorola Static
Protection Assembly (part number 0180386A82), which includes a
wrist strap, two ground cords, a table mat, and a floor mat, ESD
shoes and an ESD chair.
• Wear a conductive wrist strap in series with a 100k resistor to
ground. (Replacement wrist straps that connect to the bench top
covering are Motorola part number 4280385A59).
• Do not wear nylon clothing while handling CMOS/LDMOS devices.
• Do not insert or remove CMOS/LDMOS devices with power applied.
Check all power supplies used for testing CMOS/LDMOS devices to
be certain that there are no voltage transients present.
• When straightening CMOS/LDMOS pins, provide ground straps for
the apparatus used.
• When soldering, use a grounded soldering iron.
• If at all possible, handle CMOS/LDMOS devices by the package and
not by the leads. Prior to touching the unit, touch an electrical
ground to remove any static charge that you may have
accumulated. The package and substrate may be electrically
common. If so, the reaction of a discharge to the case would cause
the same damage as touching the leads.
!
C a u t i o n

5-4 Disassembly/Reassembly Procedures: Repair Procedures and Techniques – General
5.4 Repair Procedures and Techniques – General
Any rework or repair on Environmentally Preferred Products must be done using the appropriate
lead-free solder wire and lead-free solder paste as stated in the following table:
Parts Replacement and Substitution
When damaged parts are replaced, identical parts should be used. If the identical replacement part
is not locally available, check the parts list for the proper Motorola part number and order the part
from the nearest Motorola Radio Products and Solutions Organization (RPSO) listed in Appendix A
of this manual.
Rigid Circuit Boards
This family of radios uses bonded, multi-layer, printed circuit boards. Since the inner layers are not
accessible, some special considerations are required when soldering and unsoldering components.
The printed-through holes may interconnect multiple layers of the printed circuit. Therefore, exercise
care to avoid pulling the plated circuit out of the hole.
When soldering near a connector:
• Avoid accidentally getting solder in the connector.
• Be careful not to form solder bridges between the connector pins.
• Examine your work closely for shorts due to solder bridges.
NOTE Environmentally Preferred Products (EPP) (refer to the marking on the printed circuit
boards — examples shown below) were developed and assembled using
environmentally preferred components and solder assembly techniques to comply with
the European Union’s Restriction of Hazardous Substances (ROHS) Directive 2002/
95/EC and Waste Electrical and Electronic Equipment (WEEE) Directive 2002/96/
EC. To maintain product compliance and reliability, use only the Motorola specified parts
in this manual.
Table 5-1. Lead Free Solder Wire Part Number List
Motorola
Part Number Alloy Flux Type Flux Content
by Weight
Melting
Point
Supplier Part
number Diameter Weight
1088929Y01 95.5Sn/3.8Ag/0.7Cu RMA Version 2.7-3.2% 217C 52171 0.015” 1lb spool
Table 5-2. Lead Free Solder Paste Part Number List
Motorola Part
Number
Manufacturer Part
Number Viscosity Type Composition & Percent Metal Liquid
Temperature
1085674C03 NC-SMQ230 900-1000KCPs
Brookfield (5rpm)
Type 3
(-325/+500)
(95.5%Sn-3.8%Ag-0.7%Cu)
89.3%
217°C

Disassembly/Reassembly Procedures: Disassembling and Reassembling the Radio — General 5-5
5.5 Disassembling and Reassembling the Radio — General
When disassembling and reassembling the radio, it is important to pay particular attention to the
snaps and tabs, and how parts align with each other.
The following tools are required for disassembling the radio:
• TORX™ T3 and T6 screwdriver
• Chassis and Knob Opener (PMLN6208_)
The following item and tools are required for reassembling the radio:
• Grease (1185937A01)
• TORX™ T3 and T6 screwdriver
• Vacuum Pump Kit (NLN9839) - Radio Immersibility Test
• Pressure Pump Kit (NTN4265) - Radio Immersibility Test
• Connector Fitting (5871134M01) - Radio Immersibility Test
• Fitting Seal (3271133M01) - Radio Immersibility Test
• Seal Port (3286058L01)
• Label Ventilation (5478220A01)
If a unit requires further testing or service than is customarily performed at the basic level, please
send the radio to a Motorola Service Center listed in Appendix B.
To assure the safety and regulatory compliance of the XPR 7000 Series, the
radio must be repaired only at Motorola service facilities. Please call Motorola
at 800-422-4210 for the address and contact information of your nearest
service center
!
C a u t i o n

5-6 Disassembly/Reassembly Procedures: Radio Disassembly – Detailed
5.6 Radio Disassembly – Detailed
5.6.1 Front Cover from Chassis Disassembly
1. Turn off the radio.
2. Remove the battery:
a. Release the battery latch by moving it into the unlock position.
b. With the latch released, slide the battery downwards.
c. Remove the battery from the radio.
3. Remove the antenna by turning it counterclockwise.
Figure 5-1. Antenna and Battery removal.
Antenna

Disassembly/Reassembly Procedures: Radio Disassembly – Detailed 5-7
4. Remove the channel selector knob and volum knob off from their shafts using the knob
removal tool.
Figure 5-2. Channel Selector and Volume Knob removal.
NOTE Both knobs slide on and off. However, they are supposed to fit very tightly on their shafts.
Volume Control Knob
Channel Selector
Knob

5-8 Disassembly/Reassembly Procedures: Radio Disassembly – Detailed
Figure 5-3. Shroud removal
5. Hook the knob opener under the shroud as shown in Figure 5-5 and detach it with a
downward motion.
6. Separate the chassis from the housing assembly as follows:
a. Insert the chassis opener into the recess at the bottom of the radio. Apply a downward
force to separate the chassis from the front housing.
b. Remove the chassis from the front housing.
Figure 5-4. Chassis removal
Shroud
Chassis Opener

Disassembly/Reassembly Procedures: Radio Disassembly – Detailed 5-9
7. Lay the chassis down. Rotate the front cover backward and slightly away from the chassis.
Figure 5-5. Disconnecting the chassis
8. Lift the latch on the main board to release the keypad from its connector.
9. Remove the flex from the keypad board by pulling it out of its connector gently.
10. Lift the latch on the main board to release the GOB flex from its connector.
Flex
Latch

5-10 Disassembly/Reassembly Procedures: Radio Disassembly – Detailed
5.6.2 Chassis Disassembly
Use a TORX screwdriver with a T6 head to remove the five screws holding the main board to the
chassis and the three screws holding the GOB.
Figure 5-6. Chassis disassembly
Main board screws
GOB screws
Chassis
Main board

Disassembly/Reassembly Procedures: Radio Disassembly – Detailed 5-11
1. Lift the main board from the chassis.
2. Lift the latch to separate the flex for the GOB.
3. Lift the GOB from the chassis.
4. Release all the tabs from the catches.
5. Remove the O-ring and battery contact seal
.
Figure 5-7. O-ring removal
O-ring
Battery Contact Seal
Tab
Catch

5-12 Disassembly/Reassembly Procedures: Radio Disassembly – Detailed
5.6.3 Keypad, Display, and Keypad Board Disassembly
1. If the disassembly of the keypad, the keypad printed circuit board, or the display is required,
remove the retainer by using a TORX screwdriver with a T6 head to remove the four screws.
2. Slide out the retainer from the housing assembly.
3. Disconnect the speaker flex, LCD flex and PTT flex from the keypad board.
Figure 5-8. Keypad, Display, and Keypad Board disassembly for Full Keypad
NOTE The LCD, keypad board and keypad can be removed without the use of tools.

Disassembly/Reassembly Procedures: Radio Disassembly – Detailed 5-13
5.6.4 Speaker, Microphone, and Universal Connector Flex Disassembly
1. Pull the microphone boot from its seated position.
2. Remove the speaker retainer screw using the TORX T6 screwdriver.
3. Peel-off the universal connector flex circuit escutcheon.
4. Pull the UC flex circuit (adhesive held) backer board from the font cover. Push the universal
connector flex through the UC slot into the housing.
5. Remove the speaker retainer from the speaker assembly.
6. Remove the assembly from the front housing.
Figure 5-9. Speaker removal for Full Keypad
Speaker Retainer
Speaker, Mic and Flex Assembly
UC Slot
Mic Boot
Screw

5-14 Disassembly/Reassembly Procedures: Radio Disassembly – Detailed
Figure 5-10. Speaker removal for Non-Keypad
1. Pull the rubber microphone boot from its seated position.
2. Remove the screw using the TORX T6 screwdriver.
3. Disconnect the PTT flex and peel the speaker assembly flex from the housing.
4. Peel off the universal connector flex circuit escutcheon.
5. Pull the UC flex circuit (adhesive held) backer board from the font cover. Push the universal
connector flex through the UC slot into the housing.
6. Remove the speaker retainer from the speaker assembly.
7. Remove the assembly from the front housing.
Speaker Retainer
Speaker, Mic and Flex Assembly
UC Slot
PTT flex connector
Screw

Disassembly/Reassembly Procedures: Radio Disassembly – Detailed 5-15
5.6.5 Emergency Button Assembly Dissassembly
1. The Emergency button can be removed without the use of tools once the speaker retainer is
removed.
Figure 5-11. Emergency Button disassembly for Full Keypad Model

5-16 Disassembly/Reassembly Procedures: Radio Disassembly – Detailed
Figure 5-12. Emergency Button disassembly for Non Keypad Model

Disassembly/Reassembly Procedures: Radio Reassembly - Detailed 5-17
5.7 Radio Reassembly - Detailed
5.7.1 Emergency Button and Speaker Reassembly
1. Slot in the emergency button in its proper slot.
Figure 5-13. Emergency Button reassembly for Full Keypad

5-18 Disassembly/Reassembly Procedures: Radio Reassembly - Detailed
Figure 5-14. Emergency Button reassembly for Non Keypad
Figure 5-15. Speaker reassembly for Full Keypad
Emergency Button
Speaker Retainer
Speaker, Mic and Flex
UC Slot

Disassembly/Reassembly Procedures: Radio Reassembly - Detailed 5-19
Figure 5-16. Speaker reassembly for Non Keypad
2. Insert the flexes through the speaker retainer so that the speaker retainer is placed directly on
the speaker assembly.
3. Slide the universal connector flex into UC slot.
4. Hook in the speaker retainer with speaker assembly at the top left corner of the housing.
5. Affix the appropriate screw on the speaker retainer.
6. Place the mic boot in the appropriate slot.
7. Place a new universal connector escutcheon on the universal connector flex circuit.
NOTE Ensure all the flexes are above the speaker retainer.
Speaker Retainer
Speaker, Mic and Flex
UC Slot

5-20 Disassembly/Reassembly Procedures: Radio Reassembly - Detailed
5.7.2 Keypad, Display and Keypad Board Reassembly
1. Place the LCD and keypad followed by the keypad board and keypad retainer in the housing.
2. Reconnect the speaker flex, LCD flex and PTT flex to the keypad board and keypad retainer.
3. Slide the keypad retainer in to the latch.
4. Use a TORX screwdriver with a T6 head to affix the screws.
Figure 5-17. Keypad, Display, and Keypad Board reassembly for Full Keypad

Disassembly/Reassembly Procedures: Radio Reassembly - Detailed 5-21
5.7.3 Chassis Reassembly
O-ring reassembly:
i. Ensure that the main O-ring is not twisted and untangle it to its actual form if needed
before performing reassembly.
ii. Insert D into the bottom two notches on the chassis.
iii. Fit C around the bottom two corners of the chassis.
iv. Insert B1 to B4 following the sequence as shown in Figure 5-18.
v. Secure A into the top 2 notches of the chassis.
vi. Replace the battery contact seal.
Figure 5-18. O-ring reassembly.
A
B1
B2
B3
B4
C
D
Battery Contact Seal

5-22 Disassembly/Reassembly Procedures: Radio Reassembly - Detailed
Figure 5-19. Chassis reassembly
1. Place the main board onto the chassis.
2. Tighten the main board screws in the sequence shown in Figure 5-16.
3. Place the GOB on the chassis.
Main board screws
GOB screws

Disassembly/Reassembly Procedures: Radio Reassembly - Detailed 5-23
4. Tighten the GOB screws following the sequence shown in Figure 5-17.
Figure 5-20. GOB reassembly
5. Connect GOB flex to the main board.
2
1
3
GOB

5-24 Disassembly/Reassembly Procedures: Radio Reassembly - Detailed
5.7.4 Chassis and Front Cover Reassembly
1. Connect the flex to the main board and the keypad board.
2. Insert top chassis tabs into the recesses on front cover and the tabs are fully inserted.
3. Gently push down the chassis into the front cover until it snaps in place.
4. Align the shroud with the top of the front housing and slide it in place.
5. Insert knobs, antenna and battery.
Figure 5-21. Chassis reassembly
Shroud

Disassembly/Reassembly Procedures: Radio Reassembly - Detailed 5-25
5.7.5 Bluetooth Antenna Kit Disassembly/Reassembly
5.7.5.1 Bluetooth Antenna Kit Disassembly
1. Use a T3 Torx screwdriver to unfasten the bluetooth module.
Figure 5-22. Bluetooth removal for Full Keypad
Figure 5-23. Bluetooth removal for Non Keypad
Screw
Bluetooth module
Screw
Bluetooth module

5-26 Disassembly/Reassembly Procedures: Radio Reassembly - Detailed
5.7.5.2 Bluetooth Antenna Kit Reassembly
1. Place the Bluetooth module in the housing and fasten with a Torx 3 screwdriver.
Figure 5-24. Bluetooth reassembly for Full Keypad
Figure 5-25. Bluetooth reassembly for Non Keypad
Bluetooth module slot
Screw
Bluetooth module
Bluetooth module slot
Screw
Bluetooth module

Disassembly/Reassembly Procedures: Radio Reassembly - Detailed 5-27
5.7.6 GOB Installation
1. Fold the option board flex cable as shown.
2. Peel the adhesive strip off from the spacer supplied and affix the spacer to the bottom side of
the option board where marked.

5-28 Disassembly/Reassembly Procedures: Radio Reassembly - Detailed
3. Gently lift the connector flap of the option board and connect the option board flex cable.
Gently close the flap.
4. Insert the option board with the motherboard into the chassis as shown below.
Flex
GOB Board
Flex
GOB Board
Option Board
Screw

Disassembly/Reassembly Procedures: Ensuring Radio Immersibility 5-29
5.8 Ensuring Radio Immersibility
This section discusses radio immersibility concerns, tests, and disassembly and reassembly of the
XPR series radios.
5.8.1 Servicing
The XPR series radios shipped from the Motorola factory have passed vacuum testing and should
be capable of restoring the watertight integrity of the radio.
5.8.2 Accidental Immersion
If the radio is accidentally dropped in water, shake the radio to remove the excess water from the
speaker grille and microphone port area before operating; otherwise, the sound may be distorted
until the water has evaporated, or is dislodged from these areas.
5.8.3 Specialized Test Equipment
This section summarizes the specialized test equipment necessary for testing the integrity of the
XPR series radios.
To ensure that the radio is truly a watertight unit, special testing, test procedures, and specialized
test equipment are required. The special testing involves a vacuum check of the radio and pressure
testing (troubleshooting) for water leaks if the vacuum check fails. The specialized test equipment/
instrument (Table 2-2 on page 2-2) is authorized by Motorola and needed to perform the vacuum
check and pressure testing, if required. Any equipment/tools/instruments not mentioned in the table
must not be used to perform these test.
5.8.4 Vacuum Pump Kit NLN9839
The vacuum pump kit includes a vacuum pump with gauge, and a vacuum hose. A connector fitting
(part number 5871134M01) and fitting seal (part number 3271133M01) pump connector, which must
be ordered separately, connects the vacuum hose to the radio’s chassis.
Figure 5-26. Connector Fitting - Fitting Seal Pump Connector
It is strongly recommended that the maintenance of the radio be deferred to
qualified service personnel and service shops. This is of paramount importance
as irreparable damage to the radio can result from service by unauthorized
persons. If disassembly is necessary, unauthorized attempts to repair the radio
may void any existing warranties or extended performance agreements with
Motorola. It is also recommended that immersibility be checked annually by
qualified service personnel/workshop that is authorized by Motorola.
!
C a u t i o n
Fitting Seal
(part number
3271133M01)
Connector Fitting
(part number
5871134M01)

5-30 Disassembly/Reassembly Procedures: Ensuring Radio Immersibility
5.8.5 Pressure Pump Kit NTN4265
The pressure pump kit includes a pressure pump with gauge, and a pressure hose. As with the
vacuum pump kit above, the connector fitting - fitting seal pair connects the pressure hose to the
radio’s chassis.
5.8.6 Miscellaneous Hardware
Other items needed for testing the immersibility radio include:
• Large water container
• Deionized (DI) water
• A supply of replacement parts: Main seal O-ring, Battery Contact Seal, Breathing Vent Label
and Breathing Vent Membrane.
5.8.7 Vacuum Test
The vacuum test uses a vacuum pump and gauge. The pump creates a vacuum condition inside the
radio, and the gauge monitors the radio for a stable vacuum reading; that is, checking for a properly
sealed, watertight unit. Before starting the vacuum test:
• Remove the battery.
• Remove the universal connector dustcover to expose the universal connector.
• Remove the breathing vent label and breathing vent membrane.
To conduct the vacuum test:
1. Attach antenna firmly to the radio.
2. Attach the vacuum hose to the vacuum pump. Check the pump and hose for leaks by
blocking off the open end of the hose and operating the pump a few times. The actual reading
of the gauge at this point is not important; it is important that the gauge pointer remained
steady, indicating no vacuum leaks in the pump.
3. Ensure that the fitting seal is attached to the hose-to-chassis pump connector. Screw the
pump connector into the tapped hole in the chassis.
4. Attach the open end of the hose to the pointed end of the pump connector.
5. Place the radio on a flat surface with the chassis facing upward.
6. Operate the pump until the gauge indicates 6 in. Hg of vacuum on the radio.Observe the
gauge for approximately 1 minute.
• If the needle falls 0.5 in. Hg or less (one scale interval, for example, from 3 in. Hg to 2.5 in.
Hg), then the radio has passed the vacuum test and is approved for immersibility. No
additional testing will be required.
• If the needle falls more than 0.5 in. Hg (one scale interval, for example, from 3 in. Hg to less
than 2.5 in. Hg), then the radio has failed the vacuum test and the radio might leak if
Please do not bend or over tighten pump connector to the chassis.
!
C a u t i o n

Disassembly/Reassembly Procedures: Ensuring Radio Immersibility 5-31
immersed. Additional troubleshooting of the radio will be required; complete this procedure,
then go to Section 5.8.8 "Pressure Test".
7. Remove the vacuum hose and pump connector from the radio.
5.8.8 Pressure Test
Pressure testing the radio is necessary only if the radio has failed the vacuum test. Do not perform
the pressure test until the vacuum test has been completed. Pressure testing involves creating a
positive pressure condition inside the radio, immersing the radio in water, and observing the radio
for a stream of bubbles (leak). Since all areas of the radio are being checked, observe the entire unit
carefully for the possibility of multiple leaks before completing this test.
To conduct the pressure test:
1. Screw the pump connector (with fitting seal) into the tapped hole in the chassis.
2. Attach one end of the pressure hose to the pump connector and the other end to the pressure
pump.
3. Attach antenna firmly to the radio.
4. Operate the pump until the gauge reads approximately 1 psig.
5. Maintain the pressure at 1 psig and immerse the radio into a water-filled container.
6. Watch for any continuous series of bubbles. A stream of bubbles indicates a sign of leakage.
7. Note all of the seal areas that show signs of leakage. Pinpoint the problem(s) to one (or more)
of the following areas:
• Front Housing
• Chassis (Main Seal O-ring)
• Battery Contact Seal
8. Remove the radio from the water container, and dry the radio thoroughly. Be especially
careful to dry the area around the main seal to prevent contamination of the internal
Pressure any greater than 1 psig might push air around the main seal
NOTE Some air entrapment may cause the accumulation of bubbles, especially in the grille area,
but the bubbles should not be continuous.
Please do not bend or over tighten pump connector to the chassis.
!
C a u t i o n
!
C a u t i o n

5-32 Disassembly/Reassembly Procedures: Ensuring Radio Immersibility
electronics while the unit is open
9. Remove the pump connector from the chassis.
10. Radio after performing Pressure Test must undergo baking process in a temperature chamber
for constant temperature soaking at 60°C for 1 hour. This is to ensure no moisture is trapped
inside the radio and prevent contamination of the internal electronics after reassembling the
radio.
5.8.9 Troubleshooting Leak Areas
Before repairing any leak, first read all of the steps within the applicable section. This will help to
eliminate unnecessary disassembly and reassembly of a radio with multiple leaks. Troubleshoot
only the faulty seal areas listed in Section 5.8.8 "Pressure Test" on page 5-31, and when multiple
leaks exist, in the order listed.
5.8.9.1 Front Housing
Do one or both of the following:
1. If a leak occurs at the Lens (Display Models only), Universal Connector, chassis/Housing
interface, PTT button area of the housing, replace the housing. Refer to Section 5.6 "Radio
Disassembly – Detailed" on page 5-6.
a. Remove the housing assembly from the radio.
b. Discard the housing assembly and main seal O-ring.
c. Install a new main seal O-ring around the chassis assembly according to Figure 5.
d. Install a new housing assembly to the radio.
e. Inspect the main seal for proper seating.
f. Observe carefully to ensure that the main seal O-ring is not pinched between the
housing and the chassis interface.
2. If the leak occurs at the control top area, remove the knobs in order to determine the leak
location:
a. Conduct the Pressure Test.
b. Identify the leak location.
5.8.9.2 Chassis (Main Seal O-ring)
To replace the main seal O-ring:
1. Refer to Section 5.6.1 "Front Cover from Chassis Disassembly" on page 5-6, remove the
chassis assembly from the radio.
Keep the area around the chassis’s vacuum port dry by ensuring that there is no
water around it.
NOTE Before reassembling the radio, always install a new Main seal O-ring, Battery Contact Seal
in the defective area.
!
C a u t i o n

Disassembly/Reassembly Procedures: Ensuring Radio Immersibility 5-33
2. Refer to Section 5.6.2 "Chassis Disassembly" on page 5-10, remove the Main Board from
chassis.
3. Remove the main seal O-ring.
4. Inspect the seal area around the chassis for foreign material that might prevent the main seal
O-ring from sealing properly.
5. Assemble a new O-ring; discard the old O-ring.
6. For detailed O-ring assembly sequence, refer to clause 2, step i. to step viii. of Section 5.7.3
"Chassis Reassembly" on page 5-21.
7. Reassemble the chassis assembly followed by installing into Front Cover. (Refer to Section
5.7 "Radio Reassembly - Detailed" on page 5-17).
8. Inspect the main seal O-ring for proper seating. Observe carefully to ensure that the main
seal O-ring is not pinched between the housing and the chassis.
5.8.9.3 Battery Contact Seal
To replace the Battery Contact Seal:
1. Refer to Section 5.6 "Radio Disassembly – Detailed" on page 5-6 to remove the Battery
Contact Seal.
2. Remove the Battery Contact Seal from the Chassis.
3. Inspect the Battery Contact Seal, Chassis and surrounding areas for foreign material that
might prevent the Battery Contact Seal from sealing properly.
4. Install a new Battery Contact Seal; discard the old Seal.
5. Replace a new main seal O-ring; discard the old O-ring.
6. Reassemble the chassis assembly followed by installing into Front Cover. (Refer to Section
5.7 "Radio Reassembly - Detailed" on page 5-17).
7. Inspect the main seal O-ring for proper seating. Observe carefully to ensure that the main
seal O-ring is not pinched between the housing and the chassis.
IMPORTANT: Both Gore Label (5478220A01) and Gasket (3286058L01) need to be
replaced after vacuum test, pressure test or water leakage troubleshoot-
ing.
NOTE When installing the assembled chassis to the Front Cover, ensure the O-ring at the top two
corners are not dislodged from the chassis groove.

5-34 Disassembly/Reassembly Procedures: Ensuring Radio Immersibility
5.8.9.4 Breathing Vent Membrane and Breathing Vent Label
To replace the Breathing Vent Membrane and Breathing Vent Label:
1. Remove the Breathing Vent Label that covers the Breathing Vent Membrane from the
chassis.
2. Remove the Breathing Vent Membrane.
3. Ensure that the chassis’s surface (at the Breathing Vent Label & Breathing Vent Membrane
recessed) is clean, no/minimum scratches and free from any adhesive or other foreign
materials.
4. Install a new Breathing Vent Membrane, covering the vent port hole, in the small recessed
area in the chassis. Ensure that no oily substance come in contact with the seal.
5. Install a new Breathing Vent Label over the Breathing Vent Membrane in the larger recessed
area in the chassis. Press down evenly over the label’s surface to ensure good adhesion.
5.8.9.5 Battery Maintenance
1. As part of an Annual Battery Maintenece Program or as required (when the battery contacts
are dirty or show signs of wear) it is recommended that the Battery‘s Radio-side and Charger-
side contacts are cleaned with DeoxIT®GOLD cleaner/lubricant.
2. DeoxIT®GOLD (Supplier CAIG Labs, P/N G100P) cleaner/lubricant pen has been found to be
very effective at cleaning and extending the life of the battery‘s contacts. DeoxIT®GOLD
cleaner/lubricant is available at numerous electronics suppliers (Radio Shack, McMaster Carr,
Fry’s, etc.) and directly from manufacturer, CAIG Labs, at http://www.caig.com.
3. This pen based package is recommended as it provides better access to the recessed con-
tacts of the battery. The pen’s tip may need to be modified (trimmed on the sides) to improve
penetration into the battery contact slots. Per the manufacturer’s instructions, shake the pen
until the fluid begins to flow and wipe the battery's contact surface with the felt tip. After
cleaning, inspect the contact surfaces for signs of advanced wear.
4. Advanced contact wear is defined as wear through either the contact platings (gold and
nickel) to the base metal (copper). Copper exposure is characterized by a distinctive orange-
brown metal appearance surrounded by the silvery nickel underplate and gold top coat.
5. In some cases, a magnified (10x minimum) inspection may be required to verify wear through
to the base material. Polishing of the gold or nickel surface is common and is not considered
a need for replacement. In instances where advanced wear is evident, the battery should be
replaced.
6. After cleaning the contact areas of any foreign material, let the lubricant/cleaner dry for 2 min-
utes. Replace the battery on the radio and test for intermittency by moving the battery relative
to the radio as might occur in regular use.
NOTE Regular maintenance (at least annually) of this area is recommended to ensure
contamination free interface and to prolong the life of the battery contacts.

Disassembly/Reassembly Procedures: Ensuring Radio Immersibility 5-35
5.8.10 Troubleshooting Charts
Troubleshooting Flow Chart for Vacuum Test (Sheet 1 of 2)
Start
1. Remove Battery
2. Remove Universal
Connector Dustcover
3. Remove breathing vent label
and membrane
1. Attach antenna firmly to the radio.
2. Attach vacuum hose to vacuum
pump
3. Ensure fitting seal is attached to
hose-to-chassis pump connector
4. Screw pump connector into chas-
sis’s tapped hole
5. Attach vacuum hose to pump
connector
6. Place radio on flat surface
7. Operate pump (gauge = 6 in. Hg)
Gauge
does not fall
below
0.5 in. Hg
NO
YES
Run Pressure Test
1.Replace Breath-
ing Vent label and
Breathing Vent
Membrane
2. Radio approved
for immersibility
Full
equipment for
pressure test
procedure
available
YES
NO
B
End
A

5-36 Disassembly/Reassembly Procedures: Ensuring Radio Immersibility
Troubleshooting Flow Chart for Vacuum Test (Sheet 2 of 2)
Start
B
1Remove pump and
connectors from radio
2. Remove antenna
3. Separate front housing kit
Examine and
reassemble
main O-ring
Replace front
housing kit with
new unit
Replace main
O-ring with
new unit
Replace new
chassis kit
without PCBs
YES
NO NO NO NO
Changed
front housing
kit
YES Changed
back chassis
kit
YES Changed
main O-ring
Examined
main O-ring
fitting
YES
Send radio to
Motorola Depot
or
Motorola Service Center
End
A

Disassembly/Reassembly Procedures: Ensuring Radio Immersibility 5-37
Troubleshooting Flow Chart for Pressure Test & Leakage Areas
Start
1. Remove vacuum hose from
pump connector
2. Attach pressure hose to
pump connector
1. Operate pressure pump
(pressure = 1 psig)
2. Immerse radio into a water-
filled container
Continuous
Series of
bubbles
YES
NO
Bubbles from
Front
Housing
YES
NO
Bubbles from
Chassis
YES
NO
Bubbles from
Battery Con-
tact Seal
YES
NO
Bubbles from
Lens*/Univer-
sal Connector/
chassis/
Housing Inter-
face/ PTT
1. Dry the radio
2. Replace Housing, Main
Seal O-Ring, and repeat
steps in Troubleshooting
Flow Chart for Vacuum Test.
YES
1. Remove Knobs
NO
1. Dry the radio
2. Replace Battery Contact Seal,
Main Seal O-Ring, and repeat
steps in Troubleshooting Flow
Chart for Vacuum Test.
1. Dry the radio
2. Replace Main Seal O-ring,
and repeat steps in
Troubleshooting Flow Chart
for Vacuum Test.
1. Dry the radio
2.Replace Breathing
Vent label and
Breathing Vent
Membrane
3. Radio approved
for immersibility
* Only for Display Model
EndEndEndEndEnd

5-38 Disassembly/Reassembly Procedures: Radio Exploded Mechanical Views and Parts Lists
5.9 Radio Exploded Mechanical Views and Parts Lists
5.9.1 Full Keypad Model Exploded View and Parts List
Figure 5-27. Full Keypad Model Exploded View
50
44 43
42
41 40
35
34
32 33 26
25
24 21 20 17 16
10
879
4
32
1
5
6
11
12
13
14
15
18
19
22
23
27
28
29
30
31
38 37
36
39
45
46
47
48
49
51

Disassembly/Reassembly Procedures: Radio Exploded Mechanical Views and Parts Lists 5-39
Table 5-3. Full Keypad Model Exploded View Parts List
Item Description Part Number
1Antenna See Chapter 7:
Accessories
2 Volume Knob 36012005001
3Frequency Knob 36012004001
4 Emergency Button 38012008001
5Nameplate, Front 33012037001
6 Front Cover Kit* See Table 5-5
7UC Escutcheon Part of Front Cover
kit
8 Dust Cover Assembly 15012157001
9Bluetooth / GPS Antenna 85012045001
10 Screw, Shoulder, M1.2 X 3.2 MM 0371160D01
11 Label, Agency Indicator Not Field
Replaceable
12 Full Keypad See Table 5-5
13 Front Dampener, Color Display 75012070001
14 Color Display Padding 75012137001
15 Color Display Module 72012010001
16 Back Dampener, Color Display 75012069001
17 Conductive Pad (Small) 75012148001
18 Conductive Pad (Big) 75012143001
19 Keypad to Mainboard Flex 84012214005
20 UC to Keypad Flex Part of Front Cover
kit
21 TX Shield Poron 75012117001
22 Keypad Stiffener 75012094001
23 Keypad-LCD Retainer 42012029001
24 Mesh, Speaker 35012040001
25 Speaker, Electromagnetic, 36mm Dia 50012013001
26 Retainer Assembly, Speaker 0104045J57
27 Keypad Retainer Screw 0378212A02
28 Conductive Poron 3916290H01

5-40 Disassembly/Reassembly Procedures: Radio Exploded Mechanical Views and Parts Lists
NOTE: * Comprises of 4,5,7,9,10,12,13,14,15,16,17,18,19,20,21,22,23,24,25,26,27,28,29,30,31 and 33
** Comprise of 32,34,35,36,37,39,40,41,42,44 and 47
29 Microphone, EMI, Electret Condenser 50012012001
30 Boot, Microphone 32012099001
31 Mic Membrane with Stiffener 3578241A02
32 Screw, Main Board and GOB board 03012034001
33 Screw, Thread Forming 0386434Z02
34 Seal, Top Control 32012089001
35 Back Cover Kit Assembly** See Table 5-5
36 Main O-Ring 32012097001
37 Option Board Kit PMLN5718AS
38 GOB to Mainboard Flex 84012217003
39 Chassis Part of Back Cover kit
40 Rubber Plug 38012017001
41 Housing, Shroud 15012092001
42 Battery Contact Seal 32012096001
43 Nameplate See Table 5-5
44 Warning Label 3371496L01
45 Gasket 3286058L01
46 Gore Label 5478220A01
47 RF Label 54012133001
48 Chassis Label Not Field
Replaceable
49 Battery See Chapter 7:
Accessories
50 Belt Clip See Table 5-5
51 Pad, Thermal 7515526H01
Table 5-3. Full Keypad Model Exploded View Parts List
Item Description Part Number

Disassembly/Reassembly Procedures: Radio Exploded Mechanical Views and Parts Lists 5-41
5.9.2 Non Keypad Model Exploded View and Parts List
40
39
32
31
30
29
25
24
22 23 21 16 15
14
12 11 10
9
8
1
2
3
4
5
6
7
17
18
19
27 26
33
34
35
36
37
13
28
20
38
41

5-42 Disassembly/Reassembly Procedures: Radio Exploded Mechanical Views and Parts Lists
Table 5-4. Non-Display Model Exploded View Parts List
Item Description Part Number
1Antenna See Chapter 7:
Accessories
2 Knob, Frequency 36012004001
3Knob, Volume 36012005001
4 Emergency Button 38012008001
5Nameplate Front 33012037001
6 Front Cover Kit* Not Field
Replaceable
7Label, Agency Indicator 54012222001
8 UC Escutcheon Part of Front Cover
kit
9Dust Cover Assembly 15012157001
10 Mesh, Speaker 35012040001
11 Speaker, Electromagnetic, 36mm Dia 50012013001
12 Retainer Assembly, Speaker 0104045J57
13 Keypad Retainer Screw 0378212A02
14 Microphone, EMI, Electret Condenser 50012012001
15 Boot, Microphone 32012099001
16 Mic Membrane with Stiffener 3578241A02
17 BlueTooth/GPS Antenna 85012045001
18 Screw, Shoulder, M1.2 X 3.2 MM 0371160D01
19 Plain Front Housing Poron 75012131001
20 Plain UC Flex Poron 75012103001
21 UC to Keypad Flex Part of Front Cover
kit
22 Seal, Top Control 32012089001
23 Screw, Main Board and GOB Board 03012034001
24 Back Cover Kit Assembly** See Table 5-5
25 Main O-Ring 32012097001
26 Option Board Kit PMLN5718AS
27 GOB to Mainboard Flex 84012217003
28 Plain PTT Flex Poron 75012102001
29 Chassis Part of Back Cover
kit
30 Rubber Plug 38012017001

Disassembly/Reassembly Procedures: Radio Exploded Mechanical Views and Parts Lists 5-43
NOTE:* Comprises of 4,5,8,10,11,12,13,14,15,16,17,18,19,20,21 and 28
** Comprise of 22,23,24,25,26,29,30,31,32,34,36 and 38
Table 5-5. Additional Part List information
31 Housing, Shroud 15012092001
32 Battery Contact Seal 32012096001
33 Gasket 3286058L01
34 Warning Label 3371496L01
35 Gore Label 5478220A01
36 RF Label 54012133001
37 Label Chassis See Table 5-5
38 Nameplate See Table 5-5
39 Battery See Chapter 7:
Accessories
40 Belt Clip See Table 5-5
41 Pad, Thermal 7515526H01
Item Description Part Number
Front Cover
Kit
FRONT COVER KIT ENGLISH BT FKP PMLN6116A
FRONT COVER KIT BT NKP PMLN6111A
Keypad Full Keypad, English 75012064004
Back Kit BC Kit 136-174MHz,5W,FKP,GPS,BT PMLD4480AS
BC Kit 136-174MHz,5W,NKP,GPS,BT PMLD4486AS
BC Kit 403-527MHz,4W,FKP,GPS,BT PMLE4689AS
BC Kit 403-527MHz,4W,NKP,GPS,BT PMLE4695AS
Nameplate XPR 7350 33012015001
XPR 7550 33012015002
Belt Clips Belt Clip 2” PMLN4651A
Belt Clip 2.5" PMLN7008A
Label Chassis Label 54012134001
Table 5-4. Non-Display Model Exploded View Parts List
Item Description Part Number

5-44 Disassembly/Reassembly Procedures: Radio Exploded Mechanical Views and Parts Lists
5.9.3 Torque Chart
Table 5-6 lists the various screws by part number and description, followed by the torque values in
different units of measure. Torque all screws to the recommended value when assembling the radio.
Table 5-6. Torque Specifications for Screws
Part Number Description Driver/
Socket
Torque
lbs-in
03012034001 Screw, Main Board T6 Torx 3.1 to 3.5
0386434Z02 Screw, Speaker Retainer T6 Torx 2.3 to 2.5
0378212A02 Screw, Keypad Retainer T6 Torx 1.1 to 1.3
0371160D01 Screw, Bluetooth Antenna T3 Torx 0.4 to 0.6

Chapter 6 Basic Troubleshooting
6.1 Introduction
This chapter contains error codes and board replacement procedures. If the board does not pass all
the performance checks in Chapter 3 or exhibits an error code listed below, then the circuit board
should be replaced. If repair requires knowledge of details of component level troubleshooting,
please send radio to a Motorola Service Center listed in Appendix B.
6.2 Replacement Back Cover Kit Procedures
Once a problem has been isolated to a specific board, install the appropriate service kit (See Model
Charts in Chapter 1), which is orderable. from Motorola Radio Products and Solutions Organization
at 1-800-422-4210.
If a board is replaced, it does not necessarily need to be retuned if it has been factory tuned. It
should however be checked for performance before being placed into service. Of particular concern
is the Bias DAC, which will need to be set for the appropriate final device bias current prior to keying
up the radio. If the bias is not properly set it may be possible to cause damage to the transmitter.
NOTE To access the various connector pins, use the housing eliminator/test fixture along with the
diagrams found in this section of the manual. (See the section, "Service Aids" on page 2-2,
for the appropriate Motorola service aids and tools parts numbers.)
The Tuner Tool only allows the serial number of the blank board to be entered
once. Be very attentive during this procedure.
!
C a u t i o n

6-2 Basic Troubleshooting: Power-Up Error Codes (Display Model only)
6.3 Power-Up Error Codes (Display Model only)
Upon powering up, the radio performs certain tests to determine if its basic electronics and software
are in working order. Any error detected has an associated error code that is presented on the radio
display. These error codes are intended to be used by a service technician when the radio
generates the Self Test Fail Tone. If these tests are successfully completed, the radio will generate
the Self Test Tone.
There are two classes of detectable errors, fatal and non-fatal. If it is considered as a fatal error, then
the normal radio operation will be inhibited. Fatal errors include hardware errors detected by the
microprocessor and certain memory errors. These memory errors include incorrect ROM checksum,
incorrect RAM checksum, and incorrect checksums of codeplug (Persistent Storage) blocks that
contain operating parameters. If the codeplug block operating parameters are corrupted, operation
of the unit on the proper frequency, system, and group are in question. Attempts to use this
information could provide the user with a false sense of security that others are receiving his
messages. Corrupted codeplug blocks of call IDs, or their associated aliases are considered non-
fatal errors. While the user may be inconvenienced, normal communication is still possible.
Table 6-1. Power-Up Error Codes
Error Code Description Error Type Corrective Action
ERROR 01/02 Call ID or associated
aliases codeplug block
checksum is wrong.
Non-Fatal Normal communication is still possible, but the
user may be inconvenienced.
Reprogram codeplug.
ERROR 01/22 Tuning Codeplug block
checksum is wrong.
Non-Fatal Normal communication is still possible.
FAIL 01/82 External Codeplug block
checksum is wrong.
Fatal Reprogram codeplug.
FAIL 01/92 Secure Codeplug check-
sum error
Fatal Reprogram codeplug.
FAIL 01/A2 Tuning Codeplug block
checksum is wrong.
Fatal Reprogram codeplug.
FAIL 01/81 ROM Checksum is
wrong.
Fatal Reprogram FLASH Memory, then retest. If
message reoccurs, replace main board or
send radio to nearest Motorola Depot.
FAIL 01/88 Radio RAM Test Failure. Fatal Retest radio by turning it off and turning it on
again. If message reoccurs, replace main
board or send radio to nearest Motorola
Depot.
FAIL 01/90
or
FAIL 02/90
General hardware test
failure.
Fatal Retest radio by turning it off and turning it on
again. If message reoccurs, replace main
board or send radio to nearest Motorola
Depot.
FAIL 02/81 DSP ROM Checksum is
wrong.
Fatal Reprogram FLASH Memory, then retest. If
message reoccurs, replace main board or
send radio to nearest Motorola Depot.
FAIL 02/82 DSP RAM1 test failure. Fatal Retest radio by turning it off and turning it on
again. If message reoccurs, replace main
board or send radio to nearest Motorola
Depot.

Basic Troubleshooting: Power-Up Error Codes (Display Model only) 6-3
FAIL 02/84 DSP RAM2 test failure. Fatal Retest radio by turning it off and turning it on
again. If message reoccurs, replace main
board or send radio to nearest Motorola
Depot.
FAIL 02/88 DSP RAM test failure. Fatal Retest radio by turning it off and turning it on
again. If message reoccurs, replace main
board or send radio to nearest Motorola
Depot.
FAIL 02/C0 DSP ROM Checksum is
wrong.
Fatal Retest radio by turning it off and turning it on
again. If message reoccurs, replace main
board or send radio to nearest Motorola
Depot.
No Display Display module is not
connected properly.
Display module is dam-
aged.
Fatal Check connection between main board and
display module.
Replace with new display module.
NOTE A non-display radio emits only the Self Test Fail Tone if it fails the self-test
Table 6-1. Power-Up Error Codes (Continued)
Error Code Description Error Type Corrective Action

6-4 Basic Troubleshooting: Operational Error Codes
6.4 Operational Error Codes
During radio operation, the radio performs dynamic tests to determine if the radio is working properly.
Problems detected during these tests are presented as error codes on the radio’s display. The
presence of an error code should prompt a user that a problem exists and that a Motorola Authorized
MOTOTRBO dealer should be contacted. Use Table 6-2 to aid in understanding particular
operational error codes.
Table 6-2. Operational Error Codes
Error Code Description Error Type Corrective Action
FAIL 001 Synthesizer Out-of-Lock NON-FATAL 1. Reprogram the codeplug.
2. Refer to Detailed Service
Manual.
FAIL 002 Personality checksum or
system block error
NON-FATAL Reprogram the codeplug.

Chapter 7 Accessories
7.1 Introduction
Motorola provides the following approved accessories to improve the productivity of your digital
portable two-way radio.
For a list of Motorola-approved antennas, batteries and other accessories, visit the following web
site: http://www.motorola.com/governmentandenterprise
7.1.1 Batteries
7.1.2 Antennas
7.1.3 Carry Devices
Kit No. Description
PMNN4407_ IMPRES Li-ion Slim Battery (1500mAH)
PMNN4409_ IMPRES Hi-Cap Li-ion Non-FM Battery (2150 mAH)
NNTN8129_ IMPRES Hi-Cap Li-ion FM Battery (2300 mAH)
PMNN4406_ Core Slim Li-Ion Battery (1500 mAH)
PMNN4412_ Core NiMH battery (1300mAh)
Kit No. Description
PMAD4117_ VHF Helical antenna (136-155 MHz)
PMAD4116_ VHF Helical antenna (144-165 MHz)
PMAD4118_ VHF Helical antenna (152-174 MHz)
PMAD4119_ VHF stubby antenna (136-155 MHz)
PMAD4120_ VHF stubby antenna (144-165 MHz)
PMAD4121_ VHF stubby antenna (152-174 MHz)
PMAE4068_ UHF whip antenna (403-527 MHz)
PMAE4079_ UHF slim whip (403-527MHz)
PMAE4069_ UHF stubby antenna (403-440 MHz) (405-450 MHz)
PMAE4070_ UHF stubby antenna (430-470 MHz) (440-490 MHz)
PMAE4071_ UHF stubby antenna (465-512 MHz) (470-527 MHz)
Kit No. Description
PMLN5838_ HARD LEATHER CC 3inch FIX LKP FKP
PMLN5839_ HARD LEATHER CC 3inch FIX PLAIN

7-2 Accessories: Introduction
7.1.4 Service/Replacement Parts
7.1.5 CPS
7.1.6 Miscellaneous Accesories
PMLN5840_ HARD LEATHER CC 3inch SWL LKP FKP
PMLN5846_ HARD LEATHER CC 3inch SWL PLAIN
PMLN5842_ HARD LEATHER CC 2.5inch SWL LKP FKP
PMLN5843_ HARD LEATHER CC 2.5inch SWL PLAIN
PMLN5844_ NYLON CC 3inch FIX LKP FKP
PMLN5845_ NYLON CC 3inch FIX PLAIN
Part No. Description
PMLN6208A Chassis and Knob Opener
Part No. Description
RVN5115__ CPS MOTOTRBO
Part No. Description
PMLN5718_S Generic Option Board

Appendix A Replacement Parts Ordering
A.1 Basic Ordering Information
Some replacement parts, spare parts, and/or product information can be ordered directly. While parts
may be assigned with a Motorola part number, this does not guarantee that they are available from
Motorola Radio Products and Solutions Organization (RPSO). Some parts may have become
obsolete and no longer available in the market due to cancelations by the supplier. If no Motorola
part number is assigned, the part is normally not available from Motorola, or is not a user-serviceable
part. Part numbers appended with an asterisk are serviceable by Motorola Depot only.
A.2 Motorola Online
Motorola Online users can access our online catalog at
https://www.motorola.com/businessonline
To register for online access, please call 1-800-422-4210 (for U.S. and Canada Service Centers
only). International customers can obtain assistance at https://www.motorola.com/businessonline
A.3 Mail Orders
Mail orders are only accepted by the US Federal Government Markets Division (USFGMD).
Motorola
7031 Columbia Gateway Drive
3rd Floor - Order Processing
Columbia, MD 21046
U.S.A.
A.4 Telephone Orders
The Radio Products and Solutions Organization*
(United States and Canada)
7:00 AM to 7:00 PM (Central Standard Time)
Monday through Friday (Chicago, U.S.A.)
1-800-422-4210
1-847-538-8023 (United States and Canada)
U.S. Federal Government Markets Division (USFGMD)
1-800-826-1913 Federal Government Parts - Credit Cards Only
8:30 AM to 5:00 PM (Eastern Standard Time)
A.5 Fax Orders
The Radio Products and Solutions Organization*
(United States and Canada)
1-800-622-6210
847-576-3023 (United States and Canada)
USFGMD
(Federal Government Orders)
1-800-526-8641 (For Parts and Equipment Purchase Orders)

A-2 Replacement Parts Ordering: Parts Identification
A.6 Parts Identification
The Radio Products and Solutions Organization*
(United States and Canada)
1-800-422-4210
A.7 Product Customer Service
Radio Products and Solutions Organization (United States and Canada)
1-800-927-2744
* The Radio Products and Solutions Organization (RPSO) was formerly known as the Radio
Products Services Division (RPSD) and/or the Accessories and Aftermarket Division (AAD).

Appendix B Motorola Service Centers
B.1 Servicing Information
If a unit requires further testing, knowledge and/or details of component level troubleshooting or
service than is customarily performed at the basic level, please send the radio to a Motorola Service
Center as listed below.
B.2 Motorola Service Center
1220 Don Haskins Drive.
Suite. A
El Paso, TX 79936
Telephone: 915-872-8200
B.3 Motorola Canadian Technical Logistics Center
Motorola Canada Ltd.
8133 Warden Avenue
Markham, Ontario, L6G 1B3
Tel: 1800-543-3222
Fax: 1800-331-9872 or 1-905-948-5970
B.4 Motorola Federal Technical Center
10105 Senate Drive
Lanham, MD 20706
Tel: 1800-969-6680
Fax: 1800-784-4113

Notes
B-2 Motorola Service Centers: Motorola Federal Technical Center

Appendix C Limited Level 3 Servicing
C.1 Maintenance
For details on the following, please refer to “Chapter 5 Disassembly/Reassembly Procedures” on
page 5-1 to section 5.4 on page 5-4.
Section 5.2 on page 5-1 to Section 5.4 on page 5-4.
• Preventive maintenance (inspection and cleaning).
• Safe handling of CMOS and LDMOS devices.
• Repair procedures and techniques.
C.2 Chip Components
Use a Hot-Air Repair Station for chip component replacement. Adjust the temperature control to
370°C (700°F), and adjust the airflow to a minimum setting. Airflow can vary due to component
density.
•To remove a chip component:
1. Use a hot-air hand piece and position the nozzle of the hand piece approximately 0.3 cm
(1/8") above the component to be removed.
2. Begin applying the hot air. Once the solder reflows, remove the component using a pair
of tweezers.
3. Using a solder wick and a soldering iron or a power desoldering station, remove the
excess solder from the pads.
•To replace a chip component using a soldering iron:
1. Select the appropriate micro-tipped soldering iron and apply fresh solder to one of the
solder pads.
2. Using a pair of tweezers, position the new chip component in place while heating the
fresh solder.
3. Once solder wicks onto the new component, remove the heat from the solder.
4. Heat the remaining pad with the soldering iron and apply solder until it wicks to the
component. If necessary, touch up the first side. All solder joints should be smooth and
shiny.
•To replace a chip component using hot air:
1. Use the hot-air hand piece and reflow the solder on the solder pads to smooth it.
2. Apply a drop of solder paste flux to each pad.
3. Using a pair of tweezers, position the new component in place.
4. Position the hot-air hand piece approximately 0.3 cm (1/8") above the component and
begin applying heat.
5. Once the solder wicks to the component, remove the heat and inspect the repair. All
joints should be smooth and shiny.

C-2 Limited Level 3 Servicing: Component and Parts list
C.3 Component and Parts list
Figure C-1. PCB Top View
Figure C-2. PCB Bottom View
SW4044
5
2
4
3
1
S
4030
3
5
7
2
4
6
12
3
1413
10
S4010
E0800
M0800
3
2
2
3
4
4
F4020
M4020
3
2
234
56

Limited Level 3 Servicing: Component and Parts list C-3
Table C-1 Component Parts List
No. Circuit Ref Motorola Part Num. Description
1 SW4044 4086470Z01 SPST Tact Switch
2 M0800
E0800
0987378K01
02012010001
SM Coaxial Connector
Female
3 S4010 40012023001 Frequency Switch
4 S4030 1875103C04 Volume Rotary On/Off
Switch
5 M4020 0915184H01 Battery Contact
Connector
6 F4020 6515076H01 Fuse Fast Blow 3A 24V

Notes
C-4 Limited Level 3 Servicing: Component and Parts list

Glossary Glossary
This glossary contains an alphabetical listing of terms and their definitions that are applicable to
portable and mobile subscriber radio products. All terms do not necessarily apply to all radios, and
some terms are merely generic in nature.
Term Definition
Analog Refers to a continuously variable signal or a circuit or device designed
to handle such signals.
Band Frequencies allowed for a specific purpose.
CPS Customer Programming Software: Software with a graphical user
interface containing the feature set of a radio.
Default A pre-defined set of parameters.
Digital Refers to data that is stored or transmitted as a sequence of discrete
symbols from a finite set; most commonly this means binary data
represented using electronic or electromagnetic signals.
DPL Digital Private-Line: A type of digital communications that utilizes
privacy call, as well as memory channel and busy channel lock out to
enhance communication efficiency.
FCC Federal Communications Commission.
Frequency Number of times a complete electromagnetic-wave cycle occurs in a
fixed unit of time (usually one second).
GPIO General-Purpose Input/Output: Pins whose function is programmable.
GPS Global Positioning System.
IC Integrated Circuit: An assembly of interconnected components on a
small semiconductor chip, usually made of silicon. One chip can contain
millions of microscopic components and perform many functions.
IF Intermediate Frequency.
kHz kilohertz: One thousand cycles per second. Used especially as a radio-
frequency unit.
LCD Liquid-Crystal Display: An LCD uses two sheets of polarizing material
with a liquid-crystal solution between them. An electric current passed
through the liquid causes the crystals to align so that light cannot pass
through them.
LED Light Emitting Diode: An electronic device that lights up when electricity
is passed through it.
MDC Motorola Digital Communications.

Glossary-2
MHz Megahertz: One million cycles per second. Used especially as a radio-
frequency unit.
Paging One-way communication that alerts the receiver to retrieve a message.
PC Board Printed Circuit Board. Also referred to as a PCB.
PL Private-Line Tone Squelch: A continuous sub-audible tone that is
transmitted along with the carrier.
Programming Cable A cable that allows the CPS to communicate directly with the radio
using USB.
Receiver Electronic device that amplifies RF signals. A receiver separates the
audio signal from the RF carrier, amplifies it, and converts it back to the
original sound waves.
Repeater Remote transmit/receive facility that re-transmits received signals in
order to improve communications range and coverage (conventional
operation).
RF Radio Frequency: The portion of the electromagnetic spectrum between
audio sound and infrared light (approximately 10 kHz to 10 GHz).
RX Receive.
Signal An electrically transmitted electromagnetic wave.
Spectrum Frequency range within which radiation has specific characteristics.
Squelch Muting of audio circuits when received signal levels fall below a pre-
determined value. With carrier squelch, all channel activity that exceeds
the radio’s preset squelch level can be heard.
TOT Time-out Timer: A timer that limits the length of a transmission.
TPL Tone Private Line.
Transceiver Transmitter-receiver. A device that both transmits and receives analog
or digital signals. Also abbreviated as XCVR.
Transmitter Electronic equipment that generates and amplifies an RF carrier signal,
modulates the signal, and then radiates it into space.
TX Transmit.
UHF Ultra-High Frequency.
USB Universal Serial Bus: An external bus standard that supports data
transfer rates of 12 Mbps.
VIP Vehicle Interface Port.
XPR Refers to Digital Professional Radio model names in the MOTOTRBO
Professional Digital Two-Way Radio System.
Term Definition

Notes
Glossary-3

Motorola Solutions, Inc.
1303 East Algonquin Road
Schaumburg, Illinois 60196 U.S.A.
MOTOROLA, MOTO, MOTOROLA SOLUTIONS and
the Stylized M logo are trademarks or registered trademarks
of Motorola Trademark Holdings, LLC and are used under license.
All other trademarks are the property of their respective owners.
© 2012 Motorola Solutions, Inc. All rights reserved.
May 2012.
www.motorolasolutions.com/mototrbo
*68009498001*
68009498001-A